MECÂNICA QUÂNTICA
ANTONIO EDSON GONÇALVES
8 de abril de 2015
2
Antonio Edson Gonçalves
Depto de Física - Centro de Ciências Exatas
Universidade Estadual de Londrina
Cx. Posta 86100 -Londrina - Paraná
goncalve@uel.br
10.03.2011
Sumário
1 Revisão 11
1.1 Revisão . . . . . . . . . . . . . . . . . . . . . . . . . . . . . . 11
1.2 Experimentos com Elétrons . . . . . . . . . . . . . . . . . . . 11
2 Conceitos Fundamentais 21
2.1 O experimento de Stern-Gerlach . . . . . . . . . . . . . . . . . 21
2.1.1 Momento de dipolo magnético orbital . . . . . . . . . . 21
2.1.2 Dipolo Magnético em um Campo Externo . . . . . . . 23
2.1.3 O experimento de Stern-Gerlach puro . . . . . . . . . . 24
2.1.4 Descrição do experimento . . . . . . . . . . . . . . . . 26
2.1.5 Experimentos de Stern-Gerlach Sequenciais . . . . . . . 30
2.2 Espaço de Hilbert, Kets, Bras e Operadores . . . . . . . . . . 34
2.2.1 Espaços Vetoriais . . . . . . . . . . . . . . . . . . . . . 34
2.2.1.1 Subespaços Vetoriais[1] . . . . . . . . . . . . . 36
2.2.2 Mapeamentos Lineares, Imagens e Núcleo . . . . . . . 37
2.2.3 O Espaço Vetorial Dual . . . . . . . . . . . . . . . . . 38
2.2.4 O Espaço de Hilbert . . . . . . . . . . . . . . . . . . . 39
2.2.5 Espaço dos Kets . . . . . . . . . . . . . . . . . . . . . 42
2.2.6 Espaço dos Bras e o Produto Interno . . . . . . . . . . 45
2.2.7 Kets Base e Representação Matricial . . . . . . . . . . 51
2.2.8 Base Construida com Autoestados . . . . . . . . . . . . 52
2.2.9 Representação Matricial. . . . . . . . . . . . . . . . . . 55
2.2.10 Representação Matricial dos Operadores e Estados com
Spin 1/2. . . . . . . . . . . . . . . . . . . . . . . . . . 61
2.3 Medidas, Observáveis e Relações de Incerteza . . . . . . . . . 62
2.3.1 Polarização de fótons . . . . . . . . . . . . . . . . . . . 62
2.3.2 Stern-Gerlach Sequenciais com três feixes. . . . . . . . 64
2.3.3 Comparando a polarização de férmions e bósons . . . . 70
2.3.4 Medida . . . . . . . . . . . . . . . . . . . . . . . . . . 70
2.3.5 O valor esperado de um observável A. . . . . . . . . . . 72
2.3.6 Medidas seletivas: o papel do operador projetor . . . . 72
3
4 SUMÁRIO
2.4 Mudança de Bases . . . . . . . . . . . . . . . . . . . . . . . . 85
2.4.1 A matriz de transformação . . . . . . . . . . . . . . . . 87
2.4.2 Observáveis Similares . . . . . . . . . . . . . . . . . . . 94
2.5 Coordenadas, Momento e Translação . . . . . . . . . . . . . . 98
2.5.1 Espectro contínuo . . . . . . . . . . . . . . . . . . . . . 98
2.5.2 Autovetores de posição e medidas de posição . . . . . . 99
2.5.3 Translação . . . . . . . . . . . . . . . . . . . . . . . . . 101
2.5.4 As relações de comutação canônicas . . . . . . . . . . . 105
2.6 A função de Onda no Espaço das Coordenadas e Momentos. . 105
2.6.1 A função de onda no espaço das coordenadas . . . . . . 105
2.6.1.1 Relações de fechamento . . . . . . . . . . . . 106
2.6.2 O Momento na representação das coordenadas. . . . . 109
2.6.3 A função de onda no espaço dos momentos . . . . . . . 112
2.6.4 As coordenadas no espaço dos momentos (Melhorar
este texto) . . . . . . . . . . . . . . . . . . . . . . . . . 114
2.6.5 Mudança de base ou representação. . . . . . . . . . . . 115
2.6.6 Pacote de onda gaussiano. . . . . . . . . . . . . . . . . 118
2.6.7 Relação de incerteza da posição e momento para o pa-
cote gaussiano (Rep. Coord.). . . . . . . . . . . . . . . 119
2.6.8 O pacote de ondas gaussiano na representação dos mo-
mentos. . . . . . . . . . . . . . . . . . . . . . . . . . . 122
2.6.8.1 Comparando os Pacotes nas duas prepresen-
tações . . . . . . . . . . . . . . . . . . . . . . 125
2.7 Generalização para Três Dimensões. . . . . . . . . . . . . . . . 126
3 Dinâmica Quântica 129
3.1 Evolução Temporal e a Equação de Schrodinger . . . . . . . . 129
3.2 Representações de Schrodinger e Heisenberg . . . . . . . . . . 142
3.3 O Oscilador Harmônico Simples . . . . . . . . . . . . . . . . . 142
3.4 A Equação de Onda de Schrodinger . . . . . . . . . . . . . . . 164
3.5 Integrais de Trajetória . . . . . . . . . . . . . . . . . . . . . . 165
4 Teoria do Momento Angular 181
4.1 Relações de Comutação para Rotações e Momento Angular . . 181
A Espaços Vetoriais. 191
A.1 Produto Interno . . . . . . . . . . . . . . . . . . . . . . . . . . 192
B Grupos de Lie. 193
B.1 Grupos de Lie, only to english see! . . . . . . . . . . . . . . . 194
B.2 Álgebra de Lie . . . . . . . . . . . . . . . . . . . . . . . . . . . 198
SUMÁRIO 5
C Momento, Gerador de Translações 199
D Transformações Canônicas 201
D.1 Transformações Canônicas Infinitesimais. . . . . . . . . . . . . 204
E A Equação de Hamilton-Jacob 207
E.1 Equações Diferenciais Parciais de Primeira Ordem . . . . . . . 207
E.1.1 Solução Completa . . . . . . . . . . . . . . . . . . . . . 210
E.2 A Equação de Hamilton-Jacob . . . . . . . . . . . . . . . . . . 211
F A função de Heaviside ou Degrau 215
G Poucas Representações da Função Delta 219
H Polinômios de Hermite. 221
I Funções de Green 223
Appendix 191
Referências Bibliográficas 229
Índice 231
6 SUMÁRIO
Lista de Figuras
1.2.1 Aparelho medidor de Dureza . . . . . . . . . . . . . . . . . . . 12
1.2.2 Aparelho medidor de COR . . . . . . . . . . . . . . . . . . . . 12
1.2.3 Experimento sequencial: persistência da medida . . . . . . . . 13
1.2.4 Experimento sequencial: persistência da medida . . . . . . . . 13
1.2.5 Arranjo experimental para medir correlações . . . . . . . . . . 14
1.2.6 Arranjo experimental para medir correlações . . . . . . . . . . 14
1.2.7 Arranjo experimental com três aparelhos . . . . . . . . . . . . 15
1.2.8 Aparelho com espelhos . . . . . . . . . . . . . . . . . . . . . . 16
1.2.9 Aparelho com espelhos . . . . . . . . . . . . . . . . . . . . . . 17
1.2.10Aparelho com espelhos . . . . . . . . . . . . . . . . . . . . . . 17
1.2.11Aparelho sem bloqueio . . . . . . . . . . . . . . . . . . . . . . 18
1.2.12Aparelho com bloqueio . . . . . . . . . . . . . . . . . . . . . . 18
2.1.1 Momento angular . . . . . . . . . . . . . . . . . . . . . . . . . 22
2.1.2 Descrição do Experimento . . . . . . . . . . . . . . . . . . . . 26
2.1.3 Separação do feixe com átomos de Ag no aparelho de SGz . . 31
2.1.4 Stern-Gerlach puro . . . . . . . . . . . . . . . . . . . . . . . . 32
2.1.5 Stern-Gerlach SGˆz → SGˆx . . . . . . . . . . . . . . . . . . . 32
2.1.6 Stern-Gerlach SGˆz → SGˆx → SGˆz . . . . . . . . . . . . . . . 33
2.1.7 Luz não polarizada. . . . . . . . . . . . . . . . . . . . . . . . . 34
2.1.8 luz x−polarizada . . . . . . . . . . . . . . . . . . . . . . . . . 34
2.1.9 Luz polarizada . . . . . . . . . . . . . . . . . . . . . . . . . . 35
2.2.1 Exemplos de conjuntos densos e não densos . . . . . . . . . . 42
2.2.2 Sistema com dois níveis de energia . . . . . . . . . . . . . . . 60
2.2.3 Inversão do spin . . . . . . . . . . . . . . . . . . . . . . . . . . 61
2.3.1 SGz . . . . . . . . . . . . . . . . . . . . . . . . . . . . . . . . 65
2.3.2 SG SS . . . . . . . . . . . . . . . . . . . . . . . . . . . . . . . 65
2.3.3 Resumo da convenção da notação dos SG . . . . . . . . . . . . 66
2.3.4 SG angulo . . . . . . . . . . . . . . . . . . . . . . . . . . . . 67
2.3.5 Medida seletiva . . . . . . . . . . . . . . . . . . . . . . . . . . 73
2.6.1 Produto interno α β . . . . . . . . . . . . . . . . . . . . . . . 106
7
8 LISTA DE FIGURAS
2.6.2 Pacote Gaussiano e quadrado do modulo do pacote . . . . . . 118
3.1.1 Esboço gráfico do propagador . . . . . . . . . . . . . . . . . . 130
3.3.1 Autofunção do estado fundamental x | 0 e a correspondente
distribuição de probabilidade. a função distribuição clássica
com a mesma energia total é representada pela curva descon-
tínua. . . . . . . . . . . . . . . . . . . . . . . . . . . . . . . . 153
3.3.2 Autofunções com n=1, 2, 3, 4, 5 . . . . . . . . . . . . . . . . . 154
3.3.3 Densidade de probabilidade de posição para autofunção com
n = 10 representada pela linha sólida. A linha descontínua
representa a densidade de probabilidade para um oscilador
clássico com a mesma energia. . . . . . . . . . . . . . . . . . . 154
3.5.1 Esboço de um dos possíveis caminhos entre dois estados de
um sistema . . . . . . . . . . . . . . . . . . . . . . . . . . . . 171
4.1.1 Fig.1 e fig. 2: composição de rotações ao redor do eixo z . . . 182
4.1.2 Rotações finitas ao redor de diferentes eixos . . . . . . . . . . 182
4.1.3 Rotação passiava ao redor eixo z . . . . . . . . . . . . . . . . . 184
F.0.1Função de Heaviside . . . . . . . . . . . . . . . . . . . . . . . 215
F.0.2Contornos de integração para a função degrau . . . . . . . . . 216
I.0.1 Angulo Sólido . . . . . . . . . . . . . . . . . . . . . . . . . . . 225
Lista de Tabelas
9
10 LISTA DE TABELAS
Capítulo 1
Revisão
Introdução
O objetivo é fazer um resumo de toda mecânica quântica para em seguida
discutir conceitos fundamentais. O material está baseado nas referências: [2],
[3], [4] e [5].
1.1 Revisão
1.2 Experimentos com Elétrons
Considere partículas atômicas, por exemplo elétrons que possuem duas pro-
priedades físicas que aqui serão designadas por dureza e cor simplesmente
por clareza e familiaridade. Estas duas propriedades pode ser posição e mo-
mento; componentes Jx e Jz do momento angular total. É necessário insistir
que este é um experimento facilmente realizado no laboratório, ou seja não é
um gedankem experiment! Um dos fatos experimentais relevantes é que para
todos os elétrons sempre obteve-se como resultado de medições somente um
dos dois valores para a cor, digamos preto ou branco e um dos dois valores
esperados da dureza: duro ou mole! Nunca, até o momento, numa medida,
foram observados elétrons com outras cores senão preto e branco ou dureza:
mole e duro. Não existem elétrons vermelhos, azuis, cinzas ou meio moles,
quase duros, etc. Estes resultados experimentais foram obtidos com a utili-
zação de aparelhos, cuja descrição esquemática e representativa, de aparelhos
realísticos, faremos nas figuras seguintes.
A figura Fig. 1.2.1 contém a representação esquemática de um aparelho
para a medida de dureza. O aparelho consiste de uma caixa com três aber-
turas: uma para o feixe incidente e outras duas para o feixe decomposto nos
11
12 CAPÍTULO 1. REVISÃO
DZ M
D
Figura 1.2.1: Aparelho medidor de Dureza
COR B
P
Figura 1.2.2: Aparelho medidor de COR
feixes duro e mole.
O que está no interior da caixa não importa; por exemplo pode ser um
canguru boxeador que com a pata esquerda golpeia elétrons moles e com a
direita os duros! Como um exemplo concreto, pode ser um ímã não uniforme
como o do experimento de Stern-Gerlach. De fato este não é o problema
central neste momento.
Após o feixe não polarizado passar pela caixa, os elétrons são separados
em moles (M) (feixe horizontal) e duros (D) (feixe vertical). O mesmo arranjo
experimental pode ser feito para a medida das cores branca (B) ou preta (P)
com um aparelho medidor de cor, como indicado na figura Fig. 1.2.2.
Estes aparelhos podem ser utilizados para estudarmos as características
ou propriedades básicas das grandezas que estão sendo medidas. Por exemplo
pode-se utilizar um arranjo sequencial destes aparelhos para verificar se uma
medida é preservada após passar por um segundo aparelho que mede a mesma
propriedade ou se a medida de uma propriedade, por exemplo cor, influência
a medida da propriedade dureza quando o arranjo sequencial é composto de
aparelhos que medem diferentes propriedades.
A figura Fig. 1.2.3 esquematiza um exemplo de uma experimento que
confirma a persistência de uma medida. Neste experimento um feixe de
1.2. EXPERIMENTOS COM ELÉTRONS 13
COR B 50%
P50%
COR B 100%
P 0%
Figura 1.2.3: Experimento sequencial: persistência da medida
DZ M
D
DZ M 100%
D 0%
Figura 1.2.4: Experimento sequencial: persistência da medida
elétrons não polarizados, penetra no aparelho medidor de cor, emergindo
como dois feixes com as mesmas intensidades, sendo um branco e outro preto.
Na sequencia (após um curto lapso de tempo) o feixe branco penetra em
outro aparelho medidor de cor resultando deste somente um feixe composto
exclusivamente de elétrons brancos. O resultado deste experimento indica
que após uma medida de cor efetuada no feixe de elétrons, cada um dos
feixes de iguais intensidades mantém suas cores1
. A esta característica do
feixe de elétrons ( de preservar a cor após uma medida com um aparelho da
mesma natureza) denominamos de persistência . O mesmo arranjo pode
ser feito para a medida da dureza, como mostrado na figura Fig. 1.2.4.
Os experimentos sequenciais indicam a persistência da medida, tanto da
dureza quanto da cor.
Considere agora um outro arranjo experimental no qual mede-se na se-
quencia a dureza e cor ou vice-versa, conforme os esquemas das figuras Fig
1.2.5 e Fig 1.2.6. Os resultados destes experimentos indicam se há ou não
influência da medida da dureza sobre a cor ou da cor sobre a dureza, depen-
1
Assume-se que os feixes preservem as medidas por um determinado intervalo de tempo
14 CAPÍTULO 1. REVISÃO
DZ M
D
COR B 50%
P 50%
Figura 1.2.5: Arranjo experimental para medir correlações
COR B
P
DZ M 50%
D 50%
Figura 1.2.6: Arranjo experimental para medir correlações
dendo do arranjo sequencial. Devido as intensidades dos feixes resultantes
na decomposição preto e branco serem iguais e na decomposição em mole
e duro também serem iguais,2
não há correlações entre as medidas. Estes
experimentos indicam que a medida da cor não é correlacionada com a
medida da dureza e vice-versa.
A figura Fig. 1.2.7 contém a representação esquemática de um outro ar-
ranjo experimental mais elaborado onde são utilizados três aparelhos. Neste
experimento um feixe não polarizado é enviado através do primeiro aparelho
que mede a cor; na sequencia um feixe composto unicamente de elétrons B
penetra no aparelho que mede a dureza dos elétrons, o feixe é decomposto em
elétrons BM e BD, conclusão esta fundamentada nos resultados experimen-
tais esquematizados nas figuras Fig. 1.2.1, Fig. 1.2.2, Fig. 1.2.3 e Fig. 1.2.4
certo? Para verificarmos se a conclusão está correta, o feixe horizontal re-
sultante do aparelho DZ é incidido no terceiro aparelho que mede cor. Pelas
nossas conclusões anteriores deveria aparecer somente um feixe horizontal
2
Resultados experimentais, até onde a precisão permitiu, indicam que a intensidade
dos feixes são iguais por até uma parte em 1010
.
1.2. EXPERIMENTOS COM ELÉTRONS 15
COR B
P
DZ M 50%
D 50%
COR B 50%
P 50%
Figura 1.2.7: Arranjo experimental com três aparelhos
composto de elétrons MOLES E BRANCOS. ESTA CONCLUSÃO ESTÁ
ERRADA! Veja que o experimento esquematizado na figura Fig. 1.2.7 mos-
tra que não é isto o que acontece, o que resulta após o equipamento medidor
de cor são dois feixes de mesma intensidade e de cores B e P. Note também
que a diferença entre o arranjo experimental Fig. 1.2.3 e Fig. 1.2.7 é a in-
clusão de um aparelho DZ entre os aparelhos COR. Parece que o aparelho
DZ mistura as cores! Mas como pode ser tínhamos somente elétrons B?
Antes de discutirmos este resultado inesperado, vamos analisar um outro
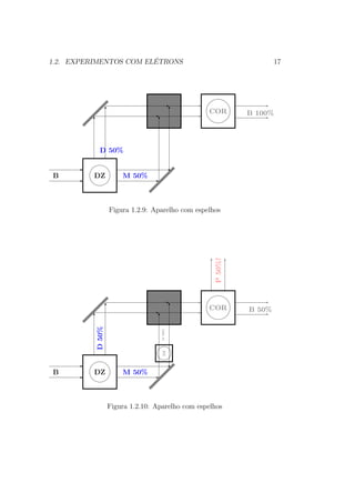
arranjo experimental. Neste novo arranjo, figura Fig. 1.2.8, introduz-se es-
pelhos defletores dos feixes que saem dos aparelhos. Estes espelhos possuem
a única e exclusiva função de defletir o feixe e absolutamente nada mais, ou
seja eles não interferem com as propriedades de cor ou dureza dos elétrons
constituintes dos feixes. A caixa cinza (representando um equipamento defle-
tor de feixes), também possui o papel de somente redirecionar os feixes, sem
interferir em suas propriedades. Neste arranjo experimental, o primeiro apa-
relho tem a função única e exclusiva de produzir um feixe preparado, ou seja
um feixe com uma cor bem definida, branca neste caso. Nos experimentos
subsequentes esta parte do equipamento será desconsiderada.
Considere então a representação esquemática deste experimento esboçado
na figura Fig. 1.2.9. Agora a pergunta interessante: se medirmos a cor do
feixe resultante após seu rearranjo pela caixa cinza, o que resultará? Antes
de responder, compare com o arranjo experimental esquematizado na figura
Fig. 1.2.7. Naquela figura um feixe B é separado em M e D sendo M enviado
para uma medida de cor que resulta em P e B. Já no experimento da Fig.
1.2.9 um feixe B é separado em D e M e após recomposto contém somente
elétrons B.
Novamente a pergunta numa outra forma: se o feixe do experimento Fig.
1.2.7, após separado em DZ contém as cores B e P, por que isto também não
acontece com o feixe do experimento Fig. 1.2.9 que contém somente a cor
16 CAPÍTULO 1. REVISÃO
COR B
P
DZ M 50%
D 50%
Figura 1.2.8: Aparelho com espelhos
B?
Veja que (SURPREENDENTE, OU NÃO!), o feixe resultante é composto
somente de elétrons brancos! Por que surpreendente?! Não o é surpreendente
porque foram enviados somente elétrons brancos! Sim, porém nos experi-
mentos anteriores, por ex., o da figura Fig 1.2.7, após a realização
de uma medida (neste caso a dureza) o feixe resultante possuía
uma mistura estatística de cores ou seja 50% branco e 50% preta.
Por que isto não acontece neste experimento?
Toda esta situação não está clara, mas calma, podemos piorá-la um
pouco. Para isto considere o arranjo experimental esquematizado na figura
Fig. 1.2.10.
Agora a situação acabou de piorar, como anteriormente prometido ! Neste
experimento o feixe incidente é composto somente de elétrons brancos,
como no experimento anterior, Fig. 1.2.9. A diferença entre estes dois arran-
jos é o aparelho medidor de dureza inserido após o espelho no trajeto do feixe
horizontal, utilizado somente para confirmar que o feixe é composto única e
exclusivamente de elétrons moles, dado que não existe correlações entre cor
e dureza (experimento da figura Fig. 1.2.5 e 1.2.6), pergunta-se de onde
surgiram elétrons pretos???
É preciso responder as seguintes perguntas:
1. se medirmos a cor do feixe resultante após seu rearranjo pela caixa
cinza, o que resultará? 15
2. Mas como pode ser tínhamos somente elétrons B? p. 15
1.2. EXPERIMENTOS COM ELÉTRONS 17
B DZ M 50%
D 50%
COR B 100%
Figura 1.2.9: Aparelho com espelhos
B DZ M 50%
D50%
COR B 50%
P50%!
DZM100%
Figura 1.2.10: Aparelho com espelhos
18 CAPÍTULO 1. REVISÃO
B DZ M 50%
D 50%
COR B 100%
Figura 1.2.11: Aparelho sem bloqueio
B DZ M 50%
D50%
COR B 50%
P50%
Figura 1.2.12: Aparelho com bloqueio
1.2. EXPERIMENTOS COM ELÉTRONS 19
3. por que isto também não acontece com o feixe do experimento Fig. 1.2.9
que contém somente a cor B? 16
4. Por que isto não acontece neste experimento?16
O que acontece é que não podemos responder a estas perguntas funda-
mentados nos conceitos clássicos. Um forma de interpretamos os resultados
experimentais
• persitencia da medida de uma dada propriedade
• diferentes propriedades não são correlacionas
• a medida subsequente de uma propriedade destrói a informação da
medida anterior
é admitindo que os elétrons possuem um modo de se comportar e se propagar,
diferente de tudo o que já vimos ou conhecemos no contexto da física clássica.
A este modo dá-se o nome de superposição que significa "não temos idéia do
que está acontecendo"! No contexto deste conceito, um elétron inicialmente
B no experimento da Fig. 1.2.7 não é duro, não é mole e nem ambos, nem
nenhum, mas sim uma superposição de ser D e M A discussão a seguir sugere
os experimentos das figuras Figs. 1.2.11 e 1.2.12.
1. Discussão: considere um elétron passando pelo aparelho do experi-
mento Fig. 1.2.9 e tentemos encontrar a rota seguida pelo elétron.
Considere a possibilidade dele ter tomado a rota D, isto pode ser pos-
sível? Não porque os experimentos anteriores Fig. 1.2.1 e Fig. 1.2.5
informar que elétrons D são BP e não somente B. Considere então que
os elétrons passaram pela rota M; também não é possível pelo mesmo
motivo. Poderá então de alguma forma os elétrons tomarem os dois
percursos? Os experimentos mostram se interrompermos os elétrons
em seu trajeto através do aparelho para determinarmos sua rota, re-
sulta que na metade das vezes ele utiliza a rota D e na outra metade a
M. Até a presente data, nunca foi observado meio elétron percorrendo
a rota d e a outra metade, a rota M! Resta somente a possibilidade que
o elétron não tome nenhuma rota, isto não pode ser porque neste caso
não haveria fluxo de elétron após o aparelho!
2. Fatos curiosos neste experimento: O que motiva esta pergunta? qual o
caminho seguido pelo elétron?
3. Fig. 1.2.9 Indica a não localidade do sistema. Explicar que os espelhos
podem estar separados por milhares de quilômetros de distância
20 CAPÍTULO 1. REVISÃO
Os arranjos experimentais esquematizados nas figuras Figs. 1.2.11 e 1.2.12
foram elaborados também para a tentativa de encontrar a trajetória seguida
pelo elétron. Certamente que isto não é possível e o experimento reforça o
conceito de superposição. O que também é surpreendente neste experimento
é o fato de que o bloqueio de um dos feixes interfere no resultado da medida da
cor, ou seja sem bloqueio o feixe emergente é B, enquanto que com bloqueio
o feixe emergente será composto de B e P com as mesmas probabilidades.
Como pode o bloqueio do feixe M interferir nos elétrons do feixe D mesmo que
este esteja a muitos quilómetros de distância? Esta característica é chamada
de não localidade do sistema!
Capítulo 2
Conceitos Fundamentais
Introdução
Este texto é uma adaptação informal da referência [6] com material coletado
de várias outras referências.
2.1 O experimento de Stern-Gerlach
O objetivo é estudar o experimento de Stern-Gerlack e compará-lo com o
comportamento de uma onda eletromagnética com polarização linear e cir-
cular para a construção do espaço de Hilbert deste sistema.
2.1.1 Momento de dipolo magnético orbital
A idéia é utilizar um modelo semiclássico para calcularmos o momento mag-
nético μ = IA de um elétron no átomo de hidrogêneo, utilizando o modelo
de Bhor. Para isto, Considere um elétron de massa m e carga e em movi-
mento numa órbita circular de raio r (órbita de Bohr) com rapidez v, como
esquematizado na figura Fig. 2.1.1
A carga em movimento circular (modelo do átomo de Bhor no estado
fundamental) corresponde a uma corrente estacionária ( ∙ J = 0) com in-
tensidade
I =
dq
dt
≡
q
Δt
.
Para o elétron em uma órbita de Bhor, q = −e e o intervalo de tempo Δt é
o período do movimento
T =
2πr
v
21
22 CAPÍTULO 2. CONCEITOS FUNDAMENTAIS
Figura 2.1.1: Momento angular
2.1. O EXPERIMENTO DE STERN-GERLACH 23
sendo portanto
I =
qv
2πr
.
Sendo a área da órbita circular
A = − πr2
k
obtem-se para o momento magnético órbital do elétron, a seguinte expressão
μ = −
qvr
2
k.
Entretanto este elétron também possui momento angular dado por
L = r × p = mer × v.
Dado que o vetor velocidade é perpendicular ao deslocamento r o módulo do
momento angular será
L = merv,
o que possibilita escrevermos
μ = −
q
2me
L.
Resumindo, foi possível expressar o momento magnético em função do mo-
mento angular, o que se faz necessário renomeá-lo de momento magnético
órbital! Note que o momento magnético órbital depende somente de cons-
tanstes fundamentais como a carga e massa do elétron. Existe uma diferença
entre o valor previsto por este modelo e o observado experimentalmente, pri-
meiro porque para o elétron o momento magnético obsevado é o intrínsico e
não o angular, segundo: o valor previsot é aproximadamente metade do valor
medido experimentalmente o que motivou a intrudução de uma contante g
chamada de razão giromagnética cujo valor correto (para o elétron g ∼ 2) só
é obtido utilizando-se a mecânica quântica relativística.
2.1.2 Dipolo Magnético em um Campo Externo
Um dipolo magnético em um campos externo é submetido a um torque
τ = μl × B,
que tende a alinhar o dipolo com o campo magnético. Associado a este torque
existe a energia potencial de orientação
U = −μl ∙ B.
24 CAPÍTULO 2. CONCEITOS FUNDAMENTAIS
Este torque faz com que o dipolo precesse com frequência
ω =
μlgl
B
com relação a direção do vetor do campo magnético. Esta é a conhecida
frequência de Larmor.
Um dado sistema possuindo momento magnético μ quando sujeito a um
campo externo estará submetido a uma força que pode ser calculada pela
expressão
F = (μl ∙ B)
que será nula se o campo externo for constante, mas para um campo não
uniforme e um momento magnético constante teremos
Fi = μlj∂iBj.
2.1.3 O experimento de Stern-Gerlach puro
Em 1922 Stern e Gerlach, no Instituto de Física Teórica e Experimental da
Universidade de Frankfurt, mediram os valores possíveis de μsz para átomos
de prata (Ag)
simplesmente enviando um feixe desses átomos através de um campo
magnético não uniforme. Um diagrama esquemático é mostado na figura
anterior. Um feixe de átomos neutro é obtido pela evaporação da prata em
2.1. O EXPERIMENTO DE STERN-GERLACH 25
um forno. O feixe é colimado por diafrágmas e penetra na região entre os
polos N e S de um imã não uniforme. Como os átomos são neutros, a única
força que atua é a força
F = (μ ∙ B) .
A força que age em cada átomo depende, portanto, do valor de μ para o
átomo em questão, sendo o feixe separado em componenetes dependendo ou
de acordo com os vários valores de μ presentes. Os átomos defletidos
atingem o anteparo deixando um traço visível de sua distribuição.
De acordo com a teoria clássica, μ pode ter qualquer valor entre −|μ| e
|μ| e para um feixe composto de átomos com uma distribuição isotrópica de
momento magnético a teoria clássica prediz que o feixe defletido se espalhará
numa banda contínua
Stern e Gerlach constataram que o feixe com átomos de prata é separado
em duas componentes discretas, uma delas sendo desviada no sentido do eixo
z positivo e a outra no sentido do eixo z negativo. A experiência foi repetida
com outras orientações do aparelho e várias espécies de átomos, constatando-
se sempre que o feixe defletido era separado em duas ou mais componentes
discretas.
26 CAPÍTULO 2. CONCEITOS FUNDAMENTAIS
Figura 2.1.2: Descrição do Experimento
2.1.4 Descrição do experimento
Átomos de prata possuem 47 elétrons, 46 deles formam uma distribuição de
carga esfericamente simétrica e o 47º elétron ocupa o orbital 5s1
.
Características básicas do átomo de prata:
• 47 prótons
• 60 neutrons
• 47 elétrons
A distribuição eletrônica nas camadas é
10
1s2
2s2
2p6
10
3s2
3p6
4s2
10
3d10
6
4p6
10
4d10
5s1
Resumo:
• para um dado n, n2
é a degenerecência,
2.1. O EXPERIMENTO DE STERN-GERLACH 27
• l = 0, 1, 2, ∙ ∙ ∙ , n − 1
• ml = −l, −l + 1, ∙ ∙ ∙ , 0, 1, ∙ ∙ ∙ , l
• para um dado l,ml possui 2l + 1 valores. O número de elétrons em um
subnível é 2(2l + 1).
No experimento de Stern-Gerlach o feixe de átomos de prata é enviado através
de um campo magnético não uniforme alinhado ao longo do eixo z.Um feixe
colimado, com átomos de prata, passando através de um imã não uniforme,
como na figura Fig. 2.1.4 . Estes átomos estando no estado fundamental
terão um momento angular orbital nulo uma vez que l = 0e os elétrons
restantes (46 elétrons) compõe uma camada fechada.
Os primeiros 46 elétrons formam uma camada fechada com momento
angular total nulo. O último elétron da camada 5s1
tem
l = 0 =⇒ m = 0,
portanto
μl = −
glμB
L
= −
glμB
l(l + 1) n
= 0.
Ou seja o momento magnético do elétron dever ser nulo!
No arranjo experimental mostrado na figura Fig. 2.1.4 escolhe-se o eixo
z na direção do campo magnético e classicamente espera-se que o feixe não
polarizado produza uma mancha contínua uniformemente distribuida com a
direção do feixe não defletido z = 0. De acordo com a formulação de Schro-
dinger se os átomos do feixe possuirem momento angular cujos autovalores
são l(l + 1) , após passarem pelo campo não homogêneo serão separados em
um número de l(l+1) diferentes feixes correspondentes aos diferentes valores
de momento angular, portanto para os átomos no estado fundamental l = 0
e o feixe não será defletido. Entretanto para os átomos do feixe preparados
no estado 5p1
, portanto l = 1 o feixe deverá se separar em três componentes,
de acordo com a teoria de Schrodinger.
O que se observa experimentalmente é que o feixe não se comporta de
acordo com a predição da física clássica, nem com a predição da teoria de
Schrödinger. Este resultado é também observado para o átomo de hidrogêneo
no estado fundamental, l = 0, quando não se espera uma separação do feixe.
Para resolver esta charada, Goldsmith e Ulembech postulam em 1925, que
adicionalmente ao momento angular orbital, o elétron possui um momento
28 CAPÍTULO 2. CONCEITOS FUNDAMENTAIS
angular intrínsico o qual diferentemente do momento angular orbital não tem
relação com os graus de liberdade espaciais, por isto este momento angular
é denominado de spin e depende dos graus de liberdade interno. É um erro
considerar que o elétron está girando em torno de seu eixo e a esta rotação
associarmos um momento angular denominado de spin, mesmo porque até
onde se sabe o elétron não possui estrutura! O spin é um grau de liberdade
intrinsico sendo um conceito quantico-relativístico sem análogo clássico1
. Di-
ferentemente do momento angular orbital, o spin não pode ser descrito por
um operador diferencial.
Entretanto se o resultado experimental for negativo, a causa será devido
a um novo tipo de momento angular, por isto a expressão anterior deverá ser
modificada para
μJ = −
glμB
(L + S) ,
sendo S o novo tipo de momento angular denominado de spin do elétron ou
momento angular intrínsico. Para os átomos de prata que estamos conside-
rando
μJ = −
glμB
(L + S) ,
= −
glμB
(0 + S)
= −
glμB
S
para o elétron 5s1
.
Pode ser que haja uma contribuição, na deflexão do feixe, do momento
magnético nuclear durante a passagens dos átomos pelo campo magnético.
Para avaliarmos esta contribuição, simplesmente utilizamos a expressão do
momento angular orbital do elétron
μl = −
glμB
L,
para estimarmos os momentos magnéticos do próton e do NEUTRON! (Como
pode ser, o neutron não tem carga!? Mas tem sim um momento magnético
e isto é justamente a indicação da existencia de uma extrutura interna!)
μp = −
e
mp
L
1
De fato existem os chamados modelos pseudoclássico com propostas para a descrição
do spin no contexto clássico. Estes modelos são úteis para se estudar a quantização de
partículas relativísticas e/ou construir modelos que tentam colocar numa base formal a
quantização de sistemas com vínculos. Como exemplo veja a referência: F. A. Berezin and
M. S. Marinov, JETP Lett. 21 (1975) 320
2.1. O EXPERIMENTO DE STERN-GERLACH 29
μn = −
e
mn
L.!!
The neutron is a subatomic hadron particle that has the symbol n. Neutrons
have no net electric charge and a mass slightly larger than that of a proton.
The neutron magnetic moment is the magnetic moment of the neutron. It is
of particular interest, as magnetic moments are created by the movement of
electric charges. Since the neutron is a neutral particle, the magnetic moment
is an indication of substructure. For a time, the neutron was thought to be
made of a proton, with a charge of +e and an electron, with a charge of
−e, whose charge would cancel out. However, since the advent of the quark
model, it is now known that the neutron is made of one up quark (charge of
(2/3)e ) and two down quarks (charge of −(1/3)e ).
Sendo que:
• e ∼ 1, 6 × 10−19
C
• me ∼ 9, 1 × 10−31
kg
• mp ∼ 1, 672 × 10−27
kg
• mn ∼ 1, 674 × 10−27
kg,
obtem-se imediatamente que
μp = μe
me
mp
,
sendo
me
mp
∼ 10−4
segue que
μp
μe
∼ 10−4
30 CAPÍTULO 2. CONCEITOS FUNDAMENTAIS
o que indica que o momento magnético nuclear é quatro ordens de grandeza
menor que o momento magnético do átomo, podendo portanto ser descon-
siderado neste experimento. Isto significa que qualquer deflexão no feixe de
prata será devido a existência de outro tipo, que não o orbital, de momento
angular intrínsico ou spin do elétron.
Quando então os átomos passam através do campo magnético inomogêneo
B eles serão submetidos a uma força cujas componentes são
Fi = μsj∂iBj,
e dada a simetria rotacional, com relação ao eixo z, do problema somente a
componente z será relevante, restando portanto
Fz = μsz∂zBz.
O momento magnético, já calculado é
μz = −
e
2me
Sz



> 0 para Sz < 0,
< 0 para Sz > 0.
No diagrama do experimento de Ster-Gerlach o campo magnético é mais
intenso próximo ao polo norte do que no polo sul, e para variações positivas
ao longo do eixo z teremos
∂Bz
∂z
< 0,
ou seja o campo diminui com o aumento de z. Segue então que a força atuando
ao longo do eixo z é
Fz =
|e|
me
Sz
∂Bz
∂z



> 0 para Sz > 0,
< 0 para Sz < 0.
A figura Fig. 2.1.4 contém uma representação esquemática da separeção do
feixe.
2.1.5 Experimentos de Stern-Gerlach Sequenciais
Classicamente pode-se determinar as três componentes do momento angular
Lx, Ly, e Lz simultaneamente. Isto pode ser compreendido da seguinte forma:
o momento angular de um corpo sólido com momento de inércia I pode ser
escrito como
L = Iω,
2.1. O EXPERIMENTO DE STERN-GERLACH 31
Figura 2.1.3: Separação do feixe com átomos de Ag no aparelho de SGz
32 CAPÍTULO 2. CONCEITOS FUNDAMENTAIS
Figura 2.1.4: Stern-Gerlach puro
Figura 2.1.5: Stern-Gerlach SGˆz → SGˆx
portanto conhecendo-se as componentes da velocidade angular ω, por pro-
jeção no plano xy e ao longo do eixo z, ou seja ωx, ωy e ωz, pode-se medir
as componentes do momento angular. Um exemplo clássico encontrado na
maioria dos livros textos de mecânica clássica [7? ] é o solução das equações
de movimento de um peão simétrico em um campo gravitacional homogêneo
g.
Uma vez realizado o experimento de Stern-Gerlack que mostra os possíveis
valores Sz+e Sz− que pode assumir a componente Sz do momento angular
intrínseco ou spin, prossegue-se com o experimento submetendo-se uma das
componentes do feixe, por exemplo Sz+ a um outro campo magnético ou
SGn numa direção arbitrária n que agora escolhida como diferente de z.
Pode-se considerar, por exemplo a direção ˆx. Antes de prosseguir com o
experimento seqüencial, pode-se certificar que o sistema (feixe Sz+) encontra-
se em um estado puro, para isto submete-se novamente o feixe a um SGˆz
como esquematizado na figura 2.1.4.
Pode-se medir que o feixe após passar pelo primeiro aparelho SGˆz e uma
vez tendo-se bloqueado Sz− o feixe contém somente átomos com componentes
de spin Sz+.
Considere a passagem do feixe Sz+ por um aparelho SGˆx. O resultado
do experimento é esquematizado na figura (2.1.5).
Deste experimento mede-se que após passar pelo aparelho SGˆx o feixe
com orientação de spin Sz+é decomposto em duas componentes Sx+e Sx−.
Pode-se conjecturar que o feixe Sz+ é uma mistura
Sz+
?
=



Sz+ + Sx+,
Sz+ + Sx−.
Se esta for verdadeira implicará na medida simultânea das componentes
Sx+ e Sx−dos momentos angulares de spin. Para verificar esta conjectura
2.1. O EXPERIMENTO DE STERN-GERLACH 33
Figura 2.1.6: Stern-Gerlach SGˆz → SGˆx → SGˆz
passa-se o feixe Sz++Sx+ ou Sz++Sx− através de outro aparelho (um terceiro
para ser mais preciso) SGˆz seqüencial como esquematizado na figura 2.1.6
Neste experimento, o feixe Sx− é bloqueado, espera-se portanto como re-
sultado de uma medida somente a observação do feixe contendo componentes
Sz+. O experimento indica que este não é o caso! O feixe Sx+ é decomposto
em dois feixes com orientações Sz+ e Sz−.Sumarizando os resultados:
• de fato o feixe os feixes Sx+ e Sx−não contém Sz+ como pensamos
inicialmente.
• não é possível determinarmos Sz+ e Sx+ ou Sx− num mesmo experi-
mento (ou simultaneamente)
• A medida do feixe com o aparelho SGˆx destrói toda informação sobre
as medidas anteriores com SGˆz
Analogia com a polarização da luz2
Para tentarmos compreender o que ocorre com o feixe de átomos de prata
quando passa através de um campo magnético inomogêneo e decomposto em
duas componentes, considera-se um fenômeno similar 3
que acontece com
a luz ou mais geralmente a radiação eletromagnética. Considere uma onda
eletromagnética monocromática propagando-se ao longo do eixo z, no sentido
crescente, sua componente elétrica pode ser escrita como
E = E0 ˆueı(kz−ωt)
,
sendo E0 a amplitude da onda que pode ser complexa. Quando a onda é
submetida a um filtro polarizador na direção ˆx, obtém-se uma onda x−polarizada
E = E0ˆx ˆeı(kz−ωt).
Experimentos com polarizadores ópticos indicam que nenhuma intensi-
dade luminosa é medida quando uma onda eletromagnética x− polarizada
2
Uma discussão clarificadora da passagem da luz através de um cristal é feita por Dirac.
Veja o primeiro capitulo da referência [8]
3
Esta comparação é justificada pelo comportamento ondulatório da matéria
34 CAPÍTULO 2. CONCEITOS FUNDAMENTAIS
Figura 2.1.7: Luz não polarizada.
Figura 2.1.8: luz x−polarizada
passa através de um y−polarizador (polarizador com direção y). As figuras
2.1.8 e (2.1.5) são representações esquemáticas desta situação.
Até este ponto não há nada incomum com a polarização da luz. O expe-
rimento torna-se mais interessante quando é colocado entre os polarizadores
ˆx − p e ˆy − p um outro filtro ˆx − p cujo eixo ox faz um ângulo de 45o
com o eixo ox do polarizador ˆx − p. Após a introdução deste polarizador,
observa-se no anteparo uma intensidade luminosa, IE = 0. O aparecimento
desta radiação pode ser explicado com base no modelo ondulatório da luz.
Para isto considere um sistema de coordenadas definido na frente da onda
ˆx − p e cujo eixo x coincide com o eixo x da onda plano polarizada.
2.2 Espaço de Hilbert, Kets, Bras e Opera-
dores
2.2.1 Espaços Vetoriais
Um espaço vetorial[9] (ou espaço linear) L sobre um corpo 4
K é um conjunto
no qual duas operações são definidas: a adição ( ou combinação de dois
elementos), representada pelo símbolo + e a multiplicação por um elemento
do corpo K (denominado escalar). Neste texto praticamente trabalharemos
4
Veja o comentário na seção ??
2.2. ESPAÇO DE HILBERT, KETS, BRAS E OPERADORES 35
Figura 2.1.9: Luz polarizada
com o campo real K ou complexo C. Os elementos do espaço vetorial L,
denominados vetores são postulados a satisfazerem os seguintes axiomas:
1. u + v = v + u
2. u + (v + w) = (u + v) + w
3. ∃ o vetor nulo 0 tal que v + 0 = v
4. ∀ u ∈ V , ∃ − u ∈ V | u + (−u) = 0
5. c(u + v) = cu + v
6. (c + d)u = cu + cv
7. c(du) = (cd)u
8. 1u = u. Os vetores u , v e w são elementos de L e c, d e 1 são
elementos do campo K.
Seja {vi} um conjunto com k vetores. Se a equação
k
i=1
kivi = 0 , (2.2.1)
possuir somente solução trivial ki = 0 (ou seja se a igualdade somente se
verifica se todos os escalares ki = 0) o conjunto de k-vetores é denominado
de linearmente independente , caso contrário, se existir somente um ki
36 CAPÍTULO 2. CONCEITOS FUNDAMENTAIS
não nulo o sistema é denominado de linearmente dependente. Se um dos
vetores vi for nulo, seu coeficiente não necessariamente é nulo e o conjunto
será linearmente dependente.
Um conjunto de vetores LI, ei é uma base do espaço vetorial L se todo
vetor v ∈ L puder ser decomposto unicamente como
v =
i
viei , (2.2.2)
onde vi ∈ K são as componentes de v na base {ei}. Se existirem n elementos
ei na base, a dimensionalidade de L será n, sendo representada como
dim L = N.
Uma notação geralmente utilizada para um espaço vetorial V de dimensão
n sobre um corpo K é
V (N, K),
a dimensionalidade do espaço pode ser finita ou infinita.
Exemplo 2.2.1. Um exemplo [1] trivial conjunto Rn
com a adição e multi-
plicação por escalar definidas sobre a n-uplas
(x1, x2, ∙ ∙ ∙ , xn) ∈ Rn
de forma que
(x1, x2, ∙ ∙ ∙ , xn) + (y1, y2, ∙ ∙ ∙ , yn) = (x1 + y1, ∙ ∙ ∙ , xn + yn)
e
k (x1, x2, ∙ ∙ ∙ , xn) = (ax1, ax2, ∙ ∙ ∙ , axn) , a ∈ K
Exemplo 2.2.2. Um outro exemplo de um espaço vetorial (sem produto
interno) é o das funções de classe C∞
definidas em Rn
no qual a operação
de adição é definida em um ponto e a multiplicação por um escalar k ∈ K é
feita como a dos números reais.
Exemplo 2.2.3. O espaço 2 − d para partículas com spin 1/2 definido no
plano complexo.
2.2.1.1 Subespaços Vetoriais[1]
Discutiremos concisamente a definição e exemplos de subespaços vetoriais
Definição 2.2.4. Um subespaço Vs ⊂ V de um espaço vetorial V é um
subconjunto não vazio Vs de V que satisfaz as seguintes condições
2.2. ESPAÇO DE HILBERT, KETS, BRAS E OPERADORES 37
(a) ∀ x, y ∈ Vs, x + y ∈ Vs ;
(b) ∀x ∈ V0, e k ∈ K, kx ∈ Vs
Exemplo 2.2.5. Um exemplo bastante trivial: o espaço Euclidiano R3
é um
subespaço do espaço vetorial Rn
, ou seja R3
⊂ Rn
.
2.2.2 Mapeamentos Lineares, Imagens e Núcleo
Definição 2.2.6. Mapeamento Linear: Dado dois espaços vetoriais V e W,
com elementos v e w respectivamente, o mapeamento f : V =⇒ W é deno-
minado mapeamento linear se satisfizer a seguinte condição f(av + bw) =
af(v) + bf(w), com a e b ∈ K; (K denota o corpo dos ou C). Note que
a primeira operação (de adição de vetores) é feita no espaço V e a segunda
em W. O conjunto de todos os mapeamentos lineares de V em W é denomi-
nado por L(V, W). Um mapeamento linear é um exemplo de homomorfismo
que preserva a adição vetorial e a multiplicação por um escalar, preservando
portanto a estrutura algébrica.
Exemplo 2.2.7. Mapeamento ZERO: Zero ∅ representará a função (mapea-
mento) de V em W, tal que ∅ : V → W. Considere o elemento v ∈ V , então
∅v = 0. O mapeamento ∅ mapeia o elemento v ∈ V no elemento 0 ∈ W. A
condição ∅(a1v1 +a2v2) = ∅(a1v1)+∅(a2v2) = a1∅v1 +a2∅v2 = 0+0 = 0.
Outro exemplo:
Exemplo 2.2.8. Defina um mapeamento T ∈ L(P( ), P( )) como Tp = p .
Verificamos que T(ap1 + bp2) = T(ap1) + T(bp2) = aTp1 + bTp2 = ap1 + bp2.
Este mapeamento pode ser interpretado como a operação de derivação.
Exemplo de uma transformação não linear.
Exemplo 2.2.9. Com um exemplo de uma transformação que não é linear
utilizamos o determinante de uma matriz: Seja T : V −→ W a transformação
que associa o determinante det M à matriz M. Como
det(M + N) = det(m) + det(N); det(cM) = cn
det(M);
c ∈ e n é a ordem da matriz M. Portanto, neste caso, a transformação T
não é linear.
A definição de imagem:
Definição 2.2.10. Imagem: Resumidamente, definimos a imagem de uma
função f : A → B como f(A) ⊂ B que pode ser representa por im(f).
38 CAPÍTULO 2. CONCEITOS FUNDAMENTAIS
O núcleo de um mapeamento:
Definição 2.2.11. Núcleo (Kernel): O núcleo de um mapeamento é o con-
junto de vetores v ∈ V tal que kerf(V ) = {v ∈ V |f(v) = 0}.
Alguns exemplos:
Exemplo 2.2.12. O núcleo do mapeamento derivativo, exemplo 2.2.8 é
kerT(A) = {v|T(v) = 0}. A derivada de funções constantes é nula, portanto
o núcleo do mapeamento derivativo T é o conjunto de funções constantes:
ker T(A) = {funções constantes}
2.2.3 O Espaço Vetorial Dual
Seja f : V −→ K, uma função linear (mapeamento linear) de um espaço
V (n, K) no corpo K. Seja {ei} uma base de V e considere um vetor arbitrário
v escrito nesta base
v = v1
e1 + v2
e2 + ∙ ∙ ∙ + vi
ei + ∙ ∙ ∙ + vn
en.
Da linearidade de f temos
f(v) = f(v1
e1 + v2
e2 + ∙ ∙ ∙ + vi
ei + ∙ ∙ ∙ + vn
en)
= v1
f(e1) + v2
f(e2) + ∙ ∙ ∙ + vi
f(ei) + ∙ ∙ ∙ + vn
f(en).
Desta forma conhecido o resultado da operação de f(ei) sobre ∀ei conhe-
ceremos o resultado da operação da função f sobre qualquer vetor v ∈ V .
Dado que o conjunto de funções lineares também forma um espaço vetorial,
o espaço gerado por
{f(ei)}
é denominado de espaço vetorial dual ao espaço V (n, K), sendo representado
como
V ∗
(n, K) ou Hom V (n, K).
Note que
{ei} ←→V (n, K)
{ei∗
} ←→V ∗
(n, K)
A base {ei∗
} do espaço dual V ∗
(n, K) é uma função linear, portanto ela é
completamente especificada por ei∗
(ej), para todo j. Pode-se escolher a base
dual como
e∗i
(ej) = δi
j.
2.2. ESPAÇO DE HILBERT, KETS, BRAS E OPERADORES 39
Neste contexto, toda função linear f é de fato um vetor dual, que pode ser
expandido como
f = fje∗j
e a ação de f sobre um dos vetores v ∈ V pode ser interpretada como um
produto interno entre vetores linha e coluna
f(v) = fje∗j
vi
ei = fjvi
e∗j
(ei) = fjvi
δi
j = fivi
∈ K.
Utiliza-se a notação
<; >: V ∗
× V −→ K
para representar o produto interno como um mapeamento bilinear do produto
cartesiano do espaço dual com o espaço no corpo K.
2.2.4 O Espaço de Hilbert
O espaço de Hilbert é um conjunto de vetores Ψ, Φ, χ, ∙ ∙ ∙ ∈ H e escalares
k ∈ K sendo que K pode representar o corpo dos reais ou dos complexos
C, com as seguintes propriedades
• (a) H é um espaço vetorial ou linear
• (b) Define-se em H um produto escalar positivo definido
O produto escalar de dois elementos Φ e Ψ, representado por
(Φ, Ψ) ou Φ | Ψ ,
é em geral um número complexo.
O produto escalar satisfaz
Φ | Ψ = Ψ | Φ ∗
,
c1Φ1 + c2Φ2 | Ψ = c∗
1 Φ1 | Ψ + c∗
2 Φ2 | Ψ ,
Φ | d1Ψ1 + d2Ψ2 = d1 Φ | Ψ1 + d2 Φ | Ψ2 ,
Ψ | Ψ 0 e ∈
• H é separável: ∃ uma sequência de Cauchy ψn ∈ H, n = 1, 2, ∙ ∙ ∙ tal
que para cada ψ ∈ H e ε > 0, ∃ pelo menos um ψn da sequência para
o qual
ψ − ψn < ε
40 CAPÍTULO 2. CONCEITOS FUNDAMENTAIS
Outra definição pode ser utilizada: Um espaço H é separável se ∃ um subs-
paço H ⊂ H que é enumerável e denso. Penso ser necessário definir subcon-
junto denso, entretanto para isto é necessário definir Fecho. Estas definições
são apresentadas a seguir.
2.2. ESPAÇO DE HILBERT, KETS, BRAS E OPERADORES 41
Definição. Uma sequência de números reais é uma função f : N −→ R
representada por f(n) ou simplesmente xn.
Definição. Uma sequência f(n) é denominada de sequência de Cauchy se
dado ε > 0, ∃ n0 ∈ N tal que
f(n) − f(m) < ε
para ∀ m, n n0
Exemplo. Para a sequência f(n) = 1/n para ε > 0 ∃ n0 ∈ N tal que
|f(r) − f(s)| < ε para ∀ r, s > n0.
Definição. Seja S um subconjunto de um espaço topológico X. Um ponto
x ∈ X é um ponto aderente a S quando toda vizinhança de x em X contém
pelo menos um ponto de S. O conjunto dos pontos que são aderentes a S
chama-se o fecho de S, e o denotaremos por S.
Definição 2.2.13. {Obs. ponto limite=ponto de acumulação}. Seja E ⊂ R.
Um ponto p ∈ R é um ponto limite (ou de acumulação) do subconjunto E
se ∀ Bε(p) contiver um ponto q ∈ E | p = q.
Definição 2.2.14. Ponto de aderência. Um ponto p é ponto de aderência de
um conjunto S, se toda vizinhança aberta de p contém pontos de S. Observe
que p pode não pertencer ao conjunto S.
Observação: Existe uma diferença bastante sutil entre os conceitos de ponto
de acumulação e ponto de aderência, como podemos observar pelo exemplo
seguinte.
Exemplo: Cada número complexo do conjunto S=i+n:n=1,2,... é um ponto
de aderência de S, mas nenhum dos pontos desse conjunto é um ponto de
acumulação de S.
Definição 2.2.15. Ponto isolado. Um ponto p ∈ E é isolado se ∃ Bε(p) que
contém somente o ponto p do conjunto E.
Exemplo 2.2.16. E = (a, b) e a < b. Qualquer ponto p ∈ E e a < p < b é
ponto de acumulação do conjunto E. Note também que as bolas Bε(a)e Bε(b)
também contem pontos de E = a, b portanto a, b também são pontos de
aculumação ou pontos limites do conjunto E mas não pertencem ao conjunto
E.
Exemplo 2.2.17. Seja E = 1
n
| n ∈ N∗ . Cada 1/n é um ponto isolado já
que ∃ Bε(1
n
) cujo único elemento é o ponto 1/n do conjunto E. Este conjunto
possui um ponto de acumulação ou ponto limite que é o zero, porém este
ponto /∈ E
Definição. Seja S um subconjunto de um espaço topológico X. O sub-
conjunto S ⊂ X é denominado denso em X se o seu fecho S for igual a
X.
42 CAPÍTULO 2. CONCEITOS FUNDAMENTAIS
Figura 2.2.1: Exemplos de conjuntos densos e não densos
• H é completo. Isto é verdade se todas as sequências de Cauchy são
convergentes. De outra maneira mais formal: Cada sequência de Cau-
chy ψn ∈ H, com n ∈ N converge para um elemento de H, ou seja a
relação
lim
m, n→∞
ψn − ψm = 0,
define um único limite ψ ∈ H tal que
lim
n→∞
ψn − ψ = 0.
Resumindo com outra definição:
Definição 2.2.18. Um espaço de Hilbert H é um espaço vetorial produto
interno que é completo e com a norma induzida pelo produto interno.
2.2.5 Espaço dos Kets
Na mecânica quântica o estado físico de um sistema é representado por um
vetor de estado ou raio vetor, elemento de espaço vetorial complexo, cuja
dimensão depende do sistema em consideração.
vetor de estado ⇐⇒ ket |α .
2.2. ESPAÇO DE HILBERT, KETS, BRAS E OPERADORES 43
Postulala-se que o ket |α contém toda a informação do estado físico ou
do sistema. Dois kets podem ser adicionados
|α + |β = |γ ,
sendo o ket |γ um outro ket. Também para c ∈ C temos que
c |α = |α c = |δ .
Para c = 0 teremos
0 |α = |α 0 = 0,
sendo 0 o ket nulo. Note que
|0 = 0,
já que |0 é o estado de vácuo de um dado sistema físico ou no contexto de
teorias de campos é o vácuo de uma teoria.
Postulado. Os kets |α e c |α com c ∈ C e c = 0 representam o mesmo
estado físico. Uma constante não altera a direção de um vetor, ou ket, no
espaço de Hilbert.
Observável. São quantidades físicas mensuráveis representadas por ope-
radores5
. Representaremos por A, B, ∙ ∙ ∙ operadores associados a observá-
veis. Um operador atua em um ket, geralmente pela esquerda, como
A ∙ (|α ) = A |α
cujo resultado é outro ket. Um operador gira um ket no espaço de Hilbert
H. Em geral A |α não é uma constante vezes o ket inicial, porém quando
isto acontece teremos as famosas equações de autovalores-autoestados de um
dado operador, por exemplo A. Seja então a equação
A |a = a |a (2.2.3)
que para um número finito ou infinito de autoestados-autovalores represen-
taremos como
{|a , |a , ∙ ∙ ∙ , |an
, ∙ ∙ ∙ } ,
sendo que
A |a = a |a
A |a = a |a
...
...
5
Existe um sério problema para se encontrar um operador associado a um observável
por conta de problemas de ordenamento. Voltaremos a discutir este problema quando
tratarmos das integrais de trajetória de Feynman.
44 CAPÍTULO 2. CONCEITOS FUNDAMENTAIS
sendo a , a , ∙ ∙ ∙ ∈ C. O conjunto de números
{a } ≡ {a , a , ∙ ∙ ∙ , an
, ∙ ∙ ∙ } (2.2.4)
é denominado de espéctro do operador A ou conjunto de autovalores do
operador A. Resumindo, na equação a autovalores
A |a = a |a ,



A ↔ é um operador associado a um observável,
a ↔ é um autovalor do operador A,
|a ↔ é um autovetor ou autoestado do operador A.
Exemplo 2.2.19. Considere o operador Sz e seus autoestados e autovalores:
Sz |Sz; + = +
2
|Sz; + ,
Sz |Sz; − = −
2
|Sz; −
Nesta equação Sz é um operador, ± /2 os seus autovalores e |Sz; ± seus dois
autoestados. Apesar da notação parecer um pouco carregada, ela será neces-
sária para que possamos, por exemplo, distinguir a equação a autovalores-
autoestados do operador Sx
Sx |Sx; + = +
2
|Sx; + ,
Sx |Sx; − = −
2
|Sx; −
Foi observado anteriormente que a dimensionalidade do espaço de Hilbert
depende do sistema em consideração, por exemplo no experimento de Stern-
Gerlach o feixe de átomos de prata foi separado em dois feixes distintos
fornecendo a dimensionalidade dois do espaço de Hilbert correspondente aos
dois estados de spins para os quais associou-se a base
{|Sz; + , |Sz; − } .
Já, para um espaço de dimensionalidade N, por exemplo para átomos com
grandes valores de spin, digamos com spin 7/2, obteremos oito feixes com
projeções distintas de spin no experimento de SG, e neste caso a dimensi-
onalidade do espaço de Hilbert será 8. Se a dimensão do espaço for N o
2.2. ESPAÇO DE HILBERT, KETS, BRAS E OPERADORES 45
espaço de Hilbert conterá uma base com n autoestados do operador A. Um
ket arbitrário |α poderá então ser escrito como
|α =
a
ca |a , (2.2.5)
com a , a , ∙ ∙ ∙ , {an
} , com as constantes ca ∈ C.
2.2.6 Espaço dos Bras e o Produto Interno
Como vimos na subseção 2.2.3 “Seja f : V −→ K, uma função linear (mape-
amento linear) de um espaço V (n, K) no corpo K... “ o mapeamento linear
f defini o espaço dual cujos elementos são as funções lineares que também
formam um espaço vetorial. Neste caso este espaço vetorial é denominado
de espaço de Hilbert dual e representado por
H∗
≡ Hom H,
cujos elementos são denominados de Bra, sendo representado como
α|
e dado um teorema de álgebra linear, a dimensionalidade de H∗
é igual a
dimensionalidade de H:
dimH∗
= dimH.
Não é necessario postular que para cada bra corresponde um ket já que
isto está implicito na própria definição de espaço dual ou ainda podemos
reforçar este argumento afirmando que se ∃ um mapeamento do espaço de
Hilbert no corpo K então conhecendo-se o mepeamento da base, conhece-se o
mapeamento de qualquer vetor, entretanto fixando-se o mapeamento da base,
fixa-se simultaneamente a base do espaço de Hilbert dual. Dado um ket de
H o seu bra correspondente pertencente ao espaço dual H∗
será representado
como
|α
CD
←→ α| .
Resumidamente, uma dada base para os dois espaços será representada
como



{ α|} −→ gera o espaço de Hilbert H∗
(N, C),
|α −→ gera o espaço de Hilbert H(N, C)
46 CAPÍTULO 2. CONCEITOS FUNDAMENTAIS
Novamente sendo redundante, por força de clareza, existe uma correspon-
dência unívoca entre os elementos dos dois espaços



|α ←→ α| ,
|a , |a , ∙ ∙ ∙ , |an
←→ an
| , ∙ ∙ ∙ , a | , a| ,
|α + |β ←→ α| + β| ,
c |α ←→ c∗
α| .
sendo que c∗
é o complexo conjugado de c.
Definição 2.2.20. Produto Interno. O produto interno de um ket por um
bra será representado como
α | β = c ∈ C,
como
|β ∈ H e α| ∈ H∗
e satisfaz todas as propriedades de um produto interno como definido no
apêndice A.1. Por praticidade resumimos e reescrevemos aquelas proprieda-
des na notação atual:
positividade. α | α 0, ∀|α ∈ H
não-degenerado. α | α = 0 =⇒ |α = 0
aditivo (distribuitivo a direita e esquerda)
γ| (|α + |β ) = γ | α + γ | β
|α ( β| + γ|) = α | γ + α | β .
homogêneo. cα | β = c∗
α | β ; α | cβ = c α | β ∀c ∈ K, ∀ α| , |β ∈
H∗
, H ,. respectivamente.
simétrico. α | β = β | α .
Por trás da definição de produto interno está implicita a condição que a
métrica seja positiva definida. Para variedades diferenciáveis com métricas
pseudo-euclidiana pode-se ter problemas com a interpretação probabilística
do módulo do produto interno
| α | α |
2.2. ESPAÇO DE HILBERT, KETS, BRAS E OPERADORES 47
enquanto densidade de probabilidade. Para se ter uma idéia do que isto
significa, considere um simples exemplo de operadores de criação e destruição
que aparecem em um dado modelo invariante sob o grupo de Lorentz, por
exemplo uma ação cujo densidade de Lagrangiana é escalar de Lorentz. Neste
caso as regras de quantização impõe que
aμ
, {aν
}†
= ημν
que fornece componente com norma negativa, ou seja
0 aμ
{aν
}†
0 = ημν
=



1, μ = ν = 0,
−δij
, μ = i, ν = j
Definição 2.2.21. Kets ortogonais. Dois kets |α e |β são denomindados
de ortogonais se
α | β = 0.
Esta relação de ortogonalidade implica que
α | β = β | α
∴ α | β =⇒ β | α = 0.
Afirmação 2.2.22. Normalização de kets. Dado um ket não nulo, podemos
normalizá-lo considerando o seu produto interno
α | α = r, |r ∈ R.
Dado que |α e c |α , com c ∈ C representam o mesmo estado físico, definimos
o ket
|˜α =
1
α | α
|α
o quel possui norma unitária
˜α | ˜α =
α | α
α | α
= 1.
Definição 2.2.23. Operadores. [10]Um operador linear entre os espaços
vetoriais X e Y é uma aplicação T : dom T ⊂ X −→ Y , em que seu domínio
é um subespaço vetorial e T(ψ+αφ) = T(ψ)+αT(φ) para todo ψ, φ ∈ domT
e α ∈ C.
48 CAPÍTULO 2. CONCEITOS FUNDAMENTAIS
Informalmente operadores são mapeamentos lineares que mudam a dire-
ção dos kets no espaço de Hilbert. Lembre-se que os kets |α e c |α repre-
sentam o mesmo estado físico o que significa que possuem a “mesma direção
no espaço de Hilbert”. Representaremos por X,Y ∙ ∙ ∙ uma classe mais ge-
ral de operadores que não são necessariamente hermitianos (observáveis) ou
unitários.
Um operador atua em um ket pela esquerda e o resultado é outro ket
X |α = |γ .
Dois operadores são iguais se
X |α = Y |α =⇒ (X − Y ) |α = 0 =⇒ X = Y.
Para um ket arbitrário no espaço em consideração.
O operador X é um operador nulo se para um ket arbitrário
X |α = 0, ∀ |α .
Operadores podem ser adicionados satisfazendo as regras de comutativi-
dade e associatividade nesta operação
X + Y = Y + X,
X + (Y + Z) = (X + Y ) + Z.
Com uma única exceção (a do operador de inversão temporal) todos opera-
dores que trabalharemos serão lineares:
X (cα |α + cβ |β ) = cαX |α + cβX |β .
Um operador sempre atua em um bra pela direita:
( α|) X = α| X = γ|
e o resultado é outro bra. O ket X |α e o bra α| X não são em geral o
correspondente dual de cada outro.
Definição 2.2.24. Operador Adjunto. O operador X†
é o hermitiano ad-
junto ou simplesmente adjunto do operador X.
Define-se o operador adjunto X†
, do operador X, pela equação
.
Xcα |α
CD
←→ α| c
∗
αX†
. (2.2.6)
2.2. ESPAÇO DE HILBERT, KETS, BRAS E OPERADORES 49
Definição 2.2.25. Operadores Hermitianos. Um operador é hermitiano
quando satisfaz
X†
= X.
Afirmação 2.2.26. Multiplicação de Operadores. A multiplicação de opera-
dores não é, em geral, comutativa
XY = Y X
Exemplo 2.2.27. Sejam os operadores
X =
0 1
1 0
, Y =
1 0
0 −1
,
XY =
0 1
1 0
1 0
0 −1
=
0 −1
1 0
,
Y X =
1 0
0 −1
0 1
1 0
=
0 1
−1 0
,
mostrando que XY = Y X. Um outro exemplo
X = xI; Y = ∂xI XY = Y X.
Afirmação 2.2.28. Associatividade na Multiplicação: X (Y Z) = (XY ) Z.
Da associatividade segue que
X (Y |α ) = (XY ) |α = XY |α
( β| X) Y = β| (XY ) = β| XY,
e note que
[X (Y |α )]†
= [X |β ]†
= β| X†
=
α| Y †
X†
= α| Y †
X†
=⇒ (XY )†
= Y †
X†
,
e para um ket arbitrário qualquer, prova-se que
(XY Z ∙ ∙ ∙ )†
= ∙ ∙ ∙ Z†
Y †
X†
50 CAPÍTULO 2. CONCEITOS FUNDAMENTAIS
Definição 2.2.29. Produto Exterior. O produto exterior do ket |α pelo
bra β| é um operador representado por
|α β|
que é totaltmente diferente do produto interno cujo resultado é um número
complexo.
A afirmação que a multiplicação de operadores é associativa não foi pro-
vada mas é clara da estrutura álgebrica do espaço e do fato dos operadores
serem lineares. Esta propriedade é tão importante que Dirac elevou este
resultado à categoria de axioma:
Axioma 2.2.30. Associatividade da Multiplicação. A multiplicação dos ope-
radores é associativa.
Para explicitar a importância deste axioma considere o produto externo
atuando em um ket genérico |γ :
(|β α|) ∙ |γ = |β ( α| |γ ) ,
com
α| |γ = α | γ
o produto interno entre o ket |γ e o bra α| . Assim o produto externo
operando em um ket é justamente outro ket, por isto olhamos |α β| como
um operador. Note que o operador |β α| gira o ket |γ na direção do ket
|β .
A propriedade
X†
= (|α β|)†
= |β α| (2.2.7)
pode se provada da seguinte forma
X |γ = |α β| |γ = c |α
(c |α )†
= c∗
α|
∴ c∗
α| = α| c∗
= α| γ| |β
= γ| |β α|
donde seque que
X†
= (|α β|)†
= |β α| .
Uma outra consequência importante do axioma da associatividade é
α| (X |β ) = ( α| X) |β = α | X | β .
2.2. ESPAÇO DE HILBERT, KETS, BRAS E OPERADORES 51
Ao custo do atropelamento do conteúdo, esta expressão torna-se mais familiar
na forma
ˆ
d3
xψ∗
(r) ˆOφ(r) =
ˆ
d3
x ψ∗
(r) ˆO φ(r) =
ˆ
d3
xψ∗
(r) ˆOφ(r).
A operação de se calcular a equação adjunta da equação α | X | β fornece
α | X | β †
= β X†
α , (2.2.8)
que pode ser facilmente provada como
α | X | β = α | γ =⇒
α | γ ∗
= γ | α = β X†
α ,
utilizando a equação Eq. (2.2.6).
Definição 2.2.31. Operadores Hermitianos. Operadores hermitianos são
definidos pela equação
α | X | β †
= β X†
α = β | X | α ∴ X†
= X. (2.2.9)
2.2.7 Kets Base e Representação Matricial
Vamos estudar os autoestados e autovalores de operadores hermitianos os
quais para diferenciar de um operador geral X representaremos por letras
maiúsculas iniciais do alfabeto. Considere então um operador hermitiano A
associado a variável dinâmica A(q, p) representando uma dada quantidade
física.
Teorema 2.2.32. Os autovalores de um operador herimitiano são reais e os
seus autovetores associados a diferentes autovalores são ortogonais.
A prova deste teorema será feita em dois passos: considere a equação a
autovalores do operador hermitiano A†
= A na sua base
A |a = a |a ←→ a| A = a∗
a|
cujos produtos internos com o ket |a e com o bra a| fornecem
a a | a = a∗
a | a =⇒
(a − a∗
) a | a = 0 =⇒
a − a∗
= 0 =⇒ a ∈
52 CAPÍTULO 2. CONCEITOS FUNDAMENTAIS
ou seja os autovares do operador A são reais. Considere na sequência os
autovalores associados a diferentes autoestados, teremos
A |a = a |a
A |a = a |a
Calculando o produto interno da primeira equação com o bra a | e o produto
interno do ket |a com a equação adjunta da segunda equação obtem-se que
a | A | a = a a | a
a | A | a = a a | a
que subtraidas fornecem
0 = (a − a ) a | a
que será nulo somente se os autoestado forem ortogonais, ou seja para
a = a =⇒ a | a = 0. (2.2.10)
A propriedade de ortogonalidade também pode ser provada utilizando-se o
axioma da associatividade para o cálulo de
( a | A) |a = a a | a
a | (A |a ) = a a | a ,
levando a mesma conclusão anterior.
Considerando que os autoestados são normalizados (se não forem é só
normalizar), expressa-se a relação de ortogonalidade da base discreta como
a | a = δa a, (2.2.11)
sendo portanto a base
{|a }
uma base ortonormal, completa por construção.
2.2.8 Base Construida com Autoestados
Dado que os autoestados do operador hermitiano A são ortogonais e formam
um conjunto completo, isto significa que eles podem ser utilizados para se
expandir um ket arbitrário do espaço dos kets nos autoestados do operador
2.2. ESPAÇO DE HILBERT, KETS, BRAS E OPERADORES 53
A. Em outras palavras os autoestados do operador A podem ser utilizados
como uma base para escrevermos a expansão
|α =
a
ca |a . (2.2.12)
Utilizando a ortogonalidade da base encontramos
a | |α = a |
a
ca |a =
a
ca a | |a =⇒
=⇒ a | α =
a
ca δa a = ca ,
(2.2.13)
resumindo, a equação Eq. (2.2.13) fornece os coeficientes ca na expansão do
estado ou ket arbitrário |α na base {|a }:
ca = a | α .
Quase uma curiosidade, substituindo novamente os coeficientes ca na equa-
ção Eq. (2.2.12) obtemos
|α =
a
a | α |a
=
a
|a a | α
Resumindo
|α =
a
|a a | |α (2.2.14)
Esta expressão é duplamente interessante: primeiro pela analogia com a
expansão de vetores no espaço euclidiano R3
:
V =
3
i=1
eivi
donde seque da ortogonalidade da base que
vi = ei ∙ V
que subistituida de volta na expansão vetorial fornece
V =
3
i=1
ei (ei ∙ V) (2.2.15)
54 CAPÍTULO 2. CONCEITOS FUNDAMENTAIS
Compare as equação Eq. (2.2.14) e Eq. (2.2.15), e veja que fornece a seguinte
associação (lembre-se que os espaços são diferentes!) didática:



|α = a ca |a ←→ V = 3
i=1 eivi,
ca = a | α ←→ vi = ei ∙ V,
|α = a |a a | |α ←→ V = 3
i=1 ei (ei ∙ V) ,
{|a } ←→ {ei}.
Segue também da equação Eq. (2.2.14) a definição do operador identidade
para uma base completa {|a }
I =
a
|a a | (2.2.16)
que é chamada de relação de completeza ou fechamento da base. Ape-
sar da aparente simplicidade, este operador é muito útil. Como exemplo
considere um ket genérico |α normalizado
α | α = 1,
que expandido na base de autoestados do operador A pode ser escrito como
|α =
a
ca |a ,
que substituida no produto interno anterior fornece a expresssão
α | α =
a a
ca c∗
a a | a
=
a a
ca c∗
a δa a =
a
ca c∗
a
=
a
|ca |2
= 1.
Porém, este cálculo também pode ser feito utilizando-se o operador identi-
dade:
α | α = α| I |α
= α|
a
|a a | |α
=
a
( α| |a ) ( a | |α )
=
a
c∗
a ca =
a
|ca |2
= 1.
2.2. ESPAÇO DE HILBERT, KETS, BRAS E OPERADORES 55
Dada a definição do operador identidade, Eq. (2.2.16) defini-se o operador
projetor
a
|a a | ≡
a
Λa = I, Λa ≡ |a a | (2.2.17)
sendo que o simblo Λa é utilizado para representar o operador projetor ou
operador de projeção o qual mede ou projeta o quanto do ket arbitrário |α
esta na direção do vetor base |a , o quadrado do módulo dos coeficientes
na expansão do ket |α na base |a representa a probalilidade associada a
cada autoestado |a na expansão de |α . Posteriormente voltaremos a esta
discussão em detalhes.
2.2.9 Representação Matricial.
Uma vez especificada uma base podemos construir explicitamente a repre-
sentação matricial para os operadors X, kets da base |a e kets genéricos |α
e seus correspondentes duais. Para vermos como isto funciona ou como é este
procedimento utilizaremos o operador identidade I. Considere primeiramente
um operador genérico
X = IXI =
a
Λa X
a
Λa
=
a
|a a | X
a
|a a |
=
a a
|a a | a | X | a .
O termo a | X | a pode ser visto como um elemento de uma matriz qua-
drada N × N em um espaço de Hilbert N − d :
a | X | a ⇐⇒ Xa a , (2.2.18)
com o índice a representando a linha e a a coluna, portanto temos um
elemento de matriz do operador X na a −ésima linha e a −ésima coluna. A
matriz X pode ser simbolicamente escrita como








a1
| X | a1
a1
| X | a2
∙ ∙ ∙ a1
X aN
a2
| X | a1
a2
| X | a2
∙ ∙ ∙ a2
X aN
...
...
...
...
aN
X a1
aN
X a2
∙ ∙ ∙ aN
X aN








. (2.2.19)
Resgatando a notação matricial
M†
= MT ∗
, M†
ij
= M∗
ji, (2.2.20)
56 CAPÍTULO 2. CONCEITOS FUNDAMENTAIS
significando que a operação de se tomar a adjunta de uma matriz M envolve
duas opoeração: transposição e conjugação complexa. Quando o operador é
escrito em termos da base a equação anterior torna-se, para o operador X
a | X | a
∗
= a X†
a , (2.2.21)
que para um operador Hermitiano A†
= A, torna-se
a | A | a
∗
= a | A | a , (2.2.22)
A forma com que foi construido o elemento de matriz de um dado operador
genérico Z = X ∙ Y esta em conformidade com a regra de multiplicação
matricial como pode-se observar nas seguintes equação
Z =
a a
|a a | Z |a a |
=
a a
|a a | a | Z | a
=
a a
|a a | a | X ∙ Y | a
=
a a
|a a | a X
a
|a a | Y a
=
a a a
|a a | a | X | a a | Y | a
que fornece o elemento de matriz Za a do operador Z como
a | Z | a =
a
a | X | a a | Y | a , (2.2.23)
que é exatamente a regra de multiplicação de matrizes quadradas. Considere
a representação matricial de um ket genérico |α ,que para isto escrevermos:
α | β = α
a
|a a | β
=
a
α | a a | β
= α a1
a1
β + α a2
a2
β
= ∙ ∙ ∙ + α aN
aN
β
= α a1
α a2
∙ ∙ ∙ α aN
×







a1
| β
a2
| β
...
aN
β







.
2.2. ESPAÇO DE HILBERT, KETS, BRAS E OPERADORES 57
Desta expressão segue diretamente as representrações matriciais de um Ket
como uma matriz coluna e um Bra como uma matriz linha:
|β =







a1
| β
a2
| β
...
aN
β







=





c1
c2
∙ ∙ ∙
cN





, (2.2.24)
e
α| = α a1
α a2
∙ ∙ ∙ α aN
= (c∗
1 c∗
2 ∙ ∙ ∙ c∗
N ) . (2.2.25)
Exemplo 2.2.33. Representação matricial do operador I. Para encontrar a
representação matricial do operador calculamos o elemento de matriz
ai
I ai
= ai
a
|a a | aj
=
a
ai
a a aj
=
a
δaia δa aj = δij.
∴ I =







1 0 ∙ ∙ ∙ 0
0 1 ∙ ∙ ∙ 0
...
...
...
...
0 0
... 1







.
Exemplo 2.2.34. A representação matricial do operador |α β|. Dada a
experiências anteriores, excrevemos diretamente a matriz cujos elementos de
matriz são a | α β | a





a1
| α β | a1
∙ ∙ ∙ a1
| α β aN
...
...
...
aN
α β | a1
∙ ∙ ∙ aN
α β aN





Exemplo 2.2.35. Representação matricial de um operador Hermitiano na
58 CAPÍTULO 2. CONCEITOS FUNDAMENTAIS
sua representação (base). Para isto notamos que
A = IAI =
a
|a a | A
a
|a a |
=
a a
a |a a | δa a
=
a
a |a a | =
a
a Λa
˙=









a1
0 0 ∙ ∙ ∙ 0
0 a2
0 ∙ ∙ ∙ 0
0 0 a3
0 0
...
... 0
... 0
0 0 0 0 aN









.
Nota-se que os projetores possuem a seguinte representação matricial
(Λn)ij = anδniδij,
sem som nos índices repetidos, por exemplo
Λ1 ⇐⇒



a1 0 0
0 0 0
0 0 0



Exemplo 2.2.36. Aplicação do formalismo para uma partícula com spin
1/2.
Como um simples exemplo vamos aplicar o formalismo desenvolvido an-
teriormente para um sistem (parítcula) com spin 1/2 como o que discutimos
no início do capítulo. Por simplicidade economica utilizremos a notação
|Sz±
.
= |± =⇒



|a1 .
= |+ ,
|a2 .
= |− .
A ortogonalidade da base é escrita como
a | a = δa a −→



+ | + = 1,
− | − = 1,
+ | − = − | + = 0.
O operador Sz é diagonal na sua representação, portanto pode ser escrito
analogamento ao operador A do exemplo Ex. (2.2.35):
Sz =
a
a Λa =
2
Λ+ −
2
Λ−
=
2
(|+ +| − |− −|) .
2.2. ESPAÇO DE HILBERT, KETS, BRAS E OPERADORES 59
A operação de Sz nos seus autoestados fornece
Sz |+ =
2
(|+ +| − |− −|) |+
=
2
|+ +| |+ − |− $$$$$X0
−| |+
=
2
|+ ;
Sz |− =
2
(|+ +| − |− −|) |−
=
2
|+ $$$$$X0
+| |− − |− −| |−
= −
2
|− .
A expressão do operador identidade representando a completeza da base é:
I =
a
Λa = Λ+ + Λ−
= |+ +| + |− −| .
Sendo óbvio que
I |+ = (|+ +| + |− −|) |+ = |+ ,
I |+ = (|+ +| + |− −|) |− = |− .
Exercício 2.2.37. Prove que os operadores I e Sz são Hermitianos.
Vamos introduzir dois novos operadores que serão discutidos mais deta-
lhadamente, posteriormente;
S+ ≡ |+ −| , S− ≡ |− −| . (2.2.26)
Obtem-se imediatamente que
S†
+ = ( |+ −|)†
= |− −| = S−
S†
− = ( |− −|)†
= |+ −| = S+,
que obviamente não são operadores hermitianos. Considere o resultado da
atuação destes operadores nas bases |± :



S+ |+ = |+ −| |+ = 0,
S+ |− = |+ −| |− = |+ .
60 CAPÍTULO 2. CONCEITOS FUNDAMENTAIS
Figura 2.2.2: Sistema com dois níveis de energia



S− |+ = |− +| |+ = |− ,
S− |− = |− +| |− = 0.
Note também que 


S+S+ |− = 0,
S−S− |+ = 0.
Os operadores S± mudam os estados |± e uma vez mudado, uma nova
operação com o mesmo operador, não mais altera o estado. Uma aplicação
interessante destes operadores pode ser feita para sistemas com dois níveis,
por exemplo um átomo com somente dois níveis de energia: o fundamental
e o primeiro estado excitado; outro exemplo o da inversão do spin de um
sistema interagindo com um campo magnético externo.
Estes exemplos são ilustragos nas figuras Fig. (2.2.9) e (2.2.9)
Para o modelo esquematizado na figura Fig. (2.2.9) os operadores S+ e
S− são interpretados como operadores mudam o estado de energia do sistema
de um quantum de energia, se interpretarmos que o estado |− está associado
ao estado de menor energia e |+ ao estado excitado do sistema. Neste caso
2.2. ESPAÇO DE HILBERT, KETS, BRAS E OPERADORES 61
Figura 2.2.3: Inversão do spin
o operador S+ “leva” pela atribuição de um quantum de energia, o elétro do
estado fundamemtal |− para o estado excitado |+ .
Já para um sistema de dois níveis representando a inversão do spin, como
esquematizado na figura Fig. (2.2.9), os operadores S+ atua numa partícula
com spin para baixo, representado pelo ket |− levando-a para um estado com
spin para cima, representado pelo ket |+ ; situação aáloga é representada
pelo operador S−.
2.2.10 Representação Matricial dos Operadores e Es-
tados com Spin 1/2.
Continuando com nosso exemplo dos operadores e estados com spin 1/2,
consideremos a representação matricial dos mesmos. Utilizando a equação
62 CAPÍTULO 2. CONCEITOS FUNDAMENTAIS
Eq. (2.2.24) notamos que a representação matricial da base é:
|+ =
a1 | a1
a2 | a1
=
1
0
,
|− =
a1 | a2
a2 | a2
=
0
1
.
Segue diretamente desta representação que
+| = |+ †
≡ 1 0 , −| = |− †
≡ 0 1 ;
+ | + = 1 0
1
0
= 1; − | − = 0 1
0
1
= 1;
+ | − = 1 0
0
1
= 0; − | + = 0 1
1
0
= 0.
Utilizando as expressões para os operadores I, Sz, S+ e S−em termos da base
|± na representação matricial, encontramos as representações matriciais dos
operadores
I = |+ +| + |− −| =
1
0
1 0 +
0
1
0 1
=
1 0
0 0
+
0 0
0 1
=
1 0
0 1
;
Sz =
2
(|+ +| − |− −|) =
2
1 0
0 −1
=
2
σz;
S+ = |+ −| =
1
0
0 1 =
0 1
0 0
,
S− = |− +| =
0
1
1 0 =
0 0
1 0
.
2.3 Medidas, Observáveis e Relações de In-
certeza
2.3.1 Polarização de fótons
É sabido dos resultados experimentais que os fotoelétrons são emitidos numa
direção preferencial pela incidência de luz plano polarizada. Isto implica em
que as propriedades de polarização da luz estão estreitamente relacionadas
a suas propriedades corpusculares e portanto deve-se atribuir polarização ao
fóton (partícula).
2.3. MEDIDAS, OBSERVÁVEIS E RELAÇÕES DE INCERTEZA 63
Considere que um feixe de luz plano-polarizada em uma certa direção, por
exemplo ˆx ou ˆy consite de fótons, cada um plano polarizado em uma dessas
direção. O mesmo raciocínio aplicando-se à luz com polarização circular, ou
seja em um feixe de luz circulamente polarizada, cada um e portanto um
único fóton está circularmente polarizado. Nestes casos afirma-se que cada
fóton está em um certro estado de polarização.
Considere um caso específico: um feixe de luz passando através de um
cristal de turmalina o qual posssui uma propriedade ótica que permite so-
mente a passagem de luz plano polarizada, perpendicular ao seu eixo ótico.
A eletrodinâmica clássica, como já visto, afirma que se um feixe de luz plano
polarizado com polarização perpendicular ao eixo ótico incide no cristal, ele
será transmitido ou passará pelo cristal. Já se a polarização do feixe for
paralela ao eixo do cristal, ele não passará, finalmente para uma polarização
incidente que faz um angulo α com o eixo ótico, uma fração sin2
α pas-
sará. Como podemos interpretar estes resultados no contexto de um fóton
enquanto partícula?
Um feixe de luz plano polarizado em uma certa direção deve ser visu-
alizado como composto de fótons, cada e todos planos polarizados naquela
direção. Este esquema não gera conflito quando a direção o feixe incidente é
plano polarizado paralelo ou perpendicular ao eixo ótico: meramente supõe-
se que um feixe plano polarizado com polarização perpendicular é composto
de fótons com esta polarização e quando incidente no cristal de turmalina
todos e cada um dos fótons passam pelo cristal, sem sofre qualquer alteração
de seu estado. Já se a polarização do feixe não for perpendicular, nenhum
fóton passará pelo cristal.
O problema aparece quando a direção de polarização do feixe faz um
angulo α com relação ao eixo perpendicular ao eixo ótico, já que cada um
dos fótons possuirão esta polarização. Então pergunta-se: um único fóton
com polarização oblíqua passará ou não pelo cristal, ou somente uma fração
deste fóton passará? Experimentalmente não se observa nenhuma fração de
um fóton que foi transmitida e a outra absorvida; de fato o que o experimento
mostra é que o fóton com polarização obíqua quando incide no crista passa
integralmente ou é integralmente absorvido pelo cristal. Observa-se que o
fóton que passou pelo crital terá polarização paralela ou perpendicular ao
eixo ótico.
Certo, mas como conciliar este resultado com a previsão da eletrodinâmica
clássica? Da seguinte forma: depois de um longo tempo durante o qual um
número substancial de fótons passaram um por vez pelo cristal observa-se que
a intensidade da luz após o polarizador é proporcional ao sin2
α, permitindo-
nos afirmar que um fóton tem uma probabilidade sin2
α de passar pelo cristal
e cos2
α de ser obsorvido pelo cristal. Nesta interpretação está implícita a
64 CAPÍTULO 2. CONCEITOS FUNDAMENTAIS
recusa ou abandono da interpretação probabilística da mecânica clássica que
afirma termos controle de todos as condições experimentais com precisão ili-
mitada. O máximo que podemos prever é um conjunto de possíveis resultados
com uma probabilidade de ocorrencia para cada um.
Nas dicussões anteriores supõe-se que um fóton com polarização oblíqua
ao eixo ótico do cristal de turmalina pode ser visto como estando parci-
almente em um estado de polarização paralela ao eixo e parcialmente em
um estado perpendicular ao eixo. O estado de polartização oblíqua é então
considerado como resultante de uma espécie de um processo de superposi-
ção envolvendo os dois estado de polarização paralela e perpendicular. Este
processo de superposição implica em uma relação especial entre os diversos
estados de polarização. Esta relação permite que se expresse qualquer es-
tado de polarização como uma superposição de qualquer dois (neste caso em
particular) estados perpendiculares, mutuamente excludentes.
Nesta interpretação, quando um fóton encontra um cristal de turmalina,
ele é submetido a uma observação (medida!): estamos observando se a pola-
rização é paralela ou perpendicular ao eixo ótico. O efeito de observar, força
o fóton para estar inteiramente em um estado de polarização paralela ou per-
pendicular; ele deve fazer um salto súbto de parcialmente em um destes dois
estados para inteiramente em um dos estados. Qual dos dois estados será
selecionado, não pode ser previsto, porém o resultado é governado por leis
probabilísticas.
2.3.2 Stern-Gerlach Sequenciais com três feixes.
Diferentemente da análise feita na subseção (2.1.5) para partículas (elétrons)
com spin 1/2, nesta seção consideraremos um feixe que após a passagem
pelo aparelho de Stern-Gerlach é decomposto em três feixe; neste caso as
partículas que compões estes feixes são ditas para possuirem spin 1, isto
porque como veremos no capítulo 3, os três feixes ou três canais correspondem
a projeção das três componentes do spin ao longo do eixo z com valores −1
correspondente a projeção ao longo do eixo z negativo, 0 correspondente à
componente do feixe que não é defletido e +1 correspondente a projeção da
componente do feixe ao longo do eixo z positivo. Vamos utilizar a notação



+
0
−



para representar um aparelho de Setern-Gerlach, SGz composto por três
imãs, como esquematizado na figura Fig (1.3.1) (2.3.2) o qual será referido
pela letra S.
2.3. MEDIDAS, OBSERVÁVEIS E RELAÇÕES DE INCERTEZA 65
Figura 2.3.1: SGz
Figura 2.3.2: SG SS
Outros arranjos do experimento com alguns feixes bloqueados serão re-
presentados como esquematizado na figura (2.3.2)
Para experimentos sequenciais com o segundo aparelho alinhado de um
angulo α com relação ao eixo z+ do primeiro aparelho, como esquematizado
na figura Fig. (1.3.4) utilizaremos a notação T para nos referir a este
aparelho com alinhamento α.
Como exemplo da representação utilizando a notação introduzida na fi-
gura Fig. (1.3.3), para o experimento de Stern-Gerlach (SG) sequencial,
como esquematizado na figura Fig. 2.3.2, teremos a simbologia



+
0
−



S



+
0
−



S
,
enquanto que para aparelhos com angulo α entre os seus eixos z s, como o
66 CAPÍTULO 2. CONCEITOS FUNDAMENTAIS
Figura 2.3.3: Resumo da convenção da notação dos SG
da figura Fig. (1.4.4) teremos a seguinte simbologia



+
0
−



S



+
0
−



T
Consideremos na sequência um sumário de resultados tendo como objetivo
ilustrar a preparação de estados puros o que corresponde a determinar os
estados base. Por exemplo a sequência de experimentos



+
0
−



N/3
−→
S



+
0
−



N/3
−→
S
,



+
0
−



N/3
−→
S



+
0
−



0
−→,
S



+
0
−



N/3
−→
S



+
0
−



0
−→,
S
mostra a preparação do estado puro
|+ =



+
0
−



.
2.3. MEDIDAS, OBSERVÁVEIS E RELAÇÕES DE INCERTEZA 67
Figura 2.3.4: SG angulo
Os estados |0 e |− são preparados com um procedimento análogo, sendo
representado por
|0 =



+
0
−



e
|− =



+
0
−



Não vamos estender a discussão da preparação dos estados bases neste
caso, mesmo porque já o fizemos para spin 1/2, mas vamos considerar experi-
mentos SG em série para compreendermos o processo de medida na mecânica
quântica. Considere então as seguintes simulações de experimentos de SG
sequenciais:



+
0
−



S
n
−→



+
0
−



S
n
−→



+
0
−



S
n
−→



+
0
−



T
αn
−→
(2.3.1)
Este arranjo, Eq. (2.3.1), mostra que o estado
|+ S = |+ T
e para confirmar esta interpretação experimental monta-se os seguintes ar-
68 CAPÍTULO 2. CONCEITOS FUNDAMENTAIS
ranjos



+
0
−



S
n
−→



+
0
−



T
βn
−→



+
0
−



S
n
−→



+
0
−



T
γn
−→
(2.3.2)
que mostram ser o feixe com n partículas no estado |+ S uma combinação
linear dos estados |+ T , |0 T e |− T .
Considere o experimento o qual inicia-se com um filtro S+ e consideramos
que n é o número de partículas no feixe que emerge deste SG, que na sequência
penetra em um SG T ( cujo eixo z faz um angulo α com o eixo z de S). O
número de átomos que emerge deste é uma fração αn do número de átomos
que sairam do aparelho S. Continuando com este procedimento, na sequência
estes átomos são submetidos a outro outro SG, porém do mesmo tipo que o
primeiro, ou seja S e observa-se que a fração de átomos no feixe emergente é
δβn.



+
0
−



S
n
−→



+
0
−



T
βn
−→



+
0
−



S
δβn
−→
Já para o seguinte arranjo, observa-se após o filtro S um feixe com inten-
sidade εαn :



+
0
−



S
n
−→



+
0
−



T
βn
−→



+
0
−



S
εβn
−→
Finalmente para a montagem experimental



+
0
−



S
n
−→



+
0
−



T
βn
−→



+
0
−



S
ζβn
−→
Note que a diferença entre estes dois arranjos é no segundo filtro S. Nos
três arranjos anteriores, as constantes que aparecem multiplicando n são
2.3. MEDIDAS, OBSERVÁVEIS E RELAÇÕES DE INCERTEZA 69
dadas por
α ≡ | T; + | S; + |2
,
β ≡ | T; 0 | S; + |2
,
γ ≡ | T; − | S; + |2
,
δ ≡ | S; + | T; 0 |2
,
ε ≡ | S; 0 | T; 0 |2
,
ζ ≡ | S; − | T; 0 |2
.
Este arranjo quando comparado ao seguinte arranjo experimental, mostra
um resultado impressionante:



+
0
−



S
n
−→



+
0
−



T
n
−→



+
0
−



S
nn
−→



+
0
−



S
n
−→



+
0
−



T
n
−→



+
0
−



S
0
−→
Todos os αn átomos passam pelo segundo aparelho S no primeiro caso e
nenhum no segundo, nas palavras de Feynman: “esta é uma das grandes
leis da Mecânica Quântica. Que a natureza funciona desta maneira, não é
nada evidente, entretanto isto é o que nos mostra os resultados de inumeros
experimentos”.
O impressionantes é que com a abertura de mais canais, passaram menos
átomo! Como pode? Este é o velho mistério da Mecânica Quântica: a
interferência de amplitudes! Com a remoção dos bloqueadores dos filtros
toda informação contida no feixe quando passou pelo primeiro S foi mantida
portando os átomos do feixe estão correlacionados e a mesma quantidade
passará pelo segundo aparelho no primeiro caso e nenhum no segundo já
que estão submetidos a estados ortogonais. O experimento ocorre como se o
aparelho T não estivesse presente. Note que em T os feixes são separados ao
longo do eixo z mas não saõ boloqueados (medidos)!
Considerem a seguinte soma de probabilidades aplicada aos três SG em
série:
70 CAPÍTULO 2. CONCEITOS FUNDAMENTAIS
Pi = δβn + εβn + ζβn
= | S; + | T; 0 |2
+ | S; 0 | T; 0 |2
+ | S; − | T; 0 |2
× | T; 0 | S; + |2
n
= | T; 0 | S; + |2
n = βn,
o que concorda com o arranjo sem os canais bloqueados. Entretanto para o
experimento sem os canais bloqueados a probabilidade é
P = | S; + | S; + |2
= S; +
a
|a a | S; +
2
,
que faz muita diferença como veremos logo adiante.
2.3.3 Comparando a polarização de férmions e bósons
2.3.4 Medida
Dirac: Uma medida coloca o sistema em um autoestado da variável dinâmica
que está sendo medida.
Seja A um observável que será medido. Antes da medida o sistema
encontra-se no estado |α > que pode ser expandido na base {|a >} dos
autoestados deste operador:
|α >=
a
ca |a >=
a
< a |α > |a >=
a
|a >< a |α > . (2.3.3)
Quando a medida é feita o sistema assume um dos possíveis autoestados
|a > do operador A. Qual deles o “sistema escolherá” não pode ser previsto
|α >
sob a medida A
−−−−−−−−→ |a > .
Como um exemplo considera-se novamente o experimento de Stern-Gerlach
no qual o feixe com átomos com orientação de spin arbitrária assumem os
valores Sz+ ou Sz− após passarem pelo aparelho SGˆz. Neste caso tem-se
que
|α >
SGˆz
−−→



|Sz+ > ou
|Sz− >
2.3. MEDIDAS, OBSERVÁVEIS E RELAÇÕES DE INCERTEZA 71
Suponha que após a medida ser efetuada
|α >
SGˆz
−−→



|Sz+ >
|Sz− >
o feixe |Sz− >é bloqueado e o feixe |Sz+ > é submetido novamente a outro
SGˆz. Após isto o experimento indica que o sistema continua no estado
|Sz+ >. Este procedimento pode ser escrito, de uma forma genérica para
qualquer observável A como
|α >
sob a medida A
−−−−−−−−→ |a >
sob a medida A
−−−−−−−−→ |a > .
O famoso indeterminismo inerente ao sistema está associado à seguinte
afirmação (postulado)
Dado o ket |α > representando o estado de um sistema físico antes da
medida, não se sabe antecipadamente (antes que a medida seja efetuada)
que autoestado |a >, entre todos os possíveis, o sistema escolherá como o
resultado do processo de medida.
Pode-se adotar a seguinte postura (de fato um postulado da MQ): O es-
tado físico do sistema pode ser representado por um ket |α > que contém
toda informação possível de se obter do sistema. O ket |α > pode ser expan-
dido na base {|a >} de autoestados do operador A que representa um dado
observável físico:
|α >=
a
ca |a > . (2.3.4)
O resultado de uma medida do observável A pode assumir um dos possíveis
valores {a } com probabilidade |ca |2
:
| < a |α > |2
= |ca |2
= probabilidade de obter o valor a , para < α|α >= 1.
Esta expressão é de fato o postulado (na forma de uma sentença mate-
mática) associado à interpretação probabilística; ela é coerente por causa de
pelo menos dois motivos:
1. se |α >= |a >, | < a |α > |2
= |ca |2
= 1 e o sistema sempre estará
neste estado.
2. Se em t = 0, (antes da medida) |α >= |a >, após a medida o sistema
continuará no estado |a > e < a |a >= 0. Kets ortogonais correspon-
dem a alternativas mutuamente excludentes.
72 CAPÍTULO 2. CONCEITOS FUNDAMENTAIS
2.3.5 O valor esperado de um observável A.
O valor esperado de um observável com relação ao estado |α > é definido
como
< A >≡< α|A|α >,
que pode ser reescrita com
< A > = < α|A|α >=< α|1A1|α >
=
a a
< α|a >< a |A|a >< a |α >
=
a a
c∗
a ca < a |a |a >
=
a a
c∗
a ca a δa a
=
a
|ca |2
a ,
significando que o valor esperado é igual ao valor médio já que a é um dos
possíveis valores que o operador A pode assumir e |ca |2
é a probabilidade do
operador A assumir o autovalor a numa medida.
Observação 2.3.1. O valor esperado de um operador A, calculado como
< A >=< α|A|α >=
a
|ca |2
a ,
é diferente de autovalor:
< A >=< a |A|a >= a , < a |a >= 1.
Por exemplo o valor médio ou esperado do operador Sz é pode assumir qual-
quer valor entre −2
e 2
,
−
2
≤< Sz >≤
2
entretanto, os autovalores de Sz são
±
2
.
2.3.6 Medidas seletivas: o papel do operador projetor
Medida seletiva ou filtração é a separação de um único autovalor a do espec-
tro de autovalores {a } do operador A. Tecnicamente isto é feito através do
bloqueio de todas as componentes indesejáveis do feixe, deixando-se passar
2.3. MEDIDAS, OBSERVÁVEIS E RELAÇÕES DE INCERTEZA 73
Figura 2.3.5: Medida seletiva
somente aquelas de interesse. Este procedimento pode ser representado ou
feito utilizando-se o operador projetor. O operador Λa seleciona do estado
físico |α > somente a componente na direção de |a >, como esquematizado
na figura 2.3.5.
Os postulados da Mecânica Quântica
Postulado-1 Em um dado tempo t0 o estado físico do sistema é definido
especificando-se um dado |α > que pertence ao espaço de Hilbert H do
sistema.
Postulado-2 Toda quantidade física ou variável dinâmica do sistema A
mensurável pode ser representada por um operador A que atua nos
elementos do espaço de Hilbert H. Este operador é um observável.
Postulado-3 Como resultado de uma medida de uma quantidade física A
a qual corresponde o operador A pode-se obter somente os autovalores
de A.
Postulado-4 Quando uma medida de uma quantidade A é feita sobre um
sistema representado pelo ket normalizado |α >, a probabilidade 6
Pn de
obtermos um autovalor an, do operador A associado à variável dinâmica
A, é
Pn = |cn|2
= | < an|α > |2
,
onde |an > é um autoestado normalizado do operador A .
Postulado-5 Se como resultado de uma medida de uma quantidade física
A sobre um sistema representado pelo ket |α > obtém-se um autovalor
an, o estado do sistema imediatamente após a medida é o estado
|an >< an|α >,
6
À quantidade < an|α > dá-se o nome de amplitude de probabilidade
74 CAPÍTULO 2. CONCEITOS FUNDAMENTAIS
que normalizado pode ser representado como
|an >< an|α >
< α|an >< an|α >
.
Considere como exemplo da aplicação dos postulados e do formalismo de-
senvolvido nas seções anteriores, a obtenção dos estados |Sz± >, |Sx± >, e
|Sy± > para o experimento de Stern-Gerlach.
Stern-Gerlach: spin 1/2 - novamente
Considere o experimento 2.1.6 que indica que o feixe |Sx+ > é decomposto
em |Sz+ > e |Sz− > . Utilizando-se estes como os kets base, ou seja a base
a ser utilizada será
{|a >} = {|+ >, |− >}
que são os autoestados do operador Sz. Então pelo primeiro postulado
|α >= ca |a >, a = +, −
|Sx+ >= c+|+ > +c−|− >;
com
|+ >, |− >∈ H; c± ∈ C.
O experimento indica que o feixe |Sx+ > é separado em duas componentes
de mesma intensidade, este resultado juntamente com a normalização do
estado |Sx+ > fornece:
< Sx + |Sx+ > = |c+|2
+ |c−|2
= 1.
| < +|Sx+ > |2
= | < −|Sx+ > |2
⇒ |c+|2
= |c−|2
⇒
2|c+|2
= 1 ⇒ |c+| =
1
√
2
; |c−| =
1
√
2
.
|c+| = |c−| =
1
√
2
Estas condições fixam c+ e c− como
c+ =
1
√
2
eıα1
, c− =
1
√
2
eıα2
.
2.3. MEDIDAS, OBSERVÁVEIS E RELAÇÕES DE INCERTEZA 75
Com esta expressões pode-se escrever
|Sx+ > =
1
√
2
eıα1
|+ > +
1
√
2
eıα2
|− >,
=
1
√
2
eıα1
|+ > +eı(α2−α1)
|− > .
Como uma fase global não altera o estado, podemos considerar a diferença
de fase
|Sx+ =
1
√
2
|+ > +eıδ1
|− > , δ1 ≡ α2 − α1.
O estado |Sx− >pode ser construido imediatamente considerando-se que
estados excludentes são representados por kets ortogonais (5º postulado)
|Sx− =
1
√
2
|+ > −eıδ1
|− > , δ1 ≡ α2 − α1.
Utilizando a representação de um dado operador em sua representação A =
a Λa podemos escrever que
Sx =
a
a Λa =
2
|Sx+ Sx+| −
2
|Sx− Sx−| .
|Sx+ Sx+| =
1
√
2
|+ > +eıδ1
|− >
×
1
√
2
+| + e−ıδ1
−|
=
1
2
(|+ +| + |− −|)
+
1
2
eıδ1
|− +| + e−ıδ1
|+ −| ;
|Sx− Sx−| =
1
√
2
|+ > −eıδ1
|− >
×
1
√
2
+| − e−ıδ1
−|
=
1
2
(|+ +| + |− −|)
+
1
2
−eıδ1
|− +| − e−ıδ1
|+ −| .
Segue destas três últimas equações que
Sx =
2
eıδ1
|− +| + e−ıδ1
|+ −| .
76 CAPÍTULO 2. CONCEITOS FUNDAMENTAIS
Com um procedimento análogo ao anterior construimos os estados |Sy± e o
operador Sy
|Sy± =
1
√
2
|+ ± eıδ2
|− ;
Sy =
2
eıδ2
|− +| + e−ıδ2
|+ −|
Para calcularmos as fases δ1,2 consideremos um experimento de SG no
qual o feixe |Sx+ é decomposto nos feixes |Sy± com igual intensidade,
então utilizando as equações anteriores e os postulados de 1-4 teremos
| Sy+ | Sx+ |2
=
1
2
; | Sy− | Sx+ |2
=
1
2
.
Substituindo as expressões dos correspondentes bras e kets, teremos
| Sy+ | Sx+ |2
=
1
√
2
+| + e−ıδ2
−|
1
√
2
|+ > +eıδ1
|− >
2
=
1
4
1 + eı(δ1−δ2) 2
,
e segue das duas equações anteriores que
1 + eı(δ1−δ2) 2
= 2,
Com o mesmo procedimento
| Sy− | Sx+ | =⇒ 1 − eı(δ1−δ2) 2
= 2.
Temos duas equações com duas incógnitas que fornecem
1 + eı(δ1−δ2) 2
= 2 =⇒ [1 + cos(δ1 − δ2)]2
+ sin2
(δ1 − δ2) = 2,
1 − eı(δ1−δ2) 2
= 2 =⇒ [1 − cos(δ1 − δ2)]2
+ sin2
(δ1 − δ2) = 2,
que subtraídas forncecem
cos(δ1 − δ2) = 0 =⇒ δ1 − δ2 = ±n
π
2
, n ímpar.
Para facilitar, convenciona-se
δ1 = 0, δ2 = ±
π
2
.
A escolha do sinal ± está relacionada à orientação do sistema de coordenadas
ou, no caso da polarização da luz à polarização circular destrógira ou levógira.
2.3. MEDIDAS, OBSERVÁVEIS E RELAÇÕES DE INCERTEZA 77
Substituindo os valores encontrados para as fases nas bases e operadores,
obtem-se que
|Sx; ± =
1
√
2
( +| ± −|) ,
|Sy; ± =
1
√
2
( +| ± ı −|)
e os operadores
Sx =
2
[|− +| + |+ −|]
Sy = −ı
2
[− |− +| + |+ −|]
Completando nossa discussão sobre spin 1/2 nota-se que os operadores Sx,y
são Hermitianos e que
Sx |Sx; ± = ±
2
|Sx; ± ,
Sy |Sy; ± = ±
2
|Sy; ± .
Anteriormente, na equação Eq. (2.2.26), introduzimos os operadores de le-
vantamento e abaixamento que estão relacionados aos operadores Sx,y através
das relações
S+ =Sx + ıSy = |+ −|
S− =Sx − ıSy = |− +|
(2.3.5)
Os operadores Sx,Sy e Sz satisfazem as relações de comutação
[Si, Sj] = ı εijkSk, (2.3.6)
e as relações de anticomutação
{Si, Sj} =
1
2
2
δij, (2.3.7)
onde definimos
[A, B] ≡ AB − BA, {A, B} ≡ AB + BA (2.3.8)
Exercício 2.3.2. Verifique, utilizando as representações matriciais e na base
de autoestados do operador Sz, que os operadores Sx, Sy e Sz satisfazem as
relações de comutação, Eq. (2.3.6) e anticomutação, Eq. (2.3.7).
78 CAPÍTULO 2. CONCEITOS FUNDAMENTAIS
Exercício 2.3.3. Prove que as matrizes de Pauli
0 1
1 0
,
0 −ı
ı 0
,
1 0
0 −1
,
satisfazem a propriedade
σi
σj
= δij
I + ıεijk
σk
.
Também costuma-se definir o operador
S2
≡ S2
x + S2
y + S2
z , (2.3.9)
e segue da relação de anticomutação que
S2
=
3
4
2
I, (2.3.10)
sendo um operador diagonal, portanto
S2
, Si = 0. (2.3.11)
Observáveis Compatíveis.
XXX
Observáveis imcompatíveis
XXXX
Relações de Incerteza
Seja A um operador hermitiano associado a uma dada variável dinâmica A.
Definimos um novo operador
ΔA ≡ A− < A > , (2.3.12)
onde < A > é o valor esperado de A na base em consideração. A dispersão
do operador A é definida como o valor médio da equação
(ΔA)2
= A2
− 2A < A > + < A >2
(2.3.13)
ou seja, a dispersão é definida por
2.3. MEDIDAS, OBSERVÁVEIS E RELAÇÕES DE INCERTEZA 79
< (ΔA)2
> =< A2
> −2 < A >< A > + < A >2
=< A2
> − < A >2
resumindo
< (ΔA)2
>=< A2
> − < A >2
(2.3.14)
A dispersão mede a falta de nitidez da medida de um observável em um
dado estado. Como exemplo considere o cálculo da dispersão para as medidas
dos observáveis Sx e Sz no estado |Sx+ >:
Exemplo 2.3.4. As dispersões dos observáveis Sx e Sz no estado |Sx+ > de
um sistema com spin 1/2.
Para isto, utiliza-se diretamente a equação 2.3.14, entretanto primeira-
mente deve-se calcular para o operador Sx :
< Sx + |Sx|Sx+ > =
1
√
2
(< +|+ < −|) Sx
1
√
2
(|+ > +|− >)
=
2
;
e
< Sx + |S2
x|Sx+ >=
2
4
.
Tem-se portanto que
< (ΔSx)2
>=< Sx + |S2
x|Sx+ > − (< Sx + |Sx|Sx+ >)2
= 0.
Para o operador Sz :
< Sx + |Sz|Sx+ > =
1
√
2
(< +|+ < −|) Sz
1
√
2
(|+ > +|− >)
=
4
(< +|+ < −|) (|+ > −|− >)
=
4
(< +|+ > + < −||+ > − < +|− > − < −|− >)
= 0;
um cálculo análogo fornece
< Sx + |S2
z |Sx+ >=
2
4
sendo portanto a dispersão
< (ΔSz)2
>=< Sx + |S2
z |Sx+ > − (< Sx + |Sz|Sx+ >)2
=
2
4
.
Deste exemplo conclui-se que :
80 CAPÍTULO 2. CONCEITOS FUNDAMENTAIS
• Sx é nítido (bem definido) no estado |Sx+ >
• Sz não é nítido e sim difuso no estado |Sx+ >
Relações de incerteza entre operadores incompatíveis.
O objetivo é demonstrar a validade da relação de incerteza
< (ΔA)2
>< (ΔB)2
>≥
1
4
| < [A, B] > |2
, (2.3.15)
para dois observáveis genéricos A e B incompatíveis [A, B] = 0 em estados
(kets do espaço de Hilbert H ) genéricos. Para isto será utilizada a desi-
gualdade de Schwarz, uma propriedade de um operador hermitiano e uma
propriedade de um operador anti-hermitiano.
Lema 2.3.5. A desigualdade de Schwarz
< α|α >< β|β >≥ | < α|β > |2
(2.3.16)
Esta desigualdade é análoga a desigualdade triangular na forma vetorial
|a|2
|b|2
≥ |a ∙ b|2
,
já que
|a||b| = ab ≥ |a ∙ b| = ab cos θ,
sendo a igualdade válida para θ = 0. 7
Demonstração. Considere o ket genérico, combinação linear dos kets |α > e
|β >, dado por
|γ >= |α > +λ|β > .
onde λ ∈ C.Sendo esta uma combinação linear de dois kets, não necessa-
riamente ortogonais, mas LI, pode-se escolher o ket |γ > ortogonal ao ket
|α >,portanto
< α|γ >= 0 =< α|α > +λ < α|β >
< α|γ > = 0 =< α|α > +λ < α|β >
=⇒ λ = −
< α|α >
< α|β >
.
7
Para a demonstração do Lema de Schwarz é útil ter em mente umas poucas proprie-
dades dos números complexos. Seja z = x + ıy um número complexo, z ∈ C e x, y ∈ R, o
módulo de z, |z| =
√
x2+y2
e vale a propriedade z∗
z = (x − ıy)(x + ıy) = x2
+ y2
= |z|2
.
Vê-se da definição de módulo que |z|2
≥ 0 .
2.3. MEDIDAS, OBSERVÁVEIS E RELAÇÕES DE INCERTEZA 81
Sendo que
< γ|γ > =< α|α > +|λ|2
< β|β > +λ < α|β > +λ∗
< β|α >
e ao mesmo tempo
< γ|γ >≥ 0,
obtém-se que
< α|α > +
< α|α >
< α|β >
2
< β|β > −
< α|α >
< α|β >
< α|β > −
< α|α >
< β|α >
< β|α >≥ 0 =⇒
< α|α >
< α|β >
2
< β|β > −
< α|α >
< α|β >
< α|β >≥ 0 =⇒
< α|α >
< α|β >
2
< β|β >≥< α|α >
e portanto
< α|α >< β|β >≥ |< α|β >|2
Lema 2.3.6. O valor esperado de um operador hermitiano é real
Demonstração. Seja A = A†
um operador hermitiano e seja {|a >}uma base
ortonormal e completa de autoestados (eigenkets) do operador A. Então
< a |a >= δa a
a
|a >< a | = I
Sendo que
A|a > = a |a >
< a |A =< a |a ,
obtém-se da primeira e segunda equações, respectivamente que
< a |A|a > = a < a |a >,
< a |A|a > = a ∗
< a |a > .
Subtraindo estas equações obtém-se que
(a ∗
−a ) < a |a >= 0 =⇒



para a = a , < a |a >= 0; os autoestados são ortogonais;
para a = a , a ∗
= a os autovalores são reias.
82 CAPÍTULO 2. CONCEITOS FUNDAMENTAIS
Lema 2.3.7. O valor esperado de um operador anti-hermitiano é imaginário
puro.
Operadores anti-hermitianos são definidos pela condição:
C†
= −C (2.3.17)
Demonstração. Considere que o operador C possui uma base completa de
autoestados ortonormais e que
C|c > = c |c >
< c |C†
= −c < a |,
obtém-se da primeira e segunda equações, respectivamente que
< c |C|c > = c < c |c >,
< c |C|c > = −c < c |c > .
Subtraindo estas equações obtém-se que
(c ∗
+c ) < c |c >= 0 =⇒



para c = c , < c |c >= 0; os autoestados são ortogonais;
para c = c , c ∗
= −c os autovalores são imaginários puros.
Donde conclui-se que os autovalores de um operador anti-hermitiano são
números imaginários puros.
Utilizando o lema 2.3.16 com o ket a seguinte escolha do ket genérico
|α > = ΔA| >,
|β > = ΔB| >,
obtém-se que o LE da desigualdade será
< α|α >< β|β >=< (ΔA)2
>< (ΔB)2
>, (2.3.18)
enquanto que o lado direito
|< α|β >|2
= |< (ΔA) (ΔB) >|2
. (2.3.19)
Em geral operadores ( matrizes e tensores) podem ser decomposto em um
termo simétrico e outro antisimétrico, se o operador for bem comportado,
seu produto também pode ser decomposto desta forma
ΔAΔB =
1
2
(ΔAΔB − ΔBΔA) +
1
2
(ΔAΔB + ΔBΔA)
=
1
2
[ΔA,ΔB] +
1
2
{ΔA,ΔB} ,
2.3. MEDIDAS, OBSERVÁVEIS E RELAÇÕES DE INCERTEZA 83
onde foi definido
[A, B] ≡ AB − BA,
{A, B} ≡ AB + BA.
Devido a definição do operador ΔA e ΔB tem-se que
[ΔA,ΔB] = [A− < A >,B− < B >] = [A, B] ,
devido < A > e < B > serem números.
A decomposição dos operadores em um termos simétrico e outro antisi-
métrico é utilizada juntos com os lemas 2.3.6e 2.3.7 notando-se que
[A, B]†
= − [A, B]
{A, B}†
= {A, B}
e portanto



[A, B] é um operador anti-hermitiano, portanto seu autovalores são imaginários puros!
{A, B} é um operador hermitiano, portanto seus autovalores são reais.
Isto simplifica em muito os cálculos já que pode-se comparar ΔAΔB com um
número complexo cujo quadrado do módulo é escrito como |z|2
= x2
+ y2
.
Com isto a equação 2.3.19 pode ser reescrita como
|< (ΔA) (ΔB) >|2
=
1
4
|[A,B]|2
+
1
4
|{ΔA,ΔB}|2
(2.3.20)
Substituindo as equações 2.3.18 e 2.3.20 na desigualdade de Schwarz 2.3.5
obtém-se que
< (ΔA)2
>< (ΔB)2
>≥
1
4
|< [A,B] >|2
+
1
4
|< {ΔA,ΔB} >|2
. (2.3.21)
A omissão do segundo termos torna a desigualdade ainda mair rigorosa já que
quanto maior a imprecisão nas medidas simultâneas dos operadores maior o
número resultante do produto (ΔA)2
>< (ΔB)2
> .
Não abrindo mão da rigorosidade, a omissão do segundo termos é justifi-
cada pelo exemplo considerado a seguir.
Exemplo 2.3.8. Pacote de onda mínimo em uma dimensão.
Para ilustrar a possibilidade e coerência da omissão do segundo termo no
lado direito da equação 2.3.21 considere sob que condições este termo pode ser
84 CAPÍTULO 2. CONCEITOS FUNDAMENTAIS
desprezado. Para isto retoma-se o ponto de partida, ou seja e desigualdade
de Schwarz
< α|α >< β|β >≥ | < α|β > |2
e pergunta-se: para que caso a igualdade ocorre? Uma resposta trivial8
:
quando |α >= γ|β >, γ ∈ C. Considere esta condição juntamente com a
outra condição
|< {ΔA,ΔB} >|2
= 0,
A título de simplicidade, mas sem perder a generalidade, considera-se este
exemplo em uma dimensão na representação das coordenadas, portanto tem-
se que
ΔA = Δx = x− < x >,
ΔB = Δpx = px− < px > .
Deve ser lembrado que na representação das coordenadas, o operador
momento px possui a forma
px = −ı
d
dx
.
Na linguagem de funções de onda (teoria de Schrödinger) ou representação
das coordenadas em 1d tem-se que
|< {ΔA,ΔB} >|2
= 0 ⇔
∞ˆ
−∞
dxψ∗
(x) (ΔxΔpx + ΔpxΔx) ψ(x) = 0 (2.3.22)
e que
|α >= γ|β >, γ ∈ C =⇒ ΔA| >= γΔB| >
que na representação das coordenadas (teoria de Schrödinger) escreve-se
como
Δxψ(x) = γΔpxψ(x) (2.3.23)
A equação (condição) 2.3.23 fornece a seguinte equação diferencial para a
função de onda ψ(x):
dψ
dx
= −
ı
γ
Δx +
ı < px >
ψ
8
Compare com a condição |a||b|≥ |a ∙ b| =⇒ ab ≥ ab| cos θ|; | cos θ| ≤ 1. a igualdade é
satisfeita quando θ = 0 e neste caso os vetores são colineares, ou proporcionais.
2.4. MUDANÇA DE BASES 85
cuja solução é
ψ(x) = N exp
ı
2γ
(Δx)2
+
ı < px > x
, (2.3.24)
onde N é uma constante de integração.
Já a condição 2.3.22 com a utilização da condição 2.3.23 torna-se9
∞ˆ
−∞
dxψ∗
(x) (γ∗
ΔpxΔpx + γΔpxΔpx) ψ(x) = (γ∗
+ γ)
∞ˆ
−∞
dxψ∗
(x)ΔpxΔpxψ(x) = 0
que implica em γ = ±ıc ou seja γ é um número imaginário puro. Escolhe-se
o sinal negativo para que a normalização do pacote de onda Gaussiano ψ(x)
seja convergente. Substituindo o valor de γ e normalizando o pacote 2.3.24
obtém-se o pacote de onda gaussiano minimo e normalizado
ψ(x) =
1
2π < (Δx)2 >
exp
(Δx)2
4 < (Δx)2 >
+
ı < px > x
(2.3.25)
Concluindo, a igualdade na relação de incerteza de Heisenber é válida para o
pacote de onda mínimo, em qualquer outro caso o produto das medidas das
dispersões de operadores incompatíveis será maior que o quadrado do valor
médio do comutador destes operadores. A omissão do termos
1
4
|{ΔA,ΔB}|2
na equação 2.3.21 impõe uma maior restrição sobre as medidas dos ope-
radores de que elas ( as medidas) sejam mais precisas. Certamente este
procedimento de melhorar a precisão é tecnicamente mais complicado.
2.4 Mudança de Bases
Sejam A e B dois observáveis incompatíveis. Existem duas possibilidades
de escolha da base para o espaço de Hilbert H do sistema, pode-se usar a
base {|a >}dos autoestados do operador A ou a base {|b >} que são os
autoestados do operador B. A escolha é indiferentes, relembre a discussão
do experimento de Stern-Gerlach onde considerou-se os operadores Sx, Sy
e Sz atuando no espaço de Hilbert gerado pelos kets base autoestados do
operador Sz.
9
Note que Δxψ(x) = γΔpxψ(x) e que (ψ∗
(x)Δx) = (Δxψ(x))
†
= (γΔpxψ(x))
†
=
γ∗
ψ∗
(x)Δpx
86 CAPÍTULO 2. CONCEITOS FUNDAMENTAIS
Sendo a escolha da base arbitrária pergunta-se: uma vez feita a escolha
da base como se relacionam os operadores, autovetores e autovalores ou equi-
valentemente como fazer uma transformação de coordenadas uma vez tendo
definido uma base. Esta mudança de coordenadas na mecânica quântica é
denominada de mudança de representação ou mudança de base.
Pode-se fazer uma comparação entre esta transformação e rotações que
são transformações ortogonais utilizadas para diagonalizar matrizes simétri-
cas. Há um teorema muito importante que somente será citado:
Teorema 2.4.1. Toda matriz simétrica pode ser diagonalizada por uma
transformação (matriz) ortogonal.
Este teorema é bastante útil no estudo da dinâmica de corpos rígidos onde
o cálculo e diagonalização do tensor de momento de inércia são necessários.
Já , no contexto do espaço de Hilbert os raios vetores são quantidades
complexas como também os operadores, sendo assim uma transformação or-
togonal não poderá ser utilizada para realizar a tarefa que relacione as duas
bases, mas uma generalização ou extensão destas transformação aos espa-
ços complexos. Nossa tarefa é construir um operador de transformação que
relacione as duas bases.
Sendo [A, B] = 0; {|a >} a representação completa e ortonormal do
operador A e {|b >} a representação completa e ortonormal do operador B
e adotando {|a >} como a base antiga e {|b >} a base nova, considera-se o
teorema
Teorema 2.4.2. Dado dois conjuntos de kets bases {|a >} e {|b >} orto-
gonais e completos, existe um operador unitário U tal que
|b(1)
>= U|a(1)
>, |b(2)
>= U|a(2)
>, ∙ ∙ ∙ |b(N)
>= U|a(N)
> . (2.4.1)
Um operador unitário é definido pelas condições
UU†
= U†
U = I. (2.4.2)
Demonstração. Por construção, considera-se o operador
U =
k
|b(k)
>< a(k)
| (2.4.3)
que imediatamente satisfaz:
U|a(l)
>=
k
|b(k)
>< a(k)
|a(l)
>=
k
|b(k)
> δkl = |b(l)
>, (2.4.4)
e
UU†
=
kl
|b(k)
>< a(k)
|a(l)
>< b(l)
| =
l
|b(l)
>< b(l)
| = I. (2.4.5)
Já que < a(k)
|a(l)
>= δkl.

Meca quan

  • 1.
    MECÂNICA QUÂNTICA ANTONIO EDSONGONÇALVES 8 de abril de 2015
  • 2.
    2 Antonio Edson Gonçalves Deptode Física - Centro de Ciências Exatas Universidade Estadual de Londrina Cx. Posta 86100 -Londrina - Paraná goncalve@uel.br 10.03.2011
  • 3.
    Sumário 1 Revisão 11 1.1Revisão . . . . . . . . . . . . . . . . . . . . . . . . . . . . . . 11 1.2 Experimentos com Elétrons . . . . . . . . . . . . . . . . . . . 11 2 Conceitos Fundamentais 21 2.1 O experimento de Stern-Gerlach . . . . . . . . . . . . . . . . . 21 2.1.1 Momento de dipolo magnético orbital . . . . . . . . . . 21 2.1.2 Dipolo Magnético em um Campo Externo . . . . . . . 23 2.1.3 O experimento de Stern-Gerlach puro . . . . . . . . . . 24 2.1.4 Descrição do experimento . . . . . . . . . . . . . . . . 26 2.1.5 Experimentos de Stern-Gerlach Sequenciais . . . . . . . 30 2.2 Espaço de Hilbert, Kets, Bras e Operadores . . . . . . . . . . 34 2.2.1 Espaços Vetoriais . . . . . . . . . . . . . . . . . . . . . 34 2.2.1.1 Subespaços Vetoriais[1] . . . . . . . . . . . . . 36 2.2.2 Mapeamentos Lineares, Imagens e Núcleo . . . . . . . 37 2.2.3 O Espaço Vetorial Dual . . . . . . . . . . . . . . . . . 38 2.2.4 O Espaço de Hilbert . . . . . . . . . . . . . . . . . . . 39 2.2.5 Espaço dos Kets . . . . . . . . . . . . . . . . . . . . . 42 2.2.6 Espaço dos Bras e o Produto Interno . . . . . . . . . . 45 2.2.7 Kets Base e Representação Matricial . . . . . . . . . . 51 2.2.8 Base Construida com Autoestados . . . . . . . . . . . . 52 2.2.9 Representação Matricial. . . . . . . . . . . . . . . . . . 55 2.2.10 Representação Matricial dos Operadores e Estados com Spin 1/2. . . . . . . . . . . . . . . . . . . . . . . . . . 61 2.3 Medidas, Observáveis e Relações de Incerteza . . . . . . . . . 62 2.3.1 Polarização de fótons . . . . . . . . . . . . . . . . . . . 62 2.3.2 Stern-Gerlach Sequenciais com três feixes. . . . . . . . 64 2.3.3 Comparando a polarização de férmions e bósons . . . . 70 2.3.4 Medida . . . . . . . . . . . . . . . . . . . . . . . . . . 70 2.3.5 O valor esperado de um observável A. . . . . . . . . . . 72 2.3.6 Medidas seletivas: o papel do operador projetor . . . . 72 3
  • 4.
    4 SUMÁRIO 2.4 Mudançade Bases . . . . . . . . . . . . . . . . . . . . . . . . 85 2.4.1 A matriz de transformação . . . . . . . . . . . . . . . . 87 2.4.2 Observáveis Similares . . . . . . . . . . . . . . . . . . . 94 2.5 Coordenadas, Momento e Translação . . . . . . . . . . . . . . 98 2.5.1 Espectro contínuo . . . . . . . . . . . . . . . . . . . . . 98 2.5.2 Autovetores de posição e medidas de posição . . . . . . 99 2.5.3 Translação . . . . . . . . . . . . . . . . . . . . . . . . . 101 2.5.4 As relações de comutação canônicas . . . . . . . . . . . 105 2.6 A função de Onda no Espaço das Coordenadas e Momentos. . 105 2.6.1 A função de onda no espaço das coordenadas . . . . . . 105 2.6.1.1 Relações de fechamento . . . . . . . . . . . . 106 2.6.2 O Momento na representação das coordenadas. . . . . 109 2.6.3 A função de onda no espaço dos momentos . . . . . . . 112 2.6.4 As coordenadas no espaço dos momentos (Melhorar este texto) . . . . . . . . . . . . . . . . . . . . . . . . . 114 2.6.5 Mudança de base ou representação. . . . . . . . . . . . 115 2.6.6 Pacote de onda gaussiano. . . . . . . . . . . . . . . . . 118 2.6.7 Relação de incerteza da posição e momento para o pa- cote gaussiano (Rep. Coord.). . . . . . . . . . . . . . . 119 2.6.8 O pacote de ondas gaussiano na representação dos mo- mentos. . . . . . . . . . . . . . . . . . . . . . . . . . . 122 2.6.8.1 Comparando os Pacotes nas duas prepresen- tações . . . . . . . . . . . . . . . . . . . . . . 125 2.7 Generalização para Três Dimensões. . . . . . . . . . . . . . . . 126 3 Dinâmica Quântica 129 3.1 Evolução Temporal e a Equação de Schrodinger . . . . . . . . 129 3.2 Representações de Schrodinger e Heisenberg . . . . . . . . . . 142 3.3 O Oscilador Harmônico Simples . . . . . . . . . . . . . . . . . 142 3.4 A Equação de Onda de Schrodinger . . . . . . . . . . . . . . . 164 3.5 Integrais de Trajetória . . . . . . . . . . . . . . . . . . . . . . 165 4 Teoria do Momento Angular 181 4.1 Relações de Comutação para Rotações e Momento Angular . . 181 A Espaços Vetoriais. 191 A.1 Produto Interno . . . . . . . . . . . . . . . . . . . . . . . . . . 192 B Grupos de Lie. 193 B.1 Grupos de Lie, only to english see! . . . . . . . . . . . . . . . 194 B.2 Álgebra de Lie . . . . . . . . . . . . . . . . . . . . . . . . . . . 198
  • 5.
    SUMÁRIO 5 C Momento,Gerador de Translações 199 D Transformações Canônicas 201 D.1 Transformações Canônicas Infinitesimais. . . . . . . . . . . . . 204 E A Equação de Hamilton-Jacob 207 E.1 Equações Diferenciais Parciais de Primeira Ordem . . . . . . . 207 E.1.1 Solução Completa . . . . . . . . . . . . . . . . . . . . . 210 E.2 A Equação de Hamilton-Jacob . . . . . . . . . . . . . . . . . . 211 F A função de Heaviside ou Degrau 215 G Poucas Representações da Função Delta 219 H Polinômios de Hermite. 221 I Funções de Green 223 Appendix 191 Referências Bibliográficas 229 Índice 231
  • 6.
  • 7.
    Lista de Figuras 1.2.1Aparelho medidor de Dureza . . . . . . . . . . . . . . . . . . . 12 1.2.2 Aparelho medidor de COR . . . . . . . . . . . . . . . . . . . . 12 1.2.3 Experimento sequencial: persistência da medida . . . . . . . . 13 1.2.4 Experimento sequencial: persistência da medida . . . . . . . . 13 1.2.5 Arranjo experimental para medir correlações . . . . . . . . . . 14 1.2.6 Arranjo experimental para medir correlações . . . . . . . . . . 14 1.2.7 Arranjo experimental com três aparelhos . . . . . . . . . . . . 15 1.2.8 Aparelho com espelhos . . . . . . . . . . . . . . . . . . . . . . 16 1.2.9 Aparelho com espelhos . . . . . . . . . . . . . . . . . . . . . . 17 1.2.10Aparelho com espelhos . . . . . . . . . . . . . . . . . . . . . . 17 1.2.11Aparelho sem bloqueio . . . . . . . . . . . . . . . . . . . . . . 18 1.2.12Aparelho com bloqueio . . . . . . . . . . . . . . . . . . . . . . 18 2.1.1 Momento angular . . . . . . . . . . . . . . . . . . . . . . . . . 22 2.1.2 Descrição do Experimento . . . . . . . . . . . . . . . . . . . . 26 2.1.3 Separação do feixe com átomos de Ag no aparelho de SGz . . 31 2.1.4 Stern-Gerlach puro . . . . . . . . . . . . . . . . . . . . . . . . 32 2.1.5 Stern-Gerlach SGˆz → SGˆx . . . . . . . . . . . . . . . . . . . 32 2.1.6 Stern-Gerlach SGˆz → SGˆx → SGˆz . . . . . . . . . . . . . . . 33 2.1.7 Luz não polarizada. . . . . . . . . . . . . . . . . . . . . . . . . 34 2.1.8 luz x−polarizada . . . . . . . . . . . . . . . . . . . . . . . . . 34 2.1.9 Luz polarizada . . . . . . . . . . . . . . . . . . . . . . . . . . 35 2.2.1 Exemplos de conjuntos densos e não densos . . . . . . . . . . 42 2.2.2 Sistema com dois níveis de energia . . . . . . . . . . . . . . . 60 2.2.3 Inversão do spin . . . . . . . . . . . . . . . . . . . . . . . . . . 61 2.3.1 SGz . . . . . . . . . . . . . . . . . . . . . . . . . . . . . . . . 65 2.3.2 SG SS . . . . . . . . . . . . . . . . . . . . . . . . . . . . . . . 65 2.3.3 Resumo da convenção da notação dos SG . . . . . . . . . . . . 66 2.3.4 SG angulo . . . . . . . . . . . . . . . . . . . . . . . . . . . . 67 2.3.5 Medida seletiva . . . . . . . . . . . . . . . . . . . . . . . . . . 73 2.6.1 Produto interno α β . . . . . . . . . . . . . . . . . . . . . . . 106 7
  • 8.
    8 LISTA DEFIGURAS 2.6.2 Pacote Gaussiano e quadrado do modulo do pacote . . . . . . 118 3.1.1 Esboço gráfico do propagador . . . . . . . . . . . . . . . . . . 130 3.3.1 Autofunção do estado fundamental x | 0 e a correspondente distribuição de probabilidade. a função distribuição clássica com a mesma energia total é representada pela curva descon- tínua. . . . . . . . . . . . . . . . . . . . . . . . . . . . . . . . 153 3.3.2 Autofunções com n=1, 2, 3, 4, 5 . . . . . . . . . . . . . . . . . 154 3.3.3 Densidade de probabilidade de posição para autofunção com n = 10 representada pela linha sólida. A linha descontínua representa a densidade de probabilidade para um oscilador clássico com a mesma energia. . . . . . . . . . . . . . . . . . . 154 3.5.1 Esboço de um dos possíveis caminhos entre dois estados de um sistema . . . . . . . . . . . . . . . . . . . . . . . . . . . . 171 4.1.1 Fig.1 e fig. 2: composição de rotações ao redor do eixo z . . . 182 4.1.2 Rotações finitas ao redor de diferentes eixos . . . . . . . . . . 182 4.1.3 Rotação passiava ao redor eixo z . . . . . . . . . . . . . . . . . 184 F.0.1Função de Heaviside . . . . . . . . . . . . . . . . . . . . . . . 215 F.0.2Contornos de integração para a função degrau . . . . . . . . . 216 I.0.1 Angulo Sólido . . . . . . . . . . . . . . . . . . . . . . . . . . . 225
  • 9.
  • 10.
    10 LISTA DETABELAS
  • 11.
    Capítulo 1 Revisão Introdução O objetivoé fazer um resumo de toda mecânica quântica para em seguida discutir conceitos fundamentais. O material está baseado nas referências: [2], [3], [4] e [5]. 1.1 Revisão 1.2 Experimentos com Elétrons Considere partículas atômicas, por exemplo elétrons que possuem duas pro- priedades físicas que aqui serão designadas por dureza e cor simplesmente por clareza e familiaridade. Estas duas propriedades pode ser posição e mo- mento; componentes Jx e Jz do momento angular total. É necessário insistir que este é um experimento facilmente realizado no laboratório, ou seja não é um gedankem experiment! Um dos fatos experimentais relevantes é que para todos os elétrons sempre obteve-se como resultado de medições somente um dos dois valores para a cor, digamos preto ou branco e um dos dois valores esperados da dureza: duro ou mole! Nunca, até o momento, numa medida, foram observados elétrons com outras cores senão preto e branco ou dureza: mole e duro. Não existem elétrons vermelhos, azuis, cinzas ou meio moles, quase duros, etc. Estes resultados experimentais foram obtidos com a utili- zação de aparelhos, cuja descrição esquemática e representativa, de aparelhos realísticos, faremos nas figuras seguintes. A figura Fig. 1.2.1 contém a representação esquemática de um aparelho para a medida de dureza. O aparelho consiste de uma caixa com três aber- turas: uma para o feixe incidente e outras duas para o feixe decomposto nos 11
  • 12.
    12 CAPÍTULO 1.REVISÃO DZ M D Figura 1.2.1: Aparelho medidor de Dureza COR B P Figura 1.2.2: Aparelho medidor de COR feixes duro e mole. O que está no interior da caixa não importa; por exemplo pode ser um canguru boxeador que com a pata esquerda golpeia elétrons moles e com a direita os duros! Como um exemplo concreto, pode ser um ímã não uniforme como o do experimento de Stern-Gerlach. De fato este não é o problema central neste momento. Após o feixe não polarizado passar pela caixa, os elétrons são separados em moles (M) (feixe horizontal) e duros (D) (feixe vertical). O mesmo arranjo experimental pode ser feito para a medida das cores branca (B) ou preta (P) com um aparelho medidor de cor, como indicado na figura Fig. 1.2.2. Estes aparelhos podem ser utilizados para estudarmos as características ou propriedades básicas das grandezas que estão sendo medidas. Por exemplo pode-se utilizar um arranjo sequencial destes aparelhos para verificar se uma medida é preservada após passar por um segundo aparelho que mede a mesma propriedade ou se a medida de uma propriedade, por exemplo cor, influência a medida da propriedade dureza quando o arranjo sequencial é composto de aparelhos que medem diferentes propriedades. A figura Fig. 1.2.3 esquematiza um exemplo de uma experimento que confirma a persistência de uma medida. Neste experimento um feixe de
  • 13.
    1.2. EXPERIMENTOS COMELÉTRONS 13 COR B 50% P50% COR B 100% P 0% Figura 1.2.3: Experimento sequencial: persistência da medida DZ M D DZ M 100% D 0% Figura 1.2.4: Experimento sequencial: persistência da medida elétrons não polarizados, penetra no aparelho medidor de cor, emergindo como dois feixes com as mesmas intensidades, sendo um branco e outro preto. Na sequencia (após um curto lapso de tempo) o feixe branco penetra em outro aparelho medidor de cor resultando deste somente um feixe composto exclusivamente de elétrons brancos. O resultado deste experimento indica que após uma medida de cor efetuada no feixe de elétrons, cada um dos feixes de iguais intensidades mantém suas cores1 . A esta característica do feixe de elétrons ( de preservar a cor após uma medida com um aparelho da mesma natureza) denominamos de persistência . O mesmo arranjo pode ser feito para a medida da dureza, como mostrado na figura Fig. 1.2.4. Os experimentos sequenciais indicam a persistência da medida, tanto da dureza quanto da cor. Considere agora um outro arranjo experimental no qual mede-se na se- quencia a dureza e cor ou vice-versa, conforme os esquemas das figuras Fig 1.2.5 e Fig 1.2.6. Os resultados destes experimentos indicam se há ou não influência da medida da dureza sobre a cor ou da cor sobre a dureza, depen- 1 Assume-se que os feixes preservem as medidas por um determinado intervalo de tempo
  • 14.
    14 CAPÍTULO 1.REVISÃO DZ M D COR B 50% P 50% Figura 1.2.5: Arranjo experimental para medir correlações COR B P DZ M 50% D 50% Figura 1.2.6: Arranjo experimental para medir correlações dendo do arranjo sequencial. Devido as intensidades dos feixes resultantes na decomposição preto e branco serem iguais e na decomposição em mole e duro também serem iguais,2 não há correlações entre as medidas. Estes experimentos indicam que a medida da cor não é correlacionada com a medida da dureza e vice-versa. A figura Fig. 1.2.7 contém a representação esquemática de um outro ar- ranjo experimental mais elaborado onde são utilizados três aparelhos. Neste experimento um feixe não polarizado é enviado através do primeiro aparelho que mede a cor; na sequencia um feixe composto unicamente de elétrons B penetra no aparelho que mede a dureza dos elétrons, o feixe é decomposto em elétrons BM e BD, conclusão esta fundamentada nos resultados experimen- tais esquematizados nas figuras Fig. 1.2.1, Fig. 1.2.2, Fig. 1.2.3 e Fig. 1.2.4 certo? Para verificarmos se a conclusão está correta, o feixe horizontal re- sultante do aparelho DZ é incidido no terceiro aparelho que mede cor. Pelas nossas conclusões anteriores deveria aparecer somente um feixe horizontal 2 Resultados experimentais, até onde a precisão permitiu, indicam que a intensidade dos feixes são iguais por até uma parte em 1010 .
  • 15.
    1.2. EXPERIMENTOS COMELÉTRONS 15 COR B P DZ M 50% D 50% COR B 50% P 50% Figura 1.2.7: Arranjo experimental com três aparelhos composto de elétrons MOLES E BRANCOS. ESTA CONCLUSÃO ESTÁ ERRADA! Veja que o experimento esquematizado na figura Fig. 1.2.7 mos- tra que não é isto o que acontece, o que resulta após o equipamento medidor de cor são dois feixes de mesma intensidade e de cores B e P. Note também que a diferença entre o arranjo experimental Fig. 1.2.3 e Fig. 1.2.7 é a in- clusão de um aparelho DZ entre os aparelhos COR. Parece que o aparelho DZ mistura as cores! Mas como pode ser tínhamos somente elétrons B? Antes de discutirmos este resultado inesperado, vamos analisar um outro arranjo experimental. Neste novo arranjo, figura Fig. 1.2.8, introduz-se es- pelhos defletores dos feixes que saem dos aparelhos. Estes espelhos possuem a única e exclusiva função de defletir o feixe e absolutamente nada mais, ou seja eles não interferem com as propriedades de cor ou dureza dos elétrons constituintes dos feixes. A caixa cinza (representando um equipamento defle- tor de feixes), também possui o papel de somente redirecionar os feixes, sem interferir em suas propriedades. Neste arranjo experimental, o primeiro apa- relho tem a função única e exclusiva de produzir um feixe preparado, ou seja um feixe com uma cor bem definida, branca neste caso. Nos experimentos subsequentes esta parte do equipamento será desconsiderada. Considere então a representação esquemática deste experimento esboçado na figura Fig. 1.2.9. Agora a pergunta interessante: se medirmos a cor do feixe resultante após seu rearranjo pela caixa cinza, o que resultará? Antes de responder, compare com o arranjo experimental esquematizado na figura Fig. 1.2.7. Naquela figura um feixe B é separado em M e D sendo M enviado para uma medida de cor que resulta em P e B. Já no experimento da Fig. 1.2.9 um feixe B é separado em D e M e após recomposto contém somente elétrons B. Novamente a pergunta numa outra forma: se o feixe do experimento Fig. 1.2.7, após separado em DZ contém as cores B e P, por que isto também não acontece com o feixe do experimento Fig. 1.2.9 que contém somente a cor
  • 16.
    16 CAPÍTULO 1.REVISÃO COR B P DZ M 50% D 50% Figura 1.2.8: Aparelho com espelhos B? Veja que (SURPREENDENTE, OU NÃO!), o feixe resultante é composto somente de elétrons brancos! Por que surpreendente?! Não o é surpreendente porque foram enviados somente elétrons brancos! Sim, porém nos experi- mentos anteriores, por ex., o da figura Fig 1.2.7, após a realização de uma medida (neste caso a dureza) o feixe resultante possuía uma mistura estatística de cores ou seja 50% branco e 50% preta. Por que isto não acontece neste experimento? Toda esta situação não está clara, mas calma, podemos piorá-la um pouco. Para isto considere o arranjo experimental esquematizado na figura Fig. 1.2.10. Agora a situação acabou de piorar, como anteriormente prometido ! Neste experimento o feixe incidente é composto somente de elétrons brancos, como no experimento anterior, Fig. 1.2.9. A diferença entre estes dois arran- jos é o aparelho medidor de dureza inserido após o espelho no trajeto do feixe horizontal, utilizado somente para confirmar que o feixe é composto única e exclusivamente de elétrons moles, dado que não existe correlações entre cor e dureza (experimento da figura Fig. 1.2.5 e 1.2.6), pergunta-se de onde surgiram elétrons pretos??? É preciso responder as seguintes perguntas: 1. se medirmos a cor do feixe resultante após seu rearranjo pela caixa cinza, o que resultará? 15 2. Mas como pode ser tínhamos somente elétrons B? p. 15
  • 17.
    1.2. EXPERIMENTOS COMELÉTRONS 17 B DZ M 50% D 50% COR B 100% Figura 1.2.9: Aparelho com espelhos B DZ M 50% D50% COR B 50% P50%! DZM100% Figura 1.2.10: Aparelho com espelhos
  • 18.
    18 CAPÍTULO 1.REVISÃO B DZ M 50% D 50% COR B 100% Figura 1.2.11: Aparelho sem bloqueio B DZ M 50% D50% COR B 50% P50% Figura 1.2.12: Aparelho com bloqueio
  • 19.
    1.2. EXPERIMENTOS COMELÉTRONS 19 3. por que isto também não acontece com o feixe do experimento Fig. 1.2.9 que contém somente a cor B? 16 4. Por que isto não acontece neste experimento?16 O que acontece é que não podemos responder a estas perguntas funda- mentados nos conceitos clássicos. Um forma de interpretamos os resultados experimentais • persitencia da medida de uma dada propriedade • diferentes propriedades não são correlacionas • a medida subsequente de uma propriedade destrói a informação da medida anterior é admitindo que os elétrons possuem um modo de se comportar e se propagar, diferente de tudo o que já vimos ou conhecemos no contexto da física clássica. A este modo dá-se o nome de superposição que significa "não temos idéia do que está acontecendo"! No contexto deste conceito, um elétron inicialmente B no experimento da Fig. 1.2.7 não é duro, não é mole e nem ambos, nem nenhum, mas sim uma superposição de ser D e M A discussão a seguir sugere os experimentos das figuras Figs. 1.2.11 e 1.2.12. 1. Discussão: considere um elétron passando pelo aparelho do experi- mento Fig. 1.2.9 e tentemos encontrar a rota seguida pelo elétron. Considere a possibilidade dele ter tomado a rota D, isto pode ser pos- sível? Não porque os experimentos anteriores Fig. 1.2.1 e Fig. 1.2.5 informar que elétrons D são BP e não somente B. Considere então que os elétrons passaram pela rota M; também não é possível pelo mesmo motivo. Poderá então de alguma forma os elétrons tomarem os dois percursos? Os experimentos mostram se interrompermos os elétrons em seu trajeto através do aparelho para determinarmos sua rota, re- sulta que na metade das vezes ele utiliza a rota D e na outra metade a M. Até a presente data, nunca foi observado meio elétron percorrendo a rota d e a outra metade, a rota M! Resta somente a possibilidade que o elétron não tome nenhuma rota, isto não pode ser porque neste caso não haveria fluxo de elétron após o aparelho! 2. Fatos curiosos neste experimento: O que motiva esta pergunta? qual o caminho seguido pelo elétron? 3. Fig. 1.2.9 Indica a não localidade do sistema. Explicar que os espelhos podem estar separados por milhares de quilômetros de distância
  • 20.
    20 CAPÍTULO 1.REVISÃO Os arranjos experimentais esquematizados nas figuras Figs. 1.2.11 e 1.2.12 foram elaborados também para a tentativa de encontrar a trajetória seguida pelo elétron. Certamente que isto não é possível e o experimento reforça o conceito de superposição. O que também é surpreendente neste experimento é o fato de que o bloqueio de um dos feixes interfere no resultado da medida da cor, ou seja sem bloqueio o feixe emergente é B, enquanto que com bloqueio o feixe emergente será composto de B e P com as mesmas probabilidades. Como pode o bloqueio do feixe M interferir nos elétrons do feixe D mesmo que este esteja a muitos quilómetros de distância? Esta característica é chamada de não localidade do sistema!
  • 21.
    Capítulo 2 Conceitos Fundamentais Introdução Estetexto é uma adaptação informal da referência [6] com material coletado de várias outras referências. 2.1 O experimento de Stern-Gerlach O objetivo é estudar o experimento de Stern-Gerlack e compará-lo com o comportamento de uma onda eletromagnética com polarização linear e cir- cular para a construção do espaço de Hilbert deste sistema. 2.1.1 Momento de dipolo magnético orbital A idéia é utilizar um modelo semiclássico para calcularmos o momento mag- nético μ = IA de um elétron no átomo de hidrogêneo, utilizando o modelo de Bhor. Para isto, Considere um elétron de massa m e carga e em movi- mento numa órbita circular de raio r (órbita de Bohr) com rapidez v, como esquematizado na figura Fig. 2.1.1 A carga em movimento circular (modelo do átomo de Bhor no estado fundamental) corresponde a uma corrente estacionária ( ∙ J = 0) com in- tensidade I = dq dt ≡ q Δt . Para o elétron em uma órbita de Bhor, q = −e e o intervalo de tempo Δt é o período do movimento T = 2πr v 21
  • 22.
    22 CAPÍTULO 2.CONCEITOS FUNDAMENTAIS Figura 2.1.1: Momento angular
  • 23.
    2.1. O EXPERIMENTODE STERN-GERLACH 23 sendo portanto I = qv 2πr . Sendo a área da órbita circular A = − πr2 k obtem-se para o momento magnético órbital do elétron, a seguinte expressão μ = − qvr 2 k. Entretanto este elétron também possui momento angular dado por L = r × p = mer × v. Dado que o vetor velocidade é perpendicular ao deslocamento r o módulo do momento angular será L = merv, o que possibilita escrevermos μ = − q 2me L. Resumindo, foi possível expressar o momento magnético em função do mo- mento angular, o que se faz necessário renomeá-lo de momento magnético órbital! Note que o momento magnético órbital depende somente de cons- tanstes fundamentais como a carga e massa do elétron. Existe uma diferença entre o valor previsto por este modelo e o observado experimentalmente, pri- meiro porque para o elétron o momento magnético obsevado é o intrínsico e não o angular, segundo: o valor previsot é aproximadamente metade do valor medido experimentalmente o que motivou a intrudução de uma contante g chamada de razão giromagnética cujo valor correto (para o elétron g ∼ 2) só é obtido utilizando-se a mecânica quântica relativística. 2.1.2 Dipolo Magnético em um Campo Externo Um dipolo magnético em um campos externo é submetido a um torque τ = μl × B, que tende a alinhar o dipolo com o campo magnético. Associado a este torque existe a energia potencial de orientação U = −μl ∙ B.
  • 24.
    24 CAPÍTULO 2.CONCEITOS FUNDAMENTAIS Este torque faz com que o dipolo precesse com frequência ω = μlgl B com relação a direção do vetor do campo magnético. Esta é a conhecida frequência de Larmor. Um dado sistema possuindo momento magnético μ quando sujeito a um campo externo estará submetido a uma força que pode ser calculada pela expressão F = (μl ∙ B) que será nula se o campo externo for constante, mas para um campo não uniforme e um momento magnético constante teremos Fi = μlj∂iBj. 2.1.3 O experimento de Stern-Gerlach puro Em 1922 Stern e Gerlach, no Instituto de Física Teórica e Experimental da Universidade de Frankfurt, mediram os valores possíveis de μsz para átomos de prata (Ag) simplesmente enviando um feixe desses átomos através de um campo magnético não uniforme. Um diagrama esquemático é mostado na figura anterior. Um feixe de átomos neutro é obtido pela evaporação da prata em
  • 25.
    2.1. O EXPERIMENTODE STERN-GERLACH 25 um forno. O feixe é colimado por diafrágmas e penetra na região entre os polos N e S de um imã não uniforme. Como os átomos são neutros, a única força que atua é a força F = (μ ∙ B) . A força que age em cada átomo depende, portanto, do valor de μ para o átomo em questão, sendo o feixe separado em componenetes dependendo ou de acordo com os vários valores de μ presentes. Os átomos defletidos atingem o anteparo deixando um traço visível de sua distribuição. De acordo com a teoria clássica, μ pode ter qualquer valor entre −|μ| e |μ| e para um feixe composto de átomos com uma distribuição isotrópica de momento magnético a teoria clássica prediz que o feixe defletido se espalhará numa banda contínua Stern e Gerlach constataram que o feixe com átomos de prata é separado em duas componentes discretas, uma delas sendo desviada no sentido do eixo z positivo e a outra no sentido do eixo z negativo. A experiência foi repetida com outras orientações do aparelho e várias espécies de átomos, constatando- se sempre que o feixe defletido era separado em duas ou mais componentes discretas.
  • 26.
    26 CAPÍTULO 2.CONCEITOS FUNDAMENTAIS Figura 2.1.2: Descrição do Experimento 2.1.4 Descrição do experimento Átomos de prata possuem 47 elétrons, 46 deles formam uma distribuição de carga esfericamente simétrica e o 47º elétron ocupa o orbital 5s1 . Características básicas do átomo de prata: • 47 prótons • 60 neutrons • 47 elétrons A distribuição eletrônica nas camadas é 10 1s2 2s2 2p6 10 3s2 3p6 4s2 10 3d10 6 4p6 10 4d10 5s1 Resumo: • para um dado n, n2 é a degenerecência,
  • 27.
    2.1. O EXPERIMENTODE STERN-GERLACH 27 • l = 0, 1, 2, ∙ ∙ ∙ , n − 1 • ml = −l, −l + 1, ∙ ∙ ∙ , 0, 1, ∙ ∙ ∙ , l • para um dado l,ml possui 2l + 1 valores. O número de elétrons em um subnível é 2(2l + 1). No experimento de Stern-Gerlach o feixe de átomos de prata é enviado através de um campo magnético não uniforme alinhado ao longo do eixo z.Um feixe colimado, com átomos de prata, passando através de um imã não uniforme, como na figura Fig. 2.1.4 . Estes átomos estando no estado fundamental terão um momento angular orbital nulo uma vez que l = 0e os elétrons restantes (46 elétrons) compõe uma camada fechada. Os primeiros 46 elétrons formam uma camada fechada com momento angular total nulo. O último elétron da camada 5s1 tem l = 0 =⇒ m = 0, portanto μl = − glμB L = − glμB l(l + 1) n = 0. Ou seja o momento magnético do elétron dever ser nulo! No arranjo experimental mostrado na figura Fig. 2.1.4 escolhe-se o eixo z na direção do campo magnético e classicamente espera-se que o feixe não polarizado produza uma mancha contínua uniformemente distribuida com a direção do feixe não defletido z = 0. De acordo com a formulação de Schro- dinger se os átomos do feixe possuirem momento angular cujos autovalores são l(l + 1) , após passarem pelo campo não homogêneo serão separados em um número de l(l+1) diferentes feixes correspondentes aos diferentes valores de momento angular, portanto para os átomos no estado fundamental l = 0 e o feixe não será defletido. Entretanto para os átomos do feixe preparados no estado 5p1 , portanto l = 1 o feixe deverá se separar em três componentes, de acordo com a teoria de Schrodinger. O que se observa experimentalmente é que o feixe não se comporta de acordo com a predição da física clássica, nem com a predição da teoria de Schrödinger. Este resultado é também observado para o átomo de hidrogêneo no estado fundamental, l = 0, quando não se espera uma separação do feixe. Para resolver esta charada, Goldsmith e Ulembech postulam em 1925, que adicionalmente ao momento angular orbital, o elétron possui um momento
  • 28.
    28 CAPÍTULO 2.CONCEITOS FUNDAMENTAIS angular intrínsico o qual diferentemente do momento angular orbital não tem relação com os graus de liberdade espaciais, por isto este momento angular é denominado de spin e depende dos graus de liberdade interno. É um erro considerar que o elétron está girando em torno de seu eixo e a esta rotação associarmos um momento angular denominado de spin, mesmo porque até onde se sabe o elétron não possui estrutura! O spin é um grau de liberdade intrinsico sendo um conceito quantico-relativístico sem análogo clássico1 . Di- ferentemente do momento angular orbital, o spin não pode ser descrito por um operador diferencial. Entretanto se o resultado experimental for negativo, a causa será devido a um novo tipo de momento angular, por isto a expressão anterior deverá ser modificada para μJ = − glμB (L + S) , sendo S o novo tipo de momento angular denominado de spin do elétron ou momento angular intrínsico. Para os átomos de prata que estamos conside- rando μJ = − glμB (L + S) , = − glμB (0 + S) = − glμB S para o elétron 5s1 . Pode ser que haja uma contribuição, na deflexão do feixe, do momento magnético nuclear durante a passagens dos átomos pelo campo magnético. Para avaliarmos esta contribuição, simplesmente utilizamos a expressão do momento angular orbital do elétron μl = − glμB L, para estimarmos os momentos magnéticos do próton e do NEUTRON! (Como pode ser, o neutron não tem carga!? Mas tem sim um momento magnético e isto é justamente a indicação da existencia de uma extrutura interna!) μp = − e mp L 1 De fato existem os chamados modelos pseudoclássico com propostas para a descrição do spin no contexto clássico. Estes modelos são úteis para se estudar a quantização de partículas relativísticas e/ou construir modelos que tentam colocar numa base formal a quantização de sistemas com vínculos. Como exemplo veja a referência: F. A. Berezin and M. S. Marinov, JETP Lett. 21 (1975) 320
  • 29.
    2.1. O EXPERIMENTODE STERN-GERLACH 29 μn = − e mn L.!! The neutron is a subatomic hadron particle that has the symbol n. Neutrons have no net electric charge and a mass slightly larger than that of a proton. The neutron magnetic moment is the magnetic moment of the neutron. It is of particular interest, as magnetic moments are created by the movement of electric charges. Since the neutron is a neutral particle, the magnetic moment is an indication of substructure. For a time, the neutron was thought to be made of a proton, with a charge of +e and an electron, with a charge of −e, whose charge would cancel out. However, since the advent of the quark model, it is now known that the neutron is made of one up quark (charge of (2/3)e ) and two down quarks (charge of −(1/3)e ). Sendo que: • e ∼ 1, 6 × 10−19 C • me ∼ 9, 1 × 10−31 kg • mp ∼ 1, 672 × 10−27 kg • mn ∼ 1, 674 × 10−27 kg, obtem-se imediatamente que μp = μe me mp , sendo me mp ∼ 10−4 segue que μp μe ∼ 10−4
  • 30.
    30 CAPÍTULO 2.CONCEITOS FUNDAMENTAIS o que indica que o momento magnético nuclear é quatro ordens de grandeza menor que o momento magnético do átomo, podendo portanto ser descon- siderado neste experimento. Isto significa que qualquer deflexão no feixe de prata será devido a existência de outro tipo, que não o orbital, de momento angular intrínsico ou spin do elétron. Quando então os átomos passam através do campo magnético inomogêneo B eles serão submetidos a uma força cujas componentes são Fi = μsj∂iBj, e dada a simetria rotacional, com relação ao eixo z, do problema somente a componente z será relevante, restando portanto Fz = μsz∂zBz. O momento magnético, já calculado é μz = − e 2me Sz    > 0 para Sz < 0, < 0 para Sz > 0. No diagrama do experimento de Ster-Gerlach o campo magnético é mais intenso próximo ao polo norte do que no polo sul, e para variações positivas ao longo do eixo z teremos ∂Bz ∂z < 0, ou seja o campo diminui com o aumento de z. Segue então que a força atuando ao longo do eixo z é Fz = |e| me Sz ∂Bz ∂z    > 0 para Sz > 0, < 0 para Sz < 0. A figura Fig. 2.1.4 contém uma representação esquemática da separeção do feixe. 2.1.5 Experimentos de Stern-Gerlach Sequenciais Classicamente pode-se determinar as três componentes do momento angular Lx, Ly, e Lz simultaneamente. Isto pode ser compreendido da seguinte forma: o momento angular de um corpo sólido com momento de inércia I pode ser escrito como L = Iω,
  • 31.
    2.1. O EXPERIMENTODE STERN-GERLACH 31 Figura 2.1.3: Separação do feixe com átomos de Ag no aparelho de SGz
  • 32.
    32 CAPÍTULO 2.CONCEITOS FUNDAMENTAIS Figura 2.1.4: Stern-Gerlach puro Figura 2.1.5: Stern-Gerlach SGˆz → SGˆx portanto conhecendo-se as componentes da velocidade angular ω, por pro- jeção no plano xy e ao longo do eixo z, ou seja ωx, ωy e ωz, pode-se medir as componentes do momento angular. Um exemplo clássico encontrado na maioria dos livros textos de mecânica clássica [7? ] é o solução das equações de movimento de um peão simétrico em um campo gravitacional homogêneo g. Uma vez realizado o experimento de Stern-Gerlack que mostra os possíveis valores Sz+e Sz− que pode assumir a componente Sz do momento angular intrínseco ou spin, prossegue-se com o experimento submetendo-se uma das componentes do feixe, por exemplo Sz+ a um outro campo magnético ou SGn numa direção arbitrária n que agora escolhida como diferente de z. Pode-se considerar, por exemplo a direção ˆx. Antes de prosseguir com o experimento seqüencial, pode-se certificar que o sistema (feixe Sz+) encontra- se em um estado puro, para isto submete-se novamente o feixe a um SGˆz como esquematizado na figura 2.1.4. Pode-se medir que o feixe após passar pelo primeiro aparelho SGˆz e uma vez tendo-se bloqueado Sz− o feixe contém somente átomos com componentes de spin Sz+. Considere a passagem do feixe Sz+ por um aparelho SGˆx. O resultado do experimento é esquematizado na figura (2.1.5). Deste experimento mede-se que após passar pelo aparelho SGˆx o feixe com orientação de spin Sz+é decomposto em duas componentes Sx+e Sx−. Pode-se conjecturar que o feixe Sz+ é uma mistura Sz+ ? =    Sz+ + Sx+, Sz+ + Sx−. Se esta for verdadeira implicará na medida simultânea das componentes Sx+ e Sx−dos momentos angulares de spin. Para verificar esta conjectura
  • 33.
    2.1. O EXPERIMENTODE STERN-GERLACH 33 Figura 2.1.6: Stern-Gerlach SGˆz → SGˆx → SGˆz passa-se o feixe Sz++Sx+ ou Sz++Sx− através de outro aparelho (um terceiro para ser mais preciso) SGˆz seqüencial como esquematizado na figura 2.1.6 Neste experimento, o feixe Sx− é bloqueado, espera-se portanto como re- sultado de uma medida somente a observação do feixe contendo componentes Sz+. O experimento indica que este não é o caso! O feixe Sx+ é decomposto em dois feixes com orientações Sz+ e Sz−.Sumarizando os resultados: • de fato o feixe os feixes Sx+ e Sx−não contém Sz+ como pensamos inicialmente. • não é possível determinarmos Sz+ e Sx+ ou Sx− num mesmo experi- mento (ou simultaneamente) • A medida do feixe com o aparelho SGˆx destrói toda informação sobre as medidas anteriores com SGˆz Analogia com a polarização da luz2 Para tentarmos compreender o que ocorre com o feixe de átomos de prata quando passa através de um campo magnético inomogêneo e decomposto em duas componentes, considera-se um fenômeno similar 3 que acontece com a luz ou mais geralmente a radiação eletromagnética. Considere uma onda eletromagnética monocromática propagando-se ao longo do eixo z, no sentido crescente, sua componente elétrica pode ser escrita como E = E0 ˆueı(kz−ωt) , sendo E0 a amplitude da onda que pode ser complexa. Quando a onda é submetida a um filtro polarizador na direção ˆx, obtém-se uma onda x−polarizada E = E0ˆx ˆeı(kz−ωt). Experimentos com polarizadores ópticos indicam que nenhuma intensi- dade luminosa é medida quando uma onda eletromagnética x− polarizada 2 Uma discussão clarificadora da passagem da luz através de um cristal é feita por Dirac. Veja o primeiro capitulo da referência [8] 3 Esta comparação é justificada pelo comportamento ondulatório da matéria
  • 34.
    34 CAPÍTULO 2.CONCEITOS FUNDAMENTAIS Figura 2.1.7: Luz não polarizada. Figura 2.1.8: luz x−polarizada passa através de um y−polarizador (polarizador com direção y). As figuras 2.1.8 e (2.1.5) são representações esquemáticas desta situação. Até este ponto não há nada incomum com a polarização da luz. O expe- rimento torna-se mais interessante quando é colocado entre os polarizadores ˆx − p e ˆy − p um outro filtro ˆx − p cujo eixo ox faz um ângulo de 45o com o eixo ox do polarizador ˆx − p. Após a introdução deste polarizador, observa-se no anteparo uma intensidade luminosa, IE = 0. O aparecimento desta radiação pode ser explicado com base no modelo ondulatório da luz. Para isto considere um sistema de coordenadas definido na frente da onda ˆx − p e cujo eixo x coincide com o eixo x da onda plano polarizada. 2.2 Espaço de Hilbert, Kets, Bras e Opera- dores 2.2.1 Espaços Vetoriais Um espaço vetorial[9] (ou espaço linear) L sobre um corpo 4 K é um conjunto no qual duas operações são definidas: a adição ( ou combinação de dois elementos), representada pelo símbolo + e a multiplicação por um elemento do corpo K (denominado escalar). Neste texto praticamente trabalharemos 4 Veja o comentário na seção ??
  • 35.
    2.2. ESPAÇO DEHILBERT, KETS, BRAS E OPERADORES 35 Figura 2.1.9: Luz polarizada com o campo real K ou complexo C. Os elementos do espaço vetorial L, denominados vetores são postulados a satisfazerem os seguintes axiomas: 1. u + v = v + u 2. u + (v + w) = (u + v) + w 3. ∃ o vetor nulo 0 tal que v + 0 = v 4. ∀ u ∈ V , ∃ − u ∈ V | u + (−u) = 0 5. c(u + v) = cu + v 6. (c + d)u = cu + cv 7. c(du) = (cd)u 8. 1u = u. Os vetores u , v e w são elementos de L e c, d e 1 são elementos do campo K. Seja {vi} um conjunto com k vetores. Se a equação k i=1 kivi = 0 , (2.2.1) possuir somente solução trivial ki = 0 (ou seja se a igualdade somente se verifica se todos os escalares ki = 0) o conjunto de k-vetores é denominado de linearmente independente , caso contrário, se existir somente um ki
  • 36.
    36 CAPÍTULO 2.CONCEITOS FUNDAMENTAIS não nulo o sistema é denominado de linearmente dependente. Se um dos vetores vi for nulo, seu coeficiente não necessariamente é nulo e o conjunto será linearmente dependente. Um conjunto de vetores LI, ei é uma base do espaço vetorial L se todo vetor v ∈ L puder ser decomposto unicamente como v = i viei , (2.2.2) onde vi ∈ K são as componentes de v na base {ei}. Se existirem n elementos ei na base, a dimensionalidade de L será n, sendo representada como dim L = N. Uma notação geralmente utilizada para um espaço vetorial V de dimensão n sobre um corpo K é V (N, K), a dimensionalidade do espaço pode ser finita ou infinita. Exemplo 2.2.1. Um exemplo [1] trivial conjunto Rn com a adição e multi- plicação por escalar definidas sobre a n-uplas (x1, x2, ∙ ∙ ∙ , xn) ∈ Rn de forma que (x1, x2, ∙ ∙ ∙ , xn) + (y1, y2, ∙ ∙ ∙ , yn) = (x1 + y1, ∙ ∙ ∙ , xn + yn) e k (x1, x2, ∙ ∙ ∙ , xn) = (ax1, ax2, ∙ ∙ ∙ , axn) , a ∈ K Exemplo 2.2.2. Um outro exemplo de um espaço vetorial (sem produto interno) é o das funções de classe C∞ definidas em Rn no qual a operação de adição é definida em um ponto e a multiplicação por um escalar k ∈ K é feita como a dos números reais. Exemplo 2.2.3. O espaço 2 − d para partículas com spin 1/2 definido no plano complexo. 2.2.1.1 Subespaços Vetoriais[1] Discutiremos concisamente a definição e exemplos de subespaços vetoriais Definição 2.2.4. Um subespaço Vs ⊂ V de um espaço vetorial V é um subconjunto não vazio Vs de V que satisfaz as seguintes condições
  • 37.
    2.2. ESPAÇO DEHILBERT, KETS, BRAS E OPERADORES 37 (a) ∀ x, y ∈ Vs, x + y ∈ Vs ; (b) ∀x ∈ V0, e k ∈ K, kx ∈ Vs Exemplo 2.2.5. Um exemplo bastante trivial: o espaço Euclidiano R3 é um subespaço do espaço vetorial Rn , ou seja R3 ⊂ Rn . 2.2.2 Mapeamentos Lineares, Imagens e Núcleo Definição 2.2.6. Mapeamento Linear: Dado dois espaços vetoriais V e W, com elementos v e w respectivamente, o mapeamento f : V =⇒ W é deno- minado mapeamento linear se satisfizer a seguinte condição f(av + bw) = af(v) + bf(w), com a e b ∈ K; (K denota o corpo dos ou C). Note que a primeira operação (de adição de vetores) é feita no espaço V e a segunda em W. O conjunto de todos os mapeamentos lineares de V em W é denomi- nado por L(V, W). Um mapeamento linear é um exemplo de homomorfismo que preserva a adição vetorial e a multiplicação por um escalar, preservando portanto a estrutura algébrica. Exemplo 2.2.7. Mapeamento ZERO: Zero ∅ representará a função (mapea- mento) de V em W, tal que ∅ : V → W. Considere o elemento v ∈ V , então ∅v = 0. O mapeamento ∅ mapeia o elemento v ∈ V no elemento 0 ∈ W. A condição ∅(a1v1 +a2v2) = ∅(a1v1)+∅(a2v2) = a1∅v1 +a2∅v2 = 0+0 = 0. Outro exemplo: Exemplo 2.2.8. Defina um mapeamento T ∈ L(P( ), P( )) como Tp = p . Verificamos que T(ap1 + bp2) = T(ap1) + T(bp2) = aTp1 + bTp2 = ap1 + bp2. Este mapeamento pode ser interpretado como a operação de derivação. Exemplo de uma transformação não linear. Exemplo 2.2.9. Com um exemplo de uma transformação que não é linear utilizamos o determinante de uma matriz: Seja T : V −→ W a transformação que associa o determinante det M à matriz M. Como det(M + N) = det(m) + det(N); det(cM) = cn det(M); c ∈ e n é a ordem da matriz M. Portanto, neste caso, a transformação T não é linear. A definição de imagem: Definição 2.2.10. Imagem: Resumidamente, definimos a imagem de uma função f : A → B como f(A) ⊂ B que pode ser representa por im(f).
  • 38.
    38 CAPÍTULO 2.CONCEITOS FUNDAMENTAIS O núcleo de um mapeamento: Definição 2.2.11. Núcleo (Kernel): O núcleo de um mapeamento é o con- junto de vetores v ∈ V tal que kerf(V ) = {v ∈ V |f(v) = 0}. Alguns exemplos: Exemplo 2.2.12. O núcleo do mapeamento derivativo, exemplo 2.2.8 é kerT(A) = {v|T(v) = 0}. A derivada de funções constantes é nula, portanto o núcleo do mapeamento derivativo T é o conjunto de funções constantes: ker T(A) = {funções constantes} 2.2.3 O Espaço Vetorial Dual Seja f : V −→ K, uma função linear (mapeamento linear) de um espaço V (n, K) no corpo K. Seja {ei} uma base de V e considere um vetor arbitrário v escrito nesta base v = v1 e1 + v2 e2 + ∙ ∙ ∙ + vi ei + ∙ ∙ ∙ + vn en. Da linearidade de f temos f(v) = f(v1 e1 + v2 e2 + ∙ ∙ ∙ + vi ei + ∙ ∙ ∙ + vn en) = v1 f(e1) + v2 f(e2) + ∙ ∙ ∙ + vi f(ei) + ∙ ∙ ∙ + vn f(en). Desta forma conhecido o resultado da operação de f(ei) sobre ∀ei conhe- ceremos o resultado da operação da função f sobre qualquer vetor v ∈ V . Dado que o conjunto de funções lineares também forma um espaço vetorial, o espaço gerado por {f(ei)} é denominado de espaço vetorial dual ao espaço V (n, K), sendo representado como V ∗ (n, K) ou Hom V (n, K). Note que {ei} ←→V (n, K) {ei∗ } ←→V ∗ (n, K) A base {ei∗ } do espaço dual V ∗ (n, K) é uma função linear, portanto ela é completamente especificada por ei∗ (ej), para todo j. Pode-se escolher a base dual como e∗i (ej) = δi j.
  • 39.
    2.2. ESPAÇO DEHILBERT, KETS, BRAS E OPERADORES 39 Neste contexto, toda função linear f é de fato um vetor dual, que pode ser expandido como f = fje∗j e a ação de f sobre um dos vetores v ∈ V pode ser interpretada como um produto interno entre vetores linha e coluna f(v) = fje∗j vi ei = fjvi e∗j (ei) = fjvi δi j = fivi ∈ K. Utiliza-se a notação <; >: V ∗ × V −→ K para representar o produto interno como um mapeamento bilinear do produto cartesiano do espaço dual com o espaço no corpo K. 2.2.4 O Espaço de Hilbert O espaço de Hilbert é um conjunto de vetores Ψ, Φ, χ, ∙ ∙ ∙ ∈ H e escalares k ∈ K sendo que K pode representar o corpo dos reais ou dos complexos C, com as seguintes propriedades • (a) H é um espaço vetorial ou linear • (b) Define-se em H um produto escalar positivo definido O produto escalar de dois elementos Φ e Ψ, representado por (Φ, Ψ) ou Φ | Ψ , é em geral um número complexo. O produto escalar satisfaz Φ | Ψ = Ψ | Φ ∗ , c1Φ1 + c2Φ2 | Ψ = c∗ 1 Φ1 | Ψ + c∗ 2 Φ2 | Ψ , Φ | d1Ψ1 + d2Ψ2 = d1 Φ | Ψ1 + d2 Φ | Ψ2 , Ψ | Ψ 0 e ∈ • H é separável: ∃ uma sequência de Cauchy ψn ∈ H, n = 1, 2, ∙ ∙ ∙ tal que para cada ψ ∈ H e ε > 0, ∃ pelo menos um ψn da sequência para o qual ψ − ψn < ε
  • 40.
    40 CAPÍTULO 2.CONCEITOS FUNDAMENTAIS Outra definição pode ser utilizada: Um espaço H é separável se ∃ um subs- paço H ⊂ H que é enumerável e denso. Penso ser necessário definir subcon- junto denso, entretanto para isto é necessário definir Fecho. Estas definições são apresentadas a seguir.
  • 41.
    2.2. ESPAÇO DEHILBERT, KETS, BRAS E OPERADORES 41 Definição. Uma sequência de números reais é uma função f : N −→ R representada por f(n) ou simplesmente xn. Definição. Uma sequência f(n) é denominada de sequência de Cauchy se dado ε > 0, ∃ n0 ∈ N tal que f(n) − f(m) < ε para ∀ m, n n0 Exemplo. Para a sequência f(n) = 1/n para ε > 0 ∃ n0 ∈ N tal que |f(r) − f(s)| < ε para ∀ r, s > n0. Definição. Seja S um subconjunto de um espaço topológico X. Um ponto x ∈ X é um ponto aderente a S quando toda vizinhança de x em X contém pelo menos um ponto de S. O conjunto dos pontos que são aderentes a S chama-se o fecho de S, e o denotaremos por S. Definição 2.2.13. {Obs. ponto limite=ponto de acumulação}. Seja E ⊂ R. Um ponto p ∈ R é um ponto limite (ou de acumulação) do subconjunto E se ∀ Bε(p) contiver um ponto q ∈ E | p = q. Definição 2.2.14. Ponto de aderência. Um ponto p é ponto de aderência de um conjunto S, se toda vizinhança aberta de p contém pontos de S. Observe que p pode não pertencer ao conjunto S. Observação: Existe uma diferença bastante sutil entre os conceitos de ponto de acumulação e ponto de aderência, como podemos observar pelo exemplo seguinte. Exemplo: Cada número complexo do conjunto S=i+n:n=1,2,... é um ponto de aderência de S, mas nenhum dos pontos desse conjunto é um ponto de acumulação de S. Definição 2.2.15. Ponto isolado. Um ponto p ∈ E é isolado se ∃ Bε(p) que contém somente o ponto p do conjunto E. Exemplo 2.2.16. E = (a, b) e a < b. Qualquer ponto p ∈ E e a < p < b é ponto de acumulação do conjunto E. Note também que as bolas Bε(a)e Bε(b) também contem pontos de E = a, b portanto a, b também são pontos de aculumação ou pontos limites do conjunto E mas não pertencem ao conjunto E. Exemplo 2.2.17. Seja E = 1 n | n ∈ N∗ . Cada 1/n é um ponto isolado já que ∃ Bε(1 n ) cujo único elemento é o ponto 1/n do conjunto E. Este conjunto possui um ponto de acumulação ou ponto limite que é o zero, porém este ponto /∈ E Definição. Seja S um subconjunto de um espaço topológico X. O sub- conjunto S ⊂ X é denominado denso em X se o seu fecho S for igual a X.
  • 42.
    42 CAPÍTULO 2.CONCEITOS FUNDAMENTAIS Figura 2.2.1: Exemplos de conjuntos densos e não densos • H é completo. Isto é verdade se todas as sequências de Cauchy são convergentes. De outra maneira mais formal: Cada sequência de Cau- chy ψn ∈ H, com n ∈ N converge para um elemento de H, ou seja a relação lim m, n→∞ ψn − ψm = 0, define um único limite ψ ∈ H tal que lim n→∞ ψn − ψ = 0. Resumindo com outra definição: Definição 2.2.18. Um espaço de Hilbert H é um espaço vetorial produto interno que é completo e com a norma induzida pelo produto interno. 2.2.5 Espaço dos Kets Na mecânica quântica o estado físico de um sistema é representado por um vetor de estado ou raio vetor, elemento de espaço vetorial complexo, cuja dimensão depende do sistema em consideração. vetor de estado ⇐⇒ ket |α .
  • 43.
    2.2. ESPAÇO DEHILBERT, KETS, BRAS E OPERADORES 43 Postulala-se que o ket |α contém toda a informação do estado físico ou do sistema. Dois kets podem ser adicionados |α + |β = |γ , sendo o ket |γ um outro ket. Também para c ∈ C temos que c |α = |α c = |δ . Para c = 0 teremos 0 |α = |α 0 = 0, sendo 0 o ket nulo. Note que |0 = 0, já que |0 é o estado de vácuo de um dado sistema físico ou no contexto de teorias de campos é o vácuo de uma teoria. Postulado. Os kets |α e c |α com c ∈ C e c = 0 representam o mesmo estado físico. Uma constante não altera a direção de um vetor, ou ket, no espaço de Hilbert. Observável. São quantidades físicas mensuráveis representadas por ope- radores5 . Representaremos por A, B, ∙ ∙ ∙ operadores associados a observá- veis. Um operador atua em um ket, geralmente pela esquerda, como A ∙ (|α ) = A |α cujo resultado é outro ket. Um operador gira um ket no espaço de Hilbert H. Em geral A |α não é uma constante vezes o ket inicial, porém quando isto acontece teremos as famosas equações de autovalores-autoestados de um dado operador, por exemplo A. Seja então a equação A |a = a |a (2.2.3) que para um número finito ou infinito de autoestados-autovalores represen- taremos como {|a , |a , ∙ ∙ ∙ , |an , ∙ ∙ ∙ } , sendo que A |a = a |a A |a = a |a ... ... 5 Existe um sério problema para se encontrar um operador associado a um observável por conta de problemas de ordenamento. Voltaremos a discutir este problema quando tratarmos das integrais de trajetória de Feynman.
  • 44.
    44 CAPÍTULO 2.CONCEITOS FUNDAMENTAIS sendo a , a , ∙ ∙ ∙ ∈ C. O conjunto de números {a } ≡ {a , a , ∙ ∙ ∙ , an , ∙ ∙ ∙ } (2.2.4) é denominado de espéctro do operador A ou conjunto de autovalores do operador A. Resumindo, na equação a autovalores A |a = a |a ,    A ↔ é um operador associado a um observável, a ↔ é um autovalor do operador A, |a ↔ é um autovetor ou autoestado do operador A. Exemplo 2.2.19. Considere o operador Sz e seus autoestados e autovalores: Sz |Sz; + = + 2 |Sz; + , Sz |Sz; − = − 2 |Sz; − Nesta equação Sz é um operador, ± /2 os seus autovalores e |Sz; ± seus dois autoestados. Apesar da notação parecer um pouco carregada, ela será neces- sária para que possamos, por exemplo, distinguir a equação a autovalores- autoestados do operador Sx Sx |Sx; + = + 2 |Sx; + , Sx |Sx; − = − 2 |Sx; − Foi observado anteriormente que a dimensionalidade do espaço de Hilbert depende do sistema em consideração, por exemplo no experimento de Stern- Gerlach o feixe de átomos de prata foi separado em dois feixes distintos fornecendo a dimensionalidade dois do espaço de Hilbert correspondente aos dois estados de spins para os quais associou-se a base {|Sz; + , |Sz; − } . Já, para um espaço de dimensionalidade N, por exemplo para átomos com grandes valores de spin, digamos com spin 7/2, obteremos oito feixes com projeções distintas de spin no experimento de SG, e neste caso a dimensi- onalidade do espaço de Hilbert será 8. Se a dimensão do espaço for N o
  • 45.
    2.2. ESPAÇO DEHILBERT, KETS, BRAS E OPERADORES 45 espaço de Hilbert conterá uma base com n autoestados do operador A. Um ket arbitrário |α poderá então ser escrito como |α = a ca |a , (2.2.5) com a , a , ∙ ∙ ∙ , {an } , com as constantes ca ∈ C. 2.2.6 Espaço dos Bras e o Produto Interno Como vimos na subseção 2.2.3 “Seja f : V −→ K, uma função linear (mape- amento linear) de um espaço V (n, K) no corpo K... “ o mapeamento linear f defini o espaço dual cujos elementos são as funções lineares que também formam um espaço vetorial. Neste caso este espaço vetorial é denominado de espaço de Hilbert dual e representado por H∗ ≡ Hom H, cujos elementos são denominados de Bra, sendo representado como α| e dado um teorema de álgebra linear, a dimensionalidade de H∗ é igual a dimensionalidade de H: dimH∗ = dimH. Não é necessario postular que para cada bra corresponde um ket já que isto está implicito na própria definição de espaço dual ou ainda podemos reforçar este argumento afirmando que se ∃ um mapeamento do espaço de Hilbert no corpo K então conhecendo-se o mepeamento da base, conhece-se o mapeamento de qualquer vetor, entretanto fixando-se o mapeamento da base, fixa-se simultaneamente a base do espaço de Hilbert dual. Dado um ket de H o seu bra correspondente pertencente ao espaço dual H∗ será representado como |α CD ←→ α| . Resumidamente, uma dada base para os dois espaços será representada como    { α|} −→ gera o espaço de Hilbert H∗ (N, C), |α −→ gera o espaço de Hilbert H(N, C)
  • 46.
    46 CAPÍTULO 2.CONCEITOS FUNDAMENTAIS Novamente sendo redundante, por força de clareza, existe uma correspon- dência unívoca entre os elementos dos dois espaços    |α ←→ α| , |a , |a , ∙ ∙ ∙ , |an ←→ an | , ∙ ∙ ∙ , a | , a| , |α + |β ←→ α| + β| , c |α ←→ c∗ α| . sendo que c∗ é o complexo conjugado de c. Definição 2.2.20. Produto Interno. O produto interno de um ket por um bra será representado como α | β = c ∈ C, como |β ∈ H e α| ∈ H∗ e satisfaz todas as propriedades de um produto interno como definido no apêndice A.1. Por praticidade resumimos e reescrevemos aquelas proprieda- des na notação atual: positividade. α | α 0, ∀|α ∈ H não-degenerado. α | α = 0 =⇒ |α = 0 aditivo (distribuitivo a direita e esquerda) γ| (|α + |β ) = γ | α + γ | β |α ( β| + γ|) = α | γ + α | β . homogêneo. cα | β = c∗ α | β ; α | cβ = c α | β ∀c ∈ K, ∀ α| , |β ∈ H∗ , H ,. respectivamente. simétrico. α | β = β | α . Por trás da definição de produto interno está implicita a condição que a métrica seja positiva definida. Para variedades diferenciáveis com métricas pseudo-euclidiana pode-se ter problemas com a interpretação probabilística do módulo do produto interno | α | α |
  • 47.
    2.2. ESPAÇO DEHILBERT, KETS, BRAS E OPERADORES 47 enquanto densidade de probabilidade. Para se ter uma idéia do que isto significa, considere um simples exemplo de operadores de criação e destruição que aparecem em um dado modelo invariante sob o grupo de Lorentz, por exemplo uma ação cujo densidade de Lagrangiana é escalar de Lorentz. Neste caso as regras de quantização impõe que aμ , {aν }† = ημν que fornece componente com norma negativa, ou seja 0 aμ {aν }† 0 = ημν =    1, μ = ν = 0, −δij , μ = i, ν = j Definição 2.2.21. Kets ortogonais. Dois kets |α e |β são denomindados de ortogonais se α | β = 0. Esta relação de ortogonalidade implica que α | β = β | α ∴ α | β =⇒ β | α = 0. Afirmação 2.2.22. Normalização de kets. Dado um ket não nulo, podemos normalizá-lo considerando o seu produto interno α | α = r, |r ∈ R. Dado que |α e c |α , com c ∈ C representam o mesmo estado físico, definimos o ket |˜α = 1 α | α |α o quel possui norma unitária ˜α | ˜α = α | α α | α = 1. Definição 2.2.23. Operadores. [10]Um operador linear entre os espaços vetoriais X e Y é uma aplicação T : dom T ⊂ X −→ Y , em que seu domínio é um subespaço vetorial e T(ψ+αφ) = T(ψ)+αT(φ) para todo ψ, φ ∈ domT e α ∈ C.
  • 48.
    48 CAPÍTULO 2.CONCEITOS FUNDAMENTAIS Informalmente operadores são mapeamentos lineares que mudam a dire- ção dos kets no espaço de Hilbert. Lembre-se que os kets |α e c |α repre- sentam o mesmo estado físico o que significa que possuem a “mesma direção no espaço de Hilbert”. Representaremos por X,Y ∙ ∙ ∙ uma classe mais ge- ral de operadores que não são necessariamente hermitianos (observáveis) ou unitários. Um operador atua em um ket pela esquerda e o resultado é outro ket X |α = |γ . Dois operadores são iguais se X |α = Y |α =⇒ (X − Y ) |α = 0 =⇒ X = Y. Para um ket arbitrário no espaço em consideração. O operador X é um operador nulo se para um ket arbitrário X |α = 0, ∀ |α . Operadores podem ser adicionados satisfazendo as regras de comutativi- dade e associatividade nesta operação X + Y = Y + X, X + (Y + Z) = (X + Y ) + Z. Com uma única exceção (a do operador de inversão temporal) todos opera- dores que trabalharemos serão lineares: X (cα |α + cβ |β ) = cαX |α + cβX |β . Um operador sempre atua em um bra pela direita: ( α|) X = α| X = γ| e o resultado é outro bra. O ket X |α e o bra α| X não são em geral o correspondente dual de cada outro. Definição 2.2.24. Operador Adjunto. O operador X† é o hermitiano ad- junto ou simplesmente adjunto do operador X. Define-se o operador adjunto X† , do operador X, pela equação . Xcα |α CD ←→ α| c ∗ αX† . (2.2.6)
  • 49.
    2.2. ESPAÇO DEHILBERT, KETS, BRAS E OPERADORES 49 Definição 2.2.25. Operadores Hermitianos. Um operador é hermitiano quando satisfaz X† = X. Afirmação 2.2.26. Multiplicação de Operadores. A multiplicação de opera- dores não é, em geral, comutativa XY = Y X Exemplo 2.2.27. Sejam os operadores X = 0 1 1 0 , Y = 1 0 0 −1 , XY = 0 1 1 0 1 0 0 −1 = 0 −1 1 0 , Y X = 1 0 0 −1 0 1 1 0 = 0 1 −1 0 , mostrando que XY = Y X. Um outro exemplo X = xI; Y = ∂xI XY = Y X. Afirmação 2.2.28. Associatividade na Multiplicação: X (Y Z) = (XY ) Z. Da associatividade segue que X (Y |α ) = (XY ) |α = XY |α ( β| X) Y = β| (XY ) = β| XY, e note que [X (Y |α )]† = [X |β ]† = β| X† = α| Y † X† = α| Y † X† =⇒ (XY )† = Y † X† , e para um ket arbitrário qualquer, prova-se que (XY Z ∙ ∙ ∙ )† = ∙ ∙ ∙ Z† Y † X†
  • 50.
    50 CAPÍTULO 2.CONCEITOS FUNDAMENTAIS Definição 2.2.29. Produto Exterior. O produto exterior do ket |α pelo bra β| é um operador representado por |α β| que é totaltmente diferente do produto interno cujo resultado é um número complexo. A afirmação que a multiplicação de operadores é associativa não foi pro- vada mas é clara da estrutura álgebrica do espaço e do fato dos operadores serem lineares. Esta propriedade é tão importante que Dirac elevou este resultado à categoria de axioma: Axioma 2.2.30. Associatividade da Multiplicação. A multiplicação dos ope- radores é associativa. Para explicitar a importância deste axioma considere o produto externo atuando em um ket genérico |γ : (|β α|) ∙ |γ = |β ( α| |γ ) , com α| |γ = α | γ o produto interno entre o ket |γ e o bra α| . Assim o produto externo operando em um ket é justamente outro ket, por isto olhamos |α β| como um operador. Note que o operador |β α| gira o ket |γ na direção do ket |β . A propriedade X† = (|α β|)† = |β α| (2.2.7) pode se provada da seguinte forma X |γ = |α β| |γ = c |α (c |α )† = c∗ α| ∴ c∗ α| = α| c∗ = α| γ| |β = γ| |β α| donde seque que X† = (|α β|)† = |β α| . Uma outra consequência importante do axioma da associatividade é α| (X |β ) = ( α| X) |β = α | X | β .
  • 51.
    2.2. ESPAÇO DEHILBERT, KETS, BRAS E OPERADORES 51 Ao custo do atropelamento do conteúdo, esta expressão torna-se mais familiar na forma ˆ d3 xψ∗ (r) ˆOφ(r) = ˆ d3 x ψ∗ (r) ˆO φ(r) = ˆ d3 xψ∗ (r) ˆOφ(r). A operação de se calcular a equação adjunta da equação α | X | β fornece α | X | β † = β X† α , (2.2.8) que pode ser facilmente provada como α | X | β = α | γ =⇒ α | γ ∗ = γ | α = β X† α , utilizando a equação Eq. (2.2.6). Definição 2.2.31. Operadores Hermitianos. Operadores hermitianos são definidos pela equação α | X | β † = β X† α = β | X | α ∴ X† = X. (2.2.9) 2.2.7 Kets Base e Representação Matricial Vamos estudar os autoestados e autovalores de operadores hermitianos os quais para diferenciar de um operador geral X representaremos por letras maiúsculas iniciais do alfabeto. Considere então um operador hermitiano A associado a variável dinâmica A(q, p) representando uma dada quantidade física. Teorema 2.2.32. Os autovalores de um operador herimitiano são reais e os seus autovetores associados a diferentes autovalores são ortogonais. A prova deste teorema será feita em dois passos: considere a equação a autovalores do operador hermitiano A† = A na sua base A |a = a |a ←→ a| A = a∗ a| cujos produtos internos com o ket |a e com o bra a| fornecem a a | a = a∗ a | a =⇒ (a − a∗ ) a | a = 0 =⇒ a − a∗ = 0 =⇒ a ∈
  • 52.
    52 CAPÍTULO 2.CONCEITOS FUNDAMENTAIS ou seja os autovares do operador A são reais. Considere na sequência os autovalores associados a diferentes autoestados, teremos A |a = a |a A |a = a |a Calculando o produto interno da primeira equação com o bra a | e o produto interno do ket |a com a equação adjunta da segunda equação obtem-se que a | A | a = a a | a a | A | a = a a | a que subtraidas fornecem 0 = (a − a ) a | a que será nulo somente se os autoestado forem ortogonais, ou seja para a = a =⇒ a | a = 0. (2.2.10) A propriedade de ortogonalidade também pode ser provada utilizando-se o axioma da associatividade para o cálulo de ( a | A) |a = a a | a a | (A |a ) = a a | a , levando a mesma conclusão anterior. Considerando que os autoestados são normalizados (se não forem é só normalizar), expressa-se a relação de ortogonalidade da base discreta como a | a = δa a, (2.2.11) sendo portanto a base {|a } uma base ortonormal, completa por construção. 2.2.8 Base Construida com Autoestados Dado que os autoestados do operador hermitiano A são ortogonais e formam um conjunto completo, isto significa que eles podem ser utilizados para se expandir um ket arbitrário do espaço dos kets nos autoestados do operador
  • 53.
    2.2. ESPAÇO DEHILBERT, KETS, BRAS E OPERADORES 53 A. Em outras palavras os autoestados do operador A podem ser utilizados como uma base para escrevermos a expansão |α = a ca |a . (2.2.12) Utilizando a ortogonalidade da base encontramos a | |α = a | a ca |a = a ca a | |a =⇒ =⇒ a | α = a ca δa a = ca , (2.2.13) resumindo, a equação Eq. (2.2.13) fornece os coeficientes ca na expansão do estado ou ket arbitrário |α na base {|a }: ca = a | α . Quase uma curiosidade, substituindo novamente os coeficientes ca na equa- ção Eq. (2.2.12) obtemos |α = a a | α |a = a |a a | α Resumindo |α = a |a a | |α (2.2.14) Esta expressão é duplamente interessante: primeiro pela analogia com a expansão de vetores no espaço euclidiano R3 : V = 3 i=1 eivi donde seque da ortogonalidade da base que vi = ei ∙ V que subistituida de volta na expansão vetorial fornece V = 3 i=1 ei (ei ∙ V) (2.2.15)
  • 54.
    54 CAPÍTULO 2.CONCEITOS FUNDAMENTAIS Compare as equação Eq. (2.2.14) e Eq. (2.2.15), e veja que fornece a seguinte associação (lembre-se que os espaços são diferentes!) didática:    |α = a ca |a ←→ V = 3 i=1 eivi, ca = a | α ←→ vi = ei ∙ V, |α = a |a a | |α ←→ V = 3 i=1 ei (ei ∙ V) , {|a } ←→ {ei}. Segue também da equação Eq. (2.2.14) a definição do operador identidade para uma base completa {|a } I = a |a a | (2.2.16) que é chamada de relação de completeza ou fechamento da base. Ape- sar da aparente simplicidade, este operador é muito útil. Como exemplo considere um ket genérico |α normalizado α | α = 1, que expandido na base de autoestados do operador A pode ser escrito como |α = a ca |a , que substituida no produto interno anterior fornece a expresssão α | α = a a ca c∗ a a | a = a a ca c∗ a δa a = a ca c∗ a = a |ca |2 = 1. Porém, este cálculo também pode ser feito utilizando-se o operador identi- dade: α | α = α| I |α = α| a |a a | |α = a ( α| |a ) ( a | |α ) = a c∗ a ca = a |ca |2 = 1.
  • 55.
    2.2. ESPAÇO DEHILBERT, KETS, BRAS E OPERADORES 55 Dada a definição do operador identidade, Eq. (2.2.16) defini-se o operador projetor a |a a | ≡ a Λa = I, Λa ≡ |a a | (2.2.17) sendo que o simblo Λa é utilizado para representar o operador projetor ou operador de projeção o qual mede ou projeta o quanto do ket arbitrário |α esta na direção do vetor base |a , o quadrado do módulo dos coeficientes na expansão do ket |α na base |a representa a probalilidade associada a cada autoestado |a na expansão de |α . Posteriormente voltaremos a esta discussão em detalhes. 2.2.9 Representação Matricial. Uma vez especificada uma base podemos construir explicitamente a repre- sentação matricial para os operadors X, kets da base |a e kets genéricos |α e seus correspondentes duais. Para vermos como isto funciona ou como é este procedimento utilizaremos o operador identidade I. Considere primeiramente um operador genérico X = IXI = a Λa X a Λa = a |a a | X a |a a | = a a |a a | a | X | a . O termo a | X | a pode ser visto como um elemento de uma matriz qua- drada N × N em um espaço de Hilbert N − d : a | X | a ⇐⇒ Xa a , (2.2.18) com o índice a representando a linha e a a coluna, portanto temos um elemento de matriz do operador X na a −ésima linha e a −ésima coluna. A matriz X pode ser simbolicamente escrita como         a1 | X | a1 a1 | X | a2 ∙ ∙ ∙ a1 X aN a2 | X | a1 a2 | X | a2 ∙ ∙ ∙ a2 X aN ... ... ... ... aN X a1 aN X a2 ∙ ∙ ∙ aN X aN         . (2.2.19) Resgatando a notação matricial M† = MT ∗ , M† ij = M∗ ji, (2.2.20)
  • 56.
    56 CAPÍTULO 2.CONCEITOS FUNDAMENTAIS significando que a operação de se tomar a adjunta de uma matriz M envolve duas opoeração: transposição e conjugação complexa. Quando o operador é escrito em termos da base a equação anterior torna-se, para o operador X a | X | a ∗ = a X† a , (2.2.21) que para um operador Hermitiano A† = A, torna-se a | A | a ∗ = a | A | a , (2.2.22) A forma com que foi construido o elemento de matriz de um dado operador genérico Z = X ∙ Y esta em conformidade com a regra de multiplicação matricial como pode-se observar nas seguintes equação Z = a a |a a | Z |a a | = a a |a a | a | Z | a = a a |a a | a | X ∙ Y | a = a a |a a | a X a |a a | Y a = a a a |a a | a | X | a a | Y | a que fornece o elemento de matriz Za a do operador Z como a | Z | a = a a | X | a a | Y | a , (2.2.23) que é exatamente a regra de multiplicação de matrizes quadradas. Considere a representação matricial de um ket genérico |α ,que para isto escrevermos: α | β = α a |a a | β = a α | a a | β = α a1 a1 β + α a2 a2 β = ∙ ∙ ∙ + α aN aN β = α a1 α a2 ∙ ∙ ∙ α aN ×        a1 | β a2 | β ... aN β        .
  • 57.
    2.2. ESPAÇO DEHILBERT, KETS, BRAS E OPERADORES 57 Desta expressão segue diretamente as representrações matriciais de um Ket como uma matriz coluna e um Bra como uma matriz linha: |β =        a1 | β a2 | β ... aN β        =      c1 c2 ∙ ∙ ∙ cN      , (2.2.24) e α| = α a1 α a2 ∙ ∙ ∙ α aN = (c∗ 1 c∗ 2 ∙ ∙ ∙ c∗ N ) . (2.2.25) Exemplo 2.2.33. Representação matricial do operador I. Para encontrar a representação matricial do operador calculamos o elemento de matriz ai I ai = ai a |a a | aj = a ai a a aj = a δaia δa aj = δij. ∴ I =        1 0 ∙ ∙ ∙ 0 0 1 ∙ ∙ ∙ 0 ... ... ... ... 0 0 ... 1        . Exemplo 2.2.34. A representação matricial do operador |α β|. Dada a experiências anteriores, excrevemos diretamente a matriz cujos elementos de matriz são a | α β | a      a1 | α β | a1 ∙ ∙ ∙ a1 | α β aN ... ... ... aN α β | a1 ∙ ∙ ∙ aN α β aN      Exemplo 2.2.35. Representação matricial de um operador Hermitiano na
  • 58.
    58 CAPÍTULO 2.CONCEITOS FUNDAMENTAIS sua representação (base). Para isto notamos que A = IAI = a |a a | A a |a a | = a a a |a a | δa a = a a |a a | = a a Λa ˙=          a1 0 0 ∙ ∙ ∙ 0 0 a2 0 ∙ ∙ ∙ 0 0 0 a3 0 0 ... ... 0 ... 0 0 0 0 0 aN          . Nota-se que os projetores possuem a seguinte representação matricial (Λn)ij = anδniδij, sem som nos índices repetidos, por exemplo Λ1 ⇐⇒    a1 0 0 0 0 0 0 0 0    Exemplo 2.2.36. Aplicação do formalismo para uma partícula com spin 1/2. Como um simples exemplo vamos aplicar o formalismo desenvolvido an- teriormente para um sistem (parítcula) com spin 1/2 como o que discutimos no início do capítulo. Por simplicidade economica utilizremos a notação |Sz± . = |± =⇒    |a1 . = |+ , |a2 . = |− . A ortogonalidade da base é escrita como a | a = δa a −→    + | + = 1, − | − = 1, + | − = − | + = 0. O operador Sz é diagonal na sua representação, portanto pode ser escrito analogamento ao operador A do exemplo Ex. (2.2.35): Sz = a a Λa = 2 Λ+ − 2 Λ− = 2 (|+ +| − |− −|) .
  • 59.
    2.2. ESPAÇO DEHILBERT, KETS, BRAS E OPERADORES 59 A operação de Sz nos seus autoestados fornece Sz |+ = 2 (|+ +| − |− −|) |+ = 2 |+ +| |+ − |− $$$$$X0 −| |+ = 2 |+ ; Sz |− = 2 (|+ +| − |− −|) |− = 2 |+ $$$$$X0 +| |− − |− −| |− = − 2 |− . A expressão do operador identidade representando a completeza da base é: I = a Λa = Λ+ + Λ− = |+ +| + |− −| . Sendo óbvio que I |+ = (|+ +| + |− −|) |+ = |+ , I |+ = (|+ +| + |− −|) |− = |− . Exercício 2.2.37. Prove que os operadores I e Sz são Hermitianos. Vamos introduzir dois novos operadores que serão discutidos mais deta- lhadamente, posteriormente; S+ ≡ |+ −| , S− ≡ |− −| . (2.2.26) Obtem-se imediatamente que S† + = ( |+ −|)† = |− −| = S− S† − = ( |− −|)† = |+ −| = S+, que obviamente não são operadores hermitianos. Considere o resultado da atuação destes operadores nas bases |± :    S+ |+ = |+ −| |+ = 0, S+ |− = |+ −| |− = |+ .
  • 60.
    60 CAPÍTULO 2.CONCEITOS FUNDAMENTAIS Figura 2.2.2: Sistema com dois níveis de energia    S− |+ = |− +| |+ = |− , S− |− = |− +| |− = 0. Note também que    S+S+ |− = 0, S−S− |+ = 0. Os operadores S± mudam os estados |± e uma vez mudado, uma nova operação com o mesmo operador, não mais altera o estado. Uma aplicação interessante destes operadores pode ser feita para sistemas com dois níveis, por exemplo um átomo com somente dois níveis de energia: o fundamental e o primeiro estado excitado; outro exemplo o da inversão do spin de um sistema interagindo com um campo magnético externo. Estes exemplos são ilustragos nas figuras Fig. (2.2.9) e (2.2.9) Para o modelo esquematizado na figura Fig. (2.2.9) os operadores S+ e S− são interpretados como operadores mudam o estado de energia do sistema de um quantum de energia, se interpretarmos que o estado |− está associado ao estado de menor energia e |+ ao estado excitado do sistema. Neste caso
  • 61.
    2.2. ESPAÇO DEHILBERT, KETS, BRAS E OPERADORES 61 Figura 2.2.3: Inversão do spin o operador S+ “leva” pela atribuição de um quantum de energia, o elétro do estado fundamemtal |− para o estado excitado |+ . Já para um sistema de dois níveis representando a inversão do spin, como esquematizado na figura Fig. (2.2.9), os operadores S+ atua numa partícula com spin para baixo, representado pelo ket |− levando-a para um estado com spin para cima, representado pelo ket |+ ; situação aáloga é representada pelo operador S−. 2.2.10 Representação Matricial dos Operadores e Es- tados com Spin 1/2. Continuando com nosso exemplo dos operadores e estados com spin 1/2, consideremos a representação matricial dos mesmos. Utilizando a equação
  • 62.
    62 CAPÍTULO 2.CONCEITOS FUNDAMENTAIS Eq. (2.2.24) notamos que a representação matricial da base é: |+ = a1 | a1 a2 | a1 = 1 0 , |− = a1 | a2 a2 | a2 = 0 1 . Segue diretamente desta representação que +| = |+ † ≡ 1 0 , −| = |− † ≡ 0 1 ; + | + = 1 0 1 0 = 1; − | − = 0 1 0 1 = 1; + | − = 1 0 0 1 = 0; − | + = 0 1 1 0 = 0. Utilizando as expressões para os operadores I, Sz, S+ e S−em termos da base |± na representação matricial, encontramos as representações matriciais dos operadores I = |+ +| + |− −| = 1 0 1 0 + 0 1 0 1 = 1 0 0 0 + 0 0 0 1 = 1 0 0 1 ; Sz = 2 (|+ +| − |− −|) = 2 1 0 0 −1 = 2 σz; S+ = |+ −| = 1 0 0 1 = 0 1 0 0 , S− = |− +| = 0 1 1 0 = 0 0 1 0 . 2.3 Medidas, Observáveis e Relações de In- certeza 2.3.1 Polarização de fótons É sabido dos resultados experimentais que os fotoelétrons são emitidos numa direção preferencial pela incidência de luz plano polarizada. Isto implica em que as propriedades de polarização da luz estão estreitamente relacionadas a suas propriedades corpusculares e portanto deve-se atribuir polarização ao fóton (partícula).
  • 63.
    2.3. MEDIDAS, OBSERVÁVEISE RELAÇÕES DE INCERTEZA 63 Considere que um feixe de luz plano-polarizada em uma certa direção, por exemplo ˆx ou ˆy consite de fótons, cada um plano polarizado em uma dessas direção. O mesmo raciocínio aplicando-se à luz com polarização circular, ou seja em um feixe de luz circulamente polarizada, cada um e portanto um único fóton está circularmente polarizado. Nestes casos afirma-se que cada fóton está em um certro estado de polarização. Considere um caso específico: um feixe de luz passando através de um cristal de turmalina o qual posssui uma propriedade ótica que permite so- mente a passagem de luz plano polarizada, perpendicular ao seu eixo ótico. A eletrodinâmica clássica, como já visto, afirma que se um feixe de luz plano polarizado com polarização perpendicular ao eixo ótico incide no cristal, ele será transmitido ou passará pelo cristal. Já se a polarização do feixe for paralela ao eixo do cristal, ele não passará, finalmente para uma polarização incidente que faz um angulo α com o eixo ótico, uma fração sin2 α pas- sará. Como podemos interpretar estes resultados no contexto de um fóton enquanto partícula? Um feixe de luz plano polarizado em uma certa direção deve ser visu- alizado como composto de fótons, cada e todos planos polarizados naquela direção. Este esquema não gera conflito quando a direção o feixe incidente é plano polarizado paralelo ou perpendicular ao eixo ótico: meramente supõe- se que um feixe plano polarizado com polarização perpendicular é composto de fótons com esta polarização e quando incidente no cristal de turmalina todos e cada um dos fótons passam pelo cristal, sem sofre qualquer alteração de seu estado. Já se a polarização do feixe não for perpendicular, nenhum fóton passará pelo cristal. O problema aparece quando a direção de polarização do feixe faz um angulo α com relação ao eixo perpendicular ao eixo ótico, já que cada um dos fótons possuirão esta polarização. Então pergunta-se: um único fóton com polarização oblíqua passará ou não pelo cristal, ou somente uma fração deste fóton passará? Experimentalmente não se observa nenhuma fração de um fóton que foi transmitida e a outra absorvida; de fato o que o experimento mostra é que o fóton com polarização obíqua quando incide no crista passa integralmente ou é integralmente absorvido pelo cristal. Observa-se que o fóton que passou pelo crital terá polarização paralela ou perpendicular ao eixo ótico. Certo, mas como conciliar este resultado com a previsão da eletrodinâmica clássica? Da seguinte forma: depois de um longo tempo durante o qual um número substancial de fótons passaram um por vez pelo cristal observa-se que a intensidade da luz após o polarizador é proporcional ao sin2 α, permitindo- nos afirmar que um fóton tem uma probabilidade sin2 α de passar pelo cristal e cos2 α de ser obsorvido pelo cristal. Nesta interpretação está implícita a
  • 64.
    64 CAPÍTULO 2.CONCEITOS FUNDAMENTAIS recusa ou abandono da interpretação probabilística da mecânica clássica que afirma termos controle de todos as condições experimentais com precisão ili- mitada. O máximo que podemos prever é um conjunto de possíveis resultados com uma probabilidade de ocorrencia para cada um. Nas dicussões anteriores supõe-se que um fóton com polarização oblíqua ao eixo ótico do cristal de turmalina pode ser visto como estando parci- almente em um estado de polarização paralela ao eixo e parcialmente em um estado perpendicular ao eixo. O estado de polartização oblíqua é então considerado como resultante de uma espécie de um processo de superposi- ção envolvendo os dois estado de polarização paralela e perpendicular. Este processo de superposição implica em uma relação especial entre os diversos estados de polarização. Esta relação permite que se expresse qualquer es- tado de polarização como uma superposição de qualquer dois (neste caso em particular) estados perpendiculares, mutuamente excludentes. Nesta interpretação, quando um fóton encontra um cristal de turmalina, ele é submetido a uma observação (medida!): estamos observando se a pola- rização é paralela ou perpendicular ao eixo ótico. O efeito de observar, força o fóton para estar inteiramente em um estado de polarização paralela ou per- pendicular; ele deve fazer um salto súbto de parcialmente em um destes dois estados para inteiramente em um dos estados. Qual dos dois estados será selecionado, não pode ser previsto, porém o resultado é governado por leis probabilísticas. 2.3.2 Stern-Gerlach Sequenciais com três feixes. Diferentemente da análise feita na subseção (2.1.5) para partículas (elétrons) com spin 1/2, nesta seção consideraremos um feixe que após a passagem pelo aparelho de Stern-Gerlach é decomposto em três feixe; neste caso as partículas que compões estes feixes são ditas para possuirem spin 1, isto porque como veremos no capítulo 3, os três feixes ou três canais correspondem a projeção das três componentes do spin ao longo do eixo z com valores −1 correspondente a projeção ao longo do eixo z negativo, 0 correspondente à componente do feixe que não é defletido e +1 correspondente a projeção da componente do feixe ao longo do eixo z positivo. Vamos utilizar a notação    + 0 −    para representar um aparelho de Setern-Gerlach, SGz composto por três imãs, como esquematizado na figura Fig (1.3.1) (2.3.2) o qual será referido pela letra S.
  • 65.
    2.3. MEDIDAS, OBSERVÁVEISE RELAÇÕES DE INCERTEZA 65 Figura 2.3.1: SGz Figura 2.3.2: SG SS Outros arranjos do experimento com alguns feixes bloqueados serão re- presentados como esquematizado na figura (2.3.2) Para experimentos sequenciais com o segundo aparelho alinhado de um angulo α com relação ao eixo z+ do primeiro aparelho, como esquematizado na figura Fig. (1.3.4) utilizaremos a notação T para nos referir a este aparelho com alinhamento α. Como exemplo da representação utilizando a notação introduzida na fi- gura Fig. (1.3.3), para o experimento de Stern-Gerlach (SG) sequencial, como esquematizado na figura Fig. 2.3.2, teremos a simbologia    + 0 −    S    + 0 −    S , enquanto que para aparelhos com angulo α entre os seus eixos z s, como o
  • 66.
    66 CAPÍTULO 2.CONCEITOS FUNDAMENTAIS Figura 2.3.3: Resumo da convenção da notação dos SG da figura Fig. (1.4.4) teremos a seguinte simbologia    + 0 −    S    + 0 −    T Consideremos na sequência um sumário de resultados tendo como objetivo ilustrar a preparação de estados puros o que corresponde a determinar os estados base. Por exemplo a sequência de experimentos    + 0 −    N/3 −→ S    + 0 −    N/3 −→ S ,    + 0 −    N/3 −→ S    + 0 −    0 −→, S    + 0 −    N/3 −→ S    + 0 −    0 −→, S mostra a preparação do estado puro |+ =    + 0 −    .
  • 67.
    2.3. MEDIDAS, OBSERVÁVEISE RELAÇÕES DE INCERTEZA 67 Figura 2.3.4: SG angulo Os estados |0 e |− são preparados com um procedimento análogo, sendo representado por |0 =    + 0 −    e |− =    + 0 −    Não vamos estender a discussão da preparação dos estados bases neste caso, mesmo porque já o fizemos para spin 1/2, mas vamos considerar experi- mentos SG em série para compreendermos o processo de medida na mecânica quântica. Considere então as seguintes simulações de experimentos de SG sequenciais:    + 0 −    S n −→    + 0 −    S n −→    + 0 −    S n −→    + 0 −    T αn −→ (2.3.1) Este arranjo, Eq. (2.3.1), mostra que o estado |+ S = |+ T e para confirmar esta interpretação experimental monta-se os seguintes ar-
  • 68.
    68 CAPÍTULO 2.CONCEITOS FUNDAMENTAIS ranjos    + 0 −    S n −→    + 0 −    T βn −→    + 0 −    S n −→    + 0 −    T γn −→ (2.3.2) que mostram ser o feixe com n partículas no estado |+ S uma combinação linear dos estados |+ T , |0 T e |− T . Considere o experimento o qual inicia-se com um filtro S+ e consideramos que n é o número de partículas no feixe que emerge deste SG, que na sequência penetra em um SG T ( cujo eixo z faz um angulo α com o eixo z de S). O número de átomos que emerge deste é uma fração αn do número de átomos que sairam do aparelho S. Continuando com este procedimento, na sequência estes átomos são submetidos a outro outro SG, porém do mesmo tipo que o primeiro, ou seja S e observa-se que a fração de átomos no feixe emergente é δβn.    + 0 −    S n −→    + 0 −    T βn −→    + 0 −    S δβn −→ Já para o seguinte arranjo, observa-se após o filtro S um feixe com inten- sidade εαn :    + 0 −    S n −→    + 0 −    T βn −→    + 0 −    S εβn −→ Finalmente para a montagem experimental    + 0 −    S n −→    + 0 −    T βn −→    + 0 −    S ζβn −→ Note que a diferença entre estes dois arranjos é no segundo filtro S. Nos três arranjos anteriores, as constantes que aparecem multiplicando n são
  • 69.
    2.3. MEDIDAS, OBSERVÁVEISE RELAÇÕES DE INCERTEZA 69 dadas por α ≡ | T; + | S; + |2 , β ≡ | T; 0 | S; + |2 , γ ≡ | T; − | S; + |2 , δ ≡ | S; + | T; 0 |2 , ε ≡ | S; 0 | T; 0 |2 , ζ ≡ | S; − | T; 0 |2 . Este arranjo quando comparado ao seguinte arranjo experimental, mostra um resultado impressionante:    + 0 −    S n −→    + 0 −    T n −→    + 0 −    S nn −→    + 0 −    S n −→    + 0 −    T n −→    + 0 −    S 0 −→ Todos os αn átomos passam pelo segundo aparelho S no primeiro caso e nenhum no segundo, nas palavras de Feynman: “esta é uma das grandes leis da Mecânica Quântica. Que a natureza funciona desta maneira, não é nada evidente, entretanto isto é o que nos mostra os resultados de inumeros experimentos”. O impressionantes é que com a abertura de mais canais, passaram menos átomo! Como pode? Este é o velho mistério da Mecânica Quântica: a interferência de amplitudes! Com a remoção dos bloqueadores dos filtros toda informação contida no feixe quando passou pelo primeiro S foi mantida portando os átomos do feixe estão correlacionados e a mesma quantidade passará pelo segundo aparelho no primeiro caso e nenhum no segundo já que estão submetidos a estados ortogonais. O experimento ocorre como se o aparelho T não estivesse presente. Note que em T os feixes são separados ao longo do eixo z mas não saõ boloqueados (medidos)! Considerem a seguinte soma de probabilidades aplicada aos três SG em série:
  • 70.
    70 CAPÍTULO 2.CONCEITOS FUNDAMENTAIS Pi = δβn + εβn + ζβn = | S; + | T; 0 |2 + | S; 0 | T; 0 |2 + | S; − | T; 0 |2 × | T; 0 | S; + |2 n = | T; 0 | S; + |2 n = βn, o que concorda com o arranjo sem os canais bloqueados. Entretanto para o experimento sem os canais bloqueados a probabilidade é P = | S; + | S; + |2 = S; + a |a a | S; + 2 , que faz muita diferença como veremos logo adiante. 2.3.3 Comparando a polarização de férmions e bósons 2.3.4 Medida Dirac: Uma medida coloca o sistema em um autoestado da variável dinâmica que está sendo medida. Seja A um observável que será medido. Antes da medida o sistema encontra-se no estado |α > que pode ser expandido na base {|a >} dos autoestados deste operador: |α >= a ca |a >= a < a |α > |a >= a |a >< a |α > . (2.3.3) Quando a medida é feita o sistema assume um dos possíveis autoestados |a > do operador A. Qual deles o “sistema escolherá” não pode ser previsto |α > sob a medida A −−−−−−−−→ |a > . Como um exemplo considera-se novamente o experimento de Stern-Gerlach no qual o feixe com átomos com orientação de spin arbitrária assumem os valores Sz+ ou Sz− após passarem pelo aparelho SGˆz. Neste caso tem-se que |α > SGˆz −−→    |Sz+ > ou |Sz− >
  • 71.
    2.3. MEDIDAS, OBSERVÁVEISE RELAÇÕES DE INCERTEZA 71 Suponha que após a medida ser efetuada |α > SGˆz −−→    |Sz+ > |Sz− > o feixe |Sz− >é bloqueado e o feixe |Sz+ > é submetido novamente a outro SGˆz. Após isto o experimento indica que o sistema continua no estado |Sz+ >. Este procedimento pode ser escrito, de uma forma genérica para qualquer observável A como |α > sob a medida A −−−−−−−−→ |a > sob a medida A −−−−−−−−→ |a > . O famoso indeterminismo inerente ao sistema está associado à seguinte afirmação (postulado) Dado o ket |α > representando o estado de um sistema físico antes da medida, não se sabe antecipadamente (antes que a medida seja efetuada) que autoestado |a >, entre todos os possíveis, o sistema escolherá como o resultado do processo de medida. Pode-se adotar a seguinte postura (de fato um postulado da MQ): O es- tado físico do sistema pode ser representado por um ket |α > que contém toda informação possível de se obter do sistema. O ket |α > pode ser expan- dido na base {|a >} de autoestados do operador A que representa um dado observável físico: |α >= a ca |a > . (2.3.4) O resultado de uma medida do observável A pode assumir um dos possíveis valores {a } com probabilidade |ca |2 : | < a |α > |2 = |ca |2 = probabilidade de obter o valor a , para < α|α >= 1. Esta expressão é de fato o postulado (na forma de uma sentença mate- mática) associado à interpretação probabilística; ela é coerente por causa de pelo menos dois motivos: 1. se |α >= |a >, | < a |α > |2 = |ca |2 = 1 e o sistema sempre estará neste estado. 2. Se em t = 0, (antes da medida) |α >= |a >, após a medida o sistema continuará no estado |a > e < a |a >= 0. Kets ortogonais correspon- dem a alternativas mutuamente excludentes.
  • 72.
    72 CAPÍTULO 2.CONCEITOS FUNDAMENTAIS 2.3.5 O valor esperado de um observável A. O valor esperado de um observável com relação ao estado |α > é definido como < A >≡< α|A|α >, que pode ser reescrita com < A > = < α|A|α >=< α|1A1|α > = a a < α|a >< a |A|a >< a |α > = a a c∗ a ca < a |a |a > = a a c∗ a ca a δa a = a |ca |2 a , significando que o valor esperado é igual ao valor médio já que a é um dos possíveis valores que o operador A pode assumir e |ca |2 é a probabilidade do operador A assumir o autovalor a numa medida. Observação 2.3.1. O valor esperado de um operador A, calculado como < A >=< α|A|α >= a |ca |2 a , é diferente de autovalor: < A >=< a |A|a >= a , < a |a >= 1. Por exemplo o valor médio ou esperado do operador Sz é pode assumir qual- quer valor entre −2 e 2 , − 2 ≤< Sz >≤ 2 entretanto, os autovalores de Sz são ± 2 . 2.3.6 Medidas seletivas: o papel do operador projetor Medida seletiva ou filtração é a separação de um único autovalor a do espec- tro de autovalores {a } do operador A. Tecnicamente isto é feito através do bloqueio de todas as componentes indesejáveis do feixe, deixando-se passar
  • 73.
    2.3. MEDIDAS, OBSERVÁVEISE RELAÇÕES DE INCERTEZA 73 Figura 2.3.5: Medida seletiva somente aquelas de interesse. Este procedimento pode ser representado ou feito utilizando-se o operador projetor. O operador Λa seleciona do estado físico |α > somente a componente na direção de |a >, como esquematizado na figura 2.3.5. Os postulados da Mecânica Quântica Postulado-1 Em um dado tempo t0 o estado físico do sistema é definido especificando-se um dado |α > que pertence ao espaço de Hilbert H do sistema. Postulado-2 Toda quantidade física ou variável dinâmica do sistema A mensurável pode ser representada por um operador A que atua nos elementos do espaço de Hilbert H. Este operador é um observável. Postulado-3 Como resultado de uma medida de uma quantidade física A a qual corresponde o operador A pode-se obter somente os autovalores de A. Postulado-4 Quando uma medida de uma quantidade A é feita sobre um sistema representado pelo ket normalizado |α >, a probabilidade 6 Pn de obtermos um autovalor an, do operador A associado à variável dinâmica A, é Pn = |cn|2 = | < an|α > |2 , onde |an > é um autoestado normalizado do operador A . Postulado-5 Se como resultado de uma medida de uma quantidade física A sobre um sistema representado pelo ket |α > obtém-se um autovalor an, o estado do sistema imediatamente após a medida é o estado |an >< an|α >, 6 À quantidade < an|α > dá-se o nome de amplitude de probabilidade
  • 74.
    74 CAPÍTULO 2.CONCEITOS FUNDAMENTAIS que normalizado pode ser representado como |an >< an|α > < α|an >< an|α > . Considere como exemplo da aplicação dos postulados e do formalismo de- senvolvido nas seções anteriores, a obtenção dos estados |Sz± >, |Sx± >, e |Sy± > para o experimento de Stern-Gerlach. Stern-Gerlach: spin 1/2 - novamente Considere o experimento 2.1.6 que indica que o feixe |Sx+ > é decomposto em |Sz+ > e |Sz− > . Utilizando-se estes como os kets base, ou seja a base a ser utilizada será {|a >} = {|+ >, |− >} que são os autoestados do operador Sz. Então pelo primeiro postulado |α >= ca |a >, a = +, − |Sx+ >= c+|+ > +c−|− >; com |+ >, |− >∈ H; c± ∈ C. O experimento indica que o feixe |Sx+ > é separado em duas componentes de mesma intensidade, este resultado juntamente com a normalização do estado |Sx+ > fornece: < Sx + |Sx+ > = |c+|2 + |c−|2 = 1. | < +|Sx+ > |2 = | < −|Sx+ > |2 ⇒ |c+|2 = |c−|2 ⇒ 2|c+|2 = 1 ⇒ |c+| = 1 √ 2 ; |c−| = 1 √ 2 . |c+| = |c−| = 1 √ 2 Estas condições fixam c+ e c− como c+ = 1 √ 2 eıα1 , c− = 1 √ 2 eıα2 .
  • 75.
    2.3. MEDIDAS, OBSERVÁVEISE RELAÇÕES DE INCERTEZA 75 Com esta expressões pode-se escrever |Sx+ > = 1 √ 2 eıα1 |+ > + 1 √ 2 eıα2 |− >, = 1 √ 2 eıα1 |+ > +eı(α2−α1) |− > . Como uma fase global não altera o estado, podemos considerar a diferença de fase |Sx+ = 1 √ 2 |+ > +eıδ1 |− > , δ1 ≡ α2 − α1. O estado |Sx− >pode ser construido imediatamente considerando-se que estados excludentes são representados por kets ortogonais (5º postulado) |Sx− = 1 √ 2 |+ > −eıδ1 |− > , δ1 ≡ α2 − α1. Utilizando a representação de um dado operador em sua representação A = a Λa podemos escrever que Sx = a a Λa = 2 |Sx+ Sx+| − 2 |Sx− Sx−| . |Sx+ Sx+| = 1 √ 2 |+ > +eıδ1 |− > × 1 √ 2 +| + e−ıδ1 −| = 1 2 (|+ +| + |− −|) + 1 2 eıδ1 |− +| + e−ıδ1 |+ −| ; |Sx− Sx−| = 1 √ 2 |+ > −eıδ1 |− > × 1 √ 2 +| − e−ıδ1 −| = 1 2 (|+ +| + |− −|) + 1 2 −eıδ1 |− +| − e−ıδ1 |+ −| . Segue destas três últimas equações que Sx = 2 eıδ1 |− +| + e−ıδ1 |+ −| .
  • 76.
    76 CAPÍTULO 2.CONCEITOS FUNDAMENTAIS Com um procedimento análogo ao anterior construimos os estados |Sy± e o operador Sy |Sy± = 1 √ 2 |+ ± eıδ2 |− ; Sy = 2 eıδ2 |− +| + e−ıδ2 |+ −| Para calcularmos as fases δ1,2 consideremos um experimento de SG no qual o feixe |Sx+ é decomposto nos feixes |Sy± com igual intensidade, então utilizando as equações anteriores e os postulados de 1-4 teremos | Sy+ | Sx+ |2 = 1 2 ; | Sy− | Sx+ |2 = 1 2 . Substituindo as expressões dos correspondentes bras e kets, teremos | Sy+ | Sx+ |2 = 1 √ 2 +| + e−ıδ2 −| 1 √ 2 |+ > +eıδ1 |− > 2 = 1 4 1 + eı(δ1−δ2) 2 , e segue das duas equações anteriores que 1 + eı(δ1−δ2) 2 = 2, Com o mesmo procedimento | Sy− | Sx+ | =⇒ 1 − eı(δ1−δ2) 2 = 2. Temos duas equações com duas incógnitas que fornecem 1 + eı(δ1−δ2) 2 = 2 =⇒ [1 + cos(δ1 − δ2)]2 + sin2 (δ1 − δ2) = 2, 1 − eı(δ1−δ2) 2 = 2 =⇒ [1 − cos(δ1 − δ2)]2 + sin2 (δ1 − δ2) = 2, que subtraídas forncecem cos(δ1 − δ2) = 0 =⇒ δ1 − δ2 = ±n π 2 , n ímpar. Para facilitar, convenciona-se δ1 = 0, δ2 = ± π 2 . A escolha do sinal ± está relacionada à orientação do sistema de coordenadas ou, no caso da polarização da luz à polarização circular destrógira ou levógira.
  • 77.
    2.3. MEDIDAS, OBSERVÁVEISE RELAÇÕES DE INCERTEZA 77 Substituindo os valores encontrados para as fases nas bases e operadores, obtem-se que |Sx; ± = 1 √ 2 ( +| ± −|) , |Sy; ± = 1 √ 2 ( +| ± ı −|) e os operadores Sx = 2 [|− +| + |+ −|] Sy = −ı 2 [− |− +| + |+ −|] Completando nossa discussão sobre spin 1/2 nota-se que os operadores Sx,y são Hermitianos e que Sx |Sx; ± = ± 2 |Sx; ± , Sy |Sy; ± = ± 2 |Sy; ± . Anteriormente, na equação Eq. (2.2.26), introduzimos os operadores de le- vantamento e abaixamento que estão relacionados aos operadores Sx,y através das relações S+ =Sx + ıSy = |+ −| S− =Sx − ıSy = |− +| (2.3.5) Os operadores Sx,Sy e Sz satisfazem as relações de comutação [Si, Sj] = ı εijkSk, (2.3.6) e as relações de anticomutação {Si, Sj} = 1 2 2 δij, (2.3.7) onde definimos [A, B] ≡ AB − BA, {A, B} ≡ AB + BA (2.3.8) Exercício 2.3.2. Verifique, utilizando as representações matriciais e na base de autoestados do operador Sz, que os operadores Sx, Sy e Sz satisfazem as relações de comutação, Eq. (2.3.6) e anticomutação, Eq. (2.3.7).
  • 78.
    78 CAPÍTULO 2.CONCEITOS FUNDAMENTAIS Exercício 2.3.3. Prove que as matrizes de Pauli 0 1 1 0 , 0 −ı ı 0 , 1 0 0 −1 , satisfazem a propriedade σi σj = δij I + ıεijk σk . Também costuma-se definir o operador S2 ≡ S2 x + S2 y + S2 z , (2.3.9) e segue da relação de anticomutação que S2 = 3 4 2 I, (2.3.10) sendo um operador diagonal, portanto S2 , Si = 0. (2.3.11) Observáveis Compatíveis. XXX Observáveis imcompatíveis XXXX Relações de Incerteza Seja A um operador hermitiano associado a uma dada variável dinâmica A. Definimos um novo operador ΔA ≡ A− < A > , (2.3.12) onde < A > é o valor esperado de A na base em consideração. A dispersão do operador A é definida como o valor médio da equação (ΔA)2 = A2 − 2A < A > + < A >2 (2.3.13) ou seja, a dispersão é definida por
  • 79.
    2.3. MEDIDAS, OBSERVÁVEISE RELAÇÕES DE INCERTEZA 79 < (ΔA)2 > =< A2 > −2 < A >< A > + < A >2 =< A2 > − < A >2 resumindo < (ΔA)2 >=< A2 > − < A >2 (2.3.14) A dispersão mede a falta de nitidez da medida de um observável em um dado estado. Como exemplo considere o cálculo da dispersão para as medidas dos observáveis Sx e Sz no estado |Sx+ >: Exemplo 2.3.4. As dispersões dos observáveis Sx e Sz no estado |Sx+ > de um sistema com spin 1/2. Para isto, utiliza-se diretamente a equação 2.3.14, entretanto primeira- mente deve-se calcular para o operador Sx : < Sx + |Sx|Sx+ > = 1 √ 2 (< +|+ < −|) Sx 1 √ 2 (|+ > +|− >) = 2 ; e < Sx + |S2 x|Sx+ >= 2 4 . Tem-se portanto que < (ΔSx)2 >=< Sx + |S2 x|Sx+ > − (< Sx + |Sx|Sx+ >)2 = 0. Para o operador Sz : < Sx + |Sz|Sx+ > = 1 √ 2 (< +|+ < −|) Sz 1 √ 2 (|+ > +|− >) = 4 (< +|+ < −|) (|+ > −|− >) = 4 (< +|+ > + < −||+ > − < +|− > − < −|− >) = 0; um cálculo análogo fornece < Sx + |S2 z |Sx+ >= 2 4 sendo portanto a dispersão < (ΔSz)2 >=< Sx + |S2 z |Sx+ > − (< Sx + |Sz|Sx+ >)2 = 2 4 . Deste exemplo conclui-se que :
  • 80.
    80 CAPÍTULO 2.CONCEITOS FUNDAMENTAIS • Sx é nítido (bem definido) no estado |Sx+ > • Sz não é nítido e sim difuso no estado |Sx+ > Relações de incerteza entre operadores incompatíveis. O objetivo é demonstrar a validade da relação de incerteza < (ΔA)2 >< (ΔB)2 >≥ 1 4 | < [A, B] > |2 , (2.3.15) para dois observáveis genéricos A e B incompatíveis [A, B] = 0 em estados (kets do espaço de Hilbert H ) genéricos. Para isto será utilizada a desi- gualdade de Schwarz, uma propriedade de um operador hermitiano e uma propriedade de um operador anti-hermitiano. Lema 2.3.5. A desigualdade de Schwarz < α|α >< β|β >≥ | < α|β > |2 (2.3.16) Esta desigualdade é análoga a desigualdade triangular na forma vetorial |a|2 |b|2 ≥ |a ∙ b|2 , já que |a||b| = ab ≥ |a ∙ b| = ab cos θ, sendo a igualdade válida para θ = 0. 7 Demonstração. Considere o ket genérico, combinação linear dos kets |α > e |β >, dado por |γ >= |α > +λ|β > . onde λ ∈ C.Sendo esta uma combinação linear de dois kets, não necessa- riamente ortogonais, mas LI, pode-se escolher o ket |γ > ortogonal ao ket |α >,portanto < α|γ >= 0 =< α|α > +λ < α|β > < α|γ > = 0 =< α|α > +λ < α|β > =⇒ λ = − < α|α > < α|β > . 7 Para a demonstração do Lema de Schwarz é útil ter em mente umas poucas proprie- dades dos números complexos. Seja z = x + ıy um número complexo, z ∈ C e x, y ∈ R, o módulo de z, |z| = √ x2+y2 e vale a propriedade z∗ z = (x − ıy)(x + ıy) = x2 + y2 = |z|2 . Vê-se da definição de módulo que |z|2 ≥ 0 .
  • 81.
    2.3. MEDIDAS, OBSERVÁVEISE RELAÇÕES DE INCERTEZA 81 Sendo que < γ|γ > =< α|α > +|λ|2 < β|β > +λ < α|β > +λ∗ < β|α > e ao mesmo tempo < γ|γ >≥ 0, obtém-se que < α|α > + < α|α > < α|β > 2 < β|β > − < α|α > < α|β > < α|β > − < α|α > < β|α > < β|α >≥ 0 =⇒ < α|α > < α|β > 2 < β|β > − < α|α > < α|β > < α|β >≥ 0 =⇒ < α|α > < α|β > 2 < β|β >≥< α|α > e portanto < α|α >< β|β >≥ |< α|β >|2 Lema 2.3.6. O valor esperado de um operador hermitiano é real Demonstração. Seja A = A† um operador hermitiano e seja {|a >}uma base ortonormal e completa de autoestados (eigenkets) do operador A. Então < a |a >= δa a a |a >< a | = I Sendo que A|a > = a |a > < a |A =< a |a , obtém-se da primeira e segunda equações, respectivamente que < a |A|a > = a < a |a >, < a |A|a > = a ∗ < a |a > . Subtraindo estas equações obtém-se que (a ∗ −a ) < a |a >= 0 =⇒    para a = a , < a |a >= 0; os autoestados são ortogonais; para a = a , a ∗ = a os autovalores são reias.
  • 82.
    82 CAPÍTULO 2.CONCEITOS FUNDAMENTAIS Lema 2.3.7. O valor esperado de um operador anti-hermitiano é imaginário puro. Operadores anti-hermitianos são definidos pela condição: C† = −C (2.3.17) Demonstração. Considere que o operador C possui uma base completa de autoestados ortonormais e que C|c > = c |c > < c |C† = −c < a |, obtém-se da primeira e segunda equações, respectivamente que < c |C|c > = c < c |c >, < c |C|c > = −c < c |c > . Subtraindo estas equações obtém-se que (c ∗ +c ) < c |c >= 0 =⇒    para c = c , < c |c >= 0; os autoestados são ortogonais; para c = c , c ∗ = −c os autovalores são imaginários puros. Donde conclui-se que os autovalores de um operador anti-hermitiano são números imaginários puros. Utilizando o lema 2.3.16 com o ket a seguinte escolha do ket genérico |α > = ΔA| >, |β > = ΔB| >, obtém-se que o LE da desigualdade será < α|α >< β|β >=< (ΔA)2 >< (ΔB)2 >, (2.3.18) enquanto que o lado direito |< α|β >|2 = |< (ΔA) (ΔB) >|2 . (2.3.19) Em geral operadores ( matrizes e tensores) podem ser decomposto em um termo simétrico e outro antisimétrico, se o operador for bem comportado, seu produto também pode ser decomposto desta forma ΔAΔB = 1 2 (ΔAΔB − ΔBΔA) + 1 2 (ΔAΔB + ΔBΔA) = 1 2 [ΔA,ΔB] + 1 2 {ΔA,ΔB} ,
  • 83.
    2.3. MEDIDAS, OBSERVÁVEISE RELAÇÕES DE INCERTEZA 83 onde foi definido [A, B] ≡ AB − BA, {A, B} ≡ AB + BA. Devido a definição do operador ΔA e ΔB tem-se que [ΔA,ΔB] = [A− < A >,B− < B >] = [A, B] , devido < A > e < B > serem números. A decomposição dos operadores em um termos simétrico e outro antisi- métrico é utilizada juntos com os lemas 2.3.6e 2.3.7 notando-se que [A, B]† = − [A, B] {A, B}† = {A, B} e portanto    [A, B] é um operador anti-hermitiano, portanto seu autovalores são imaginários puros! {A, B} é um operador hermitiano, portanto seus autovalores são reais. Isto simplifica em muito os cálculos já que pode-se comparar ΔAΔB com um número complexo cujo quadrado do módulo é escrito como |z|2 = x2 + y2 . Com isto a equação 2.3.19 pode ser reescrita como |< (ΔA) (ΔB) >|2 = 1 4 |[A,B]|2 + 1 4 |{ΔA,ΔB}|2 (2.3.20) Substituindo as equações 2.3.18 e 2.3.20 na desigualdade de Schwarz 2.3.5 obtém-se que < (ΔA)2 >< (ΔB)2 >≥ 1 4 |< [A,B] >|2 + 1 4 |< {ΔA,ΔB} >|2 . (2.3.21) A omissão do segundo termos torna a desigualdade ainda mair rigorosa já que quanto maior a imprecisão nas medidas simultâneas dos operadores maior o número resultante do produto (ΔA)2 >< (ΔB)2 > . Não abrindo mão da rigorosidade, a omissão do segundo termos é justifi- cada pelo exemplo considerado a seguir. Exemplo 2.3.8. Pacote de onda mínimo em uma dimensão. Para ilustrar a possibilidade e coerência da omissão do segundo termo no lado direito da equação 2.3.21 considere sob que condições este termo pode ser
  • 84.
    84 CAPÍTULO 2.CONCEITOS FUNDAMENTAIS desprezado. Para isto retoma-se o ponto de partida, ou seja e desigualdade de Schwarz < α|α >< β|β >≥ | < α|β > |2 e pergunta-se: para que caso a igualdade ocorre? Uma resposta trivial8 : quando |α >= γ|β >, γ ∈ C. Considere esta condição juntamente com a outra condição |< {ΔA,ΔB} >|2 = 0, A título de simplicidade, mas sem perder a generalidade, considera-se este exemplo em uma dimensão na representação das coordenadas, portanto tem- se que ΔA = Δx = x− < x >, ΔB = Δpx = px− < px > . Deve ser lembrado que na representação das coordenadas, o operador momento px possui a forma px = −ı d dx . Na linguagem de funções de onda (teoria de Schrödinger) ou representação das coordenadas em 1d tem-se que |< {ΔA,ΔB} >|2 = 0 ⇔ ∞ˆ −∞ dxψ∗ (x) (ΔxΔpx + ΔpxΔx) ψ(x) = 0 (2.3.22) e que |α >= γ|β >, γ ∈ C =⇒ ΔA| >= γΔB| > que na representação das coordenadas (teoria de Schrödinger) escreve-se como Δxψ(x) = γΔpxψ(x) (2.3.23) A equação (condição) 2.3.23 fornece a seguinte equação diferencial para a função de onda ψ(x): dψ dx = − ı γ Δx + ı < px > ψ 8 Compare com a condição |a||b|≥ |a ∙ b| =⇒ ab ≥ ab| cos θ|; | cos θ| ≤ 1. a igualdade é satisfeita quando θ = 0 e neste caso os vetores são colineares, ou proporcionais.
  • 85.
    2.4. MUDANÇA DEBASES 85 cuja solução é ψ(x) = N exp ı 2γ (Δx)2 + ı < px > x , (2.3.24) onde N é uma constante de integração. Já a condição 2.3.22 com a utilização da condição 2.3.23 torna-se9 ∞ˆ −∞ dxψ∗ (x) (γ∗ ΔpxΔpx + γΔpxΔpx) ψ(x) = (γ∗ + γ) ∞ˆ −∞ dxψ∗ (x)ΔpxΔpxψ(x) = 0 que implica em γ = ±ıc ou seja γ é um número imaginário puro. Escolhe-se o sinal negativo para que a normalização do pacote de onda Gaussiano ψ(x) seja convergente. Substituindo o valor de γ e normalizando o pacote 2.3.24 obtém-se o pacote de onda gaussiano minimo e normalizado ψ(x) = 1 2π < (Δx)2 > exp (Δx)2 4 < (Δx)2 > + ı < px > x (2.3.25) Concluindo, a igualdade na relação de incerteza de Heisenber é válida para o pacote de onda mínimo, em qualquer outro caso o produto das medidas das dispersões de operadores incompatíveis será maior que o quadrado do valor médio do comutador destes operadores. A omissão do termos 1 4 |{ΔA,ΔB}|2 na equação 2.3.21 impõe uma maior restrição sobre as medidas dos ope- radores de que elas ( as medidas) sejam mais precisas. Certamente este procedimento de melhorar a precisão é tecnicamente mais complicado. 2.4 Mudança de Bases Sejam A e B dois observáveis incompatíveis. Existem duas possibilidades de escolha da base para o espaço de Hilbert H do sistema, pode-se usar a base {|a >}dos autoestados do operador A ou a base {|b >} que são os autoestados do operador B. A escolha é indiferentes, relembre a discussão do experimento de Stern-Gerlach onde considerou-se os operadores Sx, Sy e Sz atuando no espaço de Hilbert gerado pelos kets base autoestados do operador Sz. 9 Note que Δxψ(x) = γΔpxψ(x) e que (ψ∗ (x)Δx) = (Δxψ(x)) † = (γΔpxψ(x)) † = γ∗ ψ∗ (x)Δpx
  • 86.
    86 CAPÍTULO 2.CONCEITOS FUNDAMENTAIS Sendo a escolha da base arbitrária pergunta-se: uma vez feita a escolha da base como se relacionam os operadores, autovetores e autovalores ou equi- valentemente como fazer uma transformação de coordenadas uma vez tendo definido uma base. Esta mudança de coordenadas na mecânica quântica é denominada de mudança de representação ou mudança de base. Pode-se fazer uma comparação entre esta transformação e rotações que são transformações ortogonais utilizadas para diagonalizar matrizes simétri- cas. Há um teorema muito importante que somente será citado: Teorema 2.4.1. Toda matriz simétrica pode ser diagonalizada por uma transformação (matriz) ortogonal. Este teorema é bastante útil no estudo da dinâmica de corpos rígidos onde o cálculo e diagonalização do tensor de momento de inércia são necessários. Já , no contexto do espaço de Hilbert os raios vetores são quantidades complexas como também os operadores, sendo assim uma transformação or- togonal não poderá ser utilizada para realizar a tarefa que relacione as duas bases, mas uma generalização ou extensão destas transformação aos espa- ços complexos. Nossa tarefa é construir um operador de transformação que relacione as duas bases. Sendo [A, B] = 0; {|a >} a representação completa e ortonormal do operador A e {|b >} a representação completa e ortonormal do operador B e adotando {|a >} como a base antiga e {|b >} a base nova, considera-se o teorema Teorema 2.4.2. Dado dois conjuntos de kets bases {|a >} e {|b >} orto- gonais e completos, existe um operador unitário U tal que |b(1) >= U|a(1) >, |b(2) >= U|a(2) >, ∙ ∙ ∙ |b(N) >= U|a(N) > . (2.4.1) Um operador unitário é definido pelas condições UU† = U† U = I. (2.4.2) Demonstração. Por construção, considera-se o operador U = k |b(k) >< a(k) | (2.4.3) que imediatamente satisfaz: U|a(l) >= k |b(k) >< a(k) |a(l) >= k |b(k) > δkl = |b(l) >, (2.4.4) e UU† = kl |b(k) >< a(k) |a(l) >< b(l) | = l |b(l) >< b(l) | = I. (2.4.5) Já que < a(k) |a(l) >= δkl.