AULA 04
Administração de
Materiais e Logística
O que veremos:
Gestão de
estoque
Custo de estoque
Níveis de estoque
Classificação ABC
Lote econômico
Sistemas de controle de estoque
Avaliação de estoques
O que veremos:
Gestão de
estoque
Custo de estoque
Níveis de estoque
Classificação ABC
Lote econômico
Sistemas de controle de estoque
Avaliação de estoques
• Os custos de manter estoque podem ser classificados em:
• Custos diretamente proporcionais (ou custos de carregamento) à quantidade: crescem
com o aumento da quantidade média estocada (custo de oportunidade, estocagem e
manuseio, taxas e seguros, custo de capital)
• Custo de capital: custo do capital investido
• Custo de armazenagem: somatório de todos os demais fatores de custos (armazenagem, manuseio,
perdas...)
• Unidade dimensional: R$/un./ano (mês) (dia) à Ex: R$0,45/uni./ano
• Inversamente proporcionais: diminuem com o aumento do estoque médio (custos de
obtenção). Custos de pedido (mão-de-obra, materiais, custos indiretos)
• Quanto maior o lote, menos pedidos serão feitos no ano, menores os custos decorrentes do processo
• Unidade dimensional: R$/lote comprado ou fabricado
• Independentes: independem do estoque médio mantido . Geralmente é um valor fixo (ex.:
aluguel do galpão)
• Os custos de manter estoque podem ser classificados em:
• Custos diretamente proporcionais (ou custos de carregamento) à quantidade:
• Inversamente proporcionais (custos de obtenção)
• Independentes (CI): independem do estoque médio mantido (ex.: aluguel do galpão)
CUSTO TOTAL DE ESTOQUE:
Custo do
material
comprado
Custo do
capital
Cc = Custo de carregamento
CA = Custo de armazenagem
i = taxa de juros
P = preço de compra
D = demanda
Q = quantidade do lote
CP = custo do pedido
n = número de pedidos
EXEMPLO
• Determinar o custo anual total de manutenção de estoques de uma
empresa que comercializa um produto cuja demanda anual é de
40.000 unidades. O produto é comprado por $ 2,00 a unidade. Numa
taxa de juros correntes no mercado de 24% ao ano, os custos anuais
de armazenagem são de $ 0,80 por unidade, e os custos invariáveis
anuais para esse item de estoque são estimados em $ 150,00. Os
custos de obtenção são de $ 25,00 por pedido. Calcule o custo total
de estocagem para um lote de compra de 1.000.
EXEMPLO – RESOLUÇÃO
• Determinar o custo anual total de manutenção de estoques de uma
empresa que comercializa um produto cuja demanda anual é de
40.000 unidades. O produto é comprado por $ 2,00 a unidade. Numa
taxa de juros correntes no mercado de 24% ao ano, os custos anuais
de armazenagem são de $ 0,80 por unidade, e os custos invariáveis
anuais para esse item de estoque são estimados em $ 150,00. Os
custos de obtenção são de $ 25,00 por pedido. Calcule o custo total
de estocagem para um lote de compra de 1.000.
D = 40.000u/ano
P = $2,00/unidade
i = 24% a.a.
Ca = $0,80/unidade
Ci = $150,00
Cp = $25,00/pedido
Referência
• Cap. 07 – O papel dos estoques na empresa. MARTINS, Petrônio. G.;
ALT, Paulo. R. C. Administração de Materiais e Recursos Patrimoniais.
3. ed. São Paulo: Saraiva, 2009.
O que veremos:
Gestão de
estoque
Custo de estoque
Níveis de estoque
Classificação ABC
Lote econômico
Sistemas de controle de estoque
Avaliação de estoques
Curva dente de serra
• A representação da movimentação (entrada e saída) de um item
dentro do sistema de estoque pode ser feita por um gráfico chamado
dente de serra
Esse ciclo será repe66vo e
constante se:
-Não exisQr alteração de
consumo durante o tempo
-Não ocorrerem falhas
administraQvas
-Fornecedor nunca atrasar
-Nenhuma entrega for
rejeitada pelo controle de
qualidade
Fonte: Dias (2012)
• Essas quatro premissas sempre acontecem na prática?
DEVE-SE CRIAR UM SISTEMA
QUE ABSORVA ESSAS
EVENTUALIDADES, PARA QUE
NÃO OCORRA ESSE TIPO DE
SITUAÇÃO:
Fonte: Dias (2012)
• Estoque de segurança
• É preciso bastante critério e bom senso para dimensionar o estoque
mínimo
Tempo de reposição: ponto de
pedido
• Uma informação importante é o tempo de reposição (tempo gasto
desde a verificação de que o estoque precisa ser reposto até a
chegada efetiva do material)
• Envolve três partes:
• Emissão do pedido: tempo que leva desde a emissão do pedido de compra
até ele chegar ao fornecedor
• Preparação do pedido: tempo que leva o fornecedor para fabricar os
produtos, separar os produtos, emitir faturamento e deixá-los em condições
para o transporte
• Transporte: tempo que leva da saída do fornecedor até o recebimento pela
empresa
• Quando um item precisa de um novo suprimento?
• Quando o estoque disponível (estoque existente + fornecimento em atraso +
fornecimento não entregue, mas ainda dentro do prazo) estiver abaixo ou
igual a determinada quantidade chamada de ponto de pedido (PP)
• Esse fornecimento em atraso + fornecimento ainda não entregue pode ser
chamado de saldo de fornecedores
• O estoque disponível normalmente é chamado estoque virtual
• Estoque em inspeção também pode ser incluído na soma
• Assim, deve-se fazer um novo pedido quando o estoque virtual estiver abaixo
ou igual à quantidade predeterminada
• O ponto de pedido pode ser determinado pela seguinte fórmula:
Conclui-se, então, que o ponto de
pedido é um indicador e, quando o
estoque virtual alcançá-lo, deverá
ser reposto o material, sendo que a
quantidade de saldo em estoque
suportaria o consumo durante o
tempo de reposição
Fonte: Dias (2012)
• Exemplo
Uma peça é consumida a uma razão de 30 peças por mês, e seu tempo
de reposição é de dois meses. Qual será o ponto de pedido, uma vez
que o estoque mínimo deve ser de um mês de consumo?
• Definições importantes
• Consumo médio mensal (CM): quanjdade referente à média
aritméjca das rejradas mensais de estoque (consumo dos úljmos
seis meses)
• Estoque médio (EM): nível médio de estoque em torno do qual as
operações de compra e consumo se realizaram. Pode ser
representado como Q/2, sendo Q a quanjdade que será comprada.
Se considerarmos também o estoque mínimo:
• Definições importantes
• Estoque mínimo (E. Mn) ou estoque de segurança: quantidade morta, só
sendo consumida em caso de necessidade
• Intervalo de ressuprimento (IR): intervalo de tempo entre dois
ressuprimentos
• Estoque máximo: soma do estoque mínimo mais o lote de compra
Estoque mínimo
• A determinação do estoque mínimo é uma importante informação
para a administração de estoque
• Também chamado de estoque de segurança
• Definição: quantidade mínima que deve existir em estoque, que se
destina a cobrir eventuais atrasos no ressuprimento
• Como definir: alguns modelos matemáticos
• Modelo do grau de risco
• O modelo utiliza um fator de segurança com o qual se deseja garantia contra um risco de
ruptura (proporcional ao grau de atendimento desejado para o item)
• Exemplo
Se quisermos que uma peça tenha um grau de atendimento de 90%, ou
seja, queremos garantia de que somente em 10% das vezes o estoque
dessa peça esteja a 0, sabendo que o consumo mensal é de 60
unidades, o estoque mínimo será:
Giro de estoque
• Giro de estoque, ou rotatividade (R), é uma relação existente entre o consumo anual e o
estoque médio do produto. Quantas vezes o estoque se renovou no período
determinado
• Pode ser expresso em “vezes”: por dia, por mês, ou por ano
• Ex.: o consumo anual de um item foi de 800 unidades e o estoque médio, de 100
unidades, o giro seria:
• Ou seja, o estoque girou 8 vezes ao ano
• Representa um parâmetro fácil para a comparação de estoques entre empresas e entre
classes de material
O que veremos:
Gestão de
estoque
Custo de estoque
Níveis de estoque
Classificação ABC
Lote econômico
Sistemas de controle de estoque
Avaliação de estoques
• A curva ABC é um importante instrumento para o administrador; ela
permite identificar aqueles itens que justificam atenção e tratamento
adequados quanto à sua administração
• Método de priorização que facilita a análise de itens mais importantes
ao processo
• A curva ABC tem sido usada na Gestão de Estoques, para a definição
de políticas de vendas, para o estabelecimento de prioridades, para a
programação da produção e uma série de outros problemas usuais
nas empresas
• Por meio da Curva ABC é possível ordenar os itens em estoque conforme a
sua importância relativa, tendo como base os valores de consumo anual
(preço unitário x consumo anual)
• Após a ordenação dos itens pela importância relativa, as classes da curva
ABC podem ser definidas das seguinte maneiras
• Classe A: Grupo de itens mais importantes que devem ser tratados com atenção
especial (em geral, máximo de 20% dos itens)
• Classe B: Grupo de itens em situação intermediária (30% dos itens)
• Classe C: Grupo de itens menos importantes que justificam menos atenção (50% dos
itens)
• Essas porcentagens podem variar de caso para caso
Aplicação e montagem
• Definição do material
• Coleta dos dados
• Ordenação decrescente
• Cálculo dos percentuais
• Identificação da curva
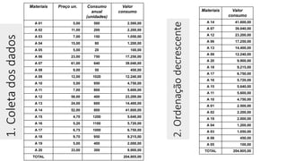
1.
Coleta
dos
dados
Materiais Preço un. Consumo
anual
(unidades)
Valor
consumo
A 01 5,00 500 2.500,00
A 02 11,00 200 2.200,00
A 03 7,00 150 1.050,00
A 04 15,00 80 1.200,00
A 05 5,00 20 100,00
A 06 23,00 750 17.250,00
A 07 61,00 640 39.040,00
A 08 9,00 50 450,00
A 09 12,00 1020 12.240,00
A 10 5,00 950 4.750,00
A 11 7,00 800 5.600,00
A 12 58,00 400 23.200,00
A 13 24,00 600 14.400,00
A 14 52,00 800 41.600,00
A 15 4,70 1200 5.640,00
A 16 5,20 1100 5.720,00
A 17 6,75 1000 6.750,00
A 18 9,70 950 9.215,00
A 19 5,00 400 2.000,00
A 20 33,00 300 9.900,00
TOTAL 204.805,00
2.
Ordenação
decrescente
Materiais Valor
consumo
A 14 41.600,00
A 07 39.040,00
A 12 23.200,00
A 06 17.250,00
A 13 14.400,00
A 09 12.240,00
A 20 9.900,00
A 18 9.215,00
A 17 6.750,00
A 16 5.720,00
A 15 5.640,00
A 11 5.600,00
A 10 4.750,00
A 01 2.500,00
A 02 2.200,00
A 19 2.000,00
A 04 1.200,00
A 03 1.050,00
A 08 450,00
A 05 100,00
TOTAL 204.805,00
3.
Atribuir
valor
percentual
Materiais Valor
consumo
%
A 14 41.600,00 20,31%
A 07 39.040,00 19,06%
A 12 23.200,00 11,33%
A 06 17.250,00 8,42%
A 13 14.400,00 7,03%
A 09 12.240,00 5,98%
A 20 9.900,00 4,83%
A 18 9.215,00 4,50%
A 17 6.750,00 3,30%
A 16 5.720,00 2,79%
A 15 5.640,00 2,75%
A 11 5.600,00 2,73%
A 10 4.750,00 2,32%
A 01 2.500,00 1,22%
A 02 2.200,00 1,07%
A 19 2.000,00 0,98%
A 04 1.200,00 0,59%
A 03 1.050,00 0,51%
A 08 450,00 0,22%
A 05 100,00 0,05%
TOTAL 204.805,00
4.
Acumular
valor
percentual
Materiais Valor
consumo
%
Valor
% Valor
Acum.
A 14 41.600,00 20,31% 20,31%
A 07 39.040,00 19,06% 39,37%
A 12 23.200,00 11,33% 50,70%
A 06 17.250,00 8,42% 59,12%
A 13 14.400,00 7,03% 66,16%
A 09 12.240,00 5,98% 72,13%
A 20 9.900,00 4,83% 76,97%
A 18 9.215,00 4,50% 81,47%
A 17 6.750,00 3,30% 84,76%
A 16 5.720,00 2,79% 87,55%
A 15 5.640,00 2,75% 90,31%
A 11 5.600,00 2,73% 93,04%
A 10 4.750,00 2,32% 95,36%
A 01 2.500,00 1,22% 96,58%
A 02 2.200,00 1,07% 97,66%
A 19 2.000,00 0,98% 98,63%
A 04 1.200,00 0,59% 99,22%
A 03 1.050,00 0,51% 99,73%
A 08 450,00 0,22% 99,95%
A 05 100,00 0,05% 100,00%
TOTAL 204.805,00
5.
Atribuir
item
percentual Materiais Valor
estoq
% Valor % Valor
Acum
% Itens
A 14 41.600,00 20,31% 20,31% 5,00%
A 07 39.040,00 19,06% 39,37% 5,00%
A 12 23.200,00 11,33% 50,70% 5,00%
A 06 17.250,00 8,42% 59,12% 5,00%
A 13 14.400,00 7,03% 66,16% 5,00%
A 09 12.240,00 5,98% 72,13% 5,00%
A 20 9.900,00 4,83% 76,97% 5,00%
A 18 9.215,00 4,50% 81,47% 5,00%
A 17 6.750,00 3,30% 84,76% 5,00%
A 16 5.720,00 2,79% 87,55% 5,00%
A 15 5.640,00 2,75% 90,31% 5,00%
A 11 5.600,00 2,73% 93,04% 5,00%
A 10 4.750,00 2,32% 95,36% 5,00%
A 01 2.500,00 1,22% 96,58% 5,00%
A 02 2.200,00 1,07% 97,66% 5,00%
A 19 2.000,00 0,98% 98,63% 5,00%
A 04 1.200,00 0,59% 99,22% 5,00%
A 03 1.050,00 0,51% 99,73% 5,00%
A 08 450,00 0,22% 99,95% 5,00%
A 05 100,00 0,05% 100,00% 5,00%
TOTAL 204.805,00
Valor
consumo
6.
Acumular
item
percentual,
separar
por
percentual
de
itens
e
comparar
com
o
valor
percentual
Materiais Valor
estoq
% Valor % Valor
Acum
% Itens % Itens
Acm
A 14 41.600,00 20,31% 20,31% 5,00% 5,00%
A 07 39.040,00 19,06% 39,37% 5,00% 10,00%
A 12 23.200,00 11,33% 50,70% 5,00% 15,00%
A 06 17.250,00 8,42% 59,12% 5,00% 20,00%
A 13 14.400,00 7,03% 66,16% 5,00% 25,00%
A 09 12.240,00 5,98% 72,13% 5,00% 30,00%
A 20 9.900,00 4,83% 76,97% 5,00% 35,00%
A 18 9.215,00 4,50% 81,47% 5,00% 40,00%
A 17 6.750,00 3,30% 84,76% 5,00% 45,00%
A 16 5.720,00 2,79% 87,55% 5,00% 50,00%
A 15 5.640,00 2,75% 90,31% 5,00% 55,00%
A 11 5.600,00 2,73% 93,04% 5,00% 60,00%
A 10 4.750,00 2,32% 95,36% 5,00% 65,00%
A 01 2.500,00 1,22% 96,58% 5,00% 70,00%
A 02 2.200,00 1,07% 97,66% 5,00% 75,00%
A 19 2.000,00 0,98% 98,63% 5,00% 80,00%
A 04 1.200,00 0,59% 99,22% 5,00% 85,00%
A 03 1.050,00 0,51% 99,73% 5,00% 90,00%
A 08 450,00 0,22% 99,95% 5,00% 95,00%
A 05 100,00 0,05% 100,00% 5,00% 100,00%
Valor
consumo
20%
30%
50%
Materiais Valor
estoq
% Valor
Acum
% Itens
Acm
Classif
A 14 41.600,00 20,31% 5,00% A
A 07 39.040,00 39,37% 10,00% A
A 12 23.200,00 50,70% 15,00% A
A 06 17.250,00 59,12% 20,00% A
A 13 14.400,00 66,16% 25,00% B
A 09 12.240,00 72,13% 30,00% B
A 20 9.900,00 76,97% 35,00% B
A 18 9.215,00 81,47% 40,00% B
A 17 6.750,00 84,76% 45,00% B
A 16 5.720,00 87,55% 50,00% B
A 15 5.640,00 90,31% 55,00% C
A 11 5.600,00 93,04% 60,00% C
A 10 4.750,00 95,36% 65,00% C
A 01 2.500,00 96,58% 70,00% C
A 02 2.200,00 97,66% 75,00% C
A 19 2.000,00 98,63% 80,00% C
A 04 1.200,00 99,22% 85,00% C
A 03 1.050,00 99,73% 90,00% C
A 08 450,00 99,95% 95,00% C
A 05 100,00 100,00% 100,00% C
7.
Classificação
ABC
Valor
consumo
20% dos itens correspondem a
59,12% do valor
30% dos itens correspondem a
28,43% do valor
50% dos itens correspondem a
12,45% do valor
Fonte: Dias (2016)
0,00%
20,00%
40,00%
60,00%
80,00%
100,00%
120,00%
A 14 A 07 A 12 A 06 A 13 A 09 A 20 A 18 A 17 A 16 A 15 A 11 A 10 A 01 A 02 A 19 A 04 A 03 A 08 A 05
% Valor Acum.
Fonte: Dias (2016)
O que veremos:
Gestão de
estoque
Custo de estoque
Níveis de estoque
Classificação ABC
Lote econômico
Sistemas de controle de estoque
Avaliação de estoques
• Quanto deve ser comprado ou produzido de cada vez?
• Lote econômico de compra e fabricação
Lote econômico de compra (LEC)
• Custo total de estocagem
• Exemplo:
O custo total de estocagem
diminui até atingir um valor
mínimo e cresce em seguida
• O lote econômico de compra se obtém quando a curva de custo do
pedido é igual a reta do custo de carregamento
Ou Cc
• Note que o LEC independe dos custos independentes e do custo de
aquisição (DxP)
Sendo:
Cp: Custo de aquisição/obtenção – R$/pedido
D: Demanda ou consumo
CA: Custo de armazenagem
Cc: Custo de carregamento – R$/unidade.ano(mês etc.)
i: taxa de juros correntes
P: preço de compra do item
• Exemplo:
A empresa VendeMais vende um produto cuja demanda anual é de 40.000 unidades. O custo de
emissão de um pedido de compra é de R$30 por pedido. Os custos anuais de manutenção dos
estoques, também conhecidos como custo de carregamento, são de R$0,30/unidade. Sabendo-se
que os custos independentes para esse item são de R$50/ano e que o preço de compra do item é
R$0,18/unidade, calcule o LEC.
• Exemplo:
A empresa VendeMais vende um produto cuja demanda anual é de 40.000 unidades. O custo de
emissão de um pedido de compra é de R$30 por pedido. Os custos anuais de manutenção dos
estoques, também conhecidos como custo de carregamento, são de R$0,30/unidade. Sabendo-se
que os custos independentes para esse item são de R$50/ano e que o preço de compra do item é
R$0,18/unidade, calcule o LEC.
LEC = 2.828,43. Deve ser arredondado: 2.830
Lote Econômico de Fabricação (LEF)
• Muito semelhante ao Lote Econômico de Compra. Mas para o LEC assume-se que
todo o lote é entregue de uma só vez, isto é, nada está sendo consumido
enquanto o lote está sendo entregue.
• Se aplica quando uma empresa, normalmente manufatureira, fabrica
internamente itens, peças ou componentes utilizados em outra parte do processo
produtivo
• Pode-se considerar três casos:
• V>D (velocidade com que a peça é fabricada – ou cadência de fabricação – é maior que a
demanda
• Nesse caso, há acúmulo de peças e justifica-se o lote de fabricação
• V=D (velocidade igual a demanda com que é consumida)
• Como não há acúmulo, não faz sentido falar em lote de fabricação
• V<D (velocidade de fabricação menor que a demanda)
• Não existe formação de lote. A empresa deverá comprar de terceiros
• Vamos passar então à dedução do LEF
• Vamos considerar que enquanto as peças estão sendo fabricadas elas estão
simultaneamente sendo consumidas
• Precisamos saber o tempo (t) para produzir o lote (Q)
• Por outro lado, durante o tempo t gasto na fabricação do lote, haverá um
consumo do item na montagem do produto final.
• Sendo C o consumo do item durante o tempo t em que o lote Q é fabricado e
D a demanda do item, o consumo será de:
• No intervalo de tempo t o estoque acumulado será: Q – C.
• E o estoque médio correspondente será:
Q = lote
V = velocidade
• Essa equação pode ser reescrita:
• Assim, o estoque médio é igual:
• A expressão que, de modo similar ao lote de compras, calcula os
custos totais (CT) decorrentes da existência de estoques será:
• O lote Q que minimiza o CT é denominado Lote Econômico de
Fabricação.
Sendo Cp o custo de preparação para as
ordens de fabricação, P o custo de
fabricação do item
C = Q/V x D
• Cp: Custo de preparação para as ordens de fabricação (custo de emissão
das ordens de fabricação mais custos de preparação das máquinas)
• D: Demanda
• Ca: Custo de armazenagem
• P: Custo de fabricação do item
• V: Velocidade de produção
• Exemplo
Uma empresa manufatureira produz uma peça usinada que é utilizada
na fabricação de seu produto final, cuja demanda mensal é de 2.500
unidades. A peça é fabricada a um custo unitário de $ 1,50 em um
centro de usinagem, a uma cadência de 300 unidades por hora. O custo
de programação do centro de usinagem para a fabricação da peça é
estimado em $ 25,00 por preparação. Os demais custos de emissão da
ordem de fabricação são estimados em $ 8,00 por ordem. A empresa
trabalha em média 20 dias por mês em um único turno de 8 horas. O
custo do capital imobilizado em estoque é de 2,5% ao mês, e os custos
mensais de armazenagem são de $ 0,10 por unidade. Determinar o lote
econômico de fabricação.
D = 2.500 un./mês
P= R$1,50/un.
V = 300 un./hora à 300*8*20 = 48.000 un./mês
Cp = R$25/preparação + R$8/ordem = R$33/preparação
i = 2,5% a.m
Ca = 0,10/un.
= 1.125,14
Ou, arredondando, 1.1130 un./lote, ou
também 1.120 un./lote
Referência
• Cap. 09 – Lote econômico de compra e fabricação. MARTINS,
Petrônio. G.; ALT, Paulo. R. C. Administração de Materiais e Recursos
Patrimoniais. 3. ed. São Paulo: Saraiva, 2009.
O que veremos:
Gestão de
estoque
Custo de estoque
Níveis de estoque
Classificação ABC
Lote econômico
Sistemas de controle de estoque
Avaliação de estoques
• A forma como a empresa administra seu estoque define a estrutura
dos modelos de estoque, isto é, modelos que procuram responder às
perguntas: quando e quanto comprar
• Existem alguns modelos de estoque:
• Modelo de reposição periódica
• Sistema de duas gavetas
Modelo de Reposição Periódica
• Também chamado de modelo do intervalo padrão, ou modelo do estoque
máximo
• Consiste em emitir os pedidos de compra em lotes em intervalos de
tempos fixos
Sistema de Duas Gavetas
• É o mais simples para controlar estoque. Por isso, recomenda-se sua
utilização para os itens classe C (da curva ABC)
• Uso bastante difundido em revendedores de autopeças e no comércio
varejista de pequeno porte
• O modelo da reposição contínua também é conhecido como Sistema de
Duas Gavetas
• O estoque que inicia o processo é
armazenado nessas duas caixas ou gavetas.
• A caixa A tem uma quantidade de material
suficiente para atender ao consumo
durante o tempo de reposição, mais o
estoque de segurança.
• A caixa B possui um estoque equivalente ao
consumo previsto. As requisições são
atendidas pelo estoque da caixa B
• Quando a caixa B chega a 0, deve ser
providenciada a reposição
• Para não interromper o atendimento,
passa-se a utilizar a caixa A
• Quando o material chegar, deve-se
completar o nível de estoque da caixa A, e o
saldo completar a caixa B
MRP (planejamento das necessidades de
materiais)
• A globalização da economia vem produzindo significativas mudanças
na forma de condução dos negócios
• O sistema MRP se preocupa basicamente com o dimensionamento
correto do estoque
• Com o apoio da evolução da informática, o sistema tem possibilitado
bons resultados
MRP – Planejamento das necessidades de materiais
• É um sistema computadorizado de informações desenvolvido especificamente para auxiliar
fabricantes a administrar estoque de demanda dependente e programar pedidos de reposição
• Demanda dependente: itens que fazem parte de outro ou que irão se transformar em outro. Depende de outro
(pai)
• Sistema que se propõe a definir as quantidades necessárias e o tempo exato para utilização dos
materiais na fabricação dos produtos finais
• Principais inputs de um sistema MRP
• Plano mestre de produção (MPS): detalha quantos itens finais serão fabricados em períodos específicos
• Banco de dados da lista de materiais: registro de todos os componentes do produto e das quantidades de uso
• Banco de dados de registro de estoque
• Com essas informações, o sistema identifica as ações que os planejadores devem tomar para cumprir
o cronograma, como liberar novos pedidos de produção, ajustar quantidade de pedidos e acelerar
pedidos atrasados
Previsão de Vendas Pedidos de Clientes
Programa Mestre de Produção
Lista de Materiais Programa MRP Gestão de Estoques
Saídas e Relatórios
MRP II – Planejamento dos Recursos da Manufatura
• Assim como o MRP, o MRP II baseia-se na lógica do cálculo de necessidades, cujo objetivo
principal é o planejamento da compra e produção de itens componentes para que
ocorram nas quantidades e momentos necessários, sem faltas ou excessos
• O MRP II estende o conceito do MRP, permitindo a integração do planejamento financeiro
com o operacional
• Auxilia os planejadores avaliar a viabilidade dos planos de produção em relação às
restrições de recursos da empresa
O que veremos:
Gestão de
estoque
Custo de estoque
Níveis de estoque
Classificação ABC
Lote econômico
Sistemas de controle de estoque
Avaliação de estoques
• A avaliação adequada dos materiais recebidos e localizados no estoque é
uma questão importante para a contabilidade
• Quais elementos deveriam ser incluídos na avaliação dos materiais?
• Alguns elementos possuem custo visível (ex.: preço de fatura dos materiais, custos
de transporte, por exemplo)
• Outros custos são de natureza menos tangível (recebimento, desembalagem,
inspeção...)
• Por questões de praticidade, a maioria das empresas limita-se a computar
os custos visíveis (preço de fatura dos materiais, despesas de transporte)
• Todas as formas de registro de estoque objetivam controlar a quantidade
de materiais em estoque, tanto o volume físico quanto o financeiro
Introdução
Como fazer?
• A avaliação de estoque anual deve ser realizada em termos de PREÇO (de
custo ou de mercado – o menor entre eles), para proporcionar avaliação
exata e informações financeiras atualizadas
• Preço de mercado: aquele pelo qual a matéria-prima é comprada
• Preço de custo: custo de fabricação do produto, no caso de materiais de fabricação
própria
• A avaliação dos estoques inclui:
• O valor das mercadorias e dos produtos em fabricação ou acabados
• A avaliação dos estoques pode ser feita pelos seguintes métodos:
• Custo médio
• PEPS (FIFO)
• UEPS (LIFO)
Custo médio
• É a mais frequente
• Equilibra as flutuações de preço e, a longo prazo,
reflete os custos reais das compras de material
• Tem por base o preço de todas as retiradas, ao preço
médio do suprimento total do item
Movimentos de estoque:
31/07:Tinha um estoque de 10u a R$ 12,00
1/08: comprei 100u a R$ 15,00 através da NF 452
5/08: comprei 150u a R$ 20,00 através da NF 513
9/08: vendi 180u a R$ 50,00 através da NF 5269
Histórico Entradas Saídas Saldos
Dia NF Qtdd Valor u Valor tot Qtdd Valor u Valor tot Qtd
d
Valor u Valor Tot
31/07 10 12,00 120,00
1/08 100 15,00 1.500,00 10
100
110
12,00
15,00
14,7273
120,00
1.500,00
1.620,00
5/08 150 20,00 3.000,00 110
150
260
14,7273
20,00
17,7692
1.620,00
3.000,00
4.620,00
9/08 180 17,7692 3.198,46 80 17,7692 1.421,54
Final 250 4.500,00 180 3.198,46 80 17,7692 1.421,54
PEPS (FIFO) –
Primeiro a Entrar,
Primeiro a Sair
• A avaliação é feita pela ordem cronológica das
entradas – Sai o material que primeiro integrou o
estoque.
• Os estoques são mantidos em contas do ativo, com
valores aproximados dos preços atuais de mercado
Histórico Entradas Saídas Saldos
Data NF Qtdd Valor u Valor tot Qtdd Valor u Valor tot Qtdd Valor u Valor Tot
31/07 10 12,00 120,00
1/08 452 100 15,00 1.500,00 10
100
110
12,00
15,00
120,00
1.500,00
1.620,00
5/08 513 150 20,00 3.000,00 10
100
150
260
12,0
15,00
20,00
120,00
1.500,00
3.000,00
4.620,00
9/08 5269 10
100
70
12,00
15,00
20,00
120,00
1.500,00
1.400,00
80 20,00 1.600,00
Final 250 4.500,00 180 3.020,00 80 20,00 1.600,00
UEPS (LIFO) –
Último a Entrar,
Primeiro a Sair
• Devem, em primeiro lugar, sair as últimas peças que
deram entrada no estoque, o que faz com que o estoque
seja avaliado ao preço das últimas entradas
• Mais adequado em períodos inflacionários, pois
uniformiza o preço dos produtos em estoque para venda
no mercado consumidor
Histórico Entradas Saídas Saldos
Dia NF Qtdd Valor u Valor tot Qtdd Valor u Valor tot Qtdd Valor u Valor Tot
31/07 10 12 120,00
1/08 452 100 15,00 1.500,00 10
100
110
12,00
15,00
120,00
1.500,00
1.620,00
5/08 513 150 20,00 3.000,00 10
100
150
260
12,00
15,00
20,00
120,00
1.500,00
3.000,00
4.620,00
9/08 5269 150
30
20,00
15,00
3.000,00
450,00
10
70
12,00
15,00
120,00
1.050,00
Final 250 4.500,00 180 3.450,00 80 1.170,00
Comparação
• O PEPS analisa o estoque pela ordem cronológica das entradas. O custo do material fica mais longe da
realidade. O CMV é menor, o que aumenta inicialmente o lucro.
• O UEPS analisa o estoque pela ordem inversa das entradas. O custo do material fica mais próximo da
realidade. O CMV é maior, o que diminui inicialmente o lucro.
• A Média Ponderada analisa o estoque pela média das entradas. O custo do material fica mais ou menos
próximo da realidade. O CMV é médio, o que resulta num lucro médio.
• Obs.: para fins fiscais, o UEPS não pode ser utilizado. Apenas para fins gerenciais
Leitura para a semana
• Cap 02 – Dimensionamento e controle de estoques. DIAS, Marco
Aurélio. Administração de Materiais: uma abordagem logística. 7. ed.
São Paulo: Atlas, 2019

Aula 04_AML.pdf

  • 1.
  • 2.
    O que veremos: Gestãode estoque Custo de estoque Níveis de estoque Classificação ABC Lote econômico Sistemas de controle de estoque Avaliação de estoques
  • 3.
    O que veremos: Gestãode estoque Custo de estoque Níveis de estoque Classificação ABC Lote econômico Sistemas de controle de estoque Avaliação de estoques
  • 4.
    • Os custosde manter estoque podem ser classificados em: • Custos diretamente proporcionais (ou custos de carregamento) à quantidade: crescem com o aumento da quantidade média estocada (custo de oportunidade, estocagem e manuseio, taxas e seguros, custo de capital) • Custo de capital: custo do capital investido • Custo de armazenagem: somatório de todos os demais fatores de custos (armazenagem, manuseio, perdas...) • Unidade dimensional: R$/un./ano (mês) (dia) à Ex: R$0,45/uni./ano • Inversamente proporcionais: diminuem com o aumento do estoque médio (custos de obtenção). Custos de pedido (mão-de-obra, materiais, custos indiretos) • Quanto maior o lote, menos pedidos serão feitos no ano, menores os custos decorrentes do processo • Unidade dimensional: R$/lote comprado ou fabricado • Independentes: independem do estoque médio mantido . Geralmente é um valor fixo (ex.: aluguel do galpão)
  • 5.
    • Os custosde manter estoque podem ser classificados em: • Custos diretamente proporcionais (ou custos de carregamento) à quantidade: • Inversamente proporcionais (custos de obtenção) • Independentes (CI): independem do estoque médio mantido (ex.: aluguel do galpão) CUSTO TOTAL DE ESTOQUE: Custo do material comprado Custo do capital Cc = Custo de carregamento CA = Custo de armazenagem i = taxa de juros P = preço de compra D = demanda Q = quantidade do lote CP = custo do pedido n = número de pedidos
  • 6.
    EXEMPLO • Determinar ocusto anual total de manutenção de estoques de uma empresa que comercializa um produto cuja demanda anual é de 40.000 unidades. O produto é comprado por $ 2,00 a unidade. Numa taxa de juros correntes no mercado de 24% ao ano, os custos anuais de armazenagem são de $ 0,80 por unidade, e os custos invariáveis anuais para esse item de estoque são estimados em $ 150,00. Os custos de obtenção são de $ 25,00 por pedido. Calcule o custo total de estocagem para um lote de compra de 1.000.
  • 7.
    EXEMPLO – RESOLUÇÃO •Determinar o custo anual total de manutenção de estoques de uma empresa que comercializa um produto cuja demanda anual é de 40.000 unidades. O produto é comprado por $ 2,00 a unidade. Numa taxa de juros correntes no mercado de 24% ao ano, os custos anuais de armazenagem são de $ 0,80 por unidade, e os custos invariáveis anuais para esse item de estoque são estimados em $ 150,00. Os custos de obtenção são de $ 25,00 por pedido. Calcule o custo total de estocagem para um lote de compra de 1.000. D = 40.000u/ano P = $2,00/unidade i = 24% a.a. Ca = $0,80/unidade Ci = $150,00 Cp = $25,00/pedido
  • 8.
    Referência • Cap. 07– O papel dos estoques na empresa. MARTINS, Petrônio. G.; ALT, Paulo. R. C. Administração de Materiais e Recursos Patrimoniais. 3. ed. São Paulo: Saraiva, 2009.
  • 9.
    O que veremos: Gestãode estoque Custo de estoque Níveis de estoque Classificação ABC Lote econômico Sistemas de controle de estoque Avaliação de estoques
  • 10.
  • 11.
    • A representaçãoda movimentação (entrada e saída) de um item dentro do sistema de estoque pode ser feita por um gráfico chamado dente de serra Esse ciclo será repe66vo e constante se: -Não exisQr alteração de consumo durante o tempo -Não ocorrerem falhas administraQvas -Fornecedor nunca atrasar -Nenhuma entrega for rejeitada pelo controle de qualidade Fonte: Dias (2012)
  • 12.
    • Essas quatropremissas sempre acontecem na prática? DEVE-SE CRIAR UM SISTEMA QUE ABSORVA ESSAS EVENTUALIDADES, PARA QUE NÃO OCORRA ESSE TIPO DE SITUAÇÃO: Fonte: Dias (2012)
  • 13.
    • Estoque desegurança • É preciso bastante critério e bom senso para dimensionar o estoque mínimo
  • 14.
    Tempo de reposição:ponto de pedido
  • 15.
    • Uma informaçãoimportante é o tempo de reposição (tempo gasto desde a verificação de que o estoque precisa ser reposto até a chegada efetiva do material) • Envolve três partes: • Emissão do pedido: tempo que leva desde a emissão do pedido de compra até ele chegar ao fornecedor • Preparação do pedido: tempo que leva o fornecedor para fabricar os produtos, separar os produtos, emitir faturamento e deixá-los em condições para o transporte • Transporte: tempo que leva da saída do fornecedor até o recebimento pela empresa
  • 16.
    • Quando umitem precisa de um novo suprimento? • Quando o estoque disponível (estoque existente + fornecimento em atraso + fornecimento não entregue, mas ainda dentro do prazo) estiver abaixo ou igual a determinada quantidade chamada de ponto de pedido (PP) • Esse fornecimento em atraso + fornecimento ainda não entregue pode ser chamado de saldo de fornecedores • O estoque disponível normalmente é chamado estoque virtual • Estoque em inspeção também pode ser incluído na soma • Assim, deve-se fazer um novo pedido quando o estoque virtual estiver abaixo ou igual à quantidade predeterminada
  • 17.
    • O pontode pedido pode ser determinado pela seguinte fórmula: Conclui-se, então, que o ponto de pedido é um indicador e, quando o estoque virtual alcançá-lo, deverá ser reposto o material, sendo que a quantidade de saldo em estoque suportaria o consumo durante o tempo de reposição Fonte: Dias (2012)
  • 18.
    • Exemplo Uma peçaé consumida a uma razão de 30 peças por mês, e seu tempo de reposição é de dois meses. Qual será o ponto de pedido, uma vez que o estoque mínimo deve ser de um mês de consumo?
  • 19.
    • Definições importantes •Consumo médio mensal (CM): quanjdade referente à média aritméjca das rejradas mensais de estoque (consumo dos úljmos seis meses) • Estoque médio (EM): nível médio de estoque em torno do qual as operações de compra e consumo se realizaram. Pode ser representado como Q/2, sendo Q a quanjdade que será comprada. Se considerarmos também o estoque mínimo:
  • 20.
    • Definições importantes •Estoque mínimo (E. Mn) ou estoque de segurança: quantidade morta, só sendo consumida em caso de necessidade • Intervalo de ressuprimento (IR): intervalo de tempo entre dois ressuprimentos • Estoque máximo: soma do estoque mínimo mais o lote de compra
  • 21.
  • 22.
    • A determinaçãodo estoque mínimo é uma importante informação para a administração de estoque • Também chamado de estoque de segurança • Definição: quantidade mínima que deve existir em estoque, que se destina a cobrir eventuais atrasos no ressuprimento • Como definir: alguns modelos matemáticos • Modelo do grau de risco • O modelo utiliza um fator de segurança com o qual se deseja garantia contra um risco de ruptura (proporcional ao grau de atendimento desejado para o item)
  • 23.
    • Exemplo Se quisermosque uma peça tenha um grau de atendimento de 90%, ou seja, queremos garantia de que somente em 10% das vezes o estoque dessa peça esteja a 0, sabendo que o consumo mensal é de 60 unidades, o estoque mínimo será:
  • 24.
  • 25.
    • Giro deestoque, ou rotatividade (R), é uma relação existente entre o consumo anual e o estoque médio do produto. Quantas vezes o estoque se renovou no período determinado • Pode ser expresso em “vezes”: por dia, por mês, ou por ano • Ex.: o consumo anual de um item foi de 800 unidades e o estoque médio, de 100 unidades, o giro seria: • Ou seja, o estoque girou 8 vezes ao ano • Representa um parâmetro fácil para a comparação de estoques entre empresas e entre classes de material
  • 26.
    O que veremos: Gestãode estoque Custo de estoque Níveis de estoque Classificação ABC Lote econômico Sistemas de controle de estoque Avaliação de estoques
  • 27.
    • A curvaABC é um importante instrumento para o administrador; ela permite identificar aqueles itens que justificam atenção e tratamento adequados quanto à sua administração • Método de priorização que facilita a análise de itens mais importantes ao processo • A curva ABC tem sido usada na Gestão de Estoques, para a definição de políticas de vendas, para o estabelecimento de prioridades, para a programação da produção e uma série de outros problemas usuais nas empresas
  • 28.
    • Por meioda Curva ABC é possível ordenar os itens em estoque conforme a sua importância relativa, tendo como base os valores de consumo anual (preço unitário x consumo anual) • Após a ordenação dos itens pela importância relativa, as classes da curva ABC podem ser definidas das seguinte maneiras • Classe A: Grupo de itens mais importantes que devem ser tratados com atenção especial (em geral, máximo de 20% dos itens) • Classe B: Grupo de itens em situação intermediária (30% dos itens) • Classe C: Grupo de itens menos importantes que justificam menos atenção (50% dos itens) • Essas porcentagens podem variar de caso para caso
  • 29.
    Aplicação e montagem •Definição do material • Coleta dos dados • Ordenação decrescente • Cálculo dos percentuais • Identificação da curva
  • 30.
    1. Coleta dos dados Materiais Preço un.Consumo anual (unidades) Valor consumo A 01 5,00 500 2.500,00 A 02 11,00 200 2.200,00 A 03 7,00 150 1.050,00 A 04 15,00 80 1.200,00 A 05 5,00 20 100,00 A 06 23,00 750 17.250,00 A 07 61,00 640 39.040,00 A 08 9,00 50 450,00 A 09 12,00 1020 12.240,00 A 10 5,00 950 4.750,00 A 11 7,00 800 5.600,00 A 12 58,00 400 23.200,00 A 13 24,00 600 14.400,00 A 14 52,00 800 41.600,00 A 15 4,70 1200 5.640,00 A 16 5,20 1100 5.720,00 A 17 6,75 1000 6.750,00 A 18 9,70 950 9.215,00 A 19 5,00 400 2.000,00 A 20 33,00 300 9.900,00 TOTAL 204.805,00 2. Ordenação decrescente Materiais Valor consumo A 14 41.600,00 A 07 39.040,00 A 12 23.200,00 A 06 17.250,00 A 13 14.400,00 A 09 12.240,00 A 20 9.900,00 A 18 9.215,00 A 17 6.750,00 A 16 5.720,00 A 15 5.640,00 A 11 5.600,00 A 10 4.750,00 A 01 2.500,00 A 02 2.200,00 A 19 2.000,00 A 04 1.200,00 A 03 1.050,00 A 08 450,00 A 05 100,00 TOTAL 204.805,00
  • 31.
    3. Atribuir valor percentual Materiais Valor consumo % A 1441.600,00 20,31% A 07 39.040,00 19,06% A 12 23.200,00 11,33% A 06 17.250,00 8,42% A 13 14.400,00 7,03% A 09 12.240,00 5,98% A 20 9.900,00 4,83% A 18 9.215,00 4,50% A 17 6.750,00 3,30% A 16 5.720,00 2,79% A 15 5.640,00 2,75% A 11 5.600,00 2,73% A 10 4.750,00 2,32% A 01 2.500,00 1,22% A 02 2.200,00 1,07% A 19 2.000,00 0,98% A 04 1.200,00 0,59% A 03 1.050,00 0,51% A 08 450,00 0,22% A 05 100,00 0,05% TOTAL 204.805,00 4. Acumular valor percentual Materiais Valor consumo % Valor % Valor Acum. A 14 41.600,00 20,31% 20,31% A 07 39.040,00 19,06% 39,37% A 12 23.200,00 11,33% 50,70% A 06 17.250,00 8,42% 59,12% A 13 14.400,00 7,03% 66,16% A 09 12.240,00 5,98% 72,13% A 20 9.900,00 4,83% 76,97% A 18 9.215,00 4,50% 81,47% A 17 6.750,00 3,30% 84,76% A 16 5.720,00 2,79% 87,55% A 15 5.640,00 2,75% 90,31% A 11 5.600,00 2,73% 93,04% A 10 4.750,00 2,32% 95,36% A 01 2.500,00 1,22% 96,58% A 02 2.200,00 1,07% 97,66% A 19 2.000,00 0,98% 98,63% A 04 1.200,00 0,59% 99,22% A 03 1.050,00 0,51% 99,73% A 08 450,00 0,22% 99,95% A 05 100,00 0,05% 100,00% TOTAL 204.805,00
  • 32.
    5. Atribuir item percentual Materiais Valor estoq %Valor % Valor Acum % Itens A 14 41.600,00 20,31% 20,31% 5,00% A 07 39.040,00 19,06% 39,37% 5,00% A 12 23.200,00 11,33% 50,70% 5,00% A 06 17.250,00 8,42% 59,12% 5,00% A 13 14.400,00 7,03% 66,16% 5,00% A 09 12.240,00 5,98% 72,13% 5,00% A 20 9.900,00 4,83% 76,97% 5,00% A 18 9.215,00 4,50% 81,47% 5,00% A 17 6.750,00 3,30% 84,76% 5,00% A 16 5.720,00 2,79% 87,55% 5,00% A 15 5.640,00 2,75% 90,31% 5,00% A 11 5.600,00 2,73% 93,04% 5,00% A 10 4.750,00 2,32% 95,36% 5,00% A 01 2.500,00 1,22% 96,58% 5,00% A 02 2.200,00 1,07% 97,66% 5,00% A 19 2.000,00 0,98% 98,63% 5,00% A 04 1.200,00 0,59% 99,22% 5,00% A 03 1.050,00 0,51% 99,73% 5,00% A 08 450,00 0,22% 99,95% 5,00% A 05 100,00 0,05% 100,00% 5,00% TOTAL 204.805,00 Valor consumo
  • 33.
    6. Acumular item percentual, separar por percentual de itens e comparar com o valor percentual Materiais Valor estoq % Valor% Valor Acum % Itens % Itens Acm A 14 41.600,00 20,31% 20,31% 5,00% 5,00% A 07 39.040,00 19,06% 39,37% 5,00% 10,00% A 12 23.200,00 11,33% 50,70% 5,00% 15,00% A 06 17.250,00 8,42% 59,12% 5,00% 20,00% A 13 14.400,00 7,03% 66,16% 5,00% 25,00% A 09 12.240,00 5,98% 72,13% 5,00% 30,00% A 20 9.900,00 4,83% 76,97% 5,00% 35,00% A 18 9.215,00 4,50% 81,47% 5,00% 40,00% A 17 6.750,00 3,30% 84,76% 5,00% 45,00% A 16 5.720,00 2,79% 87,55% 5,00% 50,00% A 15 5.640,00 2,75% 90,31% 5,00% 55,00% A 11 5.600,00 2,73% 93,04% 5,00% 60,00% A 10 4.750,00 2,32% 95,36% 5,00% 65,00% A 01 2.500,00 1,22% 96,58% 5,00% 70,00% A 02 2.200,00 1,07% 97,66% 5,00% 75,00% A 19 2.000,00 0,98% 98,63% 5,00% 80,00% A 04 1.200,00 0,59% 99,22% 5,00% 85,00% A 03 1.050,00 0,51% 99,73% 5,00% 90,00% A 08 450,00 0,22% 99,95% 5,00% 95,00% A 05 100,00 0,05% 100,00% 5,00% 100,00% Valor consumo 20% 30% 50%
  • 34.
    Materiais Valor estoq % Valor Acum %Itens Acm Classif A 14 41.600,00 20,31% 5,00% A A 07 39.040,00 39,37% 10,00% A A 12 23.200,00 50,70% 15,00% A A 06 17.250,00 59,12% 20,00% A A 13 14.400,00 66,16% 25,00% B A 09 12.240,00 72,13% 30,00% B A 20 9.900,00 76,97% 35,00% B A 18 9.215,00 81,47% 40,00% B A 17 6.750,00 84,76% 45,00% B A 16 5.720,00 87,55% 50,00% B A 15 5.640,00 90,31% 55,00% C A 11 5.600,00 93,04% 60,00% C A 10 4.750,00 95,36% 65,00% C A 01 2.500,00 96,58% 70,00% C A 02 2.200,00 97,66% 75,00% C A 19 2.000,00 98,63% 80,00% C A 04 1.200,00 99,22% 85,00% C A 03 1.050,00 99,73% 90,00% C A 08 450,00 99,95% 95,00% C A 05 100,00 100,00% 100,00% C 7. Classificação ABC Valor consumo 20% dos itens correspondem a 59,12% do valor 30% dos itens correspondem a 28,43% do valor 50% dos itens correspondem a 12,45% do valor
  • 35.
  • 36.
    0,00% 20,00% 40,00% 60,00% 80,00% 100,00% 120,00% A 14 A07 A 12 A 06 A 13 A 09 A 20 A 18 A 17 A 16 A 15 A 11 A 10 A 01 A 02 A 19 A 04 A 03 A 08 A 05 % Valor Acum.
  • 37.
  • 38.
    O que veremos: Gestãode estoque Custo de estoque Níveis de estoque Classificação ABC Lote econômico Sistemas de controle de estoque Avaliação de estoques
  • 39.
    • Quanto deveser comprado ou produzido de cada vez? • Lote econômico de compra e fabricação
  • 40.
    Lote econômico decompra (LEC) • Custo total de estocagem • Exemplo: O custo total de estocagem diminui até atingir um valor mínimo e cresce em seguida
  • 42.
    • O loteeconômico de compra se obtém quando a curva de custo do pedido é igual a reta do custo de carregamento Ou Cc • Note que o LEC independe dos custos independentes e do custo de aquisição (DxP) Sendo: Cp: Custo de aquisição/obtenção – R$/pedido D: Demanda ou consumo CA: Custo de armazenagem Cc: Custo de carregamento – R$/unidade.ano(mês etc.) i: taxa de juros correntes P: preço de compra do item
  • 43.
    • Exemplo: A empresaVendeMais vende um produto cuja demanda anual é de 40.000 unidades. O custo de emissão de um pedido de compra é de R$30 por pedido. Os custos anuais de manutenção dos estoques, também conhecidos como custo de carregamento, são de R$0,30/unidade. Sabendo-se que os custos independentes para esse item são de R$50/ano e que o preço de compra do item é R$0,18/unidade, calcule o LEC.
  • 44.
    • Exemplo: A empresaVendeMais vende um produto cuja demanda anual é de 40.000 unidades. O custo de emissão de um pedido de compra é de R$30 por pedido. Os custos anuais de manutenção dos estoques, também conhecidos como custo de carregamento, são de R$0,30/unidade. Sabendo-se que os custos independentes para esse item são de R$50/ano e que o preço de compra do item é R$0,18/unidade, calcule o LEC. LEC = 2.828,43. Deve ser arredondado: 2.830
  • 45.
    Lote Econômico deFabricação (LEF) • Muito semelhante ao Lote Econômico de Compra. Mas para o LEC assume-se que todo o lote é entregue de uma só vez, isto é, nada está sendo consumido enquanto o lote está sendo entregue. • Se aplica quando uma empresa, normalmente manufatureira, fabrica internamente itens, peças ou componentes utilizados em outra parte do processo produtivo • Pode-se considerar três casos: • V>D (velocidade com que a peça é fabricada – ou cadência de fabricação – é maior que a demanda • Nesse caso, há acúmulo de peças e justifica-se o lote de fabricação • V=D (velocidade igual a demanda com que é consumida) • Como não há acúmulo, não faz sentido falar em lote de fabricação • V<D (velocidade de fabricação menor que a demanda) • Não existe formação de lote. A empresa deverá comprar de terceiros
  • 46.
    • Vamos passarentão à dedução do LEF • Vamos considerar que enquanto as peças estão sendo fabricadas elas estão simultaneamente sendo consumidas • Precisamos saber o tempo (t) para produzir o lote (Q) • Por outro lado, durante o tempo t gasto na fabricação do lote, haverá um consumo do item na montagem do produto final. • Sendo C o consumo do item durante o tempo t em que o lote Q é fabricado e D a demanda do item, o consumo será de: • No intervalo de tempo t o estoque acumulado será: Q – C. • E o estoque médio correspondente será: Q = lote V = velocidade
  • 47.
    • Essa equaçãopode ser reescrita: • Assim, o estoque médio é igual: • A expressão que, de modo similar ao lote de compras, calcula os custos totais (CT) decorrentes da existência de estoques será: • O lote Q que minimiza o CT é denominado Lote Econômico de Fabricação. Sendo Cp o custo de preparação para as ordens de fabricação, P o custo de fabricação do item C = Q/V x D
  • 48.
    • Cp: Custode preparação para as ordens de fabricação (custo de emissão das ordens de fabricação mais custos de preparação das máquinas) • D: Demanda • Ca: Custo de armazenagem • P: Custo de fabricação do item • V: Velocidade de produção
  • 49.
    • Exemplo Uma empresamanufatureira produz uma peça usinada que é utilizada na fabricação de seu produto final, cuja demanda mensal é de 2.500 unidades. A peça é fabricada a um custo unitário de $ 1,50 em um centro de usinagem, a uma cadência de 300 unidades por hora. O custo de programação do centro de usinagem para a fabricação da peça é estimado em $ 25,00 por preparação. Os demais custos de emissão da ordem de fabricação são estimados em $ 8,00 por ordem. A empresa trabalha em média 20 dias por mês em um único turno de 8 horas. O custo do capital imobilizado em estoque é de 2,5% ao mês, e os custos mensais de armazenagem são de $ 0,10 por unidade. Determinar o lote econômico de fabricação.
  • 50.
    D = 2.500un./mês P= R$1,50/un. V = 300 un./hora à 300*8*20 = 48.000 un./mês Cp = R$25/preparação + R$8/ordem = R$33/preparação i = 2,5% a.m Ca = 0,10/un. = 1.125,14 Ou, arredondando, 1.1130 un./lote, ou também 1.120 un./lote
  • 51.
    Referência • Cap. 09– Lote econômico de compra e fabricação. MARTINS, Petrônio. G.; ALT, Paulo. R. C. Administração de Materiais e Recursos Patrimoniais. 3. ed. São Paulo: Saraiva, 2009.
  • 52.
    O que veremos: Gestãode estoque Custo de estoque Níveis de estoque Classificação ABC Lote econômico Sistemas de controle de estoque Avaliação de estoques
  • 53.
    • A formacomo a empresa administra seu estoque define a estrutura dos modelos de estoque, isto é, modelos que procuram responder às perguntas: quando e quanto comprar • Existem alguns modelos de estoque: • Modelo de reposição periódica • Sistema de duas gavetas
  • 54.
    Modelo de ReposiçãoPeriódica • Também chamado de modelo do intervalo padrão, ou modelo do estoque máximo • Consiste em emitir os pedidos de compra em lotes em intervalos de tempos fixos Sistema de Duas Gavetas • É o mais simples para controlar estoque. Por isso, recomenda-se sua utilização para os itens classe C (da curva ABC) • Uso bastante difundido em revendedores de autopeças e no comércio varejista de pequeno porte • O modelo da reposição contínua também é conhecido como Sistema de Duas Gavetas
  • 55.
    • O estoqueque inicia o processo é armazenado nessas duas caixas ou gavetas. • A caixa A tem uma quantidade de material suficiente para atender ao consumo durante o tempo de reposição, mais o estoque de segurança. • A caixa B possui um estoque equivalente ao consumo previsto. As requisições são atendidas pelo estoque da caixa B • Quando a caixa B chega a 0, deve ser providenciada a reposição • Para não interromper o atendimento, passa-se a utilizar a caixa A • Quando o material chegar, deve-se completar o nível de estoque da caixa A, e o saldo completar a caixa B
  • 56.
    MRP (planejamento dasnecessidades de materiais) • A globalização da economia vem produzindo significativas mudanças na forma de condução dos negócios • O sistema MRP se preocupa basicamente com o dimensionamento correto do estoque • Com o apoio da evolução da informática, o sistema tem possibilitado bons resultados
  • 57.
    MRP – Planejamentodas necessidades de materiais • É um sistema computadorizado de informações desenvolvido especificamente para auxiliar fabricantes a administrar estoque de demanda dependente e programar pedidos de reposição • Demanda dependente: itens que fazem parte de outro ou que irão se transformar em outro. Depende de outro (pai) • Sistema que se propõe a definir as quantidades necessárias e o tempo exato para utilização dos materiais na fabricação dos produtos finais • Principais inputs de um sistema MRP • Plano mestre de produção (MPS): detalha quantos itens finais serão fabricados em períodos específicos • Banco de dados da lista de materiais: registro de todos os componentes do produto e das quantidades de uso • Banco de dados de registro de estoque • Com essas informações, o sistema identifica as ações que os planejadores devem tomar para cumprir o cronograma, como liberar novos pedidos de produção, ajustar quantidade de pedidos e acelerar pedidos atrasados
  • 58.
    Previsão de VendasPedidos de Clientes Programa Mestre de Produção Lista de Materiais Programa MRP Gestão de Estoques Saídas e Relatórios
  • 59.
    MRP II –Planejamento dos Recursos da Manufatura • Assim como o MRP, o MRP II baseia-se na lógica do cálculo de necessidades, cujo objetivo principal é o planejamento da compra e produção de itens componentes para que ocorram nas quantidades e momentos necessários, sem faltas ou excessos • O MRP II estende o conceito do MRP, permitindo a integração do planejamento financeiro com o operacional • Auxilia os planejadores avaliar a viabilidade dos planos de produção em relação às restrições de recursos da empresa
  • 60.
    O que veremos: Gestãode estoque Custo de estoque Níveis de estoque Classificação ABC Lote econômico Sistemas de controle de estoque Avaliação de estoques
  • 61.
    • A avaliaçãoadequada dos materiais recebidos e localizados no estoque é uma questão importante para a contabilidade • Quais elementos deveriam ser incluídos na avaliação dos materiais? • Alguns elementos possuem custo visível (ex.: preço de fatura dos materiais, custos de transporte, por exemplo) • Outros custos são de natureza menos tangível (recebimento, desembalagem, inspeção...) • Por questões de praticidade, a maioria das empresas limita-se a computar os custos visíveis (preço de fatura dos materiais, despesas de transporte) • Todas as formas de registro de estoque objetivam controlar a quantidade de materiais em estoque, tanto o volume físico quanto o financeiro Introdução
  • 62.
    Como fazer? • Aavaliação de estoque anual deve ser realizada em termos de PREÇO (de custo ou de mercado – o menor entre eles), para proporcionar avaliação exata e informações financeiras atualizadas • Preço de mercado: aquele pelo qual a matéria-prima é comprada • Preço de custo: custo de fabricação do produto, no caso de materiais de fabricação própria • A avaliação dos estoques inclui: • O valor das mercadorias e dos produtos em fabricação ou acabados • A avaliação dos estoques pode ser feita pelos seguintes métodos: • Custo médio • PEPS (FIFO) • UEPS (LIFO)
  • 63.
    Custo médio • Éa mais frequente • Equilibra as flutuações de preço e, a longo prazo, reflete os custos reais das compras de material • Tem por base o preço de todas as retiradas, ao preço médio do suprimento total do item Movimentos de estoque: 31/07:Tinha um estoque de 10u a R$ 12,00 1/08: comprei 100u a R$ 15,00 através da NF 452 5/08: comprei 150u a R$ 20,00 através da NF 513 9/08: vendi 180u a R$ 50,00 através da NF 5269 Histórico Entradas Saídas Saldos Dia NF Qtdd Valor u Valor tot Qtdd Valor u Valor tot Qtd d Valor u Valor Tot 31/07 10 12,00 120,00 1/08 100 15,00 1.500,00 10 100 110 12,00 15,00 14,7273 120,00 1.500,00 1.620,00 5/08 150 20,00 3.000,00 110 150 260 14,7273 20,00 17,7692 1.620,00 3.000,00 4.620,00 9/08 180 17,7692 3.198,46 80 17,7692 1.421,54 Final 250 4.500,00 180 3.198,46 80 17,7692 1.421,54
  • 64.
    PEPS (FIFO) – Primeiroa Entrar, Primeiro a Sair • A avaliação é feita pela ordem cronológica das entradas – Sai o material que primeiro integrou o estoque. • Os estoques são mantidos em contas do ativo, com valores aproximados dos preços atuais de mercado Histórico Entradas Saídas Saldos Data NF Qtdd Valor u Valor tot Qtdd Valor u Valor tot Qtdd Valor u Valor Tot 31/07 10 12,00 120,00 1/08 452 100 15,00 1.500,00 10 100 110 12,00 15,00 120,00 1.500,00 1.620,00 5/08 513 150 20,00 3.000,00 10 100 150 260 12,0 15,00 20,00 120,00 1.500,00 3.000,00 4.620,00 9/08 5269 10 100 70 12,00 15,00 20,00 120,00 1.500,00 1.400,00 80 20,00 1.600,00 Final 250 4.500,00 180 3.020,00 80 20,00 1.600,00
  • 65.
    UEPS (LIFO) – Últimoa Entrar, Primeiro a Sair • Devem, em primeiro lugar, sair as últimas peças que deram entrada no estoque, o que faz com que o estoque seja avaliado ao preço das últimas entradas • Mais adequado em períodos inflacionários, pois uniformiza o preço dos produtos em estoque para venda no mercado consumidor Histórico Entradas Saídas Saldos Dia NF Qtdd Valor u Valor tot Qtdd Valor u Valor tot Qtdd Valor u Valor Tot 31/07 10 12 120,00 1/08 452 100 15,00 1.500,00 10 100 110 12,00 15,00 120,00 1.500,00 1.620,00 5/08 513 150 20,00 3.000,00 10 100 150 260 12,00 15,00 20,00 120,00 1.500,00 3.000,00 4.620,00 9/08 5269 150 30 20,00 15,00 3.000,00 450,00 10 70 12,00 15,00 120,00 1.050,00 Final 250 4.500,00 180 3.450,00 80 1.170,00
  • 66.
    Comparação • O PEPSanalisa o estoque pela ordem cronológica das entradas. O custo do material fica mais longe da realidade. O CMV é menor, o que aumenta inicialmente o lucro. • O UEPS analisa o estoque pela ordem inversa das entradas. O custo do material fica mais próximo da realidade. O CMV é maior, o que diminui inicialmente o lucro. • A Média Ponderada analisa o estoque pela média das entradas. O custo do material fica mais ou menos próximo da realidade. O CMV é médio, o que resulta num lucro médio. • Obs.: para fins fiscais, o UEPS não pode ser utilizado. Apenas para fins gerenciais
  • 67.
    Leitura para asemana • Cap 02 – Dimensionamento e controle de estoques. DIAS, Marco Aurélio. Administração de Materiais: uma abordagem logística. 7. ed. São Paulo: Atlas, 2019