ENERGIA
Definição: Energia representa a
capacidade de realizar trabalho.
Formas de Energia
• Energia Química
• Energia Mecânica
• Energia Eólica• Energia Eólica
• Energia Térmica
• Energia Elétrica
• Energia Nuclear
• Etc...
• Os alimentos liberam energia química no
organismo humano;
• A água da cachoeira possui energia mecânica
que, ao movimentar as turbinas, gera energia
Transformações Energéticas
que, ao movimentar as turbinas, gera energia
elétrica;
• Nos reatores atômicos, a energia nuclear,
armazenada nos combustíveis atômicos, pode ser
utilizada para produzir energia elétrica.
Fontes de Energia
Fontes renováveis são aquelas que podem ser reabastecidas
num curto intervalo de tempo ou que têm seus combustíveis
“inesgotáveis”. Alguns exemplos de fontes renováveis de
energia: o Sol, a madeira, a água, etc.
Fonte de energia não-renovável é aquela cuja renovação é
muito lenta, isto é, sua existência é curta a ponto de tornar-se
esgotável em alguns séculos ou milênios. Como exemplos,
tem-se: o petróleo, o carvão mineral, o gás natural e os
combustíveis nucleares.
Principais Formas
de Energiade Energia
Energia
Solar
• Principal fonte de energia da Terra;
• Contribui para quase todas as formas de
energia (exceto geotérmica, nuclear e energia
das marés).
Somente 1 bilionésimo da
energia liberada pelo Sol é
efetivamente absorvida pela
Energia Solar
efetivamente absorvida pela
Terra, deste valor:
66,6 % evaporam
a água dos
oceanos e rios
23,3 % aquecem
os solos
10 %
aquecem o ar,
produzindo
ventos
0,1 % é usado por plantas marinhas e
terrestres na fotossíntese
Alimento para
Energia Solar
Parte desta energia é
recuperada quando chove
transformando-se em energia
elétrica nas hidrelétricas
Antigas plantas,
hoje na forma de
petróleo, gás e
carvão, também
constituem uma
reserva de
energia solar
Alimento para
o homem e
animais
Energia
Térmica
•Custo de instalação alto
•Mas o custo de manutenção é baixo
•O superaquecimento pode liberar compostos tóxicos na atmosfera
Energia Térmica
•Aparência antiestética
•Praticamente isento de riscos ambientais
Energia
Fotovoltaica
•As células fotovoltaicas convertem diretamente a radiação
solar em eletricidade
•São dispositivos semicondutores que absorvem fótons,
gerando cargas positivas e negativas
•No interior da célula existe um campo elétrico. O movimento
Energia Fotovoltaica
•No interior da célula existe um campo elétrico. O movimento
dos elétrons através de uma barreira de campo elétrico cria
uma corrente.
•É utilizada com sucesso nas telecomunicações,
bombeamento de água, refrigeração, eletrificação de cercas,
etc.
•A energia solar custa entre 3 e 5 vezes mais
•Exige altos investimentos iniciais
•Apresenta baixa eficiência
•Equipamentos antiestéticos
•Precisam de fontes adicionais de energia
Energia Fotovoltaica
•Precisam de fontes adicionais de energia
•Custo de manutenção reduzido
•Impactos ambientais praticamente nulos
Energia Eólica
• Transformação da energia dos ventos em energia
mecânica e desta em energia elétrica;
• Assim como a solar, é uma fonte abundante de energia
renovável, é limpa e está disponível em todos os lugares;
Energia Eólica
•Existe uma faixa de velocidades de vento para a qual os
cata-ventos são produtivos
• Baixo potencial no Brasil
•Natureza intermitente dos ventos
•Limitações geográficas
•Ausência de tecnologia para armazenagem de energia
•Problemas com a resistência dos materiais
Desvantagens
Energia Eólica
•Problemas com a resistência dos materiais
Impactos
•Rompimento de estruturas operacionais
•Presença antiestética na paisagem
•Hélices podem interferir em transmissões de rádio e tv
Prédio com energia eólica
Prédio da San Francisco Public Utilities
Commission, San Francisco, EUA
responsável pelos serviços de água e geração de energia elétrica de
Energia Eólica
algumas cidades da região.
Inauguração: setembro de 2012
Turbinas eólicas verticais
Suprimento de 7% da energia do prédio
Eficiência de 1/3 em relação a geradores eólicos
comuns
Cerca de 90% de toda a energia consumida no
mundo vem dos combustíveis fósseis
Vantagem: possibilidade de armazenamento
Energia dos Combustíveis
de Origem Fóssil
Vantagem: possibilidade de armazenamento
Países industrializados representam 20% da
população e consomem 70% da energia do planeta
Investimentos: Aplicação de tecnologia para
economizar energia e para utilização de fontes
de energia renovável
•Fonte não renovável
•Base da movimentação do mundo após a Revolução
Industrial
Combustíveis de Origem Fóssil
Petróleo
Restos de vida aquática animal acumulados no fundo de
oceanos primitivos e cobertos por sedimentos
Utilização desde 4.000 a.C. (pavimentação, aquecimento,
iluminação) – aflorava nas superfícies
Petróleo
•No sec XX a indústria de refino teve um impulso gigantesco
(transportes e indústrias)
•Em 1938, 30% da energia consumida no mundo provinha do
petróleo
•Nos anos 70 ocorreram duas crises do petróleo e com isso,
instensificaram-se as buscas por fontes de energia alternativasinstensificaram-se as buscas por fontes de energia alternativas
Exploração
Perfurações no solo que mobilizam vários equipamentos e
profissionais (eletricistas, mecânicos, plataformistas,
soldadores, guincheiros, engenheiros)
Plataforma continental = exploração marítima
•Plataformas de aço presas ao fundo do
mar ou navios-sonda
•Custam mais caro, mas no Brasil
produzem mais que os terrestres
Petróleo
produzem mais que os terrestres
Vai para a refinaria para ser processado
Petróleo
Impactos Ambientais da extração
•Contaminação do ambiente com gases tóxicos
•vazamentos de solventes orgânicos
•emissão de calor
•alto risco de explosões
Petróleo
•alto risco de explosões
•Afetam fauna, flora e pessoas que trabalham no local ou
moram nas proximidades
Gás Natural
•Combustível fóssil gasoso, contendo carbono e hidrogênio,
ocorrendo em jazidas ou depósitos subterrâneos
•Pode estar associado ao petróleo ou pode partir de jazidas
exclusivas
•Um dos combustíveis mais consumidos na Terra•Um dos combustíveis mais consumidos na Terra
•Também é utilizado para estimular a produção de petróleo,
através de reinjeção nos poços e posterior recuperação.
Impactos ambientais da exploração
Semelhantes aos da exploração do petróleo
Carvão Mineral
Formado por troncos, raízes, galhos e folhas de árvores
gigantes que cresceram há milhões de anos em pântanos
rasos.
O tempo e a pressão da terra sobre o material transformaram-O tempo e a pressão da terra sobre o material transformaram-
no em uma massa negra – o carvão
A combustão do carvão, para produção de vapor, foi a
principal alavanca para o progresso da humanidade em
direção à industrialização => máq a vapor
Atualmente, o maior uso é em usinas termoelétricas
Tecnologia desenvolvida e economicamente competitiva
Carvão Mineral
Impactos ambientais
•Emissão de poluentes
•Descarte de resíduos sólidos
Carvão Mineral
•Descarte de resíduos sólidos
•Poluição térmica
•Riscos inerentes à mineração
•Estrutura da usina traz riscos aos operários
Energia da Biomassa
Cana-de-açúcar
•A cada tonelada de cana processada são produzidos alguns
litros de álcool e muitos litros de vinhaça
•Seu cultivo aumentou devido ao Proálcool de 1975
•Fonte renovável, mas por se tratar de monocultura, há riscos de
surtos de pragas ou doenças
Problemas e soluçõesProblemas e soluções
Grande volume de resíduos (bagaço e vinhaça)
Bagaço:
•Indústria de papel
•Gado
•Combustível na usina
Vinhaça:
•Metano para combustível
•Intensas pesquisas para
sua redução
Energia
Nuclear
•Essencial para os países que não dispõem de recursos
hídricos para produção de hidroeletricidade
•França – 75% de sua energia é nuclear
•Semelhante a termoelétrica (difere na forma como o vapor é
produzido)
Energia Nuclear
produzido)
Processo de fissão nuclear
Pontos Positivos
As reservas de energia nuclear são muito maiores que
as reservas de combustíveis fósseis
Não produz poluição ambiental
A usina nuclear requer menores áreas
Maior independência energética para os países que
Energia Nuclear
Maior independência energética para os países que
dependem de petróleo estrangeiro
Impactos Ambientais
Aquecimento da água do mar ou rios
Emissão de resíduos radioativos
Riscos inerentes ao enriquecimento do urânio
Riscos de explosão por superaquecimento
Energia Nuclear
Combustível = urânio enriquecido
Usina com capacidade de 1.000MW necessita de 100
toneladas de urânio natural para dar origem a 35 toneladas
de urânio enriquecido
Energia Nuclear
Energia
Hidráulica
... evolução para Usina Hidrelétrica
Energia Mecânica das
águas transformada em
Energia Hidráulica
águas transformada em
Energia Elétrica
Energia Hidráulica
Barragens
Com o deslocamento da água do alto da barragem para baixo,
são movimentadas turbinas, que operam geradores de corrente
elétrica por indução magnética
Pontos Positivos
Energia Hidráulica
Pontos Positivos
•Alta eficiência = 95%
•Custo do combustível é nulo (apesar do alto investimento
inicial e de manutenção)
•É uma fonte renovável
•Controle de enchentes, irrigação
•Turismo, recreação
Pontos negativos
•Riscos aos trabalhadores pela construção de grande porte
•Inundação de grandes áreas
•Realocação da população
•Prejuízo à fauna e à flora
•Alterações no regime hidráulico dos rios•Alterações no regime hidráulico dos rios
•Extinção de peixes que dependem da correnteza do rio para
reprodução
•Emissão de metano
Necessidade de medidas que minimizem esses impactos
Energia
das Marés
•As marés são influenciadas pela força gravitacional do Sol
e da Lua
•são construídos diques que envolvem uma praia. Quando
a maré enche a água entra e fica armazenada no dique; ao
baixar a maré, a água sai pelo dique como em qualquer
outra barragem.
•As usinas devem localizar-se em baías
Energia das Marés
•O desnível deve ser superior a 8m
•Necessários altos investimentos
•Eficiência baixa
•Destruição da fauna e flora
No Brasil, locais favoráveis: São Luis, Macapá
Energia
Geotérmica
•É a energia calorífera gerada pelo magma
•O aproveitamento comercial tem se limitado à utilização do
vapor ou água quente do subsolo na movimentação de
turbinas e geração de eletricidade
•Começou nos EUA, em 1960, nos campos de gêiseres na
Califórnia
Pontos negativos
Energia Geotérmica
Pontos negativos
•Aquecimento ambiental de 80% da energia extraída
•Muito ruído
•Libera gases nocivos
No estágio atual de desenvolvimento, a energia geotérmica é
bem mais cara que a eólica, mas é bem mais barata que a solar e
tem custos comparáveis com a biomassa
A geração de energia
no Brasilno Brasil
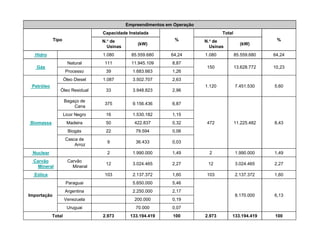
Empreendimentos em Operação
Tipo
Capacidade Instalada
%
Total
%N.° de
Usinas
(kW)
N.° de
Usinas
(kW)
Hidro 1.080 85.559.680 64,24 1.080 85.559.680 64,24
Gás
Natural 111 11.945.109 8,87
150 13.628.772 10,23
Processo 39 1.683.663 1,26
Petróleo
Óleo Diesel 1.087 3.502.707 2,63
1.120 7.451.530 5,60
Óleo Residual 33 3.948.823 2,96
Biomassa
Bagaço de
Cana
375 9.156.436 6,87
472 11.225.482 8,43
Licor Negro 16 1.530.182 1,15
Madeira 50 422.837 0,32Biomassa 472 11.225.482 8,43Madeira 50 422.837 0,32
Biogás 22 79.594 0,06
Casca de
Arroz
9 36.433 0,03
Nuclear 2 1.990.000 1,49 2 1.990.000 1,49
Carvão
Mineral
Carvão
Mineral
12 3.024.465 2,27 12 3.024.465 2,27
Eólica 103 2.137.372 1,60 103 2.137.372 1,60
Importação
Paraguai 5.650.000 5,46
8.170.000 6,13
Argentina 2.250.000 2,17
Venezuela 200.000 0,19
Uruguai 70.000 0,07
Total 2.973 133.194.419 100 2.973 133.194.419 100

Energia curso

  • 1.
    ENERGIA Definição: Energia representaa capacidade de realizar trabalho.
  • 2.
    Formas de Energia •Energia Química • Energia Mecânica • Energia Eólica• Energia Eólica • Energia Térmica • Energia Elétrica • Energia Nuclear • Etc...
  • 3.
    • Os alimentosliberam energia química no organismo humano; • A água da cachoeira possui energia mecânica que, ao movimentar as turbinas, gera energia Transformações Energéticas que, ao movimentar as turbinas, gera energia elétrica; • Nos reatores atômicos, a energia nuclear, armazenada nos combustíveis atômicos, pode ser utilizada para produzir energia elétrica.
  • 4.
    Fontes de Energia Fontesrenováveis são aquelas que podem ser reabastecidas num curto intervalo de tempo ou que têm seus combustíveis “inesgotáveis”. Alguns exemplos de fontes renováveis de energia: o Sol, a madeira, a água, etc. Fonte de energia não-renovável é aquela cuja renovação é muito lenta, isto é, sua existência é curta a ponto de tornar-se esgotável em alguns séculos ou milênios. Como exemplos, tem-se: o petróleo, o carvão mineral, o gás natural e os combustíveis nucleares.
  • 5.
  • 6.
    Energia Solar • Principal fontede energia da Terra; • Contribui para quase todas as formas de energia (exceto geotérmica, nuclear e energia das marés).
  • 7.
    Somente 1 bilionésimoda energia liberada pelo Sol é efetivamente absorvida pela Energia Solar efetivamente absorvida pela Terra, deste valor:
  • 8.
    66,6 % evaporam aágua dos oceanos e rios 23,3 % aquecem os solos 10 % aquecem o ar, produzindo ventos 0,1 % é usado por plantas marinhas e terrestres na fotossíntese Alimento para Energia Solar Parte desta energia é recuperada quando chove transformando-se em energia elétrica nas hidrelétricas Antigas plantas, hoje na forma de petróleo, gás e carvão, também constituem uma reserva de energia solar Alimento para o homem e animais
  • 9.
  • 10.
    •Custo de instalaçãoalto •Mas o custo de manutenção é baixo •O superaquecimento pode liberar compostos tóxicos na atmosfera Energia Térmica •Aparência antiestética •Praticamente isento de riscos ambientais
  • 11.
  • 12.
    •As células fotovoltaicasconvertem diretamente a radiação solar em eletricidade •São dispositivos semicondutores que absorvem fótons, gerando cargas positivas e negativas •No interior da célula existe um campo elétrico. O movimento Energia Fotovoltaica •No interior da célula existe um campo elétrico. O movimento dos elétrons através de uma barreira de campo elétrico cria uma corrente. •É utilizada com sucesso nas telecomunicações, bombeamento de água, refrigeração, eletrificação de cercas, etc.
  • 13.
    •A energia solarcusta entre 3 e 5 vezes mais •Exige altos investimentos iniciais •Apresenta baixa eficiência •Equipamentos antiestéticos •Precisam de fontes adicionais de energia Energia Fotovoltaica •Precisam de fontes adicionais de energia •Custo de manutenção reduzido •Impactos ambientais praticamente nulos
  • 14.
  • 15.
    • Transformação daenergia dos ventos em energia mecânica e desta em energia elétrica; • Assim como a solar, é uma fonte abundante de energia renovável, é limpa e está disponível em todos os lugares; Energia Eólica •Existe uma faixa de velocidades de vento para a qual os cata-ventos são produtivos • Baixo potencial no Brasil
  • 16.
    •Natureza intermitente dosventos •Limitações geográficas •Ausência de tecnologia para armazenagem de energia •Problemas com a resistência dos materiais Desvantagens Energia Eólica •Problemas com a resistência dos materiais Impactos •Rompimento de estruturas operacionais •Presença antiestética na paisagem •Hélices podem interferir em transmissões de rádio e tv
  • 17.
    Prédio com energiaeólica Prédio da San Francisco Public Utilities Commission, San Francisco, EUA responsável pelos serviços de água e geração de energia elétrica de Energia Eólica algumas cidades da região. Inauguração: setembro de 2012 Turbinas eólicas verticais Suprimento de 7% da energia do prédio Eficiência de 1/3 em relação a geradores eólicos comuns
  • 18.
    Cerca de 90%de toda a energia consumida no mundo vem dos combustíveis fósseis Vantagem: possibilidade de armazenamento Energia dos Combustíveis de Origem Fóssil Vantagem: possibilidade de armazenamento Países industrializados representam 20% da população e consomem 70% da energia do planeta Investimentos: Aplicação de tecnologia para economizar energia e para utilização de fontes de energia renovável
  • 19.
    •Fonte não renovável •Baseda movimentação do mundo após a Revolução Industrial Combustíveis de Origem Fóssil Petróleo Restos de vida aquática animal acumulados no fundo de oceanos primitivos e cobertos por sedimentos Utilização desde 4.000 a.C. (pavimentação, aquecimento, iluminação) – aflorava nas superfícies
  • 20.
    Petróleo •No sec XXa indústria de refino teve um impulso gigantesco (transportes e indústrias) •Em 1938, 30% da energia consumida no mundo provinha do petróleo •Nos anos 70 ocorreram duas crises do petróleo e com isso, instensificaram-se as buscas por fontes de energia alternativasinstensificaram-se as buscas por fontes de energia alternativas Exploração Perfurações no solo que mobilizam vários equipamentos e profissionais (eletricistas, mecânicos, plataformistas, soldadores, guincheiros, engenheiros)
  • 21.
    Plataforma continental =exploração marítima •Plataformas de aço presas ao fundo do mar ou navios-sonda •Custam mais caro, mas no Brasil produzem mais que os terrestres Petróleo produzem mais que os terrestres Vai para a refinaria para ser processado
  • 22.
  • 23.
    Impactos Ambientais daextração •Contaminação do ambiente com gases tóxicos •vazamentos de solventes orgânicos •emissão de calor •alto risco de explosões Petróleo •alto risco de explosões •Afetam fauna, flora e pessoas que trabalham no local ou moram nas proximidades
  • 24.
    Gás Natural •Combustível fóssilgasoso, contendo carbono e hidrogênio, ocorrendo em jazidas ou depósitos subterrâneos •Pode estar associado ao petróleo ou pode partir de jazidas exclusivas •Um dos combustíveis mais consumidos na Terra•Um dos combustíveis mais consumidos na Terra •Também é utilizado para estimular a produção de petróleo, através de reinjeção nos poços e posterior recuperação. Impactos ambientais da exploração Semelhantes aos da exploração do petróleo
  • 25.
    Carvão Mineral Formado portroncos, raízes, galhos e folhas de árvores gigantes que cresceram há milhões de anos em pântanos rasos. O tempo e a pressão da terra sobre o material transformaram-O tempo e a pressão da terra sobre o material transformaram- no em uma massa negra – o carvão A combustão do carvão, para produção de vapor, foi a principal alavanca para o progresso da humanidade em direção à industrialização => máq a vapor
  • 26.
    Atualmente, o maioruso é em usinas termoelétricas Tecnologia desenvolvida e economicamente competitiva Carvão Mineral
  • 27.
    Impactos ambientais •Emissão depoluentes •Descarte de resíduos sólidos Carvão Mineral •Descarte de resíduos sólidos •Poluição térmica •Riscos inerentes à mineração •Estrutura da usina traz riscos aos operários
  • 28.
  • 29.
    Cana-de-açúcar •A cada toneladade cana processada são produzidos alguns litros de álcool e muitos litros de vinhaça •Seu cultivo aumentou devido ao Proálcool de 1975 •Fonte renovável, mas por se tratar de monocultura, há riscos de surtos de pragas ou doenças Problemas e soluçõesProblemas e soluções Grande volume de resíduos (bagaço e vinhaça) Bagaço: •Indústria de papel •Gado •Combustível na usina Vinhaça: •Metano para combustível •Intensas pesquisas para sua redução
  • 30.
  • 31.
    •Essencial para ospaíses que não dispõem de recursos hídricos para produção de hidroeletricidade •França – 75% de sua energia é nuclear •Semelhante a termoelétrica (difere na forma como o vapor é produzido) Energia Nuclear produzido) Processo de fissão nuclear
  • 32.
    Pontos Positivos As reservasde energia nuclear são muito maiores que as reservas de combustíveis fósseis Não produz poluição ambiental A usina nuclear requer menores áreas Maior independência energética para os países que Energia Nuclear Maior independência energética para os países que dependem de petróleo estrangeiro Impactos Ambientais Aquecimento da água do mar ou rios Emissão de resíduos radioativos Riscos inerentes ao enriquecimento do urânio Riscos de explosão por superaquecimento
  • 33.
    Energia Nuclear Combustível =urânio enriquecido
  • 34.
    Usina com capacidadede 1.000MW necessita de 100 toneladas de urânio natural para dar origem a 35 toneladas de urânio enriquecido Energia Nuclear
  • 35.
  • 36.
    ... evolução paraUsina Hidrelétrica Energia Mecânica das águas transformada em Energia Hidráulica águas transformada em Energia Elétrica
  • 37.
  • 38.
    Barragens Com o deslocamentoda água do alto da barragem para baixo, são movimentadas turbinas, que operam geradores de corrente elétrica por indução magnética Pontos Positivos Energia Hidráulica Pontos Positivos •Alta eficiência = 95% •Custo do combustível é nulo (apesar do alto investimento inicial e de manutenção) •É uma fonte renovável •Controle de enchentes, irrigação •Turismo, recreação
  • 39.
    Pontos negativos •Riscos aostrabalhadores pela construção de grande porte •Inundação de grandes áreas •Realocação da população •Prejuízo à fauna e à flora •Alterações no regime hidráulico dos rios•Alterações no regime hidráulico dos rios •Extinção de peixes que dependem da correnteza do rio para reprodução •Emissão de metano Necessidade de medidas que minimizem esses impactos
  • 40.
  • 41.
    •As marés sãoinfluenciadas pela força gravitacional do Sol e da Lua •são construídos diques que envolvem uma praia. Quando a maré enche a água entra e fica armazenada no dique; ao baixar a maré, a água sai pelo dique como em qualquer outra barragem. •As usinas devem localizar-se em baías Energia das Marés •O desnível deve ser superior a 8m •Necessários altos investimentos •Eficiência baixa •Destruição da fauna e flora No Brasil, locais favoráveis: São Luis, Macapá
  • 42.
  • 43.
    •É a energiacalorífera gerada pelo magma •O aproveitamento comercial tem se limitado à utilização do vapor ou água quente do subsolo na movimentação de turbinas e geração de eletricidade •Começou nos EUA, em 1960, nos campos de gêiseres na Califórnia Pontos negativos Energia Geotérmica Pontos negativos •Aquecimento ambiental de 80% da energia extraída •Muito ruído •Libera gases nocivos No estágio atual de desenvolvimento, a energia geotérmica é bem mais cara que a eólica, mas é bem mais barata que a solar e tem custos comparáveis com a biomassa
  • 44.
    A geração deenergia no Brasilno Brasil
  • 45.
    Empreendimentos em Operação Tipo CapacidadeInstalada % Total %N.° de Usinas (kW) N.° de Usinas (kW) Hidro 1.080 85.559.680 64,24 1.080 85.559.680 64,24 Gás Natural 111 11.945.109 8,87 150 13.628.772 10,23 Processo 39 1.683.663 1,26 Petróleo Óleo Diesel 1.087 3.502.707 2,63 1.120 7.451.530 5,60 Óleo Residual 33 3.948.823 2,96 Biomassa Bagaço de Cana 375 9.156.436 6,87 472 11.225.482 8,43 Licor Negro 16 1.530.182 1,15 Madeira 50 422.837 0,32Biomassa 472 11.225.482 8,43Madeira 50 422.837 0,32 Biogás 22 79.594 0,06 Casca de Arroz 9 36.433 0,03 Nuclear 2 1.990.000 1,49 2 1.990.000 1,49 Carvão Mineral Carvão Mineral 12 3.024.465 2,27 12 3.024.465 2,27 Eólica 103 2.137.372 1,60 103 2.137.372 1,60 Importação Paraguai 5.650.000 5,46 8.170.000 6,13 Argentina 2.250.000 2,17 Venezuela 200.000 0,19 Uruguai 70.000 0,07 Total 2.973 133.194.419 100 2.973 133.194.419 100