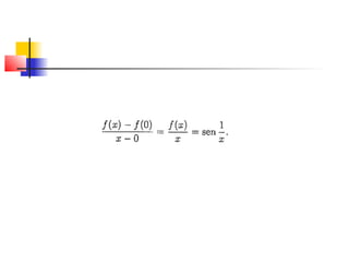
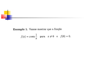
Introdução . 
Este curso destina-se aos 
alunos do Curso de 
Engenharia.
Eletromagnetismo 
É um agente físico que é 
responsável pela transmissão das 
interações eletromagnéticas que 
se propagam no espaço com uma 
velocidade finito-Campo elétrico
Este curso destina-se aos alunos de 
Engenharia . Não é um curso completo , mas 
poderá lhes dar uma visão mais simplificada da 
matéria como a solucionar alguns exercícios : 
-Porém o ponto principal é entender:Lei de 
Coulomb, 
Lei de Gaus 
–Equações de Maxwell , Energia potencial e 
Potencial Eletrostático , Lamina infinita de 
cargas , Capacitores , 
Faraday, 
Calculo I.
ÍMÃS 
Os fenômenos magnéticos são conhecidos desde a 
Antiguidade. Naquela época já se utilizavam certas 
pedras – que tinham a propriedade de atrair pedaços 
de ferro – na orientação da rota de grandes 
viagens. 
O vocábulo magnetismo é devido a uma região chamada 
Magnésia, localizada na Turquia, local em que essas 
pedras foram encontradas. Quando suspensas por seus 
centros de massa, tais pedras orientavam-se sempre 
no sentido norte-sul. Eram construídas de óxido de 
ferro e denominadas magnéticas. Atualmente, recebem 
o nome genérico de ímã natural. Só mais tarde 
descobriu-se a possibilidade de fabricar ímãs 
artificiais.
Interações Fundamentais da 
Natureza 
 Forças na Natureza 
 Força forte – Nuclear é 
uma força de curto 
alcance 
 Força eletromagnética é 
uma força de longo 
alcance 
 Força Gravitacional – 
longo alcance 
 Força intensidade 
Eletromagnética 25 
Fraca 0,8 
Gravitacional 10-41
Lei de Coulomb 
 Suponha que a interação entre a Terra 
e a Lua fosse puramente elétrica .Como 
poderíamos comprovar ou refutar essa 
hipótese? A melhor maneira de 
responder é conhecermos um pouco 
mais sobre o Campo elétrico . 
 Será que uma distribuição de cargas 
“altera” o espaço ao redor dela ? (da 
partícula)
CAMPO MAGNÉTICO 
 Analogamente ao campo elétrico, 
denomina-se campo magnético a 
região ao redor de um ímã na qual 
ocorre um efeito magnético. 
A sua representação é feita por linhas 
de campo ou linhas de indução, que 
são linhas imaginárias fechadas que 
saem do pólo norte e entram no pólo 
sul.
No interior do ímã, as linhas de campo vão do pólo sul para o 
pólo norte. 
Cada ponto de um campo magnético é caracterizado por um 
vetor denominado vetor indução elétrica ou vetor campo 
magnético, sempre tangente às linhas de campo e no mesmo 
sentido delas. A sua intensidade será definida mais adiante. 
Diz-se que um campo magnético é uniforme quando o vetor 
campo magnético é constante em todos os pontos do campo. 
Nesse caso, sua representação é um conjunto de linhas 
paralelas igualmente espaçadas e igualmente orientadas
Campo Magnético criado por corrente elétrica num 
fio retilíneo 
Em 1820, o físico dinamarquês Hans C. Oersted (1777-1851) verificou, 
experimentalmente, que a corrente elétrica cria um campo magnético ao seu redor. 
Oersted montou um circuito, mantendo um trecho do condutor esticado na direção norte-sul, 
colocando bem próximo e sob esse trecho uma bússola. 
Verificou que, ao fechar o circuito, a agulha magnética da bússola sofria um desvio e 
permanecia quase perpendicular ao condutor, graças ao aumento da corrente. Verificou 
ainda que, se o sentido da corrente fosse invertido, a agulha também sofria uma inversão 
em seu sentido. 
Da experiência, Oersted concluiu que: 
Uma corrente elétrica cria ao seu redor um campo magnético.
Os vetores (E e B) que caracterizam esses 
dois campos que possuem um valor definido 
a cada ponto no espaço e tempo. Se apenas 
o campo elétrico (E) não for nulo, e é 
constante no tempo, esse campo é 
denominado campo eletrostático. E e B (o 
campo magnético) são unidos pelas 
Equações de Maxwell.
A teoria do dínamo é a mais aceita para 
explicar a origem do campo, que estende-se por 
dezenas de milhares de quilômetros no espaço, 
formando a chamada magnetosfera. 
O campo magnético terrestre assemelha-se a um dipolo 
magnético com seus pólos próximos aos pólos 
geográficos da Terra. Uma linha imaginária traçada 
entre os pólos sul e norte magnéticos apresenta uma 
inclinação de aproximadamente 11,3º relativa ao eixo 
de rotação da Terra.
Variações do campo magnético 
A força do campo na superfície da Terra neste momento 
varia de menos de 30 micro teslas (0.3 Gauss), numa 
área que inclui a maioria da América do Sul e África 
do Sul, até superior a 60 micro teslas (0.6 Gauss) ao 
redor dos pólos magnéticos no norte do Canadá e sul da 
Austrália, e em parte da Sibéria.
Magnetômetros detectaram desvios diminutos no campo 
magnético da Terra causados por artefatos de ferro, fornos 
para queima de argila e tijolos, alguns tipos de estruturas 
de pedra, e até mesmo valas e sambaquis em pesquisa 
geofísica. Usando instrumentos magnéticos adaptados a 
partir de dispositivos de uso aéreo desenvolvidos durante a 
Segunda Guerra Mundial para detectar submarinos, as 
variações magnéticas através do fundo do oceano foram 
mapeadas. O basalto - rocha vulcânica rica em ferro que 
compõe o fundo do oceano - contém um forte mineral 
magnético (magnetita) e pode distorcer a leitura de uma 
bússola. A distorção foi percebida por marinheiros 
islandeses no início do século XVIII. Como a presença da 
magnetita dá ao basalto propriedades magnéticas 
mensuráveis, estas variações magnéticas forneceram novos 
meios para o estudo do fundo do oceano. Quando novas rochas 
formadas resfriam, tais materiais magnéticos gravaram o 
campo magnético da Terra no tempo
Em Outubro de 2003, a magnetosfera da Terra foi atingida por uma 
chama solar que causou uma breve, mas intensa tempestade 
geomagnética, provocando a aparição de luzes incomuns no norte 
Os efeitos dos campos magnéticos e do 
material radiativo 
O efeito de tais raios sobre qualquer avião situado dentro de seu campo 
magnético seria um curto-circuito de todos os instrumentos elétricos. Cortado 
o sistema de ignição, o avião perderia instantaneamente toda sustentação e 
entraria em um plano sobre o qual o piloto não teria controle algum, já que 
também a assistência elétrica das mãos estaria anulada. Este corte instantâneo 
de energia explicaria porque nenhum piloto pode enviar um SOS, ainda que 
alguns estiveram em contato direto com os controladores de terra. As supostas 
explosões de aviões no ar poderiam ser explicadas pelo arco que formariam os 
circuitos elétricos cortados, colocando em ignição os vapores gasosos ao 
entrar em contato com o campo magnético.
O efeito do fenômeno sobre os barcos 
seria algo diferente. Os blocos de 
material radiativo romperiam a superfície 
com a velocidade de uma bomba de 
hidrogênio, incrustando-se nos cascos de 
aço dos navios como a cabeça magnética de 
um torpedo e com os mesmos efeitos 
devastadores. E concebível que uma 
embarcação alcançada por semelhante força 
atômica seja completamente desintegrada, 
o que explicaria porque não são 
encontrados sobreviventes nem restos 
flutuantes.
A realidade do 
Campo 
eletromagnético 
 No Universo fixo temos 
a matéria , o espaço-tempo 
e os campos 
elétricos e magnéticos 
 A interação entre a 
matéria aparece no 
campo 
 Uma carga parada 
que são linhas 
tangentes ao campo 
elétrico em cada 
ponto.A relatividade 
espacial :contração 
do espaço.Uma 
carga que se move 
com velocidade V 
constante ao longo 
do eixo y –tem 
informações de 
intensidade do 
campo elétrico
O trajeto da Carga puntiforme 
 q > 0 A carga anda e 
bate produzindo uma 
radiação de onda 
eletromagnética 
 Temos o eixo 
cartesiano,ZXY 
 Ao produzir uma 
radiação de onda 
eletromagnética : temos 
o campo 1 onde a 
carga elétrica é parada. 
 No campo 2 temos a 
região de transição 
 No campo 3 a carga 
puntiforme tem 
velocidade v
Campo 1 
Campo 1 
Campo 2 
Campo 3 
Campo 2 
Campo 3 
i 
f 
Z 
X
Com outras cargas 
A carga elétrica é uma das propriedades fundamentais da matéria associada a 
algumas partículas elementares (partículas que constituem os átomos como: prótons, 
elétrons, pósitrons, nêutrons, neutrinos, etc.). Cada partícula elementar recebe um 
valor numérico que representa sua quantidade de carga elétrica. A carga elétrica é 
medida indiretamente pelos cientistas. Algumas partículas não possuem carga e são 
chamadas de neutras. O nêutron é um exemplo desse tipo de partícula. O elétron e o 
próton receberam um valor de carga elétrica denominado carga elementar, 
representado pela letra e. Na época de suas descobertas não se pensava em algo mais 
primitivo que essas partículas, por isso o nome elementar. Hoje se conhece partículas 
com cargas menores do que a carga elementar e, por convenção, esse termo se 
mantém em uso.
J.J. Thomson (1856 - 1940
Algum tipo de matéria é composta por átomos. Estes são tão 
minúsculos que nenhum microscópio corriqueiro permite vê-los. 
Uma fileira de dez milhões de átomos não chega a medir 
um milímetro. Contudo, os átomos não são as menores 
partículas da matéria: eles próprios se arranjam de partículas 
ainda menores, chamadas de fragmentos subatômicas. No 
centro de todo átomo existe um conjunto formado por dois 
tipos de partículas: os prótons e os nêutrons. Esse conjunto de 
fração é o núcleo do átomo. À derredor deste núcleo, como se 
fossem satélites, giram os elétrons, partículas em movimento 
constante , continuo. As trajetórias desses elétrons se 
organizam em camadas sucessivas chamadas órbitas 
eletrônicas.
Estudo Dirigido 1 
Você fará o questionário e o enviará para a professora , por e-mail. 
Cristina.moyses@gmail.com 
O que é eletromagnetismo ? 
Quais são as forças da Natureza? 
O que são interações fundamentais da Natureza ? 
Suponha que a interação entre a Terra e a Lua fosse puramente 
elétrica . Como poderíamos comprovar ou refutar essa 
hipótese ?
Define o que é um campo? 
Define agora o que um campo elétrico ? 
Explicite com suas palavras este pequeno texto : A energia 
potencial elétrica de um sistema de cargas pontuais fixas é igual 
ao trabalho que precisa se realizar por um agente externo para 
reunir o sistema , trazendo cada carga para a sua posição a partir 
de uma distancia infinita . As cargas estão em repouso em suas 
posições iniciais e finais.
Os prótons do núcleo e os elétrons das órbitas se atraem entre si. A 
esta força de atração recíproca chamamos de força elétrica. É a 
força elétrica que mantém os elétrons girando à volta dos prótons do 
núcleo. Sem ela, os elétrons se perderiam no espaço e os átomos 
não existiriam.
Os elétrons, entretanto, repelem outros elétrons e os 
prótons repelem outros prótons. Dizemos, por isto, que as 
partículas com carga igual se repelem e as partículas com 
carga oposta se atraem. Convencionou-se chamar a carga 
dos prótons de positiva (+) e as carga dos elétrons de 
negativa (-).
Introduziremos agora o conceito de Campo Elétrico. Este conceito é 
análogo ao de Campo Gravitacional estudado em Mecânica 
Newtoniana. 
Partindo da análise feita no capítulo anterior sobre o 
Princípio da Sobreposição, vimos que uma carga de prova (Q5) "sente" 
as demais cargas (Q1...Q4) através da força conforme a equação 
(1.2). Ou seja, a carga Q5 está sob influência de um campo elétrico 
gerado pelas cargas Q1...Q4. 
No caso da gravitação um corpo C1 qualquer distorce o espaço-tempo a 
sua volta que resulta numa aceleração num corpo C2 qualquer que passe 
nas proximidades. Porém este corpo C2 também distorce o espaço-tempo 
que é percebido por C1. Para estudar o campo gerado por C1 com 
a menor influência possível de C2 este tem que ter uma massa muito 
menor que C1. 
Um raciocínio análogo é feito em campos elétricos. Com a diferença 
que não é a massa que está em jogo, mas sim a carga elétrica.
A opinião de força à distância formava a alicerce de uma das 
linhas de pesquisa sobre os fenômenos eletromagnéticos 
adotadas na Europa na segunda metade do século XIX. Essa 
linha, abrangia principalmente fora da Grã Bretanha, buscava 
explicar os acontecimentos eletromagnéticos a partir de forças 
proporcionais ao inverso do quadrado da distância entre os 
corpos. Além disso, ponderava que estas forças agiam à 
distância, isto é, sem a necessidade de um meio para intermediar 
a influência mútua.
Ao contrario do que se pensava até fins do século XIX, as cargas elétricas 
são quantizadas. Não assumem valores discretos, mas sim são múltiplos 
inteiros de uma carga elementar. A primeira prova experimental de tal 
carga foi feita por Helmholtz em 1881 utilizando as leis da eletrólise de 
Faraday, que diz que a passagem de uma certa quantidade de 
eletricidade através de um eletrólito sempre causa o depósito, no 
eletrodo, de uma quantidade estritamente definida de um dado elemento.
Quantizada significa que ela só pode assumir valores discretos ou 
seja, não pode assumir qualquer valor, apenas valores inteiros 
múltiplos de uma carga fundamental, que é a carga do elétron, -1,6 x 
10 elevado a menos dezenove Coulomb. Essa é a menor carga que já 
foi observada em uma partícula isolada (apenas de estudos teóricos 
suporem que sub-particulas como os quarks possuam uma carga 
menor que essa carga fundamental). Essa também é a carga da 
partícula próton, mudando-se apenas o sinal. Porém num estudo de 
eletrodinâmica, nos concentramos mais na eletros fera onde ocorrem a 
maioria das interações eletrônicas do que no núcleo do átomo, e por 
isso, a representação de carga elétrica é usualmente representada por: 
e = -1,6 x 10^ (-19) C. O fato da carga elétrica ser quantizada significa 
que ela só pode existir em valores múltiplos de "e", tanto para mais 
quanto para menos (na verdade, o sinal serve para definir o sentido do 
vetor campo elétrico, quando essa partícula interage com uma outra 
partícula com carga elétrica para formar o campo).
No século XVIII, Benjamin Franklin verificou experimentalmente que 
existem dois tipos de cargas diferentes, a as batizou como cargas 
negativas ( - ) e positivas ( + ). Nesta época os cientistas 
pensavam que a carga era um fluído que podia ser armazenado nos 
corpos, ou passar de um para outro. 
Atualmente, dizer-se que carga elétrica é uma propriedade intrínseca 
de algumas partículas. Assim como massa, a carga é uma 
propriedade elementar das partículas. 
A experiência realizada por Harvey Fletcher e Robert Millikan 
desmosntrou que a quantidade de carga elétrica é uma grandeza 
quantizada, ou seja, não pode assumir qualquer valor. Essa 
descoberta levou à conclusão de que a quantidade de carga elétrica 
Q é sempre um número inteiro n vezes a quantidade de carga 
elementar e :
onde . A unidade SI da carga elétrica é o ou .
Eletrólitos 
Chama-se ELETRÓLITO a uma solução de ácido, 
base ou sal em água. Os eletrólitos são condutores 
muitíssimo importantes.
Dissociação eletrolítica 
É chamada dissociação eletrolítica a separação dos íons que constituem a 
molécula . Os íons separados ficam “vagando” pela solução, sem uma 
direção determinada.
Uma prova experimental da dissociação eletrolítica é a seguinte: 
Sabemos que se dissolvermos em um litro d’água uma molécula-grama de açúcar, ou de álcool, ou 
de qualquer outro corpo que não seja ácido, nem base, nem sal, o ponto de solidificação da água 
baixa de 0oC a . (Fenômeno estudado em Crioscopia). 
O abaixamento dessa temperatura depende exclusivamente do número de partículas 
dissolvidas. E como a molécula-grama de qualquer corpo tem sempre o mesmo número de 
moléculas, que é o número de Avogadro ( 
), para todas as substâncias o número de moléculas dissolvidas por molécula-grama 
é o mesmo, e por isso o abaixamento do ponto de solidificação é 
independente da substância.
Suponhamos agora uma solução de um ácido, uma base ou um sal em 
água, por exemplo, cloreto de sódio em água. Sabemos que suas 
moléculas se dissociam, isto é, existem íons de sódio e de cloro soltos na 
água, caminhando em direções quaisquer. Suponhamos que nessa 
solução sejam mergulhadas duas placas metálicas A e B, ligadas aos 
pólos de um gerador G, que pode ser um acumulador ou uma série de 
pilhas que dêem mais ou menos 6 volts (veja a fig. acima)
As duas placas metálicas são chamadas eletrodos. O eletrodo negativo, 
isto é, aquele ligado ao pólo negativo do gerador é chamado cátodo. O 
eletrodo positivo, isto é, aquele ligado ao pólo positivo do gerador é 
chamado anodo
O mecanismo da condução da eletricidade pelos eletrólitos é explicado do 
seguinte modo : 
Ao dissolvermos o ácido, a base ou o sal na água, há dissociação de 
moléculas do ácido, da base ou do sal, e os íons resultantes ficam vagando 
pela solução. 
Depois, quando introduzimos na solução os eletrodos ligados aos pólos do gerador 
entre os eletrodos, 
, como há diferença de potencial entre eles, forma-se um campo elétrico 
entre os eletrodos dirigido do anodo ( + ) o catodo (-)
Por causa desse campo os íons ficam sujeitos a forças. Os íons positivos 
ficam sujeitos à forças que tem o mesmo sentido que o campo, e os 
negativos, à forças que tem sentido oposto ao do campo. Em virtude 
dessas forças os íons deixam de vagar pela solução sem direção 
determinada, mas, são “dirigidos”: os cátions são dirigidos para o cátodo, 
e os anions, para o anodo. Forma-se então a corrente elétrica.
Já tínhamos assinalado anteriormente, no tópico " 
Diferentes Tipos de Condução" , que num eletrólito a corrente é 
constituída pelo movimento de cargas positivas num sentido e de cargas 
negativas em sentido oposto, e o número de partículas positivas que se 
deslocam num sentido é igual ao número de partículas negativas que se 
deslocam no outro. Mas, exclusivamente para raciocínio, podemos 
imaginar que em uma corrente seja constituída exclusivamente por 
partículas positivas, em número duplo, que se deslocam dentro da 
solução do anodo para o cátodo.
a condução da eletricidade nos metais não é do mesmo tipo que nos 
eletrólitos. Que nos metais ela é constituída exclusivamente pelo 
movimento de elétrons, que se deslocam num só sentido, enquanto que 
nos eletrólitos é constituída pelo movimento de íons positivos num 
sentido e de íons negativos em sentido oposto. Ora, quando fazemos 
passar corrente por um eletrólito, os eletrodos são ligados ao gerador G 
por fios metálicos a e b. Vejamos, então, como se explica a corrente 
elétrica nesse circuito fechado, pois nos metais a e b a corrente é 
constituída pelo movimento de elétrons, e na solução, pelo movimento 
de íons (fig. acima 2 ). O que se passa é o seguinte:
O íon negativo tem elétrons a mais, e é atraído pelo anodo, que é positivo; 
ao chegar ao anodo ele cede os elétrons que tem a mais e se transforma 
num átomo neutro. Os elétrons cedidos ao anodo, este os envia ao fio 
metálico a, que conduz esses elétrons do anodo para o gerador. O 
gerador envia esses elétrons ao cátodo, através do fio metálico b. (O 
cátodo é negativo porque recebe elétrons). O íon positivo tem falta de 
elétrons, e é atraído pelo cátodo; ao chegar aí, retira elétrons, e se 
transforma em átomo neutro
Em resumo: por fora da solução, nos fios metálicos a e b que ligam os 
eletrodos ao gerador, a corrente é constituída pelo movimento de elétrons, 
que se dirigem do anodo para o cátodo através do gerador; esses elétrons 
são retirados dos anions pelo anodo e cedidos aos cátions pelo cátodo.
Exemplo 
Suponhamos a condução da eletricidade por uma solução de cloreto 
de sódio. As moléculas se dissociam em íons de sódio (positivos) e 
íons de cloro (negativos). O íon de cloro, que é um átomo de cloro 
com um elétron a mais, ao chegar ao anodo cede a ele esse elétron 
e se torna um átomo de cloro (neutro); o elétron cedido ao anodo, 
êste o manda ao gerador. O íon de sódio, que é um átomo de sódio 
com um elétron a menos, ao chegar ao cátodo retira um elétron dele 
e se torna um átomo de sódio (neutro); esse elétron foi fornecido ao 
cátodo pelo gerador
O valor absoluto da carga elétrica do elétron é chamado carga eletrônica 
e se representa pela letra e . 
Assim, a carga elétrica do elétron, com seu sinal, é representada por : e a do 
próton, por O valor da carga eletrônica é aproximadamente
Pelos assuntos que já estudamos, você pode agora fazer uma pausa 
e pensar no importantíssimo papel desempenhado pelo elétron na 
corrente elétrica. Vimos já que, quando se trata de corrente elétrica em 
um metal ela é constituída só pelo movimento de elétrons. Estamos 
vendo agora que nos eletrólitos a corrente é constituída pelo 
movimento de íons. Ora, os íons são átomos em que há elétrons a 
mais ou a menos. A conclusão a que chegamos é a seguinte: em 
qualquer caso em que há corrente elétrica, a carga elétrica que está 
em movimento é um múltiplo da carga do elétron
Estudo Dirigido 2 
Responda depois de ler o texto . Lembre que interpretar na 
Física é de suma importância . Não esqueça de enviar as 
respostas para cristina.moyses@gmail.com
A idéia de força à distância formava a base de uma das linhas de 
pesquisa sobre os fenômenos eletromagnéticos adotadas na 
Europa na segunda metade do século XIX. Essa linha, adotada 
principalmente fora da Grã Bretanha, buscava explicar os 
fenômenos eletromagnéticos a partir de forças proporcionais ao 
inverso do quadrado da distância entre os corpos. Além disso, 
considerava que estas forças agiam à distância, isto é, sem a 
necessidade de um meio para intermediar as interações. 
Outros pesquisadores – em especial Michael Faraday (1791-1867), 
William Thomson e James Clerk Maxwell – passaram a adotar uma 
visão diferente.
Ao invés de considerar ação à distância, dedicaram-se a explicar os 
fenômenos eletromagnéticos como um efeito que se propagaria 
através de um meio. Faraday supôs que a eletricidade e o 
magnetismo agiriam através de “linhas de força”. Essas linhas teriam 
uma existência real e seriam elas mesmas as responsáveis pelos 
fenômenos eletromagnéticos. Na abordagem de Faraday, não havia 
necessidade de matéria comum para explicar a existência das linhas 
de força. No entanto, as linhas de força eram interpretadas como 
estruturas físicas, mas estruturas do quê? A resposta a essa pergunta 
foi sendo desenvolvida ao longo do século XIX e foi fortemente 
influenciada pela concepção que os físicos tinham sobre a natureza 
da luz.
a) O que fenômeno ? 
b) E fenômeno eletromagnético ? 
c) Escreva uma formula para : forças proporcionais 
ao inverso do quadrado da distância entre os corpos. . 
d) Explicite : sem a necessidade de um meio para 
intermediar as interações. 
e) Explicite linhas de forças .
Estamos vendo agora que nos eletrólitos a corrente é constituída pelo 
movimento de íons. Ora, os íons são átomos em que há elétrons a mais 
ou a menos. A conclusão a que chegamos é a seguinte: em qualquer 
caso em que há corrente elétrica, a carga elétrica que está em 
movimento é um múltiplo da carga do elétron. Assim, se há um íon de 
sódio em movimento, há movimento da carga ; se há um íon em 
movimento, há movimento de carga , etc..
A carga elétrica do elétron (e a do próton) é a menor carga 
elétrica existente na natureza. Todas as cargas elétricas são 
múltiplas dela. Ela é a unidade natural de carga elétrica. Por 
isso é chamada, por muitos autores, átomo de eletricidade.
Carga elétrica de um íon 
Se a valência de um íon é z, a carga desse íon é ze. Esta 
observação será usada no tópico " 
Leis de Faraday sobre a Eletrólise"; quando deduzirmos 
as leis de Faraday.
Um parâmetro para estudarmos Campo .
Normalmente, cada átomo é eletricamente neutro, em outras 
palavras, tem quantidades iguais de carga negativa e positiva, 
ou seja, há tantos prótons em seu núcleo, quantos elétrons ao 
redor, no exterior. Os prótons estão fortemente ligados ao 
núcleo dos átomos. Somente os elétrons podem ser transferidos 
de um corpo para outro.
Podemos dizer que um corpo está eletrizado quando possui excesso ou 
falta de elétrons. Se há excesso de elétrons, o corpo está eletrizado 
negativamente; se há falta de elétrons, o corpo está eletrizado 
positivamente
A quantidade de elétrons em falta ou em excesso caracteriza a 
carga elétrica Q do corpo, podendo ser positiva no primeiro 
caso e negativa no segundo.
CARGA ELÉTRICA
A carga elétrica é uma das propriedades fundamentais da matéria 
associada a algumas partículas elementares (partículas que constituem 
os átomos como: prótons, elétrons, pósitrons, nêutrons, neutrinos, etc.). 
Cada partícula elementar recebe um valor numérico que representa sua 
quantidade de carga elétrica. A carga elétrica é medida
indiretamente pelos cientistas. Algumas partículas não possuem 
carga e são chamadas de neutras. O nêutron é um exemplo desse 
tipo de partícula. O elétron e o próton receberam um valor de carga 
elétrica denominado carga elementar, representado pela letra e. Na 
época de suas descobertas não se pensava em algo mais primitivo 
que essas partículas, por isso o nome elementar. Hoje se conhece 
partículas com cargas menores do que a carga elementar e, por 
convenção, esse termo se mantém em uso .
Experimentalmente, com a observação de efeitos de atração e 
repulsão em corpos eletrizados, deduziu-se que eles também ocorrem 
nessas partículas. Caracterizou-se assim a existência de dois tipos de 
carga elétrica: a carga do próton e a carga do elétron. A diferença 
entre elas se fez através dos sinais "+" e "-", respectivamente. Esses 
experimentos mostraram que cargas de mesmo tipo se repelem e de 
tipos contrários se atraem.
Fonte: www.ufpa.br
CARGA ELÉTRICA
A existência de atração e repulsão foi descrita pela primeira vez em termos 
de cargas elétricas por Charles François de Cisternay du Fay em 1773. 
Investigando-se a eletrização por atrito concluiu-se que existem dois tipos de 
carga: carga positiva e carga negativa, como mostra a figura abaixo.
Tipos de cargas
Normalmente um corpo é neutro por ter quantidades iguais de cargas 
positivas e negativas. Quando o objeto I transfere carga de um dado sinal 
para o objeto II, o objeto I fica carregado com carga de mesmo valor 
absoluto, mas de sinal contrário. Esta hipótese, formulada pela primeira 
vez por Benjamin Franklin, é considerada a primeira formulação da lei de 
conservação de carga elétrica.
Quantização da carga 
Em diversos problemas que serão abordados neste curso, 
assumiremos a existência de cargas distribuídas 
continuamente no espaço, do mesmo modo como ocorre 
com a massa de um corpo. Isto pode ser considerado 
somente uma boa aproximação para diversos problemas 
macroscópicos. De fato, sabemos que todos os objetos 
diretamente observados na natureza possuem cargas que 
são múltiplos inteiros da carga do elétron
onde a unidade de carga , o Coulomb, será definida 
mais adiante. Este fato experimental foi observado pela 
primeira vez por Millikan em 1909.
CARGA ELÉTRICA
A matéria é formada de pequenas partículas, os átomos. Cada átomo, 
por sua vez, é constituído de partículas ainda menores, no núcleo: os 
prótons (positivos) e os nêutrons (sem carga); na eletrosfera: os elétrons 
(negativos). 
Às partículas eletrizadas, elétrons e prótons, chamamos "carga elétrica".
Condutores de eletricidade 
São os meios materiais nos quais há facilidade de 
movimento de cargas elétricas, devido a presença de 
"elétrons livres". Ex: fio de cobre, alumínio, etc.
Isolantes de eletricidade 
São os meios materiais nos quais não há 
facilidade de movimento de cargas elétricas. Ex: 
vidro, borracha, madeira seca, etc.
Princípios da eletrostática
Cargas elétricas de mesmo sinal se 
repelem e de sinais contrários se atraem.
negativo -------- neutro -------- positivo
Num sistema eletricamente isolado, a soma das cargas elétricas é constante. 
Corpo negativo: O corpo ganhou elétrons 
Corpo neutro: Número de prótons = Número de elétrons 
Corpo positivo: O corpo perdeu elétrons 
Medida da carga elétrica
Dq = - n.e (se houver excesso de elétrons) 
Dq = + n.e (se houver falta de elétrons) 
e = 1,6.10-19 C 
Dq = quantidade de carga (C) 
n = número de cargas 
e = carga elementar (C) 
unidade de carga elétrica no SI é o Coulomb (C) 
É usual o emprego dos submúltiplos: 
1 microcoulomb = 1mC = 10-6C 
1 milecoulomb = 1mC = 10-3C
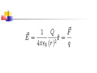
Para estudarmos portanto o campo elétrico gerado por uma carga 
Qj qualquer utilizaremos uma segunda carga qi muito menor que 
a primeira. Uma carga elementar. Assim estudaremos os efeitos 
causados em qi pela carga Qj. Desta forma, dizemos que o Campo 
Elétrico é dado pela força sentida pela carga qi por unidade de 
carga. Ou seja:
A unidade de campo elétrico é o N/C. Então 
teremos mais precisamente:
Juntando as equações teremos que:
Como discutimos anteriormente a Força Elétrica é um vetor. Da mesma maneira o 
Campo Elétrico também é um vetor que tem a mesma direção e sentido da força 
no ponto onde a carga se encontra.
O que é um 
vetor :
Vetor: segmento de reta orientado com 
origem e extremidade.
Veja a origem e sua 
extremidade:
Origem: o início do vetor, a saída; 
Extremidade: a ponta da seta, a chegada. Onde termina o vetor dado;
O vetor é uma grandeza com direção, 
sentido e intensidade;
Direção - o ângulo formado; 
Sentido - da origem à 
extremidade, de A para B no 
nosso exemplo; 
Intensidade - o comprimento, 
medida de força.
A notação do vetor com origem no 
ponto A e extremidade no ponto B é:
Um vetor pode ser representado por um par ordenado 
quando estamos em duas dimensões (em R2) - que é o caso 
do CorelDRAW. A representação do vetor com origem em 
A e extremidade em B no plano cartesiano é:
O 1º valor no eixo X (eixo das 
abscissas) e o 2º no eixo Y (eixo das 
ordenadas). Por exemplo: Um 
determinado vetor representado pelo 
par ordenado (2 , 3), x=2 e y=3.
Vetores Iguais: possuem a mesma direção, o 
mesmo sentido e mesma intensidade. Abaixo 
segmentos orientados representando o mesmo 
vetor:
Vetores Paralelos: possuem a mesma 
direção. Abaixo segmentos orientados 
representando vetores paralelos:
Vetores Opostos: possuem a mesma 
direção, a mesma intensidade (ou 
módulo). Porém sentido oposto de um 
vetor dado. Abaixo segmentos orientados 
representando vetores
opostos:
Vetor Nulo: vetor cuja 
intensidade é 0. Sua 
representação geométrica é 
um ponto; 
Por definição, o vetor nulo é 
paralelo a qualquer vetor não 
nulo.
Vetores Ortogonais: 
vetores que 
formam 90º 
entre si. Abaixo 
segmentos orientados 
representando vetores 
ortogonais:
Vetores Coplanares: vetores que estão no mesmo plano. 
Obs: Dois vetores, não nulos, ao mesmo tempo, sempre são coplanares.
Soma de Vetores: a adição de um vetor 
com outro se dá da seguinte maneira - A 
origem do 2º vetor na extremidade do 1º 
vetor. Sem mudar a direção, sem mudar 
sentido. Apenas posicione. A distância da 
origem do 1º até a extremidade do 2º é a 
soma dos vetores dados:
Soma com 3 ou mais vetores: A origem do 2º vetor 
na extremidade do 1º vetor. A origem do 3º vetor na 
extremidade do 2º vetor. E assim sucessivamente... A 
distância da origem do 1º até a extremidade do último 
vetor será a soma dos vetores dados:
Quando se está desenhando ou vetorizando 
uma imagem no CorelDRAW, estamos 
executando operações com vetores. 
Principalmente soma (quando estamos 
criando o caminho para depois transformar 
alguns dos segmentos em curvas) na 
vetorização
Por exemplo: Se nossa soma mostrada no 
item anterior (exemplo 2) fosse uma 
forma fechada, para transformar o 
segmento azul (vetor w) em curva, 
selecione com a ferramenta forma a 
extremidade do segmento (ou vetor w, 
como preferir);
Na barra propriedades clique no botão 
converter linha em curva;
Agindo nas alças faça a transformação 
desejada (aplicar a força desejada);
No Corel 13 fica mais claro o papel 
dos vetores, visto que as alças 
assumem a representação 
matemática de vetor. Podemos 
modificar as curvas alterando os 
atributos de um vetor (a intensidade, 
a direção ou sentido). Esses 
atributos definem a altura da curva, 
por exemplo, ou sua inclinação.
É isso. Não iremos nos aprofundar 
muito, ficaremos nessa visão 
superficial. Este artigo é para você 
entender melhor o programa que 
utiliza. Espero ter ajudado de 
alguma forma
Como discutimos anteriormente a 
Força Elétrica é um vetor. Da 
mesma maneira o Campo Elétrico 
também é um vetor que tem a 
mesma direção e sentido da força 
no ponto onde a carga qi se 
encontra.
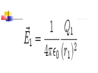
Cálculo do campo elétrico 
O cálculo do campo elétrico num ponto p qualquer devido a uma carga Q é dado pela equação:
onde r é a distância da 
carga Q ao ponto p.
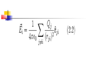
No caso de mais de uma carga agindo no ponto p o 
cálculo é feito utilizando-se a equação (2.2). Um 
caso de particular importância é quando temos 2 
cargas de mesmo valor mas de sinais contrários 
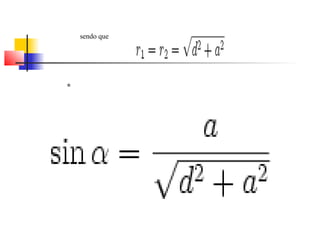
separados por uma distância 2a (vide figura abaixo). 
Estudamos o campo elétrico num ponto p a uma 
distância d qualquer muito maior que 2a situado 
sobre a mediatriz do segmento que une Q + e Q − . A 
este sistema chamamos de Dipolo Elétrico.
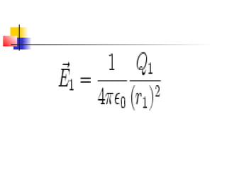
Chamaremos as carga Q + eQ − de Q1eQ2 respectivamente. Logo o campo elétrico 
no ponto p é a soma vetorial dos campos 
. Os campos devido as cargas Q1eQ2 separadamente são:
ELETROSTÁTICA 
Os fenômenos que levaram à descoberta da Lei de Coulomb:
Os primeiros registros dos quais se tem notícia, 
relacionados com fenômenos elétricos , foram obtidos 
pelos gregos . O filosofo e matemático Thales de Mileto 
( séc.VI a.C.) observou que um pedaço de âmbar 
( pedra amarela ) após atritado com a lã de um animal , 
adquiria a propriedade de atrair corpos leves como 
pedaços de palha e germe de grama.
Cerca de dois mil anos mais tarde o médico inglês 
W.Gilbert (1544-1603) fez observações sistemáticas de 
alguns fenômenos elétricos . Sua sistematização de 
alguns fenômenos elétricos . Sua sistematização baseou-se 
nas seguintes observações : vários outros corpos ao 
serem atritados se comportavam como o âmbar e a 
atração exercida por eles se manifesta sobre algum outro 
corpo.
Foi Gilbert quem introduziu o 
termo “ eletrizado “ e “ 
eletricidade” , nomes derivados 
da palavra grega para âmbar , 
elétron.
O que é Âmbar : O âmbar, desde a Antigüidade, 
encantou e continua encantando as pessoas. Por que 
motivo uma resina fossilizada de árvores antigas tem 
tanto charme e exerce tanta atração sobre nós?
As árvores que produziram o âmbar viveram há 
milhões de anos: nas zonas temperadas, 
principalmente os pinheiros; e nas regiões 
tropicais, várias espécies de leguminosas. As 
resinas que essas árvores produziam funcionavam 
como proteção contra as bactérias e contra os 
insetos que furavam sua madeira. Com o passar do 
tempo, essa resina foi perdendo água e ar, e as 
substâncias orgânicas que a constituíam sofreram 
o que os químicos chamam de polimerização: a 
resina endureceu e se transformou naquilo que 
conhecemos como âmbar.
Desde os tempos antigos, o âmbar foi muito utilizado 
para a fabricação de jóias e de estatuetas. Acreditava-se, 
também, que ele tinha propriedades medicinais 
especiais; assim, misturava-se mel a âmbar em pó 
para curar a asma, a gota e até a peste negra! O 
âmbar também agia, pensava-se, contra as forças do 
Mal: esferas de âmbar sempre foram usadas como 
rosários e amuletos; a resina podia também ser 
queimada com outros produtos, como o incenso e a 
mirra, para afugentar os maus espíritos. Conta-se 
ainda que os marinheiros, no passado, queimavam 
âmbar nos seus navios, como proteção contra 
serpentes marinhas e outros monstros das 
profundezas do mar!
Até hoje, o âmbar continua fascinando pessoas de todas as 
categorias. Enquanto artistas e joalheiros se sentem atraídos 
pela sua beleza, geólogos e paleontólogos o consideram um 
importante registro da vida pré-histórica. Isso porque, em 
algumas peças dessa resina, estão preservados insetos, 
lagartos, folhas e flores que ficaram nela aprisionados há 
milhões de anos, conservando detalhes minuciosos de sua 
estrutura e parte de sua composição química. Os 
arqueólogos, por sua vez, se interessam pelas antigas rotas de 
comércio do âmbar, enquanto os químicos investigam sua 
composição.
Para os biólogos, organismos preservados em âmbar são 
um prato cheio: enquanto botânicos e zoólogos estudam 
os organismos nele aprisionados, geneticistas recuperam 
fragmentos de seu DNA, analisando-os e reconstituindo 
pequenas partes da história da vida. Essa última façanha, 
aliás, foi popularizada de forma fantasiosa pelo filme 
Parque dos Dinossauros, em que cientistas extraem 
DNA de sangue de dinossauro, encontrado no estômago 
de um mosquito. Este DNA, em seguida, é utilizado para 
reviver dinossauros! Ficção científica à parte, a 
importância real do âmbar para a ciência é muito grande.
Propriedades
Quando o âmbar é esfregado com um pano, ele se torna 
eletrificado, podendo atrair pedaços de papel. A 
propósito, o nome grego para o âmbar é elektron, que 
originou a palavra eletricidade. Não é um bom condutor 
de calor e parece quente ao toque, ao contrário dos 
minerais, que dão uma sensação de frio. Dependendo do 
tipo de árvore de que provém, a composição química do 
âmbar varia muito. As cores também são bastante 
diversificadas: há âmbar com vários tons de amarelo, 
laranja, vermelho; ele pode ainda ser branco, marrom, e 
até verde e azul. As cores do arco-íris que às vezes se 
percebem no interior do âmbar são causadas por bolhas 
de ar nele aprisionadas. Algumas vezes, ainda, o âmbar, 
geralmente o de cor azul ou amarela, tem a propriedade 
de fluorescer.
De onde vem o âmbar? 
A região do Mar 
Báltico tem sido, desde a pré-história, a 
principal fonte de âmbar. Embora não se 
saiba ao certo quando essa resina foi 
usada pela primeira vez, ela foi 
relacionada às populações da Idade da 
Pedra. Foi encontrado âmbar de origem 
báltica em túmulos egípcios de 3200 a. C.
Sabe-se ainda, por exemplo, que a rota comercial 
dessa substância foi dominada pelos vikings dos 
anos 800 até 1000 de nossa era; a Escandinávia, 
aliás, continua a ser um dos maiores exportadores de 
âmbar. Na atualidade, no entanto, a República 
Dominicana tornou-se uma rica fonte da resina 
fossilizada, vindo em importância logo depois da 
área do Báltico. Além disso, o âmbar da República 
Dominicana tem um registro fóssil mais abundante: 
mais ou menos uma peça em cem tem alguma 
inclusão interessante, contra apenas uma peça em 
mil para o âmbar que vem do Báltico.
Fósseis capturados 
Conhecem-se mais de 1000 
espécies de insetos, aracnídeos e crustáceos 
aprisionados dentro do âmbar. Quase 54% desses 
são moscas; encontram-se também formigas, 
abelhas (como a da figura), besouros, borboletas, 
cupins, aranhas, vespas, escorpiões, baratas, 
grilos e outros. O registro vegetal também é 
notável: há pedaços de samambaias, de musgos, 
de gimnospermas (como o cipreste e o pinheiro), e 
de angiospermas de várias espécies, como 
palmeiras e plantas herbáceas. Acham-se ainda 
marcas de folhas com suas nervuras detalhadas, e 
também pêlos de mamíferos e dentes molares.
Em 1997, foi anunciada a descoberta das primeiras 
flores conhecidas preservadas no âmbar, que 
parecem ter 65 milhões de anos. Foi também 
descoberto o mosquito mais velho do mundo, o 
ancestral dos trilhões de mosquitos sugadores de 
sangue.
Ressuscitar vidas 
passadas?
Em maio de 1995, o 
microbiologista Raul Cano anunciou ter 
conseguido reviver bactérias encontradas no 
âmbar, a partir de esporos obtidos do abdômen 
de uma abelha aprisionada na resina, entre 25 e 
40 milhões de anos atrás. O microrganismo, 
aparentemente, é geneticamente semelhante a 
uma bactéria moderna, chamada Bacillus 
sphaericus, que tem a capacidade, em tempos 
bicudos para sua sobrevivência, de parar de se 
mover, se alimentar ou se reproduzir. Há, no 
entanto, algum ceticismo nos meios científicos a 
respeito dessa descoberta: pensa-se que 
dificilmente um esporo de bactéria poderia ter 
se conservado num estado de vida suspensa 
durante tanto tempo
Provavelmente, dizem esses críticos, a bactéria 
provém de contaminação dos instrumentos de 
laboratório. De qualquer modo, se for confirmada a 
descoberta, Cano terá sido o primeiro a conseguir uma 
ressurreição de um ser vivo do passado, o que seria 
um tento gigantesco na compreensão de alguns 
mistérios da evolução.
Âmbar genuíno e âmbar falsificado 
A maioria dos insetos encontrados 
em pedaços de âmbar são de espécies que se 
extinguiram no passado. Às vezes, espécies atuais 
de insetos podem estar no âmbar; de uma maneira 
geral, porém, trata-se de uma falsificação: uma peça 
de âmbar é perfurada, e insetos ou pequenos animais 
são introduzidos nela; em seguida, o buraco é 
tapado com uma resina da mesma cor. 
Além disso, usam-se plásticos, 
como celulóide, ou então vidro para imitar o âmbar. 
Não é muito difícil, no entanto, fazer a distinção 
entre o âmbar genuíno e as falsificações. Quando se 
esfregam as imitações com um pano, elas se 
eletrificam muito mais fracamente do que o âmbar 
verdadeiro. Além disso, o celulóide fica cheirando a 
cânfora, material utilizado na sua fabricação.
Também aparece esse cheiro quando o celulóide é 
colocado em água quente ou então queimado. Outros 
tipos de plástico, quando queimados, produzem um 
cheiro desagradável de ácido fênico e não se forma 
fumaça. O âmbar aquecido, ao contrário, produz uma 
fumaça esbranquiçada e tem um odor adocicado de 
resina e de madeira de pinheiro. 
Outro teste simples para se 
distinguir o âmbar de suas imitações é mergulhar a 
peça em água do mar ou em uma solução saturada de 
sal de cozinha. O âmbar genuíno flutua; as imitações 
afundam, mais rapidamente ainda quando são de 
vidro.
Se você se interessa pelo âmbar... 
Há inúmeros sites na Internet dedicados ao âmbar. 
Na realidade, esse artigo foi compilado a partir de informações obtidas 
de vários desses sites. Basta você colocar a palavra “amber” num dos 
instrumentos de busca, como o Yahoo, o Lycos, o Excite etc., para 
descobrir uma grande quantidade de homepages que, direta ou 
indiretamente, falam do âmbar. 
Gostaríamos, porém, de dar uma sugestão mais 
específica. Visite, no endereço da Internet que forneçemos abaixo, 
algumas fotos de peças de âmbar, que fizeram parte de uma exposição 
no American Museum of Natural History, em Nova York. Ao clicar 
sobre a pequena foto de cada peça, aparecerá uma foto maior mostrando 
o organismo aprisionado no interior da resina. O endereço é: 
http://www.amnh.org/exhibitions/amber/
Qual a natureza da eletricidade?
Como explicar o fenômeno da eletrização ? O 
cientista Frances François Dufay deu a 
seguinte explicitação : 
Com base na observação de que um corpo ao ser 
atraído por outro corpo eletrizado era repelido 
após tocá-lo , concluiu que dois corpos 
eletrizados sempre se repelem . entretanto esta 
idéia teve de ser modificada devido a novas 
observações experimentais que a contradiziam:
a)observou que um pedaço de vidro atraído 
com seda atraia um pedaço de âmbar que 
tivesse sido previamente atritado com pele , 
portanto a experiência mostrou que dois corpos 
eletrizados podem se atrair.
Baseando-se num grande número de 
experiências lançou então as bases de uma 
nova hipótese que teve grande aceitação 
durante todo o século XVIII.Segundo ele 
existiam dois tipos de eletricidade vítrea , 
aquela que aparece no vidro após ser 
atritado com seda , e a eletricidade resinosa 
, aquela que aparece no âmbar atritado com 
pele ( o âmbar é uma resina) . Todos os 
corpos que possuíssem eletricidade vítrea 
( ou resinosa) repeliram uns aos outros . 
Por outro lado , corpos com eletricidade de 
nomes contrários , atraíam-se mutuamente.
Para estudarmos portanto o campo elétrico gerado 
por uma carga Qj qualquer utilizaremos uma 
segunda carga qi muito menor que a primeira. Uma 
carga elementar. Assim estudaremos os efeitos 
causados em qi pela carga Qj. Desta forma, dizemos 
que o Campo Elétrico é dado pela força sentida pela 
carga qi por unidade de carga. Ou seja:
A unidade de campo elétrico é o N/C. Então teremos mais precisamente:
Juntando as equações teremos que
Cálculo do campo elétrico
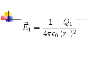
O cálculo do campo elétrico num ponto p qualquer devido a uma carga Q é dado pela equação:
onde r é a distância da carga Q ao ponto p. 
No caso de mais de uma carga agindo no ponto p o 
cálculo é feito utilizando-se a equação (2.2). Um 
caso de particular importância é quando temos 2 
cargas de mesmo valor mas de sinais contrários 
separados por uma distância 2a (vide figura 
abaixo). Estudamos o campo elétrico num ponto p 
a uma distância d qualquer muito maior que 2a 
situado sobre a mediatriz do segmento que une Q + 
eQ − .
A este sistema chamamos de Dipolo Elétrico.
Chamaremos as carga Q + eQ − de Q1eQ2 respectivamente. Logo o campo 
elétrico 
no ponto p é a soma vetorial dos 
campos 
. Os campos devido as cargas Q1eQ2 separadamente 
são:
O campo total 
será então:
Analisando a 
decomposição dos 
vetores campo em x e 
em y, conforme figura 
abaixo, vemos que as 
componentes em x se 
anulam, sendo o campo 
no ponto p composto
somente pelas componentes em 
y dos campos 
e 
.
Teremos então:
sendo que 
e
Sabemos também que os valores das cargas Q1 e Q2, conforme 
havíamos dito anteriormente, são iguais. Podemos 
então reescrever a equação para:
O cálculo do campo elétrico num ponto p qualquer devido a uma carga Q é dado pela equação
onde r é a distância da carga Q ao ponto p. 
No caso de mais de uma carga agindo no ponto p o 
cálculo é feito utilizando-se a equação (2.2). Um 
caso de particular importância é quando temos 2 
cargas de mesmo valor mas de sinais contrários 
separados por uma distância 2a (vide figura 
abaixo). Estudamos o campo elétrico num ponto p a 
uma distância d qualquer muito maior que 2a 
situado sobre a mediatriz do segmento que une Q + 
eQ −
A este sistema chamamos de Dipolo Elétrico.
Chamaremos as carga Q + eQ − de Q1eQ2 respectivamente. Logo o campo elétrico 
no ponto p é a soma vetorial dos campos 
. Os campos devido as cargas Q1eQ2 separadamente são:
O campo 
total 
será então:
Analisando a decomposição dos vetores 
campo em x e em y, conforme figura 
abaixo, vemos que as componentes em x 
se anulam, sendo o campo no ponto p 
composto
.
Teremos 
então:
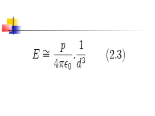
como 
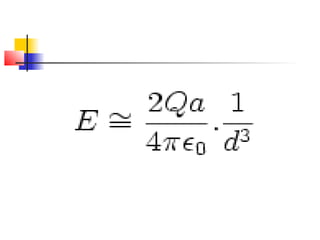
poderemos desprezar a na equação. Teremos então:
Chamamos ao produto 
de momento do dipolo elétrico. Então:
Observem que num dipolo o campo decresce com o 
cubo da distância e não com o quadrado como no caso 
de uma carga isolada.
Esta é uma nova área em nosso livro, o "Para 
Pensar". Uma pausa no texto onde iremos propor 
alguns problemas ou situações para que o leitor 
possa por em prática o conhecimento apresentado 
até o momento. O "Para Pensar" tem a finalidade 
de fixar os conceitos e estimular o raciocínio dos 
leitores. Ao final do livro colocaremos a solução do 
problema ( ou uma das soluções, caso exista mais de 
uma ).
Vamos ao problema: Acabamos de ver um dipolo 
elétrico. Imagine o dipolo da figura acima, tendo as 
cargas negativa e positiva presas uma à outra. Agora 
colocaremos este dipolo num campo elétrico uniforme 
com linhas paralelas (vide item Linhas de força 
abaixo) e perpendiculares ao eixo que une as cargas. O 
que acontecerá ao dipolo?
Uma outra situação interessante é a de um anel 
carregado. Tendo um anel uniformemente 
carregado (digamos positivamente), calcularemos 
o campo elétrico num ponto p situado a uma 
distância x do centro do anel. Vide a figura 
abaixo:
Para esta análise utilizaremos 
os conceitos de diferencial e 
integral. Sobre estes assuntos 
recomendamos a leitura do 
livro Cálculo I.
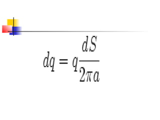
Tomemos um elemento 
do anel 
que contém uma carga elementar 
dada por:
onde a é o raio do anel e 
é a circunferência.
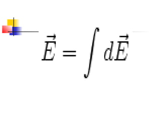
Este elemento produz um campo elétrico diferencial 
no ponto p, conforme mostra a figura acima. Para 
obtermos o campo elétrico resultante em p 
deveremos integrar os efeitos de todos os 
elementos do anel. Como o campo é um vetor 
teremos a seguinte integral vetorial:
Como vimos no exemplo do dipolo, aqui também teremos 
a anulação de uma componente dos vetores. Neste caso 
será a componente em y que será anulada. Poderemos, 
então, reescrever a equação acima como uma integral 
escalar, levando-se em conta somente as componentes do 
eixo x.
teremos:
O valor da integral 
é a própria circunferência 
do anel 
.
fazendo-se 
temos:
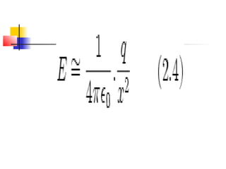
Compare a equação (2.4) com a 
(2.2). Concluímos que a distâncias 
muito maiores que o raio do anel, 
ele se comporta como uma carga 
puntiforme.
Tente agora equacionar o campo elétrico num ponto p 
qualquer devido a uma barra reta suposta infinita (cujo 
comprimento é muito maior que a distância do ponto p à 
barra) carregada uniformemente.
Linhas de força
Vimos que a toda carga elétrica está associado um 
campo elétrico que a envolve. Sabemos disto pois ao 
analizar-se um ponto qualquer desta região, 
colocando-se uma carga de prova, detectamos a 
presença de uma força (Força Elétrica) neste ponto. 
Mas como "visualizar" este campo? 
Quando espalhamos limalha de ferro sobre um campo 
magnético de um imã permanente (que estudaremos 
mais tarde) verificamos um alinhamento da limalha na 
direção do campo, concentrando-se nas áreas de maior 
intensidade do campo (ver em Linhas de Força
Foi inspirado na limalha de ferro que Faraday 
introduziu o conceito de Linhas de força do campo. 
Linha de força é definida como uma curva tangente em 
cada ponto à direção do campo neste ponto. Assim, 
dada uma linha de força, fica fácil determinarmos a 
direção do campo elétrico em cada ponto, pois será a 
tangente à curva. Além da direção, as linhas de força 
nos fornecem também o sentido do campo no ponto, 
indicado por sua orientação. Somente a intensidade não 
é possível de se determinar. Mas analizando a 
densidade de linhas num determinado ponto teremos 
uma idéia de regiões cujos campos são mais ou menos 
intensos.
Como vimos anteriormente (Cargas elétricas) 
existem cargas positivas e negativas. 
Convencionaremos que as linhas de força de 
uma carga puntiforme terão direção radial 
apontando para "fora" se for positiva ou para 
"dentro" se for negativa (veja a figura abaixo).
Visto isto, como ficariam as linhas de força do nosso 
Dipolo Elétrico estudado no item anterior? Como as 
cargas positivas e negativas se atraem, as linhas de força 
que "saem" da carga positiva encontram-se com as linhas 
que "entram" na carga negativa. Esquematicamente seria 
como a figura abaixo:
Devemos nos lembrar que existe ainda a simetria 
axial em torno do eixo z. As figuras estão 
representadas somente no plano ( x y. A figura 
acima, por exemplo, deverá ser repensada fazendo-se 
a rotação em torno do eixo que une as duas cargas. 
Como ilustração, as linhas de força de uma carga 
positiva, por exemplo, seria representada como a 
figura abaixo:
É importante reconhecer os eixos de simetria de 
um problema, pois nos permite prever a simetria 
das linhas de força. O que nos será muito útil no 
estudo a seguir de Fluxo Elétrico e a Lei de Gauss. 
No caso da figura acima, de uma esfera carregada, 
as linhas de força são radiais, sendo portanto de 
simetria esférica. Agora imagine um plano 
carregado positivamente, por exemplo. Teremos 
uma simetria plana com as linhas de força 
paralelas entre si e perpendiculares ao plano. 
Repare que o sentido das linhas acima e abaixo do 
plano são opostos.
Em um fio cilindrico carregado 
teremos a simetria radial, com as 
linhas de força radiais em planos 
perpendiculares ao fio. Tem a direção 
do vetor unitário 
em coordenadas cilíndricas 
.
Faça os exercícios e envie para o e-mail da professora 
cristina.moyses@gmail.com, para obter as resposta. Este é a 
parte I do curso não esqueça de adquirir a parte II e parte IIII. 
E do mesmo modo os módulos de calculo I,II e III

Eletromagnetismo

  • 1.
    Introdução . Estecurso destina-se aos alunos do Curso de Engenharia.
  • 3.
    Eletromagnetismo É umagente físico que é responsável pela transmissão das interações eletromagnéticas que se propagam no espaço com uma velocidade finito-Campo elétrico
  • 4.
    Este curso destina-seaos alunos de Engenharia . Não é um curso completo , mas poderá lhes dar uma visão mais simplificada da matéria como a solucionar alguns exercícios : -Porém o ponto principal é entender:Lei de Coulomb, Lei de Gaus –Equações de Maxwell , Energia potencial e Potencial Eletrostático , Lamina infinita de cargas , Capacitores , Faraday, Calculo I.
  • 5.
    ÍMÃS Os fenômenosmagnéticos são conhecidos desde a Antiguidade. Naquela época já se utilizavam certas pedras – que tinham a propriedade de atrair pedaços de ferro – na orientação da rota de grandes viagens. O vocábulo magnetismo é devido a uma região chamada Magnésia, localizada na Turquia, local em que essas pedras foram encontradas. Quando suspensas por seus centros de massa, tais pedras orientavam-se sempre no sentido norte-sul. Eram construídas de óxido de ferro e denominadas magnéticas. Atualmente, recebem o nome genérico de ímã natural. Só mais tarde descobriu-se a possibilidade de fabricar ímãs artificiais.
  • 6.
    Interações Fundamentais da Natureza  Forças na Natureza  Força forte – Nuclear é uma força de curto alcance  Força eletromagnética é uma força de longo alcance  Força Gravitacional – longo alcance  Força intensidade Eletromagnética 25 Fraca 0,8 Gravitacional 10-41
  • 7.
    Lei de Coulomb  Suponha que a interação entre a Terra e a Lua fosse puramente elétrica .Como poderíamos comprovar ou refutar essa hipótese? A melhor maneira de responder é conhecermos um pouco mais sobre o Campo elétrico .  Será que uma distribuição de cargas “altera” o espaço ao redor dela ? (da partícula)
  • 8.
    CAMPO MAGNÉTICO Analogamente ao campo elétrico, denomina-se campo magnético a região ao redor de um ímã na qual ocorre um efeito magnético. A sua representação é feita por linhas de campo ou linhas de indução, que são linhas imaginárias fechadas que saem do pólo norte e entram no pólo sul.
  • 10.
    No interior doímã, as linhas de campo vão do pólo sul para o pólo norte. Cada ponto de um campo magnético é caracterizado por um vetor denominado vetor indução elétrica ou vetor campo magnético, sempre tangente às linhas de campo e no mesmo sentido delas. A sua intensidade será definida mais adiante. Diz-se que um campo magnético é uniforme quando o vetor campo magnético é constante em todos os pontos do campo. Nesse caso, sua representação é um conjunto de linhas paralelas igualmente espaçadas e igualmente orientadas
  • 11.
    Campo Magnético criadopor corrente elétrica num fio retilíneo Em 1820, o físico dinamarquês Hans C. Oersted (1777-1851) verificou, experimentalmente, que a corrente elétrica cria um campo magnético ao seu redor. Oersted montou um circuito, mantendo um trecho do condutor esticado na direção norte-sul, colocando bem próximo e sob esse trecho uma bússola. Verificou que, ao fechar o circuito, a agulha magnética da bússola sofria um desvio e permanecia quase perpendicular ao condutor, graças ao aumento da corrente. Verificou ainda que, se o sentido da corrente fosse invertido, a agulha também sofria uma inversão em seu sentido. Da experiência, Oersted concluiu que: Uma corrente elétrica cria ao seu redor um campo magnético.
  • 13.
    Os vetores (Ee B) que caracterizam esses dois campos que possuem um valor definido a cada ponto no espaço e tempo. Se apenas o campo elétrico (E) não for nulo, e é constante no tempo, esse campo é denominado campo eletrostático. E e B (o campo magnético) são unidos pelas Equações de Maxwell.
  • 14.
    A teoria dodínamo é a mais aceita para explicar a origem do campo, que estende-se por dezenas de milhares de quilômetros no espaço, formando a chamada magnetosfera. O campo magnético terrestre assemelha-se a um dipolo magnético com seus pólos próximos aos pólos geográficos da Terra. Uma linha imaginária traçada entre os pólos sul e norte magnéticos apresenta uma inclinação de aproximadamente 11,3º relativa ao eixo de rotação da Terra.
  • 16.
    Variações do campomagnético A força do campo na superfície da Terra neste momento varia de menos de 30 micro teslas (0.3 Gauss), numa área que inclui a maioria da América do Sul e África do Sul, até superior a 60 micro teslas (0.6 Gauss) ao redor dos pólos magnéticos no norte do Canadá e sul da Austrália, e em parte da Sibéria.
  • 17.
    Magnetômetros detectaram desviosdiminutos no campo magnético da Terra causados por artefatos de ferro, fornos para queima de argila e tijolos, alguns tipos de estruturas de pedra, e até mesmo valas e sambaquis em pesquisa geofísica. Usando instrumentos magnéticos adaptados a partir de dispositivos de uso aéreo desenvolvidos durante a Segunda Guerra Mundial para detectar submarinos, as variações magnéticas através do fundo do oceano foram mapeadas. O basalto - rocha vulcânica rica em ferro que compõe o fundo do oceano - contém um forte mineral magnético (magnetita) e pode distorcer a leitura de uma bússola. A distorção foi percebida por marinheiros islandeses no início do século XVIII. Como a presença da magnetita dá ao basalto propriedades magnéticas mensuráveis, estas variações magnéticas forneceram novos meios para o estudo do fundo do oceano. Quando novas rochas formadas resfriam, tais materiais magnéticos gravaram o campo magnético da Terra no tempo
  • 18.
    Em Outubro de2003, a magnetosfera da Terra foi atingida por uma chama solar que causou uma breve, mas intensa tempestade geomagnética, provocando a aparição de luzes incomuns no norte Os efeitos dos campos magnéticos e do material radiativo O efeito de tais raios sobre qualquer avião situado dentro de seu campo magnético seria um curto-circuito de todos os instrumentos elétricos. Cortado o sistema de ignição, o avião perderia instantaneamente toda sustentação e entraria em um plano sobre o qual o piloto não teria controle algum, já que também a assistência elétrica das mãos estaria anulada. Este corte instantâneo de energia explicaria porque nenhum piloto pode enviar um SOS, ainda que alguns estiveram em contato direto com os controladores de terra. As supostas explosões de aviões no ar poderiam ser explicadas pelo arco que formariam os circuitos elétricos cortados, colocando em ignição os vapores gasosos ao entrar em contato com o campo magnético.
  • 19.
    O efeito dofenômeno sobre os barcos seria algo diferente. Os blocos de material radiativo romperiam a superfície com a velocidade de uma bomba de hidrogênio, incrustando-se nos cascos de aço dos navios como a cabeça magnética de um torpedo e com os mesmos efeitos devastadores. E concebível que uma embarcação alcançada por semelhante força atômica seja completamente desintegrada, o que explicaria porque não são encontrados sobreviventes nem restos flutuantes.
  • 20.
    A realidade do Campo eletromagnético  No Universo fixo temos a matéria , o espaço-tempo e os campos elétricos e magnéticos  A interação entre a matéria aparece no campo  Uma carga parada que são linhas tangentes ao campo elétrico em cada ponto.A relatividade espacial :contração do espaço.Uma carga que se move com velocidade V constante ao longo do eixo y –tem informações de intensidade do campo elétrico
  • 21.
    O trajeto daCarga puntiforme  q > 0 A carga anda e bate produzindo uma radiação de onda eletromagnética  Temos o eixo cartesiano,ZXY  Ao produzir uma radiação de onda eletromagnética : temos o campo 1 onde a carga elétrica é parada.  No campo 2 temos a região de transição  No campo 3 a carga puntiforme tem velocidade v
  • 22.
    Campo 1 Campo1 Campo 2 Campo 3 Campo 2 Campo 3 i f Z X
  • 34.
    Com outras cargas A carga elétrica é uma das propriedades fundamentais da matéria associada a algumas partículas elementares (partículas que constituem os átomos como: prótons, elétrons, pósitrons, nêutrons, neutrinos, etc.). Cada partícula elementar recebe um valor numérico que representa sua quantidade de carga elétrica. A carga elétrica é medida indiretamente pelos cientistas. Algumas partículas não possuem carga e são chamadas de neutras. O nêutron é um exemplo desse tipo de partícula. O elétron e o próton receberam um valor de carga elétrica denominado carga elementar, representado pela letra e. Na época de suas descobertas não se pensava em algo mais primitivo que essas partículas, por isso o nome elementar. Hoje se conhece partículas com cargas menores do que a carga elementar e, por convenção, esse termo se mantém em uso.
  • 35.
  • 36.
    Algum tipo dematéria é composta por átomos. Estes são tão minúsculos que nenhum microscópio corriqueiro permite vê-los. Uma fileira de dez milhões de átomos não chega a medir um milímetro. Contudo, os átomos não são as menores partículas da matéria: eles próprios se arranjam de partículas ainda menores, chamadas de fragmentos subatômicas. No centro de todo átomo existe um conjunto formado por dois tipos de partículas: os prótons e os nêutrons. Esse conjunto de fração é o núcleo do átomo. À derredor deste núcleo, como se fossem satélites, giram os elétrons, partículas em movimento constante , continuo. As trajetórias desses elétrons se organizam em camadas sucessivas chamadas órbitas eletrônicas.
  • 37.
    Estudo Dirigido 1 Você fará o questionário e o enviará para a professora , por e-mail. Cristina.moyses@gmail.com O que é eletromagnetismo ? Quais são as forças da Natureza? O que são interações fundamentais da Natureza ? Suponha que a interação entre a Terra e a Lua fosse puramente elétrica . Como poderíamos comprovar ou refutar essa hipótese ?
  • 38.
    Define o queé um campo? Define agora o que um campo elétrico ? Explicite com suas palavras este pequeno texto : A energia potencial elétrica de um sistema de cargas pontuais fixas é igual ao trabalho que precisa se realizar por um agente externo para reunir o sistema , trazendo cada carga para a sua posição a partir de uma distancia infinita . As cargas estão em repouso em suas posições iniciais e finais.
  • 39.
    Os prótons donúcleo e os elétrons das órbitas se atraem entre si. A esta força de atração recíproca chamamos de força elétrica. É a força elétrica que mantém os elétrons girando à volta dos prótons do núcleo. Sem ela, os elétrons se perderiam no espaço e os átomos não existiriam.
  • 41.
    Os elétrons, entretanto,repelem outros elétrons e os prótons repelem outros prótons. Dizemos, por isto, que as partículas com carga igual se repelem e as partículas com carga oposta se atraem. Convencionou-se chamar a carga dos prótons de positiva (+) e as carga dos elétrons de negativa (-).
  • 43.
    Introduziremos agora oconceito de Campo Elétrico. Este conceito é análogo ao de Campo Gravitacional estudado em Mecânica Newtoniana. Partindo da análise feita no capítulo anterior sobre o Princípio da Sobreposição, vimos que uma carga de prova (Q5) "sente" as demais cargas (Q1...Q4) através da força conforme a equação (1.2). Ou seja, a carga Q5 está sob influência de um campo elétrico gerado pelas cargas Q1...Q4. No caso da gravitação um corpo C1 qualquer distorce o espaço-tempo a sua volta que resulta numa aceleração num corpo C2 qualquer que passe nas proximidades. Porém este corpo C2 também distorce o espaço-tempo que é percebido por C1. Para estudar o campo gerado por C1 com a menor influência possível de C2 este tem que ter uma massa muito menor que C1. Um raciocínio análogo é feito em campos elétricos. Com a diferença que não é a massa que está em jogo, mas sim a carga elétrica.
  • 44.
    A opinião deforça à distância formava a alicerce de uma das linhas de pesquisa sobre os fenômenos eletromagnéticos adotadas na Europa na segunda metade do século XIX. Essa linha, abrangia principalmente fora da Grã Bretanha, buscava explicar os acontecimentos eletromagnéticos a partir de forças proporcionais ao inverso do quadrado da distância entre os corpos. Além disso, ponderava que estas forças agiam à distância, isto é, sem a necessidade de um meio para intermediar a influência mútua.
  • 46.
    Ao contrario doque se pensava até fins do século XIX, as cargas elétricas são quantizadas. Não assumem valores discretos, mas sim são múltiplos inteiros de uma carga elementar. A primeira prova experimental de tal carga foi feita por Helmholtz em 1881 utilizando as leis da eletrólise de Faraday, que diz que a passagem de uma certa quantidade de eletricidade através de um eletrólito sempre causa o depósito, no eletrodo, de uma quantidade estritamente definida de um dado elemento.
  • 47.
    Quantizada significa queela só pode assumir valores discretos ou seja, não pode assumir qualquer valor, apenas valores inteiros múltiplos de uma carga fundamental, que é a carga do elétron, -1,6 x 10 elevado a menos dezenove Coulomb. Essa é a menor carga que já foi observada em uma partícula isolada (apenas de estudos teóricos suporem que sub-particulas como os quarks possuam uma carga menor que essa carga fundamental). Essa também é a carga da partícula próton, mudando-se apenas o sinal. Porém num estudo de eletrodinâmica, nos concentramos mais na eletros fera onde ocorrem a maioria das interações eletrônicas do que no núcleo do átomo, e por isso, a representação de carga elétrica é usualmente representada por: e = -1,6 x 10^ (-19) C. O fato da carga elétrica ser quantizada significa que ela só pode existir em valores múltiplos de "e", tanto para mais quanto para menos (na verdade, o sinal serve para definir o sentido do vetor campo elétrico, quando essa partícula interage com uma outra partícula com carga elétrica para formar o campo).
  • 48.
    No século XVIII,Benjamin Franklin verificou experimentalmente que existem dois tipos de cargas diferentes, a as batizou como cargas negativas ( - ) e positivas ( + ). Nesta época os cientistas pensavam que a carga era um fluído que podia ser armazenado nos corpos, ou passar de um para outro. Atualmente, dizer-se que carga elétrica é uma propriedade intrínseca de algumas partículas. Assim como massa, a carga é uma propriedade elementar das partículas. A experiência realizada por Harvey Fletcher e Robert Millikan desmosntrou que a quantidade de carga elétrica é uma grandeza quantizada, ou seja, não pode assumir qualquer valor. Essa descoberta levou à conclusão de que a quantidade de carga elétrica Q é sempre um número inteiro n vezes a quantidade de carga elementar e :
  • 50.
    onde . Aunidade SI da carga elétrica é o ou .
  • 51.
    Eletrólitos Chama-se ELETRÓLITOa uma solução de ácido, base ou sal em água. Os eletrólitos são condutores muitíssimo importantes.
  • 52.
    Dissociação eletrolítica Échamada dissociação eletrolítica a separação dos íons que constituem a molécula . Os íons separados ficam “vagando” pela solução, sem uma direção determinada.
  • 53.
    Uma prova experimentalda dissociação eletrolítica é a seguinte: Sabemos que se dissolvermos em um litro d’água uma molécula-grama de açúcar, ou de álcool, ou de qualquer outro corpo que não seja ácido, nem base, nem sal, o ponto de solidificação da água baixa de 0oC a . (Fenômeno estudado em Crioscopia). O abaixamento dessa temperatura depende exclusivamente do número de partículas dissolvidas. E como a molécula-grama de qualquer corpo tem sempre o mesmo número de moléculas, que é o número de Avogadro ( ), para todas as substâncias o número de moléculas dissolvidas por molécula-grama é o mesmo, e por isso o abaixamento do ponto de solidificação é independente da substância.
  • 55.
    Suponhamos agora umasolução de um ácido, uma base ou um sal em água, por exemplo, cloreto de sódio em água. Sabemos que suas moléculas se dissociam, isto é, existem íons de sódio e de cloro soltos na água, caminhando em direções quaisquer. Suponhamos que nessa solução sejam mergulhadas duas placas metálicas A e B, ligadas aos pólos de um gerador G, que pode ser um acumulador ou uma série de pilhas que dêem mais ou menos 6 volts (veja a fig. acima)
  • 56.
    As duas placasmetálicas são chamadas eletrodos. O eletrodo negativo, isto é, aquele ligado ao pólo negativo do gerador é chamado cátodo. O eletrodo positivo, isto é, aquele ligado ao pólo positivo do gerador é chamado anodo
  • 57.
    O mecanismo dacondução da eletricidade pelos eletrólitos é explicado do seguinte modo : Ao dissolvermos o ácido, a base ou o sal na água, há dissociação de moléculas do ácido, da base ou do sal, e os íons resultantes ficam vagando pela solução. Depois, quando introduzimos na solução os eletrodos ligados aos pólos do gerador entre os eletrodos, , como há diferença de potencial entre eles, forma-se um campo elétrico entre os eletrodos dirigido do anodo ( + ) o catodo (-)
  • 58.
    Por causa dessecampo os íons ficam sujeitos a forças. Os íons positivos ficam sujeitos à forças que tem o mesmo sentido que o campo, e os negativos, à forças que tem sentido oposto ao do campo. Em virtude dessas forças os íons deixam de vagar pela solução sem direção determinada, mas, são “dirigidos”: os cátions são dirigidos para o cátodo, e os anions, para o anodo. Forma-se então a corrente elétrica.
  • 59.
    Já tínhamos assinaladoanteriormente, no tópico " Diferentes Tipos de Condução" , que num eletrólito a corrente é constituída pelo movimento de cargas positivas num sentido e de cargas negativas em sentido oposto, e o número de partículas positivas que se deslocam num sentido é igual ao número de partículas negativas que se deslocam no outro. Mas, exclusivamente para raciocínio, podemos imaginar que em uma corrente seja constituída exclusivamente por partículas positivas, em número duplo, que se deslocam dentro da solução do anodo para o cátodo.
  • 61.
    a condução daeletricidade nos metais não é do mesmo tipo que nos eletrólitos. Que nos metais ela é constituída exclusivamente pelo movimento de elétrons, que se deslocam num só sentido, enquanto que nos eletrólitos é constituída pelo movimento de íons positivos num sentido e de íons negativos em sentido oposto. Ora, quando fazemos passar corrente por um eletrólito, os eletrodos são ligados ao gerador G por fios metálicos a e b. Vejamos, então, como se explica a corrente elétrica nesse circuito fechado, pois nos metais a e b a corrente é constituída pelo movimento de elétrons, e na solução, pelo movimento de íons (fig. acima 2 ). O que se passa é o seguinte:
  • 62.
    O íon negativotem elétrons a mais, e é atraído pelo anodo, que é positivo; ao chegar ao anodo ele cede os elétrons que tem a mais e se transforma num átomo neutro. Os elétrons cedidos ao anodo, este os envia ao fio metálico a, que conduz esses elétrons do anodo para o gerador. O gerador envia esses elétrons ao cátodo, através do fio metálico b. (O cátodo é negativo porque recebe elétrons). O íon positivo tem falta de elétrons, e é atraído pelo cátodo; ao chegar aí, retira elétrons, e se transforma em átomo neutro
  • 63.
    Em resumo: porfora da solução, nos fios metálicos a e b que ligam os eletrodos ao gerador, a corrente é constituída pelo movimento de elétrons, que se dirigem do anodo para o cátodo através do gerador; esses elétrons são retirados dos anions pelo anodo e cedidos aos cátions pelo cátodo.
  • 64.
    Exemplo Suponhamos acondução da eletricidade por uma solução de cloreto de sódio. As moléculas se dissociam em íons de sódio (positivos) e íons de cloro (negativos). O íon de cloro, que é um átomo de cloro com um elétron a mais, ao chegar ao anodo cede a ele esse elétron e se torna um átomo de cloro (neutro); o elétron cedido ao anodo, êste o manda ao gerador. O íon de sódio, que é um átomo de sódio com um elétron a menos, ao chegar ao cátodo retira um elétron dele e se torna um átomo de sódio (neutro); esse elétron foi fornecido ao cátodo pelo gerador
  • 66.
    O valor absolutoda carga elétrica do elétron é chamado carga eletrônica e se representa pela letra e . Assim, a carga elétrica do elétron, com seu sinal, é representada por : e a do próton, por O valor da carga eletrônica é aproximadamente
  • 67.
    Pelos assuntos quejá estudamos, você pode agora fazer uma pausa e pensar no importantíssimo papel desempenhado pelo elétron na corrente elétrica. Vimos já que, quando se trata de corrente elétrica em um metal ela é constituída só pelo movimento de elétrons. Estamos vendo agora que nos eletrólitos a corrente é constituída pelo movimento de íons. Ora, os íons são átomos em que há elétrons a mais ou a menos. A conclusão a que chegamos é a seguinte: em qualquer caso em que há corrente elétrica, a carga elétrica que está em movimento é um múltiplo da carga do elétron
  • 68.
    Estudo Dirigido 2 Responda depois de ler o texto . Lembre que interpretar na Física é de suma importância . Não esqueça de enviar as respostas para cristina.moyses@gmail.com
  • 69.
    A idéia deforça à distância formava a base de uma das linhas de pesquisa sobre os fenômenos eletromagnéticos adotadas na Europa na segunda metade do século XIX. Essa linha, adotada principalmente fora da Grã Bretanha, buscava explicar os fenômenos eletromagnéticos a partir de forças proporcionais ao inverso do quadrado da distância entre os corpos. Além disso, considerava que estas forças agiam à distância, isto é, sem a necessidade de um meio para intermediar as interações. Outros pesquisadores – em especial Michael Faraday (1791-1867), William Thomson e James Clerk Maxwell – passaram a adotar uma visão diferente.
  • 70.
    Ao invés deconsiderar ação à distância, dedicaram-se a explicar os fenômenos eletromagnéticos como um efeito que se propagaria através de um meio. Faraday supôs que a eletricidade e o magnetismo agiriam através de “linhas de força”. Essas linhas teriam uma existência real e seriam elas mesmas as responsáveis pelos fenômenos eletromagnéticos. Na abordagem de Faraday, não havia necessidade de matéria comum para explicar a existência das linhas de força. No entanto, as linhas de força eram interpretadas como estruturas físicas, mas estruturas do quê? A resposta a essa pergunta foi sendo desenvolvida ao longo do século XIX e foi fortemente influenciada pela concepção que os físicos tinham sobre a natureza da luz.
  • 71.
    a) O quefenômeno ? b) E fenômeno eletromagnético ? c) Escreva uma formula para : forças proporcionais ao inverso do quadrado da distância entre os corpos. . d) Explicite : sem a necessidade de um meio para intermediar as interações. e) Explicite linhas de forças .
  • 72.
    Estamos vendo agoraque nos eletrólitos a corrente é constituída pelo movimento de íons. Ora, os íons são átomos em que há elétrons a mais ou a menos. A conclusão a que chegamos é a seguinte: em qualquer caso em que há corrente elétrica, a carga elétrica que está em movimento é um múltiplo da carga do elétron. Assim, se há um íon de sódio em movimento, há movimento da carga ; se há um íon em movimento, há movimento de carga , etc..
  • 73.
    A carga elétricado elétron (e a do próton) é a menor carga elétrica existente na natureza. Todas as cargas elétricas são múltiplas dela. Ela é a unidade natural de carga elétrica. Por isso é chamada, por muitos autores, átomo de eletricidade.
  • 74.
    Carga elétrica deum íon Se a valência de um íon é z, a carga desse íon é ze. Esta observação será usada no tópico " Leis de Faraday sobre a Eletrólise"; quando deduzirmos as leis de Faraday.
  • 75.
    Um parâmetro paraestudarmos Campo .
  • 77.
    Normalmente, cada átomoé eletricamente neutro, em outras palavras, tem quantidades iguais de carga negativa e positiva, ou seja, há tantos prótons em seu núcleo, quantos elétrons ao redor, no exterior. Os prótons estão fortemente ligados ao núcleo dos átomos. Somente os elétrons podem ser transferidos de um corpo para outro.
  • 79.
    Podemos dizer queum corpo está eletrizado quando possui excesso ou falta de elétrons. Se há excesso de elétrons, o corpo está eletrizado negativamente; se há falta de elétrons, o corpo está eletrizado positivamente
  • 81.
    A quantidade deelétrons em falta ou em excesso caracteriza a carga elétrica Q do corpo, podendo ser positiva no primeiro caso e negativa no segundo.
  • 82.
  • 83.
    A carga elétricaé uma das propriedades fundamentais da matéria associada a algumas partículas elementares (partículas que constituem os átomos como: prótons, elétrons, pósitrons, nêutrons, neutrinos, etc.). Cada partícula elementar recebe um valor numérico que representa sua quantidade de carga elétrica. A carga elétrica é medida
  • 84.
    indiretamente pelos cientistas.Algumas partículas não possuem carga e são chamadas de neutras. O nêutron é um exemplo desse tipo de partícula. O elétron e o próton receberam um valor de carga elétrica denominado carga elementar, representado pela letra e. Na época de suas descobertas não se pensava em algo mais primitivo que essas partículas, por isso o nome elementar. Hoje se conhece partículas com cargas menores do que a carga elementar e, por convenção, esse termo se mantém em uso .
  • 85.
    Experimentalmente, com aobservação de efeitos de atração e repulsão em corpos eletrizados, deduziu-se que eles também ocorrem nessas partículas. Caracterizou-se assim a existência de dois tipos de carga elétrica: a carga do próton e a carga do elétron. A diferença entre elas se fez através dos sinais "+" e "-", respectivamente. Esses experimentos mostraram que cargas de mesmo tipo se repelem e de tipos contrários se atraem.
  • 86.
  • 87.
  • 88.
    A existência deatração e repulsão foi descrita pela primeira vez em termos de cargas elétricas por Charles François de Cisternay du Fay em 1773. Investigando-se a eletrização por atrito concluiu-se que existem dois tipos de carga: carga positiva e carga negativa, como mostra a figura abaixo.
  • 89.
  • 90.
    Normalmente um corpoé neutro por ter quantidades iguais de cargas positivas e negativas. Quando o objeto I transfere carga de um dado sinal para o objeto II, o objeto I fica carregado com carga de mesmo valor absoluto, mas de sinal contrário. Esta hipótese, formulada pela primeira vez por Benjamin Franklin, é considerada a primeira formulação da lei de conservação de carga elétrica.
  • 91.
    Quantização da carga Em diversos problemas que serão abordados neste curso, assumiremos a existência de cargas distribuídas continuamente no espaço, do mesmo modo como ocorre com a massa de um corpo. Isto pode ser considerado somente uma boa aproximação para diversos problemas macroscópicos. De fato, sabemos que todos os objetos diretamente observados na natureza possuem cargas que são múltiplos inteiros da carga do elétron
  • 93.
    onde a unidadede carga , o Coulomb, será definida mais adiante. Este fato experimental foi observado pela primeira vez por Millikan em 1909.
  • 94.
  • 96.
    A matéria éformada de pequenas partículas, os átomos. Cada átomo, por sua vez, é constituído de partículas ainda menores, no núcleo: os prótons (positivos) e os nêutrons (sem carga); na eletrosfera: os elétrons (negativos). Às partículas eletrizadas, elétrons e prótons, chamamos "carga elétrica".
  • 98.
    Condutores de eletricidade São os meios materiais nos quais há facilidade de movimento de cargas elétricas, devido a presença de "elétrons livres". Ex: fio de cobre, alumínio, etc.
  • 99.
    Isolantes de eletricidade São os meios materiais nos quais não há facilidade de movimento de cargas elétricas. Ex: vidro, borracha, madeira seca, etc.
  • 101.
  • 102.
    Cargas elétricas demesmo sinal se repelem e de sinais contrários se atraem.
  • 103.
    negativo -------- neutro-------- positivo
  • 104.
    Num sistema eletricamenteisolado, a soma das cargas elétricas é constante. Corpo negativo: O corpo ganhou elétrons Corpo neutro: Número de prótons = Número de elétrons Corpo positivo: O corpo perdeu elétrons Medida da carga elétrica
  • 105.
    Dq = -n.e (se houver excesso de elétrons) Dq = + n.e (se houver falta de elétrons) e = 1,6.10-19 C Dq = quantidade de carga (C) n = número de cargas e = carga elementar (C) unidade de carga elétrica no SI é o Coulomb (C) É usual o emprego dos submúltiplos: 1 microcoulomb = 1mC = 10-6C 1 milecoulomb = 1mC = 10-3C
  • 106.
    Para estudarmos portantoo campo elétrico gerado por uma carga Qj qualquer utilizaremos uma segunda carga qi muito menor que a primeira. Uma carga elementar. Assim estudaremos os efeitos causados em qi pela carga Qj. Desta forma, dizemos que o Campo Elétrico é dado pela força sentida pela carga qi por unidade de carga. Ou seja:
  • 108.
    A unidade decampo elétrico é o N/C. Então teremos mais precisamente:
  • 110.
  • 112.
    Como discutimos anteriormentea Força Elétrica é um vetor. Da mesma maneira o Campo Elétrico também é um vetor que tem a mesma direção e sentido da força no ponto onde a carga se encontra.
  • 113.
    O que éum vetor :
  • 114.
    Vetor: segmento dereta orientado com origem e extremidade.
  • 116.
    Veja a origeme sua extremidade:
  • 118.
    Origem: o iníciodo vetor, a saída; Extremidade: a ponta da seta, a chegada. Onde termina o vetor dado;
  • 119.
    O vetor éuma grandeza com direção, sentido e intensidade;
  • 121.
    Direção - oângulo formado; Sentido - da origem à extremidade, de A para B no nosso exemplo; Intensidade - o comprimento, medida de força.
  • 122.
    A notação dovetor com origem no ponto A e extremidade no ponto B é:
  • 124.
    Um vetor podeser representado por um par ordenado quando estamos em duas dimensões (em R2) - que é o caso do CorelDRAW. A representação do vetor com origem em A e extremidade em B no plano cartesiano é:
  • 126.
    O 1º valorno eixo X (eixo das abscissas) e o 2º no eixo Y (eixo das ordenadas). Por exemplo: Um determinado vetor representado pelo par ordenado (2 , 3), x=2 e y=3.
  • 127.
    Vetores Iguais: possuema mesma direção, o mesmo sentido e mesma intensidade. Abaixo segmentos orientados representando o mesmo vetor:
  • 128.
    Vetores Paralelos: possuema mesma direção. Abaixo segmentos orientados representando vetores paralelos:
  • 129.
    Vetores Opostos: possuema mesma direção, a mesma intensidade (ou módulo). Porém sentido oposto de um vetor dado. Abaixo segmentos orientados representando vetores
  • 130.
  • 131.
    Vetor Nulo: vetorcuja intensidade é 0. Sua representação geométrica é um ponto; Por definição, o vetor nulo é paralelo a qualquer vetor não nulo.
  • 132.
    Vetores Ortogonais: vetoresque formam 90º entre si. Abaixo segmentos orientados representando vetores ortogonais:
  • 134.
    Vetores Coplanares: vetoresque estão no mesmo plano. Obs: Dois vetores, não nulos, ao mesmo tempo, sempre são coplanares.
  • 135.
    Soma de Vetores:a adição de um vetor com outro se dá da seguinte maneira - A origem do 2º vetor na extremidade do 1º vetor. Sem mudar a direção, sem mudar sentido. Apenas posicione. A distância da origem do 1º até a extremidade do 2º é a soma dos vetores dados:
  • 137.
    Soma com 3ou mais vetores: A origem do 2º vetor na extremidade do 1º vetor. A origem do 3º vetor na extremidade do 2º vetor. E assim sucessivamente... A distância da origem do 1º até a extremidade do último vetor será a soma dos vetores dados:
  • 139.
    Quando se estádesenhando ou vetorizando uma imagem no CorelDRAW, estamos executando operações com vetores. Principalmente soma (quando estamos criando o caminho para depois transformar alguns dos segmentos em curvas) na vetorização
  • 141.
    Por exemplo: Senossa soma mostrada no item anterior (exemplo 2) fosse uma forma fechada, para transformar o segmento azul (vetor w) em curva, selecione com a ferramenta forma a extremidade do segmento (ou vetor w, como preferir);
  • 143.
    Na barra propriedadesclique no botão converter linha em curva;
  • 145.
    Agindo nas alçasfaça a transformação desejada (aplicar a força desejada);
  • 147.
    No Corel 13fica mais claro o papel dos vetores, visto que as alças assumem a representação matemática de vetor. Podemos modificar as curvas alterando os atributos de um vetor (a intensidade, a direção ou sentido). Esses atributos definem a altura da curva, por exemplo, ou sua inclinação.
  • 149.
    É isso. Nãoiremos nos aprofundar muito, ficaremos nessa visão superficial. Este artigo é para você entender melhor o programa que utiliza. Espero ter ajudado de alguma forma
  • 150.
    Como discutimos anteriormentea Força Elétrica é um vetor. Da mesma maneira o Campo Elétrico também é um vetor que tem a mesma direção e sentido da força no ponto onde a carga qi se encontra.
  • 151.
    Cálculo do campoelétrico O cálculo do campo elétrico num ponto p qualquer devido a uma carga Q é dado pela equação:
  • 152.
    onde r éa distância da carga Q ao ponto p.
  • 153.
    No caso demais de uma carga agindo no ponto p o cálculo é feito utilizando-se a equação (2.2). Um caso de particular importância é quando temos 2 cargas de mesmo valor mas de sinais contrários separados por uma distância 2a (vide figura abaixo). Estudamos o campo elétrico num ponto p a uma distância d qualquer muito maior que 2a situado sobre a mediatriz do segmento que une Q + e Q − . A este sistema chamamos de Dipolo Elétrico.
  • 155.
    Chamaremos as cargaQ + eQ − de Q1eQ2 respectivamente. Logo o campo elétrico no ponto p é a soma vetorial dos campos . Os campos devido as cargas Q1eQ2 separadamente são:
  • 157.
    ELETROSTÁTICA Os fenômenosque levaram à descoberta da Lei de Coulomb:
  • 158.
    Os primeiros registrosdos quais se tem notícia, relacionados com fenômenos elétricos , foram obtidos pelos gregos . O filosofo e matemático Thales de Mileto ( séc.VI a.C.) observou que um pedaço de âmbar ( pedra amarela ) após atritado com a lã de um animal , adquiria a propriedade de atrair corpos leves como pedaços de palha e germe de grama.
  • 159.
    Cerca de doismil anos mais tarde o médico inglês W.Gilbert (1544-1603) fez observações sistemáticas de alguns fenômenos elétricos . Sua sistematização de alguns fenômenos elétricos . Sua sistematização baseou-se nas seguintes observações : vários outros corpos ao serem atritados se comportavam como o âmbar e a atração exercida por eles se manifesta sobre algum outro corpo.
  • 162.
    Foi Gilbert quemintroduziu o termo “ eletrizado “ e “ eletricidade” , nomes derivados da palavra grega para âmbar , elétron.
  • 163.
    O que éÂmbar : O âmbar, desde a Antigüidade, encantou e continua encantando as pessoas. Por que motivo uma resina fossilizada de árvores antigas tem tanto charme e exerce tanta atração sobre nós?
  • 164.
    As árvores queproduziram o âmbar viveram há milhões de anos: nas zonas temperadas, principalmente os pinheiros; e nas regiões tropicais, várias espécies de leguminosas. As resinas que essas árvores produziam funcionavam como proteção contra as bactérias e contra os insetos que furavam sua madeira. Com o passar do tempo, essa resina foi perdendo água e ar, e as substâncias orgânicas que a constituíam sofreram o que os químicos chamam de polimerização: a resina endureceu e se transformou naquilo que conhecemos como âmbar.
  • 165.
    Desde os temposantigos, o âmbar foi muito utilizado para a fabricação de jóias e de estatuetas. Acreditava-se, também, que ele tinha propriedades medicinais especiais; assim, misturava-se mel a âmbar em pó para curar a asma, a gota e até a peste negra! O âmbar também agia, pensava-se, contra as forças do Mal: esferas de âmbar sempre foram usadas como rosários e amuletos; a resina podia também ser queimada com outros produtos, como o incenso e a mirra, para afugentar os maus espíritos. Conta-se ainda que os marinheiros, no passado, queimavam âmbar nos seus navios, como proteção contra serpentes marinhas e outros monstros das profundezas do mar!
  • 166.
    Até hoje, oâmbar continua fascinando pessoas de todas as categorias. Enquanto artistas e joalheiros se sentem atraídos pela sua beleza, geólogos e paleontólogos o consideram um importante registro da vida pré-histórica. Isso porque, em algumas peças dessa resina, estão preservados insetos, lagartos, folhas e flores que ficaram nela aprisionados há milhões de anos, conservando detalhes minuciosos de sua estrutura e parte de sua composição química. Os arqueólogos, por sua vez, se interessam pelas antigas rotas de comércio do âmbar, enquanto os químicos investigam sua composição.
  • 167.
    Para os biólogos,organismos preservados em âmbar são um prato cheio: enquanto botânicos e zoólogos estudam os organismos nele aprisionados, geneticistas recuperam fragmentos de seu DNA, analisando-os e reconstituindo pequenas partes da história da vida. Essa última façanha, aliás, foi popularizada de forma fantasiosa pelo filme Parque dos Dinossauros, em que cientistas extraem DNA de sangue de dinossauro, encontrado no estômago de um mosquito. Este DNA, em seguida, é utilizado para reviver dinossauros! Ficção científica à parte, a importância real do âmbar para a ciência é muito grande.
  • 168.
  • 169.
    Quando o âmbaré esfregado com um pano, ele se torna eletrificado, podendo atrair pedaços de papel. A propósito, o nome grego para o âmbar é elektron, que originou a palavra eletricidade. Não é um bom condutor de calor e parece quente ao toque, ao contrário dos minerais, que dão uma sensação de frio. Dependendo do tipo de árvore de que provém, a composição química do âmbar varia muito. As cores também são bastante diversificadas: há âmbar com vários tons de amarelo, laranja, vermelho; ele pode ainda ser branco, marrom, e até verde e azul. As cores do arco-íris que às vezes se percebem no interior do âmbar são causadas por bolhas de ar nele aprisionadas. Algumas vezes, ainda, o âmbar, geralmente o de cor azul ou amarela, tem a propriedade de fluorescer.
  • 170.
    De onde vemo âmbar? A região do Mar Báltico tem sido, desde a pré-história, a principal fonte de âmbar. Embora não se saiba ao certo quando essa resina foi usada pela primeira vez, ela foi relacionada às populações da Idade da Pedra. Foi encontrado âmbar de origem báltica em túmulos egípcios de 3200 a. C.
  • 171.
    Sabe-se ainda, porexemplo, que a rota comercial dessa substância foi dominada pelos vikings dos anos 800 até 1000 de nossa era; a Escandinávia, aliás, continua a ser um dos maiores exportadores de âmbar. Na atualidade, no entanto, a República Dominicana tornou-se uma rica fonte da resina fossilizada, vindo em importância logo depois da área do Báltico. Além disso, o âmbar da República Dominicana tem um registro fóssil mais abundante: mais ou menos uma peça em cem tem alguma inclusão interessante, contra apenas uma peça em mil para o âmbar que vem do Báltico.
  • 172.
    Fósseis capturados Conhecem-semais de 1000 espécies de insetos, aracnídeos e crustáceos aprisionados dentro do âmbar. Quase 54% desses são moscas; encontram-se também formigas, abelhas (como a da figura), besouros, borboletas, cupins, aranhas, vespas, escorpiões, baratas, grilos e outros. O registro vegetal também é notável: há pedaços de samambaias, de musgos, de gimnospermas (como o cipreste e o pinheiro), e de angiospermas de várias espécies, como palmeiras e plantas herbáceas. Acham-se ainda marcas de folhas com suas nervuras detalhadas, e também pêlos de mamíferos e dentes molares.
  • 173.
    Em 1997, foianunciada a descoberta das primeiras flores conhecidas preservadas no âmbar, que parecem ter 65 milhões de anos. Foi também descoberto o mosquito mais velho do mundo, o ancestral dos trilhões de mosquitos sugadores de sangue.
  • 174.
  • 176.
    Em maio de1995, o microbiologista Raul Cano anunciou ter conseguido reviver bactérias encontradas no âmbar, a partir de esporos obtidos do abdômen de uma abelha aprisionada na resina, entre 25 e 40 milhões de anos atrás. O microrganismo, aparentemente, é geneticamente semelhante a uma bactéria moderna, chamada Bacillus sphaericus, que tem a capacidade, em tempos bicudos para sua sobrevivência, de parar de se mover, se alimentar ou se reproduzir. Há, no entanto, algum ceticismo nos meios científicos a respeito dessa descoberta: pensa-se que dificilmente um esporo de bactéria poderia ter se conservado num estado de vida suspensa durante tanto tempo
  • 177.
    Provavelmente, dizem essescríticos, a bactéria provém de contaminação dos instrumentos de laboratório. De qualquer modo, se for confirmada a descoberta, Cano terá sido o primeiro a conseguir uma ressurreição de um ser vivo do passado, o que seria um tento gigantesco na compreensão de alguns mistérios da evolução.
  • 178.
    Âmbar genuíno eâmbar falsificado A maioria dos insetos encontrados em pedaços de âmbar são de espécies que se extinguiram no passado. Às vezes, espécies atuais de insetos podem estar no âmbar; de uma maneira geral, porém, trata-se de uma falsificação: uma peça de âmbar é perfurada, e insetos ou pequenos animais são introduzidos nela; em seguida, o buraco é tapado com uma resina da mesma cor. Além disso, usam-se plásticos, como celulóide, ou então vidro para imitar o âmbar. Não é muito difícil, no entanto, fazer a distinção entre o âmbar genuíno e as falsificações. Quando se esfregam as imitações com um pano, elas se eletrificam muito mais fracamente do que o âmbar verdadeiro. Além disso, o celulóide fica cheirando a cânfora, material utilizado na sua fabricação.
  • 179.
    Também aparece essecheiro quando o celulóide é colocado em água quente ou então queimado. Outros tipos de plástico, quando queimados, produzem um cheiro desagradável de ácido fênico e não se forma fumaça. O âmbar aquecido, ao contrário, produz uma fumaça esbranquiçada e tem um odor adocicado de resina e de madeira de pinheiro. Outro teste simples para se distinguir o âmbar de suas imitações é mergulhar a peça em água do mar ou em uma solução saturada de sal de cozinha. O âmbar genuíno flutua; as imitações afundam, mais rapidamente ainda quando são de vidro.
  • 180.
    Se você seinteressa pelo âmbar... Há inúmeros sites na Internet dedicados ao âmbar. Na realidade, esse artigo foi compilado a partir de informações obtidas de vários desses sites. Basta você colocar a palavra “amber” num dos instrumentos de busca, como o Yahoo, o Lycos, o Excite etc., para descobrir uma grande quantidade de homepages que, direta ou indiretamente, falam do âmbar. Gostaríamos, porém, de dar uma sugestão mais específica. Visite, no endereço da Internet que forneçemos abaixo, algumas fotos de peças de âmbar, que fizeram parte de uma exposição no American Museum of Natural History, em Nova York. Ao clicar sobre a pequena foto de cada peça, aparecerá uma foto maior mostrando o organismo aprisionado no interior da resina. O endereço é: http://www.amnh.org/exhibitions/amber/
  • 181.
    Qual a naturezada eletricidade?
  • 182.
    Como explicar ofenômeno da eletrização ? O cientista Frances François Dufay deu a seguinte explicitação : Com base na observação de que um corpo ao ser atraído por outro corpo eletrizado era repelido após tocá-lo , concluiu que dois corpos eletrizados sempre se repelem . entretanto esta idéia teve de ser modificada devido a novas observações experimentais que a contradiziam:
  • 183.
    a)observou que umpedaço de vidro atraído com seda atraia um pedaço de âmbar que tivesse sido previamente atritado com pele , portanto a experiência mostrou que dois corpos eletrizados podem se atrair.
  • 184.
    Baseando-se num grandenúmero de experiências lançou então as bases de uma nova hipótese que teve grande aceitação durante todo o século XVIII.Segundo ele existiam dois tipos de eletricidade vítrea , aquela que aparece no vidro após ser atritado com seda , e a eletricidade resinosa , aquela que aparece no âmbar atritado com pele ( o âmbar é uma resina) . Todos os corpos que possuíssem eletricidade vítrea ( ou resinosa) repeliram uns aos outros . Por outro lado , corpos com eletricidade de nomes contrários , atraíam-se mutuamente.
  • 185.
    Para estudarmos portantoo campo elétrico gerado por uma carga Qj qualquer utilizaremos uma segunda carga qi muito menor que a primeira. Uma carga elementar. Assim estudaremos os efeitos causados em qi pela carga Qj. Desta forma, dizemos que o Campo Elétrico é dado pela força sentida pela carga qi por unidade de carga. Ou seja:
  • 187.
    A unidade decampo elétrico é o N/C. Então teremos mais precisamente:
  • 189.
  • 191.
  • 192.
    O cálculo docampo elétrico num ponto p qualquer devido a uma carga Q é dado pela equação:
  • 194.
    onde r éa distância da carga Q ao ponto p. No caso de mais de uma carga agindo no ponto p o cálculo é feito utilizando-se a equação (2.2). Um caso de particular importância é quando temos 2 cargas de mesmo valor mas de sinais contrários separados por uma distância 2a (vide figura abaixo). Estudamos o campo elétrico num ponto p a uma distância d qualquer muito maior que 2a situado sobre a mediatriz do segmento que une Q + eQ − .
  • 195.
    A este sistemachamamos de Dipolo Elétrico.
  • 197.
    Chamaremos as cargaQ + eQ − de Q1eQ2 respectivamente. Logo o campo elétrico no ponto p é a soma vetorial dos campos . Os campos devido as cargas Q1eQ2 separadamente são:
  • 200.
    O campo total será então:
  • 202.
    Analisando a decomposiçãodos vetores campo em x e em y, conforme figura abaixo, vemos que as componentes em x se anulam, sendo o campo no ponto p composto
  • 203.
    somente pelas componentesem y dos campos e .
  • 205.
  • 207.
  • 208.
    Sabemos também queos valores das cargas Q1 e Q2, conforme havíamos dito anteriormente, são iguais. Podemos então reescrever a equação para:
  • 210.
    O cálculo docampo elétrico num ponto p qualquer devido a uma carga Q é dado pela equação
  • 211.
    onde r éa distância da carga Q ao ponto p. No caso de mais de uma carga agindo no ponto p o cálculo é feito utilizando-se a equação (2.2). Um caso de particular importância é quando temos 2 cargas de mesmo valor mas de sinais contrários separados por uma distância 2a (vide figura abaixo). Estudamos o campo elétrico num ponto p a uma distância d qualquer muito maior que 2a situado sobre a mediatriz do segmento que une Q + eQ −
  • 212.
    A este sistemachamamos de Dipolo Elétrico.
  • 213.
    Chamaremos as cargaQ + eQ − de Q1eQ2 respectivamente. Logo o campo elétrico no ponto p é a soma vetorial dos campos . Os campos devido as cargas Q1eQ2 separadamente são:
  • 216.
    O campo total será então:
  • 218.
    Analisando a decomposiçãodos vetores campo em x e em y, conforme figura abaixo, vemos que as componentes em x se anulam, sendo o campo no ponto p composto
  • 219.
  • 220.
  • 223.
    como poderemos desprezara na equação. Teremos então:
  • 225.
    Chamamos ao produto de momento do dipolo elétrico. Então:
  • 227.
    Observem que numdipolo o campo decresce com o cubo da distância e não com o quadrado como no caso de uma carga isolada.
  • 228.
    Esta é umanova área em nosso livro, o "Para Pensar". Uma pausa no texto onde iremos propor alguns problemas ou situações para que o leitor possa por em prática o conhecimento apresentado até o momento. O "Para Pensar" tem a finalidade de fixar os conceitos e estimular o raciocínio dos leitores. Ao final do livro colocaremos a solução do problema ( ou uma das soluções, caso exista mais de uma ).
  • 229.
    Vamos ao problema:Acabamos de ver um dipolo elétrico. Imagine o dipolo da figura acima, tendo as cargas negativa e positiva presas uma à outra. Agora colocaremos este dipolo num campo elétrico uniforme com linhas paralelas (vide item Linhas de força abaixo) e perpendiculares ao eixo que une as cargas. O que acontecerá ao dipolo?
  • 230.
    Uma outra situaçãointeressante é a de um anel carregado. Tendo um anel uniformemente carregado (digamos positivamente), calcularemos o campo elétrico num ponto p situado a uma distância x do centro do anel. Vide a figura abaixo:
  • 232.
    Para esta análiseutilizaremos os conceitos de diferencial e integral. Sobre estes assuntos recomendamos a leitura do livro Cálculo I.
  • 289.
    Tomemos um elemento do anel que contém uma carga elementar dada por:
  • 291.
    onde a éo raio do anel e é a circunferência.
  • 292.
    Este elemento produzum campo elétrico diferencial no ponto p, conforme mostra a figura acima. Para obtermos o campo elétrico resultante em p deveremos integrar os efeitos de todos os elementos do anel. Como o campo é um vetor teremos a seguinte integral vetorial:
  • 294.
    Como vimos noexemplo do dipolo, aqui também teremos a anulação de uma componente dos vetores. Neste caso será a componente em y que será anulada. Poderemos, então, reescrever a equação acima como uma integral escalar, levando-se em conta somente as componentes do eixo x.
  • 298.
  • 300.
    O valor daintegral é a própria circunferência do anel .
  • 302.
  • 304.
    Compare a equação(2.4) com a (2.2). Concluímos que a distâncias muito maiores que o raio do anel, ele se comporta como uma carga puntiforme.
  • 305.
    Tente agora equacionaro campo elétrico num ponto p qualquer devido a uma barra reta suposta infinita (cujo comprimento é muito maior que a distância do ponto p à barra) carregada uniformemente.
  • 306.
  • 307.
    Vimos que atoda carga elétrica está associado um campo elétrico que a envolve. Sabemos disto pois ao analizar-se um ponto qualquer desta região, colocando-se uma carga de prova, detectamos a presença de uma força (Força Elétrica) neste ponto. Mas como "visualizar" este campo? Quando espalhamos limalha de ferro sobre um campo magnético de um imã permanente (que estudaremos mais tarde) verificamos um alinhamento da limalha na direção do campo, concentrando-se nas áreas de maior intensidade do campo (ver em Linhas de Força
  • 308.
    Foi inspirado nalimalha de ferro que Faraday introduziu o conceito de Linhas de força do campo. Linha de força é definida como uma curva tangente em cada ponto à direção do campo neste ponto. Assim, dada uma linha de força, fica fácil determinarmos a direção do campo elétrico em cada ponto, pois será a tangente à curva. Além da direção, as linhas de força nos fornecem também o sentido do campo no ponto, indicado por sua orientação. Somente a intensidade não é possível de se determinar. Mas analizando a densidade de linhas num determinado ponto teremos uma idéia de regiões cujos campos são mais ou menos intensos.
  • 309.
    Como vimos anteriormente(Cargas elétricas) existem cargas positivas e negativas. Convencionaremos que as linhas de força de uma carga puntiforme terão direção radial apontando para "fora" se for positiva ou para "dentro" se for negativa (veja a figura abaixo).
  • 311.
    Visto isto, comoficariam as linhas de força do nosso Dipolo Elétrico estudado no item anterior? Como as cargas positivas e negativas se atraem, as linhas de força que "saem" da carga positiva encontram-se com as linhas que "entram" na carga negativa. Esquematicamente seria como a figura abaixo:
  • 313.
    Devemos nos lembrarque existe ainda a simetria axial em torno do eixo z. As figuras estão representadas somente no plano ( x y. A figura acima, por exemplo, deverá ser repensada fazendo-se a rotação em torno do eixo que une as duas cargas. Como ilustração, as linhas de força de uma carga positiva, por exemplo, seria representada como a figura abaixo:
  • 315.
    É importante reconheceros eixos de simetria de um problema, pois nos permite prever a simetria das linhas de força. O que nos será muito útil no estudo a seguir de Fluxo Elétrico e a Lei de Gauss. No caso da figura acima, de uma esfera carregada, as linhas de força são radiais, sendo portanto de simetria esférica. Agora imagine um plano carregado positivamente, por exemplo. Teremos uma simetria plana com as linhas de força paralelas entre si e perpendiculares ao plano. Repare que o sentido das linhas acima e abaixo do plano são opostos.
  • 316.
    Em um fiocilindrico carregado teremos a simetria radial, com as linhas de força radiais em planos perpendiculares ao fio. Tem a direção do vetor unitário em coordenadas cilíndricas .
  • 384.
    Faça os exercíciose envie para o e-mail da professora cristina.moyses@gmail.com, para obter as resposta. Este é a parte I do curso não esqueça de adquirir a parte II e parte IIII. E do mesmo modo os módulos de calculo I,II e III

Notas do Editor

  • #5 Este curso destina-se aos alunos de Engenharia . Não é um curso completo , mas poderá lhes dar uma visão mais simplificada da matéria como a solucionar alguns exercicios .Porém o ponto principal é entender:LEI DE COULOMB,Lei de Gaus –Equações de Maxwell , Energia potencial e Potencial Eletrostático , Lamina infinita de cargas , Capacitores , Faraday,Calculo I.
  • #7 Forças na Natureza Força forte – Nuclear é uma força de curto alcance Força eletromagnética é uma força de longo alcance Força Gravitacional – longo alcance Interações fundamentais da natureza
  • #15 A realidade do Campo eletrico : A interação entre a máteria aparece no Campo
  • #34 Outras cargas
  • #385 Faça os exercícios e envie para o e-mail da professora cristina.moyses@gmail.com, para obter as resposta. Este é a parte I do curso não esqueça de adquirir a parte II e parte IIII. E do mesmo modo os módulos de calculo I,II e III