Raios X e Difração Bragg;
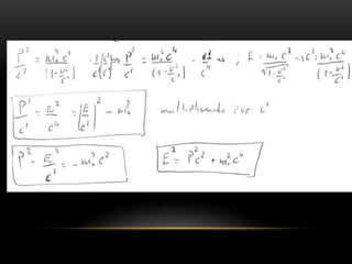
Momento relativístico e Energia relativística
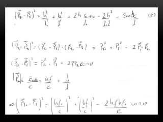
EFEITO COMPTON
RAIOS X
• Os raios X foram descobertos em 1895, por Wilhelm Rontgen
com raios catódicos (feixe de elétrons acelerados) os raios X
eram produzidos quando os elétrons colidiam com paredes de
tubo evacuado, e Rontgen mostrou que se propagavam em linha
reta e tinham um grande poder de penetração.
• λ(luz visível) ≈ 400 a 700 nanômetros
• λ(x) ≈ 0,1 nanômetro
O catodo é aquecido por outro
circuito, fazendo com que haja
emissão de elétrons.
O elétron é acelerado pela
diferença de potencial. A colisão
do elétron com anodo gera a
emissão de raios X.
Elétrons podem provocar a emissão de fótons
Difração Bragg
• Willian Lawrence Bragg mostrou que: os raios X eram fenômenos
ondulatório.
• Considere a figura:
Imagine que haja reflexão de um raio por um desses planos,
isto é, que, ao incidir sobre um átomo desse plano numa direção
que forma um ângulo Θ com o plano, o raio seja refletido segundo
o mesmo ângulo. É preciso que a diferença de caminho seja
múltiplo inteiro de λ:
Energia e momento relativístico
Efeito Compton
CURIOSIDADE
O efeito Compton é o responsável pelo chamado pulso eletromagnético
(PEM) provocado pelas explosões termonucleares na alta atmosfera. Os
raios X e os raios gama que são emitidos nessas explosões efetuam
colisões Compton com os elétrons na atmosfera superior e os deslocam
energicamente para a frente. Esse súbito aparecimento de uma grande
carga elétrica acelerada provoca o surgimento de campos
eletromagnéticos intensos que podem causar grandes perturbações nos
circuitos elétricos sem blindagem, na superfície da Terra.O efeito foi
observado pela primeira vez quando os circuitos de potência e de
comunicações no Havaí sofreram um colapso durante um teste de
explosão nuclear na atmosfera realizado sobre o oceano Pacífico, a
muitos quilômetros de distância.
REFERÊNCIAS
NUSSENZVEIG, Hersh Moysés. Curso de Física Básica 4: Ótica, Relatividade, Física
Quântica. p. 122-128, 254-257. 1ª ed. 7ª reimpressão. São Paulo: Ed- gard Blucher, 2008

Efeito compton

  • 1.
    Raios X eDifração Bragg; Momento relativístico e Energia relativística EFEITO COMPTON
  • 2.
    RAIOS X • Osraios X foram descobertos em 1895, por Wilhelm Rontgen com raios catódicos (feixe de elétrons acelerados) os raios X eram produzidos quando os elétrons colidiam com paredes de tubo evacuado, e Rontgen mostrou que se propagavam em linha reta e tinham um grande poder de penetração. • λ(luz visível) ≈ 400 a 700 nanômetros • λ(x) ≈ 0,1 nanômetro
  • 3.
    O catodo éaquecido por outro circuito, fazendo com que haja emissão de elétrons. O elétron é acelerado pela diferença de potencial. A colisão do elétron com anodo gera a emissão de raios X. Elétrons podem provocar a emissão de fótons
  • 4.
    Difração Bragg • WillianLawrence Bragg mostrou que: os raios X eram fenômenos ondulatório. • Considere a figura: Imagine que haja reflexão de um raio por um desses planos, isto é, que, ao incidir sobre um átomo desse plano numa direção que forma um ângulo Θ com o plano, o raio seja refletido segundo o mesmo ângulo. É preciso que a diferença de caminho seja múltiplo inteiro de λ:
  • 5.
    Energia e momentorelativístico
  • 9.
  • 16.
    CURIOSIDADE O efeito Comptoné o responsável pelo chamado pulso eletromagnético (PEM) provocado pelas explosões termonucleares na alta atmosfera. Os raios X e os raios gama que são emitidos nessas explosões efetuam colisões Compton com os elétrons na atmosfera superior e os deslocam energicamente para a frente. Esse súbito aparecimento de uma grande carga elétrica acelerada provoca o surgimento de campos eletromagnéticos intensos que podem causar grandes perturbações nos circuitos elétricos sem blindagem, na superfície da Terra.O efeito foi observado pela primeira vez quando os circuitos de potência e de comunicações no Havaí sofreram um colapso durante um teste de explosão nuclear na atmosfera realizado sobre o oceano Pacífico, a muitos quilômetros de distância.
  • 17.
    REFERÊNCIAS NUSSENZVEIG, Hersh Moysés.Curso de Física Básica 4: Ótica, Relatividade, Física Quântica. p. 122-128, 254-257. 1ª ed. 7ª reimpressão. São Paulo: Ed- gard Blucher, 2008