WordLogís ca Geral e Estoque
1
Livro do
Educador
Logística
Geral e
Estoque
2
Copyright®
2013 - Todos os direitos reservados a Multi Brasil Franqueadora e Participações Ltda.
É proibida a reprodução total ou parcial, por qualquer meio ou processo, inclusive quanto às características gráficas e/ou editoriais. A
violação de direitos autorais constitui crime (Código Penal, artigo 184 §§ e Lei nº 6.895, de 17/12/1980), ocasionando busca, apreensão e
indenizações diversas (Lei nº 9.610/98) conforme registro nº. 350.403, livro 646, página 63, 05/08/2005.
Produzido por Multi Brasil Franqueadora e Participações Ltda.
- CNPJ 10.835.410/0001-06
Caro educador, a Microlins®
existe por você e para você.
Para dúvidas, críticas ou sugestões, utilize nosso endereço de e-mail:
atendimento@microlins.com
Central de Franchising:
Av. Andrade Neves, nº 2538
Jardim Chapadão - Campinas/SP
CEP 13070-001
Telefone: (19) 3743-2000
www.microlins.com.br
Autor: Junior Alberto Mamede
Revisão Técnica: Luana Gozzi Rodrigues Neto
Revisão Gramatical: Centro de Consultoria Linguística - CCLi
Capa: Departamento de Marketing
Editoração: Departamento Pedagógico Microlins Franchising
3
Logís ca Geral e Estoque
Caro Educador,
Esse manual tem por objetivo auxiliá-lo no andamento e desenvolvimento
de suas aulas, buscando descrever como foi elaborado este curso e mostrar-
lhe informações e dicas preciosas de como organizar sua aula.
Com esse manual, a Microlins Educação & Profissão quer facilitar sua vida
na execução das aulas e mostrar como a nova metodologia de ensino
implantada neste curso será aplicada dentro de cada assunto, em cada um
dos módulos adquiridos por nossos alunos.
Para que este curso — e consequentemente, sua metodologia — funcionem
da maneira esperada é fundamental a sua participação. Converse com o
seu coordenador como isso afetará as suas aulas e discuta com ele e os
demais instrutores a metodologia, assim, juntos, todos possam entendê-la
melhor.
Faça uma leitura atenta deste manual. Sempre que necessário, fale com
seu coordenador para sanar suas dúvidas. Mesmo que ele não possa
responder de imediato, ele entrará em contato com a área de Operações
da Franqueadora, e lhe responderá o mais brevemente possível.
Atenciosamente,
Equipe Pedagógica Profissionalizante
Microlins Educação & Profissão
4
Sumário
Aula 1 ...........................................................................................................................10
1 - O Surgimento da Logística .............................................................................................................................................. 10
1.1 - Evolução conceitual da logística.................................................................................................................................... 10
1.2 - Evolução Estratégica da Logística.................................................................................................................................. 11
1.2.1 - Anos 70: Foco no gerenciamento e custo ................................................................................................................... 11
1.2.2 - Anos 80: Foco na integração interna .......................................................................................................................... 11
1.2.3 - Anos 90: Foco no cliente: compra , produção e venda................................................................................................. 11
Exercícios ........................................................................................................................................................................... 11
Aula 2 ...........................................................................................................................12
2 - O Profissional da Logística .............................................................................................................................................. 12
TDP.................................................................................................................................................................................... 12
Exercícios ........................................................................................................................................................................... 12
Aula 3 ...........................................................................................................................14
3 - O Desenvolvimento da Logística dentro da empresa. ........................................................................................................ 14
3.1- Definição Logística........................................................................................................................................................ 14
3.2 - Ligação entre Marketing e Logística .............................................................................................................................. 14
3.2.1. - Marketing................................................................................................................................................................ 14
3.2.2 - Logística .................................................................................................................................................................. 14
TDP.................................................................................................................................................................................... 14
Exercícios ........................................................................................................................................................................... 15
Aula 4 ...........................................................................................................................16
4 - Gerenciamento da Cadeia de Suprimentos (Supply Chain Management – SCM) Parte 1.............................................................16
4.1 - Conceito ..................................................................................................................................................................... 16
4. 2 - Diferença entre modelo de administração tradicional e o modelo de SCM (Supply Chain Management). ............................ 16
4.3 - Competências ............................................................................................................................................................. 16
4.4 - Desenvolvimento de fornecedores: ............................................................................................................................... 16
Aula 5 ...........................................................................................................................17
5 - Gerenciamento da Cadeira de Suprimentos (Supply Chain Management – SCM) Parte 2 ...................................................... 17
5.1 -Terceirização e Outsourcing........................................................................................................................................... 17
5.2 - Terceirização............................................................................................................................................................... 17
5.3 - Vatagens com a terceirização ....................................................................................................................................... 17
Exercícios ........................................................................................................................................................................... 17
5.4 - Desvantagens com a terceirização ................................................................................................................................ 18
5.5 - Precauções ................................................................................................................................................................. 18
5.6 - Outsourcing na Administração da Cadeia de Suprimentos ou Supply Chain Management .................................................. 18
5.7. - Diferença de Outsourcing e Terceirização...................................................................................................................... 19
Exercícios ........................................................................................................................................................................... 19
Aula 6 ...........................................................................................................................20
6 - Canais de Distribuição .................................................................................................................................................... 20
TDP.................................................................................................................................................................................... 20
6.1 - Objetivos do Canal de Distribuição................................................................................................................................ 21
6.2 - Funções do Canal de Distribuição ................................................................................................................................ 21
Exercícios ........................................................................................................................................................................... 21
5
Logís ca Geral e Estoque
Aula 7 ...........................................................................................................................22
7 - Utilização da Tecnologia da Informação na logística ..........................................................................................................22
7.1 - Histórico .....................................................................................................................................................................22
7.2 - Funções da TI na logística............................................................................................................................................22
7.3 - Relações das aplicações entre os hardwares e os softwares na logística..........................................................................22
7.4 - A importância da tecnologia para o recurso humano da logística .....................................................................................22
7.5 - ERP (Enterprise Resource Planning- Gestão Integrada)...................................................................................................22
TDP....................................................................................................................................................................................22
Exercícios ...........................................................................................................................................................................23
Aula 8 ...........................................................................................................................24
8 - Administração de Materiais .............................................................................................................................................24
8.1 - A importância da administração de materiais.................................................................................................................24
8.2 - Gestão de produção .....................................................................................................................................................
..........................................................................................................................................................................................24
8.3 - Gestão de Estoque ......................................................................................................................................................24
8.4 - Níveis de estoque .......................................................................................................................................................24
8.5 - Ponto de pedido..........................................................................................................................................................24
TDP....................................................................................................................................................................................24
8.6 - Custos de estoque.......................................................................................................................................................25
8.7 - Curva ABC dos materiais ..............................................................................................................................................25
Exercícios ...........................................................................................................................................................................25
Aula 9 ...........................................................................................................................26
9 - Técnicas para Otimização de Armazenagem - Parte 1 .......................................................................................................26
9.1 - Conceito de armazém ..................................................................................................................................................26
TDP....................................................................................................................................................................................26
9.2 - Armazenagem: do recebimento a expedição..................................................................................................................27
9.3 - Armazenagem: Sobre outro ponto de vista....................................................................................................................28
9.4 - A evolução dos armazéns.............................................................................................................................................29
9.5 - Perfis Operacionais dos Armazéns.................................................................................................................................30
Aula 10 .........................................................................................................................31
10 - Técnicas para Otimização de Armanezagem – Parte 2.....................................................................................................31
10.1 - Modelos de armazens existentes.................................................................................................................................31
Exercícios ...........................................................................................................................................................................31
10.2 - Verticalização dos estoques ........................................................................................................................................33
10.3 - Mezaninos.................................................................................................................................................................34
10.4 - Vantagens com uso de mensanino ..............................................................................................................................34
10.5 - Utilização do sistema WMS nas atividades de armazenagem........................................................................................34
TDP....................................................................................................................................................................................35
Exercícios ...........................................................................................................................................................................35
Aula 11 .........................................................................................................................36
11 - Gerenciamento de pedidos............................................................................................................................................36
11.1 - Processo de recebimento, gerenciamento e atendimento de pedidos.............................................................................37
11.2 - Informatização no controle de pedidos........................................................................................................................37
11.3 - Ciclo de pedidos ........................................................................................................................................................37
Aula 12 .........................................................................................................................38
12 - Inventário....................................................................................................................................................................38
TDP....................................................................................................................................................................................38
Exercícios ...........................................................................................................................................................................38
12.1 - Inventários rotativos, gerais e permanentes ................................................................................................................39
12.2 - Organização de Inventário..........................................................................................................................................39
6
12.3 - Realização de Inventários...........................................................................................................................................39
12.4 - Arrumação Física para realização de Inventário............................................................................................................39
Exercícios ...........................................................................................................................................................................40
Aula 13 .........................................................................................................................41
13 - Gestão de compras.......................................................................................................................................................41
13.1 - Diferenças entre compras para pessoa física e pessoa jurídica (empresas).....................................................................41
TDP....................................................................................................................................................................................41
13.2 - Memória de calculo de impostos para análise na hora da negociação/compra.................................................................42
13.3 - Requisição de Compra................................................................................................................................................43
13.4 - Ciclo de Compra ........................................................................................................................................................43
13.5 - Contratos..................................................................................................................................................................44
Exercícios ...........................................................................................................................................................................44
Aula 14 .........................................................................................................................45
14 - Conceito de Suprimentos ..............................................................................................................................................45
14.1 - Negociação na cadeia de suprimentos.........................................................................................................................45
14.2 - Qualidade da negociação ...........................................................................................................................................45
TDP....................................................................................................................................................................................45
14.3 - Conflitos na negociação .............................................................................................................................................46
14.4 - Relação ganha-ganha ................................................................................................................................................46
14.5 - Intuição e Negociação................................................................................................................................................46
14.6 - Almoxarifado.............................................................................................................................................................46
14.7 - Recepção de materiais e conferência de documentos fiscais..........................................................................................46
14.8 - Codificação de Material ..............................................................................................................................................47
14.9 - Código de Barras ......................................................................................................................................................47
14.10 - Ativides desempenhadas no almoxarifado..................................................................................................................48
14.11 - Layout ....................................................................................................................................................................48
Exercícios ...........................................................................................................................................................................49
Aula 15 .........................................................................................................................50
15 - Logística de Transportes ...............................................................................................................................................50
15.1 - Modais de Transporte.................................................................................................................................................50
TDP....................................................................................................................................................................................50
15.2 - Definição de Intermodalidade ....................................................................................................................................51
15.3 - Definição de Multimodalidade .....................................................................................................................................51
15.4 - Fatores que determinam o valor do frete.....................................................................................................................51
15.5 - Roteirização de Transporte .........................................................................................................................................51
15.6 - Unitização de carga ...................................................................................................................................................52
15.7 - Problemas com a má unitização de carga ....................................................................................................................52
Exercícios ...........................................................................................................................................................................52
Aula 16 .........................................................................................................................53
16 - Distribuição..................................................................................................................................................................53
16.1 - Funções, características e finalidades da distribuição....................................................................................................53
TDP....................................................................................................................................................................................53
16.2 - Atividades nos Armazéns de distribuição .....................................................................................................................54
16.3 - Fluxo de Operações do Armazém de distribuição..........................................................................................................55
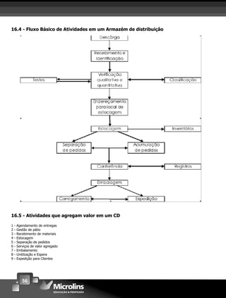
16.4 - Fluxo Básico de Atividades em um Armazém de distribuição .........................................................................................56
16.5 - Atividades que agregam valor em um CD ....................................................................................................................56
16.6 - Recebimento .............................................................................................................................................................57
16.7 - Dificuldades na Operação de Recebimento...................................................................................................................57
16.8 - Formas de recebimento..............................................................................................................................................58
16.9 - Conferência Qualitativa ..............................................................................................................................................59
16.10 - Conferencia Quantitativa ..........................................................................................................................................59
16.11 - Conferencia após Recebimento .................................................................................................................................59
7
Logís ca Geral e Estoque
16.12 - Expedição ................................................................................................................................................................59
16.13 - Formas de paletização...............................................................................................................................................59
16.14. - Endereçamento .......................................................................................................................................................59
Aula 17 ......................................................................................................................... 60
17 - Infraestrutura logística...................................................................................................................................................60
17.1 - A Importância da Infraestrutura Logística no Transporte ................................................................................................60
TDP.....................................................................................................................................................................................60
Exercícios ............................................................................................................................................................................60
17.2 - Infraestrutura Logística e as Vantagens Competitivas ...................................................................................................61
TDP.....................................................................................................................................................................................61
Exercícios ............................................................................................................................................................................61
Aula 18 ......................................................................................................................... 62
18 - Ferramentas de Distribuição...........................................................................................................................................62
18.1 - Vantagens Competitivas na Utilização de Ferramentas de Distribuição ............................................................................62
18.2 - Postponement ............................................................................................................................................................62
18.3 - Unitização..................................................................................................................................................................62
18.4 - Broker .......................................................................................................................................................................62
18.5 - ECR...........................................................................................................................................................................62
18.6 - Milk run ....................................................................................................................................................................62
18.7 - Crossdocking..............................................................................................................................................................63
18.8 - VMI ...........................................................................................................................................................................63
18.9 - E-Procurement ...........................................................................................................................................................63
18.10 - Centro de Distribuição (CD’S) ....................................................................................................................................63
Exercícios ............................................................................................................................................................................63
Aula 19 ......................................................................................................................... 64
19 - Distribuição na Logística Internacional – Parte 1 ..............................................................................................................64
19.1 - Organismos Internacionais ..........................................................................................................................................64
TDP.....................................................................................................................................................................................64
19.2 - Organismos Econômicos Internacionais........................................................................................................................65
19.4 - Barreiras Tarifárias e Não Tarifárias..............................................................................................................................65
19.5 - Logística Internacional ................................................................................................................................................65
19.6 - Incoterms – International Commerce Terms .................................................................................................................65
Aula 20 ......................................................................................................................... 66
20 - Distribuição na Logística Internacional – Parte 2 ..............................................................................................................66
20.1 - Meios de transportes...................................................................................................................................................66
20.1.1 - EXW – Ex Works - A partir da origem da produção, local nominado .............................................................................66
20.1.2 - FCA – Free Carrier – Transportador livre, local nominado ............................................................................................66
Exercícios ............................................................................................................................................................................66
20.1.3. - FAS – Free Alongside Ship (Livre no costado do navio, Porto de embarque nominado).................................................67
20.1.4 - FOB – Free On Board (Livre a Bordo, Porto de embarque nominado)...........................................................................67
20.1.5 - CRF – Cost And Freight (Custo e frete, porto destino nominado) .................................................................................67
20.1.6 - CIF – Cost Insurance And Freight (Custo, Seguro e frete, porto de destino nominado)..................................................67
20.1.7 - CPT – Carriage Paid To (Transporte pago até o local de destino nominado)..................................................................67
20.1.8 - CIP – Carriage and insurance paid to (Transporte e seguro pagos ate o local de destino nominado)...............................67
20.1.9 - DAT – Delivered at terminal (Entregue no terminal – pode ser nomeado de porto ou local de destino)...........................67
20.1.10 - DAP – Delivered at place (Entregue no local - de destino nomeado) .........................................................................68
20.1.11 – DDP – Delivered duty paid (Entregue direitos pagos local de destino nominado) ........................................................68
20.2 – Gestão logística da distribuição física internacional .......................................................................................................68
TDP.....................................................................................................................................................................................68
8
Exercícios .......................................................................................................................................................................... 68
Aula 21 ........................................................................................................................ 69
21 - Operadores Logísticos.................................................................................................................................................. 69
21.1 - O que são Operadores Logísticos?.............................................................................................................................. 69
21.2 - Diferenças entre os Operadores Logísticos e Prestadores de Serviços Logísticos ............................................................ 69
21.3 - A utilização da tecnologia pelos Operadores Logísticos ................................................................................................ 69
TDP................................................................................................................................................................................... 70
Exercícios .......................................................................................................................................................................... 70
Aula 22 ........................................................................................................................ 71
22 - Custos Logísticos – Parte 1........................................................................................................................................... 71
22.1 - Custos em armazenagem .......................................................................................................................................... 71
22.2 - Fatores que influenciam o custo de armazenagem ...................................................................................................... 71
22.3 - Custo com movimentação ......................................................................................................................................... 71
22.4 - Custo de Oportunidade ............................................................................................................................................. 72
22.5 - Depreciação ............................................................................................................................................................. 72
22.6 - Tabela de Depreciação Linear .................................................................................................................................... 72
22.7 - Formula de Cálculo sobre Depreciação: ...................................................................................................................... 73
22.8 - Memória de cálculo para Depreciação Linear............................................................................................................... 73
Aula 23 ........................................................................................................................ 74
23 - Custos Logísticos – Parte 2........................................................................................................................................... 74
23.1 - Formação de Preço................................................................................................................................................... 74
Exercícios .......................................................................................................................................................................... 74
23.2 - Fatores de competitividade........................................................................................................................................ 75
23.3 - Custos logísticos gerais ............................................................................................................................................. 75
23.4 - Custos logísticos circunstanciais................................................................................................................................. 75
23.5 - Custo logísticos de transporte internacional ................................................................................................................ 75
Exercícios .......................................................................................................................................................................... 76
Aula 24 ........................................................................................................................ 77
24 - Logística reversa ......................................................................................................................................................... 77
24.1 - Definição.................................................................................................................................................................. 77
24.2 - Processo e desenvolvimento da Logística reversa........................................................................................................ 77
24.3 - A Logística Reversa na Garantia da Qualidade............................................................................................................. 77
24.4 - A Logística Reversa e o Meio Ambiente....................................................................................................................... 77
24.5 - A Importância da Logística Reversa no marketing das empresas .................................................................................. 77
TDP................................................................................................................................................................................... 77
9
Logís ca Geral e Estoque
10
Aula 1
1 - O Surgimento da Logística
Caro Educador: Aula inicia-se com o surgimento da logística. Você deverá explanar de forma clara, usando uma linguagem cotidiana,
sobre o surgimento da logística. A Logística surgiu no meio militar, fazia parte da estratégia de guerra. Você deverá fazer com que
os alunos voltem no tempo e fiquem imaginando o tamanho das operações de guerra, como eram feitos os planejamentos. Imagine
o quanto era complicado, naquela época, transportar soldados, canhões, alimentos, munição e armamentos em geral. Até mesmo
a água potável que eles necessitariam, como deveriam fazer para transportar água suficiente para matar a sede de milhares de
soldados? Quando parava a beira de um rio o problema poderia estar resolvido (e se àquele rio não tivesse água com qualidade
para beber? Tinham que ter conhecimento geográfico de toda a região...), mas quando não havia rio por perto? Como faziam para
transportar as águas? Imagine a quantidade de reservatórios que deveriam ter, e como transportar tudo isto. De fato era necessário
fazer um excelente planejamento, muito bem minucioso, para obter sucesso em suas operações de guerra (caso houvesse falha,
poderia colocar tudo a perder, pois correria o risco de ter que abandonar a guerra por falta de alimento, água, armamento e demais
itens necessários para execução).
Cite atividades de uma operação de guerra como:
• Produção, aquisição, transporte, distribuição de armamentos e equipamentos militares;
• Alimentação das tropas militares;
• Evacuação de mortos e feridos;
• Transporte e distribuição de munição;
• Entrega de correspondência aos familiares;
• Entrega de correspondência entre os militares;
• Entre outros.
1.1 - Evolução conceitual da logística
Apresente a evolução da logística, desde antes de Cristo até os dias atuais.
11
Logís ca Geral e Estoque
1.2 - Evolução Estratégica da Logística
1.2.1 - Anos 70: Foco no gerenciamento e custo
1.2.2 - Anos 80: Foco na integração interna
1.2.3 - Anos 90: Foco no cliente: compra , produção e venda
Caro Educador: Aqui você irá falar sobre a evolução estratégica da logística. Que teve inicio nos anos 70, onde a estratégia era
focada no gerenciamento de custos e não havia sinergia.
Na sequencia, nos anos 80, o Foco era na Integração Interna, onde no Brasil surge o primeiro grupo de estudo de logística, as
empresas autombilisticas passam a adotar o JIT (Just In Time), e o Kanban desenvolvidos pela Toyota. O final dos anos 80 foi
marcado pela alta inflação e aposta nos estoques. As empresas ganhavam com a valorização dos produtos no estoque.
Já nos anos 90 você irá destacar que o foco era no cliente e que foi uma época marcada pelo fim da inflação (advento do plano
real). Nesta época as empresas notam que os altos estoques deixam de ser considerados ganhos e passam a serem perdas, devido
a sua não valorização. Ocorre a evolução da informática, permitindo com que as empresas pudessem investir mais em tecnologias
de controle como:
• WMS – Warhouse Management System (Sistema de Gerenciamento de Armazéns)
• Etiquetas códigos de barras para controle de estoques;
• Roteirizadores para os veículos das frotas.
Surgem no Brasil novos operadores logísticos, trazendo maior concorrência. Isto fez que com que a integração de esforços ultrapassa
as fronteiras da empresa para otimização do sistema de distribuição.
Nessa época as empresas começam a fazer análise de: Demanda de mercado; Previsão de vendas; Programação de compras;
Planejamento da produção; Fornecimento de matéria-prima; Abastecimento de Produção; Produto acabado e Distribuição, visando
se tornar mais competitiva no mercado.
Exercícios
1 - Quando surgiu a logística?
R.: Desde os tempos bíblicos a cerca de 2.000 anos antes de Cristo.
2 - Qual a importância da logística naquela época?
R.: Tinha importância no meio militar. Fazia parte da estratégia de guerra.
3 - Cite 05 (cinco) exemplos de demanda de guerra daquela época.
R.: 1 - R: Produção, aquisição, transporte, distribuição de armamentos e equipamentos militares;
2 - Alimentação das tropas militares;
3 - Evacuação de mortos e feridos;
4 - Transporte e distribuição de munição;
5 - Entrega de correspondência aos familiares;
4 - A verdadeira tomada de consciência da logística como ciência teve sua origem nas teorias criadas por quem? E quando isto
ocorreu?
R.: Pelo Tenente-Coronel Thorpe. Ocorreu no ano de 1917
5 - Segundo Thorpe, a estratégia e a tática proporcionam o quê? E a logística?
R.: O esquema da condução das operações militares. Já a logística proporciona os meios.
6 - Como foi a Evolução Conceitual da logística?
R.: A evolução se deu da seguinte maneira:
12
• Na Grécia a 2000 anos a.c. com nome de LOGISTIKUS;
• Em Roma a 753 anos a.c. com nome de LOGISTICUS;
• Na França no século XIX com nome de LOGISTIQUE;
• Na II guerra mundial com nome de LOGISTICS;
• E finalmente obteve o nome de LOGÍSTICA na tomada do consumo.
7 - Cite as fases da Evolução Estratégica da Logística?
R.:
• Anos 70 – Foco no gerenciamento de custos – Os custos eram considerados básicos e inevitáveis.
• nos 80 – Foco no Integração Interna – Desregulamentação do transporte, desenvolvimento do KANBAM,
JIT, MRP e outros.
• Anos 90 – Foco no cliente – Marcado pelo fim da inflação e profunda evolução da informática.
8 - Qual o significado de WMS?
R.: É um (Sistema de Gerenciamento de Armazéns (Warhouse Management System)
TDP
Caro educador: Aqui você irá estimular os alunos a traçar diferentes rotas, vindo de casa para o trabalho ou de casa para a escola.
Deverá fazer diferentes opções de trajeto. A intenção é fazer com que o aluno tenha uma noção sobre como traçar uma rota e que,
nem sempre a rota costumeira pode ser a mais correta. É sempre importante levantar rotas alternativas para casos em que houver
interrupção do trafego; ou até mesmo para buscar um ganho financeiro ou de tempo.
1 - Monte um roteiro de sua vinda para o trabalho ou escola. Faça simulações diferentes e veja qual será a melhor
opção.
2 - Hoje em dia fala-se muito em “Satisfação do cliente” como um diferencial competitivo para as empresas. Dê
exemplos do seu dia a dia que mostrem uma eficiência logística fazendo comparação na escolha por um serviço ou
outro.
A resposta é pessoal, mas a intenção é fazer com que o aluno analise pontos de vistas diferentes em uma entrega e outra, como por
exemplo, em uma simples entrega de pizza ou remédios (há casos que a demora faz com que a expectativa seja frustrada. Nessa
hora nem sempre pagar o menor preço é a melhor alternativa).
Aula 2
2 - O Profissional da Logística
Educador: Nessa aula você terá que apresentar os diversos tipos de profissionais que há no merca A seguir apresentar-se-á os
profissionais que trabalham diretamente no ramo da logística e que fazem este setor funcionar.
Exercícios
1 - Cite 03 exemplos de profissionais de logística que você mais se identifica.
R.: Resposta pessoal
13
Logís ca Geral e Estoque
2 - Quais as outras funções que estão dentro de Analista de logística?
R.:
• Analista de transporte em comércio exterior;
• Operador transporte multimodal;
• Controlador de serviços de máquinas e veículos;
• Afretador;
• Tecnólogo em logística de transporte;
• Analista de logística de transporte
• Dentre outros.
3 - Explique o que faz um Analista de transporte.
R.: Controlam, programam e coordenam operações de transportes em geral; acompanham as operações de embarque,
transbordo e desembarque de carga. Verificam as condições de segurança dos meios de transportes e equipamentos
utilizados, como também, da própria carga. Supervisionam armazenamento e transporte de carga e eficiência
operacional de equipamentos e veículos. Controlam recursos financeiros e insumos, elaboram documentação
necessária ao desembargo de cargas e atendem clientes. Pesquisam preços de serviços de transporte, identificam e
programam rotas e informam sobre condições do transporte e da carga.
4 - Quais as outras funções que estão dentro de Analista de transporte Logístico?
R.:
• Cronoanalista;
• Cronometrista;
• Controlador de entrada e saída;
• Planejador;
• Técnico de planejamento de produção;
• Técnico de planejamento e programação de manutenção;
• Técnico de matéria prima e material;
• Assistente de logística de transporte.
5 - Quais as diversas profissões como gerente de logística?
R.:
• Gerente de Operações de transporte;
• Gerente de correios e telecomunicações;
• Gerente de logística de armazenagem e distribuição.
• Dentre outros.
6 - O que faz um gerente de logística de distribuição?
R.: Planejam as atividades operacionais de empresas de armazenamento, distribuição, transportes, comunicações e
logística. Administram equipes, gerenciam recursos materiais e financeiros da área. Controlam o processo operacional
e avaliam seus resultados. Providenciam meios para que as atividades sejam desenvolvidas em conformidade com
as normas e procedimentos técnicos, de qualidade, segurança, meio ambiente e saúde. Buscam novas tecnologias e
assessoram a diretoria e setores da empresa.
7 - O que faz um tecnólogo em logística de transporte?
R.: Controlam, programam e coordenam operações de transportes em geral; acompanham as operações de
embarque, transbordo e desembarque de carga. Verificam as condições de segurança dos meios de transportes e
equipamentos utilizados, como também, da própria carga. Supervisionam armazenamento e transporte de carga e
eficiência operacional de equipamentos e veículos.
8 - Quais os tipos de engenharias que atuam na área da logística?
R.: Engenharias Civil (aeroportos, rodovias, ferrovias, metrovias, pontes, viadutos, tuneis) dentre outros.
14
TDP
Educador: O objetivo desse trabalho é ajudar o aluno a decidir sobre qual carreira seguir.
1 – Escolha entre as profissões acima, 03 (três) com as quais você mais se identifica.
2 – Elinime uma das profissiões escolhidas e explique porque você a eliminou.
3 – Escolha uma das duas que restaram e explique o porque da escolha e o que este profissional dessemelha como
função.
Aula 3
3 - O Desenvolvimento da Logística dentro da empresa.
3.1- Definição Logística
Educador: nessa aula você deverá fazer uma explanação sobre o que é logística:
É a função sistêmica de otimização do fluxo Financeiro de materiais e informações de uma organização. Integra duas ou mais
atividades gerenciais ou operacionais, planejando, implementando e controlando o fluxo eficiente de materiais e informações, do
ponto de origem ao ponto de destino, com o propósito de adequá-los às necessidades dos fornecedores e clientes. (Definição da
ASLOG – Associação Brasileira de Logística).
É bom salientar que como qualquer outra área, deve-se sempre estar de olho nos competidores existentes no mercado, buscando
igualdade e/ou superação com os melhores concorrentes.
Muito importante também frisar, que a logística deixou de ser vista como operacional para tornar-se estratégica. Assim, é considerada
em decisões importantes e recebe a atenção dos mais altos escalões da empresa.
3.2 - Ligação entre Marketing e Logística
3.2.1. - Marketing
3.2.2 - Logística
Educador: você deverá explicar que o mercado que está ditando novas tendências para o futuro das empresas. A internet está
cada dia mais abrindo fronteiras, gerando maior inquietude da concorrência e acelerando as informações à parte interessada
(stakeholders).
Irá explicar também que o Marketing é uma atividade decisiva para avaliar as necessidades, decidir a hora e o que se deve colocar
ou retirar, seja bens ou serviço, do mercado.
O Marketing nasce com a finalidade de atender necessidades e superar expectativas. Existe a necessidade das pessoas de suprir
desejos. Estes desejos, ligados ao poder aquisitivo de cada individuo, se torna demanda. Setor fundamental para colocar a empresa
a frente da concorrência.
Educador: deverá expor também que a logística é parte fundamental e estratégica para ganhar a satisfação do cliente, atuando de
forma eficiente em diversas frentes de trabalho, gerando economia para empresa. A comunicação entre marketing e logística deve
ocorrer de forma clara e objetiva, uma vez que os resultados obtidos afetam diretamente na estratégia e objetivos da empresa, bem
como no resultado final.
15
Logís ca Geral e Estoque
Exercícios
1 - Defina logística.
R.: É considerada como o gerenciamento estratégico dos fluxos de materiais e das informações correlatas para
levar, de forma eficiente e eficaz, os produtos de uma origem a um destino.
2 - Explique como funciona o primeiro fluxo de logística.
R.: O primeiro fluxo é o dos materiais, o qual se inicia no fornecedor e termina na entrega ao consumidor final.
3 - Explique como funciona o segundo fluxo de logística.
R.: O segundo fluxo é o das informações, o qual tem um sentido inverso ao do anterior (do mercado para dentro da
empresa).
4 - Qual foi o crescimento da venda de caminhões em 2011?
R.: O crescimento foi de 15%.
5 - Quais as consequências desse crescimento?
R:. São mais caminhões nas mesmas estradas danificadas, assim falta infraestrutura para comportar este crescimento.
Também chegaram a faltar pneus para tamanha demanda.
6 - Defina Marketing.
R.: Atividade decisiva para avaliar as necessidades, decidir a hora e o que se deve colocar ou retirar, seja bens ou
serviço, do mercado.
7 - Qual a ligação e Marketing e Logística?
R.: Hoje as empresas são obrigadas a sair do comodismo, pois é o mercado que está ditando novas tendências para
o futuro das empresas. A internet está cada dia mais abrindo fronteiras, gerando maior inquietude da concorrência
e acelerando as informações à parte interessada (stakeholders).
8 - Logística se restringe apenas ao setor de transporte? Explique.
R.: Não. A operação logística como um todo é composta por diversas áreas. E se correlaciona com outras áreas, como
de Marketing e Vendas.
9 - A logística é parte fundamental e estratégica para que?
R.: É parte fundamental e estratégica para ganhar a satisfação do cliente, atuando de forma eficiente em diversas
frentes de trabalho, gerando economia para empresa.
10 - A logística é composta por diversas áreas. Quais são elas?
R.: Suprimentos; Almoxarifado; PCP (Processos e Controles de Produção); Armazenagem; Distribuição e Transportes,
dentre outras.
TDP
1 - Pesquise sobre os diversos setores que compõe a logística e aponte a que mais se relaciona com você.
R.: Resposta pessoal.
2 - Exemplifique como funciona o setor escolhido por você na questão acima.
R.: Resposta pessoal.
3 - Pesquise e descreva o que são stakeholders.
R.: São grupos de interesses, que podem ser: Fornecedores, governo e demais membros que possam ter interesse
sobre a operação da entidade.
16
Aula 4
4 - Gerenciamento da Cadeia de Suprimentos (Supply Chain Management – SCM) Parte 1
4.1 - Conceito
Caro Educador: Nesta aula você deverá explicar o que é Supply Chain Manangement - é o mesmo que Gerenciamento da Cadeia de
Suprimentos. O SCM garante a integração, de forma bem estratégica, desde a origem (fornecedor) até o destino (consumidor final),
agregando valor a todos os envolvidos da cadeia de suprimentos, focando sempre na satisfação do cliente final.
Como o foco das empresas e se tornarem mais competitivas e com o menor custo possível, esta ferramenta (Supply Chain) vem
agregar de forma muito positiva na conquista de um excelente resultado. Está sob sua gestão o planejamento e controle desde a
aquisição de insumos até a fabricação. Assim, cabe a ela fazer as aquisições corretas, nas quantidades corretas, no tempo certo,
objetivando sempre garantir a produção ao menor custo possível, evitando estoques desnecessários. Para isto o SCM terá que
maximizar e tornar realidade as potenciais sinergias entre as partes da cadeia produtiva, de forma a atender o consumidor final
mais eficientemente.
4. 2 - Diferença entre modelo de administração tradicional e o modelo de SCM (Supply
Chain Management).
4.3 - Competências
Caro educador: Aqui você poderá fazer uma analogia entre os modelos e administração tradicional e o modelo do SCM. Mostrando
que o modelo SCM atua de forma proativa, dando ênfase a qualidade, customização, buscando sempre novos desenvolvimentos
estratégicos do negócio, enquanto o modelo tradicional é mais reativo.
4.4 - Desenvolvimento de fornecedores:
Educador: Deverá explicar sobre a importância de se desenvolver novos fornecedores, mostrando ao aluno os pontos fortes como:
Garantia de abastecimento em produção normal ou em caso de crescimento da produção; Dentre outros pontos apontados abaixo:
• Habilidade técnica – Ver se ele possui capacidade de responder às demandas técnicas de forma eficiente.
• Capacidade de fabricação – Se faz necessário que, dependente do tamanho do negócio, se faça uma visita in loco (no
local) para analisar o estrutura que o fornecedor tem e ver se ele possui capacidade produtiva compatível com a necessidade do
cliente. Se em caso de aumento de demanda (produção) ele conseguirá atender. Caso seja identificado algum risco, é necessário
que se levante novo fornecedor com capacidade maior ou, que venha somar aos já existentes para não ocasionar ruptura de abas-
tecimentos de suprimentos (já imaginou uma indústria parar sua produção por falta de insumos? Os prejuízos seriam enormes e
muitas vezes irreversíveis).
• Confiabilidade – Você poderá contratar um fornecedor para fazer pesquisa de mercado, elaborar um produto ou até
mesmo para desenvolver um grande produto como a criação de uma fórmula nova para seu produto. Imagine se o fornecedor não
for confiável e vender seu projeto (ideia) para seu concorrente. Imagine o desastre que seria, sem falar nos prejuízos, uma vez que
os custos com pesquisa ficou totalmente por sua conta e seu concorrente poderia lançar o mesmo produto com valor inferior no
mercado, por não ter tido este mesmo custo com a pesquisa. Daí surge a importância de trabalhar com fornecedores de confiança
inabalável e de preferencia, sempre, elaborar bons contratos que garantam esta confiabilidade.
• Serviço Pós-Venda – Precisam ter certeza que, em caso de anomalias com o insumo comprado, terá um bom atendi-
mento de pós-vendas. Geralmente este fator é esquecido por muitos compradores, que “pagam um preço alto” na hora de pedir
apoio ou reparação em compras de bens ou serviços que não condizem com as especificações exigidas na compra.
• ocalização geográfica – Verificar onde o fornecedor está instalado e quais os meios de acesso entre o fornecedor e o
cliente. Quanto mais longe estiver instalado, maior será o custo com frete em relação ao valor da mercadoria. Importante também
para análise de tempo de entrega.
• Saúde financeira – Verificar se o fornecedor tem condições de garantir a continuidade do fornecimento. Em caso de
necessidade alongamento de prazo para pagamento, ou aumento da demanda ele terá condições continuar fornecendo.
• Condições Comercias – Observar preço, desconto, bonificações, incidência de tributos (todo comprador deve ter noção
tributária, saber qual é o regime tributário adotado por sua empresa, pois pode fazer toda a diferença na hora da compra), prazo
para pagamento.
17
Logís ca Geral e Estoque
• Aspectos ambientais e de responsabilidade social – Por pressões da sociedade, que cobra por um ar mais puro, as
empresas estão cada vez mais evitando a degradação do meio ambiente. Muitas empresas optam por comprar de empresas que
possuem praticas saudáveis de produção e que incentivam ações voltadas a responsabilidade social.
Exercícios
1 - Qual o significado da sigla SCM em logística?
R.: Supply Chain Manangement (Adminsitração da Cadeia de Suprimentos)
2 - Defina Supply Chain Manangement.
R.: É o mesmo que Administração da Cadeia de Suprimentos. Ao contrário do que muitos pensam o SCM tem conceito
diferente de Logística. Logística está relacionada com uma série de processos que viabiliza o fluxo de materiais do
fornecedor ao ponto de venda, enquanto que o SCM garante a integração, de forma bem estratégica, desde a origem
(fornecedor) até o destino (consumidor final), agregando valor a todos os envolvidos da cadeira de suprimentos,
focando sempre na satisfação do cliente final.
3 - SCM tem sido uma promissora fronteira para organizações interessadas em:
R.: Obter maiores vantagens de forma sólida e efetiva.
4 - O SCM é importante na redução de custos podendo ser obtida através de:
R.: Redução do volume de transações de informações e consumo de papéis, dos custos de transporte, estocagem,
dentre outros.
5 - Através da cadeia produtiva e dos esforços, tanto os fornecedores como os clientes podem conseguir o quê?
R.: Aumento simultâneo de suas lucratividades.
6 - Qual o fluxo da cadeia de suprimentos?
R.: Fornecedor do fornecedor; Fornecedor; Empresa; Cliente; Consumidor final.
7 - Cite dois exemplos de práticas eficazes que visam a simplificação da SCM.
R.: 1 - A integração de um sistema de informação, como EDI (Eletronic Data Interchange);
2 - A utilização de representantes permanentes (in plant representatives).
8 - o que é competência?
R.: É o link entre estratégia e a infraestrutura.
9 - Por que é importante saber escolher um fornecedor?
R.: O critério na escolha é fundamental para ter maior segurança no que tange ao recebimento da mercadoria ou
produto nas especificações corretas, no tempo certo e na quantidade certa. Também para garantir abastecimento
em caso de crescimento da demanda da empresa.
10 - Cite três critérios para escolha de fornecedores:
R.: Capacidade de fabricação; Confiabilidade; Pós Venda.
Aula 5
5 - Gerenciamento da Cadeira de Suprimentos (Supply Chain Management – SCM) Parte 2
5.1 -Terceirização e Outsourcing.
5.2 - Terceirização
5.3 - Vatagens com a terceirização
18
5.4 - Desvantagens com a terceirização
5.5 - Precauções
Educador: Dando sequência sobre Supply Chain Management (Adminsitração da Cadeia de Suprimentos), deverá explanar sobre
terceirização, suas vantagens e desvantagens. Estemétodo é muito utilizado hoje por muitas empresas que visam, além da redução
de custo, melhorar a qualidade dos serviços prestados e foco da atividade-fim da empresa, não perdendo o foco do negócio.
Entre as vantagens com a terceirização temos:
• Foco na atividade-fim da empresa (Core business); Delegando para terceiros as atividades que faz parte
desse core business.
• Redução de custo com contratações e demissões; ainda tem os custos com faltas de colaboradores ao tra-
balho, pois nesse caso a reposição é imediata e por conta da empresa contratada.
• Concentra os melhores funcionários, no negócio principal da empresa, garantindo maior retorno; e aumento
da produtividade.
• Maior facilidade na gestão de pessoas. Numero reduzido de pessoas.
• Redução dos ativos da empresa; Dependendo da forma que foi elaborador o contrato, parte dos ativos fica
a cargo da empresa contratada.
Educador: Nesta etapa é importante mencionar as desvantagens, e as precauções que se devem ter um uma terceirização. Mostrar
os riscos que se tem na contratação da empresa. Deve-se observar se a empresa contratada se qualifica continuamente, se de fato
detém conhecimento suficiente sobre o que está desempenhando. Outro ponto importante é o risco de ser autuada pelo Ministério
do Trabalho, caso a contratada não cumpra com suas obrigações trabalhistas. Um meio de evitar este risco é colocar em contrato,
como clausula obrigatória, a apresentação de todos os pagamentos de encargos trabalhistas, juntamente com a nota fiscal para
pagamento dos serviços prestados.
Devem-se observar, também, os riscos com transmissão de Know-how e confiabilidade. A empresa contratada pode passar
informações privilegiadas da sua empresa.
Um meio de se precaver contra estes riscos e possíveis aborrecimentos, é com a elaboração de contratos muito bem minuciosos,
colocando todas as cláusulas necessárias, evitando problemas futuros. E também delegar as responsabilidade de forma gradativa,
em níveis de performance.
5.6 - Outsourcing na Administração da Cadeia de Suprimentos ou Supply Chain
Management
Caro educador: Vamos falar um pouco sobre Outsourcing. Prática que vem crescendo muito no meio industrial, de forma positiva.
Muito utilizada no meio têxtil, dentre outros.
O que é Outsourcing?
Out = Fora
Source = fonte.
É o mesmo que uma fonte externa, cujo objetivo é garantir determinadas atividades transferidas de terceiros, garantindo maior
agilidade com o processo e competitividade no mercado. Os serviços utilizados por uma empresa (na cadeia produtiva) é terceirizada
(confiados) a uma empresa externa, com relacionamento interdependente.
Importante salientar que com o crescimento do mercado e exigências dos clientes diante de tanta oferta, as empresas se viram
obrigadas a focar em pontos relevantes para conseguirem permanecer nesta luta diária pela sobrevivência, com isso muitas
organização atuam como foco em suas atividades-fins e delegam à terceiros outras atividades.
Ao terceirizar, é necessário ter uma relação transparente, porém confiável e confidencial, ao ponto da empresa cliente poder confiar
uma série de informações ao parceiro. Veja um exemplo abaixo:
Vamos supor que uma organização têxtil chegou ao seu limite de produção e resolve terceirizar a produção de um ou alguns
modelos de vestuário. A empresa cliente terá que enviar os moldes (modelos) à empresa contratada.
19
Logís ca Geral e Estoque
Ela está confiando um projeto (poderia ser uma lançamento de vestuário) nas mãos de um “desconhecido”. Imagine se esta empresa
contratada não for idônea e resolver vender o projeto a terceiros. Por isso há a necessidade de sempre efetuar contratos bem
elaboradores, por setor competente, para evitar descontentamento das partes.
Outsourcing começou com áreas consideradas periféricas, como a informática, mas agora chega as áreas de manufatura, manutenção,
distribuição e marketing.
5.7. - Diferença de Outsourcing e Terceirização
O Outsourcing utiliza-se de recursos externos para realização de atividades principais da empresa (Ex: fabricação de peças,
vestuários, dentre outros).
A Terceirização está mais relacionada a processos de armazenagem (inbound e outbound) e distribuição (ex: Limpeza e conservação;
manutenção predial e mecânica, transporte, transportadores são empresas terceirizadas).
Exercícios
1 - O que é terceirização?
R.: É o ato de transferir para outras empresas, atividades que não fazem parte do seu negocio principal.
2 - Quais as vantagens de uma terceirização?
R.: Redução de custos, melhorias na qualidade, melhor gestão de pessoas; Poder focar na atividade fim da empesa.
3 - Quais as desvantagens de uma terceirização?
R.: Risco de contratar uma empresa não qualificada; e ter problemas com Ministério do Trabalho.
4 - O que é Outsourcing?
R.: É um processo de gestão pelo qual se repassam algumas atividades para terceiros, com os quais estabelece uma
relação de parceria, ficando a empresa concentrada apenas em tarefas essencialmente ligadas ao negocio em que
atua.
5 - Qual a diferença entre terceirização e outsourcing?
R.: O Outsourcing utiliza-se de recursos externos para realização de atividades principais da empresa. É o mesmo
que designar serviços a terceiros onde seria necessário uso de equipamentos, mão de obra especializada e know-
how naquilo com aquele tipo de serviço. Muito utilizado no meio industrial, já a Terceirização está mais relacionada
a delegação de trabalhos mais braçais, como por exemplo: limpeza, segurança, portaria.
6 - Qual o objetivo do outsourcing?
R.: Dar maior agilidade e competitividade às empresas, transferindo para terceiros a execução de atividades
secundárias.
7 - Outsourcing começou com áreas tidas como periféricas, como a informática, mas agora chega a quais áreas?
R.: Manufatura, manutenção, distribuição e marketing.
8 - O que se espera de um parceiro que você lhe confia uma terceirização?
R.: Além de competência é esperada uma relação de confidencialidade, ao ponto da empresa cliente poder confiar
uma série de informações ao parceiro.
9 - Com o crescimento do mercado e exigências dos clientes diante de tanta oferta, as empresas se viram obrigadas a que?
R.: A focar em pontos relevantes para conseguirem permanecer nesta luta diária pela sobrevivência, com isso muitas
organização atuam como foco em suas atividades fins e delegam a terceiros outras atividades.
20
TDP
1 - Em dupla, monte uma estratégia para desenvolver um novo fornecedor para sua empresa.
Educador: Deverá orientar e incentivar os alunos a colocar em prática o que foi mencionado em sala de aula. Os
alunos deverão montar esta estratégia, observando todos os pontos positivos e negativos, bem como se atentarem
para as precauções que deverão ter, como a elaboração de uma contrato minucioso (sugiro a criação de um contrato
fictício, para dar maior ênfase a aula – poderão montar um contrato em sala de aula, ou pesquisar modelos e trazer
um contrato pronto para análise).
Aula 6
6 - Canais de Distribuição
Caro educador: São muitos os canais de distribuição. Inicie a aula fazendo um fluxograma de como funciona a rede de distribuição
desde o fabricante até o consumidor final e quais os tipos de canais de distribuição existentes nesta rede.
Nos casos em que o consumidor final compra direto da indústria, poderá usar como exemplo as vendas pela internet (e-commerce),
as vendas de cosméticos (Natura), dentre outros.
Para os casos em que houve Fabricante, varejista e consumidor final, podem se citados como varejistas as grandes redes de
supermercados (Ex: Pão de Açúcar, Carrefour, dentre outros) e consumidor final é o cliente final que compra no supermercado
(ex: dona de casa). Tem também os casos em que o canal de distribuição é acrescido com a figura do Atacadista, que são grandes
distribuidores que compra das indústrias e distribuem para os varejistas (supermercados), que será o meio para fazer chegar o
produto até o cliente final.
Veja que por ultimo no organograma aparece, também, a figura do agente. Este profissional é contratado pelas indústrias (podem
ser através de contratos de trabalhos resguardados pela CLT (Consolidação das Leis de Trabalho), com carteira de trabalho, ou
podem se contratados como prestadores de serviços (terceirizados), neste caso recebem o nome de representantes comerciais, onde
tem empresa aberta e devem emitir nota fiscal de prestação de serviços para recebimento de seus “honorários”. Este profissional
é um meio de ligação entre indústria e atacado. Há casos em que estes representantes comerciais fazem a ligação de indústria
diretamente com o varejista (grandes redes de supermercados), pratica cada vez mais usada pelas indústrias.
21
Logís ca Geral e Estoque
O Canal de Distribuição é o caminho projetado para o produto ou mercadorias chegarem aos clientes, ou consumidor final.
Exemplo: Uma grade indústria fabrica determinado produto e utiliza do canais de distribuição para que seu produto chegue ao
consumidor final.
6.1 - Objetivos do Canal de Distribuição
Entre os objetivos de um canal de distribuição, cite os apontados abaixo:
• Colocar o produto a disposição do cliente no tempo certo e no lugar certo, satisfazendo a necessidade do consumidor final;
• Reforçar potenciais de venda – através de treinamentos e apresentação de produtos, gerando motivação a equipe de
vendas;
• Facilitar fluxo de informação;
• Reduzir custos de forma integrada.
6.2 - Funções do Canal de Distribuição
• Induzir a Demanda;
• Satisfazer a demanda;
• Serviços de pós-venda;
• Troca de informações.
Exercícios
1 - O que é um canal de distribuição?
R.: Canal de Distribuição é o caminho projetado para o produto ou mercadorias chegarem aos clientes, ou consumidor
final.
2 - O Canal de Distribuição é formado por quem?
R.: Por interesses econômicos, por isso deve ser muito bem planejado estrategicamente, criando sinergia positiva
para entre as organizações, objetivando resultado satisfatório para todos os membros do canal de distribuição.
3 - Exemplifique como funciona um canal de distribuição.
R.: Uma grade indústria fabrica determinado produto e utiliza de canais de distribuição como Atacadistas e Varejistas
para que seu produto chegue ao consumidor final.
4 - Quais os membros que fazem parte do canal de distribuição?
R.: Indústria, Agentes ou representantes comerciais, atacados ou distribuidores, varejistas e consumidor final.
5 - Qual a importância do atacadista neste canal de distribuição?
R.: Responsável por colocar o produto no ponto certo para que possa ser adquirido pelo consumidor final. Compram
da indústria e vendem para no varejo.
6 - O que diferencia o Representante comercial dos demais membros do canal de distribuição?
R.: Ele tem o papel de buscar os clientes, mas não possuem posse do produto.
7 - Os participantes do Canal de Distribuição podem ser divididos em:
R.: Primários ou especializados.
8 - Qual a função do canal de distribuição?
R.: Induzir a Demanda; Satisfazer a demanda; Serviços de pós venda e
Troca de informações.
9 - Dê exemplos de participantes primários em um canal de distribuição.
R.: Fabricantes, atacadistas e varejistas.
22
TDP
1 - Em dupla, pesquise e nos apresente um modelo de canal de distribuição existente em sua cidade e como ele funciona. (tem
por objetivo, levantar as opções existentes e fazer com que os alunos possam ter noção visual de como funciona,
facilitando seu entendimento, permitindo melhor conhecimento). Pedir para fazerem um relatório sobre o que foi
visto e entregar no final para que o educador possa analisar sob seu ponto de vista se ficou claro para ele o que foi
visto e se precisa sanar mais alguma dúvida.
Aula 7
7 - Utilização da Tecnologia da Informação na logística
7.1 - Histórico
7.2 - Funções da TI na logística
7.3 - Relações das aplicações entre os hardwares e os softwares na logística
7.4 - A importância da tecnologia para o recurso humano da logística
Educador: Vamos aqui enfatizar a importância da tecnologia da informação aplicada a logística. Hoje seria impossível ter uma
logística competitiva, se não tivéssemos boa tecnologias que permitam maior processamento de informações, maior agilidade de
acesso e confiabilidade com resultados. Grandes empresas, preocupadas com sua posição no mercado, que cada vez se torna mais
exigente e competitivo, investem fortemente em tecnologia da informação. Temos hoje vários softwares que permitem controle
absoluto de tudo que está dentro, seja no setor de armazenagem, produção, transporte. Esta ferramenta proporciona além de
redução de custos decorrentes de gargalos físicos, ineficiências operacionais, e obstáculos burocráticos, institucionais e legais,
ganho significativo para o crescimento das operações logísticas como um todo.
Deverá, também, explanar sobre as diferenças entre hardware e software. Assim, definir a base tecnologia a ser utilizada se faz
necessário um planejamento onde a tecnologia é implantada dentro de um projeto estruturado para atender a logística onde o
sistema ou software funcionará, seja como sistema operacional, seja em rede, por meio da integração do hardware, aplicativos
paralelos, utilitários entre outros.
7.5 - ERP (Enterprise Resource Planning- Gestão Integrada)
Educador: Deverá explanar sobre ERP como sendo sistema integrado de gestão empresarial, que tem por objetivo planejar recursos
empresariais
É através do ERP que é possível receber, controlar e processar os pedidos. Seja de forma estruturada presencial ou on-line. Por ser
um sistema único e integrativo, torna-se possível através deste sistema integrar setores, estruturar demandas e possibilitar que
processos externos possam ser beneficiados por processos internos. Ou seja, Decisões externas ou Necessidades externas podem
ser beneficiados ou aliados em decisões internas da empresa.
23
Logís ca Geral e Estoque
O sistema Integrado de Gestão Empresarial é aplicado a logística por beneficiar a parte burocrática da empresa. Auxilia no
desenvolvimento administrativo por meio da liberação através da integração tecnológica entre o departamento solicitante, o
departamento financeiro e o departamento de compras.
Após a composição do sistema é possível solicitar de forma eletrônica, compras, licitações e estoques. Assim, o gerenciamento das
demandas fica controlado. Com isso, torna-se possível estabelecer um sistema de qualidade no setor.
Para o recurso humano do setor é possível determinar uma política de remuneração de acordo com cada função exercida na
empresa.
Desta forma, a ERP torna-se fundamental no processo globalização para ganho no tempo, na eficiência integrativa dos setores e no
desenvolvimento do recurso humano da empresa.
Exercícios
1 - Qual é a definição de Hardware?
R.: É toda parte física do processo tecnológico. Em um computador, todas as peças são hardware.
2 - O que é um Software?
R.: É constituído por toda parte de instalação operacional que faz um hardware ganhar vida e funcionalidade.
3 - Um computador sem sistema operacional é:
R.: Obsoleto, sem utilidade.
4 - Um sistema operacional é:
R.: Um Software.
5 - O que é um ERP?
R.: Planejamento de recursos empresariais, mas também é conhecido no mercado logístico como sistema integrado
de gestão empresarial.
6 - O que é possível fazer com um ERP?
R.: É possível receber, controlar e processar os pedidos. Por ser um sistema único e integrativo, torna-se possível
através deste sistema integrar setores, estruturar demandas e possibilitar que processos externos possam ser
beneficiados por processos internos.
7 - A geração de resultados focados no uso da tecnologia auxilia a quem?
R.: A todos os setores da empresa no desenvolvimento rápido das execuções gerando informações a todos os setores.
8 - Uma vez preparado, o funcionário do setor de logística está apto a solicitar informações e enviar informações que geram
respostas rápidas para quais setores?
R.: Para o setor de compras e vendas, estoques, distribuição, frete, entrega e também resultados setoriais de
consumo e pedidos por região.
24
9 - ERP torna-se fundamental para que?
R.: Para ganho no tempo, na eficiência integrativa dos setores e no desenvolvimento do recurso humano da empresa.
TDP
1 - Pesquise sobre hardwares e softwares presentes em um Departamento Logístico da Empresa.
Aula 8
8 - Administração de Materiais
8.1 - A importância da administração de materiais
Educador: A administração de materiais na logística tem um papel importante e determinante no processo de gestão. É através da
administração de materiais que se torna possível organizar, planejar, controlar materiais eficientemente com vistas à consecução das
metas em grupo. A administração de materiais torna possível a classificação de materiais, o gerenciamento do estoque, controle
de aquisições, checagem do armazenamento, manuseio dos materiais de forma adequada, movimentação de estoques, transporte
de material, controle dos materiais excedentes, obsoletos e inservíveis e também o controle de qualidade. Daí já da para notar a
relevância dessa ferramenta na logística
Os materiais são administrados conforme necessidade da organização. A grande maioria tem como política estoques enxutos, e
outras carecem de estoques maiores, principalmente quando falamos de produtos acabados, para atender demandas sazonais
(como nas comemorações festivas – Natal - e outros).
8.2 - Gestão de produção
No planejamento da gestão de produção é definido o que será produzido de acordo com as vendas ou planejamento comercial. O
setor geralmente envia orçamento de vendas e/ou previsão de vendas, para que seja feita analise das necessidades de produção.
Há casos em que a produção só é iniciada quando o pedido chega à indústria. Com base nesta análise é feito levantamento de
necessidade ou não de compra de mais insumos para produção.
A gestão das atividades empresariais estão relacionadas a produção, a logística e as operações diz respeito a decisões a serem
tomadas quanto à cadeia produtiva. Em gestão de produção é possível estabelecer a quantidade de produtos que serão produzidos,
encomendados, estocados, distribuídos de forma global.
É também na gestão de produção que são emitidas as ordens de compra, de fabricação e de montagem. É possível acompanhar a
execução de cada etapa e verificar se o cronograma está sendo cumprido conforme o processo de planejamento determinado pela
gestão de produção. Aqui entra o MRP, as industrias estão evoluindo e investindo em softwares cada vez mais eficiente para colocar
tudo interligado, dando maior agilidade com o processamento de informações e geração de relatórios para tomada de decisão,
garantindo sempre menor custo e maior rapidez no atendimento ao cliente.
8.3 - Gestão de Estoque
Nesta fase serão definidas as politicas de estoque. Ponto de pedido; Calculado com uma previsão para consolidar a margem de
segurança no estoque. Estoque de reserva: Quanto comprar a mais Lote de compra; Quantidade certa a comprar Curva ABC de
estoque; Métodos de avaliação identificando itens de maior impacto. Padronização de materiais; Melhoria para produção.
8.4 - Níveis de estoque
8.5 - Ponto de pedido
Os níveis de estoques podem ser categorizados como:
25
Logís ca Geral e Estoque
Estoque a Mão: É o estoque que está fisicamente na empresa.
Estoque Líquido: É o estoque à mão menos os backorders (pedido em espera ou em atraso).
Posição de Estoque: É a soma do estoque líquido com os pedidos em trânsito.
8.6 - Custos de estoque
8.7 - Curva ABC dos materiais
Quando pensamos em custos de estoques é necessário entender desde o custo de manuseio e manutenção, passando pelo custo
de preparação de pedido, curso da escassez e o custo de compra.
Assim é apresentada a questão do custo no estoque. Tudo deve ser calculado. Mas é importante que se ressalte que quanto maior
for à demanda menor o preço.
Curva ABC de estoques.
Para que não haja perda de tempo na negociação, defini prioridades de acordo com a curva ABC.
Os itens da curva ABC são classificados como (Carvalho, 2002, p.227):
• Classe A: De maior importância, valor ou quantidade, correspondendo a 20% do total (podem ser itens de estoque com
uma demanda de 65% num dado período);
• Classe B: Com importância, quantidade ou valor intermediário, correspondendo a 30% do total (podem ser itens do es-
toque com uma demanda de 25% num dado período);
• Classe C: De menor importância, valor ou quantidade, correspondendo a 50% do total) podem ser itens do estoque com
uma demanda de 10% num dado período).
Exercícios
1 - Qual a importância da administração de materiais?
R.: É através da administração de materiais que se torna possível organizar, planejar, controlar materiais
eficientemente com vistas à consecução das metas em grupo.
2 - Qual a definição de ponto de pedido?
R.: Ponto de pedido é o cálculo da demanda por unidade de tempo multiplicada pelo lead-time.
3 - Qual a definição de Custo de estoque?
R.: É todo custo oriundo da aquisição, manuseio, manutenção, e gestão do estoque.
4 - Como definir gestão de produção?
R.: É o planejamento e controle do que será necessário produzir e da quantidade de insumos que serão gastos na
produção.
5 - Através da administração de materiais que se torna possível:
R.: Organizar, planejar, controlar materiais.
6 - Para que não haja perda de tempo negociando materiais que não possuem uma participação significativa no investimento total
da obra, o que devo fazer?
R.: Classificação da curva ABC para o estabelecimento de prioridades.
7 - Como fazer a classificação da curva ABC de estoques?
R.:
• Classe A: De maior importância, valor ou quantidade, correspondendo a 20% do total (podem ser itens de
estoque com uma demanda de 65% num dado período);
• Classe B: Com importância, quantidade ou valor intermediário, correspondendo a 30% do total (podem ser
itens do estoque com uma demanda de 25% num dado período);
• Classe C: De menor importância, valor ou quantidade, correspondendo a 50% do total) podem ser itens do
estoque com uma demanda de 10% num dado período).
26
8 - Quando surge o planejamento do processo produtivo?
R.: Parte da montagem da árvore do produto quanto já se dispõe do prazo de execução e da lista de materiais com
avaliação da curva ABC.
TDP
Em dupla: Levante um caso real, ou faça simulação de um planejamento de produção, se atentando para a administração de
materiais necessários para fabricação. (Educador: Deverá orientar os alunos a montar uma estrutura de produto e, com
base nesta estrutura, levantar a necessidade de insumos para produção, vislumbrando o tempo gasto para entrega,
a quantidade de produção dia e a quantidade de estoque mínimo e máximo necessários para não haver ruptura na
produção).
Aula 9
9 - Técnicas para Otimização de Armazenagem - Parte 1
9.1 - Conceito de armazém
Educador: Se conseguir, nesta fase, será interessante levar os alunos para conhecer um armazém (centro de distribuição de
preferência).
Caso não seja possível, sugiro apresentar em data show, ilustrações de modelos de armazéns existentes, para enriquecer, ainda
mais, a aula.
Abaixo ilustração de um armazém com estruturas diferentes para estocagem de produtos.
Abaixo poderá ver como funciona a armazenagem do recebimento a expedição. Quais os pontos chaves a serem observados na
armazenagem de uma logística empresarial. Um pouco mais abaixo verá a importância da armazenagem sob outro ponto de vista.
27
Logís ca Geral e Estoque
9.2 - Armazenagem: do recebimento a expedição
Gerenciamento
por Lotes
Uso intensivo
informação
Foco no
giro dos
materiais
Mais
Fornecedores
e Clientes
Ciclo de vida dos
produtos cada
vez mais curto
Grande
quantidade
de SKUs
Margens
apertadas
Múltiplos
canais de
distribuição
Globalização
Cliente mais
exigente
28
9.3 - Armazenagem: Sobre outro ponto de vista
29
Logís ca Geral e Estoque
9.4 - A evolução dos armazéns.
V
A
R
I
A
V
E
I
S
TEMPO
E
S
T
O
C
A
G
E
M
E
S
T
O
C
A
G
E
M
Montagem
de Pedidos
(Picking)
Estocagem
Montagem
de Pedidos
(Picking)
Serviços
de Valor
Agregado
Armazém
Centro de
Distribuição
Centro de
Serviços
Logísticos
1950’s/60’s/70’S 1980’s/90’s 2000’S
30
Antigo
Conceito
• Um custo de negócio
• Um “lugar para guardar material”
• Estático
• Missão: Gerenciar estoques
• Baixo nível de “degradação” das embalagens
• Armazenagem horizontal
Nova
Visão
• Um instrumento para vantagem competitiva
• Integra marketing, administração de materiais e planejamento de produção e financeiro
• Dinâmico
• Missão: Gerenciamento do fluxo físico e das informações
• Alto nível de “degradação” das embalagens (picking fracionado)
• Armazenagem vertical
9.5 - Perfis Operacionais dos Armazéns
MANTER
MOVIMENTAR
ESTOCAGEM
Recebimento Expedição
31
Logís ca Geral e Estoque
Exercícios
1 - Conceitue armazem.
R.: É uma instalação física destinada à movimentação e armazenagem de materiais diversos, desenhada e
dimensionada conforme as características físicas dos itens, volume movimentado, giro, popularidade, valor e
requerimentos de segurança e qualidade desses materiais.
2 - Dê exemplo de um perfil operacional de armazém.
R.: Terminal de frete / Cross-Docking – Foco no recebimento e expedição.
3 - De acordo com a evolução dos armazéns de distribuição, conceitue dois pontos com base no conceito antigo.
R.: Um custo de negócio
Um “lugar para guardar material”
4 - Com base na evolução do conceito de armazém novos, dê dois exemplos:
R.: Um instrumento para vantagem competitiva
Parte integrante da política de fabricação, marketing, administração de materiais e planejamento financeiro
5 - Qual a melhor técnica para otimização do armazém de distribuição?
R.: Organização e verticalização.
6 - Em que situações o empresário deve ter a sensibilidade de que o preço pode ser ajustado para mais ou para menos?
R.: Nem todo o custo da empresa deve ser transferido para o cliente. Pois há custo que são oriundos de má
administração. Os reajustes de preços devem muito bem analisados e na maioria das vezes ocorrem em momentos
em que houve reajustes salariais, acrescimentos de combustiveis, dentre outros que estão fora do controle do
empresário, são reajustes realizados pelo governo.
Aula 10
10 - Técnicas para Otimização de Armanezagem – Parte 2
Caro educador: Neste módulo deverá apresentar aos alunos os diversos tipos de armazens existentes, e os sistemas de estocagem
existentes. Cada um desses sistemas se relaciona a determinados tipos de produtos que serão estocados.
10.1 - Modelos de armazens existentes
Tradicional, como buffer (estoque pulmão) para suportar variações entre o programa de produção e demanda; geralmente alocado
próximo ao ponto de produção.
• Centros de Distribuição. Muito utilizado por grandes industrias, para concentração de recebimento e expedição dos pedidos.
• Centros de Distribuição Avançados (CDAs), atendimento express (mais rápidos e em menor tempo - D+1).
• Armazéns onde se concentra a chegada de mercadorias vindas de pontos diferentes.
• Cross-dockings – Sistema de distribuição onde não há armazenagem. A mercadoria ou produto passa pelo armazém, de
forma rápida, e vai diretamente para o cliente.
• Transit-points – Muito parecidos com centros de distribuição avançados, porém com uma diferença, não mantém estoques.
• Merge-in-Transit – Processo onde envolve coleta de vários fornecedores para atender demanda de clientes comuns.
• Armazéns para fulfillment (pequenos pedidos para Clientes individuais)
Educador: A seguir verá alguns sistemas de estocagem e sistemas para verticalização dos estoques. Com o crescimento e
desenvolvimento do nosso país, muitas indústrias estão conseguindo manter um crescimento de forma sustentável. Com este
aumento de produtividade é necessário buscar maior espaço físico para armazenamento de insumos e produtos. Nem sempre isto
Prateleiras
32
quer dizer que as indústrias terão que construir maiores galpões para esta armazenagem. O correto e , primeiramente, redesenhar
o layout , organizando o espaço existente e, em muitos dos casos, fazer a verticalização dos estoques. Ao invés da empresa crescer
horizontalmente, demandando de mais terrenos e construções grandiosas, elas poderão invetir em estruturas que são sistemas de
estocagem praticos, eficientes e muito funcionais. Isto proporcionará menor investimento e menor custo operacional. Claro que
dependendo do tamanho da operação, deverá alem de adotar estes sistemas de estocagem, amplicar o espaço fisico já existente.
Prateleiras Flow-rack
Mezaninos
Carrossel
Horizontal
Carrossel
Vertical
Mini-Load System
CaCaCaCaCaCaaCaCaaaaaCaarrrrrrrrrrrrrrrrrososososososossesesesesesesellllllllllll
HoHoHoHHoooHooHooooo iriiririiririririiriririiizozozzozzozzozozzzozozozozozoozoz ntntntnttntntttntntntntnttnttntnntntalalalaallaalalalaalalalalaal
33
Logís ca Geral e Estoque
10.2 - Verticalização dos estoques
Porta-páletes Porta-páletes Dupla-Profundidade
Porta-páletes Deslizante Drive-in
Estruturas Dinâmicas
Push-Back
34
10.3 - Mezaninos
Os mezaninos otimizam espaço de forma verticalizada. Muito usados sobre estantes, em operações que envolvem embalagem,
das áreas de stage, dos escritórios, etc. São uma alternativa rápida e econômica para a formação de um novo espaço. (vide figura
abaixo).
10.4 - Vantagens com uso de mensanino
• Dobra ou triplica o espaço cúbico utilizado de forma rápida e econômica
• Evita despesas com mudanças
• Não tem incidência de IPTU
• Minimiza interrupções na operação durante a instalação
• Diminui a necessidade de aluguel de espaço externo
• Permite flexibilidade na reconfiguração da área e rápida expansão futura
10.5 - Utilização do sistema WMS nas atividades de armazenagem
Educador: O sistema WMS é um sistema de gerenciamento e gestão de operações de armazéns. Este sistema lhe permite maior
assertividade com as operações relacionadas a intralogística (dentro do armazém), além de eliminar o retrabalhar provenientes de
erros operacionais como: digitações erradas, furos de estoque, dentre outros. Este sistema permite uma rastreabilidade online de
todo o estoque, a partir do momento que o produto é recebido (chegou no armazém), armazenado e expedido.
A utilização de um WMS está associada às principais atividades realizadas em um armazém: Através do recebimento de produtos,
movimentação interna de materiais, controle de estoque, realização de inventários, separação e expedição de produtos.
Integração entre ERPs e WMS.
35
Logís ca Geral e Estoque
Albertin e Sanchez (2008) mostra que a integração frente à existência de interface entre os sistema utilizados pelos clientes (ERPs)
e os operadores logísticos (WMS) faz-se necessária para eliminar retrabalhos e erros associados à digitação de documentos fiscais
nos dois sistemas.
Exercícios
1 - Quais os modelos de armazéns existentes?
R.: Tradicional, como buffer; Centros de Distribuição; Centros de Distribuição Avançados (CDAs); Cross-docking;
Transit-points; Merge-in-Transit; Armazéns para fulfillment.
2 - O que significa a sigla WMS em logística?
R.: Sistema de Gerenciamento e Gestão de Operações de Armazenagem.
3 - Qual a função do sistema WMS?
R.: Está associada às principais atividades realizadas em um armazém: Através do recebimento de produtos,
movimentação interna de materiais, controle de estoque, realização de inventários, separação e expedição de
produtos.
4 - Qual a vantagem do uso do Mesanino no armazém?
R: Aproveitamento máximo da altura útil de um local, duplicando ou triplicando a sua superfície e acondicionando-a
como zona de armazenagem, vestiários, escritórios, etc
5 - Quais os modelos de estruturas para verticalização de estoques?
R.: Porta-pallets; Porta pallets de dupla-profundidade; Porta-pallets deslizante; Estruturas dinâmicas; Push-Back.
6 - Quais equipamentos para sistema de estocagem existem?
R.: Prateleiras; Flow-rack; Mezaninos; Carrossel horizontal; Carrossel vertical; Mini-Load System.
TDP
1 - Em dupla, vocês deverão pesquisar qual o equipamento mais utilizado para estocagem em acatadistas de sua região.
Educador: A idéia é fazer com que quem ainda não conhece um sistema de armazenagem, veja in loco como funciona.
Caso não seja possível fazer esta visita in loco, sugiro apresentar alguns vídeos para que os alunos possam se
familiarizar mais com estes sistemas de estocagem.
36
Aula 11
11 - Gerenciamento de pedidos
Educador: O objetivo do gerenciamento de pedidos é controlar o estoque e os pedidos. Também é possível gerenciar o armazenamento
e a distribuição. Para que isto ocorra com sucesso é importante que haja uma entrada precisa e qualificada dos pedidos dos clientes.
Por meio do processamento de pedidos torna-se possível:
A partir do processamento de pedidos é possível planejar (ponto de entrada dos pedidos), distribuir (regiões onde os clientes estão),
solicitar (em falta no estoque) e entregar (finalização do pedido). No processamento dos pedidos é executado com as seguintes
ações:
37
Logís ca Geral e Estoque
11.1 - Processo de recebimento, gerenciamento e atendimento de pedidos
A alocação de pedidos torna possível controlar o estoque e as solicitações feitas diretamente junto ao fornecedor com tempo ideal
para cumprir a entrega dentro do prazo estabelecido, principalmente quando o estoque não tem disponibilidade para atender
prontamente os pedidos solicitados.
Assim que o pedido é gerado, cabe ao gerenciamento de estoque controlar a solicitação e também a pré-seleção de pedidos, que
quando há um controle de entradas e saídas, bem como, controle de possibilidade de atendimento junto ao fornecedor, ao armazém
e o gerenciamento do estoque, torna-se possível atender prontamente o pedido.
Na alocação de pedidos:
11.2 - Informatização no controle de pedidos
A tecnologia de informação está presente no setor de logística principalmente depois do advento da globalização. Contar com a
tecnologia fez do setor de logística um aliado ao crescimento da empresa, dos fornecedores e principalmente do atendimento de
qualidade ao cliente.
Através da TI é possível controlar de forma precisa a entrada, a saída, a encomenda (pré-venda) e o estoque.
Sabemos a importância que os softwares de ponta proporcionam como auxilio para o setor de logística e assim é possível crescer
sem arriscar e até mesmo investir de forma mapeada com o objetivo de não perder tempo e dinheiro no setor.
11.3 - Ciclo de pedidos
Como todo pedido tem prazo de entrega, ajustar o tempo do fornecedor, do cadastro dos produtos, da armazenagem/estoque e
da entrega final é fundamental para que o prazo de entrega do pedido seja cumprido, garantindo satisfação na expectativa gerada
pelo cliente final. Quando o consumidor faz a compra, 99% das vendas estabelece o prazo de entrega (geralmente curto). O setor
de logística é o responsável por atender o prazo, visto que o controle gerado no sistema com ajuda da tecnologia de informação,
dos cadastros atualizados, dos serviços de armazenagem e dos pontos de entrega, faz da pontualidade um diferencial para vendas,
seja no atacado ou no varejo.
38
Exercícios
1 - Conceitue gerenciamento de pedidos.
R.: É uma tarefa que agrega eficiência a empresa e, tem como objetivo controlar o estoque e os pedidos.
2 - O que é possível fazer por meio do processamento de pedido?
R.: É possível planejar (ponto de entrada dos pedidos), distribuir (regiões onde os clientes estão), solicitar (em falta
no estoque) e entregar (finalização do pedido).
3 - Quais ações estão envolvidas na execução do processamento de pedido?
R.: Entrada de pedidos; Verificação de crédito; Disponibilidade no inventário; Conhecimento do pedido; Modificação
de pedidos; Formação de preços de pedidos; Condição de pedido; Preço e extensão de descontos; Verificação de
promoção.
4 - No que se refere ao processo de recebimento, gerenciamento e atendimento de pedidos, a alocação de pedidos torna possível
para que?
R.: Para controlar o estoque e as solicitações feitas diretamente junto ao fornecedor com tempo ideal para cumprir
a entrega dentro do prazo estabelecido, principalmente quando o estoque não tem disponibilidade para atender
prontamente os pedidos solicitados.
5 - Assim que o pedido é gerado, cabe ao gerenciamento de estoque fazer o que?
R.: controlar a solicitação e também a pré-seleção de pedidos, que quando há um controle de entradas e saídas, bem
como, controle de possibilidade de atendimento junto ao fornecedor, ao armazém e o gerenciamento do estoque,
torna-se possível atender prontamente o pedido.
6 - Qual a finalidade do ciclo do pedido?
R.: Ajustar o tempo do fornecedor, do cadastro dos produtos, da armazenagem/estoque e da entrega final é
fundamental para que o prazo de entrega do pedido seja cumprido, garantindo satisfação na expectativa gerada
pelo cliente final.
TDP
1 - Monte um fluxo de alocação de pedidos e como você faria o monitoramento do mesmo.
Educador: Fazer o monitoramento desde o recebimento do pedido até a expedição e entrega no cliente final. Sugiro
fazer este trabalho em dupla ou grupo de 03 pessoas.
Aula 12
12 - Inventário
Educador: A gestão de inventário é o elemento de maior importância na estratégia logística. O inventário dos estoques é um
procedimento que visa o controle absoluto, e pode ser realizado anual, semestral, trimestral e mensal e até mesmo semanal
ou diariamente. É a contagem de materiais ou produtos em estoque, cujo objetivo é avaliar e identificar possíveis erros nas
movimentações, efetuando as devidas correções.
39
Logís ca Geral e Estoque
12.1 - Inventários rotativos, gerais e permanentes
Os inventários rotativos devem seguir um cronograma diário, em que são contados ao menos aquelas produtos que possuem
histórico mais relevante de divergências. Os produtos com histórico mais propenso a riscos de fraudes ou erros não listados no
cronograma mais de uma vez por mês.
O inventário geral consiste na contagem de todos os itens em estoque. Necessita de atenção exclusiva com planejamento prévio e
bem elaborado. O inventário permanente com a exata posição dos seus estoques, sem admitir erros. O método é bastante simples:
a cada movimentação o estoque físico do item movimentado é checado com o estoque constante no sistema, identificando-se e
eliminando-se qualquer divergência encontrada no saldo do estoque e apurando-se suas causas. É o tipo de inventário utilizado por
bancos, joalherias e caixas.
12.2 - Organização de Inventário
Objetivos básicos dos inventários:
• Identificar furos de estoque e possíveis desvios.
• Identificar e eliminar itens sem movimentação;
• Identificar e eliminar materiais com defeito e/ou danificados;
• Identificar e corrigir erros nas movimentações dos materiais.
12.3 - Realização de Inventários
Costa (2002) detalha a realização de inventário na empresa. Devemos procurar estabelecer boas condições para sua realização, tais
como:
• Determinar horário para começo e fim da operação de inventário
• Escolher o método que será utilizado na contagem; geralmente faz até duas contagens separadas, ou seja, montam se
grupos separados para fazer as contagens, Havendo divergências um terceiro grupo poderá fazer outra contagem, garantindo ex-
atidão e controle do item inventariado.
• Designar pessoa responsável pelo inventário; utilizando pessoas independentes da operação no seu cotidiano;
• Fazer lista dos participantes com as respectivas atribuições;
• Relacionar os itens a serem inventariado;
• Providenciar material a ser utilizado;
• Fazer acompanhamento e controle das contagens dos materiais;
• Designar auditores para confirmar as contagens realizadas.
• Conferir valores anotados;
• Conferir listas, somando a quantidade física por item, grupo, seção e geral;
• Fazer comparação entre quantidade do sistema x quantidade encontrada no estoque físico.
• Ajustar estoque quanto necessário, deixando no sistema a quantidade encontrada no estoque físico.
• Fazer relatório apresentando irregularidades, sugestões, correções e providências tomadas.
12.4 - Arrumação Física para realização de Inventário
Deixar tudo muito bem organizado para garantir maior agilidade ao processos de inventário.
Os itens a serem inventariados deverão estar agrupados e identificados;
Retirar qualquer coisa que possa impedir o livre acesso ao item a ser inventariado. Produtos que não deverão ser inventariados
deverão estar isolados;
Segue abaixo modelo de ficha para inventário.
40
Código:
Descrição: UN
Local:
Código:
Descrição: UN 3ª
contagem
Local:
Quant.:
Visto Conferido
Código:
Descrição: UM
Local: 2ª
contagem
Quant.:
Visto Conferido
Código:
Descrição: UN
Local: 1ª
Contagem
Quant.:
Visto Conferido
Exercícios
1 - Qual o conceito de inventário?
R.: O inventário dos estoques é um procedimento de controle que deve ser executado com periodicidade.
2 - A política do inventário consiste em que?
R.: Nas diretrizes que definem o que comprar ou fabricar, quando iniciar uma ação, e com que quantidade operar.
3 - A gestão de inventário é o elemento de maior importância na estratégia logística. Como deve ser esta gestão?
R.: A gestão deve ser integrada, para satisfazer os objetivos de serviço.
4 - Com qual periodicidade se deve realizar um procedimento de inventário?
R.: Semestral, trimestral e mensal e até mesmo semanal ou diariamente.
5 - Quais os tipos de inventários?
R.: Inventários rotativos, gerais e permanentes.
6 - Como desenvolver um inventário permanente?
R.: A cada movimentação o estoque físico do item movimentado é checado com o estoque constante no sistema,
identificando-se e eliminando-se qualquer divergência encontrada no saldo do estoque e apurando-se suas causas.
7 - Como desenvolver um inventário geral?
R.: Consiste na contagem de todos os itens em estoque. Necessita de atenção exclusiva com planejamento prévio
e bem elaborado. O número de funcionários destinados a desempenhar a tarefa precisa ser grande, visto que os
cuidados com os dados apurados refletirão nos custos da empresa.
8 - Como desenvolver um inventário rotativo?
R.: Devem seguir um cronograma diário, em que são contados ao menos aquelas produtos que possuem histórico
mais relevante de divergências.
9 - O que deve ser definido para realização do inventário?
R.: Determinar a data e hora do início e do término da operação; Escolher o método que será utilizado na contagem;
geralmente faz até duas contagens separadas, ou seja, montam se grupos separados para fazer as contagens,
Havendo divergências um terceiro grupo poderá fazer outra contagem, garantindo exatidão e controle do item
41
Logís ca Geral e Estoque
inventariado; Designar pessoa responsável pelo inventário; utilizando pessoas independentes da operação no seu
cotidiano; Fazer lista dos participantes com as respectivas atribuições; Relacionar os itens a serem inventariado;
Providenciar material a ser utilizado; Comparar as quantidades físicas com as quantidades constantes no sistema
de controle de estoque;
10 - Como deve ser a arrumação física para realização do inventário?
R.: As áreas e os itens a serem inventariados deverão estar organizados na melhor forma possível, para facilitar o
bom andamento e dar agilidade ao processos de inventário; Os itens a serem inventariados deverão estar agrupados
e identificados; Os corredores deverão estar livres e desimpedidos para facilitar o acesso; Produtos que não deverão
ser inventariados deverão estar isolados;
TDP
Em dupla ou trio, elabore uma ficha de inventário e simule a realização de um inventário.
Aula 13
13 - Gestão de compras
Educador: cada vez mais as indústrias estão buscando formas para reduzir seus custos, viabilizando a operação, permitindo maior
poder de concorrência e garantindo-se no mercado de forma crescente.
Um dos fatores de suma importância nesse processo é a gestão de compras. Pois este setor é o responsável para obter os
suprimentos necessários, sejam eles materiais ou serviços, para o ambiente empresarial.
O profissional que atua nessa área dever ter boa índole para evitar desvios, boa comunicação para negociar com fornecedores,
conhecer bem do que está comprando para ter maior sucesso e assertividade com as compras; ter conhecimento pleno do ramo
de atividade da empresa em que atua; saber qual o regime tributário adotado pela empresa (isto faz toda a diferença na hora da
compra, uma vez que dependendo do regime adotado, a compra com preço inferior poderá sair mais cara – Memória de calculo com
exemplos mais adiante);
13.1 - Diferenças entre compras para pessoa física e pessoa jurídica (empresas)
As compras efetuadas pelas empresas utilizam-se de meios mais complexos e formais, enquanto que para uma pessoa física não
seria necessários fazer processo licitatório para comprar itens de uso pessoal, como roupas, calçados, dentre outros.
Em se tratando de pessoa jurídica (empresas) o processo de compras tem foco na obtenção de insumos, determinação de quantidade
mais adequada a cada situação de consumo; avaliação de entrega (tempo de lugar adequados): e o mais importante, qual a melhor
fonte para fornecimento que trará a melhor relação de custo benefício para a empresa.
A determinação de quantidade geralmente é feita por profissional responsável pelo planejamento de materiais. O comprador
normalmente recebe as necessidades de insumos já quantificadas através de requisição, onde são mensurados também as datas
ideias para o recebimento dos insumos. Caberá ao comprador concluir com o processo de aquisição, definir fornecedor e determinar
os aspectos comerciais, conforme normas internas da empresa.
A Atividade de compras é um exercício a ser praticado frequentemente por toda a organização. Vejam o caso abaixo:
O setor de marketing de uma indústria do ramo têxtil, lança novos modelos a serem construídos pela facção (setor de costura).
Os novos modelos incluem novas cores e novas matérias-primas, como um fio de algodão mais resistente para produção de calças
jeans. A engenharia de produtos, juntamente com o marketing já determinou diretrizes para o novo projeto de calças jeans. Ele está
indiretamente determinando parte do que deve ser comprado pelo setor de compras. A gerencia de produtos da empresa, também,
interfere determinando que outros componentes sejam adquiridos por se fazer necessários para construção da peça.
Nesses casos caberá ao comprador, exclusivamente receber as requisições, necessárias para formalizar e documentar as diretrizes
já impostas por cada organização.
42
Existem organizações onde as práticas que integram as políticas de compras são formalizadas ou informalizadas. A informalidade
podem gerar desvios, por tanto recomenda-se o método formal, mais burocratizado, para dar maior transparência ao processo de
compras.
Uma paralização de produção não programada, por menor que seja, pode trazer sérios prejuízos a empresa.
A aquisição de insumos é vista pela organizações como forma de alavancar lucros, uma vez que comprando bem, buscando melhores
alternativas no mercado, a organização terá maior poder de competitividade no mercado, podendo almejar melhores lucros e ainda
oferecer melhores preços aos consumidores.
Vejam os exemplos abaixo:
• Cerca 80 % das vendas de itens de consumo como: biscoitos, bebidas lácteas, dentre outros, são gastos com sua aquisição,
tornando a margem de contribuição muito pequena, são os casos de supermercados, atacadistas, dentre outros.
• De 60 a 70 % das venda de produtos duráveis, como eletrodomésticos e automóveis, são gastos com suas aquisições;
• E cerca de 20 % apenas são os gastos com aquisições de insumos para o ramo de prestação de serviços.
É preciso saber o qual o percentual correto que o insumo irá representar sobre o valor de venda, para poder buscar o melhor valor
de compra e consequentemente o melhor lucro para a empresa.
Tudo deve ser muito bem analisado, dependente da atividade da empresa, pode-se adotar como método de compra o poder de
barganha, que é a negociação por maiores volumes, o que tornará a empresa compradora mais atrativa para o fornecedor, podendo
conseguir preços mais atrativos.
Um comprador jamais poderá fazer compras por impulso.
13.2 - Memória de calculo de impostos para análise na hora da negociação/compra
É importante observar num processo de compras, além do valor do insumo, qual o prazo para entrega, se é compatível ou não com
a necessidade da empresa; qual a tributação aplicada (principalmente quando a organização puder recuperar impostos aplicados na
negociação). Para tanto, o comprador deve conhecer qual o regime tributário é adotado por sua organização.
Exemplo 1:
Se a organização comprar um insumo por R$ 20.000,00 (vinte mil reais) e sobre este insumo incide carga tributária de 17%.
R$ 20.000,00 Valor negociado pelo insumo.
17% - Carga Tributária
R$ 3.400,00 Valor do Imposto a recuperar
Assim temos:
R$ 20.000,00 Valor pago pelo insumo
R$ 3.400,00 – Valor recuperado do imposto (ganhou com a compra)
R$ 16.600,00 Custo total do Insumo
Caso a organização não possui classificação contábil que garanta este beneficio de recuperação de imposto, ela deixará de ter um
custo total e R$ 16.600,00 e terá um custo total de R$ 20.000,00.
Isto é possível uma vez que, dependendo do regime tributário, a organização poderá recupera o valor pago pelo imposto na hora
que for pagar seus impostos.
Exemplo 2:
Vendi um produto por R$ 25.000,00. Minha carga tributária é 17%.
R$ 25.000,00 Preço venda do produto
17% - Carga tributária
R$ 4.250,00 Imposto a recolher (pagar)
43
Logís ca Geral e Estoque
Como eu recuperei R$ 3.400,00 com a compra anterior (hipótese), eu posso fazer a subtração do imposto a recolher e pagar apenas
a diferença.
Exemplo 3:
R$ 4.250,00 Imposto a recolher pela venda (pagar)
R$ 3.400,00 – Imposto a recuperar pela compra (ganhei)
R$ 850,00 – Imposto a pagar na apuração mensal.
OBS: Deve-se observar também outros impostos como PIS, COFINS, dentre outros, por isto sempre é importante saber do setor
de contabilidade qual o regime tributário da organização. Importante saber também qual o regime Tributário do fornecedor, pois
dependendo do regime, a empresa compradora não poderá usufruir de todos os impostos gerados em sua totalidade (como é o caso
das empresas optantes pelo simples).
Estando bem informado, o comprador verá que nem sempre o menor preço será a melhor opção. Por isto é preciso que esteja bem
informado. Quando não for possível saber de tudo, precisa pegar informações aos setores competentes (nos exemplos acima seria
a contabilidade), para garantir melhor resultado para a organização.
13.3 - Requisição de Compra
Documento geralmente emitido pela parte interessada no insumo. Neste documento deve constar todas as informações (dados)
para compra: Descrição do insumo, quantidades, unidades de medida; previsão para entrega, dentre outros, para garantir que o
insumo seja comprado dentro das especificações necessárias. Processo pode ser automatizado ou manual.
13.4 - Ciclo de Compra
• Recebimento e análise de requisição de compra – Importante o comprador fazer analise das requisições, visando
copilar aquisições com outras requisições, visando redução de custo no processo de aquisição.
• Seleção de Fornecedores – Buscar qual a melhor fonte para o fornecimento do insumo para cada processo em anda-
mento; solicitação de cotações; analisar aspectos comerciais quantitativos e qualitativos, identificando qual o melhor fornecedor
para cada processo em seleção e homologação.
• A negociação da condições finais do fornecimento – já de posse das cotações e condições gerais de fornecimento,
o comprador entra em ação, negociando e buscando sempre melhor alternativa para as partes.
• A emissão de documentos – formalizando a compra. Emitindo pedido de compra e em alguns casos contratos, para
garantir que tudo o que foi negociado seja cumprido tanto nas especificações do produto, quanto no preço e prazo para entrega.
• Liberação do pedido de compra – em muitos casos após emissão do pedido de compra, este deverá ser levado para
apreciação da parte responsável pela liberação ou aprovação da compra. Geralmente poderá ser o gerente ou diretor de suprimentos
ou Supply Chain.
• Follow-up – Documento utilizado para acompanhamento de todo o processo. Após emissão do pedido de compra e sua
liberação, o pedido é enviado para o fornecedor (geralmente por e-mail) para iniciar o processo de entrega do insumo. O comprador
deve apontar os dados pertinentes a entrega, em uma planilha (chamada follow-up), que servirá de apoio no monitoramento da
entrega, evitando contratempos como atrasos de entrega e interrupção de produção. Muito utilizado por empresas que trabalham
com gerenciamento de estoques (mínimo e máximo).
• Recebimento do insumo – geralmente não é efetuado pelo comprador, mas sim por profissional habilitado na área de
recebimento de materiais (almoxarifado). Mas integra o ciclo de compras.
• Liberação do processo ao contas a pagar – finalmente encerra-se aqui o ciclo de compras. Evidencia que o insumo
foi recebido conforme especificado no pedido de compra e ou contrato e que poderá fazer o provisionamento do pagamento ao
fornecedor na data combinada pelas partes.
Acrescento este passo a passo para realizar a atividade de comprador:
• Passo 1 - Analisar a SC (Solicitação de compra);
• Passo 2 - Fazer levantamento de fornecedores;
• Passo 3 - Negociar a compra (mínimo 03 cotações);
• Passo 4 - Analisar as propostas e fechar a compra (analisar bem qual a melhor opção – nem sempre a correta será a mais
barata...);
44
• Passo 5 – Lançar pedido em planilha para acompanhamento (Follow Up);
• Passo 6 – Monitorar a entrega, através do Follow Up.
13.5 - Contratos
Muito usado para garantir a lisura do processo. Garantindo ressarcimento em caso de descumprimento pelas partes, no que foi
acordado. Deve-se sempre ter o aval da área jurídica da empresa, para garantir a exatidão dos fatos apontados no contrato,
evitando descontentamentos e imprevistos.
Exercícios
1 - Defina gestão de compras.
R.: Controle sobre um processo através do qual obtêm-se os suprimentos necessários, sejam eles materiais ou
serviços, para o ambiente empresarial. Podemos definir, também, como o meio de adquirir itens de caráter doméstico
para o cotidiano das pessoas físicas.
2 - Qual a diferença entre compra de uma pessoa física e jurídica?
R.: A diferença está na burocracia. As compras para pessoal física são menor formais, enquanto as compras para
pessoa jurídica requer maior formalidade.
3 - Qual profissional responsável pela execução de compras numa empresa?
R.: O Comprador; Analista de compras ou gerente de compras.
4 - O que é Follow-up?
R.: Documento utilizado para acompanhamento de todo o processo de compras.
5 - Como é formalizada a compra?
R.: Através de cotações; pedidos de compras ou contratos.
6 - O que é requisição de compra?
R.: Documento geralmente emitido pela parte interessada no insumo. Neste documento deve contar todas as
informações (dados) para compra.
7 - Você precisa comprar o motor elétrico. O fornecedor 1 lhe encaminhou orçamento de R$ 2.000,00, com destaque de imposto de
12 % e sua empresa consegue recuperar este importo. O fornecedor 2 lhe encaminhou orçamento de R$ 1.950,00 com destaque
de imposto de 17 %, mas a empresa dele é optante pelo simples (recupera apenas pequena parte do imposto de 1,25%). Qual é
a melhor opção para compra?
Fornecedor 1
Valor compra R$ 2.000,00
Imposto Recuperável (12%) R$ 240,00
Custo total do produto (valor – imposto recuperável) R$ 1.760,00
Fornecedor 2
Valor da compra R$ 1.950,00
Imposto recuperável (apenas 1,25%) R$ 24,38
Custo total do produto (valor – imposto recuperável) R$ 1.925,63
R: A melhor opção é a do Fornecedor 1. O custo inicial é maior, porém com a recuperação do imposto ele se torna
menor que a opção do fornecedor 2.
45
Logís ca Geral e Estoque
TDP
1 - Em dupla, monte uma requisição de compra; um pedido de compra com base nesta requisição; levante 03
orçamentos; efetue a compra e o monitoramento até chegar na empresa.
Aula 14
Educador: Importante frisar que uma boa negociação é quando as duas partes saem ganhando. Assim evita-se a interrupção do
fornecimento, pois as expectativas de ambos foram superadas e ambas as partes conseguiram cumprir com o que foi negociado.
Uma negociação baseada no ganha perde, pode ocorrer de não ocorrer o cumprimento do contrato, uma vez que uma das partes
se sentir lesada.
14 - Conceito de Suprimentos
Conceito: É o setor responsável pelo abastecimento, fornecimento de itens (administrativos ou industriais) que deverão ser
armazenados ou transportados pela logística. Os materiais devem ser muito bem administrado e planejado para não haver
interrupção da produção.
Classificação de Suprimentos
1. Matérias-primas;
2. Equipamentos;
3. Peças de reposição;
4. Mão de Obra;
5. Alimentos;
6. Material para reciclagem;
7. Os produtos de um comércio/serviço;
8. Mix de produtos para varejo;
9. Materiais de apoio da produção;
10. Informação;
11. Materiais não-produtivos; e
12. Entre outros...
14.1 - Negociação na cadeia de suprimentos
Conceito
“Atividade que envolve em elemento de negócio ou barganha.
Necessidade de negociar
Quando duas ou mais partes precisam decidir sobre seus interesses.
14.2 - Qualidade da negociação
• Maximizar o valor disputado pelas partes;
• Maximizar a satisfação dos interesses de todas as partes;
• Minimizar recursos, inclusive emocionais, consumidos no processo de negociação;
• Construir relacionamentos mutuamente interessantes para as partes;
• Construir acordos sustentáveis pelo tempo necessário.
46
14.3 - Conflitos na negociação
Surge quando há a necessidade de escolha entre situação percebidas como incompatíveis.
Exemplos:
• Preços inferiores praticados pela concorrência;
• O simples fato de uma parte não saber ouvir a outra com cautela;
• Quando a expectativa não é superada...
14.4 - Relação ganha-ganha
Importante deixar claro para a outra parte que a negociação está baseada no ganha-ganha e não no ganha perde (todos devem
sair ganhando em uma negociação...
Como fazer isto?
• Passo 1 – Apresente o que você tem de bom, com muita convicção (você precisa acreditar que realmente é bom, para isso
é preciso estudar muito sobre o que vai negociar.
• Passo 2 – Supere expectativas;
• Passo 3 – Apresente sugestões de mercado;
• Passo 4 – Seja convincente e não insistente;
• Passo 5 – Trabalhe o bom relacionamento; a venda virá em consequência.
Armadilhas da nossa mente.
A nossa capacidade de perceber e interpretar os dados e informações disponíveis, podem nos conduzir para a pior decisão.
Não julgue pelas aparências. Cuidado com os preconceitos.
14.5 - Intuição e Negociação
As pessoas negociam sem conhecer o resultado (o acordo) ótimo, é justamente por isso que a negociação é um processo de
aprendizagem onde a intuição desempenha importante função.
“Os problemas importantes que nos deparamos não podem ser resolvidos no mesmo nível de raciocínio que estávamos quando os
criamos.” (Albert Einstein).
Dinamica (prtica)
• CASE (caso):
• Negociação Empresa MAIOR do Brasil.
14.6 - Almoxarifado
Conceito – Local (depósito) destinado a armazenagem de peças, material administrativo e insumos em geral, utilizados em uma
empresa.
14.7 - Recepção de materiais e conferência de documentos fiscais
Toda vez que uma mercadoria chega ao almoxarifado, é de suma importância sua conferência, tanto física, quanto documental, para
garantir que o bem comprado chegou na empresa dentro das especificações solicitadas ao fornecedor.
Há casos de empresas em que este setor é responsável pela conferência física do insumo comprado, cabendo a outro setor fazer a
conferência documental. Poderá ocorrer, também, que esta segunda conferência citada (documental) seja realizada por este setor.
Deve se observar:
1. O número do pedido de compra está especificado na nota fiscal (geralmente as empresas enviar numero de pedido ao fornecedor
para garantir que o mesmo não envie algo que não foi solicitado pelo cliente);
47
Logís ca Geral e Estoque
2. As informações do pedido de compra conferem com as especificações contidas no documento fiscal, como: Descrição do item;
valor comercial; vencimento;
3. A quantidade especificada no documento fiscal, confere com a quantidade física;
4. A validade do produto (quando houver) está dentro de um prazo aceitável;
5. A unidade de medida especificada no documento fiscal confere com o que foi comprado.
6. O documento fiscal está vencido. Há casos em que fornecedores faturam a nota fiscal e por algum motivo o transportador atrasa
com a entrega, podendo vir a vencer a nota fiscal.
Com a evolução da informática, muitos recursos surgiram facilitando a operação dos almoxarifados e garantido maior agilidade e
exatidão com a conferência física de insumos. Entre eles temos a codificação de materiais, através de códigos de barras.
14.8 - Codificação de Material
A codificação de informações trata se características relacionada a um determinado material, garantindo informação necessário para
o controle gerencial.
As codificações são divididas em: alfabéticas, alfanuméricas, numérica e o mais usado que é o código de barras.
Codificação Alfabética:
Representa os materiais por meio de letras. Muito utilizado na codificação de Livros.
Codificação Alfanumérica
Agrupa números e letras. Muito utilizado na codificação de placas de automóveis.
LLL NNNN
Sequencial de emplacamento
Estado origem do emplacamento
Codificação Numérica
Consiste na adoção de algarismos arábicos. Método mais utilizado, devido sua facilidade de ordenação sequencial de diversos itens
e na adoção da informatização.
A codificação foi adotada pelo Federal Supply Classification System, para controle de materiais, após a segunda guerra mundial.
Porém houve modificações provenientes de adequação necessária ao uso pela empresa pretendente.
Os códigos seguem uma regra, conforme mostrado abaixo:
XX XX XXXXXX X
Grupo
SUB GRUPO
SEQUENCIAL
DIGITO
VERIFICADOR
14.9 - Código de Barras
48
Para se criar um código de barras e codificar seus produtos, a empresa deve adquirir licença junto ao órgão competente. Só assim
ela conseguirá fazer parte da cadeia de suprimentos global.
A GS1 é a única entidade responsável pelo desenvolvimento e aplicação dos padrões Globais de identificação. (sugestão do site:
www.gs1br.org)
14.10 - Ativides desempenhadas no almoxarifado
Garantir a quantidade correta dos itens em estoque, bem como solicitar a reposição no tempo certo, garantindo fluxo normal da
operação da empresa, com o menor custo. Nos tempos em que vivemos nenhuma empresa sobrevive com altos estoques, por
tanto é de suma importancia a leitura correta, bem como a salvaguarda dos itens armazenados, isto garante menor fluxo de caixa
para a empresa, uma vez que o giro se torna constante, acompanhando a produção. Muito importante, também garantir uma
armazenagem correta, tendo informações full time das validades dos produtos, evitando perdas.
O controle de uso e consumo de materiais deve ser apontado diariamente, apresentando relatórios para setor compentente
(geralmente para o PCP – Planejamento e Controle de Produção),que irá mensurar os números e apresentar relatórios para tomada
de decisão.
A realização de inventários periódicos, garantindo a acurácia do estoque e identificando possíveis desvios.
A emissão de SC (Solicitação de Compras), que poder ser manual ou informatizada.
O arquivamento de documentos e outras tarefas feitas pelo almoxarife ou estoquista.
Importante ressaltar a necessidade das empresas adotarem controle de estoque mínimo e máximo, permitindo um melhor controle.
Muitas empresas investem em tecnologias, para garantir este controle, evitando desabastecimento ou excesso de estoque. Uma das
ferramentas utilizadas é o EDI – Eletronic Data Intechange (Intercâmbio Eletrônico de dados), através dele, os pedidos, recibos,
faturas, inventários, catálogos e preços e outros, podem ser intecambiados eletronicamente entre fornecedor (fábrica) e cliente
(Distribuidor; Supermercado...), graças a linguagem comum que permite que diferentes sistemas de informação se interajam entre
si.
14.11- Layout
Conceito: é um espaço com distribuição física (tamanho, pesos e medidas), permitindo organização e agiliade na hora de fazer uma
retirada de peças ou outros insumos em geral.
49
Logís ca Geral e Estoque
Exercícios
1 - Qual o conceito de Suprimentos?
R.: É o setor responsável pelo abastecimento, fornecimento de itens (administrativos ou industriais) que deverão
ser armazenados ou transportados pela logística.
2 - Qual a função da codificação de materiais?
R.: solucionar questões de agrupamento de características referentes a um determinado material, permitindo
garantir maior informação para controle gerencial.
3 - Qual a classificação de suprimentos?
R.: Matérias-primas; Equipamentos; Peças de reposição; Mão de Obra; Alimentos; Material para reciclagem; Os
produtos de um comércio/serviço; Mix de produtos para varejo; Materiais de apoio da produção; Informação;
Materiais não-produtivos; Entre outros.
4 - Conceitue almoxarifado.
R.: Local (depósito) destinado a armazenagem de peças, material administrativo e insumos em geral, utilizados em
uma empresa.
5 - O que é Layout?
R.: É um espaço com distribuição física (tamanho, pesos e medidas), permitindo organização e agiliade na hora de
fazer uma retirada de peças ou outros insumos em geral.
6 - Qual o orgão responsável pelo registro do código e barras?
R.: A GS1 Brasil - Associação Brasileira de Automação
7 - Qual a atividade principal desempenhada em um almoxarifado?
R.: Garantir a quantidade correta dos itens em estoque, bem como solicitar a reposição no tempo certo, garantindo
fluxo normal da operação da empresa, com o menor custo.
8 - Quais os tipos de codificação de material existente?
R.: Codificação alfabética; Alfanumperica e Numérica.
9 - Qual a importância da negociação no setor de suprimentos?
R.: Para possibilitar que ambas as partes atinjam um resultado satisfatório.
10 - Quais os conflitos que podem ocorrer em uma negociação? Qual você acha mais importante?
R.: Preços inferiores praticados pela concorrência; O simples fato de uma parte não saber ouvir a outra com cautela;
Quando a expectativa não é superada...
50
TDP
1 – Entregar CASE sobre negociação para que os alunos possam praticar em sala de aula.
Case: Um velho senhor, que morava em uma pequena cidade no interior de Goiás, tinha um fusca ano 1974 e
pretendia vendê-lo para cobrir despesas que seu filho havia contraido na faculdade. Como era o unico filho que ele
tinha o velho senhor não queria que ele deixasse os estudos, e como não tinha condições financeiras para ajudá-lo,
decidiu vender seu unico carro. O valor que ele necessitaria era de R$ 3.500,00.
Então apareceu um forasteiro que tinha muito dinheiro e gostava de comprar coisas antigas, estava se tornando
um colecionador. Ele ficou sabendo que o velho senhor queria vender o fusca e decidiu negociar a compra. Ele não
poderia pagar mais que R$ 5.000,00 pelo fusca.
Educador: Você deverá digitar e apresentar dois cases onde o forasteiro não fique sabendo do valor que o velho
senhor precisa para pagar a divida do filho, mas o velho poderá apresentar a história, menos o valor. E nem o velho
senhor ficará sabendo que o forasteiro esta se tornando um colecionador e que poderia pagar até R$ 5.000,00
pelo fusca. Entregue uma folha para cada aluno, que deverão levar 5 minutos para ler o texto e mais 10 minutos
negociando.
O objetivo e ver se a negociação será com base no ganha a ganha e quem fará a melhor negociação.
Aula 15
15 - Logística de Transportes
Educador: Ao contextualizar a logística de transporte faremos um percurso histórico no desenvolvimento do transporte no Brasil,
mostrando a importância do setor de cargas para o desenvolvimento econômico. O transporte é a área operacional da logística que
move e aloca geograficamente o inventário.
15.1 - Modais de Transporte
Deverá abordar os modais existentes e suas aplicabilidade nos tempos atuais, viabilizando o mais eficaz em determinadas operações.
Pode se acrescentado que: do ponto de vista logístico, três fatores são fundamentais para o desempenho do transporte: Custo,
Velocidade e a Consistência (veja quadro a seguir)
51
Logís ca Geral e Estoque
O transporte intermodal pressupõe a transferência física da carga por diferentes modais, desde a coleta até a distribuição, minimizando
os tempos de imobilização das mercadorias na sua movimentação entre a origem e o destino.
Por fim, o multimodal com foco institucional que pressupõe o transporte de mercadorias por dois ou mais modais, fundamentado
em um único conhecimento de embarque e expandido por um operador de transportes multimodais.
15.2 - Definição de Intermodalidade
É a junção de no mínimo dois meios modais que se unem para concluir uma ação. No caso dos transportes de passageiros ou
mercadorias feitos por dois meios entre o carregamento e a entrega.
Os terminais intermodais tem características próprias, dependendo do tipo de carga a ser movimentada, mas de modo geral a sua
localização deve ser próxima ao centro de tráfego. São definidos como locais especificamente preparados para permitir a conjunção
de diferentes modalidades de transporte, que permita a operação de transferir cargas.
As operações mais usuais são:
• Recepção de cargas;
• Pesagem e controle;
• Armazenagem;
• Conservação;
• Retirada de embarque;
• Manejo e carregamento;
• Emissão de conhecimento de embarque e anexos;
• Despacho de veículo para operação de transporte
15.3 - Definição de Multimodalidade
Panitz define multimodalidade como sendo a junção de várias formas de ação conjunta para realizar uma tarefa. No caso dos
transportes a carga que utiliza várias formas de transportes de bens ou de passageiros.
São aqueles que requerem trafego misto ou múltiplo.
Modais de transportes: Rodoviário; Aquaviário (marítimo, hidriviário, cabotagem e fluvial); Ferroviário; Dutoviário e Aéreo. Dentre
os equipamentos utilizados na modalidade destacam-se: Contêiner, Barcas; Guindastes; Transportes especiais terrestres, dentre
outros.
15.4 - Fatores que determinam o valor do frete
O frete rodoviário é composto por: Frete básico, calculado por peso ou volume de mercadoria, quilometragem e taxas para cobrir
despesas administrativos e a taxa ad-valorem, cobre o seguro rodoviário obrigatório contra tombamento, incêndio e abalroamento.
Costa Denomina o Frete em CIF e FOB. No Frete CIF (Cost, Insurance and Freight) estão inclusos os cursos de administração,
manutenção de frota e seguros. Já no Frete FOB (free on board) o custo do transporte fica por conta do comprador, que pagará
diretamente a transportadora. Quem compra deve prestar muita atenção ao valor percentual do frete a ser adicionado ao custo do
produto adquirido, sob pensa de o valor do frete agregar grande parcela percentual do custo final do produto.
15.5 - Roteirização de Transporte
Lustosa apresenta a roteirização como a rota a ser percorrida durante o transporte. Através da rota traçada é possível determinar,
tempo gasto, custo operacional, salários envolvidos.
Uma boa roteirização no transporte deverá compor:
• Carregamento de caminhões com volumes destinados a paradas que estejam mais próximas entre si.
• Paradas em dias diferentes devem ser combinadas para produzir agrupamentos concentrados;
• Roteiros a partir de paradas mais distantes do depósito.
A roteirização deverá levar em consideração um ponto de origem e um ponto de destino, pontos de origem e destinos coincidentes,
sequenciamento de roteiros, programação diferenciada para cada tipo de transporte.
52
15.6 - Unitização de carga
Significar consolidar a carga em pallets, containers, etc e, transportá-los em um mesmo veículo, de forma que otimize o manuseio
e transporte até o destino final.
15.7 - Problemas com a má unitização de carga
A má unitização das cargas pode ocasionar multas por excesso de peso e perda de produtividade do veículo.
Altos índices de avarias também decorrem da má disposição de cargas no caminhão.
Exercícios
1 - Quais os três fatores fundamentais para o desempenho do transporte?
R.: Custo, Velocidade e a Consistência.
2 - O que é unitização de carga?
R.: Significa agrupar vários volumes pequenos ou grandes em um maior, ou mesmo um único volume, com o objetivo
de facilitar o seu manuseio, movimentação, armazenagem e transporte, fazendo com que a sua transferência,
do ponto de origem até o seu destino final, possa ser realizada tratando o total de volumes envolvidos em cada
unitização como apenas um volume.
3 - Quais os problemas ocasionados por uma má unitização de carga?
R.: Excesso de peso nos eixos traseiros, acarretando multas à empresa ou perda de produtividade do veículo além
de altos índices de avarias.
53
Logís ca Geral e Estoque
4 - Quais os fatores que determinam o valor do frete?
R.: Frete básico, calculado por peso ou volume de mercadoria e quilometragem percorrida, taxa de expediente,
que serve para cobrar os gastos administrativos e a taxa ad-valorem, cobre o seguro rodoviário obrigatório contra
tombamento, incêndio e abalroamento.
5 - O que é roteirização?
R.: Rota a ser percorrida durante o transporte. Através da rota traçada é possível determinar, tempo gasto, custo
operacional, salários envolvidos.
6 - Quais as operações mais usuais em um Terminal Intermodal?
R.: Recepção de cargas; Pesagem e controle; Armazenagem; Conservação; Retirada de embarque; Manejo e
carregamento; Emissão de conhecimento de embarque e anexos; Despacho de veículo para operação de transporte
7 - O que é transporte Intermodal?
R.: É a junção de no mínimo dois meios modais que se unem para concluir uma ação. No caso dos transportes de
passageiros ou mercadorias feitos por dois meios entre o carregamento e a entrega.
8 - Quais os modais de transporte existentes?
R.: Rodoviário; Aquaviário (marítimo, hidriviário, cabotagem e fluvial); Ferroviário; Dutoviário e Aéreo.
TDP
1 – Em dupla, simule a roteirização de um transporte saindo de Belém-PA para São Paulo-SP, com parada em
Ribeirão Preto-SP. Levante quantos km serão percorridos e qual a previsão de tempo gasto em viagem.
Aula 16
16 - Distribuição
Dalledone (2008) Caracteriza a distribuição na logística com relação direta com o estoque, tanto na entrada do produto quanto em
sua saída.
16.1 - Funções, características e finalidades da distribuição
Sarquis apresenta a distribuição como diferencial no mercado de produtos e serviços. O autor diz que planejar mal, executar
com descuido ou controlar parcialmente as relações de troca com seus intermediários são problemas constantes no dia a dia das
empresas produtoras, acarretando reduções às vezes bastante significativas nos resultados esperados no lucro da empresa.
Para isso, o autor destaca os tipos de distribuição bem como suas características direcionadas para cada setor.
Uma das decisões mais básicas que a empresa deve se preocupar em relação à distribuição é o tipo de distribuição que a empresa
deseja adotar.
As escolhas bem como suas características são: Distribuição direta, distribuição indireta e distribuição mista.
54
Sarquis aponta que as principais vantagens da distribuição indireta são os menores investimentos e a combinação de esforços com
parceiros (pontos de distribuição diversificados).
16.2 - Atividades nos Armazéns de distribuição
Recebimento; Estocagem; Separação e Expedição
55
Logís ca Geral e Estoque
16.3 - Fluxo de Operações do Armazém de distribuição
56
16.4 - Fluxo Básico de Atividades em um Armazém de distribuição
16.5 - Atividades que agregam valor em um CD
1 - Agendamento de entregas
2 - Gestão de pátio
3 - Recebimento de materiais
4 - Estocagem
5 - Separação de pedidos
6 - Serviços de valor agregado
7 - Embalamento
8 - Unitilzação e Espera
9 - Expedição para Clientes
57
Logís ca Geral e Estoque
16.6 - Recebimento
• Controle e programação das entregas (dock schedule)
• Check-list do caminhão
• Recebimento físico do material;
• Recebimento fiscal do material;
• Conferencia da Nota Fiscal, do Pedido de Compra;
• Conferencia visual do material e embalagens;
• Coleta e envio de amostras para análises laboratoriais.
16.7 - Dificuldades na Operação de Recebimento
58
Veículos
Materiais
Processos
Diversidade de veículos
• Tipo (aberto, baú de alumínio, sider, graneleiro, tanque, silo, etc.)
• Tamanho (leve, semi-leve, médio, semi-pesados, pesados e super pesados)
Diferentes tipos de embalagens
• Granel, caixa, sacaria, tambor, galão, bag, etc.
• Paletizada ou granel
Variados formatos físicos e tamanhos
Diferentes riscos
Várias formas de descarregar (manual, paleteiras, empilhadeiras, talhas, ponte rolantes, etc.)
• Procedimentos para lidar com sobras e faltas
• Inexistência de um PDM – Padrão Descritivo de Materiais
• Alterações nas programações de entrega
• Desrespeito ao agendamento (quando existe)
• Urgências e a necessidade de “driblar” as regras existentes
Fluxo Fisíco
Chegada dos veículos: Aceitar ou rejeitar a entrega?
Ações:
• Motorista possui autorização para a entrega?
• A en- trega está sendo realizada no prazo contratual?
• E x i s t e uma plataforma/doca disponível para a descarga?
• Há espaço disponível para a descarga?
• Qual equipamento é necessário para a descarga?
• Este equipamento está disponível?
• Existe mão-de-obra suficiente?
Partida do veículos: Rejeitar, aceitar, descarregar e registrar entrada no estoque:
Ações:
• O b t e r mão-de-obra e equipamentos;
• Verificar as mercadorias (identificar os produtos e conferir as quantidades);
• Registrar faltas e excessos.
16.8 - Formas de recebimento
Um único item por pállete
Vários itens por pállete
Carga não-paletizada, diferentes itens
59
Logís ca Geral e Estoque
16.9 - Conferência Qualitativa
A conferência qualitativa, Importante fazer inspeção técnica visando a destinação correta do material ao fim que se destina.
Analisa os seguinte pontos:
• características dimensionais;
• características específicas;
• restrições de especificação.
16.10 - Conferencia Quantitativa
• Manual: para casos de pequenas quantidades;
• Por meio de cálculos;
• Por meio de balanças contadoras pesadoras;
• Pesagem;
• Medição em geral.
16.11 - Conferencia após Recebimento
Muitas empresas realizam a conferência após o recebimento dos materiais. Há um risco aqui, pois o correto é fazer a conferência
no ato do recebimento para evitar aborrecimentos em caso de faltas e avarias.
16.12 - Expedição
• Atividade que visa equacionar os equipamentos e meios necessários para o despacho do produto ou mercadoria. Utiliza de
equipamentos móveis para movimentação como: empilhadeiras, paleteiras, carrinhos, etc;
• Check-list de saída – garanti exatidão com a conferencia de saída de produtos acabados, materiais, dentre outros;
• Disponibilidade de materiais separados por rota e colocados a disposição na doca de expedição;
• Conferência dos volumes a serem despachados, pesagem e carregamento dos veículos.
16.13 - Formas de paletização
60
• Através do emprego de cintas: garantindo segurança com a carga e não permitindo que se soltem;
• Emprego de filme shrink: Dá maior sustentação a cargas instáveis;
• Utilização de stretch: É mais adequado a cargas estáveis.
16.14. - Endereçamento
De suma importância para dar maior agilidade ao processo de picking (separação de pedidos). Dever ser feito observando critérios
diferenciados de acordo com o ramo de atividade da empresa.
Preferencialmente, opte por GIRO.
Os endereçamentos devem ser personalizados, visando melhor aplicação.
Deve observar: Ergonomia; Volume; Família; Dimensão; Segurança; Cliente; Velocidade; Forma física; Popularidades; Materiais
perigosos, perecíveis, resistencia valor.
O custo de armazenagem pode chegar em até 30 % a mais por ano, por falhas no processo de endereçamento. Razões para a
existência de armazéns endereçados de forma ineficiente:
• As informações e/ou os recursos do sistema de informações gerenciais não estão disponíveis;
• Não há como manter o endereçamento atualizado;
• Não existe método para endereçamento.
Exercícios
1 - Quais as características de distribuição?
R.: Distribuição direta, distribuição indireta e distribuição mista.
2 - O que é distribuição direta?
R.: Fabricante entrega direto para o consumidor final
3 - O que é distribuição indireta?
R.: Intermediação por meio de Pessoa Jurídica.
4 - O que é distribuição mista?
R.: Venda direta e intermediada
5 - Quais as atividades em um centro de distribuição?
R.: Recebimento; Verificação qualitativa e quantitativa; Endereçamento; Estocagem; Separação; Carregamento e
Expedição.
6 - Quais as atividades de valor agregado em um centro de distribuição?
R.: Agendamento de entregas; Gestão de pátio; Recebimento de materiais; Estocagem; Separação de pedidos;
Serviços de valor agregado; Embalamento; Unitilzação e Espera; Expedição para Clientes.
TDP
1 - Monte, em dupla, como funciona o fluxo em um centro de distribuição.
61
Logís ca Geral e Estoque
Aula 17
17 - Infraestrutura logística
Dalledone (2008) caracteriza a distribuição na logística com relação direta com o estoque, tanto na entrada do produto quanto em
sua saída.
17.1 - A Importância da Infraestrutura Logística no Transporte
Beni destaca que o sistema viário e de transporte são setores que merecem uma atenção especial quando o projeto seja do país,
do estado, da cidade ou apenas dos custos para uma empresa.
Os investimentos em infraestrutura do sistema viário e de transporte precisam ser constantes.
No transporte rodoviário a infraestrutura passa pelo processo de comoditização, não existem diferenças significativas entre as
opções e níveis de serviços oferecidos pelos prestadores de serviços.
A lucratividade das empresas e à concorrência predatória. Já a degradação das rodovias acarreta na diminuição dos lucros.
No transporte ferroviário é considerado o modal mais adequado para a movimentação de cargas a granel nas grandes distâncias.
No transporte aéreo é o suporte à chamada globalização.
17.2 - Infraestrutura Logística e as Vantagens Competitivas
De acordo com Giambiagi e Barros, quando pensamos em infraestrutura é necessário remeter o pensamento as aulas anteriores.
A infraestrutura na logística de suprimentos de insumos e entrega de produtos, bem como a capacidade de refino e a rede de
distribuição e varejo, apesar de margens menores e com fortes movimentos cíclicos mapeiam o serviço logístico a fim de gerar
retornos que permitam a continuidade de seus investimentos.
Guarnieri mostra a infraestrutura logística através de um fluxo reverso de bens que é visto como um obstáculo no processo de
negócios, pois necessita de pessoal e estrutura física. Muitas empresas não julgam ser viável investir em canais reversos de
revalorização de resíduos pós-venda e pós-consumo devido aos investimentos necessários na sua estruturação.
Barat destaca que nossa economia ao estar ligada no agronegócio requer uma infraestrutura logística baseada em grandes desafios.
O sistema logístico brasileiro é tido como pouco confiável, uma vez que ocorrem atrasos constantes e perdas por roubos,
acidentes e avarias. Os principais usuários da logística estão atualmente nos setores químico e petroquímico, automotivo, de
alimentos, farmacêutico e eletroeletrônicos. E entre os principais serviços oferecidos pelas operadoras logísticas destacam-se os de
armazenagem, controle de estoque e transporte de distribuição e transferência.
Exercícios
1 - O que é Infraestrutura logística?
R.: São os meios por onde serão transportados os bens ou serviços. Caracteriza, também, a distribuição na logística
com relação direta com o estoque, tanto na entrada do produto quanto em sua saída.
2 - Destaque a importância da infraestrutura logística no transporte.
R.: O sistema viário e de transporta são setores que merecem uma atenção especial quando o projeto seja do país,
do estado, da cidade ou apenas dos custos para uma empresa. A degradação das rodovias acarreta na diminuição
dos lucros.
3 - Cite um exemplo de vantagem competitiva na aliança entre a infraestrutura e o transporte:
R.: A infraestrutura na logística de suprimentos de insumos e entrega de produtos, bem como a capacidade de refino
e a rede de distribuição e varejo, apesar de margens menores e com fortes movimentos cíclicos mapeiam o serviço
logístico a fim de gerar retornos que permitam a continuidade de seus investimentos.
4 - Caracterize os tipos de transportes que melhor definem o uso da logística:
R.: Rodoviário; Ferroviário, Aéreo.
62
5 - Qual é o tipo de transporte que mudou a forma de desenvolvimento logístico após a globalização?
R.: Aéreo
6 - Qual o modal mais indicado para transportes de longas distancias e qual a infraestrutura utilizada?
R.: Ferroviário. Ferrovias.
TDP
1 - Crie um centro de informações integradas e fale sobre a infraestrutura estudada e a infraestrutura que considera ideal para o
desenvolvimento funcional e econômico da logística no Brasil.
Educador: O objetivo é criar uma discussão entre os alunos e falar sobre as rodovias existentes no Brasil. Falar sobre
a dificuldade de se transportar pelas rodovias brasileiras. O custo com transporte rodoviário. E qual seria a melhor
infraestrutura ideal para fazer possibilitar um transporte mais rápido e com menor custo. Importante também
comentar sobre o fluxo de carros nas estradas que a cada dia vem aumentando e dificultando a locomoção.
Aula 18
18 - Ferramentas de Distribuição
18.1 - Vantagens Competitivas na Utilização de Ferramentas de Distribuição
As ferramentas de distribuição têm por objetivo direcionar a melhor ação para distribuição no setor logístico.
Por meio das ferramentas de distribuição é possível mapear, diagnosticar, traçar metas e ainda ganhar tempo na entrega ao
consumidor final.
A seguir apresentaremos as ferramentas mais utilizadas no setor de distribuição.
18.2 - Postponement
Sampaio disserta que o postponement foi introduzido por Bucklin como uma forma alternativa de distribuição, ao sistema de
especulação predominante no mercado. Trata-se de um novo conceito logística onde as operações de distribuição e manufatura
só acontecem após levantada a necessidade de acordo com a demanda. Não trabalham com produção especulativa (produções
empurradas).
Tem por objetivo evitar riscos, reduzir custos e alinhar estratégia, mantendo os clientes atuais e buscando novos. Pode até iniciar
produção e deixar o produto semiacabado, mas a produção final do produto só acontece após o pedido ser feito pelo cliente. Isto
garante que o modelo Postponement pode fazer adaptações do produto, personalizando-o conforme exigência do cliente final, o
que tornaria a empresa mais competitiva perante seus concorrentes.
18.3 - Unitização
Conforme vimos em aula passada, através de aglomeração de conteúdos únicos em espaço único se dá a unitização.
Geralmente são caixas da mesma carga, que quando agrupadas formam um só volume no processo de distribuição.
18.4 - Broker
É uma empresa prestadora de serviços a indústria, cujo objetivo é cuidar das vendas, pesquisas de mercado, merchandising, contas
a receber e a pagar e distribuição no varejo. Este conceito surgiu na década de 80 nos EUA, e era conhecido por “agentes de
vendas”. Com o passar do tempo houve evolução da demanda e consequentemente dos serviços prestados. Acrescentando mais
algumas atividades, como: armazenamento, Cross Docking, Distribuição e Pós-vendas,
63
Logís ca Geral e Estoque
Com sua forte e constante atuação, foi se adquirindo mais conhecimento, através de pesquisas constantes e analise de mercado,
tornando a ferramenta de suma importância no avanço das vendas do varejo e fortalecimento de marcas oferecidas pelas indústrias.
Com o advento do Broker a indústria pode transformar seu custo fixo, relacionado a sua equipe de vendas em custo variável, uma
vez que o pagamento pela operação está relacionada diretamente ao produto vendido (pagamento ocorre sobre negócio efetivado).
18.5 - ECR
Uma ferramenta prática e estratégica na filosofia da gestão. Muito utilizado pela indústria de supermercados, onde distribuidores
e indústria, trabalham em conjunto, buscando melhorias contínuas, garantindo maior valor ao cliente final. Isto é possível pela
consistência de informações que garante estoques adequados e menor custo de estoques.
18.6 - Milk run
É conhecida como o procedimento de coleta de produtos junto a fornecedores numa determinada rota e programação preestabelecida.
É muito usual no setor automobilístico, razão pela qual se manteve a expressão original, de acordo com Bowersox e Closs. Funciona
da seguinte maneira: Uma empresa de transporte realiza serviços de coleta a cada dia em fornecedores de seus clientes, onde as
quantidades já foram predeterminadas pelo cliente (fabricante).
Há casos, como da indústria automobilística, em que este coleta é feita pela própria empresa. Muito utilizado em operações lean
(JIT).
18.7 - Crossdocking
SIMCHI-LEVI et. al. (2003) conceitua cross-docking como sendo uma estratégia de depósito por pontos de coordenação de estoques,
em vez de pontos de armazenamento de estoques.
Requer um alto investimento inicial, mas em longo prazo o retorno é contínuo.
Seu gerenciamento está:
• Os centros de distribuição, varejistas e fornecedores devem estar conectados com avançados sistemas de informação para
assegurar que todas as retiradas e entregas sejam feitas no tempo necessário;
• Um sistema de transporte rápido;
• As previsões são fundamentais, necessitando do compartilhamento de informações;
• As estratégias são eficazes somente para grandes sistemas de distribuição, nos quais um grande número de veículos está
entregando e retirando os bens das instalações cross-dock simultaneamente.
Na estratégia de distribuição do Cross-Docking não há compartilhamento de riscos, os custos de transportes tem os custos de
recebimentos reduzidos, os custos de manutenção de estoques não há e a alocação é adiada. Numa operação cross-docking o
objetivo é simplesmente consolidar cargas, dificilmente existirá qualquer tipo de armazenamento.
18.8 - VMI
VMI representa o estoque gerenciado pelo fornecedor.
No VMI, tenta-se otimizar o sistema como um todo através da coordenação da produção e da distribuição.
Além disso, o fornecedor pode ainda diminuir o custo total através da coordenação da produção e distribuição para diversos
varejistas, de acordo com SIMCHI-LEVI et. al. (2003).
18.9 - E-Procurement
É a aquisição eletrônica – compra e venda entre empresas de suprimentos e serviços pela internet. O e-procurement é a parte
virtual da gestão da cadeia de distribuição. Esta ferramenta deve ser eficiente e confiável, garantindo um confiável fluxo de matéria
prima e suprimentos necessários para o setor produtivo. É sem dúvida ferramenta fundamental para o aprimoramento da logística
de uma organização.
18.10 - Centro de Distribuição (CD’S)
64
Bowersonx e Closs apresentam nas operações de distribuição que incorporam processos para guiar as atividades físicas dos centros
de distribuição, incluindo o recebimento de produtos, a movimentação, a estocagem de material e a seleção de pedidos.
As operações de distribuição direcionam todas as atividades dos centros de distribuição utilizando uma combinação de alocação em
tempo real.
O pedido de um cliente ou de reposição, com seu inventário alocado ou seleção de material para o pedido correspondente, liga a
alocação de pedidos às operações físicas do centro de distribuição.
Exercícios
1 - Qual o objetivo da ferramenta de distribuição?
R.: Direcionar a melhor ação para distribuição no setor logístico. Por meio das ferramentas de distribuição é possível
mapear, diagnosticar, traçar metas e ainda ganhar tempo na entrega ao consumidor final.
2 - O que é postponement?
R.: Trata-se de um novo conceito logística onde as operações de distribuição e manufatura só acontecem após
levantada a necessidade de acordo com a demanda.
3 - O que é Broker?
R.: É uma empresa prestadora de serviços a indústria, cujo objetivo é cuidar das vendas, pesquisas de mercado,
merchandising,contasarecebereapagaredistribuiçãonovarejo.Comopassardotempohouveevoluçãodademanda
e consequentemente dos serviços prestados. Acrescentando mais algumas atividades, como: armazenamento, Cross
Docking, Distribuição e Pós-vendas,
4 - Qual a importância de um Broker para a indústria?
R.: A indústria pode se dedicar a sua atividade fins (core business), deixando a operação de vendas com os
especialistas no negócio.
5 - O que é ECR?
R.: É uma estratégia de gestão do canal de distribuição, na qual os agentes (fornecedores, atacadistas e varejistas)
trabalham de forma integrada para eliminar ineficiências, reduzir custos excessivos, visando atender as necessidades
e expectativas dos consumidores e maximizar a eficiência dos negócios para as partes envolvidas em uma negociação.
6 - O que é MILK RUN?
R.: É o procedimento de coleta de produtos junto a fornecedores numa determinada rota e programação
preestabelecida.
7 - O que é Crossdocking?
R.: É uma estratégia de depósito por pontos de coordenação de estoques, em vez de pontos de armazenamento de
estoques. As mercadorias ou produtos passam por ele, mas não são armazenadas nele.
8 - Como é o gerenciamento de um Crossdocking?
R.: Os centros de distribuição, varejistas e fornecedores devem estar conectados com avançados sistemas de
informação para assegurar que todas as retiradas e entregas sejam feitas no tempo necessário.
Um sistema de transporte rápido.
As previsões são fundamentais, necessitando do compartilhamento de informações.
As estratégias são eficazes somente para grandes sistemas de distribuição, nos quais um grande número de veículos
está entregando e retirando os bens das instalações cross-dock simultaneamente.
9 - O que é VMI?
R.: Representa o estoque gerenciado pelo fornecedor.
10 - O que é E-Procurement?
R.: É a aquisição eletrônica – compra e venda entre empresas de suprimentos e serviços pela internet. É a parte
virtual da gestão da cadeira de distribuição. Esta ferramenta deve ser eficiente e confiável, garantindo um confiável
fluxo de matéria prima e suprimentos necessários para o setor produtivo.
65
Logís ca Geral e Estoque
TDP
1 - Em dupla, monte como funciona um fluxo dentro de um Crossdoking.
Aula 19
19 - Distribuição na Logística Internacional – Parte 1
19.1 - Organismos Internacionais
São organismos internacionais, Instituições Financeiras, Acordos e Tratados Comerciais, Bilaterais ou Multilaterais, de âmbito restrito
ou não, geograficamente circunscrito ou não (atua na sub região), cuja finalidade é disciplinar, controlar, regulamentar e apreciar os
interesses das nações participantes, podendo decidir pendencias, buscando soluções para as partes.
19.2 - Organismos Econômicos Internacionais
FMI – Fundo Monetário Internacional – Auxilia os países a resolver desequilíbrios em seus balanços de pagamento. Promove a
cooperação monetária entre países, facilitando o crescimento e desenvolvimento equilibrado do Comercio Internacional.
OMC – Organização Mundial de Comércio – Responsável pela gestão de acordos gerais sobre as tarifas e comercio.
OECD – Organização Econômica de Cooperação e Desenvolvimento
Organização das Nações Unidas para o Comércio e Desenvolvimento – Promover o desenvolvimento dos países do terceiro mundo.
CCI – Câmara de Comércio Internacional – Padronização de documentos; Incoterms; Regras para pagamentos internacionais, contratos e litígios.
19.4 - Barreiras Tarifárias e Não Tarifárias
Barreiras tarifárias – possuem regras bem definidas em função da alíquota de importação.
Barreiras Não Tarifárias – Proibição à importação geral ou seletiva; Cotas de importação; Depósitos Compulsórios; Controle de
preços; Controle Cambiais; Regulamentação Sanitária; Normas de qualidade; Normas específicas técnicas; dentre outras.
19.5 - Logística Internacional
Está é uma logística composta por varias fases, as quais devem ser bem observadas e resguardadas através de contratos bem
redigidos por especialistas em logística, para evitar prejuízos ou descontentamento pelas partes. Deve-se se atentar para possíveis
riscos de acidentes, quais os meios para evita-los; a descrição e quantidade de mercadorias a serem exportadas ou importadas;
se a mercadoria é liquida, sólida, ou gasosa; se serão entregues a granel ou embaladas; se podem ser unitizadas em pallets ou
containers; como será o manuseio e armazenamento; o peso, medidas e volumes; quais os riscos do transporte; como será a
entrega; dentre outros.
19.6 - Incoterms – International Commerce Terms
Define até onde vai a responsabilidades de comprador e vendedor para transporte, movimentação e entrega de mercadoria de venda
internacional. Atraves do Incoterms, tanto o comprador quanto o vendedor saberá onde cessará a sua responsabilidade
Modelo de Incoterms:
66
Grupo E – Local de saída (fábrica/armazém)
• EXW (Ex Works) - A partir do local de produção.
Grupo F - Principal Transportador não pago
• FCA – Free Carrier (transportador livre)
• FAS – Free Alongside Ship (Livre no Costado no Navio)
• FOB – Free On Board (Livre a Bordo do Navio)
Grupo C – Principal Transportador Pago
• CFR – Cost And Freight (Custo e frete porto de destino)
• CIF – Cost, Insurance and Freigt (Custo, seguro e frete)
• CPT – Carriage Paid to (Transporte pago até...)
• CIP – Carriage and Insurance Paid to (Transporte e seguro pagos até...)
Grupo D – Local de Entrega
• DAP – Delivered at Place (Entregue no local de destino nomeado);
• DAT – Delivered at Terminal (Entregue no terminal nomeado no porto ou local de destino);
• DDP – Delivered Duty Paid (Entregue direitos pagos)
Exercícios
1 - Quais os Organismos Econômicos Internacionais?
R.: FMI – Fundo Monetário Internacional; BIRD – Banco Internacional de Reconstrução e Desenvolvimento; OMC –
Organização Mundial de Comércio; OECD – Organização Econômica de Cooperação e Desenvolvimento; Organização
das Nações Unidas para o Comércio e Desenvolvimento; CCI – Câmara de Comércio Internacional.
2 - Qual a função da Barreira tarifária?
R.: Possuem regras bem definidas em função da alíquota de importação.
3 - Qual a função da Barreira não tarifária?
R.: Proibição à importação geral ou seletiva; Cotas de importação; Depósitos Compulsórios; Controle de preços;
Controle Cambiais; Regulamentação Sanitária; Normas de qualidade; Normas específicas técnicas; dentre outras.
4 - O que é Logística Internacional?
R.: é uma logística composta por varias fazes, as quais devem ser bem observadas e resguardadas através de
contratos bem redigidos por especialistas em logística, para evitar prejuízos ou descontentamento pelas partes.
5 - O que é Incoterm?
R.: Define as mutuas responsabilidades entre comprador e vendedor para movimentação e entrega de mercadoria
de venda internacional.
6 - Quantos são os Incoterms? Cite 03 deles
R.: São 11. EXW (Ex Works) - A partir do local de produção.; FOB – Free On Board (Livre a Bordo do Navio); CIF –
Cost, Insurance and Freigt (Custo, seguro e frete).
Aula 20
20 - Distribuição na Logística Internacional – Parte 2
20.1 - Meios de transportes
67
Logís ca Geral e Estoque
• Qualquer modal inclusive multimodal: EXW; FCA; CPT; CIP; DAP; DAT; DDP.
• Aéreo: FCA;
• Ferroviário: FCA;
• Marítimo ou Fluvial0lacustre: FAZ; FOB; CFR; CIF
Significado das siglas:
20.1.1 - EXW – Ex Works - A partir da origem da produção, local nominado
A responsabilidade do carregamento das mercadorias é do comprador, ou mesmo pelo desembaraço da mercadoria para exportação.
Entretanto, se for concordado entre as partes, o vendedor poderá arcar com a responsabilidade do carregamento. Importante que
tudo esteja bem esclarecido em contrato.
20.1.2 - FCA – Free Carrier – Transportador livre, local nominado
Vendedor entrega a mercadoria no local determinado pelo comprador, desembaraçada para exportação. A entrega no transportador
terminará quando no:
• Transporte ferroviário: o vagão estiver carregado;
• Transporte rodoviário: o caminhão estiver carregado;
• Transporte fluvial ou lacustre: a barcaça estiver carregada;
• ransporte marítimo: o container estiver estufado e transportado até o navio;
• Transporte multimodal: A mercadoria estiver entregue no primeiro modal, que for transportar.
20.1.3. - FAS – Free Alongside Ship (Livre no costado do navio, Porto de embarque
nominado)
Vendedor assume obrigação de entregar mercadoria quando for solicitada para colocação no costado do navio, no cais ou local mais
próximo no porto de embarque nominado. O comprador assume todos os custos e riscos a partir desse momento. O desembaraço
para exportação deve ser feito pelo vendedor (entretanto se for acordado, o comprador poder absorver esta responsabilidade). O
FAS só pode ser utilizado para transporte marítimo e fluvial.
20.1.4 - FOB – Free On Board (Livre a Bordo, Porto de embarque nominado)
O vendedor entrega a mercadoria (on board) a bordo do navio, providenciando o desembaraço para exportação. A partir do
momento em que a mercadoria foi disponibilizada no navio (on board), o comprador assume todos os riscos e custos da operação.
Cabe ao comprador, a partir daí, contratar transporte, arcar com custos de carregamento no porto de embarque e custos de
descarga no porto de destino, que estiverem incluídos no frete.
20.1.5 - CRF – Cost And Freight (Custo e frete, porto destino nominado)
O frete até o posto de destino é por conta do vendedor. Que também deverá entregar a mercadoria on board e arcar com as custas
que estiverem incluídas no frete. O pagamento do seguro, descarga e demais despesas após terem sidas entregues a bordo do
navio, serão pro conta do comprador.
20.1.6 - CIF – Cost Insurance And Freight (Custo, Seguro e frete, porto de destino
nominado)
O pagamento até o porto de destino é por conta do vendedor, que também será o responsável por contratar o transportador. Entrega
as mercadorias on board e providencia desembaraço da exportação, pagando as taxas exigidas. Providencia a cobertura de seguro
68
pagando o valor do prêmio das mercadorias durante o carregamento, a partir do embarque até o seu desembarque no porto de
destino. Os custo de embarque (estiva) e desembarque (desestiva) que foram incluídos no frete correm por conta do vendedor.
20.1.7 - CPT – Carriage Paid To (Transporte pago até o local de destino nominado)
O vendedor contrata o transportador e paga o frete até o local de destino. Entrega as mercadorias para custódia ao primeiro
transportador para entrega no destino. Providencia o desembaraço da exportação.
20.1.8 - CIP – Carriage and insurance paid to (Transporte e seguro pagos ate o local de
destino nominado)
O vendedor contrata o transportador e paga o frete até o local de destino. Entrega as mercadorias para custódia ao primeiro
transportador para entrega no destino. Providencia o desembaraço da exportação, e paga prêmio do seguro.
20.1.9 - DAT – Delivered at terminal (Entregue no terminal – pode ser nomeado de
porto ou local de destino)
O vendedor entrega a mercadoria e assumes os riscos tão logo ela for desembarcada. Caberá ao comprador arcar com os trâmites
alfandegários na importação.
20.1.10 - DAP – Delivered at place (Entregue no local - de destino nomeado)
Este termo pode ser utilizado para qualquer modal de transporte, e para mais de um modal. A entrega da mercadoria pelo vendedor
ocorre quando ela é colocada à disposição do comprador, no local de destino nomeado, no modal de transporte, pronta para ser
desembarcada. O vendedor deve assumir todos os riscos e custo envolvidos. Os trâmites e direitos alfandegários na importação são
por conta do comprador.
20.1.11 – DDP – Delivered duty paid (Entregue direitos pagos local de destino nominado)
O vendedor entrega o produto no local de destino, paga as taxas e demais despesas, providenciando documentos para permitir
ao comprador receber as mercadorias entregues no local estabelecido. A responsabilidade da entrega das mercadorias no país de
importação acordado é por conta do vendedor. A cobertura do seguro é opcional.
20.2 – Gestão logística da distribuição física internacional
É um processo de planejamento, operação, controle, movimentação, armazenagem, fluxo de entregas de mercadorias desde o
fornecedor até o cliente, buscando sempre o menor prazo e custo da operação. A logística é uma interdisciplinar que vincula
transportes: aéreo; rodoviário; dutoviário; ferroviário; hidroviário e multimodalidade.
Exercícios
1 - Dê exemplos dos meios de transporte utilizados na logística internacional?
R.: Qualquer modal inclusive multimodal: EXW; FCA; CPT; CIP; DAP; DAT; DDP.
Aéreo: FCA;
Ferroviário: FCA;
Marítimo ou Fluvial0lacustre: FAZ; FOB; CFR; CIF
2 - O que é gestão da logística de distribuição física internacional?
R.: É um processo de planejamento, operação, controle, movimentação, armazenagem, fluxo de entregas de
mercadorias desde o fornecedor até o cliente, buscando sempre o menor prazo e custo da operação.
69
Logís ca Geral e Estoque
3 - Quais os tipos de Incoterms? E o que cada um significa?
R.: EXW – Ex Works - A partir do local de produção, local nominado; FCA – Free Carrier – Transportador livre, local
nominado; FAS – Free Alongside Ship (Livre no costado do navio, Porto de embarque nominado); FOB – Free
On Board (Livre a Bordo, Porto de embarque nominado); CRF – Cost And Freight (Custo e frete, porto destino
nominado); CIF – Cost Insurance And Freight (Custo, Seguro e frete, porto de destino nominado); CPT – Carriage
Paid To (Transporte pago até o local de destino nominado); CIP – Carriage and insurance paid to (Transporte e
seguro pagos ate o local de destino nominado); DAT – Delivered at terminal (Entregue no terminal – pode ser
nomeado de porto ou local de destino); DAP – Delivered at place (Entregue no local - de destino nomeado); DDP –
Delivered duty paid (Entregue direitos pagos local de destino nominado);
TDP
1 - Em dupla, descreva sobre como funciona cada Incoterm e pesquise qual é o mais usual no Brasil.
Aula 21
21 - Operadores Logísticos
21.1 - O que são Operadores Logísticos?
São empresas com importante papel na logística empresarial, que se utiliza de meios de transportes, gerando valor agregado as
indústrias e fortalecendo o setor de operadores de transporte.
Os prestadores de serviços logísticos ou operadores logísticos são originários de vários setores, como da distribuição de produtos,
da indústria, de transporte e de armazenagem.
Operadores Logísticos são empresas externas que são contratadas para fazer a gestão da distribuição dos materiais de uma
organização. Muito utilizado por industrias que tem por objetivo sua atividade fim.
Tem como atividades:
• Consolidação da carga de diversos locais;
• Gestão do transporte;
• Gestão de cargas;
• Dentre outros.
Este Operadores Logísticos também fornecem suportes físicos, como: Caminhões; armazéns; mão de obra; gestão de inventários;
dentre outros.
21.2 - Diferenças entre os Operadores Logísticos e Prestadores de Serviços Logísticos
De acordo com Gomes a diferença entre operadores logísticos e prestadores de serviços logísticos pode ser vista no quadro abaixo:
70
Prestador de serviços Operador logístico
Oferece serviços genéricos Oferece serviços sob medida
Tende a se concentrar em uma única
atividade logística: transporte, estoque
ou armazenagem.
Oferece múltiplas atividades de forma
integrada: transporte, estoque e
armazenagem.
Minimização do custo específico da
atividade contrata.
Reduzir os custos, melhoria nos serviços
e aumento na flexibilidade.
Contratos de serviços tendem a ser de
curso em médio prazo.
Contratos de serviços tendem a ser de
longo prazo.
Know-How tende a ser limitado e
especializado.
Capacitado para fazer análise e
planejamento logístico de forma eficiente,
garantindo a operação.
Negociações rápidas no nível operacional. Negociações para contrato tendem a ser
longas e em alto nível gerencial
21.3 - A utilização da tecnologia pelos Operadores Logísticos
Albertin e Sanchez denominam outsourcing para difundir as atividades terceirizadas, quando as organizações de tarefas até então
executadas internamento e com recursos próprios.
Exercícios
1 - O que é um operador logístico?
R.: São empresas externas que são contratadas para fazer a gestão da distribuição dos materiais de uma organização.
Muito utilizado por industrias que tem por objetivo sua atividade fim. Delegam a especialistas o controle de
determinadas tarefas e, ganham espaços físicos em suas organizações (um setor de armazenagem sempre demanda
um grande espaço físico).
2 - Quais as atividades de um operador logístico?
R.: Consolidação da carga de diversos locais; Gestão do transporte; Gestão de cargas; Dentre outros.
3 - Que tipo de trabalho diferenciado pode ser oferecido por um operador logístico?
R.: Fornecem suportes físicos, como: Caminhões; armazéns; mão de obra; gestão de inventários; dentre outros.
4 - Quais os tipos de operador logísticos existentes?
R.: Ativos: Empresas que detém ou alugam a terceiros ativos tangíveis e oferecem outros serviços logísticos.
Administração: É constituído por empresas que operam na administração de atividades e não detêm nem alugam
ativos tangíveis, mas fornecem a seus clientes recursos para administrar toda ou parte de suas funções logísticas.
Híbridos: São aqueles que oferecem serviços logísticos físicos e administrativos ao mesmo tempo.
5 - Qual a diferença entre Operador logístico e prestador de serviço?
R.:
71
Logís ca Geral e Estoque
Tende a se concentrar em uma única
atividade logística: transporte, estoque
ou armazenagem.
Oferece múltiplas atividades de forma
integrada: transporte, estoque e
armazenagem.
O objetivo da empresa contratante
do serviço é a minimização do custo
específico da atividade contrata.
Os objetivos da contratante são reduzir
os custos totais da logística, melhorar os
serviços e aumentar a flexibilidade.
Contratos de serviços tendem a ser de
curso em médio prazo.
Contratos de serviços tendem a ser de
longo prazo.
Know-How tende a ser limitado e
especializado.
Possui ampla capacitação de análise e
planejamento logístico, assim como de
operação.
Negociações para os contratos tendem a
ser rápidas e em nível operacional.
Negociações para contrato tendem a ser
longas e em alto nível gerencial
TDP
1 - Pesquise sobre um modelo de operador logístico em sua cidade e descreva como ele funciona.
Aula 22
22 - Custos Logísticos – Parte 1
Leone (2007) define custo logístico como as despesas realizadas pela atividade comercial, muitas vezes denominada de segmentos
de distribuição, que se realiza antes e depois da atividade de produção e se destina a fazer chegar o produto ou o serviço às mãos
do consumidor.
22.1 - Custos em armazenagem
Os custos de armazenagem (movimentação e estoque) representa em média 33 % do custo logístico total, e esta estatística está
crescendo nos últimos anos. Chegando a representar em média 3% do faturamento das empresas
Estes custos geralmente são fixos e indiretos.
O grade percentual de custos fixos faz com que sejam proporcionais a capacidade instalada, e por isso, pouco importará se o
armazém estiver vazio ou se estará movimentando mais ou menos produtos do que o planejado.
22.2 - Fatores que influenciam o custo de armazenagem
Características de recebimento (modo de transporte, volumes, valor da mercadoria, características da carga, horários operacionais)
Características de acondicionamento (temperatura requerida, controle de pragas, umidade, luminosidade, quantidade por pallete)
Características de picking e expedição (nível de acuracidade na operação, nível de degradação da embalagem, volume, modal de
transporte, valor da mercadoria, características da carga, horários operacionais, embalagens, etiquetas, etc).
Necessidade de recursos diretos (equipamentos e mão-de-obra direta) e indiretos (supervisão, segurança, limpeza, etc.)
22.3 - Custo com movimentação
72
22.4 - Custo de Oportunidade
• É o quanto você estaria ganhando na alternativa que você abandonou (trade off).
• É também conhecida por TMA – Taxa Mínima de Atratividade.
• Exemplo: ao investir R$ 5.000.000,00 na construção de um Centro de Distribuição de 3.500 m², o proprietário espera
alugá-lo por R$ 15,00 m² e obter uma renda mensal de R$ 52.500,00. Se ao invés de investir na construção do prédio, tivesse
aplicado em fundos de renda fixa, obteria 0,75% ao mês, ou seja, R$ 37.500,00. Portanto, o custo de oportunidade para esse inves-
timento, comparativamente à uma aplicação financeira, seria de 0,75% sobre o valor de R$ 5.000.000,00.
22.5 - Depreciação
• Custo ou a despesa oriundos por desgaste de máquinas, veículos, móveis, imóveis e instalações da empresa.
• Um dos motivos da depreciação é capitalizar as empresas para quando um equipamento vier a se desgastar ela poder
trocá-lo sem abalar as finanças da empresa.
22.6 - Tabela de Depreciação Linear
73
Logís ca Geral e Estoque
22.7 - Formula de Cálculo sobre Depreciação:
Valor residual é quanto a empresa espera obter pela venda de um equipamento ou ativo ao final de sua vida útil.
22.8 - Memória de cálculo para Depreciação Linear
Uma empilhadeira elétrica do tipo retrátil, nova e sem uso, foi adquirida por R$ 120.000,00. Considerando uma vida útil de 10 anos
e um valor residual de R$ 20.000,00 após esse período, calcule o valor da depreciação anual.
74
Depreciação: Valor de Aquisição - Valor Residual
Vida Útil
Depreciação: 120.000 - 20.000 = 10.000 $
10
Exercícios
1 - O que é custos logísticos?
R.: São as despesas realizadas pela atividade comercial, muitas vezes denominada de segmentos de distribuição,
que se realiza antes e depois da atividade de produção e se destina a fazer chegar o produto ou o serviço às mãos
do consumidor.
2 - Quais os fatores que influenciam no custo de armazenagem?
R.: Características de recebimento; Características de acondicionamento; Características de picking e expedição;
Necessidade de recursos diretos e indiretos.
3 - Qual a representatividade do custo de movimentação em um CD (centro de distribuição)?
R.: Espaço – 20% a 25%; Equipamentos – 15% a 20%; Mão-de-Obra – 40% a 60%; Outros – 10% a 15%
4 - O que é custo de oportunidade?
R.: Custo de algo em termos de uma oportunidade renunciada, ou, de uma forma mais simples, é o quanto você
estaria ganhando na alternativa que você abandonou.
75
Logís ca Geral e Estoque
5 - O que é TMA?
R.: Taxa Mínima de Atratividade.
6 - O que é custo de depreciação?
R.: Custo ou a despesa decorrente do desgaste ou da obsolescência dos ativos imobilizados (máquinas, veículos,
móveis, imóveis e instalações) da empresa.
Aula 23
23 - Custos Logísticos – Parte 2
23.1 - Formação de Preço
Gomes apresenta a formação de preço na logística de forma bem prática. O autor explana que a formação de preço no produto
logístico é constituída de custo do frete, custo por região, escolha do fornecedor na forma de precificar o custo. Bowersox e Closs
(2006) mostram que a precificação é um aspecto diretamente ligado ao marketing.
Uma tendência importante na estratégia de preço tem sido a de desempacotar o preço de produtos e materiais, para que serviços
como os de transporte, que eram tradicionalmente incluídos no preço, sejam agora identificados como itens separados.
Os autores demonstram que as decisões de precificação determinam, de forma direta, qual parte da transação é responsável pelo
desempenho das atividades logísticas, passagem da titulação e responsabilidades.
O preço de entrega é estabelecido de modo que o vendedor possa oferecer um preço que inclui o transporte do produto ao
comprador. O custo do transporte não é especificado como um item separado. Existem muitas variações de preço de entrega.
Já na precificação única por zona, os compradores pagam um preço único independentemente de onde estão localizados. Preços de
entrega geralmente refletem o custo médio de transporte do vendedor.
A precificação de entrega por uma só zona é comumente usada quando custos de transportes são uma porcentagem relativamente
pequena do preço de venda. A vantagem mais importante para o vendedor é o alto grau de controle sobre a logística.
A precificação por zona múltipla é caracterizada por preços diferentes para áreas geográficas específicas. É uma prática utilizada
para cotar o preço de entrega.
A precificação de ponto-base é a forma mais complicada e controvertida do preço de entrega se fazendo útil na localização entre um
sistema de ponto-base, no qual o preço de entrega final é determinado pela lista de preços do produto mais o custo do transporte
(já incluso os impostos).
23.2 - Fatores de competitividade
Leone (2007) diz que a competitividade é um dos fatores que movem o mercado logístico. Desta forma, as técnicas de controle e
apuração dos custos de distribuição já estão muito avançadas nos países mais desenvolvidos, onde começaram a influir na batalha
da concorrência pela expansão e sobrevivência das empresas.
23.3 - Custos logísticos gerais
Quando pensamentos em custos é necessário para explicá-los saber como é formada sua composição. Os custos logísticos gerais
são baseados no todo do processo logístico. Calcula-se toda a cadeia e remete a um número gerador do custo geral. Entre eles
destacamos:
• Custos de transportes;
• Custos de manutenção e manipulação de existências;
76
• Custos Fixos e variáveis de instalação;
• Custos administrativos de gestão e controle.
23.4 - Custos logísticos circunstanciais
Os custos logísticos que envolvem despesas circunstanciais estão ligados aos imprevistos do processo.
Através dos custos circunstanciais é possível cobrir a previsão de vendas, estoques/inventário, embalagem, fluxo de informações,
movimentações, aspectos legais, planejamento operacional, armazenagem, movimentação e serviço ao cliente.
23.5 - Custo logísticos de transporte internacional
Podem ser Diretos ou Indiretos
Custos Diretos:
• Embalagens
• Unitização
• Estufamento em containers (OVA)
• Frete interno
• Armzenagém
• Movimentação de cargas no local de embarque (Capatazias)
• Seguro de transporte interno
• Despesas bancárias
• Documentação
• Desembaraço aduaneiro
• Comissão de representantes
Custo Indiretos:
• Administrativos (salários)
• Custo do estoque em trânsito
Memória de calculo de um frete marítimo e aéreo.
77
Logís ca Geral e Estoque
Exercícios
1 - O que é formação de preço?
R.: Em logística, é o conjunto de todos os derivativos que compõe a operação.
2 - O preço de transporte é especificado como item separado?
R.: Não. Está dentro dos custos logísticos gerais.
3 - O que é fator de competitividade?
R.: É um dos fatores que movem o mercado logístico. Promove ganhos para os consumidores finais.
4 - Quais as atividades logísticas primárias?
R.: O transporte e a manutenção dos estoques
5 - O que é custo logístico geral?
R.: Os custos logísticos gerais são baseados no todo do processo logístico. Calcula-se toda a cadeia e remete a um
número gerador do custo geral.
Educador: no livro do aluno a questão nº 6 está errada, a correta seria essa, aplicar oralmente ao aluno.
6 - Os custo logísticos internacionais podem ser:
R.: Diretos e indiretos
78
TDP
1 - Em dupla. Monte um custo logístico semelhante ao apresentado acima, alternando a quantidade do item
transportado para o triplo.
Aula 24
24 - Logística reversa
24.1 - Definição
Bowersox e Closs (2006) aponta que a logística reversa (LR) é a mais complicada dentro do setor logístico geral. Os autores definem
a LR como o controle máximo quando existe responsabilidade potencial de danos a saúde.
As exigências operacionais para a logística reversa variam desde o custo total mais baixo, como retornar garrafas para reciclagem
até o máximo controle em situações que envolvem devoluções, recalls, etc.
Guarnieri afirma que a partir da uma nova visão da sociedade quanto as questões ambientais, percebe-se uma maior sensibilidade
ecológica dos consumidores, que pressiona o poder público em sancionar novas legislações ambientais e altera os novos padrões
de competitividade de serviços ao clientes impele o surgimento da logística reversa.
24.2 - Processo e desenvolvimento da Logística reversa
Guarnieri aponta como processo logístico da implantação reversa a logística na ótica empresarial. Neste panorama a autora destaca
o planejamento, a operacionalização e o controle de fluxo das informações logísticas.
O desenvolvimento é visto por meio dos canais de distribuição reversos que agregam valores de diversas naturezas, como:
Econômicos, ecológicos, leais, logísticos e tem sido reconhecida como uma das mais importantes fontes competitivas para as
empresas ambientais.
24.3 - A Logística Reversa na Garantia da Qualidade
Para garantir a qualidade é necessário que o processamento do retorno estejam dentro do processo de movimentação de mercadorias
do seu destino final típico.
24.4 - A Logística Reversa e o Meio Ambiente
Devem ser avaliados os impactos que os produtos deverão gerar no meio ambiente durante toda a sua existência.
Esta analise é importante para planejamento da rede logística e monitoramento em todas as etapas do ciclo de vida do produto.
24.5 - A Importância da Logística Reversa no marketing das empresas
Guarnieri diz que do ponto de vista logístico o fato de concluir com a entrega do produto no cliente, não encerra o seu ciclo de vida.
Todos produto que vier a apresentar algum problema, seja técnico ou que agrida ao meio ambiente ou até mesmo a saúde física do
cliente, deverá retornar a sua origem (fábrica) para que sejam feitos reparos ou até mesmo para que sejam descartados, evitando
dano ao usuário final (cliente). Ai entra o papel forte e necessário do marketing. Ao mesmo tempo que se obriga as empresas a
reverem seus processos, o gerenciamento ambiental agrega um valor de marketing positivo, pois o mercado consumidor requer
produtos elaborados a partir de processos mais limpos.
79
Logís ca Geral e Estoque
Assim o processo se reinicia. O gerenciamento da cadeia de suprimentos visto em aulas anteriores passa a ter aqui na logística
reversa um papel verde. Muitas empresas descobriram que poderiam melhorar o projeto e a estratégia de marketing unindo toda
estrutura logística a conscientização e os cuidados com o meio ambiente.
Quando as empresas de diversos elos da cadeia de suprimentos de bens em geral, entidades governamentais e demais envolvidos
adotam uma visão moderna de marketing social, ambiental e ética, suas imagens corporativas estarão cada vez mais comprometidas
com a preservação ambiental.
TDP
1 - Em dupla os alunos deverão montar uma proposta para uma empresa para implantar a logística reversa como fonte de redução
e contribuição para o meio ambiente.

Logística Geral e Estoque

  • 1.
    WordLogís ca Gerale Estoque 1 Livro do Educador Logística Geral e Estoque
  • 2.
    2 Copyright® 2013 - Todosos direitos reservados a Multi Brasil Franqueadora e Participações Ltda. É proibida a reprodução total ou parcial, por qualquer meio ou processo, inclusive quanto às características gráficas e/ou editoriais. A violação de direitos autorais constitui crime (Código Penal, artigo 184 §§ e Lei nº 6.895, de 17/12/1980), ocasionando busca, apreensão e indenizações diversas (Lei nº 9.610/98) conforme registro nº. 350.403, livro 646, página 63, 05/08/2005. Produzido por Multi Brasil Franqueadora e Participações Ltda. - CNPJ 10.835.410/0001-06 Caro educador, a Microlins® existe por você e para você. Para dúvidas, críticas ou sugestões, utilize nosso endereço de e-mail: atendimento@microlins.com Central de Franchising: Av. Andrade Neves, nº 2538 Jardim Chapadão - Campinas/SP CEP 13070-001 Telefone: (19) 3743-2000 www.microlins.com.br Autor: Junior Alberto Mamede Revisão Técnica: Luana Gozzi Rodrigues Neto Revisão Gramatical: Centro de Consultoria Linguística - CCLi Capa: Departamento de Marketing Editoração: Departamento Pedagógico Microlins Franchising
  • 3.
    3 Logís ca Gerale Estoque Caro Educador, Esse manual tem por objetivo auxiliá-lo no andamento e desenvolvimento de suas aulas, buscando descrever como foi elaborado este curso e mostrar- lhe informações e dicas preciosas de como organizar sua aula. Com esse manual, a Microlins Educação & Profissão quer facilitar sua vida na execução das aulas e mostrar como a nova metodologia de ensino implantada neste curso será aplicada dentro de cada assunto, em cada um dos módulos adquiridos por nossos alunos. Para que este curso — e consequentemente, sua metodologia — funcionem da maneira esperada é fundamental a sua participação. Converse com o seu coordenador como isso afetará as suas aulas e discuta com ele e os demais instrutores a metodologia, assim, juntos, todos possam entendê-la melhor. Faça uma leitura atenta deste manual. Sempre que necessário, fale com seu coordenador para sanar suas dúvidas. Mesmo que ele não possa responder de imediato, ele entrará em contato com a área de Operações da Franqueadora, e lhe responderá o mais brevemente possível. Atenciosamente, Equipe Pedagógica Profissionalizante Microlins Educação & Profissão
  • 4.
    4 Sumário Aula 1 ...........................................................................................................................10 1- O Surgimento da Logística .............................................................................................................................................. 10 1.1 - Evolução conceitual da logística.................................................................................................................................... 10 1.2 - Evolução Estratégica da Logística.................................................................................................................................. 11 1.2.1 - Anos 70: Foco no gerenciamento e custo ................................................................................................................... 11 1.2.2 - Anos 80: Foco na integração interna .......................................................................................................................... 11 1.2.3 - Anos 90: Foco no cliente: compra , produção e venda................................................................................................. 11 Exercícios ........................................................................................................................................................................... 11 Aula 2 ...........................................................................................................................12 2 - O Profissional da Logística .............................................................................................................................................. 12 TDP.................................................................................................................................................................................... 12 Exercícios ........................................................................................................................................................................... 12 Aula 3 ...........................................................................................................................14 3 - O Desenvolvimento da Logística dentro da empresa. ........................................................................................................ 14 3.1- Definição Logística........................................................................................................................................................ 14 3.2 - Ligação entre Marketing e Logística .............................................................................................................................. 14 3.2.1. - Marketing................................................................................................................................................................ 14 3.2.2 - Logística .................................................................................................................................................................. 14 TDP.................................................................................................................................................................................... 14 Exercícios ........................................................................................................................................................................... 15 Aula 4 ...........................................................................................................................16 4 - Gerenciamento da Cadeia de Suprimentos (Supply Chain Management – SCM) Parte 1.............................................................16 4.1 - Conceito ..................................................................................................................................................................... 16 4. 2 - Diferença entre modelo de administração tradicional e o modelo de SCM (Supply Chain Management). ............................ 16 4.3 - Competências ............................................................................................................................................................. 16 4.4 - Desenvolvimento de fornecedores: ............................................................................................................................... 16 Aula 5 ...........................................................................................................................17 5 - Gerenciamento da Cadeira de Suprimentos (Supply Chain Management – SCM) Parte 2 ...................................................... 17 5.1 -Terceirização e Outsourcing........................................................................................................................................... 17 5.2 - Terceirização............................................................................................................................................................... 17 5.3 - Vatagens com a terceirização ....................................................................................................................................... 17 Exercícios ........................................................................................................................................................................... 17 5.4 - Desvantagens com a terceirização ................................................................................................................................ 18 5.5 - Precauções ................................................................................................................................................................. 18 5.6 - Outsourcing na Administração da Cadeia de Suprimentos ou Supply Chain Management .................................................. 18 5.7. - Diferença de Outsourcing e Terceirização...................................................................................................................... 19 Exercícios ........................................................................................................................................................................... 19 Aula 6 ...........................................................................................................................20 6 - Canais de Distribuição .................................................................................................................................................... 20 TDP.................................................................................................................................................................................... 20 6.1 - Objetivos do Canal de Distribuição................................................................................................................................ 21 6.2 - Funções do Canal de Distribuição ................................................................................................................................ 21 Exercícios ........................................................................................................................................................................... 21
  • 5.
    5 Logís ca Gerale Estoque Aula 7 ...........................................................................................................................22 7 - Utilização da Tecnologia da Informação na logística ..........................................................................................................22 7.1 - Histórico .....................................................................................................................................................................22 7.2 - Funções da TI na logística............................................................................................................................................22 7.3 - Relações das aplicações entre os hardwares e os softwares na logística..........................................................................22 7.4 - A importância da tecnologia para o recurso humano da logística .....................................................................................22 7.5 - ERP (Enterprise Resource Planning- Gestão Integrada)...................................................................................................22 TDP....................................................................................................................................................................................22 Exercícios ...........................................................................................................................................................................23 Aula 8 ...........................................................................................................................24 8 - Administração de Materiais .............................................................................................................................................24 8.1 - A importância da administração de materiais.................................................................................................................24 8.2 - Gestão de produção ..................................................................................................................................................... ..........................................................................................................................................................................................24 8.3 - Gestão de Estoque ......................................................................................................................................................24 8.4 - Níveis de estoque .......................................................................................................................................................24 8.5 - Ponto de pedido..........................................................................................................................................................24 TDP....................................................................................................................................................................................24 8.6 - Custos de estoque.......................................................................................................................................................25 8.7 - Curva ABC dos materiais ..............................................................................................................................................25 Exercícios ...........................................................................................................................................................................25 Aula 9 ...........................................................................................................................26 9 - Técnicas para Otimização de Armazenagem - Parte 1 .......................................................................................................26 9.1 - Conceito de armazém ..................................................................................................................................................26 TDP....................................................................................................................................................................................26 9.2 - Armazenagem: do recebimento a expedição..................................................................................................................27 9.3 - Armazenagem: Sobre outro ponto de vista....................................................................................................................28 9.4 - A evolução dos armazéns.............................................................................................................................................29 9.5 - Perfis Operacionais dos Armazéns.................................................................................................................................30 Aula 10 .........................................................................................................................31 10 - Técnicas para Otimização de Armanezagem – Parte 2.....................................................................................................31 10.1 - Modelos de armazens existentes.................................................................................................................................31 Exercícios ...........................................................................................................................................................................31 10.2 - Verticalização dos estoques ........................................................................................................................................33 10.3 - Mezaninos.................................................................................................................................................................34 10.4 - Vantagens com uso de mensanino ..............................................................................................................................34 10.5 - Utilização do sistema WMS nas atividades de armazenagem........................................................................................34 TDP....................................................................................................................................................................................35 Exercícios ...........................................................................................................................................................................35 Aula 11 .........................................................................................................................36 11 - Gerenciamento de pedidos............................................................................................................................................36 11.1 - Processo de recebimento, gerenciamento e atendimento de pedidos.............................................................................37 11.2 - Informatização no controle de pedidos........................................................................................................................37 11.3 - Ciclo de pedidos ........................................................................................................................................................37 Aula 12 .........................................................................................................................38 12 - Inventário....................................................................................................................................................................38 TDP....................................................................................................................................................................................38 Exercícios ...........................................................................................................................................................................38 12.1 - Inventários rotativos, gerais e permanentes ................................................................................................................39 12.2 - Organização de Inventário..........................................................................................................................................39
  • 6.
    6 12.3 - Realizaçãode Inventários...........................................................................................................................................39 12.4 - Arrumação Física para realização de Inventário............................................................................................................39 Exercícios ...........................................................................................................................................................................40 Aula 13 .........................................................................................................................41 13 - Gestão de compras.......................................................................................................................................................41 13.1 - Diferenças entre compras para pessoa física e pessoa jurídica (empresas).....................................................................41 TDP....................................................................................................................................................................................41 13.2 - Memória de calculo de impostos para análise na hora da negociação/compra.................................................................42 13.3 - Requisição de Compra................................................................................................................................................43 13.4 - Ciclo de Compra ........................................................................................................................................................43 13.5 - Contratos..................................................................................................................................................................44 Exercícios ...........................................................................................................................................................................44 Aula 14 .........................................................................................................................45 14 - Conceito de Suprimentos ..............................................................................................................................................45 14.1 - Negociação na cadeia de suprimentos.........................................................................................................................45 14.2 - Qualidade da negociação ...........................................................................................................................................45 TDP....................................................................................................................................................................................45 14.3 - Conflitos na negociação .............................................................................................................................................46 14.4 - Relação ganha-ganha ................................................................................................................................................46 14.5 - Intuição e Negociação................................................................................................................................................46 14.6 - Almoxarifado.............................................................................................................................................................46 14.7 - Recepção de materiais e conferência de documentos fiscais..........................................................................................46 14.8 - Codificação de Material ..............................................................................................................................................47 14.9 - Código de Barras ......................................................................................................................................................47 14.10 - Ativides desempenhadas no almoxarifado..................................................................................................................48 14.11 - Layout ....................................................................................................................................................................48 Exercícios ...........................................................................................................................................................................49 Aula 15 .........................................................................................................................50 15 - Logística de Transportes ...............................................................................................................................................50 15.1 - Modais de Transporte.................................................................................................................................................50 TDP....................................................................................................................................................................................50 15.2 - Definição de Intermodalidade ....................................................................................................................................51 15.3 - Definição de Multimodalidade .....................................................................................................................................51 15.4 - Fatores que determinam o valor do frete.....................................................................................................................51 15.5 - Roteirização de Transporte .........................................................................................................................................51 15.6 - Unitização de carga ...................................................................................................................................................52 15.7 - Problemas com a má unitização de carga ....................................................................................................................52 Exercícios ...........................................................................................................................................................................52 Aula 16 .........................................................................................................................53 16 - Distribuição..................................................................................................................................................................53 16.1 - Funções, características e finalidades da distribuição....................................................................................................53 TDP....................................................................................................................................................................................53 16.2 - Atividades nos Armazéns de distribuição .....................................................................................................................54 16.3 - Fluxo de Operações do Armazém de distribuição..........................................................................................................55 16.4 - Fluxo Básico de Atividades em um Armazém de distribuição .........................................................................................56 16.5 - Atividades que agregam valor em um CD ....................................................................................................................56 16.6 - Recebimento .............................................................................................................................................................57 16.7 - Dificuldades na Operação de Recebimento...................................................................................................................57 16.8 - Formas de recebimento..............................................................................................................................................58 16.9 - Conferência Qualitativa ..............................................................................................................................................59 16.10 - Conferencia Quantitativa ..........................................................................................................................................59 16.11 - Conferencia após Recebimento .................................................................................................................................59
  • 7.
    7 Logís ca Gerale Estoque 16.12 - Expedição ................................................................................................................................................................59 16.13 - Formas de paletização...............................................................................................................................................59 16.14. - Endereçamento .......................................................................................................................................................59 Aula 17 ......................................................................................................................... 60 17 - Infraestrutura logística...................................................................................................................................................60 17.1 - A Importância da Infraestrutura Logística no Transporte ................................................................................................60 TDP.....................................................................................................................................................................................60 Exercícios ............................................................................................................................................................................60 17.2 - Infraestrutura Logística e as Vantagens Competitivas ...................................................................................................61 TDP.....................................................................................................................................................................................61 Exercícios ............................................................................................................................................................................61 Aula 18 ......................................................................................................................... 62 18 - Ferramentas de Distribuição...........................................................................................................................................62 18.1 - Vantagens Competitivas na Utilização de Ferramentas de Distribuição ............................................................................62 18.2 - Postponement ............................................................................................................................................................62 18.3 - Unitização..................................................................................................................................................................62 18.4 - Broker .......................................................................................................................................................................62 18.5 - ECR...........................................................................................................................................................................62 18.6 - Milk run ....................................................................................................................................................................62 18.7 - Crossdocking..............................................................................................................................................................63 18.8 - VMI ...........................................................................................................................................................................63 18.9 - E-Procurement ...........................................................................................................................................................63 18.10 - Centro de Distribuição (CD’S) ....................................................................................................................................63 Exercícios ............................................................................................................................................................................63 Aula 19 ......................................................................................................................... 64 19 - Distribuição na Logística Internacional – Parte 1 ..............................................................................................................64 19.1 - Organismos Internacionais ..........................................................................................................................................64 TDP.....................................................................................................................................................................................64 19.2 - Organismos Econômicos Internacionais........................................................................................................................65 19.4 - Barreiras Tarifárias e Não Tarifárias..............................................................................................................................65 19.5 - Logística Internacional ................................................................................................................................................65 19.6 - Incoterms – International Commerce Terms .................................................................................................................65 Aula 20 ......................................................................................................................... 66 20 - Distribuição na Logística Internacional – Parte 2 ..............................................................................................................66 20.1 - Meios de transportes...................................................................................................................................................66 20.1.1 - EXW – Ex Works - A partir da origem da produção, local nominado .............................................................................66 20.1.2 - FCA – Free Carrier – Transportador livre, local nominado ............................................................................................66 Exercícios ............................................................................................................................................................................66 20.1.3. - FAS – Free Alongside Ship (Livre no costado do navio, Porto de embarque nominado).................................................67 20.1.4 - FOB – Free On Board (Livre a Bordo, Porto de embarque nominado)...........................................................................67 20.1.5 - CRF – Cost And Freight (Custo e frete, porto destino nominado) .................................................................................67 20.1.6 - CIF – Cost Insurance And Freight (Custo, Seguro e frete, porto de destino nominado)..................................................67 20.1.7 - CPT – Carriage Paid To (Transporte pago até o local de destino nominado)..................................................................67 20.1.8 - CIP – Carriage and insurance paid to (Transporte e seguro pagos ate o local de destino nominado)...............................67 20.1.9 - DAT – Delivered at terminal (Entregue no terminal – pode ser nomeado de porto ou local de destino)...........................67 20.1.10 - DAP – Delivered at place (Entregue no local - de destino nomeado) .........................................................................68 20.1.11 – DDP – Delivered duty paid (Entregue direitos pagos local de destino nominado) ........................................................68 20.2 – Gestão logística da distribuição física internacional .......................................................................................................68 TDP.....................................................................................................................................................................................68
  • 8.
    8 Exercícios .......................................................................................................................................................................... 68 Aula21 ........................................................................................................................ 69 21 - Operadores Logísticos.................................................................................................................................................. 69 21.1 - O que são Operadores Logísticos?.............................................................................................................................. 69 21.2 - Diferenças entre os Operadores Logísticos e Prestadores de Serviços Logísticos ............................................................ 69 21.3 - A utilização da tecnologia pelos Operadores Logísticos ................................................................................................ 69 TDP................................................................................................................................................................................... 70 Exercícios .......................................................................................................................................................................... 70 Aula 22 ........................................................................................................................ 71 22 - Custos Logísticos – Parte 1........................................................................................................................................... 71 22.1 - Custos em armazenagem .......................................................................................................................................... 71 22.2 - Fatores que influenciam o custo de armazenagem ...................................................................................................... 71 22.3 - Custo com movimentação ......................................................................................................................................... 71 22.4 - Custo de Oportunidade ............................................................................................................................................. 72 22.5 - Depreciação ............................................................................................................................................................. 72 22.6 - Tabela de Depreciação Linear .................................................................................................................................... 72 22.7 - Formula de Cálculo sobre Depreciação: ...................................................................................................................... 73 22.8 - Memória de cálculo para Depreciação Linear............................................................................................................... 73 Aula 23 ........................................................................................................................ 74 23 - Custos Logísticos – Parte 2........................................................................................................................................... 74 23.1 - Formação de Preço................................................................................................................................................... 74 Exercícios .......................................................................................................................................................................... 74 23.2 - Fatores de competitividade........................................................................................................................................ 75 23.3 - Custos logísticos gerais ............................................................................................................................................. 75 23.4 - Custos logísticos circunstanciais................................................................................................................................. 75 23.5 - Custo logísticos de transporte internacional ................................................................................................................ 75 Exercícios .......................................................................................................................................................................... 76 Aula 24 ........................................................................................................................ 77 24 - Logística reversa ......................................................................................................................................................... 77 24.1 - Definição.................................................................................................................................................................. 77 24.2 - Processo e desenvolvimento da Logística reversa........................................................................................................ 77 24.3 - A Logística Reversa na Garantia da Qualidade............................................................................................................. 77 24.4 - A Logística Reversa e o Meio Ambiente....................................................................................................................... 77 24.5 - A Importância da Logística Reversa no marketing das empresas .................................................................................. 77 TDP................................................................................................................................................................................... 77
  • 9.
  • 10.
    10 Aula 1 1 -O Surgimento da Logística Caro Educador: Aula inicia-se com o surgimento da logística. Você deverá explanar de forma clara, usando uma linguagem cotidiana, sobre o surgimento da logística. A Logística surgiu no meio militar, fazia parte da estratégia de guerra. Você deverá fazer com que os alunos voltem no tempo e fiquem imaginando o tamanho das operações de guerra, como eram feitos os planejamentos. Imagine o quanto era complicado, naquela época, transportar soldados, canhões, alimentos, munição e armamentos em geral. Até mesmo a água potável que eles necessitariam, como deveriam fazer para transportar água suficiente para matar a sede de milhares de soldados? Quando parava a beira de um rio o problema poderia estar resolvido (e se àquele rio não tivesse água com qualidade para beber? Tinham que ter conhecimento geográfico de toda a região...), mas quando não havia rio por perto? Como faziam para transportar as águas? Imagine a quantidade de reservatórios que deveriam ter, e como transportar tudo isto. De fato era necessário fazer um excelente planejamento, muito bem minucioso, para obter sucesso em suas operações de guerra (caso houvesse falha, poderia colocar tudo a perder, pois correria o risco de ter que abandonar a guerra por falta de alimento, água, armamento e demais itens necessários para execução). Cite atividades de uma operação de guerra como: • Produção, aquisição, transporte, distribuição de armamentos e equipamentos militares; • Alimentação das tropas militares; • Evacuação de mortos e feridos; • Transporte e distribuição de munição; • Entrega de correspondência aos familiares; • Entrega de correspondência entre os militares; • Entre outros. 1.1 - Evolução conceitual da logística Apresente a evolução da logística, desde antes de Cristo até os dias atuais.
  • 11.
    11 Logís ca Gerale Estoque 1.2 - Evolução Estratégica da Logística 1.2.1 - Anos 70: Foco no gerenciamento e custo 1.2.2 - Anos 80: Foco na integração interna 1.2.3 - Anos 90: Foco no cliente: compra , produção e venda Caro Educador: Aqui você irá falar sobre a evolução estratégica da logística. Que teve inicio nos anos 70, onde a estratégia era focada no gerenciamento de custos e não havia sinergia. Na sequencia, nos anos 80, o Foco era na Integração Interna, onde no Brasil surge o primeiro grupo de estudo de logística, as empresas autombilisticas passam a adotar o JIT (Just In Time), e o Kanban desenvolvidos pela Toyota. O final dos anos 80 foi marcado pela alta inflação e aposta nos estoques. As empresas ganhavam com a valorização dos produtos no estoque. Já nos anos 90 você irá destacar que o foco era no cliente e que foi uma época marcada pelo fim da inflação (advento do plano real). Nesta época as empresas notam que os altos estoques deixam de ser considerados ganhos e passam a serem perdas, devido a sua não valorização. Ocorre a evolução da informática, permitindo com que as empresas pudessem investir mais em tecnologias de controle como: • WMS – Warhouse Management System (Sistema de Gerenciamento de Armazéns) • Etiquetas códigos de barras para controle de estoques; • Roteirizadores para os veículos das frotas. Surgem no Brasil novos operadores logísticos, trazendo maior concorrência. Isto fez que com que a integração de esforços ultrapassa as fronteiras da empresa para otimização do sistema de distribuição. Nessa época as empresas começam a fazer análise de: Demanda de mercado; Previsão de vendas; Programação de compras; Planejamento da produção; Fornecimento de matéria-prima; Abastecimento de Produção; Produto acabado e Distribuição, visando se tornar mais competitiva no mercado. Exercícios 1 - Quando surgiu a logística? R.: Desde os tempos bíblicos a cerca de 2.000 anos antes de Cristo. 2 - Qual a importância da logística naquela época? R.: Tinha importância no meio militar. Fazia parte da estratégia de guerra. 3 - Cite 05 (cinco) exemplos de demanda de guerra daquela época. R.: 1 - R: Produção, aquisição, transporte, distribuição de armamentos e equipamentos militares; 2 - Alimentação das tropas militares; 3 - Evacuação de mortos e feridos; 4 - Transporte e distribuição de munição; 5 - Entrega de correspondência aos familiares; 4 - A verdadeira tomada de consciência da logística como ciência teve sua origem nas teorias criadas por quem? E quando isto ocorreu? R.: Pelo Tenente-Coronel Thorpe. Ocorreu no ano de 1917 5 - Segundo Thorpe, a estratégia e a tática proporcionam o quê? E a logística? R.: O esquema da condução das operações militares. Já a logística proporciona os meios. 6 - Como foi a Evolução Conceitual da logística? R.: A evolução se deu da seguinte maneira:
  • 12.
    12 • Na Gréciaa 2000 anos a.c. com nome de LOGISTIKUS; • Em Roma a 753 anos a.c. com nome de LOGISTICUS; • Na França no século XIX com nome de LOGISTIQUE; • Na II guerra mundial com nome de LOGISTICS; • E finalmente obteve o nome de LOGÍSTICA na tomada do consumo. 7 - Cite as fases da Evolução Estratégica da Logística? R.: • Anos 70 – Foco no gerenciamento de custos – Os custos eram considerados básicos e inevitáveis. • nos 80 – Foco no Integração Interna – Desregulamentação do transporte, desenvolvimento do KANBAM, JIT, MRP e outros. • Anos 90 – Foco no cliente – Marcado pelo fim da inflação e profunda evolução da informática. 8 - Qual o significado de WMS? R.: É um (Sistema de Gerenciamento de Armazéns (Warhouse Management System) TDP Caro educador: Aqui você irá estimular os alunos a traçar diferentes rotas, vindo de casa para o trabalho ou de casa para a escola. Deverá fazer diferentes opções de trajeto. A intenção é fazer com que o aluno tenha uma noção sobre como traçar uma rota e que, nem sempre a rota costumeira pode ser a mais correta. É sempre importante levantar rotas alternativas para casos em que houver interrupção do trafego; ou até mesmo para buscar um ganho financeiro ou de tempo. 1 - Monte um roteiro de sua vinda para o trabalho ou escola. Faça simulações diferentes e veja qual será a melhor opção. 2 - Hoje em dia fala-se muito em “Satisfação do cliente” como um diferencial competitivo para as empresas. Dê exemplos do seu dia a dia que mostrem uma eficiência logística fazendo comparação na escolha por um serviço ou outro. A resposta é pessoal, mas a intenção é fazer com que o aluno analise pontos de vistas diferentes em uma entrega e outra, como por exemplo, em uma simples entrega de pizza ou remédios (há casos que a demora faz com que a expectativa seja frustrada. Nessa hora nem sempre pagar o menor preço é a melhor alternativa). Aula 2 2 - O Profissional da Logística Educador: Nessa aula você terá que apresentar os diversos tipos de profissionais que há no merca A seguir apresentar-se-á os profissionais que trabalham diretamente no ramo da logística e que fazem este setor funcionar. Exercícios 1 - Cite 03 exemplos de profissionais de logística que você mais se identifica. R.: Resposta pessoal
  • 13.
    13 Logís ca Gerale Estoque 2 - Quais as outras funções que estão dentro de Analista de logística? R.: • Analista de transporte em comércio exterior; • Operador transporte multimodal; • Controlador de serviços de máquinas e veículos; • Afretador; • Tecnólogo em logística de transporte; • Analista de logística de transporte • Dentre outros. 3 - Explique o que faz um Analista de transporte. R.: Controlam, programam e coordenam operações de transportes em geral; acompanham as operações de embarque, transbordo e desembarque de carga. Verificam as condições de segurança dos meios de transportes e equipamentos utilizados, como também, da própria carga. Supervisionam armazenamento e transporte de carga e eficiência operacional de equipamentos e veículos. Controlam recursos financeiros e insumos, elaboram documentação necessária ao desembargo de cargas e atendem clientes. Pesquisam preços de serviços de transporte, identificam e programam rotas e informam sobre condições do transporte e da carga. 4 - Quais as outras funções que estão dentro de Analista de transporte Logístico? R.: • Cronoanalista; • Cronometrista; • Controlador de entrada e saída; • Planejador; • Técnico de planejamento de produção; • Técnico de planejamento e programação de manutenção; • Técnico de matéria prima e material; • Assistente de logística de transporte. 5 - Quais as diversas profissões como gerente de logística? R.: • Gerente de Operações de transporte; • Gerente de correios e telecomunicações; • Gerente de logística de armazenagem e distribuição. • Dentre outros. 6 - O que faz um gerente de logística de distribuição? R.: Planejam as atividades operacionais de empresas de armazenamento, distribuição, transportes, comunicações e logística. Administram equipes, gerenciam recursos materiais e financeiros da área. Controlam o processo operacional e avaliam seus resultados. Providenciam meios para que as atividades sejam desenvolvidas em conformidade com as normas e procedimentos técnicos, de qualidade, segurança, meio ambiente e saúde. Buscam novas tecnologias e assessoram a diretoria e setores da empresa. 7 - O que faz um tecnólogo em logística de transporte? R.: Controlam, programam e coordenam operações de transportes em geral; acompanham as operações de embarque, transbordo e desembarque de carga. Verificam as condições de segurança dos meios de transportes e equipamentos utilizados, como também, da própria carga. Supervisionam armazenamento e transporte de carga e eficiência operacional de equipamentos e veículos. 8 - Quais os tipos de engenharias que atuam na área da logística? R.: Engenharias Civil (aeroportos, rodovias, ferrovias, metrovias, pontes, viadutos, tuneis) dentre outros.
  • 14.
    14 TDP Educador: O objetivodesse trabalho é ajudar o aluno a decidir sobre qual carreira seguir. 1 – Escolha entre as profissões acima, 03 (três) com as quais você mais se identifica. 2 – Elinime uma das profissiões escolhidas e explique porque você a eliminou. 3 – Escolha uma das duas que restaram e explique o porque da escolha e o que este profissional dessemelha como função. Aula 3 3 - O Desenvolvimento da Logística dentro da empresa. 3.1- Definição Logística Educador: nessa aula você deverá fazer uma explanação sobre o que é logística: É a função sistêmica de otimização do fluxo Financeiro de materiais e informações de uma organização. Integra duas ou mais atividades gerenciais ou operacionais, planejando, implementando e controlando o fluxo eficiente de materiais e informações, do ponto de origem ao ponto de destino, com o propósito de adequá-los às necessidades dos fornecedores e clientes. (Definição da ASLOG – Associação Brasileira de Logística). É bom salientar que como qualquer outra área, deve-se sempre estar de olho nos competidores existentes no mercado, buscando igualdade e/ou superação com os melhores concorrentes. Muito importante também frisar, que a logística deixou de ser vista como operacional para tornar-se estratégica. Assim, é considerada em decisões importantes e recebe a atenção dos mais altos escalões da empresa. 3.2 - Ligação entre Marketing e Logística 3.2.1. - Marketing 3.2.2 - Logística Educador: você deverá explicar que o mercado que está ditando novas tendências para o futuro das empresas. A internet está cada dia mais abrindo fronteiras, gerando maior inquietude da concorrência e acelerando as informações à parte interessada (stakeholders). Irá explicar também que o Marketing é uma atividade decisiva para avaliar as necessidades, decidir a hora e o que se deve colocar ou retirar, seja bens ou serviço, do mercado. O Marketing nasce com a finalidade de atender necessidades e superar expectativas. Existe a necessidade das pessoas de suprir desejos. Estes desejos, ligados ao poder aquisitivo de cada individuo, se torna demanda. Setor fundamental para colocar a empresa a frente da concorrência. Educador: deverá expor também que a logística é parte fundamental e estratégica para ganhar a satisfação do cliente, atuando de forma eficiente em diversas frentes de trabalho, gerando economia para empresa. A comunicação entre marketing e logística deve ocorrer de forma clara e objetiva, uma vez que os resultados obtidos afetam diretamente na estratégia e objetivos da empresa, bem como no resultado final.
  • 15.
    15 Logís ca Gerale Estoque Exercícios 1 - Defina logística. R.: É considerada como o gerenciamento estratégico dos fluxos de materiais e das informações correlatas para levar, de forma eficiente e eficaz, os produtos de uma origem a um destino. 2 - Explique como funciona o primeiro fluxo de logística. R.: O primeiro fluxo é o dos materiais, o qual se inicia no fornecedor e termina na entrega ao consumidor final. 3 - Explique como funciona o segundo fluxo de logística. R.: O segundo fluxo é o das informações, o qual tem um sentido inverso ao do anterior (do mercado para dentro da empresa). 4 - Qual foi o crescimento da venda de caminhões em 2011? R.: O crescimento foi de 15%. 5 - Quais as consequências desse crescimento? R:. São mais caminhões nas mesmas estradas danificadas, assim falta infraestrutura para comportar este crescimento. Também chegaram a faltar pneus para tamanha demanda. 6 - Defina Marketing. R.: Atividade decisiva para avaliar as necessidades, decidir a hora e o que se deve colocar ou retirar, seja bens ou serviço, do mercado. 7 - Qual a ligação e Marketing e Logística? R.: Hoje as empresas são obrigadas a sair do comodismo, pois é o mercado que está ditando novas tendências para o futuro das empresas. A internet está cada dia mais abrindo fronteiras, gerando maior inquietude da concorrência e acelerando as informações à parte interessada (stakeholders). 8 - Logística se restringe apenas ao setor de transporte? Explique. R.: Não. A operação logística como um todo é composta por diversas áreas. E se correlaciona com outras áreas, como de Marketing e Vendas. 9 - A logística é parte fundamental e estratégica para que? R.: É parte fundamental e estratégica para ganhar a satisfação do cliente, atuando de forma eficiente em diversas frentes de trabalho, gerando economia para empresa. 10 - A logística é composta por diversas áreas. Quais são elas? R.: Suprimentos; Almoxarifado; PCP (Processos e Controles de Produção); Armazenagem; Distribuição e Transportes, dentre outras. TDP 1 - Pesquise sobre os diversos setores que compõe a logística e aponte a que mais se relaciona com você. R.: Resposta pessoal. 2 - Exemplifique como funciona o setor escolhido por você na questão acima. R.: Resposta pessoal. 3 - Pesquise e descreva o que são stakeholders. R.: São grupos de interesses, que podem ser: Fornecedores, governo e demais membros que possam ter interesse sobre a operação da entidade.
  • 16.
    16 Aula 4 4 -Gerenciamento da Cadeia de Suprimentos (Supply Chain Management – SCM) Parte 1 4.1 - Conceito Caro Educador: Nesta aula você deverá explicar o que é Supply Chain Manangement - é o mesmo que Gerenciamento da Cadeia de Suprimentos. O SCM garante a integração, de forma bem estratégica, desde a origem (fornecedor) até o destino (consumidor final), agregando valor a todos os envolvidos da cadeia de suprimentos, focando sempre na satisfação do cliente final. Como o foco das empresas e se tornarem mais competitivas e com o menor custo possível, esta ferramenta (Supply Chain) vem agregar de forma muito positiva na conquista de um excelente resultado. Está sob sua gestão o planejamento e controle desde a aquisição de insumos até a fabricação. Assim, cabe a ela fazer as aquisições corretas, nas quantidades corretas, no tempo certo, objetivando sempre garantir a produção ao menor custo possível, evitando estoques desnecessários. Para isto o SCM terá que maximizar e tornar realidade as potenciais sinergias entre as partes da cadeia produtiva, de forma a atender o consumidor final mais eficientemente. 4. 2 - Diferença entre modelo de administração tradicional e o modelo de SCM (Supply Chain Management). 4.3 - Competências Caro educador: Aqui você poderá fazer uma analogia entre os modelos e administração tradicional e o modelo do SCM. Mostrando que o modelo SCM atua de forma proativa, dando ênfase a qualidade, customização, buscando sempre novos desenvolvimentos estratégicos do negócio, enquanto o modelo tradicional é mais reativo. 4.4 - Desenvolvimento de fornecedores: Educador: Deverá explicar sobre a importância de se desenvolver novos fornecedores, mostrando ao aluno os pontos fortes como: Garantia de abastecimento em produção normal ou em caso de crescimento da produção; Dentre outros pontos apontados abaixo: • Habilidade técnica – Ver se ele possui capacidade de responder às demandas técnicas de forma eficiente. • Capacidade de fabricação – Se faz necessário que, dependente do tamanho do negócio, se faça uma visita in loco (no local) para analisar o estrutura que o fornecedor tem e ver se ele possui capacidade produtiva compatível com a necessidade do cliente. Se em caso de aumento de demanda (produção) ele conseguirá atender. Caso seja identificado algum risco, é necessário que se levante novo fornecedor com capacidade maior ou, que venha somar aos já existentes para não ocasionar ruptura de abas- tecimentos de suprimentos (já imaginou uma indústria parar sua produção por falta de insumos? Os prejuízos seriam enormes e muitas vezes irreversíveis). • Confiabilidade – Você poderá contratar um fornecedor para fazer pesquisa de mercado, elaborar um produto ou até mesmo para desenvolver um grande produto como a criação de uma fórmula nova para seu produto. Imagine se o fornecedor não for confiável e vender seu projeto (ideia) para seu concorrente. Imagine o desastre que seria, sem falar nos prejuízos, uma vez que os custos com pesquisa ficou totalmente por sua conta e seu concorrente poderia lançar o mesmo produto com valor inferior no mercado, por não ter tido este mesmo custo com a pesquisa. Daí surge a importância de trabalhar com fornecedores de confiança inabalável e de preferencia, sempre, elaborar bons contratos que garantam esta confiabilidade. • Serviço Pós-Venda – Precisam ter certeza que, em caso de anomalias com o insumo comprado, terá um bom atendi- mento de pós-vendas. Geralmente este fator é esquecido por muitos compradores, que “pagam um preço alto” na hora de pedir apoio ou reparação em compras de bens ou serviços que não condizem com as especificações exigidas na compra. • ocalização geográfica – Verificar onde o fornecedor está instalado e quais os meios de acesso entre o fornecedor e o cliente. Quanto mais longe estiver instalado, maior será o custo com frete em relação ao valor da mercadoria. Importante também para análise de tempo de entrega. • Saúde financeira – Verificar se o fornecedor tem condições de garantir a continuidade do fornecimento. Em caso de necessidade alongamento de prazo para pagamento, ou aumento da demanda ele terá condições continuar fornecendo. • Condições Comercias – Observar preço, desconto, bonificações, incidência de tributos (todo comprador deve ter noção tributária, saber qual é o regime tributário adotado por sua empresa, pois pode fazer toda a diferença na hora da compra), prazo para pagamento.
  • 17.
    17 Logís ca Gerale Estoque • Aspectos ambientais e de responsabilidade social – Por pressões da sociedade, que cobra por um ar mais puro, as empresas estão cada vez mais evitando a degradação do meio ambiente. Muitas empresas optam por comprar de empresas que possuem praticas saudáveis de produção e que incentivam ações voltadas a responsabilidade social. Exercícios 1 - Qual o significado da sigla SCM em logística? R.: Supply Chain Manangement (Adminsitração da Cadeia de Suprimentos) 2 - Defina Supply Chain Manangement. R.: É o mesmo que Administração da Cadeia de Suprimentos. Ao contrário do que muitos pensam o SCM tem conceito diferente de Logística. Logística está relacionada com uma série de processos que viabiliza o fluxo de materiais do fornecedor ao ponto de venda, enquanto que o SCM garante a integração, de forma bem estratégica, desde a origem (fornecedor) até o destino (consumidor final), agregando valor a todos os envolvidos da cadeira de suprimentos, focando sempre na satisfação do cliente final. 3 - SCM tem sido uma promissora fronteira para organizações interessadas em: R.: Obter maiores vantagens de forma sólida e efetiva. 4 - O SCM é importante na redução de custos podendo ser obtida através de: R.: Redução do volume de transações de informações e consumo de papéis, dos custos de transporte, estocagem, dentre outros. 5 - Através da cadeia produtiva e dos esforços, tanto os fornecedores como os clientes podem conseguir o quê? R.: Aumento simultâneo de suas lucratividades. 6 - Qual o fluxo da cadeia de suprimentos? R.: Fornecedor do fornecedor; Fornecedor; Empresa; Cliente; Consumidor final. 7 - Cite dois exemplos de práticas eficazes que visam a simplificação da SCM. R.: 1 - A integração de um sistema de informação, como EDI (Eletronic Data Interchange); 2 - A utilização de representantes permanentes (in plant representatives). 8 - o que é competência? R.: É o link entre estratégia e a infraestrutura. 9 - Por que é importante saber escolher um fornecedor? R.: O critério na escolha é fundamental para ter maior segurança no que tange ao recebimento da mercadoria ou produto nas especificações corretas, no tempo certo e na quantidade certa. Também para garantir abastecimento em caso de crescimento da demanda da empresa. 10 - Cite três critérios para escolha de fornecedores: R.: Capacidade de fabricação; Confiabilidade; Pós Venda. Aula 5 5 - Gerenciamento da Cadeira de Suprimentos (Supply Chain Management – SCM) Parte 2 5.1 -Terceirização e Outsourcing. 5.2 - Terceirização 5.3 - Vatagens com a terceirização
  • 18.
    18 5.4 - Desvantagenscom a terceirização 5.5 - Precauções Educador: Dando sequência sobre Supply Chain Management (Adminsitração da Cadeia de Suprimentos), deverá explanar sobre terceirização, suas vantagens e desvantagens. Estemétodo é muito utilizado hoje por muitas empresas que visam, além da redução de custo, melhorar a qualidade dos serviços prestados e foco da atividade-fim da empresa, não perdendo o foco do negócio. Entre as vantagens com a terceirização temos: • Foco na atividade-fim da empresa (Core business); Delegando para terceiros as atividades que faz parte desse core business. • Redução de custo com contratações e demissões; ainda tem os custos com faltas de colaboradores ao tra- balho, pois nesse caso a reposição é imediata e por conta da empresa contratada. • Concentra os melhores funcionários, no negócio principal da empresa, garantindo maior retorno; e aumento da produtividade. • Maior facilidade na gestão de pessoas. Numero reduzido de pessoas. • Redução dos ativos da empresa; Dependendo da forma que foi elaborador o contrato, parte dos ativos fica a cargo da empresa contratada. Educador: Nesta etapa é importante mencionar as desvantagens, e as precauções que se devem ter um uma terceirização. Mostrar os riscos que se tem na contratação da empresa. Deve-se observar se a empresa contratada se qualifica continuamente, se de fato detém conhecimento suficiente sobre o que está desempenhando. Outro ponto importante é o risco de ser autuada pelo Ministério do Trabalho, caso a contratada não cumpra com suas obrigações trabalhistas. Um meio de evitar este risco é colocar em contrato, como clausula obrigatória, a apresentação de todos os pagamentos de encargos trabalhistas, juntamente com a nota fiscal para pagamento dos serviços prestados. Devem-se observar, também, os riscos com transmissão de Know-how e confiabilidade. A empresa contratada pode passar informações privilegiadas da sua empresa. Um meio de se precaver contra estes riscos e possíveis aborrecimentos, é com a elaboração de contratos muito bem minuciosos, colocando todas as cláusulas necessárias, evitando problemas futuros. E também delegar as responsabilidade de forma gradativa, em níveis de performance. 5.6 - Outsourcing na Administração da Cadeia de Suprimentos ou Supply Chain Management Caro educador: Vamos falar um pouco sobre Outsourcing. Prática que vem crescendo muito no meio industrial, de forma positiva. Muito utilizada no meio têxtil, dentre outros. O que é Outsourcing? Out = Fora Source = fonte. É o mesmo que uma fonte externa, cujo objetivo é garantir determinadas atividades transferidas de terceiros, garantindo maior agilidade com o processo e competitividade no mercado. Os serviços utilizados por uma empresa (na cadeia produtiva) é terceirizada (confiados) a uma empresa externa, com relacionamento interdependente. Importante salientar que com o crescimento do mercado e exigências dos clientes diante de tanta oferta, as empresas se viram obrigadas a focar em pontos relevantes para conseguirem permanecer nesta luta diária pela sobrevivência, com isso muitas organização atuam como foco em suas atividades-fins e delegam à terceiros outras atividades. Ao terceirizar, é necessário ter uma relação transparente, porém confiável e confidencial, ao ponto da empresa cliente poder confiar uma série de informações ao parceiro. Veja um exemplo abaixo: Vamos supor que uma organização têxtil chegou ao seu limite de produção e resolve terceirizar a produção de um ou alguns modelos de vestuário. A empresa cliente terá que enviar os moldes (modelos) à empresa contratada.
  • 19.
    19 Logís ca Gerale Estoque Ela está confiando um projeto (poderia ser uma lançamento de vestuário) nas mãos de um “desconhecido”. Imagine se esta empresa contratada não for idônea e resolver vender o projeto a terceiros. Por isso há a necessidade de sempre efetuar contratos bem elaboradores, por setor competente, para evitar descontentamento das partes. Outsourcing começou com áreas consideradas periféricas, como a informática, mas agora chega as áreas de manufatura, manutenção, distribuição e marketing. 5.7. - Diferença de Outsourcing e Terceirização O Outsourcing utiliza-se de recursos externos para realização de atividades principais da empresa (Ex: fabricação de peças, vestuários, dentre outros). A Terceirização está mais relacionada a processos de armazenagem (inbound e outbound) e distribuição (ex: Limpeza e conservação; manutenção predial e mecânica, transporte, transportadores são empresas terceirizadas). Exercícios 1 - O que é terceirização? R.: É o ato de transferir para outras empresas, atividades que não fazem parte do seu negocio principal. 2 - Quais as vantagens de uma terceirização? R.: Redução de custos, melhorias na qualidade, melhor gestão de pessoas; Poder focar na atividade fim da empesa. 3 - Quais as desvantagens de uma terceirização? R.: Risco de contratar uma empresa não qualificada; e ter problemas com Ministério do Trabalho. 4 - O que é Outsourcing? R.: É um processo de gestão pelo qual se repassam algumas atividades para terceiros, com os quais estabelece uma relação de parceria, ficando a empresa concentrada apenas em tarefas essencialmente ligadas ao negocio em que atua. 5 - Qual a diferença entre terceirização e outsourcing? R.: O Outsourcing utiliza-se de recursos externos para realização de atividades principais da empresa. É o mesmo que designar serviços a terceiros onde seria necessário uso de equipamentos, mão de obra especializada e know- how naquilo com aquele tipo de serviço. Muito utilizado no meio industrial, já a Terceirização está mais relacionada a delegação de trabalhos mais braçais, como por exemplo: limpeza, segurança, portaria. 6 - Qual o objetivo do outsourcing? R.: Dar maior agilidade e competitividade às empresas, transferindo para terceiros a execução de atividades secundárias. 7 - Outsourcing começou com áreas tidas como periféricas, como a informática, mas agora chega a quais áreas? R.: Manufatura, manutenção, distribuição e marketing. 8 - O que se espera de um parceiro que você lhe confia uma terceirização? R.: Além de competência é esperada uma relação de confidencialidade, ao ponto da empresa cliente poder confiar uma série de informações ao parceiro. 9 - Com o crescimento do mercado e exigências dos clientes diante de tanta oferta, as empresas se viram obrigadas a que? R.: A focar em pontos relevantes para conseguirem permanecer nesta luta diária pela sobrevivência, com isso muitas organização atuam como foco em suas atividades fins e delegam a terceiros outras atividades.
  • 20.
    20 TDP 1 - Emdupla, monte uma estratégia para desenvolver um novo fornecedor para sua empresa. Educador: Deverá orientar e incentivar os alunos a colocar em prática o que foi mencionado em sala de aula. Os alunos deverão montar esta estratégia, observando todos os pontos positivos e negativos, bem como se atentarem para as precauções que deverão ter, como a elaboração de uma contrato minucioso (sugiro a criação de um contrato fictício, para dar maior ênfase a aula – poderão montar um contrato em sala de aula, ou pesquisar modelos e trazer um contrato pronto para análise). Aula 6 6 - Canais de Distribuição Caro educador: São muitos os canais de distribuição. Inicie a aula fazendo um fluxograma de como funciona a rede de distribuição desde o fabricante até o consumidor final e quais os tipos de canais de distribuição existentes nesta rede. Nos casos em que o consumidor final compra direto da indústria, poderá usar como exemplo as vendas pela internet (e-commerce), as vendas de cosméticos (Natura), dentre outros. Para os casos em que houve Fabricante, varejista e consumidor final, podem se citados como varejistas as grandes redes de supermercados (Ex: Pão de Açúcar, Carrefour, dentre outros) e consumidor final é o cliente final que compra no supermercado (ex: dona de casa). Tem também os casos em que o canal de distribuição é acrescido com a figura do Atacadista, que são grandes distribuidores que compra das indústrias e distribuem para os varejistas (supermercados), que será o meio para fazer chegar o produto até o cliente final. Veja que por ultimo no organograma aparece, também, a figura do agente. Este profissional é contratado pelas indústrias (podem ser através de contratos de trabalhos resguardados pela CLT (Consolidação das Leis de Trabalho), com carteira de trabalho, ou podem se contratados como prestadores de serviços (terceirizados), neste caso recebem o nome de representantes comerciais, onde tem empresa aberta e devem emitir nota fiscal de prestação de serviços para recebimento de seus “honorários”. Este profissional é um meio de ligação entre indústria e atacado. Há casos em que estes representantes comerciais fazem a ligação de indústria diretamente com o varejista (grandes redes de supermercados), pratica cada vez mais usada pelas indústrias.
  • 21.
    21 Logís ca Gerale Estoque O Canal de Distribuição é o caminho projetado para o produto ou mercadorias chegarem aos clientes, ou consumidor final. Exemplo: Uma grade indústria fabrica determinado produto e utiliza do canais de distribuição para que seu produto chegue ao consumidor final. 6.1 - Objetivos do Canal de Distribuição Entre os objetivos de um canal de distribuição, cite os apontados abaixo: • Colocar o produto a disposição do cliente no tempo certo e no lugar certo, satisfazendo a necessidade do consumidor final; • Reforçar potenciais de venda – através de treinamentos e apresentação de produtos, gerando motivação a equipe de vendas; • Facilitar fluxo de informação; • Reduzir custos de forma integrada. 6.2 - Funções do Canal de Distribuição • Induzir a Demanda; • Satisfazer a demanda; • Serviços de pós-venda; • Troca de informações. Exercícios 1 - O que é um canal de distribuição? R.: Canal de Distribuição é o caminho projetado para o produto ou mercadorias chegarem aos clientes, ou consumidor final. 2 - O Canal de Distribuição é formado por quem? R.: Por interesses econômicos, por isso deve ser muito bem planejado estrategicamente, criando sinergia positiva para entre as organizações, objetivando resultado satisfatório para todos os membros do canal de distribuição. 3 - Exemplifique como funciona um canal de distribuição. R.: Uma grade indústria fabrica determinado produto e utiliza de canais de distribuição como Atacadistas e Varejistas para que seu produto chegue ao consumidor final. 4 - Quais os membros que fazem parte do canal de distribuição? R.: Indústria, Agentes ou representantes comerciais, atacados ou distribuidores, varejistas e consumidor final. 5 - Qual a importância do atacadista neste canal de distribuição? R.: Responsável por colocar o produto no ponto certo para que possa ser adquirido pelo consumidor final. Compram da indústria e vendem para no varejo. 6 - O que diferencia o Representante comercial dos demais membros do canal de distribuição? R.: Ele tem o papel de buscar os clientes, mas não possuem posse do produto. 7 - Os participantes do Canal de Distribuição podem ser divididos em: R.: Primários ou especializados. 8 - Qual a função do canal de distribuição? R.: Induzir a Demanda; Satisfazer a demanda; Serviços de pós venda e Troca de informações. 9 - Dê exemplos de participantes primários em um canal de distribuição. R.: Fabricantes, atacadistas e varejistas.
  • 22.
    22 TDP 1 - Emdupla, pesquise e nos apresente um modelo de canal de distribuição existente em sua cidade e como ele funciona. (tem por objetivo, levantar as opções existentes e fazer com que os alunos possam ter noção visual de como funciona, facilitando seu entendimento, permitindo melhor conhecimento). Pedir para fazerem um relatório sobre o que foi visto e entregar no final para que o educador possa analisar sob seu ponto de vista se ficou claro para ele o que foi visto e se precisa sanar mais alguma dúvida. Aula 7 7 - Utilização da Tecnologia da Informação na logística 7.1 - Histórico 7.2 - Funções da TI na logística 7.3 - Relações das aplicações entre os hardwares e os softwares na logística 7.4 - A importância da tecnologia para o recurso humano da logística Educador: Vamos aqui enfatizar a importância da tecnologia da informação aplicada a logística. Hoje seria impossível ter uma logística competitiva, se não tivéssemos boa tecnologias que permitam maior processamento de informações, maior agilidade de acesso e confiabilidade com resultados. Grandes empresas, preocupadas com sua posição no mercado, que cada vez se torna mais exigente e competitivo, investem fortemente em tecnologia da informação. Temos hoje vários softwares que permitem controle absoluto de tudo que está dentro, seja no setor de armazenagem, produção, transporte. Esta ferramenta proporciona além de redução de custos decorrentes de gargalos físicos, ineficiências operacionais, e obstáculos burocráticos, institucionais e legais, ganho significativo para o crescimento das operações logísticas como um todo. Deverá, também, explanar sobre as diferenças entre hardware e software. Assim, definir a base tecnologia a ser utilizada se faz necessário um planejamento onde a tecnologia é implantada dentro de um projeto estruturado para atender a logística onde o sistema ou software funcionará, seja como sistema operacional, seja em rede, por meio da integração do hardware, aplicativos paralelos, utilitários entre outros. 7.5 - ERP (Enterprise Resource Planning- Gestão Integrada) Educador: Deverá explanar sobre ERP como sendo sistema integrado de gestão empresarial, que tem por objetivo planejar recursos empresariais É através do ERP que é possível receber, controlar e processar os pedidos. Seja de forma estruturada presencial ou on-line. Por ser um sistema único e integrativo, torna-se possível através deste sistema integrar setores, estruturar demandas e possibilitar que processos externos possam ser beneficiados por processos internos. Ou seja, Decisões externas ou Necessidades externas podem ser beneficiados ou aliados em decisões internas da empresa.
  • 23.
    23 Logís ca Gerale Estoque O sistema Integrado de Gestão Empresarial é aplicado a logística por beneficiar a parte burocrática da empresa. Auxilia no desenvolvimento administrativo por meio da liberação através da integração tecnológica entre o departamento solicitante, o departamento financeiro e o departamento de compras. Após a composição do sistema é possível solicitar de forma eletrônica, compras, licitações e estoques. Assim, o gerenciamento das demandas fica controlado. Com isso, torna-se possível estabelecer um sistema de qualidade no setor. Para o recurso humano do setor é possível determinar uma política de remuneração de acordo com cada função exercida na empresa. Desta forma, a ERP torna-se fundamental no processo globalização para ganho no tempo, na eficiência integrativa dos setores e no desenvolvimento do recurso humano da empresa. Exercícios 1 - Qual é a definição de Hardware? R.: É toda parte física do processo tecnológico. Em um computador, todas as peças são hardware. 2 - O que é um Software? R.: É constituído por toda parte de instalação operacional que faz um hardware ganhar vida e funcionalidade. 3 - Um computador sem sistema operacional é: R.: Obsoleto, sem utilidade. 4 - Um sistema operacional é: R.: Um Software. 5 - O que é um ERP? R.: Planejamento de recursos empresariais, mas também é conhecido no mercado logístico como sistema integrado de gestão empresarial. 6 - O que é possível fazer com um ERP? R.: É possível receber, controlar e processar os pedidos. Por ser um sistema único e integrativo, torna-se possível através deste sistema integrar setores, estruturar demandas e possibilitar que processos externos possam ser beneficiados por processos internos. 7 - A geração de resultados focados no uso da tecnologia auxilia a quem? R.: A todos os setores da empresa no desenvolvimento rápido das execuções gerando informações a todos os setores. 8 - Uma vez preparado, o funcionário do setor de logística está apto a solicitar informações e enviar informações que geram respostas rápidas para quais setores? R.: Para o setor de compras e vendas, estoques, distribuição, frete, entrega e também resultados setoriais de consumo e pedidos por região.
  • 24.
    24 9 - ERPtorna-se fundamental para que? R.: Para ganho no tempo, na eficiência integrativa dos setores e no desenvolvimento do recurso humano da empresa. TDP 1 - Pesquise sobre hardwares e softwares presentes em um Departamento Logístico da Empresa. Aula 8 8 - Administração de Materiais 8.1 - A importância da administração de materiais Educador: A administração de materiais na logística tem um papel importante e determinante no processo de gestão. É através da administração de materiais que se torna possível organizar, planejar, controlar materiais eficientemente com vistas à consecução das metas em grupo. A administração de materiais torna possível a classificação de materiais, o gerenciamento do estoque, controle de aquisições, checagem do armazenamento, manuseio dos materiais de forma adequada, movimentação de estoques, transporte de material, controle dos materiais excedentes, obsoletos e inservíveis e também o controle de qualidade. Daí já da para notar a relevância dessa ferramenta na logística Os materiais são administrados conforme necessidade da organização. A grande maioria tem como política estoques enxutos, e outras carecem de estoques maiores, principalmente quando falamos de produtos acabados, para atender demandas sazonais (como nas comemorações festivas – Natal - e outros). 8.2 - Gestão de produção No planejamento da gestão de produção é definido o que será produzido de acordo com as vendas ou planejamento comercial. O setor geralmente envia orçamento de vendas e/ou previsão de vendas, para que seja feita analise das necessidades de produção. Há casos em que a produção só é iniciada quando o pedido chega à indústria. Com base nesta análise é feito levantamento de necessidade ou não de compra de mais insumos para produção. A gestão das atividades empresariais estão relacionadas a produção, a logística e as operações diz respeito a decisões a serem tomadas quanto à cadeia produtiva. Em gestão de produção é possível estabelecer a quantidade de produtos que serão produzidos, encomendados, estocados, distribuídos de forma global. É também na gestão de produção que são emitidas as ordens de compra, de fabricação e de montagem. É possível acompanhar a execução de cada etapa e verificar se o cronograma está sendo cumprido conforme o processo de planejamento determinado pela gestão de produção. Aqui entra o MRP, as industrias estão evoluindo e investindo em softwares cada vez mais eficiente para colocar tudo interligado, dando maior agilidade com o processamento de informações e geração de relatórios para tomada de decisão, garantindo sempre menor custo e maior rapidez no atendimento ao cliente. 8.3 - Gestão de Estoque Nesta fase serão definidas as politicas de estoque. Ponto de pedido; Calculado com uma previsão para consolidar a margem de segurança no estoque. Estoque de reserva: Quanto comprar a mais Lote de compra; Quantidade certa a comprar Curva ABC de estoque; Métodos de avaliação identificando itens de maior impacto. Padronização de materiais; Melhoria para produção. 8.4 - Níveis de estoque 8.5 - Ponto de pedido Os níveis de estoques podem ser categorizados como:
  • 25.
    25 Logís ca Gerale Estoque Estoque a Mão: É o estoque que está fisicamente na empresa. Estoque Líquido: É o estoque à mão menos os backorders (pedido em espera ou em atraso). Posição de Estoque: É a soma do estoque líquido com os pedidos em trânsito. 8.6 - Custos de estoque 8.7 - Curva ABC dos materiais Quando pensamos em custos de estoques é necessário entender desde o custo de manuseio e manutenção, passando pelo custo de preparação de pedido, curso da escassez e o custo de compra. Assim é apresentada a questão do custo no estoque. Tudo deve ser calculado. Mas é importante que se ressalte que quanto maior for à demanda menor o preço. Curva ABC de estoques. Para que não haja perda de tempo na negociação, defini prioridades de acordo com a curva ABC. Os itens da curva ABC são classificados como (Carvalho, 2002, p.227): • Classe A: De maior importância, valor ou quantidade, correspondendo a 20% do total (podem ser itens de estoque com uma demanda de 65% num dado período); • Classe B: Com importância, quantidade ou valor intermediário, correspondendo a 30% do total (podem ser itens do es- toque com uma demanda de 25% num dado período); • Classe C: De menor importância, valor ou quantidade, correspondendo a 50% do total) podem ser itens do estoque com uma demanda de 10% num dado período). Exercícios 1 - Qual a importância da administração de materiais? R.: É através da administração de materiais que se torna possível organizar, planejar, controlar materiais eficientemente com vistas à consecução das metas em grupo. 2 - Qual a definição de ponto de pedido? R.: Ponto de pedido é o cálculo da demanda por unidade de tempo multiplicada pelo lead-time. 3 - Qual a definição de Custo de estoque? R.: É todo custo oriundo da aquisição, manuseio, manutenção, e gestão do estoque. 4 - Como definir gestão de produção? R.: É o planejamento e controle do que será necessário produzir e da quantidade de insumos que serão gastos na produção. 5 - Através da administração de materiais que se torna possível: R.: Organizar, planejar, controlar materiais. 6 - Para que não haja perda de tempo negociando materiais que não possuem uma participação significativa no investimento total da obra, o que devo fazer? R.: Classificação da curva ABC para o estabelecimento de prioridades. 7 - Como fazer a classificação da curva ABC de estoques? R.: • Classe A: De maior importância, valor ou quantidade, correspondendo a 20% do total (podem ser itens de estoque com uma demanda de 65% num dado período); • Classe B: Com importância, quantidade ou valor intermediário, correspondendo a 30% do total (podem ser itens do estoque com uma demanda de 25% num dado período); • Classe C: De menor importância, valor ou quantidade, correspondendo a 50% do total) podem ser itens do estoque com uma demanda de 10% num dado período).
  • 26.
    26 8 - Quandosurge o planejamento do processo produtivo? R.: Parte da montagem da árvore do produto quanto já se dispõe do prazo de execução e da lista de materiais com avaliação da curva ABC. TDP Em dupla: Levante um caso real, ou faça simulação de um planejamento de produção, se atentando para a administração de materiais necessários para fabricação. (Educador: Deverá orientar os alunos a montar uma estrutura de produto e, com base nesta estrutura, levantar a necessidade de insumos para produção, vislumbrando o tempo gasto para entrega, a quantidade de produção dia e a quantidade de estoque mínimo e máximo necessários para não haver ruptura na produção). Aula 9 9 - Técnicas para Otimização de Armazenagem - Parte 1 9.1 - Conceito de armazém Educador: Se conseguir, nesta fase, será interessante levar os alunos para conhecer um armazém (centro de distribuição de preferência). Caso não seja possível, sugiro apresentar em data show, ilustrações de modelos de armazéns existentes, para enriquecer, ainda mais, a aula. Abaixo ilustração de um armazém com estruturas diferentes para estocagem de produtos. Abaixo poderá ver como funciona a armazenagem do recebimento a expedição. Quais os pontos chaves a serem observados na armazenagem de uma logística empresarial. Um pouco mais abaixo verá a importância da armazenagem sob outro ponto de vista.
  • 27.
    27 Logís ca Gerale Estoque 9.2 - Armazenagem: do recebimento a expedição Gerenciamento por Lotes Uso intensivo informação Foco no giro dos materiais Mais Fornecedores e Clientes Ciclo de vida dos produtos cada vez mais curto Grande quantidade de SKUs Margens apertadas Múltiplos canais de distribuição Globalização Cliente mais exigente
  • 28.
    28 9.3 - Armazenagem:Sobre outro ponto de vista
  • 29.
    29 Logís ca Gerale Estoque 9.4 - A evolução dos armazéns. V A R I A V E I S TEMPO E S T O C A G E M E S T O C A G E M Montagem de Pedidos (Picking) Estocagem Montagem de Pedidos (Picking) Serviços de Valor Agregado Armazém Centro de Distribuição Centro de Serviços Logísticos 1950’s/60’s/70’S 1980’s/90’s 2000’S
  • 30.
    30 Antigo Conceito • Um custode negócio • Um “lugar para guardar material” • Estático • Missão: Gerenciar estoques • Baixo nível de “degradação” das embalagens • Armazenagem horizontal Nova Visão • Um instrumento para vantagem competitiva • Integra marketing, administração de materiais e planejamento de produção e financeiro • Dinâmico • Missão: Gerenciamento do fluxo físico e das informações • Alto nível de “degradação” das embalagens (picking fracionado) • Armazenagem vertical 9.5 - Perfis Operacionais dos Armazéns MANTER MOVIMENTAR ESTOCAGEM Recebimento Expedição
  • 31.
    31 Logís ca Gerale Estoque Exercícios 1 - Conceitue armazem. R.: É uma instalação física destinada à movimentação e armazenagem de materiais diversos, desenhada e dimensionada conforme as características físicas dos itens, volume movimentado, giro, popularidade, valor e requerimentos de segurança e qualidade desses materiais. 2 - Dê exemplo de um perfil operacional de armazém. R.: Terminal de frete / Cross-Docking – Foco no recebimento e expedição. 3 - De acordo com a evolução dos armazéns de distribuição, conceitue dois pontos com base no conceito antigo. R.: Um custo de negócio Um “lugar para guardar material” 4 - Com base na evolução do conceito de armazém novos, dê dois exemplos: R.: Um instrumento para vantagem competitiva Parte integrante da política de fabricação, marketing, administração de materiais e planejamento financeiro 5 - Qual a melhor técnica para otimização do armazém de distribuição? R.: Organização e verticalização. 6 - Em que situações o empresário deve ter a sensibilidade de que o preço pode ser ajustado para mais ou para menos? R.: Nem todo o custo da empresa deve ser transferido para o cliente. Pois há custo que são oriundos de má administração. Os reajustes de preços devem muito bem analisados e na maioria das vezes ocorrem em momentos em que houve reajustes salariais, acrescimentos de combustiveis, dentre outros que estão fora do controle do empresário, são reajustes realizados pelo governo. Aula 10 10 - Técnicas para Otimização de Armanezagem – Parte 2 Caro educador: Neste módulo deverá apresentar aos alunos os diversos tipos de armazens existentes, e os sistemas de estocagem existentes. Cada um desses sistemas se relaciona a determinados tipos de produtos que serão estocados. 10.1 - Modelos de armazens existentes Tradicional, como buffer (estoque pulmão) para suportar variações entre o programa de produção e demanda; geralmente alocado próximo ao ponto de produção. • Centros de Distribuição. Muito utilizado por grandes industrias, para concentração de recebimento e expedição dos pedidos. • Centros de Distribuição Avançados (CDAs), atendimento express (mais rápidos e em menor tempo - D+1). • Armazéns onde se concentra a chegada de mercadorias vindas de pontos diferentes. • Cross-dockings – Sistema de distribuição onde não há armazenagem. A mercadoria ou produto passa pelo armazém, de forma rápida, e vai diretamente para o cliente. • Transit-points – Muito parecidos com centros de distribuição avançados, porém com uma diferença, não mantém estoques. • Merge-in-Transit – Processo onde envolve coleta de vários fornecedores para atender demanda de clientes comuns. • Armazéns para fulfillment (pequenos pedidos para Clientes individuais) Educador: A seguir verá alguns sistemas de estocagem e sistemas para verticalização dos estoques. Com o crescimento e desenvolvimento do nosso país, muitas indústrias estão conseguindo manter um crescimento de forma sustentável. Com este aumento de produtividade é necessário buscar maior espaço físico para armazenamento de insumos e produtos. Nem sempre isto Prateleiras
  • 32.
    32 quer dizer queas indústrias terão que construir maiores galpões para esta armazenagem. O correto e , primeiramente, redesenhar o layout , organizando o espaço existente e, em muitos dos casos, fazer a verticalização dos estoques. Ao invés da empresa crescer horizontalmente, demandando de mais terrenos e construções grandiosas, elas poderão invetir em estruturas que são sistemas de estocagem praticos, eficientes e muito funcionais. Isto proporcionará menor investimento e menor custo operacional. Claro que dependendo do tamanho da operação, deverá alem de adotar estes sistemas de estocagem, amplicar o espaço fisico já existente. Prateleiras Flow-rack Mezaninos Carrossel Horizontal Carrossel Vertical Mini-Load System CaCaCaCaCaCaaCaCaaaaaCaarrrrrrrrrrrrrrrrrososososososossesesesesesesellllllllllll HoHoHoHHoooHooHooooo iriiririiririririiriririiizozozzozzozzozozzzozozozozozoozoz ntntntnttntntttntntntntnttnttntnntntalalalaallaalalalaalalalalaal
  • 33.
    33 Logís ca Gerale Estoque 10.2 - Verticalização dos estoques Porta-páletes Porta-páletes Dupla-Profundidade Porta-páletes Deslizante Drive-in Estruturas Dinâmicas Push-Back
  • 34.
    34 10.3 - Mezaninos Osmezaninos otimizam espaço de forma verticalizada. Muito usados sobre estantes, em operações que envolvem embalagem, das áreas de stage, dos escritórios, etc. São uma alternativa rápida e econômica para a formação de um novo espaço. (vide figura abaixo). 10.4 - Vantagens com uso de mensanino • Dobra ou triplica o espaço cúbico utilizado de forma rápida e econômica • Evita despesas com mudanças • Não tem incidência de IPTU • Minimiza interrupções na operação durante a instalação • Diminui a necessidade de aluguel de espaço externo • Permite flexibilidade na reconfiguração da área e rápida expansão futura 10.5 - Utilização do sistema WMS nas atividades de armazenagem Educador: O sistema WMS é um sistema de gerenciamento e gestão de operações de armazéns. Este sistema lhe permite maior assertividade com as operações relacionadas a intralogística (dentro do armazém), além de eliminar o retrabalhar provenientes de erros operacionais como: digitações erradas, furos de estoque, dentre outros. Este sistema permite uma rastreabilidade online de todo o estoque, a partir do momento que o produto é recebido (chegou no armazém), armazenado e expedido. A utilização de um WMS está associada às principais atividades realizadas em um armazém: Através do recebimento de produtos, movimentação interna de materiais, controle de estoque, realização de inventários, separação e expedição de produtos. Integração entre ERPs e WMS.
  • 35.
    35 Logís ca Gerale Estoque Albertin e Sanchez (2008) mostra que a integração frente à existência de interface entre os sistema utilizados pelos clientes (ERPs) e os operadores logísticos (WMS) faz-se necessária para eliminar retrabalhos e erros associados à digitação de documentos fiscais nos dois sistemas. Exercícios 1 - Quais os modelos de armazéns existentes? R.: Tradicional, como buffer; Centros de Distribuição; Centros de Distribuição Avançados (CDAs); Cross-docking; Transit-points; Merge-in-Transit; Armazéns para fulfillment. 2 - O que significa a sigla WMS em logística? R.: Sistema de Gerenciamento e Gestão de Operações de Armazenagem. 3 - Qual a função do sistema WMS? R.: Está associada às principais atividades realizadas em um armazém: Através do recebimento de produtos, movimentação interna de materiais, controle de estoque, realização de inventários, separação e expedição de produtos. 4 - Qual a vantagem do uso do Mesanino no armazém? R: Aproveitamento máximo da altura útil de um local, duplicando ou triplicando a sua superfície e acondicionando-a como zona de armazenagem, vestiários, escritórios, etc 5 - Quais os modelos de estruturas para verticalização de estoques? R.: Porta-pallets; Porta pallets de dupla-profundidade; Porta-pallets deslizante; Estruturas dinâmicas; Push-Back. 6 - Quais equipamentos para sistema de estocagem existem? R.: Prateleiras; Flow-rack; Mezaninos; Carrossel horizontal; Carrossel vertical; Mini-Load System. TDP 1 - Em dupla, vocês deverão pesquisar qual o equipamento mais utilizado para estocagem em acatadistas de sua região. Educador: A idéia é fazer com que quem ainda não conhece um sistema de armazenagem, veja in loco como funciona. Caso não seja possível fazer esta visita in loco, sugiro apresentar alguns vídeos para que os alunos possam se familiarizar mais com estes sistemas de estocagem.
  • 36.
    36 Aula 11 11 -Gerenciamento de pedidos Educador: O objetivo do gerenciamento de pedidos é controlar o estoque e os pedidos. Também é possível gerenciar o armazenamento e a distribuição. Para que isto ocorra com sucesso é importante que haja uma entrada precisa e qualificada dos pedidos dos clientes. Por meio do processamento de pedidos torna-se possível: A partir do processamento de pedidos é possível planejar (ponto de entrada dos pedidos), distribuir (regiões onde os clientes estão), solicitar (em falta no estoque) e entregar (finalização do pedido). No processamento dos pedidos é executado com as seguintes ações:
  • 37.
    37 Logís ca Gerale Estoque 11.1 - Processo de recebimento, gerenciamento e atendimento de pedidos A alocação de pedidos torna possível controlar o estoque e as solicitações feitas diretamente junto ao fornecedor com tempo ideal para cumprir a entrega dentro do prazo estabelecido, principalmente quando o estoque não tem disponibilidade para atender prontamente os pedidos solicitados. Assim que o pedido é gerado, cabe ao gerenciamento de estoque controlar a solicitação e também a pré-seleção de pedidos, que quando há um controle de entradas e saídas, bem como, controle de possibilidade de atendimento junto ao fornecedor, ao armazém e o gerenciamento do estoque, torna-se possível atender prontamente o pedido. Na alocação de pedidos: 11.2 - Informatização no controle de pedidos A tecnologia de informação está presente no setor de logística principalmente depois do advento da globalização. Contar com a tecnologia fez do setor de logística um aliado ao crescimento da empresa, dos fornecedores e principalmente do atendimento de qualidade ao cliente. Através da TI é possível controlar de forma precisa a entrada, a saída, a encomenda (pré-venda) e o estoque. Sabemos a importância que os softwares de ponta proporcionam como auxilio para o setor de logística e assim é possível crescer sem arriscar e até mesmo investir de forma mapeada com o objetivo de não perder tempo e dinheiro no setor. 11.3 - Ciclo de pedidos Como todo pedido tem prazo de entrega, ajustar o tempo do fornecedor, do cadastro dos produtos, da armazenagem/estoque e da entrega final é fundamental para que o prazo de entrega do pedido seja cumprido, garantindo satisfação na expectativa gerada pelo cliente final. Quando o consumidor faz a compra, 99% das vendas estabelece o prazo de entrega (geralmente curto). O setor de logística é o responsável por atender o prazo, visto que o controle gerado no sistema com ajuda da tecnologia de informação, dos cadastros atualizados, dos serviços de armazenagem e dos pontos de entrega, faz da pontualidade um diferencial para vendas, seja no atacado ou no varejo.
  • 38.
    38 Exercícios 1 - Conceituegerenciamento de pedidos. R.: É uma tarefa que agrega eficiência a empresa e, tem como objetivo controlar o estoque e os pedidos. 2 - O que é possível fazer por meio do processamento de pedido? R.: É possível planejar (ponto de entrada dos pedidos), distribuir (regiões onde os clientes estão), solicitar (em falta no estoque) e entregar (finalização do pedido). 3 - Quais ações estão envolvidas na execução do processamento de pedido? R.: Entrada de pedidos; Verificação de crédito; Disponibilidade no inventário; Conhecimento do pedido; Modificação de pedidos; Formação de preços de pedidos; Condição de pedido; Preço e extensão de descontos; Verificação de promoção. 4 - No que se refere ao processo de recebimento, gerenciamento e atendimento de pedidos, a alocação de pedidos torna possível para que? R.: Para controlar o estoque e as solicitações feitas diretamente junto ao fornecedor com tempo ideal para cumprir a entrega dentro do prazo estabelecido, principalmente quando o estoque não tem disponibilidade para atender prontamente os pedidos solicitados. 5 - Assim que o pedido é gerado, cabe ao gerenciamento de estoque fazer o que? R.: controlar a solicitação e também a pré-seleção de pedidos, que quando há um controle de entradas e saídas, bem como, controle de possibilidade de atendimento junto ao fornecedor, ao armazém e o gerenciamento do estoque, torna-se possível atender prontamente o pedido. 6 - Qual a finalidade do ciclo do pedido? R.: Ajustar o tempo do fornecedor, do cadastro dos produtos, da armazenagem/estoque e da entrega final é fundamental para que o prazo de entrega do pedido seja cumprido, garantindo satisfação na expectativa gerada pelo cliente final. TDP 1 - Monte um fluxo de alocação de pedidos e como você faria o monitoramento do mesmo. Educador: Fazer o monitoramento desde o recebimento do pedido até a expedição e entrega no cliente final. Sugiro fazer este trabalho em dupla ou grupo de 03 pessoas. Aula 12 12 - Inventário Educador: A gestão de inventário é o elemento de maior importância na estratégia logística. O inventário dos estoques é um procedimento que visa o controle absoluto, e pode ser realizado anual, semestral, trimestral e mensal e até mesmo semanal ou diariamente. É a contagem de materiais ou produtos em estoque, cujo objetivo é avaliar e identificar possíveis erros nas movimentações, efetuando as devidas correções.
  • 39.
    39 Logís ca Gerale Estoque 12.1 - Inventários rotativos, gerais e permanentes Os inventários rotativos devem seguir um cronograma diário, em que são contados ao menos aquelas produtos que possuem histórico mais relevante de divergências. Os produtos com histórico mais propenso a riscos de fraudes ou erros não listados no cronograma mais de uma vez por mês. O inventário geral consiste na contagem de todos os itens em estoque. Necessita de atenção exclusiva com planejamento prévio e bem elaborado. O inventário permanente com a exata posição dos seus estoques, sem admitir erros. O método é bastante simples: a cada movimentação o estoque físico do item movimentado é checado com o estoque constante no sistema, identificando-se e eliminando-se qualquer divergência encontrada no saldo do estoque e apurando-se suas causas. É o tipo de inventário utilizado por bancos, joalherias e caixas. 12.2 - Organização de Inventário Objetivos básicos dos inventários: • Identificar furos de estoque e possíveis desvios. • Identificar e eliminar itens sem movimentação; • Identificar e eliminar materiais com defeito e/ou danificados; • Identificar e corrigir erros nas movimentações dos materiais. 12.3 - Realização de Inventários Costa (2002) detalha a realização de inventário na empresa. Devemos procurar estabelecer boas condições para sua realização, tais como: • Determinar horário para começo e fim da operação de inventário • Escolher o método que será utilizado na contagem; geralmente faz até duas contagens separadas, ou seja, montam se grupos separados para fazer as contagens, Havendo divergências um terceiro grupo poderá fazer outra contagem, garantindo ex- atidão e controle do item inventariado. • Designar pessoa responsável pelo inventário; utilizando pessoas independentes da operação no seu cotidiano; • Fazer lista dos participantes com as respectivas atribuições; • Relacionar os itens a serem inventariado; • Providenciar material a ser utilizado; • Fazer acompanhamento e controle das contagens dos materiais; • Designar auditores para confirmar as contagens realizadas. • Conferir valores anotados; • Conferir listas, somando a quantidade física por item, grupo, seção e geral; • Fazer comparação entre quantidade do sistema x quantidade encontrada no estoque físico. • Ajustar estoque quanto necessário, deixando no sistema a quantidade encontrada no estoque físico. • Fazer relatório apresentando irregularidades, sugestões, correções e providências tomadas. 12.4 - Arrumação Física para realização de Inventário Deixar tudo muito bem organizado para garantir maior agilidade ao processos de inventário. Os itens a serem inventariados deverão estar agrupados e identificados; Retirar qualquer coisa que possa impedir o livre acesso ao item a ser inventariado. Produtos que não deverão ser inventariados deverão estar isolados; Segue abaixo modelo de ficha para inventário.
  • 40.
    40 Código: Descrição: UN Local: Código: Descrição: UN3ª contagem Local: Quant.: Visto Conferido Código: Descrição: UM Local: 2ª contagem Quant.: Visto Conferido Código: Descrição: UN Local: 1ª Contagem Quant.: Visto Conferido Exercícios 1 - Qual o conceito de inventário? R.: O inventário dos estoques é um procedimento de controle que deve ser executado com periodicidade. 2 - A política do inventário consiste em que? R.: Nas diretrizes que definem o que comprar ou fabricar, quando iniciar uma ação, e com que quantidade operar. 3 - A gestão de inventário é o elemento de maior importância na estratégia logística. Como deve ser esta gestão? R.: A gestão deve ser integrada, para satisfazer os objetivos de serviço. 4 - Com qual periodicidade se deve realizar um procedimento de inventário? R.: Semestral, trimestral e mensal e até mesmo semanal ou diariamente. 5 - Quais os tipos de inventários? R.: Inventários rotativos, gerais e permanentes. 6 - Como desenvolver um inventário permanente? R.: A cada movimentação o estoque físico do item movimentado é checado com o estoque constante no sistema, identificando-se e eliminando-se qualquer divergência encontrada no saldo do estoque e apurando-se suas causas. 7 - Como desenvolver um inventário geral? R.: Consiste na contagem de todos os itens em estoque. Necessita de atenção exclusiva com planejamento prévio e bem elaborado. O número de funcionários destinados a desempenhar a tarefa precisa ser grande, visto que os cuidados com os dados apurados refletirão nos custos da empresa. 8 - Como desenvolver um inventário rotativo? R.: Devem seguir um cronograma diário, em que são contados ao menos aquelas produtos que possuem histórico mais relevante de divergências. 9 - O que deve ser definido para realização do inventário? R.: Determinar a data e hora do início e do término da operação; Escolher o método que será utilizado na contagem; geralmente faz até duas contagens separadas, ou seja, montam se grupos separados para fazer as contagens, Havendo divergências um terceiro grupo poderá fazer outra contagem, garantindo exatidão e controle do item
  • 41.
    41 Logís ca Gerale Estoque inventariado; Designar pessoa responsável pelo inventário; utilizando pessoas independentes da operação no seu cotidiano; Fazer lista dos participantes com as respectivas atribuições; Relacionar os itens a serem inventariado; Providenciar material a ser utilizado; Comparar as quantidades físicas com as quantidades constantes no sistema de controle de estoque; 10 - Como deve ser a arrumação física para realização do inventário? R.: As áreas e os itens a serem inventariados deverão estar organizados na melhor forma possível, para facilitar o bom andamento e dar agilidade ao processos de inventário; Os itens a serem inventariados deverão estar agrupados e identificados; Os corredores deverão estar livres e desimpedidos para facilitar o acesso; Produtos que não deverão ser inventariados deverão estar isolados; TDP Em dupla ou trio, elabore uma ficha de inventário e simule a realização de um inventário. Aula 13 13 - Gestão de compras Educador: cada vez mais as indústrias estão buscando formas para reduzir seus custos, viabilizando a operação, permitindo maior poder de concorrência e garantindo-se no mercado de forma crescente. Um dos fatores de suma importância nesse processo é a gestão de compras. Pois este setor é o responsável para obter os suprimentos necessários, sejam eles materiais ou serviços, para o ambiente empresarial. O profissional que atua nessa área dever ter boa índole para evitar desvios, boa comunicação para negociar com fornecedores, conhecer bem do que está comprando para ter maior sucesso e assertividade com as compras; ter conhecimento pleno do ramo de atividade da empresa em que atua; saber qual o regime tributário adotado pela empresa (isto faz toda a diferença na hora da compra, uma vez que dependendo do regime adotado, a compra com preço inferior poderá sair mais cara – Memória de calculo com exemplos mais adiante); 13.1 - Diferenças entre compras para pessoa física e pessoa jurídica (empresas) As compras efetuadas pelas empresas utilizam-se de meios mais complexos e formais, enquanto que para uma pessoa física não seria necessários fazer processo licitatório para comprar itens de uso pessoal, como roupas, calçados, dentre outros. Em se tratando de pessoa jurídica (empresas) o processo de compras tem foco na obtenção de insumos, determinação de quantidade mais adequada a cada situação de consumo; avaliação de entrega (tempo de lugar adequados): e o mais importante, qual a melhor fonte para fornecimento que trará a melhor relação de custo benefício para a empresa. A determinação de quantidade geralmente é feita por profissional responsável pelo planejamento de materiais. O comprador normalmente recebe as necessidades de insumos já quantificadas através de requisição, onde são mensurados também as datas ideias para o recebimento dos insumos. Caberá ao comprador concluir com o processo de aquisição, definir fornecedor e determinar os aspectos comerciais, conforme normas internas da empresa. A Atividade de compras é um exercício a ser praticado frequentemente por toda a organização. Vejam o caso abaixo: O setor de marketing de uma indústria do ramo têxtil, lança novos modelos a serem construídos pela facção (setor de costura). Os novos modelos incluem novas cores e novas matérias-primas, como um fio de algodão mais resistente para produção de calças jeans. A engenharia de produtos, juntamente com o marketing já determinou diretrizes para o novo projeto de calças jeans. Ele está indiretamente determinando parte do que deve ser comprado pelo setor de compras. A gerencia de produtos da empresa, também, interfere determinando que outros componentes sejam adquiridos por se fazer necessários para construção da peça. Nesses casos caberá ao comprador, exclusivamente receber as requisições, necessárias para formalizar e documentar as diretrizes já impostas por cada organização.
  • 42.
    42 Existem organizações ondeas práticas que integram as políticas de compras são formalizadas ou informalizadas. A informalidade podem gerar desvios, por tanto recomenda-se o método formal, mais burocratizado, para dar maior transparência ao processo de compras. Uma paralização de produção não programada, por menor que seja, pode trazer sérios prejuízos a empresa. A aquisição de insumos é vista pela organizações como forma de alavancar lucros, uma vez que comprando bem, buscando melhores alternativas no mercado, a organização terá maior poder de competitividade no mercado, podendo almejar melhores lucros e ainda oferecer melhores preços aos consumidores. Vejam os exemplos abaixo: • Cerca 80 % das vendas de itens de consumo como: biscoitos, bebidas lácteas, dentre outros, são gastos com sua aquisição, tornando a margem de contribuição muito pequena, são os casos de supermercados, atacadistas, dentre outros. • De 60 a 70 % das venda de produtos duráveis, como eletrodomésticos e automóveis, são gastos com suas aquisições; • E cerca de 20 % apenas são os gastos com aquisições de insumos para o ramo de prestação de serviços. É preciso saber o qual o percentual correto que o insumo irá representar sobre o valor de venda, para poder buscar o melhor valor de compra e consequentemente o melhor lucro para a empresa. Tudo deve ser muito bem analisado, dependente da atividade da empresa, pode-se adotar como método de compra o poder de barganha, que é a negociação por maiores volumes, o que tornará a empresa compradora mais atrativa para o fornecedor, podendo conseguir preços mais atrativos. Um comprador jamais poderá fazer compras por impulso. 13.2 - Memória de calculo de impostos para análise na hora da negociação/compra É importante observar num processo de compras, além do valor do insumo, qual o prazo para entrega, se é compatível ou não com a necessidade da empresa; qual a tributação aplicada (principalmente quando a organização puder recuperar impostos aplicados na negociação). Para tanto, o comprador deve conhecer qual o regime tributário é adotado por sua organização. Exemplo 1: Se a organização comprar um insumo por R$ 20.000,00 (vinte mil reais) e sobre este insumo incide carga tributária de 17%. R$ 20.000,00 Valor negociado pelo insumo. 17% - Carga Tributária R$ 3.400,00 Valor do Imposto a recuperar Assim temos: R$ 20.000,00 Valor pago pelo insumo R$ 3.400,00 – Valor recuperado do imposto (ganhou com a compra) R$ 16.600,00 Custo total do Insumo Caso a organização não possui classificação contábil que garanta este beneficio de recuperação de imposto, ela deixará de ter um custo total e R$ 16.600,00 e terá um custo total de R$ 20.000,00. Isto é possível uma vez que, dependendo do regime tributário, a organização poderá recupera o valor pago pelo imposto na hora que for pagar seus impostos. Exemplo 2: Vendi um produto por R$ 25.000,00. Minha carga tributária é 17%. R$ 25.000,00 Preço venda do produto 17% - Carga tributária R$ 4.250,00 Imposto a recolher (pagar)
  • 43.
    43 Logís ca Gerale Estoque Como eu recuperei R$ 3.400,00 com a compra anterior (hipótese), eu posso fazer a subtração do imposto a recolher e pagar apenas a diferença. Exemplo 3: R$ 4.250,00 Imposto a recolher pela venda (pagar) R$ 3.400,00 – Imposto a recuperar pela compra (ganhei) R$ 850,00 – Imposto a pagar na apuração mensal. OBS: Deve-se observar também outros impostos como PIS, COFINS, dentre outros, por isto sempre é importante saber do setor de contabilidade qual o regime tributário da organização. Importante saber também qual o regime Tributário do fornecedor, pois dependendo do regime, a empresa compradora não poderá usufruir de todos os impostos gerados em sua totalidade (como é o caso das empresas optantes pelo simples). Estando bem informado, o comprador verá que nem sempre o menor preço será a melhor opção. Por isto é preciso que esteja bem informado. Quando não for possível saber de tudo, precisa pegar informações aos setores competentes (nos exemplos acima seria a contabilidade), para garantir melhor resultado para a organização. 13.3 - Requisição de Compra Documento geralmente emitido pela parte interessada no insumo. Neste documento deve constar todas as informações (dados) para compra: Descrição do insumo, quantidades, unidades de medida; previsão para entrega, dentre outros, para garantir que o insumo seja comprado dentro das especificações necessárias. Processo pode ser automatizado ou manual. 13.4 - Ciclo de Compra • Recebimento e análise de requisição de compra – Importante o comprador fazer analise das requisições, visando copilar aquisições com outras requisições, visando redução de custo no processo de aquisição. • Seleção de Fornecedores – Buscar qual a melhor fonte para o fornecimento do insumo para cada processo em anda- mento; solicitação de cotações; analisar aspectos comerciais quantitativos e qualitativos, identificando qual o melhor fornecedor para cada processo em seleção e homologação. • A negociação da condições finais do fornecimento – já de posse das cotações e condições gerais de fornecimento, o comprador entra em ação, negociando e buscando sempre melhor alternativa para as partes. • A emissão de documentos – formalizando a compra. Emitindo pedido de compra e em alguns casos contratos, para garantir que tudo o que foi negociado seja cumprido tanto nas especificações do produto, quanto no preço e prazo para entrega. • Liberação do pedido de compra – em muitos casos após emissão do pedido de compra, este deverá ser levado para apreciação da parte responsável pela liberação ou aprovação da compra. Geralmente poderá ser o gerente ou diretor de suprimentos ou Supply Chain. • Follow-up – Documento utilizado para acompanhamento de todo o processo. Após emissão do pedido de compra e sua liberação, o pedido é enviado para o fornecedor (geralmente por e-mail) para iniciar o processo de entrega do insumo. O comprador deve apontar os dados pertinentes a entrega, em uma planilha (chamada follow-up), que servirá de apoio no monitoramento da entrega, evitando contratempos como atrasos de entrega e interrupção de produção. Muito utilizado por empresas que trabalham com gerenciamento de estoques (mínimo e máximo). • Recebimento do insumo – geralmente não é efetuado pelo comprador, mas sim por profissional habilitado na área de recebimento de materiais (almoxarifado). Mas integra o ciclo de compras. • Liberação do processo ao contas a pagar – finalmente encerra-se aqui o ciclo de compras. Evidencia que o insumo foi recebido conforme especificado no pedido de compra e ou contrato e que poderá fazer o provisionamento do pagamento ao fornecedor na data combinada pelas partes. Acrescento este passo a passo para realizar a atividade de comprador: • Passo 1 - Analisar a SC (Solicitação de compra); • Passo 2 - Fazer levantamento de fornecedores; • Passo 3 - Negociar a compra (mínimo 03 cotações); • Passo 4 - Analisar as propostas e fechar a compra (analisar bem qual a melhor opção – nem sempre a correta será a mais barata...);
  • 44.
    44 • Passo 5– Lançar pedido em planilha para acompanhamento (Follow Up); • Passo 6 – Monitorar a entrega, através do Follow Up. 13.5 - Contratos Muito usado para garantir a lisura do processo. Garantindo ressarcimento em caso de descumprimento pelas partes, no que foi acordado. Deve-se sempre ter o aval da área jurídica da empresa, para garantir a exatidão dos fatos apontados no contrato, evitando descontentamentos e imprevistos. Exercícios 1 - Defina gestão de compras. R.: Controle sobre um processo através do qual obtêm-se os suprimentos necessários, sejam eles materiais ou serviços, para o ambiente empresarial. Podemos definir, também, como o meio de adquirir itens de caráter doméstico para o cotidiano das pessoas físicas. 2 - Qual a diferença entre compra de uma pessoa física e jurídica? R.: A diferença está na burocracia. As compras para pessoal física são menor formais, enquanto as compras para pessoa jurídica requer maior formalidade. 3 - Qual profissional responsável pela execução de compras numa empresa? R.: O Comprador; Analista de compras ou gerente de compras. 4 - O que é Follow-up? R.: Documento utilizado para acompanhamento de todo o processo de compras. 5 - Como é formalizada a compra? R.: Através de cotações; pedidos de compras ou contratos. 6 - O que é requisição de compra? R.: Documento geralmente emitido pela parte interessada no insumo. Neste documento deve contar todas as informações (dados) para compra. 7 - Você precisa comprar o motor elétrico. O fornecedor 1 lhe encaminhou orçamento de R$ 2.000,00, com destaque de imposto de 12 % e sua empresa consegue recuperar este importo. O fornecedor 2 lhe encaminhou orçamento de R$ 1.950,00 com destaque de imposto de 17 %, mas a empresa dele é optante pelo simples (recupera apenas pequena parte do imposto de 1,25%). Qual é a melhor opção para compra? Fornecedor 1 Valor compra R$ 2.000,00 Imposto Recuperável (12%) R$ 240,00 Custo total do produto (valor – imposto recuperável) R$ 1.760,00 Fornecedor 2 Valor da compra R$ 1.950,00 Imposto recuperável (apenas 1,25%) R$ 24,38 Custo total do produto (valor – imposto recuperável) R$ 1.925,63 R: A melhor opção é a do Fornecedor 1. O custo inicial é maior, porém com a recuperação do imposto ele se torna menor que a opção do fornecedor 2.
  • 45.
    45 Logís ca Gerale Estoque TDP 1 - Em dupla, monte uma requisição de compra; um pedido de compra com base nesta requisição; levante 03 orçamentos; efetue a compra e o monitoramento até chegar na empresa. Aula 14 Educador: Importante frisar que uma boa negociação é quando as duas partes saem ganhando. Assim evita-se a interrupção do fornecimento, pois as expectativas de ambos foram superadas e ambas as partes conseguiram cumprir com o que foi negociado. Uma negociação baseada no ganha perde, pode ocorrer de não ocorrer o cumprimento do contrato, uma vez que uma das partes se sentir lesada. 14 - Conceito de Suprimentos Conceito: É o setor responsável pelo abastecimento, fornecimento de itens (administrativos ou industriais) que deverão ser armazenados ou transportados pela logística. Os materiais devem ser muito bem administrado e planejado para não haver interrupção da produção. Classificação de Suprimentos 1. Matérias-primas; 2. Equipamentos; 3. Peças de reposição; 4. Mão de Obra; 5. Alimentos; 6. Material para reciclagem; 7. Os produtos de um comércio/serviço; 8. Mix de produtos para varejo; 9. Materiais de apoio da produção; 10. Informação; 11. Materiais não-produtivos; e 12. Entre outros... 14.1 - Negociação na cadeia de suprimentos Conceito “Atividade que envolve em elemento de negócio ou barganha. Necessidade de negociar Quando duas ou mais partes precisam decidir sobre seus interesses. 14.2 - Qualidade da negociação • Maximizar o valor disputado pelas partes; • Maximizar a satisfação dos interesses de todas as partes; • Minimizar recursos, inclusive emocionais, consumidos no processo de negociação; • Construir relacionamentos mutuamente interessantes para as partes; • Construir acordos sustentáveis pelo tempo necessário.
  • 46.
    46 14.3 - Conflitosna negociação Surge quando há a necessidade de escolha entre situação percebidas como incompatíveis. Exemplos: • Preços inferiores praticados pela concorrência; • O simples fato de uma parte não saber ouvir a outra com cautela; • Quando a expectativa não é superada... 14.4 - Relação ganha-ganha Importante deixar claro para a outra parte que a negociação está baseada no ganha-ganha e não no ganha perde (todos devem sair ganhando em uma negociação... Como fazer isto? • Passo 1 – Apresente o que você tem de bom, com muita convicção (você precisa acreditar que realmente é bom, para isso é preciso estudar muito sobre o que vai negociar. • Passo 2 – Supere expectativas; • Passo 3 – Apresente sugestões de mercado; • Passo 4 – Seja convincente e não insistente; • Passo 5 – Trabalhe o bom relacionamento; a venda virá em consequência. Armadilhas da nossa mente. A nossa capacidade de perceber e interpretar os dados e informações disponíveis, podem nos conduzir para a pior decisão. Não julgue pelas aparências. Cuidado com os preconceitos. 14.5 - Intuição e Negociação As pessoas negociam sem conhecer o resultado (o acordo) ótimo, é justamente por isso que a negociação é um processo de aprendizagem onde a intuição desempenha importante função. “Os problemas importantes que nos deparamos não podem ser resolvidos no mesmo nível de raciocínio que estávamos quando os criamos.” (Albert Einstein). Dinamica (prtica) • CASE (caso): • Negociação Empresa MAIOR do Brasil. 14.6 - Almoxarifado Conceito – Local (depósito) destinado a armazenagem de peças, material administrativo e insumos em geral, utilizados em uma empresa. 14.7 - Recepção de materiais e conferência de documentos fiscais Toda vez que uma mercadoria chega ao almoxarifado, é de suma importância sua conferência, tanto física, quanto documental, para garantir que o bem comprado chegou na empresa dentro das especificações solicitadas ao fornecedor. Há casos de empresas em que este setor é responsável pela conferência física do insumo comprado, cabendo a outro setor fazer a conferência documental. Poderá ocorrer, também, que esta segunda conferência citada (documental) seja realizada por este setor. Deve se observar: 1. O número do pedido de compra está especificado na nota fiscal (geralmente as empresas enviar numero de pedido ao fornecedor para garantir que o mesmo não envie algo que não foi solicitado pelo cliente);
  • 47.
    47 Logís ca Gerale Estoque 2. As informações do pedido de compra conferem com as especificações contidas no documento fiscal, como: Descrição do item; valor comercial; vencimento; 3. A quantidade especificada no documento fiscal, confere com a quantidade física; 4. A validade do produto (quando houver) está dentro de um prazo aceitável; 5. A unidade de medida especificada no documento fiscal confere com o que foi comprado. 6. O documento fiscal está vencido. Há casos em que fornecedores faturam a nota fiscal e por algum motivo o transportador atrasa com a entrega, podendo vir a vencer a nota fiscal. Com a evolução da informática, muitos recursos surgiram facilitando a operação dos almoxarifados e garantido maior agilidade e exatidão com a conferência física de insumos. Entre eles temos a codificação de materiais, através de códigos de barras. 14.8 - Codificação de Material A codificação de informações trata se características relacionada a um determinado material, garantindo informação necessário para o controle gerencial. As codificações são divididas em: alfabéticas, alfanuméricas, numérica e o mais usado que é o código de barras. Codificação Alfabética: Representa os materiais por meio de letras. Muito utilizado na codificação de Livros. Codificação Alfanumérica Agrupa números e letras. Muito utilizado na codificação de placas de automóveis. LLL NNNN Sequencial de emplacamento Estado origem do emplacamento Codificação Numérica Consiste na adoção de algarismos arábicos. Método mais utilizado, devido sua facilidade de ordenação sequencial de diversos itens e na adoção da informatização. A codificação foi adotada pelo Federal Supply Classification System, para controle de materiais, após a segunda guerra mundial. Porém houve modificações provenientes de adequação necessária ao uso pela empresa pretendente. Os códigos seguem uma regra, conforme mostrado abaixo: XX XX XXXXXX X Grupo SUB GRUPO SEQUENCIAL DIGITO VERIFICADOR 14.9 - Código de Barras
  • 48.
    48 Para se criarum código de barras e codificar seus produtos, a empresa deve adquirir licença junto ao órgão competente. Só assim ela conseguirá fazer parte da cadeia de suprimentos global. A GS1 é a única entidade responsável pelo desenvolvimento e aplicação dos padrões Globais de identificação. (sugestão do site: www.gs1br.org) 14.10 - Ativides desempenhadas no almoxarifado Garantir a quantidade correta dos itens em estoque, bem como solicitar a reposição no tempo certo, garantindo fluxo normal da operação da empresa, com o menor custo. Nos tempos em que vivemos nenhuma empresa sobrevive com altos estoques, por tanto é de suma importancia a leitura correta, bem como a salvaguarda dos itens armazenados, isto garante menor fluxo de caixa para a empresa, uma vez que o giro se torna constante, acompanhando a produção. Muito importante, também garantir uma armazenagem correta, tendo informações full time das validades dos produtos, evitando perdas. O controle de uso e consumo de materiais deve ser apontado diariamente, apresentando relatórios para setor compentente (geralmente para o PCP – Planejamento e Controle de Produção),que irá mensurar os números e apresentar relatórios para tomada de decisão. A realização de inventários periódicos, garantindo a acurácia do estoque e identificando possíveis desvios. A emissão de SC (Solicitação de Compras), que poder ser manual ou informatizada. O arquivamento de documentos e outras tarefas feitas pelo almoxarife ou estoquista. Importante ressaltar a necessidade das empresas adotarem controle de estoque mínimo e máximo, permitindo um melhor controle. Muitas empresas investem em tecnologias, para garantir este controle, evitando desabastecimento ou excesso de estoque. Uma das ferramentas utilizadas é o EDI – Eletronic Data Intechange (Intercâmbio Eletrônico de dados), através dele, os pedidos, recibos, faturas, inventários, catálogos e preços e outros, podem ser intecambiados eletronicamente entre fornecedor (fábrica) e cliente (Distribuidor; Supermercado...), graças a linguagem comum que permite que diferentes sistemas de informação se interajam entre si. 14.11- Layout Conceito: é um espaço com distribuição física (tamanho, pesos e medidas), permitindo organização e agiliade na hora de fazer uma retirada de peças ou outros insumos em geral.
  • 49.
    49 Logís ca Gerale Estoque Exercícios 1 - Qual o conceito de Suprimentos? R.: É o setor responsável pelo abastecimento, fornecimento de itens (administrativos ou industriais) que deverão ser armazenados ou transportados pela logística. 2 - Qual a função da codificação de materiais? R.: solucionar questões de agrupamento de características referentes a um determinado material, permitindo garantir maior informação para controle gerencial. 3 - Qual a classificação de suprimentos? R.: Matérias-primas; Equipamentos; Peças de reposição; Mão de Obra; Alimentos; Material para reciclagem; Os produtos de um comércio/serviço; Mix de produtos para varejo; Materiais de apoio da produção; Informação; Materiais não-produtivos; Entre outros. 4 - Conceitue almoxarifado. R.: Local (depósito) destinado a armazenagem de peças, material administrativo e insumos em geral, utilizados em uma empresa. 5 - O que é Layout? R.: É um espaço com distribuição física (tamanho, pesos e medidas), permitindo organização e agiliade na hora de fazer uma retirada de peças ou outros insumos em geral. 6 - Qual o orgão responsável pelo registro do código e barras? R.: A GS1 Brasil - Associação Brasileira de Automação 7 - Qual a atividade principal desempenhada em um almoxarifado? R.: Garantir a quantidade correta dos itens em estoque, bem como solicitar a reposição no tempo certo, garantindo fluxo normal da operação da empresa, com o menor custo. 8 - Quais os tipos de codificação de material existente? R.: Codificação alfabética; Alfanumperica e Numérica. 9 - Qual a importância da negociação no setor de suprimentos? R.: Para possibilitar que ambas as partes atinjam um resultado satisfatório. 10 - Quais os conflitos que podem ocorrer em uma negociação? Qual você acha mais importante? R.: Preços inferiores praticados pela concorrência; O simples fato de uma parte não saber ouvir a outra com cautela; Quando a expectativa não é superada...
  • 50.
    50 TDP 1 – EntregarCASE sobre negociação para que os alunos possam praticar em sala de aula. Case: Um velho senhor, que morava em uma pequena cidade no interior de Goiás, tinha um fusca ano 1974 e pretendia vendê-lo para cobrir despesas que seu filho havia contraido na faculdade. Como era o unico filho que ele tinha o velho senhor não queria que ele deixasse os estudos, e como não tinha condições financeiras para ajudá-lo, decidiu vender seu unico carro. O valor que ele necessitaria era de R$ 3.500,00. Então apareceu um forasteiro que tinha muito dinheiro e gostava de comprar coisas antigas, estava se tornando um colecionador. Ele ficou sabendo que o velho senhor queria vender o fusca e decidiu negociar a compra. Ele não poderia pagar mais que R$ 5.000,00 pelo fusca. Educador: Você deverá digitar e apresentar dois cases onde o forasteiro não fique sabendo do valor que o velho senhor precisa para pagar a divida do filho, mas o velho poderá apresentar a história, menos o valor. E nem o velho senhor ficará sabendo que o forasteiro esta se tornando um colecionador e que poderia pagar até R$ 5.000,00 pelo fusca. Entregue uma folha para cada aluno, que deverão levar 5 minutos para ler o texto e mais 10 minutos negociando. O objetivo e ver se a negociação será com base no ganha a ganha e quem fará a melhor negociação. Aula 15 15 - Logística de Transportes Educador: Ao contextualizar a logística de transporte faremos um percurso histórico no desenvolvimento do transporte no Brasil, mostrando a importância do setor de cargas para o desenvolvimento econômico. O transporte é a área operacional da logística que move e aloca geograficamente o inventário. 15.1 - Modais de Transporte Deverá abordar os modais existentes e suas aplicabilidade nos tempos atuais, viabilizando o mais eficaz em determinadas operações. Pode se acrescentado que: do ponto de vista logístico, três fatores são fundamentais para o desempenho do transporte: Custo, Velocidade e a Consistência (veja quadro a seguir)
  • 51.
    51 Logís ca Gerale Estoque O transporte intermodal pressupõe a transferência física da carga por diferentes modais, desde a coleta até a distribuição, minimizando os tempos de imobilização das mercadorias na sua movimentação entre a origem e o destino. Por fim, o multimodal com foco institucional que pressupõe o transporte de mercadorias por dois ou mais modais, fundamentado em um único conhecimento de embarque e expandido por um operador de transportes multimodais. 15.2 - Definição de Intermodalidade É a junção de no mínimo dois meios modais que se unem para concluir uma ação. No caso dos transportes de passageiros ou mercadorias feitos por dois meios entre o carregamento e a entrega. Os terminais intermodais tem características próprias, dependendo do tipo de carga a ser movimentada, mas de modo geral a sua localização deve ser próxima ao centro de tráfego. São definidos como locais especificamente preparados para permitir a conjunção de diferentes modalidades de transporte, que permita a operação de transferir cargas. As operações mais usuais são: • Recepção de cargas; • Pesagem e controle; • Armazenagem; • Conservação; • Retirada de embarque; • Manejo e carregamento; • Emissão de conhecimento de embarque e anexos; • Despacho de veículo para operação de transporte 15.3 - Definição de Multimodalidade Panitz define multimodalidade como sendo a junção de várias formas de ação conjunta para realizar uma tarefa. No caso dos transportes a carga que utiliza várias formas de transportes de bens ou de passageiros. São aqueles que requerem trafego misto ou múltiplo. Modais de transportes: Rodoviário; Aquaviário (marítimo, hidriviário, cabotagem e fluvial); Ferroviário; Dutoviário e Aéreo. Dentre os equipamentos utilizados na modalidade destacam-se: Contêiner, Barcas; Guindastes; Transportes especiais terrestres, dentre outros. 15.4 - Fatores que determinam o valor do frete O frete rodoviário é composto por: Frete básico, calculado por peso ou volume de mercadoria, quilometragem e taxas para cobrir despesas administrativos e a taxa ad-valorem, cobre o seguro rodoviário obrigatório contra tombamento, incêndio e abalroamento. Costa Denomina o Frete em CIF e FOB. No Frete CIF (Cost, Insurance and Freight) estão inclusos os cursos de administração, manutenção de frota e seguros. Já no Frete FOB (free on board) o custo do transporte fica por conta do comprador, que pagará diretamente a transportadora. Quem compra deve prestar muita atenção ao valor percentual do frete a ser adicionado ao custo do produto adquirido, sob pensa de o valor do frete agregar grande parcela percentual do custo final do produto. 15.5 - Roteirização de Transporte Lustosa apresenta a roteirização como a rota a ser percorrida durante o transporte. Através da rota traçada é possível determinar, tempo gasto, custo operacional, salários envolvidos. Uma boa roteirização no transporte deverá compor: • Carregamento de caminhões com volumes destinados a paradas que estejam mais próximas entre si. • Paradas em dias diferentes devem ser combinadas para produzir agrupamentos concentrados; • Roteiros a partir de paradas mais distantes do depósito. A roteirização deverá levar em consideração um ponto de origem e um ponto de destino, pontos de origem e destinos coincidentes, sequenciamento de roteiros, programação diferenciada para cada tipo de transporte.
  • 52.
    52 15.6 - Unitizaçãode carga Significar consolidar a carga em pallets, containers, etc e, transportá-los em um mesmo veículo, de forma que otimize o manuseio e transporte até o destino final. 15.7 - Problemas com a má unitização de carga A má unitização das cargas pode ocasionar multas por excesso de peso e perda de produtividade do veículo. Altos índices de avarias também decorrem da má disposição de cargas no caminhão. Exercícios 1 - Quais os três fatores fundamentais para o desempenho do transporte? R.: Custo, Velocidade e a Consistência. 2 - O que é unitização de carga? R.: Significa agrupar vários volumes pequenos ou grandes em um maior, ou mesmo um único volume, com o objetivo de facilitar o seu manuseio, movimentação, armazenagem e transporte, fazendo com que a sua transferência, do ponto de origem até o seu destino final, possa ser realizada tratando o total de volumes envolvidos em cada unitização como apenas um volume. 3 - Quais os problemas ocasionados por uma má unitização de carga? R.: Excesso de peso nos eixos traseiros, acarretando multas à empresa ou perda de produtividade do veículo além de altos índices de avarias.
  • 53.
    53 Logís ca Gerale Estoque 4 - Quais os fatores que determinam o valor do frete? R.: Frete básico, calculado por peso ou volume de mercadoria e quilometragem percorrida, taxa de expediente, que serve para cobrar os gastos administrativos e a taxa ad-valorem, cobre o seguro rodoviário obrigatório contra tombamento, incêndio e abalroamento. 5 - O que é roteirização? R.: Rota a ser percorrida durante o transporte. Através da rota traçada é possível determinar, tempo gasto, custo operacional, salários envolvidos. 6 - Quais as operações mais usuais em um Terminal Intermodal? R.: Recepção de cargas; Pesagem e controle; Armazenagem; Conservação; Retirada de embarque; Manejo e carregamento; Emissão de conhecimento de embarque e anexos; Despacho de veículo para operação de transporte 7 - O que é transporte Intermodal? R.: É a junção de no mínimo dois meios modais que se unem para concluir uma ação. No caso dos transportes de passageiros ou mercadorias feitos por dois meios entre o carregamento e a entrega. 8 - Quais os modais de transporte existentes? R.: Rodoviário; Aquaviário (marítimo, hidriviário, cabotagem e fluvial); Ferroviário; Dutoviário e Aéreo. TDP 1 – Em dupla, simule a roteirização de um transporte saindo de Belém-PA para São Paulo-SP, com parada em Ribeirão Preto-SP. Levante quantos km serão percorridos e qual a previsão de tempo gasto em viagem. Aula 16 16 - Distribuição Dalledone (2008) Caracteriza a distribuição na logística com relação direta com o estoque, tanto na entrada do produto quanto em sua saída. 16.1 - Funções, características e finalidades da distribuição Sarquis apresenta a distribuição como diferencial no mercado de produtos e serviços. O autor diz que planejar mal, executar com descuido ou controlar parcialmente as relações de troca com seus intermediários são problemas constantes no dia a dia das empresas produtoras, acarretando reduções às vezes bastante significativas nos resultados esperados no lucro da empresa. Para isso, o autor destaca os tipos de distribuição bem como suas características direcionadas para cada setor. Uma das decisões mais básicas que a empresa deve se preocupar em relação à distribuição é o tipo de distribuição que a empresa deseja adotar. As escolhas bem como suas características são: Distribuição direta, distribuição indireta e distribuição mista.
  • 54.
    54 Sarquis aponta queas principais vantagens da distribuição indireta são os menores investimentos e a combinação de esforços com parceiros (pontos de distribuição diversificados). 16.2 - Atividades nos Armazéns de distribuição Recebimento; Estocagem; Separação e Expedição
  • 55.
    55 Logís ca Gerale Estoque 16.3 - Fluxo de Operações do Armazém de distribuição
  • 56.
    56 16.4 - FluxoBásico de Atividades em um Armazém de distribuição 16.5 - Atividades que agregam valor em um CD 1 - Agendamento de entregas 2 - Gestão de pátio 3 - Recebimento de materiais 4 - Estocagem 5 - Separação de pedidos 6 - Serviços de valor agregado 7 - Embalamento 8 - Unitilzação e Espera 9 - Expedição para Clientes
  • 57.
    57 Logís ca Gerale Estoque 16.6 - Recebimento • Controle e programação das entregas (dock schedule) • Check-list do caminhão • Recebimento físico do material; • Recebimento fiscal do material; • Conferencia da Nota Fiscal, do Pedido de Compra; • Conferencia visual do material e embalagens; • Coleta e envio de amostras para análises laboratoriais. 16.7 - Dificuldades na Operação de Recebimento
  • 58.
    58 Veículos Materiais Processos Diversidade de veículos •Tipo (aberto, baú de alumínio, sider, graneleiro, tanque, silo, etc.) • Tamanho (leve, semi-leve, médio, semi-pesados, pesados e super pesados) Diferentes tipos de embalagens • Granel, caixa, sacaria, tambor, galão, bag, etc. • Paletizada ou granel Variados formatos físicos e tamanhos Diferentes riscos Várias formas de descarregar (manual, paleteiras, empilhadeiras, talhas, ponte rolantes, etc.) • Procedimentos para lidar com sobras e faltas • Inexistência de um PDM – Padrão Descritivo de Materiais • Alterações nas programações de entrega • Desrespeito ao agendamento (quando existe) • Urgências e a necessidade de “driblar” as regras existentes Fluxo Fisíco Chegada dos veículos: Aceitar ou rejeitar a entrega? Ações: • Motorista possui autorização para a entrega? • A en- trega está sendo realizada no prazo contratual? • E x i s t e uma plataforma/doca disponível para a descarga? • Há espaço disponível para a descarga? • Qual equipamento é necessário para a descarga? • Este equipamento está disponível? • Existe mão-de-obra suficiente? Partida do veículos: Rejeitar, aceitar, descarregar e registrar entrada no estoque: Ações: • O b t e r mão-de-obra e equipamentos; • Verificar as mercadorias (identificar os produtos e conferir as quantidades); • Registrar faltas e excessos. 16.8 - Formas de recebimento Um único item por pállete Vários itens por pállete Carga não-paletizada, diferentes itens
  • 59.
    59 Logís ca Gerale Estoque 16.9 - Conferência Qualitativa A conferência qualitativa, Importante fazer inspeção técnica visando a destinação correta do material ao fim que se destina. Analisa os seguinte pontos: • características dimensionais; • características específicas; • restrições de especificação. 16.10 - Conferencia Quantitativa • Manual: para casos de pequenas quantidades; • Por meio de cálculos; • Por meio de balanças contadoras pesadoras; • Pesagem; • Medição em geral. 16.11 - Conferencia após Recebimento Muitas empresas realizam a conferência após o recebimento dos materiais. Há um risco aqui, pois o correto é fazer a conferência no ato do recebimento para evitar aborrecimentos em caso de faltas e avarias. 16.12 - Expedição • Atividade que visa equacionar os equipamentos e meios necessários para o despacho do produto ou mercadoria. Utiliza de equipamentos móveis para movimentação como: empilhadeiras, paleteiras, carrinhos, etc; • Check-list de saída – garanti exatidão com a conferencia de saída de produtos acabados, materiais, dentre outros; • Disponibilidade de materiais separados por rota e colocados a disposição na doca de expedição; • Conferência dos volumes a serem despachados, pesagem e carregamento dos veículos. 16.13 - Formas de paletização
  • 60.
    60 • Através doemprego de cintas: garantindo segurança com a carga e não permitindo que se soltem; • Emprego de filme shrink: Dá maior sustentação a cargas instáveis; • Utilização de stretch: É mais adequado a cargas estáveis. 16.14. - Endereçamento De suma importância para dar maior agilidade ao processo de picking (separação de pedidos). Dever ser feito observando critérios diferenciados de acordo com o ramo de atividade da empresa. Preferencialmente, opte por GIRO. Os endereçamentos devem ser personalizados, visando melhor aplicação. Deve observar: Ergonomia; Volume; Família; Dimensão; Segurança; Cliente; Velocidade; Forma física; Popularidades; Materiais perigosos, perecíveis, resistencia valor. O custo de armazenagem pode chegar em até 30 % a mais por ano, por falhas no processo de endereçamento. Razões para a existência de armazéns endereçados de forma ineficiente: • As informações e/ou os recursos do sistema de informações gerenciais não estão disponíveis; • Não há como manter o endereçamento atualizado; • Não existe método para endereçamento. Exercícios 1 - Quais as características de distribuição? R.: Distribuição direta, distribuição indireta e distribuição mista. 2 - O que é distribuição direta? R.: Fabricante entrega direto para o consumidor final 3 - O que é distribuição indireta? R.: Intermediação por meio de Pessoa Jurídica. 4 - O que é distribuição mista? R.: Venda direta e intermediada 5 - Quais as atividades em um centro de distribuição? R.: Recebimento; Verificação qualitativa e quantitativa; Endereçamento; Estocagem; Separação; Carregamento e Expedição. 6 - Quais as atividades de valor agregado em um centro de distribuição? R.: Agendamento de entregas; Gestão de pátio; Recebimento de materiais; Estocagem; Separação de pedidos; Serviços de valor agregado; Embalamento; Unitilzação e Espera; Expedição para Clientes. TDP 1 - Monte, em dupla, como funciona o fluxo em um centro de distribuição.
  • 61.
    61 Logís ca Gerale Estoque Aula 17 17 - Infraestrutura logística Dalledone (2008) caracteriza a distribuição na logística com relação direta com o estoque, tanto na entrada do produto quanto em sua saída. 17.1 - A Importância da Infraestrutura Logística no Transporte Beni destaca que o sistema viário e de transporte são setores que merecem uma atenção especial quando o projeto seja do país, do estado, da cidade ou apenas dos custos para uma empresa. Os investimentos em infraestrutura do sistema viário e de transporte precisam ser constantes. No transporte rodoviário a infraestrutura passa pelo processo de comoditização, não existem diferenças significativas entre as opções e níveis de serviços oferecidos pelos prestadores de serviços. A lucratividade das empresas e à concorrência predatória. Já a degradação das rodovias acarreta na diminuição dos lucros. No transporte ferroviário é considerado o modal mais adequado para a movimentação de cargas a granel nas grandes distâncias. No transporte aéreo é o suporte à chamada globalização. 17.2 - Infraestrutura Logística e as Vantagens Competitivas De acordo com Giambiagi e Barros, quando pensamos em infraestrutura é necessário remeter o pensamento as aulas anteriores. A infraestrutura na logística de suprimentos de insumos e entrega de produtos, bem como a capacidade de refino e a rede de distribuição e varejo, apesar de margens menores e com fortes movimentos cíclicos mapeiam o serviço logístico a fim de gerar retornos que permitam a continuidade de seus investimentos. Guarnieri mostra a infraestrutura logística através de um fluxo reverso de bens que é visto como um obstáculo no processo de negócios, pois necessita de pessoal e estrutura física. Muitas empresas não julgam ser viável investir em canais reversos de revalorização de resíduos pós-venda e pós-consumo devido aos investimentos necessários na sua estruturação. Barat destaca que nossa economia ao estar ligada no agronegócio requer uma infraestrutura logística baseada em grandes desafios. O sistema logístico brasileiro é tido como pouco confiável, uma vez que ocorrem atrasos constantes e perdas por roubos, acidentes e avarias. Os principais usuários da logística estão atualmente nos setores químico e petroquímico, automotivo, de alimentos, farmacêutico e eletroeletrônicos. E entre os principais serviços oferecidos pelas operadoras logísticas destacam-se os de armazenagem, controle de estoque e transporte de distribuição e transferência. Exercícios 1 - O que é Infraestrutura logística? R.: São os meios por onde serão transportados os bens ou serviços. Caracteriza, também, a distribuição na logística com relação direta com o estoque, tanto na entrada do produto quanto em sua saída. 2 - Destaque a importância da infraestrutura logística no transporte. R.: O sistema viário e de transporta são setores que merecem uma atenção especial quando o projeto seja do país, do estado, da cidade ou apenas dos custos para uma empresa. A degradação das rodovias acarreta na diminuição dos lucros. 3 - Cite um exemplo de vantagem competitiva na aliança entre a infraestrutura e o transporte: R.: A infraestrutura na logística de suprimentos de insumos e entrega de produtos, bem como a capacidade de refino e a rede de distribuição e varejo, apesar de margens menores e com fortes movimentos cíclicos mapeiam o serviço logístico a fim de gerar retornos que permitam a continuidade de seus investimentos. 4 - Caracterize os tipos de transportes que melhor definem o uso da logística: R.: Rodoviário; Ferroviário, Aéreo.
  • 62.
    62 5 - Qualé o tipo de transporte que mudou a forma de desenvolvimento logístico após a globalização? R.: Aéreo 6 - Qual o modal mais indicado para transportes de longas distancias e qual a infraestrutura utilizada? R.: Ferroviário. Ferrovias. TDP 1 - Crie um centro de informações integradas e fale sobre a infraestrutura estudada e a infraestrutura que considera ideal para o desenvolvimento funcional e econômico da logística no Brasil. Educador: O objetivo é criar uma discussão entre os alunos e falar sobre as rodovias existentes no Brasil. Falar sobre a dificuldade de se transportar pelas rodovias brasileiras. O custo com transporte rodoviário. E qual seria a melhor infraestrutura ideal para fazer possibilitar um transporte mais rápido e com menor custo. Importante também comentar sobre o fluxo de carros nas estradas que a cada dia vem aumentando e dificultando a locomoção. Aula 18 18 - Ferramentas de Distribuição 18.1 - Vantagens Competitivas na Utilização de Ferramentas de Distribuição As ferramentas de distribuição têm por objetivo direcionar a melhor ação para distribuição no setor logístico. Por meio das ferramentas de distribuição é possível mapear, diagnosticar, traçar metas e ainda ganhar tempo na entrega ao consumidor final. A seguir apresentaremos as ferramentas mais utilizadas no setor de distribuição. 18.2 - Postponement Sampaio disserta que o postponement foi introduzido por Bucklin como uma forma alternativa de distribuição, ao sistema de especulação predominante no mercado. Trata-se de um novo conceito logística onde as operações de distribuição e manufatura só acontecem após levantada a necessidade de acordo com a demanda. Não trabalham com produção especulativa (produções empurradas). Tem por objetivo evitar riscos, reduzir custos e alinhar estratégia, mantendo os clientes atuais e buscando novos. Pode até iniciar produção e deixar o produto semiacabado, mas a produção final do produto só acontece após o pedido ser feito pelo cliente. Isto garante que o modelo Postponement pode fazer adaptações do produto, personalizando-o conforme exigência do cliente final, o que tornaria a empresa mais competitiva perante seus concorrentes. 18.3 - Unitização Conforme vimos em aula passada, através de aglomeração de conteúdos únicos em espaço único se dá a unitização. Geralmente são caixas da mesma carga, que quando agrupadas formam um só volume no processo de distribuição. 18.4 - Broker É uma empresa prestadora de serviços a indústria, cujo objetivo é cuidar das vendas, pesquisas de mercado, merchandising, contas a receber e a pagar e distribuição no varejo. Este conceito surgiu na década de 80 nos EUA, e era conhecido por “agentes de vendas”. Com o passar do tempo houve evolução da demanda e consequentemente dos serviços prestados. Acrescentando mais algumas atividades, como: armazenamento, Cross Docking, Distribuição e Pós-vendas,
  • 63.
    63 Logís ca Gerale Estoque Com sua forte e constante atuação, foi se adquirindo mais conhecimento, através de pesquisas constantes e analise de mercado, tornando a ferramenta de suma importância no avanço das vendas do varejo e fortalecimento de marcas oferecidas pelas indústrias. Com o advento do Broker a indústria pode transformar seu custo fixo, relacionado a sua equipe de vendas em custo variável, uma vez que o pagamento pela operação está relacionada diretamente ao produto vendido (pagamento ocorre sobre negócio efetivado). 18.5 - ECR Uma ferramenta prática e estratégica na filosofia da gestão. Muito utilizado pela indústria de supermercados, onde distribuidores e indústria, trabalham em conjunto, buscando melhorias contínuas, garantindo maior valor ao cliente final. Isto é possível pela consistência de informações que garante estoques adequados e menor custo de estoques. 18.6 - Milk run É conhecida como o procedimento de coleta de produtos junto a fornecedores numa determinada rota e programação preestabelecida. É muito usual no setor automobilístico, razão pela qual se manteve a expressão original, de acordo com Bowersox e Closs. Funciona da seguinte maneira: Uma empresa de transporte realiza serviços de coleta a cada dia em fornecedores de seus clientes, onde as quantidades já foram predeterminadas pelo cliente (fabricante). Há casos, como da indústria automobilística, em que este coleta é feita pela própria empresa. Muito utilizado em operações lean (JIT). 18.7 - Crossdocking SIMCHI-LEVI et. al. (2003) conceitua cross-docking como sendo uma estratégia de depósito por pontos de coordenação de estoques, em vez de pontos de armazenamento de estoques. Requer um alto investimento inicial, mas em longo prazo o retorno é contínuo. Seu gerenciamento está: • Os centros de distribuição, varejistas e fornecedores devem estar conectados com avançados sistemas de informação para assegurar que todas as retiradas e entregas sejam feitas no tempo necessário; • Um sistema de transporte rápido; • As previsões são fundamentais, necessitando do compartilhamento de informações; • As estratégias são eficazes somente para grandes sistemas de distribuição, nos quais um grande número de veículos está entregando e retirando os bens das instalações cross-dock simultaneamente. Na estratégia de distribuição do Cross-Docking não há compartilhamento de riscos, os custos de transportes tem os custos de recebimentos reduzidos, os custos de manutenção de estoques não há e a alocação é adiada. Numa operação cross-docking o objetivo é simplesmente consolidar cargas, dificilmente existirá qualquer tipo de armazenamento. 18.8 - VMI VMI representa o estoque gerenciado pelo fornecedor. No VMI, tenta-se otimizar o sistema como um todo através da coordenação da produção e da distribuição. Além disso, o fornecedor pode ainda diminuir o custo total através da coordenação da produção e distribuição para diversos varejistas, de acordo com SIMCHI-LEVI et. al. (2003). 18.9 - E-Procurement É a aquisição eletrônica – compra e venda entre empresas de suprimentos e serviços pela internet. O e-procurement é a parte virtual da gestão da cadeia de distribuição. Esta ferramenta deve ser eficiente e confiável, garantindo um confiável fluxo de matéria prima e suprimentos necessários para o setor produtivo. É sem dúvida ferramenta fundamental para o aprimoramento da logística de uma organização. 18.10 - Centro de Distribuição (CD’S)
  • 64.
    64 Bowersonx e Clossapresentam nas operações de distribuição que incorporam processos para guiar as atividades físicas dos centros de distribuição, incluindo o recebimento de produtos, a movimentação, a estocagem de material e a seleção de pedidos. As operações de distribuição direcionam todas as atividades dos centros de distribuição utilizando uma combinação de alocação em tempo real. O pedido de um cliente ou de reposição, com seu inventário alocado ou seleção de material para o pedido correspondente, liga a alocação de pedidos às operações físicas do centro de distribuição. Exercícios 1 - Qual o objetivo da ferramenta de distribuição? R.: Direcionar a melhor ação para distribuição no setor logístico. Por meio das ferramentas de distribuição é possível mapear, diagnosticar, traçar metas e ainda ganhar tempo na entrega ao consumidor final. 2 - O que é postponement? R.: Trata-se de um novo conceito logística onde as operações de distribuição e manufatura só acontecem após levantada a necessidade de acordo com a demanda. 3 - O que é Broker? R.: É uma empresa prestadora de serviços a indústria, cujo objetivo é cuidar das vendas, pesquisas de mercado, merchandising,contasarecebereapagaredistribuiçãonovarejo.Comopassardotempohouveevoluçãodademanda e consequentemente dos serviços prestados. Acrescentando mais algumas atividades, como: armazenamento, Cross Docking, Distribuição e Pós-vendas, 4 - Qual a importância de um Broker para a indústria? R.: A indústria pode se dedicar a sua atividade fins (core business), deixando a operação de vendas com os especialistas no negócio. 5 - O que é ECR? R.: É uma estratégia de gestão do canal de distribuição, na qual os agentes (fornecedores, atacadistas e varejistas) trabalham de forma integrada para eliminar ineficiências, reduzir custos excessivos, visando atender as necessidades e expectativas dos consumidores e maximizar a eficiência dos negócios para as partes envolvidas em uma negociação. 6 - O que é MILK RUN? R.: É o procedimento de coleta de produtos junto a fornecedores numa determinada rota e programação preestabelecida. 7 - O que é Crossdocking? R.: É uma estratégia de depósito por pontos de coordenação de estoques, em vez de pontos de armazenamento de estoques. As mercadorias ou produtos passam por ele, mas não são armazenadas nele. 8 - Como é o gerenciamento de um Crossdocking? R.: Os centros de distribuição, varejistas e fornecedores devem estar conectados com avançados sistemas de informação para assegurar que todas as retiradas e entregas sejam feitas no tempo necessário. Um sistema de transporte rápido. As previsões são fundamentais, necessitando do compartilhamento de informações. As estratégias são eficazes somente para grandes sistemas de distribuição, nos quais um grande número de veículos está entregando e retirando os bens das instalações cross-dock simultaneamente. 9 - O que é VMI? R.: Representa o estoque gerenciado pelo fornecedor. 10 - O que é E-Procurement? R.: É a aquisição eletrônica – compra e venda entre empresas de suprimentos e serviços pela internet. É a parte virtual da gestão da cadeira de distribuição. Esta ferramenta deve ser eficiente e confiável, garantindo um confiável fluxo de matéria prima e suprimentos necessários para o setor produtivo.
  • 65.
    65 Logís ca Gerale Estoque TDP 1 - Em dupla, monte como funciona um fluxo dentro de um Crossdoking. Aula 19 19 - Distribuição na Logística Internacional – Parte 1 19.1 - Organismos Internacionais São organismos internacionais, Instituições Financeiras, Acordos e Tratados Comerciais, Bilaterais ou Multilaterais, de âmbito restrito ou não, geograficamente circunscrito ou não (atua na sub região), cuja finalidade é disciplinar, controlar, regulamentar e apreciar os interesses das nações participantes, podendo decidir pendencias, buscando soluções para as partes. 19.2 - Organismos Econômicos Internacionais FMI – Fundo Monetário Internacional – Auxilia os países a resolver desequilíbrios em seus balanços de pagamento. Promove a cooperação monetária entre países, facilitando o crescimento e desenvolvimento equilibrado do Comercio Internacional. OMC – Organização Mundial de Comércio – Responsável pela gestão de acordos gerais sobre as tarifas e comercio. OECD – Organização Econômica de Cooperação e Desenvolvimento Organização das Nações Unidas para o Comércio e Desenvolvimento – Promover o desenvolvimento dos países do terceiro mundo. CCI – Câmara de Comércio Internacional – Padronização de documentos; Incoterms; Regras para pagamentos internacionais, contratos e litígios. 19.4 - Barreiras Tarifárias e Não Tarifárias Barreiras tarifárias – possuem regras bem definidas em função da alíquota de importação. Barreiras Não Tarifárias – Proibição à importação geral ou seletiva; Cotas de importação; Depósitos Compulsórios; Controle de preços; Controle Cambiais; Regulamentação Sanitária; Normas de qualidade; Normas específicas técnicas; dentre outras. 19.5 - Logística Internacional Está é uma logística composta por varias fases, as quais devem ser bem observadas e resguardadas através de contratos bem redigidos por especialistas em logística, para evitar prejuízos ou descontentamento pelas partes. Deve-se se atentar para possíveis riscos de acidentes, quais os meios para evita-los; a descrição e quantidade de mercadorias a serem exportadas ou importadas; se a mercadoria é liquida, sólida, ou gasosa; se serão entregues a granel ou embaladas; se podem ser unitizadas em pallets ou containers; como será o manuseio e armazenamento; o peso, medidas e volumes; quais os riscos do transporte; como será a entrega; dentre outros. 19.6 - Incoterms – International Commerce Terms Define até onde vai a responsabilidades de comprador e vendedor para transporte, movimentação e entrega de mercadoria de venda internacional. Atraves do Incoterms, tanto o comprador quanto o vendedor saberá onde cessará a sua responsabilidade Modelo de Incoterms:
  • 66.
    66 Grupo E –Local de saída (fábrica/armazém) • EXW (Ex Works) - A partir do local de produção. Grupo F - Principal Transportador não pago • FCA – Free Carrier (transportador livre) • FAS – Free Alongside Ship (Livre no Costado no Navio) • FOB – Free On Board (Livre a Bordo do Navio) Grupo C – Principal Transportador Pago • CFR – Cost And Freight (Custo e frete porto de destino) • CIF – Cost, Insurance and Freigt (Custo, seguro e frete) • CPT – Carriage Paid to (Transporte pago até...) • CIP – Carriage and Insurance Paid to (Transporte e seguro pagos até...) Grupo D – Local de Entrega • DAP – Delivered at Place (Entregue no local de destino nomeado); • DAT – Delivered at Terminal (Entregue no terminal nomeado no porto ou local de destino); • DDP – Delivered Duty Paid (Entregue direitos pagos) Exercícios 1 - Quais os Organismos Econômicos Internacionais? R.: FMI – Fundo Monetário Internacional; BIRD – Banco Internacional de Reconstrução e Desenvolvimento; OMC – Organização Mundial de Comércio; OECD – Organização Econômica de Cooperação e Desenvolvimento; Organização das Nações Unidas para o Comércio e Desenvolvimento; CCI – Câmara de Comércio Internacional. 2 - Qual a função da Barreira tarifária? R.: Possuem regras bem definidas em função da alíquota de importação. 3 - Qual a função da Barreira não tarifária? R.: Proibição à importação geral ou seletiva; Cotas de importação; Depósitos Compulsórios; Controle de preços; Controle Cambiais; Regulamentação Sanitária; Normas de qualidade; Normas específicas técnicas; dentre outras. 4 - O que é Logística Internacional? R.: é uma logística composta por varias fazes, as quais devem ser bem observadas e resguardadas através de contratos bem redigidos por especialistas em logística, para evitar prejuízos ou descontentamento pelas partes. 5 - O que é Incoterm? R.: Define as mutuas responsabilidades entre comprador e vendedor para movimentação e entrega de mercadoria de venda internacional. 6 - Quantos são os Incoterms? Cite 03 deles R.: São 11. EXW (Ex Works) - A partir do local de produção.; FOB – Free On Board (Livre a Bordo do Navio); CIF – Cost, Insurance and Freigt (Custo, seguro e frete). Aula 20 20 - Distribuição na Logística Internacional – Parte 2 20.1 - Meios de transportes
  • 67.
    67 Logís ca Gerale Estoque • Qualquer modal inclusive multimodal: EXW; FCA; CPT; CIP; DAP; DAT; DDP. • Aéreo: FCA; • Ferroviário: FCA; • Marítimo ou Fluvial0lacustre: FAZ; FOB; CFR; CIF Significado das siglas: 20.1.1 - EXW – Ex Works - A partir da origem da produção, local nominado A responsabilidade do carregamento das mercadorias é do comprador, ou mesmo pelo desembaraço da mercadoria para exportação. Entretanto, se for concordado entre as partes, o vendedor poderá arcar com a responsabilidade do carregamento. Importante que tudo esteja bem esclarecido em contrato. 20.1.2 - FCA – Free Carrier – Transportador livre, local nominado Vendedor entrega a mercadoria no local determinado pelo comprador, desembaraçada para exportação. A entrega no transportador terminará quando no: • Transporte ferroviário: o vagão estiver carregado; • Transporte rodoviário: o caminhão estiver carregado; • Transporte fluvial ou lacustre: a barcaça estiver carregada; • ransporte marítimo: o container estiver estufado e transportado até o navio; • Transporte multimodal: A mercadoria estiver entregue no primeiro modal, que for transportar. 20.1.3. - FAS – Free Alongside Ship (Livre no costado do navio, Porto de embarque nominado) Vendedor assume obrigação de entregar mercadoria quando for solicitada para colocação no costado do navio, no cais ou local mais próximo no porto de embarque nominado. O comprador assume todos os custos e riscos a partir desse momento. O desembaraço para exportação deve ser feito pelo vendedor (entretanto se for acordado, o comprador poder absorver esta responsabilidade). O FAS só pode ser utilizado para transporte marítimo e fluvial. 20.1.4 - FOB – Free On Board (Livre a Bordo, Porto de embarque nominado) O vendedor entrega a mercadoria (on board) a bordo do navio, providenciando o desembaraço para exportação. A partir do momento em que a mercadoria foi disponibilizada no navio (on board), o comprador assume todos os riscos e custos da operação. Cabe ao comprador, a partir daí, contratar transporte, arcar com custos de carregamento no porto de embarque e custos de descarga no porto de destino, que estiverem incluídos no frete. 20.1.5 - CRF – Cost And Freight (Custo e frete, porto destino nominado) O frete até o posto de destino é por conta do vendedor. Que também deverá entregar a mercadoria on board e arcar com as custas que estiverem incluídas no frete. O pagamento do seguro, descarga e demais despesas após terem sidas entregues a bordo do navio, serão pro conta do comprador. 20.1.6 - CIF – Cost Insurance And Freight (Custo, Seguro e frete, porto de destino nominado) O pagamento até o porto de destino é por conta do vendedor, que também será o responsável por contratar o transportador. Entrega as mercadorias on board e providencia desembaraço da exportação, pagando as taxas exigidas. Providencia a cobertura de seguro
  • 68.
    68 pagando o valordo prêmio das mercadorias durante o carregamento, a partir do embarque até o seu desembarque no porto de destino. Os custo de embarque (estiva) e desembarque (desestiva) que foram incluídos no frete correm por conta do vendedor. 20.1.7 - CPT – Carriage Paid To (Transporte pago até o local de destino nominado) O vendedor contrata o transportador e paga o frete até o local de destino. Entrega as mercadorias para custódia ao primeiro transportador para entrega no destino. Providencia o desembaraço da exportação. 20.1.8 - CIP – Carriage and insurance paid to (Transporte e seguro pagos ate o local de destino nominado) O vendedor contrata o transportador e paga o frete até o local de destino. Entrega as mercadorias para custódia ao primeiro transportador para entrega no destino. Providencia o desembaraço da exportação, e paga prêmio do seguro. 20.1.9 - DAT – Delivered at terminal (Entregue no terminal – pode ser nomeado de porto ou local de destino) O vendedor entrega a mercadoria e assumes os riscos tão logo ela for desembarcada. Caberá ao comprador arcar com os trâmites alfandegários na importação. 20.1.10 - DAP – Delivered at place (Entregue no local - de destino nomeado) Este termo pode ser utilizado para qualquer modal de transporte, e para mais de um modal. A entrega da mercadoria pelo vendedor ocorre quando ela é colocada à disposição do comprador, no local de destino nomeado, no modal de transporte, pronta para ser desembarcada. O vendedor deve assumir todos os riscos e custo envolvidos. Os trâmites e direitos alfandegários na importação são por conta do comprador. 20.1.11 – DDP – Delivered duty paid (Entregue direitos pagos local de destino nominado) O vendedor entrega o produto no local de destino, paga as taxas e demais despesas, providenciando documentos para permitir ao comprador receber as mercadorias entregues no local estabelecido. A responsabilidade da entrega das mercadorias no país de importação acordado é por conta do vendedor. A cobertura do seguro é opcional. 20.2 – Gestão logística da distribuição física internacional É um processo de planejamento, operação, controle, movimentação, armazenagem, fluxo de entregas de mercadorias desde o fornecedor até o cliente, buscando sempre o menor prazo e custo da operação. A logística é uma interdisciplinar que vincula transportes: aéreo; rodoviário; dutoviário; ferroviário; hidroviário e multimodalidade. Exercícios 1 - Dê exemplos dos meios de transporte utilizados na logística internacional? R.: Qualquer modal inclusive multimodal: EXW; FCA; CPT; CIP; DAP; DAT; DDP. Aéreo: FCA; Ferroviário: FCA; Marítimo ou Fluvial0lacustre: FAZ; FOB; CFR; CIF 2 - O que é gestão da logística de distribuição física internacional? R.: É um processo de planejamento, operação, controle, movimentação, armazenagem, fluxo de entregas de mercadorias desde o fornecedor até o cliente, buscando sempre o menor prazo e custo da operação.
  • 69.
    69 Logís ca Gerale Estoque 3 - Quais os tipos de Incoterms? E o que cada um significa? R.: EXW – Ex Works - A partir do local de produção, local nominado; FCA – Free Carrier – Transportador livre, local nominado; FAS – Free Alongside Ship (Livre no costado do navio, Porto de embarque nominado); FOB – Free On Board (Livre a Bordo, Porto de embarque nominado); CRF – Cost And Freight (Custo e frete, porto destino nominado); CIF – Cost Insurance And Freight (Custo, Seguro e frete, porto de destino nominado); CPT – Carriage Paid To (Transporte pago até o local de destino nominado); CIP – Carriage and insurance paid to (Transporte e seguro pagos ate o local de destino nominado); DAT – Delivered at terminal (Entregue no terminal – pode ser nomeado de porto ou local de destino); DAP – Delivered at place (Entregue no local - de destino nomeado); DDP – Delivered duty paid (Entregue direitos pagos local de destino nominado); TDP 1 - Em dupla, descreva sobre como funciona cada Incoterm e pesquise qual é o mais usual no Brasil. Aula 21 21 - Operadores Logísticos 21.1 - O que são Operadores Logísticos? São empresas com importante papel na logística empresarial, que se utiliza de meios de transportes, gerando valor agregado as indústrias e fortalecendo o setor de operadores de transporte. Os prestadores de serviços logísticos ou operadores logísticos são originários de vários setores, como da distribuição de produtos, da indústria, de transporte e de armazenagem. Operadores Logísticos são empresas externas que são contratadas para fazer a gestão da distribuição dos materiais de uma organização. Muito utilizado por industrias que tem por objetivo sua atividade fim. Tem como atividades: • Consolidação da carga de diversos locais; • Gestão do transporte; • Gestão de cargas; • Dentre outros. Este Operadores Logísticos também fornecem suportes físicos, como: Caminhões; armazéns; mão de obra; gestão de inventários; dentre outros. 21.2 - Diferenças entre os Operadores Logísticos e Prestadores de Serviços Logísticos De acordo com Gomes a diferença entre operadores logísticos e prestadores de serviços logísticos pode ser vista no quadro abaixo:
  • 70.
    70 Prestador de serviçosOperador logístico Oferece serviços genéricos Oferece serviços sob medida Tende a se concentrar em uma única atividade logística: transporte, estoque ou armazenagem. Oferece múltiplas atividades de forma integrada: transporte, estoque e armazenagem. Minimização do custo específico da atividade contrata. Reduzir os custos, melhoria nos serviços e aumento na flexibilidade. Contratos de serviços tendem a ser de curso em médio prazo. Contratos de serviços tendem a ser de longo prazo. Know-How tende a ser limitado e especializado. Capacitado para fazer análise e planejamento logístico de forma eficiente, garantindo a operação. Negociações rápidas no nível operacional. Negociações para contrato tendem a ser longas e em alto nível gerencial 21.3 - A utilização da tecnologia pelos Operadores Logísticos Albertin e Sanchez denominam outsourcing para difundir as atividades terceirizadas, quando as organizações de tarefas até então executadas internamento e com recursos próprios. Exercícios 1 - O que é um operador logístico? R.: São empresas externas que são contratadas para fazer a gestão da distribuição dos materiais de uma organização. Muito utilizado por industrias que tem por objetivo sua atividade fim. Delegam a especialistas o controle de determinadas tarefas e, ganham espaços físicos em suas organizações (um setor de armazenagem sempre demanda um grande espaço físico). 2 - Quais as atividades de um operador logístico? R.: Consolidação da carga de diversos locais; Gestão do transporte; Gestão de cargas; Dentre outros. 3 - Que tipo de trabalho diferenciado pode ser oferecido por um operador logístico? R.: Fornecem suportes físicos, como: Caminhões; armazéns; mão de obra; gestão de inventários; dentre outros. 4 - Quais os tipos de operador logísticos existentes? R.: Ativos: Empresas que detém ou alugam a terceiros ativos tangíveis e oferecem outros serviços logísticos. Administração: É constituído por empresas que operam na administração de atividades e não detêm nem alugam ativos tangíveis, mas fornecem a seus clientes recursos para administrar toda ou parte de suas funções logísticas. Híbridos: São aqueles que oferecem serviços logísticos físicos e administrativos ao mesmo tempo. 5 - Qual a diferença entre Operador logístico e prestador de serviço? R.:
  • 71.
    71 Logís ca Gerale Estoque Tende a se concentrar em uma única atividade logística: transporte, estoque ou armazenagem. Oferece múltiplas atividades de forma integrada: transporte, estoque e armazenagem. O objetivo da empresa contratante do serviço é a minimização do custo específico da atividade contrata. Os objetivos da contratante são reduzir os custos totais da logística, melhorar os serviços e aumentar a flexibilidade. Contratos de serviços tendem a ser de curso em médio prazo. Contratos de serviços tendem a ser de longo prazo. Know-How tende a ser limitado e especializado. Possui ampla capacitação de análise e planejamento logístico, assim como de operação. Negociações para os contratos tendem a ser rápidas e em nível operacional. Negociações para contrato tendem a ser longas e em alto nível gerencial TDP 1 - Pesquise sobre um modelo de operador logístico em sua cidade e descreva como ele funciona. Aula 22 22 - Custos Logísticos – Parte 1 Leone (2007) define custo logístico como as despesas realizadas pela atividade comercial, muitas vezes denominada de segmentos de distribuição, que se realiza antes e depois da atividade de produção e se destina a fazer chegar o produto ou o serviço às mãos do consumidor. 22.1 - Custos em armazenagem Os custos de armazenagem (movimentação e estoque) representa em média 33 % do custo logístico total, e esta estatística está crescendo nos últimos anos. Chegando a representar em média 3% do faturamento das empresas Estes custos geralmente são fixos e indiretos. O grade percentual de custos fixos faz com que sejam proporcionais a capacidade instalada, e por isso, pouco importará se o armazém estiver vazio ou se estará movimentando mais ou menos produtos do que o planejado. 22.2 - Fatores que influenciam o custo de armazenagem Características de recebimento (modo de transporte, volumes, valor da mercadoria, características da carga, horários operacionais) Características de acondicionamento (temperatura requerida, controle de pragas, umidade, luminosidade, quantidade por pallete) Características de picking e expedição (nível de acuracidade na operação, nível de degradação da embalagem, volume, modal de transporte, valor da mercadoria, características da carga, horários operacionais, embalagens, etiquetas, etc). Necessidade de recursos diretos (equipamentos e mão-de-obra direta) e indiretos (supervisão, segurança, limpeza, etc.) 22.3 - Custo com movimentação
  • 72.
    72 22.4 - Custode Oportunidade • É o quanto você estaria ganhando na alternativa que você abandonou (trade off). • É também conhecida por TMA – Taxa Mínima de Atratividade. • Exemplo: ao investir R$ 5.000.000,00 na construção de um Centro de Distribuição de 3.500 m², o proprietário espera alugá-lo por R$ 15,00 m² e obter uma renda mensal de R$ 52.500,00. Se ao invés de investir na construção do prédio, tivesse aplicado em fundos de renda fixa, obteria 0,75% ao mês, ou seja, R$ 37.500,00. Portanto, o custo de oportunidade para esse inves- timento, comparativamente à uma aplicação financeira, seria de 0,75% sobre o valor de R$ 5.000.000,00. 22.5 - Depreciação • Custo ou a despesa oriundos por desgaste de máquinas, veículos, móveis, imóveis e instalações da empresa. • Um dos motivos da depreciação é capitalizar as empresas para quando um equipamento vier a se desgastar ela poder trocá-lo sem abalar as finanças da empresa. 22.6 - Tabela de Depreciação Linear
  • 73.
    73 Logís ca Gerale Estoque 22.7 - Formula de Cálculo sobre Depreciação: Valor residual é quanto a empresa espera obter pela venda de um equipamento ou ativo ao final de sua vida útil. 22.8 - Memória de cálculo para Depreciação Linear Uma empilhadeira elétrica do tipo retrátil, nova e sem uso, foi adquirida por R$ 120.000,00. Considerando uma vida útil de 10 anos e um valor residual de R$ 20.000,00 após esse período, calcule o valor da depreciação anual.
  • 74.
    74 Depreciação: Valor deAquisição - Valor Residual Vida Útil Depreciação: 120.000 - 20.000 = 10.000 $ 10 Exercícios 1 - O que é custos logísticos? R.: São as despesas realizadas pela atividade comercial, muitas vezes denominada de segmentos de distribuição, que se realiza antes e depois da atividade de produção e se destina a fazer chegar o produto ou o serviço às mãos do consumidor. 2 - Quais os fatores que influenciam no custo de armazenagem? R.: Características de recebimento; Características de acondicionamento; Características de picking e expedição; Necessidade de recursos diretos e indiretos. 3 - Qual a representatividade do custo de movimentação em um CD (centro de distribuição)? R.: Espaço – 20% a 25%; Equipamentos – 15% a 20%; Mão-de-Obra – 40% a 60%; Outros – 10% a 15% 4 - O que é custo de oportunidade? R.: Custo de algo em termos de uma oportunidade renunciada, ou, de uma forma mais simples, é o quanto você estaria ganhando na alternativa que você abandonou.
  • 75.
    75 Logís ca Gerale Estoque 5 - O que é TMA? R.: Taxa Mínima de Atratividade. 6 - O que é custo de depreciação? R.: Custo ou a despesa decorrente do desgaste ou da obsolescência dos ativos imobilizados (máquinas, veículos, móveis, imóveis e instalações) da empresa. Aula 23 23 - Custos Logísticos – Parte 2 23.1 - Formação de Preço Gomes apresenta a formação de preço na logística de forma bem prática. O autor explana que a formação de preço no produto logístico é constituída de custo do frete, custo por região, escolha do fornecedor na forma de precificar o custo. Bowersox e Closs (2006) mostram que a precificação é um aspecto diretamente ligado ao marketing. Uma tendência importante na estratégia de preço tem sido a de desempacotar o preço de produtos e materiais, para que serviços como os de transporte, que eram tradicionalmente incluídos no preço, sejam agora identificados como itens separados. Os autores demonstram que as decisões de precificação determinam, de forma direta, qual parte da transação é responsável pelo desempenho das atividades logísticas, passagem da titulação e responsabilidades. O preço de entrega é estabelecido de modo que o vendedor possa oferecer um preço que inclui o transporte do produto ao comprador. O custo do transporte não é especificado como um item separado. Existem muitas variações de preço de entrega. Já na precificação única por zona, os compradores pagam um preço único independentemente de onde estão localizados. Preços de entrega geralmente refletem o custo médio de transporte do vendedor. A precificação de entrega por uma só zona é comumente usada quando custos de transportes são uma porcentagem relativamente pequena do preço de venda. A vantagem mais importante para o vendedor é o alto grau de controle sobre a logística. A precificação por zona múltipla é caracterizada por preços diferentes para áreas geográficas específicas. É uma prática utilizada para cotar o preço de entrega. A precificação de ponto-base é a forma mais complicada e controvertida do preço de entrega se fazendo útil na localização entre um sistema de ponto-base, no qual o preço de entrega final é determinado pela lista de preços do produto mais o custo do transporte (já incluso os impostos). 23.2 - Fatores de competitividade Leone (2007) diz que a competitividade é um dos fatores que movem o mercado logístico. Desta forma, as técnicas de controle e apuração dos custos de distribuição já estão muito avançadas nos países mais desenvolvidos, onde começaram a influir na batalha da concorrência pela expansão e sobrevivência das empresas. 23.3 - Custos logísticos gerais Quando pensamentos em custos é necessário para explicá-los saber como é formada sua composição. Os custos logísticos gerais são baseados no todo do processo logístico. Calcula-se toda a cadeia e remete a um número gerador do custo geral. Entre eles destacamos: • Custos de transportes; • Custos de manutenção e manipulação de existências;
  • 76.
    76 • Custos Fixose variáveis de instalação; • Custos administrativos de gestão e controle. 23.4 - Custos logísticos circunstanciais Os custos logísticos que envolvem despesas circunstanciais estão ligados aos imprevistos do processo. Através dos custos circunstanciais é possível cobrir a previsão de vendas, estoques/inventário, embalagem, fluxo de informações, movimentações, aspectos legais, planejamento operacional, armazenagem, movimentação e serviço ao cliente. 23.5 - Custo logísticos de transporte internacional Podem ser Diretos ou Indiretos Custos Diretos: • Embalagens • Unitização • Estufamento em containers (OVA) • Frete interno • Armzenagém • Movimentação de cargas no local de embarque (Capatazias) • Seguro de transporte interno • Despesas bancárias • Documentação • Desembaraço aduaneiro • Comissão de representantes Custo Indiretos: • Administrativos (salários) • Custo do estoque em trânsito Memória de calculo de um frete marítimo e aéreo.
  • 77.
    77 Logís ca Gerale Estoque Exercícios 1 - O que é formação de preço? R.: Em logística, é o conjunto de todos os derivativos que compõe a operação. 2 - O preço de transporte é especificado como item separado? R.: Não. Está dentro dos custos logísticos gerais. 3 - O que é fator de competitividade? R.: É um dos fatores que movem o mercado logístico. Promove ganhos para os consumidores finais. 4 - Quais as atividades logísticas primárias? R.: O transporte e a manutenção dos estoques 5 - O que é custo logístico geral? R.: Os custos logísticos gerais são baseados no todo do processo logístico. Calcula-se toda a cadeia e remete a um número gerador do custo geral. Educador: no livro do aluno a questão nº 6 está errada, a correta seria essa, aplicar oralmente ao aluno. 6 - Os custo logísticos internacionais podem ser: R.: Diretos e indiretos
  • 78.
    78 TDP 1 - Emdupla. Monte um custo logístico semelhante ao apresentado acima, alternando a quantidade do item transportado para o triplo. Aula 24 24 - Logística reversa 24.1 - Definição Bowersox e Closs (2006) aponta que a logística reversa (LR) é a mais complicada dentro do setor logístico geral. Os autores definem a LR como o controle máximo quando existe responsabilidade potencial de danos a saúde. As exigências operacionais para a logística reversa variam desde o custo total mais baixo, como retornar garrafas para reciclagem até o máximo controle em situações que envolvem devoluções, recalls, etc. Guarnieri afirma que a partir da uma nova visão da sociedade quanto as questões ambientais, percebe-se uma maior sensibilidade ecológica dos consumidores, que pressiona o poder público em sancionar novas legislações ambientais e altera os novos padrões de competitividade de serviços ao clientes impele o surgimento da logística reversa. 24.2 - Processo e desenvolvimento da Logística reversa Guarnieri aponta como processo logístico da implantação reversa a logística na ótica empresarial. Neste panorama a autora destaca o planejamento, a operacionalização e o controle de fluxo das informações logísticas. O desenvolvimento é visto por meio dos canais de distribuição reversos que agregam valores de diversas naturezas, como: Econômicos, ecológicos, leais, logísticos e tem sido reconhecida como uma das mais importantes fontes competitivas para as empresas ambientais. 24.3 - A Logística Reversa na Garantia da Qualidade Para garantir a qualidade é necessário que o processamento do retorno estejam dentro do processo de movimentação de mercadorias do seu destino final típico. 24.4 - A Logística Reversa e o Meio Ambiente Devem ser avaliados os impactos que os produtos deverão gerar no meio ambiente durante toda a sua existência. Esta analise é importante para planejamento da rede logística e monitoramento em todas as etapas do ciclo de vida do produto. 24.5 - A Importância da Logística Reversa no marketing das empresas Guarnieri diz que do ponto de vista logístico o fato de concluir com a entrega do produto no cliente, não encerra o seu ciclo de vida. Todos produto que vier a apresentar algum problema, seja técnico ou que agrida ao meio ambiente ou até mesmo a saúde física do cliente, deverá retornar a sua origem (fábrica) para que sejam feitos reparos ou até mesmo para que sejam descartados, evitando dano ao usuário final (cliente). Ai entra o papel forte e necessário do marketing. Ao mesmo tempo que se obriga as empresas a reverem seus processos, o gerenciamento ambiental agrega um valor de marketing positivo, pois o mercado consumidor requer produtos elaborados a partir de processos mais limpos.
  • 79.
    79 Logís ca Gerale Estoque Assim o processo se reinicia. O gerenciamento da cadeia de suprimentos visto em aulas anteriores passa a ter aqui na logística reversa um papel verde. Muitas empresas descobriram que poderiam melhorar o projeto e a estratégia de marketing unindo toda estrutura logística a conscientização e os cuidados com o meio ambiente. Quando as empresas de diversos elos da cadeia de suprimentos de bens em geral, entidades governamentais e demais envolvidos adotam uma visão moderna de marketing social, ambiental e ética, suas imagens corporativas estarão cada vez mais comprometidas com a preservação ambiental. TDP 1 - Em dupla os alunos deverão montar uma proposta para uma empresa para implantar a logística reversa como fonte de redução e contribuição para o meio ambiente.