MANUAL DE PROGRAMAÇÃO E
OPERAÇÃO
ROMI LINHA D - CNC SIEMENS 828D
ROMI
®
T60356F
INDÚSTRIAS ROMI S/A
DIVISÃO DE COMERCIALIZAÇÃO:
Rua Coriolano, 710 Lapa
05047-900 São Paulo - SP - Brasil
Fone (11) 3873-3388
Fax (11) 3865-9510
MATRIZ:
Avenida Pérola Byington, 56 Centro
13453-900 Santa Bárbara D’Oeste - SP - Brasil
Fone (19) 3455-9000
Fax (19) 3455-2499
T60356F	 Programação e Operação - Linha D - Siemens 828D	 III
ÍNDICE
PARTE I - PROGRAMAÇÃO
LINGUAGEM ISO
1 - APRESENTAÇÃO_ __________________________________________ 2
1.1 - ANTES DE PROGRAMAR É NECESSÁRIO.......................................................2
2- ANTES DE PROGRAMAR É NECESSÁRIO...______________________ 3
2.1 - BLOCOS DE DADOS...........................................................................................3
2.2 - PROGRAMA.........................................................................................................3
3 - GERENCIAMENTO DE ARQUIVOS E PROGRAMAS_ ______________ 4
4 - SISTEMA DE COORDENADAS_________________________________ 6
4.1 - COORDENADAS ABSOLUTAS...........................................................................7
4.2 - COORDENADAS INCREMENTAIS......................................................................7
4.3 - COORDENADAS POLARES................................................................................8
5- FUNÇÃO: D, S, T, M6/TROCA__________________________________ 9
6- FUNÇÃO: BARRA ( / ), N, MSG, PONTO E VÍRGULA ( ; )____________ 10
7- FUNÇÕES PREPARATÓRIAS__________________________________11
8 - FUNÇÕES MISCELÂNEAS___________________________________ 14
9 - FLUXOGRAMA DE PROGRAMAÇÃO___________________________ 15
9.1 - MÁQUINAS EQUIPADAS COM MAGAZINE PARA 20 FERRAMENTAS..........15
9.2 - MÁQUINAS EQUIPADAS COM MAGAZINE PARA 30 FERRAMENTAS (ATC).16
10 - FUNÇÕES DE INTERPOLAÇÃO______________________________ 17
10.1 - FUNÇÃO: G00 - POSICIONAMENTO RÁPIDO...............................................17
10.2 - FUNÇÃO: G01 - INTERPOLAÇÃO LINEAR....................................................17
10.3 - FUNÇÕES: G02 E G03 - INTERPOLAÇÃO CIRCULAR.................................18
10.3.1 - Função TURN - Interpolação Helicoidal..............................................20
10.4 - FUNÇÕES: CHF/CHR E RND/RNDM..............................................................22
10.5 - FUNÇÕES: G331 E G332 - ROSCAMENTO PASSO A PASSO COM MACHO
RÍGIDO...............................................................................................................24
11 - TEMPO DE PERMANÊNCIA_________________________________ 25
11.1 - FUNÇÃO: G04..................................................................................................25
IV	 Programação e Operação - Linha D - Siemens 828D	 T60356F
12 - COMPENSAÇÃO DE RAIO DE FERRAMENTA__________________ 26
12.1 - FUNÇÕES: G40, G41 E G42...........................................................................26
13 - PROGRAMAÇÃO COM COORDENADAS POLARES_____________ 28
13.1 - FUNÇÃO: G111................................................................................................28
14 - OUTRAS FUNÇÕES PREPARATÓRIAS________________________ 29
14.1 - FUNÇÕES: G17, G18 E G19...........................................................................29
14.2 - FUNÇÕES: G500, G53 E SUPA.......................................................................29
14.3 - FUNÇÕES: G54 A G59 E G507 A G599...........................................................30
14.4 - FUNÇÕES: G09 E G60....................................................................................30
14.5 - FUNÇÃO: G64, G641, G642............................................................................30
14.6 - FUNÇÃO: G70..................................................................................................31
14.7 - FUNÇÃO: G71..................................................................................................31
14.8 - FUNÇÃO: G90..................................................................................................31
14.9 - FUNÇÃO: G91..................................................................................................32
14.10 - FUNÇÃO: G94................................................................................................32
14.11 - FUNÇÃO: G95................................................................................................32
15 - REPETIÇÕES E DESVIOS__________________________________ 33
16 - SUBPROGRAMA__________________________________________ 36
17 - MCALL - CHAMADA MODAL DE CICLO E SUBPROGRAMA_ ______ 38
18 - FUNÇÃO OFFN._ _________________________________________ 40
19 - CICLOS FIXOS.___________________________________________ 41
19.1 - CYCLE81..........................................................................................................42
19.2 - CYCLE82..........................................................................................................44
19.3 - CYCLE83..........................................................................................................46
19.4 - CYCLE84..........................................................................................................49
19.5 - CYCLE85..........................................................................................................52
19.6 - CYCLE86..........................................................................................................54
19.7 - CYCLE70..........................................................................................................56
19.8 - HOLES1............................................................................................................59
19.9 - HOLES2............................................................................................................61
19.10 - CYCLE801......................................................................................................63
19.11 - LONGHOLE....................................................................................................65
19.12 - SLOT1............................................................................................................67
19.13 - SLOT2............................................................................................................70
19.14 - ABRIR RANHURA .........................................................................................73
19.15 - POCKET3.......................................................................................................76
T60356F	 Programação e Operação - Linha D - Siemens 828D	 V
19.16 - POCKET4.......................................................................................................79
19.17 - CYCLE76........................................................................................................82
19.18 - CYCLE77........................................................................................................85
19.19 - CYCLE79........................................................................................................88
19.20 - CYCLE61........................................................................................................90
19.21 - CYCLE63........................................................................................................92
20 - FUNÇÕES DE TRANSFORMAÇÃO___________________________ 95
20.1 - FUNÇÃO: TRANS, ATRANS............................................................................95
20.2 - FUNÇÃO: ROT, AROT......................................................................................97
20.3 - FUNÇÃO: SCALE, ASCALE.............................................................................99
20.4 - FUNÇÃO: MIRROR, AMIRROR.....................................................................100
21 - PROGRAMAÇÃO NOS PLANOS G18 E G19___________________ 102
22 - MOLDES E MATRIZES____________________________________ 104
22.1 - TELA CONVERSACIONAL DE CONTROLE DAS FUNÇÕES DE USINAGEM
PARA MOLDES E MATRIZES..........................................................................104
22.1.1 Exemplos de programação do “CYCLE 832” :....................................106
23 - QUARTO EIXO_ _________________________________________ 107
23.1 - INTRODUÇÃO................................................................................................107
23.2 - INTERPOLAÇÃO DO 4° EIXO COM EIXO LINEAR......................................107
23.3 - MÉTODOS DE PROGRAMAÇÃO..................................................................108
23.3.1 - Programação Simples.......................................................................108
23.3.2 - Programação Avançada - Função TRACYL...................................... 112
23.4 - EXEMPLOS DE PROGRAMAÇÃO................................................................ 119
24 - GRÁFICOS DE POTÊNCIA_________________________________ 126
25 - PARÂMETROS DE CÁLCULO R_____________________________ 128
25.1 - PARÂMETROS DE CÁLCULO “R”.................................................................128
25.1.1 - Explanação:.......................................................................................128
25.1.2 - Aplicação:..........................................................................................128
25.1.3 - Atribuição de valores:........................................................................128
25.1.4 - Aplicação dos parâmetros dentro do programa:................................129
25.1.5 - Operações/funções aritméticas:........................................................129
25.2 - OPERADORES / FUNÇÕES ARITMÉTICAS.................................................130
25.2.1- Principais operadores e funções aritméticas:.....................................130
25.2.2 - Função aritmética ATAN2(___,___)...................................................130
25.3 - OPERADORES DE COMPARAÇÃO E LÓGICOS.........................................131
25.3.1 - Operadores de comparação:.............................................................131
25.3.2 - Operadores Lógicos:.........................................................................131
25.4 - EXEMPLOS DE PROGRAMAS PARAMETRIZADOS...................................132
VI	 Programação e Operação - Linha D - Siemens 828D	 T60356F
PARTE II - OPERAÇÃO
1- PAINEL DE COMANDO DA LINHA D - COMANDO SIEMENS 828____ 149
1.1 - PAINEL DE EXIBIÇÃO...........................................................................150
1.2 - PAINEL DE PROGRAMAÇÃO...............................................................150
1.3 - PAINEL DE OPERAÇÃO........................................................................152
2 - OPERAÇÕES INICIAIS_____________________________________ 156
2.1 - LIGAR A MÁQUINA..........................................................................................156
2.2 - REFERENCIAR A MÁQUINA...........................................................................156
2.2.1 - Referenciar a máquina através da rotina de referenciamento............156
2.2.2 - Referenciar a máquina eixo por eixo...................................................156
2.3 - MOVIMENTAR OS EIXOS MANUALMENTE...................................................156
2.3.1 - Através do jog contínuo no painel de operação..................................156
2.3.2 - Através do jog contínuo no painel remoto...........................................157
2.3.3 - Através da manivela eletrônica............................................................158
2.3.4 - Através do jog incremental..................................................................158
2.4 - OPERAR O COMANDO ATRAVÉS DA FUNÇÃO T,S,M..................................159
2.4.1 - Executar troca de ferramenta..............................................................159
2.4.2 - Ligar o eixo árvore...............................................................................160
2.4.3 - Posicionamento angular do eixo árvore..............................................160
2.4.4 - Ativar funções miscelâneas.................................................................160
2.4.5 - Ativar deslocamento de ponto zero (G54 - G57 ou G505 - G599)......160
2.4.6 - Ativar o sistema de medidas................................................................161
2.5 - POSICIONAMENTO DOS EIXOS ATRAVÉS DA FUNÇÃO POSIÇÃO............161
2.6 - CARREGAR AS FERRAMENTAS NO MAGAZINE (TAF) ATRAVÉS DO EIXO
ÁRVORE..........................................................................................................162
3 - ENTRADA MANUAL DE DADOS (MDA)________________________ 163
4 - EDIÇÃO DE PROGRAMAS__________________________________ 164
4.1 - CRIAR UMA NOVA PASTA DE PROGRAMAS ................................................164
4.2 - CRIAR UM PROGRAMA NOVO......................................................................165
4.3- RENOMEAR UM PROGRAMA OU UMA PASTA..............................................165
4.4 - COPIAR UM PROGRAMA COMPLETO OU UMA PASTA..............................165
4.5 - APAGAR UM PROGRAMA OU UMA PASTA....................................................165
4.6 - EDITAR UM PROGRAMA EXISTENTE NO DIRETÓRIO................................166
4.7 - NUMERAR OS BLOCOS DE PROGRAMA DE FORMA AUTOMÁTICA.........166
4.8 - PROCURAR UM DADO NO PROGRAMA.......................................................166
4.9 - COPIAR UMA PARTE DO PROGRAMA..........................................................167
4.10 - APAGAR DADOS NO PROGRAMA...............................................................167
4.11 - APAGAR BLOCOS DO PROGRAMA.............................................................167
4.12 - PROGRAMAÇÃO DE CICLOS DE FORMA INTERATIVA.............................167
4.13 - ALTERAR DADOS DOS CICLOS DE FORMA INTERARIVA.........................167
T60356F	 Programação e Operação - Linha D - Siemens 828D	 VII
4.14 - PROCURAR DADOS NO PROGRAMA...............................................168
4.15 - ALTERAR DADOS NO PROGRAMA...................................................168
5 - COMUNICAÇÃO DE DADOS_______________________________________169
5.1 - COMUNICAÇÃO ATRAVÉS DA PORTA CF - COMPACTFLASH....................169
5.1.1 - Hardwares recomendados para leitura e gravação CF :.....................169
5.1.2 - Visualisar os arquivos do cartão de memória......................................170
5.1.3 - Carregar arquivos do cartão na memória da máquina........................170
5.1.4 - Salvar arquivos da memória da máquina no cartão............................170
5.2 - COMUNICAÇÃO ATRAVÉS DA ENTRADA USB ( ).............................171
5.2.1 - Hardwares recomendados para leitura e gravação USB :..................171
5.2.2 - Visualisar os arquivos do cartão de memória......................................171
5.2.3 - Carregar arquivos do cartão na memória da máquina........................172
5.2.4 - Salvar arquivos da memória da máquina no cartão............................172
5.3 - COMUNICAÇÃO ATRAVÉS DA REDE ENTHERNET......................................172
5.3.1 - Hardwares recomendados para leitura e gravação em REDE
ETHERNET....................................................................................................172
5.3.2 - Visualisar os arquivos do computador.................................................173
5.3.3 - Carregar arquivos do computador na máquina...................................173
5.3.4 - Salvar arquivos da memória da máquina no computador...................173
6 - TESTE DE PROGRAMAS._ _________________________________ 174
6.1 - EXECUTAR TESTE GRÁFICO DE PROGRAMA (MODO 1)...........................175
6.2 - EXECUTAR TESTE GRÁFICO DE PROGRAMA (MODO 2)...........................176
6.3 - EXECUTAR TESTE RÁPIDO DE PROGRAMA SEM MOVIMENTO DOS EIXOS
E SEM GIRO DO EIXO ÁRVORE....................................................................176
6.4- EXECUTAR TESTE DE PROGRAMA EM DRY RUN.......................................177
7 - REFERÊNCIAS DE FERRAMENTA_ __________________________ 178
7.1 - CRIAR UMA NOVA FERRAMENTA..................................................................178
7.2 - APAGAR UMA FERRAMENTA.........................................................................180
7.3 - PRESET DE FERRAMENTAS .........................................................................181
7.3.1 - Preset de ferramentas feito na máquina.............................................181
7.3.2 - Preset de ferramentas feito fora da máquina......................................183
7.4 - PREENCHER OS DADOS DAS FERRAMENTAS...........................................184
8 - DESGASTE DE FERRAMENTAS._____________________________ 185
8.1 - CORREÇÃO DE DESGASTE DE FERRAMENTA EM “Z”...............................185
8.2 - CORREÇÃO DE DESGASTE NO “RAIO” DA FERRAMENTA........................185
8.3 - CRIAR NOVOS CORRETORES DE FERRAMENTA.......................................186
9 - DEFINIÇÃO DO ZERO PEÇA________________________________ 187
9.1 - ZERO-PEÇA NA LATERAL DA PEÇA .............................................................187
9.2 - ZERO-PEÇA EM UMA PEÇA INCLINADA ......................................................189
9.3 - ZERO-PEÇA NO CENTRO DE UM FURO.......................................................190
VIII	 Programação e Operação - Linha D - Siemens 828D	 T60356F
9.4 - ZERO-PEÇA NO CENTRO DE UM RESSALTO CIRCULAR...........................191
9.5 - ZERO-PEÇA NO CENTRO DE UMA PEÇA RETANGULAR............................192
9.6 - EFETUAR CORREÇÃO NO ZERO-PECA (G54 - G59 E G507 - G599)..........193
10 - EXECUÇÃO DE PROGRAMAS______________________________ 195
10.1 - EXECUTAR UM PROGRAMA DISPONÍVEL NA MEMÓRIA DA MÁQUINA. .195
10.2 - EXECUTAR UM PROGRAMA DIRETO DE UM PERIFÉRICO EXTERNO (MODO
1)................................................................................................................................195
10.3 - EXECUTAR UM PROGRAMADIRETO DE UM PERIFÉRICO EXTERNO (MODO
2)......................................................................................................................195
10.4 - ABORTAR A EXECUÇÃO DE PROGRAMAS................................................196
10.5 - INICIAR EXECUÇÃO NO MEIO DO PROGRAMA........................................196
10.5.1 - Início no meio de um programa (Programa ISO)..............................196
10.5.2 - Início no meio de um programa do cartão ou do USB........................196
10.5.3 - Início no meio de um programa Shopmill..............................................197
10.5.4 - Início no meio de um programa Shopmill (Ciclo com várias posições)....197
10.5.5 - Início no meio de um programa que foi interrompido com “RESET” durante
a execução......................................................................................................198
10.6 - INTERROPER E CONTINUAR A EXECUÇÃO SEM ACIONAR “RESET”.....198
10.6.1 - Parar a usinagem sem acionar RESET.............................................198
10.6.2 - Retornar a execução.........................................................................198
10.6.3 - Retornar a usinagem utilizando a função REPOS............................199
11 - MONITORAMENTO DE VIDA ÚTIL DE FERRAMENTAS.__________ 200
11.1 - MONITORAMENTO DE VIDA ÚTIL POR QUANTIDADE DE PEÇAS...........200
11.2 - MONITORAMENTO DE VIDA ÚTIL POR TEMPO DE USINAGEM...............201
12. PROCEDIMENTO PARA FIXAR FERRAMENTAS GRANDES.______ 202
12.1- CARACTERÍSTICAS TÉCNICAS DO MAGAZINE DE FERRAMENTAS........202
12.2- MAGAZINE 20 FERRAMENTAS - D600.........................................................202
12.3- MAGAZINE 30 FERRAMENTAS - D800 - D1000 - D1250 - D1500................202
12.4 DESABILITAR A FERRAMENTA GRANDE......................................................204
13. AJUSTAR DATA E HORA.___________________________________ 205
14. NÍVEIS DE ACESSO.______________________________________ 206
PARTE III - TUTORIAL SHOPMILL
INICIANDO O SHOPMILL______________________________________ 210
EXEMPLO 1: GUIA LONGITUDINAL_ ____________________________ 212
1.1 - INICIANDO O PROGRAMA..............................................................................213
1.1.1 - Criar um diretório.................................................................................213
T60356F	 Programação e Operação - Linha D - Siemens 828D	 IX
1.1.2 - Criar um programa..............................................................................213
1.1.3 - Preencher os dados como mostra a figura abaixo:.............................214
1.1.4 - Zero-peça:...........................................................................................214
1.1.5 - Troca de ferramenta............................................................................215
1.2 - DESBASTANDO E ACABANDO O REBAIXO..................................................215
1.2.1 - Desbastar o rebaixo............................................................................216
1.2.2 - Troca de ferramenta............................................................................216
1.2.3 - Acabar o rebaixo..................................................................................217
1.3 - CRIANDO FUROS E ROSCAS COM MACHO:...............................................219
1.3.1 - Furar centrando:..................................................................................219
1.3.2 - Furar:...................................................................................................221
1.3.3 - Roscar com macho:.............................................................................222
1.4 - SIMULANDO GRAFICAMENTE:......................................................................224
1.4.1 - Simular graficamente: .........................................................................224
1.4.2 - Sair da simulação:...............................................................................224
1.5 - PROGRAMA SHOPMILL: ................................................................................225
EXEMPLO 2: MOLDE DE INJEÇÃO______________________________ 226
2.1 - CRIANDO UM NOVO PROGRAMA:................................................................227
2.2 - FRESANDO O CONTORNO FECHADO:........................................................227
2.2.1 - Desenhar o contorno:..........................................................................227
2.2.2 - Fresar o contorno (desbaste):.............................................................230
2.2.3 - Fresar o contorno (acabamento):........................................................230
2.3 - FRESANDO A CAVIDADE RETANGULAR:.....................................................231
2.3.1 - Fresar o cavidade (desbaste):.............................................................231
2.3.2 - Fresar o cavidade (acabamento):........................................................232
2.4 - FRESANDO AS CAVIDADES CIRCULARES:.................................................232
2.4.1 - Fresar as cavidades (desbaste):.........................................................233
2.4.2 - Fresar as cavidades (acabamento):....................................................233
2.4.3 - Posições das cavidades:.....................................................................234
2.5 - SIMULANDO GRAFICAMENTE:......................................................................235
2.5.1 - Simular graficamente: .........................................................................235
2.5.2 - Sair da simulação:...............................................................................235
2.6 - PROGRAMA SHOPMILL:.................................................................................236
EXEMPLO 3: PLACA DE MOLDE________________________________ 237
3.1 - CRIANDO UM NOVO PROGRAMA:................................................................238
3.2 - FRESANDO O CONTORNO ABERTO:............................................................238
3.2.1 - Desenhar o contorno:..........................................................................238
3.2.2 - Fresar o contorno: (desbaste).............................................................239
3.2.3 - Fresar o contorno: (acabamento) .......................................................240
3.3 - FRESANDO A CAVIDADE A PARTIR DE UM CONTORNO:...........................240
3.3.1 - Desenhar o contorno:..........................................................................240
3.3.2 - Desbastar a cavidade:........................................................................242
3.3.3 - Desbastar o material residual:.............................................................242
3.3.4 - Acabar o fundo da cavidade:...............................................................243
X	 Programação e Operação - Linha D - Siemens 828D	 T60356F
3.3.5 - Acabar as paredes da cavidade:.........................................................243
3.4 - FRESANDO AS CAVIDADES CIRCULARES:.................................................244
3.4.1 - Fresar a cavidade maior (desbaste):...................................................244
3.4.2 - Acabar a cavidade maior:....................................................................245
3.4.3 - Fresar a cavidade menor (desbaste):..................................................245
3.4.4 - Acabar a cavidade menor:...................................................................246
3.5 - CONSIDERANDO OBSTÁCULOS...................................................................246
3.5.1 - Furar centrando:..................................................................................246
3.5.2 - Furar:...................................................................................................247
3.6 - SIMULANDO GRAFICAMENTE:......................................................................250
3.6.1 - Simular graficamente: .........................................................................250
3.6.2 - Sair da simulação:...............................................................................250
3.7 - PROGRAMA SHOPMILL:.................................................................................251
PARTE IV - SISTEMA RENISHAW OMP-40
1 - INTRODUÇÃO _ __________________________________________ 254
2 - SISTEMA DE MEDIÇÃO E INSPEÇÃO DE PEÇAS (APALPADOR)___ 254
2.1 - LIGAR / DESLIGAR O APALPADOR................................................................254
2.2 - MOVIMENTO PROTEGIDO.............................................................................254
2.3 - CALIBRAÇÃO DO APALPADOR .....................................................................255
2.3.1 - Calibração do Comprimento do Apalpador (L9801):.................................255
2.4 - VARIÁVEIS OPCIONAIS DE ENTRADA DE DADOS......................................258
2.5 - VARIÁVEIS DE SAÍDA DE DADOS..................................................................259
2.5.1 - Visualizar as variáveis Renishaw........................................................259
2.5.2 - Variáveis utilizadas para saída de dados............................................259
2.6 - ROTINAS PARA MEDIÇÃO E INSPEÇÃO DE PEÇAS...................................260
2.6.1 - Medição de Superfície Simples em X, Y ou Z (L9811)........................260
2.6.2 - Medição de Ressalto ou Rebaixo (L9812)..........................................262
2.6.3 - Medição de Diâmetros Externos e Internos (L9814)...........................264
2.6.4 - Localização de um Canto Interno (L9815)..........................................266
2.6.5 - Localização de um Canto Externo (L9816).........................................267
2.6.6 - Resultados Geométricos (L9834)........................................................268
T60356F	 Programação e Operação - Linha D - Siemens 828D	 XI
T60356F	 Programação e Operação - Linha D - Siemens 828D	 1
1. Sistema de Coordenadas
Parte I -
Programação
Linguagem ISO
2	 Programação e Operação - Linha D - Siemens 828D	 T60356F
1. Apresentação
1 - APRESENTAÇÃO
Máquina a comando numérico: é aquela que possui um equipamento eletro-eletrônico,
aqui tratado como comando, o qual possibilita à mesma a execução de uma seqüência
automática de atividades.
Para efetuar uma usinagem de peças através de uma máquina ferramenta a CNC,
devemos tomar como referências dois itens:
a) Deve-se elaborar um programa a partir de um desenho da peça, através de
comandos interpretados pelo CNC. Esses comandos estão descritos neste manual na Parte
1 - Programação.
b) O programa deve ser lido pelo CNC. Deve-se preparar as ferramentas à peça
segundo a programação desenvolvida, depois deve-se executar o processo de usinagem.
Estes processos estão descritos neste manual na Parte 2 - Operação.
1.1 - ANTES DE PROGRAMAR É NECESSÁRIO...
A - Estudo do Desenho da Peça: Bruta e Acabada
Há necessidade de uma análise sobre a viabilidade de execução da peça em conta as
dimensões exigidas quantidade de material a ser removido, ferramental necessário, fixação
do material etc.
B - Estudos dos Métodos e Processos
Definir as fases de usinagem de cada peça a ser executada, estabelecendo assim o
que fazer e quando fazer.
C - Escolha das Ferramentas
A escolha de um bom ferramental é fundamental para um bom aproveitamento do
equipamento, bem como, a sua posição no magazine para minimizar o tempo de troca.
D - Conhecer os Parâmetros Físicos da Máquina e sua Programação
É preciso conhecer todos os recursos de programação disponíveis e a capacidade de
remoção de cavacos, bem como rotação máxima e número de ferramentas, visando minimizar
tempos de programação e operação.
E - Definição dos Parâmetros de Corte
Em função do material a ser usinado, buscar juntos ao fabricante de ferramentas, os
dados de cortes:
avanços, rotação e profundidade de corte.
NOTA: Este manual foi elaborado para funções básicas do comando, visando a
simplicidade de programação e operação, para informações complementares consultar
manuais originais do comando.
T60356F	 Programação e Operação - Linha D - Siemens 828D	 3
2. Antes de programar é necessário
2- ANTES DE PROGRAMAR É NECESSÁRIO...
Este manual foi elaborado somente para as funções básicas do comando, visando a
simplicidade de programação e operação.
Informamos que, por ser este comando modular, algumas funções apresentadas aqui
podem não fazer parte da configuração da máquina.
2.1 - BLOCOS DE DADOS
São agrupamentos de funções de comando e posicionamento em um único registro,
a fim de executar passo a passo, a ordem seqüencial do programa.
Um bloco consiste de um número seqüencial ( opcional ), seguido das funções de
comando.
O bloco tem a seguinte configuração:
N______ G_______ X _______ Y_______
N______ T________
N______ M________
Onde:
Função N =		 Número seqüencial
Função G = 	 Função preparatória
Funções X Y = 	 Funções de posicionamento
Função T =		 Seleciona ferramenta
Função M = 	 Funções Miscelâneas
A sintaxe completa de cada função será descrita adiante.
2.2 - PROGRAMA
É uma seqüência de blocos contendo funções de comando, as quais instruem o CNC,
sobre onde e como executar uma determinada operação.
4	 Programação e Operação - Linha D - Siemens 828D	 T60356F
3. Gerenciamento de arquivos e programas
3 - GERENCIAMENTO DE ARQUIVOS E PROGRAMAS
Para um manuseio mais flexível de dados e programas, estes podem ser visualizados,
armazenados e organizados de acordo com diferentes critérios.
Os programas e arquivos são armazenados em diferentes diretórios, ou seja, pastas
onde serão armazenados de acordo com a função ou características.
Exemplos de diretórios:
–– subprogramas
–– programas
–– peças
–– comentários
–– ciclos padrão
–– ciclos de usuário
Cada programa corresponde a um arquivo e todo arquivo possui uma extensão, esta
por sua vez informa qual tipo de arquivo estamos trabalhando.
Exemplo de extensões:
–– .MPF - programa principal
–– .SPF - subprograma
–– .TEA - dados de máquina
–– .SEA - dados de setting
–– .TOA - correções da ferramenta
–– .UFR - deslocamentos do ponto zero
–– .INI - arquivos de inicialização
–– .COM - comentário
–– .DEF - definição para dados globais
Para armazenarmos os arquivos de programas no CNC (máquina), via RS232
(comunicação serial), devemos endereça-los para os diretórios correspondentes de acordo
com o tipo de arquivo a ser armazenado.
A seguir temos os caminhos para efetuarmos a comunicação.
T60356F	 Programação e Operação - Linha D - Siemens 828D	 5
3. Gerenciamento de arquivos e programas
Memória Principal
_N_DEF_DIR
(Arquivos
definição)
_N_CST_DIR
(Ciclos
padrão)
_N_CUS_DIR
(Ciclos de
usuário)
_N_SPF_DIR
(Sub-
programas)
_N_MPF_DIR
(Programas
de Peças)
_N_WKS_DIR
(Peças de
Trabalho)
_N_CMA_DIR
(Ciclos de
fabric.)
_N_SMAC_DEF
_N_MMAC_DEF
_N_UMAC_DEF
_N_SGUD_DEF
_N_MGUD_DEF
_N_UGUD_DEF
_N_GUD4_DEF
:
:
_N_CYCLE82_SPF
_N_CYCLE83_SPF
_N_POCKET3_SPF
:
:
_N_COMMON_COM
_N_REC_TAF_SPF
_N_TAF_30_SPF
:
:
_N_SUB1_SPF
_N_PERFIL_SPF
_N_FUROS_SPF
:
:
_N_PEÇA1_MPF
_N_EXEMPLO_MPF
_N_CARCACA_MPF
_N_ROTOR_MPF
:
:
_N_CLIENTE1_WPD _N_CLIENTE2_WPD
_N_BOMBA1_MPF
_N_SUBBOMB_SPF
_N_BOMBA2_MPF
:
:
_N_VALVULA1_MPF
_N_VALVULA2_MPF
_N_SUBVALV1_SPF
:
:
_N_PROG_EVENT_SPF
:
:
Sintaxe de cabeçalho para armazenamento de programa:
%_N_(NOME DO PROGRAMA)_(TIPO DE EXTENSÃO DE ACORDO COM O TIPO DO ARQUIVO)
;$PATH=/(ENDEREÇO CORRESPONDENTE - VIDE GRÁFICO ACIMA)
Exemplos:
a)	Nome do Programa: “EXERCICIO” (MPF)
	 Local a ser armazenado: Programa de peças (MPF_DIR)
	Sintaxe:
	%_N_EXERCICIO_MPF
	;$PATH=/_N_MPF_DIR
b)	Nome do Programa: “FLANGE” (MPF)
	 Local a ser armazenado: Peças de trabalho (WKS_DIR)
	 Nome da pasta a ser armazenado: Cliente (WPD)
	Sintaxe:
	%_N_FLANGE_MPF
	;$PATH=/_N_WKS_DIR/_N_CLIENTE_WPD
6	 Programação e Operação - Linha D - Siemens 828D	 T60356F
4. Sistema de coordenadas
4 - SISTEMA DE COORDENADAS
Para que a máquina possa trabalhar com as posições especificadas, estas têm que ser
declaradas em um sistema de referência, que corresponde aos sentidos dos movimentos
dos carros (eixos X,Y,Z). Utiliza-se para este fim o sistema de coordenadas cartesianas.
			
Z +
Z -
X +
Y +X -
Y -
O sistema de coordenadas da máquina é formado por todos os eixos existentes
fisicamente na máquina.
A posição do sistema de coordenadas em relação a máquina depende do tipo de
máquina. As direções dos eixos seguem a chamada “regra da mão direita”
Z
Y
X
Quando estamos diante da máquina o dedo
médio representa o eixo da ferramenta, então
temos:
· o polegar a direção X+
· o dedo indicador a direção Y+
· o dedo médio a direção Z+
T60356F	 Programação e Operação - Linha D - Siemens 828D	 7
4. Sistema de coordenadas
4.1 - COORDENADAS ABSOLUTAS
15
20
35
22
10
25
35
30
45
42
Ponto 5
Y+
X-
Y-
X+
Ponto 1
Ponto 3
Ponto 2
Ponto 4
No sistema de coordenadas
absolutas as posições dos eixos
sempre tem como referência uma
mesma origem denominada zero
peça.
Exemplo:
Ponto Eixo X Eixo Y
1 20 35
2 42 22
3 -25 10
4 -30 -35
5 15 -45
4.2 - COORDENADAS INCREMENTAIS
15
20
35
22
10
25
35
30
45
42
Ponto 5
Y+
X-
Y-
X+
Ponto 1
Ponto 3
Ponto 2
Ponto 4
No sistema de coordenadas
incrementais as posições dos eixos
tem como referência sempre a última
posição programada.
Exemplo:
Ponto Eixo X Eixo Y
1 20 35
2 22 -13
3 -67 -12
4 -5 -45
5 45 -10
8	 Programação e Operação - Linha D - Siemens 828D	 T60356F
4. Sistema de coordenadas
4.3 - COORDENADAS POLARES
30°
30R
40R
50R
25
R
36
20°
45°
15°
R
30°
270°
Y+
X-
Y-
X+
Ponto 1
Ponto 2
Ponto 3
Ponto 4
Ponto 5
180° 0°
90° No sistema de coordenadas
polares as posições são programadas
através do raio e ângulo formado
entre uma determinada referência,
denominda pólo, e a posição
desejada.
Exemplo:
Ponto Raio Ângulo
1 40 60
2 50 30
3 30 160
4 36 225
5 25 285
Pólo X0 Y0
T60356F	 Programação e Operação - Linha D - Siemens 828D	 9
5. Função: d, s, t, m
5- FUNÇÃO: D, S, T, M6 / TROCA
Aplicação: Seleção do número e corretor de ferramenta e rotação eixo árvore
Através da programação do endereço “T” (na linha “D” pode ser programadas
até 22 ou 30 ferramentas, dependendo do tipo do trocador - standard ou com ATC,
respectivamente) ocorre uma troca direta da ferramenta ou a seleção da posição no
magazine da máquina.
Para efetuar a troca da ferramenta deve-se programar a função “M6” junto com
a função “T”.
Auma ferramenta podem ser atribuídos corretores de ferramentas de 1 a 9, programando
um endereço “D” correspondente.
Para ativar a rotação do eixo árvore (RPM) deve-se programar a função “S” seguida
do valor da rotação desejada.
Exemplo:
T01	 (CHAMA A FERRAMENTA N.º 1)
M6 	 (HABILITA A TROCA)
D01 	(ATIVA O CORRETOR DE ALTURA N.º 1)
S1500 M3 	(LIGA A ROTAÇÃO DO EIXO ÁRVORE A 1500 RPM)
10	 Programação e Operação - Linha D - Siemens 828D	 T60356F
6. Função barra, n, msg, ponto e vírgula
6- FUNÇÃO: BARRA ( / ), N, MSG, PONTO E VÍRGULA ( ; )
Aplicação: Eliminar execução de blocos, número seqüencial de blocos, mensagem
ao operador e comentário de auxílio.
Utilizamos a função barra “ /” quando for necessário inibir a execução de blocos no
programa, sem alterar a programação.
Se a barra “ /” for digitada na frente de alguns blocos, estes serão ignorados pelo
comando, desde que o operador tenha selecionado a opção “SKP: BLOCO SUPRIMÍVEL”,
caso a opção não seja acionada os blocos serão executados normalmente.
Exemplos:
N10_____ (bloco executado)
/N20_____ (bloco eliminado)
N30_____ (bloco executado)
/N40_____ (bloco eliminado)
/N50_____ (bloco eliminado)
N60_____ (bloco executado)
Afunção “N” tem por finalidade a numeração seqüencial dos blocos de programação, o
seu uso é opcional dentro da programação, ou seja, sua programação é facultativa podendo
ou não ser utilizada.
Exemplos:
N10 ____
N20 ____
N30 ____
Durante a edição do programa pode haver a necessidade de inserir comentários para
auxiliar o operador, este comentário será ignorado pelo comando.
No início de um comentário deve-se colocar o caracter ponto e virgula “ ; ”
Exemplos:
;PECA_TESTE
N30 T02; FRESA DE FACEAR
N100 M30; FIM DE PROGRAMA
Durante a execução do programa, pode ser programadas mensagens para informar ao
operador, em que fase se encontra a usinagem ou a operação que esta sendo feita.
Uma mensagem pode ser gerada programando a função MSG(“mensagem desejada”),
sendo que o limite de caracteres para a mensagem é de 124 caracteres.
Para cancelarmos uma mensagem programamos a função MSG (“”).
Exemplos:
N10 MSG (“DESBASTANDO PERFIL EXTERNO”)
:
N100 MSG (“”)
T60356F	 Programação e Operação - Linha D - Siemens 828D	 11
7. Funções preparatórias
FUNÇÕES PREPARATÓRIAS
FUNÇÃO DESCRIÇÃO GRUPO
MODAL
S N
G00 Posicionamento Rápido 01 X
G01* Interpolação Linear 01 X
G02 Interpolação Circular - sentido horário 01 X
G03 Interpolação Circular - sentido anti-horário 01 X
G331 Roscamento com macho rígido 01 X
G332 Movimento de retorno do macho rígido 01 X
G04 Tempo de permanência 02 X
G111 Programação em coordenadas polares 03 X
G17* Seleciona o plano de trabalho XY 06 X
G18 Seleciona o plano de trabalho XZ 06 X
G19 Seleciona o plano de trabalho YZ 06 X
G40* Cancela compensação de raio de ferramenta 07 X
G41
Ativa compensação de raio de ferramenta à esquerda
do perfil
07 X
G42
Ativa compensação de raio de ferramenta à direita do
perfil
07 X
7- FUNÇÕES PREPARATÓRIAS
As funções preparatórias são aquelas que definem à máquina qual o tipo de
movimentação ela irá executar.
Elas se dividem em dois grupos:
a) Modais - A função permanece ativa até que outra função modal do mesmo grupo
seja programada.
b) Não modais - A função permanece ativa somente no bloco em que foi programada.
Exemplo:
N100 G01 X100 F1000
N110 Y30
N120 X40
N130 G00 Z15
A função G01 permanece ativa do bloco N100 até o bloco N120.
No bloco N130 ela é cancelada pela função G00, pois ambas são modais e pertencem
ao mesmo grupo.
Segue abaixo uma tabela com as principais Funções Preparatórias aplicáveis à
programação das máquinas da Linha “D” com CNC Siemens 828D.
12	 Programação e Operação - Linha D - Siemens 828D	 T60356F
7. Funções preparatórias
FUNÇÕES PREPARATÓRIAS
FUNÇÃO DESCRIÇÃO GRUPO
MODAL
S N
G500
Desativa o sistema de coordenada de trabalho (G54
... G599), ativando o sistema de coordenadas de
máquina
08 X
G53 / SUPA
Suspende o sistema de coordenadas de trabalho para
o bloco atual
08 X
G54 Ativa o 1º sistema de coordenada de trabalho 08 X
G55 Ativa o 2º sistema de coordenada de trabalho 08 X
G56 Ativa o 3º sistema de coordenada de trabalho 08 X
G57
G58
G59
Ativa o 4º sistema de coordenada de trabalho
Ativa o 5º sistema de coordenada de trabalho
Ativa o 6º sistema de coordenada de trabalho
08 X
G507 Ativa o 7º sistema de coordenada de trabalho 08 X
G5xx Ativa o “xxº” sistema de coordenada de trabalho (de G505
a G599)
08 X
G599 Ativa o 99º sistema de coordenada de trabalho 08 X
G09 Ativa parada exata para o bloco atual 10 X
G60* Ativa modo de parada exata, deixando os cantos vivos
e cancelando modo de contorno
10 X
G64 Ativa modo de contorno com “look-ahead”, chanfrando
os cantos
10 X
G641 Ativa modo de contorno com “look-ahead”, arredondando
os cantos
10 X
G642
Ativa modo de contorno com “look-ahead”, arredondando
os cantos em forma de spline
10 X
G70 Ativa o sistema inglês de medidas (polegadas) 13 X
G71* Ativa o sistema métrico de medidas (milímetros) 13 X
G90* Ativa o sistema de coordenadas absolutas 14 X
G91 Ativa o sistema de coordenadas incrementais 14 X
G94*
Avanço programado em milímetros/minuto ou polegadas/
minuto
15 X
G95
Avanço programado em milímetros/rotação ou polegadas/
rotação
15 X
CFC*
Ativa controle de avanço pelo ponto de tangência da
ferramenta com a peça nos cantos internos e extenos
16 X
CFTCP Ativa controle de avanço pelo centro da ferramenta 16 X
CFIN
Ativa controle de avanço pelo ponto de tangência da
ferramenta com a peça para cantos internos e pelo
centro da ferramenta para cantos externos
16 X
BRISK Modo convencional de aceleração dos eixos 21 X
T60356F	 Programação e Operação - Linha D - Siemens 828D	 13
7. Funções preparatórias
FUNÇÕES PREPARATÓRIAS
FUNÇÃO DESCRIÇÃO GRUPO
MODAL
S N
SOFT Modo suavizado de aceleração dos eixos 21 X
FFWOF Ativa modo controle de próximos avanços 24 X
FFWON Desativa modo controle de próximos avanços 24 X
COMPON Ativa sistema compressor de blocos 30 X
COMPCAD Ativa o sistema compressor de blocos 30 X
COMPCURV
Ativa sistema compressor de blocos para programas
utilizando equações polinomiais
30 X
COMPOF Desativa sistema compressor de blocos 30 X
14	 Programação e Operação - Linha D - Siemens 828D	 T60356F
8. Funções miscelâneas
8 - FUNÇÕES MISCELÂNEAS
As funções miscelâneas, também conhecidas como códigos M, são funções que fazem
a interface entre o usuário e os hardwares da máquina através da interação com o ladder
desenvolvido pelo fabricante da mesma
Segue abaixo a tabela com as principais funções miscelâneas.
FUNÇÕES MISCELÂNEAS
FUNÇÃO DESCRIÇÃO
M00 Parada obrigatória do programa
M01 Parada opcional do programa
M02 Fim de programa
M03 Liga a rotação do eixo árvore no sentido horário
M04 Liga a rotação do eixo árvore no sentido anti-horário
M05 Desliga eixo árvore
M06 Efetua a troca de ferramenta
M07 Liga refrigerante de corte pelo centro do eixo árvore (opcional)
M08 Liga refrigerante de corte pelas mangueiras externas ao eixo árvore
M09 Desliga refrigerante de corte (M07 e M08)
M17 Fim de subprograma
M30 Fim de programa
M36 Abre porta automática (opcional)
M37 Fecha porta automática (opcional)
M47 LIga transportador de cavacos (opcional)
M48 Desliga transportador de cavacos (opcional)
M50 Desliga freio do 4. eixo
M51 Liga freio do 4.eixo
M52 Liga apalpador RENISCHAW OMP-40
M53 Desliga apalpador RENISCHAW OMP-40
M54 Liga o sistema de refrigeração à ar (opcional)
M55 Desliga o sistema de refrigeração à ar (opcional)
M56 Abre dispositivo de fixação (opcional)
M57 Fecha dispositivo de fixação (opcional)
M65 Liga limpeza das proteções (opcional)
M66 Desliga limpeza das proteções (opcional)
M78 Liga exaustor de névoa (opcional)
M79 Desliga exaustor de névoa (opcional)
T60356F	 Programação e Operação - Linha D - Siemens 828D	 15
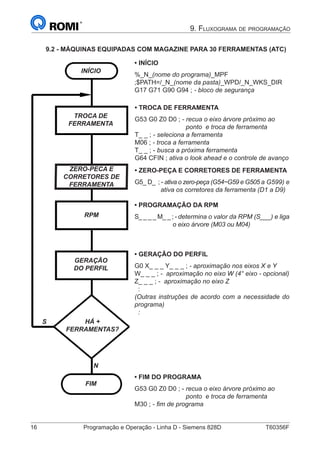
9. Fluxograma de programação
9 - FLUXOGRAMA DE PROGRAMAÇÃO
9.1 - MÁQUINAS EQUIPADAS COM MAGAZINE PARA 22 FERRAMENTAS
INÍCIO
TROCA DE
FERRAMENTA
RPM
GERAÇÃO
DO PERFIL
HÁ +
FERRAMENTAS?
FIM
S
N
ZERO-PECA E
CORRETORES DE
FERRAMENTA
• INÍCIO
G17 G71 G90 G94 ; - bloco de segurança
• TROCA DE FERRAMENTA
G53 G0 Z-110 D0 ; - recua o eixo árvore próximo ao
		 ponto e troca de ferramenta
T_ _ ; - seleciona a ferramenta
M06 ; - troca a ferramenta
G64 CFIN ; ativa o look ahead e o controle de avanço
• PROGRAMAÇÃO DA RPM
S_ _ _ _ M_ _ ; - determina o valor da RPM (S___) e liga
o eixo árvore (M03 ou M04)
• GERAÇÃO DO PERFIL
G0 X_ _ _ Y_ _ _ ; - aproximação nos eixos X e Y
A_ _ _ ; - aproximação no eixo W (4° eixo - opcional)
Z_ _ _ ; - aproximação no eixo Z
:
(Outras instruções de acordo com a necessidade do
programa)
:
• FIM DO PROGRAMA
G53 G0 Z-110 D0 ; - recua o eixo árvore próximo ao
		 ponto e troca de ferramenta
M30 ; - fim de programa
• ZERO-PEÇA E CORRETORES DE FERRAMENTA
G5_ D_ ; - ativa o zero-peça (G54~G59 e G505 a G599) e
ativa os corretores da ferramenta (D1 a D9)
16	 Programação e Operação - Linha D - Siemens 828D	 T60356F
9. Fluxograma de programação
9.2 - MÁQUINAS EQUIPADAS COM MAGAZINE PARA 30 FERRAMENTAS (ATC)
INÍCIO
TROCA DE
FERRAMENTA
RPM
GERAÇÃO
DO PERFIL
HÁ +
FERRAMENTAS?
FIM
S
N
ZERO-PECA E
CORRETORES DE
FERRAMENTA
• INÍCIO
%_N_(nome do programa)_MPF
;$PATH=/_N_(nome da pasta)_WPD/_N_WKS_DIR
G17 G71 G90 G94 ; - bloco de segurança
• TROCA DE FERRAMENTA
G53 G0 Z0 D0 ; - recua o eixo árvore próximo ao
		 ponto e troca de ferramenta
T_ _ ; - seleciona a ferramenta
M06 ; - troca a ferramenta
T_ _ ; - busca a próxima ferramenta
G64 CFIN ; ativa o look ahead e o controle de avanço
• PROGRAMAÇÃO DA RPM
S_ _ _ _ M_ _ ; - determina o valor da RPM (S___) e liga
o eixo árvore (M03 ou M04)
• GERAÇÃO DO PERFIL
G0 X_ _ _ Y_ _ _ ; - aproximação nos eixos X e Y
W_ _ _ ; - aproximação no eixo W (4° eixo - opcional)
Z_ _ _ ; - aproximação no eixo Z
:
(Outras instruções de acordo com a necessidade do
programa)
:
• FIM DO PROGRAMA
G53 G0 Z0 D0 ; - recua o eixo árvore próximo ao
		 ponto e troca de ferramenta
M30 ; - fim de programa
• ZERO-PEÇA E CORRETORES DE FERRAMENTA
G5_ D_ ; - ativa o zero-peça (G54~G59 e G505 a G599) e
ativa os corretores da ferramenta (D1 a D9)
T60356F	 Programação e Operação - Linha D - Siemens 828D	 17
10. Funções de interpolação
10 - FUNÇÕES DE INTERPOLAÇÃO
10.1 - FUNÇÃO: G00 - POSICIONAMENTO RÁPIDO
Explanação:
Esta função é utilizada para deslocar os eixos com a maior velocidade de avanço
disponível na máquina. Portanto a função G00 é utilizada quando a ferramenta não está em
contato com o material, ou seja, durante suas aproximações e afastamentos.
Sintaxe:
G00 X____ Y____ Z____
onde:
X 	 - Coordenada do ponto final do movimento para o eixo linear X
Y 	 - Coordenada do ponto final do movimento para o eixo linear Y
Z 	 - Coordenada do ponto final do movimento para o eixo linear Z
A - Coordenada do ponto final do movimento para o eixo rotacional W
10.2 - FUNÇÃO: G01 - INTERPOLAÇÃO LINEAR
Explanação:
Esta função é utilizada para movimentar os eixos retilineamente e com a velocidade de
avanço especificada pelo código F, o qual é dado em milímetro/minuto ou milímetro/rotação,
dependendo se é a função G94 ou a G95 que está ativa, respectivamente.
Sintaxe:
G01 X____ Y______ Z______ F_______
onde:
X 	 - Coordenada do ponto final do movimento para o eixo linear X
Y 	 - Coordenada do ponto final do movimento para o eixo linear Y
Z 	 - Coordenada do ponto final do movimento para o eixo linear Z
A - Coordenada do ponto final do movimento para o eixo rotacional W
F 	 - Velocidade de avanço (mm/min ou mm/rotação e graus/min para o eixo W)
18	 Programação e Operação - Linha D - Siemens 828D	 T60356F
10. Funções de interpolação
100
60
80
10
70
110
80
40
80
10455
15
Exemplo:
:
G01 X10 Y10 F700
G01 X80 Y10
G01 X100 Y40
G01 X80 Y70
G01 X60 Y70
G01 X10 Y55
G01 X10 Y10
:
ou
:
G01 X10 Y10 F700
X80
X100 Y40
X80 Y70
X60
X10 Y55
Y10
:
10.3 - FUNÇÕES: G02 E G03 - INTERPOLAÇÃO CIRCULAR
Explanação:
Estas funções são utilizadas para movimentar os eixos circularmente, podendo assim
gerar seguimentos de arco ou circulos inteiros.
A função G02 é responsável pela geração de arcos no sentido horário e a função G03
no sentido anti-horário.
A referência sobre o sentidos horário e anti-horário tem por definição a vista da direção
positiva para a negativa do eixo que não faz parte do plano de trabalho, ou seja, para saber
se um arco que está no plano XY é horário ou anti-horário, deve-se olhar do sentido Z+ para
o Z- e assim verificar o sentido de giro do mesmo.
Antes de programar as funções G02 e/ou G03 deve-se selecionar um dos planos de
trabalho (XY - G17, XZ - G18 ou YZ - G19)
Há três modos principais de programação das funções de interpolação circulares,
conforme as explanações abaixo:
Sintaxe:
a) Arco sobre o plano XY (G17)
G02/G03 X___ Y___ CR=___ F___*
ou G02/G03 X___ Y___ I___ J___ F___*
ou G02/G03 X___ Y___ I=AC(___) J=AC(___) F___*
100
60
80
10
70
110
80
40
80
10455
15
T60356F	 Programação e Operação - Linha D - Siemens 828D	 19
10. Funções de interpolação
b) Arco sobre o plano XZ (G18)
G02/G03 X___ Z___ CR=___ F___*
ou G02/G03 X___ Z___ I___ K___ F___*
ou G02/G03 X___ Z___ I=AC(___) K=AC(___) F___*
c) Arco sobre o plano YZ (G19)
- G02/G03 Y___ Z___ CR=___ F___*
ou G02/G03 Y___ Z___ J___ K___ F___*
ou G02/G03 Y___ Z___ J=AC(___) K=AC(___) F___*
onde:
X 	 -	 Coordenada do ponto final do movimento para o eixo X
Y 	 - 	 Coordenada do ponto final do movimento para o eixo Y
Z 	 - 	 Coordenada do ponto final do movimento para o eixo Z
CR=	 - 	 Valor do raio do arco (positivo se o ângulo for inferior ou igual a 180° e
negativo se o ângulo for superior a 180°)
I 	 - 	 Distância incremental do ponto inicial do arco até o centro do mesmo
no eixo X
J	 -	 Distância incremental do ponto inicial do arco até o centro do mesmo
no eixo Y
K	 -	 Distância incremental do ponto inicial do arco até o centro do mesmo
no eixo Z
I=AC(...)	-	 Coordenada absoluta do o centro do arco no eixo X
J=AC(...)	-	 Coordenada absoluta do o centro do arco no eixo Y
K=AC(...) -	 Coordenada absoluta do o centro do arco no eixo Z
F	 - 	 Velocidade de avanço (programação não obrigatória)
Exemplo:
:
G01 X-45 Y0 F300
G02 X-50 Y5 CR=5
; ou G02 X-50 Y5 I0 J5
; ou G02 X-50 Y5 I=AC(-45) J=AC(5)
G01 Y40
X-11.36 Y84.8
G2 X11.36 Y84.8 CR=15
; ou G02 X11.36 Y84.8 I11.36 J-9.8
; ou G02 X11.36 Y84.8 I=AC(0) J=AC(75)
G01 X50 Y40
Y5
G02 X45 Y0 CR=5
; ou G02 X45 Y0 I-5 J0
; ou G02 X45 Y0 I=AC(45) J=AC(5)
G01 X20
G03 X-20 Y0 CR=20
; ou G02 X-20 Y0 I-20 J0
; ou G02 X-20 Y0 I=AC(0) J=AC(0)
G01 X-45
:
110
10
R15
22,72
100
84,8
100
R20
40
5R
5
5
75
110
10
R15
22,72
100
84,8
100
R20
40
5R
5
5
75
20	 Programação e Operação - Linha D - Siemens 828D	 T60356F
10. Funções de interpolação
NOTAS:
- Quando as coordenadas X Y Z são omitidas e o centro for especificado com I, J, ou K,
considera-se que o ponto final é o mesmo ponto de partida, gerando um arco de 360 graus.
- Quando um arco excede 180 graus, o valor do raio deve ser especificado com um
valor negativo.
10.3.1 - Função TURN - Interpolação Helicoidal
A função TURN é um recurso usado conjuntamente as funções de interpolação
circular (G02/G03) para gerar movimentos em forma de espiral, ou seja, para sincronizar
um movimento circular num determinado plano de trabalho com um movimento linear de um
terceiro eixo, gerando assim uma hélice.
Sintaxe:
Em sincronismo com arco XY (G17)
G2/G3 X___ Y___ I___ J___ Z___ TURN=___ F___*
ou G2/G3 X___ Y___ I=AC(___) J=AC(___) Z___ TURN=___ F___*
Em sincronismo com arco XZ (G18)
G2/G3 X___ Z___ I___ K___ Y___ TURN=___ F___*
ou G2/G3 X___ Z___ I=AC(___) K=AC(___) Y___ TURN=___ F___*
Em sincronismo com arco YZ (G19)
G2/G3 Y___ Z___ J___ K___ X___ TURN=___ F___*
G2/G3 Y___ Z___ J=AC(___) K=AC(___) X___ TURN=___ F___*
onde:
X 	 -	 Coordenada do ponto final do movimento para o eixo X
Y 	 - 	 Coordenada do ponto final do movimento para o eixo Y
Z 	 - 	 Coordenada do ponto final do movimento para o eixo Z
I 	 - 	 Distância incremental do ponto inicial do arco até o centro do mesmo
no eixo X
J	 -	 Distância incremental do ponto inicial do arco até o centro do mesmo
no eixo Y
K	 -	 Distância incremental do ponto inicial do arco até o centro do mesmo
no eixo Z
I=AC(...)	-	 Coordenada absoluta do o centro do arco no eixo X
J=AC(...)	-	 Coordenada absoluta do o centro do arco no eixo Y
K=AC(...) -	 Coordenada absoluta do o centro do arco no eixo Z
TURN=	 -	 Número total de voltas que compõe a hélice (Nº total de voltas - 1).
F	 - 	 Velocidade de avanço (programação não obrigatória)
OBSERVAÇÕES
–– Na função TURN deve-se programar uma volta a menos do que o necessário
para a usinagem.
–– A compensação do raio da ferramenta é aplicada somente para o movimento
circular.
T60356F	 Programação e Operação - Linha D - Siemens 828D	 21
10. Funções de interpolação
Exemplo: plano de trabalho G17, eixos para a interpolação circular X e Y.
O movimento linear vertical no exemplo abaixo será executado pelo EIXO Z.
Seqüência de movimentos:
1.	 Posicionar na posição de partida, descontado
o raio da ferramenta (coordenada inicial)
2.	 Com TURN= executar os círculos inteiros
programados.
3.	 Se necessário ir para o ponto final do círculo,
através de uma rotação parcial.
2ª volta completa
Posição Inicial
1ª volta completa
3ª volta completa
Posição final
(círculo parcial)
Exemplo:
:
G0 X0 Y0
Z2
X20
G1 Z0 F350
G2 X20 Y0 Z-32 I=AC(0) J=AC(0) TURN=7
G0 X0 Y0
Z10
:
ÃO A-A
M60X4
A
SEÇÃO A-A
30
100
100
20X45
M60X4
A A
OBSERVAÇÃO
–– No exemplo foi considerado ferramenta de diâmetro igual a 20.
22	 Programação e Operação - Linha D - Siemens 828D	 T60356F
10. Funções de interpolação
10.4 - FUNÇÕES: CHF/CHR E RND/RNDM
Aplicação: Chanframento, Arredondamento de cantos.
Para chanfrar cantos insere-se entre os movimentos lineares e/ou movimentos circulares
a função CHF ou CHR junto com os valores do chanfro ou segmento.
Para chanfrar cantos insere-se entre os
movimentos lineares e/ou movimentos circulares
a função CHF ou CHR junto com os valores do
chanfro ou segmento.
Sintaxe:
CHF=(...)
ou
CHR=(...)
Exemplo:
G1 X50 Y30 F100 CHR=5
G1 X100 Y20
G01
G
01
CHR
CHF
CHANFRO
Bissetriz
Para arredondar cantos, insere-se entre os
movimentos lineares e/ou movimentos circulares
a função RND, acompanhado do valor do raio a
ser gerado tangente aos segmentos.
Sintaxe:
RND=(...)
Exemplo:
G1 X50 Y30 F100 RND=10
G1 X100 Y20
G01
G
01
RND=
ARREDONDAMENTO
Na figura ao lado temos um exemplo de
arredondamento de um linha reta e um círculo.
Exemplo:
G1 X(...) Y(...) F(...) RND=(...)
G3 X(...) Y(...) I(...) J(...)
G01
RND=
ARREDONDAMENTO
G03
Para se trabalhar com arredondamento modal, ou seja, permitir inserir após cada
bloco de movimento, um arredondamento entre contornos lineares e contornos circulares,
utilizamos a função RNDM.
T60356F	 Programação e Operação - Linha D - Siemens 828D	 23
10. Funções de interpolação
Sintaxe:
RNDM=(...)
Para desativar a função de arredondamento modal deve-se programar a função
RNDM=0.
Exemplo:
G17 G71 G90 G94
G53 G0 Z-110 D0
T02; FRESA D16 MM
M6
G54 D1 G64 CFIN
S2000 M3
G0 X-15 Y-15
Z-15
G41 G01 X0 Y0 F700
G01 X0 Y50 CHR=10
; ou G01 X0 Y50 CHF=14.14
G01 X75 Y50 RND=10
G01 X75 Y23 RND=10
G01 X50 Y0 RND=7
G01 X35 Y0 RND=4
G03 X15 Y0 CR=10 RND=4
G01 X0 Y0
G40 G01 X-15 Y-15
G53 G0 Z-110 D0
M30
23
R10
10
10
R
R10
25
75
50
50
4R
7R
10x45º
14,14
20
85
15
24	 Programação e Operação - Linha D - Siemens 828D	 T60356F
10. Funções de interpolação
10.5 - FUNÇÕES: G331 E G332 - ROSCAMENTO PASSO A PASSO COM
MACHO RÍGIDO
Explanação:
Estas funções são utilizadas para efetuar roscamento passo a passo com macho sem
a necessidade de mandril flutuante.
Sintaxes:
G331 X___ Y___ Z___ I___ J___ K___
G332 X___ Y___ Z___ I___ J___ K___
onde:
X 	 -	 Coordenada do ponto final do movimento para o eixo X
Y 	 - 	Coordenada do ponto final do movimento para o eixo Y
Z 	 - 	Coordenada do ponto final do movimento para o eixo Z
I 	 - 	Passo da rosca na direção do eixo X (positivo para rosca direita e negativo
para esquerda)
J	 -	 Passo da rosca na direção do eixo Y (positivo para rosca direita e negativo
para esquerda)
K	 -	 Passo da rosca na direção do eixo Z (positivo para rosca direita e negativo
para esquerda)
Exemplo: Rosca Direita
Passo da Rosca = 1.25 mm
Rotação = 800 RPM
:
T15; MACHO M8X1.25
M06
G54 D1 G64 CFIN
S800 M03
G0 X-10 Y0
Z5
G95
G331 Z-10 K1.25
G332 Z5 K1.25
G0 X10
G331 Z-10 K1.25
G332 Z5 K1.25
G53 G0 Z-110 D0
:
R10
7R
M8x1,25x10
20
R10
7R
M8x1,25x10
20
T60356F	 Programação e Operação - Linha D - Siemens 828D	 25
11. Tempo de permanência
SEÇÃO A-A
7,5
35
10
20
20
1 45°X
11 - TEMPO DE PERMANÊNCIA
11.1 - FUNÇÃO: G04
Aplicação: Tempo de permanência
Permite interromper a usinagem da peça entre dois blocos, durante um tempo
programado. Por exemplo para alívio de corte.
Sintaxe:
G4 F___ valores programados em segundos
G4 S___ valores programados em n.º de rotações
840D
NCU 571
840D
NCU 572
NCU 573
FM-NC 810D 840Di
© Siemens AG 2000. All rights reserved
SINUMERIK 840D/840Di/810D/FM-NC Programming Guide Fundamentals (PG) – 04.00 Edition 5-171
5.7 Dwell time, G4
Programming
G4 F…
G4 S…
(Programmed in a separate NC block)
Explanation of the commands
G4 Activate dwell time
F… Time specified in seconds
S… Time specified in revolutions of the master spindle
Function
You can use G4 to interrupt workpiece machining
between two NC blocks for the programmed length
of time, e.g. for relief cutting.
Sequence
Example:
N10 G1 F200 Z-5 S300 M3
;Feed F, spindle speed S
N20 G4 F3 ;Dwell time 3s
N30 X40 Y10
N40 G4 S30 ;Dwell for 30 revolutions of
spindle, with S=300 rpm
and 100% speed override, equals:
t=0.1 min
N40 X... ;Feed and spindle speed still active
The words with F... and S... are used for time
specifications in the block with G4 only.
Any previously programmed feed F and spindle
speed S remain valid.
Exemplo: Rebaixo passo a passo
SEÇÃO A-A
7,5
35
10
20
20
1 45°X
:
T12; FRESA P/ REBAIXAR Ø20X7.5
M06
G54 D1 G64 CFIN
S2000 M03
G00 X0 Y0
Z5
G1 Z-7.5 F440
G4 S1
;ou G4 F0.03 (60 seg / 2000 rot = 0,03 seg/rot)
G1 Z5
G53 G0 Z-110 D0
:
26	 Programação e Operação - Linha D - Siemens 828D	 T60356F
12. Compensação de raio de ferramenta
12 - COMPENSAÇÃO DE RAIO DE FERRAMENTA
12.1 - FUNÇÕES: G40, G41 E G42
Aplicação: Compensação de raio da ferramenta
A compensação de raio da ferramenta normalmente é aplicada em operações de
contornos. Utilizando este recurso, o programador pode informar diretamente as dimensões
da peça de acordo com o desenho, sendo que a trajetória a ser realizada pelo centro da
ferramenta será automaticamente calculada pelo CNC.
Explicação dos comandos:
G40 - desativa a compensação de raio da ferramenta
G41 - ativa a compensação de raio da ferramenta, quando a mesma trabalha a
esquerda do perfil
G42 - ativa a compensação de raio da ferramenta, quando a mesma trabalha a
direita do perfil
Com a função de compensação ativa, o comando calcula automaticamente os
respectivos percursos equidistantes da ferramenta.
Para o cálculo dos percursos da ferramenta o comando necessita das seguintes
informações: T (n.º da ferramenta) e D (n.º do corretor).
Para ligar ou desligar a compensação de raio da ferramenta G40, G41 ou G42 tem
de se programar um comando de posicionamento com G0 ou G1, com movimento de
pelo menos um eixo (preferencialmente os dois).
Exemplo 1: programação com compensação de raio a esquerda do perfil (G41)
G17 G71 G90 G94
G53 G0 Z-110 D0
T03; FRESA D25 MM
M6
G54 D1 G64 CFIN S2500 M3
G0 X-40 Y-30
Z-10
G41 G01 X-45 Y0 F300
G02 X-50 Y5 CR=5
G01 Y40
X-11.36 Y84.8
G2 X11.36 Y84.8 I=AC(0) J=AC(75)
G01 X50 Y40
Y5
G02 X45 Y0 CR=5
G01 X20
G03 X-20 Y0 I-20 J0
G01 X-45
G40 X-40 Y-30
G53 G0 Z-110 D0
M30
110
10
R15
22,72
100
84,8
100
R20
40
5R
5
5
75
110
10
R15
22,72
100
84,8
100
R20
40
5R
5
5
75
T60356F	 Programação e Operação - Linha D - Siemens 828D	 27
12. Compensação de raio de ferramenta
Exemplo 2: programação com compensação de raio a direita do perfil (G42)
G17 G71 G90 G94
G53 G0 Z-110 D0
T02; FRESA D16 MM
M6
G54 D1 G64 CFIN
S2000 M3
G0 X-20 Y-20
Z-5
G42 G01 X10 Y10 F700
G01 X80 Y10
G01 X100 Y40
G01 X80 Y70
G01 X60 Y70
G01 X10 Y55
G01 X10 Y10
G40 X-20 Y-20
G53 G0 Z-110 D0
M30
100
60
80
10
70
110
80
40
80
10455
15
70
40
28	 Programação e Operação - Linha D - Siemens 828D	 T60356F
13. Programação com coordenadas polares
R2570
8,50X10
60°
13 - PROGRAMAÇÃO COM COORDENADAS POLARES
13.1 - FUNÇÃO: G111
Aplicação: Define o pólo para as Coordenadas Polares
Essa função define o pólo para a programação no sistema coordenadas polares (raio
e ângulo), tendo como referência a origem do sistema de coordenadas de trabalho atual.
Sintaxe:
G111 X___ Y___;
G0/G1 AP=(...) RP=(...)
G2/G3 AP=(...) RP=(...)
onde:
X 	 -	 Coordenada absoluta do pólo no eixo X
Y 	 - 	Coordenada absoluta do pólo no eixo Y
AP	- 	Ângulo polar (referência de ângulo ao eixo horizontal)
RP	-	 Raio polar (milímetro ou polegada)
Exemplo:
:
G0 X0 Y0
Z10
G111 X0 Y0
G0 AP=0 RP=25
G1 Z-10 F300
G0 Z2
AP=60 RP=25
G1 Z-10
G0 Z2
AP=120 RP=25
G1 Z-10
G0 Z2
AP=180 RP=25
G1 Z-10
G0 Z2
AP=240 RP=25
G1 Z-10
G0 Z2
AP=300 RP=25
G1 Z-10
G0 Z10
:
R2570
8,50X10
60°
T60356F	 Programação e Operação - Linha D - Siemens 828D	 29
14. Outras funções preparatórias
14 - OUTRAS FUNÇÕES PREPARATÓRIAS
14.1 - FUNÇÕES: G17, G18 E G19
Aplicação: Seleciona plano de trabalho
As funções “G17”, “G18” e “G19” permitem
selecionar o plano no qual se pretende executar
interpolação circular, incluindo um arco de interpolação
helicoidal e/ou uma compensação de raio da
ferramenta.
As funções de seleção de plano de trabalho
são modais.
Explicação dos comandos:
G17	 -	 PLANO DE TRABALHO XY
G18 	-	 PLANO DE TRABALHO XZ
G19	 -	 PLANO DE TRABALHO YZ
Z
Y
x
G17
G18G19
OBSERVAÇÃO: O plano G17 é o mais utilizado para gerar perfis e por isso será
utilizado como padrão neste manual.
14.2 - FUNÇÕES: G500, G53 E SUPA
Aplicação: Cancelamento do sistema de coordenadas de trabalho modal e não
modal.
A função “G500” tem por finalidade cancelar o zero-peça (funções G54 a G57 e G505
a G599), deixando como referência para trabalho o zero-máquina. Esta função é modal.
As funções “G53” e “SUPA” não são modais, portanto tem por finalidade cancelar
o zero-peça somente no bloco onde as quais foram programadas. Sendo assim os blocos
subsequentes terão como referência o último sistema de coordenadas de trabalho ativo.
Exemplo:
G53 G0 Z0 D0; POSIOIONA O EIXO Z NA COORDENADA MÁQUINA Z0
			 (PRÓXIMO AO PONTO DE TROCA DE FERRAMENTA)
30	 Programação e Operação - Linha D - Siemens 828D	 T60356F
14. Outras funções preparatórias
14.3 - FUNÇÕES: G54 A G59 E G507 A G599
Aplicação: Sistema de coordenadas de trabalho (zero-peça)
O sistema de coordenadas de trabalho
define, como o zero, um determinado ponto
referenciado na peça.
Este sistema pode ser estabelecido
por uma das quatro funções entre “G54” a
“G57” ou uma das 95 funções entre “G505”
a “G599”.
Os valores para referenciamento devem
ser inseridos na página de zero-peça.
Z
X
Y
G54
Explicação dos comandos:
G54	 -	ATIVA ZERO-PECA 1
G55	 -	ATIVA ZERO-PECA 2
G56	 -	ATIVA ZERO-PECA 3
G57	 -	ATIVA ZERO-PECA 4
G58	 -	ATIVA ZERO-PECA 5
G59	 -	ATIVA ZERO-PECA 6
G507	-	ATIVA ZERO-PECA 7
:
G599	-	ATIVA ZERO-PECA 99
14.4 - FUNÇÕES: G09 E G60
Aplicação: Posicionamento exato
As funções G09 e G60 são utilizadas para executar movimentos com coordenadas
finais exatos, como, por exemplo, cantos vivos. Com isso, a cada movimento executado, o
comando gera uma pequena parada dos eixos envolvidos nestes movimentos.
A função G09 não é modal, portanto só é válida para o bloco em que foi programada.
Sendo assim os próximos blocos serão executados com a última função de controle de
trajetória ativa (G60, G64, G641 ou G642)
A função G60 é default, modal e cancela as funções G64, G641, G642.
14.5 - FUNÇÃO: G64, G641, G642
Aplicação: Controle contínuo da trajetória
As funções “G64”, “G641” e “G642” são utilizadas para que o comando possa ler
alguns blocos a frente (“Look ahead”) e gerar pequenos chanfros ou arredondamentos na
transição de cantos formados entre os movimentos.
T60356F	 Programação e Operação - Linha D - Siemens 828D	 31
14. Outras funções preparatórias
Estes comandos fazem a máquina trabalhar com uma trajetória constante e mantém
o movimento dos eixos de forma contínua, sem parar entre um bloco e outro.
Explicação dos comandos:
G64	 -	CANTOS CHANFRADOS
G641	-	CANTOS ARREDONDADOS
G642	-	CANTOS EM FORMA DE SPLINE
Estas funções são modais e cancelam a função G60.
14.6 - FUNÇÃO: G70
Aplicação: Sistema de unidade polegadas
Um bloco G70 no início do programa instrui o controle para usar valores em polegadas
para movimentos dos eixos, avanços e correções.
A função G70 é modal.
14.7 - FUNÇÃO: G71
Aplicação: Sistema de unidade milímetro
Um bloco G71 no início do programa referência unidades métricas para todos os
movimentos dos eixos, avanços e correções.
A função G71 é modal.
14.8 - FUNÇÃO: G90
Aplicação: Programação em coordenadas absolutas
Esta função prepara a máquina para executar operações em coordenadas absolutas
tendo uma pré origem pré-fixada para a programação.
A função G90 é modal.
Sintaxe:
G90 - MODAL
X=AC(...) Y=AC(...) Z=AC(...) - NÃO MODAL
32	 Programação e Operação - Linha D - Siemens 828D	 T60356F
14. Outras funções preparatórias
14.9 - FUNÇÃO: G91
Aplicação: Programação em coordenadas incrementais
Esta função prepara a máquina para executar operações em coordenadas incrementais.
Assim, todas as medidas são feitas através da distância a se deslocar.
A função G91 é modal.
Sintaxe:
G91 - MODAL
X=IC(...) Y=IC(...) Z=IC(...) - NÃO MODAL
14.10 - FUNÇÃO: G94
Aplicação: Programação de avanço em mm/min ou polegadas/min
A velocidade de avanço é declarada com a função “F”.
A função G94 é modal, e é ativada automaticamente ao ligarmos a máquina.
14.11 - FUNÇÃO: G95
Aplicação: Programação de avanço em mm/rotação ou polegadas/rotação
A velocidade de avanço é declarada com a função “F”, esta função é normalmente
utilizada em centros de torneamento.
A função G95 é modal
T60356F	 Programação e Operação - Linha D - Siemens 828D	 33
15. Repetições e desvios
15 - REPETIÇÕES E DESVIOS
15.1 - FUNÇÃO: REPEAT
Aplicação: Repetição de um bloco ou uma seção do programa
Afunção REPEAT é utilizada para repetir um determinado bloco ou trecho do programa,
podendo gerar nesse último caso uma subrotina.
“LABEL” é a palavra de endereçamento para marcar o início e fim do desvio, ou bloco a
ser repetido. A palavra que representa a “LABEL” deve vir acompanhada de dois pontos (:).
REPEATB é o parâmetro de repetição que consiste em executar novamente somente
o bloco do programa indicado por uma determinada “LABEL”. A função “P” determina o
número de repetições (n).
REPEAT é o parâmetro de repetição que consiste em executar novamente uma parte
do programa, o qual vem seguido da “LABEL” que determina o bloco inicial, podendo também
conter uma outra “LABEL” que determia o bloco final do desvio. A função “P” determina o
número de repetições (n).
Exemplo 1: REPEATB
:
N100 G0 X10 Y20
N110 Z2
N120 HELICE: G2 X=IC(0) Y=IC(0) Z-20 I-10 J0 TURN=11 F600
N130 G1 X0 F600
N140 G0 Z2
N150 G0 X80 Y45
N160 REPEATB HELICE
N170 G1 X70
N180 G0 Z2
:
No exemplo acima, a “LABEL” é a palavra “HELICE”. Após executar o bloco N150
a máquina irá executar novamente o bloco marcado com a palavra HELICE (N120) e, ao
finalizar esse bloco, ela continuará executando o programa a partir do bloco N170.
Exemplo 2:
:
N10 G0 X-10 Y-10
N20 APROFUNDAR: G1 Z=IC(-2)F100;
N30 G1 X0 Y0
N40 X100
N50 Y100
N60 X0
N70 Y0
N80 X-10 Y-10
N90 REPEAT APROFUNDAR P4
:
34	 Programação e Operação - Linha D - Siemens 828D	 T60356F
15. Repetições e desvios
No exemplo anterior, a “LABEL” é a palavra “APROFUNDAR”. A máquina irá executar
novamente do bloco “APROFUNDAR” (N20) até o bloco anterior ao do comando REPEAT
(N80) 4 vezes.
Exemplo 3:
:
N230 T07; FURAR D10 MM
N240 M6
N250 G54 D1 S1650 M3 G64 CFIN
N260 G0 X35 Y60
N270 Z10
N280 F350
N290 MCALL CYCLE82(5,0,2,-20,,0.2)
N300 INÍCIO: X35 Y60
N310 Y115
N320 X145
N330 FINAL: Y60
N340 MCALL
N350 G53 G0 Z-110 D0
N360 T12; REBAIXAR D20 MM
N370 M6
N380 G54 D1 S2800 M3 G64 CFIN
N390 G0 X35 Y60
N400 Z10
N410 F600
N420 MCALL CYCLE82(5,0,-6,0,0.5)
N430 REPEAT INICIO FINAL
N440 MCALL
:
No exemplo acima, a “LABEL” inicial é a palavra “INICIO” e a “LABEL” final é a palavra
“FINAL”. A máquina irá executar novamente as intruções do bloco “INICIO” (N300) até o
bloco “FINAL” (N330), os quais, neste caso, indicam as posições em que serão efetuados
os rebaixos.
15.2 - FUNÇÃO: GOTO
Aplicação: Desvio de programa
Quando há necessidade de programar um desvio (um salto) do programa, para uma
parte específica do mesmo, utiliza-se a função GOTO endereçando um “LABEL” (endereço)
pré-programado.
“LABEL” é a palavra de endereçamento para marcar o início e fim do desvio, ou bloco a
ser repetido. A palavra que representa a “LABEL” deve vir acompanhada de dois pontos “ : ” .
T60356F	 Programação e Operação - Linha D - Siemens 828D	 35
15. Repetições e desvios
GOTOB é a função que desvia o programa para um bloco que está atrás do bloco atual.
GOTOF é a função que desvia o programa para um bloco que está a frente do bloco atual.
Exemplo 1:
N240 G53 G0 Z-110 D0
N250 GOTOF BUSCA
N260 T03; ALARGAR
:
:
N350 BUSCA:
N360 T04; FRESAR
:			
No exemplo acima, a máquina saltará do bloco N250 (função “GOTOF”) até o bloco
N350 (LABEL BUSCA).
Exemplo 2:
N10 REINICIO:
N20 G500 G0 X0 Y0
N30 X-560
N40 X0 Y-406
N50 X-560
N60 GOTOB REINICIO		
No exemplo acima, a máquina irá executar do bloco N10 (LABEL “REINICIO”) até o
bloco N60 (funçao GOTOB) e, depois disso, ela entrará em “LOOPING”, ou seja, retornará
ao bloco N10 e executará até o bloco N60 novamente, e assim sucessivamente, até que a
execução do programa seja abortada pelo operador.
36	 Programação e Operação - Linha D - Siemens 828D	 T60356F
16. Subprograma
16 - SUBPROGRAMA
Os subprogramas são compostos de blocos com comandos de movimento e contém
seqüências de operações de trabalho que devem ser executadas várias vezes. Os
subprogramas são invocados à partir de um outro programa denomindado “PROGRAMA
PRINCIPAL”.
Os nomes dos subprogramas devem seguir as seguintes regras:
–– Todos os caracteres podem ser letras, ou devem começar pela letra “L” e
terminar por números, ou então, os dois primeiros caracteres devem ser letras
e os demais podem ser números.
–– Utilizar no máximo 31 caracteres
–– Não utilizar caracteres de separação ( , - / “ ” )
–– Extensão “.SPF”
		 EX: L120.SPF
OBS: Os programas principais devem seguir as mesmas regras acima, mas devem
possuir a extensão “.MPF”.
A chamada do subprograma é feita informando o nome do mesmo dentro do programa
que o invocará. Subprogramas podem ser chamados não só do programa principal, mas
também de outro subprograma, com isso, do programa principal podem partir 11 chamadas
de subprogramas.
Exemplo 1:
			
N10
N20
:
N300 SUB1
:
N550 M30
N10
N20
:
N300 SUB2
:
N550 M17
N10
N20
:
N300 SUB3
:
N550 M17
N10
N20
:
:
:
N550 M17
PRINCIPAL.MPF SUB1.SPF SUB2.SPF SUB3.SPF
NOTA: Os subprogramas terminam com a função “M17” enquanto os programas
principais são terminados pela função “M30”.
Pode-se programar o comando “P” na frente da chamada do subprograma para indicar
quantas vezes ele será executado (caso necessário).
T60356F	 Programação e Operação - Linha D - Siemens 828D	 37
16. Subprograma
Exemplo 2:
PRINCIPAL.MPF
G0 X10 Y10 Z0
L120 P3
G90 G0 Z100
M30
L120.SPF
G91 G1 X50 Y50 F50
X50 Y-50
M17
Chamada do perfil L120.SPF, 3 vezes
Exemplo 3:
Programa principal PERFIL.MPF
G17 G71 G90 G94
G53 G0 Z-110 D0
T01
M6
G54 D01 G64 CFIN
S2000 M3
G0 X0 Y0 Z10
G1 Z0 F300
TRIANGULO P4
G0 Z10
G53 G0 Z-110 D0 M5
M30
Subprograma TRIANGULO.SPF
G1 Z=IC(-2.5) F100
G41 X10 Y10 F200
Y60
X53.3 Y35
X10 Y10
G40 X0 Y0
M17
60
63,30
70
10
53,30
10
35
10
25
60
63,30
70
10
53,30
10
35
10
25
	
No exemplo o programa principal PERFIL.MPF chamou e executou o subprograma
TRIANGULO.SPF 4 vezes, para que a profundidade de -10 mm possa ser atingida.
38	 Programação e Operação - Linha D - Siemens 828D	 T60356F
17. Mcall - chamada modal de subprograma
17 - MCALL - CHAMADA MODAL DE CICLO E SUBPROGRAMA
Esta função é utilizada para tornar os ciclos ou subprogramas que acompanham esta
função modais, repetindo suas operações em todas as coordenadas programadas abaixo
dessa função até que a mesma seja desativada através de uma outra função MCALL
programada sozinha num bloco.
Sintaxes:
MCALL CYCLE83 (5,0,2,-100, ,-20, ,5,1,2,1,0) - TORNA O CYCLE83 MODAL
X__ Y__ - APROXIMA NESTA COORDENADA E EXECUTA O CYCLE83 (PRIMEIRO FURO)
X__ Y__ - APROXIMA NESTA COORDENADA E EXECUTA O CYCLE83 (SEGUNDO FURO)
:
MCALL - DESATIVA O CYCLE83
ou
MCALL PERFIL_EXT - TORNA O SUBPROGRAMA “PERFIL_EXT” MODAL
X__ Y__ - APROXIMA NESTA COORDENADA E EXECUTA O SUBPROGRAMA “PERFIL_EXT”
X__ Y__ - APROXIMA NESTA COORDENADA E EXECUTA O SUBPROGRAMA “PERFIL_EXT”
:
MCALL - DESATIVA O SUBPROGRAMA “PERFIL_EXT”
T60356F	 Programação e Operação - Linha D - Siemens 828D	 39
17. Mcall - chamada modal de subprograma
Exemplo:
PROGRAMA “EXE_MCALL.MPF”
G17 G71 G90 G94
G53 G0 Z-110 D0
T01; FURAR C/ BROCA D28 MM
M6
G54 D01 S1500 M3 G64 CFIN
G0 X25 Y25
Z10
F300
MCALL CYCLE82(5,0,2,-15)
X25 Y25
X75
Y75
X25
MCALL
G53 G0 Z-110 D0 M5
T02; ROSCAR M30X2 C/ FRESA D16 MM
M6
G54 D01 S2800 M3 G64 CFIN
G0 X25 Y25
Z10
MCALL ROSCA_M30X2
X25 Y25
X75
Y75
X25
MCALL
G53 G0 Z-110 D0 M5
M30
SEÇÃO A-A
25
15
30 X 2
10
M2 45°X
75
25
100
25
75
100
A A
SEÇÃO A-A
15
30 X 210 M2 45°X
100
75
100
A
SUBPROGRAMA “ROSCA_M30X2.SPF”
G1 Z-10 F1000
G91 X3.5 Y-3.5
G3 X3.5 Y3.5 Z0.25 CR=3.5
G3 X0 Y0 I-7 J0 Z2
G3 X-3.5 Y3.5 Z0.25 CR=3.5
G1 X-3.5 Y-3.5
G90 G0 Z10
M17
40	 Programação e Operação - Linha D - Siemens 828D	 T60356F
18. Ciclos fixos
18 - FUNÇÃO OFFN.
Afunção OFFN é utilizada em operações de fresamento de contornos quando deseja-se
realizar movimentos com um valor de offset em relação ao perfil programado. Esta função
só pode ser utilizada em programas onde a compensação de raio esteja ativa.
Sintaxes:
OFFN=___ - DETERMINA O VALOR DO OFFSET A SER APLICADO AO PERFIL.
OFFN=0 - DESATIVA A FUNÇÃO OFFN.
Exemplo:
N10 G17 G71 G90 G94
N20 G53 G0 Z0 D0
N30 T01; FRESA TOPO D16 MM
N40 M6
N50 G54 D01 S3200 M3 G64 CFIN
N60 G0 X-13 Y-13
N70 Z5
N80 G1 Z-5 F1000
N90 OFFN=12.5
N100 INICIO: G41 G1 X25 Y25
N110 G1 X25 Y125 RND=15
N120 G1 X175 Y125 RND=15
N130 G1 X175 Y25 RND=15
N140 G1 X25 Y25 RND=15
N150 G1 X25 Y45
N160 FIM: G40 G1 X-13 Y-13
N170 OFFN=0.2
N180 REPEAT INICIO FIM
N190 OFFN=0
N200 REPEAT INICIO FIM
N210 G0 Z10
N220 G53 G0 Z0 D0
N230 M30
150
100
150
200
R15
A A
20
10
T60356F	 Programação e Operação - Linha D - Siemens 828D	 41
18. Ciclos fixos
19 - CICLOS FIXOS.
Os ciclos fixos são macros desenvolvidas pelo fabricante do CNC com o objetivo de
facilitar a programação das operações mais comuns, tais como: furação, roscamento com
macho, mandrilamento, faceamento, fresamento de rosca, etc.
Sintaxes:
CYCLEnn( aa , aa , ... , aa )
HOLESnn( aa , aa , ... , aa )
LONGHOLE( aa , aa , ... , aa )
POCKETnn( aa , aa , ... , aa )
SLOTnn( aa , aa , ... , aa )
onde:
CYCLE..., HOLES..., LONGHOLE, POCKET..., SLOT... - nome dos ciclos
nn - número que identifica o ciclo. Exemplos: CYCLE82, CYCLE90, HOLES2, etc
aa - argumentos do ciclo
Exemplo: CYCLE82(5,0,2,0,0.5)
No comando Siemens 828D os ciclos podem ser programados de duas maneiras:
utilizando a tela interativa do ciclo, acessada através de teclas de apoio, ou inserindo
manualmente a sintaxe completa do ciclo diretamente na tela de edição de programa.
Quando se programa utilizando as telas de apoio, alguns dados do ciclo ficam ocultos
devido ao fato de serem equivalentes a outros dados que estão visíveis. Sendo assim, para
vizualizar esses dados deve-se posicionar o cursor sobre o dado equivalente e acionar a
softkey denominada “Altera” ou a tecla “Select” . Porém, independentemente se há dados
ocultos ou não, quando o ciclo for inserido no programa sua sintaxe será completa.
Nos próximos capítulos a seguir serão mostrados como acessar as telas de apoio de
cada um dos ciclos.
42	 Programação e Operação - Linha D - Siemens 828D	 T60356F
19. Ciclos fixos
19.1 - CYCLE81
Aplicação: Furo de centro com tempo de permanência
Este ciclo é utilizado para efetuar furações simples, como furos de centro, alargamento,
furos de pequena profundidade, etc. Para acessar a página de programação do CYCLE81
é necessário seguir os seguintes passos:
- Acionar a softkey [ Furar ]
- Acionar a softkey [ Centrar ]
- Preencher os campos (ver figura-exemplo abaixo)
- Acionar a softkey [ Aceitar ]
Os dados a serem preenchidos são os seguintes:
RP Coordenada Z de retorno da ferramenta após o fim do ciclo (absoluto)
SC Distância segura (folga para aproximação - sem sinal)
3º Campo
Através da tecla [SELECT] escolher entre as opções:
- Pos. individual (realiza apenas uma furação)
- Modelo de pos. (MCALL) (realiza vários furos com a mesma profundidade)
Z0 Coordenada Z de início da furação (absoluta)
5º Campo
Através da tecla [SELECT] escolher entre as opções:
- Diâmetro (para determinar o diâmetro final do furo de centro)
- Ponta (para determinar a profundidade final do furo de centro)
Ø
Diâmetro final do furo de centro. (Este campo aparece somente quando é
selecionada a opção “diâmetro” no 5º campo).
Z1
Coordenada Z final da furação. Através da tecla [SELECT] pode-se escolher
entre coordenada absoluta ou incremental. (Este campo aparece somente
quando é selecionada a opção “ponta” no 5º campo).
DT
Tempo de permanência na coordenada final da furação. Através da tecla
[SELECT] pode-se escolher entre tempo em segundos ou número de voltas
do eixo árvore.
T60356F	 Programação e Operação - Linha D - Siemens 828D	 43
19. Ciclos fixos
Após acionar a softkey [Aceitar], o ciclo é inserido no programa conforme exemplo
abaixo:
CYCLE81 (______________)
NOTAS:
- Os dados de corte como avanço e rotação devem ser programados anteriormente
em um bloco separado.
- Caso a opção “Modelo de Pos.” seja selecionada, a máquina gera um comando
“MCALL” antes do ciclo. Neste caso, depois de inserido o comando no programa, é necessário
informar as posições a serem furadas e terminar novamente com o comando “MCALL”.
WORKPIECE(,,””,”BOX”,112,0,-30,-80,0,0,75,75)
G17 G71 G90 G94
G53 G0 Z-110 D0
T01; BROCA D20 MM
M6
G54 D01 S1800 M3
G0 X25 Y25
Z10
F100
MCALL CYCLE81(5,0,2,-26,,0,0,0,22)
X25 Y25
X50 Y50
MCALL
G53 G0 Z-110 D0 M5
M30
25
75
50
25
50
A A
SEÇÃO A-A 30
75
26
20
75
25
50
A A
SEÇÃO A-A
30
26
20
44	 Programação e Operação - Linha D - Siemens 828D	 T60356F
19. Ciclos fixos
19.2 - CYCLE82
Aplicação: Furação com tempo de permanência
Este ciclo é utilizado para efetuar furações simples, como furos de centro, alargamento,
furos de pequena profundidade, etc. Para acessar a página de programação do CYCLE82
é necessário seguir os seguintes passos:
- Acionar a softkey [ Furar ]
- Acionar a softkey [ Furar Alargar]
- Acionar a softkey [ Furar ]
- Preencher os campos (ver figura-exemplo abaixo)
- Acionar a softkey [ Aceitar ]
Os dados a serem preenchidos são os seguintes:
RP Coordenada Z de retorno da ferramenta após o fim do ciclo (absoluto)
SC Distância segura (folga para aproximação - sem sinal)
3º Campo
Através da tecla [SELECT] escolher entre as opções:
- Pos. individual (realiza apenas uma furação)
- Modelo de pos. (MCALL) (realiza vários furos com a mesma profundidade)
Z0 Coordenada Z de início da furação (absoluta)
5º Campo
Através da tecla [SELECT] escolher entre as opções:
- Topo (para determinar a profundidade da parte paralela do furo)
- Ponta (para determinar a profundidade final da ponta da broca)
Z1
Coordenada Z final da furação. Através da tecla [SELECT] pode-se escolher
entre coordenada absoluta ou incremental
DT
Tempo de permanência na coordenada final da furação. Através da tecla
[SELECT] pode-se escolher entre tempo em segundos ou número de voltas
do eixo árvore.
T60356F	 Programação e Operação - Linha D - Siemens 828D	 45
19. Ciclos fixos
Após acionar a softkey [Aceitar], o ciclo é inserido no programa conforme exemplo
abaixo:
CYCLE82 (______________)
NOTAS:
- Os dados de corte como avanço e rotação devem ser programados anteriormente
em um bloco separado.
- Caso a opção Modelo de Pos. seja selecionada, a máquina gera um comando “MCALL”
antes do ciclo. Neste caso, depois de inserido o comando no programa, é necessário informar
as posições a serem furadas e terminar novamente com o comando “MCALL”.
Exemplo:
WORKPIECE(,,””,”BOX”,112,0,-30,-80,0,0,75,75)
G17 G71 G90 G94
G53 G0 Z-110 D0
T01; BROCA D20 MM
M6
G54 D01 S1800 M3
G0 X25 Y25
Z10
F100
N100 MCALL CYCLE82(5,0,2,-26,,0.5,10,1,12)
X25 Y25
X50 Y50
MCALL
G53 G0 Z-110 D0 M5
M30
25
75
50
25
50
A A
SEÇÃO A-A 30
75
26
20
75
25
50
A A
SEÇÃO A-A
30
26 20
46	 Programação e Operação - Linha D - Siemens 828D	 T60356F
19. Ciclos fixos
19.3 - CYCLE83
Aplicação: Furação com quebra ou descarga de cavacos
Este ciclo é utilizado para efetuar furações profundas, pois conta com os recursos de
quebra ou descarga de cavacos.
Para acessar a página de programação do CYCLE83 é necessário seguir os seguintes
passos:
- Acionar a softkey [ Furar ]
- Acionar a softkey [ Furo profundo ]
- Preencher os campos (ver figura-exemplo abaixo)
- Acionar a softkey [ Aceitar ]
Os dados a serem preenchidos são os seguintes:
RP Coordenada Z de retorno da ferramenta após o fim do ciclo (ABSOLUTO)
SC Distância segura (folga para aproximação - SEM SINAL)
3º Campo
Através da tecla [SELECT] escolher entre as opções:
- Pos. individual (realiza apenas uma furação)
- Modelo de pos. (MCALL) (realiza vários furos com a mesma profundidade)
4º Campo
Através da tecla [SELECT] escolher entre as opções:
- Quebr. aparas (apenas quebrar o cavaco. Recuo de apenas alguns mm)
- Elim. cavacos (recua a ferramenta fora do furo para descarga de cavacos)
Z0 Coordenada Z de início da furação (absoluta)
6º Campo
Através da tecla [SELECT] escolher entre as opções:
- Topo (para determinar a profundidade da parte paralela do furo)
- Ponta (para determinar a profundidade final da ponta da broca)
T60356F	 Programação e Operação - Linha D - Siemens 828D	 47
19. Ciclos fixos
Ø
Diâmetro final do furo de centro. (Este campo aparece somente quando é
selecionada a opção “diâmetro” no 6º campo).
Z1
Coordenada Z final da furação. Através da tecla [SELECT] pode-se escolher
entre coordenada absoluta ou incremental. (Este campo aparece somente
quando é selecionada a opção “ponta” no 6º campo).
D
Profundidade da primeira penetração da ferramenta.Através da tecla [SELECT]
pode-se escolher entre coordenada absoluta ou incremental.
FD1 Percentual de avanço para a primeira penetração.
DF
Diminuiçãoemrelaçãoaprofundidadedaprimeirapenetraçãoparafazerasegunda,
em relação a segunda para fazer a terceira,e assim sucessivamente. Através da
tecla [SELECT] pode-se escolher entre porcentagem ou valor em mm.
V1 Mínima profundidade de corte.
V2 Valor de recuo para quebra de cavaco.
Dist. par.
prévia
Através da tecla [SELECT] escolher entre as opções:
- Manual (valor de folga ao retornar para dentro do furo é inserido através de V3)
- Automaticamente (valor da folga é definida por parâmetro)
V3 Folga para aproximação após eliminar o cavaco.
DTB
Tempo de permanência no fundo do furo após cada incremento. Através da
tecla [SELECT] pode-se escolher entre tempo em segundos ou número de
voltas do eixo árvore.
DT
Tempo de permanência na coordenada final da furação. Através da tecla
[SELECT] pode-se escolher entre tempo em segundos ou número de voltas
do eixo árvore.
DTS
Tempo de permanência fora do furo após cada eliminação de cavaco. Através
da tecla [SELECT] pode-se escolher entre tempo em segundos ou número de
voltas do eixo árvore.
Após acionar a softkey [Aceitar], o ciclo é inserido no programa conforme exemplo a
seguir:
CYCLE83 (______________)
NOTAS:
- Os dados de corte como avanço e rotação devem ser programados anteriormente
em um bloco separado.
- Caso a opção “Modelo de Pos.” seja selecionada, a máquina gera um comando
“MCALL” antes do ciclo. Neste caso, depois de inserido o comando no programa, é necessário
informar as posições a serem furadas e terminar novamente com o comando “MCALL”.
48	 Programação e Operação - Linha D - Siemens 828D	 T60356F
19. Ciclos fixos
Exemplo:
WORKPIECE(,,””,”BOX”,112,0,-30,-80,0,0,75,75)
G17 G71 G90 G94
G53 G0 Z-110 D0
T15; BROCA D16 MM
M6
G54 D01 S2000 M3
G0 X17.5 Y20
Z7
F200
MCALL CYCLE83(5,0,2,-85,,-20,,90,1,0,1.2,1.4,0.6,1.6,10,1,11221112)
X17.5 Y20
X67.5
MCALL
G53 G0 Z-110 D0 M5
M30
				
		
R20
25,18
17,5
40
67,5
A A
SEÇÃO A-A
85
16
85
100
A
O A-A
85
T60356F	 Programação e Operação - Linha D - Siemens 828D	 49
19. Ciclos fixos
19.4 - CYCLE84
Aplicação: Roscamento macho rígido
Este ciclo executa o roscamento utilizando macho com fixação rígida.
Acessar a página do CYCLE84:
Para acessar a página de programação do CYCLE84 é necessário seguir os seguintes
passos:
- Acionar a softkey [ Furar ]
- Acionar a softkey [ Rosca ]
- Acionar a softkey [ Furar rosca ]
- Preencher os campos (ver figura-exemplo abaixo)
- Acionar a softkey [ Aceitar ]
Os dados a serem preenchidos são os seguintes:
RP Coordenada Z de retorno da ferramenta após o fim do ciclo (absoluto)
SC Distância segura (folga para aproximação - sem sinal)
3º Campo
Através da tecla [SELECT] escolher entre as opções:
- sem mandril de comp. (roscamento com macho rígido - OPÇÃO INDICADA)
- com mandril de comp. (roscamento com mandril flutuante)
4º Campo
Através da tecla [SELECT] escolher entre as opções:
- Pos. individual (realiza apenas uma furação)
- Modelo de pos. (MCALL) (realiza vários furos com a mesma profundidade)
Z0 Coordenada Z de início do roscamento (absoluta)
Z1
Coordenada Z final do roscamento.Através da tecla [SELECT] pode-se escolher
entre coordenada absoluta ou incremental
50	 Programação e Operação - Linha D - Siemens 828D	 T60356F
19. Ciclos fixos
7º Campo
Através da tecla [SELECT] escolher entre as opções:
- Rosca à dir.
- Rosca à esq.
Tabela
Através da tecla [SELECT] escolher entre as opções:
- sem
- ISO métrico
- Whitworth BSW
- Whitworth BSP
- UNC
Seleção
Através da tecla [SELECT] selecionar o tamanho de rosca desejado. Com
esta opção, o valor do passo é selecionado automaticamente. Este campo
aparece somente quando uma opção diferente de “SEM” é selecionada no
campo TABELA.
P
Passo da rosca. Através da tecla [SELECT] pode-se escolher entre passo em
mm ou em fios por polegada.
αS Ângulo de orientação do eixo árvore para iniciar o ciclo.
S Rotação a ser utilizada durante o roscamento
13º
Campo
Através da tecla [SELECT] escolher entre as opções:
- 1 corte (faz a rosca até a profundidade final em uma única entrada)
- Vários cortes (faz a rosca no sistema quebra cavaco)
DT Tempo de permanência no fundo do furo (valor em segundos)
SR Rotação a ser utilizada durante o retorno da ferramenta.
SDE
Através da tecla [SELECT] escolher o sentido de giro do eixo árvore após fim
do ciclo, no momento em que a ferramenta já está fora da peça.
USINAGEM
Através da tecla [SELECT] escolher o tipo de usinagem a ser realizada: COM
ENCODER ou SEM ENCODER. Este campo aparece somente quando se
seleciona a opção COM MANDRIL DE COMp. no 3º campo.
TIPO DE
PASSO
Através da tecla [SELECT] escolher o tipo de passo a ser informado:
- Avanço ativo: O passo resulta do avanço.
- Entrada do usuário: O passo resulta da especificação
Após acionar a softkey [Aceitar], o ciclo é inserido no programa conforme exemplo
abaixo:
CYCLE84 (______________)
NOTAS:
- Os dados de corte como avanço e rotação devem ser programados anteriormente
em um bloco separado.
- O sentido de giro é sempre invertido automaticamente na abertura das roscas
- Caso a opção Modelo de Pos. seja selecionada, a máquina gera um comando “MCALL”
antes do ciclo. Neste caso, depois de inserido o comando no programa, é necessário informar
as posições a serem roscadas e terminar novamente com o comando “MCALL”.
T60356F	 Programação e Operação - Linha D - Siemens 828D	 51
Exemplo:
WORKPIECE(,,””,”BOX”,112,0,-15,-80,-65,-65,65,65)
G17 G71 G90 G94
G53 G0 Z-110 D0
T20; MACHO M12X1.75
M6
G54 D01 S500 M3
G0 X0 Y35
Z5
MCALL CYCLE84(5,0,2,-18,,0.7,3,,1.75,5,500,5,0,1,0,1,5,1,,,,,1001,2001002)
RP=35 AP=90
AP=210
AP=330
MCALL
G53 G0 Z-110 D0 M5
M30
103,92
90R35
R10
A
A SEÇÃO A-A
15
M12X1.75
19. Ciclos fixos
52	 Programação e Operação - Linha D - Siemens 828D	 T60356F
19. Ciclos fixos
19.5 - CYCLE85
Aplicação: Acabamento de furos com alargador.
Aferramenta executa o movimento até a profundidade programada, podendo programar
o avanço de retração de acordo com o desejado.
Para acessar a página de programação do CYCLE85 é necessário seguir os seguintes
passos:
- Acionar a softkey [ Furar ]
- Acionar a softkey [ Furar Alargar ]
- Acionar a softkey [ Alargar ]
- Preencher os campos (ver figura-exemplo abaixo)
- Acionar a softkey [ Aceitar ]
Os dados a serem preenchidos são os seguintes:
RP Coordenada Z de retorno da ferramenta após o fim do ciclo (absoluto)
SC Distância segura (folga para aproximação - sem sinal)
3º Campo
Através da tecla [SELECT] escolher entre as opções:
- Pos. individual (realiza apenas uma furação)
- Modelo de pos. (MCALL) (realiza vários furos com a mesma profundidade)
F Avanço de penetração da ferramenta
FR Avanço de retorno da ferramenta.
Z0 Coordenada Z de início da furação.
T60356F	 Programação e Operação - Linha D - Siemens 828D	 53
19. Ciclos fixos
Z1
Coordenada Z final da furação. Através da tecla [SELECT] pode-se escolher
entre coordenada absoluta ou incremental
DT
Tempo de permanência na coordenada final da furação. Através da tecla
[SELECT] pode-se escolher entre tempo em segundos ou número de voltas
do eixo árvore.
Após acionar a softkey [Aceitar], o ciclo é inserido no programa conforme exemplo
abaixo:
CYCLE85 (______________)
NOTAS:
- Deve-se programar a rotação do eixo árvore anteriormente em bloco separado.
- Caso a opção Modelo de Pos. seja selecionada, a máquina gera um comando “MCALL”
antes do ciclo. Neste caso, depois de inserido o comando no programa, é necessário informar
as posições a serem roscadas e terminar novamente com o comando “MCALL”.
Exemplo:
:
G53 G0 Z-110 D0
T04
M6
G54 D1 S920 M3
G0 X70 Y0
Z15
MCALL CYCLE85 (5,0,2,-15, ,1,100,500)
X70 Y0
X120
MCALL
G53 G0 Z-110 D0 M5
:
SEÇÃO A-A
45
35
15
20
40
70 50
150
70
30°
25
A A
5
35
15
40
54	 Programação e Operação - Linha D - Siemens 828D	 T60356F
19. Ciclos fixos
19.6 - CYCLE86
Aplicação: Mandrilamento com retração do eixo árvore parado
A ferramenta executa o mandrilamento até a profundidade programada, podendo
programar um deslocamento para retração antes da saída em avanço rápido.
Para acessar a página de programação do CYCLE86 é necessário seguir os seguintes
passos:
- Acionar a softkey [ Furar ]
- Acionar a softkey [ Mandrilar ]
- Preencher os campos (ver figura-exemplo abaixo)
- Acionar a softkey [ Aceitar ]
Os dados a serem preenchidos são os seguintes:
RP Coordenada Z de retorno da ferramenta após o fim do ciclo (absoluto)
SC Distância segura (folga para aproximação - sem sinal)
3º Campo
Através da tecla [SELECT] escolher entre as opções:
- Pos. individual (realiza apenas uma furação)
- Modelo de pos. (MCALL) (realiza vários furos com a mesma profundidade)
DIR
Através da tecla [SELECT] escolher entre as opções:
- rotação no sentido horário
- rotação no sentido anti-horário
Z0 Coordenada Z de início do mandrilamento (absoluta)
Z1
Coordenada Z final do mandrilamento. Através da tecla [SELECT] pode-se
escolher entre coordenada absoluta ou incremental
T60356F	 Programação e Operação - Linha D - Siemens 828D	 55
19. Ciclos fixos
DT
Tempo de permanência na coordenada final do mandrilamento. Através da
tecla [SELECT] pode-se escolher entre tempo em segundos ou número de
voltas do eixo árvore.
SPOS Ângulo de parada do eixo árvore ao chegar ao final do furo.
9º
CAMPO
Através da tecla [SELECT] escolher entre as opções:
- levantar (habilita recuo dos eixos após parada do eixo árvore)
- não levantar (retorno da ferramenta em Z sem recuo dos outros eixos)
DX
Valor de recuo no eixo X após parada do eixo árvore. Este campo aparece
somente quando a opção levantar aparece no 9º campo.
DY
Valor de recuo no eixo Y após parada do eixo árvore. Este campo aparece
somente quando a opção levantar aparece no 9º campo.
DZ
Valor de recuo no eixo Z após parada do eixo árvore. Este campo aparece
somente quando a opção levantar aparece no 9º campo.
Após acionar a softkey [Aceitar], o ciclo é inserido no programa conforme exemplo abaixo:
CYCLE86 (______________)
NOTAS: Os dados de corte como avanço e rotação devem ser programados
anteriormente em um bloco separado.
- Caso a opção Modelo de Pos. seja selecionada, a máquina gera um comando “MCALL”
antes do ciclo. Neste caso, depois de inserido o comando no programa, é necessário informar
as posições a serem mandriladas e terminar novamente com o comando “MCALL”.
SEÇÃO A-A
65
50
20
65
15
150
65
150
Exemplo:
WORKPIECE(,,””,”BOX”,112,0,-35,-80,0,-35,150,35)
G17 G71 G90 G94
G53 G0 Z-110 D0
T06
M6
G54 D01 S800 M3
G0 X0 Y0
Z10
F300
MCALL CYCLE86(5,0,2,-15,,0.6,3,2,2,1,45,0,1,12)
G53 G0 Z-110 D0 M5
M30
56	 Programação e Operação - Linha D - Siemens 828D	 T60356F
19. Ciclos fixos
19.7 - CYCLE70
Aplicação: Interpolação helicoidal
Este ciclo permite produzir roscas internas e externas. A trajetória da ferramenta é
baseada em uma interpolação helicoidal.
Para acessar a página de programação do CYCLE70 é necessário seguir os seguintes
passos:
- Acionar a softkey [ Fresar ]
- Acionar a softkey [ Fresagem roscas ]
- Preencher os campos (ver figura-exemplo abaixo)
- Acionar a softkey [ OK ]
Os dados a serem preenchidos são os seguintes:
RP Plano de retorno da ferramenta após o fim do ciclo (ABSOLUTO)
SC Distância segura (folga para aproximação - SEM SINAL)
F1 Avanço de furação.
USINAGEM Indica o tipo de usinagem, sendo que:
= Desbaste
= Acabamento
5º Campo Sentido da usinagem, sendo que:
Z0 Z1 : Usinagem de cima para baixo
Z1 Z0 : Usinagem de baixo para cima
T60356F	 Programação e Operação - Linha D - Siemens 828D	 57
19. Ciclos fixos
6º Campo Indica a direção da Rosca, sendo que:
Dir. = Rosca à direita
Esq. = Rosca à esquerda
7º Campo Indica se a rosca a ser fresada é Externa ou Interna, sendo que:
Fêmea: Rosca Interna
Macho: Rosca Externa
NT Nº de dentes da ferramenta
9º Campo Através da tecla [SELECT] escolher entre as opções:
- Pos. individual (realiza apenas uma furação)
- Modelo de pos. (MCALL) (realiza vários furos com a mesma profundidade)
X0 Coordenada em “X” do centro da Rosca
Y0 Coordenada em “Y” do centro da Rosca
Z0 Plano de referência (Z inicial - ABSOLUTO)
Z1 Coordenada Z final do fresamento.Através da tecla [SELECT] pode-se escolher
entre coordenada ABSOLUTA ou INCREMENTAL
TABELA
Define tipo de roscamento, sendo que:
Sem: Rosca sem padronização
ISO métrico: Rosca padrão Métrico
Withwort BSW: Rosca padrão Polegada
Withwort BSP: Rosca padrão Polegada
UNC: Rosca padrão Polegada
SELEÇÃO
Valor padrão de Ø e passo. Este campo aparece e pode ser selecionado de
acordo com a opção selecionada no campo TABELA.
P Passo da hélice
Ø Diâmetro externo da rosca
H1 Altura do filete
U
Sobremetal para acabamento em “X” e em “Y”. (aparece somente quando ´´e
selecionado a opção Desbaste no campo “USINAGEM”).
aS Angulo de entrada na rosca
CYCLE70 (______________)
NOTAS:
A posição de partida, quando em usinagem externa, é qualquer posição desde que
a ferramenta possa atingir o diâmetro externo e o plano de retorno sem colisão.
A posição de partida, quando em usinagem interna, é qualquer posição desde que
a ferramenta possa atingir o centro da interpolação e a altura do plano de retorno sem
colisão. Quando usinagem de baixo para cima devemos posicionar a ferramenta no plano
de retorno ou atrás do plano de retorno.
Uma vez que o comando monitora a ferramenta durante o ciclo, devemos ativar o seu
devido corretor, caso contrário irá ocorrer um alarme abortando a operação.
A rotação deve ser programada em um bloco separado.
Caso a opção Modelo de Pos. seja selecionada, a máquina gera um comando “MCALL”
antes do ciclo. Neste caso, depois de inserido o comando no programa, é necessário informar
as posições a serem roscadas e terminar novamente com o comando “MCALL”.
58	 Programação e Operação - Linha D - Siemens 828D	 T60356F
19. Ciclos fixos
Exemplo:
WORKPIECE(,,””,”CYLINDER”,64,0,-30,-80,100)
G17 G71 G90 G94
G53 G0 Z-110 D0
T01; FRESA PARA ROSCAR
M6
G54 D01 S1800 M3
G0 X0 Y0
Z2
CYCLE70(5,0,2,-30,60,2.8,0,4,7,1,200,0,0,0,45,11,1,,,,,1,0)
G53 G0 Z-110 D0 M5
M30 SEÇÃO A-A
30
100
100
20X45
M60X4
A A
19.7.1 - Ultrapassagem no comprimento da rosca
O movimento de entrada e saída no fresamento de roscas ocorre em todos os três
eixos. No término da usinagem surgirá um movimento adicional ao eixo vertical, além da
profundidade da rosca programada.
Este movimento adicional é calculado pela seguinte fórmula:
z = p
*
2
*
WR + RDIFF
4 DIATH
z 	 -	 valor do movimento adicional (cálculo interno)
p		 -	 passo da rosca
WR	 -	 raio da ferramenta
DIATH	 -	 diâmetro externo da rosca
RDIFF	 -	 diferença de raio para o círculo de saída
			 Para roscas internas RDIFF=DIATH/2-WR Para roscas externas 		
			RDIFF=DIATH/2+WR
T60356F	 Programação e Operação - Linha D - Siemens 828D	 59
19. Ciclos fixos
19.8 - HOLES1
Aplicação: Linha de posições
Esta função permite introduzir em determinados ciclos inúmeras posições dispostas
em linha reta e com distâncias equivalentes.
Para acessar a página de programação do HOLES1 é necessário seguir os seguintes
passos:
- Acionar a softkey [ Furar ]
- Acionar a softkey [ Posição ]
- Acionar a softkey com o desenho da linha de furos.
- Preencher os campos (ver figura-exemplo abaixo)
- Acionar a softkey [ Aceitar ]
Os dados a serem preenchidos são os seguintes:
LAB Nome de identificação da linha para posterior repetição.
2º Campo
Através da tecla [SELECT] escolher entre as opções:
- Linha (habilita função HOLES 1 para fazer uma única linha de furos)
X0 Ponto de referência da linha de furos no eixo X.
Y0 Ponto de referência da linha de furos no eixo Y.
α0 Ângulo de inclinação da linha de furos.
L0 Distância do ponto de referência até a coordenada do primeiro furo.
L Distância entre os furos.
N Quantidade de furos.
60	 Programação e Operação - Linha D - Siemens 828D	 T60356F
19. Ciclos fixos
Após acionar a softkey [Aceitar], o ciclo é inserido no programa conforme exemplo
abaixo:
HOLES1 (______________)
NOTAS:
Os parâmetros não necessários podem ser omitidos no bloco de programação ou
receberem valor zero (0).
Exemplo 1:
G17 G71 G90 G94
G53 G0 Z-110 D0
T04
M6
G54 D01 S800 M3
G0 X20 Y10
Z10
F200
MCALL CYCLE82(5,0,2,-26,,0.5,10,1,12)
HOLES1(20,10,0,0,20,4,,0,,,1)
HOLES1(110,40,90,0,20,3,,0,,,1)
MCALL
G53 G0 Z-110 D0 M5
M30
SEÇÃO A-A
9
10
4020
20
110
120
100
20
100
20
A A
		
SEÇÃO A-A
9
10
T60356F	 Programação e Operação - Linha D - Siemens 828D	 61
19. Ciclos fixos
19.9 - HOLES2
Aplicação: Círculo de posições
Esta função permite introduzir, em determinados ciclos, inúmeras posições dispostas
em formato circular e com distâncias equivalentes.
Para acessar a página de programação do HOLES2 é necessário seguir os seguintes
passos:
- Acionar a softkey [ Furar ]
- Acionar a softkey [ Posição ]
- Acionar a softkey com o desenho do círculo de furos.
- Preencher os campos (ver figura-exemplo abaixo)
- Acionar a softkey [ Aceitar ]
Os dados a serem preenchidos são os seguintes:
LAB Nome de identificação da linha para posterior repetição.
2º Campo
Através da tecla [SELECT] escolher entre as opções:
- Círc. parc.
- Círc. int.
X0 Coordenada do centro do círculo de furos no eixo X.
Y0 Coordenada do centro do círculo de furos no eixo Y.
α0 Ângulo do primeiro furo.
α1
Abertura angular entre furos. Este campo aparece somente quando a opção
“Círc. parc.” está selecionada no 2º campo.
62	 Programação e Operação - Linha D - Siemens 828D	 T60356F
19. Ciclos fixos
R Raio do círculo de furos.
N Quantidade de furos.
posicionar
Através da tecla [SELECT] escolher entre as opções:
- Reta: A ferramenta realiza um movimento linear entre um furo e outro.
- Círculo: A ferramenta realiza um movimento circular entre um furo e outro.
Após acionar a softkey [Aceitar], o ciclo é inserido no programa conforme exemplo
abaixo:
HOLES2 (______________)
Exemplo:
N10 WORKPIECE(,,””,”CYLINDER”,64,0,-
9,-80,135)
G17 G71 G90 G94
G53 G0 Z-110 D0
T08; BROCA D8 MM
M6
G54 D01 G64 CFIN
S1550 M3
G0 X0 Y0
Z10
F230
MCALL CYCLE82(5,0,2,-26,,0.5,10,1,12)
HOLES2(0,0,50,108,30,5,1010,0,,,1)
MCALL
G53 G0 Z-110 D0 M5
M30
58
R
72°
8X5
T60356F	 Programação e Operação - Linha D - Siemens 828D	 63
19. Ciclos fixos
19.10 - CYCLE801
Aplicação: Grade de posições
Esta função permite introduzir em determinados ciclos inúmeras posições dispostas
em grade (linhas e colunas) e com distâncias equivalentes.
Para acessar a página de programação do CYCLE 801 é necessário seguir os seguintes
passos:
- Acionar a softkey [ Furar ]
- Acionar a softkey [ Posição ]
- Acionar a softkey com o desenho da linha de furos.
- No segundo campo, selecionar a opção grade através da tecla [SELECT].
- Preencher os campos (ver figura-exemplo abaixo)
- Acionar a softkey [ Aceitar ]
Os dados a serem preenchidos são os seguintes:
LAB Nome de identificação da linha para posterior repetição.
2º Campo
Através da tecla [SELECT] escolher a opção:
- Grade (habilta função CYCLE 801 para fazer várias linhas de furos)
- Padrão (habilta função CYCLE 801 para fazer um retângulo de furos)
X0 Coordenada do primeiro furo no eixo X.
Y0 Coordenada do primeiro furo no eixo Y.
α0 Ângulo de rotação das coordenadas dos furos.
L1 Distância entre as colunas de furos.
L2 Distância entre as linhas de furos.
N1 Número de colunas de furos
N2 Número de linhas de furos
64	 Programação e Operação - Linha D - Siemens 828D	 T60356F
19. Ciclos fixos
Após acionar a softkey [Aceitar], o ciclo é inserido no programa conforme exemplo
abaixo:
CYCLE801 (______________)
NOTA: Os parâmetros não necessários podem ser omitidos no bloco de programação
ou receberem valor zero (0).
Exemplo 1:
WORKPIECE(,,””,”BOX”,112,0,-25,-80,0,0,-
100,150)
G17 G71 G90 G94
G53 G0 Z0 D0
T01
M6
G54 D01 S1800 M3
G0 X25 Y25
Z10
F100
MCALL CYCLE82(5,0,2,-26,,0.5,10,1,12)
CYCLE801(-92.5,15,0,42.5,30,3,5,0,0,0,0,,,1)
MCALL
G53 G0 Z0 D0
T02
M6
G54 D01 S1800 M3
G0 X25 Y25
Z10
F100
MCALL CYCLE84(5,0,2,-18,,0.7,3,,1.75,5,500,5,0,
1,0,1,5,1,,,,,1001,2001002)
CYCLE801(-92.5,15,0,42.5,30,3,5,0,0,0,0,,,1)
MCALL
G53 G0 Z0 D0
M30
SEÇÃO A-A
12
10
18
M8 X 1.25
7,50
30
42,50
1527,5
15
M8X1.25
A A
0
M8 X 1.25
T60356F	 Programação e Operação - Linha D - Siemens 828D	 65
19. Ciclos fixos
19.11 - LONGHOLE
Aplicação: Rasgos em círculo (largura igual ao diâmetro da fresa)
Este ciclo permite a usinagem (desbaste) de rasgos oblongos, sendo que a larguras
dos rasgos serão iguais ao diâmetro da fresa.
Para acessar a página de programação do LONGHOLE é necessário seguir os seguintes
passos:
- Acionar a softkey [ Fresar ]
- Acionar a softkey [ Ranhura ]
- Acionar a softkey [ Furo oblongo ]
- Preencher os campos (ver figura-exemplo abaixo)
- Acionar a softkey [ Aceitar ]
Os dados a serem preenchidos são os seguintes:
RP Coordenada Z de retorno da ferramenta após o fim do ciclo (absoluto)
SC Distância segura (folga para aproximação - sem sinal)
F Avanço a ser utilizado durante o fresamento do rasgo.
4º
CAMPO
Através da tecla [SELECT] escolher entre as opções:
- em planos: Aprofunda de topo
- Oscil. Aprofunda em rampa
Pto. de
ref.
Através da tecla [SELECT] escolher entre as opções:
- centro
- centro do raio à esquerda
- centro do raio à direita
- extremidade esquerda
- extremidade direita
6º Campo
Através da tecla [SELECT] escolher entre as opções:
- Pos. individual (realiza apenas um rasgo)
- Modelo de pos. (MCALL) (realiza vários rasgos com as mesmas dimensões)
X0 Ponto de referência do rasgo no eixo X.
66	 Programação e Operação - Linha D - Siemens 828D	 T60356F
19. Ciclos fixos
Y0 Ponto de referência do rasgo no eixo Y.
Z0 Coordenada Z de início do rasgo (absoluta)
L Comprimento do rasgo.
α0 Ângulo de inclinação do rasgo em relação ao eixo X.
Z1
Coordenada Z final do rasgo. Através da tecla [SELECT] pode-se escolher
entre coordenada absoluta ou incremental
DZ Profundidade de corte durante o fresamento
FZ Avanço de penetração da ferramenta no material.
Após acionar a softkey [Aceitar], o ciclo é inserido no programa conforme exemplo
abaixo:
LONGHOLE (______________)
NOTAS: A posição de aproximação pode ser qualquer uma desde que não haja risco
de colisão. Os pontos de início dos rasgos são atingidos através de movimentos rápidos
Antes de ativarmos o ciclo devemos ativar o corretor da ferramenta correspondente,
pois o comando monitora a ferramenta durante o ciclo.
Durante a usinagem, o sistema de coordenadas é rotacionado, com isso os valores
mostrados no display serão como se estivesse usinando sobre o 1º eixo.
- Caso a opção Modelo de Pos. seja selecionada, a máquina gera um comando “MCALL”
antes do ciclo. Neste caso, depois de inserido o comando no programa, é necessário informar
as posições a serem fresadas e terminar novamente com o comando “MCALL”.
8
A
SEÇÃO A-A
10
4
16
Exemplo:
:
G0 X15 Y15
Z5
MCALL LONGHOLE(100,0,5,-4,,1,53.5,12.5,0,5,0,0,0.1,200,0.5,3,0,1100,1011,2)
HOLES2(12.5,0,12.5,30,120,2,2010,0,,,1)
HOLES2(12.5,0,12.5,210,120,2,2010,0,,,1)
MCALL
:
30
120
R
45
12,50
R58
8
A
A
SEÇÃO A-A
10
4
16
T60356F	 Programação e Operação - Linha D - Siemens 828D	 67
19. Ciclos fixos
19.12 - SLOT1
Aplicação: Rasgos em círculo
Este ciclo permite a usinagem (desbaste e acabamento) de rasgos oblongos com uma
largura maior que a largura da ferramenta.
Para acessar a página de programação do SLOT1 é necessário seguir os seguintes
passos:
- Acionar a softkey [ Fresar ]
- Acionar a softkey [ Ranhura ]
- Acionar a softkey [ Ranh. long ]
- Preencher os campos (ver figura-exemplo abaixo)
- Acionar a softkey [ Aceitar ]
Os dados a serem preenchidos são os seguintes:
RP Coordenada de retorno da ferramenta no eixo Z após o fim do ciclo
Campo à
direita de
RP
Através da tecla [SELECT] escolher entre as opções:
- Sent. direto (ativa o corte concordante durante o fresamento)
- Sent. contrário(ativa corte discordante durante o fresamento)
SC Distância segura (folga para aproximação - sem sinal)
F Avanço a ser utilizado durante o fresamento.
68	 Programação e Operação - Linha D - Siemens 828D	 T60356F
19. Ciclos fixos
Pto. de
ref.
Determina qual coordenada do alojamento será informada posteriormente.
Através da tecla [SELECT] escolher entre as opções:
- Centro
- Centro do raio à esquerda
- Centro do raio à direita
- Extremidade esquerda
- Extremidade direita
Usinagem
Através da tecla [SELECT] escolher entre as opções:
-▼ (Desbaste)
-▼▼▼(Acabamento)
-▼▼▼(Bordo)
-Chanfro.
7º Campo
Através da tecla [SELECT] escolher entre as opções:
- Pos. individual (realiza apenas uma bolsa)
- Modelo de pos. (MCALL) (realiza várias bolsas com a mesma profundidade)
X0
Coordenada de referência da bolsa no eixo X. Este campo aparece somente
quando a opção “INDIVIDUAL” é escolhida no 7º campo.
Y0
Coordenada de referência da bolsa no eixo Y. Este campo aparece somente
quando a opção “INDIVIDUAL” é escolhida no 7º campo.
Z0 Coordenada Z inicial da ranhura.
W Largura da ranhura.
L Comprimento da bolsa.
α0 Ângulo de inclinação da bolsa em relação ao eixo X.
Z1
Coordenada Z final do fresamento.Através da tecla [SELECT] pode-se escolher
entre coordenada absoluta ou incremental
DZ Profundidade de corte.
UXY Valor de sobremetal para acabamento nas paredes da bolsa.
UZ Valor de sobremetal para acabamento no fundo.
Imersão
Determina a forma como a ferramenta vai penetrar no material.Através da tecla
[SELECT] escolher entre as opções:
- pré - furado
- Vertical
- oscil.
- hélic.
FZ
Avanço a ser utilizado durante a penetração da ferramenta. Este campo aparece
somente quando a opção “VERTICAL” é escolhida no campo imersão.
FS
Largura do chanfro.Este campo aparece somente quando a opção “CHANFRO”
é escolhida no campo usinagem.
ZFS
Profundidade na inserção do chanfro. Este campo aparece somente quando a
opção “CHANFRO” é escolhida no campo usinagem.
Após acionar a softkey [Aceitar], o ciclo é inserido no programa conforme exemplo
abaixo:
SLOT1 (_____________)
T60356F	 Programação e Operação - Linha D - Siemens 828D	 69
19. Ciclos fixos
NOTAS:
A posição de aproximação pode ser qualquer uma desde que não haja risco de colisão.
Os pontos de início dos rasgos são atingidos através de movimentos rápidos
Antes de ativarmos o ciclo devemos ativar o corretor da ferramenta correspondente,
pois o comando monitora a ferramenta durante o ciclo.
Caso a opção Modelo de Pos. seja selecionada, a máquina gera um comando “MCALL”
antes do ciclo. Neste caso, depois de inserido o comando no programa, é necessário informar
as posições a serem fresadas e terminar novamente com o comando “MCALL”.
No caso de violação do contorno dos furos oblongos, surgirá uma mensagem de erro
abortando a usinagem.
Exemplo:
:
N10 WORKPIECE(,,””,”CYLINDER”,64,0,-25,-80,140)
N20 G17 G71 G90 G94
N30 ;G53 G0 Z0 D00
N40 T01
N50 M6
N60 G54 D01 S1800 M3
N70 G0 X0 Y0
N80 Z10
N90 F100
MCALL SLOT1(5,0,2,-3,,1,15,6,0,0,5,0,0,0.1,200,1,0,0,21,0.1,15,15,0,2,2,0,1,2,1100,1011,102)
HOLES2(0,0,30,45,30,4,1010,0,,,1)
MCALL
G53 G0 Z-110 D0
M30
140
30R
R46
15
X
3
R46
15
X
3
70	 Programação e Operação - Linha D - Siemens 828D	 T60356F
18. Ciclos fixos
19.13 - SLOT2
Aplicação: Rasgos circulares
Este ciclo permite a usinagem (desbaste e acabamento) de rasgos circulares dispostos
sobre um círculo.
Para acessar a página de programação do SLOT1 é necessário seguir os seguintes
passos:
- Acionar a softkey [ Fresar ]
- Acionar a softkey [ Ranhura ]
- Acionar a softkey [ Ranh. circ ]
- Preencher os campos (ver figura-exemplo abaixo)
- Acionar a softkey [ Aceitar ]
Os dados a serem preenchidos são os seguintes:
RP Coordenada de retorno da ferramenta no eixo Z após o fim do ciclo
Campo à
direita de
RP
Através da tecla [SELECT] escolher entre as opções:
- Sent. direto (ativa o corte concordante durante o fresamento)
- Sent. contrário (ativa corte discordante durante o fresamento)
SC Distância segura (folga para aproximação - sem sinal)
F Avanço a ser utilizado durante o fresamento.
Usinagem
Através da tecla [SELECT] escolher entre as opções:
-▼ (Desbaste)
-▼▼▼(Acabamento)
-▼▼▼(Bordo)
-Chanfro.
T60356F	 Programação e Operação - Linha D - Siemens 828D	 71
19. Ciclos fixos
FZ Avanço a ser utilizado durante a penetração da ferramenta.
7º Campo
Através da tecla [SELECT] escolher entre as opções:
- Círc. int.
- Círc. parc.
X0 Coordenada do centro do círculo no eixo X.
Y0 Coordenada do centro do círculo no eixo Y.
Z0 Coordenada Z inicial da ranhura.
N Quantidade de ranhuras.
R Raio até o centro da ranhura.
α0 Ângulo de início da primeira ranhura.
α1 Abertura angular da ranhura.
α2 Abertura angular entre o início das ranhuras.
W Largura da ranhura
Z1
Coordenada Z final do fresamento.Através da tecla [SELECT] pode-se escolher
entre coordenada absoluta ou incremental
DZ Profundidade de corte.
UXY Valor de sobremetal para acabamento nas paredes da bolsa.
posicionar
Através da tecla [SELECT] escolher entre as opções:
- Reta
- Círculo
FS Largura do chanfro
ZFS
Profundidade de inserção. Este campo aparece somente quando a opção
“CHANFRO” é escolhida no campo usinagem.
Após acionar a softkey [Aceitar], o ciclo é inserido no programa conforme exemplo
abaixo:
SLOT2 (_____________)
NOTAS:
A posição de aproximação pode ser qualquer uma desde que não haja risco de colisão.
Os pontos de início dos rasgos são atingidos através de movimentos rápidos
Antes de ativarmos o ciclo devemos ativar o corretor da ferramenta correspondente,
pois o comando monitora a ferramenta durante o ciclo.
Os parâmetros não necessários podem ser omitidos no bloco de programação ou
receberem valor zero (0).
No caso de violação do contorno dos furos oblongos, surgirá uma mensagem de erro
abortando a usinagem.
72	 Programação e Operação - Linha D - Siemens 828D	 T60356F
19. Ciclos fixos
Exemplo:
:
N10 WORKPIECE(,,””,”CYLINDER”,64,0,-4.9,-80,140)
N20 G17 G71 G90 G94
N30 G53 G0 Z0 D00
N40 T01
N50 M6
N60 G54 D01 S1800 M3
N70 G0 X0 Y0
N80 Z10
N90 F100
N100 SLOT2(5,0,2,-5,,3,80,20,0,0,47.5,-20,90,200,200,2,0,0,1011,0,0,0,,0,1,2,100,1001,102)
N110 G53 G0 Z-110 D0
N120 M30
80°
95
20°
SEÇÃO A-A
5
10
20
A A
95
20°
SEÇÃO A-A
5
10
20
A A
T60356F	 Programação e Operação - Linha D - Siemens 828D	 73
19. Ciclos fixos
19.14 - ABRIR RANHURA
Aplicação: Fresamento de canais
Este ciclo permite a usinagem (desbaste e acabamento) de canais retos.
Para acessar a página de programação é necessário seguir os seguintes passos:
- Acionar a softkey [ Fresar ]
- Acionar a softkey [ Ranhura ]
- Acionar a softkey [ Abrir ranh ]
- Preencher os campos (ver figura-exemplo abaixo)
- Acionar a softkey [ Aceitar ]
Os dados a serem preenchidos são os seguintes:
RP Coordenada de retorno da ferramenta no eixo Z após o fim do ciclo
SC Distância segura (folga para aproximação - sem sinal)
F Avanço a ser utilizado durante o fresamento.
74	 Programação e Operação - Linha D - Siemens 828D	 T60356F
19. Ciclos fixos
Pto. de
ref.
Determina qual coordenada do alojamento será informada posteriormente.
Através da tecla [SELECT] escolher entre as opções:
- Centro
- Embaixo à esquerda
- Embaixo à direita
- Em cima à esquerda
- Em cima à direita
Usinagem
Através da tecla [SELECT] escolher entre as opções:
-▼ (Desbaste)
-▼▼▼(Acabamento)
-▼▼▼(Fundo)
-▼▼▼(Borda)
- Chanfro.
6º Campo
Através da tecla [SELECT] escolher entre as opções:
- Fresamen. Vortex.
- Corte mergulho.
7º Campo
Através da tecla [SELECT] escolher entre as opções:
- Sent. direto (ativa o corte concordante durante o fresamento)
- Sent. contrário (ativa corte discordante durante o fresamento)
- Sent. dir / sent. oposto (ativa corte otimizado durante o fresamento)
8º Campo
Através da tecla [SELECT] escolher entre as opções:
- Pos. individual (realiza apenas uma bolsa)
- Modelo de pos. (MCALL) (realiza várias bolsas com a mesma profundidade)
X0 Ponto de referência no eixo X.
Y0 Ponto de referência no eixo Y.
Z0 Coordenada Z inicial do canal.
W Largura do canal.
L Comprimento do canal.
α0 Ângulo de inclinação do canal.
Z1
Coordenada Z final do fresamento.Através da tecla [SELECT] pode-se escolher
entre coordenada absoluta ou incremental.
DXY
Determina o valor do deslocamento lateral da fresa durante a abertura do canal.
Através da tecla [SELECT] pode-se escolher entre valor em mm ou valor em
porcentagem em relação ao diâmetro da fresa.
DZ
Profundidade de corte. Este campo aparece somente quando a opção “VORTEX”
é escolhida no 6º campo.
UXY Valor de sobremetal para acabamento nas paredes do canal.
UZ Valor de sobremetal para acabamento no fundo do canal.
Após acionar a softkey [Aceitar], o ciclo é inserido no programa conforme exemplo
abaixo:
CYCLE 899 (_____________)
T60356F	 Programação e Operação - Linha D - Siemens 828D	 75
19. Ciclos fixos
Exemplo:
:
N10 WORKPIECE(,,””,”RECTANGLE”,64,0,-10,-80,100,140)
N20 G17 G71 G90 G94
N30 G53 G0 Z0 D00
N40 T01;FRESA RAIO 20mm
N50 M6
N60 G54 D01 S1800 M3
N70 G0 X0 Y0
N80 Z10
N90 F100
N100 CYCLE899(5,0,2,-5,100,50,0,0,0,1,50,0,0,200,0,1001,100,1,110,,1,2)
N100 CYCLE899(5,0,2,-5,100,50,0,0,0,1,50,0,0,200,0,1002,100,1,110,,1,2)
N110 G53 G0 Z-110 D0
N120 M30




76	 Programação e Operação - Linha D - Siemens 828D	 T60356F
19. Ciclos fixos
19.15 - POCKET3
Aplicação: Alojamento retangular
Este ciclo permite a usinagem (desbaste e acabamento) de alojamentos retangulares
em qualquer posição ou ângulo.
Para acessar a página de programação do POCKET3 é necessário seguir os seguintes
passos:
- Acionar a softkey [ Fresar ]
- Acionar a softkey [ Bolsa ]
- Acionar a softkey [ Bolsa retangul. ]
- Preencher os campos (ver figura-exemplo a seguir)
- Acionar a softkey [ Aceitar ]
Os dados a serem preenchidos são os seguintes:
RP Coordenada de retorno da ferramenta no eixo Z após o fim do ciclo
Campo à
direita de
RP
Através da tecla [SELECT] escolher entre as opções:
- Sent. direto (ativa o corte concordante durante o fresamento)
- Sent. contrário (ativa corte discordante durante o fresamento)
SC Distância segura (folga para aproximação - sem sinal)
F Avanço a ser utilizado durante o fresamento.
T60356F	 Programação e Operação - Linha D - Siemens 828D	 77
19. Ciclos fixos
Pto. de
ref.
Determina qual coordenada do alojamento será informada posteriormente.
Através da tecla [SELECT] escolher entre as opções:
- Centro
- Embaixo à esquerda
- Embaixo à direita
- Em cima à esquerda
- Em cima à direita
Usinagem
Através da tecla [SELECT] escolher entre as opções:
-▼ (Desbaste)
-▼▼▼(Acabamento)
-▼▼▼(Borda)
- Chanfro.
7º Campo
Através da tecla [SELECT] escolher entre as opções:
- Pos. individual (realiza apenas uma bolsa)
- Modelo de pos. (MCALL) (realiza várias bolsas com a mesma profundidade)
X0 Coordenada de referência da bolsa no eixo X.
Y0 Coordenada de referência da bolsa no eixo Y.
Z0 Coordenada Z inicial da bolsa.
W Largura da bolsa.
L Comprimento da bolsa.
R Raio dos cantos da bolsa.
α0 Ângulo de inclinação da bolsa em relação ao eixo X.
Z1
Coordenada Z final do fresamento.Através da tecla [SELECT] pode-se escolher
entre coordenada absoluta ou incremental.
DXY
Determina o valor do deslocamento lateral da fresa durante a abertura da bolsa.
Através da tecla [SELECT] pode-se escolher entre valor em mm ou valor em
porcentagem em relação ao diâmetro da fresa.
DZ Profundidade de corte.
UXY Valor de sobremetal para acabamento nas paredes da bolsa.
UZ Valor de sobremetal para acabamento no fundo.
Imersão
Determina a forma como a ferramenta vai penetrar no material.Através da tecla
[SELECT] escolher entre as opções:
- pré - furado
- Vertical
- oscil.
- hélic.
FZ Avanço a ser utilizado durante a penetração da ferramenta.
Escarear
Através da tecla [SELECT] escolher entre as opções:
- Usinagem compl.
- Retrabalho
EP
Passo máximo da hélice. Este campo aparece somente quando a opção
“HÉLICE” é escolhida no campo “Imersão”.
ER
Raio da hélice. Este campo aparece somente quando a opção “HÉLICE” é
escolhida no campo “Imersão”
78	 Programação e Operação - Linha D - Siemens 828D	 T60356F
19. Ciclos fixos
Após acionar a softkey [Aceitar], o ciclo é inserido no programa conforme exemplo abaixo:
POCKET3 (_____________)
Ao desbastar o alojamento, deve-se levar em consideração dimensões de peça bruta
(ex. para usinar peças pré-fundidas).
NOTAS:
A posição de aproximação pode ser qualquer uma desde que se possa atingir, sem
colisões, o centro do alojamento e o plano de retorno.
O ponto de início do alojamento é atingido através de um movimento rápido.
Antes de ativarmos o ciclo devemos ativar o corretor da ferramenta correspondente,
pois o comando monitora a ferramenta durante o ciclo. No final do ciclo a ferramenta
movimentar-se-á para o centro do alojamento.
Exemplo:
:
WORKPIECE(,,””,”BOX”,112,0,-20,-80,0,0,200,150)
G17 G71 G90 G94
G53 G0 Z0 D00
T01
M6
G54 D01 S1800 M3
G0 X0 Y0
Z10
F100
POCKET3(5,0,2,-10,150,100,15,100,75,0,2,0.1,0.1,200,0.1,0,21,50,8,3,15,10,1,0,1,2,1110
0,11,110)
POCKET3(5,0,2,-10,150,100,15,100,75,0,2,0.1,0.1,200,0.1,0,22,50,8,3,15,10,1,0,1,2,1110
0,11,110)
G53 G0 Z0 D0
M30
150
100
150
200
R15
A A
20
10
100
150
200
R15
A
T60356F	 Programação e Operação - Linha D - Siemens 828D	 79
19. Ciclos fixos
19.16 - POCKET4
Aplicação: Alojamento circular
Este ciclo permite a usinagem (desbaste e acabamento) de alojamentos circulares em
qualquer posição.
Para acessar a página de programação do POCKET4 é necessário seguir os seguintes
passos:
- Acionar a softkey [ Fresar ]
- Acionar a softkey [ Bolsa ]
- Acionar a softkey [ Bolsa circular ]
- Preencher os campos (ver figura-exemplo a seguir)
- Acionar a softkey [ Aceitar ]
Os dados a serem preenchidos são os seguintes:
RP Coordenada de retorno da ferramenta no eixo Z após o fim do ciclo
Campo à
direita de
RP
Através da tecla [SELECT] escolher entre as opções:
- Sent. direto (ativa o corte concordante durante o fresamento)
- Sent. contrário (ativa corte discordante durante o fresamento)
SC Distância segura (folga para aproximação - sem sinal)
F Avanço a ser utilizado durante o fresamento.
5º campo
Através da tecla [SELECT] escolher entre as opções:
- em planos: Aprofunda de topo
- Oscil. Aprofunda em rampa
80	 Programação e Operação - Linha D - Siemens 828D	 T60356F
19. Ciclos fixos
Usinagem
Através da tecla [SELECT] escolher entre as opções:
-▼ (Desbaste)
-▼▼▼(Acabamento)
-▼▼▼(Bordo)
- Chanfro.
7º Campo
Através da tecla [SELECT] escolher entre as opções:
- Pos. individual (realiza apenas uma bolsa)
- Modelo de pos. (MCALL) (realiza várias bolsas com a mesma profundidade)
X0 Coordenada de referência da bolsa no eixo X.
Y0 Coordenada de referência da bolsa no eixo Y.
Z0 Coordenada Z inicial da bolsa.
Ø Diâmetro da bolsa.
Z1
Profundidade. Através da tecla [SELECT] pode-se escolher entre coordenada
absoluta ou incremental.
P Passo da hélice.
DZ Profundidade de corte (Incremento).
UXY Valor de sobremetal para acabamento lateral.
UZ Valor de sobremetal para acabamento no fundo.
Imersão
Determina a forma como a ferramenta vai penetrar no material.Através da tecla
[SELECT] escolher entre as opções:
- pré - furado
- Vertical
- hélic.
FZ Avanço a ser utilizado durante a penetração da ferramenta.
Escarear
Através da tecla [SELECT] escolher entre as opções:
- Usinagem compl.
- Retrabalho
EP Passo máximo da hélice.
ER Raio da hélice
FS
Largura do chanfro. Este campo aparece somente quando a opção “CHANFRO”
é escolhida no campo usinagem.
ZFS
Profundidade de inserção.Este campo aparece somente quando a opção
“CHANFRO” é escolhida no campo usinagem.
Após acionar a softkey [Aceitar], o ciclo é inserido no programa conforme exemplo
abaixo:
POCKET4 (_____________)
T60356F	 Programação e Operação - Linha D - Siemens 828D	 81
19. Ciclos fixos
NOTAS:
A posição de aproximação pode ser qualquer uma desde que se possa atingir, sem
colisões, o centro do alojamento e o plano de retorno.
O ponto de início do alojamento é atingido através de um movimento rápido.
Antes de ativarmos o ciclo devemos ativar o corretor da ferramenta correspondente,
pois o comando monitora a ferramenta durante o ciclo.
No final do ciclo a ferramenta movimentar-se-á para o centro do alojamento.
Os parâmetros não necessários podem ser omitidos no bloco de programação ou
receberem valor zero (0).
Para remover todo o material em um único passe deve-se programar o valor zero (0)
no parâmetro MID.
Exemplo:
WORKPIECE(,,””,”BOX”,112,0,-20,-80,0,0,70,60)
G53 G0 Z0 D0
T01
M6
G54 D01 S1800 M3
G0 X0 Y0
Z10
F100
POCKET3(5,0,2,-10,150,100,15,100,75,0,2,0.1,0.1,200,0.1,0,21,50,8,3,15,10,1,0,1,2,1110
0,11,110)
POCKET4(5,0,2,-15,50,35,30,2,0.1,0.1,200,0.1,0,1011,60,9,15,0,2,0,1,2,10100,111,110)
POCKET4(5,0,2,-15,50,35,30,2,0.1,0.1,200,0.1,0,1012,60,9,15,0,2,0,1,2,10100,111,110)
M30
15
25
60
50
70
AA
15
25
6050
70
AA
82	 Programação e Operação - Linha D - Siemens 828D	 T60356F
19. Ciclos fixos
19.17 - CYCLE76
Aplicação: Ressalto retangular
Este ciclo permite a usinagem (desbaste e acabamento) de ressaltos retangulares em
qualquer posição ou ângulo.
Para acessar a página de programação do CYCLE76 é necessário seguir os seguintes
passos:
- Acionar a softkey [ Fresar ]
- Acionar a softkey [ Saliência Poliedro ]
- Acionar a softkey [ Espiga retangul. ]
- Preencher os campos (ver figura-exemplo abaixo)
- Acionar a softkey [ Aceitar ]
Os dados a serem preenchidos são os seguintes:
RP Coordenada de retorno da ferramenta no eixo Z após o fim do ciclo
Campo à
direita de
RP
Através da tecla [SELECT] escolher entre as opções:
- Sent. direto (ativa o corte concordante durante o fresamento)
- Contrário (ativa corte discordante durante o fresamento)
SC Distância segura (folga para aproximação - sem sinal)
F Avanço a ser utilizado durante o fresamento.
FZ Avanço a ser utilizado durante a penetração da ferramenta.
T60356F	 Programação e Operação - Linha D - Siemens 828D	 83
19. Ciclos fixos
Pto. de
ref.
Determina qual coordenada do ressalto será informada posteriormente.
Através da tecla [SELECT] escolher entre as opções:
- Centro
- Embaixo à esquerda
- Embaixo à direita
- Em cima à esquerda
- Em cima à direita
Usinagem
Através da tecla [SELECT] escolher entre as opções:
-▼ (Desbaste)
-▼▼▼(Acabamento)
-▼▼▼(Bordo)
- Chanfro.
8º Campo
Através da tecla [SELECT] escolher entre as opções:
- Pos. individual (realiza apenas uma bolsa)
- Modelo de pos. (MCALL) (realiza várias bolsas com a mesma profundidade)
X0 Coordenada de referência do ressalto no eixo X.
Y0 Coordenada de referência do ressalto no eixo Y.
Z0 Coordenada Z inicial do ressalto.
W1 Largura da peça em bruto.
L1 Comprimento da peça em bruto.
W Largura do ressalto.
L Comprimento do ressalto.
R Raio dos cantos do ressalto.
α0 Ângulo de inclinação do ressalto em relação ao eixo X.
Z1
Coordenada Z final do fresamento.Através da tecla [SELECT] pode-se escolher
entre coordenada absoluta ou incremental
DZ Profundidade de corte.
UXY Valor de sobremetal para acabamento nas paredes do ressalto.
UZ Valor de sobremetal para acabamento no fundo.
FS
Largura do Chanfro. Este campo aparece somente quando a opção “CHANFRO”
é escolhida no campo usinagem.
ZFS
Profundidade de inserção. Este campo aparece somente quando a opção
“CHANFRO” é escolhida no campo usinagem.
Após acionar a softkey [Aceitar], o ciclo é inserido no programa conforme exemplo abaixo:
CYCLE 76 (_____________)
Ao desbastar o ressalto, deve-se levar em consideração dimensões de peça bruta (ex.
para usinar peças pré-fundidas).
NOTAS:
Antes de ativarmos o ciclo devemos ativar o corretor da ferramenta correspondente,
pois o comando monitora a ferramenta durante o ciclo.
Os parâmetros não necessários podem ser omitidos no bloco de programação ou
receberem valor zero (0).
84	 Programação e Operação - Linha D - Siemens 828D	 T60356F
19. Ciclos fixos
Exemplo:
WORKPIECE(,,””,”BOX”,112,0,-25,-80,0,0,80,55)
G17 G71 G90 G94
G53 G0 Z0 D0
T01
M6
G54 D01 S1800 M3
G0 X25 Y25
Z10
F100
CYCLE76(5,0,2,-10,,70,45,10,40,27.5,10,2,0.1,0.1,200,150,0,1,80,55,1,2,1100,1,102)
CYCLE76(5,0,2,-10,,70,45,10,40,27.5,10,2,0.1,0.1,200,150,0,1,80,55,1,2,1100,1,102)
G53 G0 Z0 D0
M30
20
10
80
R10
70
45
55
10°
20
10
80
R10
70
45
55
10°
T60356F	 Programação e Operação - Linha D - Siemens 828D	 85
19. Ciclos fixos
19.18 - CYCLE77
Aplicação: Ressalto circular
Este ciclo permite a usinagem (desbaste e acabamento) de ressaltos circulares em
qualquer posição.
Para acessar a página de programação do CYCLE77 é necessário seguir os seguintes
passos:
- Acionar a softkey [ Fresar ]
- Acionar a softkey [ Saliência Poliedro ]
- Acionar a softkey [ Espiga circular ]
- Preencher os campos (ver figura-exemplo abaixo)
- Acionar a softkey [ Aceitar ]
Os dados a serem preenchidos são os seguintes:
RP Coordenada de retorno da ferramenta no eixo Z após o fim do ciclo
Campo à
direita de
RP
Através da tecla [SELECT] escolher entre as opções:
- Sent. direto (ativa o corte concordante durante o fresamento)
- Sent. contrário (ativa corte discordante durante o fresamento)
SC Distância segura (folga para aproximação - sem sinal)
F Avanço a ser utilizado durante o fresamento.
FZ Avanço a ser utilizado durante a penetração da ferramenta.
86	 Programação e Operação - Linha D - Siemens 828D	 T60356F
19. Ciclos fixos
Usinagem
Através da tecla [SELECT] escolher entre as opções:
-▼ (Desbaste)
-▼▼▼(Acabamento)
-▼▼▼(Bordo)
- Chanfro.
7º Campo
Através da tecla [SELECT] escolher entre as opções:
- Pos. individual (realiza apenas uma bolsa)
- Modelo de pos. (MCALL) (realiza várias bolsas com a mesma profundidade)
X0 Coordenada do centro do ressalto no eixo X.
Y0 Coordenada do centro do ressalto no eixo Y.
Z0 Coordenada Z inicial do ressalto.
Ø1 Diâmetro da peça em bruto.
Ø Diâmetro final do ressalto.
Z1
Coordenada Z final do fresamento.Através da tecla [SELECT] pode-se escolher
entre coordenada absoluta ou incremental
DZ Profundidade de corte.
UXY Valor de sobremetal para acabamento nas paredes do ressalto.
UZ Valor de sobremetal para acabamento no fundo.
FS
Largura do Chanfro. Este campo aparece somente quando a opção “CHANFRO”
é escolhida no campo usinagem.
ZFS
Profundidade de inserção. Este campo aparece somente quando a opção
“CHANFRO” é escolhida no campo usinagem.
Após acionar a softkey [Aceitar], o ciclo é inserido no programa conforme exemplo
abaixo:
CYCLE 77 (_____________)
NOTAS:
Antes de ativarmos o ciclo devemos ativar o corretor da ferramenta correspondente,
pois o comando monitora a ferramenta durante o ciclo.
Os parâmetros não necessários podem ser omitidos no bloco de programação ou
receberem valor zero (0).
T60356F	 Programação e Operação - Linha D - Siemens 828D	 87
19. Ciclos fixos
Exemplo:
WORKPIECE(,,””,”BOX”,112,0,-20,-80,0,0,55,55)
G53 G0 Z0 D0
T01
M6
G54 D01 S1800 M3
G0 X25 Y25
Z10
F100
CYCLE76(5,0,2,-10,,70,45,10,40,27.5,10,2,0.1,0.1,200,150,0,1,80,55,1,2,1100,1,102)
CYCLE77(5,0,2,-15,,50,27.5,27.5,2,0.1,0.1,200,150,0,1,55,1,2,100,1,102)
CYCLE77(5,0,2,-15,,50,27.5,27.5,2,0.1,0.1,200,150,0,2,55,1,2,100,1,102)
M30	
50
27,50
27,50
10 x 45º
15
20
50 27,50
27,50
10 x 45º
15
20
88	 Programação e Operação - Linha D - Siemens 828D	 T60356F
19. Ciclos fixos
19.19 - CYCLE79
Aplicação: fresar polígono
Este ciclo permite a usinagem (desbaste e acabamento) de ressaltos em forma de
polígonos com qualquer quantidade de lados em qualquer posição. Para acessar a página
de programação do polígono é necessário seguir os seguintes passos:
- Acionar a softkey [ Fresar ]
- Acionar a softkey [ Saliência Poliedro ]
- Acionar a softkey [ Arestas múltipl. ]
- Preencher os campos (ver figura-exemplo abaixo)
- Acionar a softkey [ Aceitar ]
Os dados a serem preenchidos são os seguintes:
RP Coordenada de retorno da ferramenta no eixo Z após o fim do ciclo
Campo à
direita de
RP
Através da tecla [SELECT] escolher entre as opções:
- Sent. direto (ativa o corte concordante durante o fresamento)
- Sent. oposto (ativa corte discordante durante o fresamento)
SC Distância segura (folga para aproximação - sem sinal)
F Avanço a ser utilizado durante o fresamento.
Usinagem
Através da tecla [SELECT] escolher entre as opções:
-▼ (Desbaste)
-▼▼▼(Acabamento)
-▼▼▼(Bordo)
- Chanfro.
6º Campo
Através da tecla [SELECT] escolher entre as opções:
- Pos. individual (realiza apenas uma bolsa)
- Modelo de pos. (MCALL) (realiza várias bolsas com a mesma profundidade)
X0 Coordenada do centro do ressalto no eixo X.
T60356F	 Programação e Operação - Linha D - Siemens 828D	 89
19. Ciclos fixos
Y0 Coordenada do centro do ressalto no eixo Y.
Z0 Coordenada Z inicial do ressalto.
Ø1 Diâmetro da peça em bruto.
N Número de lados do polígono
SW Abertura da chave.
α0 Ângulo de rotação.
R1 Valor dos raios de arredondamento dos cantos vivos.
Z1
Coordenada Z final do fresamento.Através da tecla [SELECT] pode-se escolher
entre coordenada absoluta ou incremental
DXY Incremento de corte lateral durante o fresamento.
DZ Profundidade de corte.
UXY Valor de sobremetal para acabamento nas paredes do ressalto.
UZ Valor de sobremetal para acabamento no fundo.
FS Largura do chanfro
ZFS Profundidade de inserção.
Após acionar a softkey [Aceitar], o ciclo é inserido no programa conforme exemplo abaixo:
CYCLE79 (_____________)
NOTAS: Antes de ativarmos o ciclo devemos ativar o corretor da ferramenta
correspondente, pois o comando monitora a ferramenta durante o ciclo.
Os parâmetros não necessários podem ser omitidos no bloco de programação ou
receberem valor zero (0).
Exemplo:
:
N80 G54 G0 X15 Y15
N90 Z5
CYCLE79(100,0,2,-10,6,30,0,0,45,5,80,50,2,0.1,0.1,1000,0,11,1,2,,1,110)
CYCLE79(100,0,2,-10,6,30,0,0,45,5,80,50,2,0.1,0.1,1000,0,12,1,2,,1,110)
M30








90	 Programação e Operação - Linha D - Siemens 828D	 T60356F
19. Ciclos fixos
19.20 - CYCLE61
Aplicação: Facear superfície
Este ciclo permite facear qualquer superfície retangular.
Para acessar a página de programação do CYCLE61 é necessário seguir os seguintes
passos:
- Acionar a softkey [ Fresar ]
- Acionar a softkey [ Facear com fresa ]
- Preencher os campos (ver figura-exemplo abaixo)
- Acionar a softkey [ Aceitar ]
Os dados a serem preenchidos são os seguintes:
RP Coordenada de retorno da ferramenta no eixo Z após o fim do ciclo
SC Distância segura (folga para aproximação - sem sinal)
F Avanço a ser utilizado durante o fresamento.
Usinagem
Através da tecla [SELECT] escolher entre as opções:
-▼ (Desbaste)
-▼▼▼(Acabamento)
Direção
Através da tecla [SELECT] escolher entre as opções:
- Fresamento em uma direção no eixo X.
- Fresamento em ZIG - ZAG no eixo X.
- Fresamento em uma direção no eixo Y.
- Fresamento em ZIG - ZAG no eixo Y.
X0 Coordenada do canto inferior esquerdo no eixo X.
Y0 Coordenada do canto inferior esquerdo no eixo Y.
Z0 Coordenada Z inicial do ressalto.
T60356F	 Programação e Operação - Linha D - Siemens 828D	 91
19. Ciclos fixos
X1 Coordenada do canto superior direito no eixo X.
Y1 Coordenada do canto superior direito no eixo Y.
Z1
Coordenada Z final do fresamento.Através da tecla [SELECT] pode-se escolher
entre coordenada absoluta ou incremental
DXY
Determina o valor do deslocamento lateral da fresa durante o faceamento.
Através da tecla [SELECT] pode-se escolher entre valor em mm ou valor em
porcentagem em relação ao diâmetro da fresa.
DZ Profundidade de corte.
UZ Valor de sobremetal para acabamento.
Após acionar a softkey [Aceitar], o ciclo é inserido no programa conforme exemplo
abaixo:
CYCLE61 (_____________)
NOTAS:
Antes de ativarmos o ciclo devemos ativar o corretor da ferramenta correspondente,
pois o comando monitora a ferramenta durante o ciclo.
Os parâmetros não necessários podem ser omitidos no bloco de programação ou
receberem valor zero (0).
Exemplo:
WORKPIECE(,,””,”BOX”,112,5,-20,-80,0,0,370,250)
G53 G0 Z0 D0
T01
M6
G54 D01 S1800 M3
G0 X25 Y25
Z10
F100
CYCLE61(8,5,2,0,0,0,370,250,2,80,0.1,200,31,0,1,
11010)
CYCLE61(8,5,2,0,0,0,370,250,2,80,0,200,32,0,1,11
010)
G53 G0 Z0 D0
M30
5
400
45
250
370
210
5
400
45
250
370
21045
92	 Programação e Operação - Linha D - Siemens 828D	 T60356F
19. Ciclos fixos
19.21 - CYCLE63
Aplicação: Usinar contorno programado
Este ciclo permite a usinagem de um contorno previamente programado.
Para realizar a programação deste ciclo é necessário executar os seguintes passos:
1) Programar o contorno externo (Matéria prima);
		 - Acionar a softkey [ Fresar Contorno ]
		 - Acionar a softkey [ Novo Contorno ]
		 - Digitar o nome do contorno da matéria prima. Ex: BRUTO
		 - Digitar o ponto inicial do perfil.
	 	 - Acionar a softkey [ Aceitar ]
		 - Desenhar a matéria prima utilizando os recursos de reta e círculo. ↑ ↓ → ←.
	 	 - Acionar a softkey [ Aceitar ]
2) Programar o contorno interno (Perfil da peça acabada);
		 - Acionar a softkey [ Fresar Contorno ]
		 - Acionar a softkey [ Novo Contorno ]
		 - Digitar o nome do contorno da peça acabada. Ex: ILHA
		 - Digitar o ponto inicial do perfil.
	 	 - Acionar a softkey [ Aceitar ]
		 - Desenhar a matéria prima utilizando os recursos de reta e círculo. ↑ ↓ → ←.
		 - Acionar a softkey [ Aceitar ]
3) Programar a chamada do contorno externo;
		 - Acionar a softkey [ Fresar Contorno ]
		 - Acionar a softkey [ Chamada Contorno ]
		 - Digitar o nome do contorno da matéria prima. Ex: BRUTO
		 - Acionar a softkey [ Aceitar ]
4) Programar a chamada do contorno interno;
		 - Acionar a softkey [ Fresar Contorno ]
		 - Acionar a softkey [ Chamada Contorno ]
		 - Digitar o nome do contorno da peça acabada. Ex: ILHA
		 - Acionar a softkey [ Aceitar ]
5) Programar o ciclo de usinagem de contorno;
		 - Acionar a softkey [ Fresar Contorno ]
		 - Acionar a softkey [ Espiga ]
		 - Digitar o nome para utilização do ciclo. Ex: USINAGEM
		 - Preencher os campos (ver figura-exemplo à seguir)
		 - Acionar a softkey [ Aceitar ]
T60356F	 Programação e Operação - Linha D - Siemens 828D	 93
19. Ciclos fixos
NOTA: A programação do contorno da matéria prima e do perfil acabado deve ficar
após o comando M30.
Os dados a serem preenchidos são os seguintes:
PRG Nome do ciclo. Ex: USINAGEM
RP Coordenada de retorno da ferramenta no eixo Z após o fim do ciclo
SC Distância segura (folga para aproximação - sem sinal)
F Avanço a ser utilizado durante o fresamento.
Usinagem
Através da tecla [SELECT] escolher entre as opções:
-▼ (Desbaste)
-▼▼▼(Acabamento)
Z0 Coordenada Z inicial do ressalto.
Z1
Coordenada Z final do fresamento. Através da tecla [SELECT] pode-se
escolher entre coordenada absoluta ou incremental
DXY
Determina o valor do deslocamento lateral da fresa durante o faceamento.
Através da tecla [SELECT] pode-se escolher entre valor em mm ou valor em
porcentagem em relação ao diâmetro da fresa.
DZ Profundidade de corte.
UZ Valor de sobremetal para acabamento.
Modo de
levantamento
Ponto de retorno após a execução do ciclo.
Através da tecla [SELECT] escolher entre as opções:
- Em RP (Plano de referência)
- Em SC (Distância de segurança)
Após acionar a softkey [Aceitar], o ciclo é inserido no programa conforme exemplo
abaixo:
CYCLE63 (_____________)
94	 Programação e Operação - Linha D - Siemens 828D	 T60356F
19. Ciclos fixos
Exemplo:
WORKPIECE(,,””,”BOX”,112,0,-20,
-80,0,0,100,100)
N10 G17G71G90G94
N20 G53G0Z0D0
N30 T1
N40 M6
N50 G54D1S3000M3G64
N60 G0X0Y0
N70 Z10
F1000
N80 CYCLE62(“BRUTO”,1,,)
N90 CYCLE62(“ILHA”,1,,)
N100 CYCLE63(“USINAGEM”,1,10,0,2,
-10,1000,,50,2.5,0,0,0,0,0,,,,1,2,,,,0,201,110)
N110 G53G0Z0D0
N120 G53G0Y0
N130 M30
N140 E_LAB_A_ILHA: ;#SM Z:2
;#7__DlgK contour definition begin - Don’t change!;*GP*;*RO*;*HD*
G17 G90 DIAMOF;*GP*
G0 X70 Y50 ;*GP*
G3 I=AC(50) J=AC(50) ;*GP*
;CON,0,0.0000,1,1,MST:0,0,AX:X,Y,I,J;*GP*;*RO*;*HD*
;S,EX:70,EY:50;*GP*;*RO*;*HD*
;ACCW,EX:70,EY:50,CX:50,RAD:20;*GP*;*RO*;*HD*
;#End contour definition end - Don’t change!;*GP*;*RO*;*HD*
E_LAB_E_ILHA:
N150 E_LAB_A_BRUTO: ;#SM Z:2
;#7__DlgK contour definition begin - Don’t change!;*GP*;*RO*;*HD*
G17 G90 DIAMOF;*GP*
G0 X0 Y0 ;*GP*
G1 Y100 ;*GP*
X100 ;*GP*
Y0 ;*GP*
X0 ;*GP*
;CON,0,0.0000,4,4,MST:0,0,AX:X,Y,I,J;*GP*;*RO*;*HD*
;S,EX:0,EY:0;*GP*;*RO*;*HD*
;LU,EY:100;*GP*;*RO*;*HD*
;LR,EX:100;*GP*;*RO*;*HD*
;LD,EY:0;*GP*;*RO*;*HD*
;LA,EX:0,EY:0;*GP*;*RO*;*HD*
;#End contour definition end - Don’t change!;*GP*;*RO*;*HD*
E_LAB_E_BRUTO:








T60356F	 Programação e Operação - Linha D - Siemens 828D	 95
20. Funções de transformação
20 - FUNÇÕES DE TRANSFORMAÇÃO
20.1 - FUNÇÃO: TRANS, ATRANS
Aplicação: Deslocamento da origem de trabalho
A função TRANS/ATRANS permite programar deslocamentos da origem de trabalho
para todos os eixos na direção desejada, com isso é possível trabalhar com ponto zero
alternativos, no caso de usinagem repetidas em posições diferentes da peça
Função, TRANS XYZ é utilizada para deslocar a origem do trabalho em relação ao
zero peça ativo (G54-G57 , G505-G599).
Função, ATRANS XYZ é utilizada para deslocar a origem do trabalho em relação ao
último deslocamento de origem programado (TRANS).
Para cancelarmos um deslocamento deve-se programar a função TRANS sem a
declaração de variáveis, com isso cancelamos qualquer frame programado.
Sintaxe:
TRANS X___ Y___ Z___
		
X
Y
X
Y
X
Y
X
Y
TRANS
TRANS
ATRANS
96	 Programação e Operação - Linha D - Siemens 828D	 T60356F
20. Funções de transformação
Exemplo:
G17 G71 G90 G94
G53 G0 Z-110 D0
T01; FRESA TOPO D20
M6
G54 D01 G64 CFIN
S2000 M3
PERFIL
TRANS X130
PERFIL
TRANS Y130
PERFIL
TRANS X130 Y130
;ou ATRANS X130
PERFIL
TRANS
G53 G0 Z-110 D0 M5
M30
SUB PROGRAMA:
PERFIL.SPF
G0 X50 Y-15
Z0
INICIO: G1 Z=IC(-4) F800
G41 Y15
X28 RND=15
G2 X15 Y28 CR=-13
G1 Y72 RND=15
G2 X28 Y85 CR=-13
G1 X72 RND=15
G2 X85 Y72 CR=-13
G1 Y28 RND=15
G2 X72 Y15 CR=-13
G1 X50
FIM: G40 Y-15
REPEAT INICIO FIM P2
G0 Z5
M17
DISPOSITIVO:
130
130
PEÇA:
15
100
R13
15
R15
22
100
12
15
100
R13
15
R15
22
100
12
T60356F	 Programação e Operação - Linha D - Siemens 828D	 97
20. Funções de transformação
20.2 - FUNÇÃO: ROT, AROT
Aplicação: Rotação do sistema de coordenada de trabalho
A função ROT/AROT permite programar um ângulo de rotação para o sistema de
coordenadas de trabalho em relação ao plano de trabalho selecionado (G17, G18 ou
G19).
Programando a função ROT RPL = ___, o sistema de coordenadas é rotacionado em
relação ao zero peça ativo (G54-G57 , G505-G599). Para programarmos uma segunda
rotação em relação a uma rotação já programada devemos utilizar a função AROT RPL =
___.
Para cancelarmos uma rotação deve-se programar a função ROT sem a função auxiliar
RPL, com isso cancelamos qualquer rotação programada.
Sintaxe:
ROT RPL = ___
X+X+X+X+
X+X+X+X+
Y+Y+Y+Y+
RO
TROT
ARO
T X+X+X+X+
Y+Y+Y+Y+
Y+Y+Y+Y+
98	 Programação e Operação - Linha D - Siemens 828D	 T60356F
20. Funções de transformação
Exemplo:
G17 G71 G90 G94
G53 G0 Z-110 D0
T01;FRESA TOPO D10
M6
G54 D01 G64 CFIN
S2000 M3
CRUZ P1
ROT RPL=60
CRUZ P1
ROT RPL=120
CRUZ P1
ROT RPL=180
CRUZ P1
ROT RPL=240
CRUZ P1
ROT RPL=300
CRUZ P1
ROT
G53 G0 Z-110 D0 M5
M30
10
A
SUB PROGRAMA
CRUZ.SPF
G0 X67.5 Y0
Z5
G1 Z0 F500
INICIO: G1 Z=IC(-2.5) F200
G41 X75 Y-7.5 F600
X87.5
G3 Y7.5 CR=7.5
G1 X75
Y20
G3 X60 CR=7.5
G1 Y7.5
X47.5
G3 Y-7.5 CR=7.5
G1 X60
Y-20
G3 X75 CR=7.5
G1 Y-7.5
FIM: G40 X67.5 Y0
REPEAT INICIO FIM P3
G0 Z5
M17
40
60°
20
10
55
R7,50
15
A A
T60356F	 Programação e Operação - Linha D - Siemens 828D	 99
20. Funções de transformação
20.3 - FUNÇÃO: SCALE, ASCALE
Aplicação: Fator de escala
A função SCALE/ASCALE permite programar, para todos os eixos fatores de escala,
com isso é possível alterar o tamanho de uma peça já programada.
Pode-se utilizar a função SCALE XYZ, para programar um fator de escala em relação
ao zero peça (G54 ~ G55 ou G505 ~ G599), ou a função ASCALE XYZ para programarmos
um fator de escala em relação a um frame já programado.
Para cancelarmos a função escala devemos programar a função SCALE sem declarar
variáveis, com isso cancelamos qualquer frame programado.
Sintaxe:
SCALE X___ Y___
Exemplo:
G17 G71 G90 G94
G53 G0 Z-110 D0
T01;FRESA TOPO D20
M6
G54 D01 G64 CFIN S2000 M3
HEXAGONO P1
TRANS X70
ASCALE X2 Y2
HEXAGONO P1
TRANS OU SCALE
G53 G0 Z-110 D0 M5
M30
SUB PROGRAMA
HEXAGONO.SPF
G0 X25 Y-15
Z5
G1 Z0 F500
INICIO: G1 Z=IC(-2.5) F200
G41 X25 Y1.91 F600
X5 Y13.45
Y36.55
X25 Y48.09
X45 Y36.55
Y13.45
X25 Y1.91
FIM: G40 Y-15
REPEAT INICIO FIM P3
G0 Z5
M17
80
5
10
40
96,18
13,45
48,09
1,91
70
3,82
26,90
10
15
5
13,4515
100	 Programação e Operação - Linha D - Siemens 828D	 T60356F
20. Funções de transformação
20.4 - FUNÇÃO: MIRROR, AMIRROR
Aplicação: Imagem espelho
A função MIRROR/AMIRROR permite espelhar o perfil da peça programado.
O espelhamento é programado pela função MIRROR XYZ. Ao programar esta
função ocoorre uma inversão de sinal das coordenadas programadas, ou seja, os valores
programados positivos tornam-se negativos e vice-versa. O espelhamento por MIRROR tem
como referência o ponto zero peça ativo (G54 ~ G59 ou G505 ~ G599).
Um espelhamento com referência a um espelhamento ou frame já programado deve
utilizar a função AMIRROR XYZ.
Com a função de espelhamento ativa o comando muda automaticamente os comandos
de compensação de raio da ferramenta G41/G42 ou G42/G41, o mesmo se aplica ao sentido
da interpolação circular G2/G3.
Para cancelarmos a função espelho devemos programar a função MIRROR sem declarar
variáveis, com isso cancelamos qualquer frame programado.
Sintaxe:
MIRROR X__ Y___ Z___
Exemplo:
G17 G71 G90 G94
G53 G0 Z-110 D0
T01;FRESA TOPO D15
M6
G54 D01G64 CFIN
S2000 M3
CONTORNO P1
MIRROR X0
CONTORNO P1
AMIRROR Y0
;ou MIRROR X0 Y0
CONTORNO P1
MIRROR Y0
;ou AMIRROR X0
CONTORNO P1
MIRROR
G53 G0 Z-110 D0 M5
M30
25
15
R8
20
70
75
10R
R
10
R
5
20
200
A A
10
20
T60356F	 Programação e Operação - Linha D - Siemens 828D	 101
20. Funções de transformação
SUB PROGRAMA
CONTORNO.SPF
G0 X35 Y25
Z5
G1 Z0 F500
INICIO: G1 Z=IC(-2) F200
G41 X33 Y15 F600
X85
G3 Y35 CR=10
G1 X45 RND=5
Y80
G3 X25 CR=10
G1 Y23
G3 X33 Y15 CR=8
FIM: G40 G1 X35 Y25
REPEAT INICIO FIM P4
G0 Z5
M17
A
10
102	 Programação e Operação - Linha D - Siemens 828D	 T60356F
21. Programação nos planos g18 e g19
Y+
Z+
21 - PROGRAMAÇÃO NOS PLANOS G18 E G19
Devido a estrutura da máquina, a maior parte das peças usinadas são programadas
no plano G17 (XY). Porém, em alguns casos, necessita-se trabalhar, ao invés do plano G17,
com o G18 (XZ) ou o G19 (YZ).
A seguir há um exemplo de programação no plano G18 e um exemplo de programação
no plano G19.
Exemplo de programação em G18:
G18 G71 G90 G94
G53 G0 Z-110 D0
T1; FRESA PONTA ESF. D8 MM
M6
G54 D1 S3600 M3
G64 CFIN
G0 X-10 Y0
Z10
AAA: G1 Y=IC(0.2) F360
G42 Z0
X20
G3 X25 Z-5 CR=5
;ou G3 X25 Z-5 I=AC(20) K=AC(-5)
G1 Z-15
G2 X35 Z-25 CR=10
;ou G2 X35 Z-25 I=AC(35) K=AC(-15)
G1 X60 RND=10
X85 Z0 RND=5
X110
BBB: G40 G0 X-10 Z10
REPEATAAA BBB P249
G53 G0 Z-110 D0
M30
2535
25
R5
R10
R10
25
R5
100
50
X+
T60356F	 Programação e Operação - Linha D - Siemens 828D	 103
21. Programação nos planos g18 e g19
Y+
Z+
X-
Exemplo de programação em G19:
G19 G71 G90 G94
G53 G0 Z-110 D0
T1; FRESAPONTAESF. D8 MM
M6
G54 D1 S3600 M3
G64 CFIN
G0 X0 Y-10
Z10
AAA: G1 X=IC(0.2) F360
G41 Z-15
Y15
G3 Y25 Z-5 CR=10
;ou G3 Y25 Z-5 J=AC(15) K=AC(-5)
G2 Y35 CR=5
:ou G2 Y35 J=AC(30) K=AC(-5)
G3 Y65 CR=15
;ou G3 Y65 J=AC(50) K=AC(-5)
G2 Y75 CR=5
;ou G2 Y75 J=AC(70) K=AC(-5)
G3 Y85 Z-15 CR=10
;ou G3 Y85 Z-15 J=AC(85) K=AC(-5)
G1 Y110
G40 G0 Z10
BBB: Y-10
REPEATAAABBB P249
G53 G0 Z-110 D0
M30
100
50
R
20
25
15
10
R
10
15
R5
NOTAS:
Quando trabalha-se com o plano G18, os códigos de compensação de raio (G41 e
G42) e de interpolação circular (G2 e G3) devem ser programados de forma contrária aos
dos planos G17 e G19, uma vez que o sentido de corte na visualização da usinagem é
contrária aos mesmos.
Para que ocorra a compensação de raio, a ferramenta utilizada nesse tipo de usinagem
deve ser de ponta esférica e não deve ser zerada pelo topo, mas sim pelo centro do
raio.
Este tipo de programação normalmente é utilizada em operações de acabamento.
104	 Programação e Operação - Linha D - Siemens 828D	 T60356F
22. Moldes e matrizes
22 - MOLDES E MATRIZES
Os centros de usinagem Romi da linha “D” SIEMENS-828 possuem um opcional
destinado a melhorar a performance da máquina em caso de usinagem de peças com perfis
complexos que necessitem fazer deslocamentos pequenos e precisos mantendo uma boa
velocidade e aceleração.
Este opcional chamado “MOLDES E MATRIZES” é invocado pela função “CYCLE 832” e
possui diversas funções especiais de softwre no CNC que, associadas à diversos parâmetros
de máquina e hardware, permitem:
–– Melhor controle de precisão dos eixos;
–– Altas taxas de avanço;
–– Movimentos suaves.
Neste capítulo serão explanados as principais funções responsáveis por esta melhor
performance das máquinas. São elas:
–– Aceleração / Desaceleração “Bell-Shape”;
–– Look-Ahead;
–– Tecnologia SIEMENS para Moldes e Matrizes (“CYCLE832”).
22.1 - TELA CONVERSACIONAL DE CONTROLE DAS FUNÇÕES DE USINAGEM
PARA MOLDES E MATRIZES
Esta tela permite ao usuário selecionar, de modo interativo, quais as funções ele deseja
aplicar durante a usinagem de determinados moldes ou matrizes.
Ao especificar qual o tipo de usinagem a ser realizada (Desbaste, Pré-acabamento ou
Acabamento), o comando assume automaticamente as funções recomendadas para aquele
tipo de trabalho, porém, caso seja de interesse do usuário, elas podem ser modificadas de
acordo com o desejado.
Para acessar a tela do “CYCLE832”, deve-se:
–– Acionar o softkey horizontal [ DIVERSOS ] ;
–– Acionar o softkey vertical [  ] ;
–– Acionar o softkey vertical [ AJUSTE HIGH SPEED ] ;
–– Preencher os campos (ver figura-exemplo abaixo)
–– Acionar a softkey [ Aceitar ].
T60356F	 Programação e Operação - Linha D - Siemens 828D	 105
22. Moldes e matrizes
Os dados a serem preenchidos são os seguintes:
Tolerância
Valor deve ser 20 % maior do que a tolerância CAM utilizada para gerar o
programa.
Usinagem
Através da tecla [SELECT] escolher entre as opções:
-▼ (Desbaste)
-▼▼ (Pré - Acabamento)
-▼▼▼(Acabamento)
Após acionar a softkey [Aceitar], o ciclo é inserido no programa conforme exemplo
abaixo:
CYCLE832 (0.01, 2, 1)
Para fazer a programação do ciclo fora da máquina, ou seja, sem a página interativa,
deve-se programar conforme sintaxe abaixo:
CYCLE832 (xxx, yyy, zzz)
Explanação:
XXX
Tolerância. O Valor programado deve ser 20 % maior do que a tolerância CAM
utilizada para gerar o programa.
106	 Programação e Operação - Linha D - Siemens 828D	 T60356F
22. Moldes e matrizes
YYY
1 - (Desbaste)
2 - (Pré - Acabamento)
3 - (Acabamento)
ZZZ
1 - Liga o ciclo.
0 - Desliga o ciclo.
22.2.1 Exemplos de programação do “CYCLE 832” :
DESBASTE: CYCLE 832 (0.1,1,1)
PRÉ-ACABAMENTO: CYCLE 832 (0.05,2,1)
ACABAMENTO: CYCLE 832 (0.02,3,1)
Dentro de um programa, o CYCLE 832 pode ser inserido logo no início do programa
conforme exemplo abaixo:
N10 CYCLE832 (0.1,1,1)
N20 G17 G71 G90 G94
N30 G53 G0 Z0 D0
N40 T1
N50 M6
:
:
:
T60356F	 Programação e Operação - Linha D - Siemens 828D	 107
23. Quarto eixo
23 - QUARTO EIXO
23.1 - INTRODUÇÃO
A Mesa Rotatória da linha “D”com Comando SIEMENS 828 está configurada para
trabalhar com a unidade de medida em grau e com a velocidade de posicionamento angular
em graus/minuto. Pode-se utilizar a Mesa Rotatória como Divisor ou como 4° Eixo (Usinagem
de Contornos).
Como Divisor, os posicionamentos são dados em incrementos de ângulo (“indexação”),
geralmente na máxima velocidade angular através da função G00.
Como 4° Eixo, os posicionamentos do eixoAsão executados para gerar um determinado
perfil de contorno sobre o cilindro da peça, podendo ser interpolados com o eixo X através
da função G01.
A +
A -
A +
A -
23.2 - INTERPOLAÇÃO DO 4° EIXO COM EIXO LINEAR
Ao interpolar o eixo A (Eixo Rotacional) com o eixo X (Eixo Linear), tem-se inicialmente
um problema com relação a velocidade de avanço, devido as diferentes unidades de medida
com que os referidos eixos operam. Enquanto o eixoAtrabalha em grau/min, o eixo X trabalha
em mm/min ou polegada/min. O problema da velocidade de avanço ocorre porque neste
tipo de interpolação o eixo rotacional (A) fica subordinado ao eixo linear (X) em função do
tempo, ou seja, o percurso do eixo A deve ser percorrido no mesmo tempo do eixo X, pois o
avanço é sempre aplicado ao eixo linear. Dependendo da relação entre o percurso de cada
eixo, tem-se para A uma velocidade de avanço mais lenta ou mais rápida (ver figura 3).
Fig. 3 - Velocidade de avanço para o eixo A.
108	 Programação e Operação - Linha D - Siemens 828D	 T60356F
23. Quarto eixo
23.3 - MÉTODOS DE PROGRAMAÇÃO
O comando Siemens possibilita aplicar dois métodos de programação sobre o 4° Eixo,
caracterizados como:
Programação Simples.
Programação Avançada.
23.3.1 - Programação Simples
Como o 4° Eixo definido no comando como A, não pertence ao Sistema Ortogonal
de Coordenadas (G17-XY/ G18-XZ / G19-YZ), compensações de raio de ferramenta (G40/
G41/G42) bem como interpolações circulares (G02/G03) não são aceitas pelo CNC quando
aplicadas ao respectivo eixo. Somente na programação avançada, descrita mais adiante,
será possível tais aplicações.
No Método de Programação Simples, para se obter o perfil de usinagem desejado,
deve-se calcular a geometria dos posicionamentos pelo centro da ferramenta. Sendo assim,
qualquer alteração no raio desta, quer seja por desgaste ou troca de ferramenta, implica em
alterar o programa de forma a compensar a diferença do respectivo raio nos posicionamentos
de corte. Além disso, percursos circulares sobre um cilindro, devem ser decompostos em
pequenas facetas (segmentos lineares) entre os eixos X eApara compensar a falta da função
de interpolação circular neste tipo de aplicação. Observe na figura 4, como os pontos em
negrito no centro da ferramenta, podem ter a posição X/A alterada em função da diferença
de diâmetro.
Fig. 4 - Posição do centro da ferramenta de acordo com o diâmetro.
T60356F	 Programação e Operação - Linha D - Siemens 828D	 109
23. Quarto eixo
a) Controle da Velocidade de Avanço através das Funções FGROUP e FGREF.
Conforme descrito anteriormente, pelo fato do eixo A ser um eixo rotacional com a
unidade de medida em grau, não se consegue uma velocidade de avanço uniforme ao longo
do percurso de corte quando interpolando com eixos lineares com unidade de medida em
mm ou polegada. Assim, essa questão pode ser resolvida pela função FGROUP, a qual é
uma função “standard” do comando, usada para definir grupo de eixos, os quais devem
trabalhar sob a mesma velocidade de avanço no percurso de corte.
Para que a máquina possa calcular o avanço resultante entre os eixos lineares (X, Y)
e o eixo rotacional (A), deve-se programar juntamente com a função FGROUP a função
FGREF, conforme a sintaxe abaixo:
Sintaxe:
FGROUP(X, Y, A) - ativa a função FGROUP para agrupar os eixos X, Y e A
FGREF[A]=____ - define o raio da peça. Exemplo: FGREF[A]=60 (peça Ø120 mm)
b) Exemplo de Programa pelo Método Simples com FGROUP
A +
110	 Programação e Operação - Linha D - Siemens 828D	 T60356F
23. Quarto eixo
TABELA 1 - POSICIONAMENTOS X / A
Pos A [grau] X [mm] Pos A [grau] X [mm] Pos A [grau] X [mm]
A
B
B1
B2
B3
B4
B5
B6
B7
B8
B9
B10
B11
B12
B13
B14
B15
B16
B17
C
D
D1
D2
D3
D4
D5
0
60
61
62
63
64
65
66
67
68
69
70
71
72
73
74
75
76
77
77,282
162,718
163
164
165
166
167
120
120
119,699
119,398
119,097
118,796
118,495
118,194
117,893
117,592
117,291
116,990
116,689
116,388
116,087
115,786
115,485
115,184
114,883
114,800
60,949
60,864
60,563
60,262
59,961
59,660
D6
D7
D8
D9
D10
D11
D12
D13
D14
D15
D16
D17
D18
D19
D20
D21
D22
D23
D24
D25
D26
D27
D28
D29
D30
D31
168
169
170
171
172
173
174
175
176
177
178
179
180
181
182
183
184
185
186
187
188
189
190
191
192
193
59,359
59,058
58,757
58,456
58,155
57,854
57,553
57,252
56,951
56,650
56,349
56,048
55,747
56,048
56,349
56,650
56,951
57,252
57,553
57,854
58,155
58,456
58,757
59,058
59,359
59,660
D32
D33
D34
D35
E
F
F1
F2
F3
F4
F5
F6
F7
F8
F9
F10
F11
F12
F13
F14
F15
F16
F17
G
H
194
195
196
197
197,282
282,718
283
284
285
286
287
288
289
290
291
292
293
294
295
296
297
298
299
300
360
59,951
60,262
60,563
60,864
60,949
114,800
114,885
115,186
115,487
115,788
116,089
116,390
116,691
116,992
117,293
117,594
117,895
118,196
118,497
118,798
119,099
119,400
119,701
120,000
120,000
NOTA: Observe que o caminho da ferramenta está localizado exatamente no centro
do canal. Isso faz com que a largura do canal tenha a mesma dimensão do diâmetro da
ferramenta. Para canais com largura maior que a ferramenta, definir novo caminho pelo
centro da ferramenta, tomando como referência a tangência do diâmetro da mesma com
relação ao perfil da parede do respectivo canal (ver fig. 4 - Detalhe Ampliado de uma
Interpolação Circular pelo Processo de Facetamento).
Dados de Processo:
a) Ferramenta
Diâmetro da Fresa (D) = 20 mm
Número de Dentes (z) = 2
Velocidade de Corte (Vc) = 60 m/min
Avanço por Dente (fz) = 0,1 mm/rot
b) Dados da Peça
Diâmetro da Peça = 162 mm
c) Cálculo da rotação (N)
N = Vc*1000 = 60*1000 = 954 RPM
(π*D) (3,141*20)
d) Cálculo da velocidade de avanço (fn)
fn = N*z*fz = 954*2*0.1 = 191 mm/min
T60356F	 Programação e Operação - Linha D - Siemens 828D	 111
23. Quarto eixo
Programa:
N010 G17 G71 G90 G94 G64
N020 G53 G00 Z-110 D0
N030 T01; FRESA D20 MM
N040 M06
N050 G54 D1 S954 M3 CFIN
N060 G00 X120 Y0 A0
N070 FGROUP (X,A)
N080 FGREF[A]=81
N090 G00 Z92.5	
N100 G01 Z81 F100
N110 A-60 F127
N120 A-61 X119.699 F191
N130 A-62 X119.398
N140 A-63 X119.097
N150 A-64 X118.796
N160 A-65 X118.495
N170 A-66 X118.194
N180 A-67 X117.893
N190 A-68 X117.592
N200 A-69 X117.291
N210 A-70 X116.990
N220 A-71 X116.689
N230 A-72 X116.388
N240 A-73 X116.087
N250 A-74 X115.786
N260 A-75 X115.485
N460 A-178 X56.349
N470 A-179 X56.048
N480 A-180 X55.747
N490 A-181 X56.048
N500 A-182 X56.349
N510 A-183 X56.650
N520 A-184 X56.951
N530 A-185 X57.252
N540 A-186 X57.553
N550 A-187 X57.854
N560 A-188 X58.155
N570 A-189 X58.456
N580 A-190 X58.757
N590 A-191 X59.058
N600 A-192 X59.359
N610 A-193 X59.660
N620 A-194 X59.951
N630 A-195 X60.262
N640 A-196 X60.563
N650 A-197 X60.864
N660 A-197.282 X60.949
N670 A-282.718 X114.800
N680 A-283 X114.885
N690 A-284 X115.186
N700 A-285 X115.487
N710 A-286 X115.788
N270 A-76 X115.184
N280 A-77 X114.883
N290 A-77.282 X114.800
N300 A-162.718 X60.949
N310 A-163 X60.864
N320 A-164 X60.563
N330 A-165 X60.262
N340 A-166 X59.961
N350 A-167 X59.660
N360 A-168 X59.359
N370 A-169 X59.058
N380 A-170 X58.757
N390 A-171 X58.456
N400 A-172 X58.155
N410 A-173 X57.854
N420 A-174 X57.553
N430 A-175 X57.252
N440 A-176 X56.951
N450 A-177 X56.650
N720 A-287 X116.089
N730 A-288 X116.390
N740 A-289 X116.691
N750 A-290 X116.992
N760 A-291 X117.293
N770 A-292 X117.594
N780 A-293 X117.895
N790 A-294 X118.196
N800 A-295 X118.497
N810 A-296 X118.798
N820 A-297 X119.099
N830 A-298 X119.400
N840 A-299 X119.701
N850 A-300 X120.000
N860 A-360 X120.000
N870 G00 Z92.5
N880 A0 X0
N890 G53 Z-110 D0
N900 M30
112	 Programação e Operação - Linha D - Siemens 828D	 T60356F
23. Quarto eixo
23.3.2 - Programação Avançada - Função TRACYL
O conceito de programação avançada consiste em utilizar a função TRACYL, do recurso
de software denominado TRANSMIT, o qual agrega funções de transformação de eixos. Essa
função possibilita a conversão do modo de atuação do 4° Eixo, de forma que ao interpolá-
lo com um eixo linear, ambos operem na mesma unidade de medida e como componentes
adjuntos de uma mesma velocidade de avanço programada.
TRACYL, além de resolver o problema da velocidade de avanço na interpolação dos
eixos X e A descrito anteriormente, também possui funções para compensação de raio de
ferramenta (G40/G41/G42) e interpolação circular (G02/G03).
TRACYL é uma função de usinagem com interpolação cilíndrica para as seguintes
entidades geométricas:
Canal Reto Longitudinal ou Transversal;
Canal Helicoidal;
Cavidades;
“Cames”
T60356F	 Programação e Operação - Linha D - Siemens 828D	 113
23. Quarto eixo
a) Descrição da Função TRACYL
O conceito adotado para a função TRACYL consiste em definir um Caminho de
Programação para o contorno a ser usinado onde a trajetória da ferramenta incidirá sobre o
mesmo ou ao lado deste se aplicado o recurso de compensação de raio de ferramenta.
As coordenadas de posição dos eixos deverão estar contidas no plano virtual XY, onde
X é o eixo linear e Y o eixo rotacional planificado, ambos com a mesma unidade de medida
(mm ou polegadas).
A planificação da dimensão Y do cilindro se faz através da seguinte fórmula:
NOTA: O Sentido de Y de programação é inverso ao Sentido de Rotação do 4° Eixo,
pois não é a ferramenta que se move e sim o Eixo Rotacional.
114	 Programação e Operação - Linha D - Siemens 828D	 T60356F
23. Quarto eixo
b) Deslocamento da Ferramenta (OFFN) com relação ao Caminho de Programação
OFFN é um vetor de programação que define um deslocamento perpendicular da
ferramenta ao longo do Caminho de Programação. O Caminho de Programação não deve
ser portanto o percurso de contorno acabado da parede do elemento a ser usinado e sim
uma linha de referência postada internamente ao referido elemento quando aplicado OFFN.
Esse deslocamento é programado através da seguinte sintaxe:
OFFN=nn, onde nn define a dimensão do deslocamento da ferramenta (figura 7) com
relação ao Caminho de Programação. O valor de OFFN pode ser alterado durante a seqüência
de programação aumentando ou diminuindo a referida área de corte.
Para que OFFN se torne ativo, deve-se programar uma das funções de compensação
de raio de ferramenta (G41/G42) para definir o lado de deslocamento da ferramenta.
A função de compensação de raio de ferramenta deve ser estabelecida com referência
ao Caminho de Programação e não com relação à parede do elemento em usinagem. Dessa
forma, tomando-se o sentido de avanço do Caminho de Programação, programar G41 para
deslocar a ferramenta à esquerda e G42 para deslocar a ferramenta à direita do mesmo.
DICAS:
1. Para evitar possíveis danos à parede oposta do Canal, OFFN deveria ser igual ou
maior que o Raio da Ferramenta.
2. OFFN negativo (OFFN = -nn) é o mesmo que inverter G41 / G42.
T60356F	 Programação e Operação - Linha D - Siemens 828D	 115
23. Quarto eixo
c) Tipos de Contorno de Usinagem
Os Contornos de Usinagem podem ser classificados em duas categorias: Contorno
Aberto e Contorno Fechado.
• Contorno Aberto
Define-se como Contorno Aberto, o perfil cujo ponto inicial não é coincidente (não se
fecha) com o ponto final. Canais Retos e Helicoidais tem Contorno Aberto.
• Contorno Fechado
Define-se como Contorno Fechado, o perfil que o ponto inicial é coincidente (se fecha)
com o ponto final. CAMES e Cavidades são exemplos de Contorno Fechado.
116	 Programação e Operação - Linha D - Siemens 828D	 T60356F
23. Quarto eixo
d) Efeitos Físicos da Função TRACYL
• Efeitos do Corretor OFFN sobre o fundo do elemento programado.
Independente do valor do Corretor OFFN e do tipo do Contorno (Aberto ou Fechado),
as laterais de um Canal Reto, Canal Helicoidal ou Cavidade não serão paralelas no sentido
do eixo Y. O fundo do elemento usinado será sempre cilíndrico.
• Quanto a Velocidade de Avanço
Avelocidade tangencial de corte da ferramenta em interpolações circulares sofre grande
influência da geometria do perfil a ser usinado e do raio da ferramenta. Em interpolações
circulares, onde existe grande diferença de valor entre o raio gerado na peça e o raio no
caminho da ferramenta, essa influência é mais acentuada. A figura abaixo ilustra bem esse
efeito físico.
Descrição dos Elementos de Interpolação Circular:
R0 = Raio do Canto do Contorno de
Programação
R1 = Raio Tangencial Menor
R2 = Raio do Centro da Ferramenta
R3 = Raio Tangencial Maior
F = Avanço Programado
Ft1 = Avanço Tangencial Interpolado no Raio
Menor do Canal em Usinagem
Fcf = Avanço Interpolado no Caminho da
Ferramenta
Ft2 =Avanço Tangencial Interpolado no Raio Maior
do Canal em Usinagem
T60356F	 Programação e Operação - Linha D - Siemens 828D	 117
23. Quarto eixo
Função de Controle de Velocidade de Avanço:
Existem três funções básicas do comando SIEMENS - 828D usadas para Controle
da Velocidade do Avanço em interpolações circulares, as quais podem ser programadas
junto à função TRACYL. O avanço controlado se aplica sobre o percurso do Caminho da
Ferramenta. As funções de controle são:
CFTCP:	Avanço Constante no percurso realizado pelo Centro da Ferramenta
CFC:	 Avanço Constante no percurso realizado pela Aresta de Corte da Ferramenta,
ou seja, avanço constante no perfil programado.
CFIN:	 Avanço Constante na maior trajetória a ser percorrida, ou seja, avanço constante
pelo centro da ferramenta em raios externos e avanço constante pela aresta
de corte em raios internos.
No entanto, quando aplicadas à função TRACYL, alguns pontos devem ser observados,
como por exemplo:
- Durante a trajetória do percurso da ferramenta em torno do Caminho de Programação,
na interpolação circular, o Raio Interno do Canal na Usinagem (R3) é considerado pelo
sistema como um Raio Externo por se referenciar pelo Caminho de Programação.
- Desbastes são executados no sentido de ir alargando a Cavidade ou Canal em
usinagem, dessa forma o Raio Tangencial Maior (R3) geralmente não está no espaço livre
e sim em contato com o material da parede do elemento em usinagem.
Com base nesses preceitos, ver no exemplo abaixo o efeito físico sobre a ferramenta
em usinagem durante o trajeto em interpolação circular:
Exemplo de Efeito Físico sobre uma dada Velocidade de Avanço Programada (F),
conforme Controle de Velocidade de Avanço Programado:
DADOS:
OFFN = 50
D = Ø40
R0 = 5
R3 = R0 + OFFN = 55
R2 = R3 - (D/2) = 55 - 20 = 35
R1 = R2 - (D/2) = 35 - 20 = 15
F = 300 mm/min
CFC PROGRAMADO:
Fct = F * R2 / R0 = 300 * 35 / 5 = 2100 mm/min
Ft1 = Fcf * R0 / R2 = 2100 * 5 / 35 = 900 mm/min
Ft2 = Fcf * R3 / R2 = 2100 * 55 / 35 = 3300 mm/min
CFTCP PROGRAMADO:
Fct = F = 300 mm/min
Ft1 = Fcf * R1 / R2 = 300 * 5 / 35 = 43 mm/min
Ft2 = Fcf * R3 / R2 = 300 * 55 / 35 = 471 mm/min
CFIN PROGRAMADO:
Normalmente não se aplica CFIN à função TRACYL, pelo fato da ferramenta de um
118	 Programação e Operação - Linha D - Siemens 828D	 T60356F
23. Quarto eixo
modo geral estar sempre externa ao Contorno de Programação, mesmo quando se está
abrindo uma Cavidade ou Canal.
e) Sistema de Coordenadas de Peça (G54 ~G57)
O Sistema de Coordenadas da Peça (G54 ~G57) tem duas identidades. Uma aplicada
fora da função TRACYL onde é ativado de forma usual, fazendo as correções geométricas
dos eixos, e outra dentro, onde assume uma correção própria à função TRACYL. Em outras
palavras, ao ativar o referido sistema (G54~G57) dentro da função TRACYL, os eixos
refletem a posição de correção para XYZ do Sistema Virtual de Coordenadas Cartesianas
(Planificação do Cilindro) da respectiva função.
NOTA: A mesma Função de Correção (G54~G57) do Sistema de Coordenadas de
Peça não pode ser aplicado dentro e fora da função TRACYL no mesmo programa.
NOTA: No exemplo acima, a função G57 corrige os Eixos Geométricos antes da
ativar a função TRACYL, enquanto G54 atua nos Eixos X e Y-Rotacional do Plano Virtual
XY da referida função.
f) Sintaxe da Função TRACYL
TRACYL (d)
:
TRAFOOF
onde:
TRACYL = ativa a função de transformação cilíndrica “TRACYL”
d = diâmetro a ser trabalhado da peça
TRAFOOF - desativa a função de transformação cilíndrica “TRACYL”
T60356F	 Programação e Operação - Linha D - Siemens 828D	 119
23. Quarto eixo
23.4 - EXEMPLOS DE PROGRAMAÇÃO
Exemplo 1 - Canal simples
20
5
50
60
5
5
%_N_EIXO4_1_MPF
;$PATH=/_N_WKS_DIR/_N_EXEMPLO_WPD
N10 G17 G64 G71 G90 G94
N20 G53 G0 Z-110 D0
N30 T6; FRESA TOPO D5
N40 M6
N50 G54 D1 S3000 M3
N60 FGROUP (X,A)
N70 FGREF[A]=25
N80 G0 X-10 Y0 A0 M8
N90 Z5 CFTCP
N100 G1 Z-5 F200
N110 G1 X20 F1000
N120 A360
N130 X-10
N140 G53 G0 Z-110 D0 M5
N150 M30
120	 Programação e Operação - Linha D - Siemens 828D	 T60356F
23. Quarto eixo
Exemplo 2 - Canal quadrado
5
20 25
70
60
5
Perímetro = diâmetro final da peça x 3,14
50 x 3,14 = 157,080
157,080 = 360º
12,5 = Xº
X = (360 x 12,5)/157,080
X = 28,648º
%_N_EIXO4_2_MPF
;$PATH=/_N_WKS_DIR/_N_EXEMPLO_WPD
N10 G17 G64 G71 G90 G94
N20 G53 G0 Z-110 D0
N30 T6; FRESA TOPO D5
N40 M6
N50 G54 D1 S3000 M3
N60 FGROUP (X,A)
N70 FGREF[A]=25
N80 G0 X-10 Y0 A0 M8
N90 Z5 CFTCP
N100 G1 Z-5 F200
N110 G1 X20 F1000
N120 A28,648
N130 X45
N140 A-28,648
N150 X20
N160 A0
N170 X-10
N180 G53 G0 Z-110 D0 M5
N190 M30
%_N_EIXO4_2_MPF
;$PATH=/_N_WKS_DIR/_N_EXEMPLO_WPD
N10 G17 G64 G71 G90 G94
N20 G53 G0 Z-110 D0
N30 T6; FRESA TOPO D5
N40 M6
N50 G54 D1 S3000 M3
N60 FGROUP (X,A)
N70 FGREF[A]=25
N80 G0 X-10 Y0 A0 M8
N90 Z5 CFTCP
N100 G1 Z-5 F200
N110 G1 X20 F1000
N120 A=IC(28,648)
N130 X=IC(25)
N140 A=IC((-28,648)*2)
N150 X=IC(-25)
N160 A=IC(28,648)
N170 X-10
N180 G53 G0 Z-110 D0 M5
N190 M30
Nota: No exemplo acima, o perímetro da peça, foi calculado a partir do diâmetro de
50mm (diâmetro final da usinagem). Em outras situações, este cálculo pode ser feito a partir
do diâmetro maior (peça bruta), dependendo da aplicação da peça e das cotas presentes
no desenho.
T60356F	 Programação e Operação - Linha D - Siemens 828D	 121
23. Quarto eixo
Exemplo 3 - Hélice
5
3
60
136
180
40
Passo da Hélice:
mm
voltas
mm
Passo 68
2
136
==
Cálculo do percurso adicional na entrada e na saída da hélice:
mmXXmm
Xmm
mm
5,8
360
7845
º45
º36068
=→
×
=→=
%_N_EIXO4_3_MPF
;$PATH=/_N_WKS_DIR/_N_EXEMPLO_WPD
N10 G17 G64 G71 G90 G94
N20 G53 G0 Z-110 D0
N30 T6; FRESA TOPO D5
N40 M6
N50 G54 D1 S3000 M3
N60 FGROUP (X,A)
N70 FGREF[A]=27
N80 G0 X-8.5 Y0 A-45 M8
N90 Z0 CFTCP
N100 INIC: G1 Z=IC(-1) F200
N110 G1 X144.5 A765 F800
N120 G0 Z=IC(10)
N130 X-8.5 A-45
N140 FIM: Z=IC(-10)
N150 REPEAT INIC FIM P2
N160 G53 G0 Z-110 D0 M5
N170 M30
%_N_EIXO4_3_MPF
;$PATH=/_N_WKS_DIR/_N_EXEMPLO_WPD
N10 G17 G64 G71 G90 G94
N20 G53 G0 Z-110 D0
N30 T6; FRESA TOPO D5
N40 M6
N50 G54 D1 S3000 M3
N60 FGROUP (X,A)
N70 FGREF[A]=27
N80 G0 X-8.5 Y0 A-45 M8
N90 Z0 CFTCP
N100 INIC: G1 Z=IC(-1) F200
N110 G1 X=IC(153) A=IC(810) F800
N120 G0 Z=IC(10)
N130 X-8.5 A-45
N140 FIM: Z=IC(-10)
N150 REPEAT INIC FIM P2
N160 G53 G0 Z-110 D0 M5
N170 M30
68
122	 Programação e Operação - Linha D - Siemens 828D	 T60356F
23. Quarto eixo
Exemplo 4 - Sextavado
30
50
10 40
%_N_EIXO4_4_A_MPF
;$PATH=/_N_WKS_DIR/_N_EXEMPLO_WPD
N10 G17 G64 G71 G90 G94
N20 G53 G0 Z-110 D0
N30 T6; FRESA TOPO D24
N40 M6
N50 G54 D1 S3000 M3
N60 G0 X-2 Y-25 A0 M8
N70 Z-5 CFTCP
N80 G1 Y25 F1000
N90 G0 Z2
N100 Y-25 A60
N110 Z-5
N120 G1 Y25 F1000
N130 G0 Z2
N140 Y-25 A120
N150 Z-5
N160 G1 Y25 F1000
N170 G0 Z2
N180 Y-25 A180
N190 Z-5
N200 G1 Y25 F1000
N210 G0 Z2
N220 Y-25 A240
N230 Z-5
N240 G1 Y25 F1000
N250 G0 Z2
N260 Y-25 A300
N270 Z-5
N280 G1 Y25 F1000
N290 G0 Z2
N300 G53 G0 Z-110 D0 M5
N310 M30
%_N_EIXO4_4_B_MPF
;$PATH=/_N_WKS_DIR/_N_EXEMPLO_WPD
N10 G17 G64 G71 G90 G94
N20 G53 G0 Z-110 D0
N30 T6; FRESA TOPO D24
N40 M6
N50 G54 D1 S3000 M3
N60 G0 X-2 Y-25 A0 M8
N70 INIC: Z-5 CFTCP
N80 G1 Y25 F1000
N90 G0 Z2
N100 FIM: Y-25 A=IC(60)
N110 REPEAT INIC FIM P5
N120 G53 G0 Z-110 D0 M5
N130 M30
T60356F	 Programação e Operação - Linha D - Siemens 828D	 123
23. Quarto eixo
Exemplo 5 - Contorno Fechado (CAME)
20
120
162
-230.037 mm-230.037 mm-230.037 mm-230.037 mm
-399.684 mm-399.684 mm-399.684 mm-399.684 mm
-109.254 mm-109.254 mm-109.254 mm-109.254 mm
-278.901 mm-278.901 mm-278.901 mm-278.901 mm
0º0º0º0º
-508.938 mm-508.938 mm-508.938 mm-508.938 mm
-424.115 mm-424.115 mm-424.115 mm-424.115 mm
-60°-60°-60°-60°
-77.282°-77.282°-77.282°-77.282°
-162.718°-162.718°-162.718°-162.718°
-197.282°-197.282°-197.282°-197.282°
-282.718°-282.718°-282.718°-282.718°
-300°-300°-300°-300°
-360°-360°-360°-360°
-84.822 mm-84.822 mm-84.822 mm-84.822 mm
A linha deA linha deA linha deA linha de
centro docentro docentro docentro do
Came é oCame é oCame é oCame é o
Caminho deCaminho deCaminho deCaminho de
ProgramaçãoProgramaçãoProgramaçãoProgramação
200
175
da Peçada Peçada Peçada Peça
Vista FrontalVista FrontalVista FrontalVista Frontal
Y0/Z0Y0/Z0Y0/Z0Y0/Z0
Plano VirtualPlano VirtualPlano VirtualPlano Virtual
(Vista Planificada do Came)(Vista Planificada do Came)(Vista Planificada do Came)(Vista Planificada do Came)
60.949
114.8
R60
R60
N010 G17 G71 G90 G94 G64
N020 G53 G00 Z-110 D0
N030 T20; FRESA TOPO D20
N040 M06
N050 G54 D1 S2000 M3
N060 G00 X120 Y0
N070 TRACYL (162)
N080 G54; Corrige Origem (X0/Y0/Z0) do Plano Virtual
N090 G00 X120 Y0
N100 Z92.5	
N110 G01 Z81 F200	
N120 Y-84.822 F400
N130 G02 X114.8 Y-109.254 CR=60
N140 G01 X60.949 Y-230.037
N150 G03 X60.949 Y-278.901 CR=60
N160 G01 X114.8 Y-399.684
N170 G02 X120 Y-424.115 CR=60
N180 G01 Y-508.938
N190 TRAFOOF; Cancela Função TRACYL
N200 G53 G00 Z-110 D0
N210 M30
124	 Programação e Operação - Linha D - Siemens 828D	 T60356F
23. Quarto eixo
Exemplo 6 - Contorno Aberto (Rasgo de Chaveta)
25
8030
30°
mm26,18
15Fer.
30°
R45
Y0/Z0Y0/Z0Y0/Z0Y0/Z0
Vista Frontal da PeçaVista Frontal da PeçaVista Frontal da PeçaVista Frontal da Peça
(0º)(0º)(0º)(0º)
100
8030
AAAA BBBB
Plano Virtual XYPlano Virtual XYPlano Virtual XYPlano Virtual XY
(Vista Planificada do Rasgo)(Vista Planificada do Rasgo)(Vista Planificada do Rasgo)(Vista Planificada do Rasgo)
Cálculo da Coordenada do centro do Rasgo em milímetros:
mmXXmm
Xmm
mm
mmPerímetroPerímetrodiâmetroPerímetro
18,26
360
16,31430
º30
º36016,314
16,314100
=→
×
=→=
=→×=→×= ππ
N010 G17 G71 G90 G94 G64
N020 G53 G00 Z-110 D0
N030 T20; FRESA TOPO D15
N040 M6
N050 G54 D1 S1000 M3
N060 G00 X30 Y0
N070 TRACYL (90)
N080 G54; Corrige Origem (XYZ) do Plano Virtual
N090 G00 X30 Y26.180
N100 Z55
N110 G01 Z45 F100
N120 X110 F200
N130 G41 G1 Y13.68
N140 G3 Y38.68 CR=12.5
N150 G1 X30
N160 G3 Y13.68 CR=12.5
N170 G1 X110
N180 G40 Y26.18
N190 TRAFOOF; Desativa função TRACYL
N200 G53 G0 Z-110 D0
N210 M30
Nota: No exemplo acima, o valor de 26.18 mm (centro do rasgo), foi calculado a
partir do diâmetro de 100 mm (diâmetro externo). Em outras situações, este cálculo pode
ser feito a partir do diâmetro do fundo do rasgo, dependendo da aplicação da peça e das
cotas presentes no desenho.
T60356F	 Programação e Operação - Linha D - Siemens 828D	 125
23. Quarto eixo
Exemplo 7 - Contorno Fechado (Cavidade)
R30
80
76 70mm
(53,48°)
R70
Y0/Z0Y0/Z0Y0/Z0Y0/Z0
(Vista Planificada da Cavidade)(Vista Planificada da Cavidade)(Vista Planificada da Cavidade)(Vista Planificada da Cavidade)
Plano VirtualPlano VirtualPlano VirtualPlano Virtual
150
N010 G17 G71 G90 G94 G64
N020 G53 G00 Z-110 D0
N030 T20; FRESA TOPO D10
N040 M06
N050 G54 D1 S1000 M3 G64 CFIN
N060 G00 X80 Y0
N070 TRACYL (140)
N080 G54; Corrige Origem (X0/Y0/Z0) do Plano Virtual
N090 G00 X80 Y0
N100 Z80	
N110 POCKET3(80,75,0.5,70,76,70,30,80,0,0,2.5,0,0,800,150,3,31,7,,,,5,)
N120 TRAFOOF; Desativa função TRACYL
N130 G53 G00 Z-110 D0
N140 M30
126	 Programação e Operação - Linha D - Siemens 828D	 T60356F
24. Gráficos de potência
24 - GRÁFICOS DE POTÊNCIA
5
Gráficos de potência
ROMI D 600 / ROMI D 800
ROMI D 1000 / ROMI D 1250
Cabeçote 8.000 rpm Cabeçote 10.000 rpm
Cabeçote 8.000 rpm Cabeçote 10.000 rpm
Os gráficos não estão em escala
CNC Fanuc 0i-MD (regime S3 - 25% - 15 min)
CNC Fanuc 0i-MD (regime S3 - 25% - 15 min)
ROMI D 600 / ROMI D800
Cabeçote 8.000 rpm Cabeçote 10.000 rpm
CNC Siemens 828D (regime S6 - 40% - 10 min)
94 N.m
cv / kW
20 / 15
1.500
3.500
8.000
7,5 / 10
rpm
75 N.m
cv / kW
20 / 15
1.875
4.375
10.000
7,5 / 10
rpm
102 N.m
cv / kW
25 / 18,5
11 / 15
1.715
4.000
8.000
rpm
11 / 15
78 N.m
cv / kW
25 / 18,5
2.250
5.250
10.000
rpm
104 N.m
cv / kW
22,4 / 16,5
1.500
3.500
8.000
8 / 6
rpm
82 N.m
cv / kW
22,4 / 16,5
1.875
3.375
10.000
8 / 6
rpm
T60356F	 Programação e Operação - Linha D - Siemens 828D	 127
24. Gráficos de potência
6 Os gráficos não estão em escala
Gráficos de potência
Cabeçote 10.000 rpm Cabeçote 12.000 rpm
ROMI D 1500
ROMI D 2000
Cabeçote 6.000 rpm com caixa de redução ZF Cabeçote 8.000 rpm
CNC Siemens 828D (regime S6 - 60% - 10 min)
CNC Fanuc 0i-MD (regime S3 - 25% - 15 min)
Cabeçote 8.000 rpm Cabeçote 10.000 rpm Cabeçote 15.000 rpm
ROMI D 1000 / ROMI D 1250
CNC Siemens 828D (regime S6 - 40% - 10 min) CNC Siemens 828D (regime contínuo)
124 N.m
cv / kW
30 / 22
1.700
10.000
rpm
103 N.m
cv / kW
30 / 22
2.040
12.000
rpm
cv / kW
30 / 22
425
494N.m
124 N
. m
1.700
6.000
rpm
154 N.m
cv / kW
30 / 22
1.360
8.000
rpm
104 N.m
cv / kW
22,4 / 16,5
8 / 6
1.500
3.000
6.000
rpm
8 / 6
83 N.m
cv / kW
22,4 / 16,5
1.875
3.375
10.000
rpm
16 / 12
118 N.m
cv / kW
25 / 18,5
1.500
10.500
15.000
rpm
15,5 / 11,5
157 N.m
cv / kW
25 / 18,5
1.125
4.500
6.000
rpm
Cabeçote 6.000 rpm Cabeçote 8.000 rpm
15,5 / 11,5
117,7 N.m
cv / kW
25 / 18,5
1.500
6.000
8.000
rpm
Cabeçote 12.000 rpm
15,5 / 11,5
78,5 N.m
cv / kW
25 / 18,5
2.250
9.000
12.000
rpm
ROMI D 1000AP Direct Drive
128	 Programação e Operação - Linha D - Siemens 828D	 T60356F
25. Parâmetros de cálculo “r”
25 - PARÂMETROS DE CÁLCULO R
Este capítulo tem por objetivo abordar alguns recursos especiais que estão disponíveis no
CNC SIEMENS 828D considerados mais usuais. O conteúdo é uma síntese do manual original
SIEMENS “PRINCÍPIOS FUNDAMENTAIS - cap10”e “PROGRAMMING: ADVANCED-cap1”.
25.1 - PARÂMETROS DE CÁLCULO “R”
25.1.1 - Explanação:
Parâmetros de cálculo “R” são registros fixos de R0 a R99 disponíveis para assinalamento
de valores e usados analogamente às variáveis.
25.1.2 - Aplicação:
Desenvolvimento de programas de família de peças onde tem-se a mesma geometria,
porém, valores dimensionais variáveis, desenvolvimento de perfis bidimensionais e/ou
tridimensionais gerados ponto a ponto cujas coordenadas são calculadas através de
algorítmos contidos dentro do programa com desvios condicionais, etc.
25.1.3 - Atribuição de valores:
Aos parâmetros “R” podem ser atribuídos valores diretos ou indiretos cujo resultado
deverá estar contido na seguinte gama:
+ ou - (0.0000001 - 9999.9999) (oito casas decimais + sinal + ponto decimal)
No caso de valores inteiros, o ponto decimal pode ser omitido.
Um sinal positivo sempre pode ser omitido.
Exemplo:
R0=3.5678
R1=-36.4
R3=-3.65
R4=-6765.1234
Através da notação exponencial “EX” pode ser alocada uma gama mais ampliada de
números, assim, o valor do expoente escreve-se após os caracteres EX.
Exemplo:
R0=-0.1EX-5 Significado: R0=-0.000 001
R1=1.874EX8 Significado: R1=187 400 000
NOTA: É permitido efetuar uma série de atribuição de valores num único bloco, porém,
o bloco deve ser exclusivo para atribuição.
Exemplo válido: R0=3.5678 R1=-36.4 R3=-3.65EX3 R4=3.23EX-2
Exemplo inválido: R7=15 R15=3.1415 R42=R15*(COS(R7))
T60356F	 Programação e Operação - Linha D - Siemens 828D	 129
25. Parâmetros de cálculo “r”
25.1.4 - Aplicação dos parâmetros dentro do programa:
Os parâmetros de cálculo e/ou expressões aritméticas com parâmetros de cálculo
poderão substituir valores em todos endereços do programa exceto N, G e L, para tanto,
escreve-se após o caracter de endereço o caracter “=” e a identificação do parâmetro, seguido
ou não de expressão aritmética.
Exemplos:
N10 R5=24 R10=250 	
Efeito: Atribuido valor 24 ao parâmetro R5 e 250 ao R10.
N20 G1 X=R5 F=R10 	
Efeito: A máquina deslocará até a coordenada X24 numa Va = 250 mm/min
25.1.5 - Operações/funções aritméticas:
Ao aplicar o cálculo/funções aritméticas é necessário observar a notação matemática
usual, isto é, a multiplicação/divisão tem prioridade sobre adição/subtração. Para definir
prioridade arbitrária e/ou específica da execução, usa-se o “parênteses”. Em todas
as circunstâncias onde é usado valores em graus, estes devem ser declarados em
milésimos.
Exemplos:
N60 R1=8 R20=SIN(30.345) R9=R7*R8 R12=R10/R11
N70 R13=R1*R20-R9
N80 R15=SQRT(R13+R9*R1)
130	 Programação e Operação - Linha D - Siemens 828D	 T60356F
25. Parâmetros de cálculo “r”
25.2 - OPERADORES / FUNÇÕES ARITMÉTICAS
25.2.1- Principais operadores e funções aritméticas:
Os parâmetros de cálculo “R”, conforme visto no capítulo anterior, podem ser submetidos
a diversos tipos de cálculos. Os principais operadores são:
Operadores Função
+ Adição
- Subtração
* Multiplicação
/ Divisão
SIN(*) Seno
COS(*) Cosseno
TAN(*) Tangente
ASIN(*) Arcoseno
ACOS(*) Arcocosseno
ATAN2(*) Arcotangente
SQRT(*) Raiz quadrada
ABS(*) Número absoluto
POT(*) Potência de 2 (elevação ao quadrado)
TRUNC(*) Truncar p/ inteiro
ROUND(*) Arredondar p/ inteiro
LN(*) Logarítmo natural
EXP(*) Função exponencial
* = inserir valor
Exemplos:
R1=R1+2			 Resultado: Valor contido em R1 + 2.
R3=SIN(30)			 Resultado: R3 conterá o valor do seno de 30.
R4=R1+R20/R3		 Resultado: R4 conterá o resultado da equação.
R5=(R1+R20)/R3		 Resultado: R5 conterá o resultado da equação.
23.2.2 - Função aritmética ATAN2(___,___)
Esta função calcula o ângulo do vetor resultante (hipotenusa) tendo como dados outros
2 vetores (catetos) de um ângulo reto. O resultado considera um dos 4 quadrantes (-180
 0  180°). A referência angular é sempre baseada numa linha originada no vértice do 2°
valor seguindo na direção positiva.
T60356F	 Programação e Operação - Linha D - Siemens 828D	 131
25. Parâmetros de cálculo “r”
Exemplos:
R20=ATAN2(30.5,80.1)			 Resultado: 20.8455o
R21=ATAN2(30.5,-80.1)			Resultado: 159.1545o
R22=ATAN2(-30.5,-80.1)			Resultado: 200.8455o
R23=ATAN2(-30.5,80.1)			Resultado: 339.1545o
25.3 - OPERADORES DE COMPARAÇÃO E LÓGICOS
25.3.1 - Operadores de comparação:
Os operadores de comparação podem ser utilizados para formular uma condição de
desvio. Expressões complexas podem também ser comparadas. São eles:
Operadores Função Descrição
= = Equal to Igual a
  Not equal to Diferente de
 Greater than Maior que
 Less than Menor que
= Greater than or equal to Maior ou igual a
 = Less than or equal to Menor ou igual a
23.3.2 - Operadores Lógicos:
Operadores lógicos são usados para checar a condição de verdadeiro ou falso numa
comparação entre 2 valores efetuando um desvio condicional.
Síntaxe:
IF (comparação) GOTOB (LABEL DESTINO)
IF (comparação) GOTOF (LABEL DESTINO)
NOTA: O desvio pode ser para um bloco (LABEL) que está para trás ou para diante
do bloco condicional. Se estiver para trás usa-se GOTOB (GO TO BACKWARD), se para
diante GOTOF (GO TO FORWARD).
LABEL DESTINO é a identificação do bloco para o qual a execução deverá ser
desviada caso o resultado da comparação seja verdadeira.
Caso o resultado da comparação não seja verdadeira, não haverá desvio, logo, a
execução continuará no próximo bloco.
Exemplo 1: 	
IF R10=R11 GOTOB INICIO
Caso R10 seja maior ou igual a R11 a execução será desviada para o bloco (LABEL)
nomeado como INICIO que está programado para trás deste bloco.
132	 Programação e Operação - Linha D - Siemens 828D	 T60356F
25. Parâmetros de cálculo “r”
Exemplo 2:	
IF R20= = (SIN(R31)) GOTOF POSICAO
Caso R20 seja igual ao seno de R31 a execução será desviada para o bloco (LABEL)
nomeado como POSICAO que está programado para diante deste bloco.
25.4 - EXEMPLOS DE PROGRAMAS PARAMETRIZADOS.
Exemplo 1:
Elaborar um programa parametrizado para uma família de peças, conforme o desenho
abaixo:
%_N_EXE_2_MPF
;$PATH=/_N_WKS_DIR/_N_EXEMPLO_WPD
G17 G64 G71 G90 G94
G53 G0 Z-110 D0
T2
M6
G54 D1 S2500 M3
R1=200;			 COMPRIMENTO TOTAL DA PECA
R2=70;				 COMPRIMENTO DO “CHANFRO” 1
R3=10;				 CHANFRO 2 (45 GRAUS)
R4=150;			 LARGURA TOTAL DA PECA
R5=20;				 LARGURA DO “CHANFRO” 1
R6=50;				RAIO
R7=10;				DIAMETRO DA FERRAMENTA
R8=3;				FOLGA PARA A APROXIMACAO
R9=350;			AVANÇO
R7=R7/2;			 CALCULO DO RAIO DA FERRAMENTA
G0 X=-(R7+R8) Y=-(R7+R8)
Z5
Z-5
G42 G1 X0 Y0 F=R9
X=R1-R6
G3 X=R1 Y=R6 CR=R6
G1 Y=R4-R3
X=R1-R3 Y=R4
X=R2
X0 Y=R4-R5
Y0
G40 X=-(R7+R8) Y=-(R7+R8)
G53 G0 Z-110 D0 M5
M30
T60356F	 Programação e Operação - Linha D - Siemens 828D	 133
25. Parâmetros de cálculo “r”
Exemplo 2:
Elaborar um programa parametrizado para uma família de peças, conforme o desenho
abaixo:
%_N_EXE_2_MPF
;$PATH=/_N_WKS_DIR/_N_EXEMPLO_WPD
G17 G64 G71 G90 G94
G53 G0 Z-110 D0
T3
M6
G54 D1 S3500 M3
R1=60;				COMPRIMENTO 1
R2=100;			 COMPRIMENTO TOTAL DA PECA
R3=30;				LARGURA 1
R4=60;				LARGURA TOTAL DA PECA
R5=5;				 LARGURA DO CHANFRO x 45 GRAUS
R6=25;				RAIO 1
R7=7;				RAIO 2
R8=20;				RAIO 3
R9=20;				DIAMETRO DA FERRAMENTA
R10=400;			AVANCO
R11=0;				Z INICIAL
R12=-20;			Z FINAL
R13=2;				PROFUNDIDADE DE CORTE
R14=5;				 FOLGA PARAAAPROXIMACAO EM X E Y
R15=5;				 FOLGA PARA A APROXIMACAO EM Z
R9=R9/2;			 CALCULO DO RAIO DA FERRAMENTA
R16=R11+R15;		 CALCULO DO Z INICIAL
R20=R11-R13;			 COORDENADA DA PRIMEIRA PASSADA
G0 X=-(R9+R14) Y=-(R9+R14)
Z=R16
AAA: G0 Z=R20
BBB: G42 G1 X0 Y0 F=R10
X=R1 RND=R8
X=R2 Y=R3
Y=R4 CHR=R5
X=R6
G2 X0 Y=R4-R6 CR=R6 RND=R7
G1 Y0
CCC: G40 X=-(R9+R14) Y=-(R9+R14)
R20=R20-R13
IF R20R12 GOTOB AAA
G0 Z=R12
REPEAT BBB CCC
G0 Z=R16
G53 G0 Z-110 D0 M5
M30
134	 Programação e Operação - Linha D - Siemens 828D	 T60356F
25. Parâmetros de cálculo “r”
Exemplo 3:
Elaborar um programa parametrizado para fazer um sextavado inscrito num determinado
círculo:
%_N_EXE_3_MPF
;$PATH=/_N_WKS_DIR/_N_EXEMPLO_WPD
G17 G64 G71 G90 G94
G53 G0 Z-110 D0
T12
M6
G54 D1 S2700 M3
R1=50;				RAIO DO CIRCULO
R2=10;				DIAMETRO FERRAMENTA
R3=0;				ANGULO INICIAL
R4=3;				FOLGA PARA A APROXIMACAO
R6=0;				 CONTADOR DO NO. DE LADOS
R2=R2/2;			 CALCULO DO RAIO FERRAMENTA
R1=R1+R2;			 REDEFINIÇÃO RAIO DO CIRCULO
R10=R3;			 DUPLICA A VARIAVEL R3
R11=200;			VEL. DE AVANÇO
G00 X=((R1+R4)*COS(R3)) Y=((R1+R4)*SIN(R3))
Z2
G01 Z-5 F150
INICIO: G01 X=(R1*COS(R3)) Y=(R1*SIN(R3)) F=R11
R3=R3+60
R6=R6+1
IF R6=6 GOTOB INICIO
G1 X=((R1+R4)*COS(R10)) Y=((R1+R4)*SIN(R10))
G53 G00 Z-110 D0
M30
T60356F	 Programação e Operação - Linha D - Siemens 828D	 135
25. Parâmetros de cálculo “r”
Exemplo 4:
Elaborar um programa parametrizado para executar arcos de 0,001 a 360 graus de
abertura utilizando a função G01.
%_N_EXE_4_MPF
;$PATH=/_N_WKS_DIR/_N_EXEMPLO_WPD
G17 G64 G71 G90 G94
G53 G0 Z-110 D0
T1
M6
G54 D1 S2500 M3
R1=50;				RAIO DO ARCO
R20=10;			DIAMETRO FERRAMENTA
R3=0;				ANGULO INICIAL/CORRENTE
R4=360;			ANGULO FINAL
R5=1;				INCREMENTO ANGULAR
R6=R20/2;			 DEFINIÇÃO RAIO FERRAMENTA
R7=3;				FOLGA PARA A APROXIMACAO
R10=200;			VELOCIDADE DE AVANÇO
R1=R1+R6;			 REDEFINIÇÃO RAIO DO ARCO
G00 X=((R1+R7)*COS(R3)) Y=((R1+R7)*SIN(R3))
Z2
G01 Z-5 F150
INICIO: G01 X=(R1*COS(R3)) Y=(R1*SIN(R3)) F=R10
R3=R3+R5
IF R4R3 GOTOB INICIO
G01 X=(R1*COS(R4)) Y=(R1*SIN(R4))
X=((R1+R7)*COS(R4)) Y=((R1+R7)*SIN(R4))
G53 G00 Z-110 D0
M30
136	 Programação e Operação - Linha D - Siemens 828D	 T60356F
25. Parâmetros de cálculo “r”
Exemplo 5:
Elaborar um programa parametrizado para executar uma elipse real de 360º.
%_N_EXE_5_MPF
;$PATH=/_N_WKS_DIR/_N_EXEMPLO_WPD
G17 G64 G71 G90 G94
G53 G0 Z-110 D0
T18;_____
M6
G54 D1 S3500 M3
R1=80;					COMPRIMENTO EIXO MAIOR
R2=50;					COMPRIMENTO EIXO MENOR
R20=10;					DIAMETRO FERRAMENTA
R1=((R1+R20)/2) R2=((R2+R20)/2);DEF RAIO EIXO MAIOR e MENOR
R3=0;						ANGULO INICIAL/CORRENTE
R4=360;					ANGULO FINAL
R5=1;						INCREMENTO ANGULAR
R7=3;						FOLGA PARA A APROXIMACAO
R10=200;					VELOCIDADE DE AVANÇO
G00 X=((R1+R7)*COS(R3)) Y=((R2+R7)*SIN(R3))
Z2
G01 Z-5 F150
INICIO: G01 X=(R1*COS(R3)) Y=-(R2*SIN(R3)) F=R10
R3=R3+R5
IF R4R3 GOTOB INICIO
G01 X=(R1*COS(R4)) Y=(R2*SIN(R4))
X=((R1+R7)*COS(R4)) Y=((R2+R7)*SIN(R4))
G53 G00 Z-110 D0
M30
T60356F	 Programação e Operação - Linha D - Siemens 828D	 137
25. Parâmetros de cálculo “r”
Exemplo 6:
Elaborar um programa parametrizado para executar uma espiral de arquimedes
tendo:
%_N_EXE_6_MPF
;$PATH=/_N_WKS_DIR/_N_EXEMPLO_WPD
G17 G64 G71 G90 G94
G53 G0 Z-110 D0
T12
M6
G54 D1 S2250 M3
R1=10;				RAIO INICIAL
R20=64;			RAIO FINAL
R3=0;				ANGULO INICIAL/CORRENTE
R7=5;				NUMERO DE ESPIRAIS
R4=R7*360;			ANGULO FINAL
R5=1;				INCREMENTO ANGULAR
R8=(R20-R1)/R4;		 INC/TO RADIAL_X_UNID.ANGULAR.
R9=R8*R5;			 INC/TO RADIAL P/ INC/TO ANGULAR
R10=200;			VELOCIDADE DE AVANÇO
G00 X=(R1*COS(R3)) Y=(R1*SIN(R3))
Z2
G01 Z-5 F150
INICIO: G01 X=(R1*COS(R3)) Y=(R1*SIN(R3)) F=R10
R3=R3+R5 R1=R1+R9
IF R4R3 GOTOB INICIO
G01 X=(R20*COS(R4)) Y=(R20*SIN(R4))
G53 G00 Z-110 D0
M30
Raio inicial:		 10mm
Raio final:		 64mm
N.espirais:		 5
Posição inicial:	0 grau
138	 Programação e Operação - Linha D - Siemens 828D	 T60356F
25. Parâmetros de cálculo “r”
Exemplo 7:
Elaborar um programa parametrizado para executar uma espiral de
arquimedes conjugado com uma descida em “Z” tendo:
Raio inicial:		 10mm
Raio final:		 64mm
N.espirais:		 5
Posição inicial:	0 graus
Pos “Z” inicial:	0
Pos “Z” final:		 25
%_N_EXE_7_MPF
;$PATH=/_N_WKS_DIR/_N_EXEMPLO_WPD
G17 G64 G71 G90 G94
G53 G0 Z-110. D0T1;_____ M6
G54 D1 S2500 M3
R1=10;				RAIO INICIAL
R20=64;			RAIO FINAL
R3=0;				ANGULO INICIAL/CORRENTE
R7=5;				NUMERO DE ESPIRAIS
R4=R7*360;			ANGULO FINAL
R5=1;				INCREMENTO ANGULAR
R8=(R20-R1)/R4;		 INC/TO RADIAL_X_UNID.ANGULAR.
R9=R8*R5;			 INC/TO RADIAL P/INC/TO ANGULAR
R10=200;			VELOCIDADE DE AVANÇO
R11=0;				ALTURA “Z” INICIAL/CORRENTE
R12=25;			 ALTURA “Z” FINAL
R13=R12-R11;			PROFUNDIDADE
R14=R13/R4;			 INC/TO “Z” P/ UNID. ANGULAR
R15=R14*R5;			 INC/TO “Z” P/ INC/TO ANGULAR
G00 X=(R1*COS(R3)) Y=(R1*SIN(R3))
Z2
G01 Z=R11 F150
INICIO:G01 X=(R1*COS(R3)) Y=(R1*SIN(R3)) Z=R11 F=R10
R3=R3+R5 R1=R1+R9 R11=R11-R15
IF R4R3 GOTOB INICIO
G01 X=(R20*COS(R4)) Y=(R20*SIN(R4)) Z=(-R12)
G53 G00 Z-110 D0
M30
T60356F	 Programação e Operação - Linha D - Siemens 828D	 139
25. Parâmetros de cálculo “r”
Exemplo 8:
Elaborar um programa parametrizado para executar uma calota (meia esfera) utilizando
uma ferramenta ponta esférica.
%_N_EXE_8_MPF
;$PATH=/_N_WKS_DIR/_N_EXEMPLO_WPD
G17 G64 G71 G90 G94
G53 G0 Z-110. D0
T1;
M6
G54 D1 S2500 M3
R1=50;				RAIO DA CALOTA
R20=10;			DIAMETRO FERRAMENTA
R20=R20/2;			 DEFINIÇÃO RAIO FERRAMENTA
R1=R1+R20;			 DEFINIÇÃO PERCURSO CTR FERR/TA
R3=0;				ANGULO INICIAL/CORRENTE
R4=90;				ANGULO FINAL
R5=1;				INCREMENTO ANGULAR
R6=0;				 POSIÇÃO “Z” INICIAL / CORRENTE
R7=5;				FOLGA PARA APROXIMACAO
R10=200;			VELOCIDADE DE AVANÇO
CFTCP
G00 X=(R1+R7)*COS(R3) Y0
Z=R20+2
G01 Z=R6 F150
INICIO: G01 X=R1*COS(R3) Y0 Z=R1*SIN(R3) F=R10
G02 X=R1*COS(R3) Y0 I=AC(0) J=AC(0)
R3=R3+R5
IF R4R3 GOTOB INICIO G53 G00 Z-110 D0
M30
140	 Programação e Operação - Linha D - Siemens 828D	 T60356F
25. Parâmetros de cálculo “r”
Exemplo 9:
Elaborar um programa parametrizado para executar um alojamento
circular.
%_N_EXE_9_MPF_DIR
;$PATH=/_N_WKS_DIR/_N_EXEMPLO_WPD
G17 G64 G71 G90 G94
G53 G0 Z-110. D0
T1; FRESA DE TOPO D10
M6
G54 D1 S2500 M3
R1=5;		 PLANO DE RETORNO (Z)
R2=0;		 PLANO DE REFERENCIA (Z)
R3=2;		 DISTANCIA DE SEGURANCA (Z - SEM SINAL)
R4=-10;		 Z FINAL (COORD. ABSOLUTA)
R5=20;		 RAIO DO ALOJAMENTO
R6=75;		 CENTRO DO ALOJAMENTO EM X (ABS)
R7=50;		 CENTRO DO ALOJAMENTO EM Y (ABS)
R8=3;		 PROFUNDIDADE DE CORTE (AP - SEM SINAL)
R9=350;	 AVANÇO EM X
R10=175;	 AVANÇO EM Z
R11=5;		 RAIO DA FERRAMENTA
R12=7;		 INCREMENTO DE CORTE LATERAL (AE)
R13=R2+R3;	 CALCULO DO Z INICIAL
IF (R11R5) GOTOF ERRO
IF (R11=R5)GOTOF FURO
IF (R11R5) GOTOF INICIO_ALOJ
ERRO:
MSG(“ERRO! RAIO DA FERRAM  RAIO DO ALOJAMENTO”)
M0
GOTOF FIM_PROG
FURO:
G0 Z=R1
X=R6 Y=R7
Z=R13
G1 Z=R4 F=R10
GOTO FIM_PROG
INICIO_ALOJ:
R20=R2-R8
R21=R6+R12
R22=R6+R5-R11
G0 Z=R1
X=R6 Y=R7
Z=R13
IF (R21R22) GOTOF ALOJ_2
ALOJ_1:
T60356F	 Programação e Operação - Linha D - Siemens 828D	 141
25. Parâmetros de cálculo “r”
IF R20R4 GOTOF FIM_ALOJ1
G1 Z=R20 F=R10
G1 X=R22 F=R9
G2 I=AC(R6) J=AC(R7)
G1 X=R6 Y=R7
R20=R20-R8
GOTOB ALOJ_1
FIM_ALOJ1:
G1 Z=R4 F=R10
G1 X=R22 F=R9
G2 I=AC(R6) J=AC(R7)
G1 X=R6
ALOJ_2:
IF R20=R4 GOTOF FIM_ALOJ2
G1 Z=R20 F=R10
ALARG:
G1 X=R21 F=R9
G2 I=AC(R6) J=AC(R7)
R21=R21+R12
IF (R21R22) GOTOB ALARG G1 X=R22
G2 I=AC(R6) J=AC(R7)
G1 X=R6
FIM_ALARG:
R21=R6+R12
R20=R20-R8
GOTOB ALOJ_2
FIM_ALOJ2:
G1 Z=R4 F=R10
REPEAT ALARG FIM_ALARG
FIM_PROG:
G0 Z=R1
G53 G0 Z-110 D0
M30
142	 Programação e Operação - Linha D - Siemens 828D	 T60356F
25. Parâmetros de cálculo “r”
Exemplo 10:
Elaborar um programa parametrizado para executar um alojamento circular
num cilindro utilizando 4o Eixo.
%_N_EXE_10_MPF
;$PATH=/_N_WKS_DIR/_N_EXEMPLO_WPD
G17 G71 G90 G94
G53 G0 Z-110 D0
T1
G54 D1 S3500 M3
R1=100;		 DIAM. DA PECA
R2=40;			RAIO DO ALOJAMENTO
R13=5;			 PLANO DE RETORNO
R3=0;			 PLANO DE REFERENCIA
R4=2;			 DISTANCIA DE SEGURANCA
R5=-15;			PROFUNDIDADE (ABS)
R6=80;			 COORD. X / CENTRO DO ALOJAMENTO
R7=0;			 POSIÇÃO ANGULAR INICIAL EM W
R8=2;			 PROFUND. DE CORTE (Z)
R9=8;			 INCREMENTO DE CORTE RADIAL
R10=500;		 AVANCO DE CORTE SUPERFICIAL (X,W)
R11=250;		 AVANCO DE CORTE NA PENETRACAO (Z)
R14=16;		 RAIO DA FERRAMENTA
R15=0;			 ANGULO INICIAL / CORRENTE
R16=1;			INCREMENTO ANGULAR
R50=R1*3.14159;	 PERIMETRO DA PECA
R51=R3+R4-R8
R53=R9
R54=R15
G64 G0 X=R6 Y0 W=R7
Z=R13
Z=R3+R4
N60 FGROUP (X,W)
N70 FGREF[W]=((R1-R5)/2)
INICIO: G1 Z=R51 F=R11
INI2:
IF R14R2 GOTOF FIM
AAA: IF (R14+R9)R2 GOTOF ACAB
RAIO: G1 X=(R6+(R9*COS(R15))) W=(R7+(R9*SIN(R15)))*360/(R1*3.141)
R15=R15+R16
IF R15360 GOTOB RAIO R15=R54
R9=R9+R53
GOTOB AAA
ACAB: G1 X=R6+((R2-R14)*COS(R15)) W=(R7+(((R2-R14)*360/R50))*SIN(R15))
N430 R15=R15+1
N440 IF R15360 GOTOB RAIO
FIM2:
T60356F	 Programação e Operação - Linha D - Siemens 828D	 143
25. Parâmetros de cálculo “r”
FIM:R51=R51-R8
IF R51R5 GOTOB INICIO
G1 Z=R5 F=R11
REPEAT INI2 FIM2
G53 G0 Z-110 D0
M30
T60356F	 Programação e Operação - Linha D - Siemens 828D	 147
Parte II -
Operação
148	 Programação e Operação - Linha D - Siemens 828D	 T60356F
T60356F	 Programação e Operação - Linha D - Siemens 828D	 149
1. Painel de comando
1- PAINEL DE COMANDO DA LINHA D - COMANDO SIEMENS 828
O Painel de Comando é utilizado para a visualização dos dados, programação, operação
e execução das funções do comando, portanto ele é divido em quatro outros painéis:
- Painel de Exibição;
- Painel de Programação;
- Painel de Operação;
- Painel Remoto.
VISTA DO PAINEL DO COMANDO
	
PAINEL DE
EXIBIÇÃO
PAINEL DE
PROGRAMAÇÃO
PAINEL DE
OPERAÇÃO PAINEL
REMOTO
CHAVE HABILITA /
DESABILITA PAINEL
REMOTO
150	 Programação e Operação - Linha D - Siemens 828D	 T60356F
1. Painel de comando
1.1 - PAINEL DE EXIBIÇÃO
a) Detalhes do Painel de Exibição
REDE
ETHERNET
PORTA
CARTÃO
COMPACT
FLASH
SOFTKEYS
TOMADA 220V
/
SAÍDA RS-232
VÍDEO
b) Descrição do Painel de Exibição
NOME DESCRIÇÃO
VÍDEO
Exibe todos os eventos do comando (interface entre o operador e o
sistema operacional)
PORTA CARTÃO
COMPACT
FLASH
Porta para comunicação de dados utilizando o Memory Card
SOFTKEYS Botões para navegação no comando
TOMADA 220V
/ SAÍDA RS-232
Tomada de energia / Saída serial do cabo RS-232
1.2 - PAINEL DE PROGRAMAÇÃO
a) Detalhes do Painel de Programação
TECLADO ALFANUMÉRICO
TECLAS DE
ACESSO AS
PÁGINAS
CURSORES TECLAS DE EDIÇÃO
T60356F	 Programação e Operação - Linha D - Siemens 828D	 151
1. Painel de comando
b) Descrição do Painel de Programação
NOME DESCRIÇÃO
CURSORES
- ↑ ,↓,→,←: Movimenta o cursor do comando verticalmente, através
das teclas ↑ e ↓, e horizontalmente, através das teclas ← e →.
- PAGE UP: Durante edição de programa, sobe para página anterior.
- PAGE DOWN: Durante edição de programa, desce para a página
seguinte.
- NEXT WINDOW: Muda de janela dentro de uma mesma página.
- END: Durante a edição de programa, desloca o cursor para o fim da
linha.
TECLAS DE
ACESSO AS
PÁGINAS
Essas teclas dão acesso as páginas principais do comando. São elas:
- MACHINE: Exibe as coordenadas máquina, de peça e relativa dos
eixos.
- PROGRAM MANEGER : Exibe o diretório de programas
- PROGRAM : Exibe a página de edição de programas
- OFFSET : Exibe as páginas de preset de ferramenta, de definição de
zero-peça, de parâmetros de usuário, de variáveis de usuário, etc.
- ALARM: Exibe as páginas de alarmes e mensagens
- CUSTOM: Sem função
- MENU SELECT: Exibe softkeys que dão acesso à outras páginas
- MENU FUNCTION: Sem função
- MENU USER: Sem função
- ALARM CANCEL: Cancela alarmes e mensagens
- GROUP CHANNEL: Sem função
- HELP: Exibe a página de auxílio ao operador
TECLAS DE
EDIÇÃO
- INPUT: Confirma entrada de dados e inicia uma nova linha durante
a edição.
- DEL: Apaga caracteres que estão à direita do cursor durante a
edição.
- BACKSPACE: Apaga caracteres que estão à esquerda do cursor.
- INSERT: sobreescreve os dados já inseridos
TECLADO
ALFANUMÉRICO
Letras, números e outros caracteres para a criação e a alteração dos
dados do comando.
- SHIFT: Segunda função. É utilizada para inserir os caracteres
secundários nas teclas de edição. Exemplo: SP (espaço), #, (, ), etc
- CTRL: Tecla auxiliar utilizada para procedimentos especiais de
edição.
- ALT: Tecla atalho utilizada para inserir caracteres especiais.
- TAB: Tecla utilizada para alternar o cursor de campos.
152	 Programação e Operação - Linha D - Siemens 828D	 T60356F
1. Painel de comando
1.3 - PAINEL DE OPERAÇÃO
b) Descrição do Painel de Operação
NOME DESCRIÇÃO
AUTO Modo de execução automática
BLOCK
DELET
Ativa / desativa a omissão dos blocos do programa inicializado com
“/” (barra) durante a execução do mesmo
CHAVE
LOCK
Habilita / Desabilita edição de programas
CHAVE
SETUP
Ativa / desativa trabalhar com a porta aberta
CHIP CONV.
FW
Liga o transportador de cavacos
CHIP CONV.
RW
Desliga o transportador de cavacos / Liga do sentido inverso
CYCLE START Inicia a execução de um ciclo
CYCLE STOP Para a execução de um ciclo
CLTN
AUTO
Liga / desliga o refrigerante de corte através da programação das
funções M08 e M09, respectivamente
T60356F	 Programação e Operação - Linha D - Siemens 828D	 153
1. Painel de comando
NOME DESCRIÇÃO
CLNT
OFF
Desliga o refrigerante de corte manualmente
CLNT
ON
Liga o refrigerante de corte manualmente
CNC
ON
Liga o comando (CNC)
DRY
RUN
Ativa / desativa teste de programa com movimentação rápida dos
eixos
EMERGENCY
STOP
Parada de emergência
ENABLE
REMOTE PANEL
Modo de movimentação manual dos eixos
FEEDRATE
OVERRIDE
Aumenta / diminui o avanço programado dos eixos durante a execução
do programa (de 0 a 120 %)
FEED START Habilita avanço dos eixos (X,Y,Z)
FEED STOP Desabilita avanço dos eixos (X,Y,Z)
HOME
ATC
Referencia o magazine de ferramenta se o modo JOG estiver ativo
INDEX
ATC
Indexa o magazine de ferramenta se o modo JOG estiver ativo
JOG Modo de movimentação contínua dos eixos
MACHINE
ON
Liga a máquina
MDA Entrada manual de dados
OK
OPERATOR
Tecla de confirmação do operador para mensagens que aparecem na
tela do cnc.
OPEN CLOSE
DOOR
Habilita a abertura da porta
OPT
STOP
Ativa / desativa a parada do programa através da função M01
RAPID
Aumenta o avanço dos eixos se acionado durante uma movimentação
contínua (JOG)
REPOS Limita o movimento manual para posicionamento dos eixos
REF POINT Ativa modo de referenciamento da máquina
RESET Cancela execução de programas / Cancela alarmes
154	 Programação e Operação - Linha D - Siemens 828D	 T60356F
1. Painel de comando
NOME DESCRIÇÃO
SINGL
BLOCK
Ativa / desativa a execução de programas bloco a bloco
SPINDLE
DEC
Decrementa a rotação atual em 10%
SPINDLE
INC
Decrementa a rotação atual em 10%
SPINDLE
LEFT
Indica se o eixo árvore está girando no sentido anti-horário
SPINDLE
RIGHT
Indica se o eixo árvore está girando no sentido horário
SPINDLE
STOP
Indica se o eixo árvore parado
TEACH IN Elaboração de programas via posicionamento manual
WASH GUN Habilita trabalho com a pistola de óleo refrigerante
WCS MCS
Altera visualisação das coordenadas máquina / coordenadas de
trabalho.
X,Y,Z Seleciona o eixo para realizar o movimento via JOG
4,5,6 Seleciona eixos opcionais
1 ,10 ,100 ,1000,
VAR
Seleciona a velocidade de incremento por pulso (através de JOG).
100% Faz com que a rotação atual fique com 100% da rotação programada
+ Movimenta eixo na direção positiva
- Movimenta eixo na direção negativa
T60356F	 Programação e Operação - Linha D - Siemens 828D	 155
1. Painel de comando
1.4 - PAINEL REMOTO:
O Painel Remoto é utilizado para movimentar manualmente os eixos da máquina.
C H AV E H A B I L I TA /
DESABILITA PAINEL
REMOTO
SELETOR DE AVANÇO
É usado para selecionar
o avanço por pulso da
manivela eletrônica.
x1	 - 0.001mm/pulso
x10	 - 0.01 mm/pulso
x100	 - 0.1 mm/pulso
SELETOR DE EIXO (X, Y, Z OU 4)
É usado para selecionar o eixo
desejado através da manivela
eletrônica.
MANIVELA ELETRÔNICA
É usado para movimentar os
eixos manualmente.
BOTÃO DE SEGURANÇA
Deve ser pressionado
simultâneamente ao giro da
manivela quando se deseja efetuar
um movimento.
BOTÃO DE
EMERGÊNCIA
156	 Programação e Operação - Linha D - Siemens 828D	 T60356F
2. Operações iniciais
2 - OPERAÇÕES INICIAIS
2.1 - LIGAR A MÁQUINA
–– Ligar chave geral (aguardar inicialização do comando)
–– Acionar o botão [CNC ON].
–– Aguardar a inicialização do comando.
–– Desativar botão de emergência.
–– Abrir e fechar a porta.
–– Acionar o botão [MACHINE ON].
–– Acionar a tecla “OK OPERATOR”.
–– Acionar a tecla “HOME ATC” e aguardar até que o Led indicador da tecla se
apague.
–– Acionar a tecla “RESET”.
–– Referenciar a máquina.
2.2 - REFERENCIAR A MÁQUINA
2.2.1 - Referenciar a máquina através da rotina de referenciamento
Para refenciar a máquina deve-se ativar manualmente a rotina de referenciamento:
–– Acionar a tecla “JOG”.
–– Acionar a tecla “REF. POINT”.
–– Acionar a tecla “CYCLE START”.
OBSERVAÇÃO: Os eixos serão referenciados simultaneamente.
2.2.2 - Referenciar a máquina eixo por eixo
–– Acionar a tecla “JOG”.
–– Acionar a tecla “REF. POINT”.
–– Selecionar eixo desejado ( X, Y, Z ou W (opcional) )
–– Acionar a tecla “[ + ]”.
2.3 - MOVIMENTAR OS EIXOS MANUALMENTE
2.3.1 - Através do jog contínuo no painel de operação.
–– Acionar a tecla “M MACHINE”.
–– Acionar a tecla “JOG”.
–– Abrir o potenciômetro de avanço.
–– No painel de operação, selecionar eixo desejado “X”, “Y”, “Z” ou “W”.
–– Manter pressionada a tecla “+” ou “-” (determina o sentido do movimento).
–– Pessionar a tecla “RAPID” no painel de operação para aumentar a velocidade.
OBSERVAÇÃO: Para movimentar com a porta aberta é necessário girar a chave LOCK.
T60356F	 Programação e Operação - Linha D - Siemens 828D	 157
2. Operações iniciais
OBSERVAÇÕES: O eixo A, ou 4º eixo, somente poderá ser acionado quando a tecla
“WCS MCS” do painel de operação estiver no estado inativo.
A velocidade de deslocamento dos eixos, quando o seletor de avanço está em 100%,
é 2000 mm/min, porém, pode-se alterar esta velocidade com o próprio seletor de avanço,
ou ainda, realizando a seguinte sequência:
–– Acionar tecla “JOG”.
–– Acionar a tecla “M MACHINE”
–– Se necessário, acionar a softkey [].
–– Acionar a softkey [AJUSTES].
–– Posicionar o cursor no campo “Avanço de ajuste G94” e digitar o valor do
avanço desejado. Ex.: “3000”
–– Acionar a tecla “INPUT”.
Ver figura abaixo:
Para retornar á velocidade padrão de avanço (2000 mm/min.), deve-se digitar o valor
“0” no campo “Avanço de ajuste G94”.
2.3.2 - Através do jog contínuo no painel remoto.
–– Acionar a tecla “M MACHINE”.
–– Acionar a tecla “JOG”.
–– Girar a chave “REMOTE PANEL” localizada na lateral do painel da máquina
para a posição .
–– No painel remoto, selecionar eixo desejado “X”, “Y”, “Z” ou “4“ (opcional).
–– Retirar a velocidade do painel remoto da posição “0”.
–– Manter pressionado o botão de sugurança localizado na lateral do painel remoto.
–– Manter pressionada a tecla “+” ou “-” para determinar o sentido do movimento.
–– Para obter um movimento mais rápido, pressionar simultaneamente, com o
sentido, a tecla “RAPID” no próprio painel remoto.
158	 Programação e Operação - Linha D - Siemens 828D	 T60356F
2. Operações iniciais
OBSERVAÇÃO: Para movimentar com a porta aberta é necessário girar a chave LOCK.
2.3.3 - Através da manivela eletrônica.
–– Acionar a tecla “M MACHINE”.
–– Acionar a tecla “JOG”.
–– Girar a chave “REMOTE PANEL” localizada na lateral do painel da máquina
para a posição .
–– No painel remoto, selecionar eixo desejado: “X”,“Y”, “Z” ou “4“ (opcional).
–– No painel de operação, selecionar avanço desejado através das teclas: [1],
[10], [100], [1000].
–– Manter pressionado os botões localizados na parte lateral do painel remoto.
–– Executar o movimento dos eixos através da manivela observando o sentido (+ / -).
OBSERVAÇÃO: Para desabilitar o Painel remoto é necessário deixar o valor da
velocidade em “0” e depois, retornar a chave “REMOTE PANEL” para a posição .
2.3.4 - Através do jog incremental
–– Acionar tecla “JOG”.
–– Acionar a tecla “M MACHINE”.
–– Se necessário, acionar a softkey [  ].
–– Acionar a softkey [AJUSTES].
–– Posicionar o cursor no campo “INCREMENTO VARIÁVEL” e digitar o valor do
incremento (milesimal). EX: 1000 (para incremento de 1mm)
–– Acionar a tecla “INPUT”.
–– Acionar a tecla “VAR”.
–– No painel de operação, selecionar o eixo desejado: “X”, “Y”, “Z” ou “W”.
–– Executar o movimento dos eixos através das teclas + ou -, sendo que cada
vez que uma destas teclas for pressionada o eixo selecionado irá deloscar-se
o valor digitado no incremento.
–– Ver figura abaixo:
T60356F	 Programação e Operação - Linha D - Siemens 828D	 159
2. Operações iniciais
2.4 - OPERAR O COMANDO ATRAVÉS DA FUNÇÃO T,S,M.
A função “T,S,M” é utilizada para executar algumas operações básicas, normalmente,
durante a preparação da máquina. Para acessar esta função deve-se:
–– Acionar tecla “JOG”.
–– Acionar a tecla “M MACHINE”.
–– Se necessário, acionar a softkey [  ].
–– Acionar a softkey [T,S,M].
A seguir, são descritas as operações existentes dentro da função “T,S,M”.
2.4.1 - Executar troca de ferramenta.
Após acessar a função “T,S,M”, deve-se:
–– Posicionar o cursor no campo “T”.
–– Digitar o número da ferramenta desejada. Exemplo: 1 (para T01)
–– Acionar a tecla “INPUT”.
–– Se necessário, posicionar o cursor no campo “D” e digitar o número do corretor
desejado. Exemplo: 1 (para D1)
–– Acionar a tecla “INPUT”.
–– Acionar a tecla “CYCLE START”.
OBSERVAÇÃO: Pode-se selecionar a ferramenta desejada diretamente na página
de “Lista de Ferramentas”, para isso deve-se:
–– Acionar a softkey [SELECIONE FERRAMENTA].
–– Posicionar o cursor na ferramenta desejada.
–– Acionar a softkey [EM MANUAL].
160	 Programação e Operação - Linha D - Siemens 828D	 T60356F
2. Operações iniciais
2.4.2 - Ligar o eixo árvore.
Após acessar a função “T,S,M”, deve-se:
–– Posicionar o cursor no campo “Fuso” e digitar o valor da rotação desejada.
Exemplo: “2000” (para 2000 RPM)
–– Acionar a tecla “INPUT”.
–– Posicionar o cursor no campo “Função M do fuso” através da tecla “SELECT”,
selecionar o sentido de giro do eixo árvore .
–– Acionar a tecla “CYCLE START”.
2.4.3 - Posicionamento angular do eixo árvore.
Após acessar a função “T,S,M”, deve-se:
–– Posicionar o cursor no campo “Função M do fuso” e através da tecla “SELECT”,
selecionar a opção de orientação do eixo árvore.
–– Posicionar o cursor no campo “Pos. de parada”e digitar o ângulo desejado
para posicionamento. Exemplo: 45 (para 45°)
–– Acionar a tecla “INPUT”.
–– Acionar a tecla “CYCLE START”.
2.4.4 - Ativar funções miscelâneas.
Após acessar a função “T,S,M”, deve-se:
–– Posicionar o cursor no campo “Outras funções “M” e digitar a função “M”
desejada. Exemplo: 8 (para M08)
–– Acionar a tecla “INPUT”.
–– Acionar a tecla “CYCLE START”.
2.4.5 - Ativar deslocamento de ponto zero (G54 - G57 ou G505 - G599).
Após acessar a função “T,S,M”, deve-se:
–– Posicionar o cursor no campo “Desloc. pt. zero”. e digitar o ponto zero
desejado. Ex.: 1 (para G54), ou selecionar o ponto zero através da tecla
“SELECT”.
–– Acionar a tecla “INPUT”.
–– Acionar a tecla “CYCLE START”.
T60356F	 Programação e Operação - Linha D - Siemens 828D	 161
2. Operações iniciais
OBSERVAÇÕES: Para que as coordenadas sejam exibidas na tela, conforme o ponto
zero ativo, a tecla “MCS WCS” deve ser ativada.
Pode-se selecionar o ponto zero desejado diretamente na página de “Deslocamento
de ponto zero”, para isso deve-se:
–– Acionar a softkey [Deslocam. pto. zero].
–– Posicionar o cursor no ponto zero desejado.
–– Acionar a softkey [em manual].
2.4.6 - Ativar o sistema de medidas.
Após acessar a função “T,S,M”, deve-se:
–– Posicionar o cursor no campo “Unidade mediç.” e através da tecla “SELECT”,
escolher entre as opções “mm” (milímetro) ou “IN” (polegada).
–– Acionar a tecla “CYCLE START”.
OBSERVAÇÕES: Duas ou mais operações podem ser executadas de uma só vez.
Ex.: Para trocar a ferramenta e ligar o eixo árvore, acionando o a tecla “CYCLE START” uma
única vez, basta preencher os campos referentes a estas operações e depois executá-los.
A movimentação dos eixos pode ser feita normalmente após a execução de qualquer
uma das operações da função “T,S,M”.
2.5 - POSICIONAMENTO DOS EIXOS ATRAVÉS DA FUNÇÃO POSIÇÃO.
A função “Posição” é utilizada para fazer posicionamentos em relação ao ponto zero
que estiver ativo. Este tipo de posicionamento é executado, principalmente, para verificar a
localização do ponto zero peça e também, para realizar operações de usinagem simples,
sem a necessidade de fazer programas.
Para acessar a função posição deve-se:
–– Acionar tecla “JOG”.
162	 Programação e Operação - Linha D - Siemens 828D	 T60356F
2. Operações iniciais
–– Acionar a tecla “M MACHINE”.
–– Se necessário, acionar a softkey [].
–– Acionar a softkey [Posição].
–– Posicionar o cursor no campo “ F ” e digitar a velocidade de avanço desejada
para realizar o posicionamento ou acionar a softkey [MOV RÁPIDO] para
deslocamento em G0.
–– Acionar a tecla “INPUT”.
–– Posicionar o cursor no campo “X” e digitar a coordenada final do posicionamento.
Ex: -15
–– Acionar a tecla “INPUT”.
–– Posicionar o cursor no campo “Y” e digitar a coordenada final do posicionamento.
Ex: -20
–– Acionar a tecla “INPUT”.
–– Posicionar o cursor no campo “Z” e digitar a coordenada final do posicionamento.
Ex: 10
–– Acionar a tecla “INPUT”.
–– Acionar a tecla “CYCLE START”.
OBSERVAÇÕES: Através da tecla “SELECT”, pode-se escolher entre coordenadas
absolutas ou coordenadas incrementais para cada um dos eixos.
Com a tecla “SELECT”, pode-se também escolher entre avanço em “mm/min.” ou
avanço em “mm/rot.”.
2.6 - CARREGAR AS FERRAMENTAS NO MAGAZINE (TAF) ATRAVÉS DO EIXO
ÁRVORE.
–– Acionar tecla “JOG”.
–– Acionar a tecla “MACHINE”.
–– Através da função “T,S,M”, chamar a 1ª ferramenta a ser carregada.
–– Manualmente inserir a ferramenta no eixo árvore, através do botão “SOLTAR
FERRAMENTA”.
–– Através da função “T,S,M”, chamar a 2ª ferramenta a ser carregada.
–– Manualmente inserir a ferramenta no eixo árvore, através do botão “SOLTAR
FERRAMENTA”.
–– Repetir os mesmos procedimentos para as demais ferramentas desejadas.
T60356F	 Programação e Operação - Linha D - Siemens 828D	 163
3. Entrada manual de dados
3 - ENTRADA MANUAL DE DADOS (MDA)
O modo “MDA” é utilizado para a execução de operações simples como, por exemplo,
trocar a ferramenta, ligar o eixo árvore, movimentar os eixos para uma determinada posição,
etc.
Nele é possível criar um programa que é editado e executado no mesmo formato que
um programa normal.
Para se trabalhar com o modo “MDA”, deve-se:
–– Acionar a tecla “MDA”.
–– Acionar a tecla “MACHINE”.
–– Digitar as instruções desejadas. Exemplo: S800 M3; (liga o eixo árvore com 800
RPM).
–– Acionar “INPUT”.
–– Acionar “CYCLE START”.
OBSERVAÇÕES:
- Para apagar um programa editado em MDA deve-se acionar a softkey [apagar
programa MDA];
Exemplo - Trocar ferramentas via MDA:
–– Acionar a tecla “MDA”.
–– Acionar a tecla “MACHINE”.
–– Digitar “T” e o número da ferramenta desejada. Exemplo: T01
–– Acionar a tecla “INPUT”.
–– Digitar: M6
–– Acionar a tecla “INPUT”.
–– Acionar a tecla “CYCLE START” (até que a “troca de ferramenta” seja efetuada)
NOTA: Para trabalhar com o modo MDA é necessário que a porta da máquina esteja
aberta e a chave de setup estaja na posição vertical.
164	 Programação e Operação - Linha D - Siemens 828D	 T60356F
4. Edição de programas
4 - EDIÇÃO DE PROGRAMAS
No comando Siemens 828, é permitido ao usuário o acesso à programas situados na
memória da máquina (NC), no cartão Compact Flash (CF), em um cartão de memória (USB)
e numa memória externa através de rede ethernet (USUÁRIO USB).
Na memória da máquina a edição pode ser feita em três pastas principais:
–– Programas de peças
–– Sub programas
–– Peças de trabalho
Na pasta peças de trabalho o usuário pode criar outras subpastas para o armazenamento
de programas, o que permite uma melhor organização dos mesmos.
4.1 - CRIAR UMA NOVA PASTA DE PROGRAMAS
–– Acionar a tecla “PROGRAM MANAGER”.
–– Acionar a softkey [ NC ].
–– Através das teclas ►,◄,▲e▼, posicionar o cursor na pasta “Peças de
trabalho”.
–– Acionar a tecla “INPUT”.
–– Acionar a softkey [NOVO].
–– Acionar a softkey [PEÇA].
–– Digitar o nome da pasta (Ex: TREINAMENTO).
–– Acionar a softkey [OK].
T60356F	 Programação e Operação - Linha D - Siemens 828D	 165
4. Edição de programas
4.2 - CRIAR UM PROGRAMA NOVO
–– Acionar a tecla “PROGRAM MANAGER”.
–– Acionar a softkey [ NC ].
–– Acessar o diretório desejado (Programa de peças, subprogramas ou peças de
trabalho) através das teclas: ►, ◄, ▲ e ▼.
–– Acionar a tecla “INPUT”.
–– Acionar a softkey [NOVO].
–– Acionar a softkey [programGUIDE Código G] ou [ShopMill].
–– Digitar o nome do programa (Ex: TREINAMENTO).
–– Acionar a softkey [OK].
4.3- RENOMEAR UM PROGRAMA OU UMA PASTA.
Estando com o cursor em cima do programa desejado deve-se:
–– Acionar a softkey [ ►►].
–– Acionar a softkey [ Características].
–– Digitar o novo nome. Ex: PROGRAMA2.MPF
–– Acionar a softkey [ OK ].
4.4 - COPIAR UM PROGRAMA COMPLETO OU UMA PASTA.
–– Acionar “PROGRAM MANAGER”.
–– Acionar a softkey [ NC ].
–– Posicionar o cursor no programa ou na pasta desejada (Programas de peças,
subprogramas ou peças de trabalho) através das teclas ►,◄,▲e▼.
–– Acionar a softkey [ COPIAR ].
–– Posicionar o cursor na pasta que se deseja colar o arquivo copiado através
das teclas ►,◄,▲e▼.
–– Acionar a softkey [ COLAR ].
4.5 - APAGAR UM PROGRAMA OU UMA PASTA
–– Acionar “PROGRAM MANAGER”.
–– Acionar a softkey [ NC ].
–– Posicionar o cursor no programa ou na pasta desejada (Programas de peças,
subprogramas ou peças de trabalho) através das teclas ►,◄,▲e▼.
–– Acionar a softkey [►►]
–– Acionar a softkey [Apagar].
–– Acionar a softkey [OK].
OBSERVAÇÃO: Esse procedimento deve ser utilizado com extrema cautela, pois uma
vez apagado um programa não há como recuperá-lo através da memória da máquina.
166	 Programação e Operação - Linha D - Siemens 828D	 T60356F
4. Edição de programas
4.6 - EDITAR UM PROGRAMA EXISTENTE NO DIRETÓRIO
–– Acionar “PROGRAM MANAGER”.
–– Acionar a softkey [ NC ].
–– Posicionar o cursor no programa ou na pasta desejada (Programas de peças,
subprogramas ou peças de trabalho) através das teclas ►,◄,▲e▼.
–– Acionar “INPUT”
4.7 - NUMERAR OS BLOCOS DE PROGRAMA DE FORMA AUTOMÁTICA.
A numeração dos blocos de programa não é um item obrigatório para que o mesmo
funcione de maneira adequada, porém, é interessante que os blocos estejam numerados
para que um eventual erro de programação seja localizado mais facilmente.
Estando o usuário na tela de edição, a numeração dos blocos é feita a partir do seguinte
procedimento:
–– Acionar a softkey [►►]
–– Acionar a softkey [ RENUMERAR ].
–– No campo “Prim. núm. de bloco:” e digitar o número do primeiro bloco do
programa. Ex: 10
–– Acionar a tecla “INPUT”.
–– No campo “Incremento”, digitar o incremento a ser considerado durante a
numeração dos blocos. Ex: 10
–– Acionar a tecla “INPUT”.
–– Acionar a softkey [ OK ].
4.8 - PROCURAR UM DADO NO PROGRAMA
a) Procurar um dado através dos cursores ( ►,◄,▲ou▼.)
Pressionar os cursores até selecionar a endereço desejado, sendo que:
	 ◄	 - 	 movimenta o cursor para trás
	 ►	 - 	 movimenta o cursor para frente
	 ▲	 -	 movimenta o cursor para cima
	 ▼	 -	 movimenta o cursor para baixo
b) Procurar direta (direto ao endereço)
–– Acionar a softkey [PROCURAR]
–– Digitar a informação à ser procurada. Ex: N10
–– No campo “Direção” selecionar a opção “Para frente” ou “Para trás” utilizando
a tecla “SELECT”.
–– Acionar a softkey [OK].
–– Posicionar o cursor no campo “Texto” e digitar a informação a ser procurada.
Exemplo: N100
–– Após encontrado o dado, se desejar procurar o dado novamente, deve-se
acionar a softkey [CONTINUAR PROCURA].
T60356F	 Programação e Operação - Linha D - Siemens 828D	 167
4. Edição de programas
4.9 - COPIAR UMA PARTE DO PROGRAMA.
–– Acionar a softkey [MARCAR].
–– Posicionar o cursor no bloco final da cópia, utilizando os cursores ►,◄,▲e▼.
–– Acionar a softkey [COPIAR].
–– Posicionar o cursor no bloco onde deseja-se inserir o texto copiado.
–– Acionar a softkey [COLAR].
OBSERVAÇÃO: ao executar a cópia dos blocos (softkey [COPIAR]), pode-se sair
do programa atual e inserir o texto em um outro programa. Para isso é necessário:
–– Acessar o programa onde serão inseridos os dados..
–– Posicionar o cursor no bloco onde deseja-se inserir o texto copiado, utilizando
os cursores ►,◄,▲e▼.
–– Acionar a softkey [COLAR].
4.10 - APAGAR DADOS NO PROGRAMA
–– Posicionar o cursor no dado a ser apagado.
–– Acionar a tecla “DELETE”.
4.11 - APAGAR BLOCOS DO PROGRAMA
–– Posicionar o cursor no início do bloco a ser apagado.
–– Acionar a softkey [MARCAR BLOCO].
–– Selecionar os blocos a serem apagados utilizando os cursores ►,◄,▲e▼.
–– Acionar [CORTAR].
4.12 - PROGRAMAÇÃO DE CICLOS DE FORMA INTERATIVA.
Para programar ciclos através das telas interativa deve-se:
–– Posicionar o cursor na linha em que será inserido o ciclo
–– Acionar as softkeys correspodentes ao ciclo desejado (ver procedimentos nos
capítulos da parte de programação dos ciclos fixos) ex: [FURAR] e [FURAR
ROSCA]
–– Preencher os dados de acordo com o desejado.
–– Acionar a softkey [Aceitar] (automaticamente o ciclo será incluido no
programa).
4.13 - ALTERAR DADOS DOS CICLOS DE FORMA INTERARIVA.
–– Posicionar o cursor no ciclo a ser alterado.
–– Acionar o cursor para a direita “►”.
–– Alterar os dados.
–– Acionar a softkey [Aceitar].
168	 Programação e Operação - Linha D - Siemens 828D	 T60356F
4. Edição de programas
4.14 - PROCURAR DADOS NO PROGRAMA
–– Acionar a softkey [EDIT].
–– Acionar a softkey [PROCURAR].
–– No campo DIREÇÃO, utilizar a tecla “SELECT” para identificar se a procura
será feita do ponto atual para traz ou para frente do programa.
–– No campo TEXTO, digitar o sentença que será procurado. Ex T01, para procurar
pela ferramenta 1.
–– Acionar a softkey [OK].
Nota: Para realizar essa pesquisa, deve-se digitar a sentença completa e igual a que foi
inserida no programa. Por exemplo, caso deseja-se procurar por uma ferramenta, deve-se
atentar se a mesma foi programada como T1 ou T01, se for digitado uma sentença diferente
a que foi programada, a máquina não concluirá a pesquisa.
4.15 - ALTERAR DADOS NO PROGRAMA.
Esse recurso permite que se altere todos os dados similares dentro de um programa
de uma única vez. Para isso, deve-se:
–– Acionar a softkey [EDIT].
–– Acionar a softkey [PROCURAR].
–– Acionar a softkey [PROCURAR+SUBSTIT].
–– No campo DIREÇÃO, utilizar a tecla “SELECT” para identificar se a procura
será feita do ponto atual para traz ou para frente do programa.
–– No campo TEXTO digitar a sentença que será alterada. Ex F, para que se altere
todos os avanços do programa.
–– No campo SUBST.COM digitar a nova sentença desejada. EX F1000, para que
todos os avanços do programa sejam alterados para 1000.
–– Acionar a sofkey [OK].
–– Acionar a sofkey [SUBSTIT] para alterar somente a primeira sentença
encontrada, ou acionar a sofkey [SUBSTIT. TODOS], para alterar todas as
sentenças similares encontradas no programa.
Nota: Com essa operação, todos os avanços inseridos no programa (função F......)
serão alterados para F1000.
T60356F	 Programação e Operação - Linha D - Siemens 828D	 169
5. Comunicação de dados
5 - COMUNICAÇÃO DE DADOS
Neste capítulo será abordado o recurso de COMUNICAÇÃO DE DADOS necessário
para manipular, salvar, carregar, copiar, etc..., todos os dados residentes na máquina que
se destinam a operação do equipamento.
Os dados podem ser parâmetros de máquina, programas, corretores de ferramentas,
corretores de coordenadas de trabalho, ajustes, variáveis R e variáveis globais.
Para efetuar a comunicação de dados é necessário a utilização de outros elementos (além
da máquina), ou seja, CARTÃO DE MEMÓRIA USB, REDE ETHERNET, COMPACTFLASH,
APLICATIVOS PARA TRANSMISSÃO DE DADOS, OUTROS PERIFÉRICOS, etc, cujas
instruções vem a seguir.
5.1 - COMUNICAÇÃO ATRAVÉS DA PORTA CF - COMPACTFLASH
As máquinas da “Linha D” com comando Siemens 828 possuem uma porta de
comunicação compactflash situada no painel da máquina, como mostra a figura a seguir:
5.1.1 - Hardwares recomendados para leitura e gravação CF :
Para efetuar a leitura e gravação do Cartão PCMCIA recomenda-se a interface eFilm
Reader-12 USB POR T CompactFlash I/II Reader da Delkin Devices, o qual deve ser
conectado na porta USB do computador.
Computador PC com Interface USB e CompactFlash
Adaptador CompactFlash →→→→ PCMCIA
CNC
Computador PC com Interface USB e CompactFlash
Adaptador CompactFlash →→→→ PCMCIA
CNC
Computador PC com Interface USB e Compact
Adaptador CompactFlash →→→→ PCMCIA
Cartão
Compactflash
Leitor
de
cartões
Para computadores onde a Porta USB não está disponível, pode-se instalar um módulo
controlador de USB, o qual vai plugado no próprio barramento do computador, disponibilizando
assim a Porta USB. Uma vez instalado este módulo, pode-se então configurar o PC conforme
mostrado na figura acima.
170	 Programação e Operação - Linha D - Siemens 828D	 T60356F
5. Comunicação de dados
NOTA: Considerando que o cartão CompactFlash (Memory Cards) é um instrumentos
sensível, recomenda-se tomar uma série de cuidados especiais quanto ao seu
manuseio e armazenamento, tais como: evitar choques (quedas), calor, umidade, não
desconectar durante uma comunicação de dados, etc.
5.1.2 - Visualisar os arquivos do cartão de memória.
–– Acionar “PROGRAM MANAGER”.
–– Acionar a softkey [ User CF ].
A partir deste ponto, serão exibidos todos os arquivos e pastas disponíveis dentro do
cartão CF, sendo que todas as ações permitidas dentro das outras áreas de armazenamento
de dados (memória da máquina), poderão ser executadas, como criar novos programas,
editar programas existentes, apagar programas, copiar programas, etc...
5.1.3 - Carregar arquivos do cartão na memória da máquina.
–– Acionar “PROGRAM MANAGER”.
–– Acionar a softkey [ User CF ].
–– Posicionar o cursor na pasta ou no programa a ser copiado, através das teclas
►,◄,▲e▼.
–– Acionar a softkey [ COPIAR ].
–– Acionar a softkey [NC].
–– Posicionar o cursor na pasta que receberá o programa, utilizando as teclas
►,◄,▲e▼.
–– Acionar a softkey [ COLAR ].
5.1.4 - Salvar arquivos da memória da máquina no cartão.
–– Acionar a tecla “PROGRAM MANAGER”.
–– Acionar a softkey [NC].
–– Posicionar o cursor na pasta ou no programa a ser copiado, através das teclas
►,◄,▲e▼.
–– Acionar a softkey [ COPIAR ].
–– Acionar a softkey [ User CF ].
–– Posicionar o cursor na pasta que receberá o programa, utilizando as teclas
►,◄,▲e▼.
–– Acionar a softkey [ COLAR ].
T60356F	 Programação e Operação - Linha D - Siemens 828D	 171
5. Comunicação de dados
5.2 - COMUNICAÇÃO ATRAVÉS DA ENTRADA USB ( )
Esta entrada permite a leitura e gravação de dados através de cartões de memória do
tipo USB Flash Drive, popularmente conhecido no Brasil como “PEN DRIVE”. Estes cartões
utilizam o sistema USB (Universal Serial Bus) para efetuar a transmissão.
As máquinas da “Linha D” com comando Siemens 828 possuem uma entrada USB
situada no painel da mesma, assim como mostra a figura a seguir:
5.2.1 - Hardwares recomendados para leitura e gravação USB :
Para efetuar a leitura e gravação do Cartão de memória USB recomenda-se a interface
USB 2.0 tipo “A”.
Cartão de
memória USB
“PENDRIVE”
Painel da
máquinaPC
5.2.2 - Visualisar os arquivos do cartão de memória.
–– Acionar “PROGRAM MANAGER”.
–– Acionar a softkey [ USB ].
A partir deste ponto, serão exibidos todos os arquivos e pastas disponíveis dentro do
cartão USB, sendo que todas as ações permitidas dentro das outras áreas de armazenamento
de dados (memória da máquina), poderão ser executadas, como criar novos programas,
editar programas existentes, apagar programas, copiar programas, etc...
172	 Programação e Operação - Linha D - Siemens 828D	 T60356F
5. Comunicação de dados
5.2.3 - Carregar arquivos do cartão na memória da máquina.
–– Acionar “PROGRAM MANAGER”.
–– Acionar a softkey [USB].
–– Posicionar o cursor na pasta ou no programa a ser copiado, através das teclas
►,◄,▲e▼.
–– Acionar a softkey [COPIAR].
–– Acionar a softkey [NC].
–– Posicionar o cursor na pasta que receberá o programa, utilizando as teclas
►,◄,▲e▼.
–– Acionar a softkey [COLAR].
5.2.4 - Salvar arquivos da memória da máquina no cartão.
–– Acionar “PROGRAM MANAGER”.
–– Acionar a softkey [NC].
–– Posicionar o cursor na pasta ou no programa a ser copiado, através das teclas
►,◄,▲e▼.
–– Acionar a softkey [COPIAR].
–– Acionar a softkey [USB].
–– Posicionar o cursor na pasta que receberá o programa, utilizando as teclas
►,◄,▲e▼.
–– Acionar a softkey [COLAR].
5.3 - COMUNICAÇÃO ATRAVÉS DA REDE ENTHERNET
Esta entrada permite a comunicação entre a memória da máquina e uma pasta
compartilhada situada no periférico externo (computador). Este modo de trabalho em rede
é denominado REDE ETHERNET.
As máquinas da “Linha D” com comando Siemens 828 possuem uma entrada para a
“REDE ETHERNET” situada no painel da máquina, assim como mostra a figura a seguir:
5.3.1 - Hardwares recomendados para leitura e gravação em REDE ETHERNET :
Cabo par-trançado denominado RJ-45. Este cabo, por sua vez, deverá ser conectado a
um computador onde será instalada a pasta compartilhada contendo os programas a serem
transmitidos.
T60356F	 Programação e Operação - Linha D - Siemens 828D	 173
5. Comunicação de dados
5.3.2 - Visualisar os arquivos do computador.
–– Acionar “PROGRAM MANAGER”.
–– Quando necessário, acionar a softkey [►►] Até aparecer a softkey
[ETHERNET].
–– Acionar a softkey [ETHERNET].
A partir deste ponto, serão exibidos todos os arquivos e pastas disponíveis na pasta
compartilhada situada no computador, sendo que todas as ações permitidas dentro das outras
áreas de armazenamento de dados (memória da máquina), poderão ser executadas, como
criar novos programas, editar programas existentes, apagar programas, copiar programas,
etc...
5.3.3 - Carregar arquivos do computador na máquina.
–– Acionar “PROGRAM MANAGER”.
–– Quando necessário, acionar a softkey [►►] Até aparecer a softkey [USB].
–– Acionar a softkey [ETHERNET].
–– Posicionar o cursor na pasta ou no programa a ser copiado, através das teclas
►,◄,▲e▼.
–– Acionar a softkey [COPIAR].
–– Acionar a softkey [NC].
–– Posicionar o cursor na pasta que receberá o programa, utilizando as teclas
►,◄,▲e▼.
–– Acionar a softkey [COLAR].
5.3.4 - Salvar arquivos da memória da máquina no computador.
–– Acionar “PROGRAM MANAGER”.
–– Quando necessário, acionar a softkey [►►] Até aparecer a softkey [NC].
–– Acionar a softkey [NC].
–– Posicionar o cursor na pasta ou no programa a ser copiado, através das teclas
►,◄,▲e▼.
–– Acionar a softkey [COPIAR].
–– Acionar a softkey [ETHERNET].
–– Posicionar o cursor na pasta que receberá o programa, utilizando as teclas
►,◄,▲e▼.
–– Acionar a softkey [COLAR].
174	 Programação e Operação - Linha D - Siemens 828D	 T60356F
6. Teste de programas
6 - TESTE DE PROGRAMAS.
Todos os programas devem ser testados antes da execução diretamente na peça de
trabalho. Para isso, a linha D apresenta diferentes formas de testá-los.
Para poder executar o teste gráfico, é necessário inserir as informações da peça em
bruto no início do programa, para isso deve-se:
–– Posicionar o cursor no início do programa a ser testado.
–– Acionar a softkey [Diversos].
–– Acionar a softkey [Peça bruta].
–– No campo “Peça bruta”, através da tecla “SELECT”, escolher entre as opções
de materiais brutos disponíveis.
–– Preencher os campos apresentados de acordo com o perfil de material bruto
escolhido anteriormente.
–– Acinar a softkey [Aceitar].
Veja na figura abaixo uma das opções de material bruto que podem ser apresentadas:
Os dados da peça em bruto são visualizadas no programa conforme exemplo abaixo:
T60356F	 Programação e Operação - Linha D - Siemens 828D	 175
6. Teste de programas
6.1 - EXECUTAR TESTE GRÁFICO DE PROGRAMA (MODO 1).
Estando na tela de edição de programas (editando o programa a ser testado) deve-se:
–– Acionar a softkey [SIMULAÇÃO].
–– Esperar alguns segundos.
–– Se necessário, acionar a softkey [◄◄].
–– Acionar a softkey [//] (reset, ver figura abaixo).
–– Acionar a softkey [START]. (ver figura abaixo).
Veja abaixo um exemplo de visualização da tela do gráfico:
A figura acima apresenta a visualização do gráfico na vista superior. Existem outras
vistas que podem ser selecionadas para realizar a simulação, para isso, basta selecionar a
vista desejada através das softkeys laterais. Além disso, pode-se ampliar detalhes da peça
para uma melhor visualização.
Para ampliar a visualização de algum detalhe deve-se:
	 Modo 1:
–– Acionar a softkey [DETALHES].
–– Posicionar com o cursor no detalhe a ser ampliado.
–– Acionar a softkey [ZOMM +] para ampliar ou [ZOMM -] para reduzir.
	 Modo 2:
–– Acionar a softkey [DETALHES].
–– Acionar a softkey [LUPAS].
–– Posicionar o cursor no detalhe a ser ampliado.
–– Acionar a softkey [LUPA +] para ampliar ou [LUPA -] para reduzir.
176	 Programação e Operação - Linha D - Siemens 828D	 T60356F
6. Teste de programas
6.2 - EXECUTAR TESTE GRÁFICO DE PROGRAMA (MODO 2).
O teste gráfico de programa a partir deste procedimento permite uma melhor visualização
dos movimentos executados pela ferramenta. Para executar este teste deve-se:
–– Acessar o programa a ser testado
–– Acionar a softkey [EXECUTAR].
–– Acionar a tecla “AUTO”.
–– Se necessário, acionar a softkey [►]
–– Acionar a softkey [CONT. PROG.].
–– Posicionar o cursor em “PRT” (inibe o movimento dos eixos).
–– Acionar a tecla “SELECT”.
–– Posicionar o cursor em “DRY” (habilita avanço de teste).
–– Acionar a tecla “SELECT”.
–– Acionar a softkey [Voltar].
–– Acionar a softkey [GRAV. SIMULT.].
–– Acionar a tecla “CYCLE START”.
6.3 - EXECUTAR TESTE RÁPIDO DE PROGRAMA SEM MOVIMENTO DOS EIXOS
E SEM GIRO DO EIXO ÁRVORE.
–– Acessar o programa a ser testado
–– Acionar a softkey [EXECUTAR].
–– Acionar a tecla “AUTO”.
–– Se necessário, acionar a softkey [►]
–– Acionar a softkey [CONT. PROG.].
–– Posicionar o cursor em “PRT” (inibe o movimento dos eixos).
–– Acionar a tecla “SELECT”.
–– Posicionar o cursor em “DRY” (habilita avanço de teste).
–– Acionar a tecla “SELECT”.
–– Acionar a softkey [VOLTAR].
–– Acionar a tecla “CYCLE START”.
T60356F	 Programação e Operação - Linha D - Siemens 828D	 177
6. Teste de programas
6.4- EXECUTAR TESTE DE PROGRAMA EM DRY RUN.
O teste de programa em “DRY RUN” consiste em executar todos os movimentos
programados em uma velocidade superior a especificada no programa. Este teste é
utilizado principalmente para verificar se a definição do ponto zero peça foi feita de maneira
adequada.
–– Acessar o programa a ser testado.
–– Acionar a softkey [EXECUTAR].
–– Acionar a tecla “AUTO”.
–– Manter a tecla “DRY RUN” acionada por 2 segundos.
–– Acionar a tecla “CYCLE START”.
OBSERVAÇÃO: Para execução do teste em “DRY RUN”, as ferramentas já devem
estar referenciadas e deve-se somar um valor ao zero peça em “Z”, de modo que a
ferramenta possa executar os movimentos acima da coordenada de trabalho (em vazio).
178	 Programação e Operação - Linha D - Siemens 828D	 T60356F
7. Referenciamento (preset) de ferramentas
7 - REFERÊNCIAS DE FERRAMENTA
A Referência de Ferramentas é o processo no qual é identificado à máquina onde está
localizado a ponta das ferramentas. Esses dados são armazenados na página “Lista de
Ferramentas” e podem ser acessados através do seguinte procedimento:	
–– Acionar a tecla “OFFSET”.
–– Acionar a softkey [LISTA FER.].
7.1 - CRIAR UMA NOVA FERRAMENTA
O procedimento para criar novas ferramentas só é necessário se por acaso, alguma
ferramenta for apagada. Portanto, para iniciar o trabalho na máquina este procedimento não
é obrigatório, pois as ferramentas necessárias para realizar o trabalho já estão criadas.
Para criar uma nova ferramenta, por motivos de segurança, sugere-se seguir a seguinte
sequência:
1º - Ativar a ferramenta T0 através da função “T,S,M”:
–– Acionar a tecla “JOG”.
–– Acionar a tecla “M MACHINE”.
–– Acionar a softkey [T,S,M].
–– Posicionar o cursor no campo “T”.
–– Digitar “0”.
–– Acionar a tecla “INPUT”.
–– Acionar a tecla “CYCLE START”.
T60356F	 Programação e Operação - Linha D - Siemens 828D	 179
7. Referenciamento (preset) de ferramentas
2º - Acessar a página de lista de ferramenta:
–– Acionar a tecla “OFF_SET”.
–– Acionar a softkey [LISTA FER.].
3º - Criar a nova ferramenta:
–– Posicionar o cursor no final da listagem de ferramentas, em um campo onde
não haja nenhuma ferramenta registrada.
–– Acionar a softkey [FERRAMEN. NOVA].
–– Através das softkeys, escolher um dos tipos de ferramenta disponíveis.
–– Através da tecla “BACK SPACE”, apagar o nome da ferramenta criada.
–– Digitar o número desejado para a nova ferramenta (este número deve ser
diferente dos números das ferramentas já existentes).
–– Acionar a tecla “INPUT”.
4º - Carregar a ferramenta no magazine:
–– Posicionar o cursor na ferramenta a ser carregada.
–– Acionar a softkey [CARREGAR].
–– Acionar a softkey [FUSO].
5º - Manualmente, colocar a ferramenta no eixo árvore.
6º - Guardar a ferramenta do eixo árvore no magazine através da função “T,S,M”:
–– Acionar a tecla “JOG”.
–– Acionar a tecla “ M MACHINE”
–– Se necessário, acionar a softkey [].
–– Acionar a softkey [T,S,M].
–– Posicionar o cursor no campo “T”.
–– Digitar “0”.
–– Acionar a tecla “INPUT”.
–– Acionar a tecla “CYCLE START”.
180	 Programação e Operação - Linha D - Siemens 828D	 T60356F
7. Referenciamento (preset) de ferramentas
7.2 - APAGAR UMA FERRAMENTA.
Para apagar uma ferramenta deve-se:
1º - Através da função “T,S,M” carregar a ferramenta a ser excluída no eixo árvore.:
–– Acionar a tecla “JOG”.
–– Acionar a tecla “M MACHINE”.
–– Acionar a softkey [T,S,M].
–– Posicionar o cursor no campo “T”.
–– Digitar o número da ferramenta a ser carregada.
–– Acionar a tecla “INPUT”.
–– Acionar a tecla “CYCLE START”.
2º - Manualmente, descarregar a ferramenta do eixo árvore:
3º - Acessar a página de lista de ferramenta:
–– Acionar a tecla “OFFSET”.
–– Acionar a softkey [LIST FER.].
4º - Descarregar a ferramenta do magazine:
–– Posicionar o cursor na ferramenta a ser apagada.
–– Acionar a softkey [DESCARREG.].
5º - Apagar a ferramenta:
–– Posicionar o cursor na ferramenta a ser apagada.
–– Acionar a softkey [APAGAR FERRAM.]
–– Acionar a softkey [APAGAR].
T60356F	 Programação e Operação - Linha D - Siemens 828D	 181
7. Referenciamento (preset) de ferramentas
7.3 - PRESET DE FERRAMENTAS
7.3.1 - Preset de ferramentas feito na máquina.
Este processo é utilizado para fazer o zeramento de ferramentas na própria máquina.
Para isso deve-se:
1º - Através da função “T,S,M”, carregar a ferramenta a ser referenciada:
–– Acionar a tecla “JOG”.
–– Acionar a tecla “M MACHINE”.
–– Acionar a softkey [T,S,M].
–– Posicionar o cursor no campo “T” e digitar o número da ferramenta a ser carregada.
Ex.: 1
–– Acionar a tecla “INPUT”.
–– Se necessário, posicionar o cursor no campo “D” e digitar o número do corretor
desejado. Ex.: 1
–– Acionar a tecla “INPUT”.
–– Acionar a tecla “CYCLE START”.
2º - Através da manivela eletrônica, tocar a ferramenta na superfície da peça:
–– Acionar “M MACHINE”.
–– Acionar tecla “JOG”.
–– Girar a chave “REMOTE PANEL” localizada na lateral do painel da máquina
para a posição .
–– No painel remoto, selecionar eixo desejado: “X”,“Y”, “Z” ou “4“ (opcional).
–– No painel remoto, selecionar avanço desejado através das teclas: [1], [10],
[100].
–– Manter pressionado os botões localizados na parte lateral do painel remoto.
–– Executar o movimento dos eixos através da manivela observando o sentido (+ / -)
até encostar a ferramenta na superfície da peça.
OBSERVAÇÃO: Para desabilitar o Painel remoto é necessário deixar o valor da
velocidade em “0” e depois, retornar a chave “REMOTE PANEL” para a posição
182	 Programação e Operação - Linha D - Siemens 828D	 T60356F
7. Referenciamento (preset) de ferramentas
3º - Salvar o valor na página de ferramentas:
–– Acionar a tecla “M MACHINE”.
–– Acionar a softkey [MEDIR FERR.].
–– Acionar a softkey [COMPRIM. MANUAL].
–– Posicionar o cursor no campo “ Pto de Ref. “ e através da tecla “SELECT”
selecionar a opção “ PEÇA “.
–– Se necessário, no campo “ Z0 ”, digitar a coordenada “Z” onde a ferramenta está
sendo tocada (normalmente, assume-se o valor “0” para esta coordenada).
–– Acionar a softkey [AJUSTAR COMPRIM.].
OBSERVAÇÃO: Com o procedimento citado anteriormente não há necessidade de
fazer o zero-peça no eixo “Z”. Por isso, deve-se apagar os dados contidos no campo “Z”
da página de “Desl. zero”.
Quando trabalha-se com ferramentas de ponta esférica nos planos “XZ” (G18) ou
“YZ” (G19), para que a compensação de raio seja executada de maneira adequada, a
referência da ferramenta deve ser feita pelo centro do raio.
Exemplo: Para uma ferramenta de “Ø10 mm”, deve-se considerar que a ferramenta
deve descer “5mm” (valor do raio) além do ponto tocado na peça.
Portanto, se o comprimento registrado, quando a ponta da ferramenta toca a superfície
da peça, for “-350.00 mm”, o novo valor a ser registrado na página “Lista fer.” deve ser
“-355.00 mm”.
T60356F	 Programação e Operação - Linha D - Siemens 828D	 183
7. Referenciamento (preset) de ferramentas
7.3.2 - Preset de ferramentas feito fora da máquina.
Este processo é utilizado para carregar os comprimentos das ferramentas, os quais
foram levantados externamente. Para fazer este preset deve-se:
–– Acionar a tecla “OFF SET”.
–– Acionar a softkey [LISTA FERR.].
–– Posicionar o cursor na linha da ferramenta a ser referenciada
–– Posicionar o cursor na coluna “compr.” e digitar o valor do comprimento medido
externamente. Ex.: 130.987
–– Acionar a tecla “INPUT”.
1
1
1
184	 Programação e Operação - Linha D - Siemens 828D	 T60356F
7. Referenciamento (preset) de ferramentas
OBSERVAÇÕES: Os valores dos comprimentos de ferramentas deverão ser
colocados sem sinal.
Após carregar os comprimentos das ferramentas, deve-se fazer o zero-peça no eixo “Z”.
Quando trabalha-se com ferramentas de ponta esférica nos planos “XZ” (G18) ou
“YZ” (G19), para que a compensação de raio seja executada de maneira adequada, a
referência da ferramenta deve ser feita pelo centro do raio.
Exemplo: Para uma ferramenta de “Ø10 mm”, deve-se considerar que a ferramenta
tem “5mm” (valor do raio) a menos em seu comprimento.
Portanto, se o comprimento medido da ferramenta for “250 mm”, o valor a ser
registrado na página do gerenciador deve ser “245 mm”.
7.4 - PREENCHER OS DADOS DAS FERRAMENTAS.
Após realizar a referencia das ferramentas no eixo “Z” deve-se preencher os dados
das ferramenats na página “Lista fer.”. Para podermos chegar até esta página e preencher
os dados deve-se:
–– Acionar a tecla “OFFSET”.
–– Acionar a softkey [LISTA FERR.].
–– Posicionar o cursor na ferramenta desejada.
–– Posicionar o cursor na coluna “TIPO”.
–– Através da tecla “SELECT”, selecionar o tipo de ferramenta desejada.
–– Na coluna “Nome ferram.” já está registrado o número da ferramenta, portanto,
este campo não deve ser alterado.
–– Posicionar o cursor na coluna “Ø”.
–– Digitar o diâmetro da ferramenta. Ex.: 5
–– Acionar a tecla “INPUT”.
–– No caso de uma ferramenta tipo “Broca”, posicionar o cursor na coluna à frente
da coluna raio e digitar o ângulo da ponta da broca. Ex.: 118
–– Acionar a tecla “INPUT”.
–– No caso de uma ferramenta tipo “Fresa”, posicionar o cursor no campo “Número
de dentes” (2º campo à frente do campo RAIO).
–– Digitar o número de arestas de corte que a fresa possui.
–– Acionar a tecla “INPUT”.
–– Posicionar o cursor no campo “Fuso dir./esq./desl” . Através da tecla
“SELECT”, determinar o sentido de giro da ferramenta.
–– Posicionar o cursor no campo “refrigerante 1” e através da tecla “SELECT”,
ativar ou desativar a refrigeração (colocar um “X” no campo para ativar).
–– Posicionar o cursor no campo “refrigerante 2” e através da tecla
“SELECT”, ativar ou desativar a refrigeração de alta pressão (colocar um “X”
no campo para ativar).
T60356F	 Programação e Operação - Linha D - Siemens 828D	 185
8. Desgaste de ferramentas
8 - DESGASTE DE FERRAMENTAS.
A correção de desgaste de ferramenta é uma operação que é realizada para corrigir
a variação nas dimensões das peças devido ao desgaste ocorrido nas ferramentas em
decorrência dos esforços de usinagem.
8.1 - CORREÇÃO DE DESGASTE DE FERRAMENTA EM “Z”.
–– Acionar a tecla “OFFSET”.
–– Acionar a softkey [DESG. FER.].
–– Posicionar o cursor na ferramenta desejada.
–– Posicionar o cursor na coluna “Comprime.” e acionar a tecla “=”.
–– Acionar a tecla “+” ou “-” (de acordo com a correção desejada).
–– Digitar o valor a ser corrigido. Ex.: 0.1.
–– Acionar a tecla “INPUT”.
8.2 - CORREÇÃO DE DESGASTE NO “RAIO” DA FERRAMENTA.
–– Acionar a tecla “OFFSET”.
–– Acionar a softkey [DESG. FER.].
–– Posicionar o cursor na ferramenta desejada.
–– Posicionar o cursor na coluna “▲ Raio” e acionar a tecla “=”.
–– Acionar a tecla “+” ou “-” (de acordo com a correção desejada).
–– Digitar o valor a ser corrigido no diâmetro da ferramenta. Ex.: 0.1.
–– Acionar a tecla “INPUT”.
186	 Programação e Operação - Linha D - Siemens 828D	 T60356F
8. Desgaste de ferramentas
8.3 - CRIAR NOVOS CORRETORES DE FERRAMENTA.
A princípio, cada ferramenta possui um corretor disponível para ser utilizado, porém
pode-se criar outros corretores para qualquer ferramenta para, por exemplo, referenciar a
ferramenta em duas alturas diferentes de peça.
Para criar um novo corretor de ferramenta deve-se:
–– Acionar a tecla “OFFSET”.
–– Acionar a softkey [LISTA FER.].
–– Posicionar o cursor na ferramenta desejada.
–– Acionar a softkey [CORRETOR].
–– Acionar a softkey [CORRETOR NOVO]
Para acessar este e outros corretores existentes deve-se:
–– Acionar a tecla “OFFSET”.
–– Acionar a softkey [LISTA FER.].
–– Posicionar o cursor no corretor desejado.
T60356F	 Programação e Operação - Linha D - Siemens 828D	 187
9. Definição do zero-peça
9 - DEFINIÇÃO DO ZERO PEÇA
Este procedimento é realizado para criar um ponto de referência na peça. Este ponto
de referência também conhecido como zero-peça será o ponto de onde partirão todas as
coordenadas do programa. Nas máquinas da linha “ROMI - D” com comando Siemens 828
é possível se trabalhar com até 99 zero-peças diferentes, sendo eles:
G54,G55,G56,G57,G505,G506,G507,G508...G599
9.1 - ZERO-PEÇA NA LATERAL DA PEÇA .
Este processo é utilizado para fazer o referenciamento na lateral da peça, conforme
mostra a figura a seguir:
Zeramento
em “X”
Zeramento
em “Y”
Para realizar este procedimento deve-se:
1º - Através da função “T,S,M”, carregar a ferramenta a ser utilizada no zeramento:
–– Acionar a tecla “JOG”.
–– Acionar a tecla “M MACHINE”.
–– Acionar a softkey [T,S,M].
–– Posicionar o cursor no campo “T” e digitar o número da ferramenta a ser carregada.
Ex.: 1
–– Acionar a tecla “INPUT”.
–– Se necessário, posicionar o cursor no campo “D” e digitar o número do corretor
desejado. Ex.: 1
–– Acionar a tecla “INPUT”.
–– Acionar a tecla “CYCLE START”.
OBSERVAÇÕES:
A ferramenta escolhida para ser utilizada no processo de zeramento deverá possuir
o valor do raio preenchido previamente na página de lista de ferramentas.
188	 Programação e Operação - Linha D - Siemens 828D	 T60356F
9. Definição do zero-peça
2º - Através da manivela eletrônica, tocar a ferramenta na lateral da peça:
–– Acionar “M MACHINE”.
–– Acionar tecla “JOG”.
–– Acionar a tecla “JOG”.
–– Girar a chave “REMOTE PANEL” localizada na lateral do painel da máquina
para a posição .
–– No painel remoto, selecionar eixo desejado: “X”,“Y”, “Z” ou “4“ (opcional).
–– No painel de operação, selecionar avanço desejado através das teclas: [1],
[10], [100], [1000].
–– Manter pressionado os botões localizados na parte lateral do painel remoto.
–– Executar o movimento dos eixos através da manivela observando o sentido (+ / -)
até encostar a ferramenta na lateral e da peça.
3º - Salvar o valor na página de zero-peça:
–– 	Acionar a tecla “M MACHINE”.
–– Acionar a softkey [MEDIR PEÇA]
–– Acionar a softkey [BORDA]
–– Apertar a softkey correspondente ao eixo a ser zerado ( [X] ou [Y] )
–– Posicionar o cursor no campo “desl. zero” e apertar a a tecla “SELECT” para
selecionar o zeramento desejado (G54 - G57 e G505 - G599).
–– Posicionar o cursor no campo “direção” e apertar tecla “SELECT” até
selecionar a direção correta, sendo que o sinal positivo indica que a ferramenta
está a esquerda ou abaixo da peça e o sinal negativo indica que a ferramenta
está a direita ou acima da peça.
–– Posicionar o cursor no campo “X0” ou “Y0” de acordo com o eixo correspondente
e digitar a distância que a ferramenta está em relação ao zero - peça, Ex: 0
–– Apertar a tecla “INPUT”.
–– Apertar a softkey [DEF NPV]
T60356F	 Programação e Operação - Linha D - Siemens 828D	 189
9. Definição do zero-peça
OBSERVAÇÕES:
Caso o ponto onde a ferramenta tenha tocado a peça esteja deslocado em relação
ao zero - peça, é necessário informar esta distância no campo “X0” ou “Y0” (de acordo
com o eixo a ser zerado).
9.2 - ZERO-PEÇA EM UMA PEÇA INCLINADA .
–– Acionar a tecla “M MACHINE”.
–– Acionar a softkey [MEDIR PEÇA]
–– Acionar a softkey [CANTO]
–– Posicionar o cursor no campo “DESL. ZERO” e apertar a tecla “SELECT” para
selecionar o zero peça a ser utilizado (G54 - G59 e G505 - G599).
–– Posicionar o cursor no campo “X0” e digitar a distância que a o zeramento ficará
deslocado em relação ao zero - peça no eixo “X“. Exemplo: 0
–– Posicionar o cursor no campo “Y0” e digitar a distância que a o zeramento ficará
deslocado em relação ao zero - peça no eixo “Y“. Exem plo: 0
–– Através do movimento manual encostar a ferramenta na lateral
da peça, conforme a figura ao lado:
–– Acionar a softkey [ARMAZENAR P1]
–– Através do movimento manual encostar a ferramenta na mesma
lateral da peça, porém deslocada em relação ao primeiro ponto,
conforme a figura ao lado:
–– Acionar a softkey [ARMAZENAR P2]
–– Através do movimento manual encostar a ferramenta na outra
lateral da peça, conforme a figura ao lado:
–– Acionar a softkey [ARMAZENAR P3]
–– Acionar a softkey [DEF NPV]
P1
P2
P3
190	 Programação e Operação - Linha D - Siemens 828D	 T60356F
9. Definição do zero-peça
OBSERVAÇÕES: Para fazer o zeramento no canto da peça deve-se informar o valor
do raio da ferramenta na página de lista de ferramentas.
Caso seja necessário fazer o zero - peça em um canto diferente do exemplo acima,
é necessário alterar o campo “POS1” apertando a tecla “SELECT” para selecionar “POS
2”, “POS 3” ou “POS 4” de acordo com o desejado.
Caso seja necessário deslocar o zero - peça a uma certa distância do canto da peça,
é necessário informar a distância de deslocamento no campo “X0” ou “Y0”.
O ângulo de inclinação da peça será informado automaticamente no campo “ 0” e
será salvo na página de deslocamento do zero peça.
9.3 - ZERO-PEÇA NO CENTRO DE UM FURO.
–– Apertar a telca “M MACHINE”
–– Apertar a softkey [MEDIR FURO]
–– Apertar a softkey [FURO]
–– Tocar a ferramenta na lateral do furo num ponto onde
o eixo “Y” fique o mais negativo possível.
–– Apertar a softkey [ARMAZENAR P1]
–– Tocar a ferramenta na lateral do furo num ponto onde
o eixo “Y” fique o mais positivo possível.
–– Apertar a softkey [ARMAZENAR P2]
–– Tocar a ferramenta na lateral do furo num ponto onde
o eixo “X” fique o mais negativo possível.
–– Apertar a softkey [ARMAZENAR P3]
–– Tocar a ferramenta na lateral do furo num ponto onde
o eixo “X” fique o mais positivo possível.
–– Apertar a softkey [ARMAZENAR P4]
–– Acionar a softkey [DEF NPV]
P1
P2
P3
P4
T60356F	 Programação e Operação - Linha D - Siemens 828D	 191
9. Definição do zero-peça
OBSERVAÇÕES:
Para fazer o zeramento no centro do furo deve-se informar o valor do raio da ferramenta
na página de lista de ferramentas.
A informação do diâmetro da peça aparecerá automaticamente no campo .
Caso seja necessário deslocar o zero - peça a uma certa distância do centro do furo,
é necessário informar a distância de deslocamento no campo “X0” ou “Y0”.
Os valores do zeramento de “X” e “Y” ficam salvos na página de deslocamento do
ponto zero.
9.4 - ZERO-PEÇA NO CENTRO DE UM RESSALTO CIRCULAR.
–– Apertar a telca [Machine]
–– Apertar a softkey [Medir Furo]
–– Apertar a softkey [Espiga]
–– Tocar a ferramenta na lateral do ressalto num ponto
onde o eixo “X” fique o mais negativo possível.
–– Apertar a softkey [Armazenar P1]
–– Tocar a ferramenta na lateral do ressalto num ponto
onde o eixo “X” fique o mais positivo possível
–– Apertar a softkey [Armazenar P2]
–– Tocar a ferramenta na lateral do ressalto num ponto
onde o eixo “Y” fique o mais negativo possível
–– Apertar a softkey [Armazenar P3]
–– Tocar a ferramenta na lateral do ressalto num ponto
onde o eixo “Y” fique o mais positivo possível
–– Apertar a softkey [Armazenar P4]
P1
P2
P3
P4
192	 Programação e Operação - Linha D - Siemens 828D	 T60356F
9. Definição do zero-peça
OBSERVAÇÕES:
Para fazer o zeramento no centro do ressalto deve-se informar o valor do raio da
ferramenta na página de lista de ferramentas.
A informação do diâmetro da peça aparecerá automaticamente no campo .
Caso seja necessário deslocar o zero - peça a uma certa distância do centro do
ressalto, é necessário informar a distância de deslocamento no campo “X0” ou “Y0”.
Os valores do zeramento de “X” e “Y” ficam salvos na página de deslocamento do
ponto zero.
9.5 - ZERO-PEÇA NO CENTRO DE UMA PEÇA RETANGULAR
–– Acionar a tecla “JOG”
–– Acionar a tecla “WCS/MCS”
–– Apertar a tecla [M MACHINE]
–– Apertar a softkey [T,S,M]
–– Posicionar o cursor no campo “DESL. ZERO” Apertar a tecla “SELECT” até
aparecer o zeramento desejado (G54 - G57 ou G505 - G599)
–– Apertar a tecla CYCLE START
–– Posicianar a ferramenta em uma das laterais da peça
–– Apertar a softkey [DEF. NPV]
–– Apetar a softkey [X=0] ou [Y=0] de acordo com o eixo desejado
–– Posicionar a ferramenta na lateral oposta da peça.
–– Apertar a softkey [DEF. NPV]
–– Utilizar as setas ( ↑ ↓ → ←) para posicionar o cursor no eixo no eixo a ser
zerado ( “X” ou “Y”).
–– Apertar a tecla “ = ”
–– Digitar “ /2 ” (dividido por dois)
–– Apertar a tecla “INPUT”
T60356F	 Programação e Operação - Linha D - Siemens 828D	 193
9. Definição do zero-peça
1 (X) 2 (X)
2 (Y)
1 (Y)
PEÇA
OBSERVAÇÕES: Os valores do zeramento de “X” e “Y” ficam salvos na página de
deslocamento do ponto zero.
9.6 - EFETUAR CORREÇÃO NO ZERO-PECA (G54 - G59 E G507 - G599)
–– Apertar a tecla [OFFSET]
–– Apertar a softkey [DESL. ZERO]
–– Posicionar o cursor na linha correspondente ao zeramento desejado (“X”, “Y”, ou “Z”)
–– Apertar a tecla “ = ”
–– Apertar a tecla “ + ” ou “ - ” de acordo com o sentido da correção a ser efetuada.
–– Digitar o valor da correção. Exemplo: 0.2
–– Apertar a tecla “INPUT”
194	 Programação e Operação - Linha D - Siemens 828D	 T60356F
9. Definição do zero-peça
OBSERVAÇÃO: A coluna informa a inclinação angular de cada eixo. Este campo
normalmente fica igual a zero. Seu valores é alterado automaticamente quando é utilizado
o recurso de zeramento no canto de uma peça inclinada.
T60356F	 Programação e Operação - Linha D - Siemens 828D	 195
10. Execução de Programas
10 - EXECUÇÃO DE PROGRAMAS
10.1 - EXECUTAR UM PROGRAMA DISPONÍVEL NA MEMÓRIA DA MÁQUINA.
–– Acionar a tecla “PROGRAM MANAGER”.
–– Acionar a softkey [ NC ].
–– Acessar o programa a ser executado, utilizando as teclas: ►, ◄, ▲ e ▼.
–– Acionar a tecla “INPUT”.
–– Acionar a softkey [EXECUTAR].
–– Acionar a softkey [CONT. PROG.]
–– “DESATIVAR” as opções [TESTE PROGRAMA] e [AVANÇO ENSAIO].
–– Apertar a softkey [VOLTAR].
–– Acionar a tecla “CYCLE START”.
10.2 - EXECUTAR UM PROGRAMADIRETO DE UM PERIFÉRICO EXTERNO (MODO 1).
Nas máquinas da linha D com comando SIEMENS 828D, pode-se executar programas
salvos em periféricos externos, sendo eles: Cartão de memória (COMPACT FLASH de no
máximo 1 Gb de memória e formatado com a extensão FAT) ou dispositivos com conexão
USB (PEN-DRIVE formatado com a extensão FAT), sem a necessidade de que os programas
sejam salvos na memória da máquina. Para isso deve-se:
–– Acionar a tecla “PROGRAM MANAGER”.
–– Acionar a softkey [USER CF], para execução via cartão ou [USB], para
execução via USB.
–– Acessar o programa a ser executado, utilizando as teclas: ►, ◄, ▲ e ▼.
–– Acionar a tecla “INPUT”.
–– Acionar a softkey [EXECUTAR]
–– Acionar “CYCLE START”
10.3- EXECUTARUMPROGRAMADIRETODEUMPERIFÉRICOEXTERNO(MODO2).
Um programa pode ser executado diretamente de um periférico externo, fazendo-se
uma chamada a partir de um programa que está na memória da máquina (chamada de sub-
programa). Para isso deve-se:
–– Criar um programa novo em uma das áreas de memória da máquina.
–– Inserirnoprogramaasintaxe:EXTCALL(“CF_CARD:Nomedoarquivo.Extensão
do arquivo”), para execuções de programas diretamente do cartão de memória,
196	 Programação e Operação - Linha D - Siemens 828D	 T60356F
10. Execução de Programas
ou EXTCALL(“USB;Nome do arquivo.Extensão do arquivo”), para execuções
de programas diretamente do Pendrive.
–– Executar o programa.
Por exemplo: Se um arquivo que está no cartão tem o nome EXERCÍCIO.MPF, deve-
se programar:
	 EXTCALL(“CF_CARD:EXERCÍCIO.MPF”) = Para execução via cartão de memória
	 EXTCALL(“USB;EXERCICIO.MPF”). = Para execução via USB.
10.4 - ABORTAR A EXECUÇÃO DE PROGRAMAS.
–– Acionar a tecla “CYCLE STOP”.
–– Acionar a tecla “RESET”.
–– Através do movimento manual (via jog ou manivela eletrônica), deslocar os
eixos para uma posição segura.
10.5 - INICIAR EXECUÇÃO NO MEIO DO PROGRAMA.
10.5.1 - Início no meio de um programa (Programa ISO).
–– Acionar a tecla “AUTO”
–– Acionar a tecla [M MACHINE].
–– Utilizar as teclas ►,◄,▲ e▼ para posicionar o cursor na Ferramenta onde
deseja-se iniciar a execução.
–– Acionar a softkey [BUSCA DE BLOCO ].
–– Acionar a softkey [MODO DE LOCALIZ.].
–– Selecionar o Modo “Sem Cálculo”.
–– Acionar a softkey [INICIAR BUSCA]. (Será exibida a mensagem: “DESTINO
DE BUSCA ALCANÇADO. CONTINUE COM CYCLE START ”).
–– Acionar a tecla “CYCLE START”.
–– Acionar a tecla “CYCLE START” novamente.
10.5.2 - Início no meio de um programa do Cartão ou do USB.
–– Acionar a tecla “PROGRAM MANAGER”.
–– Acionar a softkey [USER CF] ou [USB].
–– Acessar o programa a ser executado, utilizando as teclas: ►, ◄, ▲ e ▼.
–– Acionar a tecla “INPUT”.
–– Acionar a softkey [EXECUTAR]
–– Acionar a softkey [BUSCA DE BLOCO].
–– Posicionar o cursor na linha da Ferramenta onde deseja-se iniciar o programa.
T60356F	 Programação e Operação - Linha D - Siemens 828D	 197
10. Execução de Programas
–– Acionar a softkey [MODO DE LOCALIZ.].
–– Selecionar o Modo “Sem Cálculo”.
–– Apertar a softkey [INICIAR BUSCA]
–– Acionar a tecla “CYCLE START” (será exibida a mensagem “CONTINUE O
PROGRAMA COM CYCLE START”).
–– Acionar “CYCLE START” novamente
10.5.3 - Início no meio de um programa (Programa Shopmill).
–– Selecionar o programa
–– Acionar a tecla “AUTO”
–– Acionar a tecla [M MACHINE].
–– Posicionar o cursor na operação (ciclo) onde deseja-se iniciar a execução.
–– Acionar a softkey [BUSCA DE BLOCO].
–– Apertar a softkey [INICIAR BUSCA].
–– (Será exibida a mensagem: “DESTINO DE BUSCA ALCANÇADO. APÓS
CYCLE START SÃO EXEC. AS FUNÇÕES COLETADAS” ).
–– Acionar a tecla “CYCLE START”.
–– Acionar a tecla “CYCLE START” novamente.
OBSERVAÇÃO: Para iniciar no meio de um programa Shopmill em um ciclo que
possui várias posições (ciclo de furação por exemplo) é necessário seguir os passos
descritos aseguir:
10.5.4 - Início no meio de um programa Shopmill (Ciclos com várias posições).
–– Acionar a tecla “AUTO”
–– Acionar a tecla [M MACHINE].
–– Posicionar o cursor no bloco que define as posições do ciclo.
–– Acionar a softkey [BUSCA DE BLOCO].
–– Apertar a softkey [INICIAR BUSCA].
–– Posicionar o cursor na coluna “num. do furo de início:” e digitar o nº do furo que
se deseja iniciar a execução. Ex: 2
–– Acionar a softkey [OK].
–– Acionar a tecla “CYCLE START” (será exibida a mensagem “CONTINUE O
PROGRAMA COM CYCLE START”).
–– Acionar a tecla “CYCLE START” novamente.
198	 Programação e Operação - Linha D - Siemens 828D	 T60356F
10. Execução de Programas
10.5.5 - Início no meio de um programa que foi interrompido com “RESET” durante
a execução.
–– Acionar a tecla “AUTO”
–– Acionar a tecla [M MACHINE].
–– Acionar a softkey [BUSCA DE BLOCO].
–– Acionar a softkey [PONTO DE INTERRUP.] (neste momento o comando irá
procurar a linha do programa onde foi acionado a tecla “RESET”).
–– Acionar a softkey [MODO DE LOCALIZ.].
–– Selecionar o Modo “Com Cálculo”.
–– Selecionar o Modo “Com aproximação”.
–– Acionar a softkey [INICIAR BUSCA].
–– Acionar a tecla “CYCLE START” (será exibida a mensagem “CONTINUE O
PROGRAMA COM CYCLE START”).
–– Acionar a tecla “CYCLE START” novamente.
OBSERVAÇÃO: Ao ser executado esta operação, a máquina irá realizar uma
“varredura” desde o início do programa até o ponto onde o cursor foi posicionado para inicio
da execução. Após isso, a máquina irá assumir a última ferramenta programada e utilizará
o ultimo RPM e ponto zero inserido no programa.
10.6 - INTERROPER E CONTINUAR A EXECUÇÃO SEM ACIONAR “RESET”.
Este método é utilizado em operações que necessitam ser interrompidas para realizar
troca de inserto, limpeza da peça, verificação de acabamento e aspecto superficial, etc... E
após isso deseja-se retornar a usinagem.
10.6.1 - Parar a usinagem sem acionar RESET.
–– Durante a execução do programa, acionar a tecla “CYCLE STOP”.
–– Acionar a tecla “JOG”.
–– Selecionar o eixo desejado (“X”, “Y” ou “Z”).
–– Acionar a tecla “+” ou “-”, conforme o sentido que deseja-se deslocar os eixos.
–– Desligar o eixo árvore com a tecla “SPINDLE STOP” (caso necessário)
–– Fazer as operações necessárias (limpar peça, trocar inserto, etc...).
10.6.2 - Retornar a execução.
–– Acionar a tecla “AUTO”.
–– Acionar a tecla “CYCLE START”.
T60356F	 Programação e Operação - Linha D - Siemens 828D	 199
1. Apresentação
OBSERVAÇÃO: A ativação do RPM e o retorno da ferramenta será feito
automaticamente ao acionar a tecla “CYCLE START”. Durante o retorno, os três eixos
serão movidos simultaneamente, por isso deve-se tomar o devido cuidado para que não
haja nenhum tipo de colisão da ferramenta com a peça ou dispositivo de fixação durante o
retorno da mesma. Caso seja necessário, pode-se utilizar um sistema de reposicionamento
manual dos eixos através do recurso “REPOS” (ver próximo cap.).
10.6.3 - Retornar a usinagem utilizando a função REPOS.
	 Com este recurso é possível realizar um reposicionamento manual dos eixos antes
de retomar a usinagem automática. Para isso deve-se:
–– Parar a usinagem sem acionar a tecla “RESET” (Cap. 10.6.1).
–– Acionar a tecla “JOG”.
–– Acionar a tecla “REPOS”.
–– Acionar a tecla “CYCLE START”.
–– Selecionar o eixo que deseja deslocar para realizar a aproximação (X, Y ou Z).
–– Manter pressionada a tecla “+” ou “-” ( o eixo se deslocará até o ponto onde
foi interrompida a usinagem).
–– Repetir este procedimento para os demais eixos.
–– Acionar a tecla “AUTO”.
–– Acionar a tecla “CYCLE START”.
10. Execução de Programas
200	 Programação e Operação - Linha D - Siemens 828D	 T60356F
1. Apresentação
11 - MONITORAMENTO DE VIDA ÚTIL DE FERRAMENTAS.
Na linha “D” com comando Siemens 828 estão disponíveis dois tipos de monitoramento
de vida útili de ferramenta. Existe o monitoramento por tempo de usinagem (em minutos)
e o monitoramento por quantidade de peças.
11.1 - MONITORAMENTO DE VIDA ÚTIL POR QUANTIDADE DE PEÇAS.
Para ativar o monitoramento de vida útil por quantidade de peças deve-se seguir o
seguinte procedimento:
–– Acionar a tecla “OFFSET”.
–– Acionar a softkey [DESG. FER.].
–– Posicionar o cursor na linha da ferramenta para qual o monitoramento será
ativado através das teclas ►, ◄, ▲ e ▼.
–– Posicionar o cursor no campo “
T
C ”.
–– Acionar a tecla “SELECT” para até selecionar a letra “Q” (monitoramento por
quantidade de peças usinadas).
–– Posicionar o cursor no campo “VALOR DE CMD” e digitar a quantidade de
peças desejada para a ferramenta. Ex: 10
–– Acionar a tecla “INPUT”.
–– Posicionar o cursor no campo LIM. PRÉ A.”. Quando estiver faltando o nº
de peças informado neste campo para terminar a vida útil da ferramenta,
automaticamente será exibido na tela da máquina uma mensagem de pré-aviso.
Pode-se digitar por exemplo: 2
–– Apertar a softkey [REATIVAR]
–– Acionar a tecla “INPUT”.
–– Repetir o mesmo procedimento para as demais ferramentas a serem
monitoradas.
Após realizar o procedimento descrito acima, deve-se acrescentar ao programa a sintaxe
“SETPIECE (X)” após a operação realizada pela ferramenta que está sendo monitorada.
Nesta sintaxe, “X” deve ser substituído pela quantidade de peças usinadas pela ferramenta
cada vez que o programa é executado. Ex: SETPIECE (1)
11. Monitoramento de vida útil de ferramentas
T60356F	 Programação e Operação - Linha D - Siemens 828D	 201
1. Apresentação
OBSERVAÇÕES: Quando o limite de pré-aviso for atingido, a mensagem “Ferramenta
X Núm. Duplo 0001 atingiu limite de pré-aviso com D=0001”será exibida.
Quando a vida da ferramenta chegar ao fim, a mensagem “Ferramenta X Núm. Duplo
0001 atingiu limite de monitoração com D=0001” será exibida.
Se o programa for executado após o fim do monitoramento, um novo alarme aparecerá:
“Gerenciamento de ferramenta: Nenhuma ferramenta disposta para funcionar no grupo de
ferram.”
11.2 - MONITORAMENTO DE VIDA ÚTIL POR TEMPO DE USINAGEM.
Para ativar o monitoramento de vida útil por tempo de usinagem deve-se seguir o
seguinte procedimento:
–– Acionar a tecla “OFFSET”.
–– Acionar a softkey [DESG. FER.].
–– Posicionar o cursor na linha da ferramenta para qual o monitoramento será
ativado através das teclas ►, ◄, ▲ e ▼.
–– Posicionar o cursor no campo “
T
C ”.
–– Acionar a tecla “SELECT” até selecionar a letra “T” (monitoramento por tempo
de vida útil).
–– Posicionar o cursor no campo “VIDA ÚTIL”. e digitar o tempo (em minutos) de
usinagem desejado para a ferramenta. Ex.: 10
–– Posicionar o cursor no campo LIM. PRÉ A.”.
–– Posicionar o cursor no campo LIM. PRÉ A.”. Quando estiver faltando o tempo
(em minutos) informado neste campo para terminar a vida útil da ferramenta,
automaticamente será exibido na tela da máquina uma mensagem de pré-aviso.
Pode-se digitar por exemplo: 2
–– Apertar a softkey [REATIVAR]
–– Acionar a tecla “INPUT”.
–– Repetir o mesmo procedimento para as demais ferramentas a serem
monitoradas.
OBSERVAÇÕES: O tempo de monitoramento será considerado somente nos blocos
de programa com avanço de trabalho (G01), portanto, deslocamentos em avanço rápido
(G00) serão desconsiderados.
Quando o limite de pré-aviso for atingido, a mensagem “Ferramenta X Núm. Duplo
0001 atingiu limite de pré-aviso com D=0001”será exibida.
Quando a vida da ferramenta chegar ao fim, a mensagem “Ferramenta X Núm. Duplo
0001 atingiu limite de monitoração com D=0001” será exibida.
Se o programa for executado após o fim do monitoramento, um novo alarme aparecerá:
“Gerenciamento de ferramenta: Nenhuma ferramenta disposta para funcionar no grupo de
ferram.”
11. Monitoramento de vida útil de ferramentas
202	 Programação e Operação - Linha D - Siemens 828D	 T60356F
1. Apresentação
12. PROCEDIMENTO PARA FIXAR FERRAMENTAS GRANDES.
12.1- CARACTERÍSTICAS TÉCNICAS DO MAGAZINE DE FERRAMENTAS.
D600 D800 D1000 D1250
D 1 5 0 0
(BT 40)
D 1 5 0 0
(BT 50)
CAPACIDADE DE FERRAMENTAS 20 30 30 30 30 24
Ø MÁXIMO ADMISSÍVEL 110 80 80 80 110 80
Ø MÁXIMO ADMISSÍVEL (COPOS
ADJACENTES VAZIOS)
210 150 150 150 150 200
PESO MÁXIMO DA FERRAMENTA 6 Kg 8 Kg 8 Kg 8 Kg 8 Kg 15 Kg
PESO ADMISSÍVEL NO MAGAZINE 68 Kg 102Kg 102 Kg 102 Kg 102 Kg 150 Kg
12.2 MAGAZINE 20 FERRAMENTAS - D600
Neste tipo de magazine, quando houver a necessidade de fixar uma ferramenta maior
que 110mm, deve-se manter os copos adjacentes (vizinhos) sempre vazios.
Para isso, basta retirar manualmente as ferramentas desses locais mantendo a
ferramenta “grande” isolada entre dois copos não utilizados.
12.3 MAGAZINE 30 FERRAMENTAS - D800 / D100 / D1250 / D1500.
Nas máquinas que possuem o modelo de magazine para armazenar até 30 ferramentas
(D800 / D1000 / D1250 / D1500), devido ao fato desse aparelho trabalhar no sistema
“randômico”, a cada ciclo de trabalho o cone pode ser guardado em um copo diferente.Assim,
caso necessite fixar uma ferramenta maior que 80mm, deve-se identificar essa ferramenta
na máquina como sendo uma “FERRAMENTA GRANDE” através de uma configuração
específica na tela de magazine, e desabilitar eletronicamente os copos adjacentes.
Para isso, deve-se:
1º Descarregar eletronicamente a ferramenta grande, e as ferramentas fixadas nos
copos adjacentes (vizinhos) na tela de OFFSET.
–– Acionar a tecla “OFFSET”.
–– Acionar a softkey [ LISTA FERR. ]
–– Posicionar o cursor na linha referente a ferramenta onde deseja-se inserir uma
ferramenta grande. Ex: 29.
–– Acionar a softkey [ DESCARREGAR ].
REPETIR O PROCEDIMENTO PARA AS DUAS FERRAMENTAS ADJACENTES.
12. Procedimento para fixar ferramentas grandes
T60356F	 Programação e Operação - Linha D - Siemens 828D	 203
1. Apresentação
		 Neste exemplo foram descarregadas as ferramentas 15-29-03
2º - Identificar a ferramenta como sendo “FERRAMENTA GRANDE”.
–– Acionar a tecla “ OFFSET “.
–– Acionar a softkey [ MAGAZINE ].
–– Descer o cursor até o número da ferramenta que foi descarregada e que deseja-
se identificar como “FERRAMENTA GRANDE”. Ex:29
–– Posicionar o cursor na coluna “G” (ferramenta grande)
–– Acionar a tecla “SELECT” para marcar essa opção.
		 Neste exemplo foi considerado que a ferramenta grande seria a “29”
3º - Carregar a ferramenta grande no magazine.
–– Acionar a tecla “ OFFSET “.
–– Acionar a softkey [ LISTA FERR. ].
–– Descer o cursor até o número da ferramenta que foi configurada como
“FERRAMENTA GRANDE”.Ex: 26
–– Acionar a softkey [ CARREGAR [.
–– Neste instante a máquina irá abrir uma janela perguntando em qual copo
deseja-se carregar essa ferramenta. Deve-se informar o número do copo onde
a ferramenta ficará com os locais vizinhos vazios.
			 Neste exemplo a ferramenta 29 foi carregada no copo 27
12. Procedimento para fixar ferramentas grandes
204	 Programação e Operação - Linha D - Siemens 828D	 T60356F
1. Apresentação
Ferramenta 29 fixada no copo 27 - os copos 26 e 28 ficarão vazios, pois suas ferramentas foram
descarregadas
Ao realizar estes procedimentos, sempre que utilizar a ferramenta 29, a máquina
devolverá esta no copo 27, e os copos 12 e 14 permanecerão sem ferramentas, evitando
assim que se guarde duas ferramentas grandes em sequência.
12.4 DESABILITAR A FERRAMENTA GRANDE
Para desabilitar o bloqueio de ferramenta grande, deve-se:
–– Descarregar eletronicamente a ferramenta grande na tela “ OFFSET ” + “
LISTA DE FERRAMENTA “.
–– Na tela “ MAGAZINE ”, desabilitar a marcação de ferramenta grande.
–– Carregar a ferramenta grande e as demais ferramentas descarregadas nos
copos vazios.
12. Procedimento para fixar ferramentas grandes
T60356F	 Programação e Operação - Linha D - Siemens 828D	 205
1. Apresentação
13. AJUSTAR DATA E HORA.
Para ajustar os dados do sistema referentes à data e hora deve-se:
–– Acionar a tecla “JOG”.
–– Acionar a tecla “MENU SELECT”.
–– Acionar a softkey [COLOC. EM FUNCIONAM.].
–– Acionar a softkey [HMI].
–– Acionar a softkey [DATA E HORA].
–– Realizar as alterações necessárias utilizando a tecla INPUT para iserir os
valores desejados.
–– Acionar a softkey [OK].
13. Ajustar data e hora
206	 Programação e Operação - Linha D - Siemens 828D	 T60356F
1. Apresentação
14. NÍVEIS DE ACESSO
As máquinas equipadas com comando SIEMENS 828, possuem um sistema de restrição
de acesso operacional a fim de manter um melhor controle da acessibilidade do operador/
preparador para com o equipamento.
Esse sistema visa restringir o acesso por pessoas não autorizadas ou não qualificadas
à configurações que possam interferir nos dados de trabalho previamente setados, e em
configurações que possam comprometer o devido funcionamento da máquina.
Essa proteção é proveniente de um sistema de chaves coloridas que liberam ou
bloqueiam a alteração de dados na máquina, bem como a execução e edição de programas,
pre-set de ferramentas, ajuste de corretores, alterações de parâmetros de configuração de
software, entre outros.
Segue abaixo o índice do acesso que cada chave permite.
COR DA CHAVE NÚMERO DE POSIÇÕES PRINCIPAIS NÍVEIS DE ACESSO
Sem chave - Operador: Permite a seleção e
execução de programas; permite
a execução de funções em MDA;
permite referenciar ferramentas.
Chave preta 1 Operador / Preparador: Permite
todas as operações possíveis sem
a chave, permite criar, carregar e
descarregar ferramentas; permite
definição de ponto zero peça atravéz
da função DEF.NPV.
Chave verde 2 Programador: Permite todas as
operações possíveis com as chaves
anteriores além de permitir a criação
eexclusãodeprogramasdamemória
da máquina.
Chave laranja 3 Manutentor: Permite todas as
operações das chaves anteriores e o
acesso a configurações avançadas
do sistema, deve ser utilizada
somente para a realização de
manutenções no sistema.
14. Níveis de acesso
T60356F	 Programação e Operação - Linha D - Siemens 828D	 209
1.Iniciando o Shopmill
Parte III -
Tutorial ShopMill
210	 Programação e Operação - Linha D - Siemens 828D	 T60356F
Iniciando o Shopmill
INICIANDO O SHOPMILL
Nos próximos capítulos serão descritos alguns procedimentos operacionais da
linguagem ShopMill.
CARREGANDO DADOS DE FERRAMENTAS
Neste capítulo serão carregados os dados de todas as ferramentas requeridas para
programar os exemplos da Parte II deste manual.
ACESSAR A PÁGINA “LISTA DE FERRAMENTAS”
–– Acionar a tecla “MENU SELECT”
–– Acionar o softkey
–– Acionar o softkey
D= Número duplo (para
gerenciador de vida de
ferramenta)
Número de dentes (para
trabalhar com avanço por dente)
Comprimento da
ferramenta
RAIO da ferramenta
Sentido de rotação
do eixo-árvore
Ativa refrigerante de
corte (M07 / M08)
Tipo da ferramenta
Número /
nome da
ferramenta
Ângulo da
ferramenta
Posição da
ferramenta no
magazine
Funções específicas
como monitoramento de
velocidade ou quebra de
ferramenta
T60356F	 Programação e Operação - Linha D - Siemens 828D	 211
Iniciando o Shopmill
ALTERAR DADOS DE FERRAMENTAS
–– Posicionar o cursor no dado a ser alterado
–– Digitar a informação desejada (preset, diâmetro, ângulo, etc.)
–– Acionar a tecla “INPUT”
Alterar o tipo da ferramenta
Posicionar o cursor na coluna “Tip” da ferramenta desejada
Acionar a tecla ou o softkey
alternat.
212	 Programação e Operação - Linha D - Siemens 828D	 T60356F
1. Exemplo: Guia longitudinal
EXEMPLOS DE PROGRAMAÇÃO
EXEMPLO 1: GUIA LONGITUDINAL
Neste capítulo serão descritos os primeiros passos necessários para se criar um
programa:
Criar novos diretório e programa;
Chamar uma ferramenta;
Programar contornos simples sem/com a compensação de raio;
Produzir furos e roscas com macho.
Desenho da peça:
T60356F	 Programação e Operação - Linha D - Siemens 828D	 213
1. Exemplo: Guia longitudinal
NOTAS:
Para se introduzir os dados no programa deve-se, além de digitar os mesmos, acionar
a tecla“INPUT”;
O ShopMill sempre salva o último dado setado via tecla “SELECT” , portanto o
usuário deve observar as unidades, textos e símbolos que aparecem nas caixas de diálogo,
verificando se eles estão iguais ao do seu respectivo exemplo. Caso contrário, deve-se
modificá-las usando esses softkeys.
1.1 - INICIANDO O PROGRAMA
1.1.1 - Criar um diretório
–– Acionar a tecla “PROGRAM MANAGER”.
–– Acionar a softkey [ NC ].
–– Posicionar o cursor na pasta “Peças de trabalho”. e apertar “INPUT”.
–– Acionar a softkey [NOVO].
–– Acionar a softkey [PEÇA].
–– Digitar o nome da pasta (Ex: SHOP MILL).
–– Acionar a softkey [OK].
1.1.2 - Criar um programa
–– Acionar a tecla “PROGRAM MANAGER”.
–– Acionar a softkey [ NC ].
–– Acessar o diretório desejado (Programa de peças, subprogramas ou peças de
trabalho) através das teclas: ►, ◄, ▲ e ▼.
–– Acionar a tecla “INPUT”.
–– Acionar a softkey [NOVO].
–– Acionar a softkey [SHOPMILL].
–– Digitar o nome do programa (Ex: GUIA LONGITUDINAL).
–– Acionar a softkey [OK].
214	 Programação e Operação - Linha D - Siemens 828D	 T60356F
1. Exemplo: Guia longitudinal
1.1.3 - Preencher os dados como mostra a figura abaixo:
–– Acionar o softkey [ACEITAR]
NOTAS:
Para se introduzir os dados nesta página deve-se utilizar a tecla “INPUT”.
O usuário deve observar as unidades, textos e símbolos que aparecem nas caixas
de diálogo, verificando se eles estão iguais ao do seu respectivo exemplo. Caso contrário,
deve-se modificá-las usando a tecla “SELECT”.
1.1.4 - Zero-peça:
–– Acionar a softkey [DIVERSOS]		
–– Acionar a softkey [TRANSFORMAÇÕES]
–– Acionar a softkey [DESLOCAMENTO]	
–– Selecionar a opção 1 (G54) através da tecla “SELECT”
–– Acionar a softkey [ACEITAR]
T60356F	 Programação e Operação - Linha D - Siemens 828D	 215
1. Exemplo: Guia longitudinal
1.1.5 - Troca de ferramenta
–– Acionar a softkey
–– Acionar a softkey [RETA CÍRC] 			
–– Acionar a softkey [FERRAM.] 			
–– Acionar a softkey [SELECIONE FERRAMENTA]	
–– Posicionar o cursor na ferramenta desejada (neste exemplo será usada uma
fresa de topo de Ø 60 mm)
–– Acionar a softkey [NO PROGRAMA]
–– Utilizar a tecla ▼ para posicionar o cursor em no campo V (velocidade de corte)
e digitar 80 (para Vc = 80 m/min)
–– Acionar a softkey [ACEITAR] 			
1.2 - DESBASTANDO E ACABANDO O REBAIXO
Neste capítulo será feito o desbaste e acabamento do rebaixo (150 x 61 mm)
216	 Programação e Operação - Linha D - Siemens 828D	 T60356F
1. Exemplo: Guia longitudinal
1.2.1 - Desbastar o rebaixo
–– Acionar a softkey [RETA]
–– Digitar os dados:
		X 130 abs		 Y 0 abs
–– Acionar a softkey [MOVI RÁPIDO]		
–– Posicionar a cursor em “COMP. DE RAIO” e selecionar a opção
–– Acionar a softkey [ACEITAR] 			
–– Acionar a softkey [RETA] 				
–– Digitar o dado:
		Z -10 abs F200
–– Acionar a softkey [MOVI RÁPIDO]		
–– Acionar a softkey [ACEITAR] 			
–– Acionar a softkey [RETA] 				
–– Digitar os dados:
		X -110 abs	F 400 mm/min
–– Acionar a softkey [ACEITAR] 			
1.2.2 - Troca de ferramenta
–– Acionar a softkey [RETA CÍRC] 			
–– Acionar a softkey [FERRAM.]
T60356F	 Programação e Operação - Linha D - Siemens 828D	 217
1. Exemplo: Guia longitudinal
–– Acionar a softkey [SELECIONE FERRAMENTA]	
–– Posicionar o cursor na ferramenta desejada (neste exemplo 	será usada uma
fresa de Ø 16 mm)
–– Acionar a softkey [NO PROGRAMA]
–– Utilizar a tecla ▼ para posicionar o cursor em no campo V (velocidade de corte)
e digitar 100 (para Vc = 80 m/min)
–– Acionar a softkey [ACEITAR] 			
1.2.3 - Acabar o rebaixo
–– Acionar a softkey [RETA] 				
–– Digitar os dados:
		 X 85 abs	Y 20 abs
–– Acionar a softkey [MOVI RÁPIDO]		
–– Acionar a softkey [ACEITAR] 			
–– Acionar a softkey [RETA] 				
–– Digitar o dado:
		Z -10 abs
–– Posicionar o cursor em “COMP. DE RAIO” e selecionar a opção
–– Acionar a softkey [ACEITAR] 			
–– Acionar a softkey [RETA] 				
–– Digitar o dado:
		 X -85 abs	
–– Acionar a softkey [ACEITAR]
218	 Programação e Operação - Linha D - Siemens 828D	 T60356F
1. Exemplo: Guia longitudinal
–– Acionar a softkey [RETA] 				
–– Digitar o dado:
		Y -30.5 abs	
–– Acionar a softkey [ACEITAR] 			
–– Acionar a softkey [RETA] 				
–– Digitar o dado:
		 X 85 abs	
–– Acionar a softkey [ACEITAR] 			
–– Acionar a softkey [RETA] 				
–– Digitar o dado:
		Y -20 abs	
–– Posicionar o cursor em “correção raio”
–– Selecionar a opção
–– Acionar a softkey [ACEITAR]
T60356F	 Programação e Operação - Linha D - Siemens 828D	 219
1. Exemplo: Guia longitudinal
1.3 - CRIANDO FUROS E ROSCAS COM MACHO:
Neste capítulo serão feitos os furos de centro, furações (Ø 8,5 mm) e roscas com
macho rígido (M10x1,5).
1.3.1 - Furar centrando:
–– Acionar a softkey [FURAR] 			
–– Acionar a softkey [CENTRAR] 	
		
–– Acionar a softkey [SELECIONE FERRAMENTA]	
–– Posicionar o cursor na ferramenta desejada (neste exemplo 	será usada uma
broca de centro de Ø 12 mm - 90º)
–– Acionar a softkey [NO PROGRAMA]
–– Digitar os dados:
		F 150 mm/min	S500 rpm
220	 Programação e Operação - Linha D - Siemens 828D	 T60356F
1. Exemplo: Guia longitudinal
–– Selecionar a opção “Diâmetro”
–– Digitar o dado:
		Ø 5.000
–– Acionar a softkey [ACEITAR] 			
a) Posições aleatórias (“Pos 1”):
–– Acionar a softkey [POSIÇÕES]			
POSIÇÕES
–– Acionar a softkey					
–– Selecionar a opção “retangular”
–– Digitar os dados:
		 Z0 -10 abs
		 X0 -50 abs	Y0 0 abs
		 X1 50 abs	Y1 0 abs
–– Acionar a softkey [ACEITAR] 			
b) Posições aleatórias (“Pos 2”):
–– Acionar a softkey [POSIÇÕES]	 		
POSIÇÕES
–– Acionar a softkey correspondente ao cículo	
–– Selecionar a opção “Circ. Int.”
–– Digitar os dados:
		Z0 -10 abs
		 X0 0 abs	 	Y0 0 abs	a0 0º
		 R 20 abs	 	 N 6
–– Acionar a softkey [ACEITAR] 			
c) Quadrado de posições (“Pos 3”):
–– Acionar o softkey [POSIÇÕES]	 		
POSIÇÕES
T60356F	 Programação e Operação - Linha D - Siemens 828D	 221
1. Exemplo: Guia longitudinal
–– Acionar a softkey correspondente a linha	
–– Selecionar a opção [GRADE]			
–– Digitar os dados:
		 Z0 0 abs
		 X0 -65 abs	Y0 -40 abs	a0 0º
		 L1 130 	 L2 80 aX 0º
		 N1 2		 N2 2 aY 0º
–– Acionar a softkey [ACEITAR] 			
1.3.2 - Furar:
–– Acionar a softkey [FURAR ALARGAR] 		
FURAR
ALARGAR
–– Acionar a softkey [SELECIONE FERRAMENTA]	
–– Posicionar o cursor na ferramenta desejada (neste exemplo 	consideraremos
uma broca de Ø 8.5 mm - 118º)
–– Acionar a softkey [NO PROGRAMA]
–– Digitar os dados:
		 F 150 mm/min		 V 35 m/min	
–– Selecionar a opção “Topo”
–– Digitar o dado:
		 Z1 -21 abs
–– Acionar a softkey [ACEITAR] 			
a) Repetir posições:
–– Acionar a softkey [POSIÇÃO REPETIDA] 		
	
–– Digitar o dado:
		Pos:	 1
–– Acionar a softkey [ACEITAR]
222	 Programação e Operação - Linha D - Siemens 828D	 T60356F
1. Exemplo: Guia longitudinal
–– Acionar a softkey [POSIÇÃO REPETIDA] 		
	
–– Digitar o dado:
		 Pos: 002
–– Acionar a softkey [ACEITAR] 			
–– Acionar a softkey [POSIÇÃO REPETIDA] 		
	
–– Digitar o dado:
		Pos:	 003
–– Acionar a softkey [ACEITAR] 			
1.3.3 - Roscar com macho:
–– Acionar a softkey [ROSCA] 			
ROSCA
–– Acionar a softkey [SELECIONE FERRAMENTA]	
–– Posicionar o cursor na ferramenta desejada (neste exemplo 	consideraremos
um macho M10x1.5)
–– Acionar o softkey [NO PROGRAMA]
–– Digitar os dados:
		 P 1.5 mm/rot		 S 600 rpm	Z1 -21 abs
–– Acionar o softkey [ACEITAR] 			
a) Repetir posições:
–– Acionar o softkey [POSIÇÃO REPETIDA ] 	 		
–– Digitar o dado:
		 Pos: 001
–– Acionar a softkey [ACEITAR]
T60356F	 Programação e Operação - Linha D - Siemens 828D	 223
1. Exemplo: Guia longitudinal
–– Acionar a softkey [POSIÇÃO REPETIDA]
–– Digitar o dado:
Pos: 002
–– Acionar a softkey [ACEITAR]
–– Acionar a softkey [POSIÇÃO REPETIDA]
–– Digitar o dado:
Pos: 003
–– Acionar a softkey [ACEITAR]
224	 Programação e Operação - Linha D - Siemens 828D	 T60356F
2. Exemplo: Molde de injeção
1.4 - SIMULANDO GRAFICAMENTE:
1.4.1 - Simular graficamente:
–– Acionar a softkey [SIMULAÇÃO] 			
–– Acionar a softkey correspondente ao inicio 	
1.4.2 - Sair da simulação:
–– Acionar a softkey:
T60356F	 Programação e Operação - Linha D - Siemens 828D	 225
2. Exemplo: Molde de injeção
1.5 - PROGRAMA SHOPMILL:
226	 Programação e Operação - Linha D - Siemens 828D	 T60356F
2. Exemplo: Molde de injeção
EXEMPLO 2: MOLDE DE INJEÇÃO
Neste capítulo serão apresentadas as seguintes funções:
–– Fresamento de contornos fechados;
–– Fresamento de cavidade retangular;
–– Fresamento de cavidades circulares em diversas posições.
Desenho da peça:
T60356F	 Programação e Operação - Linha D - Siemens 828D	 227
2. Exemplo: Molde de injeção
2.1 - CRIANDO UM NOVO PROGRAMA:
Crie um novo programa com o nome MOLDE_DE_INJEÇÃO, seu respectivo
cabeçalho e zero-peça, seguindo os passos 1.2, 1.3 e 1.4 do Exemplo 1 (Guia Longitudinal).
Observe a localização do zero-peça.
2.2 - FRESANDO O CONTORNO FECHADO:
Neste capítulo será feito o fresamento do contorno
externo, utilizando as funções “Contorno novo” e
“Fresamento de contorno”.
2.2.1 - Desenhar o contorno:
–– Acionar a softkey [FRES. CONT.] 		
–– Acionar a softkey [NOVO CONTORNO]		
NOVO
CONTORNO
–– Digitar um nome para o contorno. Exemplo: CONT_EXT.
–– Acionar a softkey [ACEITAR] 			
–– Digitar os dados:
		 X 5 abs		 Y 5 abs
–– Acionar a softkey [ACEITAR] 			
–– Acionar a softkey 					
–– Digitar o dado:
		 a1 86º
–– Acionar a softkey [ACEITAR]
228	 Programação e Operação - Linha D - Siemens 828D	 T60356F
2. Exemplo: Molde de injeção
–– Acionar a softkey 					
–– Acionar a softkey [TANGENTE ANTECESS]	
–– Selecionar a opção
–– Digitar os dados:
		 R 20		 X 30 abs		 Y 95 abs
–– Acionar a softkey [SELECIONAR DIÁLOGO] 	
–– Acionar a softkey [TRANFERIR DIÁLOGO]	
–– Acionar a softkey [ACEITAR] 			
–– Acionar a softkey 					
–– Digitar os dados:
		 X 120 abs
–– Acionar a softkey [ACEITAR] 			
–– Acionar a softkey 					
–– Acionar a softkey [TANGENTE ANTECESS]	
–– Selecionar a opção
–– Digitar o dado:
		 R 20
–– Acionar a softkey [ACEITAR] 			
–– Acionar a softkey 					
–– Acionar a softkey [TANGENTE ANTECESS]	
–– Digitar os dados:
T60356F	 Programação e Operação - Linha D - Siemens 828D	 229
2. Exemplo: Molde de injeção
		 X 145 abs	 	Y 5 abs
–– Acionar a softkey [ACEITAR] 			
–– Acionar a softkey [TANGENTE ANTECESS]	
–– Acionar a softkey [ACEITAR] 			
–– Acionar a softkey
–– Digitar o dado:
X5
–– Acionar a softkey [ACEITAR]
–– Acionar a softkey [ACEITAR]
230	 Programação e Operação - Linha D - Siemens 828D	 T60356F
2. Exemplo: Molde de injeção
2.2.2 - Fresar o contorno (desbaste):
–– Acionar a softkey [FRESAGEM DO CURSO] 	
FRESAGEM
DO CURSO
–– Acionar a softkey [SELECIONE FERRAMENTA]	
–– Posicionar o cursor na ferramenta desejada (neste exemplo 	será usada uma
fresa Ø 20 mm)
–– Acionar a softkey [NO PROGRAMA]
–– Informar / selecionar os dados:
	 	F 0.15 mm/dente	 V 120 m/min
Correção raio:
		 Usinagem:
		 Z0 0 abs	 	 Z1 -5 abs	 DZ 5
		 UZ 0.3		 UXY 	 0.3 mm	
		 Aproxim.: reta
		 L1 5		 FZ 0.2 mm/dente
		 Retração: reta
		 L2 5
		 Modo levant.: para plano retrocesso
–– Acionar a softkey [ACEITAR] 			
2.2.3 - Fresar o contorno (acabamento):
–– Acionar a softkey [FRESAGEM DO CURSO] 	
FRESAGEM
DO CURSO
–– Modificar os dados:
		 F 0.08 mm/dente	 	 V 150 m/min
–– Usinagem:
–– Acionar a softkey [ACEITAR]
T60356F	 Programação e Operação - Linha D - Siemens 828D	 231
2. Exemplo: Molde de injeção
2.3 - FRESANDO A CAVIDADE RETANGULAR:
Neste capítulo será feito o fresamento da cavidade
retangular utilizando a função “Fresar”.
2.3.1 - Fresar o cavidade (desbaste):
–– Acionar a softkey [FRESAR]			
–– Acionar a softkey [BOLSA] 			
BOLSA
–– Acionar a softkey [BOLSA] 			
–– Acionar o softkey [SELECIONE FERRAMENTA]	
–– Posicionar o cursor na ferramenta desejada (neste exemplo 	será usada uma
fresa Ø 10 mm)
–– Acionar a softkey [NO PROGRAMA]
–– Informar / selecionar os dados:
		 F 0.15 mm/dente	 V	 120 m/min
		 Usinagem:
		 Posic. individual.
		 X0 75 abs			Y0 50 abs			Z0 0 abs
		 W 40				L 60		 		 R 6
		 a0 30º			 Z1 -15 abs 		 DXY 80%
		 DZ 2.5			UXY 0.3 mm		 UZ 0.3		
		 Imersão: helic.
		 EP 2 mm/rev							ER 2 mm
		 Escarear: Usin. compl.
–– Acionar a softkey [ACEITAR]
232	 Programação e Operação - Linha D - Siemens 828D	 T60356F
2. Exemplo: Molde de injeção
		
2.3.2 - Fresar o cavidade (acabamento):
–– Acionar a softkey [FRESAR]			
–– Acionar a softkey [BOLSA] 			
BOLSA
–– Modificar os dados:
		 F 0.08 mm/dente	 V 150 m/min
–– Usinagem:
–– Acionar a softkey [ACEITAR] 			
2.4 - FRESANDO AS CAVIDADES CIRCULARES:
Neste capítulo será feito o fresamento das
cavidades circulares utilizando a função “Fresar”.
T60356F	 Programação e Operação - Linha D - Siemens 828D	 233
2. Exemplo: Molde de injeção
2.4.1 - Fresar as cavidades (desbaste):
–– Acionar a softkey [FRESAR]			
–– Acionar a softkey [BOLSA] 			
BOLSA
–– Acionar a softkey [BOLSA CIRCULAR] 		
–– Acionar a softkey [SELECIONE FERRAMENTA]	
–– Posicionar o cursor na ferramenta desejada (neste exemplo 	consideraremos
uma fresa Ø 10 mm)
–– Acionar o softkey [NO PROGRAMA]
–– Informar / selecionar os dados:
		 F 0.15 mm/dente	V120 m/min
		 Usinagem:
	 		 Modelo de Posição
		 Ø 30 			Z1	-10 abs 		 DXY 80%
		 DZ 5			UXY 0.3 mm	 	UZ	0.3	
		 Imersão: helic.
		 EP 2 mm/rev	 	ER	2 mm
		 Escarear: Usin. compl.
–– Acionar a softkey [ACEITAR] 			
2.4.2 - Fresar as cavidades (acabamento):
–– Acionar a softkey [FRESAR]			
–– Acionar a softkey [BOLSA] 			
BOLSA
–– Acionar a softkey [BOLSA CIRCULAR] 		
–– Modificar os dados:
		 F 0.08 mm/dente		 V 150 m/min
–– Usinagem:
–– Acionar a softkey [ACEITAR]
234	 Programação e Operação - Linha D - Siemens 828D	 T60356F
3. Exemplo: Placa de molde
2.4.3 - Posições das cavidades:
–– Acionar a softkey [FURAR] 			
–– Acionar a softkey [POSIÇÕES]			
Posições
–– Acionar a softkey					
–– Selecionar a opção “Grade”
–– Digitar os dados:
		 Z0 0 abs
		 X0 30 abs			Y0 25 abs			a0 0º
		 L1 90 			 L2 50 aX 0º
		 N1 2				N2 2 aY 0º
–– Acionar a softkey [ACEITAR]
T60356F	 Programação e Operação - Linha D - Siemens 828D	 235
3. Exemplo: Placa de molde
2.5 - SIMULANDO GRAFICAMENTE:
2.5.1 - Simular graficamente:
–– Acionar a softkey [SIMULAÇÃO] 			
–– Acionar a softkey correspondente ao inicio 	
2.5.2 - Sair da simulação:
–– Acionar a softkey:
236	 Programação e Operação - Linha D - Siemens 828D	 T60356F
3. Exemplo: Placa de molde
2.6 - PROGRAMA SHOPMILL:
T60356F	 Programação e Operação - Linha D - Siemens 828D	 237
3. Exemplo: Placa de molde
EXEMPLO 3: PLACA DE MOLDE
–– Neste capítulo serão apresentadas outras importantes funções:
–– Fresamento de contornos abertos;
–– Fresamento de cavidade com perfil (desbaste, material residual e
acabamento);
–– Fresamento em vários planos;
–– Consideração de obstáculos.
Desenho da peça:
238	 Programação e Operação - Linha D - Siemens 828D	 T60356F
3. Exemplo: Placa de molde
3.1 - CRIANDO UM NOVO PROGRAMA:
Crie um novo programa com o nome PLACA_DE_MOLDE, seu respectivo cabeçalho
e zero-peça, seguindo os passos 1.2, 1.3 e 1.4 do Exemplo 1 (Guia Longitudinal). Observe
a localização do zero-peça.
3.2 - FRESANDO O CONTORNO ABERTO:
Neste capítulo será feito o fresamento do contorno
externo, utilizando as funções “Contorno novo” e
“Fresamento de contorno”.
3.2.1 - Desenhar o contorno:
–– Acionar a softkey [FRES. CONT.] 		
–– Acionar a softkey [NOVO CONTORNO]		
NOVO
CONTORNO
–– Digitar um nome para o contorno. Exemplo: CONT2_EXT.
–– Acionar a softkey [ACEITAR] 			
–– Digitar os dados:
		 X -35 abs		 Y -100 abs
–– Acionar a softkey [ACEITAR] 			
–– Acionar a softkey 					
–– Digitar os dados:
		 Y 35 abs		 R 15
T60356F	 Programação e Operação - Linha D - Siemens 828D	 239
3. Exemplo: Placa de molde
–– Acionar a softkey [ACEITAR] 			
–– Acionar a softkey 					
–– Digitar os dados:
		 X 35 abs		 R 15
–– Acionar a softkey [ACEITAR] 			
–– Acionar a softkey 					
–– Digitar os dados:
		 Y -100 abs	
–– Acionar a softkey [ACEITAR] 			
–– Acionar a softkey [ACEITAR] 			
3.2.2 - Fresar o contorno: (desbaste)
–– Acionar a softkey [FRESAGEM DO CURSO] 	
FRESAGEM
DO CURSO
–– Acionar a softkey [SELECIONE FERRAMENTA]	
–– Posicionar o cursor na ferramenta desejada (neste exemplo 	consideraremos
uma fresa Ø 32 mm)
–– Acionar a softkey [NO PROGRAMA]
–– Informar / selecionar os dados:
		 F 0.15 mm/dente		 V 120 m/min
		 Correção raio:
		 Usinagem:
		 Z0 0 abs	 		 Z1	 -10 abs		 DZ5
		 UZ 0.3			UXY	 0.3 mm	
		 Aproxim.: reta
		 L1 5		 		FZ 0.2 mm/dente
		 Retração: reta
		 L2 5
		 Modo levant.: para plano retrocesso
240	 Programação e Operação - Linha D - Siemens 828D	 T60356F
3. Exemplo: Placa de molde
–– Acionar a softkey [ACEITAR] 			
3.2.3 - Fresar o contorno: (acabamento)
–– Acionar a softkey [FRESAGEM DO CURSO] 	
FRESAGEM
DO CURSO
		 Modificar os dados:
		 F 0.08 mm/dente		 V 150 m/min
		 Usinagem:
–– Acionar a softkey [ACEITAR] 			
3.3 - FRESANDO A CAVIDADE A PARTIR DE UM CONTORNO:
Neste capítulo será feito o desbaste, remoção
de material residual e acabamento de uma cavidade
a partir de um determinado perfil.
3.3.1 - Desenhar o contorno:
–– Acionar a softkey [FRES. CONT.] 		
–– Acionar a softkey [NOVO CONTORNO]		
NOVO
CONTORNO
–– Digitar um nome para o contorno. Exemplo: CONT_INT.
T60356F	 Programação e Operação - Linha D - Siemens 828D	 241
3. Exemplo: Placa de molde
–– Acionar a softkey [ACEITAR] 			
–– Digitar os dados:
		 X 0 abs	 	 Y -90 abs
–– Acionar a softkey [ACEITAR] 			
–– Acionar a softkey 					
–– Digitar os dados:
		 X 30 abs	 	R 5
–– Acionar a softkey [ACEITAR] 			
–– Acionar a softkey 					
–– Digitar os dados:
		 Y-20 abs	 	R 5
–– Acionar a softkey [ACEITAR] 			
–– Acionara a softkey [RAIO]				
–– Digitar os dados:
		 X-30 Y-20 R36 R5
–– Acionar o softkey [ACEITAR] 			
–– Acionar a softkey 					
–– Digitar os dados:
		 Y -90 abs R5	
–– Acionar a softkey [ACEITAR] 			
–– Acionar a softkey
–– Digitar os dados:
X0
–– Acionar a softkey [ACEITAR]
242	 Programação e Operação - Linha D - Siemens 828D	 T60356F
3. Exemplo: Placa de molde
–– Acionar a softkey [ACEITAR] 			
3.3.2 - Desbastar a cavidade:
–– Acionar a softkey
–– Acionar a softkey [SELECIONE FERRAMENTA]	
–– Posicionar o cursor na ferramenta desejada (neste exemplo 	consideraremos
uma fresa Ø 20 mm)
–– Acionar a softkey [NO PROGRAMA]		
NO
PROGRAMA
–– Informar / selecionar os dados:
		 F 0.15 mm/dente	 V 120 m/min
		 Usinagem :
		 Z0	 0 abs		 	 Z1 -15 abs	
		 DXY 50 %			 DZ 5
		 UXY 0.3 mm			 UZ 0.3 mm	
		 Pto. inicial: AUTO
		 Imersão.: hélice
		 EP 2 mm/rev		 ER 2 mm
		 Modo levant.: para plano retrocesso
–– Acionar a softkey [ACEITAR] 			
3.3.3 - Desbastar o material residual:
–– Acionar a softkey [BOLSÃO MAT. REST] 	
BOLSÃO
MAT. REST
–– Acionar oasoftkey [SELECIONE FERRAMENTA]	
–– Posicionar o cursor na ferramenta desejada (neste exemplo 	consideraremos
uma fresa Ø 10 mm)
–– Acionar a softkey [NO PROGRAMA]
–– Informar / selecionar os dados:
		 F 0.15 mm/dente			V 120 m/min
T60356F	 Programação e Operação - Linha D - Siemens 828D	 243
3. Exemplo: Placa de molde
		 DXY 50 %				DZ 5
		 Modo levant.: para plano retrocesso
–– Acionar a softkey [ACEITAR] 			
3.3.4 - Acabar o fundo da cavidade:
–– Acionar a softkey [BOLSÃO MAT. REST] 	
BOLSÃO
MAT. REST
–– Acionar a softkey [SELECIONE FERRAMENTA]	
–– Posicionar o cursor na ferramenta desejada (neste exemplo 	consideraremos
uma fresa Ø 10 mm)
–– Acionar o softkey [NO PROGRAMA]
–– Modificar os dados:
		 F 0.08 mm/dente	 V 150 m/min
		 Usinagem: fundo
–– Acionar a softkey [ACEITAR] 			
3.3.5 - Acabar as paredes da cavidade:
–– Acionar a softkey
BOLSA
–– Acionar a softkey [SELECIONE FERRAMENTA]	
–– Posicionar o cursor na ferramenta desejada (neste exemplo 	consideraremos
uma fresa Ø 10 mm)
–– Acionar a softkey [NO PROGRAMA]
–– Modificar os dados:
		 F 0.08 mm/dente	 		 V 150 m/min
		 Usinagem: parede
–– Acionar a softkey [ACEITAR]
244	 Programação e Operação - Linha D - Siemens 828D	 T60356F
3. Exemplo: Placa de molde
3.4 - FRESANDO AS CAVIDADES CIRCULARES:
Neste capítulo será feito o fresamento das
cavidades circulares, as quais estão em diferente
planos.
3.4.1 - Fresar a cavidade maior (desbaste):
–– Acionar a softkey [FRESAR]			
–– Acionar a softkey [BOLSA] 			
BOLSA
–– Acionar a softkey [BOLSA CIRCULAR] 		
–– Acionar o softkey [SELECIONE FERRAMENTA]	
–– Posicionar o cursor na ferramenta desejada (neste exemplo 	consideraremos
uma fresa Ø 20 mm)
–– Acionar a softkey [NO PROGRAMA]
–– 	Informar / selecionar os dados:
		 F 0.15 mm/dente	 V 120 m/min
		 Usinagem:
		 Posição individ.
		 X0 0 abs			Y0	0 abs	 		Z0	0 abs
		 Ø 60 			Z1	-10 abs 		 DXY 50%
		 DZ 5	 		UXY 0.3 mm	 	UZ	0.3	
		 Imersão: helic.
		 EP 2 mm/rev		 ER	2 mm
		 Escarear: Usin. compl.
T60356F	 Programação e Operação - Linha D - Siemens 828D	 245
3. Exemplo: Placa de molde
–– Acionar a softkey [ACEITAR] 			
3.4.2 - Acabar a cavidade maior:
–– Acionar a softkey [FRESAR]			
–– Acionar a softkey [BOLSA] 			
BOLSA
–– Acionar a softkey [BOLSA CIRCULAR] 		
–– Modificar os dados:
		 F 0.08 mm/dente	 V 150 m/min
		 Usinagem:
–– Acionar a softkey [ACEITAR] 			
3.4.3 - Fresar a cavidade menor (desbaste):
–– Acionar a softkey [FRESAR]			
–– Acionar a softkey [BOLSA] 			
BOLSA
–– Acionar a softkey [BOLSA CIRCULAR] 		
–– Informar / selecionar os dados:
		 F 0.15 mm/dente	 	 V 120 m/min
		 Usinagem:
		 Posição individ.
		 X0 0 abs	 		Y0 0 abs		 Z0 -10 abs
		 Ø 30 			Z1 -20 abs 		 DXY 50%
		 DZ 5				UXY 0.3 mm	 UZ 0.3	
		 Imersão: helic.
		 EP 2 mm/rev		 ER 2 mm
		 Escarear: Usin. compl.
–– Acionar a softkey [ACEITAR]
246	 Programação e Operação - Linha D - Siemens 828D	 T60356F
3. Exemplo: Placa de molde
3.4.4 - Acabar a cavidade menor:
–– Acionar a softkey [FRESAR]			
–– Acionar a softkey [BOLSA] 			
BOLSA
–– Acionar a softkey [SELECIONE FERRAMENTA]	
–– Modificar os dados:
		 F 0.08 mm/dente	 V 150 m/min
		 Usinagem:
–– Acionar a softkey [ACEITAR] 			
3.5 - CONSIDERANDO OBSTÁCULOS
Neste capítulo serão feitas as furações,
considerando os obstáculos que há entre os grupos
de furos.
3.5.1 - Furar centrando:
–– Acionar a softkey [FURAR] 			
–– Acionar a softkey [CENTRAR] 			
CENTRAR
–– Acionar a softkey [SELECIONE FERRAMENTA]
T60356F	 Programação e Operação - Linha D - Siemens 828D	 247
5. Tutorial ShopMill
Posicionar o cursor na ferramenta desejada (neste exemplo 	 consideraremos uma
broca de centro de Ø 12 mm - 90º)
–– Acionar a softkey [PARA PROGRAMA]
–– Digitar os dados:
		 F 150 mm/min			S 500 rpm	
		 Selecionar a opção “Diâmetro”
		 Digitar o dado:
		 Ø	 5.000
–– Acionar a softkey [ACEITAR] 			
3.5.2 - Furar:
–– Acionar a softkey 					
FURAR
ALARGAR
–– Acionar a softkey [SELECIONE FERRAMENTA]	
–– Posicionar o cursor na ferramenta desejada (neste exemplo 	consideraremos
uma broca de Ø 10 mm - 118º)
–– Acionar a softkey [NO PROGRAMA]
–– Digitar os dados:
		 F 150 mm/min		 V 35 m/min	
		 Selecionar a opção “Topo”
		 Digitar o dado:
		 Z1 -21 abs
–– Acionar a softkey [ACEITAR] 			
a) Linha de posições:
–– Acionar a softkey [POSIÇÕES]			
Posições
–– Acionar a softkey					
–– Selecionar a opção “Linha”
248	 Programação e Operação - Linha D - Siemens 828D	 T60356F
5. Tutorial ShopMill
–– Digitar os dados:
		 Z0	 -10 abs
		 X0	 -42.5 abs		 Y0	-92.5 abs		 a0	 90º
		 L	 45 			N	4	
–– Acionar o softkey [ACEITAR] 			
b) Obstáculo:
–– Acionar a softkey [POSIÇÕES]			
Posições
–– Acionar a softkey [OBSTÁCULO]			
obstáculo
–– Digitar o dado:
	 	Z	 1 abs	
–– Acionar a softkey
c) Linha de posições:
–– Acionar a softkey [POSIÇÕES]			
Posições
–– Acionar a softkey					
–– Selecionar a opção “Linha”
–– Digitar os dados:
		 Z0	 -10 abs
		 X0	 42.5 abs		 Y0 -92.5 abs		a0 90º
		 L		 45 		 N 4	
–– Acionar a softkey [ACEITAR] 			
d) Obstáculo:
–– Acionar a softkey [POSIÇÕES]			
Posições
–– Acionar a softkey [OBSTÁCULO]			
obstáculo
T60356F	 Programação e Operação - Linha D - Siemens 828D	 249
5. Tutorial ShopMill
–– Digitar o dado:
		 Z 1 abs	
–– Acionar a softkey [ACEITAR] 			
e) Círculo de posições: (“Pos 2”)
–– Acionar a softkey [POSIÇÕES]			
Posições
–– Acionar a softkey 					
–– Selecionar a opção “Circ. Int.”
–– Digitar os dados:
		 Z0	 -10 abs
		 X0	 0 abs		 Y0 0 abs	 	a0 0º
		 R	 22.5 abs	 	 N 6
–– Acionar o softkey [ACEITAR] 			
f) Obstáculo:
–– Acionar o softkey [POSIÇÕES]			
Posições
–– Acionar o softkey [OBSTÁCULO]			
obstáculo
–– Digitar o dado:
		 Z	 1 abs	
–– Acionar o softkey [ACEITAR] 			
g) Posição aleatória:
–– Acionar o softkey [POSIÇÕES]			
Posições
–– Acionar o softkey 					
–– Selecionar a opção “retangular”
–– Digitar os dados:
		 Z0 -10 abs X0 0 abs Y0 42.5 abs
250	 Programação e Operação - Linha D - Siemens 828D	 T60356F
5. Tutorial ShopMill
–– Acionar a softkey [ACEITAR] 			
OBS: Apague as outras posições (se já existirem) utilizando a tecla “Del”.
3.6 - SIMULANDO GRAFICAMENTE:
3.6.1 - Simular graficamente:
–– Acionar a softkey [SIMULAÇÃO] 			
–– Acionar a softkey correspondente ao inicio 	
2.6.2 - Sair da simulação:
–– Acionar a softkey:
T60356F	 Programação e Operação - Linha D - Siemens 828D	 251
5. Tutorial ShopMill
3.7 - PROGRAMA SHOPMILL:
T60356F	 Programação e Operação - Linha D - Siemens 828D	 253
Parte IV
Sistemas Renishaw
OMP 40
SIEMENS 828 D
254	 Programação e Operação - Linha D - Siemens 828D	 T60356F
1. Introdução
1 - INTRODUÇÃO
OsopcionaisSistemadeMediçãoeInspeçãodePeçaseSistemadePresetdeFerramantas
consistem no conjunto formado por alguns hardwares e o pacote de rotinas Renishaw.
Os Hardwares do Sistema de Preset de Ferramentas e do Sistema de Medição
e Inspeção de Peças são, respectivamente, o preseter TS-27R e o apalpador OMP40
juntamente com o receptor óptico OMI. Para saber maiores detalhes sobre esses aparelhos
deve-se consultar o manual original RENISHAW.
As Rotinas RENISHAW são as macros que de fato executam os eventos desejados,
tais como as calibrações dos sistemas, os presets das ferramentas, as medições de peças,
etc. Nesse manual serão explanados algumas funções RENISHAW, porém maiores detalhes
sobre essas funções e sobre as outras funções RENISHAW não explicadas aqui podem ser
encontrados no manual original RENISHAW.
2 - SISTEMA DE MEDIÇÃO E INSPEÇÃO DE PEÇAS (APALPADOR)
2.1 - LIGAR / DESLIGAR O APALPADOR
Para ligar e desligar o apalpador deve-se utilizar as seguintes funções miscelâneas:
- M52 = liga o apalpador
- M53 = desliga o apalpador
2.2 - MOVIMENTO PROTEGIDO
O apalpador é um sistema de medição de precisão e por isso sensível a qualquer
tipo de choque físico. Sendo assim foi desenvolvido uma rotina denominada de Movimento
Protegido, a qual objetiva proteger a ponta deste aparelho durante os deslocamentos de
aproximação.
Sintaxe:
R24=___ R25=___ R26=___ R9=___
L9810
Onde:
R24	= Coordenada final para deslocamento do apalpador no eixo X
R25	= Coordenada final para deslocamento do apalpador no eixo Y
R26	= Coordenada final para deslocamento do apalpador no eixo Z
R9 	= Avanço modal para os deslocamentos protegidos. Por ser modal esse
argumento só necessita ser programado no primeiro bloco de movimento
protegido.
L9810 = Rotina que executa o movimento protegido
T60356F	 Programação e Operação - Linha D - Siemens 828D	 255
2. Sistema de medição e inspeção de peças
Exemplo de Programação:
:
T20 ;APALPADOR
M6
G54 D1 M5
G0 X160 Y76
Z150
M52; - liga o apalpador
R26=10 R9=2500
L9810 - Movimento protegido no eixo Z com avanço de 2500 mm/min
R26=0
L9811; - Ciclo de medição da superfície em Z a ver nos próximos capítulos
R24=250
L9810; - Movimento protegido no eixo X
R26=-5
L9811 - Ciclo de medição da superfície em Z (ver nos próximos capítulos)
M53; - Desliga o apalpador
G53 G0 Z-110 D0
:
2.3 - CALIBRAÇÃO DO APALPADOR
Antes de utilizar o apalpador pela primeira vez ou sempre que ele sofrer alguma tipo
de manutenção deve-se executar a calibração do sistema.
Basicamente há três tipos de calibração para o apalpador: calibração do Comprimento,
calibração de Centro da esfera e a calibração do Diâmetro da esfera.
2.3.1 - Calibração do Comprimento do Apalpador (L9801):
Sintaxe:
R26=___ R20=___
L9801
Onde:
R26	= Coordenada de referência em Z para a superfície tocada
R20 = Número “T” do apalpador
L9801 = Rotina que efetua a calibração do comprimento do apalpador
IMPORTANTE: Antes da calibração do comprimento do apalpador deve-se executar
os seguintes procedimentos:
- Efetuar o zero-peça no eixo Z numa superfífie que será estabelecida como referência,
utilizando uma ferramenta zerada previamente;
- Inserir o comprimento aproximado do apalpador na página de correção de
ferramentas.
256	 Programação e Operação - Linha D - Siemens 828D	 T60356F
2. Sistema de medição e inspeção de peças
Para calibrar o apalpador deve-se criar e executar um programa de calibração, conforme
o exemplo abaixo:
Exemplo de programação:
:
G53 G0 Z-110 D0
T15 ;APALPADOR
M6
G54 D1 M5
M52; - liga o apalpador
L9832; - orienta o apalpador
L9800; - apaga os valores das variáveis “R”
R26=10 R9=2500
L9810 - Movimento protegido no eixo Z (Z10) com avanço de 2500 mm/min
R26=0 R20=15; - Z de referência = 0 (R26) e Número “T” do apalpador = 15 (R20)
L9801; - Rotina de calibração do comprimento do apalpador
R26=10
L9810 - Movimento protegido no eixo Z (Z10)
M53; - Desliga o apalpador
G53 G0 Z-110 D0
:
2.3.2 - Calibração do Centro e do Diâmetro do Apalpador (L9802 e L9804):
IMPORTANTE: Antes da calibração do centro e do diâmetro do apalpador deve-se
executar os seguintes procedimentos:
- Fixar um anel padrão ou uma peça com furo calibrado na mesa da máquina;
- Localizar de maneira precisa o centro do anel padrão ou furo calibrado através do
relógio comparador ou outro instrumento adequado.
- Posicionar o apalpador dentro do furo e exatamente no centro do mesmo.
Sintaxe:
R7=___
L9802
R7=___
L9804
Onde:
R7	= Diâmetro do furo padrão
L9802 = Rotina que efetua a calibração do centro do apalpador
L9804 = Rotina que efetua a calibração vetorial da esfera do apalpador (diâmetro)
Para calibrar o apalpador deve-se criar e executar um programa de calibração, conforme
o exemplo a seguir:
T60356F	 Programação e Operação - Linha D - Siemens 828D	 257
2. Sistema de medição e inspeção de peças
Exemplo de programação:
:
G53 G0 Z-110 D0
T30 ;APALPADOR
M6
G54 D1 M5
M52 - liga o apalpador
L9832 - orienta o apalpador
L9800 - apaga os valores das variáveis “R”
R24=0 R25=0 F5000
L9810 - Movimento protegido nos eixos X (X0) e Y (Y0) com avanço de 5000 mm/min
R26=10 R9=2500
L9810 - Movimento protegido no eixo Z (Z10) com avanço de 2500 mm/min
R26= -5
L9810 - Movimento protegido no eixo Z (Z-5)
R7=50 - Define que o diâmetro do furo padrão = 50 mm
L9802 - Rotina de calibração do centro do apalpador
R7=50 - Define que o diâmetro do furo padrão = 50 mm
L9804 - Rotina de calibração vetorial da esfera do apalpador
R26=10
L9810 - Movimento protegido no eixo Z (Z10)
M53 - Desliga o apalpador
G53 G0 Z-110 D0
:
Após a calibração, os valores de desvios do centro da esfera em relação ao centro do
eixo árvore e, os valores reais do raio do apalpador são registrados nas seguintes variáveis
de saída:
RENP[2] - Registra o desvio no eixo X do centro da esfera em relação ao centro do
eixo árvore.
RENP[3] - Registra o desvio no eixo Y do centro da esfera em relação ao centro do
eixo árvore.
RENP[0] - Registra o raio da esfera do apalpador no eixo X.
RENP[1] - Registra o raio da esfera do apalpador no eixo Y.
258	 Programação e Operação - Linha D - Siemens 828D	 T60356F
2. Sistema de medição e inspeção de peças
2.4 - VARIÁVEIS OPCIONAIS DE ENTRADA DE DADOS
As variáveis opcionais de entrada de dados são formadas por um grupo de “Parâmetros R”,
as quais podem ser programadas juntamente com outras variáveis obrigatórias para cada um dos
ciclos Renishaw, de acordo com a necessidade do processo de medição/inspeção desejado.
Segue abaixo uma tabela com as principais variáveis de etrada de dados:
PRINCIPAIS VARIÁVEIS OPCIONAIS DE ENTRADA DE DADOS
Variável Descrição Exemplo
R2 Tolerância angular admissível para a superfície R2=1 (tolerância ± 1 grau)
R4
R5
R6
Aplicação específica para alguns tipos de rotinas —
R11 Tolerância de dimensão admissível R11=0.2 (tolerância de ±0.2 mm)
R13 Tolerância de posição admissível R13=0.1 (tolerância de ±0.1 mm)
R18
Distância incremental a ser percorrida em medições externas
antes do movimento no eixo Z (valor default = 5mm).
R18-5 (realiza um deslocamento
de 5mm além da dimensão a ser
inspecionada)
R19
Número do zero-peça a ser atualizado, sendo:
• R19=0 - G500
• R19=1 a R19=4 - G54 a G57
• R19=5 a R19=99 - G505 a G599
R19=2 (atualiza o G55 a partir dos
resultados dessa última medição)
R20
Número do corretor de ferramentas a ser atualizado, com
base nos resultados obtidos nessa última medição.
R20=5 (atualiza o corretor D1 da
ferramenta T05)
R20=5.2 (atualiza o corretor D2 da
ferramenta T05)
R21
Valor máximo admissível de desgaste de comprimento e
diâmetro de ferramenta
R5=0.5 (máximo valor de correção
de ferramenta = 0,5 mm)
R23
Imprime relatório, sendo:
• R23=1 - Incrementa o campo “FEATURE” (peça) e insere
o valor 1 para o campo “COMPONENT” (componte)
• R23=2 - Incrementa o campo “COMPONENT” (componte)
e mantém o valor do campo “FEATURE” (peça)
R23=1 (imprime relatório e
incrementa o campo peça)
NOTA: Para maiores detalhes sobre essas e outras variáveis opcionais de entrada de
dados, consultar o manual Renishaw - “Apalpador para Inspeção em Centros de Usinagem“
(H-2000-6124-0C-A).
T60356F	 Programação e Operação - Linha D - Siemens 828D	 259
2. Sistema de medição e inspeção de peças
2.5 - VARIÁVEIS DE SAÍDA DE DADOS
Todos os ciclos de Medição de Peças e Inspeção, após sua execução, armazenam
dados em variáveis as quais o usuário pode estar consultando e até mesmo interagindo
com elas, com o objetivo de conjugar duas ou mais rotinas durante a medição ou inspeção
de peças. Sendo assim este capítulo mostrará como acessar as variáveis, definirá a função
de cada uma delas e ensinará como manipulá-las.
2.5.1 - Visualizar as variáveis Renishaw
Para visualizar as variáveis Renishaw deve-se:
- Acionar a tecla “OFFSET”
- Acionar a softkey [ R_VARIAVEL]
- Acionar a softkey [ GUD_GLOBAL]
- Posicionar o cursor na variável desejada
2.5.2 - Variáveis utilizadas para saída de dados
Superfície
(X / Y ou Z)
Rebaixo /
Ressalto
Diâmetro
Int. / Ext.
Canto
Interno
Canto
Externo
Resultados
Geométricos
Variável L9811 L9812 L9814 L9815 L9816 L9834
RENC[35] Posição X Posição X Posição X Posição X Posição X
Distância X
incremental
RENC[36] Posição Y Posição Y Posição Y Posição Y Posição Y
Distância Y
incremental
RENC[37] Posição Z —— —— —— ——
Distância Z
incremental
RENC[38] Dimensão Dimensão Dimensão Distância real
RENC[39]
Ângulo na
superfície X
Ângulo na
superfície X
Ângulo
RENC[40] Erro em X Erro em X Erro em X Erro em X Erro em X Erro em X
RENC[41] Erro em Y Erro em Y Erro em Y Erro em Y Erro em Y Erro em Y
RENC[42] Erro em Z
Ângulo na
superfície Y
Ângulo na
superfície Y
Erro em Z
RENC[43]
Erro de
dimensão
Erro de
dimensão
Erro de
dimensão
Erro de
ângulo em Y
Erro de
ângulo em Y
Erro de
distância real
RENC[44]
Erro de
ângulo em X
Erro de
ângulo em X
Erro de
ângulo
RENC[45]
Erro de
posição
Erro de
posição
Erro de
posição
Erro de
posição
Erro de
posição
Erro de
posição
NOTA: Para maiores detalhes sobre essas e outras variáveis de saída de dados,
consultar o manual Renishaw - “Apalpador para Inspeção em Centros de Usinagem“
(H-2000-6124-0C-A).
260	 Programação e Operação - Linha D - Siemens 828D	 T60356F
2. Sistema de medição e inspeção de peças
2.6 - ROTINAS PARA MEDIÇÃO E INSPEÇÃO DE PEÇAS
As Rotinas de Medição e Inspeção de Peças são na verdade um conjunto de programas
parametrizados criados pela Renishaw, cujo objetivo é facilitar a programação do sistema
apalpador.
Antes de executar qualquer uma das rotinas de medição ou inspeção de peças, deve-
se estabelecer uma origem (zero-peça) de maneira aproximada.
A seguir serão apresentados as principais rotinas Renishaw, ou seja, as não vetoriais.
NOTA: Para maiores detalhes sobre essas e outras rotinas, consultar o manual
Renishaw “Apalpador para Inspeção em Centros de Usinagem” (H-2000-6124-0C-A).
2.6.1 - Medição de Superfície Simples em X, Y ou Z (L9811)
Esta rotina é utilizada para medir o tamanho ou a posição de uma determinada superfície
e/ou estabecer uma nova origem (zero-peça) sobre ela, estando a mesma co-direcional ao
eixo X, Y ou Z.
Sintaxe:
R24=___ (R11=__) (R13=__) (R19=__) (R20=__) (R23=__)
L9811
ou
R25=___ (R11=__) (R13=__) (R19=__) (R20=__) (R23=__)
L9811
ou
R26=___ (R11=__) (R13=__) (R19=__) (R20=__) (R23=__)
L9811
Onde:
R24	= Coordenada para medição no eixo X
R25	= Coordenada para medição no eixo Y
R26	= Coordenada para medição no eixo Z
L9811 = Rotina que efetua a medição de superfície simples
NOTAS:
- As variáveis apresentadas entre parênteses são de programação opcional. Para
maiores detalhes sobre essas variáveis consultar o capítulo 2.3 - “Variáveis Opcionais de
Entrada de Dados”
- Para maiores detalhes sobre essa rotina, consultar o manual Renishaw “Apalpador
para Inspeção em Centros de Usinagem” (H-2000-6124-0C-A).
T60356F	 Programação e Operação - Linha D - Siemens 828D	 261
2. Sistema de medição e inspeção de peças
Exemplo de Programação:
;MEDIÇÃO DE SUPERFÍCIE EM X E EM Z.
G17 G71 G90 G94
G53 G0 Z-110 D0
T10; APALPADOR
M6
G54 D1
M52; Liga o apalpador
L9832; Orienta o apalpador
L9800; Apaga os valores das variáveis “R”
R24=20 R25=10 R9=5000
L9810; Aproximação com movimento protegido(X20 Y10 F5000)
R26=100
L9810; Aproximação com movimento protegido (Z100 F5000)
R26=-15
L9810; Aproximação com movimento protegido (Z-15 F5000)
R24=0 R19=2
L9811; Realiza a medição da lateral (X0) da peça e salva no zero-peça G56.
R26=10
L9810; Recua o apalpador com movimento protegido (Z10 F5000)
R24=-10
L9810; Posicionamento com movimento protegido (X-10 F5000)
R26=0 R19=2
L9811; Realiza a medição da superfície (Z0) da peça e salva no zero-peça G56.
R26=50
L9810; Recua o apalpador com movimento protegido (Z50 F5000)
M53; Desliga o apalpador
G53 G0 Z-110 D0
M30
262	 Programação e Operação - Linha D - Siemens 828D	 T60356F
2. Sistema de medição e inspeção de peças
2.6.2 - Medição de Ressalto ou Rebaixo (L9812).
Esta função é usada para inspecionar as dimensões de um ressalto ou um rebaixo.
Sintaxe:
R24=___ (R26=__) (R11=__) (R13=__) (R18=__) (R19=__) (R20=__) (R23=__)
L9812
ou
R25=___ (R26=__) (R11=__) (R13=__) (R18=__) (R19=__) (R20=__) (R23=__)
L9812
Onde:
R24	= Dimensão do ressalto ou rebaixo no sentido do eixo X.
R25	= Dimensão do ressalto ou rebaixo no sentido do eixo Y.
R26	= Coordenada para medição no eixo Z. Esta variável só deve ser programada
quando tratar-se de um ressalto. Em caso de rebaixo, esta informação deve
ser omitida.
L9812 = Rotina que efetua a medição de um ressalto ou um rebaixo.
NOTAS:
- As variáveis apresentadas entre parênteses são de programação opcional. Para
maiores detalhes sobre essas variáveis consultar o capítulo 2.3 - “Variáveis Opcionais de
Entrada de Dados”
- Para maiores detalhes sobre essa rotina, consultar o manual Renishaw “Apalpador
para Inspeção em Centros de Usinagem” (H-2000-6124-0C-A).
Exemplos de Programação:
;MEDIÇÃO DE UM REBAIXO
G17 G71 G90 G94
G53 G0 Z-110 D0
T10; APALPADOR
M6
G54 D1
M52; LIGA O APALPADOR
L9832; ORIENTA O APALPADOR
L9800; APAGA OS VALORES DAS VARIÁVEIS “R”
R24=0 R25=100 R9=5000
L9810; POSICIONAOAPALPADOR NO CENTRO DO REBAIXO COM MOVIMENTO
PROTEGIDO(X0 Y100 F5000)
R26=10
L9810;APROXIMAOAPALPADOR DO REBAIXO COM MOVIMENTO PROTEGIDO
(Z10 F5000)
R26=-5
L9810; POSICIONA O APALPADOR DENTRO DO REBAIXO COM MOVIMENTO
PROTEGIDO (Z-5 F5000)
T60356F	 Programação e Operação - Linha D - Siemens 828D	 263
2. Sistema de medição e inspeção de peças
R24=50 R19=3
L9812;REALIZAAMEDIÇÃODOREBAIXOEMX(50MM)ESALVAACOORDENADA
DO CENTRO NO ZERO-PEÇA G56.
R26=10
L9810; RETIRA O APALPADOR DE DENTRO DO REBAIXO COM MOVIMENTO
PROTEGIDO (Z10 F5000)
M62; DESLIGA O APALPADOR
G53 G0 Z-110 D0
M30
;MEDIÇÃO DE UM RESSALTO
G17 G71 G90 G94
G53 G0 Z-110 D0
T10; APALPADOR
M6
G54 D1
M52; LIGA O APALPADOR
L9832; ORIENTA O APALPADOR
L9800; APAGA OS VALORES DAS VARIÁVEIS “R”
R24=0 R25=100 R9=5000
L9810; POSICIONA O APALPADOR NO CENTRO DO RESSALTO COM
MOVIMENTO PROTEGIDO(X0 Y100 F5000)
R26=5
L9810;APROXIMAOAPALPADORDORESSALTOCOMMOVIMENTOPROTEGIDO
(Z5 F5000)
R24=50 R26=-10 R19=3
L9812; REALIZA A MEDIÇÃO DO RESSALTO EM X (50 MM) POSICIONANDO
O APALPADOR NA COORDENADA Z-10 E SALVA A COORDENADA DO
CENTRO NO ZERO-PEÇA G56.
R26=100
L9810; RECUA O APALPADOR COM MOVIMENTO PROTEGIDO (Z100 F5000)
M53; DESLIGA O APALPADOR
G53 G0 Z-110 D0
M30
264	 Programação e Operação - Linha D - Siemens 828D	 T60356F
2. Sistema de medição e inspeção de peças
2.6.3 - Medição de Diâmetros Externos e Internos (L9814).
Esta função é usada para inspecionar as dimensões de diâmetros externos e
internos.
Sintaxe:
R7=___ (R26=__) (R11=__) (R13=__) (R18=__) (R19=__) (R20=__) (R23=__)
L9814
Onde:
R7	 = Dimensão do furo ou ressalto circular a ser medido.
R26	= Coordenada para medição no eixo Z. Esta variável só deve ser programada
quando tratar-se de um ressalto. Em caso de furo, esta informação deve ser
omitida.
L9814 = Rotina que efetua a medição de diâmetros externos e internos.
NOTAS:
- As variáveis apresentadas entre parênteses são de programação opcional. Para
maiores detalhes sobre essas variáveis consultar o capítulo 2.3 - “Variáveis Opcionais de
Entrada de Dados”
- Para maiores detalhes sobre essa rotina, consultar o manual Renishaw “Apalpador
para Inspeção em Centros de Usinagem” (H-2000-6124-0C-A).
Exemplos de Programação:
;MEDIÇÃO DE UM FURO
G17 G71 G90 G94
G53 G0 Z-110 D0
T10; APALPADOR
M6
G54 D1
M52; Liga o apalpador
L9832; Orienta o apalpador
L9800; Apaga os valores das variáveis “R”
R24=100 R25=100 R9=5000
L9810; Posiciona o apalpador no centro do furo com movimento protegido(X100
Y100 F5000)
R26=10
L9810; Aproxima o apalpador do furo com movimento protegido (Z10 F5000)
R26=-5
L9810; Posiciona o apalpador dentro do furo com movimento protegido (Z-5
F5000)
R7=50 R19=4
L9814; Realiza a medição do furo (50 mm) e salva a coordenada do centro no zero-
peça G57.
R26=10
L9810; Retira o apalpador de dentro do furo com movimento protegido (Z10
F5000)
T60356F	 Programação e Operação - Linha D - Siemens 828D	 265
2. Sistema de medição e inspeção de peças
M53; Desliga o apalpador
G53 G0 Z-110 D0
M30
Exemplos de Programação:
;MEDIÇÃO DE UM RESSALTO CIRCULAR
G17 G71 G90 G94
G53 G0 Z-110 D0
T10; APALPADOR
M6
G54 D1
M52; Liga o apalpador
L9832; Orienta o apalpador
L9800; Apaga os valores das variáveis “R”
R24=100 R25=100 R9=5000
L9810; Posiciona o apalpador no centro do ressalto com movimento protegido(X100
Y100 F5000)
R26=10
L9810; Aproxima o apalpador do ressalto com movimento protegido (Z10 F5000)
R7=50 R26=-10 R19=4
L9814; Realiza a medição do ressalto (50 mm) posicionando o apalpador na
coordenada Z-10 e salva a coordenada do centro no zero-peça G57.
R26=100
L9810; Recua o apalpador com movimento protegido (Z100 F5000)
M53; Desliga o apalpador
G53 G0 Z-110 D0
M30
266	 Programação e Operação - Linha D - Siemens 828D	 T60356F
2. Sistema de medição e inspeção de peças
2.6.4 - Localização de um Canto Interno (L9815).
Esta função é usada para determinar as coordenadas X e Y de um canto interno. Este
canto é determinado pela intersecção de duas retas, sendo que não é obrigatório estas retas
serem perpendiculares entre si.
Sintaxe:
R24___ R25___ (R2=__) (R4=__) (R5=__) (R13=__) (R19=__) (R20=__) (R23=__)
L9815
Onde:
R24	= Coordenada do canto no eixo X.
R25 = Coordenada do canto no eixo Y.
R4	 = Distância incremental para o segundo ponto de medição no eixo X.
R5	 = Distância incremental para o segundo ponto de medição no eixo Y.
L9815 = Rotina que efetua a localização do canto interno.
NOTAS:
- As variáveis apresentadas entre parênteses são de programação opcional. Para
maiores detalhes sobre essas variáveis consultar o capítulo 2.3 - “Variáveis Opcionais de
Entrada de Dados”
- Para maiores detalhes sobre essa rotina, consultar o manual Renishaw “Apalpador
para Inspeção em Centros de Usinagem” (H-2000-6124-0C-A).
Exemplos de Programação:
;LOCALIZAÇÃO DE UM CANTO INTERNO
G17 G71 G90 G94
G53 G0 Z-110 D0
T10; APALPADOR
M6
G54 D1
M52; Liga o apalpador
L9832; Orienta o apalpador
L9800; Apaga os valores das variáveis “R”
R24=20 R25=20 R9=5000
L9810; Posiciona o apalpador a 20mm do canto em X e a 20mm do canto em Y com
movimento protegido(X100 Y100 F5000)
R26=10
L9810; Aproxima o apalpador com movimento protegido (Z10 F5000)
R26=-5
L9810; Posiciona o apalpador na coordenada Z para fazer a medição com movimento
protegido (Z-5 F5000)
R24=0 R25=0 R4=10 R5=10 R19=2
L9815; Localiza a coordenada do canto interno e salva no zero-peça G55.
R26=10
L9810; Recua o apalpador para fora da peça com movimento protegido (Z10
F5000)
T60356F	 Programação e Operação - Linha D - Siemens 828D	 267
2. Sistema de medição e inspeção de peças
M53; Desliga o apalpador
G53 G0 Z-110 D0
M30
2.6.5 - Localização de um Canto Externo (L9816).
Esta função é usada para determinar as coordenadas X e Y de um canto externo. Este
canto é determinado pela intersecção de duas retas, sendo que não é obrigatório estas retas
serem perpendiculares entre si.
Sintaxe:
R24___ R25___ (R2=__) (R4=__) (R5=__) (R13=__) (R19=__) (R20=__) (R23=__)
L9815
Onde:
R24	= Coordenada do canto no eixo X.
R25 = Coordenada do canto no eixo Y.
R4	 = Distância incremental para o segundo ponto de medição no eixo X.
R5	 = Distância incremental para o segundo ponto de medição no eixo Y.
L9816 = Rotina que efetua a localização do canto externo.
NOTAS:
- As variáveis apresentadas entre parênteses são de programação opcional. Para
maiores detalhes sobre essas variáveis consultar o capítulo 2.3 - “Variáveis Opcionais de
Entrada de Dados”
- Para maiores detalhes sobre essa rotina, consultar o manual Renishaw “Apalpador
para Inspeção em Centros de Usinagem” (H-2000-6124-0C-A).
Exemplos de Programação:
;LOCALIZAÇÃO DE UM CANTO EXTERNO
G17 G71 G90 G94
G53 G0 Z-110 D0
T10; APALPADOR
M6
G54 D1
M52; Liga o apalpador
L9832; Orienta o apalpador
L9800; Apaga os valores das variáveis “R”
R24=-10 R25=-10 R9=5000
L9810; Posiciona o apalpador a 10mm do canto em X e a 10mm do canto em Y com
movimento protegido(X100 Y100 F5000)
R26=10
L9810; Aproxima o apalpador com movimento protegido (Z10 F5000)
R26=-5
L9810; Posiciona o apalpador na coordenada Z para fazer a medição com movimento
protegido (Z-5 F5000)
R24=0 R25=0 R4=10 R5=10 R19=2
268	 Programação e Operação - Linha D - Siemens 828D	 T60356F
2. Sistema de medição e inspeção de peças
L9816; Localiza a coordenada do canto externo e salva no zero-peça G55.
R26=10
L9810; Recua o apalpador para fora da peça com movimento protegido (Z10
F5000)
M53; Desliga o apalpador
G53 G0 Z-110 D0
M30
2.6.6 - Resultados Geométricos (L9834).
Esta é uma rotina que não gera movimentos, tendo como finalidade, determinar
distâncias ou outros valores entre elementos após dois ciclos de medição.
Sintaxe:
R24___ R25___ R1=__ R7=__ (R2=__) (R11=__) (R13=__) (R19=__) (R20=__)
(R23=__)
L9815
Onde:
R24	= Distância entre elementos no eixo X.
R25 = Distância entre elementos no eixo Y.
R1	 = Ângulo do segundo elemento em relação ao primeiro a partir do eixo X+.
R7	 = Distância real entre os elementos.
L9834 = Rotina que determina resultados geométricos.
NOTAS:
- As variáveis apresentadas entre parênteses são de programação opcional. Para
maiores detalhes sobre essas variáveis consultar o capítulo 2.3 - “Variáveis Opcionais de
Entrada de Dados”
- Para maiores detalhes sobre essa rotina, consultar o manual Renishaw “Apalpador
para Inspeção em Centros de Usinagem” (H-2000-6124-0C-A).
Exemplos de Programação:
;DISTANCIA ENTRE FUROS
G53 G0 Z-110 D0
T10;APALPADOR
M6
G54 D1
M52; Liga o apalpador
L9832; Orienta o apalpador
L9800; Apaga os valores das variáveis “R”.
R24=40 R25=65 R9=5000
L9810; Posiciona o apalpador no centro do primeiro furo com movimento protegido
(X40 Y65 F5000)
R26=10 R9=5000
L9810; Aproxima o apalpador do furo com movimento protegido (Z10 F5000).
T60356F	 Programação e Operação - Linha D - Siemens 828D	 269
2. Sistema de medição e inspeção de peças
R26=-5 R9=400
L9810; Posiciona o apalpador dentro do furo (Z-5 F400)
R7=30
L9814; Realiza a medição do primeiro furo (30 mm)
L9834; Salva os dados de medição do primeiro furo
R26=10 R9=5000
L9810; Recua o apalpador (Z10 F5000)
R24=210 R9=5000
L9810; Posiciona o apalpador no centro do segundo furo (X210 F5000)
R26=-5 R9=400
L9810; Posiciona o apalpador dentro do segundo furo (Z-5 F400)
R7=30
L9814; Realiza a medição do segundo furo (30 mm)
R24=170 R25=0
L9834; Determina as dimensões entre os furos.
M53; Desliga o apalpador
R26=10 R9=5000
L9810; Recua o apalpador (Z10 F5000)
MSG(“DIST. ENTRE FUROS = “RENC[38])
M00
G53 G0 Z-110 D0
M30
Apostila da aula

Apostila da aula

  • 1.
    MANUAL DE PROGRAMAÇÃOE OPERAÇÃO ROMI LINHA D - CNC SIEMENS 828D ROMI ® T60356F INDÚSTRIAS ROMI S/A DIVISÃO DE COMERCIALIZAÇÃO: Rua Coriolano, 710 Lapa 05047-900 São Paulo - SP - Brasil Fone (11) 3873-3388 Fax (11) 3865-9510 MATRIZ: Avenida Pérola Byington, 56 Centro 13453-900 Santa Bárbara D’Oeste - SP - Brasil Fone (19) 3455-9000 Fax (19) 3455-2499
  • 3.
    T60356F Programação eOperação - Linha D - Siemens 828D III ÍNDICE PARTE I - PROGRAMAÇÃO LINGUAGEM ISO 1 - APRESENTAÇÃO_ __________________________________________ 2 1.1 - ANTES DE PROGRAMAR É NECESSÁRIO.......................................................2 2- ANTES DE PROGRAMAR É NECESSÁRIO...______________________ 3 2.1 - BLOCOS DE DADOS...........................................................................................3 2.2 - PROGRAMA.........................................................................................................3 3 - GERENCIAMENTO DE ARQUIVOS E PROGRAMAS_ ______________ 4 4 - SISTEMA DE COORDENADAS_________________________________ 6 4.1 - COORDENADAS ABSOLUTAS...........................................................................7 4.2 - COORDENADAS INCREMENTAIS......................................................................7 4.3 - COORDENADAS POLARES................................................................................8 5- FUNÇÃO: D, S, T, M6/TROCA__________________________________ 9 6- FUNÇÃO: BARRA ( / ), N, MSG, PONTO E VÍRGULA ( ; )____________ 10 7- FUNÇÕES PREPARATÓRIAS__________________________________11 8 - FUNÇÕES MISCELÂNEAS___________________________________ 14 9 - FLUXOGRAMA DE PROGRAMAÇÃO___________________________ 15 9.1 - MÁQUINAS EQUIPADAS COM MAGAZINE PARA 20 FERRAMENTAS..........15 9.2 - MÁQUINAS EQUIPADAS COM MAGAZINE PARA 30 FERRAMENTAS (ATC).16 10 - FUNÇÕES DE INTERPOLAÇÃO______________________________ 17 10.1 - FUNÇÃO: G00 - POSICIONAMENTO RÁPIDO...............................................17 10.2 - FUNÇÃO: G01 - INTERPOLAÇÃO LINEAR....................................................17 10.3 - FUNÇÕES: G02 E G03 - INTERPOLAÇÃO CIRCULAR.................................18 10.3.1 - Função TURN - Interpolação Helicoidal..............................................20 10.4 - FUNÇÕES: CHF/CHR E RND/RNDM..............................................................22 10.5 - FUNÇÕES: G331 E G332 - ROSCAMENTO PASSO A PASSO COM MACHO RÍGIDO...............................................................................................................24 11 - TEMPO DE PERMANÊNCIA_________________________________ 25 11.1 - FUNÇÃO: G04..................................................................................................25
  • 4.
    IV Programação eOperação - Linha D - Siemens 828D T60356F 12 - COMPENSAÇÃO DE RAIO DE FERRAMENTA__________________ 26 12.1 - FUNÇÕES: G40, G41 E G42...........................................................................26 13 - PROGRAMAÇÃO COM COORDENADAS POLARES_____________ 28 13.1 - FUNÇÃO: G111................................................................................................28 14 - OUTRAS FUNÇÕES PREPARATÓRIAS________________________ 29 14.1 - FUNÇÕES: G17, G18 E G19...........................................................................29 14.2 - FUNÇÕES: G500, G53 E SUPA.......................................................................29 14.3 - FUNÇÕES: G54 A G59 E G507 A G599...........................................................30 14.4 - FUNÇÕES: G09 E G60....................................................................................30 14.5 - FUNÇÃO: G64, G641, G642............................................................................30 14.6 - FUNÇÃO: G70..................................................................................................31 14.7 - FUNÇÃO: G71..................................................................................................31 14.8 - FUNÇÃO: G90..................................................................................................31 14.9 - FUNÇÃO: G91..................................................................................................32 14.10 - FUNÇÃO: G94................................................................................................32 14.11 - FUNÇÃO: G95................................................................................................32 15 - REPETIÇÕES E DESVIOS__________________________________ 33 16 - SUBPROGRAMA__________________________________________ 36 17 - MCALL - CHAMADA MODAL DE CICLO E SUBPROGRAMA_ ______ 38 18 - FUNÇÃO OFFN._ _________________________________________ 40 19 - CICLOS FIXOS.___________________________________________ 41 19.1 - CYCLE81..........................................................................................................42 19.2 - CYCLE82..........................................................................................................44 19.3 - CYCLE83..........................................................................................................46 19.4 - CYCLE84..........................................................................................................49 19.5 - CYCLE85..........................................................................................................52 19.6 - CYCLE86..........................................................................................................54 19.7 - CYCLE70..........................................................................................................56 19.8 - HOLES1............................................................................................................59 19.9 - HOLES2............................................................................................................61 19.10 - CYCLE801......................................................................................................63 19.11 - LONGHOLE....................................................................................................65 19.12 - SLOT1............................................................................................................67 19.13 - SLOT2............................................................................................................70 19.14 - ABRIR RANHURA .........................................................................................73 19.15 - POCKET3.......................................................................................................76
  • 5.
    T60356F Programação eOperação - Linha D - Siemens 828D V 19.16 - POCKET4.......................................................................................................79 19.17 - CYCLE76........................................................................................................82 19.18 - CYCLE77........................................................................................................85 19.19 - CYCLE79........................................................................................................88 19.20 - CYCLE61........................................................................................................90 19.21 - CYCLE63........................................................................................................92 20 - FUNÇÕES DE TRANSFORMAÇÃO___________________________ 95 20.1 - FUNÇÃO: TRANS, ATRANS............................................................................95 20.2 - FUNÇÃO: ROT, AROT......................................................................................97 20.3 - FUNÇÃO: SCALE, ASCALE.............................................................................99 20.4 - FUNÇÃO: MIRROR, AMIRROR.....................................................................100 21 - PROGRAMAÇÃO NOS PLANOS G18 E G19___________________ 102 22 - MOLDES E MATRIZES____________________________________ 104 22.1 - TELA CONVERSACIONAL DE CONTROLE DAS FUNÇÕES DE USINAGEM PARA MOLDES E MATRIZES..........................................................................104 22.1.1 Exemplos de programação do “CYCLE 832” :....................................106 23 - QUARTO EIXO_ _________________________________________ 107 23.1 - INTRODUÇÃO................................................................................................107 23.2 - INTERPOLAÇÃO DO 4° EIXO COM EIXO LINEAR......................................107 23.3 - MÉTODOS DE PROGRAMAÇÃO..................................................................108 23.3.1 - Programação Simples.......................................................................108 23.3.2 - Programação Avançada - Função TRACYL...................................... 112 23.4 - EXEMPLOS DE PROGRAMAÇÃO................................................................ 119 24 - GRÁFICOS DE POTÊNCIA_________________________________ 126 25 - PARÂMETROS DE CÁLCULO R_____________________________ 128 25.1 - PARÂMETROS DE CÁLCULO “R”.................................................................128 25.1.1 - Explanação:.......................................................................................128 25.1.2 - Aplicação:..........................................................................................128 25.1.3 - Atribuição de valores:........................................................................128 25.1.4 - Aplicação dos parâmetros dentro do programa:................................129 25.1.5 - Operações/funções aritméticas:........................................................129 25.2 - OPERADORES / FUNÇÕES ARITMÉTICAS.................................................130 25.2.1- Principais operadores e funções aritméticas:.....................................130 25.2.2 - Função aritmética ATAN2(___,___)...................................................130 25.3 - OPERADORES DE COMPARAÇÃO E LÓGICOS.........................................131 25.3.1 - Operadores de comparação:.............................................................131 25.3.2 - Operadores Lógicos:.........................................................................131 25.4 - EXEMPLOS DE PROGRAMAS PARAMETRIZADOS...................................132
  • 6.
    VI Programação eOperação - Linha D - Siemens 828D T60356F PARTE II - OPERAÇÃO 1- PAINEL DE COMANDO DA LINHA D - COMANDO SIEMENS 828____ 149 1.1 - PAINEL DE EXIBIÇÃO...........................................................................150 1.2 - PAINEL DE PROGRAMAÇÃO...............................................................150 1.3 - PAINEL DE OPERAÇÃO........................................................................152 2 - OPERAÇÕES INICIAIS_____________________________________ 156 2.1 - LIGAR A MÁQUINA..........................................................................................156 2.2 - REFERENCIAR A MÁQUINA...........................................................................156 2.2.1 - Referenciar a máquina através da rotina de referenciamento............156 2.2.2 - Referenciar a máquina eixo por eixo...................................................156 2.3 - MOVIMENTAR OS EIXOS MANUALMENTE...................................................156 2.3.1 - Através do jog contínuo no painel de operação..................................156 2.3.2 - Através do jog contínuo no painel remoto...........................................157 2.3.3 - Através da manivela eletrônica............................................................158 2.3.4 - Através do jog incremental..................................................................158 2.4 - OPERAR O COMANDO ATRAVÉS DA FUNÇÃO T,S,M..................................159 2.4.1 - Executar troca de ferramenta..............................................................159 2.4.2 - Ligar o eixo árvore...............................................................................160 2.4.3 - Posicionamento angular do eixo árvore..............................................160 2.4.4 - Ativar funções miscelâneas.................................................................160 2.4.5 - Ativar deslocamento de ponto zero (G54 - G57 ou G505 - G599)......160 2.4.6 - Ativar o sistema de medidas................................................................161 2.5 - POSICIONAMENTO DOS EIXOS ATRAVÉS DA FUNÇÃO POSIÇÃO............161 2.6 - CARREGAR AS FERRAMENTAS NO MAGAZINE (TAF) ATRAVÉS DO EIXO ÁRVORE..........................................................................................................162 3 - ENTRADA MANUAL DE DADOS (MDA)________________________ 163 4 - EDIÇÃO DE PROGRAMAS__________________________________ 164 4.1 - CRIAR UMA NOVA PASTA DE PROGRAMAS ................................................164 4.2 - CRIAR UM PROGRAMA NOVO......................................................................165 4.3- RENOMEAR UM PROGRAMA OU UMA PASTA..............................................165 4.4 - COPIAR UM PROGRAMA COMPLETO OU UMA PASTA..............................165 4.5 - APAGAR UM PROGRAMA OU UMA PASTA....................................................165 4.6 - EDITAR UM PROGRAMA EXISTENTE NO DIRETÓRIO................................166 4.7 - NUMERAR OS BLOCOS DE PROGRAMA DE FORMA AUTOMÁTICA.........166 4.8 - PROCURAR UM DADO NO PROGRAMA.......................................................166 4.9 - COPIAR UMA PARTE DO PROGRAMA..........................................................167 4.10 - APAGAR DADOS NO PROGRAMA...............................................................167 4.11 - APAGAR BLOCOS DO PROGRAMA.............................................................167 4.12 - PROGRAMAÇÃO DE CICLOS DE FORMA INTERATIVA.............................167 4.13 - ALTERAR DADOS DOS CICLOS DE FORMA INTERARIVA.........................167
  • 7.
    T60356F Programação eOperação - Linha D - Siemens 828D VII 4.14 - PROCURAR DADOS NO PROGRAMA...............................................168 4.15 - ALTERAR DADOS NO PROGRAMA...................................................168 5 - COMUNICAÇÃO DE DADOS_______________________________________169 5.1 - COMUNICAÇÃO ATRAVÉS DA PORTA CF - COMPACTFLASH....................169 5.1.1 - Hardwares recomendados para leitura e gravação CF :.....................169 5.1.2 - Visualisar os arquivos do cartão de memória......................................170 5.1.3 - Carregar arquivos do cartão na memória da máquina........................170 5.1.4 - Salvar arquivos da memória da máquina no cartão............................170 5.2 - COMUNICAÇÃO ATRAVÉS DA ENTRADA USB ( ).............................171 5.2.1 - Hardwares recomendados para leitura e gravação USB :..................171 5.2.2 - Visualisar os arquivos do cartão de memória......................................171 5.2.3 - Carregar arquivos do cartão na memória da máquina........................172 5.2.4 - Salvar arquivos da memória da máquina no cartão............................172 5.3 - COMUNICAÇÃO ATRAVÉS DA REDE ENTHERNET......................................172 5.3.1 - Hardwares recomendados para leitura e gravação em REDE ETHERNET....................................................................................................172 5.3.2 - Visualisar os arquivos do computador.................................................173 5.3.3 - Carregar arquivos do computador na máquina...................................173 5.3.4 - Salvar arquivos da memória da máquina no computador...................173 6 - TESTE DE PROGRAMAS._ _________________________________ 174 6.1 - EXECUTAR TESTE GRÁFICO DE PROGRAMA (MODO 1)...........................175 6.2 - EXECUTAR TESTE GRÁFICO DE PROGRAMA (MODO 2)...........................176 6.3 - EXECUTAR TESTE RÁPIDO DE PROGRAMA SEM MOVIMENTO DOS EIXOS E SEM GIRO DO EIXO ÁRVORE....................................................................176 6.4- EXECUTAR TESTE DE PROGRAMA EM DRY RUN.......................................177 7 - REFERÊNCIAS DE FERRAMENTA_ __________________________ 178 7.1 - CRIAR UMA NOVA FERRAMENTA..................................................................178 7.2 - APAGAR UMA FERRAMENTA.........................................................................180 7.3 - PRESET DE FERRAMENTAS .........................................................................181 7.3.1 - Preset de ferramentas feito na máquina.............................................181 7.3.2 - Preset de ferramentas feito fora da máquina......................................183 7.4 - PREENCHER OS DADOS DAS FERRAMENTAS...........................................184 8 - DESGASTE DE FERRAMENTAS._____________________________ 185 8.1 - CORREÇÃO DE DESGASTE DE FERRAMENTA EM “Z”...............................185 8.2 - CORREÇÃO DE DESGASTE NO “RAIO” DA FERRAMENTA........................185 8.3 - CRIAR NOVOS CORRETORES DE FERRAMENTA.......................................186 9 - DEFINIÇÃO DO ZERO PEÇA________________________________ 187 9.1 - ZERO-PEÇA NA LATERAL DA PEÇA .............................................................187 9.2 - ZERO-PEÇA EM UMA PEÇA INCLINADA ......................................................189 9.3 - ZERO-PEÇA NO CENTRO DE UM FURO.......................................................190
  • 8.
    VIII Programação eOperação - Linha D - Siemens 828D T60356F 9.4 - ZERO-PEÇA NO CENTRO DE UM RESSALTO CIRCULAR...........................191 9.5 - ZERO-PEÇA NO CENTRO DE UMA PEÇA RETANGULAR............................192 9.6 - EFETUAR CORREÇÃO NO ZERO-PECA (G54 - G59 E G507 - G599)..........193 10 - EXECUÇÃO DE PROGRAMAS______________________________ 195 10.1 - EXECUTAR UM PROGRAMA DISPONÍVEL NA MEMÓRIA DA MÁQUINA. .195 10.2 - EXECUTAR UM PROGRAMA DIRETO DE UM PERIFÉRICO EXTERNO (MODO 1)................................................................................................................................195 10.3 - EXECUTAR UM PROGRAMADIRETO DE UM PERIFÉRICO EXTERNO (MODO 2)......................................................................................................................195 10.4 - ABORTAR A EXECUÇÃO DE PROGRAMAS................................................196 10.5 - INICIAR EXECUÇÃO NO MEIO DO PROGRAMA........................................196 10.5.1 - Início no meio de um programa (Programa ISO)..............................196 10.5.2 - Início no meio de um programa do cartão ou do USB........................196 10.5.3 - Início no meio de um programa Shopmill..............................................197 10.5.4 - Início no meio de um programa Shopmill (Ciclo com várias posições)....197 10.5.5 - Início no meio de um programa que foi interrompido com “RESET” durante a execução......................................................................................................198 10.6 - INTERROPER E CONTINUAR A EXECUÇÃO SEM ACIONAR “RESET”.....198 10.6.1 - Parar a usinagem sem acionar RESET.............................................198 10.6.2 - Retornar a execução.........................................................................198 10.6.3 - Retornar a usinagem utilizando a função REPOS............................199 11 - MONITORAMENTO DE VIDA ÚTIL DE FERRAMENTAS.__________ 200 11.1 - MONITORAMENTO DE VIDA ÚTIL POR QUANTIDADE DE PEÇAS...........200 11.2 - MONITORAMENTO DE VIDA ÚTIL POR TEMPO DE USINAGEM...............201 12. PROCEDIMENTO PARA FIXAR FERRAMENTAS GRANDES.______ 202 12.1- CARACTERÍSTICAS TÉCNICAS DO MAGAZINE DE FERRAMENTAS........202 12.2- MAGAZINE 20 FERRAMENTAS - D600.........................................................202 12.3- MAGAZINE 30 FERRAMENTAS - D800 - D1000 - D1250 - D1500................202 12.4 DESABILITAR A FERRAMENTA GRANDE......................................................204 13. AJUSTAR DATA E HORA.___________________________________ 205 14. NÍVEIS DE ACESSO.______________________________________ 206 PARTE III - TUTORIAL SHOPMILL INICIANDO O SHOPMILL______________________________________ 210 EXEMPLO 1: GUIA LONGITUDINAL_ ____________________________ 212 1.1 - INICIANDO O PROGRAMA..............................................................................213 1.1.1 - Criar um diretório.................................................................................213
  • 9.
    T60356F Programação eOperação - Linha D - Siemens 828D IX 1.1.2 - Criar um programa..............................................................................213 1.1.3 - Preencher os dados como mostra a figura abaixo:.............................214 1.1.4 - Zero-peça:...........................................................................................214 1.1.5 - Troca de ferramenta............................................................................215 1.2 - DESBASTANDO E ACABANDO O REBAIXO..................................................215 1.2.1 - Desbastar o rebaixo............................................................................216 1.2.2 - Troca de ferramenta............................................................................216 1.2.3 - Acabar o rebaixo..................................................................................217 1.3 - CRIANDO FUROS E ROSCAS COM MACHO:...............................................219 1.3.1 - Furar centrando:..................................................................................219 1.3.2 - Furar:...................................................................................................221 1.3.3 - Roscar com macho:.............................................................................222 1.4 - SIMULANDO GRAFICAMENTE:......................................................................224 1.4.1 - Simular graficamente: .........................................................................224 1.4.2 - Sair da simulação:...............................................................................224 1.5 - PROGRAMA SHOPMILL: ................................................................................225 EXEMPLO 2: MOLDE DE INJEÇÃO______________________________ 226 2.1 - CRIANDO UM NOVO PROGRAMA:................................................................227 2.2 - FRESANDO O CONTORNO FECHADO:........................................................227 2.2.1 - Desenhar o contorno:..........................................................................227 2.2.2 - Fresar o contorno (desbaste):.............................................................230 2.2.3 - Fresar o contorno (acabamento):........................................................230 2.3 - FRESANDO A CAVIDADE RETANGULAR:.....................................................231 2.3.1 - Fresar o cavidade (desbaste):.............................................................231 2.3.2 - Fresar o cavidade (acabamento):........................................................232 2.4 - FRESANDO AS CAVIDADES CIRCULARES:.................................................232 2.4.1 - Fresar as cavidades (desbaste):.........................................................233 2.4.2 - Fresar as cavidades (acabamento):....................................................233 2.4.3 - Posições das cavidades:.....................................................................234 2.5 - SIMULANDO GRAFICAMENTE:......................................................................235 2.5.1 - Simular graficamente: .........................................................................235 2.5.2 - Sair da simulação:...............................................................................235 2.6 - PROGRAMA SHOPMILL:.................................................................................236 EXEMPLO 3: PLACA DE MOLDE________________________________ 237 3.1 - CRIANDO UM NOVO PROGRAMA:................................................................238 3.2 - FRESANDO O CONTORNO ABERTO:............................................................238 3.2.1 - Desenhar o contorno:..........................................................................238 3.2.2 - Fresar o contorno: (desbaste).............................................................239 3.2.3 - Fresar o contorno: (acabamento) .......................................................240 3.3 - FRESANDO A CAVIDADE A PARTIR DE UM CONTORNO:...........................240 3.3.1 - Desenhar o contorno:..........................................................................240 3.3.2 - Desbastar a cavidade:........................................................................242 3.3.3 - Desbastar o material residual:.............................................................242 3.3.4 - Acabar o fundo da cavidade:...............................................................243
  • 10.
    X Programação eOperação - Linha D - Siemens 828D T60356F 3.3.5 - Acabar as paredes da cavidade:.........................................................243 3.4 - FRESANDO AS CAVIDADES CIRCULARES:.................................................244 3.4.1 - Fresar a cavidade maior (desbaste):...................................................244 3.4.2 - Acabar a cavidade maior:....................................................................245 3.4.3 - Fresar a cavidade menor (desbaste):..................................................245 3.4.4 - Acabar a cavidade menor:...................................................................246 3.5 - CONSIDERANDO OBSTÁCULOS...................................................................246 3.5.1 - Furar centrando:..................................................................................246 3.5.2 - Furar:...................................................................................................247 3.6 - SIMULANDO GRAFICAMENTE:......................................................................250 3.6.1 - Simular graficamente: .........................................................................250 3.6.2 - Sair da simulação:...............................................................................250 3.7 - PROGRAMA SHOPMILL:.................................................................................251 PARTE IV - SISTEMA RENISHAW OMP-40 1 - INTRODUÇÃO _ __________________________________________ 254 2 - SISTEMA DE MEDIÇÃO E INSPEÇÃO DE PEÇAS (APALPADOR)___ 254 2.1 - LIGAR / DESLIGAR O APALPADOR................................................................254 2.2 - MOVIMENTO PROTEGIDO.............................................................................254 2.3 - CALIBRAÇÃO DO APALPADOR .....................................................................255 2.3.1 - Calibração do Comprimento do Apalpador (L9801):.................................255 2.4 - VARIÁVEIS OPCIONAIS DE ENTRADA DE DADOS......................................258 2.5 - VARIÁVEIS DE SAÍDA DE DADOS..................................................................259 2.5.1 - Visualizar as variáveis Renishaw........................................................259 2.5.2 - Variáveis utilizadas para saída de dados............................................259 2.6 - ROTINAS PARA MEDIÇÃO E INSPEÇÃO DE PEÇAS...................................260 2.6.1 - Medição de Superfície Simples em X, Y ou Z (L9811)........................260 2.6.2 - Medição de Ressalto ou Rebaixo (L9812)..........................................262 2.6.3 - Medição de Diâmetros Externos e Internos (L9814)...........................264 2.6.4 - Localização de um Canto Interno (L9815)..........................................266 2.6.5 - Localização de um Canto Externo (L9816).........................................267 2.6.6 - Resultados Geométricos (L9834)........................................................268
  • 11.
    T60356F Programação eOperação - Linha D - Siemens 828D XI
  • 13.
    T60356F Programação eOperação - Linha D - Siemens 828D 1 1. Sistema de Coordenadas Parte I - Programação Linguagem ISO
  • 14.
    2 Programação eOperação - Linha D - Siemens 828D T60356F 1. Apresentação 1 - APRESENTAÇÃO Máquina a comando numérico: é aquela que possui um equipamento eletro-eletrônico, aqui tratado como comando, o qual possibilita à mesma a execução de uma seqüência automática de atividades. Para efetuar uma usinagem de peças através de uma máquina ferramenta a CNC, devemos tomar como referências dois itens: a) Deve-se elaborar um programa a partir de um desenho da peça, através de comandos interpretados pelo CNC. Esses comandos estão descritos neste manual na Parte 1 - Programação. b) O programa deve ser lido pelo CNC. Deve-se preparar as ferramentas à peça segundo a programação desenvolvida, depois deve-se executar o processo de usinagem. Estes processos estão descritos neste manual na Parte 2 - Operação. 1.1 - ANTES DE PROGRAMAR É NECESSÁRIO... A - Estudo do Desenho da Peça: Bruta e Acabada Há necessidade de uma análise sobre a viabilidade de execução da peça em conta as dimensões exigidas quantidade de material a ser removido, ferramental necessário, fixação do material etc. B - Estudos dos Métodos e Processos Definir as fases de usinagem de cada peça a ser executada, estabelecendo assim o que fazer e quando fazer. C - Escolha das Ferramentas A escolha de um bom ferramental é fundamental para um bom aproveitamento do equipamento, bem como, a sua posição no magazine para minimizar o tempo de troca. D - Conhecer os Parâmetros Físicos da Máquina e sua Programação É preciso conhecer todos os recursos de programação disponíveis e a capacidade de remoção de cavacos, bem como rotação máxima e número de ferramentas, visando minimizar tempos de programação e operação. E - Definição dos Parâmetros de Corte Em função do material a ser usinado, buscar juntos ao fabricante de ferramentas, os dados de cortes: avanços, rotação e profundidade de corte. NOTA: Este manual foi elaborado para funções básicas do comando, visando a simplicidade de programação e operação, para informações complementares consultar manuais originais do comando.
  • 15.
    T60356F Programação eOperação - Linha D - Siemens 828D 3 2. Antes de programar é necessário 2- ANTES DE PROGRAMAR É NECESSÁRIO... Este manual foi elaborado somente para as funções básicas do comando, visando a simplicidade de programação e operação. Informamos que, por ser este comando modular, algumas funções apresentadas aqui podem não fazer parte da configuração da máquina. 2.1 - BLOCOS DE DADOS São agrupamentos de funções de comando e posicionamento em um único registro, a fim de executar passo a passo, a ordem seqüencial do programa. Um bloco consiste de um número seqüencial ( opcional ), seguido das funções de comando. O bloco tem a seguinte configuração: N______ G_______ X _______ Y_______ N______ T________ N______ M________ Onde: Função N = Número seqüencial Função G = Função preparatória Funções X Y = Funções de posicionamento Função T = Seleciona ferramenta Função M = Funções Miscelâneas A sintaxe completa de cada função será descrita adiante. 2.2 - PROGRAMA É uma seqüência de blocos contendo funções de comando, as quais instruem o CNC, sobre onde e como executar uma determinada operação.
  • 16.
    4 Programação eOperação - Linha D - Siemens 828D T60356F 3. Gerenciamento de arquivos e programas 3 - GERENCIAMENTO DE ARQUIVOS E PROGRAMAS Para um manuseio mais flexível de dados e programas, estes podem ser visualizados, armazenados e organizados de acordo com diferentes critérios. Os programas e arquivos são armazenados em diferentes diretórios, ou seja, pastas onde serão armazenados de acordo com a função ou características. Exemplos de diretórios: –– subprogramas –– programas –– peças –– comentários –– ciclos padrão –– ciclos de usuário Cada programa corresponde a um arquivo e todo arquivo possui uma extensão, esta por sua vez informa qual tipo de arquivo estamos trabalhando. Exemplo de extensões: –– .MPF - programa principal –– .SPF - subprograma –– .TEA - dados de máquina –– .SEA - dados de setting –– .TOA - correções da ferramenta –– .UFR - deslocamentos do ponto zero –– .INI - arquivos de inicialização –– .COM - comentário –– .DEF - definição para dados globais Para armazenarmos os arquivos de programas no CNC (máquina), via RS232 (comunicação serial), devemos endereça-los para os diretórios correspondentes de acordo com o tipo de arquivo a ser armazenado. A seguir temos os caminhos para efetuarmos a comunicação.
  • 17.
    T60356F Programação eOperação - Linha D - Siemens 828D 5 3. Gerenciamento de arquivos e programas Memória Principal _N_DEF_DIR (Arquivos definição) _N_CST_DIR (Ciclos padrão) _N_CUS_DIR (Ciclos de usuário) _N_SPF_DIR (Sub- programas) _N_MPF_DIR (Programas de Peças) _N_WKS_DIR (Peças de Trabalho) _N_CMA_DIR (Ciclos de fabric.) _N_SMAC_DEF _N_MMAC_DEF _N_UMAC_DEF _N_SGUD_DEF _N_MGUD_DEF _N_UGUD_DEF _N_GUD4_DEF : : _N_CYCLE82_SPF _N_CYCLE83_SPF _N_POCKET3_SPF : : _N_COMMON_COM _N_REC_TAF_SPF _N_TAF_30_SPF : : _N_SUB1_SPF _N_PERFIL_SPF _N_FUROS_SPF : : _N_PEÇA1_MPF _N_EXEMPLO_MPF _N_CARCACA_MPF _N_ROTOR_MPF : : _N_CLIENTE1_WPD _N_CLIENTE2_WPD _N_BOMBA1_MPF _N_SUBBOMB_SPF _N_BOMBA2_MPF : : _N_VALVULA1_MPF _N_VALVULA2_MPF _N_SUBVALV1_SPF : : _N_PROG_EVENT_SPF : : Sintaxe de cabeçalho para armazenamento de programa: %_N_(NOME DO PROGRAMA)_(TIPO DE EXTENSÃO DE ACORDO COM O TIPO DO ARQUIVO) ;$PATH=/(ENDEREÇO CORRESPONDENTE - VIDE GRÁFICO ACIMA) Exemplos: a) Nome do Programa: “EXERCICIO” (MPF) Local a ser armazenado: Programa de peças (MPF_DIR) Sintaxe: %_N_EXERCICIO_MPF ;$PATH=/_N_MPF_DIR b) Nome do Programa: “FLANGE” (MPF) Local a ser armazenado: Peças de trabalho (WKS_DIR) Nome da pasta a ser armazenado: Cliente (WPD) Sintaxe: %_N_FLANGE_MPF ;$PATH=/_N_WKS_DIR/_N_CLIENTE_WPD
  • 18.
    6 Programação eOperação - Linha D - Siemens 828D T60356F 4. Sistema de coordenadas 4 - SISTEMA DE COORDENADAS Para que a máquina possa trabalhar com as posições especificadas, estas têm que ser declaradas em um sistema de referência, que corresponde aos sentidos dos movimentos dos carros (eixos X,Y,Z). Utiliza-se para este fim o sistema de coordenadas cartesianas. Z + Z - X + Y +X - Y - O sistema de coordenadas da máquina é formado por todos os eixos existentes fisicamente na máquina. A posição do sistema de coordenadas em relação a máquina depende do tipo de máquina. As direções dos eixos seguem a chamada “regra da mão direita” Z Y X Quando estamos diante da máquina o dedo médio representa o eixo da ferramenta, então temos: · o polegar a direção X+ · o dedo indicador a direção Y+ · o dedo médio a direção Z+
  • 19.
    T60356F Programação eOperação - Linha D - Siemens 828D 7 4. Sistema de coordenadas 4.1 - COORDENADAS ABSOLUTAS 15 20 35 22 10 25 35 30 45 42 Ponto 5 Y+ X- Y- X+ Ponto 1 Ponto 3 Ponto 2 Ponto 4 No sistema de coordenadas absolutas as posições dos eixos sempre tem como referência uma mesma origem denominada zero peça. Exemplo: Ponto Eixo X Eixo Y 1 20 35 2 42 22 3 -25 10 4 -30 -35 5 15 -45 4.2 - COORDENADAS INCREMENTAIS 15 20 35 22 10 25 35 30 45 42 Ponto 5 Y+ X- Y- X+ Ponto 1 Ponto 3 Ponto 2 Ponto 4 No sistema de coordenadas incrementais as posições dos eixos tem como referência sempre a última posição programada. Exemplo: Ponto Eixo X Eixo Y 1 20 35 2 22 -13 3 -67 -12 4 -5 -45 5 45 -10
  • 20.
    8 Programação eOperação - Linha D - Siemens 828D T60356F 4. Sistema de coordenadas 4.3 - COORDENADAS POLARES 30° 30R 40R 50R 25 R 36 20° 45° 15° R 30° 270° Y+ X- Y- X+ Ponto 1 Ponto 2 Ponto 3 Ponto 4 Ponto 5 180° 0° 90° No sistema de coordenadas polares as posições são programadas através do raio e ângulo formado entre uma determinada referência, denominda pólo, e a posição desejada. Exemplo: Ponto Raio Ângulo 1 40 60 2 50 30 3 30 160 4 36 225 5 25 285 Pólo X0 Y0
  • 21.
    T60356F Programação eOperação - Linha D - Siemens 828D 9 5. Função: d, s, t, m 5- FUNÇÃO: D, S, T, M6 / TROCA Aplicação: Seleção do número e corretor de ferramenta e rotação eixo árvore Através da programação do endereço “T” (na linha “D” pode ser programadas até 22 ou 30 ferramentas, dependendo do tipo do trocador - standard ou com ATC, respectivamente) ocorre uma troca direta da ferramenta ou a seleção da posição no magazine da máquina. Para efetuar a troca da ferramenta deve-se programar a função “M6” junto com a função “T”. Auma ferramenta podem ser atribuídos corretores de ferramentas de 1 a 9, programando um endereço “D” correspondente. Para ativar a rotação do eixo árvore (RPM) deve-se programar a função “S” seguida do valor da rotação desejada. Exemplo: T01 (CHAMA A FERRAMENTA N.º 1) M6 (HABILITA A TROCA) D01 (ATIVA O CORRETOR DE ALTURA N.º 1) S1500 M3 (LIGA A ROTAÇÃO DO EIXO ÁRVORE A 1500 RPM)
  • 22.
    10 Programação eOperação - Linha D - Siemens 828D T60356F 6. Função barra, n, msg, ponto e vírgula 6- FUNÇÃO: BARRA ( / ), N, MSG, PONTO E VÍRGULA ( ; ) Aplicação: Eliminar execução de blocos, número seqüencial de blocos, mensagem ao operador e comentário de auxílio. Utilizamos a função barra “ /” quando for necessário inibir a execução de blocos no programa, sem alterar a programação. Se a barra “ /” for digitada na frente de alguns blocos, estes serão ignorados pelo comando, desde que o operador tenha selecionado a opção “SKP: BLOCO SUPRIMÍVEL”, caso a opção não seja acionada os blocos serão executados normalmente. Exemplos: N10_____ (bloco executado) /N20_____ (bloco eliminado) N30_____ (bloco executado) /N40_____ (bloco eliminado) /N50_____ (bloco eliminado) N60_____ (bloco executado) Afunção “N” tem por finalidade a numeração seqüencial dos blocos de programação, o seu uso é opcional dentro da programação, ou seja, sua programação é facultativa podendo ou não ser utilizada. Exemplos: N10 ____ N20 ____ N30 ____ Durante a edição do programa pode haver a necessidade de inserir comentários para auxiliar o operador, este comentário será ignorado pelo comando. No início de um comentário deve-se colocar o caracter ponto e virgula “ ; ” Exemplos: ;PECA_TESTE N30 T02; FRESA DE FACEAR N100 M30; FIM DE PROGRAMA Durante a execução do programa, pode ser programadas mensagens para informar ao operador, em que fase se encontra a usinagem ou a operação que esta sendo feita. Uma mensagem pode ser gerada programando a função MSG(“mensagem desejada”), sendo que o limite de caracteres para a mensagem é de 124 caracteres. Para cancelarmos uma mensagem programamos a função MSG (“”). Exemplos: N10 MSG (“DESBASTANDO PERFIL EXTERNO”) : N100 MSG (“”)
  • 23.
    T60356F Programação eOperação - Linha D - Siemens 828D 11 7. Funções preparatórias FUNÇÕES PREPARATÓRIAS FUNÇÃO DESCRIÇÃO GRUPO MODAL S N G00 Posicionamento Rápido 01 X G01* Interpolação Linear 01 X G02 Interpolação Circular - sentido horário 01 X G03 Interpolação Circular - sentido anti-horário 01 X G331 Roscamento com macho rígido 01 X G332 Movimento de retorno do macho rígido 01 X G04 Tempo de permanência 02 X G111 Programação em coordenadas polares 03 X G17* Seleciona o plano de trabalho XY 06 X G18 Seleciona o plano de trabalho XZ 06 X G19 Seleciona o plano de trabalho YZ 06 X G40* Cancela compensação de raio de ferramenta 07 X G41 Ativa compensação de raio de ferramenta à esquerda do perfil 07 X G42 Ativa compensação de raio de ferramenta à direita do perfil 07 X 7- FUNÇÕES PREPARATÓRIAS As funções preparatórias são aquelas que definem à máquina qual o tipo de movimentação ela irá executar. Elas se dividem em dois grupos: a) Modais - A função permanece ativa até que outra função modal do mesmo grupo seja programada. b) Não modais - A função permanece ativa somente no bloco em que foi programada. Exemplo: N100 G01 X100 F1000 N110 Y30 N120 X40 N130 G00 Z15 A função G01 permanece ativa do bloco N100 até o bloco N120. No bloco N130 ela é cancelada pela função G00, pois ambas são modais e pertencem ao mesmo grupo. Segue abaixo uma tabela com as principais Funções Preparatórias aplicáveis à programação das máquinas da Linha “D” com CNC Siemens 828D.
  • 24.
    12 Programação eOperação - Linha D - Siemens 828D T60356F 7. Funções preparatórias FUNÇÕES PREPARATÓRIAS FUNÇÃO DESCRIÇÃO GRUPO MODAL S N G500 Desativa o sistema de coordenada de trabalho (G54 ... G599), ativando o sistema de coordenadas de máquina 08 X G53 / SUPA Suspende o sistema de coordenadas de trabalho para o bloco atual 08 X G54 Ativa o 1º sistema de coordenada de trabalho 08 X G55 Ativa o 2º sistema de coordenada de trabalho 08 X G56 Ativa o 3º sistema de coordenada de trabalho 08 X G57 G58 G59 Ativa o 4º sistema de coordenada de trabalho Ativa o 5º sistema de coordenada de trabalho Ativa o 6º sistema de coordenada de trabalho 08 X G507 Ativa o 7º sistema de coordenada de trabalho 08 X G5xx Ativa o “xxº” sistema de coordenada de trabalho (de G505 a G599) 08 X G599 Ativa o 99º sistema de coordenada de trabalho 08 X G09 Ativa parada exata para o bloco atual 10 X G60* Ativa modo de parada exata, deixando os cantos vivos e cancelando modo de contorno 10 X G64 Ativa modo de contorno com “look-ahead”, chanfrando os cantos 10 X G641 Ativa modo de contorno com “look-ahead”, arredondando os cantos 10 X G642 Ativa modo de contorno com “look-ahead”, arredondando os cantos em forma de spline 10 X G70 Ativa o sistema inglês de medidas (polegadas) 13 X G71* Ativa o sistema métrico de medidas (milímetros) 13 X G90* Ativa o sistema de coordenadas absolutas 14 X G91 Ativa o sistema de coordenadas incrementais 14 X G94* Avanço programado em milímetros/minuto ou polegadas/ minuto 15 X G95 Avanço programado em milímetros/rotação ou polegadas/ rotação 15 X CFC* Ativa controle de avanço pelo ponto de tangência da ferramenta com a peça nos cantos internos e extenos 16 X CFTCP Ativa controle de avanço pelo centro da ferramenta 16 X CFIN Ativa controle de avanço pelo ponto de tangência da ferramenta com a peça para cantos internos e pelo centro da ferramenta para cantos externos 16 X BRISK Modo convencional de aceleração dos eixos 21 X
  • 25.
    T60356F Programação eOperação - Linha D - Siemens 828D 13 7. Funções preparatórias FUNÇÕES PREPARATÓRIAS FUNÇÃO DESCRIÇÃO GRUPO MODAL S N SOFT Modo suavizado de aceleração dos eixos 21 X FFWOF Ativa modo controle de próximos avanços 24 X FFWON Desativa modo controle de próximos avanços 24 X COMPON Ativa sistema compressor de blocos 30 X COMPCAD Ativa o sistema compressor de blocos 30 X COMPCURV Ativa sistema compressor de blocos para programas utilizando equações polinomiais 30 X COMPOF Desativa sistema compressor de blocos 30 X
  • 26.
    14 Programação eOperação - Linha D - Siemens 828D T60356F 8. Funções miscelâneas 8 - FUNÇÕES MISCELÂNEAS As funções miscelâneas, também conhecidas como códigos M, são funções que fazem a interface entre o usuário e os hardwares da máquina através da interação com o ladder desenvolvido pelo fabricante da mesma Segue abaixo a tabela com as principais funções miscelâneas. FUNÇÕES MISCELÂNEAS FUNÇÃO DESCRIÇÃO M00 Parada obrigatória do programa M01 Parada opcional do programa M02 Fim de programa M03 Liga a rotação do eixo árvore no sentido horário M04 Liga a rotação do eixo árvore no sentido anti-horário M05 Desliga eixo árvore M06 Efetua a troca de ferramenta M07 Liga refrigerante de corte pelo centro do eixo árvore (opcional) M08 Liga refrigerante de corte pelas mangueiras externas ao eixo árvore M09 Desliga refrigerante de corte (M07 e M08) M17 Fim de subprograma M30 Fim de programa M36 Abre porta automática (opcional) M37 Fecha porta automática (opcional) M47 LIga transportador de cavacos (opcional) M48 Desliga transportador de cavacos (opcional) M50 Desliga freio do 4. eixo M51 Liga freio do 4.eixo M52 Liga apalpador RENISCHAW OMP-40 M53 Desliga apalpador RENISCHAW OMP-40 M54 Liga o sistema de refrigeração à ar (opcional) M55 Desliga o sistema de refrigeração à ar (opcional) M56 Abre dispositivo de fixação (opcional) M57 Fecha dispositivo de fixação (opcional) M65 Liga limpeza das proteções (opcional) M66 Desliga limpeza das proteções (opcional) M78 Liga exaustor de névoa (opcional) M79 Desliga exaustor de névoa (opcional)
  • 27.
    T60356F Programação eOperação - Linha D - Siemens 828D 15 9. Fluxograma de programação 9 - FLUXOGRAMA DE PROGRAMAÇÃO 9.1 - MÁQUINAS EQUIPADAS COM MAGAZINE PARA 22 FERRAMENTAS INÍCIO TROCA DE FERRAMENTA RPM GERAÇÃO DO PERFIL HÁ + FERRAMENTAS? FIM S N ZERO-PECA E CORRETORES DE FERRAMENTA • INÍCIO G17 G71 G90 G94 ; - bloco de segurança • TROCA DE FERRAMENTA G53 G0 Z-110 D0 ; - recua o eixo árvore próximo ao ponto e troca de ferramenta T_ _ ; - seleciona a ferramenta M06 ; - troca a ferramenta G64 CFIN ; ativa o look ahead e o controle de avanço • PROGRAMAÇÃO DA RPM S_ _ _ _ M_ _ ; - determina o valor da RPM (S___) e liga o eixo árvore (M03 ou M04) • GERAÇÃO DO PERFIL G0 X_ _ _ Y_ _ _ ; - aproximação nos eixos X e Y A_ _ _ ; - aproximação no eixo W (4° eixo - opcional) Z_ _ _ ; - aproximação no eixo Z : (Outras instruções de acordo com a necessidade do programa) : • FIM DO PROGRAMA G53 G0 Z-110 D0 ; - recua o eixo árvore próximo ao ponto e troca de ferramenta M30 ; - fim de programa • ZERO-PEÇA E CORRETORES DE FERRAMENTA G5_ D_ ; - ativa o zero-peça (G54~G59 e G505 a G599) e ativa os corretores da ferramenta (D1 a D9)
  • 28.
    16 Programação eOperação - Linha D - Siemens 828D T60356F 9. Fluxograma de programação 9.2 - MÁQUINAS EQUIPADAS COM MAGAZINE PARA 30 FERRAMENTAS (ATC) INÍCIO TROCA DE FERRAMENTA RPM GERAÇÃO DO PERFIL HÁ + FERRAMENTAS? FIM S N ZERO-PECA E CORRETORES DE FERRAMENTA • INÍCIO %_N_(nome do programa)_MPF ;$PATH=/_N_(nome da pasta)_WPD/_N_WKS_DIR G17 G71 G90 G94 ; - bloco de segurança • TROCA DE FERRAMENTA G53 G0 Z0 D0 ; - recua o eixo árvore próximo ao ponto e troca de ferramenta T_ _ ; - seleciona a ferramenta M06 ; - troca a ferramenta T_ _ ; - busca a próxima ferramenta G64 CFIN ; ativa o look ahead e o controle de avanço • PROGRAMAÇÃO DA RPM S_ _ _ _ M_ _ ; - determina o valor da RPM (S___) e liga o eixo árvore (M03 ou M04) • GERAÇÃO DO PERFIL G0 X_ _ _ Y_ _ _ ; - aproximação nos eixos X e Y W_ _ _ ; - aproximação no eixo W (4° eixo - opcional) Z_ _ _ ; - aproximação no eixo Z : (Outras instruções de acordo com a necessidade do programa) : • FIM DO PROGRAMA G53 G0 Z0 D0 ; - recua o eixo árvore próximo ao ponto e troca de ferramenta M30 ; - fim de programa • ZERO-PEÇA E CORRETORES DE FERRAMENTA G5_ D_ ; - ativa o zero-peça (G54~G59 e G505 a G599) e ativa os corretores da ferramenta (D1 a D9)
  • 29.
    T60356F Programação eOperação - Linha D - Siemens 828D 17 10. Funções de interpolação 10 - FUNÇÕES DE INTERPOLAÇÃO 10.1 - FUNÇÃO: G00 - POSICIONAMENTO RÁPIDO Explanação: Esta função é utilizada para deslocar os eixos com a maior velocidade de avanço disponível na máquina. Portanto a função G00 é utilizada quando a ferramenta não está em contato com o material, ou seja, durante suas aproximações e afastamentos. Sintaxe: G00 X____ Y____ Z____ onde: X - Coordenada do ponto final do movimento para o eixo linear X Y - Coordenada do ponto final do movimento para o eixo linear Y Z - Coordenada do ponto final do movimento para o eixo linear Z A - Coordenada do ponto final do movimento para o eixo rotacional W 10.2 - FUNÇÃO: G01 - INTERPOLAÇÃO LINEAR Explanação: Esta função é utilizada para movimentar os eixos retilineamente e com a velocidade de avanço especificada pelo código F, o qual é dado em milímetro/minuto ou milímetro/rotação, dependendo se é a função G94 ou a G95 que está ativa, respectivamente. Sintaxe: G01 X____ Y______ Z______ F_______ onde: X - Coordenada do ponto final do movimento para o eixo linear X Y - Coordenada do ponto final do movimento para o eixo linear Y Z - Coordenada do ponto final do movimento para o eixo linear Z A - Coordenada do ponto final do movimento para o eixo rotacional W F - Velocidade de avanço (mm/min ou mm/rotação e graus/min para o eixo W)
  • 30.
    18 Programação eOperação - Linha D - Siemens 828D T60356F 10. Funções de interpolação 100 60 80 10 70 110 80 40 80 10455 15 Exemplo: : G01 X10 Y10 F700 G01 X80 Y10 G01 X100 Y40 G01 X80 Y70 G01 X60 Y70 G01 X10 Y55 G01 X10 Y10 : ou : G01 X10 Y10 F700 X80 X100 Y40 X80 Y70 X60 X10 Y55 Y10 : 10.3 - FUNÇÕES: G02 E G03 - INTERPOLAÇÃO CIRCULAR Explanação: Estas funções são utilizadas para movimentar os eixos circularmente, podendo assim gerar seguimentos de arco ou circulos inteiros. A função G02 é responsável pela geração de arcos no sentido horário e a função G03 no sentido anti-horário. A referência sobre o sentidos horário e anti-horário tem por definição a vista da direção positiva para a negativa do eixo que não faz parte do plano de trabalho, ou seja, para saber se um arco que está no plano XY é horário ou anti-horário, deve-se olhar do sentido Z+ para o Z- e assim verificar o sentido de giro do mesmo. Antes de programar as funções G02 e/ou G03 deve-se selecionar um dos planos de trabalho (XY - G17, XZ - G18 ou YZ - G19) Há três modos principais de programação das funções de interpolação circulares, conforme as explanações abaixo: Sintaxe: a) Arco sobre o plano XY (G17) G02/G03 X___ Y___ CR=___ F___* ou G02/G03 X___ Y___ I___ J___ F___* ou G02/G03 X___ Y___ I=AC(___) J=AC(___) F___* 100 60 80 10 70 110 80 40 80 10455 15
  • 31.
    T60356F Programação eOperação - Linha D - Siemens 828D 19 10. Funções de interpolação b) Arco sobre o plano XZ (G18) G02/G03 X___ Z___ CR=___ F___* ou G02/G03 X___ Z___ I___ K___ F___* ou G02/G03 X___ Z___ I=AC(___) K=AC(___) F___* c) Arco sobre o plano YZ (G19) - G02/G03 Y___ Z___ CR=___ F___* ou G02/G03 Y___ Z___ J___ K___ F___* ou G02/G03 Y___ Z___ J=AC(___) K=AC(___) F___* onde: X - Coordenada do ponto final do movimento para o eixo X Y - Coordenada do ponto final do movimento para o eixo Y Z - Coordenada do ponto final do movimento para o eixo Z CR= - Valor do raio do arco (positivo se o ângulo for inferior ou igual a 180° e negativo se o ângulo for superior a 180°) I - Distância incremental do ponto inicial do arco até o centro do mesmo no eixo X J - Distância incremental do ponto inicial do arco até o centro do mesmo no eixo Y K - Distância incremental do ponto inicial do arco até o centro do mesmo no eixo Z I=AC(...) - Coordenada absoluta do o centro do arco no eixo X J=AC(...) - Coordenada absoluta do o centro do arco no eixo Y K=AC(...) - Coordenada absoluta do o centro do arco no eixo Z F - Velocidade de avanço (programação não obrigatória) Exemplo: : G01 X-45 Y0 F300 G02 X-50 Y5 CR=5 ; ou G02 X-50 Y5 I0 J5 ; ou G02 X-50 Y5 I=AC(-45) J=AC(5) G01 Y40 X-11.36 Y84.8 G2 X11.36 Y84.8 CR=15 ; ou G02 X11.36 Y84.8 I11.36 J-9.8 ; ou G02 X11.36 Y84.8 I=AC(0) J=AC(75) G01 X50 Y40 Y5 G02 X45 Y0 CR=5 ; ou G02 X45 Y0 I-5 J0 ; ou G02 X45 Y0 I=AC(45) J=AC(5) G01 X20 G03 X-20 Y0 CR=20 ; ou G02 X-20 Y0 I-20 J0 ; ou G02 X-20 Y0 I=AC(0) J=AC(0) G01 X-45 : 110 10 R15 22,72 100 84,8 100 R20 40 5R 5 5 75 110 10 R15 22,72 100 84,8 100 R20 40 5R 5 5 75
  • 32.
    20 Programação eOperação - Linha D - Siemens 828D T60356F 10. Funções de interpolação NOTAS: - Quando as coordenadas X Y Z são omitidas e o centro for especificado com I, J, ou K, considera-se que o ponto final é o mesmo ponto de partida, gerando um arco de 360 graus. - Quando um arco excede 180 graus, o valor do raio deve ser especificado com um valor negativo. 10.3.1 - Função TURN - Interpolação Helicoidal A função TURN é um recurso usado conjuntamente as funções de interpolação circular (G02/G03) para gerar movimentos em forma de espiral, ou seja, para sincronizar um movimento circular num determinado plano de trabalho com um movimento linear de um terceiro eixo, gerando assim uma hélice. Sintaxe: Em sincronismo com arco XY (G17) G2/G3 X___ Y___ I___ J___ Z___ TURN=___ F___* ou G2/G3 X___ Y___ I=AC(___) J=AC(___) Z___ TURN=___ F___* Em sincronismo com arco XZ (G18) G2/G3 X___ Z___ I___ K___ Y___ TURN=___ F___* ou G2/G3 X___ Z___ I=AC(___) K=AC(___) Y___ TURN=___ F___* Em sincronismo com arco YZ (G19) G2/G3 Y___ Z___ J___ K___ X___ TURN=___ F___* G2/G3 Y___ Z___ J=AC(___) K=AC(___) X___ TURN=___ F___* onde: X - Coordenada do ponto final do movimento para o eixo X Y - Coordenada do ponto final do movimento para o eixo Y Z - Coordenada do ponto final do movimento para o eixo Z I - Distância incremental do ponto inicial do arco até o centro do mesmo no eixo X J - Distância incremental do ponto inicial do arco até o centro do mesmo no eixo Y K - Distância incremental do ponto inicial do arco até o centro do mesmo no eixo Z I=AC(...) - Coordenada absoluta do o centro do arco no eixo X J=AC(...) - Coordenada absoluta do o centro do arco no eixo Y K=AC(...) - Coordenada absoluta do o centro do arco no eixo Z TURN= - Número total de voltas que compõe a hélice (Nº total de voltas - 1). F - Velocidade de avanço (programação não obrigatória) OBSERVAÇÕES –– Na função TURN deve-se programar uma volta a menos do que o necessário para a usinagem. –– A compensação do raio da ferramenta é aplicada somente para o movimento circular.
  • 33.
    T60356F Programação eOperação - Linha D - Siemens 828D 21 10. Funções de interpolação Exemplo: plano de trabalho G17, eixos para a interpolação circular X e Y. O movimento linear vertical no exemplo abaixo será executado pelo EIXO Z. Seqüência de movimentos: 1. Posicionar na posição de partida, descontado o raio da ferramenta (coordenada inicial) 2. Com TURN= executar os círculos inteiros programados. 3. Se necessário ir para o ponto final do círculo, através de uma rotação parcial. 2ª volta completa Posição Inicial 1ª volta completa 3ª volta completa Posição final (círculo parcial) Exemplo: : G0 X0 Y0 Z2 X20 G1 Z0 F350 G2 X20 Y0 Z-32 I=AC(0) J=AC(0) TURN=7 G0 X0 Y0 Z10 : ÃO A-A M60X4 A SEÇÃO A-A 30 100 100 20X45 M60X4 A A OBSERVAÇÃO –– No exemplo foi considerado ferramenta de diâmetro igual a 20.
  • 34.
    22 Programação eOperação - Linha D - Siemens 828D T60356F 10. Funções de interpolação 10.4 - FUNÇÕES: CHF/CHR E RND/RNDM Aplicação: Chanframento, Arredondamento de cantos. Para chanfrar cantos insere-se entre os movimentos lineares e/ou movimentos circulares a função CHF ou CHR junto com os valores do chanfro ou segmento. Para chanfrar cantos insere-se entre os movimentos lineares e/ou movimentos circulares a função CHF ou CHR junto com os valores do chanfro ou segmento. Sintaxe: CHF=(...) ou CHR=(...) Exemplo: G1 X50 Y30 F100 CHR=5 G1 X100 Y20 G01 G 01 CHR CHF CHANFRO Bissetriz Para arredondar cantos, insere-se entre os movimentos lineares e/ou movimentos circulares a função RND, acompanhado do valor do raio a ser gerado tangente aos segmentos. Sintaxe: RND=(...) Exemplo: G1 X50 Y30 F100 RND=10 G1 X100 Y20 G01 G 01 RND= ARREDONDAMENTO Na figura ao lado temos um exemplo de arredondamento de um linha reta e um círculo. Exemplo: G1 X(...) Y(...) F(...) RND=(...) G3 X(...) Y(...) I(...) J(...) G01 RND= ARREDONDAMENTO G03 Para se trabalhar com arredondamento modal, ou seja, permitir inserir após cada bloco de movimento, um arredondamento entre contornos lineares e contornos circulares, utilizamos a função RNDM.
  • 35.
    T60356F Programação eOperação - Linha D - Siemens 828D 23 10. Funções de interpolação Sintaxe: RNDM=(...) Para desativar a função de arredondamento modal deve-se programar a função RNDM=0. Exemplo: G17 G71 G90 G94 G53 G0 Z-110 D0 T02; FRESA D16 MM M6 G54 D1 G64 CFIN S2000 M3 G0 X-15 Y-15 Z-15 G41 G01 X0 Y0 F700 G01 X0 Y50 CHR=10 ; ou G01 X0 Y50 CHF=14.14 G01 X75 Y50 RND=10 G01 X75 Y23 RND=10 G01 X50 Y0 RND=7 G01 X35 Y0 RND=4 G03 X15 Y0 CR=10 RND=4 G01 X0 Y0 G40 G01 X-15 Y-15 G53 G0 Z-110 D0 M30 23 R10 10 10 R R10 25 75 50 50 4R 7R 10x45º 14,14 20 85 15
  • 36.
    24 Programação eOperação - Linha D - Siemens 828D T60356F 10. Funções de interpolação 10.5 - FUNÇÕES: G331 E G332 - ROSCAMENTO PASSO A PASSO COM MACHO RÍGIDO Explanação: Estas funções são utilizadas para efetuar roscamento passo a passo com macho sem a necessidade de mandril flutuante. Sintaxes: G331 X___ Y___ Z___ I___ J___ K___ G332 X___ Y___ Z___ I___ J___ K___ onde: X - Coordenada do ponto final do movimento para o eixo X Y - Coordenada do ponto final do movimento para o eixo Y Z - Coordenada do ponto final do movimento para o eixo Z I - Passo da rosca na direção do eixo X (positivo para rosca direita e negativo para esquerda) J - Passo da rosca na direção do eixo Y (positivo para rosca direita e negativo para esquerda) K - Passo da rosca na direção do eixo Z (positivo para rosca direita e negativo para esquerda) Exemplo: Rosca Direita Passo da Rosca = 1.25 mm Rotação = 800 RPM : T15; MACHO M8X1.25 M06 G54 D1 G64 CFIN S800 M03 G0 X-10 Y0 Z5 G95 G331 Z-10 K1.25 G332 Z5 K1.25 G0 X10 G331 Z-10 K1.25 G332 Z5 K1.25 G53 G0 Z-110 D0 : R10 7R M8x1,25x10 20 R10 7R M8x1,25x10 20
  • 37.
    T60356F Programação eOperação - Linha D - Siemens 828D 25 11. Tempo de permanência SEÇÃO A-A 7,5 35 10 20 20 1 45°X 11 - TEMPO DE PERMANÊNCIA 11.1 - FUNÇÃO: G04 Aplicação: Tempo de permanência Permite interromper a usinagem da peça entre dois blocos, durante um tempo programado. Por exemplo para alívio de corte. Sintaxe: G4 F___ valores programados em segundos G4 S___ valores programados em n.º de rotações 840D NCU 571 840D NCU 572 NCU 573 FM-NC 810D 840Di © Siemens AG 2000. All rights reserved SINUMERIK 840D/840Di/810D/FM-NC Programming Guide Fundamentals (PG) – 04.00 Edition 5-171 5.7 Dwell time, G4 Programming G4 F… G4 S… (Programmed in a separate NC block) Explanation of the commands G4 Activate dwell time F… Time specified in seconds S… Time specified in revolutions of the master spindle Function You can use G4 to interrupt workpiece machining between two NC blocks for the programmed length of time, e.g. for relief cutting. Sequence Example: N10 G1 F200 Z-5 S300 M3 ;Feed F, spindle speed S N20 G4 F3 ;Dwell time 3s N30 X40 Y10 N40 G4 S30 ;Dwell for 30 revolutions of spindle, with S=300 rpm and 100% speed override, equals: t=0.1 min N40 X... ;Feed and spindle speed still active The words with F... and S... are used for time specifications in the block with G4 only. Any previously programmed feed F and spindle speed S remain valid. Exemplo: Rebaixo passo a passo SEÇÃO A-A 7,5 35 10 20 20 1 45°X : T12; FRESA P/ REBAIXAR Ø20X7.5 M06 G54 D1 G64 CFIN S2000 M03 G00 X0 Y0 Z5 G1 Z-7.5 F440 G4 S1 ;ou G4 F0.03 (60 seg / 2000 rot = 0,03 seg/rot) G1 Z5 G53 G0 Z-110 D0 :
  • 38.
    26 Programação eOperação - Linha D - Siemens 828D T60356F 12. Compensação de raio de ferramenta 12 - COMPENSAÇÃO DE RAIO DE FERRAMENTA 12.1 - FUNÇÕES: G40, G41 E G42 Aplicação: Compensação de raio da ferramenta A compensação de raio da ferramenta normalmente é aplicada em operações de contornos. Utilizando este recurso, o programador pode informar diretamente as dimensões da peça de acordo com o desenho, sendo que a trajetória a ser realizada pelo centro da ferramenta será automaticamente calculada pelo CNC. Explicação dos comandos: G40 - desativa a compensação de raio da ferramenta G41 - ativa a compensação de raio da ferramenta, quando a mesma trabalha a esquerda do perfil G42 - ativa a compensação de raio da ferramenta, quando a mesma trabalha a direita do perfil Com a função de compensação ativa, o comando calcula automaticamente os respectivos percursos equidistantes da ferramenta. Para o cálculo dos percursos da ferramenta o comando necessita das seguintes informações: T (n.º da ferramenta) e D (n.º do corretor). Para ligar ou desligar a compensação de raio da ferramenta G40, G41 ou G42 tem de se programar um comando de posicionamento com G0 ou G1, com movimento de pelo menos um eixo (preferencialmente os dois). Exemplo 1: programação com compensação de raio a esquerda do perfil (G41) G17 G71 G90 G94 G53 G0 Z-110 D0 T03; FRESA D25 MM M6 G54 D1 G64 CFIN S2500 M3 G0 X-40 Y-30 Z-10 G41 G01 X-45 Y0 F300 G02 X-50 Y5 CR=5 G01 Y40 X-11.36 Y84.8 G2 X11.36 Y84.8 I=AC(0) J=AC(75) G01 X50 Y40 Y5 G02 X45 Y0 CR=5 G01 X20 G03 X-20 Y0 I-20 J0 G01 X-45 G40 X-40 Y-30 G53 G0 Z-110 D0 M30 110 10 R15 22,72 100 84,8 100 R20 40 5R 5 5 75 110 10 R15 22,72 100 84,8 100 R20 40 5R 5 5 75
  • 39.
    T60356F Programação eOperação - Linha D - Siemens 828D 27 12. Compensação de raio de ferramenta Exemplo 2: programação com compensação de raio a direita do perfil (G42) G17 G71 G90 G94 G53 G0 Z-110 D0 T02; FRESA D16 MM M6 G54 D1 G64 CFIN S2000 M3 G0 X-20 Y-20 Z-5 G42 G01 X10 Y10 F700 G01 X80 Y10 G01 X100 Y40 G01 X80 Y70 G01 X60 Y70 G01 X10 Y55 G01 X10 Y10 G40 X-20 Y-20 G53 G0 Z-110 D0 M30 100 60 80 10 70 110 80 40 80 10455 15 70 40
  • 40.
    28 Programação eOperação - Linha D - Siemens 828D T60356F 13. Programação com coordenadas polares R2570 8,50X10 60° 13 - PROGRAMAÇÃO COM COORDENADAS POLARES 13.1 - FUNÇÃO: G111 Aplicação: Define o pólo para as Coordenadas Polares Essa função define o pólo para a programação no sistema coordenadas polares (raio e ângulo), tendo como referência a origem do sistema de coordenadas de trabalho atual. Sintaxe: G111 X___ Y___; G0/G1 AP=(...) RP=(...) G2/G3 AP=(...) RP=(...) onde: X - Coordenada absoluta do pólo no eixo X Y - Coordenada absoluta do pólo no eixo Y AP - Ângulo polar (referência de ângulo ao eixo horizontal) RP - Raio polar (milímetro ou polegada) Exemplo: : G0 X0 Y0 Z10 G111 X0 Y0 G0 AP=0 RP=25 G1 Z-10 F300 G0 Z2 AP=60 RP=25 G1 Z-10 G0 Z2 AP=120 RP=25 G1 Z-10 G0 Z2 AP=180 RP=25 G1 Z-10 G0 Z2 AP=240 RP=25 G1 Z-10 G0 Z2 AP=300 RP=25 G1 Z-10 G0 Z10 : R2570 8,50X10 60°
  • 41.
    T60356F Programação eOperação - Linha D - Siemens 828D 29 14. Outras funções preparatórias 14 - OUTRAS FUNÇÕES PREPARATÓRIAS 14.1 - FUNÇÕES: G17, G18 E G19 Aplicação: Seleciona plano de trabalho As funções “G17”, “G18” e “G19” permitem selecionar o plano no qual se pretende executar interpolação circular, incluindo um arco de interpolação helicoidal e/ou uma compensação de raio da ferramenta. As funções de seleção de plano de trabalho são modais. Explicação dos comandos: G17 - PLANO DE TRABALHO XY G18 - PLANO DE TRABALHO XZ G19 - PLANO DE TRABALHO YZ Z Y x G17 G18G19 OBSERVAÇÃO: O plano G17 é o mais utilizado para gerar perfis e por isso será utilizado como padrão neste manual. 14.2 - FUNÇÕES: G500, G53 E SUPA Aplicação: Cancelamento do sistema de coordenadas de trabalho modal e não modal. A função “G500” tem por finalidade cancelar o zero-peça (funções G54 a G57 e G505 a G599), deixando como referência para trabalho o zero-máquina. Esta função é modal. As funções “G53” e “SUPA” não são modais, portanto tem por finalidade cancelar o zero-peça somente no bloco onde as quais foram programadas. Sendo assim os blocos subsequentes terão como referência o último sistema de coordenadas de trabalho ativo. Exemplo: G53 G0 Z0 D0; POSIOIONA O EIXO Z NA COORDENADA MÁQUINA Z0 (PRÓXIMO AO PONTO DE TROCA DE FERRAMENTA)
  • 42.
    30 Programação eOperação - Linha D - Siemens 828D T60356F 14. Outras funções preparatórias 14.3 - FUNÇÕES: G54 A G59 E G507 A G599 Aplicação: Sistema de coordenadas de trabalho (zero-peça) O sistema de coordenadas de trabalho define, como o zero, um determinado ponto referenciado na peça. Este sistema pode ser estabelecido por uma das quatro funções entre “G54” a “G57” ou uma das 95 funções entre “G505” a “G599”. Os valores para referenciamento devem ser inseridos na página de zero-peça. Z X Y G54 Explicação dos comandos: G54 - ATIVA ZERO-PECA 1 G55 - ATIVA ZERO-PECA 2 G56 - ATIVA ZERO-PECA 3 G57 - ATIVA ZERO-PECA 4 G58 - ATIVA ZERO-PECA 5 G59 - ATIVA ZERO-PECA 6 G507 - ATIVA ZERO-PECA 7 : G599 - ATIVA ZERO-PECA 99 14.4 - FUNÇÕES: G09 E G60 Aplicação: Posicionamento exato As funções G09 e G60 são utilizadas para executar movimentos com coordenadas finais exatos, como, por exemplo, cantos vivos. Com isso, a cada movimento executado, o comando gera uma pequena parada dos eixos envolvidos nestes movimentos. A função G09 não é modal, portanto só é válida para o bloco em que foi programada. Sendo assim os próximos blocos serão executados com a última função de controle de trajetória ativa (G60, G64, G641 ou G642) A função G60 é default, modal e cancela as funções G64, G641, G642. 14.5 - FUNÇÃO: G64, G641, G642 Aplicação: Controle contínuo da trajetória As funções “G64”, “G641” e “G642” são utilizadas para que o comando possa ler alguns blocos a frente (“Look ahead”) e gerar pequenos chanfros ou arredondamentos na transição de cantos formados entre os movimentos.
  • 43.
    T60356F Programação eOperação - Linha D - Siemens 828D 31 14. Outras funções preparatórias Estes comandos fazem a máquina trabalhar com uma trajetória constante e mantém o movimento dos eixos de forma contínua, sem parar entre um bloco e outro. Explicação dos comandos: G64 - CANTOS CHANFRADOS G641 - CANTOS ARREDONDADOS G642 - CANTOS EM FORMA DE SPLINE Estas funções são modais e cancelam a função G60. 14.6 - FUNÇÃO: G70 Aplicação: Sistema de unidade polegadas Um bloco G70 no início do programa instrui o controle para usar valores em polegadas para movimentos dos eixos, avanços e correções. A função G70 é modal. 14.7 - FUNÇÃO: G71 Aplicação: Sistema de unidade milímetro Um bloco G71 no início do programa referência unidades métricas para todos os movimentos dos eixos, avanços e correções. A função G71 é modal. 14.8 - FUNÇÃO: G90 Aplicação: Programação em coordenadas absolutas Esta função prepara a máquina para executar operações em coordenadas absolutas tendo uma pré origem pré-fixada para a programação. A função G90 é modal. Sintaxe: G90 - MODAL X=AC(...) Y=AC(...) Z=AC(...) - NÃO MODAL
  • 44.
    32 Programação eOperação - Linha D - Siemens 828D T60356F 14. Outras funções preparatórias 14.9 - FUNÇÃO: G91 Aplicação: Programação em coordenadas incrementais Esta função prepara a máquina para executar operações em coordenadas incrementais. Assim, todas as medidas são feitas através da distância a se deslocar. A função G91 é modal. Sintaxe: G91 - MODAL X=IC(...) Y=IC(...) Z=IC(...) - NÃO MODAL 14.10 - FUNÇÃO: G94 Aplicação: Programação de avanço em mm/min ou polegadas/min A velocidade de avanço é declarada com a função “F”. A função G94 é modal, e é ativada automaticamente ao ligarmos a máquina. 14.11 - FUNÇÃO: G95 Aplicação: Programação de avanço em mm/rotação ou polegadas/rotação A velocidade de avanço é declarada com a função “F”, esta função é normalmente utilizada em centros de torneamento. A função G95 é modal
  • 45.
    T60356F Programação eOperação - Linha D - Siemens 828D 33 15. Repetições e desvios 15 - REPETIÇÕES E DESVIOS 15.1 - FUNÇÃO: REPEAT Aplicação: Repetição de um bloco ou uma seção do programa Afunção REPEAT é utilizada para repetir um determinado bloco ou trecho do programa, podendo gerar nesse último caso uma subrotina. “LABEL” é a palavra de endereçamento para marcar o início e fim do desvio, ou bloco a ser repetido. A palavra que representa a “LABEL” deve vir acompanhada de dois pontos (:). REPEATB é o parâmetro de repetição que consiste em executar novamente somente o bloco do programa indicado por uma determinada “LABEL”. A função “P” determina o número de repetições (n). REPEAT é o parâmetro de repetição que consiste em executar novamente uma parte do programa, o qual vem seguido da “LABEL” que determina o bloco inicial, podendo também conter uma outra “LABEL” que determia o bloco final do desvio. A função “P” determina o número de repetições (n). Exemplo 1: REPEATB : N100 G0 X10 Y20 N110 Z2 N120 HELICE: G2 X=IC(0) Y=IC(0) Z-20 I-10 J0 TURN=11 F600 N130 G1 X0 F600 N140 G0 Z2 N150 G0 X80 Y45 N160 REPEATB HELICE N170 G1 X70 N180 G0 Z2 : No exemplo acima, a “LABEL” é a palavra “HELICE”. Após executar o bloco N150 a máquina irá executar novamente o bloco marcado com a palavra HELICE (N120) e, ao finalizar esse bloco, ela continuará executando o programa a partir do bloco N170. Exemplo 2: : N10 G0 X-10 Y-10 N20 APROFUNDAR: G1 Z=IC(-2)F100; N30 G1 X0 Y0 N40 X100 N50 Y100 N60 X0 N70 Y0 N80 X-10 Y-10 N90 REPEAT APROFUNDAR P4 :
  • 46.
    34 Programação eOperação - Linha D - Siemens 828D T60356F 15. Repetições e desvios No exemplo anterior, a “LABEL” é a palavra “APROFUNDAR”. A máquina irá executar novamente do bloco “APROFUNDAR” (N20) até o bloco anterior ao do comando REPEAT (N80) 4 vezes. Exemplo 3: : N230 T07; FURAR D10 MM N240 M6 N250 G54 D1 S1650 M3 G64 CFIN N260 G0 X35 Y60 N270 Z10 N280 F350 N290 MCALL CYCLE82(5,0,2,-20,,0.2) N300 INÍCIO: X35 Y60 N310 Y115 N320 X145 N330 FINAL: Y60 N340 MCALL N350 G53 G0 Z-110 D0 N360 T12; REBAIXAR D20 MM N370 M6 N380 G54 D1 S2800 M3 G64 CFIN N390 G0 X35 Y60 N400 Z10 N410 F600 N420 MCALL CYCLE82(5,0,-6,0,0.5) N430 REPEAT INICIO FINAL N440 MCALL : No exemplo acima, a “LABEL” inicial é a palavra “INICIO” e a “LABEL” final é a palavra “FINAL”. A máquina irá executar novamente as intruções do bloco “INICIO” (N300) até o bloco “FINAL” (N330), os quais, neste caso, indicam as posições em que serão efetuados os rebaixos. 15.2 - FUNÇÃO: GOTO Aplicação: Desvio de programa Quando há necessidade de programar um desvio (um salto) do programa, para uma parte específica do mesmo, utiliza-se a função GOTO endereçando um “LABEL” (endereço) pré-programado. “LABEL” é a palavra de endereçamento para marcar o início e fim do desvio, ou bloco a ser repetido. A palavra que representa a “LABEL” deve vir acompanhada de dois pontos “ : ” .
  • 47.
    T60356F Programação eOperação - Linha D - Siemens 828D 35 15. Repetições e desvios GOTOB é a função que desvia o programa para um bloco que está atrás do bloco atual. GOTOF é a função que desvia o programa para um bloco que está a frente do bloco atual. Exemplo 1: N240 G53 G0 Z-110 D0 N250 GOTOF BUSCA N260 T03; ALARGAR : : N350 BUSCA: N360 T04; FRESAR : No exemplo acima, a máquina saltará do bloco N250 (função “GOTOF”) até o bloco N350 (LABEL BUSCA). Exemplo 2: N10 REINICIO: N20 G500 G0 X0 Y0 N30 X-560 N40 X0 Y-406 N50 X-560 N60 GOTOB REINICIO No exemplo acima, a máquina irá executar do bloco N10 (LABEL “REINICIO”) até o bloco N60 (funçao GOTOB) e, depois disso, ela entrará em “LOOPING”, ou seja, retornará ao bloco N10 e executará até o bloco N60 novamente, e assim sucessivamente, até que a execução do programa seja abortada pelo operador.
  • 48.
    36 Programação eOperação - Linha D - Siemens 828D T60356F 16. Subprograma 16 - SUBPROGRAMA Os subprogramas são compostos de blocos com comandos de movimento e contém seqüências de operações de trabalho que devem ser executadas várias vezes. Os subprogramas são invocados à partir de um outro programa denomindado “PROGRAMA PRINCIPAL”. Os nomes dos subprogramas devem seguir as seguintes regras: –– Todos os caracteres podem ser letras, ou devem começar pela letra “L” e terminar por números, ou então, os dois primeiros caracteres devem ser letras e os demais podem ser números. –– Utilizar no máximo 31 caracteres –– Não utilizar caracteres de separação ( , - / “ ” ) –– Extensão “.SPF” EX: L120.SPF OBS: Os programas principais devem seguir as mesmas regras acima, mas devem possuir a extensão “.MPF”. A chamada do subprograma é feita informando o nome do mesmo dentro do programa que o invocará. Subprogramas podem ser chamados não só do programa principal, mas também de outro subprograma, com isso, do programa principal podem partir 11 chamadas de subprogramas. Exemplo 1: N10 N20 : N300 SUB1 : N550 M30 N10 N20 : N300 SUB2 : N550 M17 N10 N20 : N300 SUB3 : N550 M17 N10 N20 : : : N550 M17 PRINCIPAL.MPF SUB1.SPF SUB2.SPF SUB3.SPF NOTA: Os subprogramas terminam com a função “M17” enquanto os programas principais são terminados pela função “M30”. Pode-se programar o comando “P” na frente da chamada do subprograma para indicar quantas vezes ele será executado (caso necessário).
  • 49.
    T60356F Programação eOperação - Linha D - Siemens 828D 37 16. Subprograma Exemplo 2: PRINCIPAL.MPF G0 X10 Y10 Z0 L120 P3 G90 G0 Z100 M30 L120.SPF G91 G1 X50 Y50 F50 X50 Y-50 M17 Chamada do perfil L120.SPF, 3 vezes Exemplo 3: Programa principal PERFIL.MPF G17 G71 G90 G94 G53 G0 Z-110 D0 T01 M6 G54 D01 G64 CFIN S2000 M3 G0 X0 Y0 Z10 G1 Z0 F300 TRIANGULO P4 G0 Z10 G53 G0 Z-110 D0 M5 M30 Subprograma TRIANGULO.SPF G1 Z=IC(-2.5) F100 G41 X10 Y10 F200 Y60 X53.3 Y35 X10 Y10 G40 X0 Y0 M17 60 63,30 70 10 53,30 10 35 10 25 60 63,30 70 10 53,30 10 35 10 25 No exemplo o programa principal PERFIL.MPF chamou e executou o subprograma TRIANGULO.SPF 4 vezes, para que a profundidade de -10 mm possa ser atingida.
  • 50.
    38 Programação eOperação - Linha D - Siemens 828D T60356F 17. Mcall - chamada modal de subprograma 17 - MCALL - CHAMADA MODAL DE CICLO E SUBPROGRAMA Esta função é utilizada para tornar os ciclos ou subprogramas que acompanham esta função modais, repetindo suas operações em todas as coordenadas programadas abaixo dessa função até que a mesma seja desativada através de uma outra função MCALL programada sozinha num bloco. Sintaxes: MCALL CYCLE83 (5,0,2,-100, ,-20, ,5,1,2,1,0) - TORNA O CYCLE83 MODAL X__ Y__ - APROXIMA NESTA COORDENADA E EXECUTA O CYCLE83 (PRIMEIRO FURO) X__ Y__ - APROXIMA NESTA COORDENADA E EXECUTA O CYCLE83 (SEGUNDO FURO) : MCALL - DESATIVA O CYCLE83 ou MCALL PERFIL_EXT - TORNA O SUBPROGRAMA “PERFIL_EXT” MODAL X__ Y__ - APROXIMA NESTA COORDENADA E EXECUTA O SUBPROGRAMA “PERFIL_EXT” X__ Y__ - APROXIMA NESTA COORDENADA E EXECUTA O SUBPROGRAMA “PERFIL_EXT” : MCALL - DESATIVA O SUBPROGRAMA “PERFIL_EXT”
  • 51.
    T60356F Programação eOperação - Linha D - Siemens 828D 39 17. Mcall - chamada modal de subprograma Exemplo: PROGRAMA “EXE_MCALL.MPF” G17 G71 G90 G94 G53 G0 Z-110 D0 T01; FURAR C/ BROCA D28 MM M6 G54 D01 S1500 M3 G64 CFIN G0 X25 Y25 Z10 F300 MCALL CYCLE82(5,0,2,-15) X25 Y25 X75 Y75 X25 MCALL G53 G0 Z-110 D0 M5 T02; ROSCAR M30X2 C/ FRESA D16 MM M6 G54 D01 S2800 M3 G64 CFIN G0 X25 Y25 Z10 MCALL ROSCA_M30X2 X25 Y25 X75 Y75 X25 MCALL G53 G0 Z-110 D0 M5 M30 SEÇÃO A-A 25 15 30 X 2 10 M2 45°X 75 25 100 25 75 100 A A SEÇÃO A-A 15 30 X 210 M2 45°X 100 75 100 A SUBPROGRAMA “ROSCA_M30X2.SPF” G1 Z-10 F1000 G91 X3.5 Y-3.5 G3 X3.5 Y3.5 Z0.25 CR=3.5 G3 X0 Y0 I-7 J0 Z2 G3 X-3.5 Y3.5 Z0.25 CR=3.5 G1 X-3.5 Y-3.5 G90 G0 Z10 M17
  • 52.
    40 Programação eOperação - Linha D - Siemens 828D T60356F 18. Ciclos fixos 18 - FUNÇÃO OFFN. Afunção OFFN é utilizada em operações de fresamento de contornos quando deseja-se realizar movimentos com um valor de offset em relação ao perfil programado. Esta função só pode ser utilizada em programas onde a compensação de raio esteja ativa. Sintaxes: OFFN=___ - DETERMINA O VALOR DO OFFSET A SER APLICADO AO PERFIL. OFFN=0 - DESATIVA A FUNÇÃO OFFN. Exemplo: N10 G17 G71 G90 G94 N20 G53 G0 Z0 D0 N30 T01; FRESA TOPO D16 MM N40 M6 N50 G54 D01 S3200 M3 G64 CFIN N60 G0 X-13 Y-13 N70 Z5 N80 G1 Z-5 F1000 N90 OFFN=12.5 N100 INICIO: G41 G1 X25 Y25 N110 G1 X25 Y125 RND=15 N120 G1 X175 Y125 RND=15 N130 G1 X175 Y25 RND=15 N140 G1 X25 Y25 RND=15 N150 G1 X25 Y45 N160 FIM: G40 G1 X-13 Y-13 N170 OFFN=0.2 N180 REPEAT INICIO FIM N190 OFFN=0 N200 REPEAT INICIO FIM N210 G0 Z10 N220 G53 G0 Z0 D0 N230 M30 150 100 150 200 R15 A A 20 10
  • 53.
    T60356F Programação eOperação - Linha D - Siemens 828D 41 18. Ciclos fixos 19 - CICLOS FIXOS. Os ciclos fixos são macros desenvolvidas pelo fabricante do CNC com o objetivo de facilitar a programação das operações mais comuns, tais como: furação, roscamento com macho, mandrilamento, faceamento, fresamento de rosca, etc. Sintaxes: CYCLEnn( aa , aa , ... , aa ) HOLESnn( aa , aa , ... , aa ) LONGHOLE( aa , aa , ... , aa ) POCKETnn( aa , aa , ... , aa ) SLOTnn( aa , aa , ... , aa ) onde: CYCLE..., HOLES..., LONGHOLE, POCKET..., SLOT... - nome dos ciclos nn - número que identifica o ciclo. Exemplos: CYCLE82, CYCLE90, HOLES2, etc aa - argumentos do ciclo Exemplo: CYCLE82(5,0,2,0,0.5) No comando Siemens 828D os ciclos podem ser programados de duas maneiras: utilizando a tela interativa do ciclo, acessada através de teclas de apoio, ou inserindo manualmente a sintaxe completa do ciclo diretamente na tela de edição de programa. Quando se programa utilizando as telas de apoio, alguns dados do ciclo ficam ocultos devido ao fato de serem equivalentes a outros dados que estão visíveis. Sendo assim, para vizualizar esses dados deve-se posicionar o cursor sobre o dado equivalente e acionar a softkey denominada “Altera” ou a tecla “Select” . Porém, independentemente se há dados ocultos ou não, quando o ciclo for inserido no programa sua sintaxe será completa. Nos próximos capítulos a seguir serão mostrados como acessar as telas de apoio de cada um dos ciclos.
  • 54.
    42 Programação eOperação - Linha D - Siemens 828D T60356F 19. Ciclos fixos 19.1 - CYCLE81 Aplicação: Furo de centro com tempo de permanência Este ciclo é utilizado para efetuar furações simples, como furos de centro, alargamento, furos de pequena profundidade, etc. Para acessar a página de programação do CYCLE81 é necessário seguir os seguintes passos: - Acionar a softkey [ Furar ] - Acionar a softkey [ Centrar ] - Preencher os campos (ver figura-exemplo abaixo) - Acionar a softkey [ Aceitar ] Os dados a serem preenchidos são os seguintes: RP Coordenada Z de retorno da ferramenta após o fim do ciclo (absoluto) SC Distância segura (folga para aproximação - sem sinal) 3º Campo Através da tecla [SELECT] escolher entre as opções: - Pos. individual (realiza apenas uma furação) - Modelo de pos. (MCALL) (realiza vários furos com a mesma profundidade) Z0 Coordenada Z de início da furação (absoluta) 5º Campo Através da tecla [SELECT] escolher entre as opções: - Diâmetro (para determinar o diâmetro final do furo de centro) - Ponta (para determinar a profundidade final do furo de centro) Ø Diâmetro final do furo de centro. (Este campo aparece somente quando é selecionada a opção “diâmetro” no 5º campo). Z1 Coordenada Z final da furação. Através da tecla [SELECT] pode-se escolher entre coordenada absoluta ou incremental. (Este campo aparece somente quando é selecionada a opção “ponta” no 5º campo). DT Tempo de permanência na coordenada final da furação. Através da tecla [SELECT] pode-se escolher entre tempo em segundos ou número de voltas do eixo árvore.
  • 55.
    T60356F Programação eOperação - Linha D - Siemens 828D 43 19. Ciclos fixos Após acionar a softkey [Aceitar], o ciclo é inserido no programa conforme exemplo abaixo: CYCLE81 (______________) NOTAS: - Os dados de corte como avanço e rotação devem ser programados anteriormente em um bloco separado. - Caso a opção “Modelo de Pos.” seja selecionada, a máquina gera um comando “MCALL” antes do ciclo. Neste caso, depois de inserido o comando no programa, é necessário informar as posições a serem furadas e terminar novamente com o comando “MCALL”. WORKPIECE(,,””,”BOX”,112,0,-30,-80,0,0,75,75) G17 G71 G90 G94 G53 G0 Z-110 D0 T01; BROCA D20 MM M6 G54 D01 S1800 M3 G0 X25 Y25 Z10 F100 MCALL CYCLE81(5,0,2,-26,,0,0,0,22) X25 Y25 X50 Y50 MCALL G53 G0 Z-110 D0 M5 M30 25 75 50 25 50 A A SEÇÃO A-A 30 75 26 20 75 25 50 A A SEÇÃO A-A 30 26 20
  • 56.
    44 Programação eOperação - Linha D - Siemens 828D T60356F 19. Ciclos fixos 19.2 - CYCLE82 Aplicação: Furação com tempo de permanência Este ciclo é utilizado para efetuar furações simples, como furos de centro, alargamento, furos de pequena profundidade, etc. Para acessar a página de programação do CYCLE82 é necessário seguir os seguintes passos: - Acionar a softkey [ Furar ] - Acionar a softkey [ Furar Alargar] - Acionar a softkey [ Furar ] - Preencher os campos (ver figura-exemplo abaixo) - Acionar a softkey [ Aceitar ] Os dados a serem preenchidos são os seguintes: RP Coordenada Z de retorno da ferramenta após o fim do ciclo (absoluto) SC Distância segura (folga para aproximação - sem sinal) 3º Campo Através da tecla [SELECT] escolher entre as opções: - Pos. individual (realiza apenas uma furação) - Modelo de pos. (MCALL) (realiza vários furos com a mesma profundidade) Z0 Coordenada Z de início da furação (absoluta) 5º Campo Através da tecla [SELECT] escolher entre as opções: - Topo (para determinar a profundidade da parte paralela do furo) - Ponta (para determinar a profundidade final da ponta da broca) Z1 Coordenada Z final da furação. Através da tecla [SELECT] pode-se escolher entre coordenada absoluta ou incremental DT Tempo de permanência na coordenada final da furação. Através da tecla [SELECT] pode-se escolher entre tempo em segundos ou número de voltas do eixo árvore.
  • 57.
    T60356F Programação eOperação - Linha D - Siemens 828D 45 19. Ciclos fixos Após acionar a softkey [Aceitar], o ciclo é inserido no programa conforme exemplo abaixo: CYCLE82 (______________) NOTAS: - Os dados de corte como avanço e rotação devem ser programados anteriormente em um bloco separado. - Caso a opção Modelo de Pos. seja selecionada, a máquina gera um comando “MCALL” antes do ciclo. Neste caso, depois de inserido o comando no programa, é necessário informar as posições a serem furadas e terminar novamente com o comando “MCALL”. Exemplo: WORKPIECE(,,””,”BOX”,112,0,-30,-80,0,0,75,75) G17 G71 G90 G94 G53 G0 Z-110 D0 T01; BROCA D20 MM M6 G54 D01 S1800 M3 G0 X25 Y25 Z10 F100 N100 MCALL CYCLE82(5,0,2,-26,,0.5,10,1,12) X25 Y25 X50 Y50 MCALL G53 G0 Z-110 D0 M5 M30 25 75 50 25 50 A A SEÇÃO A-A 30 75 26 20 75 25 50 A A SEÇÃO A-A 30 26 20
  • 58.
    46 Programação eOperação - Linha D - Siemens 828D T60356F 19. Ciclos fixos 19.3 - CYCLE83 Aplicação: Furação com quebra ou descarga de cavacos Este ciclo é utilizado para efetuar furações profundas, pois conta com os recursos de quebra ou descarga de cavacos. Para acessar a página de programação do CYCLE83 é necessário seguir os seguintes passos: - Acionar a softkey [ Furar ] - Acionar a softkey [ Furo profundo ] - Preencher os campos (ver figura-exemplo abaixo) - Acionar a softkey [ Aceitar ] Os dados a serem preenchidos são os seguintes: RP Coordenada Z de retorno da ferramenta após o fim do ciclo (ABSOLUTO) SC Distância segura (folga para aproximação - SEM SINAL) 3º Campo Através da tecla [SELECT] escolher entre as opções: - Pos. individual (realiza apenas uma furação) - Modelo de pos. (MCALL) (realiza vários furos com a mesma profundidade) 4º Campo Através da tecla [SELECT] escolher entre as opções: - Quebr. aparas (apenas quebrar o cavaco. Recuo de apenas alguns mm) - Elim. cavacos (recua a ferramenta fora do furo para descarga de cavacos) Z0 Coordenada Z de início da furação (absoluta) 6º Campo Através da tecla [SELECT] escolher entre as opções: - Topo (para determinar a profundidade da parte paralela do furo) - Ponta (para determinar a profundidade final da ponta da broca)
  • 59.
    T60356F Programação eOperação - Linha D - Siemens 828D 47 19. Ciclos fixos Ø Diâmetro final do furo de centro. (Este campo aparece somente quando é selecionada a opção “diâmetro” no 6º campo). Z1 Coordenada Z final da furação. Através da tecla [SELECT] pode-se escolher entre coordenada absoluta ou incremental. (Este campo aparece somente quando é selecionada a opção “ponta” no 6º campo). D Profundidade da primeira penetração da ferramenta.Através da tecla [SELECT] pode-se escolher entre coordenada absoluta ou incremental. FD1 Percentual de avanço para a primeira penetração. DF Diminuiçãoemrelaçãoaprofundidadedaprimeirapenetraçãoparafazerasegunda, em relação a segunda para fazer a terceira,e assim sucessivamente. Através da tecla [SELECT] pode-se escolher entre porcentagem ou valor em mm. V1 Mínima profundidade de corte. V2 Valor de recuo para quebra de cavaco. Dist. par. prévia Através da tecla [SELECT] escolher entre as opções: - Manual (valor de folga ao retornar para dentro do furo é inserido através de V3) - Automaticamente (valor da folga é definida por parâmetro) V3 Folga para aproximação após eliminar o cavaco. DTB Tempo de permanência no fundo do furo após cada incremento. Através da tecla [SELECT] pode-se escolher entre tempo em segundos ou número de voltas do eixo árvore. DT Tempo de permanência na coordenada final da furação. Através da tecla [SELECT] pode-se escolher entre tempo em segundos ou número de voltas do eixo árvore. DTS Tempo de permanência fora do furo após cada eliminação de cavaco. Através da tecla [SELECT] pode-se escolher entre tempo em segundos ou número de voltas do eixo árvore. Após acionar a softkey [Aceitar], o ciclo é inserido no programa conforme exemplo a seguir: CYCLE83 (______________) NOTAS: - Os dados de corte como avanço e rotação devem ser programados anteriormente em um bloco separado. - Caso a opção “Modelo de Pos.” seja selecionada, a máquina gera um comando “MCALL” antes do ciclo. Neste caso, depois de inserido o comando no programa, é necessário informar as posições a serem furadas e terminar novamente com o comando “MCALL”.
  • 60.
    48 Programação eOperação - Linha D - Siemens 828D T60356F 19. Ciclos fixos Exemplo: WORKPIECE(,,””,”BOX”,112,0,-30,-80,0,0,75,75) G17 G71 G90 G94 G53 G0 Z-110 D0 T15; BROCA D16 MM M6 G54 D01 S2000 M3 G0 X17.5 Y20 Z7 F200 MCALL CYCLE83(5,0,2,-85,,-20,,90,1,0,1.2,1.4,0.6,1.6,10,1,11221112) X17.5 Y20 X67.5 MCALL G53 G0 Z-110 D0 M5 M30 R20 25,18 17,5 40 67,5 A A SEÇÃO A-A 85 16 85 100 A O A-A 85
  • 61.
    T60356F Programação eOperação - Linha D - Siemens 828D 49 19. Ciclos fixos 19.4 - CYCLE84 Aplicação: Roscamento macho rígido Este ciclo executa o roscamento utilizando macho com fixação rígida. Acessar a página do CYCLE84: Para acessar a página de programação do CYCLE84 é necessário seguir os seguintes passos: - Acionar a softkey [ Furar ] - Acionar a softkey [ Rosca ] - Acionar a softkey [ Furar rosca ] - Preencher os campos (ver figura-exemplo abaixo) - Acionar a softkey [ Aceitar ] Os dados a serem preenchidos são os seguintes: RP Coordenada Z de retorno da ferramenta após o fim do ciclo (absoluto) SC Distância segura (folga para aproximação - sem sinal) 3º Campo Através da tecla [SELECT] escolher entre as opções: - sem mandril de comp. (roscamento com macho rígido - OPÇÃO INDICADA) - com mandril de comp. (roscamento com mandril flutuante) 4º Campo Através da tecla [SELECT] escolher entre as opções: - Pos. individual (realiza apenas uma furação) - Modelo de pos. (MCALL) (realiza vários furos com a mesma profundidade) Z0 Coordenada Z de início do roscamento (absoluta) Z1 Coordenada Z final do roscamento.Através da tecla [SELECT] pode-se escolher entre coordenada absoluta ou incremental
  • 62.
    50 Programação eOperação - Linha D - Siemens 828D T60356F 19. Ciclos fixos 7º Campo Através da tecla [SELECT] escolher entre as opções: - Rosca à dir. - Rosca à esq. Tabela Através da tecla [SELECT] escolher entre as opções: - sem - ISO métrico - Whitworth BSW - Whitworth BSP - UNC Seleção Através da tecla [SELECT] selecionar o tamanho de rosca desejado. Com esta opção, o valor do passo é selecionado automaticamente. Este campo aparece somente quando uma opção diferente de “SEM” é selecionada no campo TABELA. P Passo da rosca. Através da tecla [SELECT] pode-se escolher entre passo em mm ou em fios por polegada. αS Ângulo de orientação do eixo árvore para iniciar o ciclo. S Rotação a ser utilizada durante o roscamento 13º Campo Através da tecla [SELECT] escolher entre as opções: - 1 corte (faz a rosca até a profundidade final em uma única entrada) - Vários cortes (faz a rosca no sistema quebra cavaco) DT Tempo de permanência no fundo do furo (valor em segundos) SR Rotação a ser utilizada durante o retorno da ferramenta. SDE Através da tecla [SELECT] escolher o sentido de giro do eixo árvore após fim do ciclo, no momento em que a ferramenta já está fora da peça. USINAGEM Através da tecla [SELECT] escolher o tipo de usinagem a ser realizada: COM ENCODER ou SEM ENCODER. Este campo aparece somente quando se seleciona a opção COM MANDRIL DE COMp. no 3º campo. TIPO DE PASSO Através da tecla [SELECT] escolher o tipo de passo a ser informado: - Avanço ativo: O passo resulta do avanço. - Entrada do usuário: O passo resulta da especificação Após acionar a softkey [Aceitar], o ciclo é inserido no programa conforme exemplo abaixo: CYCLE84 (______________) NOTAS: - Os dados de corte como avanço e rotação devem ser programados anteriormente em um bloco separado. - O sentido de giro é sempre invertido automaticamente na abertura das roscas - Caso a opção Modelo de Pos. seja selecionada, a máquina gera um comando “MCALL” antes do ciclo. Neste caso, depois de inserido o comando no programa, é necessário informar as posições a serem roscadas e terminar novamente com o comando “MCALL”.
  • 63.
    T60356F Programação eOperação - Linha D - Siemens 828D 51 Exemplo: WORKPIECE(,,””,”BOX”,112,0,-15,-80,-65,-65,65,65) G17 G71 G90 G94 G53 G0 Z-110 D0 T20; MACHO M12X1.75 M6 G54 D01 S500 M3 G0 X0 Y35 Z5 MCALL CYCLE84(5,0,2,-18,,0.7,3,,1.75,5,500,5,0,1,0,1,5,1,,,,,1001,2001002) RP=35 AP=90 AP=210 AP=330 MCALL G53 G0 Z-110 D0 M5 M30 103,92 90R35 R10 A A SEÇÃO A-A 15 M12X1.75 19. Ciclos fixos
  • 64.
    52 Programação eOperação - Linha D - Siemens 828D T60356F 19. Ciclos fixos 19.5 - CYCLE85 Aplicação: Acabamento de furos com alargador. Aferramenta executa o movimento até a profundidade programada, podendo programar o avanço de retração de acordo com o desejado. Para acessar a página de programação do CYCLE85 é necessário seguir os seguintes passos: - Acionar a softkey [ Furar ] - Acionar a softkey [ Furar Alargar ] - Acionar a softkey [ Alargar ] - Preencher os campos (ver figura-exemplo abaixo) - Acionar a softkey [ Aceitar ] Os dados a serem preenchidos são os seguintes: RP Coordenada Z de retorno da ferramenta após o fim do ciclo (absoluto) SC Distância segura (folga para aproximação - sem sinal) 3º Campo Através da tecla [SELECT] escolher entre as opções: - Pos. individual (realiza apenas uma furação) - Modelo de pos. (MCALL) (realiza vários furos com a mesma profundidade) F Avanço de penetração da ferramenta FR Avanço de retorno da ferramenta. Z0 Coordenada Z de início da furação.
  • 65.
    T60356F Programação eOperação - Linha D - Siemens 828D 53 19. Ciclos fixos Z1 Coordenada Z final da furação. Através da tecla [SELECT] pode-se escolher entre coordenada absoluta ou incremental DT Tempo de permanência na coordenada final da furação. Através da tecla [SELECT] pode-se escolher entre tempo em segundos ou número de voltas do eixo árvore. Após acionar a softkey [Aceitar], o ciclo é inserido no programa conforme exemplo abaixo: CYCLE85 (______________) NOTAS: - Deve-se programar a rotação do eixo árvore anteriormente em bloco separado. - Caso a opção Modelo de Pos. seja selecionada, a máquina gera um comando “MCALL” antes do ciclo. Neste caso, depois de inserido o comando no programa, é necessário informar as posições a serem roscadas e terminar novamente com o comando “MCALL”. Exemplo: : G53 G0 Z-110 D0 T04 M6 G54 D1 S920 M3 G0 X70 Y0 Z15 MCALL CYCLE85 (5,0,2,-15, ,1,100,500) X70 Y0 X120 MCALL G53 G0 Z-110 D0 M5 : SEÇÃO A-A 45 35 15 20 40 70 50 150 70 30° 25 A A 5 35 15 40
  • 66.
    54 Programação eOperação - Linha D - Siemens 828D T60356F 19. Ciclos fixos 19.6 - CYCLE86 Aplicação: Mandrilamento com retração do eixo árvore parado A ferramenta executa o mandrilamento até a profundidade programada, podendo programar um deslocamento para retração antes da saída em avanço rápido. Para acessar a página de programação do CYCLE86 é necessário seguir os seguintes passos: - Acionar a softkey [ Furar ] - Acionar a softkey [ Mandrilar ] - Preencher os campos (ver figura-exemplo abaixo) - Acionar a softkey [ Aceitar ] Os dados a serem preenchidos são os seguintes: RP Coordenada Z de retorno da ferramenta após o fim do ciclo (absoluto) SC Distância segura (folga para aproximação - sem sinal) 3º Campo Através da tecla [SELECT] escolher entre as opções: - Pos. individual (realiza apenas uma furação) - Modelo de pos. (MCALL) (realiza vários furos com a mesma profundidade) DIR Através da tecla [SELECT] escolher entre as opções: - rotação no sentido horário - rotação no sentido anti-horário Z0 Coordenada Z de início do mandrilamento (absoluta) Z1 Coordenada Z final do mandrilamento. Através da tecla [SELECT] pode-se escolher entre coordenada absoluta ou incremental
  • 67.
    T60356F Programação eOperação - Linha D - Siemens 828D 55 19. Ciclos fixos DT Tempo de permanência na coordenada final do mandrilamento. Através da tecla [SELECT] pode-se escolher entre tempo em segundos ou número de voltas do eixo árvore. SPOS Ângulo de parada do eixo árvore ao chegar ao final do furo. 9º CAMPO Através da tecla [SELECT] escolher entre as opções: - levantar (habilita recuo dos eixos após parada do eixo árvore) - não levantar (retorno da ferramenta em Z sem recuo dos outros eixos) DX Valor de recuo no eixo X após parada do eixo árvore. Este campo aparece somente quando a opção levantar aparece no 9º campo. DY Valor de recuo no eixo Y após parada do eixo árvore. Este campo aparece somente quando a opção levantar aparece no 9º campo. DZ Valor de recuo no eixo Z após parada do eixo árvore. Este campo aparece somente quando a opção levantar aparece no 9º campo. Após acionar a softkey [Aceitar], o ciclo é inserido no programa conforme exemplo abaixo: CYCLE86 (______________) NOTAS: Os dados de corte como avanço e rotação devem ser programados anteriormente em um bloco separado. - Caso a opção Modelo de Pos. seja selecionada, a máquina gera um comando “MCALL” antes do ciclo. Neste caso, depois de inserido o comando no programa, é necessário informar as posições a serem mandriladas e terminar novamente com o comando “MCALL”. SEÇÃO A-A 65 50 20 65 15 150 65 150 Exemplo: WORKPIECE(,,””,”BOX”,112,0,-35,-80,0,-35,150,35) G17 G71 G90 G94 G53 G0 Z-110 D0 T06 M6 G54 D01 S800 M3 G0 X0 Y0 Z10 F300 MCALL CYCLE86(5,0,2,-15,,0.6,3,2,2,1,45,0,1,12) G53 G0 Z-110 D0 M5 M30
  • 68.
    56 Programação eOperação - Linha D - Siemens 828D T60356F 19. Ciclos fixos 19.7 - CYCLE70 Aplicação: Interpolação helicoidal Este ciclo permite produzir roscas internas e externas. A trajetória da ferramenta é baseada em uma interpolação helicoidal. Para acessar a página de programação do CYCLE70 é necessário seguir os seguintes passos: - Acionar a softkey [ Fresar ] - Acionar a softkey [ Fresagem roscas ] - Preencher os campos (ver figura-exemplo abaixo) - Acionar a softkey [ OK ] Os dados a serem preenchidos são os seguintes: RP Plano de retorno da ferramenta após o fim do ciclo (ABSOLUTO) SC Distância segura (folga para aproximação - SEM SINAL) F1 Avanço de furação. USINAGEM Indica o tipo de usinagem, sendo que: = Desbaste = Acabamento 5º Campo Sentido da usinagem, sendo que: Z0 Z1 : Usinagem de cima para baixo Z1 Z0 : Usinagem de baixo para cima
  • 69.
    T60356F Programação eOperação - Linha D - Siemens 828D 57 19. Ciclos fixos 6º Campo Indica a direção da Rosca, sendo que: Dir. = Rosca à direita Esq. = Rosca à esquerda 7º Campo Indica se a rosca a ser fresada é Externa ou Interna, sendo que: Fêmea: Rosca Interna Macho: Rosca Externa NT Nº de dentes da ferramenta 9º Campo Através da tecla [SELECT] escolher entre as opções: - Pos. individual (realiza apenas uma furação) - Modelo de pos. (MCALL) (realiza vários furos com a mesma profundidade) X0 Coordenada em “X” do centro da Rosca Y0 Coordenada em “Y” do centro da Rosca Z0 Plano de referência (Z inicial - ABSOLUTO) Z1 Coordenada Z final do fresamento.Através da tecla [SELECT] pode-se escolher entre coordenada ABSOLUTA ou INCREMENTAL TABELA Define tipo de roscamento, sendo que: Sem: Rosca sem padronização ISO métrico: Rosca padrão Métrico Withwort BSW: Rosca padrão Polegada Withwort BSP: Rosca padrão Polegada UNC: Rosca padrão Polegada SELEÇÃO Valor padrão de Ø e passo. Este campo aparece e pode ser selecionado de acordo com a opção selecionada no campo TABELA. P Passo da hélice Ø Diâmetro externo da rosca H1 Altura do filete U Sobremetal para acabamento em “X” e em “Y”. (aparece somente quando ´´e selecionado a opção Desbaste no campo “USINAGEM”). aS Angulo de entrada na rosca CYCLE70 (______________) NOTAS: A posição de partida, quando em usinagem externa, é qualquer posição desde que a ferramenta possa atingir o diâmetro externo e o plano de retorno sem colisão. A posição de partida, quando em usinagem interna, é qualquer posição desde que a ferramenta possa atingir o centro da interpolação e a altura do plano de retorno sem colisão. Quando usinagem de baixo para cima devemos posicionar a ferramenta no plano de retorno ou atrás do plano de retorno. Uma vez que o comando monitora a ferramenta durante o ciclo, devemos ativar o seu devido corretor, caso contrário irá ocorrer um alarme abortando a operação. A rotação deve ser programada em um bloco separado. Caso a opção Modelo de Pos. seja selecionada, a máquina gera um comando “MCALL” antes do ciclo. Neste caso, depois de inserido o comando no programa, é necessário informar as posições a serem roscadas e terminar novamente com o comando “MCALL”.
  • 70.
    58 Programação eOperação - Linha D - Siemens 828D T60356F 19. Ciclos fixos Exemplo: WORKPIECE(,,””,”CYLINDER”,64,0,-30,-80,100) G17 G71 G90 G94 G53 G0 Z-110 D0 T01; FRESA PARA ROSCAR M6 G54 D01 S1800 M3 G0 X0 Y0 Z2 CYCLE70(5,0,2,-30,60,2.8,0,4,7,1,200,0,0,0,45,11,1,,,,,1,0) G53 G0 Z-110 D0 M5 M30 SEÇÃO A-A 30 100 100 20X45 M60X4 A A 19.7.1 - Ultrapassagem no comprimento da rosca O movimento de entrada e saída no fresamento de roscas ocorre em todos os três eixos. No término da usinagem surgirá um movimento adicional ao eixo vertical, além da profundidade da rosca programada. Este movimento adicional é calculado pela seguinte fórmula: z = p * 2 * WR + RDIFF 4 DIATH z - valor do movimento adicional (cálculo interno) p - passo da rosca WR - raio da ferramenta DIATH - diâmetro externo da rosca RDIFF - diferença de raio para o círculo de saída Para roscas internas RDIFF=DIATH/2-WR Para roscas externas RDIFF=DIATH/2+WR
  • 71.
    T60356F Programação eOperação - Linha D - Siemens 828D 59 19. Ciclos fixos 19.8 - HOLES1 Aplicação: Linha de posições Esta função permite introduzir em determinados ciclos inúmeras posições dispostas em linha reta e com distâncias equivalentes. Para acessar a página de programação do HOLES1 é necessário seguir os seguintes passos: - Acionar a softkey [ Furar ] - Acionar a softkey [ Posição ] - Acionar a softkey com o desenho da linha de furos. - Preencher os campos (ver figura-exemplo abaixo) - Acionar a softkey [ Aceitar ] Os dados a serem preenchidos são os seguintes: LAB Nome de identificação da linha para posterior repetição. 2º Campo Através da tecla [SELECT] escolher entre as opções: - Linha (habilita função HOLES 1 para fazer uma única linha de furos) X0 Ponto de referência da linha de furos no eixo X. Y0 Ponto de referência da linha de furos no eixo Y. α0 Ângulo de inclinação da linha de furos. L0 Distância do ponto de referência até a coordenada do primeiro furo. L Distância entre os furos. N Quantidade de furos.
  • 72.
    60 Programação eOperação - Linha D - Siemens 828D T60356F 19. Ciclos fixos Após acionar a softkey [Aceitar], o ciclo é inserido no programa conforme exemplo abaixo: HOLES1 (______________) NOTAS: Os parâmetros não necessários podem ser omitidos no bloco de programação ou receberem valor zero (0). Exemplo 1: G17 G71 G90 G94 G53 G0 Z-110 D0 T04 M6 G54 D01 S800 M3 G0 X20 Y10 Z10 F200 MCALL CYCLE82(5,0,2,-26,,0.5,10,1,12) HOLES1(20,10,0,0,20,4,,0,,,1) HOLES1(110,40,90,0,20,3,,0,,,1) MCALL G53 G0 Z-110 D0 M5 M30 SEÇÃO A-A 9 10 4020 20 110 120 100 20 100 20 A A SEÇÃO A-A 9 10
  • 73.
    T60356F Programação eOperação - Linha D - Siemens 828D 61 19. Ciclos fixos 19.9 - HOLES2 Aplicação: Círculo de posições Esta função permite introduzir, em determinados ciclos, inúmeras posições dispostas em formato circular e com distâncias equivalentes. Para acessar a página de programação do HOLES2 é necessário seguir os seguintes passos: - Acionar a softkey [ Furar ] - Acionar a softkey [ Posição ] - Acionar a softkey com o desenho do círculo de furos. - Preencher os campos (ver figura-exemplo abaixo) - Acionar a softkey [ Aceitar ] Os dados a serem preenchidos são os seguintes: LAB Nome de identificação da linha para posterior repetição. 2º Campo Através da tecla [SELECT] escolher entre as opções: - Círc. parc. - Círc. int. X0 Coordenada do centro do círculo de furos no eixo X. Y0 Coordenada do centro do círculo de furos no eixo Y. α0 Ângulo do primeiro furo. α1 Abertura angular entre furos. Este campo aparece somente quando a opção “Círc. parc.” está selecionada no 2º campo.
  • 74.
    62 Programação eOperação - Linha D - Siemens 828D T60356F 19. Ciclos fixos R Raio do círculo de furos. N Quantidade de furos. posicionar Através da tecla [SELECT] escolher entre as opções: - Reta: A ferramenta realiza um movimento linear entre um furo e outro. - Círculo: A ferramenta realiza um movimento circular entre um furo e outro. Após acionar a softkey [Aceitar], o ciclo é inserido no programa conforme exemplo abaixo: HOLES2 (______________) Exemplo: N10 WORKPIECE(,,””,”CYLINDER”,64,0,- 9,-80,135) G17 G71 G90 G94 G53 G0 Z-110 D0 T08; BROCA D8 MM M6 G54 D01 G64 CFIN S1550 M3 G0 X0 Y0 Z10 F230 MCALL CYCLE82(5,0,2,-26,,0.5,10,1,12) HOLES2(0,0,50,108,30,5,1010,0,,,1) MCALL G53 G0 Z-110 D0 M5 M30 58 R 72° 8X5
  • 75.
    T60356F Programação eOperação - Linha D - Siemens 828D 63 19. Ciclos fixos 19.10 - CYCLE801 Aplicação: Grade de posições Esta função permite introduzir em determinados ciclos inúmeras posições dispostas em grade (linhas e colunas) e com distâncias equivalentes. Para acessar a página de programação do CYCLE 801 é necessário seguir os seguintes passos: - Acionar a softkey [ Furar ] - Acionar a softkey [ Posição ] - Acionar a softkey com o desenho da linha de furos. - No segundo campo, selecionar a opção grade através da tecla [SELECT]. - Preencher os campos (ver figura-exemplo abaixo) - Acionar a softkey [ Aceitar ] Os dados a serem preenchidos são os seguintes: LAB Nome de identificação da linha para posterior repetição. 2º Campo Através da tecla [SELECT] escolher a opção: - Grade (habilta função CYCLE 801 para fazer várias linhas de furos) - Padrão (habilta função CYCLE 801 para fazer um retângulo de furos) X0 Coordenada do primeiro furo no eixo X. Y0 Coordenada do primeiro furo no eixo Y. α0 Ângulo de rotação das coordenadas dos furos. L1 Distância entre as colunas de furos. L2 Distância entre as linhas de furos. N1 Número de colunas de furos N2 Número de linhas de furos
  • 76.
    64 Programação eOperação - Linha D - Siemens 828D T60356F 19. Ciclos fixos Após acionar a softkey [Aceitar], o ciclo é inserido no programa conforme exemplo abaixo: CYCLE801 (______________) NOTA: Os parâmetros não necessários podem ser omitidos no bloco de programação ou receberem valor zero (0). Exemplo 1: WORKPIECE(,,””,”BOX”,112,0,-25,-80,0,0,- 100,150) G17 G71 G90 G94 G53 G0 Z0 D0 T01 M6 G54 D01 S1800 M3 G0 X25 Y25 Z10 F100 MCALL CYCLE82(5,0,2,-26,,0.5,10,1,12) CYCLE801(-92.5,15,0,42.5,30,3,5,0,0,0,0,,,1) MCALL G53 G0 Z0 D0 T02 M6 G54 D01 S1800 M3 G0 X25 Y25 Z10 F100 MCALL CYCLE84(5,0,2,-18,,0.7,3,,1.75,5,500,5,0, 1,0,1,5,1,,,,,1001,2001002) CYCLE801(-92.5,15,0,42.5,30,3,5,0,0,0,0,,,1) MCALL G53 G0 Z0 D0 M30 SEÇÃO A-A 12 10 18 M8 X 1.25 7,50 30 42,50 1527,5 15 M8X1.25 A A 0 M8 X 1.25
  • 77.
    T60356F Programação eOperação - Linha D - Siemens 828D 65 19. Ciclos fixos 19.11 - LONGHOLE Aplicação: Rasgos em círculo (largura igual ao diâmetro da fresa) Este ciclo permite a usinagem (desbaste) de rasgos oblongos, sendo que a larguras dos rasgos serão iguais ao diâmetro da fresa. Para acessar a página de programação do LONGHOLE é necessário seguir os seguintes passos: - Acionar a softkey [ Fresar ] - Acionar a softkey [ Ranhura ] - Acionar a softkey [ Furo oblongo ] - Preencher os campos (ver figura-exemplo abaixo) - Acionar a softkey [ Aceitar ] Os dados a serem preenchidos são os seguintes: RP Coordenada Z de retorno da ferramenta após o fim do ciclo (absoluto) SC Distância segura (folga para aproximação - sem sinal) F Avanço a ser utilizado durante o fresamento do rasgo. 4º CAMPO Através da tecla [SELECT] escolher entre as opções: - em planos: Aprofunda de topo - Oscil. Aprofunda em rampa Pto. de ref. Através da tecla [SELECT] escolher entre as opções: - centro - centro do raio à esquerda - centro do raio à direita - extremidade esquerda - extremidade direita 6º Campo Através da tecla [SELECT] escolher entre as opções: - Pos. individual (realiza apenas um rasgo) - Modelo de pos. (MCALL) (realiza vários rasgos com as mesmas dimensões) X0 Ponto de referência do rasgo no eixo X.
  • 78.
    66 Programação eOperação - Linha D - Siemens 828D T60356F 19. Ciclos fixos Y0 Ponto de referência do rasgo no eixo Y. Z0 Coordenada Z de início do rasgo (absoluta) L Comprimento do rasgo. α0 Ângulo de inclinação do rasgo em relação ao eixo X. Z1 Coordenada Z final do rasgo. Através da tecla [SELECT] pode-se escolher entre coordenada absoluta ou incremental DZ Profundidade de corte durante o fresamento FZ Avanço de penetração da ferramenta no material. Após acionar a softkey [Aceitar], o ciclo é inserido no programa conforme exemplo abaixo: LONGHOLE (______________) NOTAS: A posição de aproximação pode ser qualquer uma desde que não haja risco de colisão. Os pontos de início dos rasgos são atingidos através de movimentos rápidos Antes de ativarmos o ciclo devemos ativar o corretor da ferramenta correspondente, pois o comando monitora a ferramenta durante o ciclo. Durante a usinagem, o sistema de coordenadas é rotacionado, com isso os valores mostrados no display serão como se estivesse usinando sobre o 1º eixo. - Caso a opção Modelo de Pos. seja selecionada, a máquina gera um comando “MCALL” antes do ciclo. Neste caso, depois de inserido o comando no programa, é necessário informar as posições a serem fresadas e terminar novamente com o comando “MCALL”. 8 A SEÇÃO A-A 10 4 16 Exemplo: : G0 X15 Y15 Z5 MCALL LONGHOLE(100,0,5,-4,,1,53.5,12.5,0,5,0,0,0.1,200,0.5,3,0,1100,1011,2) HOLES2(12.5,0,12.5,30,120,2,2010,0,,,1) HOLES2(12.5,0,12.5,210,120,2,2010,0,,,1) MCALL : 30 120 R 45 12,50 R58 8 A A SEÇÃO A-A 10 4 16
  • 79.
    T60356F Programação eOperação - Linha D - Siemens 828D 67 19. Ciclos fixos 19.12 - SLOT1 Aplicação: Rasgos em círculo Este ciclo permite a usinagem (desbaste e acabamento) de rasgos oblongos com uma largura maior que a largura da ferramenta. Para acessar a página de programação do SLOT1 é necessário seguir os seguintes passos: - Acionar a softkey [ Fresar ] - Acionar a softkey [ Ranhura ] - Acionar a softkey [ Ranh. long ] - Preencher os campos (ver figura-exemplo abaixo) - Acionar a softkey [ Aceitar ] Os dados a serem preenchidos são os seguintes: RP Coordenada de retorno da ferramenta no eixo Z após o fim do ciclo Campo à direita de RP Através da tecla [SELECT] escolher entre as opções: - Sent. direto (ativa o corte concordante durante o fresamento) - Sent. contrário(ativa corte discordante durante o fresamento) SC Distância segura (folga para aproximação - sem sinal) F Avanço a ser utilizado durante o fresamento.
  • 80.
    68 Programação eOperação - Linha D - Siemens 828D T60356F 19. Ciclos fixos Pto. de ref. Determina qual coordenada do alojamento será informada posteriormente. Através da tecla [SELECT] escolher entre as opções: - Centro - Centro do raio à esquerda - Centro do raio à direita - Extremidade esquerda - Extremidade direita Usinagem Através da tecla [SELECT] escolher entre as opções: -▼ (Desbaste) -▼▼▼(Acabamento) -▼▼▼(Bordo) -Chanfro. 7º Campo Através da tecla [SELECT] escolher entre as opções: - Pos. individual (realiza apenas uma bolsa) - Modelo de pos. (MCALL) (realiza várias bolsas com a mesma profundidade) X0 Coordenada de referência da bolsa no eixo X. Este campo aparece somente quando a opção “INDIVIDUAL” é escolhida no 7º campo. Y0 Coordenada de referência da bolsa no eixo Y. Este campo aparece somente quando a opção “INDIVIDUAL” é escolhida no 7º campo. Z0 Coordenada Z inicial da ranhura. W Largura da ranhura. L Comprimento da bolsa. α0 Ângulo de inclinação da bolsa em relação ao eixo X. Z1 Coordenada Z final do fresamento.Através da tecla [SELECT] pode-se escolher entre coordenada absoluta ou incremental DZ Profundidade de corte. UXY Valor de sobremetal para acabamento nas paredes da bolsa. UZ Valor de sobremetal para acabamento no fundo. Imersão Determina a forma como a ferramenta vai penetrar no material.Através da tecla [SELECT] escolher entre as opções: - pré - furado - Vertical - oscil. - hélic. FZ Avanço a ser utilizado durante a penetração da ferramenta. Este campo aparece somente quando a opção “VERTICAL” é escolhida no campo imersão. FS Largura do chanfro.Este campo aparece somente quando a opção “CHANFRO” é escolhida no campo usinagem. ZFS Profundidade na inserção do chanfro. Este campo aparece somente quando a opção “CHANFRO” é escolhida no campo usinagem. Após acionar a softkey [Aceitar], o ciclo é inserido no programa conforme exemplo abaixo: SLOT1 (_____________)
  • 81.
    T60356F Programação eOperação - Linha D - Siemens 828D 69 19. Ciclos fixos NOTAS: A posição de aproximação pode ser qualquer uma desde que não haja risco de colisão. Os pontos de início dos rasgos são atingidos através de movimentos rápidos Antes de ativarmos o ciclo devemos ativar o corretor da ferramenta correspondente, pois o comando monitora a ferramenta durante o ciclo. Caso a opção Modelo de Pos. seja selecionada, a máquina gera um comando “MCALL” antes do ciclo. Neste caso, depois de inserido o comando no programa, é necessário informar as posições a serem fresadas e terminar novamente com o comando “MCALL”. No caso de violação do contorno dos furos oblongos, surgirá uma mensagem de erro abortando a usinagem. Exemplo: : N10 WORKPIECE(,,””,”CYLINDER”,64,0,-25,-80,140) N20 G17 G71 G90 G94 N30 ;G53 G0 Z0 D00 N40 T01 N50 M6 N60 G54 D01 S1800 M3 N70 G0 X0 Y0 N80 Z10 N90 F100 MCALL SLOT1(5,0,2,-3,,1,15,6,0,0,5,0,0,0.1,200,1,0,0,21,0.1,15,15,0,2,2,0,1,2,1100,1011,102) HOLES2(0,0,30,45,30,4,1010,0,,,1) MCALL G53 G0 Z-110 D0 M30 140 30R R46 15 X 3 R46 15 X 3
  • 82.
    70 Programação eOperação - Linha D - Siemens 828D T60356F 18. Ciclos fixos 19.13 - SLOT2 Aplicação: Rasgos circulares Este ciclo permite a usinagem (desbaste e acabamento) de rasgos circulares dispostos sobre um círculo. Para acessar a página de programação do SLOT1 é necessário seguir os seguintes passos: - Acionar a softkey [ Fresar ] - Acionar a softkey [ Ranhura ] - Acionar a softkey [ Ranh. circ ] - Preencher os campos (ver figura-exemplo abaixo) - Acionar a softkey [ Aceitar ] Os dados a serem preenchidos são os seguintes: RP Coordenada de retorno da ferramenta no eixo Z após o fim do ciclo Campo à direita de RP Através da tecla [SELECT] escolher entre as opções: - Sent. direto (ativa o corte concordante durante o fresamento) - Sent. contrário (ativa corte discordante durante o fresamento) SC Distância segura (folga para aproximação - sem sinal) F Avanço a ser utilizado durante o fresamento. Usinagem Através da tecla [SELECT] escolher entre as opções: -▼ (Desbaste) -▼▼▼(Acabamento) -▼▼▼(Bordo) -Chanfro.
  • 83.
    T60356F Programação eOperação - Linha D - Siemens 828D 71 19. Ciclos fixos FZ Avanço a ser utilizado durante a penetração da ferramenta. 7º Campo Através da tecla [SELECT] escolher entre as opções: - Círc. int. - Círc. parc. X0 Coordenada do centro do círculo no eixo X. Y0 Coordenada do centro do círculo no eixo Y. Z0 Coordenada Z inicial da ranhura. N Quantidade de ranhuras. R Raio até o centro da ranhura. α0 Ângulo de início da primeira ranhura. α1 Abertura angular da ranhura. α2 Abertura angular entre o início das ranhuras. W Largura da ranhura Z1 Coordenada Z final do fresamento.Através da tecla [SELECT] pode-se escolher entre coordenada absoluta ou incremental DZ Profundidade de corte. UXY Valor de sobremetal para acabamento nas paredes da bolsa. posicionar Através da tecla [SELECT] escolher entre as opções: - Reta - Círculo FS Largura do chanfro ZFS Profundidade de inserção. Este campo aparece somente quando a opção “CHANFRO” é escolhida no campo usinagem. Após acionar a softkey [Aceitar], o ciclo é inserido no programa conforme exemplo abaixo: SLOT2 (_____________) NOTAS: A posição de aproximação pode ser qualquer uma desde que não haja risco de colisão. Os pontos de início dos rasgos são atingidos através de movimentos rápidos Antes de ativarmos o ciclo devemos ativar o corretor da ferramenta correspondente, pois o comando monitora a ferramenta durante o ciclo. Os parâmetros não necessários podem ser omitidos no bloco de programação ou receberem valor zero (0). No caso de violação do contorno dos furos oblongos, surgirá uma mensagem de erro abortando a usinagem.
  • 84.
    72 Programação eOperação - Linha D - Siemens 828D T60356F 19. Ciclos fixos Exemplo: : N10 WORKPIECE(,,””,”CYLINDER”,64,0,-4.9,-80,140) N20 G17 G71 G90 G94 N30 G53 G0 Z0 D00 N40 T01 N50 M6 N60 G54 D01 S1800 M3 N70 G0 X0 Y0 N80 Z10 N90 F100 N100 SLOT2(5,0,2,-5,,3,80,20,0,0,47.5,-20,90,200,200,2,0,0,1011,0,0,0,,0,1,2,100,1001,102) N110 G53 G0 Z-110 D0 N120 M30 80° 95 20° SEÇÃO A-A 5 10 20 A A 95 20° SEÇÃO A-A 5 10 20 A A
  • 85.
    T60356F Programação eOperação - Linha D - Siemens 828D 73 19. Ciclos fixos 19.14 - ABRIR RANHURA Aplicação: Fresamento de canais Este ciclo permite a usinagem (desbaste e acabamento) de canais retos. Para acessar a página de programação é necessário seguir os seguintes passos: - Acionar a softkey [ Fresar ] - Acionar a softkey [ Ranhura ] - Acionar a softkey [ Abrir ranh ] - Preencher os campos (ver figura-exemplo abaixo) - Acionar a softkey [ Aceitar ] Os dados a serem preenchidos são os seguintes: RP Coordenada de retorno da ferramenta no eixo Z após o fim do ciclo SC Distância segura (folga para aproximação - sem sinal) F Avanço a ser utilizado durante o fresamento.
  • 86.
    74 Programação eOperação - Linha D - Siemens 828D T60356F 19. Ciclos fixos Pto. de ref. Determina qual coordenada do alojamento será informada posteriormente. Através da tecla [SELECT] escolher entre as opções: - Centro - Embaixo à esquerda - Embaixo à direita - Em cima à esquerda - Em cima à direita Usinagem Através da tecla [SELECT] escolher entre as opções: -▼ (Desbaste) -▼▼▼(Acabamento) -▼▼▼(Fundo) -▼▼▼(Borda) - Chanfro. 6º Campo Através da tecla [SELECT] escolher entre as opções: - Fresamen. Vortex. - Corte mergulho. 7º Campo Através da tecla [SELECT] escolher entre as opções: - Sent. direto (ativa o corte concordante durante o fresamento) - Sent. contrário (ativa corte discordante durante o fresamento) - Sent. dir / sent. oposto (ativa corte otimizado durante o fresamento) 8º Campo Através da tecla [SELECT] escolher entre as opções: - Pos. individual (realiza apenas uma bolsa) - Modelo de pos. (MCALL) (realiza várias bolsas com a mesma profundidade) X0 Ponto de referência no eixo X. Y0 Ponto de referência no eixo Y. Z0 Coordenada Z inicial do canal. W Largura do canal. L Comprimento do canal. α0 Ângulo de inclinação do canal. Z1 Coordenada Z final do fresamento.Através da tecla [SELECT] pode-se escolher entre coordenada absoluta ou incremental. DXY Determina o valor do deslocamento lateral da fresa durante a abertura do canal. Através da tecla [SELECT] pode-se escolher entre valor em mm ou valor em porcentagem em relação ao diâmetro da fresa. DZ Profundidade de corte. Este campo aparece somente quando a opção “VORTEX” é escolhida no 6º campo. UXY Valor de sobremetal para acabamento nas paredes do canal. UZ Valor de sobremetal para acabamento no fundo do canal. Após acionar a softkey [Aceitar], o ciclo é inserido no programa conforme exemplo abaixo: CYCLE 899 (_____________)
  • 87.
    T60356F Programação eOperação - Linha D - Siemens 828D 75 19. Ciclos fixos Exemplo: : N10 WORKPIECE(,,””,”RECTANGLE”,64,0,-10,-80,100,140) N20 G17 G71 G90 G94 N30 G53 G0 Z0 D00 N40 T01;FRESA RAIO 20mm N50 M6 N60 G54 D01 S1800 M3 N70 G0 X0 Y0 N80 Z10 N90 F100 N100 CYCLE899(5,0,2,-5,100,50,0,0,0,1,50,0,0,200,0,1001,100,1,110,,1,2) N100 CYCLE899(5,0,2,-5,100,50,0,0,0,1,50,0,0,200,0,1002,100,1,110,,1,2) N110 G53 G0 Z-110 D0 N120 M30    
  • 88.
    76 Programação eOperação - Linha D - Siemens 828D T60356F 19. Ciclos fixos 19.15 - POCKET3 Aplicação: Alojamento retangular Este ciclo permite a usinagem (desbaste e acabamento) de alojamentos retangulares em qualquer posição ou ângulo. Para acessar a página de programação do POCKET3 é necessário seguir os seguintes passos: - Acionar a softkey [ Fresar ] - Acionar a softkey [ Bolsa ] - Acionar a softkey [ Bolsa retangul. ] - Preencher os campos (ver figura-exemplo a seguir) - Acionar a softkey [ Aceitar ] Os dados a serem preenchidos são os seguintes: RP Coordenada de retorno da ferramenta no eixo Z após o fim do ciclo Campo à direita de RP Através da tecla [SELECT] escolher entre as opções: - Sent. direto (ativa o corte concordante durante o fresamento) - Sent. contrário (ativa corte discordante durante o fresamento) SC Distância segura (folga para aproximação - sem sinal) F Avanço a ser utilizado durante o fresamento.
  • 89.
    T60356F Programação eOperação - Linha D - Siemens 828D 77 19. Ciclos fixos Pto. de ref. Determina qual coordenada do alojamento será informada posteriormente. Através da tecla [SELECT] escolher entre as opções: - Centro - Embaixo à esquerda - Embaixo à direita - Em cima à esquerda - Em cima à direita Usinagem Através da tecla [SELECT] escolher entre as opções: -▼ (Desbaste) -▼▼▼(Acabamento) -▼▼▼(Borda) - Chanfro. 7º Campo Através da tecla [SELECT] escolher entre as opções: - Pos. individual (realiza apenas uma bolsa) - Modelo de pos. (MCALL) (realiza várias bolsas com a mesma profundidade) X0 Coordenada de referência da bolsa no eixo X. Y0 Coordenada de referência da bolsa no eixo Y. Z0 Coordenada Z inicial da bolsa. W Largura da bolsa. L Comprimento da bolsa. R Raio dos cantos da bolsa. α0 Ângulo de inclinação da bolsa em relação ao eixo X. Z1 Coordenada Z final do fresamento.Através da tecla [SELECT] pode-se escolher entre coordenada absoluta ou incremental. DXY Determina o valor do deslocamento lateral da fresa durante a abertura da bolsa. Através da tecla [SELECT] pode-se escolher entre valor em mm ou valor em porcentagem em relação ao diâmetro da fresa. DZ Profundidade de corte. UXY Valor de sobremetal para acabamento nas paredes da bolsa. UZ Valor de sobremetal para acabamento no fundo. Imersão Determina a forma como a ferramenta vai penetrar no material.Através da tecla [SELECT] escolher entre as opções: - pré - furado - Vertical - oscil. - hélic. FZ Avanço a ser utilizado durante a penetração da ferramenta. Escarear Através da tecla [SELECT] escolher entre as opções: - Usinagem compl. - Retrabalho EP Passo máximo da hélice. Este campo aparece somente quando a opção “HÉLICE” é escolhida no campo “Imersão”. ER Raio da hélice. Este campo aparece somente quando a opção “HÉLICE” é escolhida no campo “Imersão”
  • 90.
    78 Programação eOperação - Linha D - Siemens 828D T60356F 19. Ciclos fixos Após acionar a softkey [Aceitar], o ciclo é inserido no programa conforme exemplo abaixo: POCKET3 (_____________) Ao desbastar o alojamento, deve-se levar em consideração dimensões de peça bruta (ex. para usinar peças pré-fundidas). NOTAS: A posição de aproximação pode ser qualquer uma desde que se possa atingir, sem colisões, o centro do alojamento e o plano de retorno. O ponto de início do alojamento é atingido através de um movimento rápido. Antes de ativarmos o ciclo devemos ativar o corretor da ferramenta correspondente, pois o comando monitora a ferramenta durante o ciclo. No final do ciclo a ferramenta movimentar-se-á para o centro do alojamento. Exemplo: : WORKPIECE(,,””,”BOX”,112,0,-20,-80,0,0,200,150) G17 G71 G90 G94 G53 G0 Z0 D00 T01 M6 G54 D01 S1800 M3 G0 X0 Y0 Z10 F100 POCKET3(5,0,2,-10,150,100,15,100,75,0,2,0.1,0.1,200,0.1,0,21,50,8,3,15,10,1,0,1,2,1110 0,11,110) POCKET3(5,0,2,-10,150,100,15,100,75,0,2,0.1,0.1,200,0.1,0,22,50,8,3,15,10,1,0,1,2,1110 0,11,110) G53 G0 Z0 D0 M30 150 100 150 200 R15 A A 20 10 100 150 200 R15 A
  • 91.
    T60356F Programação eOperação - Linha D - Siemens 828D 79 19. Ciclos fixos 19.16 - POCKET4 Aplicação: Alojamento circular Este ciclo permite a usinagem (desbaste e acabamento) de alojamentos circulares em qualquer posição. Para acessar a página de programação do POCKET4 é necessário seguir os seguintes passos: - Acionar a softkey [ Fresar ] - Acionar a softkey [ Bolsa ] - Acionar a softkey [ Bolsa circular ] - Preencher os campos (ver figura-exemplo a seguir) - Acionar a softkey [ Aceitar ] Os dados a serem preenchidos são os seguintes: RP Coordenada de retorno da ferramenta no eixo Z após o fim do ciclo Campo à direita de RP Através da tecla [SELECT] escolher entre as opções: - Sent. direto (ativa o corte concordante durante o fresamento) - Sent. contrário (ativa corte discordante durante o fresamento) SC Distância segura (folga para aproximação - sem sinal) F Avanço a ser utilizado durante o fresamento. 5º campo Através da tecla [SELECT] escolher entre as opções: - em planos: Aprofunda de topo - Oscil. Aprofunda em rampa
  • 92.
    80 Programação eOperação - Linha D - Siemens 828D T60356F 19. Ciclos fixos Usinagem Através da tecla [SELECT] escolher entre as opções: -▼ (Desbaste) -▼▼▼(Acabamento) -▼▼▼(Bordo) - Chanfro. 7º Campo Através da tecla [SELECT] escolher entre as opções: - Pos. individual (realiza apenas uma bolsa) - Modelo de pos. (MCALL) (realiza várias bolsas com a mesma profundidade) X0 Coordenada de referência da bolsa no eixo X. Y0 Coordenada de referência da bolsa no eixo Y. Z0 Coordenada Z inicial da bolsa. Ø Diâmetro da bolsa. Z1 Profundidade. Através da tecla [SELECT] pode-se escolher entre coordenada absoluta ou incremental. P Passo da hélice. DZ Profundidade de corte (Incremento). UXY Valor de sobremetal para acabamento lateral. UZ Valor de sobremetal para acabamento no fundo. Imersão Determina a forma como a ferramenta vai penetrar no material.Através da tecla [SELECT] escolher entre as opções: - pré - furado - Vertical - hélic. FZ Avanço a ser utilizado durante a penetração da ferramenta. Escarear Através da tecla [SELECT] escolher entre as opções: - Usinagem compl. - Retrabalho EP Passo máximo da hélice. ER Raio da hélice FS Largura do chanfro. Este campo aparece somente quando a opção “CHANFRO” é escolhida no campo usinagem. ZFS Profundidade de inserção.Este campo aparece somente quando a opção “CHANFRO” é escolhida no campo usinagem. Após acionar a softkey [Aceitar], o ciclo é inserido no programa conforme exemplo abaixo: POCKET4 (_____________)
  • 93.
    T60356F Programação eOperação - Linha D - Siemens 828D 81 19. Ciclos fixos NOTAS: A posição de aproximação pode ser qualquer uma desde que se possa atingir, sem colisões, o centro do alojamento e o plano de retorno. O ponto de início do alojamento é atingido através de um movimento rápido. Antes de ativarmos o ciclo devemos ativar o corretor da ferramenta correspondente, pois o comando monitora a ferramenta durante o ciclo. No final do ciclo a ferramenta movimentar-se-á para o centro do alojamento. Os parâmetros não necessários podem ser omitidos no bloco de programação ou receberem valor zero (0). Para remover todo o material em um único passe deve-se programar o valor zero (0) no parâmetro MID. Exemplo: WORKPIECE(,,””,”BOX”,112,0,-20,-80,0,0,70,60) G53 G0 Z0 D0 T01 M6 G54 D01 S1800 M3 G0 X0 Y0 Z10 F100 POCKET3(5,0,2,-10,150,100,15,100,75,0,2,0.1,0.1,200,0.1,0,21,50,8,3,15,10,1,0,1,2,1110 0,11,110) POCKET4(5,0,2,-15,50,35,30,2,0.1,0.1,200,0.1,0,1011,60,9,15,0,2,0,1,2,10100,111,110) POCKET4(5,0,2,-15,50,35,30,2,0.1,0.1,200,0.1,0,1012,60,9,15,0,2,0,1,2,10100,111,110) M30 15 25 60 50 70 AA 15 25 6050 70 AA
  • 94.
    82 Programação eOperação - Linha D - Siemens 828D T60356F 19. Ciclos fixos 19.17 - CYCLE76 Aplicação: Ressalto retangular Este ciclo permite a usinagem (desbaste e acabamento) de ressaltos retangulares em qualquer posição ou ângulo. Para acessar a página de programação do CYCLE76 é necessário seguir os seguintes passos: - Acionar a softkey [ Fresar ] - Acionar a softkey [ Saliência Poliedro ] - Acionar a softkey [ Espiga retangul. ] - Preencher os campos (ver figura-exemplo abaixo) - Acionar a softkey [ Aceitar ] Os dados a serem preenchidos são os seguintes: RP Coordenada de retorno da ferramenta no eixo Z após o fim do ciclo Campo à direita de RP Através da tecla [SELECT] escolher entre as opções: - Sent. direto (ativa o corte concordante durante o fresamento) - Contrário (ativa corte discordante durante o fresamento) SC Distância segura (folga para aproximação - sem sinal) F Avanço a ser utilizado durante o fresamento. FZ Avanço a ser utilizado durante a penetração da ferramenta.
  • 95.
    T60356F Programação eOperação - Linha D - Siemens 828D 83 19. Ciclos fixos Pto. de ref. Determina qual coordenada do ressalto será informada posteriormente. Através da tecla [SELECT] escolher entre as opções: - Centro - Embaixo à esquerda - Embaixo à direita - Em cima à esquerda - Em cima à direita Usinagem Através da tecla [SELECT] escolher entre as opções: -▼ (Desbaste) -▼▼▼(Acabamento) -▼▼▼(Bordo) - Chanfro. 8º Campo Através da tecla [SELECT] escolher entre as opções: - Pos. individual (realiza apenas uma bolsa) - Modelo de pos. (MCALL) (realiza várias bolsas com a mesma profundidade) X0 Coordenada de referência do ressalto no eixo X. Y0 Coordenada de referência do ressalto no eixo Y. Z0 Coordenada Z inicial do ressalto. W1 Largura da peça em bruto. L1 Comprimento da peça em bruto. W Largura do ressalto. L Comprimento do ressalto. R Raio dos cantos do ressalto. α0 Ângulo de inclinação do ressalto em relação ao eixo X. Z1 Coordenada Z final do fresamento.Através da tecla [SELECT] pode-se escolher entre coordenada absoluta ou incremental DZ Profundidade de corte. UXY Valor de sobremetal para acabamento nas paredes do ressalto. UZ Valor de sobremetal para acabamento no fundo. FS Largura do Chanfro. Este campo aparece somente quando a opção “CHANFRO” é escolhida no campo usinagem. ZFS Profundidade de inserção. Este campo aparece somente quando a opção “CHANFRO” é escolhida no campo usinagem. Após acionar a softkey [Aceitar], o ciclo é inserido no programa conforme exemplo abaixo: CYCLE 76 (_____________) Ao desbastar o ressalto, deve-se levar em consideração dimensões de peça bruta (ex. para usinar peças pré-fundidas). NOTAS: Antes de ativarmos o ciclo devemos ativar o corretor da ferramenta correspondente, pois o comando monitora a ferramenta durante o ciclo. Os parâmetros não necessários podem ser omitidos no bloco de programação ou receberem valor zero (0).
  • 96.
    84 Programação eOperação - Linha D - Siemens 828D T60356F 19. Ciclos fixos Exemplo: WORKPIECE(,,””,”BOX”,112,0,-25,-80,0,0,80,55) G17 G71 G90 G94 G53 G0 Z0 D0 T01 M6 G54 D01 S1800 M3 G0 X25 Y25 Z10 F100 CYCLE76(5,0,2,-10,,70,45,10,40,27.5,10,2,0.1,0.1,200,150,0,1,80,55,1,2,1100,1,102) CYCLE76(5,0,2,-10,,70,45,10,40,27.5,10,2,0.1,0.1,200,150,0,1,80,55,1,2,1100,1,102) G53 G0 Z0 D0 M30 20 10 80 R10 70 45 55 10° 20 10 80 R10 70 45 55 10°
  • 97.
    T60356F Programação eOperação - Linha D - Siemens 828D 85 19. Ciclos fixos 19.18 - CYCLE77 Aplicação: Ressalto circular Este ciclo permite a usinagem (desbaste e acabamento) de ressaltos circulares em qualquer posição. Para acessar a página de programação do CYCLE77 é necessário seguir os seguintes passos: - Acionar a softkey [ Fresar ] - Acionar a softkey [ Saliência Poliedro ] - Acionar a softkey [ Espiga circular ] - Preencher os campos (ver figura-exemplo abaixo) - Acionar a softkey [ Aceitar ] Os dados a serem preenchidos são os seguintes: RP Coordenada de retorno da ferramenta no eixo Z após o fim do ciclo Campo à direita de RP Através da tecla [SELECT] escolher entre as opções: - Sent. direto (ativa o corte concordante durante o fresamento) - Sent. contrário (ativa corte discordante durante o fresamento) SC Distância segura (folga para aproximação - sem sinal) F Avanço a ser utilizado durante o fresamento. FZ Avanço a ser utilizado durante a penetração da ferramenta.
  • 98.
    86 Programação eOperação - Linha D - Siemens 828D T60356F 19. Ciclos fixos Usinagem Através da tecla [SELECT] escolher entre as opções: -▼ (Desbaste) -▼▼▼(Acabamento) -▼▼▼(Bordo) - Chanfro. 7º Campo Através da tecla [SELECT] escolher entre as opções: - Pos. individual (realiza apenas uma bolsa) - Modelo de pos. (MCALL) (realiza várias bolsas com a mesma profundidade) X0 Coordenada do centro do ressalto no eixo X. Y0 Coordenada do centro do ressalto no eixo Y. Z0 Coordenada Z inicial do ressalto. Ø1 Diâmetro da peça em bruto. Ø Diâmetro final do ressalto. Z1 Coordenada Z final do fresamento.Através da tecla [SELECT] pode-se escolher entre coordenada absoluta ou incremental DZ Profundidade de corte. UXY Valor de sobremetal para acabamento nas paredes do ressalto. UZ Valor de sobremetal para acabamento no fundo. FS Largura do Chanfro. Este campo aparece somente quando a opção “CHANFRO” é escolhida no campo usinagem. ZFS Profundidade de inserção. Este campo aparece somente quando a opção “CHANFRO” é escolhida no campo usinagem. Após acionar a softkey [Aceitar], o ciclo é inserido no programa conforme exemplo abaixo: CYCLE 77 (_____________) NOTAS: Antes de ativarmos o ciclo devemos ativar o corretor da ferramenta correspondente, pois o comando monitora a ferramenta durante o ciclo. Os parâmetros não necessários podem ser omitidos no bloco de programação ou receberem valor zero (0).
  • 99.
    T60356F Programação eOperação - Linha D - Siemens 828D 87 19. Ciclos fixos Exemplo: WORKPIECE(,,””,”BOX”,112,0,-20,-80,0,0,55,55) G53 G0 Z0 D0 T01 M6 G54 D01 S1800 M3 G0 X25 Y25 Z10 F100 CYCLE76(5,0,2,-10,,70,45,10,40,27.5,10,2,0.1,0.1,200,150,0,1,80,55,1,2,1100,1,102) CYCLE77(5,0,2,-15,,50,27.5,27.5,2,0.1,0.1,200,150,0,1,55,1,2,100,1,102) CYCLE77(5,0,2,-15,,50,27.5,27.5,2,0.1,0.1,200,150,0,2,55,1,2,100,1,102) M30 50 27,50 27,50 10 x 45º 15 20 50 27,50 27,50 10 x 45º 15 20
  • 100.
    88 Programação eOperação - Linha D - Siemens 828D T60356F 19. Ciclos fixos 19.19 - CYCLE79 Aplicação: fresar polígono Este ciclo permite a usinagem (desbaste e acabamento) de ressaltos em forma de polígonos com qualquer quantidade de lados em qualquer posição. Para acessar a página de programação do polígono é necessário seguir os seguintes passos: - Acionar a softkey [ Fresar ] - Acionar a softkey [ Saliência Poliedro ] - Acionar a softkey [ Arestas múltipl. ] - Preencher os campos (ver figura-exemplo abaixo) - Acionar a softkey [ Aceitar ] Os dados a serem preenchidos são os seguintes: RP Coordenada de retorno da ferramenta no eixo Z após o fim do ciclo Campo à direita de RP Através da tecla [SELECT] escolher entre as opções: - Sent. direto (ativa o corte concordante durante o fresamento) - Sent. oposto (ativa corte discordante durante o fresamento) SC Distância segura (folga para aproximação - sem sinal) F Avanço a ser utilizado durante o fresamento. Usinagem Através da tecla [SELECT] escolher entre as opções: -▼ (Desbaste) -▼▼▼(Acabamento) -▼▼▼(Bordo) - Chanfro. 6º Campo Através da tecla [SELECT] escolher entre as opções: - Pos. individual (realiza apenas uma bolsa) - Modelo de pos. (MCALL) (realiza várias bolsas com a mesma profundidade) X0 Coordenada do centro do ressalto no eixo X.
  • 101.
    T60356F Programação eOperação - Linha D - Siemens 828D 89 19. Ciclos fixos Y0 Coordenada do centro do ressalto no eixo Y. Z0 Coordenada Z inicial do ressalto. Ø1 Diâmetro da peça em bruto. N Número de lados do polígono SW Abertura da chave. α0 Ângulo de rotação. R1 Valor dos raios de arredondamento dos cantos vivos. Z1 Coordenada Z final do fresamento.Através da tecla [SELECT] pode-se escolher entre coordenada absoluta ou incremental DXY Incremento de corte lateral durante o fresamento. DZ Profundidade de corte. UXY Valor de sobremetal para acabamento nas paredes do ressalto. UZ Valor de sobremetal para acabamento no fundo. FS Largura do chanfro ZFS Profundidade de inserção. Após acionar a softkey [Aceitar], o ciclo é inserido no programa conforme exemplo abaixo: CYCLE79 (_____________) NOTAS: Antes de ativarmos o ciclo devemos ativar o corretor da ferramenta correspondente, pois o comando monitora a ferramenta durante o ciclo. Os parâmetros não necessários podem ser omitidos no bloco de programação ou receberem valor zero (0). Exemplo: : N80 G54 G0 X15 Y15 N90 Z5 CYCLE79(100,0,2,-10,6,30,0,0,45,5,80,50,2,0.1,0.1,1000,0,11,1,2,,1,110) CYCLE79(100,0,2,-10,6,30,0,0,45,5,80,50,2,0.1,0.1,1000,0,12,1,2,,1,110) M30        
  • 102.
    90 Programação eOperação - Linha D - Siemens 828D T60356F 19. Ciclos fixos 19.20 - CYCLE61 Aplicação: Facear superfície Este ciclo permite facear qualquer superfície retangular. Para acessar a página de programação do CYCLE61 é necessário seguir os seguintes passos: - Acionar a softkey [ Fresar ] - Acionar a softkey [ Facear com fresa ] - Preencher os campos (ver figura-exemplo abaixo) - Acionar a softkey [ Aceitar ] Os dados a serem preenchidos são os seguintes: RP Coordenada de retorno da ferramenta no eixo Z após o fim do ciclo SC Distância segura (folga para aproximação - sem sinal) F Avanço a ser utilizado durante o fresamento. Usinagem Através da tecla [SELECT] escolher entre as opções: -▼ (Desbaste) -▼▼▼(Acabamento) Direção Através da tecla [SELECT] escolher entre as opções: - Fresamento em uma direção no eixo X. - Fresamento em ZIG - ZAG no eixo X. - Fresamento em uma direção no eixo Y. - Fresamento em ZIG - ZAG no eixo Y. X0 Coordenada do canto inferior esquerdo no eixo X. Y0 Coordenada do canto inferior esquerdo no eixo Y. Z0 Coordenada Z inicial do ressalto.
  • 103.
    T60356F Programação eOperação - Linha D - Siemens 828D 91 19. Ciclos fixos X1 Coordenada do canto superior direito no eixo X. Y1 Coordenada do canto superior direito no eixo Y. Z1 Coordenada Z final do fresamento.Através da tecla [SELECT] pode-se escolher entre coordenada absoluta ou incremental DXY Determina o valor do deslocamento lateral da fresa durante o faceamento. Através da tecla [SELECT] pode-se escolher entre valor em mm ou valor em porcentagem em relação ao diâmetro da fresa. DZ Profundidade de corte. UZ Valor de sobremetal para acabamento. Após acionar a softkey [Aceitar], o ciclo é inserido no programa conforme exemplo abaixo: CYCLE61 (_____________) NOTAS: Antes de ativarmos o ciclo devemos ativar o corretor da ferramenta correspondente, pois o comando monitora a ferramenta durante o ciclo. Os parâmetros não necessários podem ser omitidos no bloco de programação ou receberem valor zero (0). Exemplo: WORKPIECE(,,””,”BOX”,112,5,-20,-80,0,0,370,250) G53 G0 Z0 D0 T01 M6 G54 D01 S1800 M3 G0 X25 Y25 Z10 F100 CYCLE61(8,5,2,0,0,0,370,250,2,80,0.1,200,31,0,1, 11010) CYCLE61(8,5,2,0,0,0,370,250,2,80,0,200,32,0,1,11 010) G53 G0 Z0 D0 M30 5 400 45 250 370 210 5 400 45 250 370 21045
  • 104.
    92 Programação eOperação - Linha D - Siemens 828D T60356F 19. Ciclos fixos 19.21 - CYCLE63 Aplicação: Usinar contorno programado Este ciclo permite a usinagem de um contorno previamente programado. Para realizar a programação deste ciclo é necessário executar os seguintes passos: 1) Programar o contorno externo (Matéria prima); - Acionar a softkey [ Fresar Contorno ] - Acionar a softkey [ Novo Contorno ] - Digitar o nome do contorno da matéria prima. Ex: BRUTO - Digitar o ponto inicial do perfil. - Acionar a softkey [ Aceitar ] - Desenhar a matéria prima utilizando os recursos de reta e círculo. ↑ ↓ → ←. - Acionar a softkey [ Aceitar ] 2) Programar o contorno interno (Perfil da peça acabada); - Acionar a softkey [ Fresar Contorno ] - Acionar a softkey [ Novo Contorno ] - Digitar o nome do contorno da peça acabada. Ex: ILHA - Digitar o ponto inicial do perfil. - Acionar a softkey [ Aceitar ] - Desenhar a matéria prima utilizando os recursos de reta e círculo. ↑ ↓ → ←. - Acionar a softkey [ Aceitar ] 3) Programar a chamada do contorno externo; - Acionar a softkey [ Fresar Contorno ] - Acionar a softkey [ Chamada Contorno ] - Digitar o nome do contorno da matéria prima. Ex: BRUTO - Acionar a softkey [ Aceitar ] 4) Programar a chamada do contorno interno; - Acionar a softkey [ Fresar Contorno ] - Acionar a softkey [ Chamada Contorno ] - Digitar o nome do contorno da peça acabada. Ex: ILHA - Acionar a softkey [ Aceitar ] 5) Programar o ciclo de usinagem de contorno; - Acionar a softkey [ Fresar Contorno ] - Acionar a softkey [ Espiga ] - Digitar o nome para utilização do ciclo. Ex: USINAGEM - Preencher os campos (ver figura-exemplo à seguir) - Acionar a softkey [ Aceitar ]
  • 105.
    T60356F Programação eOperação - Linha D - Siemens 828D 93 19. Ciclos fixos NOTA: A programação do contorno da matéria prima e do perfil acabado deve ficar após o comando M30. Os dados a serem preenchidos são os seguintes: PRG Nome do ciclo. Ex: USINAGEM RP Coordenada de retorno da ferramenta no eixo Z após o fim do ciclo SC Distância segura (folga para aproximação - sem sinal) F Avanço a ser utilizado durante o fresamento. Usinagem Através da tecla [SELECT] escolher entre as opções: -▼ (Desbaste) -▼▼▼(Acabamento) Z0 Coordenada Z inicial do ressalto. Z1 Coordenada Z final do fresamento. Através da tecla [SELECT] pode-se escolher entre coordenada absoluta ou incremental DXY Determina o valor do deslocamento lateral da fresa durante o faceamento. Através da tecla [SELECT] pode-se escolher entre valor em mm ou valor em porcentagem em relação ao diâmetro da fresa. DZ Profundidade de corte. UZ Valor de sobremetal para acabamento. Modo de levantamento Ponto de retorno após a execução do ciclo. Através da tecla [SELECT] escolher entre as opções: - Em RP (Plano de referência) - Em SC (Distância de segurança) Após acionar a softkey [Aceitar], o ciclo é inserido no programa conforme exemplo abaixo: CYCLE63 (_____________)
  • 106.
    94 Programação eOperação - Linha D - Siemens 828D T60356F 19. Ciclos fixos Exemplo: WORKPIECE(,,””,”BOX”,112,0,-20, -80,0,0,100,100) N10 G17G71G90G94 N20 G53G0Z0D0 N30 T1 N40 M6 N50 G54D1S3000M3G64 N60 G0X0Y0 N70 Z10 F1000 N80 CYCLE62(“BRUTO”,1,,) N90 CYCLE62(“ILHA”,1,,) N100 CYCLE63(“USINAGEM”,1,10,0,2, -10,1000,,50,2.5,0,0,0,0,0,,,,1,2,,,,0,201,110) N110 G53G0Z0D0 N120 G53G0Y0 N130 M30 N140 E_LAB_A_ILHA: ;#SM Z:2 ;#7__DlgK contour definition begin - Don’t change!;*GP*;*RO*;*HD* G17 G90 DIAMOF;*GP* G0 X70 Y50 ;*GP* G3 I=AC(50) J=AC(50) ;*GP* ;CON,0,0.0000,1,1,MST:0,0,AX:X,Y,I,J;*GP*;*RO*;*HD* ;S,EX:70,EY:50;*GP*;*RO*;*HD* ;ACCW,EX:70,EY:50,CX:50,RAD:20;*GP*;*RO*;*HD* ;#End contour definition end - Don’t change!;*GP*;*RO*;*HD* E_LAB_E_ILHA: N150 E_LAB_A_BRUTO: ;#SM Z:2 ;#7__DlgK contour definition begin - Don’t change!;*GP*;*RO*;*HD* G17 G90 DIAMOF;*GP* G0 X0 Y0 ;*GP* G1 Y100 ;*GP* X100 ;*GP* Y0 ;*GP* X0 ;*GP* ;CON,0,0.0000,4,4,MST:0,0,AX:X,Y,I,J;*GP*;*RO*;*HD* ;S,EX:0,EY:0;*GP*;*RO*;*HD* ;LU,EY:100;*GP*;*RO*;*HD* ;LR,EX:100;*GP*;*RO*;*HD* ;LD,EY:0;*GP*;*RO*;*HD* ;LA,EX:0,EY:0;*GP*;*RO*;*HD* ;#End contour definition end - Don’t change!;*GP*;*RO*;*HD* E_LAB_E_BRUTO:        
  • 107.
    T60356F Programação eOperação - Linha D - Siemens 828D 95 20. Funções de transformação 20 - FUNÇÕES DE TRANSFORMAÇÃO 20.1 - FUNÇÃO: TRANS, ATRANS Aplicação: Deslocamento da origem de trabalho A função TRANS/ATRANS permite programar deslocamentos da origem de trabalho para todos os eixos na direção desejada, com isso é possível trabalhar com ponto zero alternativos, no caso de usinagem repetidas em posições diferentes da peça Função, TRANS XYZ é utilizada para deslocar a origem do trabalho em relação ao zero peça ativo (G54-G57 , G505-G599). Função, ATRANS XYZ é utilizada para deslocar a origem do trabalho em relação ao último deslocamento de origem programado (TRANS). Para cancelarmos um deslocamento deve-se programar a função TRANS sem a declaração de variáveis, com isso cancelamos qualquer frame programado. Sintaxe: TRANS X___ Y___ Z___ X Y X Y X Y X Y TRANS TRANS ATRANS
  • 108.
    96 Programação eOperação - Linha D - Siemens 828D T60356F 20. Funções de transformação Exemplo: G17 G71 G90 G94 G53 G0 Z-110 D0 T01; FRESA TOPO D20 M6 G54 D01 G64 CFIN S2000 M3 PERFIL TRANS X130 PERFIL TRANS Y130 PERFIL TRANS X130 Y130 ;ou ATRANS X130 PERFIL TRANS G53 G0 Z-110 D0 M5 M30 SUB PROGRAMA: PERFIL.SPF G0 X50 Y-15 Z0 INICIO: G1 Z=IC(-4) F800 G41 Y15 X28 RND=15 G2 X15 Y28 CR=-13 G1 Y72 RND=15 G2 X28 Y85 CR=-13 G1 X72 RND=15 G2 X85 Y72 CR=-13 G1 Y28 RND=15 G2 X72 Y15 CR=-13 G1 X50 FIM: G40 Y-15 REPEAT INICIO FIM P2 G0 Z5 M17 DISPOSITIVO: 130 130 PEÇA: 15 100 R13 15 R15 22 100 12 15 100 R13 15 R15 22 100 12
  • 109.
    T60356F Programação eOperação - Linha D - Siemens 828D 97 20. Funções de transformação 20.2 - FUNÇÃO: ROT, AROT Aplicação: Rotação do sistema de coordenada de trabalho A função ROT/AROT permite programar um ângulo de rotação para o sistema de coordenadas de trabalho em relação ao plano de trabalho selecionado (G17, G18 ou G19). Programando a função ROT RPL = ___, o sistema de coordenadas é rotacionado em relação ao zero peça ativo (G54-G57 , G505-G599). Para programarmos uma segunda rotação em relação a uma rotação já programada devemos utilizar a função AROT RPL = ___. Para cancelarmos uma rotação deve-se programar a função ROT sem a função auxiliar RPL, com isso cancelamos qualquer rotação programada. Sintaxe: ROT RPL = ___ X+X+X+X+ X+X+X+X+ Y+Y+Y+Y+ RO TROT ARO T X+X+X+X+ Y+Y+Y+Y+ Y+Y+Y+Y+
  • 110.
    98 Programação eOperação - Linha D - Siemens 828D T60356F 20. Funções de transformação Exemplo: G17 G71 G90 G94 G53 G0 Z-110 D0 T01;FRESA TOPO D10 M6 G54 D01 G64 CFIN S2000 M3 CRUZ P1 ROT RPL=60 CRUZ P1 ROT RPL=120 CRUZ P1 ROT RPL=180 CRUZ P1 ROT RPL=240 CRUZ P1 ROT RPL=300 CRUZ P1 ROT G53 G0 Z-110 D0 M5 M30 10 A SUB PROGRAMA CRUZ.SPF G0 X67.5 Y0 Z5 G1 Z0 F500 INICIO: G1 Z=IC(-2.5) F200 G41 X75 Y-7.5 F600 X87.5 G3 Y7.5 CR=7.5 G1 X75 Y20 G3 X60 CR=7.5 G1 Y7.5 X47.5 G3 Y-7.5 CR=7.5 G1 X60 Y-20 G3 X75 CR=7.5 G1 Y-7.5 FIM: G40 X67.5 Y0 REPEAT INICIO FIM P3 G0 Z5 M17 40 60° 20 10 55 R7,50 15 A A
  • 111.
    T60356F Programação eOperação - Linha D - Siemens 828D 99 20. Funções de transformação 20.3 - FUNÇÃO: SCALE, ASCALE Aplicação: Fator de escala A função SCALE/ASCALE permite programar, para todos os eixos fatores de escala, com isso é possível alterar o tamanho de uma peça já programada. Pode-se utilizar a função SCALE XYZ, para programar um fator de escala em relação ao zero peça (G54 ~ G55 ou G505 ~ G599), ou a função ASCALE XYZ para programarmos um fator de escala em relação a um frame já programado. Para cancelarmos a função escala devemos programar a função SCALE sem declarar variáveis, com isso cancelamos qualquer frame programado. Sintaxe: SCALE X___ Y___ Exemplo: G17 G71 G90 G94 G53 G0 Z-110 D0 T01;FRESA TOPO D20 M6 G54 D01 G64 CFIN S2000 M3 HEXAGONO P1 TRANS X70 ASCALE X2 Y2 HEXAGONO P1 TRANS OU SCALE G53 G0 Z-110 D0 M5 M30 SUB PROGRAMA HEXAGONO.SPF G0 X25 Y-15 Z5 G1 Z0 F500 INICIO: G1 Z=IC(-2.5) F200 G41 X25 Y1.91 F600 X5 Y13.45 Y36.55 X25 Y48.09 X45 Y36.55 Y13.45 X25 Y1.91 FIM: G40 Y-15 REPEAT INICIO FIM P3 G0 Z5 M17 80 5 10 40 96,18 13,45 48,09 1,91 70 3,82 26,90 10 15 5 13,4515
  • 112.
    100 Programação eOperação - Linha D - Siemens 828D T60356F 20. Funções de transformação 20.4 - FUNÇÃO: MIRROR, AMIRROR Aplicação: Imagem espelho A função MIRROR/AMIRROR permite espelhar o perfil da peça programado. O espelhamento é programado pela função MIRROR XYZ. Ao programar esta função ocoorre uma inversão de sinal das coordenadas programadas, ou seja, os valores programados positivos tornam-se negativos e vice-versa. O espelhamento por MIRROR tem como referência o ponto zero peça ativo (G54 ~ G59 ou G505 ~ G599). Um espelhamento com referência a um espelhamento ou frame já programado deve utilizar a função AMIRROR XYZ. Com a função de espelhamento ativa o comando muda automaticamente os comandos de compensação de raio da ferramenta G41/G42 ou G42/G41, o mesmo se aplica ao sentido da interpolação circular G2/G3. Para cancelarmos a função espelho devemos programar a função MIRROR sem declarar variáveis, com isso cancelamos qualquer frame programado. Sintaxe: MIRROR X__ Y___ Z___ Exemplo: G17 G71 G90 G94 G53 G0 Z-110 D0 T01;FRESA TOPO D15 M6 G54 D01G64 CFIN S2000 M3 CONTORNO P1 MIRROR X0 CONTORNO P1 AMIRROR Y0 ;ou MIRROR X0 Y0 CONTORNO P1 MIRROR Y0 ;ou AMIRROR X0 CONTORNO P1 MIRROR G53 G0 Z-110 D0 M5 M30 25 15 R8 20 70 75 10R R 10 R 5 20 200 A A 10 20
  • 113.
    T60356F Programação eOperação - Linha D - Siemens 828D 101 20. Funções de transformação SUB PROGRAMA CONTORNO.SPF G0 X35 Y25 Z5 G1 Z0 F500 INICIO: G1 Z=IC(-2) F200 G41 X33 Y15 F600 X85 G3 Y35 CR=10 G1 X45 RND=5 Y80 G3 X25 CR=10 G1 Y23 G3 X33 Y15 CR=8 FIM: G40 G1 X35 Y25 REPEAT INICIO FIM P4 G0 Z5 M17 A 10
  • 114.
    102 Programação eOperação - Linha D - Siemens 828D T60356F 21. Programação nos planos g18 e g19 Y+ Z+ 21 - PROGRAMAÇÃO NOS PLANOS G18 E G19 Devido a estrutura da máquina, a maior parte das peças usinadas são programadas no plano G17 (XY). Porém, em alguns casos, necessita-se trabalhar, ao invés do plano G17, com o G18 (XZ) ou o G19 (YZ). A seguir há um exemplo de programação no plano G18 e um exemplo de programação no plano G19. Exemplo de programação em G18: G18 G71 G90 G94 G53 G0 Z-110 D0 T1; FRESA PONTA ESF. D8 MM M6 G54 D1 S3600 M3 G64 CFIN G0 X-10 Y0 Z10 AAA: G1 Y=IC(0.2) F360 G42 Z0 X20 G3 X25 Z-5 CR=5 ;ou G3 X25 Z-5 I=AC(20) K=AC(-5) G1 Z-15 G2 X35 Z-25 CR=10 ;ou G2 X35 Z-25 I=AC(35) K=AC(-15) G1 X60 RND=10 X85 Z0 RND=5 X110 BBB: G40 G0 X-10 Z10 REPEATAAA BBB P249 G53 G0 Z-110 D0 M30 2535 25 R5 R10 R10 25 R5 100 50 X+
  • 115.
    T60356F Programação eOperação - Linha D - Siemens 828D 103 21. Programação nos planos g18 e g19 Y+ Z+ X- Exemplo de programação em G19: G19 G71 G90 G94 G53 G0 Z-110 D0 T1; FRESAPONTAESF. D8 MM M6 G54 D1 S3600 M3 G64 CFIN G0 X0 Y-10 Z10 AAA: G1 X=IC(0.2) F360 G41 Z-15 Y15 G3 Y25 Z-5 CR=10 ;ou G3 Y25 Z-5 J=AC(15) K=AC(-5) G2 Y35 CR=5 :ou G2 Y35 J=AC(30) K=AC(-5) G3 Y65 CR=15 ;ou G3 Y65 J=AC(50) K=AC(-5) G2 Y75 CR=5 ;ou G2 Y75 J=AC(70) K=AC(-5) G3 Y85 Z-15 CR=10 ;ou G3 Y85 Z-15 J=AC(85) K=AC(-5) G1 Y110 G40 G0 Z10 BBB: Y-10 REPEATAAABBB P249 G53 G0 Z-110 D0 M30 100 50 R 20 25 15 10 R 10 15 R5 NOTAS: Quando trabalha-se com o plano G18, os códigos de compensação de raio (G41 e G42) e de interpolação circular (G2 e G3) devem ser programados de forma contrária aos dos planos G17 e G19, uma vez que o sentido de corte na visualização da usinagem é contrária aos mesmos. Para que ocorra a compensação de raio, a ferramenta utilizada nesse tipo de usinagem deve ser de ponta esférica e não deve ser zerada pelo topo, mas sim pelo centro do raio. Este tipo de programação normalmente é utilizada em operações de acabamento.
  • 116.
    104 Programação eOperação - Linha D - Siemens 828D T60356F 22. Moldes e matrizes 22 - MOLDES E MATRIZES Os centros de usinagem Romi da linha “D” SIEMENS-828 possuem um opcional destinado a melhorar a performance da máquina em caso de usinagem de peças com perfis complexos que necessitem fazer deslocamentos pequenos e precisos mantendo uma boa velocidade e aceleração. Este opcional chamado “MOLDES E MATRIZES” é invocado pela função “CYCLE 832” e possui diversas funções especiais de softwre no CNC que, associadas à diversos parâmetros de máquina e hardware, permitem: –– Melhor controle de precisão dos eixos; –– Altas taxas de avanço; –– Movimentos suaves. Neste capítulo serão explanados as principais funções responsáveis por esta melhor performance das máquinas. São elas: –– Aceleração / Desaceleração “Bell-Shape”; –– Look-Ahead; –– Tecnologia SIEMENS para Moldes e Matrizes (“CYCLE832”). 22.1 - TELA CONVERSACIONAL DE CONTROLE DAS FUNÇÕES DE USINAGEM PARA MOLDES E MATRIZES Esta tela permite ao usuário selecionar, de modo interativo, quais as funções ele deseja aplicar durante a usinagem de determinados moldes ou matrizes. Ao especificar qual o tipo de usinagem a ser realizada (Desbaste, Pré-acabamento ou Acabamento), o comando assume automaticamente as funções recomendadas para aquele tipo de trabalho, porém, caso seja de interesse do usuário, elas podem ser modificadas de acordo com o desejado. Para acessar a tela do “CYCLE832”, deve-se: –– Acionar o softkey horizontal [ DIVERSOS ] ; –– Acionar o softkey vertical [ ] ; –– Acionar o softkey vertical [ AJUSTE HIGH SPEED ] ; –– Preencher os campos (ver figura-exemplo abaixo) –– Acionar a softkey [ Aceitar ].
  • 117.
    T60356F Programação eOperação - Linha D - Siemens 828D 105 22. Moldes e matrizes Os dados a serem preenchidos são os seguintes: Tolerância Valor deve ser 20 % maior do que a tolerância CAM utilizada para gerar o programa. Usinagem Através da tecla [SELECT] escolher entre as opções: -▼ (Desbaste) -▼▼ (Pré - Acabamento) -▼▼▼(Acabamento) Após acionar a softkey [Aceitar], o ciclo é inserido no programa conforme exemplo abaixo: CYCLE832 (0.01, 2, 1) Para fazer a programação do ciclo fora da máquina, ou seja, sem a página interativa, deve-se programar conforme sintaxe abaixo: CYCLE832 (xxx, yyy, zzz) Explanação: XXX Tolerância. O Valor programado deve ser 20 % maior do que a tolerância CAM utilizada para gerar o programa.
  • 118.
    106 Programação eOperação - Linha D - Siemens 828D T60356F 22. Moldes e matrizes YYY 1 - (Desbaste) 2 - (Pré - Acabamento) 3 - (Acabamento) ZZZ 1 - Liga o ciclo. 0 - Desliga o ciclo. 22.2.1 Exemplos de programação do “CYCLE 832” : DESBASTE: CYCLE 832 (0.1,1,1) PRÉ-ACABAMENTO: CYCLE 832 (0.05,2,1) ACABAMENTO: CYCLE 832 (0.02,3,1) Dentro de um programa, o CYCLE 832 pode ser inserido logo no início do programa conforme exemplo abaixo: N10 CYCLE832 (0.1,1,1) N20 G17 G71 G90 G94 N30 G53 G0 Z0 D0 N40 T1 N50 M6 : : :
  • 119.
    T60356F Programação eOperação - Linha D - Siemens 828D 107 23. Quarto eixo 23 - QUARTO EIXO 23.1 - INTRODUÇÃO A Mesa Rotatória da linha “D”com Comando SIEMENS 828 está configurada para trabalhar com a unidade de medida em grau e com a velocidade de posicionamento angular em graus/minuto. Pode-se utilizar a Mesa Rotatória como Divisor ou como 4° Eixo (Usinagem de Contornos). Como Divisor, os posicionamentos são dados em incrementos de ângulo (“indexação”), geralmente na máxima velocidade angular através da função G00. Como 4° Eixo, os posicionamentos do eixoAsão executados para gerar um determinado perfil de contorno sobre o cilindro da peça, podendo ser interpolados com o eixo X através da função G01. A + A - A + A - 23.2 - INTERPOLAÇÃO DO 4° EIXO COM EIXO LINEAR Ao interpolar o eixo A (Eixo Rotacional) com o eixo X (Eixo Linear), tem-se inicialmente um problema com relação a velocidade de avanço, devido as diferentes unidades de medida com que os referidos eixos operam. Enquanto o eixoAtrabalha em grau/min, o eixo X trabalha em mm/min ou polegada/min. O problema da velocidade de avanço ocorre porque neste tipo de interpolação o eixo rotacional (A) fica subordinado ao eixo linear (X) em função do tempo, ou seja, o percurso do eixo A deve ser percorrido no mesmo tempo do eixo X, pois o avanço é sempre aplicado ao eixo linear. Dependendo da relação entre o percurso de cada eixo, tem-se para A uma velocidade de avanço mais lenta ou mais rápida (ver figura 3). Fig. 3 - Velocidade de avanço para o eixo A.
  • 120.
    108 Programação eOperação - Linha D - Siemens 828D T60356F 23. Quarto eixo 23.3 - MÉTODOS DE PROGRAMAÇÃO O comando Siemens possibilita aplicar dois métodos de programação sobre o 4° Eixo, caracterizados como: Programação Simples. Programação Avançada. 23.3.1 - Programação Simples Como o 4° Eixo definido no comando como A, não pertence ao Sistema Ortogonal de Coordenadas (G17-XY/ G18-XZ / G19-YZ), compensações de raio de ferramenta (G40/ G41/G42) bem como interpolações circulares (G02/G03) não são aceitas pelo CNC quando aplicadas ao respectivo eixo. Somente na programação avançada, descrita mais adiante, será possível tais aplicações. No Método de Programação Simples, para se obter o perfil de usinagem desejado, deve-se calcular a geometria dos posicionamentos pelo centro da ferramenta. Sendo assim, qualquer alteração no raio desta, quer seja por desgaste ou troca de ferramenta, implica em alterar o programa de forma a compensar a diferença do respectivo raio nos posicionamentos de corte. Além disso, percursos circulares sobre um cilindro, devem ser decompostos em pequenas facetas (segmentos lineares) entre os eixos X eApara compensar a falta da função de interpolação circular neste tipo de aplicação. Observe na figura 4, como os pontos em negrito no centro da ferramenta, podem ter a posição X/A alterada em função da diferença de diâmetro. Fig. 4 - Posição do centro da ferramenta de acordo com o diâmetro.
  • 121.
    T60356F Programação eOperação - Linha D - Siemens 828D 109 23. Quarto eixo a) Controle da Velocidade de Avanço através das Funções FGROUP e FGREF. Conforme descrito anteriormente, pelo fato do eixo A ser um eixo rotacional com a unidade de medida em grau, não se consegue uma velocidade de avanço uniforme ao longo do percurso de corte quando interpolando com eixos lineares com unidade de medida em mm ou polegada. Assim, essa questão pode ser resolvida pela função FGROUP, a qual é uma função “standard” do comando, usada para definir grupo de eixos, os quais devem trabalhar sob a mesma velocidade de avanço no percurso de corte. Para que a máquina possa calcular o avanço resultante entre os eixos lineares (X, Y) e o eixo rotacional (A), deve-se programar juntamente com a função FGROUP a função FGREF, conforme a sintaxe abaixo: Sintaxe: FGROUP(X, Y, A) - ativa a função FGROUP para agrupar os eixos X, Y e A FGREF[A]=____ - define o raio da peça. Exemplo: FGREF[A]=60 (peça Ø120 mm) b) Exemplo de Programa pelo Método Simples com FGROUP A +
  • 122.
    110 Programação eOperação - Linha D - Siemens 828D T60356F 23. Quarto eixo TABELA 1 - POSICIONAMENTOS X / A Pos A [grau] X [mm] Pos A [grau] X [mm] Pos A [grau] X [mm] A B B1 B2 B3 B4 B5 B6 B7 B8 B9 B10 B11 B12 B13 B14 B15 B16 B17 C D D1 D2 D3 D4 D5 0 60 61 62 63 64 65 66 67 68 69 70 71 72 73 74 75 76 77 77,282 162,718 163 164 165 166 167 120 120 119,699 119,398 119,097 118,796 118,495 118,194 117,893 117,592 117,291 116,990 116,689 116,388 116,087 115,786 115,485 115,184 114,883 114,800 60,949 60,864 60,563 60,262 59,961 59,660 D6 D7 D8 D9 D10 D11 D12 D13 D14 D15 D16 D17 D18 D19 D20 D21 D22 D23 D24 D25 D26 D27 D28 D29 D30 D31 168 169 170 171 172 173 174 175 176 177 178 179 180 181 182 183 184 185 186 187 188 189 190 191 192 193 59,359 59,058 58,757 58,456 58,155 57,854 57,553 57,252 56,951 56,650 56,349 56,048 55,747 56,048 56,349 56,650 56,951 57,252 57,553 57,854 58,155 58,456 58,757 59,058 59,359 59,660 D32 D33 D34 D35 E F F1 F2 F3 F4 F5 F6 F7 F8 F9 F10 F11 F12 F13 F14 F15 F16 F17 G H 194 195 196 197 197,282 282,718 283 284 285 286 287 288 289 290 291 292 293 294 295 296 297 298 299 300 360 59,951 60,262 60,563 60,864 60,949 114,800 114,885 115,186 115,487 115,788 116,089 116,390 116,691 116,992 117,293 117,594 117,895 118,196 118,497 118,798 119,099 119,400 119,701 120,000 120,000 NOTA: Observe que o caminho da ferramenta está localizado exatamente no centro do canal. Isso faz com que a largura do canal tenha a mesma dimensão do diâmetro da ferramenta. Para canais com largura maior que a ferramenta, definir novo caminho pelo centro da ferramenta, tomando como referência a tangência do diâmetro da mesma com relação ao perfil da parede do respectivo canal (ver fig. 4 - Detalhe Ampliado de uma Interpolação Circular pelo Processo de Facetamento). Dados de Processo: a) Ferramenta Diâmetro da Fresa (D) = 20 mm Número de Dentes (z) = 2 Velocidade de Corte (Vc) = 60 m/min Avanço por Dente (fz) = 0,1 mm/rot b) Dados da Peça Diâmetro da Peça = 162 mm c) Cálculo da rotação (N) N = Vc*1000 = 60*1000 = 954 RPM (π*D) (3,141*20) d) Cálculo da velocidade de avanço (fn) fn = N*z*fz = 954*2*0.1 = 191 mm/min
  • 123.
    T60356F Programação eOperação - Linha D - Siemens 828D 111 23. Quarto eixo Programa: N010 G17 G71 G90 G94 G64 N020 G53 G00 Z-110 D0 N030 T01; FRESA D20 MM N040 M06 N050 G54 D1 S954 M3 CFIN N060 G00 X120 Y0 A0 N070 FGROUP (X,A) N080 FGREF[A]=81 N090 G00 Z92.5 N100 G01 Z81 F100 N110 A-60 F127 N120 A-61 X119.699 F191 N130 A-62 X119.398 N140 A-63 X119.097 N150 A-64 X118.796 N160 A-65 X118.495 N170 A-66 X118.194 N180 A-67 X117.893 N190 A-68 X117.592 N200 A-69 X117.291 N210 A-70 X116.990 N220 A-71 X116.689 N230 A-72 X116.388 N240 A-73 X116.087 N250 A-74 X115.786 N260 A-75 X115.485 N460 A-178 X56.349 N470 A-179 X56.048 N480 A-180 X55.747 N490 A-181 X56.048 N500 A-182 X56.349 N510 A-183 X56.650 N520 A-184 X56.951 N530 A-185 X57.252 N540 A-186 X57.553 N550 A-187 X57.854 N560 A-188 X58.155 N570 A-189 X58.456 N580 A-190 X58.757 N590 A-191 X59.058 N600 A-192 X59.359 N610 A-193 X59.660 N620 A-194 X59.951 N630 A-195 X60.262 N640 A-196 X60.563 N650 A-197 X60.864 N660 A-197.282 X60.949 N670 A-282.718 X114.800 N680 A-283 X114.885 N690 A-284 X115.186 N700 A-285 X115.487 N710 A-286 X115.788 N270 A-76 X115.184 N280 A-77 X114.883 N290 A-77.282 X114.800 N300 A-162.718 X60.949 N310 A-163 X60.864 N320 A-164 X60.563 N330 A-165 X60.262 N340 A-166 X59.961 N350 A-167 X59.660 N360 A-168 X59.359 N370 A-169 X59.058 N380 A-170 X58.757 N390 A-171 X58.456 N400 A-172 X58.155 N410 A-173 X57.854 N420 A-174 X57.553 N430 A-175 X57.252 N440 A-176 X56.951 N450 A-177 X56.650 N720 A-287 X116.089 N730 A-288 X116.390 N740 A-289 X116.691 N750 A-290 X116.992 N760 A-291 X117.293 N770 A-292 X117.594 N780 A-293 X117.895 N790 A-294 X118.196 N800 A-295 X118.497 N810 A-296 X118.798 N820 A-297 X119.099 N830 A-298 X119.400 N840 A-299 X119.701 N850 A-300 X120.000 N860 A-360 X120.000 N870 G00 Z92.5 N880 A0 X0 N890 G53 Z-110 D0 N900 M30
  • 124.
    112 Programação eOperação - Linha D - Siemens 828D T60356F 23. Quarto eixo 23.3.2 - Programação Avançada - Função TRACYL O conceito de programação avançada consiste em utilizar a função TRACYL, do recurso de software denominado TRANSMIT, o qual agrega funções de transformação de eixos. Essa função possibilita a conversão do modo de atuação do 4° Eixo, de forma que ao interpolá- lo com um eixo linear, ambos operem na mesma unidade de medida e como componentes adjuntos de uma mesma velocidade de avanço programada. TRACYL, além de resolver o problema da velocidade de avanço na interpolação dos eixos X e A descrito anteriormente, também possui funções para compensação de raio de ferramenta (G40/G41/G42) e interpolação circular (G02/G03). TRACYL é uma função de usinagem com interpolação cilíndrica para as seguintes entidades geométricas: Canal Reto Longitudinal ou Transversal; Canal Helicoidal; Cavidades; “Cames”
  • 125.
    T60356F Programação eOperação - Linha D - Siemens 828D 113 23. Quarto eixo a) Descrição da Função TRACYL O conceito adotado para a função TRACYL consiste em definir um Caminho de Programação para o contorno a ser usinado onde a trajetória da ferramenta incidirá sobre o mesmo ou ao lado deste se aplicado o recurso de compensação de raio de ferramenta. As coordenadas de posição dos eixos deverão estar contidas no plano virtual XY, onde X é o eixo linear e Y o eixo rotacional planificado, ambos com a mesma unidade de medida (mm ou polegadas). A planificação da dimensão Y do cilindro se faz através da seguinte fórmula: NOTA: O Sentido de Y de programação é inverso ao Sentido de Rotação do 4° Eixo, pois não é a ferramenta que se move e sim o Eixo Rotacional.
  • 126.
    114 Programação eOperação - Linha D - Siemens 828D T60356F 23. Quarto eixo b) Deslocamento da Ferramenta (OFFN) com relação ao Caminho de Programação OFFN é um vetor de programação que define um deslocamento perpendicular da ferramenta ao longo do Caminho de Programação. O Caminho de Programação não deve ser portanto o percurso de contorno acabado da parede do elemento a ser usinado e sim uma linha de referência postada internamente ao referido elemento quando aplicado OFFN. Esse deslocamento é programado através da seguinte sintaxe: OFFN=nn, onde nn define a dimensão do deslocamento da ferramenta (figura 7) com relação ao Caminho de Programação. O valor de OFFN pode ser alterado durante a seqüência de programação aumentando ou diminuindo a referida área de corte. Para que OFFN se torne ativo, deve-se programar uma das funções de compensação de raio de ferramenta (G41/G42) para definir o lado de deslocamento da ferramenta. A função de compensação de raio de ferramenta deve ser estabelecida com referência ao Caminho de Programação e não com relação à parede do elemento em usinagem. Dessa forma, tomando-se o sentido de avanço do Caminho de Programação, programar G41 para deslocar a ferramenta à esquerda e G42 para deslocar a ferramenta à direita do mesmo. DICAS: 1. Para evitar possíveis danos à parede oposta do Canal, OFFN deveria ser igual ou maior que o Raio da Ferramenta. 2. OFFN negativo (OFFN = -nn) é o mesmo que inverter G41 / G42.
  • 127.
    T60356F Programação eOperação - Linha D - Siemens 828D 115 23. Quarto eixo c) Tipos de Contorno de Usinagem Os Contornos de Usinagem podem ser classificados em duas categorias: Contorno Aberto e Contorno Fechado. • Contorno Aberto Define-se como Contorno Aberto, o perfil cujo ponto inicial não é coincidente (não se fecha) com o ponto final. Canais Retos e Helicoidais tem Contorno Aberto. • Contorno Fechado Define-se como Contorno Fechado, o perfil que o ponto inicial é coincidente (se fecha) com o ponto final. CAMES e Cavidades são exemplos de Contorno Fechado.
  • 128.
    116 Programação eOperação - Linha D - Siemens 828D T60356F 23. Quarto eixo d) Efeitos Físicos da Função TRACYL • Efeitos do Corretor OFFN sobre o fundo do elemento programado. Independente do valor do Corretor OFFN e do tipo do Contorno (Aberto ou Fechado), as laterais de um Canal Reto, Canal Helicoidal ou Cavidade não serão paralelas no sentido do eixo Y. O fundo do elemento usinado será sempre cilíndrico. • Quanto a Velocidade de Avanço Avelocidade tangencial de corte da ferramenta em interpolações circulares sofre grande influência da geometria do perfil a ser usinado e do raio da ferramenta. Em interpolações circulares, onde existe grande diferença de valor entre o raio gerado na peça e o raio no caminho da ferramenta, essa influência é mais acentuada. A figura abaixo ilustra bem esse efeito físico. Descrição dos Elementos de Interpolação Circular: R0 = Raio do Canto do Contorno de Programação R1 = Raio Tangencial Menor R2 = Raio do Centro da Ferramenta R3 = Raio Tangencial Maior F = Avanço Programado Ft1 = Avanço Tangencial Interpolado no Raio Menor do Canal em Usinagem Fcf = Avanço Interpolado no Caminho da Ferramenta Ft2 =Avanço Tangencial Interpolado no Raio Maior do Canal em Usinagem
  • 129.
    T60356F Programação eOperação - Linha D - Siemens 828D 117 23. Quarto eixo Função de Controle de Velocidade de Avanço: Existem três funções básicas do comando SIEMENS - 828D usadas para Controle da Velocidade do Avanço em interpolações circulares, as quais podem ser programadas junto à função TRACYL. O avanço controlado se aplica sobre o percurso do Caminho da Ferramenta. As funções de controle são: CFTCP: Avanço Constante no percurso realizado pelo Centro da Ferramenta CFC: Avanço Constante no percurso realizado pela Aresta de Corte da Ferramenta, ou seja, avanço constante no perfil programado. CFIN: Avanço Constante na maior trajetória a ser percorrida, ou seja, avanço constante pelo centro da ferramenta em raios externos e avanço constante pela aresta de corte em raios internos. No entanto, quando aplicadas à função TRACYL, alguns pontos devem ser observados, como por exemplo: - Durante a trajetória do percurso da ferramenta em torno do Caminho de Programação, na interpolação circular, o Raio Interno do Canal na Usinagem (R3) é considerado pelo sistema como um Raio Externo por se referenciar pelo Caminho de Programação. - Desbastes são executados no sentido de ir alargando a Cavidade ou Canal em usinagem, dessa forma o Raio Tangencial Maior (R3) geralmente não está no espaço livre e sim em contato com o material da parede do elemento em usinagem. Com base nesses preceitos, ver no exemplo abaixo o efeito físico sobre a ferramenta em usinagem durante o trajeto em interpolação circular: Exemplo de Efeito Físico sobre uma dada Velocidade de Avanço Programada (F), conforme Controle de Velocidade de Avanço Programado: DADOS: OFFN = 50 D = Ø40 R0 = 5 R3 = R0 + OFFN = 55 R2 = R3 - (D/2) = 55 - 20 = 35 R1 = R2 - (D/2) = 35 - 20 = 15 F = 300 mm/min CFC PROGRAMADO: Fct = F * R2 / R0 = 300 * 35 / 5 = 2100 mm/min Ft1 = Fcf * R0 / R2 = 2100 * 5 / 35 = 900 mm/min Ft2 = Fcf * R3 / R2 = 2100 * 55 / 35 = 3300 mm/min CFTCP PROGRAMADO: Fct = F = 300 mm/min Ft1 = Fcf * R1 / R2 = 300 * 5 / 35 = 43 mm/min Ft2 = Fcf * R3 / R2 = 300 * 55 / 35 = 471 mm/min CFIN PROGRAMADO: Normalmente não se aplica CFIN à função TRACYL, pelo fato da ferramenta de um
  • 130.
    118 Programação eOperação - Linha D - Siemens 828D T60356F 23. Quarto eixo modo geral estar sempre externa ao Contorno de Programação, mesmo quando se está abrindo uma Cavidade ou Canal. e) Sistema de Coordenadas de Peça (G54 ~G57) O Sistema de Coordenadas da Peça (G54 ~G57) tem duas identidades. Uma aplicada fora da função TRACYL onde é ativado de forma usual, fazendo as correções geométricas dos eixos, e outra dentro, onde assume uma correção própria à função TRACYL. Em outras palavras, ao ativar o referido sistema (G54~G57) dentro da função TRACYL, os eixos refletem a posição de correção para XYZ do Sistema Virtual de Coordenadas Cartesianas (Planificação do Cilindro) da respectiva função. NOTA: A mesma Função de Correção (G54~G57) do Sistema de Coordenadas de Peça não pode ser aplicado dentro e fora da função TRACYL no mesmo programa. NOTA: No exemplo acima, a função G57 corrige os Eixos Geométricos antes da ativar a função TRACYL, enquanto G54 atua nos Eixos X e Y-Rotacional do Plano Virtual XY da referida função. f) Sintaxe da Função TRACYL TRACYL (d) : TRAFOOF onde: TRACYL = ativa a função de transformação cilíndrica “TRACYL” d = diâmetro a ser trabalhado da peça TRAFOOF - desativa a função de transformação cilíndrica “TRACYL”
  • 131.
    T60356F Programação eOperação - Linha D - Siemens 828D 119 23. Quarto eixo 23.4 - EXEMPLOS DE PROGRAMAÇÃO Exemplo 1 - Canal simples 20 5 50 60 5 5 %_N_EIXO4_1_MPF ;$PATH=/_N_WKS_DIR/_N_EXEMPLO_WPD N10 G17 G64 G71 G90 G94 N20 G53 G0 Z-110 D0 N30 T6; FRESA TOPO D5 N40 M6 N50 G54 D1 S3000 M3 N60 FGROUP (X,A) N70 FGREF[A]=25 N80 G0 X-10 Y0 A0 M8 N90 Z5 CFTCP N100 G1 Z-5 F200 N110 G1 X20 F1000 N120 A360 N130 X-10 N140 G53 G0 Z-110 D0 M5 N150 M30
  • 132.
    120 Programação eOperação - Linha D - Siemens 828D T60356F 23. Quarto eixo Exemplo 2 - Canal quadrado 5 20 25 70 60 5 Perímetro = diâmetro final da peça x 3,14 50 x 3,14 = 157,080 157,080 = 360º 12,5 = Xº X = (360 x 12,5)/157,080 X = 28,648º %_N_EIXO4_2_MPF ;$PATH=/_N_WKS_DIR/_N_EXEMPLO_WPD N10 G17 G64 G71 G90 G94 N20 G53 G0 Z-110 D0 N30 T6; FRESA TOPO D5 N40 M6 N50 G54 D1 S3000 M3 N60 FGROUP (X,A) N70 FGREF[A]=25 N80 G0 X-10 Y0 A0 M8 N90 Z5 CFTCP N100 G1 Z-5 F200 N110 G1 X20 F1000 N120 A28,648 N130 X45 N140 A-28,648 N150 X20 N160 A0 N170 X-10 N180 G53 G0 Z-110 D0 M5 N190 M30 %_N_EIXO4_2_MPF ;$PATH=/_N_WKS_DIR/_N_EXEMPLO_WPD N10 G17 G64 G71 G90 G94 N20 G53 G0 Z-110 D0 N30 T6; FRESA TOPO D5 N40 M6 N50 G54 D1 S3000 M3 N60 FGROUP (X,A) N70 FGREF[A]=25 N80 G0 X-10 Y0 A0 M8 N90 Z5 CFTCP N100 G1 Z-5 F200 N110 G1 X20 F1000 N120 A=IC(28,648) N130 X=IC(25) N140 A=IC((-28,648)*2) N150 X=IC(-25) N160 A=IC(28,648) N170 X-10 N180 G53 G0 Z-110 D0 M5 N190 M30 Nota: No exemplo acima, o perímetro da peça, foi calculado a partir do diâmetro de 50mm (diâmetro final da usinagem). Em outras situações, este cálculo pode ser feito a partir do diâmetro maior (peça bruta), dependendo da aplicação da peça e das cotas presentes no desenho.
  • 133.
    T60356F Programação eOperação - Linha D - Siemens 828D 121 23. Quarto eixo Exemplo 3 - Hélice 5 3 60 136 180 40 Passo da Hélice: mm voltas mm Passo 68 2 136 == Cálculo do percurso adicional na entrada e na saída da hélice: mmXXmm Xmm mm 5,8 360 7845 º45 º36068 =→ × =→= %_N_EIXO4_3_MPF ;$PATH=/_N_WKS_DIR/_N_EXEMPLO_WPD N10 G17 G64 G71 G90 G94 N20 G53 G0 Z-110 D0 N30 T6; FRESA TOPO D5 N40 M6 N50 G54 D1 S3000 M3 N60 FGROUP (X,A) N70 FGREF[A]=27 N80 G0 X-8.5 Y0 A-45 M8 N90 Z0 CFTCP N100 INIC: G1 Z=IC(-1) F200 N110 G1 X144.5 A765 F800 N120 G0 Z=IC(10) N130 X-8.5 A-45 N140 FIM: Z=IC(-10) N150 REPEAT INIC FIM P2 N160 G53 G0 Z-110 D0 M5 N170 M30 %_N_EIXO4_3_MPF ;$PATH=/_N_WKS_DIR/_N_EXEMPLO_WPD N10 G17 G64 G71 G90 G94 N20 G53 G0 Z-110 D0 N30 T6; FRESA TOPO D5 N40 M6 N50 G54 D1 S3000 M3 N60 FGROUP (X,A) N70 FGREF[A]=27 N80 G0 X-8.5 Y0 A-45 M8 N90 Z0 CFTCP N100 INIC: G1 Z=IC(-1) F200 N110 G1 X=IC(153) A=IC(810) F800 N120 G0 Z=IC(10) N130 X-8.5 A-45 N140 FIM: Z=IC(-10) N150 REPEAT INIC FIM P2 N160 G53 G0 Z-110 D0 M5 N170 M30 68
  • 134.
    122 Programação eOperação - Linha D - Siemens 828D T60356F 23. Quarto eixo Exemplo 4 - Sextavado 30 50 10 40 %_N_EIXO4_4_A_MPF ;$PATH=/_N_WKS_DIR/_N_EXEMPLO_WPD N10 G17 G64 G71 G90 G94 N20 G53 G0 Z-110 D0 N30 T6; FRESA TOPO D24 N40 M6 N50 G54 D1 S3000 M3 N60 G0 X-2 Y-25 A0 M8 N70 Z-5 CFTCP N80 G1 Y25 F1000 N90 G0 Z2 N100 Y-25 A60 N110 Z-5 N120 G1 Y25 F1000 N130 G0 Z2 N140 Y-25 A120 N150 Z-5 N160 G1 Y25 F1000 N170 G0 Z2 N180 Y-25 A180 N190 Z-5 N200 G1 Y25 F1000 N210 G0 Z2 N220 Y-25 A240 N230 Z-5 N240 G1 Y25 F1000 N250 G0 Z2 N260 Y-25 A300 N270 Z-5 N280 G1 Y25 F1000 N290 G0 Z2 N300 G53 G0 Z-110 D0 M5 N310 M30 %_N_EIXO4_4_B_MPF ;$PATH=/_N_WKS_DIR/_N_EXEMPLO_WPD N10 G17 G64 G71 G90 G94 N20 G53 G0 Z-110 D0 N30 T6; FRESA TOPO D24 N40 M6 N50 G54 D1 S3000 M3 N60 G0 X-2 Y-25 A0 M8 N70 INIC: Z-5 CFTCP N80 G1 Y25 F1000 N90 G0 Z2 N100 FIM: Y-25 A=IC(60) N110 REPEAT INIC FIM P5 N120 G53 G0 Z-110 D0 M5 N130 M30
  • 135.
    T60356F Programação eOperação - Linha D - Siemens 828D 123 23. Quarto eixo Exemplo 5 - Contorno Fechado (CAME) 20 120 162 -230.037 mm-230.037 mm-230.037 mm-230.037 mm -399.684 mm-399.684 mm-399.684 mm-399.684 mm -109.254 mm-109.254 mm-109.254 mm-109.254 mm -278.901 mm-278.901 mm-278.901 mm-278.901 mm 0º0º0º0º -508.938 mm-508.938 mm-508.938 mm-508.938 mm -424.115 mm-424.115 mm-424.115 mm-424.115 mm -60°-60°-60°-60° -77.282°-77.282°-77.282°-77.282° -162.718°-162.718°-162.718°-162.718° -197.282°-197.282°-197.282°-197.282° -282.718°-282.718°-282.718°-282.718° -300°-300°-300°-300° -360°-360°-360°-360° -84.822 mm-84.822 mm-84.822 mm-84.822 mm A linha deA linha deA linha deA linha de centro docentro docentro docentro do Came é oCame é oCame é oCame é o Caminho deCaminho deCaminho deCaminho de ProgramaçãoProgramaçãoProgramaçãoProgramação 200 175 da Peçada Peçada Peçada Peça Vista FrontalVista FrontalVista FrontalVista Frontal Y0/Z0Y0/Z0Y0/Z0Y0/Z0 Plano VirtualPlano VirtualPlano VirtualPlano Virtual (Vista Planificada do Came)(Vista Planificada do Came)(Vista Planificada do Came)(Vista Planificada do Came) 60.949 114.8 R60 R60 N010 G17 G71 G90 G94 G64 N020 G53 G00 Z-110 D0 N030 T20; FRESA TOPO D20 N040 M06 N050 G54 D1 S2000 M3 N060 G00 X120 Y0 N070 TRACYL (162) N080 G54; Corrige Origem (X0/Y0/Z0) do Plano Virtual N090 G00 X120 Y0 N100 Z92.5 N110 G01 Z81 F200 N120 Y-84.822 F400 N130 G02 X114.8 Y-109.254 CR=60 N140 G01 X60.949 Y-230.037 N150 G03 X60.949 Y-278.901 CR=60 N160 G01 X114.8 Y-399.684 N170 G02 X120 Y-424.115 CR=60 N180 G01 Y-508.938 N190 TRAFOOF; Cancela Função TRACYL N200 G53 G00 Z-110 D0 N210 M30
  • 136.
    124 Programação eOperação - Linha D - Siemens 828D T60356F 23. Quarto eixo Exemplo 6 - Contorno Aberto (Rasgo de Chaveta) 25 8030 30° mm26,18 15Fer. 30° R45 Y0/Z0Y0/Z0Y0/Z0Y0/Z0 Vista Frontal da PeçaVista Frontal da PeçaVista Frontal da PeçaVista Frontal da Peça (0º)(0º)(0º)(0º) 100 8030 AAAA BBBB Plano Virtual XYPlano Virtual XYPlano Virtual XYPlano Virtual XY (Vista Planificada do Rasgo)(Vista Planificada do Rasgo)(Vista Planificada do Rasgo)(Vista Planificada do Rasgo) Cálculo da Coordenada do centro do Rasgo em milímetros: mmXXmm Xmm mm mmPerímetroPerímetrodiâmetroPerímetro 18,26 360 16,31430 º30 º36016,314 16,314100 =→ × =→= =→×=→×= ππ N010 G17 G71 G90 G94 G64 N020 G53 G00 Z-110 D0 N030 T20; FRESA TOPO D15 N040 M6 N050 G54 D1 S1000 M3 N060 G00 X30 Y0 N070 TRACYL (90) N080 G54; Corrige Origem (XYZ) do Plano Virtual N090 G00 X30 Y26.180 N100 Z55 N110 G01 Z45 F100 N120 X110 F200 N130 G41 G1 Y13.68 N140 G3 Y38.68 CR=12.5 N150 G1 X30 N160 G3 Y13.68 CR=12.5 N170 G1 X110 N180 G40 Y26.18 N190 TRAFOOF; Desativa função TRACYL N200 G53 G0 Z-110 D0 N210 M30 Nota: No exemplo acima, o valor de 26.18 mm (centro do rasgo), foi calculado a partir do diâmetro de 100 mm (diâmetro externo). Em outras situações, este cálculo pode ser feito a partir do diâmetro do fundo do rasgo, dependendo da aplicação da peça e das cotas presentes no desenho.
  • 137.
    T60356F Programação eOperação - Linha D - Siemens 828D 125 23. Quarto eixo Exemplo 7 - Contorno Fechado (Cavidade) R30 80 76 70mm (53,48°) R70 Y0/Z0Y0/Z0Y0/Z0Y0/Z0 (Vista Planificada da Cavidade)(Vista Planificada da Cavidade)(Vista Planificada da Cavidade)(Vista Planificada da Cavidade) Plano VirtualPlano VirtualPlano VirtualPlano Virtual 150 N010 G17 G71 G90 G94 G64 N020 G53 G00 Z-110 D0 N030 T20; FRESA TOPO D10 N040 M06 N050 G54 D1 S1000 M3 G64 CFIN N060 G00 X80 Y0 N070 TRACYL (140) N080 G54; Corrige Origem (X0/Y0/Z0) do Plano Virtual N090 G00 X80 Y0 N100 Z80 N110 POCKET3(80,75,0.5,70,76,70,30,80,0,0,2.5,0,0,800,150,3,31,7,,,,5,) N120 TRAFOOF; Desativa função TRACYL N130 G53 G00 Z-110 D0 N140 M30
  • 138.
    126 Programação eOperação - Linha D - Siemens 828D T60356F 24. Gráficos de potência 24 - GRÁFICOS DE POTÊNCIA 5 Gráficos de potência ROMI D 600 / ROMI D 800 ROMI D 1000 / ROMI D 1250 Cabeçote 8.000 rpm Cabeçote 10.000 rpm Cabeçote 8.000 rpm Cabeçote 10.000 rpm Os gráficos não estão em escala CNC Fanuc 0i-MD (regime S3 - 25% - 15 min) CNC Fanuc 0i-MD (regime S3 - 25% - 15 min) ROMI D 600 / ROMI D800 Cabeçote 8.000 rpm Cabeçote 10.000 rpm CNC Siemens 828D (regime S6 - 40% - 10 min) 94 N.m cv / kW 20 / 15 1.500 3.500 8.000 7,5 / 10 rpm 75 N.m cv / kW 20 / 15 1.875 4.375 10.000 7,5 / 10 rpm 102 N.m cv / kW 25 / 18,5 11 / 15 1.715 4.000 8.000 rpm 11 / 15 78 N.m cv / kW 25 / 18,5 2.250 5.250 10.000 rpm 104 N.m cv / kW 22,4 / 16,5 1.500 3.500 8.000 8 / 6 rpm 82 N.m cv / kW 22,4 / 16,5 1.875 3.375 10.000 8 / 6 rpm
  • 139.
    T60356F Programação eOperação - Linha D - Siemens 828D 127 24. Gráficos de potência 6 Os gráficos não estão em escala Gráficos de potência Cabeçote 10.000 rpm Cabeçote 12.000 rpm ROMI D 1500 ROMI D 2000 Cabeçote 6.000 rpm com caixa de redução ZF Cabeçote 8.000 rpm CNC Siemens 828D (regime S6 - 60% - 10 min) CNC Fanuc 0i-MD (regime S3 - 25% - 15 min) Cabeçote 8.000 rpm Cabeçote 10.000 rpm Cabeçote 15.000 rpm ROMI D 1000 / ROMI D 1250 CNC Siemens 828D (regime S6 - 40% - 10 min) CNC Siemens 828D (regime contínuo) 124 N.m cv / kW 30 / 22 1.700 10.000 rpm 103 N.m cv / kW 30 / 22 2.040 12.000 rpm cv / kW 30 / 22 425 494N.m 124 N . m 1.700 6.000 rpm 154 N.m cv / kW 30 / 22 1.360 8.000 rpm 104 N.m cv / kW 22,4 / 16,5 8 / 6 1.500 3.000 6.000 rpm 8 / 6 83 N.m cv / kW 22,4 / 16,5 1.875 3.375 10.000 rpm 16 / 12 118 N.m cv / kW 25 / 18,5 1.500 10.500 15.000 rpm 15,5 / 11,5 157 N.m cv / kW 25 / 18,5 1.125 4.500 6.000 rpm Cabeçote 6.000 rpm Cabeçote 8.000 rpm 15,5 / 11,5 117,7 N.m cv / kW 25 / 18,5 1.500 6.000 8.000 rpm Cabeçote 12.000 rpm 15,5 / 11,5 78,5 N.m cv / kW 25 / 18,5 2.250 9.000 12.000 rpm ROMI D 1000AP Direct Drive
  • 140.
    128 Programação eOperação - Linha D - Siemens 828D T60356F 25. Parâmetros de cálculo “r” 25 - PARÂMETROS DE CÁLCULO R Este capítulo tem por objetivo abordar alguns recursos especiais que estão disponíveis no CNC SIEMENS 828D considerados mais usuais. O conteúdo é uma síntese do manual original SIEMENS “PRINCÍPIOS FUNDAMENTAIS - cap10”e “PROGRAMMING: ADVANCED-cap1”. 25.1 - PARÂMETROS DE CÁLCULO “R” 25.1.1 - Explanação: Parâmetros de cálculo “R” são registros fixos de R0 a R99 disponíveis para assinalamento de valores e usados analogamente às variáveis. 25.1.2 - Aplicação: Desenvolvimento de programas de família de peças onde tem-se a mesma geometria, porém, valores dimensionais variáveis, desenvolvimento de perfis bidimensionais e/ou tridimensionais gerados ponto a ponto cujas coordenadas são calculadas através de algorítmos contidos dentro do programa com desvios condicionais, etc. 25.1.3 - Atribuição de valores: Aos parâmetros “R” podem ser atribuídos valores diretos ou indiretos cujo resultado deverá estar contido na seguinte gama: + ou - (0.0000001 - 9999.9999) (oito casas decimais + sinal + ponto decimal) No caso de valores inteiros, o ponto decimal pode ser omitido. Um sinal positivo sempre pode ser omitido. Exemplo: R0=3.5678 R1=-36.4 R3=-3.65 R4=-6765.1234 Através da notação exponencial “EX” pode ser alocada uma gama mais ampliada de números, assim, o valor do expoente escreve-se após os caracteres EX. Exemplo: R0=-0.1EX-5 Significado: R0=-0.000 001 R1=1.874EX8 Significado: R1=187 400 000 NOTA: É permitido efetuar uma série de atribuição de valores num único bloco, porém, o bloco deve ser exclusivo para atribuição. Exemplo válido: R0=3.5678 R1=-36.4 R3=-3.65EX3 R4=3.23EX-2 Exemplo inválido: R7=15 R15=3.1415 R42=R15*(COS(R7))
  • 141.
    T60356F Programação eOperação - Linha D - Siemens 828D 129 25. Parâmetros de cálculo “r” 25.1.4 - Aplicação dos parâmetros dentro do programa: Os parâmetros de cálculo e/ou expressões aritméticas com parâmetros de cálculo poderão substituir valores em todos endereços do programa exceto N, G e L, para tanto, escreve-se após o caracter de endereço o caracter “=” e a identificação do parâmetro, seguido ou não de expressão aritmética. Exemplos: N10 R5=24 R10=250 Efeito: Atribuido valor 24 ao parâmetro R5 e 250 ao R10. N20 G1 X=R5 F=R10 Efeito: A máquina deslocará até a coordenada X24 numa Va = 250 mm/min 25.1.5 - Operações/funções aritméticas: Ao aplicar o cálculo/funções aritméticas é necessário observar a notação matemática usual, isto é, a multiplicação/divisão tem prioridade sobre adição/subtração. Para definir prioridade arbitrária e/ou específica da execução, usa-se o “parênteses”. Em todas as circunstâncias onde é usado valores em graus, estes devem ser declarados em milésimos. Exemplos: N60 R1=8 R20=SIN(30.345) R9=R7*R8 R12=R10/R11 N70 R13=R1*R20-R9 N80 R15=SQRT(R13+R9*R1)
  • 142.
    130 Programação eOperação - Linha D - Siemens 828D T60356F 25. Parâmetros de cálculo “r” 25.2 - OPERADORES / FUNÇÕES ARITMÉTICAS 25.2.1- Principais operadores e funções aritméticas: Os parâmetros de cálculo “R”, conforme visto no capítulo anterior, podem ser submetidos a diversos tipos de cálculos. Os principais operadores são: Operadores Função + Adição - Subtração * Multiplicação / Divisão SIN(*) Seno COS(*) Cosseno TAN(*) Tangente ASIN(*) Arcoseno ACOS(*) Arcocosseno ATAN2(*) Arcotangente SQRT(*) Raiz quadrada ABS(*) Número absoluto POT(*) Potência de 2 (elevação ao quadrado) TRUNC(*) Truncar p/ inteiro ROUND(*) Arredondar p/ inteiro LN(*) Logarítmo natural EXP(*) Função exponencial * = inserir valor Exemplos: R1=R1+2 Resultado: Valor contido em R1 + 2. R3=SIN(30) Resultado: R3 conterá o valor do seno de 30. R4=R1+R20/R3 Resultado: R4 conterá o resultado da equação. R5=(R1+R20)/R3 Resultado: R5 conterá o resultado da equação. 23.2.2 - Função aritmética ATAN2(___,___) Esta função calcula o ângulo do vetor resultante (hipotenusa) tendo como dados outros 2 vetores (catetos) de um ângulo reto. O resultado considera um dos 4 quadrantes (-180 0 180°). A referência angular é sempre baseada numa linha originada no vértice do 2° valor seguindo na direção positiva.
  • 143.
    T60356F Programação eOperação - Linha D - Siemens 828D 131 25. Parâmetros de cálculo “r” Exemplos: R20=ATAN2(30.5,80.1) Resultado: 20.8455o R21=ATAN2(30.5,-80.1) Resultado: 159.1545o R22=ATAN2(-30.5,-80.1) Resultado: 200.8455o R23=ATAN2(-30.5,80.1) Resultado: 339.1545o 25.3 - OPERADORES DE COMPARAÇÃO E LÓGICOS 25.3.1 - Operadores de comparação: Os operadores de comparação podem ser utilizados para formular uma condição de desvio. Expressões complexas podem também ser comparadas. São eles: Operadores Função Descrição = = Equal to Igual a Not equal to Diferente de Greater than Maior que Less than Menor que = Greater than or equal to Maior ou igual a = Less than or equal to Menor ou igual a 23.3.2 - Operadores Lógicos: Operadores lógicos são usados para checar a condição de verdadeiro ou falso numa comparação entre 2 valores efetuando um desvio condicional. Síntaxe: IF (comparação) GOTOB (LABEL DESTINO) IF (comparação) GOTOF (LABEL DESTINO) NOTA: O desvio pode ser para um bloco (LABEL) que está para trás ou para diante do bloco condicional. Se estiver para trás usa-se GOTOB (GO TO BACKWARD), se para diante GOTOF (GO TO FORWARD). LABEL DESTINO é a identificação do bloco para o qual a execução deverá ser desviada caso o resultado da comparação seja verdadeira. Caso o resultado da comparação não seja verdadeira, não haverá desvio, logo, a execução continuará no próximo bloco. Exemplo 1: IF R10=R11 GOTOB INICIO Caso R10 seja maior ou igual a R11 a execução será desviada para o bloco (LABEL) nomeado como INICIO que está programado para trás deste bloco.
  • 144.
    132 Programação eOperação - Linha D - Siemens 828D T60356F 25. Parâmetros de cálculo “r” Exemplo 2: IF R20= = (SIN(R31)) GOTOF POSICAO Caso R20 seja igual ao seno de R31 a execução será desviada para o bloco (LABEL) nomeado como POSICAO que está programado para diante deste bloco. 25.4 - EXEMPLOS DE PROGRAMAS PARAMETRIZADOS. Exemplo 1: Elaborar um programa parametrizado para uma família de peças, conforme o desenho abaixo: %_N_EXE_2_MPF ;$PATH=/_N_WKS_DIR/_N_EXEMPLO_WPD G17 G64 G71 G90 G94 G53 G0 Z-110 D0 T2 M6 G54 D1 S2500 M3 R1=200; COMPRIMENTO TOTAL DA PECA R2=70; COMPRIMENTO DO “CHANFRO” 1 R3=10; CHANFRO 2 (45 GRAUS) R4=150; LARGURA TOTAL DA PECA R5=20; LARGURA DO “CHANFRO” 1 R6=50; RAIO R7=10; DIAMETRO DA FERRAMENTA R8=3; FOLGA PARA A APROXIMACAO R9=350; AVANÇO R7=R7/2; CALCULO DO RAIO DA FERRAMENTA G0 X=-(R7+R8) Y=-(R7+R8) Z5 Z-5 G42 G1 X0 Y0 F=R9 X=R1-R6 G3 X=R1 Y=R6 CR=R6 G1 Y=R4-R3 X=R1-R3 Y=R4 X=R2 X0 Y=R4-R5 Y0 G40 X=-(R7+R8) Y=-(R7+R8) G53 G0 Z-110 D0 M5 M30
  • 145.
    T60356F Programação eOperação - Linha D - Siemens 828D 133 25. Parâmetros de cálculo “r” Exemplo 2: Elaborar um programa parametrizado para uma família de peças, conforme o desenho abaixo: %_N_EXE_2_MPF ;$PATH=/_N_WKS_DIR/_N_EXEMPLO_WPD G17 G64 G71 G90 G94 G53 G0 Z-110 D0 T3 M6 G54 D1 S3500 M3 R1=60; COMPRIMENTO 1 R2=100; COMPRIMENTO TOTAL DA PECA R3=30; LARGURA 1 R4=60; LARGURA TOTAL DA PECA R5=5; LARGURA DO CHANFRO x 45 GRAUS R6=25; RAIO 1 R7=7; RAIO 2 R8=20; RAIO 3 R9=20; DIAMETRO DA FERRAMENTA R10=400; AVANCO R11=0; Z INICIAL R12=-20; Z FINAL R13=2; PROFUNDIDADE DE CORTE R14=5; FOLGA PARAAAPROXIMACAO EM X E Y R15=5; FOLGA PARA A APROXIMACAO EM Z R9=R9/2; CALCULO DO RAIO DA FERRAMENTA R16=R11+R15; CALCULO DO Z INICIAL R20=R11-R13; COORDENADA DA PRIMEIRA PASSADA G0 X=-(R9+R14) Y=-(R9+R14) Z=R16 AAA: G0 Z=R20 BBB: G42 G1 X0 Y0 F=R10 X=R1 RND=R8 X=R2 Y=R3 Y=R4 CHR=R5 X=R6 G2 X0 Y=R4-R6 CR=R6 RND=R7 G1 Y0 CCC: G40 X=-(R9+R14) Y=-(R9+R14) R20=R20-R13 IF R20R12 GOTOB AAA G0 Z=R12 REPEAT BBB CCC G0 Z=R16 G53 G0 Z-110 D0 M5 M30
  • 146.
    134 Programação eOperação - Linha D - Siemens 828D T60356F 25. Parâmetros de cálculo “r” Exemplo 3: Elaborar um programa parametrizado para fazer um sextavado inscrito num determinado círculo: %_N_EXE_3_MPF ;$PATH=/_N_WKS_DIR/_N_EXEMPLO_WPD G17 G64 G71 G90 G94 G53 G0 Z-110 D0 T12 M6 G54 D1 S2700 M3 R1=50; RAIO DO CIRCULO R2=10; DIAMETRO FERRAMENTA R3=0; ANGULO INICIAL R4=3; FOLGA PARA A APROXIMACAO R6=0; CONTADOR DO NO. DE LADOS R2=R2/2; CALCULO DO RAIO FERRAMENTA R1=R1+R2; REDEFINIÇÃO RAIO DO CIRCULO R10=R3; DUPLICA A VARIAVEL R3 R11=200; VEL. DE AVANÇO G00 X=((R1+R4)*COS(R3)) Y=((R1+R4)*SIN(R3)) Z2 G01 Z-5 F150 INICIO: G01 X=(R1*COS(R3)) Y=(R1*SIN(R3)) F=R11 R3=R3+60 R6=R6+1 IF R6=6 GOTOB INICIO G1 X=((R1+R4)*COS(R10)) Y=((R1+R4)*SIN(R10)) G53 G00 Z-110 D0 M30
  • 147.
    T60356F Programação eOperação - Linha D - Siemens 828D 135 25. Parâmetros de cálculo “r” Exemplo 4: Elaborar um programa parametrizado para executar arcos de 0,001 a 360 graus de abertura utilizando a função G01. %_N_EXE_4_MPF ;$PATH=/_N_WKS_DIR/_N_EXEMPLO_WPD G17 G64 G71 G90 G94 G53 G0 Z-110 D0 T1 M6 G54 D1 S2500 M3 R1=50; RAIO DO ARCO R20=10; DIAMETRO FERRAMENTA R3=0; ANGULO INICIAL/CORRENTE R4=360; ANGULO FINAL R5=1; INCREMENTO ANGULAR R6=R20/2; DEFINIÇÃO RAIO FERRAMENTA R7=3; FOLGA PARA A APROXIMACAO R10=200; VELOCIDADE DE AVANÇO R1=R1+R6; REDEFINIÇÃO RAIO DO ARCO G00 X=((R1+R7)*COS(R3)) Y=((R1+R7)*SIN(R3)) Z2 G01 Z-5 F150 INICIO: G01 X=(R1*COS(R3)) Y=(R1*SIN(R3)) F=R10 R3=R3+R5 IF R4R3 GOTOB INICIO G01 X=(R1*COS(R4)) Y=(R1*SIN(R4)) X=((R1+R7)*COS(R4)) Y=((R1+R7)*SIN(R4)) G53 G00 Z-110 D0 M30
  • 148.
    136 Programação eOperação - Linha D - Siemens 828D T60356F 25. Parâmetros de cálculo “r” Exemplo 5: Elaborar um programa parametrizado para executar uma elipse real de 360º. %_N_EXE_5_MPF ;$PATH=/_N_WKS_DIR/_N_EXEMPLO_WPD G17 G64 G71 G90 G94 G53 G0 Z-110 D0 T18;_____ M6 G54 D1 S3500 M3 R1=80; COMPRIMENTO EIXO MAIOR R2=50; COMPRIMENTO EIXO MENOR R20=10; DIAMETRO FERRAMENTA R1=((R1+R20)/2) R2=((R2+R20)/2);DEF RAIO EIXO MAIOR e MENOR R3=0; ANGULO INICIAL/CORRENTE R4=360; ANGULO FINAL R5=1; INCREMENTO ANGULAR R7=3; FOLGA PARA A APROXIMACAO R10=200; VELOCIDADE DE AVANÇO G00 X=((R1+R7)*COS(R3)) Y=((R2+R7)*SIN(R3)) Z2 G01 Z-5 F150 INICIO: G01 X=(R1*COS(R3)) Y=-(R2*SIN(R3)) F=R10 R3=R3+R5 IF R4R3 GOTOB INICIO G01 X=(R1*COS(R4)) Y=(R2*SIN(R4)) X=((R1+R7)*COS(R4)) Y=((R2+R7)*SIN(R4)) G53 G00 Z-110 D0 M30
  • 149.
    T60356F Programação eOperação - Linha D - Siemens 828D 137 25. Parâmetros de cálculo “r” Exemplo 6: Elaborar um programa parametrizado para executar uma espiral de arquimedes tendo: %_N_EXE_6_MPF ;$PATH=/_N_WKS_DIR/_N_EXEMPLO_WPD G17 G64 G71 G90 G94 G53 G0 Z-110 D0 T12 M6 G54 D1 S2250 M3 R1=10; RAIO INICIAL R20=64; RAIO FINAL R3=0; ANGULO INICIAL/CORRENTE R7=5; NUMERO DE ESPIRAIS R4=R7*360; ANGULO FINAL R5=1; INCREMENTO ANGULAR R8=(R20-R1)/R4; INC/TO RADIAL_X_UNID.ANGULAR. R9=R8*R5; INC/TO RADIAL P/ INC/TO ANGULAR R10=200; VELOCIDADE DE AVANÇO G00 X=(R1*COS(R3)) Y=(R1*SIN(R3)) Z2 G01 Z-5 F150 INICIO: G01 X=(R1*COS(R3)) Y=(R1*SIN(R3)) F=R10 R3=R3+R5 R1=R1+R9 IF R4R3 GOTOB INICIO G01 X=(R20*COS(R4)) Y=(R20*SIN(R4)) G53 G00 Z-110 D0 M30 Raio inicial: 10mm Raio final: 64mm N.espirais: 5 Posição inicial: 0 grau
  • 150.
    138 Programação eOperação - Linha D - Siemens 828D T60356F 25. Parâmetros de cálculo “r” Exemplo 7: Elaborar um programa parametrizado para executar uma espiral de arquimedes conjugado com uma descida em “Z” tendo: Raio inicial: 10mm Raio final: 64mm N.espirais: 5 Posição inicial: 0 graus Pos “Z” inicial: 0 Pos “Z” final: 25 %_N_EXE_7_MPF ;$PATH=/_N_WKS_DIR/_N_EXEMPLO_WPD G17 G64 G71 G90 G94 G53 G0 Z-110. D0T1;_____ M6 G54 D1 S2500 M3 R1=10; RAIO INICIAL R20=64; RAIO FINAL R3=0; ANGULO INICIAL/CORRENTE R7=5; NUMERO DE ESPIRAIS R4=R7*360; ANGULO FINAL R5=1; INCREMENTO ANGULAR R8=(R20-R1)/R4; INC/TO RADIAL_X_UNID.ANGULAR. R9=R8*R5; INC/TO RADIAL P/INC/TO ANGULAR R10=200; VELOCIDADE DE AVANÇO R11=0; ALTURA “Z” INICIAL/CORRENTE R12=25; ALTURA “Z” FINAL R13=R12-R11; PROFUNDIDADE R14=R13/R4; INC/TO “Z” P/ UNID. ANGULAR R15=R14*R5; INC/TO “Z” P/ INC/TO ANGULAR G00 X=(R1*COS(R3)) Y=(R1*SIN(R3)) Z2 G01 Z=R11 F150 INICIO:G01 X=(R1*COS(R3)) Y=(R1*SIN(R3)) Z=R11 F=R10 R3=R3+R5 R1=R1+R9 R11=R11-R15 IF R4R3 GOTOB INICIO G01 X=(R20*COS(R4)) Y=(R20*SIN(R4)) Z=(-R12) G53 G00 Z-110 D0 M30
  • 151.
    T60356F Programação eOperação - Linha D - Siemens 828D 139 25. Parâmetros de cálculo “r” Exemplo 8: Elaborar um programa parametrizado para executar uma calota (meia esfera) utilizando uma ferramenta ponta esférica. %_N_EXE_8_MPF ;$PATH=/_N_WKS_DIR/_N_EXEMPLO_WPD G17 G64 G71 G90 G94 G53 G0 Z-110. D0 T1; M6 G54 D1 S2500 M3 R1=50; RAIO DA CALOTA R20=10; DIAMETRO FERRAMENTA R20=R20/2; DEFINIÇÃO RAIO FERRAMENTA R1=R1+R20; DEFINIÇÃO PERCURSO CTR FERR/TA R3=0; ANGULO INICIAL/CORRENTE R4=90; ANGULO FINAL R5=1; INCREMENTO ANGULAR R6=0; POSIÇÃO “Z” INICIAL / CORRENTE R7=5; FOLGA PARA APROXIMACAO R10=200; VELOCIDADE DE AVANÇO CFTCP G00 X=(R1+R7)*COS(R3) Y0 Z=R20+2 G01 Z=R6 F150 INICIO: G01 X=R1*COS(R3) Y0 Z=R1*SIN(R3) F=R10 G02 X=R1*COS(R3) Y0 I=AC(0) J=AC(0) R3=R3+R5 IF R4R3 GOTOB INICIO G53 G00 Z-110 D0 M30
  • 152.
    140 Programação eOperação - Linha D - Siemens 828D T60356F 25. Parâmetros de cálculo “r” Exemplo 9: Elaborar um programa parametrizado para executar um alojamento circular. %_N_EXE_9_MPF_DIR ;$PATH=/_N_WKS_DIR/_N_EXEMPLO_WPD G17 G64 G71 G90 G94 G53 G0 Z-110. D0 T1; FRESA DE TOPO D10 M6 G54 D1 S2500 M3 R1=5; PLANO DE RETORNO (Z) R2=0; PLANO DE REFERENCIA (Z) R3=2; DISTANCIA DE SEGURANCA (Z - SEM SINAL) R4=-10; Z FINAL (COORD. ABSOLUTA) R5=20; RAIO DO ALOJAMENTO R6=75; CENTRO DO ALOJAMENTO EM X (ABS) R7=50; CENTRO DO ALOJAMENTO EM Y (ABS) R8=3; PROFUNDIDADE DE CORTE (AP - SEM SINAL) R9=350; AVANÇO EM X R10=175; AVANÇO EM Z R11=5; RAIO DA FERRAMENTA R12=7; INCREMENTO DE CORTE LATERAL (AE) R13=R2+R3; CALCULO DO Z INICIAL IF (R11R5) GOTOF ERRO IF (R11=R5)GOTOF FURO IF (R11R5) GOTOF INICIO_ALOJ ERRO: MSG(“ERRO! RAIO DA FERRAM RAIO DO ALOJAMENTO”) M0 GOTOF FIM_PROG FURO: G0 Z=R1 X=R6 Y=R7 Z=R13 G1 Z=R4 F=R10 GOTO FIM_PROG INICIO_ALOJ: R20=R2-R8 R21=R6+R12 R22=R6+R5-R11 G0 Z=R1 X=R6 Y=R7 Z=R13 IF (R21R22) GOTOF ALOJ_2 ALOJ_1:
  • 153.
    T60356F Programação eOperação - Linha D - Siemens 828D 141 25. Parâmetros de cálculo “r” IF R20R4 GOTOF FIM_ALOJ1 G1 Z=R20 F=R10 G1 X=R22 F=R9 G2 I=AC(R6) J=AC(R7) G1 X=R6 Y=R7 R20=R20-R8 GOTOB ALOJ_1 FIM_ALOJ1: G1 Z=R4 F=R10 G1 X=R22 F=R9 G2 I=AC(R6) J=AC(R7) G1 X=R6 ALOJ_2: IF R20=R4 GOTOF FIM_ALOJ2 G1 Z=R20 F=R10 ALARG: G1 X=R21 F=R9 G2 I=AC(R6) J=AC(R7) R21=R21+R12 IF (R21R22) GOTOB ALARG G1 X=R22 G2 I=AC(R6) J=AC(R7) G1 X=R6 FIM_ALARG: R21=R6+R12 R20=R20-R8 GOTOB ALOJ_2 FIM_ALOJ2: G1 Z=R4 F=R10 REPEAT ALARG FIM_ALARG FIM_PROG: G0 Z=R1 G53 G0 Z-110 D0 M30
  • 154.
    142 Programação eOperação - Linha D - Siemens 828D T60356F 25. Parâmetros de cálculo “r” Exemplo 10: Elaborar um programa parametrizado para executar um alojamento circular num cilindro utilizando 4o Eixo. %_N_EXE_10_MPF ;$PATH=/_N_WKS_DIR/_N_EXEMPLO_WPD G17 G71 G90 G94 G53 G0 Z-110 D0 T1 G54 D1 S3500 M3 R1=100; DIAM. DA PECA R2=40; RAIO DO ALOJAMENTO R13=5; PLANO DE RETORNO R3=0; PLANO DE REFERENCIA R4=2; DISTANCIA DE SEGURANCA R5=-15; PROFUNDIDADE (ABS) R6=80; COORD. X / CENTRO DO ALOJAMENTO R7=0; POSIÇÃO ANGULAR INICIAL EM W R8=2; PROFUND. DE CORTE (Z) R9=8; INCREMENTO DE CORTE RADIAL R10=500; AVANCO DE CORTE SUPERFICIAL (X,W) R11=250; AVANCO DE CORTE NA PENETRACAO (Z) R14=16; RAIO DA FERRAMENTA R15=0; ANGULO INICIAL / CORRENTE R16=1; INCREMENTO ANGULAR R50=R1*3.14159; PERIMETRO DA PECA R51=R3+R4-R8 R53=R9 R54=R15 G64 G0 X=R6 Y0 W=R7 Z=R13 Z=R3+R4 N60 FGROUP (X,W) N70 FGREF[W]=((R1-R5)/2) INICIO: G1 Z=R51 F=R11 INI2: IF R14R2 GOTOF FIM AAA: IF (R14+R9)R2 GOTOF ACAB RAIO: G1 X=(R6+(R9*COS(R15))) W=(R7+(R9*SIN(R15)))*360/(R1*3.141) R15=R15+R16 IF R15360 GOTOB RAIO R15=R54 R9=R9+R53 GOTOB AAA ACAB: G1 X=R6+((R2-R14)*COS(R15)) W=(R7+(((R2-R14)*360/R50))*SIN(R15)) N430 R15=R15+1 N440 IF R15360 GOTOB RAIO FIM2:
  • 155.
    T60356F Programação eOperação - Linha D - Siemens 828D 143 25. Parâmetros de cálculo “r” FIM:R51=R51-R8 IF R51R5 GOTOB INICIO G1 Z=R5 F=R11 REPEAT INI2 FIM2 G53 G0 Z-110 D0 M30
  • 159.
    T60356F Programação eOperação - Linha D - Siemens 828D 147 Parte II - Operação
  • 160.
    148 Programação eOperação - Linha D - Siemens 828D T60356F
  • 161.
    T60356F Programação eOperação - Linha D - Siemens 828D 149 1. Painel de comando 1- PAINEL DE COMANDO DA LINHA D - COMANDO SIEMENS 828 O Painel de Comando é utilizado para a visualização dos dados, programação, operação e execução das funções do comando, portanto ele é divido em quatro outros painéis: - Painel de Exibição; - Painel de Programação; - Painel de Operação; - Painel Remoto. VISTA DO PAINEL DO COMANDO PAINEL DE EXIBIÇÃO PAINEL DE PROGRAMAÇÃO PAINEL DE OPERAÇÃO PAINEL REMOTO CHAVE HABILITA / DESABILITA PAINEL REMOTO
  • 162.
    150 Programação eOperação - Linha D - Siemens 828D T60356F 1. Painel de comando 1.1 - PAINEL DE EXIBIÇÃO a) Detalhes do Painel de Exibição REDE ETHERNET PORTA CARTÃO COMPACT FLASH SOFTKEYS TOMADA 220V / SAÍDA RS-232 VÍDEO b) Descrição do Painel de Exibição NOME DESCRIÇÃO VÍDEO Exibe todos os eventos do comando (interface entre o operador e o sistema operacional) PORTA CARTÃO COMPACT FLASH Porta para comunicação de dados utilizando o Memory Card SOFTKEYS Botões para navegação no comando TOMADA 220V / SAÍDA RS-232 Tomada de energia / Saída serial do cabo RS-232 1.2 - PAINEL DE PROGRAMAÇÃO a) Detalhes do Painel de Programação TECLADO ALFANUMÉRICO TECLAS DE ACESSO AS PÁGINAS CURSORES TECLAS DE EDIÇÃO
  • 163.
    T60356F Programação eOperação - Linha D - Siemens 828D 151 1. Painel de comando b) Descrição do Painel de Programação NOME DESCRIÇÃO CURSORES - ↑ ,↓,→,←: Movimenta o cursor do comando verticalmente, através das teclas ↑ e ↓, e horizontalmente, através das teclas ← e →. - PAGE UP: Durante edição de programa, sobe para página anterior. - PAGE DOWN: Durante edição de programa, desce para a página seguinte. - NEXT WINDOW: Muda de janela dentro de uma mesma página. - END: Durante a edição de programa, desloca o cursor para o fim da linha. TECLAS DE ACESSO AS PÁGINAS Essas teclas dão acesso as páginas principais do comando. São elas: - MACHINE: Exibe as coordenadas máquina, de peça e relativa dos eixos. - PROGRAM MANEGER : Exibe o diretório de programas - PROGRAM : Exibe a página de edição de programas - OFFSET : Exibe as páginas de preset de ferramenta, de definição de zero-peça, de parâmetros de usuário, de variáveis de usuário, etc. - ALARM: Exibe as páginas de alarmes e mensagens - CUSTOM: Sem função - MENU SELECT: Exibe softkeys que dão acesso à outras páginas - MENU FUNCTION: Sem função - MENU USER: Sem função - ALARM CANCEL: Cancela alarmes e mensagens - GROUP CHANNEL: Sem função - HELP: Exibe a página de auxílio ao operador TECLAS DE EDIÇÃO - INPUT: Confirma entrada de dados e inicia uma nova linha durante a edição. - DEL: Apaga caracteres que estão à direita do cursor durante a edição. - BACKSPACE: Apaga caracteres que estão à esquerda do cursor. - INSERT: sobreescreve os dados já inseridos TECLADO ALFANUMÉRICO Letras, números e outros caracteres para a criação e a alteração dos dados do comando. - SHIFT: Segunda função. É utilizada para inserir os caracteres secundários nas teclas de edição. Exemplo: SP (espaço), #, (, ), etc - CTRL: Tecla auxiliar utilizada para procedimentos especiais de edição. - ALT: Tecla atalho utilizada para inserir caracteres especiais. - TAB: Tecla utilizada para alternar o cursor de campos.
  • 164.
    152 Programação eOperação - Linha D - Siemens 828D T60356F 1. Painel de comando 1.3 - PAINEL DE OPERAÇÃO b) Descrição do Painel de Operação NOME DESCRIÇÃO AUTO Modo de execução automática BLOCK DELET Ativa / desativa a omissão dos blocos do programa inicializado com “/” (barra) durante a execução do mesmo CHAVE LOCK Habilita / Desabilita edição de programas CHAVE SETUP Ativa / desativa trabalhar com a porta aberta CHIP CONV. FW Liga o transportador de cavacos CHIP CONV. RW Desliga o transportador de cavacos / Liga do sentido inverso CYCLE START Inicia a execução de um ciclo CYCLE STOP Para a execução de um ciclo CLTN AUTO Liga / desliga o refrigerante de corte através da programação das funções M08 e M09, respectivamente
  • 165.
    T60356F Programação eOperação - Linha D - Siemens 828D 153 1. Painel de comando NOME DESCRIÇÃO CLNT OFF Desliga o refrigerante de corte manualmente CLNT ON Liga o refrigerante de corte manualmente CNC ON Liga o comando (CNC) DRY RUN Ativa / desativa teste de programa com movimentação rápida dos eixos EMERGENCY STOP Parada de emergência ENABLE REMOTE PANEL Modo de movimentação manual dos eixos FEEDRATE OVERRIDE Aumenta / diminui o avanço programado dos eixos durante a execução do programa (de 0 a 120 %) FEED START Habilita avanço dos eixos (X,Y,Z) FEED STOP Desabilita avanço dos eixos (X,Y,Z) HOME ATC Referencia o magazine de ferramenta se o modo JOG estiver ativo INDEX ATC Indexa o magazine de ferramenta se o modo JOG estiver ativo JOG Modo de movimentação contínua dos eixos MACHINE ON Liga a máquina MDA Entrada manual de dados OK OPERATOR Tecla de confirmação do operador para mensagens que aparecem na tela do cnc. OPEN CLOSE DOOR Habilita a abertura da porta OPT STOP Ativa / desativa a parada do programa através da função M01 RAPID Aumenta o avanço dos eixos se acionado durante uma movimentação contínua (JOG) REPOS Limita o movimento manual para posicionamento dos eixos REF POINT Ativa modo de referenciamento da máquina RESET Cancela execução de programas / Cancela alarmes
  • 166.
    154 Programação eOperação - Linha D - Siemens 828D T60356F 1. Painel de comando NOME DESCRIÇÃO SINGL BLOCK Ativa / desativa a execução de programas bloco a bloco SPINDLE DEC Decrementa a rotação atual em 10% SPINDLE INC Decrementa a rotação atual em 10% SPINDLE LEFT Indica se o eixo árvore está girando no sentido anti-horário SPINDLE RIGHT Indica se o eixo árvore está girando no sentido horário SPINDLE STOP Indica se o eixo árvore parado TEACH IN Elaboração de programas via posicionamento manual WASH GUN Habilita trabalho com a pistola de óleo refrigerante WCS MCS Altera visualisação das coordenadas máquina / coordenadas de trabalho. X,Y,Z Seleciona o eixo para realizar o movimento via JOG 4,5,6 Seleciona eixos opcionais 1 ,10 ,100 ,1000, VAR Seleciona a velocidade de incremento por pulso (através de JOG). 100% Faz com que a rotação atual fique com 100% da rotação programada + Movimenta eixo na direção positiva - Movimenta eixo na direção negativa
  • 167.
    T60356F Programação eOperação - Linha D - Siemens 828D 155 1. Painel de comando 1.4 - PAINEL REMOTO: O Painel Remoto é utilizado para movimentar manualmente os eixos da máquina. C H AV E H A B I L I TA / DESABILITA PAINEL REMOTO SELETOR DE AVANÇO É usado para selecionar o avanço por pulso da manivela eletrônica. x1 - 0.001mm/pulso x10 - 0.01 mm/pulso x100 - 0.1 mm/pulso SELETOR DE EIXO (X, Y, Z OU 4) É usado para selecionar o eixo desejado através da manivela eletrônica. MANIVELA ELETRÔNICA É usado para movimentar os eixos manualmente. BOTÃO DE SEGURANÇA Deve ser pressionado simultâneamente ao giro da manivela quando se deseja efetuar um movimento. BOTÃO DE EMERGÊNCIA
  • 168.
    156 Programação eOperação - Linha D - Siemens 828D T60356F 2. Operações iniciais 2 - OPERAÇÕES INICIAIS 2.1 - LIGAR A MÁQUINA –– Ligar chave geral (aguardar inicialização do comando) –– Acionar o botão [CNC ON]. –– Aguardar a inicialização do comando. –– Desativar botão de emergência. –– Abrir e fechar a porta. –– Acionar o botão [MACHINE ON]. –– Acionar a tecla “OK OPERATOR”. –– Acionar a tecla “HOME ATC” e aguardar até que o Led indicador da tecla se apague. –– Acionar a tecla “RESET”. –– Referenciar a máquina. 2.2 - REFERENCIAR A MÁQUINA 2.2.1 - Referenciar a máquina através da rotina de referenciamento Para refenciar a máquina deve-se ativar manualmente a rotina de referenciamento: –– Acionar a tecla “JOG”. –– Acionar a tecla “REF. POINT”. –– Acionar a tecla “CYCLE START”. OBSERVAÇÃO: Os eixos serão referenciados simultaneamente. 2.2.2 - Referenciar a máquina eixo por eixo –– Acionar a tecla “JOG”. –– Acionar a tecla “REF. POINT”. –– Selecionar eixo desejado ( X, Y, Z ou W (opcional) ) –– Acionar a tecla “[ + ]”. 2.3 - MOVIMENTAR OS EIXOS MANUALMENTE 2.3.1 - Através do jog contínuo no painel de operação. –– Acionar a tecla “M MACHINE”. –– Acionar a tecla “JOG”. –– Abrir o potenciômetro de avanço. –– No painel de operação, selecionar eixo desejado “X”, “Y”, “Z” ou “W”. –– Manter pressionada a tecla “+” ou “-” (determina o sentido do movimento). –– Pessionar a tecla “RAPID” no painel de operação para aumentar a velocidade. OBSERVAÇÃO: Para movimentar com a porta aberta é necessário girar a chave LOCK.
  • 169.
    T60356F Programação eOperação - Linha D - Siemens 828D 157 2. Operações iniciais OBSERVAÇÕES: O eixo A, ou 4º eixo, somente poderá ser acionado quando a tecla “WCS MCS” do painel de operação estiver no estado inativo. A velocidade de deslocamento dos eixos, quando o seletor de avanço está em 100%, é 2000 mm/min, porém, pode-se alterar esta velocidade com o próprio seletor de avanço, ou ainda, realizando a seguinte sequência: –– Acionar tecla “JOG”. –– Acionar a tecla “M MACHINE” –– Se necessário, acionar a softkey []. –– Acionar a softkey [AJUSTES]. –– Posicionar o cursor no campo “Avanço de ajuste G94” e digitar o valor do avanço desejado. Ex.: “3000” –– Acionar a tecla “INPUT”. Ver figura abaixo: Para retornar á velocidade padrão de avanço (2000 mm/min.), deve-se digitar o valor “0” no campo “Avanço de ajuste G94”. 2.3.2 - Através do jog contínuo no painel remoto. –– Acionar a tecla “M MACHINE”. –– Acionar a tecla “JOG”. –– Girar a chave “REMOTE PANEL” localizada na lateral do painel da máquina para a posição . –– No painel remoto, selecionar eixo desejado “X”, “Y”, “Z” ou “4“ (opcional). –– Retirar a velocidade do painel remoto da posição “0”. –– Manter pressionado o botão de sugurança localizado na lateral do painel remoto. –– Manter pressionada a tecla “+” ou “-” para determinar o sentido do movimento. –– Para obter um movimento mais rápido, pressionar simultaneamente, com o sentido, a tecla “RAPID” no próprio painel remoto.
  • 170.
    158 Programação eOperação - Linha D - Siemens 828D T60356F 2. Operações iniciais OBSERVAÇÃO: Para movimentar com a porta aberta é necessário girar a chave LOCK. 2.3.3 - Através da manivela eletrônica. –– Acionar a tecla “M MACHINE”. –– Acionar a tecla “JOG”. –– Girar a chave “REMOTE PANEL” localizada na lateral do painel da máquina para a posição . –– No painel remoto, selecionar eixo desejado: “X”,“Y”, “Z” ou “4“ (opcional). –– No painel de operação, selecionar avanço desejado através das teclas: [1], [10], [100], [1000]. –– Manter pressionado os botões localizados na parte lateral do painel remoto. –– Executar o movimento dos eixos através da manivela observando o sentido (+ / -). OBSERVAÇÃO: Para desabilitar o Painel remoto é necessário deixar o valor da velocidade em “0” e depois, retornar a chave “REMOTE PANEL” para a posição . 2.3.4 - Através do jog incremental –– Acionar tecla “JOG”. –– Acionar a tecla “M MACHINE”. –– Se necessário, acionar a softkey [ ]. –– Acionar a softkey [AJUSTES]. –– Posicionar o cursor no campo “INCREMENTO VARIÁVEL” e digitar o valor do incremento (milesimal). EX: 1000 (para incremento de 1mm) –– Acionar a tecla “INPUT”. –– Acionar a tecla “VAR”. –– No painel de operação, selecionar o eixo desejado: “X”, “Y”, “Z” ou “W”. –– Executar o movimento dos eixos através das teclas + ou -, sendo que cada vez que uma destas teclas for pressionada o eixo selecionado irá deloscar-se o valor digitado no incremento. –– Ver figura abaixo:
  • 171.
    T60356F Programação eOperação - Linha D - Siemens 828D 159 2. Operações iniciais 2.4 - OPERAR O COMANDO ATRAVÉS DA FUNÇÃO T,S,M. A função “T,S,M” é utilizada para executar algumas operações básicas, normalmente, durante a preparação da máquina. Para acessar esta função deve-se: –– Acionar tecla “JOG”. –– Acionar a tecla “M MACHINE”. –– Se necessário, acionar a softkey [ ]. –– Acionar a softkey [T,S,M]. A seguir, são descritas as operações existentes dentro da função “T,S,M”. 2.4.1 - Executar troca de ferramenta. Após acessar a função “T,S,M”, deve-se: –– Posicionar o cursor no campo “T”. –– Digitar o número da ferramenta desejada. Exemplo: 1 (para T01) –– Acionar a tecla “INPUT”. –– Se necessário, posicionar o cursor no campo “D” e digitar o número do corretor desejado. Exemplo: 1 (para D1) –– Acionar a tecla “INPUT”. –– Acionar a tecla “CYCLE START”. OBSERVAÇÃO: Pode-se selecionar a ferramenta desejada diretamente na página de “Lista de Ferramentas”, para isso deve-se: –– Acionar a softkey [SELECIONE FERRAMENTA]. –– Posicionar o cursor na ferramenta desejada. –– Acionar a softkey [EM MANUAL].
  • 172.
    160 Programação eOperação - Linha D - Siemens 828D T60356F 2. Operações iniciais 2.4.2 - Ligar o eixo árvore. Após acessar a função “T,S,M”, deve-se: –– Posicionar o cursor no campo “Fuso” e digitar o valor da rotação desejada. Exemplo: “2000” (para 2000 RPM) –– Acionar a tecla “INPUT”. –– Posicionar o cursor no campo “Função M do fuso” através da tecla “SELECT”, selecionar o sentido de giro do eixo árvore . –– Acionar a tecla “CYCLE START”. 2.4.3 - Posicionamento angular do eixo árvore. Após acessar a função “T,S,M”, deve-se: –– Posicionar o cursor no campo “Função M do fuso” e através da tecla “SELECT”, selecionar a opção de orientação do eixo árvore. –– Posicionar o cursor no campo “Pos. de parada”e digitar o ângulo desejado para posicionamento. Exemplo: 45 (para 45°) –– Acionar a tecla “INPUT”. –– Acionar a tecla “CYCLE START”. 2.4.4 - Ativar funções miscelâneas. Após acessar a função “T,S,M”, deve-se: –– Posicionar o cursor no campo “Outras funções “M” e digitar a função “M” desejada. Exemplo: 8 (para M08) –– Acionar a tecla “INPUT”. –– Acionar a tecla “CYCLE START”. 2.4.5 - Ativar deslocamento de ponto zero (G54 - G57 ou G505 - G599). Após acessar a função “T,S,M”, deve-se: –– Posicionar o cursor no campo “Desloc. pt. zero”. e digitar o ponto zero desejado. Ex.: 1 (para G54), ou selecionar o ponto zero através da tecla “SELECT”. –– Acionar a tecla “INPUT”. –– Acionar a tecla “CYCLE START”.
  • 173.
    T60356F Programação eOperação - Linha D - Siemens 828D 161 2. Operações iniciais OBSERVAÇÕES: Para que as coordenadas sejam exibidas na tela, conforme o ponto zero ativo, a tecla “MCS WCS” deve ser ativada. Pode-se selecionar o ponto zero desejado diretamente na página de “Deslocamento de ponto zero”, para isso deve-se: –– Acionar a softkey [Deslocam. pto. zero]. –– Posicionar o cursor no ponto zero desejado. –– Acionar a softkey [em manual]. 2.4.6 - Ativar o sistema de medidas. Após acessar a função “T,S,M”, deve-se: –– Posicionar o cursor no campo “Unidade mediç.” e através da tecla “SELECT”, escolher entre as opções “mm” (milímetro) ou “IN” (polegada). –– Acionar a tecla “CYCLE START”. OBSERVAÇÕES: Duas ou mais operações podem ser executadas de uma só vez. Ex.: Para trocar a ferramenta e ligar o eixo árvore, acionando o a tecla “CYCLE START” uma única vez, basta preencher os campos referentes a estas operações e depois executá-los. A movimentação dos eixos pode ser feita normalmente após a execução de qualquer uma das operações da função “T,S,M”. 2.5 - POSICIONAMENTO DOS EIXOS ATRAVÉS DA FUNÇÃO POSIÇÃO. A função “Posição” é utilizada para fazer posicionamentos em relação ao ponto zero que estiver ativo. Este tipo de posicionamento é executado, principalmente, para verificar a localização do ponto zero peça e também, para realizar operações de usinagem simples, sem a necessidade de fazer programas. Para acessar a função posição deve-se: –– Acionar tecla “JOG”.
  • 174.
    162 Programação eOperação - Linha D - Siemens 828D T60356F 2. Operações iniciais –– Acionar a tecla “M MACHINE”. –– Se necessário, acionar a softkey []. –– Acionar a softkey [Posição]. –– Posicionar o cursor no campo “ F ” e digitar a velocidade de avanço desejada para realizar o posicionamento ou acionar a softkey [MOV RÁPIDO] para deslocamento em G0. –– Acionar a tecla “INPUT”. –– Posicionar o cursor no campo “X” e digitar a coordenada final do posicionamento. Ex: -15 –– Acionar a tecla “INPUT”. –– Posicionar o cursor no campo “Y” e digitar a coordenada final do posicionamento. Ex: -20 –– Acionar a tecla “INPUT”. –– Posicionar o cursor no campo “Z” e digitar a coordenada final do posicionamento. Ex: 10 –– Acionar a tecla “INPUT”. –– Acionar a tecla “CYCLE START”. OBSERVAÇÕES: Através da tecla “SELECT”, pode-se escolher entre coordenadas absolutas ou coordenadas incrementais para cada um dos eixos. Com a tecla “SELECT”, pode-se também escolher entre avanço em “mm/min.” ou avanço em “mm/rot.”. 2.6 - CARREGAR AS FERRAMENTAS NO MAGAZINE (TAF) ATRAVÉS DO EIXO ÁRVORE. –– Acionar tecla “JOG”. –– Acionar a tecla “MACHINE”. –– Através da função “T,S,M”, chamar a 1ª ferramenta a ser carregada. –– Manualmente inserir a ferramenta no eixo árvore, através do botão “SOLTAR FERRAMENTA”. –– Através da função “T,S,M”, chamar a 2ª ferramenta a ser carregada. –– Manualmente inserir a ferramenta no eixo árvore, através do botão “SOLTAR FERRAMENTA”. –– Repetir os mesmos procedimentos para as demais ferramentas desejadas.
  • 175.
    T60356F Programação eOperação - Linha D - Siemens 828D 163 3. Entrada manual de dados 3 - ENTRADA MANUAL DE DADOS (MDA) O modo “MDA” é utilizado para a execução de operações simples como, por exemplo, trocar a ferramenta, ligar o eixo árvore, movimentar os eixos para uma determinada posição, etc. Nele é possível criar um programa que é editado e executado no mesmo formato que um programa normal. Para se trabalhar com o modo “MDA”, deve-se: –– Acionar a tecla “MDA”. –– Acionar a tecla “MACHINE”. –– Digitar as instruções desejadas. Exemplo: S800 M3; (liga o eixo árvore com 800 RPM). –– Acionar “INPUT”. –– Acionar “CYCLE START”. OBSERVAÇÕES: - Para apagar um programa editado em MDA deve-se acionar a softkey [apagar programa MDA]; Exemplo - Trocar ferramentas via MDA: –– Acionar a tecla “MDA”. –– Acionar a tecla “MACHINE”. –– Digitar “T” e o número da ferramenta desejada. Exemplo: T01 –– Acionar a tecla “INPUT”. –– Digitar: M6 –– Acionar a tecla “INPUT”. –– Acionar a tecla “CYCLE START” (até que a “troca de ferramenta” seja efetuada) NOTA: Para trabalhar com o modo MDA é necessário que a porta da máquina esteja aberta e a chave de setup estaja na posição vertical.
  • 176.
    164 Programação eOperação - Linha D - Siemens 828D T60356F 4. Edição de programas 4 - EDIÇÃO DE PROGRAMAS No comando Siemens 828, é permitido ao usuário o acesso à programas situados na memória da máquina (NC), no cartão Compact Flash (CF), em um cartão de memória (USB) e numa memória externa através de rede ethernet (USUÁRIO USB). Na memória da máquina a edição pode ser feita em três pastas principais: –– Programas de peças –– Sub programas –– Peças de trabalho Na pasta peças de trabalho o usuário pode criar outras subpastas para o armazenamento de programas, o que permite uma melhor organização dos mesmos. 4.1 - CRIAR UMA NOVA PASTA DE PROGRAMAS –– Acionar a tecla “PROGRAM MANAGER”. –– Acionar a softkey [ NC ]. –– Através das teclas ►,◄,▲e▼, posicionar o cursor na pasta “Peças de trabalho”. –– Acionar a tecla “INPUT”. –– Acionar a softkey [NOVO]. –– Acionar a softkey [PEÇA]. –– Digitar o nome da pasta (Ex: TREINAMENTO). –– Acionar a softkey [OK].
  • 177.
    T60356F Programação eOperação - Linha D - Siemens 828D 165 4. Edição de programas 4.2 - CRIAR UM PROGRAMA NOVO –– Acionar a tecla “PROGRAM MANAGER”. –– Acionar a softkey [ NC ]. –– Acessar o diretório desejado (Programa de peças, subprogramas ou peças de trabalho) através das teclas: ►, ◄, ▲ e ▼. –– Acionar a tecla “INPUT”. –– Acionar a softkey [NOVO]. –– Acionar a softkey [programGUIDE Código G] ou [ShopMill]. –– Digitar o nome do programa (Ex: TREINAMENTO). –– Acionar a softkey [OK]. 4.3- RENOMEAR UM PROGRAMA OU UMA PASTA. Estando com o cursor em cima do programa desejado deve-se: –– Acionar a softkey [ ►►]. –– Acionar a softkey [ Características]. –– Digitar o novo nome. Ex: PROGRAMA2.MPF –– Acionar a softkey [ OK ]. 4.4 - COPIAR UM PROGRAMA COMPLETO OU UMA PASTA. –– Acionar “PROGRAM MANAGER”. –– Acionar a softkey [ NC ]. –– Posicionar o cursor no programa ou na pasta desejada (Programas de peças, subprogramas ou peças de trabalho) através das teclas ►,◄,▲e▼. –– Acionar a softkey [ COPIAR ]. –– Posicionar o cursor na pasta que se deseja colar o arquivo copiado através das teclas ►,◄,▲e▼. –– Acionar a softkey [ COLAR ]. 4.5 - APAGAR UM PROGRAMA OU UMA PASTA –– Acionar “PROGRAM MANAGER”. –– Acionar a softkey [ NC ]. –– Posicionar o cursor no programa ou na pasta desejada (Programas de peças, subprogramas ou peças de trabalho) através das teclas ►,◄,▲e▼. –– Acionar a softkey [►►] –– Acionar a softkey [Apagar]. –– Acionar a softkey [OK]. OBSERVAÇÃO: Esse procedimento deve ser utilizado com extrema cautela, pois uma vez apagado um programa não há como recuperá-lo através da memória da máquina.
  • 178.
    166 Programação eOperação - Linha D - Siemens 828D T60356F 4. Edição de programas 4.6 - EDITAR UM PROGRAMA EXISTENTE NO DIRETÓRIO –– Acionar “PROGRAM MANAGER”. –– Acionar a softkey [ NC ]. –– Posicionar o cursor no programa ou na pasta desejada (Programas de peças, subprogramas ou peças de trabalho) através das teclas ►,◄,▲e▼. –– Acionar “INPUT” 4.7 - NUMERAR OS BLOCOS DE PROGRAMA DE FORMA AUTOMÁTICA. A numeração dos blocos de programa não é um item obrigatório para que o mesmo funcione de maneira adequada, porém, é interessante que os blocos estejam numerados para que um eventual erro de programação seja localizado mais facilmente. Estando o usuário na tela de edição, a numeração dos blocos é feita a partir do seguinte procedimento: –– Acionar a softkey [►►] –– Acionar a softkey [ RENUMERAR ]. –– No campo “Prim. núm. de bloco:” e digitar o número do primeiro bloco do programa. Ex: 10 –– Acionar a tecla “INPUT”. –– No campo “Incremento”, digitar o incremento a ser considerado durante a numeração dos blocos. Ex: 10 –– Acionar a tecla “INPUT”. –– Acionar a softkey [ OK ]. 4.8 - PROCURAR UM DADO NO PROGRAMA a) Procurar um dado através dos cursores ( ►,◄,▲ou▼.) Pressionar os cursores até selecionar a endereço desejado, sendo que: ◄ - movimenta o cursor para trás ► - movimenta o cursor para frente ▲ - movimenta o cursor para cima ▼ - movimenta o cursor para baixo b) Procurar direta (direto ao endereço) –– Acionar a softkey [PROCURAR] –– Digitar a informação à ser procurada. Ex: N10 –– No campo “Direção” selecionar a opção “Para frente” ou “Para trás” utilizando a tecla “SELECT”. –– Acionar a softkey [OK]. –– Posicionar o cursor no campo “Texto” e digitar a informação a ser procurada. Exemplo: N100 –– Após encontrado o dado, se desejar procurar o dado novamente, deve-se acionar a softkey [CONTINUAR PROCURA].
  • 179.
    T60356F Programação eOperação - Linha D - Siemens 828D 167 4. Edição de programas 4.9 - COPIAR UMA PARTE DO PROGRAMA. –– Acionar a softkey [MARCAR]. –– Posicionar o cursor no bloco final da cópia, utilizando os cursores ►,◄,▲e▼. –– Acionar a softkey [COPIAR]. –– Posicionar o cursor no bloco onde deseja-se inserir o texto copiado. –– Acionar a softkey [COLAR]. OBSERVAÇÃO: ao executar a cópia dos blocos (softkey [COPIAR]), pode-se sair do programa atual e inserir o texto em um outro programa. Para isso é necessário: –– Acessar o programa onde serão inseridos os dados.. –– Posicionar o cursor no bloco onde deseja-se inserir o texto copiado, utilizando os cursores ►,◄,▲e▼. –– Acionar a softkey [COLAR]. 4.10 - APAGAR DADOS NO PROGRAMA –– Posicionar o cursor no dado a ser apagado. –– Acionar a tecla “DELETE”. 4.11 - APAGAR BLOCOS DO PROGRAMA –– Posicionar o cursor no início do bloco a ser apagado. –– Acionar a softkey [MARCAR BLOCO]. –– Selecionar os blocos a serem apagados utilizando os cursores ►,◄,▲e▼. –– Acionar [CORTAR]. 4.12 - PROGRAMAÇÃO DE CICLOS DE FORMA INTERATIVA. Para programar ciclos através das telas interativa deve-se: –– Posicionar o cursor na linha em que será inserido o ciclo –– Acionar as softkeys correspodentes ao ciclo desejado (ver procedimentos nos capítulos da parte de programação dos ciclos fixos) ex: [FURAR] e [FURAR ROSCA] –– Preencher os dados de acordo com o desejado. –– Acionar a softkey [Aceitar] (automaticamente o ciclo será incluido no programa). 4.13 - ALTERAR DADOS DOS CICLOS DE FORMA INTERARIVA. –– Posicionar o cursor no ciclo a ser alterado. –– Acionar o cursor para a direita “►”. –– Alterar os dados. –– Acionar a softkey [Aceitar].
  • 180.
    168 Programação eOperação - Linha D - Siemens 828D T60356F 4. Edição de programas 4.14 - PROCURAR DADOS NO PROGRAMA –– Acionar a softkey [EDIT]. –– Acionar a softkey [PROCURAR]. –– No campo DIREÇÃO, utilizar a tecla “SELECT” para identificar se a procura será feita do ponto atual para traz ou para frente do programa. –– No campo TEXTO, digitar o sentença que será procurado. Ex T01, para procurar pela ferramenta 1. –– Acionar a softkey [OK]. Nota: Para realizar essa pesquisa, deve-se digitar a sentença completa e igual a que foi inserida no programa. Por exemplo, caso deseja-se procurar por uma ferramenta, deve-se atentar se a mesma foi programada como T1 ou T01, se for digitado uma sentença diferente a que foi programada, a máquina não concluirá a pesquisa. 4.15 - ALTERAR DADOS NO PROGRAMA. Esse recurso permite que se altere todos os dados similares dentro de um programa de uma única vez. Para isso, deve-se: –– Acionar a softkey [EDIT]. –– Acionar a softkey [PROCURAR]. –– Acionar a softkey [PROCURAR+SUBSTIT]. –– No campo DIREÇÃO, utilizar a tecla “SELECT” para identificar se a procura será feita do ponto atual para traz ou para frente do programa. –– No campo TEXTO digitar a sentença que será alterada. Ex F, para que se altere todos os avanços do programa. –– No campo SUBST.COM digitar a nova sentença desejada. EX F1000, para que todos os avanços do programa sejam alterados para 1000. –– Acionar a sofkey [OK]. –– Acionar a sofkey [SUBSTIT] para alterar somente a primeira sentença encontrada, ou acionar a sofkey [SUBSTIT. TODOS], para alterar todas as sentenças similares encontradas no programa. Nota: Com essa operação, todos os avanços inseridos no programa (função F......) serão alterados para F1000.
  • 181.
    T60356F Programação eOperação - Linha D - Siemens 828D 169 5. Comunicação de dados 5 - COMUNICAÇÃO DE DADOS Neste capítulo será abordado o recurso de COMUNICAÇÃO DE DADOS necessário para manipular, salvar, carregar, copiar, etc..., todos os dados residentes na máquina que se destinam a operação do equipamento. Os dados podem ser parâmetros de máquina, programas, corretores de ferramentas, corretores de coordenadas de trabalho, ajustes, variáveis R e variáveis globais. Para efetuar a comunicação de dados é necessário a utilização de outros elementos (além da máquina), ou seja, CARTÃO DE MEMÓRIA USB, REDE ETHERNET, COMPACTFLASH, APLICATIVOS PARA TRANSMISSÃO DE DADOS, OUTROS PERIFÉRICOS, etc, cujas instruções vem a seguir. 5.1 - COMUNICAÇÃO ATRAVÉS DA PORTA CF - COMPACTFLASH As máquinas da “Linha D” com comando Siemens 828 possuem uma porta de comunicação compactflash situada no painel da máquina, como mostra a figura a seguir: 5.1.1 - Hardwares recomendados para leitura e gravação CF : Para efetuar a leitura e gravação do Cartão PCMCIA recomenda-se a interface eFilm Reader-12 USB POR T CompactFlash I/II Reader da Delkin Devices, o qual deve ser conectado na porta USB do computador. Computador PC com Interface USB e CompactFlash Adaptador CompactFlash →→→→ PCMCIA CNC Computador PC com Interface USB e CompactFlash Adaptador CompactFlash →→→→ PCMCIA CNC Computador PC com Interface USB e Compact Adaptador CompactFlash →→→→ PCMCIA Cartão Compactflash Leitor de cartões Para computadores onde a Porta USB não está disponível, pode-se instalar um módulo controlador de USB, o qual vai plugado no próprio barramento do computador, disponibilizando assim a Porta USB. Uma vez instalado este módulo, pode-se então configurar o PC conforme mostrado na figura acima.
  • 182.
    170 Programação eOperação - Linha D - Siemens 828D T60356F 5. Comunicação de dados NOTA: Considerando que o cartão CompactFlash (Memory Cards) é um instrumentos sensível, recomenda-se tomar uma série de cuidados especiais quanto ao seu manuseio e armazenamento, tais como: evitar choques (quedas), calor, umidade, não desconectar durante uma comunicação de dados, etc. 5.1.2 - Visualisar os arquivos do cartão de memória. –– Acionar “PROGRAM MANAGER”. –– Acionar a softkey [ User CF ]. A partir deste ponto, serão exibidos todos os arquivos e pastas disponíveis dentro do cartão CF, sendo que todas as ações permitidas dentro das outras áreas de armazenamento de dados (memória da máquina), poderão ser executadas, como criar novos programas, editar programas existentes, apagar programas, copiar programas, etc... 5.1.3 - Carregar arquivos do cartão na memória da máquina. –– Acionar “PROGRAM MANAGER”. –– Acionar a softkey [ User CF ]. –– Posicionar o cursor na pasta ou no programa a ser copiado, através das teclas ►,◄,▲e▼. –– Acionar a softkey [ COPIAR ]. –– Acionar a softkey [NC]. –– Posicionar o cursor na pasta que receberá o programa, utilizando as teclas ►,◄,▲e▼. –– Acionar a softkey [ COLAR ]. 5.1.4 - Salvar arquivos da memória da máquina no cartão. –– Acionar a tecla “PROGRAM MANAGER”. –– Acionar a softkey [NC]. –– Posicionar o cursor na pasta ou no programa a ser copiado, através das teclas ►,◄,▲e▼. –– Acionar a softkey [ COPIAR ]. –– Acionar a softkey [ User CF ]. –– Posicionar o cursor na pasta que receberá o programa, utilizando as teclas ►,◄,▲e▼. –– Acionar a softkey [ COLAR ].
  • 183.
    T60356F Programação eOperação - Linha D - Siemens 828D 171 5. Comunicação de dados 5.2 - COMUNICAÇÃO ATRAVÉS DA ENTRADA USB ( ) Esta entrada permite a leitura e gravação de dados através de cartões de memória do tipo USB Flash Drive, popularmente conhecido no Brasil como “PEN DRIVE”. Estes cartões utilizam o sistema USB (Universal Serial Bus) para efetuar a transmissão. As máquinas da “Linha D” com comando Siemens 828 possuem uma entrada USB situada no painel da mesma, assim como mostra a figura a seguir: 5.2.1 - Hardwares recomendados para leitura e gravação USB : Para efetuar a leitura e gravação do Cartão de memória USB recomenda-se a interface USB 2.0 tipo “A”. Cartão de memória USB “PENDRIVE” Painel da máquinaPC 5.2.2 - Visualisar os arquivos do cartão de memória. –– Acionar “PROGRAM MANAGER”. –– Acionar a softkey [ USB ]. A partir deste ponto, serão exibidos todos os arquivos e pastas disponíveis dentro do cartão USB, sendo que todas as ações permitidas dentro das outras áreas de armazenamento de dados (memória da máquina), poderão ser executadas, como criar novos programas, editar programas existentes, apagar programas, copiar programas, etc...
  • 184.
    172 Programação eOperação - Linha D - Siemens 828D T60356F 5. Comunicação de dados 5.2.3 - Carregar arquivos do cartão na memória da máquina. –– Acionar “PROGRAM MANAGER”. –– Acionar a softkey [USB]. –– Posicionar o cursor na pasta ou no programa a ser copiado, através das teclas ►,◄,▲e▼. –– Acionar a softkey [COPIAR]. –– Acionar a softkey [NC]. –– Posicionar o cursor na pasta que receberá o programa, utilizando as teclas ►,◄,▲e▼. –– Acionar a softkey [COLAR]. 5.2.4 - Salvar arquivos da memória da máquina no cartão. –– Acionar “PROGRAM MANAGER”. –– Acionar a softkey [NC]. –– Posicionar o cursor na pasta ou no programa a ser copiado, através das teclas ►,◄,▲e▼. –– Acionar a softkey [COPIAR]. –– Acionar a softkey [USB]. –– Posicionar o cursor na pasta que receberá o programa, utilizando as teclas ►,◄,▲e▼. –– Acionar a softkey [COLAR]. 5.3 - COMUNICAÇÃO ATRAVÉS DA REDE ENTHERNET Esta entrada permite a comunicação entre a memória da máquina e uma pasta compartilhada situada no periférico externo (computador). Este modo de trabalho em rede é denominado REDE ETHERNET. As máquinas da “Linha D” com comando Siemens 828 possuem uma entrada para a “REDE ETHERNET” situada no painel da máquina, assim como mostra a figura a seguir: 5.3.1 - Hardwares recomendados para leitura e gravação em REDE ETHERNET : Cabo par-trançado denominado RJ-45. Este cabo, por sua vez, deverá ser conectado a um computador onde será instalada a pasta compartilhada contendo os programas a serem transmitidos.
  • 185.
    T60356F Programação eOperação - Linha D - Siemens 828D 173 5. Comunicação de dados 5.3.2 - Visualisar os arquivos do computador. –– Acionar “PROGRAM MANAGER”. –– Quando necessário, acionar a softkey [►►] Até aparecer a softkey [ETHERNET]. –– Acionar a softkey [ETHERNET]. A partir deste ponto, serão exibidos todos os arquivos e pastas disponíveis na pasta compartilhada situada no computador, sendo que todas as ações permitidas dentro das outras áreas de armazenamento de dados (memória da máquina), poderão ser executadas, como criar novos programas, editar programas existentes, apagar programas, copiar programas, etc... 5.3.3 - Carregar arquivos do computador na máquina. –– Acionar “PROGRAM MANAGER”. –– Quando necessário, acionar a softkey [►►] Até aparecer a softkey [USB]. –– Acionar a softkey [ETHERNET]. –– Posicionar o cursor na pasta ou no programa a ser copiado, através das teclas ►,◄,▲e▼. –– Acionar a softkey [COPIAR]. –– Acionar a softkey [NC]. –– Posicionar o cursor na pasta que receberá o programa, utilizando as teclas ►,◄,▲e▼. –– Acionar a softkey [COLAR]. 5.3.4 - Salvar arquivos da memória da máquina no computador. –– Acionar “PROGRAM MANAGER”. –– Quando necessário, acionar a softkey [►►] Até aparecer a softkey [NC]. –– Acionar a softkey [NC]. –– Posicionar o cursor na pasta ou no programa a ser copiado, através das teclas ►,◄,▲e▼. –– Acionar a softkey [COPIAR]. –– Acionar a softkey [ETHERNET]. –– Posicionar o cursor na pasta que receberá o programa, utilizando as teclas ►,◄,▲e▼. –– Acionar a softkey [COLAR].
  • 186.
    174 Programação eOperação - Linha D - Siemens 828D T60356F 6. Teste de programas 6 - TESTE DE PROGRAMAS. Todos os programas devem ser testados antes da execução diretamente na peça de trabalho. Para isso, a linha D apresenta diferentes formas de testá-los. Para poder executar o teste gráfico, é necessário inserir as informações da peça em bruto no início do programa, para isso deve-se: –– Posicionar o cursor no início do programa a ser testado. –– Acionar a softkey [Diversos]. –– Acionar a softkey [Peça bruta]. –– No campo “Peça bruta”, através da tecla “SELECT”, escolher entre as opções de materiais brutos disponíveis. –– Preencher os campos apresentados de acordo com o perfil de material bruto escolhido anteriormente. –– Acinar a softkey [Aceitar]. Veja na figura abaixo uma das opções de material bruto que podem ser apresentadas: Os dados da peça em bruto são visualizadas no programa conforme exemplo abaixo:
  • 187.
    T60356F Programação eOperação - Linha D - Siemens 828D 175 6. Teste de programas 6.1 - EXECUTAR TESTE GRÁFICO DE PROGRAMA (MODO 1). Estando na tela de edição de programas (editando o programa a ser testado) deve-se: –– Acionar a softkey [SIMULAÇÃO]. –– Esperar alguns segundos. –– Se necessário, acionar a softkey [◄◄]. –– Acionar a softkey [//] (reset, ver figura abaixo). –– Acionar a softkey [START]. (ver figura abaixo). Veja abaixo um exemplo de visualização da tela do gráfico: A figura acima apresenta a visualização do gráfico na vista superior. Existem outras vistas que podem ser selecionadas para realizar a simulação, para isso, basta selecionar a vista desejada através das softkeys laterais. Além disso, pode-se ampliar detalhes da peça para uma melhor visualização. Para ampliar a visualização de algum detalhe deve-se: Modo 1: –– Acionar a softkey [DETALHES]. –– Posicionar com o cursor no detalhe a ser ampliado. –– Acionar a softkey [ZOMM +] para ampliar ou [ZOMM -] para reduzir. Modo 2: –– Acionar a softkey [DETALHES]. –– Acionar a softkey [LUPAS]. –– Posicionar o cursor no detalhe a ser ampliado. –– Acionar a softkey [LUPA +] para ampliar ou [LUPA -] para reduzir.
  • 188.
    176 Programação eOperação - Linha D - Siemens 828D T60356F 6. Teste de programas 6.2 - EXECUTAR TESTE GRÁFICO DE PROGRAMA (MODO 2). O teste gráfico de programa a partir deste procedimento permite uma melhor visualização dos movimentos executados pela ferramenta. Para executar este teste deve-se: –– Acessar o programa a ser testado –– Acionar a softkey [EXECUTAR]. –– Acionar a tecla “AUTO”. –– Se necessário, acionar a softkey [►] –– Acionar a softkey [CONT. PROG.]. –– Posicionar o cursor em “PRT” (inibe o movimento dos eixos). –– Acionar a tecla “SELECT”. –– Posicionar o cursor em “DRY” (habilita avanço de teste). –– Acionar a tecla “SELECT”. –– Acionar a softkey [Voltar]. –– Acionar a softkey [GRAV. SIMULT.]. –– Acionar a tecla “CYCLE START”. 6.3 - EXECUTAR TESTE RÁPIDO DE PROGRAMA SEM MOVIMENTO DOS EIXOS E SEM GIRO DO EIXO ÁRVORE. –– Acessar o programa a ser testado –– Acionar a softkey [EXECUTAR]. –– Acionar a tecla “AUTO”. –– Se necessário, acionar a softkey [►] –– Acionar a softkey [CONT. PROG.]. –– Posicionar o cursor em “PRT” (inibe o movimento dos eixos). –– Acionar a tecla “SELECT”. –– Posicionar o cursor em “DRY” (habilita avanço de teste). –– Acionar a tecla “SELECT”. –– Acionar a softkey [VOLTAR]. –– Acionar a tecla “CYCLE START”.
  • 189.
    T60356F Programação eOperação - Linha D - Siemens 828D 177 6. Teste de programas 6.4- EXECUTAR TESTE DE PROGRAMA EM DRY RUN. O teste de programa em “DRY RUN” consiste em executar todos os movimentos programados em uma velocidade superior a especificada no programa. Este teste é utilizado principalmente para verificar se a definição do ponto zero peça foi feita de maneira adequada. –– Acessar o programa a ser testado. –– Acionar a softkey [EXECUTAR]. –– Acionar a tecla “AUTO”. –– Manter a tecla “DRY RUN” acionada por 2 segundos. –– Acionar a tecla “CYCLE START”. OBSERVAÇÃO: Para execução do teste em “DRY RUN”, as ferramentas já devem estar referenciadas e deve-se somar um valor ao zero peça em “Z”, de modo que a ferramenta possa executar os movimentos acima da coordenada de trabalho (em vazio).
  • 190.
    178 Programação eOperação - Linha D - Siemens 828D T60356F 7. Referenciamento (preset) de ferramentas 7 - REFERÊNCIAS DE FERRAMENTA A Referência de Ferramentas é o processo no qual é identificado à máquina onde está localizado a ponta das ferramentas. Esses dados são armazenados na página “Lista de Ferramentas” e podem ser acessados através do seguinte procedimento: –– Acionar a tecla “OFFSET”. –– Acionar a softkey [LISTA FER.]. 7.1 - CRIAR UMA NOVA FERRAMENTA O procedimento para criar novas ferramentas só é necessário se por acaso, alguma ferramenta for apagada. Portanto, para iniciar o trabalho na máquina este procedimento não é obrigatório, pois as ferramentas necessárias para realizar o trabalho já estão criadas. Para criar uma nova ferramenta, por motivos de segurança, sugere-se seguir a seguinte sequência: 1º - Ativar a ferramenta T0 através da função “T,S,M”: –– Acionar a tecla “JOG”. –– Acionar a tecla “M MACHINE”. –– Acionar a softkey [T,S,M]. –– Posicionar o cursor no campo “T”. –– Digitar “0”. –– Acionar a tecla “INPUT”. –– Acionar a tecla “CYCLE START”.
  • 191.
    T60356F Programação eOperação - Linha D - Siemens 828D 179 7. Referenciamento (preset) de ferramentas 2º - Acessar a página de lista de ferramenta: –– Acionar a tecla “OFF_SET”. –– Acionar a softkey [LISTA FER.]. 3º - Criar a nova ferramenta: –– Posicionar o cursor no final da listagem de ferramentas, em um campo onde não haja nenhuma ferramenta registrada. –– Acionar a softkey [FERRAMEN. NOVA]. –– Através das softkeys, escolher um dos tipos de ferramenta disponíveis. –– Através da tecla “BACK SPACE”, apagar o nome da ferramenta criada. –– Digitar o número desejado para a nova ferramenta (este número deve ser diferente dos números das ferramentas já existentes). –– Acionar a tecla “INPUT”. 4º - Carregar a ferramenta no magazine: –– Posicionar o cursor na ferramenta a ser carregada. –– Acionar a softkey [CARREGAR]. –– Acionar a softkey [FUSO]. 5º - Manualmente, colocar a ferramenta no eixo árvore. 6º - Guardar a ferramenta do eixo árvore no magazine através da função “T,S,M”: –– Acionar a tecla “JOG”. –– Acionar a tecla “ M MACHINE” –– Se necessário, acionar a softkey []. –– Acionar a softkey [T,S,M]. –– Posicionar o cursor no campo “T”. –– Digitar “0”. –– Acionar a tecla “INPUT”. –– Acionar a tecla “CYCLE START”.
  • 192.
    180 Programação eOperação - Linha D - Siemens 828D T60356F 7. Referenciamento (preset) de ferramentas 7.2 - APAGAR UMA FERRAMENTA. Para apagar uma ferramenta deve-se: 1º - Através da função “T,S,M” carregar a ferramenta a ser excluída no eixo árvore.: –– Acionar a tecla “JOG”. –– Acionar a tecla “M MACHINE”. –– Acionar a softkey [T,S,M]. –– Posicionar o cursor no campo “T”. –– Digitar o número da ferramenta a ser carregada. –– Acionar a tecla “INPUT”. –– Acionar a tecla “CYCLE START”. 2º - Manualmente, descarregar a ferramenta do eixo árvore: 3º - Acessar a página de lista de ferramenta: –– Acionar a tecla “OFFSET”. –– Acionar a softkey [LIST FER.]. 4º - Descarregar a ferramenta do magazine: –– Posicionar o cursor na ferramenta a ser apagada. –– Acionar a softkey [DESCARREG.]. 5º - Apagar a ferramenta: –– Posicionar o cursor na ferramenta a ser apagada. –– Acionar a softkey [APAGAR FERRAM.] –– Acionar a softkey [APAGAR].
  • 193.
    T60356F Programação eOperação - Linha D - Siemens 828D 181 7. Referenciamento (preset) de ferramentas 7.3 - PRESET DE FERRAMENTAS 7.3.1 - Preset de ferramentas feito na máquina. Este processo é utilizado para fazer o zeramento de ferramentas na própria máquina. Para isso deve-se: 1º - Através da função “T,S,M”, carregar a ferramenta a ser referenciada: –– Acionar a tecla “JOG”. –– Acionar a tecla “M MACHINE”. –– Acionar a softkey [T,S,M]. –– Posicionar o cursor no campo “T” e digitar o número da ferramenta a ser carregada. Ex.: 1 –– Acionar a tecla “INPUT”. –– Se necessário, posicionar o cursor no campo “D” e digitar o número do corretor desejado. Ex.: 1 –– Acionar a tecla “INPUT”. –– Acionar a tecla “CYCLE START”. 2º - Através da manivela eletrônica, tocar a ferramenta na superfície da peça: –– Acionar “M MACHINE”. –– Acionar tecla “JOG”. –– Girar a chave “REMOTE PANEL” localizada na lateral do painel da máquina para a posição . –– No painel remoto, selecionar eixo desejado: “X”,“Y”, “Z” ou “4“ (opcional). –– No painel remoto, selecionar avanço desejado através das teclas: [1], [10], [100]. –– Manter pressionado os botões localizados na parte lateral do painel remoto. –– Executar o movimento dos eixos através da manivela observando o sentido (+ / -) até encostar a ferramenta na superfície da peça. OBSERVAÇÃO: Para desabilitar o Painel remoto é necessário deixar o valor da velocidade em “0” e depois, retornar a chave “REMOTE PANEL” para a posição
  • 194.
    182 Programação eOperação - Linha D - Siemens 828D T60356F 7. Referenciamento (preset) de ferramentas 3º - Salvar o valor na página de ferramentas: –– Acionar a tecla “M MACHINE”. –– Acionar a softkey [MEDIR FERR.]. –– Acionar a softkey [COMPRIM. MANUAL]. –– Posicionar o cursor no campo “ Pto de Ref. “ e através da tecla “SELECT” selecionar a opção “ PEÇA “. –– Se necessário, no campo “ Z0 ”, digitar a coordenada “Z” onde a ferramenta está sendo tocada (normalmente, assume-se o valor “0” para esta coordenada). –– Acionar a softkey [AJUSTAR COMPRIM.]. OBSERVAÇÃO: Com o procedimento citado anteriormente não há necessidade de fazer o zero-peça no eixo “Z”. Por isso, deve-se apagar os dados contidos no campo “Z” da página de “Desl. zero”. Quando trabalha-se com ferramentas de ponta esférica nos planos “XZ” (G18) ou “YZ” (G19), para que a compensação de raio seja executada de maneira adequada, a referência da ferramenta deve ser feita pelo centro do raio. Exemplo: Para uma ferramenta de “Ø10 mm”, deve-se considerar que a ferramenta deve descer “5mm” (valor do raio) além do ponto tocado na peça. Portanto, se o comprimento registrado, quando a ponta da ferramenta toca a superfície da peça, for “-350.00 mm”, o novo valor a ser registrado na página “Lista fer.” deve ser “-355.00 mm”.
  • 195.
    T60356F Programação eOperação - Linha D - Siemens 828D 183 7. Referenciamento (preset) de ferramentas 7.3.2 - Preset de ferramentas feito fora da máquina. Este processo é utilizado para carregar os comprimentos das ferramentas, os quais foram levantados externamente. Para fazer este preset deve-se: –– Acionar a tecla “OFF SET”. –– Acionar a softkey [LISTA FERR.]. –– Posicionar o cursor na linha da ferramenta a ser referenciada –– Posicionar o cursor na coluna “compr.” e digitar o valor do comprimento medido externamente. Ex.: 130.987 –– Acionar a tecla “INPUT”. 1 1 1
  • 196.
    184 Programação eOperação - Linha D - Siemens 828D T60356F 7. Referenciamento (preset) de ferramentas OBSERVAÇÕES: Os valores dos comprimentos de ferramentas deverão ser colocados sem sinal. Após carregar os comprimentos das ferramentas, deve-se fazer o zero-peça no eixo “Z”. Quando trabalha-se com ferramentas de ponta esférica nos planos “XZ” (G18) ou “YZ” (G19), para que a compensação de raio seja executada de maneira adequada, a referência da ferramenta deve ser feita pelo centro do raio. Exemplo: Para uma ferramenta de “Ø10 mm”, deve-se considerar que a ferramenta tem “5mm” (valor do raio) a menos em seu comprimento. Portanto, se o comprimento medido da ferramenta for “250 mm”, o valor a ser registrado na página do gerenciador deve ser “245 mm”. 7.4 - PREENCHER OS DADOS DAS FERRAMENTAS. Após realizar a referencia das ferramentas no eixo “Z” deve-se preencher os dados das ferramenats na página “Lista fer.”. Para podermos chegar até esta página e preencher os dados deve-se: –– Acionar a tecla “OFFSET”. –– Acionar a softkey [LISTA FERR.]. –– Posicionar o cursor na ferramenta desejada. –– Posicionar o cursor na coluna “TIPO”. –– Através da tecla “SELECT”, selecionar o tipo de ferramenta desejada. –– Na coluna “Nome ferram.” já está registrado o número da ferramenta, portanto, este campo não deve ser alterado. –– Posicionar o cursor na coluna “Ø”. –– Digitar o diâmetro da ferramenta. Ex.: 5 –– Acionar a tecla “INPUT”. –– No caso de uma ferramenta tipo “Broca”, posicionar o cursor na coluna à frente da coluna raio e digitar o ângulo da ponta da broca. Ex.: 118 –– Acionar a tecla “INPUT”. –– No caso de uma ferramenta tipo “Fresa”, posicionar o cursor no campo “Número de dentes” (2º campo à frente do campo RAIO). –– Digitar o número de arestas de corte que a fresa possui. –– Acionar a tecla “INPUT”. –– Posicionar o cursor no campo “Fuso dir./esq./desl” . Através da tecla “SELECT”, determinar o sentido de giro da ferramenta. –– Posicionar o cursor no campo “refrigerante 1” e através da tecla “SELECT”, ativar ou desativar a refrigeração (colocar um “X” no campo para ativar). –– Posicionar o cursor no campo “refrigerante 2” e através da tecla “SELECT”, ativar ou desativar a refrigeração de alta pressão (colocar um “X” no campo para ativar).
  • 197.
    T60356F Programação eOperação - Linha D - Siemens 828D 185 8. Desgaste de ferramentas 8 - DESGASTE DE FERRAMENTAS. A correção de desgaste de ferramenta é uma operação que é realizada para corrigir a variação nas dimensões das peças devido ao desgaste ocorrido nas ferramentas em decorrência dos esforços de usinagem. 8.1 - CORREÇÃO DE DESGASTE DE FERRAMENTA EM “Z”. –– Acionar a tecla “OFFSET”. –– Acionar a softkey [DESG. FER.]. –– Posicionar o cursor na ferramenta desejada. –– Posicionar o cursor na coluna “Comprime.” e acionar a tecla “=”. –– Acionar a tecla “+” ou “-” (de acordo com a correção desejada). –– Digitar o valor a ser corrigido. Ex.: 0.1. –– Acionar a tecla “INPUT”. 8.2 - CORREÇÃO DE DESGASTE NO “RAIO” DA FERRAMENTA. –– Acionar a tecla “OFFSET”. –– Acionar a softkey [DESG. FER.]. –– Posicionar o cursor na ferramenta desejada. –– Posicionar o cursor na coluna “▲ Raio” e acionar a tecla “=”. –– Acionar a tecla “+” ou “-” (de acordo com a correção desejada). –– Digitar o valor a ser corrigido no diâmetro da ferramenta. Ex.: 0.1. –– Acionar a tecla “INPUT”.
  • 198.
    186 Programação eOperação - Linha D - Siemens 828D T60356F 8. Desgaste de ferramentas 8.3 - CRIAR NOVOS CORRETORES DE FERRAMENTA. A princípio, cada ferramenta possui um corretor disponível para ser utilizado, porém pode-se criar outros corretores para qualquer ferramenta para, por exemplo, referenciar a ferramenta em duas alturas diferentes de peça. Para criar um novo corretor de ferramenta deve-se: –– Acionar a tecla “OFFSET”. –– Acionar a softkey [LISTA FER.]. –– Posicionar o cursor na ferramenta desejada. –– Acionar a softkey [CORRETOR]. –– Acionar a softkey [CORRETOR NOVO] Para acessar este e outros corretores existentes deve-se: –– Acionar a tecla “OFFSET”. –– Acionar a softkey [LISTA FER.]. –– Posicionar o cursor no corretor desejado.
  • 199.
    T60356F Programação eOperação - Linha D - Siemens 828D 187 9. Definição do zero-peça 9 - DEFINIÇÃO DO ZERO PEÇA Este procedimento é realizado para criar um ponto de referência na peça. Este ponto de referência também conhecido como zero-peça será o ponto de onde partirão todas as coordenadas do programa. Nas máquinas da linha “ROMI - D” com comando Siemens 828 é possível se trabalhar com até 99 zero-peças diferentes, sendo eles: G54,G55,G56,G57,G505,G506,G507,G508...G599 9.1 - ZERO-PEÇA NA LATERAL DA PEÇA . Este processo é utilizado para fazer o referenciamento na lateral da peça, conforme mostra a figura a seguir: Zeramento em “X” Zeramento em “Y” Para realizar este procedimento deve-se: 1º - Através da função “T,S,M”, carregar a ferramenta a ser utilizada no zeramento: –– Acionar a tecla “JOG”. –– Acionar a tecla “M MACHINE”. –– Acionar a softkey [T,S,M]. –– Posicionar o cursor no campo “T” e digitar o número da ferramenta a ser carregada. Ex.: 1 –– Acionar a tecla “INPUT”. –– Se necessário, posicionar o cursor no campo “D” e digitar o número do corretor desejado. Ex.: 1 –– Acionar a tecla “INPUT”. –– Acionar a tecla “CYCLE START”. OBSERVAÇÕES: A ferramenta escolhida para ser utilizada no processo de zeramento deverá possuir o valor do raio preenchido previamente na página de lista de ferramentas.
  • 200.
    188 Programação eOperação - Linha D - Siemens 828D T60356F 9. Definição do zero-peça 2º - Através da manivela eletrônica, tocar a ferramenta na lateral da peça: –– Acionar “M MACHINE”. –– Acionar tecla “JOG”. –– Acionar a tecla “JOG”. –– Girar a chave “REMOTE PANEL” localizada na lateral do painel da máquina para a posição . –– No painel remoto, selecionar eixo desejado: “X”,“Y”, “Z” ou “4“ (opcional). –– No painel de operação, selecionar avanço desejado através das teclas: [1], [10], [100], [1000]. –– Manter pressionado os botões localizados na parte lateral do painel remoto. –– Executar o movimento dos eixos através da manivela observando o sentido (+ / -) até encostar a ferramenta na lateral e da peça. 3º - Salvar o valor na página de zero-peça: –– Acionar a tecla “M MACHINE”. –– Acionar a softkey [MEDIR PEÇA] –– Acionar a softkey [BORDA] –– Apertar a softkey correspondente ao eixo a ser zerado ( [X] ou [Y] ) –– Posicionar o cursor no campo “desl. zero” e apertar a a tecla “SELECT” para selecionar o zeramento desejado (G54 - G57 e G505 - G599). –– Posicionar o cursor no campo “direção” e apertar tecla “SELECT” até selecionar a direção correta, sendo que o sinal positivo indica que a ferramenta está a esquerda ou abaixo da peça e o sinal negativo indica que a ferramenta está a direita ou acima da peça. –– Posicionar o cursor no campo “X0” ou “Y0” de acordo com o eixo correspondente e digitar a distância que a ferramenta está em relação ao zero - peça, Ex: 0 –– Apertar a tecla “INPUT”. –– Apertar a softkey [DEF NPV]
  • 201.
    T60356F Programação eOperação - Linha D - Siemens 828D 189 9. Definição do zero-peça OBSERVAÇÕES: Caso o ponto onde a ferramenta tenha tocado a peça esteja deslocado em relação ao zero - peça, é necessário informar esta distância no campo “X0” ou “Y0” (de acordo com o eixo a ser zerado). 9.2 - ZERO-PEÇA EM UMA PEÇA INCLINADA . –– Acionar a tecla “M MACHINE”. –– Acionar a softkey [MEDIR PEÇA] –– Acionar a softkey [CANTO] –– Posicionar o cursor no campo “DESL. ZERO” e apertar a tecla “SELECT” para selecionar o zero peça a ser utilizado (G54 - G59 e G505 - G599). –– Posicionar o cursor no campo “X0” e digitar a distância que a o zeramento ficará deslocado em relação ao zero - peça no eixo “X“. Exemplo: 0 –– Posicionar o cursor no campo “Y0” e digitar a distância que a o zeramento ficará deslocado em relação ao zero - peça no eixo “Y“. Exem plo: 0 –– Através do movimento manual encostar a ferramenta na lateral da peça, conforme a figura ao lado: –– Acionar a softkey [ARMAZENAR P1] –– Através do movimento manual encostar a ferramenta na mesma lateral da peça, porém deslocada em relação ao primeiro ponto, conforme a figura ao lado: –– Acionar a softkey [ARMAZENAR P2] –– Através do movimento manual encostar a ferramenta na outra lateral da peça, conforme a figura ao lado: –– Acionar a softkey [ARMAZENAR P3] –– Acionar a softkey [DEF NPV] P1 P2 P3
  • 202.
    190 Programação eOperação - Linha D - Siemens 828D T60356F 9. Definição do zero-peça OBSERVAÇÕES: Para fazer o zeramento no canto da peça deve-se informar o valor do raio da ferramenta na página de lista de ferramentas. Caso seja necessário fazer o zero - peça em um canto diferente do exemplo acima, é necessário alterar o campo “POS1” apertando a tecla “SELECT” para selecionar “POS 2”, “POS 3” ou “POS 4” de acordo com o desejado. Caso seja necessário deslocar o zero - peça a uma certa distância do canto da peça, é necessário informar a distância de deslocamento no campo “X0” ou “Y0”. O ângulo de inclinação da peça será informado automaticamente no campo “ 0” e será salvo na página de deslocamento do zero peça. 9.3 - ZERO-PEÇA NO CENTRO DE UM FURO. –– Apertar a telca “M MACHINE” –– Apertar a softkey [MEDIR FURO] –– Apertar a softkey [FURO] –– Tocar a ferramenta na lateral do furo num ponto onde o eixo “Y” fique o mais negativo possível. –– Apertar a softkey [ARMAZENAR P1] –– Tocar a ferramenta na lateral do furo num ponto onde o eixo “Y” fique o mais positivo possível. –– Apertar a softkey [ARMAZENAR P2] –– Tocar a ferramenta na lateral do furo num ponto onde o eixo “X” fique o mais negativo possível. –– Apertar a softkey [ARMAZENAR P3] –– Tocar a ferramenta na lateral do furo num ponto onde o eixo “X” fique o mais positivo possível. –– Apertar a softkey [ARMAZENAR P4] –– Acionar a softkey [DEF NPV] P1 P2 P3 P4
  • 203.
    T60356F Programação eOperação - Linha D - Siemens 828D 191 9. Definição do zero-peça OBSERVAÇÕES: Para fazer o zeramento no centro do furo deve-se informar o valor do raio da ferramenta na página de lista de ferramentas. A informação do diâmetro da peça aparecerá automaticamente no campo . Caso seja necessário deslocar o zero - peça a uma certa distância do centro do furo, é necessário informar a distância de deslocamento no campo “X0” ou “Y0”. Os valores do zeramento de “X” e “Y” ficam salvos na página de deslocamento do ponto zero. 9.4 - ZERO-PEÇA NO CENTRO DE UM RESSALTO CIRCULAR. –– Apertar a telca [Machine] –– Apertar a softkey [Medir Furo] –– Apertar a softkey [Espiga] –– Tocar a ferramenta na lateral do ressalto num ponto onde o eixo “X” fique o mais negativo possível. –– Apertar a softkey [Armazenar P1] –– Tocar a ferramenta na lateral do ressalto num ponto onde o eixo “X” fique o mais positivo possível –– Apertar a softkey [Armazenar P2] –– Tocar a ferramenta na lateral do ressalto num ponto onde o eixo “Y” fique o mais negativo possível –– Apertar a softkey [Armazenar P3] –– Tocar a ferramenta na lateral do ressalto num ponto onde o eixo “Y” fique o mais positivo possível –– Apertar a softkey [Armazenar P4] P1 P2 P3 P4
  • 204.
    192 Programação eOperação - Linha D - Siemens 828D T60356F 9. Definição do zero-peça OBSERVAÇÕES: Para fazer o zeramento no centro do ressalto deve-se informar o valor do raio da ferramenta na página de lista de ferramentas. A informação do diâmetro da peça aparecerá automaticamente no campo . Caso seja necessário deslocar o zero - peça a uma certa distância do centro do ressalto, é necessário informar a distância de deslocamento no campo “X0” ou “Y0”. Os valores do zeramento de “X” e “Y” ficam salvos na página de deslocamento do ponto zero. 9.5 - ZERO-PEÇA NO CENTRO DE UMA PEÇA RETANGULAR –– Acionar a tecla “JOG” –– Acionar a tecla “WCS/MCS” –– Apertar a tecla [M MACHINE] –– Apertar a softkey [T,S,M] –– Posicionar o cursor no campo “DESL. ZERO” Apertar a tecla “SELECT” até aparecer o zeramento desejado (G54 - G57 ou G505 - G599) –– Apertar a tecla CYCLE START –– Posicianar a ferramenta em uma das laterais da peça –– Apertar a softkey [DEF. NPV] –– Apetar a softkey [X=0] ou [Y=0] de acordo com o eixo desejado –– Posicionar a ferramenta na lateral oposta da peça. –– Apertar a softkey [DEF. NPV] –– Utilizar as setas ( ↑ ↓ → ←) para posicionar o cursor no eixo no eixo a ser zerado ( “X” ou “Y”). –– Apertar a tecla “ = ” –– Digitar “ /2 ” (dividido por dois) –– Apertar a tecla “INPUT”
  • 205.
    T60356F Programação eOperação - Linha D - Siemens 828D 193 9. Definição do zero-peça 1 (X) 2 (X) 2 (Y) 1 (Y) PEÇA OBSERVAÇÕES: Os valores do zeramento de “X” e “Y” ficam salvos na página de deslocamento do ponto zero. 9.6 - EFETUAR CORREÇÃO NO ZERO-PECA (G54 - G59 E G507 - G599) –– Apertar a tecla [OFFSET] –– Apertar a softkey [DESL. ZERO] –– Posicionar o cursor na linha correspondente ao zeramento desejado (“X”, “Y”, ou “Z”) –– Apertar a tecla “ = ” –– Apertar a tecla “ + ” ou “ - ” de acordo com o sentido da correção a ser efetuada. –– Digitar o valor da correção. Exemplo: 0.2 –– Apertar a tecla “INPUT”
  • 206.
    194 Programação eOperação - Linha D - Siemens 828D T60356F 9. Definição do zero-peça OBSERVAÇÃO: A coluna informa a inclinação angular de cada eixo. Este campo normalmente fica igual a zero. Seu valores é alterado automaticamente quando é utilizado o recurso de zeramento no canto de uma peça inclinada.
  • 207.
    T60356F Programação eOperação - Linha D - Siemens 828D 195 10. Execução de Programas 10 - EXECUÇÃO DE PROGRAMAS 10.1 - EXECUTAR UM PROGRAMA DISPONÍVEL NA MEMÓRIA DA MÁQUINA. –– Acionar a tecla “PROGRAM MANAGER”. –– Acionar a softkey [ NC ]. –– Acessar o programa a ser executado, utilizando as teclas: ►, ◄, ▲ e ▼. –– Acionar a tecla “INPUT”. –– Acionar a softkey [EXECUTAR]. –– Acionar a softkey [CONT. PROG.] –– “DESATIVAR” as opções [TESTE PROGRAMA] e [AVANÇO ENSAIO]. –– Apertar a softkey [VOLTAR]. –– Acionar a tecla “CYCLE START”. 10.2 - EXECUTAR UM PROGRAMADIRETO DE UM PERIFÉRICO EXTERNO (MODO 1). Nas máquinas da linha D com comando SIEMENS 828D, pode-se executar programas salvos em periféricos externos, sendo eles: Cartão de memória (COMPACT FLASH de no máximo 1 Gb de memória e formatado com a extensão FAT) ou dispositivos com conexão USB (PEN-DRIVE formatado com a extensão FAT), sem a necessidade de que os programas sejam salvos na memória da máquina. Para isso deve-se: –– Acionar a tecla “PROGRAM MANAGER”. –– Acionar a softkey [USER CF], para execução via cartão ou [USB], para execução via USB. –– Acessar o programa a ser executado, utilizando as teclas: ►, ◄, ▲ e ▼. –– Acionar a tecla “INPUT”. –– Acionar a softkey [EXECUTAR] –– Acionar “CYCLE START” 10.3- EXECUTARUMPROGRAMADIRETODEUMPERIFÉRICOEXTERNO(MODO2). Um programa pode ser executado diretamente de um periférico externo, fazendo-se uma chamada a partir de um programa que está na memória da máquina (chamada de sub- programa). Para isso deve-se: –– Criar um programa novo em uma das áreas de memória da máquina. –– Inserirnoprogramaasintaxe:EXTCALL(“CF_CARD:Nomedoarquivo.Extensão do arquivo”), para execuções de programas diretamente do cartão de memória,
  • 208.
    196 Programação eOperação - Linha D - Siemens 828D T60356F 10. Execução de Programas ou EXTCALL(“USB;Nome do arquivo.Extensão do arquivo”), para execuções de programas diretamente do Pendrive. –– Executar o programa. Por exemplo: Se um arquivo que está no cartão tem o nome EXERCÍCIO.MPF, deve- se programar: EXTCALL(“CF_CARD:EXERCÍCIO.MPF”) = Para execução via cartão de memória EXTCALL(“USB;EXERCICIO.MPF”). = Para execução via USB. 10.4 - ABORTAR A EXECUÇÃO DE PROGRAMAS. –– Acionar a tecla “CYCLE STOP”. –– Acionar a tecla “RESET”. –– Através do movimento manual (via jog ou manivela eletrônica), deslocar os eixos para uma posição segura. 10.5 - INICIAR EXECUÇÃO NO MEIO DO PROGRAMA. 10.5.1 - Início no meio de um programa (Programa ISO). –– Acionar a tecla “AUTO” –– Acionar a tecla [M MACHINE]. –– Utilizar as teclas ►,◄,▲ e▼ para posicionar o cursor na Ferramenta onde deseja-se iniciar a execução. –– Acionar a softkey [BUSCA DE BLOCO ]. –– Acionar a softkey [MODO DE LOCALIZ.]. –– Selecionar o Modo “Sem Cálculo”. –– Acionar a softkey [INICIAR BUSCA]. (Será exibida a mensagem: “DESTINO DE BUSCA ALCANÇADO. CONTINUE COM CYCLE START ”). –– Acionar a tecla “CYCLE START”. –– Acionar a tecla “CYCLE START” novamente. 10.5.2 - Início no meio de um programa do Cartão ou do USB. –– Acionar a tecla “PROGRAM MANAGER”. –– Acionar a softkey [USER CF] ou [USB]. –– Acessar o programa a ser executado, utilizando as teclas: ►, ◄, ▲ e ▼. –– Acionar a tecla “INPUT”. –– Acionar a softkey [EXECUTAR] –– Acionar a softkey [BUSCA DE BLOCO]. –– Posicionar o cursor na linha da Ferramenta onde deseja-se iniciar o programa.
  • 209.
    T60356F Programação eOperação - Linha D - Siemens 828D 197 10. Execução de Programas –– Acionar a softkey [MODO DE LOCALIZ.]. –– Selecionar o Modo “Sem Cálculo”. –– Apertar a softkey [INICIAR BUSCA] –– Acionar a tecla “CYCLE START” (será exibida a mensagem “CONTINUE O PROGRAMA COM CYCLE START”). –– Acionar “CYCLE START” novamente 10.5.3 - Início no meio de um programa (Programa Shopmill). –– Selecionar o programa –– Acionar a tecla “AUTO” –– Acionar a tecla [M MACHINE]. –– Posicionar o cursor na operação (ciclo) onde deseja-se iniciar a execução. –– Acionar a softkey [BUSCA DE BLOCO]. –– Apertar a softkey [INICIAR BUSCA]. –– (Será exibida a mensagem: “DESTINO DE BUSCA ALCANÇADO. APÓS CYCLE START SÃO EXEC. AS FUNÇÕES COLETADAS” ). –– Acionar a tecla “CYCLE START”. –– Acionar a tecla “CYCLE START” novamente. OBSERVAÇÃO: Para iniciar no meio de um programa Shopmill em um ciclo que possui várias posições (ciclo de furação por exemplo) é necessário seguir os passos descritos aseguir: 10.5.4 - Início no meio de um programa Shopmill (Ciclos com várias posições). –– Acionar a tecla “AUTO” –– Acionar a tecla [M MACHINE]. –– Posicionar o cursor no bloco que define as posições do ciclo. –– Acionar a softkey [BUSCA DE BLOCO]. –– Apertar a softkey [INICIAR BUSCA]. –– Posicionar o cursor na coluna “num. do furo de início:” e digitar o nº do furo que se deseja iniciar a execução. Ex: 2 –– Acionar a softkey [OK]. –– Acionar a tecla “CYCLE START” (será exibida a mensagem “CONTINUE O PROGRAMA COM CYCLE START”). –– Acionar a tecla “CYCLE START” novamente.
  • 210.
    198 Programação eOperação - Linha D - Siemens 828D T60356F 10. Execução de Programas 10.5.5 - Início no meio de um programa que foi interrompido com “RESET” durante a execução. –– Acionar a tecla “AUTO” –– Acionar a tecla [M MACHINE]. –– Acionar a softkey [BUSCA DE BLOCO]. –– Acionar a softkey [PONTO DE INTERRUP.] (neste momento o comando irá procurar a linha do programa onde foi acionado a tecla “RESET”). –– Acionar a softkey [MODO DE LOCALIZ.]. –– Selecionar o Modo “Com Cálculo”. –– Selecionar o Modo “Com aproximação”. –– Acionar a softkey [INICIAR BUSCA]. –– Acionar a tecla “CYCLE START” (será exibida a mensagem “CONTINUE O PROGRAMA COM CYCLE START”). –– Acionar a tecla “CYCLE START” novamente. OBSERVAÇÃO: Ao ser executado esta operação, a máquina irá realizar uma “varredura” desde o início do programa até o ponto onde o cursor foi posicionado para inicio da execução. Após isso, a máquina irá assumir a última ferramenta programada e utilizará o ultimo RPM e ponto zero inserido no programa. 10.6 - INTERROPER E CONTINUAR A EXECUÇÃO SEM ACIONAR “RESET”. Este método é utilizado em operações que necessitam ser interrompidas para realizar troca de inserto, limpeza da peça, verificação de acabamento e aspecto superficial, etc... E após isso deseja-se retornar a usinagem. 10.6.1 - Parar a usinagem sem acionar RESET. –– Durante a execução do programa, acionar a tecla “CYCLE STOP”. –– Acionar a tecla “JOG”. –– Selecionar o eixo desejado (“X”, “Y” ou “Z”). –– Acionar a tecla “+” ou “-”, conforme o sentido que deseja-se deslocar os eixos. –– Desligar o eixo árvore com a tecla “SPINDLE STOP” (caso necessário) –– Fazer as operações necessárias (limpar peça, trocar inserto, etc...). 10.6.2 - Retornar a execução. –– Acionar a tecla “AUTO”. –– Acionar a tecla “CYCLE START”.
  • 211.
    T60356F Programação eOperação - Linha D - Siemens 828D 199 1. Apresentação OBSERVAÇÃO: A ativação do RPM e o retorno da ferramenta será feito automaticamente ao acionar a tecla “CYCLE START”. Durante o retorno, os três eixos serão movidos simultaneamente, por isso deve-se tomar o devido cuidado para que não haja nenhum tipo de colisão da ferramenta com a peça ou dispositivo de fixação durante o retorno da mesma. Caso seja necessário, pode-se utilizar um sistema de reposicionamento manual dos eixos através do recurso “REPOS” (ver próximo cap.). 10.6.3 - Retornar a usinagem utilizando a função REPOS. Com este recurso é possível realizar um reposicionamento manual dos eixos antes de retomar a usinagem automática. Para isso deve-se: –– Parar a usinagem sem acionar a tecla “RESET” (Cap. 10.6.1). –– Acionar a tecla “JOG”. –– Acionar a tecla “REPOS”. –– Acionar a tecla “CYCLE START”. –– Selecionar o eixo que deseja deslocar para realizar a aproximação (X, Y ou Z). –– Manter pressionada a tecla “+” ou “-” ( o eixo se deslocará até o ponto onde foi interrompida a usinagem). –– Repetir este procedimento para os demais eixos. –– Acionar a tecla “AUTO”. –– Acionar a tecla “CYCLE START”. 10. Execução de Programas
  • 212.
    200 Programação eOperação - Linha D - Siemens 828D T60356F 1. Apresentação 11 - MONITORAMENTO DE VIDA ÚTIL DE FERRAMENTAS. Na linha “D” com comando Siemens 828 estão disponíveis dois tipos de monitoramento de vida útili de ferramenta. Existe o monitoramento por tempo de usinagem (em minutos) e o monitoramento por quantidade de peças. 11.1 - MONITORAMENTO DE VIDA ÚTIL POR QUANTIDADE DE PEÇAS. Para ativar o monitoramento de vida útil por quantidade de peças deve-se seguir o seguinte procedimento: –– Acionar a tecla “OFFSET”. –– Acionar a softkey [DESG. FER.]. –– Posicionar o cursor na linha da ferramenta para qual o monitoramento será ativado através das teclas ►, ◄, ▲ e ▼. –– Posicionar o cursor no campo “ T C ”. –– Acionar a tecla “SELECT” para até selecionar a letra “Q” (monitoramento por quantidade de peças usinadas). –– Posicionar o cursor no campo “VALOR DE CMD” e digitar a quantidade de peças desejada para a ferramenta. Ex: 10 –– Acionar a tecla “INPUT”. –– Posicionar o cursor no campo LIM. PRÉ A.”. Quando estiver faltando o nº de peças informado neste campo para terminar a vida útil da ferramenta, automaticamente será exibido na tela da máquina uma mensagem de pré-aviso. Pode-se digitar por exemplo: 2 –– Apertar a softkey [REATIVAR] –– Acionar a tecla “INPUT”. –– Repetir o mesmo procedimento para as demais ferramentas a serem monitoradas. Após realizar o procedimento descrito acima, deve-se acrescentar ao programa a sintaxe “SETPIECE (X)” após a operação realizada pela ferramenta que está sendo monitorada. Nesta sintaxe, “X” deve ser substituído pela quantidade de peças usinadas pela ferramenta cada vez que o programa é executado. Ex: SETPIECE (1) 11. Monitoramento de vida útil de ferramentas
  • 213.
    T60356F Programação eOperação - Linha D - Siemens 828D 201 1. Apresentação OBSERVAÇÕES: Quando o limite de pré-aviso for atingido, a mensagem “Ferramenta X Núm. Duplo 0001 atingiu limite de pré-aviso com D=0001”será exibida. Quando a vida da ferramenta chegar ao fim, a mensagem “Ferramenta X Núm. Duplo 0001 atingiu limite de monitoração com D=0001” será exibida. Se o programa for executado após o fim do monitoramento, um novo alarme aparecerá: “Gerenciamento de ferramenta: Nenhuma ferramenta disposta para funcionar no grupo de ferram.” 11.2 - MONITORAMENTO DE VIDA ÚTIL POR TEMPO DE USINAGEM. Para ativar o monitoramento de vida útil por tempo de usinagem deve-se seguir o seguinte procedimento: –– Acionar a tecla “OFFSET”. –– Acionar a softkey [DESG. FER.]. –– Posicionar o cursor na linha da ferramenta para qual o monitoramento será ativado através das teclas ►, ◄, ▲ e ▼. –– Posicionar o cursor no campo “ T C ”. –– Acionar a tecla “SELECT” até selecionar a letra “T” (monitoramento por tempo de vida útil). –– Posicionar o cursor no campo “VIDA ÚTIL”. e digitar o tempo (em minutos) de usinagem desejado para a ferramenta. Ex.: 10 –– Posicionar o cursor no campo LIM. PRÉ A.”. –– Posicionar o cursor no campo LIM. PRÉ A.”. Quando estiver faltando o tempo (em minutos) informado neste campo para terminar a vida útil da ferramenta, automaticamente será exibido na tela da máquina uma mensagem de pré-aviso. Pode-se digitar por exemplo: 2 –– Apertar a softkey [REATIVAR] –– Acionar a tecla “INPUT”. –– Repetir o mesmo procedimento para as demais ferramentas a serem monitoradas. OBSERVAÇÕES: O tempo de monitoramento será considerado somente nos blocos de programa com avanço de trabalho (G01), portanto, deslocamentos em avanço rápido (G00) serão desconsiderados. Quando o limite de pré-aviso for atingido, a mensagem “Ferramenta X Núm. Duplo 0001 atingiu limite de pré-aviso com D=0001”será exibida. Quando a vida da ferramenta chegar ao fim, a mensagem “Ferramenta X Núm. Duplo 0001 atingiu limite de monitoração com D=0001” será exibida. Se o programa for executado após o fim do monitoramento, um novo alarme aparecerá: “Gerenciamento de ferramenta: Nenhuma ferramenta disposta para funcionar no grupo de ferram.” 11. Monitoramento de vida útil de ferramentas
  • 214.
    202 Programação eOperação - Linha D - Siemens 828D T60356F 1. Apresentação 12. PROCEDIMENTO PARA FIXAR FERRAMENTAS GRANDES. 12.1- CARACTERÍSTICAS TÉCNICAS DO MAGAZINE DE FERRAMENTAS. D600 D800 D1000 D1250 D 1 5 0 0 (BT 40) D 1 5 0 0 (BT 50) CAPACIDADE DE FERRAMENTAS 20 30 30 30 30 24 Ø MÁXIMO ADMISSÍVEL 110 80 80 80 110 80 Ø MÁXIMO ADMISSÍVEL (COPOS ADJACENTES VAZIOS) 210 150 150 150 150 200 PESO MÁXIMO DA FERRAMENTA 6 Kg 8 Kg 8 Kg 8 Kg 8 Kg 15 Kg PESO ADMISSÍVEL NO MAGAZINE 68 Kg 102Kg 102 Kg 102 Kg 102 Kg 150 Kg 12.2 MAGAZINE 20 FERRAMENTAS - D600 Neste tipo de magazine, quando houver a necessidade de fixar uma ferramenta maior que 110mm, deve-se manter os copos adjacentes (vizinhos) sempre vazios. Para isso, basta retirar manualmente as ferramentas desses locais mantendo a ferramenta “grande” isolada entre dois copos não utilizados. 12.3 MAGAZINE 30 FERRAMENTAS - D800 / D100 / D1250 / D1500. Nas máquinas que possuem o modelo de magazine para armazenar até 30 ferramentas (D800 / D1000 / D1250 / D1500), devido ao fato desse aparelho trabalhar no sistema “randômico”, a cada ciclo de trabalho o cone pode ser guardado em um copo diferente.Assim, caso necessite fixar uma ferramenta maior que 80mm, deve-se identificar essa ferramenta na máquina como sendo uma “FERRAMENTA GRANDE” através de uma configuração específica na tela de magazine, e desabilitar eletronicamente os copos adjacentes. Para isso, deve-se: 1º Descarregar eletronicamente a ferramenta grande, e as ferramentas fixadas nos copos adjacentes (vizinhos) na tela de OFFSET. –– Acionar a tecla “OFFSET”. –– Acionar a softkey [ LISTA FERR. ] –– Posicionar o cursor na linha referente a ferramenta onde deseja-se inserir uma ferramenta grande. Ex: 29. –– Acionar a softkey [ DESCARREGAR ]. REPETIR O PROCEDIMENTO PARA AS DUAS FERRAMENTAS ADJACENTES. 12. Procedimento para fixar ferramentas grandes
  • 215.
    T60356F Programação eOperação - Linha D - Siemens 828D 203 1. Apresentação Neste exemplo foram descarregadas as ferramentas 15-29-03 2º - Identificar a ferramenta como sendo “FERRAMENTA GRANDE”. –– Acionar a tecla “ OFFSET “. –– Acionar a softkey [ MAGAZINE ]. –– Descer o cursor até o número da ferramenta que foi descarregada e que deseja- se identificar como “FERRAMENTA GRANDE”. Ex:29 –– Posicionar o cursor na coluna “G” (ferramenta grande) –– Acionar a tecla “SELECT” para marcar essa opção. Neste exemplo foi considerado que a ferramenta grande seria a “29” 3º - Carregar a ferramenta grande no magazine. –– Acionar a tecla “ OFFSET “. –– Acionar a softkey [ LISTA FERR. ]. –– Descer o cursor até o número da ferramenta que foi configurada como “FERRAMENTA GRANDE”.Ex: 26 –– Acionar a softkey [ CARREGAR [. –– Neste instante a máquina irá abrir uma janela perguntando em qual copo deseja-se carregar essa ferramenta. Deve-se informar o número do copo onde a ferramenta ficará com os locais vizinhos vazios. Neste exemplo a ferramenta 29 foi carregada no copo 27 12. Procedimento para fixar ferramentas grandes
  • 216.
    204 Programação eOperação - Linha D - Siemens 828D T60356F 1. Apresentação Ferramenta 29 fixada no copo 27 - os copos 26 e 28 ficarão vazios, pois suas ferramentas foram descarregadas Ao realizar estes procedimentos, sempre que utilizar a ferramenta 29, a máquina devolverá esta no copo 27, e os copos 12 e 14 permanecerão sem ferramentas, evitando assim que se guarde duas ferramentas grandes em sequência. 12.4 DESABILITAR A FERRAMENTA GRANDE Para desabilitar o bloqueio de ferramenta grande, deve-se: –– Descarregar eletronicamente a ferramenta grande na tela “ OFFSET ” + “ LISTA DE FERRAMENTA “. –– Na tela “ MAGAZINE ”, desabilitar a marcação de ferramenta grande. –– Carregar a ferramenta grande e as demais ferramentas descarregadas nos copos vazios. 12. Procedimento para fixar ferramentas grandes
  • 217.
    T60356F Programação eOperação - Linha D - Siemens 828D 205 1. Apresentação 13. AJUSTAR DATA E HORA. Para ajustar os dados do sistema referentes à data e hora deve-se: –– Acionar a tecla “JOG”. –– Acionar a tecla “MENU SELECT”. –– Acionar a softkey [COLOC. EM FUNCIONAM.]. –– Acionar a softkey [HMI]. –– Acionar a softkey [DATA E HORA]. –– Realizar as alterações necessárias utilizando a tecla INPUT para iserir os valores desejados. –– Acionar a softkey [OK]. 13. Ajustar data e hora
  • 218.
    206 Programação eOperação - Linha D - Siemens 828D T60356F 1. Apresentação 14. NÍVEIS DE ACESSO As máquinas equipadas com comando SIEMENS 828, possuem um sistema de restrição de acesso operacional a fim de manter um melhor controle da acessibilidade do operador/ preparador para com o equipamento. Esse sistema visa restringir o acesso por pessoas não autorizadas ou não qualificadas à configurações que possam interferir nos dados de trabalho previamente setados, e em configurações que possam comprometer o devido funcionamento da máquina. Essa proteção é proveniente de um sistema de chaves coloridas que liberam ou bloqueiam a alteração de dados na máquina, bem como a execução e edição de programas, pre-set de ferramentas, ajuste de corretores, alterações de parâmetros de configuração de software, entre outros. Segue abaixo o índice do acesso que cada chave permite. COR DA CHAVE NÚMERO DE POSIÇÕES PRINCIPAIS NÍVEIS DE ACESSO Sem chave - Operador: Permite a seleção e execução de programas; permite a execução de funções em MDA; permite referenciar ferramentas. Chave preta 1 Operador / Preparador: Permite todas as operações possíveis sem a chave, permite criar, carregar e descarregar ferramentas; permite definição de ponto zero peça atravéz da função DEF.NPV. Chave verde 2 Programador: Permite todas as operações possíveis com as chaves anteriores além de permitir a criação eexclusãodeprogramasdamemória da máquina. Chave laranja 3 Manutentor: Permite todas as operações das chaves anteriores e o acesso a configurações avançadas do sistema, deve ser utilizada somente para a realização de manutenções no sistema. 14. Níveis de acesso
  • 221.
    T60356F Programação eOperação - Linha D - Siemens 828D 209 1.Iniciando o Shopmill Parte III - Tutorial ShopMill
  • 222.
    210 Programação eOperação - Linha D - Siemens 828D T60356F Iniciando o Shopmill INICIANDO O SHOPMILL Nos próximos capítulos serão descritos alguns procedimentos operacionais da linguagem ShopMill. CARREGANDO DADOS DE FERRAMENTAS Neste capítulo serão carregados os dados de todas as ferramentas requeridas para programar os exemplos da Parte II deste manual. ACESSAR A PÁGINA “LISTA DE FERRAMENTAS” –– Acionar a tecla “MENU SELECT” –– Acionar o softkey –– Acionar o softkey D= Número duplo (para gerenciador de vida de ferramenta) Número de dentes (para trabalhar com avanço por dente) Comprimento da ferramenta RAIO da ferramenta Sentido de rotação do eixo-árvore Ativa refrigerante de corte (M07 / M08) Tipo da ferramenta Número / nome da ferramenta Ângulo da ferramenta Posição da ferramenta no magazine Funções específicas como monitoramento de velocidade ou quebra de ferramenta
  • 223.
    T60356F Programação eOperação - Linha D - Siemens 828D 211 Iniciando o Shopmill ALTERAR DADOS DE FERRAMENTAS –– Posicionar o cursor no dado a ser alterado –– Digitar a informação desejada (preset, diâmetro, ângulo, etc.) –– Acionar a tecla “INPUT” Alterar o tipo da ferramenta Posicionar o cursor na coluna “Tip” da ferramenta desejada Acionar a tecla ou o softkey alternat.
  • 224.
    212 Programação eOperação - Linha D - Siemens 828D T60356F 1. Exemplo: Guia longitudinal EXEMPLOS DE PROGRAMAÇÃO EXEMPLO 1: GUIA LONGITUDINAL Neste capítulo serão descritos os primeiros passos necessários para se criar um programa: Criar novos diretório e programa; Chamar uma ferramenta; Programar contornos simples sem/com a compensação de raio; Produzir furos e roscas com macho. Desenho da peça:
  • 225.
    T60356F Programação eOperação - Linha D - Siemens 828D 213 1. Exemplo: Guia longitudinal NOTAS: Para se introduzir os dados no programa deve-se, além de digitar os mesmos, acionar a tecla“INPUT”; O ShopMill sempre salva o último dado setado via tecla “SELECT” , portanto o usuário deve observar as unidades, textos e símbolos que aparecem nas caixas de diálogo, verificando se eles estão iguais ao do seu respectivo exemplo. Caso contrário, deve-se modificá-las usando esses softkeys. 1.1 - INICIANDO O PROGRAMA 1.1.1 - Criar um diretório –– Acionar a tecla “PROGRAM MANAGER”. –– Acionar a softkey [ NC ]. –– Posicionar o cursor na pasta “Peças de trabalho”. e apertar “INPUT”. –– Acionar a softkey [NOVO]. –– Acionar a softkey [PEÇA]. –– Digitar o nome da pasta (Ex: SHOP MILL). –– Acionar a softkey [OK]. 1.1.2 - Criar um programa –– Acionar a tecla “PROGRAM MANAGER”. –– Acionar a softkey [ NC ]. –– Acessar o diretório desejado (Programa de peças, subprogramas ou peças de trabalho) através das teclas: ►, ◄, ▲ e ▼. –– Acionar a tecla “INPUT”. –– Acionar a softkey [NOVO]. –– Acionar a softkey [SHOPMILL]. –– Digitar o nome do programa (Ex: GUIA LONGITUDINAL). –– Acionar a softkey [OK].
  • 226.
    214 Programação eOperação - Linha D - Siemens 828D T60356F 1. Exemplo: Guia longitudinal 1.1.3 - Preencher os dados como mostra a figura abaixo: –– Acionar o softkey [ACEITAR] NOTAS: Para se introduzir os dados nesta página deve-se utilizar a tecla “INPUT”. O usuário deve observar as unidades, textos e símbolos que aparecem nas caixas de diálogo, verificando se eles estão iguais ao do seu respectivo exemplo. Caso contrário, deve-se modificá-las usando a tecla “SELECT”. 1.1.4 - Zero-peça: –– Acionar a softkey [DIVERSOS] –– Acionar a softkey [TRANSFORMAÇÕES] –– Acionar a softkey [DESLOCAMENTO] –– Selecionar a opção 1 (G54) através da tecla “SELECT” –– Acionar a softkey [ACEITAR]
  • 227.
    T60356F Programação eOperação - Linha D - Siemens 828D 215 1. Exemplo: Guia longitudinal 1.1.5 - Troca de ferramenta –– Acionar a softkey –– Acionar a softkey [RETA CÍRC] –– Acionar a softkey [FERRAM.] –– Acionar a softkey [SELECIONE FERRAMENTA] –– Posicionar o cursor na ferramenta desejada (neste exemplo será usada uma fresa de topo de Ø 60 mm) –– Acionar a softkey [NO PROGRAMA] –– Utilizar a tecla ▼ para posicionar o cursor em no campo V (velocidade de corte) e digitar 80 (para Vc = 80 m/min) –– Acionar a softkey [ACEITAR] 1.2 - DESBASTANDO E ACABANDO O REBAIXO Neste capítulo será feito o desbaste e acabamento do rebaixo (150 x 61 mm)
  • 228.
    216 Programação eOperação - Linha D - Siemens 828D T60356F 1. Exemplo: Guia longitudinal 1.2.1 - Desbastar o rebaixo –– Acionar a softkey [RETA] –– Digitar os dados: X 130 abs Y 0 abs –– Acionar a softkey [MOVI RÁPIDO] –– Posicionar a cursor em “COMP. DE RAIO” e selecionar a opção –– Acionar a softkey [ACEITAR] –– Acionar a softkey [RETA] –– Digitar o dado: Z -10 abs F200 –– Acionar a softkey [MOVI RÁPIDO] –– Acionar a softkey [ACEITAR] –– Acionar a softkey [RETA] –– Digitar os dados: X -110 abs F 400 mm/min –– Acionar a softkey [ACEITAR] 1.2.2 - Troca de ferramenta –– Acionar a softkey [RETA CÍRC] –– Acionar a softkey [FERRAM.]
  • 229.
    T60356F Programação eOperação - Linha D - Siemens 828D 217 1. Exemplo: Guia longitudinal –– Acionar a softkey [SELECIONE FERRAMENTA] –– Posicionar o cursor na ferramenta desejada (neste exemplo será usada uma fresa de Ø 16 mm) –– Acionar a softkey [NO PROGRAMA] –– Utilizar a tecla ▼ para posicionar o cursor em no campo V (velocidade de corte) e digitar 100 (para Vc = 80 m/min) –– Acionar a softkey [ACEITAR] 1.2.3 - Acabar o rebaixo –– Acionar a softkey [RETA] –– Digitar os dados: X 85 abs Y 20 abs –– Acionar a softkey [MOVI RÁPIDO] –– Acionar a softkey [ACEITAR] –– Acionar a softkey [RETA] –– Digitar o dado: Z -10 abs –– Posicionar o cursor em “COMP. DE RAIO” e selecionar a opção –– Acionar a softkey [ACEITAR] –– Acionar a softkey [RETA] –– Digitar o dado: X -85 abs –– Acionar a softkey [ACEITAR]
  • 230.
    218 Programação eOperação - Linha D - Siemens 828D T60356F 1. Exemplo: Guia longitudinal –– Acionar a softkey [RETA] –– Digitar o dado: Y -30.5 abs –– Acionar a softkey [ACEITAR] –– Acionar a softkey [RETA] –– Digitar o dado: X 85 abs –– Acionar a softkey [ACEITAR] –– Acionar a softkey [RETA] –– Digitar o dado: Y -20 abs –– Posicionar o cursor em “correção raio” –– Selecionar a opção –– Acionar a softkey [ACEITAR]
  • 231.
    T60356F Programação eOperação - Linha D - Siemens 828D 219 1. Exemplo: Guia longitudinal 1.3 - CRIANDO FUROS E ROSCAS COM MACHO: Neste capítulo serão feitos os furos de centro, furações (Ø 8,5 mm) e roscas com macho rígido (M10x1,5). 1.3.1 - Furar centrando: –– Acionar a softkey [FURAR] –– Acionar a softkey [CENTRAR] –– Acionar a softkey [SELECIONE FERRAMENTA] –– Posicionar o cursor na ferramenta desejada (neste exemplo será usada uma broca de centro de Ø 12 mm - 90º) –– Acionar a softkey [NO PROGRAMA] –– Digitar os dados: F 150 mm/min S500 rpm
  • 232.
    220 Programação eOperação - Linha D - Siemens 828D T60356F 1. Exemplo: Guia longitudinal –– Selecionar a opção “Diâmetro” –– Digitar o dado: Ø 5.000 –– Acionar a softkey [ACEITAR] a) Posições aleatórias (“Pos 1”): –– Acionar a softkey [POSIÇÕES] POSIÇÕES –– Acionar a softkey –– Selecionar a opção “retangular” –– Digitar os dados: Z0 -10 abs X0 -50 abs Y0 0 abs X1 50 abs Y1 0 abs –– Acionar a softkey [ACEITAR] b) Posições aleatórias (“Pos 2”): –– Acionar a softkey [POSIÇÕES] POSIÇÕES –– Acionar a softkey correspondente ao cículo –– Selecionar a opção “Circ. Int.” –– Digitar os dados: Z0 -10 abs X0 0 abs Y0 0 abs a0 0º R 20 abs N 6 –– Acionar a softkey [ACEITAR] c) Quadrado de posições (“Pos 3”): –– Acionar o softkey [POSIÇÕES] POSIÇÕES
  • 233.
    T60356F Programação eOperação - Linha D - Siemens 828D 221 1. Exemplo: Guia longitudinal –– Acionar a softkey correspondente a linha –– Selecionar a opção [GRADE] –– Digitar os dados: Z0 0 abs X0 -65 abs Y0 -40 abs a0 0º L1 130 L2 80 aX 0º N1 2 N2 2 aY 0º –– Acionar a softkey [ACEITAR] 1.3.2 - Furar: –– Acionar a softkey [FURAR ALARGAR] FURAR ALARGAR –– Acionar a softkey [SELECIONE FERRAMENTA] –– Posicionar o cursor na ferramenta desejada (neste exemplo consideraremos uma broca de Ø 8.5 mm - 118º) –– Acionar a softkey [NO PROGRAMA] –– Digitar os dados: F 150 mm/min V 35 m/min –– Selecionar a opção “Topo” –– Digitar o dado: Z1 -21 abs –– Acionar a softkey [ACEITAR] a) Repetir posições: –– Acionar a softkey [POSIÇÃO REPETIDA] –– Digitar o dado: Pos: 1 –– Acionar a softkey [ACEITAR]
  • 234.
    222 Programação eOperação - Linha D - Siemens 828D T60356F 1. Exemplo: Guia longitudinal –– Acionar a softkey [POSIÇÃO REPETIDA] –– Digitar o dado: Pos: 002 –– Acionar a softkey [ACEITAR] –– Acionar a softkey [POSIÇÃO REPETIDA] –– Digitar o dado: Pos: 003 –– Acionar a softkey [ACEITAR] 1.3.3 - Roscar com macho: –– Acionar a softkey [ROSCA] ROSCA –– Acionar a softkey [SELECIONE FERRAMENTA] –– Posicionar o cursor na ferramenta desejada (neste exemplo consideraremos um macho M10x1.5) –– Acionar o softkey [NO PROGRAMA] –– Digitar os dados: P 1.5 mm/rot S 600 rpm Z1 -21 abs –– Acionar o softkey [ACEITAR] a) Repetir posições: –– Acionar o softkey [POSIÇÃO REPETIDA ] –– Digitar o dado: Pos: 001 –– Acionar a softkey [ACEITAR]
  • 235.
    T60356F Programação eOperação - Linha D - Siemens 828D 223 1. Exemplo: Guia longitudinal –– Acionar a softkey [POSIÇÃO REPETIDA] –– Digitar o dado: Pos: 002 –– Acionar a softkey [ACEITAR] –– Acionar a softkey [POSIÇÃO REPETIDA] –– Digitar o dado: Pos: 003 –– Acionar a softkey [ACEITAR]
  • 236.
    224 Programação eOperação - Linha D - Siemens 828D T60356F 2. Exemplo: Molde de injeção 1.4 - SIMULANDO GRAFICAMENTE: 1.4.1 - Simular graficamente: –– Acionar a softkey [SIMULAÇÃO] –– Acionar a softkey correspondente ao inicio 1.4.2 - Sair da simulação: –– Acionar a softkey:
  • 237.
    T60356F Programação eOperação - Linha D - Siemens 828D 225 2. Exemplo: Molde de injeção 1.5 - PROGRAMA SHOPMILL:
  • 238.
    226 Programação eOperação - Linha D - Siemens 828D T60356F 2. Exemplo: Molde de injeção EXEMPLO 2: MOLDE DE INJEÇÃO Neste capítulo serão apresentadas as seguintes funções: –– Fresamento de contornos fechados; –– Fresamento de cavidade retangular; –– Fresamento de cavidades circulares em diversas posições. Desenho da peça:
  • 239.
    T60356F Programação eOperação - Linha D - Siemens 828D 227 2. Exemplo: Molde de injeção 2.1 - CRIANDO UM NOVO PROGRAMA: Crie um novo programa com o nome MOLDE_DE_INJEÇÃO, seu respectivo cabeçalho e zero-peça, seguindo os passos 1.2, 1.3 e 1.4 do Exemplo 1 (Guia Longitudinal). Observe a localização do zero-peça. 2.2 - FRESANDO O CONTORNO FECHADO: Neste capítulo será feito o fresamento do contorno externo, utilizando as funções “Contorno novo” e “Fresamento de contorno”. 2.2.1 - Desenhar o contorno: –– Acionar a softkey [FRES. CONT.] –– Acionar a softkey [NOVO CONTORNO] NOVO CONTORNO –– Digitar um nome para o contorno. Exemplo: CONT_EXT. –– Acionar a softkey [ACEITAR] –– Digitar os dados: X 5 abs Y 5 abs –– Acionar a softkey [ACEITAR] –– Acionar a softkey –– Digitar o dado: a1 86º –– Acionar a softkey [ACEITAR]
  • 240.
    228 Programação eOperação - Linha D - Siemens 828D T60356F 2. Exemplo: Molde de injeção –– Acionar a softkey –– Acionar a softkey [TANGENTE ANTECESS] –– Selecionar a opção –– Digitar os dados: R 20 X 30 abs Y 95 abs –– Acionar a softkey [SELECIONAR DIÁLOGO] –– Acionar a softkey [TRANFERIR DIÁLOGO] –– Acionar a softkey [ACEITAR] –– Acionar a softkey –– Digitar os dados: X 120 abs –– Acionar a softkey [ACEITAR] –– Acionar a softkey –– Acionar a softkey [TANGENTE ANTECESS] –– Selecionar a opção –– Digitar o dado: R 20 –– Acionar a softkey [ACEITAR] –– Acionar a softkey –– Acionar a softkey [TANGENTE ANTECESS] –– Digitar os dados:
  • 241.
    T60356F Programação eOperação - Linha D - Siemens 828D 229 2. Exemplo: Molde de injeção X 145 abs Y 5 abs –– Acionar a softkey [ACEITAR] –– Acionar a softkey [TANGENTE ANTECESS] –– Acionar a softkey [ACEITAR] –– Acionar a softkey –– Digitar o dado: X5 –– Acionar a softkey [ACEITAR] –– Acionar a softkey [ACEITAR]
  • 242.
    230 Programação eOperação - Linha D - Siemens 828D T60356F 2. Exemplo: Molde de injeção 2.2.2 - Fresar o contorno (desbaste): –– Acionar a softkey [FRESAGEM DO CURSO] FRESAGEM DO CURSO –– Acionar a softkey [SELECIONE FERRAMENTA] –– Posicionar o cursor na ferramenta desejada (neste exemplo será usada uma fresa Ø 20 mm) –– Acionar a softkey [NO PROGRAMA] –– Informar / selecionar os dados: F 0.15 mm/dente V 120 m/min Correção raio: Usinagem: Z0 0 abs Z1 -5 abs DZ 5 UZ 0.3 UXY 0.3 mm Aproxim.: reta L1 5 FZ 0.2 mm/dente Retração: reta L2 5 Modo levant.: para plano retrocesso –– Acionar a softkey [ACEITAR] 2.2.3 - Fresar o contorno (acabamento): –– Acionar a softkey [FRESAGEM DO CURSO] FRESAGEM DO CURSO –– Modificar os dados: F 0.08 mm/dente V 150 m/min –– Usinagem: –– Acionar a softkey [ACEITAR]
  • 243.
    T60356F Programação eOperação - Linha D - Siemens 828D 231 2. Exemplo: Molde de injeção 2.3 - FRESANDO A CAVIDADE RETANGULAR: Neste capítulo será feito o fresamento da cavidade retangular utilizando a função “Fresar”. 2.3.1 - Fresar o cavidade (desbaste): –– Acionar a softkey [FRESAR] –– Acionar a softkey [BOLSA] BOLSA –– Acionar a softkey [BOLSA] –– Acionar o softkey [SELECIONE FERRAMENTA] –– Posicionar o cursor na ferramenta desejada (neste exemplo será usada uma fresa Ø 10 mm) –– Acionar a softkey [NO PROGRAMA] –– Informar / selecionar os dados: F 0.15 mm/dente V 120 m/min Usinagem: Posic. individual. X0 75 abs Y0 50 abs Z0 0 abs W 40 L 60 R 6 a0 30º Z1 -15 abs DXY 80% DZ 2.5 UXY 0.3 mm UZ 0.3 Imersão: helic. EP 2 mm/rev ER 2 mm Escarear: Usin. compl. –– Acionar a softkey [ACEITAR]
  • 244.
    232 Programação eOperação - Linha D - Siemens 828D T60356F 2. Exemplo: Molde de injeção 2.3.2 - Fresar o cavidade (acabamento): –– Acionar a softkey [FRESAR] –– Acionar a softkey [BOLSA] BOLSA –– Modificar os dados: F 0.08 mm/dente V 150 m/min –– Usinagem: –– Acionar a softkey [ACEITAR] 2.4 - FRESANDO AS CAVIDADES CIRCULARES: Neste capítulo será feito o fresamento das cavidades circulares utilizando a função “Fresar”.
  • 245.
    T60356F Programação eOperação - Linha D - Siemens 828D 233 2. Exemplo: Molde de injeção 2.4.1 - Fresar as cavidades (desbaste): –– Acionar a softkey [FRESAR] –– Acionar a softkey [BOLSA] BOLSA –– Acionar a softkey [BOLSA CIRCULAR] –– Acionar a softkey [SELECIONE FERRAMENTA] –– Posicionar o cursor na ferramenta desejada (neste exemplo consideraremos uma fresa Ø 10 mm) –– Acionar o softkey [NO PROGRAMA] –– Informar / selecionar os dados: F 0.15 mm/dente V120 m/min Usinagem: Modelo de Posição Ø 30 Z1 -10 abs DXY 80% DZ 5 UXY 0.3 mm UZ 0.3 Imersão: helic. EP 2 mm/rev ER 2 mm Escarear: Usin. compl. –– Acionar a softkey [ACEITAR] 2.4.2 - Fresar as cavidades (acabamento): –– Acionar a softkey [FRESAR] –– Acionar a softkey [BOLSA] BOLSA –– Acionar a softkey [BOLSA CIRCULAR] –– Modificar os dados: F 0.08 mm/dente V 150 m/min –– Usinagem: –– Acionar a softkey [ACEITAR]
  • 246.
    234 Programação eOperação - Linha D - Siemens 828D T60356F 3. Exemplo: Placa de molde 2.4.3 - Posições das cavidades: –– Acionar a softkey [FURAR] –– Acionar a softkey [POSIÇÕES] Posições –– Acionar a softkey –– Selecionar a opção “Grade” –– Digitar os dados: Z0 0 abs X0 30 abs Y0 25 abs a0 0º L1 90 L2 50 aX 0º N1 2 N2 2 aY 0º –– Acionar a softkey [ACEITAR]
  • 247.
    T60356F Programação eOperação - Linha D - Siemens 828D 235 3. Exemplo: Placa de molde 2.5 - SIMULANDO GRAFICAMENTE: 2.5.1 - Simular graficamente: –– Acionar a softkey [SIMULAÇÃO] –– Acionar a softkey correspondente ao inicio 2.5.2 - Sair da simulação: –– Acionar a softkey:
  • 248.
    236 Programação eOperação - Linha D - Siemens 828D T60356F 3. Exemplo: Placa de molde 2.6 - PROGRAMA SHOPMILL:
  • 249.
    T60356F Programação eOperação - Linha D - Siemens 828D 237 3. Exemplo: Placa de molde EXEMPLO 3: PLACA DE MOLDE –– Neste capítulo serão apresentadas outras importantes funções: –– Fresamento de contornos abertos; –– Fresamento de cavidade com perfil (desbaste, material residual e acabamento); –– Fresamento em vários planos; –– Consideração de obstáculos. Desenho da peça:
  • 250.
    238 Programação eOperação - Linha D - Siemens 828D T60356F 3. Exemplo: Placa de molde 3.1 - CRIANDO UM NOVO PROGRAMA: Crie um novo programa com o nome PLACA_DE_MOLDE, seu respectivo cabeçalho e zero-peça, seguindo os passos 1.2, 1.3 e 1.4 do Exemplo 1 (Guia Longitudinal). Observe a localização do zero-peça. 3.2 - FRESANDO O CONTORNO ABERTO: Neste capítulo será feito o fresamento do contorno externo, utilizando as funções “Contorno novo” e “Fresamento de contorno”. 3.2.1 - Desenhar o contorno: –– Acionar a softkey [FRES. CONT.] –– Acionar a softkey [NOVO CONTORNO] NOVO CONTORNO –– Digitar um nome para o contorno. Exemplo: CONT2_EXT. –– Acionar a softkey [ACEITAR] –– Digitar os dados: X -35 abs Y -100 abs –– Acionar a softkey [ACEITAR] –– Acionar a softkey –– Digitar os dados: Y 35 abs R 15
  • 251.
    T60356F Programação eOperação - Linha D - Siemens 828D 239 3. Exemplo: Placa de molde –– Acionar a softkey [ACEITAR] –– Acionar a softkey –– Digitar os dados: X 35 abs R 15 –– Acionar a softkey [ACEITAR] –– Acionar a softkey –– Digitar os dados: Y -100 abs –– Acionar a softkey [ACEITAR] –– Acionar a softkey [ACEITAR] 3.2.2 - Fresar o contorno: (desbaste) –– Acionar a softkey [FRESAGEM DO CURSO] FRESAGEM DO CURSO –– Acionar a softkey [SELECIONE FERRAMENTA] –– Posicionar o cursor na ferramenta desejada (neste exemplo consideraremos uma fresa Ø 32 mm) –– Acionar a softkey [NO PROGRAMA] –– Informar / selecionar os dados: F 0.15 mm/dente V 120 m/min Correção raio: Usinagem: Z0 0 abs Z1 -10 abs DZ5 UZ 0.3 UXY 0.3 mm Aproxim.: reta L1 5 FZ 0.2 mm/dente Retração: reta L2 5 Modo levant.: para plano retrocesso
  • 252.
    240 Programação eOperação - Linha D - Siemens 828D T60356F 3. Exemplo: Placa de molde –– Acionar a softkey [ACEITAR] 3.2.3 - Fresar o contorno: (acabamento) –– Acionar a softkey [FRESAGEM DO CURSO] FRESAGEM DO CURSO Modificar os dados: F 0.08 mm/dente V 150 m/min Usinagem: –– Acionar a softkey [ACEITAR] 3.3 - FRESANDO A CAVIDADE A PARTIR DE UM CONTORNO: Neste capítulo será feito o desbaste, remoção de material residual e acabamento de uma cavidade a partir de um determinado perfil. 3.3.1 - Desenhar o contorno: –– Acionar a softkey [FRES. CONT.] –– Acionar a softkey [NOVO CONTORNO] NOVO CONTORNO –– Digitar um nome para o contorno. Exemplo: CONT_INT.
  • 253.
    T60356F Programação eOperação - Linha D - Siemens 828D 241 3. Exemplo: Placa de molde –– Acionar a softkey [ACEITAR] –– Digitar os dados: X 0 abs Y -90 abs –– Acionar a softkey [ACEITAR] –– Acionar a softkey –– Digitar os dados: X 30 abs R 5 –– Acionar a softkey [ACEITAR] –– Acionar a softkey –– Digitar os dados: Y-20 abs R 5 –– Acionar a softkey [ACEITAR] –– Acionara a softkey [RAIO] –– Digitar os dados: X-30 Y-20 R36 R5 –– Acionar o softkey [ACEITAR] –– Acionar a softkey –– Digitar os dados: Y -90 abs R5 –– Acionar a softkey [ACEITAR] –– Acionar a softkey –– Digitar os dados: X0 –– Acionar a softkey [ACEITAR]
  • 254.
    242 Programação eOperação - Linha D - Siemens 828D T60356F 3. Exemplo: Placa de molde –– Acionar a softkey [ACEITAR] 3.3.2 - Desbastar a cavidade: –– Acionar a softkey –– Acionar a softkey [SELECIONE FERRAMENTA] –– Posicionar o cursor na ferramenta desejada (neste exemplo consideraremos uma fresa Ø 20 mm) –– Acionar a softkey [NO PROGRAMA] NO PROGRAMA –– Informar / selecionar os dados: F 0.15 mm/dente V 120 m/min Usinagem : Z0 0 abs Z1 -15 abs DXY 50 % DZ 5 UXY 0.3 mm UZ 0.3 mm Pto. inicial: AUTO Imersão.: hélice EP 2 mm/rev ER 2 mm Modo levant.: para plano retrocesso –– Acionar a softkey [ACEITAR] 3.3.3 - Desbastar o material residual: –– Acionar a softkey [BOLSÃO MAT. REST] BOLSÃO MAT. REST –– Acionar oasoftkey [SELECIONE FERRAMENTA] –– Posicionar o cursor na ferramenta desejada (neste exemplo consideraremos uma fresa Ø 10 mm) –– Acionar a softkey [NO PROGRAMA] –– Informar / selecionar os dados: F 0.15 mm/dente V 120 m/min
  • 255.
    T60356F Programação eOperação - Linha D - Siemens 828D 243 3. Exemplo: Placa de molde DXY 50 % DZ 5 Modo levant.: para plano retrocesso –– Acionar a softkey [ACEITAR] 3.3.4 - Acabar o fundo da cavidade: –– Acionar a softkey [BOLSÃO MAT. REST] BOLSÃO MAT. REST –– Acionar a softkey [SELECIONE FERRAMENTA] –– Posicionar o cursor na ferramenta desejada (neste exemplo consideraremos uma fresa Ø 10 mm) –– Acionar o softkey [NO PROGRAMA] –– Modificar os dados: F 0.08 mm/dente V 150 m/min Usinagem: fundo –– Acionar a softkey [ACEITAR] 3.3.5 - Acabar as paredes da cavidade: –– Acionar a softkey BOLSA –– Acionar a softkey [SELECIONE FERRAMENTA] –– Posicionar o cursor na ferramenta desejada (neste exemplo consideraremos uma fresa Ø 10 mm) –– Acionar a softkey [NO PROGRAMA] –– Modificar os dados: F 0.08 mm/dente V 150 m/min Usinagem: parede –– Acionar a softkey [ACEITAR]
  • 256.
    244 Programação eOperação - Linha D - Siemens 828D T60356F 3. Exemplo: Placa de molde 3.4 - FRESANDO AS CAVIDADES CIRCULARES: Neste capítulo será feito o fresamento das cavidades circulares, as quais estão em diferente planos. 3.4.1 - Fresar a cavidade maior (desbaste): –– Acionar a softkey [FRESAR] –– Acionar a softkey [BOLSA] BOLSA –– Acionar a softkey [BOLSA CIRCULAR] –– Acionar o softkey [SELECIONE FERRAMENTA] –– Posicionar o cursor na ferramenta desejada (neste exemplo consideraremos uma fresa Ø 20 mm) –– Acionar a softkey [NO PROGRAMA] –– Informar / selecionar os dados: F 0.15 mm/dente V 120 m/min Usinagem: Posição individ. X0 0 abs Y0 0 abs Z0 0 abs Ø 60 Z1 -10 abs DXY 50% DZ 5 UXY 0.3 mm UZ 0.3 Imersão: helic. EP 2 mm/rev ER 2 mm Escarear: Usin. compl.
  • 257.
    T60356F Programação eOperação - Linha D - Siemens 828D 245 3. Exemplo: Placa de molde –– Acionar a softkey [ACEITAR] 3.4.2 - Acabar a cavidade maior: –– Acionar a softkey [FRESAR] –– Acionar a softkey [BOLSA] BOLSA –– Acionar a softkey [BOLSA CIRCULAR] –– Modificar os dados: F 0.08 mm/dente V 150 m/min Usinagem: –– Acionar a softkey [ACEITAR] 3.4.3 - Fresar a cavidade menor (desbaste): –– Acionar a softkey [FRESAR] –– Acionar a softkey [BOLSA] BOLSA –– Acionar a softkey [BOLSA CIRCULAR] –– Informar / selecionar os dados: F 0.15 mm/dente V 120 m/min Usinagem: Posição individ. X0 0 abs Y0 0 abs Z0 -10 abs Ø 30 Z1 -20 abs DXY 50% DZ 5 UXY 0.3 mm UZ 0.3 Imersão: helic. EP 2 mm/rev ER 2 mm Escarear: Usin. compl. –– Acionar a softkey [ACEITAR]
  • 258.
    246 Programação eOperação - Linha D - Siemens 828D T60356F 3. Exemplo: Placa de molde 3.4.4 - Acabar a cavidade menor: –– Acionar a softkey [FRESAR] –– Acionar a softkey [BOLSA] BOLSA –– Acionar a softkey [SELECIONE FERRAMENTA] –– Modificar os dados: F 0.08 mm/dente V 150 m/min Usinagem: –– Acionar a softkey [ACEITAR] 3.5 - CONSIDERANDO OBSTÁCULOS Neste capítulo serão feitas as furações, considerando os obstáculos que há entre os grupos de furos. 3.5.1 - Furar centrando: –– Acionar a softkey [FURAR] –– Acionar a softkey [CENTRAR] CENTRAR –– Acionar a softkey [SELECIONE FERRAMENTA]
  • 259.
    T60356F Programação eOperação - Linha D - Siemens 828D 247 5. Tutorial ShopMill Posicionar o cursor na ferramenta desejada (neste exemplo consideraremos uma broca de centro de Ø 12 mm - 90º) –– Acionar a softkey [PARA PROGRAMA] –– Digitar os dados: F 150 mm/min S 500 rpm Selecionar a opção “Diâmetro” Digitar o dado: Ø 5.000 –– Acionar a softkey [ACEITAR] 3.5.2 - Furar: –– Acionar a softkey FURAR ALARGAR –– Acionar a softkey [SELECIONE FERRAMENTA] –– Posicionar o cursor na ferramenta desejada (neste exemplo consideraremos uma broca de Ø 10 mm - 118º) –– Acionar a softkey [NO PROGRAMA] –– Digitar os dados: F 150 mm/min V 35 m/min Selecionar a opção “Topo” Digitar o dado: Z1 -21 abs –– Acionar a softkey [ACEITAR] a) Linha de posições: –– Acionar a softkey [POSIÇÕES] Posições –– Acionar a softkey –– Selecionar a opção “Linha”
  • 260.
    248 Programação eOperação - Linha D - Siemens 828D T60356F 5. Tutorial ShopMill –– Digitar os dados: Z0 -10 abs X0 -42.5 abs Y0 -92.5 abs a0 90º L 45 N 4 –– Acionar o softkey [ACEITAR] b) Obstáculo: –– Acionar a softkey [POSIÇÕES] Posições –– Acionar a softkey [OBSTÁCULO] obstáculo –– Digitar o dado: Z 1 abs –– Acionar a softkey c) Linha de posições: –– Acionar a softkey [POSIÇÕES] Posições –– Acionar a softkey –– Selecionar a opção “Linha” –– Digitar os dados: Z0 -10 abs X0 42.5 abs Y0 -92.5 abs a0 90º L 45 N 4 –– Acionar a softkey [ACEITAR] d) Obstáculo: –– Acionar a softkey [POSIÇÕES] Posições –– Acionar a softkey [OBSTÁCULO] obstáculo
  • 261.
    T60356F Programação eOperação - Linha D - Siemens 828D 249 5. Tutorial ShopMill –– Digitar o dado: Z 1 abs –– Acionar a softkey [ACEITAR] e) Círculo de posições: (“Pos 2”) –– Acionar a softkey [POSIÇÕES] Posições –– Acionar a softkey –– Selecionar a opção “Circ. Int.” –– Digitar os dados: Z0 -10 abs X0 0 abs Y0 0 abs a0 0º R 22.5 abs N 6 –– Acionar o softkey [ACEITAR] f) Obstáculo: –– Acionar o softkey [POSIÇÕES] Posições –– Acionar o softkey [OBSTÁCULO] obstáculo –– Digitar o dado: Z 1 abs –– Acionar o softkey [ACEITAR] g) Posição aleatória: –– Acionar o softkey [POSIÇÕES] Posições –– Acionar o softkey –– Selecionar a opção “retangular” –– Digitar os dados: Z0 -10 abs X0 0 abs Y0 42.5 abs
  • 262.
    250 Programação eOperação - Linha D - Siemens 828D T60356F 5. Tutorial ShopMill –– Acionar a softkey [ACEITAR] OBS: Apague as outras posições (se já existirem) utilizando a tecla “Del”. 3.6 - SIMULANDO GRAFICAMENTE: 3.6.1 - Simular graficamente: –– Acionar a softkey [SIMULAÇÃO] –– Acionar a softkey correspondente ao inicio 2.6.2 - Sair da simulação: –– Acionar a softkey:
  • 263.
    T60356F Programação eOperação - Linha D - Siemens 828D 251 5. Tutorial ShopMill 3.7 - PROGRAMA SHOPMILL:
  • 265.
    T60356F Programação eOperação - Linha D - Siemens 828D 253 Parte IV Sistemas Renishaw OMP 40 SIEMENS 828 D
  • 266.
    254 Programação eOperação - Linha D - Siemens 828D T60356F 1. Introdução 1 - INTRODUÇÃO OsopcionaisSistemadeMediçãoeInspeçãodePeçaseSistemadePresetdeFerramantas consistem no conjunto formado por alguns hardwares e o pacote de rotinas Renishaw. Os Hardwares do Sistema de Preset de Ferramentas e do Sistema de Medição e Inspeção de Peças são, respectivamente, o preseter TS-27R e o apalpador OMP40 juntamente com o receptor óptico OMI. Para saber maiores detalhes sobre esses aparelhos deve-se consultar o manual original RENISHAW. As Rotinas RENISHAW são as macros que de fato executam os eventos desejados, tais como as calibrações dos sistemas, os presets das ferramentas, as medições de peças, etc. Nesse manual serão explanados algumas funções RENISHAW, porém maiores detalhes sobre essas funções e sobre as outras funções RENISHAW não explicadas aqui podem ser encontrados no manual original RENISHAW. 2 - SISTEMA DE MEDIÇÃO E INSPEÇÃO DE PEÇAS (APALPADOR) 2.1 - LIGAR / DESLIGAR O APALPADOR Para ligar e desligar o apalpador deve-se utilizar as seguintes funções miscelâneas: - M52 = liga o apalpador - M53 = desliga o apalpador 2.2 - MOVIMENTO PROTEGIDO O apalpador é um sistema de medição de precisão e por isso sensível a qualquer tipo de choque físico. Sendo assim foi desenvolvido uma rotina denominada de Movimento Protegido, a qual objetiva proteger a ponta deste aparelho durante os deslocamentos de aproximação. Sintaxe: R24=___ R25=___ R26=___ R9=___ L9810 Onde: R24 = Coordenada final para deslocamento do apalpador no eixo X R25 = Coordenada final para deslocamento do apalpador no eixo Y R26 = Coordenada final para deslocamento do apalpador no eixo Z R9 = Avanço modal para os deslocamentos protegidos. Por ser modal esse argumento só necessita ser programado no primeiro bloco de movimento protegido. L9810 = Rotina que executa o movimento protegido
  • 267.
    T60356F Programação eOperação - Linha D - Siemens 828D 255 2. Sistema de medição e inspeção de peças Exemplo de Programação: : T20 ;APALPADOR M6 G54 D1 M5 G0 X160 Y76 Z150 M52; - liga o apalpador R26=10 R9=2500 L9810 - Movimento protegido no eixo Z com avanço de 2500 mm/min R26=0 L9811; - Ciclo de medição da superfície em Z a ver nos próximos capítulos R24=250 L9810; - Movimento protegido no eixo X R26=-5 L9811 - Ciclo de medição da superfície em Z (ver nos próximos capítulos) M53; - Desliga o apalpador G53 G0 Z-110 D0 : 2.3 - CALIBRAÇÃO DO APALPADOR Antes de utilizar o apalpador pela primeira vez ou sempre que ele sofrer alguma tipo de manutenção deve-se executar a calibração do sistema. Basicamente há três tipos de calibração para o apalpador: calibração do Comprimento, calibração de Centro da esfera e a calibração do Diâmetro da esfera. 2.3.1 - Calibração do Comprimento do Apalpador (L9801): Sintaxe: R26=___ R20=___ L9801 Onde: R26 = Coordenada de referência em Z para a superfície tocada R20 = Número “T” do apalpador L9801 = Rotina que efetua a calibração do comprimento do apalpador IMPORTANTE: Antes da calibração do comprimento do apalpador deve-se executar os seguintes procedimentos: - Efetuar o zero-peça no eixo Z numa superfífie que será estabelecida como referência, utilizando uma ferramenta zerada previamente; - Inserir o comprimento aproximado do apalpador na página de correção de ferramentas.
  • 268.
    256 Programação eOperação - Linha D - Siemens 828D T60356F 2. Sistema de medição e inspeção de peças Para calibrar o apalpador deve-se criar e executar um programa de calibração, conforme o exemplo abaixo: Exemplo de programação: : G53 G0 Z-110 D0 T15 ;APALPADOR M6 G54 D1 M5 M52; - liga o apalpador L9832; - orienta o apalpador L9800; - apaga os valores das variáveis “R” R26=10 R9=2500 L9810 - Movimento protegido no eixo Z (Z10) com avanço de 2500 mm/min R26=0 R20=15; - Z de referência = 0 (R26) e Número “T” do apalpador = 15 (R20) L9801; - Rotina de calibração do comprimento do apalpador R26=10 L9810 - Movimento protegido no eixo Z (Z10) M53; - Desliga o apalpador G53 G0 Z-110 D0 : 2.3.2 - Calibração do Centro e do Diâmetro do Apalpador (L9802 e L9804): IMPORTANTE: Antes da calibração do centro e do diâmetro do apalpador deve-se executar os seguintes procedimentos: - Fixar um anel padrão ou uma peça com furo calibrado na mesa da máquina; - Localizar de maneira precisa o centro do anel padrão ou furo calibrado através do relógio comparador ou outro instrumento adequado. - Posicionar o apalpador dentro do furo e exatamente no centro do mesmo. Sintaxe: R7=___ L9802 R7=___ L9804 Onde: R7 = Diâmetro do furo padrão L9802 = Rotina que efetua a calibração do centro do apalpador L9804 = Rotina que efetua a calibração vetorial da esfera do apalpador (diâmetro) Para calibrar o apalpador deve-se criar e executar um programa de calibração, conforme o exemplo a seguir:
  • 269.
    T60356F Programação eOperação - Linha D - Siemens 828D 257 2. Sistema de medição e inspeção de peças Exemplo de programação: : G53 G0 Z-110 D0 T30 ;APALPADOR M6 G54 D1 M5 M52 - liga o apalpador L9832 - orienta o apalpador L9800 - apaga os valores das variáveis “R” R24=0 R25=0 F5000 L9810 - Movimento protegido nos eixos X (X0) e Y (Y0) com avanço de 5000 mm/min R26=10 R9=2500 L9810 - Movimento protegido no eixo Z (Z10) com avanço de 2500 mm/min R26= -5 L9810 - Movimento protegido no eixo Z (Z-5) R7=50 - Define que o diâmetro do furo padrão = 50 mm L9802 - Rotina de calibração do centro do apalpador R7=50 - Define que o diâmetro do furo padrão = 50 mm L9804 - Rotina de calibração vetorial da esfera do apalpador R26=10 L9810 - Movimento protegido no eixo Z (Z10) M53 - Desliga o apalpador G53 G0 Z-110 D0 : Após a calibração, os valores de desvios do centro da esfera em relação ao centro do eixo árvore e, os valores reais do raio do apalpador são registrados nas seguintes variáveis de saída: RENP[2] - Registra o desvio no eixo X do centro da esfera em relação ao centro do eixo árvore. RENP[3] - Registra o desvio no eixo Y do centro da esfera em relação ao centro do eixo árvore. RENP[0] - Registra o raio da esfera do apalpador no eixo X. RENP[1] - Registra o raio da esfera do apalpador no eixo Y.
  • 270.
    258 Programação eOperação - Linha D - Siemens 828D T60356F 2. Sistema de medição e inspeção de peças 2.4 - VARIÁVEIS OPCIONAIS DE ENTRADA DE DADOS As variáveis opcionais de entrada de dados são formadas por um grupo de “Parâmetros R”, as quais podem ser programadas juntamente com outras variáveis obrigatórias para cada um dos ciclos Renishaw, de acordo com a necessidade do processo de medição/inspeção desejado. Segue abaixo uma tabela com as principais variáveis de etrada de dados: PRINCIPAIS VARIÁVEIS OPCIONAIS DE ENTRADA DE DADOS Variável Descrição Exemplo R2 Tolerância angular admissível para a superfície R2=1 (tolerância ± 1 grau) R4 R5 R6 Aplicação específica para alguns tipos de rotinas — R11 Tolerância de dimensão admissível R11=0.2 (tolerância de ±0.2 mm) R13 Tolerância de posição admissível R13=0.1 (tolerância de ±0.1 mm) R18 Distância incremental a ser percorrida em medições externas antes do movimento no eixo Z (valor default = 5mm). R18-5 (realiza um deslocamento de 5mm além da dimensão a ser inspecionada) R19 Número do zero-peça a ser atualizado, sendo: • R19=0 - G500 • R19=1 a R19=4 - G54 a G57 • R19=5 a R19=99 - G505 a G599 R19=2 (atualiza o G55 a partir dos resultados dessa última medição) R20 Número do corretor de ferramentas a ser atualizado, com base nos resultados obtidos nessa última medição. R20=5 (atualiza o corretor D1 da ferramenta T05) R20=5.2 (atualiza o corretor D2 da ferramenta T05) R21 Valor máximo admissível de desgaste de comprimento e diâmetro de ferramenta R5=0.5 (máximo valor de correção de ferramenta = 0,5 mm) R23 Imprime relatório, sendo: • R23=1 - Incrementa o campo “FEATURE” (peça) e insere o valor 1 para o campo “COMPONENT” (componte) • R23=2 - Incrementa o campo “COMPONENT” (componte) e mantém o valor do campo “FEATURE” (peça) R23=1 (imprime relatório e incrementa o campo peça) NOTA: Para maiores detalhes sobre essas e outras variáveis opcionais de entrada de dados, consultar o manual Renishaw - “Apalpador para Inspeção em Centros de Usinagem“ (H-2000-6124-0C-A).
  • 271.
    T60356F Programação eOperação - Linha D - Siemens 828D 259 2. Sistema de medição e inspeção de peças 2.5 - VARIÁVEIS DE SAÍDA DE DADOS Todos os ciclos de Medição de Peças e Inspeção, após sua execução, armazenam dados em variáveis as quais o usuário pode estar consultando e até mesmo interagindo com elas, com o objetivo de conjugar duas ou mais rotinas durante a medição ou inspeção de peças. Sendo assim este capítulo mostrará como acessar as variáveis, definirá a função de cada uma delas e ensinará como manipulá-las. 2.5.1 - Visualizar as variáveis Renishaw Para visualizar as variáveis Renishaw deve-se: - Acionar a tecla “OFFSET” - Acionar a softkey [ R_VARIAVEL] - Acionar a softkey [ GUD_GLOBAL] - Posicionar o cursor na variável desejada 2.5.2 - Variáveis utilizadas para saída de dados Superfície (X / Y ou Z) Rebaixo / Ressalto Diâmetro Int. / Ext. Canto Interno Canto Externo Resultados Geométricos Variável L9811 L9812 L9814 L9815 L9816 L9834 RENC[35] Posição X Posição X Posição X Posição X Posição X Distância X incremental RENC[36] Posição Y Posição Y Posição Y Posição Y Posição Y Distância Y incremental RENC[37] Posição Z —— —— —— —— Distância Z incremental RENC[38] Dimensão Dimensão Dimensão Distância real RENC[39] Ângulo na superfície X Ângulo na superfície X Ângulo RENC[40] Erro em X Erro em X Erro em X Erro em X Erro em X Erro em X RENC[41] Erro em Y Erro em Y Erro em Y Erro em Y Erro em Y Erro em Y RENC[42] Erro em Z Ângulo na superfície Y Ângulo na superfície Y Erro em Z RENC[43] Erro de dimensão Erro de dimensão Erro de dimensão Erro de ângulo em Y Erro de ângulo em Y Erro de distância real RENC[44] Erro de ângulo em X Erro de ângulo em X Erro de ângulo RENC[45] Erro de posição Erro de posição Erro de posição Erro de posição Erro de posição Erro de posição NOTA: Para maiores detalhes sobre essas e outras variáveis de saída de dados, consultar o manual Renishaw - “Apalpador para Inspeção em Centros de Usinagem“ (H-2000-6124-0C-A).
  • 272.
    260 Programação eOperação - Linha D - Siemens 828D T60356F 2. Sistema de medição e inspeção de peças 2.6 - ROTINAS PARA MEDIÇÃO E INSPEÇÃO DE PEÇAS As Rotinas de Medição e Inspeção de Peças são na verdade um conjunto de programas parametrizados criados pela Renishaw, cujo objetivo é facilitar a programação do sistema apalpador. Antes de executar qualquer uma das rotinas de medição ou inspeção de peças, deve- se estabelecer uma origem (zero-peça) de maneira aproximada. A seguir serão apresentados as principais rotinas Renishaw, ou seja, as não vetoriais. NOTA: Para maiores detalhes sobre essas e outras rotinas, consultar o manual Renishaw “Apalpador para Inspeção em Centros de Usinagem” (H-2000-6124-0C-A). 2.6.1 - Medição de Superfície Simples em X, Y ou Z (L9811) Esta rotina é utilizada para medir o tamanho ou a posição de uma determinada superfície e/ou estabecer uma nova origem (zero-peça) sobre ela, estando a mesma co-direcional ao eixo X, Y ou Z. Sintaxe: R24=___ (R11=__) (R13=__) (R19=__) (R20=__) (R23=__) L9811 ou R25=___ (R11=__) (R13=__) (R19=__) (R20=__) (R23=__) L9811 ou R26=___ (R11=__) (R13=__) (R19=__) (R20=__) (R23=__) L9811 Onde: R24 = Coordenada para medição no eixo X R25 = Coordenada para medição no eixo Y R26 = Coordenada para medição no eixo Z L9811 = Rotina que efetua a medição de superfície simples NOTAS: - As variáveis apresentadas entre parênteses são de programação opcional. Para maiores detalhes sobre essas variáveis consultar o capítulo 2.3 - “Variáveis Opcionais de Entrada de Dados” - Para maiores detalhes sobre essa rotina, consultar o manual Renishaw “Apalpador para Inspeção em Centros de Usinagem” (H-2000-6124-0C-A).
  • 273.
    T60356F Programação eOperação - Linha D - Siemens 828D 261 2. Sistema de medição e inspeção de peças Exemplo de Programação: ;MEDIÇÃO DE SUPERFÍCIE EM X E EM Z. G17 G71 G90 G94 G53 G0 Z-110 D0 T10; APALPADOR M6 G54 D1 M52; Liga o apalpador L9832; Orienta o apalpador L9800; Apaga os valores das variáveis “R” R24=20 R25=10 R9=5000 L9810; Aproximação com movimento protegido(X20 Y10 F5000) R26=100 L9810; Aproximação com movimento protegido (Z100 F5000) R26=-15 L9810; Aproximação com movimento protegido (Z-15 F5000) R24=0 R19=2 L9811; Realiza a medição da lateral (X0) da peça e salva no zero-peça G56. R26=10 L9810; Recua o apalpador com movimento protegido (Z10 F5000) R24=-10 L9810; Posicionamento com movimento protegido (X-10 F5000) R26=0 R19=2 L9811; Realiza a medição da superfície (Z0) da peça e salva no zero-peça G56. R26=50 L9810; Recua o apalpador com movimento protegido (Z50 F5000) M53; Desliga o apalpador G53 G0 Z-110 D0 M30
  • 274.
    262 Programação eOperação - Linha D - Siemens 828D T60356F 2. Sistema de medição e inspeção de peças 2.6.2 - Medição de Ressalto ou Rebaixo (L9812). Esta função é usada para inspecionar as dimensões de um ressalto ou um rebaixo. Sintaxe: R24=___ (R26=__) (R11=__) (R13=__) (R18=__) (R19=__) (R20=__) (R23=__) L9812 ou R25=___ (R26=__) (R11=__) (R13=__) (R18=__) (R19=__) (R20=__) (R23=__) L9812 Onde: R24 = Dimensão do ressalto ou rebaixo no sentido do eixo X. R25 = Dimensão do ressalto ou rebaixo no sentido do eixo Y. R26 = Coordenada para medição no eixo Z. Esta variável só deve ser programada quando tratar-se de um ressalto. Em caso de rebaixo, esta informação deve ser omitida. L9812 = Rotina que efetua a medição de um ressalto ou um rebaixo. NOTAS: - As variáveis apresentadas entre parênteses são de programação opcional. Para maiores detalhes sobre essas variáveis consultar o capítulo 2.3 - “Variáveis Opcionais de Entrada de Dados” - Para maiores detalhes sobre essa rotina, consultar o manual Renishaw “Apalpador para Inspeção em Centros de Usinagem” (H-2000-6124-0C-A). Exemplos de Programação: ;MEDIÇÃO DE UM REBAIXO G17 G71 G90 G94 G53 G0 Z-110 D0 T10; APALPADOR M6 G54 D1 M52; LIGA O APALPADOR L9832; ORIENTA O APALPADOR L9800; APAGA OS VALORES DAS VARIÁVEIS “R” R24=0 R25=100 R9=5000 L9810; POSICIONAOAPALPADOR NO CENTRO DO REBAIXO COM MOVIMENTO PROTEGIDO(X0 Y100 F5000) R26=10 L9810;APROXIMAOAPALPADOR DO REBAIXO COM MOVIMENTO PROTEGIDO (Z10 F5000) R26=-5 L9810; POSICIONA O APALPADOR DENTRO DO REBAIXO COM MOVIMENTO PROTEGIDO (Z-5 F5000)
  • 275.
    T60356F Programação eOperação - Linha D - Siemens 828D 263 2. Sistema de medição e inspeção de peças R24=50 R19=3 L9812;REALIZAAMEDIÇÃODOREBAIXOEMX(50MM)ESALVAACOORDENADA DO CENTRO NO ZERO-PEÇA G56. R26=10 L9810; RETIRA O APALPADOR DE DENTRO DO REBAIXO COM MOVIMENTO PROTEGIDO (Z10 F5000) M62; DESLIGA O APALPADOR G53 G0 Z-110 D0 M30 ;MEDIÇÃO DE UM RESSALTO G17 G71 G90 G94 G53 G0 Z-110 D0 T10; APALPADOR M6 G54 D1 M52; LIGA O APALPADOR L9832; ORIENTA O APALPADOR L9800; APAGA OS VALORES DAS VARIÁVEIS “R” R24=0 R25=100 R9=5000 L9810; POSICIONA O APALPADOR NO CENTRO DO RESSALTO COM MOVIMENTO PROTEGIDO(X0 Y100 F5000) R26=5 L9810;APROXIMAOAPALPADORDORESSALTOCOMMOVIMENTOPROTEGIDO (Z5 F5000) R24=50 R26=-10 R19=3 L9812; REALIZA A MEDIÇÃO DO RESSALTO EM X (50 MM) POSICIONANDO O APALPADOR NA COORDENADA Z-10 E SALVA A COORDENADA DO CENTRO NO ZERO-PEÇA G56. R26=100 L9810; RECUA O APALPADOR COM MOVIMENTO PROTEGIDO (Z100 F5000) M53; DESLIGA O APALPADOR G53 G0 Z-110 D0 M30
  • 276.
    264 Programação eOperação - Linha D - Siemens 828D T60356F 2. Sistema de medição e inspeção de peças 2.6.3 - Medição de Diâmetros Externos e Internos (L9814). Esta função é usada para inspecionar as dimensões de diâmetros externos e internos. Sintaxe: R7=___ (R26=__) (R11=__) (R13=__) (R18=__) (R19=__) (R20=__) (R23=__) L9814 Onde: R7 = Dimensão do furo ou ressalto circular a ser medido. R26 = Coordenada para medição no eixo Z. Esta variável só deve ser programada quando tratar-se de um ressalto. Em caso de furo, esta informação deve ser omitida. L9814 = Rotina que efetua a medição de diâmetros externos e internos. NOTAS: - As variáveis apresentadas entre parênteses são de programação opcional. Para maiores detalhes sobre essas variáveis consultar o capítulo 2.3 - “Variáveis Opcionais de Entrada de Dados” - Para maiores detalhes sobre essa rotina, consultar o manual Renishaw “Apalpador para Inspeção em Centros de Usinagem” (H-2000-6124-0C-A). Exemplos de Programação: ;MEDIÇÃO DE UM FURO G17 G71 G90 G94 G53 G0 Z-110 D0 T10; APALPADOR M6 G54 D1 M52; Liga o apalpador L9832; Orienta o apalpador L9800; Apaga os valores das variáveis “R” R24=100 R25=100 R9=5000 L9810; Posiciona o apalpador no centro do furo com movimento protegido(X100 Y100 F5000) R26=10 L9810; Aproxima o apalpador do furo com movimento protegido (Z10 F5000) R26=-5 L9810; Posiciona o apalpador dentro do furo com movimento protegido (Z-5 F5000) R7=50 R19=4 L9814; Realiza a medição do furo (50 mm) e salva a coordenada do centro no zero- peça G57. R26=10 L9810; Retira o apalpador de dentro do furo com movimento protegido (Z10 F5000)
  • 277.
    T60356F Programação eOperação - Linha D - Siemens 828D 265 2. Sistema de medição e inspeção de peças M53; Desliga o apalpador G53 G0 Z-110 D0 M30 Exemplos de Programação: ;MEDIÇÃO DE UM RESSALTO CIRCULAR G17 G71 G90 G94 G53 G0 Z-110 D0 T10; APALPADOR M6 G54 D1 M52; Liga o apalpador L9832; Orienta o apalpador L9800; Apaga os valores das variáveis “R” R24=100 R25=100 R9=5000 L9810; Posiciona o apalpador no centro do ressalto com movimento protegido(X100 Y100 F5000) R26=10 L9810; Aproxima o apalpador do ressalto com movimento protegido (Z10 F5000) R7=50 R26=-10 R19=4 L9814; Realiza a medição do ressalto (50 mm) posicionando o apalpador na coordenada Z-10 e salva a coordenada do centro no zero-peça G57. R26=100 L9810; Recua o apalpador com movimento protegido (Z100 F5000) M53; Desliga o apalpador G53 G0 Z-110 D0 M30
  • 278.
    266 Programação eOperação - Linha D - Siemens 828D T60356F 2. Sistema de medição e inspeção de peças 2.6.4 - Localização de um Canto Interno (L9815). Esta função é usada para determinar as coordenadas X e Y de um canto interno. Este canto é determinado pela intersecção de duas retas, sendo que não é obrigatório estas retas serem perpendiculares entre si. Sintaxe: R24___ R25___ (R2=__) (R4=__) (R5=__) (R13=__) (R19=__) (R20=__) (R23=__) L9815 Onde: R24 = Coordenada do canto no eixo X. R25 = Coordenada do canto no eixo Y. R4 = Distância incremental para o segundo ponto de medição no eixo X. R5 = Distância incremental para o segundo ponto de medição no eixo Y. L9815 = Rotina que efetua a localização do canto interno. NOTAS: - As variáveis apresentadas entre parênteses são de programação opcional. Para maiores detalhes sobre essas variáveis consultar o capítulo 2.3 - “Variáveis Opcionais de Entrada de Dados” - Para maiores detalhes sobre essa rotina, consultar o manual Renishaw “Apalpador para Inspeção em Centros de Usinagem” (H-2000-6124-0C-A). Exemplos de Programação: ;LOCALIZAÇÃO DE UM CANTO INTERNO G17 G71 G90 G94 G53 G0 Z-110 D0 T10; APALPADOR M6 G54 D1 M52; Liga o apalpador L9832; Orienta o apalpador L9800; Apaga os valores das variáveis “R” R24=20 R25=20 R9=5000 L9810; Posiciona o apalpador a 20mm do canto em X e a 20mm do canto em Y com movimento protegido(X100 Y100 F5000) R26=10 L9810; Aproxima o apalpador com movimento protegido (Z10 F5000) R26=-5 L9810; Posiciona o apalpador na coordenada Z para fazer a medição com movimento protegido (Z-5 F5000) R24=0 R25=0 R4=10 R5=10 R19=2 L9815; Localiza a coordenada do canto interno e salva no zero-peça G55. R26=10 L9810; Recua o apalpador para fora da peça com movimento protegido (Z10 F5000)
  • 279.
    T60356F Programação eOperação - Linha D - Siemens 828D 267 2. Sistema de medição e inspeção de peças M53; Desliga o apalpador G53 G0 Z-110 D0 M30 2.6.5 - Localização de um Canto Externo (L9816). Esta função é usada para determinar as coordenadas X e Y de um canto externo. Este canto é determinado pela intersecção de duas retas, sendo que não é obrigatório estas retas serem perpendiculares entre si. Sintaxe: R24___ R25___ (R2=__) (R4=__) (R5=__) (R13=__) (R19=__) (R20=__) (R23=__) L9815 Onde: R24 = Coordenada do canto no eixo X. R25 = Coordenada do canto no eixo Y. R4 = Distância incremental para o segundo ponto de medição no eixo X. R5 = Distância incremental para o segundo ponto de medição no eixo Y. L9816 = Rotina que efetua a localização do canto externo. NOTAS: - As variáveis apresentadas entre parênteses são de programação opcional. Para maiores detalhes sobre essas variáveis consultar o capítulo 2.3 - “Variáveis Opcionais de Entrada de Dados” - Para maiores detalhes sobre essa rotina, consultar o manual Renishaw “Apalpador para Inspeção em Centros de Usinagem” (H-2000-6124-0C-A). Exemplos de Programação: ;LOCALIZAÇÃO DE UM CANTO EXTERNO G17 G71 G90 G94 G53 G0 Z-110 D0 T10; APALPADOR M6 G54 D1 M52; Liga o apalpador L9832; Orienta o apalpador L9800; Apaga os valores das variáveis “R” R24=-10 R25=-10 R9=5000 L9810; Posiciona o apalpador a 10mm do canto em X e a 10mm do canto em Y com movimento protegido(X100 Y100 F5000) R26=10 L9810; Aproxima o apalpador com movimento protegido (Z10 F5000) R26=-5 L9810; Posiciona o apalpador na coordenada Z para fazer a medição com movimento protegido (Z-5 F5000) R24=0 R25=0 R4=10 R5=10 R19=2
  • 280.
    268 Programação eOperação - Linha D - Siemens 828D T60356F 2. Sistema de medição e inspeção de peças L9816; Localiza a coordenada do canto externo e salva no zero-peça G55. R26=10 L9810; Recua o apalpador para fora da peça com movimento protegido (Z10 F5000) M53; Desliga o apalpador G53 G0 Z-110 D0 M30 2.6.6 - Resultados Geométricos (L9834). Esta é uma rotina que não gera movimentos, tendo como finalidade, determinar distâncias ou outros valores entre elementos após dois ciclos de medição. Sintaxe: R24___ R25___ R1=__ R7=__ (R2=__) (R11=__) (R13=__) (R19=__) (R20=__) (R23=__) L9815 Onde: R24 = Distância entre elementos no eixo X. R25 = Distância entre elementos no eixo Y. R1 = Ângulo do segundo elemento em relação ao primeiro a partir do eixo X+. R7 = Distância real entre os elementos. L9834 = Rotina que determina resultados geométricos. NOTAS: - As variáveis apresentadas entre parênteses são de programação opcional. Para maiores detalhes sobre essas variáveis consultar o capítulo 2.3 - “Variáveis Opcionais de Entrada de Dados” - Para maiores detalhes sobre essa rotina, consultar o manual Renishaw “Apalpador para Inspeção em Centros de Usinagem” (H-2000-6124-0C-A). Exemplos de Programação: ;DISTANCIA ENTRE FUROS G53 G0 Z-110 D0 T10;APALPADOR M6 G54 D1 M52; Liga o apalpador L9832; Orienta o apalpador L9800; Apaga os valores das variáveis “R”. R24=40 R25=65 R9=5000 L9810; Posiciona o apalpador no centro do primeiro furo com movimento protegido (X40 Y65 F5000) R26=10 R9=5000 L9810; Aproxima o apalpador do furo com movimento protegido (Z10 F5000).
  • 281.
    T60356F Programação eOperação - Linha D - Siemens 828D 269 2. Sistema de medição e inspeção de peças R26=-5 R9=400 L9810; Posiciona o apalpador dentro do furo (Z-5 F400) R7=30 L9814; Realiza a medição do primeiro furo (30 mm) L9834; Salva os dados de medição do primeiro furo R26=10 R9=5000 L9810; Recua o apalpador (Z10 F5000) R24=210 R9=5000 L9810; Posiciona o apalpador no centro do segundo furo (X210 F5000) R26=-5 R9=400 L9810; Posiciona o apalpador dentro do segundo furo (Z-5 F400) R7=30 L9814; Realiza a medição do segundo furo (30 mm) R24=170 R25=0 L9834; Determina as dimensões entre os furos. M53; Desliga o apalpador R26=10 R9=5000 L9810; Recua o apalpador (Z10 F5000) MSG(“DIST. ENTRE FUROS = “RENC[38]) M00 G53 G0 Z-110 D0 M30