UNIVERSIDADE FEDERAL DO RIO GRANDE DO SUL
                 FACULDADE DE AGRONOMIA
 PROGRAMA DE PÓS-GRADUAÇÃO EM MICROBIOLOGIA AGRÍCOLA E DO
                        AMBIENTE




  AVALIAÇÃO DA ATIVIDADE ANTIMICROBIANA DOS BASIDIOMICETOS
Lentinula edodes, Lentinus crinitus, Amauroderma sp. e Pycnoporus sanguineus.

                        MAIRA PERES DE CARVALHO
                            (BIÓLOGA-PUCPR)




Dissertação apresentada ao Programa de Pós-graduação em Microbiologia
Agrícola e Ambiente, na área de microbiologia industrial para a obtenção do título
de mestre.




               PORTO ALEGRE, RIO GRANDE DO SUL, BRASIL
                            MARÇO, 2007
UNIVERSIDADE FEDERAL DO RIO GRANDE DO SUL
                FACULDADE DE AGRONOMIA
PROGRAMA DE PÓS-GRADUAÇÃO EM MICROBIOLOGIA AGRÍCOLA E DO
                       AMBIENTE




  AVALIAÇÃO DA ATIVIDADE ANTIMICROBIANA DOS BASIDIOMICETOS
Lentinula edodes, Lentinus crinitus, Amauroderma sp. e Pycnoporus sanguineus.

                       MAIRA PERES DE CARVALHO




             PORTO ALEGRE, RIO GRANDE DO SUL, BRASIL
                          MARÇO, 2007
SUMÁRIO



LISTA DE TABELAS                                                   viii
LISTA DE FIGURAS                                                    ix
LISTA DE ABREVIAÇÕES                                               xii
1. INTRODUÇÃO                                                        1
2. REVISÃO BIBLIOGRÁFICA                                             4
2.1 Compostos Antimicrobianos                                        4
2.2 Resistência aos antibióticos                                     6
2.3 Antifúngicos                                                   12
2.4 Produtos sintetizados por microrganismos como fonte de
novos antibióticos                                                 15
2.5 Indústria farmacêutica e a pesquisa de novos antibióticos      20
2.6 Fungos Filamentosos                                            26

2.6.2 Tecidos fúngicos                                             33
  2.6.3 Fatores físico-químicos de crescimento                     34
2.7 Classificação                                                  36
2.7.1 Classe Basidiomycetes                                        36
2.8 Produtos bioativos sintetizados por Basidiomicetos             42
2.9 Ordem Agaricales                                               46
2.9.1 Família Tricholomataceae                                     49
2.9.1.1 Lentinula edodes (Berk.) Sing                              49
2.9.1.2 Posição taxonômica                                         49
2.9.1.3 Características morfológicas                               49
2.9.1.4 Biologia, ocorrência natural e cultivo                     50
2.9.1.5 Propriedades Terapêuticas                                  51
2.9.2.6 Lentinus crinitus (L.:Fr) Fr                               52
2.9.1.6.1 Posição taxonômica                                       52
2.9.1.6.2 Características morfológicas                             53
2.9.1.6.3 Ocorrência natural, hábitat e considerações sobre a      53
sua utilização
2.9.1.6.4 Propriedades Terapêuticas                                54
2.10 Ordem Aphylophoralles                                         54
2.10.1 Família Ganodermataceae                                     55
2.10.2 Amauroderma sp.                                             55
2.10.2.1 Posição taxonômica                                        55
2.10.2.2 Características morfológicas                              56
2.10.2.3 Ocorrência natural, hábitat e considerações sobre a sua   56
utilização
2.10.2.4 Propriedades Terapêuticas                                 57
2.11. Família Polyporaceae                                         58
2.11.1 Pycnoporus sanguineus (Fr.) Murr.                           58
2.11.1.1 Posição taxonômica                                        58
2.11.1.2 Características morfológicas                              59
2.11.1.3 Ocorrência natural, hábitat e considerações gerais
sobre a sua utilização                                           59
 2.11.1.4 Propriedades Terapêuticas                              60
3. MATERIAL E MÉTODOS                                            61
3.1 Coleta e isolamento                                          61
3.2 Avaliação do desenvolvimento micelial                        63
3.3 Descrição morfológica das colônias fúngicas                  64
3.4 Cultivo micelial em meio líquido                             64
3.5 Determinação da massa seca do micélio                        65
3.6 Quantificação de proteínas e açúcares totais                 65
3.6 Extração de metabólitos solúveis em solventes orgânicos      65
3.7 Detecção dos metabólitos antimicrobianos pelo método
difusão em ágar                                                  66
3.8 Isolamento dos metabólitos antimicrobianos por
cromatografia em camada delgada (CCD) e Bioautografia            66
4. RESULTADOS E DISCUSSÃO                                        69
4.1 Desenvolvimento do micélio em diferentes meios de cultivo    69
4.1.1 Lentinula edodes                                           69
4.1.2 Lentinus crinitus                                          70
4.1.3 Amauroderma sp.                                            71
4.1.4 Pycnoporus sanguineus                                      72
4.2 Descrição das colônias miceliais                             73
4.2.1 Lentinula edodes                                           73
4.2.2 Lentinus crinitus                                          74
4.2.3 Amauroderma sp.                                            75
4.2.4 Pycnoporus sanguineus                                      76
4.3 Produção de biomassa micelial e quantificação de proteínas   77
e açúcares totais
4.3.1 Lentinula edodes                                           77
4.3.2 Lentinus crinitus                                          80
4.3.3 Amauroderma sp.                                            81
4.3.4 Pycnoporus sanguineus                                      84
4.4 Atividade antimicrobiana dos extratos obtidos a partir do
primeiro cultivo dos basidiomicetos                               86
4.4.1 Lentinula edodes                                            86
4.3.2 Lentinus crinitus                                           88
4.3.3 Amauroderma sp.                                             90
4.3.4 Pycnoporus sanguineus                                       92
4.5 Cromatografia em camada delgada e Bioautografia               94
4.4.1 Lentinula edodes                                            94
4.3.2 Lentinus crinitus                                           96
4.3.3 Amauroderma sp.                                             97
4.3.4 Pycnoporus sanguineus                                       99
5. CONCLUSÕES                                                    101
6. REFERÊNCIAS                                                   102


                                      vii
LISTA DE TABELAS


Tabela 1- Principais antibióticos utilizados para o tratamento
de animais e como fatores de crescimento nos Estados
Unidos.                                                          12
Tabela 2- Microrganismos utilizados nos ensaios de
bioautografia.                                                   68




                                      viii
LISTA DE FIGURAS


FIGURA 2 – Processo de desenvolvimento de antibióticos.                    20
FIGURA 12 – Basidiocarpo de L.edodes.                                      51
FIGURA 13 – Basidiocarpo de L. crinitus.                                   54
FIGURA 14 – Estrutura química dos compostos sesquiterpênicos               55
produzidos por L. crinitus
FIGURA 15 – Basidiocarpo de Amauroderma sp.                                57
FIGURA 16 – Basidiocarpos de P. sanguineus.                                60
FIGURA 17 – Estrutura química da cinabarina.                               61
FIGURA 18 – Tempo de desenvolvimento do micélio de L.edodes nos
meios de cultivo ABD, AEM, AEMP e ASD, em placas de Petri (90mm).
Média de 5 repetições.                                                     70
 FIGURA 19 – Tempo de desenvolvimento do micélio de L. crinitus nos
meios de cultivo ABD, AEM, AEMP e ASD, em placas de Petri (90mm).
                         Média de 5 repetições.                            71
FIGURA 20 –Tempo de desenvolvimento do micélio de Amauroderma
sp., nos meios de cultivo ABD, AEM, AEMP e ASD, em placas de Petri
(90mm). Média de 5 repetições.                                             72
FIGURA 21 – Tempo de desenvolvimento do micélio de P. sanguineus,
nos meios de cultivo ABD, AEM, AEMP e ASD, em placas de Petri
(90mm). Média de 5 repetições.                                             73
FIGURA 22 – Micélio de L. edodes em quatro meios de cultivo distintos.
A – ABD, B – AEM, C – AEMP e D – ASD. Incubação durante 20 dias.           74
FIGURA 23 - Micélio de L.crinitus em quatro meios de cultivo distintos.
A – ABD, B – AEM, C – AEMP e D – ASD. Incubação durante 20 dias.           75
FIGURA 24 - Micélio de Amauroderma sp. em quatro meios de cultivo
distintos. A – ABD, B – AEM, C – AEMP e D - ASD. Incubação durante
20 dias.                                                                   76

FIGURA 26 - Micélio de P. sanguineus em quatro meios de cultivo            77
distintos. A – ABD, B – AEM, C – AEMP e D – ASD. Incubação
durante 20 dias.
FIGURA 27 – Biomassa micelial (g) do L. edodes cultivado em 5 meios
diferentes durante 7, 14, 21, 28, 35 e 42 dias (média de três
repetições). Quantificação de açúcares totais e proteínas (mg/ml). A –
cultivo em meio CBD; B – cultivo em meio CEM; C – cultivo em meio
CEMP; D – cultivo em meio FMS e E – cultivo em meio CSD.                   79
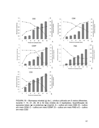
FIGURA 28 – Biomassa micelial (g) de L. crinitus cultivado em 5 meios
diferentes, durante 7, 14, 21, 28, 35 e 42 dias (média de 3 repetições).
Quantificação de açúcares totais e proteínas (mg/ml). A – cultivo em
meio CBD; B – cultivo em meio CEM; C – cultivo em meio CEMP; D –
cultivo em meio FMS e E – cultivo em meio CSD                              81
FIGURA 29 – Biomassa micelial (g) do Amauroderma sp. cultivado em
5 meios diferentes, durante 7, 14, 21, 28, 35 e 42 dias (média de 3
repetições). Quantificação de açúcares totais e proteínas (mg/ml). A –
cultivo em meio CBD; B – cultivo em meio CEM; C – cultivo em meio
CEMP; D – cultivo em meio FMS e E – cultivo em meio CSD                     83
FIGURA 30 – Biomassa micelial (g) do P. sanguineus cultivado em 5
meios diferentes, durante 7, 14, 21, 28, 35 e 42 dias (média de 3
repetições). Quantificação de açúcares totais e proteínas (mg/ml). A –
cultivo em meio CBD; B – cultivo em meio CEM; C – cultivo em meio
CEMP; D – cultivo em meio FMS e E – cultivo em meio CSD                     85
FIGURA 31 – Halos de inibição dados por extratos de L. edodes. A –
atividade contra E.coli do extrato CEMP em 28 dias; B – atividade
contra S. aureus do extrato CEM em 28 dias; C – atividade contra S.
aureus do extrato SB em 28 dias e D – atividade contra C. albicans do
extrato FMS em 28 dias.                                                     86
FIGURA 32 – Diâmetro dos halos de inibição dado pelos extratos
obtidos a partir do cultivo de L. edodes em diferentes meios e períodos
de incubação contra os
microrganismos alvo C. albicans, E.coli e S. aureus.                        87
FIGURA 33 – Halos de inibição dados por extratos de L. crinitus. A –
atividade contra C.albicans do extrato CEMP em 28 dias; B – atividade
contra S. aureus do extrato CEM em 28 dias; C – atividade contra
E.coli.                                                                     88
FIGURA 34 – Diâmetro dos halos de inibição dado pelos extratos
obtidos a partir do cultivo de L. crinitus em diferentes meios e períodos
de incubação contra os microrganismos alvo C. albicans, E.coli e S.
aureus.                                                                     90
FIGURA 35 – Halos de inibição dados por extratos de Amauroderma
sp. A – atividade contra S.aureus do extrato CEMP em 21 dias; B –
atividade contra C. albicans do extrato CBD em 21 dias; C – atividade
contra S.aureus no extrato CBD em 21 dias e D – atividade contra
E.coli do extrato CBD em 28 dias.                                           91
FIGURA 36 – Diâmetro dos halos de inibição dado pelos extratos
obtidos a partir do cultivo de Amauroderma sp. em diferentes meios e
períodos de incubação contra os microrganismos alvo C. albicans,
E.coli e S. aureus.                                                         91
FIGURA 37 – Halos de inibição dados por extratos de P. sanguineus.
A – atividade contra E.coli do extrato FMS em 21 dias; B – atividade
contra C. albicans do extrato CEMP em 21 dias; C – atividade contra
S.aureus no extrato CBD em 21 dias e D – atividade contra S.aureus
do extrato CBD em 21 dias.                                                  92
FIGURA 38– Diâmetro dos halos de inibição dado pelos extratos
obtidos a partir do cultivo de Pycnoporus sanguineus em diferentes
meios de cultivo e períodos de incubação contra os microrganismos
alvo C. albicans, E.coli e S. aureus.                                       93
FIGURA 39 – Cromatografia dos extratos de L. edodes de 28 e 35 dias,
visualizada sob luz UV em 254 nm. Banda responsável pela atividade
antimicrobiana circulada em preto.                                          94
FIGURA 40 – Cromatografia de L. edodes revelada com anisaldeído
sulfúrico. As duas bandas, de colorações amarelo e roxo, visualizadas
no mesmo Rf do antimicrobiano estão circuladas em preto.                    95
FIGURA 42 – Cromatografia dos extratos de Amauroderma
sp,visualizada sob luz UV em 254 nm. As bandas circuladas em preto
são responsáveis pela atividade antimicrobiana.                      98
FIGURA 43 – Cromatografia dos extratos de Amauroderma sp,
revelada com anisaldeído sulfúrico. Uma das bandas circuladas em
preto é responsável pela atividade antimicrobiana.                   98




                                    xi
LISTA DE ABREVIAÇÕES



3-HAA - ácido 3-hidroxiantranílico
ABD – ágar batata dextrose
AC - ácido cinabarínico
AEM – ágar extrato de malte
AEMP – ágar extrato de malte com peptona
ASD – ágar saboraud dextrose
CBD – caldo batata dextrose
CCD – cromatografia em camada delgada
CEM – caldo extrato de malte
CEMP – caldo extrato de malte com peptona
CSD – caldo saboraud dextrose
FMS – farinha de milho e sacarose
g – gramas
L- litros
mm - milímetros
nm - nanômetros
SARM – Staphylococcus aureus resistente a meticilina
UV - ultravioleta




                                      xii
1. INTRODUÇÃO



           Os basidiomicetos pertencem ao phylum Basidiomycota e sua principal

característica é a presença de basídios, estruturas onde ocorre a cariogamia e a

meiose, formando os basidiósporos. Desde a antiguidade são utilizados como

alimento, devido ao sabor agradável e às propriedades nutricionais e medicinais.

Contêm proteínas, carboidratos, vitaminas e minerais e são considerados uma

ótima fonte de fibras. Além disso, é comprovado que estes organismos produzem

um elevado número de metabólitos com atividades antitumoral, antiviral,

antiinflamatória, antitrombótica, citostática, hipoglicêmica e antimicrobiana.

           Com o aumento da resistência bacteriana aos antibióticos disponíveis e

das infecções fúngicas, principalmente em pacientes imunocomprometidos, a

pesquisa e o desenvolvimento de novos antimicrobianos revela-se crescente e

necessária. Neste sentido, os metabólitos produzidos por organismos pouco

estudados devem ser amplamente pesquisados como fonte de novos compostos

antimicrobianos,   pois   oferecem    uma    enorme     diversidade   química.   Esta
diversidade encontrada nos produtos naturais não pode ser igualada e tampouco

substituída por bases de dados combinatórias para a síntese de novas moléculas

com atividades biológicas.

             Sendo assim, o objetivo deste trabalho foi avaliar quatro espécies de

basidiomicetos, quanto à produção de metabólitos com atividade antimicrobiana

em diferentes meios de cultivo. Três delas foram coletadas em Floresta Ombrófila

Mista, no estado do Paraná e uma foi obtida em estabelecimento comercial, no

mesmo estado. Estas espécies são: o Lentinula edodes, conhecido como shiitake,

com atividade já relatada na literatura; o Lentinus crinitus, que sintetiza compostos

sesquiterpênicos com atividade antimicrobiana; o Amauroderma sp., que até o

momento não foi reportado em literatura com produtor de antimicrobianos e o

Pycnoporus sanguineus, que é capaz de sintetizar a cinabarina, que possui

atividade antimicrobiana. Embora já existam relatos para a maioria dos

basidiomicetos utilizados neste trabalho, não há dados comparativos de produção

em diferentes meios. Tendo em vista que uma das estratégias para a pesquisa de

novas moléculas com atividade antimicrobiana é o cultivo de uma mesma espécie

sob diferentes condições, demonstra-se a importância do presente trabalho.




                                                                                   2
2. REVISÃO BIBLIOGRÁFICA



          2.1 Compostos Antimicrobianos

          As primeiras descrições sobre o uso de antimicrobianos datam de 3.000

anos atrás, quando os médicos chineses usavam fungos para o tratamento de

feridas infeccionadas. Assim o faziam também os índios norte-americanos. Os

médicos indianos recomendavam a ingestão de certos fungos para a cura de

diarréias. Utilizados de maneira empírica na época, sabe-se que vários destes

produtos indicados na Antiguidade e na Idade Média apresentam propriedades

terapêuticas antiinfecciosas graças a compostos sintetizados a partir dos

microrganismos utilizados neste tipo de tratamento (Tavares 1985 e 1999).

          Alexander Fleming, em 1929, do St. Mary’s Hospital de Londres,

publicou o trabalho no qual relata as propriedades bactericidas de um microfungo

presente no ar, identificado na época, como Penicillium rubrum (Fleming 1929).

Este fungo foi reclassificado como P. notatum (Lacaz 1965). Mais tarde, graças

aos trabalhos de Howard Walter Florey e Ernst Boris Chain, pesquisadores da

                                                                              3
Universidade de Oxford, a penicilina foi isolada das culturas de Penicillium e novas

técnicas para a sua obtenção foram desenvolvidas (Chain et al. 1940, Lacaz

1965, Tavares 1985 e 1999). A enorme utilidade da penicilina não foi aparente até

1941, quando foi finalmente testada clinicamente e iniciou-se a produção em larga

escala (Tortora 2002). Com a introdução da penicilina, chegou a ser cogitado o

fim das infecções causadas por bactérias (Furuya & Lowy 2006). Entretanto, tão

logo foi descoberta a utilidade da penicilina, também foram descobertos os

microrganismos produtores das penicilinases (Abraham & Chain 1940).

          Estas descobertas levaram a uma busca concentrada por novas drogas

antibacterianas durante os 30 anos seguintes e resultaram na descoberta das

principais classes de antibióticos conhecidas atualmente, muitas delas derivadas

de produtos naturais (Butler & Buss 2006).

          Assim, os primeiros antibióticos descobertos foram a penicilina e

estreptomicina, e rapidamente foram seguidos pelas tetraciclinas, isoniazida,

macrolídeos, glicopeptidicos, cefalosporinas, ácido nalidíxico e outras classes

moleculares culminando na rifampicina que entrou no mercado no final dos anos

60 (Projan & Shlaes 2004). Nos 20 anos passados houve uma redução de 56% no

número de antibióticos aprovados pela Food and Drug Admnistration (FDA) e na

década passada, somente 22 antibióticos foram lançados (Butler & Buss 2006).

Desde 1998, somente nove antibióticos foram internamente aprovados, e dentre

estes, apenas dois possuem novos mecanismos de ação (Overbye & Barret 2005).

          Uma grande quantidade de antibióticos tem sido descoberta, porém,

menos de 1% tem valor prático na terapêutica; para que um antibiótico seja

                                                                                  4
considerado ideal ele deve ter ação antimicrobiana seletiva e potente, exercer sua

atividade na presença dos líquidos do organismo e não ser destruído pelas

enzimas tissulares, não causar imunocomprometimento e nas concentrações

necessárias para afetar o agente infeccioso, não deve danificar os leucócitos nem

lesar os tecidos do hospedeiro; ter índice terapêutico conveniente e, mesmo nas

doses máximas necessárias durante períodos muito prolongados, não produzir

efeitos colaterais graves, tóxicos ou alérgicos ao hospedeiro; não ter efeitos

teratogênicos; ser eficaz por todas as vias de administração; ser facilmente obtido

em escala industrial, possibilitando a sua fabricação em grande quantidade e a

baixo custo (Lacaz 1965, Tavares 1999, Madigan 2000). Portanto, as dificuldades

para a obtenção de tal antibiótico são enormes, e aqueles que mais se aproximam

destas características apresentam custo elevado, o que torna problemático o seu

uso pela população de baixo poder aquisitivo (Tavares 1999).

          2.2 Resistência aos antibióticos

          A descoberta dos antibióticos revolucionou a medicina, permitindo o

tratamento de infecções que até então eram fatais. A sua disponibilidade tem

criado segurança para a população em relação às doenças infecciosas adquiridas

na comunidade. Porém esta segurança irá dissipar-se se o desenvolvimento de

microrganismos resistentes continuar a frente do desenvolvimento de novas

drogas (Livermore 2004). Apesar do sucesso obtido no passado com a descoberta

dos antibióticos, as doenças infecciosas causam 17 milhões de mortes

globalmente, particularmente de crianças e idosos (Butler & Buss 2006). Muitos

estudos têm mostrado que a freqüência de isolados multiresistentes está

                                                                                 5
aumentando no mundo todo, com a resistência desenvolvendo-se para quase

todas as classes de antibióticos, tanto naturais como sintéticos (Walsh 2003,

Projan & Shlaes 2004).

          A necessidade de novos agentes é mais evidente nos hospitais, onde

os números de patógenos multi-resistentes, principalmente bactérias gram-

negativas dos gêneros Acinetobacter e Pseudomonas estão aumentando. Para

muitos destes patógenos, as opções para a terapia são extremamente limitadas

(Powers 2004, Projan & Shlaes 2004, Shlaes et al. 2004).

          Mudanças nas populações de pacientes e o elevado número de

pessoas imunocomprometidas internadas em hospitais levaram a um aumento da

freqüência de isolamento de Acinetobacter baumannii, o qual antes era raramente

isolado e não considerado particularmente patogênico. Modernamente esta

espécie mais P. aeruginosa são provavelmente os mais problemáticos dos

patógenos nosocomiais, ambos sendo responsáveis pela maioria das pneumonias

adquiridas em hospitais por pacientes previamente tratados com antibióticos.

Algumas cepas destas espécies já foram identificadas como multi-resistentes (Bax

2000, Bush 2004, Projan & Shlaes 2004, Butler e Buss 2006).

          Além disso, a prevalência de Staphyloccocus aureus resistente a

meticilina permanece extremamente elevada em muitos países (Bax 2000, Bush

2004, Butler e Buss 2006). Embora as infecções causadas por microrganismos

resistentes ocorram essencialmente em hospitais, as bactérias que possuem

genes que conferem resistência têm uma vantagem adaptativa que facilita a sua

disseminação. Entretanto, um fato que têm recebido pouca atenção, porém não é

                                                                              6
menos importante, é o aumento destas bactérias na comunidade, que acaba

tornando-se um importante reservatório para a resistência a antimicrobianos

(Furuya e Lowy 2006).

          Todo antibiótico introduzido na clínica, possui uma vida limitada, pois

seleciona bactérias com mecanismos intrínsecos ou adquiridos de resistência.

Embora estas bactérias sejam raras, na presença continuada do antibiótico

seletivo, os patógenos resistentes tornam-se mais populosos. As bactérias

adquirem resistência como um resultado de mutações no cromossomo, que

permitem a emergência de cepas clonais quando sujeitos a pressão seletiva (Bush

2004, Furuya & Lowy 2006). As trocas genéticas horizontais podem ocorrer por

várias maneiras, incluindo transformação, transdução e conjugação. Estes eventos

acontecem na presença ou ausência do antibiótico (Furuya & Lowy 2006).

          De talvez conseqüências mais graves, está à resistência mediada por

plasmídeos, onde uma cepa resistente selecionada por um antibiótico pode

resultar em resistência a outras classes destes medicamentos, através da

presença de plasmídeos de resistência múltipla. O fato mais importante é que

esses plasmídeos podem ser transferidos entre espécies relacionadas e não

relacionadas, resultando em resistência multifatorial em organismos como

Escherichia coli, Klebsiella pneumoniae e Pseudomonas aeruginosa (Bush 2004).

          Em adição aos efeitos seletivos dos antibióticos, há outros fatores que

auxiliam a disseminação das cepas resistentes na comunidade. Existem

determinantes bacterianos que facilitam a colonização e a sobrevivência em

diversos tipos de ambientes; por exemplo, as bactérias esporuladas podem

                                                                                7
permanecer sobre superfícies, sendo resistentes ao calor e a muitos agentes

bactericidas; a formação de biofilmes limita o acesso do antibiótico às bactérias

contidas nele e os fatores de virulência bacterianos, como presença de cápsula e

ácido teicóico, facilita sua persistência e disseminação (Furuya & Lowy 2006).

          O     tempo    para    o   desenvolvimento   de   resistência   clinicamente

significativa depende de alguns parâmetros como a quantidade de antibiótico

utilizada, a freqüência de prescrição, os reservatórios de mecanismos de

resistência e a capacidade adaptativa do organismo resistente. Logo após a

entrada de cada agente antibacteriano no mercado, foi reportada resistência de ao

menos, um patógeno. A seleção de linhagens resistentes ocorre rapidamente e

para algumas combinações de antibióticos, sua utilidade clínica diminui

drasticamente em um período aproximado de cinco anos (Bush 2004, Projan &

Shlaes 2004).

          O primeiro caso documentado de rápida seleção de uma população

resistente foi o aumento da resistência à penicilina de aproximadamente 8% para

quase 60% em S. aureus de 1945 a 1949 (Bush 2004). Este rápido

desenvolvimento de resistência por S. aureus tem potencial para recriar a era pré-

antibiótica, onde as taxas de mortalidade eram de 80% para pacientes com

infecções sistêmicas (Monagham & Barrett 2006).

          Em     1993,    a     World   Health   Organization   (WHO),    declarou   o

Mycobacterium tuberculosis como um patógeno emergente no mundo todo. De

acordo com esta organização, um indivíduo é infectado a cada segundo, e todo

ano, oito milhões de pessoas contraem a doença, sendo que, destes dois milhões

                                                                                     8
vão a óbito. A WHO prediz que entre 2000 e 2020, aproximadamente 1 bilhão de

pessoas será infectada pelo M. tuberculosis e que isto custará para a sociedade

35 milhões de vidas (Overbye & Barret 2005).

          Dados indicam que aproximadamente 1500 toneladas de antibióticos

são utilizadas por humanos anualmente, e muitas destas drogas são prescritas

inapropriadamente, como por exemplo, para tratamento de infecções virais. A

quantidade   é   ainda   maior   quando   são   levados   em   consideração   os

antimicrobianos usados nas rações para animais, que chegam ao patamar de

15000 toneladas (Furuya & Lowy 2006). Portanto, este é um ambiente rico para a

transferência genética horizontal de bactérias patogênicas e comensais não

patogênicas. Quando este fator está associado a enorme pressão seletiva sofrida

pelos microrganismos pela ampla utilização dos antimicrobianos como fatores de

crescimento para o animal, a resistência torna-se quase inevitável (McEwen

2002).

          Existem muitos problemas com as práticas de uso de antimicrobianos

na indústria de rações, incluindo a ampla utilização e longa duração para razões

não terapêuticas; a administração de antibióticos em massa, conhecida como

metafilaxia, para tratar um pequeno número de animais doentes; uso de

antibióticos das mesmas classes usadas para humanos e a falta de regulamentos

para o uso de antibióticos (Tabela 1). O uso de antibióticos em rações não é para

tratamento, nem profilaxia de infecção; pelo contrário, eles são utilizados para

promover o crescimento do animal. São administrados em doses subterapêuticas,




                                                                               9
por semanas ou até mesmo meses, provendo o ambiente ideal para a seleção de

 bactérias resistentes (McEwen 2002, Furuya & Lowy 2006).



 TABELA 1. Principais antibióticos utilizados nos Estados Unidos para o tratamento
 de animais e como fatores de crescimento.
 Finalidade                       Bovinos            Suínos             Aves               Peixes
 Tratamento de várias infecções   Amoxicilina        Amoxicilina        Eritromicina       Ormetoprim
                                  Cefapirina         Ampicillina        Fluoroquinolona    Sulfonamida
                                  Eritromicina       Clortetraciclina   Gentamicina        Oxitetraciclina
                                  Fluoroquinolona    Gentamicina        Neomicina
                                  Gentamicina        Lincomicina        Penicilina
                                  Novobiocina        Sulfametazona      Espectinomicina
                                  Penicilina         Tiamulina          Tetraciclinas
                                  Sulfonamidas       Tilosina           Tilosina
                                  Tilmicosina                           Virginiamicina
                                  Tilosina
 Fatores de crescimento           Bacitracina        Ac. Asanílico      Bambermicina
                                  Clortetraciclina   Bacitracina        Bacitracina
                                  Lasalocida         Bambermicina       Clortetraciclina
                                  Monensina          Clortetraciclina   Penicilina
                                  Oxitetraciclina    Eritromicina       Tilosina
                                                     Penicilina         Virginiamicina
                                                     Tiamulina
                                                     Tilosina
                                                     Virginiamicina
Fonte: McEwen 2002

              2.3 Antifúngicos

              Os fungos pertencem a um grande grupo, onde aproximadamente 300

 espécies são potencialmente patogênicas a seres humanos (Guarro et al. 1997).

 Mais de 30.000 doenças são clinicamente descritas, mas menos de dois terços

 possui tratamento (Knight et al. 2003). A descoberta dos antifúngicos data de

 1939, quando Oxford e colaboradores reportaram o isolamento da griseofulvina,

 por Penicillium griseofulvum. Após, sua estrutura foi elucidada por Grove e

 McGowan em 1947. Até os anos 70 foram descobertos os principais antifúngicos

 utilizados até hoje. A partir deste período, o progresso na descoberta de novos



                                                                                                         10
antifúngicos tem se dado de forma lenta. Uma das razões para isto, é que as

células mamíferas e fungos são eucariotos, então é natural que muitos agentes

demonstrem um elevado potencial tóxico para as células dos hospedeiros (Gupte

et al. 2002).

           As infecções fúngicas abrangem desde condições superficiais da derme

e unhas até as doenças sistêmicas. As infecções invasivas de alta gravidade são

causadas por Candida spp., Cryptococcus neoformans, Aspergillus spp., Fusarium

sp., Pneumocystis carinii e Histoplasma capsulatum (Vicente et al.     2003). A

aspergilose pulmonar invasiva é a maior causa de mortalidade entre pacientes

transplantados de medula óssea (Gupte et al. 2002).

           Até os anos 70 as infecções fúngicas eram consideradas tratáveis e a

demanda por novos antifúngicos era muito pequena (Vicente et al.       2003). O

aumento na incidência de micoses disseminadas deve-se ao advento das

quimioterapias agressivas contra o câncer, dos imunossupressores mais efetivos

para pacientes transplantados, do uso indiscriminado de antibióticos de amplo

espectro e do aumento do número de pacientes HIV positivos (Gupte et al. 2002).

           As cinco maiores classes de compostos antifúngicos que têm sido

utilizadas na clínica são os polienos, derivados azólicos, as alilaminas e

tiocarbamatos, as morfolinas e os análogos de nucleosídeos (Barrett 2002, Gupte

et al.   2002. Jiang et al.   2002, Vicente et al.   2003). Sendo assim, há uma

necessidade urgente para o desenvolvimento de novas drogas para o tratamento

das infecções fúngicas. A urgência vem das limitações terapêuticas das classes

de antifúngicos disponíveis, que demonstram toxicidade e espectro de ação

                                                                             11
limitado (Jiang et al. 2002). Além destes fatores podem ser citadas ainda a baixa

potência, baixa solubilidade, dosagens inconvenientes ou limitadas e a rápida

emergência de cepas resistentes (Odds 1993; Barrett 2002; Gupte et al. 2002).

          A   produção   de   antifúngicos   não   é   tão   infrequente   para   os

microrganismos. Resultados de triagens obtidos por Vicente et al.             2003,

mostraram que uma porcentagem significativa das linhagens isoladas era capaz

de produzir no mínimo um agente antifúngico. Entretanto, a principal questão

envolvendo estes resultados foi: Se os antifúngicos são tão comuns, por que é tão

complicado chegar a um novo medicamento? Primeiro muitas das atividades

observadas durante as triagens não representaram compostos químicos

diferentes; outras atividades observadas não foram potentes o suficiente ou não

mostraram um espectro de ação que pode atrair as indústrias farmacêuticas para

dedicar as pesquisas para a sua identificação.

          Muitos compostos produzidos foram simplesmente toxinas que também

afetam células de mamíferos. Finalmente, compostos com atividade promissora in

vitro foram inativos ou fracamente ativos quando testados em modelos animais.

Embora a disponibilidade de dados indique que o número de compostos com

atividade antifúngica presentes na natureza seja enorme, a avaliação destes em

testes clínicos não é fácil e o nível de pesquisas requeridas não deve ser

subestimada (Vicente et al. 2003).

          Entre os diferentes tipos de medicamentos existentes no mercado, os

agentes antifúngicos pertencem a um grupo muito pequeno. A necessidade de

agentes antifúngicos novos, seguros e mais efetivos é um dos maiores desafios da

                                                                                  12
indústria farmacêutica hoje, especialmente com o aumento das doenças

oportunísticas em pacientes imunocomprometidos (Gupte et al. 2002).

          2.4 Produtos sintetizados por microrganismos como fonte de

          novos antibióticos

          Grande número de antibióticos utilizados na prática médica é obtido a

partir de microrganismos, dos quais são metabólitos secundários. Estes são

definidos como compostos de baixo peso molecular que não são requeridos para

o crescimento em cultura, caracterizando-se pela grande diversidade de estrutura

química e variação de forma, transformação e concentração sob diferentes

condições ambientais, liberados para o meio ambiente. Estes compostos conferem

uma vantagem seletiva ao organismo produtor (Demain 1981, Tavares 1999,

Peláez 2005, Butler & Buss 2006).

          Muitos dos medicamentos utilizados para a terapia humana ou animal e

na agricultura são sintetizados a partir de fermentações de microrganismos, ou

derivados de modificações químicas destes produtos, criando novas gerações de

antibióticos. Foram obtidos após décadas de triagens envolvendo provavelmente

milhões de microrganismos, principalmente os do solo. Novos metabólitos

bioativos continuam a ser identificados de fontes microbianas, graças à ampla

variedade de cepas existentes. Nem todos os microrganismos são igualmente

capazes de produzir metabólitos secundários. Particularmente, a habilidade em

produzir metabólitos quimicamente diferentes, está associada aos actinomicetos,

mixobacterias, pseudomonas, cianobacterias e fungos filamentosos (Donadio et al.

2002, Barrett & Barrett, 2003, Peláez 2005).

                                                                             13
Dados obtidos por Peláez 2005, mostram que a porcentagem de

actinomicetos e fungos que produzem compostos com atividade antimicrobiana

em testes de difusão em ágar, variam de 30 a 80%, dependendo do nicho

ecológico ou grupos taxonômicos. Acredita-se que a produção de metabólitos

secundários por microrganismos desempenhe diversas funções no meio ambiente,

como a comunicação e proteção, assegurando a sua sobrevivência em condições

de estresse ambiental (Overbye & Barret, 2005).

          O sucesso na descoberta de antibióticos a partir de produtos naturais

sintetizados por microrganismos requer crescimento apropriado, em meios que

induzam a produção do metabólito desejado, que pode ser então extraído e

testado em triagens que utilizem métodos capazes de detectá-lo. Como não é

conhecida a totalidade das capacidades biossintéticas presentes em um único

microrganismo, como modulá-las e potencializá-las, as condições de cultivo dos

microrganismos para a produção de metabólitos com atividade antimicrobiana

devem ser estudadas cuidadosamente. Uma única cepa pode produzir diferentes

compostos de acordo com os parâmetros físico-químicos empregados para a sua

síntese. Sendo assim, uma das estratégias utilizadas nos programas industriais

para estas triagens, consiste em cultivar cada cepa sob múltiplas condições

(Cordell 2000, Peláez 2005).

          Um dos maiores problemas deste campo é a quantidade substancial de

trabalho manual requerido (Figura 1) (Peláez 2005). Uma das questões básicas

para o início de qualquer pesquisa sobre novos compostos antimicrobianos é a

seleção dos grupos de organismos que devem ser examinados para aumentar a

                                                                            14
probabilidade de sucesso. Para tanto, algumas ferramentas podem ser utilizadas,

como a taxonomia, a etnomedicina, e nichos ecológicos particulares (Cordell 2000,

Peláez 2005).

          Em adição ao sucesso histórico na descoberta de drogas, os produtos

naturais ainda são fontes de novas drogas comercialmente viáveis. Os

microrganismos podem sintetizar compostos químicos com um vasto número de

estruturas originais e potentes, sendo difícil ou mesmo impossível encontrá-los em

bases de dados combinatórias. Isto é particularmente importante quando existe a

procura por moléculas com alvos diferentes dos já conhecidos (Harvey 2000,

Donadio et al. 2002, Peláez 2005).

          Os produtos naturais ainda parecem ser as fontes mais promissoras de

futuros antibióticos. Os argumentos que suportam esta idéia são a diversidade

estrutural encontrada na natureza, o enorme campo de microrganismos ainda não

explorado e a probabilidade de ativar rotas metabólicas manipulando as condições

de cultivo (Peláez 2005). Além disso, avanços significativos nas tecnologias de

separação de compostos e elucidação estrutural têm facilitado o isolamento e

identificação dos produtos bioativos dos extratos obtidos a partir de fermentações

(Brizuela et al. 1998, Harvey 2000, Buss & Butler 2006).




                                                                               15
Meio Ambiente

                                        •   Isolamento

                     Cultivo em Laboratório

                                        •   Seleção
                                        •   Fermentação

                       Cultivos de produção

                                        •   Extração

                             Extratos

                                        •   Triagem

                         Primeiros Testes

                                        • Espectro de ação
                                        • Purificação
                                        • Elucidação
                                            t t l
                      Compostos puros Ativos

                                        •   Caracterização biológica
                                        •   Avaliação farmacológica
                                        •   Otimização da produção
                                        •   Avaliação da segurança
                                        •   Testes clínicos

                           Medicamento


FIGURA 1. Processo de desenvolvimento de antibióticos. Adaptado de Peláez
2005.



          Novas espécies, e inclusive gêneros têm sido descobertos a cada dia,

abrindo novas oportunidades. Os antibióticos conhecidos são produzidos por uma


                                                                           16
pequena     parte     da    diversidade,    e   não    se   sabe   quantas    espécies     de

microrganismos existem. Somente 6000 espécies bacterianas são conhecidas, e

estima-se que existam 1,5 milhões de espécies de fungos, onde a diversidade é

maior nas regiões tropicais e subtropicais, dos quais somente 70000 foram

identificados (Cordell 2000, Harvey 2000, Meijer 2000, Hawksworth 2001).

            Com tantos microrganismos com rotas metabólicas adaptadas a uma

ampla gama de ambientes, uma série de compostos não usuais são produzidos.

Assumindo que pouco se conhece sobre vários aspectos biológicos e da

diversidade no planeta, são necessários esforços contínuos para sistematizar a

biodiversidade, catalogar espécies e estabelecer bases de dados com

informações etnobotânicas e etnomédicas (Cordell 2000, Harvey 2000). Então, um

dos maiores desafios nos próximos 100 anos, é a conservação das florestas

atlântica   e   amazônica,       não    somente       razões   geológicas,    ecológicas    e

meteorológicas, mas pela diversidade química estocada nelas. A partir desta

perspectiva, há oportunidades significativas para o desenvolvimento econômico

dos países que abrigam estas florestas (Cordell 2000).

            2.5 Indústria farmacêutica e a pesquisa de novos antibióticos

            A pesquisa e descoberta de antibióticos, acompanhadas pelo seu

desenvolvimento clínico, vêm historicamente sendo conduzidas por companhias

farmacêuticas de grande porte. Embora os primeiros antibióticos tenham sido

primeiramente       identificados      em   laboratórios    acadêmicos       como    aqueles

descobertos     por        Alexander    Fleming    (penicilina)    e   Selman       Waksman




                                                                                           17
(estreptomicina), as indústrias foram responsáveis pela otimização da produção

em larga escala, formulação e testes clínicos.

          Após a comercialização com sucesso da penicilina depois da segunda

guerra mundial, diversas empresas de grande porte tornaram-se líderes no

desenvolvimento e manutenção das pesquisas sobre antibióticos por décadas.

(Barrett & Barrett 2003, Bush 2004). Durante o final dos anos 80 e 90, o foco das

pesquisas mudou para o desenvolvimento de medicamentos para doenças

crônicas (hipertensão, problemas no sistema nervoso central, asma, câncer,

diabetes, anticoagulantes, colesterol, dor, regulação hormonal) (Barrett & Barrett

2003).

          A respeito da resistência crescente entre isolados de importância clínica

de bactérias Gram-positivas e Gram-negativas, muitas indústrias farmacêuticas de

grande porte estão demonstrando desinteresse em relação a esta área de

produção, essencial para a saúde pública. Como as dificuldades para o

desenvolvimento    destes    medicamentos        foram   intensificadas   com   mais

regulamentos para a aprovação, a pesquisa e desenvolvimento de antibióticos

tornou-se menos atrativa. Nos últimos anos, a Aventis, Bristol-Myers Squibb, Eli

Lilly, Glaxo SmithKline, Proctor & Gamble, Roche e Wyeth diminuíram ou

eliminaram as pesquisas (Projan 2003, Thomson 2004, Barrett & Barrett 2004,

Powers 2004, Projan & Shlaes 2004, Payne & Tomasz 2004). Entretanto, algumas

empresas permaneceram no campo, incluindo a Johnson & Jonhson, Merck,

Novartis e Pfizer, bem como algumas empresas de biotecnologia, baseadas na

premissa de que patógenos resistentes continuarão a proliferar-se. Como a

                                                                                  18
necessidade clínica é ampla e urgente, oportunidades comerciais não deixarão de

existir. Para estas empresas, o sentimento de responsabilidade social é um fator

muito importante, o que contribui para a continuidade da pesquisa de antibióticos.

(Shlaes et al. 2004).

           Em 2002, 89 novos medicamentos alcançaram o mercado, mas

nenhum deles era antibiótico. Desde 1989, apenas sete novos antibacterianos

foram aprovados. Relatórios anuais das companhias líderes (Merck, Pfizer,

GlaxoSmithKline, Brystol-Myers Squibb, Aventis, Abbot, AstraZeneca, Lilly,

Hoffman-La-Roche, Jonhson&Jonhson e Novartis), listaram apenas quatro

antibióticos em 290 agentes (1, 38% dos produtos em desenvolvimento) (Projan

2003).

          O desenvolvimento de agentes antimicrobianos oferece atrações que

não são visíveis em outras áreas terapêuticas, pois a probabilidade de um

antibiótico entrar no mercado é maior do que outros medicamentos. A aprovação

destas drogas em relação a outras é mais rápida, e o custo é menor. Além disso,

os alvos destes agentes são claramente delineados, com testes in vitro bem

estabelecidos; modelos in vivo são definidos para várias infecções causadas por

microrganismos específicos, levando a uma alta probabilidade de sucesso (Bush

2004).

          Um dos fatores específicos mais importantes para o desenvolvimento

de antibióticos está ligado ao elevado conhecimento científico neste campo. De

nenhuma outra doença são conhecidos tão bem os agentes causadores e como

combatê-los. Com isto, é possível retirar candidatos inadequados antes dos testes

                                                                               19
clínicos. Então, a primeira vista, pode parecer que a necessidade por novos

antibióticos seja atrativa para a indústria farmacêutica, gerando um mercado de

aproximadamente 25-28 bilhões de dólares, mas a realidade é mais complexa. Os

compostos antimicrobianos geralmente são fracos competidores, comparando-se

a drogas destinadas a outras áreas terapêuticas, por diversas razões (Thomson

2004, Powers 2004).

          Ao determinar prioridades de pesquisa às empresas consideram a

necessidade clínica imediata, a população em potencial que pode ser tratada pelo

novo medicamento, como ele seria diferenciado na competição com outros

produtos, o preço em vários mercados (principalmente nos países desenvolvidos)

e o investimento necessário para promover a nova droga. Similar a outros

negócios, as indústrias farmacêuticas precisam assegurar a recuperação de seus

investimentos em pesquisa e desenvolvimento via venda de medicamentos

(Projan 2003, Thomson et al. 2004).

          Como a maioria dos antibióticos é usada em terapias de curta duração,

e as doenças geralmente são causadas por microrganismos suscetíveis, a sua

prescrição varia de uma única dose até 10 dias de tratamento. Por isso, alvejando

doenças crônicas, onde os pacientes fazem tratamentos por meses e até mesmo

anos, há um custo benefício maior para as indústrias e consequentemente para a

pesquisa de drogas em diversos níveis (Projan 2003, Powers 2004). Em adição

aos desafios para a otimização dos processos industriais, os requerimentos para

drogas seguras e efetivas tem aumentado muito, e a indústria farmacêutica arca

com os custos sobrecarregados para cada produto que entra no mercado.

                                                                              20
Como estes custos podem exceder 800 milhões por droga, a indústria

estabelece prioridades para as atividades de pesquisa e desenvolvimento,

favorecendo os produtos com maior potencial de retorno do investimento. Os

testes clínicos para produtos injetáveis são relativamente caros, especialmente

aqueles específicos para patógenos resistentes, com o emprego de ao menos

600-1000 pacientes com custos de 5000 dólares ou mais por paciente, e várias

indicações são necessárias para a viabilidade no mercado (Projan & Shlaes 2004).

          O mercado para antibióticos é dividido entre vendas para a comunidade

para a maioria das drogas orais e o mercado para hospitais, que é dominado por

agentes de uso parenteral. Os medicamentos considerados “blockbusters” são

aqueles que vendem mais de 500 milhões de dólares anualmente, sendo que o

mercado para a comunidade conta para quase 70% das vendas destes produtos.

Embora muitos pacientes sejam tratados com genéricos, mais de 80% das vendas

totais de antibacterianos representam produtos de marca registrada. Entretanto,

um amplo número de produtos importantes (aqueles cujas vendas ultrapassam

500 milhões de dólares para quase 2 bilhões em vendas anuais) logo perderá as

patentes de exclusividade nos principais mercados (Barrett & Barrett 2003, Powers

2004, Projan & Shlaes 2004, Shlaes et al. 2004).

          Como são exigidos muitos requerimentos pelas agências reguladoras

em relação às áreas de manufatura, segurança e eficácia no desenvolvimento do

produto, foi desenvolvida uma ferramenta estatística denominada “Net Present

Value” (NPV). Através dela são calculadas projeções de gastos e lucros de um

projeto particular de um produto comercial, levando em consideração o valor do

                                                                              21
investimento durante a sua execução. O NPV também está ajustado aos riscos

(rNPV), que são diferentes, de acordo com o alvo e tipo de composto.

          Os agentes antimicrobianos possuem risco relativamente baixo em

todos os estágios de desenvolvimento até a fase III de testes clínicos, se

comparados a projetos em outras áreas. Por exemplo, um candidato a

antidepressivo, entrando nas fases de testes clínicos, tem um rNPV de 720

milhões de dólares, comparado a um antimicrobiano injetável que possui como

alvo bactérias gram-positivas resistentes, que tem um rNPV de 100 milhões de

dólares. Como o retorno do investimento para o antibiótico é menor do que para o

antidepressivo há uma conseqüente desvantagem quando as companhias

estabelecem prioridades de pesquisa e desenvolvimento.

          Outras ferramentas financeiras incluem a determinação da taxa de

crescimento anual do mercado e a estimativa de picos de venda por ano. Algumas

empresas estabelecem um pico mínimo de 200 a 500 milhões, para determinar o

desenvolvimento de um determinado produto. Em geral, um antibiótico oral, que

será usado para o tratamento de infecções adquiridas na comunidade é mais

indicado a receber um status favorável do que um agente injetável para tratar

infecções causadas por enterococos resistentes a vancomicina. Entretanto, ambos

antibióticos receberiam uma prioridade baixa do que uma droga usada para o

tratamento de depressão. Estas análises de marketing são feitas sem qualquer

dado clínico que determine a eficácia do candidato. Elas são baseadas em dados

de venda de produtos similares. Como frequentemente o mercado reage de forma

diferente, este pré-marketing subjetivo pode levar a muitas disparidades entre

                                                                             22
análises e experiência, o que põe em xeque a validade dos processos para

estabelecer prioridades dentro da indústria (Powers 2004, Projan & Shlaes 2004,

Shlaes et al. 2004).

          Tendo em vista todas estas dificuldades para a obtenção de novos

compostos com atividade antimicrobiana, e o crescente isolamento de patógenos

que representam um risco a saúde pública, a efetivação de parcerias

governamentais e acadêmicas com as indústrias farmacêuticas e empresas de

biotecnologia, poderão prover melhores oportunidades para as pesquisas dentro

desta área. Outras medidas, como a redução dos custos, principalmente dos

testes da fase clínica III são de relevância neste aspecto.

          2.6 Fungos Filamentosos

          Constituem um grupo de organismos eucariotos e heterotróficos

(Putzke & Putzke 2004), delimitado com base em certas características peculiares,

que incluem aspectos morfológicos e fisiológicos (Loguercio-Leite 2006). Ocupam

diversos nichos ecológicos, sendo parasitas, saprofíticos ou simbiontes.

          2.7 Classe Basidiomycetes

          Os fungos deste grupo pertencem ao que há de mais evoluído entre os

seus representantes; incluem-se nele os cogumelos, fungos gelatinosos, carvões,

ferrugens, orelhas de pau e alguns leveduriformes (Smith 1972, Herrera & Ulloa

1997, Raven 2004). O número de espécies de basidiomicetos está estimado em

140000, no entanto menos de 10% é conhecido (Lindequist et al. 2005). Esta

classe compreende 22.300 espécies distribuídas em 3 classes, 41 ordens e 165

famílias (Raven 2004, Loguercio-Leite 2004). Os membros deste grupo têm papel

                                                                              23
preponderante na decomposição de substratos vegetais (Raven 2004). A maioria

das espécies forma uma frutificação macroscópica, com hifas modificadas que

originam pseudo-tecidos e diferem dos demais fungos por produzir esporos

chamados de basidiósporos formados nos ápices de prolongamentos chamados

esterigmas,    em   uma   estrutura   de   reprodução   especializada:   o   basídio

(Alexopoulos 1962, Putzke & Putzke 2004). O número de esporos por basídio é

quatro em regra, mas pode ser 2 ou 8 (Smith 1972). O tamanho das frutificações

deste grupo é muito variado, desde alguns milímetros até mais ou menos 50 cm;

as formas são muito heterogêneas e apresentam grande variedade de cores

(Guerrero e Homrich 1998).

          Em ambientes terrestres atuam principalmente como decompositores

de madeira, sendo que alguns podem decompor esterco e folhas. São conhecidos

alguns parasitas de espécies agrícolas importantes ou de árvores. Podem ainda

formar associações micorrízicas com espécies vegetais autóctones e alóctones ou

com algas, formando liquens (Loguercio-Leite 2004). Algumas espécies são

cultivadas comercialmente e outras são coletadas em áreas naturais e utilizadas

como alimento (Przybylowicz & Donogue 1990, Herrera & Ulloa 1997, Loguercio-

Leite 2004).

          O micélio consiste de hifas septadas, bem desenvolvidas que penetram

no substrato e absorvem nutrientes (Alexopoulos 1962). Individualmente, a hifa é

microscópica, mas pode ser visível quando é formada a massa micelial. A cor do

micélio é usualmente branca, podendo variar de amarelo ao alaranjado ou cores




                                                                                 24
mais escuras, inclusive marrom e preto (Alexopoulos 1962, Putzke & Putzke

2004).

          É freqüente que as hifas do micélio secundário formem estruturas

chamadas de grampos de conexão, fíbulas, ou ansas de anastomose. Estas

estruturas conectam células vizinhas de uma mesma hifa, formando uma ponte

sobre o septo. Como a hifa apresenta dois núcleos, um deles passa através do

doliporo, existente no centro do septo e o segundo que não consegue atravessar o

septo transversal durante a divisão celular, passa através do grampo de conexão

(Alexopoulos 1962, Herrera & Ulloa 1997, Putzke & Putzke 2004).

          O micélio originado a partir da germinação do basidiósporo é

denominado micélio primário. Pode ser multinucleado no início, havendo

diferenciação de septos transversais que dividem as células em uninucleadas

(Alexopoulos 1962, Smith 1972, Herrera & Ulloa 1997). O micélio secundário

origina-se a partir da anastomose de hifas monocarióticas compatíveis, sendo

composto por células dicarióticas. As anastomoses das hifas têm uma grande

importância funcional para o fungo. Para que ela ocorra, é necessário que haja

contato e adesão das hifas através das paredes, de maneira que entre uma e

outra ocorra uma reabsorção das paredes e uma fusão dos protoplastos.

          Estas anastomoses são de três tipos fundamentais: as vegetativas, que

favorecem o transporte e trocas de nutrientes entre as hifas, bem como a

transmissão de estímulos diversos; as sexuais, que permitem a reunião de

núcleos de hifas haplóides para formar as hifas diplóides, envolvendo os grampos

de conexão; as parasitárias, que fazem possível a comunicação do protoplasma

                                                                             25
do parasita com as células do hospedeiro. Somente o micélio dicariótico esta

competente a formar corpos de frutificação (Herrera & Ulloa 1997, Glass et al.

2004).

            A classe dos basidiomicetos é divida em duas subclasses, a dos

homobasidiomycetae e a dos heterobasidiomycetae, de acordo a estrutura do

basídio. Neste trabalho serão abordados somente basidiomicetos pertencentes à

subclasse homobasidiomycetae, grupo Hymenomycetes (possuem himênio

completamente exposto antes da maturação dos esporos) (Smith 1972, Raven

2004).

            2.8 Produtos bioativos sintetizados por Basidiomicetos

            Os basidiomicetos produzem uma ampla gama de produtos naturais,

desde componentes estruturais com atividade antitumoral e imunologicamente

ativos até agentes antimicrobianos, antifúngicos, antivirais, citostáticos, enzimas,

reguladores de crescimento e aromas (Breene 1990, Jong & Birmingham 1993,

Chang & Buswell 1996, Brizuela et al. 1998, Borchers et al. 1999, Wasser &

Weiss 1999, Kües & Liu 2000, Suay et al. 2000).

         Os polissacarídeos antitumorais produzidos por basidiomicetos têm

recebido uma atenção crescente, sendo reportada na literatura a obtenção de β-

glucanas solúveis em água e alcali, isolados a partir de fungos comestíveis ou

medicinais como Grifola frondosa, Polyporus confluens, Hericium erinaceum,

Lentinula edodes e Coriolus versicolor. A partir deste último foi isolado um

composto formado por proteínas e polissacarídeos solúvel em água com peso

molecular de aproximadamente 94kDa. Este composto é comercializado com o

                                                                                 26
nome de Krestin, sendo avaliado em pacientes com câncer de colo retal e para

tratamento combinado com quimioterapia, radioterapia e cirurgia em pacientes

com câncer gastrointestinal, cérvico-uterino, de mamas e pulmonar (Brizuela et al.

1998; Wasser 2002).

           No leste europeu, basidiomas da espécie Inonotus oblíquos tem sido

utilizados na medicina popular contra câncer, úlcera e gastrite desde o século 16

ou 17. Antitumorais foram isolados de diversos extratos deste basidiomiceto

(Lindequist et al. 2005). Deste mesmo fungo, foram isolados também compostos

capazes de inibir proteases do vírus HIV. A Velutina, uma proteína produzida pela

espécie Flammulina velutipes demonstrou inibir a transcriptase reversa do HIV-I; a

proteoglicana produzida por Trametes versicolor demonstrou atividade contra o

HIV-I e citomegalovírus; uma fração do extrato do fungo Grifola frondosa foi

testada em 35 pacientes HIV positivos, sendo que para 85% foi reportada melhora

a sintomas e doenças secundárias causadas pelo HIV. Para 20 destes pacientes

houve um aumento nas contagens de células CD4 de aproximadamente 1,8 vezes

(Lindequist et al. 2005, Fan et al. 2006).

           Extratos etanólicos dos fungos comestíveis H. marmoreus, F. velutipes,

Pholiota nameko e Pleurotus eryngii demonstraram efeitos antialérgicos

significativos em cobaias (Fan t al. 2006).

        Basidiomicetos precisam sintetizar antibacterianos e antifúngicos para a

sua própria sobrevivência no ambiente. Sendo assim, não é surpreendente que

compostos com estas atividades possam ser isolados a partir destes organismos

Porém, somente compostos produzidos por fungos microscópicos atingiram o

                                                                               27
mercado até agora (Lindequist et al. 2005). Os primeiros trabalhos empregando

basidiomicetos foram reportados por Florey em 1949 e foram realizados por

Anchel, Hervey e Wilkins em 1941, que examinaram extratos de basidiomas e

cultivos miceliais de mais de 2000 espécies de fungos, detectando diversas

atividades biológicas e levando ao isolamento da pleuromutilina (Figura 8) a partir

do basidiomiceto Pleurotus mutilus (Anke 1989; Brizuela et al. 1998; Rosa et al.

2003). Pertence a uma nova classe de antibióticos que exibe sua função inibindo a

síntese de proteínas bacteriana ao ligar-se a porção 50S do ribossomo bacteriano.

(Woodnutt et al. 2001; Butler & Buss 2006). Em julho de 2005, um derivado, a

retapamulina estava na fase III de testes clínicos como um antibiótico tópico e um

outro análogo na fase I de teste, como um antibiótico de uso oral. Embora não

haja derivados da pleuromutilina em uso na clinica humana, dois derivados semi-

sintéticos, tiamulina e valnemulina, são amplamente usados como antibióticos

para o tratamento de suínos (Butler & Buss 2006).

          Os principais metabólitos antimicrobianos isolados destes organismos

pertencem às classes de poliacetilenos e terpenóides.              Mais de 50 destes

compostos insaturados têm sido isolados a partir de espécies dos gêneros

Clitocybe, Coprinus, Cortinellus, Daedalea, Marasmius, Merulius, Pleurotus,

Polyporus, Poria entre outras.

          O    metabolismo       dos   basidiomicetos   é   rico     em   terpenóides,

especialmente sesquiterpenóides que apresentam atividade antimicrobiana

(Brizuela, 1998). Dentre estes podem ser citados um derivado do fulveno, o

leianafulveno, isolado a partir da espécie Mycena leaiana, que corresponde ao

                                                                                   28
pigmento    amarelo     alaranjado    predominante      no    fungo;    os    aldeídos

sesquiterpênicos marasmanos e lactaranos, do gênero Lactarius; o composto

merulidial, isolado de cultivos de Merulius tremellosus; a hipnofilina, o pleurotelol e

o ácido pleurotélico, a partir de fermentações de Pleurotellus hypnophilus; o

colibial, isolado de Collybia confluens, que inibe o crescimento de bactérias gram-

positivas; enokipodins A, B, C e D produzidos por Flamulinna velutipes que

apresentam atividade antimicrobiana sobre as bactérias Gram-positivas B. subtilis

e S. aureus e sobre o fungo Cladosporium herbarum; meleolido isolado de

Armillaria mellea; illudin isolada de Clytocybe illudens e Lampteromyces japonicus;

6-desoxiludina M isolada de Pleurotus japonicus; e velleral e isovelleral de

Lactarius vellereus, (Midland et al. 1982; Hara et al. 1987; Abate 1994; Brizuela

1998; Wasser & Weiss 1999, Ishikawa et al. 2000, 2001, 2001b).

      Além destes, os basidiomicetos são capazes de produzir diterpenos.

Exemplos incluem a cavipetina, um antifúngico isolado a partir de Boletinus

capines e a omfalona, um derivado de benzoquinona isolado de Lentinellus

omphalodes (Brizuela et al. 1998).

        Outros tipos de compostos antimicrobianos, incluindo compostos

fenólicos, aromáticos, purinas e pirimidinas tem sido descritos em Basidiomicetos,

assim como, fenóis e derivados de quinonas isolados de Agaricus bisporus que

demonstram atividade antibacteriana (Vogel et al. 1974, Brizuela et al. 1998).

           2.9 Ordem Agaricales

           Esta ordem é extensa e diversificada e inclui os cogumelos, inclusive a

maioria utilizada para cultivos comerciais (Herrera & Ulloa 1997, Raven 2004,

                                                                                    29
Putzke & Putzke 2004). Esta ordem pode ser considerada cosmopolita

(Alexopoulos 1962).

               Os basidiocarpos são anuais e não zonados concentricamente, com

diâmetro variando de 2mm até 50 cm ou um pouco mais, e peso de alguns gramas

até 8 Kg (Putzke & Putzke 2004). A consistência é carnosa, frequentemente

putrescentes, em forma de chapéu com estípite.                               As lamelas dispõem-se

radialmente no lado inferior do chapéu (Guerrero e Homrich 1996).

               A variação de cores das esporadas é muito grande, sendo as mais

freqüentes a branca e marrom a preta, mas pode-se obter esporadas amarelas,

laranjas, rosadas, verdes, entre outras (Putzke & Putzke 2004).

               2.9.1 Família Tricholomataceae

               Esta família inclui numerosas espécies saprófitas, parasitas e

micorrízicas com lamelas aderidas ao estípite, frequentemente decurrentes. A

esporada é branca na maioria dos casos, podendo ser amarela ou marrom.

Compreende espécies comestíveis e tóxicas (Herrera & Ulloa 1997, Arora 1986).

               2.9.1.1 Lentinula edodes (Berk.) Sing

               2.9.1.2 Posição taxonômica

Reino.............................................................Fungi

Divisão (Filo).................................................Basidiomycota

Classe...........................................................Basidiomycetes

Subclasse.....................................................Holobasidiomycetidae

Ordem...........................................................Agaricales

Família.........................................................Tricholomataceae

                                                                                                30
Gênero..........................................................Lentinula

Espécie.........................................................edodes

              2.9.1.3 Características morfológicas

              Píleo ou chapéu de 5-15 cm de diâmetro, carnoso, convexo a aplanado,

subumbonado ou deprimido; a cor da superfície varia de pardo a marrom escuro,

sendo mais escuro no centro, frequentemente muito pálido nas margens em

espécimes jovens, seco, liso, embora logo apresente escamas triangulares. As

lamelas        são      adnexas-adnatas,              esbranquiçadas,       4-7mm   de   largura,

moderadamente cheias, com lamelas de dois tamanhos, com a margem inteira ou

fracamente serrulada. Estipe central ou excêntrico, 3-7cm X 8-15mm, cilíndrico,

geralmente comprimido, sólido, superfície marrom claro, sempre mais clara do que

o píleo, fibrilosa, lisa e glabrosa acima (Figura 2). Contexto de 5-8 mm de

espessura, branco, carnoso. Esporada branca (Pegler 1983).




                                      FIGURA 2. Basidiocarpo de L.edodes.



              2.9.1.4 Biologia, ocorrência natural e cultivo




                                                                                              31
O L.edodes é um fungo decompositor de madeira capaz de utilizar

lignina, celulose e hemicelulose como fontes de carbono (Hibbett et al. 1995,

Chang & Buswell 1996). Ele forma corpos de frutificação em temperaturas na faixa

de 15ºC a 20ºC e umidade relativa acima de 80% (Przybylowicz & Donoghue

1990). É o segundo cogumelo mais cultivado no mundo e está distribuído

naturalmente no Japão, China, Coréia, Himalaias, Filipinas, Papua Nova Guiné e

no Norte da Tailândia (Shimomura et al. 1992; Maki et al. 2001). No Brasil, o seu

cultivo foi estabelecido através da utilização de toras ou serragem de Eucalyptus

spp. principalmente nas Regiões Sul e Sudeste, devido às condições climáticas

favoráveis (Ishikawa et al. 2003).

          2.9.1.5 Propriedades Terapêuticas

          O cogumelo shiitake contém proteínas, carboidratos, vitaminas e

minerais, sendo considerado uma ótima fonte de fibras (Breene 1990). Ao

trabalhar com L. edodes, vários pesquisadores descobriram que esta espécie

produz um elevado número de metabólitos secundários, os quais apresentam

atividades antitumoral, antiviral, anti-inflamatória, antitrombótica, citostática e

hipoglicêmica (Breene 1990, Jong & Birmingham 1993, Chang & Buswell 1996,

Brizuela et al. 1998, Borchers et al. 1999, Wasser & Weis 1999, Kües & Liu 2000,

Suay et al. 2000).

              A lentinana é um polissacarídeo produzido por este basidiomiceto

que apresenta atividade antitumoral e previne a oncogênese química e viral. Este

composto não apresenta efeitos tóxicos sobre as células tumorais, mas estimula o

sistema imunológico do hospedeiro. A β-D-glucana liga-se a superfície do linfócito

                                                                                32
ou em proteínas séricas específicas que ativam macrófagos, linfócitos “T-helper”,

células NK (Natural Killers) e outros efetores celulares. Em comparação com

outros agentes quimioterápicos, a lentinana apresenta poucas reações adversas e

baixa toxidade para as células do paciente (Wasser & Weis 1999). Está em uso

clínico, especialmente no Japão e na China, como adjuvante no tratamento de

tumores por quimioterapia e radioterapia.

               Foram reportadas na literatura atividade anti-HIV do meio de cultivo de

L. edodes (Lindequist et al. 2005). Estas atividades foram vinculadas à lentinana

e lentinana sulfatada, que inibem a replicação viral e a fusão celular (Wasser &

Weis 1999). Extratos etanólicos de L. edodes possuem atividade contra o

protozoário Paramecium caudatum (Lindequist et al.                             2005). O poliacetileno

lentinamicina (octa-2,3-dien-5,7-diin-1-ol), foi identificado como o principal

composto antimicrobiano produzido pelo micélio de L. edodes, atuando como

antibiótico para bactérias patogênicas ao homem (Komemushi et al.                              1996,

Hirasawa et al. 1999, Shouji et al. 1999, Ishikawa et al. 2001b).

               2.9.1.6 Lentinus crinitus (L.:Fr) Fr

               2.9.1.6.1 Posição taxonômica

Reino.............................................................Fungi

Divisão (Filo).................................................Basidiomycota

Classe...........................................................Basidiomycetes

Subclasse.....................................................Holobasidiomycetidaea

Ordem...........................................................Agaricales

Família..........................................................Tricholomataceae

                                                                                                  33
Gênero..........................................................Lentinus

Espécie.........................................................crinitus

               2.9.1.6.2 Características morfológicas

               Píleo ou chapéu com 2-5cm de diâmetro, frutificações castanhas,

deprimidos no centro. Superfície com feixes de pelos de 1mm de comprimento

(Guerrero & Homrich 1996) (Figura 3).




                                      FIGURA 3. Basidiocarpo de L. crinitus.

               2.9.1.6.3 Ocorrência natural, hábitat e considerações sobre a sua

               utilização

               Estudos de etnomicologia apontam este cogumelo como comestível

por algumas tribos indígenas, somente após cozimento na brasa, pois, segundo

relatos indígenas ele provoca vômitos se ingerido cru (Fidalgo 1965; Fidalgo &

Hirata 1979).

               2.9.1.6.4 Propriedades Terapêuticas

               Para esta espécie é citada na literatura a atividade antimicrobiana,

dada por quatro compostos sesquiterpênicos. (Figura 4) (Abate & Abraham 1994).




                                                                                34
FIGURA 4. Estrutura química dos compostos sesquiterpênicos produzidos por L.
crinitus. Fonte: Abate & Abraham 1994.


          2.10 Ordem Aphylophoralles

          Agrupa os basidiomicetos com himenóforo liso, na forma de clavas ou

coral, denteado, tubular, favolóide ou poróide.

            Produzem um grande número de basidiocarpos diferentes, que variam

desde tamanhos incospícuos até diâmetros com mais de 40 cm (Putzke & Putzke

2004). Suas frutificações possuem consistência desde coriácea flexível até

lenhosa dura. Sua morfologia inclui desde crostas aderidas ao substrato –

ressupinadas - ou efusoreflexos, com uma parte da borda separada, lateralmente

aderidos, formando semi-esferas (Guerrero & Homrich, 1999, Putzke & Putzke

2004).

          As espécies com himenóforo poróide ou alveolar-favolóide se

diferenciam pela consistência coriácea e dura e pela zonação concêntrica da

superfície do píleo. O desenvolvimento das espécies desta ordem é dito

gimnocárpico, onde o himênio está exposto desde o primórdio, quando os esporos

nem estão diferenciados ainda (Putzke & Putzke 2004). Possui grande importância

econômica    porque    compreende     espécies    saprofíticas   e   fitopatogênicas,

comestíveis e tóxicas; muitas são lignícolas causando podridão da madeira –


                                                                                  35
quando degradam a lignina e celulose é chamada podridão branca; quando

somente a celulose é degrada chama-se podridão marrom (Herrera & Ulloa 1997).

               2.10.1 Família Ganodermataceae

               Possuem basidiocarpos sésseis ou estipetados, aplanados com

himenóforo poróide; apresentam a superfície superior coberta por uma crosta

resinosa, semelhante ao verniz e têm consistência coriácea. Possuem esporos

elipsóides, pigmentados e ornamentados. Engloba 5 gêneros com 81 espécies

lignolícolas. Amuroderma apresenta cerca de 20 espécies tropicais (Herrera &

Ulloa 1997, Putzke & Putzke 2004).

               2.10.2 Amauroderma sp.

               2.10.2.1 Posição taxonômica

Reino...........................................................Fungi

Divisão (Filo)...............................................Basidiomycota

Classe.........................................................Basidiomycetes

Subclasse...................................................Holobasidiomycetidae

Ordem......................................................... Aphylophoralles

Família........................................................Ganodermataceae

Gênero........................................................Amauroderma

Espécie.......................................................sp.

               2.10.2.2 Características morfológicas

               Píleo com aproximadamente 30mm de diâmetro, amarronzado,

concentricamente zonado, lado inferior com poros circulares acinzentados. Estipe




                                                                                   36
marrom opaco, rígido, duas vezes o diâmetro do chapéu, sem contar a parte

enterrada no solo (Figura 5) (Guerrero e Homrich 1996).




                       FIGURA 5. Basidiocarpo de Amauroderma sp.

          2.10.2.3 Ocorrência natural, hábitat e considerações sobre a sua

          utilização

          São fungos saprofíticos, que podem se desenvolver em raízes ou

madeira enterrada, encontrados em regiões tropicais e subtropicais (Herrera &

Ulloa 1997). Foi reportado como comestível por uma tribo da Amazônia

venezuelana (Zent et al. 2001).

          2.10.2.4 Propriedades Terapêuticas

          Para este gênero não foi encontrada literatura referente às suas

propriedades medicinais. Sendo assim, esta revisão focou-se no gênero

Ganoderma, pertencente à mesma família. Este basidiomiceto tem sido utilizado

na medicina chinesa e em países asiáticos para o tratamento de enxaqueca,

hipertensão, artrite, diabetes, hipercolesteromia, nefrite, dismenorréia, lupus,

hepatite e problemas cardiovasculares (Eo et al. 1999).

                                                                             37
Um estudo demonstra que a espécie Ganoderma lucidum induz a

apoptose, inibe a proliferação celular, e suprime a migração celular de células PC-

3 em cânceres de próstata invasivos. As frações aquosas de baixo peso molecular

demonstraram forte inibição da replicação viral do HIV-I. Triterpenos isolados de

G. lucidum suprimem o crescimento e proliferação de células cancerosas,

enquanto os polissacarídeos estimulam o sistema imune. Dois terpenos, o ácido

lucidênico e a lactona lucidência inibem a transcriptase reversa do HIV-I (Paterson

2006).

          O    sesquiterpeno   ganomicina     produzido   por   G.pfeifferi   inibe   o

crescimento do S. aureus resistente a meticilina, entre outros. Esteróis isolados de

outra espécie, G. applanatum mostraram fraca atividade contra bactérias gram-

positivas e negativas. Ganodermadiol, lucidadiol e ácido aplanoxídico , isolados de

algumas espécies do gênero, possuem atividade In vitro contra o vírus Influenza

do tipo A (Lindequist et al. 2005; Fan et al. 2006).

          2.11. Família Polyporaceae

          Os membros desta família possuem basidiocarpos muito variáveis em

forma, cor e consistência; anuais ou perenes; himenóforo poróide. Chegam a viver

durante muitos anos, até mesmo por décadas, formando uma capa de poros a

cada ano, de forma que o himenóforo seja estratificado. O tamanho dos poros

varia de muito pequenos a grandes (com mais de 1 mm de diâmetro), podem ser

circulares, quadrangulares ou poligonais. Engloba 18 gêneros com mais de 98

espécies (Herrera & Ulloa 1997, Putzke & Putzke 2004).

          2.11.1 Pycnoporus sanguineus (Fr.) Murr.

                                                                                      38
2.11.1.1 Posição taxonômica

Reino.................................................................Fungi

Divisão (Filo).................................................... Basidiomycota

Classe...............................................................Basidiomycetes

Subclasse.........................................................Holobasidiomycetidade

Ordem.............................................................. Aphylophoralles

Família..............................................................Poliporaceae

Gênero..............................................................Pycnoporus

Espécie.............................................................sanguineus

               2.11.1.2 Características morfológicas

Esta espécie apresenta basidiocarpo anual, com píleo imbricado ou solitário. A

superfície do píleo é lisa e levemente velutinosa, de coloração laranja-

avermelhada com dimensões que variam de 2,0x7,0 x 1,5-4,5 (Figura 6).

Esporada alaranjada (Smania 1998).




                                   FIGURA 6. Basidiocarpos de P. sanguineus.




                                                                                          39
2.11.1.3 Ocorrência natural, hábitat e considerações gerais sobre a

          sua utilização

          Esta espécie desenvolve-se em locais perturbados, sobre troncos

caídos ou queimados (Herrera & Ulloa 1997). Possui ocorrência pantropical, sendo

a única espécie do gênero citada para o Brasil (Smania 1998). É utilizado pelos

índios caiabis para evitar pesadelos, onde o fungo é encharcado e passado na

testa (Fidalgo & Hirata 1979). Também é usado contra a hemoptise (Fidalgo

1965). No México é utilizado pelos Totonacos como antiinflamatório e contra

verrugas e na África mulheres indígenas o utilizam para curar problemas

decorrentes da menopausa e enfermidades do útero (Smania 1998).

          2.11.1.4 Propriedades Terapêuticas

          É reportado na literatura que este basidiomiceto produz um composto

antimicrobiano, denominado cinabarina (Figura 7). Este mesmo composto

demonstrou atividade antiviral contra o vírus da raiva (Smania 1995a e 2003).




             FIGURA 7. Estrutura química da cinabarina. Fonte: Smania 2003.




                                                                                40
3. MATERIAL E MÉTODOS

          3.1 Coleta e isolamento

          Os basidiomicetos Amauroderma sp., L. crinitus e P. sanguineus foram

coletados em floresta ombrófila mista no estado do Paraná, e o L. edodes,

adquirido no Mercado Municipal de Curitiba, PR. Para cada espécie foram

coletados dois exemplares, um para isolamento do micélio em meio de cultura, e

outro, com as características da espécie bem definidas, para confecção de

exsicatas. A classificação foi feita com o auxílio de chaves taxonômicas (Guzmán

1973, Guerrero & Homrich 1996).

          Para o isolamento do micélio, foi utilizado o meio ágar batata dextrose

(ABD, Difco). A partir de um basidiocarpo retirou-se fragmentos de tecido com

pinça e bisturi estéreis. Estes foram colocados na superfície do meio, em placas

de Petri e incubados a 25°C durante período necessário para o desenvolvimento.

          3.2 Avaliação do desenvolvimento micelial

          O desenvolvimento micelial dos basidiomicetos foi avaliado nos meios

de cultivo ABD, AEM, Agar extrato de malte peptona (AEMP) - 30g de extrato de




                                                                              41
malte (Difco) e 3g de peptona de soja (Merck) - e Ágar Saboraud Dextrose 4%

(ASD, Difco). Discos com sete milímetros de diâmetro contendo os respectivos

micélios foram cortados e utilizados como inóculo dos experimentos. O diâmetro

da colônia micelial foi mensurado diariamente com escalímetro até atingir as

bordas da placa e o tempo de crescimento de cada espécie foi determinado

através da média de cinco repetições. Neste trabalho, além do tempo de

desenvolvimento do micélio, foi estimado o índice de velocidade de crescimento

micelial (IVMC). Para tanto, foi utilizada a fórmula de Maguire (1962), adaptada

por Oliveira (1991): IVMC= ∑ (D-Da) / N, onde:

          D = diâmetro atual da colônia

          Da = diâmetro da colônia no dia anterior

          N = número de dias após a inoculação

Para os parâmetros D e Da, foi utilizada a média aritmética obtida a partir da

medida do diâmetro da colônia micelial.

      As médias obtidas da mensuração direta e do IVCM foram comparadas

pelo teste de Tukey ao nível de 5% de significância.

          3.3 Descrição morfológica das colônias fúngicas

          Os caracteres observados foram a forma da colônia, o aspecto, a

consistência, o desenvolvimento e a cor. Os micélios descritos foram cultivados

nos mesmos meios do item 3.2

          3.4 Cultivo micelial em meio líquido

           Após o tempo de cultivo em meio sólido, cinco discos miceliais de sete

mm de diâmetro foram cortados e inoculados frascos Erlernmeyer de 300 ml,

                                                                              42
contendo 100 ml de caldo extrato de malte (CEM), caldo extrato de malte peptona

(CEMP), caldo batata dextrose (CBD), meio farinha de milho sacarose (FMS) –

50g de farinha de milho, 80g de sacarose e 1g de extrato de levedura (Suay et al.

2000) e caldo saboraud dextrose 4% (CSB). Estes foram incubados a 25°C por 7,

14, 21, 28, 35 e 42 dias.

           3.5 Determinação da massa seca do micélio

           Após filtração, os micélios foram desidratados em estufa a 110ºC

durante 12 horas e suas biomassas determinadas em balança analítica.

           3.6 Quantificação de proteínas e açúcares totais

           A quantidade de proteínas e açúcares totais nos meios de cultivo antes

do inóculo e após os períodos de incubação foi determinada pelos métodos de

Bradford (1976) e Dubois (1956), respectivamente.

           3.7 Extração de metabólitos com solventes orgânicos

           Após o período de cultivo a fração líquida da cultura foi separada do

micélio por filtração. Os metabólitos presentes em 100 mL de filtrado foram

extraídos com acetato de etila (Nuclear), por três vezes, na proporção de 2:1.

Após a extração foi adicionado 75 ml de uma solução saturada de NaCl e

adicionado sulfato de magnésio anidro à porção orgânica para a retirada de

resíduos aquosos, sendo depois separado por filtração. O solvente utilizado foi

retirado em evaporador rotativo até aproximadamente o volume de 1 ml em

temperaturas abaixo de 50ºC. Ao concentrado foi adicionado acetato de etila até




                                                                              43
completar um volume final de 3 ml. Os extratos brutos obtidos foram mantidos em

temperatura ambiente.

          3.8 Detecção da atividade antimicrobiana pelo método de difusão

          em ágar

          A atividade antimicrobiana foi avaliada utilizando Staphylococcus

aureus ATCC 25923, Escherichia coli ATCC 25922 e Candida albicans ATCC

90028 como microrganismos alvo.

          As bactérias foram repicadas para cinco ml de caldo infusão cérebro

coração (BHI, Difco), em estufa a 36± 1°C e as leveduras em tubos contendo Ágar

Saboraud Dextrose (ASD), durante o mesmo período e temperatura. Após 24 h de

incubação as culturas foram utilizadas no preparo de suspensões celulares com

concentrações ajustadas à escala 0,5 de McFarland, empregando solução salina

estéril. A inoculação das bactérias foi realizada em Ágar Mueller Hinton (AMH,

Difco) e das leveduras em ASD com o auxílio de um suabe estéril, de acordo com

o protocolo do National Comittee for Clinical Laboratory Standards, 2000.

          Cilindros de aço inoxidável esterilizados foram colocados sobre os

meios AMH ou ASD e preenchidos com 0,2 ml do extrato bruto. O material foi

mantido à temperatura de 4°C durante oito horas, para permitir a difusão dos

metabólitos no meio de cultura antes do crescimento dos microrganismos alvo

(Spelhaug e Harlander 1989). Após este período as placas foram colocadas em

estufa a 37°C, onde permaneceram por 18 a 24 h. A atividade antimicrobiana foi

determinada pela medida do diâmetro da zona de inibição.



                                                                            44
3.9 Separação dos metabólitos antimicrobianos por cromatografia

           em camada delgada (CCD)

           Os micélios das espécies de basidiomicetos que apresentaram

atividade antimicrobiana foram cultivados em maior escala (500 ml) para extração

dos compostos antimicrobianos. Estes foram separados por cromatografia em

camada delgada (CCD) em cromatofolhas (Machery-Nagel, GUV 254) utilizando o

sistema de solventes orgânicos definido para cada extrato. Para as cromatografias

foram utilizados 10µl de cada extrato.

           Para os extratos obtidos a partir do cultivo de L. edodes foram

experimentados os seguintes sistemas de solvente: clorofórmio, acetona, acetato

de etila e metanol, na proporção de 40:5:5:2 (Ishikawa et al. 2001) e clorofórmio e

acetona, na proporção de 96:4 (Tokimoto 1987). Para os extratos obtidos a partir

dos cultivos em CEM, CEMP de Amauroderma sp. foram testados os seguintes

solventes: acetato de etila:metanol:água 100:13,5:10; clorofórmio:etanol:água

80:40:5;   diclorometano:etanol:água 80:40:5;    diclorometano:clorofórmio:etanol:

água 22:8:6:1. Para os extratos obtidos a partir dos cultivos em CBD de

Amauroderma sp. foram utilizados os sistemas: diclorometano:clorofórmio:etanol:

água 22:8:6:1; acetona:acetato de etila 3:1; hexano:acetona 70:30; hexano:

acetato de etila 70:30 e hexano:acetona:diclorometano 50:30:15.

           As bandas foram visualizadas sob luz ultravioleta nos comprimentos de

onda de 254nm e 365 nm sendo após reveladas com anisaldeído sulfúrico. As

cromatografias foram fotografadas e arquivados em meio eletrônico.




                                                                                45
3.10 Ensaio qualitativo para determinação da posição dos

antimicrobianos nas placas de CCD

           Os microrganismos alvo utilizados neste ensaio estão listados na tabela

2. Neste teste, as bandas presentes nas cromatofolhas foram marcadas e estas

colocadas em uma placa de Petri sobre uma camada de ágar-ágar (Vetec). A

seguir os meios AMH ou ASD, foram vertidos sobre as mesmas após atingirem

uma temperatura de aproximadamente           40ºC.    Os   microrganismos   foram

inoculados de acordo com o item 3.5, as placas incubadas a 4ºC durante 4h para

a difusão do antimicrobiano e após foram incubadas a 37ºC durante 18h a 24h.

Então foi calculado o Rf da banda que apresentou atividade antimicrobiana pela

fórmula:

           Rf = D produto
                D solvente

           Onde D = distância percorrida



           Tabela 2. Microrganismos utilizados nos ensaios qualitativos para

determinação da posição dos antimicrobianos nas placas de CCD


Microrganismo                                        Código da linhagem
Bactérias Gram positivas
Bacillus cereus                                      ATCC 11778
B. stearotermophilus                                 ATCC 7953
B. subtilis                                          ATCC 6633
Enterococcus faecalis                                ATCC 19433
Staphylococcus aureus                                ATCC 25923
S aureus resistente à Meticilina                     ATCC 22323
S. epidermidis                                       ATCC 12228
S. saprophyticus                                     Clínica


                                                                               46
Streptococcus mutans       CCT 3440
S. pyogenes                ATCC19615
Bactérias Gram negativas
Enterobacter aerogenes     ATCC 13048
Escherichia coli           ATCC 25922
Klebsiella pneumoniae      ATCC 10031
Pseudomonas aeruginosa     ATCC 27853
Proteus mirabilis          ATCC 25933
Salmonella Typhimurium     ATCC 14028
Leveduras
Candida albicans           ATCC 90028
C. glabrata                CBS 2001
C. guilliermondii          CBS 566
C. tropicalis              CBS 94
Saccharomyces cerevisae    ATCC 1904




                                        47
4. RESULTADOS E DISCUSSÃO

           4.1 Desenvolvimento do micélio em diferentes meios de cultivo

                 4.1.1 Lentinula edodes

           O micélio do basidiomiceto L. edodes não demonstrou diferenças em

relação ao tempo de desenvolvimento nos meios ABD, AEM e AEMP,

necessitando de 12 dias para atingir a borda das placas de Petri de 90 mm.

Entretanto para o meio ASD foi constatado um período de 18 dias para que fosse

observado o mesmo diâmetro da colônia fúngica (Figura 8). De acordo com o

teste de Tukey, o valor de p para o meio ASD foi <0,001, sendo considerado

significativo.




                                                                           48
100
       Diâmetro da colônia (mm)   90
                                  80
                                  70
                                                                                              ABD
                                  60
                                                                                              AEM
                                  50
                                                                                              AEMP
                                  40
                                                                                              ASD
                                  30
                                  20
                                  10
                                   0
                                        0          5           10           15           20
                                            Tempo de desenvolvimento do micélio (dias)



FIGURA 8. Tempo de desenvolvimento do micélio de L. edodes nos meios de
cultivo ABD, AEM, AEMP e ASD, em placas de Petri (90mm). Média de cinco
repetições.


                                  O IVCM obtido foi de 6,12 em ABD, 6,65 em AEM, 6,91 em AEMP e

4,39 em ASD. Segundo o teste de Tukey, a diferença entre o meio ASD e os

outros três foi significativa (tabela 3).

Tabela 3. Comparação entre os IVCM de L. edodes em quatro meios de cultivo
pelo teste de Tukey ao nível de 5% de significância.
Comparação                     Significância         Valores de p
ABD vs CEM                     Não significativo     p>0,05
ABD vs CEMP                    Não significativo     p>0,05
ABD vs ASD                     Significativo         p<0,001
CEM vs CEMP                    Não significativo     p>0,05
CEM vs ASD                     Significativo         p<0,001
CEMP vs ASD                    Significativo         p<0,001




                                                                                                     49
4.1.2 Lentinus crinitus

                                  O tempo de desenvolvimento do micélio deste basidiomiceto foi o

mesmo para os meios de cultivo ABD, AEM e AEMP (7 dias). Em ASD a colônia

fúngica levou dois dias a mais (9 dias) para atingir a borda das placas de Petri de

90mm (Figura 9). Conforme o teste de Tukey o valor de p calculado para o meio

ASD foi < 0,001, sendo considerado significativo. Para esta espécie o IVCM em

ABD, AEM e AEMP foi de 11,86 e em ASD foi de 8,13. Segundo o teste de Tukey,

a diferença entre o meio ASD e os outros três foi significativa (tabela 3).




                                  100
                                   90
       Diâmetro da colônia (mm)




                                   80
                                   70
                                                                                              ABD
                                   60
                                                                                              AEM
                                   50
                                                                                              AEMP
                                   40
                                                                                              ASD
                                   30
                                   20
                                   10
                                    0
                                        0                       5                        10
                                            Tempo de desenvolvimento do micélio (dias)



FIGURA 9. Tempo de desenvolvimento do micélio de L. crinitus nos meios de
cultivo ABD, AEM, AEMP e ASD, em placas de Petri (90mm). Média de cinco
repetições.




                                                                                                     50
Tabela 4. Comparação entre os IVCM de L. crinitus em quatro meios de cultivo
pelo teste de Tukey ao nível de 5% de significância.
Comparação                     Significância         Valores de p
ABD vs CEM                     Não significativo     p>0,05
ABD vs CEMP                    Não significativo     p>0,05
ABD vs ASD                     Significativo         p<0,001
CEM vs CEMP                    Não significativo     p>0,05
CEM vs ASD                     Significativo         p<0,001
CEMP vs ASD                    Significativo         p<0,001

           4.1.3 Amauroderma sp.

           Apresentou desenvolvimento micelial semelhante nos meios ABD e

AEM alcançando a borda das placas de Petri em 10 dias. Em meio AEMP, o

diâmetro da colônia atingiu 90mm no 9º dia e em ASD, somente no 14º dia (Figura

10). Segundo o teste de Tukey, os valores de p para os meios ASD e CEMP foram

< 0,001, sendo considerados significativos. Para este basidiomiceto, o IVCM em

ABD e AEM foi de 8,30, em AEMP foi de 9,22 e em ASD foi de 5,93. Segundo o

teste de Tukey, as diferenças entre os meios ASD e CEMP e os outros dois foram

significativas (tabela 5).




                                                                            51
90
    Diâmetro da colônia (mm)   80

                               70
                               60
                                                                                               ABD
                               50                                                              AEM
                               40                                                              AEMP
                                                                                               ASD
                               30

                               20
                               10
                               0
                                    0                 5                    10             15
                                             Tempo de desenvolvimento do micélio (dias)



FIGURA 10.Tempo de desenvolvimento do micélio de Amauroderma sp., nos
meios de cultivo ABD, AEM, AEMP e ASD, em placas de Petri (90mm). Média de
cinco repetições.




Tabela 5. Comparação entre os IVCM de Amauroderma sp. em quatro meios de
cultivo pelo teste de Tukey ao nível de 5% de significância.
Comparação                     Significância             Valores de p
ABD vs CEM                     Não significativo         p>0,05
ABD vs CEMP                    Pouco significativo       p<0,05
ABD vs ASD                     Significativo             p<0,001
CEM vs CEMP                    Pouco significativo       p<0,05
CEM vs ASD                     Significativo             p<0,001
CEMP vs ASD                    significativo             p<0,001


                                    4.1.4 Pycnoporus sanguineus

                                O desenvolvimento micelial deste basidiomiceto foi semelhante em

ABD, AEM e AEMP. Nestes meios, o micélio demorou sete dias para chegar à

borda das placas de Petri; em ASD a colônia atingiu 90mm de diâmetro no 8º dia


                                                                                                      52
de incubação (Figura 11). Segundo o teste de Tukey, o valor de p para o meio

ASD foi < 0,001, sendo considerado significativo. O IVCM em ABD, AEM e AEMP

foi de 11,86 e em ASD foi de 10,37. Segundo o teste de Tukey, a diferença entre o

meio ASD e os outros três foi significativa (tabela 6).




                                        100
                                         90
             Diãmetro da colônia (mm)




                                        80
                                        70                                                          ABD
                                        60                                                          AEM
                                        50                                                          AEMP
                                        40                                                          ASD

                                        30
                                        20
                                        10
                                         0
                                              0        2         4         6        8          10
                                                  Tempo de desenvolvimento de micelio (dias)


FIGURA 11. Tempo de desenvolvimento do micélio de P. sanguineus, nos meios
de cultivo ABD, AEM, AEMP e ASD, em placas de Petri (90mm). Média de 5
repetições.


Tabela 6 – Comparação entre os IVCM de Pycnoporus sanguineus em quatro
meios de cultivo pelo teste de Tukey em nível de 5% de significância.
Comparação                     Significância           Valores de p
ABD vs CEM                     Não significativo       p>0,05
ABD vs CEMP                    Não significativo       p>0,05
ABD vs ASD                     Significativo           p<0,001
CEM vs CEMP                    Não significativo       p<0,05
CEM vs ASD                     Significativo           p<0,001
CEMP vs ASD                    Significativo           p<0,001



                                                                                                           53
Todos os Basidiomicetos avaliados demonstraram menor velocidade de

desenvolvimento em meio ASD. Montini et al. (2006), relataram que L. edodes

possui crescimento mais lento em meios de cultivo mais enriquecidos, porém

apresenta micélio mais espesso (maior vigor). Este fato foi visualizado para todas

as espécies estudadas neste trabalho.

          Os estudos referentes ao tempo de desenvolvimento micelial em

diferentes meios de cultivo são essenciais para o sucesso dos isolamentos. Em

conseqüência, o meio ideal é aquele no qual o desenvolvimento micelial ocorre

com maior rapidez. Estas avaliações também são necessárias para a

programação de repicagens ao longo do período de utilização contínua dos

fungos.

          4.2 Descrição das colônias miceliais

          A maior parte das características observadas nos micélios possui

grande importância para a taxonomia dos fungos. Embora algumas sejam muito

estáveis, a maioria varia de acordo com as condições de cultivo, como

temperatura, umidade, aeração, fatores nutritivos e pH. Portanto, para cultivos em

laboratórios deve-se levar em consideração todos estes parâmetros (Herrera &

Ulloa 1997).

               4.2.1 Lentinula edodes

               Este basidiomiceto apresentou variações somente na característica

desenvolvimento. O micélio possui forma definida (circular), aspecto algodonoso,

consistência branda e cor branca. Quanto ao desenvolvimento de diferentes meios




                                                                               54
de cultivo, foi classificado como vigoroso em ASD e AEMP e regular em ABD e

AEM (Figura 12).




FIGURA 12. Micélio de L. edodes em quatro meios de cultivo distintos. A – ABD,
B – AEM, C – AEMP e D – ASD. Incubação durante 25 dias.


          4.2.3 Lentinus crinitus

          Esta espécie demonstrou desenvolvimento micelial circular, aspecto

aveludado no início do crescimento em todos os meios de cultivo, tornando-se

lenhoso em ABD, AEM e AEMP, até o vigésimo dia de incubação.               Possui

consistência branda, no início do desenvolvimento, passando a coriácea e por final

lenhosa. A cor varia de branco nas porções de aspecto aveludado à marrom nas

partes de consistência lenhosa. Seu desenvolvimento foi classificado como

vigoroso em todos os meios utilizados (Figura 13).




                                                                               55
FIGURA 13. Micélio de L.crinitus em quatro meios de cultivo distintos. A – ABD,
B – AEM, C – AEMP e D – ASD. Incubação durante 20 dias.


          4.2.4 Amauroderma sp.

          Possui    forma    circular,   aspecto   algodonoso   no    início   do

desenvolvimento, passando à coriáceo; sua consistência foi classificada como

branda a semi-lenhosa e coloração demonstrou variações do branco (nos

primeiros dias de incubação) a tons de amarelo. Em ABD, o micélio tornou-se

amarelo após 30 dias de incubação. O desenvolvimento micelial foi classificado

como regular nos quatro meios de cultivo (Figura 14).




                                                                               56
FIGURA 14. Micélio de Amauroderma sp. em quatro meios de cultivo distintos. A
– ABD, B – AEM, C – AEMP e D – ASD. Incubação durante 20 dias.


          4.2.5 Pycnoporus sanguineus

          Esta   espécie   de   basidiomiceto   demonstrou   morfologia   colonial

semelhante nos quatro meios de cultivo. Possui crescimento circular, aspecto

aveludado desde o início do seu desenvolvimento nos meios ABD, AEM e AEMP,

sendo que, em ASD, durante a fase inicial foi constatado aspecto algodonoso.

Quanto à consistência, o micélio pode ser classificado como brando, com

coloração variando do branco ao alaranjado. O desenvolvimento micelial mostrou-

se regular em todos os meios (Figura 15).




                                                                               57
FIGURA 15. Micélio de P. sanguineus em quatro meios de cultivo distintos. A –
ABD, B – AEM, C – AEMP e D – ASD. Incubação durante 20 dias.


          Os dados sobre a morfologia micelial em diferentes meios são

necessários para a correta identificação do fungo após o seu isolamento e

adequado crescimento para posterior manutenção das linhagens.

          4.3 Produção de biomassa micelial e quantificação de proteínas e

          açúcares totais

          Os quatro basidiomicetos produziram proteínas durante todo o período

de incubação. Diversos estudos demonstram a produção de enzimas por estes

organismos, particularmente as do sistema lignolítico (Kahraman & Gurdal 2002,

Saparrat et al. 2002, Silva et al. 2005). Estas enzimas são utilizadas para a

degradação de compostos fenólicos (Machado et al.       2005). A quantidade de

açúcares totais variou de acordo com a espécie e com o meio de cultivo.




                                                                            58
4.3.1 Lentinula edodes

              Este basidiomiceto produziu maior quantidade de biomassa quando

cultivado em meio FMS, seguido por CEMP; em CBD e CEM o peso seco do

micélio foi semelhante. A menor produção foi observada em CSD (Figura 15).

              A concentração de açúcares totais aumentou durante o período de

incubação, em CBD, CEMP e FMS (Figura 15 A, C e D). O aumento dos açúcares

totais em CBD e FMS pode ser explicado pela hidrólise do amido presente nos

meios durante o crescimento do fungo. Neste caso, pode ter ocorrido uma

hidrólise ácida deficiente, devido à elevada quantidade de amido presente nestes

meios de cultivo, não prevista pelo método utilizado. Entretanto, existem diversos

relatos na literatura sobre a produção de polissacarídeos por L. edodes, (Wasser

& Weis 1999, Lindequist et al. 2005, Sakamoto et al. 2005). Também é relatada a

produção de glicoproteínas pelo micélio deste basidiomiceto (Mizuno 1995), que

podem ter sido sintetizados no meio CEMP ocasionando o aumento de sua

concentração detectado nos ensaios.

              Em meio CEM, foi observado consumo dos açúcares totais proporcional

à produção de biomassa (Figura 15 B). Já em meio CSD não foram observadas

diferenças entre a quantidade de proteínas e açúcares totais no meio sem inóculo

e nos diferentes períodos de incubação (Figura 15 E). Somente no 21º dia houve

uma diminuição de 5 mg/mL na dosagem dos açúcares e de 2mg/mL na

quantificação das proteínas em relação à quantidade inicial do meio sem inóculo.

Este fato pode ser explicado pela baixa produção de biomassa micelial neste meio

de cultivo.

                                                                               59
FIGURA 15 – Biomassa micelial (g) do L. edodes cultivado em cinco meios
diferentes durante 7, 14, 21, 28, 35 e 42 dias (média de três repetições).
Quantificação de açúcares totais e proteínas (mg/ml). A – cultivo em meio CBD; B
– cultivo em meio CEM; C – cultivo em meio CEMP; D – cultivo em meio FMS e E
– cultivo em meio CSD.




                                                                             60
4.3.2 Lentinus crinitus

           Durante os primeiros sete dias de cultivo, a quantidade de biomassa foi

semelhante em todos os meios de cultivo. Após, houve um aumento maior na

produção de biomassa em FMS; do 21º ao 35º dia, o peso seco do micélio

cultivado em CBD ultrapassou os em CEM, CEMP e CSD. A produção em CSD foi

menor do que nos outros meios (Figura 16). A produção de biomassa por este

macrofungo foi a maior entre os quatro fungos estudados, em todos os meios de

cultivo.

           Em todos os meios de cultivo, foi observado um aumento na quantidade

de proteínas e diminuição dos açúcares totais.




                                                                               61
FIGURA 16 – Biomassa micelial (g) de L. crinitus cultivado em 5 meios diferentes,
durante 7, 14, 21, 28, 35 e 42 dias (média de 3 repetições). Quantificação de
açúcares totais (▲) e proteínas (■) (mg/ml). A – cultivo em meio CBD; B – cultivo
em meio CEM; C – cultivo em meio CEMP; D – cultivo em meio FMS e E – cultivo
em meio CSD




                                                                              62
4.3.3 Amauroderma sp.

           A produção de biomassa por este basidiomiceto foi semelhante em

CBD, CEM, CEMP e SB. Em FMS, o peso seco do micélio foi maior do que para

os outros meios a partir do 14º dia (Figura 17 D). A partir do 28º dia em CBD,

CEM, CEMP e SB, não foi observado aumento na produção de biomassa micelial

(Figura 17). Em todos os meios de cultivo foi observado um aumento na produção

de proteínas, proporcional à produção de biomassa micelial. Verificou-se que em

CBD, CEM e CEMP, a quantidade de açúcares totais aumentou nos primeiros dias

de incubação e logo após diminuiu (Figura 17 A, B e C). Somente em CSD houve

aumento na quantidade de açúcares totais durante todo o período de incubação

(Figura 17 E).

           Sparrat et al. (2002), estudaram a produção de enzimas do sistema

lignolítico por diversos fungos, incluindo basidiomicetos. É reportado por este

grupo de pesquisa, que Amauroderma boleticeum produz lacases e aril-álcool

oxidades in vitro.




                                                                            63
FIGURA 17 – Biomassa micelial (g) do Amauroderma sp. cultivado em 5 meios
diferentes, durante 7, 14, 21, 28, 35 e 42 dias (média de 3 repetições).
Quantificação de açúcares totais (▲) e proteínas (■) (mg/ml). A – cultivo em meio
CBD; B – cultivo em meio CEM; C – cultivo em meio CEMP; D – cultivo em meio
FMS e E – cultivo em meio CSD




                                                                              64
4.3.4 Pycnoporus sanguineus

         Durante o 7º e 14º dia, a biomassa foi semelhante em todos os meios.

Em meio CEM, a biomassa produzida no 21º dia foi próxima a do período

anterior. Em FMS o mesmo ocorreu, com o desenvolvimento exponencial

iniciando-se após o 28º dia. No 21º e 28º dia, o micélio em CSD apresentou

maior biomassa; no 35º dia, a maior produção foi em FMS (Figura 18).

         Verificou-se a produção de proteínas em todos os meios (Figura 18).

Vários trabalhos citam a produção de enzimas lignolíticas, e também de

celobioses, β- glicosidades, α- amilases, invertases e lipases (Esposito et al.

1993, Quiroga et al. 1995, Siqueira et al. 1997, Sigoillot et al. 2002).

         No meio CBD, a quantidade de açúcares totais aumentou durante o

início de desenvolvimento do fungo, decrescendo a partir do 21º dia (Figura 18

A). Este fato pode ser caracterizado pela utilização da glicose e posterior

hidrólise do amido, que não foi completamente hidrolisado pelo método utilizado

para a sua quantificação. Em CEM e CEMP foi observada uma diminuição na

quantidade de açúcares totais durante todo o período de incubação (Figura 18 B

e C). Em FMS, houve diminuição na dosagem de açúcares durante os primeiros

7 dias, seguida por um aumento até o 21º dia e posterior decréscimo até o final

do período de incubação (Figura 18 D). Já em meio CSD, observou-se

diminuição na quantidade de açúcares totais nos períodos de 7, 21, 35 e 42 dias

(Figura 18 E). A dosagem aumentou na semana seguinte (14º e 28º dia de

incubação). Maziero et al.      (1999), citam que diferentes linhagens de P.

sanguineus demonstram produção de biomassa e de polissacarídeos distintas.

                                                                             65
FIGURA 18 – Biomassa micelial (g) do P. sanguineus cultivado em 5 meios
diferentes, durante 7, 14, 21, 28, 35 e 42 dias (média de 3 repetições).
Quantificação de açúcares totais (▲) e proteínas (■) (mg/ml). A – cultivo em meio
CBD; B – cultivo em meio CEM; C – cultivo em meio CEMP; D – cultivo em meio
FMS e E – cultivo em meio CSD




                                                                              66
4.4 Atividade antimicrobiana dos extratos obtidos a partir do

         cultivo dos basidiomicetos

                4.4.1 Lentinula edodes

         Os extratos desta espécie obtidos dos cultivos em todos os meios

inibiram o crescimento de C. albicans e S. aureus, a partir do 14º dia de

incubação. Foi verificada ação antibiótica contra E. coli nos cultivos de sete dias e

28 dias no meio CEMP (Figura 19). O maior halo, de 54 mm foi dado pelo extrato

CEM conta S. aureus (Figura 20).




FIGURA 19. Halos de inibição obtidos por extratos de L. edodes.
A – atividade contra E.coli do extrato obtido a partir do cultivo em CEMP durante
28 dias; B – atividade contra S. aureus do extrato obtido a partir do cultivo em
CEM durante 28 dias; C – atividade contra S. aureus do extrato obtido a partir do
cultivo em CSD durante 28 dias e D – atividade contra C. albicans do extrato
obtido a partir do cultivo em FMS durante 28 dias.




                                                                                  67
55

                                      50
Diâmetro dos halos de inibição (mm)




                                      45

                                      40

                                      35

                                      30

                                      25

                                      20

                                      15

                                      10

                                       5

                                       0
                                                                 FMS




                                                                                                 FMS




                                                                                                                                   FMS




                                                                                                                                                                   FMS




                                                                                                                                                                                                    FMS




                                                                                                                                                                                                                                    FMS
                                                                       SB




                                                                                                       SB




                                                                                                                                         SB




                                                                                                                                                                         SB




                                                                                                                                                                                                          SB




                                                                                                                                                                                                                                          SB
                                           CBD




                                                                            CBD




                                                                                                              CBD




                                                                                                                                              CBD




                                                                                                                                                                              CBD




                                                                                                                                                                                                               CBD
                                                         CEMP




                                                                                          CEMP




                                                                                                                            CEMP




                                                                                                                                                            CEMP




                                                                                                                                                                                            CEMP




                                                                                                                                                                                                                             CEMP
                                                  CEM




                                                                                  CEM




                                                                                                                    CEM




                                                                                                                                                    CEM




                                                                                                                                                                                    CEM




                                                                                                                                                                                                                     CEM
                                                                                                                                                                                                                                               C. albicans
                                                        7 dias                          14 dias                           21 dias                         28 dias                         35 dias                          42 dias
                                                                                                                                                                                                                                               E. coli
                                                                                                            Meios de cultivo e período de incubação (dias)
                                                                                                                                                                                                                                               S. aureus




                                       FIGURA 20. Diâmetro dos halos de inibição dado pelos extratos obtidos a partir do
                                       cultivo de L. edodes em diferentes meios e períodos de incubação contra os
                                       microrganismos alvo C. albicans, E.coli e S. aureus.


                                                                   Vários compostos com atividade antimicrobiana foram isolados do

                                                 basidiomiceto L. edodes (shiitake): a Cortinelina é um agente antibacteriano efetivo

                                                 sobre bactérias Gram-positivas (Przybylowicz & Donoghue 1990); a Lentinamicina

                                                 (octa-2,3-dien-5,7-diin-1-ol)                                       foi           identificada                    como             o              principal               composto

                                                 antimicrobiano produzido pelo micélio de L. edodes que age contra bactérias

                                                 patogênicas ao homem, principalmente gram-positivas (Komemushi et al. 1996,

                                                 Ishikawa et al. 2001b). Paccola et al. (2001) relataram inibição no crescimento de

                                                 C. albicans por L. edodes. A partir destes dados pode-se observar os cinco meios

                                                 de cultivo utilizados permitiram a biossíntese dos antimicrobianos por esta espécie

                                                 de basidiomiceto. Ishikawa et al. (2001) utilizaram caldo extrato de malte para a

                                                 produção de antimicrobianos, enquanto que Paccola et al. (2001) utilizaram caldo


                                                                                                                                                                                                                                          68
batata. Hassegawa et al. (2005) demonstraram a produção de antibióticos por L.

edodes em meios de cultivo enriquecidos com resíduos industriais como melaço e

bagaço de cana-de-açúcar, farelo de arroz, grãos de soja, palha de milho e

vermiculita.

               4.4.2 Lentinus crinitus

               Esta espécie de basidiomiceto inibiu o crescimento de C. albicans e E.

 coli quando cultivado em meio CEMP, a partir dos cultivos de 21 dias em diante e

 contra S. aureus a partir do 28º dia. Foi constatada atividade antimicrobiana contra

 C. albicans e S. aureus, nos cultivos em CEM a partir do 28° dia (Figuras 21 e 22).




 FIGURA 21 – Halos de inibição obtidos por extratos de L. crinitus. A – atividade
 contra C.albicans do extrato obtido a partir do cultivo em CEMP durante 28 dias; B
 – atividade contra S. aureus do extrato obtido a partir do cultivo em CEM durante
 28 dias; C – atividade contra E.coli do extrato obtido a partir do cultivo em CEMP
 durante 21 dias e D – atividade contra S.aureus do extrato obtido a partir do cultivo
 em CEMP durante 28 dias.




                                                                                   69
Segundo Abate & Abraham (1994), o L. crinitus produz quatro

compostos sesquiterpênicos com atividade antimicrobiana. Rosa et al. 2003 não

encontraram atividade antimicrobiana para esta espécie no cultivo durante 9 dias,

com agitação a 28ºC. Alterações nas condições de cultivo micelial, tais como o

pH dos meios de cultivo, a disponibilidade de nutrientes, o tempo de incubação, a

ausência ou presença de luz e as condições de aeração e de agitação contribuem

para estas diferenças. Além disso, estas discrepâncias também podem ser

explicadas pela variabilidade genética em nível intraespecífico (Suay et al. 2000).

Diferenças significativas na produção de metabólitos antibacterianos entre 35

isolados co-específicos de L. edodes foram reportadas por Ishikawa et al. (2001a).

Da mesma forma, foram observadas diferenças entre 10 isolados do basidiomiceto

F. velutipes (Ishikawa, 2001) e de outros grupos não pertencentes aos

basidiomicetos (Rosa et al. 2003, Suay et al. 2000), demonstrando a importância

do isolamento da manutenção de diversas linhagens de basidiomicetos da mesma

espécie.




                                                                                70
55

                                       50

                                       45
Diâmentro dos halos de inibição (mm)




                                       40

                                       35

                                       30

                                       25

                                       20

                                       15

                                       10

                                       5

                                       0
                                            CBD




                                                                            CBD




                                                                                                            CBD




                                                                                                                                             CBD




                                                                                                                                                                              CBD




                                                                                                                                                                                                            CBD
                                                                 FMS

                                                                       SB




                                                                                                 FMS

                                                                                                       SB




                                                                                                                                  FMS

                                                                                                                                        SB




                                                                                                                                                                   FMS

                                                                                                                                                                         SB




                                                                                                                                                                                                 FMS

                                                                                                                                                                                                       SB




                                                                                                                                                                                                                               FMS

                                                                                                                                                                                                                                      SB
                                                  CEM




                                                                                  CEM




                                                                                                                  CEM




                                                                                                                                                   CEM




                                                                                                                                                                                    CEM




                                                                                                                                                                                                                  CEM
                                                         CEMP




                                                                                          CEMP




                                                                                                                          CEMP




                                                                                                                                                           CEMP




                                                                                                                                                                                          CEMP




                                                                                                                                                                                                                        CEMP
                                                                                                                                                                                                                                           C. albicans
                                                        7 dias                          14 dias                         21 dias                          28 dias                      35 dias                       42 dias
                                                                                                                                                                                                                                           E. coli
                                                                                                            Meios de cultivo e período de incubação (dias)
                                                                                                                                                                                                                                           S. aureus




                                            FIGURA 22 – Diâmetro dos halos de inibição dado pelos extratos obtidos a partir do
                                            cultivo de L. crinitus em diferentes meios e períodos de incubação contra os
                                            microrganismos alvo C. albicans, E.coli e S. aureus.


                                                                        4.4.3 Amauroderma sp.

                                                                        Os extratos obtidos do cultivo de Amauroderma sp. em CEM e CEMP,

                                                  durante 21 dias inibiram o crescimento de S. aureus. No entanto, quando cultivado

                                                  em CBD, durante o mesmo período, demonstrou atividade antimicrobiana contra

                                                  todos os microrganismos alvo (Figuras 23 e 24).




                                                                                                                                                                                                                                     71
FIGURA 23 – Halos de inibição obtidos por extratos de Amauroderma sp. A –
atividade contra S.aureus do extrato obtido a partir do cultivo em CEMP durante
21 dias; B – atividade contra C. albicans do extrato obtido a partir do cultivo em
CBD durante 21 dias; C – atividade contra S.aureus do extrato obtido a partir do
cultivo em CBD durante 21 dias e D – atividade contra E.coli do extrato obtido a
partir do cultivo em CBD durante 28 dias.




                                                                               72
55

                                         50

                                         45
Diâm etro dos halos de inibição (m m )




                                         40

                                         35

                                         30

                                         25

                                         20

                                         15

                                         10

                                         5

                                         0
                                              CB D




                                                                                   CB D




                                                                                                                       CB D




                                                                                                                                                           CB D




                                                                                                                                                                                               CB D




                                                                                                                                                                                                                                   CB D
                                                                      FM S
                                                                             S B




                                                                                                          FM S
                                                                                                                 S B




                                                                                                                                              FM S
                                                                                                                                                     S B




                                                                                                                                                                                  FM S
                                                                                                                                                                                         S B




                                                                                                                                                                                                                      FM S
                                                                                                                                                                                                                             S B




                                                                                                                                                                                                                                                          FM S
                                                                                                                                                                                                                                                                  S B
                                                             CE M P




                                                                                                 CE M P




                                                                                                                                     CE M P




                                                                                                                                                                         CE M P




                                                                                                                                                                                                             CE M P




                                                                                                                                                                                                                                                 CE M P
                                                     CE M




                                                                                          CE M




                                                                                                                              CE M




                                                                                                                                                                  CE M




                                                                                                                                                                                                      CE M




                                                                                                                                                                                                                                          CE M
                                                                                                                                                                                                                                                                        C. albicans
                                                            7 dias                           14 dias                             21 dias                             28 dias                             35 dias                             42 dias
                                                                                                                                                                                                                                                                        E. coli
                                                                                                                       Meios de cultivo e período de incubação (dias)
                                                                                                                                                                                                                                                                        S. aureus



                                              FIGURA 24 – Diâmetro dos halos de inibição dado pelos extratos obtidos a partir do
                                              cultivo de Amauroderma sp. em diferentes meios e períodos de incubação contra os
                                              microrganismos alvo C. albicans, E.coli e S. aureus.

                                                                             Para este basidiomiceto não há relatos na literatura sobre qualquer

                                                metabólito com atividade biológica.

                                                                             Os extratos obtidos a partir dos cultivos em CEM e CEMP durante 21

                                                dias de incubação inibiram C. albicans e S.aureus; os extratos obtidos a partir do

                                                meio CBD do mesmo período inibiram o crescimento de todos os microrganismos

                                                alvo.




                                                                                                                                                                                                                                                                 73
4.4.4 Pycnoporus sanguineus

          Os extratos desta espécie demonstraram inibição no crescimento dos

três microrganismos alvo em todos os meios de cultivo no período de 21 dias

(Figura 25 e 26).




FIGURA 25. Halos de inibição obtidos por extratos de P. sanguineus.
 A – atividade contra E. coli do extrato obtido a partir do cultivo em FMS durante
21 dias; B – atividade contra C. albicans do extrato obtido a partir do cultivo em
CEMP durante 21 dias; C – atividade contra S.aureus do extrato obtido a partir do
cultivo em CBD durante 21 dias e D – atividade contra S. aureus do extrato obtido
a partir do cultivo em CBD durante 21 dias.




                                                                               74
55

                                      50

                                      45
Diâmetro dos halos de inibição (mm)




                                      40

                                      35

                                      30

                                      25

                                      20

                                      15

                                      10

                                      5

                                      0




                                                                                                                                                                                                           CBD
                                                                                                                                            CBD




                                                                                                                                                                             CBD
                                           CBD




                                                                           CBD




                                                                                                           CBD




                                                                                                                                                                                                                              FMS
                                                                                                                                                                  FMS




                                                                                                                                                                                                FMS

                                                                                                                                                                                                      SB




                                                                                                                                                                                                                                    SB
                                                                FMS

                                                                      SB




                                                                                                FMS

                                                                                                      SB




                                                                                                                                 FMS

                                                                                                                                       SB




                                                                                                                                                                        SB




                                                                                                                                                                                                                 CEM
                                                                                                                                                  CEM




                                                                                                                                                                                   CEM
                                                 CEM




                                                                                 CEM




                                                                                                                 CEM




                                                                                                                                                                                                                       CEMP
                                                                                                                                                          CEMP




                                                                                                                                                                                         CEMP
                                                        CEMP




                                                                                         CEMP




                                                                                                                         CEMP




                                                                                                                                                                                                                                         C. albicans
                                                       7 dias                          14 dias                         21 dias                          28 dias                      35 dias                       42 dias               E. coli
                                                                                                           Meios de cultivo e período de incubação (dias)                                                                                S. aureus




                                           FIGURA 26. Diâmetro dos halos de inibição dado pelos extratos obtidos a partir do
                                           cultivo de Pycnoporus sanguineus em diferentes meios de cultivo e períodos de
                                           incubação contra os microrganismos alvo C. albicans, E. coli e S. aureus.


                                                         Smânia et al. (1995a, 1995b, 1996, 1998) demonstraram atividade

                                           antibacteriana de extratos de P. sanguineus principalmente sobre bactérias Gram-

                                           positivas, dada pela cinabarina, um pigmento presente no micélio deste

                                           basidiomiceto. Rosa et al. (2003) utilizaram seis isolados de P. sanguineus e

                                           relatam inibição no crescimento de S. aureus por somente uma das linhagens

                                           isoladas. Smânia et al. (1995a) relatam que a produção máxima da cinabarina

                                           ocorre entre o décimo oitavo e vigésimo terceiro dia de incubação, sendo

                                           degradada logo em seguida, corroborando com os dados obtidos neste trabalho.




                                                                                                                                                                                                                                    75
4.5 Cromatografia em camada delgada e ensaio qualitativo para

determinação da posição dos antimicrobianos nas placas de CCD

          Após o cultivo dos macrofungos em 500ml de meio, extração e

concentração dos extratos foi realizada a CCD para a separação dos compostos

antimicrobianos presentes nos extratos e o ensaio qualitativo para determinação

da localização dos antimicrobianos nas placas de CCD.

                4.5.1 Lentinula edodes

          Dois sistemas de solventes foram testados para a separação dos

compostos presente nos extratos deste fungo. O sistema descrito por Tokimoto

(1987), mostrou melhores resultados, sendo o escolhido para este trabalho. A

atividade antimicrobiana foi dada pela banda de Rf 0,44, visualizada sob luz UV no

comprimento de onda de 254 nm (Figura 27). Tokimoto 1987 identificou a banda

com atividade antimicrobiana em Rf 0,4. Após a revelação com anisaldeído

sulfúrico, neste mesmo local da cromatofolha pode-se visualizar duas bandas de

colorações diferentes (Figura 28).




                                                                               76
FIGURA 27. Cromatografia dos extratos de L. edodes, visualizada sob luz UV em
254 nm. Banda responsável pela atividade antimicrobiana circulada em preto.
Extratos obtidos a partir do cultivos de 28 dias em: A – CEMP; B – CEM; C – CSD;
D – CBD e E – FMS. Extratos obtidos a partir do cultivos de 35 dias em: F – CSD;
G – CEMP; H – CEM; I – FMS e J – CBD.




     FIGURA 28. Cromatografia de L. edodes revelada com anisaldeído sulfúrico.
     As duas bandas de colorações amarela e roxa visualizadas no mesmo Rf do
     antimicrobiano estão circuladas em preto. Extratos obtidos a partir do cultivos
     de 28 dias em: A – CEMP; B – CEM; C – CSD; D – CBD e E – FMS. Extratos
     obtidos a partir do cultivos de 35 dias em: F – CSD; G – CEMP; H – CEM; I –
     FMS e J – CBD.


                                                                                 77
Após a visualização das placas em UV 254 nm, as bandas foram

numeradas e procedeu-se o ensaio qualitativo para avaliação da localização dos

antimicrobianos nas placas de CCD. Neste teste, L. edodes demonstrou atividade

antimicrobiana contra bactérias gram-positivas e C. albicans (Tabela 7). A inibição

de E. coli, verificada durante o primeiro teste para verificação de atividade

antimicrobiana não foi observada neste ensaio.

      Resultados similares aos deste trabalho foram obtidos por Ishikawa et al.

(2001b), onde foi verificada a ação antibacteriana contra B. cereus, B. subtilis, S.

aureus e Staphylococcus epidermidis. Komemushi et al. (1996), demonstraram

inibição no crescimento de bactérias Gram-positivas e Gram-negativas por L.

edodes. Hirasawa et al. (1999) e Shouji et al. (1999), demonstraram a atividade de

L. edodes sobre S. mutans e S. sobrinus, os quais são os principais causadores

de cárie dental (Hirasawa et al., 1999). Shouji et al. (1999) verificaram a redução

de cáries em cobaias utilizando extratos obtidos a partir de shiitake desidratado.

Os extratos deste basidiomiceto inibiram também o crescimento de SARM,

responsável por 40% das infecções causadas por S. aureus em grandes hospitais

(Bax 2000). Paccola et al. 2001 demonstraram inibição contra C. albicans.




                                                                                 78
Tabela 7 – Posição das bandas com atividade antimicrobiana nas placas de CCD
dos compostos produzidos por L. edodes. Visualização sob luz UV 254 nm.

Microrganismos                       Atividade      Rf
Bactérias gram-positivas
   Bacillus cereus                     +            0,44
   B. stearotermophilus                +            0,44
   B. subtilis                         +            0,44
   Enterococcus faecalis               +            0,44
   Staphylococcus aureus               +            0,44
S. aureus resistente à meticilina      +            0,44
   S. saprophyticus                    +            0,44
   Streptococcus mutans                +            0,44
   S. pyogenes                         +            0,44
   S. sobrinus                         +            0,44
Bactérias gram-negativas
   Acinetobacter baumannii             -            -
   Enterobacter aerogenes              -            -
   Escherichia coli                    -            -
   Klebsiella pneumoniae               -            -
   Proteus mirabilis                   -            -
   Pseudomonas aeruginosa              -            -
   Salmonella tiphymurium              -            -
Leveduras
   Candida albicans                     +           0,44
   C. glabrata                          -           -
   C. tropicalis                        -           -
   Saccharomyces cerevisiae             -           -


           4.5.2 Lentinus crinitus

           Os extratos obtidos a partir deste basidiomiceto não demonstraram

atividade antimicrobiana no cultivo em maior escala. Tokimoto (1987) relatou que

o fungo Trichoderma, um dos maiores contaminantes dos cultivos de shiitake,

aumenta a excreção de enzimas micolíticas na presença de outros fungos. Desta

maneira, a falta de estímulos pela ausência de outros microrganismos ou mesmo

ambientais pode estar interferindo na produção de antimicrobianos por L. crinitus.



                                                                                 79
4.5.3 Amauroderma sp.

          Para os extratos obtidos a partir do cultivo deste macrofungo, foram

utilizados diversos sistemas de solvente para a separação dos compostos. O

sistema que apresentou melhor resultado na separação das bandas foi o

diclorometano: clorofórmio:etanol:água 22:8:6:1.

          O Amauroderma sp. apresentou atividade contra bactérias gram-

positivas, incluindo o SARM (Tabela 8). A banda que demonstrou atividade possui

Rf 0,79, quando visualizada sob luz UV 254 nm. Entretanto, quando a placa foi

revelada com anisaldeído sulfúrico, foram observadas duas bandas, de Rf 0,79 e

0,81 respectivamente (Figuras 29 e 30). Não pode-se afirmar qual delas possui

atividade antimicrobiana. A visualização destas bandas, tanto de Rf 0,79, como de

Rf 0,81 foi possível somente nos extratos em CEM e CEMP de 21 dias, podendo

ser correlacionadas com os dados obtidos nos testes de detecção de atividade

antimicrobiana destes extratos. Para o extrato em CBD, não ocorreu separação

dos compostos com este sistema de solventes. Até o presente momento não foi

encontrado um sistema que possa ser utilizado para este extrato. Estes dados

demonstram que este macrofungo possui capacidade de sintetizar diferentes

compostos antimicrobianos em diferentes meios de cultivo.




                                                                              80
A    B     C     D    E      F     G




FIGURA 29 – Cromatografia dos extratos de Amauroderma sp,visualizada sob luz
UV em 254 nm. As bandas circuladas em preto são responsáveis pela atividade
antimicrobiana. Extratos obtidos a partir dos cultivos em: A – CEM, durante 28
dias; B – CEMP, durante 28 dias; C – CEM, durante 21 dias; D – CEMP, durante
21 dias; E – CEM, durante 42 dias; – CEMP, durante 42 dias; F – CBD, durante 21
dias.

                   A     B     C     D    E      F     G




FIGURA 30 – Cromatografia dos extratos de Amauroderma sp, revelada com
anisaldeído sulfúrico. Uma das bandas circuladas em preto é responsável pela
atividade antimicrobiana. Extratos obtidos a partir dos cultivos em: A – CEM,
durante 28 dias; B – CEMP, durante 28 dias; C – CEM, durante 21 dias; D –
CEMP, durante 21 dias; E – CEM, durante 42 dias; – CEMP, durante 42 dias; F –
CBD, durante 21 dias.


                                                                            81
Tabela 8 – Posição nas placas de CCD e atividade antimicrobiana dos compostos
produzidos por Amauroderma sp. Visualização sob luz UV 254 nm.

Microrganismos                      Atividade          Rf
Bactérias gram-positivas
   Bacillus cereus                       +             0,79
   B. stearotermophilus                  +             0,79
   B. subtilis                           +             0,79
   Enterococcus faecalis                 +             0,79
   Staphylococcus aureus                 +             0,79
S. aureus resistente a meticilina        +             0,79
   S. saprophyticus                      -               -
   Streptococcus mutans                  -               -
   S. pyogenes                           -               -
   S. sobrinus                           -               -
Bactérias gram-negativas
   Acinetobacter baumannii                -                 -
   Enterobacter aerogenes                 -                 -
   Escherichia coli                       -                 -
   Klebsiella pneumoniae                  -                 -
   Proteus mirabilis                      -                 -
   Pseudomonas aeruginosa                 -                 -
   Salmonella tiphymurium                 -                 -
Leveduras
   Candida albicans                       -                 -
   C. glabrata                            -                 -
   C. tropicalis                          -                 -
   Saccharomyces cerevisiae               -                 -


           4.5.4 Pycnoporus sanguineus

           Assim como L. crinitus, Pycnoporus sanguineus também não produziu

antimicrobianos no cultivo em maior escala. De acordo com Weissbach & Katz

(1960), a síntese do ácido cinabarínico (AC) tem como precursor o ácido 3-

hidroxiantranílico (3-HAA). A síntese de AC é catalizada pela peroxidase, catalase

e tirosinase. A cinabarina, o composto antimicrobiano produzido por P. sanguineus

possui a mesma estrutura básica do AC. Estes dois compostos e a tramesanguina



                                                                               82
diferem no estado de oxidação de seus substituintes (carboxila, aldeído ou álcool,

respectivamente), o que pode ser explicado por diferentes precursores do o-

aminofenol. A produção destes precursores pode ser específica da linhagem ou

pode variar de acordo com as condições de cultivo (Eggert et al. 1995). Este

mesmo grupo estudou as reações de oxidação do 3-HAA a AC mediada por

lacases, enzimas que possuem papel fundamental nos sistemas lignolíticos dos

fungos. A produção destas enzimas é influenciada por diversos fatores, como

composição do meio, pH, relação carbono/ nitrogênio, temperatura e aeração

(Kahraman & Gurdal 2001).

          Como nos cultivos de Pycnoporus cinnabarius, as peroxidases

contribuíram fracamente com as atividades características das fenoloxidases e

não foi detectada atividade de tirosinase, as lacases são as principais

catalisadoras da oxidação do 3-HAA a AC para este grupo de fungos (Eggert et al.

1995).

          Sendo assim, os meios utilizados para P. sanguineus podem ter

influenciado a produção das lacases, e consequentemente, da cinabarina.




                                                                               83
5. CONCLUSÕES



1. As quatro espécies de basidiomicetos ensaiadas produziram compostos

antimicrobianos ativos contra C. albicans, E.coli e S. aureus;

2. O L. edodes produziu compostos antimicrobianos ativos contra C. albicans e S.

aureus em todos os meios utilizados, a partir do 14° dia de incubação; contra E.

coli foi observada atividade dos extratos obtidos a partir do cultivo em meio CEMP,

somente no 7° e 28° dia de incubação;

3. O L. crinitus produziu compostos antimicrobianos ativos contra C. albicans e E.

coli a partir do 21° dia de incubação em meio CEMP; nos meios CEM e CBD foi

detectada atividade contra C. albicans e S. aureus;

4. O Amauroderma sp. produziu antimicrobianos somente no 21° dia de incubação

contra C. albicans, E. coli e S. aureus em CBD; em CEM e CEMP foi verificada a

produção de compostos antimicrobianos contra C. albicans e S. aureus.




                                                                                84
5. O P. sanguineus produziu compostos antimicrobianos ativos contra C. albicans,

E. coli e S. aureus em todos os meios de cultivo utilizados no período de

incubação de 21 dias.

6. Para o L. edodes, os compostos presentes na banda cujo o Rf foi 0,44

apresentaram atividade contra as bactérias Gram-positivas utilizadas nesse ensaio

e C. albicans.

7. Os compostos produzidos pelo micélio de Amauroderma sp., cujo Rf é 0,79

apresentaram atividade antimicrobiana contra bactérias Gram-positivas exceto o

gênero Streptococcus.

8. Não houve correlação entre a produção de antimicrobianos e a produção de

biomassa por parte dos basidiomicetos;




                                                                              85
6. REFERÊNCIAS

ABATE, D; ABRAHAM W.R. Antimicrobial metabolites from Lentinus crinitus.
Journal of Antibiotics, Tokyo, Japan, v. 47, p. 1348-1350, 1994.

ABRAHAM, E.P & CHAIN, E. An enzyme from bacteria Able to Destroy Penicillin.
Nature p. 837, 1940.

ALEXOPOULOS C. J. Introductory Mycology, 1962, 2º ed, Wiley, 613p.

ARORA, D. Mushrooms Demystified, 1986, 2ed, Ten Speed Press, Berkeley.
959 p.

BARRETT, C.T. & BARRETT, J.F. Antibacterials: are the new entries enough to
deal with the emerging resistance problems? Current Opinion in Biotechnology,
Oxford, USA, v. 14, p.621–626, 2003.

BARRETT, D. From natural products to clinically useful antifungals. Biochimica et
Biophysica Acta, Amsterdam, Netherlands, v. 1587, p. 224– 233, 2002.

BAX, R.; MULLAN; N.; VERHOEF, J. The millenium bugs – the need for and
development of new antibacterials. International Journal of Antimicrobial
Agents. v. 16, p. 51-59, 2000.

BENEDICT, R.C. & BRADY, L.R.. Antimicrobial activity of mushroom metabolites.
Journal of Pharmaceutical Sciences. V. 61, p. 180-182, 1972.

BOER, C.G et al. Purification and some properties of Mn peroxidases from
Lentinula edodes. Process Biochemistry, v. 41, p. 1203–1207, 2006.

BORCHERS, A.T. et al. Proceedings of the Society for Experimental Biology
and Medicine, v. 221, n. 4, p. 281-293, 1999.



                                                                              86
BRADFORD, M. M. A rapid and sensitive method for the quantification of
microgram quantities of proteins utilizing the principle-dye binding. Analytical
Biochemistry, v. 72, p. 248-254, 1976.

BREENE, W. M. Nutritional value of specialty mushrooms. Journal of Food
Protection, v. 53, p. 883-894, 1990.

BRIZUELA, M. A. Et al. Basidiomicetos: nueva fuente de metabolitos secundarios.
Revista Iberoamericana de Micologia, v. 15, p. 69-74, 1998.

BROOKS, G. et al. Pleuromutilins. Part 1: The identification of a novel mutilin 14-
Carbamates. Bioorganic e Medicinal Chemistry, v. 9, n. 1221-1231, 2001.

BUSH, K. Antibacterial drug discovery in the 21st century. Clinical Microbiology
Infection, v. 10 (Suppl. 4), p. 10–17, 2004.

BUTLER, M.S. & BUSS, A. D. Natural products — The future scaffolds for novel
antibiotics? Biochemical Pharmacology, v. 71, p. 919– 929, 2006.

CAVALLAZZI, J.R.P.; KASUYA, M.C.; SOARES, M.A. Screening of inducers for
laccase production by Lentinula edodes in liquid medium. Brazilian Journal of
Microbiology, v. 36, p.383-387, 2005.

CHAIN, E. H. et al. Penicillin as a Chemotherapeutic Agent. Lancet. P. 226-228,
1940.

CHANG, S. T. & BUSWELL, J. A. Mushrooms nutriceuticals. World Journal of
Microbiology and Biotechnology, v. 12, n. 5, p. 473-476, 1996.

CORDELL, G. A. Biodiversity and drug discovery: a symbiotic relationship.
Phytochemistry. V. 55, p. 463-480, 2000.

DONADIO, S. et al. Targets and assays for discovering novel antibacterial agents.
Journal of Biotechnology, v. 99, p. 175-/185, 2002.

DUBOIS, M. et al. Colorimetric method for determination of sugars and related
substances. Analytical Chemistry, v.28, p.350-356, 1956.

EGGERT, C. et al. Laccase-mediated formation of the phenoxazinone derivative,
cinnabarinic acid. FEBS Letters . v. 376, p. 202- 206, 1995.

ESPOSITO, E. et al.      Phenoloxidades and hydrolases from Pycnoporus
sanguineus (EUC-2050 strain): applications. Journal of Biotechnology, v. 29, p.
219-228, 1993.


                                                                                87
FAN, L. et al. Advances in Mushroom Research in the Last Decade. Food
Technology and. Biotechnology. V. 44, n..3, p. 303–311, 2006.

FIDALGO, O. Conhecimento micológico dos índios brasileiros. Revista de
Antropologia, v. 15/15, p. 27-34, 1968.

FIDALGO, O. & HIRATA, J.M. Etnomicologia caiabi, txicão e txucurramãe. Rickia,
v.8, p. 1-5, 1979.

FLEMING, A. On the Antibacterial Action of Cultures of a Penicillium, with Special
Reference to Their Use in the Isolation of B. influenzae. British Journal of
Experimental Pathology. V. 10 p. 226-236, 1929.

FURUYA, E. Y. & LOWY, F.D. Antimicrobial-resistant bacteria in the community
setting. Nature reviews in microbiology. V. 4, p. 36-45, 2005.

GALVAGNO, M. A.; FORCHIASSIN, F. Fisiologia dos fungos: nutrição e
metabolimo, p. 125-172. In: Esposito, E & Azevedo, J.L. Fungos: uma introdução
a biologia, bioquímica e biotecnologia. 510p. Educs, Caxias do Sul, 2004.

GUARRO, J; GENÉ, J; STICHIGEL, A.M. Developments in fungal taxonomy.
Clin. Microbiol. Rev. 12(3): 454-500, 1999.

GUERRERO, R.T. & HOMRICH, M.H. Fungos macroscópicos comuns do Rio
Grande do Sul: guia para identificação. 2nd ed, UFRGS, Porto Alegre, 42 pp. 1999.

GUPTE, M.; KULKARNI, P.; GANGULI, B.N. Antifungal antibiotics. Applied
Microbiology and Biotechnology, v. 58, p. 46-57, 2002.

GUZMÁN, G. Identificacion de los hongos comestibles, venenosos, alucinantes y
destructores de la madera. Editorial Limusa, México, 452 pp. ,1977.

HARA, M. et al. 6-deoxyilludin M, a new antitumor antibiotic: fermentation,
isolation and structural identification. Journal of Antibiotics, Tokyo, Japan, v. 40,
p. 1643-1646, 1987.

HASSEGAWA, R.H.; KASUYA, M.C.M.; VANETTI, M.C.D. Growth and
antibacterial activity of Lentinula edodes in liquid media supplemented with
agricultural wastes. Electronic Journal of Biotechnology, v.8, n.2, p. 212-217,
2005.

HAWKSWORTH, D.L. The magnitude of fungal diversity: the 1.5 million species
estimate revisited. Mycological Research, v.105, p. 1422-1432, 2001.



                                                                                  88
HERRERA, T. & ULLOA, M. El reino de los hongos: Micología básica y aplicada.
Universidad nacional autonoma de México, México, 552p. 1998.

HIRASAWA, M. et al. Three kinds of antibacterial substances from Lentinus
edodes (Berk.) Sing. (Shiitake, an edible mushroom). International Journal of
Antimicrobial Agents, v. 11, n.2, p. 151-157, 1999.

ISHIKAWA, N.K.; YAMAJI, K.; TAHARA, S.; FUKUSHI, Y.; TAKAHASHI, K. Higly
Oxidized cuparene-type sesquiterpenes from a mycelial culture of Flammulina
velutipes. Phytochemistry v.54: 777-782, 2000.

ISHIKAWA, N. K. Antimicrobial metabolites of edible mushroom Flammulina
velutipes (Enokitake). Sapporo, Japão, 2001. 182 fl. Tese (Doutorado) -
Universidade de Hokkaido.

ISHIKAWA, N.K. et al. Antimicrobial Cuparene-Type Sesquiterpenes, Enokipodins
C and D, from a Mycelial Culture of Flammulina velutipes. Journal of Natural
Products. v. 64, p. 932-934, 2001a.

ISHIKAWA, N. K.; KASSUYA, M.C.M; VANETTI, M.C.D. Antibacterial Activity of
Lentinula edodes Grown in Liquid Medium. Brazilian Journal of Microbiology, v.
32, n.3 p. 206-210, 2001b.

ISHIKAWA, N. K; AMAZONAS, M. A. L. A.; CARVALHO, M. P.; FERREIRA, M. L.;
LIU, G. C.; PACCOLA-MEIRELLES, L. D. Comparação da produtividade de
cogumelos Lentinula edodes em toretes de Eucalyptus dunnii, Eucalyptus grandis
e Eucalyptus saligna. CONGRESSO BRASILEIRO DE MICROBIOLOGIA XXII,
Florianópolis, 2003. Anais... Florianópolis: Universidade Federal de Santa
Catarina, 2003.

JIANG, B.; BUSSEY, H.; ROEMER, T. Novel strategies in antifungal lead
discovery. Current Opinion in Microbiology. V. 5, p. 466–471, 2002.

KAHRAMAN, S.S. & GURDAL, I. H. Effect of synthetic and natural culture media
on laccase production by white rot fungi. Bioresource Technology. V. 82, p. 215–
217, 2002.

KNIGHT, V. et al. Diversifying microbial natural products for drug discovery.
Applied Microbiology and Biotechnology v. 62, p. 446-458, 2003.

KOMEMUSHI, S.; YAMAMOTO, Y.; FUJITA, T. Purification and identification of
antimicrobial substances produced by Lentinus edodes. Journal of Antibacterial
and Antifungal Agents, v. 24, n. 1, p. 21-25, 1996.




                                                                             89
KÜES, U. & LIU, K. Fruiting body production in Basidiomicetos. Applied
Microbiology and Biotechnology, v.54, n. 2, p.141-152, 2000.

LACAZ, C.S. Antibióticos. 1° Edição, São Paulo: Fundo Editorial Procienx, 1965,
459p.

LINDEQUIST U.; NIEDERMEYER, T.H.J.; JÜLICH, W.D. The pharmacological
potential of mushroom. Evidence-Based Complementary and Alternative
Medicine. v. 2, p. 285–99, 2005.

LOGUERCIO-LEITE, C. Taxonomia dos fungos, In: Esposito, E & Azzevedo, J.L.
Fungos: uma introdução a biologia, bioquímica e biotecnologia.. Educs: Caxias do
Sul, 2004, p. 47-90.

LOGUERCIO-LEITE, C.; GROPOSO, C.; DRESCHLER-SANTOS, E.R.;
Figueiredo, N. F.; Godinho, P.S.; Abrão, R.L. A particularidade de ser um fungo –I.
Constituintes celulares. Biotemas. V. 19, n. 2, p. 17-27, 2006.

MADIGAN, M.T; MARTINKO, J.M; PARKER, J. Brock Biology of
Microorganisms, 2000, 9° Edição, Upper Saddle River, New Jersey: Prentice –
Hall, Inc., 991p.

MAZIERO, R.; CAVAZZONI, V.; BONONI, V.L.R. Screening of basidiomycetes for
the production of exopolysaccharide and biomass in submerged culture. Revista
de Microbiologia, v. 30, p. 77-84, 1999.

MEIJER, A. A. R.. Mycological work in the Brazilian State of Parana. Nova
Hedwigia v. 72, p. 105-159. 2001

MIDLAND S.L. et al. Melleolide, A new abtibiotic from Armillaria mellea.
Tetrahedron Letters v. 23, p. 2515-2518, 1982.

MIZUNO, T. Shiitake, Lentinus edodes: Funcional proprieties for medical and food
purposes. Food Reviews International, v.11, n.1, p. 111-128, 1995.

MONTINI, R. M. C.; PASSOS, J. R. S.; EIRA, A. F. Digital monitoring of mycelium
growth kinetics and vigor of shiitake (lentinula edodes (berk.) Pegler) on agar
medium. Brazilian Journal of Microbiology. V. 37, p. 90-95, 2006.

NATIONAL COMITTEE FOR CLINICAL LABORATORY STANDARDS (NCCLS)
Performance standards for antimicrobial disk susceptibility testing. Wayne
approved standard M2-A7 e supplement M100-59, 7th ed, 2000.




                                                                                90
OVERBYE, K.M & BARRETT, J.F. Antibiotics: where did we go wrong? Drug
Discovery Today. V. 10, n. 1, p. 45-52, 2005.

PACCOLA, E. A. et al. Antagonistic Effect of Edible Mushroom Extract on Candida
albicans Growth. Brazilian Journal of Microbiology, v.32, n.3, p. 176-178, 2001.

PATERSON, R.R.M. Ganoderma – A                    therapeutic   fungal   biofactory.
Phytochemistry. V. 67, p. 1985–2001, 2006.

PAYNE, D.; TOMASZ, A. Antimicrobials The challenge of antibiotic resistant
bacterial pathogens: the medical need, the market and prospects for new
antimicrobial agents. Current Opinion in Microbiology, v. 7, p. 435-438, 2004.

PEGLER, D. N. The genus Lentinula (Tricholomataceae tribe Collybieae).
Sydowia, v.36, p. 227-239, 1983.

PELÁEZ, F. The historical delivery of antibiotics from microbial natural products—
Can history repeat? Biochemical pharmacology , v.7 1, p. 9 8 1– 9 9 0, 2006.

POWERS, J.H. Antimicrobial drug development – the past, the present, and the
future. Clinical Microbiology Infection. V.10, (Suppl. 4), p. 23–31, 2004.

PROJAN, S.J. Why is big Pharma getting out of antibacterial drug discovery?
Current Opinion in Microbiology. V. 6, p. 427-430, 2003.

PROJAN, S.J. & SHLAES, D.M. Antibacterial drug discovery: is it all downhill from
here? Clinical Microbiology Infection. V. 10 (Suppl. 4), p. 18–22, 2004.

PRZYBYLOWICZ, P e DONOGHUE, J. Shiitake Growers Handbook: the art and
science of mushroom cultivation, 1990, Iowa: Kendall/Hunt publishing company,
260p.

PUTZKE, J. & PUTZKE, M.T.L. Os reinos dos fungos, 2004, v. 1 e 2, 2 ed,
Edunisc, 829p.

QUIROGA, E.N.; VATTUONE, M.A.; SAMPIETRO, A.R.               Purification and
characterization of the invertase from Pycnoporus sanguineus. Biochimica et
Biophysica Acta, v. 1251, p. 75-80, 1995.
¸




RAVEN, P.H.; EVERT, R.F.; EICHHORN, S.E. Biologia Vegetal, 2001, 6 ed.,
Guanabara Koogan, RJ, 728p.

ROSA, L. H. et al. Screening of brazilian Basidiomycetes for antimicrobial activity.
Memórias do Instituto Oswaldo Cruz, v. 98, n.7, p. 1-8, 2003.



                                                                                 91
Eo S. et al. Antiviral activities of various water and methanol soluble substances
isolated from Ganoderma lucidum. Journal of Ethnopharmacology, v. 68, p. 129-
136, 1999.

SHLAES, D. M.; PROJAN, S. J.; EDWARDS Jr. J. E. Antibiotic Discovery: State of
the State. ASM News. V. 70, n. 6, p. 275-281, 2004.

SHOUJI, N. et al. Anticaries effect of a component from shiitake (an edible
mushroom). Caries Research. V. 34, p. 94-98. 2000.

SIGOILLOT, C. et al. Lignocellulolytic and hemicellulolytic system of Pycnoporus
cinnabarinus: isolation and characterization of a cellobiose dehydrogenase and a
new xylanase. Enzyme and Microbial Technology , v. 31, p. 876–883, 2002.

SIQUEIRA, E.M.A.; MIZUTA, K.; GIGLIO, J.R. Pycnoporus sanguineus: a novel
source of [alpha]-amylase. Mycological Research, v. 101, p. 188-190, 1997.

SMÂNIA Jr, A. et al. Growth and production phases of Pycnoporus sanguineus.
Revista Brasileira de Microbiologia. V. 26, p. 302-306, 1995a.

SMÂNIA Jr, A. et al. Antibacterial activity of a substance produced by the fungus
Pycnoporus sanguineus (Fr.) Murr. Journal of Ethnopharmacology, v.45, p. 177-
181, 1995b.

SMÂNIA, E.F.A. et al. Optimal parameters for cinnabarin synthesis by Pycnoporus
sanguineus. Journal of Chemistry and Technical Biotechnology v. 70, p. 57-59,
1997.

SMÂNIA E.F.A.; SMÂNIA Jr, A.; LOGUERCIO-LEITE, C. Cinnabarin synthesis by
Pycnoporus sanguineus strains and antimicrobial activity against bacteria from
food products. Brazilian Journal of Microbiology. v. 29, p.317-320, 1998.

SMÂNIA Jr, A. et al. Toxicity and antiviral activity of cinnabarin obtained from
Pycnoporus sanguineus (Fr.) Murr.

SMITH, G. M. Botânica Criptogâmica vol. 1: Algas e Fungos. 4ª ed. Fundação
Calouste Gulbenkian. 1987, 527p.

SPARRAT, M.C.N. et al. Screening for ligninolytic enzymes in autochthonous
fungal strains from Argentina isolated from different substrata. Revista
Iberoamericana de Micologia, v. 19, p. 181-185, 2002.

SPELHAUG S.R.; HARLANDER, S.K. Inhibition of foodborne bacterial pathogens
by bacteriocins from Lactococcus lactis and Pediococcus pentosaceous. Journal
of food protection. V. 52, p. 856-862, 1989

                                                                               92
SUAY, F. et al. Screening of Basidiomicetos for antimicrobial activities. Antonie
Van Lewwenhoek. v.78, p.129-139, 2000.

TAVARES, W. Pequena história sobre os antimicrobianos. Arquivos Brasileiros
de Medicina. V. 59, p. 153-158, 1985.

TAVARES, W. Manual de Antibióticos e Quimioterápicos Antiinfecciosos. 2°
Edição, São Paulo: Editora Atheneu, 1999, 792p.

THOMSON, C.J. et al. Antibacterial research and development in the 21st Century
– an industry perspective of the challenges. Current Opinion in Microbiology. V.
7, p.445–450, 2004.

TORTOTA, G.J; FUNKE, B.R; CASE, C.L. Microbiologia. 6º Edição, Porto Alegre:
Editora Artmed, 2002, 827p.

VICENTE, M.F; BASILIO, A.; CABELLO, A.; PELÁEZ, F. Microbial natural
products as a source of antifungals. Clinical Microbiology Infection. V. 9, p. 15-
32, 2003.

WALSH, C. Where will new antibiotics come from? Nature Reviews in
Microbiology. V. 1, p.65-70, 2003.

WASSER, S.P. & WEIS, A.L. Therapeutic effects of substances occuring in higher
Basidiomicetos mushrooms: a modern perspective. Crittical Reviews of
Immunology. V. 19, p. 65-96, 1999.

WEISSBACH, H & KATZ, E. Studies on the Biosynthesis of Actinomycin: Enzymic
Synthesis of the Phenoxazone Chromophore. The journal of Biological
Chemistry. V. 236, n. 3, 1960.

ZENT, E.L.; ZENT, S.; ITURRIAGA, T. Knowledge and use of fungi by a mycophilic
society of the Venezuelan Amazon. Economic Botany. V. 58, n. 2, p. 214-226,
2004.




                                                                               93

000658229

  • 1.
    UNIVERSIDADE FEDERAL DORIO GRANDE DO SUL FACULDADE DE AGRONOMIA PROGRAMA DE PÓS-GRADUAÇÃO EM MICROBIOLOGIA AGRÍCOLA E DO AMBIENTE AVALIAÇÃO DA ATIVIDADE ANTIMICROBIANA DOS BASIDIOMICETOS Lentinula edodes, Lentinus crinitus, Amauroderma sp. e Pycnoporus sanguineus. MAIRA PERES DE CARVALHO (BIÓLOGA-PUCPR) Dissertação apresentada ao Programa de Pós-graduação em Microbiologia Agrícola e Ambiente, na área de microbiologia industrial para a obtenção do título de mestre. PORTO ALEGRE, RIO GRANDE DO SUL, BRASIL MARÇO, 2007
  • 2.
    UNIVERSIDADE FEDERAL DORIO GRANDE DO SUL FACULDADE DE AGRONOMIA PROGRAMA DE PÓS-GRADUAÇÃO EM MICROBIOLOGIA AGRÍCOLA E DO AMBIENTE AVALIAÇÃO DA ATIVIDADE ANTIMICROBIANA DOS BASIDIOMICETOS Lentinula edodes, Lentinus crinitus, Amauroderma sp. e Pycnoporus sanguineus. MAIRA PERES DE CARVALHO PORTO ALEGRE, RIO GRANDE DO SUL, BRASIL MARÇO, 2007
  • 3.
    SUMÁRIO LISTA DE TABELAS viii LISTA DE FIGURAS ix LISTA DE ABREVIAÇÕES xii 1. INTRODUÇÃO 1 2. REVISÃO BIBLIOGRÁFICA 4 2.1 Compostos Antimicrobianos 4 2.2 Resistência aos antibióticos 6 2.3 Antifúngicos 12 2.4 Produtos sintetizados por microrganismos como fonte de novos antibióticos 15 2.5 Indústria farmacêutica e a pesquisa de novos antibióticos 20 2.6 Fungos Filamentosos 26 2.6.2 Tecidos fúngicos 33 2.6.3 Fatores físico-químicos de crescimento 34 2.7 Classificação 36 2.7.1 Classe Basidiomycetes 36 2.8 Produtos bioativos sintetizados por Basidiomicetos 42 2.9 Ordem Agaricales 46 2.9.1 Família Tricholomataceae 49 2.9.1.1 Lentinula edodes (Berk.) Sing 49 2.9.1.2 Posição taxonômica 49 2.9.1.3 Características morfológicas 49 2.9.1.4 Biologia, ocorrência natural e cultivo 50 2.9.1.5 Propriedades Terapêuticas 51 2.9.2.6 Lentinus crinitus (L.:Fr) Fr 52 2.9.1.6.1 Posição taxonômica 52 2.9.1.6.2 Características morfológicas 53 2.9.1.6.3 Ocorrência natural, hábitat e considerações sobre a 53 sua utilização 2.9.1.6.4 Propriedades Terapêuticas 54 2.10 Ordem Aphylophoralles 54 2.10.1 Família Ganodermataceae 55 2.10.2 Amauroderma sp. 55 2.10.2.1 Posição taxonômica 55 2.10.2.2 Características morfológicas 56 2.10.2.3 Ocorrência natural, hábitat e considerações sobre a sua 56 utilização 2.10.2.4 Propriedades Terapêuticas 57 2.11. Família Polyporaceae 58 2.11.1 Pycnoporus sanguineus (Fr.) Murr. 58 2.11.1.1 Posição taxonômica 58 2.11.1.2 Características morfológicas 59
  • 4.
    2.11.1.3 Ocorrência natural,hábitat e considerações gerais sobre a sua utilização 59 2.11.1.4 Propriedades Terapêuticas 60 3. MATERIAL E MÉTODOS 61 3.1 Coleta e isolamento 61 3.2 Avaliação do desenvolvimento micelial 63 3.3 Descrição morfológica das colônias fúngicas 64 3.4 Cultivo micelial em meio líquido 64 3.5 Determinação da massa seca do micélio 65 3.6 Quantificação de proteínas e açúcares totais 65 3.6 Extração de metabólitos solúveis em solventes orgânicos 65 3.7 Detecção dos metabólitos antimicrobianos pelo método difusão em ágar 66 3.8 Isolamento dos metabólitos antimicrobianos por cromatografia em camada delgada (CCD) e Bioautografia 66 4. RESULTADOS E DISCUSSÃO 69 4.1 Desenvolvimento do micélio em diferentes meios de cultivo 69 4.1.1 Lentinula edodes 69 4.1.2 Lentinus crinitus 70 4.1.3 Amauroderma sp. 71 4.1.4 Pycnoporus sanguineus 72 4.2 Descrição das colônias miceliais 73 4.2.1 Lentinula edodes 73 4.2.2 Lentinus crinitus 74 4.2.3 Amauroderma sp. 75 4.2.4 Pycnoporus sanguineus 76 4.3 Produção de biomassa micelial e quantificação de proteínas 77 e açúcares totais 4.3.1 Lentinula edodes 77 4.3.2 Lentinus crinitus 80 4.3.3 Amauroderma sp. 81 4.3.4 Pycnoporus sanguineus 84 4.4 Atividade antimicrobiana dos extratos obtidos a partir do primeiro cultivo dos basidiomicetos 86 4.4.1 Lentinula edodes 86 4.3.2 Lentinus crinitus 88 4.3.3 Amauroderma sp. 90 4.3.4 Pycnoporus sanguineus 92 4.5 Cromatografia em camada delgada e Bioautografia 94 4.4.1 Lentinula edodes 94 4.3.2 Lentinus crinitus 96 4.3.3 Amauroderma sp. 97 4.3.4 Pycnoporus sanguineus 99 5. CONCLUSÕES 101 6. REFERÊNCIAS 102 vii
  • 5.
    LISTA DE TABELAS Tabela1- Principais antibióticos utilizados para o tratamento de animais e como fatores de crescimento nos Estados Unidos. 12 Tabela 2- Microrganismos utilizados nos ensaios de bioautografia. 68 viii
  • 6.
    LISTA DE FIGURAS FIGURA2 – Processo de desenvolvimento de antibióticos. 20 FIGURA 12 – Basidiocarpo de L.edodes. 51 FIGURA 13 – Basidiocarpo de L. crinitus. 54 FIGURA 14 – Estrutura química dos compostos sesquiterpênicos 55 produzidos por L. crinitus FIGURA 15 – Basidiocarpo de Amauroderma sp. 57 FIGURA 16 – Basidiocarpos de P. sanguineus. 60 FIGURA 17 – Estrutura química da cinabarina. 61 FIGURA 18 – Tempo de desenvolvimento do micélio de L.edodes nos meios de cultivo ABD, AEM, AEMP e ASD, em placas de Petri (90mm). Média de 5 repetições. 70 FIGURA 19 – Tempo de desenvolvimento do micélio de L. crinitus nos meios de cultivo ABD, AEM, AEMP e ASD, em placas de Petri (90mm). Média de 5 repetições. 71 FIGURA 20 –Tempo de desenvolvimento do micélio de Amauroderma sp., nos meios de cultivo ABD, AEM, AEMP e ASD, em placas de Petri (90mm). Média de 5 repetições. 72 FIGURA 21 – Tempo de desenvolvimento do micélio de P. sanguineus, nos meios de cultivo ABD, AEM, AEMP e ASD, em placas de Petri (90mm). Média de 5 repetições. 73 FIGURA 22 – Micélio de L. edodes em quatro meios de cultivo distintos. A – ABD, B – AEM, C – AEMP e D – ASD. Incubação durante 20 dias. 74 FIGURA 23 - Micélio de L.crinitus em quatro meios de cultivo distintos. A – ABD, B – AEM, C – AEMP e D – ASD. Incubação durante 20 dias. 75 FIGURA 24 - Micélio de Amauroderma sp. em quatro meios de cultivo distintos. A – ABD, B – AEM, C – AEMP e D - ASD. Incubação durante 20 dias. 76 FIGURA 26 - Micélio de P. sanguineus em quatro meios de cultivo 77 distintos. A – ABD, B – AEM, C – AEMP e D – ASD. Incubação durante 20 dias. FIGURA 27 – Biomassa micelial (g) do L. edodes cultivado em 5 meios diferentes durante 7, 14, 21, 28, 35 e 42 dias (média de três repetições). Quantificação de açúcares totais e proteínas (mg/ml). A – cultivo em meio CBD; B – cultivo em meio CEM; C – cultivo em meio CEMP; D – cultivo em meio FMS e E – cultivo em meio CSD. 79 FIGURA 28 – Biomassa micelial (g) de L. crinitus cultivado em 5 meios diferentes, durante 7, 14, 21, 28, 35 e 42 dias (média de 3 repetições). Quantificação de açúcares totais e proteínas (mg/ml). A – cultivo em meio CBD; B – cultivo em meio CEM; C – cultivo em meio CEMP; D – cultivo em meio FMS e E – cultivo em meio CSD 81 FIGURA 29 – Biomassa micelial (g) do Amauroderma sp. cultivado em 5 meios diferentes, durante 7, 14, 21, 28, 35 e 42 dias (média de 3 repetições). Quantificação de açúcares totais e proteínas (mg/ml). A – cultivo em meio CBD; B – cultivo em meio CEM; C – cultivo em meio
  • 7.
    CEMP; D –cultivo em meio FMS e E – cultivo em meio CSD 83 FIGURA 30 – Biomassa micelial (g) do P. sanguineus cultivado em 5 meios diferentes, durante 7, 14, 21, 28, 35 e 42 dias (média de 3 repetições). Quantificação de açúcares totais e proteínas (mg/ml). A – cultivo em meio CBD; B – cultivo em meio CEM; C – cultivo em meio CEMP; D – cultivo em meio FMS e E – cultivo em meio CSD 85 FIGURA 31 – Halos de inibição dados por extratos de L. edodes. A – atividade contra E.coli do extrato CEMP em 28 dias; B – atividade contra S. aureus do extrato CEM em 28 dias; C – atividade contra S. aureus do extrato SB em 28 dias e D – atividade contra C. albicans do extrato FMS em 28 dias. 86 FIGURA 32 – Diâmetro dos halos de inibição dado pelos extratos obtidos a partir do cultivo de L. edodes em diferentes meios e períodos de incubação contra os microrganismos alvo C. albicans, E.coli e S. aureus. 87 FIGURA 33 – Halos de inibição dados por extratos de L. crinitus. A – atividade contra C.albicans do extrato CEMP em 28 dias; B – atividade contra S. aureus do extrato CEM em 28 dias; C – atividade contra E.coli. 88 FIGURA 34 – Diâmetro dos halos de inibição dado pelos extratos obtidos a partir do cultivo de L. crinitus em diferentes meios e períodos de incubação contra os microrganismos alvo C. albicans, E.coli e S. aureus. 90 FIGURA 35 – Halos de inibição dados por extratos de Amauroderma sp. A – atividade contra S.aureus do extrato CEMP em 21 dias; B – atividade contra C. albicans do extrato CBD em 21 dias; C – atividade contra S.aureus no extrato CBD em 21 dias e D – atividade contra E.coli do extrato CBD em 28 dias. 91 FIGURA 36 – Diâmetro dos halos de inibição dado pelos extratos obtidos a partir do cultivo de Amauroderma sp. em diferentes meios e períodos de incubação contra os microrganismos alvo C. albicans, E.coli e S. aureus. 91 FIGURA 37 – Halos de inibição dados por extratos de P. sanguineus. A – atividade contra E.coli do extrato FMS em 21 dias; B – atividade contra C. albicans do extrato CEMP em 21 dias; C – atividade contra S.aureus no extrato CBD em 21 dias e D – atividade contra S.aureus do extrato CBD em 21 dias. 92 FIGURA 38– Diâmetro dos halos de inibição dado pelos extratos obtidos a partir do cultivo de Pycnoporus sanguineus em diferentes meios de cultivo e períodos de incubação contra os microrganismos alvo C. albicans, E.coli e S. aureus. 93 FIGURA 39 – Cromatografia dos extratos de L. edodes de 28 e 35 dias, visualizada sob luz UV em 254 nm. Banda responsável pela atividade antimicrobiana circulada em preto. 94 FIGURA 40 – Cromatografia de L. edodes revelada com anisaldeído sulfúrico. As duas bandas, de colorações amarelo e roxo, visualizadas no mesmo Rf do antimicrobiano estão circuladas em preto. 95
  • 8.
    FIGURA 42 –Cromatografia dos extratos de Amauroderma sp,visualizada sob luz UV em 254 nm. As bandas circuladas em preto são responsáveis pela atividade antimicrobiana. 98 FIGURA 43 – Cromatografia dos extratos de Amauroderma sp, revelada com anisaldeído sulfúrico. Uma das bandas circuladas em preto é responsável pela atividade antimicrobiana. 98 xi
  • 9.
    LISTA DE ABREVIAÇÕES 3-HAA- ácido 3-hidroxiantranílico ABD – ágar batata dextrose AC - ácido cinabarínico AEM – ágar extrato de malte AEMP – ágar extrato de malte com peptona ASD – ágar saboraud dextrose CBD – caldo batata dextrose CCD – cromatografia em camada delgada CEM – caldo extrato de malte CEMP – caldo extrato de malte com peptona CSD – caldo saboraud dextrose FMS – farinha de milho e sacarose g – gramas L- litros mm - milímetros nm - nanômetros SARM – Staphylococcus aureus resistente a meticilina UV - ultravioleta xii
  • 10.
    1. INTRODUÇÃO Os basidiomicetos pertencem ao phylum Basidiomycota e sua principal característica é a presença de basídios, estruturas onde ocorre a cariogamia e a meiose, formando os basidiósporos. Desde a antiguidade são utilizados como alimento, devido ao sabor agradável e às propriedades nutricionais e medicinais. Contêm proteínas, carboidratos, vitaminas e minerais e são considerados uma ótima fonte de fibras. Além disso, é comprovado que estes organismos produzem um elevado número de metabólitos com atividades antitumoral, antiviral, antiinflamatória, antitrombótica, citostática, hipoglicêmica e antimicrobiana. Com o aumento da resistência bacteriana aos antibióticos disponíveis e das infecções fúngicas, principalmente em pacientes imunocomprometidos, a pesquisa e o desenvolvimento de novos antimicrobianos revela-se crescente e necessária. Neste sentido, os metabólitos produzidos por organismos pouco estudados devem ser amplamente pesquisados como fonte de novos compostos antimicrobianos, pois oferecem uma enorme diversidade química. Esta
  • 11.
    diversidade encontrada nosprodutos naturais não pode ser igualada e tampouco substituída por bases de dados combinatórias para a síntese de novas moléculas com atividades biológicas. Sendo assim, o objetivo deste trabalho foi avaliar quatro espécies de basidiomicetos, quanto à produção de metabólitos com atividade antimicrobiana em diferentes meios de cultivo. Três delas foram coletadas em Floresta Ombrófila Mista, no estado do Paraná e uma foi obtida em estabelecimento comercial, no mesmo estado. Estas espécies são: o Lentinula edodes, conhecido como shiitake, com atividade já relatada na literatura; o Lentinus crinitus, que sintetiza compostos sesquiterpênicos com atividade antimicrobiana; o Amauroderma sp., que até o momento não foi reportado em literatura com produtor de antimicrobianos e o Pycnoporus sanguineus, que é capaz de sintetizar a cinabarina, que possui atividade antimicrobiana. Embora já existam relatos para a maioria dos basidiomicetos utilizados neste trabalho, não há dados comparativos de produção em diferentes meios. Tendo em vista que uma das estratégias para a pesquisa de novas moléculas com atividade antimicrobiana é o cultivo de uma mesma espécie sob diferentes condições, demonstra-se a importância do presente trabalho. 2
  • 12.
    2. REVISÃO BIBLIOGRÁFICA 2.1 Compostos Antimicrobianos As primeiras descrições sobre o uso de antimicrobianos datam de 3.000 anos atrás, quando os médicos chineses usavam fungos para o tratamento de feridas infeccionadas. Assim o faziam também os índios norte-americanos. Os médicos indianos recomendavam a ingestão de certos fungos para a cura de diarréias. Utilizados de maneira empírica na época, sabe-se que vários destes produtos indicados na Antiguidade e na Idade Média apresentam propriedades terapêuticas antiinfecciosas graças a compostos sintetizados a partir dos microrganismos utilizados neste tipo de tratamento (Tavares 1985 e 1999). Alexander Fleming, em 1929, do St. Mary’s Hospital de Londres, publicou o trabalho no qual relata as propriedades bactericidas de um microfungo presente no ar, identificado na época, como Penicillium rubrum (Fleming 1929). Este fungo foi reclassificado como P. notatum (Lacaz 1965). Mais tarde, graças aos trabalhos de Howard Walter Florey e Ernst Boris Chain, pesquisadores da 3
  • 13.
    Universidade de Oxford,a penicilina foi isolada das culturas de Penicillium e novas técnicas para a sua obtenção foram desenvolvidas (Chain et al. 1940, Lacaz 1965, Tavares 1985 e 1999). A enorme utilidade da penicilina não foi aparente até 1941, quando foi finalmente testada clinicamente e iniciou-se a produção em larga escala (Tortora 2002). Com a introdução da penicilina, chegou a ser cogitado o fim das infecções causadas por bactérias (Furuya & Lowy 2006). Entretanto, tão logo foi descoberta a utilidade da penicilina, também foram descobertos os microrganismos produtores das penicilinases (Abraham & Chain 1940). Estas descobertas levaram a uma busca concentrada por novas drogas antibacterianas durante os 30 anos seguintes e resultaram na descoberta das principais classes de antibióticos conhecidas atualmente, muitas delas derivadas de produtos naturais (Butler & Buss 2006). Assim, os primeiros antibióticos descobertos foram a penicilina e estreptomicina, e rapidamente foram seguidos pelas tetraciclinas, isoniazida, macrolídeos, glicopeptidicos, cefalosporinas, ácido nalidíxico e outras classes moleculares culminando na rifampicina que entrou no mercado no final dos anos 60 (Projan & Shlaes 2004). Nos 20 anos passados houve uma redução de 56% no número de antibióticos aprovados pela Food and Drug Admnistration (FDA) e na década passada, somente 22 antibióticos foram lançados (Butler & Buss 2006). Desde 1998, somente nove antibióticos foram internamente aprovados, e dentre estes, apenas dois possuem novos mecanismos de ação (Overbye & Barret 2005). Uma grande quantidade de antibióticos tem sido descoberta, porém, menos de 1% tem valor prático na terapêutica; para que um antibiótico seja 4
  • 14.
    considerado ideal eledeve ter ação antimicrobiana seletiva e potente, exercer sua atividade na presença dos líquidos do organismo e não ser destruído pelas enzimas tissulares, não causar imunocomprometimento e nas concentrações necessárias para afetar o agente infeccioso, não deve danificar os leucócitos nem lesar os tecidos do hospedeiro; ter índice terapêutico conveniente e, mesmo nas doses máximas necessárias durante períodos muito prolongados, não produzir efeitos colaterais graves, tóxicos ou alérgicos ao hospedeiro; não ter efeitos teratogênicos; ser eficaz por todas as vias de administração; ser facilmente obtido em escala industrial, possibilitando a sua fabricação em grande quantidade e a baixo custo (Lacaz 1965, Tavares 1999, Madigan 2000). Portanto, as dificuldades para a obtenção de tal antibiótico são enormes, e aqueles que mais se aproximam destas características apresentam custo elevado, o que torna problemático o seu uso pela população de baixo poder aquisitivo (Tavares 1999). 2.2 Resistência aos antibióticos A descoberta dos antibióticos revolucionou a medicina, permitindo o tratamento de infecções que até então eram fatais. A sua disponibilidade tem criado segurança para a população em relação às doenças infecciosas adquiridas na comunidade. Porém esta segurança irá dissipar-se se o desenvolvimento de microrganismos resistentes continuar a frente do desenvolvimento de novas drogas (Livermore 2004). Apesar do sucesso obtido no passado com a descoberta dos antibióticos, as doenças infecciosas causam 17 milhões de mortes globalmente, particularmente de crianças e idosos (Butler & Buss 2006). Muitos estudos têm mostrado que a freqüência de isolados multiresistentes está 5
  • 15.
    aumentando no mundotodo, com a resistência desenvolvendo-se para quase todas as classes de antibióticos, tanto naturais como sintéticos (Walsh 2003, Projan & Shlaes 2004). A necessidade de novos agentes é mais evidente nos hospitais, onde os números de patógenos multi-resistentes, principalmente bactérias gram- negativas dos gêneros Acinetobacter e Pseudomonas estão aumentando. Para muitos destes patógenos, as opções para a terapia são extremamente limitadas (Powers 2004, Projan & Shlaes 2004, Shlaes et al. 2004). Mudanças nas populações de pacientes e o elevado número de pessoas imunocomprometidas internadas em hospitais levaram a um aumento da freqüência de isolamento de Acinetobacter baumannii, o qual antes era raramente isolado e não considerado particularmente patogênico. Modernamente esta espécie mais P. aeruginosa são provavelmente os mais problemáticos dos patógenos nosocomiais, ambos sendo responsáveis pela maioria das pneumonias adquiridas em hospitais por pacientes previamente tratados com antibióticos. Algumas cepas destas espécies já foram identificadas como multi-resistentes (Bax 2000, Bush 2004, Projan & Shlaes 2004, Butler e Buss 2006). Além disso, a prevalência de Staphyloccocus aureus resistente a meticilina permanece extremamente elevada em muitos países (Bax 2000, Bush 2004, Butler e Buss 2006). Embora as infecções causadas por microrganismos resistentes ocorram essencialmente em hospitais, as bactérias que possuem genes que conferem resistência têm uma vantagem adaptativa que facilita a sua disseminação. Entretanto, um fato que têm recebido pouca atenção, porém não é 6
  • 16.
    menos importante, éo aumento destas bactérias na comunidade, que acaba tornando-se um importante reservatório para a resistência a antimicrobianos (Furuya e Lowy 2006). Todo antibiótico introduzido na clínica, possui uma vida limitada, pois seleciona bactérias com mecanismos intrínsecos ou adquiridos de resistência. Embora estas bactérias sejam raras, na presença continuada do antibiótico seletivo, os patógenos resistentes tornam-se mais populosos. As bactérias adquirem resistência como um resultado de mutações no cromossomo, que permitem a emergência de cepas clonais quando sujeitos a pressão seletiva (Bush 2004, Furuya & Lowy 2006). As trocas genéticas horizontais podem ocorrer por várias maneiras, incluindo transformação, transdução e conjugação. Estes eventos acontecem na presença ou ausência do antibiótico (Furuya & Lowy 2006). De talvez conseqüências mais graves, está à resistência mediada por plasmídeos, onde uma cepa resistente selecionada por um antibiótico pode resultar em resistência a outras classes destes medicamentos, através da presença de plasmídeos de resistência múltipla. O fato mais importante é que esses plasmídeos podem ser transferidos entre espécies relacionadas e não relacionadas, resultando em resistência multifatorial em organismos como Escherichia coli, Klebsiella pneumoniae e Pseudomonas aeruginosa (Bush 2004). Em adição aos efeitos seletivos dos antibióticos, há outros fatores que auxiliam a disseminação das cepas resistentes na comunidade. Existem determinantes bacterianos que facilitam a colonização e a sobrevivência em diversos tipos de ambientes; por exemplo, as bactérias esporuladas podem 7
  • 17.
    permanecer sobre superfícies,sendo resistentes ao calor e a muitos agentes bactericidas; a formação de biofilmes limita o acesso do antibiótico às bactérias contidas nele e os fatores de virulência bacterianos, como presença de cápsula e ácido teicóico, facilita sua persistência e disseminação (Furuya & Lowy 2006). O tempo para o desenvolvimento de resistência clinicamente significativa depende de alguns parâmetros como a quantidade de antibiótico utilizada, a freqüência de prescrição, os reservatórios de mecanismos de resistência e a capacidade adaptativa do organismo resistente. Logo após a entrada de cada agente antibacteriano no mercado, foi reportada resistência de ao menos, um patógeno. A seleção de linhagens resistentes ocorre rapidamente e para algumas combinações de antibióticos, sua utilidade clínica diminui drasticamente em um período aproximado de cinco anos (Bush 2004, Projan & Shlaes 2004). O primeiro caso documentado de rápida seleção de uma população resistente foi o aumento da resistência à penicilina de aproximadamente 8% para quase 60% em S. aureus de 1945 a 1949 (Bush 2004). Este rápido desenvolvimento de resistência por S. aureus tem potencial para recriar a era pré- antibiótica, onde as taxas de mortalidade eram de 80% para pacientes com infecções sistêmicas (Monagham & Barrett 2006). Em 1993, a World Health Organization (WHO), declarou o Mycobacterium tuberculosis como um patógeno emergente no mundo todo. De acordo com esta organização, um indivíduo é infectado a cada segundo, e todo ano, oito milhões de pessoas contraem a doença, sendo que, destes dois milhões 8
  • 18.
    vão a óbito.A WHO prediz que entre 2000 e 2020, aproximadamente 1 bilhão de pessoas será infectada pelo M. tuberculosis e que isto custará para a sociedade 35 milhões de vidas (Overbye & Barret 2005). Dados indicam que aproximadamente 1500 toneladas de antibióticos são utilizadas por humanos anualmente, e muitas destas drogas são prescritas inapropriadamente, como por exemplo, para tratamento de infecções virais. A quantidade é ainda maior quando são levados em consideração os antimicrobianos usados nas rações para animais, que chegam ao patamar de 15000 toneladas (Furuya & Lowy 2006). Portanto, este é um ambiente rico para a transferência genética horizontal de bactérias patogênicas e comensais não patogênicas. Quando este fator está associado a enorme pressão seletiva sofrida pelos microrganismos pela ampla utilização dos antimicrobianos como fatores de crescimento para o animal, a resistência torna-se quase inevitável (McEwen 2002). Existem muitos problemas com as práticas de uso de antimicrobianos na indústria de rações, incluindo a ampla utilização e longa duração para razões não terapêuticas; a administração de antibióticos em massa, conhecida como metafilaxia, para tratar um pequeno número de animais doentes; uso de antibióticos das mesmas classes usadas para humanos e a falta de regulamentos para o uso de antibióticos (Tabela 1). O uso de antibióticos em rações não é para tratamento, nem profilaxia de infecção; pelo contrário, eles são utilizados para promover o crescimento do animal. São administrados em doses subterapêuticas, 9
  • 19.
    por semanas ouaté mesmo meses, provendo o ambiente ideal para a seleção de bactérias resistentes (McEwen 2002, Furuya & Lowy 2006). TABELA 1. Principais antibióticos utilizados nos Estados Unidos para o tratamento de animais e como fatores de crescimento. Finalidade Bovinos Suínos Aves Peixes Tratamento de várias infecções Amoxicilina Amoxicilina Eritromicina Ormetoprim Cefapirina Ampicillina Fluoroquinolona Sulfonamida Eritromicina Clortetraciclina Gentamicina Oxitetraciclina Fluoroquinolona Gentamicina Neomicina Gentamicina Lincomicina Penicilina Novobiocina Sulfametazona Espectinomicina Penicilina Tiamulina Tetraciclinas Sulfonamidas Tilosina Tilosina Tilmicosina Virginiamicina Tilosina Fatores de crescimento Bacitracina Ac. Asanílico Bambermicina Clortetraciclina Bacitracina Bacitracina Lasalocida Bambermicina Clortetraciclina Monensina Clortetraciclina Penicilina Oxitetraciclina Eritromicina Tilosina Penicilina Virginiamicina Tiamulina Tilosina Virginiamicina Fonte: McEwen 2002 2.3 Antifúngicos Os fungos pertencem a um grande grupo, onde aproximadamente 300 espécies são potencialmente patogênicas a seres humanos (Guarro et al. 1997). Mais de 30.000 doenças são clinicamente descritas, mas menos de dois terços possui tratamento (Knight et al. 2003). A descoberta dos antifúngicos data de 1939, quando Oxford e colaboradores reportaram o isolamento da griseofulvina, por Penicillium griseofulvum. Após, sua estrutura foi elucidada por Grove e McGowan em 1947. Até os anos 70 foram descobertos os principais antifúngicos utilizados até hoje. A partir deste período, o progresso na descoberta de novos 10
  • 20.
    antifúngicos tem sedado de forma lenta. Uma das razões para isto, é que as células mamíferas e fungos são eucariotos, então é natural que muitos agentes demonstrem um elevado potencial tóxico para as células dos hospedeiros (Gupte et al. 2002). As infecções fúngicas abrangem desde condições superficiais da derme e unhas até as doenças sistêmicas. As infecções invasivas de alta gravidade são causadas por Candida spp., Cryptococcus neoformans, Aspergillus spp., Fusarium sp., Pneumocystis carinii e Histoplasma capsulatum (Vicente et al. 2003). A aspergilose pulmonar invasiva é a maior causa de mortalidade entre pacientes transplantados de medula óssea (Gupte et al. 2002). Até os anos 70 as infecções fúngicas eram consideradas tratáveis e a demanda por novos antifúngicos era muito pequena (Vicente et al. 2003). O aumento na incidência de micoses disseminadas deve-se ao advento das quimioterapias agressivas contra o câncer, dos imunossupressores mais efetivos para pacientes transplantados, do uso indiscriminado de antibióticos de amplo espectro e do aumento do número de pacientes HIV positivos (Gupte et al. 2002). As cinco maiores classes de compostos antifúngicos que têm sido utilizadas na clínica são os polienos, derivados azólicos, as alilaminas e tiocarbamatos, as morfolinas e os análogos de nucleosídeos (Barrett 2002, Gupte et al. 2002. Jiang et al. 2002, Vicente et al. 2003). Sendo assim, há uma necessidade urgente para o desenvolvimento de novas drogas para o tratamento das infecções fúngicas. A urgência vem das limitações terapêuticas das classes de antifúngicos disponíveis, que demonstram toxicidade e espectro de ação 11
  • 21.
    limitado (Jiang etal. 2002). Além destes fatores podem ser citadas ainda a baixa potência, baixa solubilidade, dosagens inconvenientes ou limitadas e a rápida emergência de cepas resistentes (Odds 1993; Barrett 2002; Gupte et al. 2002). A produção de antifúngicos não é tão infrequente para os microrganismos. Resultados de triagens obtidos por Vicente et al. 2003, mostraram que uma porcentagem significativa das linhagens isoladas era capaz de produzir no mínimo um agente antifúngico. Entretanto, a principal questão envolvendo estes resultados foi: Se os antifúngicos são tão comuns, por que é tão complicado chegar a um novo medicamento? Primeiro muitas das atividades observadas durante as triagens não representaram compostos químicos diferentes; outras atividades observadas não foram potentes o suficiente ou não mostraram um espectro de ação que pode atrair as indústrias farmacêuticas para dedicar as pesquisas para a sua identificação. Muitos compostos produzidos foram simplesmente toxinas que também afetam células de mamíferos. Finalmente, compostos com atividade promissora in vitro foram inativos ou fracamente ativos quando testados em modelos animais. Embora a disponibilidade de dados indique que o número de compostos com atividade antifúngica presentes na natureza seja enorme, a avaliação destes em testes clínicos não é fácil e o nível de pesquisas requeridas não deve ser subestimada (Vicente et al. 2003). Entre os diferentes tipos de medicamentos existentes no mercado, os agentes antifúngicos pertencem a um grupo muito pequeno. A necessidade de agentes antifúngicos novos, seguros e mais efetivos é um dos maiores desafios da 12
  • 22.
    indústria farmacêutica hoje,especialmente com o aumento das doenças oportunísticas em pacientes imunocomprometidos (Gupte et al. 2002). 2.4 Produtos sintetizados por microrganismos como fonte de novos antibióticos Grande número de antibióticos utilizados na prática médica é obtido a partir de microrganismos, dos quais são metabólitos secundários. Estes são definidos como compostos de baixo peso molecular que não são requeridos para o crescimento em cultura, caracterizando-se pela grande diversidade de estrutura química e variação de forma, transformação e concentração sob diferentes condições ambientais, liberados para o meio ambiente. Estes compostos conferem uma vantagem seletiva ao organismo produtor (Demain 1981, Tavares 1999, Peláez 2005, Butler & Buss 2006). Muitos dos medicamentos utilizados para a terapia humana ou animal e na agricultura são sintetizados a partir de fermentações de microrganismos, ou derivados de modificações químicas destes produtos, criando novas gerações de antibióticos. Foram obtidos após décadas de triagens envolvendo provavelmente milhões de microrganismos, principalmente os do solo. Novos metabólitos bioativos continuam a ser identificados de fontes microbianas, graças à ampla variedade de cepas existentes. Nem todos os microrganismos são igualmente capazes de produzir metabólitos secundários. Particularmente, a habilidade em produzir metabólitos quimicamente diferentes, está associada aos actinomicetos, mixobacterias, pseudomonas, cianobacterias e fungos filamentosos (Donadio et al. 2002, Barrett & Barrett, 2003, Peláez 2005). 13
  • 23.
    Dados obtidos porPeláez 2005, mostram que a porcentagem de actinomicetos e fungos que produzem compostos com atividade antimicrobiana em testes de difusão em ágar, variam de 30 a 80%, dependendo do nicho ecológico ou grupos taxonômicos. Acredita-se que a produção de metabólitos secundários por microrganismos desempenhe diversas funções no meio ambiente, como a comunicação e proteção, assegurando a sua sobrevivência em condições de estresse ambiental (Overbye & Barret, 2005). O sucesso na descoberta de antibióticos a partir de produtos naturais sintetizados por microrganismos requer crescimento apropriado, em meios que induzam a produção do metabólito desejado, que pode ser então extraído e testado em triagens que utilizem métodos capazes de detectá-lo. Como não é conhecida a totalidade das capacidades biossintéticas presentes em um único microrganismo, como modulá-las e potencializá-las, as condições de cultivo dos microrganismos para a produção de metabólitos com atividade antimicrobiana devem ser estudadas cuidadosamente. Uma única cepa pode produzir diferentes compostos de acordo com os parâmetros físico-químicos empregados para a sua síntese. Sendo assim, uma das estratégias utilizadas nos programas industriais para estas triagens, consiste em cultivar cada cepa sob múltiplas condições (Cordell 2000, Peláez 2005). Um dos maiores problemas deste campo é a quantidade substancial de trabalho manual requerido (Figura 1) (Peláez 2005). Uma das questões básicas para o início de qualquer pesquisa sobre novos compostos antimicrobianos é a seleção dos grupos de organismos que devem ser examinados para aumentar a 14
  • 24.
    probabilidade de sucesso.Para tanto, algumas ferramentas podem ser utilizadas, como a taxonomia, a etnomedicina, e nichos ecológicos particulares (Cordell 2000, Peláez 2005). Em adição ao sucesso histórico na descoberta de drogas, os produtos naturais ainda são fontes de novas drogas comercialmente viáveis. Os microrganismos podem sintetizar compostos químicos com um vasto número de estruturas originais e potentes, sendo difícil ou mesmo impossível encontrá-los em bases de dados combinatórias. Isto é particularmente importante quando existe a procura por moléculas com alvos diferentes dos já conhecidos (Harvey 2000, Donadio et al. 2002, Peláez 2005). Os produtos naturais ainda parecem ser as fontes mais promissoras de futuros antibióticos. Os argumentos que suportam esta idéia são a diversidade estrutural encontrada na natureza, o enorme campo de microrganismos ainda não explorado e a probabilidade de ativar rotas metabólicas manipulando as condições de cultivo (Peláez 2005). Além disso, avanços significativos nas tecnologias de separação de compostos e elucidação estrutural têm facilitado o isolamento e identificação dos produtos bioativos dos extratos obtidos a partir de fermentações (Brizuela et al. 1998, Harvey 2000, Buss & Butler 2006). 15
  • 25.
    Meio Ambiente • Isolamento Cultivo em Laboratório • Seleção • Fermentação Cultivos de produção • Extração Extratos • Triagem Primeiros Testes • Espectro de ação • Purificação • Elucidação t t l Compostos puros Ativos • Caracterização biológica • Avaliação farmacológica • Otimização da produção • Avaliação da segurança • Testes clínicos Medicamento FIGURA 1. Processo de desenvolvimento de antibióticos. Adaptado de Peláez 2005. Novas espécies, e inclusive gêneros têm sido descobertos a cada dia, abrindo novas oportunidades. Os antibióticos conhecidos são produzidos por uma 16
  • 26.
    pequena parte da diversidade, e não se sabe quantas espécies de microrganismos existem. Somente 6000 espécies bacterianas são conhecidas, e estima-se que existam 1,5 milhões de espécies de fungos, onde a diversidade é maior nas regiões tropicais e subtropicais, dos quais somente 70000 foram identificados (Cordell 2000, Harvey 2000, Meijer 2000, Hawksworth 2001). Com tantos microrganismos com rotas metabólicas adaptadas a uma ampla gama de ambientes, uma série de compostos não usuais são produzidos. Assumindo que pouco se conhece sobre vários aspectos biológicos e da diversidade no planeta, são necessários esforços contínuos para sistematizar a biodiversidade, catalogar espécies e estabelecer bases de dados com informações etnobotânicas e etnomédicas (Cordell 2000, Harvey 2000). Então, um dos maiores desafios nos próximos 100 anos, é a conservação das florestas atlântica e amazônica, não somente razões geológicas, ecológicas e meteorológicas, mas pela diversidade química estocada nelas. A partir desta perspectiva, há oportunidades significativas para o desenvolvimento econômico dos países que abrigam estas florestas (Cordell 2000). 2.5 Indústria farmacêutica e a pesquisa de novos antibióticos A pesquisa e descoberta de antibióticos, acompanhadas pelo seu desenvolvimento clínico, vêm historicamente sendo conduzidas por companhias farmacêuticas de grande porte. Embora os primeiros antibióticos tenham sido primeiramente identificados em laboratórios acadêmicos como aqueles descobertos por Alexander Fleming (penicilina) e Selman Waksman 17
  • 27.
    (estreptomicina), as indústriasforam responsáveis pela otimização da produção em larga escala, formulação e testes clínicos. Após a comercialização com sucesso da penicilina depois da segunda guerra mundial, diversas empresas de grande porte tornaram-se líderes no desenvolvimento e manutenção das pesquisas sobre antibióticos por décadas. (Barrett & Barrett 2003, Bush 2004). Durante o final dos anos 80 e 90, o foco das pesquisas mudou para o desenvolvimento de medicamentos para doenças crônicas (hipertensão, problemas no sistema nervoso central, asma, câncer, diabetes, anticoagulantes, colesterol, dor, regulação hormonal) (Barrett & Barrett 2003). A respeito da resistência crescente entre isolados de importância clínica de bactérias Gram-positivas e Gram-negativas, muitas indústrias farmacêuticas de grande porte estão demonstrando desinteresse em relação a esta área de produção, essencial para a saúde pública. Como as dificuldades para o desenvolvimento destes medicamentos foram intensificadas com mais regulamentos para a aprovação, a pesquisa e desenvolvimento de antibióticos tornou-se menos atrativa. Nos últimos anos, a Aventis, Bristol-Myers Squibb, Eli Lilly, Glaxo SmithKline, Proctor & Gamble, Roche e Wyeth diminuíram ou eliminaram as pesquisas (Projan 2003, Thomson 2004, Barrett & Barrett 2004, Powers 2004, Projan & Shlaes 2004, Payne & Tomasz 2004). Entretanto, algumas empresas permaneceram no campo, incluindo a Johnson & Jonhson, Merck, Novartis e Pfizer, bem como algumas empresas de biotecnologia, baseadas na premissa de que patógenos resistentes continuarão a proliferar-se. Como a 18
  • 28.
    necessidade clínica éampla e urgente, oportunidades comerciais não deixarão de existir. Para estas empresas, o sentimento de responsabilidade social é um fator muito importante, o que contribui para a continuidade da pesquisa de antibióticos. (Shlaes et al. 2004). Em 2002, 89 novos medicamentos alcançaram o mercado, mas nenhum deles era antibiótico. Desde 1989, apenas sete novos antibacterianos foram aprovados. Relatórios anuais das companhias líderes (Merck, Pfizer, GlaxoSmithKline, Brystol-Myers Squibb, Aventis, Abbot, AstraZeneca, Lilly, Hoffman-La-Roche, Jonhson&Jonhson e Novartis), listaram apenas quatro antibióticos em 290 agentes (1, 38% dos produtos em desenvolvimento) (Projan 2003). O desenvolvimento de agentes antimicrobianos oferece atrações que não são visíveis em outras áreas terapêuticas, pois a probabilidade de um antibiótico entrar no mercado é maior do que outros medicamentos. A aprovação destas drogas em relação a outras é mais rápida, e o custo é menor. Além disso, os alvos destes agentes são claramente delineados, com testes in vitro bem estabelecidos; modelos in vivo são definidos para várias infecções causadas por microrganismos específicos, levando a uma alta probabilidade de sucesso (Bush 2004). Um dos fatores específicos mais importantes para o desenvolvimento de antibióticos está ligado ao elevado conhecimento científico neste campo. De nenhuma outra doença são conhecidos tão bem os agentes causadores e como combatê-los. Com isto, é possível retirar candidatos inadequados antes dos testes 19
  • 29.
    clínicos. Então, aprimeira vista, pode parecer que a necessidade por novos antibióticos seja atrativa para a indústria farmacêutica, gerando um mercado de aproximadamente 25-28 bilhões de dólares, mas a realidade é mais complexa. Os compostos antimicrobianos geralmente são fracos competidores, comparando-se a drogas destinadas a outras áreas terapêuticas, por diversas razões (Thomson 2004, Powers 2004). Ao determinar prioridades de pesquisa às empresas consideram a necessidade clínica imediata, a população em potencial que pode ser tratada pelo novo medicamento, como ele seria diferenciado na competição com outros produtos, o preço em vários mercados (principalmente nos países desenvolvidos) e o investimento necessário para promover a nova droga. Similar a outros negócios, as indústrias farmacêuticas precisam assegurar a recuperação de seus investimentos em pesquisa e desenvolvimento via venda de medicamentos (Projan 2003, Thomson et al. 2004). Como a maioria dos antibióticos é usada em terapias de curta duração, e as doenças geralmente são causadas por microrganismos suscetíveis, a sua prescrição varia de uma única dose até 10 dias de tratamento. Por isso, alvejando doenças crônicas, onde os pacientes fazem tratamentos por meses e até mesmo anos, há um custo benefício maior para as indústrias e consequentemente para a pesquisa de drogas em diversos níveis (Projan 2003, Powers 2004). Em adição aos desafios para a otimização dos processos industriais, os requerimentos para drogas seguras e efetivas tem aumentado muito, e a indústria farmacêutica arca com os custos sobrecarregados para cada produto que entra no mercado. 20
  • 30.
    Como estes custospodem exceder 800 milhões por droga, a indústria estabelece prioridades para as atividades de pesquisa e desenvolvimento, favorecendo os produtos com maior potencial de retorno do investimento. Os testes clínicos para produtos injetáveis são relativamente caros, especialmente aqueles específicos para patógenos resistentes, com o emprego de ao menos 600-1000 pacientes com custos de 5000 dólares ou mais por paciente, e várias indicações são necessárias para a viabilidade no mercado (Projan & Shlaes 2004). O mercado para antibióticos é dividido entre vendas para a comunidade para a maioria das drogas orais e o mercado para hospitais, que é dominado por agentes de uso parenteral. Os medicamentos considerados “blockbusters” são aqueles que vendem mais de 500 milhões de dólares anualmente, sendo que o mercado para a comunidade conta para quase 70% das vendas destes produtos. Embora muitos pacientes sejam tratados com genéricos, mais de 80% das vendas totais de antibacterianos representam produtos de marca registrada. Entretanto, um amplo número de produtos importantes (aqueles cujas vendas ultrapassam 500 milhões de dólares para quase 2 bilhões em vendas anuais) logo perderá as patentes de exclusividade nos principais mercados (Barrett & Barrett 2003, Powers 2004, Projan & Shlaes 2004, Shlaes et al. 2004). Como são exigidos muitos requerimentos pelas agências reguladoras em relação às áreas de manufatura, segurança e eficácia no desenvolvimento do produto, foi desenvolvida uma ferramenta estatística denominada “Net Present Value” (NPV). Através dela são calculadas projeções de gastos e lucros de um projeto particular de um produto comercial, levando em consideração o valor do 21
  • 31.
    investimento durante asua execução. O NPV também está ajustado aos riscos (rNPV), que são diferentes, de acordo com o alvo e tipo de composto. Os agentes antimicrobianos possuem risco relativamente baixo em todos os estágios de desenvolvimento até a fase III de testes clínicos, se comparados a projetos em outras áreas. Por exemplo, um candidato a antidepressivo, entrando nas fases de testes clínicos, tem um rNPV de 720 milhões de dólares, comparado a um antimicrobiano injetável que possui como alvo bactérias gram-positivas resistentes, que tem um rNPV de 100 milhões de dólares. Como o retorno do investimento para o antibiótico é menor do que para o antidepressivo há uma conseqüente desvantagem quando as companhias estabelecem prioridades de pesquisa e desenvolvimento. Outras ferramentas financeiras incluem a determinação da taxa de crescimento anual do mercado e a estimativa de picos de venda por ano. Algumas empresas estabelecem um pico mínimo de 200 a 500 milhões, para determinar o desenvolvimento de um determinado produto. Em geral, um antibiótico oral, que será usado para o tratamento de infecções adquiridas na comunidade é mais indicado a receber um status favorável do que um agente injetável para tratar infecções causadas por enterococos resistentes a vancomicina. Entretanto, ambos antibióticos receberiam uma prioridade baixa do que uma droga usada para o tratamento de depressão. Estas análises de marketing são feitas sem qualquer dado clínico que determine a eficácia do candidato. Elas são baseadas em dados de venda de produtos similares. Como frequentemente o mercado reage de forma diferente, este pré-marketing subjetivo pode levar a muitas disparidades entre 22
  • 32.
    análises e experiência,o que põe em xeque a validade dos processos para estabelecer prioridades dentro da indústria (Powers 2004, Projan & Shlaes 2004, Shlaes et al. 2004). Tendo em vista todas estas dificuldades para a obtenção de novos compostos com atividade antimicrobiana, e o crescente isolamento de patógenos que representam um risco a saúde pública, a efetivação de parcerias governamentais e acadêmicas com as indústrias farmacêuticas e empresas de biotecnologia, poderão prover melhores oportunidades para as pesquisas dentro desta área. Outras medidas, como a redução dos custos, principalmente dos testes da fase clínica III são de relevância neste aspecto. 2.6 Fungos Filamentosos Constituem um grupo de organismos eucariotos e heterotróficos (Putzke & Putzke 2004), delimitado com base em certas características peculiares, que incluem aspectos morfológicos e fisiológicos (Loguercio-Leite 2006). Ocupam diversos nichos ecológicos, sendo parasitas, saprofíticos ou simbiontes. 2.7 Classe Basidiomycetes Os fungos deste grupo pertencem ao que há de mais evoluído entre os seus representantes; incluem-se nele os cogumelos, fungos gelatinosos, carvões, ferrugens, orelhas de pau e alguns leveduriformes (Smith 1972, Herrera & Ulloa 1997, Raven 2004). O número de espécies de basidiomicetos está estimado em 140000, no entanto menos de 10% é conhecido (Lindequist et al. 2005). Esta classe compreende 22.300 espécies distribuídas em 3 classes, 41 ordens e 165 famílias (Raven 2004, Loguercio-Leite 2004). Os membros deste grupo têm papel 23
  • 33.
    preponderante na decomposiçãode substratos vegetais (Raven 2004). A maioria das espécies forma uma frutificação macroscópica, com hifas modificadas que originam pseudo-tecidos e diferem dos demais fungos por produzir esporos chamados de basidiósporos formados nos ápices de prolongamentos chamados esterigmas, em uma estrutura de reprodução especializada: o basídio (Alexopoulos 1962, Putzke & Putzke 2004). O número de esporos por basídio é quatro em regra, mas pode ser 2 ou 8 (Smith 1972). O tamanho das frutificações deste grupo é muito variado, desde alguns milímetros até mais ou menos 50 cm; as formas são muito heterogêneas e apresentam grande variedade de cores (Guerrero e Homrich 1998). Em ambientes terrestres atuam principalmente como decompositores de madeira, sendo que alguns podem decompor esterco e folhas. São conhecidos alguns parasitas de espécies agrícolas importantes ou de árvores. Podem ainda formar associações micorrízicas com espécies vegetais autóctones e alóctones ou com algas, formando liquens (Loguercio-Leite 2004). Algumas espécies são cultivadas comercialmente e outras são coletadas em áreas naturais e utilizadas como alimento (Przybylowicz & Donogue 1990, Herrera & Ulloa 1997, Loguercio- Leite 2004). O micélio consiste de hifas septadas, bem desenvolvidas que penetram no substrato e absorvem nutrientes (Alexopoulos 1962). Individualmente, a hifa é microscópica, mas pode ser visível quando é formada a massa micelial. A cor do micélio é usualmente branca, podendo variar de amarelo ao alaranjado ou cores 24
  • 34.
    mais escuras, inclusivemarrom e preto (Alexopoulos 1962, Putzke & Putzke 2004). É freqüente que as hifas do micélio secundário formem estruturas chamadas de grampos de conexão, fíbulas, ou ansas de anastomose. Estas estruturas conectam células vizinhas de uma mesma hifa, formando uma ponte sobre o septo. Como a hifa apresenta dois núcleos, um deles passa através do doliporo, existente no centro do septo e o segundo que não consegue atravessar o septo transversal durante a divisão celular, passa através do grampo de conexão (Alexopoulos 1962, Herrera & Ulloa 1997, Putzke & Putzke 2004). O micélio originado a partir da germinação do basidiósporo é denominado micélio primário. Pode ser multinucleado no início, havendo diferenciação de septos transversais que dividem as células em uninucleadas (Alexopoulos 1962, Smith 1972, Herrera & Ulloa 1997). O micélio secundário origina-se a partir da anastomose de hifas monocarióticas compatíveis, sendo composto por células dicarióticas. As anastomoses das hifas têm uma grande importância funcional para o fungo. Para que ela ocorra, é necessário que haja contato e adesão das hifas através das paredes, de maneira que entre uma e outra ocorra uma reabsorção das paredes e uma fusão dos protoplastos. Estas anastomoses são de três tipos fundamentais: as vegetativas, que favorecem o transporte e trocas de nutrientes entre as hifas, bem como a transmissão de estímulos diversos; as sexuais, que permitem a reunião de núcleos de hifas haplóides para formar as hifas diplóides, envolvendo os grampos de conexão; as parasitárias, que fazem possível a comunicação do protoplasma 25
  • 35.
    do parasita comas células do hospedeiro. Somente o micélio dicariótico esta competente a formar corpos de frutificação (Herrera & Ulloa 1997, Glass et al. 2004). A classe dos basidiomicetos é divida em duas subclasses, a dos homobasidiomycetae e a dos heterobasidiomycetae, de acordo a estrutura do basídio. Neste trabalho serão abordados somente basidiomicetos pertencentes à subclasse homobasidiomycetae, grupo Hymenomycetes (possuem himênio completamente exposto antes da maturação dos esporos) (Smith 1972, Raven 2004). 2.8 Produtos bioativos sintetizados por Basidiomicetos Os basidiomicetos produzem uma ampla gama de produtos naturais, desde componentes estruturais com atividade antitumoral e imunologicamente ativos até agentes antimicrobianos, antifúngicos, antivirais, citostáticos, enzimas, reguladores de crescimento e aromas (Breene 1990, Jong & Birmingham 1993, Chang & Buswell 1996, Brizuela et al. 1998, Borchers et al. 1999, Wasser & Weiss 1999, Kües & Liu 2000, Suay et al. 2000). Os polissacarídeos antitumorais produzidos por basidiomicetos têm recebido uma atenção crescente, sendo reportada na literatura a obtenção de β- glucanas solúveis em água e alcali, isolados a partir de fungos comestíveis ou medicinais como Grifola frondosa, Polyporus confluens, Hericium erinaceum, Lentinula edodes e Coriolus versicolor. A partir deste último foi isolado um composto formado por proteínas e polissacarídeos solúvel em água com peso molecular de aproximadamente 94kDa. Este composto é comercializado com o 26
  • 36.
    nome de Krestin,sendo avaliado em pacientes com câncer de colo retal e para tratamento combinado com quimioterapia, radioterapia e cirurgia em pacientes com câncer gastrointestinal, cérvico-uterino, de mamas e pulmonar (Brizuela et al. 1998; Wasser 2002). No leste europeu, basidiomas da espécie Inonotus oblíquos tem sido utilizados na medicina popular contra câncer, úlcera e gastrite desde o século 16 ou 17. Antitumorais foram isolados de diversos extratos deste basidiomiceto (Lindequist et al. 2005). Deste mesmo fungo, foram isolados também compostos capazes de inibir proteases do vírus HIV. A Velutina, uma proteína produzida pela espécie Flammulina velutipes demonstrou inibir a transcriptase reversa do HIV-I; a proteoglicana produzida por Trametes versicolor demonstrou atividade contra o HIV-I e citomegalovírus; uma fração do extrato do fungo Grifola frondosa foi testada em 35 pacientes HIV positivos, sendo que para 85% foi reportada melhora a sintomas e doenças secundárias causadas pelo HIV. Para 20 destes pacientes houve um aumento nas contagens de células CD4 de aproximadamente 1,8 vezes (Lindequist et al. 2005, Fan et al. 2006). Extratos etanólicos dos fungos comestíveis H. marmoreus, F. velutipes, Pholiota nameko e Pleurotus eryngii demonstraram efeitos antialérgicos significativos em cobaias (Fan t al. 2006). Basidiomicetos precisam sintetizar antibacterianos e antifúngicos para a sua própria sobrevivência no ambiente. Sendo assim, não é surpreendente que compostos com estas atividades possam ser isolados a partir destes organismos Porém, somente compostos produzidos por fungos microscópicos atingiram o 27
  • 37.
    mercado até agora(Lindequist et al. 2005). Os primeiros trabalhos empregando basidiomicetos foram reportados por Florey em 1949 e foram realizados por Anchel, Hervey e Wilkins em 1941, que examinaram extratos de basidiomas e cultivos miceliais de mais de 2000 espécies de fungos, detectando diversas atividades biológicas e levando ao isolamento da pleuromutilina (Figura 8) a partir do basidiomiceto Pleurotus mutilus (Anke 1989; Brizuela et al. 1998; Rosa et al. 2003). Pertence a uma nova classe de antibióticos que exibe sua função inibindo a síntese de proteínas bacteriana ao ligar-se a porção 50S do ribossomo bacteriano. (Woodnutt et al. 2001; Butler & Buss 2006). Em julho de 2005, um derivado, a retapamulina estava na fase III de testes clínicos como um antibiótico tópico e um outro análogo na fase I de teste, como um antibiótico de uso oral. Embora não haja derivados da pleuromutilina em uso na clinica humana, dois derivados semi- sintéticos, tiamulina e valnemulina, são amplamente usados como antibióticos para o tratamento de suínos (Butler & Buss 2006). Os principais metabólitos antimicrobianos isolados destes organismos pertencem às classes de poliacetilenos e terpenóides. Mais de 50 destes compostos insaturados têm sido isolados a partir de espécies dos gêneros Clitocybe, Coprinus, Cortinellus, Daedalea, Marasmius, Merulius, Pleurotus, Polyporus, Poria entre outras. O metabolismo dos basidiomicetos é rico em terpenóides, especialmente sesquiterpenóides que apresentam atividade antimicrobiana (Brizuela, 1998). Dentre estes podem ser citados um derivado do fulveno, o leianafulveno, isolado a partir da espécie Mycena leaiana, que corresponde ao 28
  • 38.
    pigmento amarelo alaranjado predominante no fungo; os aldeídos sesquiterpênicos marasmanos e lactaranos, do gênero Lactarius; o composto merulidial, isolado de cultivos de Merulius tremellosus; a hipnofilina, o pleurotelol e o ácido pleurotélico, a partir de fermentações de Pleurotellus hypnophilus; o colibial, isolado de Collybia confluens, que inibe o crescimento de bactérias gram- positivas; enokipodins A, B, C e D produzidos por Flamulinna velutipes que apresentam atividade antimicrobiana sobre as bactérias Gram-positivas B. subtilis e S. aureus e sobre o fungo Cladosporium herbarum; meleolido isolado de Armillaria mellea; illudin isolada de Clytocybe illudens e Lampteromyces japonicus; 6-desoxiludina M isolada de Pleurotus japonicus; e velleral e isovelleral de Lactarius vellereus, (Midland et al. 1982; Hara et al. 1987; Abate 1994; Brizuela 1998; Wasser & Weiss 1999, Ishikawa et al. 2000, 2001, 2001b). Além destes, os basidiomicetos são capazes de produzir diterpenos. Exemplos incluem a cavipetina, um antifúngico isolado a partir de Boletinus capines e a omfalona, um derivado de benzoquinona isolado de Lentinellus omphalodes (Brizuela et al. 1998). Outros tipos de compostos antimicrobianos, incluindo compostos fenólicos, aromáticos, purinas e pirimidinas tem sido descritos em Basidiomicetos, assim como, fenóis e derivados de quinonas isolados de Agaricus bisporus que demonstram atividade antibacteriana (Vogel et al. 1974, Brizuela et al. 1998). 2.9 Ordem Agaricales Esta ordem é extensa e diversificada e inclui os cogumelos, inclusive a maioria utilizada para cultivos comerciais (Herrera & Ulloa 1997, Raven 2004, 29
  • 39.
    Putzke & Putzke2004). Esta ordem pode ser considerada cosmopolita (Alexopoulos 1962). Os basidiocarpos são anuais e não zonados concentricamente, com diâmetro variando de 2mm até 50 cm ou um pouco mais, e peso de alguns gramas até 8 Kg (Putzke & Putzke 2004). A consistência é carnosa, frequentemente putrescentes, em forma de chapéu com estípite. As lamelas dispõem-se radialmente no lado inferior do chapéu (Guerrero e Homrich 1996). A variação de cores das esporadas é muito grande, sendo as mais freqüentes a branca e marrom a preta, mas pode-se obter esporadas amarelas, laranjas, rosadas, verdes, entre outras (Putzke & Putzke 2004). 2.9.1 Família Tricholomataceae Esta família inclui numerosas espécies saprófitas, parasitas e micorrízicas com lamelas aderidas ao estípite, frequentemente decurrentes. A esporada é branca na maioria dos casos, podendo ser amarela ou marrom. Compreende espécies comestíveis e tóxicas (Herrera & Ulloa 1997, Arora 1986). 2.9.1.1 Lentinula edodes (Berk.) Sing 2.9.1.2 Posição taxonômica Reino.............................................................Fungi Divisão (Filo).................................................Basidiomycota Classe...........................................................Basidiomycetes Subclasse.....................................................Holobasidiomycetidae Ordem...........................................................Agaricales Família.........................................................Tricholomataceae 30
  • 40.
    Gênero..........................................................Lentinula Espécie.........................................................edodes 2.9.1.3 Características morfológicas Píleo ou chapéu de 5-15 cm de diâmetro, carnoso, convexo a aplanado, subumbonado ou deprimido; a cor da superfície varia de pardo a marrom escuro, sendo mais escuro no centro, frequentemente muito pálido nas margens em espécimes jovens, seco, liso, embora logo apresente escamas triangulares. As lamelas são adnexas-adnatas, esbranquiçadas, 4-7mm de largura, moderadamente cheias, com lamelas de dois tamanhos, com a margem inteira ou fracamente serrulada. Estipe central ou excêntrico, 3-7cm X 8-15mm, cilíndrico, geralmente comprimido, sólido, superfície marrom claro, sempre mais clara do que o píleo, fibrilosa, lisa e glabrosa acima (Figura 2). Contexto de 5-8 mm de espessura, branco, carnoso. Esporada branca (Pegler 1983). FIGURA 2. Basidiocarpo de L.edodes. 2.9.1.4 Biologia, ocorrência natural e cultivo 31
  • 41.
    O L.edodes éum fungo decompositor de madeira capaz de utilizar lignina, celulose e hemicelulose como fontes de carbono (Hibbett et al. 1995, Chang & Buswell 1996). Ele forma corpos de frutificação em temperaturas na faixa de 15ºC a 20ºC e umidade relativa acima de 80% (Przybylowicz & Donoghue 1990). É o segundo cogumelo mais cultivado no mundo e está distribuído naturalmente no Japão, China, Coréia, Himalaias, Filipinas, Papua Nova Guiné e no Norte da Tailândia (Shimomura et al. 1992; Maki et al. 2001). No Brasil, o seu cultivo foi estabelecido através da utilização de toras ou serragem de Eucalyptus spp. principalmente nas Regiões Sul e Sudeste, devido às condições climáticas favoráveis (Ishikawa et al. 2003). 2.9.1.5 Propriedades Terapêuticas O cogumelo shiitake contém proteínas, carboidratos, vitaminas e minerais, sendo considerado uma ótima fonte de fibras (Breene 1990). Ao trabalhar com L. edodes, vários pesquisadores descobriram que esta espécie produz um elevado número de metabólitos secundários, os quais apresentam atividades antitumoral, antiviral, anti-inflamatória, antitrombótica, citostática e hipoglicêmica (Breene 1990, Jong & Birmingham 1993, Chang & Buswell 1996, Brizuela et al. 1998, Borchers et al. 1999, Wasser & Weis 1999, Kües & Liu 2000, Suay et al. 2000). A lentinana é um polissacarídeo produzido por este basidiomiceto que apresenta atividade antitumoral e previne a oncogênese química e viral. Este composto não apresenta efeitos tóxicos sobre as células tumorais, mas estimula o sistema imunológico do hospedeiro. A β-D-glucana liga-se a superfície do linfócito 32
  • 42.
    ou em proteínasséricas específicas que ativam macrófagos, linfócitos “T-helper”, células NK (Natural Killers) e outros efetores celulares. Em comparação com outros agentes quimioterápicos, a lentinana apresenta poucas reações adversas e baixa toxidade para as células do paciente (Wasser & Weis 1999). Está em uso clínico, especialmente no Japão e na China, como adjuvante no tratamento de tumores por quimioterapia e radioterapia. Foram reportadas na literatura atividade anti-HIV do meio de cultivo de L. edodes (Lindequist et al. 2005). Estas atividades foram vinculadas à lentinana e lentinana sulfatada, que inibem a replicação viral e a fusão celular (Wasser & Weis 1999). Extratos etanólicos de L. edodes possuem atividade contra o protozoário Paramecium caudatum (Lindequist et al. 2005). O poliacetileno lentinamicina (octa-2,3-dien-5,7-diin-1-ol), foi identificado como o principal composto antimicrobiano produzido pelo micélio de L. edodes, atuando como antibiótico para bactérias patogênicas ao homem (Komemushi et al. 1996, Hirasawa et al. 1999, Shouji et al. 1999, Ishikawa et al. 2001b). 2.9.1.6 Lentinus crinitus (L.:Fr) Fr 2.9.1.6.1 Posição taxonômica Reino.............................................................Fungi Divisão (Filo).................................................Basidiomycota Classe...........................................................Basidiomycetes Subclasse.....................................................Holobasidiomycetidaea Ordem...........................................................Agaricales Família..........................................................Tricholomataceae 33
  • 43.
    Gênero..........................................................Lentinus Espécie.........................................................crinitus 2.9.1.6.2 Características morfológicas Píleo ou chapéu com 2-5cm de diâmetro, frutificações castanhas, deprimidos no centro. Superfície com feixes de pelos de 1mm de comprimento (Guerrero & Homrich 1996) (Figura 3). FIGURA 3. Basidiocarpo de L. crinitus. 2.9.1.6.3 Ocorrência natural, hábitat e considerações sobre a sua utilização Estudos de etnomicologia apontam este cogumelo como comestível por algumas tribos indígenas, somente após cozimento na brasa, pois, segundo relatos indígenas ele provoca vômitos se ingerido cru (Fidalgo 1965; Fidalgo & Hirata 1979). 2.9.1.6.4 Propriedades Terapêuticas Para esta espécie é citada na literatura a atividade antimicrobiana, dada por quatro compostos sesquiterpênicos. (Figura 4) (Abate & Abraham 1994). 34
  • 44.
    FIGURA 4. Estruturaquímica dos compostos sesquiterpênicos produzidos por L. crinitus. Fonte: Abate & Abraham 1994. 2.10 Ordem Aphylophoralles Agrupa os basidiomicetos com himenóforo liso, na forma de clavas ou coral, denteado, tubular, favolóide ou poróide. Produzem um grande número de basidiocarpos diferentes, que variam desde tamanhos incospícuos até diâmetros com mais de 40 cm (Putzke & Putzke 2004). Suas frutificações possuem consistência desde coriácea flexível até lenhosa dura. Sua morfologia inclui desde crostas aderidas ao substrato – ressupinadas - ou efusoreflexos, com uma parte da borda separada, lateralmente aderidos, formando semi-esferas (Guerrero & Homrich, 1999, Putzke & Putzke 2004). As espécies com himenóforo poróide ou alveolar-favolóide se diferenciam pela consistência coriácea e dura e pela zonação concêntrica da superfície do píleo. O desenvolvimento das espécies desta ordem é dito gimnocárpico, onde o himênio está exposto desde o primórdio, quando os esporos nem estão diferenciados ainda (Putzke & Putzke 2004). Possui grande importância econômica porque compreende espécies saprofíticas e fitopatogênicas, comestíveis e tóxicas; muitas são lignícolas causando podridão da madeira – 35
  • 45.
    quando degradam alignina e celulose é chamada podridão branca; quando somente a celulose é degrada chama-se podridão marrom (Herrera & Ulloa 1997). 2.10.1 Família Ganodermataceae Possuem basidiocarpos sésseis ou estipetados, aplanados com himenóforo poróide; apresentam a superfície superior coberta por uma crosta resinosa, semelhante ao verniz e têm consistência coriácea. Possuem esporos elipsóides, pigmentados e ornamentados. Engloba 5 gêneros com 81 espécies lignolícolas. Amuroderma apresenta cerca de 20 espécies tropicais (Herrera & Ulloa 1997, Putzke & Putzke 2004). 2.10.2 Amauroderma sp. 2.10.2.1 Posição taxonômica Reino...........................................................Fungi Divisão (Filo)...............................................Basidiomycota Classe.........................................................Basidiomycetes Subclasse...................................................Holobasidiomycetidae Ordem......................................................... Aphylophoralles Família........................................................Ganodermataceae Gênero........................................................Amauroderma Espécie.......................................................sp. 2.10.2.2 Características morfológicas Píleo com aproximadamente 30mm de diâmetro, amarronzado, concentricamente zonado, lado inferior com poros circulares acinzentados. Estipe 36
  • 46.
    marrom opaco, rígido,duas vezes o diâmetro do chapéu, sem contar a parte enterrada no solo (Figura 5) (Guerrero e Homrich 1996). FIGURA 5. Basidiocarpo de Amauroderma sp. 2.10.2.3 Ocorrência natural, hábitat e considerações sobre a sua utilização São fungos saprofíticos, que podem se desenvolver em raízes ou madeira enterrada, encontrados em regiões tropicais e subtropicais (Herrera & Ulloa 1997). Foi reportado como comestível por uma tribo da Amazônia venezuelana (Zent et al. 2001). 2.10.2.4 Propriedades Terapêuticas Para este gênero não foi encontrada literatura referente às suas propriedades medicinais. Sendo assim, esta revisão focou-se no gênero Ganoderma, pertencente à mesma família. Este basidiomiceto tem sido utilizado na medicina chinesa e em países asiáticos para o tratamento de enxaqueca, hipertensão, artrite, diabetes, hipercolesteromia, nefrite, dismenorréia, lupus, hepatite e problemas cardiovasculares (Eo et al. 1999). 37
  • 47.
    Um estudo demonstraque a espécie Ganoderma lucidum induz a apoptose, inibe a proliferação celular, e suprime a migração celular de células PC- 3 em cânceres de próstata invasivos. As frações aquosas de baixo peso molecular demonstraram forte inibição da replicação viral do HIV-I. Triterpenos isolados de G. lucidum suprimem o crescimento e proliferação de células cancerosas, enquanto os polissacarídeos estimulam o sistema imune. Dois terpenos, o ácido lucidênico e a lactona lucidência inibem a transcriptase reversa do HIV-I (Paterson 2006). O sesquiterpeno ganomicina produzido por G.pfeifferi inibe o crescimento do S. aureus resistente a meticilina, entre outros. Esteróis isolados de outra espécie, G. applanatum mostraram fraca atividade contra bactérias gram- positivas e negativas. Ganodermadiol, lucidadiol e ácido aplanoxídico , isolados de algumas espécies do gênero, possuem atividade In vitro contra o vírus Influenza do tipo A (Lindequist et al. 2005; Fan et al. 2006). 2.11. Família Polyporaceae Os membros desta família possuem basidiocarpos muito variáveis em forma, cor e consistência; anuais ou perenes; himenóforo poróide. Chegam a viver durante muitos anos, até mesmo por décadas, formando uma capa de poros a cada ano, de forma que o himenóforo seja estratificado. O tamanho dos poros varia de muito pequenos a grandes (com mais de 1 mm de diâmetro), podem ser circulares, quadrangulares ou poligonais. Engloba 18 gêneros com mais de 98 espécies (Herrera & Ulloa 1997, Putzke & Putzke 2004). 2.11.1 Pycnoporus sanguineus (Fr.) Murr. 38
  • 48.
    2.11.1.1 Posição taxonômica Reino.................................................................Fungi Divisão(Filo).................................................... Basidiomycota Classe...............................................................Basidiomycetes Subclasse.........................................................Holobasidiomycetidade Ordem.............................................................. Aphylophoralles Família..............................................................Poliporaceae Gênero..............................................................Pycnoporus Espécie.............................................................sanguineus 2.11.1.2 Características morfológicas Esta espécie apresenta basidiocarpo anual, com píleo imbricado ou solitário. A superfície do píleo é lisa e levemente velutinosa, de coloração laranja- avermelhada com dimensões que variam de 2,0x7,0 x 1,5-4,5 (Figura 6). Esporada alaranjada (Smania 1998). FIGURA 6. Basidiocarpos de P. sanguineus. 39
  • 49.
    2.11.1.3 Ocorrência natural,hábitat e considerações gerais sobre a sua utilização Esta espécie desenvolve-se em locais perturbados, sobre troncos caídos ou queimados (Herrera & Ulloa 1997). Possui ocorrência pantropical, sendo a única espécie do gênero citada para o Brasil (Smania 1998). É utilizado pelos índios caiabis para evitar pesadelos, onde o fungo é encharcado e passado na testa (Fidalgo & Hirata 1979). Também é usado contra a hemoptise (Fidalgo 1965). No México é utilizado pelos Totonacos como antiinflamatório e contra verrugas e na África mulheres indígenas o utilizam para curar problemas decorrentes da menopausa e enfermidades do útero (Smania 1998). 2.11.1.4 Propriedades Terapêuticas É reportado na literatura que este basidiomiceto produz um composto antimicrobiano, denominado cinabarina (Figura 7). Este mesmo composto demonstrou atividade antiviral contra o vírus da raiva (Smania 1995a e 2003). FIGURA 7. Estrutura química da cinabarina. Fonte: Smania 2003. 40
  • 50.
    3. MATERIAL EMÉTODOS 3.1 Coleta e isolamento Os basidiomicetos Amauroderma sp., L. crinitus e P. sanguineus foram coletados em floresta ombrófila mista no estado do Paraná, e o L. edodes, adquirido no Mercado Municipal de Curitiba, PR. Para cada espécie foram coletados dois exemplares, um para isolamento do micélio em meio de cultura, e outro, com as características da espécie bem definidas, para confecção de exsicatas. A classificação foi feita com o auxílio de chaves taxonômicas (Guzmán 1973, Guerrero & Homrich 1996). Para o isolamento do micélio, foi utilizado o meio ágar batata dextrose (ABD, Difco). A partir de um basidiocarpo retirou-se fragmentos de tecido com pinça e bisturi estéreis. Estes foram colocados na superfície do meio, em placas de Petri e incubados a 25°C durante período necessário para o desenvolvimento. 3.2 Avaliação do desenvolvimento micelial O desenvolvimento micelial dos basidiomicetos foi avaliado nos meios de cultivo ABD, AEM, Agar extrato de malte peptona (AEMP) - 30g de extrato de 41
  • 51.
    malte (Difco) e3g de peptona de soja (Merck) - e Ágar Saboraud Dextrose 4% (ASD, Difco). Discos com sete milímetros de diâmetro contendo os respectivos micélios foram cortados e utilizados como inóculo dos experimentos. O diâmetro da colônia micelial foi mensurado diariamente com escalímetro até atingir as bordas da placa e o tempo de crescimento de cada espécie foi determinado através da média de cinco repetições. Neste trabalho, além do tempo de desenvolvimento do micélio, foi estimado o índice de velocidade de crescimento micelial (IVMC). Para tanto, foi utilizada a fórmula de Maguire (1962), adaptada por Oliveira (1991): IVMC= ∑ (D-Da) / N, onde: D = diâmetro atual da colônia Da = diâmetro da colônia no dia anterior N = número de dias após a inoculação Para os parâmetros D e Da, foi utilizada a média aritmética obtida a partir da medida do diâmetro da colônia micelial. As médias obtidas da mensuração direta e do IVCM foram comparadas pelo teste de Tukey ao nível de 5% de significância. 3.3 Descrição morfológica das colônias fúngicas Os caracteres observados foram a forma da colônia, o aspecto, a consistência, o desenvolvimento e a cor. Os micélios descritos foram cultivados nos mesmos meios do item 3.2 3.4 Cultivo micelial em meio líquido Após o tempo de cultivo em meio sólido, cinco discos miceliais de sete mm de diâmetro foram cortados e inoculados frascos Erlernmeyer de 300 ml, 42
  • 52.
    contendo 100 mlde caldo extrato de malte (CEM), caldo extrato de malte peptona (CEMP), caldo batata dextrose (CBD), meio farinha de milho sacarose (FMS) – 50g de farinha de milho, 80g de sacarose e 1g de extrato de levedura (Suay et al. 2000) e caldo saboraud dextrose 4% (CSB). Estes foram incubados a 25°C por 7, 14, 21, 28, 35 e 42 dias. 3.5 Determinação da massa seca do micélio Após filtração, os micélios foram desidratados em estufa a 110ºC durante 12 horas e suas biomassas determinadas em balança analítica. 3.6 Quantificação de proteínas e açúcares totais A quantidade de proteínas e açúcares totais nos meios de cultivo antes do inóculo e após os períodos de incubação foi determinada pelos métodos de Bradford (1976) e Dubois (1956), respectivamente. 3.7 Extração de metabólitos com solventes orgânicos Após o período de cultivo a fração líquida da cultura foi separada do micélio por filtração. Os metabólitos presentes em 100 mL de filtrado foram extraídos com acetato de etila (Nuclear), por três vezes, na proporção de 2:1. Após a extração foi adicionado 75 ml de uma solução saturada de NaCl e adicionado sulfato de magnésio anidro à porção orgânica para a retirada de resíduos aquosos, sendo depois separado por filtração. O solvente utilizado foi retirado em evaporador rotativo até aproximadamente o volume de 1 ml em temperaturas abaixo de 50ºC. Ao concentrado foi adicionado acetato de etila até 43
  • 53.
    completar um volumefinal de 3 ml. Os extratos brutos obtidos foram mantidos em temperatura ambiente. 3.8 Detecção da atividade antimicrobiana pelo método de difusão em ágar A atividade antimicrobiana foi avaliada utilizando Staphylococcus aureus ATCC 25923, Escherichia coli ATCC 25922 e Candida albicans ATCC 90028 como microrganismos alvo. As bactérias foram repicadas para cinco ml de caldo infusão cérebro coração (BHI, Difco), em estufa a 36± 1°C e as leveduras em tubos contendo Ágar Saboraud Dextrose (ASD), durante o mesmo período e temperatura. Após 24 h de incubação as culturas foram utilizadas no preparo de suspensões celulares com concentrações ajustadas à escala 0,5 de McFarland, empregando solução salina estéril. A inoculação das bactérias foi realizada em Ágar Mueller Hinton (AMH, Difco) e das leveduras em ASD com o auxílio de um suabe estéril, de acordo com o protocolo do National Comittee for Clinical Laboratory Standards, 2000. Cilindros de aço inoxidável esterilizados foram colocados sobre os meios AMH ou ASD e preenchidos com 0,2 ml do extrato bruto. O material foi mantido à temperatura de 4°C durante oito horas, para permitir a difusão dos metabólitos no meio de cultura antes do crescimento dos microrganismos alvo (Spelhaug e Harlander 1989). Após este período as placas foram colocadas em estufa a 37°C, onde permaneceram por 18 a 24 h. A atividade antimicrobiana foi determinada pela medida do diâmetro da zona de inibição. 44
  • 54.
    3.9 Separação dosmetabólitos antimicrobianos por cromatografia em camada delgada (CCD) Os micélios das espécies de basidiomicetos que apresentaram atividade antimicrobiana foram cultivados em maior escala (500 ml) para extração dos compostos antimicrobianos. Estes foram separados por cromatografia em camada delgada (CCD) em cromatofolhas (Machery-Nagel, GUV 254) utilizando o sistema de solventes orgânicos definido para cada extrato. Para as cromatografias foram utilizados 10µl de cada extrato. Para os extratos obtidos a partir do cultivo de L. edodes foram experimentados os seguintes sistemas de solvente: clorofórmio, acetona, acetato de etila e metanol, na proporção de 40:5:5:2 (Ishikawa et al. 2001) e clorofórmio e acetona, na proporção de 96:4 (Tokimoto 1987). Para os extratos obtidos a partir dos cultivos em CEM, CEMP de Amauroderma sp. foram testados os seguintes solventes: acetato de etila:metanol:água 100:13,5:10; clorofórmio:etanol:água 80:40:5; diclorometano:etanol:água 80:40:5; diclorometano:clorofórmio:etanol: água 22:8:6:1. Para os extratos obtidos a partir dos cultivos em CBD de Amauroderma sp. foram utilizados os sistemas: diclorometano:clorofórmio:etanol: água 22:8:6:1; acetona:acetato de etila 3:1; hexano:acetona 70:30; hexano: acetato de etila 70:30 e hexano:acetona:diclorometano 50:30:15. As bandas foram visualizadas sob luz ultravioleta nos comprimentos de onda de 254nm e 365 nm sendo após reveladas com anisaldeído sulfúrico. As cromatografias foram fotografadas e arquivados em meio eletrônico. 45
  • 55.
    3.10 Ensaio qualitativopara determinação da posição dos antimicrobianos nas placas de CCD Os microrganismos alvo utilizados neste ensaio estão listados na tabela 2. Neste teste, as bandas presentes nas cromatofolhas foram marcadas e estas colocadas em uma placa de Petri sobre uma camada de ágar-ágar (Vetec). A seguir os meios AMH ou ASD, foram vertidos sobre as mesmas após atingirem uma temperatura de aproximadamente 40ºC. Os microrganismos foram inoculados de acordo com o item 3.5, as placas incubadas a 4ºC durante 4h para a difusão do antimicrobiano e após foram incubadas a 37ºC durante 18h a 24h. Então foi calculado o Rf da banda que apresentou atividade antimicrobiana pela fórmula: Rf = D produto D solvente Onde D = distância percorrida Tabela 2. Microrganismos utilizados nos ensaios qualitativos para determinação da posição dos antimicrobianos nas placas de CCD Microrganismo Código da linhagem Bactérias Gram positivas Bacillus cereus ATCC 11778 B. stearotermophilus ATCC 7953 B. subtilis ATCC 6633 Enterococcus faecalis ATCC 19433 Staphylococcus aureus ATCC 25923 S aureus resistente à Meticilina ATCC 22323 S. epidermidis ATCC 12228 S. saprophyticus Clínica 46
  • 56.
    Streptococcus mutans CCT 3440 S. pyogenes ATCC19615 Bactérias Gram negativas Enterobacter aerogenes ATCC 13048 Escherichia coli ATCC 25922 Klebsiella pneumoniae ATCC 10031 Pseudomonas aeruginosa ATCC 27853 Proteus mirabilis ATCC 25933 Salmonella Typhimurium ATCC 14028 Leveduras Candida albicans ATCC 90028 C. glabrata CBS 2001 C. guilliermondii CBS 566 C. tropicalis CBS 94 Saccharomyces cerevisae ATCC 1904 47
  • 57.
    4. RESULTADOS EDISCUSSÃO 4.1 Desenvolvimento do micélio em diferentes meios de cultivo 4.1.1 Lentinula edodes O micélio do basidiomiceto L. edodes não demonstrou diferenças em relação ao tempo de desenvolvimento nos meios ABD, AEM e AEMP, necessitando de 12 dias para atingir a borda das placas de Petri de 90 mm. Entretanto para o meio ASD foi constatado um período de 18 dias para que fosse observado o mesmo diâmetro da colônia fúngica (Figura 8). De acordo com o teste de Tukey, o valor de p para o meio ASD foi <0,001, sendo considerado significativo. 48
  • 58.
    100 Diâmetro da colônia (mm) 90 80 70 ABD 60 AEM 50 AEMP 40 ASD 30 20 10 0 0 5 10 15 20 Tempo de desenvolvimento do micélio (dias) FIGURA 8. Tempo de desenvolvimento do micélio de L. edodes nos meios de cultivo ABD, AEM, AEMP e ASD, em placas de Petri (90mm). Média de cinco repetições. O IVCM obtido foi de 6,12 em ABD, 6,65 em AEM, 6,91 em AEMP e 4,39 em ASD. Segundo o teste de Tukey, a diferença entre o meio ASD e os outros três foi significativa (tabela 3). Tabela 3. Comparação entre os IVCM de L. edodes em quatro meios de cultivo pelo teste de Tukey ao nível de 5% de significância. Comparação Significância Valores de p ABD vs CEM Não significativo p>0,05 ABD vs CEMP Não significativo p>0,05 ABD vs ASD Significativo p<0,001 CEM vs CEMP Não significativo p>0,05 CEM vs ASD Significativo p<0,001 CEMP vs ASD Significativo p<0,001 49
  • 59.
    4.1.2 Lentinus crinitus O tempo de desenvolvimento do micélio deste basidiomiceto foi o mesmo para os meios de cultivo ABD, AEM e AEMP (7 dias). Em ASD a colônia fúngica levou dois dias a mais (9 dias) para atingir a borda das placas de Petri de 90mm (Figura 9). Conforme o teste de Tukey o valor de p calculado para o meio ASD foi < 0,001, sendo considerado significativo. Para esta espécie o IVCM em ABD, AEM e AEMP foi de 11,86 e em ASD foi de 8,13. Segundo o teste de Tukey, a diferença entre o meio ASD e os outros três foi significativa (tabela 3). 100 90 Diâmetro da colônia (mm) 80 70 ABD 60 AEM 50 AEMP 40 ASD 30 20 10 0 0 5 10 Tempo de desenvolvimento do micélio (dias) FIGURA 9. Tempo de desenvolvimento do micélio de L. crinitus nos meios de cultivo ABD, AEM, AEMP e ASD, em placas de Petri (90mm). Média de cinco repetições. 50
  • 60.
    Tabela 4. Comparaçãoentre os IVCM de L. crinitus em quatro meios de cultivo pelo teste de Tukey ao nível de 5% de significância. Comparação Significância Valores de p ABD vs CEM Não significativo p>0,05 ABD vs CEMP Não significativo p>0,05 ABD vs ASD Significativo p<0,001 CEM vs CEMP Não significativo p>0,05 CEM vs ASD Significativo p<0,001 CEMP vs ASD Significativo p<0,001 4.1.3 Amauroderma sp. Apresentou desenvolvimento micelial semelhante nos meios ABD e AEM alcançando a borda das placas de Petri em 10 dias. Em meio AEMP, o diâmetro da colônia atingiu 90mm no 9º dia e em ASD, somente no 14º dia (Figura 10). Segundo o teste de Tukey, os valores de p para os meios ASD e CEMP foram < 0,001, sendo considerados significativos. Para este basidiomiceto, o IVCM em ABD e AEM foi de 8,30, em AEMP foi de 9,22 e em ASD foi de 5,93. Segundo o teste de Tukey, as diferenças entre os meios ASD e CEMP e os outros dois foram significativas (tabela 5). 51
  • 61.
    90 Diâmetro da colônia (mm) 80 70 60 ABD 50 AEM 40 AEMP ASD 30 20 10 0 0 5 10 15 Tempo de desenvolvimento do micélio (dias) FIGURA 10.Tempo de desenvolvimento do micélio de Amauroderma sp., nos meios de cultivo ABD, AEM, AEMP e ASD, em placas de Petri (90mm). Média de cinco repetições. Tabela 5. Comparação entre os IVCM de Amauroderma sp. em quatro meios de cultivo pelo teste de Tukey ao nível de 5% de significância. Comparação Significância Valores de p ABD vs CEM Não significativo p>0,05 ABD vs CEMP Pouco significativo p<0,05 ABD vs ASD Significativo p<0,001 CEM vs CEMP Pouco significativo p<0,05 CEM vs ASD Significativo p<0,001 CEMP vs ASD significativo p<0,001 4.1.4 Pycnoporus sanguineus O desenvolvimento micelial deste basidiomiceto foi semelhante em ABD, AEM e AEMP. Nestes meios, o micélio demorou sete dias para chegar à borda das placas de Petri; em ASD a colônia atingiu 90mm de diâmetro no 8º dia 52
  • 62.
    de incubação (Figura11). Segundo o teste de Tukey, o valor de p para o meio ASD foi < 0,001, sendo considerado significativo. O IVCM em ABD, AEM e AEMP foi de 11,86 e em ASD foi de 10,37. Segundo o teste de Tukey, a diferença entre o meio ASD e os outros três foi significativa (tabela 6). 100 90 Diãmetro da colônia (mm) 80 70 ABD 60 AEM 50 AEMP 40 ASD 30 20 10 0 0 2 4 6 8 10 Tempo de desenvolvimento de micelio (dias) FIGURA 11. Tempo de desenvolvimento do micélio de P. sanguineus, nos meios de cultivo ABD, AEM, AEMP e ASD, em placas de Petri (90mm). Média de 5 repetições. Tabela 6 – Comparação entre os IVCM de Pycnoporus sanguineus em quatro meios de cultivo pelo teste de Tukey em nível de 5% de significância. Comparação Significância Valores de p ABD vs CEM Não significativo p>0,05 ABD vs CEMP Não significativo p>0,05 ABD vs ASD Significativo p<0,001 CEM vs CEMP Não significativo p<0,05 CEM vs ASD Significativo p<0,001 CEMP vs ASD Significativo p<0,001 53
  • 63.
    Todos os Basidiomicetosavaliados demonstraram menor velocidade de desenvolvimento em meio ASD. Montini et al. (2006), relataram que L. edodes possui crescimento mais lento em meios de cultivo mais enriquecidos, porém apresenta micélio mais espesso (maior vigor). Este fato foi visualizado para todas as espécies estudadas neste trabalho. Os estudos referentes ao tempo de desenvolvimento micelial em diferentes meios de cultivo são essenciais para o sucesso dos isolamentos. Em conseqüência, o meio ideal é aquele no qual o desenvolvimento micelial ocorre com maior rapidez. Estas avaliações também são necessárias para a programação de repicagens ao longo do período de utilização contínua dos fungos. 4.2 Descrição das colônias miceliais A maior parte das características observadas nos micélios possui grande importância para a taxonomia dos fungos. Embora algumas sejam muito estáveis, a maioria varia de acordo com as condições de cultivo, como temperatura, umidade, aeração, fatores nutritivos e pH. Portanto, para cultivos em laboratórios deve-se levar em consideração todos estes parâmetros (Herrera & Ulloa 1997). 4.2.1 Lentinula edodes Este basidiomiceto apresentou variações somente na característica desenvolvimento. O micélio possui forma definida (circular), aspecto algodonoso, consistência branda e cor branca. Quanto ao desenvolvimento de diferentes meios 54
  • 64.
    de cultivo, foiclassificado como vigoroso em ASD e AEMP e regular em ABD e AEM (Figura 12). FIGURA 12. Micélio de L. edodes em quatro meios de cultivo distintos. A – ABD, B – AEM, C – AEMP e D – ASD. Incubação durante 25 dias. 4.2.3 Lentinus crinitus Esta espécie demonstrou desenvolvimento micelial circular, aspecto aveludado no início do crescimento em todos os meios de cultivo, tornando-se lenhoso em ABD, AEM e AEMP, até o vigésimo dia de incubação. Possui consistência branda, no início do desenvolvimento, passando a coriácea e por final lenhosa. A cor varia de branco nas porções de aspecto aveludado à marrom nas partes de consistência lenhosa. Seu desenvolvimento foi classificado como vigoroso em todos os meios utilizados (Figura 13). 55
  • 65.
    FIGURA 13. Micéliode L.crinitus em quatro meios de cultivo distintos. A – ABD, B – AEM, C – AEMP e D – ASD. Incubação durante 20 dias. 4.2.4 Amauroderma sp. Possui forma circular, aspecto algodonoso no início do desenvolvimento, passando à coriáceo; sua consistência foi classificada como branda a semi-lenhosa e coloração demonstrou variações do branco (nos primeiros dias de incubação) a tons de amarelo. Em ABD, o micélio tornou-se amarelo após 30 dias de incubação. O desenvolvimento micelial foi classificado como regular nos quatro meios de cultivo (Figura 14). 56
  • 66.
    FIGURA 14. Micéliode Amauroderma sp. em quatro meios de cultivo distintos. A – ABD, B – AEM, C – AEMP e D – ASD. Incubação durante 20 dias. 4.2.5 Pycnoporus sanguineus Esta espécie de basidiomiceto demonstrou morfologia colonial semelhante nos quatro meios de cultivo. Possui crescimento circular, aspecto aveludado desde o início do seu desenvolvimento nos meios ABD, AEM e AEMP, sendo que, em ASD, durante a fase inicial foi constatado aspecto algodonoso. Quanto à consistência, o micélio pode ser classificado como brando, com coloração variando do branco ao alaranjado. O desenvolvimento micelial mostrou- se regular em todos os meios (Figura 15). 57
  • 67.
    FIGURA 15. Micéliode P. sanguineus em quatro meios de cultivo distintos. A – ABD, B – AEM, C – AEMP e D – ASD. Incubação durante 20 dias. Os dados sobre a morfologia micelial em diferentes meios são necessários para a correta identificação do fungo após o seu isolamento e adequado crescimento para posterior manutenção das linhagens. 4.3 Produção de biomassa micelial e quantificação de proteínas e açúcares totais Os quatro basidiomicetos produziram proteínas durante todo o período de incubação. Diversos estudos demonstram a produção de enzimas por estes organismos, particularmente as do sistema lignolítico (Kahraman & Gurdal 2002, Saparrat et al. 2002, Silva et al. 2005). Estas enzimas são utilizadas para a degradação de compostos fenólicos (Machado et al. 2005). A quantidade de açúcares totais variou de acordo com a espécie e com o meio de cultivo. 58
  • 68.
    4.3.1 Lentinula edodes Este basidiomiceto produziu maior quantidade de biomassa quando cultivado em meio FMS, seguido por CEMP; em CBD e CEM o peso seco do micélio foi semelhante. A menor produção foi observada em CSD (Figura 15). A concentração de açúcares totais aumentou durante o período de incubação, em CBD, CEMP e FMS (Figura 15 A, C e D). O aumento dos açúcares totais em CBD e FMS pode ser explicado pela hidrólise do amido presente nos meios durante o crescimento do fungo. Neste caso, pode ter ocorrido uma hidrólise ácida deficiente, devido à elevada quantidade de amido presente nestes meios de cultivo, não prevista pelo método utilizado. Entretanto, existem diversos relatos na literatura sobre a produção de polissacarídeos por L. edodes, (Wasser & Weis 1999, Lindequist et al. 2005, Sakamoto et al. 2005). Também é relatada a produção de glicoproteínas pelo micélio deste basidiomiceto (Mizuno 1995), que podem ter sido sintetizados no meio CEMP ocasionando o aumento de sua concentração detectado nos ensaios. Em meio CEM, foi observado consumo dos açúcares totais proporcional à produção de biomassa (Figura 15 B). Já em meio CSD não foram observadas diferenças entre a quantidade de proteínas e açúcares totais no meio sem inóculo e nos diferentes períodos de incubação (Figura 15 E). Somente no 21º dia houve uma diminuição de 5 mg/mL na dosagem dos açúcares e de 2mg/mL na quantificação das proteínas em relação à quantidade inicial do meio sem inóculo. Este fato pode ser explicado pela baixa produção de biomassa micelial neste meio de cultivo. 59
  • 69.
    FIGURA 15 –Biomassa micelial (g) do L. edodes cultivado em cinco meios diferentes durante 7, 14, 21, 28, 35 e 42 dias (média de três repetições). Quantificação de açúcares totais e proteínas (mg/ml). A – cultivo em meio CBD; B – cultivo em meio CEM; C – cultivo em meio CEMP; D – cultivo em meio FMS e E – cultivo em meio CSD. 60
  • 70.
    4.3.2 Lentinus crinitus Durante os primeiros sete dias de cultivo, a quantidade de biomassa foi semelhante em todos os meios de cultivo. Após, houve um aumento maior na produção de biomassa em FMS; do 21º ao 35º dia, o peso seco do micélio cultivado em CBD ultrapassou os em CEM, CEMP e CSD. A produção em CSD foi menor do que nos outros meios (Figura 16). A produção de biomassa por este macrofungo foi a maior entre os quatro fungos estudados, em todos os meios de cultivo. Em todos os meios de cultivo, foi observado um aumento na quantidade de proteínas e diminuição dos açúcares totais. 61
  • 71.
    FIGURA 16 –Biomassa micelial (g) de L. crinitus cultivado em 5 meios diferentes, durante 7, 14, 21, 28, 35 e 42 dias (média de 3 repetições). Quantificação de açúcares totais (▲) e proteínas (■) (mg/ml). A – cultivo em meio CBD; B – cultivo em meio CEM; C – cultivo em meio CEMP; D – cultivo em meio FMS e E – cultivo em meio CSD 62
  • 72.
    4.3.3 Amauroderma sp. A produção de biomassa por este basidiomiceto foi semelhante em CBD, CEM, CEMP e SB. Em FMS, o peso seco do micélio foi maior do que para os outros meios a partir do 14º dia (Figura 17 D). A partir do 28º dia em CBD, CEM, CEMP e SB, não foi observado aumento na produção de biomassa micelial (Figura 17). Em todos os meios de cultivo foi observado um aumento na produção de proteínas, proporcional à produção de biomassa micelial. Verificou-se que em CBD, CEM e CEMP, a quantidade de açúcares totais aumentou nos primeiros dias de incubação e logo após diminuiu (Figura 17 A, B e C). Somente em CSD houve aumento na quantidade de açúcares totais durante todo o período de incubação (Figura 17 E). Sparrat et al. (2002), estudaram a produção de enzimas do sistema lignolítico por diversos fungos, incluindo basidiomicetos. É reportado por este grupo de pesquisa, que Amauroderma boleticeum produz lacases e aril-álcool oxidades in vitro. 63
  • 73.
    FIGURA 17 –Biomassa micelial (g) do Amauroderma sp. cultivado em 5 meios diferentes, durante 7, 14, 21, 28, 35 e 42 dias (média de 3 repetições). Quantificação de açúcares totais (▲) e proteínas (■) (mg/ml). A – cultivo em meio CBD; B – cultivo em meio CEM; C – cultivo em meio CEMP; D – cultivo em meio FMS e E – cultivo em meio CSD 64
  • 74.
    4.3.4 Pycnoporus sanguineus Durante o 7º e 14º dia, a biomassa foi semelhante em todos os meios. Em meio CEM, a biomassa produzida no 21º dia foi próxima a do período anterior. Em FMS o mesmo ocorreu, com o desenvolvimento exponencial iniciando-se após o 28º dia. No 21º e 28º dia, o micélio em CSD apresentou maior biomassa; no 35º dia, a maior produção foi em FMS (Figura 18). Verificou-se a produção de proteínas em todos os meios (Figura 18). Vários trabalhos citam a produção de enzimas lignolíticas, e também de celobioses, β- glicosidades, α- amilases, invertases e lipases (Esposito et al. 1993, Quiroga et al. 1995, Siqueira et al. 1997, Sigoillot et al. 2002). No meio CBD, a quantidade de açúcares totais aumentou durante o início de desenvolvimento do fungo, decrescendo a partir do 21º dia (Figura 18 A). Este fato pode ser caracterizado pela utilização da glicose e posterior hidrólise do amido, que não foi completamente hidrolisado pelo método utilizado para a sua quantificação. Em CEM e CEMP foi observada uma diminuição na quantidade de açúcares totais durante todo o período de incubação (Figura 18 B e C). Em FMS, houve diminuição na dosagem de açúcares durante os primeiros 7 dias, seguida por um aumento até o 21º dia e posterior decréscimo até o final do período de incubação (Figura 18 D). Já em meio CSD, observou-se diminuição na quantidade de açúcares totais nos períodos de 7, 21, 35 e 42 dias (Figura 18 E). A dosagem aumentou na semana seguinte (14º e 28º dia de incubação). Maziero et al. (1999), citam que diferentes linhagens de P. sanguineus demonstram produção de biomassa e de polissacarídeos distintas. 65
  • 75.
    FIGURA 18 –Biomassa micelial (g) do P. sanguineus cultivado em 5 meios diferentes, durante 7, 14, 21, 28, 35 e 42 dias (média de 3 repetições). Quantificação de açúcares totais (▲) e proteínas (■) (mg/ml). A – cultivo em meio CBD; B – cultivo em meio CEM; C – cultivo em meio CEMP; D – cultivo em meio FMS e E – cultivo em meio CSD 66
  • 76.
    4.4 Atividade antimicrobianados extratos obtidos a partir do cultivo dos basidiomicetos 4.4.1 Lentinula edodes Os extratos desta espécie obtidos dos cultivos em todos os meios inibiram o crescimento de C. albicans e S. aureus, a partir do 14º dia de incubação. Foi verificada ação antibiótica contra E. coli nos cultivos de sete dias e 28 dias no meio CEMP (Figura 19). O maior halo, de 54 mm foi dado pelo extrato CEM conta S. aureus (Figura 20). FIGURA 19. Halos de inibição obtidos por extratos de L. edodes. A – atividade contra E.coli do extrato obtido a partir do cultivo em CEMP durante 28 dias; B – atividade contra S. aureus do extrato obtido a partir do cultivo em CEM durante 28 dias; C – atividade contra S. aureus do extrato obtido a partir do cultivo em CSD durante 28 dias e D – atividade contra C. albicans do extrato obtido a partir do cultivo em FMS durante 28 dias. 67
  • 77.
    55 50 Diâmetro dos halos de inibição (mm) 45 40 35 30 25 20 15 10 5 0 FMS FMS FMS FMS FMS FMS SB SB SB SB SB SB CBD CBD CBD CBD CBD CBD CEMP CEMP CEMP CEMP CEMP CEMP CEM CEM CEM CEM CEM CEM C. albicans 7 dias 14 dias 21 dias 28 dias 35 dias 42 dias E. coli Meios de cultivo e período de incubação (dias) S. aureus FIGURA 20. Diâmetro dos halos de inibição dado pelos extratos obtidos a partir do cultivo de L. edodes em diferentes meios e períodos de incubação contra os microrganismos alvo C. albicans, E.coli e S. aureus. Vários compostos com atividade antimicrobiana foram isolados do basidiomiceto L. edodes (shiitake): a Cortinelina é um agente antibacteriano efetivo sobre bactérias Gram-positivas (Przybylowicz & Donoghue 1990); a Lentinamicina (octa-2,3-dien-5,7-diin-1-ol) foi identificada como o principal composto antimicrobiano produzido pelo micélio de L. edodes que age contra bactérias patogênicas ao homem, principalmente gram-positivas (Komemushi et al. 1996, Ishikawa et al. 2001b). Paccola et al. (2001) relataram inibição no crescimento de C. albicans por L. edodes. A partir destes dados pode-se observar os cinco meios de cultivo utilizados permitiram a biossíntese dos antimicrobianos por esta espécie de basidiomiceto. Ishikawa et al. (2001) utilizaram caldo extrato de malte para a produção de antimicrobianos, enquanto que Paccola et al. (2001) utilizaram caldo 68
  • 78.
    batata. Hassegawa etal. (2005) demonstraram a produção de antibióticos por L. edodes em meios de cultivo enriquecidos com resíduos industriais como melaço e bagaço de cana-de-açúcar, farelo de arroz, grãos de soja, palha de milho e vermiculita. 4.4.2 Lentinus crinitus Esta espécie de basidiomiceto inibiu o crescimento de C. albicans e E. coli quando cultivado em meio CEMP, a partir dos cultivos de 21 dias em diante e contra S. aureus a partir do 28º dia. Foi constatada atividade antimicrobiana contra C. albicans e S. aureus, nos cultivos em CEM a partir do 28° dia (Figuras 21 e 22). FIGURA 21 – Halos de inibição obtidos por extratos de L. crinitus. A – atividade contra C.albicans do extrato obtido a partir do cultivo em CEMP durante 28 dias; B – atividade contra S. aureus do extrato obtido a partir do cultivo em CEM durante 28 dias; C – atividade contra E.coli do extrato obtido a partir do cultivo em CEMP durante 21 dias e D – atividade contra S.aureus do extrato obtido a partir do cultivo em CEMP durante 28 dias. 69
  • 79.
    Segundo Abate &Abraham (1994), o L. crinitus produz quatro compostos sesquiterpênicos com atividade antimicrobiana. Rosa et al. 2003 não encontraram atividade antimicrobiana para esta espécie no cultivo durante 9 dias, com agitação a 28ºC. Alterações nas condições de cultivo micelial, tais como o pH dos meios de cultivo, a disponibilidade de nutrientes, o tempo de incubação, a ausência ou presença de luz e as condições de aeração e de agitação contribuem para estas diferenças. Além disso, estas discrepâncias também podem ser explicadas pela variabilidade genética em nível intraespecífico (Suay et al. 2000). Diferenças significativas na produção de metabólitos antibacterianos entre 35 isolados co-específicos de L. edodes foram reportadas por Ishikawa et al. (2001a). Da mesma forma, foram observadas diferenças entre 10 isolados do basidiomiceto F. velutipes (Ishikawa, 2001) e de outros grupos não pertencentes aos basidiomicetos (Rosa et al. 2003, Suay et al. 2000), demonstrando a importância do isolamento da manutenção de diversas linhagens de basidiomicetos da mesma espécie. 70
  • 80.
    55 50 45 Diâmentro dos halos de inibição (mm) 40 35 30 25 20 15 10 5 0 CBD CBD CBD CBD CBD CBD FMS SB FMS SB FMS SB FMS SB FMS SB FMS SB CEM CEM CEM CEM CEM CEM CEMP CEMP CEMP CEMP CEMP CEMP C. albicans 7 dias 14 dias 21 dias 28 dias 35 dias 42 dias E. coli Meios de cultivo e período de incubação (dias) S. aureus FIGURA 22 – Diâmetro dos halos de inibição dado pelos extratos obtidos a partir do cultivo de L. crinitus em diferentes meios e períodos de incubação contra os microrganismos alvo C. albicans, E.coli e S. aureus. 4.4.3 Amauroderma sp. Os extratos obtidos do cultivo de Amauroderma sp. em CEM e CEMP, durante 21 dias inibiram o crescimento de S. aureus. No entanto, quando cultivado em CBD, durante o mesmo período, demonstrou atividade antimicrobiana contra todos os microrganismos alvo (Figuras 23 e 24). 71
  • 81.
    FIGURA 23 –Halos de inibição obtidos por extratos de Amauroderma sp. A – atividade contra S.aureus do extrato obtido a partir do cultivo em CEMP durante 21 dias; B – atividade contra C. albicans do extrato obtido a partir do cultivo em CBD durante 21 dias; C – atividade contra S.aureus do extrato obtido a partir do cultivo em CBD durante 21 dias e D – atividade contra E.coli do extrato obtido a partir do cultivo em CBD durante 28 dias. 72
  • 82.
    55 50 45 Diâm etro dos halos de inibição (m m ) 40 35 30 25 20 15 10 5 0 CB D CB D CB D CB D CB D CB D FM S S B FM S S B FM S S B FM S S B FM S S B FM S S B CE M P CE M P CE M P CE M P CE M P CE M P CE M CE M CE M CE M CE M CE M C. albicans 7 dias 14 dias 21 dias 28 dias 35 dias 42 dias E. coli Meios de cultivo e período de incubação (dias) S. aureus FIGURA 24 – Diâmetro dos halos de inibição dado pelos extratos obtidos a partir do cultivo de Amauroderma sp. em diferentes meios e períodos de incubação contra os microrganismos alvo C. albicans, E.coli e S. aureus. Para este basidiomiceto não há relatos na literatura sobre qualquer metabólito com atividade biológica. Os extratos obtidos a partir dos cultivos em CEM e CEMP durante 21 dias de incubação inibiram C. albicans e S.aureus; os extratos obtidos a partir do meio CBD do mesmo período inibiram o crescimento de todos os microrganismos alvo. 73
  • 83.
    4.4.4 Pycnoporus sanguineus Os extratos desta espécie demonstraram inibição no crescimento dos três microrganismos alvo em todos os meios de cultivo no período de 21 dias (Figura 25 e 26). FIGURA 25. Halos de inibição obtidos por extratos de P. sanguineus. A – atividade contra E. coli do extrato obtido a partir do cultivo em FMS durante 21 dias; B – atividade contra C. albicans do extrato obtido a partir do cultivo em CEMP durante 21 dias; C – atividade contra S.aureus do extrato obtido a partir do cultivo em CBD durante 21 dias e D – atividade contra S. aureus do extrato obtido a partir do cultivo em CBD durante 21 dias. 74
  • 84.
    55 50 45 Diâmetro dos halos de inibição (mm) 40 35 30 25 20 15 10 5 0 CBD CBD CBD CBD CBD CBD FMS FMS FMS SB SB FMS SB FMS SB FMS SB SB CEM CEM CEM CEM CEM CEM CEMP CEMP CEMP CEMP CEMP CEMP C. albicans 7 dias 14 dias 21 dias 28 dias 35 dias 42 dias E. coli Meios de cultivo e período de incubação (dias) S. aureus FIGURA 26. Diâmetro dos halos de inibição dado pelos extratos obtidos a partir do cultivo de Pycnoporus sanguineus em diferentes meios de cultivo e períodos de incubação contra os microrganismos alvo C. albicans, E. coli e S. aureus. Smânia et al. (1995a, 1995b, 1996, 1998) demonstraram atividade antibacteriana de extratos de P. sanguineus principalmente sobre bactérias Gram- positivas, dada pela cinabarina, um pigmento presente no micélio deste basidiomiceto. Rosa et al. (2003) utilizaram seis isolados de P. sanguineus e relatam inibição no crescimento de S. aureus por somente uma das linhagens isoladas. Smânia et al. (1995a) relatam que a produção máxima da cinabarina ocorre entre o décimo oitavo e vigésimo terceiro dia de incubação, sendo degradada logo em seguida, corroborando com os dados obtidos neste trabalho. 75
  • 85.
    4.5 Cromatografia emcamada delgada e ensaio qualitativo para determinação da posição dos antimicrobianos nas placas de CCD Após o cultivo dos macrofungos em 500ml de meio, extração e concentração dos extratos foi realizada a CCD para a separação dos compostos antimicrobianos presentes nos extratos e o ensaio qualitativo para determinação da localização dos antimicrobianos nas placas de CCD. 4.5.1 Lentinula edodes Dois sistemas de solventes foram testados para a separação dos compostos presente nos extratos deste fungo. O sistema descrito por Tokimoto (1987), mostrou melhores resultados, sendo o escolhido para este trabalho. A atividade antimicrobiana foi dada pela banda de Rf 0,44, visualizada sob luz UV no comprimento de onda de 254 nm (Figura 27). Tokimoto 1987 identificou a banda com atividade antimicrobiana em Rf 0,4. Após a revelação com anisaldeído sulfúrico, neste mesmo local da cromatofolha pode-se visualizar duas bandas de colorações diferentes (Figura 28). 76
  • 86.
    FIGURA 27. Cromatografiados extratos de L. edodes, visualizada sob luz UV em 254 nm. Banda responsável pela atividade antimicrobiana circulada em preto. Extratos obtidos a partir do cultivos de 28 dias em: A – CEMP; B – CEM; C – CSD; D – CBD e E – FMS. Extratos obtidos a partir do cultivos de 35 dias em: F – CSD; G – CEMP; H – CEM; I – FMS e J – CBD. FIGURA 28. Cromatografia de L. edodes revelada com anisaldeído sulfúrico. As duas bandas de colorações amarela e roxa visualizadas no mesmo Rf do antimicrobiano estão circuladas em preto. Extratos obtidos a partir do cultivos de 28 dias em: A – CEMP; B – CEM; C – CSD; D – CBD e E – FMS. Extratos obtidos a partir do cultivos de 35 dias em: F – CSD; G – CEMP; H – CEM; I – FMS e J – CBD. 77
  • 87.
    Após a visualizaçãodas placas em UV 254 nm, as bandas foram numeradas e procedeu-se o ensaio qualitativo para avaliação da localização dos antimicrobianos nas placas de CCD. Neste teste, L. edodes demonstrou atividade antimicrobiana contra bactérias gram-positivas e C. albicans (Tabela 7). A inibição de E. coli, verificada durante o primeiro teste para verificação de atividade antimicrobiana não foi observada neste ensaio. Resultados similares aos deste trabalho foram obtidos por Ishikawa et al. (2001b), onde foi verificada a ação antibacteriana contra B. cereus, B. subtilis, S. aureus e Staphylococcus epidermidis. Komemushi et al. (1996), demonstraram inibição no crescimento de bactérias Gram-positivas e Gram-negativas por L. edodes. Hirasawa et al. (1999) e Shouji et al. (1999), demonstraram a atividade de L. edodes sobre S. mutans e S. sobrinus, os quais são os principais causadores de cárie dental (Hirasawa et al., 1999). Shouji et al. (1999) verificaram a redução de cáries em cobaias utilizando extratos obtidos a partir de shiitake desidratado. Os extratos deste basidiomiceto inibiram também o crescimento de SARM, responsável por 40% das infecções causadas por S. aureus em grandes hospitais (Bax 2000). Paccola et al. 2001 demonstraram inibição contra C. albicans. 78
  • 88.
    Tabela 7 –Posição das bandas com atividade antimicrobiana nas placas de CCD dos compostos produzidos por L. edodes. Visualização sob luz UV 254 nm. Microrganismos Atividade Rf Bactérias gram-positivas Bacillus cereus + 0,44 B. stearotermophilus + 0,44 B. subtilis + 0,44 Enterococcus faecalis + 0,44 Staphylococcus aureus + 0,44 S. aureus resistente à meticilina + 0,44 S. saprophyticus + 0,44 Streptococcus mutans + 0,44 S. pyogenes + 0,44 S. sobrinus + 0,44 Bactérias gram-negativas Acinetobacter baumannii - - Enterobacter aerogenes - - Escherichia coli - - Klebsiella pneumoniae - - Proteus mirabilis - - Pseudomonas aeruginosa - - Salmonella tiphymurium - - Leveduras Candida albicans + 0,44 C. glabrata - - C. tropicalis - - Saccharomyces cerevisiae - - 4.5.2 Lentinus crinitus Os extratos obtidos a partir deste basidiomiceto não demonstraram atividade antimicrobiana no cultivo em maior escala. Tokimoto (1987) relatou que o fungo Trichoderma, um dos maiores contaminantes dos cultivos de shiitake, aumenta a excreção de enzimas micolíticas na presença de outros fungos. Desta maneira, a falta de estímulos pela ausência de outros microrganismos ou mesmo ambientais pode estar interferindo na produção de antimicrobianos por L. crinitus. 79
  • 89.
    4.5.3 Amauroderma sp. Para os extratos obtidos a partir do cultivo deste macrofungo, foram utilizados diversos sistemas de solvente para a separação dos compostos. O sistema que apresentou melhor resultado na separação das bandas foi o diclorometano: clorofórmio:etanol:água 22:8:6:1. O Amauroderma sp. apresentou atividade contra bactérias gram- positivas, incluindo o SARM (Tabela 8). A banda que demonstrou atividade possui Rf 0,79, quando visualizada sob luz UV 254 nm. Entretanto, quando a placa foi revelada com anisaldeído sulfúrico, foram observadas duas bandas, de Rf 0,79 e 0,81 respectivamente (Figuras 29 e 30). Não pode-se afirmar qual delas possui atividade antimicrobiana. A visualização destas bandas, tanto de Rf 0,79, como de Rf 0,81 foi possível somente nos extratos em CEM e CEMP de 21 dias, podendo ser correlacionadas com os dados obtidos nos testes de detecção de atividade antimicrobiana destes extratos. Para o extrato em CBD, não ocorreu separação dos compostos com este sistema de solventes. Até o presente momento não foi encontrado um sistema que possa ser utilizado para este extrato. Estes dados demonstram que este macrofungo possui capacidade de sintetizar diferentes compostos antimicrobianos em diferentes meios de cultivo. 80
  • 90.
    A B C D E F G FIGURA 29 – Cromatografia dos extratos de Amauroderma sp,visualizada sob luz UV em 254 nm. As bandas circuladas em preto são responsáveis pela atividade antimicrobiana. Extratos obtidos a partir dos cultivos em: A – CEM, durante 28 dias; B – CEMP, durante 28 dias; C – CEM, durante 21 dias; D – CEMP, durante 21 dias; E – CEM, durante 42 dias; – CEMP, durante 42 dias; F – CBD, durante 21 dias. A B C D E F G FIGURA 30 – Cromatografia dos extratos de Amauroderma sp, revelada com anisaldeído sulfúrico. Uma das bandas circuladas em preto é responsável pela atividade antimicrobiana. Extratos obtidos a partir dos cultivos em: A – CEM, durante 28 dias; B – CEMP, durante 28 dias; C – CEM, durante 21 dias; D – CEMP, durante 21 dias; E – CEM, durante 42 dias; – CEMP, durante 42 dias; F – CBD, durante 21 dias. 81
  • 91.
    Tabela 8 –Posição nas placas de CCD e atividade antimicrobiana dos compostos produzidos por Amauroderma sp. Visualização sob luz UV 254 nm. Microrganismos Atividade Rf Bactérias gram-positivas Bacillus cereus + 0,79 B. stearotermophilus + 0,79 B. subtilis + 0,79 Enterococcus faecalis + 0,79 Staphylococcus aureus + 0,79 S. aureus resistente a meticilina + 0,79 S. saprophyticus - - Streptococcus mutans - - S. pyogenes - - S. sobrinus - - Bactérias gram-negativas Acinetobacter baumannii - - Enterobacter aerogenes - - Escherichia coli - - Klebsiella pneumoniae - - Proteus mirabilis - - Pseudomonas aeruginosa - - Salmonella tiphymurium - - Leveduras Candida albicans - - C. glabrata - - C. tropicalis - - Saccharomyces cerevisiae - - 4.5.4 Pycnoporus sanguineus Assim como L. crinitus, Pycnoporus sanguineus também não produziu antimicrobianos no cultivo em maior escala. De acordo com Weissbach & Katz (1960), a síntese do ácido cinabarínico (AC) tem como precursor o ácido 3- hidroxiantranílico (3-HAA). A síntese de AC é catalizada pela peroxidase, catalase e tirosinase. A cinabarina, o composto antimicrobiano produzido por P. sanguineus possui a mesma estrutura básica do AC. Estes dois compostos e a tramesanguina 82
  • 92.
    diferem no estadode oxidação de seus substituintes (carboxila, aldeído ou álcool, respectivamente), o que pode ser explicado por diferentes precursores do o- aminofenol. A produção destes precursores pode ser específica da linhagem ou pode variar de acordo com as condições de cultivo (Eggert et al. 1995). Este mesmo grupo estudou as reações de oxidação do 3-HAA a AC mediada por lacases, enzimas que possuem papel fundamental nos sistemas lignolíticos dos fungos. A produção destas enzimas é influenciada por diversos fatores, como composição do meio, pH, relação carbono/ nitrogênio, temperatura e aeração (Kahraman & Gurdal 2001). Como nos cultivos de Pycnoporus cinnabarius, as peroxidases contribuíram fracamente com as atividades características das fenoloxidases e não foi detectada atividade de tirosinase, as lacases são as principais catalisadoras da oxidação do 3-HAA a AC para este grupo de fungos (Eggert et al. 1995). Sendo assim, os meios utilizados para P. sanguineus podem ter influenciado a produção das lacases, e consequentemente, da cinabarina. 83
  • 93.
    5. CONCLUSÕES 1. Asquatro espécies de basidiomicetos ensaiadas produziram compostos antimicrobianos ativos contra C. albicans, E.coli e S. aureus; 2. O L. edodes produziu compostos antimicrobianos ativos contra C. albicans e S. aureus em todos os meios utilizados, a partir do 14° dia de incubação; contra E. coli foi observada atividade dos extratos obtidos a partir do cultivo em meio CEMP, somente no 7° e 28° dia de incubação; 3. O L. crinitus produziu compostos antimicrobianos ativos contra C. albicans e E. coli a partir do 21° dia de incubação em meio CEMP; nos meios CEM e CBD foi detectada atividade contra C. albicans e S. aureus; 4. O Amauroderma sp. produziu antimicrobianos somente no 21° dia de incubação contra C. albicans, E. coli e S. aureus em CBD; em CEM e CEMP foi verificada a produção de compostos antimicrobianos contra C. albicans e S. aureus. 84
  • 94.
    5. O P.sanguineus produziu compostos antimicrobianos ativos contra C. albicans, E. coli e S. aureus em todos os meios de cultivo utilizados no período de incubação de 21 dias. 6. Para o L. edodes, os compostos presentes na banda cujo o Rf foi 0,44 apresentaram atividade contra as bactérias Gram-positivas utilizadas nesse ensaio e C. albicans. 7. Os compostos produzidos pelo micélio de Amauroderma sp., cujo Rf é 0,79 apresentaram atividade antimicrobiana contra bactérias Gram-positivas exceto o gênero Streptococcus. 8. Não houve correlação entre a produção de antimicrobianos e a produção de biomassa por parte dos basidiomicetos; 85
  • 95.
    6. REFERÊNCIAS ABATE, D;ABRAHAM W.R. Antimicrobial metabolites from Lentinus crinitus. Journal of Antibiotics, Tokyo, Japan, v. 47, p. 1348-1350, 1994. ABRAHAM, E.P & CHAIN, E. An enzyme from bacteria Able to Destroy Penicillin. Nature p. 837, 1940. ALEXOPOULOS C. J. Introductory Mycology, 1962, 2º ed, Wiley, 613p. ARORA, D. Mushrooms Demystified, 1986, 2ed, Ten Speed Press, Berkeley. 959 p. BARRETT, C.T. & BARRETT, J.F. Antibacterials: are the new entries enough to deal with the emerging resistance problems? Current Opinion in Biotechnology, Oxford, USA, v. 14, p.621–626, 2003. BARRETT, D. From natural products to clinically useful antifungals. Biochimica et Biophysica Acta, Amsterdam, Netherlands, v. 1587, p. 224– 233, 2002. BAX, R.; MULLAN; N.; VERHOEF, J. The millenium bugs – the need for and development of new antibacterials. International Journal of Antimicrobial Agents. v. 16, p. 51-59, 2000. BENEDICT, R.C. & BRADY, L.R.. Antimicrobial activity of mushroom metabolites. Journal of Pharmaceutical Sciences. V. 61, p. 180-182, 1972. BOER, C.G et al. Purification and some properties of Mn peroxidases from Lentinula edodes. Process Biochemistry, v. 41, p. 1203–1207, 2006. BORCHERS, A.T. et al. Proceedings of the Society for Experimental Biology and Medicine, v. 221, n. 4, p. 281-293, 1999. 86
  • 96.
    BRADFORD, M. M.A rapid and sensitive method for the quantification of microgram quantities of proteins utilizing the principle-dye binding. Analytical Biochemistry, v. 72, p. 248-254, 1976. BREENE, W. M. Nutritional value of specialty mushrooms. Journal of Food Protection, v. 53, p. 883-894, 1990. BRIZUELA, M. A. Et al. Basidiomicetos: nueva fuente de metabolitos secundarios. Revista Iberoamericana de Micologia, v. 15, p. 69-74, 1998. BROOKS, G. et al. Pleuromutilins. Part 1: The identification of a novel mutilin 14- Carbamates. Bioorganic e Medicinal Chemistry, v. 9, n. 1221-1231, 2001. BUSH, K. Antibacterial drug discovery in the 21st century. Clinical Microbiology Infection, v. 10 (Suppl. 4), p. 10–17, 2004. BUTLER, M.S. & BUSS, A. D. Natural products — The future scaffolds for novel antibiotics? Biochemical Pharmacology, v. 71, p. 919– 929, 2006. CAVALLAZZI, J.R.P.; KASUYA, M.C.; SOARES, M.A. Screening of inducers for laccase production by Lentinula edodes in liquid medium. Brazilian Journal of Microbiology, v. 36, p.383-387, 2005. CHAIN, E. H. et al. Penicillin as a Chemotherapeutic Agent. Lancet. P. 226-228, 1940. CHANG, S. T. & BUSWELL, J. A. Mushrooms nutriceuticals. World Journal of Microbiology and Biotechnology, v. 12, n. 5, p. 473-476, 1996. CORDELL, G. A. Biodiversity and drug discovery: a symbiotic relationship. Phytochemistry. V. 55, p. 463-480, 2000. DONADIO, S. et al. Targets and assays for discovering novel antibacterial agents. Journal of Biotechnology, v. 99, p. 175-/185, 2002. DUBOIS, M. et al. Colorimetric method for determination of sugars and related substances. Analytical Chemistry, v.28, p.350-356, 1956. EGGERT, C. et al. Laccase-mediated formation of the phenoxazinone derivative, cinnabarinic acid. FEBS Letters . v. 376, p. 202- 206, 1995. ESPOSITO, E. et al. Phenoloxidades and hydrolases from Pycnoporus sanguineus (EUC-2050 strain): applications. Journal of Biotechnology, v. 29, p. 219-228, 1993. 87
  • 97.
    FAN, L. etal. Advances in Mushroom Research in the Last Decade. Food Technology and. Biotechnology. V. 44, n..3, p. 303–311, 2006. FIDALGO, O. Conhecimento micológico dos índios brasileiros. Revista de Antropologia, v. 15/15, p. 27-34, 1968. FIDALGO, O. & HIRATA, J.M. Etnomicologia caiabi, txicão e txucurramãe. Rickia, v.8, p. 1-5, 1979. FLEMING, A. On the Antibacterial Action of Cultures of a Penicillium, with Special Reference to Their Use in the Isolation of B. influenzae. British Journal of Experimental Pathology. V. 10 p. 226-236, 1929. FURUYA, E. Y. & LOWY, F.D. Antimicrobial-resistant bacteria in the community setting. Nature reviews in microbiology. V. 4, p. 36-45, 2005. GALVAGNO, M. A.; FORCHIASSIN, F. Fisiologia dos fungos: nutrição e metabolimo, p. 125-172. In: Esposito, E & Azevedo, J.L. Fungos: uma introdução a biologia, bioquímica e biotecnologia. 510p. Educs, Caxias do Sul, 2004. GUARRO, J; GENÉ, J; STICHIGEL, A.M. Developments in fungal taxonomy. Clin. Microbiol. Rev. 12(3): 454-500, 1999. GUERRERO, R.T. & HOMRICH, M.H. Fungos macroscópicos comuns do Rio Grande do Sul: guia para identificação. 2nd ed, UFRGS, Porto Alegre, 42 pp. 1999. GUPTE, M.; KULKARNI, P.; GANGULI, B.N. Antifungal antibiotics. Applied Microbiology and Biotechnology, v. 58, p. 46-57, 2002. GUZMÁN, G. Identificacion de los hongos comestibles, venenosos, alucinantes y destructores de la madera. Editorial Limusa, México, 452 pp. ,1977. HARA, M. et al. 6-deoxyilludin M, a new antitumor antibiotic: fermentation, isolation and structural identification. Journal of Antibiotics, Tokyo, Japan, v. 40, p. 1643-1646, 1987. HASSEGAWA, R.H.; KASUYA, M.C.M.; VANETTI, M.C.D. Growth and antibacterial activity of Lentinula edodes in liquid media supplemented with agricultural wastes. Electronic Journal of Biotechnology, v.8, n.2, p. 212-217, 2005. HAWKSWORTH, D.L. The magnitude of fungal diversity: the 1.5 million species estimate revisited. Mycological Research, v.105, p. 1422-1432, 2001. 88
  • 98.
    HERRERA, T. &ULLOA, M. El reino de los hongos: Micología básica y aplicada. Universidad nacional autonoma de México, México, 552p. 1998. HIRASAWA, M. et al. Three kinds of antibacterial substances from Lentinus edodes (Berk.) Sing. (Shiitake, an edible mushroom). International Journal of Antimicrobial Agents, v. 11, n.2, p. 151-157, 1999. ISHIKAWA, N.K.; YAMAJI, K.; TAHARA, S.; FUKUSHI, Y.; TAKAHASHI, K. Higly Oxidized cuparene-type sesquiterpenes from a mycelial culture of Flammulina velutipes. Phytochemistry v.54: 777-782, 2000. ISHIKAWA, N. K. Antimicrobial metabolites of edible mushroom Flammulina velutipes (Enokitake). Sapporo, Japão, 2001. 182 fl. Tese (Doutorado) - Universidade de Hokkaido. ISHIKAWA, N.K. et al. Antimicrobial Cuparene-Type Sesquiterpenes, Enokipodins C and D, from a Mycelial Culture of Flammulina velutipes. Journal of Natural Products. v. 64, p. 932-934, 2001a. ISHIKAWA, N. K.; KASSUYA, M.C.M; VANETTI, M.C.D. Antibacterial Activity of Lentinula edodes Grown in Liquid Medium. Brazilian Journal of Microbiology, v. 32, n.3 p. 206-210, 2001b. ISHIKAWA, N. K; AMAZONAS, M. A. L. A.; CARVALHO, M. P.; FERREIRA, M. L.; LIU, G. C.; PACCOLA-MEIRELLES, L. D. Comparação da produtividade de cogumelos Lentinula edodes em toretes de Eucalyptus dunnii, Eucalyptus grandis e Eucalyptus saligna. CONGRESSO BRASILEIRO DE MICROBIOLOGIA XXII, Florianópolis, 2003. Anais... Florianópolis: Universidade Federal de Santa Catarina, 2003. JIANG, B.; BUSSEY, H.; ROEMER, T. Novel strategies in antifungal lead discovery. Current Opinion in Microbiology. V. 5, p. 466–471, 2002. KAHRAMAN, S.S. & GURDAL, I. H. Effect of synthetic and natural culture media on laccase production by white rot fungi. Bioresource Technology. V. 82, p. 215– 217, 2002. KNIGHT, V. et al. Diversifying microbial natural products for drug discovery. Applied Microbiology and Biotechnology v. 62, p. 446-458, 2003. KOMEMUSHI, S.; YAMAMOTO, Y.; FUJITA, T. Purification and identification of antimicrobial substances produced by Lentinus edodes. Journal of Antibacterial and Antifungal Agents, v. 24, n. 1, p. 21-25, 1996. 89
  • 99.
    KÜES, U. &LIU, K. Fruiting body production in Basidiomicetos. Applied Microbiology and Biotechnology, v.54, n. 2, p.141-152, 2000. LACAZ, C.S. Antibióticos. 1° Edição, São Paulo: Fundo Editorial Procienx, 1965, 459p. LINDEQUIST U.; NIEDERMEYER, T.H.J.; JÜLICH, W.D. The pharmacological potential of mushroom. Evidence-Based Complementary and Alternative Medicine. v. 2, p. 285–99, 2005. LOGUERCIO-LEITE, C. Taxonomia dos fungos, In: Esposito, E & Azzevedo, J.L. Fungos: uma introdução a biologia, bioquímica e biotecnologia.. Educs: Caxias do Sul, 2004, p. 47-90. LOGUERCIO-LEITE, C.; GROPOSO, C.; DRESCHLER-SANTOS, E.R.; Figueiredo, N. F.; Godinho, P.S.; Abrão, R.L. A particularidade de ser um fungo –I. Constituintes celulares. Biotemas. V. 19, n. 2, p. 17-27, 2006. MADIGAN, M.T; MARTINKO, J.M; PARKER, J. Brock Biology of Microorganisms, 2000, 9° Edição, Upper Saddle River, New Jersey: Prentice – Hall, Inc., 991p. MAZIERO, R.; CAVAZZONI, V.; BONONI, V.L.R. Screening of basidiomycetes for the production of exopolysaccharide and biomass in submerged culture. Revista de Microbiologia, v. 30, p. 77-84, 1999. MEIJER, A. A. R.. Mycological work in the Brazilian State of Parana. Nova Hedwigia v. 72, p. 105-159. 2001 MIDLAND S.L. et al. Melleolide, A new abtibiotic from Armillaria mellea. Tetrahedron Letters v. 23, p. 2515-2518, 1982. MIZUNO, T. Shiitake, Lentinus edodes: Funcional proprieties for medical and food purposes. Food Reviews International, v.11, n.1, p. 111-128, 1995. MONTINI, R. M. C.; PASSOS, J. R. S.; EIRA, A. F. Digital monitoring of mycelium growth kinetics and vigor of shiitake (lentinula edodes (berk.) Pegler) on agar medium. Brazilian Journal of Microbiology. V. 37, p. 90-95, 2006. NATIONAL COMITTEE FOR CLINICAL LABORATORY STANDARDS (NCCLS) Performance standards for antimicrobial disk susceptibility testing. Wayne approved standard M2-A7 e supplement M100-59, 7th ed, 2000. 90
  • 100.
    OVERBYE, K.M &BARRETT, J.F. Antibiotics: where did we go wrong? Drug Discovery Today. V. 10, n. 1, p. 45-52, 2005. PACCOLA, E. A. et al. Antagonistic Effect of Edible Mushroom Extract on Candida albicans Growth. Brazilian Journal of Microbiology, v.32, n.3, p. 176-178, 2001. PATERSON, R.R.M. Ganoderma – A therapeutic fungal biofactory. Phytochemistry. V. 67, p. 1985–2001, 2006. PAYNE, D.; TOMASZ, A. Antimicrobials The challenge of antibiotic resistant bacterial pathogens: the medical need, the market and prospects for new antimicrobial agents. Current Opinion in Microbiology, v. 7, p. 435-438, 2004. PEGLER, D. N. The genus Lentinula (Tricholomataceae tribe Collybieae). Sydowia, v.36, p. 227-239, 1983. PELÁEZ, F. The historical delivery of antibiotics from microbial natural products— Can history repeat? Biochemical pharmacology , v.7 1, p. 9 8 1– 9 9 0, 2006. POWERS, J.H. Antimicrobial drug development – the past, the present, and the future. Clinical Microbiology Infection. V.10, (Suppl. 4), p. 23–31, 2004. PROJAN, S.J. Why is big Pharma getting out of antibacterial drug discovery? Current Opinion in Microbiology. V. 6, p. 427-430, 2003. PROJAN, S.J. & SHLAES, D.M. Antibacterial drug discovery: is it all downhill from here? Clinical Microbiology Infection. V. 10 (Suppl. 4), p. 18–22, 2004. PRZYBYLOWICZ, P e DONOGHUE, J. Shiitake Growers Handbook: the art and science of mushroom cultivation, 1990, Iowa: Kendall/Hunt publishing company, 260p. PUTZKE, J. & PUTZKE, M.T.L. Os reinos dos fungos, 2004, v. 1 e 2, 2 ed, Edunisc, 829p. QUIROGA, E.N.; VATTUONE, M.A.; SAMPIETRO, A.R. Purification and characterization of the invertase from Pycnoporus sanguineus. Biochimica et Biophysica Acta, v. 1251, p. 75-80, 1995. ¸ RAVEN, P.H.; EVERT, R.F.; EICHHORN, S.E. Biologia Vegetal, 2001, 6 ed., Guanabara Koogan, RJ, 728p. ROSA, L. H. et al. Screening of brazilian Basidiomycetes for antimicrobial activity. Memórias do Instituto Oswaldo Cruz, v. 98, n.7, p. 1-8, 2003. 91
  • 101.
    Eo S. etal. Antiviral activities of various water and methanol soluble substances isolated from Ganoderma lucidum. Journal of Ethnopharmacology, v. 68, p. 129- 136, 1999. SHLAES, D. M.; PROJAN, S. J.; EDWARDS Jr. J. E. Antibiotic Discovery: State of the State. ASM News. V. 70, n. 6, p. 275-281, 2004. SHOUJI, N. et al. Anticaries effect of a component from shiitake (an edible mushroom). Caries Research. V. 34, p. 94-98. 2000. SIGOILLOT, C. et al. Lignocellulolytic and hemicellulolytic system of Pycnoporus cinnabarinus: isolation and characterization of a cellobiose dehydrogenase and a new xylanase. Enzyme and Microbial Technology , v. 31, p. 876–883, 2002. SIQUEIRA, E.M.A.; MIZUTA, K.; GIGLIO, J.R. Pycnoporus sanguineus: a novel source of [alpha]-amylase. Mycological Research, v. 101, p. 188-190, 1997. SMÂNIA Jr, A. et al. Growth and production phases of Pycnoporus sanguineus. Revista Brasileira de Microbiologia. V. 26, p. 302-306, 1995a. SMÂNIA Jr, A. et al. Antibacterial activity of a substance produced by the fungus Pycnoporus sanguineus (Fr.) Murr. Journal of Ethnopharmacology, v.45, p. 177- 181, 1995b. SMÂNIA, E.F.A. et al. Optimal parameters for cinnabarin synthesis by Pycnoporus sanguineus. Journal of Chemistry and Technical Biotechnology v. 70, p. 57-59, 1997. SMÂNIA E.F.A.; SMÂNIA Jr, A.; LOGUERCIO-LEITE, C. Cinnabarin synthesis by Pycnoporus sanguineus strains and antimicrobial activity against bacteria from food products. Brazilian Journal of Microbiology. v. 29, p.317-320, 1998. SMÂNIA Jr, A. et al. Toxicity and antiviral activity of cinnabarin obtained from Pycnoporus sanguineus (Fr.) Murr. SMITH, G. M. Botânica Criptogâmica vol. 1: Algas e Fungos. 4ª ed. Fundação Calouste Gulbenkian. 1987, 527p. SPARRAT, M.C.N. et al. Screening for ligninolytic enzymes in autochthonous fungal strains from Argentina isolated from different substrata. Revista Iberoamericana de Micologia, v. 19, p. 181-185, 2002. SPELHAUG S.R.; HARLANDER, S.K. Inhibition of foodborne bacterial pathogens by bacteriocins from Lactococcus lactis and Pediococcus pentosaceous. Journal of food protection. V. 52, p. 856-862, 1989 92
  • 102.
    SUAY, F. etal. Screening of Basidiomicetos for antimicrobial activities. Antonie Van Lewwenhoek. v.78, p.129-139, 2000. TAVARES, W. Pequena história sobre os antimicrobianos. Arquivos Brasileiros de Medicina. V. 59, p. 153-158, 1985. TAVARES, W. Manual de Antibióticos e Quimioterápicos Antiinfecciosos. 2° Edição, São Paulo: Editora Atheneu, 1999, 792p. THOMSON, C.J. et al. Antibacterial research and development in the 21st Century – an industry perspective of the challenges. Current Opinion in Microbiology. V. 7, p.445–450, 2004. TORTOTA, G.J; FUNKE, B.R; CASE, C.L. Microbiologia. 6º Edição, Porto Alegre: Editora Artmed, 2002, 827p. VICENTE, M.F; BASILIO, A.; CABELLO, A.; PELÁEZ, F. Microbial natural products as a source of antifungals. Clinical Microbiology Infection. V. 9, p. 15- 32, 2003. WALSH, C. Where will new antibiotics come from? Nature Reviews in Microbiology. V. 1, p.65-70, 2003. WASSER, S.P. & WEIS, A.L. Therapeutic effects of substances occuring in higher Basidiomicetos mushrooms: a modern perspective. Crittical Reviews of Immunology. V. 19, p. 65-96, 1999. WEISSBACH, H & KATZ, E. Studies on the Biosynthesis of Actinomycin: Enzymic Synthesis of the Phenoxazone Chromophore. The journal of Biological Chemistry. V. 236, n. 3, 1960. ZENT, E.L.; ZENT, S.; ITURRIAGA, T. Knowledge and use of fungi by a mycophilic society of the Venezuelan Amazon. Economic Botany. V. 58, n. 2, p. 214-226, 2004. 93