Balanço Hídrico e Perda de Solo em Pastagens
Estudo Comparativo de Pastagens Permanentes Semeadas
Biodiversas Ricas em Leguminosas e Pastagens Naturais
Patrícia Páscoa de Oliveira Ramos
Dissertação para obtenção do Grau de Mestre em
Engenharia do Ambiente
Júri
Presidente: Professor Doutor Ramiro Joaquim de Jesus Neves
Orientador: Professor Doutor Tiago Morais Delgado Domingos
Co-orientador: Doutora Helena Maria Campos Martins
Vogal: Doutora Ana Margarida Seixas Horta
Outubro de 2011
I
AGRADECIMENTOS
O meu agradecimento ao Professor Doutor Tiago Domingos pela oportunidade de realizar este
trabalho sob a sua orientação. À Doutora Helena Martins agradeço a disponibilidade, a
orientação e a motivação.
À Engenheira Tatiana Valada agradeço a valiosa colaboração. Ao Doutor Ricardo Teixeira
agradeço a orientação inicial deste trabalho.
Agradeço ao Engenheiro António Martelo e ao Engenheiro Nuno Rodrigues pela colaboração.
Ao Professor Eugénio Sequeira agradeço a disponibilidade que demonstrou para me ajudar na
fase final do meu trabalho. Ao Eng. David Crespo e ao Eng. Filipe Verdasca quero agradecer o
contributo prestado também na fase final do meu trabalho.
À minha família, por todo o apoio e motivação.
II
III
RESUMO
Este trabalho tem como objectivo o estudo comparativo do balanço hídrico e da perda de solo
em pastagens permanentes semeadas biodiversas ricas em leguminosas (PPSBRL) e em
pastagens naturais (PN), recorrendo a modelação. Sabendo que às primeiras está associado
um maior aumento de matéria orgânica no solo (MOS), foi escolhida esta variável para
diferenciar os dois sistemas. Simulou-se a infiltração de água no solo e a evapotranspiração,
sabendo assim o volume de escorrimento superficial gerado e o conteúdo de água no solo.
Calculou-se a perda de solo para cada evento pluvioso que gerou escorrimento superficial,
utilizando os dados obtidos pelo balanço hídrico.
Os resultados obtidos permitem concluir que nas PPSBRL o volume de água infiltrada foi
superior, resultando num volume inferior de escorrimento superficial e menor perda de solo,
devido ao maior teor de MOS. O volume total de água disponível para as plantas, todavia, não
sofreu alteração significativa com o aumento de MOS e, como a evapotranspiração é superior
nas PPSBRL, devido à sua maior produtividade, o conteúdo de água no solo nestas pastagens
pode até ser inferior.
Palavras-chave: pastagens permanentes semeadas biodiversas ricas em leguminosas,
pastagens naturais, matéria orgânica do solo, balanço hídrico, perda de solo.
IV
V
ABSTRACT
The goal of this work is the comparative study of the water balance and soil loss in sown
biodiverse permanent pastures rich in legumes (SBPPRL) and in natural grasslands (NG), using
models. SBPPRL show a higher increase in soil organic matter (SOM) and so this variable was
chosen to differentiate the two systems. The models used simulated water infiltration into the
soil and evapotranspiration, which permitted to know the volume of surface runoff and soil water
content. Soil loss from each rainfall event that generated surface runoff was calculated, using
data from the water balance.
The results lead to the conclusion that the volume of infiltrated water was higher on SBPPRL
and thus the surface runoff and the soil loss was smaller due to higher SOM content. Plant
available water, however, did not change significantly with the increase of SOM and because
evapotranspiration is higher on SBPPRL, due to the higher productivity, soil water content may
be smaller on these pastures.
Keywords: sown biodiverse permanent pastures rich in legumes, natural grasslands, soil
organic matter, water balance, soil loss.
VI
VII
Índice
AGRADECIMENTOS......................................................................................................................... I
RESUMO....................................................................................................................................... III
ABSTRACT......................................................................................................................................V
Índice...........................................................................................................................................VII
Índice de Equações.....................................................................................................................VIII
Índice de Tabelas........................................................................................................................... X
Índice de Figuras .......................................................................................................................... XI
Lista de Acrónimos.....................................................................................................................XIV
Lista de notações........................................................................................................................XIV
1 INTRODUÇÃO......................................................................................................................... 1
2 FUNDAMENTOS TEÓRICOS .................................................................................................... 4
2.1 Propriedades físicas do solo.......................................................................................... 4
2.2 O balanço hídrico do solo e a MOS ............................................................................... 5
2.3 A erosão e a MOS.......................................................................................................... 7
3 ESTADO DA ARTE ................................................................................................................... 8
4 CARACTERIZAÇÃO DOS LOCAIS ESTUDADOS....................................................................... 12
5 METODOLOGIA .................................................................................................................... 14
5.1 Modelação da MOS..................................................................................................... 14
5.2 Modelação do balanço hídrico.................................................................................... 16
5.2.1 Ponto de emurchimento e capacidade de campo .................................................. 18
5.2.2 Infiltração/Escorrimento superficial – Equação de Green e Ampt ......................... 20
5.2.3 Evapotranspiração – FAO Penman-Monteith ......................................................... 23
5.2.4 Modelação da percolação....................................................................................... 35
5.3 Modelação da Perda de Solo....................................................................................... 36
5.3.1 EUPSM: Equação Universal de Perda de Solo Modificada...................................... 37
5.3.2 EUPS: Equação Universal de Perda de Solo e EUPSaj............................................... 45
5.4 Estimativa de parâmetros da Equação de Green e Ampt........................................... 47
5.4.1 Condutividade hidráulica efectiva........................................................................... 47
5.4.2 Porosidade total e porosidade efectiva .................................................................. 49
5.4.3 Potencial mátrico do solo........................................................................................ 50
5.5 Estimativa de dados climáticos para a modelação da evapotranspiração e infiltração
50
VIII
5.5.1 Temperatura diária, humidade relativa e vento médio diário............................... 51
5.5.2 Radiação solar ......................................................................................................... 51
5.5.3 Precipitação horária ................................................................................................ 51
6 RESULTADOS E DISCUSSÃO.................................................................................................. 52
6.1 Matéria Orgânica......................................................................................................... 53
6.2 Conteúdo de água no solo .......................................................................................... 53
6.3 Escorrimento superficial ............................................................................................. 59
6.4 Perda de solo............................................................................................................... 62
6.5 Comparação com EUPS e EUPSaj ................................................................................. 63
7 CONCLUSÕES ....................................................................................................................... 65
REFERÊNCIAS............................................................................................................................... 69
ANEXOS .......................................................................................................................................... i
Anexo 1 – Matéria Orgânica do Solo.......................................................................................... i
Anexo 2 – Ponto de emurchimento, capacidade de campo, porosidade efectiva e água
disponível total.......................................................................................................................... ii
Anexo 3 – Condutividade hidráulica saturada........................................................................... v
Índice de Equações
Equação 1 – Balanço hídrico diário de um solo ............................................................................ 5
Equação 2 – Balanço de massa da MOS...................................................................................... 14
Equação 3 – Solução do baalanço de massa da MOS ................................................................. 15
Equação 4 – Input de MOS.......................................................................................................... 15
Equação 5 – Modelo da dinâmica de MO em pastagens............................................................ 15
Equação 6 – Conteúdo de água no solo no ponto de emurchimento ........................................ 19
Equação 7 – Conteúdo de água no solo na capacidade de campo............................................. 19
Equação 8 – Taxa de infiltração da equação de Green e Ampt .................................................. 20
Equação 9 – Solução da Equação de Green e Ampt.................................................................... 21
Equação 10 – Altura da frente de humedecimento.................................................................... 21
Equação 11 – Taxa de infiltração antes do alagamento ............................................................. 21
Equação 12 – Infiltração acumulada antes do alagamento........................................................ 22
Equação 13 – Taxa de infiltração após alagamento.................................................................... 22
Equação 14 − Infiltração acumulada após alagamento .............................................................. 22
IX
Equação 15 – Pseudotempo........................................................................................................ 22
Equação 16 – Infiltração acumulada no instante do alagamento............................................... 23
Equação 17 – Tempo de alagamento.......................................................................................... 23
Equação 18 – Equação de FAO Penman-Monteith..................................................................... 23
Equação 19 – Radiação absorvida............................................................................................... 24
Equação 20 – Radiação emitida. ................................................................................................. 24
Equação 21 - Radiação de céu limpo........................................................................................... 25
Equação 22 - Radiação extraterrestre......................................................................................... 25
Equação 23 - Distância relativa inversa entre a Terra e o Sol..................................................... 26
Equação 24 - Declinação solar..................................................................................................... 26
Equação 25 - Ângulo do Sol ao pôr-do-sol.................................................................................. 26
Equação 26 - Pressão de saturação de vapor média diária. ....................................................... 27
Equação 27 - Pressão de saturação de vapor. ............................................................................ 27
Equação 28 - Pressão de vapor real............................................................................................ 27
Equação 29 - Temperatura de orvalho........................................................................................ 28
Equação 30 - Declive da curva de pressão de vapor................................................................... 28
Equação 31 - Constante psicrométrica ....................................................................................... 29
Equação 32 - Pressão atmosférica. ............................................................................................. 29
Equação 33 – Evapotranspiração de cultura, com o método de FAO Penman-Monteith.......... 30
Equação 34 – Coeficiente de cultura duplo ................................................................................ 31
Equação 35 – Método numérico para determinação de ....................................................... 32
Equação 36 – Água disponível total ............................................................................................ 33
Equação 37 – Coeficiente de stress hídrico................................................................................. 33
Equação 38 - Água prontamente disponível............................................................................... 33
Equação 39 – Ajuste do parâmetro .......................................................................................... 34
Equação 40 – Evapotranspiração da cultura, ajustada ............................................................... 34
Equação 41 – Volume de água percolado................................................................................... 35
Equação 42 – Tempo de transferência........................................................................................ 35
Equação 43 – Condutividade hidráulica saturada ajustada........................................................ 35
Equação 44 – Parâmetro ........................................................................................................ 36
Equação 45 – Volume de água percolado ajustado.................................................................... 36
Equação 46 – Equação universal de perda de solo modificada .................................................. 37
Equação 47 – Caudal de ponta de cheia, calculado pelo método racional................................. 38
X
Equação 48 – Coeficiente de escorrimento superficial............................................................... 38
Equação 49 – Intensidade de precipitação ................................................................................. 39
Equação 50 – Fracção da precipitação que ocorre durante o tempo de concentração............. 39
Equação 51 – fracção da precipitação diária que ocorre durante o tempo de concentração.... 39
Equação 52 – Tempo de concentração....................................................................................... 40
Equação 53 – Tempo de concentração....................................................................................... 40
Equação 54 – Factor de erodibilidade do solo............................................................................ 41
Equação 55 – Relação de comprimento de encosta................................................................... 44
Equação 56 – Relação de declive de encosta.............................................................................. 44
Equação 57 – Equação Universal de Perda de Solo .................................................................... 45
Equação 58 – EUPSaj .................................................................................................................... 45
Equação 59 – Energia cinética da precipitação........................................................................... 46
Equação 60 - Condutividade hidráulica saturada........................................................................ 47
Equação 61 – Parâmetro ......................................................................................................... 47
Equação 62 - Densidade aparente do solo.................................................................................. 47
Equação 63 - Capacidade de troca catiónica da argila................................................................ 48
Equação 64 – Conteúdo de água residual................................................................................... 49
Equação 65 – Porosidade total.................................................................................................... 49
Equação 66 – Fracção de ar aprisionado num solo saturado (Fonte: Rawls et al., 1989) .......... 49
Equação 67 – Porosidade efectiva .............................................................................................. 50
Equação 68 – Potencial mátrico.................................................................................................. 50
Equação 69 – Potencial capilar médio ........................................................................................ 50
Equação 70 – Equação de Hargreaves-Samani ........................................................................... 51
Equação 71 - Relação entre e . ........................................................................................ 51
Índice de Tabelas
Tabela 1 – Localização e caracterização do solo das herdades estudadas................................. 12
Tabela 2 – Análise granulométrica das herdades consideradas ................................................. 12
Tabela 3 – Variáveis e estações meteorológicas consideradas................................................... 13
Tabela 4 – Parâmetros do modelo de dinâmica da MOS............................................................ 16
Tabela 5 – MOS inicial para cada Herdade.................................................................................. 16
Tabela 6 - Latitude das herdades. ............................................................................................... 26
Tabela 7 - Valores de , e . ................................................................................................... 29
XI
Tabela 8 - Cota das herdades...................................................................................................... 30
Tabela 9 - Duração dos estágios de desenvolvimento de PPSBRL e PN (dias)............................ 32
Tabela 10 - Valores de para os estágios de desenvolvimento de pastagens......................... 32
Tabela 11 – Valores do comprimento do declive e do declive ................................................... 40
Tabela 12 – Coeficiente de rugosidade de Manning................................................................... 41
Tabela 13 – Valor do parâmetro para cada tipo de estrutura de solo................................... 42
Tabela 14 – Valor do parâmetro para cada tipo de permeabilidade do solo.......................... 42
Tabela 15 – Relação entre a textura e o parâmetro ................................................................ 42
Tabela 16 - Valores de e para cada Herdade...................................................................... 43
Tabela 17 – Factor para pastagens permanentes e pastagens pobres ................................... 43
Tabela 18 – Relação entre o coeficiente m e o declive s ............................................................ 45
Tabela 19 – Comprimento da encosta, declive, e factor fisiográfico da pastagem em estudo
..................................................................................................................................................... 45
Tabela 20 – Factor de erosividade da precipitação, , para as Herdades estudadas................. 46
Tabela 21 – Capacidade de troca catiónica para cada pastagem ............................................... 48
Tabela 22 – Data de início e ano final da modelação, para cada Herdade................................. 52
Índice de Figuras
Figura 1 - Normais climatológicas para Arraiolos (1971-2000)................................................... 13
Figura 2 – Esquema de cálculo do balanço hídrico ..................................................................... 18
Figura 3 – Volume de controlo.................................................................................................... 18
Figura 4 - Variação do ponto de emurchimento e da capacidade de campo com a MOS.......... 20
Figura 5 - Variação do ponto de emurchimento e da capacidade de campo com a Areia ......... 20
Figura 6 - Variação do ponto de emurchimento e da capacidade de campo com a Argila ........ 20
Figura 7 – MOS média................................................................................................................. 53
Figura 8 – Coeficiente de cultura para os vários estágios de desenvolvimento......................... 54
Figura 9 – Ponto de emurchimento médio ................................................................................. 54
Figura 10 – Capacidade de campo média ................................................................................... 55
Figura 11 – Porosidade efectiva média....................................................................................... 55
Figura 12 – Água disponível total média..................................................................................... 55
Figura 13 - Conteúdo de água no solo calculado na Herdade de Monte do Mestre, numa
PPSBRL, no ano de 2004.............................................................................................................. 57
XII
Figura 14 -Resultados obtidos no Projecto AGRO87, na Herdade de Mestre, de Dezembro de
2003 a Maio de 2005................................................................................................................... 57
Figura 15 - Conteúdo de água no solo calculado na Herdade de Monte do Mestre, numa
PPSBRL, no ano de 2004, excluindo a percolação....................................................................... 57
Figura 16 – Conteúdo de água no solo e altura da frente de humedecimento na Herdade de
Monte do Mestre, numa PPSBRL, no ano de 2004, excluindo a percolação.............................. 58
Figura 17 – Conteúdo de água no solo na Herdade da Cabeça Gorda, no ano de 2001 ............ 58
Figura 18 - Conteúdo de água no solo na Herdade da Cabeça gorda, no ano de 2007.............. 58
Figura 19 – Conteúdo de água no solo na Herdade de Monte do Mestre, no ano de 2002 ...... 59
Figura 20 – Conteúdo de água no solo na Herdade de Mestre, no ano de 2007 ....................... 59
Figura 21 - Conteúdo de água no solo na Herdade de Refroias, no ano de 2001....................... 59
Figura 22 - Conteúdo de água no solo na Herdade de Refroias, no ano de 2008....................... 59
Figura 23 - Conteúdo de água no solo na Herdade de Cinzeiro e Torre, no ano de 2001 .......... 59
Figura 24 - Conteúdo de água no solo na Herdade de Cinzeiro e Torre, no ano de 2006 .......... 59
Figura 25 – Condutividade hidráulica saturada média, excluindo a Herdade de Cinzeiro e Torre
..................................................................................................................................................... 60
Figura 26 – Condutividade hidráulica efectiva média, excluindo a Herdade de Cinzeiro e Torre
..................................................................................................................................................... 60
Figura 27 – Escorrimento superficial anual Cabeça Gorda ......................................................... 61
Figura 28 – Escorrimento superficial anual na Herdade de Monte do Mestre........................... 61
Figura 29 – Escorrimento superficial anual na Herdade de Refroias.......................................... 61
Figura 30 – Escorrimento superficial na Herdade de Cinzeiro e Torre ....................................... 61
Figura 31 – Factor de erodibilidade do solo na Herdade da Cabeça Gorda................................ 62
Figura 32 – Factor de erodibilidade do solo na Herdade de Monte do Mestre.......................... 62
Figura 33 – Factor de erodibilidade no solo na Herdade de Refroias......................................... 62
Figura 34 – Factor de erodibilidade do solo na Herdade de Cinzeiro e Torre ............................ 62
Figura 35 – Perda de solo anual Cabeça Gorda........................................................................... 63
Figura 36 – Perda de solo anual na Herdade de Monte do Mestre............................................ 63
Figura 37 – Perda de solo anual na Herdade de Refroias ........................................................... 63
Figura 38 – Perda de solo anual na Herdade de Cinzeiro e Torre............................................... 63
Figura 39 – Perda de solo calculada com a EUPSM, a EUPS e a EUPSaj, nas PPSBRL .................. 64
Figura 40 – Perda de solo calculada com a EUPSM, a EUPS e a EUPSaj, nas PN.......................... 64
Figura 42 – MOS na Herdade da Cabeça Gorda............................................................................. i
XIII
Figura 43 – MOS na Herdade de Monte do Mestre....................................................................... i
Figura 44 – MOS na Herdade de Refroias ...................................................................................... i
Figura 45 – MOS na Herdade de Cinzeiro e Torre.......................................................................... i
Figura 46 – Ponto de emurchimento na Herdade da Cabeça Gorda ............................................ ii
Figura 47 – Capacidade de campo na Herdade da Cabeça Gorda ................................................ ii
Figura 48 - Porosidade efectiva na Herdade da Cabeça Gorda..................................................... ii
Figura 49 – Água disponível total na Herdade da Cabeça Gorda.................................................. ii
Figura 50 – Ponto de emurchimento na Herdade de Monte do Mestre ...................................... ii
Figura 51 – Capacidade de campo na Herdade de Monte do Mestre .......................................... ii
Figura 52 – Porosidade efectiva na Herdade de Monte do Mestre............................................. iii
Figura 53 – Água disponível total na Herdade de Monte do Mestre........................................... iii
Figura 54 – Ponto de emurchimento na Herdade de Refroias .................................................... iii
Figura 55 – Capacidade de campo na Herdade de Refroias......................................................... iii
Figura 56 – Porosidade efectiva na Herdade de Refroias ............................................................ iii
Figura 57 – Água disponível total na Herdade de Refroias.......................................................... iii
Figura 58 – Ponto de emurchimento na Herdade de Cinzeiro e Torre.........................................iv
Figura 59 – Capacidade de campo na Herdade de Cinzeiro e Torre.............................................iv
Figura 60 – Porosidade efectiva na Herdade de Cinzeiro e Torre.................................................iv
Figura 61 – Água disponível total na Herdade de Cinzeiro e Torre...............................................iv
Figura 62 - na Herdade da Cabeça Gorda ................................................................................ v
Figura 63 - na Herdade da Cabeça Gorda ................................................................................ v
Figura 64 - na Herdade de Monte do Mestre ........................................................................... v
Figura 65 - na Herdade de Monte do Mestre .......................................................................... v
Figura 66 - na Herdade de Refroias.......................................................................................... v
Figura 67 - na Herdade de Refroias......................................................................................... v
Figura 68 - na Herdade de Cinzeiro e Torre .............................................................................vi
Figura 69 - na Herdade de Cinzeiro e Torre ............................................................................vi
XIV
Lista de Acrónimos
ADT - Água disponível total
CAS - Conteúdo de água no solo
CTC - Capacidade de troca catiónica
ES - Escorrimento superficial
EUPS - Equação Universal de Perda de Solos
EUPSaj - Equação Universal de Perda de Solos Ajustada
EUPSM - Equação Universal de Perda de Solo Modificada
FAO - Food and Agriculture Organization
IM - Instituto de Meteorologia
INE - Instituto Nacional de Estatística
MO - Matéria orgânica
MOS - Matéria orgânica do solo
PN - Pastagens naturais
PNF - Pastagens naturais fertilizadas
PPSBRL - Pastagens permanentes semeadas biodiversas ricas em leguminosas
RGA - Recenseamento Geral da Agricultura
SAU - Superfície Agrícola Utilizada
SCS-CN - Soil Conservation Service Curve Number
SNIRH - Sistema Nacional de Informação de Recursos Hídricos
SWAT - Soil Water Assessment Tool
USDA -United States Department of Agriculture
Lista de notações
- Albedo
- Código da classe de estrutura do solo
- Taxa de mineralização da MO (ano
-1
)
- Fracção da precipitação que ocorre na meia hora de maior intensidade
XV
- Fracção da precipitação diária que ocorre durante o tempo de concentração
- Código da classe de permeabilidade do solo
- Constante psicrométrica (kPa ºC
-1
)
- Declinação solar (rad)
- Declive da curva de pressão de vapor (kPa ºC
-1
)
- Razão ente o peso molecular do vapor de água e de ar seco
- Conteúdo de água no solo na capacidade de campo (mm
3
mm
-3
)
- Conteúdo de água no solo no ponto de emurchimento (mm
3
mm
-3
)
- Conteúdo de água inicial no solo (mm
3
mm
-3
)
- Conteúdo de água inicial da camada inferior (mm)
- Volume de água percolado (mm)
- Volume de água percolado ajustado (mm)
- Conteúdo de água disponível para percolação (mm)
- Conteúdo de água residual no solo (mm
3
mm
-3
)
- Conteúdo de água no solo em condições de saturação (mm
3
mm
-3
)
- Conteúdo de água no solo em condições de saturação na camada inferior (mm)
- Calor latente de vaporização (MJ kg
-1
)
- Densidade aparente do solo (g mm
-3
)
- Constante de Stefan-Boltzmann (MJ K
-4
m
-2
dia
-1
)
- Latitude (rad)
- Porosidade efectiva do solo (mm
3
mm
-3
)
- Porosidade total (mm
3
mm
-3
)
- Potencial capilar médio ao longo da frente de humedecimento (mm)
- Ângulo do Sol ao pôr-do-sol (rad)
- Parâmetro proporcional do input de MOS dependente de (ano
-1
)
- Área (ha)
- Parâmetro que provoca a diminuição de
- Relação de coberto vegetal
- Parâmetro calculado a partir do teor de areia, argila, MO e da densidade aparente do solo
- Coeficiente do escorrimento
- Calor específico do ar húmido (MJ kg
-1
ºC
-1
)
- Capacidade de troca catiónica da argila (meq/100g)
- Razão entre a capacidade de troca catiónica da argila e o conteúdo de argila no solo
- Distância relativa inversa entre a Terra e o Sol
- Depleção da camada de solo (mm)
- Energia cinética da precipitação (MJ.ha
-1
.mm
-1
)
- Pressão de saturação de vapor à temperatura T (kPa)
XVI
- Pressão de vapor real (kPa)
- Pressão de saturação de vapor média (kPa)
- Evapotranspiração de referência (mm dia
-1
)
- Evapotranspiração da cultura (mm dia
-1
)
- Evapotranspiração da cultura ajustada (mm)
- Taxa de infiltração (mm h
-1
)
- Volume infiltrado (mm)
- Fracção de ar aprisionado num solo saturado
- Volume infiltrado no instante do alagamento (mm)
- Densidade de fluxo de calor no solo (MJ m
-2
dia
-1
)
- Constante solar (MJ m
-2
min
-1
)
- Humidade relativa média diária (%)
- Taxa de precipitação (mm h
-1
)
- Precipitação diária (mm)
- Volume de precipitação que ocorreu durante o tempo de concentração (mm)
- Taxa de precipitação no instante do alagamento (mm h
-1
)
- Intensidade da precipitação (mm h
-1
)
- Número do dia do ano
- Factor de erodibilidade do solo (t h MJ mm
-1
)
- Coeficiente de cultura
- coeficiente no estágio de desenvolvimento
- Coeficiente de cultura no estágio inicial
- Coeficiente no estágio final
- Coeficiente no estágio inicial
- Coeficiente no estágio médio
- Coeficiente basal de cultura
- Coeficiente de cultura do dia .
- Condutividade hidráulica efectiva (mm h
-1
)
- Coeficiente de evaporação do solo
- Input de MOS (% ano
-1
)
- Input de MOS dependente do sistema de pastagem (% ano
-1
)
- Condutividade hidráulica saturada (mm h
-1
)
- Condutividade hidráulica ajustada (mm h
-1
)
- Coeficiente de stress hídrico
- Comprimento da encosta (m)
- Relação de comprimento de encosta
- Comprimento do declive (m)
- Duração do estágio de desenvolvimento (dia).
XVII
- Factor fisiográfico do solo
- Parâmetro de tamanho das partículas, definido como (% limo e areia muito fina) x (100 - %
argila)
- Coeficiente de rugosidade de Manning
- Potencial mátrico do solo (mm)
- Relação de prática agrícola
’ - Pressão atmosférica (kPa)
- Fracção de ADT que a cultura pode extrair sem sentir stress hídrico
- Escorrimento superficial (mm ha
-1
)
- Caudal de ponta de cheia (m
3
s
-1
)
- Factor de erosividade da precipitação (mm ha
-1
h
-1
)
- Radiação extraterrestre (MJ m
-2
dia
-1
)
- Balanço de radiação (MJ m
-2
dia
-1
)
- Radiação emitida (MJ m
-2
dia
-1
)
- Radiação solar absorvida pela cultura (MJ m
-2
dia
-1
)
- Radiação solar (MJ m
-2
dia
-1
)
- Radiação solar de céu limpo (MJ m
-2
dia
-1
)
- Declive da encosta (%)
- Tempo
- Tempo de concentração (h)
- Tempo de concentração do escorrimento superficial (h)
- Tempo até ocorrer alagamento (h)
- Pseudotempo (h)
- Temperatura (°C)
- Temperatura média diária (ºC)
- Temperatura máxima diária (ºC)
- Temperatura mínima diária (ºC)
- Temperatura de orvalho (ºC)
- Tempo de transferência (h)
- Velocidade do vento a 2 metros de altura (m s
-1
)
- Velocidade do escorrimento superficial (m s
-1
)
- Cota da estação meteorológica (m)
- Altura da frente de humedecimento (mm)
- Profundidade da camada de solo (m)
XVIII
1
1 INTRODUÇÃO
As pastagens permanentes semeadas biodiversas ricas em leguminosas (PPSBRL) são uma
inovação nacional na área da Engenharia da Biodiversidade introduzida pelo Eng. David
Crespo nos anos 70. Estas pastagens são compostas por uma mistura de até 20 espécies ou
variedades de gramíneas, leguminosas e outros grupos funcionais. A presença de leguminosas
na mistura de espécies semeadas elimina a necessidade de adubação com azoto, uma vez
que este grupo de plantas tem a capacidade de fixar azoto atmosférico, transferindo-o para o
solo e tornando-o disponível para os outros grupos. A biodiversidade de plantas permite que as
espécies melhor adaptadas prosperem em cada zona, contornando o problema da grande
heterogeneidade do solo observada nos campos utilizados como pastagens (Rodrigues, 2008).
A definição de pastagem permanente considerada neste trabalho é a adoptada no nº2 do artigo
2º do Regulamento (CE) nº796/2004 e inclui as “terras ocupadas com ervas ou outras
forrageiras herbáceas, quer semeadas quer espontâneas, por um período igual ou superior a
cinco anos e que não estejam incluídas no sistema de rotação da exploração, com excepção
das terras sujeitas a regimes de retirada obrigatória da produção”. Nesta definição estão
incluídas as pastagens espontâneas pobres, as pastagens espontâneas melhoradas e as
pastagens semeadas.
Em Portugal, de acordo com o Recenseamento Geral da Agricultura (RGA) de 2009 (INE,
2011), a superfície agrícola utilizada (SAU) ascendia a 3 542 305 ha no território continental. A
superfície utilizada por pastagens permanentes corresponde a 47,4% desta área. O RGA refere
ainda que apenas cerca de um quarto desta área é ocupada por pastagens semeadas ou
melhoradas. Comparando com o RGA de 1999 (INE, 2001), observa-se que a superfície de
pastagens permanentes aumentou 27% nestes dez anos, apesar de a SAU ter sofrido uma
redução de 6%.
A área estimada de PPSBRL é de, pelo menos, cerca de 85 400 ha, considerando que o
Projecto Extensity dava conta, em 2008, de mais de 50 000 ha e que o Projecto Terraprima,
financiado pelo Fundo Português de Carbono
1
, contribuiu, desde 2009, com cerca de 27 000ha
e que as projecções de vendas da maior empresa fornecedora de misturas de sementes
apontam para uma área adicional de cerca de 8 400 ha. Todavia, tal como era referido no
Projecto Extensity, o potencial de expansão deste sistema é de 300 000 ha. A dimensão da
superfície ocupada por PPSBRL, cujos potenciais efeitos benéficos no solo são abaixo
descritos, justifica assim o estudo alargado dos efeitos ambientais desta ocupação do solo.
As pastagens espontâneas, ou naturais (PN), as pastagens naturais fertilizadas (PNF) e as
PPSBRL foram alvo de estudos comparativos no âmbito dos Projectos AGRO 71 e Agro 87,
realizados de 1997 a 2004 e de 2001 a 2004, respectivamente. Estes projectos foram
1
Fonte: http://consumidores.extensity.pt/130/projecto-das-pastagens.htm
2
promovidos pela Estação Nacional de Melhoramento de Plantas, pela Fertiprado e pelo
Laboratório Químico Agrícola Rebelo da Silva e financiados pelo Ministério da Agricultura, Mar,
Ambiente e Ordenamento do Território. Os dados obtidos por estes projectos permitiram
concluir que as PPSBRL promovem um maior aumento de matéria orgânica do solo (MOS) e
apresentam maior produtividade do que as PN, o que lhes permite suportar maiores
encabeçamentos (Rodrigues, 2008).
A MOS contém cerca de 58% de carbono na sua constituição, que provém maioritariamente de
resíduos orgânicos, que por sua vez foram produzidos a partir do carbono atmosférico fixado
durante a fotossíntese. Assim, através da MOS, o solo actua como reservatório de carbono, o
que motivou o estudo do sequestro de carbono nos três sistemas em Teixeira (2010) e Teixeira
et al. (2011). Nestes estudos foram desenvolvidos modelos que simulam a dinâmica da MOS
nas pastagens, recorrendo aos dados recolhidos no âmbito dos Projectos AGRO referidos. De
forma concordante com o que se tinha verificado empiricamente nestes projectos, demonstrou-
se que, a longo prazo, o teor de MOS em PPSBRL será superior ao de PN e de PNF. Os três
sistemas de pastagens são compostos por plantas anuais, cujas raízes são renovadas
anualmente, contribuindo para a entrada de MO no solo. Assim, a elevada produtividade das
PPSBRL explica porque é maior o aumento de MOS neste sistema. Concluiu-se também que a
fertilização de pastagens naturais não traz benefícios no sequestro de carbono, uma vez que a
dinâmica da MOS em PNF e em PN é igual.
A MOS influencia algumas propriedades do solo relevantes para as culturas agrícolas, como a
densidade, a porosidade e a capacidade de troca catiónica (CTC), que por sua vez influenciam
a capacidade de retenção da água por parte do solo. Tem também a capacidade de aglutinar
as partículas do solo, potenciando a formação de agregados e aumentando a sua estabilidade.
Num solo desagregado, as partículas são mais facilmente arrastadas pelo escorrimento
superficial, pelo que a MOS potencia a diminuição da perda de solo. O impacto das gotas de
chuva pode levar à destruição dos agregados e subsequente formação de uma crosta
superficial, que diminui a infiltração, aumentando o escorrimento superficial e, assim, a perda
de solo. A presença de agregados mais estáveis diminui a formação de crostas superficiais,
aumentando a taxa de infiltração do solo.
Portugal apresenta, em quase toda a sua superfície territorial, um risco de erosão hídrica do
solo bastante elevado (EEA, 2004), teores de MOS baixos (EEA, 2010) e um regime de
precipitação muito variável ao longo do ano, que concentra os eventos pluviosos em alguns
meses do ano. Estes factos tornam muito importante o estudo e adopção de medidas que
contribuam para a protecção do solo, nomeadamente a escolha de ocupações de solo que
minimizem a sua perda.
O objectivo desta tese é completar o conhecimento sobre PPSBRL adquirido nos estudos
referidos anteriormente com o estudo comparativo do balanço hídrico e da perda de solo em
PPSBRL e em PN, sendo o elemento diferenciador principal dos dois sistemas o teor de MOS
3
e a sua evolução no tempo. Escolheu-se estudar o balanço hídrico e a perda de solo no
mesmo trabalho porque as duas questões estão relacionadas: para além do facto já referido da
precipitação e do escorrimento superficial serem responsáveis pela desagregação e transporte
das partículas de solo, a perda de solo provoca a perda de MOS e de nutrientes, afectando a
vegetação, o que, por sua vez, altera o valor da evapotranspiração, alterando assim o balanço
hídrico.
O balanço hídrico será modelado recorrendo à Equação de Green e Ampt, no que diz respeito
à infiltração ao longo do perfil do solo e à formação de escorrimento superficial, e à Equação de
FAO Penman-Monteith para o cálculo da evapotranspiração. A percolação
2
será modelada
recorrendo ao método utilizado nos softwares WEPP - Water Erosion Prediction Project e
SWAT - Soil and Water Assessment Tool.
A perda de solo irá ser calculada através da Equação Universal de Perda de Solos Modificada,
que admite como variável o escorrimento superficial. Esta variável terá como valor o resultado
obtido na modelação do balanço hídrico.
O estudo irá incidir em quatro herdades que foram alvo de estudo no Projecto AGRO 87 (Abreu
et al., 2005) e no trabalho de Teixeira et al. (2011). Será utilizado o modelo da dinâmica de
MOS desenvolvido por Teixeira et al. (2011) e recorrer-se-á a dados climáticos disponibilizados
pelo Sistema Nacional de Informação de Recursos Hídricos (SNIRH).
2
Infiltração de água em solo não saturado, sujeita à acção da gravidade.
4
2 FUNDAMENTOS TEÓRICOS
Neste capítulo definem-se aspectos teóricos importantes para o desenvolvimento do trabalho e
apresenta-se de forma mais pormenorizada a relação entre a MOS, o balanço hídrico e a perda
de solo.
2.1 Propriedades físicas do solo
Solo é definido em USDA (1999) como um corpo natural composto por sólidos, líquidos e
gases, que é caracterizado por ter horizontes, ou camadas, distinguíveis do material inicial e/ou
ter a capacidade de suportar plantas com raízes, num ambiente natural. A sua formação
depende de factores como o clima, a actividade biológica, o relevo e a rocha-mãe. O processo
de formação de um solo está, em situações naturais, em equilíbrio com os processos de
degradação, o que leva ao desenvolvimento de um perfil de solo, com os vários horizontes que
o caracterizam.
A textura do solo é definida como a proporção relativa dos vários componentes minerais do
solo, que por sua vez são classificados de acordo com classes de diâmetro: a areia, com
diâmetros entre 2mm e 0,02mm; a argila, formada por partículas com diâmetros entre 0,02mm
e 0,002mm;e o limo, cujo diâmetro é menor do que 0,002mm (Botelho da Costa, 2004).
A matéria orgânica do solo é qualquer material com origem orgânica que esteja presente no
solo e que é submetido a um processo de decomposição (Bot et al., 2005). O conteúdo da
MOS depende da taxa de adição e da taxa de mineralização, sendo que esta última depende,
entre outros factores, da temperatura, da humidade do solo e do oxigénio do solo.
A estrutura do solo refere-se ao arranjo espacial das partículas e dos espaços vazios no solo
(Lal, 2005). As partículas podem formar agregados, o que influencia a disposição e tamanho
dos poros no solo. A influência da textura na porosidade está relacionada precisamente com os
diferentes diâmetros das partículas, mas também com a diferente capacidade de formar
agregados. A influência da MOS traduz-se numa maior capacidade de agregação do solo e no
aumento da sua porosidade.
A densidade é a razão entre a massa de uma amostra de solo e o seu volume. Se for
considerado o volume apenas ocupado pelas partículas sólidas, obtém-se a densidade real,
mas se se somar o volume dos poros, obtém-se a densidade aparente (Botelho da Costa,
2004). A densidade aparente pode ser utilizada para avaliar a estrutura do solo e o seu
arejamento. Quando se avalia a variação da densidade de um solo há que ter em conta que a
existência de poros diminui a sua densidade, mas os agregados existentes no solo, que
influenciam a sua porosidade, podem ter sofrido compactação.
5
2.2 O balanço hídrico do solo e a MOS
O balanço hídrico de um solo pode ser representado pela Equação 1, adaptado de Allen et al.
(1998). O balanço hídrico de um solo agrícola está intimamente dependente das condições
meteorológicas, das características do solo e também da vegetação existente.
Equação 1 – Balanço hídrico diário de um solo
Desta forma representado, o balanço hídrico assume que não existem movimentos horizontais
de água na camada de solo considerada.
A precipitação pode assumir a forma de chuva, granizo, neve, geada e orvalho. A irrigação é
utilizada quando a água precipitada não é suficiente para compensar a água perdida por
evapotranspiração (Allen et al. 1998). A entrada de água à superfície do solo e o subsequente
movimento vertical através dos poros do solo designa-se infiltração. Quando a taxa de
precipitação é superior à taxa de infiltração, ocorre escorrimento superficial.
A ascensão capilar é o movimento vertical de água contrário ao sentido da força da gravidade,
de uma zona saturada do solo para uma zona não saturada. Esta água pode estar disponível
para a evapotranspiração. A influência deste termo no balanço hídrico do solo depende da
profundidade da zona saturada, ou nível freático.
A evapotranspiração engloba as perdas de água para a atmosfera, sob a forma de vapor,
decorrentes da transpiração das plantas e da evaporação da água presente no solo. Este
termo é influenciado pela radiação solar, velocidade do vento, temperatura e humidade do ar.
O conteúdo de água no solo (CAS) é um factor limitante da evapotranspiração: esta só ocorre
até se atingir o ponto de emurchimento
3
.
O cálculo da evaporação e transpiração em separado é bastante mais difícil do que o cálculo
da evapotranspiração, mas sabe-se que os dois termos contribuem de maneira diferente ao
longo do crescimento da planta (Allen et al. 1998). Estando a evaporação do solo bastante
dependente da radiação solar, é natural que esta diminua com o crescimento da planta e
subsequente aumento da área de sombra no solo. A transpiração das plantas também
depende de factores climáticos, mas varia com a cultura e o seu estágio de desenvolvimento.
A retenção de água no solo é devida ao efeito de duas forças: adesão, que é a atracção das
moléculas de água pelas partículas de solo, e coesão, ou atracção das moléculas de água por
3
O ponto de emurchimento é definido como o volume de água presente no solo quando o potencial mátrico do
solo é de -1500kPa (Lal, 2005).
6
si próprias (Lal, 2005). Estas forças opõem-se ao efeito da gravidade, que provoca a
percolação.
No ponto de emurchimento, as forças de adesão e de coesão são as responsáveis pela
retenção de água no solo, que se encontra adsorvida na superfície das partículas do solo. As
partículas dos solos com textura grosseira têm uma área superficial menor do que no caso dos
solos mais finos, o que explica porque razão os últimos retêm mais água neste ponto. A MO
aumenta a área superficial das partículas, o que se traduz num aumento da capacidade de
retenção da água neste ponto (Khaleel, 1981).
Na capacidade de campo
4
, a retenção da água depende da porosidade do solo e do diâmetro
dos poros: quanto menor o diâmetro do poro maior a tensão necessária para o drenar. Ao
alterar a estrutura do solo, a MO está também a alterar a distribuição e o diâmetro dos poros,
verificando-se um aumento no número de micro-poros. O aumento da MOS aumenta assim o
volume de água retido na capacidade de campo.
A diferença entre os conteúdos de água na capacidade de campo e no ponto de emurchimento
é definida como a água disponível para as plantas. Para haver uma alteração no volume de
água disponível para as plantas, o aumento nos dois pontos não poderá ser igual. Rawls
(2004) afirma que a variação do conteúdo de água na capacidade de campo é superior à
variação observada no ponto de emurchimento. Este autor observou também que a influência
da MOS na retenção da água pelo solo depende da textura do solo e do conteúdo inicial de
MOS. Assim, em solos com um teor inicial de MOS baixo, o seu aumento conduz ao aumento
da retenção de água em solos com textura grosseira, mas o contrário é observado em solos
com textura fina. Se o teor inicial de MOS for elevado, o seu aumento conduz a um aumento na
retenção de água em todas as texturas.
O conteúdo inicial de água no solo é um factor importante na infiltração, já que define o
gradiente do potencial mátrico existente entre a superfície do solo e no seu interior. Para
conteúdos de água baixos, o gradiente é alto e a infiltração é favorecida, observando-se
valores de taxa de infiltração altos. A taxa de infiltração diminui assimptoticamente com o
aumento do conteúdo de água no solo e, consequentemente, com a diminuição do gradiente
do potencial mátrico. O valor mínimo é, assim, atingido quando o solo está saturado e
corresponde ao valor da condutividade hidráulica saturada do solo. Por definição, um solo
saturado tem todos os seus poros preenchidos com água e conteúdo de água neste ponto
corresponde à porosidade total do solo. No entanto, observa-se que ocorre aprisionamento de
ar no solo e o conteúdo de água presente num solo saturado corresponde à porosidade
efectiva, calculada para ter em conta este efeito.
4
A capacidade de campo é definida como o volume de água presente no solo quando o potencial mátrico é de -
33kPa.
7
A condutividade hidráulica saturada depende da porosidade do solo, que, por sua vez,
depende da textura e da MOS. Os solos mais grosseiros têm condutividades superiores e o
aumento da porosidade favorece o movimento da água no solo.
Na Equação 1, a percolação corresponde ao volume de água que abandona a camada de solo
considerada, podendo ir alimentar o aquífero, caso exista. A percolação só ocorre quando o
conteúdo de água no solo é superior à capacidade de campo.
2.3 A erosão e a MOS
A erosão do solo é o processo de desagregação de partículas por um agente erosivo, como o
vento e a água, e o seu transporte para outro local (Lal, 2005). Este é um processo natural,
sem impacto negativo quando a sua taxa é inferior à taxa de formação do solo. O coberto
vegetal protege o solo dos agentes erosivos, diminuindo a erosão. No entanto, algumas
actividades humanas podem aumentar a taxa de erosão, o que se reflecte numa diminuição da
espessura do solo, situação considerada irreversível, tendo em conta a escala temporal
humana.
No que diz respeito à erosão hídrica, a desagregação das partículas ocorre devido ao impacto
das gotas de chuva. A intensidade da precipitação é assim um factor importante neste
processo, uma vez que é um indicador da energia libertada. O transporte das partículas
desagregadas é feito através do escorrimento superficial e, neste caso, as propriedades
hidráulicas do solo são preponderantes, nomeadamente a taxa de infiltração, uma vez que
ditam a formação de escorrimento superficial.
O escorrimento superficial ao longo de uma encosta pode ocorrer de duas formas: através de
fluxo laminar ou de fluxo por sulcos, caracterizado pela concentração do escorrimento e
dependente da irregularidade do terreno. O declive do terreno influencia a velocidade do
escorrimento superficial (Eng. Eugénio Sequeira, comunicação pessoal).
A energia necessária para desagregar o solo é tanto maior quanto mais estáveis forem os
agregados do solo. Como já foi referido, a capacidade que um solo tem de formar agregados
depende da sua textura e o aumento de MOS aumenta a estabilidade dos agregados,
diminuindo a erodibilidade do solo. Os efeitos da MOS no balanço hídrico do solo afectam,
assim, directamente a erosão hídrica, que está dependente do escorrimento superficial.
8
3 ESTADO DA ARTE
A utilização de modelos é uma das formas mais rápidas e economicamente eficientes de
estudar problemas complexos. Permitem a comparação de diferentes cenários, auxiliando a
tomada de decisão. Todavia, um modelo é uma simplificação da realidade e tem sempre um
erro associado que tem de ser tido em devida conta na interpretação dos resultados.
Os modelos são classificados de acordo com a maneira como simulam a realidade. Estes
podem ser modelos mecanísticos, construídos recorrendo a uma base física, que se reflecte
nas equações matemáticas utilizadas. Podem também ser modelos empíricos, que são
construídos recorrendo ao ajustamento de valores obtidos experimentalmente. Os modelos
empíricos são, geralmente, menos complexos e necessitam de um número menor de variáveis.
No entanto, os parâmetros destes modelos não têm significado físico, pelo que se torna
necessário calibrar o modelo, ajustando-o ao local que se pretende estudar. Teoricamente, os
modelos mecanísticos não têm esta restrição, precisamente porque os seus parâmetros têm
uma base física, podendo ser adaptados ao local recorrendo às suas propriedades (Wilcox et
al. 1990). Observa-se, no entanto, que os modelos não costumam enquadrar-se em nenhum
destes extremos, podendo os modelos empíricos ser desenvolvidos recorrendo a alguma lógica
física, tal como os modelos mecanísticos recorrem à estimativa de parâmetros que não se
encontram disponíveis (Wilcox et al. 1990; Ranatunga et al. 2008).
Neste capítulo apresentam-se alguns dos modelos utilizados na modelação do balanço hídrico
e da erosão. A pesquisa bibliográfica realizada não pretendeu ser exaustiva, mas sim centrar-
se nos modelos mais utilizados, mais consensuais e/ou mais recentes.
Os modelos apresentados neste capítulo são os que permitem calcular os termos do balanço
hídrico apresentado na Equação 1, com excepção da ascensão capilar, que não foi modelada
neste trabalho. É referido em Allen et al. (1998) que se pode assumir que a ascensão capilar é
zero quando o nível freático se encontra a mais de um metro de profundidade, o que.
O software WEPP – Water Erosion Prediction Project (Flanagan et al. 1995) utiliza um modelo
para o cálculo do conteúdo de água no solo para valores de potencial mátrico de -33kPa e
-1500kPa, que correspondem à capacidade de campo e ao ponto de emurchimento,
respectivamente. Este é um modelo empírico, construído recorrendo a uma regressão
estatística, que relaciona o conteúdo de água com a granulometria, a MOS, a densidade e a
capacidade de troca catiónica (CTC).
No que diz respeito à infiltração e ao escorrimento superficial, os modelos de cálculo mais
frequentemente citados na literatura, como por exemplo em ASCE (1996), Baxter (2004) e
Beven (2001), são o SCS Curve Number (USDA, 2004) e a Equação de Green e Ampt (Green,
9
et al. 1991). O software SWAT (Neitsch et al., 2009) permite a utilização de ambos no cálculo
do escorrimento superficial, enquanto o WEPP recorre apenas à Equação de Green e Ampt.
O SCS-CN (Soil Conservation Service Curve Number) é um método empírico de cálculo do
escorrimento superficial desenvolvido em 1964 pelo Serviço de Conservação de Solos (Soil
Conservation Sevice – SCS), actualmente designado por Serviço de Conservação de Recursos
Naturais (Natural Resources Conservation Service), uma agência do United States Department
of Agriculture (USDA). Este modelo considera a cobertura do solo, incluindo a cultura, o seu
maneio e a condição hidrológica, o grupo hidrológico em que se insere o solo e a precipitação
antecedente. Os grupos hidrológicos do solo classificam-no de acordo com o potencial de
formação de escorrimento, com a textura e com a condutividade hidráulica (saturada), havendo
quatro classes. Este método não tem em conta a intensidade da precipitação, factor bastante
importante para a formação de escorrimento superficial. Para além desta limitação, não é
possível diferenciar solos através do conteúdo em MO.
A equação de Green e Ampt foi proposta em 1911, usando a Lei de Darcy
5
. Neste modelo
considera-se que ocorre infiltração numa coluna de solo homogéneo na vertical, cuja humidade
está uniformemente distribuída, estando a superfície do solo alagada. O modelo assume que o
solo fica completamente saturado à medida que a água se infiltra, existindo uma
descontinuidade no valor da humidade do solo, ao longo do perfil vertical de solo. O modelo de
Green e Ampt assume que a altura de água acima da superfície do solo é negligenciável. O
volume de controlo deste modelo é a altura da frente de humedecimento, o que significa que o
volume de controlo varia ao longo do evento de precipitação. A simplicidade deste modelo
garantiu-lhe notoriedade, mas o seu campo de aplicação é bastante limitado, não permitindo a
modelação da infiltração em casos mais complexos. Assim, alguns autores estenderam a
aplicabilidade do modelo ao introduzir alterações que permitiram simular a infiltração em solos
heterogéneos, com diferentes perfis horizontais e em casos de precipitação constante e de
precipitação variável (Jia et al. 1997). Apesar de este modelo não considerar explicitamente a
MOS, é possível introduzir esta variável na estimativa da condutividade hidráulica efectiva e do
potencial mátrico. Rawls et al. (1989) estimou estes parâmetros a partir da textura e da MOS,
especificamente para solos de pastagens.
No que diz respeito à percolação, considere-se, por exemplo, a forma como é calculada pelo
SWAT. Este software calcula a percolação se o conteúdo de água exceder a capacidade de
campo e se a camada de solo inferior não estiver saturada.
5
A Lei de Darcy diz que o caudal, ( ), num meio poroso, é proporcional à permeabilidade, ( ), à área
de secção, ( ) e ao gradiente de pressão, ( ), e pode apresentar a seguinte forma:
10
O software WEPP também utiliza este método, mas considera que o fluxo de água ao longo da
camada de solo pode ser diminuído se a camada se encontrar próxima da capacidade de
campo apresentando um método para ajustar a condutividade hidráulica saturada. O volume de
água percolado é também ajustado, tendo em conta o conteúdo de água da camada inferior.
Os métodos de cálculo da evapotranspiração podem depender apenas de variáveis climáticas
ou incluir parâmetros que diferenciam o comportamento das culturas. A Equação de Penman-
Monteith inclui-se neste caso, tal como a Equação FAO Penman-Monteith, que é o método
recomendado pela FAO – Food and Agriculture Organization e descrito em Allen et al. (1998).
O primeiro é um método de cálculo da evapotranspiração potencial
6
, que incorpora a energia
necessária para a evaporação e factores de resistência aerodinâmica e de superfície.
Necessita de dados de radiação solar, temperatura, humidade e de velocidade do vento.
A Equação FAO Penma-Monteith obtém-se quando se aplica a Equação de Penman-Monteith
a uma superfície de referência, que consiste numa cultura hipotética com uma altura de 0,12m,
uma resistência de superfície de 70sm
-1
e um albedo de 0,23, com disponibilidade de água
infinita. Com este método é possível calcular a evapotranspiração de uma cultura concreta
recorrendo a coeficientes de cultura, que são multiplicados pela evapotranspiração da cultura
de referência. São apresentados coeficientes de cultura tabelados para diferentes culturas e
estados de desenvolvimento, bem como métodos para adaptar os coeficientes às condições
climáticas do local a estudar. Este método considera também a disponibilidade de água como
factor limitante, recorrendo ao ponto de emurchimento e à capacidade de campo. A
evapotranspiração é diminuída quando o solo se encontra em stress hídrico, condição que
varia com a cultura.
Outro método de cálculo da evapotranspiração potencial é o método de Priestley-Taylor
(Priestley et al., 1972), que adaptou a Equação de Penman-Monteith, retirando o factor de
resistência aerodinâmica e multiplicando a componente energética por um coeficiente, aplicável
a casos em que o solo se encontra húmido. Refere-se também o método de Hargreaves
(Hargreaves et al., 1985), que necessita apenas de dados de temperatura e de radiação como
input.
A modelação da erosão pode ser feita por modelos empíricos ou por modelos mecanísticos. No
entanto, a aplicação de um modelo mecanístico iria envolver um conhecimento alargado sobre
a cartografia dos locais a estudar, para o cálculo do transporte e da deposição dos sedimentos.
Sabendo à partida que não será possível aplicar um modelo mecanístico, descrevem-se
apenas modelos empíricos, nomeadamente a Equação Universal e Perda de Solo (EUPS) e a
6
Evapotranspiração potencial é definida como a evapotranspiração que ocorreria numa área coberta
uniformemente por vegetação e com acesso ilimitado a água, não estando exposta a processos de advecção e de
armazenamento de calor (Thornthwaite, 1948, cit in. Neitsch et al, 2009).
11
Equação de Perda de Solo Modificada (EUPSM), que, tal como o nome indica, resultou de uma
modificação da EUPS.
A EUPS é uma referência na modelação da erosão hídrica do solo. Foi apresentada em 1965
por Wischmeier e Smith (Wischmeier et al, 1978) e permite calcular valores médios de perda
de solo. A erosão é calculada através do produto de vários factores que reflectem o tipo de
cultura e as práticas de gestão do solo. As variáveis que influenciam a erosão do solo mudam
entre dois eventos de precipitação e essa mudança não é considerada nos valores tabelados,
razão pela qual o cálculo da perda de solo como resultado de um evento isolado é menos
preciso do que o cálculo de valores médios de perda de solo em períodos de tempo mais
longos.
Em Tomás et al. (1993) apresentam-se os resultados da calibração da EUPS para Portugal,
tendo-se concluído que a EUPS original previa a perda de solo por excesso. É proposta uma
equação para ajustar a EUPS, mas que resulta da aplicação a um solo e a uma região em
Portugal, alertando-se para a impossibilidade de prever a validade da equação noutras
situações edáficas.
A EUPSM foi apresentada por Williams (1975) e consiste numa versão modificada da EUPS.
Esta versão substitui o factor de erosividade da precipitação, , pelo escorrimento superficial e
pelo caudal de ponta de cheia, que representam a energia utilizada na desagregação e no
transporte das partículas de solo. Verificou-se um aumento na precisão do cálculo da produção
de sedimentos (Neitsch et al., 2009) e passou a ser possível aplicar a equação a um evento
pluvioso.
12
4 CARACTERIZAÇÃO DOS LOCAIS ESTUDADOS
O trabalho irá incidir em quatro herdades estudadas no âmbito do projecto Agro 87. Destas,
uma localiza-se no Ribatejo e as restantes localizam-se no Alentejo.
A sua localização e a caracterização do solo encontram-se na Tabela 1. Na Tabela 2
apresenta-se a análise granulométrica do solo das herdades, considerando o valor médio dos
pontos obtidos no âmbito do Projecto Agro 87 para os primeiros 10 cm de solo.
Tabela 1 – Localização e caracterização do solo das herdades estudadas
Nome Localização
Material original
do solo
Textura
Herdade da Cabeça Gorda Vaiamonte Gneisse Franco-arenosa
Herdade Monte do Mestre São Vicente e Ventosa Calcário
Franco-argilo-
arenosa
Herdade de Refróias Cercal do Alentejo Xisto Franco-argilosa
Herdade Cinzeiro e Torre Coruche Arenito Areno-franca
(Fonte: Projecto AGRO87)
Tabela 2 – Análise granulométrica das herdades consideradas
Nome
Análise granulométrica (%)
Areia Limo Argila
Herdade da Cabeça Gorda 63,1 19,8 17,2
Herdade Monte do Mestre 55,8 19,8 24,5
Herdade de Refroias 43,7 22,9 33,5
Herdade Cinzeiro e Torre 88,1 4,5 7,5
(Fonte: Projecto AGRO87)
Na Figura 1 apresentam-se normais de temperatura e precipitação para Arraiolos, para uma
caracterização genérica do clima na área de estudo considerada. A temperatura média é mais
alta nos meses de Verão, quando se regista menor precipitação mensal.
As variáveis climáticas utilizadas na modelação são as apresentadas na Tabela 3 e os dados
utilizados provêm de estações pertencentes à rede do INAG, que os disponibiliza através do
SNIRH. As estações foram escolhidas, em primeiro lugar, tendo em conta a sua proximidade
com as localidades e, em segundo lugar, tendo em conta a existência de valores nos anos em
questão.
13
Verificou-se que as séries temporais das estações meteorológicas escolhidas possuíam falhas
pontuais, tendo sido feita a estimativa dos dados em falta, a partir de informação de outras
estações, tal como está descrito na secção 5.5.
(Fonte: SNIRH)
Figura 1 - Normais climatológicas para Arraiolos (1971-2000)
Tabela 3 – Variáveis e estações meteorológicas consideradas
Nome
Estações meteorológicas
Precipitação
horária
Vento médio
diário
Humidade
Relativa
Radiação
diária
Temperatura
Herdade da
Cabeça Gorda
Cabeço de Vide (19L/01UG)
Campo Experimental do Crato
(18K/01C)
Herdade Monte do
Mestre
Caia (20O/02UG) Albufeira do Caia (19O/02F)
Herdade de
Refroias
Cercal do Alentejo (27E/01UG) Barragem de Campilhas (26F/02C)
Herdade Cinzeiro
e Torre
Coruche (20F/01UG) Barragem de Magos (20E/01C)
14
5 METODOLOGIA
A selecção dos modelos utilizados neste trabalho em detrimento de outros foi feita segundo a
adequação do modelo face ao problema proposto e à disponibilidade de dados iniciais.
Também se teve em conta o consenso, entre a comunidade científica, relativamente à precisão
dos resultados por eles gerados.
O objectivo deste trabalho é comparar os termos do balanço hídrico e a perda de solo nos dois
sistemas de pastagem de forma a concluir qual dos dois é mais favorável para o solo em
relação a estes dois aspectos. A simulação começou no ano de 2001 e o ano final foi escolhido
em função dos dados climáticos disponíveis, mas o período de tempo considerado nunca é
inferior a seis anos.
A aplicação de alguns dos modelos escolhidos implicou a definição de dimensões do local em
estudo. Assim, definiu-se que cada herdade teria a forma de um quadrado com 100m de lado,
perfazendo 1 ha de área. O declive é homogéneo, de 10%.
5.1 Modelação da MOS
O parâmetro central nesta análise é a MOS, dada a influência já devidamente justificada sobre
a erosão e o balanço hídrico. A MOS foi modelada recorrendo ao modelo desenvolvido por
Teixeira (2011), que diferencia a dinâmica da MO nas PPSBRL e em PN e estima valores
anuais de MOS.
A dinâmica da MOS nas PPSBRL e nas PN foi objecto de estudo em Teixeira et al. (2011),
tendo sido construído um modelo a partir de valores de MOS nas propriedades referidas no
capítulo 4. No modelo proposto considera-se um passo temporal de um ano e não existe
variação espacial da MOS. Assim, só ao fim do ano civil irá haver alteração no conteúdo de
MOS.
O modelo foi construído a partir de um balanço de massa simples, que considera que a
variação de MOS é resultado do input de MO menos a mineralização da mesma, como na
Equação 2. A MOS apresenta-se em pontos percentuais, que representam a massa de MOS
por 100 g de solo (gMOS/100 gsolo).
Equação 2 – Balanço de massa da MOS
15
Onde:
- Ano.
- Conteúdo de MOS no ano (%).
- Input de MOS (% ano
-1
).
- Taxa de mineralização da MO (ano
-1
).
A solução desta equação é obtida com uma integração entre e , como na Equação 3. A
equação obtida indica que a dinâmica da MOS segue uma forma exponencial saturada e, a
longo prazo, atinge o equilíbrio.
Equação 3 – Solução do balanço de massa da MOS
Teixeira et al. (2011) afirmam que reflecte não só o sistema de pastagem como o conteúdo
inicial de MOS, . Assim, este parâmetro foi dividido em duas partes, uma constante, que
depende do tipo da pastagem, e a outra que varia com , como na Equação 4.
Equação 4 – Input de MOS
Onde:
- Input de MOS dependente do sistema de pastagem (% ano
-1
).
- Parâmetro proporcional do input de MOS dependente de (ano
-1
).
- Conteúdo inicial de MOS (%).
Substituindo a Equação 4 na Equação 3 obtém-se a expressão geral do modelo da dinâmica
da MOS em pastagens, apresentado na Equação 5. Os parâmetros do modelo foram obtidos
por regressão estatística passo a passo e pelo método dos mínimos quadrados, utilizando o
software SPSS Statistics 17.0 e encontram-se na Tabela 4. O intervalo temporal escolhido para
a aplicação desta equação tem em conta a razoabilidade dos valores de MOS devolvidos.
Equação 5 – Modelo da dinâmica de MO em pastagens
Onde:
- Conteúdo de MOS no ano .
16
Tabela 4 – Parâmetros do modelo de dinâmica da MOS
Sistema de Pastagem
PPSBRL 0,28
0,41 0,19 0,18
PN 0,00
(Fonte: Teixeira et al., 2011)
Neste trabalho o ano é o ano de 2001 e o valor de para cada pastagem apresenta-se
na Tabela 5. Estes são os valores obtidos no âmbito do Projecto AGRO 87.
Tabela 5 – MOS inicial para cada Herdade
Nome
(%)
PPSBRL PN
Herdade da Cabeça Gorda 1,55 1,30
Herdade de Monte do Mestre 1,75 1,95
Herdade de Refroias 3,40 3,80
Herdade Cinzeiro e Torre 0,65 0,55
(Fonte: Projecto AGRO87)
5.2 Modelação do balanço hídrico
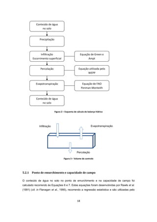
A ordem de cálculo dos termos do balanço hídrico está representada na Figura 2. O conteúdo
de água no solo no início do dia é igual ao calculado para o dia anterior. Quando ocorreu
precipitação, foi calculado o volume de água infiltrado e o escorrimento superficial gerado. O
conteúdo de água no solo neste ponto não pode exceder a porosidade efectiva do solo. Se o
conteúdo de água no solo excedeu neste ponto a capacidade de campo, foi calculado o volume
de água que sai do volume de controlo, por percolação. Por último foi calculada a
evapotranspiração.
O cálculo do escorrimento superficial foi feito recorrendo à equação de Green e Ampt. Como foi
referido, a formação de escorrimento superficial está dependente da intensidade da
precipitação, que pode variar ao longo do evento pluvioso. Por esta razão, o passo temporal
escolhido para este cálculo foi o mínimo possível, que corresponde à disponibilidade dos dados
climáticos. Neste caso, o passo temporal para o cálculo do escorrimento superficial é de uma
hora, utilizando valores de precipitação horária. No final foi calculado o escorrimento superficial
acumulado ao longo do dia e foi este o valor utilizado no balanço hídrico.
17
A equação de Green e Ampt necessita, como input, do valor do conteúdo de água no solo
antes do evento de precipitação ter início. Neste trabalho, foi utilizado o valor do conteúdo de
água no solo calculado pelo balanço hídrico para o dia anterior.
Para o cálculo da percolação foi utilizada a mesma equação que os modelos SWAT e WEPP
utilizam, que depende da condutividade hidráulica saturada do solo.
A evapotranspiração da cultura foi calculada no final, recorrendo à equação de FAO Penman-
Monteith, com um passo diário. Apesar de Allen et al. (1998) considerarem o ponto de
emurchimento e a capacidade de campo como os limites inferior e superior da
evapotranspiração, é referido por outros autores (por ex. Lal, 2005) que, mesmo quando o solo
está acima da capacidade de campo, as plantas continuam a transpirar, e é esta a abordagem
seguida neste trabalho. No entanto, o conceito de água disponível para as plantas definido em
2.2 continua a ser seguido, mas apenas para aferir se o solo se encontra em stress hídrico,
como explicado em 5.2.3.
A inicialização do balanço hídrico foi feita num dia em que a precipitação acumulada era
suficiente para o solo atingir a saturação, uma vez que é possível estimar o conteúdo de água
neste ponto.
O volume de controlo considerado é constituído por uma camada de solo de 10 cm de
profundidade (Figura 3). A fronteira superficial permite a entrada de água através da infiltração
e a saída através da evapotranspiração. A diferença entre o volume de água precipitado e o
infiltrado é o escorrimento superficial. A fronteira profunda permite a saída de água do volume
de controlo por percolação. Como foi referido na secção 3, não irá ser considerada a ascensão
capilar.
O conteúdo mínimo de água no solo é dado pelo ponto de emurchimento e o conteúdo máximo
de água no solo corresponde à porosidade efectiva do solo. O cálculo da porosidade efectiva
do solo é descrito na secção 5.4.2.
18
EvapotranspiraçãoInfiltração
Percolação
Figura 2 – Esquema de cálculo do balanço hídrico
Figura 3 – Volume de controlo
5.2.1 Ponto de emurchimento e capacidade de campo
O conteúdo de água no solo no ponto de emurchimento e na capacidade de campo foi
calculado recorrendo às Equações 6 e 7. Estas equações foram desenvolvidas por Rawls et al.
(1991) (cit. in Flanagan et al., 1995), recorrendo a regressão estatística e são utilizadas pelo
Precipitação
Infiltração
Escorrimento superficial
Percolação
Evapotranspiração
Conteúdo de água
no solo
Equação de Green e
Ampt
Equação de FAO
Penman-Monteith
Equação utilizada pelo
WEPP
Conteúdo de água
no solo
19
software WEPP, como referido na secção 3. Este software assume que a camada de solo
superior tem uma espessura de 10 cm.
Equação 6 – Conteúdo de água no solo no ponto de emurchimento
Onde:
- Conteúdo de água no solo no ponto de emurchimento (mm
3
mm
-3
).
- Conteúdo de argila no solo (%)
- Conteúdo de areia no solo (%).
- Capacidade de troca catiónica dividida pelo conteúdo de argila no solo.
- Densidade aparente do solo (g mm
-3
).
Equação 7 – Conteúdo de água no solo na capacidade de campo
Onde:
- Conteúdo de água no solo na capacidade de campo (mm
3
mm
-3
).
- Conteúdo de areia no solo (%).
- Conteúdo de matéria orgânica no solo (%).
- Conteúdo de água no solo no ponto de emurchimento (mm
3
mm
-3
).
Apesar de o cálculo do conteúdo de água no solo no ponto de emurchimento não depender
explicitamente da MOS, esta é incorporada na estimação da densidade aparente do solo. Para
se perceber a influência da textura e da MOS no cálculo de e de , fez-se variar um dos
parâmetros, mantendo os outros dois constantes. Os intervalos de valores escolhidos foram,
para a MOS, de 1 a 5%, para a areia de 44 a 56% e para a argila de 10 a 35%. Estes intervalos
são consistentes com os valores apresentados nas Tabelas 2 e 5. Nos casos em que se
mantiveram constantes, a MOS, a areia e a argila assumiram os valores de 3%, 44% e 33%.
Nas Figuras 4 a 6 é possível verificar que o peso da MOS é superior ao peso das fracções de
areia e de argila.
20
Figura 4 - Variação do ponto de emurchimento e da capacidade de campo com a MOS
Figura 5 - Variação do ponto de emurchimento e da
capacidade de campo com a Areia
Figura 6 - Variação do ponto de emurchimento e da
capacidade de campo com a Argila
5.2.2 Infiltração/Escorrimento superficial – Equação de Green e Ampt
O modelo de Green e Ampt apresenta-se nas Equações 8 e 9 (cit. in Jia et al., 1997). A
Equação 9 resulta da integração no tempo da Equação 8. O modelo calcula o volume de água
infiltrado, o que permite calcular o escorrimento superficial gerado. Considerando o balanço
hídrico do solo representado na Equação 1, o volume infiltrado é igual à precipitação menos o
escorrimento superficial e, portanto, o volume de escorrimento superficial diário obtém-se
subtraindo a infiltração diária à precipitação diária.
Como foi referido na secção 3, o modelo assume que as propriedades do solo são
homogéneas na vertical e que a humidade inicial do solo está uniformemente distribuída.
Também assume que, durante a infiltração, existe uma descontinuidade no valor da humidade
do solo e a frente de humedecimento separa solo saturado acima de solo não saturado abaixo.
Equação 8 – Taxa de infiltração da equação de Green e Ampt
Onde:
- Taxa de infiltração (mm h
-1
).
- Condutividade hidráulica efectiva (mm h
-1
).
21
- Volume infiltrado (mm).
- Potencial mátrico do solo (mm).
- Tempo (h).
Equação 9 – Solução da Equação de Green e Ampt
A Equação 8 evidencia a influência do conteúdo de água no solo na taxa de infiltração, já que
esta diminui com o aumento do volume de água infiltrado. Já o aumento do valor do potencial
mátrico, , favorece a infiltração. A taxa de infiltração atinge o valor mínimo quando é igual
a zero, o que corresponde a um solo saturado. Na Equação 9, é constante e é calculado em
, o que significa que, neste instante, o solo não pode encontrar-se saturado.
O volume de controlo da Equação de Green e Ampt é a altura da frente de humedecimento,
que é variável ao longo do evento de precipitação e pode ser calculada com a Equação 10.
Equação 10 – Altura da frente de humedecimento
Onde:
- Altura da frente de humedecimento (mm).
- Conteúdo de água no solo em condições de saturação (mm
3
mm
-3
).
- Conteúdo de água inicial no solo (mm
3
mm
-3
).
A Equação de Green e Ampt original só aceita eventos de precipitação constante, mas Chu
(1978) propôs uma alteração ao modelo, que torna possível a sua aplicação em casos de
precipitação variável. Assim, assume-se que a taxa de infiltração é igual à taxa de precipitação
até ocorrer alagamento do solo, momento a partir do qual a taxa de infiltração diminui, até
atingir um limite mínimo. Chu (1978), considera ainda um caso especial de um evento de
precipitação que é dividido em curtos períodos de tempo, de modo a que a taxa de precipitação
em cada intervalo possa ser considerada constante. O modelo assim proposto apresenta-se
nas Equações 11 a 14. A Equação 12 calcula o volume de água infiltrado directamente a partir
da precipitação, mas a Equação 14 só considera a taxa de precipitação para calcular o instante
em que ocorre alagamento.
Equação 11 – Taxa de infiltração antes do alagamento
22
Equação 12 – Infiltração acumulada antes do alagamento
Equação 13 – Taxa de infiltração após alagamento
Equação 14 − Volume infiltrado após alagamento
Onde:
- Taxa de precipitação (mm h
-1
).
- Tempo até ocorrer alagamento (h).
- Pseudotempo (h).
Chu (1978) apresenta um parâmetro que pretende representar uma mudança na escala
temporal, como consequência do efeito do volume infiltrado no tempo de alagamento, a que
chama pseudotempo. Esta alteração resulta do facto de a Equação 14 estar a ser aplicada a
um intervalo de tempo cujas condições iniciais são de não alagamento, condição que se altera
durante esse intervalo. O pseudotempo é calculado recorrendo à Equação 15.
Equação 15 – Pseudotempo.
Onde:
- Volume infiltrado no instante do alagamento (mm).
Ao longo do evento de precipitação a taxa de infiltração do solo varia, podendo tomar valores
inferiores à taxa de precipitação. O instante em que as duas taxas são iguais é o tempo de
alagamento, . Para calcular este valor, substitui-se, na Equação 13, a taxa de infiltração pela
taxa de precipitação, de modo a calcular , o volume infiltrado em , obtendo-se a Equação
16. O tempo de alagamento é então calculado a partir de e da taxa de precipitação nesse
mesmo momento, , como na Equação 17.
23
Equação 16 – Infiltração acumulada no instante do alagamento.
Onde:
- Taxa de precipitação no instante do alagamento (mm h
-1
).
- Volume infiltrado no instante do alagamento (mm).
Equação 17 – Tempo de alagamento
A Equação 17 diz-nos que não irá haver formação de escorrimento superficial se a taxa de
precipitação for inferior à condutividade hidráulica efectiva. Quanto maior a taxa de precipitação
menor o volume infiltrado no tempo de alagamento e, por conseguinte, menor o valor de ,
dado pela Equação 17. A Equação 14 pode ser aplicada a um único intervalo ou a vários
intervalos de tempo sucessivos, enquanto a taxa de infiltração no final do intervalo for inferior à
taxa de precipitação.
Para resolver a Equação 14 pode recorrer-se ao método de Newton.
A condutividade hidráulica efectiva e o potencial mátrico do solo foram estimados de maneira a
incorporar os efeitos da MOS. A metodologia utilizada encontra-se na secção 5.4.
5.2.3 Evapotranspiração – FAO Penman-Monteith
A equação de FAO Penman-Monteith está representada na Equação 18. Esta equação permite
calcular a evapotranspiração de uma cultura de referência, que, neste caso, tem uma altura fixa
de 0,12 m, uma resistência de superfície de 70 sm
-1
e um albedo de 0,23.
Equação 18 – Equação de FAO Penman-Monteith
24
Onde:
- Evapotranspiração de referência (mm dia
-1
).
- Balanço de radiação (MJ m
-2
dia
-1
).
- Densidade de fluxo de calor no solo (MJ m
-2
dia
-1
).
- Temperatura média diária a 2 metros de altura (°C).
- Velocidade do vento a 2 metros de altura (m s
-1
).
- Pressão de saturação de vapor média (kPa).
- Pressão de vapor real (kPa).
- Défice de pressão de saturação de vapor (kPa).
- Declive da curva de pressão de vapor (kPa ºC
-1
).
- Constante psicrométrica (kPa ºC
-1
).
A metodologia para o cálculo de cada um dos termos da equação apresenta-se nas secções
5.2.3.1 a 5.2.3.5. Seguiu-se a metodologia recomendada por Allen et al. (1998).
5.2.3.1 Balanço de radiação
O balanço de radiação, , é a diferença entre a radiação solar absorvida, , e a radiação
emitida, . A radiação solar absorvida é a fracção da radiação solar, , que não é reflectida
pela superfície e pode ser calculada com a Equação 19 (cit. in Allen et al., 1998). Os valores da
radiação solar diária foram obtidos nas estações meteorológicas referidas na Tabela 3. Como
foi referido, o valor do albedo é fixo e igual a 0,23.
Equação 19 – Radiação absorvida.
Onde:
- Radiação solar absorvida pela cultura (MJ m
-2
dia
-1
).
- Albedo.
- Radiação solar (MJ m
-2
dia
-1
).
A radiação emitida foi calculada recorrendo à Equação 20 (cit. in Allen et al., 1998). Este termo
do balanço de radiação representa normalmente uma perda de energia sob a forma de calor.
Equação 20 – Radiação emitida.
25
Onde:
- Radiação emitida (MJ m
-2
dia
-1
).
- Constante de Stefan-Boltzmann (MJ K
-4
m
-2
dia
-1
).
- Temperatura máxima diária (ºC).
- Temperatura mínima diária (ºC).
- Pressão de vapor real (kPa).
- Radiação solar relativa.
A Equação 20 é uma alteração da Lei de Stefan-Boltzamnn
7
, para ter em conta o efeito da
humidade e da nebulosidade, que absorvem energia e, assim, diminuem a radiação emitida. O
termo corresponde à Lei de Stefan-Boltzmann e o valor 273 converte
a unidade de temperatura para K. O termo diminui com o aumento da
humidade média, diminuindo assim a radiação emitida. O termo inclui o efeito da
nebulosidade e representa a relação entre a radiação solar que efectivamente incide na
superfície, , e a radiação que incidiria na superfície caso o céu se encontrasse limpo, .
Por este motivo,
A radiação de céu limpo pode ser calculada com a Equação 21 (cit. in Allen et al., 1998).
Equação 21 - Radiação de céu limpo.
Onde:
- Radiação solar de céu limpo (MJ m
-2
dia
-1
).
- Cota da estação meteorológica (m).
- Radiação extraterrestre (MJ m
-2
dia
-1
).
A radiação extraterrestre é a radiação que incide no topo da atmosfera e admite um valor
máximo que corresponde a uma situação em que a atmosfera forma um plano perpendicular à
radiação solar. A este valor dá-se o nome de constante solar, . A radiação que
efectivamente incide na atmosfera depende do dia do ano, da latitude e da declinação do sol e
é calculada através da Equação 22 (cit. in Allen et al., 1998).
Equação 22 - Radiação extraterrestre.
7
A Lei de stefan-Boltzmann diz que a energia emitida por um corpo negro é proporcional à quarta
potência da temperatura do corpo. A constante de proporcionalidade desta lei designa-se constante de
Stefan-Boltzmann e toma o valor de 4,903x10
-9
MJ K
-4
m
-2
dia
-1
.
26
Onde:
- Constante solar (MJ m
-2
min
-1
).
- Distância relativa inversa entre a Terra e o Sol.
- Ângulo do Sol ao pôr-do-sol (rad).
- Latitude (rad).
- Declinação solar (rad).
A distância relativa inversa entre a Terra e o Sol é dada pela Equação 23, a declinação solar
pela Equação 24 e o ângulo do Sol ao pôr-do-sol calcula-se com a Equação 25 (cit. in Allen et
al., 1998).
Equação 23 - Distância relativa inversa entre a Terra e o Sol.
Onde:
- Número do dia do ano.
O número do dia do ano varia entre 1, correspondendo ao dia 1 de Janeiro, e 365 ou 366, que
correspondem ao dia 31 de Dezembro em anos comuns ou bissextos, respectivamente.
Equação 24 - Declinação solar.
Equação 25 - Ângulo do Sol ao pôr-do-sol.
A latitude das herdades considerada corresponde à latitude das localidades de referência e
encontra-se na Tabela 6.
Tabela 6 - Latitude das herdades.
Herdade Localidade
Latitude
º rad
Herdade da Cabeça Gorda Vaiamonte 39,10 0,68
Herdade de Monte de Mestre São Vicente e Ventosa 38,95 0,68
Herdade de Refroias Cercal do Alentejo 37,80 0,66
Herdade Cinzeiro e Torre Coruche 38,95 0,68
(Fonte: Moo.pt)
27
5.2.3.2 Densidade de fluxo de calor
A densidade de fluxo de calor no solo, , pode assumir valores significativos se o passo
temporal for inferior a 24 h, mas a variação diária do calor acumulado no solo é desprezável.
Assim, uma vez que o passo temporal considerado neste trabalho é um dia, é igual a zero.
Relativamente à temperatura média diária, Allen et al. (1998) recomendam que seja calculada
a partir dos valores máximos e mínimos diários.
5.2.3.3 Défice de pressão de saturação de vapor
O défice de pressão de saturação de vapor é a diferença entre a pressão de saturação de
vapor média diária, , e a pressão de vapor real, , que podem ser calculadas com as
Equações 26 e 28. Calculam-se as pressões de saturação de vapor diárias porque o passo
temporal no cálculo da evapotranspiração é diário.
Equação 26 - Pressão de saturação de vapor média diária.
Onde:
- Pressão de saturação de vapor média diária (kPa).
- Pressão de saturação de vapor à temperatura T (kPa).
e - Temperaturas máxima e mínima diárias (ºC).
A pressão de saturação de vapor à temperatura T pode ser calculada com a Equação 28
(Tetens, 1930).
Equação 27 - Pressão de saturação de vapor.
Onde:
- Temperatura do ar (ºC).
Equação 28 - Pressão de vapor real
28
Onde:
- Pressão de vapor real (kPa).
- Temperatura de orvalho (ºC).
A Equação 28 equivale à Equação 27 aplicada à temperatura de orvalho.
A temperatura de orvalho define-se como a temperatura para a qual o ar de ser arrefecido, a
pressão constante, para ficar saturado. Allen et al. (1998) afirmam que, para o caso de não se
dispor dos dados da temperatura de orvalho, pode-se assumir que a temperatura de orvalho é
igual à temperatura mínima. Este pressuposto é válido para culturas que têm assegurada a
disponibilidade de água, o que não é o caso das pastagens em estudo. Assim, a temperatura
de orvalho foi calculada com a Equação 29, que relaciona a temperatura de orvalho com a
temperatura do ar e a humidade relativa (Lawrence, 2005).
Equação 29 - Temperatura de orvalho
Onde:
- Tempeartura do ar média diária (ºC).
- Humidade relativa média diária (%).
5.2.3.4 Declive da curva de pressão de vapor
O declive da curva de pressão de vapor é a derivada da pressão de vapor em relação ao
tempo e é calculado com a Equação 30 (Tetens, 1930; Murray, 1967). Para o cálculo deste
parâmetro com um passo diário, utiliza-se a temperatura média diária.
Equação 30 - Declive da curva de pressão de vapor.
Onde:
- Declive da curva de pressão de vapor (kPa ºC
-1
).
- Temperatura média diária (ºC)
29
5.2.3.5 Constante psicrométrica
A constante psicrométrica pode ser calculada com a Equação 31 (Brunt, 1952).
Equação 31 - Constante psicrométrica
Onde:
- Constante psicrométrica (kPa ºC
-1
).
- Calor específico do ar húmido (MJ kg
-1
ºC
-1
).
- Pressão atmosférica (kPa).
- Razão ente o peso molecular do vapor de água e de ar seco.
- Calor latente de vaporização (MJ kg
-1
).
Considerando que , , e são constantes e assumem os valores apresentados na
Tabela 7, a única variável no cálculo da constante psicrométrica é a pressão atmosférica, . A
pressão atmosférica pode ser calculada recorrendo à Equação 32 (Burman et al., 1987), que
depende apenas da cota da localidade considerada. A
Tabela 8 apresenta os valores de cota das herdades.
Equação 32 - Pressão atmosférica.
Tabela 7 - Valores de , e .
Parâmetro Valor
1,013 x 10
-3
MJ kg
-1
ºC
-1
0,622
8 2,45 MJ kg
-1
8
Calculado para T=20ºC, a partir de Harrison (1963).
30
(Fonte: Allen et al., 1998)
Tabela 8 - Cota das herdades.
Herdade Localidade Cota (m)
Herdade da Cabeça Gorda Vaiamonte 313
Herdade Monte do Mestre São Vicente e Ventosa 368
Herdade de Refreoias Cercal do Alentejo 190
Herdade Cinzeiro e Torre Coruche 13
(Fonte: Moo.pt)
5.2.3.6 Evapotranspiração da cultura
A medição da evapotranspiração real de uma dada cultura permite obter o coeficiente de
cultura, que se define como a razão entre a evapotranspiração medida e a evapotranspiração
de referência. O método de FAO Penman-Monteith recorre a estes coeficientes para o cálculo
da evapotranspiração da cultura, , como na Equação 33. Allen et al. (1998) apresenta
coeficientes de cultura tabelados, o que torna possível o cálculo da evapotranspiração a partir
de dados climáticos.
Equação 33 – Evapotranspiração de cultura, com o método de FAO Penman-Monteith
Onde:
- Evapotranspiração da cultura (mm dia
-1
).
- Coeficiente de cultura.
A diferença entre os valores de evapotranspiração é devida, essencialmente, às diferenças
entre as características das folhas, dos estomas, das propriedades aerodinâmicas e até do
albedo de uma cultura de referência e de uma outra cultura.
O cálculo do coeficiente de cultura pode ser feito através de dois métodos, dependendo do
objectivo do estudo: pode-se calcular um coeficiente único ou um coeficiente que é a soma de
dois coeficientes. Na primeira abordagem, as contribuições da evaporação do solo e da
31
transpiração da planta estão combinadas num único valor, enquanto o cálculo do coeficiente de
cultura pelo segundo método separa a evaporação e a transpiração em dois coeficientes, de
acordo com a Equação 34.
Equação 34 – Coeficiente de cultura duplo
Onde:
- Coeficiente basal de cultura.
- Coeficiente de evaporação do solo.
O primeiro método é aconselhado para a gestão da irrigação, no caso de esta não ser muito
frequente. Para estudos que necessitem de um balanço hídrico do solo mais detalhado,
aconselha-se a utilização do coeficiente duplo.
No entanto, a estimativa dos coeficientes e necessita de um conhecimento muito
aprofundado sobre a evolução fenológica das pastagens: o cálculo destes coeficientes faz-se
com um passo diário. Como alternativa, podem ser estimados vários parâmetros necessários
para utilizar este método, mas considerou-se que esta escolha não iria trazer vantagens para o
trabalho, uma vez que o erro da estimativa dos parâmetros em causa não é mensurável e
poderia ser superior à utilização do método do coeficiente simples. Por esta razão, foi utilizado
o coeficiente simples.
O coeficiente de cultura reflecte a influência do crescimento da planta na evapotranspiração,
adoptando valores diferentes nas várias fases de crescimento. Allen et al. (1998) considera
quatro fases de desenvolvimento da cultura: a fase inicial, desde a plantação até a cultura
cobrir 10% da área; a fase de desenvolvimento, que termina quando a cultura cobre toda a
área; a fase média, que termina quando a cultura inicia a maturidade; a fase tardia, que termina
aquando da colheita ou da senescência da cultura.
Procurou-se informação sobre o desenvolvimento fenológico de pastagens ricas em
leguminosas e de pastagens naturais, tendo-se apurado que a presença de leguminosas
diminui o ritmo de desenvolvimento, mas aumenta a área de solo coberta, quando comparadas
com as gramíneas (Eng. António Martelo, comunicação pessoal). As pastagens naturais são
mais precoces na floração do que as PPSBRL. Estabeleceram-se assim períodos de
desenvolvimento que reflectissem estas diferenças, mas que são apenas valores médios. A
germinação das plantas depende do início da época de chuva e o seu crescimento está
condicionado pelo conteúdo de água no solo, mas os estágios de desenvolvimento
considerados não irão variar com estes factores.
32
A duração dos estágios de desenvolvimento encontra-se na Tabela 9. Apesar de o
desenvolvimento das pastagens estar dependente do conteúdo de água no solo, neste trabalho
considerou-se que o estágio inicial começa sempre dia 1 de Setembro. Os coeficientes de
cultura para os estágios inicial, , médio, e tardio, , encontram-se na Tabela 10
e foram aplicados nos dois sistemas de pastagens. Estes valores foram consultados em Allen
et al. (1998) e são referentes a pastagens com pastoreio extensivo. O coeficiente de cultura
referente ao período de desenvolvimento, , é calculado em função dos coeficientes de
cultura para o período inicial, e para o período médio, utilizando o método numérico descrito
em Allen et al. (1998) e apresentado na Equação 35.
Tabela 9 - Duração dos estágios de desenvolvimento de PPSBRL e PN (dias).
Inicial
9
Desenvolvimento Médio Tardio
PPSBRL 30 30 180 10
PN 45 45 150 10
(Adaptado de Eng. António Martelo, comunicação pessoal)
Tabela 10 - Valores de para os estágios de desenvolvimento de pastagens
Pastagem com pastoreio
extensivo
0,3 0,75 0,75
(Fonte: Allen et al., 1998)
Equação 35 – Método numérico para determinação de
Onde:
- Iterador do dia do estágio de desenvolvimento.
- Coeficiente de cultura do dia .
- Duração do estágio de desenvolvimento considerado (dia).
- Soma dos dias de duração dos estágios anteriores (dia).
A Equação 33 não considera a disponibilidade de água no solo como factor limitante, mas é
possível incorporar esta limitação no cálculo da evapotranspiração da cultura. De acordo com
9
Os dados correspondem a 25% de cobertura do solo.
33
Allen et al. (1998), o valor máximo de água que pode ser evapotranspirada é calculado
seguindo a Equação 36, considerando que a camada superficial de solo se encontra
inicialmente húmida. Esta equação simplifica o balanço hídrico do solo, considerando que
imediatamente a seguir a um evento de precipitação intenso o solo se encontra na capacidade
de campo, e a água restante contribui para a percolação. Esta simplificação irá ser eliminada e
foi introduzido um método para modelar a percolação.
Equação 36 – Água disponível total
Onde:
- Água disponível total (mm).
- Profundidade da camada de solo que está sujeita a evaporação (m). Quando este valor é
desconhecido, aconselha-se um valor entre 0,10 e 0,15m.
Há ainda a considerar que, com a diminuição do conteúdo de água no solo, o valor absoluto do
potencial mátrico irá aumentar e a energia necessária para retirar cada unidade de água do
solo irá aumentar. Esta situação traduz-se numa diminuição da taxa de evapotranspiração,
sendo necessário introduzir na Equação 33 um coeficiente de stress hídrico, , aplicável
quando o conteúdo de água no solo é inferior a um determinado limite. pode ser calculado
com a Equação 37 (Allen et al., 1998).
Equação 37 – Coeficiente de stress hídrico
Onde:
- Coeficiente de stress hídrico.
- Água disponível total (mm).
- Depleção da camada de solo (mm).
- Fracção de ADT que a cultura pode extrair sem sentir stress hídrico.
A depleção da camada de solo é definida em Allen et al. (1998) como a diferença entre o
conteúdo de água na capacidade de campo e o conteúdo de água no solo. Quando a depleção
é superior ao volume de água prontamente disponível, definido como na Equação 38, é
necessário incorporar no cálculo da evapotranspiração.
Equação 38 - Água prontamente disponível
34
O valor tabelado de , em Allen et al. (1998), para pastagens extensivas é 0,6 e corresponde a
uma de 5 mm dia
-1
. Deve ser feito um ajuste à evaporação diária, recorrendo à Equação
39 (Allen et al., 1998).
Equação 39 – Ajuste do parâmetro
Onde:
- Valor de tabelado.
A evapotranspiração pode então ser calculada como na Equação 40 (Allen et al., 1998).
Equação 40 – Evapotranspiração da cultura, ajustada
Onde:
- Evapotranspiração da cultura ajustada (mm).
Allen et al. (1998) referem que a utilização de devolve resultados mais fiáveis quando
aplicada ao método do coeficiente duplo, já que o stress hídrico afecta apenas a transpiração
da cultura e a taxa de evaporação mantém-se. No entanto, se a evaporação do solo não
representar uma fracção grande da evapotranspiração, a Equação 40 devolve resultados
fiáveis.
Como foi referido na secção 5.1, apesar de Allen et al. (1998) apresentarem o valor da
capacidade de campo como o limite superior que permite a evapotranspiração, neste trabalho
considerou-se que ocorre evapotranspiração mesmo quando o conteúdo de água no solo é
superior a esse valor. No entanto, o cálculo de foi mantido como descrito em Allen et al.
(1998), para ser utilizado na evapotranspiração em condições de stress hídrico, uma vez que o
valor de tabelado foi calculado para essas condições.
Por último, há a considerar os casos em que a cultura se encontra num momento de não
crescimento. Numa PPSBRL, é feito pastoreio com uma carga animal suficiente para que o
pasto seco seja removido antes das primeiras chuvas do Outono, o que significa que o solo
perde progressivamente o seu coberto. Neste caso, pode ser utilizado o com uma
redução de 5% por cada 10% de solo coberto. Quando o solo se encontra totalmente
descoberto, é utilizado o . No caso das PN, considerou-se que a cobertura do solo é de
50%.
35
5.2.4 Modelação da percolação
A modelação da percolação foi feita recorrendo ao modelo utilizado pelos softwares SWAT e
WEPP. O volume de água percolado é calculado como na Equação 41. Só o volume de água
acima da capacidade de campo se encontra disponível para percolação, como já foi referido. O
ajustamento da condutividade hidráulica saturada, para ter em conta o conteúdo de água inicial
no solo, é feito de acordo com a Equação 43 e a influência da camada de solo inferior
apresenta-se na Equação 45.
Equação 41 – Volume de água percolado
Onde:
- Volume de água percolado (mm).
- Conteúdo de água disponível para percolação (mm).
- Passo temporal (h).
- Tempo de transferência (h).
O tempo de transferência pode ser calculado com a Equação 42. O tempo de transferência
depende das propriedades do solo, que se assumem ser homogéneas numa camada, mas
podem variar entre camadas, o que significa que o valor do tempo de transferência é único
para cada camada de solo considerada.
Equação 42 – Tempo de transferência
Onde:
- Conteúdo de água no solo em condições de saturação (mm).
- Conteúdo de água no solo na capacidade de campo (mm).
- Condutividade hidráulica saturada (mm h
-1
).
Equação 43 – Condutividade hidráulica saturada ajustada
Onde:
36
- Condutividade hidráulica ajustada (mm h
-1
).
- Conteúdo de água do solo (mm).
- Conteúdo de água no solo em condições de saturação (mm).
- Parâmetro que provoca a diminuição de .
O parâmetro é calculado como na Equação 44.
Equação 44 – Parâmetro
A constante -2,655 assegura que, na capacidade de campo, o valor de é igual a .
Equação 45 – Volume de água percolado ajustado
Onde:
- Volume de água percolado ajustado (mm).
- Conteúdo de água inicial da camada inferior (mm).
- Conteúdo de água no solo em condições de saturação na camada inferior (mm).
Os resultados devolvidos por este método não foram satisfatórios, uma vez que o conteúdo de
água no solo raramente excedia a capacidade de campo, o que não está de acordo com
resultados experimentais obtidos no âmbito do Projecto AGRO87, que indicam que, nos meses
húmidos, o conteúdo de água no solo é bastante superior à capacidade de campo,
aproximando-se da saturação. Face a estes resultados, escolheu-se eliminar a percolação do
balanço hídrico. Este assunto é explorado com mais pormenor na secção 6.2.
5.3 Modelação da Perda de Solo
A perda de solo foi modelada com a EUPSM, utilizando como input o escorrimento superficial
calculado no balanço hídrico e tendo em conta a forma e as dimensões definidas para a
pastagem. Preferiu-se este modelo porque, tal como referido em 3, com ele é possível o
cálculo da perda de solo provocada por cada evento pluvioso, permitindo assim o cálculo de
valores anuais de perda de solo. Recorrer-se-á à EUPS e à equação ajustada por Tomás et al.
(1993) apenas para comparação dos resultados.
37
O modelo escolhido neste ponto é a EUPSM, uma vez que se pretende obter resultados de
perda de solo anual. No entanto, este modelo não se encontra tão bem calibrado como o
modelo EUPS e, portanto, foi feita uma comparação dos resultados obtido pelos dois modelos,
mas para um período a que a EUPS possa ser aplicada eficazmente. Teve-se em consideração
as conclusões de Tomás et al. (1993), referidas na secção 3, que apontam para a
sobrestimação pela EUPS da perda de solo em Portugal e foi também utilizada a equação
ajustada por estes autores, com fins comparativos.
5.3.1 EUPSM: Equação Universal de Perda de Solo Modificada
A EUPSM está descrita na Equação 46 (Williams, 1975). Esta é uma equação empírica, mas
os factores que a constituem pretendem incorporar os mecanismos envolvidos na
desagregação e transporte das partículas de solo. A EUPSM resulta de uma alteração da
EUPS original, passando-se a considerar que a desagregação e o transporte de partículas de
solo seriam representados através do escorrimento superficial e do caudal de ponta de cheia,
por oposição ao factor de erosividade da precipitação considerado na versão original.
Equação 46 – Equação universal de perda de solo modificada
Onde:
- Produção de sedimentos diária (t).
- Escorrimento superficial (mm ha
-1
).
- Caudal de ponta de cheia (m
3
s
-1
).
- Área (ha).
- Factor de erodibilidade do solo, definido como a perda de solo de um talhão tipo, com
22,13m de comprimento e 9% de declive (t h MJ mm
-1
).
- Relação de coberto vegetal, calculada como o quociente entre a perda de solo de um talhão
com uma determinada cultura e maneio e de um talhão com o solo nu.
- Relação de prática agrícola, calculada através do quociente entre a perda de solo de um
talhão com uma determinada prática agrícola e de um talhão lavrado segundo a linha de maior
declive.
- Factor fisiográfico do solo. Produto das relações de comprimento ( ) e de declive ( ) da
área em estudo.A relação de comprimento é definida como o quociente entre a perda de solo
de um talhão com um dado comprimento e outro com 22,13m de comprimento. A relação de
declive é definida como o quociente entre a perda de solo num talhão com um dado declive e
outro com um declive de 9%.
38
- Factor de fragmento de rocha.
O escorrimento superficial calculado no balanço hídrico é utilizado como input para a EUPSM.
Considera-se que o factor de fragmento de rocha é unitário. Os restantes factores descrevem-
se a seguir.
5.3.1.1 Caudal de ponta de cheia
As equações apresentadas de seguida são normalmente aplicadas à escala de uma bacia
hidrográfica. No entanto, o SWAT modifica as equações para poderem ser utilizadas à escala
da Unidade de Resposta Hidrológica (HRU), que corresponde a uma área onde se verifica um
único uso de solo. Considerou-se que este trabalho se enquadrava nesta situação e foi seguido
esse método, que consiste, neste caso em particular, em substituir a área da bacia pela área
considerada.
O caudal de ponta de cheia pode ser calculado recorrendo ao método racional, como na
Equação 47.
Equação 47 – Caudal de ponta de cheia, calculado pelo método racional
Onde:
- Coeficiente do escorrimento
- Intensidade da precipitação (mm h
-1
).
- Área (km
2
)
O valor 3,6 é um factor de conversão de unidades para o Sistema Internacional.
O coeficiente de escorrimento varia com o evento pluvioso e pode ser calculado como na
Equação 48 (cit. in Neitsch et al., 2009).
Equação 48 – Coeficiente de escorrimento superficial
Onde:
- Precipitação diária (mm).
A intensidade da precipitação é a taxa média de precipitação durante o tempo de concentração
e pode ser calculada com a Equação 49.
39
Equação 49 – Intensidade de precipitação
Onde:
- Volume de precipitação que ocorreu durante o tempo de concentração (mm)
- Tempo de concentração (h)
é proporcional ao volume de precipitação que ocorre durante todo o dia, como na Equação
50 (cit in. Neitsch et al., 2009).
Equação 50 – Fracção da precipitação que ocorre durante o tempo de concentração
Onde:
- Fracção da precipitação diária que ocorre durante o tempo de concentração.
- Precipitação diária (mm).
- Tempo de concentração (h)
O valor máximo de é 1 e corresponde a um evento de precipitação curto, de duração igual
ou pouco superior ao tempo de concentração. O valor mínimo de seria atingido num evento
de precipitação de intensidade invariável e é igual a .
O software SWAT estima a partir do volume precipitado na meia hora de maior intensidade,
como na Equação 51.
Equação 51 – fracção da precipitação diária que ocorre durante o tempo de concentração
Onde:
- Fracção da precipitação que ocorre na meia hora de maior intensidade.
Uma vez que se considera neste trabalho que a precipitação é constante num intervalo de uma
hora, o valor de é metade do valor da maior intensidade horária do evento que gera o
escorrimento superficial.
O tempo de concentração é a soma dos tempos de concentração do escorrimento superficial e
do escoamento num canal. Neste trabalho considerou-se que não existem canais, pelo que o
40
tempo de concentração é igual ao tempo de concentração do escorrimento superficial,
calculado como na Equação 52.
Equação 52 – Tempo de concentração
Onde:
- Tempo de concentração do escorrimento superficial (h).
- Comprimento da encosta (m).
- Velocidade do escorrimento superficial (m s
-1
).
O valor 3600 é um factor de conversão de unidades para o Sistema Internacional.
A velocidade do escorrimento superficial pode ser estimada recorrendo ao caudal médio do
escorrimento superficial, ao declive médio da encosta e ao coeficiente de rugosidade de
Manning. O modelo SWAT assume um caudal médio de 6,35 mm h
-1
e a Equação 52 torna-se
na Equação 53:
Equação 53 – Tempo de concentração
Onde:
- Coeficiente de rugosidade de Manning.
- Declive da encosta (%).
O valor 18 resulta da simplificação da equação. Os valores do declive e do comprimento da
encosta encontram-se na Tabela 11 e resultam da forma e dimensão da pastagem definidas na
secção 5.
Tabela 11 – Valores do comprimento do declive e do declive
Parâmetro Valor
100m
10%
Senarath et al. (2000) apresenta uma gama de valores para o coeficiente de rugosidade de
Manning para pastagens, que se incluem na Tabela 12. Foi escolhido o valor médio desse
41
intervalo. Estes valores são aplicáveis à escala de uma bacia hidrográfica, mas não foram
encontrados valores aplicáveis à escala utilizada neste trabalho.
Tabela 12 – Coeficiente de rugosidade de Manning
Intervalo de valores Valor médio
0,235 – 0,271 0,253
5.3.1.2 Factor de erodibilidade do solo, K
A erodibilidade de um solo está apenas relacionada com as características específicas do solo
em questão: a textura, a estrutura e a composição em matéria orgânica. Esta variável pode ser
calculada com a relação empírica apresentada na Equação 54 (Wischmeier et al., 1978), para
uma percentagem de limo e areia fina inferior a 70%.
Equação 54 – Factor de erodibilidade do solo
Onde:
- Parâmetro de tamanho das partículas, definido como (% limo e areia muito fina) x (100 - %
argila).
- Matéria orgânica do solo (%).
- Código da classe de estrutura do solo.
- Código da classe de permeabilidade do solo.
O valor 759,3 é um factor de conversão de unidades para o Sistema Internacional. As Tabelas
13 e 14 apresentam os valores dos parâmetros e , respectivamente.
O factor depende directamente da MOS, pelo que o seu valor foi calculado anualmente,
quando se verifica um incremento na MOS É de realçar que o valor de depende da estrutura
e da permeabilidade do solo. Apesar de ambas se alterarem com a variação de MOS, neste
trabalho tal não foi considerado, uma vez que não foi possível aprofundar o conhecimento
sobre esta relação de dependência. A permeabilidade do solo pode ser relacionada com a sua
textura, tal como se apresenta na Tabela 15.
42
Tabela 13 – Valor do parâmetro para cada tipo de estrutura de solo
Estrutura
Granular muito fina 1
Granular fina 2
Granular grosseira 3
Compacta 4
(Fonte: Wischmeier et al., 1978)
Tabela 14 – Valor do parâmetro para cada tipo de permeabilidade do solo
Permeabilidade
Muito lenta 6
Lenta 5
Lenta a moderada 4
Moderada 3
Moderada a rápida 2
Rápida 1
(Fonte: Wischmeier et al., 1978)
Tabela 15 – Relação entre a textura e o parâmetro
Textura
Argilo-limosa, argilosa 6
Franco-argilo-limosa, argilo-arenosa 5
Franco-argilo-arenosa, franco-argilosa 4
Franca, franco-limosa 3
Areno-franca, franco-arenosa 2
Arenosa 1
(Fonte: Renard et al., 1997)
A partir das Tabelas 1, 14 e 15 definiu-se o valor de para cada pastagem. A definição do
valor de implica conhecer a estrutura do solo, mas essa infirmação não estava disponível,
pelo que se assumiu que a estrutura do solo era granular grosseira. Os valores de e para
cada herdade encontram-se na Tabela 16.
43
Tabela 16 - Valores de e para cada Herdade
Herdade
Cabeça Gorda 3 2
Monte do Mestre 3 2
Refroias 3 4
Cinzeiro e Torre 3 1
5.3.1.3 Relação de coberto vegetal, C
Este factor mede o efeito combinado da cobertura do solo e das práticas agrícolas escolhidas.
A cobertura do solo varia com o estado de desenvolvimento da cultura, pelo que se divide o
ano hidrológico em vários períodos de coberto vegetal e práticas agrícolas constantes. Para
cada um destes períodos calcula-se também o valor da erosividade da precipitação, , que se
multiplicam pelos valores tabelados correspondentes ao quociente entre a perda de solo para
cada estado de desenvolvimento da cultura e a perda de solo de um talhão com o solo nu. Os
valores obtidos para cada período são somados, dando origem ao valor da relação de coberto
vegetal, , para a cultura em questão.
No cálculo do valor de de uma cultura onde se observe a prática de rotação interanual deve
ser considerada a média da relação de coberto vegetal para o número de anos que completa a
rotação.
Wischmeier (1978) afirma que, no caso das pastagens já instaladas onde não se verifica
distúrbio do solo, não é necessário calcular o valor de para os vários estágios de
desenvolvimento da cultura.
Os valores de utilizados foram os considerados por Pimenta (1998), que se encontram na
Tabela 17. A escolha destes valores justifica-se com o facto de as PPSBRL poderem ser
consideradas pastagens melhoradas, enquanto as PN são, de um modo geral, pastagens
pobres.
Tabela 17 – Factor para pastagens permanentes e pastagens pobres
Tipo de pastagem
Pastagem permanente 0,02
Pastagem pobre 0,05
44
5.3.1.4 Relação de prática agrícola, P
A erosividade da precipitação pode ser anulada pela cobertura do solo, mas também por
práticas agrícolas que favorecem a diminuição da velocidade do escorrimento superficial, como
a cultura em curvas de nível, a cultura em terraços e a cultura em faixas. No entanto, não
existe na literatura relação entre este factor e as práticas agrícolas adoptadas nas PPSBRL.
Por defeito, o valor de é 1 e foi este o valor adoptado neste trabalho, levando a que a prática
agrícola não tenha impacto nos resultados.
5.3.1.5 Factor fisiográfico do solo, LS
O factor fisiográfico do solo é o produto das relações de comprimento e de declive , que se
calculam de acordo com as Equações 55 e 56 (Wischmeier et al., 1978).
Equação 55 – Relação de comprimento de encosta
Equação 56 – Relação de declive de encosta
Onde:
- Relação de comprimento de encosta.
- Comprimento da encosta (m).
- Coeficiente que depende de .
- Relação de declive de encosta.
- Declive da encosta (%).
Estas equações são válidas para os casos em que o declive e a largura são uniformes. Na
Equação 55, o valor 22,13 é o comprimento do talhão tipo.
O coeficiente toma os valores apresentados na Tabela 18.
45
Tabela 18 – Relação entre o coeficiente m e o declive s
(Fonte: Wischmeier et al., 1978)
Na Tabela 19 apresentam-se os valores calculados para uma pastagem com as dimensões e
forma definidas na secção 5.
Tabela 19 – Comprimento da encosta, declive, e factor fisiográfico da pastagem em estudo
Parâmetro Valor
m
%
5.3.2 EUPS: Equação Universal de Perda de Solo e EUPSaj
A Equação Universal de Perda de Solo apresenta-se na Equação 57 e o ajustamento feito a
esta equação por Tomás et al. (1993) apresenta-se na Equação 58.
Equação 57 – Equação Universal de Perda de Solo
Equação 58 – EUPSaj
Onde:
- Factor de erosividade da precipitação (mm ha
-1
h
-1
).
Os factores , , e definem-se como na EUPSM. O factor é descrito de seguida.
46
5.3.2.1 Factor de erosividade da precipitação, R
A erosão hídrica não é causada apenas pelos eventos pluviosos mais intensos: os eventos de
precipitação moderados também são responsáveis pela desagregação e transporte de
partículas. O factor de erosividade mede, através do parâmetro , o efeito da queda das
gotas de chuva na desagregação do solo e o escorrimento superficial que estará associado ao
evento pluvioso em questão. Este parâmetro é aditivo, ou seja, é possível somar os valores
que o parâmetro toma para cada um dos eventos de precipitação. Também se admite que o
valor médio do parâmetro para uma dada região é o índice de erosão associado à precipitação
para essa região.
O parâmetro é o produto da energia cinética da precipitação pela intensidade da
precipitação. A energia cinética da precipitação pode ser calculada através da Equação 59
(Tomás, 1993).
Equação 59 – Energia cinética da precipitação
Onde:
- Energia cinética da precipitação (MJ.ha
-1
.mm
-1
).
- Taxa de precipitação (mm.h
-1
).
Em Coutinho (1994) apresenta-se uma carta de isoerodentes
10
para o Sul de Portugal, de onde
se retiraram os valores utilizados neste trabalho, que se apresentam na Tabela 20, convertidos
para unidades do Sistema Internacional.
Tabela 20 – Factor de erosividade da precipitação, , para as Herdades estudadas
Herdade
Factor de erosividade da
precipitação,
Cabeça Gorda 1472
Monte do Mestre 1472
Refroias 1226
Cinzeiro e Torre 736
10
Linhas de igual erosividade de precipitação
47
5.4 Estimativa de parâmetros da Equação de Green e Ampt
Neste capítulo expõe-se a metodologia seguida na estimativa de parâmetros necessários na
aplicação da Equação de Green e Ampt.
5.4.1 Condutividade hidráulica efectiva
A condutividade hidráulica efectiva é calculada a partir da condutividade hidráulica saturada, tal
como em Bouwer (1969) (cit. in Neitsch (2009)), ou seja, é metade de . A condutividade
hidráulica saturada pode ser calculada recorrendo à Equação 60 (cit. in Rawls et al., 1989).
Equação 60 - Condutividade hidráulica saturada
Onde:
- Porosidade efectiva do solo (mm
3
mm
-3
).
- Conteúdo de água residual no solo (mm
3
mm
-3
).
- Densidade aparente do solo (g mm
-3
).
- Parâmetro calculado a partir do teor de areia, argila, MO e da densidade aparente do solo
(Equação 61).
Equação 61 – Parâmetro
O valor da densidade pode ser calculado recorrendo à Equação 62 (Flanagan et al., 1995).
Equação 62 - Densidade aparente do solo
Onde:
- Densidade aparente do solo (g mm
-3
).
- Matéria orgânica do solo (%).
- Razão entre a capacidade de troca catiónica da argila e o conteúdo de argila no solo
(meq/100g).
48
A capacidade da troca catiónica da argila pode ser calculada com a Equação 63.
Equação 63 - Capacidade de troca catiónica da argila
Onde:
- Capacidade de troca catiónica da argila (meq/100g).
- Capacidade de troca catiónica do solo (meq/100g).
- Profundidade da camada de solo (m).
Para os valores de MOS mais altos, a Equação 63 devolveu valores de CTCc negativos. Não foi
possível conhecer o domínio de validade da equação, mas presume-se que não aceite os
valores de MOS em causa. Por este motivo, decidiu-se substituir a CTCc pela CTC, na
Equação 62. A CTC para cada pastagem apresenta-se na Tabela 21. Os valores apresentados
foram obtidos experimentalmente no âmbito do Projecto AGRO87 e correspondem ao ano de
2001.
Tabela 21 – Capacidade de troca catiónica para cada pastagem
Nome
(meq/100g)
PPSBRL PN
Herdade da Cabeça Gorda 9,05 7,66
Herdade de Monte do Mestre 9,18 14,86
Herdade de Refroias 9,15 10,35
Herdade Cinzeiro e Torre 3,40 3,29
(Fonte: AGRO87)
A condutividade hidráulica saturada depende apenas das propriedades do solo. Na Equação
60 estão incluídos os efeitos da textura, da porosidade e da densidade aparente, que por sua
vez influenciam a estrutura do solo, fundamental no movimento de água no solo, como
explicado na secção 2.2.
O conteúdo de água residual pode ser calculado recorrendo à Equação 64 (Flanagan et al.,
1995). A definição deste parâmetro não é consensual e uma das hipóteses é tratá-lo apenas
como um parâmetro de ajuste, em vez de se considerar que tem um significado físico (cit in.
Vanapalli 1998).
49
Equação 64 – Conteúdo de água residual
Onde:
- Conteúdo de água residual no solo (mm3 mm
-3
).
- Razão entre a capacidade de troca catiónica da argila e o conteúdo de argila no solo
(meq/100g).
Também neste caso se substitui a CTCc pela CTC. Tal como e , o conteúdo de água
residual depende da textura, da MOS, da CTC e da densidade aparente do solo.
5.4.2 Porosidade total e porosidade efectiva
A porosidade total do solo pode ser calculada recorrendo à Equação 65.
Equação 65 – Porosidade total
Onde:
- Porosidade total (mm
3
mm
-3
).
- Densidade aparente (g mm
-3
).
O valor 2650 é um valor típico da densidade real em g mm
-3
.
A porosidade total não é um bom indicador do volume de água num solo saturado, uma vez
que parte desse volume é ocupado por ar que ficou aprisionado no solo. O volume de ar
aprisionado num solo saturado é calculado através da Equação 66
11
, obtida por regressão
(Rawls e Baumer 1989, cit. in Rawls e Brakensiek, 1989):
Equação 66 – Fracção de ar aprisionado num solo saturado (Fonte: Rawls et al., 1989)
Onde:
- Fracção de ar aprisionado num solo saturado, admite valores entre 0 e 1.
- Razão entre a capacidade de troca catiónica da argila e o conteúdo de argila no solo
(meq/100g).
11
A equação consultada em Rawls et al. (1989) devolvia resultados não concordantes com os valores apresentados
na bibliografia consultada, pelo que se concluiu que existiria uma gralha no documento. A equação aqui
apresentada foi corrigida e devolve os valores certos.
50
A porosidade efectiva corresponde então ao valor dado pela Equação 67:
Equação 67 – Porosidade efectiva
Onde:
- Porosidade efectiva (mm3 mm
-3
)
5.4.3 Potencial mátrico do solo
O potencial mátrico do solo é calculado através da Equação 68 (cit. in Risse et al., 1994).
Equação 68 – Potencial mátrico
Onde:
- Potencial mátrico (mm).
- Porosidade efectiva (mm
3
mm
-3
).
- Conteúdo inicial de água no solo (mm
3
mm
-3
).
- Potencial capilar médio ao longo da frente de humedecimento (mm).
O potencial capilar médio é calculado recorrendo à Equação 69, obtida por regressão (Rawls et
al., 1983, cit. in ASCE, 1996).
Equação 69 – Potencial capilar médio
5.5 Estimativa de dados climáticos para a modelação da
evapotranspiração e infiltração
A estimativa dos dados de temperatura, humidade relativa, vento e radiação solar em falta é
descrita neste capítulo. Estes dados foram utilizados na modelação da evapotranspiração, pelo
método de FAO Penman-Monteith.
51
5.5.1 Temperatura diária, humidade relativa e vento médio diário
No cálculo da pelo método de FAO Penman-Monteith é necessário saber a temperatura
média diária e a humidade relativa. Allen et al. (1998) aconselha a que a primeira seja
calculada recorrendo às temperaturas máximas e mínimas diárias. As estações climatológicas
escolhidas apresentam falhas pontuais nas séries destes valores e o seu preenchimento foi
feito através de regressões lineares com dos dados de estações próximas da localidade em
causa. Foi feita uma comparação para cada ano.
Para completar as séries temporais do vento médio diário escolheu-se fazer a média dos
valores existentes nos anos com dados, para a mesma estação climatológica.
5.5.2 Radiação solar
Os dados referentes à radiação solar, , serão estimados recorrendo ao método de
Hargreaves-Samani, descrito em Samani (2000) e apresentado na Equação 70. Este método é
uma revisão da Equação de Hargreaves-Samani proposta por Hargreaves et al. (1982),
alterando o método de cálculo do coeficiente empírico .
Equação 70 – Equação de Hargreaves-Samani
Onde:
- Coeficiente empírico.
- Radiação extraterrestre (MJ m
-2
dia
-1
).
- Diferença entre temperatura máxima e mínima (ºC)
O coeficiente é calculado a partir dos valores de , através de uma regressão quadrática,
como na Equação 71.
Equação 71 - Relação entre e .
5.5.3 Precipitação horária
Considerou-se que a estimativa de dados de precipitação horária por regressão com dados de
outras estações não seria um método apropriado. Por este motivo escolheu-se completar as
falhas nas séries temporais directamente com dados de outra estação meteorológica, próxima
da localidade em questão, sem recorrer a tratamento estatístico.
52
6 RESULTADOS E DISCUSSÃO
A apresentação dos resultados está organizada por quatro temas, que mereceram uma
apreciação em separado: matéria orgânica, conteúdo de água no solo, escorrimento superficial
e perda de solo. Optou-se por apresentar a média dos resultados obtidos para as quatro
herdades, no caso do conteúdo de água no solo e da condutividade hidráulica, com o objectivo
de facilitar a leitura dos mesmos. No entanto, será feita uma análise individual dos resultados,
sempre que for considerado relevante. Os resultados de cada Herdade encontram-se em
Anexo.
São primeiro apresentados os resultados do modelo de dinâmica da MOS, que irão influenciar
todos os outros resultados. Os parâmetros que influenciam o conteúdo de água no solo são
apresentados em 6.2, com excepção da condutividade hidráulica, que é apresentada em 6.3,
num subcapítulo dedicado ao escorrimento superficial. Apesar do escorrimento superficial ser
uma parte integrante do balanço hídrico, escolheu-se apresentar os seus resultados em
separado, uma vez que foram utilizados como input no cálculo da perda de solo. A perda de
solo é apresentada em 6.4 e no subcapítulo 6.5 é feita a comparação dos resultados obtidos
com o método escolhido, EUPSM, com os resultados gerados pela EUPS e pela EUPSaj. Os
resultados do escorrimento superficial e da perda de solo apresentados são os individuais de
cada herdade, uma vez que dependem da precipitação horária, que tem uma grande
variabilidade.
A inicialização do balanço hídrico, no ano de 2001, esteve dependente da precipitação, uma
vez que era necessário que chovesse o suficiente para saturar o solo. Por outro lado, a
disponibilidade dos dados climáticos ditou o número de anos para o qual se fez a modelação.
Estas informações apresentam-se na Tabela 22. O cálculo da perda de solo foi feito para o
mesmo período.
Tabela 22 – Data de início e ano final da modelação, para cada Herdade
Herdade Data de início da modelação Ano final da modelação
Cabeça Gorda 2 – Março - 2001 2007
Monte do Mestre 21 – Setembro - 2001 2007
Refroias 1 – Março - 2001 2007
Cinzeiro e Torre 6 – Fevereiro - 2001 2006
53
6.1 Matéria Orgânica
Os valores médios de MOS encontram-se na Figura 7. Em todos os casos e como era
esperado, dados os resultados obtidos nos Projectos Agro, em Teixeira (2010) e em Teixeira et
al. (2011), a variação observada foi mais favorável na PPSBRL, como consequência de um
incremento anual de MOS superior neste sistema. Mesmo partindo de valores superiores nas
PN, a variação da MOS nas PPSBRL permitiu que este parâmetro fosse sempre superior no
fim do período considerado. No entanto, na Herdade de Refroias, a dinâmica da MOS não
apresenta diferenças significativas entre as PPSBRL e as PN, sendo de esperar que, se se
observarem diferenças nos resultados da modelação do balanço hídrico e da perda de solo
nesta herdade, estas não serão devidas à MOS. A evolução da MOS em cada herdade
encontra-se no Anexo 1.
Figura 7 – MOS média
6.2 Conteúdo de água no solo
Para a modelação da foi calculado o factor de cultura no estágio de desenvolvimento com a
Equação 35, tendo em conta a informação disponível sobre o desenvolvimento das pastagens,
apresentada na Tabela 9. Os resultados obtidos apresentam-se na Figura 8. Como as PPSBRL
são mais produtivas do que as pastagens naturais, o estágio de desenvolvimento começa mais
cedo e também termina mais cedo, resultando num factor de cultura superior durante este
período, o que significa que a evapotranspiração também é superior.
54
Figura 8 – Coeficiente de cultura para os vários estágios de desenvolvimento.
Apresentam-se os valores calculados para o volume de água na capacidade de campo e no
ponto de emurchimento, o valor da porosidade efectiva e a água disponível total, nas Figuras 9
a 12. Tendo em conta que a MOS aumentou entre 2 a 2,5 pontos percentuais de 2001 a 2007,
constata-se que o aumento verificado na água disponível total é bastante pequeno, cerca de
18% para as PPSBRL e cerca de 10% para as PN. Apesar disso, o ponto de emurchimento
aumentou 50 e 30%, a capacidade de campo aumentou 35 e 20% e a porosidade efectiva 18 e
10%, para as PPSBRL e PN, respectivamente. Os resultados individuais de cada herdade
apontam para a mesma conclusão (Anexo 2).
O ponto de emurchimento é mais sensível à CTC do que as restantes variáveis, razão pela
qual é inferior nas PPSBRL nos primeiros anos, apesar de a MOS ser superior. Na Herdade de
Monte do Mestre a diferença entre a CTC da PPSBRL e da PN é bastante superior à
observada nas outras herdades, resultando no facto do ponto de emurchimento ser sempre
superior nas PN, apesar do conteúdo de MOS ser inferior. A evolução da capacidade de campo
e da porosidade efectiva é também influenciada pela CTC nesta herdade. Relembra-se que a
CTC é incluída no cálculo destes parâmetros através da densidade aparente do solo.
Figura 9 – Ponto de emurchimento médio
55
Figura 10 – Capacidade de campo média
Figura 11 – Porosidade efectiva média
Figura 12 – Água disponível total média
A aplicação do modelo como descrito na metodologia resultou num conteúdo de água
raramente superior à capacidade de campo nos dois tipos de pastagem. Na Figura 13
apresenta-se o resultado obtido para uma PPSBRL, no ano de 2004. Comparando estes
resultados com os obtidos no Projecto AGRO87, para a Herdade de Monte do Mestre (Figura
56
14), observa-se que os resultados experimentais apontam para um conteúdo de água no solo
sempre superior aos calculados, com excepção da época de Verão, período de fraca
precipitação e valores de evapotranspiração potencial elevados, observando-se resultados
semelhantes aos calculados.
No Projecto AGRO87 recolheu-se informação respeitante a uma camada de solo com 15 cm de
espessura e também a uma camada de solo com 30 cm de solo. Sabendo que a percolação
está dependente do conteúdo de água na camada de solo inferior, é de esperar que o volume
de água percolado calculado pelo modelo descrito seja bastante elevado, já que se considera
que não existe água nas camadas de solo inferiores. Esta limitação do modelo recorre da
indisponibilidade de informação necessária para a modelação das camadas de solo inferiores.
Face a estes resultados, experimentou-se eliminar o cálculo da percolação, como referido na
secção 5.2.4, o que poderá corresponder a um caso extremo em que a camada de solo inferior
está sempre saturada. Os resultados obtidos foram francamente mais próximos dos resultados
experimentais (Figura 15), observando-se que o conteúdo de água no solo nos primeiros
meses do ano é sempre superior a 30 mm, que corresponde a um conteúdo de 30 .
Apesar de apenas se dispor de dados experimentais para a Herdade de Monte do Mestre,
optou-se por esta abordagem em todas as herdades. Assim, os resultados apresentados a
seguir foram obtidos por um balanço hídrico do solo onde não existe percolação.
57
Figura 13 - Conteúdo de água no solo calculado na Herdade de Monte do Mestre, numa PPSBRL, no ano de 2004
Figura 14 -Resultados obtidos no Projecto AGRO87, na Herdade de Mestre, de Dezembro de 2003 a Maio de 2005
Figura 15 - Conteúdo de água no solo calculado na Herdade de Monte do Mestre, numa PPSBRL, no ano de 2004,
excluindo a percolação
0
5
10-
Dez
17-
Dez
14-
J an
4-
Fev
18-
Fev
3-
Mar
18-
Mar
31-
Mar
19-
Abr
4-
Mai
18-
Mai
31-
Mai
14-
J ul
11-
Ago
14-
Set
26-
Out
23-
No v
11-
J an
11-
Fev
10-
Mar
3-
Mai
Dias de medição
R
0
5
Respiração do solo Temperatura Humidade (0-15 cm) Humidade (0-30 cm)
Pastagem natural-fertilizada
0
5
10
15
20
25
30
35
40
45
10-
Dez
17-
Dez
14-
J an
4-
Fev
18-
Fev
03-
Mar
18-
Mar
31-
Mar
19-
Abr
4-
Mai
18-
Mai
31-
Mai
14-
J ul
11-
Ago
14-
Set
26-
Out
23-
No v
11-
J an
11-
Fev
10-
Mar
3-
Mai
Dias de medição
Respiraçãodosolo(μmolCo2
m-2s-1)
0
5
10
15
20
25
30
35
40
45
HumidadedosoloV/V(%)e
temperaturadosolo(ºC)
Respiração do solo Temperatura Humidade (0-15 cm) Humidade (0-30 cm)
Pastagem semeada
0
5
10
15
20
25
30
35
40
45
10-
Dez
17-
Dez
14-
J an
4-
Fev
18-
Fev
03-
Mar
18-
Mar
31-
Mar
19-
Abr
4-
Mai
18-
Mai
31-
Mai
14-
J ul
11-
Ago
14-
Set
26-
Out
23-
No v
11-
J an
11-
Fev
10-
Mar
3-
Mai
Dias de medição
Respiraçãodosolo(μmol
CO2m-2s-1)
0
5
10
15
20
25
30
35
40
45
HumidadedosoloV/V(%)e
temperauradosolo(ºC)
Respiração do solo Temperatura Humidade (0-15 cm) Humidade (0-30 cm)
58
O cálculo da altura da frente de humedecimento (Figura 16) confirma que, nos dias em que
ocorre precipitação suficiente para saturar o solo, a camada de solo saturado excede muito os
10cm, chegando a atingir 2 m, profundidade que se supõe ser superior aos valores reais nas
herdades estudadas. O método utilizado para calcular a frente de humedecimento, descrito na
secção 3, só tem em conta o conteúdo inicial de água na camada de solo superficial, o que
significa que este valor será superior ao aqui apresentado, já que também é influenciado pelo
conteúdo inicial de água no perfil de solo inferior.
Figura 16 – Conteúdo de água no solo e altura da frente de humedecimento na Herdade de Monte do Mestre,
numa PPSBRL, no ano de 2004, excluindo a percolação
Como foi referido, a precipitação nas localidades em estudo concentra-se em poucos meses.
Como resultado, o solo encontra-se em stress hídrico no Verão. As PPSBRL apresentam um
período de défice hídrico superior ao das PN devido ao facto de ser feito o pastoreio durante o
período em que o pasto se encontra seco, o que diminui a cobertura do solo e aumenta a
evaporação. Nas Figuras 17 a 24 apresentam-se os resultados obtidos para o conteúdo de
água no solo nas quatro herdades, em dois anos.
Figura 17 – Conteúdo de água no solo na Herdade da
Cabeça Gorda, no ano de 2001
Figura 18 - Conteúdo de água no solo na Herdade da
Cabeça gorda, no ano de 2007
59
Figura 19 – Conteúdo de água no solo na Herdade de
Monte do Mestre, no ano de 2002
Figura 20 – Conteúdo de água no solo na Herdade de
Mestre, no ano de 2007
Figura 21 - Conteúdo de água no solo na Herdade de
Refroias, no ano de 2001
Figura 22 - Conteúdo de água no solo na Herdade de
Refroias, no ano de 2008
Figura 23 - Conteúdo de água no solo na Herdade de
Cinzeiro e Torre, no ano de 2001
Figura 24 - Conteúdo de água no solo na Herdade de
Cinzeiro e Torre, no ano de 2006
6.3 Escorrimento superficial
A condutividade hidráulica da Herdade de Cinzeiro e Torre é muito superior à condutividade
das outras herdades, devido à sua textura arenosa, pelo que se apresenta a condutividade
hidráulica média calculada sem os valores desta herdade, nas Figuras 26 e 27. A
condutividade hidráulica de cada uma das herdades encontra-se no Anexo 3.
O aumento da condutividade hidráulica é sempre superior nas PPSBRL. Aqui também se
observa a influência da CTC, nomeadamente na Herdade da Cabeça Gorda e na Herdade de
60
Monte do Mestre. Na Herdade da Cabeça Gorda, a condutividade é inferior nas PPSBRL no
ano de 2001, apesar de a MOS ser superior. Na Herdade de Monte do Mestre, o aumento da
condutividade hidráulica nas PPSBRL é muito superior ao aumento observado nas PN, apesar
de a MOS apresentar valores próximos.
Figura 25 – Condutividade hidráulica saturada média, excluindo a Herdade
de Cinzeiro e Torre
Figura 26 – Condutividade hidráulica efectiva média, excluindo a Herdade
de Cinzeiro e Torre
A formação do escorrimento superficial depende, como já foi referido, da condutividade
efectiva, do conteúdo inicial de água no solo e da porosidade efectiva do solo. As condições
observadas nas PN são quase sempre mais favoráveis à formação de escorrimento superficial,
quando comparadas com as PPSBRL. Nas Figuras 27 a 30 apresentam-se o escorrimento
superficial anual de cada herdade.
Na Herdade da Cabeça Gorda, o escorrimento superficial é superior nas PPSBRL no ano de
2001, o que é explicado pelo valor inferior da condutividade efectiva.
61
Em todos os outros casos, é nas PN que se forma um volume anual de escorrimento superficial
superior e a diferença observada em cada herdade pode relacionar-se com a diferença da
condutividade hidráulica.
Figura 27 – Escorrimento superficial anual Cabeça
Gorda
Figura 28 – Escorrimento superficial anual na Herdade
de Monte do Mestre
Figura 29 – Escorrimento superficial anual na Herdade
de Refroias
Figura 30 – Escorrimento superficial na Herdade de
Cinzeiro e Torre
62
6.4 Perda de solo
Nas Figuras 31 a 34 apresentam-se os factores de erodibilidade para as quatro herdades. De
notar que o factor é muito inferior na Herdade de Cinzeiro e Torre, como seria de esperar,
devido à sua textura arenosa.
Figura 31 – Factor de erodibilidade do solo na Herdade
da Cabeça Gorda
Figura 32 – Factor de erodibilidade do solo na Herdade
de Monte do Mestre
Figura 33 – Factor de erodibilidade no solo na Herdade
de Refroias
Figura 34 – Factor de erodibilidade do solo na Herdade
de Cinzeiro e Torre
A MOS influencia a perda de solo de duas maneiras: através do escorrimento superficial e
através do factor . No entanto, a influência da relação de coberto vegetal, , também é
importante e notória, principalmente nos anos em que o ES assumia valores próximos nas PN
e nas PPSBRL.
Utilizando a EUPSM, só se obtém valores de perda de solo diferentes de zero quando se forma
escorrimento superficial. Nos anos em que essa condição se verificou, a perda de solo foi
sempre superior nas PN, como se pode verificar nas Figuras 35 a 38. Recorda-se que a perda
de solo é calculada para cada evento de precipitação que gera escorrimento superficial, não
havendo correspondência directa entre a perda de solo e o escorrimento superficial anual
apresentado na secção anterior.
63
Figura 35 – Perda de solo anual Cabeça Gorda Figura 36 – Perda de solo anual na Herdade de Monte
do Mestre
Figura 37 – Perda de solo anual na Herdade de Refroias Figura 38 – Perda de solo anual na Herdade de Cinzeiro
e Torre
6.5 Comparação com EUPS e EUPSaj
Nesta secção pretende-se comparar os resultados obtidos pela EUPSM com os devolvidos
pela EUPS e pela EUPSaj. Tal comparação justifica-se pelo facto de a EUPSM não estar
calibrada para Portugal e, sendo uma referência na modelação da erosão, a EUPS é a escolha
óbvia para validar os resultados. No entanto são tidos em conta os indícios de que este método
sobreestima a perda de solo em Portugal, razão pela qual se utiliza a EUPSaj.
Foi calculado o valor médio anual de perda de solo para o período considerado em cada
herdade. Este valor foi comparado com a média da perda de solo anual para cada pastagem,
para o mesmo período. No caso da Herdade de Monte do Mestre, não foi considerado o ano de
2001, uma vez que só se iniciou o balanço hídrico no mês de Setembro. A perda de solo
calculada pelos três métodos encontra-se nas Figuras 39 e 40.
Os resultados devolvidos pela EUPS foram muito superiores aos calculados pela EUPSM, tal
como esperado. A perda de solo calculada para as Herdades da Cabeça Gorda e de Monte do
Mestre apresentam valores semelhantes, para cada sistema de pastagem, uma vez que o
factor de erosividade da precipitação, , é igual nas duas localidades e o factor de erodibilidade
do solo médio nos períodos considerados apresenta valores próximos. Na realidade, se for
64
utilizado o mesmo período nas duas herdades, a perda de solo calculada pela EUPS assume
valores iguais na Cabeça Gorda e no Monte do Mestre.
A equação ajustada por Tomás et al. (1993), aqui apresentada como EUPSaj, devolveu valores
mais próximos dos calculados recorrendo à EUPSM, mas ainda assim são uma ordem de
grandeza superiores. Também neste caso se obteve valores quase iguais nas Herdades da
Cabeça Gorda e de Monte do Mestre, pelos mesmos motivos apresentados para a EUPS.
Uma vez que a EUPS e a EUPASaj admitiram como input o valor médio da erodibilidade no
período considerado, os resultados de perda de solo obtidos para as PN foram sempre
superiores do que os obtidos para as PPSBRL.
Figura 39 – Perda de solo calculada com a EUPSM, a
EUPS e a EUPSaj, nas PPSBRL
Figura 40 – Perda de solo calculada com a EUPSM, a
EUPS e a EUPSaj, nas PN
65
7 CONCLUSÕES
Com este trabalho pretendeu-se comparar PPSBRL e PN, analisando o efeito do aumento de
MOS no balanço hídrico e na perda de solo de pastagens, sabendo à partida que as PPSBRL
promovem mais o aumento de MOS do que as PN. Foi simulada a evapotranspiração, a
infiltração e o escorrimento superficial nas pastagens, utilizando dados climáticos, a MOS e a
textura do solo, bem como alguma informação sobre o coberto vegetal da pastagem e da sua
variação ao longo do ano. A perda de solo foi calculada a partir da MOS, da textura do solo, do
coberto vegetal e do escorrimento superficial calculado no balanço hídrico.
O cálculo das variáveis de estado relacionadas com o balanço hídrico permitiu concluir que o
aumento da MOS não altera significativamente a água disponível para as plantas, mas
aumenta a condutividade hidráulica saturada do solo, o que aumenta a infiltração e reduz a
probabilidade de ocorrência de escorrimento superficial. De facto, o escorrimento superficial
gerado foi superior nas pastagens com menor conteúdo em MOS, o que está directamente
relacionado com o valor superior da condutividade hidráulica saturada. No entanto, no período
em que o pasto se encontra seco, o conteúdo de água no solo é inferior nas PPSBRL,
resultado do pastoreio efectuado, com o objectivo de descobrir o solo, o que aumenta a sua
evaporação. É ainda de referir que, ao promover a infiltração da água no solo, as PPSBRL
aumentam a disponibilidade da água nas camadas mais profundas, o que beneficia a
vegetação com raízes mais longas.
O cálculo da perda de solo foi efectuado para cada evento pluvioso que gerava escorrimento
superficial. Como o escorrimento superficial foi sempre superior nas PN (com uma excepção
referida em 6.3), a perda de solo foi também superior nestas pastagens. Para além do ES, são
também factores importantes a erodibilidade do solo e o coberto vegetal. O factor de
erodibilidade do solo evoluiu da mesma maneira que a MOS, uma vez que depende dela
directamente e que a textura se mantém constante em cada herdade. O valor da relação de
coberto vegetal das PN é inferior ao das PPSBRL, o que significa uma menor protecção. Por
estas razões, a perda de solo calculada não é directamente proporcional ao escorrimento
superficial, sofrendo um agravamento nas PN.
Os resultados obtidos pela EUPSM foram comparados com os gerados pela EUPS e pela
EUPSaj, tendo-se obtido resultados muito superiores com a EUPS, tal como se esperava, tendo
em conta o trabalho de Tomás et al. (1993), o que alerta para a necessidade de calibrar os
modelos para as condições locais.
Os modelos de regressão estatística utilizados para calcular as propriedades do solo não foram
calibrados para Portugal, não se podendo apurar o ajustamento dos resultados obtidos. No
entanto, o erro associado a estes cálculos pode ser considerado igual nas PN e nas PPSBRLe,
66
em termos relativos, a comparação dos resultados de PPSBRL e PN continua a ser válida.
Face a isto, os resultados permitem demonstrar o que já se suponha em relação ao facto das
PPSBRL promoverem a regulação do balanço hídrico e a diminuição da perda de solo.
Contribuem, assim, para uma melhor caracterização das mais-valias ambientais das PPSBRL.
O desconhecimento das propriedades do solo abaixo dos 10 cm de profundidade é uma
limitação deste trabalho, tendo conduzido à escolha da eliminação da percolação do balanço
hídrico. Apesar de se ter considerado que, no Monte do Mestre, os resultados obtidos estavam
mais próximos dos valores experimentais obtidos no âmbito do Projecto AGRO, não foi
possível verificar os resultados das outras herdades. A eliminação da percolação teve como
resultado o aumento do conteúdo de água no solo, o que influencia a formação de
escorrimento superficial. Assim, se a eliminação da percolação se revelar errada, o
escorrimento superficial estará provavelmente sobrestimado, o mesmo se passando com a
perda de solo.
Sugere-se como trabalho futuro a calibração dos modelos utilizados para a área onde se
conhece a dinâmica da MOS em PPSBRL, tal como o alargamento do volume de controlo
utilizado no balanço hídrico, de modo a considerar um perfil de solo mais profundo.
67
68
69
REFERÊNCIAS
Abreu, L., Carneiro, J.P., Crespo, D.G., Costa, A.V., Freixial, R., Pereira, J.S., 2005; Relatório
Final do Projecto Agro87 – Pastagens biodiversas ricas em leguminosas: uma alternativa
sustentável para o uso de terras marginais. Medida 8.1 do Projecto Agro.
Allen, R.G., Pereira, L.S., Raes, D., Smith, M., 1998; Crop evapotranspiration: guidelines for
computing crop water requirements. FAO Irrigation and Drainage Paper, Vol. 56, FAO, Roma,
Itália.
ASCE,1996; Hydrology Handbook (2
nd
Edition). American Society of Civil Engineers.
Baxter, E.V., 2004; Distributed hydrologic modeling using GIS. Kluwer Academic Publishers,
Holanda.
Beven, K.J., 2001; Rainfall-runoff modeling: The primer. Wiley, Chichester,
Bot, A., Benites, J., 2005; The importance of soil organic matter. Key to drought-resistant soil
and sustained food production, F.A.O., Roma.
Botelho da Costa, J., 2004; Caracterização e constituição do solo.7ª edição. Fundação
Calouste Gulbenkian, Lisboa.
Brunt, D., 1952; Physical and dynamical meteorology. 2
nd
ed., University Press, Cambridge.
Burman, R.D, Jensen, M.E., Allen, R.G, 1987; Thermodynamic factors in evapotranspiration.
Chu, S.T., 1978; Infiltration during an unsteady rain. Water Resour. Res, Vol.14, nº3, pp.461-
466.
Coutinho, M.A., Antunes, C.R., Tomás, P.R., Loureiro, N.S., 1994; Caracterização da
erosividade da precipitação no Sul de Portugal. Recursos Hídricos, vol.15, nº3, pp.25-31.
EEA, Van-Camp, L., Bujarrabal, B., Gentile, A.R., Jones, R., Montanarella, L., Olazabal, C.,
Selvaradjou, S.K. (Eds.), 2004;. Reports of the Technical Working Groups, Established Under
the Thematic Strategy for Soil Protection, Volume III, Organic Matter. Disponível em:
http://eusoils.jrc.it/ESDB_Archive/Policies/STSWeb/start.htm. Consultado em Outubro de 2010.
EEA, 2010; The European Environment State and Outlook 2010. Disponível em
http://www.eea.europa.eu/soer/europe/soil. Consultado em Outubro de 2011.
Extensity, 2008; Tarefa 9 – Avaliação do impacte à escala do país da implementação
generalizada das práticas e sistemas de gestão preconizados pelo projecto.IST, Lisboa.
Disponível em http://extensity.ist.utl.pt/newdocs/tarefa_9/t9_avaliacao.pdf. Consultado em
Outubro de 2010.
70
Flanagan, D.C., Nearing, M.A. (ed.), 1995; USDA – Water Erosion Prediction Project.Hillslope
profile and watershed model documentation. USDA – ARS.
Green, W.H., Ampt, G.A., 1911. Studies on soil physics: 1. Flow of air and water through soils.
Journal of Agricultural Science, Vol. 4, pp.1-24.
Hargreaves, G.L., Hargreaves G.H., Riley, J.P., 1985; Agricultural benefits for Senegal river
basin. Journal of Irrigation and Drainage Engineering, Vol.111, nº2, pp.113-124.
Harrison L. P., 1963; Fundamental concepts and definitions relating to humidity. In Humidity and
moisture. Wexler A. (ed) Reinhold Publishing Company, Nova Iorque.
INE, 2001; Recenseamento geral da agricultura 1999. Análise de resultados. INE, Lisboa
INE, 2011; Recenseamento geral da agricultura 2009. Análise dos principais resultados. INE,
Lisboa
Jia, Y., Tamai, N., 1997; Modelling infiltration into a multi-layered soil during an unsteady rain.
Annual Journal of Hydraulic Engineering, Vol. 41, pp. 31-46.
Khaleel, R., Reddy, K.R., Overcrash, M.R., 1981; Changes in soil physical properties due to
organic waste applications: a review. Journal of Environmental Quality, Vol. 10, pp. 133-141.
Lal, R., 2005 (ed.); Encyclopedia of soil science. Second edition. Taylor and Francis.
Lawrence, M.G., 2005; The relationship between relative humidity and the dew point
temperature in the moist air: a simple conversion and applications. Bulletin of the American
Meteorological Society, Vol. 86, pp.225-233.
Murray, F.W., 1967; On the computation of saturation vapor pressure. Journal of Applied
Meteorology, Vol.6, pp.203-204.
Neitsch, S.L., Arnold, J.G., Kiniry, J.R., Williams, J.R., 2005; Soil water assessment tool
theoretical documentation.Version 2009.Temple, Tex.: USDA‐ARS Grassland, Soil andWater
Research Laboratory
Pimenta, M. T., 1998; Directrizes para a aplicação da equação universal de perda de solos em
SIG, Factor de cultura C e factor de erodibilidade do solo K. INAG, Lisboa.
Priestley, C.H.B., Taylor, R.J., 1972; On the assessment of surface heat flux and evaporation
using large-scale parameters. Monthly Weather Review, Vol. 100, nº2, pp.81-92.
Ranatunga, K., Nation, E.R., Barratt, D.G, 2008; Review of soil water models and their
applications in Australia. Environmental Modelling & Software, nº23, pp.1182-1206.
Rawls, W.J., Baumer, O., 1989; Calibration of modified Kozency-Carman saturated hydraulic
conductivity equation. ASCE Journal of Irrigation Drainage.
71
Rawls, W.J., Brakensiek D.L., Soni, B., 1983; Agricultural management effects of soil water
processes: Part I - Soil water retention and Green ampt infiltration parameters. Transactions of
the American Society of Agricultural Engineers. Vol.26, nº6, pp. 1752-1753.
Rawls, W.J., Brakensiek, D.L., Savabi, M.R., 1989; Infiltration parameters for rangeland soils.
Journal of Range Management, Vol. 42, nº2, pp. 139-142.
Rawls, W.J., Gish, T.J., Brakensiek, D.L., 1991. Estimation of soil water retention from soil
properties - a review. Advances in Soil Sciences Vol.16, pp. 213-235.
Rawls, W.J., Pachepsky, Y., 2004; Development of pedotransfer functions in soil hydrology.
Developments in soil Science, Vol. 30, pp. 95-114.
Renard, K.G., Foster, G.R., Weesies, G.A., McCool, D.K., Yoder D.C., 1997; Predicting soil
erosion by water: a guide to conservation planning with the revised universal soil loss equation
(RUSLE). U.S.D.A, Agricultural Handobook 703.
Risse, L.M., Nearing, M.A., Savabi, M.R., 1994; Determining the Green-Ampt effective hydraulic
conductivity from rainfall-runoff data for the wepp model. Transactions of the ASAE, Vol. 37,
nº2, pp. 411-418.
Rodrigues, N., 2008; A sustentabilidade de sistemas agrícolas extensivos. Caso de estudo das
explorações do Projecto Extensity. Dissertação para obtenção do grau de Mestre em
Engenharia do Ambiente. IST, Lisboa.
Samani, Z., 2000; Estimating solar radiation and evapotranspiration using minimum
climaatological data. Journal of Irrigation and Drainage Engineering, Vol.126, nº4.
Senarath, S.U.S., Ogden, F.L., Downer, C.W., Sharif, H.O., 2000; On the calibration and
verification of two-dimensional, distributed, Hortonian, continuous watershed models. Water
Resources Research, Vol. 36, nº6, pp.1495-1510.
Teixeira, R., 2010; Sustainable Land Uses and Carbon Sequestration: The Case of Sown
Biodiverse Permanent Pastures Rich in Legumes. Dissertação para obtenção do grau de doutor
em Engenharia do Ambiente. IST, Lisboa
Teixeira, R., Domingos, T., Costa A., Oliveira, R., Farropas, L., Calouro, F., Barradas A.,
Carneiro, J., 2011; Soil organic matter dynamics in Portuguese natural and sown rainfed
grasslands. Ecological Modelling 222, pp.993-1001.
Tetens, O., 1930; Uber einige meteorologische Begriffe. Zeitschrift für Geophysik, Vol. 6,
pp.297-309.
72
Thornthwaite, C.W., 1948; An approach toward a rational classification of climate. Geographical
Review Vol. 38, pp. 55-94.
Tomás, P.P., Coutinho, M.A., 1993; Erosão hídrica dos solos em pequenas bacias
hidrográficas. Aplicação da Equação Universal de Degradação de Solos. Publicação da
CEHIDRO – Centro de Estudos de Hidrossistemas nº7. IST, Lisboa.
USDA, 1999.Soil Taxonomy. A basic system of soil classification for making and interpreting
soil surveys. U.S.D.A., Agricultural Handbook 436 (2ª edição)
USDA, 2004; Estimation of direct runoff from storm rainfall. National Engineering Handbook,
Chapter 10.
Vanapalli, S.K., Sillers, W.S., Fredlund, M.D., 1998; The meaning and relevance of residual
state to unsaturated soils. Proceedings of the 51
st
Canadian Geotechnical Conference,
Edmontan. Disponível em
http://by.genie.uottawa.ca/~vanapall/papers/conference/1998/cgs98_residual.pdf. Consultado
em Setembro de 2011.
Wilcox, B.P., Rawls, W.J., Brakensiek, D.L, Wight, J.R.; 1990; Predicting runoff from rangeland
catchments: a comparison of two models. Water Resources Research, Vol.26, nº10.
Williams, J.R., 1975; Sediment-yield prediction with universal equation using runoff energy
factor. In Present and prospective technology for predicting sediment yield and souces:
Proceedings of the sediment-yield workshop. USDA Sedimentation Lab., Oxford, MS,
November 28-30, 1972. ARS-S-40.
Wischmeier, W. H., Smith, D. D., 1978, Predicting rainfall erosion losses - a guide to
conservation planning. U.S.D.A., Agricultural Handbook 537.
75
76
i
ANEXOS
Anexo 1 – Matéria Orgânica do Solo
Figura 41 – MOS na Herdade da Cabeça Gorda Figura 42 – MOS na Herdade de Monte do Mestre
Figura 43 – MOS na Herdade de Refroias Figura 44 – MOS na Herdade de Cinzeiro e Torre
ii
Anexo 2 – Ponto de emurchimento, capacidade de campo, porosidade
efectiva e água disponível total
Figura 45 – Ponto de emurchimento na Herdade da
Cabeça Gorda
Figura 46 – Capacidade de campo na Herdade da
Cabeça Gorda
Figura 47 - Porosidade efectiva na Herdade da Cabeça
Gorda
Figura 48 – Água disponível total na Herdade da
Cabeça Gorda
Figura 49 – Ponto de emurchimento na Herdade de
Monte do Mestre
Figura 50 – Capacidade de campo na Herdade de
Monte do Mestre
iii
Figura 51 – Porosidade efectiva na Herdade de Monte
do Mestre
Figura 52 – Água disponível total na Herdade de Monte
do Mestre
Figura 53 – Ponto de emurchimento na Herdade de
Refroias
Figura 54 – Capacidade de campo na Herdade de
Refroias
Figura 55 – Porosidade efectiva na Herdade de Refroias Figura 56 – Água disponível total na Herdade de
Refroias
iv
Figura 57 – Ponto de emurchimento na Herdade de
Cinzeiro e Torre
Figura 58 – Capacidade de campo na Herdade de
Cinzeiro e Torre
Figura 59 – Porosidade efectiva na Herdade de Cinzeiro
e Torre
Figura 60 – Água disponível total na Herdade de
Cinzeiro e Torre
v
Anexo 3 – Condutividade hidráulica saturada
Figura 61 - na Herdade da Cabeça Gorda Figura 62 - na Herdade da Cabeça Gorda
Figura 63 - na Herdade de Monte do Mestre Figura 64 - na Herdade de Monte do Mestre
Figura 65 - - na Herdade de Refroias Figura 66 - na Herdade de Refroias
vi
Figura 67 - na Herdade de Cinzeiro e Torre Figura 68 - na Herdade de Cinzeiro e Torre

Balanço hidrico e perda do solo

  • 1.
    Balanço Hídrico ePerda de Solo em Pastagens Estudo Comparativo de Pastagens Permanentes Semeadas Biodiversas Ricas em Leguminosas e Pastagens Naturais Patrícia Páscoa de Oliveira Ramos Dissertação para obtenção do Grau de Mestre em Engenharia do Ambiente Júri Presidente: Professor Doutor Ramiro Joaquim de Jesus Neves Orientador: Professor Doutor Tiago Morais Delgado Domingos Co-orientador: Doutora Helena Maria Campos Martins Vogal: Doutora Ana Margarida Seixas Horta Outubro de 2011
  • 2.
    I AGRADECIMENTOS O meu agradecimentoao Professor Doutor Tiago Domingos pela oportunidade de realizar este trabalho sob a sua orientação. À Doutora Helena Martins agradeço a disponibilidade, a orientação e a motivação. À Engenheira Tatiana Valada agradeço a valiosa colaboração. Ao Doutor Ricardo Teixeira agradeço a orientação inicial deste trabalho. Agradeço ao Engenheiro António Martelo e ao Engenheiro Nuno Rodrigues pela colaboração. Ao Professor Eugénio Sequeira agradeço a disponibilidade que demonstrou para me ajudar na fase final do meu trabalho. Ao Eng. David Crespo e ao Eng. Filipe Verdasca quero agradecer o contributo prestado também na fase final do meu trabalho. À minha família, por todo o apoio e motivação.
  • 3.
  • 4.
    III RESUMO Este trabalho temcomo objectivo o estudo comparativo do balanço hídrico e da perda de solo em pastagens permanentes semeadas biodiversas ricas em leguminosas (PPSBRL) e em pastagens naturais (PN), recorrendo a modelação. Sabendo que às primeiras está associado um maior aumento de matéria orgânica no solo (MOS), foi escolhida esta variável para diferenciar os dois sistemas. Simulou-se a infiltração de água no solo e a evapotranspiração, sabendo assim o volume de escorrimento superficial gerado e o conteúdo de água no solo. Calculou-se a perda de solo para cada evento pluvioso que gerou escorrimento superficial, utilizando os dados obtidos pelo balanço hídrico. Os resultados obtidos permitem concluir que nas PPSBRL o volume de água infiltrada foi superior, resultando num volume inferior de escorrimento superficial e menor perda de solo, devido ao maior teor de MOS. O volume total de água disponível para as plantas, todavia, não sofreu alteração significativa com o aumento de MOS e, como a evapotranspiração é superior nas PPSBRL, devido à sua maior produtividade, o conteúdo de água no solo nestas pastagens pode até ser inferior. Palavras-chave: pastagens permanentes semeadas biodiversas ricas em leguminosas, pastagens naturais, matéria orgânica do solo, balanço hídrico, perda de solo.
  • 5.
  • 6.
    V ABSTRACT The goal ofthis work is the comparative study of the water balance and soil loss in sown biodiverse permanent pastures rich in legumes (SBPPRL) and in natural grasslands (NG), using models. SBPPRL show a higher increase in soil organic matter (SOM) and so this variable was chosen to differentiate the two systems. The models used simulated water infiltration into the soil and evapotranspiration, which permitted to know the volume of surface runoff and soil water content. Soil loss from each rainfall event that generated surface runoff was calculated, using data from the water balance. The results lead to the conclusion that the volume of infiltrated water was higher on SBPPRL and thus the surface runoff and the soil loss was smaller due to higher SOM content. Plant available water, however, did not change significantly with the increase of SOM and because evapotranspiration is higher on SBPPRL, due to the higher productivity, soil water content may be smaller on these pastures. Keywords: sown biodiverse permanent pastures rich in legumes, natural grasslands, soil organic matter, water balance, soil loss.
  • 7.
  • 8.
    VII Índice AGRADECIMENTOS......................................................................................................................... I RESUMO....................................................................................................................................... III ABSTRACT......................................................................................................................................V Índice...........................................................................................................................................VII Índicede Equações.....................................................................................................................VIII Índice de Tabelas........................................................................................................................... X Índice de Figuras .......................................................................................................................... XI Lista de Acrónimos.....................................................................................................................XIV Lista de notações........................................................................................................................XIV 1 INTRODUÇÃO......................................................................................................................... 1 2 FUNDAMENTOS TEÓRICOS .................................................................................................... 4 2.1 Propriedades físicas do solo.......................................................................................... 4 2.2 O balanço hídrico do solo e a MOS ............................................................................... 5 2.3 A erosão e a MOS.......................................................................................................... 7 3 ESTADO DA ARTE ................................................................................................................... 8 4 CARACTERIZAÇÃO DOS LOCAIS ESTUDADOS....................................................................... 12 5 METODOLOGIA .................................................................................................................... 14 5.1 Modelação da MOS..................................................................................................... 14 5.2 Modelação do balanço hídrico.................................................................................... 16 5.2.1 Ponto de emurchimento e capacidade de campo .................................................. 18 5.2.2 Infiltração/Escorrimento superficial – Equação de Green e Ampt ......................... 20 5.2.3 Evapotranspiração – FAO Penman-Monteith ......................................................... 23 5.2.4 Modelação da percolação....................................................................................... 35 5.3 Modelação da Perda de Solo....................................................................................... 36 5.3.1 EUPSM: Equação Universal de Perda de Solo Modificada...................................... 37 5.3.2 EUPS: Equação Universal de Perda de Solo e EUPSaj............................................... 45 5.4 Estimativa de parâmetros da Equação de Green e Ampt........................................... 47 5.4.1 Condutividade hidráulica efectiva........................................................................... 47 5.4.2 Porosidade total e porosidade efectiva .................................................................. 49 5.4.3 Potencial mátrico do solo........................................................................................ 50 5.5 Estimativa de dados climáticos para a modelação da evapotranspiração e infiltração 50
  • 9.
    VIII 5.5.1 Temperatura diária,humidade relativa e vento médio diário............................... 51 5.5.2 Radiação solar ......................................................................................................... 51 5.5.3 Precipitação horária ................................................................................................ 51 6 RESULTADOS E DISCUSSÃO.................................................................................................. 52 6.1 Matéria Orgânica......................................................................................................... 53 6.2 Conteúdo de água no solo .......................................................................................... 53 6.3 Escorrimento superficial ............................................................................................. 59 6.4 Perda de solo............................................................................................................... 62 6.5 Comparação com EUPS e EUPSaj ................................................................................. 63 7 CONCLUSÕES ....................................................................................................................... 65 REFERÊNCIAS............................................................................................................................... 69 ANEXOS .......................................................................................................................................... i Anexo 1 – Matéria Orgânica do Solo.......................................................................................... i Anexo 2 – Ponto de emurchimento, capacidade de campo, porosidade efectiva e água disponível total.......................................................................................................................... ii Anexo 3 – Condutividade hidráulica saturada........................................................................... v Índice de Equações Equação 1 – Balanço hídrico diário de um solo ............................................................................ 5 Equação 2 – Balanço de massa da MOS...................................................................................... 14 Equação 3 – Solução do baalanço de massa da MOS ................................................................. 15 Equação 4 – Input de MOS.......................................................................................................... 15 Equação 5 – Modelo da dinâmica de MO em pastagens............................................................ 15 Equação 6 – Conteúdo de água no solo no ponto de emurchimento ........................................ 19 Equação 7 – Conteúdo de água no solo na capacidade de campo............................................. 19 Equação 8 – Taxa de infiltração da equação de Green e Ampt .................................................. 20 Equação 9 – Solução da Equação de Green e Ampt.................................................................... 21 Equação 10 – Altura da frente de humedecimento.................................................................... 21 Equação 11 – Taxa de infiltração antes do alagamento ............................................................. 21 Equação 12 – Infiltração acumulada antes do alagamento........................................................ 22 Equação 13 – Taxa de infiltração após alagamento.................................................................... 22 Equação 14 − Infiltração acumulada após alagamento .............................................................. 22
  • 10.
    IX Equação 15 –Pseudotempo........................................................................................................ 22 Equação 16 – Infiltração acumulada no instante do alagamento............................................... 23 Equação 17 – Tempo de alagamento.......................................................................................... 23 Equação 18 – Equação de FAO Penman-Monteith..................................................................... 23 Equação 19 – Radiação absorvida............................................................................................... 24 Equação 20 – Radiação emitida. ................................................................................................. 24 Equação 21 - Radiação de céu limpo........................................................................................... 25 Equação 22 - Radiação extraterrestre......................................................................................... 25 Equação 23 - Distância relativa inversa entre a Terra e o Sol..................................................... 26 Equação 24 - Declinação solar..................................................................................................... 26 Equação 25 - Ângulo do Sol ao pôr-do-sol.................................................................................. 26 Equação 26 - Pressão de saturação de vapor média diária. ....................................................... 27 Equação 27 - Pressão de saturação de vapor. ............................................................................ 27 Equação 28 - Pressão de vapor real............................................................................................ 27 Equação 29 - Temperatura de orvalho........................................................................................ 28 Equação 30 - Declive da curva de pressão de vapor................................................................... 28 Equação 31 - Constante psicrométrica ....................................................................................... 29 Equação 32 - Pressão atmosférica. ............................................................................................. 29 Equação 33 – Evapotranspiração de cultura, com o método de FAO Penman-Monteith.......... 30 Equação 34 – Coeficiente de cultura duplo ................................................................................ 31 Equação 35 – Método numérico para determinação de ....................................................... 32 Equação 36 – Água disponível total ............................................................................................ 33 Equação 37 – Coeficiente de stress hídrico................................................................................. 33 Equação 38 - Água prontamente disponível............................................................................... 33 Equação 39 – Ajuste do parâmetro .......................................................................................... 34 Equação 40 – Evapotranspiração da cultura, ajustada ............................................................... 34 Equação 41 – Volume de água percolado................................................................................... 35 Equação 42 – Tempo de transferência........................................................................................ 35 Equação 43 – Condutividade hidráulica saturada ajustada........................................................ 35 Equação 44 – Parâmetro ........................................................................................................ 36 Equação 45 – Volume de água percolado ajustado.................................................................... 36 Equação 46 – Equação universal de perda de solo modificada .................................................. 37 Equação 47 – Caudal de ponta de cheia, calculado pelo método racional................................. 38
  • 11.
    X Equação 48 –Coeficiente de escorrimento superficial............................................................... 38 Equação 49 – Intensidade de precipitação ................................................................................. 39 Equação 50 – Fracção da precipitação que ocorre durante o tempo de concentração............. 39 Equação 51 – fracção da precipitação diária que ocorre durante o tempo de concentração.... 39 Equação 52 – Tempo de concentração....................................................................................... 40 Equação 53 – Tempo de concentração....................................................................................... 40 Equação 54 – Factor de erodibilidade do solo............................................................................ 41 Equação 55 – Relação de comprimento de encosta................................................................... 44 Equação 56 – Relação de declive de encosta.............................................................................. 44 Equação 57 – Equação Universal de Perda de Solo .................................................................... 45 Equação 58 – EUPSaj .................................................................................................................... 45 Equação 59 – Energia cinética da precipitação........................................................................... 46 Equação 60 - Condutividade hidráulica saturada........................................................................ 47 Equação 61 – Parâmetro ......................................................................................................... 47 Equação 62 - Densidade aparente do solo.................................................................................. 47 Equação 63 - Capacidade de troca catiónica da argila................................................................ 48 Equação 64 – Conteúdo de água residual................................................................................... 49 Equação 65 – Porosidade total.................................................................................................... 49 Equação 66 – Fracção de ar aprisionado num solo saturado (Fonte: Rawls et al., 1989) .......... 49 Equação 67 – Porosidade efectiva .............................................................................................. 50 Equação 68 – Potencial mátrico.................................................................................................. 50 Equação 69 – Potencial capilar médio ........................................................................................ 50 Equação 70 – Equação de Hargreaves-Samani ........................................................................... 51 Equação 71 - Relação entre e . ........................................................................................ 51 Índice de Tabelas Tabela 1 – Localização e caracterização do solo das herdades estudadas................................. 12 Tabela 2 – Análise granulométrica das herdades consideradas ................................................. 12 Tabela 3 – Variáveis e estações meteorológicas consideradas................................................... 13 Tabela 4 – Parâmetros do modelo de dinâmica da MOS............................................................ 16 Tabela 5 – MOS inicial para cada Herdade.................................................................................. 16 Tabela 6 - Latitude das herdades. ............................................................................................... 26 Tabela 7 - Valores de , e . ................................................................................................... 29
  • 12.
    XI Tabela 8 -Cota das herdades...................................................................................................... 30 Tabela 9 - Duração dos estágios de desenvolvimento de PPSBRL e PN (dias)............................ 32 Tabela 10 - Valores de para os estágios de desenvolvimento de pastagens......................... 32 Tabela 11 – Valores do comprimento do declive e do declive ................................................... 40 Tabela 12 – Coeficiente de rugosidade de Manning................................................................... 41 Tabela 13 – Valor do parâmetro para cada tipo de estrutura de solo................................... 42 Tabela 14 – Valor do parâmetro para cada tipo de permeabilidade do solo.......................... 42 Tabela 15 – Relação entre a textura e o parâmetro ................................................................ 42 Tabela 16 - Valores de e para cada Herdade...................................................................... 43 Tabela 17 – Factor para pastagens permanentes e pastagens pobres ................................... 43 Tabela 18 – Relação entre o coeficiente m e o declive s ............................................................ 45 Tabela 19 – Comprimento da encosta, declive, e factor fisiográfico da pastagem em estudo ..................................................................................................................................................... 45 Tabela 20 – Factor de erosividade da precipitação, , para as Herdades estudadas................. 46 Tabela 21 – Capacidade de troca catiónica para cada pastagem ............................................... 48 Tabela 22 – Data de início e ano final da modelação, para cada Herdade................................. 52 Índice de Figuras Figura 1 - Normais climatológicas para Arraiolos (1971-2000)................................................... 13 Figura 2 – Esquema de cálculo do balanço hídrico ..................................................................... 18 Figura 3 – Volume de controlo.................................................................................................... 18 Figura 4 - Variação do ponto de emurchimento e da capacidade de campo com a MOS.......... 20 Figura 5 - Variação do ponto de emurchimento e da capacidade de campo com a Areia ......... 20 Figura 6 - Variação do ponto de emurchimento e da capacidade de campo com a Argila ........ 20 Figura 7 – MOS média................................................................................................................. 53 Figura 8 – Coeficiente de cultura para os vários estágios de desenvolvimento......................... 54 Figura 9 – Ponto de emurchimento médio ................................................................................. 54 Figura 10 – Capacidade de campo média ................................................................................... 55 Figura 11 – Porosidade efectiva média....................................................................................... 55 Figura 12 – Água disponível total média..................................................................................... 55 Figura 13 - Conteúdo de água no solo calculado na Herdade de Monte do Mestre, numa PPSBRL, no ano de 2004.............................................................................................................. 57
  • 13.
    XII Figura 14 -Resultadosobtidos no Projecto AGRO87, na Herdade de Mestre, de Dezembro de 2003 a Maio de 2005................................................................................................................... 57 Figura 15 - Conteúdo de água no solo calculado na Herdade de Monte do Mestre, numa PPSBRL, no ano de 2004, excluindo a percolação....................................................................... 57 Figura 16 – Conteúdo de água no solo e altura da frente de humedecimento na Herdade de Monte do Mestre, numa PPSBRL, no ano de 2004, excluindo a percolação.............................. 58 Figura 17 – Conteúdo de água no solo na Herdade da Cabeça Gorda, no ano de 2001 ............ 58 Figura 18 - Conteúdo de água no solo na Herdade da Cabeça gorda, no ano de 2007.............. 58 Figura 19 – Conteúdo de água no solo na Herdade de Monte do Mestre, no ano de 2002 ...... 59 Figura 20 – Conteúdo de água no solo na Herdade de Mestre, no ano de 2007 ....................... 59 Figura 21 - Conteúdo de água no solo na Herdade de Refroias, no ano de 2001....................... 59 Figura 22 - Conteúdo de água no solo na Herdade de Refroias, no ano de 2008....................... 59 Figura 23 - Conteúdo de água no solo na Herdade de Cinzeiro e Torre, no ano de 2001 .......... 59 Figura 24 - Conteúdo de água no solo na Herdade de Cinzeiro e Torre, no ano de 2006 .......... 59 Figura 25 – Condutividade hidráulica saturada média, excluindo a Herdade de Cinzeiro e Torre ..................................................................................................................................................... 60 Figura 26 – Condutividade hidráulica efectiva média, excluindo a Herdade de Cinzeiro e Torre ..................................................................................................................................................... 60 Figura 27 – Escorrimento superficial anual Cabeça Gorda ......................................................... 61 Figura 28 – Escorrimento superficial anual na Herdade de Monte do Mestre........................... 61 Figura 29 – Escorrimento superficial anual na Herdade de Refroias.......................................... 61 Figura 30 – Escorrimento superficial na Herdade de Cinzeiro e Torre ....................................... 61 Figura 31 – Factor de erodibilidade do solo na Herdade da Cabeça Gorda................................ 62 Figura 32 – Factor de erodibilidade do solo na Herdade de Monte do Mestre.......................... 62 Figura 33 – Factor de erodibilidade no solo na Herdade de Refroias......................................... 62 Figura 34 – Factor de erodibilidade do solo na Herdade de Cinzeiro e Torre ............................ 62 Figura 35 – Perda de solo anual Cabeça Gorda........................................................................... 63 Figura 36 – Perda de solo anual na Herdade de Monte do Mestre............................................ 63 Figura 37 – Perda de solo anual na Herdade de Refroias ........................................................... 63 Figura 38 – Perda de solo anual na Herdade de Cinzeiro e Torre............................................... 63 Figura 39 – Perda de solo calculada com a EUPSM, a EUPS e a EUPSaj, nas PPSBRL .................. 64 Figura 40 – Perda de solo calculada com a EUPSM, a EUPS e a EUPSaj, nas PN.......................... 64 Figura 42 – MOS na Herdade da Cabeça Gorda............................................................................. i
  • 14.
    XIII Figura 43 –MOS na Herdade de Monte do Mestre....................................................................... i Figura 44 – MOS na Herdade de Refroias ...................................................................................... i Figura 45 – MOS na Herdade de Cinzeiro e Torre.......................................................................... i Figura 46 – Ponto de emurchimento na Herdade da Cabeça Gorda ............................................ ii Figura 47 – Capacidade de campo na Herdade da Cabeça Gorda ................................................ ii Figura 48 - Porosidade efectiva na Herdade da Cabeça Gorda..................................................... ii Figura 49 – Água disponível total na Herdade da Cabeça Gorda.................................................. ii Figura 50 – Ponto de emurchimento na Herdade de Monte do Mestre ...................................... ii Figura 51 – Capacidade de campo na Herdade de Monte do Mestre .......................................... ii Figura 52 – Porosidade efectiva na Herdade de Monte do Mestre............................................. iii Figura 53 – Água disponível total na Herdade de Monte do Mestre........................................... iii Figura 54 – Ponto de emurchimento na Herdade de Refroias .................................................... iii Figura 55 – Capacidade de campo na Herdade de Refroias......................................................... iii Figura 56 – Porosidade efectiva na Herdade de Refroias ............................................................ iii Figura 57 – Água disponível total na Herdade de Refroias.......................................................... iii Figura 58 – Ponto de emurchimento na Herdade de Cinzeiro e Torre.........................................iv Figura 59 – Capacidade de campo na Herdade de Cinzeiro e Torre.............................................iv Figura 60 – Porosidade efectiva na Herdade de Cinzeiro e Torre.................................................iv Figura 61 – Água disponível total na Herdade de Cinzeiro e Torre...............................................iv Figura 62 - na Herdade da Cabeça Gorda ................................................................................ v Figura 63 - na Herdade da Cabeça Gorda ................................................................................ v Figura 64 - na Herdade de Monte do Mestre ........................................................................... v Figura 65 - na Herdade de Monte do Mestre .......................................................................... v Figura 66 - na Herdade de Refroias.......................................................................................... v Figura 67 - na Herdade de Refroias......................................................................................... v Figura 68 - na Herdade de Cinzeiro e Torre .............................................................................vi Figura 69 - na Herdade de Cinzeiro e Torre ............................................................................vi
  • 15.
    XIV Lista de Acrónimos ADT- Água disponível total CAS - Conteúdo de água no solo CTC - Capacidade de troca catiónica ES - Escorrimento superficial EUPS - Equação Universal de Perda de Solos EUPSaj - Equação Universal de Perda de Solos Ajustada EUPSM - Equação Universal de Perda de Solo Modificada FAO - Food and Agriculture Organization IM - Instituto de Meteorologia INE - Instituto Nacional de Estatística MO - Matéria orgânica MOS - Matéria orgânica do solo PN - Pastagens naturais PNF - Pastagens naturais fertilizadas PPSBRL - Pastagens permanentes semeadas biodiversas ricas em leguminosas RGA - Recenseamento Geral da Agricultura SAU - Superfície Agrícola Utilizada SCS-CN - Soil Conservation Service Curve Number SNIRH - Sistema Nacional de Informação de Recursos Hídricos SWAT - Soil Water Assessment Tool USDA -United States Department of Agriculture Lista de notações - Albedo - Código da classe de estrutura do solo - Taxa de mineralização da MO (ano -1 ) - Fracção da precipitação que ocorre na meia hora de maior intensidade
  • 16.
    XV - Fracção daprecipitação diária que ocorre durante o tempo de concentração - Código da classe de permeabilidade do solo - Constante psicrométrica (kPa ºC -1 ) - Declinação solar (rad) - Declive da curva de pressão de vapor (kPa ºC -1 ) - Razão ente o peso molecular do vapor de água e de ar seco - Conteúdo de água no solo na capacidade de campo (mm 3 mm -3 ) - Conteúdo de água no solo no ponto de emurchimento (mm 3 mm -3 ) - Conteúdo de água inicial no solo (mm 3 mm -3 ) - Conteúdo de água inicial da camada inferior (mm) - Volume de água percolado (mm) - Volume de água percolado ajustado (mm) - Conteúdo de água disponível para percolação (mm) - Conteúdo de água residual no solo (mm 3 mm -3 ) - Conteúdo de água no solo em condições de saturação (mm 3 mm -3 ) - Conteúdo de água no solo em condições de saturação na camada inferior (mm) - Calor latente de vaporização (MJ kg -1 ) - Densidade aparente do solo (g mm -3 ) - Constante de Stefan-Boltzmann (MJ K -4 m -2 dia -1 ) - Latitude (rad) - Porosidade efectiva do solo (mm 3 mm -3 ) - Porosidade total (mm 3 mm -3 ) - Potencial capilar médio ao longo da frente de humedecimento (mm) - Ângulo do Sol ao pôr-do-sol (rad) - Parâmetro proporcional do input de MOS dependente de (ano -1 ) - Área (ha) - Parâmetro que provoca a diminuição de - Relação de coberto vegetal - Parâmetro calculado a partir do teor de areia, argila, MO e da densidade aparente do solo - Coeficiente do escorrimento - Calor específico do ar húmido (MJ kg -1 ºC -1 ) - Capacidade de troca catiónica da argila (meq/100g) - Razão entre a capacidade de troca catiónica da argila e o conteúdo de argila no solo - Distância relativa inversa entre a Terra e o Sol - Depleção da camada de solo (mm) - Energia cinética da precipitação (MJ.ha -1 .mm -1 ) - Pressão de saturação de vapor à temperatura T (kPa)
  • 17.
    XVI - Pressão devapor real (kPa) - Pressão de saturação de vapor média (kPa) - Evapotranspiração de referência (mm dia -1 ) - Evapotranspiração da cultura (mm dia -1 ) - Evapotranspiração da cultura ajustada (mm) - Taxa de infiltração (mm h -1 ) - Volume infiltrado (mm) - Fracção de ar aprisionado num solo saturado - Volume infiltrado no instante do alagamento (mm) - Densidade de fluxo de calor no solo (MJ m -2 dia -1 ) - Constante solar (MJ m -2 min -1 ) - Humidade relativa média diária (%) - Taxa de precipitação (mm h -1 ) - Precipitação diária (mm) - Volume de precipitação que ocorreu durante o tempo de concentração (mm) - Taxa de precipitação no instante do alagamento (mm h -1 ) - Intensidade da precipitação (mm h -1 ) - Número do dia do ano - Factor de erodibilidade do solo (t h MJ mm -1 ) - Coeficiente de cultura - coeficiente no estágio de desenvolvimento - Coeficiente de cultura no estágio inicial - Coeficiente no estágio final - Coeficiente no estágio inicial - Coeficiente no estágio médio - Coeficiente basal de cultura - Coeficiente de cultura do dia . - Condutividade hidráulica efectiva (mm h -1 ) - Coeficiente de evaporação do solo - Input de MOS (% ano -1 ) - Input de MOS dependente do sistema de pastagem (% ano -1 ) - Condutividade hidráulica saturada (mm h -1 ) - Condutividade hidráulica ajustada (mm h -1 ) - Coeficiente de stress hídrico - Comprimento da encosta (m) - Relação de comprimento de encosta - Comprimento do declive (m) - Duração do estágio de desenvolvimento (dia).
  • 18.
    XVII - Factor fisiográficodo solo - Parâmetro de tamanho das partículas, definido como (% limo e areia muito fina) x (100 - % argila) - Coeficiente de rugosidade de Manning - Potencial mátrico do solo (mm) - Relação de prática agrícola ’ - Pressão atmosférica (kPa) - Fracção de ADT que a cultura pode extrair sem sentir stress hídrico - Escorrimento superficial (mm ha -1 ) - Caudal de ponta de cheia (m 3 s -1 ) - Factor de erosividade da precipitação (mm ha -1 h -1 ) - Radiação extraterrestre (MJ m -2 dia -1 ) - Balanço de radiação (MJ m -2 dia -1 ) - Radiação emitida (MJ m -2 dia -1 ) - Radiação solar absorvida pela cultura (MJ m -2 dia -1 ) - Radiação solar (MJ m -2 dia -1 ) - Radiação solar de céu limpo (MJ m -2 dia -1 ) - Declive da encosta (%) - Tempo - Tempo de concentração (h) - Tempo de concentração do escorrimento superficial (h) - Tempo até ocorrer alagamento (h) - Pseudotempo (h) - Temperatura (°C) - Temperatura média diária (ºC) - Temperatura máxima diária (ºC) - Temperatura mínima diária (ºC) - Temperatura de orvalho (ºC) - Tempo de transferência (h) - Velocidade do vento a 2 metros de altura (m s -1 ) - Velocidade do escorrimento superficial (m s -1 ) - Cota da estação meteorológica (m) - Altura da frente de humedecimento (mm) - Profundidade da camada de solo (m)
  • 19.
  • 20.
    1 1 INTRODUÇÃO As pastagenspermanentes semeadas biodiversas ricas em leguminosas (PPSBRL) são uma inovação nacional na área da Engenharia da Biodiversidade introduzida pelo Eng. David Crespo nos anos 70. Estas pastagens são compostas por uma mistura de até 20 espécies ou variedades de gramíneas, leguminosas e outros grupos funcionais. A presença de leguminosas na mistura de espécies semeadas elimina a necessidade de adubação com azoto, uma vez que este grupo de plantas tem a capacidade de fixar azoto atmosférico, transferindo-o para o solo e tornando-o disponível para os outros grupos. A biodiversidade de plantas permite que as espécies melhor adaptadas prosperem em cada zona, contornando o problema da grande heterogeneidade do solo observada nos campos utilizados como pastagens (Rodrigues, 2008). A definição de pastagem permanente considerada neste trabalho é a adoptada no nº2 do artigo 2º do Regulamento (CE) nº796/2004 e inclui as “terras ocupadas com ervas ou outras forrageiras herbáceas, quer semeadas quer espontâneas, por um período igual ou superior a cinco anos e que não estejam incluídas no sistema de rotação da exploração, com excepção das terras sujeitas a regimes de retirada obrigatória da produção”. Nesta definição estão incluídas as pastagens espontâneas pobres, as pastagens espontâneas melhoradas e as pastagens semeadas. Em Portugal, de acordo com o Recenseamento Geral da Agricultura (RGA) de 2009 (INE, 2011), a superfície agrícola utilizada (SAU) ascendia a 3 542 305 ha no território continental. A superfície utilizada por pastagens permanentes corresponde a 47,4% desta área. O RGA refere ainda que apenas cerca de um quarto desta área é ocupada por pastagens semeadas ou melhoradas. Comparando com o RGA de 1999 (INE, 2001), observa-se que a superfície de pastagens permanentes aumentou 27% nestes dez anos, apesar de a SAU ter sofrido uma redução de 6%. A área estimada de PPSBRL é de, pelo menos, cerca de 85 400 ha, considerando que o Projecto Extensity dava conta, em 2008, de mais de 50 000 ha e que o Projecto Terraprima, financiado pelo Fundo Português de Carbono 1 , contribuiu, desde 2009, com cerca de 27 000ha e que as projecções de vendas da maior empresa fornecedora de misturas de sementes apontam para uma área adicional de cerca de 8 400 ha. Todavia, tal como era referido no Projecto Extensity, o potencial de expansão deste sistema é de 300 000 ha. A dimensão da superfície ocupada por PPSBRL, cujos potenciais efeitos benéficos no solo são abaixo descritos, justifica assim o estudo alargado dos efeitos ambientais desta ocupação do solo. As pastagens espontâneas, ou naturais (PN), as pastagens naturais fertilizadas (PNF) e as PPSBRL foram alvo de estudos comparativos no âmbito dos Projectos AGRO 71 e Agro 87, realizados de 1997 a 2004 e de 2001 a 2004, respectivamente. Estes projectos foram 1 Fonte: http://consumidores.extensity.pt/130/projecto-das-pastagens.htm
  • 21.
    2 promovidos pela EstaçãoNacional de Melhoramento de Plantas, pela Fertiprado e pelo Laboratório Químico Agrícola Rebelo da Silva e financiados pelo Ministério da Agricultura, Mar, Ambiente e Ordenamento do Território. Os dados obtidos por estes projectos permitiram concluir que as PPSBRL promovem um maior aumento de matéria orgânica do solo (MOS) e apresentam maior produtividade do que as PN, o que lhes permite suportar maiores encabeçamentos (Rodrigues, 2008). A MOS contém cerca de 58% de carbono na sua constituição, que provém maioritariamente de resíduos orgânicos, que por sua vez foram produzidos a partir do carbono atmosférico fixado durante a fotossíntese. Assim, através da MOS, o solo actua como reservatório de carbono, o que motivou o estudo do sequestro de carbono nos três sistemas em Teixeira (2010) e Teixeira et al. (2011). Nestes estudos foram desenvolvidos modelos que simulam a dinâmica da MOS nas pastagens, recorrendo aos dados recolhidos no âmbito dos Projectos AGRO referidos. De forma concordante com o que se tinha verificado empiricamente nestes projectos, demonstrou- se que, a longo prazo, o teor de MOS em PPSBRL será superior ao de PN e de PNF. Os três sistemas de pastagens são compostos por plantas anuais, cujas raízes são renovadas anualmente, contribuindo para a entrada de MO no solo. Assim, a elevada produtividade das PPSBRL explica porque é maior o aumento de MOS neste sistema. Concluiu-se também que a fertilização de pastagens naturais não traz benefícios no sequestro de carbono, uma vez que a dinâmica da MOS em PNF e em PN é igual. A MOS influencia algumas propriedades do solo relevantes para as culturas agrícolas, como a densidade, a porosidade e a capacidade de troca catiónica (CTC), que por sua vez influenciam a capacidade de retenção da água por parte do solo. Tem também a capacidade de aglutinar as partículas do solo, potenciando a formação de agregados e aumentando a sua estabilidade. Num solo desagregado, as partículas são mais facilmente arrastadas pelo escorrimento superficial, pelo que a MOS potencia a diminuição da perda de solo. O impacto das gotas de chuva pode levar à destruição dos agregados e subsequente formação de uma crosta superficial, que diminui a infiltração, aumentando o escorrimento superficial e, assim, a perda de solo. A presença de agregados mais estáveis diminui a formação de crostas superficiais, aumentando a taxa de infiltração do solo. Portugal apresenta, em quase toda a sua superfície territorial, um risco de erosão hídrica do solo bastante elevado (EEA, 2004), teores de MOS baixos (EEA, 2010) e um regime de precipitação muito variável ao longo do ano, que concentra os eventos pluviosos em alguns meses do ano. Estes factos tornam muito importante o estudo e adopção de medidas que contribuam para a protecção do solo, nomeadamente a escolha de ocupações de solo que minimizem a sua perda. O objectivo desta tese é completar o conhecimento sobre PPSBRL adquirido nos estudos referidos anteriormente com o estudo comparativo do balanço hídrico e da perda de solo em PPSBRL e em PN, sendo o elemento diferenciador principal dos dois sistemas o teor de MOS
  • 22.
    3 e a suaevolução no tempo. Escolheu-se estudar o balanço hídrico e a perda de solo no mesmo trabalho porque as duas questões estão relacionadas: para além do facto já referido da precipitação e do escorrimento superficial serem responsáveis pela desagregação e transporte das partículas de solo, a perda de solo provoca a perda de MOS e de nutrientes, afectando a vegetação, o que, por sua vez, altera o valor da evapotranspiração, alterando assim o balanço hídrico. O balanço hídrico será modelado recorrendo à Equação de Green e Ampt, no que diz respeito à infiltração ao longo do perfil do solo e à formação de escorrimento superficial, e à Equação de FAO Penman-Monteith para o cálculo da evapotranspiração. A percolação 2 será modelada recorrendo ao método utilizado nos softwares WEPP - Water Erosion Prediction Project e SWAT - Soil and Water Assessment Tool. A perda de solo irá ser calculada através da Equação Universal de Perda de Solos Modificada, que admite como variável o escorrimento superficial. Esta variável terá como valor o resultado obtido na modelação do balanço hídrico. O estudo irá incidir em quatro herdades que foram alvo de estudo no Projecto AGRO 87 (Abreu et al., 2005) e no trabalho de Teixeira et al. (2011). Será utilizado o modelo da dinâmica de MOS desenvolvido por Teixeira et al. (2011) e recorrer-se-á a dados climáticos disponibilizados pelo Sistema Nacional de Informação de Recursos Hídricos (SNIRH). 2 Infiltração de água em solo não saturado, sujeita à acção da gravidade.
  • 23.
    4 2 FUNDAMENTOS TEÓRICOS Nestecapítulo definem-se aspectos teóricos importantes para o desenvolvimento do trabalho e apresenta-se de forma mais pormenorizada a relação entre a MOS, o balanço hídrico e a perda de solo. 2.1 Propriedades físicas do solo Solo é definido em USDA (1999) como um corpo natural composto por sólidos, líquidos e gases, que é caracterizado por ter horizontes, ou camadas, distinguíveis do material inicial e/ou ter a capacidade de suportar plantas com raízes, num ambiente natural. A sua formação depende de factores como o clima, a actividade biológica, o relevo e a rocha-mãe. O processo de formação de um solo está, em situações naturais, em equilíbrio com os processos de degradação, o que leva ao desenvolvimento de um perfil de solo, com os vários horizontes que o caracterizam. A textura do solo é definida como a proporção relativa dos vários componentes minerais do solo, que por sua vez são classificados de acordo com classes de diâmetro: a areia, com diâmetros entre 2mm e 0,02mm; a argila, formada por partículas com diâmetros entre 0,02mm e 0,002mm;e o limo, cujo diâmetro é menor do que 0,002mm (Botelho da Costa, 2004). A matéria orgânica do solo é qualquer material com origem orgânica que esteja presente no solo e que é submetido a um processo de decomposição (Bot et al., 2005). O conteúdo da MOS depende da taxa de adição e da taxa de mineralização, sendo que esta última depende, entre outros factores, da temperatura, da humidade do solo e do oxigénio do solo. A estrutura do solo refere-se ao arranjo espacial das partículas e dos espaços vazios no solo (Lal, 2005). As partículas podem formar agregados, o que influencia a disposição e tamanho dos poros no solo. A influência da textura na porosidade está relacionada precisamente com os diferentes diâmetros das partículas, mas também com a diferente capacidade de formar agregados. A influência da MOS traduz-se numa maior capacidade de agregação do solo e no aumento da sua porosidade. A densidade é a razão entre a massa de uma amostra de solo e o seu volume. Se for considerado o volume apenas ocupado pelas partículas sólidas, obtém-se a densidade real, mas se se somar o volume dos poros, obtém-se a densidade aparente (Botelho da Costa, 2004). A densidade aparente pode ser utilizada para avaliar a estrutura do solo e o seu arejamento. Quando se avalia a variação da densidade de um solo há que ter em conta que a existência de poros diminui a sua densidade, mas os agregados existentes no solo, que influenciam a sua porosidade, podem ter sofrido compactação.
  • 24.
    5 2.2 O balançohídrico do solo e a MOS O balanço hídrico de um solo pode ser representado pela Equação 1, adaptado de Allen et al. (1998). O balanço hídrico de um solo agrícola está intimamente dependente das condições meteorológicas, das características do solo e também da vegetação existente. Equação 1 – Balanço hídrico diário de um solo Desta forma representado, o balanço hídrico assume que não existem movimentos horizontais de água na camada de solo considerada. A precipitação pode assumir a forma de chuva, granizo, neve, geada e orvalho. A irrigação é utilizada quando a água precipitada não é suficiente para compensar a água perdida por evapotranspiração (Allen et al. 1998). A entrada de água à superfície do solo e o subsequente movimento vertical através dos poros do solo designa-se infiltração. Quando a taxa de precipitação é superior à taxa de infiltração, ocorre escorrimento superficial. A ascensão capilar é o movimento vertical de água contrário ao sentido da força da gravidade, de uma zona saturada do solo para uma zona não saturada. Esta água pode estar disponível para a evapotranspiração. A influência deste termo no balanço hídrico do solo depende da profundidade da zona saturada, ou nível freático. A evapotranspiração engloba as perdas de água para a atmosfera, sob a forma de vapor, decorrentes da transpiração das plantas e da evaporação da água presente no solo. Este termo é influenciado pela radiação solar, velocidade do vento, temperatura e humidade do ar. O conteúdo de água no solo (CAS) é um factor limitante da evapotranspiração: esta só ocorre até se atingir o ponto de emurchimento 3 . O cálculo da evaporação e transpiração em separado é bastante mais difícil do que o cálculo da evapotranspiração, mas sabe-se que os dois termos contribuem de maneira diferente ao longo do crescimento da planta (Allen et al. 1998). Estando a evaporação do solo bastante dependente da radiação solar, é natural que esta diminua com o crescimento da planta e subsequente aumento da área de sombra no solo. A transpiração das plantas também depende de factores climáticos, mas varia com a cultura e o seu estágio de desenvolvimento. A retenção de água no solo é devida ao efeito de duas forças: adesão, que é a atracção das moléculas de água pelas partículas de solo, e coesão, ou atracção das moléculas de água por 3 O ponto de emurchimento é definido como o volume de água presente no solo quando o potencial mátrico do solo é de -1500kPa (Lal, 2005).
  • 25.
    6 si próprias (Lal,2005). Estas forças opõem-se ao efeito da gravidade, que provoca a percolação. No ponto de emurchimento, as forças de adesão e de coesão são as responsáveis pela retenção de água no solo, que se encontra adsorvida na superfície das partículas do solo. As partículas dos solos com textura grosseira têm uma área superficial menor do que no caso dos solos mais finos, o que explica porque razão os últimos retêm mais água neste ponto. A MO aumenta a área superficial das partículas, o que se traduz num aumento da capacidade de retenção da água neste ponto (Khaleel, 1981). Na capacidade de campo 4 , a retenção da água depende da porosidade do solo e do diâmetro dos poros: quanto menor o diâmetro do poro maior a tensão necessária para o drenar. Ao alterar a estrutura do solo, a MO está também a alterar a distribuição e o diâmetro dos poros, verificando-se um aumento no número de micro-poros. O aumento da MOS aumenta assim o volume de água retido na capacidade de campo. A diferença entre os conteúdos de água na capacidade de campo e no ponto de emurchimento é definida como a água disponível para as plantas. Para haver uma alteração no volume de água disponível para as plantas, o aumento nos dois pontos não poderá ser igual. Rawls (2004) afirma que a variação do conteúdo de água na capacidade de campo é superior à variação observada no ponto de emurchimento. Este autor observou também que a influência da MOS na retenção da água pelo solo depende da textura do solo e do conteúdo inicial de MOS. Assim, em solos com um teor inicial de MOS baixo, o seu aumento conduz ao aumento da retenção de água em solos com textura grosseira, mas o contrário é observado em solos com textura fina. Se o teor inicial de MOS for elevado, o seu aumento conduz a um aumento na retenção de água em todas as texturas. O conteúdo inicial de água no solo é um factor importante na infiltração, já que define o gradiente do potencial mátrico existente entre a superfície do solo e no seu interior. Para conteúdos de água baixos, o gradiente é alto e a infiltração é favorecida, observando-se valores de taxa de infiltração altos. A taxa de infiltração diminui assimptoticamente com o aumento do conteúdo de água no solo e, consequentemente, com a diminuição do gradiente do potencial mátrico. O valor mínimo é, assim, atingido quando o solo está saturado e corresponde ao valor da condutividade hidráulica saturada do solo. Por definição, um solo saturado tem todos os seus poros preenchidos com água e conteúdo de água neste ponto corresponde à porosidade total do solo. No entanto, observa-se que ocorre aprisionamento de ar no solo e o conteúdo de água presente num solo saturado corresponde à porosidade efectiva, calculada para ter em conta este efeito. 4 A capacidade de campo é definida como o volume de água presente no solo quando o potencial mátrico é de - 33kPa.
  • 26.
    7 A condutividade hidráulicasaturada depende da porosidade do solo, que, por sua vez, depende da textura e da MOS. Os solos mais grosseiros têm condutividades superiores e o aumento da porosidade favorece o movimento da água no solo. Na Equação 1, a percolação corresponde ao volume de água que abandona a camada de solo considerada, podendo ir alimentar o aquífero, caso exista. A percolação só ocorre quando o conteúdo de água no solo é superior à capacidade de campo. 2.3 A erosão e a MOS A erosão do solo é o processo de desagregação de partículas por um agente erosivo, como o vento e a água, e o seu transporte para outro local (Lal, 2005). Este é um processo natural, sem impacto negativo quando a sua taxa é inferior à taxa de formação do solo. O coberto vegetal protege o solo dos agentes erosivos, diminuindo a erosão. No entanto, algumas actividades humanas podem aumentar a taxa de erosão, o que se reflecte numa diminuição da espessura do solo, situação considerada irreversível, tendo em conta a escala temporal humana. No que diz respeito à erosão hídrica, a desagregação das partículas ocorre devido ao impacto das gotas de chuva. A intensidade da precipitação é assim um factor importante neste processo, uma vez que é um indicador da energia libertada. O transporte das partículas desagregadas é feito através do escorrimento superficial e, neste caso, as propriedades hidráulicas do solo são preponderantes, nomeadamente a taxa de infiltração, uma vez que ditam a formação de escorrimento superficial. O escorrimento superficial ao longo de uma encosta pode ocorrer de duas formas: através de fluxo laminar ou de fluxo por sulcos, caracterizado pela concentração do escorrimento e dependente da irregularidade do terreno. O declive do terreno influencia a velocidade do escorrimento superficial (Eng. Eugénio Sequeira, comunicação pessoal). A energia necessária para desagregar o solo é tanto maior quanto mais estáveis forem os agregados do solo. Como já foi referido, a capacidade que um solo tem de formar agregados depende da sua textura e o aumento de MOS aumenta a estabilidade dos agregados, diminuindo a erodibilidade do solo. Os efeitos da MOS no balanço hídrico do solo afectam, assim, directamente a erosão hídrica, que está dependente do escorrimento superficial.
  • 27.
    8 3 ESTADO DAARTE A utilização de modelos é uma das formas mais rápidas e economicamente eficientes de estudar problemas complexos. Permitem a comparação de diferentes cenários, auxiliando a tomada de decisão. Todavia, um modelo é uma simplificação da realidade e tem sempre um erro associado que tem de ser tido em devida conta na interpretação dos resultados. Os modelos são classificados de acordo com a maneira como simulam a realidade. Estes podem ser modelos mecanísticos, construídos recorrendo a uma base física, que se reflecte nas equações matemáticas utilizadas. Podem também ser modelos empíricos, que são construídos recorrendo ao ajustamento de valores obtidos experimentalmente. Os modelos empíricos são, geralmente, menos complexos e necessitam de um número menor de variáveis. No entanto, os parâmetros destes modelos não têm significado físico, pelo que se torna necessário calibrar o modelo, ajustando-o ao local que se pretende estudar. Teoricamente, os modelos mecanísticos não têm esta restrição, precisamente porque os seus parâmetros têm uma base física, podendo ser adaptados ao local recorrendo às suas propriedades (Wilcox et al. 1990). Observa-se, no entanto, que os modelos não costumam enquadrar-se em nenhum destes extremos, podendo os modelos empíricos ser desenvolvidos recorrendo a alguma lógica física, tal como os modelos mecanísticos recorrem à estimativa de parâmetros que não se encontram disponíveis (Wilcox et al. 1990; Ranatunga et al. 2008). Neste capítulo apresentam-se alguns dos modelos utilizados na modelação do balanço hídrico e da erosão. A pesquisa bibliográfica realizada não pretendeu ser exaustiva, mas sim centrar- se nos modelos mais utilizados, mais consensuais e/ou mais recentes. Os modelos apresentados neste capítulo são os que permitem calcular os termos do balanço hídrico apresentado na Equação 1, com excepção da ascensão capilar, que não foi modelada neste trabalho. É referido em Allen et al. (1998) que se pode assumir que a ascensão capilar é zero quando o nível freático se encontra a mais de um metro de profundidade, o que. O software WEPP – Water Erosion Prediction Project (Flanagan et al. 1995) utiliza um modelo para o cálculo do conteúdo de água no solo para valores de potencial mátrico de -33kPa e -1500kPa, que correspondem à capacidade de campo e ao ponto de emurchimento, respectivamente. Este é um modelo empírico, construído recorrendo a uma regressão estatística, que relaciona o conteúdo de água com a granulometria, a MOS, a densidade e a capacidade de troca catiónica (CTC). No que diz respeito à infiltração e ao escorrimento superficial, os modelos de cálculo mais frequentemente citados na literatura, como por exemplo em ASCE (1996), Baxter (2004) e Beven (2001), são o SCS Curve Number (USDA, 2004) e a Equação de Green e Ampt (Green,
  • 28.
    9 et al. 1991).O software SWAT (Neitsch et al., 2009) permite a utilização de ambos no cálculo do escorrimento superficial, enquanto o WEPP recorre apenas à Equação de Green e Ampt. O SCS-CN (Soil Conservation Service Curve Number) é um método empírico de cálculo do escorrimento superficial desenvolvido em 1964 pelo Serviço de Conservação de Solos (Soil Conservation Sevice – SCS), actualmente designado por Serviço de Conservação de Recursos Naturais (Natural Resources Conservation Service), uma agência do United States Department of Agriculture (USDA). Este modelo considera a cobertura do solo, incluindo a cultura, o seu maneio e a condição hidrológica, o grupo hidrológico em que se insere o solo e a precipitação antecedente. Os grupos hidrológicos do solo classificam-no de acordo com o potencial de formação de escorrimento, com a textura e com a condutividade hidráulica (saturada), havendo quatro classes. Este método não tem em conta a intensidade da precipitação, factor bastante importante para a formação de escorrimento superficial. Para além desta limitação, não é possível diferenciar solos através do conteúdo em MO. A equação de Green e Ampt foi proposta em 1911, usando a Lei de Darcy 5 . Neste modelo considera-se que ocorre infiltração numa coluna de solo homogéneo na vertical, cuja humidade está uniformemente distribuída, estando a superfície do solo alagada. O modelo assume que o solo fica completamente saturado à medida que a água se infiltra, existindo uma descontinuidade no valor da humidade do solo, ao longo do perfil vertical de solo. O modelo de Green e Ampt assume que a altura de água acima da superfície do solo é negligenciável. O volume de controlo deste modelo é a altura da frente de humedecimento, o que significa que o volume de controlo varia ao longo do evento de precipitação. A simplicidade deste modelo garantiu-lhe notoriedade, mas o seu campo de aplicação é bastante limitado, não permitindo a modelação da infiltração em casos mais complexos. Assim, alguns autores estenderam a aplicabilidade do modelo ao introduzir alterações que permitiram simular a infiltração em solos heterogéneos, com diferentes perfis horizontais e em casos de precipitação constante e de precipitação variável (Jia et al. 1997). Apesar de este modelo não considerar explicitamente a MOS, é possível introduzir esta variável na estimativa da condutividade hidráulica efectiva e do potencial mátrico. Rawls et al. (1989) estimou estes parâmetros a partir da textura e da MOS, especificamente para solos de pastagens. No que diz respeito à percolação, considere-se, por exemplo, a forma como é calculada pelo SWAT. Este software calcula a percolação se o conteúdo de água exceder a capacidade de campo e se a camada de solo inferior não estiver saturada. 5 A Lei de Darcy diz que o caudal, ( ), num meio poroso, é proporcional à permeabilidade, ( ), à área de secção, ( ) e ao gradiente de pressão, ( ), e pode apresentar a seguinte forma:
  • 29.
    10 O software WEPPtambém utiliza este método, mas considera que o fluxo de água ao longo da camada de solo pode ser diminuído se a camada se encontrar próxima da capacidade de campo apresentando um método para ajustar a condutividade hidráulica saturada. O volume de água percolado é também ajustado, tendo em conta o conteúdo de água da camada inferior. Os métodos de cálculo da evapotranspiração podem depender apenas de variáveis climáticas ou incluir parâmetros que diferenciam o comportamento das culturas. A Equação de Penman- Monteith inclui-se neste caso, tal como a Equação FAO Penman-Monteith, que é o método recomendado pela FAO – Food and Agriculture Organization e descrito em Allen et al. (1998). O primeiro é um método de cálculo da evapotranspiração potencial 6 , que incorpora a energia necessária para a evaporação e factores de resistência aerodinâmica e de superfície. Necessita de dados de radiação solar, temperatura, humidade e de velocidade do vento. A Equação FAO Penma-Monteith obtém-se quando se aplica a Equação de Penman-Monteith a uma superfície de referência, que consiste numa cultura hipotética com uma altura de 0,12m, uma resistência de superfície de 70sm -1 e um albedo de 0,23, com disponibilidade de água infinita. Com este método é possível calcular a evapotranspiração de uma cultura concreta recorrendo a coeficientes de cultura, que são multiplicados pela evapotranspiração da cultura de referência. São apresentados coeficientes de cultura tabelados para diferentes culturas e estados de desenvolvimento, bem como métodos para adaptar os coeficientes às condições climáticas do local a estudar. Este método considera também a disponibilidade de água como factor limitante, recorrendo ao ponto de emurchimento e à capacidade de campo. A evapotranspiração é diminuída quando o solo se encontra em stress hídrico, condição que varia com a cultura. Outro método de cálculo da evapotranspiração potencial é o método de Priestley-Taylor (Priestley et al., 1972), que adaptou a Equação de Penman-Monteith, retirando o factor de resistência aerodinâmica e multiplicando a componente energética por um coeficiente, aplicável a casos em que o solo se encontra húmido. Refere-se também o método de Hargreaves (Hargreaves et al., 1985), que necessita apenas de dados de temperatura e de radiação como input. A modelação da erosão pode ser feita por modelos empíricos ou por modelos mecanísticos. No entanto, a aplicação de um modelo mecanístico iria envolver um conhecimento alargado sobre a cartografia dos locais a estudar, para o cálculo do transporte e da deposição dos sedimentos. Sabendo à partida que não será possível aplicar um modelo mecanístico, descrevem-se apenas modelos empíricos, nomeadamente a Equação Universal e Perda de Solo (EUPS) e a 6 Evapotranspiração potencial é definida como a evapotranspiração que ocorreria numa área coberta uniformemente por vegetação e com acesso ilimitado a água, não estando exposta a processos de advecção e de armazenamento de calor (Thornthwaite, 1948, cit in. Neitsch et al, 2009).
  • 30.
    11 Equação de Perdade Solo Modificada (EUPSM), que, tal como o nome indica, resultou de uma modificação da EUPS. A EUPS é uma referência na modelação da erosão hídrica do solo. Foi apresentada em 1965 por Wischmeier e Smith (Wischmeier et al, 1978) e permite calcular valores médios de perda de solo. A erosão é calculada através do produto de vários factores que reflectem o tipo de cultura e as práticas de gestão do solo. As variáveis que influenciam a erosão do solo mudam entre dois eventos de precipitação e essa mudança não é considerada nos valores tabelados, razão pela qual o cálculo da perda de solo como resultado de um evento isolado é menos preciso do que o cálculo de valores médios de perda de solo em períodos de tempo mais longos. Em Tomás et al. (1993) apresentam-se os resultados da calibração da EUPS para Portugal, tendo-se concluído que a EUPS original previa a perda de solo por excesso. É proposta uma equação para ajustar a EUPS, mas que resulta da aplicação a um solo e a uma região em Portugal, alertando-se para a impossibilidade de prever a validade da equação noutras situações edáficas. A EUPSM foi apresentada por Williams (1975) e consiste numa versão modificada da EUPS. Esta versão substitui o factor de erosividade da precipitação, , pelo escorrimento superficial e pelo caudal de ponta de cheia, que representam a energia utilizada na desagregação e no transporte das partículas de solo. Verificou-se um aumento na precisão do cálculo da produção de sedimentos (Neitsch et al., 2009) e passou a ser possível aplicar a equação a um evento pluvioso.
  • 31.
    12 4 CARACTERIZAÇÃO DOSLOCAIS ESTUDADOS O trabalho irá incidir em quatro herdades estudadas no âmbito do projecto Agro 87. Destas, uma localiza-se no Ribatejo e as restantes localizam-se no Alentejo. A sua localização e a caracterização do solo encontram-se na Tabela 1. Na Tabela 2 apresenta-se a análise granulométrica do solo das herdades, considerando o valor médio dos pontos obtidos no âmbito do Projecto Agro 87 para os primeiros 10 cm de solo. Tabela 1 – Localização e caracterização do solo das herdades estudadas Nome Localização Material original do solo Textura Herdade da Cabeça Gorda Vaiamonte Gneisse Franco-arenosa Herdade Monte do Mestre São Vicente e Ventosa Calcário Franco-argilo- arenosa Herdade de Refróias Cercal do Alentejo Xisto Franco-argilosa Herdade Cinzeiro e Torre Coruche Arenito Areno-franca (Fonte: Projecto AGRO87) Tabela 2 – Análise granulométrica das herdades consideradas Nome Análise granulométrica (%) Areia Limo Argila Herdade da Cabeça Gorda 63,1 19,8 17,2 Herdade Monte do Mestre 55,8 19,8 24,5 Herdade de Refroias 43,7 22,9 33,5 Herdade Cinzeiro e Torre 88,1 4,5 7,5 (Fonte: Projecto AGRO87) Na Figura 1 apresentam-se normais de temperatura e precipitação para Arraiolos, para uma caracterização genérica do clima na área de estudo considerada. A temperatura média é mais alta nos meses de Verão, quando se regista menor precipitação mensal. As variáveis climáticas utilizadas na modelação são as apresentadas na Tabela 3 e os dados utilizados provêm de estações pertencentes à rede do INAG, que os disponibiliza através do SNIRH. As estações foram escolhidas, em primeiro lugar, tendo em conta a sua proximidade com as localidades e, em segundo lugar, tendo em conta a existência de valores nos anos em questão.
  • 32.
    13 Verificou-se que asséries temporais das estações meteorológicas escolhidas possuíam falhas pontuais, tendo sido feita a estimativa dos dados em falta, a partir de informação de outras estações, tal como está descrito na secção 5.5. (Fonte: SNIRH) Figura 1 - Normais climatológicas para Arraiolos (1971-2000) Tabela 3 – Variáveis e estações meteorológicas consideradas Nome Estações meteorológicas Precipitação horária Vento médio diário Humidade Relativa Radiação diária Temperatura Herdade da Cabeça Gorda Cabeço de Vide (19L/01UG) Campo Experimental do Crato (18K/01C) Herdade Monte do Mestre Caia (20O/02UG) Albufeira do Caia (19O/02F) Herdade de Refroias Cercal do Alentejo (27E/01UG) Barragem de Campilhas (26F/02C) Herdade Cinzeiro e Torre Coruche (20F/01UG) Barragem de Magos (20E/01C)
  • 33.
    14 5 METODOLOGIA A selecçãodos modelos utilizados neste trabalho em detrimento de outros foi feita segundo a adequação do modelo face ao problema proposto e à disponibilidade de dados iniciais. Também se teve em conta o consenso, entre a comunidade científica, relativamente à precisão dos resultados por eles gerados. O objectivo deste trabalho é comparar os termos do balanço hídrico e a perda de solo nos dois sistemas de pastagem de forma a concluir qual dos dois é mais favorável para o solo em relação a estes dois aspectos. A simulação começou no ano de 2001 e o ano final foi escolhido em função dos dados climáticos disponíveis, mas o período de tempo considerado nunca é inferior a seis anos. A aplicação de alguns dos modelos escolhidos implicou a definição de dimensões do local em estudo. Assim, definiu-se que cada herdade teria a forma de um quadrado com 100m de lado, perfazendo 1 ha de área. O declive é homogéneo, de 10%. 5.1 Modelação da MOS O parâmetro central nesta análise é a MOS, dada a influência já devidamente justificada sobre a erosão e o balanço hídrico. A MOS foi modelada recorrendo ao modelo desenvolvido por Teixeira (2011), que diferencia a dinâmica da MO nas PPSBRL e em PN e estima valores anuais de MOS. A dinâmica da MOS nas PPSBRL e nas PN foi objecto de estudo em Teixeira et al. (2011), tendo sido construído um modelo a partir de valores de MOS nas propriedades referidas no capítulo 4. No modelo proposto considera-se um passo temporal de um ano e não existe variação espacial da MOS. Assim, só ao fim do ano civil irá haver alteração no conteúdo de MOS. O modelo foi construído a partir de um balanço de massa simples, que considera que a variação de MOS é resultado do input de MO menos a mineralização da mesma, como na Equação 2. A MOS apresenta-se em pontos percentuais, que representam a massa de MOS por 100 g de solo (gMOS/100 gsolo). Equação 2 – Balanço de massa da MOS
  • 34.
    15 Onde: - Ano. - Conteúdode MOS no ano (%). - Input de MOS (% ano -1 ). - Taxa de mineralização da MO (ano -1 ). A solução desta equação é obtida com uma integração entre e , como na Equação 3. A equação obtida indica que a dinâmica da MOS segue uma forma exponencial saturada e, a longo prazo, atinge o equilíbrio. Equação 3 – Solução do balanço de massa da MOS Teixeira et al. (2011) afirmam que reflecte não só o sistema de pastagem como o conteúdo inicial de MOS, . Assim, este parâmetro foi dividido em duas partes, uma constante, que depende do tipo da pastagem, e a outra que varia com , como na Equação 4. Equação 4 – Input de MOS Onde: - Input de MOS dependente do sistema de pastagem (% ano -1 ). - Parâmetro proporcional do input de MOS dependente de (ano -1 ). - Conteúdo inicial de MOS (%). Substituindo a Equação 4 na Equação 3 obtém-se a expressão geral do modelo da dinâmica da MOS em pastagens, apresentado na Equação 5. Os parâmetros do modelo foram obtidos por regressão estatística passo a passo e pelo método dos mínimos quadrados, utilizando o software SPSS Statistics 17.0 e encontram-se na Tabela 4. O intervalo temporal escolhido para a aplicação desta equação tem em conta a razoabilidade dos valores de MOS devolvidos. Equação 5 – Modelo da dinâmica de MO em pastagens Onde: - Conteúdo de MOS no ano .
  • 35.
    16 Tabela 4 –Parâmetros do modelo de dinâmica da MOS Sistema de Pastagem PPSBRL 0,28 0,41 0,19 0,18 PN 0,00 (Fonte: Teixeira et al., 2011) Neste trabalho o ano é o ano de 2001 e o valor de para cada pastagem apresenta-se na Tabela 5. Estes são os valores obtidos no âmbito do Projecto AGRO 87. Tabela 5 – MOS inicial para cada Herdade Nome (%) PPSBRL PN Herdade da Cabeça Gorda 1,55 1,30 Herdade de Monte do Mestre 1,75 1,95 Herdade de Refroias 3,40 3,80 Herdade Cinzeiro e Torre 0,65 0,55 (Fonte: Projecto AGRO87) 5.2 Modelação do balanço hídrico A ordem de cálculo dos termos do balanço hídrico está representada na Figura 2. O conteúdo de água no solo no início do dia é igual ao calculado para o dia anterior. Quando ocorreu precipitação, foi calculado o volume de água infiltrado e o escorrimento superficial gerado. O conteúdo de água no solo neste ponto não pode exceder a porosidade efectiva do solo. Se o conteúdo de água no solo excedeu neste ponto a capacidade de campo, foi calculado o volume de água que sai do volume de controlo, por percolação. Por último foi calculada a evapotranspiração. O cálculo do escorrimento superficial foi feito recorrendo à equação de Green e Ampt. Como foi referido, a formação de escorrimento superficial está dependente da intensidade da precipitação, que pode variar ao longo do evento pluvioso. Por esta razão, o passo temporal escolhido para este cálculo foi o mínimo possível, que corresponde à disponibilidade dos dados climáticos. Neste caso, o passo temporal para o cálculo do escorrimento superficial é de uma hora, utilizando valores de precipitação horária. No final foi calculado o escorrimento superficial acumulado ao longo do dia e foi este o valor utilizado no balanço hídrico.
  • 36.
    17 A equação deGreen e Ampt necessita, como input, do valor do conteúdo de água no solo antes do evento de precipitação ter início. Neste trabalho, foi utilizado o valor do conteúdo de água no solo calculado pelo balanço hídrico para o dia anterior. Para o cálculo da percolação foi utilizada a mesma equação que os modelos SWAT e WEPP utilizam, que depende da condutividade hidráulica saturada do solo. A evapotranspiração da cultura foi calculada no final, recorrendo à equação de FAO Penman- Monteith, com um passo diário. Apesar de Allen et al. (1998) considerarem o ponto de emurchimento e a capacidade de campo como os limites inferior e superior da evapotranspiração, é referido por outros autores (por ex. Lal, 2005) que, mesmo quando o solo está acima da capacidade de campo, as plantas continuam a transpirar, e é esta a abordagem seguida neste trabalho. No entanto, o conceito de água disponível para as plantas definido em 2.2 continua a ser seguido, mas apenas para aferir se o solo se encontra em stress hídrico, como explicado em 5.2.3. A inicialização do balanço hídrico foi feita num dia em que a precipitação acumulada era suficiente para o solo atingir a saturação, uma vez que é possível estimar o conteúdo de água neste ponto. O volume de controlo considerado é constituído por uma camada de solo de 10 cm de profundidade (Figura 3). A fronteira superficial permite a entrada de água através da infiltração e a saída através da evapotranspiração. A diferença entre o volume de água precipitado e o infiltrado é o escorrimento superficial. A fronteira profunda permite a saída de água do volume de controlo por percolação. Como foi referido na secção 3, não irá ser considerada a ascensão capilar. O conteúdo mínimo de água no solo é dado pelo ponto de emurchimento e o conteúdo máximo de água no solo corresponde à porosidade efectiva do solo. O cálculo da porosidade efectiva do solo é descrito na secção 5.4.2.
  • 37.
    18 EvapotranspiraçãoInfiltração Percolação Figura 2 –Esquema de cálculo do balanço hídrico Figura 3 – Volume de controlo 5.2.1 Ponto de emurchimento e capacidade de campo O conteúdo de água no solo no ponto de emurchimento e na capacidade de campo foi calculado recorrendo às Equações 6 e 7. Estas equações foram desenvolvidas por Rawls et al. (1991) (cit. in Flanagan et al., 1995), recorrendo a regressão estatística e são utilizadas pelo Precipitação Infiltração Escorrimento superficial Percolação Evapotranspiração Conteúdo de água no solo Equação de Green e Ampt Equação de FAO Penman-Monteith Equação utilizada pelo WEPP Conteúdo de água no solo
  • 38.
    19 software WEPP, comoreferido na secção 3. Este software assume que a camada de solo superior tem uma espessura de 10 cm. Equação 6 – Conteúdo de água no solo no ponto de emurchimento Onde: - Conteúdo de água no solo no ponto de emurchimento (mm 3 mm -3 ). - Conteúdo de argila no solo (%) - Conteúdo de areia no solo (%). - Capacidade de troca catiónica dividida pelo conteúdo de argila no solo. - Densidade aparente do solo (g mm -3 ). Equação 7 – Conteúdo de água no solo na capacidade de campo Onde: - Conteúdo de água no solo na capacidade de campo (mm 3 mm -3 ). - Conteúdo de areia no solo (%). - Conteúdo de matéria orgânica no solo (%). - Conteúdo de água no solo no ponto de emurchimento (mm 3 mm -3 ). Apesar de o cálculo do conteúdo de água no solo no ponto de emurchimento não depender explicitamente da MOS, esta é incorporada na estimação da densidade aparente do solo. Para se perceber a influência da textura e da MOS no cálculo de e de , fez-se variar um dos parâmetros, mantendo os outros dois constantes. Os intervalos de valores escolhidos foram, para a MOS, de 1 a 5%, para a areia de 44 a 56% e para a argila de 10 a 35%. Estes intervalos são consistentes com os valores apresentados nas Tabelas 2 e 5. Nos casos em que se mantiveram constantes, a MOS, a areia e a argila assumiram os valores de 3%, 44% e 33%. Nas Figuras 4 a 6 é possível verificar que o peso da MOS é superior ao peso das fracções de areia e de argila.
  • 39.
    20 Figura 4 -Variação do ponto de emurchimento e da capacidade de campo com a MOS Figura 5 - Variação do ponto de emurchimento e da capacidade de campo com a Areia Figura 6 - Variação do ponto de emurchimento e da capacidade de campo com a Argila 5.2.2 Infiltração/Escorrimento superficial – Equação de Green e Ampt O modelo de Green e Ampt apresenta-se nas Equações 8 e 9 (cit. in Jia et al., 1997). A Equação 9 resulta da integração no tempo da Equação 8. O modelo calcula o volume de água infiltrado, o que permite calcular o escorrimento superficial gerado. Considerando o balanço hídrico do solo representado na Equação 1, o volume infiltrado é igual à precipitação menos o escorrimento superficial e, portanto, o volume de escorrimento superficial diário obtém-se subtraindo a infiltração diária à precipitação diária. Como foi referido na secção 3, o modelo assume que as propriedades do solo são homogéneas na vertical e que a humidade inicial do solo está uniformemente distribuída. Também assume que, durante a infiltração, existe uma descontinuidade no valor da humidade do solo e a frente de humedecimento separa solo saturado acima de solo não saturado abaixo. Equação 8 – Taxa de infiltração da equação de Green e Ampt Onde: - Taxa de infiltração (mm h -1 ). - Condutividade hidráulica efectiva (mm h -1 ).
  • 40.
    21 - Volume infiltrado(mm). - Potencial mátrico do solo (mm). - Tempo (h). Equação 9 – Solução da Equação de Green e Ampt A Equação 8 evidencia a influência do conteúdo de água no solo na taxa de infiltração, já que esta diminui com o aumento do volume de água infiltrado. Já o aumento do valor do potencial mátrico, , favorece a infiltração. A taxa de infiltração atinge o valor mínimo quando é igual a zero, o que corresponde a um solo saturado. Na Equação 9, é constante e é calculado em , o que significa que, neste instante, o solo não pode encontrar-se saturado. O volume de controlo da Equação de Green e Ampt é a altura da frente de humedecimento, que é variável ao longo do evento de precipitação e pode ser calculada com a Equação 10. Equação 10 – Altura da frente de humedecimento Onde: - Altura da frente de humedecimento (mm). - Conteúdo de água no solo em condições de saturação (mm 3 mm -3 ). - Conteúdo de água inicial no solo (mm 3 mm -3 ). A Equação de Green e Ampt original só aceita eventos de precipitação constante, mas Chu (1978) propôs uma alteração ao modelo, que torna possível a sua aplicação em casos de precipitação variável. Assim, assume-se que a taxa de infiltração é igual à taxa de precipitação até ocorrer alagamento do solo, momento a partir do qual a taxa de infiltração diminui, até atingir um limite mínimo. Chu (1978), considera ainda um caso especial de um evento de precipitação que é dividido em curtos períodos de tempo, de modo a que a taxa de precipitação em cada intervalo possa ser considerada constante. O modelo assim proposto apresenta-se nas Equações 11 a 14. A Equação 12 calcula o volume de água infiltrado directamente a partir da precipitação, mas a Equação 14 só considera a taxa de precipitação para calcular o instante em que ocorre alagamento. Equação 11 – Taxa de infiltração antes do alagamento
  • 41.
    22 Equação 12 –Infiltração acumulada antes do alagamento Equação 13 – Taxa de infiltração após alagamento Equação 14 − Volume infiltrado após alagamento Onde: - Taxa de precipitação (mm h -1 ). - Tempo até ocorrer alagamento (h). - Pseudotempo (h). Chu (1978) apresenta um parâmetro que pretende representar uma mudança na escala temporal, como consequência do efeito do volume infiltrado no tempo de alagamento, a que chama pseudotempo. Esta alteração resulta do facto de a Equação 14 estar a ser aplicada a um intervalo de tempo cujas condições iniciais são de não alagamento, condição que se altera durante esse intervalo. O pseudotempo é calculado recorrendo à Equação 15. Equação 15 – Pseudotempo. Onde: - Volume infiltrado no instante do alagamento (mm). Ao longo do evento de precipitação a taxa de infiltração do solo varia, podendo tomar valores inferiores à taxa de precipitação. O instante em que as duas taxas são iguais é o tempo de alagamento, . Para calcular este valor, substitui-se, na Equação 13, a taxa de infiltração pela taxa de precipitação, de modo a calcular , o volume infiltrado em , obtendo-se a Equação 16. O tempo de alagamento é então calculado a partir de e da taxa de precipitação nesse mesmo momento, , como na Equação 17.
  • 42.
    23 Equação 16 –Infiltração acumulada no instante do alagamento. Onde: - Taxa de precipitação no instante do alagamento (mm h -1 ). - Volume infiltrado no instante do alagamento (mm). Equação 17 – Tempo de alagamento A Equação 17 diz-nos que não irá haver formação de escorrimento superficial se a taxa de precipitação for inferior à condutividade hidráulica efectiva. Quanto maior a taxa de precipitação menor o volume infiltrado no tempo de alagamento e, por conseguinte, menor o valor de , dado pela Equação 17. A Equação 14 pode ser aplicada a um único intervalo ou a vários intervalos de tempo sucessivos, enquanto a taxa de infiltração no final do intervalo for inferior à taxa de precipitação. Para resolver a Equação 14 pode recorrer-se ao método de Newton. A condutividade hidráulica efectiva e o potencial mátrico do solo foram estimados de maneira a incorporar os efeitos da MOS. A metodologia utilizada encontra-se na secção 5.4. 5.2.3 Evapotranspiração – FAO Penman-Monteith A equação de FAO Penman-Monteith está representada na Equação 18. Esta equação permite calcular a evapotranspiração de uma cultura de referência, que, neste caso, tem uma altura fixa de 0,12 m, uma resistência de superfície de 70 sm -1 e um albedo de 0,23. Equação 18 – Equação de FAO Penman-Monteith
  • 43.
    24 Onde: - Evapotranspiração dereferência (mm dia -1 ). - Balanço de radiação (MJ m -2 dia -1 ). - Densidade de fluxo de calor no solo (MJ m -2 dia -1 ). - Temperatura média diária a 2 metros de altura (°C). - Velocidade do vento a 2 metros de altura (m s -1 ). - Pressão de saturação de vapor média (kPa). - Pressão de vapor real (kPa). - Défice de pressão de saturação de vapor (kPa). - Declive da curva de pressão de vapor (kPa ºC -1 ). - Constante psicrométrica (kPa ºC -1 ). A metodologia para o cálculo de cada um dos termos da equação apresenta-se nas secções 5.2.3.1 a 5.2.3.5. Seguiu-se a metodologia recomendada por Allen et al. (1998). 5.2.3.1 Balanço de radiação O balanço de radiação, , é a diferença entre a radiação solar absorvida, , e a radiação emitida, . A radiação solar absorvida é a fracção da radiação solar, , que não é reflectida pela superfície e pode ser calculada com a Equação 19 (cit. in Allen et al., 1998). Os valores da radiação solar diária foram obtidos nas estações meteorológicas referidas na Tabela 3. Como foi referido, o valor do albedo é fixo e igual a 0,23. Equação 19 – Radiação absorvida. Onde: - Radiação solar absorvida pela cultura (MJ m -2 dia -1 ). - Albedo. - Radiação solar (MJ m -2 dia -1 ). A radiação emitida foi calculada recorrendo à Equação 20 (cit. in Allen et al., 1998). Este termo do balanço de radiação representa normalmente uma perda de energia sob a forma de calor. Equação 20 – Radiação emitida.
  • 44.
    25 Onde: - Radiação emitida(MJ m -2 dia -1 ). - Constante de Stefan-Boltzmann (MJ K -4 m -2 dia -1 ). - Temperatura máxima diária (ºC). - Temperatura mínima diária (ºC). - Pressão de vapor real (kPa). - Radiação solar relativa. A Equação 20 é uma alteração da Lei de Stefan-Boltzamnn 7 , para ter em conta o efeito da humidade e da nebulosidade, que absorvem energia e, assim, diminuem a radiação emitida. O termo corresponde à Lei de Stefan-Boltzmann e o valor 273 converte a unidade de temperatura para K. O termo diminui com o aumento da humidade média, diminuindo assim a radiação emitida. O termo inclui o efeito da nebulosidade e representa a relação entre a radiação solar que efectivamente incide na superfície, , e a radiação que incidiria na superfície caso o céu se encontrasse limpo, . Por este motivo, A radiação de céu limpo pode ser calculada com a Equação 21 (cit. in Allen et al., 1998). Equação 21 - Radiação de céu limpo. Onde: - Radiação solar de céu limpo (MJ m -2 dia -1 ). - Cota da estação meteorológica (m). - Radiação extraterrestre (MJ m -2 dia -1 ). A radiação extraterrestre é a radiação que incide no topo da atmosfera e admite um valor máximo que corresponde a uma situação em que a atmosfera forma um plano perpendicular à radiação solar. A este valor dá-se o nome de constante solar, . A radiação que efectivamente incide na atmosfera depende do dia do ano, da latitude e da declinação do sol e é calculada através da Equação 22 (cit. in Allen et al., 1998). Equação 22 - Radiação extraterrestre. 7 A Lei de stefan-Boltzmann diz que a energia emitida por um corpo negro é proporcional à quarta potência da temperatura do corpo. A constante de proporcionalidade desta lei designa-se constante de Stefan-Boltzmann e toma o valor de 4,903x10 -9 MJ K -4 m -2 dia -1 .
  • 45.
    26 Onde: - Constante solar(MJ m -2 min -1 ). - Distância relativa inversa entre a Terra e o Sol. - Ângulo do Sol ao pôr-do-sol (rad). - Latitude (rad). - Declinação solar (rad). A distância relativa inversa entre a Terra e o Sol é dada pela Equação 23, a declinação solar pela Equação 24 e o ângulo do Sol ao pôr-do-sol calcula-se com a Equação 25 (cit. in Allen et al., 1998). Equação 23 - Distância relativa inversa entre a Terra e o Sol. Onde: - Número do dia do ano. O número do dia do ano varia entre 1, correspondendo ao dia 1 de Janeiro, e 365 ou 366, que correspondem ao dia 31 de Dezembro em anos comuns ou bissextos, respectivamente. Equação 24 - Declinação solar. Equação 25 - Ângulo do Sol ao pôr-do-sol. A latitude das herdades considerada corresponde à latitude das localidades de referência e encontra-se na Tabela 6. Tabela 6 - Latitude das herdades. Herdade Localidade Latitude º rad Herdade da Cabeça Gorda Vaiamonte 39,10 0,68 Herdade de Monte de Mestre São Vicente e Ventosa 38,95 0,68 Herdade de Refroias Cercal do Alentejo 37,80 0,66 Herdade Cinzeiro e Torre Coruche 38,95 0,68 (Fonte: Moo.pt)
  • 46.
    27 5.2.3.2 Densidade defluxo de calor A densidade de fluxo de calor no solo, , pode assumir valores significativos se o passo temporal for inferior a 24 h, mas a variação diária do calor acumulado no solo é desprezável. Assim, uma vez que o passo temporal considerado neste trabalho é um dia, é igual a zero. Relativamente à temperatura média diária, Allen et al. (1998) recomendam que seja calculada a partir dos valores máximos e mínimos diários. 5.2.3.3 Défice de pressão de saturação de vapor O défice de pressão de saturação de vapor é a diferença entre a pressão de saturação de vapor média diária, , e a pressão de vapor real, , que podem ser calculadas com as Equações 26 e 28. Calculam-se as pressões de saturação de vapor diárias porque o passo temporal no cálculo da evapotranspiração é diário. Equação 26 - Pressão de saturação de vapor média diária. Onde: - Pressão de saturação de vapor média diária (kPa). - Pressão de saturação de vapor à temperatura T (kPa). e - Temperaturas máxima e mínima diárias (ºC). A pressão de saturação de vapor à temperatura T pode ser calculada com a Equação 28 (Tetens, 1930). Equação 27 - Pressão de saturação de vapor. Onde: - Temperatura do ar (ºC). Equação 28 - Pressão de vapor real
  • 47.
    28 Onde: - Pressão devapor real (kPa). - Temperatura de orvalho (ºC). A Equação 28 equivale à Equação 27 aplicada à temperatura de orvalho. A temperatura de orvalho define-se como a temperatura para a qual o ar de ser arrefecido, a pressão constante, para ficar saturado. Allen et al. (1998) afirmam que, para o caso de não se dispor dos dados da temperatura de orvalho, pode-se assumir que a temperatura de orvalho é igual à temperatura mínima. Este pressuposto é válido para culturas que têm assegurada a disponibilidade de água, o que não é o caso das pastagens em estudo. Assim, a temperatura de orvalho foi calculada com a Equação 29, que relaciona a temperatura de orvalho com a temperatura do ar e a humidade relativa (Lawrence, 2005). Equação 29 - Temperatura de orvalho Onde: - Tempeartura do ar média diária (ºC). - Humidade relativa média diária (%). 5.2.3.4 Declive da curva de pressão de vapor O declive da curva de pressão de vapor é a derivada da pressão de vapor em relação ao tempo e é calculado com a Equação 30 (Tetens, 1930; Murray, 1967). Para o cálculo deste parâmetro com um passo diário, utiliza-se a temperatura média diária. Equação 30 - Declive da curva de pressão de vapor. Onde: - Declive da curva de pressão de vapor (kPa ºC -1 ). - Temperatura média diária (ºC)
  • 48.
    29 5.2.3.5 Constante psicrométrica Aconstante psicrométrica pode ser calculada com a Equação 31 (Brunt, 1952). Equação 31 - Constante psicrométrica Onde: - Constante psicrométrica (kPa ºC -1 ). - Calor específico do ar húmido (MJ kg -1 ºC -1 ). - Pressão atmosférica (kPa). - Razão ente o peso molecular do vapor de água e de ar seco. - Calor latente de vaporização (MJ kg -1 ). Considerando que , , e são constantes e assumem os valores apresentados na Tabela 7, a única variável no cálculo da constante psicrométrica é a pressão atmosférica, . A pressão atmosférica pode ser calculada recorrendo à Equação 32 (Burman et al., 1987), que depende apenas da cota da localidade considerada. A Tabela 8 apresenta os valores de cota das herdades. Equação 32 - Pressão atmosférica. Tabela 7 - Valores de , e . Parâmetro Valor 1,013 x 10 -3 MJ kg -1 ºC -1 0,622 8 2,45 MJ kg -1 8 Calculado para T=20ºC, a partir de Harrison (1963).
  • 49.
    30 (Fonte: Allen etal., 1998) Tabela 8 - Cota das herdades. Herdade Localidade Cota (m) Herdade da Cabeça Gorda Vaiamonte 313 Herdade Monte do Mestre São Vicente e Ventosa 368 Herdade de Refreoias Cercal do Alentejo 190 Herdade Cinzeiro e Torre Coruche 13 (Fonte: Moo.pt) 5.2.3.6 Evapotranspiração da cultura A medição da evapotranspiração real de uma dada cultura permite obter o coeficiente de cultura, que se define como a razão entre a evapotranspiração medida e a evapotranspiração de referência. O método de FAO Penman-Monteith recorre a estes coeficientes para o cálculo da evapotranspiração da cultura, , como na Equação 33. Allen et al. (1998) apresenta coeficientes de cultura tabelados, o que torna possível o cálculo da evapotranspiração a partir de dados climáticos. Equação 33 – Evapotranspiração de cultura, com o método de FAO Penman-Monteith Onde: - Evapotranspiração da cultura (mm dia -1 ). - Coeficiente de cultura. A diferença entre os valores de evapotranspiração é devida, essencialmente, às diferenças entre as características das folhas, dos estomas, das propriedades aerodinâmicas e até do albedo de uma cultura de referência e de uma outra cultura. O cálculo do coeficiente de cultura pode ser feito através de dois métodos, dependendo do objectivo do estudo: pode-se calcular um coeficiente único ou um coeficiente que é a soma de dois coeficientes. Na primeira abordagem, as contribuições da evaporação do solo e da
  • 50.
    31 transpiração da plantaestão combinadas num único valor, enquanto o cálculo do coeficiente de cultura pelo segundo método separa a evaporação e a transpiração em dois coeficientes, de acordo com a Equação 34. Equação 34 – Coeficiente de cultura duplo Onde: - Coeficiente basal de cultura. - Coeficiente de evaporação do solo. O primeiro método é aconselhado para a gestão da irrigação, no caso de esta não ser muito frequente. Para estudos que necessitem de um balanço hídrico do solo mais detalhado, aconselha-se a utilização do coeficiente duplo. No entanto, a estimativa dos coeficientes e necessita de um conhecimento muito aprofundado sobre a evolução fenológica das pastagens: o cálculo destes coeficientes faz-se com um passo diário. Como alternativa, podem ser estimados vários parâmetros necessários para utilizar este método, mas considerou-se que esta escolha não iria trazer vantagens para o trabalho, uma vez que o erro da estimativa dos parâmetros em causa não é mensurável e poderia ser superior à utilização do método do coeficiente simples. Por esta razão, foi utilizado o coeficiente simples. O coeficiente de cultura reflecte a influência do crescimento da planta na evapotranspiração, adoptando valores diferentes nas várias fases de crescimento. Allen et al. (1998) considera quatro fases de desenvolvimento da cultura: a fase inicial, desde a plantação até a cultura cobrir 10% da área; a fase de desenvolvimento, que termina quando a cultura cobre toda a área; a fase média, que termina quando a cultura inicia a maturidade; a fase tardia, que termina aquando da colheita ou da senescência da cultura. Procurou-se informação sobre o desenvolvimento fenológico de pastagens ricas em leguminosas e de pastagens naturais, tendo-se apurado que a presença de leguminosas diminui o ritmo de desenvolvimento, mas aumenta a área de solo coberta, quando comparadas com as gramíneas (Eng. António Martelo, comunicação pessoal). As pastagens naturais são mais precoces na floração do que as PPSBRL. Estabeleceram-se assim períodos de desenvolvimento que reflectissem estas diferenças, mas que são apenas valores médios. A germinação das plantas depende do início da época de chuva e o seu crescimento está condicionado pelo conteúdo de água no solo, mas os estágios de desenvolvimento considerados não irão variar com estes factores.
  • 51.
    32 A duração dosestágios de desenvolvimento encontra-se na Tabela 9. Apesar de o desenvolvimento das pastagens estar dependente do conteúdo de água no solo, neste trabalho considerou-se que o estágio inicial começa sempre dia 1 de Setembro. Os coeficientes de cultura para os estágios inicial, , médio, e tardio, , encontram-se na Tabela 10 e foram aplicados nos dois sistemas de pastagens. Estes valores foram consultados em Allen et al. (1998) e são referentes a pastagens com pastoreio extensivo. O coeficiente de cultura referente ao período de desenvolvimento, , é calculado em função dos coeficientes de cultura para o período inicial, e para o período médio, utilizando o método numérico descrito em Allen et al. (1998) e apresentado na Equação 35. Tabela 9 - Duração dos estágios de desenvolvimento de PPSBRL e PN (dias). Inicial 9 Desenvolvimento Médio Tardio PPSBRL 30 30 180 10 PN 45 45 150 10 (Adaptado de Eng. António Martelo, comunicação pessoal) Tabela 10 - Valores de para os estágios de desenvolvimento de pastagens Pastagem com pastoreio extensivo 0,3 0,75 0,75 (Fonte: Allen et al., 1998) Equação 35 – Método numérico para determinação de Onde: - Iterador do dia do estágio de desenvolvimento. - Coeficiente de cultura do dia . - Duração do estágio de desenvolvimento considerado (dia). - Soma dos dias de duração dos estágios anteriores (dia). A Equação 33 não considera a disponibilidade de água no solo como factor limitante, mas é possível incorporar esta limitação no cálculo da evapotranspiração da cultura. De acordo com 9 Os dados correspondem a 25% de cobertura do solo.
  • 52.
    33 Allen et al.(1998), o valor máximo de água que pode ser evapotranspirada é calculado seguindo a Equação 36, considerando que a camada superficial de solo se encontra inicialmente húmida. Esta equação simplifica o balanço hídrico do solo, considerando que imediatamente a seguir a um evento de precipitação intenso o solo se encontra na capacidade de campo, e a água restante contribui para a percolação. Esta simplificação irá ser eliminada e foi introduzido um método para modelar a percolação. Equação 36 – Água disponível total Onde: - Água disponível total (mm). - Profundidade da camada de solo que está sujeita a evaporação (m). Quando este valor é desconhecido, aconselha-se um valor entre 0,10 e 0,15m. Há ainda a considerar que, com a diminuição do conteúdo de água no solo, o valor absoluto do potencial mátrico irá aumentar e a energia necessária para retirar cada unidade de água do solo irá aumentar. Esta situação traduz-se numa diminuição da taxa de evapotranspiração, sendo necessário introduzir na Equação 33 um coeficiente de stress hídrico, , aplicável quando o conteúdo de água no solo é inferior a um determinado limite. pode ser calculado com a Equação 37 (Allen et al., 1998). Equação 37 – Coeficiente de stress hídrico Onde: - Coeficiente de stress hídrico. - Água disponível total (mm). - Depleção da camada de solo (mm). - Fracção de ADT que a cultura pode extrair sem sentir stress hídrico. A depleção da camada de solo é definida em Allen et al. (1998) como a diferença entre o conteúdo de água na capacidade de campo e o conteúdo de água no solo. Quando a depleção é superior ao volume de água prontamente disponível, definido como na Equação 38, é necessário incorporar no cálculo da evapotranspiração. Equação 38 - Água prontamente disponível
  • 53.
    34 O valor tabeladode , em Allen et al. (1998), para pastagens extensivas é 0,6 e corresponde a uma de 5 mm dia -1 . Deve ser feito um ajuste à evaporação diária, recorrendo à Equação 39 (Allen et al., 1998). Equação 39 – Ajuste do parâmetro Onde: - Valor de tabelado. A evapotranspiração pode então ser calculada como na Equação 40 (Allen et al., 1998). Equação 40 – Evapotranspiração da cultura, ajustada Onde: - Evapotranspiração da cultura ajustada (mm). Allen et al. (1998) referem que a utilização de devolve resultados mais fiáveis quando aplicada ao método do coeficiente duplo, já que o stress hídrico afecta apenas a transpiração da cultura e a taxa de evaporação mantém-se. No entanto, se a evaporação do solo não representar uma fracção grande da evapotranspiração, a Equação 40 devolve resultados fiáveis. Como foi referido na secção 5.1, apesar de Allen et al. (1998) apresentarem o valor da capacidade de campo como o limite superior que permite a evapotranspiração, neste trabalho considerou-se que ocorre evapotranspiração mesmo quando o conteúdo de água no solo é superior a esse valor. No entanto, o cálculo de foi mantido como descrito em Allen et al. (1998), para ser utilizado na evapotranspiração em condições de stress hídrico, uma vez que o valor de tabelado foi calculado para essas condições. Por último, há a considerar os casos em que a cultura se encontra num momento de não crescimento. Numa PPSBRL, é feito pastoreio com uma carga animal suficiente para que o pasto seco seja removido antes das primeiras chuvas do Outono, o que significa que o solo perde progressivamente o seu coberto. Neste caso, pode ser utilizado o com uma redução de 5% por cada 10% de solo coberto. Quando o solo se encontra totalmente descoberto, é utilizado o . No caso das PN, considerou-se que a cobertura do solo é de 50%.
  • 54.
    35 5.2.4 Modelação dapercolação A modelação da percolação foi feita recorrendo ao modelo utilizado pelos softwares SWAT e WEPP. O volume de água percolado é calculado como na Equação 41. Só o volume de água acima da capacidade de campo se encontra disponível para percolação, como já foi referido. O ajustamento da condutividade hidráulica saturada, para ter em conta o conteúdo de água inicial no solo, é feito de acordo com a Equação 43 e a influência da camada de solo inferior apresenta-se na Equação 45. Equação 41 – Volume de água percolado Onde: - Volume de água percolado (mm). - Conteúdo de água disponível para percolação (mm). - Passo temporal (h). - Tempo de transferência (h). O tempo de transferência pode ser calculado com a Equação 42. O tempo de transferência depende das propriedades do solo, que se assumem ser homogéneas numa camada, mas podem variar entre camadas, o que significa que o valor do tempo de transferência é único para cada camada de solo considerada. Equação 42 – Tempo de transferência Onde: - Conteúdo de água no solo em condições de saturação (mm). - Conteúdo de água no solo na capacidade de campo (mm). - Condutividade hidráulica saturada (mm h -1 ). Equação 43 – Condutividade hidráulica saturada ajustada Onde:
  • 55.
    36 - Condutividade hidráulicaajustada (mm h -1 ). - Conteúdo de água do solo (mm). - Conteúdo de água no solo em condições de saturação (mm). - Parâmetro que provoca a diminuição de . O parâmetro é calculado como na Equação 44. Equação 44 – Parâmetro A constante -2,655 assegura que, na capacidade de campo, o valor de é igual a . Equação 45 – Volume de água percolado ajustado Onde: - Volume de água percolado ajustado (mm). - Conteúdo de água inicial da camada inferior (mm). - Conteúdo de água no solo em condições de saturação na camada inferior (mm). Os resultados devolvidos por este método não foram satisfatórios, uma vez que o conteúdo de água no solo raramente excedia a capacidade de campo, o que não está de acordo com resultados experimentais obtidos no âmbito do Projecto AGRO87, que indicam que, nos meses húmidos, o conteúdo de água no solo é bastante superior à capacidade de campo, aproximando-se da saturação. Face a estes resultados, escolheu-se eliminar a percolação do balanço hídrico. Este assunto é explorado com mais pormenor na secção 6.2. 5.3 Modelação da Perda de Solo A perda de solo foi modelada com a EUPSM, utilizando como input o escorrimento superficial calculado no balanço hídrico e tendo em conta a forma e as dimensões definidas para a pastagem. Preferiu-se este modelo porque, tal como referido em 3, com ele é possível o cálculo da perda de solo provocada por cada evento pluvioso, permitindo assim o cálculo de valores anuais de perda de solo. Recorrer-se-á à EUPS e à equação ajustada por Tomás et al. (1993) apenas para comparação dos resultados.
  • 56.
    37 O modelo escolhidoneste ponto é a EUPSM, uma vez que se pretende obter resultados de perda de solo anual. No entanto, este modelo não se encontra tão bem calibrado como o modelo EUPS e, portanto, foi feita uma comparação dos resultados obtido pelos dois modelos, mas para um período a que a EUPS possa ser aplicada eficazmente. Teve-se em consideração as conclusões de Tomás et al. (1993), referidas na secção 3, que apontam para a sobrestimação pela EUPS da perda de solo em Portugal e foi também utilizada a equação ajustada por estes autores, com fins comparativos. 5.3.1 EUPSM: Equação Universal de Perda de Solo Modificada A EUPSM está descrita na Equação 46 (Williams, 1975). Esta é uma equação empírica, mas os factores que a constituem pretendem incorporar os mecanismos envolvidos na desagregação e transporte das partículas de solo. A EUPSM resulta de uma alteração da EUPS original, passando-se a considerar que a desagregação e o transporte de partículas de solo seriam representados através do escorrimento superficial e do caudal de ponta de cheia, por oposição ao factor de erosividade da precipitação considerado na versão original. Equação 46 – Equação universal de perda de solo modificada Onde: - Produção de sedimentos diária (t). - Escorrimento superficial (mm ha -1 ). - Caudal de ponta de cheia (m 3 s -1 ). - Área (ha). - Factor de erodibilidade do solo, definido como a perda de solo de um talhão tipo, com 22,13m de comprimento e 9% de declive (t h MJ mm -1 ). - Relação de coberto vegetal, calculada como o quociente entre a perda de solo de um talhão com uma determinada cultura e maneio e de um talhão com o solo nu. - Relação de prática agrícola, calculada através do quociente entre a perda de solo de um talhão com uma determinada prática agrícola e de um talhão lavrado segundo a linha de maior declive. - Factor fisiográfico do solo. Produto das relações de comprimento ( ) e de declive ( ) da área em estudo.A relação de comprimento é definida como o quociente entre a perda de solo de um talhão com um dado comprimento e outro com 22,13m de comprimento. A relação de declive é definida como o quociente entre a perda de solo num talhão com um dado declive e outro com um declive de 9%.
  • 57.
    38 - Factor defragmento de rocha. O escorrimento superficial calculado no balanço hídrico é utilizado como input para a EUPSM. Considera-se que o factor de fragmento de rocha é unitário. Os restantes factores descrevem- se a seguir. 5.3.1.1 Caudal de ponta de cheia As equações apresentadas de seguida são normalmente aplicadas à escala de uma bacia hidrográfica. No entanto, o SWAT modifica as equações para poderem ser utilizadas à escala da Unidade de Resposta Hidrológica (HRU), que corresponde a uma área onde se verifica um único uso de solo. Considerou-se que este trabalho se enquadrava nesta situação e foi seguido esse método, que consiste, neste caso em particular, em substituir a área da bacia pela área considerada. O caudal de ponta de cheia pode ser calculado recorrendo ao método racional, como na Equação 47. Equação 47 – Caudal de ponta de cheia, calculado pelo método racional Onde: - Coeficiente do escorrimento - Intensidade da precipitação (mm h -1 ). - Área (km 2 ) O valor 3,6 é um factor de conversão de unidades para o Sistema Internacional. O coeficiente de escorrimento varia com o evento pluvioso e pode ser calculado como na Equação 48 (cit. in Neitsch et al., 2009). Equação 48 – Coeficiente de escorrimento superficial Onde: - Precipitação diária (mm). A intensidade da precipitação é a taxa média de precipitação durante o tempo de concentração e pode ser calculada com a Equação 49.
  • 58.
    39 Equação 49 –Intensidade de precipitação Onde: - Volume de precipitação que ocorreu durante o tempo de concentração (mm) - Tempo de concentração (h) é proporcional ao volume de precipitação que ocorre durante todo o dia, como na Equação 50 (cit in. Neitsch et al., 2009). Equação 50 – Fracção da precipitação que ocorre durante o tempo de concentração Onde: - Fracção da precipitação diária que ocorre durante o tempo de concentração. - Precipitação diária (mm). - Tempo de concentração (h) O valor máximo de é 1 e corresponde a um evento de precipitação curto, de duração igual ou pouco superior ao tempo de concentração. O valor mínimo de seria atingido num evento de precipitação de intensidade invariável e é igual a . O software SWAT estima a partir do volume precipitado na meia hora de maior intensidade, como na Equação 51. Equação 51 – fracção da precipitação diária que ocorre durante o tempo de concentração Onde: - Fracção da precipitação que ocorre na meia hora de maior intensidade. Uma vez que se considera neste trabalho que a precipitação é constante num intervalo de uma hora, o valor de é metade do valor da maior intensidade horária do evento que gera o escorrimento superficial. O tempo de concentração é a soma dos tempos de concentração do escorrimento superficial e do escoamento num canal. Neste trabalho considerou-se que não existem canais, pelo que o
  • 59.
    40 tempo de concentraçãoé igual ao tempo de concentração do escorrimento superficial, calculado como na Equação 52. Equação 52 – Tempo de concentração Onde: - Tempo de concentração do escorrimento superficial (h). - Comprimento da encosta (m). - Velocidade do escorrimento superficial (m s -1 ). O valor 3600 é um factor de conversão de unidades para o Sistema Internacional. A velocidade do escorrimento superficial pode ser estimada recorrendo ao caudal médio do escorrimento superficial, ao declive médio da encosta e ao coeficiente de rugosidade de Manning. O modelo SWAT assume um caudal médio de 6,35 mm h -1 e a Equação 52 torna-se na Equação 53: Equação 53 – Tempo de concentração Onde: - Coeficiente de rugosidade de Manning. - Declive da encosta (%). O valor 18 resulta da simplificação da equação. Os valores do declive e do comprimento da encosta encontram-se na Tabela 11 e resultam da forma e dimensão da pastagem definidas na secção 5. Tabela 11 – Valores do comprimento do declive e do declive Parâmetro Valor 100m 10% Senarath et al. (2000) apresenta uma gama de valores para o coeficiente de rugosidade de Manning para pastagens, que se incluem na Tabela 12. Foi escolhido o valor médio desse
  • 60.
    41 intervalo. Estes valoressão aplicáveis à escala de uma bacia hidrográfica, mas não foram encontrados valores aplicáveis à escala utilizada neste trabalho. Tabela 12 – Coeficiente de rugosidade de Manning Intervalo de valores Valor médio 0,235 – 0,271 0,253 5.3.1.2 Factor de erodibilidade do solo, K A erodibilidade de um solo está apenas relacionada com as características específicas do solo em questão: a textura, a estrutura e a composição em matéria orgânica. Esta variável pode ser calculada com a relação empírica apresentada na Equação 54 (Wischmeier et al., 1978), para uma percentagem de limo e areia fina inferior a 70%. Equação 54 – Factor de erodibilidade do solo Onde: - Parâmetro de tamanho das partículas, definido como (% limo e areia muito fina) x (100 - % argila). - Matéria orgânica do solo (%). - Código da classe de estrutura do solo. - Código da classe de permeabilidade do solo. O valor 759,3 é um factor de conversão de unidades para o Sistema Internacional. As Tabelas 13 e 14 apresentam os valores dos parâmetros e , respectivamente. O factor depende directamente da MOS, pelo que o seu valor foi calculado anualmente, quando se verifica um incremento na MOS É de realçar que o valor de depende da estrutura e da permeabilidade do solo. Apesar de ambas se alterarem com a variação de MOS, neste trabalho tal não foi considerado, uma vez que não foi possível aprofundar o conhecimento sobre esta relação de dependência. A permeabilidade do solo pode ser relacionada com a sua textura, tal como se apresenta na Tabela 15.
  • 61.
    42 Tabela 13 –Valor do parâmetro para cada tipo de estrutura de solo Estrutura Granular muito fina 1 Granular fina 2 Granular grosseira 3 Compacta 4 (Fonte: Wischmeier et al., 1978) Tabela 14 – Valor do parâmetro para cada tipo de permeabilidade do solo Permeabilidade Muito lenta 6 Lenta 5 Lenta a moderada 4 Moderada 3 Moderada a rápida 2 Rápida 1 (Fonte: Wischmeier et al., 1978) Tabela 15 – Relação entre a textura e o parâmetro Textura Argilo-limosa, argilosa 6 Franco-argilo-limosa, argilo-arenosa 5 Franco-argilo-arenosa, franco-argilosa 4 Franca, franco-limosa 3 Areno-franca, franco-arenosa 2 Arenosa 1 (Fonte: Renard et al., 1997) A partir das Tabelas 1, 14 e 15 definiu-se o valor de para cada pastagem. A definição do valor de implica conhecer a estrutura do solo, mas essa infirmação não estava disponível, pelo que se assumiu que a estrutura do solo era granular grosseira. Os valores de e para cada herdade encontram-se na Tabela 16.
  • 62.
    43 Tabela 16 -Valores de e para cada Herdade Herdade Cabeça Gorda 3 2 Monte do Mestre 3 2 Refroias 3 4 Cinzeiro e Torre 3 1 5.3.1.3 Relação de coberto vegetal, C Este factor mede o efeito combinado da cobertura do solo e das práticas agrícolas escolhidas. A cobertura do solo varia com o estado de desenvolvimento da cultura, pelo que se divide o ano hidrológico em vários períodos de coberto vegetal e práticas agrícolas constantes. Para cada um destes períodos calcula-se também o valor da erosividade da precipitação, , que se multiplicam pelos valores tabelados correspondentes ao quociente entre a perda de solo para cada estado de desenvolvimento da cultura e a perda de solo de um talhão com o solo nu. Os valores obtidos para cada período são somados, dando origem ao valor da relação de coberto vegetal, , para a cultura em questão. No cálculo do valor de de uma cultura onde se observe a prática de rotação interanual deve ser considerada a média da relação de coberto vegetal para o número de anos que completa a rotação. Wischmeier (1978) afirma que, no caso das pastagens já instaladas onde não se verifica distúrbio do solo, não é necessário calcular o valor de para os vários estágios de desenvolvimento da cultura. Os valores de utilizados foram os considerados por Pimenta (1998), que se encontram na Tabela 17. A escolha destes valores justifica-se com o facto de as PPSBRL poderem ser consideradas pastagens melhoradas, enquanto as PN são, de um modo geral, pastagens pobres. Tabela 17 – Factor para pastagens permanentes e pastagens pobres Tipo de pastagem Pastagem permanente 0,02 Pastagem pobre 0,05
  • 63.
    44 5.3.1.4 Relação deprática agrícola, P A erosividade da precipitação pode ser anulada pela cobertura do solo, mas também por práticas agrícolas que favorecem a diminuição da velocidade do escorrimento superficial, como a cultura em curvas de nível, a cultura em terraços e a cultura em faixas. No entanto, não existe na literatura relação entre este factor e as práticas agrícolas adoptadas nas PPSBRL. Por defeito, o valor de é 1 e foi este o valor adoptado neste trabalho, levando a que a prática agrícola não tenha impacto nos resultados. 5.3.1.5 Factor fisiográfico do solo, LS O factor fisiográfico do solo é o produto das relações de comprimento e de declive , que se calculam de acordo com as Equações 55 e 56 (Wischmeier et al., 1978). Equação 55 – Relação de comprimento de encosta Equação 56 – Relação de declive de encosta Onde: - Relação de comprimento de encosta. - Comprimento da encosta (m). - Coeficiente que depende de . - Relação de declive de encosta. - Declive da encosta (%). Estas equações são válidas para os casos em que o declive e a largura são uniformes. Na Equação 55, o valor 22,13 é o comprimento do talhão tipo. O coeficiente toma os valores apresentados na Tabela 18.
  • 64.
    45 Tabela 18 –Relação entre o coeficiente m e o declive s (Fonte: Wischmeier et al., 1978) Na Tabela 19 apresentam-se os valores calculados para uma pastagem com as dimensões e forma definidas na secção 5. Tabela 19 – Comprimento da encosta, declive, e factor fisiográfico da pastagem em estudo Parâmetro Valor m % 5.3.2 EUPS: Equação Universal de Perda de Solo e EUPSaj A Equação Universal de Perda de Solo apresenta-se na Equação 57 e o ajustamento feito a esta equação por Tomás et al. (1993) apresenta-se na Equação 58. Equação 57 – Equação Universal de Perda de Solo Equação 58 – EUPSaj Onde: - Factor de erosividade da precipitação (mm ha -1 h -1 ). Os factores , , e definem-se como na EUPSM. O factor é descrito de seguida.
  • 65.
    46 5.3.2.1 Factor deerosividade da precipitação, R A erosão hídrica não é causada apenas pelos eventos pluviosos mais intensos: os eventos de precipitação moderados também são responsáveis pela desagregação e transporte de partículas. O factor de erosividade mede, através do parâmetro , o efeito da queda das gotas de chuva na desagregação do solo e o escorrimento superficial que estará associado ao evento pluvioso em questão. Este parâmetro é aditivo, ou seja, é possível somar os valores que o parâmetro toma para cada um dos eventos de precipitação. Também se admite que o valor médio do parâmetro para uma dada região é o índice de erosão associado à precipitação para essa região. O parâmetro é o produto da energia cinética da precipitação pela intensidade da precipitação. A energia cinética da precipitação pode ser calculada através da Equação 59 (Tomás, 1993). Equação 59 – Energia cinética da precipitação Onde: - Energia cinética da precipitação (MJ.ha -1 .mm -1 ). - Taxa de precipitação (mm.h -1 ). Em Coutinho (1994) apresenta-se uma carta de isoerodentes 10 para o Sul de Portugal, de onde se retiraram os valores utilizados neste trabalho, que se apresentam na Tabela 20, convertidos para unidades do Sistema Internacional. Tabela 20 – Factor de erosividade da precipitação, , para as Herdades estudadas Herdade Factor de erosividade da precipitação, Cabeça Gorda 1472 Monte do Mestre 1472 Refroias 1226 Cinzeiro e Torre 736 10 Linhas de igual erosividade de precipitação
  • 66.
    47 5.4 Estimativa deparâmetros da Equação de Green e Ampt Neste capítulo expõe-se a metodologia seguida na estimativa de parâmetros necessários na aplicação da Equação de Green e Ampt. 5.4.1 Condutividade hidráulica efectiva A condutividade hidráulica efectiva é calculada a partir da condutividade hidráulica saturada, tal como em Bouwer (1969) (cit. in Neitsch (2009)), ou seja, é metade de . A condutividade hidráulica saturada pode ser calculada recorrendo à Equação 60 (cit. in Rawls et al., 1989). Equação 60 - Condutividade hidráulica saturada Onde: - Porosidade efectiva do solo (mm 3 mm -3 ). - Conteúdo de água residual no solo (mm 3 mm -3 ). - Densidade aparente do solo (g mm -3 ). - Parâmetro calculado a partir do teor de areia, argila, MO e da densidade aparente do solo (Equação 61). Equação 61 – Parâmetro O valor da densidade pode ser calculado recorrendo à Equação 62 (Flanagan et al., 1995). Equação 62 - Densidade aparente do solo Onde: - Densidade aparente do solo (g mm -3 ). - Matéria orgânica do solo (%). - Razão entre a capacidade de troca catiónica da argila e o conteúdo de argila no solo (meq/100g).
  • 67.
    48 A capacidade datroca catiónica da argila pode ser calculada com a Equação 63. Equação 63 - Capacidade de troca catiónica da argila Onde: - Capacidade de troca catiónica da argila (meq/100g). - Capacidade de troca catiónica do solo (meq/100g). - Profundidade da camada de solo (m). Para os valores de MOS mais altos, a Equação 63 devolveu valores de CTCc negativos. Não foi possível conhecer o domínio de validade da equação, mas presume-se que não aceite os valores de MOS em causa. Por este motivo, decidiu-se substituir a CTCc pela CTC, na Equação 62. A CTC para cada pastagem apresenta-se na Tabela 21. Os valores apresentados foram obtidos experimentalmente no âmbito do Projecto AGRO87 e correspondem ao ano de 2001. Tabela 21 – Capacidade de troca catiónica para cada pastagem Nome (meq/100g) PPSBRL PN Herdade da Cabeça Gorda 9,05 7,66 Herdade de Monte do Mestre 9,18 14,86 Herdade de Refroias 9,15 10,35 Herdade Cinzeiro e Torre 3,40 3,29 (Fonte: AGRO87) A condutividade hidráulica saturada depende apenas das propriedades do solo. Na Equação 60 estão incluídos os efeitos da textura, da porosidade e da densidade aparente, que por sua vez influenciam a estrutura do solo, fundamental no movimento de água no solo, como explicado na secção 2.2. O conteúdo de água residual pode ser calculado recorrendo à Equação 64 (Flanagan et al., 1995). A definição deste parâmetro não é consensual e uma das hipóteses é tratá-lo apenas como um parâmetro de ajuste, em vez de se considerar que tem um significado físico (cit in. Vanapalli 1998).
  • 68.
    49 Equação 64 –Conteúdo de água residual Onde: - Conteúdo de água residual no solo (mm3 mm -3 ). - Razão entre a capacidade de troca catiónica da argila e o conteúdo de argila no solo (meq/100g). Também neste caso se substitui a CTCc pela CTC. Tal como e , o conteúdo de água residual depende da textura, da MOS, da CTC e da densidade aparente do solo. 5.4.2 Porosidade total e porosidade efectiva A porosidade total do solo pode ser calculada recorrendo à Equação 65. Equação 65 – Porosidade total Onde: - Porosidade total (mm 3 mm -3 ). - Densidade aparente (g mm -3 ). O valor 2650 é um valor típico da densidade real em g mm -3 . A porosidade total não é um bom indicador do volume de água num solo saturado, uma vez que parte desse volume é ocupado por ar que ficou aprisionado no solo. O volume de ar aprisionado num solo saturado é calculado através da Equação 66 11 , obtida por regressão (Rawls e Baumer 1989, cit. in Rawls e Brakensiek, 1989): Equação 66 – Fracção de ar aprisionado num solo saturado (Fonte: Rawls et al., 1989) Onde: - Fracção de ar aprisionado num solo saturado, admite valores entre 0 e 1. - Razão entre a capacidade de troca catiónica da argila e o conteúdo de argila no solo (meq/100g). 11 A equação consultada em Rawls et al. (1989) devolvia resultados não concordantes com os valores apresentados na bibliografia consultada, pelo que se concluiu que existiria uma gralha no documento. A equação aqui apresentada foi corrigida e devolve os valores certos.
  • 69.
    50 A porosidade efectivacorresponde então ao valor dado pela Equação 67: Equação 67 – Porosidade efectiva Onde: - Porosidade efectiva (mm3 mm -3 ) 5.4.3 Potencial mátrico do solo O potencial mátrico do solo é calculado através da Equação 68 (cit. in Risse et al., 1994). Equação 68 – Potencial mátrico Onde: - Potencial mátrico (mm). - Porosidade efectiva (mm 3 mm -3 ). - Conteúdo inicial de água no solo (mm 3 mm -3 ). - Potencial capilar médio ao longo da frente de humedecimento (mm). O potencial capilar médio é calculado recorrendo à Equação 69, obtida por regressão (Rawls et al., 1983, cit. in ASCE, 1996). Equação 69 – Potencial capilar médio 5.5 Estimativa de dados climáticos para a modelação da evapotranspiração e infiltração A estimativa dos dados de temperatura, humidade relativa, vento e radiação solar em falta é descrita neste capítulo. Estes dados foram utilizados na modelação da evapotranspiração, pelo método de FAO Penman-Monteith.
  • 70.
    51 5.5.1 Temperatura diária,humidade relativa e vento médio diário No cálculo da pelo método de FAO Penman-Monteith é necessário saber a temperatura média diária e a humidade relativa. Allen et al. (1998) aconselha a que a primeira seja calculada recorrendo às temperaturas máximas e mínimas diárias. As estações climatológicas escolhidas apresentam falhas pontuais nas séries destes valores e o seu preenchimento foi feito através de regressões lineares com dos dados de estações próximas da localidade em causa. Foi feita uma comparação para cada ano. Para completar as séries temporais do vento médio diário escolheu-se fazer a média dos valores existentes nos anos com dados, para a mesma estação climatológica. 5.5.2 Radiação solar Os dados referentes à radiação solar, , serão estimados recorrendo ao método de Hargreaves-Samani, descrito em Samani (2000) e apresentado na Equação 70. Este método é uma revisão da Equação de Hargreaves-Samani proposta por Hargreaves et al. (1982), alterando o método de cálculo do coeficiente empírico . Equação 70 – Equação de Hargreaves-Samani Onde: - Coeficiente empírico. - Radiação extraterrestre (MJ m -2 dia -1 ). - Diferença entre temperatura máxima e mínima (ºC) O coeficiente é calculado a partir dos valores de , através de uma regressão quadrática, como na Equação 71. Equação 71 - Relação entre e . 5.5.3 Precipitação horária Considerou-se que a estimativa de dados de precipitação horária por regressão com dados de outras estações não seria um método apropriado. Por este motivo escolheu-se completar as falhas nas séries temporais directamente com dados de outra estação meteorológica, próxima da localidade em questão, sem recorrer a tratamento estatístico.
  • 71.
    52 6 RESULTADOS EDISCUSSÃO A apresentação dos resultados está organizada por quatro temas, que mereceram uma apreciação em separado: matéria orgânica, conteúdo de água no solo, escorrimento superficial e perda de solo. Optou-se por apresentar a média dos resultados obtidos para as quatro herdades, no caso do conteúdo de água no solo e da condutividade hidráulica, com o objectivo de facilitar a leitura dos mesmos. No entanto, será feita uma análise individual dos resultados, sempre que for considerado relevante. Os resultados de cada Herdade encontram-se em Anexo. São primeiro apresentados os resultados do modelo de dinâmica da MOS, que irão influenciar todos os outros resultados. Os parâmetros que influenciam o conteúdo de água no solo são apresentados em 6.2, com excepção da condutividade hidráulica, que é apresentada em 6.3, num subcapítulo dedicado ao escorrimento superficial. Apesar do escorrimento superficial ser uma parte integrante do balanço hídrico, escolheu-se apresentar os seus resultados em separado, uma vez que foram utilizados como input no cálculo da perda de solo. A perda de solo é apresentada em 6.4 e no subcapítulo 6.5 é feita a comparação dos resultados obtidos com o método escolhido, EUPSM, com os resultados gerados pela EUPS e pela EUPSaj. Os resultados do escorrimento superficial e da perda de solo apresentados são os individuais de cada herdade, uma vez que dependem da precipitação horária, que tem uma grande variabilidade. A inicialização do balanço hídrico, no ano de 2001, esteve dependente da precipitação, uma vez que era necessário que chovesse o suficiente para saturar o solo. Por outro lado, a disponibilidade dos dados climáticos ditou o número de anos para o qual se fez a modelação. Estas informações apresentam-se na Tabela 22. O cálculo da perda de solo foi feito para o mesmo período. Tabela 22 – Data de início e ano final da modelação, para cada Herdade Herdade Data de início da modelação Ano final da modelação Cabeça Gorda 2 – Março - 2001 2007 Monte do Mestre 21 – Setembro - 2001 2007 Refroias 1 – Março - 2001 2007 Cinzeiro e Torre 6 – Fevereiro - 2001 2006
  • 72.
    53 6.1 Matéria Orgânica Osvalores médios de MOS encontram-se na Figura 7. Em todos os casos e como era esperado, dados os resultados obtidos nos Projectos Agro, em Teixeira (2010) e em Teixeira et al. (2011), a variação observada foi mais favorável na PPSBRL, como consequência de um incremento anual de MOS superior neste sistema. Mesmo partindo de valores superiores nas PN, a variação da MOS nas PPSBRL permitiu que este parâmetro fosse sempre superior no fim do período considerado. No entanto, na Herdade de Refroias, a dinâmica da MOS não apresenta diferenças significativas entre as PPSBRL e as PN, sendo de esperar que, se se observarem diferenças nos resultados da modelação do balanço hídrico e da perda de solo nesta herdade, estas não serão devidas à MOS. A evolução da MOS em cada herdade encontra-se no Anexo 1. Figura 7 – MOS média 6.2 Conteúdo de água no solo Para a modelação da foi calculado o factor de cultura no estágio de desenvolvimento com a Equação 35, tendo em conta a informação disponível sobre o desenvolvimento das pastagens, apresentada na Tabela 9. Os resultados obtidos apresentam-se na Figura 8. Como as PPSBRL são mais produtivas do que as pastagens naturais, o estágio de desenvolvimento começa mais cedo e também termina mais cedo, resultando num factor de cultura superior durante este período, o que significa que a evapotranspiração também é superior.
  • 73.
    54 Figura 8 –Coeficiente de cultura para os vários estágios de desenvolvimento. Apresentam-se os valores calculados para o volume de água na capacidade de campo e no ponto de emurchimento, o valor da porosidade efectiva e a água disponível total, nas Figuras 9 a 12. Tendo em conta que a MOS aumentou entre 2 a 2,5 pontos percentuais de 2001 a 2007, constata-se que o aumento verificado na água disponível total é bastante pequeno, cerca de 18% para as PPSBRL e cerca de 10% para as PN. Apesar disso, o ponto de emurchimento aumentou 50 e 30%, a capacidade de campo aumentou 35 e 20% e a porosidade efectiva 18 e 10%, para as PPSBRL e PN, respectivamente. Os resultados individuais de cada herdade apontam para a mesma conclusão (Anexo 2). O ponto de emurchimento é mais sensível à CTC do que as restantes variáveis, razão pela qual é inferior nas PPSBRL nos primeiros anos, apesar de a MOS ser superior. Na Herdade de Monte do Mestre a diferença entre a CTC da PPSBRL e da PN é bastante superior à observada nas outras herdades, resultando no facto do ponto de emurchimento ser sempre superior nas PN, apesar do conteúdo de MOS ser inferior. A evolução da capacidade de campo e da porosidade efectiva é também influenciada pela CTC nesta herdade. Relembra-se que a CTC é incluída no cálculo destes parâmetros através da densidade aparente do solo. Figura 9 – Ponto de emurchimento médio
  • 74.
    55 Figura 10 –Capacidade de campo média Figura 11 – Porosidade efectiva média Figura 12 – Água disponível total média A aplicação do modelo como descrito na metodologia resultou num conteúdo de água raramente superior à capacidade de campo nos dois tipos de pastagem. Na Figura 13 apresenta-se o resultado obtido para uma PPSBRL, no ano de 2004. Comparando estes resultados com os obtidos no Projecto AGRO87, para a Herdade de Monte do Mestre (Figura
  • 75.
    56 14), observa-se queos resultados experimentais apontam para um conteúdo de água no solo sempre superior aos calculados, com excepção da época de Verão, período de fraca precipitação e valores de evapotranspiração potencial elevados, observando-se resultados semelhantes aos calculados. No Projecto AGRO87 recolheu-se informação respeitante a uma camada de solo com 15 cm de espessura e também a uma camada de solo com 30 cm de solo. Sabendo que a percolação está dependente do conteúdo de água na camada de solo inferior, é de esperar que o volume de água percolado calculado pelo modelo descrito seja bastante elevado, já que se considera que não existe água nas camadas de solo inferiores. Esta limitação do modelo recorre da indisponibilidade de informação necessária para a modelação das camadas de solo inferiores. Face a estes resultados, experimentou-se eliminar o cálculo da percolação, como referido na secção 5.2.4, o que poderá corresponder a um caso extremo em que a camada de solo inferior está sempre saturada. Os resultados obtidos foram francamente mais próximos dos resultados experimentais (Figura 15), observando-se que o conteúdo de água no solo nos primeiros meses do ano é sempre superior a 30 mm, que corresponde a um conteúdo de 30 . Apesar de apenas se dispor de dados experimentais para a Herdade de Monte do Mestre, optou-se por esta abordagem em todas as herdades. Assim, os resultados apresentados a seguir foram obtidos por um balanço hídrico do solo onde não existe percolação.
  • 76.
    57 Figura 13 -Conteúdo de água no solo calculado na Herdade de Monte do Mestre, numa PPSBRL, no ano de 2004 Figura 14 -Resultados obtidos no Projecto AGRO87, na Herdade de Mestre, de Dezembro de 2003 a Maio de 2005 Figura 15 - Conteúdo de água no solo calculado na Herdade de Monte do Mestre, numa PPSBRL, no ano de 2004, excluindo a percolação 0 5 10- Dez 17- Dez 14- J an 4- Fev 18- Fev 3- Mar 18- Mar 31- Mar 19- Abr 4- Mai 18- Mai 31- Mai 14- J ul 11- Ago 14- Set 26- Out 23- No v 11- J an 11- Fev 10- Mar 3- Mai Dias de medição R 0 5 Respiração do solo Temperatura Humidade (0-15 cm) Humidade (0-30 cm) Pastagem natural-fertilizada 0 5 10 15 20 25 30 35 40 45 10- Dez 17- Dez 14- J an 4- Fev 18- Fev 03- Mar 18- Mar 31- Mar 19- Abr 4- Mai 18- Mai 31- Mai 14- J ul 11- Ago 14- Set 26- Out 23- No v 11- J an 11- Fev 10- Mar 3- Mai Dias de medição Respiraçãodosolo(μmolCo2 m-2s-1) 0 5 10 15 20 25 30 35 40 45 HumidadedosoloV/V(%)e temperaturadosolo(ºC) Respiração do solo Temperatura Humidade (0-15 cm) Humidade (0-30 cm) Pastagem semeada 0 5 10 15 20 25 30 35 40 45 10- Dez 17- Dez 14- J an 4- Fev 18- Fev 03- Mar 18- Mar 31- Mar 19- Abr 4- Mai 18- Mai 31- Mai 14- J ul 11- Ago 14- Set 26- Out 23- No v 11- J an 11- Fev 10- Mar 3- Mai Dias de medição Respiraçãodosolo(μmol CO2m-2s-1) 0 5 10 15 20 25 30 35 40 45 HumidadedosoloV/V(%)e temperauradosolo(ºC) Respiração do solo Temperatura Humidade (0-15 cm) Humidade (0-30 cm)
  • 77.
    58 O cálculo daaltura da frente de humedecimento (Figura 16) confirma que, nos dias em que ocorre precipitação suficiente para saturar o solo, a camada de solo saturado excede muito os 10cm, chegando a atingir 2 m, profundidade que se supõe ser superior aos valores reais nas herdades estudadas. O método utilizado para calcular a frente de humedecimento, descrito na secção 3, só tem em conta o conteúdo inicial de água na camada de solo superficial, o que significa que este valor será superior ao aqui apresentado, já que também é influenciado pelo conteúdo inicial de água no perfil de solo inferior. Figura 16 – Conteúdo de água no solo e altura da frente de humedecimento na Herdade de Monte do Mestre, numa PPSBRL, no ano de 2004, excluindo a percolação Como foi referido, a precipitação nas localidades em estudo concentra-se em poucos meses. Como resultado, o solo encontra-se em stress hídrico no Verão. As PPSBRL apresentam um período de défice hídrico superior ao das PN devido ao facto de ser feito o pastoreio durante o período em que o pasto se encontra seco, o que diminui a cobertura do solo e aumenta a evaporação. Nas Figuras 17 a 24 apresentam-se os resultados obtidos para o conteúdo de água no solo nas quatro herdades, em dois anos. Figura 17 – Conteúdo de água no solo na Herdade da Cabeça Gorda, no ano de 2001 Figura 18 - Conteúdo de água no solo na Herdade da Cabeça gorda, no ano de 2007
  • 78.
    59 Figura 19 –Conteúdo de água no solo na Herdade de Monte do Mestre, no ano de 2002 Figura 20 – Conteúdo de água no solo na Herdade de Mestre, no ano de 2007 Figura 21 - Conteúdo de água no solo na Herdade de Refroias, no ano de 2001 Figura 22 - Conteúdo de água no solo na Herdade de Refroias, no ano de 2008 Figura 23 - Conteúdo de água no solo na Herdade de Cinzeiro e Torre, no ano de 2001 Figura 24 - Conteúdo de água no solo na Herdade de Cinzeiro e Torre, no ano de 2006 6.3 Escorrimento superficial A condutividade hidráulica da Herdade de Cinzeiro e Torre é muito superior à condutividade das outras herdades, devido à sua textura arenosa, pelo que se apresenta a condutividade hidráulica média calculada sem os valores desta herdade, nas Figuras 26 e 27. A condutividade hidráulica de cada uma das herdades encontra-se no Anexo 3. O aumento da condutividade hidráulica é sempre superior nas PPSBRL. Aqui também se observa a influência da CTC, nomeadamente na Herdade da Cabeça Gorda e na Herdade de
  • 79.
    60 Monte do Mestre.Na Herdade da Cabeça Gorda, a condutividade é inferior nas PPSBRL no ano de 2001, apesar de a MOS ser superior. Na Herdade de Monte do Mestre, o aumento da condutividade hidráulica nas PPSBRL é muito superior ao aumento observado nas PN, apesar de a MOS apresentar valores próximos. Figura 25 – Condutividade hidráulica saturada média, excluindo a Herdade de Cinzeiro e Torre Figura 26 – Condutividade hidráulica efectiva média, excluindo a Herdade de Cinzeiro e Torre A formação do escorrimento superficial depende, como já foi referido, da condutividade efectiva, do conteúdo inicial de água no solo e da porosidade efectiva do solo. As condições observadas nas PN são quase sempre mais favoráveis à formação de escorrimento superficial, quando comparadas com as PPSBRL. Nas Figuras 27 a 30 apresentam-se o escorrimento superficial anual de cada herdade. Na Herdade da Cabeça Gorda, o escorrimento superficial é superior nas PPSBRL no ano de 2001, o que é explicado pelo valor inferior da condutividade efectiva.
  • 80.
    61 Em todos osoutros casos, é nas PN que se forma um volume anual de escorrimento superficial superior e a diferença observada em cada herdade pode relacionar-se com a diferença da condutividade hidráulica. Figura 27 – Escorrimento superficial anual Cabeça Gorda Figura 28 – Escorrimento superficial anual na Herdade de Monte do Mestre Figura 29 – Escorrimento superficial anual na Herdade de Refroias Figura 30 – Escorrimento superficial na Herdade de Cinzeiro e Torre
  • 81.
    62 6.4 Perda desolo Nas Figuras 31 a 34 apresentam-se os factores de erodibilidade para as quatro herdades. De notar que o factor é muito inferior na Herdade de Cinzeiro e Torre, como seria de esperar, devido à sua textura arenosa. Figura 31 – Factor de erodibilidade do solo na Herdade da Cabeça Gorda Figura 32 – Factor de erodibilidade do solo na Herdade de Monte do Mestre Figura 33 – Factor de erodibilidade no solo na Herdade de Refroias Figura 34 – Factor de erodibilidade do solo na Herdade de Cinzeiro e Torre A MOS influencia a perda de solo de duas maneiras: através do escorrimento superficial e através do factor . No entanto, a influência da relação de coberto vegetal, , também é importante e notória, principalmente nos anos em que o ES assumia valores próximos nas PN e nas PPSBRL. Utilizando a EUPSM, só se obtém valores de perda de solo diferentes de zero quando se forma escorrimento superficial. Nos anos em que essa condição se verificou, a perda de solo foi sempre superior nas PN, como se pode verificar nas Figuras 35 a 38. Recorda-se que a perda de solo é calculada para cada evento de precipitação que gera escorrimento superficial, não havendo correspondência directa entre a perda de solo e o escorrimento superficial anual apresentado na secção anterior.
  • 82.
    63 Figura 35 –Perda de solo anual Cabeça Gorda Figura 36 – Perda de solo anual na Herdade de Monte do Mestre Figura 37 – Perda de solo anual na Herdade de Refroias Figura 38 – Perda de solo anual na Herdade de Cinzeiro e Torre 6.5 Comparação com EUPS e EUPSaj Nesta secção pretende-se comparar os resultados obtidos pela EUPSM com os devolvidos pela EUPS e pela EUPSaj. Tal comparação justifica-se pelo facto de a EUPSM não estar calibrada para Portugal e, sendo uma referência na modelação da erosão, a EUPS é a escolha óbvia para validar os resultados. No entanto são tidos em conta os indícios de que este método sobreestima a perda de solo em Portugal, razão pela qual se utiliza a EUPSaj. Foi calculado o valor médio anual de perda de solo para o período considerado em cada herdade. Este valor foi comparado com a média da perda de solo anual para cada pastagem, para o mesmo período. No caso da Herdade de Monte do Mestre, não foi considerado o ano de 2001, uma vez que só se iniciou o balanço hídrico no mês de Setembro. A perda de solo calculada pelos três métodos encontra-se nas Figuras 39 e 40. Os resultados devolvidos pela EUPS foram muito superiores aos calculados pela EUPSM, tal como esperado. A perda de solo calculada para as Herdades da Cabeça Gorda e de Monte do Mestre apresentam valores semelhantes, para cada sistema de pastagem, uma vez que o factor de erosividade da precipitação, , é igual nas duas localidades e o factor de erodibilidade do solo médio nos períodos considerados apresenta valores próximos. Na realidade, se for
  • 83.
    64 utilizado o mesmoperíodo nas duas herdades, a perda de solo calculada pela EUPS assume valores iguais na Cabeça Gorda e no Monte do Mestre. A equação ajustada por Tomás et al. (1993), aqui apresentada como EUPSaj, devolveu valores mais próximos dos calculados recorrendo à EUPSM, mas ainda assim são uma ordem de grandeza superiores. Também neste caso se obteve valores quase iguais nas Herdades da Cabeça Gorda e de Monte do Mestre, pelos mesmos motivos apresentados para a EUPS. Uma vez que a EUPS e a EUPASaj admitiram como input o valor médio da erodibilidade no período considerado, os resultados de perda de solo obtidos para as PN foram sempre superiores do que os obtidos para as PPSBRL. Figura 39 – Perda de solo calculada com a EUPSM, a EUPS e a EUPSaj, nas PPSBRL Figura 40 – Perda de solo calculada com a EUPSM, a EUPS e a EUPSaj, nas PN
  • 84.
    65 7 CONCLUSÕES Com estetrabalho pretendeu-se comparar PPSBRL e PN, analisando o efeito do aumento de MOS no balanço hídrico e na perda de solo de pastagens, sabendo à partida que as PPSBRL promovem mais o aumento de MOS do que as PN. Foi simulada a evapotranspiração, a infiltração e o escorrimento superficial nas pastagens, utilizando dados climáticos, a MOS e a textura do solo, bem como alguma informação sobre o coberto vegetal da pastagem e da sua variação ao longo do ano. A perda de solo foi calculada a partir da MOS, da textura do solo, do coberto vegetal e do escorrimento superficial calculado no balanço hídrico. O cálculo das variáveis de estado relacionadas com o balanço hídrico permitiu concluir que o aumento da MOS não altera significativamente a água disponível para as plantas, mas aumenta a condutividade hidráulica saturada do solo, o que aumenta a infiltração e reduz a probabilidade de ocorrência de escorrimento superficial. De facto, o escorrimento superficial gerado foi superior nas pastagens com menor conteúdo em MOS, o que está directamente relacionado com o valor superior da condutividade hidráulica saturada. No entanto, no período em que o pasto se encontra seco, o conteúdo de água no solo é inferior nas PPSBRL, resultado do pastoreio efectuado, com o objectivo de descobrir o solo, o que aumenta a sua evaporação. É ainda de referir que, ao promover a infiltração da água no solo, as PPSBRL aumentam a disponibilidade da água nas camadas mais profundas, o que beneficia a vegetação com raízes mais longas. O cálculo da perda de solo foi efectuado para cada evento pluvioso que gerava escorrimento superficial. Como o escorrimento superficial foi sempre superior nas PN (com uma excepção referida em 6.3), a perda de solo foi também superior nestas pastagens. Para além do ES, são também factores importantes a erodibilidade do solo e o coberto vegetal. O factor de erodibilidade do solo evoluiu da mesma maneira que a MOS, uma vez que depende dela directamente e que a textura se mantém constante em cada herdade. O valor da relação de coberto vegetal das PN é inferior ao das PPSBRL, o que significa uma menor protecção. Por estas razões, a perda de solo calculada não é directamente proporcional ao escorrimento superficial, sofrendo um agravamento nas PN. Os resultados obtidos pela EUPSM foram comparados com os gerados pela EUPS e pela EUPSaj, tendo-se obtido resultados muito superiores com a EUPS, tal como se esperava, tendo em conta o trabalho de Tomás et al. (1993), o que alerta para a necessidade de calibrar os modelos para as condições locais. Os modelos de regressão estatística utilizados para calcular as propriedades do solo não foram calibrados para Portugal, não se podendo apurar o ajustamento dos resultados obtidos. No entanto, o erro associado a estes cálculos pode ser considerado igual nas PN e nas PPSBRLe,
  • 85.
    66 em termos relativos,a comparação dos resultados de PPSBRL e PN continua a ser válida. Face a isto, os resultados permitem demonstrar o que já se suponha em relação ao facto das PPSBRL promoverem a regulação do balanço hídrico e a diminuição da perda de solo. Contribuem, assim, para uma melhor caracterização das mais-valias ambientais das PPSBRL. O desconhecimento das propriedades do solo abaixo dos 10 cm de profundidade é uma limitação deste trabalho, tendo conduzido à escolha da eliminação da percolação do balanço hídrico. Apesar de se ter considerado que, no Monte do Mestre, os resultados obtidos estavam mais próximos dos valores experimentais obtidos no âmbito do Projecto AGRO, não foi possível verificar os resultados das outras herdades. A eliminação da percolação teve como resultado o aumento do conteúdo de água no solo, o que influencia a formação de escorrimento superficial. Assim, se a eliminação da percolação se revelar errada, o escorrimento superficial estará provavelmente sobrestimado, o mesmo se passando com a perda de solo. Sugere-se como trabalho futuro a calibração dos modelos utilizados para a área onde se conhece a dinâmica da MOS em PPSBRL, tal como o alargamento do volume de controlo utilizado no balanço hídrico, de modo a considerar um perfil de solo mais profundo.
  • 86.
  • 87.
  • 88.
    69 REFERÊNCIAS Abreu, L., Carneiro,J.P., Crespo, D.G., Costa, A.V., Freixial, R., Pereira, J.S., 2005; Relatório Final do Projecto Agro87 – Pastagens biodiversas ricas em leguminosas: uma alternativa sustentável para o uso de terras marginais. Medida 8.1 do Projecto Agro. Allen, R.G., Pereira, L.S., Raes, D., Smith, M., 1998; Crop evapotranspiration: guidelines for computing crop water requirements. FAO Irrigation and Drainage Paper, Vol. 56, FAO, Roma, Itália. ASCE,1996; Hydrology Handbook (2 nd Edition). American Society of Civil Engineers. Baxter, E.V., 2004; Distributed hydrologic modeling using GIS. Kluwer Academic Publishers, Holanda. Beven, K.J., 2001; Rainfall-runoff modeling: The primer. Wiley, Chichester, Bot, A., Benites, J., 2005; The importance of soil organic matter. Key to drought-resistant soil and sustained food production, F.A.O., Roma. Botelho da Costa, J., 2004; Caracterização e constituição do solo.7ª edição. Fundação Calouste Gulbenkian, Lisboa. Brunt, D., 1952; Physical and dynamical meteorology. 2 nd ed., University Press, Cambridge. Burman, R.D, Jensen, M.E., Allen, R.G, 1987; Thermodynamic factors in evapotranspiration. Chu, S.T., 1978; Infiltration during an unsteady rain. Water Resour. Res, Vol.14, nº3, pp.461- 466. Coutinho, M.A., Antunes, C.R., Tomás, P.R., Loureiro, N.S., 1994; Caracterização da erosividade da precipitação no Sul de Portugal. Recursos Hídricos, vol.15, nº3, pp.25-31. EEA, Van-Camp, L., Bujarrabal, B., Gentile, A.R., Jones, R., Montanarella, L., Olazabal, C., Selvaradjou, S.K. (Eds.), 2004;. Reports of the Technical Working Groups, Established Under the Thematic Strategy for Soil Protection, Volume III, Organic Matter. Disponível em: http://eusoils.jrc.it/ESDB_Archive/Policies/STSWeb/start.htm. Consultado em Outubro de 2010. EEA, 2010; The European Environment State and Outlook 2010. Disponível em http://www.eea.europa.eu/soer/europe/soil. Consultado em Outubro de 2011. Extensity, 2008; Tarefa 9 – Avaliação do impacte à escala do país da implementação generalizada das práticas e sistemas de gestão preconizados pelo projecto.IST, Lisboa. Disponível em http://extensity.ist.utl.pt/newdocs/tarefa_9/t9_avaliacao.pdf. Consultado em Outubro de 2010.
  • 89.
    70 Flanagan, D.C., Nearing,M.A. (ed.), 1995; USDA – Water Erosion Prediction Project.Hillslope profile and watershed model documentation. USDA – ARS. Green, W.H., Ampt, G.A., 1911. Studies on soil physics: 1. Flow of air and water through soils. Journal of Agricultural Science, Vol. 4, pp.1-24. Hargreaves, G.L., Hargreaves G.H., Riley, J.P., 1985; Agricultural benefits for Senegal river basin. Journal of Irrigation and Drainage Engineering, Vol.111, nº2, pp.113-124. Harrison L. P., 1963; Fundamental concepts and definitions relating to humidity. In Humidity and moisture. Wexler A. (ed) Reinhold Publishing Company, Nova Iorque. INE, 2001; Recenseamento geral da agricultura 1999. Análise de resultados. INE, Lisboa INE, 2011; Recenseamento geral da agricultura 2009. Análise dos principais resultados. INE, Lisboa Jia, Y., Tamai, N., 1997; Modelling infiltration into a multi-layered soil during an unsteady rain. Annual Journal of Hydraulic Engineering, Vol. 41, pp. 31-46. Khaleel, R., Reddy, K.R., Overcrash, M.R., 1981; Changes in soil physical properties due to organic waste applications: a review. Journal of Environmental Quality, Vol. 10, pp. 133-141. Lal, R., 2005 (ed.); Encyclopedia of soil science. Second edition. Taylor and Francis. Lawrence, M.G., 2005; The relationship between relative humidity and the dew point temperature in the moist air: a simple conversion and applications. Bulletin of the American Meteorological Society, Vol. 86, pp.225-233. Murray, F.W., 1967; On the computation of saturation vapor pressure. Journal of Applied Meteorology, Vol.6, pp.203-204. Neitsch, S.L., Arnold, J.G., Kiniry, J.R., Williams, J.R., 2005; Soil water assessment tool theoretical documentation.Version 2009.Temple, Tex.: USDA‐ARS Grassland, Soil andWater Research Laboratory Pimenta, M. T., 1998; Directrizes para a aplicação da equação universal de perda de solos em SIG, Factor de cultura C e factor de erodibilidade do solo K. INAG, Lisboa. Priestley, C.H.B., Taylor, R.J., 1972; On the assessment of surface heat flux and evaporation using large-scale parameters. Monthly Weather Review, Vol. 100, nº2, pp.81-92. Ranatunga, K., Nation, E.R., Barratt, D.G, 2008; Review of soil water models and their applications in Australia. Environmental Modelling & Software, nº23, pp.1182-1206. Rawls, W.J., Baumer, O., 1989; Calibration of modified Kozency-Carman saturated hydraulic conductivity equation. ASCE Journal of Irrigation Drainage.
  • 90.
    71 Rawls, W.J., BrakensiekD.L., Soni, B., 1983; Agricultural management effects of soil water processes: Part I - Soil water retention and Green ampt infiltration parameters. Transactions of the American Society of Agricultural Engineers. Vol.26, nº6, pp. 1752-1753. Rawls, W.J., Brakensiek, D.L., Savabi, M.R., 1989; Infiltration parameters for rangeland soils. Journal of Range Management, Vol. 42, nº2, pp. 139-142. Rawls, W.J., Gish, T.J., Brakensiek, D.L., 1991. Estimation of soil water retention from soil properties - a review. Advances in Soil Sciences Vol.16, pp. 213-235. Rawls, W.J., Pachepsky, Y., 2004; Development of pedotransfer functions in soil hydrology. Developments in soil Science, Vol. 30, pp. 95-114. Renard, K.G., Foster, G.R., Weesies, G.A., McCool, D.K., Yoder D.C., 1997; Predicting soil erosion by water: a guide to conservation planning with the revised universal soil loss equation (RUSLE). U.S.D.A, Agricultural Handobook 703. Risse, L.M., Nearing, M.A., Savabi, M.R., 1994; Determining the Green-Ampt effective hydraulic conductivity from rainfall-runoff data for the wepp model. Transactions of the ASAE, Vol. 37, nº2, pp. 411-418. Rodrigues, N., 2008; A sustentabilidade de sistemas agrícolas extensivos. Caso de estudo das explorações do Projecto Extensity. Dissertação para obtenção do grau de Mestre em Engenharia do Ambiente. IST, Lisboa. Samani, Z., 2000; Estimating solar radiation and evapotranspiration using minimum climaatological data. Journal of Irrigation and Drainage Engineering, Vol.126, nº4. Senarath, S.U.S., Ogden, F.L., Downer, C.W., Sharif, H.O., 2000; On the calibration and verification of two-dimensional, distributed, Hortonian, continuous watershed models. Water Resources Research, Vol. 36, nº6, pp.1495-1510. Teixeira, R., 2010; Sustainable Land Uses and Carbon Sequestration: The Case of Sown Biodiverse Permanent Pastures Rich in Legumes. Dissertação para obtenção do grau de doutor em Engenharia do Ambiente. IST, Lisboa Teixeira, R., Domingos, T., Costa A., Oliveira, R., Farropas, L., Calouro, F., Barradas A., Carneiro, J., 2011; Soil organic matter dynamics in Portuguese natural and sown rainfed grasslands. Ecological Modelling 222, pp.993-1001. Tetens, O., 1930; Uber einige meteorologische Begriffe. Zeitschrift für Geophysik, Vol. 6, pp.297-309.
  • 91.
    72 Thornthwaite, C.W., 1948;An approach toward a rational classification of climate. Geographical Review Vol. 38, pp. 55-94. Tomás, P.P., Coutinho, M.A., 1993; Erosão hídrica dos solos em pequenas bacias hidrográficas. Aplicação da Equação Universal de Degradação de Solos. Publicação da CEHIDRO – Centro de Estudos de Hidrossistemas nº7. IST, Lisboa. USDA, 1999.Soil Taxonomy. A basic system of soil classification for making and interpreting soil surveys. U.S.D.A., Agricultural Handbook 436 (2ª edição) USDA, 2004; Estimation of direct runoff from storm rainfall. National Engineering Handbook, Chapter 10. Vanapalli, S.K., Sillers, W.S., Fredlund, M.D., 1998; The meaning and relevance of residual state to unsaturated soils. Proceedings of the 51 st Canadian Geotechnical Conference, Edmontan. Disponível em http://by.genie.uottawa.ca/~vanapall/papers/conference/1998/cgs98_residual.pdf. Consultado em Setembro de 2011. Wilcox, B.P., Rawls, W.J., Brakensiek, D.L, Wight, J.R.; 1990; Predicting runoff from rangeland catchments: a comparison of two models. Water Resources Research, Vol.26, nº10. Williams, J.R., 1975; Sediment-yield prediction with universal equation using runoff energy factor. In Present and prospective technology for predicting sediment yield and souces: Proceedings of the sediment-yield workshop. USDA Sedimentation Lab., Oxford, MS, November 28-30, 1972. ARS-S-40. Wischmeier, W. H., Smith, D. D., 1978, Predicting rainfall erosion losses - a guide to conservation planning. U.S.D.A., Agricultural Handbook 537.
  • 92.
  • 93.
  • 94.
    i ANEXOS Anexo 1 –Matéria Orgânica do Solo Figura 41 – MOS na Herdade da Cabeça Gorda Figura 42 – MOS na Herdade de Monte do Mestre Figura 43 – MOS na Herdade de Refroias Figura 44 – MOS na Herdade de Cinzeiro e Torre
  • 95.
    ii Anexo 2 –Ponto de emurchimento, capacidade de campo, porosidade efectiva e água disponível total Figura 45 – Ponto de emurchimento na Herdade da Cabeça Gorda Figura 46 – Capacidade de campo na Herdade da Cabeça Gorda Figura 47 - Porosidade efectiva na Herdade da Cabeça Gorda Figura 48 – Água disponível total na Herdade da Cabeça Gorda Figura 49 – Ponto de emurchimento na Herdade de Monte do Mestre Figura 50 – Capacidade de campo na Herdade de Monte do Mestre
  • 96.
    iii Figura 51 –Porosidade efectiva na Herdade de Monte do Mestre Figura 52 – Água disponível total na Herdade de Monte do Mestre Figura 53 – Ponto de emurchimento na Herdade de Refroias Figura 54 – Capacidade de campo na Herdade de Refroias Figura 55 – Porosidade efectiva na Herdade de Refroias Figura 56 – Água disponível total na Herdade de Refroias
  • 97.
    iv Figura 57 –Ponto de emurchimento na Herdade de Cinzeiro e Torre Figura 58 – Capacidade de campo na Herdade de Cinzeiro e Torre Figura 59 – Porosidade efectiva na Herdade de Cinzeiro e Torre Figura 60 – Água disponível total na Herdade de Cinzeiro e Torre
  • 98.
    v Anexo 3 –Condutividade hidráulica saturada Figura 61 - na Herdade da Cabeça Gorda Figura 62 - na Herdade da Cabeça Gorda Figura 63 - na Herdade de Monte do Mestre Figura 64 - na Herdade de Monte do Mestre Figura 65 - - na Herdade de Refroias Figura 66 - na Herdade de Refroias
  • 99.
    vi Figura 67 -na Herdade de Cinzeiro e Torre Figura 68 - na Herdade de Cinzeiro e Torre