XI SEMINÁRIO MODERNIZAÇÃO TECNOLÓGIA PERIFÉRICA
RECIFE, 4 a 6 de NOVEMBRO de 2009
Fundação Joaquim Nabuco, Apipucos, Sala Gilberto Osório, Rua Dois Irmãos, 92
Prioridade à Adaptação face ao Aquecimento Global e as
Regiões Brasileiras 1
Adriano Batista Dias
aedias@globo.com; abdias@fundaj.gov.br
Carolina Beltrão de Medeiros
carolina.medeiros@fundaj.gov.br
Fundação Joaquim Nabuco
Resumo
A constatação das primeiras consequências do fenômeno Aquecimento Global tem sido
revelada através dos estudos realizados sobre as alterações climáticas e seus efeitos diretos e
indiretos sobre a natureza. No Brasil, o conhecimento sobre o problema está se formando de
maneira heterogênea, tal e qual a diversidade climática. Em relação a medidas que minimizem
os efeitos negativos do fenômeno e suas consequências, há dois grupos considerados, de
mitigação e de adaptação ao Aquecimento Global. O objetivo das medidas de mitigação é
minorar o fenômeno, enquanto o das medidas de adaptação é prover que a convivência com os
novos climas originados pelo efeito estufa seja saudavelmente sustentável. Este artigo mostra
a relação direta entre variação de temperatura e latitude no Brasil, o porquê da prioridade em
relação à adoção de medidas de adaptação no Brasil e de sua adequação, de caráter não
uniforme, sobre o território nacional.
Palavras Chave: Aquecimento global; medidas de adaptação; medidas de aquecimento
Abstract
The first consequences of the phenomenon of Global Warming has been revealed through
studies on climate change and its direct and indirect effects on nature. In Brazil, the knowledge
about the problem is being formed so heterogeneously, as the climate diversity. For measures
that minimize the negative effects of the phenomenon and its consequences, there are two
groups considered: mitigation and adaptation to global warming. The goal of mitigation
measures is to reduce the phenomenon, while the one of adaptation is to improve the
coexistence with the new climate caused by greenhouse effect. This article shows: the
relationship between temperature variation and latitude in Brazil; the reason for the priority on
adaptation instead of mitigation measures; and the adequate adaptation measures to be not
uniform, through out the national territory.
Key words: global warming; adaptation measures; mitigation measures.
1 Os autores agradecem a colaboração técnica de Marcos Lucena.
DIAS, AB; MEDEIROS, CB. Prioridade à Adaptação face ao Aquecimento Global e as Regiões Brasileiras 1
XI SEMINÁRIO MODERNIZAÇÃO TECNOLÓGIA PERIFÉRICA
RECIFE, 4 a 6 de NOVEMBRO de 2009
Fundação Joaquim Nabuco, Apipucos, Sala Gilberto Osório, Rua Dois Irmãos, 92
1. Introdução
O Aquecimento Global já é uma realidade e representa um processo que está em curso em
todo o planeta. A partir dos efeitos observados ao redor da Terra como o aumento das secas,
das inundações, de furacões e o derretimento das geleiras, produzindo subida do nível dos
oceanos, formou-se um ciclo de alterações climáticas que tem provocado mudanças de curto
prazo no dia-a-dia dos seres humanos mas que, a longo prazo, tende a transformar profunda,
direta e indiretamente, a vida humana nas áreas rurais e urbanas.
Essa transformação deverá clamar medidas de adaptação ao fenômeno do Aquecimento,
voltadas ao desenvolvimento e adoção de soluções que permitam conviver com os novos
climas, minimizando os prejuízos, através de mudanças que já começam a fazer parte do
cotidiano, de forma a melhorar as condições de vida dos seres, considerando que a fauna e a
flora de imediato estão sofrendo com as conseqüências provocadas pelo aumento da
temperatura ao longo do tempo, afetando as mais variadas regiões geográficas. As mudanças
de comportamento parecem não escolher escala cartográfica e atingirão todo o planeta. Os
câmbios climáticos poderão fazer acontecer casos em que uma região, antes subtropical,
venha a ter características de uma tropical. Outra, antes tropical, passe a apresentar indícios
de clima equatorial. Nos primeiros dois casos, ainda tem-se a chance de “copiar” boas práticas
das regiões que antes operavam com este tipo de clima. No último exemplo, está a nova e
mais grave problemática: como conviver com temperaturas ainda mais quentes do que aquelas
já apresentadas no clima equatorial, se não há referenciais a serem seguidos? Para esta
pergunta, muitos desdobramentos e muita pesquisa são esperados para o atingimento de
resultados consistentes e satisfatórios.
Neste momento, o Brasil também enfrenta as consequências do Aquecimento Global. De uma
forma bastante heterogênea, como igualmente é a sua diversidade climática: bem ampla,
influenciada por sua significativa extensão costeira, seu relevo e as massas de ar sobre seu
território que apresenta áreas extensamente distanciadas da costa. Na sua região equatorial,
onde se poderia pensar uma maior restrição à heterogeneidade, são verificados desde climas
superúmidos quentes, provenientes das massas Equatoriais, como é o caso de grande parte da
região Amazônica, até climas semi-áridos muito fortes, próprios do sertão nordestino. Pode-se
esperar que o Brasil sofrerá uma vasta gama de mudanças climáticas, correspondendo a novos
climas locais, em substituição aos que hoje ainda predominam e a eles correspondem as
tecnologias de exploração agropecuária adotadas, as culturas adequadas a cada local e as
atuais soluções urbanísticas e arquitetônicas. Conviver com novos climas deve se fazer
corresponder a mudanças nestas variáveis, que permitam ao Homem se manter nas áreas
atualmente ocupadas, de forma saudavelmente sustentável.
Este artigo tem como objetivo principal a análise dos efeitos do aquecimento global sobre o
Brasil sob a ótica da natureza das medidas que devem ser priorizadas para serem financiadas
com gasto público nacional e apreciação de diferenças regionais necessárias para um
tratamento equânime. Está organizado em seis capítulos. O primeiro, como usual, traz a
Introdução. O segundo dedica-se à constatação do fenômeno em curso, com observações
técnicas sobre a relação entre latitude e temperaturas. O terceiro capítulo traz consideração
sobre os efeitos do aquecimento, mostrando as conseqüências diretas e indiretas sobre os
seres vivos e natureza em geral. O quarto capítulo é dedicado a tratar as causas do fenômeno
e expor a natureza das ações que estão sendo consideradas pelos que se dedicam a analisar,
propor e gerenciar soluções aos problemas trazidos pelo aquecimento global. O quinto
contextualiza a situação do Brasil face ao Aquecimento Global, apontando à natureza das
ações a serem priorizadas e a diferenças regionais importantes a serem consideradas no
enfrentamento do problema. E, por fim, o sexto capítulo, sumariza o exposto, à guisa de
DIAS, AB; MEDEIROS, CB. Prioridade à Adaptação face ao Aquecimento Global e as Regiões Brasileiras 2
XI SEMINÁRIO MODERNIZAÇÃO TECNOLÓGIA PERIFÉRICA
RECIFE, 4 a 6 de NOVEMBRO de 2009
Fundação Joaquim Nabuco, Apipucos, Sala Gilberto Osório, Rua Dois Irmãos, 92
conclusões.
2. O Fenômeno Aquecimento Global: Constatação
Ao introduzir o tema do Aquecimento Global, há que se pensar em variação positiva de
intensidade de calor na natureza, que pode ser mensurada de diversas formas. Interessante é
explanar que a mensuração precisa do fenômeno temperatura começou a ser realizada a partir
da descoberta da variação dimensional que substâncias apresentam quando em diferentes
temperaturas. Desde então foi possível, com pequenos avanços, como a construção de
escalas de medição de temperatura, satisfazer o desejo humano de medir temperaturas de
forma objetiva e expressá-las de forma comparável. Como o conhecimento humano já havia
incorporado o conceito de média aritmética, tornou-se, desde então, possível se obter a média
global das temperaturas, levando em conta inclusive as temperaturas de águas oceânicas. E
assim, desde mais de dois séculos atrás, constatar o comportamento da temperatura em
diversos pontos da superfície da Terra ao longo do tempo.
O avanço do conhecimento propiciou o entendimento de que a temperatura expressava o nível
energético das moléculas a que a temperatura se refere. O conhecimento associado de
radiação emitida pelos corpos, juntamente com a capacidade muito posteriormente
desenvolvida de posicionar satélites ao redor da Terra propiciou, pelo uso de sensores neles
apoiados, mais espetaculares feitos, como a medição da radiação cósmica que, de diversas
fontes, incide sobre a Terra e da que é por ela emitida. Além da constatação de variação de
temperatura média global, o Homem passou a poder, com mais segurança, testar hipóteses
sobre as causas desta variação.
Pesquisas sênior em áreas do conhecimento como antropologia, biologia, geofísica, permitem
que medições de isótopos e de dióxido de carbono estabeleçam a idade e a temperatura média
reinante no tempo de vida de amostras selecionadas de fósseis. Desta forma, obtém-se mais
informação sobre a variação da temperatura global e há mais material disponível para testar
hipóteses sobre suas causas.
As médias estimadas para a temperatura da superfície da Terra não têm sido objeto de
negação. Assim, pode-se tomar como sem contestação que
during the past century, global surface temperatures have increased at a rate near
0.05°C/decade (0.09°F/decade), but this trend has increased to a rate of
approximately 0.16°C/decade (0.29°F/decade) during the past 30 years (NOAA,
2009).
Desta forma, para melhor definição do fenômeno constatado, o Aquecimento Global pode ser
conceituado como o aumento médio da temperatura da superfície do planeta, o qual foi sendo
observado como tendência crescente no século passado, principalmente em suas três últimas
décadas.
O aumento da temperatura tem sido geral e as previsões apontam um crescimento progressivo
ao longo do tempo. Tem sido um tanto maior quanto maior a magnitude da latitude, mantendo-
se, todavia, a ordem de grandeza do aumento (GISS, 2005).
DIAS, AB; MEDEIROS, CB. Prioridade à Adaptação face ao Aquecimento Global e as Regiões Brasileiras 3
XI SEMINÁRIO MODERNIZAÇÃO TECNOLÓGIA PERIFÉRICA
RECIFE, 4 a 6 de NOVEMBRO de 2009
Fundação Joaquim Nabuco, Apipucos, Sala Gilberto Osório, Rua Dois Irmãos, 92
3. Efeitos
A Temperatura Age Diretamente Sobre o Homem
Os seres humanos têm uma faixa de temperatura ótima, para cada circunstância considerada
(trabalho intelectual, trabalho braçal, ao abrigo ou não das intempéries, exposto ou não à
insolação moderada, exposto a diferentes graus de umidade, exposto a diferentes velocidades
de movimento do ar, etc), mas, como situação típica, pode ser colocada como de 22 a 25o
C o
intervalo da temperatura ideal (Figura 1). Afastando-se até uma ordem de dez graus
centígrados para a direita ou para a esquerda destes limites, há um perda de 2% de eficiência
para cada grau centígrado de afastamento segundo mostram Seppanen, Fisk e Faulkner
(2004). Eles apresentam o resultado quantitativo da síntese de vários trabalhos relativos a
efeito da temperatura sobre seres humanos, mas se pode entender que, para temperaturas
acima do limite exposto, o efeito se acentue acima da linearidade pois as ondas de calor são
mencionadas nos estudos climáticos como flagelos da natureza.2
A perda anual de eficiência
média é nula apenas para aqueles que ficam sempre dentro de intervalo 22-25o
C durante todos
os momentos do ano em que realizam atos ou ações. Pode-se entender ser desprezível, no
decurso de um ano, o número de humanos que se mantém todo o tempo dentro deste limite
térmico. A menos de estatisticamente irrelevantes exceções, todos os humanos sofrem, por
efeito térmico direto, algum grau de ineficiência. Mas a situação de igualdade em relação ao
fato de estar submetido a perda de eficiência é substituída por forte desigualdade quando se
observa quão diferenciado é o valor de quanto de eficiência, em média anual, perdem os
humanos em diferentes localidades. Nas áreas equatoriais a temperatura média está no
entorno de 25o
C. Seus habitantes, durante o dia, sempre mais quente que a noite, estão
sujeitos a perda de eficiência por motivos térmicos.
2 Considera-se estar perante uma Onda de Calor (definição climatológica) quando, no intervalo de pelo menos 6 dias
consecutivos, a temperatura máxima do ar é superior em 5ºC ao respectivo valor médio diário da temperatura máxima
no período de referência.” (DGS, 2008, p.20).
DIAS, AB; MEDEIROS, CB. Prioridade à Adaptação face ao Aquecimento Global e as Regiões Brasileiras 4
XI SEMINÁRIO MODERNIZAÇÃO TECNOLÓGIA PERIFÉRICA
RECIFE, 4 a 6 de NOVEMBRO de 2009
Fundação Joaquim Nabuco, Apipucos, Sala Gilberto Osório, Rua Dois Irmãos, 92
Fonte: Seppanen; Fisk; Faulkner (2004)
Efeitos Indiretos da Temperatura sobre o Homem
O efeito da temperatura sobre a natureza é tão diversificado como a diversidade nela
encontrada, formando modificações no ambiente onde o Homem se vê inserido, tais mudanças
originando efeitos indiretos sobre o Homem. Mas os efeitos indiretos não se limitam aos
causados pela natureza. Um efeito indireto derivado da relação Homem-temperatura ambiente
é econômico e advém da necessidade de fugir, pelo condicionamento do ambiente, da redução
da eficiência e do desconforto causado pelo afastamento da zona de conforto térmico. Fazer o
ambiente interno apresentar temperatura dentro do limite 22 a 25o
C enquanto o ambiente
externo apresenta temperatura fora deste limite tem custo econômico. E há assimetria
econômica entre rebaixar a temperatura ambiente e a elevar. A elevação é prática multi-milenar,
tendo ganho no século passado o controle automático da temperatura ambiente provido por
aquecedores. Seu custo está balizado pelo processo de geração de calor através da queima de
combustíveis. De custo mais alto é a redução da temperatura, através da retirada de calor do
ambiente. Produz bem mais calor do que o retirado do ambiente a ser condicionado, o que é
em si um elemento encarecedor. E requer um equipamento de maior valor para cada unidade
de capacidade de retirada de calor, comparativamente ao valor do equipamento para injetar
calor. O resultado líquido é o aquecimento global trazer uma redução de custos de
condicionamento dos ambientes construídos nas latitudes de maior valor absoluto, enquanto
aumenta o custo nas regiões tropicais, especialmente nas equatoriais. Escolhendo-se como
exemplo as capitais do Nordeste Oriental (de Natal a Salvador), a uma temperatura típica dos
momentos de uso de ar condicionado, para efeito de cálculo, correspondente para cada uma à
média entre a temperatura média e média máxima3
apresentam uma temperatura típica de
27,1o
C. Escolhendo como 25o
C a temperatura a ser posta internamente, tem-se um
rebaixamento típico de 2,1o
C. Se a temperatura subir 0,2o
C na próxima década, o rebaixamento
3 As temperaturas média e média máxima das capitais do Nordeste Oriental são, respectivamente: Natal, com 25,4 e
29,9o
C(WEATHER, 2009); João Pessoa, com 26,2 e 29,1o
C (WEATHER, 2009); Recife, com 25,5 e 28,9o
C (WEATHER,
2009); Maceió, com 24,8 e 28,7o
C (WEATHER, 2009); Aracaju, com 25,9 e 28,1o
C (WEATHER, 2009); Salvador, com
25,3 e 27,9o
C(WEATHER, 2009).
DIAS, AB; MEDEIROS, CB. Prioridade à Adaptação face ao Aquecimento Global e as Regiões Brasileiras 5
1
XI SEMINÁRIO MODERNIZAÇÃO TECNOLÓGIA PERIFÉRICA
RECIFE, 4 a 6 de NOVEMBRO de 2009
Fundação Joaquim Nabuco, Apipucos, Sala Gilberto Osório, Rua Dois Irmãos, 92
passará a ser de 2,3o
C. Assim, o custo energético destes sistemas de ar condicionado deve
aumentar em 9,5%. Mas fora o aumento do gasto energético dos sistemas de condicionamento
de ar pré-existentes no início da década, o aumento da temperatura traz a necessidade de uso
de ar condicionado a relativamente maior número de usuários e/ou a necessidade de ampliar o
tempo de uso dos sistemas de condicionamento de ar, propiciando aumento do gasto
energético em percentual que pode extrapolar significativamente este calculado acréscimo
irreversível de 9,5% numa década.
Temperatura e Natureza Viva
Os animais são afetados pelo nível térmico. Há alguns que regulam a temperatura corporal,
como o homem. Quando expostos a temperaturas exteriores às suas zonas de conforto
térmico, acionam os seus mecanismos de regulação e tornam seus metabolismos
encarregados de mantê-los em funcionamento, em adição às demais tarefas que cumprem.
Têm seus mecanismos de crescimento e níveis de ingestão de alimentos alterados. Um
indicador interessante, que interessa ao homem, por lhe prover efeito indireto é a redução da
produção de leite por parte do gado leiteiro. Em áreas próximas ao Trópico de Capricórnio, no
Brasil, reduzem ao redor de 10% a produção leiteira no calor do verão. Mas a redução depende
da raça. Tão mais produtiva, tão mais sensível sua produtividade leiteira a afastamentos da
zona de conforto térmico (KLOSOWSKI, 2002). Animais que não regulam a temperatura
corporal são ainda mais sensíveis do que os que a regulam.
Vegetais são também afetados. A temperatura afeta de forma diferente cada cultivar de cada
espécie agrícola. Por exemplo, para um determinado cultivar de milho híbrido, à latitude
21o50’S, longitude 47o
16’W, à altitude de 644m, nas condições prevalecentes de umidade e
luminosidade nos dias dos anos 1987 a 1993, encontrou-se 28,1oC como a temperatura ideal
(LOZADA; ANGELOCCI, 1999). Fosse outro o cultivar, outra seria a temperatura ideal. Mas, a
simples questão da temperatura deve ser vista como mais complexa do que a relação entre
temperatura ideal e temperatura observada, visto que “a condição ótima varia com os
diferentes estádios de crescimento e desenvolvimento da planta” (CRUZ et al., 2006, p. 1).
Estudos da Empresa Brasileira de Pesquisa Agropecuária – EMBRAPA encontraram forte
impacto da temperatura nos cultivares atualmente adotados no Brasil: “O aumento de um grau
faz com que a produção nacional de café caia 58% e a perda seja de R$ 58 bilhões. ... Com a
soja, em 100 hectares de cultivo em área de baixo risco, basta um grau a mais na temperatura
para ameaçar 25% da produção” (CHIARETTI, 2007).
Bactérias têm diferentes sensibilidades à temperatura. As mesófilas são associadas a
temperaturas ideais entre 25 e 40o
C, um intervalo de temperatura que tende a se tornar mais
frequente. Delas a maioria das que são patógenas ao Homem têm temperaturas no entorno de
37o
C como as ideais. Esta temperatura e seu entorno se tornarão mais freqüentes com o
avanço do processo de aquecimento global. Mudanças de clima se traduzem em mudanças de
distribuição de bactérias nos diversos ecossistemas da Terra.
Vírus são igualmente sensíveis. Parte deles tem propriedades favoráveis ao Homem face ao
aquecimento: os vírus e bactérias patógenos ao Homem podem ser desativados por 24 horas
se expostos à luz solar por mais de cinco horas a uma temperatura mínima de 50o
C
(HOMERO, 2007). Mas a adaptação da natureza poderá trazer mutações maléficas de virus
atualmente inócuos. Não se pode excluir que as mudanças na natureza, em ritmo incentivado
pela alta velocidade do atual processo de aquecimento global possa trazer novos virus, não
excluindo maléficos. Fungos são também altamente sensíveis à temperatura, havendo
diferentes intervalos de temperatura que lhes são favoráveis, conforme suas espécies. Estes
intervalos são, em geral, da dimensão de 10o
C (UFSC/Grupo de Processos Biotecnológicos,
2009). Mudanças na temperatura ambiente, como as que estão ocorrendo por conta do
aquecimento global se fazem corresponder a mudanças na distribuição de fungos encontrados
DIAS, AB; MEDEIROS, CB. Prioridade à Adaptação face ao Aquecimento Global e as Regiões Brasileiras 6
XI SEMINÁRIO MODERNIZAÇÃO TECNOLÓGIA PERIFÉRICA
RECIFE, 4 a 6 de NOVEMBRO de 2009
Fundação Joaquim Nabuco, Apipucos, Sala Gilberto Osório, Rua Dois Irmãos, 92
na natureza, como parte das alterações dos ecossistemas.
Temperatura e Natureza Inanimada
Os efeitos da mudança de temperatura não se fazem sentir somente sobre a natureza viva. A natureza
inanimada também os sofre. Um maior volume dos oceanos, pela diminuição da densidade da água com o
aumento da sua temperatura é um efeito direto. Um efeito indireto é o componente adicional do acréscimo
do volume dos oceanos que deve ser creditado ao degelo dos glaciares continentais que está em curso.
Juntos, vão fazendo os oceanos redefinirem as linhas costeiras. Um processo hoje quase imperceptível,
mas que pode resultar numa subida do nível médio do mar, ao longo deste século, em três dezenas de
centímetros, segundo modelos do IPCC que não incluem o efeito retroalimentador positivo sobre o degelo
continental decorrente do aumento do aquecimento das águas oceânicas que circundam as massas de gelo
continental na Antártida e na Groelândia (IPCC, 2007). Ou ser mesmo multimétrica, quando todos os
fatores relevantemente responsáveis pelo degelo são incluídos, segundo o Diretor da NASA responsável
pelos estudos climatológicos da instituição (HANSEN, 2007).4
Um modelo desenvolvido na estadunidense Environmental Protection Agency, já em 1983, traz previsão
de subida mínima de 55 centímetros até 2100, previsão média de 2,10 metros e previsão de subida
máxima de 3,10 metros (TITTUS et. al., 1991, p.176). Passadas mais de duas inteiras décadas as
previsões não reduziram a variância. Nem para uma variável de evolução tão lenta e tão uniforme, em
termos globais, há condição para previsões com razoável precisão.
Mais elevada temperatura das águas oceânicas significa, pela maior evaporação, mais nuvens e maior
precipitação. Significa eventos extremos mais agudos e mais freqüentes, trazendo mais e mais intensas
secas, juntamente com mais e mais intensas cheias (IPCC, 2007). Eventos extremos significam ventos
mais fortes. E, enfim, novos climas vão se instalando. E serão sempre substituídos por outros novos
climas na medida em que o aquecimento global for se agravando.
Ventos mais fortes merecem uma consideração à parte: “Um dos fatores climáticos mais eficazes em
disseminar doenças fúngicas é o vento. Ele é capaz de remover os esporos produzidos pelo fungo numa
planta doente e transportá-los por longas distâncias” (MIZUBUTI; MAFFIA; COSTA, 2005, p.7),
podendo o vento, então, ser capaz de silenciosamente produzir grandes prejuízos. Basta ver a doença que
hoje causa maior prejuízo aos cafeicultores no Brasil: “a ferrugem do café estava restrita aos países
Africanos desde o século XIX. Em 1970, a doença foi constatada pela primeira vez no Brasil. É provável
que os esporos de H. vastatrix tenham sido trazidos da costa da África para o Brasil, através de correntes
de ar (ventos)” (Ibid).5
Sabe-se que sessões de alta umidade com temperatura relativamente elevada,
como se prevêem largamente prevalecentes no futuro próximo, são favoráveis ao desenvolvimento dos
fungos. Sabe-se que suas sementes, os esporos sobrevivem longamente em condições secas. Sabe-se que
podem ser difundidos por ventos, que se prevêem mais fortes. Não se podem prever, todavia, os efeitos
econômicos adversos por falta de informação quantitativa adequada e suficiente.
4 Deve-se atentar a um outro efeito. Elevação da temperatura significa, também, liberação de metano em áreas
submersas onde o leito oceânico contenha biomassa decomposta ou em decomposição. E liberação de metano
significa retroalimentação positiva do efeito estufa, agravando a intensidade do processo de aquecimento global. Como
ainda não se pode associar a exata grandeza desta liberação de metano com a temperatura atmosférica, tem-se nesta
inexatidão mais uma fonte de incerteza nas previsões.
5 O valor dos prejuízos pode ter sua ordem de grandeza percebida por análogo fitopatógeno produzir a ferrugem da
soja. E pelo fato da Associação Americana de Soja ter, em certo momento, pedido ao governo dos EEUU que
suspendesse a importação da soja brasileira pois “o Departamento da Agricultura divulgou estimativa afirmando que
uma eventual epidemia de "ferrugem" nos Estados Unidos poderia custar aos produtores de US$ 640 milhões a US$
1,3 trilhão no primeiro ano” (SALVADOR, 2004).
DIAS, AB; MEDEIROS, CB. Prioridade à Adaptação face ao Aquecimento Global e as Regiões Brasileiras 7
XI SEMINÁRIO MODERNIZAÇÃO TECNOLÓGIA PERIFÉRICA
RECIFE, 4 a 6 de NOVEMBRO de 2009
Fundação Joaquim Nabuco, Apipucos, Sala Gilberto Osório, Rua Dois Irmãos, 92
Efeitos da mudança de clima
A intensificação do efeito estufa traz novos climas. Traz uma mudança geral nos climas,
associada, como principalmente associados são, à latitude (CAMARGO; CAMARGO, 2005). A
relação entre clima e vegetação induz, pelo aquecimento, mudanças na flora em cada local
(PILLAR, 1995). Há mudança da composição de madeiras até nas florestas tropicais virgens,
quando árvores de madeiras menos densas aceleram seu crescimento mais do que as de
madeiras mais densas como resultado do maior teor de dióxido de carbono, diminuindo a
densidade média da biomassa e assim diminuindo a resistência ao stress hídrico e
aumentando o perigo de incêndios florestais, pela dupla condição de mais facilmente se tornar
inflamável e de apresentar maior velocidade de combustão. Nas áreas florestais ocupadas pelo
Homem há, frequentemente, redução da compacidade pelo desmatamento, proporcionando
aberturas para maior entrada de oxigênio contribuindo adicionalmente para estabelecer
condições favoráveis ao início e à propagação de incêndios florestais, iniciados por
autocombustão ou não: um grande risco para agregados urbanos inteiramente circundados
pelas florestas, como vive parte da população da Amazônia.
Na verdade, a produtividade das espécies agrícolas, afora a ação de agentes patógenos, varia
com a natureza do solo, a temperatura do solo/ar, a umidade do solo e do ar, a luminosidade,
com seus sazonais ciclos diários, e o próprio teor de dióxido de carbono na atmosfera. Dadas
as coordenadas de um determinado local, tem-se, em geral, dada a natureza do solo.6
Finalmente, a capacidade de crescimento dos vegetais aumenta com o teor de carbono. Mas
varia de acordo com o vegetal. E o teor de carbono afeta a sua composição. As folhas, por
exemplo, crescem mais. Mas têm menor teor de proteína, com óbvia perda de capacidade
nutricional, o que afeta diretamente os seres que delas se alimentam e produz efeito em toda a
cadeia alimentar. O mapeamento dos efeitos sobre os cultivos de valor econômico decorrentes
do aquecimento global é uma tarefa desafiadora. O mapeamento destes efeitos sobre a cadeia
alimentar é uma tarefa ciclopicamente desafiadora.
Mudanças de clima afetam os seres vivos em geral. Muitas espécies, como reação de
adaptação a novos climas com mais altas temperaturas, vão se deslocando em direção a
maiores latitudes.7
Outras, vão anexando maiores altitudes ao seus habitats, como os vetores
da dengue e da febre amarela e outras doenças tropicais que vão sendo encontrados em
altitudes cada vez maiores. Os sistemas produtivos vão sendo expostos não só a um clima que
vai cambiando, mas à convivência com faunas e floras cambiantes, além de diferentes
agressividades de conhecidos agentes patógenos, formando um quadro de dificuldade para a
previsão de safras. Deve-se ainda considerar que o aumento da intensidade dos ventos,
reportam os climatologistas, se faz corresponder, em condições extremas, a furacões mais
fortes, em média e em furacões mais frequentes. Aumentam a frequência e intensidade de
ocorrências de situações climáticas extremas. Aumenta a irregularidade das precipitações
atmosféricas, o que significa mais secas e mais inundações. São fenômenos cuja incidência
em cada local particular toma a forma de variável aleatória, cuja probabilidade de ocorrência
sabe-se aumentar, sem que se possa precisar a cadência do aumento. Coincidentemente, às
21 horas de 27 de março de 2004, pela primeira vez na história do Atlântico Sul um furacão
atinge o continente sul-americano.8
6 A natureza do solo é um dado para cada momento. Tomá-la como constante é uma simplificação. A natureza do solo
é, em muitas instâncias, cambiante. Vai sendo desgastado pela erosão, em algumas áreas. Vai sendo salinizado pelos
enganos de manejo de sistemas de irrigação, em outras. Vai sendo enriquecido, em ainda outras, por agentes vegetais
e animais.
7 A Fenologia, o estudo da frequência e recorrência de fenômenos naturais, teve ressurgimento com a liderança do
estatístico Tim Sparks, que há décadas se dedica a registrar e analisar na Inglaterra os sinais de mudança na natureza
que expressam sua reação ao aquecimento global. Vide Science Review 2006-2007, publicação do CEH- Centre for
Ecology and Hydrology (2007).
8 Vide Rodrigues et al. (2004/2005) e Marcelino et al. (2005).
DIAS, AB; MEDEIROS, CB. Prioridade à Adaptação face ao Aquecimento Global e as Regiões Brasileiras 8
XI SEMINÁRIO MODERNIZAÇÃO TECNOLÓGIA PERIFÉRICA
RECIFE, 4 a 6 de NOVEMBRO de 2009
Fundação Joaquim Nabuco, Apipucos, Sala Gilberto Osório, Rua Dois Irmãos, 92
Mudança de Clima e Latitude
Deve-se ressaltar que o aquecimento global traz para as áreas equatoriais, cujo aumento de
temperatura não encontrará com larga frequência locais de idêntica constituição e temperatura
mais alta para transferir conhecimento produtivo, expressiva perda de produtividade para as
atividades atualmente desenvolvidas quando usando os atuais cultivares e criações, sem que
outros cultivares e criações possam substituir, pois os que se vão tornando improdutivo já eram
os possíveis de serem empregados nas condições extremas pré-existentes, que vão sendo
agravadas. Enquanto isto o aquecimento vai trazendo às latitudes de maior grandeza a
possibilidade de, com significativamente alta frequência, usarem a experiência produtiva de
latitudes de grandeza menor. Deslocam-se a fauna e a flora em direção aos pólos. Desloca-se,
também, a aplicação de conhecimento produtivo acumulado. A sobrevivência nas regiões
equatoriais vai cada vez mais depender de conhecimento produtivo novo, adequado aos novos
climas equatoriais que vão se formando. Serão exigidos novos cultivares e novas criações, que
repousam no resultado de pesquisa agropecuária (CHIARETTI, 2007). A perda econômica,
enfim, advém do efeito ampliado de agentes patógenos, favorecidos pelo ambiente, interagindo
com homens, outros animais e vegetais enfraquecidos em função de suas suscetibilidades à
condição térmica e à derivada condição de umidade.
A pesquisa agrícola pode encontrar soluções para os problemas que forem surgindo. Mas para
evitar ou, pelo menos, aliviar a continuidade dos prejuízos causados por um determinado
problema, cuja solução tenha sido encontrada, é necessário que cada produtor seja capaz de
corretamente aplicá-la. A disponibilidade das soluções é tão importante quanto a existência de
soluções. Sem mecanismos que garantam eficiente difusão e absorção das novas soluções
tecnológicas que forem surgindo não há como evitar perdas econômicas, sociais e até
humanas, por mais adequadas que sejam as soluções desenvolvidas pela pesquisa
agropecuária.
4. O Aquecimento: Causas, Ações
A reação ao aquecimento global envolve ações que visam alterar o seu curso e ações que o
tomam, juntamente com seu curso previsto, como um dado. Para as primeiras o conhecimento
da causação está diretamente ligado às suas lógicas. Para as segundas interessa a previsão
do curso do processo. O conhecimento da causação é para estas, visto como um meio, junto a
conhecimento e informação de outras naturezas, para aquilatar as previsões.
A maciça maioria dos cientistas cuja área de trabalho se relaciona ao aquecimento global, não
todos, o entende como tendo causas primordialmente antropogênicas. Deixam às causas
naturais, tal como emissão de metano por pântanos e mangues, e aumento da radiação solar,
uma fração praticamente desprezível da responsabilidade pelo aumento do efeito estufa já
observado e pelo aumento previsto para dentro de um século. Para estes é fundamental que
hajam medidas de mitigação capazes de alterar o ritmo do processo de acúmulo de dióxido de
carbono na atmosfera, o principal causador do efeito estufa (vide Figura 2), não só reduzindo a
cadência do crescimento, mas, preferencialmente, reduzindo o estoque do dióxido na
atmosfera.
DIAS, AB; MEDEIROS, CB. Prioridade à Adaptação face ao Aquecimento Global e as Regiões Brasileiras 9
XI SEMINÁRIO MODERNIZAÇÃO TECNOLÓGIA PERIFÉRICA
RECIFE, 4 a 6 de NOVEMBRO de 2009
Fundação Joaquim Nabuco, Apipucos, Sala Gilberto Osório, Rua Dois Irmãos, 92
Figura 2 – Efeito Estufa
Fonte: SHAH apud WIKIPÉDIA, 2009
Para esta maioria, deve-se adotar medidas de mitigação que tragam a redução das emissões
de dióxido de carbono resultantes do balanço entre a queima de combustíveis fósseis e sua
absorção pelo mar, destacando-se nele as algas e pelos vegetais terrestres, aí destacando-se
as florestas.9
Uma minoria nega expressividade às causas antropológicas, reclamando a
preponderante responsabilidade a irremovíveis causas naturais. Qualquer seja a causa,
todavia, a adaptação é indispensável. É uma importante primeira observação sobre a relação
de prioridades a serem atribuídas por um país que, por pesar pouco na economia mundial e
por pouco contribuir ao aumento do efeito estufa, pouco tenha como contribuir à redução do
seu crescimento.
As medidas de mitigação diferem radicalmente das medidas de adaptação no que concerne à
distribuição da apropriação dos benefícios. Tão importante diferença, em geral não realçada na
literatura sobre aquecimento global, é crucial no entendimento da natureza das instituições a
que compete regular as ações dos agentes econômicos referentes a cada uma delas.
As medidas de mitigação são colocadas como bens públicos por Nordhaus (2006) em ensaio
em honra a Paul Samuelson, o seguramente mais destacado economista nos anos 60 e 70 do
século passado, lançador do conceito de “bem público”. De fato, elas beneficiam não só os que
as realizam mas todos os agentes atuais e futuros, dentro do mais longínquo horizonte que à
Humanidade seja dado considerar. Mas, benefícios assim tão largamente espraiados têm na
fração apropriada pelos agentes que os produzem, um bom exemplo de um número que tende
para um limite zero.10
Isto tende a tornar pouco expressivas as medidas de mitigação, mesmo
9 Os governos dos países centrais, que dizimaram suas florestas, têm tomado a posição de escolher a continuidade do
modelo de desenvolvimento por eles adotados, baseado na emissão de dióxido de carbono como resultado da queima
de combustíveis fósseis e deixar aos países periféricos a obrigação de manter suas florestas, devendo eles abdicaram
de usá-las como os desenvolvidos fizeram.
10Ou seja, quando uma medida de mitigação tem a sua justificativa econômica por propiciar um benefício maior do que
o custo, tem-se que levar em conta ter sido considerados os benefícios auferidos por todos os humanos no presente e
em todos os momentos futuros em que a medida trará efeito benéfico. Na prática isto representa considerar o benefício
auferido no ano em que a ação mitigadora foi realizada e os anos de séculos adiante, tomando ano a ano no futuro,
enquanto a taxa de desconto aplicada ao valor presente de um ano futuro não o fizer nulo. Nestas condições uma
medida que traz um bilhão de dólares de benefícios pode ser justificada se trouxer até um bilhão de dólares de custo.
Mas o benefício auferido pelo agente que incorre no um bilhão de dólares de custo, ao realizar a ação mitigadora,
auferirá apenas alguns milhares de dólares de benefício, alguns dólares, ou até fração de centavos de dólares,
conforme o seu tamanho relativo, comparado à economia mundial. Conquanto sejam agentes individuais ou mesmo
tomados como a coletividade de uma cidade ou até de um estado-província, ainda que este seja grande como o estado
da Califórnia, nos EEUU, cujo produto é maior do que o da maior parte dos países da ONU, a fração do custo de uma
ação de mitigação apropriada pelo agente que a desenvolveu é, no máximo, uma pequena fração dos benefícios totais
auferidos pela Humanidade, bem como uma pequena fração dos custos da medida por maior que seja a relação entre
DIAS, AB; MEDEIROS, CB. Prioridade à Adaptação face ao Aquecimento Global e as Regiões Brasileiras 10
XI SEMINÁRIO MODERNIZAÇÃO TECNOLÓGIA PERIFÉRICA
RECIFE, 4 a 6 de NOVEMBRO de 2009
Fundação Joaquim Nabuco, Apipucos, Sala Gilberto Osório, Rua Dois Irmãos, 92
em termos de nações, o que as fazem estabelecer metas e sistematicamente descumprí-las,
uma compreensível divergência entre desejos coletivamente firmados, confirmados como
metas de solenes protocolos, e solenemente traduzidas em resultados relativamente pífios,
decorrentes das efetivas ações desenvolvidas. Só à comunidade de nações com um todo faz
sentido econômico arcar com os custos dos efeitos de medidas de mitigação, pois é esta
comunidade, como conjunto, que melhor pode representar a humanidade beneficiada. Mesmo
assim é duvidoso que a maioria da humanidade atualmente habitante deste planeta esteja
disposta a repartir benefícios com os futuros membros desta humanidade que, em conjunto,
como futuros membros, colherão substancialmente maiores benefícios do que os atuais.
Medidas de adaptação são, em geral, apropriadas pelos que as adotam. Assim, até mesmo a
estreita via da pura contabilidade econômica pode justificar plenamente medidas de adaptação.
Basta que o valor presente do benefício seja maior do que o valor presente do custo da adoção
para que do ponto de vista econômico se justifique adotar uma medida de adaptação.
As medidas de adaptação e as de mitigação,11
cabe observar, não formam conjuntos disjuntos.
Assim, há medidas de reação ao aquecimento global que apresentam benefícios pelo efeito de
mitigação e benefícios pelo efeito de adaptação. A atenção à questão global deve levar a
priorizar, entre duas ações de adaptação que produzam indiferenciado retorno por unidade de
custo aquela que produza maior benefício mitigador, pois traduz solidariedade com os demais
humanos presentes ao planeta e a todos os futuros. Haverá um benefício global, sem prejuízo
para o agente que desenvolve a ação, o que é uma situação desejável.
Do ponto de vista do conforto térmico a adaptação se dá explorando as margens para redução
da energia calórica absorvida pelos ambientes construídos e pela ampliação da capacidade de
difusão da energia calórica que for inevitável absorver. Isto é válido para uma edificação
isolada, seja de um ou de muitos andares, como para um conjunto de ambientes construídos,
de vias e praças, bem como de aglomerados urbanos tomados em sua inteireza, considerando
aí o efeito ilha de calor que pode aumentar em até 5 graus centígrado a temperatura do ar, pelo
que, pela sua redução pode se contrapor satisfatoriamente, pelo menos dentro deste século, à
elevação da temperatura pelo aquecimento global. A adaptação visando conforto térmico segue
duas linhas de trabalho baseadas na mesma estrutura de conhecimento, mas aplicada a
realidades onde as ações são sujeitas a diferentes restrições. Uma diz respeito a novos
ambientes construídos, onde os novos conhecimentos podem ser aplicados de forma sujeita
apenas à racionalidade econômica. Outra situação é da adaptação de ambientes já
construídos, onde os novos conhecimentos, em reformas, sejam aplicados respeitando
restrições impostas pelas estruturas pré-existentes.
O principal meio para adaptação ao processo de aquecimento global, no que diz respeito ao
aumento em si da temperatura atmosférica, vem com o uso racional do grande “condicionador
de ar natural”, a árvore, secundado por outros elementos de vegetação. A vegetação arbórea
vista sob a ótica global como puro instrumento de absorção do carbono, portanto, instrumento
de mitigação, os “locais” devem ver como o grande instrumento de adaptação. As folhas têm
baixo nível de reflexão, cerca de 10%, nos comprimentos de onda azuis e vermelhos. Nos
comprimentos correspondentes ao verde a reflexão é ainda modesta (cerca de 20%). Este
padrão de reflexão no espectro visível aos humanos lhe confere ao olhar a calmante cor verde
das folhas. Em comprimentos de ondas maiores, correspondentes aos menores comprimentos
do infra-vermelho o coeficiente de reflexão cresce rapidamente atingindo tipicamente 50 a 80%
(SMITH, 2004). No total a folhagem reflete até 25 por cento da energia calórica que recebe e o
restante absorve, mas convertendo em outras formas de energia, com importantes efeitos
térmicos na área ensombrada, quer sejam indivíduos isolados, quer sejam coletivos na forma
de bosques, florestas ou, simplesmente, o que muito importa do ponto de vista urbano,
formando arvoredos ao longo de vias. Outros elementos do chamado reino vegetal apresentam
os benefícios totais e seu custo. Tal situação, um agente decidir incorrer em custos para o benefício dos demais atuais
e dos futuros é o oposto do que tem sido o ensinamento dos que fazem o mainstream em economia e do se pode
entender das ações das nações em toda a história humana. Admitir que tal inversão de comportamento se dê
plenamente e imediatamente equivale a admitir como reais as mais singelas lendas infantis.
11 As soluções de adaptação tenderão a ter menor custo para os usuários e serão tão mais facilmente assimiladas e
empregadas quando assimilarem da melhor forma possível o conhecimento e práticas produtivas atualmente em uso e
quando permitirem a tradução de resultados científicos em informação aplicável à produção (IGES, 2007).
DIAS, AB; MEDEIROS, CB. Prioridade à Adaptação face ao Aquecimento Global e as Regiões Brasileiras 11
XI SEMINÁRIO MODERNIZAÇÃO TECNOLÓGIA PERIFÉRICA
RECIFE, 4 a 6 de NOVEMBRO de 2009
Fundação Joaquim Nabuco, Apipucos, Sala Gilberto Osório, Rua Dois Irmãos, 92
propriedades assemelhadas, do ponto de vista quantitativo, chamados a uso nos esforços de
adaptação ao aquecimento global por sua capacidade de absorver energia solar mantendo
baixos níveis de absorção de energia na forma de calor, mesmo com baixa reflexão, dado ao
uso metabólico que fazem desta energia. Enquanto isto um telhado pode até permitir idêntica
temperatura à sua sombra, mas há uma grande diferença para com a aparentemente
equivalente sombra da árvore. O telhado absorve em forma de energia calórica a fração não
refletida, que é, então, dissipada na atmosfera, uma parte no ar sob o telhado, outra maior,
sobre o telhado. A movimentação do ar pode não permitir que chegue ar aquecido a quem
esteja sob o telhado. Mas, não havendo algum anteparo entre este e os usuários de sua
sombra, diferentemente da sombra sob uma frondosa árvore, não deixará de por eles ser
sentido calor de irradiação advindo do telhado quando sobre ele houver incidência de energia
solar.
Quanto à produção agropecuária a adaptação tem seu principal eixo em explorar as
possibilidades de novos cultivares e de novas linhagens animais mais resistentes a mais altas
temperaturas e, de maneira geral, aos novos climas, bem como o desenvolvimento de manejos
adequados. Estes novos climas não envolvem só temperaturas mais altas, em média, em cada
local. Envolvem, também, a utilização para a produção econômica de vegetais com maior
resistência a secas, ou seja, com propriedades xerófilas. Mas também envolvem vegetais com
maior resistência a sessões de excesso de umidade edáfica. Tudo isto repousa em pesquisa
agropecuária, bem como adequada capacidade de difusão das correspondentes inovações.12
Os eventos climáticos extremos, prometidos serem mais fortes e mais frequentes, clamam por
processos de securitização adequados que permitam distribuir os custos dos desastres
naturais e evitem que agentes econômicos obtenham lucros anormais com as perdas de
outros. As questões distributivas assumem uma importância maior face a maiores perdas
causadas por climas mais erráticos e a resposta, em termos de adaptação, é a mudança de
políticas públicas destinada a assegurar a justiça social e o ambiente propício à atividade
econômica. Não se trata de ampliar o escopo e a intensidade das chamadas “políticas
compensatórias”, mas de conformar a estrutura social de maneira de permitir a todos a plena
cidadania, o que envolve a plena participação social, nela incluída saudável e digna
participação em processos produtivos. Trata-se, também, de evitar subinvestimento como
decorrência do aumento do risco e da incerteza.
Os eventos climáticos extremos, a maior temperatura média, ventos mais fortes e a distribuição
mais errática da precipitação atmosférica conduzem a que os novos climas sejam, em geral,
menos favoráveis à vida humana, pelo que cabe compensar estas condições menos favoráveis
por uma utilização mais intensa das práticas de medicina preventiva (bem como do contínuo
desenvolvimento novas práticas), reduzindo a exposição humana à necessidade de medicina
corretiva. Este é um eixo em geral esquecido nas poucas vezes em que, na literatura, a
adaptação é lembrada.
Por último a questão da subida do nível médio das águas oceânicas é também um problema
que requer adaptação, o qual afeta todas as latitudes, sendo maior o impacto nas latitudes
sujeitas a furacões. Sempre há duas soluções extremas para cada área construída,
representando um aglomerado urbano ou uma singela edificação. Uma, deixar o mar redefinir
livremente a linha costeira. A outra, proteger tudo. Há soluções de proteger limitadamente.
Cada uma das alternativas tem de ser vista sob os mais diversos ângulos, face à previsões de
subida no nível do mar, nelas incluído o grau de incerteza. A alternativa a ser escolhida em
cada caso com a maior possível antecedência, para que planejamento de reforma do sistema
viário e infraestrutural, de maneira geral, possa apoiar medidas legais de política pública
municipal, tal como o estabelecimento de zonas non edificandi, para minimizar e viabilizar o
futuro investimento a feito nos ativos planejados e manter funcionando da melhor forma o que
lhe sobraria do avanço causado pela subida do nível do mar.
As soluções para adaptação têm um forte conteúdo local. Mas, em geral, há, também, um forte
componente dado pela latitude, pela sua contribuição ao clima. Nos climas que são já os mais
12 Deve-se ressaltar que há observações sobre a necessidade de se levar em conta a capacidade de absorver dióxido
de carbono e de refletir a luz solar de diferentes vegetais e cultivares. São propriedades importantes do ponto de vista
da mitigação. Num país periférico como o Brasil a sobrevivência dos cultivos às condições adversas e sua
economicidade face aos novos climas deve ter prioridade como objetivo de pesquisa agropecuária.
DIAS, AB; MEDEIROS, CB. Prioridade à Adaptação face ao Aquecimento Global e as Regiões Brasileiras 12
XI SEMINÁRIO MODERNIZAÇÃO TECNOLÓGIA PERIFÉRICA
RECIFE, 4 a 6 de NOVEMBRO de 2009
Fundação Joaquim Nabuco, Apipucos, Sala Gilberto Osório, Rua Dois Irmãos, 92
quentes coincidentemente há tendência de sofrerem menor acréscimo de temperatura. Isto não
constitui uma vantagem. Há, isto sim, mais forte dependência da região equatorial para
adaptação ao aquecimento global, de pesquisa agropecuária, decorrente desta região passar a
ter uma extensão e intensidade de situações climáticas novas, nunca dantes enfrentada pela
experiência humana, dada a ser a região já mais quente. A região tropical não equatorial pode,
ao ter sua temperatura aumentada, receber parte da experiência da região equatorial. E assim
por adiante. Ao aumentar a magnitude da latitude pode-se buscar parte da experiência das
atividades anteriormente desenvolvidas em menores latitudes, que experimentavam análoga
temperatura média.
As regiões equatoriais devem enfrentar problemas trazidos por novos climas que, segundo
previsões de meteorologistas, devem apresentar um aumento de precipitação relativamente
menor do que as regiões de maior latitude, mas o que é mais importante, devem apresentar
significativamente precipitações com maior intensidade média e maior dispersão temporal do
que atualmente, o que equivale a dizer, aumento de extensão temporal e geográfica nas
sessões de seca, mas também aumento de sessões de enxurradas, com suas consequentes
perdas agrícolas, perda de solo fértil e deslizamento de encostas, entre outros efeitos maléficos
(IPCC, 2007). A adaptação requer pesquisa agropecuária para o convívio da produção com
estes novos climas e requer a aplicação de conhecimento já consolidado nas áreas de
hidráulica e geologia para desenhar esquemas de uso dos recursos naturais que minimizem as
perdas. A adaptação nas regiões equatoriais requer o uso de conhecimento já desenvolvido
para enfrentar parte dos problemas, mas requer, também desenvolvimento de novas soluções
para a agropecuária que lhes sejam especificamente desenhadas para suas condições
extremas.
5. Brasil
O Brasil apresentou em 2004 uma emissão per capita de dióxido de carbono de 1,8 toneladas
por habitante face a uma emissão média per capita mundial de 4,5 toneladas no mesmo ano.
Isto mostra como o Brasil é um baixo emissor de dióxido de carbono. Melhor ainda é comparar
a sua emissão per capita com a análoga de 10,1 toneladas anuais, do conjunto de países de
alto IDH, do qual passou a fazer parte (UNDP, 2008). Mesmo com seu tamanho continental em
termos de área territorial representa apenas 1,1% da emissão anual de dióxido de carbono. Se
as atividades andrógenas mundiais tivessem emitido desde a revolução industrial apenas 40%
do que emitiram em termos per capita (o percentual que a emissão per capita brasileira
representa da emissão per capita mundial) o mundo não conheceria nenhum efeito perceptível
de aquecimento global. Ou seja, não tem o Brasil, com sua energia elétrica de base hídrica e o
maior percentual mundial de uso de energia renovável em seu sistema de transporte,
responsabilidade sobre o desastre que o aquecimento global está construindo. Por sua opção
pela energia renovável, isto sim, é excepcionalmente vulnerável aos efeitos do Aquecimento
Global sobre sua matriz energética. E já sobre o seus efeitos (MENDONÇA, 2007). E são
diferenciados em suas diversas regiões.
Para o Brasil, em seu vasto e diversificado território no que diz respeito a dados de latitude,
longitude, temperaturas, relevo e massas de ar, tem-se vários comportamentos esperados no
que diz respeito à mudança de clima. Na própria faixa equatorial, mesmo como a monótona
inexpressiva variação intermediária e sazonal da temperatura, são verificados climas desde
superúmidos quentes, da Amazônia, até semi-áridos muito fortes, próprios do sertão
nordestino.
Com o Aquecimento, nas mais altas latitudes brasileiras, que correspondem ao clima
subtropical, tem-se uma maior mudança em relação à temperatura, ao mesmo tempo em que
permanece garantida um largo percentual de horas anuais dentro da zona de conforto térmico
para a região. Nestas áreas, espera-se a manutenção da tendência atual, de aumento da
precipitação pluviométrica, principalmente na forma de precipitações concentradas
(MONTEIRO, 2007).
DIAS, AB; MEDEIROS, CB. Prioridade à Adaptação face ao Aquecimento Global e as Regiões Brasileiras 13
XI SEMINÁRIO MODERNIZAÇÃO TECNOLÓGIA PERIFÉRICA
RECIFE, 4 a 6 de NOVEMBRO de 2009
Fundação Joaquim Nabuco, Apipucos, Sala Gilberto Osório, Rua Dois Irmãos, 92
À medida que a latitude cai (em valor absoluto), encontram-se os climas tropicais não
equatoriais. Nesta área, temperaturas equatoriais nos meses de verão são acompanhadas por
temperaturas mais baixas nas demais estações. A ainda menores latitudes, encontra-se o clima
tropical úmido no litoral e semi-árido no sertão, que aparece severamente afetado pelo
desconforto térmico, porém sem significativas mudanças na faixa de temperatura média, quer
no ciclo diário, quer no ciclo sazonal. Globalmente, as regiões semi-áridas, onde vive a maior
parte das pessoas mais pobres do planeta, são as mais vulneráveis. Para o Nordeste brasileiro,
os cenários esperados para as temperaturas mais altas que estão a caminho incluem déficit
hídrico, menor umidade do solo e maiores índices de aridez, o que tende a exacerbar ainda
mais as desigualdades sociais da pobreza da região. Certas áreas hoje caracterizadas como
“sub-úmidas secas” podem passar a semi-áridas, e as semi-áridas a áridas. Em determinadas
regiões onde hoje é praticada a agricultura de subsistência, a falta de umidade do solo
impossibilitará tal prática. Ao mesmo tempo, na região litorânea, estima-se que o aumento do
nível do mar afetará as cidades e mangues, com prejuízos ao turismo destas localidades. Mais
a oeste, a Amazônia com seus climas equatoriais úmidos apresenta-se tão vulnerável quanto o
Nordeste.
Na zona equatorial, onde as latitudes são muito baixas (em módulo), há a incógnita do que está
por vir, pelo novo clima que deverá ser formado na região, que já sofre duramente com altas
temperaturas. Porém, alguns impactos ambientais, econômicos e sociais já são previsíveis.
Degradação ambiental com perda de biodiversidade poderá ocorrer de forma mais ampla e
intensa e a capacidade de suporte dos ecossistemas será ainda mais comprometida. Além
disso, a oferta de água sofrerá prejuízos em termo de quantidade, qualidade e regularidade.
Uma apreciação da ordem de grandeza da relação entre latitude e temperatura no Brasil pode
ser inferida a partir dos dados da Tabela 1, a qual contém dados de cidades brasileiras
costeiras (evitando efeitos diferenciados derivados de perdas da influência atenuadora térmica
das grandes massas de água), de altitude de apenas alguns metros acima do nível do mar
(mantendo constante entre as cidades escolhidas o efeito da altitude sobre a temperatura).13
Nesta tabela estão listadas as principais cidades litorâneas brasileiras (consideradas a partir da
maior cidade litorânea de cada estado litorâneo) que além desta especificação, satisfazem à
condição de serem as que apresentam a latitude mais próxima de múltiplos de 5. Escolheu-se
o ajuste linear por ser o mais simples e apresentar medidas de bondade de ajuste aceitáveis,
conforme se pode observar na Figura 3.
13 Note-se que não está sendo procurada a relação entre latitude e temperatura. Trata-se apenas de buscar a ordem
de grandeza desta relação. A relação exata assume forma específica para cada ponto do território e sua estimativa
ultrapassa o escopo deste trabalho.
DIAS, AB; MEDEIROS, CB. Prioridade à Adaptação face ao Aquecimento Global e as Regiões Brasileiras 14
XI SEMINÁRIO MODERNIZAÇÃO TECNOLÓGIA PERIFÉRICA
RECIFE, 4 a 6 de NOVEMBRO de 2009
Fundação Joaquim Nabuco, Apipucos, Sala Gilberto Osório, Rua Dois Irmãos, 92
Tabela 1 - Temperaturas de cidades litorâneas brasileiras
Encontrou-se que as temperaturas média e média máxima vão se reduzindo a um ritmo de cerca de 0,3 o
C
por grau de latitude. Pois, levando-se em conta o aumento da temperatura ocorrida nos últimos trinta anos
do século passado, período em que a temperatura média da Terra elevou-se em 0,48 o
C, pode-se, como
aproximação, dizer que aumentando a temperatura média um tanto menos na área equatorial, tenha esta
área, do ponto de vista térmico, como ordem de grandeza, se expandido em um grau de latitude,
equivalente à distância de 111 km entre João Pessoa e Recife.14
É um fato de extrema gravidade a
magnitude geográfica deste avanço da área equatorial, do ponto de vista funcional, pois há previsão de
que a temperatura média da Terra suba pelo menos um grau centígrado durante este século. O limite
superior da faixa desta previsão se põe como 5 a 6 o
C, com intensa mudança climática, indicando grande
intensidade de perdas potencialmente catastróficas (IPCC, 2007).
14 Nos trinta anos do período 1973-2002 a temperatura média de Manaus (3,1o
S) foi 26,1o
C (MOTA, 2003). “As
temperaturas médias, no período 1950-1979, foram mais baixas durante os meses de fevereiro e março, com valores
de 25,8 ºC, podendo alcançar valores ligeiramente abaixo de 25,0 ºC e os maiores valores foram observados nos
meses de agosto a outubro, com médias de 27,4 ºC a 27,9 ºC, respectivamente, podendo o máximo das médias
alcançar valores de 28,8 ºC e 30.2 ºC, respectivamente.” (OLIVEIRA et al., 2008). Já Cuiabá (15,6o
S) tem temperatura
média de 26,8 o
C, pouco diferente da de Manaus. Mas a variação é substancialmente maior. A média máxima é de
42o
C e a média mínima de 15o
C (NOGUEIRA et al, 2006). Isso significa que, para traçar qualquer paralelo mais preciso
entre temperaturas e latitudes, há que se considerar, além do estudo das médias, a variação sazonal e diária da
temperatura.
DIAS, AB; MEDEIROS, CB. Prioridade à Adaptação face ao Aquecimento Global e as Regiões Brasileiras 15
Cidade Latitude
Temperatura
Chaves (PA) -0,16 26,7 23,0 30,4
Natal (RN) -5,8 25,4 21,6 29,9
Maceió (AL) -9,67 24,8 21,3 28,7
Salvador (BA) -12,97 22,6 27,9
Vitória (ES) -20,32 24,3 20,9 28,3
Paranaguá (PR) -25,52 19,6 16,3 23,8
Torres (RS) -29,34 19,0 15,3 22,0
Média (o
C) Média Mínima
(o
C)
Média Máxima
(o
C)
25,3
Fonte: Latitude (IBGE, 2009) e Temperatura (WEATHER, 2009)
XI SEMINÁRIO MODERNIZAÇÃO TECNOLÓGIA PERIFÉRICA
RECIFE, 4 a 6 de NOVEMBRO de 2009
Fundação Joaquim Nabuco, Apipucos, Sala Gilberto Osório, Rua Dois Irmãos, 92
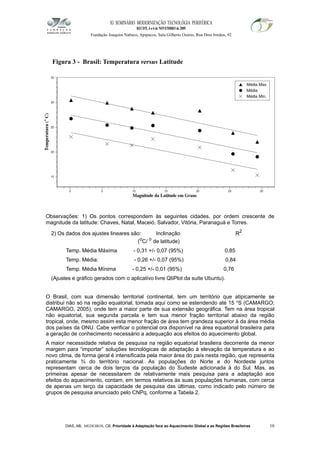
Figura 3 - Brasil: Temperatura versus Latitude
Observações: 1) Os pontos correspondem às seguintes cidades, por ordem crescente de
magnitude da latitude: Chaves, Natal, Maceió, Salvador, Vitória, Paranaguá e Torres.
2) Os dados dos ajustes lineares são: Inclinação R2
(o
C/ o
de latitude)
Temp. Média Máxima - 0,31 +/- 0,07 (95%) 0,85
Temp. Média: - 0,26 +/- 0,07 (95%) 0,84
Temp. Média Mínima - 0,25 +/- 0,01 (95%) 0,76
(Ajustes e gráfico gerados com o aplicativo livre QtiPlot da suite Ubuntu).
O Brasil, com sua dimensão territorial continental, tem um território que atipicamente se
distribui não só na região equatorial, tomada aqui como se estendendo até 15 o
S (CAMARGO;
CAMARGO, 2005), onde tem a maior parte de sua extensão geográfica. Tem na área tropical
não equatorial, sua segunda parcela e tem sua menor fração territorial abaixo da região
tropical, onde, mesmo assim esta menor fração de área tem grandeza superior à da área média
dos países da ONU. Cabe verificar o potencial ora disponível na área equatorial brasileira para
a geração de conhecimento necessário a adequação aos efeitos do aquecimento global.
A maior necessidade relativa de pesquisa na região equatorial brasileira decorrente da menor
margem para “importar” soluções tecnológicas de adaptação à elevação da temperatura e ao
novo clima, de forma geral é intensificada pela maior área do país nesta região, que representa
praticamente ¾ do território nacional. As populações do Norte e do Nordeste juntos
representam cerca de dois terços da população do Sudeste adicionada à do Sul. Mas, as
primeiras apesar de necessitarem de relativamente mais pesquisa para a adaptação aos
efeitos do aquecimento, contam, em termos relativos às suas populações humanas, com cerca
de apenas um terço da capacidade de pesquisa das últimas, como indicado pelo número de
grupos de pesquisa anunciado pelo CNPq, conforme a Tabela 2.
DIAS, AB; MEDEIROS, CB. Prioridade à Adaptação face ao Aquecimento Global e as Regiões Brasileiras 16
XI SEMINÁRIO MODERNIZAÇÃO TECNOLÓGIA PERIFÉRICA
RECIFE, 4 a 6 de NOVEMBRO de 2009
Fundação Joaquim Nabuco, Apipucos, Sala Gilberto Osório, Rua Dois Irmãos, 92
Tabela 2 - Distribuição dos grupos de pesquisa brasileiros segundo a região
geográfica
Região No de Pop. Humana em No de Grupos por
Grupos1 Milhão de Habitantes2 Milhão de Habitantes
Sul 4.955 26,34 185,3
Sudeste 10.592 77,88 136,0
C.Oeste 1.275 13,22 96,4
Norte 933 14,62 63,8
Nordeste 3.269 51,53 63,4
Brasil 21.024 183,99 114,3
Fontes: 1
CNPq (2009) e 2
IBGE (2009).
A capacidade de apoiar a difusão de tecnologia é tão necessária como a capacidade de
pesquisa. São duas condições não suficientes, mas necessárias Pois os estados temperados
do Brasil (Paraná, Santa Catarina e Rio Grande do Sul), abarcando 7% da área territorial
brasileira, têm IDH médio ponderado por suas populações, em 16% superior ao dos estados
equatoriais (Acre, Alagoas, Amapá, Amazonas, Bahia, Ceará, Maranhão, Mato Grosso, Pará,
Paraíba, Pernambuco, Piauí, Rio Grande do Norte, Rondônia, Roraima, Sergipe e Tocantins).
Os estados tropicais não equatoriais (Espírito Santo, Goiás, Mato Grosso do Sul, Minas Gerais,
Rio de Janeiro e São Paulo), neles incluindo o Distrito Federal, assim cobrindo 20% da área
territorial brasileira, também se põem, coincidentemente, com média do IDH em 16% superior à
dos estados equatoriais (UNDP, 2007).
Os estados equatoriais e os demais, os tropicais não equatoriais somados aos temperados
formam, na realidade, distintas populações de IDH. O estado de nível mais alto de IDH entre os
17 estados equatoriais, que congregam 38% da população brasileira, o apresenta inferior ao
inferior dentre os demais 9 estados e o Distrito Federal, que ocupam as áreas tropical não
equatorial e subtropical, conjuntamente congregando 62% da população. Os estados
equatoriais brasileiros formam não só uma população de IDH distinta. Mais grave ainda,
formam uma população disjunta. A população humana dos estados equatoriais, que ocupam
regiões mais dependentes de novas tecnologias agropecuárias que lhes permita conviver com
os inusitados climas que irão enfrentar, são, por infeliz coincidência, a que apresenta, nos dias
atuais, inferior potencial no que diz respeito à capacidade de absorver tecnologias
agropecuárias.
A situação da capacitação para difusão de novas tecnologias em meio à população,
principalmente a população rural, pode no Norte e Nordeste ser, todavia, ainda mais
desfavorável do que indicado pela estatísticas do IDH. A condição brasileira de alto IDH, com o
exato mínimo valor de 0,800 alcançado na edição de 2007, baseada nos dados de educação
formal brasileira, é fortemente questionada quando se leva em conta pesquisa anual sobre
analfabetismo funcional no Brasil, que mostra serem os dados de educação não apropriados
para indicar capacidade de absorção de novas tecnologias de forma eficiente, por estarem
longe de bem refletir a real situação da educação. A Tabela 3 contém dados médios de
pesquisa anual, de amplitude nacional, realizada desde 2001 pelo Instituto Antônio
Montenegro, mantido pela instituição que nas últimas décadas vem sendo reconhecida como a
DIAS, AB; MEDEIROS, CB. Prioridade à Adaptação face ao Aquecimento Global e as Regiões Brasileiras 17
XI SEMINÁRIO MODERNIZAÇÃO TECNOLÓGIA PERIFÉRICA
RECIFE, 4 a 6 de NOVEMBRO de 2009
Fundação Joaquim Nabuco, Apipucos, Sala Gilberto Osório, Rua Dois Irmãos, 92
maior organização de pesquisa de opinião pública do Brasil, o IBOPE.
Tabela 3 - Analfabetos funcionais no Brasil, por nível de escolaridade (2001 a
2007)
Condição de Percentual de Analfabetos
mais alta Funcionais na população
Escolaridade brasileira
Sem escolaridade 37%
De 1ª à 4ª Série 97%
De 5ª à 8ª Série 64%
Ensino Médio Completo 27%
Ensino Superior 8%
Sem informação 2%
Fonte: Instituto Paulo Montenegro (2008)
Os dados da Tabela 3 mostram, em sua primeira linha, relativa ao item “sem escolaridade”, a
existência de, no mínimo, algum problema a ser sanado no que tange à educação primária
formal ministrada à maioria dos estudantes deste nível. Pois 63% dos que foram alfabetizados
em meios alternativos são funcionalmente alfabetizados, taxas distantes de serem alcançadas
pelos que têm o primário completo ou não. Como os “sem escolaridade” têm hoje uma reduzida
expressão percentual, o alto percentual dos “sem escolaridade” que operam como
funcionalmente alfabetizados não tem expressão quantitativa relevante na questão de absorção
de tecnologia. Apenas 3% dos que têm de forma completa ou não as quatro primeiras séries do
primário e apenas 26% dos que têm como escolaridade uma das últimas quatro séries do
primário ou o têm completo são capazes de entender razoavelmente um texto escrito, como
exige a capacidade de assimilar, pelo menos razoavelmente, novas tecnologias agrícolas.
Os dados funcionais devem ser superpostos aos dados de educação formal e ao se assim
fazer emerge um quadro preocupante para os estados equatoriais, quanto à capacidade de
assimilação de novas tecnologias correspondentes a medidas de adaptação que se apóiem em
pesquisa.
6. Conclusões
O efeito do aquecimento global sobre o Brasil já se faz sentir. E promete aumentar
consideravelmente ao longo deste século e dos próximos, segundo diferentes vetores. As
previsões são eivadas de incertezas, quanto ao ritmo de aumento dos efeitos específicos.
Há contestação quanto à natureza andrógena da causa do aquecimento, a ela atribuída nos
trabalhos científicos sobre a radiação solar, sua reflexão e a capacidade do mar de absorver o
dióxido de carbono emitido pela queima de combustíveis fósseis. Enquanto houver contestação
DIAS, AB; MEDEIROS, CB. Prioridade à Adaptação face ao Aquecimento Global e as Regiões Brasileiras 18
XI SEMINÁRIO MODERNIZAÇÃO TECNOLÓGIA PERIFÉRICA
RECIFE, 4 a 6 de NOVEMBRO de 2009
Fundação Joaquim Nabuco, Apipucos, Sala Gilberto Osório, Rua Dois Irmãos, 92
haverá, obviamente, um adicional aposto à incerteza das previsões. Mesmo considerada
removida esta fonte de incerteza quanto às previsões, com um completo estabelecimento de
um consenso quanto a ser a emissão andrógena de dióxido de carbono o principal causador do
aumento do efeito estufa, resta a irremovível insuficiência dos modelos de previsão e a
incerteza sobre o ritmo das medidas de mitigação, destinadas a conter as causas andrógenas
do aquecimento. Em meio às incertezas, há fundamentais certezas. Uma é a natureza de bem
público dos efeitos das medidas de mitigação. Motiva ao não cumprimento por economias
nacionais de acordos para reduzir o custo das medidas que lhes incide. Outra é ter o acréscimo
estoque de dióxido de carbono na atmosfera, em relação ao nível anterior às revoluções
industriais, sido formado por nações da Economia do Atlântico Norte, principais responsáveis,
portanto, pelos efeitos que este acréscimo produz.
As medidas de adaptação aos efeitos do aquecimento global, diferentemente das de mitigação,
podem produzir benefícios direta e/ou indiretamente apropriáveis por quem arca com os custos.
O Brasil se situa entre os países que menos responsabilidade tem, em termos per capita, para
com o aumento do estoque de dióxido de carbono na atmosfera. Simultaneamente foi o país
que relativamente mais avançou em termos de medidas de mitigação. Sua energia elétrica é de
base hídrica. Seu transporte tem o mais alto índice internacional do uso de fontes não
baseadas em combustíveis fósseis mas ser o mais avançado na renovabilidade de matrizes
energéticas o torna altamente vulnerável a ameaçadores novos climas. Deve, portanto, o Brasil
aplicar seus recursos primordialmente em medidas de adaptação.
As medidas de adaptação não têm adequação uniforme em todo o território nacional brasileiro.
A necessidade de densidade de inovação para a construção de medidas de adaptação é maior
nas menores latitudes, correspondentes aos estados equatoriais, onde o clima já é extremo em
relação à temperatura e seus efeitos, e as terá em elevação, não tendo outras experiências a
copiar. Pode-se dizer ser a necessidade de densidade de inovação relativamente declinante
com a grandeza da latitude. Mas atualmente os estados equatoriais são os menos dotados de
apoio de pesquisa que possa desenvolver conhecimento para as medidas de adaptação
correspondentes a climas nunca dantes encontrados. E são os menos dotados de capacidade
de absorção enquanto demonstrado ao apresentarem menores índices de IDH. Adicionalmente
constitui-se como motivo de sério alarme a indicação de que os dados de educação que
participam da formação do IDH devem, em termos de participação da população em atos que
requerem a superação do analfabetismo funcional, ser substancialmente corrigidos para baixo,
mostrando a ciclópica ação necessária para construir as bases para que as necessárias
medidas de adaptação sejam eficientes e evitem uma catástrofe humana nos estados
equatoriais brasileiros.
Referências Bibliográficas
CAMARGO, Ângelo Paes de; CAMARGO, Marcelo Bento Paes de (2005). Latitude e o tipo
climático. O Agronômico, Campinas, 57(2), pp. 19-21.
CEH – Centre for Ecology and Hydrology (2007). Science Review 2006-2007. Wallingford.
Disponível em: http://www.ceh.ac.uk. Acesso em 25 fev. 2008.
CHIARETTI, Daniela (2007). 'Salvação da lavoura' pode estar no cerrado brasileiro. Valor
Econômico 19/10/2007. Em: Clipping Rural CNA – Biotecnologia. Disponível em:
http://www.faec.org.br/TEMAS/Biotecnologia.htm . Acesso em 28 jan. 2008.
CNPq - Conselho Nacional de Desenvolvimento Científico e Tecnológico. Disponível em:
http://dgp.cnpq.br/censos/sumula. Acesso em 06 abr. 2009.
CRUZ , José Carlos et al (2006). Manejo da cultura do milho. Sete Lagoas: Embrapa Milho e
Sorgo, 2006.
GISS – Goddard Institute for Space Studies (2005). Global Temperature Trends: 2005
Summation. Disponível em: data.giss.nasa.gov/gistemp/2005/. Acesso em 21 jun.2006.
DIAS, AB; MEDEIROS, CB. Prioridade à Adaptação face ao Aquecimento Global e as Regiões Brasileiras 19
XI SEMINÁRIO MODERNIZAÇÃO TECNOLÓGIA PERIFÉRICA
RECIFE, 4 a 6 de NOVEMBRO de 2009
Fundação Joaquim Nabuco, Apipucos, Sala Gilberto Osório, Rua Dois Irmãos, 92
HANSEN, James E (2007). Scientific Reticence and Sea Level Rise. Environment
Research Letters. 2 (2007) 024002 (6pp). Disponível em: http://www.iop.org/EJ/article/1748-
9326/2/2/024002/erl7_2_024002.pdf?request-id=Hr6lK6tf3BG1_ibW2wi7Kg. Acesso em: 02 abr.
2008.
HOMERO, Vilma (2007). Luz solar pode inativar vírus e bactérias presentes na água.
Boletim da Faperj, 15 mar. 2007. Disponível em:
http://www.ien.gov.br/noticias/midia_arquivo/boletin_faperj_15mar2007.pdf. Acesso em: 15 fev.
2009.
IBGE – Fundação Instituto Brasileiro de Geografia e Estatística. Disponível em:
http://www.ibge.gov.br. Acesso em: 03 mar. 2009.
INSTITUTO PAULO MONTENEGRO. INAF 2007 mostra a evolução da educação no
Brasil.Disponível em: http://www.ipm.org.br/ipmb_pagina.php?mpg=4.02.01.00.00&ver=por.
Acesso em: 20 ago. 2008.
IPCC – Intergovernmental Panel on Climate Change (2007). Climate Change 2007: Impacts,
adaptation and vulnerability. Genebra: WMO – World Meteorological Organization. Disponível
em: www.ipcc.ch. Acesso em: 28 nov. 2008.
KLOSOWSKI, Elcio Silvério et al.(2002). Estimativa do declínio na produção de leite, em
período de verão, para Maringá-PR . Revista Brasileira de Agrometeorologia, Santa Maria, v.
10, n. 2, p. 283-288.
LOZADA, Beatriz Ibet; ANGELOCCI, Luiz Roberto (1999). Efeito da temperatura do ar e da
disponibilidade hídrica do solo na duração de subperíodos e na produtividade de um
híbrico de milho (Zea mays). Em: Revista Brasileira de Agrometeorologia, Santa Maria, v. 7,
n. 1, p. 37-43.
MARCELINO, E. V. et al (2005). Impacto do Furacão Catarina sobre a região sul
catarinense: monitoramento e avaliação pós-desastre. Geografia, v. 30, n. 3, p. 559-582.
MENDONÇA, Francisco (2007). Aquecimento Global e suas manifestações regionais e
locais: Alguns indicadores da região Sul do Brasil. Revista Brasileira de Climatologia, n. 2,
pg. 71 – 86.
Ministério da Saúde/DGS – Direcção-Geral da Saúde (2008). Plano de Contingência para
Ondas de Calor 2008. Lisboa.
MIZUBUTI, Eduardo S. G.; MAFFIA, Luiz Antônio; COSTA, Marcos Heil (2005). Meio Ambiente
e Ciências Atmosféricas 4. Doenças de plantas e o clima. Disponível em: http://mtc-
15.sid.inpe.br/col/sid.inpe.br/iris%401915/2005/11.08.12.46/doc/04_Doen%e7as_de_plantas_e
_o _clima.pdf. Acesso em: 28 jan.2008.
MONTEIRO, Maurici Amantino (2007). Dinâmica atmosférica e a caracterização dos tipos
de tempo na Bacia Hidrográfica do Rio Araranguá. Florianópolis: UFSC. (Tese de
Doutorado).
MOTA, M. R. (2003). Tendência da Temperatura Média Anual na Região de Manaus – AM.
Manaus: Laboratório de Hidráulica do Departamento de Engenharia Agrícola e Solos da
Universidade Federal do Amazonas.
NOAA – National Oceanic and Atmospheric Administration (2009). Climate of 2008 Annual
Report. Disponível em: http://www.ncdc.noaa.gov/oa/climate/research/2008/ann/global.html.
Acesso em 09 fev. 2009.
NOGUEIRA, Marta Cristina de Jesus Albuquerque et al (2006). Análise da eficiência térmica
de duas habitações de padrão popular em Cuiabá-MT: uma contribuição para o meio
ambiente. UNICiências, v.10.
OLIVEIRA, Flavio Mendes et al (2008). Determinação da variação no microclima de
Manaus-AM por atividades antropogênicas e modulações climáticas naturais. Acta
Amaz.,v.38,n.4,Manaus,dez/2008. Disponível em:
http://www.scielo.br/scielo.php?script=sci_arttext&pid=S0044-
59672008000400012&lng=pt&nrm=iso . Acesso em 13 fev. 2009.
DIAS, AB; MEDEIROS, CB. Prioridade à Adaptação face ao Aquecimento Global e as Regiões Brasileiras 20
XI SEMINÁRIO MODERNIZAÇÃO TECNOLÓGIA PERIFÉRICA
RECIFE, 4 a 6 de NOVEMBRO de 2009
Fundação Joaquim Nabuco, Apipucos, Sala Gilberto Osório, Rua Dois Irmãos, 92
PARRY, M.L, et. al (2007). Climate Change 2007: Impacts, Adaptation and Vulnerability.
Contribution of Working Group II to the Fourth Assessment Report of the
Intergovernmental Panel on Climate Change. Cambridge: Cambridge University Press,
2007. p. 581-615
PILLAR, Valério De Patta (1995). Clima e Vegetação. Porto Alegre: UFRGS, Departamento de
Botânica. Disponível em: http://ecoqua.ecologia.ufrgs.br. Acesso em: 28 mar. 2007.
RODRIGUES, Maria Laura et al. Catarina: o monitoramento do fenômeno pelos
meteorologistas da Epagri/Ciram. Boletim da Sociedade Brasileira de Meteorologia v. 28/29
(2004/2005) p.11-16. Disponível em: www.sbmet.org.br/publicacoes/boletim/pdf_hmtl/Boletim-
28-291.pdf. Acesso em: 16 fev. 2009.
SALVADOR, Fabíola (2004). Embargos a produtos brasileiros. Produtor americano quer veto
à soja do Brasil. O Estado de São Paulo, Caderno Economia. São Paulo, 30 jun. 2004. Em:
Congresso Brasileiro. Clipping Especial. Disponível em
http://www.camara.gov.br/mercosul/A_RelatorioAtiv/CE_28-06_13-08_agosto_04.htm. Acesso
em 30 jan. 2008.
SEPPANEN, Olli; FISK, William J.; FAULKNER, David (2004). Control of Temperature for
Health and Productivity in Offices. Berkely: Lawrence Berkeley National Laboratory – LBNL-
55448. June.
SHAH, Anup. Climate Change and Global Warming Introduction. Disponível em:
http://www.globalissues.org/article/233/climate-change-and-global-warming-introduction.
Acesso: 14. abr. 2009.
SMITH, Ronald B. (2004). The Physics of Radiation. New Haven: Yale University. Disponível
em: www.yale.edu/ceo/Documentation/PhysicsofRadiation2004.pdf. Acesso em: 09 mar. 2009.
SUA PESQUISA, Vitória. Disponível em:
www.suapesquisa.com/cidadesbrasileiras/cidade_vitoria.htm ; Acesso em: 03 mar. 2009.
TITTUS, James G. et alli (1991). Greenhouse Effect and Sea Level Rise: The Cost of
Holding Back the Sea. Em: Coastal Management, Vol. 19, pp. 171-204.
UFSC/Grupo de Processos Biotecnológicos (2009). Fungos. Disponível em:
http://www.enq.ufsc.br/labs/probio/disc_eng_bioq/trabalhos_pos2003/const_microorg/fungos.ht
m. Acesso em: 20. abr. 2009.
UNDP – United Nations Development Programme (2007). Human Development Report
2007/2008 – Fighting Climate Change: Human Solidarity in a Divided World.
WEATHER. Disponível em:http://br.weather.com; Acesso em: 03 mar. 2009.
DIAS, AB; MEDEIROS, CB. Prioridade à Adaptação face ao Aquecimento Global e as Regiões Brasileiras 21

1.1.dias adaptacao

  • 1.
    XI SEMINÁRIO MODERNIZAÇÃOTECNOLÓGIA PERIFÉRICA RECIFE, 4 a 6 de NOVEMBRO de 2009 Fundação Joaquim Nabuco, Apipucos, Sala Gilberto Osório, Rua Dois Irmãos, 92 Prioridade à Adaptação face ao Aquecimento Global e as Regiões Brasileiras 1 Adriano Batista Dias aedias@globo.com; abdias@fundaj.gov.br Carolina Beltrão de Medeiros carolina.medeiros@fundaj.gov.br Fundação Joaquim Nabuco Resumo A constatação das primeiras consequências do fenômeno Aquecimento Global tem sido revelada através dos estudos realizados sobre as alterações climáticas e seus efeitos diretos e indiretos sobre a natureza. No Brasil, o conhecimento sobre o problema está se formando de maneira heterogênea, tal e qual a diversidade climática. Em relação a medidas que minimizem os efeitos negativos do fenômeno e suas consequências, há dois grupos considerados, de mitigação e de adaptação ao Aquecimento Global. O objetivo das medidas de mitigação é minorar o fenômeno, enquanto o das medidas de adaptação é prover que a convivência com os novos climas originados pelo efeito estufa seja saudavelmente sustentável. Este artigo mostra a relação direta entre variação de temperatura e latitude no Brasil, o porquê da prioridade em relação à adoção de medidas de adaptação no Brasil e de sua adequação, de caráter não uniforme, sobre o território nacional. Palavras Chave: Aquecimento global; medidas de adaptação; medidas de aquecimento Abstract The first consequences of the phenomenon of Global Warming has been revealed through studies on climate change and its direct and indirect effects on nature. In Brazil, the knowledge about the problem is being formed so heterogeneously, as the climate diversity. For measures that minimize the negative effects of the phenomenon and its consequences, there are two groups considered: mitigation and adaptation to global warming. The goal of mitigation measures is to reduce the phenomenon, while the one of adaptation is to improve the coexistence with the new climate caused by greenhouse effect. This article shows: the relationship between temperature variation and latitude in Brazil; the reason for the priority on adaptation instead of mitigation measures; and the adequate adaptation measures to be not uniform, through out the national territory. Key words: global warming; adaptation measures; mitigation measures. 1 Os autores agradecem a colaboração técnica de Marcos Lucena. DIAS, AB; MEDEIROS, CB. Prioridade à Adaptação face ao Aquecimento Global e as Regiões Brasileiras 1
  • 2.
    XI SEMINÁRIO MODERNIZAÇÃOTECNOLÓGIA PERIFÉRICA RECIFE, 4 a 6 de NOVEMBRO de 2009 Fundação Joaquim Nabuco, Apipucos, Sala Gilberto Osório, Rua Dois Irmãos, 92 1. Introdução O Aquecimento Global já é uma realidade e representa um processo que está em curso em todo o planeta. A partir dos efeitos observados ao redor da Terra como o aumento das secas, das inundações, de furacões e o derretimento das geleiras, produzindo subida do nível dos oceanos, formou-se um ciclo de alterações climáticas que tem provocado mudanças de curto prazo no dia-a-dia dos seres humanos mas que, a longo prazo, tende a transformar profunda, direta e indiretamente, a vida humana nas áreas rurais e urbanas. Essa transformação deverá clamar medidas de adaptação ao fenômeno do Aquecimento, voltadas ao desenvolvimento e adoção de soluções que permitam conviver com os novos climas, minimizando os prejuízos, através de mudanças que já começam a fazer parte do cotidiano, de forma a melhorar as condições de vida dos seres, considerando que a fauna e a flora de imediato estão sofrendo com as conseqüências provocadas pelo aumento da temperatura ao longo do tempo, afetando as mais variadas regiões geográficas. As mudanças de comportamento parecem não escolher escala cartográfica e atingirão todo o planeta. Os câmbios climáticos poderão fazer acontecer casos em que uma região, antes subtropical, venha a ter características de uma tropical. Outra, antes tropical, passe a apresentar indícios de clima equatorial. Nos primeiros dois casos, ainda tem-se a chance de “copiar” boas práticas das regiões que antes operavam com este tipo de clima. No último exemplo, está a nova e mais grave problemática: como conviver com temperaturas ainda mais quentes do que aquelas já apresentadas no clima equatorial, se não há referenciais a serem seguidos? Para esta pergunta, muitos desdobramentos e muita pesquisa são esperados para o atingimento de resultados consistentes e satisfatórios. Neste momento, o Brasil também enfrenta as consequências do Aquecimento Global. De uma forma bastante heterogênea, como igualmente é a sua diversidade climática: bem ampla, influenciada por sua significativa extensão costeira, seu relevo e as massas de ar sobre seu território que apresenta áreas extensamente distanciadas da costa. Na sua região equatorial, onde se poderia pensar uma maior restrição à heterogeneidade, são verificados desde climas superúmidos quentes, provenientes das massas Equatoriais, como é o caso de grande parte da região Amazônica, até climas semi-áridos muito fortes, próprios do sertão nordestino. Pode-se esperar que o Brasil sofrerá uma vasta gama de mudanças climáticas, correspondendo a novos climas locais, em substituição aos que hoje ainda predominam e a eles correspondem as tecnologias de exploração agropecuária adotadas, as culturas adequadas a cada local e as atuais soluções urbanísticas e arquitetônicas. Conviver com novos climas deve se fazer corresponder a mudanças nestas variáveis, que permitam ao Homem se manter nas áreas atualmente ocupadas, de forma saudavelmente sustentável. Este artigo tem como objetivo principal a análise dos efeitos do aquecimento global sobre o Brasil sob a ótica da natureza das medidas que devem ser priorizadas para serem financiadas com gasto público nacional e apreciação de diferenças regionais necessárias para um tratamento equânime. Está organizado em seis capítulos. O primeiro, como usual, traz a Introdução. O segundo dedica-se à constatação do fenômeno em curso, com observações técnicas sobre a relação entre latitude e temperaturas. O terceiro capítulo traz consideração sobre os efeitos do aquecimento, mostrando as conseqüências diretas e indiretas sobre os seres vivos e natureza em geral. O quarto capítulo é dedicado a tratar as causas do fenômeno e expor a natureza das ações que estão sendo consideradas pelos que se dedicam a analisar, propor e gerenciar soluções aos problemas trazidos pelo aquecimento global. O quinto contextualiza a situação do Brasil face ao Aquecimento Global, apontando à natureza das ações a serem priorizadas e a diferenças regionais importantes a serem consideradas no enfrentamento do problema. E, por fim, o sexto capítulo, sumariza o exposto, à guisa de DIAS, AB; MEDEIROS, CB. Prioridade à Adaptação face ao Aquecimento Global e as Regiões Brasileiras 2
  • 3.
    XI SEMINÁRIO MODERNIZAÇÃOTECNOLÓGIA PERIFÉRICA RECIFE, 4 a 6 de NOVEMBRO de 2009 Fundação Joaquim Nabuco, Apipucos, Sala Gilberto Osório, Rua Dois Irmãos, 92 conclusões. 2. O Fenômeno Aquecimento Global: Constatação Ao introduzir o tema do Aquecimento Global, há que se pensar em variação positiva de intensidade de calor na natureza, que pode ser mensurada de diversas formas. Interessante é explanar que a mensuração precisa do fenômeno temperatura começou a ser realizada a partir da descoberta da variação dimensional que substâncias apresentam quando em diferentes temperaturas. Desde então foi possível, com pequenos avanços, como a construção de escalas de medição de temperatura, satisfazer o desejo humano de medir temperaturas de forma objetiva e expressá-las de forma comparável. Como o conhecimento humano já havia incorporado o conceito de média aritmética, tornou-se, desde então, possível se obter a média global das temperaturas, levando em conta inclusive as temperaturas de águas oceânicas. E assim, desde mais de dois séculos atrás, constatar o comportamento da temperatura em diversos pontos da superfície da Terra ao longo do tempo. O avanço do conhecimento propiciou o entendimento de que a temperatura expressava o nível energético das moléculas a que a temperatura se refere. O conhecimento associado de radiação emitida pelos corpos, juntamente com a capacidade muito posteriormente desenvolvida de posicionar satélites ao redor da Terra propiciou, pelo uso de sensores neles apoiados, mais espetaculares feitos, como a medição da radiação cósmica que, de diversas fontes, incide sobre a Terra e da que é por ela emitida. Além da constatação de variação de temperatura média global, o Homem passou a poder, com mais segurança, testar hipóteses sobre as causas desta variação. Pesquisas sênior em áreas do conhecimento como antropologia, biologia, geofísica, permitem que medições de isótopos e de dióxido de carbono estabeleçam a idade e a temperatura média reinante no tempo de vida de amostras selecionadas de fósseis. Desta forma, obtém-se mais informação sobre a variação da temperatura global e há mais material disponível para testar hipóteses sobre suas causas. As médias estimadas para a temperatura da superfície da Terra não têm sido objeto de negação. Assim, pode-se tomar como sem contestação que during the past century, global surface temperatures have increased at a rate near 0.05°C/decade (0.09°F/decade), but this trend has increased to a rate of approximately 0.16°C/decade (0.29°F/decade) during the past 30 years (NOAA, 2009). Desta forma, para melhor definição do fenômeno constatado, o Aquecimento Global pode ser conceituado como o aumento médio da temperatura da superfície do planeta, o qual foi sendo observado como tendência crescente no século passado, principalmente em suas três últimas décadas. O aumento da temperatura tem sido geral e as previsões apontam um crescimento progressivo ao longo do tempo. Tem sido um tanto maior quanto maior a magnitude da latitude, mantendo- se, todavia, a ordem de grandeza do aumento (GISS, 2005). DIAS, AB; MEDEIROS, CB. Prioridade à Adaptação face ao Aquecimento Global e as Regiões Brasileiras 3
  • 4.
    XI SEMINÁRIO MODERNIZAÇÃOTECNOLÓGIA PERIFÉRICA RECIFE, 4 a 6 de NOVEMBRO de 2009 Fundação Joaquim Nabuco, Apipucos, Sala Gilberto Osório, Rua Dois Irmãos, 92 3. Efeitos A Temperatura Age Diretamente Sobre o Homem Os seres humanos têm uma faixa de temperatura ótima, para cada circunstância considerada (trabalho intelectual, trabalho braçal, ao abrigo ou não das intempéries, exposto ou não à insolação moderada, exposto a diferentes graus de umidade, exposto a diferentes velocidades de movimento do ar, etc), mas, como situação típica, pode ser colocada como de 22 a 25o C o intervalo da temperatura ideal (Figura 1). Afastando-se até uma ordem de dez graus centígrados para a direita ou para a esquerda destes limites, há um perda de 2% de eficiência para cada grau centígrado de afastamento segundo mostram Seppanen, Fisk e Faulkner (2004). Eles apresentam o resultado quantitativo da síntese de vários trabalhos relativos a efeito da temperatura sobre seres humanos, mas se pode entender que, para temperaturas acima do limite exposto, o efeito se acentue acima da linearidade pois as ondas de calor são mencionadas nos estudos climáticos como flagelos da natureza.2 A perda anual de eficiência média é nula apenas para aqueles que ficam sempre dentro de intervalo 22-25o C durante todos os momentos do ano em que realizam atos ou ações. Pode-se entender ser desprezível, no decurso de um ano, o número de humanos que se mantém todo o tempo dentro deste limite térmico. A menos de estatisticamente irrelevantes exceções, todos os humanos sofrem, por efeito térmico direto, algum grau de ineficiência. Mas a situação de igualdade em relação ao fato de estar submetido a perda de eficiência é substituída por forte desigualdade quando se observa quão diferenciado é o valor de quanto de eficiência, em média anual, perdem os humanos em diferentes localidades. Nas áreas equatoriais a temperatura média está no entorno de 25o C. Seus habitantes, durante o dia, sempre mais quente que a noite, estão sujeitos a perda de eficiência por motivos térmicos. 2 Considera-se estar perante uma Onda de Calor (definição climatológica) quando, no intervalo de pelo menos 6 dias consecutivos, a temperatura máxima do ar é superior em 5ºC ao respectivo valor médio diário da temperatura máxima no período de referência.” (DGS, 2008, p.20). DIAS, AB; MEDEIROS, CB. Prioridade à Adaptação face ao Aquecimento Global e as Regiões Brasileiras 4
  • 5.
    XI SEMINÁRIO MODERNIZAÇÃOTECNOLÓGIA PERIFÉRICA RECIFE, 4 a 6 de NOVEMBRO de 2009 Fundação Joaquim Nabuco, Apipucos, Sala Gilberto Osório, Rua Dois Irmãos, 92 Fonte: Seppanen; Fisk; Faulkner (2004) Efeitos Indiretos da Temperatura sobre o Homem O efeito da temperatura sobre a natureza é tão diversificado como a diversidade nela encontrada, formando modificações no ambiente onde o Homem se vê inserido, tais mudanças originando efeitos indiretos sobre o Homem. Mas os efeitos indiretos não se limitam aos causados pela natureza. Um efeito indireto derivado da relação Homem-temperatura ambiente é econômico e advém da necessidade de fugir, pelo condicionamento do ambiente, da redução da eficiência e do desconforto causado pelo afastamento da zona de conforto térmico. Fazer o ambiente interno apresentar temperatura dentro do limite 22 a 25o C enquanto o ambiente externo apresenta temperatura fora deste limite tem custo econômico. E há assimetria econômica entre rebaixar a temperatura ambiente e a elevar. A elevação é prática multi-milenar, tendo ganho no século passado o controle automático da temperatura ambiente provido por aquecedores. Seu custo está balizado pelo processo de geração de calor através da queima de combustíveis. De custo mais alto é a redução da temperatura, através da retirada de calor do ambiente. Produz bem mais calor do que o retirado do ambiente a ser condicionado, o que é em si um elemento encarecedor. E requer um equipamento de maior valor para cada unidade de capacidade de retirada de calor, comparativamente ao valor do equipamento para injetar calor. O resultado líquido é o aquecimento global trazer uma redução de custos de condicionamento dos ambientes construídos nas latitudes de maior valor absoluto, enquanto aumenta o custo nas regiões tropicais, especialmente nas equatoriais. Escolhendo-se como exemplo as capitais do Nordeste Oriental (de Natal a Salvador), a uma temperatura típica dos momentos de uso de ar condicionado, para efeito de cálculo, correspondente para cada uma à média entre a temperatura média e média máxima3 apresentam uma temperatura típica de 27,1o C. Escolhendo como 25o C a temperatura a ser posta internamente, tem-se um rebaixamento típico de 2,1o C. Se a temperatura subir 0,2o C na próxima década, o rebaixamento 3 As temperaturas média e média máxima das capitais do Nordeste Oriental são, respectivamente: Natal, com 25,4 e 29,9o C(WEATHER, 2009); João Pessoa, com 26,2 e 29,1o C (WEATHER, 2009); Recife, com 25,5 e 28,9o C (WEATHER, 2009); Maceió, com 24,8 e 28,7o C (WEATHER, 2009); Aracaju, com 25,9 e 28,1o C (WEATHER, 2009); Salvador, com 25,3 e 27,9o C(WEATHER, 2009). DIAS, AB; MEDEIROS, CB. Prioridade à Adaptação face ao Aquecimento Global e as Regiões Brasileiras 5 1
  • 6.
    XI SEMINÁRIO MODERNIZAÇÃOTECNOLÓGIA PERIFÉRICA RECIFE, 4 a 6 de NOVEMBRO de 2009 Fundação Joaquim Nabuco, Apipucos, Sala Gilberto Osório, Rua Dois Irmãos, 92 passará a ser de 2,3o C. Assim, o custo energético destes sistemas de ar condicionado deve aumentar em 9,5%. Mas fora o aumento do gasto energético dos sistemas de condicionamento de ar pré-existentes no início da década, o aumento da temperatura traz a necessidade de uso de ar condicionado a relativamente maior número de usuários e/ou a necessidade de ampliar o tempo de uso dos sistemas de condicionamento de ar, propiciando aumento do gasto energético em percentual que pode extrapolar significativamente este calculado acréscimo irreversível de 9,5% numa década. Temperatura e Natureza Viva Os animais são afetados pelo nível térmico. Há alguns que regulam a temperatura corporal, como o homem. Quando expostos a temperaturas exteriores às suas zonas de conforto térmico, acionam os seus mecanismos de regulação e tornam seus metabolismos encarregados de mantê-los em funcionamento, em adição às demais tarefas que cumprem. Têm seus mecanismos de crescimento e níveis de ingestão de alimentos alterados. Um indicador interessante, que interessa ao homem, por lhe prover efeito indireto é a redução da produção de leite por parte do gado leiteiro. Em áreas próximas ao Trópico de Capricórnio, no Brasil, reduzem ao redor de 10% a produção leiteira no calor do verão. Mas a redução depende da raça. Tão mais produtiva, tão mais sensível sua produtividade leiteira a afastamentos da zona de conforto térmico (KLOSOWSKI, 2002). Animais que não regulam a temperatura corporal são ainda mais sensíveis do que os que a regulam. Vegetais são também afetados. A temperatura afeta de forma diferente cada cultivar de cada espécie agrícola. Por exemplo, para um determinado cultivar de milho híbrido, à latitude 21o50’S, longitude 47o 16’W, à altitude de 644m, nas condições prevalecentes de umidade e luminosidade nos dias dos anos 1987 a 1993, encontrou-se 28,1oC como a temperatura ideal (LOZADA; ANGELOCCI, 1999). Fosse outro o cultivar, outra seria a temperatura ideal. Mas, a simples questão da temperatura deve ser vista como mais complexa do que a relação entre temperatura ideal e temperatura observada, visto que “a condição ótima varia com os diferentes estádios de crescimento e desenvolvimento da planta” (CRUZ et al., 2006, p. 1). Estudos da Empresa Brasileira de Pesquisa Agropecuária – EMBRAPA encontraram forte impacto da temperatura nos cultivares atualmente adotados no Brasil: “O aumento de um grau faz com que a produção nacional de café caia 58% e a perda seja de R$ 58 bilhões. ... Com a soja, em 100 hectares de cultivo em área de baixo risco, basta um grau a mais na temperatura para ameaçar 25% da produção” (CHIARETTI, 2007). Bactérias têm diferentes sensibilidades à temperatura. As mesófilas são associadas a temperaturas ideais entre 25 e 40o C, um intervalo de temperatura que tende a se tornar mais frequente. Delas a maioria das que são patógenas ao Homem têm temperaturas no entorno de 37o C como as ideais. Esta temperatura e seu entorno se tornarão mais freqüentes com o avanço do processo de aquecimento global. Mudanças de clima se traduzem em mudanças de distribuição de bactérias nos diversos ecossistemas da Terra. Vírus são igualmente sensíveis. Parte deles tem propriedades favoráveis ao Homem face ao aquecimento: os vírus e bactérias patógenos ao Homem podem ser desativados por 24 horas se expostos à luz solar por mais de cinco horas a uma temperatura mínima de 50o C (HOMERO, 2007). Mas a adaptação da natureza poderá trazer mutações maléficas de virus atualmente inócuos. Não se pode excluir que as mudanças na natureza, em ritmo incentivado pela alta velocidade do atual processo de aquecimento global possa trazer novos virus, não excluindo maléficos. Fungos são também altamente sensíveis à temperatura, havendo diferentes intervalos de temperatura que lhes são favoráveis, conforme suas espécies. Estes intervalos são, em geral, da dimensão de 10o C (UFSC/Grupo de Processos Biotecnológicos, 2009). Mudanças na temperatura ambiente, como as que estão ocorrendo por conta do aquecimento global se fazem corresponder a mudanças na distribuição de fungos encontrados DIAS, AB; MEDEIROS, CB. Prioridade à Adaptação face ao Aquecimento Global e as Regiões Brasileiras 6
  • 7.
    XI SEMINÁRIO MODERNIZAÇÃOTECNOLÓGIA PERIFÉRICA RECIFE, 4 a 6 de NOVEMBRO de 2009 Fundação Joaquim Nabuco, Apipucos, Sala Gilberto Osório, Rua Dois Irmãos, 92 na natureza, como parte das alterações dos ecossistemas. Temperatura e Natureza Inanimada Os efeitos da mudança de temperatura não se fazem sentir somente sobre a natureza viva. A natureza inanimada também os sofre. Um maior volume dos oceanos, pela diminuição da densidade da água com o aumento da sua temperatura é um efeito direto. Um efeito indireto é o componente adicional do acréscimo do volume dos oceanos que deve ser creditado ao degelo dos glaciares continentais que está em curso. Juntos, vão fazendo os oceanos redefinirem as linhas costeiras. Um processo hoje quase imperceptível, mas que pode resultar numa subida do nível médio do mar, ao longo deste século, em três dezenas de centímetros, segundo modelos do IPCC que não incluem o efeito retroalimentador positivo sobre o degelo continental decorrente do aumento do aquecimento das águas oceânicas que circundam as massas de gelo continental na Antártida e na Groelândia (IPCC, 2007). Ou ser mesmo multimétrica, quando todos os fatores relevantemente responsáveis pelo degelo são incluídos, segundo o Diretor da NASA responsável pelos estudos climatológicos da instituição (HANSEN, 2007).4 Um modelo desenvolvido na estadunidense Environmental Protection Agency, já em 1983, traz previsão de subida mínima de 55 centímetros até 2100, previsão média de 2,10 metros e previsão de subida máxima de 3,10 metros (TITTUS et. al., 1991, p.176). Passadas mais de duas inteiras décadas as previsões não reduziram a variância. Nem para uma variável de evolução tão lenta e tão uniforme, em termos globais, há condição para previsões com razoável precisão. Mais elevada temperatura das águas oceânicas significa, pela maior evaporação, mais nuvens e maior precipitação. Significa eventos extremos mais agudos e mais freqüentes, trazendo mais e mais intensas secas, juntamente com mais e mais intensas cheias (IPCC, 2007). Eventos extremos significam ventos mais fortes. E, enfim, novos climas vão se instalando. E serão sempre substituídos por outros novos climas na medida em que o aquecimento global for se agravando. Ventos mais fortes merecem uma consideração à parte: “Um dos fatores climáticos mais eficazes em disseminar doenças fúngicas é o vento. Ele é capaz de remover os esporos produzidos pelo fungo numa planta doente e transportá-los por longas distâncias” (MIZUBUTI; MAFFIA; COSTA, 2005, p.7), podendo o vento, então, ser capaz de silenciosamente produzir grandes prejuízos. Basta ver a doença que hoje causa maior prejuízo aos cafeicultores no Brasil: “a ferrugem do café estava restrita aos países Africanos desde o século XIX. Em 1970, a doença foi constatada pela primeira vez no Brasil. É provável que os esporos de H. vastatrix tenham sido trazidos da costa da África para o Brasil, através de correntes de ar (ventos)” (Ibid).5 Sabe-se que sessões de alta umidade com temperatura relativamente elevada, como se prevêem largamente prevalecentes no futuro próximo, são favoráveis ao desenvolvimento dos fungos. Sabe-se que suas sementes, os esporos sobrevivem longamente em condições secas. Sabe-se que podem ser difundidos por ventos, que se prevêem mais fortes. Não se podem prever, todavia, os efeitos econômicos adversos por falta de informação quantitativa adequada e suficiente. 4 Deve-se atentar a um outro efeito. Elevação da temperatura significa, também, liberação de metano em áreas submersas onde o leito oceânico contenha biomassa decomposta ou em decomposição. E liberação de metano significa retroalimentação positiva do efeito estufa, agravando a intensidade do processo de aquecimento global. Como ainda não se pode associar a exata grandeza desta liberação de metano com a temperatura atmosférica, tem-se nesta inexatidão mais uma fonte de incerteza nas previsões. 5 O valor dos prejuízos pode ter sua ordem de grandeza percebida por análogo fitopatógeno produzir a ferrugem da soja. E pelo fato da Associação Americana de Soja ter, em certo momento, pedido ao governo dos EEUU que suspendesse a importação da soja brasileira pois “o Departamento da Agricultura divulgou estimativa afirmando que uma eventual epidemia de "ferrugem" nos Estados Unidos poderia custar aos produtores de US$ 640 milhões a US$ 1,3 trilhão no primeiro ano” (SALVADOR, 2004). DIAS, AB; MEDEIROS, CB. Prioridade à Adaptação face ao Aquecimento Global e as Regiões Brasileiras 7
  • 8.
    XI SEMINÁRIO MODERNIZAÇÃOTECNOLÓGIA PERIFÉRICA RECIFE, 4 a 6 de NOVEMBRO de 2009 Fundação Joaquim Nabuco, Apipucos, Sala Gilberto Osório, Rua Dois Irmãos, 92 Efeitos da mudança de clima A intensificação do efeito estufa traz novos climas. Traz uma mudança geral nos climas, associada, como principalmente associados são, à latitude (CAMARGO; CAMARGO, 2005). A relação entre clima e vegetação induz, pelo aquecimento, mudanças na flora em cada local (PILLAR, 1995). Há mudança da composição de madeiras até nas florestas tropicais virgens, quando árvores de madeiras menos densas aceleram seu crescimento mais do que as de madeiras mais densas como resultado do maior teor de dióxido de carbono, diminuindo a densidade média da biomassa e assim diminuindo a resistência ao stress hídrico e aumentando o perigo de incêndios florestais, pela dupla condição de mais facilmente se tornar inflamável e de apresentar maior velocidade de combustão. Nas áreas florestais ocupadas pelo Homem há, frequentemente, redução da compacidade pelo desmatamento, proporcionando aberturas para maior entrada de oxigênio contribuindo adicionalmente para estabelecer condições favoráveis ao início e à propagação de incêndios florestais, iniciados por autocombustão ou não: um grande risco para agregados urbanos inteiramente circundados pelas florestas, como vive parte da população da Amazônia. Na verdade, a produtividade das espécies agrícolas, afora a ação de agentes patógenos, varia com a natureza do solo, a temperatura do solo/ar, a umidade do solo e do ar, a luminosidade, com seus sazonais ciclos diários, e o próprio teor de dióxido de carbono na atmosfera. Dadas as coordenadas de um determinado local, tem-se, em geral, dada a natureza do solo.6 Finalmente, a capacidade de crescimento dos vegetais aumenta com o teor de carbono. Mas varia de acordo com o vegetal. E o teor de carbono afeta a sua composição. As folhas, por exemplo, crescem mais. Mas têm menor teor de proteína, com óbvia perda de capacidade nutricional, o que afeta diretamente os seres que delas se alimentam e produz efeito em toda a cadeia alimentar. O mapeamento dos efeitos sobre os cultivos de valor econômico decorrentes do aquecimento global é uma tarefa desafiadora. O mapeamento destes efeitos sobre a cadeia alimentar é uma tarefa ciclopicamente desafiadora. Mudanças de clima afetam os seres vivos em geral. Muitas espécies, como reação de adaptação a novos climas com mais altas temperaturas, vão se deslocando em direção a maiores latitudes.7 Outras, vão anexando maiores altitudes ao seus habitats, como os vetores da dengue e da febre amarela e outras doenças tropicais que vão sendo encontrados em altitudes cada vez maiores. Os sistemas produtivos vão sendo expostos não só a um clima que vai cambiando, mas à convivência com faunas e floras cambiantes, além de diferentes agressividades de conhecidos agentes patógenos, formando um quadro de dificuldade para a previsão de safras. Deve-se ainda considerar que o aumento da intensidade dos ventos, reportam os climatologistas, se faz corresponder, em condições extremas, a furacões mais fortes, em média e em furacões mais frequentes. Aumentam a frequência e intensidade de ocorrências de situações climáticas extremas. Aumenta a irregularidade das precipitações atmosféricas, o que significa mais secas e mais inundações. São fenômenos cuja incidência em cada local particular toma a forma de variável aleatória, cuja probabilidade de ocorrência sabe-se aumentar, sem que se possa precisar a cadência do aumento. Coincidentemente, às 21 horas de 27 de março de 2004, pela primeira vez na história do Atlântico Sul um furacão atinge o continente sul-americano.8 6 A natureza do solo é um dado para cada momento. Tomá-la como constante é uma simplificação. A natureza do solo é, em muitas instâncias, cambiante. Vai sendo desgastado pela erosão, em algumas áreas. Vai sendo salinizado pelos enganos de manejo de sistemas de irrigação, em outras. Vai sendo enriquecido, em ainda outras, por agentes vegetais e animais. 7 A Fenologia, o estudo da frequência e recorrência de fenômenos naturais, teve ressurgimento com a liderança do estatístico Tim Sparks, que há décadas se dedica a registrar e analisar na Inglaterra os sinais de mudança na natureza que expressam sua reação ao aquecimento global. Vide Science Review 2006-2007, publicação do CEH- Centre for Ecology and Hydrology (2007). 8 Vide Rodrigues et al. (2004/2005) e Marcelino et al. (2005). DIAS, AB; MEDEIROS, CB. Prioridade à Adaptação face ao Aquecimento Global e as Regiões Brasileiras 8
  • 9.
    XI SEMINÁRIO MODERNIZAÇÃOTECNOLÓGIA PERIFÉRICA RECIFE, 4 a 6 de NOVEMBRO de 2009 Fundação Joaquim Nabuco, Apipucos, Sala Gilberto Osório, Rua Dois Irmãos, 92 Mudança de Clima e Latitude Deve-se ressaltar que o aquecimento global traz para as áreas equatoriais, cujo aumento de temperatura não encontrará com larga frequência locais de idêntica constituição e temperatura mais alta para transferir conhecimento produtivo, expressiva perda de produtividade para as atividades atualmente desenvolvidas quando usando os atuais cultivares e criações, sem que outros cultivares e criações possam substituir, pois os que se vão tornando improdutivo já eram os possíveis de serem empregados nas condições extremas pré-existentes, que vão sendo agravadas. Enquanto isto o aquecimento vai trazendo às latitudes de maior grandeza a possibilidade de, com significativamente alta frequência, usarem a experiência produtiva de latitudes de grandeza menor. Deslocam-se a fauna e a flora em direção aos pólos. Desloca-se, também, a aplicação de conhecimento produtivo acumulado. A sobrevivência nas regiões equatoriais vai cada vez mais depender de conhecimento produtivo novo, adequado aos novos climas equatoriais que vão se formando. Serão exigidos novos cultivares e novas criações, que repousam no resultado de pesquisa agropecuária (CHIARETTI, 2007). A perda econômica, enfim, advém do efeito ampliado de agentes patógenos, favorecidos pelo ambiente, interagindo com homens, outros animais e vegetais enfraquecidos em função de suas suscetibilidades à condição térmica e à derivada condição de umidade. A pesquisa agrícola pode encontrar soluções para os problemas que forem surgindo. Mas para evitar ou, pelo menos, aliviar a continuidade dos prejuízos causados por um determinado problema, cuja solução tenha sido encontrada, é necessário que cada produtor seja capaz de corretamente aplicá-la. A disponibilidade das soluções é tão importante quanto a existência de soluções. Sem mecanismos que garantam eficiente difusão e absorção das novas soluções tecnológicas que forem surgindo não há como evitar perdas econômicas, sociais e até humanas, por mais adequadas que sejam as soluções desenvolvidas pela pesquisa agropecuária. 4. O Aquecimento: Causas, Ações A reação ao aquecimento global envolve ações que visam alterar o seu curso e ações que o tomam, juntamente com seu curso previsto, como um dado. Para as primeiras o conhecimento da causação está diretamente ligado às suas lógicas. Para as segundas interessa a previsão do curso do processo. O conhecimento da causação é para estas, visto como um meio, junto a conhecimento e informação de outras naturezas, para aquilatar as previsões. A maciça maioria dos cientistas cuja área de trabalho se relaciona ao aquecimento global, não todos, o entende como tendo causas primordialmente antropogênicas. Deixam às causas naturais, tal como emissão de metano por pântanos e mangues, e aumento da radiação solar, uma fração praticamente desprezível da responsabilidade pelo aumento do efeito estufa já observado e pelo aumento previsto para dentro de um século. Para estes é fundamental que hajam medidas de mitigação capazes de alterar o ritmo do processo de acúmulo de dióxido de carbono na atmosfera, o principal causador do efeito estufa (vide Figura 2), não só reduzindo a cadência do crescimento, mas, preferencialmente, reduzindo o estoque do dióxido na atmosfera. DIAS, AB; MEDEIROS, CB. Prioridade à Adaptação face ao Aquecimento Global e as Regiões Brasileiras 9
  • 10.
    XI SEMINÁRIO MODERNIZAÇÃOTECNOLÓGIA PERIFÉRICA RECIFE, 4 a 6 de NOVEMBRO de 2009 Fundação Joaquim Nabuco, Apipucos, Sala Gilberto Osório, Rua Dois Irmãos, 92 Figura 2 – Efeito Estufa Fonte: SHAH apud WIKIPÉDIA, 2009 Para esta maioria, deve-se adotar medidas de mitigação que tragam a redução das emissões de dióxido de carbono resultantes do balanço entre a queima de combustíveis fósseis e sua absorção pelo mar, destacando-se nele as algas e pelos vegetais terrestres, aí destacando-se as florestas.9 Uma minoria nega expressividade às causas antropológicas, reclamando a preponderante responsabilidade a irremovíveis causas naturais. Qualquer seja a causa, todavia, a adaptação é indispensável. É uma importante primeira observação sobre a relação de prioridades a serem atribuídas por um país que, por pesar pouco na economia mundial e por pouco contribuir ao aumento do efeito estufa, pouco tenha como contribuir à redução do seu crescimento. As medidas de mitigação diferem radicalmente das medidas de adaptação no que concerne à distribuição da apropriação dos benefícios. Tão importante diferença, em geral não realçada na literatura sobre aquecimento global, é crucial no entendimento da natureza das instituições a que compete regular as ações dos agentes econômicos referentes a cada uma delas. As medidas de mitigação são colocadas como bens públicos por Nordhaus (2006) em ensaio em honra a Paul Samuelson, o seguramente mais destacado economista nos anos 60 e 70 do século passado, lançador do conceito de “bem público”. De fato, elas beneficiam não só os que as realizam mas todos os agentes atuais e futuros, dentro do mais longínquo horizonte que à Humanidade seja dado considerar. Mas, benefícios assim tão largamente espraiados têm na fração apropriada pelos agentes que os produzem, um bom exemplo de um número que tende para um limite zero.10 Isto tende a tornar pouco expressivas as medidas de mitigação, mesmo 9 Os governos dos países centrais, que dizimaram suas florestas, têm tomado a posição de escolher a continuidade do modelo de desenvolvimento por eles adotados, baseado na emissão de dióxido de carbono como resultado da queima de combustíveis fósseis e deixar aos países periféricos a obrigação de manter suas florestas, devendo eles abdicaram de usá-las como os desenvolvidos fizeram. 10Ou seja, quando uma medida de mitigação tem a sua justificativa econômica por propiciar um benefício maior do que o custo, tem-se que levar em conta ter sido considerados os benefícios auferidos por todos os humanos no presente e em todos os momentos futuros em que a medida trará efeito benéfico. Na prática isto representa considerar o benefício auferido no ano em que a ação mitigadora foi realizada e os anos de séculos adiante, tomando ano a ano no futuro, enquanto a taxa de desconto aplicada ao valor presente de um ano futuro não o fizer nulo. Nestas condições uma medida que traz um bilhão de dólares de benefícios pode ser justificada se trouxer até um bilhão de dólares de custo. Mas o benefício auferido pelo agente que incorre no um bilhão de dólares de custo, ao realizar a ação mitigadora, auferirá apenas alguns milhares de dólares de benefício, alguns dólares, ou até fração de centavos de dólares, conforme o seu tamanho relativo, comparado à economia mundial. Conquanto sejam agentes individuais ou mesmo tomados como a coletividade de uma cidade ou até de um estado-província, ainda que este seja grande como o estado da Califórnia, nos EEUU, cujo produto é maior do que o da maior parte dos países da ONU, a fração do custo de uma ação de mitigação apropriada pelo agente que a desenvolveu é, no máximo, uma pequena fração dos benefícios totais auferidos pela Humanidade, bem como uma pequena fração dos custos da medida por maior que seja a relação entre DIAS, AB; MEDEIROS, CB. Prioridade à Adaptação face ao Aquecimento Global e as Regiões Brasileiras 10
  • 11.
    XI SEMINÁRIO MODERNIZAÇÃOTECNOLÓGIA PERIFÉRICA RECIFE, 4 a 6 de NOVEMBRO de 2009 Fundação Joaquim Nabuco, Apipucos, Sala Gilberto Osório, Rua Dois Irmãos, 92 em termos de nações, o que as fazem estabelecer metas e sistematicamente descumprí-las, uma compreensível divergência entre desejos coletivamente firmados, confirmados como metas de solenes protocolos, e solenemente traduzidas em resultados relativamente pífios, decorrentes das efetivas ações desenvolvidas. Só à comunidade de nações com um todo faz sentido econômico arcar com os custos dos efeitos de medidas de mitigação, pois é esta comunidade, como conjunto, que melhor pode representar a humanidade beneficiada. Mesmo assim é duvidoso que a maioria da humanidade atualmente habitante deste planeta esteja disposta a repartir benefícios com os futuros membros desta humanidade que, em conjunto, como futuros membros, colherão substancialmente maiores benefícios do que os atuais. Medidas de adaptação são, em geral, apropriadas pelos que as adotam. Assim, até mesmo a estreita via da pura contabilidade econômica pode justificar plenamente medidas de adaptação. Basta que o valor presente do benefício seja maior do que o valor presente do custo da adoção para que do ponto de vista econômico se justifique adotar uma medida de adaptação. As medidas de adaptação e as de mitigação,11 cabe observar, não formam conjuntos disjuntos. Assim, há medidas de reação ao aquecimento global que apresentam benefícios pelo efeito de mitigação e benefícios pelo efeito de adaptação. A atenção à questão global deve levar a priorizar, entre duas ações de adaptação que produzam indiferenciado retorno por unidade de custo aquela que produza maior benefício mitigador, pois traduz solidariedade com os demais humanos presentes ao planeta e a todos os futuros. Haverá um benefício global, sem prejuízo para o agente que desenvolve a ação, o que é uma situação desejável. Do ponto de vista do conforto térmico a adaptação se dá explorando as margens para redução da energia calórica absorvida pelos ambientes construídos e pela ampliação da capacidade de difusão da energia calórica que for inevitável absorver. Isto é válido para uma edificação isolada, seja de um ou de muitos andares, como para um conjunto de ambientes construídos, de vias e praças, bem como de aglomerados urbanos tomados em sua inteireza, considerando aí o efeito ilha de calor que pode aumentar em até 5 graus centígrado a temperatura do ar, pelo que, pela sua redução pode se contrapor satisfatoriamente, pelo menos dentro deste século, à elevação da temperatura pelo aquecimento global. A adaptação visando conforto térmico segue duas linhas de trabalho baseadas na mesma estrutura de conhecimento, mas aplicada a realidades onde as ações são sujeitas a diferentes restrições. Uma diz respeito a novos ambientes construídos, onde os novos conhecimentos podem ser aplicados de forma sujeita apenas à racionalidade econômica. Outra situação é da adaptação de ambientes já construídos, onde os novos conhecimentos, em reformas, sejam aplicados respeitando restrições impostas pelas estruturas pré-existentes. O principal meio para adaptação ao processo de aquecimento global, no que diz respeito ao aumento em si da temperatura atmosférica, vem com o uso racional do grande “condicionador de ar natural”, a árvore, secundado por outros elementos de vegetação. A vegetação arbórea vista sob a ótica global como puro instrumento de absorção do carbono, portanto, instrumento de mitigação, os “locais” devem ver como o grande instrumento de adaptação. As folhas têm baixo nível de reflexão, cerca de 10%, nos comprimentos de onda azuis e vermelhos. Nos comprimentos correspondentes ao verde a reflexão é ainda modesta (cerca de 20%). Este padrão de reflexão no espectro visível aos humanos lhe confere ao olhar a calmante cor verde das folhas. Em comprimentos de ondas maiores, correspondentes aos menores comprimentos do infra-vermelho o coeficiente de reflexão cresce rapidamente atingindo tipicamente 50 a 80% (SMITH, 2004). No total a folhagem reflete até 25 por cento da energia calórica que recebe e o restante absorve, mas convertendo em outras formas de energia, com importantes efeitos térmicos na área ensombrada, quer sejam indivíduos isolados, quer sejam coletivos na forma de bosques, florestas ou, simplesmente, o que muito importa do ponto de vista urbano, formando arvoredos ao longo de vias. Outros elementos do chamado reino vegetal apresentam os benefícios totais e seu custo. Tal situação, um agente decidir incorrer em custos para o benefício dos demais atuais e dos futuros é o oposto do que tem sido o ensinamento dos que fazem o mainstream em economia e do se pode entender das ações das nações em toda a história humana. Admitir que tal inversão de comportamento se dê plenamente e imediatamente equivale a admitir como reais as mais singelas lendas infantis. 11 As soluções de adaptação tenderão a ter menor custo para os usuários e serão tão mais facilmente assimiladas e empregadas quando assimilarem da melhor forma possível o conhecimento e práticas produtivas atualmente em uso e quando permitirem a tradução de resultados científicos em informação aplicável à produção (IGES, 2007). DIAS, AB; MEDEIROS, CB. Prioridade à Adaptação face ao Aquecimento Global e as Regiões Brasileiras 11
  • 12.
    XI SEMINÁRIO MODERNIZAÇÃOTECNOLÓGIA PERIFÉRICA RECIFE, 4 a 6 de NOVEMBRO de 2009 Fundação Joaquim Nabuco, Apipucos, Sala Gilberto Osório, Rua Dois Irmãos, 92 propriedades assemelhadas, do ponto de vista quantitativo, chamados a uso nos esforços de adaptação ao aquecimento global por sua capacidade de absorver energia solar mantendo baixos níveis de absorção de energia na forma de calor, mesmo com baixa reflexão, dado ao uso metabólico que fazem desta energia. Enquanto isto um telhado pode até permitir idêntica temperatura à sua sombra, mas há uma grande diferença para com a aparentemente equivalente sombra da árvore. O telhado absorve em forma de energia calórica a fração não refletida, que é, então, dissipada na atmosfera, uma parte no ar sob o telhado, outra maior, sobre o telhado. A movimentação do ar pode não permitir que chegue ar aquecido a quem esteja sob o telhado. Mas, não havendo algum anteparo entre este e os usuários de sua sombra, diferentemente da sombra sob uma frondosa árvore, não deixará de por eles ser sentido calor de irradiação advindo do telhado quando sobre ele houver incidência de energia solar. Quanto à produção agropecuária a adaptação tem seu principal eixo em explorar as possibilidades de novos cultivares e de novas linhagens animais mais resistentes a mais altas temperaturas e, de maneira geral, aos novos climas, bem como o desenvolvimento de manejos adequados. Estes novos climas não envolvem só temperaturas mais altas, em média, em cada local. Envolvem, também, a utilização para a produção econômica de vegetais com maior resistência a secas, ou seja, com propriedades xerófilas. Mas também envolvem vegetais com maior resistência a sessões de excesso de umidade edáfica. Tudo isto repousa em pesquisa agropecuária, bem como adequada capacidade de difusão das correspondentes inovações.12 Os eventos climáticos extremos, prometidos serem mais fortes e mais frequentes, clamam por processos de securitização adequados que permitam distribuir os custos dos desastres naturais e evitem que agentes econômicos obtenham lucros anormais com as perdas de outros. As questões distributivas assumem uma importância maior face a maiores perdas causadas por climas mais erráticos e a resposta, em termos de adaptação, é a mudança de políticas públicas destinada a assegurar a justiça social e o ambiente propício à atividade econômica. Não se trata de ampliar o escopo e a intensidade das chamadas “políticas compensatórias”, mas de conformar a estrutura social de maneira de permitir a todos a plena cidadania, o que envolve a plena participação social, nela incluída saudável e digna participação em processos produtivos. Trata-se, também, de evitar subinvestimento como decorrência do aumento do risco e da incerteza. Os eventos climáticos extremos, a maior temperatura média, ventos mais fortes e a distribuição mais errática da precipitação atmosférica conduzem a que os novos climas sejam, em geral, menos favoráveis à vida humana, pelo que cabe compensar estas condições menos favoráveis por uma utilização mais intensa das práticas de medicina preventiva (bem como do contínuo desenvolvimento novas práticas), reduzindo a exposição humana à necessidade de medicina corretiva. Este é um eixo em geral esquecido nas poucas vezes em que, na literatura, a adaptação é lembrada. Por último a questão da subida do nível médio das águas oceânicas é também um problema que requer adaptação, o qual afeta todas as latitudes, sendo maior o impacto nas latitudes sujeitas a furacões. Sempre há duas soluções extremas para cada área construída, representando um aglomerado urbano ou uma singela edificação. Uma, deixar o mar redefinir livremente a linha costeira. A outra, proteger tudo. Há soluções de proteger limitadamente. Cada uma das alternativas tem de ser vista sob os mais diversos ângulos, face à previsões de subida no nível do mar, nelas incluído o grau de incerteza. A alternativa a ser escolhida em cada caso com a maior possível antecedência, para que planejamento de reforma do sistema viário e infraestrutural, de maneira geral, possa apoiar medidas legais de política pública municipal, tal como o estabelecimento de zonas non edificandi, para minimizar e viabilizar o futuro investimento a feito nos ativos planejados e manter funcionando da melhor forma o que lhe sobraria do avanço causado pela subida do nível do mar. As soluções para adaptação têm um forte conteúdo local. Mas, em geral, há, também, um forte componente dado pela latitude, pela sua contribuição ao clima. Nos climas que são já os mais 12 Deve-se ressaltar que há observações sobre a necessidade de se levar em conta a capacidade de absorver dióxido de carbono e de refletir a luz solar de diferentes vegetais e cultivares. São propriedades importantes do ponto de vista da mitigação. Num país periférico como o Brasil a sobrevivência dos cultivos às condições adversas e sua economicidade face aos novos climas deve ter prioridade como objetivo de pesquisa agropecuária. DIAS, AB; MEDEIROS, CB. Prioridade à Adaptação face ao Aquecimento Global e as Regiões Brasileiras 12
  • 13.
    XI SEMINÁRIO MODERNIZAÇÃOTECNOLÓGIA PERIFÉRICA RECIFE, 4 a 6 de NOVEMBRO de 2009 Fundação Joaquim Nabuco, Apipucos, Sala Gilberto Osório, Rua Dois Irmãos, 92 quentes coincidentemente há tendência de sofrerem menor acréscimo de temperatura. Isto não constitui uma vantagem. Há, isto sim, mais forte dependência da região equatorial para adaptação ao aquecimento global, de pesquisa agropecuária, decorrente desta região passar a ter uma extensão e intensidade de situações climáticas novas, nunca dantes enfrentada pela experiência humana, dada a ser a região já mais quente. A região tropical não equatorial pode, ao ter sua temperatura aumentada, receber parte da experiência da região equatorial. E assim por adiante. Ao aumentar a magnitude da latitude pode-se buscar parte da experiência das atividades anteriormente desenvolvidas em menores latitudes, que experimentavam análoga temperatura média. As regiões equatoriais devem enfrentar problemas trazidos por novos climas que, segundo previsões de meteorologistas, devem apresentar um aumento de precipitação relativamente menor do que as regiões de maior latitude, mas o que é mais importante, devem apresentar significativamente precipitações com maior intensidade média e maior dispersão temporal do que atualmente, o que equivale a dizer, aumento de extensão temporal e geográfica nas sessões de seca, mas também aumento de sessões de enxurradas, com suas consequentes perdas agrícolas, perda de solo fértil e deslizamento de encostas, entre outros efeitos maléficos (IPCC, 2007). A adaptação requer pesquisa agropecuária para o convívio da produção com estes novos climas e requer a aplicação de conhecimento já consolidado nas áreas de hidráulica e geologia para desenhar esquemas de uso dos recursos naturais que minimizem as perdas. A adaptação nas regiões equatoriais requer o uso de conhecimento já desenvolvido para enfrentar parte dos problemas, mas requer, também desenvolvimento de novas soluções para a agropecuária que lhes sejam especificamente desenhadas para suas condições extremas. 5. Brasil O Brasil apresentou em 2004 uma emissão per capita de dióxido de carbono de 1,8 toneladas por habitante face a uma emissão média per capita mundial de 4,5 toneladas no mesmo ano. Isto mostra como o Brasil é um baixo emissor de dióxido de carbono. Melhor ainda é comparar a sua emissão per capita com a análoga de 10,1 toneladas anuais, do conjunto de países de alto IDH, do qual passou a fazer parte (UNDP, 2008). Mesmo com seu tamanho continental em termos de área territorial representa apenas 1,1% da emissão anual de dióxido de carbono. Se as atividades andrógenas mundiais tivessem emitido desde a revolução industrial apenas 40% do que emitiram em termos per capita (o percentual que a emissão per capita brasileira representa da emissão per capita mundial) o mundo não conheceria nenhum efeito perceptível de aquecimento global. Ou seja, não tem o Brasil, com sua energia elétrica de base hídrica e o maior percentual mundial de uso de energia renovável em seu sistema de transporte, responsabilidade sobre o desastre que o aquecimento global está construindo. Por sua opção pela energia renovável, isto sim, é excepcionalmente vulnerável aos efeitos do Aquecimento Global sobre sua matriz energética. E já sobre o seus efeitos (MENDONÇA, 2007). E são diferenciados em suas diversas regiões. Para o Brasil, em seu vasto e diversificado território no que diz respeito a dados de latitude, longitude, temperaturas, relevo e massas de ar, tem-se vários comportamentos esperados no que diz respeito à mudança de clima. Na própria faixa equatorial, mesmo como a monótona inexpressiva variação intermediária e sazonal da temperatura, são verificados climas desde superúmidos quentes, da Amazônia, até semi-áridos muito fortes, próprios do sertão nordestino. Com o Aquecimento, nas mais altas latitudes brasileiras, que correspondem ao clima subtropical, tem-se uma maior mudança em relação à temperatura, ao mesmo tempo em que permanece garantida um largo percentual de horas anuais dentro da zona de conforto térmico para a região. Nestas áreas, espera-se a manutenção da tendência atual, de aumento da precipitação pluviométrica, principalmente na forma de precipitações concentradas (MONTEIRO, 2007). DIAS, AB; MEDEIROS, CB. Prioridade à Adaptação face ao Aquecimento Global e as Regiões Brasileiras 13
  • 14.
    XI SEMINÁRIO MODERNIZAÇÃOTECNOLÓGIA PERIFÉRICA RECIFE, 4 a 6 de NOVEMBRO de 2009 Fundação Joaquim Nabuco, Apipucos, Sala Gilberto Osório, Rua Dois Irmãos, 92 À medida que a latitude cai (em valor absoluto), encontram-se os climas tropicais não equatoriais. Nesta área, temperaturas equatoriais nos meses de verão são acompanhadas por temperaturas mais baixas nas demais estações. A ainda menores latitudes, encontra-se o clima tropical úmido no litoral e semi-árido no sertão, que aparece severamente afetado pelo desconforto térmico, porém sem significativas mudanças na faixa de temperatura média, quer no ciclo diário, quer no ciclo sazonal. Globalmente, as regiões semi-áridas, onde vive a maior parte das pessoas mais pobres do planeta, são as mais vulneráveis. Para o Nordeste brasileiro, os cenários esperados para as temperaturas mais altas que estão a caminho incluem déficit hídrico, menor umidade do solo e maiores índices de aridez, o que tende a exacerbar ainda mais as desigualdades sociais da pobreza da região. Certas áreas hoje caracterizadas como “sub-úmidas secas” podem passar a semi-áridas, e as semi-áridas a áridas. Em determinadas regiões onde hoje é praticada a agricultura de subsistência, a falta de umidade do solo impossibilitará tal prática. Ao mesmo tempo, na região litorânea, estima-se que o aumento do nível do mar afetará as cidades e mangues, com prejuízos ao turismo destas localidades. Mais a oeste, a Amazônia com seus climas equatoriais úmidos apresenta-se tão vulnerável quanto o Nordeste. Na zona equatorial, onde as latitudes são muito baixas (em módulo), há a incógnita do que está por vir, pelo novo clima que deverá ser formado na região, que já sofre duramente com altas temperaturas. Porém, alguns impactos ambientais, econômicos e sociais já são previsíveis. Degradação ambiental com perda de biodiversidade poderá ocorrer de forma mais ampla e intensa e a capacidade de suporte dos ecossistemas será ainda mais comprometida. Além disso, a oferta de água sofrerá prejuízos em termo de quantidade, qualidade e regularidade. Uma apreciação da ordem de grandeza da relação entre latitude e temperatura no Brasil pode ser inferida a partir dos dados da Tabela 1, a qual contém dados de cidades brasileiras costeiras (evitando efeitos diferenciados derivados de perdas da influência atenuadora térmica das grandes massas de água), de altitude de apenas alguns metros acima do nível do mar (mantendo constante entre as cidades escolhidas o efeito da altitude sobre a temperatura).13 Nesta tabela estão listadas as principais cidades litorâneas brasileiras (consideradas a partir da maior cidade litorânea de cada estado litorâneo) que além desta especificação, satisfazem à condição de serem as que apresentam a latitude mais próxima de múltiplos de 5. Escolheu-se o ajuste linear por ser o mais simples e apresentar medidas de bondade de ajuste aceitáveis, conforme se pode observar na Figura 3. 13 Note-se que não está sendo procurada a relação entre latitude e temperatura. Trata-se apenas de buscar a ordem de grandeza desta relação. A relação exata assume forma específica para cada ponto do território e sua estimativa ultrapassa o escopo deste trabalho. DIAS, AB; MEDEIROS, CB. Prioridade à Adaptação face ao Aquecimento Global e as Regiões Brasileiras 14
  • 15.
    XI SEMINÁRIO MODERNIZAÇÃOTECNOLÓGIA PERIFÉRICA RECIFE, 4 a 6 de NOVEMBRO de 2009 Fundação Joaquim Nabuco, Apipucos, Sala Gilberto Osório, Rua Dois Irmãos, 92 Tabela 1 - Temperaturas de cidades litorâneas brasileiras Encontrou-se que as temperaturas média e média máxima vão se reduzindo a um ritmo de cerca de 0,3 o C por grau de latitude. Pois, levando-se em conta o aumento da temperatura ocorrida nos últimos trinta anos do século passado, período em que a temperatura média da Terra elevou-se em 0,48 o C, pode-se, como aproximação, dizer que aumentando a temperatura média um tanto menos na área equatorial, tenha esta área, do ponto de vista térmico, como ordem de grandeza, se expandido em um grau de latitude, equivalente à distância de 111 km entre João Pessoa e Recife.14 É um fato de extrema gravidade a magnitude geográfica deste avanço da área equatorial, do ponto de vista funcional, pois há previsão de que a temperatura média da Terra suba pelo menos um grau centígrado durante este século. O limite superior da faixa desta previsão se põe como 5 a 6 o C, com intensa mudança climática, indicando grande intensidade de perdas potencialmente catastróficas (IPCC, 2007). 14 Nos trinta anos do período 1973-2002 a temperatura média de Manaus (3,1o S) foi 26,1o C (MOTA, 2003). “As temperaturas médias, no período 1950-1979, foram mais baixas durante os meses de fevereiro e março, com valores de 25,8 ºC, podendo alcançar valores ligeiramente abaixo de 25,0 ºC e os maiores valores foram observados nos meses de agosto a outubro, com médias de 27,4 ºC a 27,9 ºC, respectivamente, podendo o máximo das médias alcançar valores de 28,8 ºC e 30.2 ºC, respectivamente.” (OLIVEIRA et al., 2008). Já Cuiabá (15,6o S) tem temperatura média de 26,8 o C, pouco diferente da de Manaus. Mas a variação é substancialmente maior. A média máxima é de 42o C e a média mínima de 15o C (NOGUEIRA et al, 2006). Isso significa que, para traçar qualquer paralelo mais preciso entre temperaturas e latitudes, há que se considerar, além do estudo das médias, a variação sazonal e diária da temperatura. DIAS, AB; MEDEIROS, CB. Prioridade à Adaptação face ao Aquecimento Global e as Regiões Brasileiras 15 Cidade Latitude Temperatura Chaves (PA) -0,16 26,7 23,0 30,4 Natal (RN) -5,8 25,4 21,6 29,9 Maceió (AL) -9,67 24,8 21,3 28,7 Salvador (BA) -12,97 22,6 27,9 Vitória (ES) -20,32 24,3 20,9 28,3 Paranaguá (PR) -25,52 19,6 16,3 23,8 Torres (RS) -29,34 19,0 15,3 22,0 Média (o C) Média Mínima (o C) Média Máxima (o C) 25,3 Fonte: Latitude (IBGE, 2009) e Temperatura (WEATHER, 2009)
  • 16.
    XI SEMINÁRIO MODERNIZAÇÃOTECNOLÓGIA PERIFÉRICA RECIFE, 4 a 6 de NOVEMBRO de 2009 Fundação Joaquim Nabuco, Apipucos, Sala Gilberto Osório, Rua Dois Irmãos, 92 Figura 3 - Brasil: Temperatura versus Latitude Observações: 1) Os pontos correspondem às seguintes cidades, por ordem crescente de magnitude da latitude: Chaves, Natal, Maceió, Salvador, Vitória, Paranaguá e Torres. 2) Os dados dos ajustes lineares são: Inclinação R2 (o C/ o de latitude) Temp. Média Máxima - 0,31 +/- 0,07 (95%) 0,85 Temp. Média: - 0,26 +/- 0,07 (95%) 0,84 Temp. Média Mínima - 0,25 +/- 0,01 (95%) 0,76 (Ajustes e gráfico gerados com o aplicativo livre QtiPlot da suite Ubuntu). O Brasil, com sua dimensão territorial continental, tem um território que atipicamente se distribui não só na região equatorial, tomada aqui como se estendendo até 15 o S (CAMARGO; CAMARGO, 2005), onde tem a maior parte de sua extensão geográfica. Tem na área tropical não equatorial, sua segunda parcela e tem sua menor fração territorial abaixo da região tropical, onde, mesmo assim esta menor fração de área tem grandeza superior à da área média dos países da ONU. Cabe verificar o potencial ora disponível na área equatorial brasileira para a geração de conhecimento necessário a adequação aos efeitos do aquecimento global. A maior necessidade relativa de pesquisa na região equatorial brasileira decorrente da menor margem para “importar” soluções tecnológicas de adaptação à elevação da temperatura e ao novo clima, de forma geral é intensificada pela maior área do país nesta região, que representa praticamente ¾ do território nacional. As populações do Norte e do Nordeste juntos representam cerca de dois terços da população do Sudeste adicionada à do Sul. Mas, as primeiras apesar de necessitarem de relativamente mais pesquisa para a adaptação aos efeitos do aquecimento, contam, em termos relativos às suas populações humanas, com cerca de apenas um terço da capacidade de pesquisa das últimas, como indicado pelo número de grupos de pesquisa anunciado pelo CNPq, conforme a Tabela 2. DIAS, AB; MEDEIROS, CB. Prioridade à Adaptação face ao Aquecimento Global e as Regiões Brasileiras 16
  • 17.
    XI SEMINÁRIO MODERNIZAÇÃOTECNOLÓGIA PERIFÉRICA RECIFE, 4 a 6 de NOVEMBRO de 2009 Fundação Joaquim Nabuco, Apipucos, Sala Gilberto Osório, Rua Dois Irmãos, 92 Tabela 2 - Distribuição dos grupos de pesquisa brasileiros segundo a região geográfica Região No de Pop. Humana em No de Grupos por Grupos1 Milhão de Habitantes2 Milhão de Habitantes Sul 4.955 26,34 185,3 Sudeste 10.592 77,88 136,0 C.Oeste 1.275 13,22 96,4 Norte 933 14,62 63,8 Nordeste 3.269 51,53 63,4 Brasil 21.024 183,99 114,3 Fontes: 1 CNPq (2009) e 2 IBGE (2009). A capacidade de apoiar a difusão de tecnologia é tão necessária como a capacidade de pesquisa. São duas condições não suficientes, mas necessárias Pois os estados temperados do Brasil (Paraná, Santa Catarina e Rio Grande do Sul), abarcando 7% da área territorial brasileira, têm IDH médio ponderado por suas populações, em 16% superior ao dos estados equatoriais (Acre, Alagoas, Amapá, Amazonas, Bahia, Ceará, Maranhão, Mato Grosso, Pará, Paraíba, Pernambuco, Piauí, Rio Grande do Norte, Rondônia, Roraima, Sergipe e Tocantins). Os estados tropicais não equatoriais (Espírito Santo, Goiás, Mato Grosso do Sul, Minas Gerais, Rio de Janeiro e São Paulo), neles incluindo o Distrito Federal, assim cobrindo 20% da área territorial brasileira, também se põem, coincidentemente, com média do IDH em 16% superior à dos estados equatoriais (UNDP, 2007). Os estados equatoriais e os demais, os tropicais não equatoriais somados aos temperados formam, na realidade, distintas populações de IDH. O estado de nível mais alto de IDH entre os 17 estados equatoriais, que congregam 38% da população brasileira, o apresenta inferior ao inferior dentre os demais 9 estados e o Distrito Federal, que ocupam as áreas tropical não equatorial e subtropical, conjuntamente congregando 62% da população. Os estados equatoriais brasileiros formam não só uma população de IDH distinta. Mais grave ainda, formam uma população disjunta. A população humana dos estados equatoriais, que ocupam regiões mais dependentes de novas tecnologias agropecuárias que lhes permita conviver com os inusitados climas que irão enfrentar, são, por infeliz coincidência, a que apresenta, nos dias atuais, inferior potencial no que diz respeito à capacidade de absorver tecnologias agropecuárias. A situação da capacitação para difusão de novas tecnologias em meio à população, principalmente a população rural, pode no Norte e Nordeste ser, todavia, ainda mais desfavorável do que indicado pela estatísticas do IDH. A condição brasileira de alto IDH, com o exato mínimo valor de 0,800 alcançado na edição de 2007, baseada nos dados de educação formal brasileira, é fortemente questionada quando se leva em conta pesquisa anual sobre analfabetismo funcional no Brasil, que mostra serem os dados de educação não apropriados para indicar capacidade de absorção de novas tecnologias de forma eficiente, por estarem longe de bem refletir a real situação da educação. A Tabela 3 contém dados médios de pesquisa anual, de amplitude nacional, realizada desde 2001 pelo Instituto Antônio Montenegro, mantido pela instituição que nas últimas décadas vem sendo reconhecida como a DIAS, AB; MEDEIROS, CB. Prioridade à Adaptação face ao Aquecimento Global e as Regiões Brasileiras 17
  • 18.
    XI SEMINÁRIO MODERNIZAÇÃOTECNOLÓGIA PERIFÉRICA RECIFE, 4 a 6 de NOVEMBRO de 2009 Fundação Joaquim Nabuco, Apipucos, Sala Gilberto Osório, Rua Dois Irmãos, 92 maior organização de pesquisa de opinião pública do Brasil, o IBOPE. Tabela 3 - Analfabetos funcionais no Brasil, por nível de escolaridade (2001 a 2007) Condição de Percentual de Analfabetos mais alta Funcionais na população Escolaridade brasileira Sem escolaridade 37% De 1ª à 4ª Série 97% De 5ª à 8ª Série 64% Ensino Médio Completo 27% Ensino Superior 8% Sem informação 2% Fonte: Instituto Paulo Montenegro (2008) Os dados da Tabela 3 mostram, em sua primeira linha, relativa ao item “sem escolaridade”, a existência de, no mínimo, algum problema a ser sanado no que tange à educação primária formal ministrada à maioria dos estudantes deste nível. Pois 63% dos que foram alfabetizados em meios alternativos são funcionalmente alfabetizados, taxas distantes de serem alcançadas pelos que têm o primário completo ou não. Como os “sem escolaridade” têm hoje uma reduzida expressão percentual, o alto percentual dos “sem escolaridade” que operam como funcionalmente alfabetizados não tem expressão quantitativa relevante na questão de absorção de tecnologia. Apenas 3% dos que têm de forma completa ou não as quatro primeiras séries do primário e apenas 26% dos que têm como escolaridade uma das últimas quatro séries do primário ou o têm completo são capazes de entender razoavelmente um texto escrito, como exige a capacidade de assimilar, pelo menos razoavelmente, novas tecnologias agrícolas. Os dados funcionais devem ser superpostos aos dados de educação formal e ao se assim fazer emerge um quadro preocupante para os estados equatoriais, quanto à capacidade de assimilação de novas tecnologias correspondentes a medidas de adaptação que se apóiem em pesquisa. 6. Conclusões O efeito do aquecimento global sobre o Brasil já se faz sentir. E promete aumentar consideravelmente ao longo deste século e dos próximos, segundo diferentes vetores. As previsões são eivadas de incertezas, quanto ao ritmo de aumento dos efeitos específicos. Há contestação quanto à natureza andrógena da causa do aquecimento, a ela atribuída nos trabalhos científicos sobre a radiação solar, sua reflexão e a capacidade do mar de absorver o dióxido de carbono emitido pela queima de combustíveis fósseis. Enquanto houver contestação DIAS, AB; MEDEIROS, CB. Prioridade à Adaptação face ao Aquecimento Global e as Regiões Brasileiras 18
  • 19.
    XI SEMINÁRIO MODERNIZAÇÃOTECNOLÓGIA PERIFÉRICA RECIFE, 4 a 6 de NOVEMBRO de 2009 Fundação Joaquim Nabuco, Apipucos, Sala Gilberto Osório, Rua Dois Irmãos, 92 haverá, obviamente, um adicional aposto à incerteza das previsões. Mesmo considerada removida esta fonte de incerteza quanto às previsões, com um completo estabelecimento de um consenso quanto a ser a emissão andrógena de dióxido de carbono o principal causador do aumento do efeito estufa, resta a irremovível insuficiência dos modelos de previsão e a incerteza sobre o ritmo das medidas de mitigação, destinadas a conter as causas andrógenas do aquecimento. Em meio às incertezas, há fundamentais certezas. Uma é a natureza de bem público dos efeitos das medidas de mitigação. Motiva ao não cumprimento por economias nacionais de acordos para reduzir o custo das medidas que lhes incide. Outra é ter o acréscimo estoque de dióxido de carbono na atmosfera, em relação ao nível anterior às revoluções industriais, sido formado por nações da Economia do Atlântico Norte, principais responsáveis, portanto, pelos efeitos que este acréscimo produz. As medidas de adaptação aos efeitos do aquecimento global, diferentemente das de mitigação, podem produzir benefícios direta e/ou indiretamente apropriáveis por quem arca com os custos. O Brasil se situa entre os países que menos responsabilidade tem, em termos per capita, para com o aumento do estoque de dióxido de carbono na atmosfera. Simultaneamente foi o país que relativamente mais avançou em termos de medidas de mitigação. Sua energia elétrica é de base hídrica. Seu transporte tem o mais alto índice internacional do uso de fontes não baseadas em combustíveis fósseis mas ser o mais avançado na renovabilidade de matrizes energéticas o torna altamente vulnerável a ameaçadores novos climas. Deve, portanto, o Brasil aplicar seus recursos primordialmente em medidas de adaptação. As medidas de adaptação não têm adequação uniforme em todo o território nacional brasileiro. A necessidade de densidade de inovação para a construção de medidas de adaptação é maior nas menores latitudes, correspondentes aos estados equatoriais, onde o clima já é extremo em relação à temperatura e seus efeitos, e as terá em elevação, não tendo outras experiências a copiar. Pode-se dizer ser a necessidade de densidade de inovação relativamente declinante com a grandeza da latitude. Mas atualmente os estados equatoriais são os menos dotados de apoio de pesquisa que possa desenvolver conhecimento para as medidas de adaptação correspondentes a climas nunca dantes encontrados. E são os menos dotados de capacidade de absorção enquanto demonstrado ao apresentarem menores índices de IDH. Adicionalmente constitui-se como motivo de sério alarme a indicação de que os dados de educação que participam da formação do IDH devem, em termos de participação da população em atos que requerem a superação do analfabetismo funcional, ser substancialmente corrigidos para baixo, mostrando a ciclópica ação necessária para construir as bases para que as necessárias medidas de adaptação sejam eficientes e evitem uma catástrofe humana nos estados equatoriais brasileiros. Referências Bibliográficas CAMARGO, Ângelo Paes de; CAMARGO, Marcelo Bento Paes de (2005). Latitude e o tipo climático. O Agronômico, Campinas, 57(2), pp. 19-21. CEH – Centre for Ecology and Hydrology (2007). Science Review 2006-2007. Wallingford. Disponível em: http://www.ceh.ac.uk. Acesso em 25 fev. 2008. CHIARETTI, Daniela (2007). 'Salvação da lavoura' pode estar no cerrado brasileiro. Valor Econômico 19/10/2007. Em: Clipping Rural CNA – Biotecnologia. Disponível em: http://www.faec.org.br/TEMAS/Biotecnologia.htm . Acesso em 28 jan. 2008. CNPq - Conselho Nacional de Desenvolvimento Científico e Tecnológico. Disponível em: http://dgp.cnpq.br/censos/sumula. Acesso em 06 abr. 2009. CRUZ , José Carlos et al (2006). Manejo da cultura do milho. Sete Lagoas: Embrapa Milho e Sorgo, 2006. GISS – Goddard Institute for Space Studies (2005). Global Temperature Trends: 2005 Summation. Disponível em: data.giss.nasa.gov/gistemp/2005/. Acesso em 21 jun.2006. DIAS, AB; MEDEIROS, CB. Prioridade à Adaptação face ao Aquecimento Global e as Regiões Brasileiras 19
  • 20.
    XI SEMINÁRIO MODERNIZAÇÃOTECNOLÓGIA PERIFÉRICA RECIFE, 4 a 6 de NOVEMBRO de 2009 Fundação Joaquim Nabuco, Apipucos, Sala Gilberto Osório, Rua Dois Irmãos, 92 HANSEN, James E (2007). Scientific Reticence and Sea Level Rise. Environment Research Letters. 2 (2007) 024002 (6pp). Disponível em: http://www.iop.org/EJ/article/1748- 9326/2/2/024002/erl7_2_024002.pdf?request-id=Hr6lK6tf3BG1_ibW2wi7Kg. Acesso em: 02 abr. 2008. HOMERO, Vilma (2007). Luz solar pode inativar vírus e bactérias presentes na água. Boletim da Faperj, 15 mar. 2007. Disponível em: http://www.ien.gov.br/noticias/midia_arquivo/boletin_faperj_15mar2007.pdf. Acesso em: 15 fev. 2009. IBGE – Fundação Instituto Brasileiro de Geografia e Estatística. Disponível em: http://www.ibge.gov.br. Acesso em: 03 mar. 2009. INSTITUTO PAULO MONTENEGRO. INAF 2007 mostra a evolução da educação no Brasil.Disponível em: http://www.ipm.org.br/ipmb_pagina.php?mpg=4.02.01.00.00&ver=por. Acesso em: 20 ago. 2008. IPCC – Intergovernmental Panel on Climate Change (2007). Climate Change 2007: Impacts, adaptation and vulnerability. Genebra: WMO – World Meteorological Organization. Disponível em: www.ipcc.ch. Acesso em: 28 nov. 2008. KLOSOWSKI, Elcio Silvério et al.(2002). Estimativa do declínio na produção de leite, em período de verão, para Maringá-PR . Revista Brasileira de Agrometeorologia, Santa Maria, v. 10, n. 2, p. 283-288. LOZADA, Beatriz Ibet; ANGELOCCI, Luiz Roberto (1999). Efeito da temperatura do ar e da disponibilidade hídrica do solo na duração de subperíodos e na produtividade de um híbrico de milho (Zea mays). Em: Revista Brasileira de Agrometeorologia, Santa Maria, v. 7, n. 1, p. 37-43. MARCELINO, E. V. et al (2005). Impacto do Furacão Catarina sobre a região sul catarinense: monitoramento e avaliação pós-desastre. Geografia, v. 30, n. 3, p. 559-582. MENDONÇA, Francisco (2007). Aquecimento Global e suas manifestações regionais e locais: Alguns indicadores da região Sul do Brasil. Revista Brasileira de Climatologia, n. 2, pg. 71 – 86. Ministério da Saúde/DGS – Direcção-Geral da Saúde (2008). Plano de Contingência para Ondas de Calor 2008. Lisboa. MIZUBUTI, Eduardo S. G.; MAFFIA, Luiz Antônio; COSTA, Marcos Heil (2005). Meio Ambiente e Ciências Atmosféricas 4. Doenças de plantas e o clima. Disponível em: http://mtc- 15.sid.inpe.br/col/sid.inpe.br/iris%401915/2005/11.08.12.46/doc/04_Doen%e7as_de_plantas_e _o _clima.pdf. Acesso em: 28 jan.2008. MONTEIRO, Maurici Amantino (2007). Dinâmica atmosférica e a caracterização dos tipos de tempo na Bacia Hidrográfica do Rio Araranguá. Florianópolis: UFSC. (Tese de Doutorado). MOTA, M. R. (2003). Tendência da Temperatura Média Anual na Região de Manaus – AM. Manaus: Laboratório de Hidráulica do Departamento de Engenharia Agrícola e Solos da Universidade Federal do Amazonas. NOAA – National Oceanic and Atmospheric Administration (2009). Climate of 2008 Annual Report. Disponível em: http://www.ncdc.noaa.gov/oa/climate/research/2008/ann/global.html. Acesso em 09 fev. 2009. NOGUEIRA, Marta Cristina de Jesus Albuquerque et al (2006). Análise da eficiência térmica de duas habitações de padrão popular em Cuiabá-MT: uma contribuição para o meio ambiente. UNICiências, v.10. OLIVEIRA, Flavio Mendes et al (2008). Determinação da variação no microclima de Manaus-AM por atividades antropogênicas e modulações climáticas naturais. Acta Amaz.,v.38,n.4,Manaus,dez/2008. Disponível em: http://www.scielo.br/scielo.php?script=sci_arttext&pid=S0044- 59672008000400012&lng=pt&nrm=iso . Acesso em 13 fev. 2009. DIAS, AB; MEDEIROS, CB. Prioridade à Adaptação face ao Aquecimento Global e as Regiões Brasileiras 20
  • 21.
    XI SEMINÁRIO MODERNIZAÇÃOTECNOLÓGIA PERIFÉRICA RECIFE, 4 a 6 de NOVEMBRO de 2009 Fundação Joaquim Nabuco, Apipucos, Sala Gilberto Osório, Rua Dois Irmãos, 92 PARRY, M.L, et. al (2007). Climate Change 2007: Impacts, Adaptation and Vulnerability. Contribution of Working Group II to the Fourth Assessment Report of the Intergovernmental Panel on Climate Change. Cambridge: Cambridge University Press, 2007. p. 581-615 PILLAR, Valério De Patta (1995). Clima e Vegetação. Porto Alegre: UFRGS, Departamento de Botânica. Disponível em: http://ecoqua.ecologia.ufrgs.br. Acesso em: 28 mar. 2007. RODRIGUES, Maria Laura et al. Catarina: o monitoramento do fenômeno pelos meteorologistas da Epagri/Ciram. Boletim da Sociedade Brasileira de Meteorologia v. 28/29 (2004/2005) p.11-16. Disponível em: www.sbmet.org.br/publicacoes/boletim/pdf_hmtl/Boletim- 28-291.pdf. Acesso em: 16 fev. 2009. SALVADOR, Fabíola (2004). Embargos a produtos brasileiros. Produtor americano quer veto à soja do Brasil. O Estado de São Paulo, Caderno Economia. São Paulo, 30 jun. 2004. Em: Congresso Brasileiro. Clipping Especial. Disponível em http://www.camara.gov.br/mercosul/A_RelatorioAtiv/CE_28-06_13-08_agosto_04.htm. Acesso em 30 jan. 2008. SEPPANEN, Olli; FISK, William J.; FAULKNER, David (2004). Control of Temperature for Health and Productivity in Offices. Berkely: Lawrence Berkeley National Laboratory – LBNL- 55448. June. SHAH, Anup. Climate Change and Global Warming Introduction. Disponível em: http://www.globalissues.org/article/233/climate-change-and-global-warming-introduction. Acesso: 14. abr. 2009. SMITH, Ronald B. (2004). The Physics of Radiation. New Haven: Yale University. Disponível em: www.yale.edu/ceo/Documentation/PhysicsofRadiation2004.pdf. Acesso em: 09 mar. 2009. SUA PESQUISA, Vitória. Disponível em: www.suapesquisa.com/cidadesbrasileiras/cidade_vitoria.htm ; Acesso em: 03 mar. 2009. TITTUS, James G. et alli (1991). Greenhouse Effect and Sea Level Rise: The Cost of Holding Back the Sea. Em: Coastal Management, Vol. 19, pp. 171-204. UFSC/Grupo de Processos Biotecnológicos (2009). Fungos. Disponível em: http://www.enq.ufsc.br/labs/probio/disc_eng_bioq/trabalhos_pos2003/const_microorg/fungos.ht m. Acesso em: 20. abr. 2009. UNDP – United Nations Development Programme (2007). Human Development Report 2007/2008 – Fighting Climate Change: Human Solidarity in a Divided World. WEATHER. Disponível em:http://br.weather.com; Acesso em: 03 mar. 2009. DIAS, AB; MEDEIROS, CB. Prioridade à Adaptação face ao Aquecimento Global e as Regiões Brasileiras 21