DE ALBERT EINSTEIN
*
17-Jul-24
Profº Wendell Julião
*
17-Jul-24
Profº Wendell Julião
Relativity, M. C. Escher (1898 – 1972)
*
Determinados aspectos da relatividade não são novos. A
noção de que os fenômenos físicos são relativos aos sistemas
de referência foi proposta por Galileu e Newton em suas
épocas.
17-Jul-24
Profº Wendell Julião
Sec. XVII
O cientista italiano Galileu Galilei
notou que um mesmo movimento
podia ser descrito de diferentes
maneiras dependendo do ponto de
vista do observador.
Imagem:
*
17-Jul-24
Profº Wendell Julião
A mecânica de Isaac Newton estava
bem estabelecida nas suas três leis
e, juntamente com a eletrodinâmica
e a termodinâmica, a física parecia
completa.
Imagem: (a) Sir Godfrey Kneller / Retrato de Sir Isaac Newton / Public Domain
*
17-Jul-24
Profº Wendell Julião
1905
Entretanto, existiam problemas que tal mecânica
não conseguia explicar surge então a necessidade
de ver a mecânica de uma nova forma, e Albert
Einstein cria a Teoria da Relatividade Especial (ou
restrita) em 1905, propondo assim novos conceitos
sobre espaço e tempo, sendo este último tratado
agora como uma nova dimensão.
Imagem: Fotografia de Albet Eintein / Doris Ulmann / Library of Congress, Prints & Photographs Division, [reproduction number LC-USZC4-4940] /
Public Domain.
*
17-Jul-24
Profº Wendell Julião
*A Relatividade de Einstein
A teoria da Relatividade Especial, proposta
por Albert Einstein (1879-1955) em 1905,
está de acordo com inúmeras experiências,
e fez previsões que foram comprovadas
experimentalmente depois. Nessa teoria,
os fenômenos são analisados em relação a
sistemas de referência inerciais, ou seja, a
sistemas de referência em relação aos
quais vale o Princípio da Inércia. São
referenciais inerciais todos os sistemas que
estão em repouso ou em movimento
retilíneo e uniforme, ou seja, em
equilíbrio, portanto sem aceleração.
Albert Einstein
(1879-1955)
17-Jul-24
*A Relatividade de Einstein
• No estudo da Mecânica, a velocidade, por exemplo, é uma
grandeza relativa, ou seja, sua medida depende do referencial
do qual está sendo medido.
• Em consequência disso, outras grandezas que dependem da
velocidade também são relativas.
• Comprimento, massa e tempo são tidos como grandezas
absolutas no estudo da Mecânica, mas também se tratam de
grandezas relativas.
• No entanto, a relatividade dessas grandezas só
evidencia-se quando no estudo de situações em que
se têm velocidades muito elevadas, ou seja, não
desprezíveis se comparadas com a velocidade da luz
no vácuo, que é aproximadamente 3,0 . 108 m/s.
Imagem:
http://www.educacaopublica.rj.gov.br
/biblioteca/fisica/img/0014.jpg
*A Relatividade de Einstein
• A teoria da relatividade é composta de duas outras teorias:
Teoria da Relatividade Restrita, que estuda os fenômenos em
relação a referenciais inerciais, e a Teoria da Relatividade Geral,
que aborda fenômenos do ponto de vista não inercial. Apesar de
formar uma só teoria, elas foram propostas em tempos
diferentes, no entanto ambas trouxeram o conhecimento de que
os movimentos do Universo não são absolutos, mas sim
relativos.
17-Jul-24
Profº Wendell Julião
*
A teoria da relatividade restrita foi construída por
Einstein a partir de dois importantes postulados:
“ As leis da física são as
mesmas em qualquer
referencial inercial.’’
“ A velocidade da luz tem
o mesmo valor em
qualquer referencial
inercial.”
Imagem:
Fotografia
de
Albet
Eintein
/
Doris
Ulmann
/
Library
of
Congress,
Prints
&
Photographs
Division,
[reproduction
number
LC-USZC4-
4940]
/
Public
Domain. 17-Jul-24
Profº Wendell Julião
*O primeiro postulado
“As leis da Física são iguais em qualquer referencial
inercial, ou seja, não existe referencial inercial
preferencial”.
*Um passageiro que olha para fora de um trem e vê pela janela outro
trem, nos trilhos ao lado se movendo. Ele está consciente apenas do
movimento relativo entre o seu trem e o outro, e não pode dizer qual
deles está em movimento. Ele pode estar em repouso em relação ao solo
e o outro trem se movendo, ou ele pode estar se movendo em relação ao
solo e o outro trem em repouso, ou ambos podem estar em
movimento em relação ao solo. O fato importante é que se você
estivesse em um trem sem janelas, não haveria maneira de
determinar se o trem estava se movendo com velocidade uniforme
ou se estava em repouso.
*De acordo com Einstein a insensibilidade ao movimento se estende para
outros ramos da Física. Nenhum experimento, seja ele mecânico,
eletromagnético ou óptico jamais pôde revelar o movimento absoluto e
o repouso absoluto. É isso que significa o primeiro postulado da
relatividade especial.
17-Jul-24
Profº Wendell Julião
*O segundo postulado
“A luz sempre se propaga com a mesma velocidade,
independente do referencial inercial adotado”.
* Einstein, ainda jovem fez a seguinte pergunta ao seu professor: “como pareceria um
feixe luminoso se você estivesse se deslocando lado a lado com ele?” De
acordo com a física clássica, o feixe estaria em repouso com respeito a este
observador, mas de acordo com o modelo eletromagnético de sua época, as
equações de Maxwell, a luz sempre está em movimento. Einstein desconfiou que
algo de estranho acontecia com a luz.
* Imagine uma nave espacial viajando pelo espaço interestelar, no meio do éter (meio
elástico, extremamente ténue que permeava o espaço), com uma velocidade de 30
km/s. Imagine também que um segundo observador, na Terra estivesse com um
potente telescópio e um equipamento de precisão que pudesse medir a velocidade
de um pulso de luz, oriundo do farol dianteiro e traseiro da nave.
* Como esse foguete está a alta velocidade, ele seria capaz de afetar a velocidade da
luz. Seria esperado que a luz se movesse com velocidade (c + 30) km/s, se estivesse a
favor do éter, e se estivesse contra o éter, o pulso teria velocidade de (c –
30) km/h.
* Diferentemente do que se esperava, a lei das velocidades de Galileu não funciona
com a luz. Em ambos os casos, a luz admite o mesmo valor, isto é, o valor de c.
Einstein não admitiu a existência do éter, principalmente por causa das
“pretensas” propriedades especiais (densidade zero e transparência perfeita)
que se pensava que ele possuía. Ele manteve o princípio da relatividade aceitando
que todas as leis físicas são iguais em referenciais inerciais, incluindo as leis do
eletromagnetismo. Para isto ele apresenta o segundo postulado da Teoria da
Relatividade, também conhecido como Princípio da Invariância da Velocidade da Luz.
A luz se propaga no vácuo com uma velocidade
definida c (c ≅300.000 km/s = 300.000.000 m/s) que
é independente do movimento do corpo que a
emitiu.
c
V
Ela não depende da velocidade da fonte emissora de
luz nem do movimento do observador. A velocidade da
luz no vácuo é absoluta, pois não depende do sistema
de referência inercial adotado.
*
Imagem:
http://www.if.ufrj.br/~carlos/palestra
s/relatividade/relatividade.ppt
17-Jul-24
*
Como consequência, os conceitos de espaço e tempo
são relativos, isto é, se a velocidade c é constante
para todos os observadores, então espaço e tempo,
cujo quociente fornece o valor c, podem assumir
valores diferentes, dependendo do observador.
17-Jul-24
Profº Wendell Julião
17-Jul-24
Profº Wendell Julião
*
 Dilatação do tempo
 Contração do espaço
17-Jul-24
Profº Wendell Julião
*
17-Jul-24
Profº Wendell Julião
R': referencial em repouso em relação ao local onde ocorreram
os eventos. Para esse referencial, o intervalo de tempo entre os
eventos será representado por
R: referencial em movimento em relação ao local onde
ocorreram os eventos. Para esse referencial, o intervalo de tempo
entre os eventos será representado por
/
t

t

17-Jul-24
Profº Wendell Julião
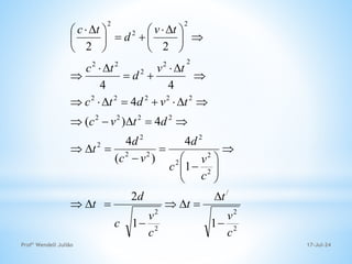
*
c
2d
t
2
:
temos
,
Como
/
/








t
d
c
t
s
v
17-Jul-24
Profº Wendell Julião
*
17-Jul-24
Profº Wendell Julião
2
2
/
2
2
2
2
2
2
2
2
2
2
2
2
2
2
2
2
2
2
2
2
2
2
2
2
2
2
2
1
1
2
1
4
)
(
4
4
)
(
4
4
4
2
2
c
v
t
t
c
v
c
d
t
c
v
c
d
v
c
d
t
d
t
v
c
t
v
d
t
c
t
v
d
t
c
t
v
d
t
c



















































 








 

17-Jul-24
Profº Wendell Julião
c
c c c
tempo
menor
tempo maior
/
t
 t

17-Jul-24
Profº Wendell Julião
2
2
/
1
c
v
t
t




/
t
t 


 
Note que, para R', o tempo passa mais devagar.
Qualquer processo físico, reação química ou processo
biológico que ocorre dentro do vagão é mais lento
para R' do que para R. Incluem-se nesse caso os batimentos
cardíacos e a rapidez com que o mecanismo de um relógio opera.
Fator de Lorentz
2
2
1
1
c
v



17-Jul-24
Profº Wendell Julião
*
Consideremos uma experiência controlada que envolva dois
gêmeos de 20 anos, Eliandro e Leandro. Eliandro, o gêmeo mais
aventureiro empreende uma jornada até uma estrela, a 30 anos-luz
da Terra. A sua astronave é capaz de acelera até velocidade próxima
da velocidade da luz. Depois de chegar à estrela, Eliandro sente
muitas saudades, e retorna imediatamente à Terra, com a mesma
velocidade elevada. No seu retorno, fica admirado pelas muitas
mudanças. Antigas cidades expandiram-se, novas apareceram.
Leandro, envelheceu cerca de 80 anos e Eliandro, porém,
envelheceu apenas 10 anos e ainda continuava bonitão. Isso em
virtude de os seus processos corporais se terem alentecido durante a
viagem no espaço.
17-Jul-24
Profº Wendell Julião
*
Um foguete parte da Terra com velocidade v = 0,8c, em relação à Terra,
transportando um astronauta. Em relação ao foguete, a viagem dura 3
anos. Quanto durou a viagem do astronauta em relação a um observador
na Terra?
anos
t
t
c
c
t
c
v
t
t
anos
t
t
5
6
,
0
3
)
8
,
0
(
1
3
1
3
?
2
2
2
2
/
/


















17-Jul-24
Profº Wendell Julião
*
Se um observador mede o comprimento de um objeto que está
em movimento relativamente a ele, o valor obtido é diferente daquele
que seria encontrado se a medição fosse feita num referencial onde o
objeto estivesse em repouso, Esse efeito é consequência direta da
dilatação do tempo. Analisemos uma situação hipotética simples. Isso é
o que Einstein chamava de experiência mental.
17-Jul-24
Profº Wendell Julião
 R: referencial em repouso em relação ao corpo cujo
comprimento será medido (no caso, o corpo é o túnel). Para esse
referencial, o comprimento do túnel l.
 R': referencial móvel em relação ao corpo (túnel) cujo
comprimento será medido. Para esse referencial, o comprimento
do túnel l’
17-Jul-24
Profº Wendell Julião
*
t
v
l
t
l
v 





17-Jul-24
Profº Wendell Julião
*
2
2
2
2
2
2
2
2
/
1
'
:
Temos
1
'
'
'
Então;
.
1
'
escrever
podemos
,
1
Como
'.
'
'
'
c
v
l
l
c
v
t
v
l
t
v
l
c
v
t
t
c
v
t
t
t
v
l
t
l
v

























17-Jul-24
Profº Wendell Julião
Se o corpo em estudo estivesse dentro do vagão e fixado
nele, o referencial R, em repouso em relação ao corpo,
estaria no vagão. O referencial R', por sua vez, em movimento
em relação ao corpo, estaria no solo. Nessa situação,
a contração do comprimento do corpo ocorreria para R'.
O comprimento l' que a barra tem em relação a R' é menor que o
comprimento l que ela tem em relação a R:
2
2
1
'
que
menor
'
c
v
l
l
l
l


17-Jul-24
Profº Wendell Julião
A contração do comprimento só ocorre na direção do movimento
e é um efeito provocado pela não-simultaneidade na determinação
das coordenadas das extremidades do objeto medido.
17-Jul-24
Profº Wendell Julião
*
Considere uma barra em repouso em relação a um sistema de referência R’. Este
se movimenta em relação ao sistema de referência R com velocidade v = 0,8c.
Seja L = 1,0 m o comprimento da barra medido no referencial R’. Sabendo-se
que a barra está alinhada na direção do movimento, determine o comprimento
da barra em relação ao referencial R.
17-Jul-24
Profº Wendell Julião
m
L
c
c
L
L
c
v
L
L
c
v
m
L
60
,
0
36
,
0
1
)
8
,
0
(
1
1
8
,
0
0
,
1
2
2
/
2
2
/
/





























17-Jul-24
Profº Wendell Julião
*
Uma nave espacial tem o comprimento de 100m, medidos por um observador
em repouso em relação à nave. Se a nave passar por um observador com
velocidade de 0,99c, qual o comprimento que este observador atribuirá à
nave?
  m
L
c
c
L
L
c
v
L
L
c
v
m
L
14
100
02
,
0
100
)
99
,
0
(
1
1
99
,
0
100
2
2
/
2
2
/
/






























Se a nave espacial passar pelo observador em repouso com a velocidade
0,01c, qual o comprimento que este observador medirá?
Suponha dois observadores em referenciais inerciais com velocidade relativa V
(velocidade próxima à da luz).
Um observador S’ que se encontra exatamente no
meio do trem, e outro observador S que se encontra
no solo, e que estão se cruzando exatamente
quando dois raios ocorrem e atinjam as posições
frontal e traseira do trem.
Como cada observador perceberá os dois fenômenos?
- Observador S os eventos serão simultâneos, pois as
duas frentes de onda de luz irão atingi-lo ao
mesmo tempo e elas percorrem a mesma
distância.
- Observador S’ os eventos não serão simultâneos.
Como a velocidade da luz é a mesma para qualquer
observador, ele verá primeiro a frente de onda da
frente, pois é neste sentido que se desloca o trem,
logo, S’ concluiu que o raio produzido na frente do
trem foi emitido primeiro do que o outro. 17-Jul-24
17-Jul-24
Profº Wendell Julião
*
A Teoria da Relatividade Geral é uma generalização da Teoria da
Relatividade Restrita. A Relatividade Geral leva em conta os aspectos
fundamentais da Relatividade Restrita, mas também trata do efeito
dos campos gravitacionais sobre o espaço e o tempo.
De acordo com a
Relatividade Geral,
grandes massas alteram
a curvatura do espaço,
produzindo a gravidade
17-Jul-24
Profº Wendell Julião
Princípio da Equivalência
A Relatividade Geral, por sua vez, é baseada no Princípio da Equivalência. Esse
princípio indica que, por meio de um experimento realizado localmente, não é
possível afirmar se a aceleração sofrida por um corpo é decorrente da gravidade
ou da aplicação de uma força externa de outra natureza que não a gravitacional,
já que seus efeitos serão similares.
Uma das grandes consequências do Princípio da Equivalência é que, mesmo que
uma região do espaço esteja acelerada pela aplicação de uma força, se nesse
local houver um campo gravitacional que anule essa aceleração, o observador
não será capaz de discernir se é ou não um referencial inercial (com velocidade
constante).
*
17-Jul-24
Profº Wendell Julião
*

Aula_Teoria_Relatividade.pdf_Relatividade

  • 1.
  • 2.
  • 3.
    * Determinados aspectos darelatividade não são novos. A noção de que os fenômenos físicos são relativos aos sistemas de referência foi proposta por Galileu e Newton em suas épocas. 17-Jul-24 Profº Wendell Julião
  • 4.
    Sec. XVII O cientistaitaliano Galileu Galilei notou que um mesmo movimento podia ser descrito de diferentes maneiras dependendo do ponto de vista do observador. Imagem: * 17-Jul-24 Profº Wendell Julião
  • 5.
    A mecânica deIsaac Newton estava bem estabelecida nas suas três leis e, juntamente com a eletrodinâmica e a termodinâmica, a física parecia completa. Imagem: (a) Sir Godfrey Kneller / Retrato de Sir Isaac Newton / Public Domain * 17-Jul-24 Profº Wendell Julião
  • 6.
    1905 Entretanto, existiam problemasque tal mecânica não conseguia explicar surge então a necessidade de ver a mecânica de uma nova forma, e Albert Einstein cria a Teoria da Relatividade Especial (ou restrita) em 1905, propondo assim novos conceitos sobre espaço e tempo, sendo este último tratado agora como uma nova dimensão. Imagem: Fotografia de Albet Eintein / Doris Ulmann / Library of Congress, Prints & Photographs Division, [reproduction number LC-USZC4-4940] / Public Domain. * 17-Jul-24 Profº Wendell Julião
  • 7.
    *A Relatividade deEinstein A teoria da Relatividade Especial, proposta por Albert Einstein (1879-1955) em 1905, está de acordo com inúmeras experiências, e fez previsões que foram comprovadas experimentalmente depois. Nessa teoria, os fenômenos são analisados em relação a sistemas de referência inerciais, ou seja, a sistemas de referência em relação aos quais vale o Princípio da Inércia. São referenciais inerciais todos os sistemas que estão em repouso ou em movimento retilíneo e uniforme, ou seja, em equilíbrio, portanto sem aceleração. Albert Einstein (1879-1955) 17-Jul-24
  • 8.
    *A Relatividade deEinstein • No estudo da Mecânica, a velocidade, por exemplo, é uma grandeza relativa, ou seja, sua medida depende do referencial do qual está sendo medido. • Em consequência disso, outras grandezas que dependem da velocidade também são relativas. • Comprimento, massa e tempo são tidos como grandezas absolutas no estudo da Mecânica, mas também se tratam de grandezas relativas. • No entanto, a relatividade dessas grandezas só evidencia-se quando no estudo de situações em que se têm velocidades muito elevadas, ou seja, não desprezíveis se comparadas com a velocidade da luz no vácuo, que é aproximadamente 3,0 . 108 m/s. Imagem: http://www.educacaopublica.rj.gov.br /biblioteca/fisica/img/0014.jpg
  • 9.
    *A Relatividade deEinstein • A teoria da relatividade é composta de duas outras teorias: Teoria da Relatividade Restrita, que estuda os fenômenos em relação a referenciais inerciais, e a Teoria da Relatividade Geral, que aborda fenômenos do ponto de vista não inercial. Apesar de formar uma só teoria, elas foram propostas em tempos diferentes, no entanto ambas trouxeram o conhecimento de que os movimentos do Universo não são absolutos, mas sim relativos. 17-Jul-24 Profº Wendell Julião
  • 10.
    * A teoria darelatividade restrita foi construída por Einstein a partir de dois importantes postulados: “ As leis da física são as mesmas em qualquer referencial inercial.’’ “ A velocidade da luz tem o mesmo valor em qualquer referencial inercial.” Imagem: Fotografia de Albet Eintein / Doris Ulmann / Library of Congress, Prints & Photographs Division, [reproduction number LC-USZC4- 4940] / Public Domain. 17-Jul-24 Profº Wendell Julião
  • 11.
    *O primeiro postulado “Asleis da Física são iguais em qualquer referencial inercial, ou seja, não existe referencial inercial preferencial”. *Um passageiro que olha para fora de um trem e vê pela janela outro trem, nos trilhos ao lado se movendo. Ele está consciente apenas do movimento relativo entre o seu trem e o outro, e não pode dizer qual deles está em movimento. Ele pode estar em repouso em relação ao solo e o outro trem se movendo, ou ele pode estar se movendo em relação ao solo e o outro trem em repouso, ou ambos podem estar em movimento em relação ao solo. O fato importante é que se você estivesse em um trem sem janelas, não haveria maneira de determinar se o trem estava se movendo com velocidade uniforme ou se estava em repouso. *De acordo com Einstein a insensibilidade ao movimento se estende para outros ramos da Física. Nenhum experimento, seja ele mecânico, eletromagnético ou óptico jamais pôde revelar o movimento absoluto e o repouso absoluto. É isso que significa o primeiro postulado da relatividade especial. 17-Jul-24 Profº Wendell Julião
  • 12.
    *O segundo postulado “Aluz sempre se propaga com a mesma velocidade, independente do referencial inercial adotado”. * Einstein, ainda jovem fez a seguinte pergunta ao seu professor: “como pareceria um feixe luminoso se você estivesse se deslocando lado a lado com ele?” De acordo com a física clássica, o feixe estaria em repouso com respeito a este observador, mas de acordo com o modelo eletromagnético de sua época, as equações de Maxwell, a luz sempre está em movimento. Einstein desconfiou que algo de estranho acontecia com a luz. * Imagine uma nave espacial viajando pelo espaço interestelar, no meio do éter (meio elástico, extremamente ténue que permeava o espaço), com uma velocidade de 30 km/s. Imagine também que um segundo observador, na Terra estivesse com um potente telescópio e um equipamento de precisão que pudesse medir a velocidade de um pulso de luz, oriundo do farol dianteiro e traseiro da nave. * Como esse foguete está a alta velocidade, ele seria capaz de afetar a velocidade da luz. Seria esperado que a luz se movesse com velocidade (c + 30) km/s, se estivesse a favor do éter, e se estivesse contra o éter, o pulso teria velocidade de (c – 30) km/h. * Diferentemente do que se esperava, a lei das velocidades de Galileu não funciona com a luz. Em ambos os casos, a luz admite o mesmo valor, isto é, o valor de c. Einstein não admitiu a existência do éter, principalmente por causa das “pretensas” propriedades especiais (densidade zero e transparência perfeita) que se pensava que ele possuía. Ele manteve o princípio da relatividade aceitando que todas as leis físicas são iguais em referenciais inerciais, incluindo as leis do eletromagnetismo. Para isto ele apresenta o segundo postulado da Teoria da Relatividade, também conhecido como Princípio da Invariância da Velocidade da Luz.
  • 13.
    A luz sepropaga no vácuo com uma velocidade definida c (c ≅300.000 km/s = 300.000.000 m/s) que é independente do movimento do corpo que a emitiu. c V Ela não depende da velocidade da fonte emissora de luz nem do movimento do observador. A velocidade da luz no vácuo é absoluta, pois não depende do sistema de referência inercial adotado. * Imagem: http://www.if.ufrj.br/~carlos/palestra s/relatividade/relatividade.ppt 17-Jul-24
  • 14.
    * Como consequência, osconceitos de espaço e tempo são relativos, isto é, se a velocidade c é constante para todos os observadores, então espaço e tempo, cujo quociente fornece o valor c, podem assumir valores diferentes, dependendo do observador. 17-Jul-24 Profº Wendell Julião
  • 15.
    17-Jul-24 Profº Wendell Julião * Dilatação do tempo  Contração do espaço
  • 16.
  • 17.
    17-Jul-24 Profº Wendell Julião R':referencial em repouso em relação ao local onde ocorreram os eventos. Para esse referencial, o intervalo de tempo entre os eventos será representado por R: referencial em movimento em relação ao local onde ocorreram os eventos. Para esse referencial, o intervalo de tempo entre os eventos será representado por / t  t 
  • 18.
  • 19.
  • 20.
  • 21.
    17-Jul-24 Profº Wendell Julião c cc c tempo menor tempo maior / t  t 
  • 22.
    17-Jul-24 Profº Wendell Julião 2 2 / 1 c v t t     / t t     Note que, para R', o tempo passa mais devagar. Qualquer processo físico, reação química ou processo biológico que ocorre dentro do vagão é mais lento para R' do que para R. Incluem-se nesse caso os batimentos cardíacos e a rapidez com que o mecanismo de um relógio opera. Fator de Lorentz 2 2 1 1 c v   
  • 23.
    17-Jul-24 Profº Wendell Julião * Consideremosuma experiência controlada que envolva dois gêmeos de 20 anos, Eliandro e Leandro. Eliandro, o gêmeo mais aventureiro empreende uma jornada até uma estrela, a 30 anos-luz da Terra. A sua astronave é capaz de acelera até velocidade próxima da velocidade da luz. Depois de chegar à estrela, Eliandro sente muitas saudades, e retorna imediatamente à Terra, com a mesma velocidade elevada. No seu retorno, fica admirado pelas muitas mudanças. Antigas cidades expandiram-se, novas apareceram. Leandro, envelheceu cerca de 80 anos e Eliandro, porém, envelheceu apenas 10 anos e ainda continuava bonitão. Isso em virtude de os seus processos corporais se terem alentecido durante a viagem no espaço.
  • 24.
    17-Jul-24 Profº Wendell Julião * Umfoguete parte da Terra com velocidade v = 0,8c, em relação à Terra, transportando um astronauta. Em relação ao foguete, a viagem dura 3 anos. Quanto durou a viagem do astronauta em relação a um observador na Terra? anos t t c c t c v t t anos t t 5 6 , 0 3 ) 8 , 0 ( 1 3 1 3 ? 2 2 2 2 / /                  
  • 25.
    17-Jul-24 Profº Wendell Julião * Seum observador mede o comprimento de um objeto que está em movimento relativamente a ele, o valor obtido é diferente daquele que seria encontrado se a medição fosse feita num referencial onde o objeto estivesse em repouso, Esse efeito é consequência direta da dilatação do tempo. Analisemos uma situação hipotética simples. Isso é o que Einstein chamava de experiência mental.
  • 26.
    17-Jul-24 Profº Wendell Julião R: referencial em repouso em relação ao corpo cujo comprimento será medido (no caso, o corpo é o túnel). Para esse referencial, o comprimento do túnel l.  R': referencial móvel em relação ao corpo (túnel) cujo comprimento será medido. Para esse referencial, o comprimento do túnel l’
  • 27.
  • 28.
  • 29.
    17-Jul-24 Profº Wendell Julião Seo corpo em estudo estivesse dentro do vagão e fixado nele, o referencial R, em repouso em relação ao corpo, estaria no vagão. O referencial R', por sua vez, em movimento em relação ao corpo, estaria no solo. Nessa situação, a contração do comprimento do corpo ocorreria para R'. O comprimento l' que a barra tem em relação a R' é menor que o comprimento l que ela tem em relação a R: 2 2 1 ' que menor ' c v l l l l  
  • 30.
    17-Jul-24 Profº Wendell Julião Acontração do comprimento só ocorre na direção do movimento e é um efeito provocado pela não-simultaneidade na determinação das coordenadas das extremidades do objeto medido.
  • 31.
    17-Jul-24 Profº Wendell Julião * Considereuma barra em repouso em relação a um sistema de referência R’. Este se movimenta em relação ao sistema de referência R com velocidade v = 0,8c. Seja L = 1,0 m o comprimento da barra medido no referencial R’. Sabendo-se que a barra está alinhada na direção do movimento, determine o comprimento da barra em relação ao referencial R.
  • 32.
  • 33.
    17-Jul-24 Profº Wendell Julião * Umanave espacial tem o comprimento de 100m, medidos por um observador em repouso em relação à nave. Se a nave passar por um observador com velocidade de 0,99c, qual o comprimento que este observador atribuirá à nave?   m L c c L L c v L L c v m L 14 100 02 , 0 100 ) 99 , 0 ( 1 1 99 , 0 100 2 2 / 2 2 / /                               Se a nave espacial passar pelo observador em repouso com a velocidade 0,01c, qual o comprimento que este observador medirá?
  • 34.
    Suponha dois observadoresem referenciais inerciais com velocidade relativa V (velocidade próxima à da luz). Um observador S’ que se encontra exatamente no meio do trem, e outro observador S que se encontra no solo, e que estão se cruzando exatamente quando dois raios ocorrem e atinjam as posições frontal e traseira do trem. Como cada observador perceberá os dois fenômenos? - Observador S os eventos serão simultâneos, pois as duas frentes de onda de luz irão atingi-lo ao mesmo tempo e elas percorrem a mesma distância. - Observador S’ os eventos não serão simultâneos. Como a velocidade da luz é a mesma para qualquer observador, ele verá primeiro a frente de onda da frente, pois é neste sentido que se desloca o trem, logo, S’ concluiu que o raio produzido na frente do trem foi emitido primeiro do que o outro. 17-Jul-24
  • 35.
    17-Jul-24 Profº Wendell Julião * ATeoria da Relatividade Geral é uma generalização da Teoria da Relatividade Restrita. A Relatividade Geral leva em conta os aspectos fundamentais da Relatividade Restrita, mas também trata do efeito dos campos gravitacionais sobre o espaço e o tempo. De acordo com a Relatividade Geral, grandes massas alteram a curvatura do espaço, produzindo a gravidade
  • 36.
    17-Jul-24 Profº Wendell Julião Princípioda Equivalência A Relatividade Geral, por sua vez, é baseada no Princípio da Equivalência. Esse princípio indica que, por meio de um experimento realizado localmente, não é possível afirmar se a aceleração sofrida por um corpo é decorrente da gravidade ou da aplicação de uma força externa de outra natureza que não a gravitacional, já que seus efeitos serão similares. Uma das grandes consequências do Princípio da Equivalência é que, mesmo que uma região do espaço esteja acelerada pela aplicação de uma força, se nesse local houver um campo gravitacional que anule essa aceleração, o observador não será capaz de discernir se é ou não um referencial inercial (com velocidade constante). *
  • 37.