ESTRATÉGIA DE CONTEÚDO
PARA STARTUPS
@ibrahimcesar
Ibrahim
Cesar
Co-fundador Blumpa
Co-fundador Influentio
Bacharel Publicidade
Autor ficção-científica
Autor não-ficção
1 ano de Filosofia
The best people are the
ones that understand
content. They are a pain
in the butt to manage
but you put up with it
because they are so
good at content.
- Steve Jobs
Kristina Halvorson
Simon Sinek
Startup | Estratégia | Conteúdo
STARTUPS
Empreender é resolver um problema
das pessoas e arranjar um milhão
para você mesmo.
-  Raissa Klain Belchior
@raissaklain
MeninaEmpreendedora.com.br
Paul Graham
Startup = Crescimento
Se você deseja começar é importante entender isso.
Startups são tão difíceis que não
podem ser postas de lado e esperar
que deem certo.
Você tem que saber que crescimento
é o que busca. As boas notícias são,
se você conseguir crescimento,
todo o restante tende a entrar nos eixos.
O que significa que você pode utilizar o
crescimento como uma bússola para quase
toda decisão que enfrentar.
5% a 7% por semana
ESTRATÉGIA
A estratégia sem tática
é o caminho mais lento para a vitória.
Tática sem estratégia
é o ruído antes da derrota.
- Sun Tzu
…poor content is the
main cause of user failure.
- Jakob Nielsen
CONTEÚDO
Erwin Schrödinger
Vida
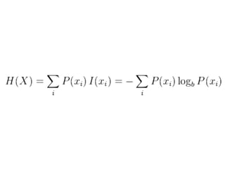
Claude Shannon
Comunicação = Entropia
Miguel Nicolelis
Kevin Kelly
1
Eficiência
2
Oportunidade
3
Emergência
4
Complexidade
5
Diversidade
6
Especialização
7
Ubiquidade
8
Liberdade
9
Mutualismo
10
Beleza
11
Senciência
12
Estrutura
13
Evolvabilidade
O correr da vida
embrulha tudo.
A vida é assim:
Esquenta e esfria, aperta
e daí afrouxa, sossega
e depois desinquieta.
O que ela quer da gente
é coragem.
- João Guimarães Rosa
Obrigado!
ibrahim@blumpa.com

Estratégia de Conteúdo para Startups