1
INSTALAÇÕES
ELÉTRICAS
DE BAIXA TENSÃO
(para Engenharia Civil e Arquitetura)
Eng. Eletr. Moisés RL Carvalho
MSc Eng. Elétrica - IME
e-mail: moisesrlc@gmail.com
Versão: v18
2
Sumário
UTILIZAÇÃO DESTA APOSTILA ..............................................................................................10
CARACTERÍSTICAS NOMINAIS DOS EQUIPAMENTOS ELÉTRICOS............................11
Equipamentos MONOFÁSICOS (ou BIFÁSICOS).......................................................................11
Equipamentos TRIFÁSICOS..........................................................................................................12
SIMBOLOGIA E CONVENÇÕES ................................................................................................13
Dutos e distribuição ........................................................................................................................13
Quadros de distribuição ..................................................................................................................14
Interruptores....................................................................................................................................14
Luminárias ......................................................................................................................................15
Tomadas e pontos de utilização ......................................................................................................15
ESQUEMAS FUNDAMENTAIS DE LIGAÇÕES.......................................................................16
PROJETO.........................................................................................................................................22
Análise Inicial .................................................................................................................................22
Caracterização do fornecimento de energia....................................................................................22
PREVISÃO DE CARGA.................................................................................................................23
Iluminação.......................................................................................................................................23
Marcação dos pontos de luz............................................................................................................23
Pontos de tomada ............................................................................................................................24
Número de pontos de tomada......................................................................................................24
Potências atribuíveis aos pontos de tomada ................................................................................24
Aquecimento elétrico de água .....................................................................................................25
DIVISÃO DA INSTALAÇÃO EM SETORES / CENTRO DE CARGA...................................27
Recomendações da NBR 5410:2004 ..............................................................................................27
Outras Recomendações...................................................................................................................27
Centro de Carga ..............................................................................................................................27
SELEÇÃO E DIMENSIONAMENTO DOS CONDUTORES ....................................................28
Seção mínima..................................................................................................................................28
Condutor Fase..............................................................................................................................28
Condutor Neutro..........................................................................................................................28
Condutor de Proteção ..................................................................................................................29
Cores dos Condutores..................................................................................................................31
Capacidade de condução de corrente..............................................................................................31
3
Tipos de linhas elétricas ..............................................................................................................33
Número de condutores carregados ..............................................................................................39
Tabelas de capacidade de condução de corrente .........................................................................39
Os fatores de correção .................................................................................................................43
Queda de tensão ..............................................................................................................................48
Tabelas de resistência elétrica e reatância indutiva.....................................................................51
Sobrecarga.......................................................................................................................................52
SELEÇÃO E DIMENSIONAMENTO DAS PROTEÇÕES........................................................54
Disjuntores de baixa tensão ............................................................................................................54
Características Nominais .............................................................................................................54
Curva B e C para disjuntores.......................................................................................................55
Dimensionamento........................................................................................................................55
Exemplos de quadros de disjuntores ...........................................................................................56
Advertência para Quadros de Distribuição.....................................................................................57
SELEÇÃO E DIMENSIONAMENTO DOS ELETRODUTOS..................................................58
Considerações iniciais.....................................................................................................................58
Cálculo da ocupação de um eletroduto ...........................................................................................61
Curvas e caixas ...............................................................................................................................62
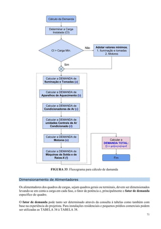
CÁLCULO DA DEMANDA ...........................................................................................................64
Previsão de Carga ...........................................................................................................................64
Determinação da Demanda.............................................................................................................66
Previsão de Carga para Força Motriz..............................................................................................69
Dimensionamento de Alimentadores..............................................................................................71
Quadros trifásicos........................................................................................................................72
Quadros bifásicos ........................................................................................................................73
DIMENSIONAMENTO DE ENTRADAS INDIVIDUAIS..........................................................74
Tipos de fornecimento.................................................................................................................74
Fornecimento tipo A1, A2, B1 e B2............................................................................................74
Fornecimento tipo A3..................................................................................................................75
Fornecimento do tipo C1 a C20...................................................................................................75
ANEXO A – COMPONENTES DO ATERRAMENTO DE PROTEÇÃO................................76
Equipotencialização ........................................................................................................................76
O terminal de aterramento principal ...............................................................................................76
Os condutores de proteção, ligação equipotencial e aterramento...................................................79
Configurações dos condutores de proteção principais....................................................................80
Aterramento ....................................................................................................................................81
4
ANEXO B – DISPOSITIVOS DR..................................................................................................82
Conceitos básicos............................................................................................................................82
Atuação ...........................................................................................................................................82
Tipos de Dispositivos DR...............................................................................................................83
Dispositivo DR ou Interruptor DR ..............................................................................................83
Disjuntor DR................................................................................................................................83
Módulos DR ................................................................................................................................83
Princípio de proteção das pessoas...................................................................................................84
Esquemas de ligação.......................................................................................................................85
Obrigatoriedade de utilização de dispositivos DR..........................................................................86
ANEXO C- CÁLCULO LUMINOTÉCNICO...............................................................................87
Definições .......................................................................................................................................87
Fluxo luminoso () ......................................................................................................................87
Iluminância (E)............................................................................................................................87
Eficiência energética....................................................................................................................88
Índice de Reprodução de Cores...................................................................................................88
Temperatura de Cor.....................................................................................................................89
Fator de Depreciação...................................................................................................................89
Vida Útil ......................................................................................................................................89
Curva de Distribuição Luminosa.................................................................................................90
Refletância (Fator de Reflexão)...................................................................................................90
Roteiro de Cálculo ..........................................................................................................................91
BIBLIOGRAFIA..............................................................................................................................95
5
Lista de Tabelas
TABELA 1: Simbologia para dutos e distribuição............................................................................13
TABELA 2: Simbologia para quadros de distribuição......................................................................14
TABELA 3: Simbologia para interruptores.......................................................................................14
TABELA 4: Simbologia para luminárias ..........................................................................................15
TABELA 5: Simbologia para tomadas e pontos de utilização..........................................................15
TABELA 6: Seções mínimas dos condutores isolados .....................................................................28
TABELA 7: Seção do condutor neutro .............................................................................................29
TABELA 8: Seções mínimas dos condutores de proteção................................................................30
TABELA 9: Tipos de Linhas Elétricas..............................................................................................33
TABELA 10: Número de condutores carregados..............................................................................39
TABELA 11: Capacidades de condução de corrente, em amperes, para os métodos de referência
A1, A2, B1, B2, C e D da TABELA 9 (Isolação: PVC, condutor de cobre) ....................................39
TABELA 12: Capacidades de condução de corrente, em amperes, para os métodos de referência
A1, A2, B1, B2, C e D da TABELA 9 (Isolação: EPR ou XLPE, condutor de cobre).....................40
TABELA 13: Capacidades de condução de corrente, em amperes, para os métodos de referência E,
F, G da TABELA 9 (Isolação: PVC, condutor de cobre)..................................................................41
TABELA 14: Capacidades de condução de corrente, em amperes, para os métodos de referência E,
F, G da TABELA 9 (Isolação: EPR ou XLPE, condutor de cobre) ..................................................42
TABELA 15: Fatores de correção para temperaturas ambientes diferentes de 30ºC para linhas não
subterrâneas e de 20ºC (temperatura do solo para linhas subterrâneas).............................................43
TABELA 16: Fatores de correção para cabos contidos em eletrodutos enterrados no solo, com
resistividades térmicas diferentes de 2,5 k.m/W, a serem aplicados às capacidades de condução de
corrente do método de refe-rência D..................................................................................................44
TABELA 17: Fatores de correção aplicáveis a condutores agrupados em feixe (em linhas abertas ou
............................................................................................................................................................45
TABELA 18: Fatores de agrupamento para mais de um circuito cabos unipolares ou cabos
multipolares diretamente enterrados (método de referência D, da TABELA 9)...............................47
TABELA 19: Fatores de agrupamento para mais de um circuito cabos em eletrodutos diretamente
enterrados (método de referência D na TABELA 9). Cabos multipolares em eletrodutos - 1 cabo
por eletroduto .....................................................................................................................................47
TABELA 20: Fatores de agrupamento para mais de um circuito cabos em eletrodutos diretamente
enterrados (método de referência D na TABELA 9). Cabos unipolares em eletrodutos - 1 cabo por
eletroduto............................................................................................................................................48
6
TABELA 21: Resistência elétrica e reatâncias indutivas de fios e cabos isolados em PVC, EPR e
XLPE em condutos fechados (valores em Ω/km) ............................................................................51
TABELA 22: Taxa de ocupação em eletrodutos...............................................................................58
TABELA 23: Conversão entre “diâmetro nominal” e “polegadas” para eletrodutos. ......................59
TABELA 24: Dimensões dos cabos Nexans.....................................................................................59
TABELA 25: Dimensões dos eletrodutos de PVC rígido TIGRE ....................................................60
TABELA 26: Dimensões dos eletrodutos corrugado TIGREFLEX .................................................60
TABELA 27: Dimensões dos eletrodutos corrugado reforçado TIGREFLEX................................60
TABELA 28: Eletroduto Rígido de Aço-Carbono sem Costura (NBR 5597) .................................61
TABELA 29: Eletroduto Rígido de PVC Tipo Soldável (NBR 6150)..............................................62
TABELA 30: Eletroduto Rígido de PVC Tipo Roscável (NBR 6150).............................................62
TABELA 31: Potências Médias de Aparelhos Eletrodomésticos e de Aquecimento .......................64
TABELA 32: Potências Nominais de Condicionadores de Ar Tipo Janela......................................65
TABELA 33: Potência média dos equipamentos de informática......................................................66
TABELA 34: a = demanda de iluminação e tomadas .......................................................................67
TABELA 35: b = demanda dos aparelhos para aquecimento (chuv., aquec., fornos, etc.)...............68
TABELA 36: c = demanda para condicionadores de ar....................................................................68
TABELA 37: d = demanda dos motores elétricos.............................................................................69
TABELA 38: e = demanda das máquinas de solda a transformador e aparelhos de Raio-X............69
TABELA 39: f = demanda dos aparelhos de Raio-X........................................................................69
TABELA 40: Dimensionamento de entradas individuais.................................................................74
TABELA 41: Seções mínimas de condutores de aterramento enterrados no solo............................81
TABELA 42: Temperatura de cor.....................................................................................................89
TABELA 43: Refletâncias das diversas cores...................................................................................90
TABELA 44: Iluminâncias por classe de tarefa visual .....................................................................91
TABELA 45: Fatores determinantes da iluminação adequada .........................................................91
7
Lista de Figuras
FIGURA 1: Equipamento elétrico genérico......................................................................................11
FIGURA 2: Ponto de luz e interruptor de uma seção........................................................................16
FIGURA 3: Ponto de luz, interruptor de uma seção e tomada baixa ................................................16
FIGURA 4: Ponto de luz no teto, arandela e interruptor de duas seções..........................................17
FIGURA 5: Dois pontos de luz comandados por um interruptor de duas seções.............................17
FIGURA 6: Dois pontos de luz comandados por um interruptor de duas seções.............................17
FIGURA 7: Dois pontos de luz comandados por um interruptor de duas seções e tomada. ............18
FIGURA 8: Lâmpada comandada por interruptor de uma seção, pelo qual chega alimentação. .....18
FIGURA 9: Duas lâmpadas acesas por um interruptor de duas seções, pelo qual chega a
alimentação.........................................................................................................................................18
FIGURA 10: Duas lâmpadas comandadas por interruptores independentes, de uma seção cada. ...19
FIGURA 11: Lâmpada comandada por three-way............................................................................19
FIGURA 12: . Lâmpada comandada por three-way..........................................................................19
FIGURA 13: Lâmpada comandada por three-way............................................................................20
FIGURA 14: Lâmpada comandada por three-way e four-way. ........................................................20
FIGURA 15: Lâmpada comandada por three-way e four-way. ........................................................21
FIGURA 16: Marcação de pontos de luz ..........................................................................................23
FIGURA 17: Configuração mínima de TUG’s para banheiro. .........................................................25
FIGURA 18: Configuração mínima de TUG’s para cozinha (perímetro = 11,6 m) e área de serviço
(perímetro = 10,7 m). .........................................................................................................................25
FIGURA 19: Configuração mínima de TUG’s para dependência tipo quarto (área = 11,2 m2
e
perímetro = 13,8m).............................................................................................................................26
FIGURA 20: Cores dos concutores...................................................................................................31
FIGURA 21: Fluxograma para dimencionamento de condutores.....................................................32
FIGURA 22: Distribuição das quedas de tensão – Entrada em BT ..................................................49
FIGURA 23: Distribuição das quedas de tensão – Entrada em MT .................................................49
FIGURA 24: Corrente nominal dos disjuntores................................................................................53
FIGURA 25: Disjuntores de BT........................................................................................................55
FIGURA 26: Exemplos de montagens de quadros de disjuntores – Bifásico e Monofásico............56
8
FIGURA 27: Exemplos de montagens de quadros de disjuntores Bifásico com DR. ......................56
FIGURA 28: Exemplos de montagens de quadros de disjuntores Triifásico com DR. ....................56
FIGURA 29: Exemplo de montagem de Quadro de Distribuição.....................................................57
FIGURA 30: Taxa de ocupação de eletrodutos.................................................................................58
FIGURA 31: Eletroduto corrugado...................................................................................................60
FIGURA 32: Curvas e caixas em linhas de eletrodutos....................................................................63
FIGURA 33: Fluxograma para cálculo de damanda.........................................................................71
FIGURA 34: Equipotencialização.....................................................................................................77
FIGURA 35: Equipotencialização (** Detalhe A)............................................................................77
FIGURA 36: Equipotencialização.....................................................................................................78
FIGURA 37: Barramento de Equipotencialização Principal (BEP) .................................................79
FIGURA 38: Exemplo de configuração dos condutores de proteção ...............................................80
FIGURA 39: Exemplo de configuração dos condutores de proteção ...............................................80
FIGURA 40: Exemplo de configuração dos condutores de equipotencialidade...............................80
FIGURA 41: Exemplo de configuração dos condutores de equipotencialidade...............................81
FIGURA 42: Contato direto..............................................................................................................82
FIGURA 43: Contato indireto...........................................................................................................82
FIGURA 44: Dispositivo DR (interruptor DR).................................................................................83
FIGURA 45: Disjuntor DR ...............................................................................................................83
FIGURA 46: Módulo DR..................................................................................................................83
FIGURA 47: Gráfico com zonas tempo x corrente e os efeitos sobre as pessoas (percurso mão
esquerda ao pé)...................................................................................................................................84
FIGURA 48: Esquemas de ligação dos dispositivos DR ..................................................................85
FIGURA 49: Esquemas de ligação dos dispositivos DR ..................................................................85
FIGURA 50: Exigência de dispositivos DR......................................................................................86
Figura 51: Fluxo luminoso.................................................................................................................87
Figura 52: Iluminância .......................................................................................................................87
Figura 53: Eficiência energética.........................................................................................................88
Figura 54: Índice de Reprodução de Cores (𝑅𝑎 ou IRC)...................................................................88
9
Figura 55: Curva de distribuição de Intensidades Luminosas no plano transversal e longitudinal para
uma lâmpada fluorescente isolada (A) ou associada a um refletor (B)..............................................90
Figura 56: Representação do pé-direito útil .......................................................................................92
FIGURA 57: Exemplo de tabela para determinação da eficiência do rescinto.................................92
FIGURA 58: Cálculo da quantidade de luminárias...........................................................................93
FIGURA 59: Distribuição de luminárias...........................................................................................93
Figura 60: Luminária TCS 312 da Philips .........................................................................................94
Figura 61: Fatores de utilização – TCS 312 – 2xTLD 32W ..............................................................94
10
UTILIZAÇÃO DESTA APOSTILA
Esta apostila foi elaborada originalmente para auxiliar no ensino de instalações elétricas aos alunos dos cursos de
engenharia civil, arquitetura e computação. Entretanto, sua utilização adapta-se muito bem ao ensino aplicado aos alunos
de quaisquer cursos técnicos e tecnológicos.
Seu conteúdo consiste em simplificações e adaptações adequadas àqueles que não estão totalmente afeitos aos
fundamentos da engenharia elétrica e que querem, de forma rápida e simplificada, dimensionar circuitos, equipamentos e
dispositivos para este tipo de instalação.
As simplificações aqui adotadas podem ser empregadas para instalações residenciais simples e comerciais de pequeno
porte. Todas estas simplificações foram elaboradas com base no que é permitido pela NBR-5410 e devem ser sempre
verificadas por um engenheiro eletricista.
11
CARACTERÍSTICAS NOMINAIS DOS EQUIPAMENTOS
ELÉTRICOS
 Corrente Nominal (𝐼 𝑁): corrente demandada pelo equipamento e cujo valor é especificado
pelo fabricante. É dada em Amperes A.
 Tensão Nominal (𝑉𝑁): tensão de operação de um equipamento cujo valor é especificado
pelo fabricante. Serve de referência para seu funcionamento. É especificada em Volts (V).
 Potência Nominal (𝑆 𝑁 ou 𝑃 𝑁): potência (Aparente ou Ativa) de entrada do equipamento,
quando o este funciona em sob tensão e frequência nominais, temperatura e carga normais.
É dada em Volt-Ampere (VA), potência aparente, ou em Watts (W), potência ativa.
 Frequência: frequência da rede elétrica para a qual o equipamento foi projetado para
trabalhar e a qual são referidas as outras grandezas elétricas. Geralmente são utilizadas as
frequências de 50Hz ou 60Hz. No caso do Brasil, a frequência utilizada é de 60Hz. (Hz,
Hertz).
No caso dos MOTORES a potência nominal indicada na placa é a potência mecânica útil no
eixo do rotor, normalmente dada em kW ou em CV, ou seja, é a POTÊNCIA DE SAÍDA (𝑃′ 𝑁) no
seu eixo. Neste caso deve ser considerado o rendimento (η), que também é especificado pelo
fabricante, e é dado pela razão entre a potência de saída e a potência de entrada:
𝜂 =
𝑃𝑠𝑎í𝑑𝑎
𝑃𝑒𝑛𝑡𝑟𝑎𝑑𝑎
=
𝑃′ 𝑁
𝑃 𝑁
O Fator de Potência (FP ou 𝑐𝑜𝑠(𝜙) ) é definido como a razão entre a potência ativa e a
potência aparente:
𝑐𝑜𝑠(𝜙) =
𝑃 𝑁
𝑆 𝑁
A figura a seguir representa um equipamento elétrico genérico:
FIGURA 1: Equipamento elétrico genérico
As diversas variáveis elétricas se relacionam como apresentado a seguir.
Equipamentos MONOFÁSICOS (ou BIFÁSICOS)
𝑃 𝑁 = 𝑉𝑁 𝐼 𝑵cos𝜙
 Equipamentos MONOFÁSICOS: 𝑉𝑁 é a tensão entre fase e neutro.
Equipamento
Elétrico
cos(𝜙) , 𝜂
𝑉𝑁, 𝐼 𝑁, 𝑆 𝑁 𝑜𝑢 𝑃 𝑁
𝑃′ 𝑁
12
 Equipamentos BIFÁSICOS: 𝑉𝑁 é a tensão entre fase e fase.
𝑆 𝑁 = 𝑉𝑁 𝐼 𝑁
𝐼 𝑁 =
𝑃 𝑁
𝑉𝑁cos𝜙
Lembre-se que, para o caso dos motores elétricos, a potência de placa (ou potência nominal)
é a potência de saída (potência mecânica). Portanto:
𝐼 𝑁 =
𝑃 𝑁
𝑉𝑁cos𝜙
=
𝑃 𝑁
𝜂⁄
𝑉𝑁cos𝜙
=
𝑃′ 𝑁
𝑉𝑁 𝜂cos𝜙
Equipamentos TRIFÁSICOS
𝑃 𝑁 = √3𝑉𝑁 𝐼 𝑵cos𝜙
 𝑉𝑁 é a tensão entre fases.
𝑆 𝑁 = √3𝑉𝑁 𝐼 𝑁
𝐼 𝑁 =
𝑃 𝑁
√3𝑉𝑁cos𝜙
Novamente, lembre-se que, para o caso dos motores elétricos tem-se:
𝐼 𝑁 =
𝑃 𝑁
√3𝑉𝑁cos𝜙
=
𝑃 𝑁
𝜂⁄
√3𝑉𝑁cos𝜙
=
𝑃′ 𝑁
√3𝑉𝑁 𝜂cos𝜙
 𝜂 é o rendimento do motor.
_________________________________________________________________________
No caso dos MOTORES ELÉTRICOS deve-se também ter sempre em mente as seguintes
relações:
1 𝑐𝑣 = 735,5𝑊
1 𝐻𝑃 = 745,7𝑊
1 𝑐𝑣 = 0,98632𝐻𝑃
1 𝐻𝑃 = 1,0138697𝑐𝑣
13
P
SIMBOLOGIA E CONVENÇÕES
Dutos e distribuição
TABELA 1: Simbologia para dutos e distribuição
Símbolo Significado Observações
Eletroduto embutido no teto
ou parede. Só indicar a dimensão dos
eletrodutos menos comuns na
instalação. O mais comum
para cada caso tem a sua
dimensão indicada na
legenda.
Eletroduto embutido no piso.
Tubulação para telefone
externo.
Tubulação para telefone
interno.
Tubulação para campainha,
som, anunciador, ou outro
sistema.
Condutor fase, neutro, de
retorno e de proteção
respectivamente, no interior
do eletroduto.
Cada traço representa um
condutor. Indicar o no
do
circuito e a designação do
retorno por uma letra
minúscula.
Caixa de passagem no piso.
Indicar dimensões na legenda
ou junto à caixa (em mm).
Caixa de passagem no teto.
Caixa de passagem na
parede.
Circuito que sobe
Circuito que desce
Circuito que passa subindo
Circuito que passa descendo
a
no
P
P
14
Quadros de distribuição
TABELA 2: Simbologia para quadros de distribuição
Símbolo Significado Observações
Quadro terminal de luz e
força aparente.
Indicar as cargas de luz e
força no quadro de cargas.
Quadro terminal de luz e
força embutido.
Quadro geral de luz e força
aparente.
Quadro geral de luz e força
embutido.
Caixa de telefone.
Interruptores
TABELA 3: Simbologia para interruptores
Símbolo Significado Observações
Interruptor de uma seção.
A(s) letra(s) minúscula(s)
indica(m) o(s) ponto(s)
comandado(s).
Interruptor de duas seções.
Interruptor de três seções.
Interruptor paralelo
(tree-way).
Interruptor intermediário
(four-way).
Botão de minuteria.
Botão de campainha na
parede.
a
M
S
a
ba
ba
c
a
a
2
S
a,b
3
S
a,b,c
3w
S
a
4w
S
a
15
Luminárias
TABELA 4: Simbologia para luminárias
Símbolo Significado Observações
Ponto de luz no teto.
C = circuito;
R = retorno;
P = potência.
Para luminárias instaladas
em paredes deve-se indicar a
altura de instalação.
Ponto de luz na parede
(arandela).
Ponto de luz no teto
(embutido).
Ponto de luz fluorescente no
teto.
Ponto de luz fluorescente na
parede.
Ponto de luz fluorescente no
teto (embutido).
Tomadas e pontos de utilização
TABELA 5: Simbologia para tomadas e pontos de utilização
Símbolo Significado Observações
Tomada baixa (0,30m do
piso)
A potência deve ser indicada
ao lado em VA (exceto se for
100VA). Se a altura for
diferente da normalizada,
também deverá ser indicado.
Tomadas para motores e
aparelhos de ar-condicionado
devem indicar os HP (ou
CV) ou BTU respectivos.
Tomada média (1,30m do
piso)
Tomada alta (2,00m do piso)
Tomada no piso
Campainha
C R
P
C R
P
C R
P
C R
P
C R
P
C R
P
16
ESQUEMAS FUNDAMENTAIS DE LIGAÇÕES
Os esquemas apresentados a seguir representam trechos constitutivos de um circuito de iluminação e
tomadas, e poderiam ser designados como “subcircuitos” ou circuitos parciais. O condutor neutro é
sempre ligado ao receptáculo da lâmpada e à tomada. O condutor fase alimenta o interruptor e a
tomada. O condutor de retorno liga o interruptor ao receptáculo da lâmpada.
FIGURA 2: Ponto de luz e interruptor de uma seção
FIGURA 3: Ponto de luz, interruptor de uma seção e tomada baixa
17
FIGURA 4: Ponto de luz no teto, arandela e interruptor de duas seções.
FIGURA 5: Dois pontos de luz comandados por um interruptor de duas seções
FIGURA 6: Dois pontos de luz comandados por um interruptor de duas seções
18
FIGURA 7: Dois pontos de luz comandados por um interruptor de duas seções e tomada.
FIGURA 8: Lâmpada comandada por interruptor de uma seção, pelo qual chega alimentação.
FIGURA 9: Duas lâmpadas acesas por um interruptor de duas seções, pelo qual chega a
alimentação.
19
FIGURA 10: Duas lâmpadas comandadas por interruptores independentes, de uma seção cada.
FIGURA 11: Lâmpada comandada por three-way
FIGURA 12: . Lâmpada comandada por three-way.
20
FIGURA 13: Lâmpada comandada por three-way.
FIGURA 14: Lâmpada comandada por three-way e four-way.
21
FIGURA 15: Lâmpada comandada por three-way e four-way.
22
PROJETO
Projetar uma instalação elétrica, para qualquer tipo de prédio ou local consiste essencialmente em
selecionar, dimensionar e localizar, de maneira racional, os equipamentos e outros componentes ne-
cessários a fim de proporcionar, de modo seguro e efetivo, a transferência de energia da fonte até os
pontos de utilização.
Convém lembrar que o projeto de instalações elétricas é apenas um dos vários projetos necessários à
construção de um prédio e, assim, sua elaboração deve ser conduzida em perfeita harmonia com os
demais projetos (arquitetura, estruturas, tubulações, etc.).
Passamos agora a enumerar as etapas que devem ser seguidas num projeto de instalações elétricas
prediais, válidas em princípio, para qualquer tipo de prédio (industrial, residencial, comercial, etc.).
A ordem indicada é a geralmente seguida pelos projetistas de empresas de engenharia. No entanto, é
bom frisar que, em muitos casos, não só a ordem pode ser alterada, como também etapas podem ser
suprimidas ou ainda duas ou mais etapas podem vir a ser fundidas numa única.
Análise Inicial
É a etapa preliminar do projeto de instalações elétricas de qualquer prédio. Nela são colhidos os dados
básicos que orientarão a execução do trabalho. Consiste, em princípio, nos passos descritos a seguir:
 Determinação do uso previsto para todas as áreas do prédio;
 Determinação do layout dos equipamentos de utilização previstos;
 Levantamento das características elétricas dos equipamentos;
 Classificação das áreas quanto às influências externas;
 Definição do tipo de linha elétrica a utilizar;
 Determinar equipamentos que necessitam de energia de substituição;
 Determinar setores que necessitam de iluminação de segurança;
 Determinar equipamentos que necessitam de energia de segurança;
 Realizar uma estimativa inicial da potência instalada e de alimentação globais;
 Definir a localização preferencial da entrada de energia.
Caracterização do fornecimento de energia
Neta etapa deverão ser determinadas as condições em que o prédio será alimentado em condições
normais.
Assim, nesta fase é imprescindível conhecer os regulamentos locais de fornecimento de energia e,
quase sempre, estabelecer contato com o concessionário, a fim de determinar:
 Tipo de sistema de distribuição e de entrada;
 Localização da entrada de energia;
 Tensão de fornecimento;
 Padrão de entrada e medição a ser utilizado (cabina primária, cabina de barramentos, caixas
de entrada, um ou mais centros de medição, etc.), em função da potência instalada, das
condições de fornecimento e do tipo de prédio;
23
PREVISÃO DE CARGA
Iluminação
Em cada cômodo ou dependência deve ser previsto pelo menos um ponto de luz fixo no teto,
comandado por interruptor.
 Nas acomodações de hotéis, motéis e similares pode-se substituir o ponto de luz fixo no teto
por tomada de corrente, com potência mínima de 100 VA, comandada por interruptor de
parede.
 Admite-se que o ponto de luz fixo no teto seja substituído por ponto na parede em espaços
sob escada, depósitos, despensas, lavabos e varandas, desde que de pequenas dimensões e
onde a colocação do ponto no teto seja de difícil execução ou não conveniente.
Na determinação das cargas de iluminação, como alternativa à aplicação da ABNT NBR 5413, pode
ser adotado o seguinte critério:
 em cômodos ou dependências com área igual ou inferior a 6 m², deve ser prevista uma carga
mínima de 100 VA;
 em cômodo ou dependências com área superior a 6 m², deve ser prevista uma carga mínima
de 100 VA para os primeiros 6 m², acrescida de 60 VA para cada aumento de 4 m² inteiros.
 Os valores apurados correspondem à potência destinada a iluminação para efeito de
dimensionamento dos circuitos, e não necessariamente à potência nominal das lâmpadas.
Marcação dos pontos de luz
FIGURA 16: Marcação de pontos de luz
24
Pontos de tomada
Número de pontos de tomada
O número de pontos de tomada deve ser determinado em função da destinação do local e dos
equipamentos elétricos que podem ser aí utilizados, observando-se no mínimo os seguintes critérios:
 em banheiros, deve ser previsto pelo menos um ponto de tomada, próximo ao lavatório;
 em cozinhas, copas, copas-cozinhas, áreas de serviço, cozinha-área de serviço, lavanderias
e locais análogos, deve ser previsto no mínimo um ponto de tomada para cada 3,5 m, ou
fração, de perímetro, sendo que acima da bancada da pia devem ser previstas no mínimo
duas tomadas de corrente, no mesmo ponto ou em pontos distintos;
 em varandas, deve ser previsto pelo menos um ponto de tomada;
NOTA: admite-se que o ponto de tomada não seja instalado na própria varanda, mas próximo ao seu
acesso, quando a varanda, por razões construtivas, não comportar o ponto de tomada, quando sua área
for inferior a 2 m² ou, ainda, quando sua profundidade for inferior a 0,80 m.
 em salas e dormitórios devem ser previstos pelo menos um ponto de tomada para cada 5
m, ou fração, de perímetro, devendo esses pontos ser espaçados tão uniformemente quanto
possível;
NOTA: particularmente no caso de salas de estar, deve-se atentar para a possibilidade de que um ponto
de tomada venha a ser usado para alimentação de mais de um equipamento, sendo recomendável equipá-
lo, portanto, com a quantidade de tomadas julgada adequada.
 em cada um dos demais cômodos e dependências de habitação devem ser previstos pelo
menos:
o um ponto de tomada, se a área do cômodo ou dependência for igual ou inferior a
2,25 m². Admite-se que esse ponto seja posicionado externamente ao cômodo ou
dependência, a até 0,80 m no máximo de sua porta de acesso;
o um ponto de tomada, se a área do cômodo ou dependência for superior a 2,25 m²
e igual ou inferior a 6 m² ;
o um ponto de tomada para cada 5 m, ou fração, de perímetro, se a área do cômodo
ou dependência for superior a 6 m², devendo esses pontos ser espaçados tão
uniformemente quanto possível.
Potências atribuíveis aos pontos de tomada
 A potência a ser atribuída a cada ponto de tomada é função dos equipamentos que ele
poderá vir a alimentar e não deve ser inferior aos seguintes valores mínimos:
o em banheiros, cozinhas, copas, copas-cozinhas, áreas de serviço, lavanderias e
locais análogos, no mínimo 600 VA por ponto de tomada, até três pontos, e 100
VA por ponto para os excedentes, considerando-se cada um desses ambientes
separadamente. Quando o total de tomadas no conjunto desses ambientes for
superior a 6 pontos, admite-se que o critério de atribuição de potências seja de no
mínimo 600 VA por ponto de tomada, até dois pontos, e 100 VA por ponto para
os excedentes, sempre considerando cada um dos ambientes separadamente;
o nos demais cômodos ou dependências, no mínimo 100 VA por ponto de tomada.
25
Aquecimento elétrico de água
 A conexão do aquecedor elétrico de água ao ponto de utilização deve ser direta, sem uso
de tomada de corrente.
FIGURA 17: Configuração mínima de TUG’s para banheiro.
.
FIGURA 18: Configuração mínima de TUG’s para cozinha
(perímetro = 11,6 m) e área de serviço (perímetro = 10,7 m).
26
FIGURA 19: Configuração mínima de TUG’s para
dependência tipo quarto (área = 11,2 m2
e perímetro =
13,8m)
27
DIVISÃO DA INSTALAÇÃO EM SETORES / CENTRO DE CARGA
Recomendações da NBR 5410:2004
Os circuitos terminais devem ser individualizados pela função dos equipamentos de utilização, que
alimentam. Em particular, devem ser previstos circuitos terminais distintos para iluminação e
tomadas de corrente.
Em unidades residenciais e acomodações de hotéis, motéis e similares, devem ser previstos circuitos
independentes para cada equipamento com corrente nominal superior a 10 A.
Outras Recomendações
1. Aparelhos de ar condicionado devem ter circuitos individuais.
2. Cada circuito deve ter seu próprio condutor neutro.
3. As tomadas da copa-cozinha e área de serviço devem fazer parte de circuitos exclusivos.
4. Sempre que possível, deve-se projetar circuitos independentes para os quartos, salas (depen-
dências sociais), cozinhas e dependências de serviço.
Centro de Carga
É o ponto teórico em que, para efeito de distribuição elétrica, pode-se considerar concentrada toda a
carga de uma determinada área. É o ponto que deveria se localizar o quadro de distribuição de modo
a reduzir ao mínimo os custos de instalação e funcionamento. Existe um processo analítico para a sua
determinação, em função da potência e das coordenadas dos diversos pontos alimentados a partir do
quadro de distribuição considerado.
Cada subsetor, cada setor, bem como a instalação como um todo possuem seus centros de carga e
nesses pontos deveriam idealmente localizar-se os respectivos quadros de distribuição. Na prática,
apenas em casos excepcionais, efetua-se a determinação exata dos centros de carga, recorrendo-se
quase sempre a uma determinação aproximada, considerando as exigências e limitações de cada área.
O processo para localização do centro de carga é definido pelo cálculo do baricentro dos pontos
considerados como de carga puntiforme e correspondentes à potência demandada de cada subsetor
(ou equipamento “mais pesado”), com suas respectivas distâncias em relação a origem de um sistema
de coordenadas cartesianas.
N
NN
PPP
PXPXPX
X





21
2211
N
NN
PPP
PYPYPY
Y





21
2211
Nestas duas últimas equações, X e Y correspondem as coordenadas do centro de carga, PN é a potência
do subsetor N (ou da carga N) e XN e YN suas respectivas coordenadas.
28
SELEÇÃO E DIMENSIONAMENTO DOS CONDUTORES
Chama-se de dimensionamento técnico de um circuito à aplicação dos diversos itens da NBR 5410
relativos à escolha da seção de um condutor e do seu respectivo dispositivo de proteção.
Os principais critérios da norma são:
Seção mínima
Capacidade de condução de corrente
Queda de tensão
Sobrecarga
Para considerarmos um circuito completa e corretamente dimensionado, é necessário aplicar os seis
critérios acima, cada um resultando em uma seção e considerar como seção final a maior dentre todas
as obtidas.
Seção mínima
Conforme NBR 5410:2004, item 6.2.6
Condutor Fase
As seções dos condutores fase não devem ser inferiores aos valores dados na TABELA 6.
TABELA 6: Seções mínimas dos condutores isolados
Tipo de instalação Utilização do circuito
Seção mínima do
condutor de cobre isolado
(mm²)
Instalações fixas
em geral
Circuitos de iluminação 1,5
Circuitos de força (incluem tomadas) 2,5
Circuitos de sinalização e circuitos de
controle
0,5
Ligações flexíveis
Para um equipamento específico
Como especificado na norma do
equipamento
Para qualquer outra aplicação 0,75
Circuitos a extra baixa tensão para apli-
cações especiais
0,75
Nota: De acordo com a Tabela 47 da NBR 5410:2004.
Condutor Neutro
O item 6.2.6.2.1 da NBR 5410:2004 estabelece que:
O CONDUTOR NEUTRO NÃO PODE SER COMUM A MAIS DE UM CIRCUITO.
Especial cuidado deve ser dado a este item, uma vez que é prática comum de alguns eletricistas
inexperientes utilizar um neutro para vários circuitos.
O condutor neutro deve possuir, no mínimo, a mesma seção que os condutores fase nos seguintes
casos:
29
 em circuitos monofásicos e bifásicos;
 em circuitos trifásicos, quando a seção do condutor fase for igual ou inferior a 25 mm²;
 em circuitos trifásicos, quando for prevista a presença de harmônicas (*).
Apenas nos circuitos trifásicos é admitida a redução do condutor neutro nos seguintes casos:
 o circuito for presumivelmente equilibrado, em serviço normal;
 a corrente das fases não contiver uma elevada taxa de harmônicas; e
 o condutor neutro for protegido contra sobrecorrentes (**).
* A presença de correntes harmônicas não é detectada pelos medidores de corrente elétrica comuns ,
e também não costuma ser calculada pelos projetistas de instalações elétricas. Estas correntes
costumam estar presentes em circuitos que alimentam muitas luminárias com lâmpadas fluorescentes
e, mais ainda, em circuitos com muitos computadores ou outros equipamentos de tecnologia de
informação.
** Quando a seção do condutor neutro for inferior à dos condutores de fase, é necessário prever
detecção de sobrecorrente no condutor neutro, adequada à seção desse condutor. Essa detecção deve
provocar o seccionamento dos condutores de fase, mas não necessariamente do condutor neutro.
TABELA 7: Seção do condutor neutro
Seção dos condutores
fase (mm²)
Seção mínima do
condutor neutro (mm²)
S < 25 S
35 25
50 25
70 35
95 50
120 70
150 70
185 95
240 120
300 150
400 185
Nota: De acordo com a Tabela 48 da NBR 5410:2004
Condutor de Proteção
A NBR 5410:2004 recomenda o uso de CONDUTORES DE PROTEÇÃO (designados por PE), que,
preferencialmente, deverão ser condutores isolados, cabos unipolares ou veias de cabos multipolares.
Um condutor de proteção pode ser comum a dois ou mais circuitos, desde que esteja instalado
no mesmo conduto que os respectivos condutores de fase.
A TABELA 8, indica a seção mínima do condutor de proteção em função da seção dos condutores
fase do circuito.
Em instalações fixas, admite-se o uso de um condutor com a função dupla de neutro e condutor de
proteção. É o condutor PEN (PE + N), cuja seção mínima é de 10 mm² (condutor de cobre).
30
Se, em um ponto qualquer da instalação, as funções de neutro e de condutor de proteção forem
separadas, com a transformação do condutor PEN em dois condutores distintos, um destinado a neutro
e o outro a condutor de proteção, não se admite que o condutor neutro, a partir desse ponto, venha a
ser ligado a qualquer ponto aterrado da instalação.
TABELA 8: Seções mínimas dos condutores de proteção
Seção do
condutor fase
(mm²)
Seção do condutor
de proteção (mm²)
1,5 1,5 (mínima)
2,5 2,5
4 4
6 6
10 10
16 16
25 16
35 16
50 25
70 35
95 50
120 70
150 95
185 95
240 120
300 150
400 240
500 240
630 400
800 400
1000 500
Nota: de acordo com a Tabela 58 da NBR 5410: 2004.
31
Cores dos Condutores
A NBR 5410:2004 prevê no item 6.1.5.3 que os condutores de um circuito devem ser identificados,
porém deixa em aberto o modo como fazer esta identificação. No caso de o usuário desejar fazer a
identificação por cores, então devem ser adotadas aquelas prescritas na norma, a saber:
 Neutro (N) = azul-claro;
 Condutor de proteção (PE) = verde-amarela ou verde;
 Condutor PEN = azul-claro com indicação verde-amarela nos pontos visíveis.
OBS: a NBR-5410 não estabelece cores para os condutores de fase e de retorno.
FIGURA 20: Cores dos concutores
Capacidade de condução de corrente
(conforme NBR 5410:2004, item 6.2.5)
a)O primeiro passo consiste em determinar o tipo de isolação que será utilizada na fiação elétrica:
PVC (70ºC) ou EPR/XLPE (90ºC).
b)Em seguida deve ser determinado qual o método de instalação que será utilizado e relacioná-lo
a um dos métodos de referência definidos na NBR 5410:2004. Para tanto, basta procurar na
primeira coluna da TABELA 9, o método de instalação que será utilizado e verificar qual o
método de referência correspondente.
Em instalações residenciais os métodos mais comuns é o de número 7 (método e referência
B1)., ou seja, a instalação está prevista para ser executada com condutores isolados acon-
dicionados em eletrodutos embutidos em alvenaria.
c)O passo seguinte consiste em verificar número de condutores carregados, que é determinado
conforme TABELA 10.Erro! Fonte de referência não encontrada.
d)Na quarta etapa deve-se calcular as correntes de projeto de cada circuito.
e)Em seguida aplica-se os fatores de correção (de temperatura e de agrupamento de circuitos).
f) Finalmente, obtém-se a bitola do condutor a ser utilizado entrando-se nas TABELA 11
a TABELA 14.
32
FIGURA 21: Fluxograma para dimencionamento de condutores
1. Definido pelo projetista.
2. TABELA 9
3. TABELA 10
4. Cálculo em função da carga e das CARACTERÍSTICAS NOMINAIS DOS
EQUIPAMENTOS ELÉTRICOS, página 11.
5. TABELA 15 e TABELA 16.
6. TABELA 17 e demais.
7. TABELA 11 e demais.
33
Tipos de linhas elétricas
TABELA 9: Tipos de Linhas Elétricas
34
35
36
37
38
39
Número de condutores carregados
TABELA 10: Número de condutores carregados
Tipo de circuito
Nº de condutores
carregados
Monofásico a dois condutores 2
Monofásico a três condutores 2
Duas fases sem neutro 2
Duas fases com neutro 3
Trifásico sem neutro 3
Trifásico com neutro 3 ou 4 (*)
Nota:
Em particular, no caso de circuito trifásico com neutro, quando a circulação de corrente no neutro não for
acompanhada de redução correspondente na carga dos condutores de fase, o neutro deve ser computado como
condutor carregado. É o que acontece quando a corrente nos condutores de fase contém componentes harmônicas de
ordem três e múltiplos numa taxa superior a 15%.
Nessas condições, o circuito trifásico com neutro deve ser considerado como constituído de 4 condutores
carregados e a determinação da capacidade de condução de corrente dos condutores deve ser afetada do “fator de
correção devido ao carregamento do neutro”. Tal fator, que em caráter geral é de 0,86, independentemente do método
de instalação, é aplicável então às capacidades de condução de corrente válidas para três condutores carregados.
Tabelas de capacidade de condução de corrente
TABELA 11: Capacidades de condução de corrente, em amperes, para os métodos de
referência A1, A2, B1, B2, C e D da TABELA 9 (Isolação: PVC, condutor de cobre)
Seções
nominais
(mm²)
MÉTODOS DE INSTALAÇÃO DEFINIDOS NA TABELA 9
(1)
A1 A2 B1 B2 C D
Quantidade de condutores carregados
2 3 2 3 2 3 2 3 2 3 2 3
(2) (3) (4) (5) (6) (7) (8) (9) (10) (11) (12) (13)
0,5 7 7 7 7 9 8 9 8 10 9 12 10
0,75 9 9 9 9 11 10 11 10 13 11 15 12
1 11 10 11 10 14 12 13 12 15 14 18 15
1,5 14,5 13,5 14 13 17,5 15,5 16,5 15 19,5 17,5 22 18
2,5 19,5 18 18,5 17,5 24 21 23 20 27 24 29 24
4 26 24 25 23 32 28 30 27 36 32 38 31
6 34 31 32 29 41 36 38 34 46 41 47 39
10 46 42 43 39 57 50 52 46 63 57 63 52
16 61 56 57 52 76 68 69 62 85 76 81 67
25 80 73 75 68 101 89 90 80 112 96 104 86
35 99 89 92 83 125 110 111 99 138 119 125 103
50 119 108 110 99 151 134 133 118 168 144 148 122
70 151 136 139 125 192 171 168 149 213 184 183 151
95 182 164 167 150 232 207 201 179 258 223 216 179
120 210 188 192 172 269 239 232 206 299 259 246 203
150 240 216 219 19 309 275 265 236 344 299 278 230
185 273 245 248 223 353 314 300 268 392 341 312 258
240 321 286 291 261 415 370 351 313 461 403 361 297
300 367 328 334 298 477 426 401 358 530 464 408 336
400 438 390 398 355 571 510 477 425 634 557 478 394
500 502 447 456 406 656 587 545 486 729 642 540 445
630 578 514 526 467 758 678 626 559 843 743 614 506
800 669 593 609 540 881 788 723 645 978 865 700 577
1000 767 679 698 618 1012 906 827 738 1125 996 792 652
Nota: de acordo com a Tabela 36 da NBR 5410:2004.
 Temperatura do condutor: 70ºC; Temperaturas: 30ºC (ambiente) e 20ºC (solo).
40
TABELA 12: Capacidades de condução de corrente, em amperes, para os
métodos de referência A1, A2, B1, B2, C e D da TABELA 9 (Isolação: EPR
ou XLPE, condutor de cobre)
Seções
nominais
(mm²)
MÉTODOS DE INSTALAÇÃO DEFINIDOS NA TABELA 9
(1)
A1 A2 B1 B2 C D
Quantidade de condutores carregados
2 3 2 3 2 3 2 3 2 3 2 3
(2) (3) (4) (5) (6) (7) (8) (9) (10) (11) (12) (13)
0,5 10 9 10 9 12 10 11 10 12 11 14 12
0,75 12 11 12 11 15 13 15 13 16 14 18 15
1 15 13 14 13 18 16 17 15 19 14 18 15
1,5 19 17 18,5 16,5 23 20 22 19,5 24 22 26 22
2,5 26 23 25 22 31 28 30 26 33 30 34 29
4 35 31 33 30 42 37 40 35 45 40 44 37
6 45 40 42 38 54 48 51 44 58 52 56 46
10 61 54 57 51 75 66 69 60 90 71 73 61
16 81 73 76 68 100 88 91 80 107 96 95 79
25 106 95 99 89 133 117 119 105 138 119 121 101
35 131 117 121 109 164 144 146 128 171 147 146 122
50 158 141 145 130 198 175 175 154 209 179 173 144
70 200 179 183 164 253 222 221 194 269 229 213 178
95 241 216 220 197 306 269 265 233 328 278 252 211
120 278 249 253 227 354 312 305 268 382 322 287 240
150 318 285 290 259 407 358 349 307 441 371 324 271
185 362 324 329 295 464 408 395 348 506 424 363 304
240 424 380 386 346 546 481 462 407 599 500 419 351
300 486 435 442 396 628 553 529 465 693 576 474 396
400 579 519 527 472 751 661 628 552 835 692 555 464
500 664 595 604 541 864 760 718 631 966 797 627 525
630 765 685 696 623 998 879 825 725 1122 923 711 596
800 885 792 805 721 1158 1020 952 837 1311 1074 811 679
1000 1014 908 923 826 1332 1173 1088 957 1515 1237 916 767
Nota: de acordo com a Tabela 37 da NBR 5410:2004.
 2 e 3 condutores carregados.
 Temperatura do condutor: 90ºC; Temperaturas: 30ºC (ambiente) e 20ºC (solo).
41
TABELA 13: Capacidades de condução de corrente, em amperes, para os métodos de
referência E, F, G da TABELA 9 (Isolação: PVC, condutor de cobre)
Seções
nominais
(mm²)
MÉTODOS DE INSTALAÇÃO DEFINIDOS NA TABELA 9
Cabos
multipolares
Cabos unipolares ou condutores isolados
E E F F F G G
Cabos
bipolares
Cabos
tripolares e
tetrapolares
2 condutores
isolados ou 2 cabos
unipolares
Condutores
isolados ou cabos
unipolares em
trifólio
3 cabos unipolares ou 3 condutores isolados
Contíguos Espaçados
horizontalmente
Espaçados
verticalmente
1 2 3 4 5 6 7 8
0,5 11 9 11 8 9 12 10
0,75 14 12 14 11 11 16 13
1 17 14 17 13 14 19 16
1,5 22 18,5 22 17 18 24 21
2,5 30 25 31 24 25 34 29
4 40 34 41 33 34 45 39
6 51 43 53 43 45 59 51
10 70 60 73 60 63 81 71
16 94 80 99 82 85 110 97
25 119 101 131 110 114 146 130
35 148 126 162 137 143 181 162
50 180 153 196 167 174 219 197
70 232 196 251 216 225 281 254
95 282 238 304 264 275 341 311
120 328 276 352 308 321 396 362
150 379 319 406 356 372 456 419
185 434 364 463 409 427 521 480
240 514 430 546 485 507 615 569
300 593 497 629 561 587 709 659
400 715 597 754 656 689 852 795
500 826 689 868 749 789 982 920
630 958 789 1005 855 905 1138 1070
800 1118 930 1169 971 1119 1325 1251
1000 1292 1073 1346 1079 1296 1528 1448
Nota: de acordo com a Tabela 38 da NBR 5410:2004
 Temperatura no condutor: 70ºC.
 Temperatura ambiente: 30ºC.
42
TABELA 14: Capacidades de condução de corrente, em amperes, para os métodos de
referência E, F, G da TABELA 9 (Isolação: EPR ou XLPE, condutor de cobre)
Seções
nominais
(mm²)
MÉTODOS DE INSTALAÇÃO DEFINIDOS NA TABELA 9
Cabos
multipolares
Cabos unipolares ou condutores isolados
E E F F F G G
Cabos
bipolares
Cabos
Tripolares e
Tetrapolares
2 condutores
isolados ou 2 cabos
unipolares
Condutores
isolados ou
cabos unipolares
em trifólio
3 cabos unipolares ou 3 condutores isolados
Contíguos
Espaçados
Horizontalmente
Espaçados
Verticalmente
1 2 3 4 5 6 7 8
0,5 13 12 13 10 10 15 12
0,75 17 15 17 13 14 19 16
1 21 18 21 16 17 23 19
1,5 26 23 27 21 22 30 25
2,5 36 32 37 29 30 41 35
4 49 42 50 40 42 56 48
6 63 54 65 53 55 73 63
10 86 75 90 74 77 101 88
16 115 100 121 101 105 137 120
25 149 127 161 135 141 182 161
35 185 158 200 169 176 226 201
50 225 192 242 207 216 275 246
70 289 246 310 268 279 353 318
95 352 298 377 328 342 430 389
120 410 346 437 383 400 500 454
150 473 399 504 444 464 577 527
185 542 456 575 510 533 661 605
240 641 538 679 607 634 781 719
300 741 621 783 703 736 902 833
400 892 745 940 823 868 1085 1008
500 1030 859 1083 946 998 1253 1169
630 1196 995 1254 1088 1151 1454 1362
800 1396 1159 1460 1252 1328 1696 1595
1000 1613 1336 1683 1420 1511 1958 1849
Nota: de acordo com a Tabela 39 da NBR 5410:2004.
 Temperatura no condutor: 90ºC.
 Temperatura ambiente: 30ºC.
43
Os fatores de correção
 Fatores de correção para temperatura;
 Fatores de correção para resistividade térmica do solo;
 Fatores de correção para agrupamento de circuitos;
 Fatores de correção para correntes harmônicas.
Fatores de correção para temperatura
O valor da temperatura ambiente a utilizar é o da temperatura do meio circundante quando o cabo
ou o condutor considerado não estiver carregado. Para temperaturas ambientes diferentes de 30o
C
para linhas não subterrâneas e de 20o
C para a temperatura do solo no caso de linhas subterrâneas,
devem ser utilizados os fatores de correção indicados na TABELA 15.
TABELA 15: Fatores de correção para temperaturas
ambientes diferentes de 30ºC para linhas não subterrâneas e
de 20ºC (temperatura do solo para linhas subterrâneas)
Temperatura
(ºC)
ISOLAÇÃO
PVC
EPR ou
XLPE
PVC
EPR ou
XLPE
Ambiente Do solo
10 1,22 1,15 1,10 1,07
15 1,17 1,12 1,05 1,04
20 1,12 1,08 1 1
25 1,06 1,04 0,95 0,96
30 1 1 0,89 0,93
35 0,94 0,96 0,84 0,89
40 0,87 0,91 0,77 0,85
45 0,79 0,87 0,71 0,80
50 0,71 0,82 0,63 0,76
55 0,61 0,76 0,55 0,71
60 0,50 0,71 0,45 0,65
65 - 0,65 - 0,60
70 - 0,58 - 0,53
75 - 0,50 - 0,46
80 - 0,41 - 0,38
Nota: de acordo com a Tabela 40 da NBR 5410:2004.
Fatores de correção para resistividade térmica do solo
Em locais onde a resistividade térmica do solo seja diferente de 2,5 K.m/W, caso típico de solos se-
cos, deve ser feita uma correção adequada nos valores da capacidade de condução de corrente.
Solos úmidos possuem valores menores de resistividade térmica, enquanto solos muito secos
apresentam valores maiores
O valor 2,5 K.m/W é o recomendado pela IEC quando o tipo de solo e a localização geográfica não
são especificados.
A TABELA 16 dá os fatores de correção para resistividades térmicas do solo diferentes da 2,5
K.m/W.
44
TABELA 16: Fatores de correção para cabos contidos em
eletrodutos enterrados no solo, com resistividades térmicas
diferentes de 2,5 k.m/W, a serem aplicados às capacidades de
condução de corrente do método de refe-rência D
Resistividade Térmica
(K.m/W)
1 1,5 2 3
Fator de correção 1,18 1,10 1,05 0,96
Nota: de acordo com a Tabela 41 da NBR 5410:2004.
Fatores de correção para agrupamento de circuitos
As tabelas de capacidade de condução de corrente, TABELA 11 e TABELA 12, para os métodos de
referência A1, A2, B1, B2, C e D, são válidas para circuitos simples constituídos pelos seguintes
números de condutores:
 Dois condutores isolados, dois cabos unipolares ou um cabo bipolar;
 Três condutores isolados, três cabos unipolares ou um cabo tripolar.
Quando for instalado, em um mesmo grupo, um número maior de condutores ou de cabos, devem ser
aplicados os fatores de correção especificados a partir da TABELA 17.
As capacidades de condução de corrente indicadas nas TABELA 13 e TABELA 14 são válidas para
os métodos de referência E, F e G, e para:
 dois condutores carregados (dois condutores isolados, dois cabos unipolares ou um cabo
bipolar);
 três condutores carregados (três condutores isolados, três cabos unipolares ou um cabo tripolar).
Para um número maior de condutores, agrupados, devem ser aplicados os fatores de correção
especificados na TABELA 17, quando os condutores forem dispostos em feixe ou num mesmo plano,
em camada única; ou então os fatores de agrupamento da TABELA 18 quando os condutores forem
dispostos em mais de uma camada.
45
TABELA 17: Fatores de correção aplicáveis a condutores agrupados em feixe (em linhas abertas ou
fechadas) e a condutores agrupados num mesmo plano, em camada única.
Ref.
Forma de
agrupamento dos
condutores
Número de circuitos ou de cabos multipolares Tabelas
dos
métodos
de
referência
1 2 3 4 5 6 7 8
9 a
11
12 a
15
16 a
19
20 ou
mais
1
Em feixe: ao ar
livre ou
sobre superfície;
embutidos;
em conduto
fechado.
1,00 0,80 0,70 0,65 0,60 0,57 0,54 0,52 0,50 0,45 0,41 0,38
36 a 39
(métodos
A a F)
2
Camada única
sobre
parede, piso, ou
em bandeja não
perfurada ou
prateleira.
1,00 0,85 0,79 0,75 0,73 0,72 0,72 0,71 0,70
36 e 37
(método C)
3
Camada única no
teto.
0,95 0,81 0,72 0,68 0,66 0,64 0,63 0,62 0,61
4
Camada única em
bandeja perfurada.
1,00 0,88 0,82 0,77 0,75 0,73 0,73 0,72 0,72
38 e 39
(métodos
5 E e F)5
Camada única
sobre leito,
suporte etc.
1,00 0,87 0,82 0,80 0,80 0,79 0,79 0,78 0,78
Nota: de acordo com a Tabela 42 da NBR 5410:2004.
NOTAS
1. Esses fatores são aplicáveis a grupos homogêneos de cabos, uniformemente carregados.
2. Quando a distância horizontal entre cabos adjacentes for superior ao dobro de seu diâmetro externo, não é
necessário aplicar nenhum fator de redução.
3. O número de circuitos ou de cabos com o qual se consulta a tabela refere-se
 à quantidade de grupos de dois ou três condutores isolados ou cabos unipolares, cada grupo constituindo um
circuito (supondo-se um só condutor por fase, isto é, sem condutores em paralelo), e/ou
 à quantidade de cabos multipolares que compõe o agrupamento, qualquer que seja essa composição (só
condutores isolados, só cabos unipolares, só cabos multipolares ou qualquer combinação).
4. Se o agrupamento for constituído, ao mesmo tempo, de cabos bipolares e tripolares, deve-se considerar o número
total de cabos como sendo o número de circuitos e, de posse do fator de agrupamento resultante, a determinação
das capacidades de condução de corrente,
nas tabelas TABELA 11 a TABELA 14, deve ser então efetuada:
 na coluna de dois condutores carregados, para os cabos bipolares; e
 na coluna de três condutores carregados, para os cabos tripolares.
5. Um agrupamento com N condutores isolados, ou N cabos unipolares, pode ser considerado composto tanto de N/2
circuitos com dois condutores carregados quanto de N/3 circuitos com três condutores carregados.
6. Os valores indicados são médios para a faixa usual de seções nominais, com dispersão geralmente inferior a 5%.
Na elaboração de projetos de instalações elétricas é sempre interessante considerar o item 6.2.5.5.2
da NBR 5410:2004, abaixo transcrito:
6.2.5.5.2 Os condutores para os quais se prevê uma corrente de projeto não superior a 30% de sua
capacidade de condução de corrente, já determinada observando-se o fator de agrupamento incorrido,
podem ser desconsiderados para efeito de cálculo do fator de correção aplicável ao restante do grupo.
46
Trata-se de uma situação muito comum em instalações residenciais.
Seja, por exemplo, um eletroduto circular embutido em alvenaria (métodos de referência B1),
contendo 3 circuitos de tomadas de corrente, todos com 2 condutores isolados, cobre com isolação
em PVC, de 2,5 mm², que é a seção mínima estabelecida pela TABELA 6.
A capacidade de condução de corrente dos condutores de cada circuito é determinada conforme a
seguir:
TABELA 9 Métodos de referência B1
TABELA 11 B1 - 2 condutores carregados - 2,5mm²
TABELA 17 Fatores de correção para agrupamento de circuitos
Portanto:
24 x 0,7 = 16,8 A
Se um dos circuitos tiver uma corrente de projeto não superior a
16,8 x 0,3 = 5,04 A
(que corresponde a 30% de sua capacidade de condução de corrente),
ele pode ser desconsiderado e os condutores dos outros 2 circuitos terão uma capacidade de condução
de corrente dada por:
24 x 0,8 = 19,2 A
(neste caso foi utilizado o FATOR DE AGRUPAMENTO para dois condutores carregados,
conforme TABELA 17).
Se, agora, um desses 2 circuitos tiver uma corrente de projeto não superior a
19,2 x 0,3 = 5,76 A,
(novamente, que corresponde a 30% de sua capacidade de condução de corrente),
ele também poderá ser desconsiderado e os condutores do circuito restante terão uma capacidade de
condução de corrente de 24 A (neste caso foi utilizado o FATOR DE AGRUPAMENTO para um
condutor carregado, conforme TABELA 17).
.
Assim, nas condições de instalação indicadas, não será necessário aplicar qualquer fator de
agrupamento, se:
- circuito 1: 𝐼 𝐵1 ≤ 5,04𝐴
- circuito 2: 𝐼 𝐵2 ≤ 5,76𝐴
- circuito 3: 𝐼 𝐵3 ≤ 24𝐴
47
TABELA 18: Fatores de agrupamento para mais de um circuito cabos unipolares ou cabos
multipolares diretamente enterrados (método de referência D, da TABELA 9)
Número de
circuitos
DISTÂNCIA ENTRE OS CABOS (a)
Nula
1
diâmetro
de cabo
0,125 m 0,25 m 0,5 m
2 0,75 0,80 0,85 0,90 0,90
3 0,65 0,70 0,75 0,80 0,85
4 0,60 0,60 0,70 0,75 0,80
5 0,55 0,55 0,65 0,70 0,80
6 0,50 0,55 0,60 0,70 0,80
Nota: de acordo com a Tabela 44 da NBR 5410:2004.
TABELA 19: Fatores de agrupamento para mais de um circuito cabos em
eletrodutos diretamente enterrados (método de referência D na TABELA 9).
Cabos multipolares em eletrodutos - 1 cabo por eletroduto
Número
de
Circuitos
ESPAÇAMENTO ENTRE DUTOS (a)
Nulo 0,25 m 0,5 m 1,0 m
2 0,85 0,90 0,95 0,95
3 0,75 0,85 0,90 0,95
4 0,70 0,80 0,85 0,90
5 0,65 0,80 0,85 0,90
6 0,60 0,80 0,80 0,80
Nota: De acordo com a Tabela 45 da NBR 5410:2004.
48
TABELA 20: Fatores de agrupamento para mais de um circuito cabos em
eletrodutos diretamente enterrados (método de referência D na TABELA 9).
Cabos unipolares em eletrodutos - 1 cabo por eletroduto.
Número
de
circuitos
ESPAÇAMENTO ENTRE DUTOS (a)
Nulo 0,25 m 0,5 m 1,0 m
2 0,80 0,90 0,90 0,90
3 0,70 0,80 0,85 0,90
4 0,65 0,75 0,80 0,90
5 0,60 0,70 0,80 0,90
6 0,60 0,70 0,80 0,90
Nota: Somente deve ser instalado 1 cabo unipolar por eletroduto, no caso deste ser em
material não-magnético.
Grupos contendo cabos de dimensões diferentes
Os fatores de correção tabelados são aplicáveis a grupos de cabos semelhantes, igualmente
carregados. O cálculo dos fatores de correção para grupos contendo condutores isolados ou cabos
unipolares ou multipolares de diferentes seções nominais, depende da quantidade de condutores ou
cabos e da faixa de seções. Tais fatores não podem ser Tabelados e devem ser calculados caso a caso,
utilizando, por exemplo, a NBR 11301.
Nota: São considerados cabos semelhantes aqueles cujas capacidades de condução de corrente baseiam-se na mesma
temperatura máxima para serviço contínuo e cujas seções nominais estão contidas no intervalo de 3 seções normalizadas
sucessivas.
No caso de condutores isolados, cabos unipolares ou cabos multipolares de dimensões diferentes em
condutos fechados ou em bandejas, leitos, prateleiras ou suportes, caso não seja viável um cálculo
mais específico, deve-se utilizar a expressão:
onde: F = fator de correção
n = número de circuitos ou de cabos multipolares
Nota: A expressão dada está a favor da segurança e reduz os perigos de sobrecarga sobre os cabos de menor seção
nominal. Pode, no entanto, resultar no superdimensionamento dos cabos de seções mais elevadas.
Queda de tensão
Em qualquer ponto de utilização da instalação, a queda de tensão verificada não deve ser superior aos
seguintes valores, dados em relação ao valor da tensão nominal da instalação:
a) 7%, calculados a partir dos terminais secundários do transformador MT/BT, no caso de
transformador de propriedade da(s) unidade(s) consumidora(s);
49
b) 7%, calculados a partir dos terminais secundários do transformador MT/BT da empresa
distribuidora de eletricidade, quando o ponto de entrega for aí localizado;
c) 5%, calculados a partir do ponto de entrega, nos demais casos de ponto de entrega com
fornecimento em tensão secundária de distribuição;
d) 7%, calculados a partir dos terminais de saída do gerador, no caso de grupo gerador próprio.
OBS: ponto de entrega: Ponto de conexão do sistema elétrico da empresa distribuidora de
eletricidade com a instalação elétrica da(s) unidade(s) consumidora(s) e que delimita as
responsabilidades da distribuidora, definidas pela autoridade reguladora.
Em geral pode-se adotar os seguintes esquemas:
FIGURA 22: Distribuição das quedas de tensão – Entrada em BT
FIGURA 23: Distribuição das quedas de tensão – Entrada em MT
A NBR-5410:2004 estabelece ainda, no seu item 6.2.7.2 que “Em nenhum caso a queda de tensão
nos circuitos terminais pode ser superior a 4%.”
50
Cálculo da queda de tensão
Determina-se a queda de tensão a partir da seguinte expressão:
∆𝑉 = 𝑡𝐼 𝑏 𝑙(𝑟 cos 𝜙 + 𝑥 sin 𝜙)
onde:
 V = queda de tensão (V)
 t = 2 para circuitos monofásicos ou 3 para trifásicos.
 Ib = corrente de projeto (A)
 r = resistência do circuito (/km)
 x = reatância do circuito (/km)
 l = comprimento do circuito (km)
 cos 𝜙 e sin 𝜙 são, respectivamente, o fator de potência e o fator reativo do
circuito.
Essa expressão é muitas vezes apresentada como,
Δ𝑉 = 𝐼 𝑏 𝑙Δ𝑉̅̅̅̅
Onde:
Δ𝑉̅̅̅̅ = 𝑡(𝑟 cos 𝜙 + 𝑥 sin 𝜙)
é a chamada “queda de tensão unitária”, dada em V/A.km e tabelada pelos fabricantes de cabos
para diversos tipos de circuitos e diversos valores do fator de potência.
Os valores de resistência e reatância podem ser obtidos na TABELA 21.
No caso de circuito com cargas distribuídas, o cálculo deve ser feito para cada trecho do circuito:
∆𝑉 = 𝑡(𝑟 cos 𝜙 + 𝑥 sin 𝜙) ∑ 𝐼 𝑘 𝑙 𝑘
𝑛
𝑘=1
Ou ainda,
∆𝑉 = Δ𝑉̅̅̅̅ ∑ 𝐼 𝑘 𝑙 𝑘
𝑛
𝑘=1
𝐼1 𝐼2 𝐼3 𝐼 𝑛
𝑙1 𝑙2 𝑙3 𝑙 𝑛
Deve-se observar ainda que a queda de tensão percentual é dada por:
∆𝑉% =
∆𝑉
𝑉𝑁
100
51
Tabelas de resistência elétrica e reatância indutiva
TABELA 21: Resistência elétrica e reatâncias indutivas de fios e cabos
isolados em PVC, EPR e XLPE em condutos fechados (valores em Ω/km)
Seção
(mm²)
[1]
Rcc (A)
[2]
Condutos não-magnéticos (B)
Circuitos FN / FF / 3F
Rca [3] XL [4]
1,5 12,1 14,48 0,16
2,5 7,41 8,87 0,15
4 4,61 5,52 0,14
6 3,08 3,69 0,13
10 1,83 2,19 0,13
16 1,15 1,38 0,12
25 0,73 0,87 0,12
35 0,52 0,63 0,11
50 0,39 0,47 0,11
70 0,27 0,32 0,10
95 0,19 0,23 0,10
120 0,15 0,19 0,10
150 0,12 0,15 0,10
185 0,099 0,12 0,094
240 0,075 0,094 0,098
300 0,060 0,078 0,097
400 0,047 0,063 0,096
500 0,037 0,052 0,095
630 0,028 0,043 0,093
800 0,022 0,037 0,089
1000 0,018 0,033 0,088
Notas: (A) Resistência elétrica em corrente contínua calculada a 70ºC no condutor.
(B) Válido para condutores isolados, cabos unipolares e multipolares instalados em
condutos fechados não magnéticos.
52
Sobrecarga
(conforme NBR 5410:2004, item 6.5.1.4)
A “sobrecarga” não é exatamente um critério de dimensionamento dos condutores, entretanto,
intervêm na determinação da sua seção.
A NBR 5410 prescreve que devem ser previstos dispositivos de proteção para interromper toda
corrente de sobrecarga nos condutores dos circuitos antes que esta possa provocar um aquecimento
prejudicial à isolação, às ligações, aos terminais ou às vizinhanças das linhas.
A característica de funcionamento de um dispositivo protegendo um circuito contra sobrecargas deve
satisfazer às duas seguintes condições:
 Ib  In  Iz
 I2  1,45 Iz
onde:
Ib = corrente de projeto do circuito;
Iz = capacidade de condução de corrente dos condutores;
In = corrente nominal do dispositivo de proteção (ou corrente de ajuste para disposi-
tivos ajustáveis);
I2 = corrente convencional de atuação, para disjuntores, ou corrente convencional de
fusão, para fusíveis.
Nota 1:
A condição I2  1,45Iz é aplicável quando for possível assumir que a temperatura limite de sobrecarga dos condutores
não seja mantida por um tempo superior a 100 h durante 12 meses consecutivos ou por 580 h ao longo da vida útil do
condutor. Quando isso não ocorrer, esta condição deve ser substituída por I2  Iz.
Como, em geral, não é possível assumir que a temperatura limite de sobrecarga dos condutores não
seja mantida por um tempo superior a 100 h durante 12 meses consecutivos ou por 580 h ao longo da
vida útil do condutor, tomando por base a Nota 1, é aconselhável que se adote:
 Ib  In  Iz
 I2  Iz
53
Nota 2:
Corrente convencional de atuação é o valor especificado de corrente que provoca a atuação do dispositivo dentro do
tempo convencional. Para o caso de disjuntores em geral até 50A, esta corrente é igual a 1,35 In, sendo o tempo
convencional igual a 1 h. Para disjuntores com corrente nominal maior do que 50A, esta corrente é de 1,35 In, com tempo
convencional de atuação de 2 h.
Considerando que estamos lidando com instalações residenciais, onde os dispositivos de
proteção, na maioria dos casos, tem corrente nominal inferior a 50A, a Nota 2 permite fazer a
seguinte simplificação:
 I2 = 1,35In
Então:
 Ib  In  Iz
 1,35In  Iz
Ou ainda:
 Ib  In  Iz
 𝐼 𝑛 ≤
𝐼 𝑧
1,35
Portanto:
 Ib  In  0,74Iz
FIGURA 24: Corrente nominal dos disjuntores
54
SELEÇÃO E DIMENSIONAMENTO DAS PROTEÇÕES
Disjuntores de baixa tensão
São dispositivos de manobra e de proteção. Os disjuntores possuem quatro funções básicas:
 Promovem a proteção elétrica de um circuito;
 Podem promover a proteção contra choques elétricos (por contatos indiretos) em instalações
que utilizem esquema de aterramento TN ou IT;
 Permitem comandar voluntariamente circuitos sob carga;
 Promovem o seccionamento de um circuito, à medida que, ao abrir um circuito, asseguram
uma distância de isolamento adequada.
Os disjuntores possuem, via de regra, pelo menos dois níveis de proteção:
 Contra sobrecorrentes pequenas e moderadas (através de disparadores eletromagnéticos ou
térmicos);
 Contra sobrecorrentes elevadas (através de disparadores eletromagnéticos).
Obs.: Os disjuntores de baixa tensão mais comuns operam com disparadores térmicos e eletromag-
néticos, atuando respectivamente nas pequenas e elevadas sobrecorrentes. São chamados de
disjuntores termomagnéticos.
São também conhecidos como disjuntores em caixa moldada. Montados em uma caixa de material
isolante, são de construção compacta, podem ser mono, bi ou tripolares, geralmente com acionamento
manual.
Os disjuntores usuais em instalações elétricas em baixa tensão são do tipo caixa moldada e possuem
disparadores térmicos (para sobrecorrente) e eletromagnéticos (para correntes de curto-circuito).
Estes disjuntores são chamados de disjuntores termomagnéticos.
Características Nominais
A NBR 5361 recomenda para os disjuntores de baixa tensão diversos valores de corrente nominal,
consideradas condições normais de serviço, que são os seguintes:
5, 10, 15, 20, 25, 30, 35, 40, 50, 63, 70, 80, 100, 125, 150, 175, 200, 225, 250, 275, 300, 320, 350,
400, 500, 600, 700, 800, 1.000, 1.200, 1.400, 1.600, 1.700, 1.800, 2.000, 2.500, 3.000, 4.000, 4.500,
5.000A
55
Em instalações residenciais, os mais comuns são aqueles com correntes nominais de 5, 10, 15, 20,
25, 30, 35, 40, 50, 63 A, que são apresentados no formato “mini-disjuntores” ou “disjuntores DIN”.
Comercialmente são também comuns nas correntes nominais de 2, 4, 6, 10, 16, 20, 25, 32, 40, 50 e
63 A, de acordo com a NBR NM 60898, curvas B e C.
Curva B e C para disjuntores
A NBR-5410 estabelece que os disjuntores de curva B devem atuar para correntes entre 3 e 5 vezes
a sua corrente nominal, já os de curva C atuam entre 5 e 10 vezes a sua corrente nominal.
Desta forma, os disjuntores de curva B são indicados para cargas resistivas com pequena corrente de
partida, como é o caso de aquecedores elétricos, fornos elétricos e lâmpadas incandescentes.
Já os de curva C são indicados para cargas de média corrente de partida, como motores elétricos,
lâmpadas fluorescentes e máquinas de lavar roupas.
FIGURA 25: Disjuntores de BT
Obs.: São consideradas pela NBR 5361 as seguintes condições normais de serviço para os disjuntores
de baixa tensão:
 Altitude não superior a 2.000 m;
 Temperatura ambiente máxima de 40o
C, com valor médio, num período de 24 h, não ex-
cedendo a 35o
C e temperatura mínima de –5o
C;
 Umidade relativa não superior a 50% a um temperatura máxima de 40o
C.
Dimensionamento
Para os disjuntores comuns utilizados em geral na proteção de circuitos terminais e situados na faixa
de correntes nominais que vai de 5 a 63 A, basta escolher um dispositivo com corrente nominal não
seja superior a capacidade de condução de corrente do condutor.
É importante observar que, seguindo essa regra, corre-se o risco de não proteger o condutor para
pequenas correntes de sobrecarga, isto é, inferiores a 45% da capacidade de condução de corrente do
condutor. É, portanto, aconselhável escolher disjuntores com corrente nominal inferior de 20%
56
a 30% da capacidade de condução do condutor, quando forem previstas pequenas correntes de
sobrecarga.
Exemplos de quadros de disjuntores
FIGURA 26: Exemplos de montagens de quadros de disjuntores – Bifásico e Monofásico
FIGURA 27: Exemplos de montagens de
quadros de disjuntores Bifásico com DR.
FIGURA 28: Exemplos de montagens de
quadros de disjuntores Triifásico com DR.
57
FIGURA 29: Exemplo de montagem de Quadro de Distribuição
Fonte: SIEMENS.
Advertência para Quadros de Distribuição
A NBR-5410 estabelece em seu item 6.5.4.10 que “Os quadros de distribuição destinados a
instalações residenciais e análogas devem ser entregues com a seguinte advertência:”
58
SELEÇÃO E DIMENSIONAMENTO DOS ELETRODUTOS
Considerações iniciais
Normalmente, em instalações elétricas de baixa tensão, utiliza-se eletrodutos de PVC rígido ou
flexível.
Em instalações embutidas, os eletrodutos flexíveis são mais comumente empregados. Em instalações
aparentes os eletrodutos de PVC rígido ou os metálicos são os mais utilizados.
A NBR-5410 estabelece que em eletrodutos só devem ser instalados condutores isolados, cabos
unipolares e cabos multipolares. Admite-se a utilização de condutor nu em eletroduto isolante
exclusivo, quando tal condutor destinar-se a aterramento.
Só podem ser colocados, num mesmo eletroduto, condutores de circuitos diferentes quando estes se
originarem do mesmo quadro de distribuição.
Os condutores ou cabos não devem ocupar uma percentagem da área útil do eletroduto maior do que
a indicada na TABELA 22.
TABELA 22: Taxa de ocupação em eletrodutos
Quantidade de
condutores ou
cabos
Máxima ocupação em
relação à área útil do
eletroduto
1 53%
2 31%
3 ou mais 40%
FIGURA 30: Taxa de ocupação de eletrodutos
Tradicionalmente no Brasil os eletrodutos eram designados por seu diâmetro interno em polegadas.
Com o advento das novas normas, a designação passou a ser feita pelo tamanho nominal, um simples
número sem dimensão. A TABELA 23 apresenta a correspondência entre ambas as designações, para
eletrodutos de aço-carbono e PVC.
59
Nesta tabela a coluna em azul refere-se a nomenclatura mais utilizada para cada caso.
TABELA 23: Conversão entre “diâmetro nominal” e “polegadas” para eletrodutos.
Eletroduto rígido de aço-carbono
ou alumínio
Eletroduto rígido de PVC
NBR 13057/93 (zincado) - NBR
5624/93 (galvanizado a fogo)
NBR 15.465 - (NBR 6150 - Cl. B)
Diâmetro
nominal
Polegadas Diâmetro
nominal
Polegadas
15 ½” 20 ½”
20 ¾” 25 ¾”
25 1” 32 1”
32 1 ¼” 40 1 ¼”
40 1 ½” 50 1 ½”
50 2” 60 2”
65 2 ½” 75 2 ½”
80 3” 85 3”
100 4” 100 4”
TABELA 24: Dimensões dos cabos Nexans
Cabos Noflam Antichama
BWF Flexível 750V
(BT 450/750V)
Cabos Fiter Flex 1 kV
(BT 0.6/1kV)
Seção
transversal
do condutor
(mm²)
Espessura
da isolação
(mm)
Diâmetro
Externo
(mm)
A
(mm²)
Espessura
da isolação
(mm)
Espessura
nominal da
cobertura
(mm)
Diâmetro
Externo
(mm)
A
(mm¹)
1 0,7 2,5 4,91 --- --- --- ---
1,5 0,7 2,9 6,61 0,7 0,9 4,9 18,86
2,5 0,8 3,6 10,18 0,7 0,9 5,4 22,90
4 0,8 4 12,57 0,7 0,9 5,8 26,42
6 0,8 4,6 16,62 0,7 0,9 6,4 32,17
10 1 5,9 27,34 0,7 1 7,5 44,18
16 1 6,9 37,39 0,7 1 8,6 58,09
25 1,2 8,6 58,09 0,9 1,1 10,3 83,32
35 1,2 9,7 73,90 0,9 1,1 11,7 107,51
50 1,4 11,8 109,36 1 1,2 13,9 151,75
60
TABELA 25: Dimensões dos eletrodutos de PVC rígido TIGRE
Bitola
Dimensões
Área
interna
Área ocupada
DE e DI 53% 31% 40%
mm mm mm mm² mm² mm² mm²
1/2 20,8 2,2 16,4 211,2 112,0 65,5 84,5
3/4 25,9 2,3 21,3 356,3 188,9 110,5 142,5
1 32,9 2,7 27,5 594,0 314,8 184,1 237,6
1.1/4 41,9 2,9 36,1 1023,5 542,5 317,3 409,4
1.1/2 47,4 3 41,4 1346,1 713,5 417,3 538,5
2 59 3,1 52,8 2189,6 1160,5 678,8 875,8
2.1/2 74,7 3,8 67,1 3536,2 1874,2 1096,2 1414,5
3 87,6 4 79,6 4976,4 2637,5 1542,7 1990,6
4 113,1 5 103,1 8348,5 4424,7 2588,0 3339,4
____________________________________________________________________
TABELA 26: Dimensões dos eletrodutos corrugado TIGREFLEX
Bitola
Dimensões
Área
interna
Área ocupada
DE e DI 53% 31% 40%
mm mm mm mm² mm² mm² mm²
16 16 2,1 11,8 109,4 58,0 33,9 43,7
20 20 2,3 15,4 186,3 98,7 57,7 74,5
25 25 3 19 283,5 150,3 87,9 113,4
32 32 3,5 25 490,9 260,2 152,2 196,3
TABELA 27: Dimensões dos eletrodutos corrugado reforçado TIGREFLEX
Bitola
Dimensões
Área
interna
Área ocupada
DE e DI 53% 31% 40%
mm mm mm mm² mm² mm² mm²
20 20 2,5 15 176,7 93,7 54,8 70,7
25 25 3 19 283,5 150,3 87,9 113,4
32 32 3,5 25 490,9 260,2 152,2 196,3
NOTAS: DE=Diâmetro Externo; e=espessura; DI=Diâmetro Interno
FIGURA 31: Eletroduto corrugado
61
Cálculo da ocupação de um eletroduto
A área útil do eletroduto pode ser calculada da seguinte forma:
𝐴 𝐸 =
𝜋
4
(𝐷 𝐸 − 2𝑒)2
A área total de um condutor ou cabo isolado pode ser calculada como segue:
𝐴 𝐶 =
𝜋
4
𝑑2
Onde “d” é o diâmetro do condutor incluindo o isolamento e a camada de proteção.
Deve-se então calcular a área do eletroduto e o somatório das áreas de cada condutor e em seguida
aplicar os percentuais apresentados na TABELA 22.
Para o cálculo da área ocupada pelos cabos pode-se utilizar os dados fornecidos na TABELA 24.
Nas TABELA 25 a TABELA 30 são apresentadas algumas dimensões de diversos tipos de
eletrodutos. Nas colunas “53%”, “31%” e “40%” aparecem a área máxima total de fiação que
completa este percentual da área da seção reta do duto.
Basta portanto calcular a área de fiação e buscar na tabela referente ao tipo de eletroduto que será
utilizado, o valor imediatamente menor ao calculado, na coluna adequada conforme estabelecido na
TABELA 22.
TABELA 28: Eletroduto Rígido de Aço-Carbono sem Costura (NBR 5597)
Bitola
DE Toler.
Espessura da
parede
Área interna disponível
(pior caso)
Serie
EXTRA
Serie
PESADA
53%
(EXT)
53%
(PES)
31%
(EXT)
31%
(PES)
40%
(EXT)
40%
(PES)
mm mm mm mm mm² mm² mm² mm² mm² mm²
10 17,1 0,38 2,25 2,00 62,16 67,35 36,36 39,39 46,91 50,83
15 21,3 0,38 2,65 2,25 101,56 112,23 59,40 65,64 76,65 84,70
20 26,7 0,38 2,65 2,25 183,92 198,19 107,58 115,92 138,81 149,58
25 33,4 0,38 3,00 2,65 303,90 319,85 177,76 187,08 229,36 241,40
32 42,2 0,38 3,35 3,00 513,42 534,09 300,30 312,39 387,49 403,09
40 48,3 0,38 3,35 3,00 707,26 731,49 413,68 427,85 533,78 552,07
50 60,3 0,38 3,75 3,35 1143,83 1179,00 669,03 689,61 863,26 889,81
65 73,0 0,64 4,50 3,75 1671,08 1751,14 977,42 1024,25 1261,19 1321,61
80 88,9 0,64 4,75 3,75 2582,12 2714,93 1510,30 1587,98 1948,77 2049,00
90 101,6 0,64 5,00 4,25 3444,03 3558,55 2014,43 2081,42 2599,27 2685,70
100 114,3 0,64 5,30 4,25 4421,26 4603,27 2586,02 2692,48 3336,80 3474,17
125 141,3 1,41 6,00 5,00 6808,30 7022,91 3982,22 4107,74 5138,34 5300,31
150 168,3 1,68 6,30 5,30 9874,61 10132,73 5775,72 5926,69 7452,54 7647,34
62
TABELA 29: Eletroduto Rígido de PVC Tipo Soldável (NBR 6150)
Bitola
DE Toler.
Espessura da
parede
Toler.*
Área interna disponível
(pior caso)
Classe
A
Classe
B
53%
(EXT)
53%
(PES)
31%
(EXT)
31%
(PES)
40%
(EXT)
40%
(PES)
mm mm mm mm mm² mm² mm² mm² mm² mm²
16 16 0,3 1,5 1,0 0,4 67,14 78,13 39,27 45,70 50,67 58,96
20 20 0,3 1,5 1,0 0,4 116,09 130,41 67,90 76,28 87,62 98,42
25 25 0,3 1,7 1,0 0,4 188,85 214,50 110,46 125,46 142,53 161,88
32 32 0,3 2,1 1,0 0,4 314,80 367,18 184,13 214,77 237,58 277,12
40 40 0,4 2,4 1,0 0,5 504,11 588,49 294,86 344,21 380,46 444,15
50 50 0,4 3,0 1,1 0,5 791,30 935,24 462,83 547,03 597,20 705,84
60 60 0,4 3,3 1,3 0,5 1169,28 1352,43 683,92 791,05 882,47 1020,70
75 75 0,4 4,2 1,5 0,5 1824,24 2133,99 1067,01 1248,18 1376,78 1610,56
85 85 0,4 4,7 1,8 0,6 2353,97 2731,09 1376,85 1597,43 1776,58 2061,20
*Tolerância p/ espessura das paredes para ambas as Classes, para mais.
TABELA 30: Eletroduto Rígido de PVC Tipo Roscável (NBR 6150)
Bitola
DE Toler.
Espessura da
parede
Toler.*
Área interna disponível
(pior caso)
Classe
A
Classe
B
53%
(EXT)
53%
(PES)
31%
(EXT)
31%
(PES)
40%
(EXT)
40%
(PES)
mm mm mm mm mm² mm² mm² mm² mm² mm²
16 16,7 0,3 2,0 1,8 0,4 64,00 68,20 37,44 39,89 48,31 51,47
20 21,1 0,3 2,5 1,8 0,4 103,92 123,15 60,78 72,03 78,43 92,94
25 26,2 0,3 2,6 2,3 0,4 178,36 188,85 104,33 110,46 134,61 142,53
32 33,2 0,3 3,2 2,7 0,4 292,32 314,80 170,98 184,13 220,62 237,58
40 42,2 0,3 3,6 2,9 0,5 501,22 542,48 293,16 317,30 378,28 409,42
50 47,8 0,4 4,0 3,0 0,5 646,19 713,45 377,96 417,30 487,69 538,46
60 59,4 0,4 4,6 3,1 0,5 1032,34 1160,47 603,82 678,76 779,13 875,83
75 75,1 0,4 5,5 3,8 0,5 1689,06 1874,18 987,94 1096,22 1274,76 1414,47
85 88,0 0,4 6,2 4,0 0,6 2353,97 2637,50 1376,85 1542,69 1776,58 1990,56
*Tolerância p/ espessura das paredes para ambas as Classes, para mais.
Curvas e caixas
Não deve haver trecho retilíneo contínuo de tubulação (sem interposição de caixas de derivação e
equipamentos) superiores a 15 m, sendo que, nos trechos com curvas, essa distância deve ser reduzida
de 3 m para cada curva de 90º.
Em cada trecho entre duas caixas, ou entre duas extremidades, ou ainda entre caixa e extremidade, só
devem ser previstas, no máximo, 3 curvas de 90º, ou seu equivalente até, no máximo, 270º, não
devendo ser previstas curvas com deflexão superior a 90º.
𝐿 𝑚á𝑥 = 15 − 3𝑁
Onde:
𝐿 𝑚á𝑥 = comprimento máximo de um trecho entre duas caixas.
N = número de curvas de 90º existentes no trecho (0 ≤ 𝑁 ≤ 3).
63
As caixas de derivação devem ser previstas:
 Em todos os pontos de entrada ou saída de condutores ou cabos na tubulação, exceto
nos pontos de transição ou passagem de linhas abertas para linhas em eletrodutos, os
quais, nesses casos, devem ser rematados com buchas;
 Em todos os pontos de emenda ou derivação dos condutores ou cabos;
 Para dividir a tubulação quando necessário;
FIGURA 32: Curvas e caixas em linhas de eletrodutos
Quando o ramal de eletroduto passar, obrigatoriamente, por áreas inacessíveis, onde não haja
possibilidade de emprego de caixas de derivação, a distância máxima entre caixas pode ser au-
mentada, procedendo-se da seguinte forma:
 Calcula-se a distância máxima permitida considerando as curvas existentes;
 Para cada 6 m, ou fração, de aumento da distância máxima, utiliza-se um eletroduto de
tamanho nominal imediatamente superior ao que seria normalmente utilizado.
64
CÁLCULO DA DEMANDA
Previsão de Carga
Para definição do tipo de fornecimento, o consumidor deve determinar a carga instalada, somando-
se a potência em kW, dos aparelhos de iluminação, aquecimento, eletrodomésticos, refrigeração,
motores e máquina de solda que possam ser ligados em sua unidade consumidora.
Os aparelhos com previsão de serem adquiridos e instalados futuramente podem também ser
computados no cálculo, a critério do consumidor, visando dimensionar a entrada de serviço já
considerado possíveis aumentos de carga da unidade consumidora.
No caso de haver previsão futura de aumento de carga, permite-se ao consumidor instalar caixa para
medição polifásica, bem como dimensionar eletrodutos, condutores e poste/pontalete em função da
carga futura. O número de condutores fase e o disjuntor devem ser compatíveis com o tipo de ligação
do padrão de entrada (conforme a carga instalada no momento da ligação).
Na ocasião do pedido de aumento de carga, o consumidor deve alterar a proteção e instalar os demais
condutores fase com as mesmas características dos condutores fase existentes, sujeitando-se, então,
às condições do pedido de ligação.
Para o cálculo da carga instalada não é necessário considerar a potência dos aparelhos de reserva.
Quando o consumidor não dispuser das potências de seus aparelhos, podem ser considerados os
valores médios
A TABELA 31, TABELA 32 e TABELA 33 podem ser utilizadas para estimar a carga instalada de
uma residência com base na previsão de aparelhos elétricos.
TABELA 31: Potências Médias de Aparelhos Eletrodomésticos e de Aquecimento
Tipo
Potência
(W)
Tipo
Potência
(W)
Aquecedor de água
por acumulação
Até 80 l 1500 Geladeira 250
De 100 a 150 l 2500 Geladeira duplex 500
De 200 a 400 l 4000 Grill 1200
Aquecedor de água por passagem 6000 Hidromassagem 660
Aquecedor de ambiente 1000 Impressora 150
Aspirador de pó 700 Liquidificador 350
Batedeira 100 Máquina de costura 100
Cafeteira
600 Máquina de lavar louças 1500
1200 Máquina de lavar
roupas
c/ aquecimento 1500
Chuveiro
4200 s/ aquecimento 400
7500 Máquina de secar roupas 3500
Equipamento de som 50 Moedor de lixo 300 a 600
Ebulidor 1000 Rádio gravador 50
Enceradeira 300 Secador de cabelos 1000
Espremedor de frutas 200 Som modular (por módulo) 50
Exaustor / Coifa 100 Torneira elétrica 2500
Ferro de passar automático 1000 Torradeira 1000
Freezer com 1 ou 2 portas 250 TV 100
Freezer com 3 ou 4 portas 500 Ventilador 100
Fogão (por boca) 1500
Forno (de embutir) 4500
Forno de microondas 1200
65
TABELA 32: Potências Nominais de
Condicionadores de Ar Tipo Janela
Capacidade Potência Nominal
BTU/h Kcal/h W VA
7000 1750 1100 1500
8500 2125 1300 1550
10000 2500 1400 1650
12000 3000 1600 1900
14000 3500 1900 2100
18000 4500 2600 2860
21000 5250 2800 3080
30000 7500 3600 4000
Notas:
 Valores obtidos para os aparelhos até 12000 BTU/h, ligados em 127 ou 220V e para
os aparelhos a partir de 14000BTU/h ligados em 220V;
 Quando a capacidade do sistema de refrigeração estiver indicada em TR (Tonelada
de Refrigeração) considerar o seguinte:
o Sistemas até 50TR em uma unidade: 1,8kVA/TR.
o Sistemas acima de 50TR com mais de uma unidade: 2,3kVA/TR.
o Sistemas acima de 100TR: 2,8kVA/TR.
o Sistemas até 50TR em vária unidades pequenas (10TR) distribuídas:
1kVA/TR.
Nos cálculos da demanda os seguintes valores limites mínimos de potência para força motriz devem
ser considerados:
 Para residências isoladas: 1CV (*);
 Para casas de vila: 2CV (*);
 Para apartamentos ou UC (Unidades Consumidoras) de entradas Coletivas:
2CV por UC (*);
 Para escritórios: 1CV para cada 15m2
de área útil, quando não houver previsão
de refrigeração central (*);
 Para lojas e Galpões:
 1CV/UC se: área útil ≤ 15m2
(**);
 3CV/UC se: 15m2
< área útil ≤ 30m2
(**);
 5CV/UC se: área útil > 30m2
(**);
Notas:
(*) referente a previsão de aparelhos de ar condicionado tipo janela;
(**) referente a previsão para motores, devendo a diferença entre esses valores e a carga
instalada em motores, quando positiva, ser considerada como um único motor.
No caso de lojas em que na carga declarada conste previsão para ar condicionado
tipo janela, a potência total prevista (CV) também poderá ser deduzida dos valores ora
estabelecidos.
66
TABELA 33: Potência média dos equipamentos de informática
Microcomputador on-board 200VA Monitor LCD 17” 110VA
Microcomputador off-board 250VA Monitor LCD 19” 140VA
Servidor de pequeno porte 350VA Monitor LCD 22” 205VA
Servidor de médio porte 480VA HUB 14-24 100B-T 85VA
Servidor de médio porte com duas fontes 620VA Roteador padrão 50VA
Monitor CRT 15” 150VA Scanner padrão 120VA
Monitor CRT 17” 230VA Impressora matricial 80 colunas 100VA
Monitor CRT 19” 290VA Impressora matricial 140 colunas 145VA
Monitor CRT 21” 345VA Impressora jato de tinta 100VA
Monitor LCD 15” 80VA Impressora laser simples 850VA
Impressora laser high-end 1600VA
Determinação da Demanda
A demanda expressa o valor máximo de potência absorvida num dado intervalo de tempo por um
conjunto de cargas existentes numa instalação. Este valor é obtido a partir da diversificação dessas
cargas por tipo de utilização e é definida em múltiplos de VA ou kVA. É utilizada para efeito de
dimensionamento de condutores, disjuntores, níveis de queda de tensão, etc.
O cálculo da demanda faz parte da documentação exigida pelas concessionárias de energia elétrica,
e deve ser apresentado como parte do Memorial Técnico Descritivo do projeto.
As formas de calcular a demanda variam de uma concessionária de energia para outra. Desta forma
o projetista deve estar atendo à regulamentação do local para onde está sendo planejada a instalação.
Em geral, o método apresentado pela concessionária de energia elétrica trata-se apenas de um
exemplo de cálculo da demanda, sendo do consumidor a responsabilidade da escolha do critério a ser
adotado para o cálculo da demanda de sua edificação.
A demanda (em kVA) para entradas de serviços individuais ou para agrupamentos, pode ser calculada
a partir da seguinte expressão:
𝑫 = 𝒂 + 𝒃 + 𝒄 + 𝒅 + 𝒆 + 𝒇
Onde:
a. Demanda de iluminação e tomadas............................................................ TABELA 34
b. Demanda dos aparelhos para aquecimento................................................. TABELA 35
c. Demanda dos aparelhos de ar condicionado.............................................. TABELA 36
d. Demanda de motores elétricos................................................................... TABELA 37
e. Demanda de máquinas de solda e transformadores.................................... TABELA 38
f. Demanda de aparelhos de Raio-X.............................................................. TABELA 39
67
TABELA 34: a = demanda de iluminação e tomadas
Descrição
Carga
Mínima
(W/m2
)
Fator de Demanda
(%)
Bancos 50 86
Clubes 20 86
Igrejas 15 86
Lojas 30 86
Restaurantes 20 86
Auditórios, Salões para Exposições 15 86
Barbearias, Salões de Beleza 30 86
Garagens, Depósitos, Áreas de Serviço 5 86
Oficinas 30
100 para os primeiro 20 kW
35 para o que exceder de 20 kW
Posto de abastecimento 20
100 para os primeiro 40 kW
40 para o que exceder de 40 kW
Escolas 30
86 para os primeiro 12 kW
50 para o que exceder de 12 kW
Escritórios 50
86 para os primeiro 20 kW
70 para o que exceder de 20 kW
Hospitais 20
40 para os primeiro 50 kW
20 para o que exceder de 50 kW
Hotéis 20
50 para os primeiro 20 kW
40 para os seguintes 80 kW
30 para o que exceder de 100 kW
Residências 30
Potência P(kW)
0 < P ≤ 1; 86
1 < P ≤ 2; 80
2 < P ≤ 3; 74
3 < P ≤ 4; 66
4 < P ≤ 5; 58
5 < P ≤ 6; 52
6 < P ≤ 7; 47
7 < P ≤ 8; 43
8 < P ≤ 9; 40
9 < P ≤ 10; 37
10< P ≤ 11; 35
11 < P ≤ 12; 33
12 < P ≤ 13; 31
13 < P ≤ 14; 30
14 < P ≤ 15; 29
15 < P; 28
Notas:
1. Instalações em que, por sua natureza, a carga seja utilizada simultaneamente, devem ser
consideradas com fator de demanda de 100%;
2. Não estão considerados nesta tabela os letreiros luminosos e a iluminação de vitrinas;
3. O valor da carga para iluminação e tomadas de unidades residenciais, além de satisfazer
a condição mínima de 30W/m2
de área construída, nunca deve ser inferior a 2,2kW, por
unidade.
4. Para fins de cálculo de demanda utilizar fator de potência = 1.
68
TABELA 35: b = demanda dos aparelhos para aquecimento (chuv., aquec., fornos, etc.)
Número de
aparelhos
1 2 3 4 5 6 7 8 9 10 11 12 13
Fator de
Demanda
(%)
100 75 70 66 62 59 56 53 51 49 47 45 43
Número de
aparelhos
14 15 16 17 18 19 20 21 22 23 24
25 ou
mais
Fator de
Demanda
(%)
41 40 39 38 37 36 35 34 33 32 31 30
Notas: Para o dimensionamento de ramais de entrada destinados a atender a mais de uma unidade
consumidora, devem ser aplicados fatores de demanda para cada tipo de aparelho, separadamente, sendo a
demanda total de aquecimento o somatório das demandas obtidas:
b = chuveiros + aquecedores + torneiras +...
TABELA 36: c = demanda para condicionadores de ar.
EM RESIDÊNCIAS
Potência Instalada em
Aparelhos (kVA)
Fator de Demanda
(%)
1 a 10 100
11 a 20 85
21 a 30 80
31 a 40 75
41 a 50 70
51 a 75 65
Acima de 75 60
EM ESCRITÓRIOS
Potência Instalada em
Aparelhos (kVA)
Fator de Demanda
(%)
1 a 25 100
26 a 50 90
51 a 100 80
Acima de 100 70
Notas: para o fator de demanda dos aparelhos de ar
condicionado, quando for utilizado equipamento de
condicionamento de ar central, utilizar fator de demanda
igual a 100%.
69
TABELA 37: d = demanda dos motores elétricos
CARGAS INDIVIDUAIS
Potência
(CV)
1/6 1/4 1/3 1/2 3/4 1 1 1/2 2 3
Carga
(kVA)
0,45 0,63 0,76 1,01 1,24 1,43 2,00 2,60 3,80
Potência
(CV)
5 7 1/2 10 15 20 25 30 40 50
Carga
(kVA)
5,40 7,40 9,20 12,70 16,40 20,30 24,00 30,60 40,80
FATORES DE DEMANDA
Número Total
de Motores
1 2 3 a 5 Mais de 5
Fator de
Demanda (%)
100 90 80 70
Notas: a demanda de um conjunto de motores será o produto do somatório das cargas individuais pelo fator
de demanda correspondente ao número total de motores que compõem o conjunto.
TABELA 38: e = demanda das máquinas de solda a transformador e aparelhos de Raio-X
Aparelho Potência Fator de Demanda (%)
Solda a Arco e
Galvanização
1o
maior
2o
maior
3o
maior
Soma dos demais
100
70
40
30
Solda a Resistência
Maior
Soma dos demais
100
60
Notas: máquinas de solda tipo motor-gerador devem ser consideradas como motores.
TABELA 39: f = demanda dos aparelhos de Raio-X
Aparelho Potência Fator de Demanda (%)
Raio X
Maior
Soma dos demais
100
70
Previsão de Carga para Força Motriz
No cálculo da demanda, além dos valores previstos para iluminação e tomadas, conforme TABELA
34, deve ser considerado os valores mínimos de potência para força motriz:
a) Unidade consumidora residencial: 1,1kVA(ver Nota 1);
b) Unidade consumidora residencial pertencente a centro(s) de medição (ver Nota 2) e
com área construída “A”:
𝐴 < 40𝑚2
⇒ 1 𝑘𝑉𝐴/𝑈𝑛𝑖𝑑𝑎𝑑𝑒 𝑐𝑜𝑛𝑠𝑢𝑚𝑖𝑑𝑜𝑟𝑎
40𝑚2
≤ 𝐴 ≤ 50𝑚2
⇒ 1,5 𝑘𝑉𝐴/𝑈𝑛𝑖𝑑𝑎𝑑𝑒 𝑐𝑜𝑛𝑠𝑢𝑚𝑖𝑑𝑜𝑟𝑎
50𝑚2
< 𝐴 ⇒ 2 𝑘𝑉𝐴/𝑈𝑛𝑖𝑑𝑎𝑑𝑒 𝑐𝑜𝑛𝑠𝑢𝑚𝑖𝑑𝑜𝑟𝑎
70
c) Salas e escritórios: 1kVA/15m² de área construída quando não for previsto refrigeração
central (ver Nota 1);
d) Lojas e semelhantes: (ver Nota 3).
𝐴 < 30𝑚2
⇒ 3 𝑘𝑉𝐴/𝑈𝑛𝑖𝑑𝑎𝑑𝑒 𝑐𝑜𝑛𝑠𝑢𝑚𝑖𝑑𝑜𝑟𝑎
30𝑚2
< 𝐴 ⇒ 5 𝑘𝑉𝐴/𝑈𝑛𝑖𝑑𝑎𝑑𝑒 𝑐𝑜𝑛𝑠𝑢𝑚𝑖𝑑𝑜𝑟𝑎
Notas:
1. Estas potências se referem à previsão para aparelhos de condicionador de ar tipo “janela”.
2. No caso de previsão de aparelho condicionador de ar tipo “split”, com potência até 3.600W ou 4 kVA (30.000
BTU/h), considerar como sendo de “janela”. Para potências superiores, considerar como aparelho
condicionador de ar central.
3. Estas potências se referem à previsão para motores, devendo a diferença entre estes valores e a carga instalada
em motores (kVA) e/ou condicionadores de ar tipo “janela” (kVA), quando positiva, ser considerada como um
único motor e convertida em CV, para efeito de utilização da tabela do TABELA 37. Adota-se a potência em
CV mais próxima do valor convertido e sua respectiva carga em kVA.
4. A potência de aparelho reserva, não deve ser considerada.
5. No cálculo da potência para motores, considerar 1 HP = 746 Watts e 1 CV = 736 Watts.
6. A previsão de aumento de carga pode ser considerada.
71
FIGURA 33: Fluxograma para cálculo de damanda
Dimensionamento de Alimentadores
Os alimentadores dos quadros de cargas, sejam quadros gerais ou terminais, devem ser dimensionados
levando-se em conta a carga em cada fase, o fator de potência e, principalmente o fator de demanda
específico do quadro.
O fator de demanda pode tanto ser determinado através da consulta à tabelas como também com
base na experiência do projetista. Para instalações residenciais e pequenos prédios comerciais podem
ser utilizadas as TABELA 34 à TABELA 38.
72
Fatores de demanda globais de instalações de maior porte podem ser obtidos nos regulamentos das
concessionárias de energia elétrica.
Quadros trifásicos
Os quadros trifásicos apresentam as três fases alimentando um conjunto de cargas distribuídas entre
estas fases. Dificilmente, em instalações residenciais e comerciais, estas cargas poderão ser
perfeitamente equilibradas entre as fases. Mesmo que isto ocorra por ocasião da elaboração do
projeto, é muito provável que seu funcionamento não será equilibrado.
Quando um quadro alimentar cargas trifásicas equilibradas, ou um conjunto de cargas bifásicas e/ou
monofásicas perfeitamente equilibradas e funcionando de forma equilibrada, o cálculo da corrente
elétrica que percorrerá os alimentadores poderá ser efetuado como se o quadro todo fosse uma carga
trifásica.
Neste caso a corrente seria calculada da seguinte forma:
𝐼 𝑁 =
𝑃 𝑁
√3𝑉𝑁cos(𝜙)
Nos demais casos (cargas não equilibradas) o cálculo deve levar em conta o desequilíbrio.
Considere o por exemplo um quadro trifásico que alimenta um conjunto de várias cargas, sendo
estas distribuídas entre as três fases. Estas cargas podem ser monofásicas, bifásicas ou trifásicas.
Quando forem bifásicas, devem ser divididas por 2, entre as duas fases a que estão conectadas.
Quando forem trifásicas, devem ser divididas por 3, entre as três fases.
A tabela a seguir apresenta o somatório das potências demandadas em cada fase:
Fase R S T
𝑷𝒊𝒏𝒔𝒕𝒂𝒍𝒂𝒅𝒂 1750 W 1600 W 2450 W
O fator de potência da instalação é 0,8 (valor estimado). Pode-se então calcular a potência aparente
demandada em cada fase.
Fase R S T
𝑷𝒊𝒏𝒔𝒕𝒂𝒍𝒂𝒅𝒂 1750 W 1600 W 2450 W
fp 0,8 0,8 0,8
𝑺𝒊𝒏𝒔𝒕𝒂𝒍𝒂𝒅𝒂 2188 VA 2000 VA 3063 VA
Com base na experiência do projetista e de seu conhecimento a respeito das cargas ligadas a este
quadro, foi adotado um fator de demanda de 0,7. Desta forma determina-se a potência aparente
demandada em cada fase.
Fase R S T
𝑷𝒊𝒏𝒔𝒕𝒂𝒍𝒂𝒅𝒂 1750 W 1600 W 2450 W
fp FP = 0,8 FP = 0,8 FP = 0,8
𝑺𝒊𝒏𝒔𝒕𝒂𝒍𝒂𝒅𝒂 2188 VA 2000 VA 3063 VA
𝑭 𝒅 0,7 0,7 0,7
𝑺 𝒅𝒆𝒎𝒂𝒏𝒅𝒂𝒅𝒂 1532 VA 1400 VA 2144 VA
73
Como o circuito alimentador será constituído por um condutor único para as três fases, a corrente de
projeto é então calculada apenas para a fase mais carregada, considerando-se a tensão fase-neutro:
𝐼 𝑏 =
2144
127
= 16,9 𝐴
A partir daí, para o dimensionamento dos condutores, aplica-se o procedimento apresentado na seção
de Seleção e Dimensionamento de Condutores.
Quadros bifásicos
Considere agora, como exemplo, um quadro bifásico que alimenta um conjunto de várias cargas,
sendo estas distribuídas entre duas fases apenas.
A tabela a seguir apresenta o somatório das potências demandadas em cada fase:
Fase R S
𝑷𝒊𝒏𝒔𝒕𝒂𝒍𝒂𝒅𝒂 2800 W 3000 W
O fator de potência da instalação é 0,8 (valor estimado). Pode-se então calcular a potência aparente
demandada em cada fase.
Fase R S
𝑷𝒊𝒏𝒔𝒕𝒂𝒍𝒂𝒅𝒂 2800 W 3000 W
fp 0,8 0,8
𝑺𝒊𝒏𝒔𝒕𝒂𝒍𝒂𝒅𝒂 3500 VA 3750 VA
Com base na experiência do projetista e de seu conhecimento a respeito das cargas ligadas a este
quadro, foi adotado um fator de demanda de 0,7. Desta forma determina-se a potência aparente
demandada em cada fase.
Fase R S
𝑷𝒊𝒏𝒔𝒕𝒂𝒍𝒂𝒅𝒂 2800 W 3000 W
fp FP = 0,8 FP = 0,8
𝑺𝒊𝒏𝒔𝒕𝒂𝒍𝒂𝒅𝒂 3500 VA 3750 VA
𝑭 𝒅 0,7 0,7
𝑺 𝒅𝒆𝒎𝒂𝒏𝒅𝒂𝒅𝒂 2450 VA 2625 VA
Como o circuito alimentador será constituído por um condutor único para as três fases, a corrente de
projeto é então calculada apenas para a fase mais carregada, considerando-se a tensão fase-neutro:
𝐼 𝑏 =
2625
127
= 20,7 𝐴
A partir daí, para o dimensionamento dos condutores, aplica-se o procedimento apresentado na seção
de Seleção e Dimensionamento de Condutores.
74
DIMENSIONAMENTO DE ENTRADAS INDIVIDUAIS
TABELA 40: Dimensionamento de entradas individuais
Notas:
1. O valor de "D (kVA)" refere-se à demanda.
2. Os disjuntores foram dimensionados com base na sua capacidade nominal definida para a temperatura de operação
de 40ºC.
3. Os condutores foram dimensionados para uma temperatura ambiente de 30ºC.
4. Nos fornecimentos do tipo A1; B1; C1; C2; C3; A2; B2; C13; C14; C15, quando o eletroduto do ramal de entrada
for embutido deve ser utilizado um diâmetro imediatamente superior ao indicado.
5. As cargas resistivas individuais demonstradas na coluna “limite máximo de potência” referem-se a equipamentos
de aquecimento, exemplo chuveiro, boiler, torneira elétrica, etc.
Tipos de fornecimento
São três os tipos de fornecimento, conforme o número de fases:
1.Tipo A – monofásico – dois condutores (uma fase e o neutro);
2.Tipo B – bifásico – três condutores (duas fases e o neutro);
3.Tipo C – trifásico – quatro condutores (três fases e o neutro).
Fornecimento tipo A1, A2, B1 e B2
Para determinação destes, deve ser calculada a carga instalada de cada unidade consumidora. Esta
carga é o somatório das potências nominais de placa dos aparelhos elétricos e das potências de
iluminação declaradas. Quando houver cargas de motores, deve ser computado as suas respectivas
quantidades e potências individuais.
Notas:
75
1. Em casos especiais, as instalações podem possuir aparelhos que requeiram número de fases superior ao do tipo
correspondente a sua carga instalada.
2. Mesmo sendo especificado o fornecimento a dois condutores, permite-se a instalação de padrão polifásico, caso
o consumidor tenha previsão de aumento de carga.
3. Os limites para aparelhos de eletro-galvanização, máquinas de solda, geradores, raios-X, etc., (carga de flutuação
brusca de tensão), estão sujeitos a estudo nos diversos tipos de fornecimento.
4. As unidades consumidoras atendidas por duas ou três fases devem ter suas cargas distribuídas entre as fases de
modo a obter-se o maior equilíbrio possível.
Fornecimento tipo A3
O fornecimento do tipo A3 refere-se à unidade consumidora localizada em área rural e atendida com
transformador monofásico.
Para determinar a demanda de cada unidade consumidora, deve ser calculada a carga instalada desta,
que é o somatório das potências nominais de placa dos aparelhos elétricos e das potências de
iluminação. Quando houver cargas de motores, deve ser computado as suas respectivas quantidades
e potências individuais.
Sobre a carga total em kW aplica-se fator de demanda 0,5.
Para determinação da demanda mínima a ser considerada no fornecimento deve-se observar o maior
valor entre a demanda calculada e a maior potência dentre os equipamentos a serem ligados.
Fornecimento do tipo C1 a C20
Para determinação destes, deve-se calcular a demanda da unidade consumidora.
76
ANEXO A – COMPONENTES DO ATERRAMENTO DE PROTEÇÃO
Equipotencialização
A equipotencialização é um recurso usado na proteção contra choques elétricos e na proteção contra
sobretensões e perturbações eletromagnéticas.
A NBR-5410: 2004 estabelece, em seu item 5.1.2.2.3, os princípios básicos da Equipotencialização.
São eles:
1.Todas as massas de uma instalação devem estar ligadas a condutores de proteção.
2.Em cada edificação deve ser realizada uma equipotencialização principal.
3.Todas as massas da instalação situadas em uma mesma edificação devem estar vinculadas à
equipotencialização principal da edificação e a um mesmo e único eletrodo de aterramento.
4.Todo circuito deve dispor de condutor de proteção, em toda sua extensão (Observação: um
condutor de proteção pode ser comum a mais de um circuito)
O terminal de aterramento principal
O aterramento de proteção, de acordo com a NBR 5410:2004 obrigatório em qualquer tipo de prédio,
baseia-se principalmente na equipotencialidade das massas e elementos condutores estranhos à
instalação. Seu “coração é o terminal de aterramento principal, geralmente uma barra, que realiza
a chamada ligação equipotencial principal, reunindo:
a) as armaduras de concreto armado e outras estruturas metálicas da edificação;
b) as tubulações metálicas de água, de gás combustível, de esgoto, de sistemas de ar-
condicionado, de gases industriais, de ar comprimido, de vapor etc., bem como os elementos
estruturais metálicos a elas associados;
c) os condutos metálicos das linhas de energia e de sinal que entram e/ou saem da edificação;
d) as blindagens, armações, coberturas e capas metálicas de cabos das linhas de energia e de sinal
que entram e/ou saem da edificação;
e) os condutores de proteção das linhas de energia e de sinal que entram e/ou saem da edificação;
f) os condutores de interligação provenientes de outros eletrodos de aterramento porventura
existentes ou previstos no entorno da edificação;
g) os condutores de interligação provenientes de eletrodos de aterramento de edificações vizinhas,
nos casos em que essa interligação for necessária ou recomendável;
h) o condutor neutro da alimentação elétrica, salvo se não existente;
i) o(s) condutor(es) de proteção principal(is) da instalação elétrica (interna) da edificação.
77
Todos estes elementos que forem associados a linhas externas devem ser conectados à
equipotencialização principal o mais próximo possível do ponto em que entram e/ou saem da
edificação.
Junto ou próximo do ponto de entrada da alimentação elétrica deve ser provido um barramento,
denominado “Barramento de Eqüipotencialização Principal” (BEP), ao qual todos estes
elementos possam ser conectados, direta ou indiretamente.
As figuras a seguir destinam-se apenas a ilustrar as prescrições referentes a aterramento e
eqüipotencialização e, como tal, devem ser entendidas de forma genérica. Apresenta a
eqüipotencialização principal numa situação hipotética em que todos os elementos nela incluíveis
concentram-se aproximadamente num mesmo ponto: as linhas externas convergem para esse ponto e
os outros elementos da edificação são também aí acessíveis
FIGURA 34: Equipotencialização
FIGURA 35: Equipotencialização (** Detalhe A)
78
Legenda:
BEP = Barramento de eqüipotencialização principal
EC = Condutores de eqüipotencialização
1 = Eletrodo de aterramento (embutido nas fundações)
2 = Armaduras de concreto armado e outras estruturas metálicas da edificação
3 = Tubulações metálicas de utilidades, bem como os elementos estruturais metálicos a elas
associados.
Por exemplo:
3.a = água
3.b = gás
3.c = esgoto
3.d = ar-condicionado
4 = Condutos metálicos, blindagens, armações, coberturas e capas metálicas de cabos
4.a = Linha elétrica de energia
4.b = Linha elétrica de sinal
5 = Condutor de aterramento principal
A figura a seguir apresenta um exemplo de eqüipotencialização principal em que os elementos nela
incluíveis não se concentram ou não são acessíveis num mesmo ponto da edificação.
FIGURA 36: Equipotencialização
O Barramento de Equipotencialização Principal deve ser de cobre com seção de 25mm2
, ou de
aço zincado a fogo, com seção de condutividade equivalente, e possuir no mínimo os seguintes
terminais, devidamente identificados:
 Um terminal de 30x4mm ou  10mm;
 Um terminal de 50mm2
;
 Vários de 6mm2
a 25mm2
(conforme o caso);
 Um de 2,5mm2
a 6mm2
.
79
FIGURA 37: Barramento de Equipotencialização Principal (BEP)
NOTAS:
a) Em uma propriedade deve haver tantas eqüipotencializações principais quantas forem as edificações que a
compõem.
b) Admite-se que edículas ou construções adjacentes distantes não mais de 10 m da edificação principal sejam
consideradas como eletricamente integradas a esta, se as linhas elétricas de energia e de sinal e as linhas de
utilidades a elas destinadas tiverem origem na edificação principal e se a infra-estrutura de aterramento do local
não se limitar à edificação principal, mas se estender também às áreas das construções anexas; ou, então, se o
eletrodo de aterramento da edificação principal e o(s) das construções anexas forem interligados. Caso contrário,
todas as dependências separadas da edificação principal devem também ser providas, individualmente, de uma
eqüipotencialização principal.
Os condutores de proteção, ligação equipotencial e aterramento
Todo circuito deve dispor de condutor de proteção, em toda sua extensão.
O condutor de proteção (PE – também conhecido como terra de proteção) pode ser comum
a vários circuitos de distribuição ou terminais, quando estes estiverem contidos no mesmo conduto.
Sendo que a instalação deve ser preparada de forma que os terminais dos equipamento sejam capazes
de aceitar os condutores de proteção.
O dimensionamento do condutor PE deve ser determinado de acordo com a TABELA 8.
Os condutores da ligação equipotencial principal devem possuir seções que não sejam
inferiores à metade da seção do condutor de proteção de maior seção da instalação, com um mínimo
de 6mm2
.
80
Configurações dos condutores de proteção principais.
FIGURA 38: Exemplo de configuração dos condutores de proteção
FIGURA 39: Exemplo de configuração dos condutores de proteção
Configurações do condutor de equipotencialidade principal
FIGURA 40: Exemplo de configuração dos condutores de equipotencialidade
81
FIGURA 41: Exemplo de configuração dos condutores de equipotencialidade
Aterramento
O condutor de aterramento, ligando o terminal de aterramento principal ao eletrodo de
aterramento embutido nas fundações, deve ter uma seção mínima de 50mm2
.
Quando o condutor de aterramento estiver enterrado no solo, sua seção mínima deverá
estar de acordo com a tabela a seguir:
TABELA 41: Seções mínimas de condutores de aterramento enterrados no solo
Protegido contra
danos mecânicos
Não protegido
contra
danos mecânicos
Protegido contra corrosão Cobre 2,5 mm²
Cobre 16 mm²
Aço 10 mm²
Aço 16 mm²
Não protegido contra
corrosão
Cobre 50 mm²
Aço 80 mm²
O eletrodo de aterramento preferencial em uma edificação é o constituido pelas armaduras
de aço embutidas no concreto das fundações das edificações. Quando este tipo de eletrodo não for
praticável, podem ser utilizados os eletrodos convencionais.
82
ANEXO B – DISPOSITIVOS DR
LCULO LUMINOTÉCNICO
Conceitos básicos
O elevado número de acidentes originados no sistema elétrico impõe novos métodos e dispositivos
que permitem o uso seguro e adequado da eletricidade reduzindo o perigo às pessoas, além de perdas
de energia e danos às instalações elétricas.
A destruição de equipamentos e incêndios é muitas vezes causada por correntes de fuga à terra em
instalações mal executadas, subdimensionadas, com má conservação ou envelhecimento.
As correntes de fuga provocam riscos às pessoas, aumento de consumo de energia, aquecimento
indevido, destruição da isolação, podendo até ocasionar incêndios. Esses efeitos podem ser
monitorados e interrompidos por meio de um Dispositivo DR, Módulo DR ou Disjuntor DR.
Os DR protegem contra os efeitos nocivos das correntes de fuga à terra garantindo uma proteção
eficaz tanto à vida dos usuários quanto aos equipamentos.
A relevância dessa proteção faz com que a NBR 5410, defina claramente a proteção de pessoas contra
os perigos dos choques elétricos que podem ser fatais, por meio do uso do Dispositivo DR de alta
sensibilidade (≤ 30mA).
Os Dispositivos DR, Módulos DR ou Disjuntores DR de corrente nominal residual (IΔn) até 30mA,
são destinados fundamentalmente à proteção de pessoas, enquanto os de correntes nominais
residuais (IΔn) de 100mA, 300mA, 500mA, 1000mA ou ainda superiores a estas, são destinados
apenas à proteção patrimonial contra os efeitos causados pelas correntes de fuga à terra, tais como:
consumo excessivo de energia elétrica ou ainda incêndios provocados pelas falhas de isolação.
Atuação
As correntes de fuga que provocam riscos às pessoas são causadas por duas circunstâncias:
Contato direto – falha de isolação ou remoção
das partes isolantes, com toque acidental da
pessoa em parte energizada (fase / terra-PE).
Contato indireto – através do contato da pessoa
com a parte metálica (carcaça do aparelho), que
estará energizada por falha de isolação, com
interrupção ou inexistência do condutor de
proteção (terra-PE).
FIGURA 42: Contato direto FIGURA 43: Contato indireto
O Dispositivo DR protege a pessoa dos efeitos das circunstâncias ao lado sendo que no caso do
contato direto é a única forma de proteção.
83
Tipos de Dispositivos DR
Dispositivo DR ou Interruptor DR
Dispositivo de seccionamento mecânico destinado a provocar a abertura dos próprios contatos quando
ocorrer uma corrente de fuga à terra. O circuito protegido por este dispositivo necessita ainda de uma
proteção contra sobrecarga e curto circuito que pode ser realizada por disjuntor ou fusível,
devidamente coordenado com o Dispositivo DR.
FIGURA 44: Dispositivo DR (interruptor DR)
Disjuntor DR
Dispositivo de seccionamento mecânico destinado a provocar a abertura dos próprios contatos quando
ocorrer uma sobrecarga, curto circuito ou corrente de fuga à terra. Recomendado nos casos onde
existe a limitação de espaço.
FIGURA 45: Disjuntor DR
Módulos DR
Dispositivo destinado a ser associado a um disjuntor termomagnético adicionando a este a proteção
diferencial residual, ou seja, esta associação permite a atuação do disjuntor quando ocorrer uma
sobrecarga, curto circuito ou corrente de fuga à terra. Recomendado para instalações onde a corrente
de curto circuito for elevada.
FIGURA 46: Módulo DR
84
Princípio de proteção das pessoas
Qualquer atividade biológica no corpo humano seja ela glandular, nervosa ou muscular é originada
de impulsos de corrente elétrica. Se a essa corrente fisiológica interna somar-se uma corrente de
origem externa (corrente de fuga), devido a um contato elétrico, ocorrerá no organismo humano uma
alteração das funções vitais, que, dependendo da duração e da intensidade da corrente, poderá
provocar efeitos fisiológicos graves, irreversíveis ou até a morte da pessoa.
FIGURA 47: Gráfico com zonas tempo x corrente e os efeitos sobre as pessoas
(percurso mão esquerda ao pé)
85
Esquemas de ligação
FIGURA 48: Esquemas de ligação dos dispositivos DR
FIGURA 49: Esquemas de ligação dos dispositivos DR
Notas:
1. Máxima tensão de operação 220 VCA entre fases.
2. O botão de teste T, possibilita a verifi cação do correto funcionamento e instalação do
dispositivo DR, gerando uma corrente de fuga interna entre dois terminais de conexão (acionar
semestralmente, pois é a garantia de funcionamento do Dispositivo DR). Portanto, em redes
bifásica ou trifásica (L1+L2+N ou L1+L2+L3 sem N), deve-se verificar o diagrama no frontal
do dispositivo DR para proporcionar a correta energização dos terminais utilizados por este
teste. No exemplo foi interligado o terminal de conexão 3 ao terminal de conexão N para
permitir a operação do botão de teste.
86
Obrigatoriedade de utilização de dispositivos DR
A NBR-5410 estabelece no seu item 5.1.3.2.2 os casos em que o uso de dispositivo diferencial-
residual de alta sensibilidade como proteção adicional é obrigatório.
Devem ser objeto de proteção adicional por dispositivos a corrente diferencial-residual com corrente
diferencial-residual nominal 𝐼∆𝑁 igual ou inferior a 30 mA:
a) os circuitos que sirvam a pontos de utilização situados em locais contendo banheira ou
chuveiro;
b) os circuitos que alimentem tomadas de corrente situadas em áreas externas à edificação;
c) os circuitos de tomadas de corrente situadas em áreas internas que possam vir a alimentar
equipamentos no exterior;
d) os circuitos que, em locais de habitação, sirvam a pontos de utilização situados em cozinhas,
copas-cozinhas, lavanderias, áreas de serviço, garagens e demais dependências internas
molhadas em uso normal ou sujeitas a lavagens;
e) os circuitos que, em edificações não-residenciais, sirvam a pontos de tomada situados em
cozinhas, copas-cozinhas, lavanderias, áreas de serviço, garagens e, no geral, em áreas
internas molhadas em uso normal ou sujeitas a lavagens.
NOTAS:
1. No que se refere a tomadas de corrente, a exigência de proteção adicional por DR de alta sensibilidade se aplica
às tomadas com corrente nominal de até 32 A.
2. Admite-se a exclusão, na alínea d), dos pontos que alimentem aparelhos de iluminação posicionados a uma altura
igual ou superior a 2,50 m.
3. Quando o risco de desligamento de congeladores por atuação intempestiva da proteção, associado à hipótese de
ausência prolongada de pessoas, significar perdas e/ou conseqüências sanitárias relevantes, recomenda-se que
as tomadas de corrente previstas para a alimentação de tais equipamentos sejam protegidas por dispositivo DR
com característica de alta imunidade a perturbações transitórias, que o próprio circuito de alimentação do
congelador seja, sempre que possível, independente e que, caso exista outro dispositivo DR a montante do de
alta imunidade, seja garantida seletividade entre os dispositivos. Alternativamente, ao invés de dispositivo DR,
a tomada destinada ao congelador pode ser protegida por separação elétrica individual, recomendando-se que
também aí o circuito seja independente e que caso haja dispositivo DR a montante, este seja de um tipo imune a
perturbações transitórias.
4. A proteção dos circuitos pode ser realizada individualmente, por ponto de utilização ou por circuito ou por grupo
de circuitos.
FIGURA 50: Exigência de dispositivos DR
87
ANEXO C- CÁLCULO LUMINOTÉCNICO
LCU
Comprovadamente uma boa iluminação aumenta a produtividade de seus funcionários, reduzindo a
fadiga, o cansaço visual e o índice de erros, além de economizar energia elétrica. Para obter todos os
benefícios que uma boa iluminação oferece devemos sempre levar em consideração um sistema
eficiente de qualidade.
Um sistema econômico utiliza lâmpadas e reatores de última geração e luminárias desenvolvidas para
responder com o melhor rendimento possível, pois a função da luminária é a de dirigir a luz de forma
eficaz para as áreas a serem iluminadas, evitando perdas.
LO LUMINOTÉCNICO
Definições
Fluxo luminoso ()
É a quantidade de luz emitida por uma fonte, medida em lúmens (lm), na tensão nominal de
funcionamento.
Figura 51: Fluxo luminoso
Iluminância (E)
Relaciona a luz que uma lâmpada irradia com a superfície na qual ela incide. É medida em lux
(lx) por um aparelho chamado luxímetro.
Um lux corresponde à iluminância de uma superfície plana de um metro quadrado de área,
sobre a qual incide perpendicularmente um fluxo luminoso de um lúmen.
Os valores relativos a iluminância foram tabelados por atividade. No Brasil eles se encontram
na NBR 5413 - Iluminância de interiores.
Figura 52: Iluminância
88
Eficiência energética
É a relação entre o fluxo luminoso e a potência da lâmpada.
Figura 53: Eficiência energética
Índice de Reprodução de Cores
Representa a capacidade de reprodução da cor de um objeto diante de uma fonte de luz. O IRC
faz uma correspondência entre a cor real de um objeto e a que ele está apresentando diante da fonte
de luz. Convencionalmente, o IRC varia entre 0 e 100% e de acordo com a fonte luminosa do ambiente
a que se destina. Quanto mais alto o IRC, melhor é a fidelidade das cores.
As diferenças de IRC entre lâmpadas de maneira geral não são significantes, ou seja, visíveis a
olho nu, a menos que a diferença seja maior que três a cinco pontos.
Figura 54: Índice de Reprodução de Cores (𝑅 𝑎 ou IRC)
89
Temperatura de Cor
Expressa a aparência de cor da luz emitida pela fonte de luz. A sua unidade de medida é o
Kelvin (K). Quanto mais alta a temperatura de cor, mais clara é a tonalidade de cor da luz. Quando
falamos em luz quente ou fria, não estamos nos referindo ao calor físico da lâmpada, e sim a
tonalidade de cor que ela apresenta ao ambiente. Luz com tonalidade de cor mais suave torna-se mais
aconchegante e relaxante; luz mais clara, mais estimulante.
Muito embora isto não possa ser considerado fisicamente, uma temperatura de cor mais alta (K)
descreve uma fonte de luz azulada, visualmente “fria”. As temperaturas de cores típicas são
apresentadas a seguir.
TABELA 42: Temperatura de cor
Temperatura Fonte de Luz
1.200 K Luz do fogo
1.700 K Candeeiro/Luz de vela
2.000 K Lâmpada de vapor de sódio (iluminação pública)
2.680 K Lâmpada incandescente comum de 40W
3.000 K Lâmpada incandescente comum de 200W
3.000 K Lâmpada fluorescente “branca quente”
3.200 K Nascer/Pôr do Sol
3.200 K Lâmpada de estúdio photoflood tipo B (halógena)
3.400 K Lâmpada de estúdio photoflood tipo A
4.000 K Lâmpada de flash (bulbo)
4.100 K Luz do luar em noite de lua cheia
4.500 K Arco voltáico (projetores antigos de cinema)
5.000 K Lâmpadas de xenônio (projetores atuais de cinema)
5.000 a 5.500 K Luz do sol ao amanhecer ou entardecer
5.500 a 5.600 K Flash eletrônico
5.500 a 6.000 K Luz do sol durante a maior parte do dia
5.800 K Céu aberto ao meio-dia
6.000 K Lâmpada fluorescente “branca fria”
6.000 K Lâmpada de mercúrio
6.500 K Lâmpada fluorescente “luz do dia”
6.500 a 7.500 K Céu encoberto
Fator de Depreciação
Todo o sistema de iluminação, após sua instalação, tem uma depreciação no nível de
iluminância ao longo do tempo. Esta é decorrente da redução do fluxo luminoso da lâmpada com o
tempo e do acúmulo de poeira sobre lâmpadas e luminárias. Para compensar parte desta depreciação,
estabelece-se um fator de depreciação que é utilizado no cálculo das quantidades de luminárias.
Vida Útil
É o número de horas decorrido quando se atinge 70% da quantidade de luz inicial devido à
depreciação do fluxo luminoso de cada lâmpada, somado ao efeito das respectivas queimas ocorridas
no período, ou seja, 30% de redução na quantidade de luz inicial.
90
Curva de Distribuição Luminosa
Se num plano transversal à lâmpada, todos os vetores que dela se originam tiverem suas
extremidades ligadas por um traço, obtém-se a Curva de Distribuição Luminosa (CDL). Em outras
palavras, é a representação da Intensidade Luminosa em todos os ângulos em que ela é direcionada
num plano. (Figura 6)
Para a uniformização dos valores das curvas, geralmente essas são referidas a 1000 lm. Nesse
caso, é necessário multiplicar-se o valor encontrado na CDL pelo Fluxo Luminoso da lâmpada em
questão e dividir o resultado por 1000 lm.
Figura 55: Curva de distribuição de Intensidades Luminosas
no plano transversal e longitudinal para uma lâmpada
fluorescente isolada (A) ou associada a um refletor (B).
Refletância (Fator de Reflexão)
É uma característica do ambiente. Define a relação entre a quantidade de luz refletida e a
quantidade de luz incidente em uma determinada superfície.
TABELA 43: Refletâncias das diversas cores
Cor Refletância
Branco 75 a 85%
Marfim 63 a 80%
Creme 56 a 72%
Amarelo claro 65 a 75%
Marrom 17 a 41%
Verde claro 50 a 65%
Verde escuro 10 a 22%
Azul claro 50 a 60%
Rosa 50 a 58%
Vermelho 10 a 20%
Cinza 40 a 50%
91
Roteiro de Cálculo
a. Escolha do tipo de lâmpada e luminária (levar em consideração os efeitos de luz e sombras, a
reprodução de cores, a tonalidade de cor da luz, o calor gerado pela iluminação, o ruído, etc.).
b. Escolha da iluminância (E) adequada para o local conforme a TABELA 44 e a TABELA 45 ou
consulte as iluminâncias recomendadas pela NBR 5413.
TABELA 44: Iluminâncias por classe de tarefa visual
TABELA 45: Fatores determinantes da iluminação adequada
A TABELA 44 e a TABELA 45 são utilizadas para se determinar a iluminância de ambientes, para
isto basta que seja analisado pela tabela 2 os pesos referentes as características, somam-se os números
analisados (considere o sinal dos números), caso se encontre resultado -2 ou -3 utilizar a iluminância
inferior; sendo resultado +2 ou +3 utilizar a iluminância superior; e utilizar a iluminância média nos
demais casos.
c. Calcule do fator do local (K)
Fator do local (ou Índice do Recinto) é a relação entre as dimensões do local, e é dado calculado
pela fórmula mostrada a seguir:
𝐾 =
𝑎𝑏
ℎ(𝑎 + 𝑏)
onde:
a = comprimento do recinto;
b = largura do recinto;
h = pé-direito útil (altura de montagem da luminária em relação ao plano de trabalho)
92
Figura 56: Representação do pé-direito útil
d. Determine da eficiência do recinto (𝜂 𝑅)
Uma vez calculado o índice do recinto (K), procura-se identificar os valores da refletância do teto,
paredes e piso. Escolhe-se a indicação de Curva de Distribuição Luminosa (Figura 55) que mais
se assemelha à da luminária a ser utilizada no projeto. Na interseção da coluna de Refletâncias e
linha de Índice do Recinto encontra-se o valor da eficiência do recinto (𝜂 𝑅).
FIGURA 57: Exemplo de tabela para determinação da eficiência do rescinto
e. Determinação da eficiência da luminária (𝜂 𝐿): é um dado fornecido nos catálogos das luminárias
f. Determinação do fator de utilização (𝐹𝑢): é o produto da eficiência do recinto pela eficiência da
luminária. Alguns catálogos, ao invés de fornecerem uma tabela para determinação da eficiência
do recinto, fornecem este valor já multiplicado pela eficiência da luminária, ou seja, já fornecem
o fator de utilização.
𝐹𝑢 = 𝜂 𝐿 𝜂 𝑅
93
g. Cálculo da quantidade de luminárias
FIGURA 58: Cálculo da quantidade de luminárias
h. Distribuição das luminárias
FIGURA 59: Distribuição de luminárias
Exercício:
Projetar o sistema de iluminação para uma sala com 20 metros de comprimento, 10 metros de
largura e 3 metros de pé-direito. A sala será utilizada como escritório contendo escrivaninhas de 0,80
94
metros de altura. As luminárias serão de sobrepor, do tipo TCS 312 da Philips para duas lâmpadas
fluorescentes tubulares tipo TLD de 32W da mesma marca. A luminária é mostrada na Figura 60,
tendo sua tabela de fatores de utilização apresentada na Figura 2. O teto está pintado de branco, as
paredes de azul claro e o chão esta revestido com piso na cor marrom. Espera-se que a iluminância
obtida seja da ordem de 350lux. Sabe-se que o fluxo luminoso emitido pelas lâmpadas TLD de 32W
é igual a 3200 lúmens.
Figura 60: Luminária TCS 312 da Philips
Figura 61: Fatores de utilização – TCS 312 – 2xTLD 32W
95
BIBLIOGRAFIA
 NBR-5410: 2004.
 NISKIER, J. & MACINTYRE, A. J., Instalações Elétricas, 2a
Ed., Guanabara Dois, Rio de
Janeiro, RJ, 1992.
 COTRIN, A. A. M. B., Instalações Elétricas, 5a
Ed., Makron Books, São Paulo, SP, 2009.
 FILHO, J. Mamede, Instalações Elétricas Industriais, 5a
Ed., Livros Técnicos e Científicos S.A.,
Rio de Janeiro, RJ, 1997.
 Web Site da PIRRELI CABOS S.A.
 Web Site da OSRAM
 Manual Luminotécnico Prático – OSRAM
 Web Site da TIGRE
 Web Site da CEMAR

Apostila iebt v18

  • 1.
    1 INSTALAÇÕES ELÉTRICAS DE BAIXA TENSÃO (paraEngenharia Civil e Arquitetura) Eng. Eletr. Moisés RL Carvalho MSc Eng. Elétrica - IME e-mail: moisesrlc@gmail.com Versão: v18
  • 2.
    2 Sumário UTILIZAÇÃO DESTA APOSTILA..............................................................................................10 CARACTERÍSTICAS NOMINAIS DOS EQUIPAMENTOS ELÉTRICOS............................11 Equipamentos MONOFÁSICOS (ou BIFÁSICOS).......................................................................11 Equipamentos TRIFÁSICOS..........................................................................................................12 SIMBOLOGIA E CONVENÇÕES ................................................................................................13 Dutos e distribuição ........................................................................................................................13 Quadros de distribuição ..................................................................................................................14 Interruptores....................................................................................................................................14 Luminárias ......................................................................................................................................15 Tomadas e pontos de utilização ......................................................................................................15 ESQUEMAS FUNDAMENTAIS DE LIGAÇÕES.......................................................................16 PROJETO.........................................................................................................................................22 Análise Inicial .................................................................................................................................22 Caracterização do fornecimento de energia....................................................................................22 PREVISÃO DE CARGA.................................................................................................................23 Iluminação.......................................................................................................................................23 Marcação dos pontos de luz............................................................................................................23 Pontos de tomada ............................................................................................................................24 Número de pontos de tomada......................................................................................................24 Potências atribuíveis aos pontos de tomada ................................................................................24 Aquecimento elétrico de água .....................................................................................................25 DIVISÃO DA INSTALAÇÃO EM SETORES / CENTRO DE CARGA...................................27 Recomendações da NBR 5410:2004 ..............................................................................................27 Outras Recomendações...................................................................................................................27 Centro de Carga ..............................................................................................................................27 SELEÇÃO E DIMENSIONAMENTO DOS CONDUTORES ....................................................28 Seção mínima..................................................................................................................................28 Condutor Fase..............................................................................................................................28 Condutor Neutro..........................................................................................................................28 Condutor de Proteção ..................................................................................................................29 Cores dos Condutores..................................................................................................................31 Capacidade de condução de corrente..............................................................................................31
  • 3.
    3 Tipos de linhaselétricas ..............................................................................................................33 Número de condutores carregados ..............................................................................................39 Tabelas de capacidade de condução de corrente .........................................................................39 Os fatores de correção .................................................................................................................43 Queda de tensão ..............................................................................................................................48 Tabelas de resistência elétrica e reatância indutiva.....................................................................51 Sobrecarga.......................................................................................................................................52 SELEÇÃO E DIMENSIONAMENTO DAS PROTEÇÕES........................................................54 Disjuntores de baixa tensão ............................................................................................................54 Características Nominais .............................................................................................................54 Curva B e C para disjuntores.......................................................................................................55 Dimensionamento........................................................................................................................55 Exemplos de quadros de disjuntores ...........................................................................................56 Advertência para Quadros de Distribuição.....................................................................................57 SELEÇÃO E DIMENSIONAMENTO DOS ELETRODUTOS..................................................58 Considerações iniciais.....................................................................................................................58 Cálculo da ocupação de um eletroduto ...........................................................................................61 Curvas e caixas ...............................................................................................................................62 CÁLCULO DA DEMANDA ...........................................................................................................64 Previsão de Carga ...........................................................................................................................64 Determinação da Demanda.............................................................................................................66 Previsão de Carga para Força Motriz..............................................................................................69 Dimensionamento de Alimentadores..............................................................................................71 Quadros trifásicos........................................................................................................................72 Quadros bifásicos ........................................................................................................................73 DIMENSIONAMENTO DE ENTRADAS INDIVIDUAIS..........................................................74 Tipos de fornecimento.................................................................................................................74 Fornecimento tipo A1, A2, B1 e B2............................................................................................74 Fornecimento tipo A3..................................................................................................................75 Fornecimento do tipo C1 a C20...................................................................................................75 ANEXO A – COMPONENTES DO ATERRAMENTO DE PROTEÇÃO................................76 Equipotencialização ........................................................................................................................76 O terminal de aterramento principal ...............................................................................................76 Os condutores de proteção, ligação equipotencial e aterramento...................................................79 Configurações dos condutores de proteção principais....................................................................80 Aterramento ....................................................................................................................................81
  • 4.
    4 ANEXO B –DISPOSITIVOS DR..................................................................................................82 Conceitos básicos............................................................................................................................82 Atuação ...........................................................................................................................................82 Tipos de Dispositivos DR...............................................................................................................83 Dispositivo DR ou Interruptor DR ..............................................................................................83 Disjuntor DR................................................................................................................................83 Módulos DR ................................................................................................................................83 Princípio de proteção das pessoas...................................................................................................84 Esquemas de ligação.......................................................................................................................85 Obrigatoriedade de utilização de dispositivos DR..........................................................................86 ANEXO C- CÁLCULO LUMINOTÉCNICO...............................................................................87 Definições .......................................................................................................................................87 Fluxo luminoso () ......................................................................................................................87 Iluminância (E)............................................................................................................................87 Eficiência energética....................................................................................................................88 Índice de Reprodução de Cores...................................................................................................88 Temperatura de Cor.....................................................................................................................89 Fator de Depreciação...................................................................................................................89 Vida Útil ......................................................................................................................................89 Curva de Distribuição Luminosa.................................................................................................90 Refletância (Fator de Reflexão)...................................................................................................90 Roteiro de Cálculo ..........................................................................................................................91 BIBLIOGRAFIA..............................................................................................................................95
  • 5.
    5 Lista de Tabelas TABELA1: Simbologia para dutos e distribuição............................................................................13 TABELA 2: Simbologia para quadros de distribuição......................................................................14 TABELA 3: Simbologia para interruptores.......................................................................................14 TABELA 4: Simbologia para luminárias ..........................................................................................15 TABELA 5: Simbologia para tomadas e pontos de utilização..........................................................15 TABELA 6: Seções mínimas dos condutores isolados .....................................................................28 TABELA 7: Seção do condutor neutro .............................................................................................29 TABELA 8: Seções mínimas dos condutores de proteção................................................................30 TABELA 9: Tipos de Linhas Elétricas..............................................................................................33 TABELA 10: Número de condutores carregados..............................................................................39 TABELA 11: Capacidades de condução de corrente, em amperes, para os métodos de referência A1, A2, B1, B2, C e D da TABELA 9 (Isolação: PVC, condutor de cobre) ....................................39 TABELA 12: Capacidades de condução de corrente, em amperes, para os métodos de referência A1, A2, B1, B2, C e D da TABELA 9 (Isolação: EPR ou XLPE, condutor de cobre).....................40 TABELA 13: Capacidades de condução de corrente, em amperes, para os métodos de referência E, F, G da TABELA 9 (Isolação: PVC, condutor de cobre)..................................................................41 TABELA 14: Capacidades de condução de corrente, em amperes, para os métodos de referência E, F, G da TABELA 9 (Isolação: EPR ou XLPE, condutor de cobre) ..................................................42 TABELA 15: Fatores de correção para temperaturas ambientes diferentes de 30ºC para linhas não subterrâneas e de 20ºC (temperatura do solo para linhas subterrâneas).............................................43 TABELA 16: Fatores de correção para cabos contidos em eletrodutos enterrados no solo, com resistividades térmicas diferentes de 2,5 k.m/W, a serem aplicados às capacidades de condução de corrente do método de refe-rência D..................................................................................................44 TABELA 17: Fatores de correção aplicáveis a condutores agrupados em feixe (em linhas abertas ou ............................................................................................................................................................45 TABELA 18: Fatores de agrupamento para mais de um circuito cabos unipolares ou cabos multipolares diretamente enterrados (método de referência D, da TABELA 9)...............................47 TABELA 19: Fatores de agrupamento para mais de um circuito cabos em eletrodutos diretamente enterrados (método de referência D na TABELA 9). Cabos multipolares em eletrodutos - 1 cabo por eletroduto .....................................................................................................................................47 TABELA 20: Fatores de agrupamento para mais de um circuito cabos em eletrodutos diretamente enterrados (método de referência D na TABELA 9). Cabos unipolares em eletrodutos - 1 cabo por eletroduto............................................................................................................................................48
  • 6.
    6 TABELA 21: Resistênciaelétrica e reatâncias indutivas de fios e cabos isolados em PVC, EPR e XLPE em condutos fechados (valores em Ω/km) ............................................................................51 TABELA 22: Taxa de ocupação em eletrodutos...............................................................................58 TABELA 23: Conversão entre “diâmetro nominal” e “polegadas” para eletrodutos. ......................59 TABELA 24: Dimensões dos cabos Nexans.....................................................................................59 TABELA 25: Dimensões dos eletrodutos de PVC rígido TIGRE ....................................................60 TABELA 26: Dimensões dos eletrodutos corrugado TIGREFLEX .................................................60 TABELA 27: Dimensões dos eletrodutos corrugado reforçado TIGREFLEX................................60 TABELA 28: Eletroduto Rígido de Aço-Carbono sem Costura (NBR 5597) .................................61 TABELA 29: Eletroduto Rígido de PVC Tipo Soldável (NBR 6150)..............................................62 TABELA 30: Eletroduto Rígido de PVC Tipo Roscável (NBR 6150).............................................62 TABELA 31: Potências Médias de Aparelhos Eletrodomésticos e de Aquecimento .......................64 TABELA 32: Potências Nominais de Condicionadores de Ar Tipo Janela......................................65 TABELA 33: Potência média dos equipamentos de informática......................................................66 TABELA 34: a = demanda de iluminação e tomadas .......................................................................67 TABELA 35: b = demanda dos aparelhos para aquecimento (chuv., aquec., fornos, etc.)...............68 TABELA 36: c = demanda para condicionadores de ar....................................................................68 TABELA 37: d = demanda dos motores elétricos.............................................................................69 TABELA 38: e = demanda das máquinas de solda a transformador e aparelhos de Raio-X............69 TABELA 39: f = demanda dos aparelhos de Raio-X........................................................................69 TABELA 40: Dimensionamento de entradas individuais.................................................................74 TABELA 41: Seções mínimas de condutores de aterramento enterrados no solo............................81 TABELA 42: Temperatura de cor.....................................................................................................89 TABELA 43: Refletâncias das diversas cores...................................................................................90 TABELA 44: Iluminâncias por classe de tarefa visual .....................................................................91 TABELA 45: Fatores determinantes da iluminação adequada .........................................................91
  • 7.
    7 Lista de Figuras FIGURA1: Equipamento elétrico genérico......................................................................................11 FIGURA 2: Ponto de luz e interruptor de uma seção........................................................................16 FIGURA 3: Ponto de luz, interruptor de uma seção e tomada baixa ................................................16 FIGURA 4: Ponto de luz no teto, arandela e interruptor de duas seções..........................................17 FIGURA 5: Dois pontos de luz comandados por um interruptor de duas seções.............................17 FIGURA 6: Dois pontos de luz comandados por um interruptor de duas seções.............................17 FIGURA 7: Dois pontos de luz comandados por um interruptor de duas seções e tomada. ............18 FIGURA 8: Lâmpada comandada por interruptor de uma seção, pelo qual chega alimentação. .....18 FIGURA 9: Duas lâmpadas acesas por um interruptor de duas seções, pelo qual chega a alimentação.........................................................................................................................................18 FIGURA 10: Duas lâmpadas comandadas por interruptores independentes, de uma seção cada. ...19 FIGURA 11: Lâmpada comandada por three-way............................................................................19 FIGURA 12: . Lâmpada comandada por three-way..........................................................................19 FIGURA 13: Lâmpada comandada por three-way............................................................................20 FIGURA 14: Lâmpada comandada por three-way e four-way. ........................................................20 FIGURA 15: Lâmpada comandada por three-way e four-way. ........................................................21 FIGURA 16: Marcação de pontos de luz ..........................................................................................23 FIGURA 17: Configuração mínima de TUG’s para banheiro. .........................................................25 FIGURA 18: Configuração mínima de TUG’s para cozinha (perímetro = 11,6 m) e área de serviço (perímetro = 10,7 m). .........................................................................................................................25 FIGURA 19: Configuração mínima de TUG’s para dependência tipo quarto (área = 11,2 m2 e perímetro = 13,8m).............................................................................................................................26 FIGURA 20: Cores dos concutores...................................................................................................31 FIGURA 21: Fluxograma para dimencionamento de condutores.....................................................32 FIGURA 22: Distribuição das quedas de tensão – Entrada em BT ..................................................49 FIGURA 23: Distribuição das quedas de tensão – Entrada em MT .................................................49 FIGURA 24: Corrente nominal dos disjuntores................................................................................53 FIGURA 25: Disjuntores de BT........................................................................................................55 FIGURA 26: Exemplos de montagens de quadros de disjuntores – Bifásico e Monofásico............56
  • 8.
    8 FIGURA 27: Exemplosde montagens de quadros de disjuntores Bifásico com DR. ......................56 FIGURA 28: Exemplos de montagens de quadros de disjuntores Triifásico com DR. ....................56 FIGURA 29: Exemplo de montagem de Quadro de Distribuição.....................................................57 FIGURA 30: Taxa de ocupação de eletrodutos.................................................................................58 FIGURA 31: Eletroduto corrugado...................................................................................................60 FIGURA 32: Curvas e caixas em linhas de eletrodutos....................................................................63 FIGURA 33: Fluxograma para cálculo de damanda.........................................................................71 FIGURA 34: Equipotencialização.....................................................................................................77 FIGURA 35: Equipotencialização (** Detalhe A)............................................................................77 FIGURA 36: Equipotencialização.....................................................................................................78 FIGURA 37: Barramento de Equipotencialização Principal (BEP) .................................................79 FIGURA 38: Exemplo de configuração dos condutores de proteção ...............................................80 FIGURA 39: Exemplo de configuração dos condutores de proteção ...............................................80 FIGURA 40: Exemplo de configuração dos condutores de equipotencialidade...............................80 FIGURA 41: Exemplo de configuração dos condutores de equipotencialidade...............................81 FIGURA 42: Contato direto..............................................................................................................82 FIGURA 43: Contato indireto...........................................................................................................82 FIGURA 44: Dispositivo DR (interruptor DR).................................................................................83 FIGURA 45: Disjuntor DR ...............................................................................................................83 FIGURA 46: Módulo DR..................................................................................................................83 FIGURA 47: Gráfico com zonas tempo x corrente e os efeitos sobre as pessoas (percurso mão esquerda ao pé)...................................................................................................................................84 FIGURA 48: Esquemas de ligação dos dispositivos DR ..................................................................85 FIGURA 49: Esquemas de ligação dos dispositivos DR ..................................................................85 FIGURA 50: Exigência de dispositivos DR......................................................................................86 Figura 51: Fluxo luminoso.................................................................................................................87 Figura 52: Iluminância .......................................................................................................................87 Figura 53: Eficiência energética.........................................................................................................88 Figura 54: Índice de Reprodução de Cores (𝑅𝑎 ou IRC)...................................................................88
  • 9.
    9 Figura 55: Curvade distribuição de Intensidades Luminosas no plano transversal e longitudinal para uma lâmpada fluorescente isolada (A) ou associada a um refletor (B)..............................................90 Figura 56: Representação do pé-direito útil .......................................................................................92 FIGURA 57: Exemplo de tabela para determinação da eficiência do rescinto.................................92 FIGURA 58: Cálculo da quantidade de luminárias...........................................................................93 FIGURA 59: Distribuição de luminárias...........................................................................................93 Figura 60: Luminária TCS 312 da Philips .........................................................................................94 Figura 61: Fatores de utilização – TCS 312 – 2xTLD 32W ..............................................................94
  • 10.
    10 UTILIZAÇÃO DESTA APOSTILA Estaapostila foi elaborada originalmente para auxiliar no ensino de instalações elétricas aos alunos dos cursos de engenharia civil, arquitetura e computação. Entretanto, sua utilização adapta-se muito bem ao ensino aplicado aos alunos de quaisquer cursos técnicos e tecnológicos. Seu conteúdo consiste em simplificações e adaptações adequadas àqueles que não estão totalmente afeitos aos fundamentos da engenharia elétrica e que querem, de forma rápida e simplificada, dimensionar circuitos, equipamentos e dispositivos para este tipo de instalação. As simplificações aqui adotadas podem ser empregadas para instalações residenciais simples e comerciais de pequeno porte. Todas estas simplificações foram elaboradas com base no que é permitido pela NBR-5410 e devem ser sempre verificadas por um engenheiro eletricista.
  • 11.
    11 CARACTERÍSTICAS NOMINAIS DOSEQUIPAMENTOS ELÉTRICOS  Corrente Nominal (𝐼 𝑁): corrente demandada pelo equipamento e cujo valor é especificado pelo fabricante. É dada em Amperes A.  Tensão Nominal (𝑉𝑁): tensão de operação de um equipamento cujo valor é especificado pelo fabricante. Serve de referência para seu funcionamento. É especificada em Volts (V).  Potência Nominal (𝑆 𝑁 ou 𝑃 𝑁): potência (Aparente ou Ativa) de entrada do equipamento, quando o este funciona em sob tensão e frequência nominais, temperatura e carga normais. É dada em Volt-Ampere (VA), potência aparente, ou em Watts (W), potência ativa.  Frequência: frequência da rede elétrica para a qual o equipamento foi projetado para trabalhar e a qual são referidas as outras grandezas elétricas. Geralmente são utilizadas as frequências de 50Hz ou 60Hz. No caso do Brasil, a frequência utilizada é de 60Hz. (Hz, Hertz). No caso dos MOTORES a potência nominal indicada na placa é a potência mecânica útil no eixo do rotor, normalmente dada em kW ou em CV, ou seja, é a POTÊNCIA DE SAÍDA (𝑃′ 𝑁) no seu eixo. Neste caso deve ser considerado o rendimento (η), que também é especificado pelo fabricante, e é dado pela razão entre a potência de saída e a potência de entrada: 𝜂 = 𝑃𝑠𝑎í𝑑𝑎 𝑃𝑒𝑛𝑡𝑟𝑎𝑑𝑎 = 𝑃′ 𝑁 𝑃 𝑁 O Fator de Potência (FP ou 𝑐𝑜𝑠(𝜙) ) é definido como a razão entre a potência ativa e a potência aparente: 𝑐𝑜𝑠(𝜙) = 𝑃 𝑁 𝑆 𝑁 A figura a seguir representa um equipamento elétrico genérico: FIGURA 1: Equipamento elétrico genérico As diversas variáveis elétricas se relacionam como apresentado a seguir. Equipamentos MONOFÁSICOS (ou BIFÁSICOS) 𝑃 𝑁 = 𝑉𝑁 𝐼 𝑵cos𝜙  Equipamentos MONOFÁSICOS: 𝑉𝑁 é a tensão entre fase e neutro. Equipamento Elétrico cos(𝜙) , 𝜂 𝑉𝑁, 𝐼 𝑁, 𝑆 𝑁 𝑜𝑢 𝑃 𝑁 𝑃′ 𝑁
  • 12.
    12  Equipamentos BIFÁSICOS:𝑉𝑁 é a tensão entre fase e fase. 𝑆 𝑁 = 𝑉𝑁 𝐼 𝑁 𝐼 𝑁 = 𝑃 𝑁 𝑉𝑁cos𝜙 Lembre-se que, para o caso dos motores elétricos, a potência de placa (ou potência nominal) é a potência de saída (potência mecânica). Portanto: 𝐼 𝑁 = 𝑃 𝑁 𝑉𝑁cos𝜙 = 𝑃 𝑁 𝜂⁄ 𝑉𝑁cos𝜙 = 𝑃′ 𝑁 𝑉𝑁 𝜂cos𝜙 Equipamentos TRIFÁSICOS 𝑃 𝑁 = √3𝑉𝑁 𝐼 𝑵cos𝜙  𝑉𝑁 é a tensão entre fases. 𝑆 𝑁 = √3𝑉𝑁 𝐼 𝑁 𝐼 𝑁 = 𝑃 𝑁 √3𝑉𝑁cos𝜙 Novamente, lembre-se que, para o caso dos motores elétricos tem-se: 𝐼 𝑁 = 𝑃 𝑁 √3𝑉𝑁cos𝜙 = 𝑃 𝑁 𝜂⁄ √3𝑉𝑁cos𝜙 = 𝑃′ 𝑁 √3𝑉𝑁 𝜂cos𝜙  𝜂 é o rendimento do motor. _________________________________________________________________________ No caso dos MOTORES ELÉTRICOS deve-se também ter sempre em mente as seguintes relações: 1 𝑐𝑣 = 735,5𝑊 1 𝐻𝑃 = 745,7𝑊 1 𝑐𝑣 = 0,98632𝐻𝑃 1 𝐻𝑃 = 1,0138697𝑐𝑣
  • 13.
    13 P SIMBOLOGIA E CONVENÇÕES Dutose distribuição TABELA 1: Simbologia para dutos e distribuição Símbolo Significado Observações Eletroduto embutido no teto ou parede. Só indicar a dimensão dos eletrodutos menos comuns na instalação. O mais comum para cada caso tem a sua dimensão indicada na legenda. Eletroduto embutido no piso. Tubulação para telefone externo. Tubulação para telefone interno. Tubulação para campainha, som, anunciador, ou outro sistema. Condutor fase, neutro, de retorno e de proteção respectivamente, no interior do eletroduto. Cada traço representa um condutor. Indicar o no do circuito e a designação do retorno por uma letra minúscula. Caixa de passagem no piso. Indicar dimensões na legenda ou junto à caixa (em mm). Caixa de passagem no teto. Caixa de passagem na parede. Circuito que sobe Circuito que desce Circuito que passa subindo Circuito que passa descendo a no P P
  • 14.
    14 Quadros de distribuição TABELA2: Simbologia para quadros de distribuição Símbolo Significado Observações Quadro terminal de luz e força aparente. Indicar as cargas de luz e força no quadro de cargas. Quadro terminal de luz e força embutido. Quadro geral de luz e força aparente. Quadro geral de luz e força embutido. Caixa de telefone. Interruptores TABELA 3: Simbologia para interruptores Símbolo Significado Observações Interruptor de uma seção. A(s) letra(s) minúscula(s) indica(m) o(s) ponto(s) comandado(s). Interruptor de duas seções. Interruptor de três seções. Interruptor paralelo (tree-way). Interruptor intermediário (four-way). Botão de minuteria. Botão de campainha na parede. a M S a ba ba c a a 2 S a,b 3 S a,b,c 3w S a 4w S a
  • 15.
    15 Luminárias TABELA 4: Simbologiapara luminárias Símbolo Significado Observações Ponto de luz no teto. C = circuito; R = retorno; P = potência. Para luminárias instaladas em paredes deve-se indicar a altura de instalação. Ponto de luz na parede (arandela). Ponto de luz no teto (embutido). Ponto de luz fluorescente no teto. Ponto de luz fluorescente na parede. Ponto de luz fluorescente no teto (embutido). Tomadas e pontos de utilização TABELA 5: Simbologia para tomadas e pontos de utilização Símbolo Significado Observações Tomada baixa (0,30m do piso) A potência deve ser indicada ao lado em VA (exceto se for 100VA). Se a altura for diferente da normalizada, também deverá ser indicado. Tomadas para motores e aparelhos de ar-condicionado devem indicar os HP (ou CV) ou BTU respectivos. Tomada média (1,30m do piso) Tomada alta (2,00m do piso) Tomada no piso Campainha C R P C R P C R P C R P C R P C R P
  • 16.
    16 ESQUEMAS FUNDAMENTAIS DELIGAÇÕES Os esquemas apresentados a seguir representam trechos constitutivos de um circuito de iluminação e tomadas, e poderiam ser designados como “subcircuitos” ou circuitos parciais. O condutor neutro é sempre ligado ao receptáculo da lâmpada e à tomada. O condutor fase alimenta o interruptor e a tomada. O condutor de retorno liga o interruptor ao receptáculo da lâmpada. FIGURA 2: Ponto de luz e interruptor de uma seção FIGURA 3: Ponto de luz, interruptor de uma seção e tomada baixa
  • 17.
    17 FIGURA 4: Pontode luz no teto, arandela e interruptor de duas seções. FIGURA 5: Dois pontos de luz comandados por um interruptor de duas seções FIGURA 6: Dois pontos de luz comandados por um interruptor de duas seções
  • 18.
    18 FIGURA 7: Doispontos de luz comandados por um interruptor de duas seções e tomada. FIGURA 8: Lâmpada comandada por interruptor de uma seção, pelo qual chega alimentação. FIGURA 9: Duas lâmpadas acesas por um interruptor de duas seções, pelo qual chega a alimentação.
  • 19.
    19 FIGURA 10: Duaslâmpadas comandadas por interruptores independentes, de uma seção cada. FIGURA 11: Lâmpada comandada por three-way FIGURA 12: . Lâmpada comandada por three-way.
  • 20.
    20 FIGURA 13: Lâmpadacomandada por three-way. FIGURA 14: Lâmpada comandada por three-way e four-way.
  • 21.
    21 FIGURA 15: Lâmpadacomandada por three-way e four-way.
  • 22.
    22 PROJETO Projetar uma instalaçãoelétrica, para qualquer tipo de prédio ou local consiste essencialmente em selecionar, dimensionar e localizar, de maneira racional, os equipamentos e outros componentes ne- cessários a fim de proporcionar, de modo seguro e efetivo, a transferência de energia da fonte até os pontos de utilização. Convém lembrar que o projeto de instalações elétricas é apenas um dos vários projetos necessários à construção de um prédio e, assim, sua elaboração deve ser conduzida em perfeita harmonia com os demais projetos (arquitetura, estruturas, tubulações, etc.). Passamos agora a enumerar as etapas que devem ser seguidas num projeto de instalações elétricas prediais, válidas em princípio, para qualquer tipo de prédio (industrial, residencial, comercial, etc.). A ordem indicada é a geralmente seguida pelos projetistas de empresas de engenharia. No entanto, é bom frisar que, em muitos casos, não só a ordem pode ser alterada, como também etapas podem ser suprimidas ou ainda duas ou mais etapas podem vir a ser fundidas numa única. Análise Inicial É a etapa preliminar do projeto de instalações elétricas de qualquer prédio. Nela são colhidos os dados básicos que orientarão a execução do trabalho. Consiste, em princípio, nos passos descritos a seguir:  Determinação do uso previsto para todas as áreas do prédio;  Determinação do layout dos equipamentos de utilização previstos;  Levantamento das características elétricas dos equipamentos;  Classificação das áreas quanto às influências externas;  Definição do tipo de linha elétrica a utilizar;  Determinar equipamentos que necessitam de energia de substituição;  Determinar setores que necessitam de iluminação de segurança;  Determinar equipamentos que necessitam de energia de segurança;  Realizar uma estimativa inicial da potência instalada e de alimentação globais;  Definir a localização preferencial da entrada de energia. Caracterização do fornecimento de energia Neta etapa deverão ser determinadas as condições em que o prédio será alimentado em condições normais. Assim, nesta fase é imprescindível conhecer os regulamentos locais de fornecimento de energia e, quase sempre, estabelecer contato com o concessionário, a fim de determinar:  Tipo de sistema de distribuição e de entrada;  Localização da entrada de energia;  Tensão de fornecimento;  Padrão de entrada e medição a ser utilizado (cabina primária, cabina de barramentos, caixas de entrada, um ou mais centros de medição, etc.), em função da potência instalada, das condições de fornecimento e do tipo de prédio;
  • 23.
    23 PREVISÃO DE CARGA Iluminação Emcada cômodo ou dependência deve ser previsto pelo menos um ponto de luz fixo no teto, comandado por interruptor.  Nas acomodações de hotéis, motéis e similares pode-se substituir o ponto de luz fixo no teto por tomada de corrente, com potência mínima de 100 VA, comandada por interruptor de parede.  Admite-se que o ponto de luz fixo no teto seja substituído por ponto na parede em espaços sob escada, depósitos, despensas, lavabos e varandas, desde que de pequenas dimensões e onde a colocação do ponto no teto seja de difícil execução ou não conveniente. Na determinação das cargas de iluminação, como alternativa à aplicação da ABNT NBR 5413, pode ser adotado o seguinte critério:  em cômodos ou dependências com área igual ou inferior a 6 m², deve ser prevista uma carga mínima de 100 VA;  em cômodo ou dependências com área superior a 6 m², deve ser prevista uma carga mínima de 100 VA para os primeiros 6 m², acrescida de 60 VA para cada aumento de 4 m² inteiros.  Os valores apurados correspondem à potência destinada a iluminação para efeito de dimensionamento dos circuitos, e não necessariamente à potência nominal das lâmpadas. Marcação dos pontos de luz FIGURA 16: Marcação de pontos de luz
  • 24.
    24 Pontos de tomada Númerode pontos de tomada O número de pontos de tomada deve ser determinado em função da destinação do local e dos equipamentos elétricos que podem ser aí utilizados, observando-se no mínimo os seguintes critérios:  em banheiros, deve ser previsto pelo menos um ponto de tomada, próximo ao lavatório;  em cozinhas, copas, copas-cozinhas, áreas de serviço, cozinha-área de serviço, lavanderias e locais análogos, deve ser previsto no mínimo um ponto de tomada para cada 3,5 m, ou fração, de perímetro, sendo que acima da bancada da pia devem ser previstas no mínimo duas tomadas de corrente, no mesmo ponto ou em pontos distintos;  em varandas, deve ser previsto pelo menos um ponto de tomada; NOTA: admite-se que o ponto de tomada não seja instalado na própria varanda, mas próximo ao seu acesso, quando a varanda, por razões construtivas, não comportar o ponto de tomada, quando sua área for inferior a 2 m² ou, ainda, quando sua profundidade for inferior a 0,80 m.  em salas e dormitórios devem ser previstos pelo menos um ponto de tomada para cada 5 m, ou fração, de perímetro, devendo esses pontos ser espaçados tão uniformemente quanto possível; NOTA: particularmente no caso de salas de estar, deve-se atentar para a possibilidade de que um ponto de tomada venha a ser usado para alimentação de mais de um equipamento, sendo recomendável equipá- lo, portanto, com a quantidade de tomadas julgada adequada.  em cada um dos demais cômodos e dependências de habitação devem ser previstos pelo menos: o um ponto de tomada, se a área do cômodo ou dependência for igual ou inferior a 2,25 m². Admite-se que esse ponto seja posicionado externamente ao cômodo ou dependência, a até 0,80 m no máximo de sua porta de acesso; o um ponto de tomada, se a área do cômodo ou dependência for superior a 2,25 m² e igual ou inferior a 6 m² ; o um ponto de tomada para cada 5 m, ou fração, de perímetro, se a área do cômodo ou dependência for superior a 6 m², devendo esses pontos ser espaçados tão uniformemente quanto possível. Potências atribuíveis aos pontos de tomada  A potência a ser atribuída a cada ponto de tomada é função dos equipamentos que ele poderá vir a alimentar e não deve ser inferior aos seguintes valores mínimos: o em banheiros, cozinhas, copas, copas-cozinhas, áreas de serviço, lavanderias e locais análogos, no mínimo 600 VA por ponto de tomada, até três pontos, e 100 VA por ponto para os excedentes, considerando-se cada um desses ambientes separadamente. Quando o total de tomadas no conjunto desses ambientes for superior a 6 pontos, admite-se que o critério de atribuição de potências seja de no mínimo 600 VA por ponto de tomada, até dois pontos, e 100 VA por ponto para os excedentes, sempre considerando cada um dos ambientes separadamente; o nos demais cômodos ou dependências, no mínimo 100 VA por ponto de tomada.
  • 25.
    25 Aquecimento elétrico deágua  A conexão do aquecedor elétrico de água ao ponto de utilização deve ser direta, sem uso de tomada de corrente. FIGURA 17: Configuração mínima de TUG’s para banheiro. . FIGURA 18: Configuração mínima de TUG’s para cozinha (perímetro = 11,6 m) e área de serviço (perímetro = 10,7 m).
  • 26.
    26 FIGURA 19: Configuraçãomínima de TUG’s para dependência tipo quarto (área = 11,2 m2 e perímetro = 13,8m)
  • 27.
    27 DIVISÃO DA INSTALAÇÃOEM SETORES / CENTRO DE CARGA Recomendações da NBR 5410:2004 Os circuitos terminais devem ser individualizados pela função dos equipamentos de utilização, que alimentam. Em particular, devem ser previstos circuitos terminais distintos para iluminação e tomadas de corrente. Em unidades residenciais e acomodações de hotéis, motéis e similares, devem ser previstos circuitos independentes para cada equipamento com corrente nominal superior a 10 A. Outras Recomendações 1. Aparelhos de ar condicionado devem ter circuitos individuais. 2. Cada circuito deve ter seu próprio condutor neutro. 3. As tomadas da copa-cozinha e área de serviço devem fazer parte de circuitos exclusivos. 4. Sempre que possível, deve-se projetar circuitos independentes para os quartos, salas (depen- dências sociais), cozinhas e dependências de serviço. Centro de Carga É o ponto teórico em que, para efeito de distribuição elétrica, pode-se considerar concentrada toda a carga de uma determinada área. É o ponto que deveria se localizar o quadro de distribuição de modo a reduzir ao mínimo os custos de instalação e funcionamento. Existe um processo analítico para a sua determinação, em função da potência e das coordenadas dos diversos pontos alimentados a partir do quadro de distribuição considerado. Cada subsetor, cada setor, bem como a instalação como um todo possuem seus centros de carga e nesses pontos deveriam idealmente localizar-se os respectivos quadros de distribuição. Na prática, apenas em casos excepcionais, efetua-se a determinação exata dos centros de carga, recorrendo-se quase sempre a uma determinação aproximada, considerando as exigências e limitações de cada área. O processo para localização do centro de carga é definido pelo cálculo do baricentro dos pontos considerados como de carga puntiforme e correspondentes à potência demandada de cada subsetor (ou equipamento “mais pesado”), com suas respectivas distâncias em relação a origem de um sistema de coordenadas cartesianas. N NN PPP PXPXPX X      21 2211 N NN PPP PYPYPY Y      21 2211 Nestas duas últimas equações, X e Y correspondem as coordenadas do centro de carga, PN é a potência do subsetor N (ou da carga N) e XN e YN suas respectivas coordenadas.
  • 28.
    28 SELEÇÃO E DIMENSIONAMENTODOS CONDUTORES Chama-se de dimensionamento técnico de um circuito à aplicação dos diversos itens da NBR 5410 relativos à escolha da seção de um condutor e do seu respectivo dispositivo de proteção. Os principais critérios da norma são: Seção mínima Capacidade de condução de corrente Queda de tensão Sobrecarga Para considerarmos um circuito completa e corretamente dimensionado, é necessário aplicar os seis critérios acima, cada um resultando em uma seção e considerar como seção final a maior dentre todas as obtidas. Seção mínima Conforme NBR 5410:2004, item 6.2.6 Condutor Fase As seções dos condutores fase não devem ser inferiores aos valores dados na TABELA 6. TABELA 6: Seções mínimas dos condutores isolados Tipo de instalação Utilização do circuito Seção mínima do condutor de cobre isolado (mm²) Instalações fixas em geral Circuitos de iluminação 1,5 Circuitos de força (incluem tomadas) 2,5 Circuitos de sinalização e circuitos de controle 0,5 Ligações flexíveis Para um equipamento específico Como especificado na norma do equipamento Para qualquer outra aplicação 0,75 Circuitos a extra baixa tensão para apli- cações especiais 0,75 Nota: De acordo com a Tabela 47 da NBR 5410:2004. Condutor Neutro O item 6.2.6.2.1 da NBR 5410:2004 estabelece que: O CONDUTOR NEUTRO NÃO PODE SER COMUM A MAIS DE UM CIRCUITO. Especial cuidado deve ser dado a este item, uma vez que é prática comum de alguns eletricistas inexperientes utilizar um neutro para vários circuitos. O condutor neutro deve possuir, no mínimo, a mesma seção que os condutores fase nos seguintes casos:
  • 29.
    29  em circuitosmonofásicos e bifásicos;  em circuitos trifásicos, quando a seção do condutor fase for igual ou inferior a 25 mm²;  em circuitos trifásicos, quando for prevista a presença de harmônicas (*). Apenas nos circuitos trifásicos é admitida a redução do condutor neutro nos seguintes casos:  o circuito for presumivelmente equilibrado, em serviço normal;  a corrente das fases não contiver uma elevada taxa de harmônicas; e  o condutor neutro for protegido contra sobrecorrentes (**). * A presença de correntes harmônicas não é detectada pelos medidores de corrente elétrica comuns , e também não costuma ser calculada pelos projetistas de instalações elétricas. Estas correntes costumam estar presentes em circuitos que alimentam muitas luminárias com lâmpadas fluorescentes e, mais ainda, em circuitos com muitos computadores ou outros equipamentos de tecnologia de informação. ** Quando a seção do condutor neutro for inferior à dos condutores de fase, é necessário prever detecção de sobrecorrente no condutor neutro, adequada à seção desse condutor. Essa detecção deve provocar o seccionamento dos condutores de fase, mas não necessariamente do condutor neutro. TABELA 7: Seção do condutor neutro Seção dos condutores fase (mm²) Seção mínima do condutor neutro (mm²) S < 25 S 35 25 50 25 70 35 95 50 120 70 150 70 185 95 240 120 300 150 400 185 Nota: De acordo com a Tabela 48 da NBR 5410:2004 Condutor de Proteção A NBR 5410:2004 recomenda o uso de CONDUTORES DE PROTEÇÃO (designados por PE), que, preferencialmente, deverão ser condutores isolados, cabos unipolares ou veias de cabos multipolares. Um condutor de proteção pode ser comum a dois ou mais circuitos, desde que esteja instalado no mesmo conduto que os respectivos condutores de fase. A TABELA 8, indica a seção mínima do condutor de proteção em função da seção dos condutores fase do circuito. Em instalações fixas, admite-se o uso de um condutor com a função dupla de neutro e condutor de proteção. É o condutor PEN (PE + N), cuja seção mínima é de 10 mm² (condutor de cobre).
  • 30.
    30 Se, em umponto qualquer da instalação, as funções de neutro e de condutor de proteção forem separadas, com a transformação do condutor PEN em dois condutores distintos, um destinado a neutro e o outro a condutor de proteção, não se admite que o condutor neutro, a partir desse ponto, venha a ser ligado a qualquer ponto aterrado da instalação. TABELA 8: Seções mínimas dos condutores de proteção Seção do condutor fase (mm²) Seção do condutor de proteção (mm²) 1,5 1,5 (mínima) 2,5 2,5 4 4 6 6 10 10 16 16 25 16 35 16 50 25 70 35 95 50 120 70 150 95 185 95 240 120 300 150 400 240 500 240 630 400 800 400 1000 500 Nota: de acordo com a Tabela 58 da NBR 5410: 2004.
  • 31.
    31 Cores dos Condutores ANBR 5410:2004 prevê no item 6.1.5.3 que os condutores de um circuito devem ser identificados, porém deixa em aberto o modo como fazer esta identificação. No caso de o usuário desejar fazer a identificação por cores, então devem ser adotadas aquelas prescritas na norma, a saber:  Neutro (N) = azul-claro;  Condutor de proteção (PE) = verde-amarela ou verde;  Condutor PEN = azul-claro com indicação verde-amarela nos pontos visíveis. OBS: a NBR-5410 não estabelece cores para os condutores de fase e de retorno. FIGURA 20: Cores dos concutores Capacidade de condução de corrente (conforme NBR 5410:2004, item 6.2.5) a)O primeiro passo consiste em determinar o tipo de isolação que será utilizada na fiação elétrica: PVC (70ºC) ou EPR/XLPE (90ºC). b)Em seguida deve ser determinado qual o método de instalação que será utilizado e relacioná-lo a um dos métodos de referência definidos na NBR 5410:2004. Para tanto, basta procurar na primeira coluna da TABELA 9, o método de instalação que será utilizado e verificar qual o método de referência correspondente. Em instalações residenciais os métodos mais comuns é o de número 7 (método e referência B1)., ou seja, a instalação está prevista para ser executada com condutores isolados acon- dicionados em eletrodutos embutidos em alvenaria. c)O passo seguinte consiste em verificar número de condutores carregados, que é determinado conforme TABELA 10.Erro! Fonte de referência não encontrada. d)Na quarta etapa deve-se calcular as correntes de projeto de cada circuito. e)Em seguida aplica-se os fatores de correção (de temperatura e de agrupamento de circuitos). f) Finalmente, obtém-se a bitola do condutor a ser utilizado entrando-se nas TABELA 11 a TABELA 14.
  • 32.
    32 FIGURA 21: Fluxogramapara dimencionamento de condutores 1. Definido pelo projetista. 2. TABELA 9 3. TABELA 10 4. Cálculo em função da carga e das CARACTERÍSTICAS NOMINAIS DOS EQUIPAMENTOS ELÉTRICOS, página 11. 5. TABELA 15 e TABELA 16. 6. TABELA 17 e demais. 7. TABELA 11 e demais.
  • 33.
    33 Tipos de linhaselétricas TABELA 9: Tipos de Linhas Elétricas
  • 34.
  • 35.
  • 36.
  • 37.
  • 38.
  • 39.
    39 Número de condutorescarregados TABELA 10: Número de condutores carregados Tipo de circuito Nº de condutores carregados Monofásico a dois condutores 2 Monofásico a três condutores 2 Duas fases sem neutro 2 Duas fases com neutro 3 Trifásico sem neutro 3 Trifásico com neutro 3 ou 4 (*) Nota: Em particular, no caso de circuito trifásico com neutro, quando a circulação de corrente no neutro não for acompanhada de redução correspondente na carga dos condutores de fase, o neutro deve ser computado como condutor carregado. É o que acontece quando a corrente nos condutores de fase contém componentes harmônicas de ordem três e múltiplos numa taxa superior a 15%. Nessas condições, o circuito trifásico com neutro deve ser considerado como constituído de 4 condutores carregados e a determinação da capacidade de condução de corrente dos condutores deve ser afetada do “fator de correção devido ao carregamento do neutro”. Tal fator, que em caráter geral é de 0,86, independentemente do método de instalação, é aplicável então às capacidades de condução de corrente válidas para três condutores carregados. Tabelas de capacidade de condução de corrente TABELA 11: Capacidades de condução de corrente, em amperes, para os métodos de referência A1, A2, B1, B2, C e D da TABELA 9 (Isolação: PVC, condutor de cobre) Seções nominais (mm²) MÉTODOS DE INSTALAÇÃO DEFINIDOS NA TABELA 9 (1) A1 A2 B1 B2 C D Quantidade de condutores carregados 2 3 2 3 2 3 2 3 2 3 2 3 (2) (3) (4) (5) (6) (7) (8) (9) (10) (11) (12) (13) 0,5 7 7 7 7 9 8 9 8 10 9 12 10 0,75 9 9 9 9 11 10 11 10 13 11 15 12 1 11 10 11 10 14 12 13 12 15 14 18 15 1,5 14,5 13,5 14 13 17,5 15,5 16,5 15 19,5 17,5 22 18 2,5 19,5 18 18,5 17,5 24 21 23 20 27 24 29 24 4 26 24 25 23 32 28 30 27 36 32 38 31 6 34 31 32 29 41 36 38 34 46 41 47 39 10 46 42 43 39 57 50 52 46 63 57 63 52 16 61 56 57 52 76 68 69 62 85 76 81 67 25 80 73 75 68 101 89 90 80 112 96 104 86 35 99 89 92 83 125 110 111 99 138 119 125 103 50 119 108 110 99 151 134 133 118 168 144 148 122 70 151 136 139 125 192 171 168 149 213 184 183 151 95 182 164 167 150 232 207 201 179 258 223 216 179 120 210 188 192 172 269 239 232 206 299 259 246 203 150 240 216 219 19 309 275 265 236 344 299 278 230 185 273 245 248 223 353 314 300 268 392 341 312 258 240 321 286 291 261 415 370 351 313 461 403 361 297 300 367 328 334 298 477 426 401 358 530 464 408 336 400 438 390 398 355 571 510 477 425 634 557 478 394 500 502 447 456 406 656 587 545 486 729 642 540 445 630 578 514 526 467 758 678 626 559 843 743 614 506 800 669 593 609 540 881 788 723 645 978 865 700 577 1000 767 679 698 618 1012 906 827 738 1125 996 792 652 Nota: de acordo com a Tabela 36 da NBR 5410:2004.  Temperatura do condutor: 70ºC; Temperaturas: 30ºC (ambiente) e 20ºC (solo).
  • 40.
    40 TABELA 12: Capacidadesde condução de corrente, em amperes, para os métodos de referência A1, A2, B1, B2, C e D da TABELA 9 (Isolação: EPR ou XLPE, condutor de cobre) Seções nominais (mm²) MÉTODOS DE INSTALAÇÃO DEFINIDOS NA TABELA 9 (1) A1 A2 B1 B2 C D Quantidade de condutores carregados 2 3 2 3 2 3 2 3 2 3 2 3 (2) (3) (4) (5) (6) (7) (8) (9) (10) (11) (12) (13) 0,5 10 9 10 9 12 10 11 10 12 11 14 12 0,75 12 11 12 11 15 13 15 13 16 14 18 15 1 15 13 14 13 18 16 17 15 19 14 18 15 1,5 19 17 18,5 16,5 23 20 22 19,5 24 22 26 22 2,5 26 23 25 22 31 28 30 26 33 30 34 29 4 35 31 33 30 42 37 40 35 45 40 44 37 6 45 40 42 38 54 48 51 44 58 52 56 46 10 61 54 57 51 75 66 69 60 90 71 73 61 16 81 73 76 68 100 88 91 80 107 96 95 79 25 106 95 99 89 133 117 119 105 138 119 121 101 35 131 117 121 109 164 144 146 128 171 147 146 122 50 158 141 145 130 198 175 175 154 209 179 173 144 70 200 179 183 164 253 222 221 194 269 229 213 178 95 241 216 220 197 306 269 265 233 328 278 252 211 120 278 249 253 227 354 312 305 268 382 322 287 240 150 318 285 290 259 407 358 349 307 441 371 324 271 185 362 324 329 295 464 408 395 348 506 424 363 304 240 424 380 386 346 546 481 462 407 599 500 419 351 300 486 435 442 396 628 553 529 465 693 576 474 396 400 579 519 527 472 751 661 628 552 835 692 555 464 500 664 595 604 541 864 760 718 631 966 797 627 525 630 765 685 696 623 998 879 825 725 1122 923 711 596 800 885 792 805 721 1158 1020 952 837 1311 1074 811 679 1000 1014 908 923 826 1332 1173 1088 957 1515 1237 916 767 Nota: de acordo com a Tabela 37 da NBR 5410:2004.  2 e 3 condutores carregados.  Temperatura do condutor: 90ºC; Temperaturas: 30ºC (ambiente) e 20ºC (solo).
  • 41.
    41 TABELA 13: Capacidadesde condução de corrente, em amperes, para os métodos de referência E, F, G da TABELA 9 (Isolação: PVC, condutor de cobre) Seções nominais (mm²) MÉTODOS DE INSTALAÇÃO DEFINIDOS NA TABELA 9 Cabos multipolares Cabos unipolares ou condutores isolados E E F F F G G Cabos bipolares Cabos tripolares e tetrapolares 2 condutores isolados ou 2 cabos unipolares Condutores isolados ou cabos unipolares em trifólio 3 cabos unipolares ou 3 condutores isolados Contíguos Espaçados horizontalmente Espaçados verticalmente 1 2 3 4 5 6 7 8 0,5 11 9 11 8 9 12 10 0,75 14 12 14 11 11 16 13 1 17 14 17 13 14 19 16 1,5 22 18,5 22 17 18 24 21 2,5 30 25 31 24 25 34 29 4 40 34 41 33 34 45 39 6 51 43 53 43 45 59 51 10 70 60 73 60 63 81 71 16 94 80 99 82 85 110 97 25 119 101 131 110 114 146 130 35 148 126 162 137 143 181 162 50 180 153 196 167 174 219 197 70 232 196 251 216 225 281 254 95 282 238 304 264 275 341 311 120 328 276 352 308 321 396 362 150 379 319 406 356 372 456 419 185 434 364 463 409 427 521 480 240 514 430 546 485 507 615 569 300 593 497 629 561 587 709 659 400 715 597 754 656 689 852 795 500 826 689 868 749 789 982 920 630 958 789 1005 855 905 1138 1070 800 1118 930 1169 971 1119 1325 1251 1000 1292 1073 1346 1079 1296 1528 1448 Nota: de acordo com a Tabela 38 da NBR 5410:2004  Temperatura no condutor: 70ºC.  Temperatura ambiente: 30ºC.
  • 42.
    42 TABELA 14: Capacidadesde condução de corrente, em amperes, para os métodos de referência E, F, G da TABELA 9 (Isolação: EPR ou XLPE, condutor de cobre) Seções nominais (mm²) MÉTODOS DE INSTALAÇÃO DEFINIDOS NA TABELA 9 Cabos multipolares Cabos unipolares ou condutores isolados E E F F F G G Cabos bipolares Cabos Tripolares e Tetrapolares 2 condutores isolados ou 2 cabos unipolares Condutores isolados ou cabos unipolares em trifólio 3 cabos unipolares ou 3 condutores isolados Contíguos Espaçados Horizontalmente Espaçados Verticalmente 1 2 3 4 5 6 7 8 0,5 13 12 13 10 10 15 12 0,75 17 15 17 13 14 19 16 1 21 18 21 16 17 23 19 1,5 26 23 27 21 22 30 25 2,5 36 32 37 29 30 41 35 4 49 42 50 40 42 56 48 6 63 54 65 53 55 73 63 10 86 75 90 74 77 101 88 16 115 100 121 101 105 137 120 25 149 127 161 135 141 182 161 35 185 158 200 169 176 226 201 50 225 192 242 207 216 275 246 70 289 246 310 268 279 353 318 95 352 298 377 328 342 430 389 120 410 346 437 383 400 500 454 150 473 399 504 444 464 577 527 185 542 456 575 510 533 661 605 240 641 538 679 607 634 781 719 300 741 621 783 703 736 902 833 400 892 745 940 823 868 1085 1008 500 1030 859 1083 946 998 1253 1169 630 1196 995 1254 1088 1151 1454 1362 800 1396 1159 1460 1252 1328 1696 1595 1000 1613 1336 1683 1420 1511 1958 1849 Nota: de acordo com a Tabela 39 da NBR 5410:2004.  Temperatura no condutor: 90ºC.  Temperatura ambiente: 30ºC.
  • 43.
    43 Os fatores decorreção  Fatores de correção para temperatura;  Fatores de correção para resistividade térmica do solo;  Fatores de correção para agrupamento de circuitos;  Fatores de correção para correntes harmônicas. Fatores de correção para temperatura O valor da temperatura ambiente a utilizar é o da temperatura do meio circundante quando o cabo ou o condutor considerado não estiver carregado. Para temperaturas ambientes diferentes de 30o C para linhas não subterrâneas e de 20o C para a temperatura do solo no caso de linhas subterrâneas, devem ser utilizados os fatores de correção indicados na TABELA 15. TABELA 15: Fatores de correção para temperaturas ambientes diferentes de 30ºC para linhas não subterrâneas e de 20ºC (temperatura do solo para linhas subterrâneas) Temperatura (ºC) ISOLAÇÃO PVC EPR ou XLPE PVC EPR ou XLPE Ambiente Do solo 10 1,22 1,15 1,10 1,07 15 1,17 1,12 1,05 1,04 20 1,12 1,08 1 1 25 1,06 1,04 0,95 0,96 30 1 1 0,89 0,93 35 0,94 0,96 0,84 0,89 40 0,87 0,91 0,77 0,85 45 0,79 0,87 0,71 0,80 50 0,71 0,82 0,63 0,76 55 0,61 0,76 0,55 0,71 60 0,50 0,71 0,45 0,65 65 - 0,65 - 0,60 70 - 0,58 - 0,53 75 - 0,50 - 0,46 80 - 0,41 - 0,38 Nota: de acordo com a Tabela 40 da NBR 5410:2004. Fatores de correção para resistividade térmica do solo Em locais onde a resistividade térmica do solo seja diferente de 2,5 K.m/W, caso típico de solos se- cos, deve ser feita uma correção adequada nos valores da capacidade de condução de corrente. Solos úmidos possuem valores menores de resistividade térmica, enquanto solos muito secos apresentam valores maiores O valor 2,5 K.m/W é o recomendado pela IEC quando o tipo de solo e a localização geográfica não são especificados. A TABELA 16 dá os fatores de correção para resistividades térmicas do solo diferentes da 2,5 K.m/W.
  • 44.
    44 TABELA 16: Fatoresde correção para cabos contidos em eletrodutos enterrados no solo, com resistividades térmicas diferentes de 2,5 k.m/W, a serem aplicados às capacidades de condução de corrente do método de refe-rência D Resistividade Térmica (K.m/W) 1 1,5 2 3 Fator de correção 1,18 1,10 1,05 0,96 Nota: de acordo com a Tabela 41 da NBR 5410:2004. Fatores de correção para agrupamento de circuitos As tabelas de capacidade de condução de corrente, TABELA 11 e TABELA 12, para os métodos de referência A1, A2, B1, B2, C e D, são válidas para circuitos simples constituídos pelos seguintes números de condutores:  Dois condutores isolados, dois cabos unipolares ou um cabo bipolar;  Três condutores isolados, três cabos unipolares ou um cabo tripolar. Quando for instalado, em um mesmo grupo, um número maior de condutores ou de cabos, devem ser aplicados os fatores de correção especificados a partir da TABELA 17. As capacidades de condução de corrente indicadas nas TABELA 13 e TABELA 14 são válidas para os métodos de referência E, F e G, e para:  dois condutores carregados (dois condutores isolados, dois cabos unipolares ou um cabo bipolar);  três condutores carregados (três condutores isolados, três cabos unipolares ou um cabo tripolar). Para um número maior de condutores, agrupados, devem ser aplicados os fatores de correção especificados na TABELA 17, quando os condutores forem dispostos em feixe ou num mesmo plano, em camada única; ou então os fatores de agrupamento da TABELA 18 quando os condutores forem dispostos em mais de uma camada.
  • 45.
    45 TABELA 17: Fatoresde correção aplicáveis a condutores agrupados em feixe (em linhas abertas ou fechadas) e a condutores agrupados num mesmo plano, em camada única. Ref. Forma de agrupamento dos condutores Número de circuitos ou de cabos multipolares Tabelas dos métodos de referência 1 2 3 4 5 6 7 8 9 a 11 12 a 15 16 a 19 20 ou mais 1 Em feixe: ao ar livre ou sobre superfície; embutidos; em conduto fechado. 1,00 0,80 0,70 0,65 0,60 0,57 0,54 0,52 0,50 0,45 0,41 0,38 36 a 39 (métodos A a F) 2 Camada única sobre parede, piso, ou em bandeja não perfurada ou prateleira. 1,00 0,85 0,79 0,75 0,73 0,72 0,72 0,71 0,70 36 e 37 (método C) 3 Camada única no teto. 0,95 0,81 0,72 0,68 0,66 0,64 0,63 0,62 0,61 4 Camada única em bandeja perfurada. 1,00 0,88 0,82 0,77 0,75 0,73 0,73 0,72 0,72 38 e 39 (métodos 5 E e F)5 Camada única sobre leito, suporte etc. 1,00 0,87 0,82 0,80 0,80 0,79 0,79 0,78 0,78 Nota: de acordo com a Tabela 42 da NBR 5410:2004. NOTAS 1. Esses fatores são aplicáveis a grupos homogêneos de cabos, uniformemente carregados. 2. Quando a distância horizontal entre cabos adjacentes for superior ao dobro de seu diâmetro externo, não é necessário aplicar nenhum fator de redução. 3. O número de circuitos ou de cabos com o qual se consulta a tabela refere-se  à quantidade de grupos de dois ou três condutores isolados ou cabos unipolares, cada grupo constituindo um circuito (supondo-se um só condutor por fase, isto é, sem condutores em paralelo), e/ou  à quantidade de cabos multipolares que compõe o agrupamento, qualquer que seja essa composição (só condutores isolados, só cabos unipolares, só cabos multipolares ou qualquer combinação). 4. Se o agrupamento for constituído, ao mesmo tempo, de cabos bipolares e tripolares, deve-se considerar o número total de cabos como sendo o número de circuitos e, de posse do fator de agrupamento resultante, a determinação das capacidades de condução de corrente, nas tabelas TABELA 11 a TABELA 14, deve ser então efetuada:  na coluna de dois condutores carregados, para os cabos bipolares; e  na coluna de três condutores carregados, para os cabos tripolares. 5. Um agrupamento com N condutores isolados, ou N cabos unipolares, pode ser considerado composto tanto de N/2 circuitos com dois condutores carregados quanto de N/3 circuitos com três condutores carregados. 6. Os valores indicados são médios para a faixa usual de seções nominais, com dispersão geralmente inferior a 5%. Na elaboração de projetos de instalações elétricas é sempre interessante considerar o item 6.2.5.5.2 da NBR 5410:2004, abaixo transcrito: 6.2.5.5.2 Os condutores para os quais se prevê uma corrente de projeto não superior a 30% de sua capacidade de condução de corrente, já determinada observando-se o fator de agrupamento incorrido, podem ser desconsiderados para efeito de cálculo do fator de correção aplicável ao restante do grupo.
  • 46.
    46 Trata-se de umasituação muito comum em instalações residenciais. Seja, por exemplo, um eletroduto circular embutido em alvenaria (métodos de referência B1), contendo 3 circuitos de tomadas de corrente, todos com 2 condutores isolados, cobre com isolação em PVC, de 2,5 mm², que é a seção mínima estabelecida pela TABELA 6. A capacidade de condução de corrente dos condutores de cada circuito é determinada conforme a seguir: TABELA 9 Métodos de referência B1 TABELA 11 B1 - 2 condutores carregados - 2,5mm² TABELA 17 Fatores de correção para agrupamento de circuitos Portanto: 24 x 0,7 = 16,8 A Se um dos circuitos tiver uma corrente de projeto não superior a 16,8 x 0,3 = 5,04 A (que corresponde a 30% de sua capacidade de condução de corrente), ele pode ser desconsiderado e os condutores dos outros 2 circuitos terão uma capacidade de condução de corrente dada por: 24 x 0,8 = 19,2 A (neste caso foi utilizado o FATOR DE AGRUPAMENTO para dois condutores carregados, conforme TABELA 17). Se, agora, um desses 2 circuitos tiver uma corrente de projeto não superior a 19,2 x 0,3 = 5,76 A, (novamente, que corresponde a 30% de sua capacidade de condução de corrente), ele também poderá ser desconsiderado e os condutores do circuito restante terão uma capacidade de condução de corrente de 24 A (neste caso foi utilizado o FATOR DE AGRUPAMENTO para um condutor carregado, conforme TABELA 17). . Assim, nas condições de instalação indicadas, não será necessário aplicar qualquer fator de agrupamento, se: - circuito 1: 𝐼 𝐵1 ≤ 5,04𝐴 - circuito 2: 𝐼 𝐵2 ≤ 5,76𝐴 - circuito 3: 𝐼 𝐵3 ≤ 24𝐴
  • 47.
    47 TABELA 18: Fatoresde agrupamento para mais de um circuito cabos unipolares ou cabos multipolares diretamente enterrados (método de referência D, da TABELA 9) Número de circuitos DISTÂNCIA ENTRE OS CABOS (a) Nula 1 diâmetro de cabo 0,125 m 0,25 m 0,5 m 2 0,75 0,80 0,85 0,90 0,90 3 0,65 0,70 0,75 0,80 0,85 4 0,60 0,60 0,70 0,75 0,80 5 0,55 0,55 0,65 0,70 0,80 6 0,50 0,55 0,60 0,70 0,80 Nota: de acordo com a Tabela 44 da NBR 5410:2004. TABELA 19: Fatores de agrupamento para mais de um circuito cabos em eletrodutos diretamente enterrados (método de referência D na TABELA 9). Cabos multipolares em eletrodutos - 1 cabo por eletroduto Número de Circuitos ESPAÇAMENTO ENTRE DUTOS (a) Nulo 0,25 m 0,5 m 1,0 m 2 0,85 0,90 0,95 0,95 3 0,75 0,85 0,90 0,95 4 0,70 0,80 0,85 0,90 5 0,65 0,80 0,85 0,90 6 0,60 0,80 0,80 0,80 Nota: De acordo com a Tabela 45 da NBR 5410:2004.
  • 48.
    48 TABELA 20: Fatoresde agrupamento para mais de um circuito cabos em eletrodutos diretamente enterrados (método de referência D na TABELA 9). Cabos unipolares em eletrodutos - 1 cabo por eletroduto. Número de circuitos ESPAÇAMENTO ENTRE DUTOS (a) Nulo 0,25 m 0,5 m 1,0 m 2 0,80 0,90 0,90 0,90 3 0,70 0,80 0,85 0,90 4 0,65 0,75 0,80 0,90 5 0,60 0,70 0,80 0,90 6 0,60 0,70 0,80 0,90 Nota: Somente deve ser instalado 1 cabo unipolar por eletroduto, no caso deste ser em material não-magnético. Grupos contendo cabos de dimensões diferentes Os fatores de correção tabelados são aplicáveis a grupos de cabos semelhantes, igualmente carregados. O cálculo dos fatores de correção para grupos contendo condutores isolados ou cabos unipolares ou multipolares de diferentes seções nominais, depende da quantidade de condutores ou cabos e da faixa de seções. Tais fatores não podem ser Tabelados e devem ser calculados caso a caso, utilizando, por exemplo, a NBR 11301. Nota: São considerados cabos semelhantes aqueles cujas capacidades de condução de corrente baseiam-se na mesma temperatura máxima para serviço contínuo e cujas seções nominais estão contidas no intervalo de 3 seções normalizadas sucessivas. No caso de condutores isolados, cabos unipolares ou cabos multipolares de dimensões diferentes em condutos fechados ou em bandejas, leitos, prateleiras ou suportes, caso não seja viável um cálculo mais específico, deve-se utilizar a expressão: onde: F = fator de correção n = número de circuitos ou de cabos multipolares Nota: A expressão dada está a favor da segurança e reduz os perigos de sobrecarga sobre os cabos de menor seção nominal. Pode, no entanto, resultar no superdimensionamento dos cabos de seções mais elevadas. Queda de tensão Em qualquer ponto de utilização da instalação, a queda de tensão verificada não deve ser superior aos seguintes valores, dados em relação ao valor da tensão nominal da instalação: a) 7%, calculados a partir dos terminais secundários do transformador MT/BT, no caso de transformador de propriedade da(s) unidade(s) consumidora(s);
  • 49.
    49 b) 7%, calculadosa partir dos terminais secundários do transformador MT/BT da empresa distribuidora de eletricidade, quando o ponto de entrega for aí localizado; c) 5%, calculados a partir do ponto de entrega, nos demais casos de ponto de entrega com fornecimento em tensão secundária de distribuição; d) 7%, calculados a partir dos terminais de saída do gerador, no caso de grupo gerador próprio. OBS: ponto de entrega: Ponto de conexão do sistema elétrico da empresa distribuidora de eletricidade com a instalação elétrica da(s) unidade(s) consumidora(s) e que delimita as responsabilidades da distribuidora, definidas pela autoridade reguladora. Em geral pode-se adotar os seguintes esquemas: FIGURA 22: Distribuição das quedas de tensão – Entrada em BT FIGURA 23: Distribuição das quedas de tensão – Entrada em MT A NBR-5410:2004 estabelece ainda, no seu item 6.2.7.2 que “Em nenhum caso a queda de tensão nos circuitos terminais pode ser superior a 4%.”
  • 50.
    50 Cálculo da quedade tensão Determina-se a queda de tensão a partir da seguinte expressão: ∆𝑉 = 𝑡𝐼 𝑏 𝑙(𝑟 cos 𝜙 + 𝑥 sin 𝜙) onde:  V = queda de tensão (V)  t = 2 para circuitos monofásicos ou 3 para trifásicos.  Ib = corrente de projeto (A)  r = resistência do circuito (/km)  x = reatância do circuito (/km)  l = comprimento do circuito (km)  cos 𝜙 e sin 𝜙 são, respectivamente, o fator de potência e o fator reativo do circuito. Essa expressão é muitas vezes apresentada como, Δ𝑉 = 𝐼 𝑏 𝑙Δ𝑉̅̅̅̅ Onde: Δ𝑉̅̅̅̅ = 𝑡(𝑟 cos 𝜙 + 𝑥 sin 𝜙) é a chamada “queda de tensão unitária”, dada em V/A.km e tabelada pelos fabricantes de cabos para diversos tipos de circuitos e diversos valores do fator de potência. Os valores de resistência e reatância podem ser obtidos na TABELA 21. No caso de circuito com cargas distribuídas, o cálculo deve ser feito para cada trecho do circuito: ∆𝑉 = 𝑡(𝑟 cos 𝜙 + 𝑥 sin 𝜙) ∑ 𝐼 𝑘 𝑙 𝑘 𝑛 𝑘=1 Ou ainda, ∆𝑉 = Δ𝑉̅̅̅̅ ∑ 𝐼 𝑘 𝑙 𝑘 𝑛 𝑘=1 𝐼1 𝐼2 𝐼3 𝐼 𝑛 𝑙1 𝑙2 𝑙3 𝑙 𝑛 Deve-se observar ainda que a queda de tensão percentual é dada por: ∆𝑉% = ∆𝑉 𝑉𝑁 100
  • 51.
    51 Tabelas de resistênciaelétrica e reatância indutiva TABELA 21: Resistência elétrica e reatâncias indutivas de fios e cabos isolados em PVC, EPR e XLPE em condutos fechados (valores em Ω/km) Seção (mm²) [1] Rcc (A) [2] Condutos não-magnéticos (B) Circuitos FN / FF / 3F Rca [3] XL [4] 1,5 12,1 14,48 0,16 2,5 7,41 8,87 0,15 4 4,61 5,52 0,14 6 3,08 3,69 0,13 10 1,83 2,19 0,13 16 1,15 1,38 0,12 25 0,73 0,87 0,12 35 0,52 0,63 0,11 50 0,39 0,47 0,11 70 0,27 0,32 0,10 95 0,19 0,23 0,10 120 0,15 0,19 0,10 150 0,12 0,15 0,10 185 0,099 0,12 0,094 240 0,075 0,094 0,098 300 0,060 0,078 0,097 400 0,047 0,063 0,096 500 0,037 0,052 0,095 630 0,028 0,043 0,093 800 0,022 0,037 0,089 1000 0,018 0,033 0,088 Notas: (A) Resistência elétrica em corrente contínua calculada a 70ºC no condutor. (B) Válido para condutores isolados, cabos unipolares e multipolares instalados em condutos fechados não magnéticos.
  • 52.
    52 Sobrecarga (conforme NBR 5410:2004,item 6.5.1.4) A “sobrecarga” não é exatamente um critério de dimensionamento dos condutores, entretanto, intervêm na determinação da sua seção. A NBR 5410 prescreve que devem ser previstos dispositivos de proteção para interromper toda corrente de sobrecarga nos condutores dos circuitos antes que esta possa provocar um aquecimento prejudicial à isolação, às ligações, aos terminais ou às vizinhanças das linhas. A característica de funcionamento de um dispositivo protegendo um circuito contra sobrecargas deve satisfazer às duas seguintes condições:  Ib  In  Iz  I2  1,45 Iz onde: Ib = corrente de projeto do circuito; Iz = capacidade de condução de corrente dos condutores; In = corrente nominal do dispositivo de proteção (ou corrente de ajuste para disposi- tivos ajustáveis); I2 = corrente convencional de atuação, para disjuntores, ou corrente convencional de fusão, para fusíveis. Nota 1: A condição I2  1,45Iz é aplicável quando for possível assumir que a temperatura limite de sobrecarga dos condutores não seja mantida por um tempo superior a 100 h durante 12 meses consecutivos ou por 580 h ao longo da vida útil do condutor. Quando isso não ocorrer, esta condição deve ser substituída por I2  Iz. Como, em geral, não é possível assumir que a temperatura limite de sobrecarga dos condutores não seja mantida por um tempo superior a 100 h durante 12 meses consecutivos ou por 580 h ao longo da vida útil do condutor, tomando por base a Nota 1, é aconselhável que se adote:  Ib  In  Iz  I2  Iz
  • 53.
    53 Nota 2: Corrente convencionalde atuação é o valor especificado de corrente que provoca a atuação do dispositivo dentro do tempo convencional. Para o caso de disjuntores em geral até 50A, esta corrente é igual a 1,35 In, sendo o tempo convencional igual a 1 h. Para disjuntores com corrente nominal maior do que 50A, esta corrente é de 1,35 In, com tempo convencional de atuação de 2 h. Considerando que estamos lidando com instalações residenciais, onde os dispositivos de proteção, na maioria dos casos, tem corrente nominal inferior a 50A, a Nota 2 permite fazer a seguinte simplificação:  I2 = 1,35In Então:  Ib  In  Iz  1,35In  Iz Ou ainda:  Ib  In  Iz  𝐼 𝑛 ≤ 𝐼 𝑧 1,35 Portanto:  Ib  In  0,74Iz FIGURA 24: Corrente nominal dos disjuntores
  • 54.
    54 SELEÇÃO E DIMENSIONAMENTODAS PROTEÇÕES Disjuntores de baixa tensão São dispositivos de manobra e de proteção. Os disjuntores possuem quatro funções básicas:  Promovem a proteção elétrica de um circuito;  Podem promover a proteção contra choques elétricos (por contatos indiretos) em instalações que utilizem esquema de aterramento TN ou IT;  Permitem comandar voluntariamente circuitos sob carga;  Promovem o seccionamento de um circuito, à medida que, ao abrir um circuito, asseguram uma distância de isolamento adequada. Os disjuntores possuem, via de regra, pelo menos dois níveis de proteção:  Contra sobrecorrentes pequenas e moderadas (através de disparadores eletromagnéticos ou térmicos);  Contra sobrecorrentes elevadas (através de disparadores eletromagnéticos). Obs.: Os disjuntores de baixa tensão mais comuns operam com disparadores térmicos e eletromag- néticos, atuando respectivamente nas pequenas e elevadas sobrecorrentes. São chamados de disjuntores termomagnéticos. São também conhecidos como disjuntores em caixa moldada. Montados em uma caixa de material isolante, são de construção compacta, podem ser mono, bi ou tripolares, geralmente com acionamento manual. Os disjuntores usuais em instalações elétricas em baixa tensão são do tipo caixa moldada e possuem disparadores térmicos (para sobrecorrente) e eletromagnéticos (para correntes de curto-circuito). Estes disjuntores são chamados de disjuntores termomagnéticos. Características Nominais A NBR 5361 recomenda para os disjuntores de baixa tensão diversos valores de corrente nominal, consideradas condições normais de serviço, que são os seguintes: 5, 10, 15, 20, 25, 30, 35, 40, 50, 63, 70, 80, 100, 125, 150, 175, 200, 225, 250, 275, 300, 320, 350, 400, 500, 600, 700, 800, 1.000, 1.200, 1.400, 1.600, 1.700, 1.800, 2.000, 2.500, 3.000, 4.000, 4.500, 5.000A
  • 55.
    55 Em instalações residenciais,os mais comuns são aqueles com correntes nominais de 5, 10, 15, 20, 25, 30, 35, 40, 50, 63 A, que são apresentados no formato “mini-disjuntores” ou “disjuntores DIN”. Comercialmente são também comuns nas correntes nominais de 2, 4, 6, 10, 16, 20, 25, 32, 40, 50 e 63 A, de acordo com a NBR NM 60898, curvas B e C. Curva B e C para disjuntores A NBR-5410 estabelece que os disjuntores de curva B devem atuar para correntes entre 3 e 5 vezes a sua corrente nominal, já os de curva C atuam entre 5 e 10 vezes a sua corrente nominal. Desta forma, os disjuntores de curva B são indicados para cargas resistivas com pequena corrente de partida, como é o caso de aquecedores elétricos, fornos elétricos e lâmpadas incandescentes. Já os de curva C são indicados para cargas de média corrente de partida, como motores elétricos, lâmpadas fluorescentes e máquinas de lavar roupas. FIGURA 25: Disjuntores de BT Obs.: São consideradas pela NBR 5361 as seguintes condições normais de serviço para os disjuntores de baixa tensão:  Altitude não superior a 2.000 m;  Temperatura ambiente máxima de 40o C, com valor médio, num período de 24 h, não ex- cedendo a 35o C e temperatura mínima de –5o C;  Umidade relativa não superior a 50% a um temperatura máxima de 40o C. Dimensionamento Para os disjuntores comuns utilizados em geral na proteção de circuitos terminais e situados na faixa de correntes nominais que vai de 5 a 63 A, basta escolher um dispositivo com corrente nominal não seja superior a capacidade de condução de corrente do condutor. É importante observar que, seguindo essa regra, corre-se o risco de não proteger o condutor para pequenas correntes de sobrecarga, isto é, inferiores a 45% da capacidade de condução de corrente do condutor. É, portanto, aconselhável escolher disjuntores com corrente nominal inferior de 20%
  • 56.
    56 a 30% dacapacidade de condução do condutor, quando forem previstas pequenas correntes de sobrecarga. Exemplos de quadros de disjuntores FIGURA 26: Exemplos de montagens de quadros de disjuntores – Bifásico e Monofásico FIGURA 27: Exemplos de montagens de quadros de disjuntores Bifásico com DR. FIGURA 28: Exemplos de montagens de quadros de disjuntores Triifásico com DR.
  • 57.
    57 FIGURA 29: Exemplode montagem de Quadro de Distribuição Fonte: SIEMENS. Advertência para Quadros de Distribuição A NBR-5410 estabelece em seu item 6.5.4.10 que “Os quadros de distribuição destinados a instalações residenciais e análogas devem ser entregues com a seguinte advertência:”
  • 58.
    58 SELEÇÃO E DIMENSIONAMENTODOS ELETRODUTOS Considerações iniciais Normalmente, em instalações elétricas de baixa tensão, utiliza-se eletrodutos de PVC rígido ou flexível. Em instalações embutidas, os eletrodutos flexíveis são mais comumente empregados. Em instalações aparentes os eletrodutos de PVC rígido ou os metálicos são os mais utilizados. A NBR-5410 estabelece que em eletrodutos só devem ser instalados condutores isolados, cabos unipolares e cabos multipolares. Admite-se a utilização de condutor nu em eletroduto isolante exclusivo, quando tal condutor destinar-se a aterramento. Só podem ser colocados, num mesmo eletroduto, condutores de circuitos diferentes quando estes se originarem do mesmo quadro de distribuição. Os condutores ou cabos não devem ocupar uma percentagem da área útil do eletroduto maior do que a indicada na TABELA 22. TABELA 22: Taxa de ocupação em eletrodutos Quantidade de condutores ou cabos Máxima ocupação em relação à área útil do eletroduto 1 53% 2 31% 3 ou mais 40% FIGURA 30: Taxa de ocupação de eletrodutos Tradicionalmente no Brasil os eletrodutos eram designados por seu diâmetro interno em polegadas. Com o advento das novas normas, a designação passou a ser feita pelo tamanho nominal, um simples número sem dimensão. A TABELA 23 apresenta a correspondência entre ambas as designações, para eletrodutos de aço-carbono e PVC.
  • 59.
    59 Nesta tabela acoluna em azul refere-se a nomenclatura mais utilizada para cada caso. TABELA 23: Conversão entre “diâmetro nominal” e “polegadas” para eletrodutos. Eletroduto rígido de aço-carbono ou alumínio Eletroduto rígido de PVC NBR 13057/93 (zincado) - NBR 5624/93 (galvanizado a fogo) NBR 15.465 - (NBR 6150 - Cl. B) Diâmetro nominal Polegadas Diâmetro nominal Polegadas 15 ½” 20 ½” 20 ¾” 25 ¾” 25 1” 32 1” 32 1 ¼” 40 1 ¼” 40 1 ½” 50 1 ½” 50 2” 60 2” 65 2 ½” 75 2 ½” 80 3” 85 3” 100 4” 100 4” TABELA 24: Dimensões dos cabos Nexans Cabos Noflam Antichama BWF Flexível 750V (BT 450/750V) Cabos Fiter Flex 1 kV (BT 0.6/1kV) Seção transversal do condutor (mm²) Espessura da isolação (mm) Diâmetro Externo (mm) A (mm²) Espessura da isolação (mm) Espessura nominal da cobertura (mm) Diâmetro Externo (mm) A (mm¹) 1 0,7 2,5 4,91 --- --- --- --- 1,5 0,7 2,9 6,61 0,7 0,9 4,9 18,86 2,5 0,8 3,6 10,18 0,7 0,9 5,4 22,90 4 0,8 4 12,57 0,7 0,9 5,8 26,42 6 0,8 4,6 16,62 0,7 0,9 6,4 32,17 10 1 5,9 27,34 0,7 1 7,5 44,18 16 1 6,9 37,39 0,7 1 8,6 58,09 25 1,2 8,6 58,09 0,9 1,1 10,3 83,32 35 1,2 9,7 73,90 0,9 1,1 11,7 107,51 50 1,4 11,8 109,36 1 1,2 13,9 151,75
  • 60.
    60 TABELA 25: Dimensõesdos eletrodutos de PVC rígido TIGRE Bitola Dimensões Área interna Área ocupada DE e DI 53% 31% 40% mm mm mm mm² mm² mm² mm² 1/2 20,8 2,2 16,4 211,2 112,0 65,5 84,5 3/4 25,9 2,3 21,3 356,3 188,9 110,5 142,5 1 32,9 2,7 27,5 594,0 314,8 184,1 237,6 1.1/4 41,9 2,9 36,1 1023,5 542,5 317,3 409,4 1.1/2 47,4 3 41,4 1346,1 713,5 417,3 538,5 2 59 3,1 52,8 2189,6 1160,5 678,8 875,8 2.1/2 74,7 3,8 67,1 3536,2 1874,2 1096,2 1414,5 3 87,6 4 79,6 4976,4 2637,5 1542,7 1990,6 4 113,1 5 103,1 8348,5 4424,7 2588,0 3339,4 ____________________________________________________________________ TABELA 26: Dimensões dos eletrodutos corrugado TIGREFLEX Bitola Dimensões Área interna Área ocupada DE e DI 53% 31% 40% mm mm mm mm² mm² mm² mm² 16 16 2,1 11,8 109,4 58,0 33,9 43,7 20 20 2,3 15,4 186,3 98,7 57,7 74,5 25 25 3 19 283,5 150,3 87,9 113,4 32 32 3,5 25 490,9 260,2 152,2 196,3 TABELA 27: Dimensões dos eletrodutos corrugado reforçado TIGREFLEX Bitola Dimensões Área interna Área ocupada DE e DI 53% 31% 40% mm mm mm mm² mm² mm² mm² 20 20 2,5 15 176,7 93,7 54,8 70,7 25 25 3 19 283,5 150,3 87,9 113,4 32 32 3,5 25 490,9 260,2 152,2 196,3 NOTAS: DE=Diâmetro Externo; e=espessura; DI=Diâmetro Interno FIGURA 31: Eletroduto corrugado
  • 61.
    61 Cálculo da ocupaçãode um eletroduto A área útil do eletroduto pode ser calculada da seguinte forma: 𝐴 𝐸 = 𝜋 4 (𝐷 𝐸 − 2𝑒)2 A área total de um condutor ou cabo isolado pode ser calculada como segue: 𝐴 𝐶 = 𝜋 4 𝑑2 Onde “d” é o diâmetro do condutor incluindo o isolamento e a camada de proteção. Deve-se então calcular a área do eletroduto e o somatório das áreas de cada condutor e em seguida aplicar os percentuais apresentados na TABELA 22. Para o cálculo da área ocupada pelos cabos pode-se utilizar os dados fornecidos na TABELA 24. Nas TABELA 25 a TABELA 30 são apresentadas algumas dimensões de diversos tipos de eletrodutos. Nas colunas “53%”, “31%” e “40%” aparecem a área máxima total de fiação que completa este percentual da área da seção reta do duto. Basta portanto calcular a área de fiação e buscar na tabela referente ao tipo de eletroduto que será utilizado, o valor imediatamente menor ao calculado, na coluna adequada conforme estabelecido na TABELA 22. TABELA 28: Eletroduto Rígido de Aço-Carbono sem Costura (NBR 5597) Bitola DE Toler. Espessura da parede Área interna disponível (pior caso) Serie EXTRA Serie PESADA 53% (EXT) 53% (PES) 31% (EXT) 31% (PES) 40% (EXT) 40% (PES) mm mm mm mm mm² mm² mm² mm² mm² mm² 10 17,1 0,38 2,25 2,00 62,16 67,35 36,36 39,39 46,91 50,83 15 21,3 0,38 2,65 2,25 101,56 112,23 59,40 65,64 76,65 84,70 20 26,7 0,38 2,65 2,25 183,92 198,19 107,58 115,92 138,81 149,58 25 33,4 0,38 3,00 2,65 303,90 319,85 177,76 187,08 229,36 241,40 32 42,2 0,38 3,35 3,00 513,42 534,09 300,30 312,39 387,49 403,09 40 48,3 0,38 3,35 3,00 707,26 731,49 413,68 427,85 533,78 552,07 50 60,3 0,38 3,75 3,35 1143,83 1179,00 669,03 689,61 863,26 889,81 65 73,0 0,64 4,50 3,75 1671,08 1751,14 977,42 1024,25 1261,19 1321,61 80 88,9 0,64 4,75 3,75 2582,12 2714,93 1510,30 1587,98 1948,77 2049,00 90 101,6 0,64 5,00 4,25 3444,03 3558,55 2014,43 2081,42 2599,27 2685,70 100 114,3 0,64 5,30 4,25 4421,26 4603,27 2586,02 2692,48 3336,80 3474,17 125 141,3 1,41 6,00 5,00 6808,30 7022,91 3982,22 4107,74 5138,34 5300,31 150 168,3 1,68 6,30 5,30 9874,61 10132,73 5775,72 5926,69 7452,54 7647,34
  • 62.
    62 TABELA 29: EletrodutoRígido de PVC Tipo Soldável (NBR 6150) Bitola DE Toler. Espessura da parede Toler.* Área interna disponível (pior caso) Classe A Classe B 53% (EXT) 53% (PES) 31% (EXT) 31% (PES) 40% (EXT) 40% (PES) mm mm mm mm mm² mm² mm² mm² mm² mm² 16 16 0,3 1,5 1,0 0,4 67,14 78,13 39,27 45,70 50,67 58,96 20 20 0,3 1,5 1,0 0,4 116,09 130,41 67,90 76,28 87,62 98,42 25 25 0,3 1,7 1,0 0,4 188,85 214,50 110,46 125,46 142,53 161,88 32 32 0,3 2,1 1,0 0,4 314,80 367,18 184,13 214,77 237,58 277,12 40 40 0,4 2,4 1,0 0,5 504,11 588,49 294,86 344,21 380,46 444,15 50 50 0,4 3,0 1,1 0,5 791,30 935,24 462,83 547,03 597,20 705,84 60 60 0,4 3,3 1,3 0,5 1169,28 1352,43 683,92 791,05 882,47 1020,70 75 75 0,4 4,2 1,5 0,5 1824,24 2133,99 1067,01 1248,18 1376,78 1610,56 85 85 0,4 4,7 1,8 0,6 2353,97 2731,09 1376,85 1597,43 1776,58 2061,20 *Tolerância p/ espessura das paredes para ambas as Classes, para mais. TABELA 30: Eletroduto Rígido de PVC Tipo Roscável (NBR 6150) Bitola DE Toler. Espessura da parede Toler.* Área interna disponível (pior caso) Classe A Classe B 53% (EXT) 53% (PES) 31% (EXT) 31% (PES) 40% (EXT) 40% (PES) mm mm mm mm mm² mm² mm² mm² mm² mm² 16 16,7 0,3 2,0 1,8 0,4 64,00 68,20 37,44 39,89 48,31 51,47 20 21,1 0,3 2,5 1,8 0,4 103,92 123,15 60,78 72,03 78,43 92,94 25 26,2 0,3 2,6 2,3 0,4 178,36 188,85 104,33 110,46 134,61 142,53 32 33,2 0,3 3,2 2,7 0,4 292,32 314,80 170,98 184,13 220,62 237,58 40 42,2 0,3 3,6 2,9 0,5 501,22 542,48 293,16 317,30 378,28 409,42 50 47,8 0,4 4,0 3,0 0,5 646,19 713,45 377,96 417,30 487,69 538,46 60 59,4 0,4 4,6 3,1 0,5 1032,34 1160,47 603,82 678,76 779,13 875,83 75 75,1 0,4 5,5 3,8 0,5 1689,06 1874,18 987,94 1096,22 1274,76 1414,47 85 88,0 0,4 6,2 4,0 0,6 2353,97 2637,50 1376,85 1542,69 1776,58 1990,56 *Tolerância p/ espessura das paredes para ambas as Classes, para mais. Curvas e caixas Não deve haver trecho retilíneo contínuo de tubulação (sem interposição de caixas de derivação e equipamentos) superiores a 15 m, sendo que, nos trechos com curvas, essa distância deve ser reduzida de 3 m para cada curva de 90º. Em cada trecho entre duas caixas, ou entre duas extremidades, ou ainda entre caixa e extremidade, só devem ser previstas, no máximo, 3 curvas de 90º, ou seu equivalente até, no máximo, 270º, não devendo ser previstas curvas com deflexão superior a 90º. 𝐿 𝑚á𝑥 = 15 − 3𝑁 Onde: 𝐿 𝑚á𝑥 = comprimento máximo de um trecho entre duas caixas. N = número de curvas de 90º existentes no trecho (0 ≤ 𝑁 ≤ 3).
  • 63.
    63 As caixas dederivação devem ser previstas:  Em todos os pontos de entrada ou saída de condutores ou cabos na tubulação, exceto nos pontos de transição ou passagem de linhas abertas para linhas em eletrodutos, os quais, nesses casos, devem ser rematados com buchas;  Em todos os pontos de emenda ou derivação dos condutores ou cabos;  Para dividir a tubulação quando necessário; FIGURA 32: Curvas e caixas em linhas de eletrodutos Quando o ramal de eletroduto passar, obrigatoriamente, por áreas inacessíveis, onde não haja possibilidade de emprego de caixas de derivação, a distância máxima entre caixas pode ser au- mentada, procedendo-se da seguinte forma:  Calcula-se a distância máxima permitida considerando as curvas existentes;  Para cada 6 m, ou fração, de aumento da distância máxima, utiliza-se um eletroduto de tamanho nominal imediatamente superior ao que seria normalmente utilizado.
  • 64.
    64 CÁLCULO DA DEMANDA Previsãode Carga Para definição do tipo de fornecimento, o consumidor deve determinar a carga instalada, somando- se a potência em kW, dos aparelhos de iluminação, aquecimento, eletrodomésticos, refrigeração, motores e máquina de solda que possam ser ligados em sua unidade consumidora. Os aparelhos com previsão de serem adquiridos e instalados futuramente podem também ser computados no cálculo, a critério do consumidor, visando dimensionar a entrada de serviço já considerado possíveis aumentos de carga da unidade consumidora. No caso de haver previsão futura de aumento de carga, permite-se ao consumidor instalar caixa para medição polifásica, bem como dimensionar eletrodutos, condutores e poste/pontalete em função da carga futura. O número de condutores fase e o disjuntor devem ser compatíveis com o tipo de ligação do padrão de entrada (conforme a carga instalada no momento da ligação). Na ocasião do pedido de aumento de carga, o consumidor deve alterar a proteção e instalar os demais condutores fase com as mesmas características dos condutores fase existentes, sujeitando-se, então, às condições do pedido de ligação. Para o cálculo da carga instalada não é necessário considerar a potência dos aparelhos de reserva. Quando o consumidor não dispuser das potências de seus aparelhos, podem ser considerados os valores médios A TABELA 31, TABELA 32 e TABELA 33 podem ser utilizadas para estimar a carga instalada de uma residência com base na previsão de aparelhos elétricos. TABELA 31: Potências Médias de Aparelhos Eletrodomésticos e de Aquecimento Tipo Potência (W) Tipo Potência (W) Aquecedor de água por acumulação Até 80 l 1500 Geladeira 250 De 100 a 150 l 2500 Geladeira duplex 500 De 200 a 400 l 4000 Grill 1200 Aquecedor de água por passagem 6000 Hidromassagem 660 Aquecedor de ambiente 1000 Impressora 150 Aspirador de pó 700 Liquidificador 350 Batedeira 100 Máquina de costura 100 Cafeteira 600 Máquina de lavar louças 1500 1200 Máquina de lavar roupas c/ aquecimento 1500 Chuveiro 4200 s/ aquecimento 400 7500 Máquina de secar roupas 3500 Equipamento de som 50 Moedor de lixo 300 a 600 Ebulidor 1000 Rádio gravador 50 Enceradeira 300 Secador de cabelos 1000 Espremedor de frutas 200 Som modular (por módulo) 50 Exaustor / Coifa 100 Torneira elétrica 2500 Ferro de passar automático 1000 Torradeira 1000 Freezer com 1 ou 2 portas 250 TV 100 Freezer com 3 ou 4 portas 500 Ventilador 100 Fogão (por boca) 1500 Forno (de embutir) 4500 Forno de microondas 1200
  • 65.
    65 TABELA 32: PotênciasNominais de Condicionadores de Ar Tipo Janela Capacidade Potência Nominal BTU/h Kcal/h W VA 7000 1750 1100 1500 8500 2125 1300 1550 10000 2500 1400 1650 12000 3000 1600 1900 14000 3500 1900 2100 18000 4500 2600 2860 21000 5250 2800 3080 30000 7500 3600 4000 Notas:  Valores obtidos para os aparelhos até 12000 BTU/h, ligados em 127 ou 220V e para os aparelhos a partir de 14000BTU/h ligados em 220V;  Quando a capacidade do sistema de refrigeração estiver indicada em TR (Tonelada de Refrigeração) considerar o seguinte: o Sistemas até 50TR em uma unidade: 1,8kVA/TR. o Sistemas acima de 50TR com mais de uma unidade: 2,3kVA/TR. o Sistemas acima de 100TR: 2,8kVA/TR. o Sistemas até 50TR em vária unidades pequenas (10TR) distribuídas: 1kVA/TR. Nos cálculos da demanda os seguintes valores limites mínimos de potência para força motriz devem ser considerados:  Para residências isoladas: 1CV (*);  Para casas de vila: 2CV (*);  Para apartamentos ou UC (Unidades Consumidoras) de entradas Coletivas: 2CV por UC (*);  Para escritórios: 1CV para cada 15m2 de área útil, quando não houver previsão de refrigeração central (*);  Para lojas e Galpões:  1CV/UC se: área útil ≤ 15m2 (**);  3CV/UC se: 15m2 < área útil ≤ 30m2 (**);  5CV/UC se: área útil > 30m2 (**); Notas: (*) referente a previsão de aparelhos de ar condicionado tipo janela; (**) referente a previsão para motores, devendo a diferença entre esses valores e a carga instalada em motores, quando positiva, ser considerada como um único motor. No caso de lojas em que na carga declarada conste previsão para ar condicionado tipo janela, a potência total prevista (CV) também poderá ser deduzida dos valores ora estabelecidos.
  • 66.
    66 TABELA 33: Potênciamédia dos equipamentos de informática Microcomputador on-board 200VA Monitor LCD 17” 110VA Microcomputador off-board 250VA Monitor LCD 19” 140VA Servidor de pequeno porte 350VA Monitor LCD 22” 205VA Servidor de médio porte 480VA HUB 14-24 100B-T 85VA Servidor de médio porte com duas fontes 620VA Roteador padrão 50VA Monitor CRT 15” 150VA Scanner padrão 120VA Monitor CRT 17” 230VA Impressora matricial 80 colunas 100VA Monitor CRT 19” 290VA Impressora matricial 140 colunas 145VA Monitor CRT 21” 345VA Impressora jato de tinta 100VA Monitor LCD 15” 80VA Impressora laser simples 850VA Impressora laser high-end 1600VA Determinação da Demanda A demanda expressa o valor máximo de potência absorvida num dado intervalo de tempo por um conjunto de cargas existentes numa instalação. Este valor é obtido a partir da diversificação dessas cargas por tipo de utilização e é definida em múltiplos de VA ou kVA. É utilizada para efeito de dimensionamento de condutores, disjuntores, níveis de queda de tensão, etc. O cálculo da demanda faz parte da documentação exigida pelas concessionárias de energia elétrica, e deve ser apresentado como parte do Memorial Técnico Descritivo do projeto. As formas de calcular a demanda variam de uma concessionária de energia para outra. Desta forma o projetista deve estar atendo à regulamentação do local para onde está sendo planejada a instalação. Em geral, o método apresentado pela concessionária de energia elétrica trata-se apenas de um exemplo de cálculo da demanda, sendo do consumidor a responsabilidade da escolha do critério a ser adotado para o cálculo da demanda de sua edificação. A demanda (em kVA) para entradas de serviços individuais ou para agrupamentos, pode ser calculada a partir da seguinte expressão: 𝑫 = 𝒂 + 𝒃 + 𝒄 + 𝒅 + 𝒆 + 𝒇 Onde: a. Demanda de iluminação e tomadas............................................................ TABELA 34 b. Demanda dos aparelhos para aquecimento................................................. TABELA 35 c. Demanda dos aparelhos de ar condicionado.............................................. TABELA 36 d. Demanda de motores elétricos................................................................... TABELA 37 e. Demanda de máquinas de solda e transformadores.................................... TABELA 38 f. Demanda de aparelhos de Raio-X.............................................................. TABELA 39
  • 67.
    67 TABELA 34: a= demanda de iluminação e tomadas Descrição Carga Mínima (W/m2 ) Fator de Demanda (%) Bancos 50 86 Clubes 20 86 Igrejas 15 86 Lojas 30 86 Restaurantes 20 86 Auditórios, Salões para Exposições 15 86 Barbearias, Salões de Beleza 30 86 Garagens, Depósitos, Áreas de Serviço 5 86 Oficinas 30 100 para os primeiro 20 kW 35 para o que exceder de 20 kW Posto de abastecimento 20 100 para os primeiro 40 kW 40 para o que exceder de 40 kW Escolas 30 86 para os primeiro 12 kW 50 para o que exceder de 12 kW Escritórios 50 86 para os primeiro 20 kW 70 para o que exceder de 20 kW Hospitais 20 40 para os primeiro 50 kW 20 para o que exceder de 50 kW Hotéis 20 50 para os primeiro 20 kW 40 para os seguintes 80 kW 30 para o que exceder de 100 kW Residências 30 Potência P(kW) 0 < P ≤ 1; 86 1 < P ≤ 2; 80 2 < P ≤ 3; 74 3 < P ≤ 4; 66 4 < P ≤ 5; 58 5 < P ≤ 6; 52 6 < P ≤ 7; 47 7 < P ≤ 8; 43 8 < P ≤ 9; 40 9 < P ≤ 10; 37 10< P ≤ 11; 35 11 < P ≤ 12; 33 12 < P ≤ 13; 31 13 < P ≤ 14; 30 14 < P ≤ 15; 29 15 < P; 28 Notas: 1. Instalações em que, por sua natureza, a carga seja utilizada simultaneamente, devem ser consideradas com fator de demanda de 100%; 2. Não estão considerados nesta tabela os letreiros luminosos e a iluminação de vitrinas; 3. O valor da carga para iluminação e tomadas de unidades residenciais, além de satisfazer a condição mínima de 30W/m2 de área construída, nunca deve ser inferior a 2,2kW, por unidade. 4. Para fins de cálculo de demanda utilizar fator de potência = 1.
  • 68.
    68 TABELA 35: b= demanda dos aparelhos para aquecimento (chuv., aquec., fornos, etc.) Número de aparelhos 1 2 3 4 5 6 7 8 9 10 11 12 13 Fator de Demanda (%) 100 75 70 66 62 59 56 53 51 49 47 45 43 Número de aparelhos 14 15 16 17 18 19 20 21 22 23 24 25 ou mais Fator de Demanda (%) 41 40 39 38 37 36 35 34 33 32 31 30 Notas: Para o dimensionamento de ramais de entrada destinados a atender a mais de uma unidade consumidora, devem ser aplicados fatores de demanda para cada tipo de aparelho, separadamente, sendo a demanda total de aquecimento o somatório das demandas obtidas: b = chuveiros + aquecedores + torneiras +... TABELA 36: c = demanda para condicionadores de ar. EM RESIDÊNCIAS Potência Instalada em Aparelhos (kVA) Fator de Demanda (%) 1 a 10 100 11 a 20 85 21 a 30 80 31 a 40 75 41 a 50 70 51 a 75 65 Acima de 75 60 EM ESCRITÓRIOS Potência Instalada em Aparelhos (kVA) Fator de Demanda (%) 1 a 25 100 26 a 50 90 51 a 100 80 Acima de 100 70 Notas: para o fator de demanda dos aparelhos de ar condicionado, quando for utilizado equipamento de condicionamento de ar central, utilizar fator de demanda igual a 100%.
  • 69.
    69 TABELA 37: d= demanda dos motores elétricos CARGAS INDIVIDUAIS Potência (CV) 1/6 1/4 1/3 1/2 3/4 1 1 1/2 2 3 Carga (kVA) 0,45 0,63 0,76 1,01 1,24 1,43 2,00 2,60 3,80 Potência (CV) 5 7 1/2 10 15 20 25 30 40 50 Carga (kVA) 5,40 7,40 9,20 12,70 16,40 20,30 24,00 30,60 40,80 FATORES DE DEMANDA Número Total de Motores 1 2 3 a 5 Mais de 5 Fator de Demanda (%) 100 90 80 70 Notas: a demanda de um conjunto de motores será o produto do somatório das cargas individuais pelo fator de demanda correspondente ao número total de motores que compõem o conjunto. TABELA 38: e = demanda das máquinas de solda a transformador e aparelhos de Raio-X Aparelho Potência Fator de Demanda (%) Solda a Arco e Galvanização 1o maior 2o maior 3o maior Soma dos demais 100 70 40 30 Solda a Resistência Maior Soma dos demais 100 60 Notas: máquinas de solda tipo motor-gerador devem ser consideradas como motores. TABELA 39: f = demanda dos aparelhos de Raio-X Aparelho Potência Fator de Demanda (%) Raio X Maior Soma dos demais 100 70 Previsão de Carga para Força Motriz No cálculo da demanda, além dos valores previstos para iluminação e tomadas, conforme TABELA 34, deve ser considerado os valores mínimos de potência para força motriz: a) Unidade consumidora residencial: 1,1kVA(ver Nota 1); b) Unidade consumidora residencial pertencente a centro(s) de medição (ver Nota 2) e com área construída “A”: 𝐴 < 40𝑚2 ⇒ 1 𝑘𝑉𝐴/𝑈𝑛𝑖𝑑𝑎𝑑𝑒 𝑐𝑜𝑛𝑠𝑢𝑚𝑖𝑑𝑜𝑟𝑎 40𝑚2 ≤ 𝐴 ≤ 50𝑚2 ⇒ 1,5 𝑘𝑉𝐴/𝑈𝑛𝑖𝑑𝑎𝑑𝑒 𝑐𝑜𝑛𝑠𝑢𝑚𝑖𝑑𝑜𝑟𝑎 50𝑚2 < 𝐴 ⇒ 2 𝑘𝑉𝐴/𝑈𝑛𝑖𝑑𝑎𝑑𝑒 𝑐𝑜𝑛𝑠𝑢𝑚𝑖𝑑𝑜𝑟𝑎
  • 70.
    70 c) Salas eescritórios: 1kVA/15m² de área construída quando não for previsto refrigeração central (ver Nota 1); d) Lojas e semelhantes: (ver Nota 3). 𝐴 < 30𝑚2 ⇒ 3 𝑘𝑉𝐴/𝑈𝑛𝑖𝑑𝑎𝑑𝑒 𝑐𝑜𝑛𝑠𝑢𝑚𝑖𝑑𝑜𝑟𝑎 30𝑚2 < 𝐴 ⇒ 5 𝑘𝑉𝐴/𝑈𝑛𝑖𝑑𝑎𝑑𝑒 𝑐𝑜𝑛𝑠𝑢𝑚𝑖𝑑𝑜𝑟𝑎 Notas: 1. Estas potências se referem à previsão para aparelhos de condicionador de ar tipo “janela”. 2. No caso de previsão de aparelho condicionador de ar tipo “split”, com potência até 3.600W ou 4 kVA (30.000 BTU/h), considerar como sendo de “janela”. Para potências superiores, considerar como aparelho condicionador de ar central. 3. Estas potências se referem à previsão para motores, devendo a diferença entre estes valores e a carga instalada em motores (kVA) e/ou condicionadores de ar tipo “janela” (kVA), quando positiva, ser considerada como um único motor e convertida em CV, para efeito de utilização da tabela do TABELA 37. Adota-se a potência em CV mais próxima do valor convertido e sua respectiva carga em kVA. 4. A potência de aparelho reserva, não deve ser considerada. 5. No cálculo da potência para motores, considerar 1 HP = 746 Watts e 1 CV = 736 Watts. 6. A previsão de aumento de carga pode ser considerada.
  • 71.
    71 FIGURA 33: Fluxogramapara cálculo de damanda Dimensionamento de Alimentadores Os alimentadores dos quadros de cargas, sejam quadros gerais ou terminais, devem ser dimensionados levando-se em conta a carga em cada fase, o fator de potência e, principalmente o fator de demanda específico do quadro. O fator de demanda pode tanto ser determinado através da consulta à tabelas como também com base na experiência do projetista. Para instalações residenciais e pequenos prédios comerciais podem ser utilizadas as TABELA 34 à TABELA 38.
  • 72.
    72 Fatores de demandaglobais de instalações de maior porte podem ser obtidos nos regulamentos das concessionárias de energia elétrica. Quadros trifásicos Os quadros trifásicos apresentam as três fases alimentando um conjunto de cargas distribuídas entre estas fases. Dificilmente, em instalações residenciais e comerciais, estas cargas poderão ser perfeitamente equilibradas entre as fases. Mesmo que isto ocorra por ocasião da elaboração do projeto, é muito provável que seu funcionamento não será equilibrado. Quando um quadro alimentar cargas trifásicas equilibradas, ou um conjunto de cargas bifásicas e/ou monofásicas perfeitamente equilibradas e funcionando de forma equilibrada, o cálculo da corrente elétrica que percorrerá os alimentadores poderá ser efetuado como se o quadro todo fosse uma carga trifásica. Neste caso a corrente seria calculada da seguinte forma: 𝐼 𝑁 = 𝑃 𝑁 √3𝑉𝑁cos(𝜙) Nos demais casos (cargas não equilibradas) o cálculo deve levar em conta o desequilíbrio. Considere o por exemplo um quadro trifásico que alimenta um conjunto de várias cargas, sendo estas distribuídas entre as três fases. Estas cargas podem ser monofásicas, bifásicas ou trifásicas. Quando forem bifásicas, devem ser divididas por 2, entre as duas fases a que estão conectadas. Quando forem trifásicas, devem ser divididas por 3, entre as três fases. A tabela a seguir apresenta o somatório das potências demandadas em cada fase: Fase R S T 𝑷𝒊𝒏𝒔𝒕𝒂𝒍𝒂𝒅𝒂 1750 W 1600 W 2450 W O fator de potência da instalação é 0,8 (valor estimado). Pode-se então calcular a potência aparente demandada em cada fase. Fase R S T 𝑷𝒊𝒏𝒔𝒕𝒂𝒍𝒂𝒅𝒂 1750 W 1600 W 2450 W fp 0,8 0,8 0,8 𝑺𝒊𝒏𝒔𝒕𝒂𝒍𝒂𝒅𝒂 2188 VA 2000 VA 3063 VA Com base na experiência do projetista e de seu conhecimento a respeito das cargas ligadas a este quadro, foi adotado um fator de demanda de 0,7. Desta forma determina-se a potência aparente demandada em cada fase. Fase R S T 𝑷𝒊𝒏𝒔𝒕𝒂𝒍𝒂𝒅𝒂 1750 W 1600 W 2450 W fp FP = 0,8 FP = 0,8 FP = 0,8 𝑺𝒊𝒏𝒔𝒕𝒂𝒍𝒂𝒅𝒂 2188 VA 2000 VA 3063 VA 𝑭 𝒅 0,7 0,7 0,7 𝑺 𝒅𝒆𝒎𝒂𝒏𝒅𝒂𝒅𝒂 1532 VA 1400 VA 2144 VA
  • 73.
    73 Como o circuitoalimentador será constituído por um condutor único para as três fases, a corrente de projeto é então calculada apenas para a fase mais carregada, considerando-se a tensão fase-neutro: 𝐼 𝑏 = 2144 127 = 16,9 𝐴 A partir daí, para o dimensionamento dos condutores, aplica-se o procedimento apresentado na seção de Seleção e Dimensionamento de Condutores. Quadros bifásicos Considere agora, como exemplo, um quadro bifásico que alimenta um conjunto de várias cargas, sendo estas distribuídas entre duas fases apenas. A tabela a seguir apresenta o somatório das potências demandadas em cada fase: Fase R S 𝑷𝒊𝒏𝒔𝒕𝒂𝒍𝒂𝒅𝒂 2800 W 3000 W O fator de potência da instalação é 0,8 (valor estimado). Pode-se então calcular a potência aparente demandada em cada fase. Fase R S 𝑷𝒊𝒏𝒔𝒕𝒂𝒍𝒂𝒅𝒂 2800 W 3000 W fp 0,8 0,8 𝑺𝒊𝒏𝒔𝒕𝒂𝒍𝒂𝒅𝒂 3500 VA 3750 VA Com base na experiência do projetista e de seu conhecimento a respeito das cargas ligadas a este quadro, foi adotado um fator de demanda de 0,7. Desta forma determina-se a potência aparente demandada em cada fase. Fase R S 𝑷𝒊𝒏𝒔𝒕𝒂𝒍𝒂𝒅𝒂 2800 W 3000 W fp FP = 0,8 FP = 0,8 𝑺𝒊𝒏𝒔𝒕𝒂𝒍𝒂𝒅𝒂 3500 VA 3750 VA 𝑭 𝒅 0,7 0,7 𝑺 𝒅𝒆𝒎𝒂𝒏𝒅𝒂𝒅𝒂 2450 VA 2625 VA Como o circuito alimentador será constituído por um condutor único para as três fases, a corrente de projeto é então calculada apenas para a fase mais carregada, considerando-se a tensão fase-neutro: 𝐼 𝑏 = 2625 127 = 20,7 𝐴 A partir daí, para o dimensionamento dos condutores, aplica-se o procedimento apresentado na seção de Seleção e Dimensionamento de Condutores.
  • 74.
    74 DIMENSIONAMENTO DE ENTRADASINDIVIDUAIS TABELA 40: Dimensionamento de entradas individuais Notas: 1. O valor de "D (kVA)" refere-se à demanda. 2. Os disjuntores foram dimensionados com base na sua capacidade nominal definida para a temperatura de operação de 40ºC. 3. Os condutores foram dimensionados para uma temperatura ambiente de 30ºC. 4. Nos fornecimentos do tipo A1; B1; C1; C2; C3; A2; B2; C13; C14; C15, quando o eletroduto do ramal de entrada for embutido deve ser utilizado um diâmetro imediatamente superior ao indicado. 5. As cargas resistivas individuais demonstradas na coluna “limite máximo de potência” referem-se a equipamentos de aquecimento, exemplo chuveiro, boiler, torneira elétrica, etc. Tipos de fornecimento São três os tipos de fornecimento, conforme o número de fases: 1.Tipo A – monofásico – dois condutores (uma fase e o neutro); 2.Tipo B – bifásico – três condutores (duas fases e o neutro); 3.Tipo C – trifásico – quatro condutores (três fases e o neutro). Fornecimento tipo A1, A2, B1 e B2 Para determinação destes, deve ser calculada a carga instalada de cada unidade consumidora. Esta carga é o somatório das potências nominais de placa dos aparelhos elétricos e das potências de iluminação declaradas. Quando houver cargas de motores, deve ser computado as suas respectivas quantidades e potências individuais. Notas:
  • 75.
    75 1. Em casosespeciais, as instalações podem possuir aparelhos que requeiram número de fases superior ao do tipo correspondente a sua carga instalada. 2. Mesmo sendo especificado o fornecimento a dois condutores, permite-se a instalação de padrão polifásico, caso o consumidor tenha previsão de aumento de carga. 3. Os limites para aparelhos de eletro-galvanização, máquinas de solda, geradores, raios-X, etc., (carga de flutuação brusca de tensão), estão sujeitos a estudo nos diversos tipos de fornecimento. 4. As unidades consumidoras atendidas por duas ou três fases devem ter suas cargas distribuídas entre as fases de modo a obter-se o maior equilíbrio possível. Fornecimento tipo A3 O fornecimento do tipo A3 refere-se à unidade consumidora localizada em área rural e atendida com transformador monofásico. Para determinar a demanda de cada unidade consumidora, deve ser calculada a carga instalada desta, que é o somatório das potências nominais de placa dos aparelhos elétricos e das potências de iluminação. Quando houver cargas de motores, deve ser computado as suas respectivas quantidades e potências individuais. Sobre a carga total em kW aplica-se fator de demanda 0,5. Para determinação da demanda mínima a ser considerada no fornecimento deve-se observar o maior valor entre a demanda calculada e a maior potência dentre os equipamentos a serem ligados. Fornecimento do tipo C1 a C20 Para determinação destes, deve-se calcular a demanda da unidade consumidora.
  • 76.
    76 ANEXO A –COMPONENTES DO ATERRAMENTO DE PROTEÇÃO Equipotencialização A equipotencialização é um recurso usado na proteção contra choques elétricos e na proteção contra sobretensões e perturbações eletromagnéticas. A NBR-5410: 2004 estabelece, em seu item 5.1.2.2.3, os princípios básicos da Equipotencialização. São eles: 1.Todas as massas de uma instalação devem estar ligadas a condutores de proteção. 2.Em cada edificação deve ser realizada uma equipotencialização principal. 3.Todas as massas da instalação situadas em uma mesma edificação devem estar vinculadas à equipotencialização principal da edificação e a um mesmo e único eletrodo de aterramento. 4.Todo circuito deve dispor de condutor de proteção, em toda sua extensão (Observação: um condutor de proteção pode ser comum a mais de um circuito) O terminal de aterramento principal O aterramento de proteção, de acordo com a NBR 5410:2004 obrigatório em qualquer tipo de prédio, baseia-se principalmente na equipotencialidade das massas e elementos condutores estranhos à instalação. Seu “coração é o terminal de aterramento principal, geralmente uma barra, que realiza a chamada ligação equipotencial principal, reunindo: a) as armaduras de concreto armado e outras estruturas metálicas da edificação; b) as tubulações metálicas de água, de gás combustível, de esgoto, de sistemas de ar- condicionado, de gases industriais, de ar comprimido, de vapor etc., bem como os elementos estruturais metálicos a elas associados; c) os condutos metálicos das linhas de energia e de sinal que entram e/ou saem da edificação; d) as blindagens, armações, coberturas e capas metálicas de cabos das linhas de energia e de sinal que entram e/ou saem da edificação; e) os condutores de proteção das linhas de energia e de sinal que entram e/ou saem da edificação; f) os condutores de interligação provenientes de outros eletrodos de aterramento porventura existentes ou previstos no entorno da edificação; g) os condutores de interligação provenientes de eletrodos de aterramento de edificações vizinhas, nos casos em que essa interligação for necessária ou recomendável; h) o condutor neutro da alimentação elétrica, salvo se não existente; i) o(s) condutor(es) de proteção principal(is) da instalação elétrica (interna) da edificação.
  • 77.
    77 Todos estes elementosque forem associados a linhas externas devem ser conectados à equipotencialização principal o mais próximo possível do ponto em que entram e/ou saem da edificação. Junto ou próximo do ponto de entrada da alimentação elétrica deve ser provido um barramento, denominado “Barramento de Eqüipotencialização Principal” (BEP), ao qual todos estes elementos possam ser conectados, direta ou indiretamente. As figuras a seguir destinam-se apenas a ilustrar as prescrições referentes a aterramento e eqüipotencialização e, como tal, devem ser entendidas de forma genérica. Apresenta a eqüipotencialização principal numa situação hipotética em que todos os elementos nela incluíveis concentram-se aproximadamente num mesmo ponto: as linhas externas convergem para esse ponto e os outros elementos da edificação são também aí acessíveis FIGURA 34: Equipotencialização FIGURA 35: Equipotencialização (** Detalhe A)
  • 78.
    78 Legenda: BEP = Barramentode eqüipotencialização principal EC = Condutores de eqüipotencialização 1 = Eletrodo de aterramento (embutido nas fundações) 2 = Armaduras de concreto armado e outras estruturas metálicas da edificação 3 = Tubulações metálicas de utilidades, bem como os elementos estruturais metálicos a elas associados. Por exemplo: 3.a = água 3.b = gás 3.c = esgoto 3.d = ar-condicionado 4 = Condutos metálicos, blindagens, armações, coberturas e capas metálicas de cabos 4.a = Linha elétrica de energia 4.b = Linha elétrica de sinal 5 = Condutor de aterramento principal A figura a seguir apresenta um exemplo de eqüipotencialização principal em que os elementos nela incluíveis não se concentram ou não são acessíveis num mesmo ponto da edificação. FIGURA 36: Equipotencialização O Barramento de Equipotencialização Principal deve ser de cobre com seção de 25mm2 , ou de aço zincado a fogo, com seção de condutividade equivalente, e possuir no mínimo os seguintes terminais, devidamente identificados:  Um terminal de 30x4mm ou  10mm;  Um terminal de 50mm2 ;  Vários de 6mm2 a 25mm2 (conforme o caso);  Um de 2,5mm2 a 6mm2 .
  • 79.
    79 FIGURA 37: Barramentode Equipotencialização Principal (BEP) NOTAS: a) Em uma propriedade deve haver tantas eqüipotencializações principais quantas forem as edificações que a compõem. b) Admite-se que edículas ou construções adjacentes distantes não mais de 10 m da edificação principal sejam consideradas como eletricamente integradas a esta, se as linhas elétricas de energia e de sinal e as linhas de utilidades a elas destinadas tiverem origem na edificação principal e se a infra-estrutura de aterramento do local não se limitar à edificação principal, mas se estender também às áreas das construções anexas; ou, então, se o eletrodo de aterramento da edificação principal e o(s) das construções anexas forem interligados. Caso contrário, todas as dependências separadas da edificação principal devem também ser providas, individualmente, de uma eqüipotencialização principal. Os condutores de proteção, ligação equipotencial e aterramento Todo circuito deve dispor de condutor de proteção, em toda sua extensão. O condutor de proteção (PE – também conhecido como terra de proteção) pode ser comum a vários circuitos de distribuição ou terminais, quando estes estiverem contidos no mesmo conduto. Sendo que a instalação deve ser preparada de forma que os terminais dos equipamento sejam capazes de aceitar os condutores de proteção. O dimensionamento do condutor PE deve ser determinado de acordo com a TABELA 8. Os condutores da ligação equipotencial principal devem possuir seções que não sejam inferiores à metade da seção do condutor de proteção de maior seção da instalação, com um mínimo de 6mm2 .
  • 80.
    80 Configurações dos condutoresde proteção principais. FIGURA 38: Exemplo de configuração dos condutores de proteção FIGURA 39: Exemplo de configuração dos condutores de proteção Configurações do condutor de equipotencialidade principal FIGURA 40: Exemplo de configuração dos condutores de equipotencialidade
  • 81.
    81 FIGURA 41: Exemplode configuração dos condutores de equipotencialidade Aterramento O condutor de aterramento, ligando o terminal de aterramento principal ao eletrodo de aterramento embutido nas fundações, deve ter uma seção mínima de 50mm2 . Quando o condutor de aterramento estiver enterrado no solo, sua seção mínima deverá estar de acordo com a tabela a seguir: TABELA 41: Seções mínimas de condutores de aterramento enterrados no solo Protegido contra danos mecânicos Não protegido contra danos mecânicos Protegido contra corrosão Cobre 2,5 mm² Cobre 16 mm² Aço 10 mm² Aço 16 mm² Não protegido contra corrosão Cobre 50 mm² Aço 80 mm² O eletrodo de aterramento preferencial em uma edificação é o constituido pelas armaduras de aço embutidas no concreto das fundações das edificações. Quando este tipo de eletrodo não for praticável, podem ser utilizados os eletrodos convencionais.
  • 82.
    82 ANEXO B –DISPOSITIVOS DR LCULO LUMINOTÉCNICO Conceitos básicos O elevado número de acidentes originados no sistema elétrico impõe novos métodos e dispositivos que permitem o uso seguro e adequado da eletricidade reduzindo o perigo às pessoas, além de perdas de energia e danos às instalações elétricas. A destruição de equipamentos e incêndios é muitas vezes causada por correntes de fuga à terra em instalações mal executadas, subdimensionadas, com má conservação ou envelhecimento. As correntes de fuga provocam riscos às pessoas, aumento de consumo de energia, aquecimento indevido, destruição da isolação, podendo até ocasionar incêndios. Esses efeitos podem ser monitorados e interrompidos por meio de um Dispositivo DR, Módulo DR ou Disjuntor DR. Os DR protegem contra os efeitos nocivos das correntes de fuga à terra garantindo uma proteção eficaz tanto à vida dos usuários quanto aos equipamentos. A relevância dessa proteção faz com que a NBR 5410, defina claramente a proteção de pessoas contra os perigos dos choques elétricos que podem ser fatais, por meio do uso do Dispositivo DR de alta sensibilidade (≤ 30mA). Os Dispositivos DR, Módulos DR ou Disjuntores DR de corrente nominal residual (IΔn) até 30mA, são destinados fundamentalmente à proteção de pessoas, enquanto os de correntes nominais residuais (IΔn) de 100mA, 300mA, 500mA, 1000mA ou ainda superiores a estas, são destinados apenas à proteção patrimonial contra os efeitos causados pelas correntes de fuga à terra, tais como: consumo excessivo de energia elétrica ou ainda incêndios provocados pelas falhas de isolação. Atuação As correntes de fuga que provocam riscos às pessoas são causadas por duas circunstâncias: Contato direto – falha de isolação ou remoção das partes isolantes, com toque acidental da pessoa em parte energizada (fase / terra-PE). Contato indireto – através do contato da pessoa com a parte metálica (carcaça do aparelho), que estará energizada por falha de isolação, com interrupção ou inexistência do condutor de proteção (terra-PE). FIGURA 42: Contato direto FIGURA 43: Contato indireto O Dispositivo DR protege a pessoa dos efeitos das circunstâncias ao lado sendo que no caso do contato direto é a única forma de proteção.
  • 83.
    83 Tipos de DispositivosDR Dispositivo DR ou Interruptor DR Dispositivo de seccionamento mecânico destinado a provocar a abertura dos próprios contatos quando ocorrer uma corrente de fuga à terra. O circuito protegido por este dispositivo necessita ainda de uma proteção contra sobrecarga e curto circuito que pode ser realizada por disjuntor ou fusível, devidamente coordenado com o Dispositivo DR. FIGURA 44: Dispositivo DR (interruptor DR) Disjuntor DR Dispositivo de seccionamento mecânico destinado a provocar a abertura dos próprios contatos quando ocorrer uma sobrecarga, curto circuito ou corrente de fuga à terra. Recomendado nos casos onde existe a limitação de espaço. FIGURA 45: Disjuntor DR Módulos DR Dispositivo destinado a ser associado a um disjuntor termomagnético adicionando a este a proteção diferencial residual, ou seja, esta associação permite a atuação do disjuntor quando ocorrer uma sobrecarga, curto circuito ou corrente de fuga à terra. Recomendado para instalações onde a corrente de curto circuito for elevada. FIGURA 46: Módulo DR
  • 84.
    84 Princípio de proteçãodas pessoas Qualquer atividade biológica no corpo humano seja ela glandular, nervosa ou muscular é originada de impulsos de corrente elétrica. Se a essa corrente fisiológica interna somar-se uma corrente de origem externa (corrente de fuga), devido a um contato elétrico, ocorrerá no organismo humano uma alteração das funções vitais, que, dependendo da duração e da intensidade da corrente, poderá provocar efeitos fisiológicos graves, irreversíveis ou até a morte da pessoa. FIGURA 47: Gráfico com zonas tempo x corrente e os efeitos sobre as pessoas (percurso mão esquerda ao pé)
  • 85.
    85 Esquemas de ligação FIGURA48: Esquemas de ligação dos dispositivos DR FIGURA 49: Esquemas de ligação dos dispositivos DR Notas: 1. Máxima tensão de operação 220 VCA entre fases. 2. O botão de teste T, possibilita a verifi cação do correto funcionamento e instalação do dispositivo DR, gerando uma corrente de fuga interna entre dois terminais de conexão (acionar semestralmente, pois é a garantia de funcionamento do Dispositivo DR). Portanto, em redes bifásica ou trifásica (L1+L2+N ou L1+L2+L3 sem N), deve-se verificar o diagrama no frontal do dispositivo DR para proporcionar a correta energização dos terminais utilizados por este teste. No exemplo foi interligado o terminal de conexão 3 ao terminal de conexão N para permitir a operação do botão de teste.
  • 86.
    86 Obrigatoriedade de utilizaçãode dispositivos DR A NBR-5410 estabelece no seu item 5.1.3.2.2 os casos em que o uso de dispositivo diferencial- residual de alta sensibilidade como proteção adicional é obrigatório. Devem ser objeto de proteção adicional por dispositivos a corrente diferencial-residual com corrente diferencial-residual nominal 𝐼∆𝑁 igual ou inferior a 30 mA: a) os circuitos que sirvam a pontos de utilização situados em locais contendo banheira ou chuveiro; b) os circuitos que alimentem tomadas de corrente situadas em áreas externas à edificação; c) os circuitos de tomadas de corrente situadas em áreas internas que possam vir a alimentar equipamentos no exterior; d) os circuitos que, em locais de habitação, sirvam a pontos de utilização situados em cozinhas, copas-cozinhas, lavanderias, áreas de serviço, garagens e demais dependências internas molhadas em uso normal ou sujeitas a lavagens; e) os circuitos que, em edificações não-residenciais, sirvam a pontos de tomada situados em cozinhas, copas-cozinhas, lavanderias, áreas de serviço, garagens e, no geral, em áreas internas molhadas em uso normal ou sujeitas a lavagens. NOTAS: 1. No que se refere a tomadas de corrente, a exigência de proteção adicional por DR de alta sensibilidade se aplica às tomadas com corrente nominal de até 32 A. 2. Admite-se a exclusão, na alínea d), dos pontos que alimentem aparelhos de iluminação posicionados a uma altura igual ou superior a 2,50 m. 3. Quando o risco de desligamento de congeladores por atuação intempestiva da proteção, associado à hipótese de ausência prolongada de pessoas, significar perdas e/ou conseqüências sanitárias relevantes, recomenda-se que as tomadas de corrente previstas para a alimentação de tais equipamentos sejam protegidas por dispositivo DR com característica de alta imunidade a perturbações transitórias, que o próprio circuito de alimentação do congelador seja, sempre que possível, independente e que, caso exista outro dispositivo DR a montante do de alta imunidade, seja garantida seletividade entre os dispositivos. Alternativamente, ao invés de dispositivo DR, a tomada destinada ao congelador pode ser protegida por separação elétrica individual, recomendando-se que também aí o circuito seja independente e que caso haja dispositivo DR a montante, este seja de um tipo imune a perturbações transitórias. 4. A proteção dos circuitos pode ser realizada individualmente, por ponto de utilização ou por circuito ou por grupo de circuitos. FIGURA 50: Exigência de dispositivos DR
  • 87.
    87 ANEXO C- CÁLCULOLUMINOTÉCNICO LCU Comprovadamente uma boa iluminação aumenta a produtividade de seus funcionários, reduzindo a fadiga, o cansaço visual e o índice de erros, além de economizar energia elétrica. Para obter todos os benefícios que uma boa iluminação oferece devemos sempre levar em consideração um sistema eficiente de qualidade. Um sistema econômico utiliza lâmpadas e reatores de última geração e luminárias desenvolvidas para responder com o melhor rendimento possível, pois a função da luminária é a de dirigir a luz de forma eficaz para as áreas a serem iluminadas, evitando perdas. LO LUMINOTÉCNICO Definições Fluxo luminoso () É a quantidade de luz emitida por uma fonte, medida em lúmens (lm), na tensão nominal de funcionamento. Figura 51: Fluxo luminoso Iluminância (E) Relaciona a luz que uma lâmpada irradia com a superfície na qual ela incide. É medida em lux (lx) por um aparelho chamado luxímetro. Um lux corresponde à iluminância de uma superfície plana de um metro quadrado de área, sobre a qual incide perpendicularmente um fluxo luminoso de um lúmen. Os valores relativos a iluminância foram tabelados por atividade. No Brasil eles se encontram na NBR 5413 - Iluminância de interiores. Figura 52: Iluminância
  • 88.
    88 Eficiência energética É arelação entre o fluxo luminoso e a potência da lâmpada. Figura 53: Eficiência energética Índice de Reprodução de Cores Representa a capacidade de reprodução da cor de um objeto diante de uma fonte de luz. O IRC faz uma correspondência entre a cor real de um objeto e a que ele está apresentando diante da fonte de luz. Convencionalmente, o IRC varia entre 0 e 100% e de acordo com a fonte luminosa do ambiente a que se destina. Quanto mais alto o IRC, melhor é a fidelidade das cores. As diferenças de IRC entre lâmpadas de maneira geral não são significantes, ou seja, visíveis a olho nu, a menos que a diferença seja maior que três a cinco pontos. Figura 54: Índice de Reprodução de Cores (𝑅 𝑎 ou IRC)
  • 89.
    89 Temperatura de Cor Expressaa aparência de cor da luz emitida pela fonte de luz. A sua unidade de medida é o Kelvin (K). Quanto mais alta a temperatura de cor, mais clara é a tonalidade de cor da luz. Quando falamos em luz quente ou fria, não estamos nos referindo ao calor físico da lâmpada, e sim a tonalidade de cor que ela apresenta ao ambiente. Luz com tonalidade de cor mais suave torna-se mais aconchegante e relaxante; luz mais clara, mais estimulante. Muito embora isto não possa ser considerado fisicamente, uma temperatura de cor mais alta (K) descreve uma fonte de luz azulada, visualmente “fria”. As temperaturas de cores típicas são apresentadas a seguir. TABELA 42: Temperatura de cor Temperatura Fonte de Luz 1.200 K Luz do fogo 1.700 K Candeeiro/Luz de vela 2.000 K Lâmpada de vapor de sódio (iluminação pública) 2.680 K Lâmpada incandescente comum de 40W 3.000 K Lâmpada incandescente comum de 200W 3.000 K Lâmpada fluorescente “branca quente” 3.200 K Nascer/Pôr do Sol 3.200 K Lâmpada de estúdio photoflood tipo B (halógena) 3.400 K Lâmpada de estúdio photoflood tipo A 4.000 K Lâmpada de flash (bulbo) 4.100 K Luz do luar em noite de lua cheia 4.500 K Arco voltáico (projetores antigos de cinema) 5.000 K Lâmpadas de xenônio (projetores atuais de cinema) 5.000 a 5.500 K Luz do sol ao amanhecer ou entardecer 5.500 a 5.600 K Flash eletrônico 5.500 a 6.000 K Luz do sol durante a maior parte do dia 5.800 K Céu aberto ao meio-dia 6.000 K Lâmpada fluorescente “branca fria” 6.000 K Lâmpada de mercúrio 6.500 K Lâmpada fluorescente “luz do dia” 6.500 a 7.500 K Céu encoberto Fator de Depreciação Todo o sistema de iluminação, após sua instalação, tem uma depreciação no nível de iluminância ao longo do tempo. Esta é decorrente da redução do fluxo luminoso da lâmpada com o tempo e do acúmulo de poeira sobre lâmpadas e luminárias. Para compensar parte desta depreciação, estabelece-se um fator de depreciação que é utilizado no cálculo das quantidades de luminárias. Vida Útil É o número de horas decorrido quando se atinge 70% da quantidade de luz inicial devido à depreciação do fluxo luminoso de cada lâmpada, somado ao efeito das respectivas queimas ocorridas no período, ou seja, 30% de redução na quantidade de luz inicial.
  • 90.
    90 Curva de DistribuiçãoLuminosa Se num plano transversal à lâmpada, todos os vetores que dela se originam tiverem suas extremidades ligadas por um traço, obtém-se a Curva de Distribuição Luminosa (CDL). Em outras palavras, é a representação da Intensidade Luminosa em todos os ângulos em que ela é direcionada num plano. (Figura 6) Para a uniformização dos valores das curvas, geralmente essas são referidas a 1000 lm. Nesse caso, é necessário multiplicar-se o valor encontrado na CDL pelo Fluxo Luminoso da lâmpada em questão e dividir o resultado por 1000 lm. Figura 55: Curva de distribuição de Intensidades Luminosas no plano transversal e longitudinal para uma lâmpada fluorescente isolada (A) ou associada a um refletor (B). Refletância (Fator de Reflexão) É uma característica do ambiente. Define a relação entre a quantidade de luz refletida e a quantidade de luz incidente em uma determinada superfície. TABELA 43: Refletâncias das diversas cores Cor Refletância Branco 75 a 85% Marfim 63 a 80% Creme 56 a 72% Amarelo claro 65 a 75% Marrom 17 a 41% Verde claro 50 a 65% Verde escuro 10 a 22% Azul claro 50 a 60% Rosa 50 a 58% Vermelho 10 a 20% Cinza 40 a 50%
  • 91.
    91 Roteiro de Cálculo a.Escolha do tipo de lâmpada e luminária (levar em consideração os efeitos de luz e sombras, a reprodução de cores, a tonalidade de cor da luz, o calor gerado pela iluminação, o ruído, etc.). b. Escolha da iluminância (E) adequada para o local conforme a TABELA 44 e a TABELA 45 ou consulte as iluminâncias recomendadas pela NBR 5413. TABELA 44: Iluminâncias por classe de tarefa visual TABELA 45: Fatores determinantes da iluminação adequada A TABELA 44 e a TABELA 45 são utilizadas para se determinar a iluminância de ambientes, para isto basta que seja analisado pela tabela 2 os pesos referentes as características, somam-se os números analisados (considere o sinal dos números), caso se encontre resultado -2 ou -3 utilizar a iluminância inferior; sendo resultado +2 ou +3 utilizar a iluminância superior; e utilizar a iluminância média nos demais casos. c. Calcule do fator do local (K) Fator do local (ou Índice do Recinto) é a relação entre as dimensões do local, e é dado calculado pela fórmula mostrada a seguir: 𝐾 = 𝑎𝑏 ℎ(𝑎 + 𝑏) onde: a = comprimento do recinto; b = largura do recinto; h = pé-direito útil (altura de montagem da luminária em relação ao plano de trabalho)
  • 92.
    92 Figura 56: Representaçãodo pé-direito útil d. Determine da eficiência do recinto (𝜂 𝑅) Uma vez calculado o índice do recinto (K), procura-se identificar os valores da refletância do teto, paredes e piso. Escolhe-se a indicação de Curva de Distribuição Luminosa (Figura 55) que mais se assemelha à da luminária a ser utilizada no projeto. Na interseção da coluna de Refletâncias e linha de Índice do Recinto encontra-se o valor da eficiência do recinto (𝜂 𝑅). FIGURA 57: Exemplo de tabela para determinação da eficiência do rescinto e. Determinação da eficiência da luminária (𝜂 𝐿): é um dado fornecido nos catálogos das luminárias f. Determinação do fator de utilização (𝐹𝑢): é o produto da eficiência do recinto pela eficiência da luminária. Alguns catálogos, ao invés de fornecerem uma tabela para determinação da eficiência do recinto, fornecem este valor já multiplicado pela eficiência da luminária, ou seja, já fornecem o fator de utilização. 𝐹𝑢 = 𝜂 𝐿 𝜂 𝑅
  • 93.
    93 g. Cálculo daquantidade de luminárias FIGURA 58: Cálculo da quantidade de luminárias h. Distribuição das luminárias FIGURA 59: Distribuição de luminárias Exercício: Projetar o sistema de iluminação para uma sala com 20 metros de comprimento, 10 metros de largura e 3 metros de pé-direito. A sala será utilizada como escritório contendo escrivaninhas de 0,80
  • 94.
    94 metros de altura.As luminárias serão de sobrepor, do tipo TCS 312 da Philips para duas lâmpadas fluorescentes tubulares tipo TLD de 32W da mesma marca. A luminária é mostrada na Figura 60, tendo sua tabela de fatores de utilização apresentada na Figura 2. O teto está pintado de branco, as paredes de azul claro e o chão esta revestido com piso na cor marrom. Espera-se que a iluminância obtida seja da ordem de 350lux. Sabe-se que o fluxo luminoso emitido pelas lâmpadas TLD de 32W é igual a 3200 lúmens. Figura 60: Luminária TCS 312 da Philips Figura 61: Fatores de utilização – TCS 312 – 2xTLD 32W
  • 95.
    95 BIBLIOGRAFIA  NBR-5410: 2004. NISKIER, J. & MACINTYRE, A. J., Instalações Elétricas, 2a Ed., Guanabara Dois, Rio de Janeiro, RJ, 1992.  COTRIN, A. A. M. B., Instalações Elétricas, 5a Ed., Makron Books, São Paulo, SP, 2009.  FILHO, J. Mamede, Instalações Elétricas Industriais, 5a Ed., Livros Técnicos e Científicos S.A., Rio de Janeiro, RJ, 1997.  Web Site da PIRRELI CABOS S.A.  Web Site da OSRAM  Manual Luminotécnico Prático – OSRAM  Web Site da TIGRE  Web Site da CEMAR