MANUAL DO CORRETOR
2
MAPA DE LOCALIZAÇÃO
BUSINESS STYLE
PERSPECTIVAS ARTÍSTICAS
PLANTAS HUMANIZADAS
LIFESTYLE
PERSPECTIVAS ARTÍSTICAS
PLANTAS HUMANIZADAS
PLANTAS DOS PAVIMENTOS
RESUMO
QUADRO DE DISPONIBILIDADE
QUADRO DE ÁREAS
MEMORIAL DESCRITIVO
INSTITUCIONAL
05
07
08
20
28
29
44
60
79
84
85
98
121
ÍNDICE
3
APARTAMENTOS
E SALAS COMERCIAIS
A UM PASSO DE TUDO.
Fotos ilustrativas.
MAPA DE LOCALIZAÇÃO
Mapa ilustrativo sem escala.
5
LOCALIZAÇÃO
Foto aérea com aplicação da perspectiva artística da fachada.
Perspectiva artística da fachada. Imagem meramente ilustrativa. Os itens de acabamento serão entregues conforme memorial descritivo. A locação de elementos estruturais pode variar de acordo com exigências técnicas. A vegetação que compõe o paisagismo retratado nessa imagem
é meramente ilustrativa e apresenta porte adulto de referência. Na entrega do empreendimento essa vegetação poderá apresentar diferenças de tamanho e porte, mas estará de acordo com o projeto paisagístico.
6
PAVIMENTOS
COMERCIAIS
LOJAS
TÉRREAS
PERSPECTIVAS ARTÍSTICAS
Perspectiva artística da fachada. Imagem meramente ilustrativa. Os itens de acabamento serão entregues conforme memorial descritivo. A locação de elementos estruturais pode variar de acordo com exigências técnicas. A vegetação que compõe o paisagismo retratado nessa imagem é meramente
ilustrativa e apresenta porte adulto de referência. Na entrega do empreendimento essa vegetação poderá apresentar diferenças de tamanho e porte, mas estará de acordo com o projeto paisagístico.
8
ACESSO SOCIAL COMERCIAL
Perspectiva artística acesso social comercial. Imagem meramente ilustrativa. Os itens de mobília, decoração e acabamento serão entregues conforme memorial descritivo. A locação de elementos estruturais pode variar de acordo com exigências técnicas. A vegetação
que compõe o paisagismo retratada nessa imagem é meramente ilustrativo e apresenta porte adulto de referência. Na entrega do empreendimento essa vegetação poderá apresentar diferenças de tamanho e porte, mas estará de acordo com o projeto paisagístico.
9
LOJAS
Perspectiva artística da galeria de lojas. Imagem meramente ilustrativa. Os itens de acabamento serão entregues conforme memorial descritivo. A locação de elementos estruturais pode variar de acordo com exigências técnicas. A vegetação que compõe o paisagismo
retratado nessa imagem é meramente ilustrativa e apresenta porte adulto de referência. Na entrega do empreendimento essa vegetação poderá apresentar diferenças de tamanho e porte, mas estará de acordo com o projeto paisagístico.
10
LOBBY COMERCIAL COM PÉ-DIREITO DUPLO
Perspectiva artística do lobby comercial. Imagem meramente ilustrativa. Os itens de mobília, decoração e acabamento serão entregues conforme memorial descritivo. A locação de elementos estruturais pode variar de acordo com exigências técnicas.
11
AUDITÓRIO
Auditório com capacidade para 20 pessoas. Ambiente entregue equipado e decorado, com ar-condicionado e mobília adequada para palestras e reuniões em grupos maiores.
Perspectiva artística do auditório. Imagem meramente ilustrativa. Os equipamentos eletrônicos e os itens de mobília, decoração e acabamento serão entregues conforme memorial descritivo. A locação de elementos estruturais pode variar de acordo com exigências técnicas.
12
AUDITÓRIO - Layout de opção de reversibilidade adequando o auditório para sala de reuniões com mesa para 18 pessoas
Ambiente entregue equipado e decorado, com ar-condicionado e mobília adequada para palestras e reuniões em grupos maiores.
Perspectiva artística do auditório. Imagem meramente ilustrativa. Os equipamentos eletrônicos e os itens de mobília, decoração e acabamento serão entregues conforme memorial descritivo. A locação de elementos estruturais pode variar de acordo com exigências técnicas.
13
SALA DE REUNIÕES
Sala de reuniões entregue equipada e decorada, com ar-condicionado e equipamento para áudio/vídeo-conferência.
Perspectiva artística da sala de reuniões. Imagem meramente ilustrativa. Os equipamentos eletrônicos e os itens de mobília, decoração e acabamento serão entregues conforme memorial descritivo. A locação de elementos estruturais pode variar de acordo com exigências técnicas.
A vegetação que compõe o paisagismo retratado nessa imagem é meramente ilustrativo e apresenta porte adulto de referência. Na entrega do empreendimento essa vegetação poderá apresentar diferenças de tamanho e porte, mas estará de acordo com o projeto paisagístico.
14
ESCRITÓRIO DE ARQUITETURA (SALA 6)
Perspectiva artística do escritório de arquitetura referente à sala final 6, do 4º ao 17º e 19º pavimento comercial sendo 47,03 m2
de área. Imagem meramente ilustrativa com sugestão de layout e decoração com móveis e objetos não fazendo parte do contrato.
Equipamentos e acabamentos conforme memorial descritivo. A locação dos elementos estruturais podem variar de acordo com exigências técnicas.
15
ESCRITÓRIO DE ADVOCACIA (JUNÇÃO SALAS 1 E 2)
Perspectiva artística do escritório de advocacia referente à sala final 1 e 2, do 5º ao 17º e 19º pavimento comercial sendo 98,36 m2
de área. Imagem meramente ilustrativa com sugestão de layout e decoração com móveis e objetos não fazendo parte do contrato.
Equipamentos e acabamentos conforme memorial descritivo. A locação dos elementos estruturais podem variar de acordo com exigências técnicas.
16
ESCRITÓRIO MEIA LAJE (SALAS 9 - 15)
Perspectiva artística do escritório meia laje referente à sala final 9 a 15, do 5º ao 17º e 19º pavimento comercial sendo 327,65 m2
de área . Imagem meramente ilustrativa com sugestão de layout e decoração com móveis e objetos não fazendo parte do contrato.
Equipamentos e acabamentos conforme memorial descritivo. A locação dos elementos estruturais podem variar de acordo com exigências técnicas.
17
CONSULTÓRIO MÉDICO
Perspectiva artística do consultório médico referente à sala final 3, do 5º ao 17º e 19º pavimento comercial sendo 59,37 m2
de área . Imagem meramente ilustrativa com sugestão de layout e decoração com móveis e objetos não fazendo parte do contrato.
Equipamentos e acabamentos conforme memorial descritivo. A locação dos elementos estruturais podem variar de acordo com exigências técnicas.
18
SALA DECORADA
Perspectiva artística da sala decorada referente à sala final 14, do 5º ao 17º e 19º pavimento comercial sendo 46,77 m2
de área . Imagem meramente ilustrativa com sugestão de layout e decoração com móveis e objetos não fazendo parte do contrato. Equipamentos e acabamentos conforme
memorial descritivo. A locação dos elementos estruturais podem variar de acordo com exigências técnicas Sugestão de personalização sujeita a custo adicional, viabilidade técnica e ao cronograma da obra.
19
16
12
16
16
18
16
05
09
10
11
13
15
14
14
14
12
07
06
08
08
08
17
01
03
04
02
14
14
14
IMPLANTAÇÃO TÉRREO
Implantação artística do térreo. Imagem meramente ilustrativa. Os itens de mobília, decoração e acabamento serão entregues conforme memorial descritivo. A locação de elementos estruturais pode variar de acordo com exigências técnicas. A vegetação que compõe o paisagismo retratado nessa
imagem é meramente ilustrativo e apresenta porte adulto de referência. Na entrega do empreendimento essa vegetação poderá apresentar diferenças de tamanho e porte, mas estará de acordo com o projeto paisagístico.
PLANTAS HUMANIZADAS
1. Port-cochère
2. Entrada estacionamento Business Style
3. Saída estacionamento Business Style
4. Controle de acesso ao estacionamento
5. Acesso social Business Style
6. Rampa de acesso às lojas
7. Boulevard lojas
8. Lojas
9. Lobby Business Style com pé-direito duplo
10. Recepção
11. Segurança
12. Escada
13. W.C. recepção
14. Elevador
15. Hall elevadores
16. Vagas de garagem
17. Central de gás
18. Expedição
20
01
04
02
07
08
09
10
11
05
06
12
12
1212
12
12
11
14
13
13
13
03
3º PAVTO. GARAGEM
Implantação artística do 3º pavto. garagem. Imagem meramente ilustrativa. Os itens de mobília, decoração e acabamento serão entregues conforme memorial descritivo. A locação de elementos estruturais pode variar de acordo com exigências técnicas.
A vegetação que compõe o paisagismo retratado nessa imagem é meramente ilustrativo e apresenta porte adulto de referência. Na entrega do empreendimento essa vegetação poderá apresentar diferenças de tamanho e porte, mas estará de acordo com o projeto paisagístico.
1. Descanso funcionário/
manobrista
2. Depósito de peças
3. W.C. feminino
4. W.C.s masculino e feminino
5. Sala de reunião
6. Auditório
7. D.M.L. (Depósito de
material de limpeza)
8. Copa funcionários
9. W.C. feminino
10. AC (Antecâmara)
11. Escada
12. Elevadores
13. Vagas de garagem
14. Rampa de acesso
estacionamento
21
PAVIMENTO COMERCIAL
Implantação artística do pavimento comercial referente ao 6º, 70
, 90
, 100
, 120
, 130
, 150
e 160
pavimento comercial. Imagem meramente ilustrativa com sugestão de layout e decoração com móveis e objetos não fazendo parte do contrato. Equipamentos e acabamentos conforme memorial descritivo.
A locação dos elementos estruturais podem variar de acordo com exigências técnicas.
22
Planta do escritório de advocaciar referente à sala final 1 e 2, do 5º ao 17º e 19º pavimento comercial sendo 98,36 m2
de área total. Imagem meramente ilustrativa com sugestão de layout e decoração com móveis e objetos não fazendo parte do contrato. Equipamentos e acabamentos
conforme memorial descritivo. A locação dos elementos estruturais podem variar de acordo com exigências técnicas. Sugestão de personalização sujeita a custo adicional, viabilidade técnica e ao cronograma da obra. *Área privativa aproximada. Não estão incluídas as áreas das vagas de
garagem. As medidas internas dos ambientes apresentadas na planta acima são aproximadas e poderão sofrer variações conforme legislação. Mais informações, vide memorial descritivo e convenção de condomínio.
ESCRITÓRIO DE ADVOCACIA (JUNÇÃO SALAS 01 - 02)
98M2*
23
Planta do escritório de arquitetura referente à sala final 6, do 4º ao 17º e 19º pavimento comercial sendo 47,03 m2
de área total. Imagem meramente ilustrativa com sugestão de layout e decoração com móveis e objetos não fazendo parte do contrato. Equipamentos e
acabamentos conforme memorial descritivo. A locação dos elementos estruturais podem variar de acordo com exigências técnicas. Sugestão de personalização sujeita a custo adicional, viabilidade técnica e ao cronograma da obra.*Área privativa aproximada. Não estão
incluídas as áreas das vagas de garagem. As medidas internas dos ambientes apresentadas na planta acima são aproximadas e poderão sofrer variações conforme legislação. Mais informações, vide memorial descritivo e convenção de condomínio.
ESCRITÓRIO DE ARQUITETURA (SALA 06)
47M2*
24
Planta do escritório meia laje referente à sala final 9 a 15, do 5º ao 17º e 19º pavimento comercial sendo 327,65 m2
de área total. Imagem meramente ilustrativa com sugestão de layout e decoração com móveis e objetos não fazendo parte do contrato. Equipamentos e acabamentos conforme memorial
descritivo. A locação dos elementos estruturais podem variar de acordo com exigências técnicas. Sugestão de personalização sujeita a custo adicional, viabilidade técnica e ao cronograma da obra. *Área privativa aproximada. Não estão incluídas as áreas das vagas de garagem.
As medidas internas dos ambientes apresentadas na planta acima são aproximadas e poderão sofrer variações conforme legislação. Mais informações, vide memorial descritivo e convenção de condomínio.
ESCRITÓRIO MEIA LAJE (SALAS - 09 A 15)
328M2*
25
Planta do consultório médico referente à sala final 3, do 5º ao 17º e 19º pavimento comercial sendo 59,37 m2
de área total. Imagem meramente ilustrativa com sugestão de layout e decoração com móveis e objetos não fazendo parte do contrato. Equipamentos e acabamentos conforme memorial
descritivo. A locação dos elementos estruturais podem variar de acordo com exigências técnicas. Sugestão de personalização sujeita a custo adicional, viabilidade técnica e ao cronograma da obra. *Área privativa aproximada. Não estão incluídas as áreas das vagas de garagem.
As medidas internas dos ambientes apresentadas na planta acima são aproximadas e poderão sofrer variações conforme legislação. Mais informações, vide memorial descritivo e convenção de condomínio.
CONSULTÓRIO MÉDICO (SALA 03)
59M2*
26
Planta da sala decorada referente à sala final 14, do 5º ao 17º e 19º pavimento comercial sendo 46,77 m2
de área total. Imagem meramente ilustrativa com sugestão de layout e decoração com móveis e objetos não fazendo parte do contrato. Equipamentos e
acabamentos conforme memorial descritivo. A locação dos elementos estruturais podem variar de acordo com exigências técnicas. Sugestão de personalização sujeita a custo adicional, viabilidade técnica e ao cronograma da obra. *Área privativa aproximada. Não
estão incluídas as áreas das vagas de garagem. As medidas internas dos ambientes apresentadas na planta acima são aproximadas e poderão sofrer variações conforme legislação. Mais informações, vide memorial descritivo e convenção de condomínio.
SALA COMERCIAL
DECORADA
47M2*
27
28
PERSPECTIVAS ARTÍSTICAS
Perspectivas artísticas da fachada. Imagens meramente ilustrativas. Os itens de acabamento serão entregues conforme memorial descritivo. A locação de elementos estruturais pode variar de acordo com exigências técnicas. A vegetação que compõe o paisagismo retratado nessa imagem é meramente
ilustrativo e apresenta porte adulto de referência. Na entrega do empreendimento essa vegetação poderá apresentar diferenças de tamanho e porte, mas estará de acordo com o projeto paisagístico.
PAVIMENTOS
RESIDENCIAIS
ENTRADA
RESIDENCIAL
29
ACESSO SOCIAL RESIDENCIAL
Perspectiva artística do acesso social residencial. Imagem meramente ilustrativa. Os itens de acabamento serão entregues conforme memorial descritivo. A locação de elementos estruturais pode variar de acordo com exigências técnicas. A vegetação que compõe o paisagismo
retratado nessa imagem é meramente ilustrativo e apresenta porte adulto de referência. Na entrega do empreendimento essa vegetação poderá apresentar diferenças de tamanho e porte, mas estará de acordo com o projeto paisagístico.
30
Perspectiva artística do lobby residencial. Imagem meramente ilustrativa. Os itens de mobília, decoração e acabamento serão entregues conforme memorial descritivo. A locação de elementos estruturais pode variar de acordo com exigências técnicas. A vegetação
que compõe o paisagismo retratado nessa imagem é meramente ilustrativo e apresenta porte adulto de referência. Na entrega do empreendimento essa vegetação poderá apresentar diferenças de tamanho e porte, mas estará de acordo com o projeto paisagístico
LOBBY RESIDENCIAL
31
Perspectiva artística do bicicletário. Imagem meramente ilustrativa. Os itens de mobília, decoração e acabamento serão entregues conforme memorial descritivo. A locação de elementos estruturais pode variar de acordo com exigências técnicas.
BICICLETÁRIO
Bicicletário equipado com 04 bicicletas para uso comum do condomínio e compressor de ar para encher pneus.
32
STUDIO (FINAL 14)
Perspectiva artística do Studio Tipo 02 referente à unidade final 14, do 24º pavimento residencial sendo 75,34 m2
de área total. Imagem meramente ilustrativa com sugestão de layout e decoração com móveis e objetos não fazendo parte do contrato.
Equipamentos e acabamentos conforme memorial descritivo. A locação dos elementos estruturais podem variar de acordo com exigências técnicas.
33
APARTAMENTO DECORADO
Perspectiva artística do living do apartamento decorado final 12 do 21º ao 30º pavimento residencial, sendo 40,46m2
de área total. Imagem meramente ilustrativa com sugestão de layout e decoração com móveis e objetos não fazendo parte do contrato.
Equipamentos e acabamentos conforme memorial descritivo. A locação dos elementos estruturais podem variar de acordo com exigências técnicas. Sugestão de personalização sujeita a custo adicional, viabilidade técnica e ao cronograma da obra. As medidas internas dos ambientes apresentadas na
planta acima são aproximadas e poderão sofrer variações conforme legislação. Mais informações, vide memorial descritivo e convenção de condomínio.
34
LAVANDERIA
Equipada e decorada. Entregue com móveis de primeira qualidade.
Perspectiva artística da lavanderia. Imagem meramente ilustrativa. Os equipamentos eletrônicos e os itens de mobília, decoração e acabamento serão entregues conforme memorial descritivo. A locação de elementos estruturais pode variar de acordo com exigências técnicas.
35
36
SALÃO DE FESTAS
Ambiente com ar-condicionado e integrado com varanda gourmet, lounge e home dentro do ambiente. Entregue com móveis de primeira qualidade.
Perspectiva artística do salão de festas. Imagem meramente ilustrativa. Os itens de mobília, decoração e acabamento serão entregues conforme memorial descritivo. A locação de elementos estruturais pode variar de acordo com exigências técnicas. A vegetação que compõe o
paisagismo retratado nessa imagem é meramente ilustrativo e apresenta porte adulto de referência. Na entrega do empreendimento essa vegetação poderá apresentar diferenças de tamanho e porte, mas estará de acordo com o projeto paisagístico.
37
VARANDA GOURMET
Varanda equipada com forno de pizza e churrasqueira. Entregue com móveis de primeira qualidade.
Perspectiva artística da varanda gourmet. Imagem meramente ilustrativa. Os itens de mobília, decoração e acabamento serão entregues conforme memorial descritivo. A locação de elementos estruturais pode variar de acordo com exigências técnicas. A vegetação que compõe o paisagismo retratado
nessa imagem é meramente ilustrativo e apresenta porte adulto de referência. Na entrega do empreendimento essa vegetação poderá apresentar diferenças de tamanho e porte, mas estará de acordo com o projeto paisagístico.
38
OBSERVATÓRIO
Observatório mirante equipado, convidando a observar a vista privilegiada do empreendimento.
Perspectiva artística do observatório. Imagem meramente ilustrativa. Os itens de mobília, decoração e acabamento serão entregues conforme memorial descritivo. A locação de elementos estruturais pode variar de acordo com exigências técnicas. A vegetação que compõe o
paisagismo retratado nessa imagem é meramente ilustrativo e apresenta porte adulto de referência. Na entrega do empreendimento essa vegetação poderá apresentar diferenças de tamanho e porte, mas estará de acordo com o projeto paisagístico.
39
SALÃO DE JOGOS
Salão com ar-condicionado e equipado com jogos apropriados para o público do empreendimento. Entregue com móveis de primeira qualidade.
Perspectiva artística do salão de jogos. Imagem meramente ilustrativa. Os itens de mobília, decoração e acabamento serão entregues conforme memorial descritivo. A locação de elementos estruturais pode variar de acordo com exigências técnicas. A vegetação que compõe o paisagismo
retratado nessa imagem é meramente ilustrativo e apresenta porte adulto de referência. Na entrega do empreendimento essa vegetação poderá apresentar diferenças de tamanho e porte, mas estará de acordo com o projeto paisagístico.
40
FITNESS
Ambiente com vista para o Parque Vaca Brava, ar-condicionado, equipado e decorado. Entregue com equipamentos de primeira qualidade.
Perspectiva artística do fitness. Imagem meramente ilustrativa. Os itens de mobília, decoração e acabamento serão entregues conforme memorial descritivo. A locação de elementos estruturais pode variar de acordo com exigências técnicas. A vegetação que compõe o paisagismo
retratado nessa imagem é meramente ilustrativo e apresenta porte adulto de referência. Na entrega do empreendimento essa vegetação poderá apresentar diferenças de tamanho e porte, mas estará de acordo com o projeto paisagístico.
41
PISCINA COBERTA
Piscina coberta, aquecida, com vista para o Parque Vaca Brava, tratamento de água com ozônio e iluminação LED.
Perspectiva artística da piscina coberta. Imagem meramente ilustrativa. Os itens de mobília, decoração e acabamento serão entregues conforme memorial descritivo. A locação de elementos estruturais pode variar de acordo com exigências técnicas. A vegetação que compõe o paisagismo retratado
nessa imagem é meramente ilustrativo e apresenta porte adulto de referência. Na entrega do empreendimento essa vegetação poderá apresentar diferenças de tamanho e porte, mas estará de acordo com o projeto paisagístico
42
SPA
Spa com aquecimento e integração com a piscina. Entregue com móveis de primeira qualidade.
Perspectiva artística do spa. Imagem meramente ilustrativa. Os itens de mobília, decoração e acabamento serão entregues conforme memorial descritivo. A locação de elementos estruturais pode variar de acordo com exigências técnicas.
43
SOLARIUM
Espaço descoberto para tomar sol e apreciar a linda vista do Bueno Nobre.
Perspectiva artística do solarium. Imagem meramente ilustrativa. Os itens de mobília, decoração e acabamento serão entregues conforme memorial descritivo. A locação de elementos estruturais pode variar de acordo com exigências técnicas.
A vegetação que compõe o paisagismo retratado nessa imagem é meramente ilustrativo e apresenta porte adulto de referência. Na entrega do empreendimento essa vegetação poderá apresentar diferenças de tamanho e porte, mas estará de acordo com o projeto paisagístico.
44
IMPLANTAÇÃO SUBSOLO
Implantação artística do subsolo. Imagem meramente ilustrativa. Os itens de mobília, decoração e acabamento serão entregues conforme memorial descritivo. A locação de elementos estruturais pode variar de acordo com exigências técnicas. A vegetação que compõe o paisagismo retratado nessa imagem
é meramente ilustrativo e apresenta porte adulto de referência. Na entrega do empreendimento essa vegetação poderá apresentar diferenças de tamanho e porte, mas estará de acordo com o projeto paisagístico.
PLANTAS HUMANIZADAS
1. Central de gás
2. Vagas para visitantes
3. Vagas de garagem
4. Depósito/Almoxarifado
5. Copa Funcionários
6. Descanso funcionários
7. D.M.L.(Depósito de material de limpeza)
8. Guarita
9. W.C. funcionários
10. W.C.s masculino e feminino funcionários
11. Elevador de emergência
12. Escadas
13. Acesso social LifeStyle
14. Espelhos d`água
15. Lobby residencial
16. Sala do síndico
17. Recepção
18. Elevador social
19. Poço dos elevadores Business Style
20. Bicicletário
20
19
19
19
19
12
1818
17
15
14
13
02
01
09
07
060504
03
10
16
11
19
19
08
45
1. Varanda gourmet com forno
de pizza e churrasqueira
2. Copa
3. Salão de festas com espaço gourmet,
home e lounge
4. Elevador de emergência
5. Escada
6. Observatório
7. Elevador social
8. Lavanderia
9. W.C. portadores de necessidades especiais
10. W.C. feminino
11. W.C. masculino
12. Salão de jogos
13. Fitness
14. Lounge
15. Sauna
16. Piscina coberta e aquecida com vista
para o Parque Vaca Brava
17. Spa
18. Solarium
IMPLANTAÇÃO LAZER COBERTURA
Implantação artística do 31º pavimento lazer - residencial. Imagem meramente ilustrativa. Os itens de mobília, decoração e acabamento serão entregues conforme memorial descritivo. A locação de elementos estruturais pode variar de acordo com exigências técnicas. A vegetação que compõe o paisagismo
retratado nessa imagem é meramente ilustrativo e apresenta porte adulto de referência. Na entrega do empreendimento essa vegetação poderá apresentar diferenças de tamanho e porte, mas estará de acordo com o projeto paisagístico.
16
14
13
12
17
18
15
11
10
08
05
04
01
02
03
09
0707
06
46
PLANTA PAVTO. RESIDENCIAL
Implantação artística do pavimento residencial referente ao 25º, 27º e 29º pavimento residencial. Imagem meramente ilustrativa com sugestão de layout e decoração com móveis e objetos não fazendo parte do contrato. Equipamentos e acabamentos conforme memorial
descritivo. A locação dos elementos estruturais podem variar de acordo com exigências técnicas.
47
PLANTA APARTAMENTO
TIPO FINAL 01
Planta do apartamento tipo final 01 do 21º ao 30º pavimento residencial, sendo 52,85 m2
de área total. Imagem meramente ilustrativa com sugestão de layout e decoração com móveis e objetos não fazendo parte do contrato.
Equipamentos e acabamentos conforme memorial descritivo. A locação dos elementos estruturais podem variar de acordo com exigências técnicas. Sugestão de personalização sujeita a custo adicional, viabilidade técnica e ao cronograma da obra. *Área privativa aproximada. Não estão incluídas
as áreas das vagas de garagem. As medidas internas dos ambientes apresentadas na planta acima são aproximadas e poderão sofrer variações conforme legislação. Mais informações, vide memorial descritivo e convenção de condomínio.
53M2*
48
STUDIO - FINAL 14
Planta do studio correspondente ao final 14, do 24º pavimento residencial, sendo 67,21 m2
de área total. Imagem meramente ilustrativa com sugestão de layout e decoração com móveis e objetos não fazendo parte do contrato.
Equipamentos e acabamentos conforme memorial descritivo. A locação dos elementos estruturais podem variar de acordo com exigências técnicas. *Área privativa aproximada. Não estão incluídas as áreas das vagas de garagem.
As medidas internas dos ambientes apresentadas na planta acima são aproximadas e poderão sofrer variações conforme legislação. Mais informações, vide memorial descritivo e convenção de condomínio.
67M2*
49
STUDIO - FINAL 15
Planta do studio correspondente ao final 15, do 25º ao 30º pavimento residencial, sendo 48,66m2 de á
rea total. Imagem meramente ilustrativa com sugestão de layout e decoração com móveis e objetos não fazendo parte do contrato.
Equipamentos e acabamentos conforme memorial descritivo. A locação dos elementos estruturais podem variar de acordo com exigências técnicas. *Área privativa aproximada. Não estão incluídas as áreas das vagas de garagem.
As medidas internas dos ambientes apresentadas na planta acima são aproximadas e poderão sofrer variações conforme legislação. Mais informações, vide memorial descritivo e convenção de condomínio.
49M2*
50
APTO. TIPO - FINAL 05
Planta do apartamento tipo final 05 do 21º ao 30º pavimento residencial, sendo 41,65m2
de área total. Imagem meramente ilustrativa com sugestão de layout e decoração com móveis e objetos não fazendo parte do contrato.
Equipamentos e acabamentos conforme memorial descritivo. A locação dos elementos estruturais podem variar de acordo com exigências técnicas. *Área privativa aproximada. Não estão incluídas as áreas das vagas de garagem. As medidas internas dos ambientes apresentadas na planta acima são
aproximadas e poderão sofrer variações conforme legislação. Mais informações, vide memorial descritivo e convenção de condomínio.
42M2*
51
PLANTA APARTAMENTO
DECORADO
Planta do apartamento decorado final 12 do 21º ao 30º pavimento residencial, sendo 40,46m2
de área total. Imagem meramente ilustrativa com sugestão de layout e decoração com móveis e objetos não fazendo parte do contrato.
Equipamentos e acabamentos conforme memorial descritivo. A locação dos elementos estruturais podem variar de acordo com exigências técnicas. Sugestão de personalização sujeita a custo adicional, viabilidade técnica e ao cronograma da obra. *Área privativa aproximada. Não estão incluídas
as áreas das vagas de garagem. As medidas internas dos ambientes apresentadas na planta acima são aproximadas e poderão sofrer variações conforme legislação. Mais informações, vide memorial descritivo e convenção de condomínio.
40M2*
52
APTO. DUPLEX INFERIOR - FINAL 03
Planta do apartamento duplex pavimento inferior final 03 do 21º, 23º, 25º, 27º e 29º pavimento residencial, sendo 89,44m2
de área total. Imagem meramente ilustrativa com sugestão de layout e decoração com móveis e objetos não fazendo parte do contrato. Equipamentos e acabamentos conforme
memorial descritivo. A locação dos elementos estruturais podem variar de acordo com exigências técnicas. *Área privativa aproximada. Não estão incluídas as áreas das vagas de garagem. As medidas internas dos ambientes apresentadas na planta acima são aproximadas e poderão sofrer variações
conforme legislação. Mais informações, vide memorial descritivo e convenção de condomínio.
PAVTO. INFERIOR
+
PAVTO. SUPERIOR
89M2*
53
APTO. DUPLEX SUPERIOR - FINAL 03
Planta do apartamento duplex pavimento superior final 03 do 22º, 24º, 26º, 28º e 30º pavimento residencial, sendo 89,44 m2
de área total. Imagem meramente ilustrativa com sugestão de layout e decoração com móveis e objetos não fazendo parte do contrato.
Equipamentos e acabamentos conforme memorial descritivo. A locação dos elementos estruturais podem variar de acordo com exigências técnicas. *Área privativa aproximada. Não estão incluídas as áreas das vagas de garagem.
As medidas internas dos ambientes apresentadas na planta acima são aproximadas e poderão sofrer variações conforme legislação. Mais informações, vide memorial descritivo e convenção de condomínio.
PAVTO. INFERIOR
+
PAVTO. SUPERIOR
89M2*
54
APTO. DUPLEX INFERIOR - FINAL 06
Planta do apartamento duplex pavimento inferior final 06 do 21º, 23º, 25º, 27º e 29º pavimento residencial, sendo 92,88m2
de área total composta por área privativa do apartamento (85,55 m2
) + área privativa do escaninho (7,32 m2
). Imagem meramente ilustrativa com sugestão de layout e decoração
com móveis e objetos não fazendo parte do contrato. Equipamentos e acabamentos conforme memorial descritivo. A locação dos elementos estruturais podem variar de acordo com exigências técnicas. *Área privativa aproximada. Na área privativa indicada acima não estão incluídas as áreas das vagas
de garagem. As medidas internas dos ambientes apresentadas na planta acima são aproximadas e poderão sofrer variações conforme legislação. Mais informações, vide memorial descritivo e convenção de condomínio.
PAVTO. INFERIOR
+
PAVTO. SUPERIOR
93M2*
55
APTO. DUPLEX SUPERIOR - FINAL 06
Planta do apartamento duplex pavimento superior final 06 do 22º, 24º, 26º, 28º e 30º pavimento residencial, sendo 92,88m2
de área total composta por área privativa do apartamento (85,55 m2
) + área privativa do escaninho (7,32 m2
). Imagem meramente ilustrativa com sugestão de layout e decoração
com móveis e objetos não fazendo parte do contrato. Equipamentos e acabamentos conforme memorial descritivo. A locação dos elementos estruturais podem variar de acordo com exigências técnicas. *Área privativa aproximada. Na área privativa indicada acima não estão incluídas as áreas das vagas
de garagem. As medidas internas dos ambientes apresentadas na planta acima são aproximadas e poderão sofrer variações conforme legislação. Mais informações, vide memorial descritivo e convenção de condomínio.
PAVTO. INFERIOR
+
PAVTO. SUPERIOR
93M2*
56
APTO. DUPLEX INFERIOR - FINAL 08
Planta do apartamento duplex pavimento inferior final 08 do 21º, 23º, 25º, 27º e 29º pavimento residencial, sendo 98,59 m2
de área total composta por área privativa do apartamento (92,12 m2
) + área privativa do escaninho (6,47 m2
). Imagem meramente ilustrativa com sugestão de layout e decoração com
móveis e objetos não fazendo parte do contrato. Equipamentos e acabamentos conforme memorial descritivo. A locação dos elementos estruturais podem variar de acordo com exigências técnicas. *Área privativa aproximada. Não estão incluídas as áreas das vagas de garagem. As medidas internas dos ambientes
apresentadas na planta acima são aproximadas e poderão sofrer variações conforme legislação. Mais informações, vide memorial descritivo e convenção de condomínio.
PAVTO. INFERIOR
+
PAVTO. SUPERIOR
99M2*
57
APTO. DUPLEX SUPERIOR - FINAL 08
Planta do apartamento duplex pavimento superior final 08 do 22º, 24º, 26º, 28º e 30º pavimento residencial, sendo 98,59 m2
de área total composta por área privativa do apartamento (92,12 m2
) + área privativa do escaninho (6,47 m2
).. Imagem meramente ilustrativa com sugestão de layout
e decoração com móveis e objetos não fazendo parte do contrato. Equipamentos e acabamentos conforme memorial descritivo. A locação dos elementos estruturais podem variar de acordo com exigências técnicas. *Área privativa aproximada. Não estão incluídas as áreas das vagas de garagem.
As medidas internas dos ambientes apresentadas na planta acima são aproximadas e poderão sofrer variações conforme legislação. Mais informações, vide memorial descritivo e convenção de condomínio. *Área privativa aproximada. Na área privativa indicada acima não estão incluídas as áreas das
vagas de garagem. As medidas internas dos ambientes apresentadas na planta acima são aproximadas e poderão sofrer variações conforme legislação. Mais informações, vide memorial descritivo e convenção de condomínio.
PAVTO. INFERIOR
+
PAVTO. SUPERIOR
99M2*
58
APTO. DUPLEX INFERIOR - FINAL 11
Planta do apartamento duplex pavimento inferior final 11 do 21º, 23º, 25º, 27º e 29º pavimento residencial, sendo 77,52 m2
de área total. Imagem meramente ilustrativa com sugestão de layout e decoração com móveis e objetos não fazendo parte do contrato. Equipamentos e acabamentos conforme memorial
descritivo. A locação dos elementos estruturais podem variar de acordo com exigências técnicas. *Área privativa aproximada. Não estão incluídas as áreas das vagas de garagem. As medidas internas dos ambientes apresentadas na planta acima são aproximadas e poderão sofrer variações conforme legislação.
Mais informações, vide memorial descritivo e convenção de condomínio.
PAVTO. INFERIOR
+
PAVTO. SUPERIOR
78M2*
59
APTO. DUPLEX SUPERIOR - FINAL 11
Planta do apartamento duplex pavimento superior final 11 do 22º, 24º, 26º, 28º e 30º pavimento residencial, sendo 77,52 m2
de área total. Imagem meramente ilustrativa com sugestão de layout e decoração com móveis e objetos não fazendo parte do contrato.
Equipamentos e acabamentos conforme memorial descritivo. A locação dos elementos estruturais podem variar de acordo com exigências técnicas. *Área privativa aproximada. Não estão incluídas as áreas das vagas de garagem. As medidas internas dos ambientes apresentadas na planta acima são
aproximadas e poderão sofrer variações conforme legislação. Mais informações, vide memorial descritivo e convenção de condomínio.
PAVTO. INFERIOR
+
PAVTO. SUPERIOR
78M2*
60
PLANTAS DOS PAVIMENTOS
RAMPA SOBE P/
SUBSOLO 1
RESERVATÓRIO
INFERIOR
A.C.
58
3234 3336 3538 373940
60
61
59
27
18
25 26
20 19
2423
2122
14 159 10
6 5
1312
62
17 16
28 29
31 30
57
47
46
44
45
43
42
41
3 41 2
56
55
50
49
51
52
54
53
64
63
67
66
65
8 7
11
E3
E4
E5
E2
E9
E6
ESTACIONAMENTO
(RESIDENCIAL)
E10
E8
E7
E1
ATERRADO
ELEV.
DE
EMERG.
48
ATERRADO
ATERRADO
ATERRADO
ATERRADO
ATERRADO
ELEV.
SOCIAL
ELEV.
SOCIAL
RUA T-55
RUAT-30
SUBSOLO 2
A locação de elementos estruturais pode variar de acordo com exigências técnicas. As medidas internas podem sofrer variações conforme a legislação.
61
RAMPA DESCE P/ SUBSOLO 2
ACESSO DE VEÍCULOS
P/ RESIDENCIAL
CALÇADA
PRESSURIZAÇÃO
A.C.
118
114
124
121
120
82 8381
119
99 98100102 101104 103
9695 97
8586 84
93 94
88 87
9291
8990
115
SELEÇÃO DE LIXO
68
ÁREA TÉCNICA
ELEVARORES
POÇO
ELEVADOR
POÇO
ELEVADOR
CIRCULAÇÃO
LOBBY
VAGA VISITANTE 01
VAGA VISITANTE 02
117
116
110
111
113
112
109
106 105
71 7269 70
74 7376 75
107108
123
80
SALA DO
SÍNDICO
WC FEM. WC MASC
DML
ESTAR/
DESCANSO
FUNCIONÁRIOS
COPA
FUNCIONÁRIOS
WCGUARITA
DEPÓSITO /
ALMOXARIFADO
BICICLETÁRIO
77 78 79
ACESSO DE
PEDESTRES P/
RESIDENCIAL
ACESSO DE VEÍCULOS P/ ESTACIONAMENTO
EDIFÍCIO RESIDENCIAL
ESTACIONAMENTO
(RESIDENCIAL)
CENTRAL DE
GÁS
A.C.
122
TOMADADEARPRESSURIZAÇÃO POÇO
ELEVADOR
POÇO
ELEVADOR
POÇO
ELEVADOR
POÇO
ELEVADOR
ESPELHO
D'ÁGUA
JARDIM
JARDIM
RUAT-30
CALÇADA
VAGA VISITANTE 03
HIDRÔMETRO
JARDIM
PULMÃO
DE
SEGURANÇA PRAÇA
DE
ACESSO
INST.
ELÉTRICAS
ELEV.
SOCIAL
ELEV. DE
EMERG.
JARDIM
ELEV.
SOCIAL
ESPELHO
D'ÁGUA
SUBSOLO 1
RUA T-55
A locação de elementos estruturais pode variar de acordo com exigências técnicas. As medidas internas podem sofrer variações conforme a legislação.
62
LOBBY
LOJA 1
RAMPA SOBE P/ 1º PAVIMENTO
PRAÇA
LIXO
EXPEDIÇÃO
CONTROLE
SEGURANÇA
WC
LOJA 2
LOJA 3
HALL
SOCIAL
RAMPASAÍDADE
VEÍCULOS
RAMPAENTRADADE
VEÍCULOS
ÁREA DE CARGA E
DESCARGA
WC
MARQUISE
(RECUO)
ELEV.
SOCIAL
ELEV.
SOCIAL
ELEV.
DE
EMERG.
(MACA)
ANTE-CÂMARA
GERADOR
DEPÓSITO
RAMPA DESCE DO 1º PAVIMENTO
ÁREA DE CARGA E
DESCARGA
WC
DEPÓSITO
JARD
IM
LAJE IMPERMEABILIZADA
DO GÁS
JARDIM
ACESSO / EMBARQUE E
DESEMBARQUE
ESTACIONAMENTO
(COMERCIAL)
ESPAÇOP/
MANOBRADE
VEÍCULO
ESPELHOD'ÁGUA
JARDIM
JARDIM JARDIM
WC
WC
LOJA 4
ESPAÇO P/
MANOBRA DE
VEÍCULO
ELEV.
SOCIAL
ELEV.
SOCIAL
ELEV.
SOCIAL
RUA T-55
RUAT-30
TÉRREO
ESPAÇO P/
MANOBRA DE
VEÍCULO
ESPAÇO P/
MANOBRA DE
VEÍCULO
A locação de elementos estruturais pode variar de acordo com exigências técnicas. As medidas internas podem sofrer variações conforme a legislação.
63
RAMPA SOBE P/ 1º PAVIMENTO
MEDIÇÃO
ELEVADOR
SOCIAL
ELEVADOR
SOCIAL
ELEV.
EMERG.
(MACA)
HALL
SOCIAL
ESTACIONAMENTO
(COMERCIAL)
MARQUISE
(RECUO)
ANTE-CÂMARA
ANTE-CÂMARA
RAMPA DESCE P/ TÉRREORAMPA DESCE P/ 1°PAVIMENTO
RAMPA SOBE P/ 2º PAVIMENTO
ESPAÇO P/ MANOBRA
DE VEÍCULO
ESPAÇO P/ MANOBRA
DE VEÍCULO
ESPAÇO P/ MANOBRA
DE VEÍCULO
ESPAÇOP/MANOBRA
DEVEÍCULO
ESPAÇOP/MANOBRA
DEVEÍCULO
VAZIO
ELEVADOR
SOCIAL
ELEVADOR
SOCIAL
ELEVADOR
SOCIAL
RUA T-55
RUAT-30
1º PAVIMENTO GARAGEM
A locação de elementos estruturais pode variar de acordo com exigências técnicas. As medidas internas podem sofrer variações conforme a legislação.
64
VAGAS DESCOBERTAS
VAGASDESCOBERTAS
VAGASDESCOBERTAS
VAGA DESCOBERTA
RAMPA DESCOBERTA
ESTACIONAMENTO
(COMERCIAL)
MEDIÇÃO
ELEVADOR
SOCIAL
ELEVADOR
SOCIAL
ELEVADOR
SOCIAL
ELEVADOR
SOCIAL
ELEVADOR
SOCIAL
ELEV.
EMERG.
(MACA)
HALL
SOCIAL
ANTE-CÂMARA
ANTE-CÂMARA
VAGA DESCOBERTA
RAMPA SOBE P/ 2º PAVIMENTO
RAMPA DESCE P/ 1°PAVIMENTORAMPA DESCE P/ 2°PAVIMENTO
RAMPA SOBE P/ 3º PAVIMENTO
ESPAÇO P/ MANOBRA
DE VEÍCULO
ESPAÇO P/ MANOBRA
DE VEÍCULO
ESPAÇO P/ MANOBRA
DE VEÍCULO
ESPAÇOP/MANOBRA
DEVEÍCULO
ESPAÇOP/MANOBRA
DEVEÍCULO
VAGASDESCOBERTAS
RUA T-55
RUAT-30
2º PAVIMENTO GARAGEM
A locação de elementos estruturais pode variar de acordo com exigências técnicas. As medidas internas podem sofrer variações conforme a legislação.
65
ESTACIONAMENTO
(COMERCIAL)
MEDIÇÃO
ELEV.
SOCIAL
ELEV.
EMERG.
(MACA)
HALL
SOCIAL
ANTE-CÂMARA
A.C.
CONTROLE/
DESCANSO
FUNCIONÁRIOS/
MANOBRISTAS
DEPÓSITO
PEÇAS
DML
COPA
FUNC.
WCFUNC.
FEM.
WC PNE
MASC.
PÚBLICO
WC PNE
FEM.
PÚBLICO
WC.FUN.
MASC.
COFEE BREAK
SALA DE
REUNIÕES 2
SALA DE
REUNIÕES 1
HALL
RAMPA DESCOBERTA
RAMPA DESCE P/ 2º PAVIMENTO
VAGASDESCOBERTAS
VAGAS DESCOBERTAS
VAGASDESCOBERTAS
ESPAÇOP/
MANOBRADE
VEÍCULO
ESPAÇO P/
MANOBRA DE
VEÍCULO
RUA T-55
RUAT-30
3º PAVIMENTO GARAGEM
ESPAÇO P/
MANOBRA DE
VEÍCULO
ESPAÇO P/
MANOBRA DE
VEÍCULO
ELEV.
SOCIAL
ELEV.
SOCIAL
ELEV.
SOCIAL
ELEV.
SOCIAL
VAGAS DESCOBERTAS
A locação de elementos estruturais pode variar de acordo com exigências técnicas. As medidas internas podem sofrer variações conforme a legislação.
66
SALA 1
SALA 2
SALA 3
SALA 4
SALA 5
SALA 6
SALA 9 SALA 10 SALA 11 SALA 12
SALA 13SALA 14SALA 15
MEDIÇÃO
DEPÓSITO
CIRCULAÇÃO
ANTE-CÂMARA
ELEVADOR
SOCIAL
ELEVADOR DE
EMERGÊNCIA
(MACA)
ANTE-CÂMARA
SOBEDESCE
SOBE
DESCE
ESCADA 1
ESCADA 2
SOBEDESCE
SALA 7
SALA 8
ESPAÇO
DESTINADOPARA
CONDENSADORAS
ESPAÇO
DESTINADOPARA
CONDENSADORAS
ESPAÇO
DESTINADOPARA
CONDENSADORAS
ESPAÇO
DESTIN
A
DO
PA
RA
CO
ND
ENSA
DORAS
ESPAÇO
DESTIN
A
DO
PA
RA
CO
ND
ENSA
DO
RA
S
ESPAÇO
DESTIN
ADO
PA
RA
CO
ND
ENSA
DO
RA
S
ESPAÇO
DESTINADO PARA
CONDENSADORAS
ESPAÇO
DESTINADO PARA
CONDENSADORAS
ESPAÇO
DESTINADO PARA
CONDENSADORAS
ESPAÇO
DESTINADO PARA
CONDENSADORAS
ESPAÇO
DESTINADO PARA
CONDENSADORAS
ESPAÇO
DESTINADO PARA
CONDENSADORAS
ESPAÇO
DESTINADO PARA
CONDENSADORAS
ESPAÇO
DESTINADO PARA
CONDENSADORAS
ESPAÇO
DESTINADO PARA
CONDENSADORASWC
WC
WC
WC
WC WC
WC
WC
WCWCWC
WC
WC
WC
WC
ELEVADOR
SOCIAL
ELEVADOR
SOCIAL
ELEVADOR
SOCIAL
ELEVADOR
SOCIAL
RUA T-55
RUAT-30
LAJE IMPERMEABILIZADA
LAJE
IMPERMEABILIZADA
TERRAÇO
DESCOBERTO
TERRAÇO
DESCOBERTO
TERRAÇO
DESCOBERTO
TERRAÇO
DESCOBERTO
TERRAÇO
DESCOBERTO
4º PAV. - COMERCIAL
A locação de elementos estruturais pode variar de acordo com exigências técnicas. As medidas internas podem sofrer variações conforme a legislação.
67
SALA 1
SALA 2
SALA 3
SALA 4
SALA 5
SALA 6
SALA 9 SALA 10 SALA 11 SALA 12
SALA 13SALA 14SALA 15
MEDIÇÃO
ANTE-CÂMARA
CIRCULAÇÃO
ANTE-CÂMARA
ELEVADOR
SOCIAL
ELEVADOR DE
EMERGÊNCIA
(MACA)
ANTE-CÂMARA
SOBEDESCE
SOBE
DESCE
ESCADA 1
ESCADA 2
SOBEDESCE
SALA 7
SALA 8
ESPAÇO
DESTINADOPARA
CONDENSADORAS
ESPAÇO
DESTINADOPARA
CONDENSADORAS
ESPAÇO
DESTINADOPARA
CONDENSADORAS
ESP
AÇO
DEST
IN
ADO
PA
RA
CONDENSADORAS
ESP
AÇO
DEST
IN
ADO
PA
RA
CONDENSADORAS
ESP
AÇO
DEST
IN
ADO
PA
RA
CONDENSADORAS
ESPAÇO
DESTINADOPARA
CONDENSADORAS
ESPAÇO
DESTINADOPARA
CONDENSADORAS
ESPAÇO
DESTINADOPARA
CONDENSADORAS
ESPAÇO
DESTINADOPARA
CONDENSADORAS
ESPAÇO
DESTINADOPARA
CONDENSADORAS
ESPAÇO
DESTINADOPARA
CONDENSADORAS
ESPAÇO
DESTINADOPARA
CONDENSADORAS
ESPAÇO
DESTINADOPARA
CONDENSADORAS
ESPAÇO
DESTINADOPARA
CONDENSADORASWC
WC
WC
WC
WC WC
WC
WC
WCWCWC
WC
WC
WC
WC
ELEVADOR
SOCIAL
ELEVADOR
SOCIAL
ELEVADOR
SOCIAL
ELEVADOR
SOCIAL
RUA T-55
RUAT-30
ELEV. DE
EMERG.
5º, 8º, 11º, 14º e 17° PAV. - COMERCIAL
A locação de elementos estruturais pode variar de acordo com exigências técnicas. As medidas internas podem sofrer variações conforme a legislação.
68
SALA 1
SALA 2
SALA 3
SALA 4
SALA 5
SALA 6
SALA 9 SALA 10 SALA 11 SALA 12
SALA 13SALA 14SALA 15
MEDIÇÃO
DEPÓSITO
CIRCULAÇÃO
ANTE-CÂMARA
ELEVADOR
SOCIAL
ELEVADOR DE
EMERGÊNCIA
(MACA)
ANTE-CÂMARA
SOBEDESCE
SOBE
DESCE
ESCADA 1
ESCADA 2
SOBEDESCE
SALA 7
SALA 8
WC
WC
WC
WC
WC WC
WC
WC
WCWCWC
WC
WC
WC
WC
ELEVADOR
SOCIAL
ELEVADOR
SOCIAL
ELEVADOR
SOCIAL
ELEVADOR
SOCIAL
RUA T-55
RUAT-30
ESPAÇO
DESTINADOPARA
CONDENSADORAS
ESPAÇO
DESTINADOPARA
CONDENSADORAS
ESPAÇO
DESTINADOPARA
CONDENSADORAS
ESPAÇO
DESTIN
ADO
PA
RA
CONDENSADORAS
ESPAÇO
DESTIN
ADO
PA
RA
CONDENSADORAS
ESPAÇO
DESTIN
ADO
PA
RA
CONDENSADORAS
ESPAÇO
DESTINADOPARA
CONDENSADORAS
ESPAÇO
DESTINADOPARA
CONDENSADORAS
ESPAÇO
DESTINADOPARA
CONDENSADORAS
ESPAÇO
DESTINADOPARA
CONDENSADORAS
ESPAÇO
DESTINADOPARA
CONDENSADORAS
ESPAÇO
DESTINADOPARA
CONDENSADORAS
ESPAÇO
DESTINADOPARA
CONDENSADORAS
ESPAÇO
DESTINADOPARA
CONDENSADORAS
ESPAÇO
DESTINADOPARA
CONDENSADORAS
6º, 7º, 9º, 10º, 12º, 13º, 15º e 16º PAV. - COMERCIAL
A locação de elementos estruturais pode variar de acordo com exigências técnicas. As medidas internas podem sofrer variações conforme a legislação.
69
VAZIO
VAZIO
VAZIO
VAZIO
VAZIO
VAZIO
VAZIO VAZIO VAZIO VAZIO
VAZIOVAZIOVAZIO
MEDIÇÃO
DEPÓSITO
CIRCULAÇÃO
ANTE-CÂMARA
ELEVADOR
SOCIAL
ELEVADOR DE
EMERGÊNCIA
(MACA)
ANTE-CÂMARA
SOBEDESCE
SOBE
DESCE
ESCADA 1
ESCADA 2
SOBEDESCE
VAZIO
VAZIO
ELEVADOR
SOCIAL
ELEVADOR
SOCIAL
ELEVADOR
SOCIAL
ELEVADOR
SOCIAL
RUA T-55
RUAT-30
18º PAV. - COMERCIAL
18º PAV. - COMERCIAL
A locação de elementos estruturais pode variar de acordo com exigências técnicas. As medidas internas podem sofrer variações conforme a legislação.
70
SALA 1
SALA 2
SALA 3
SALA 4
SALA 5
SALA 6
SALA 9 SALA 10 SALA 11 SALA 12
SALA 13SALA 14SALA 15
MEDIÇÃO
ANTE-CÂMARA
CIRCULAÇÃO
ANTE-CÂMARA
ELEVADOR
SOCIAL
ELEVADOR DE
EMERGÊNCIA
(MACA)
ANTE-CÂMARA
SOBEDESCE
SOBE
DESCE
ESCADA 1
ESCADA 2
SOBEDESCE
SALA 7
SALA 8
ESPAÇO
DESTINADOPARA
CONDENSADORAS
ESPAÇO
DESTINADOPARA
CONDENSADORAS
ESPAÇO
DESTINADOPARA
CONDENSADORAS
ESPAÇO
DESTIN
ADO
PARA
CO
ND
ENSADORAS
ESPAÇO
DESTIN
A
DO
PARA
CO
ND
EN
SADO
RAS
ESPAÇO
DESTIN
A
DO
PARA
CO
ND
EN
SADO
RAS
ESPAÇO
DESTINADO PARA
CONDENSADORAS
ESPAÇO
DESTINADO PARA
CONDENSADORAS
ESPAÇO
DESTINADO PARA
CONDENSADORAS
ESPAÇO
DESTINADO PARA
CONDENSADORAS
ESPAÇO
DESTINADO PARA
CONDENSADORAS
ESPAÇO
DESTINADO PARA
CONDENSADORAS
ESPAÇO
DESTINADO PARA
CONDENSADORAS
ESPAÇO
DESTINADO PARA
CONDENSADORAS
ESPAÇO
DESTINADO PARA
CONDENSADORASWC
WC
WC
WC
WC WC
WC
WC
WCWCWC
WC
WC
WC
WC
ELEVADOR
SOCIAL
ELEVADOR
SOCIAL
ELEVADOR
SOCIAL
ELEVADOR
SOCIAL
RUA T-55
RUAT-30
ELEV. DE
EMERG.
19º PAV. - COMERCIAL
A locação de elementos estruturais pode variar de acordo com exigências técnicas. As medidas internas podem sofrer variações conforme a legislação.
71
VAZIO
VAZIO
VAZIO
VAZIO
VAZIO
VAZIO
VAZIO VAZIO VAZIO VAZIO
VAZIOVAZIOVAZIO
MEDIÇÃO
DEPÓSITO
CIRCULAÇÃO
ANTE-CÂMARA
ELEVADOR
SOCIAL
ELEVADOR DE
EMERGÊNCIA
(MACA)
ANTE-CÂMARA
SOBEDESCE
DESCE
SOBEDESCE
VAZIO
VAZIO
ELEVADOR
SOCIAL
ELEVADOR
SOCIAL
ELEVADOR
SOCIAL
ELEVADOR
SOCIAL
RUA T-55
RUAT-30
20º PAV. - COMERCIAL
A locação de elementos estruturais pode variar de acordo com exigências técnicas. As medidas internas podem sofrer variações conforme a legislação.
72
CIRCULAÇÃO
MEDIÇÃO
ANTE
CÂMARA
CASA DE
MÁQUINAS
SALA
VARANDA
COZINHA
LAVABO
VARANDA
SALA / QUARTO
/ COZINHA
BANHO
SALA / QUARTO
/ COZINHA
BANHO
VARANDA
SALA / QUARTO
/ COZINHA
BANHO
VARANDA
VARANDA
SALA / QUARTO
/ COZINHA
BANHO
BANHO
VARANDA
SALA / QUARTO
/ COZINHA
VARANDA
BANHO
VARANDA
SALA / QUARTO
/ COZINHA
VARANDA
BANHO
SALA / QUARTO
/ COZINHA
BANHO
VARANDA
VARANDA
SALA / QUARTO
/ COZINHA
BANHO
VARANDA
SALA
LAVABO
VARANDA
COZINHA
COZINHA
LAVABO
SALA
LAVABO
COZINHA
SALA / QUARTO
/ COZINHA
INSTALAÇÕES
GOVERNANÇA
LAJE
IMPERMEABILIZADA
LAJEIMPERMEABILIZADA
1
2
3
4
5
6
7
8
9 10
11
12
13
ELEV.DE
EMERG.
ELEVADOR
SOCIAL
SALA
ELEVADOR
SOCIAL
RUAT-30
21º PAV. - RESIDENCIAL
RUA T-55
A locação de elementos estruturais pode variar de acordo com exigências técnicas. As medidas internas podem sofrer variações conforme a legislação.
73
SUÍTE 1
BANHO
QUARTO
SUÍTE 1
BANHO
QUARTO
HOME OFFICE
SUÍTE 2
BANHO
SUÍTE 2
BANHO
CIRC.
CIRC.
MESA DE
MOTORES
BANHO
HOME
OFFICE
BANHO
1
2
3
4
5
6
7
8
9 10
11
1213
SALA / QUARTO
/ COZINHA
BANHO
SALA / QUARTO
/ COZINHA
BANHO
VARANDA
SALA / QUARTO
/ COZINHA
BANHO
VARANDA
VARANDA
SALA / QUARTO
/ COZINHA
BANHO
VARANDA
SALA / QUARTO
/ COZINHA
VARANDA
BANHO
SALA / QUARTO
/ COZINHA
VARANDA
BANHO
SALA / QUARTO
/ COZINHA
BANHO
VARANDA
VARANDA
SALA / QUARTO
/ COZINHA
BANHO
VARANDA
SALA / QUARTO
/ COZINHA
CIRCULAÇÃO
MEDIÇÃO
ANTE
CÂMARA
ELEV.DE
EMERG.
ELEVADOR
SOCIAL ELEVADOR
SOCIAL
RUA T-55
RUAT-30
22º PAV. - RESIDENCIALA locação de elementos estruturais pode variar de acordo com exigências técnicas. As medidas internas podem sofrer variações conforme a legislação.
74
CIRCULAÇÃO
MEDIÇÃO
ANTE
CÂMARA
SALA
VARANDA
COZINHA
LAVABO
VARANDA
SALA / QUARTO
/ COZINHA
BANHO
SALA / QUARTO
/ COZINHA
BANHO
VARANDA
SALA / QUARTO
/ COZINHA
BANHO
VARANDA
VARANDA
SALA / QUARTO
/ COZINHA
BANHOBANHO
VARANDA
SALA / QUARTO
/ COZINHA
VARANDA
BANHO
VARANDA
SALA / QUARTO
/ COZINHA
VARANDA
BANHO
SALA / QUARTO
/ COZINHA
BANHO
VARANDA
VARANDA
SALA / QUARTO
/ COZINHA
BANHO
VARANDA
SALA
LAVABO
VARANDA
COZINHA
COZINHA
LAVABO
SALA
LAVABO
COZINHA
SALA / QUARTO
/ COZINHA
INSTALAÇÕES
1
2
3
4
5
6
7
8
9 10
11
12
13
ELEV.DE
EMERG.
ELEVADOR
SOCIAL
SALA
ELEVADOR
SOCIAL
VAZIO
RUAT-30
RUA T-5523º PAV. - RESIDENCIAL
A locação de elementos estruturais pode variar de acordo com exigências técnicas. As medidas internas podem sofrer variações conforme a legislação.
75
SUÍTE 1
BANHO
QUARTO
SUÍTE 1
BANHO
QUARTO
HOME OFFICE
SUÍTE 2
BANHO
SUÍTE 2
BANHO
CIRC.
CIRC.
BANHO
HOME
OFFICE
BANHO
1
2
3
4
5
6
7
8
9 10
11
1213
SALA / QUARTO
/ COZINHA
BANHO
SALA / QUARTO
/ COZINHA
BANHO
VARANDA
SALA / QUARTO
/ COZINHA
BANHO
VARANDA
VARANDA
SALA / QUARTO
/ COZINHA
BANHO
VARANDA
SALA / QUARTO
/ COZINHA
VARANDA
BANHO
SALA / QUARTO
/ COZINHA
VARANDA
BANHO
SALA / QUARTO
/ COZINHA
BANHO
VARANDA
VARANDA
SALA / QUARTO
/ COZINHA
BANHO
VARANDA
SALA / QUARTO
/ COZINHA
CIRCULAÇÃO
MEDIÇÃO
ANTE
CÂMARA
ELEV.DE
EMERG.
ELEVADOR
SOCIAL ELEVADOR
SOCIAL
SALA /
COZINHA /
QUARTO /
CLOSET
SALA /
COZINHA /
QUARTO /
CLOSET
VARANDA
COBERTA
BANHO
BANHO
TERRAÇO
DESCOBERTO
TERRAÇO
DESCOBERTO
14
15
24º PAV. - RESIDENCIAL
RUA T-55
RUAT-30
A locação de elementos estruturais pode variar de acordo com exigências técnicas. As medidas internas podem sofrer variações conforme a legislação.
76
CIRCULAÇÃO
MEDIÇÃO
ANTE
CÂMARA
SALA
VARANDA
COZINHA
LAVABO
VARANDA
SALA / QUARTO
/ COZINHA
BANHO
SALA / QUARTO
/ COZINHA
BANHO
VARANDA
SALA / QUARTO
/ COZINHA
BANHO
VARANDA
VARANDA
SALA / QUARTO
/ COZINHA
BANHO
BANHO
VARANDA
SALA / QUARTO
/ COZINHA
VARANDA
BANHO
VARANDA
SALA / QUARTO
/ COZINHA
VARANDA
BANHO
SALA / QUARTO
/ COZINHA
BANHO
VARANDA
VARANDA
SALA / QUARTO
/ COZINHA
BANHO
VARANDA
SALA
LAVABO
VARANDA
COZINHA
COZINHA
LAVABO
SALA
LAVABO
COZINHA
SALA / QUARTO
/ COZINHA
INSTALAÇÕES
1
2
3
4
5
6
7
8
9 10
11
12
13
ELEV.DE
EMERG.
ELEVADOR
SOCIAL
SALA
ELEVADOR
SOCIAL
SALA / COZINHA /
QUARTO / CLOSET
SALA / COZINHA / QUARTO / CLOSET
VARANDA
BANHO
BANHO
BALCÃO
14
15
RUA T-55
RUAT-30
25º, 27º e 29º PAV. - RESIDENCIAL
A locação de elementos estruturais pode variar de acordo com exigências técnicas. As medidas internas podem sofrer variações conforme a legislação.
77
SUÍTE 1
BANHO
QUARTO
SUÍTE 1
BANHO
QUARTO
HOME OFFICE
SUÍTE 2
BANHO
SUÍTE 2
BANHO
CIRC.
CIRC.
BANHO
HOME
OFFICE
BANHO
1
2
3
4
5
6
7
8
9 10
11
1213
SALA / QUARTO
/ COZINHA
BANHO
SALA / QUARTO
/ COZINHA
BANHO
VARANDA
SALA / QUARTO
/ COZINHA
BANHO
VARANDA
VARANDA
SALA / QUARTO
/ COZINHA
BANHO
VARANDA
SALA / QUARTO
/ COZINHA
VARANDA
BANHO
SALA / QUARTO
/ COZINHA
VARANDA
BANHO
SALA / QUARTO
/ COZINHA
BANHO
VARANDA
VARANDA
SALA / QUARTO
/ COZINHA
BANHO
VARANDA
SALA / QUARTO
/ COZINHA
CIRCULAÇÃO
MEDIÇÃO
ANTE
CÂMARA
ELEV.DE
EMERG.
ELEVADOR
SOCIAL ELEVADOR
SOCIAL
SALA /
COZINHA /
QUARTO /
CLOSET
SALA /
COZINHA /
QUARTO /
CLOSET
BANHO
BANHO
14
15
BALCÃO
VARANDA
26º, 28º e 30º PAV. - RESIDENCIAL
RUA T-55
RUAT-30
A locação de elementos estruturais pode variar de acordo com exigências técnicas. As medidas internas podem sofrer variações conforme a legislação.
78
LAVANDERIA
FITNESS
WC FEMININO
JOGOS
WC PNE
SALÃO DE FESTAS
PISCINA
SAUNA
WC MASCULINO
SOLARIUM
FILTROS/
BOMBAS
OBSERVATÓRIO
VARANDA
GOURMET
DEPÓSITO
CONDOMÍNIO
COPA
LOUNGE
SPA
A.C.
JARDIM
JARDIM
JARDIM JARDIM
JARDIMJARDIM
JARDIM JARDIMJARDIM
JARDIMJARDIM
LAJEIMPERM.
RUA T-55
RUAT-30
ELEV.DE
EMERG.
ELEVADOR
SOCIAL
ELEVADOR
SOCIAL
31º PAV. LAZER - RESIDENCIAL
A locação de elementos estruturais pode variar de acordo com exigências técnicas. As medidas internas podem sofrer variações conforme a legislação.
79
RESUMO
INFORMAÇÕES BÁSICAS
1. Nome do empreendimento: Condomínio Walk Bueno Business
& LifeStyle
2. Número de Torres: 1 (uma) torre
3. Localização: Rua T-55, Qd. 99, Lts. 11, 12,13 e 14, Setor Bueno, Goiânia
- Goiás.
1. Tipo de uso: Misto - Residencial e Comercial
2. Área do terreno: 2.579,00 m²
3. Alvará de Construção:
4. Registro de Incorporação:
5. Número de elevadores: 09 (nove) elevadores, sendo 03 (três, sendo 02
sociais e 01 de serviço) de acesso exclusivo aos pavimentos residenciais
e 06 (seis) de acesso exclusivo aos pavimentos comerciais.
6. Número de pavimentos por torre: 35 (trinta e cinco), considerando
7. Descrição dos pavimentos por torre: Subsolo 02, Subsolo 01, Térreo, 1º
pavimento - Garagem, 2º pavimento - Garagem, 3º Pavimento - Garagem,
17 pavimentos Comerciais, 10 pavimentos Residenciais, 31º Pavimento –
8. Número total de unidades autônomas: 353 unidades, sendo 124
apartamentos, 04 lojas e 225 salas
INCORPORAÇÃO
SPE BRASIL INCORPORAÇÃO 38 LTDA
EQUIPE TÉCNICA
Decoração e interiores do decorado: Ana Maria Miller
REALIZAÇÃO
DIFERENCIAIS DA INCORPORADORA E CONSTRUTORA
DO EMPREENDIMENTO.
9.
10. Construção com know-how de 30 anos da EBM
11. Know-how em incorporação e construção de empreendimentos de Alto
Padrão
12.
Bussiness Style, Nasa Bussiness Style e Metropolitan Bussiness e LifeStyle
80
DIFERENCIAIS DA LOCALIZAÇÃO
13. Localizado na Rua T-55, na região do Bueno Nobre.
14.
Av. 136 e Rua T-55
15. Em frente à charmosa Praça da T-55 com a T-30
16.
Colégio Olimpo, Colégio WR, Colégio Delta)
17. a supermercados (Bretas, Pão de Açúcar)
18.
Casarão)
19.
Cateretê, Cia Do Peixe,etc)
20.
Marista, Setor Oeste, etc)
21.
a shoppings são sucesso)
22. Localizado exatamente no centro do Setor Bueno, Bairro mais populoso
23.
24.
construir prédio)
DIFERENCIAIS DA ÁREA COMUM*
Área Comum:
25. Pavimentos comerciais e residenciais totalmente isolados, com lobbys,
elevadores e garagens independentes
26. Gerador de energia para atender: escada pressurizada, todos
os elevadores, iluminação das áreas comuns, hall de serviço e antecâmara
de todos os pavimentos, escada de incêndio de todos os pavimentos – pontos
estratégicos das áreas externas no térreo e lazer, pontos estratégicos dos
pavimentos de garagem, acionamento do portão de veículos e acesso de
da sala do síndico e itens de incêndio
28. Elevadores sociais com alerta sonoro para PNE visuais informando
o pavimento
29.
(toda área comum)
30.
Comercial:
31.
32.
33. Sala do síndico com previsão para ar-condicionado
34. Todos os elevadores com sistema inteligente de chamada
35.
para transportar maca
36. Itens de sustentabilidade:
a.
de descarga de 03 e 06 litros), reduzindo o consumo de água, com exceção
dos W.C.s com adaptação para PNE
b. Lâmpadas frias nos pavimentos de garagem
*Todos os diferenciais serão entregues conforme memorial descritivo do empreendimento.
81
c. Sensores de presença em locais estratégicos
d. Previsão para medição individual de água
37. Lobby imponente com iluminação LED
Residencial:
2. Elevadores sociais com biometria de segurança
3.Lobbydeacessoaoresidencialindependentedolobbycomercial,iluminação
LED e acabamento nobre
4.Automação entregue nos seguintes locais: a) irrigação de jardins; b) controle
de acendimento e desligamento da iluminação por programação horária
dos Subsolos 1 e 2, fachada, jardins e circulação externa; c) monitoramento
ao empreendimento; sinalização informando o acesso de pessoas em locais
restritos
5. O acesso às vagas de garagem do residencial será isolado do acesso
comercial, proporcionando maior segurança
6. Área de lazer na cobertura exclusiva para o residencial, com itens de lazer
cuidadosamente projetados para o público alvo do empreendimento
7.
8.
Brava, com tratamento de água com ozônio e iluminação LED
9. SPA com água aquecida e integrado com a piscina
10.
11.
para o público do empreendimento
12.
13.
do empreendimento
14.
15. Salão de festas completo, com ar-condicionando, com espaço gourmet,
home e lounge
16.
aos moradores opções de refeições congeladas, facilitando o dia a dia
17. Sala do síndico com previsão para ar-condicionado.
18.
19. Itens de sustentabilidade:
a.
de descarga de 03 e 06 litros), reduzindo o consumo de água, com exceção
dos W.C.s com adaptação para PNE
b. Lâmpadas frias nos pavimentos de garagem
c. Sensores de presença em locais estratégicos
d. Previsão para medição individual de água
DIFERENCIAIS DE SEGURANÇA*
Área comum:
1.
2.
3.
Residencial:
4. Controle de acesso com fotos digitalizadas para controlar o acesso
*Todos os diferenciais serão entregues conforme memorial descritivo do empreendimento.
82
5. Controle de guarda, para acionamento temporário, monitorando se o vigia
está dormindo ou rendido por marginais
6.
7.
alertando imediatamente o socorro externo
8. Guarita com passa volume, evitando a entrada de entregadores
no empreendimento
Comercial:
9. Controle de acesso com fotos digitalizadas para controlar o acesso
10.
11.
alertando imediatamente o socorro externo
DIFERENCIAIS DE PLANTAS*
Residencial:
12.
13.
dos apartamentos
14. Previsão para medição individual de água fria, energia e gás
15.
elaboração de um excelente projeto luminotécnico, automação, som (por
conta do cliente)
16. Laje técnica para instalação da condensadora de ar-condicionado
17. 02 pontos elétricos na varanda, 01 para cooktop e 01 para depurador
18.
19.
previsão (caixa de passagem seca)
20. Itens de sustentabilidade:
a.
de descarga de 03 e 06 litros), reduzindo o consumo de água
b. Regulador de vazão em todas as torneiras, com exceção da torneira
Comercial:
21.
22. Todas as lojas e salas com previsão para medição individual de água fria
e energia.
23. Todas as salas com um W.C. e previsão hidrossanitária para instalação
de outro W.C.
24.
25. Salas com dimensões capazes de atender o programa completo
de reunião e sala de operação)
26. Previsão para piso elevado
27.
28. Previsão para medição individual de água fria
29. Lojas com vista para a praça
30. Itens de sustentabilidade:
a.
descarga de 03 e 06 litros), reduzindo o consumo de água.
DIFERENCIAIS DE PERSONALIZAÇÃO**
31.
*Todos os diferenciais serão entregues conforme memorial descritivo do empreendimento.**Toda personalização está sujeita a custo adicional, viabilidade técnica e ao cronograma da obra
83
O cliente escolhe e a EBM faz.
Residencial:
a) Opção de reversibilidade de plantas
b) Alteração dos acabamentos dos banhos
c) Opção planta e acabamento do decorado
d) Alteração do piso dos apartamentos
e)
32. My way
A EBM disponibiliza mão de obra especializada para deixar o projeto da
DIFERENCIAIS DE ESTACIONAMENTO*
Comercial:
33.
34.
conforto na entrada do empreendimento
35. Previsão para cancela de estacionamento
Residencial:
36. Estacionamento do residencial totalmente isolado do comercial
DIFERENCIAIS DE ADMINISTRAÇÃO DO CONDOMÍNIO*
Comercial:
37. Serviços de pay-per-use: Mensageria e expedição, serviços de limpeza,
Residencial:
38. Serviços de pay-per-use: a) arrumação básica de apartamentos, b)
d) lavanderia, e) instalações e manutenções, f) Central de congelados
*Todos os diferenciais serão entregues conforme memorial descritivo do empreendimento.
84
QUADRO DE DISPONIBILIDADE
85
QUADRO DE ÁREAS
APARTAMENTOS
UNIDADE ÁREA
PRIVATIVA
PRINCIPAL
ÁREA
DEPÓSITO
VAGA LOCALIZAÇÃO DA VAGA ESCANINHO LOCALIZAÇAO
ESCANINHO
2101 52.85 72 SS1
2102 41.92 112 SS1
2103 89.44 114 SS1
2104 41.19 111 SS1
2105 41.65 110 SS1
2106 85.55 9.88 49 SS2 E9 SS2
2107 43.54 116 SS1
2108 92.12 7.32 38 SS2 E6 SS2
2109 39.39 117 SS1
2110 39.20 118 SS1
2111 77.52 55 SS2
2112 40.46 119 SS1
2113 41.89 122 SS1
2201 52.85 109 SS1
2202 42.04 71 SS1
2204 41.31 3 SS2
2205 41.65 104 SS1
2207 43.54 123 SS1
2209 39.39 121 SS1
2210 39.20 120 SS1
2212 40.46 68 SS1
2213 41.89 69 SS1
2301 52.85 103 SS1
2302 41.92 102 SS1
2303 89.44 108 SS1
2304 41.19 101 SS1 85
86
2305 41.65 100 SS1
2306 85.55 7.32 37 SS2 E5 SS2
2307 43.54 124 SS1
2308 92.12 7.49 50 SS2 E4 SS2
2309 39.39 48 SS2
2310 39.20 47 SS2
2311 77.52 61 SS2
2312 40.46 46 SS2
2313 41.89 45 SS2
2401 52.85 99 SS1
2402 42.04 98 SS1
2404 41.31 91 SS1
2405 41.65 92 SS1
2407 43.54 44 SS2
2409 39.39 43 SS2
2410 39.20 42 SS2
2412 40.46 2 SS2
2413 41.06 1 SS2
2414 75.34 41 SS2
2415 61.18 36 SS2
2501 52.85 93 SS1
2502 41.92 94 SS1
2503 89.44 107 SS1
2504 41.19 95 SS1
2505 41.65 96 SS1
2506 85.55 5.28 51 SS2 E2 SS2
2507 43.54 35 SS2
2508 92.12 5.17 52 SS2 E3 SS2
2509 39.39 34 SS2
2510 39.20 33 SS2
2511 77.52 54 SS2
2512 40.46 32 SS2
2513 41.06 31 SS2
87
2514 67.21 30 SS2
2515 48.66 23 SS2
2601 52.85 97 SS1
2602 42.04 90 SS1
2604 41.31 89 SS1
2605 41.65 88 SS1
2607 43.54 24 SS2
2609 39.39 25 SS2
2610 39.20 26 SS2
2612 40.46 27 SS2
2613 41.06 28 SS2
2614 67.21 29 SS2
2615 48.66 22 SS2
2701 52.85 87 SS1
2702 41.92 86 SS1
2703 89.44 113 SS1
2704 41.19 85 SS1
2705 41.65 84 SS1
2706 85.55 8.52 39 SS2 E7 SS2
2707 43.54 21 SS2
2708 92.12 6.47 53 SS2 E1 SS2
2709 39.39 20 SS2
2710 39.20 19 SS2
2711 77.52 56 SS2
2712 40.46 18 SS2
2713 41.06 17 SS2
2714 67.21 16 SS2
2715 48.66 9 SS2
2801 52.85 115 SS1
2802 42.04 77 SS1
2804 41.31 78 SS1
2805 41.65 79 SS1
88
2807 43.54 10 SS2
2809 39.39 11 SS2
2810 39.20 12 SS2
2812 40.46 13 SS2
2813 41.06 14 SS2
2814 67.21 15 SS2
2815 48.66 8 SS2
2901 52.85 80 SS1
2902 41.92 81 SS1
2903 89.44 106 SS1
2904 41.19 82 SS1
2905 41.65 83 SS1
2906 85.55 6.84 40 SS2 E8 SS2
2907 43.54 7 SS2
2908 92.12 6.47 62 SS2 E10 SS2
2909 39.39 6 SS2
2910 39.20 5 SS2
2911 77.52 105 SS1
2912 40.46 63 SS2
2913 41.06 64 SS2
2914 67.21 65 SS2
2915 48.66 66 SS2
3001 52.85 76 SS1
3002 42.04 75 SS1
3004 41.31 74 SS1
3005 41.65 73 SS1
3007 43.54 67 SS2
3009 39.39 4 SS2
3010 39.20 60 SS2
3012 40.46 59 SS2
3013 41.06 58 SS2
3014 67.21 57 SS2
3015 48.66 70 SS1
89
SALAS
UNIDADE ÁREA
PRIVATIVA
PRINCIPAL
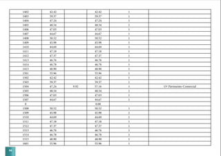
ÁREA
DEPÓSITO
ÁREA
PRIVATIVA
TOTAL
QUANTIDADE DE VAGA
POR DIREITO DE USO
LOCALIZAÇAO ESCANINHO
401 111.78 111.78 1
402 42.41 42.41 1
403 94.46 94.46 1
404 47.24 9.92 57.16 1 4º Pavimento-Comercial
405 48.54 48.54 1
406 47.03 47.03 1
407 44.67 44.67 1
408 50.52 50.52 1
409 45.98 45.98 1
410 44.69 44.69 1
411 47.18 47.18 1
412 47.37 47.37 1
413 69.56 69.56 1
414 70.87 70.87 1
415 74.18 74.18 1
501 55.96 55.96 1
502 42.42 42.42 1
503 59.37 59.37 1
504 47.24 47.24 1
505 48.54 48.54 1
506 47.03 47.03 1
507 44.67 44.67 1
508 50.52 50.52 1
509 45.98 45.98 1
510 44.69 44.69 1
511 47.18 47.18 1
512 47.37 47.37 1
90
513 46.76 46.76 1
514 46.78 46.78 1
515 48.90 48.90 1
601 55.96 55.96 1
602 42.42 42.42 1
603 59.37 59.37 1
604 47.24 9.92 57.16 1 6º Pavimento-Comercial
605 48.54 48.54 1
606 47.03 47.03 1
607 44.67 44.67 1
608 50.52 50.52 1
609 45.98 45.98 1
610 44.69 44.69 1
611 47.18 47.18 1
612 47.37 47.37 1
613 46.76 46.76 1
614 46.78 46.78 1
615 48.90 48.90 1
701 55.96 55.96 1
702 42.42 42.42 1
703 59.37 59.37 1
704 47.24 9.92 57.16 1 7º Pavimento-Comercial
705 48.54 48.54 1
706 47.03 47.03 1
707 44.67 44.67 1
708 50.52 50.52 1
709 45.98 45.98 1
710 44.69 44.69 1
711 47.18 47.18 1
712 47.37 47.37 1
713 46.76 46.76 1
91
714 46.78 46.78 1
715 48.90 48.90 1
801 55.96 55.96 1
802 42.42 42.42 1
803 59.37 59.37 1
804 47.24 47.24 1
805 48.54 48.54 1
806 47.03 47.03 1
807 44.67 44.67 1
808 50.52 50.52 1
809 45.98 45.98 1
810 44.69 44.69 1
811 47.18 47.18 1
812 47.37 47.37 1
813 46.76 46.76 1
814 46.78 46.78 1
815 48.90 48.90 1
901 55.96 55.96 1
902 42.42 42.42 1
903 59.37 59.37 1
904 47.24 9.92 57.16 1 9º Pavimento-Comercial
905 48.54 48.54 1
906 47.03 47.03 1
907 44.67 44.67 1
908 50.52 50.52 1
909 45.98 45.98 1
910 44.69 44.69 1
911 47.18 47.18 1
912 47.37 47.37 1
913 46.76 46.76 1
914 46.78 46.78 1
92
915 48.90 48.90 1
1001 55.96 55.96 1
1002 42.42 42.42 1
1003 59.37 59.37 1
1004 47.24 9.92 57.16 1 10º Pavimento-Comercial
1005 48.54 48.54 1
1006 47.03 47.03 1
1007 44.67 44.67 1
1008 50.52 50.52 1
1009 45.98 45.98 1
1010 44.69 44.69 1
1011 47.18 47.18 1
1012 47.37 47.37 1
1013 46.76 46.76 1
1014 46.78 46.78 1
1015 48.90 48.90 1
1101 55.96 55.96 1
1102 42.42 42.42 1
1103 59.37 59.37 1
1104 47.24 47.24 1
1105 48.54 48.54 1
1106 47.03 47.03 1
1107 44.67 44.67 1
1108 50.52 50.52 1
1109 45.98 45.98 1
1110 44.69 44.69 1
1111 47.18 47.18 1
1112 47.37 47.37 1
1113 46.76 46.76 1
1114 46.78 46.78 1
1115 48.90 48.90 1
93
1201 55.96 55.96 1
1202 42.42 42.42 1
1203 59.37 59.37 1
1204 47.24 9.92 57.16 1 12º Pavimento-Comercial
1205 48.54 48.54 1
1206 47.03 47.03 1
1207 44.67 44.67 1
1208 50.52 50.52 1
1209 45.98 45.98 1
1210 44.69 44.69 1
1211 47.18 47.18 1
1212 47.37 47.37 1
1213 46.76 46.76 1
1214 46.78 46.78 1
1215 48.90 48.90 1
1301 55.96 55.96 1
1302 42.42 42.42 1
1303 59.37 59.37 1
1304 47.24 9.92 57.16 1 13º Pavimento-Comercial
1305 48.54 48.54 1
1306 47.03 47.03 1
1307 44.67 44.67 1
1308 50.52 50.52 1
1309 45.98 45.98 1
1310 44.69 44.69 1
1311 47.18 47.18 1
1312 47.37 47.37 1
1313 46.76 46.76 1
1314 46.78 46.78 1
1315 48.90 48.90 1
1401 55.96 55.96 1
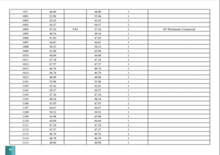
94
1402 42.42 42.42 1
1403 59.37 59.37 1
1404 47.24 47.24 1
1405 48.54 48.54 1
1406 47.03 47.03 1
1407 44.67 44.67 1
1408 50.52 50.52 1
1409 45.98 45.98 1
1410 44.69 44.69 1
1411 47.18 47.18 1
1412 47.37 47.37 1
1413 46.76 46.76 1
1414 46.78 46.78 1
1415 48.90 48.90 1
1501 55.96 55.96 1
1502 42.42 42.42 1
1503 59.37 59.37 1
1504 47.24 9.92 57.16 1 15º Pavimento-Comercial
1505 48.54 48.54 1
1506 47.03 47.03 1
1507 44.67 44.67 1
0 0.00
1508 50.52 50.52 1
1509 45.98 45.98 1
1510 44.69 44.69 1
1511 47.18 47.18 1
1512 47.37 47.37 1
1513 46.76 46.76 1
1514 46.78 46.78 1
1515 48.90 48.90 1
1601 55.96 55.96 1
95
1602 42.42 42.42 1
1603 59.37 59.37 1
1604 47.24 9.92 57.16 1 16º Pavimento-Comercial
1605 48.54 48.54 1
1606 47.03 47.03 1
1607 44.67 44.67 1
1608 50.52 50.52 1
1609 45.98 45.98 1
1610 44.69 44.69 1
1611 47.18 47.18 1
1612 47.37 47.37 1
1613 46.76 46.76 1
1614 46.78 46.78 1
1615 48.90 48.90 1
1701 55.96 55.96 2
1702 42.42 42.42 2
1703 59.37 59.37 2
1704 47.24 47.24 2
1705 48.54 48.54 2
1706 47.03 47.03 2
1707 44.67 44.67 2
1708 50.52 50.52 2
1709 45.98 45.98 2
1710 44.69 44.69 2
1711 47.18 47.18 2
1712 47.37 47.37 2
1713 46.76 46.76 2
1714 46.78 46.78 2
1715 48.90 48.90 2
1901 55.96 55.96 2
1902 42.42 42.42 2
96
1903 59.37 59.37 2
1904 47.24 47.24 2
1905 48.54 48.54 2
1906 47.03 47.03 2
1907 44.67 44.67 2
1908 50.52 50.52 2
1909 45.98 45.98 2
1910 44.69 44.69 2
1911 47.18 47.18 2
1912 47.37 47.37 2
1913 46.76 46.76 2
1914 46.78 46.78 2
1915 48.90 48.90 2
LOJAS
UNIDADE ÁREA
PRIVATIVA
PRINCIPAL
ÁREA
DEPÓSITO
ÁREA
PRIVATIVA
TOTAL
QUANTIDADE DE VAGA
POR DIREITO DE USO
LOCALIZAÇAO ESCANINHO
LOJA 1 86.11
LOJA 2 63.20
LOJA 3 27.13
LOJA 3 20.78
VAGAS AUTÔNOMAS - COMERCIAL
UNIDADE ÁREA
PRIVATIVA
PRINCIPAL
ÁREA
DEPÓSITO
ÁREA
PRIVATIVA
TOTAL
LOCALIZAÇÃO VAGA
31 11.52 11.52 1º PAVIMENTO - GARAGEM
32 11.52 11.52 1º PAVIMENTO - GARAGEM
33 11.52 11.52 1º PAVIMENTO - GARAGEM
34 11.52 11.52 1º PAVIMENTO - GARAGEM
35 11.52 11.52 1º PAVIMENTO - GARAGEM
36 11.52 11.52 1º PAVIMENTO - GARAGEM
97
37 11.52 11.52 1º PAVIMENTO - GARAGEM
38 11.52 11.52 1º PAVIMENTO - GARAGEM
39 11.52 11.52 1º PAVIMENTO - GARAGEM
64 11.52 11.52 1º PAVIMENTO - GARAGEM
65 11.52 11.52 1º PAVIMENTO - GARAGEM
66 11.52 11.52 1º PAVIMENTO - GARAGEM
67 11.52 11.52 1º PAVIMENTO - GARAGEM
68 11.52 11.52 1º PAVIMENTO - GARAGEM
69 11.52 11.52 1º PAVIMENTO - GARAGEM
70 11.52 11.52 1º PAVIMENTO - GARAGEM
71 11.52 11.52 1º PAVIMENTO - GARAGEM
72 11.52 11.52 1º PAVIMENTO - GARAGEM
73 11.52 11.52 1º PAVIMENTO - GARAGEM
74 11.52 11.52 1º PAVIMENTO - GARAGEM
75 11.52 11.52 1º PAVIMENTO - GARAGEM
76* 11.52 11.52 1º PAVIMENTO - GARAGEM
77 11.52 11.52 1º PAVIMENTO - GARAGEM
78 11.52 11.52 1º PAVIMENTO - GARAGEM
*vaga associada a administradora de vagas do condominio
98
MEMORIAL DESCRITIVO
INFORMAÇÕES BÁSICAS
Refere-se ao projeto de incorporação e construção de um
empreendimento comercial e residencial, projetado pelo escritório
Isabel Jácomo Arquitetura, denominado Walk Bueno Business & LifeStyle,
constituído de 01 (uma) torre, com acesso residencial pela rua T-30 e
acesso comercial pela Rua T-55. O empreendimento será composto de 35
(trinta e cinco) pavimentos. Será servido de 09 (nove) elevadores, sendo 03
(três) de acesso exclusivo aos pavimentos residenciais, 02 (dois) sociais e 01
(um) de serviço, e 06 (seis) de acesso exclusivo aos pavimentos comerciais,
sendo 05 (cinco) sociais e 01 (um) de serviço.
Localização do Empreendimento
Rua T-55 e Rua T-30, Quadra 99, Lote 11/14, Setor Bueno, Goiânia –
GO.
Número de Unidades – Lojas
04 (quatro) unidades autônomas lojas, localizadas no térreo.
Número de Unidades – Salas Comerciais
225 (duzentos e vinte e cinco) unidades autônomas salas, sendo195
(cento e noventa e cinco) salas comerciais do 4º pavimento ao 16º
pavimento e 30 (trinta) salas comerciais com pé direito duplo do 17º
ao 20º pavimento.
Número de Unidades – Apartamentos
124 (cento e vinte quatro) unidades autônomas apartamentos,
sendo 20 (vinte) apartamentos duplex do 21º ao 30º pavimento
e 104 (cento e quatro) apartamentos tipo do 21º ao 30º pavimento.
Número de Pavimentos
O empreendimento será composto de 35 (trinta e cinco)
pavimentos: subsolo 2, subsolo 1, térreo, 1º pavimento garagem,
2º pavimento garagem, 3º pavimento garagem, 17 (dezessete)
pavimentos comerciais, sendo 01 (um) pavimento tipo no 4º
Pavimento, 12 (doze) pavimentos tipo do 2º ao 16º pavimento e 02
(dois) pavimentos com pé direito duplo do 17º ao 20º pavimento, 10
(dez) pavimentos residenciais do 21º ao 30º pavimento, lazer - 31°
pavimento e ático.
Número de Vagas de Garagem
O empreendimento terá ao todo 278 (duzentos e setenta e oito)
vagas de garagem, destinadas ao estacionamento de 406 (quatro-
centos e seis) veículos e 10 vagas para estacionamento de motos.
Existirão 130 (cento e trinta) vagas de garagem, que permitirão o
estacionamento de 258 (duzentos e cinquenta e oito) veículos de passeio
e 10 vagas para estacionamento de motos, incluídas nas áreas comuns
do CONDOMÍNIO, além de 24 (vinte e quatro) unidades autônomas vagas
de garagem disponíveis para o condomínio comercial, localizadas no
1º pavimento garagem, distribuídas da seguinte forma:
TÉRREO: 30 (trinta) vagas de garagem, destinadas ao
estacionamento de 59 (cinquenta e nove) veículos de passeio, sendo
12 (doze) vagas simples, 12 (doze) vagas duplas, 01 (uma) vaga tripla,
05 (cinco) vagas quadruplas.
1º PAVIMENTO GARAGEM: 48 (quarenta e oito) vagas de garagem,
destinadas ao estacionamento de 80 (oitenta) veículos de passeio,
sendo 27 (vinte e sete) vagas simples, 14 (quatorze) vagas duplas,
03 (três) vagas triplas, 04 (quatro) vagas quadrupla.
2º PAVIMENTO GARAGEM: 50 (cinquenta) vagas de garagem,
destinadas ao estacionamento de 82 (oitenta e dois) veículos
de passeio, sendo 29 (vinte e nove) vagas simples, 14 (quatorze)
vagas duplas, 03 (três) vagas triplas, 04 (quatro) vagas
quadruplas.
99
3º PAVIMENTO GARAGEM: 26 (vinte e seis) vagas de garagem,
destinadas ao estacionamento de 61 (sessenta e um) veículos de
passeio, sendo 13 (treze) vagas simples, 02 (duas) vagas duplas,
11 (onze) vagas quadruplas e 10 (dez) vagas para estacionamen-
to de motos.
As unidades autônomas lojas 01 a 04 e as unidades autônomas salas terão
direito ao uso das vagas de garagem incluídas nas áreas comuns
do CONDOMÍNIO. Tendo em vista a sua estrutura funcional as vagas
de garagem serão utilizadas com o auxílio de manobristas, devendo
os condôminos seguir as determinações relativas a uso, determinadas
pelo síndico ou pela administradora, incluindo se for o caso, a entrega
do veículo para ser estacionado por manobristas, observadas as regras
da convenção de condomínio.
O CONDOMÍNIO ainda terá 124 (cento e vinte e quatro) vagas de garagem,
destinadas ao estacionamento de 124 (cento e vinte quatro) veículos
de passeio, as quais estão incluídas nas áreas privativas das unidades
autônomas dos apartamentos, todas localizadas no 1º e 2º subsolo.
SUBSOLO 2: 67 (sessenta e sete) vagas autônomas de garagem,
destinadas ao estacionamento de 67 (sessenta e sete) veículos
de passeio dos apartamentos, sendo todas vagas as simples.
SUBSOLO 1: 57 (cinquenta e sete) vagas autônomas de garagem,
destinadas ao estacionamento de 57 (cinquenta e sete) veículos
de passeio dos apartamentos, sendo todas as vagas simples.
Número de escaninhos e depósitos: O empreendimento terá 10 (dez)
escaninhos localizados no subsolo 2, incluídos nas áreas privativas das
unidades autônomas apartamentos duplex com 02 (duas) suítes. E 11
(onze) depósitos, localizados no hall do 4º, 6º, 7º, 9º, 10º, 12º, 13º, 15º, 16º,
18º, 20º pavimento comercial, incluídos nas áreas privativas das unidades
autônomas salas com final 04 destes pavimentos.
Área do Terreno: 2579,00 m²
Incorporação
SPE BRASIL INCORPORAÇÃO 38 LTDA
Realização
EBM Incorporações S/A
Construção
Construtora Surya LTDA
DESCRIÇÃO DOS ACABAMENTOS
Lojas
TÉRREO
Lojas 01 e 02: Serão compostas de loja, depósito e W.C.
Lojas 03 e 04: Será composta de loja e W.C.
100
Ambiente Piso Rodapé Parede Teto Outros
Loja/ depósito Contrapiso
preparado
para receber
acabamento¹
Pintura
acrílica
sobre massa
PVA
Concreto
aparente
Tubulações
aparentes
W.C. Cerâmica Cerâmica Pintura
Texturizada
Forro em placa
de gesso, com
pintura acrílica
sobre massa
PVA
¹ poderá haver necessidade de regularização do piso de acordo com
a opção de piso escolhida pelo cliente
Salas comerciais
4º PAVIMENTO
Sala Comercial com Final 04: Será composta de sala, W.C.,
espaço destinado para condensadora e deposito que se
encontra no hall do pavimento.
Salas Comerciais com Finais 01, 03, 13, 14 e 15:
Serão compostas de sala, W.C., espaço destinado para
condensadora e terraço descoberto.
Salas Comerciais com Finais 02, 05 a 12: Serão compostas
de sala, W.C. e espaço destinado para condensadora.
5º AO 16º PAVIMENTO
Salas Comerciais com Final 04 do 6º, 7º, 9°, 10°, 12° 13°,
15°, 16° pavimento: Serão compostas de sala, W.C., espaço
destinado para condensadora e depósito que se enconta
no hall do pavimento.
Salas Comerciais com Final 04 do 5º, 8º, 11º, 14º
pavimento: Serão compostas de sala, W.C., espaço destinado
para condensadora.
Salas Comerciais com Finais 01 a 03, 05 a 15: Serão
compostas de sala, W.C. e espaço destinado para
condensadora.
17º AO 20º PAVIMENTOS
Salas Comerciais com Finais 04: Serão compostas de
sala com pé-direito duplo, W.C., espaço destinado para
condensadora e depósito que se encontra no hall do 18º
e 20º pavimento.
Salas Comerciais com Finais 01 a 03, 05 a 15: Serão
compostos de sala com pé-direito duplo, W.C. e espaço
destinado para condensadora.
101
Ambiente Piso Rodapé Parede Teto Outros
Sala Contrapiso preparado
para receber
acabamento¹
Pintura acrílica sobre massa
PVA
Concreto aparente Tubulações aparentes
W.C. Cerâmica Cerâmica Pintura texturizada Forro em placa de gesso, com pintura
acrílica sobre massa PVA
Depósito² Cerâmica Cerâmica Pintura acrílica sobre massa
corrida acrílica
Forro em placa de gesso, com pintura
acrílica sobre massa PVA
Terraço
descoberto³
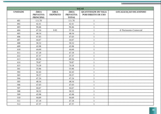
Cerâmica Cerâmica Pintura texturizada
¹ poderá haver necessidade de regularização do piso de acordo com a opção de piso escolhida pelo cliente
² apenas para as salas de final 04 do 4º, 6º, 7º, 9º, 10º, 12º, 13º, 15º, 16º, 17º e 19º pavimento
³ apenas para as salas de finais 01, 03, 13, 14 e 15 do 4º pavimento
APARTAMENTOS RESIDENCIAIS
Apartamentos com Finais 01, 02, 04, 05, 07, 09, 10, 12 e 13 - 21° AO 30º PAVIMENTO
Serão compostos de sala/ quarto/ cozinha, banho e varanda.
Ambiente Piso Rodapé Parede Teto Outros
Porcelanato Porcelanato Rebaixado em placa de gesso liso com pintura
Cozinha Porcelanato Porcelanato Parede hidráulica: Cerâmica até o forro de
gesso
Demais paredes: Pintura acrílica sobre
Rebaixado em placa de gesso liso com pintura
Banho Cerâmica Cerâmica Box: cerâmica até o forro de gesso
Demais paredes: Pintura acrílica sobre
massa acrílica
Rebaixado em placa de gesso liso com pintura
acrílica sobre massa acrílica
Porcelanato Porcelanato Pintura texturizada Rebaixado em placa de gesso liso com pintura
102
Apartamentos Duplex com Finais 03 e 11 - 21° AO 30º PAVIMENTO
Duplex Inferior: Serão compostos de sala, cozinha, lavabo, varanda e escada de acesso ao duplex superior
Duplex Superior: Serão compostos de home office, quarto, banho e escada de acesso ao duplex inferior
Ambiente Piso Rodapé Parede Teto Outros
Sala/quarto Porcelanato Porcelanato Pintura acrílica sobre massa
PVA
Rebaixado em placa de gesso liso com pintura
acrílica sobre massa PVA
Cozinha Porcelanato Porcelanato Parede hidráulica: Cerâmica
até o forro de gesso
Demais paredes: Pintura
acrílica sobre massa pva
Rebaixado em placa de gesso liso com pintura
acrílica sobre massa PVA
Banho Cerâmica Cerâmica Box: cerâmica até o forro de
gesso
Demais paredes: Pintura
acrílica sobre massa acrílica
Rebaixado em placa de gesso liso com pintura
acrílica sobre massa acrílica
Varanda Porcelanato Porcelanato Pintura texturizada Rebaixado em placa de gesso liso com pintura
acrílica sobre massa PVA
Escada de
acesso ao
pavimento
superior/
inferior
Porcelanato ou
mármore ou
granito
Porcelanato ou
mármore ou
granito
Pintura acrílica sobre massa
PVA
Rebaixado em placa de gesso liso com pintura
acrílica sobre massa PVA
Home Office Porcelanato Porcelanato Pintura acrílica sobre massa
PVA
Rebaixado em placa de gesso liso com pintura
acrílica sobre massa PVA
Lavabo Porcelanato Porcelanato Pintura acrílica sobre massa
PVA
Rebaixado em placa de gesso liso com pintura
acrílica sobre massa PVA
103
Apartamentos Duplex com Finais 06 e 08 - 21° AO 30º PAVIMENTO
Duplex Inferior: Serão compostos de sala, cozinha, lavabo, varanda e escada de acesso ao duplex superior
Duplex Superior: Serão compostos de 02 (duas) suítes (suíte 01 e 02), 02 (dois) banhos, circulação e escada de acesso ao duplex inferior
Ambiente Piso Rodapé Parede Teto Outros
Sala/suítes/
circulação
Porcelanato Porcelanato Pintura acrílica sobre
massa PVA
Rebaixado em placa de gesso liso
com pintura acrílica sobre massa
PVA
Cozinha Porcelanato Porcelanato Parede hidráulica:
Cerâmica até o forro de
gesso
Demais paredes: Pintura
acrílica sobre massa pva
Rebaixado em placa de gesso liso
com pintura acrílica sobre massa
PVA
Banhos Cerâmica Cerâmica Box: ceramica até o forro
de gesso
Demais paredes: Pintura
acrílica sobre massa
acrílica
Rebaixado em placa de gesso liso
com pintura acrílica sobre massa
acrílica
Varanda Porcelanato Porcelanato Pintura texturizada Rebaixado em placa de gesso liso
com pintura acrílica sobre massa
PVA
Escada de
acesso ao
pavimento
superior/
inferior
Porcelanato ou
mármore ou
granito
Porcelanato ou
mármore ou
granito
Pintura acrílica sobre
massa PVA
Rebaixado em placa de gesso liso
com pintura acrílica sobre massa
PVA
Lavabo Porcelanato Porcelanato Pintura acrílica sobre
massa PVA
Rebaixado em placa de gesso liso
com pintura acrílica sobre massa
PVA
104
Apartamento com Finais 14º e 15 – 24º AO 30º PAVIMENTO
Apartamento com final 14º – 24º PAVIMENTO: Será composto de sala/ cozinha/ quarto/ closet, banho, varanda coberta e terraço descoberto
Apartamento com final 14º – 25º PAVIMENTO AO 30º PAVIMENTO: Serão compostos de sala/ cozinha/ quarto/ closet, banho e varanda
Apartamento com Final 15º – 24º PAVIMENTO: Será composto de sala/ cozinha/ quarto/ closet, banho e terraço descoberto
Apartamento com Final 15º – 25º PAVIMENTO AO 30º PAVIMENTO: Serão compostos de sala/ cozinha/ quarto/ closet, banho e balcão
Ambiente Piso Rodapé Parede Teto Outros
Sala/quarto/
closet
Porcelanato Porcelanato Pintura acrílica sobre massa PVA Rebaixado em placa de gesso liso com pintura acrílica
sobre massa PVA
Cozinha Porcelanato Porcelanato Parede hidráulica: Cerâmica até o
forro de gesso
Demais paredes: Pintura acrílica
sobre massa PVA
Rebaixado em placa de gesso liso com pintura acrílica
sobre massa PVA
Banho Cerâmica Cerâmica Box: cerâmica até o forro de gesso
Demais paredes: Pintura acrílica
sobre massa acrílica
Rebaixado em placa de gesso liso com pintura acrílica
sobre massa acrílica
Varanda/
Varanda
coberta¹
Porcelanato Porcelanato Pintura texturizada Rebaixado em placa de gesso liso com pintura acrílica
sobre massa PVA
Terraço
descoberto²
Cerâmica Cerâmica Pintura texturizada Gradil de Vidro
Balcão³ Porcelanato Porcelanato Pintura texturizada
¹ apenas para apartamentos com final 14
² apenas para apartamentos com final 14 e 15 do 24º pavimento
³ apenas para apartamentos com final 15 do 25º ao 30º pavimento
ÁREA COMUM - 31º PAVIMENTO – LAZER
Será de uso exclusivo do condomínio residencial, composto 03 (três) elevadores, sendo 02 (dois) elevadores sociais e 01 (um) elevador de emergência, ante-
câmara, escada de acesso aos demais pavimentos com portas corta fogo, salão de festas, copa, varanda gourmet, jogos, observatório, fitness, lavanderia, W.C.
feminino, W.C. masculino, W.C. PNE, piscina, spa, solarium, sauna, filtros/ bombas, lounge, depósito condomínio, circulação.
105
Ambiente Piso Rodapé Parede Teto Outros
Ante-câmara Cerâmica Cerâmica Pintura acrílica sobre massa corrida
acrílica
Pintura acrílica sem massa
Escada de
acesso aos
demais
pavimentos
Cimentado
com pintura
acrílica
Pintura acrílica Pintura acrílica sem massa Pintura acrílica sem massa
Circulação Porcelanato Porcelanato Parte: Pintura acrílica sobre massa
PVA Parte: Pintura Textura
Rebaixado em placa de gesso liso com pintura
acrílica sobre massa PVA
Salão de festas
(Walk & Party)
Porcelanato Porcelanato Pintura acrílica sobre massa PVA
com detalhes em papel de parede,
espelho e painel de MDF
Rebaixado em placa de gesso liso com pintura
acrílica sobre massa PVA
Copa Porcelanato Cerâmica Rebaixado em placa de gesso liso com pintura
acrílica sobre massa PVA
Varanda
Gourmet
Porcelanato Porcelanato Pintura Texturizada com detalhe
em porcelanato
Rebaixado em placa de gesso liso com pintura
acrílica sobre massa PVA
Jogos (Walk &
Play)
Porcelanato Porcelanato Pintura acrílica sobre massa PVA
com detalhes em painel de MDF
Rebaixado em placa de gesso liso com pintura
acrílica sobre massa PVA
Observatório
(Walk & See)
Porcelanato Porcelanato Pintura Texturizada Rebaixado em placa de gesso liso com pintura
acrílica sobre massa PVA
Fitness (Walk
& Fit)
Piso Vinílico Piso Vinílico Parte: Painel MDF e parte: vidro Rebaixado em placa de gesso liso com pintura
acrílica sobre massa PVA
Lavanderia
(Walk & Clean)
Porcelanato Marmore ou granito Pintura acrílica sobre massa PVA
com detalhes em painel de MDF
Rebaixado em placa de gesso liso com pintura
acrílica sobre massa PVA
W.C. Feminino/
W.C. masculino
Cerâmica Cerâmica Rebaixado em placa de gesso liso com pintura
acrílica sobre massa PVA
W.C. PNE Porcelanato Marmore ou granito Pintura acrílica sobre massa PVA Rebaixado em placa de gesso liso com pintura
acrílica sobre massa PVA
Piscina (Walk &
Swin)
Pastilha Pastilha Rebaixado em placa de gesso liso com pintura
acrílica sobre massa PVA
SPA Porcelanato Porcelanato Pintura acrílica sobre massa PVA Rebaixado em placa de gesso liso com pintura
acrílica sobre massa PVA
106
Ambiente Piso Rodapé Parede Teto Outros
Solarium (Spa &
Relax)
Porcelanato Pintura Texturizada com detalhe
em Porcelanato
Sauna Porcelanato Ceramica Lambril de PVC Banco
revestido em
mármore ou
granito
Filtros /
bombas
Cimentado
com pintura
acrílica para
cimentado
Pintura acrílica para
cimentados
Pintura acrílica sem massa Pintura acrílica sem massa.
Lounge Porcelanato Porcelanato Pintura acrílica sobre massa PVA
com detalhe em Marmore ou
granito
Rebaixado em placa de gesso liso com pintura
acrílica sobre massa PVA
Depósito
condominio
Cerâmica Cerâmica Pintura acrílica sobre massa corrida
acrílica
Forro em placa de gesso, com pintura acrílica
sobre massa PVA
ÁREA COMUM - 4º AO 30º PAVIMENTO, ÁTICO E COBERTURA RESERVATÓRIO
4º ao 20º Pavimento Tipo: Serão compostos de 06 (seis) elevadores, sendo 05 (cinco) elevadores sociais e 01 (um) elevador de emergência, escada de acesso aos
demais pavimentos com portas corta fogo, 02 (duas) ante-câmaras, medição, circulação, para uso exclusivo dos pavimentos comerciais. Terão ainda escada para uso
exclusivo dos pavimentos residenciais.
8°,11°,14°, 17° e 19º Pavimentos: Serão compostos de ante-câmaras para uso exclusivo dos pavimentos residenciais.
21° Pavimento Tipo: Serão compostos de 03 (três) elevadores, sendo 02 (dois) elevadores sociais e 01 (um) elevador de emergência, ante-câmara, escada de
acesso aos demais pavimentos com portas corta fogo, medição, governança, circulação, para uso exclusivo dos pavimentos residenciais. Terá ainda casa de
máquinas e escada de acesso aos demais pavimentos com porta fogo e de acesso a mesa de motores, para uso exclusivo dos pavimentos comerciais.
22° Pavimento Tipo: Serão compostos de 03 (três) elevadores, sendo 02 (dois) elevadores sociais e 01 (um) elevador de emergência, ante-câmara, escada de
acesso aos demais pavimentos com portas corta fogo, medição, circulação, para uso exclusivo dos pavimentos residenciais. Terá ainda mesa de motores e escada
de acesso a casa de máquinas, para uso exclusivo dos pavimentos comerciais.
23° ao 30° Pavimento Tipo: Serão compostos de 3 (três) elevadores, sendo 02 (dois) elevadores sociais e 01 (um) elevador de emergência, ante-câmara, escada de
acesso aos demais pavimentos com portas corta fogo, medição, circulação, para uso exclusivo dos pavimentos residenciais.
Ático (Casa de Máquinas/Barrilete, Planta Cobertura/Reservatório Superior): Será composto de hall, 01(uma) escada de acesso aos demais pavimentos com
portas corta fogo, barrilete, 02(dois) reservatórios, calha impermeabilizada, telhado de fibrocimento. Terá ainda 02(duas) casas de maquinas e 02(duas) mesas de
107
motores, de uso exclusivo dos pavimentos residenciais.
Cobertura Reservatório: Será composta de laje impermeabilizada.
Ambiente Piso Rodapé Parede Teto Outros
Ante-câmara Cerâmica Cerâmica Pintura acrílica sobre massa corrida
acrílica
Pintura acrílica sem massa
Escada de acesso aos
demais pavimentos
Cimentado com
pinturaacrílica
Pintura acrílica Pintura acrílica sem massa Pintura acrílica sem massa
Medição/
governança
Cerâmica Cerâmica Pintura acrílica sobre massa corrida
acrílica
Rebaixado em placa de gesso liso
com pintura acrílica sobre massa
PVA
Circulação Porcelanato Porcelanato Parte: Pintura acrílica sobre massa
PVA Parte: Pintura Textura
Rebaixado em placa de gesso liso
com pintura acrílica sobre massa
PVA
Casa de maquinas/
mesa de motores
Cimentado com
pintura acrílica
Pintura acrílica Pintura acrílica sem massa Pintura acrílica sem massa
Laje
Impermeabilizada
Cimentado
ÁREA COMUM – 3° PAVIMENTO GARAGEM
Será composto de 06 (seis) elevadores, sendo 05 (cinco) sociais e 01 (um) de emergência, 02 (duas) ante-câmaras, escada de acesso aos demais pavimentos com
portas corta fogo, escada para uso exclusivo dos pavimentos residenciais, hall social, medição, auditório, sala de reunião, coffee break, WC PNE fem. publico,
W.C. PNE masc publico, copa para funcionários, DML, depósito peças, W.C. func. Fem., W.C. func. Masc., controle / descanso dos funcionários / manobrista,
rampa descoberta, circulação de veículos, vagas de garagem.
Ambiente Piso Rodapé Parede Teto Outros
Ante-câmara Cerâmica Cerâmica Pintura acrílica sobre massa
corrida acrílica
Pintura acrílica sem massa
Escada Cimentado com pintura
acrílica para cimentado
Pintura acrílica para
cimentados
Pintura acrílica sem massa Pintura acrílica sem massa
Medição Cimentado com pintura
acrílica para cimentado
Pintura acrílica para
cimentados
Alvenaria com reboco paulista
ou gesso corrido com pintura
texturizada a base de cal e cola
Concreto aparente
108
Ambiente Piso Rodapé Parede Teto Outros
Hall social Porcelanato Porcelanato Parte: Pintura acrílica sobre massa
PVA Parte: Pintura Textura
Rebaixado em placa de gesso liso
com pintura acrílica sobre massa PVA
Auditório (Walk & Talk) Carpete Madeira ou MDF Pintura acrílica sobre massa PVA Rebaixado em placa de gesso liso
com pintura acrílica sobre massa PVA
Sala de reunião (Walk &
Meet)
Carpete Madeira ou MDF Pintura acrílica sobre massa PVA Rebaixado em placa de gesso liso
com pintura acrílica sobre massa PVA
Coffe Break Porcelanato Porcelanato Parte: pintura acrílica sobre massa
PVA Parte: espelho e MDF
Rebaixado em placa de gesso liso
com pintura acrílica sobre massa PVA
WC PNE Fem./ Masc.
Publico
Porcelanato Marmore ou granito Pintura acrílica sobre massa PVA Rebaixado em placa de gesso liso
com pintura acrílica sobre massa PVA
Copa para funcionários/
DML
Cerâmica Cerâmica Parte: pintura Grafiato Parte:
ceramica
Rebaixado em placa de gesso liso
com pintura acrílica sobre massa PVA
Depósito de peças Cerâmica Cerâmica Pintura Grafiato Rebaixado em placa de gesso liso
com pintura acrílica sobre massa PVA
WC Func. Fem/ Masc. Cerâmica Cerâmica Cerâmica Rebaixado em placa de gesso liso
com pintura acrílica sobre massa
acrílica
Cômodo/ descanso
funcionários/ manobrista
Cerâmica Cerâmica Pintura Grafiato Rebaixado em placa de gesso liso
com pintura acrílica sobre massa PVA
Rampa de acesso de
veículos
Ladrilho Hidráulico Pintura em esmalte
sintético
Pintura acrílica sem massa Pintura acrílica sem massa
Circulação de veículos/
vagas de garagem
Concreto natural Pintura em esmalte
sintético
Pintura acrílica sem massa Pintura acrílica sem massa
ÁREA COMUM – 1° E 2° PAVIMENTO GARAGEM
Serão compostos de hall social, 06 (seis) elevadores, sendo 05 (cinco) sociais e 01 (um) de emergência, 02 (duas) duas ante-câmaras, escada de acesso aos
demais pavimentos com portas corta fogo, medição, escada para uso exclusivo dos pavimentos residenciais, rampa de acesso para veículos, circulação de
veículos, vagas de garagem.
Ambiente Piso Rodapé Parede Teto Outros
Ante-câmara Cerâmica Cerâmica Pintura acrílica sobre massa corrida acrílica Pintura acrílica sem
massa
109
Ambiente Piso Rodapé Parede Teto Outros
Escada Cimentado com pintura
acrílica para cimentado
Pintura acrílica para
cimentados
Pintura acrílica sem massa Pintura acrílica sem
massa
Medição Cimentado com pintura
acrílica para cimentado
Pintura acrílica para
cimentados
Alvenaria com reboco paulista ou gesso
corrido com pintura texturizada a base de cal
e cola
Concreto aparente
Rampa de
acesso de
veículos
Ladrilho Hidráulico Pintura em esmalte sintético Pintura acrílica sem massa. Pintura acrílica sem
massa
Circulação de
veículos/ vagas
de garagem
Concreto natural Pintura em esmalte sintético Pintura acrílica sem massa Pintura acrílica sem
massa.
ÁREA COMUM – TÉRREO ( PAVIMENTO DE ACESSO AO COMERCIAL)
Será composto de hall social, 06 (seis) elevadores, sendo 05 (cinco) sociais e 01(um) de emergência, 02 (duas) duas ante-câmaras, escada de acesso aos demais
pavimentos com portas corta fogo, escada para uso exclusivo dos pavimentos residenciais, segurança, lobby comercial, acesso de pedestres para os pavimentos
comerciais, praça, espelhos d’agua, expedição, lixo, gerador, transformador, jardins, calçadas, rampa de acesso para veículos, circulação de veículos, vagas de garagens e
vazios.
Ambiente Piso Rodapé Parede Teto Outros
Ante-câmara Cerâmica Cerâmica Pintura acrílica sobre massa corrida
acrílica
Pintura acrílica sem massa
Escada Cimentado com pintura
acrílica para cimentado
Pintura acrílica para
cimentados
Pintura acrílica sem massa Pintura acrílica sem massa
Segurança Porcelanato Porcelanato Pintura acrílica sobre massa PVA Rebaixado em placa de gesso liso com
pintura acrílica sobre massa PVA
Lobby
comercial
Porcelanato Mármore ou granito Parte: pintura acrílica sobre massa
PVA Parte: papel de parede,
mármore ou granito e vidro.
Rebaixado em placa de gesso liso com
pintura acrílica sobre massa PVA
Acesso de
pedestres
pavimento
comercial/
residencial
Mármore ou granito
110
Ambiente Piso Rodapé Parede Teto Outros
Praças/ praça
de acesso
Porcelanato com detalhes
em mármore ou granito
Marmore ou granito Pintura texturizada
Espelhos
d’agua
Pastilha Pastilha
Expedição Cerâmica Cerâmica Pintura acrílica sobre massa PVA Rebaixado em placa de gesso liso com
pintura acrílica sobre massa PVA
Lixo Cerâmica Cerâmica Rebaixado em placa de gesso liso com
pintura acrílica sobre massa PVA
Gerador Concreto natural Pintura acrílica para
cimentados
Pintura acrílica sem massa Concreto, acabamento natural
Calçadas Pedra ou ladrilho
Rampa de
acesso de
veículos
Ladrilho Hidráulico Pintura em esmalte
sintético
Pintura
acrílica sem massa.
Pintura acrílica sem massa
Circulação de
veículos/ vagas
de garagem
Concreto natural Pintura em esmalte
sintético
Pintura acrílica sem massa Pintura acrílica sem massa.
ÁREA COMUM – SUBSOLO 1 ( PAVIMENTO DE ACESSO AO RESIDENCIAL)
Será composto de 03(três) elevadores, sendo 02 (dois) elevadores sociais e 01 (um) elevador de emergencia, ante-câmara, escada de acesso aos demais pavimentos com
portas corta fogo, 06 (seis) poços dos elevadores dos pavimentos comerciais, área técnica atendendo aos poços de elevadores dos pavimentos comerciais, escada para
uso exclusivo dos pavimentos comerciais, lobby, sala do síndico, bicicletario, praça de acesso, pulmão de segurança, acesso de pedestre para o residencial, espelhos
d’agua, jardins, guarita, depósito, copa para funcionários, descanso para os funcionários, DML, wc guarita, w.c feminino, wc masculino, circulação, pressurização, central
de gás, seleção de lixo, rampa de acesso para veículos, circulação de veículos, vagas de garagem e vazios.
Ambiente Piso Rodapé Parede Teto Outros
Ante-câmara Cerâmica Cerâmica Pintura acrílica sobre massa corrida
acrílica
Pintura acrílica sem massa
Escada Cimentado com pintura
acrílica para cimentado
Pintura acrílica para
cimentados
Pintura acrílica sem massa Pintura acrílica sem massa
111
Ambiente Piso Rodapé Parede Teto Outros
Lobby residencial Porcelanato com detalhe
em mármore ou granito
Marmore ou granito Parte: pintura acrílica sobre massa
PVA Parte: papel de parede,
mármore ou granito e vidro.
Rebaixado em placa de gesso liso
com pintura acrílica sobre massa PVA
Sala do síndico Porcelanato Porcelanato Pintura acrílica sobre massa PVA Rebaixado em placa de gesso liso
com pintura acrílica sobre massa PVA
Bicicletário (Walk & Ride) Porcelanato Porcelanato Pintura acrílica sobre massa PVA Rebaixado em placa de gesso liso
com pintura acrílica sobre massa PVA
Praças de acesso Porcelanato com detalhes
em mármore ou granito
Marmore ou granito Pintura texturizada
Pulmão de segurança Marmore ou granito Marmore ou granito Vidro
Acesso de pedestres
pavimento residencial
Marmore ou granito
Espelhos d’agua Pastilha Pastilha
Guarita Porcelanato Porcelanato Pintura acrílica sobre massa PVA Rebaixado em placa de gesso liso
com pintura acrílica sobre massa PVA
Copa para funcionários/
DML
Cerâmica Cerâmica Parte: pintura Grafiato Parte:
ceramica
Rebaixado em placa de gesso liso
com pintura acrílica sobre massa PVA
Cômodo/ descanso
funcionários
Cerâmica Cerâmica Pintura Grafiato. Rebaixado em placa de gesso liso
com pintura acrílica sobre massa PVA
WC Guarita / Fem./ Masc. Cerâmica Ceramica Rebaixado em placa de gesso liso
com pintura acrílica sobre massa PVA
Circulação Cermica Cerâmica Pintura acrílica sobre massa PVA Rebaixado em placa de gesso liso
com pintura acrílica sobre massa PVA
Pressurização Concreto natural Pintura acrílica para
cimentados
Pintura acrílica sem massa Concreto, acabamento natural
Central de gás Concreto natural Pintura acrílica para
cimentados
Pintura acrílica sem massa Concreto, acabamento natural
Seleção de lixo Cerâmica Cerâmica Rebaixado em placa de gesso liso
com pintura acrílica sobre massa PVA
Rampa de acesso de
veiculos
Ladrilho Hidráulico Pintura em esmalte
sintético
Pintura
acrílica sem massa.
Pintura acrílica sem massa
112
Ambiente Piso Rodapé Parede Teto Outros
Circulação de veículos/
vagas de garagem
Concreto natural Pintura em esmalte
sintético
Pintura acrílica sem massa Pintura acrílica sem massa.
ÁREA COMUM –SUBSOLO 2
Será composto de 03(três) elevadores sociais, 01(uma) ante-câmara, 01(uma) escada de acesso aos demais pavimentos com portas corta fogo, reservatório inferior,
reservatório para reuso, rampa de acesso para veículos, circulação de veículos, vagas de garagem e vazios.
Ambiente Piso Rodapé Parede Teto Outros
Ante-câmara Cerâmica Cerâmica Pintura acrílica sobre massa corrida
acrílica
Pintura acrílica sem massa
Escada Cimentado com pintura
acrílica para cimentado
Pintura acrílica para
cimentados
Pintura acrílica sem massa Pintura acrílica sem massa
Reservatório inferior Concreto natural Pintura acrílica para
cimentados
Pintura acrílica sem massa Concreto, acabamento natural
Rampa de acesso de
veiculos
Ladrilho Hidráulico Pintura em esmalte sintético Pintura acrílica sem massa. Pintura acrílica sem massa
Circulação de
veículos/ vagas de
garagem
Concreto natural Pintura em esmalte sintético Pintura acrílica sem massa Pintura acrílica sem massa.
ESPECIFICAÇÕES DE EQUIPAMENTOS
E MATERIAIS
Itens de Segurança
Muros com alturas compatíveis, de acordo com os projetos
específicos e posturas municipais;
Previsão (tubulação seca) para motorização dos portões para
acesso/saída de veículos do subsolo 1;
Instalação de fechadura magnética na porta do pulmão de segurança para acesso de pedestres para residencial;
113
Previsão para instalação de central de interfone na guarita;
01 (um) passa-volumes na guarita do acesso de pedestres do
residencial;
Instalação de iluminação com sensores de presença ou minuteria
em locais estratégicos, conforme projeto;
Instalação de luz de emergência para escadaria do prédio com aciona-
mento individual nos pavimentos;
Pára-raios tipo gaiola de Faraday;
Cômodo de segurança para onde são convergidos os controle do siste-
ma de controle de acesso, automação, sistema de segurança e sistema
do estacionamento;
Previsao para catraca tipo torniquete* para acesso a escada e elevado-
res do comercial no 1º, 2º e 3º pavimentos garagem;
Previsao para catracas* de acesso a escada e elevadores no hall (lobby),
do térreo;
Previsão para cancela no acesso de veículos ao terreo, sendo a instala-
ção e aquisição dos equipamentos responsabilidade do condomínio;
Porta automática, com sensor de presença, no acesso ao lobby do co-
mercial e residencial.
*As catracas tipo torniquetes e catracas serão interligadas ao software de
controle de acesso com abertura por cartões de proximidade e/ou controle
biométrico.
SISTEMA DE SEGURANÇA
Foi firmado contrato de parceria com a TECNOSEG TECNOLOGIA EM SERVI-
ÇOS LTDA, para desenvolvimento de projeto segurança, que contempla os
seguintes itens:
Duplo monitoramento da central de alarme, via telefone, celular ou ra-
dio. A central de alarme será entregue;*
Controle de acesso com fotos digitalizadas: será entregue com compu-
tadores, software de controle de acesso e micro câmeras digitais, para
controlar o acesso de moradores, visitantes ou prestadores de serviço
pela identificação visual, sendo 01 (um) no lobby do residencial e
01 (um) no lobby/recepção do comercial;
Circuito interno de TV com gravação digital e colorida de imagens:
serão entregues 06 (seis) câmeras em pontos estratégicos na torre
comercial e 05 (cinco) na torre residencial, 01 (uma) micro - câmera
em cada elevador e previsão para pontos futuros;
Proteção perimetral com sensores ativos monitorada 24 horas:
alguns trechos do perímetro que requerem segurança serão en-
tregues protegidos com sistemas de segurança eletrônica que
comunica a central de alarme imediatamente no caso de tentativa
de invasão;
02 (dois) botões de pânico, sendo, 01 (um) no lobby/recepção do
comercial, e 01 (um) na guarita do residencial: para acionamento
no caso de tentativas de invasão, alertando imediatamente o so-
corro externo;
02 (dois) controles de guarda, sendo, 01 (um) no lobby/recepção
do comercial e 01 (um) na guarita do residencial: para acionamen-
to temporário, monitorando se o vigia esta dormindo ou rendido
por marginais;
01 (um) sensor magnético, sendo na central de gás no subsolo 1,
para avisar quando a porta do ambiente estiver aberta.
* mediante contratação de empresa de monitoramento pelo condomí-
nio
Outros Equipamentos e materiais
Esquadrias
As esquadrias do edifício serão em alumínio com pintura eletrostá-
tica branca;
Portas de madeira serão semi-ocas com miolo sarrafeado e capa de
MDF com acabamento em pintura esmalte sintético na cor branca;
114
Batentes e guarnições das portas serão metálicos com acabamento
em pintura esmalte sintético na cor branca;
Portas corta-fogo em chapa metálica com pintura esmalte sintéti-
co;
Esquadrias/Corrimãos/Gradil metálicos receberão acabamento em
pintura esmalte sintético.
Vidros
Os vidros serão de fabricação nacional, com espessura compatível
aos vãos;
As cortinas de vidro nas fachadas serão em vidro laminado
conforme projeto fachada;
Os vidros das demais esquadrias poderão ser liso, fantasia ou
temperados;
Os vidros das lojas do térreo serão temperados.
Tomadas e interruptores
Serão de materiais plásticos na cor branca.
Ferragens
Serão de latão ou aço ou zamac ou alumínio cromado ou fosco.
Metais
Serão de metal cromado;
As torneiras dos W.C.s sociais da área comum, dos W.C.s das salas
comerciais serão entregues com fechamento automático. As tor-
neiras dos banhos e pias dos apartamentos serão entregues com
arejador de vazão.
Acessórios
Grelhas dos ralos em metal cromado ou aço inoxidável;
Sifões dos lavatórios e dos tanques em PVC cromado;
Sifão das pias dos apartamentos em metal cromado;
Válvulas e engates em metal cromado.
Louças (cubas/ lavatórios/ tanques/ bacias sanitárias)
Serão na cor branca;
Todas as bacias sanitárias serão com caixa acoplada e sistema de
duplo acionamento (vazão de 06 litros e 03 litros) com exceção da
bacia dos W.C.s Feminino e Masculino adaptados para portadores
de necessidades especiais (P.N.E) da área comum.
Será entregue tanque sem coluna nos apartamentos, DML, estar/
descanso funcionários
Os W.C.s das salas e lojas serão entregues com lavatório sem colu-
na.
Bancadas
Em granito ou mármore, com cuba em aço inox, na cozinha de to-
dos os apartamentos, copa dos funcionários, varanda gourmet;
Em granito ou mármore, com cuba de louça, nos banhos de todos
os apartamentos e nos W.C.s das áreas sociais.
Em granito ou mármore, com tanque em aço inox, na lavanderia; .
Filetes/Soleiras e/ou Baguetes
Em granito ou mármore nos locais onde se fizerem necessários.
115
Elevadores
O empreendimento terá 09 (nove) elevadores, sendo 07 (dez) ele-
vadores sociais, onde 05 (cinco) atenderão o comercial e 02 (dois)
atenderão o residencial e 02 (dois) elevadores de emergência,
onde 01 (um) atenderá o comercial e 01 (um) atenderá o residen-
cial.
Todos os elevadores com piso em mármore ou granito;
As portas dos elevadores sociais do residencial serão em aço inox
no subsolo 1 e no lazer, nos demais pavimentos serão em aço com
com acabamento em pintura esmalte. As portas dos elevadores
sociais do comercial serão em aço inox no térreo, nos demais pa-
vimentos as portas serão em aço com acabamento em pintura
esmalte;
Os elevadores sociais do comercial terão indicador de posição de
andar em todos os pavimentos, no elevador de emergência a indi-
cação sera apenas no térreo;
Os elevadores sociais do residencial terão indicação de posição de
andar no subsolo 1 e no lazer.
Um dos elevadores do comercial terá dimensões para transportar
maca.Elevadores sociais do comercial serão entregues com chama-
da antecipada que melhora a utilização dos elevadores e organiza
o fluxo dos passageiros para agilizar o acesso aos andares de desti-
no, agrupando usuários para viagens aos mesmos andares ou aos
pavimentos próximos.
Alerta sonoro que informa o pavimento para portadores de neces-
sidades especiais (P.N.E), visuais, nos elevadores sociais do residen-
cial e comercial.
Equipamentos/ Mobiliário
(Comercial)
Lobby:
- 02 (dois) vasos
- 03 (tres) cadeiras
- 02 (duas) TV’s
- 06 (seis) poltronas
- 01 (uma) escultura
- 02 (dois) aparadores
Hall
- 03 (três) vasos
Sala de Segurança
- 01 (uma) mesa
- 01 (uma) cadeira
Auditorio
- 22 (vinte e duas) mesas
- 22 (vinte e duas) cadeiras
Hall Auditório
- 05 (cinco) vasos
- 01 (um) aparador
- 01 (um) banco
116
( Residencial )
Lobby:
- 02 (dois) vasos
- 02 (dois) aparadores
- 01 (um) armario
Circulação
- 04 (quatro) vasos
Bicicletario
- 01 (uma) estante
- 06 (seis) bicicletas
Guarita
- 01 (uma) cadeira
Deposito
- 01 (um) freezer
Sala do Síndico:
- 01 (uma) mesa
- 02 (duas) cadeiras
- 02 (dois) armarios
Piscina Spa:
- 02 (duas) poltronas
- 02 (duas) mesas
- 01 (um) SPA
Solarium:
- 06 (seis) cadeiras
- 03 (três) mesas
- 01 (um) ombrelone
- 03 (três) espreguiçadeiras
Lounge:
- 03 (três) vasos
- 04 (quatro) poltronas
- 01 (um) sofá
- 03 (três) mesas
- 01 (um) armário
Lavanderia:
- 04 (quatro) poltronas
- 03 (três) mesas
- 02 (dois) armarios
- 01 (uma) TV
- 01 (uma) lava e seca
117
Salão de festas/Home:
- 02 (dois) vasos
- 01 (um) tapete
- 02 (dois) sofás
- 02 (duas) poltronas
- 03 (tres) pufes
- 05 (cinco) mesas
- 18 (dezoito) cadeiras
- 01 (uma) coifa
- 01 (um) cooktop
- 01 (uma) adega
- 01 (uma) tela retratil
- 01 (um) projetor
Varanda Gourmet:
- 05 (cinco) mesas
- 26 (vinte e seis) cadeiras
- 02 (duas) coifas
- 01 (uma) cooktop
- 01 (uma) geladeira
- 01 (um) forno pizza
- 01 (uma) TV
Fitness:
- 06 (seis) esteiras ergométricas
- 02 (duas) bicicletas ergométricas
- 01 (uma) bola para pilates
- 01 (um) saco de boxe
- 01 (uma) TV
- 01 (uma) estação de musculação
- 01 (um) suporte para pesos e anilhas
- 01 (um) espaldar
- 01 (um) suporte para bola
- 02 (dois) tatames
- 01 (um) banco
- 03 (três) vasos
Copa
- 01 (um) fogão
- 01 (uma) geladeira
- 01 (um) freezer
Observatório
- 03 (três) vasos
- 02 (duas) poltronas
- 02 (dois) telescópios
118
Jogos:
- 01 (uma) mesa recreativa de poker
- 01 (uma) mesa recreativa de sinuca
- 01 (uma) mesa
- 24 (vinte e quatro) cadeiras
- 01 (uma) mesa de jogos
- 01 (um) quadro negro
- 01 (um) suporte para tacos
- 01 (uma) TV
- 01 (um) frigobar
- 01 (um) vending machine
Instalações Prediais
Instalações Elétrico-Telefônicas e Hidro-Sanitárias / Gás / Incêndio
Instalações prediais elétricas (tubulação seca nos pontos de ali-
mentação das salas comerciais e lojas, exceto os banheiros das
salas e lojas que terão os pontos alimentados), água fria, esgoto
sanitário, pára-raios e interfone (tubulação seca) exceto nas lojas,
de acordo com projetos específicos, posturas municipais e de servi-
ços públicos;
Previsão de pontos de água e esgoto para instalação de uma mini
copa nas salas comerciais e lojas;
Não serão fornecidos os medidores individuais de água e energia,
apenas a previsão para instalação. A aquisição dos medidores as-
sim como suas instalações será de responsabilidade do proprietá-
rio;
Não serão fornecidos os medidores individuais de gás, apenas a
previsão para instalação nos apartamentos e lojas. A aquisição dos
medidores assim como suas instalações será de responsabilidade
do proprietário;
As lojas serão entregues com previsão (espaço destinado a central
de gás e interferências dos dutos de exaustão na estrutura) para
instalação da rede de gás e sistema de exaustão, conforme projeto
específico. As unidades que venham manipular alimentos e que
eventualmente necessitem de abastecimento de gás e exaustão
mecânica, deverão, por sua conta e risco, após prévia autorização
do síndico, fazer as respectivas instalações de acordo com as deter-
minações das autoridades competentes;
As salas comerciais, lojas e apartamentos serão dotados de pontos
de telefones (tubulação seca) de acordo com projeto específico,
obedecendo às normas da Concessionária Local;
A aquisição da central de interfone, assim como sua instalação será
de responsabilidade do condomínio. A aquisição do interfone de
cada sala comercial e apartamentos, assim como sua instalação
será de responsabilidade do proprietário;
Todos os apartamentos terão 01 (um) ponto elétrico para cooktop
e 01 (um) ponto elétrico para depurador na varanda;
á entregue 01 (um) gerador que atenderá ao residencial e comer-
cial nas escadas pressurizadas, todos os elevadores, iluminação
das áreas comuns, halls de serviços e antecâmaras de todos os
pavimentos, escadas de incêndio de todos os pavimentos – pontos
estratégicos das áreas externas no subsolo 1, térreo e lazer, pontos
estratégicos dos pavimentos de garagem, acionamento do portão
de veículos e acessos de pedestres, iluminação e equipamentos
do lobby, iluminação e equipamentos da sala do síndico e itens de
incêndio.
Rede de proteção e combate de incêndio: alarmes visuais e sono-
ros contra incêndio, sprinklers, detectores de fumaça, extintores,
hidrantes e escadas de emergência com portas corta-fogo, de acor-
do com os projetos específicos, obedecendo às normas das autori-
dades competentes.
Serão entregues 10 (dez) vagas no estacionamento comercial com
1 (um) ponto elétrico para futura instalação de estação de recarga
para abastecimento de carros híbridos. A aquisição da estação de
recarga, assim como sua instalação será de responsabilidade do
condomínio;
119
Antena Coletiva de TV e FM e TV a Cabo
Previsão de instalação de antena coletiva de TV e FM para capta-
ção dos canais locais e de TV a Cabo (tubulação seca), de acordo
com projeto específico.
Iluminação
Serão entregues todas as luminárias das áreas comuns.
Sistema de Ar-condicionado
As lojas serão dotadas de previsão (tubulação seca para insta-
lação elétrica, dreno, caixa para ponto elétrico e carga elétrica)
para sistema de ar condicionado tipo split ou VRF, de acordo com
projeto específico. A futura instalação da rede frigorígena, fiação
e aquisição dos aparelhos condicionadores de ar ficarão a cargo
do proprietário;
As salas comerciais serão dotadas de previsão (tubulação seca
para instalação elétrica, dreno, caixa para ponto elétrico e carga
elétrica) para sistema de ar condicionado tipo split ou VRF, de
acordo com projeto específico. A futura instalação da rede frigo-
rígena, fiação e aquisição dos aparelhos condicionadores de ar
ficarão a cargo do proprietário;
Os apartamentos serão dotados de previsão (tubulação seca para
instalação elétrica, dreno, caixa para ponto elétrico e carga elétri-
ca) para sistema de ar condicionado tipo split ou VRF, de acordo
com projeto específico. A futura instalação da rede frigorígena,
fiação e aquisição dos aparelhos condicionadores de ar ficarão a
cargo do proprietário;
Nos seguintes ambientes da área comum do comercial: sala de
reunião, auditório e lobby será entregue o equipamento e infra-
estrutura (fiação, dreno, rede frigorígena, carga elétrica e o apare-
lho condicionador de ar) para ar condicionado tipo Split ou VRF.
Nos seguintes ambientes da área comum do residencial: salão de
jogos, salão de festas, fitness e lobby será entregue o equipamen-
to e infraestrutura (fiação, dreno, rede frigorígena, carga elétrica
e o aparelho condicionador de ar) para ar condicionado tipo Split
ou VRF.
No sala do síndico do condomínio residencial e comercial será
entregue infraestrutura (fiação, dreno, rede frigorígena, carga
elétrica) para instalação de ar condicionado tipo split ou VRF. A
aquisição do equipamento e instalação será de responsabilidade
do condomínio.
Nas salas comerciais terá um local destinado para instalar a con-
densadora do ar condicionado de acordo com a planta de contrato.
O fechamento (isolamento da condensadora) e qualquer outro
material necessário serão de responsabilidade do proprietário.
Telecomunicações
reparação para receber vários provedores e empresas concessioná-
rias de telecomunicação; acesso às linhas digitais ou analógicas das
concessionárias com total sigilo; previsão para antena de dados;
infra-estrutura para telefonia / rede lógica.
Sistema de Automação
Será entregue sistema de automação e supervisão predial, cujo
controle abrangerá o controle de acendimento e desligamento
automático da iluminação, por programação horária, dos subsolos
1, 2, térreo, pavimentos garagens, fachada, jardins, circulação ex-
terna e espelhos d’água, monitoramento dos quadros de bombas
dos reservatórios, controle do acionamento dos jatos d’água dos
epelhos d’água e controle de acessos ao empreendimento.
Será entregue irrigação automatizada em pontos estratégicos no
jardim do térreo e subsolo 1;
Firmado contrato de parceria com a Automatize Residencias Inteli-
gentes:
Será entregue previsão de automação para controle luminotéc-
nico, de climatização e de persianas nos apartamentos, conforme
projeto específico. O controle da automação será feito através do
Control4.
Control =4 - Sistema de automação que integra o controle de lu-
zes, áudio, vídeo, paisagismo e climatização. É uma solução que se
molda ao estilo de vida de cada usuário e permite que seus clientes
adicionem componentes com o passar do tempo.
Caso o cliente queira instalar o sistema de automação, deverá:
120
- adquirir equipamentos necessários para automatizar os ambien-
tes;
- contratar a instalação e configuração dos equipamentos, assim
como a programação dos tipos de cenários e automação.
Outros
Serão fornecidos os filtros e motores da piscina do lazer;
A piscina do lazer, será entregue com equipamentos para climati-
zação da água por trocador de calor;
O equipamento da sauna do lazer será entregue;
O equipamento SPA do lazer, será entregue com aquecedor;
Será entregue o aparelho de ozônio para tratamento de água da
piscina do lazer;
Será entregue o equipamento ducha da sauna do lazer.
Fachada
Fachada revestida em reboco paulista com pintura acrílica
texturizada com detalhes em vidro, frisos e ACM de acordo com o
projeto de fachada.
Geral
Os materiais aplicados serão sempre de reconhecida qualidade
junto ao mercado de materiais de construção, classificadas
como 1ª qualidade;
As padronagens serão definidas por arquitetos de maneira
a se obter harmonia e bom gosto de caracterização final;
Em virtude do grande número de lançamentos de materiais
e equipamentos novos, tanto fabricados no Brasil como no exterior,
a incorporadora se reserva o direito de substituir alguns dos itens
apresentados neste memorial por outros de qualidade equivalente;
Materiais naturais, tais como pedras, granitos, mármores e madeiras,
estão sujeitos a diferentes tonalidades;
Os layouts, mobiliários, cores, paginações de acabamentos
e vegetação apresentados nas áreas comuns do empreendimento
nas imagens de vendas são ilustrativos. A incorporadora se reserva o
direito de atualizar a estética da decoração e do paisagismo desses
ambientes;
Nas lojas e salas comerciais serão entr egues com 01 (uma)
demão de tinta nas paredes. O acabamento final das paredes
será de responsabilidade do proprietário;
Os pisos das áreas de banho (box) e varanda serão entregues
com caimento em direção ao ralo, e os demais pisos nivelado;
A Incorporadora poderá proceder a pequenos ajustes no projeto,
de forma a resolver problemas técnicos que surjam durante a
execução da obra;
A locação de elementos estruturais das imagens de vendas
e projeto de arquitetura aprovado junto à prefeitura pode
variar de acordo com exigências técnicas.
121
INSTITUCIONAL
VENTANA DEL SOL
GOiâNiA - GO
CHATEAU DU PARC
GOiâNiA - GO
RESERVA DU PARC
GOiâNiA - GO
LA GALERiE
SãO PAULO - SP
CONSTELLATiON
GOiâNiA - GO
A EBM Desenvolvimento Imobiliário, empresa de REAL
ESTATE, conta com know-how de mais de 30 anos de atuação
e avançado expertise na concepção, desenvolvimento, gestão,
comercialização e construção de negócios imobiliários
nas suas mais diversas modalidades.
Em 3 décadas marcadas por credibilidade e solidez, atuando
nos mercados de São Paulo, Minas Gerais, Bahia, Goiás e Distrito
Federal, a EBM entregou mais de 2 milhões de metros quadrados
e 150 empreendimentos. A empresa conta com três linhas de
produtos, muito bem definidos e segmentados.
A EBM Premium Style: marca de empreendimentos de alto
e médio padrão que tem o propósito de oferecer aos clientes
um estilo de vida premium. Já a EBM Bem é a marca de
empreendimentos com foco em custo x benefício.
Para garantir sempre o melhor retorno aos investidores
e parceiros, além dos melhores produtos à seus clientes, a EBM
desenvolveu marcas, produtos e serviços, que se complementam,
gerando uma solução completa, inédita no mercado imobiliário.
Realização:

Manual do corretor walk

  • 1.
  • 2.
  • 3.
    MAPA DE LOCALIZAÇÃO BUSINESSSTYLE PERSPECTIVAS ARTÍSTICAS PLANTAS HUMANIZADAS LIFESTYLE PERSPECTIVAS ARTÍSTICAS PLANTAS HUMANIZADAS PLANTAS DOS PAVIMENTOS RESUMO QUADRO DE DISPONIBILIDADE QUADRO DE ÁREAS MEMORIAL DESCRITIVO INSTITUCIONAL 05 07 08 20 28 29 44 60 79 84 85 98 121 ÍNDICE 3
  • 4.
    APARTAMENTOS E SALAS COMERCIAIS AUM PASSO DE TUDO. Fotos ilustrativas.
  • 5.
    MAPA DE LOCALIZAÇÃO Mapailustrativo sem escala. 5
  • 6.
    LOCALIZAÇÃO Foto aérea comaplicação da perspectiva artística da fachada. Perspectiva artística da fachada. Imagem meramente ilustrativa. Os itens de acabamento serão entregues conforme memorial descritivo. A locação de elementos estruturais pode variar de acordo com exigências técnicas. A vegetação que compõe o paisagismo retratado nessa imagem é meramente ilustrativa e apresenta porte adulto de referência. Na entrega do empreendimento essa vegetação poderá apresentar diferenças de tamanho e porte, mas estará de acordo com o projeto paisagístico. 6
  • 8.
    PAVIMENTOS COMERCIAIS LOJAS TÉRREAS PERSPECTIVAS ARTÍSTICAS Perspectiva artísticada fachada. Imagem meramente ilustrativa. Os itens de acabamento serão entregues conforme memorial descritivo. A locação de elementos estruturais pode variar de acordo com exigências técnicas. A vegetação que compõe o paisagismo retratado nessa imagem é meramente ilustrativa e apresenta porte adulto de referência. Na entrega do empreendimento essa vegetação poderá apresentar diferenças de tamanho e porte, mas estará de acordo com o projeto paisagístico. 8
  • 9.
    ACESSO SOCIAL COMERCIAL Perspectivaartística acesso social comercial. Imagem meramente ilustrativa. Os itens de mobília, decoração e acabamento serão entregues conforme memorial descritivo. A locação de elementos estruturais pode variar de acordo com exigências técnicas. A vegetação que compõe o paisagismo retratada nessa imagem é meramente ilustrativo e apresenta porte adulto de referência. Na entrega do empreendimento essa vegetação poderá apresentar diferenças de tamanho e porte, mas estará de acordo com o projeto paisagístico. 9
  • 10.
    LOJAS Perspectiva artística dagaleria de lojas. Imagem meramente ilustrativa. Os itens de acabamento serão entregues conforme memorial descritivo. A locação de elementos estruturais pode variar de acordo com exigências técnicas. A vegetação que compõe o paisagismo retratado nessa imagem é meramente ilustrativa e apresenta porte adulto de referência. Na entrega do empreendimento essa vegetação poderá apresentar diferenças de tamanho e porte, mas estará de acordo com o projeto paisagístico. 10
  • 11.
    LOBBY COMERCIAL COMPÉ-DIREITO DUPLO Perspectiva artística do lobby comercial. Imagem meramente ilustrativa. Os itens de mobília, decoração e acabamento serão entregues conforme memorial descritivo. A locação de elementos estruturais pode variar de acordo com exigências técnicas. 11
  • 12.
    AUDITÓRIO Auditório com capacidadepara 20 pessoas. Ambiente entregue equipado e decorado, com ar-condicionado e mobília adequada para palestras e reuniões em grupos maiores. Perspectiva artística do auditório. Imagem meramente ilustrativa. Os equipamentos eletrônicos e os itens de mobília, decoração e acabamento serão entregues conforme memorial descritivo. A locação de elementos estruturais pode variar de acordo com exigências técnicas. 12
  • 13.
    AUDITÓRIO - Layoutde opção de reversibilidade adequando o auditório para sala de reuniões com mesa para 18 pessoas Ambiente entregue equipado e decorado, com ar-condicionado e mobília adequada para palestras e reuniões em grupos maiores. Perspectiva artística do auditório. Imagem meramente ilustrativa. Os equipamentos eletrônicos e os itens de mobília, decoração e acabamento serão entregues conforme memorial descritivo. A locação de elementos estruturais pode variar de acordo com exigências técnicas. 13
  • 14.
    SALA DE REUNIÕES Salade reuniões entregue equipada e decorada, com ar-condicionado e equipamento para áudio/vídeo-conferência. Perspectiva artística da sala de reuniões. Imagem meramente ilustrativa. Os equipamentos eletrônicos e os itens de mobília, decoração e acabamento serão entregues conforme memorial descritivo. A locação de elementos estruturais pode variar de acordo com exigências técnicas. A vegetação que compõe o paisagismo retratado nessa imagem é meramente ilustrativo e apresenta porte adulto de referência. Na entrega do empreendimento essa vegetação poderá apresentar diferenças de tamanho e porte, mas estará de acordo com o projeto paisagístico. 14
  • 15.
    ESCRITÓRIO DE ARQUITETURA(SALA 6) Perspectiva artística do escritório de arquitetura referente à sala final 6, do 4º ao 17º e 19º pavimento comercial sendo 47,03 m2 de área. Imagem meramente ilustrativa com sugestão de layout e decoração com móveis e objetos não fazendo parte do contrato. Equipamentos e acabamentos conforme memorial descritivo. A locação dos elementos estruturais podem variar de acordo com exigências técnicas. 15
  • 16.
    ESCRITÓRIO DE ADVOCACIA(JUNÇÃO SALAS 1 E 2) Perspectiva artística do escritório de advocacia referente à sala final 1 e 2, do 5º ao 17º e 19º pavimento comercial sendo 98,36 m2 de área. Imagem meramente ilustrativa com sugestão de layout e decoração com móveis e objetos não fazendo parte do contrato. Equipamentos e acabamentos conforme memorial descritivo. A locação dos elementos estruturais podem variar de acordo com exigências técnicas. 16
  • 17.
    ESCRITÓRIO MEIA LAJE(SALAS 9 - 15) Perspectiva artística do escritório meia laje referente à sala final 9 a 15, do 5º ao 17º e 19º pavimento comercial sendo 327,65 m2 de área . Imagem meramente ilustrativa com sugestão de layout e decoração com móveis e objetos não fazendo parte do contrato. Equipamentos e acabamentos conforme memorial descritivo. A locação dos elementos estruturais podem variar de acordo com exigências técnicas. 17
  • 18.
    CONSULTÓRIO MÉDICO Perspectiva artísticado consultório médico referente à sala final 3, do 5º ao 17º e 19º pavimento comercial sendo 59,37 m2 de área . Imagem meramente ilustrativa com sugestão de layout e decoração com móveis e objetos não fazendo parte do contrato. Equipamentos e acabamentos conforme memorial descritivo. A locação dos elementos estruturais podem variar de acordo com exigências técnicas. 18
  • 19.
    SALA DECORADA Perspectiva artísticada sala decorada referente à sala final 14, do 5º ao 17º e 19º pavimento comercial sendo 46,77 m2 de área . Imagem meramente ilustrativa com sugestão de layout e decoração com móveis e objetos não fazendo parte do contrato. Equipamentos e acabamentos conforme memorial descritivo. A locação dos elementos estruturais podem variar de acordo com exigências técnicas Sugestão de personalização sujeita a custo adicional, viabilidade técnica e ao cronograma da obra. 19
  • 20.
    16 12 16 16 18 16 05 09 10 11 13 15 14 14 14 12 07 06 08 08 08 17 01 03 04 02 14 14 14 IMPLANTAÇÃO TÉRREO Implantação artísticado térreo. Imagem meramente ilustrativa. Os itens de mobília, decoração e acabamento serão entregues conforme memorial descritivo. A locação de elementos estruturais pode variar de acordo com exigências técnicas. A vegetação que compõe o paisagismo retratado nessa imagem é meramente ilustrativo e apresenta porte adulto de referência. Na entrega do empreendimento essa vegetação poderá apresentar diferenças de tamanho e porte, mas estará de acordo com o projeto paisagístico. PLANTAS HUMANIZADAS 1. Port-cochère 2. Entrada estacionamento Business Style 3. Saída estacionamento Business Style 4. Controle de acesso ao estacionamento 5. Acesso social Business Style 6. Rampa de acesso às lojas 7. Boulevard lojas 8. Lojas 9. Lobby Business Style com pé-direito duplo 10. Recepção 11. Segurança 12. Escada 13. W.C. recepção 14. Elevador 15. Hall elevadores 16. Vagas de garagem 17. Central de gás 18. Expedição 20
  • 21.
    01 04 02 07 08 09 10 11 05 06 12 12 1212 12 12 11 14 13 13 13 03 3º PAVTO. GARAGEM Implantaçãoartística do 3º pavto. garagem. Imagem meramente ilustrativa. Os itens de mobília, decoração e acabamento serão entregues conforme memorial descritivo. A locação de elementos estruturais pode variar de acordo com exigências técnicas. A vegetação que compõe o paisagismo retratado nessa imagem é meramente ilustrativo e apresenta porte adulto de referência. Na entrega do empreendimento essa vegetação poderá apresentar diferenças de tamanho e porte, mas estará de acordo com o projeto paisagístico. 1. Descanso funcionário/ manobrista 2. Depósito de peças 3. W.C. feminino 4. W.C.s masculino e feminino 5. Sala de reunião 6. Auditório 7. D.M.L. (Depósito de material de limpeza) 8. Copa funcionários 9. W.C. feminino 10. AC (Antecâmara) 11. Escada 12. Elevadores 13. Vagas de garagem 14. Rampa de acesso estacionamento 21
  • 22.
    PAVIMENTO COMERCIAL Implantação artísticado pavimento comercial referente ao 6º, 70 , 90 , 100 , 120 , 130 , 150 e 160 pavimento comercial. Imagem meramente ilustrativa com sugestão de layout e decoração com móveis e objetos não fazendo parte do contrato. Equipamentos e acabamentos conforme memorial descritivo. A locação dos elementos estruturais podem variar de acordo com exigências técnicas. 22
  • 23.
    Planta do escritóriode advocaciar referente à sala final 1 e 2, do 5º ao 17º e 19º pavimento comercial sendo 98,36 m2 de área total. Imagem meramente ilustrativa com sugestão de layout e decoração com móveis e objetos não fazendo parte do contrato. Equipamentos e acabamentos conforme memorial descritivo. A locação dos elementos estruturais podem variar de acordo com exigências técnicas. Sugestão de personalização sujeita a custo adicional, viabilidade técnica e ao cronograma da obra. *Área privativa aproximada. Não estão incluídas as áreas das vagas de garagem. As medidas internas dos ambientes apresentadas na planta acima são aproximadas e poderão sofrer variações conforme legislação. Mais informações, vide memorial descritivo e convenção de condomínio. ESCRITÓRIO DE ADVOCACIA (JUNÇÃO SALAS 01 - 02) 98M2* 23
  • 24.
    Planta do escritóriode arquitetura referente à sala final 6, do 4º ao 17º e 19º pavimento comercial sendo 47,03 m2 de área total. Imagem meramente ilustrativa com sugestão de layout e decoração com móveis e objetos não fazendo parte do contrato. Equipamentos e acabamentos conforme memorial descritivo. A locação dos elementos estruturais podem variar de acordo com exigências técnicas. Sugestão de personalização sujeita a custo adicional, viabilidade técnica e ao cronograma da obra.*Área privativa aproximada. Não estão incluídas as áreas das vagas de garagem. As medidas internas dos ambientes apresentadas na planta acima são aproximadas e poderão sofrer variações conforme legislação. Mais informações, vide memorial descritivo e convenção de condomínio. ESCRITÓRIO DE ARQUITETURA (SALA 06) 47M2* 24
  • 25.
    Planta do escritóriomeia laje referente à sala final 9 a 15, do 5º ao 17º e 19º pavimento comercial sendo 327,65 m2 de área total. Imagem meramente ilustrativa com sugestão de layout e decoração com móveis e objetos não fazendo parte do contrato. Equipamentos e acabamentos conforme memorial descritivo. A locação dos elementos estruturais podem variar de acordo com exigências técnicas. Sugestão de personalização sujeita a custo adicional, viabilidade técnica e ao cronograma da obra. *Área privativa aproximada. Não estão incluídas as áreas das vagas de garagem. As medidas internas dos ambientes apresentadas na planta acima são aproximadas e poderão sofrer variações conforme legislação. Mais informações, vide memorial descritivo e convenção de condomínio. ESCRITÓRIO MEIA LAJE (SALAS - 09 A 15) 328M2* 25
  • 26.
    Planta do consultóriomédico referente à sala final 3, do 5º ao 17º e 19º pavimento comercial sendo 59,37 m2 de área total. Imagem meramente ilustrativa com sugestão de layout e decoração com móveis e objetos não fazendo parte do contrato. Equipamentos e acabamentos conforme memorial descritivo. A locação dos elementos estruturais podem variar de acordo com exigências técnicas. Sugestão de personalização sujeita a custo adicional, viabilidade técnica e ao cronograma da obra. *Área privativa aproximada. Não estão incluídas as áreas das vagas de garagem. As medidas internas dos ambientes apresentadas na planta acima são aproximadas e poderão sofrer variações conforme legislação. Mais informações, vide memorial descritivo e convenção de condomínio. CONSULTÓRIO MÉDICO (SALA 03) 59M2* 26
  • 27.
    Planta da saladecorada referente à sala final 14, do 5º ao 17º e 19º pavimento comercial sendo 46,77 m2 de área total. Imagem meramente ilustrativa com sugestão de layout e decoração com móveis e objetos não fazendo parte do contrato. Equipamentos e acabamentos conforme memorial descritivo. A locação dos elementos estruturais podem variar de acordo com exigências técnicas. Sugestão de personalização sujeita a custo adicional, viabilidade técnica e ao cronograma da obra. *Área privativa aproximada. Não estão incluídas as áreas das vagas de garagem. As medidas internas dos ambientes apresentadas na planta acima são aproximadas e poderão sofrer variações conforme legislação. Mais informações, vide memorial descritivo e convenção de condomínio. SALA COMERCIAL DECORADA 47M2* 27
  • 28.
  • 29.
    PERSPECTIVAS ARTÍSTICAS Perspectivas artísticasda fachada. Imagens meramente ilustrativas. Os itens de acabamento serão entregues conforme memorial descritivo. A locação de elementos estruturais pode variar de acordo com exigências técnicas. A vegetação que compõe o paisagismo retratado nessa imagem é meramente ilustrativo e apresenta porte adulto de referência. Na entrega do empreendimento essa vegetação poderá apresentar diferenças de tamanho e porte, mas estará de acordo com o projeto paisagístico. PAVIMENTOS RESIDENCIAIS ENTRADA RESIDENCIAL 29
  • 30.
    ACESSO SOCIAL RESIDENCIAL Perspectivaartística do acesso social residencial. Imagem meramente ilustrativa. Os itens de acabamento serão entregues conforme memorial descritivo. A locação de elementos estruturais pode variar de acordo com exigências técnicas. A vegetação que compõe o paisagismo retratado nessa imagem é meramente ilustrativo e apresenta porte adulto de referência. Na entrega do empreendimento essa vegetação poderá apresentar diferenças de tamanho e porte, mas estará de acordo com o projeto paisagístico. 30
  • 31.
    Perspectiva artística dolobby residencial. Imagem meramente ilustrativa. Os itens de mobília, decoração e acabamento serão entregues conforme memorial descritivo. A locação de elementos estruturais pode variar de acordo com exigências técnicas. A vegetação que compõe o paisagismo retratado nessa imagem é meramente ilustrativo e apresenta porte adulto de referência. Na entrega do empreendimento essa vegetação poderá apresentar diferenças de tamanho e porte, mas estará de acordo com o projeto paisagístico LOBBY RESIDENCIAL 31
  • 32.
    Perspectiva artística dobicicletário. Imagem meramente ilustrativa. Os itens de mobília, decoração e acabamento serão entregues conforme memorial descritivo. A locação de elementos estruturais pode variar de acordo com exigências técnicas. BICICLETÁRIO Bicicletário equipado com 04 bicicletas para uso comum do condomínio e compressor de ar para encher pneus. 32
  • 33.
    STUDIO (FINAL 14) Perspectivaartística do Studio Tipo 02 referente à unidade final 14, do 24º pavimento residencial sendo 75,34 m2 de área total. Imagem meramente ilustrativa com sugestão de layout e decoração com móveis e objetos não fazendo parte do contrato. Equipamentos e acabamentos conforme memorial descritivo. A locação dos elementos estruturais podem variar de acordo com exigências técnicas. 33
  • 34.
    APARTAMENTO DECORADO Perspectiva artísticado living do apartamento decorado final 12 do 21º ao 30º pavimento residencial, sendo 40,46m2 de área total. Imagem meramente ilustrativa com sugestão de layout e decoração com móveis e objetos não fazendo parte do contrato. Equipamentos e acabamentos conforme memorial descritivo. A locação dos elementos estruturais podem variar de acordo com exigências técnicas. Sugestão de personalização sujeita a custo adicional, viabilidade técnica e ao cronograma da obra. As medidas internas dos ambientes apresentadas na planta acima são aproximadas e poderão sofrer variações conforme legislação. Mais informações, vide memorial descritivo e convenção de condomínio. 34
  • 35.
    LAVANDERIA Equipada e decorada.Entregue com móveis de primeira qualidade. Perspectiva artística da lavanderia. Imagem meramente ilustrativa. Os equipamentos eletrônicos e os itens de mobília, decoração e acabamento serão entregues conforme memorial descritivo. A locação de elementos estruturais pode variar de acordo com exigências técnicas. 35
  • 36.
    36 SALÃO DE FESTAS Ambientecom ar-condicionado e integrado com varanda gourmet, lounge e home dentro do ambiente. Entregue com móveis de primeira qualidade. Perspectiva artística do salão de festas. Imagem meramente ilustrativa. Os itens de mobília, decoração e acabamento serão entregues conforme memorial descritivo. A locação de elementos estruturais pode variar de acordo com exigências técnicas. A vegetação que compõe o paisagismo retratado nessa imagem é meramente ilustrativo e apresenta porte adulto de referência. Na entrega do empreendimento essa vegetação poderá apresentar diferenças de tamanho e porte, mas estará de acordo com o projeto paisagístico.
  • 37.
    37 VARANDA GOURMET Varanda equipadacom forno de pizza e churrasqueira. Entregue com móveis de primeira qualidade. Perspectiva artística da varanda gourmet. Imagem meramente ilustrativa. Os itens de mobília, decoração e acabamento serão entregues conforme memorial descritivo. A locação de elementos estruturais pode variar de acordo com exigências técnicas. A vegetação que compõe o paisagismo retratado nessa imagem é meramente ilustrativo e apresenta porte adulto de referência. Na entrega do empreendimento essa vegetação poderá apresentar diferenças de tamanho e porte, mas estará de acordo com o projeto paisagístico.
  • 38.
    38 OBSERVATÓRIO Observatório mirante equipado,convidando a observar a vista privilegiada do empreendimento. Perspectiva artística do observatório. Imagem meramente ilustrativa. Os itens de mobília, decoração e acabamento serão entregues conforme memorial descritivo. A locação de elementos estruturais pode variar de acordo com exigências técnicas. A vegetação que compõe o paisagismo retratado nessa imagem é meramente ilustrativo e apresenta porte adulto de referência. Na entrega do empreendimento essa vegetação poderá apresentar diferenças de tamanho e porte, mas estará de acordo com o projeto paisagístico.
  • 39.
    39 SALÃO DE JOGOS Salãocom ar-condicionado e equipado com jogos apropriados para o público do empreendimento. Entregue com móveis de primeira qualidade. Perspectiva artística do salão de jogos. Imagem meramente ilustrativa. Os itens de mobília, decoração e acabamento serão entregues conforme memorial descritivo. A locação de elementos estruturais pode variar de acordo com exigências técnicas. A vegetação que compõe o paisagismo retratado nessa imagem é meramente ilustrativo e apresenta porte adulto de referência. Na entrega do empreendimento essa vegetação poderá apresentar diferenças de tamanho e porte, mas estará de acordo com o projeto paisagístico.
  • 40.
    40 FITNESS Ambiente com vistapara o Parque Vaca Brava, ar-condicionado, equipado e decorado. Entregue com equipamentos de primeira qualidade. Perspectiva artística do fitness. Imagem meramente ilustrativa. Os itens de mobília, decoração e acabamento serão entregues conforme memorial descritivo. A locação de elementos estruturais pode variar de acordo com exigências técnicas. A vegetação que compõe o paisagismo retratado nessa imagem é meramente ilustrativo e apresenta porte adulto de referência. Na entrega do empreendimento essa vegetação poderá apresentar diferenças de tamanho e porte, mas estará de acordo com o projeto paisagístico.
  • 41.
    41 PISCINA COBERTA Piscina coberta,aquecida, com vista para o Parque Vaca Brava, tratamento de água com ozônio e iluminação LED. Perspectiva artística da piscina coberta. Imagem meramente ilustrativa. Os itens de mobília, decoração e acabamento serão entregues conforme memorial descritivo. A locação de elementos estruturais pode variar de acordo com exigências técnicas. A vegetação que compõe o paisagismo retratado nessa imagem é meramente ilustrativo e apresenta porte adulto de referência. Na entrega do empreendimento essa vegetação poderá apresentar diferenças de tamanho e porte, mas estará de acordo com o projeto paisagístico
  • 42.
    42 SPA Spa com aquecimentoe integração com a piscina. Entregue com móveis de primeira qualidade. Perspectiva artística do spa. Imagem meramente ilustrativa. Os itens de mobília, decoração e acabamento serão entregues conforme memorial descritivo. A locação de elementos estruturais pode variar de acordo com exigências técnicas.
  • 43.
    43 SOLARIUM Espaço descoberto paratomar sol e apreciar a linda vista do Bueno Nobre. Perspectiva artística do solarium. Imagem meramente ilustrativa. Os itens de mobília, decoração e acabamento serão entregues conforme memorial descritivo. A locação de elementos estruturais pode variar de acordo com exigências técnicas. A vegetação que compõe o paisagismo retratado nessa imagem é meramente ilustrativo e apresenta porte adulto de referência. Na entrega do empreendimento essa vegetação poderá apresentar diferenças de tamanho e porte, mas estará de acordo com o projeto paisagístico.
  • 44.
    44 IMPLANTAÇÃO SUBSOLO Implantação artísticado subsolo. Imagem meramente ilustrativa. Os itens de mobília, decoração e acabamento serão entregues conforme memorial descritivo. A locação de elementos estruturais pode variar de acordo com exigências técnicas. A vegetação que compõe o paisagismo retratado nessa imagem é meramente ilustrativo e apresenta porte adulto de referência. Na entrega do empreendimento essa vegetação poderá apresentar diferenças de tamanho e porte, mas estará de acordo com o projeto paisagístico. PLANTAS HUMANIZADAS 1. Central de gás 2. Vagas para visitantes 3. Vagas de garagem 4. Depósito/Almoxarifado 5. Copa Funcionários 6. Descanso funcionários 7. D.M.L.(Depósito de material de limpeza) 8. Guarita 9. W.C. funcionários 10. W.C.s masculino e feminino funcionários 11. Elevador de emergência 12. Escadas 13. Acesso social LifeStyle 14. Espelhos d`água 15. Lobby residencial 16. Sala do síndico 17. Recepção 18. Elevador social 19. Poço dos elevadores Business Style 20. Bicicletário 20 19 19 19 19 12 1818 17 15 14 13 02 01 09 07 060504 03 10 16 11 19 19 08
  • 45.
    45 1. Varanda gourmetcom forno de pizza e churrasqueira 2. Copa 3. Salão de festas com espaço gourmet, home e lounge 4. Elevador de emergência 5. Escada 6. Observatório 7. Elevador social 8. Lavanderia 9. W.C. portadores de necessidades especiais 10. W.C. feminino 11. W.C. masculino 12. Salão de jogos 13. Fitness 14. Lounge 15. Sauna 16. Piscina coberta e aquecida com vista para o Parque Vaca Brava 17. Spa 18. Solarium IMPLANTAÇÃO LAZER COBERTURA Implantação artística do 31º pavimento lazer - residencial. Imagem meramente ilustrativa. Os itens de mobília, decoração e acabamento serão entregues conforme memorial descritivo. A locação de elementos estruturais pode variar de acordo com exigências técnicas. A vegetação que compõe o paisagismo retratado nessa imagem é meramente ilustrativo e apresenta porte adulto de referência. Na entrega do empreendimento essa vegetação poderá apresentar diferenças de tamanho e porte, mas estará de acordo com o projeto paisagístico. 16 14 13 12 17 18 15 11 10 08 05 04 01 02 03 09 0707 06
  • 46.
    46 PLANTA PAVTO. RESIDENCIAL Implantaçãoartística do pavimento residencial referente ao 25º, 27º e 29º pavimento residencial. Imagem meramente ilustrativa com sugestão de layout e decoração com móveis e objetos não fazendo parte do contrato. Equipamentos e acabamentos conforme memorial descritivo. A locação dos elementos estruturais podem variar de acordo com exigências técnicas.
  • 47.
    47 PLANTA APARTAMENTO TIPO FINAL01 Planta do apartamento tipo final 01 do 21º ao 30º pavimento residencial, sendo 52,85 m2 de área total. Imagem meramente ilustrativa com sugestão de layout e decoração com móveis e objetos não fazendo parte do contrato. Equipamentos e acabamentos conforme memorial descritivo. A locação dos elementos estruturais podem variar de acordo com exigências técnicas. Sugestão de personalização sujeita a custo adicional, viabilidade técnica e ao cronograma da obra. *Área privativa aproximada. Não estão incluídas as áreas das vagas de garagem. As medidas internas dos ambientes apresentadas na planta acima são aproximadas e poderão sofrer variações conforme legislação. Mais informações, vide memorial descritivo e convenção de condomínio. 53M2*
  • 48.
    48 STUDIO - FINAL14 Planta do studio correspondente ao final 14, do 24º pavimento residencial, sendo 67,21 m2 de área total. Imagem meramente ilustrativa com sugestão de layout e decoração com móveis e objetos não fazendo parte do contrato. Equipamentos e acabamentos conforme memorial descritivo. A locação dos elementos estruturais podem variar de acordo com exigências técnicas. *Área privativa aproximada. Não estão incluídas as áreas das vagas de garagem. As medidas internas dos ambientes apresentadas na planta acima são aproximadas e poderão sofrer variações conforme legislação. Mais informações, vide memorial descritivo e convenção de condomínio. 67M2*
  • 49.
    49 STUDIO - FINAL15 Planta do studio correspondente ao final 15, do 25º ao 30º pavimento residencial, sendo 48,66m2 de á rea total. Imagem meramente ilustrativa com sugestão de layout e decoração com móveis e objetos não fazendo parte do contrato. Equipamentos e acabamentos conforme memorial descritivo. A locação dos elementos estruturais podem variar de acordo com exigências técnicas. *Área privativa aproximada. Não estão incluídas as áreas das vagas de garagem. As medidas internas dos ambientes apresentadas na planta acima são aproximadas e poderão sofrer variações conforme legislação. Mais informações, vide memorial descritivo e convenção de condomínio. 49M2*
  • 50.
    50 APTO. TIPO -FINAL 05 Planta do apartamento tipo final 05 do 21º ao 30º pavimento residencial, sendo 41,65m2 de área total. Imagem meramente ilustrativa com sugestão de layout e decoração com móveis e objetos não fazendo parte do contrato. Equipamentos e acabamentos conforme memorial descritivo. A locação dos elementos estruturais podem variar de acordo com exigências técnicas. *Área privativa aproximada. Não estão incluídas as áreas das vagas de garagem. As medidas internas dos ambientes apresentadas na planta acima são aproximadas e poderão sofrer variações conforme legislação. Mais informações, vide memorial descritivo e convenção de condomínio. 42M2*
  • 51.
    51 PLANTA APARTAMENTO DECORADO Planta doapartamento decorado final 12 do 21º ao 30º pavimento residencial, sendo 40,46m2 de área total. Imagem meramente ilustrativa com sugestão de layout e decoração com móveis e objetos não fazendo parte do contrato. Equipamentos e acabamentos conforme memorial descritivo. A locação dos elementos estruturais podem variar de acordo com exigências técnicas. Sugestão de personalização sujeita a custo adicional, viabilidade técnica e ao cronograma da obra. *Área privativa aproximada. Não estão incluídas as áreas das vagas de garagem. As medidas internas dos ambientes apresentadas na planta acima são aproximadas e poderão sofrer variações conforme legislação. Mais informações, vide memorial descritivo e convenção de condomínio. 40M2*
  • 52.
    52 APTO. DUPLEX INFERIOR- FINAL 03 Planta do apartamento duplex pavimento inferior final 03 do 21º, 23º, 25º, 27º e 29º pavimento residencial, sendo 89,44m2 de área total. Imagem meramente ilustrativa com sugestão de layout e decoração com móveis e objetos não fazendo parte do contrato. Equipamentos e acabamentos conforme memorial descritivo. A locação dos elementos estruturais podem variar de acordo com exigências técnicas. *Área privativa aproximada. Não estão incluídas as áreas das vagas de garagem. As medidas internas dos ambientes apresentadas na planta acima são aproximadas e poderão sofrer variações conforme legislação. Mais informações, vide memorial descritivo e convenção de condomínio. PAVTO. INFERIOR + PAVTO. SUPERIOR 89M2*
  • 53.
    53 APTO. DUPLEX SUPERIOR- FINAL 03 Planta do apartamento duplex pavimento superior final 03 do 22º, 24º, 26º, 28º e 30º pavimento residencial, sendo 89,44 m2 de área total. Imagem meramente ilustrativa com sugestão de layout e decoração com móveis e objetos não fazendo parte do contrato. Equipamentos e acabamentos conforme memorial descritivo. A locação dos elementos estruturais podem variar de acordo com exigências técnicas. *Área privativa aproximada. Não estão incluídas as áreas das vagas de garagem. As medidas internas dos ambientes apresentadas na planta acima são aproximadas e poderão sofrer variações conforme legislação. Mais informações, vide memorial descritivo e convenção de condomínio. PAVTO. INFERIOR + PAVTO. SUPERIOR 89M2*
  • 54.
    54 APTO. DUPLEX INFERIOR- FINAL 06 Planta do apartamento duplex pavimento inferior final 06 do 21º, 23º, 25º, 27º e 29º pavimento residencial, sendo 92,88m2 de área total composta por área privativa do apartamento (85,55 m2 ) + área privativa do escaninho (7,32 m2 ). Imagem meramente ilustrativa com sugestão de layout e decoração com móveis e objetos não fazendo parte do contrato. Equipamentos e acabamentos conforme memorial descritivo. A locação dos elementos estruturais podem variar de acordo com exigências técnicas. *Área privativa aproximada. Na área privativa indicada acima não estão incluídas as áreas das vagas de garagem. As medidas internas dos ambientes apresentadas na planta acima são aproximadas e poderão sofrer variações conforme legislação. Mais informações, vide memorial descritivo e convenção de condomínio. PAVTO. INFERIOR + PAVTO. SUPERIOR 93M2*
  • 55.
    55 APTO. DUPLEX SUPERIOR- FINAL 06 Planta do apartamento duplex pavimento superior final 06 do 22º, 24º, 26º, 28º e 30º pavimento residencial, sendo 92,88m2 de área total composta por área privativa do apartamento (85,55 m2 ) + área privativa do escaninho (7,32 m2 ). Imagem meramente ilustrativa com sugestão de layout e decoração com móveis e objetos não fazendo parte do contrato. Equipamentos e acabamentos conforme memorial descritivo. A locação dos elementos estruturais podem variar de acordo com exigências técnicas. *Área privativa aproximada. Na área privativa indicada acima não estão incluídas as áreas das vagas de garagem. As medidas internas dos ambientes apresentadas na planta acima são aproximadas e poderão sofrer variações conforme legislação. Mais informações, vide memorial descritivo e convenção de condomínio. PAVTO. INFERIOR + PAVTO. SUPERIOR 93M2*
  • 56.
    56 APTO. DUPLEX INFERIOR- FINAL 08 Planta do apartamento duplex pavimento inferior final 08 do 21º, 23º, 25º, 27º e 29º pavimento residencial, sendo 98,59 m2 de área total composta por área privativa do apartamento (92,12 m2 ) + área privativa do escaninho (6,47 m2 ). Imagem meramente ilustrativa com sugestão de layout e decoração com móveis e objetos não fazendo parte do contrato. Equipamentos e acabamentos conforme memorial descritivo. A locação dos elementos estruturais podem variar de acordo com exigências técnicas. *Área privativa aproximada. Não estão incluídas as áreas das vagas de garagem. As medidas internas dos ambientes apresentadas na planta acima são aproximadas e poderão sofrer variações conforme legislação. Mais informações, vide memorial descritivo e convenção de condomínio. PAVTO. INFERIOR + PAVTO. SUPERIOR 99M2*
  • 57.
    57 APTO. DUPLEX SUPERIOR- FINAL 08 Planta do apartamento duplex pavimento superior final 08 do 22º, 24º, 26º, 28º e 30º pavimento residencial, sendo 98,59 m2 de área total composta por área privativa do apartamento (92,12 m2 ) + área privativa do escaninho (6,47 m2 ).. Imagem meramente ilustrativa com sugestão de layout e decoração com móveis e objetos não fazendo parte do contrato. Equipamentos e acabamentos conforme memorial descritivo. A locação dos elementos estruturais podem variar de acordo com exigências técnicas. *Área privativa aproximada. Não estão incluídas as áreas das vagas de garagem. As medidas internas dos ambientes apresentadas na planta acima são aproximadas e poderão sofrer variações conforme legislação. Mais informações, vide memorial descritivo e convenção de condomínio. *Área privativa aproximada. Na área privativa indicada acima não estão incluídas as áreas das vagas de garagem. As medidas internas dos ambientes apresentadas na planta acima são aproximadas e poderão sofrer variações conforme legislação. Mais informações, vide memorial descritivo e convenção de condomínio. PAVTO. INFERIOR + PAVTO. SUPERIOR 99M2*
  • 58.
    58 APTO. DUPLEX INFERIOR- FINAL 11 Planta do apartamento duplex pavimento inferior final 11 do 21º, 23º, 25º, 27º e 29º pavimento residencial, sendo 77,52 m2 de área total. Imagem meramente ilustrativa com sugestão de layout e decoração com móveis e objetos não fazendo parte do contrato. Equipamentos e acabamentos conforme memorial descritivo. A locação dos elementos estruturais podem variar de acordo com exigências técnicas. *Área privativa aproximada. Não estão incluídas as áreas das vagas de garagem. As medidas internas dos ambientes apresentadas na planta acima são aproximadas e poderão sofrer variações conforme legislação. Mais informações, vide memorial descritivo e convenção de condomínio. PAVTO. INFERIOR + PAVTO. SUPERIOR 78M2*
  • 59.
    59 APTO. DUPLEX SUPERIOR- FINAL 11 Planta do apartamento duplex pavimento superior final 11 do 22º, 24º, 26º, 28º e 30º pavimento residencial, sendo 77,52 m2 de área total. Imagem meramente ilustrativa com sugestão de layout e decoração com móveis e objetos não fazendo parte do contrato. Equipamentos e acabamentos conforme memorial descritivo. A locação dos elementos estruturais podem variar de acordo com exigências técnicas. *Área privativa aproximada. Não estão incluídas as áreas das vagas de garagem. As medidas internas dos ambientes apresentadas na planta acima são aproximadas e poderão sofrer variações conforme legislação. Mais informações, vide memorial descritivo e convenção de condomínio. PAVTO. INFERIOR + PAVTO. SUPERIOR 78M2*
  • 60.
    60 PLANTAS DOS PAVIMENTOS RAMPASOBE P/ SUBSOLO 1 RESERVATÓRIO INFERIOR A.C. 58 3234 3336 3538 373940 60 61 59 27 18 25 26 20 19 2423 2122 14 159 10 6 5 1312 62 17 16 28 29 31 30 57 47 46 44 45 43 42 41 3 41 2 56 55 50 49 51 52 54 53 64 63 67 66 65 8 7 11 E3 E4 E5 E2 E9 E6 ESTACIONAMENTO (RESIDENCIAL) E10 E8 E7 E1 ATERRADO ELEV. DE EMERG. 48 ATERRADO ATERRADO ATERRADO ATERRADO ATERRADO ELEV. SOCIAL ELEV. SOCIAL RUA T-55 RUAT-30 SUBSOLO 2 A locação de elementos estruturais pode variar de acordo com exigências técnicas. As medidas internas podem sofrer variações conforme a legislação.
  • 61.
    61 RAMPA DESCE P/SUBSOLO 2 ACESSO DE VEÍCULOS P/ RESIDENCIAL CALÇADA PRESSURIZAÇÃO A.C. 118 114 124 121 120 82 8381 119 99 98100102 101104 103 9695 97 8586 84 93 94 88 87 9291 8990 115 SELEÇÃO DE LIXO 68 ÁREA TÉCNICA ELEVARORES POÇO ELEVADOR POÇO ELEVADOR CIRCULAÇÃO LOBBY VAGA VISITANTE 01 VAGA VISITANTE 02 117 116 110 111 113 112 109 106 105 71 7269 70 74 7376 75 107108 123 80 SALA DO SÍNDICO WC FEM. WC MASC DML ESTAR/ DESCANSO FUNCIONÁRIOS COPA FUNCIONÁRIOS WCGUARITA DEPÓSITO / ALMOXARIFADO BICICLETÁRIO 77 78 79 ACESSO DE PEDESTRES P/ RESIDENCIAL ACESSO DE VEÍCULOS P/ ESTACIONAMENTO EDIFÍCIO RESIDENCIAL ESTACIONAMENTO (RESIDENCIAL) CENTRAL DE GÁS A.C. 122 TOMADADEARPRESSURIZAÇÃO POÇO ELEVADOR POÇO ELEVADOR POÇO ELEVADOR POÇO ELEVADOR ESPELHO D'ÁGUA JARDIM JARDIM RUAT-30 CALÇADA VAGA VISITANTE 03 HIDRÔMETRO JARDIM PULMÃO DE SEGURANÇA PRAÇA DE ACESSO INST. ELÉTRICAS ELEV. SOCIAL ELEV. DE EMERG. JARDIM ELEV. SOCIAL ESPELHO D'ÁGUA SUBSOLO 1 RUA T-55 A locação de elementos estruturais pode variar de acordo com exigências técnicas. As medidas internas podem sofrer variações conforme a legislação.
  • 62.
    62 LOBBY LOJA 1 RAMPA SOBEP/ 1º PAVIMENTO PRAÇA LIXO EXPEDIÇÃO CONTROLE SEGURANÇA WC LOJA 2 LOJA 3 HALL SOCIAL RAMPASAÍDADE VEÍCULOS RAMPAENTRADADE VEÍCULOS ÁREA DE CARGA E DESCARGA WC MARQUISE (RECUO) ELEV. SOCIAL ELEV. SOCIAL ELEV. DE EMERG. (MACA) ANTE-CÂMARA GERADOR DEPÓSITO RAMPA DESCE DO 1º PAVIMENTO ÁREA DE CARGA E DESCARGA WC DEPÓSITO JARD IM LAJE IMPERMEABILIZADA DO GÁS JARDIM ACESSO / EMBARQUE E DESEMBARQUE ESTACIONAMENTO (COMERCIAL) ESPAÇOP/ MANOBRADE VEÍCULO ESPELHOD'ÁGUA JARDIM JARDIM JARDIM WC WC LOJA 4 ESPAÇO P/ MANOBRA DE VEÍCULO ELEV. SOCIAL ELEV. SOCIAL ELEV. SOCIAL RUA T-55 RUAT-30 TÉRREO ESPAÇO P/ MANOBRA DE VEÍCULO ESPAÇO P/ MANOBRA DE VEÍCULO A locação de elementos estruturais pode variar de acordo com exigências técnicas. As medidas internas podem sofrer variações conforme a legislação.
  • 63.
    63 RAMPA SOBE P/1º PAVIMENTO MEDIÇÃO ELEVADOR SOCIAL ELEVADOR SOCIAL ELEV. EMERG. (MACA) HALL SOCIAL ESTACIONAMENTO (COMERCIAL) MARQUISE (RECUO) ANTE-CÂMARA ANTE-CÂMARA RAMPA DESCE P/ TÉRREORAMPA DESCE P/ 1°PAVIMENTO RAMPA SOBE P/ 2º PAVIMENTO ESPAÇO P/ MANOBRA DE VEÍCULO ESPAÇO P/ MANOBRA DE VEÍCULO ESPAÇO P/ MANOBRA DE VEÍCULO ESPAÇOP/MANOBRA DEVEÍCULO ESPAÇOP/MANOBRA DEVEÍCULO VAZIO ELEVADOR SOCIAL ELEVADOR SOCIAL ELEVADOR SOCIAL RUA T-55 RUAT-30 1º PAVIMENTO GARAGEM A locação de elementos estruturais pode variar de acordo com exigências técnicas. As medidas internas podem sofrer variações conforme a legislação.
  • 64.
    64 VAGAS DESCOBERTAS VAGASDESCOBERTAS VAGASDESCOBERTAS VAGA DESCOBERTA RAMPADESCOBERTA ESTACIONAMENTO (COMERCIAL) MEDIÇÃO ELEVADOR SOCIAL ELEVADOR SOCIAL ELEVADOR SOCIAL ELEVADOR SOCIAL ELEVADOR SOCIAL ELEV. EMERG. (MACA) HALL SOCIAL ANTE-CÂMARA ANTE-CÂMARA VAGA DESCOBERTA RAMPA SOBE P/ 2º PAVIMENTO RAMPA DESCE P/ 1°PAVIMENTORAMPA DESCE P/ 2°PAVIMENTO RAMPA SOBE P/ 3º PAVIMENTO ESPAÇO P/ MANOBRA DE VEÍCULO ESPAÇO P/ MANOBRA DE VEÍCULO ESPAÇO P/ MANOBRA DE VEÍCULO ESPAÇOP/MANOBRA DEVEÍCULO ESPAÇOP/MANOBRA DEVEÍCULO VAGASDESCOBERTAS RUA T-55 RUAT-30 2º PAVIMENTO GARAGEM A locação de elementos estruturais pode variar de acordo com exigências técnicas. As medidas internas podem sofrer variações conforme a legislação.
  • 65.
    65 ESTACIONAMENTO (COMERCIAL) MEDIÇÃO ELEV. SOCIAL ELEV. EMERG. (MACA) HALL SOCIAL ANTE-CÂMARA A.C. CONTROLE/ DESCANSO FUNCIONÁRIOS/ MANOBRISTAS DEPÓSITO PEÇAS DML COPA FUNC. WCFUNC. FEM. WC PNE MASC. PÚBLICO WC PNE FEM. PÚBLICO WC.FUN. MASC. COFEEBREAK SALA DE REUNIÕES 2 SALA DE REUNIÕES 1 HALL RAMPA DESCOBERTA RAMPA DESCE P/ 2º PAVIMENTO VAGASDESCOBERTAS VAGAS DESCOBERTAS VAGASDESCOBERTAS ESPAÇOP/ MANOBRADE VEÍCULO ESPAÇO P/ MANOBRA DE VEÍCULO RUA T-55 RUAT-30 3º PAVIMENTO GARAGEM ESPAÇO P/ MANOBRA DE VEÍCULO ESPAÇO P/ MANOBRA DE VEÍCULO ELEV. SOCIAL ELEV. SOCIAL ELEV. SOCIAL ELEV. SOCIAL VAGAS DESCOBERTAS A locação de elementos estruturais pode variar de acordo com exigências técnicas. As medidas internas podem sofrer variações conforme a legislação.
  • 66.
    66 SALA 1 SALA 2 SALA3 SALA 4 SALA 5 SALA 6 SALA 9 SALA 10 SALA 11 SALA 12 SALA 13SALA 14SALA 15 MEDIÇÃO DEPÓSITO CIRCULAÇÃO ANTE-CÂMARA ELEVADOR SOCIAL ELEVADOR DE EMERGÊNCIA (MACA) ANTE-CÂMARA SOBEDESCE SOBE DESCE ESCADA 1 ESCADA 2 SOBEDESCE SALA 7 SALA 8 ESPAÇO DESTINADOPARA CONDENSADORAS ESPAÇO DESTINADOPARA CONDENSADORAS ESPAÇO DESTINADOPARA CONDENSADORAS ESPAÇO DESTIN A DO PA RA CO ND ENSA DORAS ESPAÇO DESTIN A DO PA RA CO ND ENSA DO RA S ESPAÇO DESTIN ADO PA RA CO ND ENSA DO RA S ESPAÇO DESTINADO PARA CONDENSADORAS ESPAÇO DESTINADO PARA CONDENSADORAS ESPAÇO DESTINADO PARA CONDENSADORAS ESPAÇO DESTINADO PARA CONDENSADORAS ESPAÇO DESTINADO PARA CONDENSADORAS ESPAÇO DESTINADO PARA CONDENSADORAS ESPAÇO DESTINADO PARA CONDENSADORAS ESPAÇO DESTINADO PARA CONDENSADORAS ESPAÇO DESTINADO PARA CONDENSADORASWC WC WC WC WC WC WC WC WCWCWC WC WC WC WC ELEVADOR SOCIAL ELEVADOR SOCIAL ELEVADOR SOCIAL ELEVADOR SOCIAL RUA T-55 RUAT-30 LAJE IMPERMEABILIZADA LAJE IMPERMEABILIZADA TERRAÇO DESCOBERTO TERRAÇO DESCOBERTO TERRAÇO DESCOBERTO TERRAÇO DESCOBERTO TERRAÇO DESCOBERTO 4º PAV. - COMERCIAL A locação de elementos estruturais pode variar de acordo com exigências técnicas. As medidas internas podem sofrer variações conforme a legislação.
  • 67.
    67 SALA 1 SALA 2 SALA3 SALA 4 SALA 5 SALA 6 SALA 9 SALA 10 SALA 11 SALA 12 SALA 13SALA 14SALA 15 MEDIÇÃO ANTE-CÂMARA CIRCULAÇÃO ANTE-CÂMARA ELEVADOR SOCIAL ELEVADOR DE EMERGÊNCIA (MACA) ANTE-CÂMARA SOBEDESCE SOBE DESCE ESCADA 1 ESCADA 2 SOBEDESCE SALA 7 SALA 8 ESPAÇO DESTINADOPARA CONDENSADORAS ESPAÇO DESTINADOPARA CONDENSADORAS ESPAÇO DESTINADOPARA CONDENSADORAS ESP AÇO DEST IN ADO PA RA CONDENSADORAS ESP AÇO DEST IN ADO PA RA CONDENSADORAS ESP AÇO DEST IN ADO PA RA CONDENSADORAS ESPAÇO DESTINADOPARA CONDENSADORAS ESPAÇO DESTINADOPARA CONDENSADORAS ESPAÇO DESTINADOPARA CONDENSADORAS ESPAÇO DESTINADOPARA CONDENSADORAS ESPAÇO DESTINADOPARA CONDENSADORAS ESPAÇO DESTINADOPARA CONDENSADORAS ESPAÇO DESTINADOPARA CONDENSADORAS ESPAÇO DESTINADOPARA CONDENSADORAS ESPAÇO DESTINADOPARA CONDENSADORASWC WC WC WC WC WC WC WC WCWCWC WC WC WC WC ELEVADOR SOCIAL ELEVADOR SOCIAL ELEVADOR SOCIAL ELEVADOR SOCIAL RUA T-55 RUAT-30 ELEV. DE EMERG. 5º, 8º, 11º, 14º e 17° PAV. - COMERCIAL A locação de elementos estruturais pode variar de acordo com exigências técnicas. As medidas internas podem sofrer variações conforme a legislação.
  • 68.
    68 SALA 1 SALA 2 SALA3 SALA 4 SALA 5 SALA 6 SALA 9 SALA 10 SALA 11 SALA 12 SALA 13SALA 14SALA 15 MEDIÇÃO DEPÓSITO CIRCULAÇÃO ANTE-CÂMARA ELEVADOR SOCIAL ELEVADOR DE EMERGÊNCIA (MACA) ANTE-CÂMARA SOBEDESCE SOBE DESCE ESCADA 1 ESCADA 2 SOBEDESCE SALA 7 SALA 8 WC WC WC WC WC WC WC WC WCWCWC WC WC WC WC ELEVADOR SOCIAL ELEVADOR SOCIAL ELEVADOR SOCIAL ELEVADOR SOCIAL RUA T-55 RUAT-30 ESPAÇO DESTINADOPARA CONDENSADORAS ESPAÇO DESTINADOPARA CONDENSADORAS ESPAÇO DESTINADOPARA CONDENSADORAS ESPAÇO DESTIN ADO PA RA CONDENSADORAS ESPAÇO DESTIN ADO PA RA CONDENSADORAS ESPAÇO DESTIN ADO PA RA CONDENSADORAS ESPAÇO DESTINADOPARA CONDENSADORAS ESPAÇO DESTINADOPARA CONDENSADORAS ESPAÇO DESTINADOPARA CONDENSADORAS ESPAÇO DESTINADOPARA CONDENSADORAS ESPAÇO DESTINADOPARA CONDENSADORAS ESPAÇO DESTINADOPARA CONDENSADORAS ESPAÇO DESTINADOPARA CONDENSADORAS ESPAÇO DESTINADOPARA CONDENSADORAS ESPAÇO DESTINADOPARA CONDENSADORAS 6º, 7º, 9º, 10º, 12º, 13º, 15º e 16º PAV. - COMERCIAL A locação de elementos estruturais pode variar de acordo com exigências técnicas. As medidas internas podem sofrer variações conforme a legislação.
  • 69.
    69 VAZIO VAZIO VAZIO VAZIO VAZIO VAZIO VAZIO VAZIO VAZIOVAZIO VAZIOVAZIOVAZIO MEDIÇÃO DEPÓSITO CIRCULAÇÃO ANTE-CÂMARA ELEVADOR SOCIAL ELEVADOR DE EMERGÊNCIA (MACA) ANTE-CÂMARA SOBEDESCE SOBE DESCE ESCADA 1 ESCADA 2 SOBEDESCE VAZIO VAZIO ELEVADOR SOCIAL ELEVADOR SOCIAL ELEVADOR SOCIAL ELEVADOR SOCIAL RUA T-55 RUAT-30 18º PAV. - COMERCIAL 18º PAV. - COMERCIAL A locação de elementos estruturais pode variar de acordo com exigências técnicas. As medidas internas podem sofrer variações conforme a legislação.
  • 70.
    70 SALA 1 SALA 2 SALA3 SALA 4 SALA 5 SALA 6 SALA 9 SALA 10 SALA 11 SALA 12 SALA 13SALA 14SALA 15 MEDIÇÃO ANTE-CÂMARA CIRCULAÇÃO ANTE-CÂMARA ELEVADOR SOCIAL ELEVADOR DE EMERGÊNCIA (MACA) ANTE-CÂMARA SOBEDESCE SOBE DESCE ESCADA 1 ESCADA 2 SOBEDESCE SALA 7 SALA 8 ESPAÇO DESTINADOPARA CONDENSADORAS ESPAÇO DESTINADOPARA CONDENSADORAS ESPAÇO DESTINADOPARA CONDENSADORAS ESPAÇO DESTIN ADO PARA CO ND ENSADORAS ESPAÇO DESTIN A DO PARA CO ND EN SADO RAS ESPAÇO DESTIN A DO PARA CO ND EN SADO RAS ESPAÇO DESTINADO PARA CONDENSADORAS ESPAÇO DESTINADO PARA CONDENSADORAS ESPAÇO DESTINADO PARA CONDENSADORAS ESPAÇO DESTINADO PARA CONDENSADORAS ESPAÇO DESTINADO PARA CONDENSADORAS ESPAÇO DESTINADO PARA CONDENSADORAS ESPAÇO DESTINADO PARA CONDENSADORAS ESPAÇO DESTINADO PARA CONDENSADORAS ESPAÇO DESTINADO PARA CONDENSADORASWC WC WC WC WC WC WC WC WCWCWC WC WC WC WC ELEVADOR SOCIAL ELEVADOR SOCIAL ELEVADOR SOCIAL ELEVADOR SOCIAL RUA T-55 RUAT-30 ELEV. DE EMERG. 19º PAV. - COMERCIAL A locação de elementos estruturais pode variar de acordo com exigências técnicas. As medidas internas podem sofrer variações conforme a legislação.
  • 71.
    71 VAZIO VAZIO VAZIO VAZIO VAZIO VAZIO VAZIO VAZIO VAZIOVAZIO VAZIOVAZIOVAZIO MEDIÇÃO DEPÓSITO CIRCULAÇÃO ANTE-CÂMARA ELEVADOR SOCIAL ELEVADOR DE EMERGÊNCIA (MACA) ANTE-CÂMARA SOBEDESCE DESCE SOBEDESCE VAZIO VAZIO ELEVADOR SOCIAL ELEVADOR SOCIAL ELEVADOR SOCIAL ELEVADOR SOCIAL RUA T-55 RUAT-30 20º PAV. - COMERCIAL A locação de elementos estruturais pode variar de acordo com exigências técnicas. As medidas internas podem sofrer variações conforme a legislação.
  • 72.
    72 CIRCULAÇÃO MEDIÇÃO ANTE CÂMARA CASA DE MÁQUINAS SALA VARANDA COZINHA LAVABO VARANDA SALA /QUARTO / COZINHA BANHO SALA / QUARTO / COZINHA BANHO VARANDA SALA / QUARTO / COZINHA BANHO VARANDA VARANDA SALA / QUARTO / COZINHA BANHO BANHO VARANDA SALA / QUARTO / COZINHA VARANDA BANHO VARANDA SALA / QUARTO / COZINHA VARANDA BANHO SALA / QUARTO / COZINHA BANHO VARANDA VARANDA SALA / QUARTO / COZINHA BANHO VARANDA SALA LAVABO VARANDA COZINHA COZINHA LAVABO SALA LAVABO COZINHA SALA / QUARTO / COZINHA INSTALAÇÕES GOVERNANÇA LAJE IMPERMEABILIZADA LAJEIMPERMEABILIZADA 1 2 3 4 5 6 7 8 9 10 11 12 13 ELEV.DE EMERG. ELEVADOR SOCIAL SALA ELEVADOR SOCIAL RUAT-30 21º PAV. - RESIDENCIAL RUA T-55 A locação de elementos estruturais pode variar de acordo com exigências técnicas. As medidas internas podem sofrer variações conforme a legislação.
  • 73.
    73 SUÍTE 1 BANHO QUARTO SUÍTE 1 BANHO QUARTO HOMEOFFICE SUÍTE 2 BANHO SUÍTE 2 BANHO CIRC. CIRC. MESA DE MOTORES BANHO HOME OFFICE BANHO 1 2 3 4 5 6 7 8 9 10 11 1213 SALA / QUARTO / COZINHA BANHO SALA / QUARTO / COZINHA BANHO VARANDA SALA / QUARTO / COZINHA BANHO VARANDA VARANDA SALA / QUARTO / COZINHA BANHO VARANDA SALA / QUARTO / COZINHA VARANDA BANHO SALA / QUARTO / COZINHA VARANDA BANHO SALA / QUARTO / COZINHA BANHO VARANDA VARANDA SALA / QUARTO / COZINHA BANHO VARANDA SALA / QUARTO / COZINHA CIRCULAÇÃO MEDIÇÃO ANTE CÂMARA ELEV.DE EMERG. ELEVADOR SOCIAL ELEVADOR SOCIAL RUA T-55 RUAT-30 22º PAV. - RESIDENCIALA locação de elementos estruturais pode variar de acordo com exigências técnicas. As medidas internas podem sofrer variações conforme a legislação.
  • 74.
    74 CIRCULAÇÃO MEDIÇÃO ANTE CÂMARA SALA VARANDA COZINHA LAVABO VARANDA SALA / QUARTO /COZINHA BANHO SALA / QUARTO / COZINHA BANHO VARANDA SALA / QUARTO / COZINHA BANHO VARANDA VARANDA SALA / QUARTO / COZINHA BANHOBANHO VARANDA SALA / QUARTO / COZINHA VARANDA BANHO VARANDA SALA / QUARTO / COZINHA VARANDA BANHO SALA / QUARTO / COZINHA BANHO VARANDA VARANDA SALA / QUARTO / COZINHA BANHO VARANDA SALA LAVABO VARANDA COZINHA COZINHA LAVABO SALA LAVABO COZINHA SALA / QUARTO / COZINHA INSTALAÇÕES 1 2 3 4 5 6 7 8 9 10 11 12 13 ELEV.DE EMERG. ELEVADOR SOCIAL SALA ELEVADOR SOCIAL VAZIO RUAT-30 RUA T-5523º PAV. - RESIDENCIAL A locação de elementos estruturais pode variar de acordo com exigências técnicas. As medidas internas podem sofrer variações conforme a legislação.
  • 75.
    75 SUÍTE 1 BANHO QUARTO SUÍTE 1 BANHO QUARTO HOMEOFFICE SUÍTE 2 BANHO SUÍTE 2 BANHO CIRC. CIRC. BANHO HOME OFFICE BANHO 1 2 3 4 5 6 7 8 9 10 11 1213 SALA / QUARTO / COZINHA BANHO SALA / QUARTO / COZINHA BANHO VARANDA SALA / QUARTO / COZINHA BANHO VARANDA VARANDA SALA / QUARTO / COZINHA BANHO VARANDA SALA / QUARTO / COZINHA VARANDA BANHO SALA / QUARTO / COZINHA VARANDA BANHO SALA / QUARTO / COZINHA BANHO VARANDA VARANDA SALA / QUARTO / COZINHA BANHO VARANDA SALA / QUARTO / COZINHA CIRCULAÇÃO MEDIÇÃO ANTE CÂMARA ELEV.DE EMERG. ELEVADOR SOCIAL ELEVADOR SOCIAL SALA / COZINHA / QUARTO / CLOSET SALA / COZINHA / QUARTO / CLOSET VARANDA COBERTA BANHO BANHO TERRAÇO DESCOBERTO TERRAÇO DESCOBERTO 14 15 24º PAV. - RESIDENCIAL RUA T-55 RUAT-30 A locação de elementos estruturais pode variar de acordo com exigências técnicas. As medidas internas podem sofrer variações conforme a legislação.
  • 76.
    76 CIRCULAÇÃO MEDIÇÃO ANTE CÂMARA SALA VARANDA COZINHA LAVABO VARANDA SALA / QUARTO /COZINHA BANHO SALA / QUARTO / COZINHA BANHO VARANDA SALA / QUARTO / COZINHA BANHO VARANDA VARANDA SALA / QUARTO / COZINHA BANHO BANHO VARANDA SALA / QUARTO / COZINHA VARANDA BANHO VARANDA SALA / QUARTO / COZINHA VARANDA BANHO SALA / QUARTO / COZINHA BANHO VARANDA VARANDA SALA / QUARTO / COZINHA BANHO VARANDA SALA LAVABO VARANDA COZINHA COZINHA LAVABO SALA LAVABO COZINHA SALA / QUARTO / COZINHA INSTALAÇÕES 1 2 3 4 5 6 7 8 9 10 11 12 13 ELEV.DE EMERG. ELEVADOR SOCIAL SALA ELEVADOR SOCIAL SALA / COZINHA / QUARTO / CLOSET SALA / COZINHA / QUARTO / CLOSET VARANDA BANHO BANHO BALCÃO 14 15 RUA T-55 RUAT-30 25º, 27º e 29º PAV. - RESIDENCIAL A locação de elementos estruturais pode variar de acordo com exigências técnicas. As medidas internas podem sofrer variações conforme a legislação.
  • 77.
    77 SUÍTE 1 BANHO QUARTO SUÍTE 1 BANHO QUARTO HOMEOFFICE SUÍTE 2 BANHO SUÍTE 2 BANHO CIRC. CIRC. BANHO HOME OFFICE BANHO 1 2 3 4 5 6 7 8 9 10 11 1213 SALA / QUARTO / COZINHA BANHO SALA / QUARTO / COZINHA BANHO VARANDA SALA / QUARTO / COZINHA BANHO VARANDA VARANDA SALA / QUARTO / COZINHA BANHO VARANDA SALA / QUARTO / COZINHA VARANDA BANHO SALA / QUARTO / COZINHA VARANDA BANHO SALA / QUARTO / COZINHA BANHO VARANDA VARANDA SALA / QUARTO / COZINHA BANHO VARANDA SALA / QUARTO / COZINHA CIRCULAÇÃO MEDIÇÃO ANTE CÂMARA ELEV.DE EMERG. ELEVADOR SOCIAL ELEVADOR SOCIAL SALA / COZINHA / QUARTO / CLOSET SALA / COZINHA / QUARTO / CLOSET BANHO BANHO 14 15 BALCÃO VARANDA 26º, 28º e 30º PAV. - RESIDENCIAL RUA T-55 RUAT-30 A locação de elementos estruturais pode variar de acordo com exigências técnicas. As medidas internas podem sofrer variações conforme a legislação.
  • 78.
    78 LAVANDERIA FITNESS WC FEMININO JOGOS WC PNE SALÃODE FESTAS PISCINA SAUNA WC MASCULINO SOLARIUM FILTROS/ BOMBAS OBSERVATÓRIO VARANDA GOURMET DEPÓSITO CONDOMÍNIO COPA LOUNGE SPA A.C. JARDIM JARDIM JARDIM JARDIM JARDIMJARDIM JARDIM JARDIMJARDIM JARDIMJARDIM LAJEIMPERM. RUA T-55 RUAT-30 ELEV.DE EMERG. ELEVADOR SOCIAL ELEVADOR SOCIAL 31º PAV. LAZER - RESIDENCIAL A locação de elementos estruturais pode variar de acordo com exigências técnicas. As medidas internas podem sofrer variações conforme a legislação.
  • 79.
    79 RESUMO INFORMAÇÕES BÁSICAS 1. Nomedo empreendimento: Condomínio Walk Bueno Business & LifeStyle 2. Número de Torres: 1 (uma) torre 3. Localização: Rua T-55, Qd. 99, Lts. 11, 12,13 e 14, Setor Bueno, Goiânia - Goiás. 1. Tipo de uso: Misto - Residencial e Comercial 2. Área do terreno: 2.579,00 m² 3. Alvará de Construção: 4. Registro de Incorporação: 5. Número de elevadores: 09 (nove) elevadores, sendo 03 (três, sendo 02 sociais e 01 de serviço) de acesso exclusivo aos pavimentos residenciais e 06 (seis) de acesso exclusivo aos pavimentos comerciais. 6. Número de pavimentos por torre: 35 (trinta e cinco), considerando 7. Descrição dos pavimentos por torre: Subsolo 02, Subsolo 01, Térreo, 1º pavimento - Garagem, 2º pavimento - Garagem, 3º Pavimento - Garagem, 17 pavimentos Comerciais, 10 pavimentos Residenciais, 31º Pavimento – 8. Número total de unidades autônomas: 353 unidades, sendo 124 apartamentos, 04 lojas e 225 salas INCORPORAÇÃO SPE BRASIL INCORPORAÇÃO 38 LTDA EQUIPE TÉCNICA Decoração e interiores do decorado: Ana Maria Miller REALIZAÇÃO DIFERENCIAIS DA INCORPORADORA E CONSTRUTORA DO EMPREENDIMENTO. 9. 10. Construção com know-how de 30 anos da EBM 11. Know-how em incorporação e construção de empreendimentos de Alto Padrão 12. Bussiness Style, Nasa Bussiness Style e Metropolitan Bussiness e LifeStyle
  • 80.
    80 DIFERENCIAIS DA LOCALIZAÇÃO 13.Localizado na Rua T-55, na região do Bueno Nobre. 14. Av. 136 e Rua T-55 15. Em frente à charmosa Praça da T-55 com a T-30 16. Colégio Olimpo, Colégio WR, Colégio Delta) 17. a supermercados (Bretas, Pão de Açúcar) 18. Casarão) 19. Cateretê, Cia Do Peixe,etc) 20. Marista, Setor Oeste, etc) 21. a shoppings são sucesso) 22. Localizado exatamente no centro do Setor Bueno, Bairro mais populoso 23. 24. construir prédio) DIFERENCIAIS DA ÁREA COMUM* Área Comum: 25. Pavimentos comerciais e residenciais totalmente isolados, com lobbys, elevadores e garagens independentes 26. Gerador de energia para atender: escada pressurizada, todos os elevadores, iluminação das áreas comuns, hall de serviço e antecâmara de todos os pavimentos, escada de incêndio de todos os pavimentos – pontos estratégicos das áreas externas no térreo e lazer, pontos estratégicos dos pavimentos de garagem, acionamento do portão de veículos e acesso de da sala do síndico e itens de incêndio 28. Elevadores sociais com alerta sonoro para PNE visuais informando o pavimento 29. (toda área comum) 30. Comercial: 31. 32. 33. Sala do síndico com previsão para ar-condicionado 34. Todos os elevadores com sistema inteligente de chamada 35. para transportar maca 36. Itens de sustentabilidade: a. de descarga de 03 e 06 litros), reduzindo o consumo de água, com exceção dos W.C.s com adaptação para PNE b. Lâmpadas frias nos pavimentos de garagem *Todos os diferenciais serão entregues conforme memorial descritivo do empreendimento.
  • 81.
    81 c. Sensores depresença em locais estratégicos d. Previsão para medição individual de água 37. Lobby imponente com iluminação LED Residencial: 2. Elevadores sociais com biometria de segurança 3.Lobbydeacessoaoresidencialindependentedolobbycomercial,iluminação LED e acabamento nobre 4.Automação entregue nos seguintes locais: a) irrigação de jardins; b) controle de acendimento e desligamento da iluminação por programação horária dos Subsolos 1 e 2, fachada, jardins e circulação externa; c) monitoramento ao empreendimento; sinalização informando o acesso de pessoas em locais restritos 5. O acesso às vagas de garagem do residencial será isolado do acesso comercial, proporcionando maior segurança 6. Área de lazer na cobertura exclusiva para o residencial, com itens de lazer cuidadosamente projetados para o público alvo do empreendimento 7. 8. Brava, com tratamento de água com ozônio e iluminação LED 9. SPA com água aquecida e integrado com a piscina 10. 11. para o público do empreendimento 12. 13. do empreendimento 14. 15. Salão de festas completo, com ar-condicionando, com espaço gourmet, home e lounge 16. aos moradores opções de refeições congeladas, facilitando o dia a dia 17. Sala do síndico com previsão para ar-condicionado. 18. 19. Itens de sustentabilidade: a. de descarga de 03 e 06 litros), reduzindo o consumo de água, com exceção dos W.C.s com adaptação para PNE b. Lâmpadas frias nos pavimentos de garagem c. Sensores de presença em locais estratégicos d. Previsão para medição individual de água DIFERENCIAIS DE SEGURANÇA* Área comum: 1. 2. 3. Residencial: 4. Controle de acesso com fotos digitalizadas para controlar o acesso *Todos os diferenciais serão entregues conforme memorial descritivo do empreendimento.
  • 82.
    82 5. Controle deguarda, para acionamento temporário, monitorando se o vigia está dormindo ou rendido por marginais 6. 7. alertando imediatamente o socorro externo 8. Guarita com passa volume, evitando a entrada de entregadores no empreendimento Comercial: 9. Controle de acesso com fotos digitalizadas para controlar o acesso 10. 11. alertando imediatamente o socorro externo DIFERENCIAIS DE PLANTAS* Residencial: 12. 13. dos apartamentos 14. Previsão para medição individual de água fria, energia e gás 15. elaboração de um excelente projeto luminotécnico, automação, som (por conta do cliente) 16. Laje técnica para instalação da condensadora de ar-condicionado 17. 02 pontos elétricos na varanda, 01 para cooktop e 01 para depurador 18. 19. previsão (caixa de passagem seca) 20. Itens de sustentabilidade: a. de descarga de 03 e 06 litros), reduzindo o consumo de água b. Regulador de vazão em todas as torneiras, com exceção da torneira Comercial: 21. 22. Todas as lojas e salas com previsão para medição individual de água fria e energia. 23. Todas as salas com um W.C. e previsão hidrossanitária para instalação de outro W.C. 24. 25. Salas com dimensões capazes de atender o programa completo de reunião e sala de operação) 26. Previsão para piso elevado 27. 28. Previsão para medição individual de água fria 29. Lojas com vista para a praça 30. Itens de sustentabilidade: a. descarga de 03 e 06 litros), reduzindo o consumo de água. DIFERENCIAIS DE PERSONALIZAÇÃO** 31. *Todos os diferenciais serão entregues conforme memorial descritivo do empreendimento.**Toda personalização está sujeita a custo adicional, viabilidade técnica e ao cronograma da obra
  • 83.
    83 O cliente escolhee a EBM faz. Residencial: a) Opção de reversibilidade de plantas b) Alteração dos acabamentos dos banhos c) Opção planta e acabamento do decorado d) Alteração do piso dos apartamentos e) 32. My way A EBM disponibiliza mão de obra especializada para deixar o projeto da DIFERENCIAIS DE ESTACIONAMENTO* Comercial: 33. 34. conforto na entrada do empreendimento 35. Previsão para cancela de estacionamento Residencial: 36. Estacionamento do residencial totalmente isolado do comercial DIFERENCIAIS DE ADMINISTRAÇÃO DO CONDOMÍNIO* Comercial: 37. Serviços de pay-per-use: Mensageria e expedição, serviços de limpeza, Residencial: 38. Serviços de pay-per-use: a) arrumação básica de apartamentos, b) d) lavanderia, e) instalações e manutenções, f) Central de congelados *Todos os diferenciais serão entregues conforme memorial descritivo do empreendimento.
  • 84.
  • 85.
    85 QUADRO DE ÁREAS APARTAMENTOS UNIDADEÁREA PRIVATIVA PRINCIPAL ÁREA DEPÓSITO VAGA LOCALIZAÇÃO DA VAGA ESCANINHO LOCALIZAÇAO ESCANINHO 2101 52.85 72 SS1 2102 41.92 112 SS1 2103 89.44 114 SS1 2104 41.19 111 SS1 2105 41.65 110 SS1 2106 85.55 9.88 49 SS2 E9 SS2 2107 43.54 116 SS1 2108 92.12 7.32 38 SS2 E6 SS2 2109 39.39 117 SS1 2110 39.20 118 SS1 2111 77.52 55 SS2 2112 40.46 119 SS1 2113 41.89 122 SS1 2201 52.85 109 SS1 2202 42.04 71 SS1 2204 41.31 3 SS2 2205 41.65 104 SS1 2207 43.54 123 SS1 2209 39.39 121 SS1 2210 39.20 120 SS1 2212 40.46 68 SS1 2213 41.89 69 SS1 2301 52.85 103 SS1 2302 41.92 102 SS1 2303 89.44 108 SS1 2304 41.19 101 SS1 85
  • 86.
    86 2305 41.65 100SS1 2306 85.55 7.32 37 SS2 E5 SS2 2307 43.54 124 SS1 2308 92.12 7.49 50 SS2 E4 SS2 2309 39.39 48 SS2 2310 39.20 47 SS2 2311 77.52 61 SS2 2312 40.46 46 SS2 2313 41.89 45 SS2 2401 52.85 99 SS1 2402 42.04 98 SS1 2404 41.31 91 SS1 2405 41.65 92 SS1 2407 43.54 44 SS2 2409 39.39 43 SS2 2410 39.20 42 SS2 2412 40.46 2 SS2 2413 41.06 1 SS2 2414 75.34 41 SS2 2415 61.18 36 SS2 2501 52.85 93 SS1 2502 41.92 94 SS1 2503 89.44 107 SS1 2504 41.19 95 SS1 2505 41.65 96 SS1 2506 85.55 5.28 51 SS2 E2 SS2 2507 43.54 35 SS2 2508 92.12 5.17 52 SS2 E3 SS2 2509 39.39 34 SS2 2510 39.20 33 SS2 2511 77.52 54 SS2 2512 40.46 32 SS2 2513 41.06 31 SS2
  • 87.
    87 2514 67.21 30SS2 2515 48.66 23 SS2 2601 52.85 97 SS1 2602 42.04 90 SS1 2604 41.31 89 SS1 2605 41.65 88 SS1 2607 43.54 24 SS2 2609 39.39 25 SS2 2610 39.20 26 SS2 2612 40.46 27 SS2 2613 41.06 28 SS2 2614 67.21 29 SS2 2615 48.66 22 SS2 2701 52.85 87 SS1 2702 41.92 86 SS1 2703 89.44 113 SS1 2704 41.19 85 SS1 2705 41.65 84 SS1 2706 85.55 8.52 39 SS2 E7 SS2 2707 43.54 21 SS2 2708 92.12 6.47 53 SS2 E1 SS2 2709 39.39 20 SS2 2710 39.20 19 SS2 2711 77.52 56 SS2 2712 40.46 18 SS2 2713 41.06 17 SS2 2714 67.21 16 SS2 2715 48.66 9 SS2 2801 52.85 115 SS1 2802 42.04 77 SS1 2804 41.31 78 SS1 2805 41.65 79 SS1
  • 88.
    88 2807 43.54 10SS2 2809 39.39 11 SS2 2810 39.20 12 SS2 2812 40.46 13 SS2 2813 41.06 14 SS2 2814 67.21 15 SS2 2815 48.66 8 SS2 2901 52.85 80 SS1 2902 41.92 81 SS1 2903 89.44 106 SS1 2904 41.19 82 SS1 2905 41.65 83 SS1 2906 85.55 6.84 40 SS2 E8 SS2 2907 43.54 7 SS2 2908 92.12 6.47 62 SS2 E10 SS2 2909 39.39 6 SS2 2910 39.20 5 SS2 2911 77.52 105 SS1 2912 40.46 63 SS2 2913 41.06 64 SS2 2914 67.21 65 SS2 2915 48.66 66 SS2 3001 52.85 76 SS1 3002 42.04 75 SS1 3004 41.31 74 SS1 3005 41.65 73 SS1 3007 43.54 67 SS2 3009 39.39 4 SS2 3010 39.20 60 SS2 3012 40.46 59 SS2 3013 41.06 58 SS2 3014 67.21 57 SS2 3015 48.66 70 SS1
  • 89.
    89 SALAS UNIDADE ÁREA PRIVATIVA PRINCIPAL ÁREA DEPÓSITO ÁREA PRIVATIVA TOTAL QUANTIDADE DEVAGA POR DIREITO DE USO LOCALIZAÇAO ESCANINHO 401 111.78 111.78 1 402 42.41 42.41 1 403 94.46 94.46 1 404 47.24 9.92 57.16 1 4º Pavimento-Comercial 405 48.54 48.54 1 406 47.03 47.03 1 407 44.67 44.67 1 408 50.52 50.52 1 409 45.98 45.98 1 410 44.69 44.69 1 411 47.18 47.18 1 412 47.37 47.37 1 413 69.56 69.56 1 414 70.87 70.87 1 415 74.18 74.18 1 501 55.96 55.96 1 502 42.42 42.42 1 503 59.37 59.37 1 504 47.24 47.24 1 505 48.54 48.54 1 506 47.03 47.03 1 507 44.67 44.67 1 508 50.52 50.52 1 509 45.98 45.98 1 510 44.69 44.69 1 511 47.18 47.18 1 512 47.37 47.37 1
  • 90.
    90 513 46.76 46.761 514 46.78 46.78 1 515 48.90 48.90 1 601 55.96 55.96 1 602 42.42 42.42 1 603 59.37 59.37 1 604 47.24 9.92 57.16 1 6º Pavimento-Comercial 605 48.54 48.54 1 606 47.03 47.03 1 607 44.67 44.67 1 608 50.52 50.52 1 609 45.98 45.98 1 610 44.69 44.69 1 611 47.18 47.18 1 612 47.37 47.37 1 613 46.76 46.76 1 614 46.78 46.78 1 615 48.90 48.90 1 701 55.96 55.96 1 702 42.42 42.42 1 703 59.37 59.37 1 704 47.24 9.92 57.16 1 7º Pavimento-Comercial 705 48.54 48.54 1 706 47.03 47.03 1 707 44.67 44.67 1 708 50.52 50.52 1 709 45.98 45.98 1 710 44.69 44.69 1 711 47.18 47.18 1 712 47.37 47.37 1 713 46.76 46.76 1
  • 91.
    91 714 46.78 46.781 715 48.90 48.90 1 801 55.96 55.96 1 802 42.42 42.42 1 803 59.37 59.37 1 804 47.24 47.24 1 805 48.54 48.54 1 806 47.03 47.03 1 807 44.67 44.67 1 808 50.52 50.52 1 809 45.98 45.98 1 810 44.69 44.69 1 811 47.18 47.18 1 812 47.37 47.37 1 813 46.76 46.76 1 814 46.78 46.78 1 815 48.90 48.90 1 901 55.96 55.96 1 902 42.42 42.42 1 903 59.37 59.37 1 904 47.24 9.92 57.16 1 9º Pavimento-Comercial 905 48.54 48.54 1 906 47.03 47.03 1 907 44.67 44.67 1 908 50.52 50.52 1 909 45.98 45.98 1 910 44.69 44.69 1 911 47.18 47.18 1 912 47.37 47.37 1 913 46.76 46.76 1 914 46.78 46.78 1
  • 92.
    92 915 48.90 48.901 1001 55.96 55.96 1 1002 42.42 42.42 1 1003 59.37 59.37 1 1004 47.24 9.92 57.16 1 10º Pavimento-Comercial 1005 48.54 48.54 1 1006 47.03 47.03 1 1007 44.67 44.67 1 1008 50.52 50.52 1 1009 45.98 45.98 1 1010 44.69 44.69 1 1011 47.18 47.18 1 1012 47.37 47.37 1 1013 46.76 46.76 1 1014 46.78 46.78 1 1015 48.90 48.90 1 1101 55.96 55.96 1 1102 42.42 42.42 1 1103 59.37 59.37 1 1104 47.24 47.24 1 1105 48.54 48.54 1 1106 47.03 47.03 1 1107 44.67 44.67 1 1108 50.52 50.52 1 1109 45.98 45.98 1 1110 44.69 44.69 1 1111 47.18 47.18 1 1112 47.37 47.37 1 1113 46.76 46.76 1 1114 46.78 46.78 1 1115 48.90 48.90 1
  • 93.
    93 1201 55.96 55.961 1202 42.42 42.42 1 1203 59.37 59.37 1 1204 47.24 9.92 57.16 1 12º Pavimento-Comercial 1205 48.54 48.54 1 1206 47.03 47.03 1 1207 44.67 44.67 1 1208 50.52 50.52 1 1209 45.98 45.98 1 1210 44.69 44.69 1 1211 47.18 47.18 1 1212 47.37 47.37 1 1213 46.76 46.76 1 1214 46.78 46.78 1 1215 48.90 48.90 1 1301 55.96 55.96 1 1302 42.42 42.42 1 1303 59.37 59.37 1 1304 47.24 9.92 57.16 1 13º Pavimento-Comercial 1305 48.54 48.54 1 1306 47.03 47.03 1 1307 44.67 44.67 1 1308 50.52 50.52 1 1309 45.98 45.98 1 1310 44.69 44.69 1 1311 47.18 47.18 1 1312 47.37 47.37 1 1313 46.76 46.76 1 1314 46.78 46.78 1 1315 48.90 48.90 1 1401 55.96 55.96 1
  • 94.
    94 1402 42.42 42.421 1403 59.37 59.37 1 1404 47.24 47.24 1 1405 48.54 48.54 1 1406 47.03 47.03 1 1407 44.67 44.67 1 1408 50.52 50.52 1 1409 45.98 45.98 1 1410 44.69 44.69 1 1411 47.18 47.18 1 1412 47.37 47.37 1 1413 46.76 46.76 1 1414 46.78 46.78 1 1415 48.90 48.90 1 1501 55.96 55.96 1 1502 42.42 42.42 1 1503 59.37 59.37 1 1504 47.24 9.92 57.16 1 15º Pavimento-Comercial 1505 48.54 48.54 1 1506 47.03 47.03 1 1507 44.67 44.67 1 0 0.00 1508 50.52 50.52 1 1509 45.98 45.98 1 1510 44.69 44.69 1 1511 47.18 47.18 1 1512 47.37 47.37 1 1513 46.76 46.76 1 1514 46.78 46.78 1 1515 48.90 48.90 1 1601 55.96 55.96 1
  • 95.
    95 1602 42.42 42.421 1603 59.37 59.37 1 1604 47.24 9.92 57.16 1 16º Pavimento-Comercial 1605 48.54 48.54 1 1606 47.03 47.03 1 1607 44.67 44.67 1 1608 50.52 50.52 1 1609 45.98 45.98 1 1610 44.69 44.69 1 1611 47.18 47.18 1 1612 47.37 47.37 1 1613 46.76 46.76 1 1614 46.78 46.78 1 1615 48.90 48.90 1 1701 55.96 55.96 2 1702 42.42 42.42 2 1703 59.37 59.37 2 1704 47.24 47.24 2 1705 48.54 48.54 2 1706 47.03 47.03 2 1707 44.67 44.67 2 1708 50.52 50.52 2 1709 45.98 45.98 2 1710 44.69 44.69 2 1711 47.18 47.18 2 1712 47.37 47.37 2 1713 46.76 46.76 2 1714 46.78 46.78 2 1715 48.90 48.90 2 1901 55.96 55.96 2 1902 42.42 42.42 2
  • 96.
    96 1903 59.37 59.372 1904 47.24 47.24 2 1905 48.54 48.54 2 1906 47.03 47.03 2 1907 44.67 44.67 2 1908 50.52 50.52 2 1909 45.98 45.98 2 1910 44.69 44.69 2 1911 47.18 47.18 2 1912 47.37 47.37 2 1913 46.76 46.76 2 1914 46.78 46.78 2 1915 48.90 48.90 2 LOJAS UNIDADE ÁREA PRIVATIVA PRINCIPAL ÁREA DEPÓSITO ÁREA PRIVATIVA TOTAL QUANTIDADE DE VAGA POR DIREITO DE USO LOCALIZAÇAO ESCANINHO LOJA 1 86.11 LOJA 2 63.20 LOJA 3 27.13 LOJA 3 20.78 VAGAS AUTÔNOMAS - COMERCIAL UNIDADE ÁREA PRIVATIVA PRINCIPAL ÁREA DEPÓSITO ÁREA PRIVATIVA TOTAL LOCALIZAÇÃO VAGA 31 11.52 11.52 1º PAVIMENTO - GARAGEM 32 11.52 11.52 1º PAVIMENTO - GARAGEM 33 11.52 11.52 1º PAVIMENTO - GARAGEM 34 11.52 11.52 1º PAVIMENTO - GARAGEM 35 11.52 11.52 1º PAVIMENTO - GARAGEM 36 11.52 11.52 1º PAVIMENTO - GARAGEM
  • 97.
    97 37 11.52 11.521º PAVIMENTO - GARAGEM 38 11.52 11.52 1º PAVIMENTO - GARAGEM 39 11.52 11.52 1º PAVIMENTO - GARAGEM 64 11.52 11.52 1º PAVIMENTO - GARAGEM 65 11.52 11.52 1º PAVIMENTO - GARAGEM 66 11.52 11.52 1º PAVIMENTO - GARAGEM 67 11.52 11.52 1º PAVIMENTO - GARAGEM 68 11.52 11.52 1º PAVIMENTO - GARAGEM 69 11.52 11.52 1º PAVIMENTO - GARAGEM 70 11.52 11.52 1º PAVIMENTO - GARAGEM 71 11.52 11.52 1º PAVIMENTO - GARAGEM 72 11.52 11.52 1º PAVIMENTO - GARAGEM 73 11.52 11.52 1º PAVIMENTO - GARAGEM 74 11.52 11.52 1º PAVIMENTO - GARAGEM 75 11.52 11.52 1º PAVIMENTO - GARAGEM 76* 11.52 11.52 1º PAVIMENTO - GARAGEM 77 11.52 11.52 1º PAVIMENTO - GARAGEM 78 11.52 11.52 1º PAVIMENTO - GARAGEM *vaga associada a administradora de vagas do condominio
  • 98.
    98 MEMORIAL DESCRITIVO INFORMAÇÕES BÁSICAS Refere-seao projeto de incorporação e construção de um empreendimento comercial e residencial, projetado pelo escritório Isabel Jácomo Arquitetura, denominado Walk Bueno Business & LifeStyle, constituído de 01 (uma) torre, com acesso residencial pela rua T-30 e acesso comercial pela Rua T-55. O empreendimento será composto de 35 (trinta e cinco) pavimentos. Será servido de 09 (nove) elevadores, sendo 03 (três) de acesso exclusivo aos pavimentos residenciais, 02 (dois) sociais e 01 (um) de serviço, e 06 (seis) de acesso exclusivo aos pavimentos comerciais, sendo 05 (cinco) sociais e 01 (um) de serviço. Localização do Empreendimento Rua T-55 e Rua T-30, Quadra 99, Lote 11/14, Setor Bueno, Goiânia – GO. Número de Unidades – Lojas 04 (quatro) unidades autônomas lojas, localizadas no térreo. Número de Unidades – Salas Comerciais 225 (duzentos e vinte e cinco) unidades autônomas salas, sendo195 (cento e noventa e cinco) salas comerciais do 4º pavimento ao 16º pavimento e 30 (trinta) salas comerciais com pé direito duplo do 17º ao 20º pavimento. Número de Unidades – Apartamentos 124 (cento e vinte quatro) unidades autônomas apartamentos, sendo 20 (vinte) apartamentos duplex do 21º ao 30º pavimento e 104 (cento e quatro) apartamentos tipo do 21º ao 30º pavimento. Número de Pavimentos O empreendimento será composto de 35 (trinta e cinco) pavimentos: subsolo 2, subsolo 1, térreo, 1º pavimento garagem, 2º pavimento garagem, 3º pavimento garagem, 17 (dezessete) pavimentos comerciais, sendo 01 (um) pavimento tipo no 4º Pavimento, 12 (doze) pavimentos tipo do 2º ao 16º pavimento e 02 (dois) pavimentos com pé direito duplo do 17º ao 20º pavimento, 10 (dez) pavimentos residenciais do 21º ao 30º pavimento, lazer - 31° pavimento e ático. Número de Vagas de Garagem O empreendimento terá ao todo 278 (duzentos e setenta e oito) vagas de garagem, destinadas ao estacionamento de 406 (quatro- centos e seis) veículos e 10 vagas para estacionamento de motos. Existirão 130 (cento e trinta) vagas de garagem, que permitirão o estacionamento de 258 (duzentos e cinquenta e oito) veículos de passeio e 10 vagas para estacionamento de motos, incluídas nas áreas comuns do CONDOMÍNIO, além de 24 (vinte e quatro) unidades autônomas vagas de garagem disponíveis para o condomínio comercial, localizadas no 1º pavimento garagem, distribuídas da seguinte forma: TÉRREO: 30 (trinta) vagas de garagem, destinadas ao estacionamento de 59 (cinquenta e nove) veículos de passeio, sendo 12 (doze) vagas simples, 12 (doze) vagas duplas, 01 (uma) vaga tripla, 05 (cinco) vagas quadruplas. 1º PAVIMENTO GARAGEM: 48 (quarenta e oito) vagas de garagem, destinadas ao estacionamento de 80 (oitenta) veículos de passeio, sendo 27 (vinte e sete) vagas simples, 14 (quatorze) vagas duplas, 03 (três) vagas triplas, 04 (quatro) vagas quadrupla. 2º PAVIMENTO GARAGEM: 50 (cinquenta) vagas de garagem, destinadas ao estacionamento de 82 (oitenta e dois) veículos de passeio, sendo 29 (vinte e nove) vagas simples, 14 (quatorze) vagas duplas, 03 (três) vagas triplas, 04 (quatro) vagas quadruplas.
  • 99.
    99 3º PAVIMENTO GARAGEM:26 (vinte e seis) vagas de garagem, destinadas ao estacionamento de 61 (sessenta e um) veículos de passeio, sendo 13 (treze) vagas simples, 02 (duas) vagas duplas, 11 (onze) vagas quadruplas e 10 (dez) vagas para estacionamen- to de motos. As unidades autônomas lojas 01 a 04 e as unidades autônomas salas terão direito ao uso das vagas de garagem incluídas nas áreas comuns do CONDOMÍNIO. Tendo em vista a sua estrutura funcional as vagas de garagem serão utilizadas com o auxílio de manobristas, devendo os condôminos seguir as determinações relativas a uso, determinadas pelo síndico ou pela administradora, incluindo se for o caso, a entrega do veículo para ser estacionado por manobristas, observadas as regras da convenção de condomínio. O CONDOMÍNIO ainda terá 124 (cento e vinte e quatro) vagas de garagem, destinadas ao estacionamento de 124 (cento e vinte quatro) veículos de passeio, as quais estão incluídas nas áreas privativas das unidades autônomas dos apartamentos, todas localizadas no 1º e 2º subsolo. SUBSOLO 2: 67 (sessenta e sete) vagas autônomas de garagem, destinadas ao estacionamento de 67 (sessenta e sete) veículos de passeio dos apartamentos, sendo todas vagas as simples. SUBSOLO 1: 57 (cinquenta e sete) vagas autônomas de garagem, destinadas ao estacionamento de 57 (cinquenta e sete) veículos de passeio dos apartamentos, sendo todas as vagas simples. Número de escaninhos e depósitos: O empreendimento terá 10 (dez) escaninhos localizados no subsolo 2, incluídos nas áreas privativas das unidades autônomas apartamentos duplex com 02 (duas) suítes. E 11 (onze) depósitos, localizados no hall do 4º, 6º, 7º, 9º, 10º, 12º, 13º, 15º, 16º, 18º, 20º pavimento comercial, incluídos nas áreas privativas das unidades autônomas salas com final 04 destes pavimentos. Área do Terreno: 2579,00 m² Incorporação SPE BRASIL INCORPORAÇÃO 38 LTDA Realização EBM Incorporações S/A Construção Construtora Surya LTDA DESCRIÇÃO DOS ACABAMENTOS Lojas TÉRREO Lojas 01 e 02: Serão compostas de loja, depósito e W.C. Lojas 03 e 04: Será composta de loja e W.C.
  • 100.
    100 Ambiente Piso RodapéParede Teto Outros Loja/ depósito Contrapiso preparado para receber acabamento¹ Pintura acrílica sobre massa PVA Concreto aparente Tubulações aparentes W.C. Cerâmica Cerâmica Pintura Texturizada Forro em placa de gesso, com pintura acrílica sobre massa PVA ¹ poderá haver necessidade de regularização do piso de acordo com a opção de piso escolhida pelo cliente Salas comerciais 4º PAVIMENTO Sala Comercial com Final 04: Será composta de sala, W.C., espaço destinado para condensadora e deposito que se encontra no hall do pavimento. Salas Comerciais com Finais 01, 03, 13, 14 e 15: Serão compostas de sala, W.C., espaço destinado para condensadora e terraço descoberto. Salas Comerciais com Finais 02, 05 a 12: Serão compostas de sala, W.C. e espaço destinado para condensadora. 5º AO 16º PAVIMENTO Salas Comerciais com Final 04 do 6º, 7º, 9°, 10°, 12° 13°, 15°, 16° pavimento: Serão compostas de sala, W.C., espaço destinado para condensadora e depósito que se enconta no hall do pavimento. Salas Comerciais com Final 04 do 5º, 8º, 11º, 14º pavimento: Serão compostas de sala, W.C., espaço destinado para condensadora. Salas Comerciais com Finais 01 a 03, 05 a 15: Serão compostas de sala, W.C. e espaço destinado para condensadora. 17º AO 20º PAVIMENTOS Salas Comerciais com Finais 04: Serão compostas de sala com pé-direito duplo, W.C., espaço destinado para condensadora e depósito que se encontra no hall do 18º e 20º pavimento. Salas Comerciais com Finais 01 a 03, 05 a 15: Serão compostos de sala com pé-direito duplo, W.C. e espaço destinado para condensadora.
  • 101.
    101 Ambiente Piso RodapéParede Teto Outros Sala Contrapiso preparado para receber acabamento¹ Pintura acrílica sobre massa PVA Concreto aparente Tubulações aparentes W.C. Cerâmica Cerâmica Pintura texturizada Forro em placa de gesso, com pintura acrílica sobre massa PVA Depósito² Cerâmica Cerâmica Pintura acrílica sobre massa corrida acrílica Forro em placa de gesso, com pintura acrílica sobre massa PVA Terraço descoberto³ Cerâmica Cerâmica Pintura texturizada ¹ poderá haver necessidade de regularização do piso de acordo com a opção de piso escolhida pelo cliente ² apenas para as salas de final 04 do 4º, 6º, 7º, 9º, 10º, 12º, 13º, 15º, 16º, 17º e 19º pavimento ³ apenas para as salas de finais 01, 03, 13, 14 e 15 do 4º pavimento APARTAMENTOS RESIDENCIAIS Apartamentos com Finais 01, 02, 04, 05, 07, 09, 10, 12 e 13 - 21° AO 30º PAVIMENTO Serão compostos de sala/ quarto/ cozinha, banho e varanda. Ambiente Piso Rodapé Parede Teto Outros Porcelanato Porcelanato Rebaixado em placa de gesso liso com pintura Cozinha Porcelanato Porcelanato Parede hidráulica: Cerâmica até o forro de gesso Demais paredes: Pintura acrílica sobre Rebaixado em placa de gesso liso com pintura Banho Cerâmica Cerâmica Box: cerâmica até o forro de gesso Demais paredes: Pintura acrílica sobre massa acrílica Rebaixado em placa de gesso liso com pintura acrílica sobre massa acrílica Porcelanato Porcelanato Pintura texturizada Rebaixado em placa de gesso liso com pintura
  • 102.
    102 Apartamentos Duplex comFinais 03 e 11 - 21° AO 30º PAVIMENTO Duplex Inferior: Serão compostos de sala, cozinha, lavabo, varanda e escada de acesso ao duplex superior Duplex Superior: Serão compostos de home office, quarto, banho e escada de acesso ao duplex inferior Ambiente Piso Rodapé Parede Teto Outros Sala/quarto Porcelanato Porcelanato Pintura acrílica sobre massa PVA Rebaixado em placa de gesso liso com pintura acrílica sobre massa PVA Cozinha Porcelanato Porcelanato Parede hidráulica: Cerâmica até o forro de gesso Demais paredes: Pintura acrílica sobre massa pva Rebaixado em placa de gesso liso com pintura acrílica sobre massa PVA Banho Cerâmica Cerâmica Box: cerâmica até o forro de gesso Demais paredes: Pintura acrílica sobre massa acrílica Rebaixado em placa de gesso liso com pintura acrílica sobre massa acrílica Varanda Porcelanato Porcelanato Pintura texturizada Rebaixado em placa de gesso liso com pintura acrílica sobre massa PVA Escada de acesso ao pavimento superior/ inferior Porcelanato ou mármore ou granito Porcelanato ou mármore ou granito Pintura acrílica sobre massa PVA Rebaixado em placa de gesso liso com pintura acrílica sobre massa PVA Home Office Porcelanato Porcelanato Pintura acrílica sobre massa PVA Rebaixado em placa de gesso liso com pintura acrílica sobre massa PVA Lavabo Porcelanato Porcelanato Pintura acrílica sobre massa PVA Rebaixado em placa de gesso liso com pintura acrílica sobre massa PVA
  • 103.
    103 Apartamentos Duplex comFinais 06 e 08 - 21° AO 30º PAVIMENTO Duplex Inferior: Serão compostos de sala, cozinha, lavabo, varanda e escada de acesso ao duplex superior Duplex Superior: Serão compostos de 02 (duas) suítes (suíte 01 e 02), 02 (dois) banhos, circulação e escada de acesso ao duplex inferior Ambiente Piso Rodapé Parede Teto Outros Sala/suítes/ circulação Porcelanato Porcelanato Pintura acrílica sobre massa PVA Rebaixado em placa de gesso liso com pintura acrílica sobre massa PVA Cozinha Porcelanato Porcelanato Parede hidráulica: Cerâmica até o forro de gesso Demais paredes: Pintura acrílica sobre massa pva Rebaixado em placa de gesso liso com pintura acrílica sobre massa PVA Banhos Cerâmica Cerâmica Box: ceramica até o forro de gesso Demais paredes: Pintura acrílica sobre massa acrílica Rebaixado em placa de gesso liso com pintura acrílica sobre massa acrílica Varanda Porcelanato Porcelanato Pintura texturizada Rebaixado em placa de gesso liso com pintura acrílica sobre massa PVA Escada de acesso ao pavimento superior/ inferior Porcelanato ou mármore ou granito Porcelanato ou mármore ou granito Pintura acrílica sobre massa PVA Rebaixado em placa de gesso liso com pintura acrílica sobre massa PVA Lavabo Porcelanato Porcelanato Pintura acrílica sobre massa PVA Rebaixado em placa de gesso liso com pintura acrílica sobre massa PVA
  • 104.
    104 Apartamento com Finais14º e 15 – 24º AO 30º PAVIMENTO Apartamento com final 14º – 24º PAVIMENTO: Será composto de sala/ cozinha/ quarto/ closet, banho, varanda coberta e terraço descoberto Apartamento com final 14º – 25º PAVIMENTO AO 30º PAVIMENTO: Serão compostos de sala/ cozinha/ quarto/ closet, banho e varanda Apartamento com Final 15º – 24º PAVIMENTO: Será composto de sala/ cozinha/ quarto/ closet, banho e terraço descoberto Apartamento com Final 15º – 25º PAVIMENTO AO 30º PAVIMENTO: Serão compostos de sala/ cozinha/ quarto/ closet, banho e balcão Ambiente Piso Rodapé Parede Teto Outros Sala/quarto/ closet Porcelanato Porcelanato Pintura acrílica sobre massa PVA Rebaixado em placa de gesso liso com pintura acrílica sobre massa PVA Cozinha Porcelanato Porcelanato Parede hidráulica: Cerâmica até o forro de gesso Demais paredes: Pintura acrílica sobre massa PVA Rebaixado em placa de gesso liso com pintura acrílica sobre massa PVA Banho Cerâmica Cerâmica Box: cerâmica até o forro de gesso Demais paredes: Pintura acrílica sobre massa acrílica Rebaixado em placa de gesso liso com pintura acrílica sobre massa acrílica Varanda/ Varanda coberta¹ Porcelanato Porcelanato Pintura texturizada Rebaixado em placa de gesso liso com pintura acrílica sobre massa PVA Terraço descoberto² Cerâmica Cerâmica Pintura texturizada Gradil de Vidro Balcão³ Porcelanato Porcelanato Pintura texturizada ¹ apenas para apartamentos com final 14 ² apenas para apartamentos com final 14 e 15 do 24º pavimento ³ apenas para apartamentos com final 15 do 25º ao 30º pavimento ÁREA COMUM - 31º PAVIMENTO – LAZER Será de uso exclusivo do condomínio residencial, composto 03 (três) elevadores, sendo 02 (dois) elevadores sociais e 01 (um) elevador de emergência, ante- câmara, escada de acesso aos demais pavimentos com portas corta fogo, salão de festas, copa, varanda gourmet, jogos, observatório, fitness, lavanderia, W.C. feminino, W.C. masculino, W.C. PNE, piscina, spa, solarium, sauna, filtros/ bombas, lounge, depósito condomínio, circulação.
  • 105.
    105 Ambiente Piso RodapéParede Teto Outros Ante-câmara Cerâmica Cerâmica Pintura acrílica sobre massa corrida acrílica Pintura acrílica sem massa Escada de acesso aos demais pavimentos Cimentado com pintura acrílica Pintura acrílica Pintura acrílica sem massa Pintura acrílica sem massa Circulação Porcelanato Porcelanato Parte: Pintura acrílica sobre massa PVA Parte: Pintura Textura Rebaixado em placa de gesso liso com pintura acrílica sobre massa PVA Salão de festas (Walk & Party) Porcelanato Porcelanato Pintura acrílica sobre massa PVA com detalhes em papel de parede, espelho e painel de MDF Rebaixado em placa de gesso liso com pintura acrílica sobre massa PVA Copa Porcelanato Cerâmica Rebaixado em placa de gesso liso com pintura acrílica sobre massa PVA Varanda Gourmet Porcelanato Porcelanato Pintura Texturizada com detalhe em porcelanato Rebaixado em placa de gesso liso com pintura acrílica sobre massa PVA Jogos (Walk & Play) Porcelanato Porcelanato Pintura acrílica sobre massa PVA com detalhes em painel de MDF Rebaixado em placa de gesso liso com pintura acrílica sobre massa PVA Observatório (Walk & See) Porcelanato Porcelanato Pintura Texturizada Rebaixado em placa de gesso liso com pintura acrílica sobre massa PVA Fitness (Walk & Fit) Piso Vinílico Piso Vinílico Parte: Painel MDF e parte: vidro Rebaixado em placa de gesso liso com pintura acrílica sobre massa PVA Lavanderia (Walk & Clean) Porcelanato Marmore ou granito Pintura acrílica sobre massa PVA com detalhes em painel de MDF Rebaixado em placa de gesso liso com pintura acrílica sobre massa PVA W.C. Feminino/ W.C. masculino Cerâmica Cerâmica Rebaixado em placa de gesso liso com pintura acrílica sobre massa PVA W.C. PNE Porcelanato Marmore ou granito Pintura acrílica sobre massa PVA Rebaixado em placa de gesso liso com pintura acrílica sobre massa PVA Piscina (Walk & Swin) Pastilha Pastilha Rebaixado em placa de gesso liso com pintura acrílica sobre massa PVA SPA Porcelanato Porcelanato Pintura acrílica sobre massa PVA Rebaixado em placa de gesso liso com pintura acrílica sobre massa PVA
  • 106.
    106 Ambiente Piso RodapéParede Teto Outros Solarium (Spa & Relax) Porcelanato Pintura Texturizada com detalhe em Porcelanato Sauna Porcelanato Ceramica Lambril de PVC Banco revestido em mármore ou granito Filtros / bombas Cimentado com pintura acrílica para cimentado Pintura acrílica para cimentados Pintura acrílica sem massa Pintura acrílica sem massa. Lounge Porcelanato Porcelanato Pintura acrílica sobre massa PVA com detalhe em Marmore ou granito Rebaixado em placa de gesso liso com pintura acrílica sobre massa PVA Depósito condominio Cerâmica Cerâmica Pintura acrílica sobre massa corrida acrílica Forro em placa de gesso, com pintura acrílica sobre massa PVA ÁREA COMUM - 4º AO 30º PAVIMENTO, ÁTICO E COBERTURA RESERVATÓRIO 4º ao 20º Pavimento Tipo: Serão compostos de 06 (seis) elevadores, sendo 05 (cinco) elevadores sociais e 01 (um) elevador de emergência, escada de acesso aos demais pavimentos com portas corta fogo, 02 (duas) ante-câmaras, medição, circulação, para uso exclusivo dos pavimentos comerciais. Terão ainda escada para uso exclusivo dos pavimentos residenciais. 8°,11°,14°, 17° e 19º Pavimentos: Serão compostos de ante-câmaras para uso exclusivo dos pavimentos residenciais. 21° Pavimento Tipo: Serão compostos de 03 (três) elevadores, sendo 02 (dois) elevadores sociais e 01 (um) elevador de emergência, ante-câmara, escada de acesso aos demais pavimentos com portas corta fogo, medição, governança, circulação, para uso exclusivo dos pavimentos residenciais. Terá ainda casa de máquinas e escada de acesso aos demais pavimentos com porta fogo e de acesso a mesa de motores, para uso exclusivo dos pavimentos comerciais. 22° Pavimento Tipo: Serão compostos de 03 (três) elevadores, sendo 02 (dois) elevadores sociais e 01 (um) elevador de emergência, ante-câmara, escada de acesso aos demais pavimentos com portas corta fogo, medição, circulação, para uso exclusivo dos pavimentos residenciais. Terá ainda mesa de motores e escada de acesso a casa de máquinas, para uso exclusivo dos pavimentos comerciais. 23° ao 30° Pavimento Tipo: Serão compostos de 3 (três) elevadores, sendo 02 (dois) elevadores sociais e 01 (um) elevador de emergência, ante-câmara, escada de acesso aos demais pavimentos com portas corta fogo, medição, circulação, para uso exclusivo dos pavimentos residenciais. Ático (Casa de Máquinas/Barrilete, Planta Cobertura/Reservatório Superior): Será composto de hall, 01(uma) escada de acesso aos demais pavimentos com portas corta fogo, barrilete, 02(dois) reservatórios, calha impermeabilizada, telhado de fibrocimento. Terá ainda 02(duas) casas de maquinas e 02(duas) mesas de
  • 107.
    107 motores, de usoexclusivo dos pavimentos residenciais. Cobertura Reservatório: Será composta de laje impermeabilizada. Ambiente Piso Rodapé Parede Teto Outros Ante-câmara Cerâmica Cerâmica Pintura acrílica sobre massa corrida acrílica Pintura acrílica sem massa Escada de acesso aos demais pavimentos Cimentado com pinturaacrílica Pintura acrílica Pintura acrílica sem massa Pintura acrílica sem massa Medição/ governança Cerâmica Cerâmica Pintura acrílica sobre massa corrida acrílica Rebaixado em placa de gesso liso com pintura acrílica sobre massa PVA Circulação Porcelanato Porcelanato Parte: Pintura acrílica sobre massa PVA Parte: Pintura Textura Rebaixado em placa de gesso liso com pintura acrílica sobre massa PVA Casa de maquinas/ mesa de motores Cimentado com pintura acrílica Pintura acrílica Pintura acrílica sem massa Pintura acrílica sem massa Laje Impermeabilizada Cimentado ÁREA COMUM – 3° PAVIMENTO GARAGEM Será composto de 06 (seis) elevadores, sendo 05 (cinco) sociais e 01 (um) de emergência, 02 (duas) ante-câmaras, escada de acesso aos demais pavimentos com portas corta fogo, escada para uso exclusivo dos pavimentos residenciais, hall social, medição, auditório, sala de reunião, coffee break, WC PNE fem. publico, W.C. PNE masc publico, copa para funcionários, DML, depósito peças, W.C. func. Fem., W.C. func. Masc., controle / descanso dos funcionários / manobrista, rampa descoberta, circulação de veículos, vagas de garagem. Ambiente Piso Rodapé Parede Teto Outros Ante-câmara Cerâmica Cerâmica Pintura acrílica sobre massa corrida acrílica Pintura acrílica sem massa Escada Cimentado com pintura acrílica para cimentado Pintura acrílica para cimentados Pintura acrílica sem massa Pintura acrílica sem massa Medição Cimentado com pintura acrílica para cimentado Pintura acrílica para cimentados Alvenaria com reboco paulista ou gesso corrido com pintura texturizada a base de cal e cola Concreto aparente
  • 108.
    108 Ambiente Piso RodapéParede Teto Outros Hall social Porcelanato Porcelanato Parte: Pintura acrílica sobre massa PVA Parte: Pintura Textura Rebaixado em placa de gesso liso com pintura acrílica sobre massa PVA Auditório (Walk & Talk) Carpete Madeira ou MDF Pintura acrílica sobre massa PVA Rebaixado em placa de gesso liso com pintura acrílica sobre massa PVA Sala de reunião (Walk & Meet) Carpete Madeira ou MDF Pintura acrílica sobre massa PVA Rebaixado em placa de gesso liso com pintura acrílica sobre massa PVA Coffe Break Porcelanato Porcelanato Parte: pintura acrílica sobre massa PVA Parte: espelho e MDF Rebaixado em placa de gesso liso com pintura acrílica sobre massa PVA WC PNE Fem./ Masc. Publico Porcelanato Marmore ou granito Pintura acrílica sobre massa PVA Rebaixado em placa de gesso liso com pintura acrílica sobre massa PVA Copa para funcionários/ DML Cerâmica Cerâmica Parte: pintura Grafiato Parte: ceramica Rebaixado em placa de gesso liso com pintura acrílica sobre massa PVA Depósito de peças Cerâmica Cerâmica Pintura Grafiato Rebaixado em placa de gesso liso com pintura acrílica sobre massa PVA WC Func. Fem/ Masc. Cerâmica Cerâmica Cerâmica Rebaixado em placa de gesso liso com pintura acrílica sobre massa acrílica Cômodo/ descanso funcionários/ manobrista Cerâmica Cerâmica Pintura Grafiato Rebaixado em placa de gesso liso com pintura acrílica sobre massa PVA Rampa de acesso de veículos Ladrilho Hidráulico Pintura em esmalte sintético Pintura acrílica sem massa Pintura acrílica sem massa Circulação de veículos/ vagas de garagem Concreto natural Pintura em esmalte sintético Pintura acrílica sem massa Pintura acrílica sem massa ÁREA COMUM – 1° E 2° PAVIMENTO GARAGEM Serão compostos de hall social, 06 (seis) elevadores, sendo 05 (cinco) sociais e 01 (um) de emergência, 02 (duas) duas ante-câmaras, escada de acesso aos demais pavimentos com portas corta fogo, medição, escada para uso exclusivo dos pavimentos residenciais, rampa de acesso para veículos, circulação de veículos, vagas de garagem. Ambiente Piso Rodapé Parede Teto Outros Ante-câmara Cerâmica Cerâmica Pintura acrílica sobre massa corrida acrílica Pintura acrílica sem massa
  • 109.
    109 Ambiente Piso RodapéParede Teto Outros Escada Cimentado com pintura acrílica para cimentado Pintura acrílica para cimentados Pintura acrílica sem massa Pintura acrílica sem massa Medição Cimentado com pintura acrílica para cimentado Pintura acrílica para cimentados Alvenaria com reboco paulista ou gesso corrido com pintura texturizada a base de cal e cola Concreto aparente Rampa de acesso de veículos Ladrilho Hidráulico Pintura em esmalte sintético Pintura acrílica sem massa. Pintura acrílica sem massa Circulação de veículos/ vagas de garagem Concreto natural Pintura em esmalte sintético Pintura acrílica sem massa Pintura acrílica sem massa. ÁREA COMUM – TÉRREO ( PAVIMENTO DE ACESSO AO COMERCIAL) Será composto de hall social, 06 (seis) elevadores, sendo 05 (cinco) sociais e 01(um) de emergência, 02 (duas) duas ante-câmaras, escada de acesso aos demais pavimentos com portas corta fogo, escada para uso exclusivo dos pavimentos residenciais, segurança, lobby comercial, acesso de pedestres para os pavimentos comerciais, praça, espelhos d’agua, expedição, lixo, gerador, transformador, jardins, calçadas, rampa de acesso para veículos, circulação de veículos, vagas de garagens e vazios. Ambiente Piso Rodapé Parede Teto Outros Ante-câmara Cerâmica Cerâmica Pintura acrílica sobre massa corrida acrílica Pintura acrílica sem massa Escada Cimentado com pintura acrílica para cimentado Pintura acrílica para cimentados Pintura acrílica sem massa Pintura acrílica sem massa Segurança Porcelanato Porcelanato Pintura acrílica sobre massa PVA Rebaixado em placa de gesso liso com pintura acrílica sobre massa PVA Lobby comercial Porcelanato Mármore ou granito Parte: pintura acrílica sobre massa PVA Parte: papel de parede, mármore ou granito e vidro. Rebaixado em placa de gesso liso com pintura acrílica sobre massa PVA Acesso de pedestres pavimento comercial/ residencial Mármore ou granito
  • 110.
    110 Ambiente Piso RodapéParede Teto Outros Praças/ praça de acesso Porcelanato com detalhes em mármore ou granito Marmore ou granito Pintura texturizada Espelhos d’agua Pastilha Pastilha Expedição Cerâmica Cerâmica Pintura acrílica sobre massa PVA Rebaixado em placa de gesso liso com pintura acrílica sobre massa PVA Lixo Cerâmica Cerâmica Rebaixado em placa de gesso liso com pintura acrílica sobre massa PVA Gerador Concreto natural Pintura acrílica para cimentados Pintura acrílica sem massa Concreto, acabamento natural Calçadas Pedra ou ladrilho Rampa de acesso de veículos Ladrilho Hidráulico Pintura em esmalte sintético Pintura acrílica sem massa. Pintura acrílica sem massa Circulação de veículos/ vagas de garagem Concreto natural Pintura em esmalte sintético Pintura acrílica sem massa Pintura acrílica sem massa. ÁREA COMUM – SUBSOLO 1 ( PAVIMENTO DE ACESSO AO RESIDENCIAL) Será composto de 03(três) elevadores, sendo 02 (dois) elevadores sociais e 01 (um) elevador de emergencia, ante-câmara, escada de acesso aos demais pavimentos com portas corta fogo, 06 (seis) poços dos elevadores dos pavimentos comerciais, área técnica atendendo aos poços de elevadores dos pavimentos comerciais, escada para uso exclusivo dos pavimentos comerciais, lobby, sala do síndico, bicicletario, praça de acesso, pulmão de segurança, acesso de pedestre para o residencial, espelhos d’agua, jardins, guarita, depósito, copa para funcionários, descanso para os funcionários, DML, wc guarita, w.c feminino, wc masculino, circulação, pressurização, central de gás, seleção de lixo, rampa de acesso para veículos, circulação de veículos, vagas de garagem e vazios. Ambiente Piso Rodapé Parede Teto Outros Ante-câmara Cerâmica Cerâmica Pintura acrílica sobre massa corrida acrílica Pintura acrílica sem massa Escada Cimentado com pintura acrílica para cimentado Pintura acrílica para cimentados Pintura acrílica sem massa Pintura acrílica sem massa
  • 111.
    111 Ambiente Piso RodapéParede Teto Outros Lobby residencial Porcelanato com detalhe em mármore ou granito Marmore ou granito Parte: pintura acrílica sobre massa PVA Parte: papel de parede, mármore ou granito e vidro. Rebaixado em placa de gesso liso com pintura acrílica sobre massa PVA Sala do síndico Porcelanato Porcelanato Pintura acrílica sobre massa PVA Rebaixado em placa de gesso liso com pintura acrílica sobre massa PVA Bicicletário (Walk & Ride) Porcelanato Porcelanato Pintura acrílica sobre massa PVA Rebaixado em placa de gesso liso com pintura acrílica sobre massa PVA Praças de acesso Porcelanato com detalhes em mármore ou granito Marmore ou granito Pintura texturizada Pulmão de segurança Marmore ou granito Marmore ou granito Vidro Acesso de pedestres pavimento residencial Marmore ou granito Espelhos d’agua Pastilha Pastilha Guarita Porcelanato Porcelanato Pintura acrílica sobre massa PVA Rebaixado em placa de gesso liso com pintura acrílica sobre massa PVA Copa para funcionários/ DML Cerâmica Cerâmica Parte: pintura Grafiato Parte: ceramica Rebaixado em placa de gesso liso com pintura acrílica sobre massa PVA Cômodo/ descanso funcionários Cerâmica Cerâmica Pintura Grafiato. Rebaixado em placa de gesso liso com pintura acrílica sobre massa PVA WC Guarita / Fem./ Masc. Cerâmica Ceramica Rebaixado em placa de gesso liso com pintura acrílica sobre massa PVA Circulação Cermica Cerâmica Pintura acrílica sobre massa PVA Rebaixado em placa de gesso liso com pintura acrílica sobre massa PVA Pressurização Concreto natural Pintura acrílica para cimentados Pintura acrílica sem massa Concreto, acabamento natural Central de gás Concreto natural Pintura acrílica para cimentados Pintura acrílica sem massa Concreto, acabamento natural Seleção de lixo Cerâmica Cerâmica Rebaixado em placa de gesso liso com pintura acrílica sobre massa PVA Rampa de acesso de veiculos Ladrilho Hidráulico Pintura em esmalte sintético Pintura acrílica sem massa. Pintura acrílica sem massa
  • 112.
    112 Ambiente Piso RodapéParede Teto Outros Circulação de veículos/ vagas de garagem Concreto natural Pintura em esmalte sintético Pintura acrílica sem massa Pintura acrílica sem massa. ÁREA COMUM –SUBSOLO 2 Será composto de 03(três) elevadores sociais, 01(uma) ante-câmara, 01(uma) escada de acesso aos demais pavimentos com portas corta fogo, reservatório inferior, reservatório para reuso, rampa de acesso para veículos, circulação de veículos, vagas de garagem e vazios. Ambiente Piso Rodapé Parede Teto Outros Ante-câmara Cerâmica Cerâmica Pintura acrílica sobre massa corrida acrílica Pintura acrílica sem massa Escada Cimentado com pintura acrílica para cimentado Pintura acrílica para cimentados Pintura acrílica sem massa Pintura acrílica sem massa Reservatório inferior Concreto natural Pintura acrílica para cimentados Pintura acrílica sem massa Concreto, acabamento natural Rampa de acesso de veiculos Ladrilho Hidráulico Pintura em esmalte sintético Pintura acrílica sem massa. Pintura acrílica sem massa Circulação de veículos/ vagas de garagem Concreto natural Pintura em esmalte sintético Pintura acrílica sem massa Pintura acrílica sem massa. ESPECIFICAÇÕES DE EQUIPAMENTOS E MATERIAIS Itens de Segurança Muros com alturas compatíveis, de acordo com os projetos específicos e posturas municipais; Previsão (tubulação seca) para motorização dos portões para acesso/saída de veículos do subsolo 1; Instalação de fechadura magnética na porta do pulmão de segurança para acesso de pedestres para residencial;
  • 113.
    113 Previsão para instalaçãode central de interfone na guarita; 01 (um) passa-volumes na guarita do acesso de pedestres do residencial; Instalação de iluminação com sensores de presença ou minuteria em locais estratégicos, conforme projeto; Instalação de luz de emergência para escadaria do prédio com aciona- mento individual nos pavimentos; Pára-raios tipo gaiola de Faraday; Cômodo de segurança para onde são convergidos os controle do siste- ma de controle de acesso, automação, sistema de segurança e sistema do estacionamento; Previsao para catraca tipo torniquete* para acesso a escada e elevado- res do comercial no 1º, 2º e 3º pavimentos garagem; Previsao para catracas* de acesso a escada e elevadores no hall (lobby), do térreo; Previsão para cancela no acesso de veículos ao terreo, sendo a instala- ção e aquisição dos equipamentos responsabilidade do condomínio; Porta automática, com sensor de presença, no acesso ao lobby do co- mercial e residencial. *As catracas tipo torniquetes e catracas serão interligadas ao software de controle de acesso com abertura por cartões de proximidade e/ou controle biométrico. SISTEMA DE SEGURANÇA Foi firmado contrato de parceria com a TECNOSEG TECNOLOGIA EM SERVI- ÇOS LTDA, para desenvolvimento de projeto segurança, que contempla os seguintes itens: Duplo monitoramento da central de alarme, via telefone, celular ou ra- dio. A central de alarme será entregue;* Controle de acesso com fotos digitalizadas: será entregue com compu- tadores, software de controle de acesso e micro câmeras digitais, para controlar o acesso de moradores, visitantes ou prestadores de serviço pela identificação visual, sendo 01 (um) no lobby do residencial e 01 (um) no lobby/recepção do comercial; Circuito interno de TV com gravação digital e colorida de imagens: serão entregues 06 (seis) câmeras em pontos estratégicos na torre comercial e 05 (cinco) na torre residencial, 01 (uma) micro - câmera em cada elevador e previsão para pontos futuros; Proteção perimetral com sensores ativos monitorada 24 horas: alguns trechos do perímetro que requerem segurança serão en- tregues protegidos com sistemas de segurança eletrônica que comunica a central de alarme imediatamente no caso de tentativa de invasão; 02 (dois) botões de pânico, sendo, 01 (um) no lobby/recepção do comercial, e 01 (um) na guarita do residencial: para acionamento no caso de tentativas de invasão, alertando imediatamente o so- corro externo; 02 (dois) controles de guarda, sendo, 01 (um) no lobby/recepção do comercial e 01 (um) na guarita do residencial: para acionamen- to temporário, monitorando se o vigia esta dormindo ou rendido por marginais; 01 (um) sensor magnético, sendo na central de gás no subsolo 1, para avisar quando a porta do ambiente estiver aberta. * mediante contratação de empresa de monitoramento pelo condomí- nio Outros Equipamentos e materiais Esquadrias As esquadrias do edifício serão em alumínio com pintura eletrostá- tica branca; Portas de madeira serão semi-ocas com miolo sarrafeado e capa de MDF com acabamento em pintura esmalte sintético na cor branca;
  • 114.
    114 Batentes e guarniçõesdas portas serão metálicos com acabamento em pintura esmalte sintético na cor branca; Portas corta-fogo em chapa metálica com pintura esmalte sintéti- co; Esquadrias/Corrimãos/Gradil metálicos receberão acabamento em pintura esmalte sintético. Vidros Os vidros serão de fabricação nacional, com espessura compatível aos vãos; As cortinas de vidro nas fachadas serão em vidro laminado conforme projeto fachada; Os vidros das demais esquadrias poderão ser liso, fantasia ou temperados; Os vidros das lojas do térreo serão temperados. Tomadas e interruptores Serão de materiais plásticos na cor branca. Ferragens Serão de latão ou aço ou zamac ou alumínio cromado ou fosco. Metais Serão de metal cromado; As torneiras dos W.C.s sociais da área comum, dos W.C.s das salas comerciais serão entregues com fechamento automático. As tor- neiras dos banhos e pias dos apartamentos serão entregues com arejador de vazão. Acessórios Grelhas dos ralos em metal cromado ou aço inoxidável; Sifões dos lavatórios e dos tanques em PVC cromado; Sifão das pias dos apartamentos em metal cromado; Válvulas e engates em metal cromado. Louças (cubas/ lavatórios/ tanques/ bacias sanitárias) Serão na cor branca; Todas as bacias sanitárias serão com caixa acoplada e sistema de duplo acionamento (vazão de 06 litros e 03 litros) com exceção da bacia dos W.C.s Feminino e Masculino adaptados para portadores de necessidades especiais (P.N.E) da área comum. Será entregue tanque sem coluna nos apartamentos, DML, estar/ descanso funcionários Os W.C.s das salas e lojas serão entregues com lavatório sem colu- na. Bancadas Em granito ou mármore, com cuba em aço inox, na cozinha de to- dos os apartamentos, copa dos funcionários, varanda gourmet; Em granito ou mármore, com cuba de louça, nos banhos de todos os apartamentos e nos W.C.s das áreas sociais. Em granito ou mármore, com tanque em aço inox, na lavanderia; . Filetes/Soleiras e/ou Baguetes Em granito ou mármore nos locais onde se fizerem necessários.
  • 115.
    115 Elevadores O empreendimento terá09 (nove) elevadores, sendo 07 (dez) ele- vadores sociais, onde 05 (cinco) atenderão o comercial e 02 (dois) atenderão o residencial e 02 (dois) elevadores de emergência, onde 01 (um) atenderá o comercial e 01 (um) atenderá o residen- cial. Todos os elevadores com piso em mármore ou granito; As portas dos elevadores sociais do residencial serão em aço inox no subsolo 1 e no lazer, nos demais pavimentos serão em aço com com acabamento em pintura esmalte. As portas dos elevadores sociais do comercial serão em aço inox no térreo, nos demais pa- vimentos as portas serão em aço com acabamento em pintura esmalte; Os elevadores sociais do comercial terão indicador de posição de andar em todos os pavimentos, no elevador de emergência a indi- cação sera apenas no térreo; Os elevadores sociais do residencial terão indicação de posição de andar no subsolo 1 e no lazer. Um dos elevadores do comercial terá dimensões para transportar maca.Elevadores sociais do comercial serão entregues com chama- da antecipada que melhora a utilização dos elevadores e organiza o fluxo dos passageiros para agilizar o acesso aos andares de desti- no, agrupando usuários para viagens aos mesmos andares ou aos pavimentos próximos. Alerta sonoro que informa o pavimento para portadores de neces- sidades especiais (P.N.E), visuais, nos elevadores sociais do residen- cial e comercial. Equipamentos/ Mobiliário (Comercial) Lobby: - 02 (dois) vasos - 03 (tres) cadeiras - 02 (duas) TV’s - 06 (seis) poltronas - 01 (uma) escultura - 02 (dois) aparadores Hall - 03 (três) vasos Sala de Segurança - 01 (uma) mesa - 01 (uma) cadeira Auditorio - 22 (vinte e duas) mesas - 22 (vinte e duas) cadeiras Hall Auditório - 05 (cinco) vasos - 01 (um) aparador - 01 (um) banco
  • 116.
    116 ( Residencial ) Lobby: -02 (dois) vasos - 02 (dois) aparadores - 01 (um) armario Circulação - 04 (quatro) vasos Bicicletario - 01 (uma) estante - 06 (seis) bicicletas Guarita - 01 (uma) cadeira Deposito - 01 (um) freezer Sala do Síndico: - 01 (uma) mesa - 02 (duas) cadeiras - 02 (dois) armarios Piscina Spa: - 02 (duas) poltronas - 02 (duas) mesas - 01 (um) SPA Solarium: - 06 (seis) cadeiras - 03 (três) mesas - 01 (um) ombrelone - 03 (três) espreguiçadeiras Lounge: - 03 (três) vasos - 04 (quatro) poltronas - 01 (um) sofá - 03 (três) mesas - 01 (um) armário Lavanderia: - 04 (quatro) poltronas - 03 (três) mesas - 02 (dois) armarios - 01 (uma) TV - 01 (uma) lava e seca
  • 117.
    117 Salão de festas/Home: -02 (dois) vasos - 01 (um) tapete - 02 (dois) sofás - 02 (duas) poltronas - 03 (tres) pufes - 05 (cinco) mesas - 18 (dezoito) cadeiras - 01 (uma) coifa - 01 (um) cooktop - 01 (uma) adega - 01 (uma) tela retratil - 01 (um) projetor Varanda Gourmet: - 05 (cinco) mesas - 26 (vinte e seis) cadeiras - 02 (duas) coifas - 01 (uma) cooktop - 01 (uma) geladeira - 01 (um) forno pizza - 01 (uma) TV Fitness: - 06 (seis) esteiras ergométricas - 02 (duas) bicicletas ergométricas - 01 (uma) bola para pilates - 01 (um) saco de boxe - 01 (uma) TV - 01 (uma) estação de musculação - 01 (um) suporte para pesos e anilhas - 01 (um) espaldar - 01 (um) suporte para bola - 02 (dois) tatames - 01 (um) banco - 03 (três) vasos Copa - 01 (um) fogão - 01 (uma) geladeira - 01 (um) freezer Observatório - 03 (três) vasos - 02 (duas) poltronas - 02 (dois) telescópios
  • 118.
    118 Jogos: - 01 (uma)mesa recreativa de poker - 01 (uma) mesa recreativa de sinuca - 01 (uma) mesa - 24 (vinte e quatro) cadeiras - 01 (uma) mesa de jogos - 01 (um) quadro negro - 01 (um) suporte para tacos - 01 (uma) TV - 01 (um) frigobar - 01 (um) vending machine Instalações Prediais Instalações Elétrico-Telefônicas e Hidro-Sanitárias / Gás / Incêndio Instalações prediais elétricas (tubulação seca nos pontos de ali- mentação das salas comerciais e lojas, exceto os banheiros das salas e lojas que terão os pontos alimentados), água fria, esgoto sanitário, pára-raios e interfone (tubulação seca) exceto nas lojas, de acordo com projetos específicos, posturas municipais e de servi- ços públicos; Previsão de pontos de água e esgoto para instalação de uma mini copa nas salas comerciais e lojas; Não serão fornecidos os medidores individuais de água e energia, apenas a previsão para instalação. A aquisição dos medidores as- sim como suas instalações será de responsabilidade do proprietá- rio; Não serão fornecidos os medidores individuais de gás, apenas a previsão para instalação nos apartamentos e lojas. A aquisição dos medidores assim como suas instalações será de responsabilidade do proprietário; As lojas serão entregues com previsão (espaço destinado a central de gás e interferências dos dutos de exaustão na estrutura) para instalação da rede de gás e sistema de exaustão, conforme projeto específico. As unidades que venham manipular alimentos e que eventualmente necessitem de abastecimento de gás e exaustão mecânica, deverão, por sua conta e risco, após prévia autorização do síndico, fazer as respectivas instalações de acordo com as deter- minações das autoridades competentes; As salas comerciais, lojas e apartamentos serão dotados de pontos de telefones (tubulação seca) de acordo com projeto específico, obedecendo às normas da Concessionária Local; A aquisição da central de interfone, assim como sua instalação será de responsabilidade do condomínio. A aquisição do interfone de cada sala comercial e apartamentos, assim como sua instalação será de responsabilidade do proprietário; Todos os apartamentos terão 01 (um) ponto elétrico para cooktop e 01 (um) ponto elétrico para depurador na varanda; á entregue 01 (um) gerador que atenderá ao residencial e comer- cial nas escadas pressurizadas, todos os elevadores, iluminação das áreas comuns, halls de serviços e antecâmaras de todos os pavimentos, escadas de incêndio de todos os pavimentos – pontos estratégicos das áreas externas no subsolo 1, térreo e lazer, pontos estratégicos dos pavimentos de garagem, acionamento do portão de veículos e acessos de pedestres, iluminação e equipamentos do lobby, iluminação e equipamentos da sala do síndico e itens de incêndio. Rede de proteção e combate de incêndio: alarmes visuais e sono- ros contra incêndio, sprinklers, detectores de fumaça, extintores, hidrantes e escadas de emergência com portas corta-fogo, de acor- do com os projetos específicos, obedecendo às normas das autori- dades competentes. Serão entregues 10 (dez) vagas no estacionamento comercial com 1 (um) ponto elétrico para futura instalação de estação de recarga para abastecimento de carros híbridos. A aquisição da estação de recarga, assim como sua instalação será de responsabilidade do condomínio;
  • 119.
    119 Antena Coletiva deTV e FM e TV a Cabo Previsão de instalação de antena coletiva de TV e FM para capta- ção dos canais locais e de TV a Cabo (tubulação seca), de acordo com projeto específico. Iluminação Serão entregues todas as luminárias das áreas comuns. Sistema de Ar-condicionado As lojas serão dotadas de previsão (tubulação seca para insta- lação elétrica, dreno, caixa para ponto elétrico e carga elétrica) para sistema de ar condicionado tipo split ou VRF, de acordo com projeto específico. A futura instalação da rede frigorígena, fiação e aquisição dos aparelhos condicionadores de ar ficarão a cargo do proprietário; As salas comerciais serão dotadas de previsão (tubulação seca para instalação elétrica, dreno, caixa para ponto elétrico e carga elétrica) para sistema de ar condicionado tipo split ou VRF, de acordo com projeto específico. A futura instalação da rede frigo- rígena, fiação e aquisição dos aparelhos condicionadores de ar ficarão a cargo do proprietário; Os apartamentos serão dotados de previsão (tubulação seca para instalação elétrica, dreno, caixa para ponto elétrico e carga elétri- ca) para sistema de ar condicionado tipo split ou VRF, de acordo com projeto específico. A futura instalação da rede frigorígena, fiação e aquisição dos aparelhos condicionadores de ar ficarão a cargo do proprietário; Nos seguintes ambientes da área comum do comercial: sala de reunião, auditório e lobby será entregue o equipamento e infra- estrutura (fiação, dreno, rede frigorígena, carga elétrica e o apare- lho condicionador de ar) para ar condicionado tipo Split ou VRF. Nos seguintes ambientes da área comum do residencial: salão de jogos, salão de festas, fitness e lobby será entregue o equipamen- to e infraestrutura (fiação, dreno, rede frigorígena, carga elétrica e o aparelho condicionador de ar) para ar condicionado tipo Split ou VRF. No sala do síndico do condomínio residencial e comercial será entregue infraestrutura (fiação, dreno, rede frigorígena, carga elétrica) para instalação de ar condicionado tipo split ou VRF. A aquisição do equipamento e instalação será de responsabilidade do condomínio. Nas salas comerciais terá um local destinado para instalar a con- densadora do ar condicionado de acordo com a planta de contrato. O fechamento (isolamento da condensadora) e qualquer outro material necessário serão de responsabilidade do proprietário. Telecomunicações reparação para receber vários provedores e empresas concessioná- rias de telecomunicação; acesso às linhas digitais ou analógicas das concessionárias com total sigilo; previsão para antena de dados; infra-estrutura para telefonia / rede lógica. Sistema de Automação Será entregue sistema de automação e supervisão predial, cujo controle abrangerá o controle de acendimento e desligamento automático da iluminação, por programação horária, dos subsolos 1, 2, térreo, pavimentos garagens, fachada, jardins, circulação ex- terna e espelhos d’água, monitoramento dos quadros de bombas dos reservatórios, controle do acionamento dos jatos d’água dos epelhos d’água e controle de acessos ao empreendimento. Será entregue irrigação automatizada em pontos estratégicos no jardim do térreo e subsolo 1; Firmado contrato de parceria com a Automatize Residencias Inteli- gentes: Será entregue previsão de automação para controle luminotéc- nico, de climatização e de persianas nos apartamentos, conforme projeto específico. O controle da automação será feito através do Control4. Control =4 - Sistema de automação que integra o controle de lu- zes, áudio, vídeo, paisagismo e climatização. É uma solução que se molda ao estilo de vida de cada usuário e permite que seus clientes adicionem componentes com o passar do tempo. Caso o cliente queira instalar o sistema de automação, deverá:
  • 120.
    120 - adquirir equipamentosnecessários para automatizar os ambien- tes; - contratar a instalação e configuração dos equipamentos, assim como a programação dos tipos de cenários e automação. Outros Serão fornecidos os filtros e motores da piscina do lazer; A piscina do lazer, será entregue com equipamentos para climati- zação da água por trocador de calor; O equipamento da sauna do lazer será entregue; O equipamento SPA do lazer, será entregue com aquecedor; Será entregue o aparelho de ozônio para tratamento de água da piscina do lazer; Será entregue o equipamento ducha da sauna do lazer. Fachada Fachada revestida em reboco paulista com pintura acrílica texturizada com detalhes em vidro, frisos e ACM de acordo com o projeto de fachada. Geral Os materiais aplicados serão sempre de reconhecida qualidade junto ao mercado de materiais de construção, classificadas como 1ª qualidade; As padronagens serão definidas por arquitetos de maneira a se obter harmonia e bom gosto de caracterização final; Em virtude do grande número de lançamentos de materiais e equipamentos novos, tanto fabricados no Brasil como no exterior, a incorporadora se reserva o direito de substituir alguns dos itens apresentados neste memorial por outros de qualidade equivalente; Materiais naturais, tais como pedras, granitos, mármores e madeiras, estão sujeitos a diferentes tonalidades; Os layouts, mobiliários, cores, paginações de acabamentos e vegetação apresentados nas áreas comuns do empreendimento nas imagens de vendas são ilustrativos. A incorporadora se reserva o direito de atualizar a estética da decoração e do paisagismo desses ambientes; Nas lojas e salas comerciais serão entr egues com 01 (uma) demão de tinta nas paredes. O acabamento final das paredes será de responsabilidade do proprietário; Os pisos das áreas de banho (box) e varanda serão entregues com caimento em direção ao ralo, e os demais pisos nivelado; A Incorporadora poderá proceder a pequenos ajustes no projeto, de forma a resolver problemas técnicos que surjam durante a execução da obra; A locação de elementos estruturais das imagens de vendas e projeto de arquitetura aprovado junto à prefeitura pode variar de acordo com exigências técnicas.
  • 121.
    121 INSTITUCIONAL VENTANA DEL SOL GOiâNiA- GO CHATEAU DU PARC GOiâNiA - GO RESERVA DU PARC GOiâNiA - GO LA GALERiE SãO PAULO - SP CONSTELLATiON GOiâNiA - GO A EBM Desenvolvimento Imobiliário, empresa de REAL ESTATE, conta com know-how de mais de 30 anos de atuação e avançado expertise na concepção, desenvolvimento, gestão, comercialização e construção de negócios imobiliários nas suas mais diversas modalidades. Em 3 décadas marcadas por credibilidade e solidez, atuando nos mercados de São Paulo, Minas Gerais, Bahia, Goiás e Distrito Federal, a EBM entregou mais de 2 milhões de metros quadrados e 150 empreendimentos. A empresa conta com três linhas de produtos, muito bem definidos e segmentados. A EBM Premium Style: marca de empreendimentos de alto e médio padrão que tem o propósito de oferecer aos clientes um estilo de vida premium. Já a EBM Bem é a marca de empreendimentos com foco em custo x benefício. Para garantir sempre o melhor retorno aos investidores e parceiros, além dos melhores produtos à seus clientes, a EBM desenvolveu marcas, produtos e serviços, que se complementam, gerando uma solução completa, inédita no mercado imobiliário.
  • 122.