1GeografiaAtlas digital
2
3Território NacionalA. AçoresA. MadeiraContinentehttp://mapas.igeo.pt/
4A posição de Portugal na Europa e no Mundo ‐ Localização relativa do território954,60Km1712,34Km954,60Km1224,01Km1712,34Km1224,01Km
5OesteSudoesteSudesteNorteNoroesteSudoesteEsteSudoesteSul
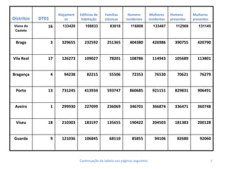
6Distritos de Portugal
7Continuação da tabela nas páginas seguintes
8Continuação da tabela na página seguinte
9
10Concelhos do Distrito de Braga
11Concelhos do Distrito de BragaBarcelosCelorico de BastoEsposendeFafeGuimarãesPóvoa de LanhosoTerras de BouroVieira do MinhoVila Nova de FamalicãoVila VerdeVizela
12Concelhos dos Distritos de Braga - Guimarães
13Localização relativa do concelho de Guimarães
14Trabalho realizado por:Ana Isabel, Nº 2Ana Sofia Santos, Nº 6Nathália Lima, Nº 16Telma Faria, Nº 26

Atlas digital