197
CAPITULO 6
LIGAÇÃO COM A REGIÃO NORTE
Jacareí
Igaratá
Nazaré Paulista
Atibaia
Itu
Mairinque
Ibiúna
Itanhaém
Mongaguá
Praia
Grande
São
Vicente
Santos
Cubatão
Bertioga
Caraguatatuba
Jambeiro
BomJesusdos
Perdões
Campo Limpo
Paulista
Várzea Paulista
Paraibúna
SantaBranca
São Roque
Miracatu
Pedro deToledo
Guarujá
SantanadeParnaíba
Jandira
São Lourenço daSerra
São Bernardo do Campo
Ferraz de Vasconcelos
Taboão da
Serra
Barueri
São Caetano do Sul
Juquitiba
Cotia
ItapecericadaSerra
Embu-Guaçu
Embu
Vargem
Grande Paulista
Itapevi Carapicuíba
Osasco
Pirapora do BomJesus
Cajamar
Caieiras
Francisco Morato
Mairiporã
São Paulo
Diadema
Santo André
Mauá
RioGrande da Serra
Franco da Rocha
Guarulhos
RibeirãoPires
Suzano
Itaquaquecetuba
Arujá
Santa Isabel
MogidasCruzes
Guararema
BiritibaMirim
Salesópolis
Poá
Norte Nordeste
Leste
Sudeste
Centro
Sudoeste
Oeste
São Sebastião
Ela bora çã o:Em plasa-CIE-20 05
198
199
Compreender a Região Norte se faz necessário para compreender o contexto em que esta inserida a Comuna da Terra Dom Tomás
Balduino, quando pensando em conformar parcerias no território comum. Objetivando a criação uma rede de relações territoriais que blindam o
lugar das interferências verticais da economia e política mundial1
. Entender a dinâmica das relações territoriais ajuda a enxergar quais são os
atores e agentes do espaço. Falaremos sobre as dimensões que compreendem as questões relativas as esferas Social e Econômica; Saúde e
Saneamento; e Educação. Os dados aqui expostos foram obtidos no CESAD da Fau e no site da Emplasa.
Com a chegada da Indústria de bens não Duráveis no segundo quarto do século XIX o município de São Paulo ganha grande importância,
pois estava próximo ao porto de Santos e além disso possuía vasta rede hídrica, necessária para a indústria se desenvolver. Com ela começam a
aparecer os Subúrbios Dormitórios ao longo das ferrovias, momento em que na Sub-Bacia do Juqueri se fortalece o processo de urbanização.
Na metade do século passado se implanta na cidade de São Paulo a Indústria de Bens Duráveis. Com ela veio a Industria
Automobilística, e a implantação da Infra-Estrutura Rodoviária. Assim se deu o início as Cidades Dormitório ao longo das rodovias, que com a
chegada dos ônibus puderam de adensar. Essa fase foi também quando a cidade de São Paulo teve maio aceleração do crescimento da Mancha
1
LEMES, Manuel.(N.A.) 2007.
200
Urbana 2
principalmente nos vetores das novas Rodovias. Mas foi no final do século passado, com a abertura econômica iniciada pelo então
presidente Fernando Collor de Mello, os tais subúrbios foram ainda mais adensados, pois a mecanização, e crescente informatização da
Indústria, em busca da competitividade. Aumentou o número de desempregados nas bordas da Região Metropolitana de São Paulo, também a
ocupação informal foi intensificada.
PERCENTUAL DO NÚMERO DE ESTABELECIMENTOS POR SETOR
FONTE: EMPLASA, site.
2
Ver desenhos Capítulo 5.
201
Comparando os gráficos, verificamos que o setor da Agricultura emprega pouco e da mesma forma possui um menor número de
estabelecimentos, fato interessante, visto que se houvesse uma participação efetiva do setor na economia local, poderia gerar mais empregos. O
maior número de vagas oferecidas fica mesmo por conta do Setor de Serviços, apesar de não ser o recordista em estabelecimentos, isso pode ser
explicado pelo fato de que as escolas e hospitais oferecem grande volume de vagas de emprego por estabelecimento. Também existem na região,
vários armazéns para distribuição logística, dos produtos industrializados, para a Região Metropolitana.
O Setor Industrial é o segundo em volume de empregos gerados e o terceiro em pontos de estabelecimentos. Os dados ilustram que na
Região Norte, assim como em qualquer outro lugar, a industria emprega mais que os outros setores por estabelecimento, e que apesar da
crescente mecanização e informatização os operários ainda têm um papel fundamental.
Curioso entretanto é o grande disparate que acontece quando analisamos o setor Comercial, este emprega poucos funcionários, mas
detém o recorde em número de estabelecimentos. Essa pode ser uma tendência local a medida que o morador estabelecido na região, quando
perde o emprego na capital acaba se não arrumar outro logo, abre seu negócio familiar em casa ou nas proximidades, alguns moradores
trabalham como ambulantes ao longo da linha férrea, sem um ponto comercial legalizado exercem a função de comerciantes.
202
Como a volume de emprego gerado na Região Norte fica muito aquém do necessário, com mais de 500mil habitantes em 2005, oferecia
trabalho para pouco mais de 1% de sua população, posto que são 6 500 vagas. Considerando os dados da pirâmide etária em 2001 temos uma
população economicamente ativa de 58 436 pessoas em Franco da Rocha, muito superior ao de vagas de oferecidas no município.
PERCENTUAL DO NÚMERO DE EMPREGOS POR SETOR
FONTE: EMPLASA, site. 2007.
203
Na década de 90 do século passado todos os setores da economia brasileira tiveram perda no número de empregos, pela introdução de
computadores nas tarefas de rotina dos escritórios, estabelecimentos comerciais e etc., isso gerou desemprego parcial. A população da região
metropolitana cresceu mais que o número de vagas com carteira assinada e isso teve muitas conseqüências sociais.
A abertura econômica feita pelo então presidente Fernando Collor de Mello e o confisco das poupanças pela então Ministra da Fazenda
Zélia Cardoso, foram um golpe cruel para a economia brasileira, “com sua política neoliberal voltada tanto para a privatização do setor produtivo
estatal e terceirização do setor público, como a internacionalização de parcela importante de setores econômicos nacionais.”3
Com a recessão cresceu o número de desemprego, e cada vez mais os excluídos nos grandes centros urbanos. Na mesma década notou-se
que o decrescimento demográfico no município de São Paulo, aumentou. Nos anos de 1980 os bairros centrais da capital paulista já
apresentavam taxa negativa de crescimento demográfico.
3
POCHMANN, 2004.
204
ABAIXO VEMOS OS ÍNDICES REFERENTES OS MUNICÍPIOS:
0,000
0,200
0,400
0,600
0,800
1,000
1,200
Ín
d
ice
d
e
Po
b
reza
Ín
d
ice
d
e
E
m
p
reg
o
Ín
d
ice
d
e
D
esig
u
ald
ad
e
ín
d
ice
d
e
A
lfab
etização
Ín
d
ice
d
e
E
sco
larid
ad
e
Ín
d
ice
d
e
Ju
ven
tu
d
e
Ín
d
ice
d
e
V
io
lên
cia
Ín
d
ice
d
e
E
xclu
são
Francisco Morato
Franco da Rocha
Caieiras
Cajamar
Mairiporã
POCHMANN, 2004.
A Segregação Espacial decorrente da lógica de especulação capitalista traz essa realidade: as bordas estão sendo adensadas sem os
devidos critérios nem discussões necessárias para efetivamente orientar as ações do Poder Público. Disso decorre muita desordem espacial, o
que torna cada vez mais difícil o indivíduo ser inserido no mercado de trabalho com sua dignidade respeitada. Mas de que adianta trabalhar para
ser um fragmento e desconectado do todo, sem espiritualidade4
? Mas culpar a quem? Se é a lógica das cidades gregas sempre foi retórica, pois
para se discutir o a liberdade o homem torna outros em escravos, pois a Vida Activa é diferente das tarefas domésticas, um enorme paradoxo!
4
Qualidade ou caráter daquilo que é relativo ou pertencente ao espírito (por oposição a matéria: vida espiritual. AURÉLIO, 1978.
205
PIRÂMIDE ETÁRIA DE FRANCO DA ROCHA
FONTE: EMPLASA, 2007.
Mas o mesmo não aconteceu com os municípios mais afastados do centro financeiro paulistano, que tiveram aumento na quantidade de
ocupações ilegais. Em Franco da Rocha e municípios vizinhos, em especial Francisco Morato, cresceram as ocupações ilegais, este último possui
quase que a totalidade de sua ocupação na ilegalidade.
0 2.000 4.000 6.000 8.000 10.000 12.000
0 A 4 ANOS
10 A 14 ANOS
20 A 24 ANOS
30 A 34 ANOS
40 A 44 ANOS
50 A 54 ANOS
60 A 64 ANOS
70 A 74 ANOS
206
EVOLUÇÃO DA POP. RESIDENTE NA CAPITAL PAULISTA. (1980) EVOLUÇÃO DA POP. RESIDENTE NA CAPITAL PAULISTA. (1990-2000)
F: EMPLASA, 2007.
Esse dado é agravado pela constatação de que a área de Francisco Morato é menor que os outros municípios da Região Norte, mas sua
população maior que dos municípios vizinhos. Outro fator importante de ser analisado é o fato de que a maioria das ocupações ilegais estão em
áreas que precisam de critérios mais rígidos de implantação da ocupação Urbana.
207
POCHMANN; AMORIM, 2004.
Segundo o “Atlas da Exclusão Social no Brasil. Dinâmica e manifestação territorial.” as regiões metropolitanas, aumentaram sua
participação na pobreza brasileira entre 1980 e 2000; concentram 45% dos homicídios cometidos no pais; possuíam em 1997, 29,8% das
pessoas com insuficiência de renda no pais. Eles insinuam que a informação quantitativa ajuda pouco na compreensão a respeito da exclusão, ela
208
precisa ser mediada, combinada com outras informações, de tal forma que o processo de exclusão seja observado da maneira mais ampla
possível.
EVOLUÇÃO DA POP. RESIDENTE NA REGIÃO NORTE POR MUNICÍPIO.(1970-2000).
Evolucao da populacao residente
0
20.000
40.000
60.000
80.000
100.000
120.000
140.000
160.000
C
ajam
ar
Fran
co
da
R
och
a
M
airiporã
C
aieiras
Fran
cisco
M
orato
1970 1980 1991 2000
FONTE: EMPLASA, site. 2006.
Com gráfico de evolução da população residente, vemos que na década de 70 do século passado, as cidades da região Norte, possuíam
poucos moradores, apenas Franco da Rocha possuía um número de habitantes mais expressivo, com 38mil, as demais todas com menos de
10mil. Na primeira década representada, o crescimento foi uniforme nas 5 cidades da região, sem nenhum destaque.
209
As décadas de 80 e 90 foram os mais significativos desse crescimento, e os 90 foram também os anos que mais contribuíram para o
crescimento da cidade mais problemática da região Norte, Francisco Morato que em uma década passa de uma população de cerca de 80mil
habitantes, para quase 140 mil, e em 40 anos cresceu 1 300%!
Detalhando o crescimento de Franco da Rocha, nota-se que na década de 70 era cerca de 40mil hab., mais recentemente em 2000 sua
população chega quase a 110mil hab. Passa de primeiro município em densidade, para segundo atrás de Francisco Morato. Acompanhando o
gráfico de evolução populacional, onde Franco da Rocha junto com Francisco Morato estão liderando, no que se refere a Infra Estrutura
representado pelas ligações de Esgoto, existe incongruência.
210
DENSIDADE DEMOGRÁFICA NA GRANDE SÃO PAULO (2002).
FONTE: EMPLASA, 2007.
O volume de Esgoto Tratado na Grande São Paulo aumentou em 20 anos mais de 3 vezes. Mas se considerarmos o número de famílias
morando na Região Norte da Metrópole, verificamos o quanto é ineficiente, pois com mais de 500 mil habitantes a região deveria ter ao menos
100 mil ligações na rede coletora, mas esta em torno de 34 mil ligações.
211
EVOLUÇÃO DO NÚMERO DE LIGAÇOES DE ESGOTO (1999/2001)
FONTE:EMPLASA, site 2006.
Na região as Ligações de Esgoto são maiores em Caieiras e Franco da Rocha, enquanto Francisco Morato esta em quarto lugar dentre os
5 municípios. Do total de ligações de Esgoto na Região Metropolitana, a Região Norte da Metrópole possui apenas 1,3%, o que demonstra as
condições de agravamento do nível de poluição dos rios e lençóis freáticos do norte da região metropolitana de São Paulo. Visto que a população
dessa Região representa 2,6% da pop. da Região Metropolitana de São Paulo.
PERCENTUAL DE LIGACOES DE ESGOTO
0
0,2
0,4
0,6
0,8
1
1,2
1,4
5 749 11 466 3 218 10 058 4 122 34 613
CAJAMAR FRANCO DA
ROCHA
MAIRIPORÃ CAIEIRAS FRANCISCO
MORATO
TOTAL
212
DOMICÍLIOS LIGADOS A REDE COLETORA DE ESGOTO SANITÁRIO
FONTE:EMPLASA, 2003.
O mapa acima mostra que o município de Mairiporã possui menos de 50% de seus domicílios ligados a rede coletora de esgoto, e quase
que a totalidade de sua área de Proteção de Manancial.
REGIÃO
NORTE
213
SERVIÇO DE COLETA DE LIXO.
FONTE:EMPLASA, 2003.
O serviço de Coleta de Lixo atende em Franco da Rocha de 71% à 90 %. Já a Rede de Coleta de Esgoto em 2000 atendia de 50% à 70%
dos domicílios. E a Relação entre o Esgoto Tratado e o Coletado, é segundo a Emplasa de 0%, ou seja todo o Esgoto Coletado na Região Norte
REGIÃO NORTE
214
não é tratado. Já com relação a qualidade da água nos lençóis freáticos da Região Metropolitana de São Paulo, é critico seu estado atual como
vemos no desenho abaixo:
QUALIDADE DA ÁGUA NO LENÇOL FREÁTICO
FONTE: EMPLASA, site.
Na Região Norte de São Paulo não existe estação de amostragem da qualidade o ar, as mais próximas estão em Guarulhos e no bairro da
Lapa em São Paulo. A direção predominante do vento, nos anos de 1999 e 2000, foi NE, E, SE, NW.
215
No Brasil a taxa média de mortalidade infantil, era de 32 bebes (< de 1 ano) a cada 1000 nascimentos em 2000. Enquanto a expectativa
de vida chegava a 68 anos em média no mesmo ano.
O crescimento total da população em 10 anos, de 1991 a 2001, subiu aproximadamente 24mil em Franco da Rocha. São quase 6% de
idosos, são 45,35% em idade produtiva, 19,2% de crianças e 31,7% de jovens em idade escolar.
Na Grande São Paulo no ano 2000, contava-se 763.779 pessoas com mais de 10 anos em condição de analfabetismo, o que significava
5,2% da população metropolitana.
A rede Estadual de Ensino não tem representação na Educação Infantil, ficando com o município tal responsabilidade. E para tanto as
prefeituras da Região Norte disponibilizaram 12.208 vagas em 2000, sendo Franco da Rocha o destaque com 4.378 vagas.
216
0
2000
4000
6000
8000
10000
12000
14000
ESTADUAL MUNICIPAL PARTICULAR TOTAL
CAJAMAR FRANCISCO MORATO FRANCO DA ROCHA MAIRIPORÃ CAIEIRAS TOTAL
0
10.000
20.000
30.000
40.000
50.000
60.000
70.000
80.000
90.000
100.000
ESTADUAL MUNICIPAL PARTICULAR TOTAL
CAJAMAR FRANCISCO MORATO FRANCO DA ROCHA MAIRIPORÃ CAIEIRAS TOTAL
0
5.000
10.000
15.000
20.000
25.000
30.000
ESTADUAL MUNICIPAL PARTICULAR TOTAL
CAJAMAR FRANCISCO MORATO FRANCO DA ROCHA MAIRIPORÃ CAIEIRAS TOTAL
MATRICULAS POR DEPENDÊNCIA ADMINISTRATIVA 2000
FUNDAMENTAL
INFANTIL
MEDIO FONTE: EMPLASA; MINISTERIO DA EDUCAÇÃO E DO DESPORTO, 2001
217
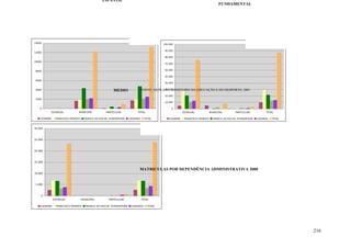
Quando o assunto é o ensino fundamental o papel se inverte, de um total de 87.421 matriculas, cerca de 75mil eram oferecidas pelo
Estado de São Paulo. Só em Francisco Morato eram 28 mil. Do ensino fundamental, chegando a não haver vagas municipais em Cajamar.
No ensino médio se mantém esse quadro ficando a maioria absoluta das vagas oferecidas pelo estado com um déficit em 2000 de 63.245
vagas. Uma vez que deixaram o ensino fundamental 87.421 jovens, existe apenas 24.047 vagas para o Ensino Médio. O Sistema Particular de
ensino não chega a grande representatividade durante todo o processo.
É muito importante salientar que a Capital Paulista, possui um crescimento demográfico negativo em seu centro histórico, e que apesar
de muitos morarem nas bordas da metrópole, trabalham nos locais mais centrais. Para tanto as mães trazem seus filhos junto pra capital, onde
conseguem mais facilmente vagas em creches. Apesar disso todos os prefeitos da capital, continuam deixando as salas do ensino infantil com
apenas uma professora para cada 35 alunos (nos distritos mais centrais), chegando a 45 nas periferias. Como alguém conseguiria educar tantas
crianças, que possuem geralmente famílias doentes? Dentro de uma sociedade que desconhece o caminho para se sair da crise mental, que a leva
viver nas condições em que vive?
218
0
500
1000
1500
2000
2500
3000
3500
4000
4500
5000
ALFABETIZAÇÃO
1ª
à
4ª
SÉRIE
5ª
à
8ª
SÉRIE
EN
SIN
O
M
ÉD
IO
EN
SIN
O
M
ÉD
IO
CAJAMAR FRANCO DA ROCHA MAIRIPORÃ
CAIEIRAS FRNCISCO MORATO TOTAL
0
500
1000
1500
2000
2500
3000
ALFABETIZAÇÃO
1ª
à
4ª
SÉRIE
5ª
à
8ª
SÉRIE
EN
SIN
O
M
ÉD
IO
CAJAMAR FRANCO DA ROCHA MAIRIPORÃ
CAIEIRAS FRNCISCO MORATO TOTAL
0
20
40
60
80
100
120
140
ALFABETIZAÇÃO 1ª à 4ª SÉRIE 5ª à 8ª SÉRIE ENSINO MÉDIO
CAJAMAR FRANCO DA ROCHA MAIRIPORÃ
CAIEIRAS FRNCISCO MORATO TOTAL
ALUNOS POR DEPENDÊNCIA ADMINISTRATIVA E CATEGORIA, 2001
ESTADUAL MUNICIPAL
PARTICULAR FONTE: EMPLASA; MINISTERIO DA EDUCAÇÃO E DO DESPORTO, 2001
219
0
10
20
30
40
50
60
AU
D
ITIVO
FÍSICO
M
EN
TAL
VISU
AL
M
U
LTIPLA
SU
PERD
O
TAD
O
CO
N
D
U
TA
CAJAMAR FRANCO DA ROCHA MAIRIPORÃ CAIEIRAS FRANCISCO MORATO TOTAL
0
20
40
60
80
100
120
140
AU
D
ITIVO
FÍSICO
M
EN
TAL
VISU
AL
M
U
LTIPLA
SU
PERD
O
TAD
O
CO
N
D
U
TA
CAJAMAR FRANCO DA ROCHA MAIRIPORÃ CAIEIRAS FRANCISCO MORATO TOTAL
0
20
40
60
80
100
120
140
160
180
AU
D
ITIVO
FÍSICO
M
EN
TAL
VISU
AL
M
U
LTIPLA
SU
PERD
O
TAD
O
CO
N
D
U
TA
CAJAMAR FRANCO DA ROCHA MAIRIPORÃ CAIEIRAS FRANCISCO MORATO TOTAL
EDUCAÇÃO DE PORTADORES DE DEFICIÊNCIA.
ESTADUAL MUNICIPAL
PARTICULAR
FONTE: EMPLASA; MINISTERIO DA EDUCAÇÃO E DO DESPORTO, 2001
Com os dados percebemos o quanto é deficitário
o número de vagas para portadores de deficiência de
qualquer tipo. Não chegando a 400 em toda a Região
Norte e dessas mais três quartos para doentes mentais,
destacando Franco da Rocha com a rede estadual e o
município de Cajamar.
220
O processo determina a realidade de hoje, tão cruel com os mais fracos, é herança que recebemos de nossos pais, mas talvez tenha se
perpetuado quando o presidente Getúlio Vargas rasgou a Constituição de 1934, escrita por Mario de Andrade5
. Esta foi conquista da Revolução
Constitucionalista de 1932, liderada pelo próprio Getulio, apoiada pela classe artística e influenciada por Oswald de Andrade, com o Manifesto
Antropofágico. Antes, a paulista Tarsila do Amaral foi para Paris em 1920, para estudar desenho e pintura, conheceu nessa viagem Fernand
Leger, artista futurista ligado ao Movimento Dada. Ao voltar ao Brasil, casa-se com Oswald, com ele, Mario, Menotti del Picchio e Anita
Malfatti, articulam a Semana de Arte Moderna em 1922, seu ideal: fazer uma releitura das culturas exóticas com a Antropofagia (homem que
come). Mas misteriosamente em 1937, foi instituído o Estado Novo até 1945.
Após o período de Mãos de Ferro, em 1951 assume novamente a Presidência da República, eleito democraticamente, nessa fase, talvez
para se redimir, cria a Petrobrás; Eletro Norte; CSN; Vale do Rio Doce; BNDES; e CLT (Leis trabalhistas). Nossa sociedade, já se encontrava
subserviente ao Modelo de Modo Vida Norte Americano, que foi amplamente difundido pelo cinema e pelas rádios, em nosso país. Em 1955 o
Brasil elege Juscelino Kubitschek, com ele vem a política desenvolvimentista, em 1960 inaugura a capital Brasília, de Lucio Costa. Em 1961
Jânio Quadros é eleito, fica poucos meses, então o vice-presidente João Goulart assume.
5
Foi inspirada na Constituição alemã de Weimar, 1919.
221
AMORIM, POCHMANN, 2004.
222
Ao olhar para a história, vemos que foi o presidente que mais pensou no trabalhador brasileiro. Primeiro instaura o Parlamentarismo;
reata as relações do Brasil com a URSS, contadas pelo governo Dutra; posicionou-se contra a invasão norte americana a Cuba; institui a ALALC
(Associação Latino-Americana de Livre Comércio); previu as reformas de Base nas Estruturas: Agrária, bancária, fiscal, entre outras); faz o
Plano trienal de Desenvolvimento Econômico e Social; 13o
salário; previdência para os trabalhadores rurais; revisão das concessões de jazidas
minerais; taxou o óleo lubrificante; deu a Petrobrás o monopólio do petróleo. Tudo isso até 1o
de abril de 1964, data do Golpe Militar.
Em 1968, o então Diretor de Rotas Aéreas, o brigadeiro Itamar Rocha, abre sindicância sobre a ordem dada pelo brigadeiro Burnier, para
seqüestrar 40 lideres políticos e joga-los ao mar, dada ao Comandante do Para-Sar6
, Sergio Ribeiro Miranda de Carvalho. Este reportou a ordem
a Itamar, que se esforçava para manter a ordem democrática no Brasil, este acionou o amigo brigadeiro Eduardo Gomes, este aconselhou a
sindicância para ser reportada ao então Ministro da Aeronáutica. “A exoneração, seguida de uma prisão domiciliar por dois dias, era
conseqüência do que ficou sendo conhecido como "Caso Para-Sar". No dia seguinte, o Correio da Manhã abordava a crise trazendo mais um
dado: uma entrevista da nora do brigadeiro Itamar, dona Vânia Rocha, revelava que o seu sogro fora punido em função das sindicâncias que
realizara, concluindo que de fato havia um plano de um "grupo de radicais", visando "inclusive a eliminação de líderes estudantis e outros que
sejam considerados inconvenientes". ”Meu sogro é um homem digno e honesto e jamais aceitaria a utilização de uma repartição da Força Aérea
6
Grupo de pára-quedistas treinados para salvamento da selva.
223
para adotar medidas desumanas e bestiais contra o povo"”.7
O plano hediondo e diabólico do brigadeiro João Paulo Burnier, não deu certo, caso
tivesse sucesso haveria mais de 100mil óbitos no Rio de Janeiro, posto que explodiriam uma bomba no gasômetro do inicio da av. Brasil, o
objetivo era acusar a esquerda de terrorismo, o que justificaria a morte 40 lideranças da oposição (entre elas Juscelino Kubitschek, Dom Elder
Câmara e Jânio Quadros). Burnier dizia ao capitão Sergio que os profissionais liberais e artistas deveriam ser eliminados, pois eram todos
comunistas!
Após o ocorrido foi perseguido pelos ditadores, assim também seu irmão, o tenente coronel aviador Edson Rocha, que faleceu em 1980,
após ser transferido para São Paulo. Seu filho Roberto Rocha, também da aeronáutica, que posteriormente foi seqüestrado e torturado, faleceu
em um acidente de um avião da FAB, pilotado por um aprendiz, em 1983. Sua viúva Vânia Rocha, também faleceu em outro acidente aéreo da
FAB, em 1991. Já o capitão Sergio Ribeiro de Carvalho, foi transferido para o Recife, e exonerado. O herói, com 4 medalhas, preferiu a
consciência tranqüila a aceitar o perdão por ter evitado o plano criminoso da Ditadura, invés disso merecia sua quinta medalha8
, mas precisou da
ajuda dos amigos pra sobreviver, nem mesmo o Hospital da Aeronáutica poode usar, por questão de segurança.
7
VENTURA, Zuenir, 1988.
8
Ao contar o plano para o Capitão Sergio, o brigadeiro Burnier dizia que queria colocar a quinta medalha em seu peito, parece que ditadores tem
boa retórica, dizia que deviam acabar com os profissionais liberais, pois eram todos comunistas. VENTURA, Zuenir, 1988.
224
Até quando continuarão mentindo sobre tudo aquilo que acontece em nosso país, matarão mais quantos na Guerrilha Urbana em que
vivemos, onde professores das escolas estaduais são submetidos a estresse diariamente no exercício da sua função? Como educar crianças para
exercerem a Razão Comunicativa, para se tornarem cidadãos plenos, cobradores de seus diretos e exercedores de suas obrigações, se o revolver
tirou o lugar da harmonia nas relações estabelecidas em sala de aula?
Talvez indústria bélica se beneficie com os conflitos sociais, assim como a indústria farmacêutica se beneficie com o alto contingente de
enfermos, bem como a indústria automobilística se beneficie com os buracos da cidade de São Paulo e um transporte público de péssima
qualidade. Ah, e os políticos certamente se beneficiam do dia a dia frenético e ignorância do povo, que não tem tempo de pensar ( nem para
saber o que é ) em política. Quantos mais serão torturados, pela obrigação de caber no modelo de consumo, com um modo de vida importado,
que ninguém perguntou se queríamos, apenas sobreviventes? Quem é beneficiado com todo esse Sistema de Dominação Cultural? Os dados
dizem que as coisas estão indo muito mal e que se assim continuarem, será o fim da vida humana no Planeta Terra9
, mas a quem isso interessa?
Parece até que essa idéia não vem de alguma mente humana, pois o lógico não seria que protegêssemos ao invés de destruir o nosso habitat?
9
ECO92, 1992.

Capítulo 6

  • 1.
    197 CAPITULO 6 LIGAÇÃO COMA REGIÃO NORTE Jacareí Igaratá Nazaré Paulista Atibaia Itu Mairinque Ibiúna Itanhaém Mongaguá Praia Grande São Vicente Santos Cubatão Bertioga Caraguatatuba Jambeiro BomJesusdos Perdões Campo Limpo Paulista Várzea Paulista Paraibúna SantaBranca São Roque Miracatu Pedro deToledo Guarujá SantanadeParnaíba Jandira São Lourenço daSerra São Bernardo do Campo Ferraz de Vasconcelos Taboão da Serra Barueri São Caetano do Sul Juquitiba Cotia ItapecericadaSerra Embu-Guaçu Embu Vargem Grande Paulista Itapevi Carapicuíba Osasco Pirapora do BomJesus Cajamar Caieiras Francisco Morato Mairiporã São Paulo Diadema Santo André Mauá RioGrande da Serra Franco da Rocha Guarulhos RibeirãoPires Suzano Itaquaquecetuba Arujá Santa Isabel MogidasCruzes Guararema BiritibaMirim Salesópolis Poá Norte Nordeste Leste Sudeste Centro Sudoeste Oeste São Sebastião Ela bora çã o:Em plasa-CIE-20 05
  • 2.
  • 3.
    199 Compreender a RegiãoNorte se faz necessário para compreender o contexto em que esta inserida a Comuna da Terra Dom Tomás Balduino, quando pensando em conformar parcerias no território comum. Objetivando a criação uma rede de relações territoriais que blindam o lugar das interferências verticais da economia e política mundial1 . Entender a dinâmica das relações territoriais ajuda a enxergar quais são os atores e agentes do espaço. Falaremos sobre as dimensões que compreendem as questões relativas as esferas Social e Econômica; Saúde e Saneamento; e Educação. Os dados aqui expostos foram obtidos no CESAD da Fau e no site da Emplasa. Com a chegada da Indústria de bens não Duráveis no segundo quarto do século XIX o município de São Paulo ganha grande importância, pois estava próximo ao porto de Santos e além disso possuía vasta rede hídrica, necessária para a indústria se desenvolver. Com ela começam a aparecer os Subúrbios Dormitórios ao longo das ferrovias, momento em que na Sub-Bacia do Juqueri se fortalece o processo de urbanização. Na metade do século passado se implanta na cidade de São Paulo a Indústria de Bens Duráveis. Com ela veio a Industria Automobilística, e a implantação da Infra-Estrutura Rodoviária. Assim se deu o início as Cidades Dormitório ao longo das rodovias, que com a chegada dos ônibus puderam de adensar. Essa fase foi também quando a cidade de São Paulo teve maio aceleração do crescimento da Mancha 1 LEMES, Manuel.(N.A.) 2007.
  • 4.
    200 Urbana 2 principalmente nosvetores das novas Rodovias. Mas foi no final do século passado, com a abertura econômica iniciada pelo então presidente Fernando Collor de Mello, os tais subúrbios foram ainda mais adensados, pois a mecanização, e crescente informatização da Indústria, em busca da competitividade. Aumentou o número de desempregados nas bordas da Região Metropolitana de São Paulo, também a ocupação informal foi intensificada. PERCENTUAL DO NÚMERO DE ESTABELECIMENTOS POR SETOR FONTE: EMPLASA, site. 2 Ver desenhos Capítulo 5.
  • 5.
    201 Comparando os gráficos,verificamos que o setor da Agricultura emprega pouco e da mesma forma possui um menor número de estabelecimentos, fato interessante, visto que se houvesse uma participação efetiva do setor na economia local, poderia gerar mais empregos. O maior número de vagas oferecidas fica mesmo por conta do Setor de Serviços, apesar de não ser o recordista em estabelecimentos, isso pode ser explicado pelo fato de que as escolas e hospitais oferecem grande volume de vagas de emprego por estabelecimento. Também existem na região, vários armazéns para distribuição logística, dos produtos industrializados, para a Região Metropolitana. O Setor Industrial é o segundo em volume de empregos gerados e o terceiro em pontos de estabelecimentos. Os dados ilustram que na Região Norte, assim como em qualquer outro lugar, a industria emprega mais que os outros setores por estabelecimento, e que apesar da crescente mecanização e informatização os operários ainda têm um papel fundamental. Curioso entretanto é o grande disparate que acontece quando analisamos o setor Comercial, este emprega poucos funcionários, mas detém o recorde em número de estabelecimentos. Essa pode ser uma tendência local a medida que o morador estabelecido na região, quando perde o emprego na capital acaba se não arrumar outro logo, abre seu negócio familiar em casa ou nas proximidades, alguns moradores trabalham como ambulantes ao longo da linha férrea, sem um ponto comercial legalizado exercem a função de comerciantes.
  • 6.
    202 Como a volumede emprego gerado na Região Norte fica muito aquém do necessário, com mais de 500mil habitantes em 2005, oferecia trabalho para pouco mais de 1% de sua população, posto que são 6 500 vagas. Considerando os dados da pirâmide etária em 2001 temos uma população economicamente ativa de 58 436 pessoas em Franco da Rocha, muito superior ao de vagas de oferecidas no município. PERCENTUAL DO NÚMERO DE EMPREGOS POR SETOR FONTE: EMPLASA, site. 2007.
  • 7.
    203 Na década de90 do século passado todos os setores da economia brasileira tiveram perda no número de empregos, pela introdução de computadores nas tarefas de rotina dos escritórios, estabelecimentos comerciais e etc., isso gerou desemprego parcial. A população da região metropolitana cresceu mais que o número de vagas com carteira assinada e isso teve muitas conseqüências sociais. A abertura econômica feita pelo então presidente Fernando Collor de Mello e o confisco das poupanças pela então Ministra da Fazenda Zélia Cardoso, foram um golpe cruel para a economia brasileira, “com sua política neoliberal voltada tanto para a privatização do setor produtivo estatal e terceirização do setor público, como a internacionalização de parcela importante de setores econômicos nacionais.”3 Com a recessão cresceu o número de desemprego, e cada vez mais os excluídos nos grandes centros urbanos. Na mesma década notou-se que o decrescimento demográfico no município de São Paulo, aumentou. Nos anos de 1980 os bairros centrais da capital paulista já apresentavam taxa negativa de crescimento demográfico. 3 POCHMANN, 2004.
  • 8.
    204 ABAIXO VEMOS OSÍNDICES REFERENTES OS MUNICÍPIOS: 0,000 0,200 0,400 0,600 0,800 1,000 1,200 Ín d ice d e Po b reza Ín d ice d e E m p reg o Ín d ice d e D esig u ald ad e ín d ice d e A lfab etização Ín d ice d e E sco larid ad e Ín d ice d e Ju ven tu d e Ín d ice d e V io lên cia Ín d ice d e E xclu são Francisco Morato Franco da Rocha Caieiras Cajamar Mairiporã POCHMANN, 2004. A Segregação Espacial decorrente da lógica de especulação capitalista traz essa realidade: as bordas estão sendo adensadas sem os devidos critérios nem discussões necessárias para efetivamente orientar as ações do Poder Público. Disso decorre muita desordem espacial, o que torna cada vez mais difícil o indivíduo ser inserido no mercado de trabalho com sua dignidade respeitada. Mas de que adianta trabalhar para ser um fragmento e desconectado do todo, sem espiritualidade4 ? Mas culpar a quem? Se é a lógica das cidades gregas sempre foi retórica, pois para se discutir o a liberdade o homem torna outros em escravos, pois a Vida Activa é diferente das tarefas domésticas, um enorme paradoxo! 4 Qualidade ou caráter daquilo que é relativo ou pertencente ao espírito (por oposição a matéria: vida espiritual. AURÉLIO, 1978.
  • 9.
    205 PIRÂMIDE ETÁRIA DEFRANCO DA ROCHA FONTE: EMPLASA, 2007. Mas o mesmo não aconteceu com os municípios mais afastados do centro financeiro paulistano, que tiveram aumento na quantidade de ocupações ilegais. Em Franco da Rocha e municípios vizinhos, em especial Francisco Morato, cresceram as ocupações ilegais, este último possui quase que a totalidade de sua ocupação na ilegalidade. 0 2.000 4.000 6.000 8.000 10.000 12.000 0 A 4 ANOS 10 A 14 ANOS 20 A 24 ANOS 30 A 34 ANOS 40 A 44 ANOS 50 A 54 ANOS 60 A 64 ANOS 70 A 74 ANOS
  • 10.
    206 EVOLUÇÃO DA POP.RESIDENTE NA CAPITAL PAULISTA. (1980) EVOLUÇÃO DA POP. RESIDENTE NA CAPITAL PAULISTA. (1990-2000) F: EMPLASA, 2007. Esse dado é agravado pela constatação de que a área de Francisco Morato é menor que os outros municípios da Região Norte, mas sua população maior que dos municípios vizinhos. Outro fator importante de ser analisado é o fato de que a maioria das ocupações ilegais estão em áreas que precisam de critérios mais rígidos de implantação da ocupação Urbana.
  • 11.
    207 POCHMANN; AMORIM, 2004. Segundoo “Atlas da Exclusão Social no Brasil. Dinâmica e manifestação territorial.” as regiões metropolitanas, aumentaram sua participação na pobreza brasileira entre 1980 e 2000; concentram 45% dos homicídios cometidos no pais; possuíam em 1997, 29,8% das pessoas com insuficiência de renda no pais. Eles insinuam que a informação quantitativa ajuda pouco na compreensão a respeito da exclusão, ela
  • 12.
    208 precisa ser mediada,combinada com outras informações, de tal forma que o processo de exclusão seja observado da maneira mais ampla possível. EVOLUÇÃO DA POP. RESIDENTE NA REGIÃO NORTE POR MUNICÍPIO.(1970-2000). Evolucao da populacao residente 0 20.000 40.000 60.000 80.000 100.000 120.000 140.000 160.000 C ajam ar Fran co da R och a M airiporã C aieiras Fran cisco M orato 1970 1980 1991 2000 FONTE: EMPLASA, site. 2006. Com gráfico de evolução da população residente, vemos que na década de 70 do século passado, as cidades da região Norte, possuíam poucos moradores, apenas Franco da Rocha possuía um número de habitantes mais expressivo, com 38mil, as demais todas com menos de 10mil. Na primeira década representada, o crescimento foi uniforme nas 5 cidades da região, sem nenhum destaque.
  • 13.
    209 As décadas de80 e 90 foram os mais significativos desse crescimento, e os 90 foram também os anos que mais contribuíram para o crescimento da cidade mais problemática da região Norte, Francisco Morato que em uma década passa de uma população de cerca de 80mil habitantes, para quase 140 mil, e em 40 anos cresceu 1 300%! Detalhando o crescimento de Franco da Rocha, nota-se que na década de 70 era cerca de 40mil hab., mais recentemente em 2000 sua população chega quase a 110mil hab. Passa de primeiro município em densidade, para segundo atrás de Francisco Morato. Acompanhando o gráfico de evolução populacional, onde Franco da Rocha junto com Francisco Morato estão liderando, no que se refere a Infra Estrutura representado pelas ligações de Esgoto, existe incongruência.
  • 14.
    210 DENSIDADE DEMOGRÁFICA NAGRANDE SÃO PAULO (2002). FONTE: EMPLASA, 2007. O volume de Esgoto Tratado na Grande São Paulo aumentou em 20 anos mais de 3 vezes. Mas se considerarmos o número de famílias morando na Região Norte da Metrópole, verificamos o quanto é ineficiente, pois com mais de 500 mil habitantes a região deveria ter ao menos 100 mil ligações na rede coletora, mas esta em torno de 34 mil ligações.
  • 15.
    211 EVOLUÇÃO DO NÚMERODE LIGAÇOES DE ESGOTO (1999/2001) FONTE:EMPLASA, site 2006. Na região as Ligações de Esgoto são maiores em Caieiras e Franco da Rocha, enquanto Francisco Morato esta em quarto lugar dentre os 5 municípios. Do total de ligações de Esgoto na Região Metropolitana, a Região Norte da Metrópole possui apenas 1,3%, o que demonstra as condições de agravamento do nível de poluição dos rios e lençóis freáticos do norte da região metropolitana de São Paulo. Visto que a população dessa Região representa 2,6% da pop. da Região Metropolitana de São Paulo. PERCENTUAL DE LIGACOES DE ESGOTO 0 0,2 0,4 0,6 0,8 1 1,2 1,4 5 749 11 466 3 218 10 058 4 122 34 613 CAJAMAR FRANCO DA ROCHA MAIRIPORÃ CAIEIRAS FRANCISCO MORATO TOTAL
  • 16.
    212 DOMICÍLIOS LIGADOS AREDE COLETORA DE ESGOTO SANITÁRIO FONTE:EMPLASA, 2003. O mapa acima mostra que o município de Mairiporã possui menos de 50% de seus domicílios ligados a rede coletora de esgoto, e quase que a totalidade de sua área de Proteção de Manancial. REGIÃO NORTE
  • 17.
    213 SERVIÇO DE COLETADE LIXO. FONTE:EMPLASA, 2003. O serviço de Coleta de Lixo atende em Franco da Rocha de 71% à 90 %. Já a Rede de Coleta de Esgoto em 2000 atendia de 50% à 70% dos domicílios. E a Relação entre o Esgoto Tratado e o Coletado, é segundo a Emplasa de 0%, ou seja todo o Esgoto Coletado na Região Norte REGIÃO NORTE
  • 18.
    214 não é tratado.Já com relação a qualidade da água nos lençóis freáticos da Região Metropolitana de São Paulo, é critico seu estado atual como vemos no desenho abaixo: QUALIDADE DA ÁGUA NO LENÇOL FREÁTICO FONTE: EMPLASA, site. Na Região Norte de São Paulo não existe estação de amostragem da qualidade o ar, as mais próximas estão em Guarulhos e no bairro da Lapa em São Paulo. A direção predominante do vento, nos anos de 1999 e 2000, foi NE, E, SE, NW.
  • 19.
    215 No Brasil ataxa média de mortalidade infantil, era de 32 bebes (< de 1 ano) a cada 1000 nascimentos em 2000. Enquanto a expectativa de vida chegava a 68 anos em média no mesmo ano. O crescimento total da população em 10 anos, de 1991 a 2001, subiu aproximadamente 24mil em Franco da Rocha. São quase 6% de idosos, são 45,35% em idade produtiva, 19,2% de crianças e 31,7% de jovens em idade escolar. Na Grande São Paulo no ano 2000, contava-se 763.779 pessoas com mais de 10 anos em condição de analfabetismo, o que significava 5,2% da população metropolitana. A rede Estadual de Ensino não tem representação na Educação Infantil, ficando com o município tal responsabilidade. E para tanto as prefeituras da Região Norte disponibilizaram 12.208 vagas em 2000, sendo Franco da Rocha o destaque com 4.378 vagas.
  • 20.
    216 0 2000 4000 6000 8000 10000 12000 14000 ESTADUAL MUNICIPAL PARTICULARTOTAL CAJAMAR FRANCISCO MORATO FRANCO DA ROCHA MAIRIPORÃ CAIEIRAS TOTAL 0 10.000 20.000 30.000 40.000 50.000 60.000 70.000 80.000 90.000 100.000 ESTADUAL MUNICIPAL PARTICULAR TOTAL CAJAMAR FRANCISCO MORATO FRANCO DA ROCHA MAIRIPORÃ CAIEIRAS TOTAL 0 5.000 10.000 15.000 20.000 25.000 30.000 ESTADUAL MUNICIPAL PARTICULAR TOTAL CAJAMAR FRANCISCO MORATO FRANCO DA ROCHA MAIRIPORÃ CAIEIRAS TOTAL MATRICULAS POR DEPENDÊNCIA ADMINISTRATIVA 2000 FUNDAMENTAL INFANTIL MEDIO FONTE: EMPLASA; MINISTERIO DA EDUCAÇÃO E DO DESPORTO, 2001
  • 21.
    217 Quando o assuntoé o ensino fundamental o papel se inverte, de um total de 87.421 matriculas, cerca de 75mil eram oferecidas pelo Estado de São Paulo. Só em Francisco Morato eram 28 mil. Do ensino fundamental, chegando a não haver vagas municipais em Cajamar. No ensino médio se mantém esse quadro ficando a maioria absoluta das vagas oferecidas pelo estado com um déficit em 2000 de 63.245 vagas. Uma vez que deixaram o ensino fundamental 87.421 jovens, existe apenas 24.047 vagas para o Ensino Médio. O Sistema Particular de ensino não chega a grande representatividade durante todo o processo. É muito importante salientar que a Capital Paulista, possui um crescimento demográfico negativo em seu centro histórico, e que apesar de muitos morarem nas bordas da metrópole, trabalham nos locais mais centrais. Para tanto as mães trazem seus filhos junto pra capital, onde conseguem mais facilmente vagas em creches. Apesar disso todos os prefeitos da capital, continuam deixando as salas do ensino infantil com apenas uma professora para cada 35 alunos (nos distritos mais centrais), chegando a 45 nas periferias. Como alguém conseguiria educar tantas crianças, que possuem geralmente famílias doentes? Dentro de uma sociedade que desconhece o caminho para se sair da crise mental, que a leva viver nas condições em que vive?
  • 22.
    218 0 500 1000 1500 2000 2500 3000 3500 4000 4500 5000 ALFABETIZAÇÃO 1ª à 4ª SÉRIE 5ª à 8ª SÉRIE EN SIN O M ÉD IO EN SIN O M ÉD IO CAJAMAR FRANCO DAROCHA MAIRIPORÃ CAIEIRAS FRNCISCO MORATO TOTAL 0 500 1000 1500 2000 2500 3000 ALFABETIZAÇÃO 1ª à 4ª SÉRIE 5ª à 8ª SÉRIE EN SIN O M ÉD IO CAJAMAR FRANCO DA ROCHA MAIRIPORÃ CAIEIRAS FRNCISCO MORATO TOTAL 0 20 40 60 80 100 120 140 ALFABETIZAÇÃO 1ª à 4ª SÉRIE 5ª à 8ª SÉRIE ENSINO MÉDIO CAJAMAR FRANCO DA ROCHA MAIRIPORÃ CAIEIRAS FRNCISCO MORATO TOTAL ALUNOS POR DEPENDÊNCIA ADMINISTRATIVA E CATEGORIA, 2001 ESTADUAL MUNICIPAL PARTICULAR FONTE: EMPLASA; MINISTERIO DA EDUCAÇÃO E DO DESPORTO, 2001
  • 23.
    219 0 10 20 30 40 50 60 AU D ITIVO FÍSICO M EN TAL VISU AL M U LTIPLA SU PERD O TAD O CO N D U TA CAJAMAR FRANCO DAROCHA MAIRIPORÃ CAIEIRAS FRANCISCO MORATO TOTAL 0 20 40 60 80 100 120 140 AU D ITIVO FÍSICO M EN TAL VISU AL M U LTIPLA SU PERD O TAD O CO N D U TA CAJAMAR FRANCO DA ROCHA MAIRIPORÃ CAIEIRAS FRANCISCO MORATO TOTAL 0 20 40 60 80 100 120 140 160 180 AU D ITIVO FÍSICO M EN TAL VISU AL M U LTIPLA SU PERD O TAD O CO N D U TA CAJAMAR FRANCO DA ROCHA MAIRIPORÃ CAIEIRAS FRANCISCO MORATO TOTAL EDUCAÇÃO DE PORTADORES DE DEFICIÊNCIA. ESTADUAL MUNICIPAL PARTICULAR FONTE: EMPLASA; MINISTERIO DA EDUCAÇÃO E DO DESPORTO, 2001 Com os dados percebemos o quanto é deficitário o número de vagas para portadores de deficiência de qualquer tipo. Não chegando a 400 em toda a Região Norte e dessas mais três quartos para doentes mentais, destacando Franco da Rocha com a rede estadual e o município de Cajamar.
  • 24.
    220 O processo determinaa realidade de hoje, tão cruel com os mais fracos, é herança que recebemos de nossos pais, mas talvez tenha se perpetuado quando o presidente Getúlio Vargas rasgou a Constituição de 1934, escrita por Mario de Andrade5 . Esta foi conquista da Revolução Constitucionalista de 1932, liderada pelo próprio Getulio, apoiada pela classe artística e influenciada por Oswald de Andrade, com o Manifesto Antropofágico. Antes, a paulista Tarsila do Amaral foi para Paris em 1920, para estudar desenho e pintura, conheceu nessa viagem Fernand Leger, artista futurista ligado ao Movimento Dada. Ao voltar ao Brasil, casa-se com Oswald, com ele, Mario, Menotti del Picchio e Anita Malfatti, articulam a Semana de Arte Moderna em 1922, seu ideal: fazer uma releitura das culturas exóticas com a Antropofagia (homem que come). Mas misteriosamente em 1937, foi instituído o Estado Novo até 1945. Após o período de Mãos de Ferro, em 1951 assume novamente a Presidência da República, eleito democraticamente, nessa fase, talvez para se redimir, cria a Petrobrás; Eletro Norte; CSN; Vale do Rio Doce; BNDES; e CLT (Leis trabalhistas). Nossa sociedade, já se encontrava subserviente ao Modelo de Modo Vida Norte Americano, que foi amplamente difundido pelo cinema e pelas rádios, em nosso país. Em 1955 o Brasil elege Juscelino Kubitschek, com ele vem a política desenvolvimentista, em 1960 inaugura a capital Brasília, de Lucio Costa. Em 1961 Jânio Quadros é eleito, fica poucos meses, então o vice-presidente João Goulart assume. 5 Foi inspirada na Constituição alemã de Weimar, 1919.
  • 25.
  • 26.
    222 Ao olhar paraa história, vemos que foi o presidente que mais pensou no trabalhador brasileiro. Primeiro instaura o Parlamentarismo; reata as relações do Brasil com a URSS, contadas pelo governo Dutra; posicionou-se contra a invasão norte americana a Cuba; institui a ALALC (Associação Latino-Americana de Livre Comércio); previu as reformas de Base nas Estruturas: Agrária, bancária, fiscal, entre outras); faz o Plano trienal de Desenvolvimento Econômico e Social; 13o salário; previdência para os trabalhadores rurais; revisão das concessões de jazidas minerais; taxou o óleo lubrificante; deu a Petrobrás o monopólio do petróleo. Tudo isso até 1o de abril de 1964, data do Golpe Militar. Em 1968, o então Diretor de Rotas Aéreas, o brigadeiro Itamar Rocha, abre sindicância sobre a ordem dada pelo brigadeiro Burnier, para seqüestrar 40 lideres políticos e joga-los ao mar, dada ao Comandante do Para-Sar6 , Sergio Ribeiro Miranda de Carvalho. Este reportou a ordem a Itamar, que se esforçava para manter a ordem democrática no Brasil, este acionou o amigo brigadeiro Eduardo Gomes, este aconselhou a sindicância para ser reportada ao então Ministro da Aeronáutica. “A exoneração, seguida de uma prisão domiciliar por dois dias, era conseqüência do que ficou sendo conhecido como "Caso Para-Sar". No dia seguinte, o Correio da Manhã abordava a crise trazendo mais um dado: uma entrevista da nora do brigadeiro Itamar, dona Vânia Rocha, revelava que o seu sogro fora punido em função das sindicâncias que realizara, concluindo que de fato havia um plano de um "grupo de radicais", visando "inclusive a eliminação de líderes estudantis e outros que sejam considerados inconvenientes". ”Meu sogro é um homem digno e honesto e jamais aceitaria a utilização de uma repartição da Força Aérea 6 Grupo de pára-quedistas treinados para salvamento da selva.
  • 27.
    223 para adotar medidasdesumanas e bestiais contra o povo"”.7 O plano hediondo e diabólico do brigadeiro João Paulo Burnier, não deu certo, caso tivesse sucesso haveria mais de 100mil óbitos no Rio de Janeiro, posto que explodiriam uma bomba no gasômetro do inicio da av. Brasil, o objetivo era acusar a esquerda de terrorismo, o que justificaria a morte 40 lideranças da oposição (entre elas Juscelino Kubitschek, Dom Elder Câmara e Jânio Quadros). Burnier dizia ao capitão Sergio que os profissionais liberais e artistas deveriam ser eliminados, pois eram todos comunistas! Após o ocorrido foi perseguido pelos ditadores, assim também seu irmão, o tenente coronel aviador Edson Rocha, que faleceu em 1980, após ser transferido para São Paulo. Seu filho Roberto Rocha, também da aeronáutica, que posteriormente foi seqüestrado e torturado, faleceu em um acidente de um avião da FAB, pilotado por um aprendiz, em 1983. Sua viúva Vânia Rocha, também faleceu em outro acidente aéreo da FAB, em 1991. Já o capitão Sergio Ribeiro de Carvalho, foi transferido para o Recife, e exonerado. O herói, com 4 medalhas, preferiu a consciência tranqüila a aceitar o perdão por ter evitado o plano criminoso da Ditadura, invés disso merecia sua quinta medalha8 , mas precisou da ajuda dos amigos pra sobreviver, nem mesmo o Hospital da Aeronáutica poode usar, por questão de segurança. 7 VENTURA, Zuenir, 1988. 8 Ao contar o plano para o Capitão Sergio, o brigadeiro Burnier dizia que queria colocar a quinta medalha em seu peito, parece que ditadores tem boa retórica, dizia que deviam acabar com os profissionais liberais, pois eram todos comunistas. VENTURA, Zuenir, 1988.
  • 28.
    224 Até quando continuarãomentindo sobre tudo aquilo que acontece em nosso país, matarão mais quantos na Guerrilha Urbana em que vivemos, onde professores das escolas estaduais são submetidos a estresse diariamente no exercício da sua função? Como educar crianças para exercerem a Razão Comunicativa, para se tornarem cidadãos plenos, cobradores de seus diretos e exercedores de suas obrigações, se o revolver tirou o lugar da harmonia nas relações estabelecidas em sala de aula? Talvez indústria bélica se beneficie com os conflitos sociais, assim como a indústria farmacêutica se beneficie com o alto contingente de enfermos, bem como a indústria automobilística se beneficie com os buracos da cidade de São Paulo e um transporte público de péssima qualidade. Ah, e os políticos certamente se beneficiam do dia a dia frenético e ignorância do povo, que não tem tempo de pensar ( nem para saber o que é ) em política. Quantos mais serão torturados, pela obrigação de caber no modelo de consumo, com um modo de vida importado, que ninguém perguntou se queríamos, apenas sobreviventes? Quem é beneficiado com todo esse Sistema de Dominação Cultural? Os dados dizem que as coisas estão indo muito mal e que se assim continuarem, será o fim da vida humana no Planeta Terra9 , mas a quem isso interessa? Parece até que essa idéia não vem de alguma mente humana, pois o lógico não seria que protegêssemos ao invés de destruir o nosso habitat? 9 ECO92, 1992.