UNIVERSIDADE ESTADUAL DE SANTA CRUZ - UESC

             Programa de Pós-Graduação em Zoologia




           LETICIA DE LIMA BASTOS MOREIRA




PRIMATAS DAS SERRAS DAS LONTRAS E JAVI: ESTADO
 DAS POPULAÇÕES E SEU PAPEL NA CONSERVAÇÃO
REGIONAL DA COMUNIDADE DE PRIMATAS NO SUL DA
                    BAHIA




                        ILHÉUS - BA
                           2009


                                                     1
UNIVERSIDADE ESTADUAL DE SANTA CRUZ - UESC

             Programa de Pós-Graduação em Zoologia




          LETICIA DE LIMA BASTOS MOREIRA




PRIMATAS DAS SERRAS DAS LONTRAS E JAVI: ESTADO
 DAS POPULAÇÕES E SEU PAPEL NA CONSERVAÇÃO
REGIONAL DA COMUNIDADE DE PRIMATAS NO SUL DA
                    BAHIA




                              Dissertação apresentada para a obtenção do
                              título de Mestre em Zoologia, à
                              Universidade Estadual de Santa Cruz.
                              Área de Concentração: Zoologia Aplicada


                              Orientador: Drª. Maria Cecília Kierulff

                              Co-Orientador: Prof. Martín R. Alvarez



                        ILHÉUS – BA
                           2009




                                                                        2
UNIVERSIDADE ESTADUAL DE SANTA CRUZ - UESC

                     Programa de Pós-Graduação em Zoologia




                      LETICIA DE LIMA BASTOS MOREIRA



PRIMATAS DAS SERRAS DAS LONTRAS E JAVI: ESTADO DAS POPULAÇÕES
   E SEU PAPEL NA CONSERVAÇÃO REGIONAL DA COMUNIDADE DE
                   PRIMATAS NO SUL DA BAHIA



Ilhéus, Bahia – 31 de março de 2009




                                                             3
“I celebrate myself, and sing myself,
And what I assume you shall assume,
For every atom belonging to me as good belongs to you.”

                            Walt Whitman (1819-1892)




                    Em memória de Lourdes Bastos Moreira (vó Lourdes),
                                                       Pedro Davison
                                                          e Levi Fiuza,

                desmaterializados enquanto este trabalho se materializava.



     “As pessoas não morrem, elas ficam encantadas.”
                  João Guimarães Rosa




                                                                        4
AGRADECIMENTOS


                                         Dedico este trabalho a todos os que acreditam em
                                                        transformar o mundo, para melhor.
                                       E a todas as florestas, com seus macacos e joaninhas.



  Agradeço primeiro e, acima de tudo, à minha família de luz, há muito conectada a minha
existência. Meu pai, Márcio, por seu meu exemplo, orientador de vida, meu porto seguro.
Minha mãe, Elizabeth, por ser minha maior amiga, meu berço de luz, minha flor de ipê
amarelo, minha alma-mãe. Meu irmão, Marcelo, cabecinha de lua, meu protetor, meu
amigo, parceiro de signo, de tapas e beijos. Meus avós, que a tudo antecedem. A vocês
devo meu caráter, minha determinação, minha vontade de seguir caminhando sob o sol e a
lua. Obrigada por acreditarem em mim, sempre.

  Agradeço à minha família Davison, por ser parte inseparável de mim. Agradeço por toda
a força que vocês são, pelo exemplo de família e de respeito, pela coragem de enfrentar o
incompreensível e, diante dele, se reinventarem. Vocês são parte integrante deste trabalho.
E, especialmente, agradeço ao Pedro, por cumprir sua promessa de estar comigo para
sempre, todos os dias.

 Agradeço ao Rafael pelos momentos de alegria, inspiração e expiração nos últimos e
mais difíceis passos dessa dissertação.

  Agradeço a minha família de Olivença, prova de que “não precisa ter conta sanguínea, é
preciso apenas um pouco mais de sintonia”. Mari, Ursinha e Lari, por serem minhas irmãs
da alma e da matéria, pelos cuidados, pelos abraços apertados (não importa a distância), por
compartilharem comigo o amor à natureza e as aventuras do “com-viver”. Sou muito grata
a vocês, parceiras de vida, companheiras inseparáveis, rosas únicas em milhões em milhões
de estrelas. Grata pelas gargalhadas, viagens, músicas, descobertas, praias, ondas, cervejas
geladas (e quentes), pelas roupas lavadas à mão, pela geladeira cheia, pelas mãos dadas,
pelas lágrimas compartilhadas, pelos sonhos construídos completamente em conjunto. Aos
demais amigos de Oli, membros honorários da Família Sintonia, Paulinha, Bebeti e
Harildon, Katrin e Daniel, Dora e João, Marini, Magrão, Vinícius, Sacaninha, Maria e os
agregados Lucas da Paz, Sabonete, Viví e Luiz, pela parceria e diversão garantida ao longo
desses dois anos.

  Agradeço às amigas e irmãs que tiveram coragem suficiente para vir me visitar e mais
coragem ainda para ir embora! Queridas Rafinha, Carol e Dani, obrigada pelo carinho, pela
conexão e por toda a força que vocês me trazem. “Não existe distância que nos separe”.

  Agradeço aos amigos e colegas do IESB que me acolheram, me respeitaram, me
ensinaram e caminharam junto comigo: Lílian, Camila, Priscila, Adriana, Leo Neves, Leo
Oliveira, Carlos, Rebecca, Shirú (André), Gustavo, Michaelle, Nayara, Ana Cláudia, Ana


                                                                                              5
Roberta, D’ajuda... e aos coligados Cassiano Gatto e Fábio Falcão. Obrigada a cada um de
vocês que tornaram tudo muito mais fácil, mesmo sem perceber.
  Agradeço ao meu querido Gabriel Santos, que me estendeu a mão no momento mais
crítico e me abriu caminhos na Bahia. A você eu agradeço pela confiança em meu trabalho,
pelos puxões de orelha, pelos conselhos e pelo enorme presente chamado Serra das Lontras
e Javi. Agradeço também ao assistente de campo Rubens, sem o qual este trabalho teria
sido inviável. Agradeço ao pessoal do SIG, Alessandro e Dayse, pela enorme ajuda com os
mapas.

  Agradeço a todos os amigos e amigas da UESC, em especial a Juliana Laufer, Carolzinha,
Carlinha,Tati e Ju (Goiás), que compartilharam comigo as angústias e delícias do mestrado
em Zoologia... agradeço aos professores, que contribuíram para o passo-a-passo nessa
loooonga jornada; e pela ajuda com a parte de SIG, devo dizer, valeu Gil!!!

  Agradeço aos meus orientadores, Cecília Kierulff e Martín Alvarez, por todo o auxílio,
pelos conhecimentos transmitidos, pelas inúmeras correções, pela parceria e pelo respeito.

 Agradeço ao Dr. Kevin Flesher, que se tornou grande amigo, pela orientação científica e
pessoal, pela prontidão, pelas idéias, pelas correções ao logo de todo o processo, pelos
questionamentos, por me abrir as portas da Michelin.

 Agradeço ao Dr. Alexandre Schiavetti pelas excelentes críticas durante o exame de
Qualificação. Agradeço a Dra Romari Martinez pelas contribuições desde a revisão do
primeiro relatório até o formato final do trabalho. Também por sua participação na banca
de Defesa. Agradeço ao Dr. Laury Cullen, pela abertura e disposição em participar da
banca de Defesa, engrandecendo o trabalho.

  Agradeço às famílias de Lontras que me receberam em suas casas como a uma filha, sem
as quais tudo seria muito mais difícil: Família Unida – em especial Seu Macário, Zé
Roberto, Junior e Léo; Dona Airã e Seu Atanásio; e Família de seu Zezito, Dona
Conceição e crianças. A essas pessoas agradeço pelas lições de humildade e de coragem
diante da vida.

  Agradeço à PETROBRAS e à CAPES, instituições que viabilizaram o trabalho
financeiramente.

  Agradeço aos meus eternos mestres: Cláudio Pádua, pelo carinho, pela confiança, pelos
ensinamentos e pelas chaves de ouro que sempre me abrem as melhores portas; e Henyo
Barreto, pela conexão sincera e direcionamentos, desde a graduação até o presente.

Finalmente, agradeço a mim, pela coragem de começar de novo e seguir em frente, sempre.




                                                                                             6
SUMÁRIO


LISTA DE FIGURAS.........................................................................................................................9
LISTA DE TABELAS......................................................................................................................11
RESUMO...........................................................................................................................................12
ABSTRACT......................................................................................................................................13
1 - INTRODUÇÃO GERAL............................................................................................................14
2 - REVISÃO DE LITERATURA..................................................................................................16
   2.1 A Mata Atlântica ...................................................................................................................16
   2.2 A Mata Atlântica do sul da Bahia .......................................................................................18
   2.3 Primatas da Mata Atlântica..................................................................................................19
   2.4 Primatas do sul da Bahia.......................................................................................................21
         2.4.1 Caracterização dos primatas entre os rios Jequiriçá e Jequitinhonha....................25
   2.5 Amostragens de distâncias para estimativas populacionais de primatas.........................31
3 - OBJETIVOS................................................................................................................................36
    3.1 Objetivo Geral..................................................................................................................... 36
    3.2 Objetivos específicos.......... ................................................................................................ 36
4- MÉTODOS ................................................................................................................................ 37
   4.1 Áreas de estudo e Coleta de dados...................................................................................... 37
         4.1.1 Serras das Lontras e Javi...................................... .................................................... 37
         4.1.2 Transecções Lineares.................................................................................................. 41
         4.1.3 Reserva Biológica de Una (REBIO Una), Parque Estadual da Serra do Conduru e
   entorno (PESC) e Reserva Ecológica Michelin........................................................................ 51
   4.2 Análise dos dados ................................................................................................................. 57
         4.2.1 Programa Distance 5.0 ............................................................................................... 57
         4.2.2 Análise combinada de diferentes censos.................................................................... 58
         4.2.3 Métodos alternativos .................................................................................................. 59
             4.2.3.1 Distâncias Média, Máxima e de Queda...............................................................59
             4.2.3.2 Abundância Relativa.............................................................................................60
         4.2.4. Análise comparativa das estimativas de densidade...................................................60
5 – RESULTADOS E ANÁLISES..................................................................................................61
   5.1 Serras das Lontras e Javi .....................................................................................................61
          5.1.1 Esforço amostral..........................................................................................................61



                                                                                                                                                7
5.1.2 Tipos de habitats amostrados nos transectos............................................................61
          5.1.3 Avistamentos de primatas...........................................................................................64
   5.2 REBIO Una, PESC e Reserva Ecológica Michelin............................................................66
          5.2.1 Esforço amostral..........................................................................................................66
          5.2.2 Avistamentos de primatas..........................................................................................66
   5.3 Resultados e análises comparadas entre as Serras das Lontras e Javi, REBIO Una,
          PESC e Reserva Ecológica Michelin....................................................................................70
          5.3.1 Estimativas de Abundância Relativa.........................................................................70
          5.3.2 Estimativas de Densidade...........................................................................................72
                5.3.2.a Programa Distance 5.0......................................................................................77
                5.3.2.b Comparação entre os métodos para estimar densidades...............................82
6- DISCUSSÃO.................................................................................................................................84
  6.1 Avistamentos de primatas nas Serras das Lontras e Javi..................................................84
  6.2 Abundâncias Relativas...........................................................................................................86
  6.3 Estimativas de densidade.......................................................................................................89
         6.3.1 Comparação entre métodos.......................................................................... ..............89
         6.3.2 Comparação de densidades entre áreas e com outros estudos no sul da Bahia.....91
         6.3.3 Comparação das densidades para o sul da Bahia com outras áreas de Mata
Atlântica............................................................................................................................................99
  6.4 Considerações para a conservação das Serras das Lontras e Javi.................................102
7 - CONCLUSÕES ........................................................................................................................106
8 - REFERÊNCIAS BIBLIOGRÁFICAS ...................................................................................107
ANEXO I - Riqueza de Espécies – Serras das Lontras e Javi................................................... 122
ANEXO II - Comparação entre abundâncias relativas e densidades estimadas pelo Programa
Distance 5.0......................................................................................................................................124
ANEXO III - Fragmentos Florestais das Serras das Lontras e Javi ........................................126




                                                                                                                                                     8
LISTA DE FIGURAS

Figura 1. Representação da região geográfica entre os Rios Jequiriçá e Jequitinhonha.............26

Figura 2. Localização geográfica das Serras das Lontras e Javi (LONTRAS), em relação à
posição de três unidades de conservação do sul da Bahia: Reserva Biológica de Una (REBIO),
Parque Estadual do Conduru (PESC) e Reserva Ecológica Michelin (MICHELIN). Escala
1:250.000 PROBIO.....................................................................................................................38

Figura 3. Floresta Montana na Serra do Javi. Agosto de 2007. Fotos: Leticia Bastos................39

Figura 4. Proposta de criação do Parque Nacional Serra das Lontras, MMA (Fonte:
www.mma.gov.br).......................................................................................................................41

Figura 5. Metodologia dos transectos lineares, com uma única linha, posicionada
aleatoriamente, de extensão L. Seis objetos (n = 6) são detectados a distâncias x1, x2,..., x6. Os
objetos são denotados por uma linha mostrando a distância perpendicular medida. Em
aplicações práticas, muitos transectos devem ser usados para amostrar populações. (Fonte:
BUCKLAND et al., 1993, Capítulo 1)........................................................................................42

Figura 6. A área µ abaixo da função de detecção g(x), quando expressa como uma proporção da
área w do retângulo, corresponde à probabilidade de detectar um objeto na área amostrada (Pa).
O parâmetro µ também representa a largura efetiva da faixa amostrada e assume valores de 0 a
w. (Fonte: THOMAS et al., 2002)...............................................................................................43

Figura 7. A Função Probabilidade de Detecção, f(x), plotada em histograma de freqüências de
distâncias perpendiculares (numa escala em que a área total das barras do histrograma é 1). A
área sob a curva também é a unidade por definição. Como as duas áreas listradas são idênticas,
a área do retângulo µf(0) também é a unidade. Assim, µ = 1 / f(0). (Fonte: THOMAS et al.,
2002)...........................................................................................................................................44

Figura 8. Mapa de localização dos transectos nas Serras das Lontras e Javi, mostrando a
classificação da vegetação (escala de 1:250.000 - PROBIO) e os limites do Parque Nacional
proposto pelo MMA. O transecto a oeste foi chamado de Bem-te-vi. Os transectos centrais são
Lontras 1 (acima) e 2. Os transectos a leste são Catarina (abaixo) e Zé Oduque
(acima).........................................................................................................................................46

Figura 9. Marcação dos transectos lineares (esquerda) e cordas de segurança (direita) colocadas
para garantir a qualidade da coleta de dados (Fotos: Letícia Bastos).........................................48

Figura 10. Visibilidade reduzida em momentos de chuvas intensas na região das Serras das
Lontras e Javi (Fotos: Letícia Bastos).........................................................................................50

Figura 11. Localização das três áreas amostradas em estudo prévio realizado pelo IESB. (1)
Reserva Biológica de Una; (2) PESC; (3) Reserva Ecológica Michelin.....................................51

Figura 12. Mapa de localização dos transectos percorridos em estudo anterior na REBIO Una,
mostrando a classificação da vegetação (escala 1: 250.000 – PROBIO)....................................53



                                                                                                                                                9
Figura 13. Mapa de localização dos transectos percorridos em estudo anterior no PESC
mostrando a classificação da vegetação (escala 1: 250.000 – PROBIO)....................................54

Figura 14. Mapa de localização dos transectos percorridos em estudo anterior na Reserva
Ecológica Michelin mostrando a classificação da vegetação (escala 1: 250.000 – PROBIO).
Provável presença de nuvens prejudica a classificação da vegetação na área............................55

Figura 15. Mapa de localização dos transectos percorridos em estudo anterior na Reserva
Ecológica Michelin mostrando a classificação da vegetação (Landsat, 1996). Nota-se que os
transectos estão sobre os fragmentos melhor conservados da propriedade, que provavelmente
não foram alterados nos últimos anos.........................................................................................56

Figura 16. Histogramas de freqüência das distâncias perpendiculares de avistamento de Cebus
xanthosternos (n = 16) e Callithrix kuhlii (n = 15) nas Serras das Lontras e Javi......................66

Figura 17. Histogramas de freqüência das distâncias perpendiculares (m) de avistamento de
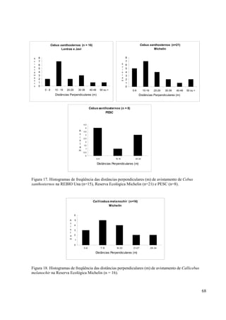
Cebus xanthosternos na REBIO Una (n=15), Michelin (n=21) e PESC (n=8)..........................68

Figura 18. Histogramas de freqüência das distâncias perpendiculares (m) de avistamento de
Callicebus melanochir na Reserva Ecológica Michelin (n=16)..................................................68

Figura 19. Histogramas de freqüência das distâncias perpendiculares (m) de avistamento de
Callithrix kuhlii (REBIO Una, n=5; PESC, n=13) e Callithrix sp. (Michelin, n=16)..............69

Figura 20. Histograma de freqüência das distâncias perpendiculares (m) de avistamento de
Leontopithecus chrysomelas na REBIO Una (n=14)..................................................................69

Figura 21. Histogramas de freqüência de distâncias perpendiculares combinadas entre as quatro
áreas de estudo para Cebus xanthosternos (n=60) e Callithrix spp (n=49)................................74

Figura 22. Histogramas de freqüência de distâncias perpendiculares combinadas entre
diferentes áreas de estudo para Callicebus melanochir (n=22) e Leontopithecus chrysomelas
(n=17)..........................................................................................................................................74

Figura 23. Função de detecção de Cebus xanthosternos gerada no programa Distance 5.0,
modelo Uniform. Avistamentos combinados das Serras das Lontras e Javi, REBIO Una, PESC
e Reserva Ecológica Michelin.....................................................................................................80

Figura 24. Função de detecção de Callithrix sp gerada no programa Distance 5.0, modelo
Negative-Exponential. Avistamentos combinados das Serras das Lontras e Javi, REBIO Una,
PESC e Reserva Ecológica Michelin...........................................................................................80

Figura 25. Função de detecção de Callicebus melanochir gerada no programa Distance 5.0,
modelo Uniform. Avistamentos combinados das Serras das Lontras e Javi, REBIO Una e
Reserva Ecológica Michelin........................................................................................................81

Figura 26. Função de detecção de Leontopithecus chrysomelas gerada no programa Distance
5.0, modelo Half-normal. Avistamentos combinados das Serras das Lontras e Javi e REBIO
Una...............................................................................................................................................81


                                                                                                                                               10
LISTA DE TABELAS

Tabela 1. Esforço amostral por transecto nas Serras das Lontras e Javi.....................................61

Tabela 2. Avistamentos de primatas nas Serras das Lontras e Javi, número de grupos avistados
(n) e tipos florestais ocupados.....................................................................................................63

Tabela 3. Avistamentos de primatas nas Serras das Lontras e Javi, número de grupos avistados
(n) e tipos florestais ocupados.....................................................................................................64

Tabela 4. Riqueza de espécies de primatas e número de grupos avistados na REBIO Una, PESC
e Reserva Ecológica Michelin.....................................................................................................67

Tabela 5. Esforço amostral (km), número de avistamentos (n) e abundância relativa (n/10 km)
das espécies de primatas encontradas em censos nas Serras das Lontras e Javi, na REBIO Una,
no PESC e na Reserva Ecológica Michelin................................................................................71

Tabela 6. Esforço amostral (km), número total de registros (n) e abundância relativa (n/10 km)
das espécies de primatas encontradas em censos nas Serras das Lontras e Javi, na REBIO Una,
no PESC e na Reserva Ecológica Michelin.................................................................................72

Tabela 7. Distâncias Perpendiculares (DP) Média, Máxima e Distância de Queda (DQ), em
metros, e respectivas estimativas de densidade (grupos/km²) dos primatas considerando as áreas
de estudo separadamente e combinadas (Total)..........................................................................75

Tabela 8. Teste de modelos das funções de detecção e respectivas estimativas da largura
amostrada (ESW), Delta AIC, AIC, p-valores para o teste de Goodness-of-fit de Qui-quadrado
(Chi-p), Densidade de grupos/km² (DS), limite de confiança inferior da densidade (DS LCL),
limite de confiança superior da densidade (DS UCL) e coeficiente de variação da estimativa de
densidade (DV) para Cebus xantosternos, Callithrix sp., Callicebus melanochir e
Leontopithecus chrysomelas. ......................................................................................................78

Tabela 9. Comparação entre estimativas de densidade (DS) geradas para Cebus xanthosternos,
Callithrix sp., Callicebus melanochir e Leontopithecus chrysomelas, pelos métodos da distância
média, distância máxima, distância de queda (DQ) e pelo programa Distance
5.0................................................................................................................................................83

Tabela 10. Resumo das abundâncias relativas de Cebus xanthosternos, Callicebus melanochir e
Callithrix sp. encontradas por FLESHER (2006) na Reserva Ecológica Michelin (REM) e
outros fragmentos florestais da região de Ituberá (BA) através de censos
diurnos.........................................................................................................................................88

Tabela 11. Comparação entre estimativas de densidade reportadas na literatura e geradas no
presente estudo pelo Programa Distance 5.0 para Cebus xanthosternos, Callithrix kuhlii,
Callicebus melanochir e Leontopithecus chrysomelas no sul da Bahia.....................................92

Tabela 12. Comparação das densidades encontradas para os primatas do sul da Bahia com
outros estudos na Mata Atlântica...............................................................................................101



                                                                                                                                                11
PRIMATAS DAS SERRAS DAS LONTRAS E JAVI: ESTADO DAS POPULAÇÕES
   E SEU PAPEL NA CONSERVAÇÃO REGIONAL DA COMUNIDADE DE
                   PRIMATAS NO SUL DA BAHIA


                                         RESUMO

    O sul da Bahia é uma das poucas áreas em que, originalmente, os seis gêneros de
primatas da Mata Atlântica ocorriam em simpatria. Nas últimas décadas, o estado de
conservação das espécies de primatas na região tem sido investigado principalmente através
de levantamentos de suas localidades de ocorrência e de estudos de comportamento
restritos geograficamente. Enquanto informações ecológicas e biogeográficas estão
disponíveis, estimativas sobre os números populacionais desses primatas são escassas.
Conhecer a abundância das diversas populações é imprescindível para compreender o
estado de conservação local e regional das diferentes espécies e vislumbrar suas
possibilidades de sobrevivência nos remanescentes florestais. A região conhecida como
Serra das Lontras e Javi compreende alguns dos fragmentos florestais em melhor estado de
conservação do sul da Bahia e, mesmo sendo considerada uma área de elevada prioridade
para a conservação, não havia sido investigada quanto às populações de primatas
residentes. O presente estudo utilizou a metodologia de transecções lineares, seguindo o
protocolo para utilização do programa Distance (BUCKLAND et al., 1993), para estimar as
abundâncias dos primatas das Serras das Lontras e Javi. Um total de 223,3 km foram
percorridos, totalizando 37 grupos de primatas avistados, de quatro espécies: Cebus
xanthosternos, Callithrix kuhlii, Callicebus melanochir e Leontopithecus chrysomelas.
Com o intuito de compreender melhor a situação dos primatas no sul da Bahia, os
resultados das Serras foram comparados às estimativas obtidas através da mesma
metodologia em outros três grandes blocos florestais: a Reserva Biológica de Una, o Parque
Estadual do Conduru e entorno e a Reserva Ecológica Michelin. A abundância dos
primatas, representada pelas densidades estimadas em grupos/km², apresentou variações
entre espécies e entre áreas de estudo. As espécies de Callithrix parecem ser as mais
abundantes do sul da Bahia e apresentaram densidades mais semelhantes entre as quatro
áreas. As espécies ameaçadas Leontopithecus chrysomelas e Cebus xanthosternos tiveram
densidades médias semelhantes para o sul da Bahia, mas suas densidades variaram
consideravelmente entre as áreas de estudo. Callicebus melanochir foi a espécie encontrada
com menor densidade média, principalmente em função das baixas densidades estimadas
para as Serras das Lontras e Javi e a REBIO Una. A maior densidade de Callithrix kuhlii e
a segunda maior densidade de Cebus xanthosternos foram registradas para as Serras das
Lontras e Javi, que também parecem suportar mais grupos de Callicebus melanochir do que
a REBIO Una. Leontopithecus chrysomelas foi a espécie encontrada em menores
densidades nas Serras. Do ponto de vista regional, os resultados do presente estudo
sugerem que a conservação dos primatas do sul da Bahia compreende, necessariamente, a
conservação das populações de primatas das Serras das Lontras e Javi e que a proteção
dessa área torna-se urgente quando consideradas a singularidade ecológica de suas florestas
e o grau de ameaça a que estão submetidas.

Palavras-chave: Primatas, Abundância, Densidades, Serras das Lontras e Javi, Sul da Bahia.



                                                                                             12
PRIMATES OF SERRA DAS LONTRAS AND JAVI: POPULATION STATUS AND
    THEIR ROLE ON REGIONAL CONSERVATION OF THE PRIMATE
                COMMUNITY IN SOUTHERN BAHIA


                                        ABSTRACT


        Southern Bahia is one of the few areas where, originally, the six primate genera of
Atlantic Forest occurred in simpatry. In the last decades, conservation status of primate
species in the region was investigated specially through geographically restricted
distribution and behavior studies. While ecological and biogeographic information is
available, estimates of population numbers of these primates are scarce. In order to
understand local and regional conservation status of primate species and elucidate their
survival possibilities in forest remains, it is essential to know their population abundances.
The region known as Serra das Lontras and Javi supports some of the most conserved
fragments of Southern Bahia and although it has been considered of high priority for
biological conservation, its primate populations had not been studied. The present study
used line transect methodology, following the protocol for utilizing Distance Program 5.0
(BUCKLAND et al., 1993), to estimate primate abundances of Serra das Lontras and Javi.
A total of 223,3 km were walked, totalizing 37 primate sightings, of four species: Cebus
xanthosternos, Callithrix kuhlii, Callicebus melanochir and Leontopithecus chrysomelas.
Results were compared with estimates obtained using the same methodology in three
conservation units of Southern Bahia: Una Biological Reserve, Serra do Conduru State
Park and Michelin’s Ecological Reserve. Primate abundances, represented as densities
estimated in groups/ km², varied both between species and study areas. Callithrix species
were found to be the most abundant in Southern Bahia and presented similar densities in all
areas. Endangered species Leontopithecus chrysomelas and Cebus xanthosternos presented
similar medium densities in Southern Bahia, but had considerable variations between study
areas. Callicebus melanochir had the lowest abundances in Southern Bahia region,
specially because of the low estimates for Serra das Lontras and Javi and Una Biological
Reserve. The highest density estimate for Callithrix kuhlii and the second highest density
estimate for Cebus xanthosternos were found in Serra das Lontras and Javi, which also
seems to support more groups of Callicebus melanochir than Una Biological Reserve. The
lowest densities found in Serra das Lontras and Javi are for Leontopithecus chrysomelas.
From a regional perspective, the present results suggests that primate conservation in
Southern Bahia requires conservation of primate populations of Serra das Lontras and Javi
and that protection of this area becomes urgent when considering its ecological singularity
and threats to which it is submitted today.



Key-words: Primates, Abundances, Densities, Serra das Lontras and Javi, Southern Bahia.




                                                                                           13
1.   INTRODUÇÃO GERAL


       A Mata Atlântica brasileira estendia-se originalmente do Rio Grande do Norte ao
Rio Grande do Sul, ocupando uma área de aproximadamente 1.300.000 km² (FONSECA et
al., 1999). A grande extensão latitudinal do bioma lhe confere notável heterogeneidade
(GALINDO-LEAL e CÂMARA, 2005), assim como a variação longitudinal, que ajuda a
criar uma diversidade de paisagens, com florestas de interior significativamente diferentes
daquelas próximas ao litoral (THOMAS et al., 1998). Após mais de quinhentos anos de
exploração, a Mata Atlântica é hoje classificada como um dos ecossistemas mais
seriamente ameaçados do mundo (MITTERMEIER, 1986; OLIVER e SANTOS, 1991;
MMA, 2000; GALINDO-LEAL e CÂMARA, 2005) e considerada prioritária para a
conservação da biodiversidade do planeta (MYERS et al., 2000).
       Inserida no Domínio da Mata Atlântica e representando uma área prioritária e
estratégica para a conservação da biodiversidade do bioma (TIMMERS et al., 2002), a
região sul do estado da Bahia destaca-se por apresentar os maiores remanescentes florestais
do nordeste brasileiro (MORI et al., 1983; JOHNS, 1999), alta riqueza biológica, elevado
grau de endemismo (KINZEY,1982; MOURA, 2003) e intensa pressão antrópica sobre os
fragmentos florestais remanescentes (JARDIM, 2003). A cobertura florestal no sul da
Bahia encontra-se atualmente permeada por uma matriz de pastagens e uma variedade de
plantios, incluindo cacau, seringa, pupunha, dendê, bananas e café (MORI et al., 1983;
FLESHER, 2006; SAATCHI et al., 2001).
       Considerada como um dos principais centros de endemismo e de riqueza de
primatas da Mata Atlântica (SANTOS et al., 1987), a região sul da Bahia é uma das poucas
áreas onde os seis gêneros de primatas do bioma ocorrem simpatricamente
(BIODIVERSITAS, 1993), representados por nove espécies: sagui-de-Wied (Callithrix
kuhlii), sagüi-do-tufo-preto (Callithrix penicillata), sagui-da-cara-branca (Callithrix
geoffroyi),   guigó   (Callicebus   melanochir), macaco-prego-do-peito-amarelo (Cebus
xanthosternos), macaco-prego-de crista (Cebus robustus), mico-leão-da-cara-dourada
(Leontopithecus chrysomelas), bugio (Alouatta guariba) e muriqui-do-norte (Brachyteles
hypoxanthus) (RYLANDS et al., 1996). Devido a introduções recentes, existem também
populações de sagüi-do-nordeste (Callithrix jacchus) em algumas regiões ao sul do rio São



                                                                                        14
Francisco (RYLANDS et al., 1996; COIMBRA-FILHO et al., 2006). Com exceção das
espécies de Callithrix, todas as outras estão incluídas no Livro Vermelho da Fauna
Brasileira Ameaçada de Extinção (MACHADO et al., 2008).
       O estado de conservação das espécies de primatas na região sul da Bahia tem sido
investigado ao longo das últimas duas décadas, principalmente através de levantamentos
extensivos de suas localidades de ocorrência (AGUIRRE, 1971; SANTOS et al., 1987;
COIMBRA-FILHO et al., 1991; OLIVER e SANTOS 1991; RYLANDS et al. 1991;
PINTO 1994a,b; KIERULFF et al., 2005; NEVES, 2008), mas apesar das informações
ecológicas e biogeográficas disponíveis na literatura, estimativas populacionais dos
primatas da região são escassas e, em sua maioria, referentes apenas à região geográfica de
Una (RYLANDS, 1989; PINTO et al. 1993; DIETZ et al., 1994; PINTO, 1994a,b;
PAGLIA 2003). Para a conservação dessas populações é imprescindível gerar dados sobre
seus tamanhos e, quando possível, estimativas de densidades absolutas que tragam
informações sobre a possibilidade de sobrevivência das espécies nos remanescentes
florestais (GONZÁLES-SOLIS, 2001; PAGLIA, 2003; KIERULFF et al., 2005;
RYLANDS et al., 2008; BECK e CHAPMAN, 2008).
       O presente estudo teve como objetivo estimar a abundância relativa e a densidade
populacional de espécies de primatas em quatro grandes fragmentos florestais do sul da
Bahia utilizando a metodologia de transecções lineares. O estudo foi concentrado na região
das Serras das Lontras e Javi, que apesar de apresentar alguns dos fragmentos florestais em
melhor estado de conservação da Mata Atlântica do sul da Bahia, ainda não havia sido
investigada quanto às populações de primatas residentes. Os resultados obtidos nas Serras
das Lontras e Javi foram comparados a dados não publicados de outros três grandes
fragmentos florestais no sul da Bahia (Reserva Biológica de Una – REBIO Una, Parque
Estadual do Conduru e entorno – PESC e Reserva Ecológica Michelin).




                                                                                        15
2.     REVISÃO DE LITERATURA


2.1    A Mata Atlântica

       A Mata Atlântica brasileira estendia-se originalmente do Rio Grande do Norte ao
Rio Grande do Sul, ocupando uma área de aproximadamente 1.300.000 km² (FONSECA et
al., 1999). Estima-se que apenas 8% da cobertura florestal original da Mata Atlântica
persistam (SOS Mata Atlântica e INPE, 2009) após uma história de intensa devastação que
teve início com a chegada dos colonizadores portugueses ao Brasil no século dezesseis
(DEAN, 1996). A longa história de destruição transformou a Mata Atlântica em um dos
ecossistemas mais devastados e mais seriamente ameaçados do mundo (MITTERMEIER,
1986; OLIVER e SANTOS, 1991; MMA, 2000; GALINDO-LEAL e CÂMARA, 2005).
       A grande extensão latitudinal confere à Mata Atlântica notável heterogeneidade: o
bioma estende-se por 27 graus de latitude, de 3° S a 30° S (GALINDO-LEAL e CÂMARA,
2005). A variação longitudinal também contribui para a elevada diversidade de habitats,
com florestas de interior significativamente diferentes daquelas próximas ao litoral
(THOMAS et al., 1998; RIZZINI, 1997 apud SILVA e CASTELETI, 2005). Outros fatores
geográficos como variações altitudinais, edáficas e topográficas resultam em um mosaico
de micro-habitats dentro de cada tipo florestal aparentemente uniforme (THOMAS et al.,
1998; GALINDO-LEAL e CÂMARA, 2005; TABARELLI et al., 2005).
       O mosaico florestal resultante dessas variações ambientais constitui o “Domínio da
Mata Atlântica”, reconhecido legalmente em 1992 pelo Conselho Nacional do Meio
Ambiente (CONAMA), e inclui as Florestas Ombrófilas (pluviais) Densas e Abertas
(abrangendo as matas pluviais montanas, submontanas, de baixada e “tabuleiros” –
florestas costeiras em terras baixas e solos arenosos), as Florestas Ombrófilas Mistas
(correspondentes às matas sulinas com predominância de araucárias e lauráceas) e as
Florestas Estacionais e Semidecíduas (que abrangem as matas subtropicais dos estados do
Sul e as matas semidecíduas do Nordeste), bem como os ecossistemas associados
(incluindo manguezais, restingas, campos de altitude, enclaves de campos e cerrados e as
matas montanas da região Nordeste) e as áreas de transição ecológica entre as formações
florestais (CÂMARA, 2005).



                                                                                      16
Atualmente, a Mata Atlântica encontra-se isolada dos outros grandes blocos
florestais sul-americanos, a Floresta Amazônica e as Florestas Andinas, através de três
biomas dominados por vegetações abertas: a Caatinga, o Cerrado e o Chaco. Mas a história
evolutiva do bioma é marcada por períodos de contato com biotas de outras formações
florestais (SILVA e CASTELETI, 2005), o que resultou em uma composição de espécies
única (MYERS et al., 2000) formada por elementos muito antigos, diferenciados há pelo
menos 3 milhões de anos durante o Plioceno, mas também por elementos que colonizaram
a região mais recentemente, na transição Pleistoceno-Holoceno, entre 10 e 20 mil anos atrás
(SILVA e CASTELETI, 2005).
       As estimativas da riqueza de espécies existentes na Mata Atlântica são variáveis, o
que se deve, em grande parte, às incertezas sobre taxonomia e distribuição e ao uso de
diferentes definições sobre os limites exatos do Domínio da Mata Atlântica (CÂMARA,
2005). O documento oficial “Áreas Prioritárias para a Conservação da Mata Atlântica e
Campos Sulinos”, contabiliza 20 mil espécies de plantas, 250 espécies de mamíferos, 1020
espécies de aves, 197 espécies de répteis e 340 espécies de anfíbios. Se forem considerados
em conjunto os mamíferos, aves, répteis e anfíbios, a Mata Atlântica abriga
aproximadamente 7% de todas as espécies conhecidas no mundo para esse grupo de
vertebrados (MYERS et al, 2000).
       Considerando sua extensão, a Mata Atlântica representa o mais diverso dos biomas
brasileiros em termos de mastofauna. O grau de endemismo para o grupo, estimado em
32%, é excedido apenas pela Floresta Amazônica, a maior área florestal do país, com 59%
da mastofauna endêmica. A notável diversidade da Mata Atlântica, no entanto, não está
igualmente distribuída entre as diferentes ordens, sendo o alto nível de endemismo
referente, principalmente, a três delas - marsupiais, roedores e primatas - que juntas
perfazem 84 % de todas as espécies de mamíferos endêmicas ao bioma (COSTA e LEITE,
2000). Para grupos como os primatas, por exemplo, mais de dois terços das formas
presentes são endêmicas (MMA, 2000).
       Atualmente essa riqueza encontra-se ameaçada, devido, principalmente, à expansão
de grandes centros urbanos, à exploração madeireira, à caça, ao desmatamento e à
substituição da cobertura florestal por agricultura (SILVA e TABARELLI, 2001). Em
razão do alto grau de endemismo e de fragmentação florestal, a Mata Atlântica contribui



                                                                                        17
com mais de 60% das espécies presentes na lista oficial da fauna brasileira ameaçada de
extinção (PAGLIA, 2005 apud PINTO et al., 2006). Esse quadro levou ao reconhecimento
internacional da Mata Atlântica como um hotspot de biodiversidade – área com excepcional
concentração de espécies endêmicas e submetida a altos níveis de destruição de habitat
(MYERS et al., 2000).



2.2    A Mata Atlântica do sul da Bahia

       A região sul da Bahia é considerada uma área de destaque na Mata Atlântica: além
da elevada riqueza de espécies, representa um dos três mais importantes centros de
endemismo de todo o bioma (KINZEY, 1982; MORI et al., 1983) e detém um dos recordes
mundiais de diversidade de espécies lenhosas (THOMAS et al., 1998). Situa-se entre os
paralelos 13°05’ S - 18°05’ S e meridianos 38°50’ W - 41°33’ W, encontra-se delimitada
ao norte pelo rio Jequiriçá, ao sul pelo rio Mucuri, a leste pelo Oceano Atlântico e a oeste
pela rodovia BR-116, no planalto de Vitória da Conquista, e abrange cento e seis
municípios do Estado da Bahia (PRADO et al., 2003b).
       Apesar de parecer uma formação vegetal homogênea, a Mata Atlântica do sul da
Bahia, apresenta tipos vegetacionais extremamente diferenciados, com florestas que se
tornam gradualmente mais secas à medida que avançam para o interior (MORI et al., 1983).
De fato, existe uma transição das matas de restinga do litoral, passando pelas florestas
úmidas (Ombrófilas) – florestas montanas e submontanas com solos argilosos e florestas de
tabuleiros em terras baixas de solos arenosos (RYLANDS et al., 1991-1992) – e pelas
florestas semidecíduas, até as florestas decíduas do interior (MORI et al., 1983). A
composição de cada tipo florestal varia dependendo da elevação, da pluviosidade, dos tipos
e da drenagem dos solos, resultando em um mosaico de diversos micro-habitats dentro da
floresta aparentemente uniforme (THOMAS et al., 1998).
       O sul da Bahia vem sofrendo intenso desmatamento por, pelo menos, 500 anos,
desde a chegada dos colonizadores portugueses na região (MORI et al., 1983; JOHNS,
1999), resultando em uma cobertura florestal fragmentada e reduzida a, aproximadamente,
5 % de sua extensão original (THOMAS et al., 1998). No entanto, abriga os maiores
remanescentes de Mata Atlântica do Nordeste (JOHNS, 1999), em parte devido às



                                                                                         18
peculiaridades do plantio de cacau na região, tradicionalmente plantado sob a sombra de
árvores nativas, em um sistema agroflorestal denominado cabruca (MORI et al., 1983). É
possível que as cabrucas tenham contribuído para a conservação da fauna regional (FARIA
et al., 2006) até o presente, sendo utilizadas por espécies ameaçadas de extinção, como o
gravateiro-acrobata (Acrobatornis fonsecai) (PACHECO et al., 1996), o mico-leão-da-cara-
dourada (Leontopithecus chrysomelas) e o macaco-prego-do-peito-amarelo (Cebus
xanthosternos) (observação pessoal).
       Em vista da relevância ecológica e das pressões antrópicas que incidem sobre o sul
da Bahia, a região é reconhecida como um hot-point dentro do hotspot Mata Atlântica
(MARTINI et al., 2007), havendo sido incluída pelo Governo Federal no Corredor Central
da Mata Atlântica, que engloba cerca de 80% das áreas de mais alta prioridade para a
conservação do bioma (FONSECA et al., 2003). No entanto, considerando a área total do
Corredor Central, a rede de unidades de conservação do estado da Bahia é geográfica e
ecologicamente mal distribuída (FONSECA et al., 2003; AGUIAR et al., 2005). A
abrangência das áreas protegidas é reduzida e sua distribuição, concentrada em áreas de
Floresta   Ombrófila   Densa,   predominante    nas   porções   litorâneas.   Encontram-se
desprotegidos os fragmentos de Florestas Estacionais e Montanas localizados mais a oeste,
onde predominam as serras e maciços pré-litorâneos, (SILVEIRA et al., 2005; THOMAS et
al., 1998), sendo necessários maiores e urgentes esforços de conservação para a
preservação de áreas verdadeiramente representativas das florestas do sul da Bahia
(THOMAS et al., 1998; FONSECA et al., 2003; GALINDO-LEAL E CÂMARA, 2005;
PINTO et al., 2006; RBMA, 2006).




2.3    Primatas da Mata Atlântica


       Dentre as vinte e quatro espécies de primatas que ocorrem na Mata Atlântica
brasileira, vinte são endêmicas ao bioma e quinze encontram-se ameaçadas de extinção
(COSTA et al., 2005), estando todas classificadas em seis gêneros: muriquis (Brachyteles),
micos-leões (Leontopithecus), sagüis (Callithrix), bugios (Alouatta), macacos-pregos
(Cebus) e guigós (Callicebus), os dois primeiros endêmicos ao bioma. A distribuição atual



                                                                                       19
desses primatas é influenciada pela ampla destruição de seus habitats naturais, bem como
pelas introduções de espécies fora de sua ocorrência original, especialmente Calitriquídeos
(RYLANDS et al., 1996).
       O tamanho reduzido e o grau de isolamento dos fragmentos da Mata Atlântica são,
provavelmente, limitantes para que populações mínimas viáveis de primatas sejam
mantidas em longo prazo (CHIARELLO e MELLO 2001; PAGLIA, 2003; CHIARELLO,
2003). A redução do que antes era uma floresta contínua a fragmentos pequenos e isolados
pode resultar no confinamento de apenas alguns grupos de primatas em cada fragmento,
limitando o fluxo de indivíduos entre populações e levando à depressão endogâmica, além
de torná-las mais suscetíveis a eventos demográficos estocásticos (VALLADARES-
PADUA e CULLEN JR., 1994; PIRES et al., 2006; PAGLIA et al., 2006). A fragmentação
também facilita o acesso a caçadores, que freqüentemente buscam espécies de primatas de
médio a grande porte, podendo levá-las à extinção local (RAEZ-LUNA, 1995; PERES,
2000; PERES e DOLMAN, 2000). Por outro lado, a fragmentação pode simplificar a
composição dos predadores de topo de cadeia, ocasionando um aumento nas densidades
populacionais das espécies de presas (CHIARELLO, 2003). O aumento da caça promovido
pela fragmentação também pode levar a maiores densidades de algumas espécies de
primatas não caçadas por reduzir ou exterminar seus competidores potenciais (PERES e
DOLMAN, 2000).
       Em suma, o processo de declínio ou alteração na dinâmica populacional de primatas
está intimamente relacionado às circunstâncias históricas e atuais do uso da terra (PINTO,
1994a). Grande parte das espécies de primatas sofre drásticas reduções populacionais
quando existe grande perturbação ambiental, como fragmentação, corte seletivo de
madeira, práticas agrícolas prejudiciais ou caça excessiva (JOHNS e SKORUPA, 1987). No
entanto, estudos têm demonstrado a grande flexibilidade ecológica e capacidade de
adaptação dos primatas que persistem nos fragmentos florestais remanescentes, sugerindo
que o mosaico de habitats heterogêneos resultante da perturbação pode até mesmo
aumentar a abundância das espécies remanescentes (STALLINGS e ROBINSON, 1991;
COWLISHAW e DUNBAR, 2000). Para compreender de que forma as diferentes ameaças
impactam as espécies de primatas no mosaico florestal atlântico é essencial obter
estimativas de abundância e densidade, bem como realizar subseqüentes monitoramentos



                                                                                        20
populacionais que permitam medir o sucesso de programas de conservação para essas
espécies (RYLANDS et al., 2008).



2.4    Primatas do sul da Bahia


       No sul da Bahia, os seis gêneros de primatas da Mata Atlântica ocorrem
simpatricamente, representados por nove espécies: sagui-de-Wied (Callithrix kuhlii), sagüi-
do-tufo-preto (Callithrix penicillata), sagui-da-cara-branca (Callithrix geoffroyi), guigó
(Callicebus melanochir), macaco-prego-do-peito-amarelo (Cebus xanthosternos), macaco-
prego-de-crista    (Cebus     robustus),    mico-leão-da-cara-dourada      (Leontopithecus
chrysomelas), bugio (Alouatta guariba) e muriqui-do-norte (Brachyteles hypoxanthus)
(KINZEY, 1982; RYLANDS et al, 1996; MOURA, 2003). Devido a introduções recentes,
existem também populações de sagüi-do-nordeste (Callithrix jacchus) em algumas regiões
ao sul do rio São Francisco (RYLANDS et al., 1996; COIMBRA-FILHO et al., 2006).
       O estado de conservação das espécies de primatas na região sul da Bahia tem sido
investigado ao longo das últimas duas décadas, principalmente através de levantamentos de
suas localidades de ocorrência (AGUIRRE, 1971; SANTOS et al., 1987; COIMBRA-
FILHO et al., 1991; OLIVER e SANTOS 1991; RYLANDS et al. 1991; PINTO 1994a,b;
KIERULFF et al., 2005; NEVES, 2008). Com exceção das espécies de Callithrix, todas as
outras estão incluídas no Livro Vermelho da Fauna Brasileira Ameaçada de Extinção
(MACHADO et al., 2008). O conhecimento acumulado sobre aspectos de ecologia e
comportamento varia entre as espécies e, em geral, é reduzido, mas representa um ponto de
partida para a compreensão de seu estado de conservação.
       O sagui-de-Wied (Callithrix kuhlii) ocorre na região sul da Bahia e nordeste de
Minas Gerais, entre os rios Jequitinhonha e de Contas, mas ainda há controvérsias sobre o
limite norte original da espécie (RYLANDS, 1996; COIMBRA-FILHO et al., 2006;
NEVES, 2008; RABOY et al., 2008). A leste, encontra-se limitado pelo Oceano Atlântico
e, a oeste, por mudanças vegetacionais associadas ao aumento de altitude em decorrência
do Planalto de Vitória da Conquista (NEVES, 2008). OLIVER e SANTOS (1991)
afirmaram que o fenótipo de Callithrix kuhlii seria consistente da margem norte do baixo
Jequitinhonha até o norte do rio de Contas, possivelmente estendendo-se até Valença,


                                                                                        21
argumento utilizado também por COIMBRA-FILHO et al. (2006) para defender uma
possível extensão da distribuição da espécie ao longo da costa atlântica até o rio Paraguaçu
ou até mesmo ao rio São Francisco. Esses mesmos autores, no entanto, referem-se à
destruição histórica das florestas da região (COIMBRA-FILHO et al., 1991) e à mistura
com populações de C. penicillata e populações introduzidas de C. jacchus como fatores que
dificultam esclarecimentos sobre a questão.
       NEVES (2008) encontrou variações de coloração nos grupos de Callithrix avistados
ao norte do rio de Contas, considerando-os como fenótipos intermediários entre C. kuhlii e
C. penicillata e sugerindo uma zona de hibridação. Caso tratem-se de híbridos, ainda resta
esclarecer se as populações de C. kuhlii teriam sido introduzidas na margem norte do rio ou
se as populações de C. penicillata estariam avançando para leste e invadindo a área de C.
kuhlii. É interessante considerar a observação do autor de que na maioria das vezes as
características de C. penicillata se sobressaíram (“face escura, pés e mãos de cinza a
castanho escuro e porção externa da coxa não apresentando o colorido conspícuo de C.
kuhlii”), o que representa uma contradição com as observações de hibridização em
cativeiro. De acordo com COIMBRA-FILHO et al. (2006), o castanho avermelhado intenso
de C. kuhlii é uma característica evidentemente dominante e transmitida para seus híbridos,
argumento usado, inclusive, para defender a validade da espécie. Não se pode, portanto,
descartar a possibilidade de que as diferenças fenotípicas observadas ao norte do rio de
Contas correspondam a uma variação natural dentro da espécie C. penicillata, considerando
que a distribuição se C. kuhlii seja, de fato, originalmente limitada pelo rio de Contas. A
espécie não foi incluída no Livro Vermelho da Fauna Brasileira Ameaçada de Extinção
(MACHADO et al., 2008).
       Segundo RYLANDS et al. (1996), o sagui-de-tufo-preto (Callithrix penicillata)
possui a maior parte de sua distribuição correspondente ao Cerrado do Brasil central,
incluindo os estados do Tocantins, Goiás, Bahia, Minas Gerais e São Paulo, mas é provável
que suas populações se encontrem em expansão, inclusive substituindo outras espécies a
leste e ao sul de sua distribuição original. KINZEY (1982) delimita sua distribuição do rio
de Contas ao Recôncavo Baiano, estendendo-se para oeste através da caatinga baiana e o
cerrado central do Brasil, até as margens do rio Araguaia, e para o sul até o rio Grande, na
divisa entre Minas Gerais e São Paulo. Encontra-se classificada na lista vermelha da IUCN



                                                                                         22
como pouco preocupante (“least concern”, www.iucnredlist.org) e não é considerada uma
espécie ameaçada em nível nacional (MACHADO et al., 2008).
       O sagui-de-cara-branca (Callithrix geoffroyi), ocorre do norte do rio Doce, no
Espírito Santo, até o vale do rio Jequitinhonha, na divisa entre Minas Gerais e Bahia
(RYLANDS et al., 1996; MELO, 2004). Seu limite oeste foi definido por Vivo (1991)
como a Serra do Espinhaço, em Minas Gerais, que marca a transição da Floresta Atlântica
para o Cerrado (RYLANDS et al., 1996). PASSAMANI e RYLANDS (2000) afirmam que
a intensa destruição florestal em sua área de ocorrência, bem como a perseguição que
sofrem pelo mercado ilegal de fauna, têm colocado suas populações sob forte ameaça, mas
a   espécie   é   considerada   pela   IUCN    como    em    situação   pouco   preocupante
(www.iucnredlist.org) e não consta no Livro Vermelho da Fauna Brasileira Ameaçada de
Extinção (MACHADO et al., 2008).
       O mico-leão-da-cara-dourada (Leontopithecus chrysomelas) possui distribuição
geográfica restrita entre o sul da Bahia e o nordeste de Minas Gerais, estando limitado ao
norte pelo rio de Contas, ao sul pelo rio Jequitinhonha e a oeste pela mata de cipó associada
às elevadas altitudes no Platô de Vitória da Conquista (RYLANDS et al., 1991-1992;
RYLANDS et al., 2002). Não há evidências, no entanto, de que ocorra entre os baixos rios
Pardo e Jequitinhonha e ao sul do baixo rio de Contas (RYLANDS et al., 1996). A espécie
é considerada “Em perigo” no Livro Vermelho da Fauna Brasileira Ameaçada de Extinção
(MACHADO et al., 2008), bem como pela IUCN (www.iucnredlist.org), estando apenas
2% de sua área de distribuição dentro de uma unidade de conservação de proteção integral
federal, a Reserva Biológica de Una (BA) (PINTO e RYLANDS, 1997).
       O guigó (Callicebus melanochir) distribui-se desde o rio Paraguaçu até o rio
Mucuri, no extremo sul do estado da Bahia (OLIVER e SANTOS,1991; van
ROOSMALEN et al., 2002). Alguns autores defendem que o limite sul não seja bem
definido, possivelmente havendo uma zona de sobreposição com Callicebus personatus
entre os vales dos rios Mucuri e Itaúnas, no Espírito Santo (OLIVER e SANTOS, 1991;
HERSHKOVITZ, 1990 apud van ROOSMALEN et al., 2002). Kinzey (1982), considera
uma distribuição mais ampla para a espécie: do rio Itapicurú (norte da Bahia) ao rio Itaúnas
(ES). A oeste, parece que sua distribuição é limitada pela mata de cipó e florestas
semidecíduas da Bahia (VAN ROOSMALEN et al., 2002). Existem poucos trabalhos



                                                                                          23
publicados sobre a espécie (MULLER et al, 1997; HEIDUCK,1997, 2002), que está
classificada como “vulnerável” no Livro Vermelho da Fauna Ameaçada de Extinção
(MACHADO        et   al.,   2008)   e   na   lista   de   espécies   ameaçadas   da   IUCN
(www.iucnredlist.org).
       O macaco-prego-do-peito amarelo (Cebus xanthosternos) é endêmico da Mata
Atlântica dos estados de Sergipe, Bahia e norte de Minas Gerais. Atualmente, encontra-se
restrito a fragmentos florestais da região delimitada a norte e oeste pelo rio São Francisco,
ao sul pelo rio Jequitinhonha e a leste pelo Oceano Atlântico (COIMBRA-FILHO et al.,
1991; OLIVER e SANTOS,1991; GUIDORIZZI et al., 2005). Há evidências de que a
espécie já se extinguiu em grande parte de sua distribuição original (COIMBRA-FILHO
1986c, SANTOS et al., 1987; OLIVER e SANTOS, 1991), estando atualmente classificada
pela IUCN (www.iucnredlist.org) e pelo Livro Vermelho da Fauna Brasileira Ameaçada de
Extinção como “criticamente em perigo” (MACHADO et al., 2008).
       O macaco-prego-de-crista (Cebus robustus) distribui-se ao norte do rio Jurucuçu até
o rio Jequitinhonha (OLIVER e SANTOS, 1991; RYLANDS et al., 1996). Como limite
oeste para a ocorrência da espécie foram sugeridos a Serra do Espinhaço (RYLANDS et al.,
1996) e o próprio rio Jequitinhonha (MARTINS, 2005 apud MACHADO et al., 2008). A
espécie é considerada “em perigo” pela IUCN (www.iucnredlist.org) e “vulnerável” pelo
Livro Vermelho da Fauna Brasileira Ameaçada de Extinção (MACHADO et al., 2008).
       O guariba (Alouatta guariba) se distribuía originalmente por grande parte do estado
da Bahia e norte de Minas Gerais, provavelmente até o rio Paraguaçu (CABRERA, 1957
apud KINZEY, 1982), mas suas populações têm sido dizimadas pela caça (RYLANDS et
al., 1996-1997). Atualmente encontra-se praticamente extinto na Bahia, com algumas
pequenas e isoladas populações sobrevivendo no extremo sul, próximo à divisa com Minas
Gerais (CROCKET, 1998; RYLANDS et al., 2003; MELO, 2004). O Livro Vermelho da
Fauna Brasileira Ameaçada de Extinção considera sua distribuição restrita e classifica a
espécie como “criticamente em perigo”. (MACHADO et al., 2008). A taxonomia ainda
confusa para a espécie, no entanto, permite que seja classificada como Alouatta fusca
(CROCKET, 1998; RYLANDS et al., 2000), com distribuição mais ampla pelas florestas
costeiras desde o sul da Bahia até o Rio Grande do Sul, alcançando a região de Misiones,




                                                                                          24
na Argentina (EMMONS, 1997), o que contribui para sua classificação pela IUCN como
“pouco preocupante” (LC - least concern) (www.iucnredlist.org).
        O muriqui-do-norte (Brachyteles hypoxanthus) é endêmico da Mata Atlântica dos
Estados de Minas Gerais, Espírito Santo e Bahia (RYLANDS et al., 1996; STRIER et al.,
2006). AGUIRRE (1971) sugere como limite setentrional para a espécie a bacia do rio
Jequiriçá, possivelmente incluindo as matas da margem direita do rio Paraguaçu.            A
destruição florestal e a caça levaram os números populacionais da espécie a uma redução
extrema e, apesar de ocorrer em diversas áreas protegidas, a maior parte de suas populações
encontra-se evidentemente reduzida (OLIVER e SANTOS, 1991; RYLANDS et al., 1996-
1997; COSENZA e MELLO, 1998; CHIARELLO et al., 2004; STRIER et al., 2006). Na
Bahia, a espécie foi registrada para o município de Guaratinga, divisa com Minas Gerais no
vale do rio Jequitinhonha, podendo ser considerada a primeira população de muriquis
constatada para o estado desde as investigações pioneiras de Aguirre, em 1971 (MELO et
al., 2004). Atualmente está classificado tanto no Livro Vermelho da Fauna Brasileira
Ameaçada de Extinção quando na lista da IUCN como “criticamente em perigo”
(MACHADO et al., 2008; www.iucnredlist.org.br), sendo considerado entre os primatas
mais ameaçados de extinção do mundo (STRIER et al., 2006).




2.4.1   Caracterização dos primatas entre os rios Jequiriçá e Jequitinhonha


        No presente estudo, serão abordadas apenas as espécies Callithrix kuhlii, Callithrix
penicillata (ou híbridos de C. kuhlii e C. penicillata ao norte do rio de Contas), Callicebus
melanochir, Cebus xanthosternos, Leontopithecus chrysomelas, Alouatta guariba e
Brachyteles hypoxanthus, distribuídas originalmente entre os rios Jequiriçá e Jequitinhonha.
A denominação “sul da Bahia” também será aplicada em referência à região compreendida
entre esses dois rios (Figura 1).
        Considerando que a paisagem regional é caracterizada pela heterogeneidade de
habitats florestais, apresentando florestas maduras, secundárias, seletivamente exploradas,
bem como áreas não-florestadas ocupadas por cultivos agrícolas e pastagens e que as
espécies diferem quanto a sua capacidade de explorar esses ambientes, as populações das



                                                                                          25
espécies de primatas da região podem estar respondendo de modo diferente aos impactos
antrópicos incidentes (COWLISHAW e DUNBAR, 2000; RABOY et al., 2004).




Figura 1. Representação da região geográfica entre os Rios Jequiriçá e Jequitinhonha. Adaptado de
HEIDUCK, 2002.




                                                                                              26
Os Calitriquídeos, grupo em que estão classificados os sagüis (Calithrix) e micos-
leões (Leontopithecus), são primatas pequenos, diurnos, frugívoros-insetívoros, que
utilizam florestas maduras, perturbadas e ambientes florestais mais abertos próximos a rios
(EISENBERG, 1977). A capacidade de ocupar diferentes tipos florestais varia entre as
espécies e relaciona-se à qualidade desses habitats, determinada pelos recursos alimentares
(distribuição e abundância de presas animais, frutos e exudados), pela disponibilidade de
vegetação densa como refúgio contra predadores e pela presença de competidores,
especialmente outros primatas (RYLANDS, 1996).
       Enquanto Callithrix kuhlii encontra-se restrito às florestas ombrófilas (montanas e
costeiras) e às florestas mesófitas (interiores) ao longo da costa Atlântica, Callithrix
penicillata é mais típico de florestas semi-decíduas, cerradões e matas de galeria do
Cerrado brasileiro, mas também ocorre nas florestas úmidas costeiras (COIMBRA-FILHO
et al., 2006; RABOY et al, 2008). Poucos estudos foram realizados sobre a ecologia de C.
kuhlii, mas acredita-se que a qualidade e a distribuição dos recursos alimentares são fatores
importantes que podem contribuir para a variação interespecífica na dieta, tamanho da área
de vida e comportamento entre a espécie e seus congenéricos. Callithrix kuhlii utiliza
extensivamente o mosaico florestal atlântico do sul da Bahia, incluindo florestas maduras,
em regeneração, habitats de borda, capoeiras e cabrucas (RABOY et al., 2008). Da mesma
forma, Callithrix penicillata, bem adaptado aos sistemas de cultivos arbóreos e florestas
perturbadas de Ituberá, encontra-se amplamente distribuído e abundante, ocorrendo em
todas as classes de paisagens da região (FLESHER, 1999). Ambos apresentam
especializações para alimentar-se de exudados, o que lhes permite lidar com períodos de
escassez de frutos, mas C. kuhlii alimenta-se de uma maior quantidade de frutos e insetos,
fazendo menor uso dos exudados quando comparado a C. penicillata, uma das espécies
mais especialistas nesse item alimentar (RYLANDS, 1996; RABOY et al., 2008).
       Os micos-leões (Leontopithecus) estão entre os maiores calitriquídeos e possuem as
maiores áreas de vida para o grupo (RYLANDS, et al., 1991-1992; RYLANDS, 1993;
RABOY e DIETZ, 2004). Alimentam-se de frutas, flores, néctar, insetos, pequenos
vertebrados e gomas (KIERULFF et al., 2002; RYLANDS, 1993) e utilizam-se de
forrageio manipulativo para localizar presas animais em locais de difícil acesso como
bromélias e cascas de árvores (RYLANDS, 1996). A espécie presente no sul da Bahia,



                                                                                          27
Leontopithecus chrysomelas, habita tanto as florestas úmidas e pouco sazonais da costa,
quanto as florestas semidecíduas mais secas do interior, ambas caracterizadas pela elevada
abundância de bromélias (RYLANDS et al., 1993; MORI et al., 1983). Ocorre em simpatria
com Callithrix kuhlii, o que é possível graças às diferenças ecológicas entre ambas, como
técnicas e locais de forrageio e utilização de diferentes estratos florestais (RYLANDS,
1989). Apesar de não demonstrar preferência por cabrucas, florestas perturbadas ou em
regeneração, L.chrysomelas não as evita, indicando que esses habitats podem servir como
conexões que facilitam a movimentação desses animais entre fragmentos de floresta
madura (RABOY et al., 2004). Acredita-se que a permanência da espécie no mosaico
florestal do sul da Bahia dependa da existência de florestas maduras próximas aos habitats
mais degradados, provavelmente por sua dependência de bromélias para forrageio de presas
animais e de ocos de árvores para dormida – recursos encontrados principalmente nas
florestas maduras (RYLANDS et al., 1991-1992; RYLANDS, 1996).
       Os guigós (Callicebus) são primatas de pequeno a médio porte, monogâmicos,
territoriais e organizados em grupos familiares de 2 a 6 indivíduos, constituídos pelo par
reprodutivo e seus descendentes (KINZEY, 1982). Callicebus melanochir apresenta dieta
basicamente frugívora, com consumo de folhas, flores, sementes e insetos em pequenas
quantidades e utiliza florestas maduras, florestas sujeitas a corte seletivo de madeira e
florestas secundárias, aparentemente, em função da disponibilidade de recursos em cada um
desses habitats (HEIDUCK, 1997; HEIDUCK, 2002). Utilizam os estratos médio e superior
da floresta, raramente descendo ao chão (KINZEY, 1981; MULLER, 1997) e costumam
dormir em árvores específicas, geralmente mais altas do que o dossel e com folhagem
densa (HEIDUCK, 2002). Na região de Ituberá, a espécie utiliza quase todos os habitats
florestais, com exceção de capoeiras jovens, restingas de piaçava e cultivos arbóreos de
qualquer tipo. Apesar de serem comuns e aparentemente abundantes em algumas florestas,
especialmente as da Reserva Ecológica Michelin, são raros em outras. Sua resistência a
entrar em áreas de agricultura e cruzar pequenas distâncias entre fragmentos os torna
particularmente sensíveis à fragmentação do habitat, o que indica que suas populações na
região podem estar isoladas há décadas (FLESHER, em preparação).
       Os primatas do gênero Cebus possuem tamanho médio, corpo robusto e cauda
relativamente preênsil e apresentam grande flexibilidade ecológica, habitando praticamente



                                                                                       28
todos os tipos florestais dos Neotrópicos. Todas as espécies do gênero são onívoras,
alimentando-se principalmente de frutas e, em menores quantidades, outras partes vegetais
(flores, brotos, bromélias, sementes, raízes), insetos, pequenos vertebrados e ovos
(FREESE e OPPENHEIMER, 1981). O macaco-prego-do-peito amarelo (Cebus
xanthosternos), ao contrário da maioria de seus congêneres, parece estar sob forte ameaça,
apresentando hoje uma distribuição bastante reduzida em relação a sua área de ocorrência
original (COIMBRA-FILHO et al., 1991). Há indícios de que a intensa devastação florestal
em sua área de ocorrência e a pressão de caça sobre suas populações estejam reduzindo
drasticamente seus números e aproximando a espécie da extinção (MITTERMEIER et al.,
2006; KIERULFF et al., 2004; KIERULFF et al., 2005). No passado, a espécie era
abundante e comumente avistada na região de Ituberá, mas suas populações sofreram sério
declínio e desapareceram da maior parte das florestas da área, provavelmente em função da
caça intensiva. Os indivíduos de Cebus xanthosternos são capazes de explorar inúmeros
tipos florestais e cultivos agrícolas na região, evidência de que a seu desaparecimento é
mais relacionado à caça do que à falta de recursos (FLESHER, em preparação).
       Os bugios (Alouatta) são primatas robustos, possuem cauda preênsil e utilizam
todos os estratos florestais, mas preferencialmente os estratos superiores e emergentes
(GREGORIN, 2008). Apresentando a mais ampla distribuição geográfica entre os primatas
Neotropicais (CROCKETT, 1998), ocorrem em um número variado de formações vegetais
da América do Sul e Central          (GREGORIN, 2006), incluindo florestas úmidas,
semidecíduas, montanas, florestas inundadas, cerrados e matas de galeria (CHAPMAN e
BALCOMB, 1998; CROCKETT e EISENBERG, 1987 apud ZUNINO et al., 2007). O peso
médio corporal varia entre cinco e doze quilogramas e todas as espécies apresentam
dimorfismo sexual acentuado (GREGORIN et al., 2008). Têm sido classificados como
folívoros-frugívoros (GREGORIN et al., 2008) ou como primatas de alimentação
oportunista (ZUNINO et al., 2007). Graças à sua habilidade de explorar dietas folívoras em
pequenas áreas de vida, os bugios podem tolerar considerável fragmentação florestal, mas
não a exposição crescente à caça que geralmente a acompanha (CROCKETT, 1998). Não
existem na literatura dados detalhados sobre a espécie do sul da Bahia (Alouatta guariba
guariba), mas estudos gerais sugerem uma dieta basicamente folívora e populações vivendo
em grupos de três a oito indivíduos, em áreas de vida de 4 a 8 hectares, semelhantes às



                                                                                       29
encontradas para Alouatta guariba clamitans (subespécie de ocorrência mais meridional)
(MACHADO et al., 2008).
       Os muriquis (Brachyteles) são os maiores primatas neotropicais, endêmicos da Mata
Atlântica brasileira, vivem em grupos multi-machos que podem alcançar até cinqüenta
animais e vem sofrendo com a destruição florestal e a caça intensiva desde o século 16
(MITTERMEIER et al., 2006). O muriqui-do-norte (Brachyteles hypoxanthus) é um
primata diurno e essencialmente arbóreo, podendo descer ao chão para atravessar lacunas
no dossel (DIB et al., 1997 em BRITTO e GRELLE, 2006). Locomove-se por braquiação,
no alto das árvores e alimenta-se basicamente de frutos, flores e folhas, podendo também
utilizar cascas e bambus (NISHIMURA et al., 1988 apud TALEBI e ADES, 2004). As
fêmeas dispersam de seu grupo natal pouco antes de atingirem a maturidade sexual, com
aproximadamente sete anos (STRIER, 1991 apud STRIER, 2006). Estudos recentes nos
Parques Nacionais do Rio Doce (MG) e do Caparaó (MG e ES) indicam a ocorrência de
populações que podem ser tão grandes quanto as encontradas na Reserva Ecológica de
Caratinga, e outras buscas nos últimos anos localizaram populações em doze localidades do
Espírito Santo (MITTERMEIER et al., 2006). Grupos encontrados em fragmentos da
localidade de Alto Cariri, fronteira do nordeste de Minas Gerais com a Bahia (MELO et
al., 2004), podem representar as últimas populações da espécie no estado e levaram ao
reconhecimento da área como prioritária para a criação de uma unidade de conservação
(MITTERMEIER et al., 2006).
       Enquanto informações ecológicas e biogeográficas estão disponíveis, estimativas
sobre os números populacionais dos primatas que subsistem nos fragmentos florestais do
sul da Bahia são antigas ou inexistentes (RYLANDS, 1989; PINTO, 1994a; LIMA, 1990
apud PAGLIA, 2003). Sendo assim, é imprescindível gerar dados sobre os tamanhos das
populações e, quando possível, estimativas de densidades absolutas que tragam
informações sobre o estado de conservação e a possibilidade de sobrevivência dos primatas
remanescentes nesses fragmentos florestais (GONZÁLES-SOLIS, 2001; PAGLIA, 2003;
KIERULFF et al., 2005). Um bom ponto de partida no estudo da abundância de primatas é
questionar se espécies que ocorrem em baixas densidades em uma comunidade aparecem
assim também em outras, ou seja, realizar comparações entre as abundâncias das mesmas
espécies em diferentes áreas (COWLISHAW e DUNBAR, 2000).



                                                                                      30
2.5    Amostragens de distâncias para estimativas populacionais de primatas



       Em estudos com populações de primatas, as técnicas de amostragem populacional
vêm sendo desenvolvidas por mais de 40 anos (NATIONAL RESEARCH COUNCIL,
1981; BROCKELMAN e ALI, 1987; WHITESIDES et al., 1988; CULLEN Jr. e
VALLADARES-PÁDUA, 1997), mas ainda há grande confusão e variação entre os
métodos utilizados (STRUHSAKER, 2002; PLUMPTRE, 2006; MARSHAL et al., 2008).
Embora nenhum método esteja livre de viés, as estimativas mais acuradas de densidade e
tamanho populacional geralmente provêm de contagens completas dos indivíduos na área
amostrada (BROCKELMAN e ALI, 1987; PLUMPTRE, 2006; MARSHAL, 2008) ou de
estudos sobre a área de vida de grupos focais (NATIONAL RESEARCH COUNCIL, 1981;
FASHING e CORDS, 2000; CHAPMAN et al., 2000). Esses métodos requerem grande
esforço amostral, impraticável em grandes áreas ou em estudos com tempo restrito
(MORAES JR., 2005; MARSHAL et al., 2008).
       Um método alternativo freqüentemente utilizado para estimar densidades de
primatas é o “método de transecções lineares” (PERES, 1997; MENDES-PONTES, 1997,
LOPES e FERRARI, 2000; FERRARI et al., 1999, 2000, 2002; CULLEN JR et al.,2001;
CHIARELLO, 2002), em que todos os primatas avistados são registrados ao longo de um
percurso de extensão conhecida (NATIONAL RESEARCH COUNCIL, 1981). O método
tem a vantagem de gerar resultados em curtos períodos de tempo e é conveniente para
amostragens extensas comparando populações entre diferentes áreas e tipos de habitat
(JOHNS, 1985; WHITESIDES et al.,1988). Também pode ser adotado em estudos mais
detalhados dentro de uma mesma área, incluindo monitoramento de variações temporais
nas populações, comparações de diferentes habitats dentro da área e estimativas de
populações em áreas limitadas quando outros métodos (contagens completas, marcarção-
recaptura, mapeamento de território) não são aplicáveis      (WHITESIDES et al.,1988).
Atualmente, há um consenso de que amostragens por transecções lineares representam o
método mais eficiente para estimar densidades e tamanhos populacionais de grande parte
das espécies florestais de primatas, mas ainda há divergências sobre a forma como os dados
devem ser coletados e analisados (PERES, 1999; MAGNUSSON, 2001; FERRARI, 2002;
PLUMPTRE e COX, 2006; ROVERO et al, 2006; MARSHAL et al., 2008).


                                                                                       31
Estimativas de densidade populacional por transectos lineares baseiam-se no cálculo
do número de animais na área amostrada utilizando: o número de animais ou grupos
avistados (n); a extensão do transecto (l); e uma estimativa da largura da área amostrada
(w), que corresponde à distância perpendicular do centro aos extremos de detecção dos dois
lados do transecto (WHITESIDES et al, 1988). As duas primeiras variáveis envolvem
medidas diretas ou contagens. Já os métodos para determinar a largura efetivamente
amostrada diferem consideravelmente e são, freqüentemente, subjetivos (NATIONAL
RESEARCH COUNCIL, 1981; BROCKELMAN e ALI, 1987; WITHESIDES et al.,
1988). Alguns estudos estimaram a largura da área amostrada sem referência aos dados
coletados, enquanto outros consideraram-na como a distância dentro da qual supostamente
todos os animais seriam detectados, ignorando todos os avistamentos além desse limite
(WHITESIDES et al.,1988). No entanto, a premissa de que todos os animais presentes na
área amostrada são detectados pelo observador é difícil de ser admitida para a maioria das
populações e não pode ser testada usando os dados do estudo. Considerar uma medida de
largura pequena o suficiente para garantir que todos os animais sejam detectados pode levar
ao descarte de 50% ou mais das observações, tornando-se crítico no caso de espécies raras
(THOMAS, et al., 2002), como o mico-leão-preto (Leontopithecus chrysopygus)
(PARANHOS, 2006).
       Há ainda estudos que consideram como (meia) largura efetiva a distância máxima
de avistamento, a distância média de avistamento ou uma distância entre a máxima e a
média (NATIONAL RESEARCH COUNCIL, 1981). De modo geral, estudos com largura
efetiva fixa são mais úteis para lidar com espécies que apresentam altas densidades e não
fogem do observador (STRUHSAKER, 2002). Revisando estudos sobre a confiabilidade do
método dos transectos em primatologia, BRUGIERE e FLEURY (2000) encontraram
resultados contraditórios: primeiramente, nenhum protocolo de análise dos dados parece ser
invariavelmente melhor do que os demais e, em segundo lugar, um protocolo pode produzir
estimativas de densidade acuradas para uma espécie enquanto sub ou superestima as
densidades de outras na mesma área de estudo.
       Independente do método de coleta adotado, o resultado básico dos transectos
lineares é a taxa de encontro, ou seja, o número de observações por unidade de distância
percorrida. As taxas de encontro são um modo eficiente de estimar a abundância de



                                                                                        32
mamíferos em diversos tipos de habitats (WALLACE,1998; WALLACE, 2000;
BOBADILLA e FERRARI, 2000), e estudos com primatas têm usado esse dado para fazer
comparações entre diferentes áreas ou ambientes (CHIARELLO, 1999; BOBADILLA e
FERRARI, 2000; LEHMAN, 2000; MOURA, 2007). São ferramentas úteis no
monitoramento de longo prazo e também podem ser usadas para comparações entre áreas,
desde que as áreas amostradas sejam semelhantes (Wallace et al, 1998). STRUHSAKER
(2002) defende que dados de animais com grande mobilidade obtidos a partir de transectos
lineares são muito mais adequados em termos de abundâncias relativas, sendo
questionáveis na geração de estimativas de densidade confiáveis.
       No entanto, apesar do método haver sido usado para comparar a abundância de
primatas entre habitats, a taxa de encontro não leva em conta a visibilidade ou
detectabilidade dos animais ou grupos (MARSHAL et al., 2008). Em habitats complexos
como as florestas tropicais, a visibilidade pode variar ao longo dos diferentes habitats e as
diferenças ecológicas e comportamentais entre espécies também podem gerar variações na
detectabilidade dos animais (NATIONAL RESEARCH COUNCIL, 1981; JOHNS, 1985).
Entre espécies de primatas florestais, aquelas que vivem tipicamente no dossel e em grupos
grandes e dispersos por grandes áreas são rapidamente avistadas. Já as espécies que vivem
em grupos menores e mais coesos, freqüentando silenciosamente a vegetação densa do sub-
bosque, são mais difíceis de detectar (WHITESIDES et al., 1988).
       Estudos mais recentes têm utilizado os chamados métodos de amostragem sem
largura definida, também conhecidos como amostragens de distâncias (distance sampling)
(BUCKLAND, 1993; THOMAS et al., 2002). Nesses métodos, estima-se a largura efetiva
dos transectos inspecionando a distribuição de freqüências das distâncias registradas entre o
animal e o observador (distância de observação) ou entre o animal e o transecto (distância
perpendicular) (ANDERSON et al., 1979; WHITESIDES et al., 1988; BROCKELMAN e
ALI, 1987; SUTHERLAND, 1996; CULLEN Jr. E VALLADARES-PADUA, 1997;
STRUHSAKER, 2002; CULLEN JR. e RUDRAN, 2003). Considera-se que as distâncias
perpendiculares são preferíveis para as análises porque os estimadores de densidade
baseados nelas apresentam desempenho mais robusto do que os estimadores baseados em
distâncias de observação (BUCKLAND et al., 1993; BURNHAM et al., 1980, HAYNES e
BUCKLAND, 1983, apud PERES, 1999).



                                                                                          33
As amostragens de distância desconsideram a premissa de que todos os animais
dentro da área amostrada são detectados. Pelo contrário, a pergunta das amostragens de
distância é: “Dada a detecção de n objetos, estima-se que existam quantos objetos na área
amostrada?” (BUCKLAND et al., 1993). Espera-se que a detecção do animal de interesse
fique mais difícil quanto mais distante ele estiver do transecto, resultando em menos
observações com o aumento da distância. Medindo as distâncias em que cada animal ou
grupo é observado torna-se possível calcular suas probabilidades de detecção (THOMAS et
al., 2002), que podem variar entre populações de uma mesma espécie, entre espécies e entre
habitats (JOHNS, 1985).
       Os métodos de amostragem de distâncias assumem que o número de avistamentos
obtidos além da largura efetiva equivale ao número de “avistamentos perdidos” dentro da
mesma (THOMAS et al., 2002). Diversos autores sugeriram modelos paramétricos e não
paramétricos que assumem probabilidades decrescentes de detectar animais a distâncias
crescentes do transecto linear. Os modelos tentam representar essa relação através de
funções de detecção, que substituem as estimativas de larguras fixas nos cálculos de
densidades populacionais. Como inserem correções para os animais “perdidos”, esses
métodos permitem a utilização de todos os avistamentos (WHITESIDES et al., 1988).
Assim, encontrando-se a função de detecção que melhor represente a freqüência de
distâncias observadas, estima-se a largura do transecto e a proporção de animais não
detectados durante o censo, possibilitando o cálculo da densidade (THOMAS et al., 2002).
       Embora diversos estudos tenham sido conduzidos no Brasil utilizando métodos de
amostragem de distâncias para estimar parâmetros populacionais de primatas, como
abundância e densidade (PERES, 1993; CULLEN JR e VALLADARES-PÁDUA, 1994;
MENDES-PONTES, 1997; PERES, 1997; PERES, 1999; CULLEN JR. et al., 2000;
PRICE et al, 2001, CHIARELLO e MELLO, 2001; GONZALES-SÓLIS et al., 2001;
KIERULFF e RYLANDS, 2003; HENRIQUES e CAVALCANTI, 2004; SÃO-
BERNARDO e GALLETI, 2004; MARTINS, 2005; MORAES JR., 2005; MOURA, 2007;
MENDES-PONTES et al, 2007). Existem poucas estimativas populacionais dos primatas
que subsistem nos remanescentes florestais da Mata Atlântica do sul da Bahia (RYLANDS,
1989; PINTO, 1994a; PAGLIA 2003), tornando essencial a busca de estimativas
quantitativas e cientificamente confiáveis que tragam informações sobre o estado e a



                                                                                       34
possibilidade de sobrevivência dessas populações (KIERULFF et al, 2005). Apesar de
apresentar alguns dos maiores fragmentos florestais do sul da Bahia, a região conhecida
como Serra das Lontras e Javi ainda não foi investigada no que diz respeito ao estado de
conservação das populações de primatas. O presente estudo objetiva, primeiramente, gerar
estimativas de abundância relativa e densidade das espécies de primatas habitantes dos
fragmentos florestais das Serras das Lontras e Javi.
       Com o intuito de compreender melhor a situação de conservação das espécies de
primatas no sul da Bahia, as estimativas populacionais encontradas para as Serras das
Lontras e Javi são posteriormente comparadas a estimativas de abundância e densidade de
primatas obtidas utilizando a mesma metodologia do presente estudo em três grandes
fragmentos florestais do sul da Bahia: a Reserva Biológica de Una (REBIO Una), o Parque
Estadual da Serra do Conduru e entorno (PESC) e a Reserva Ecológica Michelin. Os dados
das três áreas eram inéditos e foram obtidos pelo Instituto de Estudos Socioambientais do
Sul da Bahia (IESB) através do projeto “Avaliação das populações do macaco-prego-do-
peito-amarelo (Cebus xanthosternos) e proposta de estratégia para manejo e conservação da
espécie” (KIERULFF et al., 2005).




                                                                                      35
3.        OBJETIVOS



3.1       Objetivo Geral

          Estimar tamanhos populacionais das espécies que compõem a comunidade de
primatas remanescente nos fragmentos florestais das Serras das Lontras e Javi e comparar
os resultados a um estudo anterior realizado em outros três grandes blocos florestais,
visando gerar estimativas populacionais médias para as espécies de primatas na região sul
da Bahia.


3.2 Objetivos específicos

      -   Gerar estimativas de densidade e abundância relativa para as espécies de primatas
          habitantes dos fragmentos florestais das Serras das Lontras e Javi;


      -   Comparar os resultados obtidos às estimativas geradas pela aplicação da mesma
          metodologia em três grandes fragmentos florestais do sul da Bahia: Reserva
          Biológica de Una (REBIO Una), Parque Estadual da Serra do Conduru e entorno
          (PESC) e Reserva Ecológica Michelin;


      -   Realizar uma análise conjunta dos dados das quatro áreas para gerar estimativas
          médias de abundância e densidade dos primatas no sul da Bahia.


      -   Avaliar o papel das Serras das Lontras e Javi na conservação das populações de
          primatas do sul da Bahia.




                                                                                        36
4.     MÉTODOS

4.1    Áreas de estudo e Coleta de dados

4.1.1 Serras das Lontras e Javi

       Os fragmentos florestais investigados pertencem ao complexo das Serras das
Lontras e do Javi, dispostos paralelamente a leste da BR-101, abrangendo os limites dos
municípios de São José da Vitória, Arataca e Una, entre as coordenadas15º04' - 15º15' S e
39º15' - 39º25' W (ARAÚJO e SANTOS, 2005). As Serras das Lontras e Javi localizam-se
a aproximadamente 35 km da costa atlântica (Figura 2), apresentam um gradiente
altitudinal com elevações que variam do nível do mar a mais de 1000 m (SILVEIRA et al.,
2005) e ocupam uma área de cerca de 16.500 hectares (MMA e IBAMA, 2006).
       Com base na classificação de Ab’Saber, a região encontra-se no Domínio da Mata
Atlântica e a vegetação predominante é a Floresta Ombrófila (SILVEIRA et al., 2005). Na
verdade, varia progressivamente de acordo com a altitude, indo desde Floresta Ombrófila,
com estrato arbóreo chegando a 40 metros de altura, até as denominadas Florestas
Montanas (Figura 3), encontradas em elevações a partir de 500 m (THOMAS, 2003). Essa
formação apresenta árvores baixas e retorcidas com troncos recobertos por briófitas, líquens
e pequenas bromélias e o sub-bosque denso, dominado por palmeiras e bambus
(SILVEIRA et al., 2005). A grande pluviosidade e a raridade de períodos secos nas
Florestas Montanas da Bahia resulta em uma grande exuberância de epífitas, com alta
diversidade de Orchidaceae e presença de espécies com requerimentos de alta pluviosidade
e umidade, como samambaias arbóreas (THOMAS, 2003). O forte epifitismo, inclusive
com muitos musgos (Bryophytae) é também um fator marcante na área e indicador da
elevada umidade (JARDIM, 2003).




                                                                                         37
Figura 2. Localização geográfica das Serras das Lontras e Javi (LONTRAS), em relação à posição de três unidades de
conservação do sul da Bahia: Reserva Biológica de Una (REBIO), Parque Estadual do Conduru (PESC) e Reserva
Ecológica Michelin (MICHELIN). Escala 1:250.000 PROBIO.


                                                                                                           38
Figura 3. Floresta Montana na Serra do Javi. Trilha Catarina, agosto de 2007. Fotos: Leticia Bastos.



        A intervenção humana na área compreende, principalmente, a exploração
madeireira e cultivos de cacau em sistema de cabrucas. O desenvolvimento da
cacauicultura na região das Serras está associada aos solos dominantes Podzólicos
Vermelhos Amarelos Distróficos e é o principal fator responsável pela alteração da
cobertura primitiva (JARDIM, 2003). No entanto, a crise da economia cacaueira levou ao
abandono de inúmeras propriedades nas serras (SILVEIRA et al., 2005), restando poucos
trabalhadores responsáveis pelos tratos básicos dos cacauais ou praticando agricultura de
subsistência. A ocupação dos topos de morros por posseiros, associada à baixa qualidade de
vida dessas famílias, contribui para a continuidade da caça e da exploração ilegal de
madeira nas serras (ARAÚJO e SANTOS, 2001). Como resultado, a região foi
intensamente degradada e hoje consiste em um mosaico de fragmentos florestais bem
preservados (ANEXO III) imersos em uma matriz de cabrucas, vegetação em diferentes
graus de regeneração, outros cultivos agrícolas e pastagens, restando poucos fragmentos
florestais abaixo dos 500 m de altitude (SILVEIRA et al., 2005).
        Esse complexo de montanhas foi pouco explorado do ponto de vista científico
(PACHECO et al., 1996; JARDIM, 2003; SILVANO e PIMENTA, 2003; SILVEIRA et al.,
2005) e apenas recentemente começou a receber maior atenção em termos de conservação:
juntamente com a Reserva Biológica de Una, as Serras das Lontras e                    Javi   foram
consideradas “de extrema importância ecológica” no workshop “Áreas Prioritárias para a


                                                                                                 39
Conservação da Biodiversidade da Mata Atlântica e Campos Sulinos” (MMA, 2000;
TIMMERS et al., 2002). A descrição de um novo gênero de ave que habita os densos sub-
bosques de cabrucas da Serra das Lontras, o gravateiro-acrobata (Acrobatornis fonsecai),
há mais de dez anos, anunciou o potencial da região para o abrigo de espécies endêmicas e
ameaçadas (PACHECO et al., 1996). A importância biogeográfica das serras do ponto de
vista da avifauna se estende a outros grupos animais e vegetais (SILVEIRA et al., 2005).
Um inventário de anfíbios na Serra das Lontras, em 2000, registrou uma nova espécie de
Hyla e encontrou a espécie Rhamphophryne proboscidea, cujo último registro datava de
1936, na região de Salvador (SILVANO e PIMENTA, 2003). Originalmente, a comunidade
de primatas das serras também representava uma das mais ricas da Mata Atlântica,
composta por Callithrix kuhlii, Leontopithecus chrysomelas, Callicebus melanochir, Cebus
xanthosternos, Alouatta guariba e Brachyteles hypoxantus, mas as duas últimas espécies
provavelmente encontram-se extintas da região (RYLANDS et al., 1996).
       A criação de unidades de conservação que possam proteger adequadamente essa
importante e razoavelmente bem preservada área de Floresta Atlântica é recomendada
(PACHECO et al., 1996; SILVEIRA et al., 2005). Esses fatores, somados à existência de
diversos cursos de água que se originam nas serras (rio Una, ribeirões Javi, Pratinha e Santo
Antônio) e representam importante fonte de recursos hídricos para as localidades
circunvizinhas, justificam a criação de uma unidade de conservação na área (TIMMERS et
al., 2002; MMA, 2006). Diante disso, o Ministério do Meio Ambiente propôs a criação de
um Parque Nacional de 16.520 hectares abrangendo as Serras das Lontras, Javi e Quatis
(Figura 4). O objetivo dessa unidade de conservação será proteger os grandes fragmentos
florestais acima de 400 metros de altitude e estimular o ecoturismo em municípios que
sofreram os impactos da crise da lavoura cacaueira (MMA e IBAMA, 2006).




                                                                                          40
Figura 4. Proposta de criação do Parque Nacional Serra das Lontras, MMA (Fonte:
   www.mma.gov.br).



4.1.2 Transecções Lineares


       O presente estudo utiliza a metodologia dos transectos lineares, seguindo as
premissas para aplicação do programa “DISTANCE” (BUCKLAND et al., 1993;
THOMAS et al., 2002), para gerar estimativas populacionais das espécies de primatas
habitantes dos fragmentos florestais das Serras das Lontras e Javi. O cenário ideal para as
amostragens por transectos lineares considera que N objetos estão distribuídos, em função
de processos estocásticos, por uma área de tamanho A, permitindo que a densidade de
objetos seja calculada pela relação D = N/A; e os transectos, posicionados de acordo com


                                                                                        41
um desenho amostral aleatório, são percorridos gerando uma amostra de n objetos
detectados (THOMAS et al., 2002).
       Distâncias perpendiculares x são medidas a partir do transecto até os animais ou
grupos de interesse (Figura 5). Suponhamos que k transectos, de extensões l1, ..., lk (com Σ
lj = L), estejam posicionados de acordo com um desenho aleatório, e que n animais ou
grupos sejam detectados a distâncias perpendiculares x1,...,xn. Suponhamos, também, que os
animais localizados além de uma distância w do transecto (distância de truncamento) não
sejam avistados. Sendo assim, a área amostrada pode ser calculada como a = 2wL, na qual
n animais são detectados (BUCKLAND et al., 1993; THOMAS et al., 2002)
       Ao considerar que Pa seja a probabilidade de um animal escolhido aleatoriamente
na área amostrada ser detectado         –   observando que Pa = n/N, ou seja, N = n/Pa
(BROCKELMAN e ALI, 1987) – e supondo que uma estimativa de Pa esteja disponível,
então a densidade de animais D pode ser estimada por (THOMAS et al., 2002):


                                      D =       n .
                                              2LwPa




   Figura 5. Metodologia dos transectos lineares, com uma única linha, posicionada
   aleatoriamente, de extensão L. Seis objetos (n = 6) são detectados a distâncias x1, x2,..., x6.
   Os objetos são denotados por uma linha mostrando a distância perpendicular medida. Em
   aplicações práticas, muitos transectos devem ser usados para amostrar populações. (Fonte:
   BUCKLAND et al., 1993, Capítulo 1).




                                                                                                 42
Agora, para a estimativa de Pa, é definida a Função de Detecção g(x) como sendo a
probabilidade de um animal a uma distância x do transecto ser detectado, 0 ≤ x ≤ w, e
assumimos que g(0) = 1, ou seja, todos os animais sobre a trilha são detectados. Ao plotar
as distâncias perpendiculares registradas em um histograma, então o problema se resume a
encontrar o melhor modelo ou função para g(x) e ajustá-lo aos dados de distâncias
perpendiculares. Como mostra a Figura 6, se definirmos µ como a integral de g(x), então Pa
= µ / w. O parâmetro µ também é chamado de (meia) largura efetiva do transecto: o número
de avistamentos além dessa distância equivale ao número de avistamentos perdidos
(animais ou grupos não detectados) dentro dela. Então:



                           D =     n  =    n       =  n .
                                  aPa   2 wL µ / w   2 µL




   Figura 6. A área µ abaixo da função de detecção g(x), quando expressa como uma proporção
   da área w do retângulo, corresponde à probabilidade de detectar um objeto na área amostrada
   (Pa). O parâmetro µ também representa a largura efetiva da faixa amostrada e assume valores
   de 0 a w. (Fonte: THOMAS et al., 2002).




                                                                                             43
É necessário obter a estimativa µ do parâmetro µ. A questão pode se tornar mais
familiar observando-se que a Função Probabilidade de Detecção das distâncias
perpendiculares, f(x), é simplesmente a função g(x) integrada em uma escala de 0 a 1. Isto
é, f(x) = g(x) / µ. Como assumimos que g(0) = 1, segue-se que f(0) = 1 / µ (Figura 7)
Então:


                                     D =      n   = N f(0)
                                             2 µL    2L



         O problema fica reduzido a modelar f(x) e avaliar seu ajuste em x = 0. O programa
Distance utiliza uma série de métodos para ajustar a melhor função à distribuição dos dados
(THOMAS et al., 2002).




Figura 7. A Função Probabilidade de Detecção, f(x), plotada em histograma de freqüências de
distâncias perpendiculares (numa escala em que a área total das barras do histrograma é 1). A área
sob a curva também é a unidade por definição. Como as duas áreas listradas são idênticas, a área do
retângulo µf(0) também é a unidade. Assim, µ = 1 / f(0). (Fonte: THOMAS et al., 2002).




                                                                                                44
A obtenção de resultados confiáveis através do método dos transectos lineares
baseia-se no cumprimento de algumas premissas: 1) as distâncias perpendiculares entre o
transecto e os animais ou grupos devem ser medidas com precisão; 2) todos os animais
sobre a transecção (x = 0) devem ser detectados; 3) o mesmo animal (ou grupo) não deve
ser contado mais de uma vez na mesma amostragem; 4) os animais devem ser detectados
em sua posição original, antes de qualquer movimento em resposta à presença do
observador; 5) os transectos devem estar posicionados aleatoriamente com relação à
distribuição dos animais na área de estudo; 6) os avistamentos são considerados eventos
independentes (WHITESIDES et al., 1987; BROCKELMAN e ALI, 1978; BUCKLAND et
al., 1993; SUTHERLAND, 1996; CULLEN JR et al., 1997; PERES, 1999;
STRUHSAKER, 2002; THOMAS et al., 2002). Freqüentemente, algumas dessas premissas
são violadas, gerando erros nas estimativas de densidade de animais ou grupos (CULLEN
JR et al., 1997; STRUHSAKER, 2002). É importante que os observadores as considerem e
se esforcem para reduzir qualquer viés, padronizando a coleta de dados (NATIONAL
RESEARCH COUNCIL, 1981; PERES, 1999).
       Existe grande discussão sobre o tamanho amostral mínimo necessário à obtenção de
estimativas populacionais confiáveis através de transectos lineares. Enquanto alguns
autores sugerem um número mínimo de 40 avistamentos (ANDERSON et al., 1979;
BROCKELMAN e ALI, 1987; BUCKLAND et al., 1993; THOMAS et al.,2002), outros
acreditam que, para algumas espécies de primatas florestais que ocorrem em baixas
abundâncias, esse número exigiria um esforço amostral impraticável, defendendo que
estimativas confiáveis podem ser obtidas com 20 avistamentos ou menos se a distribuição
das distâncias perpendiculares for favorável, isto é, se apresentar um “ombro” (distância de
queda) bem definido (PERES, 1999; BRUGIERE e FLEURY, 2006).
       Recomenda-se que o estabelecimento dos transectos seja feito aleatoriamente na
área de estudo (BROCKELMAN e ALI, 1979; THOMAS et al., 2002), evitando seguir
estradas existentes, cursos de rios ou outras características marcantes de relevo a menos que
totalmente inevitável. Isso visa garantir a premissa básica de que o posicionamento dos
transectos é independente da distribuição dos primatas na área de estudo, ou seja, em
qualquer momento do censo a posição do observador é aleatória em relação à posição dos
primatas (BUCKLAND et al., 1993; FERRARI, 2002; THOMAS et al., 2002). Na prática,



                                                                                          45
no entanto, essa aleatoriedade dificilmente é atingida: fatores como acessibilidade,
segurança e outras considerações práticas ditam a localização das unidades amostrais na
área de estudo. Áreas consideradas representativas das diferentes partes da região devem
ser selecionadas (BROCKELMAN e ALI, 1987; PERES, 1999; CULLEN JR. et al., 2000),
reduzindo as chances de viés nas estimativas em função de características ecológicas e
comportamentais específicas que determinam a distribuição dos animais. Para tanto,
informações coletadas in situ, somadas a algum conhecimento ecológico das espécies,
devem ser utilizadas para decidir onde posicionar os transectos (ANDERSON et al., 1979;
PERES, 1999).
        Com base nessas considerações, foram estabelecidos cinco transectos lineares em
diferentes localidades das Serras das Lontras e Javi, totalizando 8650 m de transectos (com
extensões variando entre 1300 e 2050 m), atravessando diferentes altitudes e dispostos de
modo a permitir que as amostras sejam representativas dos fragmentos florestais em melhor
estado de conservação na região. Os transectos distavam, no mínimo, 500 m das bordas dos
fragmentos ou das vias de acesso aos transectos no interior dos mesmos. Todos foram
mapeados com auxílio de aparelho GPS Garmin e plotados sobre o mapa de vegetação da
área (Figura 8).




                                                                                        46
Figura 8. Mapa de localização dos transectos nas Serras das Lontras e Javi, mostrando a
classificação da vegetação (escala de 1:250.000 - PROBIO) e os limites do Parque Nacional
proposto pelo MMA. Bem-te-vi é o transecto a oeste. Os transectos centrais são Lontras 1
(acima) e 2. Os transectos a leste são Catarina (acima) e Zé Oduque (abaixo). A classificação
da vegetação nesta imagem não é inteiramente fiel aos tipos florestais encontrados in loco,
provavelmente devido à confusão entre cabrucas e florestas.


                                                                                            47
Seguindo recomendações de PERES (1999), os transectos foram medidos com fitas
métricas e marcados a cada 50 m com fitas plásticas alaranjadas para facilitar o
mapeamento dos avistamentos ao longo do percurso. Durante a fase de marcação verificou-
se a dificuldade de percorrer alguns trechos dos transectos em função da inclinação do
relevo. Para não prejudicar a execução do trabalho e, conseqüentemente, inserir viés na
detectabilidade dos animais, foram colocadas cordas de segurança que permitiam manter a
atenção no ambiente e a velocidade média de caminhada (Figura 9).




   Figura 9. Marcação dos transectos lineares (esquerda) e cordas de segurança (direita)
   colocadas para garantir a qualidade da coleta de dados (Fotos: Letícia Bastos).




       Os resultados dos censos de primatas no mesmo transecto são variáveis de um dia
para o outro, sendo necessário percorrer a mesma rota por um longo período de tempo
(NATIONAL RESEARCH COUNCIL, 1981; BUCKLAND et al., 1993; PERES, 1999;
MAGNUSSON, 2001; FERRARI, 2002). Também é preciso evitar a variabilidade
decorrente de erros na execução do trabalho de campo (NATIONAL RESEARCH


                                                                                           48
COUNCIL, 1981; STRUHSAKER, 2002). Para tanto, antes de iniciar a coleta de dados, os
dois observadores responsáveis pelo presente estudo realizaram, juntos, censos de
treinamento para calibrar a forma de coleta de dados e garantir a comparabilidade dos
mesmos.
         Entre os meses de abril e dezembro de 2007, os cinco transectos foram percorridos
repetidas vezes por um observador que caminhava sozinho, entre os períodos de 6:00 às
11:00h e de 13:00 às 17:00h (PERES, 1999; CULLEN JR et al., 2000). O relevo
montanhoso implicou em uma velocidade média de caminhada de 0,75 km/h, mais baixa
do que a velocidade de 1 km/h comumente adotada (PERES, 1999; MARTINS, 2005;
CULLEN Jr e RUDRAN, 2003). Algumas breves paradas eram feitas a cada 100 m para
diminuir o barulho do deslocamento e aumentar a capacidade de detecção dos animais por
indícios auditivos. Cada percurso nos transectos era feito dentro de um período de 3 a 4
horas, incluindo o tempo destinado às observações, medições e registro de dados (PERES,
1999).
         Os caminhos de ida e volta foram considerados percursos independentes (PERES,
1999). Ao contrário do que defende MAGNUSSON (2001) sobre pseudoreplicações em
transectos lineares, o presente estudo concorda com o argumento de FERRARI (2002), de
que os primatas têm distribuição diferente ao longo do tempo e que, portanto, um intervalo
adequado entre as amostragens garante o aumento da amostra. O retorno nos transectos era
realizado após um intervalo de duas a três horas, permitindo que os animais se
redistribuíssem na área e evitando amostrar o período do meio-dia, em que as atividades de
várias espécies estão reduzidas. Preocupou-se também em garantir a rotatividade dos dois
observadores entre os diferentes transectos para minimizar ou eliminar possíveis viés
dependentes do observador (PERES, 1999).
         Evitou-se a realização dos censos em dias chuvosos, que reduzem a visibilidade
(Figura 10) e aumentam o ruído na vegetação, afetando a habilidade de detecção dos
observadores, bem como a detectabilidade intrínseca dos animais, que permanecem menos
ativos. Na prática, no entanto, chuvas efêmeras são corriqueiras nas florestas tropicais e não
devem comprometer completamente a qualidade dos dados, desde que os observadores
suspendam a caminhada durante a chuva (SUTHERLAND, 1996; PERES,1999). Apenas
dois dias de campo foram desconsiderados em vista das chuvas intensas. O restante dos



                                                                                           49
dias chuvosos eram marcados por chuvas breves entremeadas por estiagens, o que permitia
a retomada da coleta de dados após paradas de, no máximo, uma hora.




 Figura 10. Visibilidade reduzida em momentos de chuvas intensas na região das Serras das
 Lontras e Javi (Fotos: Letícia Bastos).




       A cada dia de campo eram anotados os seguintes dados: data, identidade do
transecto, condições climáticas e observador responsável. Para cada avistamento, foram
coletados: horário inicial e final do percurso, espécie avistada, horário do avistamento,
indício que levou ao avistamento (barulho na vegetação, movimentação, vocalização ou
acaso), posição na trilha, número de indivíduos no grupo e a distância perpendicular entre o
primeiro indivíduo avistado no grupo de primatas e a trilha (ANDERSON et al., 1979;
STRUHSAKER, 2002; KIERULFF et al, 2005). Uma vez que as distâncias perpendiculares
são usadas para gerar funções de detecção e, portanto, devem ser precisas, optou-se por
registrar a distância ao primeiro animal avistado, considerando repreensível o uso da
distância ao centro imaginário de um grupo social em detrimento de uma distância real
(WHITESIDES et al., 1988; BRUGIERE e FLEURY, 2000; CHIARELLO, 2000;
FASHING e CORDS, 2000; STRUHSAKER, 2002). Informações adicionais como altura
dos animais na vegetação, tipo de hábitat e classe etária dos indivíduos (quando possível)
também foram registradas (PERES, 1999).




                                                                                            50
4.1.3 Reserva Biológica de Una, Parque estadual da Serra do Conduru e entorno
       (PESC) e Reserva Ecológica Michelin



       De acordo com KIERULFF et al. (2005), visando otimizar o esforço de campo,
foram escolhidos os principais fragmentos de mata em estágio avançado de regeneração e
de florestas maduras para o posicionamento dos transectos e a realização dos censos
populacionais nas três áreas. Cinco ou seis transectos, variando entre 0,5 e 3,0 km, foram
estabelecidos em cada área. Na REBIO Una, três trilhas foram distribuídas na parte leste da
reserva e três na porção oeste, com o intuito de amostrar tanto a porção com floresta mais
contínua quanto a porção mais fragmentada da reserva (Figura 12). Na região do PESC,
devido à dificuldade de acesso a alguns fragmentos e à existência de áreas contíguas em
bom estado de conservação, algumas fazendas do entorno foram incluídas na amostragem.
A título de simplificação, a área de estudo compreendida como o Parque Estadual da Serra
do Conduru e algumas matas do entorno serão tratadas ao longo do texto apenas como
“PESC” (Figura 13). Na REBIO Una e no PESC, a coleta de dados se deu a cada dois
meses, entre novembro de 2002 e dezembro de 2003. Na Reserva Ecológica Michelin as
trilhas foram distribuídas nos três principais fragmentos de mata (Figura 14) e percorridas
mensalmente entre janeiro e junho de 2004.




     Figura 11. Localização das três áreas amostradas em estudo prévio realizado pelo IESB. (1) Reserva
     Biológica de Una; (2) Parque Estadual Serra do Conduru; (3) Reserva Ecológica Michelin.


                                                                                                      51
As imagens de satétite utilizadas para a interpretação da vegetação e localização dos
transectos nas três áreas de estudo foram feitas a partir do mapeamento do PROBIO/MMA,
realizado em 2007. Aparentemente, a classificação não foi capaz de diferenciar com
precisão os tipos de vegetação encontrados nas diferentes áreas, resultando na confusão
entre áreas de cabrucas e vegetação em diferentes graus de regeneração. Particularmente na
área da Reserva Ecológica Michelin, a presença de nuvens pode ter atrapalhado a
classificação, deixando indefinidas as áreas em que se encontram os transectos. Uma vez
que o grau de fiscalização na área é intenso, a vegetação não foi alterada nos últimos anos
(FLESHER, com. pess.). Por esse motivo, optou-se por utilizar também a imagem
elaborada anteriormente (Figura 15) para o relatório final do projeto “Avaliação das
populações do macaco-prego-do-peito-amarelo (Cebus xanthosternos) e proposta de
estratégia para manejo e conservação da espécie” (KIERULFF et al., 2005).




                                                                                         52
Figura 12. Mapa de localização dos transectos percorridos em estudo anterior na REBIO Una,
mostrando a classificação da vegetação (escala 1: 250.000 – PROBIO).




                                                                                             53
Figura 13. Mapa de localização dos transectos percorridos em estudo anterior no PESC mostrando a
classificação da vegetação (escala 1: 250.000 – PROBIO).




                                                                                             54
Figura 14. Mapa de localização dos transectos percorridos em estudo anterior na Reserva Ecológica
Michelin mostrando a classificação da vegetação (escala 1: 250.000 – PROBIO). Provável presença
de nuvens prejudica a classificação da vegetação na área.




                                                                                              55
Figura 15. Mapa de localização dos transectos percorridos em estudo anterior na Reserva Ecológica
Michelin mostrando a classificação da vegetação (Landsat, 1996). Nota-se que os transectos estão
sobre os fragmentos melhor conservados da propriedade, que não foram alterados nos últimos anos.




                                                                                              56
4.2    Análise dos dados


4.2.1 Programa Distance 5.0


       Foi utilizado o programa Distance 5.0 (BUCKLAND et al., 1993; THOMAS et al.,
2006) para a análise dos dados do presente estudo nas Serras das Lontras e Javi, bem como
para a análise dos dados não publicados coletados pelo IESB em estudo anterior na REBIO
Una, na região do PESC e na Reserva Ecológica Michelin. A partir das distâncias
perpendiculares do transecto ao primeiro animal avistado em cada ocasião, o programa
Distance 5.0 modela uma Função de Detecção, g(x), e a Função de Probabilidade de
Detecção correspondente, f(x), selecionando uma função chave ou “modelo”(key function)
e uma série de ajustes matemáticos (series expansion). O ponto chave da metodologia
consiste em encontrar a função que melhor espelhe o comportamento das distâncias
observadas e, a partir dela, estimar a proporção de grupos que não foram detectados durante
o censo para, assim, obter uma estimativa de densidade da população de interesse
(CULLEN JR et al, 2004).
       Conforme recomendado pelo manual do usuário do programa Distance 5.0,
inicialmente foi realizada uma análise exploratória dos dados, que consiste em selecionar
determinado Filtro (Data Filter) e combiná-lo com um Modelo arbitrário (Model
Definition), variando apenas o intervalo de classes das distâncias perpendiculares nesse
mesmo modelo. Assim, foi possível observar os histogramas de distribuição de freqüências
das distâncias perpendiculares e detectar outliers, agrupamentos em torno de determinadas
distâncias e/ou evidências de fuga dos animais antes da detecção. Feita a análise inicial dos
histogramas, foram testados diversos Filtros selecionando, por exemplo, diferentes
distâncias de truncamento e/ou diferentes classes de distâncias (manualmente determinadas
ou calculadas automaticamente a partir da amplitude das distâncias perpendiculares e do
número de intervalos selecionados). Dentre essas análises, foram selecionadas as que
apresentaram maiores p-valores para os testes de adequação (Goodness-of-fit) de Qui-
quadrado (Chi-p), ou seja, as que melhor se ajustaram à distribuição dos dados. Uma vez
tomadas decisões sobre truncamento e classes de distâncias no Filtro, foram feitos os testes
entre Modelos. Utilizando apenas o Filtro de melhor ajuste (maiores valor de Chi-p), foram


                                                                                          57
realizadas análises com diferentes Modelos (Hazard rate-Cosine, Hazard rate-Polynomial,
Uniform-Cosine, Uniforme-Polinomial, Half normal-Cosine, Negative exponencial-
Cosine). Finalmente, foi utilizado o critério de seleção Akaike (Akaike’s Information
Criterion - AIC), escolhendo-se os Modelos de menor AIC (e Deltas AIC mais próximos de
zero) como os mais ajustados aos dados. Outros fatores, como os níveis apropriados para as
estimativas de densidade e taxas de encontro (por transectos, por área de estudo ou globais)
também foram considerados durante as análises (BUCKLAND et al., 1993; THOMAS et
al., 2002).




4.2.2   Análise combinada de diferentes censos


    Para evitar distorções irreais nas curvas de detecção devido a pequenos tamanhos
amostrais, utilizou-se a análise combinada das distâncias perpendiculares de cada espécie
em diferentes áreas de estudo. Esse artifício é útil por aumentar o tamanho amostral e,
conseqüentemente, a confiabilidade das estimativas de densidade. No entanto, só é
plausível se não houver diferença estatística significativa entre as distâncias
perpendiculares das áreas de estudo, isto é, se a variabilidade das distâncias perpendiculares
entre as populações não for maior que a variabilidade dentro da mesma população, o que
pode ser testado através de ANOVA de um critério (DEFLER e PINTOR, 1985; PERES,
1997; PERES, 1999). Uma vez confirmada a ausência de diferença significativa entre as
distâncias perpendiculares de avistamento de cada espécie nas diversas áreas de estudo, foi
possível utilizar o programa Distance 5.0 para gerar estimativas de densidade por área de
estudo e globais, bem como seus respectivos intervalos de confiança.




                                                                                           58
4.2.3   Métodos alternativos


4.2.3.1 Distâncias Média, Máxima e de Queda

   Um dos problemas associados às estimativas de densidade de primatas por transectos
lineares está na escolha do cálculo da distância de detecção para a determinação do
tamanho da área amostrada (NATIONAL RESEARCH COUNCIL, 1981; DEFLER e
PINTOR, 1985; PERES, 1999; BRUGIERE e FLEURY, 2000). O programa Distance 5.0
fornece uma estimativa dessa distância a partir da distribuição de freqüência dos próprios
dados, mas apresenta limitações quando lida com pequenos tamanhos amostrais (THOMAS
et al, 2002). Optou-se, então, por apresentar os resultados utilizando diferentes métodos
para estimar a distância de detecção efetiva (ou meia largura efetiva do transecto) visando
comparar as estimativas de densidade geradas por cada um deles. Foram utilizados três
métodos que consideram como largura efetivamente amostrada (NATIONAL RESEARCH
COUNCIL, 1981, DEFLER e PINTOR, 1985):


   1) Distância perpendicular média: consiste em utilizar a média de todas as distâncias
        perpendiculares para calcular a largura do transecto. O método pode superestimar
        muito as densidades dos animais (ANDERSON et al., 1979; NATIONAL
        RESEARCH COUNCIL, 1981; WHITESIDES et al., 1988; CARO, 1999).
   2) Distância perpendicular máxima: utiliza a maior distância perpendicular de detecção
        de uma espécie para estimar a largura da área amostrada, o que significa que todos
        os grupos detectados serão incluídos. O método pode subestimar a densidade dos
        primatas porque superestima a área amostrada (NATIONAL RESEARCH
        COUNCIL, 1981; WHITESIDES et al., 1988).
   3) Distância de queda (“fall-off distance”): consiste em plotar as distâncias
        perpendiculares de avistamento em um histograma e determinar a distância de
        queda, a partir da qual o número de avistamentos cai, no mínimo, pela metade (com
        relação ao número de avistamentos do intervalo anterior). A estimativa da (meia)
        largura efetiva do transecto (w) que deriva da distância de queda pode ser obtida a
        partir da fórmula:         w = (Nt / Nq)DQ,



                                                                                        59
onde Nt = número total de avistamentos, Nq = número de avistamentos até a distância
   de queda, DQ = distância de queda (WHITESIDES et al., 1988).
       Essa largura efetiva (w) é uma estimativa da distância a partir da qual o número de
   avistamentos obtidos equivale ao número de avistamentos perdidos a distâncias
   menores (NATIONAL RESEARCH COUNCIL, 1981; DEFLER e PINTOR, 1985;
   WHITESIDES et al, 1988).


4.2.3.2 Abundância Relativa


       Considerando as recomendações de que um número mínimo de 40 avistamentos
para cada espécie é necessário para gerar estimativas de densidade confiáveis, alguns
autores se restringem a apresentar os dados na forma de abundâncias relativas, expressas na
forma de taxas de encontro (WALLACE, 2000; BOBADILLA e FERRARI, 2000;
LEHMANN, 2000). Como alternativa para o problema do pequeno tamanho amostral
encontrado no presente estudo, optou-se por utilizar os dados também na forma de
abundâncias relativas, considerando apenas o número de avistamentos (independente da
distância perpendicular de avistamento). As taxas de encontro foram expressas em número
de avistamentos/10km (CHIARELLO, 1999). A título de comparação, as abundâncias
relativas dos primatas foram estimadas novamente, em grupos/10 km, considerando não
apenas os avistamentos, mas também os registros por vocalizações (FLESHER, 2006).




4.2.4 Análise comparativa das estimativas de densidade


       Para testar as diferenças entre pares de métodos usados para estimar as densidades
dos primatas nas Serras das Lontras e Javi, na REBIO Una, no PESC e na Reserva
Ecológica Michelin, bem como estimativas globais, foi utilizado o teste não-paramétrico de
Wilcoxon, adotando um nível de significância α = 0.01.




                                                                                        60
5.        RESULTADOS E ANÁLISES


5.1       Serra das Lontras e Javi


5.1.1 Esforço amostral


          Os censos de primatas foram conduzidos na região das Serras das Lontras e Javi de
abril a dezembro de 2007, totalizando 223,300 km percorridos. O tempo restrito para a
realização do estudo, somado às condições físicas e logísticas imperativas (chuvas
abundantes, dificuldade de acesso aos locais de alojamento ou aos próprios transectos,
distância entre as diferentes localidades de estudo no interior das Serras), impediram o
percurso de kilometragens totais exatamente iguais entre as trilhas. Ainda assim tentou-se
obter um esforço amostral semelhante em todos os transectos (Tabela 1).


                Tabela 1. Esforço amostral por transecto nas Serras das Lontras e Javi.
          Transecto            Extensão (m)         Repetições       Total percorrido (m)
          Bem-te-vi                  1350                31                    41850
          Zé Oduque                  1950                23                    44850
          Catarina                   2050                24                    49200
          Lontras 1*             2000; 1600            13; 14                  48400
          Lontras 2                  1300                30                    39000
          Total                      8650                135                  223300
      * Durante o trabalho constatou-se que um trecho de 400m do transecto, com inclinação acentuada, não
      deveria ser amostrado por conferir riscos aos observadores e reduzir a capacidade de detecção dos
      animais.




5.1.2      Tipos de habitat amostrados nos transectos


      Ao longo do trabalho foi possível observar que existe grande heterogeneidade de
habitats no interior das Serras das Lontras e Javi. Não era parte dos objetivos do presente
estudo coletar dados sistemáticos sobre a vegetação, mas uma classificação superficial dos



                                                                                                      61
habitats encontrados ao longo dos transectos foi realizada considerando que essa
variabilidade pode influenciar na distribuição e na densidade dos primatas.
   As categorias definidas e suas características mais marcantes são:


   1. Floresta Madura: elevada abundância de indivíduos arbóreos de grande porte (30-
       40m); abertura do dossel e densidade de indivíduos de médio e pequeno porte, bem
       como a densidade do sub-bosque, apresentam grande variação entre as localidades;
       em termos gerais, é a fisionomia florestal mais alta e heterogênea, com elevada
       umidade e menor incidência luminosa em seu interior.
   2. Floresta (Madura) Montana: as árvores mais antigas são baixas (15-20m),
       retorcidas e cobertas de liquens e briófitas; elevada abundância de indivíduos jovens
       (7-10m); sub-bosque denso com elevada densidade de bromélias, lianas e palmeiras;
       solo formado por entrelaçados de raízes expostas, em muitos trechos sobre pedras.
   3. Floresta em maturação: diferencia-se da Floresta Madura principalmente pela
       presença de poucos indivíduos de grande porte (30-40m); predominam os
       indivíduos de pequeno e médio porte (8-20m); sub-bosque fechado com grande
       densidade de bromélias, lianas e palmeiras;
   4. Floresta jovem: raros indivíduos arbóreos de grande porte (25-35m); as árvores de
       pequeno e médio porte (8-20m) dominam a fisionomia; sub-bosque fechado;
       presença de bromélias, lianas, palmeiras e bambús; diferencia-se da Floresta em
       maturação principalmente pela menor estatura do dossel (20 a 25 metros), pela
       raridade de grandes árvores e menor densidade de bromélias e palmeiras;
       frequentemente apresenta indícios de perturbação humana recente (corte seletivo).
   5. Floresta em regeneração: ausência de indivíduos de grande porte; predominância
       de indivíduos de médio porte; sub-bosque aberto, com poucos arbustos e palmeiras;
       de forma geral, sua aparência é de menor heterogeneidade (dominada por poucas
       espécies); ausência de bromélias e cipós.




                                                                                           62
Tabela 2. Extensão dos tipos florestais (m) e esforço amostral total correspondente (m) nas
      transecções das Serras das Lontras e Javi.
                                      Transectos das Serras das Lontras e Javi


    Tipo           Bem-te-vi             Catarina     Zé Oduque         Lontras 1             Lontras 2
  florestal       (1350m)                (2050m)       (1950m)       (750 a 2000m)            (1300m)
              extensão esforço    extensão esforço extensão esforço extensão esforço     extensão esforço   Total
madura           400      12400       900      21600 800     18400    1000     22950      800      24000    99350
montana           0          0        450      10800 250     5750      850     21400        0         0     37950
maturação        500      15500       700      16800 350     8050      150     4050         0         0     44400
jovem            450      13950        0         0   500     11500      0        0        500      15000    40450
regeneração       0          0         0         0    50     1150       0        0          0         0     1150

Total (m)      1350      41850      2050     49200    1950    44850    2000      48400   1300     39000     223300




              Até o presente, não existe nenhuma estimativa quantitativa sobre a proporção de
      tipos florestais encontrados nas Serras das Lontras e Javi. Levando em conta que a escolha
      do local dos transectos buscou inserí-los nos melhores fragmentos de matas da região, mas
      sem o conhecimento prévio de quais tipos florestais seriam encontrados nos percursos
      selecionados, é possível considerar a proporção de habitats encontrada como uma medida
      indireta da heterogeneidade florestal existente nos fragmentos em melhor estado de
      conservação das Serras. Ao longo dos 8.650 metros de transectos foi registrada uma maior
      extensão de Florestas Maduras (3.900 m), seguidas pelas Florestas em Maturação (1.700
      m), Florestas Maduras Montanas (1.550 m) e Florestas Jovens (1.550 m). As Florestas em
      Regeneração corresponderam a um pequeno trecho de 50 metros no transecto Zé Oduque,
      não sendo encontradas em nenhum dos outros transectos. Devido às tentativas de equalizar
      o esforço amostral entre transectos, a proporção de esforço em cada tipo florestal equivale
      às proporções entre suas extensões. Assim, as Florestas Maduras foram as mais amostradas
      (99.350 m), seguidas pelas Florestas em Maturação (44.400 m), enquanto as Florestas
      Madura Montana e Jovem tiveram esforços parecidos (37.950 m e 40.450 m,
      respectivamente), restando apenas 1.150 m de esforço amostral para a Floresta em
      Regeneração.




                                                                                                       63
5.1.3 Avistamentos de primatas


       Quatro espécies de primatas foram avistadas ao longo dos transectos totalizando 37
grupos de primatas detectados. As espécies mais avistadas foram Cebus xanthosternos e
Callithrix kuhlii, com 16 e 15 avistamentos, respectivamente. Já as espécies Callicebus
melanochir e Leontopithecus chrysomelas foram vistas apenas 3 vezes cada ao longo dos
censos nas Serras. Os dados sobre localização (transectos), número e tipo florestal onde
foram registrados os avistamentos estão resumidos na Tabela 3.


 Tabela 3. Avistamentos de primatas nas Serras das Lontras e Javi, número de grupos
 avistados (n) e tipos florestais ocupados;
  Espécie                       n           Transecto¹ (n) Tipo Florestal (n)
  Callicebus melanochir         3    Btv (3)                          Em maturação

  Callithrix kuhlii             15 Btv (1), Zq (2), Ct (8),           Madura (4), Montana (4),
                                   Ln1 (2), Ln2 (2)                   Em maturação (6), Jovem (1)

  Cebus xanthosternos           16 Btv (5), Zq (1), Ct (2),           Madura (9), Montana (3),
                                   Ln1 (4), Ln2 (4)                   Em maturação (1), Jovem (3)

  Leontopithecus                3    Ct (2), Ln2 (1)                  Madura (2),Jovem (1)
  chrysomelas
   ¹ Transectos: Bem-te-vi (Btv), Zé Oduque (Zq), Catarina (Ct), Lontras1 (Ln1), Lontras 2 (Ln2);



   Nenhuma espécie de primata foi encontrada nas Serras das Lontras e Javi na Floresta
em regeneração, o que pode ser mero reflexo da pequena proporção amostrada desse tipo
florestal. A espécie Callicebus melanochir foi encontrada em apenas um tipo florestal (em
Maturação) de um único transecto (Bem-te-vi). Leontopithecus chrysomelas foi avistado
em apenas dois transectos e dois tipos florestais: Floresta Madura e Jovem. Já as espécies
Callithrix kuhlii e Cebus xanthosternos foram encontradas em todos os transectos
amostrados e nas Florestas Madura, Montana, em Maturação e Jovem. No entanto,
diferiram quanto à frequência de avistamentos em cada tipo florestal: para Cebus
xanthosternos, 56.25% (n = 9) dos avistamentos foram feitos na Floresta Madura, 18.75%
(n = 3) tanto na Floresta Montana quanto na Floresta Jovem e 6.25 % (n = 1) na Floresta
em Maturação; Callithrix kuhlii foi avistado em 40% das ocasiões (n = 6) na Floresta em




                                                                                                    64
Maturação, 26.67% (n = 4) tanto na Floresta Madura quanto na Montana e 20% (n = 1) na
Floresta Jovem.
   Ao longo da coleta de dados nas serras constatou-se a dificuldade em contar todos os
indivíduos nos grupos avistados. No total, foram contabilizados 138 primatas, da seguinte
forma: 72 indivíduos de Cebus xanthosternos (média = 4.5 indivíduos/grupo), 51
indivíduos de Callithrix kuhlii (média = 3.4 indivíduos/grupo), 8 indivíduos de Callicebus
melanochir (média = 2.67 indivíduos/grupo) e 7 indivíduos de Leontopithecus chrysomelas
(média = 2.33 indivíduos/grupo). No entanto, a maioria dos encontros não durava tempo
suficiente para a visualização de todos os indivíduos dos grupos de primatas de modo que
as contagens são apenas parciais e os tamanhos médios provavelmente estão subestimados.
   A fim de auxiliar na interpretação e na análise dos dados coletados, foram gerados
histogramas de distribuição das distâncias perpendiculares de avistamento encontradas para
as espécies de primatas das Serras das Lontras e Javi. Contudo, o reduzido número de
avistamentos obtidos permitiu a elaboração dos histogramas apenas para Cebus
xanthosternos e Callithrix kuhlii. Para tanto, as distâncias medidas foram divididas em
classes calculadas de acordo com a fórmula de SPIEGEL (1977) para a escolha de classes
(nc = 1 + 3.3 log(n), onde nc representa o número de classes e n, o número de
avistamentos) (Figura 16). O reduzido número de avistamentos de Callicebus melanochir e
Leontopithecus chrysomelas impediu a elaboração de histogramas de freqüência para
ambas espécies.




                                                                                       65
Cebus xanthosternos (n = 16)                                 Callithrix kuhlii (n=15)
                               Lontras e Javi                                             Lontras e Javi


           8
                                                                           6
                                                                       A
      A
           7                                                           v
      v                                                                    5
           6                                                           i
      i
                                                                       s   4
      s
           5                                                           t
      t
           4                                                           a   3
      a
                                                                       m
      m    3                                                           e   2
      e
           2                                                           n
      n                                                                    1
                                                                       t
      t    1                                                           o
      o                                                                    0
           0                                                                   0-4     5-9    10-14   15-19     20- 24    25 ou >
                 0- 9      10 - 19   20-29   30-39   40-49   50 ou >
                                                                                     Distâncias Perpendiculares (m)
                         Distâncias Perpendiculares (m)




Figura 16. Histogramas de freqüência das distâncias perpendiculares de avistamento de Cebus
xanthosternos (n = 16) e Callithrix kuhlii (n = 15) nas Serras das Lontras e Javi.



5.2         Reserva Biológica de Una (REBIO Una), Parque Estadual da Serra do
          Conduru (PESC) e Reserva Ecológica Michelin


5.2.1 Esforço amostral

               Para a coleta dos dados nos outros três fragmentos florestais, pesquisadores do IESB
percorreram: 1) 284 km ao longo de seis transectos na Reserva Biológica de Una, entre os
meses de dezembro de 2002 e setembro de 2003; 2) 228,250 km em cinco transectos no
Parque Estadual da Serra do Conduru, entre os meses de novembro de 2002 e novembro de
2003; e 3) 247 km em seis transectos na Reserva Ecológica Michelin, de janeiro a junho de
2004, totalizando 759,250 km de censos de primatas nas três áreas.



5.2.2 Avistamentos de primatas

               Um total de 111 grupos de primatas foi avistado nas três áreas de estudo. As
comunidades de primatas não são iguais entre as três áreas, havendo variação na ocorrência
das quatro espécies registradas (Tabela 4). Com relação aos Callithrix, existem dificuldades
e dúvidas na identificação ao longo da região sul da Bahia. Nas Serras das Lontras e Javi,
bem como na REBIO Una e na região do PESC, as populações correspondem à espécie



                                                                                                                         66
Callithrix kuhlii, mas na Reserva ecológica Michelin há controvérsias devido às variações
nos fenótipos dos grupos residentes, de modo que serão tratados no presente estudo como
Callithrix sp. Por sua vez, Leontopithecus chrysomelas só ocorre em uma das três áreas de
estudo, a REBIO Una, e Callicebus melanochir não foi registrado no PESC.


Tabela 4. Riqueza de espécies de primatas e número de grupos avistados na REBIO Una, Parque
Estadual da Serra do Conduru e entorno (PESC) e Reserva Ecológica Michelin, sul da Bahia, Brasil.
Espécie                                     REBIO Una                 PESC           Michelin
Callicebus melanochir                            3                       -                 16
Callithrix kuhlii                                5                      13                  -
Callithrix sp.                                   -                       -                 16
Cebus xanthosternos                             15                       8                 21
Leontopithecus chrysomelas                      14                       -                  -
Total                                           37                      21                 53
   (-) áreas onde a espécie não foi registrada nos censos ou realmente não ocorre.


   Analogamente ao processo realizado para as Serras das Lontras e Javi, foram gerados
histogramas de distribuição das distâncias perpendiculares de avistamento dos primatas
para as três áreas e, mais uma vez, o pequeno tamanho amostral foi limitante para a
confecção dos gráficos. Para Cebus xanthosternos foi possível gerar histogramas de
frequências nas três áreas, mas os oito avistamentos do PESC deram origem a um gráfico
pobre em informações (Figura 17). A espécie Callicebus melanochir não foi detectada no
PESC e foi avistada apenas três vezes na REBIO Una, de modo que foi elaborado um único
histograma, correspondente aos avistamentos na Reserva Ecológica Michelin (Figura 18).
Para as espécies de Callithrix foram gerados histogramas das três áreas, no entanto, o
pequeno número de avistamentos de C. kuhlii na REBIO Una gerou um histograma
limitado (Figura 19). Para a espécie Leontopithecus chrysomelas, foi possível gerar apenas
o histograma para os avistamentos na REBIO Una (Figura 20).




                                                                                                67
Cebus xanthosternos (n = 16)                                                           Cebus xanthosternos (n=21)
                      Lontras e Javi                                                                           Michelin


 A   8                                                                                    8
 v   7                                                                                    7
 i                                                                                    A
     6                                                                                    6
 s                                                                                    v
 t
     5                                                                                i   5
 a   4                                                                                s   4
 m   3                                                                                t   3
 e                                                                                    a
     2                                                                                    2
 n                                                                                    m
 t   1                                                                                    1
 o   0                                                                                    0
         0-9      10 - 19   20-29       30-39       40-49          50 ou >                    0-9       10-19     20-29   30-39   40-49   50 ou >
                  Distâncias Perpendiculares (m)                                                    Distâncias Perpendiculares (m)



                                                    Cebus xanthosternos (n = 8)
                                                              PESC


                                            4.5
                                                4
                                        A   3.5
                                        v       3
                                        i   2.5
                                        s
                                                2
                                        t
                                            1.5
                                        a
                                                1
                                        m
                                            0.5
                                                0
                                                            0- 9             10- 19             20-29

                                                            Distâncias Perpendiculares (m)




Figura 17. Histogramas de freqüência das distâncias perpendiculares (m) de avistamento de Cebus
xanthosternos na REBIO Una (n=15), Reserva Ecológica Michelin (n=21) e PESC (n=8).



                                                      Callicebus melanochir (n=16)
                                                                Michelin


                                    6

                              A     5
                              v
                              i     4
                              s     3
                              t
                              a     2
                              m     1

                                    0
                                            0-6                    7-13       14-20           21-27             28-34

                                                        Distâncias Perpendiculares (m)




Figura 18. Histogramas de freqüência das distâncias perpendiculares (m) de avistamento de Callicebus
melanochir na Reserva Ecológica Michelin (n = 16).



                                                                                                                                                    68
Callithrix kuhlii (n=5)                                                                                           Callithrix kuhlii (n=13)
                                 REBIO Una                                                                                                            PESC



               3.5                                                                                                        6
                3




                                                                                                           Avistamentos
                                                                                                                          5
Avistamentos




               2.5
                                                                                                                          4
                2
                                                                                                                          3
               1.5
                                                                                                                          2
                 1

               0.5                                                                                                        1

                0                                                                                                         0
                     0-4      5-9      1 4
                                        0-1                        1 9
                                                                    5-1     20-24     25 o u >                                    0-4             5-9      10-14        15-19   20 ou >
                            Distâncias Perpendiculares                                                                                       Distâncias Perpendiculares



                                                                                    Callithrix sp (n=16)
                                                                                          Michelin

                                                               7
                                                               6
                                                Avistamentos




                                                               5
                                                               4
                                                               3
                                                               2
                                                               1
                                                               0
                                                                     0-4        5-9         10-14    15-19                20-24         25 ou >
                                                                                    Distâncias Perpendiculares



Figura 19. Histogramas de freqüência das distâncias perpendiculares (m) de avistamento de
Callithrix kuhlii (REBIO Una, n=5; PESC, n=13) e Callithrix sp. (Michelin, n=16).


                                                                           Leontopithecus chrysomelas (n=14)
                                                                                      REBIO Una


                                                      8
                                                      7
                                     Avistamentos




                                                      6
                                                      5
                                                      4
                                                      3
                                                      2
                                                      1
                                                      0
                                                                    0-6             7-13         14-20              21-27               28 ou >
                                                                                    Distâncias Perpendiculares



Figura 20. Histograma de freqüência das distâncias perpendiculares (m) de avistamento de
Leontopithecus chrysomelas na REBIO Una (n=14).




                                                                                                                                                                                69
Considerando as três áreas de estudo, foram contabilizados ao todo 323 primatas, da
seguinte forma: 137 indivíduos de Cebus xanthosternos (REBIO: n = 44, média = 2,9
indivíduos/grupo; PESC: n = 31, média = 3,9 indivíduos/grupo; Michelin: n = 62, média =
5,63 indivíduos/grupo), 97 indivíduos do gênero Callithrix (REBIO: n = 10, média = 2,0
indivíduos/grupo; PESC: n = 28, média = 2,33 indivíduos/grupo; Michelin: n = 59, média =
3,69 indivíduos/grupo), 40 indivíduos de Callicebus melanochir (REBIO: n = 5, média =
1,7 indivíduos/grupo; Michelin: n = 35, média = 2,19 indivíduos/grupo) e 49 indivíduos de
Leontopithecus chrysomelas (REBIO: n = 49, média = 3,5 indivíduos/grupo). Novamente,
as contagens de indivíduos foram limitadas pela brevidade dos encontros com a maior parte
dos grupos, que dificilmente eram visualizados em sua totalidade.




5.3 Resultados e análises comparadas entre as Serras das Lontras e Javi, REBIO
Una, PESC e Reserva Ecológica Michelin


5.3.1 Estimativas de Abundância Relativa (grupos/10 km)


       Obteve-se diferentes taxas de avistamento, ou seja, diferentes estimativas de
abundâncias relativas para as espécies de primatas em cada área de estudo (Tabela 5). Para
Cebus xanthosternos, espécie encontrada com maior freqüência, as áreas de maior
abundância relativa foram a Reserva Ecológica Michelin e as Serras das Lontras e Javi. A
REBIO Una aparece como a terceira área de maior abundância relativa para a espécie,
seguida pelo PESC. Utilizando os dados das quatro áreas combinados, a abundância
relativa estimada para a espécie foi de 0,61 grupos/10 km. O gênero Callithrix teve as
maiores abundâncias relativas nas Serras das Lontras e Javi e na Reserva Ecológica
Michelin, enquanto na região do PESC teve uma abundância 25% menor. A REBIO Una
foi, de longe, a área de menor abundância relativa para o gênero (73% inferior à abundância
encontrada nas Serras). Utilizando-se a combinação dos dados das quatro áreas de estudo,
a abundância relativa estimada para o gênero foi de 0,50 grupos/10 km. A espécie
Callicebus melanochir apresentou abundâncias relativas similarmente baixas nas Serras das
Lontras e Javi e na REBIO Una. Na Reserva Ecológica Michelin, a espécie chega a ser


                                                                                        70
cinco vezes mais abundante do que nas Serras. Somando os dados das áreas de ocorrência
      de C. melanochir, sua abundância relativa estimada foi de 0,29 grupos/10 km. Finalmente,
      Leontopithecus chrysomelas, encontrado em apenas duas áreas de estudo, apresentou nas
      Serras das Lontras e Javi uma abundância relativa 26% superior a da REBIO Una.
      Combinando os dados de ambas obteve-se uma estimativa média de 0,34 grupos a cada 10
      km percorridos.
               Comparando as quatro espécies em questão, é possível observar que Cebus
      xanthosternos corresponde à espécie mais abundante nas quatro áreas de estudo, seguida
      pelo gênero Callithrix, que se iguala a Callicebus melanochir apenas na Reserva Ecológica
      Michelin. Em terceiro lugar no ranking de abundâncias relativas encontra-se L.
      chrysomelas e por último, Callicebus melanochir. No entanto, a análise separada das
      últimas espécies em cada área de estudo revela que, na realidade, L. chrysomelas possui
      abundância relativa comparativamente elevada na REBIO Una, bem como Callicebus
      melanochir na Michelin.




    Tabela 5. Esforço amostral (km), número de avistamentos (n) e abundância relativa (n/10 km) das
    espécies de primatas encontradas em censos nas Serras das Lontras e Javi, na REBIO Una, no Parque
    Estadual da Serra do Concuru e entorno (PESC) e na Reserva Ecológica Michelin.
      Área           Km         Callicebus          Callithrix             Cebus                 Leontopithecus
                                melanochir                                 xanthosternos         chrysomelas
                                 n     n/10 km         n         n/10 km     n       n/10 km       n n/10 km

Lontras e Javi ¹    223,300       3       0,13        15          0,67      16        0,72          3       0,13
REBIO Una ¹           284         3       0,11         5          0,18      15        0,53         14       0,49
PESC ¹               228,250      -        -          13          0,57       8        0,35          -         -
Michelin              247        16       0,65        16          0,65      21        0,85          -         -

TOTAL              982, 550      22      0,29*        49       0,50       60          0,61         17       0,34*
  ¹ Áreas de ocorrência de Callithrix kuhlii; * Desconsiderando os quilômetros percorridos nas áreas onde a espécie
  não foi registrada. TOTAL-a corresponde à soma das quatro áreas.




               Considerando todos os registros obtidos para as espécies, isto é, não apenas os
      avistamentos, mas também as vocalizações registradas sem o avistamento dos grupos, a
      abundância relativa de algumas espécies aumenta (Tabela 6). A abundância relativa de
      Cebus xanthosternos sofre um aumento de 5% nas Serras das Lontras e Javi e de 1,6 % na


                                                                                                              71
abundância relativa total (0,62 grupos/10 km). O gênero Callithrix sofre aumentos de 53%
      na abundância relativa das Serras das Lontras e Javi, 16,7% na REBIO Una e 31,6% no
      PESC, com uma nova abundância relativa global 26% maior (0,63 grupos/10 km) do que a
      estimada apenas por avistamentos. A espécie Callicebus melanochir tem aumento de 69%
      na abundância relativa das Serras das Lontras e Javi e de 27% na REBIO Una, sofrendo
      aumento de 27,6% na abundância relativa global (0,37 grupos/10 km). Por fim,
      Leontopithecus chrysomelas apresenta aumento de 76,9% na abundância relativa das Serras
      das Lontras e Javi, o que eleva a estimativa de abundância relativa global em 26,4% (0,43
      grupos/10 km).



    Tabela 6. Esforço amostral (km), número total de registros (n) e abundância relativa (n/10 km) das
    espécies de primatas encontradas em censos nas Serras das Lontras e Javi, na REBIO Una, no Parque
    Estadual da Serra do Concuru e entorno (PESC) e na Reserva Ecológica Michelin.

      Área           Km         Callicebus          Callithrix             Cebus                 Leontopithecus
                                melanochir                                 xanthosternos         chrysomelas
                                 n     n/10 km         n         n/10 km     n       n/10 km       n n/10 km

Lontras e Javi ¹    223,300       5       0,22        23          1,03      17        0,76          8       0,36
REBIO Una ¹           284         7       0,25         6          0,21      15        0,53         14       0,49
PESC ¹               228,250      -        -          17          0,75       8        0,35          -         -
Michelin              247        16       0,65        16          0,65      21        0,85          -         -

TOTAL              982, 550      28      0,37*        62       0,63       61          0,62         22       0,43*
  ¹ Áreas de ocorrência de Callithrix kuhlii; * Desconsiderando os quilômetros percorridos nas áreas onde a espécie
  não ocorre. TOTAL corresponde à soma das quatro áreas.




    5.3.2 Estimativas de Densidade

           Diante do reduzido número de avistamentos obtidos para todas as espécies tanto nas
      Serras das Lontras e Javi quanto na REBIO Una, na região do PESC e na Reserva
      Ecológica Michelin, optou-se por somar os avistamentos dos diferentes censos, aumentando
      o tamanho amostral e, conseqüentemente, a confiabilidade das estimativas de densidade
      (GONZALES-SOLIS et al., 2001). Antes disso, realizou-se uma análise de variância para
      verificar se havia diferenças significativas entre as distâncias perpendiculares de




                                                                                                              72
avistamento de cada espécie nas diferentes áreas (ANOVA 1 critério, α = 0.05) (PERES,
1999; DEFLER e PINTOR, 1985).
         A análise de variância das distâncias perpendiculares de cada espécie nas quatro áreas
não foi capaz de identificar diferenças significativas entre as populações (Cebus
xanthosternos: n = 60, F = 2,0413, p = 0,1172; Callithrix: n = 49, F = 0,1786, p = 0,91;
Callicebus melanochir, n = 22, F = 1,003, p = 0,3872; Leontopithecus chrysomelas, n = 17,
F = 0,0498, p = 0,8207), o que permite somar os avistamentos de cada espécie para
conduzir as estimativas de densidade, estratificando-as posteriormente por área de estudo
(PERES, 1997; PERES, 1999; CHIARELLO e MELLO, 2001). Considera-se que os
fragmentos amostrados apresentam estrutura florestal semelhante e que, portanto, essa
variável não interfere na detectabilidade dos animais.
         Utilizando a combinação dos dados dos diferentes censos e a fórmula de SPIEGEL
(1977), foi possível gerar histogramas de distribuição de freqüência das distâncias
perpendiculares para a espécie Cebus xanthosternos e para o gênero Callithrix
considerando as quatro áreas de estudo (Figura 21). Para Leontopithecus chrysomelas
foram somados os dados das Serras das Lontras e Javi aos dados da REBIO Una, enquanto
para Callicebus melanochir foram combinados os dados das Serras das Lontras, da REBIO
Una e da Reserva Ecológica Michelin (Figura 22).




                Cebus xanthosternos (n=60)                                     Callithrix sp. (n=49)
             Lontras e Javi-REBIO-PESC-Michelin                         Lontras e Javi-REBIO-PESC-Michelin

    20                                                             20
A                                                              A
    18                                                             18
v                                                              v   16
    16
i   14
                                                               i   14
s   12
                                                               s   12
t   10                                                         t   10
a    8                                                         a    8
     6                                                         m    6
m
     4                                                         e    4
e
     2                                                              2
n                                                              n
     0                                                              0
           0- 9   10 - 19   20- 29   30-39   40-49   50 ou >            0-4    5- 9    10-14    15-19   20-24   25 ou >

                  Distâncias P erpendiculares (m)                             Distâncias P erpendiculares (m)




Figura 21. Histogramas de freqüência de distâncias perpendiculares de avistamento combinadas
entre as quatro áreas de estudo para Cebus xanthosternos (n=60) e Callithrix sp. (n=49).




                                                                                                          73
Callicebus melanochir (n=22)                                    Leontopithecus chrysomelas (n=17)
                Lontras e Javi-REBIO-Michelin                                         Lontras e Javi-REBIO

    7                                                                       9
                                                                        A
A   6                                                                   v
                                                                            8
v                                                                       i   7
i   5
                                                                        s   6
s                                                                       t
    4                                                                       5
t                                                                       a
a   3                                                                   m
                                                                            4
m                                                                       e   3
e   2
                                                                        n   2
n   1                                                                   t   1
                                                                        o
    0                                                                       0
          0-6          7-13          14-20         21-27        28-34           0-6       7-13     14-20      21- 27    28 ou >

                  D is t ânc ia s P e rpe ndic ula re s ( m )                         Distâncias P erpendiculares (m)




Figura 22. Histogramas de freqüência de distâncias perpendiculares de avistamento combinadas
entre diferentes áreas de estudo para Callicebus melanochir (n=22) e Leontopithecus chrysomelas
(n=17).



        A Tabela 7 resume as estimativas de distâncias perpendiculares médias, máximas e
distância de queda encontradas para as quatro espécies de primatas em cada área de estudo
e as respectivas estimativas de densidade. Também foram calculadas as diferentes
distâncias e respectivas estimativas de densidade utilizando a soma dos dados espécie-
específicos para todas as áreas de estudo (valores totais na tabela).
        Para algumas espécies e áreas, o pequeno tamanho amostral impediu a elaboração do
histograma de freqüências de distâncias perpendiculares e, portanto, não foi possível
estimar as densidades através das distâncias de queda (DQ). É o caso de Leontopithecus
chrysomelas nas Serras das Lontras e Javi e de Callicebus melanochir nas Serras das
Lontras e Javi e na REBIO Una.
        Observa-se que as maiores estimativas de densidade para cada espécie foram obtidas
pelo método da distância perpendicular média de avistamento (DP média), que estimou as
menores distâncias de avistamento (meia largura efetivamente amostrada). As menores
estimativas de densidade foram obtidas através do método das distâncias máximas e
estimativas com valores intermediários foram obtidas utilizando-se distâncias de queda.
Apenas Callithrix kuhlii na REBIO foge a esse padrão, apresentando a maior estimativa


                                                                                                                        74
pelo método da distância de queda (que estimou a menor distância perpendicular), o que
         pode ser exlicado pelo fraco histograma de distribuição de frequências de distâncias
         perpendiculares resultante do pequeno número de avistamentos – ver Figura 19).




  Tabela 7. Distâncias Perpendiculares (DP) Média, Máxima e Distância de Queda (DQ), em metros, e
  respectivas estimativas de densidade (grupos/km²) dos primatas avistados considerando as áreas de estudo
  separadamente e combinadas (Total).
                                                    DP                     DP
Espécie            Área               N     L (km) Média       Densidade máxima Densidade               DQ        Densidade
Cebus
xanthosternos      Lontras e Javi    16     223.3    20.975       1.71         55         0.65         33.78          1.06
                   REBIO Una         15      284     12.533       2.11         34         0.78         31.07          0.85
                   PESC               8     228.25   12.375       1.42         29          0.6          18            0.97
                   Michelin          21      247     21.167       2.01         50         0.85         38.06          1.12
                   Total             60     982.55   17.785       1.72         55         0.56         35.51          0.86

Callicebus
melanochir         Lontras e Javi     3     223.3    10.867       0.62         15.6       0.43            -            -
                   REBIO Una          3      284     7.333        0.72         16         0.33            -            -
                   Michelin          16      247     14.938       2.17         34         0.95         29.09          1.13
                   Total             22     754.3    13.345       1.09         34         0.43        24.44           0.6


Callithrix         Lontras e Javi    15      223.3    9.493       3.54         30         1.12          17.5      1.92
                   REBIO Una          5       284      8.6        1.02         30         0.29           6.7      1.32
                   PESC              13     228.25    8.846       3.22         22         1.29          10.4      2.74
                   Michelin          16       247     7.281       4.45         30         1.08          13.1      2.47
                                                                                                    14.7;18.05; 1.7;1.38;
                   Total*            49     982.55    8.51        2.93         30         0.83         21.65      1.15


L.chrysomelas       Lontras e Javi     3     223.3 9.533              0.71         15     0.45              -          -
                    REBIO Una         14     284       8.846         2.59           30    0.76           15.7         1.62
                    Total             17     507.3 8.975             1.76           30    0.53           17.23        0.97
         * Não foi possível determinar uma única distância de queda para os dados combinados de Callithrix, de modo
         que as estimativas de densidade foram feitas para três distâncias diferentes.




             Utilizando os dados somados das áreas de estudo, as densidades estimadas para Cebus
         xanthosternos pelos métodos de distância média, distância máxima e distância de queda
         variaram de 0,56 a 1,71 grupos/km². O método da distância média encontrou a maior
         densidade de C. xanthosternos na REBIO Una, seguida pela Reserva Ecológica Michelin,



                                                                                                                75
Serras das Lontras e Javi e , por último, a região do PESC. Já os métodos de distância
máxima e distância de queda encontraram as maiores densidades da espécie para a Reserva
Ecológica Michelin. Pelo método da distância máxima, a REBIO teria a segunda maior
densidade de C. xanthosternos, seguida da Serra das Lontras e Javi e PESC, enquanto o
método da DQ estima a segunda maior densidade da espécie para as Serras das Lontras e
Javi, seguida do PESC e REBIO.
   As estimativas globais de densidade para Callicebus melanochir pelos três métodos
variaram de 0,43 a 1,09 grupos/km². O método da distância média encontrou as maiores
densidades na Reserva Ecológica Michelin, seguida da REBIO e das Serras das Lontras e
Javi. O método da distância máxima também encontrou a maior densidade de Callicebus na
Reserva Ecológica Michelin, mas a segunda maior densidade foi estimada para as Serras
das Lontras e Javi e as menores, para a REBIO.
   Para o gênero Callithrix, as estimativas globais de densidade variaram de 0,83 a 2,93
grupos/km². Considerando as áreas de estudo separadamente, as maiores densidades para o
gênero foram encontradas pelo método da distância média e as menores, pelo método da
distância máxima (com exceção das estimativas para a REBIO, que foram maiores pelo
método da distância de queda). O método de DQ encontrou as maiores densidades de
Callithrix no PESC, seguido pela Michelin e Serras das Lontras e Javi, com as menores
densidades na REBIO Una.
   As densidades globais de Leontopithecus chrysomelas variaram de 0,53 a 1,76
grupos/km². A maior densidade foi estimada para a REBIO pelo método da distância média
e a menor foi estimada pelo método da distância máxima para as Serras das Lontras e Javi.
As estimativas geradas para as Serras das Lontras e Javi pelo método da distância média
foram semelhantes às encontradas para a REBIO pela distância máxima. Estimativas
intermediárias foram obtidas pelo método de DQ para a REBIO e para as duas áreas juntas
(0,97 grupos/km²).




                                                                                      76
5.3.2.a Programa Distance 5.0


       Uma vez que a ANOVA não mostrou diferenças significativas entre as distâncias
perpendiculares de cada espécie nas diferentes áreas de estudo, foi realizada uma análise
combinada dos dados somando todas as distâncias perpendiculares encontradas para cada
espécie, que forneceu estimativas de densidade por área de estudo e estimativas globais,
consideradas aqui como médias para a região sul da Bahia.
       O Programa Distance 5.0 foi utilizado para realizar as análises exploratórias e
decidir a melhor forma de tratamento dos dados por espécie. Uma vez escolhidos os Filtros
que melhor se ajustaram à distribuição dos dados, foram realizadas inúmeras análises
combinando-os com diferentes modelos de funções de detecção (Hazart rate-Cosine,
Uniforme-Cosine, Half normal-Cosine e Negative Exponential-Cosine) que forneceram
diferentes estimativas de densidade e seus respectivos coeficientes de variação e intervalos
de confiança. Em suma, para a decisão final entre os melhores modelos foram observados
os menores valores do critério AIC, menores valores de coeficiente de variação das
estimativas de densidade (CV), os menores limites de confiança (DS LCL - DS UCL) e os
maiores valores de p para o teste de Goodness-off-fit (Chi-p). As figuras 23 a 26
representam os histogramas de distribuição de frequências das distâncias prependiculares e
as funções de detecção mais adequadas a cada espécie, gerados no programa Distance após
a escolha dos filtros e modelos. O resumo das análises que melhor se ajustaram aos dados
de cada espécie e as estimativas resultantes, encontram-se reunidas na Tabela 8.
       Durante a escolha do Filtro para a espécie Cebus xanthosternos o melhor ajuste foi
observado classificando as distâncias perpendiculares em 5 intervalos e truncando os dados
além da distância de 49 metros. Dentre os modelos testados, o Uniforme-Cosine foi
selecionado por apresentar o maior valor de Chi-p (0,895) e os menores valores de AIC
(163,67), delta AIC (0,0) e CV (0,19). Como resultado, o modelo estimou uma largura
efetivamente amostrada (ESW) de 26,3 metros e uma densidade de 1,1 grupos/km² (0,75 –
1,62 grupos/km²) para Cebus xanthosternos.




                                                                                         77
Tabela 8. Teste de modelos das funções de detecção e respectivas estimativas da largura amostrada
(ESW), Delta AIC, AIC, p-valores para o teste de Goodness-of-fit de Qui-quadrado (Chi-p), Densidade
de grupos/km² (DS), limite de confiança inferior da densidade (DS LCL), limite de confiança superior
da densidade (DS UCL) e coeficiente de variação da estimativa de densidade (DV) para Cebus
xantosternos, Callithrix sp., Callicebus melanochir e Leontopithecus chrysomelas.
                                             Delta                  GOF              DS        DS
Espécie Filtro           Modelo    n     ESW AIC         AIC        Chi-p     DS     LCL      UCL       CV

Cebus¹        Trunc49
              5class     HazCos    57    26.43 1.71       165.38 0.856        0.99    0.639    1.519    1.26
                         Unif-Cos 57      26.3       0    163.67 0.895         1.1     0.75      1.62   0.19
                         HalfCos   57    26.07 0.24       163.91 0.838        1.11    0.733    1.687    0.21
                         NegExp    57     26.0       2    165.67 0.738         1.1     0.75      1.62   0.19

Callithrix¹     6class   HazCos    49     9.92   1.56     160.19 0.933       2.6      1.174    5.767    0.41
                (0-4)    UnifCos   49    13.65 3.51       162.15 0.498       1.89     1.135    3.151    0.25
                         HalfCos   49    11.86 2.45       161.09 0.724       2.18     1.276    3.712    0.27
                         NegExp    49    10.09       0    158.63 0.932       2.56     1.475    4.441    0.28
Callicebus²
               Trunc30 HazCos      21    22.31 1.93        67.44 0.724       0.63     0.243    1.645 0.466
               5 class   UnifCos   21    19.47 0.05        65.56 0.951       0.73     0.283    1.645 0.453
               Manual    HalfCos   21    20.15       0     65.51 0.888       0.7       0.27    1.895 0.463
                         NegExp    21    16.86 0.29        65.81 0.895       0.84     0.299    2.349 0.524
Leontopithecus³
               Trunc25 HazCos      16    12.19 1.84        40.59 0.944       1.21     0.548    2.689    0.40
               4 class   UnifCos   16    13.31 0.18        38.92 0.660       1.11     0.616    2.009    0.28
                         HalfCos   16    12.29 0.01        38.75 0.852       1.20     0.623    2.327    0.32
                         NegExp    16     8.65       0     38.75 0.684       1.71     0.766    3.828    0.41
¹Análises combinadas dos avistamentos nas Serras das Lontras e Javi, REBIO Una, PESC e Reserva
Ecológica Michelin, totalizando 982.550 km percorridos; ² Avistamentos nas Serras das Lontras e Javi, Rebio
Una e Reserva Ecológica Michelin, totalizando 754.3 km percorridos; ³ Avistamentos nas Serras das Lontras
e Javi e REBIO Una, totalizando 507.3 km percorridos.




         As análises para o gênero Callithrix apresentaram melhor ajuste com as distâncias
perpendiculares classificadas em seis intervalos iguais. Os modelos Hazard rate-Cosine e
Negative Exponential-Cosine encontraram valores semelhantes de Chi-p (0,933 e 0,932),
ESW (9,92 m e 10,09 m) e DS (2,6 e 2,56 grupos/ km²). O modelo Negative Exponential
foi escolhido por apresentar menores valores de AIC (158,63), delta AIC (0,00) e CV
(0,28), bem como menor amplitude de IC para a estimativa de densidade (1,475 – 4,441
grupos/ km²).


                                                                                                        78
As distâncias perpendiculares de avistamento de Callicebus melanochir tiveram
melhor ajuste quando classificadas manualmente em 5 intervalos (isto é, os intervalos não
possuem necessariamente a mesma amplitude) e truncadas em 30 m. Os modelos de menor
AIC e delta AIC foram Uniforme e Half normal, que forneceram estimativas de largura
efetiva e densidade bastante próximas. No entanto, o modelo Uniforme foi selecionado por
apresentar maior valor de Chi-p (0,951) e menor CV (0,453), obtendo uma estimativa de
0,73 grupos/ km² (0,283 - 1,645 grupos/ km²), a partir da largura efetiva de 19,47 m.
       Para a espécie Leontopithecus chrysomelas, o filtro de melhor ajuste utilizou as
distâncias classificadas em 4 intervalos iguais e truncadas em 25 m. O modelo Half normal
foi o que apresentou menor AIC (38,75), mas teve menor valor de Chi-p (0,852) quando
comparado ao modelo Hazard rate (0,944). Ambos resultaram em estimativas muito
próximas de densidade: o modelo Half normal encontrou 1,20 grupos/ km² (0,623 – 2,327
grupos/ km²) enquanto o modelo Hazard rate estimou 1,21 grupos/ km² (0,548 – 2,689
grupos/ km²). Dentre os dois, o modelo Half normal foi selecionado por apresentar os
menores valores de AIC, delta AIC e CV (0,32), fornecendo a menor amplitude de IC para
a estimativa de densidade (0,623 – 2,327 grupos/ km²).
       Comparando as estimativas globais das densidades calculadas pelo Distance
observa-se que a espécie encontrada em maior densidade na região sul da Bahia foi
Callithrix kuhlii (2,56 grupos/ km²), seguida de Leontopithecus chrysomelas (1,20
grupos/km²). Em terceiro lugar vem Cebus xanthosternos, com uma densidade global de
1,1 grupos/ km². Finalmente, a espécie de menor densidade foi Callicebus melanochir (0,73
grupos/ km²).




                                                                                        79
Figura 23. Função de detecção de Cebus xanthosternos gerada pelo Distance 5.0, modelo Uniform.
Avistamentos combinados das Serras das Lontras e Javi, REBIO Una, PESC e Reserva Ecológica
Michelin.




Figura 24. Função de detecção de Callithrix sp gerada pelo Distance 5.0, modelo Negative-
Exponential. Avistamentos combinados das Serras das Lontras e Javi, REBIO Una, PESC e Reserva
Ecológica Michelin.



                                                                                           80
Figura 25. Função de detecção de Callicebus melanochir gerada pelo Distance 5.0, modelo
Uniform. Avistamentos combinados das Serras das Lontras e Javi, REBIO Una e Reserva Ecológica
Michelin.




Figura 26. Função de detecção de Leontopithecus chrysomelas gerada pelo Distance 5.0, modelo
Half-normal. Avistamentos combinados das Serras das Lontras e Javi e REBIO Una.



                                                                                          81
5.3.2.b Comparação entre os métodos para estimar densidades


   Apesar da variação encontrada entre métodos nas estimativas de densidade (Tabela 9) é
possível observar que, em geral, os valores obtidos para cada espécie em todas as áreas
encontram-se dentro do intervalo de confiança das estimativas fornecidas pelo Distance. As
exceções são as estimativas globais de Cebus xanthosternos pelos métodos de distância
média (1,72 grupos/km²) e máxima (0,56 grupos/km²), que fogem aos limites de confiança
encontrados pelo programa (0,75 – 1,62 grupos/km²); as estimativas de densidade
encontradas pelo método da distância máxima para Callithrix sp. nas Serras das Lontras e
Javi (1,12 grupos/km²), na Reserva Ecológica Michelin (1,08 grupos/km²) e a estimativa
global (0,83 grupos/km²), menores que os limites inferiores dos intervalos de confiança
encontrados pelo Distance (1,23 grupos/km², 1,43 grupos/km² e 1,48 grupos/km²,
respectivamente); e as estimativas por distância máxima para Leontopithecus chrysomelas
na REBIO Una (0,76 grupos/km²) e global (0,53 grupos/km²), menores que os limites
inferiores dos ICs encontrados pelo Distance (0,92 grupos/km² e 0,62 grupos/km²,
respectivamente).
   Comparando os quatro métodos, observa-se que as estimativas fornecidas pelo
programa Distance     são, em geral, menores que as fornecidas pela distância média e
maiores do que as fornecidas pelas distâncias de queda e máxima. Isso se explica pelo fato
de que a meia largura efetivamente amostrada (ESW) estimada pelo programa é, de modo
geral, maior que as distâncias estimadas pelo método das distâncias médias e menor que as
estimadas pelos métodos de distância máxima e de queda. As exceções a essa regra
ocorrem apenas com as estimativas feitas a partir dos menores tamanhos amostrais (Cebus
no PESC, n = 8; Callithrix kuhlii na REBIO, n = 5; Callicebus nas Serras das Lontras e
Javi, n = 3, e na REBIO, n = 3).




                                                                                       82
Tabela 9. Comparação entre estimativas de densidade (DS) geradas para Cebus xanthosternos,
 Callithrix sp., Callicebus melanochir e Leontopithecus chrysomelas, pelos métodos da distância
 média, distância máxima, distância de queda (DQ) e pelo programa Distance 5.0.
Espécie          Área        n      L (km)       DS            DS         DS DQ          DS Distance
                                              DPmédia DPmáxima
Cebus            Lontras     16       223.3     1.71          0.65          1.06        1.28 (0.57-2.89)
                 Rebio       15         284     2.11          0.78          0.85        1.00(0.45-2.22)
                 PESC        8      228.25      1.42           0.6          0.97        0.67(0.24-1.85)
                 Michelin    21         247     2.01          0.85          1.12        1.46(0.61-3.53)
                 Total*      60     982.55      1.72          0.56          0.86        1.10(0.75-1.62)
Callithrix       Lontras     15       223.3     3.54          1.12          1.92        3.33 (1.23-9.02)
                 Rebio       5          284     1.02          0.29          1.32        0.87(0.30-2.53)
                 PESC        13     228.25      3.22          1.29          2.74        2.82(0.82-9.78)
                 Michelin    16         247     4.45          1.08          2.47        3.21(1.43-7.24)
                 Total*      49     982.55      2.93          0.83      1.7;1.4;1.15 2.56(1.48-4.44)
Callicebus       Lontras     3        223.3     0.62          0.43            -          0.35(0.03-3.62)
                 Rebio       3          284     0.72          0.33            -          0.27(0.03-2.78)
                 Michelin    16         247     2.17          0.95          1.13         1.56(0.47-5.14)
                 Total*      22       754.3     1.09          0.43           0.6         0.73(0.28-1.86)
Leontopithecus   Lontras     3        223.3     0.71          0.45            -         0.55(0.11-2.68)
                 Rebio       14         284     2.59          0.76          1.62        1.86(0.92-3.78)
                 Total*      17       507.3     1.76          0.53          0.97        1.20(0.62-2.33)
 *(Estimativas totais obtidas a partir da soma dos avistamentos das áreas de estudo).




     Para verificar se existem diferenças significativas entre as estimativas de densidade
 fornecidas pelos diferentes métodos, foi utilizado o teste não-paramétrico de Wilcoxon
 (CARO, 1999), comparando pares de métodos. Foram excluídas da análise as densidades
 que não puderam ser estimadas pelos quatro métodos (Callicebus e Leontopithecus nas
 Serras das Lontras e Javi e Callicebus na Rebio Una). Considerando para o teste um nível
 de decisão α = 0,01, as estimativas fornecidas pelo método das distâncias médias diferiram
 significativamente daquelas obtidas pelos métodos da distância máxima e Distance (Z = -
 3,2958; p = 0,0010), bem como pelo método da distância de queda (Z = -3,2330; p =


                                                                                                   83
0,0012). A comparação entre o método de distância máxima e os métodos de distância de
queda e Distance também revela estimativas de densidade significativamente diferentes (Z
= -3,2958; p = 0,0010). A única análise que não apresentou diferenças significativas entre
as densidades estimadas foi entre os métodos da distância de queda (DQ) e Distance (Z = -
2,103 e p = 0,035).
    Assim como o Distance, os métodos de Distância Média e Distância de Queda
encontraram as maiores estimativas globais de densidade para o gênero Callithrix, seguidas
das espécies Leontopithecus chrysomelas, Cebus xanthosternos e, por último, Callicebus
melanochir. A única exceção nesse ranking de densidades globais foi obtida pelo método
das Distâncias Máximas, que estimou uma densidade maior para Cebus xanthosternos (0,56
grupos/km²) do que para Leontopithecus chrysomelas (0,53 grupos/km²).




6. DISCUSSÃO

6.1 Avistamentos de primatas nas Serras das Lontras e Javi


    O pequeno número de avistamentos obtido nas Serras das Lontras e Javi,
principalmente no que diz respeito a Callicebus melanochir e Leontopithecus chrysomelas,
limita a discussão sobre possíveis preferências de habitats entre as diferentes espécies, mas
ainda permite fazer observações descritivas. Callithrix kuhlii e Cebus xanthosternos foram
encontradas em todos os tipos florestais amostrados nas Serras das Lontras e Javi (com
exceção das Florestas em Regeneração, em que não houve avistamentos), atestando sua
grande flexibilidade ecológica (RYLANDS, 1989; RABOY et al. 2008; FLESHER, em
preparação). A maior parte dos avistamentos de Cebus xantosternos foi realizado em
Florestas Maduras (n = 9), havendo apenas um encontro em Floresta em Maturação,
enquanto foi justamente neste tipo florestal que Callithrix kuhlii foi encontrado o maior
número de vezes (n = 6). Os avistamentos de Callithrix kuhlii foram melhor distribuídos
entre os tipos florestais do que os de Cebus xanthosternos, o que pode indicar maior
preferência desta última às Florestas Maduras quando comparada à primeira. Novamente,
no entanto, o pequeno tamanho amostral impede maiores inferências sobre preferências de
habitat.


                                                                                          84
Os três avistamentos de Callicebus melanochir foram na Floresta em Maturação do
transecto Bem-te-vi e, possivelmente, correspondem ao mesmo grupo avistado em
diferentes ocasiões. Esse transecto apresenta as menores proporções de Florestas Maduras e
maiores proporções de Floresta em diferentes estágios de regeneração (em Maturação e
Jovem), estando localizado na borda oeste das Serras das Lontras, portanto, em menores
altitudes e mais próximo a áreas degradadas do que os demais transectos. Os avistamentos
foram sempre próximos à entrada do transecto, ao lado de uma área de transição entre
florestas em regeneração e cabrucas (ambas não amostradas no transecto). Apesar de só
haver sido encontrado nesse transecto, o fato de também haver um mosaico de Florestas
Maduras e em diversos níveis de regeneração nos demais transectos, somado à dificuldade
de visualização da espécie em vista de seu comportamento críptico, torna impossível
afirmar que C. melanochir não ocorra nas demais localidades das Serras das Lontras e Javi.
   Leontopithecus chrysomelas foi encontrado apenas nas Florestas Maduras do transecto
Catarina e na Floresta Jovem do transecto Lontras2. Os avistamentos de L. chrysomelas na
trilha Catarina confirmam sua existência nas Florestas Maduras e em altitudes elevadas das
Serras (acima de 600m). A Floresta Jovem do transecto Lontras2 onde a espécie foi
avistada encontra-se circundada por um mosaico de vegetação em diferentes estágios de
regeneração e próxima a uma antiga plantação de pupunha. Dada a preferência (e possível
dependência) da espécie por Florestas Maduras e o argumento de que está sendo forçada a
utilizar habitats secundários graças à destruição florestal (RYLANDS, 1996), é interessante
que a espécie tenha sido observada em habitats degradados em uma região onde existem
ainda grandes áreas de Florestas Maduras. É possível que o grupo utilize a área como
passagem entre florestas em melhor estado de conservação, mas os habitats degradados
também podem ser parte de sua área de vida, visto que a elevada heterogeneidade de
habitats pode oferecer mais recursos do que áreas de vida com apenas um tipo florestal
(RABOY et al., 2004).
       Com relação ao tamanho dos grupos avistados existe pouco a ser discutido já que
dificilmente os grupos eram vistos por tempo suficiente para que todo o grupo fosse
contabilizado e acredita-se que as contagens de indivíduos não sejam confiáveis a menos
que os grupos sejam acompanhados por longos períodos de tempo (DEFLER e PINTOR,
1985). O que ocorreu com mais freqüência nas Serras das Lontras e Javi foi a visualização



                                                                                        85
rápida de apenas dois ou três indivíduos, embora fosse possível detectar a presença de mais
idivíduos por movimentos na vegetação e vocalizações, o que leva à conclusão de que os
tamanhos de grupos registrados neste estudo não representam os tamanhos reais dos grupos
presentes na área. Dessa forma, os dados de tamanho de grupo não foram utilizados para
gerar estimativas do tamanho populacional total de cada espécie.



6.2 Abundâncias Relativas


       Utilizando apenas os registros por avistamentos, a abundância relativa das espécies
em termos de grupos/10km variou entre as áreas de estudo, mas de modo geral, Cebus
xanthosternos foi a espécie encontrada em maiores abundâncias. É possível que o maior
número de encontros visuais com grupos de Cebus xanthosternos durante o percurso nos
transectos não represente uma maior abundância da espécie, mas seja reflexo do
comportamento mais conspícuo e do maior tamanho de grupo característicos do gênero
Cebus, quando comparado aos Calitriquídeos e Callicebus (DEFLER e PINTOR, 1985;
WHITESIDES et al., 1988; KINZEY, 1981). No entanto, admitindo que a detectabilidade
de cada espécie se mantenha relativamente constante entre as áreas de estudo, observa-se
que Cebus xanthosternos deve encontrar melhores condições ecológicas (e, possivelmente,
menor pressão de caça) na Reserva Ecológica Michelin e nas Serras das Lontras e Javi,
onde foram registradas as maiores abundâncias relativas para a espécie. A REBIO Una
apresenta-se como a terceira melhor área para a espécie em termos de números de grupos
encontrados por 10 km percorridos, enquanto o PESC representa, possivelmente, a área que
suporta menos grupos da espécie e/ou a área onde existe mais caça predatória.
       O gênero Callithrix aparece em segundo lugar em termos de abundâncias relativas
(com exceção da área do PESC, onde Callithrix kuhlii é mais abundante que Cebus
xanthosternos), o que também poderia ser creditado ao seu comportamento conspícuo. O
sucesso desses animais em explorar tanto áreas de floresta madura quanto áreas degradadas,
principalmente pela capacidade de utilização de exudados disponíveis ao longo de todo o
ano (RABOY et al., 2008), provavelmente é o fator mais determinante para que a espécie
seja encontrada em abundâncias maiores que L. chrysomelas e C. melanochir. A
abundância relativa extremamente baixa encontrada na REBIO Una possivelmente se deve


                                                                                        86
à maturidade dos fragmentos em que foram localizadas as transecções lineares. É provável
que a qualidade e a extensão das Florestas Maduras amostradas na REBIO signifiquem uma
menor disponibilidade de recursos para os grupos de Callithrix kuhlii comparado a outras
áreas onde existem Florestas secundárias mais próximas às transecções ou sendo
efetivamente amostradas.
       As abundâncias relativas menores de Callicebus melanochir nas Serras das Lontras
e Javi e na REBIO poderiam ser explicadas pelo comportamento críptico da espécie, que
costuma paralisar os movimentos e evitar a vocalização quando detecta a presença humana,
comportamento também observado para outras espécies do gênero (DEFLER e PINTOR,
1985; PINTO et al., 1993; PRICE et al., 2002). No entanto, a elevada abundância da
espécie na Reserva Ecológica Michelin, inclusive idêntica à abundância relativa encontrada
para o gênero Callithrix nessa área pode indicar que, de fato, as estimativas representam a
proporção populacional real de cada espécie nas diferentes áreas. Apesar de não estar
completamente livre dos caçadores da região, a caça não deve ser o principal fator por trás
da variação nas abundâncias de Callicebus melanochir (FLESHER, comunicação pessoal).
É provável que diferenças na disponibilidade de recursos alimentares para a espécie sejam
determinantes para que ocorra em abundâncias cinco vezes superiores na Reserva
Ecológica Michelin quando comparada às Serras das Lontras e Javi e à REBIO Una.
        As abundâncias relativas encontradas no presente estudo podem ser comparadas às
estimadas por Flesher (2006) na Reserva Ecológica Michelin e em fragmentos da região de
Ituberá, Bahia (Tabela 10). Ao utilizar apenas os fragmentos em que as espécies foram
avistadas, é possível calcular abundâncias relativas médias para cada uma delas a partir dos
dados da tabela. Cosiderando os dois fragmentos em que Cebus xanthosternos foi
encontrado (Pacangê e Karin/Guadalupe), a espécie teria uma abundância de 0,60
grupos/10km. No entanto, a abundância aumenta para 0,98 grupos/10km quando
considerado apenas o fragmento dentro da Reserva Ecológica Michelin, valor bastante
próximo à estimativa de 0,85 grupos/10km encontrada pelo presente estudo para Cebus
xanthosternos na mesma Reserva.




                                                                                         87
Tabela 10. Resumo das abundâncias relativas de Cebus xanthosternos, Callicebus melanochir e
 Callithrix sp. encontradas por FLESHER (2006) na Reserva Ecológica Michelin (REM) e outros
 fragmentos florestais da região de Ituberá (BA) através de censos diurnos.
Área de estudo          Área de Censo            Esforço       Cebus        Callicebus    Callithrix
                                                  (km)     xanthosternos melanochir*            sp.
REM                     600 ha                    73.2           0             1.37             2.87
(Vila 5 e Pancada
Grande)
REM (Pacangê)           500 ha                    40.7          0.98           0.25             0.49
                        (fragm. de 13000 ha)
REM (Luís Inácio)       120 ha                    18.5           0             1.08             1.08
Bom Sossego             280 ha                    23.5           0               0              1.28
                        (fragm. de 580 ha)
Karin/Guadalupe         500 ha                     43           0.23           0.23             0.47
                        (fragm. de 13000 ha)
Piauí                   100 ha                     20            0             0.50             0.50
                        (fragm. de 400 ha)
Ondulada                100 ha                    25.2           0               0              0.40
                        (fragm. de 13000 ha)
 * Os dados para Callicebus melanochir são de avistamentos, não de vocalizações (long-calls).



    A abundância relativa média para Callicebus melanochir seria de aproximadamente
 0,77 grupos/10km considerando todos os fragmentos em que a espécie foi encontrada, e de
 0,99 grupos/10km tomando-se apenas os fragmentos no interior da Reserva Ecológica
 Michelin. Já os cálculos para Callithrix sp. na região de Ituberá estimam uma abundância
 relativa de aproximadamente 1,31 grupos/10km. Considerando apenas os três fragmentos
 dentro da Reserva Ecológica Michelin, a estimativa aumenta para 1,89 grupos/10km. Todas
 as estimativas derivadas do estudo de FLESHER são superiores às abundâncias relativas
 encontradas no presente estudo para Callicebus melanochir e Callithrix sp. na Reserva
 (0,65 grupos/10km), o que provavelmente não representa diferenças reais, mas revela erros
 de amostragem,.indicando que muitos grupos das duas espécies passaram despercebidos ao
 longo dos censos realizados pelos pesquisadores do IESB.


                                                                                                  88
6.3 Estimativas de densidade


    De forma geral, o número de avistamentos para cada espécie nas diferentes áreas de
estudo foi pequeno (n < 30), o que limita a confiabilidade das estimativas de densidade pelo
método de transecções lineares. Mesmo assim, é possível analisar os dados
comparativamente, retirando daí inúmeras informações sobre as populações de primatas
remanescentes nos fragmentos florestais das quatro áreas. O aumento do tamanho amostral
conferido pela utilização dos avistamentos combinados (soma dos avistamentos de uma
espécie em todas as áreas de estudo) eleva a confiabilidade das estimativas de densidade,
mas é necessário assumir que possíveis diferenças ambientais e entre as populações das
diferentes áreas de estudo não são suficientes para afetar a detectabilidade das espécies
(ANOVA não significativa entre as distâncias perpendiculares de avistamento).




6.3.1 Comparação entre métodos


    Uma vez que as observações usadas para estimar densidades são as mesmas e visto que
as diferentes áreas de estudo foram amostradas repetidamente, as fontes de variação nos
resultados decorrem dos métodos analíticos utilizados (WHITESIDES et al., 1988).
Primeiramente, a variação encontrada entre as estimativas de densidade refletem as
diferenças nas larguras efetivas encontradas por cada método. De forma geral, as
estimativas de largura efetiva encontradas pelo método da distância máxima tendem a
subestimar as densidades por utilizarem avistamentos muito distantes do transecto, que
geralmente correspondem a eventos fora do comum (outliers) (NRC, 1981; WHITESIDES
et al., 1988).
    As distâncias médias, por sua vez, tendem a sofrer maior viés em função do
comportamento das espécies (mais ou menos conspícuas) ou de seus tamanhos de grupos.
Considerando que o tamanho do grupo influencia no seu espalhamento e que existem
maiores probabilidades de se detectar os indivíduos mais próximos do transecto, é provável
que quanto maior o grupo, mais espalhado ele esteja e, portanto, mais subestimadas serão
as distâncias de avistamento encontradas para a espécie que apresente essa característica



                                                                                         89
(ANDERSON et al., 1979; WHITESIDES et al., 1988). No presente estudo, as espécies
Cebus xanthosternos e Callithrix kuhlii apresentaram as maiores diferenças entre as
estimativas de densidade de grupos geradas pelo método da distância média e os demais
(Tabela 9). A explicação para tal diferença pode estar no maior tamanho (e espalhamento)
de grupo de Cebus xanthosternos, que acaba puxando as distâncias de avistamento para
valores menores; e no comportamento mais conspícuo de Callithrix kuhlii, que costuma
vocalizar e mesmo se aproximar em resposta à presença dos observadores, aumentando a
frequência de detecção a distâncias mais curtas.
   Quando comparado aos métodos das distâncias médias e máximas, o método das
distâncias de queda provavelmente fornece estimativas mais confiáveis de densidade para
todas as espécies (DEFLER e PINTOR, 1985; WHITESIDES et al., 1987) porque utiliza a
inspeção dos histogramas de freqüências de distâncias perpendiculares de avistamento. De
certo modo, esse método parece mais razoável que os anteriores na medida em que
considera como (meia) largura efetiva uma distância a partir da qual a probabilidade de
avistar determinada espécie cai consideravelmente (50 %). No entanto, o método ainda é
mais simplório que o programa Distance no que diz respeito a considerar a probabilidade de
detecção de uma espécie no cálculo de sua densidade e, portanto, é provável que suas
estimativas estejam mais distantes do valor real quando comparadas às estimativas geradas
pelo programa. De qualquer modo, de acordo com o teste de Wilcoxon, as estimativas de
densidade obtidas pelas distâncias de queda não diferem significativamente das densidades
estimadas pelo Distance 5.0.
   Uma vantagem de utilizar o programa Distance 5.0 para gerar estimativas de densidade
de espécies que vivem em habitats florestais, em que muitas vezes a visibilidade é reduzida,
é o fato de que o programa considera a proporção de avistamentos perdidos no cálculo de
densidade da população de interesse (CULLEN JR e RUDRAN, 2003). A análise das
abundâncias relativas encontradas no presente trabalho constatou que alguns grupos das
quatro espécies de primatas não foram avistados, apesar de detectados por vocalizações,
durante os percursos nas transecções lineares (Tabelas 5 e 6), o que fortalece a necessidade
de considerar os avistamentos perdidos nos cálculos de densidade.
   A variação na detectabilidade das espécies, derivada de diferenças em características
intrínsecas como tamanho de grupo e comportamento, também pode inserir erros nas



                                                                                         90
estimativas de densidade. O programa Distance considera uma medida da probabilidade de
deteção de cada espécie, utilizando-a como fator de correção nas estimativas de densidade,
de forma que suas estimativas provavelmente representam uma medida mais confiável de
comparação entre as abundâncias das diferentes espécies de primatas encontradas no
presente estudo. É valido observar também que os intervalos de confiança fornecidos pelo
programa para as estimativas de densidade das quatro espécies incluem a maior parte das
estimativas geradas pelos demais métodos, o que indica que embora exista variação nos
resultados, essa variação encontra-se dentro da esperada pelas estimativas mais confiáveis
de densidade.




6.3.2 Comparação de densidades entre áreas e com outros estudos no sul da Bahia


   Existem poucos trabalhos publicados sobre estimativas populacionais dos primatas do
sul da Bahia, todos restritos a uma área de estudo em particular na região de Una – REBIO
Una ou Estação Experimental Lemos Maia (RYLANDS, 1989; DIETZ, 1994, 1996;
HEIDUCK, 2002; CARDOSO, 2008). Os resultados do presente estudo permitem
comparar estimativas populacionais dos primatas do sul da Bahia em quatro áreas (Tabela
9) e traçar um perfil do estado de suas populações em caráter local e regional. A
comparação das densidades estimadas no presente estudo com as estimativas de densidade
encontradas na literatura (Tabela 11), principalmente aquelas derivadas de estudos sobre a
área de vida de grupos focais, indicam a validade das estimativas fornecidas pelo programa
Distance 5.0.




                                                                                       91
Tabela 11. Comparação entre estimativas de densidade reportadas na literatura e geradas no
presente estudo pelo Programa Distance 5.0 para Cebus xanthosternos, Callithrix kuhlii, Callicebus
melanochir e Leontopithecus chrysomelas no sul da Bahia.




* Calculadas a partir das densidades em indivíduos/ km² e tamanhos médios de grupo; ¹ Densidade estimada a
partir da área de vida de um grupo focal; ² Densidade média estimada a partir da área de vida seis grupos;
³ Estação Experimental Lemos Maia – CEPEC/CEPLAC; ° Considerando apenas fragmentos acima de 75 ha;




    Uma possível limitação à abordagem que compara desidades de primatas entre áreas de
estudo está no fato de que assume um grau de uniformidade do habitat e de densidades das
espécies dentro de cada área (ROVERO e STRUHSAKER, 2007). Contudo, nos casos em
que a heterogeneidade de habitats é pronunciada, como em áreas montanhosas ou altamente



                                                                                                       92
perturbadas, muitas vezes é difícil garantir relativa uniformidade de habitats ao longo de
transectos de 2 km de extensão (ROVERO et al., 2006). Na ausência de estudos
fitossociológicos que atestem quantitativamente as diferenças entre as áreas de estudo, o
presente trabalho as considera semelhantes quanto à heterogeneidade de habitats florestais
que apresentam.
   Um dos fatores mais marcantes observado nas Serras das Lontras e Javi foi a elevada
heterogeneidade ambiental, mas é provável que essa característica, por si só, não as
diferencie das demais áreas de estudo. Pelo contrário, os fragmentos florestais que
compõem a REBIO Una, o PESC e a Reserva Ecológica Michelin são também altamente
heterogêneos, apresentando-se como verdadeiros mosaicos de tipos florestais em diferentes
estágios de regeneração. No entanto, é provável que a composição florística dos diferentes
tipos florestais encontrados nas quatro áreas seja diferente, principalmente em função de
seus históricos de exploração (ROVERO e STRUHSAKER, 2007), o que pode ter grande
influência na sua capacidade de suportar primatas (RYLANDS et al,1993) e, portanto, nas
densidades populacionais das diferentes espécies em cada área (ROBINSON e REDFORD,
1986).
   O corte seletivo, por exemplo, pode ter efeitos diferentes sobre as diversas espécies de
primatas, havendo aquelas que declinam após a extração florestal, outras que persistem e
mesmo as que se beneficiam por alterações provocadas na composição florística dos
fragmentos florestais (ZUNINO et al., 2007). Inúmeros outros fatores ambientais
associados ao corte seletivo podem influenciar a abundância de primatas, como a abertura
de clareiras que reduzem a conectividade das copas aumentando o gasto energético do
deslocamento e o aumento da intensidade de caça que geralmente acompanha a atividade
de extração madeireira (BENNET e ROBINSON, 2000). Em última instância, no entanto,
os declínios populacionais associados ao corte seletivo são provavelmente causados pela
redução na disponibilidade de recursos alimentares (CHAPMAN et al.,2000; WORMAN e
CHAPMAN, 2006). Apesar de seus históricos de exploração intensiva de madeira, a
REBIO Una e a Reserva Ecológica Michelin possivelmente tiveram maior redução nos
impactos da atividade após a implantação dos respectivos sistemas de fiscalização do que a
região do PESC, que teve áreas intensamente exploradas até recentemente (MARTINELLI
et al, 2007). Apesar de não constituirem áreas legalmente protegidas, as Serras das Lontras



                                                                                        93
e Javi são, provavelmente, menos afetadas pela exploração madeireira graças às
dificuldades impostas pelo relevo.
   A região do PESC pode haver sofrido maiores perdas na capacidade suporte pela
intensa retirada de árvores frutíferas que constituíam recursos alimentares, provocando uma
redução na densidade dos primatas remanescentes. Esse fator poderia estar relacionado às
menores abundâncias relativas e densidades de Cebus xanthosternos nessa área quando
comparadas às Serras das Lontras e Javi, à Reserva Ecológica Michelin e à REBIO Una.
Callithrix kuhlii também teve menores densidades no PESC do que nas Serras das Lontras
e Javi e na Reserva Ecológica Michelin (Callithrix sp.), mas a diferença entre as estimativas
é relativamente pequena e, tendo em vista a enorme capacidade do gênero em explorar
habitats degradados, dificilmente poderia ser explicada por uma redução na disponibilidade
de recursos pelo corte seletivo.
   Por sua vez, a REBIO Una apresentou densidades de Cebus xanthosternos inferiores às
encontradas nas Serras das Lontras e Javi e na Reserva Ecológica Michelin, sugerindo que
sua capacidade suporte para a espécie é menor. Um estudo de longo prazo na REBIO Una
estimou área de vida de 969 a 1000 ha para um grupo focal de Cebus xanthosternos
(SUSCKE, 2009). A enorme área de vida do grupo pode ser reflexo da menor
disponibilidade ou da distribuição esparsa dos recursos alimentares, principalmente frutos,
na REBIO Una, quando comparada a outras áreas de Mata Atlântica. Se for considerado
que não existe sobreposição de territórios entre os grupos, a densidade estimada a partir da
área de vida na REBIO Una equivale a 0,1 grupos/km² (Tabela 11), bastante inferior a todas
as estimativas para a espécie no presente estudo (Tabela 9). No entanto, já foi observado
outro grupo de Cebus xanthosternos dentro da área de vida do grupo focal na REBIO Una
(KIERULFF, comunicação pessoal), o que significa que as densidades da espécie na
reserva devem ser maiores do que a estimativa derivada da área de vida. As estimativas do
Distance para a espécie na REBIO (1,00 grupos/km²; IC: 0,57 – 2,89 grupos/km²) estão
mais próximas às encontradas por Rylands na região de Una (0,73 grupos/km²) (PINTO et
al., 1993), mas poderiam estar superestimadas devido ao comportamento conspícuo da
espécie que facilita sua visualização na floresta.
   A REBIO Una pode representar uma área de recursos limitados também para Callithrix
kuhlii, o que explicaria as estimativas de densidade bastante inferiores às encontradas nas



                                                                                          94
outras três áreas de estudo (Tabela 9). Raboy et al. (2008) encontraram maiores áreas de
vida (33,7 a 58,3 ha), maior deslocamento diário, maiores distâncias percorridas entre
árvores frutíferas, de gomas ou de nectar e maior diversidade de frutas consumidas por
Callithrix kuhlii na REBIO Una, em comparação a outras espécies do gênero. Os autores
sugeriram que os recursos tróficos para C. kuhlii na reserva são amplamente distribuidos e
potencialmente limitados e que a espécie utiliza uma estratégia mais generalista que a
maioria dos saguis do sudeste brasileiro para maximizar sua eficiência de forrageio. As
densidades derivadas das áreas de vida encontradas por Raboy et al. (2008) (2,57
grupos/km², n = 6 grupos; 1,72 – 2,97 grupos/km², n = 1 grupo focal) são muito
semelhantes à estimativa de densidade para Callithrix sp no sul da Bahia (2,56 grupos/km²;
IC: 1,48 – 4,44 grupos/km²) e ligeiramente inferiores às estimativas encontradas para C.
kuhlii nas Serras das Lontras e Javi (3,33 grupos/km²), Callithrix sp. na Reserva Ecológica
Michelin (3,21 grupos/km²) e C. kuhlii no PESC (2,82 grupos/km²).
   O número reduzido de avistamentos de C. kuhlii através dos transectos lineares na
REBIO Una (n = 5) gerou estimativas de densidade muito inferiores às encontradas a partir
das áreas de vida. Considerando válida a densidade derivada do estudo de Raboy et al
(2008) (Tabela 11), as populações de Callithrix parecem ter abundância semelhante ao
longo do sul da Bahia, o que pode ser um reflexo da elevada flexibilidade ecológica que
lhes confere sucesso principalmente em áreas de vegetação secundária (RABOY et al.,
2008). Em um estudo de três meses conduzido na Estação Experimental Lemos Maia,
próximo à REBIO Una, Rylands (1989) encontrou áreas de vida de 10 a 13 ha para C.
kuhlii, estimando uma densidade de 7,7 a 10 grupos/km² e, através de censos em 3,5 km de
transectos na mesma área de estudo, uma densidade de 8,7 a 9,7 grupos/km² (Tabela 11).
Ambas são comparáveis aos extremos supriores dos ICs encontrados para as estimativas de
densidade da espécie nas Serras das Lontras e Javi (9,02 grupos/km²) e na região do PESC
(9,78 grupos/km²). As densidades mais elevadas podem derivar de variações nos métodos
utilizados ou de uma menor disponibilidade de recursos para a espécie na REBIO Una
comparada à Estação Experimental Lemos Maia.
   Leontopithecus chrysomelas foi encontrado nas Serras das Lontras e Javi em densidades
(0,55 grupos/km²; IC: 0,11 – 2,68 grupos/km²) cerca de três vezes inferiores às estimadas
para a REBIO Una (1,86 grupos/km²; IC: 0,92 – 3,78 grupos/km²). O pequeno número de



                                                                                        95
avistamentos nas Serras compromete a confiabilidade da estimativa de densidade, mas
também é um indício de que a espécie pode estar presente na região em baixas abundâncias.
As estimativas médias das duas áreas inserem-se no intervalo das densidades encontradas
por Rylands (1989) na Estação Experimental Lemos Maia (0,9 – 3,0 grupos/km²), havendo
enorme conformidade entre este e o intervalo de confiança encontrado para a espécie na
REBIO Una (0.92 - 3.78 grupos/km²). A partir das estimativas de área de vida de grupos
focais obtidas em estudos de longo prazo por Dietz et al (1994, 1996) e Cardoso (2008), é
possível derivar densidades ligeiramente inferiores, mas inseridas no intervalo de confiança
encontrado pelo Distance para a reserva (Tabela 11). Essa concordância indica que, apesar
do pequeno número de avistamentos, o programa foi capaz de estimar densidades próximas
às reais para a REBIO, onde L. chrysomelas provavelmente é mais abundante quando
comparado às Serras das Lontras e Javi (Tabela 9). A densidade média estimada pelo
Distance para a espécie no sul da Bahia (1.20 grupos/km²; IC: 0.62-2.33 grupos/km²) é
exatamente igual à estimativa média encontrada por PINTO (1994a) na região (1,2
grupos/km²) (Tabela 11).
   É provável que existam diferenças ecológicas significativas na disponibilidade de
recursos para Leontopithecus entre as duas áreas, embora pareçam semelhantes com relação
à presença de ocos de árvores usados como dormitórios, encontrados principalmente em
Florestas Maduras, e à elevada abundância de bromélias (SILVEIRA et al, 2005) – recursos
considerados determinantes para a sobrevivência da espécie nos fragmentos florestais
(RYLANDS, 1989; RABOY et al, 2004). Considerando a predileção do gênero por
florestas de áreas baixas (RYLANDS et al., 1991-1992), as densidades reduzidas de L.
rosalia em florestas localizadas a 550 m de altitude e a ausência de registros da espécie
acima desse nível (KIERULFF e RYLANDS, 2003), é possível considerar que as elevadas
altitudes sejam o principal fator limitante para Leontopithecus chrysomelas nas Serras das
Lontras e Javi. Apesar da espécie haver sido encontrada acima de 600 metros no presente
estudo, é provável que não seja tão eficiente na utilização das florestas que ocorrem em
altitudes mais elevadas na região das Serras quando comparada ao calitriquídeo simpátrico
Callithrix kuhlii, presente em abundâncias superiores. A temperatura mais baixa e umidade
mais elevada das Florestas Montanas localizadas nos topos das Serras podem limitar a




                                                                                         96
ocorrência de Leontopithecus chrysomelas não apenas pelas condições físicas mas também
por diferenças nos recursos disponíveis.
       As densidades de Callicebus melanochir estimadas para as Serras das Lontras e Javi
e para a REBIO Una podem representar uma abundância reduzida da espécie nas duas
áreas, mas também podem estar subestimadas pela dificuldade de visualização em função
do comportamento críptico da espécie (DEFLER e PINTOR, 1985; PRICE et al., 2002).
Ainda assim, admitindo uma detectabilidade constante para a espécie entre as áreas de
estudo, os resultados indicam que a Reserva Ecológica Michelin suporta cinco vezes mais
grupos (1,56 grupos/km²) de Callicebus melanochir do que as Serras das Lontras e Javi
(0,35 grupos/km²) e a REBIO Una (0,27 grupos/km²). As estimativas para as três áreas são
bastante inferiores às encontradas para a espécie pelo estudo da área de vida de um grupo
focal na Estação Experimental Lemos Maia (4,54 grupos/km²) (HEIDUCK, 2002) (Tabela
11). A variação nas estimativas pode refletir diferenças reais nas densidades das diferentes
populações mas também pode derivar de diferenças no métodos utilizados entre os dois
estudos.
       Flesher (comunicação pessoal) afirma que na região de Ituberá a espécie é comum e
abundante em algumas florestas, especialmente as da Reserva Ecológica Michelin, mas rara
em outras. Uma possível explicação para as abundâncias irregulares de C.melanochir seria
que a espécie busca recursos preferenciais em determinados habitats. HEIDUCK (2002)
registrou uma utilização mais intensa de florestas maduras do que seria esperado pela
disponibilidade desse habitat na área de vida de um grupo focal de Callicebus melanochir,
indicando que a espécie pode preferir recursos encontrados nesse habitat. No entanto, a
espécie também se mostrou capaz de explorar florestas sujeitas a corte seletivo de madeira,
mesmo que com menor intensidade. No caso da região do PESC, apesar do corte seletivo
de madeira, a existência de um mosaico de habitats florestais em diferentes graus de
conservação seria propícia à presença de Callicebus melanochir. No entanto, a espécie não
foi registrada nessa área, o que pode advir da ocorrência em baixas abundâncias somada ao
comportamento críptico, ou pode significar que a espécie já não ocupa esses fragmentos.
       Outro fator que pode influenciar a abundância de primatas em fragmentos florestais
é a ocorrência de predadores de topo de cadeia alimentar (GONZALES-SÓLIS et al.,
1996). Acredita-se que ainda existam mesopredadores nas quatro áreas investigadas no sul



                                                                                          97
da Bahia, principalmente felinos, canídeos e aves de rapina, mas a ausência de estudos
impede o estabelecimento de uma relação entre sua presença e a abundância dos primatas.
Nas Serras das Lontras e Javi, um indivíduo de Eira barbara adulto foi avistado e foram
encontrados registros indiretos (arranhões nas árvores, pegadas e fezes) de felinos de médio
e grande porte nos transectos, provavelmente referentes a Puma yaguarondi, Puma
concolor e Leopardus sp., registrados para a região em entrevistas (MOURA, 2003) e
conversas com moradores locais (observação pessoal). Sua presença sugere que ainda
existe uma comunidade residente de predadores capaz de influenciar a abundância dos
primatas nessa região. SILVEIRA et al (2005) frequentemente registraram a presença de
grande raptores nas Serras das Lontras e Javi, inclusive um indivíduo de Harpia harpyia
carregando material para construção de ninho. Indivíduos de Eira barbara foram avistados
nos censos da REBIO Una (n = 1), da Reserva Ecológica Michelin (n = 6) e do PESC (n =
2), bem como Leopardus tigrinus (n = 1) e Leopardus wiedii (n = 1) nos transectos da
Reserva Ecológica Michelin. Indivíduos de Puma concolor e Puma yaguarondi, bem como
o raptor florestal, Leucopternis lacernulata, grande o suficiente para capturar primatas,
foram vistos fora dos transectos na Reserva Ecológica Michelin (FLESHER, comunicação
pessoal).
   Outra forma de predação a que os primatas estão sujeitos é a caça promovida por
humanos, que afeta principalmente as espécies de grande porte, podendo levar populações
ao declínio e até à extinção local (RAEZ-LUNA, 1995; PERES, 2001). Quando
consideradas a elevada flexibilidade ecológica das espécies do gênero Alouatta
(CROCKETT, 1998; ARROYO-RODRIGUES e MANDUJANO, 2006), a capacidade de
Brachyteles hypoxanthus em explorar tanto florestas maduras quanto florestas secundárias
(BRITTO e GRELLE, 2006) e a razoável extensão e qualidade dos fragmentos florestais
remanescentes no sul da Bahia, é plausível admitir que as populações de Alouatta guariba e
Brachyteles hypoxanthus tenham sido levadas à extinção local principalmente através da
caça predatória (MOURA, 2003).
   Cebus xanthosternos também parece sofrer com a caça predatória, a exemplo da região
de Ituberá, onde a espécie é ausente na maioria dos fragmentos desprotegidos, externos à
Reserva Ecológica Michelin (FLESHER, em preparação). Também é comum encontrar
indivíduos da espécie mantidos em cativeiro como animais de estimação em toda a sua área



                                                                                         98
de ocorrência (KIERULFF et al., 2005). Diante da elevada flexibilidade ecológica
característica do gênero, é bem provável que a caça, e não a falta de recursos alimentares,
seja o principal fator de ameaça às populações da espécie. As demais espécies,
Leontopithecus chrysomelas, Callithrix kuhlii e Callicebus melanochir provavelmente
sofrem menos com a caça de subsistência em vista de seus portes reduzidos, mas podem ter
suas abundâncias alteradas indiretamente por essa atividade em função dos impactos na
fauna de predadores (GONZALES-SOLIS, 1996). Por outro lado, podem ser vítimas de
caçadores que objetivam comercializá-las como animais de estimação, principalmente L.
chrysomelas e C. kuhlii (PINTO, 1994).
   Apesar da caça ser praticada nas quatro áreas estudadas, sua intensidade provavelmente
varia em função de fatores como a densidade populacional humana ao redor dos
fragmentos, o grau de fiscalização da área e a facilidade de acesso ao interior dos
fragmentos. O presente estudo não incluiu investigações sobre a intensidade de caça, mas
acredita-se que, atualmente, a Reserva Ecológica Michelin seja a área mais protegida graças
ao sistema de fiscalização implantado desde 2005. As duas áreas legalmente protegidas, a
Reserva Biológica de Una e o PESC, são alvos de caçadores clandestinos até hoje,
denunciando a ineficiência do Poder Público em fiscalizá-las, mas não há estudos que
permitam identificar os reais impactos às populações de primatas residentes. A região das
Serras das Lontras e Javi, desprovida de qualquer forma de proteção legal, também é vítima
da caça de subsistência (observação pessoal;      SILVEIRA et al, 2005), mas o relevo
montanhoso pode representar uma barreira a essa atividade na região.



6.3.3 Comparação das densidades para o sul da Bahia com outras áreas de Mata
Atlântica


   As densidades médias encontradas para as quatro espécies de primatas no presente
estudo podem ser comparadas às estimativas obtidas para espécies congenéricas em outras
regiões de Mata Atlântica (Tabela 12). A densidade média de C. xanthosternos no sul da
Bahia (1,10 grupos/km²; IC: 0,75 – 1,62 grupos/km²) é bastante próxima às densidades de
1,17 grupos/km² encontradas para Cebus nigritus no fragmento de Paranapiacaba, em São
Paulo (GONZALES-SOLIS et al., 2001) e de 1,6 grupos/km² na Reserva Biológica


                                                                                        99
Augusto Ruschi, no Espírito Santo (PINTO et al,1993). Também é possível derivar
densidades próximas a partir das estimativas de indivíduos/km² e do tamanho médio de
grupo encontrados por Chiarello e Melo (2001) para C. nigritus em outros fragmentos do
Espírito Santo (0,94 grupos/km² na Reserva Biológica de Córrego Grande; 1,6 grupos/km²
no fragmento Puriti; 1,65 grupos/km² na Reserva Biológica Córrego do Veado; 2,37
grupos/km² na Reserva Biológica de Sooretama). Por outro lado, no Parque Estadual
Intervales, em São Paulo, Cebus nigritus ocorre em abundância muito inferior (0,37
grupos/km²) à de Cebus xanthosternos no sul da Bahia (GONZALES-SOLIS et al,1996).
Os autores sugerem a presença de populações saudáveis de predadores, uma menor
capacidade suporte de florestas em áreas montanhosas comparadas às florestas de terras
baixas e menor capacidade suporte de florestas maduras em relação a florestas secundárias
para explicar as densidades reduzidas encontradas para as populações de primatas do
Parque. Tais fatores não fazem sentido quando comparados às populações de Cebus
xanthosternos, cujas maiores densidades no sul da Bahia ocorrem em áreas que ainda
suportam inúmeras espécies de meso-predadores e em áreas montanhosas (Reserva
Ecológica Michelin e Serras das Lontras e Javi).
   A estimativa de densidade média de Leontopithecus chrysomelas para o sul da Bahia
(1.20 grupos/km²; IC: 0.62-2.33 grupos/km²) é bastante semelhante à estimativa média para
L. rosalia no Rio de Janeiro (1,25 grupos/km²; 0,39 a 2,35 grupos/km²) encontrada por
Kierulff e Rylands (2003). As densidades menores estimadas para L. chrysopygus a partir
do cálculo da área de vida (0,73 grupos/km²; VALLADARES-PADUA, 1993) e pelo
programa Distance (0,7 grupos/km²; IC: 0,4 – 2,0 grupos/km² ; PARANHOS,2006), bem
como a densidade de 0,3 grupos/km² encontrada para L. caissara (LORINI e PERSSON,
1994) poderiam ser explicadas pelas áreas de vida relativamente maiores de seus grupos,
provavelmente um resultado de diferenças na abundância, distribuição e sazonalidade dos
recursos disponíveis nos fragmentos florestais (RYLANDS, 1993).




                                                                                     100
Tabela 12. Comparação das densidades encontradas para os primatas do sul da Bahia com
outros estudos na Mata Atlântica.




   A densidade média de 2,56 grupos/km² (IC: 1,48 – 4,44 grupos/km²) encontrada para
Callithrix no sul da Bahia é semelhante à densidade de 2,0 grupos/km² para Callithrix
flaviceps na Reserva Biológica Augusto Ruschi (PINTO et al., 1993). Diverge bastante, no
entanto, das estimativas de C. geoffroyi em diferentes áreas do Espítiro Santo (estimadas a
partir dos tamanhos médios de grupos e densidades em indíviduos /km²), sendo inferior às


                                                                                       101
encontradas na Reserva Biológica Córrego do Veado (3,7 grupos/km²), na Reserva
Biológica de Sooretama (6,4 grupos/km²) e na Reserva Florestal de Linhares (7,56
grupos/km²); e superior às encontradas para a Reserva Biológica Córrego Grande (0,52
grupos/km²) e para o fragmento Puriti (0,76 grupos/km²) (CHIARELLO e MELLO, 2001).
Outros autores encontraram densidades menores para C. geoffroyi na Reserva Florestal de
Linhares (2,2 grupos/km²), mais próximas às de Callithrix no sul da Bahia (PRICE et al.,
2001).
   A espécie Callicebus melanochir apresenta densidades médias no sul da Bahia (0,73
grupos/km²; IC: 0,28 – 1,86 grupos/km²) inferiores às encontradas para Callicebus
personatus em diferentes fragmentos do Espírito Santo: Reserva Biológica Augusto Ruschi
(1,4 grupos/km²; PINTO et al., 1993); fragmento Puriti (1,6 grupos/km²), Reserva Florestal
de Linhares (1,93 grupos/km²) e Reserva Biológica de Sooretama (2,4 grupos/km²)
(CHIARELLO e MELLO, 2001). Price et al (2001), encontraram grande variação nas
estimativas de densidade para C. personatus na Reserva Florestal de Linhares (ES) usando
transectos lineares (3,7 grupos/km²) e áreas de vida (10 grupos/km²), concluindo que a
espécie não é corretamente detectada nos censos, o que resulta em densidades
subestimadas.




6.4 Considerações para a conservação das Serras das Lontras e Javi


         Os resultados do presente estudo indicam que as Serras das Lontras e Javi, apesar de
não serem protegidas de nenhuma forma, representam um reduto florestal de Mata
Atlântica capaz de suportar populações de primatas em abundâncias similares ou maiores
que outras três áreas protegidas do sul da Bahia. Além das populações de Cebus
xanthosternos, Callicebus melanochir, Callithrix kuhlii e Leontopithecus chrysomelas, as
Serras das Lontras e Javi abrigam inúmeras outras espécies de mamíferos, inclusive
predadores de médio e grande porte, atestando sua relevância ecológica e capacidade de
suportar espécies com exigências energéticas elevadas. A extensão e o grau de
conectividade entre os fragmentos florestais da região, bem como as dificuldades de acesso
ao interior dos fragmentos resultantes do relevo montanhoso, parecem ser os principais



                                                                                         102
fatores concorrendo para a conservação das Serras das Lontras e Javi. No entanto, a
transformação que a economia da região atravessa, com o avanço de monoculturas
agrícolas em seu entorno, pode significar uma rápida alteração da paisagem e da
intensidade de exploração dos recursos madeireiros e da caça.
       A substituição das cabrucas por cultivos não-agroflorestais pode ser particularmente
impactante para as populações de primatas que se beneficiam desses habitats como áreas de
transição entre Florestas Maduras ou como fontes de recursos alimentares. Dentre as quatro
espécies encontradas nas Serras das Lontras e Javi, três foram vistas utilizando cabrucas
adjacentes às matas: Cebus xanthosternos, Callithrix kuhlii e Leontopithecus chrysomelas.
Sabe-se que os macacos-pregos são capazes de explorar os frutos de cacau e outros
recursos, como bananas, que encontram no interior das cabrucas (OLIVEIRA e FIALHO,
2007; SUSCKE, comunicação pessoal). Em algumas ocasiões, foi possível visualizar
grupos de L. chrysomelas forrageando em bromélias encontradas nas árvores nativas de
cabrucas adjacentes às matas. Durante os avistamentos de Callithrix kuhlii nas cabrucas das
Serras das Lontras e Javi, não foram observados indivíduos se alimentando. Contudo, as
cabrucas podem constituir grande parte da área de vida dos grupos da espécie (RABOY et
al., 2008), indicando que também são fontes de recursos alimentares para esse animais.
       A presença de Florestas Montanas nas altitudes mais elevadas das Serras das
Lontras e Javi também justifica a prioridade de conservação da região. O estado de
conservação da floresta é bom e pode ser classificado como de rara importância para a
região sul da Bahia por guardar componentes da flora e da fauna que só existem nesses
locais, além de abrigar inúmeras nascentes (JARDIM, 2003). A relevância das Florestas
Montanas para as diferentes espécies de primatas ainda precisa ser investigada, mas os
avistamentos do presente estudo permitem afirmar que pelo menos Cebus xanthosternos e
Callithrix kuhlii são capazes de utilizar esse habitat florestal nas Serras das Lontras e Javi.
SILVEIRA et al (2005), registraram a ocorrência restrita de algumas espécies de aves
acima dos 800 metros, onde ocorre uma mudança brusca na estrutura da vegetação e
afirmaram que, caso não sejam tomadas medidas urgentes de proteção, é provável que a
extensão limitada e a condição de fragmentação das Serras das Lontras e Javi se revelem
impróprias para a conservação da singular avifauna residente. SILVEIRA et al (2005)
também ressaltaram a relevância das Serras das Lontras e Javi após observar a presença



                                                                                           103
frequente e abundante de diversas espécies de grandes raptores que certamente utilizam a
área para alimentação e construção de ninhos. Os autores sugerem que em meio ao mosaico
de diferentes habitats ainda há florestas suficientes disponíveis para essas populações.
       A caça e o corte seletivo de madeira são duas atividades praticadas ilegalmente nas
Serras das Lontras e Javi que provavelmente têm influência sobre as populações de
primatas. SILVEIRA et al (2005) reportaram caminhões carregados de madeira na cidade
de Arataca e ao longo da BR-101, sugerindo que a madeira proviesse das cabrucas antigas
substituídas por plantações de café e pastagens. Contudo, inúmeros indícios de corte
seletivo recente encontrados ao longo do presente estudo denunciam a extração ilegal de
madeira dos fragmentos florestais em diferentes locais das Serras. Também foi constatada a
presença de caçadores nos fragmentos (observação pessoal) e através de conversas
informais com os moradores das Serras. Em uma ocasião foram localizados caçadores a
poucos metros de distância do observador. Pegadas humanas recentes eram comuns em
determinados trechos dos transectos localizados mais interiormente nos fragmentos e
algumas cordas de segurança foram roubadas ao longo do trabalho. SILVEIRA et al (2005)
também encontraram caçadores e ouviram tiros frequentemente nas Serras, além de
encontrar pequenas armadilhas. Após a interação direta e a conviência com algumas
comunidades das Serras das Lontras e Javi ao longo do presente estudo, acredita-se que os
mesmos e poucos caçadores sejam responsáveis pela atividade em todos os fragmentos da
região, talvez pelas dificuldades impostas pelo relevo ou por questões culturais, resultando
em uma pressão de caça restrita, mas contínua.
       A proposta de criação de um Parque Nacional nas Serras das Lontras e Javi reflete o
reconhecimento oficial de sua relevância para a conservação da biodiversidade da Mata
Atlântica do sul da Bahia. A proteção das nascentes e das Florestas Montanas localizadas
nessas Serras, por si só, já justificaria a criação de uma Unidade de Conservação na área.
No entanto, é preciso avaliar cuidadosamente qual categoria de UC promoveria a proteção
mais eficiente dos fragmentos florestais, considerando as dimensões ecológicas e humanas
da região. É necessário compreender de que forma e por que as populações do entorno
exploram as florestas localizadas nas Serras e considerar essas informações junto com os
resultados de estudos científicos sobre a fauna e a flora locais para definir estratégias de
conservação adequadas. Com relação aos primatas, seria interessante investigar quais



                                                                                           104
fatores ambientais influenciam sua distribuição e abundância e como a interferência
humana afeta cada espécie, principalmente através da caça, do corte seletivo e da alteração
da paisagem. Apesar da urgente necessidade de proteção das Serras das Lontras e Javi, é
imprescindível considerar que dificilmente o simples cercamento de uma área de 16.500
hectares será eficiente para conservar os fragmentos florestais e suas populações de
primatas sem que haja fiscalização concreta e o reconhecimento, pelos próprios habitantes
locais, da necessidade de preservação das Serras.




                                                                                       105
7. CONCLUSÕES



   Os resultados do presente estudo sugerem que a conservação dos primatas do sul da
Bahia compreende, necessariamente, a conservação das populações de primatas das Serras
das Lontras e Javi. Dentre as quatro áreas investigadas no presente estudo, apenas as Serras
das Lontras e Javi e a REBIO Una ainda abrigam as quatro espécies que ocorrem na região.
A maior densidade de Callithrix kuhlii e a segunda maior densidade do criticamente
ameaçado Cebus xanthosternos foram registradas para as Serras, que também parecem
suportar mais grupos de Callicebus melanochir do que a REBIO Una. A reduzida
densidade de Leontopithecus chrysomelas nas Serras pode refletir sua ocorrência em baixas
abundâncias, principalmente em função das elevadas altitudes, mas sem dúvida não diminui
sua importância para a conservação de populações dessa espécie ameaçada de extinção.
   A proteção das Serras das Lontras e Javi torna-se urgente quando consideradas a
singularidade ecológica de suas florestas e o grau de ameaça a que estão submetidas,
principalmente através de impactos antrópicos “silenciosos” como a caça e o corte seletivo
de madeira, além da substituição gradual das cabrucas por cultivos não-florestais. A criação
de uma unidade de conservação na área é imprescindível e urgente, mas deve levar em
conta, além dos aspectos ecológicos, os aspectos sociais e econômicos que motivam a
exploração ilegal e a degradação desses fragmentos. Mais estudos são necessários para
identificar de que forma as populações de primatas são afetadas pelas atividades humanas
nas Serras e traçar estratégias de conservação que beneficiem tanto os animais quanto as
comunidades humanas do entorno. Mesmo com a implantação de uma unidade de
conservação de proteção integral, como o Parque Nacional das Serras das Lontras, proposto
pelo Ministério do Meio Ambiente, será necessário garantir fiscalização eficiente e
trabalhar junto às comunidades o reconhecimento da importância ecológica e de
conservação da região.




                                                                                        106
8. REFERÊNCIAS BIBLIOGRÁFICAS


AGUIAR, A.P., CHIARELLO, A.G., MENDES, S.L., MATOS, E.N. (2005) Os
Corredores Central e da Serra do Mar na Mata Atlântica brasileira. Em: Mata Atlântica:
Biodiversidade, ameaças e perspectivas. Carlos Galindo-Leal e Ibsen Gusmão Câmara
(eds). Fundação SOS Mata Atlântica e Conservação Internacional. 119-132.

ALGER, K. e CALDAS, M. (1994) The declining cocoa economy and the Atlantic Forest
os southern Bahia, Brazil: conservation attitudes of cocoa planters. The Environmentalist,
14 (2): 107-119.

ALGER, K.N., CHOMITZ, K.M., VILA NOVA, P., ORLANDO, H. (2003) Instrumentos
econômicos e de políticas públicas para o estabelecimento do Corredor Central. Em: Prado
P.I., Landau E.C., Moura R.T., Pinto L.P.S., Fonseca G.A.B., Alger K. (orgs.) Corredor de
Biodiversidade da Mata Atlântica do Sul da Bahia. Publicação em CD-ROM, IESB / CI /
CABS / UFMG / UNICAMP, Ilhéus.

ANDERSON, D.R., LAAKE, J.L., CRAIN, B.R. e BURNHAM, K.P. (1979) Guidelines
for transect sampling of biological populations. Journal of Wildlife Management. 43(1): 70-
78.

ARAUJO, M. e SANTOS, G.R. (2001) Caracterização sócio-econômica e ambiental do
complexo de Serras do Javí e Lontras, no Sudeste da Bahia – Com ênfase nos aspectos
florestais e agrícolas. IESB – Instituto de Estudos Socioambientais do Sul da Bahia e Bird
Life International. Relatório não publicado.

ARROYO-RODRIGUES, V. e MANDUJANO, S. (2006) Forest Fragmentation Modifies
Habitat Quality for Alouatta palliata. International Journal of Primatology, 27(4): 1079-
1096.

AYRES, J.M., FONSECA, G.A.B, RYLANDS, A.B., QUEIROZ, H.L., PINTO, L.P.S.,
MASTERSON, D. e CAVALCANTI, R.B. (2005) Os Corredores Ecológicos das florestas
tropicais do Brasil. Sociedade Civil Mamirauá – SCM. Belém, Pará. 256p.

AYRES, M., AYRES JR., M., AYRES, D.L. e SANTOS, A.A.S. (2003) BioEstat 3.0.
Aplicações Estatísticas nas areas das Ciências Biológicas e Médicas. Sociedade Civil
Mamirauá, Belém. CNPq, Brasília. 290p.

BECK, J. e CHAPMAN, H.(2008) A population estimate of the endangered chimpanzee
Pan troglodytes vellerosus in a Nigerian montane forest: implications for conservation.
Oryx 42(3): 448-451.

BENNETT, E. L. e ROBINSON, J. G. (2000) Hunting of wildlife in tropical forests:
implications for biodiversity and forest peoples. Biodiversity series - impact studies Paper
No. 76, The World Bank, Washington, D.C.


                                                                                        107
BIODIVERSITAS (1993) Inventário faunístico e conservação da Mata Atlântica do sul da
Bahia, Brasil. Relatório Técnico não publicado.

BOBADILLA, U.L. e FERRARI, S.F. (2000) Habitat Use by Chiropotes satanas utahicki
and Syntopic Platyrrhines in Eastern Amazonia. American Journal of Primatology, 50: 215-
224.

BRITTO, D. e GRELLE, C.E.V. (2006) Estimating minimum area of suitable habitat and
viable population size for the northern muriqui (Brachyteles hypoxanthus). Biological
Conservation, 15: 4197-4210.

BROCKELMAN, W.Y. e ALI, R.(1987) Methods of Surveying and Sampling Forest
Primate Populations. Em: Primate Conservation in the Tropical Rain Forests. Alan R. Liss
Inc. Pp 23-62

BROOKS, T.M., MITTERMEIER, R.A., MITTERMEIER, C.G., FONSECA, G. A.B.,
RYLANDS, A.B., KONSTANT, W.R., FLICK, P., PILGRIM, J., OLDFIELD, S.,
MAGIN, G. e HILTON-TAYLOR, C. (2002) Habitat loss and extinction in the hotspots of
biodiversity. Conservation Biology 16(4): 909-923.

BUCKLAND, S.T., ANDERSON, D.R., BURNHAM, K.P. e LAAKE, J.L. (1993) istance
Sampling: Estimating Abundance of Biological Populations. Chapman and Hall, London.
446p.

CÂMARA, I.B. Breve história da conservação da Mata Atlântica. Em: Mata Atlântica:
Biodiversidade, ameaças e perspectivas. Carlos Galindo-Leal e Ibsen Gusmão Câmara
(eds). Fundação SOS Mata Atlântica e Conservação Internacional. p 31-42. 2005.

CARDOSO, N.A. (2008) Frugivoria e dispersão de sementes por mico-leão-da-cara-
dourada (Leontopithecus chrysomelas) na Reserva Biológica de Una, Bahia. Dissertação de
Mestrado. Universidade Estadual de Santa Cruz. 56 p.

CARO, T.M. (1999) Conservation monitoring: estimating mammal densities in woodland
habitats. Animal Conservation 2: 305-315. The Zoological Society of London.

CASSANO, C.R., KIERULFF, M.C.M., SANTOS, G.R., SUSCKE, P., CANALE, G. e
GUIDORIZZI, C.E.(2005) Densidade e tamanho populacional do macaco-prego-do-peito-
amarelo (Cebus xanthosternos) em três fragmentos de Mata Atlântica no sul da Bahia.
Anais do XI Congresso Brasileiro de Primatologia, Porto Alegre.

CHAPMAN, C.A. e BALCOMB,S.R. (1998) Population Characteristics of Howlers:
Ecological Conditions or Group History. International Journal of Primatology, 19(3): 385-
403.




                                                                                     108
CHAPMAN CA, BALCOMB SR, GILLESPIE TR, SKORUPA JP, STRUHSAKER TT.
2000. Long-term effects of logging on African primate communities: a 28-year comparison
from Kibale National Park, Uganda. Conservation Biol 14: 207–217.

CHIARELLO, A.G. (1999) Effects of fragmentation of the Atlantic forest on mammal
communities in south-eastern Brazil. Biological Conservation 89: 71-82.

CHIARELLO, A.G. (2000) Density and Population Size of Mammals in Remnants of
Brazilian Atlantic Forest. Conservation Biology 14.6: 1649-57.

CHIARELLO, A.G. e MELO, F.R.(2001). Primate Population Densities and Sizes in
Atlantic Forest Remnants of Northern Espírito Santo, Brazil. International Journal of
Primatology 22(3): 379-396.

CHIARELLO, A.G. (2003) Primates of the Brazilian Atlantic Forest: the influence of forest
fragmentation on survival. Em: Primates in Fragments: Ecology and Conservation. Laura
K. Marsh (ed). Kluwer Academic-Plenum Publishers. New York, Boston, Dordrecht,
London, Moscow. Pp 99-121.

COIMBRA-FILHO, A.F., SILVA, R.R. e PISSINATTI, A. (1991) Acerca da distribuição
geográfica original de Cebus xanthosternos Wied, 1820 (Cebidae, Primates). Em: A
primatologia no Brasil 3, pp 215-224.

COIMBRA-FILHO, A.F., MITTERMEIER, R.A., RYLANDS, A.B.,MENDES, S.L.,
KIERULFF, M.C.M. e PINTO, L.P.S. (2006) The taxonomic status of Wied’s Black
Tufted-ear marmoset, Callithrix kuhlii (Callitrichidae, Primates). Primate Conservation 21:
1-24.

COSENZA, B.A.P. e MELO, F.R. (1998) Primates of the Serra do Brigadeiro State Park,
Minas Gerais, Brazil. Neotropical Primates 6(1):18-19.

COSTA, L.P e LEITE, Y.L.R. (2000) Biogeography of South American Forest mammals:
endemism and diversity in the Atlantic Forest. Biotropica 34 (4b): 872-881.

COSTA, L.P., LEITE, Y.L.R., MENDES, S.R., DITCHFIELD, A.D. (2005) Conservação
de mamíferos no Brasil. Megadiversidade 1(1): 103-112.

COWLISHAW, G. e DUNBAR, R. (2000) Primate conservation biology. The University
of Chicago Press, Ltd. Chicago and London. 498p.

CROCKET, C.M. (1998) Conservation biology of the genus Alouatta. International Journal
of Primatology, 19(3): 549-578.

CULLEN JR., BODMER, R.E. e VALLADARES-PÁDUA, C (2000) Effects of hunting in
habitat fragments of the Atlantic forests, Brazil. Biological Conservation 95: 49-56.




                                                                                       109
CULLEN JR, L. e VALLADARES-PADUA, C. (1997) Métodos para estudos de ecologia,
manejo e conservação de primatas na natureza. Em: Manejo e Conservação de Vida
Silvestre no Brasil. Valladares-Pádua, Bodmer e Cullen Jr (eds). Pp 239-268.

CULLEN JR. L. e RUDRAN, R. (2003). Transectos lineares na estimativa de densidade de
mamíferos e aves de médio e grande porte. Em: Métodos de Estudo em Biologia da
Conservação e Manejo da Vida Silvestre. Cullen Jr., L., Valladares-Pádua, C. e Rudran, R.
(org.). Ed. Da UFPR; Fundação O Boticário de Proteção à Natureza. Curitiba. Pp 169-179

DEAN, W. (1996) With broadax and firebrand - the destruction of the Brazilian Atlantic
Forest. University of California Press, Berkeley, USA.

DEFLER, T.R. e PINTOR, D. (1985) Censusing primates by transect in a forest of know
primate density. International Journal of Primatology, 6 (3), 243-259.

DELABIE, J.H.C., JAHYNY, B., NASCIMENTO, I.C., MARIANO, C.S.F., LACAU, S.,
CAMPIOLO, S., PHILPOTT, S.M. e LEPONCE, M. (2007) Contribution of cocoa
plantations to the conservation of native ants (Insecta: Hymenoptera: Formicidae) with a
special enphasis on the Atlantic Forest fauna of southern Bahia, Brazil. Biodiversity
Conservation 16: 2359-2384.

DIETZ, J.M., SOUZA, S.N.F. e SILVA, J.R.O. (1994) Population structure and territory
size in Golden-headed lion tamarins, Leontopithecus chrysomelas. Neotropical Primates
2(suppl.):21-23.

DIETZ, J.M., SOUZA, S.N. e BILLERBERCK, R. (1996) Poulation dynamics of Golden-
headed lion tamarins Leontopithecus chrysomelas in Una Reserve,Brazil. Dodo Journal of
Wildlife Preservation Trusts, 32: 115-122.

de THOYSE, B., BROSSE, S. e DUBOIS, M.A. (2008) Assessment of a large-vertebrate
species richness and relative abundance in Neotropical forest using line-transect censuses:
what is the minimal effort required? Biodiversity Conservation, 17: 2627-2644

EBERHARDT, L.L.(1978) Transect methods for population studies. J. Wildl. Manage.
42(1): 1-31.

EISENBERG, J.F. (1977) Comparative ecology and reproduction of New World monkeys.
Em: The biology and conservation of the Callitrichidae. Kleiman, Devra G. (ed).The
Symposia of the National Zoological Park. Smithsonian Institution Press. Whashington,
D.C. Pp 13-22.

FARIA et al (2006) Bat and bird assemblages from forests and shade cacao plantations in
two contrastin landscapes in the Atlantic Forest of southern Bahia, Brazil. Biodiversity and
Conservation 15: 587-612.




                                                                                        110
FEDIGAN, L.M. e JACK, K. (2001) Neotropical primates in a regenerating Costa-Rican
dry Forest: a comparison of howler and capuchin population patterns. International Journal
of Primatology, 22(5): 689-713.

FERRARI, S. F. (2002) Multiple transects or multiple walks? A response to Magnusson
(2001). Neotropical Primates, 10(3): 131-132.

FLESHER, K.M. (1999) Primates of the Ituberá forest complex, Bahia, Brazil. Neotropical
Primates, 7(4): 127-131.

FLESHER, K.M. (2001) Primates of the Chapada das Mangabeiras, Piauí, Brasil: a
northern extension to the range of Alouatta caraya. Neotropical Primates, 9(1): 19-22.

FLESHER, K.M. (em preparação) The distribution, habitat use, and conservation status of
three Atlantic forest monkeys (Cebus xanthosternos, Callicebus melanochir, Callithrix
penicillata) in an agroforestry landscape in Bahia, Brazil.

FLESHER, K.M. (2006) The Biogeography of the Medium and Large Mammals in a
Human-dominated Landscape in the Atlantic Forest of Bahia, Brazil: Evidence for the Role
of Agroforestry Systems as Wildlife Habitat. Tese de Doutorado, Rutgers University, New
Jersey. 650 p.

FONSECA, G.A.B., PINTO, L.P.S., ALVES, M.C. e MOURA, R.T. (1999) Inventário e
diversidade de espécies de mamíferos na região da Reserva Biológica de Una: Fazenda
Bolandeira. Instituto de Estudos Socioambientais do Sul da Bahia (IESB) e Conservation
International do Brasil (CI). Relatório de Atividades não publicado.

FONSECA G.A.B., ALGER K., PINTO L.P., ARAÚJO M. e CAVALCANTI R. (2003)
Corredores de Biodiversidade: O Corredor Central da Mata Atlântica. Em: Prado P.I.,
Landau E.C., Moura R.T., Pinto L.P.S., Fonseca G.A.B., Alger K. (orgs.) 2003. Corredor
de Biodiversidade da Mata Atlântica do Sul da Bahia. Publicação em CD-ROM, IESB / CI
/ CABS / UFMG / UNICAMP,Ilhéus.

FREESE, C.H. e OPPERNHEIMER,J.R. (1981) The capuchin monkeys, genus Cebus. Em:
Ecology and behavior of Neotropical Primates. Vol 1. Coimbra-Filho, Ademar F. e
Mittermeier, Russell. A. (eds). Academia Brasileira de Ciências. Pp 331-390.

GALINDO-LEAL, C. e CÂMARA,I.G. (2005) Status do hotspot Mata Atlântica: uma
síntese. Em: Mata Atlântica: Biodiversidade, ameaças e perspectivas. Carlos Galindo-Leal
e Ibsen Gusmão Câmara (eds). Fundação SOS Mata Atlântica e Conservação Internacional.
Pp 3-10.

GONZALES-SOLIS, MATEOS, E. MANOSA, S., ONTAÑON, M., GONZALEZ-
MARTIN, M. e GUIX, J.C. (1996) Abundance estimates of primates in an Atlantic
rainforest area of southeastern Brazil. Mammalia 60 (3): 488-491.




                                                                                      111
GONZALEZ-SOLIS, J. GUIX, J.C., MATEOS, E. e LLORENS, L. (2001). Population
Density of Primates in a Large Fragment of the Brazilian Atlantic Rainforest. Biodiversity
and Conservation 10: 12 67-82.

GUIDORIZZI, C. E.; KIERULFF, M. C. M.; SANTOS, G. R.; CANALE, G.; GATTO,
C.A. F. R. e CASSANO, C. R. (2005) Levantamento das populações de Macaco-prego-do-
peito-amarelo (Cebus xanthosternos) nos Estados da Bahia, Sergipe e Minas Gerais. In:
Livro de Resumos do XI Congresso Brasileiro de Primatologia. 108p.

GREENWOOD, J.J.D. (1996) Basic techniques. Cap.2. Em: Ecological Census
Techniques: a Handbook. William J.Sutherland (ed). Cambridge University Press, London.

GREGORIN, R.(2006) Taxonomia e variação geográfica das espécies do gênero Alouatta
Lacepede (Primates, Atelidae) no Brasil. Revista Brasileira de Zoologia 23(1): 64-144.

GREGORIN, R., KEGELMEIER, T. e VALLE, R.R. (2008) Gênero Alouatta Lacepede
1799. Em: Primatas Brasileiros. Reis, N.R., Peracchi, A.L. e Andrade, F.R. (orgs).
Technical Books Ed. Londrina. Pp187-204.

HEIDUCK, S. (1997) Food choice in masked titi monkeys (Callicebus personatus
melanochir): selectivity or opportunism? International Journal of Primatology 18(4) 447-
502.

HEIDUCK, S. (2002) The use of disturbed and undisturber forest by masked titi monkeys
Callicebus personatus melanochir is proportional to food availability. Oryx 36(2): 133-139.

HENRIQUES, R.P.B. e CAVALCANTE, R.J. (2004) Survey of a gallery Forest primate
community in the Cerrado of the Distrito Federal, Central Brazil. Neotropical Primates
12(2): 78-83.

HERO e RIDGWAY (2006) Declínio global de espécies. Em: Biologia da Conservação –
Essências. Carlos Frederico Duarte Rocha, Helena Godoy Bergalho, Monique Van Sluys e
Maria Alice Santos Alves (orgs). RiMa Editora. São Carlos, SP. pp 53-90.

IESB – Instituto de Estudos Socioambientais do Sul da Bahia (2006) Levantamento de
Primatas nas Serras das Lontras e do Javi, Arataca/Una, Bahia. Relatório não publicado.

JARDIM, J.G (2003) Uma caracterização parcial da vegetação na região sul da Bahia,
Brasil. Em: Prado P.I., Landau E.C., Moura R.T., Pinto L.P.S., Fonseca G.A.B., Alger K.
(orgs.) 2003. Corredor de Biodiversidade da Mata Atlântica do Sul da Bahia. Publicação
em CD-ROM, IESB / CI / CABS / UFMG / UNICAMP, Ilhéus.

JOHNS, N.D. (1999) Conservation in Brazil’s Chocolate Forest: the unlikely persistence of
the traditional cocoa agroecosystem. Environmental Management 23(1): 31-47.

JOHNS, A.D. e SKORUPA, J.P. (1987) Responses of rain-forest primates to habitat
disturbance: a review. International Journal of Primatology, 8(2): 157-191.


                                                                                       112
KIERULFF, M.C.M., SANTOS, G.R., CANALE, G.R., CARVALHO, C.E.G.,
CASSANO, C.R., GOUVEIA, P.S., GATTO, C.A.F.R., ARAÚJO,M., NOVA, P.V.,
MARQUES, A.C., SANTOS, P.S. e PÁDUA, J.C. (2005) Avaliação das populações do
macaco-prego-do- peito-amarelo (Cebus xanthosternos) e proposta de estratégia para
manejo e conservação da espécie. Relatório Final Edital FNMA/PROBIO nº 04/2001
Instituto de Estudos Socioambientais do Sul da Bahia (IESB).

KIERULFF, M.C.M., SANTOS, G.R., CANALE, G., GUIDORIZZI, C.E. e CASSANO,
C. (2004) The use of camera traps in a survey of buff-headed capuchin monkeys, Cebus
xanthosternos. Neotropical Primates, 12(2): 56-59.

KIERULFF, M.C.M. e RYLANDS, A.B. (2003) Census and distribution of the Golden
Lion Tamarin (Leontopithecus chrysomelas). American Journal of Primatology 59:29-44.
KIERULFF, M.C.M., RABOY, B.E., PROCÓPIO DE OLIVEIRA, P., MILLER, K.,
PASSOS, F.C. e PRADO, F. (2002) Behavioral ecology of Lion tamarins, Em: Kleiman
DG, Rylands AB, editors. Lion tamarins: biology and conservation. Washington DC:
Smithsonian Institution Press. Pp 157–187.

KINZEY, W.G. (1981) The titi monkeys, genus Callicebus. Em: Ecology and behavior of
Neotropical Primates. Vol 1. Coimbra-Filho, Ademar F. e Mittermeier, Russell. A. (eds).
Academia Brasileira de Ciências. Pp 241-276.

KINZEY, W.G. (1982) Distribution of primates and forest refuges. In: Biological
Diversification in the Tropics. G. T. Prance (ed.). New York: Columbia University Press.
Pp 455-482.

LANDAU, E. C. (2003) Padrões de ocupação espacial da paisagem na Mata Atlântica do
sudeste da Bahia, Brasil. Em: Prado P.I., Landau E.C., Moura R.T., Pinto L.P.S., Fonseca
G.A.B., Alger K. (orgs.) Corredor de Biodiversidade da Mata Atlântica do Sul da Bahia.
Publicação em CD-ROM, IESB / CI / CABS / UFMG / UNICAMP, Ilhéus.

LEHMAN, S. (2000) Primate Community Structure in Guyana: A Biogeographic Analysis.
International Journal of Primatology, 21(3): 333-351.

LORINI, M.L. e PERSSON, V.G. (1994) Status of field research on Leontopithecus
caissara: the black-faced lion tamarin project. Neotropical Primates, 2: 52-55.

MACHADO, A.B.M., MARTINS, C.S. e DRUMMOND, G.M.(2005) Lista da fauna
brasileira ameaçada de extinção: incluindo as espécies quase ameaçadas e deficientes em
dados. Fundação Biodiversitas. Belo Horizonte, MG. 158 p.

MACHADO, A.B.M., DRUMMOND, G.M., PAGLIA, A.P. (2008) Livro vermelho da
fauna brasileira ameaçada de extinção. 1a ed. MMA, Brasília, DF. Fundação Biodiversitas,
Belho Horizonte, MG.



                                                                                    113
MAGNUSSON, W.E. (2001) Standard Errors Of Survey Estimates: What Do They Mean?
Neotropical Primates 9(2): 53-54.

MMA e IBAMA (2006) Consulta Pública: Monumento natural de Pancada Grande,
Refúgio de Vida Silvestre e Parque Nacional de Boa Nova, Área de Proteção Ambiental e
Parques Nacional e Estadual do Alto Cariri, Parque Nacional das Serras das Lontras, Javi e
Quatis. Brasília: MMA.

MMA, CONSERVAÇÃO INTERNACIONAL DO BRASIL, SOS MATA ATLÂNTICA,
FUNDAÇÃO BIODIVERSITAS, INSTITUTO DE PESQUISAS ECOLÓGICAS,
SEMAD, INSTITUTO ESTADUAL DE FLORESTAS-MG (2000) Avaliação e ações
prioritárias para a conservação da biodiversidade da Mata Atlântica e Campos Sulinos.
Brasília: MMA.

MARSHAL, A.R., LOVETT, J.C. e WHITE, P.C.L.(2008) Selection of line-transect
methods for estimating the density of group-living animals: lessons from the primates.
American Journal of Primatology 70:452-462.

MARTINI, A.M.Z., FIASCHI, P., AMORIM, A.M. e PAIXÃO, J.L. (2007) A hot-point
within a hot-spot: a high diversity site in Brazil’s Atlantic Forest. Biodiversity
Conservation 16: 3111-3128.

MARTINS, M.M. (2005) Density of primates in four semi-deciduous fragments of São
Paulo, Brazil. Biodiversity and Conservation 14: 2321-2329.

MELO, F.R., CHIARELLO, A.G., FARIA, M.B., OLIVEIRA, P.A., FREITAS, R.L.A.,
LIMA, F.S. e FERRAZ, D.S. (2004) Novos registros do muriqui-do-norte (Brachyteles
hypoxanthus) no Vale do rio Jequitinhonha, Minas Gerais e Bahia. Neotropical Primates,
12(3): 139-143.

MELO, F.R. (2004) Primatas e áreas prioritárias para a conservação da biodiversidade no
vale do rio Jequitinhonha, Minas Gerais. Tese de Doutorado. Universidade Federal de
Minas Gerais. Belo Horizonte, MG.

MENDES-PONTES, A.R. (1997) Habitat partitioning among primates in Maracá Island,
Roraima, northern Brazilian Amazonia. International Journal of Primatology 18(2): 131-
157.

MENDES-PONTES, A.R., NORMANDE, I.C., FERNANDES, A.C.A., RIBEIRA, P.F.R.
e SOARES, M.L. (2007) Fragmentation causes rarity in common marmosets in the Atlantic
forest of northeastern Brazil. Biodiversity Conservation 16: 1175-1182.

MORAES JR.,M.M. (2005) Metodologias de amostragem de populações: aplicação e
comparações em populações de mico-leão-dourado, Leontopithecus rosalia, e sagüis
Callithrix sp., na bacia do rio São João. Dissertação de mestrado. Universidade Estadual do
Norte Fluminense, UENF. 53 pp.



                                                                                       114
MORI, S.A., BOOM, B.M., CARVALHO, A.M. e SANTOS, T.S. (1983) Southern Bahian
Moist Foreste. The Botanical Review, 49: 155-232.

MOURA, R.T. (2003) Distribuição e ocorrência de mamíferos na Mata Atlântica do sul da
Bahia. Em: Prado P.I., Landau E.C., Moura R.T., Pinto L.P.S., Fonseca G.A.B., Alger K.
(orgs.) Corredor de Biodiversidade da Mata Atlântica do Sul da Bahia. Publicação em CD-
ROM, IESB / CI / CABS / UFMG / UNICAMP, Ilhéus.

MOURA, A.C.A.(2007) Primate group size and abundance in the Caatinga dry Forest,
northeastern Brazil. International Journal of Primatology, 28: 1279-1297.

MULLER, K.H., AHL,C. e HARTMANN, G. (1997) Geophagy in masked titi monkeys
(Callicebus personatus melanochir) in Brazil. Primates 38(1): 69-77.

MYERS, N., MITTERMEIER, R.A., MITTERMEIER, C.G., FONSECA, G.A.B. e KENT,
J.(2000) Biodiversity hotspots for conservation priorities. Nature 403: 853-858.

NATIONAL RESEARCH COUNCIL (1981) Techniques for the study of primate
population ecology. Washington, DC: National Academy Press. 232 p.

NEVES, L.G. (2008) Distribuição geográfica e conservação de Callithrix kuhlii (Coimbra-
Filho, 1985) (Primates, Callitrichidae), Bahia, Brasil. Dissertação de Mestrado.
Universidade Estadual de Santa Cruz.

OLIVEIRA, M.M. e FIALHO, M.S. (2007) Instalação de cercas para evitar a predação de
frutos de cacau por macacos-prego em Rondônia, Brasil. Neotropical Primates, 14(1): 34.

OLIVER,W.L.R. e SANTOS, I.B. (1991) Threatened endemic mammals of the Atlantic
Forest region of South-East Brazil. Special Scientific Report No.4. Wildlife Preservation
Trust and University of Minas Gerais.

PAGLIA, A.P. (2003) Análises de viabilidade populacional. Quantos indivíduos? Serão
eles suficientes? Estudo de caso para espécies ameaçadas da Mata Atlântica do sul da
Bahia. Em: Prado P.I., Landau E.C., Moura R.T., Pinto L.P.S., Fonseca G.A.B., Alger K.
(orgs.) Corredor de Biodiversidade da Mata Atlântica do Sul da Bahia. Publicação em CD-
ROM, IESB / CI / CABS / UFMG / UNICAMP, Ilhéus.

PAGLIA, A.P., FERNANDEZ, F.A.S. e MARCO Jr., P (2006) Efeitos da fragmentação de
habitats: quantas espécies, quantas populações, quantos indivíduos e serão eles suficientes?
Em: Biologia da Conservação – Essências. Carlos Frederico Duarte Rocha, Helena Godoy
Bergalho, Monique Van Sluys e Maria Alice Santos Alves (orgs). RiMa Editora. São
Carlos, SP. pp 281-316.

PARANHOS, K.M.(2006) Estimativas populacionais para espécies raras: o mico-leão-preto
Leontopithecus chryspygus como modelo. Dissertação de Mestrado. Universidade Federal
do Paraná. Curitiba, PR.



                                                                                        115
PARDINI (2004) Effects of forest fragmentation on small mammals in an Atlantic Forest
landscape. Biodiversity and Conservation 13: 2567-2586.

PASSAMANI, M. e RYLANDS, A.B. (2000) Home range of a Geoffroyi’s marmoset
group, Callithrix geoffroyi (Primates, Callitrichidae) in southeastern Brazil. Rev. Brasil.
Biol. 60(2): 275-281.

PERES, C.A. (1993) Structure and spacial organization of an Amazonian terra firme forest
primate community. Journal of Tropical Ecology 9(3): 259-276.

PERES, C. A. (1997) Primate community structure at twenty western Amazonian flooded
and unflooded forests. Journal of Tropical Ecology 13: 381-405.

PERES, C.A.(1999) General Guidelines For Standardizing Line-Transect Surveys Of
Tropical Forest Primates. Neotropical Primates 7(1):11-16.

PERES, C.A. (2000) Effects of subsistence hunting on vertebrate community structure in
Amazonian forests. Conservation Biology 14(1): 240-253.

PERES, C.A. e DOLMAN, P.M. (2000) Density compensation in neotropical primate
communities: evidence from 56 hunted and nonhunted Amazonian forests of varying
productivity. Oecologia 122: 175-189.

PERES, C.A. (2001) Synergistic effects of subsistence hunting and habitat fragmentation
on Amazonian forest vertebrates. Conservation Biology, 15(6): 1490-1505.

PINTO, L.P.S., COSTA, C.M.R., STRIER, K.B. e FONSECA, G.A.B. (1993) Habitat,
density and group size of primates in a Brazilian forest. Folia Primatologica 61: 135-143.

PINTO, L.P.S. (1994a) Distribuição Geográfica, População e Estado de Conservação do
mico-leão-da-cara-dourada Leontopithecus chrysomelas (Callitrichidae, Primates).
Dissertação de Mestrado, Universidade Federal de Minas Gerais, Belo Horizonte.

PINTO, L.P.S. e TAVARES, L.I. (1994b) Inventory and conservation status of wild
populations of Golden-headed Lion Tamarins, Leontopithecus chrysomelas. Neotropical
Primates 2(suppl.), 24-27.

PINTO, L.P.S e RYLANDS, A.B.(1997) Geographic distribution of the golden-headed lion
tamarin, Leontophitecus chrysomelas: Implications for its management and conservation.
Folia Primatologica. 68:161-168.

PINTO, L.P.S., BEDÊ, L., PAESE, A., FONSECA, M., PAGLIA,A. e LAMAS, I. (2006)
Mata Atlântica brasileira: os desafios para a conservação da biodiversidade de um hotspot
mundial. Em: Biologia da Conservação – Essências. Carlos Frederico Duarte Rocha,
Helena Godoy Bergalho, Monique Van Sluys e Maria Alice Santos Alves (orgs). RiMa
Editora. São Carlos, SP. Pp 91-118.



                                                                                       116
PIRES, A.S., FERNANDEZ, F.A.S. e BARROS, C.S. (2006) Vivendo em um mundo em
pedaços: efeitos da fragmentação florestal sobre comunidades e populações animais. Em:
Biologia da Conservação – Essências. Carlos Frederico Duarte Rocha, Helena Godoy
Bergalho, Monique Van Sluys e Maria Alice Santos Alves (orgs). RiMa Editora. São
Carlos, SP. pp 231-260.

PLUMPTRE, A.J. e COX, D. (2006) Couting primates for conservation: primate surveys in
Uganda. Primates, 47: 65-73.

PRADO, P.I., PINTO, L.P., MOURA, R.T., CARVALHO, A.M., THOMAS,W.W.,
AMORIM, A. e AGUIAR, C. (2003a) Caracterização dos registros de ocorrência de
espécies de plantas emamíferos no sul da Bahia, Brasil. Em: Prado P.I., Landau E.C.,
Moura R.T., Pinto L.P.S., Fonseca G.A.B., Alger K. (orgs.) Corredor de Biodiversidade da
Mata Atlântica do Sul da Bahia. Publicação em CD-ROM, Ilhéus, IESB / CI / CABS /
UFMG / UNICAMP.

PRADO, P.I., LANDAU, E.C., PINTO, L.P., MOURA, R.T., CARVALHO, A.M.,
THOMAS, W.W. e AMORIM, A. (2003b) Heterogeneidade espacial do conhecimento
biológico no Corredor Central da Mata Atlântica: uma análise dos registros de plantas e
mamíferos. Em: Prado P.I., Landau E.C., Moura R.T., Pinto L.P.S., Fonseca G.A.B., Alger
K. (orgs.) Corredor de Biodiversidade da Mata Atlântica do Sul da Bahia. Publicação em
CD-ROM, Ilhéus, IESB / CI / CABS / UFMG / UNICAMP.

PRADO, P.I., PINTO, L.P.,MOURA, R.T. e LANDAU, E.L. (2003c) Avaliação de
modelos de distribuição geográfica e sua aplicação para prever a ocorrência de espécies de
mamíferos no Corredor Central da Mata Atlântica. Em: Prado P.I., Landau E.C., Moura
R.T., Pinto L.P.S., Fonseca G.A.B., Alger K. (orgs.) Corredor de Biodiversidade da Mata
Atlântica do Sul da Bahia. Publicação em CD-ROM, Ilhéus, IESB / CI / CABS / UFMG /
UNICAMP.

PRICE, E.C., PIEDADE, H.M. e WORMELL, D. (2002) Population densities of primates
in a Brazilian Atlantic Forest. Folia Primatologica, 73: 54-56.

RABOY, B.E. e DIETZ, J.M. (2004) Diet, foraging and use of space in wild Golden-
headed Lion tamarins. American Journal of Primatology, 63:1-15.

RABOY, B.E., CHRISTMAN, M.C. e DIETZ, J.M. (2004) The use of degraded and shade
cocoa forests by Endangered golden-headed lion tamarins Leontopithecus chrysomelas.
Oryx, 38(1): 75-83.

RABOY, B.E., CANALE, G.R. e DIETZ, J.M. (2008) Ecology of Callithrix kuhlii and a
review of eastern brazilian marmosets. International Journal of Primatology.

RÁEZ-LUNA, E. (1995) Hunting large primates and conservation of the Neotropical
forests. Oryx, 29: 43-48.




                                                                                      117
REDE MATA ATLÂNTICA (RMA). Mata Atlântica - uma rede pela floresta. Maura
Campanili e Miriam Prochnow (orgs). Brasília, 2006. 332p.

RBMA - RESERVA DA BIOSFERA DA MATA ATLÂNTICA (2006) Plano de ação para
a conservação da biodiversidade no sul da Bahia. Sub-comitê sul da Reserva da Biosfera da
Mata Atlântica. Ilhéus, BA.

ROBINSON, J.G. e REDFORD, K.H. (1986) Body size, diet and population density of
Neotropical forest mammals. The American Naturalist, 128(5):665-680.

ROVERO, F., STRUHSAKER, T.T., MARSHALL, A.R., RINNE,T.A., PEDERSEN,
U.B., BUTYNSKI, T.M., EDHARDT,C.L. e MTUI, A.S. (2006) Abundance of diurnal
primates in Mwanihana Forest, Udzungwa Mountains, Tanzânia: a multi-observer
comparison of line-transect data. International Journal of Primatology, 27(3): 675-697.

ROVERO, F.e STRUHSAKER, T.T. (2007) Vegetatite predictors of primate abundance:
utility and limitations of a fine-scale analysis. American Journal of Primatology, 69: 1242-
1256.

RYLANDS, AB. (1989) Sympatric brazilian callitrichids: the black tufted ear marmoset,
Calllithrix kuhlii, and the golden-headed lion tamarin, Leontopithecus chrysomelas. Journal
of Human Evolution. 18:679-695.

RYLANDS, A.B., SANTOS, I.B. e MITTERMEIER, R.A. (1991-1992) Distribution and
Status of the Golden-Headed Lion Tamarin, Leontopithecus chrysomelas, in the Atlantic
Forest of Southern Bahia, Brazil. Primate Conservation 12-13: 15-23.

RYLANDS, A.B. (1993) The ecology of the lion tamarins, Leontopithecus: Some
intrageneric differences and comparisons with other callitrichids. Em: Marmosets and
tamarins: systematics, behaviour, and ecology. A.B. Rylands, ed. Oxford, Oxford
University Press. Pp. 296-313

RYLANDS, A.B., da FONSECA, G.A.B., LEITE, Y.L.R. e MITTERMEIER, R.A. (1996a)
Primates of the Atlantic Forest: Origin, distribution, endemism and communities. Em:
Adaptative Radiations of Neotropical Primates, M.A. Norconk, A.L. Rosemberger, P.A.
Garber (eds), Plenum Press, New York, pp 21-51.

RYLANDS, A.B. (1996b) Habitat and the Evolution of Social and Reproductive Behavior
in Callitrichidae. American Journal of Primatology,38: 5-18.

RYLANDS, A.B., RODRIGUEZ-LUNA, E. e CORTÉS-ORTIZ, L (1996-1997)
Neotropical Primate Conservation – The species and the IUCN/SSC Primate Specialist
Group Network. Primate Conservation 17: 46-49.

RYLANDS, A.B., BAMPI, M.I., CHIARELLO, A.G., DA FONSECA, G.A.B., MENDES,
S.L. e MARCELINO, M. (2003) Cebus xanthosternos, Callithrix kuhlii, Leontopithecus
chrysomelas, Callicebus melanochir, Alouatta guariba, Brachyteles hypoxanthus. Em:


                                                                                        118
2007 IUCN Red List of Threatened Species. Gland, Switzerland: International Union for
Conservation of Nature and Natural Resources (IUCN), Species Survival Commission
(SSC) <www.iucnredlist.org> Novembro 2007.

RYLANDS, A.B. KIERULFF, M.C.M. e DE SOUZA PINTO, L.P.S. (2002) Distribution
and Status of Lion Tamarins. Em: Lion Tamarins: Biology and Conservation. Devra G.
Kleiman e Anthony B. Rylands (eds). Smithsonian Institution Press. Washington DC. 42-
70. 422p.

RYLANDS, A.B., WILLIAMSON, E.A., HOFFMANN, M. e MITTERMEIER, R.A.
(2008) Primate surveys and conservation assessments. Oryx 42(3): 313-314.

SANTOS I. B., MITTERMEIER, R. A., RYLANDS, A. B. e VALLE, C. M. (1987) The
distribution and conservation status of primates in southern Bahia, Brazil. Primate
Conservation 8: 126-142.

SAATCHI, S., AGOSTI, D., ALGER, K., DELABIE, J. e MUSINSKY, J. (2001)
Examining fragmentation and loss of primary forest in the southern Bahian Atlantic Forest
of Brazil with radar imagery. Conservation Biology 15(4): 867-875.

SÃO BERNARDO, C.S. e GALETTI, M. (2004) Densidade e tamanho populacional de
primatas em um fragmento florestal no sudeste do Brasil. Revista Brasileira de Zoologia
21(4):827-832.

SILVA, J.M.C. e CASTELETI,C.H.M. (2005) Estado da biodiversidade da Mata Atlântica
brasileira. Em: Mata Atlântica: Biodiversidade, ameaças e perspectivas. Carlos Galindo-
Leal e Ibsen Gusmão Câmara (eds). Fundação SOS Mata Atlântica e Conservação
Internacional. p 43-59.

SILVA, J.M.C. e TABARELLI, M. (2000) Tree species impoverishment and the future of
the Atlantic forest of northeast Brazil. Nature, 404: 72-74.

SILVANO, D.L. e PIMENTA, B.V.S., (2003) Diversidade e distribuição de anfíbios
anuros na Mata Atlântica do sul da Bahia. Em: Prado P.I., Landau E.C., Moura R.T., Pinto
L.P.S., Fonseca G.A.B., Alger K.N. (orgs.) Corredor de Biodiversidade da Mata Atlântica
do Sul da Bahia. Publicação em CD-ROM, Ilhéus, IESB / CI/ CABS / UFMG / UNICAMP.

SILVEIRA, L.F., DEVELEY, P.F., PACHECO, J.F. e WHITNEY, B.M. (2005) Avifauna
of the Serra das Lontras-Javi montane complex, Bahia, Brazil. Cotinga 24: 45-54.

SOS MATA ATLÂNTICA, Fundação e INPE (2009) Atlas dos Remanescentes Florestais
da Mata Atlântica. Período 2005-2008. Relatorio Parcial. São Paulo, SP. 156 p.

SPIEGEL,M.R. (1977) Estatística. São Paulo: Mc Graw Hill do Brasil. 580p.




                                                                                     119
STALLINGS,J.R. e ROBINSON, J.G.(1991) Disturbance, Forest heterogeneity and
primate communities in a Brazilian Atlantic Forest Park. Em: A primatologia no Brasil 3.
357-368.

STEINMETZ, S. (2001) Densidade e conservação do bugio (Alouatta fusca) no Parque
Estadual Intervales. Neotropical Primates 9(2): 69-72.

STRIER, K.B.,BOUBLI, J.P., PONTUAL, F.B. e MENDES, S.L. (2006) Human
dimensions of northern muriqui conservation efforts. Ecological and Environmental
Anthropology 2(2): 44-53.

STRUHSAKER, T.T. (2002) Guidelines for biological monitoring and research in Africa's
rain forest protected areas. Unpublished report to the Center for Applied Biodiversity
Science, Conservation International. 55 pp.

SUSCKE, P. (2009) Uso do espaço, padrão de atividades e dieta de um grupo de Cebus
xanthosternos (Wied-Neuwied, 1820) (PRIMATES, CEBIDAE) na Reserva Biológica de
Una, Bahia, Brasil. Dissertação de Mestrado. Universidade Estadual de Santa Cruz.

SUTHERLAND, W.J. (1996) Why census? Cap 1. Em: Ecological Census Techniques: a
Handbook. William J.Sutherland (ed). Cambridge University Press, London.

TALEBI,M. e ADES, C (2004) Um estudo naturalístico da preferência manual em muriquis
(Braschyteles arachnoides). Em: A primatologia no Brasil 8. Pp 251-262.

TABARELLI M, P.L.P., SILVA J.M.C., HIROTA M. e BEDÊ L. (2005) Challenges and
opportunities fo biodiversity conservation in the Brazilian Atlantic Forest. Conservation
Biology 19:695–700.

TERBORGH, J. (1983) Five New World Primates: a study in comparative ecology.
Princeton University Press. Princeton, New Jersey. 260p.

THOMAS, L., BUCKLAND, S.T., BURNHAM, K.P., ANDERSON, D.R., LAAKE, J.L.,
BORCHERS, D.L. e STRINDBERG, S. (2002) Distance Sampling. Em: Encyclopedia of
Environmetrics. Abdel H. El-Shaarawi and Walter W. Piegorsch (eds). John Wiley & Sons,
Ltd, Chichester. Vol 1. pp 544-552.

THOMAS, L., LAAKE, J.L., STRINDBERG, S., MARQUES, F.F.C., BUCKLAND, S.T.,
BORCHERS, D.L., ANDERSON, D.R., BURNHAM, K.P., HEDLEY, S.L., POLLARD,
J.H., BISHOP, J.R.B. e MARQUES, T.A. (2006) Distance 5.0. Release “x”1. Research
Unit for Wildlife Population Assessment, University of St. Andrews, UK.
http://www.ruwpa.st-and.ac.uk/distance/

THOMAS W. W. (2003) Natural vegetation types in southern Bahia. En: Prado P.I.,
Landau E.C., Moura R.T., Pinto L.P.S., Fonseca G.A.B., Alger K. (orgs.) Corredor de
Biodiversidade na Mata Atlântica do Sul da Bahia. Publicação em CD-ROM, IESB / CI /
CABS / UFMG / UNICAMP, Ilhéus.


                                                                                     120
THOMAS W. W. & CARVALHO A. M. (2003) Zoneamento Ecológico do Sudeste da
Bahia, Brasil.(mapa em formato digital). In: Prado P.I., Landau E.C., Moura R.T., Pinto
L.P.S., Fonseca G.A.B., Alger K. (orgs.) Corredor de Biodiversidade da Mata Atlântica do
Sul da Bahia. Publicação em CD-ROM, IESB / CI / CABS / UFMG / UNICAMP, Ilhéus.

THOMAS, W.W., CARVALHO, A.M.V.DE, AMORIM, A.M.A., GARRISON, J. e
ARBELÁEZ, A.L (1998) Plant endemism in two forests in southern Bahia, Brazil.
Biodiversity and Conservation, 7:311-322.

TIMMERS, J.F., MESQUITA, C.A.B. e PINTO, L.P.S. (2002) Ampliação da rede de
Unidades de Conservação de Proteção Integral no Sul e Extremo Sul da Bahia. Instituto de
Estudos Socioambientais do Sul da Bahia (IESB), Flora Brasil e Aliança para a
Conservação da Mata Atlântica. Relatório não publicado.

VALLADARES-PADUA, C.(1993) The ecology, behavior and conservation of the Black
lion tamarins, Leontopithecus chrysopygus. PhD thesis. University of Florida. 181 p.

VALLADARES-PÁDUA, C. e CULLEN JR., L. (1994) Distribution, abundance and
minimum viable metapopulation of the Black Lion Tamarin, Leontopithecus chrysopygus.
Dodo J. Wild. Preserv. Trust 30: 80-88.

Van ROOSMALEN, M.G.M., van ROOSMALEN, T. e MITTERMEIER, R.A. (2002) A
taxonomic review of the titi monkeys, genus Callicebus Thomas, 1903, with the description
of two new species, Callicebus Bernhardi and Callicebus stephennashi, from brazilian
Amazonia. Neotropical Primates, 10 (suppl.): 1-52.

WALLACE, R., PAINTER, R.L.E. e TABER, A.B. (1998) Primate diversity, habitat
preferences and population density estimates in Noel Kempff Mercado National Park, Santa
Cruz Department, Bolivia. American Journal of Primatology 46: 197-211.

WORMAN, C.D. e CHAPMAN, C.A. (2006) Densities of two frugivorous primates with
respect to forest and fragment tree species composition and fruit availability. International
Journal of Primatology, 27: 203-225.

WHITESIDES, G.H., OATES, J.F., GREEN, S.M. e KLUBERDANZ, R.P. (1988).
Estimating primate densities from transects in a West African rain Forest: a comparison of
techniques. Journal of Animal Ecology, 57: 345-367.




                                                                                         121
ANEXO I


                       Riqueza de espécies – Serras das Lontras e Javi


       Além dos primatas, objeto do presente estudo, outras espécies de mamíferos foram
registradas ao longo dos transectos nas Serras das Lontras e Javi. Foram considerados para
os registros tanto os avistamentos quanto registros indiretos, como vocalização, pegadas,
rastros e fezes. Algumas espécies não deixam dúvidas quanto à identificação, mas outras,
como os felinos, tatus e morcegos, foram registrados apenas como grupos.


 Tabela i. Espécies de mamíferos registradas em cinco transectos nas Serras das Lontras e Javi,
 formas de registro e tipos florestais;

   Espécie                            Transecto¹                  Registro² Tipo Florestal³
   Agouti paca                        Ln1, Ln2, Zq                     I       Ma, Mn
   Pecari tajacu                      Ln1                              I       Ma
   Bradypus torquatus                 Zq                               A       Em
   Callicebus melanochir              Btv                            A, V      Em
   Callithrix kuhlii                  Btv, Zq, Ct, Ln1, Ln2          A, V      Ma, Mn, Em, Jo
   Cebus xanthosternos                Btv, Zq, Ct, Ln1, Ln2          A, V      Ma, Mn, Em, Jo
   Dasyprocta aguti                   Ln1,Zq                           A       Ma, Em, Er
   Eira barbara                       Btv                              A       Em
   Leontopithecus chrysomelas         Ct, Ln2                          A       Ma, Jo, Er
   Nasua nasua                        Ln1, Ln2                         A       Mn, Jo
   Sciurus aestuans                   Btv, Zq, Ct, Ln1, Ln2            A       Ma, Em, Jo
   Procyon cancrivorus                Ln1                              I       Ma
   Tatu (spp)                         Ct, Zq                           I       Ma, Em
   Morcegos (spp)                     Ct, Ln2, Zq                      A       Ma, Em
   Felinos (spp)                      Ln1, Zq                          I       Ma, Em
   ¹ Transectos: Bem-te-vi (Btv), Zé Oduque (Zq), Catarina (Ct), Lontras1 (Ln1), Lontras 2 (Ln2);
   ² Formas de registro: avistamento (A), vocalização (V), pegadas, fezes, ratros (I);
   ³ Tipos florestais em que as espécies foram registradas: Madura (Ma), Montana (Mn), Em
   maturação (Em), Jovem (Jo), Em regeneração (Er).




                                                                                                    122
A ocorrência dessas e de outras espécies de mamíferos foi registrada também nas trilhas
 de acesso aos transectos, em diferentes tipos de vegetação (cabrucas, vegetação em
 regeneração e floresta madura).




 Tabela ii. Registros extra-transectos de espécies de mamíferos nas Serras das Lontras e Javi.

Espécie                       Local                                  Forma (e número) de registros
Callicebus melanochir         Acesso a Bem-te-vi                     Vocalização(2)
Callithrix kuhlii             Acesso a Bem-te-vi, Lontras 1 e 2 Avistamento(4), vocalização(7)
Cebus xanthosternos           Acesso a Bem-te-vi                     Avistamento(1)
Leontopithecus                Acessos a Bem-te-vi, Lontras 1,        Avistamento(5), vocalização(4)
chrysomelas                   Lontras 2 e Catarina

Cerdocyon thous               Desvio em Lontras 1*                   Avistamento(1)
Pecari tajacu                 Desvio em Lontras 1*                   Avistamento e pegadas(1)
Procyon cancrivorus           Acesso a Lontras 1 e Bem-te-vi         Pegadas(2)
Sciurus aestuans              Acesso a Bem-te-vi                     Avistamento(1)
 * O desvio em questão corresponde a um trecho de estrada antiga que passa junto ao transecto, onde os
 animais foram avistados (dois catitús sendo perseguidos por uma raposa-do-mato);




                                                                                                         123
ANEXO II



Comparação entre Abundâncias Relativas e Densidades estimadas pelo Distance


   Comparando as abundâncias relativas derivadas apenas de avistamentos com as
estimativas de densidade fornecidas pelo programa Distance 5.0 observa-se que existe uma
correspondência, dentro de cada espécie, entre essas variáveis: as áreas que apresentam as
maiores abundâncias relativas são também as que apresentam as maiores densidades e as
áreas com as menores abundâncias relativas apresentam também as menores densidades
(Tabela 10). Essa correspondência se justifica pela estimativa de uma largura efetiva única
para cada espécie (Cebus xanthosternos = 26,03m; Callithrix sp. = 10,09m; Callicebus
melanochir = 19,47m; Leontopithecus chrysomelas = 12,29 m), de forma que a razão entre
as variáveis “número de avistamentos” e “esforço amostral” (n/L) se mantém inalterada
para a mesma espécie em todas as áreas de estudo.
   No entanto, comparando as espécies entre si, a relação direta entre abundância relativa
e densidade não se mantem, o que se explica pela variação nas larguras efetivas estimadas
para cada espécie. Assim, apesar de apresentarem a mesma abundância relativa nas Serras
das Lontras e Javi, as espécies Leontopithecus chrysomelas e Callicebus melanochir
tiveram diferentes estimativas de densidade pelo Distance nessa área: 0.55 grupos/km² e
0.35 grupos/km², respectivamente. Da mesma forma, considerando as estimativas globais,
observa-se que apesar de Cebus xanthosternos apresentar a maior abundância relativa entre
as quatro espécies, sua densidade é inferior        às encontradas para Callithrix sp e
Leontopithecus chrysomelas.




                                                                                       124
Tabela iii. Número de avistamentos, esforço amostral, abundâncias relativas e estimativas de
densidade (e intervalos de confiança) pelo programa Distance 5.0 para Cebus xanthosternos,
Callithrix sp., Callicebus melanochir e Leontopithecus chrysomelas nas Serras das Lontras e Javi,
REBIO Una, PESC e Reserva Ecológica Michelin.

    Espécie           Área       n        L (km)      Abundância relativa       DS Distance
                                                       em grupos/10km (¹)       (grupos/km²)
    Cebus             Michelin 21             247           0.85               1.46(0.61-3.53)
                      Lontras    16         223.3           0.72 (0.76)        1.28 (0.57-2.89)
                      Rebio      15           284           0.53               1.00(0.45-2.22)
                      PESC       8         228.25           0.35               0.67(0.24-1.85)
                      Total*     60        982.55            0.61(0.62)        1.10(0.75-1.62)
    Callithrix        Lontras    15         223.3           0.67 (1.03)        3.33 (1.23-9.02)
                      Michelin 16             247            0.65              3.21(1.43-7.24)
                      PESC       13        228.25           0.57 (0.75)        2.82(0.82-9.78)
                      Rebio      5            284           0.18 (0.21)        0.87(0.30-2.53)
                      Total*     49        982.55           0.50 (0.63)        2.56(1.48-4.44)
    Callicebus        Michelin 16             247            0.65              1.56(0.47-5.14)
                      Lontras    3          223.3           0.13 (0.22)        0.35(0.03-3.62)
                      Rebio      3            284           0.11 (0.25)        0.27(0.03-2.78)
                      Total*     22         754.3            0.29 (0.37)       0.73(0.28-1.86)
    Leontopithecus    Rebio      14           284           0.49               1.86(0.92-3.78)
                      Lontras    3          223.3           0.13 (0.36)        0.55(0.11-2.68)
                      Total*     17         507.3            0.34 (0.43)       1.20(0.62-2.33)



*(Estimativas totais obtidas a partir da soma dos avistamentos e do esforço amostral das áreas de
estudo em que as espécies foram encontradas);
 ¹ valores entre parênteses correspondem às abundâncias relativas considerando também os registros
por vocalizações (sem avistamento).




                                                                                              125
ANEXO III


                 Fragmentos florestais das Serras das Lontras e Javi (ARAÚJO e SANTOS, 2001)




Área estimada dos fragmentos: 1 (60ha), 2 (127ha), 3 (118 ha), 4 (806 ha), 5 (338 ha), 6(1.128 ha), 7(189 ha), 8 (225 ha)


                    A cobertura florestal ilustrada por ARAÚJO e SANTOS (2001) encontra-se
            subestimada (observação pessoal). O texto a seguir corresponde à descrição dos autores
            para os referidos fragmentos.
                   “Os fragmentos 4 e 6 apresentam as matas de melhor qualidade e estão localizados
            nos topos das Serras das Lontras e Javí, denominadas pelos moradores locais de Serra do
            Mangue e Peito de Moça, respectivamente. Estes fragmentos são compostos
            principalmente por matas de altitude entre 700 e 900 metros e algumas áreas de cultivos
            antigos abandonados e em estagio avançado de regeneração. Apesar de pouco habitadas,
            os moradores destas áreas ainda praticam agricultura de subsistência, o que implica em


                                                                                                            126
pequenas derrubas de mata anualmente. Foi verificada forte pressão de caça no local,
sendo registrados inúmeros tiros de espingarda e ocorrência de armadilhas, relatados
pelos moradores locais. As informações de campo indicaram que os fragmentos 7 e 8, em
destaque, são contíguos aos fragmentos 5 e 6. Ao explorar o fragmento 7, verificamos que
ele é composto predominantemente por matas onde já houve alguma exploração seletiva de
madeira e retirada de palmito. A estrutura da vegetação varia de acordo com a altitude,
indo desde mata alta com árvores entre 15 e 20 metros até as matas de altitude que são
mais baixas e retorcidas. Existem no local inúmeras manchas de capoeirão, testemunhos
de antigas plantações. Estes locais estão hoje em avançado estágio de regeneração onde
predomina uma cobertura florestal composta principalmente por espécies da família das
Melastomatáceas. As mesmas características foram observadas no fragmento 8.
        O fragmento 5 é composto predominantemente por matas e algumas manchas de
capoeirão com as mesmas características do fragmento 7 registradas acima. O fragmento
3 é composto pela cobertura vegetal das encostas da Serra Fina, estando parcialmente
conectado com o fragmento 4. É composto basicamente por vegetação de altitude. No seu
entorno, há registro de exploração agrícola recente, entremeadas por capoeiras e manchas
de mata. Na vertente sudoeste da Serra Fina, na cota 700 metros, encontra-se uma vasta
área de campo, provavelmente uma antiga área ocupada com agricultura.-O fragmento 1 é
o mais conhecido, explorado e o de mais fácil acesso da região. Ele é composto por uma
série de ambientes distintos que acabamos por defini-lo como um “capoeirão”. É uma
área bem antropisada, formada por pequenos fragmentos de mata entremeados por
cabrucas, capoeiras em diversos estágios de regeneração, pequenos cultivos anuais e
pastagens abandonadas. Está localizado entre as fazendas Elza e Boa Esperança, na face
oeste da Serra das Lontras.
        O fragmento 2 é o mais isolado em termos de conectividade. Entre ele e os
fragmentos 1 e 4 está a área mais degradada da Serra das Lontras com uma concentração
de pequenos agricultores voltados para agricultura de subsistência. Neste local existem
muitas áreas desmatadas e com o solo exposto com indícios de erosão de solos por ação
das chuvas. Sua localização é de difícil acesso pois está em terreno escarpado e de
formação rochosa. Aparentemente é constituído por matas de boa qualidade e conectado a
cabrucas e a fragmentos de mata pelas vertentes sul e sudeste.
        Observando do alto o maciço de serras (sobrevôo em 2000), confirmou-se que a
paisagem desta região é predominante florestada e bem conectada, ficando assim, difícil
de distinguir os fragmentos descritos no item anterior. As novas iniciativas de abertura de
floresta para implantação de culturas ocupam áreas pequenas, principalmente culturas de
subsistência. O que mais preocupa nesta ação é que a maioria delas estão localizadas nas
cotas mais elevadas, ameaçando em parte, as áreas mais íntegras de floresta.
        Na vertente leste da Serra das Lontras, nas proximidades da Serra Peito de Moça e
no entorno da Serra do Javí, há diversas formações de vegetação homogênea, constituídas
principalmente por Meslastomatáceas. Entre as cotas 400 e 600 metros registrou-se a
ocorrência de manchas formadas por leguminosas de porte arbóreo, popularmente
conhecidas como Cobi. A ocorrência destas espécies indica que as áreas foram abertas
anteriormente e se encontram em regeneração. Pelo abandono das plantações de cacau e
seringueira e conseqüente regeneração da vegetação nestas áreas, ficou difícil distinguir e
quantificar estes cultivos. De forma geral, a parte do maciço das serras que mais chamou a
atenção pela degradação da paisagem foi o extremo sul da Serra das Lontras na porção
entre o fragmento 4 e 2.”


                                                                                       127

Primatas das Serras das Lontras e Javi

  • 1.
    UNIVERSIDADE ESTADUAL DESANTA CRUZ - UESC Programa de Pós-Graduação em Zoologia LETICIA DE LIMA BASTOS MOREIRA PRIMATAS DAS SERRAS DAS LONTRAS E JAVI: ESTADO DAS POPULAÇÕES E SEU PAPEL NA CONSERVAÇÃO REGIONAL DA COMUNIDADE DE PRIMATAS NO SUL DA BAHIA ILHÉUS - BA 2009 1
  • 2.
    UNIVERSIDADE ESTADUAL DESANTA CRUZ - UESC Programa de Pós-Graduação em Zoologia LETICIA DE LIMA BASTOS MOREIRA PRIMATAS DAS SERRAS DAS LONTRAS E JAVI: ESTADO DAS POPULAÇÕES E SEU PAPEL NA CONSERVAÇÃO REGIONAL DA COMUNIDADE DE PRIMATAS NO SUL DA BAHIA Dissertação apresentada para a obtenção do título de Mestre em Zoologia, à Universidade Estadual de Santa Cruz. Área de Concentração: Zoologia Aplicada Orientador: Drª. Maria Cecília Kierulff Co-Orientador: Prof. Martín R. Alvarez ILHÉUS – BA 2009 2
  • 3.
    UNIVERSIDADE ESTADUAL DESANTA CRUZ - UESC Programa de Pós-Graduação em Zoologia LETICIA DE LIMA BASTOS MOREIRA PRIMATAS DAS SERRAS DAS LONTRAS E JAVI: ESTADO DAS POPULAÇÕES E SEU PAPEL NA CONSERVAÇÃO REGIONAL DA COMUNIDADE DE PRIMATAS NO SUL DA BAHIA Ilhéus, Bahia – 31 de março de 2009 3
  • 4.
    “I celebrate myself,and sing myself, And what I assume you shall assume, For every atom belonging to me as good belongs to you.” Walt Whitman (1819-1892) Em memória de Lourdes Bastos Moreira (vó Lourdes), Pedro Davison e Levi Fiuza, desmaterializados enquanto este trabalho se materializava. “As pessoas não morrem, elas ficam encantadas.” João Guimarães Rosa 4
  • 5.
    AGRADECIMENTOS Dedico este trabalho a todos os que acreditam em transformar o mundo, para melhor. E a todas as florestas, com seus macacos e joaninhas. Agradeço primeiro e, acima de tudo, à minha família de luz, há muito conectada a minha existência. Meu pai, Márcio, por seu meu exemplo, orientador de vida, meu porto seguro. Minha mãe, Elizabeth, por ser minha maior amiga, meu berço de luz, minha flor de ipê amarelo, minha alma-mãe. Meu irmão, Marcelo, cabecinha de lua, meu protetor, meu amigo, parceiro de signo, de tapas e beijos. Meus avós, que a tudo antecedem. A vocês devo meu caráter, minha determinação, minha vontade de seguir caminhando sob o sol e a lua. Obrigada por acreditarem em mim, sempre. Agradeço à minha família Davison, por ser parte inseparável de mim. Agradeço por toda a força que vocês são, pelo exemplo de família e de respeito, pela coragem de enfrentar o incompreensível e, diante dele, se reinventarem. Vocês são parte integrante deste trabalho. E, especialmente, agradeço ao Pedro, por cumprir sua promessa de estar comigo para sempre, todos os dias. Agradeço ao Rafael pelos momentos de alegria, inspiração e expiração nos últimos e mais difíceis passos dessa dissertação. Agradeço a minha família de Olivença, prova de que “não precisa ter conta sanguínea, é preciso apenas um pouco mais de sintonia”. Mari, Ursinha e Lari, por serem minhas irmãs da alma e da matéria, pelos cuidados, pelos abraços apertados (não importa a distância), por compartilharem comigo o amor à natureza e as aventuras do “com-viver”. Sou muito grata a vocês, parceiras de vida, companheiras inseparáveis, rosas únicas em milhões em milhões de estrelas. Grata pelas gargalhadas, viagens, músicas, descobertas, praias, ondas, cervejas geladas (e quentes), pelas roupas lavadas à mão, pela geladeira cheia, pelas mãos dadas, pelas lágrimas compartilhadas, pelos sonhos construídos completamente em conjunto. Aos demais amigos de Oli, membros honorários da Família Sintonia, Paulinha, Bebeti e Harildon, Katrin e Daniel, Dora e João, Marini, Magrão, Vinícius, Sacaninha, Maria e os agregados Lucas da Paz, Sabonete, Viví e Luiz, pela parceria e diversão garantida ao longo desses dois anos. Agradeço às amigas e irmãs que tiveram coragem suficiente para vir me visitar e mais coragem ainda para ir embora! Queridas Rafinha, Carol e Dani, obrigada pelo carinho, pela conexão e por toda a força que vocês me trazem. “Não existe distância que nos separe”. Agradeço aos amigos e colegas do IESB que me acolheram, me respeitaram, me ensinaram e caminharam junto comigo: Lílian, Camila, Priscila, Adriana, Leo Neves, Leo Oliveira, Carlos, Rebecca, Shirú (André), Gustavo, Michaelle, Nayara, Ana Cláudia, Ana 5
  • 6.
    Roberta, D’ajuda... eaos coligados Cassiano Gatto e Fábio Falcão. Obrigada a cada um de vocês que tornaram tudo muito mais fácil, mesmo sem perceber. Agradeço ao meu querido Gabriel Santos, que me estendeu a mão no momento mais crítico e me abriu caminhos na Bahia. A você eu agradeço pela confiança em meu trabalho, pelos puxões de orelha, pelos conselhos e pelo enorme presente chamado Serra das Lontras e Javi. Agradeço também ao assistente de campo Rubens, sem o qual este trabalho teria sido inviável. Agradeço ao pessoal do SIG, Alessandro e Dayse, pela enorme ajuda com os mapas. Agradeço a todos os amigos e amigas da UESC, em especial a Juliana Laufer, Carolzinha, Carlinha,Tati e Ju (Goiás), que compartilharam comigo as angústias e delícias do mestrado em Zoologia... agradeço aos professores, que contribuíram para o passo-a-passo nessa loooonga jornada; e pela ajuda com a parte de SIG, devo dizer, valeu Gil!!! Agradeço aos meus orientadores, Cecília Kierulff e Martín Alvarez, por todo o auxílio, pelos conhecimentos transmitidos, pelas inúmeras correções, pela parceria e pelo respeito. Agradeço ao Dr. Kevin Flesher, que se tornou grande amigo, pela orientação científica e pessoal, pela prontidão, pelas idéias, pelas correções ao logo de todo o processo, pelos questionamentos, por me abrir as portas da Michelin. Agradeço ao Dr. Alexandre Schiavetti pelas excelentes críticas durante o exame de Qualificação. Agradeço a Dra Romari Martinez pelas contribuições desde a revisão do primeiro relatório até o formato final do trabalho. Também por sua participação na banca de Defesa. Agradeço ao Dr. Laury Cullen, pela abertura e disposição em participar da banca de Defesa, engrandecendo o trabalho. Agradeço às famílias de Lontras que me receberam em suas casas como a uma filha, sem as quais tudo seria muito mais difícil: Família Unida – em especial Seu Macário, Zé Roberto, Junior e Léo; Dona Airã e Seu Atanásio; e Família de seu Zezito, Dona Conceição e crianças. A essas pessoas agradeço pelas lições de humildade e de coragem diante da vida. Agradeço à PETROBRAS e à CAPES, instituições que viabilizaram o trabalho financeiramente. Agradeço aos meus eternos mestres: Cláudio Pádua, pelo carinho, pela confiança, pelos ensinamentos e pelas chaves de ouro que sempre me abrem as melhores portas; e Henyo Barreto, pela conexão sincera e direcionamentos, desde a graduação até o presente. Finalmente, agradeço a mim, pela coragem de começar de novo e seguir em frente, sempre. 6
  • 7.
    SUMÁRIO LISTA DE FIGURAS.........................................................................................................................9 LISTADE TABELAS......................................................................................................................11 RESUMO...........................................................................................................................................12 ABSTRACT......................................................................................................................................13 1 - INTRODUÇÃO GERAL............................................................................................................14 2 - REVISÃO DE LITERATURA..................................................................................................16 2.1 A Mata Atlântica ...................................................................................................................16 2.2 A Mata Atlântica do sul da Bahia .......................................................................................18 2.3 Primatas da Mata Atlântica..................................................................................................19 2.4 Primatas do sul da Bahia.......................................................................................................21 2.4.1 Caracterização dos primatas entre os rios Jequiriçá e Jequitinhonha....................25 2.5 Amostragens de distâncias para estimativas populacionais de primatas.........................31 3 - OBJETIVOS................................................................................................................................36 3.1 Objetivo Geral..................................................................................................................... 36 3.2 Objetivos específicos.......... ................................................................................................ 36 4- MÉTODOS ................................................................................................................................ 37 4.1 Áreas de estudo e Coleta de dados...................................................................................... 37 4.1.1 Serras das Lontras e Javi...................................... .................................................... 37 4.1.2 Transecções Lineares.................................................................................................. 41 4.1.3 Reserva Biológica de Una (REBIO Una), Parque Estadual da Serra do Conduru e entorno (PESC) e Reserva Ecológica Michelin........................................................................ 51 4.2 Análise dos dados ................................................................................................................. 57 4.2.1 Programa Distance 5.0 ............................................................................................... 57 4.2.2 Análise combinada de diferentes censos.................................................................... 58 4.2.3 Métodos alternativos .................................................................................................. 59 4.2.3.1 Distâncias Média, Máxima e de Queda...............................................................59 4.2.3.2 Abundância Relativa.............................................................................................60 4.2.4. Análise comparativa das estimativas de densidade...................................................60 5 – RESULTADOS E ANÁLISES..................................................................................................61 5.1 Serras das Lontras e Javi .....................................................................................................61 5.1.1 Esforço amostral..........................................................................................................61 7
  • 8.
    5.1.2 Tipos dehabitats amostrados nos transectos............................................................61 5.1.3 Avistamentos de primatas...........................................................................................64 5.2 REBIO Una, PESC e Reserva Ecológica Michelin............................................................66 5.2.1 Esforço amostral..........................................................................................................66 5.2.2 Avistamentos de primatas..........................................................................................66 5.3 Resultados e análises comparadas entre as Serras das Lontras e Javi, REBIO Una, PESC e Reserva Ecológica Michelin....................................................................................70 5.3.1 Estimativas de Abundância Relativa.........................................................................70 5.3.2 Estimativas de Densidade...........................................................................................72 5.3.2.a Programa Distance 5.0......................................................................................77 5.3.2.b Comparação entre os métodos para estimar densidades...............................82 6- DISCUSSÃO.................................................................................................................................84 6.1 Avistamentos de primatas nas Serras das Lontras e Javi..................................................84 6.2 Abundâncias Relativas...........................................................................................................86 6.3 Estimativas de densidade.......................................................................................................89 6.3.1 Comparação entre métodos.......................................................................... ..............89 6.3.2 Comparação de densidades entre áreas e com outros estudos no sul da Bahia.....91 6.3.3 Comparação das densidades para o sul da Bahia com outras áreas de Mata Atlântica............................................................................................................................................99 6.4 Considerações para a conservação das Serras das Lontras e Javi.................................102 7 - CONCLUSÕES ........................................................................................................................106 8 - REFERÊNCIAS BIBLIOGRÁFICAS ...................................................................................107 ANEXO I - Riqueza de Espécies – Serras das Lontras e Javi................................................... 122 ANEXO II - Comparação entre abundâncias relativas e densidades estimadas pelo Programa Distance 5.0......................................................................................................................................124 ANEXO III - Fragmentos Florestais das Serras das Lontras e Javi ........................................126 8
  • 9.
    LISTA DE FIGURAS Figura1. Representação da região geográfica entre os Rios Jequiriçá e Jequitinhonha.............26 Figura 2. Localização geográfica das Serras das Lontras e Javi (LONTRAS), em relação à posição de três unidades de conservação do sul da Bahia: Reserva Biológica de Una (REBIO), Parque Estadual do Conduru (PESC) e Reserva Ecológica Michelin (MICHELIN). Escala 1:250.000 PROBIO.....................................................................................................................38 Figura 3. Floresta Montana na Serra do Javi. Agosto de 2007. Fotos: Leticia Bastos................39 Figura 4. Proposta de criação do Parque Nacional Serra das Lontras, MMA (Fonte: www.mma.gov.br).......................................................................................................................41 Figura 5. Metodologia dos transectos lineares, com uma única linha, posicionada aleatoriamente, de extensão L. Seis objetos (n = 6) são detectados a distâncias x1, x2,..., x6. Os objetos são denotados por uma linha mostrando a distância perpendicular medida. Em aplicações práticas, muitos transectos devem ser usados para amostrar populações. (Fonte: BUCKLAND et al., 1993, Capítulo 1)........................................................................................42 Figura 6. A área µ abaixo da função de detecção g(x), quando expressa como uma proporção da área w do retângulo, corresponde à probabilidade de detectar um objeto na área amostrada (Pa). O parâmetro µ também representa a largura efetiva da faixa amostrada e assume valores de 0 a w. (Fonte: THOMAS et al., 2002)...............................................................................................43 Figura 7. A Função Probabilidade de Detecção, f(x), plotada em histograma de freqüências de distâncias perpendiculares (numa escala em que a área total das barras do histrograma é 1). A área sob a curva também é a unidade por definição. Como as duas áreas listradas são idênticas, a área do retângulo µf(0) também é a unidade. Assim, µ = 1 / f(0). (Fonte: THOMAS et al., 2002)...........................................................................................................................................44 Figura 8. Mapa de localização dos transectos nas Serras das Lontras e Javi, mostrando a classificação da vegetação (escala de 1:250.000 - PROBIO) e os limites do Parque Nacional proposto pelo MMA. O transecto a oeste foi chamado de Bem-te-vi. Os transectos centrais são Lontras 1 (acima) e 2. Os transectos a leste são Catarina (abaixo) e Zé Oduque (acima).........................................................................................................................................46 Figura 9. Marcação dos transectos lineares (esquerda) e cordas de segurança (direita) colocadas para garantir a qualidade da coleta de dados (Fotos: Letícia Bastos).........................................48 Figura 10. Visibilidade reduzida em momentos de chuvas intensas na região das Serras das Lontras e Javi (Fotos: Letícia Bastos).........................................................................................50 Figura 11. Localização das três áreas amostradas em estudo prévio realizado pelo IESB. (1) Reserva Biológica de Una; (2) PESC; (3) Reserva Ecológica Michelin.....................................51 Figura 12. Mapa de localização dos transectos percorridos em estudo anterior na REBIO Una, mostrando a classificação da vegetação (escala 1: 250.000 – PROBIO)....................................53 9
  • 10.
    Figura 13. Mapade localização dos transectos percorridos em estudo anterior no PESC mostrando a classificação da vegetação (escala 1: 250.000 – PROBIO)....................................54 Figura 14. Mapa de localização dos transectos percorridos em estudo anterior na Reserva Ecológica Michelin mostrando a classificação da vegetação (escala 1: 250.000 – PROBIO). Provável presença de nuvens prejudica a classificação da vegetação na área............................55 Figura 15. Mapa de localização dos transectos percorridos em estudo anterior na Reserva Ecológica Michelin mostrando a classificação da vegetação (Landsat, 1996). Nota-se que os transectos estão sobre os fragmentos melhor conservados da propriedade, que provavelmente não foram alterados nos últimos anos.........................................................................................56 Figura 16. Histogramas de freqüência das distâncias perpendiculares de avistamento de Cebus xanthosternos (n = 16) e Callithrix kuhlii (n = 15) nas Serras das Lontras e Javi......................66 Figura 17. Histogramas de freqüência das distâncias perpendiculares (m) de avistamento de Cebus xanthosternos na REBIO Una (n=15), Michelin (n=21) e PESC (n=8)..........................68 Figura 18. Histogramas de freqüência das distâncias perpendiculares (m) de avistamento de Callicebus melanochir na Reserva Ecológica Michelin (n=16)..................................................68 Figura 19. Histogramas de freqüência das distâncias perpendiculares (m) de avistamento de Callithrix kuhlii (REBIO Una, n=5; PESC, n=13) e Callithrix sp. (Michelin, n=16)..............69 Figura 20. Histograma de freqüência das distâncias perpendiculares (m) de avistamento de Leontopithecus chrysomelas na REBIO Una (n=14)..................................................................69 Figura 21. Histogramas de freqüência de distâncias perpendiculares combinadas entre as quatro áreas de estudo para Cebus xanthosternos (n=60) e Callithrix spp (n=49)................................74 Figura 22. Histogramas de freqüência de distâncias perpendiculares combinadas entre diferentes áreas de estudo para Callicebus melanochir (n=22) e Leontopithecus chrysomelas (n=17)..........................................................................................................................................74 Figura 23. Função de detecção de Cebus xanthosternos gerada no programa Distance 5.0, modelo Uniform. Avistamentos combinados das Serras das Lontras e Javi, REBIO Una, PESC e Reserva Ecológica Michelin.....................................................................................................80 Figura 24. Função de detecção de Callithrix sp gerada no programa Distance 5.0, modelo Negative-Exponential. Avistamentos combinados das Serras das Lontras e Javi, REBIO Una, PESC e Reserva Ecológica Michelin...........................................................................................80 Figura 25. Função de detecção de Callicebus melanochir gerada no programa Distance 5.0, modelo Uniform. Avistamentos combinados das Serras das Lontras e Javi, REBIO Una e Reserva Ecológica Michelin........................................................................................................81 Figura 26. Função de detecção de Leontopithecus chrysomelas gerada no programa Distance 5.0, modelo Half-normal. Avistamentos combinados das Serras das Lontras e Javi e REBIO Una...............................................................................................................................................81 10
  • 11.
    LISTA DE TABELAS Tabela1. Esforço amostral por transecto nas Serras das Lontras e Javi.....................................61 Tabela 2. Avistamentos de primatas nas Serras das Lontras e Javi, número de grupos avistados (n) e tipos florestais ocupados.....................................................................................................63 Tabela 3. Avistamentos de primatas nas Serras das Lontras e Javi, número de grupos avistados (n) e tipos florestais ocupados.....................................................................................................64 Tabela 4. Riqueza de espécies de primatas e número de grupos avistados na REBIO Una, PESC e Reserva Ecológica Michelin.....................................................................................................67 Tabela 5. Esforço amostral (km), número de avistamentos (n) e abundância relativa (n/10 km) das espécies de primatas encontradas em censos nas Serras das Lontras e Javi, na REBIO Una, no PESC e na Reserva Ecológica Michelin................................................................................71 Tabela 6. Esforço amostral (km), número total de registros (n) e abundância relativa (n/10 km) das espécies de primatas encontradas em censos nas Serras das Lontras e Javi, na REBIO Una, no PESC e na Reserva Ecológica Michelin.................................................................................72 Tabela 7. Distâncias Perpendiculares (DP) Média, Máxima e Distância de Queda (DQ), em metros, e respectivas estimativas de densidade (grupos/km²) dos primatas considerando as áreas de estudo separadamente e combinadas (Total)..........................................................................75 Tabela 8. Teste de modelos das funções de detecção e respectivas estimativas da largura amostrada (ESW), Delta AIC, AIC, p-valores para o teste de Goodness-of-fit de Qui-quadrado (Chi-p), Densidade de grupos/km² (DS), limite de confiança inferior da densidade (DS LCL), limite de confiança superior da densidade (DS UCL) e coeficiente de variação da estimativa de densidade (DV) para Cebus xantosternos, Callithrix sp., Callicebus melanochir e Leontopithecus chrysomelas. ......................................................................................................78 Tabela 9. Comparação entre estimativas de densidade (DS) geradas para Cebus xanthosternos, Callithrix sp., Callicebus melanochir e Leontopithecus chrysomelas, pelos métodos da distância média, distância máxima, distância de queda (DQ) e pelo programa Distance 5.0................................................................................................................................................83 Tabela 10. Resumo das abundâncias relativas de Cebus xanthosternos, Callicebus melanochir e Callithrix sp. encontradas por FLESHER (2006) na Reserva Ecológica Michelin (REM) e outros fragmentos florestais da região de Ituberá (BA) através de censos diurnos.........................................................................................................................................88 Tabela 11. Comparação entre estimativas de densidade reportadas na literatura e geradas no presente estudo pelo Programa Distance 5.0 para Cebus xanthosternos, Callithrix kuhlii, Callicebus melanochir e Leontopithecus chrysomelas no sul da Bahia.....................................92 Tabela 12. Comparação das densidades encontradas para os primatas do sul da Bahia com outros estudos na Mata Atlântica...............................................................................................101 11
  • 12.
    PRIMATAS DAS SERRASDAS LONTRAS E JAVI: ESTADO DAS POPULAÇÕES E SEU PAPEL NA CONSERVAÇÃO REGIONAL DA COMUNIDADE DE PRIMATAS NO SUL DA BAHIA RESUMO O sul da Bahia é uma das poucas áreas em que, originalmente, os seis gêneros de primatas da Mata Atlântica ocorriam em simpatria. Nas últimas décadas, o estado de conservação das espécies de primatas na região tem sido investigado principalmente através de levantamentos de suas localidades de ocorrência e de estudos de comportamento restritos geograficamente. Enquanto informações ecológicas e biogeográficas estão disponíveis, estimativas sobre os números populacionais desses primatas são escassas. Conhecer a abundância das diversas populações é imprescindível para compreender o estado de conservação local e regional das diferentes espécies e vislumbrar suas possibilidades de sobrevivência nos remanescentes florestais. A região conhecida como Serra das Lontras e Javi compreende alguns dos fragmentos florestais em melhor estado de conservação do sul da Bahia e, mesmo sendo considerada uma área de elevada prioridade para a conservação, não havia sido investigada quanto às populações de primatas residentes. O presente estudo utilizou a metodologia de transecções lineares, seguindo o protocolo para utilização do programa Distance (BUCKLAND et al., 1993), para estimar as abundâncias dos primatas das Serras das Lontras e Javi. Um total de 223,3 km foram percorridos, totalizando 37 grupos de primatas avistados, de quatro espécies: Cebus xanthosternos, Callithrix kuhlii, Callicebus melanochir e Leontopithecus chrysomelas. Com o intuito de compreender melhor a situação dos primatas no sul da Bahia, os resultados das Serras foram comparados às estimativas obtidas através da mesma metodologia em outros três grandes blocos florestais: a Reserva Biológica de Una, o Parque Estadual do Conduru e entorno e a Reserva Ecológica Michelin. A abundância dos primatas, representada pelas densidades estimadas em grupos/km², apresentou variações entre espécies e entre áreas de estudo. As espécies de Callithrix parecem ser as mais abundantes do sul da Bahia e apresentaram densidades mais semelhantes entre as quatro áreas. As espécies ameaçadas Leontopithecus chrysomelas e Cebus xanthosternos tiveram densidades médias semelhantes para o sul da Bahia, mas suas densidades variaram consideravelmente entre as áreas de estudo. Callicebus melanochir foi a espécie encontrada com menor densidade média, principalmente em função das baixas densidades estimadas para as Serras das Lontras e Javi e a REBIO Una. A maior densidade de Callithrix kuhlii e a segunda maior densidade de Cebus xanthosternos foram registradas para as Serras das Lontras e Javi, que também parecem suportar mais grupos de Callicebus melanochir do que a REBIO Una. Leontopithecus chrysomelas foi a espécie encontrada em menores densidades nas Serras. Do ponto de vista regional, os resultados do presente estudo sugerem que a conservação dos primatas do sul da Bahia compreende, necessariamente, a conservação das populações de primatas das Serras das Lontras e Javi e que a proteção dessa área torna-se urgente quando consideradas a singularidade ecológica de suas florestas e o grau de ameaça a que estão submetidas. Palavras-chave: Primatas, Abundância, Densidades, Serras das Lontras e Javi, Sul da Bahia. 12
  • 13.
    PRIMATES OF SERRADAS LONTRAS AND JAVI: POPULATION STATUS AND THEIR ROLE ON REGIONAL CONSERVATION OF THE PRIMATE COMMUNITY IN SOUTHERN BAHIA ABSTRACT Southern Bahia is one of the few areas where, originally, the six primate genera of Atlantic Forest occurred in simpatry. In the last decades, conservation status of primate species in the region was investigated specially through geographically restricted distribution and behavior studies. While ecological and biogeographic information is available, estimates of population numbers of these primates are scarce. In order to understand local and regional conservation status of primate species and elucidate their survival possibilities in forest remains, it is essential to know their population abundances. The region known as Serra das Lontras and Javi supports some of the most conserved fragments of Southern Bahia and although it has been considered of high priority for biological conservation, its primate populations had not been studied. The present study used line transect methodology, following the protocol for utilizing Distance Program 5.0 (BUCKLAND et al., 1993), to estimate primate abundances of Serra das Lontras and Javi. A total of 223,3 km were walked, totalizing 37 primate sightings, of four species: Cebus xanthosternos, Callithrix kuhlii, Callicebus melanochir and Leontopithecus chrysomelas. Results were compared with estimates obtained using the same methodology in three conservation units of Southern Bahia: Una Biological Reserve, Serra do Conduru State Park and Michelin’s Ecological Reserve. Primate abundances, represented as densities estimated in groups/ km², varied both between species and study areas. Callithrix species were found to be the most abundant in Southern Bahia and presented similar densities in all areas. Endangered species Leontopithecus chrysomelas and Cebus xanthosternos presented similar medium densities in Southern Bahia, but had considerable variations between study areas. Callicebus melanochir had the lowest abundances in Southern Bahia region, specially because of the low estimates for Serra das Lontras and Javi and Una Biological Reserve. The highest density estimate for Callithrix kuhlii and the second highest density estimate for Cebus xanthosternos were found in Serra das Lontras and Javi, which also seems to support more groups of Callicebus melanochir than Una Biological Reserve. The lowest densities found in Serra das Lontras and Javi are for Leontopithecus chrysomelas. From a regional perspective, the present results suggests that primate conservation in Southern Bahia requires conservation of primate populations of Serra das Lontras and Javi and that protection of this area becomes urgent when considering its ecological singularity and threats to which it is submitted today. Key-words: Primates, Abundances, Densities, Serra das Lontras and Javi, Southern Bahia. 13
  • 14.
    1. INTRODUÇÃO GERAL A Mata Atlântica brasileira estendia-se originalmente do Rio Grande do Norte ao Rio Grande do Sul, ocupando uma área de aproximadamente 1.300.000 km² (FONSECA et al., 1999). A grande extensão latitudinal do bioma lhe confere notável heterogeneidade (GALINDO-LEAL e CÂMARA, 2005), assim como a variação longitudinal, que ajuda a criar uma diversidade de paisagens, com florestas de interior significativamente diferentes daquelas próximas ao litoral (THOMAS et al., 1998). Após mais de quinhentos anos de exploração, a Mata Atlântica é hoje classificada como um dos ecossistemas mais seriamente ameaçados do mundo (MITTERMEIER, 1986; OLIVER e SANTOS, 1991; MMA, 2000; GALINDO-LEAL e CÂMARA, 2005) e considerada prioritária para a conservação da biodiversidade do planeta (MYERS et al., 2000). Inserida no Domínio da Mata Atlântica e representando uma área prioritária e estratégica para a conservação da biodiversidade do bioma (TIMMERS et al., 2002), a região sul do estado da Bahia destaca-se por apresentar os maiores remanescentes florestais do nordeste brasileiro (MORI et al., 1983; JOHNS, 1999), alta riqueza biológica, elevado grau de endemismo (KINZEY,1982; MOURA, 2003) e intensa pressão antrópica sobre os fragmentos florestais remanescentes (JARDIM, 2003). A cobertura florestal no sul da Bahia encontra-se atualmente permeada por uma matriz de pastagens e uma variedade de plantios, incluindo cacau, seringa, pupunha, dendê, bananas e café (MORI et al., 1983; FLESHER, 2006; SAATCHI et al., 2001). Considerada como um dos principais centros de endemismo e de riqueza de primatas da Mata Atlântica (SANTOS et al., 1987), a região sul da Bahia é uma das poucas áreas onde os seis gêneros de primatas do bioma ocorrem simpatricamente (BIODIVERSITAS, 1993), representados por nove espécies: sagui-de-Wied (Callithrix kuhlii), sagüi-do-tufo-preto (Callithrix penicillata), sagui-da-cara-branca (Callithrix geoffroyi), guigó (Callicebus melanochir), macaco-prego-do-peito-amarelo (Cebus xanthosternos), macaco-prego-de crista (Cebus robustus), mico-leão-da-cara-dourada (Leontopithecus chrysomelas), bugio (Alouatta guariba) e muriqui-do-norte (Brachyteles hypoxanthus) (RYLANDS et al., 1996). Devido a introduções recentes, existem também populações de sagüi-do-nordeste (Callithrix jacchus) em algumas regiões ao sul do rio São 14
  • 15.
    Francisco (RYLANDS etal., 1996; COIMBRA-FILHO et al., 2006). Com exceção das espécies de Callithrix, todas as outras estão incluídas no Livro Vermelho da Fauna Brasileira Ameaçada de Extinção (MACHADO et al., 2008). O estado de conservação das espécies de primatas na região sul da Bahia tem sido investigado ao longo das últimas duas décadas, principalmente através de levantamentos extensivos de suas localidades de ocorrência (AGUIRRE, 1971; SANTOS et al., 1987; COIMBRA-FILHO et al., 1991; OLIVER e SANTOS 1991; RYLANDS et al. 1991; PINTO 1994a,b; KIERULFF et al., 2005; NEVES, 2008), mas apesar das informações ecológicas e biogeográficas disponíveis na literatura, estimativas populacionais dos primatas da região são escassas e, em sua maioria, referentes apenas à região geográfica de Una (RYLANDS, 1989; PINTO et al. 1993; DIETZ et al., 1994; PINTO, 1994a,b; PAGLIA 2003). Para a conservação dessas populações é imprescindível gerar dados sobre seus tamanhos e, quando possível, estimativas de densidades absolutas que tragam informações sobre a possibilidade de sobrevivência das espécies nos remanescentes florestais (GONZÁLES-SOLIS, 2001; PAGLIA, 2003; KIERULFF et al., 2005; RYLANDS et al., 2008; BECK e CHAPMAN, 2008). O presente estudo teve como objetivo estimar a abundância relativa e a densidade populacional de espécies de primatas em quatro grandes fragmentos florestais do sul da Bahia utilizando a metodologia de transecções lineares. O estudo foi concentrado na região das Serras das Lontras e Javi, que apesar de apresentar alguns dos fragmentos florestais em melhor estado de conservação da Mata Atlântica do sul da Bahia, ainda não havia sido investigada quanto às populações de primatas residentes. Os resultados obtidos nas Serras das Lontras e Javi foram comparados a dados não publicados de outros três grandes fragmentos florestais no sul da Bahia (Reserva Biológica de Una – REBIO Una, Parque Estadual do Conduru e entorno – PESC e Reserva Ecológica Michelin). 15
  • 16.
    2. REVISÃO DE LITERATURA 2.1 A Mata Atlântica A Mata Atlântica brasileira estendia-se originalmente do Rio Grande do Norte ao Rio Grande do Sul, ocupando uma área de aproximadamente 1.300.000 km² (FONSECA et al., 1999). Estima-se que apenas 8% da cobertura florestal original da Mata Atlântica persistam (SOS Mata Atlântica e INPE, 2009) após uma história de intensa devastação que teve início com a chegada dos colonizadores portugueses ao Brasil no século dezesseis (DEAN, 1996). A longa história de destruição transformou a Mata Atlântica em um dos ecossistemas mais devastados e mais seriamente ameaçados do mundo (MITTERMEIER, 1986; OLIVER e SANTOS, 1991; MMA, 2000; GALINDO-LEAL e CÂMARA, 2005). A grande extensão latitudinal confere à Mata Atlântica notável heterogeneidade: o bioma estende-se por 27 graus de latitude, de 3° S a 30° S (GALINDO-LEAL e CÂMARA, 2005). A variação longitudinal também contribui para a elevada diversidade de habitats, com florestas de interior significativamente diferentes daquelas próximas ao litoral (THOMAS et al., 1998; RIZZINI, 1997 apud SILVA e CASTELETI, 2005). Outros fatores geográficos como variações altitudinais, edáficas e topográficas resultam em um mosaico de micro-habitats dentro de cada tipo florestal aparentemente uniforme (THOMAS et al., 1998; GALINDO-LEAL e CÂMARA, 2005; TABARELLI et al., 2005). O mosaico florestal resultante dessas variações ambientais constitui o “Domínio da Mata Atlântica”, reconhecido legalmente em 1992 pelo Conselho Nacional do Meio Ambiente (CONAMA), e inclui as Florestas Ombrófilas (pluviais) Densas e Abertas (abrangendo as matas pluviais montanas, submontanas, de baixada e “tabuleiros” – florestas costeiras em terras baixas e solos arenosos), as Florestas Ombrófilas Mistas (correspondentes às matas sulinas com predominância de araucárias e lauráceas) e as Florestas Estacionais e Semidecíduas (que abrangem as matas subtropicais dos estados do Sul e as matas semidecíduas do Nordeste), bem como os ecossistemas associados (incluindo manguezais, restingas, campos de altitude, enclaves de campos e cerrados e as matas montanas da região Nordeste) e as áreas de transição ecológica entre as formações florestais (CÂMARA, 2005). 16
  • 17.
    Atualmente, a MataAtlântica encontra-se isolada dos outros grandes blocos florestais sul-americanos, a Floresta Amazônica e as Florestas Andinas, através de três biomas dominados por vegetações abertas: a Caatinga, o Cerrado e o Chaco. Mas a história evolutiva do bioma é marcada por períodos de contato com biotas de outras formações florestais (SILVA e CASTELETI, 2005), o que resultou em uma composição de espécies única (MYERS et al., 2000) formada por elementos muito antigos, diferenciados há pelo menos 3 milhões de anos durante o Plioceno, mas também por elementos que colonizaram a região mais recentemente, na transição Pleistoceno-Holoceno, entre 10 e 20 mil anos atrás (SILVA e CASTELETI, 2005). As estimativas da riqueza de espécies existentes na Mata Atlântica são variáveis, o que se deve, em grande parte, às incertezas sobre taxonomia e distribuição e ao uso de diferentes definições sobre os limites exatos do Domínio da Mata Atlântica (CÂMARA, 2005). O documento oficial “Áreas Prioritárias para a Conservação da Mata Atlântica e Campos Sulinos”, contabiliza 20 mil espécies de plantas, 250 espécies de mamíferos, 1020 espécies de aves, 197 espécies de répteis e 340 espécies de anfíbios. Se forem considerados em conjunto os mamíferos, aves, répteis e anfíbios, a Mata Atlântica abriga aproximadamente 7% de todas as espécies conhecidas no mundo para esse grupo de vertebrados (MYERS et al, 2000). Considerando sua extensão, a Mata Atlântica representa o mais diverso dos biomas brasileiros em termos de mastofauna. O grau de endemismo para o grupo, estimado em 32%, é excedido apenas pela Floresta Amazônica, a maior área florestal do país, com 59% da mastofauna endêmica. A notável diversidade da Mata Atlântica, no entanto, não está igualmente distribuída entre as diferentes ordens, sendo o alto nível de endemismo referente, principalmente, a três delas - marsupiais, roedores e primatas - que juntas perfazem 84 % de todas as espécies de mamíferos endêmicas ao bioma (COSTA e LEITE, 2000). Para grupos como os primatas, por exemplo, mais de dois terços das formas presentes são endêmicas (MMA, 2000). Atualmente essa riqueza encontra-se ameaçada, devido, principalmente, à expansão de grandes centros urbanos, à exploração madeireira, à caça, ao desmatamento e à substituição da cobertura florestal por agricultura (SILVA e TABARELLI, 2001). Em razão do alto grau de endemismo e de fragmentação florestal, a Mata Atlântica contribui 17
  • 18.
    com mais de60% das espécies presentes na lista oficial da fauna brasileira ameaçada de extinção (PAGLIA, 2005 apud PINTO et al., 2006). Esse quadro levou ao reconhecimento internacional da Mata Atlântica como um hotspot de biodiversidade – área com excepcional concentração de espécies endêmicas e submetida a altos níveis de destruição de habitat (MYERS et al., 2000). 2.2 A Mata Atlântica do sul da Bahia A região sul da Bahia é considerada uma área de destaque na Mata Atlântica: além da elevada riqueza de espécies, representa um dos três mais importantes centros de endemismo de todo o bioma (KINZEY, 1982; MORI et al., 1983) e detém um dos recordes mundiais de diversidade de espécies lenhosas (THOMAS et al., 1998). Situa-se entre os paralelos 13°05’ S - 18°05’ S e meridianos 38°50’ W - 41°33’ W, encontra-se delimitada ao norte pelo rio Jequiriçá, ao sul pelo rio Mucuri, a leste pelo Oceano Atlântico e a oeste pela rodovia BR-116, no planalto de Vitória da Conquista, e abrange cento e seis municípios do Estado da Bahia (PRADO et al., 2003b). Apesar de parecer uma formação vegetal homogênea, a Mata Atlântica do sul da Bahia, apresenta tipos vegetacionais extremamente diferenciados, com florestas que se tornam gradualmente mais secas à medida que avançam para o interior (MORI et al., 1983). De fato, existe uma transição das matas de restinga do litoral, passando pelas florestas úmidas (Ombrófilas) – florestas montanas e submontanas com solos argilosos e florestas de tabuleiros em terras baixas de solos arenosos (RYLANDS et al., 1991-1992) – e pelas florestas semidecíduas, até as florestas decíduas do interior (MORI et al., 1983). A composição de cada tipo florestal varia dependendo da elevação, da pluviosidade, dos tipos e da drenagem dos solos, resultando em um mosaico de diversos micro-habitats dentro da floresta aparentemente uniforme (THOMAS et al., 1998). O sul da Bahia vem sofrendo intenso desmatamento por, pelo menos, 500 anos, desde a chegada dos colonizadores portugueses na região (MORI et al., 1983; JOHNS, 1999), resultando em uma cobertura florestal fragmentada e reduzida a, aproximadamente, 5 % de sua extensão original (THOMAS et al., 1998). No entanto, abriga os maiores remanescentes de Mata Atlântica do Nordeste (JOHNS, 1999), em parte devido às 18
  • 19.
    peculiaridades do plantiode cacau na região, tradicionalmente plantado sob a sombra de árvores nativas, em um sistema agroflorestal denominado cabruca (MORI et al., 1983). É possível que as cabrucas tenham contribuído para a conservação da fauna regional (FARIA et al., 2006) até o presente, sendo utilizadas por espécies ameaçadas de extinção, como o gravateiro-acrobata (Acrobatornis fonsecai) (PACHECO et al., 1996), o mico-leão-da-cara- dourada (Leontopithecus chrysomelas) e o macaco-prego-do-peito-amarelo (Cebus xanthosternos) (observação pessoal). Em vista da relevância ecológica e das pressões antrópicas que incidem sobre o sul da Bahia, a região é reconhecida como um hot-point dentro do hotspot Mata Atlântica (MARTINI et al., 2007), havendo sido incluída pelo Governo Federal no Corredor Central da Mata Atlântica, que engloba cerca de 80% das áreas de mais alta prioridade para a conservação do bioma (FONSECA et al., 2003). No entanto, considerando a área total do Corredor Central, a rede de unidades de conservação do estado da Bahia é geográfica e ecologicamente mal distribuída (FONSECA et al., 2003; AGUIAR et al., 2005). A abrangência das áreas protegidas é reduzida e sua distribuição, concentrada em áreas de Floresta Ombrófila Densa, predominante nas porções litorâneas. Encontram-se desprotegidos os fragmentos de Florestas Estacionais e Montanas localizados mais a oeste, onde predominam as serras e maciços pré-litorâneos, (SILVEIRA et al., 2005; THOMAS et al., 1998), sendo necessários maiores e urgentes esforços de conservação para a preservação de áreas verdadeiramente representativas das florestas do sul da Bahia (THOMAS et al., 1998; FONSECA et al., 2003; GALINDO-LEAL E CÂMARA, 2005; PINTO et al., 2006; RBMA, 2006). 2.3 Primatas da Mata Atlântica Dentre as vinte e quatro espécies de primatas que ocorrem na Mata Atlântica brasileira, vinte são endêmicas ao bioma e quinze encontram-se ameaçadas de extinção (COSTA et al., 2005), estando todas classificadas em seis gêneros: muriquis (Brachyteles), micos-leões (Leontopithecus), sagüis (Callithrix), bugios (Alouatta), macacos-pregos (Cebus) e guigós (Callicebus), os dois primeiros endêmicos ao bioma. A distribuição atual 19
  • 20.
    desses primatas éinfluenciada pela ampla destruição de seus habitats naturais, bem como pelas introduções de espécies fora de sua ocorrência original, especialmente Calitriquídeos (RYLANDS et al., 1996). O tamanho reduzido e o grau de isolamento dos fragmentos da Mata Atlântica são, provavelmente, limitantes para que populações mínimas viáveis de primatas sejam mantidas em longo prazo (CHIARELLO e MELLO 2001; PAGLIA, 2003; CHIARELLO, 2003). A redução do que antes era uma floresta contínua a fragmentos pequenos e isolados pode resultar no confinamento de apenas alguns grupos de primatas em cada fragmento, limitando o fluxo de indivíduos entre populações e levando à depressão endogâmica, além de torná-las mais suscetíveis a eventos demográficos estocásticos (VALLADARES- PADUA e CULLEN JR., 1994; PIRES et al., 2006; PAGLIA et al., 2006). A fragmentação também facilita o acesso a caçadores, que freqüentemente buscam espécies de primatas de médio a grande porte, podendo levá-las à extinção local (RAEZ-LUNA, 1995; PERES, 2000; PERES e DOLMAN, 2000). Por outro lado, a fragmentação pode simplificar a composição dos predadores de topo de cadeia, ocasionando um aumento nas densidades populacionais das espécies de presas (CHIARELLO, 2003). O aumento da caça promovido pela fragmentação também pode levar a maiores densidades de algumas espécies de primatas não caçadas por reduzir ou exterminar seus competidores potenciais (PERES e DOLMAN, 2000). Em suma, o processo de declínio ou alteração na dinâmica populacional de primatas está intimamente relacionado às circunstâncias históricas e atuais do uso da terra (PINTO, 1994a). Grande parte das espécies de primatas sofre drásticas reduções populacionais quando existe grande perturbação ambiental, como fragmentação, corte seletivo de madeira, práticas agrícolas prejudiciais ou caça excessiva (JOHNS e SKORUPA, 1987). No entanto, estudos têm demonstrado a grande flexibilidade ecológica e capacidade de adaptação dos primatas que persistem nos fragmentos florestais remanescentes, sugerindo que o mosaico de habitats heterogêneos resultante da perturbação pode até mesmo aumentar a abundância das espécies remanescentes (STALLINGS e ROBINSON, 1991; COWLISHAW e DUNBAR, 2000). Para compreender de que forma as diferentes ameaças impactam as espécies de primatas no mosaico florestal atlântico é essencial obter estimativas de abundância e densidade, bem como realizar subseqüentes monitoramentos 20
  • 21.
    populacionais que permitammedir o sucesso de programas de conservação para essas espécies (RYLANDS et al., 2008). 2.4 Primatas do sul da Bahia No sul da Bahia, os seis gêneros de primatas da Mata Atlântica ocorrem simpatricamente, representados por nove espécies: sagui-de-Wied (Callithrix kuhlii), sagüi- do-tufo-preto (Callithrix penicillata), sagui-da-cara-branca (Callithrix geoffroyi), guigó (Callicebus melanochir), macaco-prego-do-peito-amarelo (Cebus xanthosternos), macaco- prego-de-crista (Cebus robustus), mico-leão-da-cara-dourada (Leontopithecus chrysomelas), bugio (Alouatta guariba) e muriqui-do-norte (Brachyteles hypoxanthus) (KINZEY, 1982; RYLANDS et al, 1996; MOURA, 2003). Devido a introduções recentes, existem também populações de sagüi-do-nordeste (Callithrix jacchus) em algumas regiões ao sul do rio São Francisco (RYLANDS et al., 1996; COIMBRA-FILHO et al., 2006). O estado de conservação das espécies de primatas na região sul da Bahia tem sido investigado ao longo das últimas duas décadas, principalmente através de levantamentos de suas localidades de ocorrência (AGUIRRE, 1971; SANTOS et al., 1987; COIMBRA- FILHO et al., 1991; OLIVER e SANTOS 1991; RYLANDS et al. 1991; PINTO 1994a,b; KIERULFF et al., 2005; NEVES, 2008). Com exceção das espécies de Callithrix, todas as outras estão incluídas no Livro Vermelho da Fauna Brasileira Ameaçada de Extinção (MACHADO et al., 2008). O conhecimento acumulado sobre aspectos de ecologia e comportamento varia entre as espécies e, em geral, é reduzido, mas representa um ponto de partida para a compreensão de seu estado de conservação. O sagui-de-Wied (Callithrix kuhlii) ocorre na região sul da Bahia e nordeste de Minas Gerais, entre os rios Jequitinhonha e de Contas, mas ainda há controvérsias sobre o limite norte original da espécie (RYLANDS, 1996; COIMBRA-FILHO et al., 2006; NEVES, 2008; RABOY et al., 2008). A leste, encontra-se limitado pelo Oceano Atlântico e, a oeste, por mudanças vegetacionais associadas ao aumento de altitude em decorrência do Planalto de Vitória da Conquista (NEVES, 2008). OLIVER e SANTOS (1991) afirmaram que o fenótipo de Callithrix kuhlii seria consistente da margem norte do baixo Jequitinhonha até o norte do rio de Contas, possivelmente estendendo-se até Valença, 21
  • 22.
    argumento utilizado tambémpor COIMBRA-FILHO et al. (2006) para defender uma possível extensão da distribuição da espécie ao longo da costa atlântica até o rio Paraguaçu ou até mesmo ao rio São Francisco. Esses mesmos autores, no entanto, referem-se à destruição histórica das florestas da região (COIMBRA-FILHO et al., 1991) e à mistura com populações de C. penicillata e populações introduzidas de C. jacchus como fatores que dificultam esclarecimentos sobre a questão. NEVES (2008) encontrou variações de coloração nos grupos de Callithrix avistados ao norte do rio de Contas, considerando-os como fenótipos intermediários entre C. kuhlii e C. penicillata e sugerindo uma zona de hibridação. Caso tratem-se de híbridos, ainda resta esclarecer se as populações de C. kuhlii teriam sido introduzidas na margem norte do rio ou se as populações de C. penicillata estariam avançando para leste e invadindo a área de C. kuhlii. É interessante considerar a observação do autor de que na maioria das vezes as características de C. penicillata se sobressaíram (“face escura, pés e mãos de cinza a castanho escuro e porção externa da coxa não apresentando o colorido conspícuo de C. kuhlii”), o que representa uma contradição com as observações de hibridização em cativeiro. De acordo com COIMBRA-FILHO et al. (2006), o castanho avermelhado intenso de C. kuhlii é uma característica evidentemente dominante e transmitida para seus híbridos, argumento usado, inclusive, para defender a validade da espécie. Não se pode, portanto, descartar a possibilidade de que as diferenças fenotípicas observadas ao norte do rio de Contas correspondam a uma variação natural dentro da espécie C. penicillata, considerando que a distribuição se C. kuhlii seja, de fato, originalmente limitada pelo rio de Contas. A espécie não foi incluída no Livro Vermelho da Fauna Brasileira Ameaçada de Extinção (MACHADO et al., 2008). Segundo RYLANDS et al. (1996), o sagui-de-tufo-preto (Callithrix penicillata) possui a maior parte de sua distribuição correspondente ao Cerrado do Brasil central, incluindo os estados do Tocantins, Goiás, Bahia, Minas Gerais e São Paulo, mas é provável que suas populações se encontrem em expansão, inclusive substituindo outras espécies a leste e ao sul de sua distribuição original. KINZEY (1982) delimita sua distribuição do rio de Contas ao Recôncavo Baiano, estendendo-se para oeste através da caatinga baiana e o cerrado central do Brasil, até as margens do rio Araguaia, e para o sul até o rio Grande, na divisa entre Minas Gerais e São Paulo. Encontra-se classificada na lista vermelha da IUCN 22
  • 23.
    como pouco preocupante(“least concern”, www.iucnredlist.org) e não é considerada uma espécie ameaçada em nível nacional (MACHADO et al., 2008). O sagui-de-cara-branca (Callithrix geoffroyi), ocorre do norte do rio Doce, no Espírito Santo, até o vale do rio Jequitinhonha, na divisa entre Minas Gerais e Bahia (RYLANDS et al., 1996; MELO, 2004). Seu limite oeste foi definido por Vivo (1991) como a Serra do Espinhaço, em Minas Gerais, que marca a transição da Floresta Atlântica para o Cerrado (RYLANDS et al., 1996). PASSAMANI e RYLANDS (2000) afirmam que a intensa destruição florestal em sua área de ocorrência, bem como a perseguição que sofrem pelo mercado ilegal de fauna, têm colocado suas populações sob forte ameaça, mas a espécie é considerada pela IUCN como em situação pouco preocupante (www.iucnredlist.org) e não consta no Livro Vermelho da Fauna Brasileira Ameaçada de Extinção (MACHADO et al., 2008). O mico-leão-da-cara-dourada (Leontopithecus chrysomelas) possui distribuição geográfica restrita entre o sul da Bahia e o nordeste de Minas Gerais, estando limitado ao norte pelo rio de Contas, ao sul pelo rio Jequitinhonha e a oeste pela mata de cipó associada às elevadas altitudes no Platô de Vitória da Conquista (RYLANDS et al., 1991-1992; RYLANDS et al., 2002). Não há evidências, no entanto, de que ocorra entre os baixos rios Pardo e Jequitinhonha e ao sul do baixo rio de Contas (RYLANDS et al., 1996). A espécie é considerada “Em perigo” no Livro Vermelho da Fauna Brasileira Ameaçada de Extinção (MACHADO et al., 2008), bem como pela IUCN (www.iucnredlist.org), estando apenas 2% de sua área de distribuição dentro de uma unidade de conservação de proteção integral federal, a Reserva Biológica de Una (BA) (PINTO e RYLANDS, 1997). O guigó (Callicebus melanochir) distribui-se desde o rio Paraguaçu até o rio Mucuri, no extremo sul do estado da Bahia (OLIVER e SANTOS,1991; van ROOSMALEN et al., 2002). Alguns autores defendem que o limite sul não seja bem definido, possivelmente havendo uma zona de sobreposição com Callicebus personatus entre os vales dos rios Mucuri e Itaúnas, no Espírito Santo (OLIVER e SANTOS, 1991; HERSHKOVITZ, 1990 apud van ROOSMALEN et al., 2002). Kinzey (1982), considera uma distribuição mais ampla para a espécie: do rio Itapicurú (norte da Bahia) ao rio Itaúnas (ES). A oeste, parece que sua distribuição é limitada pela mata de cipó e florestas semidecíduas da Bahia (VAN ROOSMALEN et al., 2002). Existem poucos trabalhos 23
  • 24.
    publicados sobre aespécie (MULLER et al, 1997; HEIDUCK,1997, 2002), que está classificada como “vulnerável” no Livro Vermelho da Fauna Ameaçada de Extinção (MACHADO et al., 2008) e na lista de espécies ameaçadas da IUCN (www.iucnredlist.org). O macaco-prego-do-peito amarelo (Cebus xanthosternos) é endêmico da Mata Atlântica dos estados de Sergipe, Bahia e norte de Minas Gerais. Atualmente, encontra-se restrito a fragmentos florestais da região delimitada a norte e oeste pelo rio São Francisco, ao sul pelo rio Jequitinhonha e a leste pelo Oceano Atlântico (COIMBRA-FILHO et al., 1991; OLIVER e SANTOS,1991; GUIDORIZZI et al., 2005). Há evidências de que a espécie já se extinguiu em grande parte de sua distribuição original (COIMBRA-FILHO 1986c, SANTOS et al., 1987; OLIVER e SANTOS, 1991), estando atualmente classificada pela IUCN (www.iucnredlist.org) e pelo Livro Vermelho da Fauna Brasileira Ameaçada de Extinção como “criticamente em perigo” (MACHADO et al., 2008). O macaco-prego-de-crista (Cebus robustus) distribui-se ao norte do rio Jurucuçu até o rio Jequitinhonha (OLIVER e SANTOS, 1991; RYLANDS et al., 1996). Como limite oeste para a ocorrência da espécie foram sugeridos a Serra do Espinhaço (RYLANDS et al., 1996) e o próprio rio Jequitinhonha (MARTINS, 2005 apud MACHADO et al., 2008). A espécie é considerada “em perigo” pela IUCN (www.iucnredlist.org) e “vulnerável” pelo Livro Vermelho da Fauna Brasileira Ameaçada de Extinção (MACHADO et al., 2008). O guariba (Alouatta guariba) se distribuía originalmente por grande parte do estado da Bahia e norte de Minas Gerais, provavelmente até o rio Paraguaçu (CABRERA, 1957 apud KINZEY, 1982), mas suas populações têm sido dizimadas pela caça (RYLANDS et al., 1996-1997). Atualmente encontra-se praticamente extinto na Bahia, com algumas pequenas e isoladas populações sobrevivendo no extremo sul, próximo à divisa com Minas Gerais (CROCKET, 1998; RYLANDS et al., 2003; MELO, 2004). O Livro Vermelho da Fauna Brasileira Ameaçada de Extinção considera sua distribuição restrita e classifica a espécie como “criticamente em perigo”. (MACHADO et al., 2008). A taxonomia ainda confusa para a espécie, no entanto, permite que seja classificada como Alouatta fusca (CROCKET, 1998; RYLANDS et al., 2000), com distribuição mais ampla pelas florestas costeiras desde o sul da Bahia até o Rio Grande do Sul, alcançando a região de Misiones, 24
  • 25.
    na Argentina (EMMONS,1997), o que contribui para sua classificação pela IUCN como “pouco preocupante” (LC - least concern) (www.iucnredlist.org). O muriqui-do-norte (Brachyteles hypoxanthus) é endêmico da Mata Atlântica dos Estados de Minas Gerais, Espírito Santo e Bahia (RYLANDS et al., 1996; STRIER et al., 2006). AGUIRRE (1971) sugere como limite setentrional para a espécie a bacia do rio Jequiriçá, possivelmente incluindo as matas da margem direita do rio Paraguaçu. A destruição florestal e a caça levaram os números populacionais da espécie a uma redução extrema e, apesar de ocorrer em diversas áreas protegidas, a maior parte de suas populações encontra-se evidentemente reduzida (OLIVER e SANTOS, 1991; RYLANDS et al., 1996- 1997; COSENZA e MELLO, 1998; CHIARELLO et al., 2004; STRIER et al., 2006). Na Bahia, a espécie foi registrada para o município de Guaratinga, divisa com Minas Gerais no vale do rio Jequitinhonha, podendo ser considerada a primeira população de muriquis constatada para o estado desde as investigações pioneiras de Aguirre, em 1971 (MELO et al., 2004). Atualmente está classificado tanto no Livro Vermelho da Fauna Brasileira Ameaçada de Extinção quando na lista da IUCN como “criticamente em perigo” (MACHADO et al., 2008; www.iucnredlist.org.br), sendo considerado entre os primatas mais ameaçados de extinção do mundo (STRIER et al., 2006). 2.4.1 Caracterização dos primatas entre os rios Jequiriçá e Jequitinhonha No presente estudo, serão abordadas apenas as espécies Callithrix kuhlii, Callithrix penicillata (ou híbridos de C. kuhlii e C. penicillata ao norte do rio de Contas), Callicebus melanochir, Cebus xanthosternos, Leontopithecus chrysomelas, Alouatta guariba e Brachyteles hypoxanthus, distribuídas originalmente entre os rios Jequiriçá e Jequitinhonha. A denominação “sul da Bahia” também será aplicada em referência à região compreendida entre esses dois rios (Figura 1). Considerando que a paisagem regional é caracterizada pela heterogeneidade de habitats florestais, apresentando florestas maduras, secundárias, seletivamente exploradas, bem como áreas não-florestadas ocupadas por cultivos agrícolas e pastagens e que as espécies diferem quanto a sua capacidade de explorar esses ambientes, as populações das 25
  • 26.
    espécies de primatasda região podem estar respondendo de modo diferente aos impactos antrópicos incidentes (COWLISHAW e DUNBAR, 2000; RABOY et al., 2004). Figura 1. Representação da região geográfica entre os Rios Jequiriçá e Jequitinhonha. Adaptado de HEIDUCK, 2002. 26
  • 27.
    Os Calitriquídeos, grupoem que estão classificados os sagüis (Calithrix) e micos- leões (Leontopithecus), são primatas pequenos, diurnos, frugívoros-insetívoros, que utilizam florestas maduras, perturbadas e ambientes florestais mais abertos próximos a rios (EISENBERG, 1977). A capacidade de ocupar diferentes tipos florestais varia entre as espécies e relaciona-se à qualidade desses habitats, determinada pelos recursos alimentares (distribuição e abundância de presas animais, frutos e exudados), pela disponibilidade de vegetação densa como refúgio contra predadores e pela presença de competidores, especialmente outros primatas (RYLANDS, 1996). Enquanto Callithrix kuhlii encontra-se restrito às florestas ombrófilas (montanas e costeiras) e às florestas mesófitas (interiores) ao longo da costa Atlântica, Callithrix penicillata é mais típico de florestas semi-decíduas, cerradões e matas de galeria do Cerrado brasileiro, mas também ocorre nas florestas úmidas costeiras (COIMBRA-FILHO et al., 2006; RABOY et al, 2008). Poucos estudos foram realizados sobre a ecologia de C. kuhlii, mas acredita-se que a qualidade e a distribuição dos recursos alimentares são fatores importantes que podem contribuir para a variação interespecífica na dieta, tamanho da área de vida e comportamento entre a espécie e seus congenéricos. Callithrix kuhlii utiliza extensivamente o mosaico florestal atlântico do sul da Bahia, incluindo florestas maduras, em regeneração, habitats de borda, capoeiras e cabrucas (RABOY et al., 2008). Da mesma forma, Callithrix penicillata, bem adaptado aos sistemas de cultivos arbóreos e florestas perturbadas de Ituberá, encontra-se amplamente distribuído e abundante, ocorrendo em todas as classes de paisagens da região (FLESHER, 1999). Ambos apresentam especializações para alimentar-se de exudados, o que lhes permite lidar com períodos de escassez de frutos, mas C. kuhlii alimenta-se de uma maior quantidade de frutos e insetos, fazendo menor uso dos exudados quando comparado a C. penicillata, uma das espécies mais especialistas nesse item alimentar (RYLANDS, 1996; RABOY et al., 2008). Os micos-leões (Leontopithecus) estão entre os maiores calitriquídeos e possuem as maiores áreas de vida para o grupo (RYLANDS, et al., 1991-1992; RYLANDS, 1993; RABOY e DIETZ, 2004). Alimentam-se de frutas, flores, néctar, insetos, pequenos vertebrados e gomas (KIERULFF et al., 2002; RYLANDS, 1993) e utilizam-se de forrageio manipulativo para localizar presas animais em locais de difícil acesso como bromélias e cascas de árvores (RYLANDS, 1996). A espécie presente no sul da Bahia, 27
  • 28.
    Leontopithecus chrysomelas, habitatanto as florestas úmidas e pouco sazonais da costa, quanto as florestas semidecíduas mais secas do interior, ambas caracterizadas pela elevada abundância de bromélias (RYLANDS et al., 1993; MORI et al., 1983). Ocorre em simpatria com Callithrix kuhlii, o que é possível graças às diferenças ecológicas entre ambas, como técnicas e locais de forrageio e utilização de diferentes estratos florestais (RYLANDS, 1989). Apesar de não demonstrar preferência por cabrucas, florestas perturbadas ou em regeneração, L.chrysomelas não as evita, indicando que esses habitats podem servir como conexões que facilitam a movimentação desses animais entre fragmentos de floresta madura (RABOY et al., 2004). Acredita-se que a permanência da espécie no mosaico florestal do sul da Bahia dependa da existência de florestas maduras próximas aos habitats mais degradados, provavelmente por sua dependência de bromélias para forrageio de presas animais e de ocos de árvores para dormida – recursos encontrados principalmente nas florestas maduras (RYLANDS et al., 1991-1992; RYLANDS, 1996). Os guigós (Callicebus) são primatas de pequeno a médio porte, monogâmicos, territoriais e organizados em grupos familiares de 2 a 6 indivíduos, constituídos pelo par reprodutivo e seus descendentes (KINZEY, 1982). Callicebus melanochir apresenta dieta basicamente frugívora, com consumo de folhas, flores, sementes e insetos em pequenas quantidades e utiliza florestas maduras, florestas sujeitas a corte seletivo de madeira e florestas secundárias, aparentemente, em função da disponibilidade de recursos em cada um desses habitats (HEIDUCK, 1997; HEIDUCK, 2002). Utilizam os estratos médio e superior da floresta, raramente descendo ao chão (KINZEY, 1981; MULLER, 1997) e costumam dormir em árvores específicas, geralmente mais altas do que o dossel e com folhagem densa (HEIDUCK, 2002). Na região de Ituberá, a espécie utiliza quase todos os habitats florestais, com exceção de capoeiras jovens, restingas de piaçava e cultivos arbóreos de qualquer tipo. Apesar de serem comuns e aparentemente abundantes em algumas florestas, especialmente as da Reserva Ecológica Michelin, são raros em outras. Sua resistência a entrar em áreas de agricultura e cruzar pequenas distâncias entre fragmentos os torna particularmente sensíveis à fragmentação do habitat, o que indica que suas populações na região podem estar isoladas há décadas (FLESHER, em preparação). Os primatas do gênero Cebus possuem tamanho médio, corpo robusto e cauda relativamente preênsil e apresentam grande flexibilidade ecológica, habitando praticamente 28
  • 29.
    todos os tiposflorestais dos Neotrópicos. Todas as espécies do gênero são onívoras, alimentando-se principalmente de frutas e, em menores quantidades, outras partes vegetais (flores, brotos, bromélias, sementes, raízes), insetos, pequenos vertebrados e ovos (FREESE e OPPENHEIMER, 1981). O macaco-prego-do-peito amarelo (Cebus xanthosternos), ao contrário da maioria de seus congêneres, parece estar sob forte ameaça, apresentando hoje uma distribuição bastante reduzida em relação a sua área de ocorrência original (COIMBRA-FILHO et al., 1991). Há indícios de que a intensa devastação florestal em sua área de ocorrência e a pressão de caça sobre suas populações estejam reduzindo drasticamente seus números e aproximando a espécie da extinção (MITTERMEIER et al., 2006; KIERULFF et al., 2004; KIERULFF et al., 2005). No passado, a espécie era abundante e comumente avistada na região de Ituberá, mas suas populações sofreram sério declínio e desapareceram da maior parte das florestas da área, provavelmente em função da caça intensiva. Os indivíduos de Cebus xanthosternos são capazes de explorar inúmeros tipos florestais e cultivos agrícolas na região, evidência de que a seu desaparecimento é mais relacionado à caça do que à falta de recursos (FLESHER, em preparação). Os bugios (Alouatta) são primatas robustos, possuem cauda preênsil e utilizam todos os estratos florestais, mas preferencialmente os estratos superiores e emergentes (GREGORIN, 2008). Apresentando a mais ampla distribuição geográfica entre os primatas Neotropicais (CROCKETT, 1998), ocorrem em um número variado de formações vegetais da América do Sul e Central (GREGORIN, 2006), incluindo florestas úmidas, semidecíduas, montanas, florestas inundadas, cerrados e matas de galeria (CHAPMAN e BALCOMB, 1998; CROCKETT e EISENBERG, 1987 apud ZUNINO et al., 2007). O peso médio corporal varia entre cinco e doze quilogramas e todas as espécies apresentam dimorfismo sexual acentuado (GREGORIN et al., 2008). Têm sido classificados como folívoros-frugívoros (GREGORIN et al., 2008) ou como primatas de alimentação oportunista (ZUNINO et al., 2007). Graças à sua habilidade de explorar dietas folívoras em pequenas áreas de vida, os bugios podem tolerar considerável fragmentação florestal, mas não a exposição crescente à caça que geralmente a acompanha (CROCKETT, 1998). Não existem na literatura dados detalhados sobre a espécie do sul da Bahia (Alouatta guariba guariba), mas estudos gerais sugerem uma dieta basicamente folívora e populações vivendo em grupos de três a oito indivíduos, em áreas de vida de 4 a 8 hectares, semelhantes às 29
  • 30.
    encontradas para Alouattaguariba clamitans (subespécie de ocorrência mais meridional) (MACHADO et al., 2008). Os muriquis (Brachyteles) são os maiores primatas neotropicais, endêmicos da Mata Atlântica brasileira, vivem em grupos multi-machos que podem alcançar até cinqüenta animais e vem sofrendo com a destruição florestal e a caça intensiva desde o século 16 (MITTERMEIER et al., 2006). O muriqui-do-norte (Brachyteles hypoxanthus) é um primata diurno e essencialmente arbóreo, podendo descer ao chão para atravessar lacunas no dossel (DIB et al., 1997 em BRITTO e GRELLE, 2006). Locomove-se por braquiação, no alto das árvores e alimenta-se basicamente de frutos, flores e folhas, podendo também utilizar cascas e bambus (NISHIMURA et al., 1988 apud TALEBI e ADES, 2004). As fêmeas dispersam de seu grupo natal pouco antes de atingirem a maturidade sexual, com aproximadamente sete anos (STRIER, 1991 apud STRIER, 2006). Estudos recentes nos Parques Nacionais do Rio Doce (MG) e do Caparaó (MG e ES) indicam a ocorrência de populações que podem ser tão grandes quanto as encontradas na Reserva Ecológica de Caratinga, e outras buscas nos últimos anos localizaram populações em doze localidades do Espírito Santo (MITTERMEIER et al., 2006). Grupos encontrados em fragmentos da localidade de Alto Cariri, fronteira do nordeste de Minas Gerais com a Bahia (MELO et al., 2004), podem representar as últimas populações da espécie no estado e levaram ao reconhecimento da área como prioritária para a criação de uma unidade de conservação (MITTERMEIER et al., 2006). Enquanto informações ecológicas e biogeográficas estão disponíveis, estimativas sobre os números populacionais dos primatas que subsistem nos fragmentos florestais do sul da Bahia são antigas ou inexistentes (RYLANDS, 1989; PINTO, 1994a; LIMA, 1990 apud PAGLIA, 2003). Sendo assim, é imprescindível gerar dados sobre os tamanhos das populações e, quando possível, estimativas de densidades absolutas que tragam informações sobre o estado de conservação e a possibilidade de sobrevivência dos primatas remanescentes nesses fragmentos florestais (GONZÁLES-SOLIS, 2001; PAGLIA, 2003; KIERULFF et al., 2005). Um bom ponto de partida no estudo da abundância de primatas é questionar se espécies que ocorrem em baixas densidades em uma comunidade aparecem assim também em outras, ou seja, realizar comparações entre as abundâncias das mesmas espécies em diferentes áreas (COWLISHAW e DUNBAR, 2000). 30
  • 31.
    2.5 Amostragens de distâncias para estimativas populacionais de primatas Em estudos com populações de primatas, as técnicas de amostragem populacional vêm sendo desenvolvidas por mais de 40 anos (NATIONAL RESEARCH COUNCIL, 1981; BROCKELMAN e ALI, 1987; WHITESIDES et al., 1988; CULLEN Jr. e VALLADARES-PÁDUA, 1997), mas ainda há grande confusão e variação entre os métodos utilizados (STRUHSAKER, 2002; PLUMPTRE, 2006; MARSHAL et al., 2008). Embora nenhum método esteja livre de viés, as estimativas mais acuradas de densidade e tamanho populacional geralmente provêm de contagens completas dos indivíduos na área amostrada (BROCKELMAN e ALI, 1987; PLUMPTRE, 2006; MARSHAL, 2008) ou de estudos sobre a área de vida de grupos focais (NATIONAL RESEARCH COUNCIL, 1981; FASHING e CORDS, 2000; CHAPMAN et al., 2000). Esses métodos requerem grande esforço amostral, impraticável em grandes áreas ou em estudos com tempo restrito (MORAES JR., 2005; MARSHAL et al., 2008). Um método alternativo freqüentemente utilizado para estimar densidades de primatas é o “método de transecções lineares” (PERES, 1997; MENDES-PONTES, 1997, LOPES e FERRARI, 2000; FERRARI et al., 1999, 2000, 2002; CULLEN JR et al.,2001; CHIARELLO, 2002), em que todos os primatas avistados são registrados ao longo de um percurso de extensão conhecida (NATIONAL RESEARCH COUNCIL, 1981). O método tem a vantagem de gerar resultados em curtos períodos de tempo e é conveniente para amostragens extensas comparando populações entre diferentes áreas e tipos de habitat (JOHNS, 1985; WHITESIDES et al.,1988). Também pode ser adotado em estudos mais detalhados dentro de uma mesma área, incluindo monitoramento de variações temporais nas populações, comparações de diferentes habitats dentro da área e estimativas de populações em áreas limitadas quando outros métodos (contagens completas, marcarção- recaptura, mapeamento de território) não são aplicáveis (WHITESIDES et al.,1988). Atualmente, há um consenso de que amostragens por transecções lineares representam o método mais eficiente para estimar densidades e tamanhos populacionais de grande parte das espécies florestais de primatas, mas ainda há divergências sobre a forma como os dados devem ser coletados e analisados (PERES, 1999; MAGNUSSON, 2001; FERRARI, 2002; PLUMPTRE e COX, 2006; ROVERO et al, 2006; MARSHAL et al., 2008). 31
  • 32.
    Estimativas de densidadepopulacional por transectos lineares baseiam-se no cálculo do número de animais na área amostrada utilizando: o número de animais ou grupos avistados (n); a extensão do transecto (l); e uma estimativa da largura da área amostrada (w), que corresponde à distância perpendicular do centro aos extremos de detecção dos dois lados do transecto (WHITESIDES et al, 1988). As duas primeiras variáveis envolvem medidas diretas ou contagens. Já os métodos para determinar a largura efetivamente amostrada diferem consideravelmente e são, freqüentemente, subjetivos (NATIONAL RESEARCH COUNCIL, 1981; BROCKELMAN e ALI, 1987; WITHESIDES et al., 1988). Alguns estudos estimaram a largura da área amostrada sem referência aos dados coletados, enquanto outros consideraram-na como a distância dentro da qual supostamente todos os animais seriam detectados, ignorando todos os avistamentos além desse limite (WHITESIDES et al.,1988). No entanto, a premissa de que todos os animais presentes na área amostrada são detectados pelo observador é difícil de ser admitida para a maioria das populações e não pode ser testada usando os dados do estudo. Considerar uma medida de largura pequena o suficiente para garantir que todos os animais sejam detectados pode levar ao descarte de 50% ou mais das observações, tornando-se crítico no caso de espécies raras (THOMAS, et al., 2002), como o mico-leão-preto (Leontopithecus chrysopygus) (PARANHOS, 2006). Há ainda estudos que consideram como (meia) largura efetiva a distância máxima de avistamento, a distância média de avistamento ou uma distância entre a máxima e a média (NATIONAL RESEARCH COUNCIL, 1981). De modo geral, estudos com largura efetiva fixa são mais úteis para lidar com espécies que apresentam altas densidades e não fogem do observador (STRUHSAKER, 2002). Revisando estudos sobre a confiabilidade do método dos transectos em primatologia, BRUGIERE e FLEURY (2000) encontraram resultados contraditórios: primeiramente, nenhum protocolo de análise dos dados parece ser invariavelmente melhor do que os demais e, em segundo lugar, um protocolo pode produzir estimativas de densidade acuradas para uma espécie enquanto sub ou superestima as densidades de outras na mesma área de estudo. Independente do método de coleta adotado, o resultado básico dos transectos lineares é a taxa de encontro, ou seja, o número de observações por unidade de distância percorrida. As taxas de encontro são um modo eficiente de estimar a abundância de 32
  • 33.
    mamíferos em diversostipos de habitats (WALLACE,1998; WALLACE, 2000; BOBADILLA e FERRARI, 2000), e estudos com primatas têm usado esse dado para fazer comparações entre diferentes áreas ou ambientes (CHIARELLO, 1999; BOBADILLA e FERRARI, 2000; LEHMAN, 2000; MOURA, 2007). São ferramentas úteis no monitoramento de longo prazo e também podem ser usadas para comparações entre áreas, desde que as áreas amostradas sejam semelhantes (Wallace et al, 1998). STRUHSAKER (2002) defende que dados de animais com grande mobilidade obtidos a partir de transectos lineares são muito mais adequados em termos de abundâncias relativas, sendo questionáveis na geração de estimativas de densidade confiáveis. No entanto, apesar do método haver sido usado para comparar a abundância de primatas entre habitats, a taxa de encontro não leva em conta a visibilidade ou detectabilidade dos animais ou grupos (MARSHAL et al., 2008). Em habitats complexos como as florestas tropicais, a visibilidade pode variar ao longo dos diferentes habitats e as diferenças ecológicas e comportamentais entre espécies também podem gerar variações na detectabilidade dos animais (NATIONAL RESEARCH COUNCIL, 1981; JOHNS, 1985). Entre espécies de primatas florestais, aquelas que vivem tipicamente no dossel e em grupos grandes e dispersos por grandes áreas são rapidamente avistadas. Já as espécies que vivem em grupos menores e mais coesos, freqüentando silenciosamente a vegetação densa do sub- bosque, são mais difíceis de detectar (WHITESIDES et al., 1988). Estudos mais recentes têm utilizado os chamados métodos de amostragem sem largura definida, também conhecidos como amostragens de distâncias (distance sampling) (BUCKLAND, 1993; THOMAS et al., 2002). Nesses métodos, estima-se a largura efetiva dos transectos inspecionando a distribuição de freqüências das distâncias registradas entre o animal e o observador (distância de observação) ou entre o animal e o transecto (distância perpendicular) (ANDERSON et al., 1979; WHITESIDES et al., 1988; BROCKELMAN e ALI, 1987; SUTHERLAND, 1996; CULLEN Jr. E VALLADARES-PADUA, 1997; STRUHSAKER, 2002; CULLEN JR. e RUDRAN, 2003). Considera-se que as distâncias perpendiculares são preferíveis para as análises porque os estimadores de densidade baseados nelas apresentam desempenho mais robusto do que os estimadores baseados em distâncias de observação (BUCKLAND et al., 1993; BURNHAM et al., 1980, HAYNES e BUCKLAND, 1983, apud PERES, 1999). 33
  • 34.
    As amostragens dedistância desconsideram a premissa de que todos os animais dentro da área amostrada são detectados. Pelo contrário, a pergunta das amostragens de distância é: “Dada a detecção de n objetos, estima-se que existam quantos objetos na área amostrada?” (BUCKLAND et al., 1993). Espera-se que a detecção do animal de interesse fique mais difícil quanto mais distante ele estiver do transecto, resultando em menos observações com o aumento da distância. Medindo as distâncias em que cada animal ou grupo é observado torna-se possível calcular suas probabilidades de detecção (THOMAS et al., 2002), que podem variar entre populações de uma mesma espécie, entre espécies e entre habitats (JOHNS, 1985). Os métodos de amostragem de distâncias assumem que o número de avistamentos obtidos além da largura efetiva equivale ao número de “avistamentos perdidos” dentro da mesma (THOMAS et al., 2002). Diversos autores sugeriram modelos paramétricos e não paramétricos que assumem probabilidades decrescentes de detectar animais a distâncias crescentes do transecto linear. Os modelos tentam representar essa relação através de funções de detecção, que substituem as estimativas de larguras fixas nos cálculos de densidades populacionais. Como inserem correções para os animais “perdidos”, esses métodos permitem a utilização de todos os avistamentos (WHITESIDES et al., 1988). Assim, encontrando-se a função de detecção que melhor represente a freqüência de distâncias observadas, estima-se a largura do transecto e a proporção de animais não detectados durante o censo, possibilitando o cálculo da densidade (THOMAS et al., 2002). Embora diversos estudos tenham sido conduzidos no Brasil utilizando métodos de amostragem de distâncias para estimar parâmetros populacionais de primatas, como abundância e densidade (PERES, 1993; CULLEN JR e VALLADARES-PÁDUA, 1994; MENDES-PONTES, 1997; PERES, 1997; PERES, 1999; CULLEN JR. et al., 2000; PRICE et al, 2001, CHIARELLO e MELLO, 2001; GONZALES-SÓLIS et al., 2001; KIERULFF e RYLANDS, 2003; HENRIQUES e CAVALCANTI, 2004; SÃO- BERNARDO e GALLETI, 2004; MARTINS, 2005; MORAES JR., 2005; MOURA, 2007; MENDES-PONTES et al, 2007). Existem poucas estimativas populacionais dos primatas que subsistem nos remanescentes florestais da Mata Atlântica do sul da Bahia (RYLANDS, 1989; PINTO, 1994a; PAGLIA 2003), tornando essencial a busca de estimativas quantitativas e cientificamente confiáveis que tragam informações sobre o estado e a 34
  • 35.
    possibilidade de sobrevivênciadessas populações (KIERULFF et al, 2005). Apesar de apresentar alguns dos maiores fragmentos florestais do sul da Bahia, a região conhecida como Serra das Lontras e Javi ainda não foi investigada no que diz respeito ao estado de conservação das populações de primatas. O presente estudo objetiva, primeiramente, gerar estimativas de abundância relativa e densidade das espécies de primatas habitantes dos fragmentos florestais das Serras das Lontras e Javi. Com o intuito de compreender melhor a situação de conservação das espécies de primatas no sul da Bahia, as estimativas populacionais encontradas para as Serras das Lontras e Javi são posteriormente comparadas a estimativas de abundância e densidade de primatas obtidas utilizando a mesma metodologia do presente estudo em três grandes fragmentos florestais do sul da Bahia: a Reserva Biológica de Una (REBIO Una), o Parque Estadual da Serra do Conduru e entorno (PESC) e a Reserva Ecológica Michelin. Os dados das três áreas eram inéditos e foram obtidos pelo Instituto de Estudos Socioambientais do Sul da Bahia (IESB) através do projeto “Avaliação das populações do macaco-prego-do- peito-amarelo (Cebus xanthosternos) e proposta de estratégia para manejo e conservação da espécie” (KIERULFF et al., 2005). 35
  • 36.
    3. OBJETIVOS 3.1 Objetivo Geral Estimar tamanhos populacionais das espécies que compõem a comunidade de primatas remanescente nos fragmentos florestais das Serras das Lontras e Javi e comparar os resultados a um estudo anterior realizado em outros três grandes blocos florestais, visando gerar estimativas populacionais médias para as espécies de primatas na região sul da Bahia. 3.2 Objetivos específicos - Gerar estimativas de densidade e abundância relativa para as espécies de primatas habitantes dos fragmentos florestais das Serras das Lontras e Javi; - Comparar os resultados obtidos às estimativas geradas pela aplicação da mesma metodologia em três grandes fragmentos florestais do sul da Bahia: Reserva Biológica de Una (REBIO Una), Parque Estadual da Serra do Conduru e entorno (PESC) e Reserva Ecológica Michelin; - Realizar uma análise conjunta dos dados das quatro áreas para gerar estimativas médias de abundância e densidade dos primatas no sul da Bahia. - Avaliar o papel das Serras das Lontras e Javi na conservação das populações de primatas do sul da Bahia. 36
  • 37.
    4. MÉTODOS 4.1 Áreas de estudo e Coleta de dados 4.1.1 Serras das Lontras e Javi Os fragmentos florestais investigados pertencem ao complexo das Serras das Lontras e do Javi, dispostos paralelamente a leste da BR-101, abrangendo os limites dos municípios de São José da Vitória, Arataca e Una, entre as coordenadas15º04' - 15º15' S e 39º15' - 39º25' W (ARAÚJO e SANTOS, 2005). As Serras das Lontras e Javi localizam-se a aproximadamente 35 km da costa atlântica (Figura 2), apresentam um gradiente altitudinal com elevações que variam do nível do mar a mais de 1000 m (SILVEIRA et al., 2005) e ocupam uma área de cerca de 16.500 hectares (MMA e IBAMA, 2006). Com base na classificação de Ab’Saber, a região encontra-se no Domínio da Mata Atlântica e a vegetação predominante é a Floresta Ombrófila (SILVEIRA et al., 2005). Na verdade, varia progressivamente de acordo com a altitude, indo desde Floresta Ombrófila, com estrato arbóreo chegando a 40 metros de altura, até as denominadas Florestas Montanas (Figura 3), encontradas em elevações a partir de 500 m (THOMAS, 2003). Essa formação apresenta árvores baixas e retorcidas com troncos recobertos por briófitas, líquens e pequenas bromélias e o sub-bosque denso, dominado por palmeiras e bambus (SILVEIRA et al., 2005). A grande pluviosidade e a raridade de períodos secos nas Florestas Montanas da Bahia resulta em uma grande exuberância de epífitas, com alta diversidade de Orchidaceae e presença de espécies com requerimentos de alta pluviosidade e umidade, como samambaias arbóreas (THOMAS, 2003). O forte epifitismo, inclusive com muitos musgos (Bryophytae) é também um fator marcante na área e indicador da elevada umidade (JARDIM, 2003). 37
  • 38.
    Figura 2. Localizaçãogeográfica das Serras das Lontras e Javi (LONTRAS), em relação à posição de três unidades de conservação do sul da Bahia: Reserva Biológica de Una (REBIO), Parque Estadual do Conduru (PESC) e Reserva Ecológica Michelin (MICHELIN). Escala 1:250.000 PROBIO. 38
  • 39.
    Figura 3. FlorestaMontana na Serra do Javi. Trilha Catarina, agosto de 2007. Fotos: Leticia Bastos. A intervenção humana na área compreende, principalmente, a exploração madeireira e cultivos de cacau em sistema de cabrucas. O desenvolvimento da cacauicultura na região das Serras está associada aos solos dominantes Podzólicos Vermelhos Amarelos Distróficos e é o principal fator responsável pela alteração da cobertura primitiva (JARDIM, 2003). No entanto, a crise da economia cacaueira levou ao abandono de inúmeras propriedades nas serras (SILVEIRA et al., 2005), restando poucos trabalhadores responsáveis pelos tratos básicos dos cacauais ou praticando agricultura de subsistência. A ocupação dos topos de morros por posseiros, associada à baixa qualidade de vida dessas famílias, contribui para a continuidade da caça e da exploração ilegal de madeira nas serras (ARAÚJO e SANTOS, 2001). Como resultado, a região foi intensamente degradada e hoje consiste em um mosaico de fragmentos florestais bem preservados (ANEXO III) imersos em uma matriz de cabrucas, vegetação em diferentes graus de regeneração, outros cultivos agrícolas e pastagens, restando poucos fragmentos florestais abaixo dos 500 m de altitude (SILVEIRA et al., 2005). Esse complexo de montanhas foi pouco explorado do ponto de vista científico (PACHECO et al., 1996; JARDIM, 2003; SILVANO e PIMENTA, 2003; SILVEIRA et al., 2005) e apenas recentemente começou a receber maior atenção em termos de conservação: juntamente com a Reserva Biológica de Una, as Serras das Lontras e Javi foram consideradas “de extrema importância ecológica” no workshop “Áreas Prioritárias para a 39
  • 40.
    Conservação da Biodiversidadeda Mata Atlântica e Campos Sulinos” (MMA, 2000; TIMMERS et al., 2002). A descrição de um novo gênero de ave que habita os densos sub- bosques de cabrucas da Serra das Lontras, o gravateiro-acrobata (Acrobatornis fonsecai), há mais de dez anos, anunciou o potencial da região para o abrigo de espécies endêmicas e ameaçadas (PACHECO et al., 1996). A importância biogeográfica das serras do ponto de vista da avifauna se estende a outros grupos animais e vegetais (SILVEIRA et al., 2005). Um inventário de anfíbios na Serra das Lontras, em 2000, registrou uma nova espécie de Hyla e encontrou a espécie Rhamphophryne proboscidea, cujo último registro datava de 1936, na região de Salvador (SILVANO e PIMENTA, 2003). Originalmente, a comunidade de primatas das serras também representava uma das mais ricas da Mata Atlântica, composta por Callithrix kuhlii, Leontopithecus chrysomelas, Callicebus melanochir, Cebus xanthosternos, Alouatta guariba e Brachyteles hypoxantus, mas as duas últimas espécies provavelmente encontram-se extintas da região (RYLANDS et al., 1996). A criação de unidades de conservação que possam proteger adequadamente essa importante e razoavelmente bem preservada área de Floresta Atlântica é recomendada (PACHECO et al., 1996; SILVEIRA et al., 2005). Esses fatores, somados à existência de diversos cursos de água que se originam nas serras (rio Una, ribeirões Javi, Pratinha e Santo Antônio) e representam importante fonte de recursos hídricos para as localidades circunvizinhas, justificam a criação de uma unidade de conservação na área (TIMMERS et al., 2002; MMA, 2006). Diante disso, o Ministério do Meio Ambiente propôs a criação de um Parque Nacional de 16.520 hectares abrangendo as Serras das Lontras, Javi e Quatis (Figura 4). O objetivo dessa unidade de conservação será proteger os grandes fragmentos florestais acima de 400 metros de altitude e estimular o ecoturismo em municípios que sofreram os impactos da crise da lavoura cacaueira (MMA e IBAMA, 2006). 40
  • 41.
    Figura 4. Propostade criação do Parque Nacional Serra das Lontras, MMA (Fonte: www.mma.gov.br). 4.1.2 Transecções Lineares O presente estudo utiliza a metodologia dos transectos lineares, seguindo as premissas para aplicação do programa “DISTANCE” (BUCKLAND et al., 1993; THOMAS et al., 2002), para gerar estimativas populacionais das espécies de primatas habitantes dos fragmentos florestais das Serras das Lontras e Javi. O cenário ideal para as amostragens por transectos lineares considera que N objetos estão distribuídos, em função de processos estocásticos, por uma área de tamanho A, permitindo que a densidade de objetos seja calculada pela relação D = N/A; e os transectos, posicionados de acordo com 41
  • 42.
    um desenho amostralaleatório, são percorridos gerando uma amostra de n objetos detectados (THOMAS et al., 2002). Distâncias perpendiculares x são medidas a partir do transecto até os animais ou grupos de interesse (Figura 5). Suponhamos que k transectos, de extensões l1, ..., lk (com Σ lj = L), estejam posicionados de acordo com um desenho aleatório, e que n animais ou grupos sejam detectados a distâncias perpendiculares x1,...,xn. Suponhamos, também, que os animais localizados além de uma distância w do transecto (distância de truncamento) não sejam avistados. Sendo assim, a área amostrada pode ser calculada como a = 2wL, na qual n animais são detectados (BUCKLAND et al., 1993; THOMAS et al., 2002) Ao considerar que Pa seja a probabilidade de um animal escolhido aleatoriamente na área amostrada ser detectado – observando que Pa = n/N, ou seja, N = n/Pa (BROCKELMAN e ALI, 1987) – e supondo que uma estimativa de Pa esteja disponível, então a densidade de animais D pode ser estimada por (THOMAS et al., 2002): D = n . 2LwPa Figura 5. Metodologia dos transectos lineares, com uma única linha, posicionada aleatoriamente, de extensão L. Seis objetos (n = 6) são detectados a distâncias x1, x2,..., x6. Os objetos são denotados por uma linha mostrando a distância perpendicular medida. Em aplicações práticas, muitos transectos devem ser usados para amostrar populações. (Fonte: BUCKLAND et al., 1993, Capítulo 1). 42
  • 43.
    Agora, para aestimativa de Pa, é definida a Função de Detecção g(x) como sendo a probabilidade de um animal a uma distância x do transecto ser detectado, 0 ≤ x ≤ w, e assumimos que g(0) = 1, ou seja, todos os animais sobre a trilha são detectados. Ao plotar as distâncias perpendiculares registradas em um histograma, então o problema se resume a encontrar o melhor modelo ou função para g(x) e ajustá-lo aos dados de distâncias perpendiculares. Como mostra a Figura 6, se definirmos µ como a integral de g(x), então Pa = µ / w. O parâmetro µ também é chamado de (meia) largura efetiva do transecto: o número de avistamentos além dessa distância equivale ao número de avistamentos perdidos (animais ou grupos não detectados) dentro dela. Então: D = n = n = n . aPa 2 wL µ / w 2 µL Figura 6. A área µ abaixo da função de detecção g(x), quando expressa como uma proporção da área w do retângulo, corresponde à probabilidade de detectar um objeto na área amostrada (Pa). O parâmetro µ também representa a largura efetiva da faixa amostrada e assume valores de 0 a w. (Fonte: THOMAS et al., 2002). 43
  • 44.
    É necessário obtera estimativa µ do parâmetro µ. A questão pode se tornar mais familiar observando-se que a Função Probabilidade de Detecção das distâncias perpendiculares, f(x), é simplesmente a função g(x) integrada em uma escala de 0 a 1. Isto é, f(x) = g(x) / µ. Como assumimos que g(0) = 1, segue-se que f(0) = 1 / µ (Figura 7) Então: D = n = N f(0) 2 µL 2L O problema fica reduzido a modelar f(x) e avaliar seu ajuste em x = 0. O programa Distance utiliza uma série de métodos para ajustar a melhor função à distribuição dos dados (THOMAS et al., 2002). Figura 7. A Função Probabilidade de Detecção, f(x), plotada em histograma de freqüências de distâncias perpendiculares (numa escala em que a área total das barras do histrograma é 1). A área sob a curva também é a unidade por definição. Como as duas áreas listradas são idênticas, a área do retângulo µf(0) também é a unidade. Assim, µ = 1 / f(0). (Fonte: THOMAS et al., 2002). 44
  • 45.
    A obtenção deresultados confiáveis através do método dos transectos lineares baseia-se no cumprimento de algumas premissas: 1) as distâncias perpendiculares entre o transecto e os animais ou grupos devem ser medidas com precisão; 2) todos os animais sobre a transecção (x = 0) devem ser detectados; 3) o mesmo animal (ou grupo) não deve ser contado mais de uma vez na mesma amostragem; 4) os animais devem ser detectados em sua posição original, antes de qualquer movimento em resposta à presença do observador; 5) os transectos devem estar posicionados aleatoriamente com relação à distribuição dos animais na área de estudo; 6) os avistamentos são considerados eventos independentes (WHITESIDES et al., 1987; BROCKELMAN e ALI, 1978; BUCKLAND et al., 1993; SUTHERLAND, 1996; CULLEN JR et al., 1997; PERES, 1999; STRUHSAKER, 2002; THOMAS et al., 2002). Freqüentemente, algumas dessas premissas são violadas, gerando erros nas estimativas de densidade de animais ou grupos (CULLEN JR et al., 1997; STRUHSAKER, 2002). É importante que os observadores as considerem e se esforcem para reduzir qualquer viés, padronizando a coleta de dados (NATIONAL RESEARCH COUNCIL, 1981; PERES, 1999). Existe grande discussão sobre o tamanho amostral mínimo necessário à obtenção de estimativas populacionais confiáveis através de transectos lineares. Enquanto alguns autores sugerem um número mínimo de 40 avistamentos (ANDERSON et al., 1979; BROCKELMAN e ALI, 1987; BUCKLAND et al., 1993; THOMAS et al.,2002), outros acreditam que, para algumas espécies de primatas florestais que ocorrem em baixas abundâncias, esse número exigiria um esforço amostral impraticável, defendendo que estimativas confiáveis podem ser obtidas com 20 avistamentos ou menos se a distribuição das distâncias perpendiculares for favorável, isto é, se apresentar um “ombro” (distância de queda) bem definido (PERES, 1999; BRUGIERE e FLEURY, 2006). Recomenda-se que o estabelecimento dos transectos seja feito aleatoriamente na área de estudo (BROCKELMAN e ALI, 1979; THOMAS et al., 2002), evitando seguir estradas existentes, cursos de rios ou outras características marcantes de relevo a menos que totalmente inevitável. Isso visa garantir a premissa básica de que o posicionamento dos transectos é independente da distribuição dos primatas na área de estudo, ou seja, em qualquer momento do censo a posição do observador é aleatória em relação à posição dos primatas (BUCKLAND et al., 1993; FERRARI, 2002; THOMAS et al., 2002). Na prática, 45
  • 46.
    no entanto, essaaleatoriedade dificilmente é atingida: fatores como acessibilidade, segurança e outras considerações práticas ditam a localização das unidades amostrais na área de estudo. Áreas consideradas representativas das diferentes partes da região devem ser selecionadas (BROCKELMAN e ALI, 1987; PERES, 1999; CULLEN JR. et al., 2000), reduzindo as chances de viés nas estimativas em função de características ecológicas e comportamentais específicas que determinam a distribuição dos animais. Para tanto, informações coletadas in situ, somadas a algum conhecimento ecológico das espécies, devem ser utilizadas para decidir onde posicionar os transectos (ANDERSON et al., 1979; PERES, 1999). Com base nessas considerações, foram estabelecidos cinco transectos lineares em diferentes localidades das Serras das Lontras e Javi, totalizando 8650 m de transectos (com extensões variando entre 1300 e 2050 m), atravessando diferentes altitudes e dispostos de modo a permitir que as amostras sejam representativas dos fragmentos florestais em melhor estado de conservação na região. Os transectos distavam, no mínimo, 500 m das bordas dos fragmentos ou das vias de acesso aos transectos no interior dos mesmos. Todos foram mapeados com auxílio de aparelho GPS Garmin e plotados sobre o mapa de vegetação da área (Figura 8). 46
  • 47.
    Figura 8. Mapade localização dos transectos nas Serras das Lontras e Javi, mostrando a classificação da vegetação (escala de 1:250.000 - PROBIO) e os limites do Parque Nacional proposto pelo MMA. Bem-te-vi é o transecto a oeste. Os transectos centrais são Lontras 1 (acima) e 2. Os transectos a leste são Catarina (acima) e Zé Oduque (abaixo). A classificação da vegetação nesta imagem não é inteiramente fiel aos tipos florestais encontrados in loco, provavelmente devido à confusão entre cabrucas e florestas. 47
  • 48.
    Seguindo recomendações dePERES (1999), os transectos foram medidos com fitas métricas e marcados a cada 50 m com fitas plásticas alaranjadas para facilitar o mapeamento dos avistamentos ao longo do percurso. Durante a fase de marcação verificou- se a dificuldade de percorrer alguns trechos dos transectos em função da inclinação do relevo. Para não prejudicar a execução do trabalho e, conseqüentemente, inserir viés na detectabilidade dos animais, foram colocadas cordas de segurança que permitiam manter a atenção no ambiente e a velocidade média de caminhada (Figura 9). Figura 9. Marcação dos transectos lineares (esquerda) e cordas de segurança (direita) colocadas para garantir a qualidade da coleta de dados (Fotos: Letícia Bastos). Os resultados dos censos de primatas no mesmo transecto são variáveis de um dia para o outro, sendo necessário percorrer a mesma rota por um longo período de tempo (NATIONAL RESEARCH COUNCIL, 1981; BUCKLAND et al., 1993; PERES, 1999; MAGNUSSON, 2001; FERRARI, 2002). Também é preciso evitar a variabilidade decorrente de erros na execução do trabalho de campo (NATIONAL RESEARCH 48
  • 49.
    COUNCIL, 1981; STRUHSAKER,2002). Para tanto, antes de iniciar a coleta de dados, os dois observadores responsáveis pelo presente estudo realizaram, juntos, censos de treinamento para calibrar a forma de coleta de dados e garantir a comparabilidade dos mesmos. Entre os meses de abril e dezembro de 2007, os cinco transectos foram percorridos repetidas vezes por um observador que caminhava sozinho, entre os períodos de 6:00 às 11:00h e de 13:00 às 17:00h (PERES, 1999; CULLEN JR et al., 2000). O relevo montanhoso implicou em uma velocidade média de caminhada de 0,75 km/h, mais baixa do que a velocidade de 1 km/h comumente adotada (PERES, 1999; MARTINS, 2005; CULLEN Jr e RUDRAN, 2003). Algumas breves paradas eram feitas a cada 100 m para diminuir o barulho do deslocamento e aumentar a capacidade de detecção dos animais por indícios auditivos. Cada percurso nos transectos era feito dentro de um período de 3 a 4 horas, incluindo o tempo destinado às observações, medições e registro de dados (PERES, 1999). Os caminhos de ida e volta foram considerados percursos independentes (PERES, 1999). Ao contrário do que defende MAGNUSSON (2001) sobre pseudoreplicações em transectos lineares, o presente estudo concorda com o argumento de FERRARI (2002), de que os primatas têm distribuição diferente ao longo do tempo e que, portanto, um intervalo adequado entre as amostragens garante o aumento da amostra. O retorno nos transectos era realizado após um intervalo de duas a três horas, permitindo que os animais se redistribuíssem na área e evitando amostrar o período do meio-dia, em que as atividades de várias espécies estão reduzidas. Preocupou-se também em garantir a rotatividade dos dois observadores entre os diferentes transectos para minimizar ou eliminar possíveis viés dependentes do observador (PERES, 1999). Evitou-se a realização dos censos em dias chuvosos, que reduzem a visibilidade (Figura 10) e aumentam o ruído na vegetação, afetando a habilidade de detecção dos observadores, bem como a detectabilidade intrínseca dos animais, que permanecem menos ativos. Na prática, no entanto, chuvas efêmeras são corriqueiras nas florestas tropicais e não devem comprometer completamente a qualidade dos dados, desde que os observadores suspendam a caminhada durante a chuva (SUTHERLAND, 1996; PERES,1999). Apenas dois dias de campo foram desconsiderados em vista das chuvas intensas. O restante dos 49
  • 50.
    dias chuvosos erammarcados por chuvas breves entremeadas por estiagens, o que permitia a retomada da coleta de dados após paradas de, no máximo, uma hora. Figura 10. Visibilidade reduzida em momentos de chuvas intensas na região das Serras das Lontras e Javi (Fotos: Letícia Bastos). A cada dia de campo eram anotados os seguintes dados: data, identidade do transecto, condições climáticas e observador responsável. Para cada avistamento, foram coletados: horário inicial e final do percurso, espécie avistada, horário do avistamento, indício que levou ao avistamento (barulho na vegetação, movimentação, vocalização ou acaso), posição na trilha, número de indivíduos no grupo e a distância perpendicular entre o primeiro indivíduo avistado no grupo de primatas e a trilha (ANDERSON et al., 1979; STRUHSAKER, 2002; KIERULFF et al, 2005). Uma vez que as distâncias perpendiculares são usadas para gerar funções de detecção e, portanto, devem ser precisas, optou-se por registrar a distância ao primeiro animal avistado, considerando repreensível o uso da distância ao centro imaginário de um grupo social em detrimento de uma distância real (WHITESIDES et al., 1988; BRUGIERE e FLEURY, 2000; CHIARELLO, 2000; FASHING e CORDS, 2000; STRUHSAKER, 2002). Informações adicionais como altura dos animais na vegetação, tipo de hábitat e classe etária dos indivíduos (quando possível) também foram registradas (PERES, 1999). 50
  • 51.
    4.1.3 Reserva Biológicade Una, Parque estadual da Serra do Conduru e entorno (PESC) e Reserva Ecológica Michelin De acordo com KIERULFF et al. (2005), visando otimizar o esforço de campo, foram escolhidos os principais fragmentos de mata em estágio avançado de regeneração e de florestas maduras para o posicionamento dos transectos e a realização dos censos populacionais nas três áreas. Cinco ou seis transectos, variando entre 0,5 e 3,0 km, foram estabelecidos em cada área. Na REBIO Una, três trilhas foram distribuídas na parte leste da reserva e três na porção oeste, com o intuito de amostrar tanto a porção com floresta mais contínua quanto a porção mais fragmentada da reserva (Figura 12). Na região do PESC, devido à dificuldade de acesso a alguns fragmentos e à existência de áreas contíguas em bom estado de conservação, algumas fazendas do entorno foram incluídas na amostragem. A título de simplificação, a área de estudo compreendida como o Parque Estadual da Serra do Conduru e algumas matas do entorno serão tratadas ao longo do texto apenas como “PESC” (Figura 13). Na REBIO Una e no PESC, a coleta de dados se deu a cada dois meses, entre novembro de 2002 e dezembro de 2003. Na Reserva Ecológica Michelin as trilhas foram distribuídas nos três principais fragmentos de mata (Figura 14) e percorridas mensalmente entre janeiro e junho de 2004. Figura 11. Localização das três áreas amostradas em estudo prévio realizado pelo IESB. (1) Reserva Biológica de Una; (2) Parque Estadual Serra do Conduru; (3) Reserva Ecológica Michelin. 51
  • 52.
    As imagens desatétite utilizadas para a interpretação da vegetação e localização dos transectos nas três áreas de estudo foram feitas a partir do mapeamento do PROBIO/MMA, realizado em 2007. Aparentemente, a classificação não foi capaz de diferenciar com precisão os tipos de vegetação encontrados nas diferentes áreas, resultando na confusão entre áreas de cabrucas e vegetação em diferentes graus de regeneração. Particularmente na área da Reserva Ecológica Michelin, a presença de nuvens pode ter atrapalhado a classificação, deixando indefinidas as áreas em que se encontram os transectos. Uma vez que o grau de fiscalização na área é intenso, a vegetação não foi alterada nos últimos anos (FLESHER, com. pess.). Por esse motivo, optou-se por utilizar também a imagem elaborada anteriormente (Figura 15) para o relatório final do projeto “Avaliação das populações do macaco-prego-do-peito-amarelo (Cebus xanthosternos) e proposta de estratégia para manejo e conservação da espécie” (KIERULFF et al., 2005). 52
  • 53.
    Figura 12. Mapade localização dos transectos percorridos em estudo anterior na REBIO Una, mostrando a classificação da vegetação (escala 1: 250.000 – PROBIO). 53
  • 54.
    Figura 13. Mapade localização dos transectos percorridos em estudo anterior no PESC mostrando a classificação da vegetação (escala 1: 250.000 – PROBIO). 54
  • 55.
    Figura 14. Mapade localização dos transectos percorridos em estudo anterior na Reserva Ecológica Michelin mostrando a classificação da vegetação (escala 1: 250.000 – PROBIO). Provável presença de nuvens prejudica a classificação da vegetação na área. 55
  • 56.
    Figura 15. Mapade localização dos transectos percorridos em estudo anterior na Reserva Ecológica Michelin mostrando a classificação da vegetação (Landsat, 1996). Nota-se que os transectos estão sobre os fragmentos melhor conservados da propriedade, que não foram alterados nos últimos anos. 56
  • 57.
    4.2 Análise dos dados 4.2.1 Programa Distance 5.0 Foi utilizado o programa Distance 5.0 (BUCKLAND et al., 1993; THOMAS et al., 2006) para a análise dos dados do presente estudo nas Serras das Lontras e Javi, bem como para a análise dos dados não publicados coletados pelo IESB em estudo anterior na REBIO Una, na região do PESC e na Reserva Ecológica Michelin. A partir das distâncias perpendiculares do transecto ao primeiro animal avistado em cada ocasião, o programa Distance 5.0 modela uma Função de Detecção, g(x), e a Função de Probabilidade de Detecção correspondente, f(x), selecionando uma função chave ou “modelo”(key function) e uma série de ajustes matemáticos (series expansion). O ponto chave da metodologia consiste em encontrar a função que melhor espelhe o comportamento das distâncias observadas e, a partir dela, estimar a proporção de grupos que não foram detectados durante o censo para, assim, obter uma estimativa de densidade da população de interesse (CULLEN JR et al, 2004). Conforme recomendado pelo manual do usuário do programa Distance 5.0, inicialmente foi realizada uma análise exploratória dos dados, que consiste em selecionar determinado Filtro (Data Filter) e combiná-lo com um Modelo arbitrário (Model Definition), variando apenas o intervalo de classes das distâncias perpendiculares nesse mesmo modelo. Assim, foi possível observar os histogramas de distribuição de freqüências das distâncias perpendiculares e detectar outliers, agrupamentos em torno de determinadas distâncias e/ou evidências de fuga dos animais antes da detecção. Feita a análise inicial dos histogramas, foram testados diversos Filtros selecionando, por exemplo, diferentes distâncias de truncamento e/ou diferentes classes de distâncias (manualmente determinadas ou calculadas automaticamente a partir da amplitude das distâncias perpendiculares e do número de intervalos selecionados). Dentre essas análises, foram selecionadas as que apresentaram maiores p-valores para os testes de adequação (Goodness-of-fit) de Qui- quadrado (Chi-p), ou seja, as que melhor se ajustaram à distribuição dos dados. Uma vez tomadas decisões sobre truncamento e classes de distâncias no Filtro, foram feitos os testes entre Modelos. Utilizando apenas o Filtro de melhor ajuste (maiores valor de Chi-p), foram 57
  • 58.
    realizadas análises comdiferentes Modelos (Hazard rate-Cosine, Hazard rate-Polynomial, Uniform-Cosine, Uniforme-Polinomial, Half normal-Cosine, Negative exponencial- Cosine). Finalmente, foi utilizado o critério de seleção Akaike (Akaike’s Information Criterion - AIC), escolhendo-se os Modelos de menor AIC (e Deltas AIC mais próximos de zero) como os mais ajustados aos dados. Outros fatores, como os níveis apropriados para as estimativas de densidade e taxas de encontro (por transectos, por área de estudo ou globais) também foram considerados durante as análises (BUCKLAND et al., 1993; THOMAS et al., 2002). 4.2.2 Análise combinada de diferentes censos Para evitar distorções irreais nas curvas de detecção devido a pequenos tamanhos amostrais, utilizou-se a análise combinada das distâncias perpendiculares de cada espécie em diferentes áreas de estudo. Esse artifício é útil por aumentar o tamanho amostral e, conseqüentemente, a confiabilidade das estimativas de densidade. No entanto, só é plausível se não houver diferença estatística significativa entre as distâncias perpendiculares das áreas de estudo, isto é, se a variabilidade das distâncias perpendiculares entre as populações não for maior que a variabilidade dentro da mesma população, o que pode ser testado através de ANOVA de um critério (DEFLER e PINTOR, 1985; PERES, 1997; PERES, 1999). Uma vez confirmada a ausência de diferença significativa entre as distâncias perpendiculares de avistamento de cada espécie nas diversas áreas de estudo, foi possível utilizar o programa Distance 5.0 para gerar estimativas de densidade por área de estudo e globais, bem como seus respectivos intervalos de confiança. 58
  • 59.
    4.2.3 Métodos alternativos 4.2.3.1 Distâncias Média, Máxima e de Queda Um dos problemas associados às estimativas de densidade de primatas por transectos lineares está na escolha do cálculo da distância de detecção para a determinação do tamanho da área amostrada (NATIONAL RESEARCH COUNCIL, 1981; DEFLER e PINTOR, 1985; PERES, 1999; BRUGIERE e FLEURY, 2000). O programa Distance 5.0 fornece uma estimativa dessa distância a partir da distribuição de freqüência dos próprios dados, mas apresenta limitações quando lida com pequenos tamanhos amostrais (THOMAS et al, 2002). Optou-se, então, por apresentar os resultados utilizando diferentes métodos para estimar a distância de detecção efetiva (ou meia largura efetiva do transecto) visando comparar as estimativas de densidade geradas por cada um deles. Foram utilizados três métodos que consideram como largura efetivamente amostrada (NATIONAL RESEARCH COUNCIL, 1981, DEFLER e PINTOR, 1985): 1) Distância perpendicular média: consiste em utilizar a média de todas as distâncias perpendiculares para calcular a largura do transecto. O método pode superestimar muito as densidades dos animais (ANDERSON et al., 1979; NATIONAL RESEARCH COUNCIL, 1981; WHITESIDES et al., 1988; CARO, 1999). 2) Distância perpendicular máxima: utiliza a maior distância perpendicular de detecção de uma espécie para estimar a largura da área amostrada, o que significa que todos os grupos detectados serão incluídos. O método pode subestimar a densidade dos primatas porque superestima a área amostrada (NATIONAL RESEARCH COUNCIL, 1981; WHITESIDES et al., 1988). 3) Distância de queda (“fall-off distance”): consiste em plotar as distâncias perpendiculares de avistamento em um histograma e determinar a distância de queda, a partir da qual o número de avistamentos cai, no mínimo, pela metade (com relação ao número de avistamentos do intervalo anterior). A estimativa da (meia) largura efetiva do transecto (w) que deriva da distância de queda pode ser obtida a partir da fórmula: w = (Nt / Nq)DQ, 59
  • 60.
    onde Nt =número total de avistamentos, Nq = número de avistamentos até a distância de queda, DQ = distância de queda (WHITESIDES et al., 1988). Essa largura efetiva (w) é uma estimativa da distância a partir da qual o número de avistamentos obtidos equivale ao número de avistamentos perdidos a distâncias menores (NATIONAL RESEARCH COUNCIL, 1981; DEFLER e PINTOR, 1985; WHITESIDES et al, 1988). 4.2.3.2 Abundância Relativa Considerando as recomendações de que um número mínimo de 40 avistamentos para cada espécie é necessário para gerar estimativas de densidade confiáveis, alguns autores se restringem a apresentar os dados na forma de abundâncias relativas, expressas na forma de taxas de encontro (WALLACE, 2000; BOBADILLA e FERRARI, 2000; LEHMANN, 2000). Como alternativa para o problema do pequeno tamanho amostral encontrado no presente estudo, optou-se por utilizar os dados também na forma de abundâncias relativas, considerando apenas o número de avistamentos (independente da distância perpendicular de avistamento). As taxas de encontro foram expressas em número de avistamentos/10km (CHIARELLO, 1999). A título de comparação, as abundâncias relativas dos primatas foram estimadas novamente, em grupos/10 km, considerando não apenas os avistamentos, mas também os registros por vocalizações (FLESHER, 2006). 4.2.4 Análise comparativa das estimativas de densidade Para testar as diferenças entre pares de métodos usados para estimar as densidades dos primatas nas Serras das Lontras e Javi, na REBIO Una, no PESC e na Reserva Ecológica Michelin, bem como estimativas globais, foi utilizado o teste não-paramétrico de Wilcoxon, adotando um nível de significância α = 0.01. 60
  • 61.
    5. RESULTADOS E ANÁLISES 5.1 Serra das Lontras e Javi 5.1.1 Esforço amostral Os censos de primatas foram conduzidos na região das Serras das Lontras e Javi de abril a dezembro de 2007, totalizando 223,300 km percorridos. O tempo restrito para a realização do estudo, somado às condições físicas e logísticas imperativas (chuvas abundantes, dificuldade de acesso aos locais de alojamento ou aos próprios transectos, distância entre as diferentes localidades de estudo no interior das Serras), impediram o percurso de kilometragens totais exatamente iguais entre as trilhas. Ainda assim tentou-se obter um esforço amostral semelhante em todos os transectos (Tabela 1). Tabela 1. Esforço amostral por transecto nas Serras das Lontras e Javi. Transecto Extensão (m) Repetições Total percorrido (m) Bem-te-vi 1350 31 41850 Zé Oduque 1950 23 44850 Catarina 2050 24 49200 Lontras 1* 2000; 1600 13; 14 48400 Lontras 2 1300 30 39000 Total 8650 135 223300 * Durante o trabalho constatou-se que um trecho de 400m do transecto, com inclinação acentuada, não deveria ser amostrado por conferir riscos aos observadores e reduzir a capacidade de detecção dos animais. 5.1.2 Tipos de habitat amostrados nos transectos Ao longo do trabalho foi possível observar que existe grande heterogeneidade de habitats no interior das Serras das Lontras e Javi. Não era parte dos objetivos do presente estudo coletar dados sistemáticos sobre a vegetação, mas uma classificação superficial dos 61
  • 62.
    habitats encontrados aolongo dos transectos foi realizada considerando que essa variabilidade pode influenciar na distribuição e na densidade dos primatas. As categorias definidas e suas características mais marcantes são: 1. Floresta Madura: elevada abundância de indivíduos arbóreos de grande porte (30- 40m); abertura do dossel e densidade de indivíduos de médio e pequeno porte, bem como a densidade do sub-bosque, apresentam grande variação entre as localidades; em termos gerais, é a fisionomia florestal mais alta e heterogênea, com elevada umidade e menor incidência luminosa em seu interior. 2. Floresta (Madura) Montana: as árvores mais antigas são baixas (15-20m), retorcidas e cobertas de liquens e briófitas; elevada abundância de indivíduos jovens (7-10m); sub-bosque denso com elevada densidade de bromélias, lianas e palmeiras; solo formado por entrelaçados de raízes expostas, em muitos trechos sobre pedras. 3. Floresta em maturação: diferencia-se da Floresta Madura principalmente pela presença de poucos indivíduos de grande porte (30-40m); predominam os indivíduos de pequeno e médio porte (8-20m); sub-bosque fechado com grande densidade de bromélias, lianas e palmeiras; 4. Floresta jovem: raros indivíduos arbóreos de grande porte (25-35m); as árvores de pequeno e médio porte (8-20m) dominam a fisionomia; sub-bosque fechado; presença de bromélias, lianas, palmeiras e bambús; diferencia-se da Floresta em maturação principalmente pela menor estatura do dossel (20 a 25 metros), pela raridade de grandes árvores e menor densidade de bromélias e palmeiras; frequentemente apresenta indícios de perturbação humana recente (corte seletivo). 5. Floresta em regeneração: ausência de indivíduos de grande porte; predominância de indivíduos de médio porte; sub-bosque aberto, com poucos arbustos e palmeiras; de forma geral, sua aparência é de menor heterogeneidade (dominada por poucas espécies); ausência de bromélias e cipós. 62
  • 63.
    Tabela 2. Extensãodos tipos florestais (m) e esforço amostral total correspondente (m) nas transecções das Serras das Lontras e Javi. Transectos das Serras das Lontras e Javi Tipo Bem-te-vi Catarina Zé Oduque Lontras 1 Lontras 2 florestal (1350m) (2050m) (1950m) (750 a 2000m) (1300m) extensão esforço extensão esforço extensão esforço extensão esforço extensão esforço Total madura 400 12400 900 21600 800 18400 1000 22950 800 24000 99350 montana 0 0 450 10800 250 5750 850 21400 0 0 37950 maturação 500 15500 700 16800 350 8050 150 4050 0 0 44400 jovem 450 13950 0 0 500 11500 0 0 500 15000 40450 regeneração 0 0 0 0 50 1150 0 0 0 0 1150 Total (m) 1350 41850 2050 49200 1950 44850 2000 48400 1300 39000 223300 Até o presente, não existe nenhuma estimativa quantitativa sobre a proporção de tipos florestais encontrados nas Serras das Lontras e Javi. Levando em conta que a escolha do local dos transectos buscou inserí-los nos melhores fragmentos de matas da região, mas sem o conhecimento prévio de quais tipos florestais seriam encontrados nos percursos selecionados, é possível considerar a proporção de habitats encontrada como uma medida indireta da heterogeneidade florestal existente nos fragmentos em melhor estado de conservação das Serras. Ao longo dos 8.650 metros de transectos foi registrada uma maior extensão de Florestas Maduras (3.900 m), seguidas pelas Florestas em Maturação (1.700 m), Florestas Maduras Montanas (1.550 m) e Florestas Jovens (1.550 m). As Florestas em Regeneração corresponderam a um pequeno trecho de 50 metros no transecto Zé Oduque, não sendo encontradas em nenhum dos outros transectos. Devido às tentativas de equalizar o esforço amostral entre transectos, a proporção de esforço em cada tipo florestal equivale às proporções entre suas extensões. Assim, as Florestas Maduras foram as mais amostradas (99.350 m), seguidas pelas Florestas em Maturação (44.400 m), enquanto as Florestas Madura Montana e Jovem tiveram esforços parecidos (37.950 m e 40.450 m, respectivamente), restando apenas 1.150 m de esforço amostral para a Floresta em Regeneração. 63
  • 64.
    5.1.3 Avistamentos deprimatas Quatro espécies de primatas foram avistadas ao longo dos transectos totalizando 37 grupos de primatas detectados. As espécies mais avistadas foram Cebus xanthosternos e Callithrix kuhlii, com 16 e 15 avistamentos, respectivamente. Já as espécies Callicebus melanochir e Leontopithecus chrysomelas foram vistas apenas 3 vezes cada ao longo dos censos nas Serras. Os dados sobre localização (transectos), número e tipo florestal onde foram registrados os avistamentos estão resumidos na Tabela 3. Tabela 3. Avistamentos de primatas nas Serras das Lontras e Javi, número de grupos avistados (n) e tipos florestais ocupados; Espécie n Transecto¹ (n) Tipo Florestal (n) Callicebus melanochir 3 Btv (3) Em maturação Callithrix kuhlii 15 Btv (1), Zq (2), Ct (8), Madura (4), Montana (4), Ln1 (2), Ln2 (2) Em maturação (6), Jovem (1) Cebus xanthosternos 16 Btv (5), Zq (1), Ct (2), Madura (9), Montana (3), Ln1 (4), Ln2 (4) Em maturação (1), Jovem (3) Leontopithecus 3 Ct (2), Ln2 (1) Madura (2),Jovem (1) chrysomelas ¹ Transectos: Bem-te-vi (Btv), Zé Oduque (Zq), Catarina (Ct), Lontras1 (Ln1), Lontras 2 (Ln2); Nenhuma espécie de primata foi encontrada nas Serras das Lontras e Javi na Floresta em regeneração, o que pode ser mero reflexo da pequena proporção amostrada desse tipo florestal. A espécie Callicebus melanochir foi encontrada em apenas um tipo florestal (em Maturação) de um único transecto (Bem-te-vi). Leontopithecus chrysomelas foi avistado em apenas dois transectos e dois tipos florestais: Floresta Madura e Jovem. Já as espécies Callithrix kuhlii e Cebus xanthosternos foram encontradas em todos os transectos amostrados e nas Florestas Madura, Montana, em Maturação e Jovem. No entanto, diferiram quanto à frequência de avistamentos em cada tipo florestal: para Cebus xanthosternos, 56.25% (n = 9) dos avistamentos foram feitos na Floresta Madura, 18.75% (n = 3) tanto na Floresta Montana quanto na Floresta Jovem e 6.25 % (n = 1) na Floresta em Maturação; Callithrix kuhlii foi avistado em 40% das ocasiões (n = 6) na Floresta em 64
  • 65.
    Maturação, 26.67% (n= 4) tanto na Floresta Madura quanto na Montana e 20% (n = 1) na Floresta Jovem. Ao longo da coleta de dados nas serras constatou-se a dificuldade em contar todos os indivíduos nos grupos avistados. No total, foram contabilizados 138 primatas, da seguinte forma: 72 indivíduos de Cebus xanthosternos (média = 4.5 indivíduos/grupo), 51 indivíduos de Callithrix kuhlii (média = 3.4 indivíduos/grupo), 8 indivíduos de Callicebus melanochir (média = 2.67 indivíduos/grupo) e 7 indivíduos de Leontopithecus chrysomelas (média = 2.33 indivíduos/grupo). No entanto, a maioria dos encontros não durava tempo suficiente para a visualização de todos os indivíduos dos grupos de primatas de modo que as contagens são apenas parciais e os tamanhos médios provavelmente estão subestimados. A fim de auxiliar na interpretação e na análise dos dados coletados, foram gerados histogramas de distribuição das distâncias perpendiculares de avistamento encontradas para as espécies de primatas das Serras das Lontras e Javi. Contudo, o reduzido número de avistamentos obtidos permitiu a elaboração dos histogramas apenas para Cebus xanthosternos e Callithrix kuhlii. Para tanto, as distâncias medidas foram divididas em classes calculadas de acordo com a fórmula de SPIEGEL (1977) para a escolha de classes (nc = 1 + 3.3 log(n), onde nc representa o número de classes e n, o número de avistamentos) (Figura 16). O reduzido número de avistamentos de Callicebus melanochir e Leontopithecus chrysomelas impediu a elaboração de histogramas de freqüência para ambas espécies. 65
  • 66.
    Cebus xanthosternos (n= 16) Callithrix kuhlii (n=15) Lontras e Javi Lontras e Javi 8 6 A A 7 v v 5 6 i i s 4 s 5 t t 4 a 3 a m m 3 e 2 e 2 n n 1 t t 1 o o 0 0 0-4 5-9 10-14 15-19 20- 24 25 ou > 0- 9 10 - 19 20-29 30-39 40-49 50 ou > Distâncias Perpendiculares (m) Distâncias Perpendiculares (m) Figura 16. Histogramas de freqüência das distâncias perpendiculares de avistamento de Cebus xanthosternos (n = 16) e Callithrix kuhlii (n = 15) nas Serras das Lontras e Javi. 5.2 Reserva Biológica de Una (REBIO Una), Parque Estadual da Serra do Conduru (PESC) e Reserva Ecológica Michelin 5.2.1 Esforço amostral Para a coleta dos dados nos outros três fragmentos florestais, pesquisadores do IESB percorreram: 1) 284 km ao longo de seis transectos na Reserva Biológica de Una, entre os meses de dezembro de 2002 e setembro de 2003; 2) 228,250 km em cinco transectos no Parque Estadual da Serra do Conduru, entre os meses de novembro de 2002 e novembro de 2003; e 3) 247 km em seis transectos na Reserva Ecológica Michelin, de janeiro a junho de 2004, totalizando 759,250 km de censos de primatas nas três áreas. 5.2.2 Avistamentos de primatas Um total de 111 grupos de primatas foi avistado nas três áreas de estudo. As comunidades de primatas não são iguais entre as três áreas, havendo variação na ocorrência das quatro espécies registradas (Tabela 4). Com relação aos Callithrix, existem dificuldades e dúvidas na identificação ao longo da região sul da Bahia. Nas Serras das Lontras e Javi, bem como na REBIO Una e na região do PESC, as populações correspondem à espécie 66
  • 67.
    Callithrix kuhlii, masna Reserva ecológica Michelin há controvérsias devido às variações nos fenótipos dos grupos residentes, de modo que serão tratados no presente estudo como Callithrix sp. Por sua vez, Leontopithecus chrysomelas só ocorre em uma das três áreas de estudo, a REBIO Una, e Callicebus melanochir não foi registrado no PESC. Tabela 4. Riqueza de espécies de primatas e número de grupos avistados na REBIO Una, Parque Estadual da Serra do Conduru e entorno (PESC) e Reserva Ecológica Michelin, sul da Bahia, Brasil. Espécie REBIO Una PESC Michelin Callicebus melanochir 3 - 16 Callithrix kuhlii 5 13 - Callithrix sp. - - 16 Cebus xanthosternos 15 8 21 Leontopithecus chrysomelas 14 - - Total 37 21 53 (-) áreas onde a espécie não foi registrada nos censos ou realmente não ocorre. Analogamente ao processo realizado para as Serras das Lontras e Javi, foram gerados histogramas de distribuição das distâncias perpendiculares de avistamento dos primatas para as três áreas e, mais uma vez, o pequeno tamanho amostral foi limitante para a confecção dos gráficos. Para Cebus xanthosternos foi possível gerar histogramas de frequências nas três áreas, mas os oito avistamentos do PESC deram origem a um gráfico pobre em informações (Figura 17). A espécie Callicebus melanochir não foi detectada no PESC e foi avistada apenas três vezes na REBIO Una, de modo que foi elaborado um único histograma, correspondente aos avistamentos na Reserva Ecológica Michelin (Figura 18). Para as espécies de Callithrix foram gerados histogramas das três áreas, no entanto, o pequeno número de avistamentos de C. kuhlii na REBIO Una gerou um histograma limitado (Figura 19). Para a espécie Leontopithecus chrysomelas, foi possível gerar apenas o histograma para os avistamentos na REBIO Una (Figura 20). 67
  • 68.
    Cebus xanthosternos (n= 16) Cebus xanthosternos (n=21) Lontras e Javi Michelin A 8 8 v 7 7 i A 6 6 s v t 5 i 5 a 4 s 4 m 3 t 3 e a 2 2 n m t 1 1 o 0 0 0-9 10 - 19 20-29 30-39 40-49 50 ou > 0-9 10-19 20-29 30-39 40-49 50 ou > Distâncias Perpendiculares (m) Distâncias Perpendiculares (m) Cebus xanthosternos (n = 8) PESC 4.5 4 A 3.5 v 3 i 2.5 s 2 t 1.5 a 1 m 0.5 0 0- 9 10- 19 20-29 Distâncias Perpendiculares (m) Figura 17. Histogramas de freqüência das distâncias perpendiculares (m) de avistamento de Cebus xanthosternos na REBIO Una (n=15), Reserva Ecológica Michelin (n=21) e PESC (n=8). Callicebus melanochir (n=16) Michelin 6 A 5 v i 4 s 3 t a 2 m 1 0 0-6 7-13 14-20 21-27 28-34 Distâncias Perpendiculares (m) Figura 18. Histogramas de freqüência das distâncias perpendiculares (m) de avistamento de Callicebus melanochir na Reserva Ecológica Michelin (n = 16). 68
  • 69.
    Callithrix kuhlii (n=5) Callithrix kuhlii (n=13) REBIO Una PESC 3.5 6 3 Avistamentos 5 Avistamentos 2.5 4 2 3 1.5 2 1 0.5 1 0 0 0-4 5-9 1 4 0-1 1 9 5-1 20-24 25 o u > 0-4 5-9 10-14 15-19 20 ou > Distâncias Perpendiculares Distâncias Perpendiculares Callithrix sp (n=16) Michelin 7 6 Avistamentos 5 4 3 2 1 0 0-4 5-9 10-14 15-19 20-24 25 ou > Distâncias Perpendiculares Figura 19. Histogramas de freqüência das distâncias perpendiculares (m) de avistamento de Callithrix kuhlii (REBIO Una, n=5; PESC, n=13) e Callithrix sp. (Michelin, n=16). Leontopithecus chrysomelas (n=14) REBIO Una 8 7 Avistamentos 6 5 4 3 2 1 0 0-6 7-13 14-20 21-27 28 ou > Distâncias Perpendiculares Figura 20. Histograma de freqüência das distâncias perpendiculares (m) de avistamento de Leontopithecus chrysomelas na REBIO Una (n=14). 69
  • 70.
    Considerando as trêsáreas de estudo, foram contabilizados ao todo 323 primatas, da seguinte forma: 137 indivíduos de Cebus xanthosternos (REBIO: n = 44, média = 2,9 indivíduos/grupo; PESC: n = 31, média = 3,9 indivíduos/grupo; Michelin: n = 62, média = 5,63 indivíduos/grupo), 97 indivíduos do gênero Callithrix (REBIO: n = 10, média = 2,0 indivíduos/grupo; PESC: n = 28, média = 2,33 indivíduos/grupo; Michelin: n = 59, média = 3,69 indivíduos/grupo), 40 indivíduos de Callicebus melanochir (REBIO: n = 5, média = 1,7 indivíduos/grupo; Michelin: n = 35, média = 2,19 indivíduos/grupo) e 49 indivíduos de Leontopithecus chrysomelas (REBIO: n = 49, média = 3,5 indivíduos/grupo). Novamente, as contagens de indivíduos foram limitadas pela brevidade dos encontros com a maior parte dos grupos, que dificilmente eram visualizados em sua totalidade. 5.3 Resultados e análises comparadas entre as Serras das Lontras e Javi, REBIO Una, PESC e Reserva Ecológica Michelin 5.3.1 Estimativas de Abundância Relativa (grupos/10 km) Obteve-se diferentes taxas de avistamento, ou seja, diferentes estimativas de abundâncias relativas para as espécies de primatas em cada área de estudo (Tabela 5). Para Cebus xanthosternos, espécie encontrada com maior freqüência, as áreas de maior abundância relativa foram a Reserva Ecológica Michelin e as Serras das Lontras e Javi. A REBIO Una aparece como a terceira área de maior abundância relativa para a espécie, seguida pelo PESC. Utilizando os dados das quatro áreas combinados, a abundância relativa estimada para a espécie foi de 0,61 grupos/10 km. O gênero Callithrix teve as maiores abundâncias relativas nas Serras das Lontras e Javi e na Reserva Ecológica Michelin, enquanto na região do PESC teve uma abundância 25% menor. A REBIO Una foi, de longe, a área de menor abundância relativa para o gênero (73% inferior à abundância encontrada nas Serras). Utilizando-se a combinação dos dados das quatro áreas de estudo, a abundância relativa estimada para o gênero foi de 0,50 grupos/10 km. A espécie Callicebus melanochir apresentou abundâncias relativas similarmente baixas nas Serras das Lontras e Javi e na REBIO Una. Na Reserva Ecológica Michelin, a espécie chega a ser 70
  • 71.
    cinco vezes maisabundante do que nas Serras. Somando os dados das áreas de ocorrência de C. melanochir, sua abundância relativa estimada foi de 0,29 grupos/10 km. Finalmente, Leontopithecus chrysomelas, encontrado em apenas duas áreas de estudo, apresentou nas Serras das Lontras e Javi uma abundância relativa 26% superior a da REBIO Una. Combinando os dados de ambas obteve-se uma estimativa média de 0,34 grupos a cada 10 km percorridos. Comparando as quatro espécies em questão, é possível observar que Cebus xanthosternos corresponde à espécie mais abundante nas quatro áreas de estudo, seguida pelo gênero Callithrix, que se iguala a Callicebus melanochir apenas na Reserva Ecológica Michelin. Em terceiro lugar no ranking de abundâncias relativas encontra-se L. chrysomelas e por último, Callicebus melanochir. No entanto, a análise separada das últimas espécies em cada área de estudo revela que, na realidade, L. chrysomelas possui abundância relativa comparativamente elevada na REBIO Una, bem como Callicebus melanochir na Michelin. Tabela 5. Esforço amostral (km), número de avistamentos (n) e abundância relativa (n/10 km) das espécies de primatas encontradas em censos nas Serras das Lontras e Javi, na REBIO Una, no Parque Estadual da Serra do Concuru e entorno (PESC) e na Reserva Ecológica Michelin. Área Km Callicebus Callithrix Cebus Leontopithecus melanochir xanthosternos chrysomelas n n/10 km n n/10 km n n/10 km n n/10 km Lontras e Javi ¹ 223,300 3 0,13 15 0,67 16 0,72 3 0,13 REBIO Una ¹ 284 3 0,11 5 0,18 15 0,53 14 0,49 PESC ¹ 228,250 - - 13 0,57 8 0,35 - - Michelin 247 16 0,65 16 0,65 21 0,85 - - TOTAL 982, 550 22 0,29* 49 0,50 60 0,61 17 0,34* ¹ Áreas de ocorrência de Callithrix kuhlii; * Desconsiderando os quilômetros percorridos nas áreas onde a espécie não foi registrada. TOTAL-a corresponde à soma das quatro áreas. Considerando todos os registros obtidos para as espécies, isto é, não apenas os avistamentos, mas também as vocalizações registradas sem o avistamento dos grupos, a abundância relativa de algumas espécies aumenta (Tabela 6). A abundância relativa de Cebus xanthosternos sofre um aumento de 5% nas Serras das Lontras e Javi e de 1,6 % na 71
  • 72.
    abundância relativa total(0,62 grupos/10 km). O gênero Callithrix sofre aumentos de 53% na abundância relativa das Serras das Lontras e Javi, 16,7% na REBIO Una e 31,6% no PESC, com uma nova abundância relativa global 26% maior (0,63 grupos/10 km) do que a estimada apenas por avistamentos. A espécie Callicebus melanochir tem aumento de 69% na abundância relativa das Serras das Lontras e Javi e de 27% na REBIO Una, sofrendo aumento de 27,6% na abundância relativa global (0,37 grupos/10 km). Por fim, Leontopithecus chrysomelas apresenta aumento de 76,9% na abundância relativa das Serras das Lontras e Javi, o que eleva a estimativa de abundância relativa global em 26,4% (0,43 grupos/10 km). Tabela 6. Esforço amostral (km), número total de registros (n) e abundância relativa (n/10 km) das espécies de primatas encontradas em censos nas Serras das Lontras e Javi, na REBIO Una, no Parque Estadual da Serra do Concuru e entorno (PESC) e na Reserva Ecológica Michelin. Área Km Callicebus Callithrix Cebus Leontopithecus melanochir xanthosternos chrysomelas n n/10 km n n/10 km n n/10 km n n/10 km Lontras e Javi ¹ 223,300 5 0,22 23 1,03 17 0,76 8 0,36 REBIO Una ¹ 284 7 0,25 6 0,21 15 0,53 14 0,49 PESC ¹ 228,250 - - 17 0,75 8 0,35 - - Michelin 247 16 0,65 16 0,65 21 0,85 - - TOTAL 982, 550 28 0,37* 62 0,63 61 0,62 22 0,43* ¹ Áreas de ocorrência de Callithrix kuhlii; * Desconsiderando os quilômetros percorridos nas áreas onde a espécie não ocorre. TOTAL corresponde à soma das quatro áreas. 5.3.2 Estimativas de Densidade Diante do reduzido número de avistamentos obtidos para todas as espécies tanto nas Serras das Lontras e Javi quanto na REBIO Una, na região do PESC e na Reserva Ecológica Michelin, optou-se por somar os avistamentos dos diferentes censos, aumentando o tamanho amostral e, conseqüentemente, a confiabilidade das estimativas de densidade (GONZALES-SOLIS et al., 2001). Antes disso, realizou-se uma análise de variância para verificar se havia diferenças significativas entre as distâncias perpendiculares de 72
  • 73.
    avistamento de cadaespécie nas diferentes áreas (ANOVA 1 critério, α = 0.05) (PERES, 1999; DEFLER e PINTOR, 1985). A análise de variância das distâncias perpendiculares de cada espécie nas quatro áreas não foi capaz de identificar diferenças significativas entre as populações (Cebus xanthosternos: n = 60, F = 2,0413, p = 0,1172; Callithrix: n = 49, F = 0,1786, p = 0,91; Callicebus melanochir, n = 22, F = 1,003, p = 0,3872; Leontopithecus chrysomelas, n = 17, F = 0,0498, p = 0,8207), o que permite somar os avistamentos de cada espécie para conduzir as estimativas de densidade, estratificando-as posteriormente por área de estudo (PERES, 1997; PERES, 1999; CHIARELLO e MELLO, 2001). Considera-se que os fragmentos amostrados apresentam estrutura florestal semelhante e que, portanto, essa variável não interfere na detectabilidade dos animais. Utilizando a combinação dos dados dos diferentes censos e a fórmula de SPIEGEL (1977), foi possível gerar histogramas de distribuição de freqüência das distâncias perpendiculares para a espécie Cebus xanthosternos e para o gênero Callithrix considerando as quatro áreas de estudo (Figura 21). Para Leontopithecus chrysomelas foram somados os dados das Serras das Lontras e Javi aos dados da REBIO Una, enquanto para Callicebus melanochir foram combinados os dados das Serras das Lontras, da REBIO Una e da Reserva Ecológica Michelin (Figura 22). Cebus xanthosternos (n=60) Callithrix sp. (n=49) Lontras e Javi-REBIO-PESC-Michelin Lontras e Javi-REBIO-PESC-Michelin 20 20 A A 18 18 v v 16 16 i 14 i 14 s 12 s 12 t 10 t 10 a 8 a 8 6 m 6 m 4 e 4 e 2 2 n n 0 0 0- 9 10 - 19 20- 29 30-39 40-49 50 ou > 0-4 5- 9 10-14 15-19 20-24 25 ou > Distâncias P erpendiculares (m) Distâncias P erpendiculares (m) Figura 21. Histogramas de freqüência de distâncias perpendiculares de avistamento combinadas entre as quatro áreas de estudo para Cebus xanthosternos (n=60) e Callithrix sp. (n=49). 73
  • 74.
    Callicebus melanochir (n=22) Leontopithecus chrysomelas (n=17) Lontras e Javi-REBIO-Michelin Lontras e Javi-REBIO 7 9 A A 6 v 8 v i 7 i 5 s 6 s t 4 5 t a a 3 m 4 m e 3 e 2 n 2 n 1 t 1 o 0 0 0-6 7-13 14-20 21-27 28-34 0-6 7-13 14-20 21- 27 28 ou > D is t ânc ia s P e rpe ndic ula re s ( m ) Distâncias P erpendiculares (m) Figura 22. Histogramas de freqüência de distâncias perpendiculares de avistamento combinadas entre diferentes áreas de estudo para Callicebus melanochir (n=22) e Leontopithecus chrysomelas (n=17). A Tabela 7 resume as estimativas de distâncias perpendiculares médias, máximas e distância de queda encontradas para as quatro espécies de primatas em cada área de estudo e as respectivas estimativas de densidade. Também foram calculadas as diferentes distâncias e respectivas estimativas de densidade utilizando a soma dos dados espécie- específicos para todas as áreas de estudo (valores totais na tabela). Para algumas espécies e áreas, o pequeno tamanho amostral impediu a elaboração do histograma de freqüências de distâncias perpendiculares e, portanto, não foi possível estimar as densidades através das distâncias de queda (DQ). É o caso de Leontopithecus chrysomelas nas Serras das Lontras e Javi e de Callicebus melanochir nas Serras das Lontras e Javi e na REBIO Una. Observa-se que as maiores estimativas de densidade para cada espécie foram obtidas pelo método da distância perpendicular média de avistamento (DP média), que estimou as menores distâncias de avistamento (meia largura efetivamente amostrada). As menores estimativas de densidade foram obtidas através do método das distâncias máximas e estimativas com valores intermediários foram obtidas utilizando-se distâncias de queda. Apenas Callithrix kuhlii na REBIO foge a esse padrão, apresentando a maior estimativa 74
  • 75.
    pelo método dadistância de queda (que estimou a menor distância perpendicular), o que pode ser exlicado pelo fraco histograma de distribuição de frequências de distâncias perpendiculares resultante do pequeno número de avistamentos – ver Figura 19). Tabela 7. Distâncias Perpendiculares (DP) Média, Máxima e Distância de Queda (DQ), em metros, e respectivas estimativas de densidade (grupos/km²) dos primatas avistados considerando as áreas de estudo separadamente e combinadas (Total). DP DP Espécie Área N L (km) Média Densidade máxima Densidade DQ Densidade Cebus xanthosternos Lontras e Javi 16 223.3 20.975 1.71 55 0.65 33.78 1.06 REBIO Una 15 284 12.533 2.11 34 0.78 31.07 0.85 PESC 8 228.25 12.375 1.42 29 0.6 18 0.97 Michelin 21 247 21.167 2.01 50 0.85 38.06 1.12 Total 60 982.55 17.785 1.72 55 0.56 35.51 0.86 Callicebus melanochir Lontras e Javi 3 223.3 10.867 0.62 15.6 0.43 - - REBIO Una 3 284 7.333 0.72 16 0.33 - - Michelin 16 247 14.938 2.17 34 0.95 29.09 1.13 Total 22 754.3 13.345 1.09 34 0.43 24.44 0.6 Callithrix Lontras e Javi 15 223.3 9.493 3.54 30 1.12 17.5 1.92 REBIO Una 5 284 8.6 1.02 30 0.29 6.7 1.32 PESC 13 228.25 8.846 3.22 22 1.29 10.4 2.74 Michelin 16 247 7.281 4.45 30 1.08 13.1 2.47 14.7;18.05; 1.7;1.38; Total* 49 982.55 8.51 2.93 30 0.83 21.65 1.15 L.chrysomelas Lontras e Javi 3 223.3 9.533 0.71 15 0.45 - - REBIO Una 14 284 8.846 2.59 30 0.76 15.7 1.62 Total 17 507.3 8.975 1.76 30 0.53 17.23 0.97 * Não foi possível determinar uma única distância de queda para os dados combinados de Callithrix, de modo que as estimativas de densidade foram feitas para três distâncias diferentes. Utilizando os dados somados das áreas de estudo, as densidades estimadas para Cebus xanthosternos pelos métodos de distância média, distância máxima e distância de queda variaram de 0,56 a 1,71 grupos/km². O método da distância média encontrou a maior densidade de C. xanthosternos na REBIO Una, seguida pela Reserva Ecológica Michelin, 75
  • 76.
    Serras das Lontrase Javi e , por último, a região do PESC. Já os métodos de distância máxima e distância de queda encontraram as maiores densidades da espécie para a Reserva Ecológica Michelin. Pelo método da distância máxima, a REBIO teria a segunda maior densidade de C. xanthosternos, seguida da Serra das Lontras e Javi e PESC, enquanto o método da DQ estima a segunda maior densidade da espécie para as Serras das Lontras e Javi, seguida do PESC e REBIO. As estimativas globais de densidade para Callicebus melanochir pelos três métodos variaram de 0,43 a 1,09 grupos/km². O método da distância média encontrou as maiores densidades na Reserva Ecológica Michelin, seguida da REBIO e das Serras das Lontras e Javi. O método da distância máxima também encontrou a maior densidade de Callicebus na Reserva Ecológica Michelin, mas a segunda maior densidade foi estimada para as Serras das Lontras e Javi e as menores, para a REBIO. Para o gênero Callithrix, as estimativas globais de densidade variaram de 0,83 a 2,93 grupos/km². Considerando as áreas de estudo separadamente, as maiores densidades para o gênero foram encontradas pelo método da distância média e as menores, pelo método da distância máxima (com exceção das estimativas para a REBIO, que foram maiores pelo método da distância de queda). O método de DQ encontrou as maiores densidades de Callithrix no PESC, seguido pela Michelin e Serras das Lontras e Javi, com as menores densidades na REBIO Una. As densidades globais de Leontopithecus chrysomelas variaram de 0,53 a 1,76 grupos/km². A maior densidade foi estimada para a REBIO pelo método da distância média e a menor foi estimada pelo método da distância máxima para as Serras das Lontras e Javi. As estimativas geradas para as Serras das Lontras e Javi pelo método da distância média foram semelhantes às encontradas para a REBIO pela distância máxima. Estimativas intermediárias foram obtidas pelo método de DQ para a REBIO e para as duas áreas juntas (0,97 grupos/km²). 76
  • 77.
    5.3.2.a Programa Distance5.0 Uma vez que a ANOVA não mostrou diferenças significativas entre as distâncias perpendiculares de cada espécie nas diferentes áreas de estudo, foi realizada uma análise combinada dos dados somando todas as distâncias perpendiculares encontradas para cada espécie, que forneceu estimativas de densidade por área de estudo e estimativas globais, consideradas aqui como médias para a região sul da Bahia. O Programa Distance 5.0 foi utilizado para realizar as análises exploratórias e decidir a melhor forma de tratamento dos dados por espécie. Uma vez escolhidos os Filtros que melhor se ajustaram à distribuição dos dados, foram realizadas inúmeras análises combinando-os com diferentes modelos de funções de detecção (Hazart rate-Cosine, Uniforme-Cosine, Half normal-Cosine e Negative Exponential-Cosine) que forneceram diferentes estimativas de densidade e seus respectivos coeficientes de variação e intervalos de confiança. Em suma, para a decisão final entre os melhores modelos foram observados os menores valores do critério AIC, menores valores de coeficiente de variação das estimativas de densidade (CV), os menores limites de confiança (DS LCL - DS UCL) e os maiores valores de p para o teste de Goodness-off-fit (Chi-p). As figuras 23 a 26 representam os histogramas de distribuição de frequências das distâncias prependiculares e as funções de detecção mais adequadas a cada espécie, gerados no programa Distance após a escolha dos filtros e modelos. O resumo das análises que melhor se ajustaram aos dados de cada espécie e as estimativas resultantes, encontram-se reunidas na Tabela 8. Durante a escolha do Filtro para a espécie Cebus xanthosternos o melhor ajuste foi observado classificando as distâncias perpendiculares em 5 intervalos e truncando os dados além da distância de 49 metros. Dentre os modelos testados, o Uniforme-Cosine foi selecionado por apresentar o maior valor de Chi-p (0,895) e os menores valores de AIC (163,67), delta AIC (0,0) e CV (0,19). Como resultado, o modelo estimou uma largura efetivamente amostrada (ESW) de 26,3 metros e uma densidade de 1,1 grupos/km² (0,75 – 1,62 grupos/km²) para Cebus xanthosternos. 77
  • 78.
    Tabela 8. Testede modelos das funções de detecção e respectivas estimativas da largura amostrada (ESW), Delta AIC, AIC, p-valores para o teste de Goodness-of-fit de Qui-quadrado (Chi-p), Densidade de grupos/km² (DS), limite de confiança inferior da densidade (DS LCL), limite de confiança superior da densidade (DS UCL) e coeficiente de variação da estimativa de densidade (DV) para Cebus xantosternos, Callithrix sp., Callicebus melanochir e Leontopithecus chrysomelas. Delta GOF DS DS Espécie Filtro Modelo n ESW AIC AIC Chi-p DS LCL UCL CV Cebus¹ Trunc49 5class HazCos 57 26.43 1.71 165.38 0.856 0.99 0.639 1.519 1.26 Unif-Cos 57 26.3 0 163.67 0.895 1.1 0.75 1.62 0.19 HalfCos 57 26.07 0.24 163.91 0.838 1.11 0.733 1.687 0.21 NegExp 57 26.0 2 165.67 0.738 1.1 0.75 1.62 0.19 Callithrix¹ 6class HazCos 49 9.92 1.56 160.19 0.933 2.6 1.174 5.767 0.41 (0-4) UnifCos 49 13.65 3.51 162.15 0.498 1.89 1.135 3.151 0.25 HalfCos 49 11.86 2.45 161.09 0.724 2.18 1.276 3.712 0.27 NegExp 49 10.09 0 158.63 0.932 2.56 1.475 4.441 0.28 Callicebus² Trunc30 HazCos 21 22.31 1.93 67.44 0.724 0.63 0.243 1.645 0.466 5 class UnifCos 21 19.47 0.05 65.56 0.951 0.73 0.283 1.645 0.453 Manual HalfCos 21 20.15 0 65.51 0.888 0.7 0.27 1.895 0.463 NegExp 21 16.86 0.29 65.81 0.895 0.84 0.299 2.349 0.524 Leontopithecus³ Trunc25 HazCos 16 12.19 1.84 40.59 0.944 1.21 0.548 2.689 0.40 4 class UnifCos 16 13.31 0.18 38.92 0.660 1.11 0.616 2.009 0.28 HalfCos 16 12.29 0.01 38.75 0.852 1.20 0.623 2.327 0.32 NegExp 16 8.65 0 38.75 0.684 1.71 0.766 3.828 0.41 ¹Análises combinadas dos avistamentos nas Serras das Lontras e Javi, REBIO Una, PESC e Reserva Ecológica Michelin, totalizando 982.550 km percorridos; ² Avistamentos nas Serras das Lontras e Javi, Rebio Una e Reserva Ecológica Michelin, totalizando 754.3 km percorridos; ³ Avistamentos nas Serras das Lontras e Javi e REBIO Una, totalizando 507.3 km percorridos. As análises para o gênero Callithrix apresentaram melhor ajuste com as distâncias perpendiculares classificadas em seis intervalos iguais. Os modelos Hazard rate-Cosine e Negative Exponential-Cosine encontraram valores semelhantes de Chi-p (0,933 e 0,932), ESW (9,92 m e 10,09 m) e DS (2,6 e 2,56 grupos/ km²). O modelo Negative Exponential foi escolhido por apresentar menores valores de AIC (158,63), delta AIC (0,00) e CV (0,28), bem como menor amplitude de IC para a estimativa de densidade (1,475 – 4,441 grupos/ km²). 78
  • 79.
    As distâncias perpendicularesde avistamento de Callicebus melanochir tiveram melhor ajuste quando classificadas manualmente em 5 intervalos (isto é, os intervalos não possuem necessariamente a mesma amplitude) e truncadas em 30 m. Os modelos de menor AIC e delta AIC foram Uniforme e Half normal, que forneceram estimativas de largura efetiva e densidade bastante próximas. No entanto, o modelo Uniforme foi selecionado por apresentar maior valor de Chi-p (0,951) e menor CV (0,453), obtendo uma estimativa de 0,73 grupos/ km² (0,283 - 1,645 grupos/ km²), a partir da largura efetiva de 19,47 m. Para a espécie Leontopithecus chrysomelas, o filtro de melhor ajuste utilizou as distâncias classificadas em 4 intervalos iguais e truncadas em 25 m. O modelo Half normal foi o que apresentou menor AIC (38,75), mas teve menor valor de Chi-p (0,852) quando comparado ao modelo Hazard rate (0,944). Ambos resultaram em estimativas muito próximas de densidade: o modelo Half normal encontrou 1,20 grupos/ km² (0,623 – 2,327 grupos/ km²) enquanto o modelo Hazard rate estimou 1,21 grupos/ km² (0,548 – 2,689 grupos/ km²). Dentre os dois, o modelo Half normal foi selecionado por apresentar os menores valores de AIC, delta AIC e CV (0,32), fornecendo a menor amplitude de IC para a estimativa de densidade (0,623 – 2,327 grupos/ km²). Comparando as estimativas globais das densidades calculadas pelo Distance observa-se que a espécie encontrada em maior densidade na região sul da Bahia foi Callithrix kuhlii (2,56 grupos/ km²), seguida de Leontopithecus chrysomelas (1,20 grupos/km²). Em terceiro lugar vem Cebus xanthosternos, com uma densidade global de 1,1 grupos/ km². Finalmente, a espécie de menor densidade foi Callicebus melanochir (0,73 grupos/ km²). 79
  • 80.
    Figura 23. Funçãode detecção de Cebus xanthosternos gerada pelo Distance 5.0, modelo Uniform. Avistamentos combinados das Serras das Lontras e Javi, REBIO Una, PESC e Reserva Ecológica Michelin. Figura 24. Função de detecção de Callithrix sp gerada pelo Distance 5.0, modelo Negative- Exponential. Avistamentos combinados das Serras das Lontras e Javi, REBIO Una, PESC e Reserva Ecológica Michelin. 80
  • 81.
    Figura 25. Funçãode detecção de Callicebus melanochir gerada pelo Distance 5.0, modelo Uniform. Avistamentos combinados das Serras das Lontras e Javi, REBIO Una e Reserva Ecológica Michelin. Figura 26. Função de detecção de Leontopithecus chrysomelas gerada pelo Distance 5.0, modelo Half-normal. Avistamentos combinados das Serras das Lontras e Javi e REBIO Una. 81
  • 82.
    5.3.2.b Comparação entreos métodos para estimar densidades Apesar da variação encontrada entre métodos nas estimativas de densidade (Tabela 9) é possível observar que, em geral, os valores obtidos para cada espécie em todas as áreas encontram-se dentro do intervalo de confiança das estimativas fornecidas pelo Distance. As exceções são as estimativas globais de Cebus xanthosternos pelos métodos de distância média (1,72 grupos/km²) e máxima (0,56 grupos/km²), que fogem aos limites de confiança encontrados pelo programa (0,75 – 1,62 grupos/km²); as estimativas de densidade encontradas pelo método da distância máxima para Callithrix sp. nas Serras das Lontras e Javi (1,12 grupos/km²), na Reserva Ecológica Michelin (1,08 grupos/km²) e a estimativa global (0,83 grupos/km²), menores que os limites inferiores dos intervalos de confiança encontrados pelo Distance (1,23 grupos/km², 1,43 grupos/km² e 1,48 grupos/km², respectivamente); e as estimativas por distância máxima para Leontopithecus chrysomelas na REBIO Una (0,76 grupos/km²) e global (0,53 grupos/km²), menores que os limites inferiores dos ICs encontrados pelo Distance (0,92 grupos/km² e 0,62 grupos/km², respectivamente). Comparando os quatro métodos, observa-se que as estimativas fornecidas pelo programa Distance são, em geral, menores que as fornecidas pela distância média e maiores do que as fornecidas pelas distâncias de queda e máxima. Isso se explica pelo fato de que a meia largura efetivamente amostrada (ESW) estimada pelo programa é, de modo geral, maior que as distâncias estimadas pelo método das distâncias médias e menor que as estimadas pelos métodos de distância máxima e de queda. As exceções a essa regra ocorrem apenas com as estimativas feitas a partir dos menores tamanhos amostrais (Cebus no PESC, n = 8; Callithrix kuhlii na REBIO, n = 5; Callicebus nas Serras das Lontras e Javi, n = 3, e na REBIO, n = 3). 82
  • 83.
    Tabela 9. Comparaçãoentre estimativas de densidade (DS) geradas para Cebus xanthosternos, Callithrix sp., Callicebus melanochir e Leontopithecus chrysomelas, pelos métodos da distância média, distância máxima, distância de queda (DQ) e pelo programa Distance 5.0. Espécie Área n L (km) DS DS DS DQ DS Distance DPmédia DPmáxima Cebus Lontras 16 223.3 1.71 0.65 1.06 1.28 (0.57-2.89) Rebio 15 284 2.11 0.78 0.85 1.00(0.45-2.22) PESC 8 228.25 1.42 0.6 0.97 0.67(0.24-1.85) Michelin 21 247 2.01 0.85 1.12 1.46(0.61-3.53) Total* 60 982.55 1.72 0.56 0.86 1.10(0.75-1.62) Callithrix Lontras 15 223.3 3.54 1.12 1.92 3.33 (1.23-9.02) Rebio 5 284 1.02 0.29 1.32 0.87(0.30-2.53) PESC 13 228.25 3.22 1.29 2.74 2.82(0.82-9.78) Michelin 16 247 4.45 1.08 2.47 3.21(1.43-7.24) Total* 49 982.55 2.93 0.83 1.7;1.4;1.15 2.56(1.48-4.44) Callicebus Lontras 3 223.3 0.62 0.43 - 0.35(0.03-3.62) Rebio 3 284 0.72 0.33 - 0.27(0.03-2.78) Michelin 16 247 2.17 0.95 1.13 1.56(0.47-5.14) Total* 22 754.3 1.09 0.43 0.6 0.73(0.28-1.86) Leontopithecus Lontras 3 223.3 0.71 0.45 - 0.55(0.11-2.68) Rebio 14 284 2.59 0.76 1.62 1.86(0.92-3.78) Total* 17 507.3 1.76 0.53 0.97 1.20(0.62-2.33) *(Estimativas totais obtidas a partir da soma dos avistamentos das áreas de estudo). Para verificar se existem diferenças significativas entre as estimativas de densidade fornecidas pelos diferentes métodos, foi utilizado o teste não-paramétrico de Wilcoxon (CARO, 1999), comparando pares de métodos. Foram excluídas da análise as densidades que não puderam ser estimadas pelos quatro métodos (Callicebus e Leontopithecus nas Serras das Lontras e Javi e Callicebus na Rebio Una). Considerando para o teste um nível de decisão α = 0,01, as estimativas fornecidas pelo método das distâncias médias diferiram significativamente daquelas obtidas pelos métodos da distância máxima e Distance (Z = - 3,2958; p = 0,0010), bem como pelo método da distância de queda (Z = -3,2330; p = 83
  • 84.
    0,0012). A comparaçãoentre o método de distância máxima e os métodos de distância de queda e Distance também revela estimativas de densidade significativamente diferentes (Z = -3,2958; p = 0,0010). A única análise que não apresentou diferenças significativas entre as densidades estimadas foi entre os métodos da distância de queda (DQ) e Distance (Z = - 2,103 e p = 0,035). Assim como o Distance, os métodos de Distância Média e Distância de Queda encontraram as maiores estimativas globais de densidade para o gênero Callithrix, seguidas das espécies Leontopithecus chrysomelas, Cebus xanthosternos e, por último, Callicebus melanochir. A única exceção nesse ranking de densidades globais foi obtida pelo método das Distâncias Máximas, que estimou uma densidade maior para Cebus xanthosternos (0,56 grupos/km²) do que para Leontopithecus chrysomelas (0,53 grupos/km²). 6. DISCUSSÃO 6.1 Avistamentos de primatas nas Serras das Lontras e Javi O pequeno número de avistamentos obtido nas Serras das Lontras e Javi, principalmente no que diz respeito a Callicebus melanochir e Leontopithecus chrysomelas, limita a discussão sobre possíveis preferências de habitats entre as diferentes espécies, mas ainda permite fazer observações descritivas. Callithrix kuhlii e Cebus xanthosternos foram encontradas em todos os tipos florestais amostrados nas Serras das Lontras e Javi (com exceção das Florestas em Regeneração, em que não houve avistamentos), atestando sua grande flexibilidade ecológica (RYLANDS, 1989; RABOY et al. 2008; FLESHER, em preparação). A maior parte dos avistamentos de Cebus xantosternos foi realizado em Florestas Maduras (n = 9), havendo apenas um encontro em Floresta em Maturação, enquanto foi justamente neste tipo florestal que Callithrix kuhlii foi encontrado o maior número de vezes (n = 6). Os avistamentos de Callithrix kuhlii foram melhor distribuídos entre os tipos florestais do que os de Cebus xanthosternos, o que pode indicar maior preferência desta última às Florestas Maduras quando comparada à primeira. Novamente, no entanto, o pequeno tamanho amostral impede maiores inferências sobre preferências de habitat. 84
  • 85.
    Os três avistamentosde Callicebus melanochir foram na Floresta em Maturação do transecto Bem-te-vi e, possivelmente, correspondem ao mesmo grupo avistado em diferentes ocasiões. Esse transecto apresenta as menores proporções de Florestas Maduras e maiores proporções de Floresta em diferentes estágios de regeneração (em Maturação e Jovem), estando localizado na borda oeste das Serras das Lontras, portanto, em menores altitudes e mais próximo a áreas degradadas do que os demais transectos. Os avistamentos foram sempre próximos à entrada do transecto, ao lado de uma área de transição entre florestas em regeneração e cabrucas (ambas não amostradas no transecto). Apesar de só haver sido encontrado nesse transecto, o fato de também haver um mosaico de Florestas Maduras e em diversos níveis de regeneração nos demais transectos, somado à dificuldade de visualização da espécie em vista de seu comportamento críptico, torna impossível afirmar que C. melanochir não ocorra nas demais localidades das Serras das Lontras e Javi. Leontopithecus chrysomelas foi encontrado apenas nas Florestas Maduras do transecto Catarina e na Floresta Jovem do transecto Lontras2. Os avistamentos de L. chrysomelas na trilha Catarina confirmam sua existência nas Florestas Maduras e em altitudes elevadas das Serras (acima de 600m). A Floresta Jovem do transecto Lontras2 onde a espécie foi avistada encontra-se circundada por um mosaico de vegetação em diferentes estágios de regeneração e próxima a uma antiga plantação de pupunha. Dada a preferência (e possível dependência) da espécie por Florestas Maduras e o argumento de que está sendo forçada a utilizar habitats secundários graças à destruição florestal (RYLANDS, 1996), é interessante que a espécie tenha sido observada em habitats degradados em uma região onde existem ainda grandes áreas de Florestas Maduras. É possível que o grupo utilize a área como passagem entre florestas em melhor estado de conservação, mas os habitats degradados também podem ser parte de sua área de vida, visto que a elevada heterogeneidade de habitats pode oferecer mais recursos do que áreas de vida com apenas um tipo florestal (RABOY et al., 2004). Com relação ao tamanho dos grupos avistados existe pouco a ser discutido já que dificilmente os grupos eram vistos por tempo suficiente para que todo o grupo fosse contabilizado e acredita-se que as contagens de indivíduos não sejam confiáveis a menos que os grupos sejam acompanhados por longos períodos de tempo (DEFLER e PINTOR, 1985). O que ocorreu com mais freqüência nas Serras das Lontras e Javi foi a visualização 85
  • 86.
    rápida de apenasdois ou três indivíduos, embora fosse possível detectar a presença de mais idivíduos por movimentos na vegetação e vocalizações, o que leva à conclusão de que os tamanhos de grupos registrados neste estudo não representam os tamanhos reais dos grupos presentes na área. Dessa forma, os dados de tamanho de grupo não foram utilizados para gerar estimativas do tamanho populacional total de cada espécie. 6.2 Abundâncias Relativas Utilizando apenas os registros por avistamentos, a abundância relativa das espécies em termos de grupos/10km variou entre as áreas de estudo, mas de modo geral, Cebus xanthosternos foi a espécie encontrada em maiores abundâncias. É possível que o maior número de encontros visuais com grupos de Cebus xanthosternos durante o percurso nos transectos não represente uma maior abundância da espécie, mas seja reflexo do comportamento mais conspícuo e do maior tamanho de grupo característicos do gênero Cebus, quando comparado aos Calitriquídeos e Callicebus (DEFLER e PINTOR, 1985; WHITESIDES et al., 1988; KINZEY, 1981). No entanto, admitindo que a detectabilidade de cada espécie se mantenha relativamente constante entre as áreas de estudo, observa-se que Cebus xanthosternos deve encontrar melhores condições ecológicas (e, possivelmente, menor pressão de caça) na Reserva Ecológica Michelin e nas Serras das Lontras e Javi, onde foram registradas as maiores abundâncias relativas para a espécie. A REBIO Una apresenta-se como a terceira melhor área para a espécie em termos de números de grupos encontrados por 10 km percorridos, enquanto o PESC representa, possivelmente, a área que suporta menos grupos da espécie e/ou a área onde existe mais caça predatória. O gênero Callithrix aparece em segundo lugar em termos de abundâncias relativas (com exceção da área do PESC, onde Callithrix kuhlii é mais abundante que Cebus xanthosternos), o que também poderia ser creditado ao seu comportamento conspícuo. O sucesso desses animais em explorar tanto áreas de floresta madura quanto áreas degradadas, principalmente pela capacidade de utilização de exudados disponíveis ao longo de todo o ano (RABOY et al., 2008), provavelmente é o fator mais determinante para que a espécie seja encontrada em abundâncias maiores que L. chrysomelas e C. melanochir. A abundância relativa extremamente baixa encontrada na REBIO Una possivelmente se deve 86
  • 87.
    à maturidade dosfragmentos em que foram localizadas as transecções lineares. É provável que a qualidade e a extensão das Florestas Maduras amostradas na REBIO signifiquem uma menor disponibilidade de recursos para os grupos de Callithrix kuhlii comparado a outras áreas onde existem Florestas secundárias mais próximas às transecções ou sendo efetivamente amostradas. As abundâncias relativas menores de Callicebus melanochir nas Serras das Lontras e Javi e na REBIO poderiam ser explicadas pelo comportamento críptico da espécie, que costuma paralisar os movimentos e evitar a vocalização quando detecta a presença humana, comportamento também observado para outras espécies do gênero (DEFLER e PINTOR, 1985; PINTO et al., 1993; PRICE et al., 2002). No entanto, a elevada abundância da espécie na Reserva Ecológica Michelin, inclusive idêntica à abundância relativa encontrada para o gênero Callithrix nessa área pode indicar que, de fato, as estimativas representam a proporção populacional real de cada espécie nas diferentes áreas. Apesar de não estar completamente livre dos caçadores da região, a caça não deve ser o principal fator por trás da variação nas abundâncias de Callicebus melanochir (FLESHER, comunicação pessoal). É provável que diferenças na disponibilidade de recursos alimentares para a espécie sejam determinantes para que ocorra em abundâncias cinco vezes superiores na Reserva Ecológica Michelin quando comparada às Serras das Lontras e Javi e à REBIO Una. As abundâncias relativas encontradas no presente estudo podem ser comparadas às estimadas por Flesher (2006) na Reserva Ecológica Michelin e em fragmentos da região de Ituberá, Bahia (Tabela 10). Ao utilizar apenas os fragmentos em que as espécies foram avistadas, é possível calcular abundâncias relativas médias para cada uma delas a partir dos dados da tabela. Cosiderando os dois fragmentos em que Cebus xanthosternos foi encontrado (Pacangê e Karin/Guadalupe), a espécie teria uma abundância de 0,60 grupos/10km. No entanto, a abundância aumenta para 0,98 grupos/10km quando considerado apenas o fragmento dentro da Reserva Ecológica Michelin, valor bastante próximo à estimativa de 0,85 grupos/10km encontrada pelo presente estudo para Cebus xanthosternos na mesma Reserva. 87
  • 88.
    Tabela 10. Resumodas abundâncias relativas de Cebus xanthosternos, Callicebus melanochir e Callithrix sp. encontradas por FLESHER (2006) na Reserva Ecológica Michelin (REM) e outros fragmentos florestais da região de Ituberá (BA) através de censos diurnos. Área de estudo Área de Censo Esforço Cebus Callicebus Callithrix (km) xanthosternos melanochir* sp. REM 600 ha 73.2 0 1.37 2.87 (Vila 5 e Pancada Grande) REM (Pacangê) 500 ha 40.7 0.98 0.25 0.49 (fragm. de 13000 ha) REM (Luís Inácio) 120 ha 18.5 0 1.08 1.08 Bom Sossego 280 ha 23.5 0 0 1.28 (fragm. de 580 ha) Karin/Guadalupe 500 ha 43 0.23 0.23 0.47 (fragm. de 13000 ha) Piauí 100 ha 20 0 0.50 0.50 (fragm. de 400 ha) Ondulada 100 ha 25.2 0 0 0.40 (fragm. de 13000 ha) * Os dados para Callicebus melanochir são de avistamentos, não de vocalizações (long-calls). A abundância relativa média para Callicebus melanochir seria de aproximadamente 0,77 grupos/10km considerando todos os fragmentos em que a espécie foi encontrada, e de 0,99 grupos/10km tomando-se apenas os fragmentos no interior da Reserva Ecológica Michelin. Já os cálculos para Callithrix sp. na região de Ituberá estimam uma abundância relativa de aproximadamente 1,31 grupos/10km. Considerando apenas os três fragmentos dentro da Reserva Ecológica Michelin, a estimativa aumenta para 1,89 grupos/10km. Todas as estimativas derivadas do estudo de FLESHER são superiores às abundâncias relativas encontradas no presente estudo para Callicebus melanochir e Callithrix sp. na Reserva (0,65 grupos/10km), o que provavelmente não representa diferenças reais, mas revela erros de amostragem,.indicando que muitos grupos das duas espécies passaram despercebidos ao longo dos censos realizados pelos pesquisadores do IESB. 88
  • 89.
    6.3 Estimativas dedensidade De forma geral, o número de avistamentos para cada espécie nas diferentes áreas de estudo foi pequeno (n < 30), o que limita a confiabilidade das estimativas de densidade pelo método de transecções lineares. Mesmo assim, é possível analisar os dados comparativamente, retirando daí inúmeras informações sobre as populações de primatas remanescentes nos fragmentos florestais das quatro áreas. O aumento do tamanho amostral conferido pela utilização dos avistamentos combinados (soma dos avistamentos de uma espécie em todas as áreas de estudo) eleva a confiabilidade das estimativas de densidade, mas é necessário assumir que possíveis diferenças ambientais e entre as populações das diferentes áreas de estudo não são suficientes para afetar a detectabilidade das espécies (ANOVA não significativa entre as distâncias perpendiculares de avistamento). 6.3.1 Comparação entre métodos Uma vez que as observações usadas para estimar densidades são as mesmas e visto que as diferentes áreas de estudo foram amostradas repetidamente, as fontes de variação nos resultados decorrem dos métodos analíticos utilizados (WHITESIDES et al., 1988). Primeiramente, a variação encontrada entre as estimativas de densidade refletem as diferenças nas larguras efetivas encontradas por cada método. De forma geral, as estimativas de largura efetiva encontradas pelo método da distância máxima tendem a subestimar as densidades por utilizarem avistamentos muito distantes do transecto, que geralmente correspondem a eventos fora do comum (outliers) (NRC, 1981; WHITESIDES et al., 1988). As distâncias médias, por sua vez, tendem a sofrer maior viés em função do comportamento das espécies (mais ou menos conspícuas) ou de seus tamanhos de grupos. Considerando que o tamanho do grupo influencia no seu espalhamento e que existem maiores probabilidades de se detectar os indivíduos mais próximos do transecto, é provável que quanto maior o grupo, mais espalhado ele esteja e, portanto, mais subestimadas serão as distâncias de avistamento encontradas para a espécie que apresente essa característica 89
  • 90.
    (ANDERSON et al.,1979; WHITESIDES et al., 1988). No presente estudo, as espécies Cebus xanthosternos e Callithrix kuhlii apresentaram as maiores diferenças entre as estimativas de densidade de grupos geradas pelo método da distância média e os demais (Tabela 9). A explicação para tal diferença pode estar no maior tamanho (e espalhamento) de grupo de Cebus xanthosternos, que acaba puxando as distâncias de avistamento para valores menores; e no comportamento mais conspícuo de Callithrix kuhlii, que costuma vocalizar e mesmo se aproximar em resposta à presença dos observadores, aumentando a frequência de detecção a distâncias mais curtas. Quando comparado aos métodos das distâncias médias e máximas, o método das distâncias de queda provavelmente fornece estimativas mais confiáveis de densidade para todas as espécies (DEFLER e PINTOR, 1985; WHITESIDES et al., 1987) porque utiliza a inspeção dos histogramas de freqüências de distâncias perpendiculares de avistamento. De certo modo, esse método parece mais razoável que os anteriores na medida em que considera como (meia) largura efetiva uma distância a partir da qual a probabilidade de avistar determinada espécie cai consideravelmente (50 %). No entanto, o método ainda é mais simplório que o programa Distance no que diz respeito a considerar a probabilidade de detecção de uma espécie no cálculo de sua densidade e, portanto, é provável que suas estimativas estejam mais distantes do valor real quando comparadas às estimativas geradas pelo programa. De qualquer modo, de acordo com o teste de Wilcoxon, as estimativas de densidade obtidas pelas distâncias de queda não diferem significativamente das densidades estimadas pelo Distance 5.0. Uma vantagem de utilizar o programa Distance 5.0 para gerar estimativas de densidade de espécies que vivem em habitats florestais, em que muitas vezes a visibilidade é reduzida, é o fato de que o programa considera a proporção de avistamentos perdidos no cálculo de densidade da população de interesse (CULLEN JR e RUDRAN, 2003). A análise das abundâncias relativas encontradas no presente trabalho constatou que alguns grupos das quatro espécies de primatas não foram avistados, apesar de detectados por vocalizações, durante os percursos nas transecções lineares (Tabelas 5 e 6), o que fortalece a necessidade de considerar os avistamentos perdidos nos cálculos de densidade. A variação na detectabilidade das espécies, derivada de diferenças em características intrínsecas como tamanho de grupo e comportamento, também pode inserir erros nas 90
  • 91.
    estimativas de densidade.O programa Distance considera uma medida da probabilidade de deteção de cada espécie, utilizando-a como fator de correção nas estimativas de densidade, de forma que suas estimativas provavelmente representam uma medida mais confiável de comparação entre as abundâncias das diferentes espécies de primatas encontradas no presente estudo. É valido observar também que os intervalos de confiança fornecidos pelo programa para as estimativas de densidade das quatro espécies incluem a maior parte das estimativas geradas pelos demais métodos, o que indica que embora exista variação nos resultados, essa variação encontra-se dentro da esperada pelas estimativas mais confiáveis de densidade. 6.3.2 Comparação de densidades entre áreas e com outros estudos no sul da Bahia Existem poucos trabalhos publicados sobre estimativas populacionais dos primatas do sul da Bahia, todos restritos a uma área de estudo em particular na região de Una – REBIO Una ou Estação Experimental Lemos Maia (RYLANDS, 1989; DIETZ, 1994, 1996; HEIDUCK, 2002; CARDOSO, 2008). Os resultados do presente estudo permitem comparar estimativas populacionais dos primatas do sul da Bahia em quatro áreas (Tabela 9) e traçar um perfil do estado de suas populações em caráter local e regional. A comparação das densidades estimadas no presente estudo com as estimativas de densidade encontradas na literatura (Tabela 11), principalmente aquelas derivadas de estudos sobre a área de vida de grupos focais, indicam a validade das estimativas fornecidas pelo programa Distance 5.0. 91
  • 92.
    Tabela 11. Comparaçãoentre estimativas de densidade reportadas na literatura e geradas no presente estudo pelo Programa Distance 5.0 para Cebus xanthosternos, Callithrix kuhlii, Callicebus melanochir e Leontopithecus chrysomelas no sul da Bahia. * Calculadas a partir das densidades em indivíduos/ km² e tamanhos médios de grupo; ¹ Densidade estimada a partir da área de vida de um grupo focal; ² Densidade média estimada a partir da área de vida seis grupos; ³ Estação Experimental Lemos Maia – CEPEC/CEPLAC; ° Considerando apenas fragmentos acima de 75 ha; Uma possível limitação à abordagem que compara desidades de primatas entre áreas de estudo está no fato de que assume um grau de uniformidade do habitat e de densidades das espécies dentro de cada área (ROVERO e STRUHSAKER, 2007). Contudo, nos casos em que a heterogeneidade de habitats é pronunciada, como em áreas montanhosas ou altamente 92
  • 93.
    perturbadas, muitas vezesé difícil garantir relativa uniformidade de habitats ao longo de transectos de 2 km de extensão (ROVERO et al., 2006). Na ausência de estudos fitossociológicos que atestem quantitativamente as diferenças entre as áreas de estudo, o presente trabalho as considera semelhantes quanto à heterogeneidade de habitats florestais que apresentam. Um dos fatores mais marcantes observado nas Serras das Lontras e Javi foi a elevada heterogeneidade ambiental, mas é provável que essa característica, por si só, não as diferencie das demais áreas de estudo. Pelo contrário, os fragmentos florestais que compõem a REBIO Una, o PESC e a Reserva Ecológica Michelin são também altamente heterogêneos, apresentando-se como verdadeiros mosaicos de tipos florestais em diferentes estágios de regeneração. No entanto, é provável que a composição florística dos diferentes tipos florestais encontrados nas quatro áreas seja diferente, principalmente em função de seus históricos de exploração (ROVERO e STRUHSAKER, 2007), o que pode ter grande influência na sua capacidade de suportar primatas (RYLANDS et al,1993) e, portanto, nas densidades populacionais das diferentes espécies em cada área (ROBINSON e REDFORD, 1986). O corte seletivo, por exemplo, pode ter efeitos diferentes sobre as diversas espécies de primatas, havendo aquelas que declinam após a extração florestal, outras que persistem e mesmo as que se beneficiam por alterações provocadas na composição florística dos fragmentos florestais (ZUNINO et al., 2007). Inúmeros outros fatores ambientais associados ao corte seletivo podem influenciar a abundância de primatas, como a abertura de clareiras que reduzem a conectividade das copas aumentando o gasto energético do deslocamento e o aumento da intensidade de caça que geralmente acompanha a atividade de extração madeireira (BENNET e ROBINSON, 2000). Em última instância, no entanto, os declínios populacionais associados ao corte seletivo são provavelmente causados pela redução na disponibilidade de recursos alimentares (CHAPMAN et al.,2000; WORMAN e CHAPMAN, 2006). Apesar de seus históricos de exploração intensiva de madeira, a REBIO Una e a Reserva Ecológica Michelin possivelmente tiveram maior redução nos impactos da atividade após a implantação dos respectivos sistemas de fiscalização do que a região do PESC, que teve áreas intensamente exploradas até recentemente (MARTINELLI et al, 2007). Apesar de não constituirem áreas legalmente protegidas, as Serras das Lontras 93
  • 94.
    e Javi são,provavelmente, menos afetadas pela exploração madeireira graças às dificuldades impostas pelo relevo. A região do PESC pode haver sofrido maiores perdas na capacidade suporte pela intensa retirada de árvores frutíferas que constituíam recursos alimentares, provocando uma redução na densidade dos primatas remanescentes. Esse fator poderia estar relacionado às menores abundâncias relativas e densidades de Cebus xanthosternos nessa área quando comparadas às Serras das Lontras e Javi, à Reserva Ecológica Michelin e à REBIO Una. Callithrix kuhlii também teve menores densidades no PESC do que nas Serras das Lontras e Javi e na Reserva Ecológica Michelin (Callithrix sp.), mas a diferença entre as estimativas é relativamente pequena e, tendo em vista a enorme capacidade do gênero em explorar habitats degradados, dificilmente poderia ser explicada por uma redução na disponibilidade de recursos pelo corte seletivo. Por sua vez, a REBIO Una apresentou densidades de Cebus xanthosternos inferiores às encontradas nas Serras das Lontras e Javi e na Reserva Ecológica Michelin, sugerindo que sua capacidade suporte para a espécie é menor. Um estudo de longo prazo na REBIO Una estimou área de vida de 969 a 1000 ha para um grupo focal de Cebus xanthosternos (SUSCKE, 2009). A enorme área de vida do grupo pode ser reflexo da menor disponibilidade ou da distribuição esparsa dos recursos alimentares, principalmente frutos, na REBIO Una, quando comparada a outras áreas de Mata Atlântica. Se for considerado que não existe sobreposição de territórios entre os grupos, a densidade estimada a partir da área de vida na REBIO Una equivale a 0,1 grupos/km² (Tabela 11), bastante inferior a todas as estimativas para a espécie no presente estudo (Tabela 9). No entanto, já foi observado outro grupo de Cebus xanthosternos dentro da área de vida do grupo focal na REBIO Una (KIERULFF, comunicação pessoal), o que significa que as densidades da espécie na reserva devem ser maiores do que a estimativa derivada da área de vida. As estimativas do Distance para a espécie na REBIO (1,00 grupos/km²; IC: 0,57 – 2,89 grupos/km²) estão mais próximas às encontradas por Rylands na região de Una (0,73 grupos/km²) (PINTO et al., 1993), mas poderiam estar superestimadas devido ao comportamento conspícuo da espécie que facilita sua visualização na floresta. A REBIO Una pode representar uma área de recursos limitados também para Callithrix kuhlii, o que explicaria as estimativas de densidade bastante inferiores às encontradas nas 94
  • 95.
    outras três áreasde estudo (Tabela 9). Raboy et al. (2008) encontraram maiores áreas de vida (33,7 a 58,3 ha), maior deslocamento diário, maiores distâncias percorridas entre árvores frutíferas, de gomas ou de nectar e maior diversidade de frutas consumidas por Callithrix kuhlii na REBIO Una, em comparação a outras espécies do gênero. Os autores sugeriram que os recursos tróficos para C. kuhlii na reserva são amplamente distribuidos e potencialmente limitados e que a espécie utiliza uma estratégia mais generalista que a maioria dos saguis do sudeste brasileiro para maximizar sua eficiência de forrageio. As densidades derivadas das áreas de vida encontradas por Raboy et al. (2008) (2,57 grupos/km², n = 6 grupos; 1,72 – 2,97 grupos/km², n = 1 grupo focal) são muito semelhantes à estimativa de densidade para Callithrix sp no sul da Bahia (2,56 grupos/km²; IC: 1,48 – 4,44 grupos/km²) e ligeiramente inferiores às estimativas encontradas para C. kuhlii nas Serras das Lontras e Javi (3,33 grupos/km²), Callithrix sp. na Reserva Ecológica Michelin (3,21 grupos/km²) e C. kuhlii no PESC (2,82 grupos/km²). O número reduzido de avistamentos de C. kuhlii através dos transectos lineares na REBIO Una (n = 5) gerou estimativas de densidade muito inferiores às encontradas a partir das áreas de vida. Considerando válida a densidade derivada do estudo de Raboy et al (2008) (Tabela 11), as populações de Callithrix parecem ter abundância semelhante ao longo do sul da Bahia, o que pode ser um reflexo da elevada flexibilidade ecológica que lhes confere sucesso principalmente em áreas de vegetação secundária (RABOY et al., 2008). Em um estudo de três meses conduzido na Estação Experimental Lemos Maia, próximo à REBIO Una, Rylands (1989) encontrou áreas de vida de 10 a 13 ha para C. kuhlii, estimando uma densidade de 7,7 a 10 grupos/km² e, através de censos em 3,5 km de transectos na mesma área de estudo, uma densidade de 8,7 a 9,7 grupos/km² (Tabela 11). Ambas são comparáveis aos extremos supriores dos ICs encontrados para as estimativas de densidade da espécie nas Serras das Lontras e Javi (9,02 grupos/km²) e na região do PESC (9,78 grupos/km²). As densidades mais elevadas podem derivar de variações nos métodos utilizados ou de uma menor disponibilidade de recursos para a espécie na REBIO Una comparada à Estação Experimental Lemos Maia. Leontopithecus chrysomelas foi encontrado nas Serras das Lontras e Javi em densidades (0,55 grupos/km²; IC: 0,11 – 2,68 grupos/km²) cerca de três vezes inferiores às estimadas para a REBIO Una (1,86 grupos/km²; IC: 0,92 – 3,78 grupos/km²). O pequeno número de 95
  • 96.
    avistamentos nas Serrascompromete a confiabilidade da estimativa de densidade, mas também é um indício de que a espécie pode estar presente na região em baixas abundâncias. As estimativas médias das duas áreas inserem-se no intervalo das densidades encontradas por Rylands (1989) na Estação Experimental Lemos Maia (0,9 – 3,0 grupos/km²), havendo enorme conformidade entre este e o intervalo de confiança encontrado para a espécie na REBIO Una (0.92 - 3.78 grupos/km²). A partir das estimativas de área de vida de grupos focais obtidas em estudos de longo prazo por Dietz et al (1994, 1996) e Cardoso (2008), é possível derivar densidades ligeiramente inferiores, mas inseridas no intervalo de confiança encontrado pelo Distance para a reserva (Tabela 11). Essa concordância indica que, apesar do pequeno número de avistamentos, o programa foi capaz de estimar densidades próximas às reais para a REBIO, onde L. chrysomelas provavelmente é mais abundante quando comparado às Serras das Lontras e Javi (Tabela 9). A densidade média estimada pelo Distance para a espécie no sul da Bahia (1.20 grupos/km²; IC: 0.62-2.33 grupos/km²) é exatamente igual à estimativa média encontrada por PINTO (1994a) na região (1,2 grupos/km²) (Tabela 11). É provável que existam diferenças ecológicas significativas na disponibilidade de recursos para Leontopithecus entre as duas áreas, embora pareçam semelhantes com relação à presença de ocos de árvores usados como dormitórios, encontrados principalmente em Florestas Maduras, e à elevada abundância de bromélias (SILVEIRA et al, 2005) – recursos considerados determinantes para a sobrevivência da espécie nos fragmentos florestais (RYLANDS, 1989; RABOY et al, 2004). Considerando a predileção do gênero por florestas de áreas baixas (RYLANDS et al., 1991-1992), as densidades reduzidas de L. rosalia em florestas localizadas a 550 m de altitude e a ausência de registros da espécie acima desse nível (KIERULFF e RYLANDS, 2003), é possível considerar que as elevadas altitudes sejam o principal fator limitante para Leontopithecus chrysomelas nas Serras das Lontras e Javi. Apesar da espécie haver sido encontrada acima de 600 metros no presente estudo, é provável que não seja tão eficiente na utilização das florestas que ocorrem em altitudes mais elevadas na região das Serras quando comparada ao calitriquídeo simpátrico Callithrix kuhlii, presente em abundâncias superiores. A temperatura mais baixa e umidade mais elevada das Florestas Montanas localizadas nos topos das Serras podem limitar a 96
  • 97.
    ocorrência de Leontopithecuschrysomelas não apenas pelas condições físicas mas também por diferenças nos recursos disponíveis. As densidades de Callicebus melanochir estimadas para as Serras das Lontras e Javi e para a REBIO Una podem representar uma abundância reduzida da espécie nas duas áreas, mas também podem estar subestimadas pela dificuldade de visualização em função do comportamento críptico da espécie (DEFLER e PINTOR, 1985; PRICE et al., 2002). Ainda assim, admitindo uma detectabilidade constante para a espécie entre as áreas de estudo, os resultados indicam que a Reserva Ecológica Michelin suporta cinco vezes mais grupos (1,56 grupos/km²) de Callicebus melanochir do que as Serras das Lontras e Javi (0,35 grupos/km²) e a REBIO Una (0,27 grupos/km²). As estimativas para as três áreas são bastante inferiores às encontradas para a espécie pelo estudo da área de vida de um grupo focal na Estação Experimental Lemos Maia (4,54 grupos/km²) (HEIDUCK, 2002) (Tabela 11). A variação nas estimativas pode refletir diferenças reais nas densidades das diferentes populações mas também pode derivar de diferenças no métodos utilizados entre os dois estudos. Flesher (comunicação pessoal) afirma que na região de Ituberá a espécie é comum e abundante em algumas florestas, especialmente as da Reserva Ecológica Michelin, mas rara em outras. Uma possível explicação para as abundâncias irregulares de C.melanochir seria que a espécie busca recursos preferenciais em determinados habitats. HEIDUCK (2002) registrou uma utilização mais intensa de florestas maduras do que seria esperado pela disponibilidade desse habitat na área de vida de um grupo focal de Callicebus melanochir, indicando que a espécie pode preferir recursos encontrados nesse habitat. No entanto, a espécie também se mostrou capaz de explorar florestas sujeitas a corte seletivo de madeira, mesmo que com menor intensidade. No caso da região do PESC, apesar do corte seletivo de madeira, a existência de um mosaico de habitats florestais em diferentes graus de conservação seria propícia à presença de Callicebus melanochir. No entanto, a espécie não foi registrada nessa área, o que pode advir da ocorrência em baixas abundâncias somada ao comportamento críptico, ou pode significar que a espécie já não ocupa esses fragmentos. Outro fator que pode influenciar a abundância de primatas em fragmentos florestais é a ocorrência de predadores de topo de cadeia alimentar (GONZALES-SÓLIS et al., 1996). Acredita-se que ainda existam mesopredadores nas quatro áreas investigadas no sul 97
  • 98.
    da Bahia, principalmentefelinos, canídeos e aves de rapina, mas a ausência de estudos impede o estabelecimento de uma relação entre sua presença e a abundância dos primatas. Nas Serras das Lontras e Javi, um indivíduo de Eira barbara adulto foi avistado e foram encontrados registros indiretos (arranhões nas árvores, pegadas e fezes) de felinos de médio e grande porte nos transectos, provavelmente referentes a Puma yaguarondi, Puma concolor e Leopardus sp., registrados para a região em entrevistas (MOURA, 2003) e conversas com moradores locais (observação pessoal). Sua presença sugere que ainda existe uma comunidade residente de predadores capaz de influenciar a abundância dos primatas nessa região. SILVEIRA et al (2005) frequentemente registraram a presença de grande raptores nas Serras das Lontras e Javi, inclusive um indivíduo de Harpia harpyia carregando material para construção de ninho. Indivíduos de Eira barbara foram avistados nos censos da REBIO Una (n = 1), da Reserva Ecológica Michelin (n = 6) e do PESC (n = 2), bem como Leopardus tigrinus (n = 1) e Leopardus wiedii (n = 1) nos transectos da Reserva Ecológica Michelin. Indivíduos de Puma concolor e Puma yaguarondi, bem como o raptor florestal, Leucopternis lacernulata, grande o suficiente para capturar primatas, foram vistos fora dos transectos na Reserva Ecológica Michelin (FLESHER, comunicação pessoal). Outra forma de predação a que os primatas estão sujeitos é a caça promovida por humanos, que afeta principalmente as espécies de grande porte, podendo levar populações ao declínio e até à extinção local (RAEZ-LUNA, 1995; PERES, 2001). Quando consideradas a elevada flexibilidade ecológica das espécies do gênero Alouatta (CROCKETT, 1998; ARROYO-RODRIGUES e MANDUJANO, 2006), a capacidade de Brachyteles hypoxanthus em explorar tanto florestas maduras quanto florestas secundárias (BRITTO e GRELLE, 2006) e a razoável extensão e qualidade dos fragmentos florestais remanescentes no sul da Bahia, é plausível admitir que as populações de Alouatta guariba e Brachyteles hypoxanthus tenham sido levadas à extinção local principalmente através da caça predatória (MOURA, 2003). Cebus xanthosternos também parece sofrer com a caça predatória, a exemplo da região de Ituberá, onde a espécie é ausente na maioria dos fragmentos desprotegidos, externos à Reserva Ecológica Michelin (FLESHER, em preparação). Também é comum encontrar indivíduos da espécie mantidos em cativeiro como animais de estimação em toda a sua área 98
  • 99.
    de ocorrência (KIERULFFet al., 2005). Diante da elevada flexibilidade ecológica característica do gênero, é bem provável que a caça, e não a falta de recursos alimentares, seja o principal fator de ameaça às populações da espécie. As demais espécies, Leontopithecus chrysomelas, Callithrix kuhlii e Callicebus melanochir provavelmente sofrem menos com a caça de subsistência em vista de seus portes reduzidos, mas podem ter suas abundâncias alteradas indiretamente por essa atividade em função dos impactos na fauna de predadores (GONZALES-SOLIS, 1996). Por outro lado, podem ser vítimas de caçadores que objetivam comercializá-las como animais de estimação, principalmente L. chrysomelas e C. kuhlii (PINTO, 1994). Apesar da caça ser praticada nas quatro áreas estudadas, sua intensidade provavelmente varia em função de fatores como a densidade populacional humana ao redor dos fragmentos, o grau de fiscalização da área e a facilidade de acesso ao interior dos fragmentos. O presente estudo não incluiu investigações sobre a intensidade de caça, mas acredita-se que, atualmente, a Reserva Ecológica Michelin seja a área mais protegida graças ao sistema de fiscalização implantado desde 2005. As duas áreas legalmente protegidas, a Reserva Biológica de Una e o PESC, são alvos de caçadores clandestinos até hoje, denunciando a ineficiência do Poder Público em fiscalizá-las, mas não há estudos que permitam identificar os reais impactos às populações de primatas residentes. A região das Serras das Lontras e Javi, desprovida de qualquer forma de proteção legal, também é vítima da caça de subsistência (observação pessoal; SILVEIRA et al, 2005), mas o relevo montanhoso pode representar uma barreira a essa atividade na região. 6.3.3 Comparação das densidades para o sul da Bahia com outras áreas de Mata Atlântica As densidades médias encontradas para as quatro espécies de primatas no presente estudo podem ser comparadas às estimativas obtidas para espécies congenéricas em outras regiões de Mata Atlântica (Tabela 12). A densidade média de C. xanthosternos no sul da Bahia (1,10 grupos/km²; IC: 0,75 – 1,62 grupos/km²) é bastante próxima às densidades de 1,17 grupos/km² encontradas para Cebus nigritus no fragmento de Paranapiacaba, em São Paulo (GONZALES-SOLIS et al., 2001) e de 1,6 grupos/km² na Reserva Biológica 99
  • 100.
    Augusto Ruschi, noEspírito Santo (PINTO et al,1993). Também é possível derivar densidades próximas a partir das estimativas de indivíduos/km² e do tamanho médio de grupo encontrados por Chiarello e Melo (2001) para C. nigritus em outros fragmentos do Espírito Santo (0,94 grupos/km² na Reserva Biológica de Córrego Grande; 1,6 grupos/km² no fragmento Puriti; 1,65 grupos/km² na Reserva Biológica Córrego do Veado; 2,37 grupos/km² na Reserva Biológica de Sooretama). Por outro lado, no Parque Estadual Intervales, em São Paulo, Cebus nigritus ocorre em abundância muito inferior (0,37 grupos/km²) à de Cebus xanthosternos no sul da Bahia (GONZALES-SOLIS et al,1996). Os autores sugerem a presença de populações saudáveis de predadores, uma menor capacidade suporte de florestas em áreas montanhosas comparadas às florestas de terras baixas e menor capacidade suporte de florestas maduras em relação a florestas secundárias para explicar as densidades reduzidas encontradas para as populações de primatas do Parque. Tais fatores não fazem sentido quando comparados às populações de Cebus xanthosternos, cujas maiores densidades no sul da Bahia ocorrem em áreas que ainda suportam inúmeras espécies de meso-predadores e em áreas montanhosas (Reserva Ecológica Michelin e Serras das Lontras e Javi). A estimativa de densidade média de Leontopithecus chrysomelas para o sul da Bahia (1.20 grupos/km²; IC: 0.62-2.33 grupos/km²) é bastante semelhante à estimativa média para L. rosalia no Rio de Janeiro (1,25 grupos/km²; 0,39 a 2,35 grupos/km²) encontrada por Kierulff e Rylands (2003). As densidades menores estimadas para L. chrysopygus a partir do cálculo da área de vida (0,73 grupos/km²; VALLADARES-PADUA, 1993) e pelo programa Distance (0,7 grupos/km²; IC: 0,4 – 2,0 grupos/km² ; PARANHOS,2006), bem como a densidade de 0,3 grupos/km² encontrada para L. caissara (LORINI e PERSSON, 1994) poderiam ser explicadas pelas áreas de vida relativamente maiores de seus grupos, provavelmente um resultado de diferenças na abundância, distribuição e sazonalidade dos recursos disponíveis nos fragmentos florestais (RYLANDS, 1993). 100
  • 101.
    Tabela 12. Comparaçãodas densidades encontradas para os primatas do sul da Bahia com outros estudos na Mata Atlântica. A densidade média de 2,56 grupos/km² (IC: 1,48 – 4,44 grupos/km²) encontrada para Callithrix no sul da Bahia é semelhante à densidade de 2,0 grupos/km² para Callithrix flaviceps na Reserva Biológica Augusto Ruschi (PINTO et al., 1993). Diverge bastante, no entanto, das estimativas de C. geoffroyi em diferentes áreas do Espítiro Santo (estimadas a partir dos tamanhos médios de grupos e densidades em indíviduos /km²), sendo inferior às 101
  • 102.
    encontradas na ReservaBiológica Córrego do Veado (3,7 grupos/km²), na Reserva Biológica de Sooretama (6,4 grupos/km²) e na Reserva Florestal de Linhares (7,56 grupos/km²); e superior às encontradas para a Reserva Biológica Córrego Grande (0,52 grupos/km²) e para o fragmento Puriti (0,76 grupos/km²) (CHIARELLO e MELLO, 2001). Outros autores encontraram densidades menores para C. geoffroyi na Reserva Florestal de Linhares (2,2 grupos/km²), mais próximas às de Callithrix no sul da Bahia (PRICE et al., 2001). A espécie Callicebus melanochir apresenta densidades médias no sul da Bahia (0,73 grupos/km²; IC: 0,28 – 1,86 grupos/km²) inferiores às encontradas para Callicebus personatus em diferentes fragmentos do Espírito Santo: Reserva Biológica Augusto Ruschi (1,4 grupos/km²; PINTO et al., 1993); fragmento Puriti (1,6 grupos/km²), Reserva Florestal de Linhares (1,93 grupos/km²) e Reserva Biológica de Sooretama (2,4 grupos/km²) (CHIARELLO e MELLO, 2001). Price et al (2001), encontraram grande variação nas estimativas de densidade para C. personatus na Reserva Florestal de Linhares (ES) usando transectos lineares (3,7 grupos/km²) e áreas de vida (10 grupos/km²), concluindo que a espécie não é corretamente detectada nos censos, o que resulta em densidades subestimadas. 6.4 Considerações para a conservação das Serras das Lontras e Javi Os resultados do presente estudo indicam que as Serras das Lontras e Javi, apesar de não serem protegidas de nenhuma forma, representam um reduto florestal de Mata Atlântica capaz de suportar populações de primatas em abundâncias similares ou maiores que outras três áreas protegidas do sul da Bahia. Além das populações de Cebus xanthosternos, Callicebus melanochir, Callithrix kuhlii e Leontopithecus chrysomelas, as Serras das Lontras e Javi abrigam inúmeras outras espécies de mamíferos, inclusive predadores de médio e grande porte, atestando sua relevância ecológica e capacidade de suportar espécies com exigências energéticas elevadas. A extensão e o grau de conectividade entre os fragmentos florestais da região, bem como as dificuldades de acesso ao interior dos fragmentos resultantes do relevo montanhoso, parecem ser os principais 102
  • 103.
    fatores concorrendo paraa conservação das Serras das Lontras e Javi. No entanto, a transformação que a economia da região atravessa, com o avanço de monoculturas agrícolas em seu entorno, pode significar uma rápida alteração da paisagem e da intensidade de exploração dos recursos madeireiros e da caça. A substituição das cabrucas por cultivos não-agroflorestais pode ser particularmente impactante para as populações de primatas que se beneficiam desses habitats como áreas de transição entre Florestas Maduras ou como fontes de recursos alimentares. Dentre as quatro espécies encontradas nas Serras das Lontras e Javi, três foram vistas utilizando cabrucas adjacentes às matas: Cebus xanthosternos, Callithrix kuhlii e Leontopithecus chrysomelas. Sabe-se que os macacos-pregos são capazes de explorar os frutos de cacau e outros recursos, como bananas, que encontram no interior das cabrucas (OLIVEIRA e FIALHO, 2007; SUSCKE, comunicação pessoal). Em algumas ocasiões, foi possível visualizar grupos de L. chrysomelas forrageando em bromélias encontradas nas árvores nativas de cabrucas adjacentes às matas. Durante os avistamentos de Callithrix kuhlii nas cabrucas das Serras das Lontras e Javi, não foram observados indivíduos se alimentando. Contudo, as cabrucas podem constituir grande parte da área de vida dos grupos da espécie (RABOY et al., 2008), indicando que também são fontes de recursos alimentares para esse animais. A presença de Florestas Montanas nas altitudes mais elevadas das Serras das Lontras e Javi também justifica a prioridade de conservação da região. O estado de conservação da floresta é bom e pode ser classificado como de rara importância para a região sul da Bahia por guardar componentes da flora e da fauna que só existem nesses locais, além de abrigar inúmeras nascentes (JARDIM, 2003). A relevância das Florestas Montanas para as diferentes espécies de primatas ainda precisa ser investigada, mas os avistamentos do presente estudo permitem afirmar que pelo menos Cebus xanthosternos e Callithrix kuhlii são capazes de utilizar esse habitat florestal nas Serras das Lontras e Javi. SILVEIRA et al (2005), registraram a ocorrência restrita de algumas espécies de aves acima dos 800 metros, onde ocorre uma mudança brusca na estrutura da vegetação e afirmaram que, caso não sejam tomadas medidas urgentes de proteção, é provável que a extensão limitada e a condição de fragmentação das Serras das Lontras e Javi se revelem impróprias para a conservação da singular avifauna residente. SILVEIRA et al (2005) também ressaltaram a relevância das Serras das Lontras e Javi após observar a presença 103
  • 104.
    frequente e abundantede diversas espécies de grandes raptores que certamente utilizam a área para alimentação e construção de ninhos. Os autores sugerem que em meio ao mosaico de diferentes habitats ainda há florestas suficientes disponíveis para essas populações. A caça e o corte seletivo de madeira são duas atividades praticadas ilegalmente nas Serras das Lontras e Javi que provavelmente têm influência sobre as populações de primatas. SILVEIRA et al (2005) reportaram caminhões carregados de madeira na cidade de Arataca e ao longo da BR-101, sugerindo que a madeira proviesse das cabrucas antigas substituídas por plantações de café e pastagens. Contudo, inúmeros indícios de corte seletivo recente encontrados ao longo do presente estudo denunciam a extração ilegal de madeira dos fragmentos florestais em diferentes locais das Serras. Também foi constatada a presença de caçadores nos fragmentos (observação pessoal) e através de conversas informais com os moradores das Serras. Em uma ocasião foram localizados caçadores a poucos metros de distância do observador. Pegadas humanas recentes eram comuns em determinados trechos dos transectos localizados mais interiormente nos fragmentos e algumas cordas de segurança foram roubadas ao longo do trabalho. SILVEIRA et al (2005) também encontraram caçadores e ouviram tiros frequentemente nas Serras, além de encontrar pequenas armadilhas. Após a interação direta e a conviência com algumas comunidades das Serras das Lontras e Javi ao longo do presente estudo, acredita-se que os mesmos e poucos caçadores sejam responsáveis pela atividade em todos os fragmentos da região, talvez pelas dificuldades impostas pelo relevo ou por questões culturais, resultando em uma pressão de caça restrita, mas contínua. A proposta de criação de um Parque Nacional nas Serras das Lontras e Javi reflete o reconhecimento oficial de sua relevância para a conservação da biodiversidade da Mata Atlântica do sul da Bahia. A proteção das nascentes e das Florestas Montanas localizadas nessas Serras, por si só, já justificaria a criação de uma Unidade de Conservação na área. No entanto, é preciso avaliar cuidadosamente qual categoria de UC promoveria a proteção mais eficiente dos fragmentos florestais, considerando as dimensões ecológicas e humanas da região. É necessário compreender de que forma e por que as populações do entorno exploram as florestas localizadas nas Serras e considerar essas informações junto com os resultados de estudos científicos sobre a fauna e a flora locais para definir estratégias de conservação adequadas. Com relação aos primatas, seria interessante investigar quais 104
  • 105.
    fatores ambientais influenciamsua distribuição e abundância e como a interferência humana afeta cada espécie, principalmente através da caça, do corte seletivo e da alteração da paisagem. Apesar da urgente necessidade de proteção das Serras das Lontras e Javi, é imprescindível considerar que dificilmente o simples cercamento de uma área de 16.500 hectares será eficiente para conservar os fragmentos florestais e suas populações de primatas sem que haja fiscalização concreta e o reconhecimento, pelos próprios habitantes locais, da necessidade de preservação das Serras. 105
  • 106.
    7. CONCLUSÕES Os resultados do presente estudo sugerem que a conservação dos primatas do sul da Bahia compreende, necessariamente, a conservação das populações de primatas das Serras das Lontras e Javi. Dentre as quatro áreas investigadas no presente estudo, apenas as Serras das Lontras e Javi e a REBIO Una ainda abrigam as quatro espécies que ocorrem na região. A maior densidade de Callithrix kuhlii e a segunda maior densidade do criticamente ameaçado Cebus xanthosternos foram registradas para as Serras, que também parecem suportar mais grupos de Callicebus melanochir do que a REBIO Una. A reduzida densidade de Leontopithecus chrysomelas nas Serras pode refletir sua ocorrência em baixas abundâncias, principalmente em função das elevadas altitudes, mas sem dúvida não diminui sua importância para a conservação de populações dessa espécie ameaçada de extinção. A proteção das Serras das Lontras e Javi torna-se urgente quando consideradas a singularidade ecológica de suas florestas e o grau de ameaça a que estão submetidas, principalmente através de impactos antrópicos “silenciosos” como a caça e o corte seletivo de madeira, além da substituição gradual das cabrucas por cultivos não-florestais. A criação de uma unidade de conservação na área é imprescindível e urgente, mas deve levar em conta, além dos aspectos ecológicos, os aspectos sociais e econômicos que motivam a exploração ilegal e a degradação desses fragmentos. Mais estudos são necessários para identificar de que forma as populações de primatas são afetadas pelas atividades humanas nas Serras e traçar estratégias de conservação que beneficiem tanto os animais quanto as comunidades humanas do entorno. Mesmo com a implantação de uma unidade de conservação de proteção integral, como o Parque Nacional das Serras das Lontras, proposto pelo Ministério do Meio Ambiente, será necessário garantir fiscalização eficiente e trabalhar junto às comunidades o reconhecimento da importância ecológica e de conservação da região. 106
  • 107.
    8. REFERÊNCIAS BIBLIOGRÁFICAS AGUIAR,A.P., CHIARELLO, A.G., MENDES, S.L., MATOS, E.N. (2005) Os Corredores Central e da Serra do Mar na Mata Atlântica brasileira. Em: Mata Atlântica: Biodiversidade, ameaças e perspectivas. Carlos Galindo-Leal e Ibsen Gusmão Câmara (eds). Fundação SOS Mata Atlântica e Conservação Internacional. 119-132. ALGER, K. e CALDAS, M. (1994) The declining cocoa economy and the Atlantic Forest os southern Bahia, Brazil: conservation attitudes of cocoa planters. The Environmentalist, 14 (2): 107-119. ALGER, K.N., CHOMITZ, K.M., VILA NOVA, P., ORLANDO, H. (2003) Instrumentos econômicos e de políticas públicas para o estabelecimento do Corredor Central. Em: Prado P.I., Landau E.C., Moura R.T., Pinto L.P.S., Fonseca G.A.B., Alger K. (orgs.) Corredor de Biodiversidade da Mata Atlântica do Sul da Bahia. Publicação em CD-ROM, IESB / CI / CABS / UFMG / UNICAMP, Ilhéus. ANDERSON, D.R., LAAKE, J.L., CRAIN, B.R. e BURNHAM, K.P. (1979) Guidelines for transect sampling of biological populations. Journal of Wildlife Management. 43(1): 70- 78. ARAUJO, M. e SANTOS, G.R. (2001) Caracterização sócio-econômica e ambiental do complexo de Serras do Javí e Lontras, no Sudeste da Bahia – Com ênfase nos aspectos florestais e agrícolas. IESB – Instituto de Estudos Socioambientais do Sul da Bahia e Bird Life International. Relatório não publicado. ARROYO-RODRIGUES, V. e MANDUJANO, S. (2006) Forest Fragmentation Modifies Habitat Quality for Alouatta palliata. International Journal of Primatology, 27(4): 1079- 1096. AYRES, J.M., FONSECA, G.A.B, RYLANDS, A.B., QUEIROZ, H.L., PINTO, L.P.S., MASTERSON, D. e CAVALCANTI, R.B. (2005) Os Corredores Ecológicos das florestas tropicais do Brasil. Sociedade Civil Mamirauá – SCM. Belém, Pará. 256p. AYRES, M., AYRES JR., M., AYRES, D.L. e SANTOS, A.A.S. (2003) BioEstat 3.0. Aplicações Estatísticas nas areas das Ciências Biológicas e Médicas. Sociedade Civil Mamirauá, Belém. CNPq, Brasília. 290p. BECK, J. e CHAPMAN, H.(2008) A population estimate of the endangered chimpanzee Pan troglodytes vellerosus in a Nigerian montane forest: implications for conservation. Oryx 42(3): 448-451. BENNETT, E. L. e ROBINSON, J. G. (2000) Hunting of wildlife in tropical forests: implications for biodiversity and forest peoples. Biodiversity series - impact studies Paper No. 76, The World Bank, Washington, D.C. 107
  • 108.
    BIODIVERSITAS (1993) Inventáriofaunístico e conservação da Mata Atlântica do sul da Bahia, Brasil. Relatório Técnico não publicado. BOBADILLA, U.L. e FERRARI, S.F. (2000) Habitat Use by Chiropotes satanas utahicki and Syntopic Platyrrhines in Eastern Amazonia. American Journal of Primatology, 50: 215- 224. BRITTO, D. e GRELLE, C.E.V. (2006) Estimating minimum area of suitable habitat and viable population size for the northern muriqui (Brachyteles hypoxanthus). Biological Conservation, 15: 4197-4210. BROCKELMAN, W.Y. e ALI, R.(1987) Methods of Surveying and Sampling Forest Primate Populations. Em: Primate Conservation in the Tropical Rain Forests. Alan R. Liss Inc. Pp 23-62 BROOKS, T.M., MITTERMEIER, R.A., MITTERMEIER, C.G., FONSECA, G. A.B., RYLANDS, A.B., KONSTANT, W.R., FLICK, P., PILGRIM, J., OLDFIELD, S., MAGIN, G. e HILTON-TAYLOR, C. (2002) Habitat loss and extinction in the hotspots of biodiversity. Conservation Biology 16(4): 909-923. BUCKLAND, S.T., ANDERSON, D.R., BURNHAM, K.P. e LAAKE, J.L. (1993) istance Sampling: Estimating Abundance of Biological Populations. Chapman and Hall, London. 446p. CÂMARA, I.B. Breve história da conservação da Mata Atlântica. Em: Mata Atlântica: Biodiversidade, ameaças e perspectivas. Carlos Galindo-Leal e Ibsen Gusmão Câmara (eds). Fundação SOS Mata Atlântica e Conservação Internacional. p 31-42. 2005. CARDOSO, N.A. (2008) Frugivoria e dispersão de sementes por mico-leão-da-cara- dourada (Leontopithecus chrysomelas) na Reserva Biológica de Una, Bahia. Dissertação de Mestrado. Universidade Estadual de Santa Cruz. 56 p. CARO, T.M. (1999) Conservation monitoring: estimating mammal densities in woodland habitats. Animal Conservation 2: 305-315. The Zoological Society of London. CASSANO, C.R., KIERULFF, M.C.M., SANTOS, G.R., SUSCKE, P., CANALE, G. e GUIDORIZZI, C.E.(2005) Densidade e tamanho populacional do macaco-prego-do-peito- amarelo (Cebus xanthosternos) em três fragmentos de Mata Atlântica no sul da Bahia. Anais do XI Congresso Brasileiro de Primatologia, Porto Alegre. CHAPMAN, C.A. e BALCOMB,S.R. (1998) Population Characteristics of Howlers: Ecological Conditions or Group History. International Journal of Primatology, 19(3): 385- 403. 108
  • 109.
    CHAPMAN CA, BALCOMBSR, GILLESPIE TR, SKORUPA JP, STRUHSAKER TT. 2000. Long-term effects of logging on African primate communities: a 28-year comparison from Kibale National Park, Uganda. Conservation Biol 14: 207–217. CHIARELLO, A.G. (1999) Effects of fragmentation of the Atlantic forest on mammal communities in south-eastern Brazil. Biological Conservation 89: 71-82. CHIARELLO, A.G. (2000) Density and Population Size of Mammals in Remnants of Brazilian Atlantic Forest. Conservation Biology 14.6: 1649-57. CHIARELLO, A.G. e MELO, F.R.(2001). Primate Population Densities and Sizes in Atlantic Forest Remnants of Northern Espírito Santo, Brazil. International Journal of Primatology 22(3): 379-396. CHIARELLO, A.G. (2003) Primates of the Brazilian Atlantic Forest: the influence of forest fragmentation on survival. Em: Primates in Fragments: Ecology and Conservation. Laura K. Marsh (ed). Kluwer Academic-Plenum Publishers. New York, Boston, Dordrecht, London, Moscow. Pp 99-121. COIMBRA-FILHO, A.F., SILVA, R.R. e PISSINATTI, A. (1991) Acerca da distribuição geográfica original de Cebus xanthosternos Wied, 1820 (Cebidae, Primates). Em: A primatologia no Brasil 3, pp 215-224. COIMBRA-FILHO, A.F., MITTERMEIER, R.A., RYLANDS, A.B.,MENDES, S.L., KIERULFF, M.C.M. e PINTO, L.P.S. (2006) The taxonomic status of Wied’s Black Tufted-ear marmoset, Callithrix kuhlii (Callitrichidae, Primates). Primate Conservation 21: 1-24. COSENZA, B.A.P. e MELO, F.R. (1998) Primates of the Serra do Brigadeiro State Park, Minas Gerais, Brazil. Neotropical Primates 6(1):18-19. COSTA, L.P e LEITE, Y.L.R. (2000) Biogeography of South American Forest mammals: endemism and diversity in the Atlantic Forest. Biotropica 34 (4b): 872-881. COSTA, L.P., LEITE, Y.L.R., MENDES, S.R., DITCHFIELD, A.D. (2005) Conservação de mamíferos no Brasil. Megadiversidade 1(1): 103-112. COWLISHAW, G. e DUNBAR, R. (2000) Primate conservation biology. The University of Chicago Press, Ltd. Chicago and London. 498p. CROCKET, C.M. (1998) Conservation biology of the genus Alouatta. International Journal of Primatology, 19(3): 549-578. CULLEN JR., BODMER, R.E. e VALLADARES-PÁDUA, C (2000) Effects of hunting in habitat fragments of the Atlantic forests, Brazil. Biological Conservation 95: 49-56. 109
  • 110.
    CULLEN JR, L.e VALLADARES-PADUA, C. (1997) Métodos para estudos de ecologia, manejo e conservação de primatas na natureza. Em: Manejo e Conservação de Vida Silvestre no Brasil. Valladares-Pádua, Bodmer e Cullen Jr (eds). Pp 239-268. CULLEN JR. L. e RUDRAN, R. (2003). Transectos lineares na estimativa de densidade de mamíferos e aves de médio e grande porte. Em: Métodos de Estudo em Biologia da Conservação e Manejo da Vida Silvestre. Cullen Jr., L., Valladares-Pádua, C. e Rudran, R. (org.). Ed. Da UFPR; Fundação O Boticário de Proteção à Natureza. Curitiba. Pp 169-179 DEAN, W. (1996) With broadax and firebrand - the destruction of the Brazilian Atlantic Forest. University of California Press, Berkeley, USA. DEFLER, T.R. e PINTOR, D. (1985) Censusing primates by transect in a forest of know primate density. International Journal of Primatology, 6 (3), 243-259. DELABIE, J.H.C., JAHYNY, B., NASCIMENTO, I.C., MARIANO, C.S.F., LACAU, S., CAMPIOLO, S., PHILPOTT, S.M. e LEPONCE, M. (2007) Contribution of cocoa plantations to the conservation of native ants (Insecta: Hymenoptera: Formicidae) with a special enphasis on the Atlantic Forest fauna of southern Bahia, Brazil. Biodiversity Conservation 16: 2359-2384. DIETZ, J.M., SOUZA, S.N.F. e SILVA, J.R.O. (1994) Population structure and territory size in Golden-headed lion tamarins, Leontopithecus chrysomelas. Neotropical Primates 2(suppl.):21-23. DIETZ, J.M., SOUZA, S.N. e BILLERBERCK, R. (1996) Poulation dynamics of Golden- headed lion tamarins Leontopithecus chrysomelas in Una Reserve,Brazil. Dodo Journal of Wildlife Preservation Trusts, 32: 115-122. de THOYSE, B., BROSSE, S. e DUBOIS, M.A. (2008) Assessment of a large-vertebrate species richness and relative abundance in Neotropical forest using line-transect censuses: what is the minimal effort required? Biodiversity Conservation, 17: 2627-2644 EBERHARDT, L.L.(1978) Transect methods for population studies. J. Wildl. Manage. 42(1): 1-31. EISENBERG, J.F. (1977) Comparative ecology and reproduction of New World monkeys. Em: The biology and conservation of the Callitrichidae. Kleiman, Devra G. (ed).The Symposia of the National Zoological Park. Smithsonian Institution Press. Whashington, D.C. Pp 13-22. FARIA et al (2006) Bat and bird assemblages from forests and shade cacao plantations in two contrastin landscapes in the Atlantic Forest of southern Bahia, Brazil. Biodiversity and Conservation 15: 587-612. 110
  • 111.
    FEDIGAN, L.M. eJACK, K. (2001) Neotropical primates in a regenerating Costa-Rican dry Forest: a comparison of howler and capuchin population patterns. International Journal of Primatology, 22(5): 689-713. FERRARI, S. F. (2002) Multiple transects or multiple walks? A response to Magnusson (2001). Neotropical Primates, 10(3): 131-132. FLESHER, K.M. (1999) Primates of the Ituberá forest complex, Bahia, Brazil. Neotropical Primates, 7(4): 127-131. FLESHER, K.M. (2001) Primates of the Chapada das Mangabeiras, Piauí, Brasil: a northern extension to the range of Alouatta caraya. Neotropical Primates, 9(1): 19-22. FLESHER, K.M. (em preparação) The distribution, habitat use, and conservation status of three Atlantic forest monkeys (Cebus xanthosternos, Callicebus melanochir, Callithrix penicillata) in an agroforestry landscape in Bahia, Brazil. FLESHER, K.M. (2006) The Biogeography of the Medium and Large Mammals in a Human-dominated Landscape in the Atlantic Forest of Bahia, Brazil: Evidence for the Role of Agroforestry Systems as Wildlife Habitat. Tese de Doutorado, Rutgers University, New Jersey. 650 p. FONSECA, G.A.B., PINTO, L.P.S., ALVES, M.C. e MOURA, R.T. (1999) Inventário e diversidade de espécies de mamíferos na região da Reserva Biológica de Una: Fazenda Bolandeira. Instituto de Estudos Socioambientais do Sul da Bahia (IESB) e Conservation International do Brasil (CI). Relatório de Atividades não publicado. FONSECA G.A.B., ALGER K., PINTO L.P., ARAÚJO M. e CAVALCANTI R. (2003) Corredores de Biodiversidade: O Corredor Central da Mata Atlântica. Em: Prado P.I., Landau E.C., Moura R.T., Pinto L.P.S., Fonseca G.A.B., Alger K. (orgs.) 2003. Corredor de Biodiversidade da Mata Atlântica do Sul da Bahia. Publicação em CD-ROM, IESB / CI / CABS / UFMG / UNICAMP,Ilhéus. FREESE, C.H. e OPPERNHEIMER,J.R. (1981) The capuchin monkeys, genus Cebus. Em: Ecology and behavior of Neotropical Primates. Vol 1. Coimbra-Filho, Ademar F. e Mittermeier, Russell. A. (eds). Academia Brasileira de Ciências. Pp 331-390. GALINDO-LEAL, C. e CÂMARA,I.G. (2005) Status do hotspot Mata Atlântica: uma síntese. Em: Mata Atlântica: Biodiversidade, ameaças e perspectivas. Carlos Galindo-Leal e Ibsen Gusmão Câmara (eds). Fundação SOS Mata Atlântica e Conservação Internacional. Pp 3-10. GONZALES-SOLIS, MATEOS, E. MANOSA, S., ONTAÑON, M., GONZALEZ- MARTIN, M. e GUIX, J.C. (1996) Abundance estimates of primates in an Atlantic rainforest area of southeastern Brazil. Mammalia 60 (3): 488-491. 111
  • 112.
    GONZALEZ-SOLIS, J. GUIX,J.C., MATEOS, E. e LLORENS, L. (2001). Population Density of Primates in a Large Fragment of the Brazilian Atlantic Rainforest. Biodiversity and Conservation 10: 12 67-82. GUIDORIZZI, C. E.; KIERULFF, M. C. M.; SANTOS, G. R.; CANALE, G.; GATTO, C.A. F. R. e CASSANO, C. R. (2005) Levantamento das populações de Macaco-prego-do- peito-amarelo (Cebus xanthosternos) nos Estados da Bahia, Sergipe e Minas Gerais. In: Livro de Resumos do XI Congresso Brasileiro de Primatologia. 108p. GREENWOOD, J.J.D. (1996) Basic techniques. Cap.2. Em: Ecological Census Techniques: a Handbook. William J.Sutherland (ed). Cambridge University Press, London. GREGORIN, R.(2006) Taxonomia e variação geográfica das espécies do gênero Alouatta Lacepede (Primates, Atelidae) no Brasil. Revista Brasileira de Zoologia 23(1): 64-144. GREGORIN, R., KEGELMEIER, T. e VALLE, R.R. (2008) Gênero Alouatta Lacepede 1799. Em: Primatas Brasileiros. Reis, N.R., Peracchi, A.L. e Andrade, F.R. (orgs). Technical Books Ed. Londrina. Pp187-204. HEIDUCK, S. (1997) Food choice in masked titi monkeys (Callicebus personatus melanochir): selectivity or opportunism? International Journal of Primatology 18(4) 447- 502. HEIDUCK, S. (2002) The use of disturbed and undisturber forest by masked titi monkeys Callicebus personatus melanochir is proportional to food availability. Oryx 36(2): 133-139. HENRIQUES, R.P.B. e CAVALCANTE, R.J. (2004) Survey of a gallery Forest primate community in the Cerrado of the Distrito Federal, Central Brazil. Neotropical Primates 12(2): 78-83. HERO e RIDGWAY (2006) Declínio global de espécies. Em: Biologia da Conservação – Essências. Carlos Frederico Duarte Rocha, Helena Godoy Bergalho, Monique Van Sluys e Maria Alice Santos Alves (orgs). RiMa Editora. São Carlos, SP. pp 53-90. IESB – Instituto de Estudos Socioambientais do Sul da Bahia (2006) Levantamento de Primatas nas Serras das Lontras e do Javi, Arataca/Una, Bahia. Relatório não publicado. JARDIM, J.G (2003) Uma caracterização parcial da vegetação na região sul da Bahia, Brasil. Em: Prado P.I., Landau E.C., Moura R.T., Pinto L.P.S., Fonseca G.A.B., Alger K. (orgs.) 2003. Corredor de Biodiversidade da Mata Atlântica do Sul da Bahia. Publicação em CD-ROM, IESB / CI / CABS / UFMG / UNICAMP, Ilhéus. JOHNS, N.D. (1999) Conservation in Brazil’s Chocolate Forest: the unlikely persistence of the traditional cocoa agroecosystem. Environmental Management 23(1): 31-47. JOHNS, A.D. e SKORUPA, J.P. (1987) Responses of rain-forest primates to habitat disturbance: a review. International Journal of Primatology, 8(2): 157-191. 112
  • 113.
    KIERULFF, M.C.M., SANTOS,G.R., CANALE, G.R., CARVALHO, C.E.G., CASSANO, C.R., GOUVEIA, P.S., GATTO, C.A.F.R., ARAÚJO,M., NOVA, P.V., MARQUES, A.C., SANTOS, P.S. e PÁDUA, J.C. (2005) Avaliação das populações do macaco-prego-do- peito-amarelo (Cebus xanthosternos) e proposta de estratégia para manejo e conservação da espécie. Relatório Final Edital FNMA/PROBIO nº 04/2001 Instituto de Estudos Socioambientais do Sul da Bahia (IESB). KIERULFF, M.C.M., SANTOS, G.R., CANALE, G., GUIDORIZZI, C.E. e CASSANO, C. (2004) The use of camera traps in a survey of buff-headed capuchin monkeys, Cebus xanthosternos. Neotropical Primates, 12(2): 56-59. KIERULFF, M.C.M. e RYLANDS, A.B. (2003) Census and distribution of the Golden Lion Tamarin (Leontopithecus chrysomelas). American Journal of Primatology 59:29-44. KIERULFF, M.C.M., RABOY, B.E., PROCÓPIO DE OLIVEIRA, P., MILLER, K., PASSOS, F.C. e PRADO, F. (2002) Behavioral ecology of Lion tamarins, Em: Kleiman DG, Rylands AB, editors. Lion tamarins: biology and conservation. Washington DC: Smithsonian Institution Press. Pp 157–187. KINZEY, W.G. (1981) The titi monkeys, genus Callicebus. Em: Ecology and behavior of Neotropical Primates. Vol 1. Coimbra-Filho, Ademar F. e Mittermeier, Russell. A. (eds). Academia Brasileira de Ciências. Pp 241-276. KINZEY, W.G. (1982) Distribution of primates and forest refuges. In: Biological Diversification in the Tropics. G. T. Prance (ed.). New York: Columbia University Press. Pp 455-482. LANDAU, E. C. (2003) Padrões de ocupação espacial da paisagem na Mata Atlântica do sudeste da Bahia, Brasil. Em: Prado P.I., Landau E.C., Moura R.T., Pinto L.P.S., Fonseca G.A.B., Alger K. (orgs.) Corredor de Biodiversidade da Mata Atlântica do Sul da Bahia. Publicação em CD-ROM, IESB / CI / CABS / UFMG / UNICAMP, Ilhéus. LEHMAN, S. (2000) Primate Community Structure in Guyana: A Biogeographic Analysis. International Journal of Primatology, 21(3): 333-351. LORINI, M.L. e PERSSON, V.G. (1994) Status of field research on Leontopithecus caissara: the black-faced lion tamarin project. Neotropical Primates, 2: 52-55. MACHADO, A.B.M., MARTINS, C.S. e DRUMMOND, G.M.(2005) Lista da fauna brasileira ameaçada de extinção: incluindo as espécies quase ameaçadas e deficientes em dados. Fundação Biodiversitas. Belo Horizonte, MG. 158 p. MACHADO, A.B.M., DRUMMOND, G.M., PAGLIA, A.P. (2008) Livro vermelho da fauna brasileira ameaçada de extinção. 1a ed. MMA, Brasília, DF. Fundação Biodiversitas, Belho Horizonte, MG. 113
  • 114.
    MAGNUSSON, W.E. (2001)Standard Errors Of Survey Estimates: What Do They Mean? Neotropical Primates 9(2): 53-54. MMA e IBAMA (2006) Consulta Pública: Monumento natural de Pancada Grande, Refúgio de Vida Silvestre e Parque Nacional de Boa Nova, Área de Proteção Ambiental e Parques Nacional e Estadual do Alto Cariri, Parque Nacional das Serras das Lontras, Javi e Quatis. Brasília: MMA. MMA, CONSERVAÇÃO INTERNACIONAL DO BRASIL, SOS MATA ATLÂNTICA, FUNDAÇÃO BIODIVERSITAS, INSTITUTO DE PESQUISAS ECOLÓGICAS, SEMAD, INSTITUTO ESTADUAL DE FLORESTAS-MG (2000) Avaliação e ações prioritárias para a conservação da biodiversidade da Mata Atlântica e Campos Sulinos. Brasília: MMA. MARSHAL, A.R., LOVETT, J.C. e WHITE, P.C.L.(2008) Selection of line-transect methods for estimating the density of group-living animals: lessons from the primates. American Journal of Primatology 70:452-462. MARTINI, A.M.Z., FIASCHI, P., AMORIM, A.M. e PAIXÃO, J.L. (2007) A hot-point within a hot-spot: a high diversity site in Brazil’s Atlantic Forest. Biodiversity Conservation 16: 3111-3128. MARTINS, M.M. (2005) Density of primates in four semi-deciduous fragments of São Paulo, Brazil. Biodiversity and Conservation 14: 2321-2329. MELO, F.R., CHIARELLO, A.G., FARIA, M.B., OLIVEIRA, P.A., FREITAS, R.L.A., LIMA, F.S. e FERRAZ, D.S. (2004) Novos registros do muriqui-do-norte (Brachyteles hypoxanthus) no Vale do rio Jequitinhonha, Minas Gerais e Bahia. Neotropical Primates, 12(3): 139-143. MELO, F.R. (2004) Primatas e áreas prioritárias para a conservação da biodiversidade no vale do rio Jequitinhonha, Minas Gerais. Tese de Doutorado. Universidade Federal de Minas Gerais. Belo Horizonte, MG. MENDES-PONTES, A.R. (1997) Habitat partitioning among primates in Maracá Island, Roraima, northern Brazilian Amazonia. International Journal of Primatology 18(2): 131- 157. MENDES-PONTES, A.R., NORMANDE, I.C., FERNANDES, A.C.A., RIBEIRA, P.F.R. e SOARES, M.L. (2007) Fragmentation causes rarity in common marmosets in the Atlantic forest of northeastern Brazil. Biodiversity Conservation 16: 1175-1182. MORAES JR.,M.M. (2005) Metodologias de amostragem de populações: aplicação e comparações em populações de mico-leão-dourado, Leontopithecus rosalia, e sagüis Callithrix sp., na bacia do rio São João. Dissertação de mestrado. Universidade Estadual do Norte Fluminense, UENF. 53 pp. 114
  • 115.
    MORI, S.A., BOOM,B.M., CARVALHO, A.M. e SANTOS, T.S. (1983) Southern Bahian Moist Foreste. The Botanical Review, 49: 155-232. MOURA, R.T. (2003) Distribuição e ocorrência de mamíferos na Mata Atlântica do sul da Bahia. Em: Prado P.I., Landau E.C., Moura R.T., Pinto L.P.S., Fonseca G.A.B., Alger K. (orgs.) Corredor de Biodiversidade da Mata Atlântica do Sul da Bahia. Publicação em CD- ROM, IESB / CI / CABS / UFMG / UNICAMP, Ilhéus. MOURA, A.C.A.(2007) Primate group size and abundance in the Caatinga dry Forest, northeastern Brazil. International Journal of Primatology, 28: 1279-1297. MULLER, K.H., AHL,C. e HARTMANN, G. (1997) Geophagy in masked titi monkeys (Callicebus personatus melanochir) in Brazil. Primates 38(1): 69-77. MYERS, N., MITTERMEIER, R.A., MITTERMEIER, C.G., FONSECA, G.A.B. e KENT, J.(2000) Biodiversity hotspots for conservation priorities. Nature 403: 853-858. NATIONAL RESEARCH COUNCIL (1981) Techniques for the study of primate population ecology. Washington, DC: National Academy Press. 232 p. NEVES, L.G. (2008) Distribuição geográfica e conservação de Callithrix kuhlii (Coimbra- Filho, 1985) (Primates, Callitrichidae), Bahia, Brasil. Dissertação de Mestrado. Universidade Estadual de Santa Cruz. OLIVEIRA, M.M. e FIALHO, M.S. (2007) Instalação de cercas para evitar a predação de frutos de cacau por macacos-prego em Rondônia, Brasil. Neotropical Primates, 14(1): 34. OLIVER,W.L.R. e SANTOS, I.B. (1991) Threatened endemic mammals of the Atlantic Forest region of South-East Brazil. Special Scientific Report No.4. Wildlife Preservation Trust and University of Minas Gerais. PAGLIA, A.P. (2003) Análises de viabilidade populacional. Quantos indivíduos? Serão eles suficientes? Estudo de caso para espécies ameaçadas da Mata Atlântica do sul da Bahia. Em: Prado P.I., Landau E.C., Moura R.T., Pinto L.P.S., Fonseca G.A.B., Alger K. (orgs.) Corredor de Biodiversidade da Mata Atlântica do Sul da Bahia. Publicação em CD- ROM, IESB / CI / CABS / UFMG / UNICAMP, Ilhéus. PAGLIA, A.P., FERNANDEZ, F.A.S. e MARCO Jr., P (2006) Efeitos da fragmentação de habitats: quantas espécies, quantas populações, quantos indivíduos e serão eles suficientes? Em: Biologia da Conservação – Essências. Carlos Frederico Duarte Rocha, Helena Godoy Bergalho, Monique Van Sluys e Maria Alice Santos Alves (orgs). RiMa Editora. São Carlos, SP. pp 281-316. PARANHOS, K.M.(2006) Estimativas populacionais para espécies raras: o mico-leão-preto Leontopithecus chryspygus como modelo. Dissertação de Mestrado. Universidade Federal do Paraná. Curitiba, PR. 115
  • 116.
    PARDINI (2004) Effectsof forest fragmentation on small mammals in an Atlantic Forest landscape. Biodiversity and Conservation 13: 2567-2586. PASSAMANI, M. e RYLANDS, A.B. (2000) Home range of a Geoffroyi’s marmoset group, Callithrix geoffroyi (Primates, Callitrichidae) in southeastern Brazil. Rev. Brasil. Biol. 60(2): 275-281. PERES, C.A. (1993) Structure and spacial organization of an Amazonian terra firme forest primate community. Journal of Tropical Ecology 9(3): 259-276. PERES, C. A. (1997) Primate community structure at twenty western Amazonian flooded and unflooded forests. Journal of Tropical Ecology 13: 381-405. PERES, C.A.(1999) General Guidelines For Standardizing Line-Transect Surveys Of Tropical Forest Primates. Neotropical Primates 7(1):11-16. PERES, C.A. (2000) Effects of subsistence hunting on vertebrate community structure in Amazonian forests. Conservation Biology 14(1): 240-253. PERES, C.A. e DOLMAN, P.M. (2000) Density compensation in neotropical primate communities: evidence from 56 hunted and nonhunted Amazonian forests of varying productivity. Oecologia 122: 175-189. PERES, C.A. (2001) Synergistic effects of subsistence hunting and habitat fragmentation on Amazonian forest vertebrates. Conservation Biology, 15(6): 1490-1505. PINTO, L.P.S., COSTA, C.M.R., STRIER, K.B. e FONSECA, G.A.B. (1993) Habitat, density and group size of primates in a Brazilian forest. Folia Primatologica 61: 135-143. PINTO, L.P.S. (1994a) Distribuição Geográfica, População e Estado de Conservação do mico-leão-da-cara-dourada Leontopithecus chrysomelas (Callitrichidae, Primates). Dissertação de Mestrado, Universidade Federal de Minas Gerais, Belo Horizonte. PINTO, L.P.S. e TAVARES, L.I. (1994b) Inventory and conservation status of wild populations of Golden-headed Lion Tamarins, Leontopithecus chrysomelas. Neotropical Primates 2(suppl.), 24-27. PINTO, L.P.S e RYLANDS, A.B.(1997) Geographic distribution of the golden-headed lion tamarin, Leontophitecus chrysomelas: Implications for its management and conservation. Folia Primatologica. 68:161-168. PINTO, L.P.S., BEDÊ, L., PAESE, A., FONSECA, M., PAGLIA,A. e LAMAS, I. (2006) Mata Atlântica brasileira: os desafios para a conservação da biodiversidade de um hotspot mundial. Em: Biologia da Conservação – Essências. Carlos Frederico Duarte Rocha, Helena Godoy Bergalho, Monique Van Sluys e Maria Alice Santos Alves (orgs). RiMa Editora. São Carlos, SP. Pp 91-118. 116
  • 117.
    PIRES, A.S., FERNANDEZ,F.A.S. e BARROS, C.S. (2006) Vivendo em um mundo em pedaços: efeitos da fragmentação florestal sobre comunidades e populações animais. Em: Biologia da Conservação – Essências. Carlos Frederico Duarte Rocha, Helena Godoy Bergalho, Monique Van Sluys e Maria Alice Santos Alves (orgs). RiMa Editora. São Carlos, SP. pp 231-260. PLUMPTRE, A.J. e COX, D. (2006) Couting primates for conservation: primate surveys in Uganda. Primates, 47: 65-73. PRADO, P.I., PINTO, L.P., MOURA, R.T., CARVALHO, A.M., THOMAS,W.W., AMORIM, A. e AGUIAR, C. (2003a) Caracterização dos registros de ocorrência de espécies de plantas emamíferos no sul da Bahia, Brasil. Em: Prado P.I., Landau E.C., Moura R.T., Pinto L.P.S., Fonseca G.A.B., Alger K. (orgs.) Corredor de Biodiversidade da Mata Atlântica do Sul da Bahia. Publicação em CD-ROM, Ilhéus, IESB / CI / CABS / UFMG / UNICAMP. PRADO, P.I., LANDAU, E.C., PINTO, L.P., MOURA, R.T., CARVALHO, A.M., THOMAS, W.W. e AMORIM, A. (2003b) Heterogeneidade espacial do conhecimento biológico no Corredor Central da Mata Atlântica: uma análise dos registros de plantas e mamíferos. Em: Prado P.I., Landau E.C., Moura R.T., Pinto L.P.S., Fonseca G.A.B., Alger K. (orgs.) Corredor de Biodiversidade da Mata Atlântica do Sul da Bahia. Publicação em CD-ROM, Ilhéus, IESB / CI / CABS / UFMG / UNICAMP. PRADO, P.I., PINTO, L.P.,MOURA, R.T. e LANDAU, E.L. (2003c) Avaliação de modelos de distribuição geográfica e sua aplicação para prever a ocorrência de espécies de mamíferos no Corredor Central da Mata Atlântica. Em: Prado P.I., Landau E.C., Moura R.T., Pinto L.P.S., Fonseca G.A.B., Alger K. (orgs.) Corredor de Biodiversidade da Mata Atlântica do Sul da Bahia. Publicação em CD-ROM, Ilhéus, IESB / CI / CABS / UFMG / UNICAMP. PRICE, E.C., PIEDADE, H.M. e WORMELL, D. (2002) Population densities of primates in a Brazilian Atlantic Forest. Folia Primatologica, 73: 54-56. RABOY, B.E. e DIETZ, J.M. (2004) Diet, foraging and use of space in wild Golden- headed Lion tamarins. American Journal of Primatology, 63:1-15. RABOY, B.E., CHRISTMAN, M.C. e DIETZ, J.M. (2004) The use of degraded and shade cocoa forests by Endangered golden-headed lion tamarins Leontopithecus chrysomelas. Oryx, 38(1): 75-83. RABOY, B.E., CANALE, G.R. e DIETZ, J.M. (2008) Ecology of Callithrix kuhlii and a review of eastern brazilian marmosets. International Journal of Primatology. RÁEZ-LUNA, E. (1995) Hunting large primates and conservation of the Neotropical forests. Oryx, 29: 43-48. 117
  • 118.
    REDE MATA ATLÂNTICA(RMA). Mata Atlântica - uma rede pela floresta. Maura Campanili e Miriam Prochnow (orgs). Brasília, 2006. 332p. RBMA - RESERVA DA BIOSFERA DA MATA ATLÂNTICA (2006) Plano de ação para a conservação da biodiversidade no sul da Bahia. Sub-comitê sul da Reserva da Biosfera da Mata Atlântica. Ilhéus, BA. ROBINSON, J.G. e REDFORD, K.H. (1986) Body size, diet and population density of Neotropical forest mammals. The American Naturalist, 128(5):665-680. ROVERO, F., STRUHSAKER, T.T., MARSHALL, A.R., RINNE,T.A., PEDERSEN, U.B., BUTYNSKI, T.M., EDHARDT,C.L. e MTUI, A.S. (2006) Abundance of diurnal primates in Mwanihana Forest, Udzungwa Mountains, Tanzânia: a multi-observer comparison of line-transect data. International Journal of Primatology, 27(3): 675-697. ROVERO, F.e STRUHSAKER, T.T. (2007) Vegetatite predictors of primate abundance: utility and limitations of a fine-scale analysis. American Journal of Primatology, 69: 1242- 1256. RYLANDS, AB. (1989) Sympatric brazilian callitrichids: the black tufted ear marmoset, Calllithrix kuhlii, and the golden-headed lion tamarin, Leontopithecus chrysomelas. Journal of Human Evolution. 18:679-695. RYLANDS, A.B., SANTOS, I.B. e MITTERMEIER, R.A. (1991-1992) Distribution and Status of the Golden-Headed Lion Tamarin, Leontopithecus chrysomelas, in the Atlantic Forest of Southern Bahia, Brazil. Primate Conservation 12-13: 15-23. RYLANDS, A.B. (1993) The ecology of the lion tamarins, Leontopithecus: Some intrageneric differences and comparisons with other callitrichids. Em: Marmosets and tamarins: systematics, behaviour, and ecology. A.B. Rylands, ed. Oxford, Oxford University Press. Pp. 296-313 RYLANDS, A.B., da FONSECA, G.A.B., LEITE, Y.L.R. e MITTERMEIER, R.A. (1996a) Primates of the Atlantic Forest: Origin, distribution, endemism and communities. Em: Adaptative Radiations of Neotropical Primates, M.A. Norconk, A.L. Rosemberger, P.A. Garber (eds), Plenum Press, New York, pp 21-51. RYLANDS, A.B. (1996b) Habitat and the Evolution of Social and Reproductive Behavior in Callitrichidae. American Journal of Primatology,38: 5-18. RYLANDS, A.B., RODRIGUEZ-LUNA, E. e CORTÉS-ORTIZ, L (1996-1997) Neotropical Primate Conservation – The species and the IUCN/SSC Primate Specialist Group Network. Primate Conservation 17: 46-49. RYLANDS, A.B., BAMPI, M.I., CHIARELLO, A.G., DA FONSECA, G.A.B., MENDES, S.L. e MARCELINO, M. (2003) Cebus xanthosternos, Callithrix kuhlii, Leontopithecus chrysomelas, Callicebus melanochir, Alouatta guariba, Brachyteles hypoxanthus. Em: 118
  • 119.
    2007 IUCN RedList of Threatened Species. Gland, Switzerland: International Union for Conservation of Nature and Natural Resources (IUCN), Species Survival Commission (SSC) <www.iucnredlist.org> Novembro 2007. RYLANDS, A.B. KIERULFF, M.C.M. e DE SOUZA PINTO, L.P.S. (2002) Distribution and Status of Lion Tamarins. Em: Lion Tamarins: Biology and Conservation. Devra G. Kleiman e Anthony B. Rylands (eds). Smithsonian Institution Press. Washington DC. 42- 70. 422p. RYLANDS, A.B., WILLIAMSON, E.A., HOFFMANN, M. e MITTERMEIER, R.A. (2008) Primate surveys and conservation assessments. Oryx 42(3): 313-314. SANTOS I. B., MITTERMEIER, R. A., RYLANDS, A. B. e VALLE, C. M. (1987) The distribution and conservation status of primates in southern Bahia, Brazil. Primate Conservation 8: 126-142. SAATCHI, S., AGOSTI, D., ALGER, K., DELABIE, J. e MUSINSKY, J. (2001) Examining fragmentation and loss of primary forest in the southern Bahian Atlantic Forest of Brazil with radar imagery. Conservation Biology 15(4): 867-875. SÃO BERNARDO, C.S. e GALETTI, M. (2004) Densidade e tamanho populacional de primatas em um fragmento florestal no sudeste do Brasil. Revista Brasileira de Zoologia 21(4):827-832. SILVA, J.M.C. e CASTELETI,C.H.M. (2005) Estado da biodiversidade da Mata Atlântica brasileira. Em: Mata Atlântica: Biodiversidade, ameaças e perspectivas. Carlos Galindo- Leal e Ibsen Gusmão Câmara (eds). Fundação SOS Mata Atlântica e Conservação Internacional. p 43-59. SILVA, J.M.C. e TABARELLI, M. (2000) Tree species impoverishment and the future of the Atlantic forest of northeast Brazil. Nature, 404: 72-74. SILVANO, D.L. e PIMENTA, B.V.S., (2003) Diversidade e distribuição de anfíbios anuros na Mata Atlântica do sul da Bahia. Em: Prado P.I., Landau E.C., Moura R.T., Pinto L.P.S., Fonseca G.A.B., Alger K.N. (orgs.) Corredor de Biodiversidade da Mata Atlântica do Sul da Bahia. Publicação em CD-ROM, Ilhéus, IESB / CI/ CABS / UFMG / UNICAMP. SILVEIRA, L.F., DEVELEY, P.F., PACHECO, J.F. e WHITNEY, B.M. (2005) Avifauna of the Serra das Lontras-Javi montane complex, Bahia, Brazil. Cotinga 24: 45-54. SOS MATA ATLÂNTICA, Fundação e INPE (2009) Atlas dos Remanescentes Florestais da Mata Atlântica. Período 2005-2008. Relatorio Parcial. São Paulo, SP. 156 p. SPIEGEL,M.R. (1977) Estatística. São Paulo: Mc Graw Hill do Brasil. 580p. 119
  • 120.
    STALLINGS,J.R. e ROBINSON,J.G.(1991) Disturbance, Forest heterogeneity and primate communities in a Brazilian Atlantic Forest Park. Em: A primatologia no Brasil 3. 357-368. STEINMETZ, S. (2001) Densidade e conservação do bugio (Alouatta fusca) no Parque Estadual Intervales. Neotropical Primates 9(2): 69-72. STRIER, K.B.,BOUBLI, J.P., PONTUAL, F.B. e MENDES, S.L. (2006) Human dimensions of northern muriqui conservation efforts. Ecological and Environmental Anthropology 2(2): 44-53. STRUHSAKER, T.T. (2002) Guidelines for biological monitoring and research in Africa's rain forest protected areas. Unpublished report to the Center for Applied Biodiversity Science, Conservation International. 55 pp. SUSCKE, P. (2009) Uso do espaço, padrão de atividades e dieta de um grupo de Cebus xanthosternos (Wied-Neuwied, 1820) (PRIMATES, CEBIDAE) na Reserva Biológica de Una, Bahia, Brasil. Dissertação de Mestrado. Universidade Estadual de Santa Cruz. SUTHERLAND, W.J. (1996) Why census? Cap 1. Em: Ecological Census Techniques: a Handbook. William J.Sutherland (ed). Cambridge University Press, London. TALEBI,M. e ADES, C (2004) Um estudo naturalístico da preferência manual em muriquis (Braschyteles arachnoides). Em: A primatologia no Brasil 8. Pp 251-262. TABARELLI M, P.L.P., SILVA J.M.C., HIROTA M. e BEDÊ L. (2005) Challenges and opportunities fo biodiversity conservation in the Brazilian Atlantic Forest. Conservation Biology 19:695–700. TERBORGH, J. (1983) Five New World Primates: a study in comparative ecology. Princeton University Press. Princeton, New Jersey. 260p. THOMAS, L., BUCKLAND, S.T., BURNHAM, K.P., ANDERSON, D.R., LAAKE, J.L., BORCHERS, D.L. e STRINDBERG, S. (2002) Distance Sampling. Em: Encyclopedia of Environmetrics. Abdel H. El-Shaarawi and Walter W. Piegorsch (eds). John Wiley & Sons, Ltd, Chichester. Vol 1. pp 544-552. THOMAS, L., LAAKE, J.L., STRINDBERG, S., MARQUES, F.F.C., BUCKLAND, S.T., BORCHERS, D.L., ANDERSON, D.R., BURNHAM, K.P., HEDLEY, S.L., POLLARD, J.H., BISHOP, J.R.B. e MARQUES, T.A. (2006) Distance 5.0. Release “x”1. Research Unit for Wildlife Population Assessment, University of St. Andrews, UK. http://www.ruwpa.st-and.ac.uk/distance/ THOMAS W. W. (2003) Natural vegetation types in southern Bahia. En: Prado P.I., Landau E.C., Moura R.T., Pinto L.P.S., Fonseca G.A.B., Alger K. (orgs.) Corredor de Biodiversidade na Mata Atlântica do Sul da Bahia. Publicação em CD-ROM, IESB / CI / CABS / UFMG / UNICAMP, Ilhéus. 120
  • 121.
    THOMAS W. W.& CARVALHO A. M. (2003) Zoneamento Ecológico do Sudeste da Bahia, Brasil.(mapa em formato digital). In: Prado P.I., Landau E.C., Moura R.T., Pinto L.P.S., Fonseca G.A.B., Alger K. (orgs.) Corredor de Biodiversidade da Mata Atlântica do Sul da Bahia. Publicação em CD-ROM, IESB / CI / CABS / UFMG / UNICAMP, Ilhéus. THOMAS, W.W., CARVALHO, A.M.V.DE, AMORIM, A.M.A., GARRISON, J. e ARBELÁEZ, A.L (1998) Plant endemism in two forests in southern Bahia, Brazil. Biodiversity and Conservation, 7:311-322. TIMMERS, J.F., MESQUITA, C.A.B. e PINTO, L.P.S. (2002) Ampliação da rede de Unidades de Conservação de Proteção Integral no Sul e Extremo Sul da Bahia. Instituto de Estudos Socioambientais do Sul da Bahia (IESB), Flora Brasil e Aliança para a Conservação da Mata Atlântica. Relatório não publicado. VALLADARES-PADUA, C.(1993) The ecology, behavior and conservation of the Black lion tamarins, Leontopithecus chrysopygus. PhD thesis. University of Florida. 181 p. VALLADARES-PÁDUA, C. e CULLEN JR., L. (1994) Distribution, abundance and minimum viable metapopulation of the Black Lion Tamarin, Leontopithecus chrysopygus. Dodo J. Wild. Preserv. Trust 30: 80-88. Van ROOSMALEN, M.G.M., van ROOSMALEN, T. e MITTERMEIER, R.A. (2002) A taxonomic review of the titi monkeys, genus Callicebus Thomas, 1903, with the description of two new species, Callicebus Bernhardi and Callicebus stephennashi, from brazilian Amazonia. Neotropical Primates, 10 (suppl.): 1-52. WALLACE, R., PAINTER, R.L.E. e TABER, A.B. (1998) Primate diversity, habitat preferences and population density estimates in Noel Kempff Mercado National Park, Santa Cruz Department, Bolivia. American Journal of Primatology 46: 197-211. WORMAN, C.D. e CHAPMAN, C.A. (2006) Densities of two frugivorous primates with respect to forest and fragment tree species composition and fruit availability. International Journal of Primatology, 27: 203-225. WHITESIDES, G.H., OATES, J.F., GREEN, S.M. e KLUBERDANZ, R.P. (1988). Estimating primate densities from transects in a West African rain Forest: a comparison of techniques. Journal of Animal Ecology, 57: 345-367. 121
  • 122.
    ANEXO I Riqueza de espécies – Serras das Lontras e Javi Além dos primatas, objeto do presente estudo, outras espécies de mamíferos foram registradas ao longo dos transectos nas Serras das Lontras e Javi. Foram considerados para os registros tanto os avistamentos quanto registros indiretos, como vocalização, pegadas, rastros e fezes. Algumas espécies não deixam dúvidas quanto à identificação, mas outras, como os felinos, tatus e morcegos, foram registrados apenas como grupos. Tabela i. Espécies de mamíferos registradas em cinco transectos nas Serras das Lontras e Javi, formas de registro e tipos florestais; Espécie Transecto¹ Registro² Tipo Florestal³ Agouti paca Ln1, Ln2, Zq I Ma, Mn Pecari tajacu Ln1 I Ma Bradypus torquatus Zq A Em Callicebus melanochir Btv A, V Em Callithrix kuhlii Btv, Zq, Ct, Ln1, Ln2 A, V Ma, Mn, Em, Jo Cebus xanthosternos Btv, Zq, Ct, Ln1, Ln2 A, V Ma, Mn, Em, Jo Dasyprocta aguti Ln1,Zq A Ma, Em, Er Eira barbara Btv A Em Leontopithecus chrysomelas Ct, Ln2 A Ma, Jo, Er Nasua nasua Ln1, Ln2 A Mn, Jo Sciurus aestuans Btv, Zq, Ct, Ln1, Ln2 A Ma, Em, Jo Procyon cancrivorus Ln1 I Ma Tatu (spp) Ct, Zq I Ma, Em Morcegos (spp) Ct, Ln2, Zq A Ma, Em Felinos (spp) Ln1, Zq I Ma, Em ¹ Transectos: Bem-te-vi (Btv), Zé Oduque (Zq), Catarina (Ct), Lontras1 (Ln1), Lontras 2 (Ln2); ² Formas de registro: avistamento (A), vocalização (V), pegadas, fezes, ratros (I); ³ Tipos florestais em que as espécies foram registradas: Madura (Ma), Montana (Mn), Em maturação (Em), Jovem (Jo), Em regeneração (Er). 122
  • 123.
    A ocorrência dessase de outras espécies de mamíferos foi registrada também nas trilhas de acesso aos transectos, em diferentes tipos de vegetação (cabrucas, vegetação em regeneração e floresta madura). Tabela ii. Registros extra-transectos de espécies de mamíferos nas Serras das Lontras e Javi. Espécie Local Forma (e número) de registros Callicebus melanochir Acesso a Bem-te-vi Vocalização(2) Callithrix kuhlii Acesso a Bem-te-vi, Lontras 1 e 2 Avistamento(4), vocalização(7) Cebus xanthosternos Acesso a Bem-te-vi Avistamento(1) Leontopithecus Acessos a Bem-te-vi, Lontras 1, Avistamento(5), vocalização(4) chrysomelas Lontras 2 e Catarina Cerdocyon thous Desvio em Lontras 1* Avistamento(1) Pecari tajacu Desvio em Lontras 1* Avistamento e pegadas(1) Procyon cancrivorus Acesso a Lontras 1 e Bem-te-vi Pegadas(2) Sciurus aestuans Acesso a Bem-te-vi Avistamento(1) * O desvio em questão corresponde a um trecho de estrada antiga que passa junto ao transecto, onde os animais foram avistados (dois catitús sendo perseguidos por uma raposa-do-mato); 123
  • 124.
    ANEXO II Comparação entreAbundâncias Relativas e Densidades estimadas pelo Distance Comparando as abundâncias relativas derivadas apenas de avistamentos com as estimativas de densidade fornecidas pelo programa Distance 5.0 observa-se que existe uma correspondência, dentro de cada espécie, entre essas variáveis: as áreas que apresentam as maiores abundâncias relativas são também as que apresentam as maiores densidades e as áreas com as menores abundâncias relativas apresentam também as menores densidades (Tabela 10). Essa correspondência se justifica pela estimativa de uma largura efetiva única para cada espécie (Cebus xanthosternos = 26,03m; Callithrix sp. = 10,09m; Callicebus melanochir = 19,47m; Leontopithecus chrysomelas = 12,29 m), de forma que a razão entre as variáveis “número de avistamentos” e “esforço amostral” (n/L) se mantém inalterada para a mesma espécie em todas as áreas de estudo. No entanto, comparando as espécies entre si, a relação direta entre abundância relativa e densidade não se mantem, o que se explica pela variação nas larguras efetivas estimadas para cada espécie. Assim, apesar de apresentarem a mesma abundância relativa nas Serras das Lontras e Javi, as espécies Leontopithecus chrysomelas e Callicebus melanochir tiveram diferentes estimativas de densidade pelo Distance nessa área: 0.55 grupos/km² e 0.35 grupos/km², respectivamente. Da mesma forma, considerando as estimativas globais, observa-se que apesar de Cebus xanthosternos apresentar a maior abundância relativa entre as quatro espécies, sua densidade é inferior às encontradas para Callithrix sp e Leontopithecus chrysomelas. 124
  • 125.
    Tabela iii. Númerode avistamentos, esforço amostral, abundâncias relativas e estimativas de densidade (e intervalos de confiança) pelo programa Distance 5.0 para Cebus xanthosternos, Callithrix sp., Callicebus melanochir e Leontopithecus chrysomelas nas Serras das Lontras e Javi, REBIO Una, PESC e Reserva Ecológica Michelin. Espécie Área n L (km) Abundância relativa DS Distance em grupos/10km (¹) (grupos/km²) Cebus Michelin 21 247 0.85 1.46(0.61-3.53) Lontras 16 223.3 0.72 (0.76) 1.28 (0.57-2.89) Rebio 15 284 0.53 1.00(0.45-2.22) PESC 8 228.25 0.35 0.67(0.24-1.85) Total* 60 982.55 0.61(0.62) 1.10(0.75-1.62) Callithrix Lontras 15 223.3 0.67 (1.03) 3.33 (1.23-9.02) Michelin 16 247 0.65 3.21(1.43-7.24) PESC 13 228.25 0.57 (0.75) 2.82(0.82-9.78) Rebio 5 284 0.18 (0.21) 0.87(0.30-2.53) Total* 49 982.55 0.50 (0.63) 2.56(1.48-4.44) Callicebus Michelin 16 247 0.65 1.56(0.47-5.14) Lontras 3 223.3 0.13 (0.22) 0.35(0.03-3.62) Rebio 3 284 0.11 (0.25) 0.27(0.03-2.78) Total* 22 754.3 0.29 (0.37) 0.73(0.28-1.86) Leontopithecus Rebio 14 284 0.49 1.86(0.92-3.78) Lontras 3 223.3 0.13 (0.36) 0.55(0.11-2.68) Total* 17 507.3 0.34 (0.43) 1.20(0.62-2.33) *(Estimativas totais obtidas a partir da soma dos avistamentos e do esforço amostral das áreas de estudo em que as espécies foram encontradas); ¹ valores entre parênteses correspondem às abundâncias relativas considerando também os registros por vocalizações (sem avistamento). 125
  • 126.
    ANEXO III Fragmentos florestais das Serras das Lontras e Javi (ARAÚJO e SANTOS, 2001) Área estimada dos fragmentos: 1 (60ha), 2 (127ha), 3 (118 ha), 4 (806 ha), 5 (338 ha), 6(1.128 ha), 7(189 ha), 8 (225 ha) A cobertura florestal ilustrada por ARAÚJO e SANTOS (2001) encontra-se subestimada (observação pessoal). O texto a seguir corresponde à descrição dos autores para os referidos fragmentos. “Os fragmentos 4 e 6 apresentam as matas de melhor qualidade e estão localizados nos topos das Serras das Lontras e Javí, denominadas pelos moradores locais de Serra do Mangue e Peito de Moça, respectivamente. Estes fragmentos são compostos principalmente por matas de altitude entre 700 e 900 metros e algumas áreas de cultivos antigos abandonados e em estagio avançado de regeneração. Apesar de pouco habitadas, os moradores destas áreas ainda praticam agricultura de subsistência, o que implica em 126
  • 127.
    pequenas derrubas demata anualmente. Foi verificada forte pressão de caça no local, sendo registrados inúmeros tiros de espingarda e ocorrência de armadilhas, relatados pelos moradores locais. As informações de campo indicaram que os fragmentos 7 e 8, em destaque, são contíguos aos fragmentos 5 e 6. Ao explorar o fragmento 7, verificamos que ele é composto predominantemente por matas onde já houve alguma exploração seletiva de madeira e retirada de palmito. A estrutura da vegetação varia de acordo com a altitude, indo desde mata alta com árvores entre 15 e 20 metros até as matas de altitude que são mais baixas e retorcidas. Existem no local inúmeras manchas de capoeirão, testemunhos de antigas plantações. Estes locais estão hoje em avançado estágio de regeneração onde predomina uma cobertura florestal composta principalmente por espécies da família das Melastomatáceas. As mesmas características foram observadas no fragmento 8. O fragmento 5 é composto predominantemente por matas e algumas manchas de capoeirão com as mesmas características do fragmento 7 registradas acima. O fragmento 3 é composto pela cobertura vegetal das encostas da Serra Fina, estando parcialmente conectado com o fragmento 4. É composto basicamente por vegetação de altitude. No seu entorno, há registro de exploração agrícola recente, entremeadas por capoeiras e manchas de mata. Na vertente sudoeste da Serra Fina, na cota 700 metros, encontra-se uma vasta área de campo, provavelmente uma antiga área ocupada com agricultura.-O fragmento 1 é o mais conhecido, explorado e o de mais fácil acesso da região. Ele é composto por uma série de ambientes distintos que acabamos por defini-lo como um “capoeirão”. É uma área bem antropisada, formada por pequenos fragmentos de mata entremeados por cabrucas, capoeiras em diversos estágios de regeneração, pequenos cultivos anuais e pastagens abandonadas. Está localizado entre as fazendas Elza e Boa Esperança, na face oeste da Serra das Lontras. O fragmento 2 é o mais isolado em termos de conectividade. Entre ele e os fragmentos 1 e 4 está a área mais degradada da Serra das Lontras com uma concentração de pequenos agricultores voltados para agricultura de subsistência. Neste local existem muitas áreas desmatadas e com o solo exposto com indícios de erosão de solos por ação das chuvas. Sua localização é de difícil acesso pois está em terreno escarpado e de formação rochosa. Aparentemente é constituído por matas de boa qualidade e conectado a cabrucas e a fragmentos de mata pelas vertentes sul e sudeste. Observando do alto o maciço de serras (sobrevôo em 2000), confirmou-se que a paisagem desta região é predominante florestada e bem conectada, ficando assim, difícil de distinguir os fragmentos descritos no item anterior. As novas iniciativas de abertura de floresta para implantação de culturas ocupam áreas pequenas, principalmente culturas de subsistência. O que mais preocupa nesta ação é que a maioria delas estão localizadas nas cotas mais elevadas, ameaçando em parte, as áreas mais íntegras de floresta. Na vertente leste da Serra das Lontras, nas proximidades da Serra Peito de Moça e no entorno da Serra do Javí, há diversas formações de vegetação homogênea, constituídas principalmente por Meslastomatáceas. Entre as cotas 400 e 600 metros registrou-se a ocorrência de manchas formadas por leguminosas de porte arbóreo, popularmente conhecidas como Cobi. A ocorrência destas espécies indica que as áreas foram abertas anteriormente e se encontram em regeneração. Pelo abandono das plantações de cacau e seringueira e conseqüente regeneração da vegetação nestas áreas, ficou difícil distinguir e quantificar estes cultivos. De forma geral, a parte do maciço das serras que mais chamou a atenção pela degradação da paisagem foi o extremo sul da Serra das Lontras na porção entre o fragmento 4 e 2.” 127