Métodos em ecologia microbiana marinha Estimativas de biomassa bacteriana. Estimativas de produção secundária bacteriana.
Estimativas de biomassa bacteriana. Métodos diretos Placas de Ágar
Estimativas de biomassa bacteriana. Métodos diretos Microscopia de contraste de fase.
Estimativas de biomassa bacteriana. Métodos diretos Microscopia de epifluorescência.
Alaranjado de Acridina (Acridine Orange, AO; Hobbie et al., 1977)‏ •  corante básico metacromático pouco específico
DAPI (4’6-diamidino-2-fenil indol; Porter & Feig, 1980)‏ •  corante catiônico, fortemente fluorescente, solúvel em água e altamente específico para o DNA
SYBR Green I
 
 
Estimativas de Biomassa Bacteriana E agora? Biovolume Bacteriano Biomassa Fatores de Conversão
Fatores de Conversão
Estimativas de Biomassa Bacteriana Métodos diretos Citometria de Fluxo Vantagens: técnica simples, Readaptável, rápida requer um treinamento mínimo Desvantagem: custo muito elevado http://probes.invitrogen.com/resources/education/tutorials/4Intro_Flow/player.html
 
Estimativas de Produção Produção secundária: Síntese de biomassa bacteriana a partir de precurssores orgânicos e alguns nutrientes inorgânicos. d B/ d t  =  µ  B Massa celular ( µ gC l -1 )‏ Taxa de Crescimento Específico (h -1 )‏ P
Estimativas de Produção Mudanças na biomassa bacteriana Taxa de consumo de oxigênio (OCR)‏ Frequência de células em divisão (FDC)‏ Incorporação de Timidina e Leucina
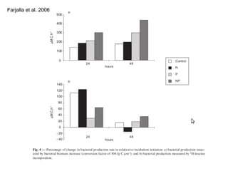
Farjalla et al. 2006
Farjalla et al. 2006

MéTodos Em Microbiologia Marinha

  • 1.
    Métodos em ecologiamicrobiana marinha Estimativas de biomassa bacteriana. Estimativas de produção secundária bacteriana.
  • 2.
    Estimativas de biomassabacteriana. Métodos diretos Placas de Ágar
  • 3.
    Estimativas de biomassabacteriana. Métodos diretos Microscopia de contraste de fase.
  • 4.
    Estimativas de biomassabacteriana. Métodos diretos Microscopia de epifluorescência.
  • 5.
    Alaranjado de Acridina(Acridine Orange, AO; Hobbie et al., 1977)‏ • corante básico metacromático pouco específico
  • 6.
    DAPI (4’6-diamidino-2-fenil indol;Porter & Feig, 1980)‏ • corante catiônico, fortemente fluorescente, solúvel em água e altamente específico para o DNA
  • 7.
  • 8.
  • 9.
  • 10.
    Estimativas de BiomassaBacteriana E agora? Biovolume Bacteriano Biomassa Fatores de Conversão
  • 11.
  • 12.
    Estimativas de BiomassaBacteriana Métodos diretos Citometria de Fluxo Vantagens: técnica simples, Readaptável, rápida requer um treinamento mínimo Desvantagem: custo muito elevado http://probes.invitrogen.com/resources/education/tutorials/4Intro_Flow/player.html
  • 13.
  • 14.
    Estimativas de ProduçãoProdução secundária: Síntese de biomassa bacteriana a partir de precurssores orgânicos e alguns nutrientes inorgânicos. d B/ d t = µ B Massa celular ( µ gC l -1 )‏ Taxa de Crescimento Específico (h -1 )‏ P
  • 15.
    Estimativas de ProduçãoMudanças na biomassa bacteriana Taxa de consumo de oxigênio (OCR)‏ Frequência de células em divisão (FDC)‏ Incorporação de Timidina e Leucina
  • 16.
  • 17.