Resistência dos Materiais II:
Juntas Soldadas
Prof. Jorge A. R. Durán
Enga. Mecânica UFF – Volta Redonda
duran@vm.uff.br
June 15 1
Objetivo
• Análise e aplicação da metodologia de
dimensionamento de cordões de solda a
cargas estáticas.
Bibliografia Principal
• Juvinall RC, Marshek KM (2012), “Fundamentals
of Machine Component Design”. John Wiley &
Sons, Inc, fifth edition, USA.
June 15 2
Principais Processos de Soldagem
SMAW
June 15 3
Eletrodos Revestidos
June 15 4
Eletrodos Revestidos
June 15 5
Cordão de Solda e Escória
June 15 6
Principais Processos de Soldagem
GTAW
June 15 7
Principais Processos de Soldagem
GMAWJune 15 8
Principais Processos de Soldagem
FCAWJune 15 9
Principais Processos de Soldagem
SAW
June 15 10
Principais Processos de Soldagem
SAWJune 15 11
Componentes de Máquinas onde se
utiliza o processo de soldagem. a)
Volante, b) alavanca e c) bloco de
mancal
June 15 12
Juntas de Topo: A resistência das soldas deve
ser igual ou superior à do metal de base.
Juntas Sujeitas a Carregamento
Estático Axial
June 15 13
Exemplo
• 11.4 p. 264 – Duas placas de aço de ½ in.
com so=52.5 Ksi são soldadas de topo.
Varetas da série E60 são utilizadas. Qual
é a carga de tração que pode ser aplicada
às placas por polegada de comprimento
da junta soldada com FS=3.
• Resp: 8klb/in.
June 15 14
lh
V
A
V


707.0

Juntas de Filete Sujeitas a
Cisalhamento Direto
• Tanto para carregamento paralelo quanto
transversal considera-se a tensão cisalhante
na seção mais estreita (altura t).
June 15 15
Juntas Sujeitas a Cisalhamento Direto
• No caso de cisalhamento direto (carregamento
transversal) uma das chapas tende a cisalhar a solda
enquanto que a outra a traciona (ou comprime).
• Considerar em todos os casos a tensão cisalhante na
seção de altura t e comprimento l é um
procedimento conservativo ou não? Explique.
June 15 16
Exemplo
• Ex. 11.1 p. 264 Juvinall 4a ed.: As placas
de aço so=50Ksi são unidas por filetes
carregados transversalmente. Cada uma
das soldas possui 4in de comprimento.
Varetas de solda da série E60 são
utilizadas. Qual a menor dimensão h da
solda a ser utilizada se uma força de
33Kip deve ser aplicada com um FS de 3.
June 15 17
Exemplo
June 15 18
• Ex. 11.1 p. 264 Juvinall 4a ed. (cont.)
Juntas Sujeitas a Carregamento Estático de
Cisalhamento Direto + Flexão e Torção
• A partir de hipóteses simplificadoras consideram-se as
seguintes tensões:
• Cisalhantes diretas, calculadas como nos exemplos
anteriores e consideradas uniformemente distribuídas ao
longo do comprimento de todas as soldas.
• Superpostas de flexão e torção, calculadas como s=Mc/I
e =Tr/J com I e J calculados na seção mais estreita da
solda (altura t) e de acordo com o esquema do próximo
slide.
• No cálculo dos momentos de área para definir o
centróide das soldas e na determinação dos momentos
de inércia, a dimensão t é admitida como sendo muito
pequena em relação às outras dimensões.June 15 19
June 15 20
June 15 21
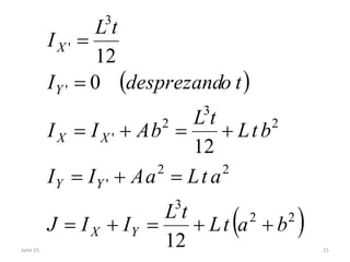
 
 22
3
22
'
2
3
2
'
'
3
'
12
12
0
12
batL
tL
IIJ
atLaAII
btL
tL
bAII
todesprezandI
tL
I
YX
YY
XX
Y
X





June 15 22
t
J
Ju 
June 15 23
t
I
Iu 
June 15 24
June 15 25
Juntas Sujeitas a Carregamento Estático de
Cisalhamento Direto + Torção. Exemplo
Resolvido 11.3 p. 258 do Juvinall.
June 15 26
Juntas Sujeitas a Carregamento Estático de
Cisalhamento Direto + Torção. Exemplo
Resolvido 11.3 p. 258 do Juvinall.
June 15 27
Juntas Sujeitas a Carregamento Estático de
Cisalhamento Direto + Flexão. Exemplo
Resolvido 11.4 p. 260 do Juvinall.
June 15 28
Exemplo: Problema
11.13 p. 265 Juvinall 4ª
ed.: O suporte mostrado
deve sustentar uma carga
total (aplicada no meio
da barra) de 60KN. Qual
a dimensão necessária
da solda para FS=3 e
varetas E60?
June 15 29
Example: Problem 11.14
p. 265 Juvinall 4ª ed.:
What weld size is
required to give a safety
factor of 3.0 if E60 series
welding rod is used?
Exercícios
• Estudar exemplos resolvidos do Juvinall 4ª ed.
• Problemas correspondentes às seções 11.4 e
11.5 (11.1 até o 11.15) página 265 do Juvinall.
June 15 30

Calculo resistencia de solda

  • 1.
    Resistência dos MateriaisII: Juntas Soldadas Prof. Jorge A. R. Durán Enga. Mecânica UFF – Volta Redonda duran@vm.uff.br June 15 1
  • 2.
    Objetivo • Análise eaplicação da metodologia de dimensionamento de cordões de solda a cargas estáticas. Bibliografia Principal • Juvinall RC, Marshek KM (2012), “Fundamentals of Machine Component Design”. John Wiley & Sons, Inc, fifth edition, USA. June 15 2
  • 3.
    Principais Processos deSoldagem SMAW June 15 3
  • 4.
  • 5.
  • 6.
    Cordão de Soldae Escória June 15 6
  • 7.
    Principais Processos deSoldagem GTAW June 15 7
  • 8.
    Principais Processos deSoldagem GMAWJune 15 8
  • 9.
    Principais Processos deSoldagem FCAWJune 15 9
  • 10.
    Principais Processos deSoldagem SAW June 15 10
  • 11.
    Principais Processos deSoldagem SAWJune 15 11
  • 12.
    Componentes de Máquinasonde se utiliza o processo de soldagem. a) Volante, b) alavanca e c) bloco de mancal June 15 12
  • 13.
    Juntas de Topo:A resistência das soldas deve ser igual ou superior à do metal de base. Juntas Sujeitas a Carregamento Estático Axial June 15 13
  • 14.
    Exemplo • 11.4 p.264 – Duas placas de aço de ½ in. com so=52.5 Ksi são soldadas de topo. Varetas da série E60 são utilizadas. Qual é a carga de tração que pode ser aplicada às placas por polegada de comprimento da junta soldada com FS=3. • Resp: 8klb/in. June 15 14
  • 15.
    lh V A V   707.0  Juntas de FileteSujeitas a Cisalhamento Direto • Tanto para carregamento paralelo quanto transversal considera-se a tensão cisalhante na seção mais estreita (altura t). June 15 15
  • 16.
    Juntas Sujeitas aCisalhamento Direto • No caso de cisalhamento direto (carregamento transversal) uma das chapas tende a cisalhar a solda enquanto que a outra a traciona (ou comprime). • Considerar em todos os casos a tensão cisalhante na seção de altura t e comprimento l é um procedimento conservativo ou não? Explique. June 15 16
  • 17.
    Exemplo • Ex. 11.1p. 264 Juvinall 4a ed.: As placas de aço so=50Ksi são unidas por filetes carregados transversalmente. Cada uma das soldas possui 4in de comprimento. Varetas de solda da série E60 são utilizadas. Qual a menor dimensão h da solda a ser utilizada se uma força de 33Kip deve ser aplicada com um FS de 3. June 15 17
  • 18.
    Exemplo June 15 18 •Ex. 11.1 p. 264 Juvinall 4a ed. (cont.)
  • 19.
    Juntas Sujeitas aCarregamento Estático de Cisalhamento Direto + Flexão e Torção • A partir de hipóteses simplificadoras consideram-se as seguintes tensões: • Cisalhantes diretas, calculadas como nos exemplos anteriores e consideradas uniformemente distribuídas ao longo do comprimento de todas as soldas. • Superpostas de flexão e torção, calculadas como s=Mc/I e =Tr/J com I e J calculados na seção mais estreita da solda (altura t) e de acordo com o esquema do próximo slide. • No cálculo dos momentos de área para definir o centróide das soldas e na determinação dos momentos de inércia, a dimensão t é admitida como sendo muito pequena em relação às outras dimensões.June 15 19
  • 20.
  • 21.
    June 15 21   22 3 22 ' 2 3 2 ' ' 3 ' 12 12 0 12 batL tL IIJ atLaAII btL tL bAII todesprezandI tL I YX YY XX Y X     
  • 22.
  • 23.
  • 24.
  • 25.
    June 15 25 JuntasSujeitas a Carregamento Estático de Cisalhamento Direto + Torção. Exemplo Resolvido 11.3 p. 258 do Juvinall.
  • 26.
    June 15 26 JuntasSujeitas a Carregamento Estático de Cisalhamento Direto + Torção. Exemplo Resolvido 11.3 p. 258 do Juvinall.
  • 27.
    June 15 27 JuntasSujeitas a Carregamento Estático de Cisalhamento Direto + Flexão. Exemplo Resolvido 11.4 p. 260 do Juvinall.
  • 28.
    June 15 28 Exemplo:Problema 11.13 p. 265 Juvinall 4ª ed.: O suporte mostrado deve sustentar uma carga total (aplicada no meio da barra) de 60KN. Qual a dimensão necessária da solda para FS=3 e varetas E60?
  • 29.
    June 15 29 Example:Problem 11.14 p. 265 Juvinall 4ª ed.: What weld size is required to give a safety factor of 3.0 if E60 series welding rod is used?
  • 30.
    Exercícios • Estudar exemplosresolvidos do Juvinall 4ª ed. • Problemas correspondentes às seções 11.4 e 11.5 (11.1 até o 11.15) página 265 do Juvinall. June 15 30