MINISTÉRIO DO DESENVOLVIMENTO AGRÁRIO
INSTITUTO NACIONAL DE COLONIZAÇÃO E REFORMA AGRÁRIA
SUPERINTENDÊNCIA REGIONAL EM SÃO PAULO
Rua Dr. Brasílio Machado, 203 – 6.° andar São Paulo, SP CEP 01230-906 Fone (11) 3823-8560
Fls. ________
Daniel Carlos Maia Martins 1
Eduardo Augusto Barbosa Figueiredo Alves 2
William Goldoni Moitinho 3
I ─ INTRODUÇÃO
1. Trata-se de proposta de parcelamento de uma gleba do Projeto de Assentamento (PA) Zumbi dos Palmares,
município de Iaras, SP, código SIPRA SP0075000, nesta data com 371 famílias beneficiárias e 8001,2634 ha.4 A
Portaria N.º 55, de criação do PA, foi publicada no Diário Oficial da União de 22 de setembro em 1998. Três
retificações foram feitas acrescentando novos imóveis e aumentando a quantidade de beneficiários, chegando aos
números atuais. Os atos formais desses momentos constam das folhas anteriores destes autos.
2. O presente trabalho atende à determinação expressa na Ordem de Serviço N.º 19/2012, publicada no Boletim
de Serviço N.º 21, de 21 de maio de 2012, emitida pelo Sr. Superintendente Regional, que estabelece equipe para
apresentar projeto de parcelamento de uma nova gleba incorporada ao PA, bem como ajustes às exigências das
normas de proteção ambiental. O prazo de entrega da tarefa foi alvo de pedido de prorrogação, a ser oficializado por
nova ordem de serviço retificadora.
3. A Ordem de Serviço 19 atende à recomendação da Procuradoria da República em Ourinhos, SP, do Ministério
Público Federal (MP), de que o INCRA proceda ao parcelamento do PA Zumbi dos Palmares servindo-se de critério
técnico, uma vez que os parcelamentos das glebas existentes no PA não têm estudo técnico que os justifique. O
Ministério Público também recomenda que o critério técnico encontre um módulo (tamanho da parcela) de até 4,5
alqueires. O presente estudo usou dados e cálculos com a exatidão e confiabilidade requeridas pelas ciências
agronômica e econômica. Por isso mesmo, não teve a preocupação de fazer os valores se aproximarem daquela cifra
fixada nem de qualquer outra, aceitando apenas o que os cálculos demonstraram. Para prosseguir nessa
imparcialidade, o estudo evitou elementos subjetivos. Logo, quem se dispuser a refazer os cálculos chegará aos
mesmos números. As várias recomendações do MP estão apostas nas folhas anteriores destes autos.
4. Fazem parte deste relatório: Anexo I: cópia da Ordem de Serviço; Anexo II: tabelas 9 a 28.
II ─ OBJETIVOS E PRINCÍPIOS DO PARCELAMENTO
5. Antes de apresentarmos dados e cálculos, convém esclarecer os objetivos principais deste estudo de proposta
de parcelamento:
* Documento integrante do Processo INCRA N.º 54190.003488/2012-16; Interessado: Superintendência Regional do
INCRA de São Paulo; Assunto: Parcelamento do restante da Fazenda Capivara para conclusão do PA Zumbi dos
Palmares – Iaras/SP.
1
Técnico em Reforma e Desenvolvimento Agrário, INCRA-SP.
2
Engenheiro Agrônomo Coordenador da OS, INCRA-SP.
3
Engenheiro Agrônomo, INCRA-SP.
4
Relatório SIPRA de 27 de junho de 2012.
FOLHAS NUMERADAS
E ASSINADAS NOS
AUTOS ORIGINAIS
Processo INCRA N.º 54190.003488/2012-16. Fls. ________
Relatório à OS 21/2012 – Proposta de método de parcelamento de uma gleba do PA Zumbi dos Palmares, Iaras, SP. Pág. 2 de 46.
a) sócio-econômico: dimensionar parcelas que permitam o estabelecimento e desenvolvimento de uma
família independente de outras fontes de renda;
b) ambiental: estabelecer um traçado de estradas e parcelas que permita, simultaneamente, a conservação
do solo, dos mananciais e dos fragmentos florestais.
6. Três princípios para atingir aqueles objetivos permeiam este trabalho:
a) a atividade agropecuária deve permitir o desenvolvimento econômico: embora haja muitas vezes a
opção pessoal do agricultor em manter-se alheio à ao sistema econômico, a maioria dos assentados no estado de
São Paulo prefere realizar-se material e culturalmente através da integração ao mercado, buscando crescentes
remuneração e nível de consumo. Definida desde a edição do Estatuto da Terra (Lei 4504/1964), e reiterado por
numerosos diplomas posteriores, a oferta de condições para o progresso econômico nas áreas de Reforma Agrária é
princípio elementar, impossível de ser flexibilizado. Portanto, se é escolha pessoal do agricultor seu nível de
integração ao mercado, deve ser inflexível a escolha do Poder Público de oferecer as melhores oportunidades para a
realização econômica da empresa familiar rural. É a Lei 8.629/93 que determina essa potencialidade econômica da
parcela (negrito nosso):
“Propriedade familiar é o imóvel explorado direta e pessoalmente pelo proprietário e sua
família, a qual absorve toda a força de trabalho, garantindo-lhes a subsistência e o progresso
social e econômico. É minifúndio a propriedade de tamanho inferior à propriedade familiar.”
b) desenvolvimento rural e preservação ambiental devem ser indissociáveis: asseguram o mesmo
Estatuto da Terra, em seu Artigo 2.º e suas regulamentações, que a propriedade rural cumpre sua função social
quando atende simultaneamente às condições produtivas, trabalhistas e ambientais. É, portanto, exigência
inegociável o atendimento das normas ambientais e das melhores escolhas técnicas de planejamento e de condução
das parcelas, estradas e áreas de proteção de flora e fauna nativas. De muitos documentos que podem ser citados, a
Agenda 21 é uma das mais importantes diretrizes para as regiões rurais subdesenvolvidas dos países do Terceiro
Mundo, produzida na Conferência das Nações Unidas sobre Meio Ambiente e Desenvolvimento de 1992 (a “Rio-92”
ou “Eco-92”). A Agenda 21 defende, especialmente em seu capítulo 14, Fomento da agricultura e do desenvolvimento
rural sustentável,5 a necessidade do desenvolvimento rural estar casado com a conservação dos recursos
ambientais, como ressalta este extrato do parágrafo 14.3 (negrito nosso):
“Para assegurar o sustento de uma população em expansão é preciso dar prioridade à manutenção e
aperfeiçoamento da capacidade das terras agrícolas de maior potencial. No entanto a conservação e a
reabilitação dos recursos naturais das terras com menor potencial, com o objetivo de manter uma razão
homem/terra sustentável, também são necessárias. Os principais instrumentos do desenvolvimento rural e
agrícola sustentável são a reforma da política agrícola, a reforma agrária, a participação, a diversificação dos
rendimentos, a conservação da terra e um melhor manejo dos insumos.”
c) a Ciência Econômica, as Ciências Agrárias e a Lei são as melhores ferramentas para diagnosticar e
planejar a parcela: as estatísticas que apontam o funcionamento do mercado, fluxos migratórios, atividades
econômica, agrícola, pecuária, florestal, comercial e industrial, assim como índices de desenvolvimento,
produtividade, rendimento, inflação, capacidade de produção e outras variáveis mensuráveis são os dados mais
seguros de que se dispõe para fazer o planejamento de uma atividade comercial. Não usaremos, por isso, dados
genéricos e imprecisos quando dispusermos de dados exatos. Neste estudo damos preferência aos dados de fontes
de confiabilidade amplamente aceita para embasar nossas afirmações e propostas. As estatísticas e os dados
científicos de instituições como ONU, Banco Mundial, Instituto de Pesquisa Econômica Aplicada (IPEA), Instituto de
Economia Agrícola (IEA) e trabalhos de pesquisadores são as nossas referências. Para que as propostas aqui
apresentadas acompanhem esse padrão de confiabilidade, demonstraremos nossas proposições mais adiante
através de cálculos.
7. Normalmente, para que um empreendimento agropecuário ou florestal seja rentável, o agricultor, parceiro,
meeiro ou investidor analisa tanto os fatores de produção impossíveis de modificar assim como os manejáveis,
dependendo do capital que ele puder aplicar. Na posse desses dados, pode esse empreendedor fazer uma projeção
aproximada da futura receita. No empreendimento bem-sucedido, o empreendedor soube mensurar e administrar os
fatores de produção, mesmo que não os tenha contabilizado por escrito.
8. Antes de a família assentada seguir essa lógica para fazer da parcela improdutiva uma empresa familiar
rentável, precisa o INCRA também se servir desse critério, fixando um tamanho de parcela que permita ao grupo
familiar manejar os fatores produtivos com o reduzido capital de que vai dispor.
5
Uma das muitas fontes disponíveis na Internet com o texto integral da Agenda 21 é http://www.ecolnews.com.br/
agenda21/index.htm
Processo INCRA N.º 54190.003488/2012-16. Fls. ________
Relatório à OS 21/2012 – Proposta de método de parcelamento de uma gleba do PA Zumbi dos Palmares, Iaras, SP. Pág. 3 de 46.
9. “Quanto maior a parcela, maior a renda” é um axioma inexato. A menor parcela rural possível no Brasil 6 (2,0
ha) pode ser bastante rentável se dedicar-se à produção de artigos de alto preço, como, por exemplo, escargot,
camarão-da-malásia, pistache, cogumelos japoneses, aspargo, flores para exportação etc. Porém, o cultivo desses
produtos de luxo exige insumos sofisticados e alta especialização profissional, acima do que a típica família
assentada costuma possuir. É forçoso então dimensionar a área para culturas que os assentados consigam conduzir
com sua reduzida capacidade de investimento e nível de especialização, mas mantendo a possibilidade de sucesso
econômico como propriedade familiar.
Figura 1. Relação inversa de importância entre capital investido-especialização e a quantidade de
recursos naturais-tamanho da parcela para diversas formas de exploração agrícola, pecuária e florestal.
10. A Figura 1 ilustra a proporção inversa de importância entre os binômios capital-profissionalização e recursos
naturais-tamanho da parcela. A ideia de a parcela menor impedir o aumento da renda do produtor simplifica demais a
realidade. A alegação só é verdadeira quando o investimento é baixo ou nenhum – no caso extremo do extrativismo.
Nesse caso de investimento nulo, realmente só o aumento da área leva ao aumento da renda.
III ─ A MESORREGIÃO DE IARAS
A) Surgimento do PA Zumbi dos Palmares
11. Zumbi dos Palmares surgiu da obtenção, pelo INCRA, de imóvel cuja posse repousou durante décadas sobre
particulares, mas que pertencia à União Federal. Era o antigo “Núcleo Colonial Monções”, projeto não implementado,
6
A Fração Mínima de Parcelamento (FMP) na zona rural para o município de Iaras é 2,0 ha, conforme o documento
Índices Básicos 2005, disponível em http://www.incra.gov.br/index.php/estrutura-fundiaria/regularizacao-fundiaria/
indices-cadastrais
Processo INCRA N.º 54190.003488/2012-16. Fls. ________
Relatório à OS 21/2012 – Proposta de método de parcelamento de uma gleba do PA Zumbi dos Palmares, Iaras, SP. Pág. 4 de 46.
datado do começo do século XX, destinado ao assentamento de imigrantes
europeus. Esquecido pela União, o imóvel foi sendo apossado e loteado por
particulares, chegando mesmo a ser dividido em municipalidades e
urbanizado. Iaras é um município resultante dessa fragmentação. Só na
década de 1990 a União Federal, através do INCRA, começou a interpor
ações judiciais para retomada progressiva de glebas da Fazenda Capivara,
imóvel parte do Núcleo original. À medida que a União apresenta títulos que
comprovam domínio anterior ao do posseiro atual, a posse é dada ao
INCRA e a gleba é incorporada ao PA Zumbi dos Palmares.
12. A Figura 2 mostra o PA Zumbi em sua conformação atual, com
destaque para a área objeto da atual proposta de parcelamento.
B) Características da mesorregião de Iaras
13. O Estatuto da Terra e suas alterações partem do princípio que o
primeiro passo para o desenvolvimento da família assentada é sua
integração econômica no município e em sua vizinhança. Por isso é
importante conhecer-se o sistema produtivo rural de Iaras e de seu entorno
e os mercados que com ela se relacionam.
14. Chamaremos neste estudo de mesorregião de Iaras a um
conjunto de 63 municípios. O Instituto de Economia Agrícola (IEA) – fonte
estatística que mais usamos – agrupou esses municípios em 4 “escritórios
de desenvolvimento rural” (EDR): Bauru, Avaré, Botucatu e Ourinhos, como
mostra a Figura 3. Já o IBGE inclui Iaras na mesorregião de Bauru. Como é
costume do agricultor comprar e vender produtos e serviços num raio de até algumas centenas de quilômetros,
nenhum dos agrupamentos atendem ao propósito de nosso estudo. Eles posicionam Iaras muito próximo às bordas.
Na área convencionada como nossa mesorregião, ao contrário, Iaras está bem no centro.
Figura 3. Mesorregião de Iaras, abrangendo os 4 escritórios de desenvolvimento rural do IEA, com 63
municípios, tendo Iaras ao centro.
C) Clima
Figura 2. PA Zumbi dos
Palmares, em Iaras, SP.
Processo INCRA N.º 54190.003488/2012-16. Fls. ________
Relatório à OS 21/2012 – Proposta de método de parcelamento de uma gleba do PA Zumbi dos Palmares, Iaras, SP. Pág. 5 de 46.
15. Um sistema de classificação climática bastante aceito é o de Köppen. Segundo o Centro de Pesquisas
Meteorológicas e Climáticas Aplicadas à Agricultura (CEPAGRI),7 Iaras possui clima tipo Cwa na classificação de
Köeppen. Os valores de pluviosidade e temperatura ao longo do ano determinam o tipo de culturas agrícolas
possíveis. O zoneamento agroclimático publicado pelo IAC,8 indica que Iaras, situada no clima Cwa, é climaticamente
apta ou com poucas restrições a uma grande variedade de culturas comerciais:
16. Muitas outras culturas, não referidas na lista acima, mas com exigências climáticas idênticas, são possíveis.
Entre as não citadas, merecem destaque as olerícolas, aptas e muito cultivadas na mesorregião: verduras de folhas
(alface, agrião, couve etc.), raízes (beterraba, cenoura, cebola, alho etc.) e frutos (tomate, pimentão, abóbora, pepino
etc.).
D) Solos
17. Os solos do município de Iaras, segundo o Mapa pedológico do estado de São Paulo de Oliveira et alii
(1999), são do tipo latossolo vermelho-amarelo distrófico, de textura média e relevo suave ondulado e ondulado
(LV56, na classificação dos autores). Esse diagnóstico bastante genérico engloba muitos municípios, sem mostrar os
incontáveis detalhes, exceções e variações que sempre existem. É necessário, para o planejamento da atividade
rural, um diagnóstico detalhado, que revele os vários tipos de solo existentes num único imóvel.
18. Lamentavelmente, não houve esse levantamento pedológico detalhado do PA Zumbi dos Palmares. Costuma-
se alegar que a forma de aquisição dos imóveis pelo INCRA não seguiu o rito processual de desapropriação e, por
isso, aquela importante peça técnica não precisou ser produzida. Mesmo que essa alegação justifique alguma coisa
quanto à aquisição, foi falha lamentável haver o parcelamento sem conhecer detalhes dos solos ou mesmo sem
saber se eles servem para a implantação da agricultura familiar. Esses dados nos permitiriam agrupar as diversas
glebas nas oito classes de capacidade de uso do solo que mostra a Figura 4.
19. O fator de correção indicado em cada classe é usado para calcular a equivalência entre os tipos de solo.
Assim, uma cultura implantada no solo classe I terá um rendimento de referência para as demais, recebendo o valor
de 100% (fator 1,00), enquanto essa mesma cultura na classe V produzirá um rendimento de apenas 50% (fator 0,50)
em relação à classe I. Fica óbvia a importância dessa classificação para o cálculo do tamanho das parcelas.
20. Na falta do levantamento detalhado necessário, esta equipe aceitou o mencionado levantamento de Oliveira et
alii e, a partir de levantamento expedito de campo, apurou que a maior parte da área agricultável de Zumbi está na
classe III, com manchas nas classes II e IV. O fator que faz variar as classes é a declividade. Outros fatores que
podem também afetar a classificação, como salinidade, excesso de alumínio ou drenagem dificultada não foram
observados. Há muitas áreas alagáveis no PA, mas são classificadas como não aproveitáveis porque as normas
ambientais decidem que seu uso será apenas como área de preservação permanente (APP).
21. O latossolo vermelho-amarelo distrófico, tão comum na América do Sul e na África Subsaariana, tem
fertilidade média ou baixa e necessita de adubação e correção para produzir economicamente. Isto significa que o
investimento e o capital de giro aplicados em sua exploração são imprescindíveis para se obter alguma rentabilidade.
A capacidade de investimento e manejo do solo associados ao acesso à água serão fatores decisivos no
dimensionamento das parcelas.
22. Nos cálculos apresentados adiante consideraremos o rendimento das culturas na mesorregião de Iaras
correspondendo à classe III. Se observarmos nos dados do IEA o rendimento físico das culturas da mesorregião,
notaremos que ele é mediano na maioria das vezes. Isso corresponde de fato à classe III do latossolo vermelho-
amarelo distrófico. Só poderíamos considerar classe I se o solo fosse mais fértil e as colheitas mais altas. Na Tabela
4, mostrada em item adiante, ficará evidente o rendimento mediano de cada cultura que estudamos.
7
Os dados detalhados para cada mês, em todos os municípios paulistas, podem ser obtidos no site do CEPAGRI, da
UNICAMP: http://www.cpa.unicamp.br/outras-informacoes/clima_muni_223.html
8
Mapas disponíveis em http://www.ciiagro.sp.gov.br/znmt_macro.html
1. Abacate
2. Abacaxi
3. Algodão
4. Ameixa
5. Amendoim
6. Arroz
7. Banana
8. Batata
9. Café
10. Cana-de-açúcar
11. Caqui
12. Chá
13. Cítricos
14. Feijão
15. Figo
16. Girassol
17. Macadâmia
18. Mamão
19. Mamona
20. Mandioca
21. Milho
22. Nêspera
23. Pêra
24. Pêssego
25. Seringueira
26. Soja
27. Sorgo granífero
28. Videira
Processo INCRA N.º 54190.003488/2012-16. Fls. ________
Relatório à OS 21/2012 – Proposta de método de parcelamento de uma gleba do PA Zumbi dos Palmares, Iaras, SP. Pág. 6 de 46.
E) Público-alvo
23. Atualmente encontram-se inscritos no processo de seleção de famílias para assentamento na nova gleba 180
candidatos. Parte deles encontra-se acampada nas proximidades do imóvel. Qual seria o perfil desses candidatos a
assentamento?
24. Há, desde a década de 1990, uma renovada discussão sobre o perfil do agricultor familiar. Duas notórias
noções são as de Ricardo Abramovay e José Graziano da Silva.
25. Em trabalho de 1992, Abramovay 9 ressalta que a família de agricultores, mesmo visando o aumento da renda
e do consumo, tem objetivos diferentes do empresário urbano. Este último orienta-se apenas pela busca do maior
lucro (ou a reprodução do capital, em linguagem econômica), enquanto o agricultor familiar orienta suas decisões
para a reprodução de seus tradicionais sistema e estilo de vida familiar. Ou seja, o enriquecimento e a acumulação
patrimonial teriam, segundo o autor, valor secundário.
26. Graziano da Silva 10 denomina o agricultor familiar de fins do século XX como “o novo rural”. Tal figura, oposta
ao agricultor tradicional de Abramovay, é mais convergente para a pós-modernidade, se caracteriza por laços frouxos
com sua terra e tradições. O novo rural é mais urbanizado que o agricultor tradicional, mescla atividade agrícola e
urbana e com frequência busca aumentar sua renda em atividades não rurais.
27. O conceito de Abramovay parece descrever um número cada vez menor de assentados paulistas. É residual o
perfil que lembra o “camponês”.11 O novo rural – urbanizado, ávido por obter os benefícios que o mercado oferece e
9
ABRAMOVAY, Ricardo. Paradigmas do capitalismo agrário em questão. São Paulo: Ed. HUCITEC, 1992.
10
GRAZIANO DA SILVA, José. O novo rural brasileiro. Belo Horizonte: Ed. Nova Economia, 1987.
11
Camponês, termo popularizado pela Revolução Francesa, costuma designar agricultor vinculado a uma mesma
terra por algumas gerações. Certos autores consideram que nunca houve camponeses no Brasil, pois restringem o uso
CLASSE FATOR
–  INTENSIDADE DE USO  +
vegetação
natural
silvicultura
pastoreio cultivo
moderado intenso restrito moderado intenso
muito
intenso
I 1,00 Apta a todos os tipos de exploração acima. Não possui problemas de erosão por água por ser plana
II 0,95
Práticas de conservação simples impedem apenas o cultivo muito intenso. A declividade
pode levar a problemas de erosão
III 0,75 Práticas de conservação são essenciais, já não permitindo o cultivo intenso
IV 0,55
Várias práticas de conservação do solo restringem o plantio a
poucas culturas agrícolas devido à declividade
V 0,50
Grande risco de erosão exige que o solo fique
permanentemente coberto, só permitindo pastagens
VI 0,40
A pastagem não pode ter muitos
animais, para o solo permanecer bem
coberto
VII 0,30
Árvores para corte ou
extração de resina
podem cobrir o solo
VIII 0,20
Só
vegetação
natural
Figura 4. Tipos de uso do solo possíveis para cada classe de capacidade de uso (adaptado de Lepsch &
Bellinazzi Jr., 1983).
Processo INCRA N.º 54190.003488/2012-16. Fls. ________
Relatório à OS 21/2012 – Proposta de método de parcelamento de uma gleba do PA Zumbi dos Palmares, Iaras, SP. Pág. 7 de 46.
sempre pronto a deixar a atividade rural quando uma oportunidade mais rentável surge – parece ser cada vez mais
dominante no estado de São Paulo.
28. Os candidatos a assentamento em Zumbi mais se aproximam do “novo rural” de Graziano da Silva. Considerar
esse perfil é decisivo para o sucesso do projeto de assentamento. Afinal, quando surgem oportunidades de trabalho
urbano mais rentáveis ou menos insalubres, o assentado que tanto cobrou uma parcela da Reforma Agrária costuma
deixá-la em troca da oportunidade mais vantajosa. Isso significa que a parcela precisa ser mais atrativa que o
trabalho urbano, ou não será explorada pelo agricultor.
F) Mercado
29. Pelos dados do Instituto de Economia Agrícola (IEA), vemos que uma imensa variedade de produtos
agrícolas, pecuários e florestais é comercializada na mesorregião e no município de Iaras. Essa instituição oferece
dados estatísticos anuais do volume produzido e do preço pago ao produtor. Nota-se que a mesorregião tem intenso
comércio daqueles produtos primários, oferecendo grandes oportunidades à família de agricultores que se dispuser a
explorar profissionalmente sua parcela.
30. Os dados do IEA apresentam apenas os produtos mais colhidos, havendo muitos outros em menor escala fora
das estatísticas. Da lista de 51 produtos apresentados no website do IEA,12 escolhemos 21 que são tradicionalmente
compatíveis com a pequena propriedade familiar, indicados na Tabela 1. Vários já são cultivados pelos assentados
do Zumbi.
Tabela 1. Produtos agropecuários comercializados em Iaras, SP, e em seu entorno,
escolhidos para o estudo de parcelamento do PA Zumbi dos Palmares.
abóbora beterraba feijão ovo*
abobrinha cebola leite C ** pimentão
alface cenoura mandioca de mesa repolho
batata cogumelo paris * milho tomate para mesa*
batata-doce cogumelo shiitake* morango *
tomate para
indústria *
Fonte: Instituto de Economia Agrícola (IEA), www.iea.sp.gov.br
31. Os cultivos assinalados com asterisco (*) não se recomenda, nos primeiros anos de assentamento, à família
assentada. Requerem elevado investimento em instalações e boa especialização profissional, com rotinas bem
controladas que se aproximam da disciplina dos processos industriais. Contudo, é desejável que os assentados
atinjam o quanto antes esse nível de sofisticação, pois os rendimentos auferidos são compensadores. Outra
vantagem é serem cultivos típicos de pequenos imóveis, que não sofrem a concorrência destruidora das grandes
fazendas e grupos econômicos.
32. O leite C (**) foi analisado sob duas formas. Numa, de exploração simples e diminuto investimento: apenas um
animal solto em 1 ha de pastagem não tratada. A outra é uma pastagem intensamente adubada e irrigada,
suportando 8 animais por ha. Como será visto adiante, os resultados são bem diferentes.
33. A finalidade dessa noção elementar do mercado microrregional é fornecer dados de comercialização para o
cálculo da área necessária para o progresso econômico de uma família padrão de cinco pessoas. O estudo de
mercado detalhado, que identifica com precisão os agentes fornecedores, concorrentes e compradores será tarefa do
serviço de assistência técnica que cada família contratará.
G) As parcelas existentes
do termo aos agricultores da servidão feudal europeia que não chegou às Américas. Os assentados da Reforma
Agrária no estado de São Paulo nada têm de camponeses, por não serem naturais do imóvel que recebem e por terem
frequentemente mais tempo de atividade urbana que rural.
12
www.iea.sp.gov.br  Banco de Dados  Valor da Produção
Processo INCRA N.º 54190.003488/2012-16. Fls. ________
Relatório à OS 21/2012 – Proposta de método de parcelamento de uma gleba do PA Zumbi dos Palmares, Iaras, SP. Pág. 8 de 46.
34. A maior parte das parcelas de Zumbi foi delineada dentro da faixa de 12 a 20 ha, com traçado quadricular. Os
motivos que levaram a essa escolha não são claros para esta equipe, exceto que atenderam à urgência do
assentamento das famílias acampadas nas proximidades ou nos próprios imóveis.
35. As parcelas de Zumbi encontram-se ocupadas de quatro formas principais: a) culturas olerícolas; b)
pastagens de baixa produtividade; c) florestas plantadas para extração de madeira e resina; d) áreas ociosas. Em
menor escala, há vários outros cultivos.
IV ─ O TAMANHO DA PARCELA
A) Estabelecimento da renda familiar
36. Não há consenso entre os estudiosos sobre qual renda uma pessoa deve obter para manter-se e conseguir
algum progresso econômico. Nem sobre quais valores correspondem às linhas da pobreza e da miséria. O Programa
Bolsa-Família do Governo Federal criou o Programa de Renda Mínima,13 que em 2012 adotou para o Brasil a linha da
pobreza como sendo a renda de R$ 70 por pessoa por mês. Isso corresponde, para uma família padrão de cinco
pessoas, a R$ 4.200 por ano (=R$ 70/pessoa•mês x 5 pessoas x 12 meses).
37. Um dos critérios mais usados internacionalmente é o do Banco Mundial,14 que delimita em até um dólar
americano por pessoa por dia a linha da miséria absoluta, e até dois dólares a linha da pobreza. Na faixa da pobreza
(entre um e dois dólares), o adulto consegue ingerir apenas a quantidade mínima de alimentos para sobreviver, cerca
de 1200 Kcal por dia, sem poder adquirir mais nada por qualquer meio remunerado ou não. Adotando a média do
câmbio comercial para compra de US$ 1 igual a R$ 2, a família terá renda de R$ 7.300 por ano (=US$ 2/pessoa•dia x
5 pessoas x 365 dias x R$ 2/US$ 1).
38. Uma terceira referência possível é a do INCRA, cujo Sistema de Informação de Projetos de Reforma Agrária
(SIPRA) estabelece que a renda familiar de origem não rural máxima para um candidato poder tornar-se assentado é
de 3 salários-mínimos por mês. O salário-mínimo estabelecido pelo Governo do Estado de São Paulo em 2012 é R$
690. Ou seja, se o critério de seleção for seguido, só será assentada a família com renda anual de até R$ 24.840
(=R$ 690/sal.mín•família•mês x 3 sal.mín x 12 meses).
39. A questão é qual dos três importantes critérios tomarmos como referência para planejar a renda familiar
mínima. Os dados do IEA sobre os salários pagos em Iaras aos trabalhadores podem nos fornecer a resposta. Em
2010 e 2011, os trabalhadores diaristas e volantes receberam, em média, R$ 30 por dia de serviço, segundo o
Instituto. Sabemos que esse tipo de trabalho é sazonal, restrito a certos meses do ano. Supondo que o trabalhador
consiga 9 meses de trabalho por ano, a renda anual de uma família com três trabalhadores será de R$ 24.300 (=R$
30/pessoa•dia x 3 pessoas x 30 dias x 9 meses), bem próxima da renda SIPRA.
40. Se a parcela da Reforma Agrária fornecer menos que R$ 24.300 no mesmo período, o “novo rural” de
Graziano da Silva assentado em Zumbi deixará de cultivar seu imóvel ou o abandonará para obter renda superior na
cidade ou em imóveis de terceiros. Assim, a renda de referência do SIPRA nos parece a melhor escolha e adotamo-
la em nossos cálculos.
B) Inflação e taxa de câmbio
41. Para calcularmos quanto renderá uma determinada área cultivada com o produto X, precisamos multiplicar o
total da produção pelo preço que é oferecido ao produtor. Ocorre que se verificarmos os preços agrícolas pagos no
período 2000 a 2011 dos 20 produtos listados na Tabela 1, notaremos certa flutuação com tendência de alta. Essas
extensas séries de preços são apresentadas no Anexo II. Isso significaria que o produtor está ganhando cada vez
mais? Não, pois na verdade essa elevação nominal dos preços traz dois descontos embutidos: a inflação desse
período e os custos de produção, que também sobem com a inflação. Descontando a inflação, obtemos os preços
reais, e descontando os custos, a receita líquida, o verdadeiro lucro do produtor.
13
Disponível em http://www.mds.gov.br/bolsafamilia
14
Um rápido debate sobre esses valores é apresentado na edição on-line de The Economist: http://www.economist.
com/node/11409401?story_id=11409401&fsrc=RSS
Processo INCRA N.º 54190.003488/2012-16. Fls. ________
Relatório à OS 21/2012 – Proposta de método de parcelamento de uma gleba do PA Zumbi dos Palmares, Iaras, SP. Pág. 9 de 46.
42. Para encontrar o preço real, usamos o Índice
Geral de Preços-Disponibilidade Interna (IGP-DI),
calculado mensalmente pela Fundação Getúlio
Vargas. Há muitos índices para se medir a inflação
num período. O IGP-DI, o mais usado na correção de
preços agrícolas, é composto de vários produtos
primários usados na produção agropecuária. A Tabela
2 mostra o IGP-DI do mesmo período 1999-2011 e o
deflator que usamos para encontrar os preços reais,
tomando 2011 como ano-base. A Figura 5 exemplifica
o que dissemos dos preços nominais e reais pago ao
produtor entre 2000 e 2011, de um dos 20 produtos, o
litro do leite C.
43. Para conhecermos a renda líquida do produtor
– o lucro – precisamos descontar da receita total os
custos de produção, isto é, o que ele gastou para
poder produzir. Compulsamos diversos trabalhos
acadêmicos que estudaram detalhadamente a composição dos custos.
44. As Figuras 6 e 7 mostram as flutuações de preço ao longo de 11 anos da taxa de câmbio e de importantes
insumos agrícolas: óleo diesel, herbicida da marca “Roundup”, fertilizante NPK 4-14-8 e calcário dolomítico. Dentro
das categorias de insumos às quais pertencem – combustível, defensivo, fertilizante e corretivo – esses quatro são os
mais usados na agricultura paulista desde a grande propriedade rural até o pequeno agricultor familiar (veja os
preços deles no Anexo II).
45. Podemos notar na Figura 6 que a flutuação do preço dos três insumos tem fases ascendentes e descendentes
simultâneas, embora não sejam proporcionais. Como a flutuação do óleo diesel e do câmbio e são muito pequenas
em comparação com a dos outros, repetimo-las amplificadas na Figura 7, mais facilmente visualizável. Observamos
que o preço do óleo diesel, combustível de caminhões e máquinas agrícolas, acompanha pouco a variação dos
outros insumos e quase não tem relação com a tendência da taxa de câmbio.
46. Mas podemos notar que a flutuação dos
outros três insumos tem certa relação com o
câmbio, embora não proporcional. Grosseiramente,
as altas e baixas do dólar aumentam e diminuem os
preços dos insumos, com cerca de um ano de
atraso. Fica claro ao vermos o aumento do preço
real dos produtos agrícolas que isso não significou
aumento significativo do lucro do produtor. Esses
preços subiram com os insumos agrícolas, afetados
pela taxa de câmbio.
47. Para compararmos o critério do Banco
Mundial com os outros dois, precisamos converter o
dólar em real. Os críticos do uso do dólar para
cálculos de renda costumam alegar que sua
variação minuto a minuto não permite uma
referência segura. Mas esse índice precisa ser
considerado porque, como vimos, afeta os preços
dos custos de produção e é a medida internacional
para avaliação das linhas de pobreza e miséria. A
Tabela 3 mostra a variação da taxa média de
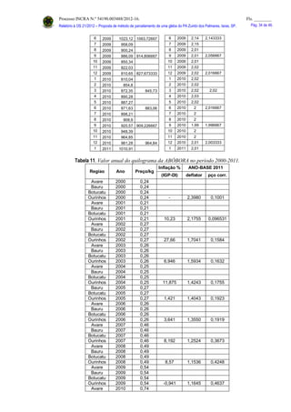
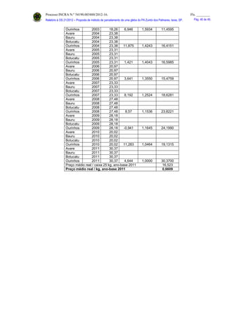
câmbio desde o início do Plano Real, em 1994, até
2011. Esses dados do IPEADATA mostram que
desde 1996, a taxa média do câmbio sempre esteve
entre R$ 1,00 e R$ 3,07.
Tabela 2: Inflação média do período 1999-2011 e
deflator para correção de preços a partir do ano-base
2011.
ANO Inflação % IGP-DI
DEFLATOR
ano-base 2011
1999 19,88 2,6333
2000 9,81 2,3980
2001 10,23 2,1755
2002 27,66 1,7041
2003 6,946 1,5934
2004 11,875 1,4243
2005 1,421 1,4043
2006 3,641 1,3550
2007 8,192 1,2524
2008 8,57 1,1536
2009 -0,941 1,1645
2010 11,283 1,0464
2011 4,644 1,0000
Fonte: IPEADATA: www.ipeadata.gov.br  Base de
Dados: Macroeconômico  Pesquisar: IGP-DI
Processo INCRA N.º 54190.003488/2012-16. Fls. ________
Relatório à OS 21/2012 – Proposta de método de parcelamento de uma gleba do PA Zumbi dos Palmares, Iaras, SP. Pág. 10 de 46.
Tabela 3. Taxa média de câmbio entre o dólar americano
comercial (compra) e o real, entre 1994 e 2011.
Ano
Taxa anual média
câmbio R$/US$ 1
Ano
Taxa anual média
câmbio R$/US$ 1
1994 0,6393 2003 3,0783
1995 0,9176 2004 2,9259
1996 1,0051 2005 2,4352
1997 1,0780 2006 2,1761
1998 1,1605 2007 1,9479
1999 1,8147 2008 1,8346
2000 1,8302 2009 1,9976
2001 2,3504 2010 1,7603
2002 2,9212 2011 1,6750
Fonte: IPEADATA e Banco Central do Brasil.
Processo INCRA N.º 54190.003488/2012-16. Fls. ________
Relatório à OS 21/2012 – Proposta de método de parcelamento de uma gleba do PA Zumbi dos Palmares, Iaras, SP. Pág. 11 de 46.
48. O Banco Central adota um sistema cambial no qual US$ 1 varia dentro da faixa de R$ 1 e R$ 3. Toda vez que
o dólar se aproxima desses limites inferior e superior, o Banco Central interfere no mercado de divisas para que o
valor retorne para dentro da faixa, como mostra a Figura 8. Vemos que, excetuando-se os dois anos iniciais do Plano
Real, a taxa anual média de câmbio se manteve na faixa R$ 1-3. É, portanto, seguro usarmos em nossos cálculos a
taxa média de câmbio de US$ 1 para R$ 2,00, excluídos os anos atípicos e não repetidos de 1994 e 1995. Então,
para fazermos os cálculos sobre a referência em dólares do Banco Mundial, usamos sempre essa taxa de câmbio.
49. Como se pode notar, não é fácil escolher uma referência “segura” para se projetar a renda de uma atividade
para os próximos anos. Os fatores que interferem na produção – insumos, preços, inflação, câmbio e rendimento das
culturas – todos variam. Por isso, podemos apenas trabalhar com valores médios, na expectativa que as flutuações
futuras se assemelhem às passadas.
50. Com os preços corrigidos através dos deflatores mostrados atrás para 21 tipos de exploração do solo,
montamos a Tabela 4. Ela apresenta o rendimento físico médio de cada produto, o preço unitário médio do produto
corrigido pela inflação a partir do ano-base 2011, a receita total por hectare, o custo total de produção, a receita
líquida (lucro), a área de produção necessária para se atingir a renda por cada um dos três critérios e, finalmente, a
classe de capacidade de uso do solo mais recomendável para a cultura.
C) Cálculo da dimensão da parcela
51. A primeira coluna da Tabela 4 relaciona 21 tipos de exploração do solo possíveis em Zumbi, dentro da ampla
faixa que ilustramos na Figura 1, excluídos os extremos do extrativismo e da hidroponia. O extrativismo não cabe na
área por não haver florestas naturais que ofereçam produtos comerciais para extração, como palmito, látex,
castanhas etc. E a hidroponia não foi considerada por ser rentável em lugares onde não há terra para cultivo, que não
é o caso de Zumbi. As linhas azuis contêm cultivos que necessitam de fonte de água próxima para irrigação,
enquanto as verdes indicam cultivos de sequeiro, que sobrevivem somente com água das chuvas. Diferenciamos
essas explorações em três tipos: olerícolas, de subsistência e sofisticados.
52. As culturas olerícolas já são produzidas no assentamento e nos quatro EDRs da mesorregião de Iaras. São
cultivos com grande mercado ao qual os assentados estão progressivamente se integrando. É uma promissora
possibilidade para novos assentados.
53. Há muitas outras espécies olerícolas possíveis além das escolhidas. Contudo, a área que ocupam, o
rendimento que geram e os custos que possuem estão bem representados pelos exemplos que escolhemos.
54. Os produtos que chamamos de subsistência são as escolhas mais tradicionais dos pequenos agricultores
ameaçados pela falta de segurança alimentar: arroz, feijão, mandioca, milho e leite C em pastagem sem
investimento. Os quatro primeiros possuem as vantagens de serem estocáveis por grandes períodos enquanto não
atingem bom preço, ou podem ser consumidos como alimento. Excluímos o arroz da tabela porque esse produto vem
sendo cada vez menos escolhido pelos pequenos agricultores; o custo do beneficiamento (remoção da casca por
máquinas) torna ainda menor um lucro já pequeno. O grão de milho seco é mais trabalhoso para servir de alimento
humano, mas compensa por alimentar prontamente cavalos, cabras, vacas, porcos e galinhas. O leite C obtido em
pastagem sem qualquer investimento também necessita de dezenas de hectares para oferecer algum lucro. O estudo
em que nos baseamos usava 1,15 animal por hectare de pastagem sem adubação, irrigação ou qualquer outro
tratamento. Como se pode ver na Tabela 4, é a segunda menos rentável escolha, necessitando de 97 ha para que se
atinja três salários-mínimos de lucro por mês. Acreditamos que o fato de tantos assentados manterem alguns bovinos
nessas condições se deve à constante receita, ainda que diminuta, gerada semanalmente pelo leite, e pelos animais
servirem como reserva de carne e capital para momentos de contingência.
55. Os produtos de subsistência são todos de baixa rentabilidade. Como se pode ver na tabela, precisam de
enormes áreas para serem lucrativos. Eles são escolhidos quando o produtor desconhece o mercado ou sabe da
dificuldade para entrar nele, mas precisa garantir sua sobrevivência. Certos entusiastas da agricultura familiar
conclamam os assentados ou candidatos a assentamento à beleza de plantar os próprios alimentos e independer da
selvageria do mercado capitalista. Há dois ápices para esse ideal: o sítio autossuficiente, que produz tudo o que
necessita, desde alimentos até móveis e roupas, como um feudo medieval; e a cooperativa agrícola coletivizada, que
funciona como uma empresa na qual cada indivíduo desempenha papel planejado por uma diretoria, sob inspiração
marxista ou anarco-sindicalista. Ao nosso ver, ambas romantizam a realidade, pois essas raramente são metas dos
agricultores. O que invariavelmente observamos é o interesse da família assentada em progredir economicamente
vendendo produtos que tenham melhor margem de lucro, como faz qualquer comerciante. Muitos poucos
permanecem fiéis a ideais depois de assentados. O fato de certos agricultores verbalizarem precariamente a razão
Processo INCRA N.º 54190.003488/2012-16. Fls. ________
Relatório à OS 21/2012 – Proposta de método de parcelamento de uma gleba do PA Zumbi dos Palmares, Iaras, SP. Pág. 12 de 46.
de escolherem cultivos de subsistência não parece desinteresse pelo mundo capitalista, mas uma resposta à
dificuldade de integrar-se a ele. Assim que algum produto rentável torna-se comercializável (como madeira ou resina,
no caso de Zumbi), nenhuma ideologia costuma resistir aos bons preços do mercado. Essa vontade natural da família
de progredir materialmente precisa ser respeitada, como a de qualquer outro cidadão, e a parcela deve ser planejada
para oferecer essa oportunidade. Por essas razões, só recomendamos ao agricultor as escolhas de subsistência se
houver risco à sua segurança alimentar. Caso contrário, a escolha deve sempre recair sobre as culturas de maior
lucratividade.
56. Finalmente, apresentamos os produtos que chamamos sofisticados, por exigirem um investimento maior,
requererem especialização e atenderem ao consumo das classes média e alta. Escolhemos o morango e os
cogumelos shiitake e paris. Eles atendem a um mercado mais restrito, mas com renda suficiente para escolher a
própria alimentação por critérios não econômicos. O preço flutua pouco, dando mais segurança ao produtor. Outra
vantagem, nos casos do cultivo em estufa, é a independência das variações climáticas, inexistindo os sinistros que
destroem plantações. Cogumelos exigem especialização maior do agricultor, aproximando-o dos processos
industriais. O investimento em instalações também é alto se comparado aos outros produtos. São atividades difíceis
para a típica família recém-assentada, que não é especializada nem possui capital suficiente. Mas decidimos incluí-
las por representarem uma meta possível no médio ou longo prazo. Cogumelos e morangos são produzidos em
propriedades familiares. Se são possíveis a pequenos agricultores de várias partes do país, por que não seriam para
os assentados?
57. Como esses produtos sofisticados requerem certas vezes menos de um hectare para atingirem a renda de 3
salários-mínimos por mês, utilizamos o valor aproximado de 1 ha em nossos cálculos, já que o imóvel não conta só
com área produtiva, mas com área construída, estradas, galpões, reservas de vegetação natural etc.
58. Na coluna 2 ou A, mostramos o rendimento físico médio das explorações em dez anos. Os dados são
apresentados em quilogramas por hectare (kg/ha), exceto quando indicado no produto outra unidade. Sendo médios,
esses valores incluem no cálculo desde os piores até os melhores rendimentos. Não se espera nem um nem
outro dos assentados, mas justamente um valor médio, que é o que geralmente se observa nos assentamentos. Por
isso, a média é a forma de cálculo que nos serve na maioria das vezes neste estudo. Todos os dados da Tabela 4
são anuais, não importando quantas colheitas podem ser feitas num ano.
59. A coluna 3 ou B apresenta o preço médio de dez anos corrigido da inflação pelo método do deflator que
expusemos atrás. Os dados são do IEA, obtidos nos quatro EDRs que compõem nossa mesorregião de Iaras, exceto
dos ovos e cogumelos, cuja fonte de preço está indicada na 11.ª coluna. As séries de preços nominais e reais de
todos esses produtos são mostradas nas tabelas 11 a 28 do Anexo II.
60. A coluna 4 mostra a renda bruta por hectare. É o que contabilmente se chama “faturamento bruto” ou “receita
total”, que significa o que o produtor recebeu, ainda sem qualquer desconto. Obtém-se essa renda multiplicando-se o
rendimento físico da coluna A pelo preço unitário da mesma linha na coluna B.
61. Na quinta coluna, C, encontramos o custo total de produção por hectare por ano. São todas as despesas
com a produção que o produtor terá de descontar para apurar seu lucro: adubos, defensivos, sementes, salários,
seguro agrícola, transporte, material perdido etc. São valores difíceis de encontrar porque pequenos produtores não
costumam contabilizar com rigor suas entradas e saídas de dinheiro. Recorremos aos estudos econômicos que
procuram simular com rigor científico, relacionados na coluna 12. Mesmo com esse rigor, a porcentagem dos custos
na receita total pode variar bastante de uma região do estado para outra e ao longo dos anos. Para diminuir essa
variação, procuramos usar os trabalhos mais recentes das regiões mais próximas de Iaras, como o centro do estado
de São Paulo e o norte-nordeste do estado do Paraná.
62. A sexta coluna ou D mostra a renda ou receita líquida por hectare por ano, isto é, o lucro que um hectare
oferece em um ano de produção. O valor é obtido subtraindo-se o custo total (C) da receita bruta (A x B). A esta
altura da análise, é interessante observar a grande disparidade entre cada produto. O cogumelo shiitake apresenta o
excelente lucro de mais de R$ 300 mil por hectare, mas os custos de produção estão em valores inacessíveis para
um agricultor recém-assentado. O leite C sem qualquer investimento além da compra do próprio animal, apresenta o
custo mais baixo de todos, R$ 451 por ano, mas também um lucro insignificante, R$ 253 por ano.
63. A coluna 7 nos aproxima do objetivo deste estudo por nos oferecer a área que a parcela deverá ter para se
obter a renda familiar anual pelo critério de seleção do SIPRA, três salários-mínimos por família por mês. Obtemos o
tamanho da área dividindo a renda familiar anual escolhida de R$ 28.840 pela receita líquida de cada cultivo (coluna
D). Mais uma vez encontramos grandes disparidades. Enquanto a lotação de 1,15 bovino por hectare necessitaria de
97 hectares para atingir a renda anual, o cultivo da alface, do morango e do pimentão produziriam a mesma renda em
menos de 2 ha.
Processo INCRA N.º 54190.003488/2012-16. Fls. ________
Relatório à OS 21/2012 – Proposta de método de parcelamento de uma gleba do PA Zumbi dos Palmares, Iaras, SP. Pág. 13 de 46.
Processo INCRA N.º 54190.003488/2012-16. Fls. ________
Relatório à OS 21/2012 – Proposta de método de parcelamento de uma gleba do PA Zumbi dos Palmares, Iaras, SP. Pág. 14 de 46.
64. Na coluna 8 fazemos o mesmo tipo de cálculo, mas usando a linha da pobreza do Banco Mundial, de US$ 2
por pessoa por dia. Na taxa média de câmbio de US$ 1 para R$ 2, a renda familiar anual será de R$ 7.300.
Dividindo-se esse valor pela receita líquida (D), encontramos a área necessária para que uma família padrão de cinco
pessoas viva na linha da pobreza, isto é, tendo dinheiro apenas para comer 1.200 Kcal por dia.
65. A coluna 9 mostra o mesmo cálculo usando o valor R$ 4.200 por família por ano, a partir do valor
estabelecido pelo Programa Bolsa-Família de R$ 70 por pessoa por mês, que também foi fixado pela Presidência da
República como sendo a linha da pobreza reconhecida pelo País.
66. Afinal, a coluna 10 mostra a preferência de cada classe de capacidade de uso do solo para cada cultura.
Endossamos o que a literatura citada aconselha, especialmente Lepsch & Bellinazzi (1983) e Bertoni & Lombardi
Neto (1999), cujas recomendações resumimos na Figura 4. Diferentemente desses autores, apenas sugerimos
alguns cultivos em solos classe VI e VII: cogumelos e aves poedeiras. A razão é simples; tais explorações não
necessitam de solo, pois usam galpões. Podem, portanto, ser feitas em solos impróprios para outros usos.
67. Agrupando as explorações que necessitam de fonte de água próxima, montamos a Tabela 5, que sintetiza
dados da 4. Reunimos as culturas em cinco classes de tamanho de parcela. Fica claro que as nove culturas irrigadas
podem gerar R$ 24.840 por ano em menos de 10 ha, inclusive a pastagem de 8 animais por ha com irrigação e
adubação. Para limitarmos a renda anual à linha da pobreza, 2 ha seriam suficientes para quase todas a explorações.
E, finalmente, para os R$ 70 por mês do Bolsa Família, 1 ha seria suficiente.
68. Pelo critério do SIPRA, a parcela entre 5 e 10 ha é garantidora da renda anual de R$ 24.840. Ocorre que não
podemos deixar de considerar as várias opções de se obter a mesma renda em espaço bem menor que esse. Os
cultivos e criações em galpões e aviários, embora não sejam uma opção imediata para os assentados, são
disponíveis dentro de alguns anos.15 Por essa razão, defendemos que devem ser consideradas como opções não só
possíveis, mas desejáveis no médio ou longo prazo. E enquanto essa possibilidade não se realizar, pode a família
assentada atingir e superar os R$ 24.840 por ano com outras opções, como a alface, a cebola e o repolho. Se
usarmos a média de 4,15 ha, poderemos obter o triplo daquela renda com o cultivo dessas três hortaliças.
69. A Tabela 6 segue o mesmo raciocínio para as culturas que se desenvolvem só com água das chuvas. Ao
contrário da tabela anterior, a 6 mostra seis cultivos viáveis apenas em grandes extensões, acima de 20 ha, e seis
abaixo dessa área (pelo critério SIPRA). Se considerarmos os grandes cultivos de subsistência – milho, feijão,
mandioca e leite C – a área média é de 33,49 ha para se obter a renda de R$ 24.840. Mas lembremos que tais
cultivos só se recomendam em situação de instabilidade, quando a fome é ameaça real. Não é o caso de Zumbi,
onde os já assentados têm conseguido fornecer ao mercado próximo seus produtos agrícolas, sendo referência para
os novos assentados. Se removermos do cálculo as culturas de subsistência, a média para se obter a mesma renda
cai para 7,72 ha. O pimentão e o morango oferecem aquela renda em menos de 1,0 ha.
70. Uma dúvida razoável a esta altura seria o porque de não escolhermos a cultura mais rentável na menor área,
como alface e pimentão, por exemplo. Ambos necessitam menos de 2 ha para atingir a renda SIPRA. A resposta é
dada pelos próprios agricultores: sendo a agricultura uma atividade econômica de alto risco (por sinistros naturais e
variações de preço), é imprudente escolher somente uma cultura e aplicar todos os recursos nela. Uma chuva de
granizo pode devastar uma plantação de alface após meses de despesas. Se a propriedade explorar 100% de seu
solo cultivável com alface, seu prejuízo será de 100%. Se mesclar igualmente alface, repolho, cenoura e morango, o
prejuízo será pouco mais de 25%, pois a chuva de granizo afeta bem pouco as outras três culturas. Há certo tempo,
em Zumbi, alguns assentados investiram exclusivamente na criação de bicho-da-seda. Apesar de rentável no início,
após alguns anos o casulo de seda sofreu uma tal queda de preço que os assentados acabaram por abandonar essa
atividade, perdendo seus investimentos em instalações. Chuvas de granizo destruindo folhagens, relâmpagos
matando animais, doenças e pragas que reduzem a colheita e mudanças bruscas de preço são ocorrências comuns
num único ano agrícola. O agricultor experiente costuma diminuir esses prejuízos misturando plantações que sejam
vulneráveis a problemas diferentes. Seguindo a mesma lógica, buscamos encontrar uma área que possa conciliar
vários cultivos diferentes.
15
Ao contrário do que vigorou nas décadas anteriores, o crédito rural subsidiado oferecido pelo Programa Nacional
de Apoio à Agricultura Familiar (PRONAF) não é limitado a um valor máximo por família. A cada novo empréstimo,
o valor pode ser ampliado se o agricultor se mostrou bom pagador de suas dívidas anteriores. Essa foi uma mudança
importante, pois eliminou a impossibilidade de altos investimentos. O fator limitante a maiores investimentos passou
a ser a baixa profissionalização do agricultor.
Processo INCRA N.º 54190.003488/2012-16. Fls. ________
Relatório à OS 21/2012 – Proposta de método de parcelamento de uma gleba do PA Zumbi dos Palmares, Iaras, SP. Pág. 15 de 46.
Tabela 5. Média do tamanho da parcela com acesso à água segundo três critérios de cálculo de
renda familiar.
CLASSES DE
DIMENSÃO
CULTURAS POSSÍVEIS
critério SIPRA
(R$ 24.840/famíliaano)
CULTURAS POSSÍVEIS
critério BANCO MUNDIAL
(R$ 7.300/famíliaano)
CULTURAS POSSÍVEIS
critério BOLSA-FAMÍLIA
(R$ 4.200/famíliaano)
> 20 ha 0 0 0
10 a 20 ha 0 0 0
5 a 10 ha
beterraba, cenoura, leite C
(8 an/ha)
0 0
5 a 2 ha cebola, repolho beterraba, leite C (8 an/ha) 0
< 2 ha alface, ovo, paris, shiitake
alface, cebola, cenoura, ovo,
paris, repolho, shiitake
todas
MÉDIA (ha) 
4,15 1,45 0,98
Fonte: Tabela 4.
() Para os cultivos em galpões, estufas e aviários, adotou-se a área de 1,0 ha.
Tabela 6. Média do tamanho da parcela sem acesso à água segundo três critérios de cálculo de
renda familiar.
CLASSES DE
DIMENSÃO
CULTURAS POSSÍVEIS
critério SIPRA
(R$ 24.840/famíliaano)
CULTURAS POSSÍVEIS
critério BANCO MUNDIAL
(R$ 7.300/famíliaano)
CULTURAS POSSÍVEIS
critério BOLSA-FAMÍLIA
(R$ 4.200/famíliaano)
> 20 ha
batata doce, feijão, leite
C (1,15 an/ha), mandioca
mesa, milho, tomate
envarado
leite C (1,15 an/ha), milho,
tomate envarado
milho
10 a 20 ha abóbora, abobrinha 0
leite C (1,15 an/ha), tomate
envarado
5 a 10 ha batata, tomate rasteiro
batata doce, feijão,
mandioca
0
5 a 2 ha 0 abóbora, abobrinha, batata
batata-doce, feijão,
mandioca mesa
< 2 ha morango, pimentão morango, pimentão, tomate
abóbora, abobrinha, batata,
morango, tomate rasteiro,
pimentão
MÉDIA (ha)
culturas até 20 ha
7,72 3,73 4,33
MÉDIA (ha)
todas as culturas
33,49 9,84 5,66
Fonte: Tabela 4.
D) Classes de capacidade de uso do solo, desvio padrão na média e GUT
71. Relembrando o que expusemos na página 5, os solos possuem diferentes produtividades naturais,
classificados em oito classes de uso, sendo que a oitava não serve para exploração agrícola, pecuária nem florestal.
Como mencionado, observou-se que a maior parte da gleba estudada está na classe III, com manchas nas classes II
e IV. Assim, assumimos que o rendimento calculado na Tabela 4 corresponde à classe III, à qual atribuímos fator de
produtividade 1,00, correspondente a 100%. As Tabelas 7 e 8 mostram, na primeira linha de dados, os fatores
atribuídos a cada classe desde que Lepsch e Bellinazzi Jr. (1983) adotaram-nos para o Brasil. Exemplificando: dois
plantios idênticos são feitos na mesma época, com os mesmos insumos e em áreas do mesmo tamanho, um na
Processo INCRA N.º 54190.003488/2012-16. Fls. ________
Relatório à OS 21/2012 – Proposta de método de parcelamento de uma gleba do PA Zumbi dos Palmares, Iaras, SP. Pág. 16 de 46.
classe I e outro na VII. Pelos fatores daqueles autores, prevemos que eles terão rendimento físico de 100% e 30%,
respectivamente.
72. Para calcularmos o tamanho que uma área numa classe escolhida deve ter para produzir o mesmo que a
classe I, dividimos o tamanho da parcela da classe I pelo fator de correção da classe que escolhemos. A área
encontrada será maior que a da classe I, mas produzirá aproximadamente o mesmo que ela. Como adotamos a
classe III como referência, ela passa a ter fator 1,00. Para encontrarmos o fator das demais, dividimos o fator original
de todas elas por 0,75, que é o fator original da III. Para saber o quanto as demais classes produzirão, repetimos o
processo: dividimos a área de referência, 7,72 ha, pelos novos fatores (linha 2 de dados), obtendo os tamanhos que
produzirão identicamente aos 7,72 ha (última linha).
Tabela 7. Dimensão das parcelas sem acesso à água, segundo a classe de capacidade de
uso do solo.
ITEM I II III IV V VI VII VIII
Fator 1,00 0,95 0,75 0,55 0,50 0,40 0,30 0,20
Novo fator 1,33 1,27 1,00 0,73 0,67 0,53 0,40 0,27
Área (ha) pelo
novo fator
5,80 6,08 7,72 10,58 11,52 14,57 19,30 28,59
Fonte: Lepsch & Bellinazzi Jr. (1983) e Tabela 6.
73. Para as parcelas com acesso à agua, não convém nos servirmos do critério de diferenciar as áreas de acordo
com a classe de solo. Quase sempre as glebas vizinhas a mananciais são planas e mais férteis que o restante do
terreno, pertencendo às classes I e II. Mais importante ainda é o fato de as culturas mantidas em canteiros (morango,
alface, repolho, beterraba, cebola, cenoura) ou galpões (galinhas poedeiras, cogumelos) dependerem pouco ou nada
da qualidade do solo. Canteiros são amontoados de solo com alto teor de matéria orgânica, intensa adubação,
correção, irrigação e outros tratos que mudam visceralmente as características originais. Um canteiro de alface
erguido em solo classe I não apresenta diferença substancial de outro em solo classe VI. Para cogumelos cultivados
em troncos de madeira e galinhas poedeiras mantidas em gaiolas suspensas, o solo é indiferente. Por essa razão, as
classes de capacidade de uso do solo não servem de critério para dimensionamento desses cultivos irrigados. Ou
seja, todas as classes são transformadas em classe I, com ótima fertilidade. A exceção é a pastagem irrigada.
Devemos, assim, manter os fatores de correção calculados por Lepsch & Bellinazzi Jr. (1983).
Tabela 8. Dimensão das parcelas com acesso à água, sem alteração pela classe de
capacidade de uso do solo.
ITEM I II III IV V VI VII VIII
Fator 1,00 0,95 0,75 0,55 0,50 0,40 0,30 0,20
Área (ha) 4,15 4,15 4,15 4,15 4,15 4,15 4,15 4,15
Fonte: Lepsch & Bellinazzi Jr. (1983) e Tabela 5.
74. Na fase de planejamento do traçado de estradas e parcelas ocorre a necessidade de ajustes devido à
imobilidade de benfeitorias e obstáculos (estradas, voçorocas, rede elétrica etc.). O quanto podem variar as parcelas
nesse ajustamento sem comprometer a capacidade produtiva planejada? Usamos o desvio padrão na média
(dpm) para fixar a variação, parâmetro estatístico que nos permite saber a probabilidade de outros cultivos estarem
próximos das médias (7,72 e 4,15 ha). A fórmula do cálculo, por extenso, do dpm é:
Desvio padrão na média = soma das variâncias
n.º dados x (n.º dados – 1)
Processo INCRA N.º 54190.003488/2012-16. Fls. ________
Relatório à OS 21/2012 – Proposta de método de parcelamento de uma gleba do PA Zumbi dos Palmares, Iaras, SP. Pág. 17 de 46.
Sendo: variância: o quadrado da diferença entre a área de cada cultura e a média;
número de dados: quantos dados foram usados para calcular a média.
75. Para o módulo sem irrigação na classe de capacidade de uso III, usamos 6 culturas com menos de 20 ha
(n.º de dados = 6) e a média de 7,72 ha. Da Tabela 4 retiramos os dados para calcular as variâncias:
CULTURA
(solo classe III)
ÁREA (ha) para
a renda SIPRA
DESVIO SIMPLES
(= área – 7,72)
VARIÂNCIA
(desvio simples)²
Abóbora 14,4419 6,7219 45,18394
Abobrinha 13,5715 5,8515 34,24005
Batata 9,8595 2,1395 4,57746
Morango 1,1296 - 6,5904 43,43337
Pimentão 1,1816 - 6,5384 42,75067
Tomate rasteiro 6,1132 - 1,6068 2,581806
SOMA 172,767305
76. Nosso dpm para a média 7,72 ha será a raiz quadrada de [172,767305 ha² ÷ (6 x 5)], que é 2,399773 ha,
valor que, arredondado para o padrão usado na agrimensura de quatro algarismos à direita da vírgula, torna-se
2,3998 ha, quase 2,4 ha.
77. Fazemos o mesmo para os solos de classe de capacidade de uso II e IV, já calculando o dpm:
CULTURA
(solo classe II)
ÁREA (ha) para
a renda SIPRA
DESVIO SIMPLES
(= área – 6,08)
VARIÂNCIA
(desvio simples)²
Abóbora 14,4419 8,3619 69,92137
Abobrinha 13,5715 7,4915 56,12257
Batata 9,8595 3,7795 14,28462
Morango 1,1296 -4,9504 24,50646
Pimentão 1,1816 -4,8984 23,99432
Tomate rasteiro 6,1132 0,0332 0,001102
SOMA 188,8304
DESVIO PADRÃO NA MÉDIA 2,5088
CULTURA
(solo classe IV)
ÁREA (ha) para
a renda SIPRA
DESVIO SIMPLES
(= área – 10,58)
VARIÂNCIA
(desvio simples)²
Abóbora 14,4419 3,8619 14,91427
Abobrinha 13,5715 2,9915 8,949072
Batata 9,8595 -0,7205 0,51912
Morango 1,1296 -9,4504 89,31006
Pimentão 1,1816 -9,3984 88,32992
Tomate rasteiro 6,1132 -4,4668 19,95230
SOMA 221,9747
DESVIO PADRÃO NA MÉDIA 2,7201
78. A Figura 9 nos ajuda a entender o que esses números significam para o solo da classe de capacidade de uso
III. Ela apresenta a curva de distribuição normal, também chamada de curva de Gauss, curva gaussiana ou curva
sino. Inúmeros fenômenos naturais, sociais e econômicos seguem essa distribuição, na qual os eventos se
concentram no meio, rareando em direção aos extremos. Ela nos mostra a probabilidade de um evento acontecer e é
bastante usada na pesquisa agrícola. Por exemplo, o rendimento físico da cultura do milho para centenas de
produtores do estado de São Paulo concentra-se em torno de um valor médio, cerca de 5 toneladas por hectare. Os
valores extremos, como 2 e 10 toneladas são menos numerosos, e os valores muito extremos como 0,3 e 13
toneladas são bem raros. Assim é para a maioria das culturas. O valor médio da parcela SA em classe III é 7,72 ha,
no centro da curva, área que oferece 50% de chances de possíveis cultivos atenderem ao quesito de fornecerem a
renda SIPRA de 3 salários mínimos por família por mês.
Processo INCRA N.º 54190.003488/2012-16. Fls. ________
Relatório à OS 21/2012 – Proposta de método de parcelamento de uma gleba do PA Zumbi dos Palmares, Iaras, SP. Pág. 18 de 46.
79. Vemos que no intervalo entre -1 e +1 dpm (5,32 e 10,12 ha), a probabilidade amplia-se para 68,2%, o que
parece atraente. Ocorre que temos de escolher um valor para a parcela, e não um intervalo. Se escolhermos uma
parcela com um dpm a menos da média, isto é, 5,32 ha, as chances de encontrarmos cultivos que produzam a renda
SIPRA descem para apenas 15,9%. Isso significa que diminuir o tamanho da parcela de 7,72 para 5,32 ha (= - 1 dpm)
reduz demasiado suas chances de sucesso, o que já elimina essa escolha. Indo mais além, suponhamos que a ânsia
por dividendos políticos faça a parcela reduzir-se em dois dpm (2,3998 ha x 2 = 4,7996 ha), passando a parcela a ter
apenas 2,92 ha, triplicando a quantidade de famílias assentadas. Essa parcela terá apenas 2,3% de chances de
encontrar cultivos que atinjam a renda SIPRA, completamente fora de uma recomendação segura.
80. Em sentido oposto, se a parcela for aumentada em um dpm, passando a ter 10,12 ha, as chances de
encontrar formas de exploração que produzam a renda SIPRA sobem para 84,1%. E se a área for aumentada em
dois dpm, ficando com 12,52 ha, as chances chegam quase a 100%. É tentador concluir que 12,52 ha ou mais
seriam, então, a melhor opção, ao invés da média 7,72 ha. Mas a decisão não é tão fácil devido à escassez de terras
e ao seu custo para o Erário Público. Assim, a média continua sendo a melhor escolha por conciliar o menor
tamanho com grandes chances de sucesso.
81. Comparando-se essas probabilidades com as áreas da renda SIPRA na Tabela 4, notamos que duas “forças”
puxam em direções opostas na escolha do tamanho da parcela:
a) para diminuir o tamanho, há os cultivos que oferecem a renda dos 3 salários-mínimos em áreas pequenas,
como o morango e o pimentão;
b) para aumentar o tamanho, há o fato de áreas maiores aumentarem a possibilidade de cultivos, como
mostra a Figura 9.
82. A média é o ponto de equilíbrio dessas forças: 50% de probabilidade de encontrar cultivos rentáveis incluindo
todas as explorações de áreas pequenas.
83. Voltando à escolha da margem para ajustes, devemos eliminar as reduções de área pois, como nos mostra a
curva, reduções pequenas de área diminuem superlativamente a probabilidade de cultivos. De forma oposta, o
aumento de 2,3998 ha na média traz um ganho de 34,1% de novas chances sobre as já existentes 50%, o que, além
de favorável, é suficiente para um ajuste.
84. Assim, sugerimos que os ajustes necessários sejam feitos sempre adicionando até um desvio padrão na
média, isto é, 2,3998 ha. Assim, se tivermos uma gleba encaixada entre duas estradas e um córrego, por exemplo,
Processo INCRA N.º 54190.003488/2012-16. Fls. ________
Relatório à OS 21/2012 – Proposta de método de parcelamento de uma gleba do PA Zumbi dos Palmares, Iaras, SP. Pág. 19 de 46.
onde só caberiam duas parcelas de 7,72 ha e uma terceira de 5 ha, é preferível distribuir a área desta última entre as
outras duas ao invés de fazer três áreas de 6,81 ha. Ou então dividir os 5 ha em 2 parcelas para-rurais, pois estas
têm pouca expectativa econômica.
85. Todos esses cálculos se referem à área aproveitável; trata-se da área efetivamente cultivada, incluídas as
estradas da própria cultura. A área da habitação, pomar doméstico, horta, cercados para animais, depósitos,
terreiros, silos e o acesso principal são construções necessárias e precisam ser adicionadas. Segundo observações
desta equipe nas parcelas já existentes, é seguro reservar para essa superfície não cultivada uma área de 0,5 ha.
Esse valor se aplica às parcelas com ou sem acesso à água de qualquer classe de solo.
86. Finalmente, cabe considerar o que além do Estatuto da Terra, a Lei 8.629 de 1993 e suas regulamentações
consideram produtivo o imóvel rural com Grau de Utilização da Terra (GUT) igual ou superior a 80%. De toda a área
aproveitável, se 80% de sua superfície for explorada (ou possuir projeto técnico de exploração aceito pelo INCRA), a
propriedade será considerada produtiva. Se, por analogia, estendermos esse critério para as áreas da Reforma
Agrária, a família assentada terá o “direito” de explorar 80% da superfície cultivável, deixando 20% ociosos para
opcional expansão futura. Ou seja, as médias de 7,72 ha, 4,15 ha e outras devem corresponder aos 80%.
87. Reunindo a média, o dpm, o entorno da habitação e o GUT, teremos a maior e a menor parcela possíveis sem
água nas três classes de capacidade de uso (em hectares):
CLASSE II CLASSE III CLASSE IV
mín. máx. mín. máx. mín. máx.
Área utilizável da parcela 6,08 8,59 7,72 10,12 10,58 13,30
20% ociosos pelo GUT 1,22 — 1,54 — 2,12 —
Entorno da habitação 0,50 0,50 0,50 0,50 0,50 0,50
TOTAL DA PARCELA SEM ÁGUA 7,80 9,09 9,76 10,52 13,20 13,80
88. As áreas mínimas (mín.) são as médias que calculamos nas Tabelas 7 e 8. As áreas máximas (máx.) são
essas mesmas médias acrescidas de um dpm. Não incluímos os 20% de área ociosa permitidos pela lei do GUT nos
casos de máxima porque um dpm já supera 20%.
89. E para a parcela com água, as variâncias e o dpm serão:
CULTURA
(classes I a VII)
ÁREA (ha) para
a renda SIPRA
DESVIO SIMPLES
(= área – 4,15)
VARIÂNCIA
(desvio simples)²
Alface 1,4162 -2,7338 7,473662
Beterraba 8,7218 4,5718 20,90136
Cebola 3,8820 -0,2680 0,071824
Cenoura 6,7938 2,6438 6,989678
Cogumelo Paris 0,2490 -3,9010 15,21780
Cogumelo Shiitake 0,0747 -4,0753 16,60807
Leite C (pasto irrig.) 9,2549 5,1049 26,06000
Ovo 0,1986 -3,9514 15,61356
Repolho 4,2584 0,1084 0,011751
SOMA 108,9477
DESVIO PADRÃO NA MÉDIA 1,2301
90. Temos então dois tamanhos de parcela com água (em ha):
mín. máx.
Área utilizável da parcela (todas as classes) 4,15 5,38
20% ociosos pelo GUT 0,83 —
Entorno da habitação 0,50 0,50
TOTAL DA PARCELA COM ÁGUA 5,48 5,88
91. Esses cálculos apresentam 8 diferentes tamanhos de parcela. Como a maior parte do imóvel está na classe III
sem acesso à água, a quase totalidade será de 9,76 ha. E só nos locais de ajuste a parcela aumentará até 10,52 ha.
As demais dimensões serão ocasionais.
Processo INCRA N.º 54190.003488/2012-16. Fls. ________
Relatório à OS 21/2012 – Proposta de método de parcelamento de uma gleba do PA Zumbi dos Palmares, Iaras, SP. Pág. 20 de 46.
V ─ TRAÇADO DE ESTRADAS E PARCELAS
A) Traçado conservacionista de estradas
92. É necessário lembrar que tanto o INCRA quanto a família assentada compartilham a posse do imóvel federal
destinado à Reforma Agrária. Sendo o solo um patrimônio da União Federal, um ativo econômico cujo valor está
sendo indenizado ao ex-proprietário, deve o INCRA, por força de lei, tomar todas as providências para que esse
patrimônio não seja dilapidado, inclusive orientar os beneficiários a procederem da mesma forma. O plano de
parcelamento é decisivo para a preservação do solo, uma vez que a disposição das estradas pode dificultar ou
favorecer a remoção do solo pelas águas pluviais.
93. A conservação do solo não é importante apenas para a União. A camada mais fértil de qualquer solo são seus
primeiros 20 cm de profundidade. A maioria dos vegetais concentra cerca de 80% de suas raízes nessa camada
superficial para dela retirar seus nutrientes. Os processos erosivos removem, em primeiro lugar, essa preciosa fatia.
Quando a erosão já removeu 25, 30 cm ou mais, o solo já está quase imprestável para agricultura, necessitando de
pesados investimentos para voltar a ser produtivo. Ou seja, o agricultor é o primeiro prejudicado com o solo erodido.
Depois dele, os habitantes de zonas ribeirinhas. Estas alagam devido aos rios ficarem cada vez mais rasos pela terra
trazida das áreas erodidas. E finalmente o Poder Público, que continuará indenizando o ex-proprietário por um imóvel
que já perdeu a capacidade produtiva. Por esses motivos, a conservação do solo está na pauta internacional das
declarações e tratados de preservação do ambiente, como a citada Agenda 21.
94. Atendendo ao criterioso método explicado por Bertolini & Lombardi Neto (1994), o traçado mais apropriado de
estradas é aquele no qual essas vias evitam o escorrimento superficial. Devem as vias ser projetadas
acompanhando as curvas de nível do terreno para conter o escorrimento superficial da água. Quando for
necessário ligar estradas de níveis diferentes, a via de ligação deve ser feita no trecho de maior aproximação de
ambas. Isso diminuirá a quantidade de terra e água arrastadas durante as chuvas fortes. O objetivo do traçado
conservacionista de estradas é fazer com que a água das chuvas não transforme as estradas em verdadeiros rios em
dias de tempestade. Ao contrário, devem ajudar a conter o movimento superficial da água, fazendo-a infiltrar-se no
solo durante as horas e dias seguintes à chuva. A Figura 10-A mostra um traçado apropriado, que permite pouco
escorrimento de água pelas estradas. A Figura 10-B mostra um péssimo traçado, cuja enxurrada num único dia de
tempestade pode arrastar mais de uma tonelada de solo por hectare.
Processo INCRA N.º 54190.003488/2012-16. Fls. ________
Relatório à OS 21/2012 – Proposta de método de parcelamento de uma gleba do PA Zumbi dos Palmares, Iaras, SP. Pág. 21 de 46.
B) Acesso à água
95. Apesar de a parcela sem água ser projetada para obter a mesma receita que a com acesso à água, seria
melhor que todas tivessem algum ponto de acesso, mesmo que apenas para irrigação parcial do terreno. Isso
aumentaria ainda mais as chances de diversificação de culturas, além de a água ser recurso importante para
incontáveis outras atividades produtivas e domésticas.
96. Infelizmente é impossível que todas as parcelas tenham acesso à agua, mas a quantidade pode aumentar
através de um traçado mais estreito, como ilustramos na Figura 11. Nesse exemplo hipotético, vamos supor que o
terreno comporte 26 parcelas, algumas com acesso à água de uma represa (CA) e outras sem acesso à água (SA).
No caso da esquerda, as parcelas SA são 14 e têm quase o dobro do tamanho das CA, que são 12. Mas estreitando
as parcelas como na imagem da direita, aumentamos para 20 as parcelas CA e reduzimos para 6 as SA. Há também
maior aproveitamento da área pela diminuição de estradas.
97. Se se tratasse de uma represa ou outro grande manancial, a irrigação poderia acabar se estendendo para
toda a parcela se o agricultor assim quisesse. Mas na gleba de Zumbi para a qual este estudo está dirigido, isso é
escassamente possível por apenas existirem pequenos córregos de vazão desconhecida.
98. No estado de São Paulo, a captação de água para irrigação necessita ser autorizada pelo Governo Estadual,
através de outorga do Departamento de Água e Energia Elétrica (DAEE), da Secretaria de Estado do Meio
Ambiente. Mendes (2007) apurou que o DAEE restringe a captação de água a 50% da vazão mínima, valor chamado
de vazão outorgável. Supondo arbitrariamente que a outorgável corresponda a 150 m³ por hora, isso corresponde
a 3.600 m³/dia (= 150 m³/h x 24 h). Um metro quadrado de cultura olerícola consome o valor médio de 6,5 litros de
água por dia. Então 4,15 ha (= 41.500 m²) consumirão 269.750 litros por dia (41.500 m² x 6,5 litros/m² = 269.750 litros
= 269,75 m³). Dividindo-se a vazão diária de 3.600 m³ pelo consumo diário da CA, 269,75 m³, encontramos 13,34, ou
seja, 13 parcelas consumirão a vazão outorgável de 150 m³ por hora.
99. A vazão mínima e a outorgável dos cursos d’água de Zumbi dos Palmares nos são desconhecidas. Será
necessário uma equipe especializada fazer um estudo hidrológico, que leve em consideração as épocas mais
chuvosas e mais secas do ano, para se obter a vazão mínima e dela se deduzir a vazão outorgável de cada
manancial. Estimamos que, devido ao pequeno volume dos mananciais de Zumbi, a vazão outorgável será pequena,
permitindo a irrigação de pequenas superfícies, dificilmente os 4,15 ha da parcela CA. Se assim for, será necessário
projetar parcelas com área intermediária entre 4,15 e 7,72 ha, ou seja, parte irrigada e parte seca. Mas como dosar a
proporção entre área irrigada e área seca para que se atinja a renda SIPRA de R$ 24.840 anuais? Esse cálculo só
será possível sabendo-se a vazão outorgável revelada pelo estudo hidrológico.
Processo INCRA N.º 54190.003488/2012-16. Fls. ________
Relatório à OS 21/2012 – Proposta de método de parcelamento de uma gleba do PA Zumbi dos Palmares, Iaras, SP. Pág. 22 de 46.
100. Pelos cálculos que fizemos nas Tabelas 4, 5 e 6, demonstramos que 4,15 ha de área irrigada em qualquer
classe de solo produzem a mesma renda anual que 7,72 ha sem água em solo classe III. Ou seja, essas áreas se
equivalem. Um hectare de área irrigada gera a mesma renda que quase o dobro de área seca. Se plotarmos essa
equivalência num gráfico para as classes de solo II, III e IV, teremos as retas da Figura 12.
101. As equações do tipo SA = a - bCA da Figura 12 descrevem matematicamente as retas para as três classes
de solo. O valor a é a área máxima de uma parcela SA; b é a divisão de a por 4,15, valor máximo da parcela CA. O
eixo horizontal representa a área SA, em hectares, e o vertical a CA. Quando escolhemos um valor num dos eixos,
projetamo-lo até à reta da classe de solo e, projetando esse ponto no outro eixo, descobrimos o segundo valor. Se no
eixo SA escolhemos uma área de 7,72 ha na reta da classe III, o valor CA será zero. Ou seja, numa área seca de
7,72 ha classe III não precisamos ter área irrigada para atingirmos a renda SIPRA. Se, por exemplo, o estudo
hidrológico revelar que num riacho a vazão outorgável permitirá irrigar 4 ha, e nesse trecho desejamos alocar 3
parcelas, cada uma terá 1,33 ha irrigados (= 4 ha ÷ 3 parcelas). Pondo-se esse valor de CA na equação,
encontraremos SAIII = 5,32. Isso significa uma parcela com área total de 6,65 (= CA + SAIII). Essas retas são nossas
fronteiras de potencialidade de renda por classe de uso do solo; qualquer combinação que escolhermos de CA e SA
nas retas produzirá a mesma renda SIPRA anual em Zumbi.
102. Mas enquanto não possuirmos o mapa de vazões, sugerimos que todas as parcelas sejam projetadas
para serem SA, com 6,08, 7,72 ou 10,58 ha de acordo com a classe de solo. Se eventualmente algum trecho possuir
contato com a represa ou outro manancial volumoso, que mesmo sem o estudo hidrológico possa ser estimada uma
captação abaixo de 50% da vazão mínima, então só nesse caso deve-se planejar a parcela CA, de 4,15 ha.
C) Parcelas para-rurais
103. O Estatuto da Terra prevê a existência de parcelas menores que o módulo familiar, destinadas a pessoas com
reduzida capacidade de trabalho, denominando-as para-rurais, sem maiores explicações. Em São Paulo, o INCRA
costuma projetar e oferecer tais parcelas apenas para candidatos de composição familiar com força de trabalho
unitária (só um adulto capaz) e para pessoas com mais de 65 anos que, mesmo sendo adultos, têm força de trabalho
reduzida ou nula.
104. Em ambos os casos, a figura da parcela para-rural, claramente antieconômica, parece ser uma adaptação que
a Lei previu de um imóvel com finalidade urbana na zona rural. Sua função prioritária é prover moradia, água e
alguma produção de subsistência (horta, pomar e pequenos animais) para pessoas de origem rural sem capacidade
de conduzir uma parcela de dimensão produtiva.
Processo INCRA N.º 54190.003488/2012-16. Fls. ________
Relatório à OS 21/2012 – Proposta de método de parcelamento de uma gleba do PA Zumbi dos Palmares, Iaras, SP. Pág. 23 de 46.
105. Na maioria das vezes o ocupante do para-rural deixa a parcela em alguns anos. No caso do beneficiário
solteiro, causas comuns são uma melhor oportunidade na zona urbana ou a constituição de uma família, com
necessidade de transferência para parcela maior. No caso dos idosos, quase sempre a desistência se dá por motivos
de saúde que requerem sua remoção para a zona urbana, com maior proximidade de serviços médicos. Para os dois
casos, a permanência nessa área reduzida é temporária.
106. Assim sendo, sugerimos que primeiramente seja a nova área de Zumbi planejada sem para-rurais. Quando o
processo de seleção de beneficiários resultar no número X de famílias com força de trabalho unitária ou nula, então
algumas parcelas de tamanho normal podem ser subdivididas em X para-rurais. E, à medida que as desistências
forem ocorrendo, o INCRA pode ir retomando essas áreas para reuní-las numa parcela normal.
107. No caso de os beneficiários serem idosos, é recomendável que as parcelas para-rurais possuam a maior
quantidade de facilidades que sua condição de saúde requer: acesso à água, proximidade da cidade, de linha de
ônibus, da ex-casa sede etc.
VI ─ CONSIDERAÇÕES FINAIS E RECOMENDAÇÕES
108. Desde a publicação do Estatuto da Terra, em 1964, o IBRA, depois transformado em INCRA, procedeu à
colonização ou assentamento de famílias. A colonização foi mais presente nos antigos territórios de Rondônia,
Roraima, Amapá e Acre. Ela serviu para povoar as fronteiras amazônicas com migrantes de outros estados,
preocupação dos governos militares das décadas de 1960 e 70. Em São Paulo, predominam os assentamentos de
Reforma Agrária, só surgidos na década de 1980, já no governo civil de José Sarney. Primeiramente, o INCRA
adquire um imóvel improdutivo já alvo de um grupo de acampados nas proximidades. Depois nele são assentados
esses trabalhadores rurais e outros, residentes nos municípios próximos. E o conhecimento do mercado local e dos
processos de produção possíveis no imóvel são deixados para último lugar, quando a assistência técnica já foi
contratada e as famílias instaladas.
Processo INCRA N.º 54190.003488/2012-16. Fls. ________
Relatório à OS 21/2012 – Proposta de método de parcelamento de uma gleba do PA Zumbi dos Palmares, Iaras, SP. Pág. 24 de 46.
109. Tanto na colonização como na Reforma Agrária, de 1964 até hoje, a lógica insculpida no Estatuto da Terra (e
endossada pelos movimentos sociais) desconsidera o mercado tanto para a escolha do imóvel como dos candidatos.
O Estatuto prevê apenas a integração do assentamento à economia local, por mais precária que esta seja. Essa
lógica sem senso econômico está sintetizada na Figura 13. Muitos assentamentos assim planejados, alguns com
mais de 20 anos de idade, permanecem até o presente em níveis elementares de desenvolvimento. É verdade que o
método tem cumprido a função de aliviar pressões sociais, mas sem dúvida é vulnerável à crítica que acusa o
Governo e os movimentos sociais de promoverem assistencialismo, e não desenvolvimento sócio-econômico.
110. Se verificarmos o procedimento de um empreendedor rural bem-sucedido – parceiro, arrendatário, fazendeiro,
empresa agrícola, grupo empresarial, pequeno, grande ou gigante – encontraremos uma lógica diversa.
Primeiramente o empreendedor se orienta pelas opções de cultivo com a qual possui certa experiência. Então,
pesquisa o mercado para esses produtos e descobre onde eles podem ser vendidos. Calcula os custos de produção
e sua margem de lucro nesses mercados pesquisados. Sabendo quais opções são lucrativas, só então escolhe um
imóvel para arrendar ou comprar. E finalmente, depois dessas etapas calculadas, contrata trabalhadores e investe na
produção. Em todas as fases, são referências constantes do empreendedor os preços de compra e venda nos
mercados nos quais ele vai entrar, como mostra a Figura 14.
111. Compare-se os dois critérios esquematizados nas Figuras 13 e 14 e se verá que são quase inversos. A
adoção das medidas fixadas no Estatuto da Terra talvez possa ser justificada pelo quadro social e político agitado
dos anos 1950 e 60, quando a “questão agrária” era explosiva. Mas na atualidade, com a rápida profissionalização da
agricultura, sua progressiva integração ao Mercosul e outras várias mudanças, ficou decrépita a fórmula do Estatuto
da Terra para a incentivar o desenvolvimento econômico rural.
112. A Figura 15 mostra nossa proposta de adaptação da lógica do empreendedor às limitações que o Estatuto da
Terra impõe como critério de escolha de imóveis para a Reforma Agrária. Na figura, este estudo de parcelamento
entra na fase 2 da sequência, tentando adaptar o planejamento das parcelas ao mercado mesorregional. A fase
seguinte será a seleção de famílias dando-se preferência às que possuem mais experiência com os cultivos para os
quais o parcelamento apontou como mais viáveis, isto é, as olerícolas. Mas esse passo foge ao alcance de nosso
estudo. E, por fim, também fora dos limites de nossa ordem de serviço, a seleção de serviços de assistência técnica
especializada naquelas mesmas culturas.
Processo INCRA N.º 54190.003488/2012-16. Fls. ________
Relatório à OS 21/2012 – Proposta de método de parcelamento de uma gleba do PA Zumbi dos Palmares, Iaras, SP. Pág. 25 de 46.
113. Finalmente, nossas sugestões apresentadas e discutidas ao longo deste estudo podem ser resumidas nestas
recomendações:
1.ª) que seja feito um estudo hidrológico de todos os mananciais do PA e obtenha-se a outorga para
captação de água para irrigação;
2.ª) que enquanto não houver o mapa hidrológico, todas as parcelas possuam os tamanhos calculados para
área seca, de acordo com a classe de capacidade de uso, fazendo ajustes somente para cima em até
um desvio padrão na média;
3.ª) que, uma vez obtida a autorização de captação de água, sejam as parcelas redemarcadas, sempre que
possível, pela equação que combina terra irrigada com terra sem irrigação;
4.ª) que o traçado das estradas vise a conservação do solo contra a erosão hídrica, seguindo a orientação
técnica do excelente trabalho de Bertolini & Lombardi Neto (1994);
5.ª) que o parcelamento de novos imóveis que venham a integrar o PA Zumbi dos Palmares siga esse
mesmo critério de cálculo de parcelas, inclusive com estudo hidrológico;
6.ª) que as parcelas já existentes, fruto de parcelamentos anteriores, quando puderem ter seu perímetro
modificado, sejam remodeladas pelo critério aqui recomendado;
7.ª) que o INCRA não adquira imóveis para assentamento de famílias sem certificar-se através de laudos
técnicos (como o mapa de classes de capacidade de uso do solo e o mercado mesorregional) que eles
se prestam à agricultura familiar, aproximando-se ao máximo da sequência mostrada na Figura 14.
114. São Paulo, INCRA/SR(08), em 17 de setembro de 2012.
DANIEL CARLOS MAIA MARTINS
Técnico de Reforma e Desenvolvimento
Agrário - SIAPE 1550907
WILLIAM GOLDONI MOITINHO
Engenheiro Agrônomo
SIAPE 1222201
EDUARDO AUGUSTO B. FIGUEIREDO ALVES
Engenheiro Agrônomo Coordenador
SIAPE 1472782
Processo INCRA N.º 54190.003488/2012-16. Fls. ________
Relatório à OS 21/2012 – Proposta de método de parcelamento de uma gleba do PA Zumbi dos Palmares, Iaras, SP. Pág. 26 de 46.
VII ─ REFERÊNCIAS
ABRAMOVAY, Ricardo. Paradigmas do capitalismo agrário em questão. São Paulo: Ed. HUCITEC,1992.
AGENDA 21. Rio de Janeiro: Fórum de ONGs, 1992. Disponível em: http://www.ecolnews.com.br/
agenda21/index.htm Acesso em 05 de junho de 2012.
BANCO CENTRAL DO BRASIL. Disponível em: www.bcb.gov.br  Câmbio e Capitais Internacionais  Taxas de
Câmbio  Cotações e Boletins. Acesso em: 06 de junho de 2012.
BERTOLINI, Dorival & LOMBARDI NETO, Francisco. Programa estadual de microbaciais hidrográficas.
Campinas: CATI, Vol. 5., 1994.
BERTONI, J. & LOMBARDI NETO, Francisco. Conservação do solo. São Paulo: Ed. Ícone, 1999.
BESSA JR., Alfredo de Almeida; OLIVEIRA, Marli Dias Mascarenhas; VEIGA FILHO, Alceu de Arruda; FIGUEIREDO,
Gilberto J. B. Custo e rentabilidade na produção do cogumelo “champignon de paris”. Informações
Econômicas, v.26, n.8, ago. 1996. Disponível em: http://www.iea.sp.gov.br/out/verTexto. php?codTexto=1043
Acesso em: 06 de julho de 2012.
BRASIL. Poder Executivo Federal. Ministério do Desenvolvimento Agrário. Instituto Nacional de Colonização e
Reforma Agrária (INCRA). Índices Básicos 2005, 2007. Disponível em: http://www.incra.gov.br/index.php/
estrutura-fundiaria/regularizacao-fundiaria/indices-cadastrais Acesso em: 06 de julho de 2012.
______. Poder Executivo Federal. Ministério do Desenvolvimento Agrário. INCRA. Ordem de Serviço N.º 19/2012.
Brasília: Boletim de Serviço N.º 21, de 21 de maio de 2012.
______. Poder Executivo Federal. Ministério do Desenvolvimento Agrário. INCRA. SIPRA: Relatório de 27 de junho
de 2012.
______. Poder Executivo Federal. Ministério do Desenvolvimento Social. Programa Bolsa-Família. Disponível em:
http://www.mds.gov.br/bolsafamilia Acesso em: 05 de junho de 2012.
_____. Poder Executivo Federal. Presidência da República. Diário Oficial da União, Seção 1, Superintendência
Regional do INCRA em São Paulo, Portaria N.º 55 (cria PA Zumbi dos Palmares). Brasília: Imprensa Nacional,
22 de setembro em 1998.
CAMARGO FILHO, Waldemar Pires de; ALVES, Humberto Sebastião. Produção de cebola no MERCOSUL: aspectos
tecnológicos e integração de mercado no Brasil e na Argentina. Informações Econômicas, v.35, n.5, mai. 2005.
Disponível em: http://www.iea.sp.gov.br/out/publicacoes/pdf/tec1-0505.pdf Acesso em: 06 de julho de 2012.
CECATO, Ulysses; JOBIM, Clóves Cabreira; DO CANTO, Marcos W.; REGO, Fabíola C. Almeida. Pastagens para
produção de leite. Núcleo Pluridisciplinar de Pesquisa e Estudo da Cadeia Produtiva do Leite. Publicação on-
line, 2001. Disponível em: http://www.nupel.uem.br/pos-ppz/pastagens-08-03.pdf Acesso em: 06 de julho de
2012.
CLICK NOTÍCIAS EM ITAIÓPOLIS, em 11/02/2012. Disponível em: http://www.clickriomafra.com.br/portal/noticias/
itaiopolis/?p=3335 Acesso em: 08 de julho de 2012.
DONADELLI, Alceu; KANO, Cristiaini; FERNANDES JÚNIOR, Flávio; FERRARA, Luciano M.; AZEVEDO FILHO,
Joaquim Adelino de. Rentabilidade da cultura do morango no solo e em sistema sem solo em função da estrutura
de sustentação. Pesquisa & Tecnologia, v.8, n.101, dez. 2011. Disponível em: http://www.
aptaregional.sp.gov.br/index.php/component/docman/doc_view/984-rentabilidade-da-cultura-do-morango-no-solo
-e-em-sistema-sem-solo-em-funcao-da-estrutura-de-sustenta?Itemid=275 Acesso em: 06 de julho de 2012.
FARIA, Flaviane Flor de; OLIVEIRA, Julieta Teresa Aier de. Matriz de coeficientes técnicos da cultura do tomate
de mesa: base para cálculos dos custos de produção e colheita. Campinas: UNICAMP-FEAGRI, 2005.
Disponível em: http://www.feagri.unicamp.br/unimac/pdfs/ATT00004.pdf Acesso em: 07 de julho de 2012.
GRAZIANO DA SILVA, José. O novo rural brasileiro. Belo Horizonte: Ed. Nova Economia, 1987.
HORTIFRUTI BRASIL. N.º 95, 2010, pág. 11. Disponível em: http://cepea.esalq.usp.br/hfbrasil/ edicoes/106/full.pdf
IEA. (preços de insumos agrícolas). Disponível em: www.iea.sp.gov.br  Banco de Dados  Preços Agrícolas:
Pagos. Acesso em: 07 de julho de 2012.
Processo INCRA N.º 54190.003488/2012-16. Fls. ________
Relatório à OS 21/2012 – Proposta de método de parcelamento de uma gleba do PA Zumbi dos Palmares, Iaras, SP. Pág. 27 de 46.
___. (preços de produtos agrícolas). Disponível em: www.iea.sp.gov.br  Banco de Dados  Valor da produção:
Valor da Produção. Acesso em: 07 de julho de 2012.
___. (salário de diaristas e volantes). Disponível em: www.iea.sp.gov.br  Banco de Dados  Mão de Obra:
Salários. Acesso em: 07 de julho de 2012.
___. (escritórios de desenvolvimento regional – EDR – e regiões administrativas – RA). Disponível em:
www.iea.sp.gov.br  Banco de Dados  Mapas: EDR e RA. Acesso em: 07 de julho de 2012.
IPEA. (taxas de câmbio). Disponível em: www.ipeadata.gov.br  Séries históricas  Câmbio. Acesso em: 06 de
junho de 2012.
____. (índices de inflação). Disponível em: www.ipeadata.gov.br  Base de Dados: Macroeconômico  Pesquisar:
IGP-DI. Acesso em: 06 de junho de 2012.
KOROLUK SOBRINHO, João; FONSECA, Ricardo Alves da. Análise econômica da produção de ovos de galinhas
poedeiras no município de Toledo, PR. Revista Eletrônica Lato Sensu, n.1, jul. 2007. Disponível em:
http://web03.unicentro.br/especializacao/Revista_Pos/P%C3%A1ginas/2%20Edi%C3%A7%C3%A3o/Aplicadas/P
DF/4-Ed2_CS-Analise.pdf Acesso em: 08 de julho de 2012.
LEI 4504/1964 (Estatuto da Terra). Disponível em: http://www.planalto.gov.br/ccivil_03/leis/L4504.htm Acesso em: 09
de junho de 2012.
LEI 8629/1993 (GUT e GEE). Disponível em: http://www.planalto.gov.br/ccivil_03/leis/lcp/Lcp76.htm Acesso em: 17 de
agosto de 2012.
LEPSCH, Igo Fernando; BELLINAZZI JR., Ricardo. Manual para levantamento utilitário do meio físico e
classificação de terras no sistema de capacidade de uso: 4ª aproximação. Campinas: Sociedade Brasileira
de Ciência do Solo, 1983.
LOPES, Patrick Fernandes; REIS, Ricardo Pereira; YAMAGUCHI, Luiz Carlos Takao. Custos e escala de produção
na pecuária leiteira: estudo nos principais estados produtores do Brasil. Revista de Economia e Sociologia
Rural, v.45, n.3, 2007. Disponível em: http://www.scielo.br/scielo.php?script=sci_arttext&pid=S0103-
20032007000300002&lng=en&nrm=iso&tlng=pt Acesso em: 08 de julho de 2012.
MENDES, Ludmilson Abritta. Análise dos critérios de outorga de direito de usos consuntivos dos recursos
hídricos baseados em vazões mínimas e em vazões de permanência. Dissertação (mestrado). São Paulo:
Universidade de São Paulo – Escola Politécnica, 2007. 187 p.
MIGUEL, Fernando Bergantini; ESPERANCINI, Maura Seiko Tsutsui; OJIMA, Andréa Leda Ramos de Oliveira;
BÁRBARO, Ivana Marino; TICELLI, Marcelo. Análise de rentabilidade das culturas de alface e cenoura em
sistema orgânico de produção no município de Bebedouro, estado de São Paulo, 2006. Informações
Econômicas, v.38, n.5, mai. 2008. Disponível em: ftp://ftp.sp.gov.br/ftpiea/publicacoes/tec5-0508.pdf Acesso em:
06 de julho de 2012.
MONTES, Sônia Maria Nalesso Marangoni; FIRETTI, Ricardo; GOLLA, Amarílis Ros; TARSITANO, Maria Aparecida
Anselmo. Custos e rentabilidade da batata-doce (Ipomea batatas L.) na região oeste do estado de São Paulo:
estudo de caso. Informações Econômicas, v.36, n.4, abr. 2006. Disponível em: ftp://ftp.sp.gov.br/ftpiea/
publicacoes/tec2-0406.pdf Acesso em: 07 de julho de 2012.
MULLER, Siegfried; DURIGAN, Julio Cezar; BANZATTO, David Ariovaldo; KREUZ, Carlos Leomar. Épocas de
consórcio de alho com beterraba perante três manejos do mato sobre a produtividade e o lucro. Pesquisa
Agropecuária Brasileira, v.33, n.8, ago. 1998. Disponível em: http://webnotes.sct.embrapa.br/pab/pab.nsf/
FrAutor  Pesquisar: SIEGFRIED MULLER. Acesso em: 06 de julho de 2012.
OLIVEIRA, João Bertoldo de; CAMARGO, Marcelo Nunes; ROSSI, Márcio; CALDERANO FILHO, Braz. Mapa
pedológico do estado de São Paulo. Campinas: EMBRAPA e IAC, 1999.
OLIVEIRA, Marli Dias Mascarenhas; FACHINI, Cristina; RAMOS JUNIOR, Edison Ulisses; ITO, Márcio Akira. Custo
de produção da cultura do feijão na região sudoeste paulista. Análises e indicadores do agronegócio, v.5, n.7,
jul. 2010. Disponível em: ftp://ftp.sp.gov.br/ftpiea/AIA/AIA-18-2010.pdf Acesso em: 06 de julho de 2012.
PAULA, Débora Pires; TARSITANO, Maria Aparecida Anselmo; GRACIOLLI, Luiz Antônio. Viabilidade econômica do
cultivo de shiitake em diferentes escalas de produção. Scientia Agricola, v.58, n.2, p.431-436, abr./jun. 2001.
Disponível em: http://www.scielo.br/scielo.php?pid=S0103-90162001000200031&script=sci_arttext Acesso em:
08 de julho de 2012.
Processo INCRA N.º 54190.003488/2012-16. Fls. ________
Relatório à OS 21/2012 – Proposta de método de parcelamento de uma gleba do PA Zumbi dos Palmares, Iaras, SP. Pág. 28 de 46.
REZENDE, Bráulio Luciano Alves; CECÍLIO FILHO, Arthur Bernardes; MARTINS, Maria Inez Espagnoli Geraldo;
COSTA, Caciana Cavalcanti; FELTRIM, Anderson Luiz. Viabilidade econômica das culturas de pimentão,
repolho, alface, rabanete e rúcula em cultivo consorciado, na primavera-verão, Jaboticabal, estado de São Paulo.
Informações Econômicas, v.35, n.3, mar. 2005. Disponível em: http://www.iea.sp.gov.br/OUT/publicacoes/pdf/
tec3-0305.pdf Acesso em: 08 de julho de 2012.
SELEGUINI, Alexsander. Híbridos de tomate industrial cultivados em ambiente protegido e campo, visando
produção de frutos para mesa. Ilha Solteira: UNESP, 2005. Dissertação. Disponível em: http://www.feis.
unesp.br/instituicao/administracao/dta/pos-graduacao/agro/dissertacoes2005/seleguini_a_me_ilha.pdf Acesso
em: 08 de julho de 2012.
SILVA, José Roberto da; CHABARIBERY, Denyse. Coeficientes técnicos e custos de produção da mandioca para
mesa na região de Mogi-Mirim, estado de São Paulo. Informações Econômicas, v.36, n.1, jan. 2006. Disponível
em: ftp://ftp.sp.gov.br/ftpiea/publicacoes/tec3-0106.pdf Acesso em: 06 de julho de 2012.
THE ECONOMIST (edição on-line). On the poverty line. Disponível em: http://www.economist.com/node/
11409401?story_ id=11409401&fsrc=RSS Acesso em: 28 de junho de 2012.
TSUNECHIRO, Alfredo; OLIVEIRA, Marli Dias Mascarenhas; FURLANETO, Fernanda de Paiva Badiz; DUARTE,
Aildson Pereira. Anaálise técnica e econômica de sistemas de produção de milho safrinha, região do médio
Paranapanema, estado de São Paulo. 2006. Artigo em Hypertexto. Disponível em: http://www.infobibos.com/
Artigos/2006_3/Safrinha/index.htm Acesso em: 6 de julho de 2012.
YAMAGUCHI, Luiz Carlos Takao; GOMES, Aloizio Teixeira; CARNEIRO, Alziro Vasconcelos. Como calcular a
rentabilidade na atividade leiteira. Instrução técnica para o produtor de leite. Juiz de Fora: EMBRAPA-CNPGL,
março de 2006. Disponível em: http://www.cnpgl.embrapa.br/nova/informacoes/pastprod/textos/21Instrucao.pdf
Acesso em: 06 de julho de 2012.
Processo INCRA N.º 54190.003488/2012-16. Fls. ________
Relatório à OS 21/2012 – Proposta de método de parcelamento de uma gleba do PA Zumbi dos Palmares, Iaras, SP. Pág. 29 de 46.
ANEXO I
ORDEM DE SERVIÇO N.º 19/2012
Processo INCRA N.º 54190.003488/2012-16. Fls. ________
Relatório à OS 21/2012 – Proposta de método de parcelamento de uma gleba do PA Zumbi dos Palmares, Iaras, SP. Pág. 30 de 46.
Processo INCRA N.º 54190.003488/2012-16. Fls. ________
Relatório à OS 21/2012 – Proposta de método de parcelamento de uma gleba do PA Zumbi dos Palmares, Iaras, SP. Pág. 31 de 46.
ANEXO II
PREÇOS (R$) NA MESORREGIÃO DE IARAS ENTRE 2000 E 2011
FONTES:
TABELAS 9 E 10: www.iea.sp.gov.br  Banco de Dados  Pagos (adaptado), em 12 de junho de 2012.
TABELAS 11 A 28: www.iea.sp.gov.br  Banco de Dados  Valor da Produção (adaptado), em 14 de junho de 2012.
Tabela 9. Preço trimestral médio de quatro importantes insumos agrícolas (herbicida “Roundup”, calcário
dolomítico, fertilizante NPK 4-14-8, óleo diesel) e taxa média de câmbio no período 2000-2010.
ANO
HERBIC.
(R$ / LITRO)
TONELADA CALCÁRIO
MÉDIA / ANO (R$)
ADUBO 4-14-8 100 kg
MÉDIA / ANO (R$)
ÓLEO DIESEL
(R$ / LITRO)
TX. MÉDIA CÂMBIO
R$ / US$ 1
2000 12,88 14,00 40,3527 0,61
1,81472000 12,38 16,00 41,2433 0,63
2000 12,1 18,00 40,8873 0,69
2001 11,97 20,00 41,9080 0,70
1,8302
2001 12,14 20,00 45,7073 0,76
2001 12,86 25,00 49,0240 0,77
2001 13,03 25,00 51,1770 0,80
2002 13,17 25,00 49,9477 0,86
2,3504
2002 13,1 25,00 48,8200 0,87
2002 13,58 27,00 55,3107 0,93
2002 13,76 30,00 65,9263 1,03
2003 14,54 30,00 66,5670 1,14
3,0783
2003 16,32 33,00 68,1123 1,45
2003 16,05 33,00 67,4093 1,49
2003 16,45 33,00 70,2980 1,45
2004 16,69 33,00 75,3430 1,43
2,9259
2004 17,14 33,00 82,8063 1,44
2004 17,51 33,00 86,8737 1,44
2004 17,4 33,00 85,0337 1,52
2005 16,55 33,00 80,7157 1,59
2,4352
2005 15,62 33,00 76,1773 1,66
2005 15,84 33,00 72,6410 1,68
2005 15,25 33,00 70,5780 1,72
2006 13,74 33,00 70,1720 1,91
2,1761
2006 13,46 33,00 67,6687 1,92
2006 13,13 30,00 69,3537 1,93
2006 13,02 28,00 70,0400 1,93
2007 15,71 28,00 69,5710 1,92
1,9479
2007 15,83 30,00 77,4933 1,92
2007 16,21 36,00 82,6140 1,93
2007 16,43 39,00 89,9587 1,93
2008 16,59 39,00 100,7927 1,93
1,8346
2008 17,65 42,00 130,1323 1,93
2008 21,28 47,00 146,6353 1,96
2008 23 47,00 142,7720 2,03
2009 23,72 41,00 121,3197 2,05
1,9976
2009 20,89 41,00 106,3727 2,13
2009 19,17 41,00 91,4807 2,14
2009 15,41 41,00 82,7673 2,06
2010 13,08 41,33 84,5730 2,02
1,7603
2010 12,8 45,67 88,3060 2,02
Processo INCRA N.º 54190.003488/2012-16. Fls. ________
Relatório à OS 21/2012 – Proposta de método de parcelamento de uma gleba do PA Zumbi dos Palmares, Iaras, SP. Pág. 32 de 46.
2010 12,6 45,67 90,9227 2,02
Tabela 10. Valor mensal e média trimestral do fertilizante NPK 4-14-8 e do óleo diesel no período 2000-
2011.
TONELADA DE ADUBO NPK 4-14-8 LITRO DE ÓLEO DIESEL
MÊS ANO PREÇO (R$)
PREÇO.
MÉDIO DO
TRIMESTRE
(R$)
MÊS ANO
PREÇO
(R$)
PREÇO.
MÉDIO DO
TRIMESTRE
(R$)
1 2000 390,58 1 2000 0,6
2 2000 392,13 2 2000 0,6
3 2000 388,12 390,276667 3 2000 0,62 0,606667
4 2000 393,41 4 2000 0,63
5 2000 409,93 5 2000 0,63
6 2000 407,24 403,526667 6 2000 0,63 0,63
7 2000 409,09 7 2000 0,67
8 2000 412,5 8 2000 0,7
9 2000 415,71 412,433333 9 2000 0,7 0,69
10 2000 412,97 10 2000 0,7
11 2000 407,44 11 2000 0,7
12 2000 406,21 408,873333 12 2000 0,7 0,7
1 2001 407,66 1 2001 0,74
2 2001 421,89 2 2001 0,77
3 2001 427,69 419,08 3 2001 0,77 0,76
4 2001 439,61 4 2001 0,77
5 2001 462,9 5 2001 0,77
6 2001 468,71 457,073333 6 2001 0,77 0,77
7 2001 471,09 7 2001 0,77
8 2001 501,24 8 2001 0,82
9 2001 498,39 490,24 9 2001 0,82 0,803333
10 2001 515,31 10 2001 0,83
11 2001 511,95 11 2001 0,87
12 2001 508,05 511,77 12 2001 0,87 0,856667
1 2002 504,67 1 2002 0,87
2 2002 503,44 2 2002 0,87
3 2002 490,32 499,476667 3 2002 0,87 0,87
4 2002 490 4 2002 0,9
5 2002 480,14 5 2002 0,94
6 2002 494,46 488,2 6 2002 0,96 0,933333
7 2002 543,22 7 2002 0,98
8 2002 556,49 8 2002 1,04
9 2002 559,61 553,106667 9 2002 1,07 1,03
10 2002 662,25 10 2002 1,07
11 2002 669 11 2002 1,07
12 2002 646,54 659,263333 12 2002 1,27 1,136667
1 2003 654,74 1 2003 1,3
2 2003 662,51 2 2003 1,53
3 2003 679,76 665,67 3 2003 1,52 1,45
4 2003 695,15 4 2003 1,5
5 2003 679,03 5 2003 1,52
6 2003 669,19 681,123333 6 2003 1,46 1,493333
7 2003 673,15 7 2003 1,46
8 2003 673,19 8 2003 1,44
9 2003 675,94 674,093333 9 2003 1,44 1,446667
10 2003 696,17 10 2003 1,44
11 2003 698,02 11 2003 1,42
12 2003 714,75 702,98 12 2003 1,44 1,433333
1 2004 717,92 1 2004 1,43
2 2004 753,26 2 2004 1,44
3 2004 789,11 753,43 3 2004 1,44 1,436667
4 2004 805,58 4 2004 1,43
Processo INCRA N.º 54190.003488/2012-16. Fls. ________
Relatório à OS 21/2012 – Proposta de método de parcelamento de uma gleba do PA Zumbi dos Palmares, Iaras, SP. Pág. 33 de 46.
5 2004 824,41 5 2004 1,44
6 2004 854,2 828,063333 6 2004 1,44 1,436667
7 2004 873,03 7 2004 1,51
8 2004 852,18 8 2004 1,51
9 2004 881 868,736667 9 2004 1,53 1,516667
10 2004 863,76 10 2004 1,53
11 2004 849,58 11 2004 1,58
12 2004 837,67 850,336667 12 2004 1,65 1,586667
1 2005 813,83 1 2005 1,66
2 2005 813,11 2 2005 1,66
3 2005 794,53 807,156667 3 2005 1,66 1,66
4 2005 779,78 4 2005 1,67
5 2005 762,83 5 2005 1,68
6 2005 742,71 761,773333 6 2005 1,68 1,676667
7 2005 734,12 7 2005 1,71
8 2005 723,83 8 2005 1,73
9 2005 721,28 726,41 9 2005 1,73 1,723333
10 2005 707,65 10 2005 1,91
11 2005 706,23 11 2005 1,91
12 2005 703,46 705,78 12 2005 1,91 1,91
1 2006 709,47 1 2006 1,91
2 2006 704,48 2 2006 1,92
3 2006 691,21 701,72 3 2006 1,92 1,916667
4 2006 676,11 4 2006 1,92
5 2006 666,15 5 2006 1,93
6 2006 687,8 676,686667 6 2006 1,93 1,926667
7 2006 689,8 7 2006 1,93
8 2006 687,99 8 2006 1,93
9 2006 702,82 693,536667 9 2006 1,92 1,926667
10 2006 711,44 10 2006 1,92
11 2006 695,29 11 2006 1,92
12 2006 694,47 700,4 12 2006 1,93 1,923333
1 2007 684,96 1 2007 1,92
2 2007 692,03 2 2007 1,92
3 2007 710,14 695,71 3 2007 1,92 1,92
4 2007 748,25 4 2007 1,92
5 2007 776,02 5 2007 1,93
6 2007 800,53 774,933333 6 2007 1,93 1,926667
7 2007 813,76 7 2007 1,93
8 2007 813,58 8 2007 1,93
9 2007 851,08 826,14 9 2007 1,93 1,93
10 2007 885,73 10 2007 1,93
11 2007 895,28 11 2007 1,93
12 2007 917,75 899,586667 12 2007 1,93 1,93
1 2008 982,41 1 2008 1,93
2 2008 1002,27 2 2008 1,93
3 2008 1039,1 1007,92667 3 2008 1,93 1,93
4 2008 1175,09 4 2008 1,93
5 2008 1303,88 5 2008 1,91
6 2008 1425 1301,32333 6 2008 2,03 1,956667
7 2008 1473,28 7 2008 2,03
8 2008 1464,49 8 2008 2,03
9 2008 1461,29 1466,35333 9 2008 2,04 2,033333
10 2008 1501,77 10 2008 2,04
11 2008 1395,88 11 2008 2,04
12 2008 1385,51 1427,72 12 2008 2,08 2,053333
1 2009 1271,02 1 2009 2,11
2 2009 1178,51 2 2009 2,12
3 2009 1190,06 1213,19667 3 2009 2,15 2,126667
4 2009 1115,67 4 2009 2,14
5 2009 1052,39 5 2009 2,15
Processo INCRA N.º 54190.003488/2012-16. Fls. ________
Relatório à OS 21/2012 – Proposta de método de parcelamento de uma gleba do PA Zumbi dos Palmares, Iaras, SP. Pág. 34 de 46.
6 2009 1023,12 1063,72667 6 2009 2,14 2,143333
7 2009 958,09 7 2009 2,15
8 2009 900,24 8 2009 2,01
9 2009 886,09 914,806667 9 2009 2,01 2,056667
10 2009 850,34 10 2009 2,01
11 2009 822,03 11 2009 2,02
12 2009 810,65 827,673333 12 2009 2,02 2,016667
1 2010 810,04 1 2010 2,02
2 2010 854,8 2 2010 2,02
3 2010 872,35 845,73 3 2010 2,02 2,02
4 2010 890,28 4 2010 2,03
5 2010 887,27 5 2010 2,02
6 2010 871,63 883,06 6 2010 2 2,016667
7 2010 898,21 7 2010 2
8 2010 908,9 8 2010 2
9 2010 920,57 909,226667 9 2010 1,99 1,996667
10 2010 948,39 10 2010 2
11 2010 964,85 11 2010 2
12 2010 981,28 964,84 12 2010 2,01 2,003333
1 2011 1010,91 1 2011 2,01
Tabela 11. Valor anual do quilograma da ABÓBORA no período 2000-2011.
Regiao Ano Preço/kg
Inflação % ANO-BASE 2011
(IGP-DI) deflator pço corr.
Avare 2000 0,24
Bauru 2000 0,24
Botucatu 2000 0,24
Ourinhos 2000 0,24 - 2,3980 0,1001
Avare 2001 0,21
Bauru 2001 0,21
Botucatu 2001 0,21
Ourinhos 2001 0,21 10,23 2,1755 0,096531
Avare 2002 0,27
Bauru 2002 0,27
Botucatu 2002 0,27
Ourinhos 2002 0,27 27,66 1,7041 0,1584
Avare 2003 0,26
Bauru 2003 0,26
Botucatu 2003 0,26
Ourinhos 2003 0,26 6,946 1,5934 0,1632
Avare 2004 0,25
Bauru 2004 0,25
Botucatu 2004 0,25
Ourinhos 2004 0,25 11,875 1,4243 0,1755
Bauru 2005 0,27
Botucatu 2005 0,27
Ourinhos 2005 0,27 1,421 1,4043 0,1923
Avare 2006 0,26
Bauru 2006 0,26
Botucatu 2006 0,26
Ourinhos 2006 0,26 3,641 1,3550 0,1919
Avare 2007 0,46
Bauru 2007 0,46
Botucatu 2007 0,46
Ourinhos 2007 0,46 8,192 1,2524 0,3673
Avare 2008 0,49
Bauru 2008 0,49
Botucatu 2008 0,49
Ourinhos 2008 0,49 8,57 1,1536 0,4248
Avare 2009 0,54
Bauru 2009 0,54
Botucatu 2009 0,54
Ourinhos 2009 0,54 -0,941 1,1645 0,4637
Avare 2010 0,74
Processo INCRA N.º 54190.003488/2012-16. Fls. ________
Relatório à OS 21/2012 – Proposta de método de parcelamento de uma gleba do PA Zumbi dos Palmares, Iaras, SP. Pág. 35 de 46.
Bauru 2010 0,74
Botucatu 2010 0,74
Ourinhos 2010 0,74 11,283 1,0464 0,7072
Avare 2011 0,68
Bauru 2011 0,68
Botucatu 2011 0,68
Ourinhos 2011 0,68 4,644 1,0000 0,6800
Preço médio real / kg, ano-base 2011 0,310
Tabela 12. Valor anual do quilograma da ABOBRINHA no período 2000-2011.
Regiao Ano
Preço/
cx. 20 kg
Inflação %
ANO-BASE 2011
Avare 2000 7,53 (IGP-DI) deflator pço corr.
Bauru 2000 7,53
Botucatu 2000 7,53
Ourinhos 2000 7,53 - 2,3980 3,1401
Avare 2001 6,59
Bauru 2001 6,59
Botucatu 2001 6,59
Ourinhos 2001 6,59 10,23 2,1755 3,0292
Avare 2002 7,48
Bauru 2002 7,48
Botucatu 2002 7,48
Ourinhos 2002 7,48 27,66 1,7041 4,3894
Avare 2003 7,67
Bauru 2003 7,67
Botucatu 2003 7,67
Ourinhos 2003 7,67 6,946 1,5934 4,8135
Avare 2004 9,84
Bauru 2004 9,84
Botucatu 2004 9,84
Ourinhos 2004 9,84 11,875 1,4243 6,9087
Avare 2005 8,44
Bauru 2005 8,44
Botucatu 2005 8,44
Ourinhos 2005 8,44 1,421 1,4043 6,0099
Avare 2006 9,36
Bauru 2006 9,36
Botucatu 2006 9,36
Ourinhos 2006 9,36 3,641 1,3550 6,9077
Avare 2007 11,28
Bauru 2007 11,28
Botucatu 2007 11,28
Ourinhos 2007 11,28 8,192 1,2524 9,0066
Avare 2008 9,82
Bauru 2008 9,82
Botucatu 2008 9,82
Ourinhos 2008 9,82 8,57 1,1536 8,5128
Avare 2009 11,02
Bauru 2009 11,02
Botucatu 2009 11,02
Ourinhos 2009 11,02 -0,941 1,1645 9,4632
Avare 2010 13,31
Bauru 2010 13,31
Botucatu 2010 13,31
Ourinhos 2010 13,31 11,283 1,0464 12,7193
Avare 2011 17,51
Bauru 2011 17,51
Botucatu 2011 17,51
Ourinhos 2011 17,51 4,644 1,0000 17,5100
Preço médio real / caixa 20 kg, ano-base 2011 7,701
Preço médio real / kg, ano-base 2011 0,385
Processo INCRA N.º 54190.003488/2012-16. Fls. ________
Relatório à OS 21/2012 – Proposta de método de parcelamento de uma gleba do PA Zumbi dos Palmares, Iaras, SP. Pág. 36 de 46.
Tabela 13. Valor anual do quilograma da ALFACE no período 2000-2011.
Regiao Ano
Preço/
cx. 10 kg
Inflação % ANO-BASE 2011
Avare 2000 5,05 (IGP-DI) deflator pço corr.
Bauru 2000 5,05
Botucatu 2000 5,05
Ourinhos 2000 5,05 - 2,3980 2,1059
Avare 2001 4,4
Bauru 2001 4,4
Botucatu 2001 4,4
Ourinhos 2001 4,4 10,23 2,1755 2,0225
Avare 2002 5,71
Bauru 2002 5,71
Botucatu 2002 5,71
Ourinhos 2002 5,71 27,66 1,7041 3,3507
Bauru 2003 2,89
Botucatu 2003 2,89
Ourinhos 2003 2,89 6,946 1,5934 1,8137
Bauru 2004 6,54
Botucatu 2004 6,54
Ourinhos 2004 6,54 11,875 1,4243 4,5917
Avare 2005 7,28
Bauru 2005 7,28
Botucatu 2005 7,28
Ourinhos 2005 7,28 1,421 1,4043 5,1839
Avare 2006 6,79
Bauru 2006 6,79
Botucatu 2006 6,79
Ourinhos 2006 6,79 3,641 1,3550 5,0110
Avare 2007 8,25
Bauru 2007 8,25
Botucatu 2007 8,25
Ourinhos 2007 8,25 8,192 1,2524 6,5873
Avare 2008 7,33
Bauru 2008 7,33
Botucatu 2008 7,33
Ourinhos 2008 7,33 8,57 1,1536 6,3543
Avare 2009 10,49
Bauru 2009 10,49
Botucatu 2009 10,49
Ourinhos 2009 10,49 -0,941 1,1645 9,0081
Avare 2010 9,11
Bauru 2010 9,11
Botucatu 2010 9,11
Ourinhos 2010 9,11 11,283 1,0464 8,7057
Avare 2011 10,18
Bauru 2011 10,18
Botucatu 2011 10,18
Ourinhos 2011 10,18 4,644 1,0000 10,1800
Preço médio real caixa 10 kg, ano-base 2011 5,410
Preço médio real / kg, ano-base 2011 0,540957
Tabela 14. Valor anual do quilograma da BATATA no período 2000-2011.
Regiao Ano
Preço/
sc. 50 kg
Inflação
%
ANO-BASE 2011
Avare 2000 21,36 (IGP-DI) deflator pço corr.
Botucatu 2000 21,36
Ourinhos 2000 21,36 - 2,3980 8,9073
Processo INCRA N.º 54190.003488/2012-16. Fls. ________
Relatório à OS 21/2012 – Proposta de método de parcelamento de uma gleba do PA Zumbi dos Palmares, Iaras, SP. Pág. 37 de 46.
Avare 2001 32,12
Botucatu 2001 32,12
Ourinhos 2001 32,12 10,23 2,1755 14,7646
Avare 2002 27,79
Botucatu 2002 27,79
Ourinhos 2002 27,79 27,66 1,7041 16,3076
Avare 2003 30,32
Botucatu 2003 30,32
Ourinhos 2003 30,32 6,946 1,5934 19,0281
Avare 2004 31,73
Botucatu 2004 31,73
Ourinhos 2004 31,73 11,875 1,4243 22,2776
Avare 2005 37,26
Botucatu 2005 37,26
Ourinhos 2005 37,26 1,421 1,4043 26,5320
Avare 2006 32,48
Ourinhos 2006 32,48 3,641 1,3550 23,9703
Avare 2007 33,08
Bauru 2007 33,08
Ourinhos 2007 33,08 8,192 1,2524 26,4131
Avare 2008 37,62
Ourinhos 2008 37,62 8,57 1,1536 32,6123
Avare 2009 45,77
Botucatu 2009 45,77
Ourinhos 2009 45,77 -0,941 1,1645 39,3041
Avare 2010 37,68
Botucatu 2010 37,68
Ourinhos 2010 37,68 11,283 1,0464 36,0078
Avare 2011 24,57
Botucatu 2011 24,57
Ourinhos 2011 24,57 4,644 1,0000 24,5700
Preço médio real / saca 50 kg, ano-base 2011 24,225
Preço médio real / kg, ano-base 2011 0,484
Tabela 15. Valor anual do quilograma da BATATA DOCE no período 2000-2011.
Regiao Ano
Preço/
cx. 22 kg
Inflação
%
ANO-BASE 2011
Bauru 2000 7,48 (IGP-DI) deflator pço corr.
Botucatu 2000 7,48
Ourinhos 2000 7,48 - 2,3980 3,1192
Bauru 2001 6,33
Botucatu 2001 6,33
Ourinhos 2001 6,33 10,23 2,1755 2,9097
Bauru 2002 7,96
Botucatu 2002 7,96
Ourinhos 2002 7,96 27,66 1,7041 4,6710
Bauru 2003 9,79
Botucatu 2003 9,79
Ourinhos 2003 9,79 6,946 1,5934 6,1440
Bauru 2004 9,59
Botucatu 2004 9,59
Ourinhos 2004 9,59 11,875 1,4243 6,7331
Bauru 2005 7,56
Botucatu 2005 7,56
Ourinhos 2005 7,56 1,421 1,4043 5,3833
Bauru 2006 6,77
Botucatu 2006 6,77
Ourinhos 2006 6,77 3,641 1,3550 4,9963
Bauru 2007 9,88
Botucatu 2007 9,88
Ourinhos 2007 9,88 8,192 1,2524 7,8888
Processo INCRA N.º 54190.003488/2012-16. Fls. ________
Relatório à OS 21/2012 – Proposta de método de parcelamento de uma gleba do PA Zumbi dos Palmares, Iaras, SP. Pág. 38 de 46.
Bauru 2008 7,57
Botucatu 2008 7,57
Ourinhos 2008 7,57 8,57 1,1536 6,5623
Bauru 2009 9,43
Botucatu 2009 9,43 -0,941 1,1645 8,0978
Avare 2010 11,35
Bauru 2010 11,35
Botucatu 2010 11,35
Ourinhos 2010 11,35 11,283 1,0464 10,8463
Avare 2011 14,54
Bauru 2011 14,54
Botucatu 2011 14,54
Ourinhos 2011 14,54 4,644 1,0000 14,5400
Preço médio real / caixa 22 kg, ano-base 2011 6,824
Preço médio real / kg, ano-base 2011 0,284
Tabela 16. Valor anual do quilograma da BETERRABA no período 2000-2011.
Regiao Ano
Preço/
cx. 21 kg
Inflação
%
ANO-BASE 2011
Avare 2000 5,18 (IGP-DI) deflator pço corr.
Bauru 2000 5,18
Botucatu 2000 5,18
Ourinhos 2000 5,18 - 2,3980 2,1601
Avare 2001 4,91
Botucatu 2001 4,91
Ourinhos 2001 4,91 10,23 2,1755 2,2570
Botucatu 2002 6,13
Ourinhos 2002 6,13 27,66 1,7041 3,5972
Botucatu 2003 4,66
Ourinhos 2003 4,66 6,946 1,5934 2,9245
Botucatu 2004 8,58
Ourinhos 2004 8,58 11,875 1,4243 6,0240
Botucatu 2005 10,05
Ourinhos 2005 10,05 1,421 1,4043 7,1564
Botucatu 2006 7,77
Ourinhos 2006 7,77 3,641 1,3550 5,7343
Botucatu 2007 12,7
Ourinhos 2007 12,7 8,192 1,2524 10,1404
Botucatu 2008 10,75
Ourinhos 2008 10,75 8,57 1,1536 9,3190
Botucatu 2009 12,45
Ourinhos 2009 12,45 -0,941 1,1645 10,6912
Botucatu 2010 13,26
Ourinhos 2010 13,26 11,283 1,0464 12,6715
Avare 2011 15,07
Botucatu 2011 15,07
Ourinhos 2011 15,07 4,644 1,0000 15,0700
Preço médio real / caixa 21 kg, ano-base 2011 7,312
Preço médio real / kg, ano-base 2011 0,348
Tabela 17. Valor anual do quilograma da CEBOLA no período 2009-2011.
Regiao Ano Preço/kg
Inflação
% ANO-BASE 2011
(IGP-DI) deflator pço corr.
Avare 2009 0,91 -0,941 1,1645 0,7814
Botucatu 2010 0,6 11,283 1,0464 0,5734
Botucatu 2011 0,48 4,644 1,0000 0,4800
Processo INCRA N.º 54190.003488/2012-16. Fls. ________
Relatório à OS 21/2012 – Proposta de método de parcelamento de uma gleba do PA Zumbi dos Palmares, Iaras, SP. Pág. 39 de 46.
Preço médio real / kg, ano-base 2011 0,6116
Obs.: 2000 a 2008 sem dados.
Tabela 18. Valor anual do quilograma da CENOURA no período 2000-2011.
Regiao Ano
Preço/
cx. 22kg ANO-BASE 2011
Avare 2000 7,96 (IGP-DI) deflator pço corr.
Bauru 2000 7,96
Botucatu 2000 7,96
Ourinhos 2000 7,96 - 2,3980 0,1509
Avare 2001 6,59
Botucatu 2001 6,59
Ourinhos 2001 6,59 10,23 2,1755 0,1377
Avare 2002 9,5
Botucatu 2002 9,5
Ourinhos 2002 9,5 27,66 1,7041 0,2534
Avare 2003 8,79
Botucatu 2003 8,79
Ourinhos 2003 8,79 6,946 1,5934 0,2507
Avare 2004 13,81
Botucatu 2004 13,81
Ourinhos 2004 13,81 11,875 1,4243 0,4407
De 2005 em diante, preço/kg
Botucatu 2005 0,65
Ourinhos 2005 0,65 1,421 1,4043 0,4628
Botucatu 2006 0,7
Ourinhos 2006 0,7 3,641 1,3550 0,5166
Botucatu 2007 0,76
Ourinhos 2007 0,76 8,192 1,2524 0,6068
Botucatu 2008 0,76
Ourinhos 2008 0,76 8,57 1,1536 0,6588
Botucatu 2009 0,91
Ourinhos 2009 0,91 -0,941 1,1645 0,7814
Botucatu 2010 0,93
Ourinhos 2010 0,93 11,283 1,0464 0,8887
Avare 2011 0,98
Botucatu 2011 0,98
Ourinhos 2011 0,98 4,644 1,0000 0,9800
Preço médio real / kg, ano-base 2011 0,5110
Tabela 19. Valor anual do quilograma do FEIJÃO no período 2000-2011.
Regiao Ano
Preço/
sc. 60 kg
Inflação %
ANO-BASE 2011
Avare 2000 39,83 (IGP-DI) deflator pço corr.
Bauru 2000 39,83
Botucatu 2000 39,83
Ourinhos 2000 39,83 - 2,3980 16,6095
Avare 2001 54,57
Bauru 2001 54,57
Botucatu 2001 54,57
Ourinhos 2001 54,57 10,23 2,1755 25,0842
Avare 2002 68,26
Bauru 2002 68,26
Botucatu 2002 68,26
Ourinhos 2002 68,26 27,66 1,7041 40,0560
Avare 2003 85,81
Bauru 2003 85,81
Botucatu 2003 85,81
Processo INCRA N.º 54190.003488/2012-16. Fls. ________
Relatório à OS 21/2012 – Proposta de método de parcelamento de uma gleba do PA Zumbi dos Palmares, Iaras, SP. Pág. 40 de 46.
Ourinhos 2003 85,81 6,946 1,5934 53,8522
Avare 2004 71,56
Bauru 2004 71,56
Botucatu 2004 71,56
Ourinhos 2004 71,56 11,875 1,4243 50,2422
Avare 2005 80,71
Bauru 2005 80,71
Botucatu 2005 80,71
Ourinhos 2005 80,71 1,421 1,4043 57,4717
Avare 2006 71,81
Bauru 2006 71,81
Botucatu 2006 71,81
Ourinhos 2006 71,81 3,641 1,3550 52,9960
Avare 2007 93,96
Bauru 2007 93,96
Botucatu 2007 93,96
Ourinhos 2007 93,96 8,192 1,2524 75,0233
Avare 2008 160,17
Bauru 2008 160,17
Botucatu 2008 160,17
Ourinhos 2008 160,17 8,57 1,1536 138,8494
Avare 2009 82,46
Bauru 2009 82,46
Botucatu 2009 82,46
Ourinhos 2009 82,46 -0,941 1,1645 70,8109
Avare 2010 108,15
Bauru 2010 108,15
Botucatu 2010 108,15
Ourinhos 2010 108,15 11,283 1,0464 103,3504
Avare 2011 96,11
Bauru 2011 96,11
Botucatu 2011 96,11
Ourinhos 2011 96,11 4,644 1,0000 96,1100
Preço médio real / saca 60 kg, ano-base 2011 65,038
Preço médio real / kg, ano-base 2011 1,084
Tabela 20. Valor anual do litro do LEITE C no período 2000-2011.
Regiao Ano Preço/l Inflação % ANO-BASE 2011
Avare 2000 0,32 (IGP-DI) deflator pço corr.
Bauru 2000 0,32
Botucatu 2000 0,32
Ourinhos 2000 0,32 - 2,3980 0,1334
Avare 2001 0,3
Bauru 2001 0,3
Botucatu 2001 0,3
Ourinhos 2001 0,3 10,23 2,1755 0,1379
Avare 2002 0,33
Bauru 2002 0,33
Botucatu 2002 0,33
Ourinhos 2002 0,33 27,66 1,7041 0,1936
Avare 2003 0,44
Bauru 2003 0,44
Botucatu 2003 0,44
Ourinhos 2003 0,44 6,946 1,5934 0,2761
Avare 2004 0,47
Bauru 2004 0,47
Botucatu 2004 0,47
Ourinhos 2004 0,47 11,875 1,4243 0,3300
Avare 2005 0,49
Bauru 2005 0,49
Botucatu 2005 0,49
Ourinhos 2005 0,49 1,421 1,4043 0,3489
Avare 2006 0,45
Bauru 2006 0,45
Processo INCRA N.º 54190.003488/2012-16. Fls. ________
Relatório à OS 21/2012 – Proposta de método de parcelamento de uma gleba do PA Zumbi dos Palmares, Iaras, SP. Pág. 41 de 46.
Botucatu 2006 0,45
Ourinhos 2006 0,45 3,641 1,3550 0,3321
Avare 2007 0,58
Bauru 2007 0,58
Botucatu 2007 0,58
Ourinhos 2007 0,58 8,192 1,2524 0,4631
Avare 2008 0,65
Bauru 2008 0,65
Botucatu 2008 0,65
Ourinhos 2008 0,65 8,57 1,1536 0,5635
Avare 2009 0,66
Bauru 2009 0,66
Botucatu 2009 0,66
Ourinhos 2009 0,66 -0,941 1,1645 0,5668
Avare 2010 0,74
Bauru 2010 0,74
Botucatu 2010 0,74
Ourinhos 2010 0,74 11,283 1,0464 0,7072
Avare 2011 0,78
Bauru 2011 0,78
Botucatu 2011 0,78
Ourinhos 2011 0,78 4,644 1,0000 0,7800
Preço médio real / litro, ano-base 2011 0,403
Tabela 21. Valor anual da tonelada da MANDIOCA DE MESA no período 2000-2011.
Regiao Ano
Preço/
cx. 23 kg
Inflação % ANO-BASE 2011
Avare 2000 5,77 (IGP-DI) deflator pço corr.
Bauru 2000 5,77
Botucatu 2000 5,77
Ourinhos 2000 5,77 - 2,3980 2,4061
Avare 2001 5,6
Bauru 2001 5,6
Botucatu 2001 5,6
Ourinhos 2001 5,6 10,23 2,1755 2,5742
Avare 2002 5,77
Bauru 2002 5,77
Botucatu 2002 5,77
Ourinhos 2002 5,77 27,66 1,7041 3,3859
Avare 2003 7,53
Bauru 2003 7,53
Botucatu 2003 7,53
Ourinhos 2003 7,53 6,946 1,5934 4,7256
Avare 2004 8,86
Bauru 2004 8,86
Botucatu 2004 8,86
Ourinhos 2004 8,86 11,875 1,4243 6,2206
Avare 2005 8,39
Bauru 2005 8,39
Botucatu 2005 8,39 1,421 1,4043 5,9743
Avare 2006 5,78
Bauru 2006 5,78
Botucatu 2006 5,78 3,641 1,3550 4,2657
Avare 2007 7,65
Bauru 2007 7,65
Botucatu 2007 7,65 8,192 1,2524 6,1082
Avare 2008 11,52
Bauru 2008 11,52
Botucatu 2008 11,52 8,57 1,1536 9,9865
Avare 2009 9,21
Bauru 2009 9,21
Botucatu 2009 9,21 -0,941 1,1645 7,9089
Avare 2010 7,1
Processo INCRA N.º 54190.003488/2012-16. Fls. ________
Relatório à OS 21/2012 – Proposta de método de parcelamento de uma gleba do PA Zumbi dos Palmares, Iaras, SP. Pág. 42 de 46.
Bauru 2010 7,1
Botucatu 2010 7,1
Ourinhos 2010 7,1 11,283 1,0464 6,7849
Avare 2011 11,18
Bauru 2011 11,18
Botucatu 2011 11,18
Ourinhos 2011 11,18 4,644 1,0000 11,1800
Preço médio real / caixa 23 kg, ano-base 2011 5,960
Preço médio real / tonelada, ano-base 2011 259,134
Tabela 22. Valor anual da tonelada do MILHO no período 2000-2011.
Regiao Ano
Preço/
sc. 60 kg
Inflação %
ANO-BASE 2011
Avare 2000 12,82 (IGP-DI) deflator pço corr.
Bauru 2000 12,82
Botucatu 2000 12,82
Ourinhos 2000 12,82 - 2,3980 5,3461
Avare 2001 9,53
Bauru 2001 9,53
Botucatu 2001 9,53
Ourinhos 2001 9,53 10,23 2,1755 4,3807
Avare 2002 16,07
Bauru 2002 16,07
Botucatu 2002 16,07
Ourinhos 2002 16,07 27,66 1,7041 9,4301
Avare 2003 18,95
Bauru 2003 18,95
Botucatu 2003 18,95
Ourinhos 2003 18,95 6,946 1,5934 11,8925
Avare 2004 17,43
Bauru 2004 17,43
Botucatu 2004 17,43
Ourinhos 2004 17,43 11,875 1,4243 12,2376
Avare 2005 16,67
Bauru 2005 16,67
Botucatu 2005 16,67
Ourinhos 2005 16,67 1,421 1,4043 11,8703
Avare 2006 15,43
Bauru 2006 15,43
Botucatu 2006 15,43
Ourinhos 2006 15,43 3,641 1,3550 11,3874
Avare 2007 21,42
Bauru 2007 21,42
Botucatu 2007 21,42
Ourinhos 2007 21,42 8,192 1,2524 17,1030
Avare 2008 24,01
Bauru 2008 24,01
Botucatu 2008 24,01
Ourinhos 2008 24,01 8,57 1,1536 20,8140
Avare 2009 18,77
Bauru 2009 18,77
Botucatu 2009 18,77
Ourinhos 2009 18,77 -0,941 1,1645 16,1184
Avare 2010 17,6
Bauru 2010 17,6
Botucatu 2010 17,6
Ourinhos 2010 17,6 11,283 1,0464 16,8189
Avare 2011 25,99
Bauru 2011 25,99
Botucatu 2011 25,99
Ourinhos 2011 25,99 4,644 1,0000 25,9900
Preço médio real / saca 60 kg, ano-base 2011 13,616
Preço médio real / tonelada, ano-base 2011 226,929
Processo INCRA N.º 54190.003488/2012-16. Fls. ________
Relatório à OS 21/2012 – Proposta de método de parcelamento de uma gleba do PA Zumbi dos Palmares, Iaras, SP. Pág. 43 de 46.
Tabela 23. Valor anual do quilograma do MORANGO no período 2005-2011.
Regiao Ano
Preço/
cx. 3 kg
Inflação % ANO-BASE 2011
(IGP-DI) deflator pço corr.
Botucatu 2005 6,61 1,421 1,4043 4,7068
Botucatu 2006 6,23 3,641 1,3550 4,5978
Botucatu 2007 5,52 8,192 1,2524 4,4075
Botucatu 2008 5,82 8,57 1,1536 5,0453
Botucatu 2009 6,41 -0,941 1,1645 5,5045
Botucatu 2010 10,53 11,283 1,0464 10,0627
Botucatu 2011 8,85 4,644 1,0000 8,8500
Preço médio real / caixa 3 kg, ano-base 2011 6,168
Preço médio real / kg, ano-base 2011 2,056
Obs.: 2000 a 2004 sem dados.
Tabela 24. Valor anual da dúzia de OVO no período 2000-2011.
Regiao Ano
Preço/cx.
360 ovos
Inflação
%
ANO-BASE 2011
Avare 2000 20,34 (IGP-DI) deflator pço corr.
Bauru 2000 20,34
Botucatu 2000 20,34
Ourinhos 2000 20,34 - 2,3980 8,4820
Avare 2001 22,21
Bauru 2001 22,21
Botucatu 2001 22,21
Ourinhos 2001 22,21 10,23 2,1755 10,2093
Avare 2002 25,79
Bauru 2002 25,79
Botucatu 2002 25,79
Ourinhos 2002 25,79 27,66 1,7041 15,1339
Avare 2003 38,75
Bauru 2003 38,75
Botucatu 2003 38,75
Ourinhos 2003 38,75 6,946 1,5934 24,3185
Avare 2004 34,97
Bauru 2004 34,97
Botucatu 2004 34,97 11,875 1,4243 24,5524
Avare 2005 33,94
Bauru 2005 33,94
Botucatu 2005 33,94
Ourinhos 2005 33,94 1,421 1,4043 24,1679
Avare 2006 27,62
Bauru 2006 27,62
Botucatu 2006 27,62
Ourinhos 2006 27,62 3,641 1,3550 20,3836
Avare 2007 37,01
Bauru 2007 37,01
Botucatu 2007 37,01
Ourinhos 2007 37,01 8,192 1,2524 29,5510
Avare 2008 42,52
Bauru 2008 42,52
Botucatu 2008 42,52
Ourinhos 2008 42,52 8,57 1,1536 36,8601
Avare 2009 38,21
Bauru 2009 38,21
Botucatu 2009 38,21
Ourinhos 2009 38,21 -0,941 1,1645 32,8121
Avare 2010 36,99
Bauru 2010 36,99
Botucatu 2010 36,99
Ourinhos 2010 36,99 11,283 1,0464 35,3484
Avare 2011 44,13
Bauru 2011 44,13
Botucatu 2011 44,13
Ourinhos 2011 44,13 4,644 1,0000 44,1300
Preço médio real / caixa 360 ovos, ano-base 2011 25,496
Preço médio real / dúzia, ano-base 2011 0,850
Processo INCRA N.º 54190.003488/2012-16. Fls. ________
Relatório à OS 21/2012 – Proposta de método de parcelamento de uma gleba do PA Zumbi dos Palmares, Iaras, SP. Pág. 44 de 46.
Tabela 25. Valor anual do quilograma do PIMENTÃO no período 2000-2011.
Regiao Ano
Preço/
cx. 11 kg
Inflação % ANO-BASE 2011
Avare 2000 2,72 (IGP-DI) deflator pço corr.
Bauru 2000 2,72
Botucatu 2000 2,72
Ourinhos 2000 2,72 - 2,3980 1,1343
Avare 2001 3,71
Bauru 2001 3,71
Botucatu 2001 3,71
Ourinhos 2001 3,71 10,23 2,1755 1,7054
Avare 2002 5,55
Bauru 2002 5,55
Botucatu 2002 5,55
Ourinhos 2002 5,55 27,66 1,7041 3,2568
Avare 2003 4,08
Bauru 2003 4,08
Botucatu 2003 4,08
Ourinhos 2003 4,08 6,946 1,5934 2,5605
Avare 2004 6,03
Bauru 2004 6,03
Botucatu 2004 6,03
Ourinhos 2004 6,03 11,875 1,4243 4,2337
Avare 2005 7,57
Bauru 2005 7,57
Botucatu 2005 7,57
Ourinhos 2005 7,57 1,421 1,4043 5,3904
Avare 2006 6,78
Bauru 2006 6,78
Botucatu 2006 6,78
Ourinhos 2006 6,78 3,641 1,3550 5,0037
Avare 2007 9,81
Bauru 2007 9,81
Botucatu 2007 9,81
Ourinhos 2007 9,81 8,192 1,2524 7,8329
Avare 2008 6,02
Bauru 2008 6,02
Botucatu 2008 6,02
Ourinhos 2008 6,02 8,57 1,1536 5,2187
Avare 2009 6,65
Bauru 2009 6,65
Botucatu 2009 6,65
Ourinhos 2009 6,65 -0,941 1,1645 5,7106
Avare 2010 7,53
Bauru 2010 7,53
Botucatu 2010 7,53
Ourinhos 2010 7,53 11,283 1,0464 7,1958
Avare 2011 11,4
Bauru 2011 11,4
Botucatu 2011 11,4
Ourinhos 2011 11,4 4,644 1,0000 11,4000
Preço médio real / caixa 11 kg, ano-base 2011 5,054
Preço médio real / kg, ano-base 2011 0,459
Tabela 26. Valor anual do quilograma do REPOLHO no período 2000-2011.
Regiao Ano
Preço/
sc. 25 kg
Inflação
%
ANO-BASE 2011
Avare 2000 3,69 (IGP-DI) deflator pço corr.
Bauru 2000 3,69
Botucatu 2000 3,69 - 2,3980 1,5388
Avare 2001 3,51
Bauru 2001 3,51
Botucatu 2001 3,51 10,23 2,1755 1,6134
Bauru 2002 5,26
Processo INCRA N.º 54190.003488/2012-16. Fls. ________
Relatório à OS 21/2012 – Proposta de método de parcelamento de uma gleba do PA Zumbi dos Palmares, Iaras, SP. Pág. 45 de 46.
Botucatu 2002 5,26 27,66 1,7041 3,0866
Botucatu 2003 4,63
Ourinhos 2003 4,63 6,946 1,5934 2,9057
Botucatu 2004 7,18
Ourinhos 2004 7,18 11,875 1,4243 5,0411
Botucatu 2005 5,43
Ourinhos 2005 5,43 1,421 1,4043 3,8666
Botucatu 2006 4,48
Ourinhos 2006 4,48 3,641 1,3550 3,3063
Botucatu 2007 8,7
Ourinhos 2007 8,7 8,192 1,2524 6,9466
Botucatu 2008 5,73
Ourinhos 2008 5,73 8,57 1,1536 4,9673
Botucatu 2009 7,14
Ourinhos 2009 7,14 -0,941 1,1645 6,1313
Botucatu 2010 8,01
Ourinhos 2010 8,01 11,283 1,0464 7,6545
Avare 2011 6,63
Botucatu 2011 6,63
Ourinhos 2011 6,63 4,644 1,0000 6,6300
Preço médio real / caixa 25 kg, ano-base 2011 4,474
Preço médio real / kg, ano-base 2011 0,179
Tabela 27. Valor anual do quilograma do TOMATE PARA INDÚSTRIA no período 2000-2011.
Regiao Ano
Preço/
kg
Inflação
% IGP-DI
ANO-BASE
2011
preço
corr.
deflator
Bauru 2000 0,09 - 2,3980 0,037530876
Bauru 2001 0,08 10,23 2,1755 0,036773586
Bauru 2002 0,10 27,66 1,7041 0,05868145
Bauru 2003 0,13 6,946 1,5934 0,081584703
s/ dados 2004 s/ dados 11,875 1,4243 -
s/ dados 2005 s/ dados 1,421 1,4043 -
s/ dados 2006 s/ dados 3,641 1,3550 -
s/ dados 2007 s/ dados 8,192 1,2524 -
Bauru 2008 0,23 8,57 1,1536 0,1993842
Bauru 2009 0,24 -0,941 1,1645 0,206095298
s/ dados 2010 s/ dados 11,283 1,0464 -
Avare 2011 0,16
Bauru 2011 0,16 4,644 1,0000 0,16
Preço médio real / kg, ano-base 2011 0,1114
Preço médio real / tonelada, ano-base 2011 111,436
Tabela 28. Valor anual do quilograma do TOMATE PARA MESA no período 2000-2011.
Regiao Ano
Preço/
cx. 25 kg
Inflação
% ANO-BASE 2011
(IGP-DI) deflator pço corr.
Avare 2000 14,5
Bauru 2000 14,5
Botucatu 2000 14,5
Ourinhos 2000 14,5 - 2,3980 6,0466
Avare 2001 14,19
Bauru 2001 14,19
Botucatu 2001 14,19
Ourinhos 2001 14,19 10,23 2,1755 6,5227
Avare 2002 16,37
Bauru 2002 16,37
Botucatu 2002 16,37
Ourinhos 2002 16,37 27,66 1,7041 9,6062
Avare 2003 18,26
Bauru 2003 18,26
Botucatu 2003 18,26
Processo INCRA N.º 54190.003488/2012-16. Fls. ________
Relatório à OS 21/2012 – Proposta de método de parcelamento de uma gleba do PA Zumbi dos Palmares, Iaras, SP. Pág. 46 de 46.
Ourinhos 2003 18,26 6,946 1,5934 11,4595
Avare 2004 23,38
Bauru 2004 23,38
Botucatu 2004 23,38
Ourinhos 2004 23,38 11,875 1,4243 16,4151
Avare 2005 23,31
Bauru 2005 23,31
Botucatu 2005 23,31
Ourinhos 2005 23,31 1,421 1,4043 16,5985
Avare 2006 20,97
Bauru 2006 20,97
Botucatu 2006 20,97
Ourinhos 2006 20,97 3,641 1,3550 15,4759
Avare 2007 23,33
Bauru 2007 23,33
Botucatu 2007 23,33
Ourinhos 2007 23,33 8,192 1,2524 18,6281
Avare 2008 27,48
Bauru 2008 27,48
Botucatu 2008 27,48
Ourinhos 2008 27,48 8,57 1,1536 23,8221
Avare 2009 28,18
Bauru 2009 28,18
Botucatu 2009 28,18
Ourinhos 2009 28,18 -0,941 1,1645 24,1990
Avare 2010 20,02
Bauru 2010 20,02
Botucatu 2010 20,02
Ourinhos 2010 20,02 11,283 1,0464 19,1315
Avare 2011 30,37
Bauru 2011 30,37
Botucatu 2011 30,37
Ourinhos 2011 30,37 4,644 1,0000 30,3700
Preço médio real / caixa 25 kg, ano-base 2011 16,523
Preço médio real / kg, ano-base 2011 0,6609

Proposta parcelamento de nova gleba do PA Zumbi dos Palmares, Iaras, SP (INCRA-SP, 2012)

  • 1.
    MINISTÉRIO DO DESENVOLVIMENTOAGRÁRIO INSTITUTO NACIONAL DE COLONIZAÇÃO E REFORMA AGRÁRIA SUPERINTENDÊNCIA REGIONAL EM SÃO PAULO Rua Dr. Brasílio Machado, 203 – 6.° andar São Paulo, SP CEP 01230-906 Fone (11) 3823-8560 Fls. ________ Daniel Carlos Maia Martins 1 Eduardo Augusto Barbosa Figueiredo Alves 2 William Goldoni Moitinho 3 I ─ INTRODUÇÃO 1. Trata-se de proposta de parcelamento de uma gleba do Projeto de Assentamento (PA) Zumbi dos Palmares, município de Iaras, SP, código SIPRA SP0075000, nesta data com 371 famílias beneficiárias e 8001,2634 ha.4 A Portaria N.º 55, de criação do PA, foi publicada no Diário Oficial da União de 22 de setembro em 1998. Três retificações foram feitas acrescentando novos imóveis e aumentando a quantidade de beneficiários, chegando aos números atuais. Os atos formais desses momentos constam das folhas anteriores destes autos. 2. O presente trabalho atende à determinação expressa na Ordem de Serviço N.º 19/2012, publicada no Boletim de Serviço N.º 21, de 21 de maio de 2012, emitida pelo Sr. Superintendente Regional, que estabelece equipe para apresentar projeto de parcelamento de uma nova gleba incorporada ao PA, bem como ajustes às exigências das normas de proteção ambiental. O prazo de entrega da tarefa foi alvo de pedido de prorrogação, a ser oficializado por nova ordem de serviço retificadora. 3. A Ordem de Serviço 19 atende à recomendação da Procuradoria da República em Ourinhos, SP, do Ministério Público Federal (MP), de que o INCRA proceda ao parcelamento do PA Zumbi dos Palmares servindo-se de critério técnico, uma vez que os parcelamentos das glebas existentes no PA não têm estudo técnico que os justifique. O Ministério Público também recomenda que o critério técnico encontre um módulo (tamanho da parcela) de até 4,5 alqueires. O presente estudo usou dados e cálculos com a exatidão e confiabilidade requeridas pelas ciências agronômica e econômica. Por isso mesmo, não teve a preocupação de fazer os valores se aproximarem daquela cifra fixada nem de qualquer outra, aceitando apenas o que os cálculos demonstraram. Para prosseguir nessa imparcialidade, o estudo evitou elementos subjetivos. Logo, quem se dispuser a refazer os cálculos chegará aos mesmos números. As várias recomendações do MP estão apostas nas folhas anteriores destes autos. 4. Fazem parte deste relatório: Anexo I: cópia da Ordem de Serviço; Anexo II: tabelas 9 a 28. II ─ OBJETIVOS E PRINCÍPIOS DO PARCELAMENTO 5. Antes de apresentarmos dados e cálculos, convém esclarecer os objetivos principais deste estudo de proposta de parcelamento: * Documento integrante do Processo INCRA N.º 54190.003488/2012-16; Interessado: Superintendência Regional do INCRA de São Paulo; Assunto: Parcelamento do restante da Fazenda Capivara para conclusão do PA Zumbi dos Palmares – Iaras/SP. 1 Técnico em Reforma e Desenvolvimento Agrário, INCRA-SP. 2 Engenheiro Agrônomo Coordenador da OS, INCRA-SP. 3 Engenheiro Agrônomo, INCRA-SP. 4 Relatório SIPRA de 27 de junho de 2012. FOLHAS NUMERADAS E ASSINADAS NOS AUTOS ORIGINAIS
  • 2.
    Processo INCRA N.º54190.003488/2012-16. Fls. ________ Relatório à OS 21/2012 – Proposta de método de parcelamento de uma gleba do PA Zumbi dos Palmares, Iaras, SP. Pág. 2 de 46. a) sócio-econômico: dimensionar parcelas que permitam o estabelecimento e desenvolvimento de uma família independente de outras fontes de renda; b) ambiental: estabelecer um traçado de estradas e parcelas que permita, simultaneamente, a conservação do solo, dos mananciais e dos fragmentos florestais. 6. Três princípios para atingir aqueles objetivos permeiam este trabalho: a) a atividade agropecuária deve permitir o desenvolvimento econômico: embora haja muitas vezes a opção pessoal do agricultor em manter-se alheio à ao sistema econômico, a maioria dos assentados no estado de São Paulo prefere realizar-se material e culturalmente através da integração ao mercado, buscando crescentes remuneração e nível de consumo. Definida desde a edição do Estatuto da Terra (Lei 4504/1964), e reiterado por numerosos diplomas posteriores, a oferta de condições para o progresso econômico nas áreas de Reforma Agrária é princípio elementar, impossível de ser flexibilizado. Portanto, se é escolha pessoal do agricultor seu nível de integração ao mercado, deve ser inflexível a escolha do Poder Público de oferecer as melhores oportunidades para a realização econômica da empresa familiar rural. É a Lei 8.629/93 que determina essa potencialidade econômica da parcela (negrito nosso): “Propriedade familiar é o imóvel explorado direta e pessoalmente pelo proprietário e sua família, a qual absorve toda a força de trabalho, garantindo-lhes a subsistência e o progresso social e econômico. É minifúndio a propriedade de tamanho inferior à propriedade familiar.” b) desenvolvimento rural e preservação ambiental devem ser indissociáveis: asseguram o mesmo Estatuto da Terra, em seu Artigo 2.º e suas regulamentações, que a propriedade rural cumpre sua função social quando atende simultaneamente às condições produtivas, trabalhistas e ambientais. É, portanto, exigência inegociável o atendimento das normas ambientais e das melhores escolhas técnicas de planejamento e de condução das parcelas, estradas e áreas de proteção de flora e fauna nativas. De muitos documentos que podem ser citados, a Agenda 21 é uma das mais importantes diretrizes para as regiões rurais subdesenvolvidas dos países do Terceiro Mundo, produzida na Conferência das Nações Unidas sobre Meio Ambiente e Desenvolvimento de 1992 (a “Rio-92” ou “Eco-92”). A Agenda 21 defende, especialmente em seu capítulo 14, Fomento da agricultura e do desenvolvimento rural sustentável,5 a necessidade do desenvolvimento rural estar casado com a conservação dos recursos ambientais, como ressalta este extrato do parágrafo 14.3 (negrito nosso): “Para assegurar o sustento de uma população em expansão é preciso dar prioridade à manutenção e aperfeiçoamento da capacidade das terras agrícolas de maior potencial. No entanto a conservação e a reabilitação dos recursos naturais das terras com menor potencial, com o objetivo de manter uma razão homem/terra sustentável, também são necessárias. Os principais instrumentos do desenvolvimento rural e agrícola sustentável são a reforma da política agrícola, a reforma agrária, a participação, a diversificação dos rendimentos, a conservação da terra e um melhor manejo dos insumos.” c) a Ciência Econômica, as Ciências Agrárias e a Lei são as melhores ferramentas para diagnosticar e planejar a parcela: as estatísticas que apontam o funcionamento do mercado, fluxos migratórios, atividades econômica, agrícola, pecuária, florestal, comercial e industrial, assim como índices de desenvolvimento, produtividade, rendimento, inflação, capacidade de produção e outras variáveis mensuráveis são os dados mais seguros de que se dispõe para fazer o planejamento de uma atividade comercial. Não usaremos, por isso, dados genéricos e imprecisos quando dispusermos de dados exatos. Neste estudo damos preferência aos dados de fontes de confiabilidade amplamente aceita para embasar nossas afirmações e propostas. As estatísticas e os dados científicos de instituições como ONU, Banco Mundial, Instituto de Pesquisa Econômica Aplicada (IPEA), Instituto de Economia Agrícola (IEA) e trabalhos de pesquisadores são as nossas referências. Para que as propostas aqui apresentadas acompanhem esse padrão de confiabilidade, demonstraremos nossas proposições mais adiante através de cálculos. 7. Normalmente, para que um empreendimento agropecuário ou florestal seja rentável, o agricultor, parceiro, meeiro ou investidor analisa tanto os fatores de produção impossíveis de modificar assim como os manejáveis, dependendo do capital que ele puder aplicar. Na posse desses dados, pode esse empreendedor fazer uma projeção aproximada da futura receita. No empreendimento bem-sucedido, o empreendedor soube mensurar e administrar os fatores de produção, mesmo que não os tenha contabilizado por escrito. 8. Antes de a família assentada seguir essa lógica para fazer da parcela improdutiva uma empresa familiar rentável, precisa o INCRA também se servir desse critério, fixando um tamanho de parcela que permita ao grupo familiar manejar os fatores produtivos com o reduzido capital de que vai dispor. 5 Uma das muitas fontes disponíveis na Internet com o texto integral da Agenda 21 é http://www.ecolnews.com.br/ agenda21/index.htm
  • 3.
    Processo INCRA N.º54190.003488/2012-16. Fls. ________ Relatório à OS 21/2012 – Proposta de método de parcelamento de uma gleba do PA Zumbi dos Palmares, Iaras, SP. Pág. 3 de 46. 9. “Quanto maior a parcela, maior a renda” é um axioma inexato. A menor parcela rural possível no Brasil 6 (2,0 ha) pode ser bastante rentável se dedicar-se à produção de artigos de alto preço, como, por exemplo, escargot, camarão-da-malásia, pistache, cogumelos japoneses, aspargo, flores para exportação etc. Porém, o cultivo desses produtos de luxo exige insumos sofisticados e alta especialização profissional, acima do que a típica família assentada costuma possuir. É forçoso então dimensionar a área para culturas que os assentados consigam conduzir com sua reduzida capacidade de investimento e nível de especialização, mas mantendo a possibilidade de sucesso econômico como propriedade familiar. Figura 1. Relação inversa de importância entre capital investido-especialização e a quantidade de recursos naturais-tamanho da parcela para diversas formas de exploração agrícola, pecuária e florestal. 10. A Figura 1 ilustra a proporção inversa de importância entre os binômios capital-profissionalização e recursos naturais-tamanho da parcela. A ideia de a parcela menor impedir o aumento da renda do produtor simplifica demais a realidade. A alegação só é verdadeira quando o investimento é baixo ou nenhum – no caso extremo do extrativismo. Nesse caso de investimento nulo, realmente só o aumento da área leva ao aumento da renda. III ─ A MESORREGIÃO DE IARAS A) Surgimento do PA Zumbi dos Palmares 11. Zumbi dos Palmares surgiu da obtenção, pelo INCRA, de imóvel cuja posse repousou durante décadas sobre particulares, mas que pertencia à União Federal. Era o antigo “Núcleo Colonial Monções”, projeto não implementado, 6 A Fração Mínima de Parcelamento (FMP) na zona rural para o município de Iaras é 2,0 ha, conforme o documento Índices Básicos 2005, disponível em http://www.incra.gov.br/index.php/estrutura-fundiaria/regularizacao-fundiaria/ indices-cadastrais
  • 4.
    Processo INCRA N.º54190.003488/2012-16. Fls. ________ Relatório à OS 21/2012 – Proposta de método de parcelamento de uma gleba do PA Zumbi dos Palmares, Iaras, SP. Pág. 4 de 46. datado do começo do século XX, destinado ao assentamento de imigrantes europeus. Esquecido pela União, o imóvel foi sendo apossado e loteado por particulares, chegando mesmo a ser dividido em municipalidades e urbanizado. Iaras é um município resultante dessa fragmentação. Só na década de 1990 a União Federal, através do INCRA, começou a interpor ações judiciais para retomada progressiva de glebas da Fazenda Capivara, imóvel parte do Núcleo original. À medida que a União apresenta títulos que comprovam domínio anterior ao do posseiro atual, a posse é dada ao INCRA e a gleba é incorporada ao PA Zumbi dos Palmares. 12. A Figura 2 mostra o PA Zumbi em sua conformação atual, com destaque para a área objeto da atual proposta de parcelamento. B) Características da mesorregião de Iaras 13. O Estatuto da Terra e suas alterações partem do princípio que o primeiro passo para o desenvolvimento da família assentada é sua integração econômica no município e em sua vizinhança. Por isso é importante conhecer-se o sistema produtivo rural de Iaras e de seu entorno e os mercados que com ela se relacionam. 14. Chamaremos neste estudo de mesorregião de Iaras a um conjunto de 63 municípios. O Instituto de Economia Agrícola (IEA) – fonte estatística que mais usamos – agrupou esses municípios em 4 “escritórios de desenvolvimento rural” (EDR): Bauru, Avaré, Botucatu e Ourinhos, como mostra a Figura 3. Já o IBGE inclui Iaras na mesorregião de Bauru. Como é costume do agricultor comprar e vender produtos e serviços num raio de até algumas centenas de quilômetros, nenhum dos agrupamentos atendem ao propósito de nosso estudo. Eles posicionam Iaras muito próximo às bordas. Na área convencionada como nossa mesorregião, ao contrário, Iaras está bem no centro. Figura 3. Mesorregião de Iaras, abrangendo os 4 escritórios de desenvolvimento rural do IEA, com 63 municípios, tendo Iaras ao centro. C) Clima Figura 2. PA Zumbi dos Palmares, em Iaras, SP.
  • 5.
    Processo INCRA N.º54190.003488/2012-16. Fls. ________ Relatório à OS 21/2012 – Proposta de método de parcelamento de uma gleba do PA Zumbi dos Palmares, Iaras, SP. Pág. 5 de 46. 15. Um sistema de classificação climática bastante aceito é o de Köppen. Segundo o Centro de Pesquisas Meteorológicas e Climáticas Aplicadas à Agricultura (CEPAGRI),7 Iaras possui clima tipo Cwa na classificação de Köeppen. Os valores de pluviosidade e temperatura ao longo do ano determinam o tipo de culturas agrícolas possíveis. O zoneamento agroclimático publicado pelo IAC,8 indica que Iaras, situada no clima Cwa, é climaticamente apta ou com poucas restrições a uma grande variedade de culturas comerciais: 16. Muitas outras culturas, não referidas na lista acima, mas com exigências climáticas idênticas, são possíveis. Entre as não citadas, merecem destaque as olerícolas, aptas e muito cultivadas na mesorregião: verduras de folhas (alface, agrião, couve etc.), raízes (beterraba, cenoura, cebola, alho etc.) e frutos (tomate, pimentão, abóbora, pepino etc.). D) Solos 17. Os solos do município de Iaras, segundo o Mapa pedológico do estado de São Paulo de Oliveira et alii (1999), são do tipo latossolo vermelho-amarelo distrófico, de textura média e relevo suave ondulado e ondulado (LV56, na classificação dos autores). Esse diagnóstico bastante genérico engloba muitos municípios, sem mostrar os incontáveis detalhes, exceções e variações que sempre existem. É necessário, para o planejamento da atividade rural, um diagnóstico detalhado, que revele os vários tipos de solo existentes num único imóvel. 18. Lamentavelmente, não houve esse levantamento pedológico detalhado do PA Zumbi dos Palmares. Costuma- se alegar que a forma de aquisição dos imóveis pelo INCRA não seguiu o rito processual de desapropriação e, por isso, aquela importante peça técnica não precisou ser produzida. Mesmo que essa alegação justifique alguma coisa quanto à aquisição, foi falha lamentável haver o parcelamento sem conhecer detalhes dos solos ou mesmo sem saber se eles servem para a implantação da agricultura familiar. Esses dados nos permitiriam agrupar as diversas glebas nas oito classes de capacidade de uso do solo que mostra a Figura 4. 19. O fator de correção indicado em cada classe é usado para calcular a equivalência entre os tipos de solo. Assim, uma cultura implantada no solo classe I terá um rendimento de referência para as demais, recebendo o valor de 100% (fator 1,00), enquanto essa mesma cultura na classe V produzirá um rendimento de apenas 50% (fator 0,50) em relação à classe I. Fica óbvia a importância dessa classificação para o cálculo do tamanho das parcelas. 20. Na falta do levantamento detalhado necessário, esta equipe aceitou o mencionado levantamento de Oliveira et alii e, a partir de levantamento expedito de campo, apurou que a maior parte da área agricultável de Zumbi está na classe III, com manchas nas classes II e IV. O fator que faz variar as classes é a declividade. Outros fatores que podem também afetar a classificação, como salinidade, excesso de alumínio ou drenagem dificultada não foram observados. Há muitas áreas alagáveis no PA, mas são classificadas como não aproveitáveis porque as normas ambientais decidem que seu uso será apenas como área de preservação permanente (APP). 21. O latossolo vermelho-amarelo distrófico, tão comum na América do Sul e na África Subsaariana, tem fertilidade média ou baixa e necessita de adubação e correção para produzir economicamente. Isto significa que o investimento e o capital de giro aplicados em sua exploração são imprescindíveis para se obter alguma rentabilidade. A capacidade de investimento e manejo do solo associados ao acesso à água serão fatores decisivos no dimensionamento das parcelas. 22. Nos cálculos apresentados adiante consideraremos o rendimento das culturas na mesorregião de Iaras correspondendo à classe III. Se observarmos nos dados do IEA o rendimento físico das culturas da mesorregião, notaremos que ele é mediano na maioria das vezes. Isso corresponde de fato à classe III do latossolo vermelho- amarelo distrófico. Só poderíamos considerar classe I se o solo fosse mais fértil e as colheitas mais altas. Na Tabela 4, mostrada em item adiante, ficará evidente o rendimento mediano de cada cultura que estudamos. 7 Os dados detalhados para cada mês, em todos os municípios paulistas, podem ser obtidos no site do CEPAGRI, da UNICAMP: http://www.cpa.unicamp.br/outras-informacoes/clima_muni_223.html 8 Mapas disponíveis em http://www.ciiagro.sp.gov.br/znmt_macro.html 1. Abacate 2. Abacaxi 3. Algodão 4. Ameixa 5. Amendoim 6. Arroz 7. Banana 8. Batata 9. Café 10. Cana-de-açúcar 11. Caqui 12. Chá 13. Cítricos 14. Feijão 15. Figo 16. Girassol 17. Macadâmia 18. Mamão 19. Mamona 20. Mandioca 21. Milho 22. Nêspera 23. Pêra 24. Pêssego 25. Seringueira 26. Soja 27. Sorgo granífero 28. Videira
  • 6.
    Processo INCRA N.º54190.003488/2012-16. Fls. ________ Relatório à OS 21/2012 – Proposta de método de parcelamento de uma gleba do PA Zumbi dos Palmares, Iaras, SP. Pág. 6 de 46. E) Público-alvo 23. Atualmente encontram-se inscritos no processo de seleção de famílias para assentamento na nova gleba 180 candidatos. Parte deles encontra-se acampada nas proximidades do imóvel. Qual seria o perfil desses candidatos a assentamento? 24. Há, desde a década de 1990, uma renovada discussão sobre o perfil do agricultor familiar. Duas notórias noções são as de Ricardo Abramovay e José Graziano da Silva. 25. Em trabalho de 1992, Abramovay 9 ressalta que a família de agricultores, mesmo visando o aumento da renda e do consumo, tem objetivos diferentes do empresário urbano. Este último orienta-se apenas pela busca do maior lucro (ou a reprodução do capital, em linguagem econômica), enquanto o agricultor familiar orienta suas decisões para a reprodução de seus tradicionais sistema e estilo de vida familiar. Ou seja, o enriquecimento e a acumulação patrimonial teriam, segundo o autor, valor secundário. 26. Graziano da Silva 10 denomina o agricultor familiar de fins do século XX como “o novo rural”. Tal figura, oposta ao agricultor tradicional de Abramovay, é mais convergente para a pós-modernidade, se caracteriza por laços frouxos com sua terra e tradições. O novo rural é mais urbanizado que o agricultor tradicional, mescla atividade agrícola e urbana e com frequência busca aumentar sua renda em atividades não rurais. 27. O conceito de Abramovay parece descrever um número cada vez menor de assentados paulistas. É residual o perfil que lembra o “camponês”.11 O novo rural – urbanizado, ávido por obter os benefícios que o mercado oferece e 9 ABRAMOVAY, Ricardo. Paradigmas do capitalismo agrário em questão. São Paulo: Ed. HUCITEC, 1992. 10 GRAZIANO DA SILVA, José. O novo rural brasileiro. Belo Horizonte: Ed. Nova Economia, 1987. 11 Camponês, termo popularizado pela Revolução Francesa, costuma designar agricultor vinculado a uma mesma terra por algumas gerações. Certos autores consideram que nunca houve camponeses no Brasil, pois restringem o uso CLASSE FATOR –  INTENSIDADE DE USO  + vegetação natural silvicultura pastoreio cultivo moderado intenso restrito moderado intenso muito intenso I 1,00 Apta a todos os tipos de exploração acima. Não possui problemas de erosão por água por ser plana II 0,95 Práticas de conservação simples impedem apenas o cultivo muito intenso. A declividade pode levar a problemas de erosão III 0,75 Práticas de conservação são essenciais, já não permitindo o cultivo intenso IV 0,55 Várias práticas de conservação do solo restringem o plantio a poucas culturas agrícolas devido à declividade V 0,50 Grande risco de erosão exige que o solo fique permanentemente coberto, só permitindo pastagens VI 0,40 A pastagem não pode ter muitos animais, para o solo permanecer bem coberto VII 0,30 Árvores para corte ou extração de resina podem cobrir o solo VIII 0,20 Só vegetação natural Figura 4. Tipos de uso do solo possíveis para cada classe de capacidade de uso (adaptado de Lepsch & Bellinazzi Jr., 1983).
  • 7.
    Processo INCRA N.º54190.003488/2012-16. Fls. ________ Relatório à OS 21/2012 – Proposta de método de parcelamento de uma gleba do PA Zumbi dos Palmares, Iaras, SP. Pág. 7 de 46. sempre pronto a deixar a atividade rural quando uma oportunidade mais rentável surge – parece ser cada vez mais dominante no estado de São Paulo. 28. Os candidatos a assentamento em Zumbi mais se aproximam do “novo rural” de Graziano da Silva. Considerar esse perfil é decisivo para o sucesso do projeto de assentamento. Afinal, quando surgem oportunidades de trabalho urbano mais rentáveis ou menos insalubres, o assentado que tanto cobrou uma parcela da Reforma Agrária costuma deixá-la em troca da oportunidade mais vantajosa. Isso significa que a parcela precisa ser mais atrativa que o trabalho urbano, ou não será explorada pelo agricultor. F) Mercado 29. Pelos dados do Instituto de Economia Agrícola (IEA), vemos que uma imensa variedade de produtos agrícolas, pecuários e florestais é comercializada na mesorregião e no município de Iaras. Essa instituição oferece dados estatísticos anuais do volume produzido e do preço pago ao produtor. Nota-se que a mesorregião tem intenso comércio daqueles produtos primários, oferecendo grandes oportunidades à família de agricultores que se dispuser a explorar profissionalmente sua parcela. 30. Os dados do IEA apresentam apenas os produtos mais colhidos, havendo muitos outros em menor escala fora das estatísticas. Da lista de 51 produtos apresentados no website do IEA,12 escolhemos 21 que são tradicionalmente compatíveis com a pequena propriedade familiar, indicados na Tabela 1. Vários já são cultivados pelos assentados do Zumbi. Tabela 1. Produtos agropecuários comercializados em Iaras, SP, e em seu entorno, escolhidos para o estudo de parcelamento do PA Zumbi dos Palmares. abóbora beterraba feijão ovo* abobrinha cebola leite C ** pimentão alface cenoura mandioca de mesa repolho batata cogumelo paris * milho tomate para mesa* batata-doce cogumelo shiitake* morango * tomate para indústria * Fonte: Instituto de Economia Agrícola (IEA), www.iea.sp.gov.br 31. Os cultivos assinalados com asterisco (*) não se recomenda, nos primeiros anos de assentamento, à família assentada. Requerem elevado investimento em instalações e boa especialização profissional, com rotinas bem controladas que se aproximam da disciplina dos processos industriais. Contudo, é desejável que os assentados atinjam o quanto antes esse nível de sofisticação, pois os rendimentos auferidos são compensadores. Outra vantagem é serem cultivos típicos de pequenos imóveis, que não sofrem a concorrência destruidora das grandes fazendas e grupos econômicos. 32. O leite C (**) foi analisado sob duas formas. Numa, de exploração simples e diminuto investimento: apenas um animal solto em 1 ha de pastagem não tratada. A outra é uma pastagem intensamente adubada e irrigada, suportando 8 animais por ha. Como será visto adiante, os resultados são bem diferentes. 33. A finalidade dessa noção elementar do mercado microrregional é fornecer dados de comercialização para o cálculo da área necessária para o progresso econômico de uma família padrão de cinco pessoas. O estudo de mercado detalhado, que identifica com precisão os agentes fornecedores, concorrentes e compradores será tarefa do serviço de assistência técnica que cada família contratará. G) As parcelas existentes do termo aos agricultores da servidão feudal europeia que não chegou às Américas. Os assentados da Reforma Agrária no estado de São Paulo nada têm de camponeses, por não serem naturais do imóvel que recebem e por terem frequentemente mais tempo de atividade urbana que rural. 12 www.iea.sp.gov.br  Banco de Dados  Valor da Produção
  • 8.
    Processo INCRA N.º54190.003488/2012-16. Fls. ________ Relatório à OS 21/2012 – Proposta de método de parcelamento de uma gleba do PA Zumbi dos Palmares, Iaras, SP. Pág. 8 de 46. 34. A maior parte das parcelas de Zumbi foi delineada dentro da faixa de 12 a 20 ha, com traçado quadricular. Os motivos que levaram a essa escolha não são claros para esta equipe, exceto que atenderam à urgência do assentamento das famílias acampadas nas proximidades ou nos próprios imóveis. 35. As parcelas de Zumbi encontram-se ocupadas de quatro formas principais: a) culturas olerícolas; b) pastagens de baixa produtividade; c) florestas plantadas para extração de madeira e resina; d) áreas ociosas. Em menor escala, há vários outros cultivos. IV ─ O TAMANHO DA PARCELA A) Estabelecimento da renda familiar 36. Não há consenso entre os estudiosos sobre qual renda uma pessoa deve obter para manter-se e conseguir algum progresso econômico. Nem sobre quais valores correspondem às linhas da pobreza e da miséria. O Programa Bolsa-Família do Governo Federal criou o Programa de Renda Mínima,13 que em 2012 adotou para o Brasil a linha da pobreza como sendo a renda de R$ 70 por pessoa por mês. Isso corresponde, para uma família padrão de cinco pessoas, a R$ 4.200 por ano (=R$ 70/pessoa•mês x 5 pessoas x 12 meses). 37. Um dos critérios mais usados internacionalmente é o do Banco Mundial,14 que delimita em até um dólar americano por pessoa por dia a linha da miséria absoluta, e até dois dólares a linha da pobreza. Na faixa da pobreza (entre um e dois dólares), o adulto consegue ingerir apenas a quantidade mínima de alimentos para sobreviver, cerca de 1200 Kcal por dia, sem poder adquirir mais nada por qualquer meio remunerado ou não. Adotando a média do câmbio comercial para compra de US$ 1 igual a R$ 2, a família terá renda de R$ 7.300 por ano (=US$ 2/pessoa•dia x 5 pessoas x 365 dias x R$ 2/US$ 1). 38. Uma terceira referência possível é a do INCRA, cujo Sistema de Informação de Projetos de Reforma Agrária (SIPRA) estabelece que a renda familiar de origem não rural máxima para um candidato poder tornar-se assentado é de 3 salários-mínimos por mês. O salário-mínimo estabelecido pelo Governo do Estado de São Paulo em 2012 é R$ 690. Ou seja, se o critério de seleção for seguido, só será assentada a família com renda anual de até R$ 24.840 (=R$ 690/sal.mín•família•mês x 3 sal.mín x 12 meses). 39. A questão é qual dos três importantes critérios tomarmos como referência para planejar a renda familiar mínima. Os dados do IEA sobre os salários pagos em Iaras aos trabalhadores podem nos fornecer a resposta. Em 2010 e 2011, os trabalhadores diaristas e volantes receberam, em média, R$ 30 por dia de serviço, segundo o Instituto. Sabemos que esse tipo de trabalho é sazonal, restrito a certos meses do ano. Supondo que o trabalhador consiga 9 meses de trabalho por ano, a renda anual de uma família com três trabalhadores será de R$ 24.300 (=R$ 30/pessoa•dia x 3 pessoas x 30 dias x 9 meses), bem próxima da renda SIPRA. 40. Se a parcela da Reforma Agrária fornecer menos que R$ 24.300 no mesmo período, o “novo rural” de Graziano da Silva assentado em Zumbi deixará de cultivar seu imóvel ou o abandonará para obter renda superior na cidade ou em imóveis de terceiros. Assim, a renda de referência do SIPRA nos parece a melhor escolha e adotamo- la em nossos cálculos. B) Inflação e taxa de câmbio 41. Para calcularmos quanto renderá uma determinada área cultivada com o produto X, precisamos multiplicar o total da produção pelo preço que é oferecido ao produtor. Ocorre que se verificarmos os preços agrícolas pagos no período 2000 a 2011 dos 20 produtos listados na Tabela 1, notaremos certa flutuação com tendência de alta. Essas extensas séries de preços são apresentadas no Anexo II. Isso significaria que o produtor está ganhando cada vez mais? Não, pois na verdade essa elevação nominal dos preços traz dois descontos embutidos: a inflação desse período e os custos de produção, que também sobem com a inflação. Descontando a inflação, obtemos os preços reais, e descontando os custos, a receita líquida, o verdadeiro lucro do produtor. 13 Disponível em http://www.mds.gov.br/bolsafamilia 14 Um rápido debate sobre esses valores é apresentado na edição on-line de The Economist: http://www.economist. com/node/11409401?story_id=11409401&fsrc=RSS
  • 9.
    Processo INCRA N.º54190.003488/2012-16. Fls. ________ Relatório à OS 21/2012 – Proposta de método de parcelamento de uma gleba do PA Zumbi dos Palmares, Iaras, SP. Pág. 9 de 46. 42. Para encontrar o preço real, usamos o Índice Geral de Preços-Disponibilidade Interna (IGP-DI), calculado mensalmente pela Fundação Getúlio Vargas. Há muitos índices para se medir a inflação num período. O IGP-DI, o mais usado na correção de preços agrícolas, é composto de vários produtos primários usados na produção agropecuária. A Tabela 2 mostra o IGP-DI do mesmo período 1999-2011 e o deflator que usamos para encontrar os preços reais, tomando 2011 como ano-base. A Figura 5 exemplifica o que dissemos dos preços nominais e reais pago ao produtor entre 2000 e 2011, de um dos 20 produtos, o litro do leite C. 43. Para conhecermos a renda líquida do produtor – o lucro – precisamos descontar da receita total os custos de produção, isto é, o que ele gastou para poder produzir. Compulsamos diversos trabalhos acadêmicos que estudaram detalhadamente a composição dos custos. 44. As Figuras 6 e 7 mostram as flutuações de preço ao longo de 11 anos da taxa de câmbio e de importantes insumos agrícolas: óleo diesel, herbicida da marca “Roundup”, fertilizante NPK 4-14-8 e calcário dolomítico. Dentro das categorias de insumos às quais pertencem – combustível, defensivo, fertilizante e corretivo – esses quatro são os mais usados na agricultura paulista desde a grande propriedade rural até o pequeno agricultor familiar (veja os preços deles no Anexo II). 45. Podemos notar na Figura 6 que a flutuação do preço dos três insumos tem fases ascendentes e descendentes simultâneas, embora não sejam proporcionais. Como a flutuação do óleo diesel e do câmbio e são muito pequenas em comparação com a dos outros, repetimo-las amplificadas na Figura 7, mais facilmente visualizável. Observamos que o preço do óleo diesel, combustível de caminhões e máquinas agrícolas, acompanha pouco a variação dos outros insumos e quase não tem relação com a tendência da taxa de câmbio. 46. Mas podemos notar que a flutuação dos outros três insumos tem certa relação com o câmbio, embora não proporcional. Grosseiramente, as altas e baixas do dólar aumentam e diminuem os preços dos insumos, com cerca de um ano de atraso. Fica claro ao vermos o aumento do preço real dos produtos agrícolas que isso não significou aumento significativo do lucro do produtor. Esses preços subiram com os insumos agrícolas, afetados pela taxa de câmbio. 47. Para compararmos o critério do Banco Mundial com os outros dois, precisamos converter o dólar em real. Os críticos do uso do dólar para cálculos de renda costumam alegar que sua variação minuto a minuto não permite uma referência segura. Mas esse índice precisa ser considerado porque, como vimos, afeta os preços dos custos de produção e é a medida internacional para avaliação das linhas de pobreza e miséria. A Tabela 3 mostra a variação da taxa média de câmbio desde o início do Plano Real, em 1994, até 2011. Esses dados do IPEADATA mostram que desde 1996, a taxa média do câmbio sempre esteve entre R$ 1,00 e R$ 3,07. Tabela 2: Inflação média do período 1999-2011 e deflator para correção de preços a partir do ano-base 2011. ANO Inflação % IGP-DI DEFLATOR ano-base 2011 1999 19,88 2,6333 2000 9,81 2,3980 2001 10,23 2,1755 2002 27,66 1,7041 2003 6,946 1,5934 2004 11,875 1,4243 2005 1,421 1,4043 2006 3,641 1,3550 2007 8,192 1,2524 2008 8,57 1,1536 2009 -0,941 1,1645 2010 11,283 1,0464 2011 4,644 1,0000 Fonte: IPEADATA: www.ipeadata.gov.br  Base de Dados: Macroeconômico  Pesquisar: IGP-DI
  • 10.
    Processo INCRA N.º54190.003488/2012-16. Fls. ________ Relatório à OS 21/2012 – Proposta de método de parcelamento de uma gleba do PA Zumbi dos Palmares, Iaras, SP. Pág. 10 de 46. Tabela 3. Taxa média de câmbio entre o dólar americano comercial (compra) e o real, entre 1994 e 2011. Ano Taxa anual média câmbio R$/US$ 1 Ano Taxa anual média câmbio R$/US$ 1 1994 0,6393 2003 3,0783 1995 0,9176 2004 2,9259 1996 1,0051 2005 2,4352 1997 1,0780 2006 2,1761 1998 1,1605 2007 1,9479 1999 1,8147 2008 1,8346 2000 1,8302 2009 1,9976 2001 2,3504 2010 1,7603 2002 2,9212 2011 1,6750 Fonte: IPEADATA e Banco Central do Brasil.
  • 11.
    Processo INCRA N.º54190.003488/2012-16. Fls. ________ Relatório à OS 21/2012 – Proposta de método de parcelamento de uma gleba do PA Zumbi dos Palmares, Iaras, SP. Pág. 11 de 46. 48. O Banco Central adota um sistema cambial no qual US$ 1 varia dentro da faixa de R$ 1 e R$ 3. Toda vez que o dólar se aproxima desses limites inferior e superior, o Banco Central interfere no mercado de divisas para que o valor retorne para dentro da faixa, como mostra a Figura 8. Vemos que, excetuando-se os dois anos iniciais do Plano Real, a taxa anual média de câmbio se manteve na faixa R$ 1-3. É, portanto, seguro usarmos em nossos cálculos a taxa média de câmbio de US$ 1 para R$ 2,00, excluídos os anos atípicos e não repetidos de 1994 e 1995. Então, para fazermos os cálculos sobre a referência em dólares do Banco Mundial, usamos sempre essa taxa de câmbio. 49. Como se pode notar, não é fácil escolher uma referência “segura” para se projetar a renda de uma atividade para os próximos anos. Os fatores que interferem na produção – insumos, preços, inflação, câmbio e rendimento das culturas – todos variam. Por isso, podemos apenas trabalhar com valores médios, na expectativa que as flutuações futuras se assemelhem às passadas. 50. Com os preços corrigidos através dos deflatores mostrados atrás para 21 tipos de exploração do solo, montamos a Tabela 4. Ela apresenta o rendimento físico médio de cada produto, o preço unitário médio do produto corrigido pela inflação a partir do ano-base 2011, a receita total por hectare, o custo total de produção, a receita líquida (lucro), a área de produção necessária para se atingir a renda por cada um dos três critérios e, finalmente, a classe de capacidade de uso do solo mais recomendável para a cultura. C) Cálculo da dimensão da parcela 51. A primeira coluna da Tabela 4 relaciona 21 tipos de exploração do solo possíveis em Zumbi, dentro da ampla faixa que ilustramos na Figura 1, excluídos os extremos do extrativismo e da hidroponia. O extrativismo não cabe na área por não haver florestas naturais que ofereçam produtos comerciais para extração, como palmito, látex, castanhas etc. E a hidroponia não foi considerada por ser rentável em lugares onde não há terra para cultivo, que não é o caso de Zumbi. As linhas azuis contêm cultivos que necessitam de fonte de água próxima para irrigação, enquanto as verdes indicam cultivos de sequeiro, que sobrevivem somente com água das chuvas. Diferenciamos essas explorações em três tipos: olerícolas, de subsistência e sofisticados. 52. As culturas olerícolas já são produzidas no assentamento e nos quatro EDRs da mesorregião de Iaras. São cultivos com grande mercado ao qual os assentados estão progressivamente se integrando. É uma promissora possibilidade para novos assentados. 53. Há muitas outras espécies olerícolas possíveis além das escolhidas. Contudo, a área que ocupam, o rendimento que geram e os custos que possuem estão bem representados pelos exemplos que escolhemos. 54. Os produtos que chamamos de subsistência são as escolhas mais tradicionais dos pequenos agricultores ameaçados pela falta de segurança alimentar: arroz, feijão, mandioca, milho e leite C em pastagem sem investimento. Os quatro primeiros possuem as vantagens de serem estocáveis por grandes períodos enquanto não atingem bom preço, ou podem ser consumidos como alimento. Excluímos o arroz da tabela porque esse produto vem sendo cada vez menos escolhido pelos pequenos agricultores; o custo do beneficiamento (remoção da casca por máquinas) torna ainda menor um lucro já pequeno. O grão de milho seco é mais trabalhoso para servir de alimento humano, mas compensa por alimentar prontamente cavalos, cabras, vacas, porcos e galinhas. O leite C obtido em pastagem sem qualquer investimento também necessita de dezenas de hectares para oferecer algum lucro. O estudo em que nos baseamos usava 1,15 animal por hectare de pastagem sem adubação, irrigação ou qualquer outro tratamento. Como se pode ver na Tabela 4, é a segunda menos rentável escolha, necessitando de 97 ha para que se atinja três salários-mínimos de lucro por mês. Acreditamos que o fato de tantos assentados manterem alguns bovinos nessas condições se deve à constante receita, ainda que diminuta, gerada semanalmente pelo leite, e pelos animais servirem como reserva de carne e capital para momentos de contingência. 55. Os produtos de subsistência são todos de baixa rentabilidade. Como se pode ver na tabela, precisam de enormes áreas para serem lucrativos. Eles são escolhidos quando o produtor desconhece o mercado ou sabe da dificuldade para entrar nele, mas precisa garantir sua sobrevivência. Certos entusiastas da agricultura familiar conclamam os assentados ou candidatos a assentamento à beleza de plantar os próprios alimentos e independer da selvageria do mercado capitalista. Há dois ápices para esse ideal: o sítio autossuficiente, que produz tudo o que necessita, desde alimentos até móveis e roupas, como um feudo medieval; e a cooperativa agrícola coletivizada, que funciona como uma empresa na qual cada indivíduo desempenha papel planejado por uma diretoria, sob inspiração marxista ou anarco-sindicalista. Ao nosso ver, ambas romantizam a realidade, pois essas raramente são metas dos agricultores. O que invariavelmente observamos é o interesse da família assentada em progredir economicamente vendendo produtos que tenham melhor margem de lucro, como faz qualquer comerciante. Muitos poucos permanecem fiéis a ideais depois de assentados. O fato de certos agricultores verbalizarem precariamente a razão
  • 12.
    Processo INCRA N.º54190.003488/2012-16. Fls. ________ Relatório à OS 21/2012 – Proposta de método de parcelamento de uma gleba do PA Zumbi dos Palmares, Iaras, SP. Pág. 12 de 46. de escolherem cultivos de subsistência não parece desinteresse pelo mundo capitalista, mas uma resposta à dificuldade de integrar-se a ele. Assim que algum produto rentável torna-se comercializável (como madeira ou resina, no caso de Zumbi), nenhuma ideologia costuma resistir aos bons preços do mercado. Essa vontade natural da família de progredir materialmente precisa ser respeitada, como a de qualquer outro cidadão, e a parcela deve ser planejada para oferecer essa oportunidade. Por essas razões, só recomendamos ao agricultor as escolhas de subsistência se houver risco à sua segurança alimentar. Caso contrário, a escolha deve sempre recair sobre as culturas de maior lucratividade. 56. Finalmente, apresentamos os produtos que chamamos sofisticados, por exigirem um investimento maior, requererem especialização e atenderem ao consumo das classes média e alta. Escolhemos o morango e os cogumelos shiitake e paris. Eles atendem a um mercado mais restrito, mas com renda suficiente para escolher a própria alimentação por critérios não econômicos. O preço flutua pouco, dando mais segurança ao produtor. Outra vantagem, nos casos do cultivo em estufa, é a independência das variações climáticas, inexistindo os sinistros que destroem plantações. Cogumelos exigem especialização maior do agricultor, aproximando-o dos processos industriais. O investimento em instalações também é alto se comparado aos outros produtos. São atividades difíceis para a típica família recém-assentada, que não é especializada nem possui capital suficiente. Mas decidimos incluí- las por representarem uma meta possível no médio ou longo prazo. Cogumelos e morangos são produzidos em propriedades familiares. Se são possíveis a pequenos agricultores de várias partes do país, por que não seriam para os assentados? 57. Como esses produtos sofisticados requerem certas vezes menos de um hectare para atingirem a renda de 3 salários-mínimos por mês, utilizamos o valor aproximado de 1 ha em nossos cálculos, já que o imóvel não conta só com área produtiva, mas com área construída, estradas, galpões, reservas de vegetação natural etc. 58. Na coluna 2 ou A, mostramos o rendimento físico médio das explorações em dez anos. Os dados são apresentados em quilogramas por hectare (kg/ha), exceto quando indicado no produto outra unidade. Sendo médios, esses valores incluem no cálculo desde os piores até os melhores rendimentos. Não se espera nem um nem outro dos assentados, mas justamente um valor médio, que é o que geralmente se observa nos assentamentos. Por isso, a média é a forma de cálculo que nos serve na maioria das vezes neste estudo. Todos os dados da Tabela 4 são anuais, não importando quantas colheitas podem ser feitas num ano. 59. A coluna 3 ou B apresenta o preço médio de dez anos corrigido da inflação pelo método do deflator que expusemos atrás. Os dados são do IEA, obtidos nos quatro EDRs que compõem nossa mesorregião de Iaras, exceto dos ovos e cogumelos, cuja fonte de preço está indicada na 11.ª coluna. As séries de preços nominais e reais de todos esses produtos são mostradas nas tabelas 11 a 28 do Anexo II. 60. A coluna 4 mostra a renda bruta por hectare. É o que contabilmente se chama “faturamento bruto” ou “receita total”, que significa o que o produtor recebeu, ainda sem qualquer desconto. Obtém-se essa renda multiplicando-se o rendimento físico da coluna A pelo preço unitário da mesma linha na coluna B. 61. Na quinta coluna, C, encontramos o custo total de produção por hectare por ano. São todas as despesas com a produção que o produtor terá de descontar para apurar seu lucro: adubos, defensivos, sementes, salários, seguro agrícola, transporte, material perdido etc. São valores difíceis de encontrar porque pequenos produtores não costumam contabilizar com rigor suas entradas e saídas de dinheiro. Recorremos aos estudos econômicos que procuram simular com rigor científico, relacionados na coluna 12. Mesmo com esse rigor, a porcentagem dos custos na receita total pode variar bastante de uma região do estado para outra e ao longo dos anos. Para diminuir essa variação, procuramos usar os trabalhos mais recentes das regiões mais próximas de Iaras, como o centro do estado de São Paulo e o norte-nordeste do estado do Paraná. 62. A sexta coluna ou D mostra a renda ou receita líquida por hectare por ano, isto é, o lucro que um hectare oferece em um ano de produção. O valor é obtido subtraindo-se o custo total (C) da receita bruta (A x B). A esta altura da análise, é interessante observar a grande disparidade entre cada produto. O cogumelo shiitake apresenta o excelente lucro de mais de R$ 300 mil por hectare, mas os custos de produção estão em valores inacessíveis para um agricultor recém-assentado. O leite C sem qualquer investimento além da compra do próprio animal, apresenta o custo mais baixo de todos, R$ 451 por ano, mas também um lucro insignificante, R$ 253 por ano. 63. A coluna 7 nos aproxima do objetivo deste estudo por nos oferecer a área que a parcela deverá ter para se obter a renda familiar anual pelo critério de seleção do SIPRA, três salários-mínimos por família por mês. Obtemos o tamanho da área dividindo a renda familiar anual escolhida de R$ 28.840 pela receita líquida de cada cultivo (coluna D). Mais uma vez encontramos grandes disparidades. Enquanto a lotação de 1,15 bovino por hectare necessitaria de 97 hectares para atingir a renda anual, o cultivo da alface, do morango e do pimentão produziriam a mesma renda em menos de 2 ha.
  • 13.
    Processo INCRA N.º54190.003488/2012-16. Fls. ________ Relatório à OS 21/2012 – Proposta de método de parcelamento de uma gleba do PA Zumbi dos Palmares, Iaras, SP. Pág. 13 de 46.
  • 14.
    Processo INCRA N.º54190.003488/2012-16. Fls. ________ Relatório à OS 21/2012 – Proposta de método de parcelamento de uma gleba do PA Zumbi dos Palmares, Iaras, SP. Pág. 14 de 46. 64. Na coluna 8 fazemos o mesmo tipo de cálculo, mas usando a linha da pobreza do Banco Mundial, de US$ 2 por pessoa por dia. Na taxa média de câmbio de US$ 1 para R$ 2, a renda familiar anual será de R$ 7.300. Dividindo-se esse valor pela receita líquida (D), encontramos a área necessária para que uma família padrão de cinco pessoas viva na linha da pobreza, isto é, tendo dinheiro apenas para comer 1.200 Kcal por dia. 65. A coluna 9 mostra o mesmo cálculo usando o valor R$ 4.200 por família por ano, a partir do valor estabelecido pelo Programa Bolsa-Família de R$ 70 por pessoa por mês, que também foi fixado pela Presidência da República como sendo a linha da pobreza reconhecida pelo País. 66. Afinal, a coluna 10 mostra a preferência de cada classe de capacidade de uso do solo para cada cultura. Endossamos o que a literatura citada aconselha, especialmente Lepsch & Bellinazzi (1983) e Bertoni & Lombardi Neto (1999), cujas recomendações resumimos na Figura 4. Diferentemente desses autores, apenas sugerimos alguns cultivos em solos classe VI e VII: cogumelos e aves poedeiras. A razão é simples; tais explorações não necessitam de solo, pois usam galpões. Podem, portanto, ser feitas em solos impróprios para outros usos. 67. Agrupando as explorações que necessitam de fonte de água próxima, montamos a Tabela 5, que sintetiza dados da 4. Reunimos as culturas em cinco classes de tamanho de parcela. Fica claro que as nove culturas irrigadas podem gerar R$ 24.840 por ano em menos de 10 ha, inclusive a pastagem de 8 animais por ha com irrigação e adubação. Para limitarmos a renda anual à linha da pobreza, 2 ha seriam suficientes para quase todas a explorações. E, finalmente, para os R$ 70 por mês do Bolsa Família, 1 ha seria suficiente. 68. Pelo critério do SIPRA, a parcela entre 5 e 10 ha é garantidora da renda anual de R$ 24.840. Ocorre que não podemos deixar de considerar as várias opções de se obter a mesma renda em espaço bem menor que esse. Os cultivos e criações em galpões e aviários, embora não sejam uma opção imediata para os assentados, são disponíveis dentro de alguns anos.15 Por essa razão, defendemos que devem ser consideradas como opções não só possíveis, mas desejáveis no médio ou longo prazo. E enquanto essa possibilidade não se realizar, pode a família assentada atingir e superar os R$ 24.840 por ano com outras opções, como a alface, a cebola e o repolho. Se usarmos a média de 4,15 ha, poderemos obter o triplo daquela renda com o cultivo dessas três hortaliças. 69. A Tabela 6 segue o mesmo raciocínio para as culturas que se desenvolvem só com água das chuvas. Ao contrário da tabela anterior, a 6 mostra seis cultivos viáveis apenas em grandes extensões, acima de 20 ha, e seis abaixo dessa área (pelo critério SIPRA). Se considerarmos os grandes cultivos de subsistência – milho, feijão, mandioca e leite C – a área média é de 33,49 ha para se obter a renda de R$ 24.840. Mas lembremos que tais cultivos só se recomendam em situação de instabilidade, quando a fome é ameaça real. Não é o caso de Zumbi, onde os já assentados têm conseguido fornecer ao mercado próximo seus produtos agrícolas, sendo referência para os novos assentados. Se removermos do cálculo as culturas de subsistência, a média para se obter a mesma renda cai para 7,72 ha. O pimentão e o morango oferecem aquela renda em menos de 1,0 ha. 70. Uma dúvida razoável a esta altura seria o porque de não escolhermos a cultura mais rentável na menor área, como alface e pimentão, por exemplo. Ambos necessitam menos de 2 ha para atingir a renda SIPRA. A resposta é dada pelos próprios agricultores: sendo a agricultura uma atividade econômica de alto risco (por sinistros naturais e variações de preço), é imprudente escolher somente uma cultura e aplicar todos os recursos nela. Uma chuva de granizo pode devastar uma plantação de alface após meses de despesas. Se a propriedade explorar 100% de seu solo cultivável com alface, seu prejuízo será de 100%. Se mesclar igualmente alface, repolho, cenoura e morango, o prejuízo será pouco mais de 25%, pois a chuva de granizo afeta bem pouco as outras três culturas. Há certo tempo, em Zumbi, alguns assentados investiram exclusivamente na criação de bicho-da-seda. Apesar de rentável no início, após alguns anos o casulo de seda sofreu uma tal queda de preço que os assentados acabaram por abandonar essa atividade, perdendo seus investimentos em instalações. Chuvas de granizo destruindo folhagens, relâmpagos matando animais, doenças e pragas que reduzem a colheita e mudanças bruscas de preço são ocorrências comuns num único ano agrícola. O agricultor experiente costuma diminuir esses prejuízos misturando plantações que sejam vulneráveis a problemas diferentes. Seguindo a mesma lógica, buscamos encontrar uma área que possa conciliar vários cultivos diferentes. 15 Ao contrário do que vigorou nas décadas anteriores, o crédito rural subsidiado oferecido pelo Programa Nacional de Apoio à Agricultura Familiar (PRONAF) não é limitado a um valor máximo por família. A cada novo empréstimo, o valor pode ser ampliado se o agricultor se mostrou bom pagador de suas dívidas anteriores. Essa foi uma mudança importante, pois eliminou a impossibilidade de altos investimentos. O fator limitante a maiores investimentos passou a ser a baixa profissionalização do agricultor.
  • 15.
    Processo INCRA N.º54190.003488/2012-16. Fls. ________ Relatório à OS 21/2012 – Proposta de método de parcelamento de uma gleba do PA Zumbi dos Palmares, Iaras, SP. Pág. 15 de 46. Tabela 5. Média do tamanho da parcela com acesso à água segundo três critérios de cálculo de renda familiar. CLASSES DE DIMENSÃO CULTURAS POSSÍVEIS critério SIPRA (R$ 24.840/famíliaano) CULTURAS POSSÍVEIS critério BANCO MUNDIAL (R$ 7.300/famíliaano) CULTURAS POSSÍVEIS critério BOLSA-FAMÍLIA (R$ 4.200/famíliaano) > 20 ha 0 0 0 10 a 20 ha 0 0 0 5 a 10 ha beterraba, cenoura, leite C (8 an/ha) 0 0 5 a 2 ha cebola, repolho beterraba, leite C (8 an/ha) 0 < 2 ha alface, ovo, paris, shiitake alface, cebola, cenoura, ovo, paris, repolho, shiitake todas MÉDIA (ha)  4,15 1,45 0,98 Fonte: Tabela 4. () Para os cultivos em galpões, estufas e aviários, adotou-se a área de 1,0 ha. Tabela 6. Média do tamanho da parcela sem acesso à água segundo três critérios de cálculo de renda familiar. CLASSES DE DIMENSÃO CULTURAS POSSÍVEIS critério SIPRA (R$ 24.840/famíliaano) CULTURAS POSSÍVEIS critério BANCO MUNDIAL (R$ 7.300/famíliaano) CULTURAS POSSÍVEIS critério BOLSA-FAMÍLIA (R$ 4.200/famíliaano) > 20 ha batata doce, feijão, leite C (1,15 an/ha), mandioca mesa, milho, tomate envarado leite C (1,15 an/ha), milho, tomate envarado milho 10 a 20 ha abóbora, abobrinha 0 leite C (1,15 an/ha), tomate envarado 5 a 10 ha batata, tomate rasteiro batata doce, feijão, mandioca 0 5 a 2 ha 0 abóbora, abobrinha, batata batata-doce, feijão, mandioca mesa < 2 ha morango, pimentão morango, pimentão, tomate abóbora, abobrinha, batata, morango, tomate rasteiro, pimentão MÉDIA (ha) culturas até 20 ha 7,72 3,73 4,33 MÉDIA (ha) todas as culturas 33,49 9,84 5,66 Fonte: Tabela 4. D) Classes de capacidade de uso do solo, desvio padrão na média e GUT 71. Relembrando o que expusemos na página 5, os solos possuem diferentes produtividades naturais, classificados em oito classes de uso, sendo que a oitava não serve para exploração agrícola, pecuária nem florestal. Como mencionado, observou-se que a maior parte da gleba estudada está na classe III, com manchas nas classes II e IV. Assim, assumimos que o rendimento calculado na Tabela 4 corresponde à classe III, à qual atribuímos fator de produtividade 1,00, correspondente a 100%. As Tabelas 7 e 8 mostram, na primeira linha de dados, os fatores atribuídos a cada classe desde que Lepsch e Bellinazzi Jr. (1983) adotaram-nos para o Brasil. Exemplificando: dois plantios idênticos são feitos na mesma época, com os mesmos insumos e em áreas do mesmo tamanho, um na
  • 16.
    Processo INCRA N.º54190.003488/2012-16. Fls. ________ Relatório à OS 21/2012 – Proposta de método de parcelamento de uma gleba do PA Zumbi dos Palmares, Iaras, SP. Pág. 16 de 46. classe I e outro na VII. Pelos fatores daqueles autores, prevemos que eles terão rendimento físico de 100% e 30%, respectivamente. 72. Para calcularmos o tamanho que uma área numa classe escolhida deve ter para produzir o mesmo que a classe I, dividimos o tamanho da parcela da classe I pelo fator de correção da classe que escolhemos. A área encontrada será maior que a da classe I, mas produzirá aproximadamente o mesmo que ela. Como adotamos a classe III como referência, ela passa a ter fator 1,00. Para encontrarmos o fator das demais, dividimos o fator original de todas elas por 0,75, que é o fator original da III. Para saber o quanto as demais classes produzirão, repetimos o processo: dividimos a área de referência, 7,72 ha, pelos novos fatores (linha 2 de dados), obtendo os tamanhos que produzirão identicamente aos 7,72 ha (última linha). Tabela 7. Dimensão das parcelas sem acesso à água, segundo a classe de capacidade de uso do solo. ITEM I II III IV V VI VII VIII Fator 1,00 0,95 0,75 0,55 0,50 0,40 0,30 0,20 Novo fator 1,33 1,27 1,00 0,73 0,67 0,53 0,40 0,27 Área (ha) pelo novo fator 5,80 6,08 7,72 10,58 11,52 14,57 19,30 28,59 Fonte: Lepsch & Bellinazzi Jr. (1983) e Tabela 6. 73. Para as parcelas com acesso à agua, não convém nos servirmos do critério de diferenciar as áreas de acordo com a classe de solo. Quase sempre as glebas vizinhas a mananciais são planas e mais férteis que o restante do terreno, pertencendo às classes I e II. Mais importante ainda é o fato de as culturas mantidas em canteiros (morango, alface, repolho, beterraba, cebola, cenoura) ou galpões (galinhas poedeiras, cogumelos) dependerem pouco ou nada da qualidade do solo. Canteiros são amontoados de solo com alto teor de matéria orgânica, intensa adubação, correção, irrigação e outros tratos que mudam visceralmente as características originais. Um canteiro de alface erguido em solo classe I não apresenta diferença substancial de outro em solo classe VI. Para cogumelos cultivados em troncos de madeira e galinhas poedeiras mantidas em gaiolas suspensas, o solo é indiferente. Por essa razão, as classes de capacidade de uso do solo não servem de critério para dimensionamento desses cultivos irrigados. Ou seja, todas as classes são transformadas em classe I, com ótima fertilidade. A exceção é a pastagem irrigada. Devemos, assim, manter os fatores de correção calculados por Lepsch & Bellinazzi Jr. (1983). Tabela 8. Dimensão das parcelas com acesso à água, sem alteração pela classe de capacidade de uso do solo. ITEM I II III IV V VI VII VIII Fator 1,00 0,95 0,75 0,55 0,50 0,40 0,30 0,20 Área (ha) 4,15 4,15 4,15 4,15 4,15 4,15 4,15 4,15 Fonte: Lepsch & Bellinazzi Jr. (1983) e Tabela 5. 74. Na fase de planejamento do traçado de estradas e parcelas ocorre a necessidade de ajustes devido à imobilidade de benfeitorias e obstáculos (estradas, voçorocas, rede elétrica etc.). O quanto podem variar as parcelas nesse ajustamento sem comprometer a capacidade produtiva planejada? Usamos o desvio padrão na média (dpm) para fixar a variação, parâmetro estatístico que nos permite saber a probabilidade de outros cultivos estarem próximos das médias (7,72 e 4,15 ha). A fórmula do cálculo, por extenso, do dpm é: Desvio padrão na média = soma das variâncias n.º dados x (n.º dados – 1)
  • 17.
    Processo INCRA N.º54190.003488/2012-16. Fls. ________ Relatório à OS 21/2012 – Proposta de método de parcelamento de uma gleba do PA Zumbi dos Palmares, Iaras, SP. Pág. 17 de 46. Sendo: variância: o quadrado da diferença entre a área de cada cultura e a média; número de dados: quantos dados foram usados para calcular a média. 75. Para o módulo sem irrigação na classe de capacidade de uso III, usamos 6 culturas com menos de 20 ha (n.º de dados = 6) e a média de 7,72 ha. Da Tabela 4 retiramos os dados para calcular as variâncias: CULTURA (solo classe III) ÁREA (ha) para a renda SIPRA DESVIO SIMPLES (= área – 7,72) VARIÂNCIA (desvio simples)² Abóbora 14,4419 6,7219 45,18394 Abobrinha 13,5715 5,8515 34,24005 Batata 9,8595 2,1395 4,57746 Morango 1,1296 - 6,5904 43,43337 Pimentão 1,1816 - 6,5384 42,75067 Tomate rasteiro 6,1132 - 1,6068 2,581806 SOMA 172,767305 76. Nosso dpm para a média 7,72 ha será a raiz quadrada de [172,767305 ha² ÷ (6 x 5)], que é 2,399773 ha, valor que, arredondado para o padrão usado na agrimensura de quatro algarismos à direita da vírgula, torna-se 2,3998 ha, quase 2,4 ha. 77. Fazemos o mesmo para os solos de classe de capacidade de uso II e IV, já calculando o dpm: CULTURA (solo classe II) ÁREA (ha) para a renda SIPRA DESVIO SIMPLES (= área – 6,08) VARIÂNCIA (desvio simples)² Abóbora 14,4419 8,3619 69,92137 Abobrinha 13,5715 7,4915 56,12257 Batata 9,8595 3,7795 14,28462 Morango 1,1296 -4,9504 24,50646 Pimentão 1,1816 -4,8984 23,99432 Tomate rasteiro 6,1132 0,0332 0,001102 SOMA 188,8304 DESVIO PADRÃO NA MÉDIA 2,5088 CULTURA (solo classe IV) ÁREA (ha) para a renda SIPRA DESVIO SIMPLES (= área – 10,58) VARIÂNCIA (desvio simples)² Abóbora 14,4419 3,8619 14,91427 Abobrinha 13,5715 2,9915 8,949072 Batata 9,8595 -0,7205 0,51912 Morango 1,1296 -9,4504 89,31006 Pimentão 1,1816 -9,3984 88,32992 Tomate rasteiro 6,1132 -4,4668 19,95230 SOMA 221,9747 DESVIO PADRÃO NA MÉDIA 2,7201 78. A Figura 9 nos ajuda a entender o que esses números significam para o solo da classe de capacidade de uso III. Ela apresenta a curva de distribuição normal, também chamada de curva de Gauss, curva gaussiana ou curva sino. Inúmeros fenômenos naturais, sociais e econômicos seguem essa distribuição, na qual os eventos se concentram no meio, rareando em direção aos extremos. Ela nos mostra a probabilidade de um evento acontecer e é bastante usada na pesquisa agrícola. Por exemplo, o rendimento físico da cultura do milho para centenas de produtores do estado de São Paulo concentra-se em torno de um valor médio, cerca de 5 toneladas por hectare. Os valores extremos, como 2 e 10 toneladas são menos numerosos, e os valores muito extremos como 0,3 e 13 toneladas são bem raros. Assim é para a maioria das culturas. O valor médio da parcela SA em classe III é 7,72 ha, no centro da curva, área que oferece 50% de chances de possíveis cultivos atenderem ao quesito de fornecerem a renda SIPRA de 3 salários mínimos por família por mês.
  • 18.
    Processo INCRA N.º54190.003488/2012-16. Fls. ________ Relatório à OS 21/2012 – Proposta de método de parcelamento de uma gleba do PA Zumbi dos Palmares, Iaras, SP. Pág. 18 de 46. 79. Vemos que no intervalo entre -1 e +1 dpm (5,32 e 10,12 ha), a probabilidade amplia-se para 68,2%, o que parece atraente. Ocorre que temos de escolher um valor para a parcela, e não um intervalo. Se escolhermos uma parcela com um dpm a menos da média, isto é, 5,32 ha, as chances de encontrarmos cultivos que produzam a renda SIPRA descem para apenas 15,9%. Isso significa que diminuir o tamanho da parcela de 7,72 para 5,32 ha (= - 1 dpm) reduz demasiado suas chances de sucesso, o que já elimina essa escolha. Indo mais além, suponhamos que a ânsia por dividendos políticos faça a parcela reduzir-se em dois dpm (2,3998 ha x 2 = 4,7996 ha), passando a parcela a ter apenas 2,92 ha, triplicando a quantidade de famílias assentadas. Essa parcela terá apenas 2,3% de chances de encontrar cultivos que atinjam a renda SIPRA, completamente fora de uma recomendação segura. 80. Em sentido oposto, se a parcela for aumentada em um dpm, passando a ter 10,12 ha, as chances de encontrar formas de exploração que produzam a renda SIPRA sobem para 84,1%. E se a área for aumentada em dois dpm, ficando com 12,52 ha, as chances chegam quase a 100%. É tentador concluir que 12,52 ha ou mais seriam, então, a melhor opção, ao invés da média 7,72 ha. Mas a decisão não é tão fácil devido à escassez de terras e ao seu custo para o Erário Público. Assim, a média continua sendo a melhor escolha por conciliar o menor tamanho com grandes chances de sucesso. 81. Comparando-se essas probabilidades com as áreas da renda SIPRA na Tabela 4, notamos que duas “forças” puxam em direções opostas na escolha do tamanho da parcela: a) para diminuir o tamanho, há os cultivos que oferecem a renda dos 3 salários-mínimos em áreas pequenas, como o morango e o pimentão; b) para aumentar o tamanho, há o fato de áreas maiores aumentarem a possibilidade de cultivos, como mostra a Figura 9. 82. A média é o ponto de equilíbrio dessas forças: 50% de probabilidade de encontrar cultivos rentáveis incluindo todas as explorações de áreas pequenas. 83. Voltando à escolha da margem para ajustes, devemos eliminar as reduções de área pois, como nos mostra a curva, reduções pequenas de área diminuem superlativamente a probabilidade de cultivos. De forma oposta, o aumento de 2,3998 ha na média traz um ganho de 34,1% de novas chances sobre as já existentes 50%, o que, além de favorável, é suficiente para um ajuste. 84. Assim, sugerimos que os ajustes necessários sejam feitos sempre adicionando até um desvio padrão na média, isto é, 2,3998 ha. Assim, se tivermos uma gleba encaixada entre duas estradas e um córrego, por exemplo,
  • 19.
    Processo INCRA N.º54190.003488/2012-16. Fls. ________ Relatório à OS 21/2012 – Proposta de método de parcelamento de uma gleba do PA Zumbi dos Palmares, Iaras, SP. Pág. 19 de 46. onde só caberiam duas parcelas de 7,72 ha e uma terceira de 5 ha, é preferível distribuir a área desta última entre as outras duas ao invés de fazer três áreas de 6,81 ha. Ou então dividir os 5 ha em 2 parcelas para-rurais, pois estas têm pouca expectativa econômica. 85. Todos esses cálculos se referem à área aproveitável; trata-se da área efetivamente cultivada, incluídas as estradas da própria cultura. A área da habitação, pomar doméstico, horta, cercados para animais, depósitos, terreiros, silos e o acesso principal são construções necessárias e precisam ser adicionadas. Segundo observações desta equipe nas parcelas já existentes, é seguro reservar para essa superfície não cultivada uma área de 0,5 ha. Esse valor se aplica às parcelas com ou sem acesso à água de qualquer classe de solo. 86. Finalmente, cabe considerar o que além do Estatuto da Terra, a Lei 8.629 de 1993 e suas regulamentações consideram produtivo o imóvel rural com Grau de Utilização da Terra (GUT) igual ou superior a 80%. De toda a área aproveitável, se 80% de sua superfície for explorada (ou possuir projeto técnico de exploração aceito pelo INCRA), a propriedade será considerada produtiva. Se, por analogia, estendermos esse critério para as áreas da Reforma Agrária, a família assentada terá o “direito” de explorar 80% da superfície cultivável, deixando 20% ociosos para opcional expansão futura. Ou seja, as médias de 7,72 ha, 4,15 ha e outras devem corresponder aos 80%. 87. Reunindo a média, o dpm, o entorno da habitação e o GUT, teremos a maior e a menor parcela possíveis sem água nas três classes de capacidade de uso (em hectares): CLASSE II CLASSE III CLASSE IV mín. máx. mín. máx. mín. máx. Área utilizável da parcela 6,08 8,59 7,72 10,12 10,58 13,30 20% ociosos pelo GUT 1,22 — 1,54 — 2,12 — Entorno da habitação 0,50 0,50 0,50 0,50 0,50 0,50 TOTAL DA PARCELA SEM ÁGUA 7,80 9,09 9,76 10,52 13,20 13,80 88. As áreas mínimas (mín.) são as médias que calculamos nas Tabelas 7 e 8. As áreas máximas (máx.) são essas mesmas médias acrescidas de um dpm. Não incluímos os 20% de área ociosa permitidos pela lei do GUT nos casos de máxima porque um dpm já supera 20%. 89. E para a parcela com água, as variâncias e o dpm serão: CULTURA (classes I a VII) ÁREA (ha) para a renda SIPRA DESVIO SIMPLES (= área – 4,15) VARIÂNCIA (desvio simples)² Alface 1,4162 -2,7338 7,473662 Beterraba 8,7218 4,5718 20,90136 Cebola 3,8820 -0,2680 0,071824 Cenoura 6,7938 2,6438 6,989678 Cogumelo Paris 0,2490 -3,9010 15,21780 Cogumelo Shiitake 0,0747 -4,0753 16,60807 Leite C (pasto irrig.) 9,2549 5,1049 26,06000 Ovo 0,1986 -3,9514 15,61356 Repolho 4,2584 0,1084 0,011751 SOMA 108,9477 DESVIO PADRÃO NA MÉDIA 1,2301 90. Temos então dois tamanhos de parcela com água (em ha): mín. máx. Área utilizável da parcela (todas as classes) 4,15 5,38 20% ociosos pelo GUT 0,83 — Entorno da habitação 0,50 0,50 TOTAL DA PARCELA COM ÁGUA 5,48 5,88 91. Esses cálculos apresentam 8 diferentes tamanhos de parcela. Como a maior parte do imóvel está na classe III sem acesso à água, a quase totalidade será de 9,76 ha. E só nos locais de ajuste a parcela aumentará até 10,52 ha. As demais dimensões serão ocasionais.
  • 20.
    Processo INCRA N.º54190.003488/2012-16. Fls. ________ Relatório à OS 21/2012 – Proposta de método de parcelamento de uma gleba do PA Zumbi dos Palmares, Iaras, SP. Pág. 20 de 46. V ─ TRAÇADO DE ESTRADAS E PARCELAS A) Traçado conservacionista de estradas 92. É necessário lembrar que tanto o INCRA quanto a família assentada compartilham a posse do imóvel federal destinado à Reforma Agrária. Sendo o solo um patrimônio da União Federal, um ativo econômico cujo valor está sendo indenizado ao ex-proprietário, deve o INCRA, por força de lei, tomar todas as providências para que esse patrimônio não seja dilapidado, inclusive orientar os beneficiários a procederem da mesma forma. O plano de parcelamento é decisivo para a preservação do solo, uma vez que a disposição das estradas pode dificultar ou favorecer a remoção do solo pelas águas pluviais. 93. A conservação do solo não é importante apenas para a União. A camada mais fértil de qualquer solo são seus primeiros 20 cm de profundidade. A maioria dos vegetais concentra cerca de 80% de suas raízes nessa camada superficial para dela retirar seus nutrientes. Os processos erosivos removem, em primeiro lugar, essa preciosa fatia. Quando a erosão já removeu 25, 30 cm ou mais, o solo já está quase imprestável para agricultura, necessitando de pesados investimentos para voltar a ser produtivo. Ou seja, o agricultor é o primeiro prejudicado com o solo erodido. Depois dele, os habitantes de zonas ribeirinhas. Estas alagam devido aos rios ficarem cada vez mais rasos pela terra trazida das áreas erodidas. E finalmente o Poder Público, que continuará indenizando o ex-proprietário por um imóvel que já perdeu a capacidade produtiva. Por esses motivos, a conservação do solo está na pauta internacional das declarações e tratados de preservação do ambiente, como a citada Agenda 21. 94. Atendendo ao criterioso método explicado por Bertolini & Lombardi Neto (1994), o traçado mais apropriado de estradas é aquele no qual essas vias evitam o escorrimento superficial. Devem as vias ser projetadas acompanhando as curvas de nível do terreno para conter o escorrimento superficial da água. Quando for necessário ligar estradas de níveis diferentes, a via de ligação deve ser feita no trecho de maior aproximação de ambas. Isso diminuirá a quantidade de terra e água arrastadas durante as chuvas fortes. O objetivo do traçado conservacionista de estradas é fazer com que a água das chuvas não transforme as estradas em verdadeiros rios em dias de tempestade. Ao contrário, devem ajudar a conter o movimento superficial da água, fazendo-a infiltrar-se no solo durante as horas e dias seguintes à chuva. A Figura 10-A mostra um traçado apropriado, que permite pouco escorrimento de água pelas estradas. A Figura 10-B mostra um péssimo traçado, cuja enxurrada num único dia de tempestade pode arrastar mais de uma tonelada de solo por hectare.
  • 21.
    Processo INCRA N.º54190.003488/2012-16. Fls. ________ Relatório à OS 21/2012 – Proposta de método de parcelamento de uma gleba do PA Zumbi dos Palmares, Iaras, SP. Pág. 21 de 46. B) Acesso à água 95. Apesar de a parcela sem água ser projetada para obter a mesma receita que a com acesso à água, seria melhor que todas tivessem algum ponto de acesso, mesmo que apenas para irrigação parcial do terreno. Isso aumentaria ainda mais as chances de diversificação de culturas, além de a água ser recurso importante para incontáveis outras atividades produtivas e domésticas. 96. Infelizmente é impossível que todas as parcelas tenham acesso à agua, mas a quantidade pode aumentar através de um traçado mais estreito, como ilustramos na Figura 11. Nesse exemplo hipotético, vamos supor que o terreno comporte 26 parcelas, algumas com acesso à água de uma represa (CA) e outras sem acesso à água (SA). No caso da esquerda, as parcelas SA são 14 e têm quase o dobro do tamanho das CA, que são 12. Mas estreitando as parcelas como na imagem da direita, aumentamos para 20 as parcelas CA e reduzimos para 6 as SA. Há também maior aproveitamento da área pela diminuição de estradas. 97. Se se tratasse de uma represa ou outro grande manancial, a irrigação poderia acabar se estendendo para toda a parcela se o agricultor assim quisesse. Mas na gleba de Zumbi para a qual este estudo está dirigido, isso é escassamente possível por apenas existirem pequenos córregos de vazão desconhecida. 98. No estado de São Paulo, a captação de água para irrigação necessita ser autorizada pelo Governo Estadual, através de outorga do Departamento de Água e Energia Elétrica (DAEE), da Secretaria de Estado do Meio Ambiente. Mendes (2007) apurou que o DAEE restringe a captação de água a 50% da vazão mínima, valor chamado de vazão outorgável. Supondo arbitrariamente que a outorgável corresponda a 150 m³ por hora, isso corresponde a 3.600 m³/dia (= 150 m³/h x 24 h). Um metro quadrado de cultura olerícola consome o valor médio de 6,5 litros de água por dia. Então 4,15 ha (= 41.500 m²) consumirão 269.750 litros por dia (41.500 m² x 6,5 litros/m² = 269.750 litros = 269,75 m³). Dividindo-se a vazão diária de 3.600 m³ pelo consumo diário da CA, 269,75 m³, encontramos 13,34, ou seja, 13 parcelas consumirão a vazão outorgável de 150 m³ por hora. 99. A vazão mínima e a outorgável dos cursos d’água de Zumbi dos Palmares nos são desconhecidas. Será necessário uma equipe especializada fazer um estudo hidrológico, que leve em consideração as épocas mais chuvosas e mais secas do ano, para se obter a vazão mínima e dela se deduzir a vazão outorgável de cada manancial. Estimamos que, devido ao pequeno volume dos mananciais de Zumbi, a vazão outorgável será pequena, permitindo a irrigação de pequenas superfícies, dificilmente os 4,15 ha da parcela CA. Se assim for, será necessário projetar parcelas com área intermediária entre 4,15 e 7,72 ha, ou seja, parte irrigada e parte seca. Mas como dosar a proporção entre área irrigada e área seca para que se atinja a renda SIPRA de R$ 24.840 anuais? Esse cálculo só será possível sabendo-se a vazão outorgável revelada pelo estudo hidrológico.
  • 22.
    Processo INCRA N.º54190.003488/2012-16. Fls. ________ Relatório à OS 21/2012 – Proposta de método de parcelamento de uma gleba do PA Zumbi dos Palmares, Iaras, SP. Pág. 22 de 46. 100. Pelos cálculos que fizemos nas Tabelas 4, 5 e 6, demonstramos que 4,15 ha de área irrigada em qualquer classe de solo produzem a mesma renda anual que 7,72 ha sem água em solo classe III. Ou seja, essas áreas se equivalem. Um hectare de área irrigada gera a mesma renda que quase o dobro de área seca. Se plotarmos essa equivalência num gráfico para as classes de solo II, III e IV, teremos as retas da Figura 12. 101. As equações do tipo SA = a - bCA da Figura 12 descrevem matematicamente as retas para as três classes de solo. O valor a é a área máxima de uma parcela SA; b é a divisão de a por 4,15, valor máximo da parcela CA. O eixo horizontal representa a área SA, em hectares, e o vertical a CA. Quando escolhemos um valor num dos eixos, projetamo-lo até à reta da classe de solo e, projetando esse ponto no outro eixo, descobrimos o segundo valor. Se no eixo SA escolhemos uma área de 7,72 ha na reta da classe III, o valor CA será zero. Ou seja, numa área seca de 7,72 ha classe III não precisamos ter área irrigada para atingirmos a renda SIPRA. Se, por exemplo, o estudo hidrológico revelar que num riacho a vazão outorgável permitirá irrigar 4 ha, e nesse trecho desejamos alocar 3 parcelas, cada uma terá 1,33 ha irrigados (= 4 ha ÷ 3 parcelas). Pondo-se esse valor de CA na equação, encontraremos SAIII = 5,32. Isso significa uma parcela com área total de 6,65 (= CA + SAIII). Essas retas são nossas fronteiras de potencialidade de renda por classe de uso do solo; qualquer combinação que escolhermos de CA e SA nas retas produzirá a mesma renda SIPRA anual em Zumbi. 102. Mas enquanto não possuirmos o mapa de vazões, sugerimos que todas as parcelas sejam projetadas para serem SA, com 6,08, 7,72 ou 10,58 ha de acordo com a classe de solo. Se eventualmente algum trecho possuir contato com a represa ou outro manancial volumoso, que mesmo sem o estudo hidrológico possa ser estimada uma captação abaixo de 50% da vazão mínima, então só nesse caso deve-se planejar a parcela CA, de 4,15 ha. C) Parcelas para-rurais 103. O Estatuto da Terra prevê a existência de parcelas menores que o módulo familiar, destinadas a pessoas com reduzida capacidade de trabalho, denominando-as para-rurais, sem maiores explicações. Em São Paulo, o INCRA costuma projetar e oferecer tais parcelas apenas para candidatos de composição familiar com força de trabalho unitária (só um adulto capaz) e para pessoas com mais de 65 anos que, mesmo sendo adultos, têm força de trabalho reduzida ou nula. 104. Em ambos os casos, a figura da parcela para-rural, claramente antieconômica, parece ser uma adaptação que a Lei previu de um imóvel com finalidade urbana na zona rural. Sua função prioritária é prover moradia, água e alguma produção de subsistência (horta, pomar e pequenos animais) para pessoas de origem rural sem capacidade de conduzir uma parcela de dimensão produtiva.
  • 23.
    Processo INCRA N.º54190.003488/2012-16. Fls. ________ Relatório à OS 21/2012 – Proposta de método de parcelamento de uma gleba do PA Zumbi dos Palmares, Iaras, SP. Pág. 23 de 46. 105. Na maioria das vezes o ocupante do para-rural deixa a parcela em alguns anos. No caso do beneficiário solteiro, causas comuns são uma melhor oportunidade na zona urbana ou a constituição de uma família, com necessidade de transferência para parcela maior. No caso dos idosos, quase sempre a desistência se dá por motivos de saúde que requerem sua remoção para a zona urbana, com maior proximidade de serviços médicos. Para os dois casos, a permanência nessa área reduzida é temporária. 106. Assim sendo, sugerimos que primeiramente seja a nova área de Zumbi planejada sem para-rurais. Quando o processo de seleção de beneficiários resultar no número X de famílias com força de trabalho unitária ou nula, então algumas parcelas de tamanho normal podem ser subdivididas em X para-rurais. E, à medida que as desistências forem ocorrendo, o INCRA pode ir retomando essas áreas para reuní-las numa parcela normal. 107. No caso de os beneficiários serem idosos, é recomendável que as parcelas para-rurais possuam a maior quantidade de facilidades que sua condição de saúde requer: acesso à água, proximidade da cidade, de linha de ônibus, da ex-casa sede etc. VI ─ CONSIDERAÇÕES FINAIS E RECOMENDAÇÕES 108. Desde a publicação do Estatuto da Terra, em 1964, o IBRA, depois transformado em INCRA, procedeu à colonização ou assentamento de famílias. A colonização foi mais presente nos antigos territórios de Rondônia, Roraima, Amapá e Acre. Ela serviu para povoar as fronteiras amazônicas com migrantes de outros estados, preocupação dos governos militares das décadas de 1960 e 70. Em São Paulo, predominam os assentamentos de Reforma Agrária, só surgidos na década de 1980, já no governo civil de José Sarney. Primeiramente, o INCRA adquire um imóvel improdutivo já alvo de um grupo de acampados nas proximidades. Depois nele são assentados esses trabalhadores rurais e outros, residentes nos municípios próximos. E o conhecimento do mercado local e dos processos de produção possíveis no imóvel são deixados para último lugar, quando a assistência técnica já foi contratada e as famílias instaladas.
  • 24.
    Processo INCRA N.º54190.003488/2012-16. Fls. ________ Relatório à OS 21/2012 – Proposta de método de parcelamento de uma gleba do PA Zumbi dos Palmares, Iaras, SP. Pág. 24 de 46. 109. Tanto na colonização como na Reforma Agrária, de 1964 até hoje, a lógica insculpida no Estatuto da Terra (e endossada pelos movimentos sociais) desconsidera o mercado tanto para a escolha do imóvel como dos candidatos. O Estatuto prevê apenas a integração do assentamento à economia local, por mais precária que esta seja. Essa lógica sem senso econômico está sintetizada na Figura 13. Muitos assentamentos assim planejados, alguns com mais de 20 anos de idade, permanecem até o presente em níveis elementares de desenvolvimento. É verdade que o método tem cumprido a função de aliviar pressões sociais, mas sem dúvida é vulnerável à crítica que acusa o Governo e os movimentos sociais de promoverem assistencialismo, e não desenvolvimento sócio-econômico. 110. Se verificarmos o procedimento de um empreendedor rural bem-sucedido – parceiro, arrendatário, fazendeiro, empresa agrícola, grupo empresarial, pequeno, grande ou gigante – encontraremos uma lógica diversa. Primeiramente o empreendedor se orienta pelas opções de cultivo com a qual possui certa experiência. Então, pesquisa o mercado para esses produtos e descobre onde eles podem ser vendidos. Calcula os custos de produção e sua margem de lucro nesses mercados pesquisados. Sabendo quais opções são lucrativas, só então escolhe um imóvel para arrendar ou comprar. E finalmente, depois dessas etapas calculadas, contrata trabalhadores e investe na produção. Em todas as fases, são referências constantes do empreendedor os preços de compra e venda nos mercados nos quais ele vai entrar, como mostra a Figura 14. 111. Compare-se os dois critérios esquematizados nas Figuras 13 e 14 e se verá que são quase inversos. A adoção das medidas fixadas no Estatuto da Terra talvez possa ser justificada pelo quadro social e político agitado dos anos 1950 e 60, quando a “questão agrária” era explosiva. Mas na atualidade, com a rápida profissionalização da agricultura, sua progressiva integração ao Mercosul e outras várias mudanças, ficou decrépita a fórmula do Estatuto da Terra para a incentivar o desenvolvimento econômico rural. 112. A Figura 15 mostra nossa proposta de adaptação da lógica do empreendedor às limitações que o Estatuto da Terra impõe como critério de escolha de imóveis para a Reforma Agrária. Na figura, este estudo de parcelamento entra na fase 2 da sequência, tentando adaptar o planejamento das parcelas ao mercado mesorregional. A fase seguinte será a seleção de famílias dando-se preferência às que possuem mais experiência com os cultivos para os quais o parcelamento apontou como mais viáveis, isto é, as olerícolas. Mas esse passo foge ao alcance de nosso estudo. E, por fim, também fora dos limites de nossa ordem de serviço, a seleção de serviços de assistência técnica especializada naquelas mesmas culturas.
  • 25.
    Processo INCRA N.º54190.003488/2012-16. Fls. ________ Relatório à OS 21/2012 – Proposta de método de parcelamento de uma gleba do PA Zumbi dos Palmares, Iaras, SP. Pág. 25 de 46. 113. Finalmente, nossas sugestões apresentadas e discutidas ao longo deste estudo podem ser resumidas nestas recomendações: 1.ª) que seja feito um estudo hidrológico de todos os mananciais do PA e obtenha-se a outorga para captação de água para irrigação; 2.ª) que enquanto não houver o mapa hidrológico, todas as parcelas possuam os tamanhos calculados para área seca, de acordo com a classe de capacidade de uso, fazendo ajustes somente para cima em até um desvio padrão na média; 3.ª) que, uma vez obtida a autorização de captação de água, sejam as parcelas redemarcadas, sempre que possível, pela equação que combina terra irrigada com terra sem irrigação; 4.ª) que o traçado das estradas vise a conservação do solo contra a erosão hídrica, seguindo a orientação técnica do excelente trabalho de Bertolini & Lombardi Neto (1994); 5.ª) que o parcelamento de novos imóveis que venham a integrar o PA Zumbi dos Palmares siga esse mesmo critério de cálculo de parcelas, inclusive com estudo hidrológico; 6.ª) que as parcelas já existentes, fruto de parcelamentos anteriores, quando puderem ter seu perímetro modificado, sejam remodeladas pelo critério aqui recomendado; 7.ª) que o INCRA não adquira imóveis para assentamento de famílias sem certificar-se através de laudos técnicos (como o mapa de classes de capacidade de uso do solo e o mercado mesorregional) que eles se prestam à agricultura familiar, aproximando-se ao máximo da sequência mostrada na Figura 14. 114. São Paulo, INCRA/SR(08), em 17 de setembro de 2012. DANIEL CARLOS MAIA MARTINS Técnico de Reforma e Desenvolvimento Agrário - SIAPE 1550907 WILLIAM GOLDONI MOITINHO Engenheiro Agrônomo SIAPE 1222201 EDUARDO AUGUSTO B. FIGUEIREDO ALVES Engenheiro Agrônomo Coordenador SIAPE 1472782
  • 26.
    Processo INCRA N.º54190.003488/2012-16. Fls. ________ Relatório à OS 21/2012 – Proposta de método de parcelamento de uma gleba do PA Zumbi dos Palmares, Iaras, SP. Pág. 26 de 46. VII ─ REFERÊNCIAS ABRAMOVAY, Ricardo. Paradigmas do capitalismo agrário em questão. São Paulo: Ed. HUCITEC,1992. AGENDA 21. Rio de Janeiro: Fórum de ONGs, 1992. Disponível em: http://www.ecolnews.com.br/ agenda21/index.htm Acesso em 05 de junho de 2012. BANCO CENTRAL DO BRASIL. Disponível em: www.bcb.gov.br  Câmbio e Capitais Internacionais  Taxas de Câmbio  Cotações e Boletins. Acesso em: 06 de junho de 2012. BERTOLINI, Dorival & LOMBARDI NETO, Francisco. Programa estadual de microbaciais hidrográficas. Campinas: CATI, Vol. 5., 1994. BERTONI, J. & LOMBARDI NETO, Francisco. Conservação do solo. São Paulo: Ed. Ícone, 1999. BESSA JR., Alfredo de Almeida; OLIVEIRA, Marli Dias Mascarenhas; VEIGA FILHO, Alceu de Arruda; FIGUEIREDO, Gilberto J. B. Custo e rentabilidade na produção do cogumelo “champignon de paris”. Informações Econômicas, v.26, n.8, ago. 1996. Disponível em: http://www.iea.sp.gov.br/out/verTexto. php?codTexto=1043 Acesso em: 06 de julho de 2012. BRASIL. Poder Executivo Federal. Ministério do Desenvolvimento Agrário. Instituto Nacional de Colonização e Reforma Agrária (INCRA). Índices Básicos 2005, 2007. Disponível em: http://www.incra.gov.br/index.php/ estrutura-fundiaria/regularizacao-fundiaria/indices-cadastrais Acesso em: 06 de julho de 2012. ______. Poder Executivo Federal. Ministério do Desenvolvimento Agrário. INCRA. Ordem de Serviço N.º 19/2012. Brasília: Boletim de Serviço N.º 21, de 21 de maio de 2012. ______. Poder Executivo Federal. Ministério do Desenvolvimento Agrário. INCRA. SIPRA: Relatório de 27 de junho de 2012. ______. Poder Executivo Federal. Ministério do Desenvolvimento Social. Programa Bolsa-Família. Disponível em: http://www.mds.gov.br/bolsafamilia Acesso em: 05 de junho de 2012. _____. Poder Executivo Federal. Presidência da República. Diário Oficial da União, Seção 1, Superintendência Regional do INCRA em São Paulo, Portaria N.º 55 (cria PA Zumbi dos Palmares). Brasília: Imprensa Nacional, 22 de setembro em 1998. CAMARGO FILHO, Waldemar Pires de; ALVES, Humberto Sebastião. Produção de cebola no MERCOSUL: aspectos tecnológicos e integração de mercado no Brasil e na Argentina. Informações Econômicas, v.35, n.5, mai. 2005. Disponível em: http://www.iea.sp.gov.br/out/publicacoes/pdf/tec1-0505.pdf Acesso em: 06 de julho de 2012. CECATO, Ulysses; JOBIM, Clóves Cabreira; DO CANTO, Marcos W.; REGO, Fabíola C. Almeida. Pastagens para produção de leite. Núcleo Pluridisciplinar de Pesquisa e Estudo da Cadeia Produtiva do Leite. Publicação on- line, 2001. Disponível em: http://www.nupel.uem.br/pos-ppz/pastagens-08-03.pdf Acesso em: 06 de julho de 2012. CLICK NOTÍCIAS EM ITAIÓPOLIS, em 11/02/2012. Disponível em: http://www.clickriomafra.com.br/portal/noticias/ itaiopolis/?p=3335 Acesso em: 08 de julho de 2012. DONADELLI, Alceu; KANO, Cristiaini; FERNANDES JÚNIOR, Flávio; FERRARA, Luciano M.; AZEVEDO FILHO, Joaquim Adelino de. Rentabilidade da cultura do morango no solo e em sistema sem solo em função da estrutura de sustentação. Pesquisa & Tecnologia, v.8, n.101, dez. 2011. Disponível em: http://www. aptaregional.sp.gov.br/index.php/component/docman/doc_view/984-rentabilidade-da-cultura-do-morango-no-solo -e-em-sistema-sem-solo-em-funcao-da-estrutura-de-sustenta?Itemid=275 Acesso em: 06 de julho de 2012. FARIA, Flaviane Flor de; OLIVEIRA, Julieta Teresa Aier de. Matriz de coeficientes técnicos da cultura do tomate de mesa: base para cálculos dos custos de produção e colheita. Campinas: UNICAMP-FEAGRI, 2005. Disponível em: http://www.feagri.unicamp.br/unimac/pdfs/ATT00004.pdf Acesso em: 07 de julho de 2012. GRAZIANO DA SILVA, José. O novo rural brasileiro. Belo Horizonte: Ed. Nova Economia, 1987. HORTIFRUTI BRASIL. N.º 95, 2010, pág. 11. Disponível em: http://cepea.esalq.usp.br/hfbrasil/ edicoes/106/full.pdf IEA. (preços de insumos agrícolas). Disponível em: www.iea.sp.gov.br  Banco de Dados  Preços Agrícolas: Pagos. Acesso em: 07 de julho de 2012.
  • 27.
    Processo INCRA N.º54190.003488/2012-16. Fls. ________ Relatório à OS 21/2012 – Proposta de método de parcelamento de uma gleba do PA Zumbi dos Palmares, Iaras, SP. Pág. 27 de 46. ___. (preços de produtos agrícolas). Disponível em: www.iea.sp.gov.br  Banco de Dados  Valor da produção: Valor da Produção. Acesso em: 07 de julho de 2012. ___. (salário de diaristas e volantes). Disponível em: www.iea.sp.gov.br  Banco de Dados  Mão de Obra: Salários. Acesso em: 07 de julho de 2012. ___. (escritórios de desenvolvimento regional – EDR – e regiões administrativas – RA). Disponível em: www.iea.sp.gov.br  Banco de Dados  Mapas: EDR e RA. Acesso em: 07 de julho de 2012. IPEA. (taxas de câmbio). Disponível em: www.ipeadata.gov.br  Séries históricas  Câmbio. Acesso em: 06 de junho de 2012. ____. (índices de inflação). Disponível em: www.ipeadata.gov.br  Base de Dados: Macroeconômico  Pesquisar: IGP-DI. Acesso em: 06 de junho de 2012. KOROLUK SOBRINHO, João; FONSECA, Ricardo Alves da. Análise econômica da produção de ovos de galinhas poedeiras no município de Toledo, PR. Revista Eletrônica Lato Sensu, n.1, jul. 2007. Disponível em: http://web03.unicentro.br/especializacao/Revista_Pos/P%C3%A1ginas/2%20Edi%C3%A7%C3%A3o/Aplicadas/P DF/4-Ed2_CS-Analise.pdf Acesso em: 08 de julho de 2012. LEI 4504/1964 (Estatuto da Terra). Disponível em: http://www.planalto.gov.br/ccivil_03/leis/L4504.htm Acesso em: 09 de junho de 2012. LEI 8629/1993 (GUT e GEE). Disponível em: http://www.planalto.gov.br/ccivil_03/leis/lcp/Lcp76.htm Acesso em: 17 de agosto de 2012. LEPSCH, Igo Fernando; BELLINAZZI JR., Ricardo. Manual para levantamento utilitário do meio físico e classificação de terras no sistema de capacidade de uso: 4ª aproximação. Campinas: Sociedade Brasileira de Ciência do Solo, 1983. LOPES, Patrick Fernandes; REIS, Ricardo Pereira; YAMAGUCHI, Luiz Carlos Takao. Custos e escala de produção na pecuária leiteira: estudo nos principais estados produtores do Brasil. Revista de Economia e Sociologia Rural, v.45, n.3, 2007. Disponível em: http://www.scielo.br/scielo.php?script=sci_arttext&pid=S0103- 20032007000300002&lng=en&nrm=iso&tlng=pt Acesso em: 08 de julho de 2012. MENDES, Ludmilson Abritta. Análise dos critérios de outorga de direito de usos consuntivos dos recursos hídricos baseados em vazões mínimas e em vazões de permanência. Dissertação (mestrado). São Paulo: Universidade de São Paulo – Escola Politécnica, 2007. 187 p. MIGUEL, Fernando Bergantini; ESPERANCINI, Maura Seiko Tsutsui; OJIMA, Andréa Leda Ramos de Oliveira; BÁRBARO, Ivana Marino; TICELLI, Marcelo. Análise de rentabilidade das culturas de alface e cenoura em sistema orgânico de produção no município de Bebedouro, estado de São Paulo, 2006. Informações Econômicas, v.38, n.5, mai. 2008. Disponível em: ftp://ftp.sp.gov.br/ftpiea/publicacoes/tec5-0508.pdf Acesso em: 06 de julho de 2012. MONTES, Sônia Maria Nalesso Marangoni; FIRETTI, Ricardo; GOLLA, Amarílis Ros; TARSITANO, Maria Aparecida Anselmo. Custos e rentabilidade da batata-doce (Ipomea batatas L.) na região oeste do estado de São Paulo: estudo de caso. Informações Econômicas, v.36, n.4, abr. 2006. Disponível em: ftp://ftp.sp.gov.br/ftpiea/ publicacoes/tec2-0406.pdf Acesso em: 07 de julho de 2012. MULLER, Siegfried; DURIGAN, Julio Cezar; BANZATTO, David Ariovaldo; KREUZ, Carlos Leomar. Épocas de consórcio de alho com beterraba perante três manejos do mato sobre a produtividade e o lucro. Pesquisa Agropecuária Brasileira, v.33, n.8, ago. 1998. Disponível em: http://webnotes.sct.embrapa.br/pab/pab.nsf/ FrAutor  Pesquisar: SIEGFRIED MULLER. Acesso em: 06 de julho de 2012. OLIVEIRA, João Bertoldo de; CAMARGO, Marcelo Nunes; ROSSI, Márcio; CALDERANO FILHO, Braz. Mapa pedológico do estado de São Paulo. Campinas: EMBRAPA e IAC, 1999. OLIVEIRA, Marli Dias Mascarenhas; FACHINI, Cristina; RAMOS JUNIOR, Edison Ulisses; ITO, Márcio Akira. Custo de produção da cultura do feijão na região sudoeste paulista. Análises e indicadores do agronegócio, v.5, n.7, jul. 2010. Disponível em: ftp://ftp.sp.gov.br/ftpiea/AIA/AIA-18-2010.pdf Acesso em: 06 de julho de 2012. PAULA, Débora Pires; TARSITANO, Maria Aparecida Anselmo; GRACIOLLI, Luiz Antônio. Viabilidade econômica do cultivo de shiitake em diferentes escalas de produção. Scientia Agricola, v.58, n.2, p.431-436, abr./jun. 2001. Disponível em: http://www.scielo.br/scielo.php?pid=S0103-90162001000200031&script=sci_arttext Acesso em: 08 de julho de 2012.
  • 28.
    Processo INCRA N.º54190.003488/2012-16. Fls. ________ Relatório à OS 21/2012 – Proposta de método de parcelamento de uma gleba do PA Zumbi dos Palmares, Iaras, SP. Pág. 28 de 46. REZENDE, Bráulio Luciano Alves; CECÍLIO FILHO, Arthur Bernardes; MARTINS, Maria Inez Espagnoli Geraldo; COSTA, Caciana Cavalcanti; FELTRIM, Anderson Luiz. Viabilidade econômica das culturas de pimentão, repolho, alface, rabanete e rúcula em cultivo consorciado, na primavera-verão, Jaboticabal, estado de São Paulo. Informações Econômicas, v.35, n.3, mar. 2005. Disponível em: http://www.iea.sp.gov.br/OUT/publicacoes/pdf/ tec3-0305.pdf Acesso em: 08 de julho de 2012. SELEGUINI, Alexsander. Híbridos de tomate industrial cultivados em ambiente protegido e campo, visando produção de frutos para mesa. Ilha Solteira: UNESP, 2005. Dissertação. Disponível em: http://www.feis. unesp.br/instituicao/administracao/dta/pos-graduacao/agro/dissertacoes2005/seleguini_a_me_ilha.pdf Acesso em: 08 de julho de 2012. SILVA, José Roberto da; CHABARIBERY, Denyse. Coeficientes técnicos e custos de produção da mandioca para mesa na região de Mogi-Mirim, estado de São Paulo. Informações Econômicas, v.36, n.1, jan. 2006. Disponível em: ftp://ftp.sp.gov.br/ftpiea/publicacoes/tec3-0106.pdf Acesso em: 06 de julho de 2012. THE ECONOMIST (edição on-line). On the poverty line. Disponível em: http://www.economist.com/node/ 11409401?story_ id=11409401&fsrc=RSS Acesso em: 28 de junho de 2012. TSUNECHIRO, Alfredo; OLIVEIRA, Marli Dias Mascarenhas; FURLANETO, Fernanda de Paiva Badiz; DUARTE, Aildson Pereira. Anaálise técnica e econômica de sistemas de produção de milho safrinha, região do médio Paranapanema, estado de São Paulo. 2006. Artigo em Hypertexto. Disponível em: http://www.infobibos.com/ Artigos/2006_3/Safrinha/index.htm Acesso em: 6 de julho de 2012. YAMAGUCHI, Luiz Carlos Takao; GOMES, Aloizio Teixeira; CARNEIRO, Alziro Vasconcelos. Como calcular a rentabilidade na atividade leiteira. Instrução técnica para o produtor de leite. Juiz de Fora: EMBRAPA-CNPGL, março de 2006. Disponível em: http://www.cnpgl.embrapa.br/nova/informacoes/pastprod/textos/21Instrucao.pdf Acesso em: 06 de julho de 2012.
  • 29.
    Processo INCRA N.º54190.003488/2012-16. Fls. ________ Relatório à OS 21/2012 – Proposta de método de parcelamento de uma gleba do PA Zumbi dos Palmares, Iaras, SP. Pág. 29 de 46. ANEXO I ORDEM DE SERVIÇO N.º 19/2012
  • 30.
    Processo INCRA N.º54190.003488/2012-16. Fls. ________ Relatório à OS 21/2012 – Proposta de método de parcelamento de uma gleba do PA Zumbi dos Palmares, Iaras, SP. Pág. 30 de 46.
  • 31.
    Processo INCRA N.º54190.003488/2012-16. Fls. ________ Relatório à OS 21/2012 – Proposta de método de parcelamento de uma gleba do PA Zumbi dos Palmares, Iaras, SP. Pág. 31 de 46. ANEXO II PREÇOS (R$) NA MESORREGIÃO DE IARAS ENTRE 2000 E 2011 FONTES: TABELAS 9 E 10: www.iea.sp.gov.br  Banco de Dados  Pagos (adaptado), em 12 de junho de 2012. TABELAS 11 A 28: www.iea.sp.gov.br  Banco de Dados  Valor da Produção (adaptado), em 14 de junho de 2012. Tabela 9. Preço trimestral médio de quatro importantes insumos agrícolas (herbicida “Roundup”, calcário dolomítico, fertilizante NPK 4-14-8, óleo diesel) e taxa média de câmbio no período 2000-2010. ANO HERBIC. (R$ / LITRO) TONELADA CALCÁRIO MÉDIA / ANO (R$) ADUBO 4-14-8 100 kg MÉDIA / ANO (R$) ÓLEO DIESEL (R$ / LITRO) TX. MÉDIA CÂMBIO R$ / US$ 1 2000 12,88 14,00 40,3527 0,61 1,81472000 12,38 16,00 41,2433 0,63 2000 12,1 18,00 40,8873 0,69 2001 11,97 20,00 41,9080 0,70 1,8302 2001 12,14 20,00 45,7073 0,76 2001 12,86 25,00 49,0240 0,77 2001 13,03 25,00 51,1770 0,80 2002 13,17 25,00 49,9477 0,86 2,3504 2002 13,1 25,00 48,8200 0,87 2002 13,58 27,00 55,3107 0,93 2002 13,76 30,00 65,9263 1,03 2003 14,54 30,00 66,5670 1,14 3,0783 2003 16,32 33,00 68,1123 1,45 2003 16,05 33,00 67,4093 1,49 2003 16,45 33,00 70,2980 1,45 2004 16,69 33,00 75,3430 1,43 2,9259 2004 17,14 33,00 82,8063 1,44 2004 17,51 33,00 86,8737 1,44 2004 17,4 33,00 85,0337 1,52 2005 16,55 33,00 80,7157 1,59 2,4352 2005 15,62 33,00 76,1773 1,66 2005 15,84 33,00 72,6410 1,68 2005 15,25 33,00 70,5780 1,72 2006 13,74 33,00 70,1720 1,91 2,1761 2006 13,46 33,00 67,6687 1,92 2006 13,13 30,00 69,3537 1,93 2006 13,02 28,00 70,0400 1,93 2007 15,71 28,00 69,5710 1,92 1,9479 2007 15,83 30,00 77,4933 1,92 2007 16,21 36,00 82,6140 1,93 2007 16,43 39,00 89,9587 1,93 2008 16,59 39,00 100,7927 1,93 1,8346 2008 17,65 42,00 130,1323 1,93 2008 21,28 47,00 146,6353 1,96 2008 23 47,00 142,7720 2,03 2009 23,72 41,00 121,3197 2,05 1,9976 2009 20,89 41,00 106,3727 2,13 2009 19,17 41,00 91,4807 2,14 2009 15,41 41,00 82,7673 2,06 2010 13,08 41,33 84,5730 2,02 1,7603 2010 12,8 45,67 88,3060 2,02
  • 32.
    Processo INCRA N.º54190.003488/2012-16. Fls. ________ Relatório à OS 21/2012 – Proposta de método de parcelamento de uma gleba do PA Zumbi dos Palmares, Iaras, SP. Pág. 32 de 46. 2010 12,6 45,67 90,9227 2,02 Tabela 10. Valor mensal e média trimestral do fertilizante NPK 4-14-8 e do óleo diesel no período 2000- 2011. TONELADA DE ADUBO NPK 4-14-8 LITRO DE ÓLEO DIESEL MÊS ANO PREÇO (R$) PREÇO. MÉDIO DO TRIMESTRE (R$) MÊS ANO PREÇO (R$) PREÇO. MÉDIO DO TRIMESTRE (R$) 1 2000 390,58 1 2000 0,6 2 2000 392,13 2 2000 0,6 3 2000 388,12 390,276667 3 2000 0,62 0,606667 4 2000 393,41 4 2000 0,63 5 2000 409,93 5 2000 0,63 6 2000 407,24 403,526667 6 2000 0,63 0,63 7 2000 409,09 7 2000 0,67 8 2000 412,5 8 2000 0,7 9 2000 415,71 412,433333 9 2000 0,7 0,69 10 2000 412,97 10 2000 0,7 11 2000 407,44 11 2000 0,7 12 2000 406,21 408,873333 12 2000 0,7 0,7 1 2001 407,66 1 2001 0,74 2 2001 421,89 2 2001 0,77 3 2001 427,69 419,08 3 2001 0,77 0,76 4 2001 439,61 4 2001 0,77 5 2001 462,9 5 2001 0,77 6 2001 468,71 457,073333 6 2001 0,77 0,77 7 2001 471,09 7 2001 0,77 8 2001 501,24 8 2001 0,82 9 2001 498,39 490,24 9 2001 0,82 0,803333 10 2001 515,31 10 2001 0,83 11 2001 511,95 11 2001 0,87 12 2001 508,05 511,77 12 2001 0,87 0,856667 1 2002 504,67 1 2002 0,87 2 2002 503,44 2 2002 0,87 3 2002 490,32 499,476667 3 2002 0,87 0,87 4 2002 490 4 2002 0,9 5 2002 480,14 5 2002 0,94 6 2002 494,46 488,2 6 2002 0,96 0,933333 7 2002 543,22 7 2002 0,98 8 2002 556,49 8 2002 1,04 9 2002 559,61 553,106667 9 2002 1,07 1,03 10 2002 662,25 10 2002 1,07 11 2002 669 11 2002 1,07 12 2002 646,54 659,263333 12 2002 1,27 1,136667 1 2003 654,74 1 2003 1,3 2 2003 662,51 2 2003 1,53 3 2003 679,76 665,67 3 2003 1,52 1,45 4 2003 695,15 4 2003 1,5 5 2003 679,03 5 2003 1,52 6 2003 669,19 681,123333 6 2003 1,46 1,493333 7 2003 673,15 7 2003 1,46 8 2003 673,19 8 2003 1,44 9 2003 675,94 674,093333 9 2003 1,44 1,446667 10 2003 696,17 10 2003 1,44 11 2003 698,02 11 2003 1,42 12 2003 714,75 702,98 12 2003 1,44 1,433333 1 2004 717,92 1 2004 1,43 2 2004 753,26 2 2004 1,44 3 2004 789,11 753,43 3 2004 1,44 1,436667 4 2004 805,58 4 2004 1,43
  • 33.
    Processo INCRA N.º54190.003488/2012-16. Fls. ________ Relatório à OS 21/2012 – Proposta de método de parcelamento de uma gleba do PA Zumbi dos Palmares, Iaras, SP. Pág. 33 de 46. 5 2004 824,41 5 2004 1,44 6 2004 854,2 828,063333 6 2004 1,44 1,436667 7 2004 873,03 7 2004 1,51 8 2004 852,18 8 2004 1,51 9 2004 881 868,736667 9 2004 1,53 1,516667 10 2004 863,76 10 2004 1,53 11 2004 849,58 11 2004 1,58 12 2004 837,67 850,336667 12 2004 1,65 1,586667 1 2005 813,83 1 2005 1,66 2 2005 813,11 2 2005 1,66 3 2005 794,53 807,156667 3 2005 1,66 1,66 4 2005 779,78 4 2005 1,67 5 2005 762,83 5 2005 1,68 6 2005 742,71 761,773333 6 2005 1,68 1,676667 7 2005 734,12 7 2005 1,71 8 2005 723,83 8 2005 1,73 9 2005 721,28 726,41 9 2005 1,73 1,723333 10 2005 707,65 10 2005 1,91 11 2005 706,23 11 2005 1,91 12 2005 703,46 705,78 12 2005 1,91 1,91 1 2006 709,47 1 2006 1,91 2 2006 704,48 2 2006 1,92 3 2006 691,21 701,72 3 2006 1,92 1,916667 4 2006 676,11 4 2006 1,92 5 2006 666,15 5 2006 1,93 6 2006 687,8 676,686667 6 2006 1,93 1,926667 7 2006 689,8 7 2006 1,93 8 2006 687,99 8 2006 1,93 9 2006 702,82 693,536667 9 2006 1,92 1,926667 10 2006 711,44 10 2006 1,92 11 2006 695,29 11 2006 1,92 12 2006 694,47 700,4 12 2006 1,93 1,923333 1 2007 684,96 1 2007 1,92 2 2007 692,03 2 2007 1,92 3 2007 710,14 695,71 3 2007 1,92 1,92 4 2007 748,25 4 2007 1,92 5 2007 776,02 5 2007 1,93 6 2007 800,53 774,933333 6 2007 1,93 1,926667 7 2007 813,76 7 2007 1,93 8 2007 813,58 8 2007 1,93 9 2007 851,08 826,14 9 2007 1,93 1,93 10 2007 885,73 10 2007 1,93 11 2007 895,28 11 2007 1,93 12 2007 917,75 899,586667 12 2007 1,93 1,93 1 2008 982,41 1 2008 1,93 2 2008 1002,27 2 2008 1,93 3 2008 1039,1 1007,92667 3 2008 1,93 1,93 4 2008 1175,09 4 2008 1,93 5 2008 1303,88 5 2008 1,91 6 2008 1425 1301,32333 6 2008 2,03 1,956667 7 2008 1473,28 7 2008 2,03 8 2008 1464,49 8 2008 2,03 9 2008 1461,29 1466,35333 9 2008 2,04 2,033333 10 2008 1501,77 10 2008 2,04 11 2008 1395,88 11 2008 2,04 12 2008 1385,51 1427,72 12 2008 2,08 2,053333 1 2009 1271,02 1 2009 2,11 2 2009 1178,51 2 2009 2,12 3 2009 1190,06 1213,19667 3 2009 2,15 2,126667 4 2009 1115,67 4 2009 2,14 5 2009 1052,39 5 2009 2,15
  • 34.
    Processo INCRA N.º54190.003488/2012-16. Fls. ________ Relatório à OS 21/2012 – Proposta de método de parcelamento de uma gleba do PA Zumbi dos Palmares, Iaras, SP. Pág. 34 de 46. 6 2009 1023,12 1063,72667 6 2009 2,14 2,143333 7 2009 958,09 7 2009 2,15 8 2009 900,24 8 2009 2,01 9 2009 886,09 914,806667 9 2009 2,01 2,056667 10 2009 850,34 10 2009 2,01 11 2009 822,03 11 2009 2,02 12 2009 810,65 827,673333 12 2009 2,02 2,016667 1 2010 810,04 1 2010 2,02 2 2010 854,8 2 2010 2,02 3 2010 872,35 845,73 3 2010 2,02 2,02 4 2010 890,28 4 2010 2,03 5 2010 887,27 5 2010 2,02 6 2010 871,63 883,06 6 2010 2 2,016667 7 2010 898,21 7 2010 2 8 2010 908,9 8 2010 2 9 2010 920,57 909,226667 9 2010 1,99 1,996667 10 2010 948,39 10 2010 2 11 2010 964,85 11 2010 2 12 2010 981,28 964,84 12 2010 2,01 2,003333 1 2011 1010,91 1 2011 2,01 Tabela 11. Valor anual do quilograma da ABÓBORA no período 2000-2011. Regiao Ano Preço/kg Inflação % ANO-BASE 2011 (IGP-DI) deflator pço corr. Avare 2000 0,24 Bauru 2000 0,24 Botucatu 2000 0,24 Ourinhos 2000 0,24 - 2,3980 0,1001 Avare 2001 0,21 Bauru 2001 0,21 Botucatu 2001 0,21 Ourinhos 2001 0,21 10,23 2,1755 0,096531 Avare 2002 0,27 Bauru 2002 0,27 Botucatu 2002 0,27 Ourinhos 2002 0,27 27,66 1,7041 0,1584 Avare 2003 0,26 Bauru 2003 0,26 Botucatu 2003 0,26 Ourinhos 2003 0,26 6,946 1,5934 0,1632 Avare 2004 0,25 Bauru 2004 0,25 Botucatu 2004 0,25 Ourinhos 2004 0,25 11,875 1,4243 0,1755 Bauru 2005 0,27 Botucatu 2005 0,27 Ourinhos 2005 0,27 1,421 1,4043 0,1923 Avare 2006 0,26 Bauru 2006 0,26 Botucatu 2006 0,26 Ourinhos 2006 0,26 3,641 1,3550 0,1919 Avare 2007 0,46 Bauru 2007 0,46 Botucatu 2007 0,46 Ourinhos 2007 0,46 8,192 1,2524 0,3673 Avare 2008 0,49 Bauru 2008 0,49 Botucatu 2008 0,49 Ourinhos 2008 0,49 8,57 1,1536 0,4248 Avare 2009 0,54 Bauru 2009 0,54 Botucatu 2009 0,54 Ourinhos 2009 0,54 -0,941 1,1645 0,4637 Avare 2010 0,74
  • 35.
    Processo INCRA N.º54190.003488/2012-16. Fls. ________ Relatório à OS 21/2012 – Proposta de método de parcelamento de uma gleba do PA Zumbi dos Palmares, Iaras, SP. Pág. 35 de 46. Bauru 2010 0,74 Botucatu 2010 0,74 Ourinhos 2010 0,74 11,283 1,0464 0,7072 Avare 2011 0,68 Bauru 2011 0,68 Botucatu 2011 0,68 Ourinhos 2011 0,68 4,644 1,0000 0,6800 Preço médio real / kg, ano-base 2011 0,310 Tabela 12. Valor anual do quilograma da ABOBRINHA no período 2000-2011. Regiao Ano Preço/ cx. 20 kg Inflação % ANO-BASE 2011 Avare 2000 7,53 (IGP-DI) deflator pço corr. Bauru 2000 7,53 Botucatu 2000 7,53 Ourinhos 2000 7,53 - 2,3980 3,1401 Avare 2001 6,59 Bauru 2001 6,59 Botucatu 2001 6,59 Ourinhos 2001 6,59 10,23 2,1755 3,0292 Avare 2002 7,48 Bauru 2002 7,48 Botucatu 2002 7,48 Ourinhos 2002 7,48 27,66 1,7041 4,3894 Avare 2003 7,67 Bauru 2003 7,67 Botucatu 2003 7,67 Ourinhos 2003 7,67 6,946 1,5934 4,8135 Avare 2004 9,84 Bauru 2004 9,84 Botucatu 2004 9,84 Ourinhos 2004 9,84 11,875 1,4243 6,9087 Avare 2005 8,44 Bauru 2005 8,44 Botucatu 2005 8,44 Ourinhos 2005 8,44 1,421 1,4043 6,0099 Avare 2006 9,36 Bauru 2006 9,36 Botucatu 2006 9,36 Ourinhos 2006 9,36 3,641 1,3550 6,9077 Avare 2007 11,28 Bauru 2007 11,28 Botucatu 2007 11,28 Ourinhos 2007 11,28 8,192 1,2524 9,0066 Avare 2008 9,82 Bauru 2008 9,82 Botucatu 2008 9,82 Ourinhos 2008 9,82 8,57 1,1536 8,5128 Avare 2009 11,02 Bauru 2009 11,02 Botucatu 2009 11,02 Ourinhos 2009 11,02 -0,941 1,1645 9,4632 Avare 2010 13,31 Bauru 2010 13,31 Botucatu 2010 13,31 Ourinhos 2010 13,31 11,283 1,0464 12,7193 Avare 2011 17,51 Bauru 2011 17,51 Botucatu 2011 17,51 Ourinhos 2011 17,51 4,644 1,0000 17,5100 Preço médio real / caixa 20 kg, ano-base 2011 7,701 Preço médio real / kg, ano-base 2011 0,385
  • 36.
    Processo INCRA N.º54190.003488/2012-16. Fls. ________ Relatório à OS 21/2012 – Proposta de método de parcelamento de uma gleba do PA Zumbi dos Palmares, Iaras, SP. Pág. 36 de 46. Tabela 13. Valor anual do quilograma da ALFACE no período 2000-2011. Regiao Ano Preço/ cx. 10 kg Inflação % ANO-BASE 2011 Avare 2000 5,05 (IGP-DI) deflator pço corr. Bauru 2000 5,05 Botucatu 2000 5,05 Ourinhos 2000 5,05 - 2,3980 2,1059 Avare 2001 4,4 Bauru 2001 4,4 Botucatu 2001 4,4 Ourinhos 2001 4,4 10,23 2,1755 2,0225 Avare 2002 5,71 Bauru 2002 5,71 Botucatu 2002 5,71 Ourinhos 2002 5,71 27,66 1,7041 3,3507 Bauru 2003 2,89 Botucatu 2003 2,89 Ourinhos 2003 2,89 6,946 1,5934 1,8137 Bauru 2004 6,54 Botucatu 2004 6,54 Ourinhos 2004 6,54 11,875 1,4243 4,5917 Avare 2005 7,28 Bauru 2005 7,28 Botucatu 2005 7,28 Ourinhos 2005 7,28 1,421 1,4043 5,1839 Avare 2006 6,79 Bauru 2006 6,79 Botucatu 2006 6,79 Ourinhos 2006 6,79 3,641 1,3550 5,0110 Avare 2007 8,25 Bauru 2007 8,25 Botucatu 2007 8,25 Ourinhos 2007 8,25 8,192 1,2524 6,5873 Avare 2008 7,33 Bauru 2008 7,33 Botucatu 2008 7,33 Ourinhos 2008 7,33 8,57 1,1536 6,3543 Avare 2009 10,49 Bauru 2009 10,49 Botucatu 2009 10,49 Ourinhos 2009 10,49 -0,941 1,1645 9,0081 Avare 2010 9,11 Bauru 2010 9,11 Botucatu 2010 9,11 Ourinhos 2010 9,11 11,283 1,0464 8,7057 Avare 2011 10,18 Bauru 2011 10,18 Botucatu 2011 10,18 Ourinhos 2011 10,18 4,644 1,0000 10,1800 Preço médio real caixa 10 kg, ano-base 2011 5,410 Preço médio real / kg, ano-base 2011 0,540957 Tabela 14. Valor anual do quilograma da BATATA no período 2000-2011. Regiao Ano Preço/ sc. 50 kg Inflação % ANO-BASE 2011 Avare 2000 21,36 (IGP-DI) deflator pço corr. Botucatu 2000 21,36 Ourinhos 2000 21,36 - 2,3980 8,9073
  • 37.
    Processo INCRA N.º54190.003488/2012-16. Fls. ________ Relatório à OS 21/2012 – Proposta de método de parcelamento de uma gleba do PA Zumbi dos Palmares, Iaras, SP. Pág. 37 de 46. Avare 2001 32,12 Botucatu 2001 32,12 Ourinhos 2001 32,12 10,23 2,1755 14,7646 Avare 2002 27,79 Botucatu 2002 27,79 Ourinhos 2002 27,79 27,66 1,7041 16,3076 Avare 2003 30,32 Botucatu 2003 30,32 Ourinhos 2003 30,32 6,946 1,5934 19,0281 Avare 2004 31,73 Botucatu 2004 31,73 Ourinhos 2004 31,73 11,875 1,4243 22,2776 Avare 2005 37,26 Botucatu 2005 37,26 Ourinhos 2005 37,26 1,421 1,4043 26,5320 Avare 2006 32,48 Ourinhos 2006 32,48 3,641 1,3550 23,9703 Avare 2007 33,08 Bauru 2007 33,08 Ourinhos 2007 33,08 8,192 1,2524 26,4131 Avare 2008 37,62 Ourinhos 2008 37,62 8,57 1,1536 32,6123 Avare 2009 45,77 Botucatu 2009 45,77 Ourinhos 2009 45,77 -0,941 1,1645 39,3041 Avare 2010 37,68 Botucatu 2010 37,68 Ourinhos 2010 37,68 11,283 1,0464 36,0078 Avare 2011 24,57 Botucatu 2011 24,57 Ourinhos 2011 24,57 4,644 1,0000 24,5700 Preço médio real / saca 50 kg, ano-base 2011 24,225 Preço médio real / kg, ano-base 2011 0,484 Tabela 15. Valor anual do quilograma da BATATA DOCE no período 2000-2011. Regiao Ano Preço/ cx. 22 kg Inflação % ANO-BASE 2011 Bauru 2000 7,48 (IGP-DI) deflator pço corr. Botucatu 2000 7,48 Ourinhos 2000 7,48 - 2,3980 3,1192 Bauru 2001 6,33 Botucatu 2001 6,33 Ourinhos 2001 6,33 10,23 2,1755 2,9097 Bauru 2002 7,96 Botucatu 2002 7,96 Ourinhos 2002 7,96 27,66 1,7041 4,6710 Bauru 2003 9,79 Botucatu 2003 9,79 Ourinhos 2003 9,79 6,946 1,5934 6,1440 Bauru 2004 9,59 Botucatu 2004 9,59 Ourinhos 2004 9,59 11,875 1,4243 6,7331 Bauru 2005 7,56 Botucatu 2005 7,56 Ourinhos 2005 7,56 1,421 1,4043 5,3833 Bauru 2006 6,77 Botucatu 2006 6,77 Ourinhos 2006 6,77 3,641 1,3550 4,9963 Bauru 2007 9,88 Botucatu 2007 9,88 Ourinhos 2007 9,88 8,192 1,2524 7,8888
  • 38.
    Processo INCRA N.º54190.003488/2012-16. Fls. ________ Relatório à OS 21/2012 – Proposta de método de parcelamento de uma gleba do PA Zumbi dos Palmares, Iaras, SP. Pág. 38 de 46. Bauru 2008 7,57 Botucatu 2008 7,57 Ourinhos 2008 7,57 8,57 1,1536 6,5623 Bauru 2009 9,43 Botucatu 2009 9,43 -0,941 1,1645 8,0978 Avare 2010 11,35 Bauru 2010 11,35 Botucatu 2010 11,35 Ourinhos 2010 11,35 11,283 1,0464 10,8463 Avare 2011 14,54 Bauru 2011 14,54 Botucatu 2011 14,54 Ourinhos 2011 14,54 4,644 1,0000 14,5400 Preço médio real / caixa 22 kg, ano-base 2011 6,824 Preço médio real / kg, ano-base 2011 0,284 Tabela 16. Valor anual do quilograma da BETERRABA no período 2000-2011. Regiao Ano Preço/ cx. 21 kg Inflação % ANO-BASE 2011 Avare 2000 5,18 (IGP-DI) deflator pço corr. Bauru 2000 5,18 Botucatu 2000 5,18 Ourinhos 2000 5,18 - 2,3980 2,1601 Avare 2001 4,91 Botucatu 2001 4,91 Ourinhos 2001 4,91 10,23 2,1755 2,2570 Botucatu 2002 6,13 Ourinhos 2002 6,13 27,66 1,7041 3,5972 Botucatu 2003 4,66 Ourinhos 2003 4,66 6,946 1,5934 2,9245 Botucatu 2004 8,58 Ourinhos 2004 8,58 11,875 1,4243 6,0240 Botucatu 2005 10,05 Ourinhos 2005 10,05 1,421 1,4043 7,1564 Botucatu 2006 7,77 Ourinhos 2006 7,77 3,641 1,3550 5,7343 Botucatu 2007 12,7 Ourinhos 2007 12,7 8,192 1,2524 10,1404 Botucatu 2008 10,75 Ourinhos 2008 10,75 8,57 1,1536 9,3190 Botucatu 2009 12,45 Ourinhos 2009 12,45 -0,941 1,1645 10,6912 Botucatu 2010 13,26 Ourinhos 2010 13,26 11,283 1,0464 12,6715 Avare 2011 15,07 Botucatu 2011 15,07 Ourinhos 2011 15,07 4,644 1,0000 15,0700 Preço médio real / caixa 21 kg, ano-base 2011 7,312 Preço médio real / kg, ano-base 2011 0,348 Tabela 17. Valor anual do quilograma da CEBOLA no período 2009-2011. Regiao Ano Preço/kg Inflação % ANO-BASE 2011 (IGP-DI) deflator pço corr. Avare 2009 0,91 -0,941 1,1645 0,7814 Botucatu 2010 0,6 11,283 1,0464 0,5734 Botucatu 2011 0,48 4,644 1,0000 0,4800
  • 39.
    Processo INCRA N.º54190.003488/2012-16. Fls. ________ Relatório à OS 21/2012 – Proposta de método de parcelamento de uma gleba do PA Zumbi dos Palmares, Iaras, SP. Pág. 39 de 46. Preço médio real / kg, ano-base 2011 0,6116 Obs.: 2000 a 2008 sem dados. Tabela 18. Valor anual do quilograma da CENOURA no período 2000-2011. Regiao Ano Preço/ cx. 22kg ANO-BASE 2011 Avare 2000 7,96 (IGP-DI) deflator pço corr. Bauru 2000 7,96 Botucatu 2000 7,96 Ourinhos 2000 7,96 - 2,3980 0,1509 Avare 2001 6,59 Botucatu 2001 6,59 Ourinhos 2001 6,59 10,23 2,1755 0,1377 Avare 2002 9,5 Botucatu 2002 9,5 Ourinhos 2002 9,5 27,66 1,7041 0,2534 Avare 2003 8,79 Botucatu 2003 8,79 Ourinhos 2003 8,79 6,946 1,5934 0,2507 Avare 2004 13,81 Botucatu 2004 13,81 Ourinhos 2004 13,81 11,875 1,4243 0,4407 De 2005 em diante, preço/kg Botucatu 2005 0,65 Ourinhos 2005 0,65 1,421 1,4043 0,4628 Botucatu 2006 0,7 Ourinhos 2006 0,7 3,641 1,3550 0,5166 Botucatu 2007 0,76 Ourinhos 2007 0,76 8,192 1,2524 0,6068 Botucatu 2008 0,76 Ourinhos 2008 0,76 8,57 1,1536 0,6588 Botucatu 2009 0,91 Ourinhos 2009 0,91 -0,941 1,1645 0,7814 Botucatu 2010 0,93 Ourinhos 2010 0,93 11,283 1,0464 0,8887 Avare 2011 0,98 Botucatu 2011 0,98 Ourinhos 2011 0,98 4,644 1,0000 0,9800 Preço médio real / kg, ano-base 2011 0,5110 Tabela 19. Valor anual do quilograma do FEIJÃO no período 2000-2011. Regiao Ano Preço/ sc. 60 kg Inflação % ANO-BASE 2011 Avare 2000 39,83 (IGP-DI) deflator pço corr. Bauru 2000 39,83 Botucatu 2000 39,83 Ourinhos 2000 39,83 - 2,3980 16,6095 Avare 2001 54,57 Bauru 2001 54,57 Botucatu 2001 54,57 Ourinhos 2001 54,57 10,23 2,1755 25,0842 Avare 2002 68,26 Bauru 2002 68,26 Botucatu 2002 68,26 Ourinhos 2002 68,26 27,66 1,7041 40,0560 Avare 2003 85,81 Bauru 2003 85,81 Botucatu 2003 85,81
  • 40.
    Processo INCRA N.º54190.003488/2012-16. Fls. ________ Relatório à OS 21/2012 – Proposta de método de parcelamento de uma gleba do PA Zumbi dos Palmares, Iaras, SP. Pág. 40 de 46. Ourinhos 2003 85,81 6,946 1,5934 53,8522 Avare 2004 71,56 Bauru 2004 71,56 Botucatu 2004 71,56 Ourinhos 2004 71,56 11,875 1,4243 50,2422 Avare 2005 80,71 Bauru 2005 80,71 Botucatu 2005 80,71 Ourinhos 2005 80,71 1,421 1,4043 57,4717 Avare 2006 71,81 Bauru 2006 71,81 Botucatu 2006 71,81 Ourinhos 2006 71,81 3,641 1,3550 52,9960 Avare 2007 93,96 Bauru 2007 93,96 Botucatu 2007 93,96 Ourinhos 2007 93,96 8,192 1,2524 75,0233 Avare 2008 160,17 Bauru 2008 160,17 Botucatu 2008 160,17 Ourinhos 2008 160,17 8,57 1,1536 138,8494 Avare 2009 82,46 Bauru 2009 82,46 Botucatu 2009 82,46 Ourinhos 2009 82,46 -0,941 1,1645 70,8109 Avare 2010 108,15 Bauru 2010 108,15 Botucatu 2010 108,15 Ourinhos 2010 108,15 11,283 1,0464 103,3504 Avare 2011 96,11 Bauru 2011 96,11 Botucatu 2011 96,11 Ourinhos 2011 96,11 4,644 1,0000 96,1100 Preço médio real / saca 60 kg, ano-base 2011 65,038 Preço médio real / kg, ano-base 2011 1,084 Tabela 20. Valor anual do litro do LEITE C no período 2000-2011. Regiao Ano Preço/l Inflação % ANO-BASE 2011 Avare 2000 0,32 (IGP-DI) deflator pço corr. Bauru 2000 0,32 Botucatu 2000 0,32 Ourinhos 2000 0,32 - 2,3980 0,1334 Avare 2001 0,3 Bauru 2001 0,3 Botucatu 2001 0,3 Ourinhos 2001 0,3 10,23 2,1755 0,1379 Avare 2002 0,33 Bauru 2002 0,33 Botucatu 2002 0,33 Ourinhos 2002 0,33 27,66 1,7041 0,1936 Avare 2003 0,44 Bauru 2003 0,44 Botucatu 2003 0,44 Ourinhos 2003 0,44 6,946 1,5934 0,2761 Avare 2004 0,47 Bauru 2004 0,47 Botucatu 2004 0,47 Ourinhos 2004 0,47 11,875 1,4243 0,3300 Avare 2005 0,49 Bauru 2005 0,49 Botucatu 2005 0,49 Ourinhos 2005 0,49 1,421 1,4043 0,3489 Avare 2006 0,45 Bauru 2006 0,45
  • 41.
    Processo INCRA N.º54190.003488/2012-16. Fls. ________ Relatório à OS 21/2012 – Proposta de método de parcelamento de uma gleba do PA Zumbi dos Palmares, Iaras, SP. Pág. 41 de 46. Botucatu 2006 0,45 Ourinhos 2006 0,45 3,641 1,3550 0,3321 Avare 2007 0,58 Bauru 2007 0,58 Botucatu 2007 0,58 Ourinhos 2007 0,58 8,192 1,2524 0,4631 Avare 2008 0,65 Bauru 2008 0,65 Botucatu 2008 0,65 Ourinhos 2008 0,65 8,57 1,1536 0,5635 Avare 2009 0,66 Bauru 2009 0,66 Botucatu 2009 0,66 Ourinhos 2009 0,66 -0,941 1,1645 0,5668 Avare 2010 0,74 Bauru 2010 0,74 Botucatu 2010 0,74 Ourinhos 2010 0,74 11,283 1,0464 0,7072 Avare 2011 0,78 Bauru 2011 0,78 Botucatu 2011 0,78 Ourinhos 2011 0,78 4,644 1,0000 0,7800 Preço médio real / litro, ano-base 2011 0,403 Tabela 21. Valor anual da tonelada da MANDIOCA DE MESA no período 2000-2011. Regiao Ano Preço/ cx. 23 kg Inflação % ANO-BASE 2011 Avare 2000 5,77 (IGP-DI) deflator pço corr. Bauru 2000 5,77 Botucatu 2000 5,77 Ourinhos 2000 5,77 - 2,3980 2,4061 Avare 2001 5,6 Bauru 2001 5,6 Botucatu 2001 5,6 Ourinhos 2001 5,6 10,23 2,1755 2,5742 Avare 2002 5,77 Bauru 2002 5,77 Botucatu 2002 5,77 Ourinhos 2002 5,77 27,66 1,7041 3,3859 Avare 2003 7,53 Bauru 2003 7,53 Botucatu 2003 7,53 Ourinhos 2003 7,53 6,946 1,5934 4,7256 Avare 2004 8,86 Bauru 2004 8,86 Botucatu 2004 8,86 Ourinhos 2004 8,86 11,875 1,4243 6,2206 Avare 2005 8,39 Bauru 2005 8,39 Botucatu 2005 8,39 1,421 1,4043 5,9743 Avare 2006 5,78 Bauru 2006 5,78 Botucatu 2006 5,78 3,641 1,3550 4,2657 Avare 2007 7,65 Bauru 2007 7,65 Botucatu 2007 7,65 8,192 1,2524 6,1082 Avare 2008 11,52 Bauru 2008 11,52 Botucatu 2008 11,52 8,57 1,1536 9,9865 Avare 2009 9,21 Bauru 2009 9,21 Botucatu 2009 9,21 -0,941 1,1645 7,9089 Avare 2010 7,1
  • 42.
    Processo INCRA N.º54190.003488/2012-16. Fls. ________ Relatório à OS 21/2012 – Proposta de método de parcelamento de uma gleba do PA Zumbi dos Palmares, Iaras, SP. Pág. 42 de 46. Bauru 2010 7,1 Botucatu 2010 7,1 Ourinhos 2010 7,1 11,283 1,0464 6,7849 Avare 2011 11,18 Bauru 2011 11,18 Botucatu 2011 11,18 Ourinhos 2011 11,18 4,644 1,0000 11,1800 Preço médio real / caixa 23 kg, ano-base 2011 5,960 Preço médio real / tonelada, ano-base 2011 259,134 Tabela 22. Valor anual da tonelada do MILHO no período 2000-2011. Regiao Ano Preço/ sc. 60 kg Inflação % ANO-BASE 2011 Avare 2000 12,82 (IGP-DI) deflator pço corr. Bauru 2000 12,82 Botucatu 2000 12,82 Ourinhos 2000 12,82 - 2,3980 5,3461 Avare 2001 9,53 Bauru 2001 9,53 Botucatu 2001 9,53 Ourinhos 2001 9,53 10,23 2,1755 4,3807 Avare 2002 16,07 Bauru 2002 16,07 Botucatu 2002 16,07 Ourinhos 2002 16,07 27,66 1,7041 9,4301 Avare 2003 18,95 Bauru 2003 18,95 Botucatu 2003 18,95 Ourinhos 2003 18,95 6,946 1,5934 11,8925 Avare 2004 17,43 Bauru 2004 17,43 Botucatu 2004 17,43 Ourinhos 2004 17,43 11,875 1,4243 12,2376 Avare 2005 16,67 Bauru 2005 16,67 Botucatu 2005 16,67 Ourinhos 2005 16,67 1,421 1,4043 11,8703 Avare 2006 15,43 Bauru 2006 15,43 Botucatu 2006 15,43 Ourinhos 2006 15,43 3,641 1,3550 11,3874 Avare 2007 21,42 Bauru 2007 21,42 Botucatu 2007 21,42 Ourinhos 2007 21,42 8,192 1,2524 17,1030 Avare 2008 24,01 Bauru 2008 24,01 Botucatu 2008 24,01 Ourinhos 2008 24,01 8,57 1,1536 20,8140 Avare 2009 18,77 Bauru 2009 18,77 Botucatu 2009 18,77 Ourinhos 2009 18,77 -0,941 1,1645 16,1184 Avare 2010 17,6 Bauru 2010 17,6 Botucatu 2010 17,6 Ourinhos 2010 17,6 11,283 1,0464 16,8189 Avare 2011 25,99 Bauru 2011 25,99 Botucatu 2011 25,99 Ourinhos 2011 25,99 4,644 1,0000 25,9900 Preço médio real / saca 60 kg, ano-base 2011 13,616 Preço médio real / tonelada, ano-base 2011 226,929
  • 43.
    Processo INCRA N.º54190.003488/2012-16. Fls. ________ Relatório à OS 21/2012 – Proposta de método de parcelamento de uma gleba do PA Zumbi dos Palmares, Iaras, SP. Pág. 43 de 46. Tabela 23. Valor anual do quilograma do MORANGO no período 2005-2011. Regiao Ano Preço/ cx. 3 kg Inflação % ANO-BASE 2011 (IGP-DI) deflator pço corr. Botucatu 2005 6,61 1,421 1,4043 4,7068 Botucatu 2006 6,23 3,641 1,3550 4,5978 Botucatu 2007 5,52 8,192 1,2524 4,4075 Botucatu 2008 5,82 8,57 1,1536 5,0453 Botucatu 2009 6,41 -0,941 1,1645 5,5045 Botucatu 2010 10,53 11,283 1,0464 10,0627 Botucatu 2011 8,85 4,644 1,0000 8,8500 Preço médio real / caixa 3 kg, ano-base 2011 6,168 Preço médio real / kg, ano-base 2011 2,056 Obs.: 2000 a 2004 sem dados. Tabela 24. Valor anual da dúzia de OVO no período 2000-2011. Regiao Ano Preço/cx. 360 ovos Inflação % ANO-BASE 2011 Avare 2000 20,34 (IGP-DI) deflator pço corr. Bauru 2000 20,34 Botucatu 2000 20,34 Ourinhos 2000 20,34 - 2,3980 8,4820 Avare 2001 22,21 Bauru 2001 22,21 Botucatu 2001 22,21 Ourinhos 2001 22,21 10,23 2,1755 10,2093 Avare 2002 25,79 Bauru 2002 25,79 Botucatu 2002 25,79 Ourinhos 2002 25,79 27,66 1,7041 15,1339 Avare 2003 38,75 Bauru 2003 38,75 Botucatu 2003 38,75 Ourinhos 2003 38,75 6,946 1,5934 24,3185 Avare 2004 34,97 Bauru 2004 34,97 Botucatu 2004 34,97 11,875 1,4243 24,5524 Avare 2005 33,94 Bauru 2005 33,94 Botucatu 2005 33,94 Ourinhos 2005 33,94 1,421 1,4043 24,1679 Avare 2006 27,62 Bauru 2006 27,62 Botucatu 2006 27,62 Ourinhos 2006 27,62 3,641 1,3550 20,3836 Avare 2007 37,01 Bauru 2007 37,01 Botucatu 2007 37,01 Ourinhos 2007 37,01 8,192 1,2524 29,5510 Avare 2008 42,52 Bauru 2008 42,52 Botucatu 2008 42,52 Ourinhos 2008 42,52 8,57 1,1536 36,8601 Avare 2009 38,21 Bauru 2009 38,21 Botucatu 2009 38,21 Ourinhos 2009 38,21 -0,941 1,1645 32,8121 Avare 2010 36,99 Bauru 2010 36,99 Botucatu 2010 36,99 Ourinhos 2010 36,99 11,283 1,0464 35,3484 Avare 2011 44,13 Bauru 2011 44,13 Botucatu 2011 44,13 Ourinhos 2011 44,13 4,644 1,0000 44,1300 Preço médio real / caixa 360 ovos, ano-base 2011 25,496 Preço médio real / dúzia, ano-base 2011 0,850
  • 44.
    Processo INCRA N.º54190.003488/2012-16. Fls. ________ Relatório à OS 21/2012 – Proposta de método de parcelamento de uma gleba do PA Zumbi dos Palmares, Iaras, SP. Pág. 44 de 46. Tabela 25. Valor anual do quilograma do PIMENTÃO no período 2000-2011. Regiao Ano Preço/ cx. 11 kg Inflação % ANO-BASE 2011 Avare 2000 2,72 (IGP-DI) deflator pço corr. Bauru 2000 2,72 Botucatu 2000 2,72 Ourinhos 2000 2,72 - 2,3980 1,1343 Avare 2001 3,71 Bauru 2001 3,71 Botucatu 2001 3,71 Ourinhos 2001 3,71 10,23 2,1755 1,7054 Avare 2002 5,55 Bauru 2002 5,55 Botucatu 2002 5,55 Ourinhos 2002 5,55 27,66 1,7041 3,2568 Avare 2003 4,08 Bauru 2003 4,08 Botucatu 2003 4,08 Ourinhos 2003 4,08 6,946 1,5934 2,5605 Avare 2004 6,03 Bauru 2004 6,03 Botucatu 2004 6,03 Ourinhos 2004 6,03 11,875 1,4243 4,2337 Avare 2005 7,57 Bauru 2005 7,57 Botucatu 2005 7,57 Ourinhos 2005 7,57 1,421 1,4043 5,3904 Avare 2006 6,78 Bauru 2006 6,78 Botucatu 2006 6,78 Ourinhos 2006 6,78 3,641 1,3550 5,0037 Avare 2007 9,81 Bauru 2007 9,81 Botucatu 2007 9,81 Ourinhos 2007 9,81 8,192 1,2524 7,8329 Avare 2008 6,02 Bauru 2008 6,02 Botucatu 2008 6,02 Ourinhos 2008 6,02 8,57 1,1536 5,2187 Avare 2009 6,65 Bauru 2009 6,65 Botucatu 2009 6,65 Ourinhos 2009 6,65 -0,941 1,1645 5,7106 Avare 2010 7,53 Bauru 2010 7,53 Botucatu 2010 7,53 Ourinhos 2010 7,53 11,283 1,0464 7,1958 Avare 2011 11,4 Bauru 2011 11,4 Botucatu 2011 11,4 Ourinhos 2011 11,4 4,644 1,0000 11,4000 Preço médio real / caixa 11 kg, ano-base 2011 5,054 Preço médio real / kg, ano-base 2011 0,459 Tabela 26. Valor anual do quilograma do REPOLHO no período 2000-2011. Regiao Ano Preço/ sc. 25 kg Inflação % ANO-BASE 2011 Avare 2000 3,69 (IGP-DI) deflator pço corr. Bauru 2000 3,69 Botucatu 2000 3,69 - 2,3980 1,5388 Avare 2001 3,51 Bauru 2001 3,51 Botucatu 2001 3,51 10,23 2,1755 1,6134 Bauru 2002 5,26
  • 45.
    Processo INCRA N.º54190.003488/2012-16. Fls. ________ Relatório à OS 21/2012 – Proposta de método de parcelamento de uma gleba do PA Zumbi dos Palmares, Iaras, SP. Pág. 45 de 46. Botucatu 2002 5,26 27,66 1,7041 3,0866 Botucatu 2003 4,63 Ourinhos 2003 4,63 6,946 1,5934 2,9057 Botucatu 2004 7,18 Ourinhos 2004 7,18 11,875 1,4243 5,0411 Botucatu 2005 5,43 Ourinhos 2005 5,43 1,421 1,4043 3,8666 Botucatu 2006 4,48 Ourinhos 2006 4,48 3,641 1,3550 3,3063 Botucatu 2007 8,7 Ourinhos 2007 8,7 8,192 1,2524 6,9466 Botucatu 2008 5,73 Ourinhos 2008 5,73 8,57 1,1536 4,9673 Botucatu 2009 7,14 Ourinhos 2009 7,14 -0,941 1,1645 6,1313 Botucatu 2010 8,01 Ourinhos 2010 8,01 11,283 1,0464 7,6545 Avare 2011 6,63 Botucatu 2011 6,63 Ourinhos 2011 6,63 4,644 1,0000 6,6300 Preço médio real / caixa 25 kg, ano-base 2011 4,474 Preço médio real / kg, ano-base 2011 0,179 Tabela 27. Valor anual do quilograma do TOMATE PARA INDÚSTRIA no período 2000-2011. Regiao Ano Preço/ kg Inflação % IGP-DI ANO-BASE 2011 preço corr. deflator Bauru 2000 0,09 - 2,3980 0,037530876 Bauru 2001 0,08 10,23 2,1755 0,036773586 Bauru 2002 0,10 27,66 1,7041 0,05868145 Bauru 2003 0,13 6,946 1,5934 0,081584703 s/ dados 2004 s/ dados 11,875 1,4243 - s/ dados 2005 s/ dados 1,421 1,4043 - s/ dados 2006 s/ dados 3,641 1,3550 - s/ dados 2007 s/ dados 8,192 1,2524 - Bauru 2008 0,23 8,57 1,1536 0,1993842 Bauru 2009 0,24 -0,941 1,1645 0,206095298 s/ dados 2010 s/ dados 11,283 1,0464 - Avare 2011 0,16 Bauru 2011 0,16 4,644 1,0000 0,16 Preço médio real / kg, ano-base 2011 0,1114 Preço médio real / tonelada, ano-base 2011 111,436 Tabela 28. Valor anual do quilograma do TOMATE PARA MESA no período 2000-2011. Regiao Ano Preço/ cx. 25 kg Inflação % ANO-BASE 2011 (IGP-DI) deflator pço corr. Avare 2000 14,5 Bauru 2000 14,5 Botucatu 2000 14,5 Ourinhos 2000 14,5 - 2,3980 6,0466 Avare 2001 14,19 Bauru 2001 14,19 Botucatu 2001 14,19 Ourinhos 2001 14,19 10,23 2,1755 6,5227 Avare 2002 16,37 Bauru 2002 16,37 Botucatu 2002 16,37 Ourinhos 2002 16,37 27,66 1,7041 9,6062 Avare 2003 18,26 Bauru 2003 18,26 Botucatu 2003 18,26
  • 46.
    Processo INCRA N.º54190.003488/2012-16. Fls. ________ Relatório à OS 21/2012 – Proposta de método de parcelamento de uma gleba do PA Zumbi dos Palmares, Iaras, SP. Pág. 46 de 46. Ourinhos 2003 18,26 6,946 1,5934 11,4595 Avare 2004 23,38 Bauru 2004 23,38 Botucatu 2004 23,38 Ourinhos 2004 23,38 11,875 1,4243 16,4151 Avare 2005 23,31 Bauru 2005 23,31 Botucatu 2005 23,31 Ourinhos 2005 23,31 1,421 1,4043 16,5985 Avare 2006 20,97 Bauru 2006 20,97 Botucatu 2006 20,97 Ourinhos 2006 20,97 3,641 1,3550 15,4759 Avare 2007 23,33 Bauru 2007 23,33 Botucatu 2007 23,33 Ourinhos 2007 23,33 8,192 1,2524 18,6281 Avare 2008 27,48 Bauru 2008 27,48 Botucatu 2008 27,48 Ourinhos 2008 27,48 8,57 1,1536 23,8221 Avare 2009 28,18 Bauru 2009 28,18 Botucatu 2009 28,18 Ourinhos 2009 28,18 -0,941 1,1645 24,1990 Avare 2010 20,02 Bauru 2010 20,02 Botucatu 2010 20,02 Ourinhos 2010 20,02 11,283 1,0464 19,1315 Avare 2011 30,37 Bauru 2011 30,37 Botucatu 2011 30,37 Ourinhos 2011 30,37 4,644 1,0000 30,3700 Preço médio real / caixa 25 kg, ano-base 2011 16,523 Preço médio real / kg, ano-base 2011 0,6609