MANUAL BÁSICO DE XADREZ                                                                                              11
   Na maioria das situações, podemos usar a anotação
descritiva abreviada. Somente não o poderemos fazer quando
duas peças do mesmo tipo puderem alcançar a casa desejada.
   Para representar uma captura, usamos o “X” (xis). Deste
modo, quando vamos dizer que uma Torre vai capturar um
Bispo, escrevemos TxB (Torre captura Bispo). Do mesmo modo,
somente precisamos indicar qual Torre e qual Bispo, se outras
destas peças puderem realizar o mesmo tipo de lance. Exemplo:
T3DxB (Torre de 3 da Dama captura Bispo), se mais de uma
Torre puder capturar o Bispo; ou TxB7D (Torre captura Bispo
em 7 da Dama), se mais de um Bispo puder ser capturado pela
Torre; ou ainda T3DxB7D (Torre em 3 da Dama captura Bispo
em 7 da Dama).Pode-se usar também só a abreviatura da peça,
mas deve-se prestar bastante atenção para evitar enganos.
Exemplo: CR5D (Cavalo do Rei para 5 da Dama).
   Para anotação das partidas utilizamos duas colunas
numeradas, anotando-se cada lance em uma linha. A primeira
coluna é sempre a das brancas, pois a elas cabe o lance inicial.
Quando se aplica um xeque, utiliza-se o sinal + para indicar
o lance: T6D+ (lê-se: Torre para 6 da Dama, xeque). O xeque-
mate é anotado por ++ ou “mate”, indicando o fim do jogo:
D7B++ (lê-se: Dama para 7 do Bispo, xeque-mate).
   Exemplo de uma anotação de partida:
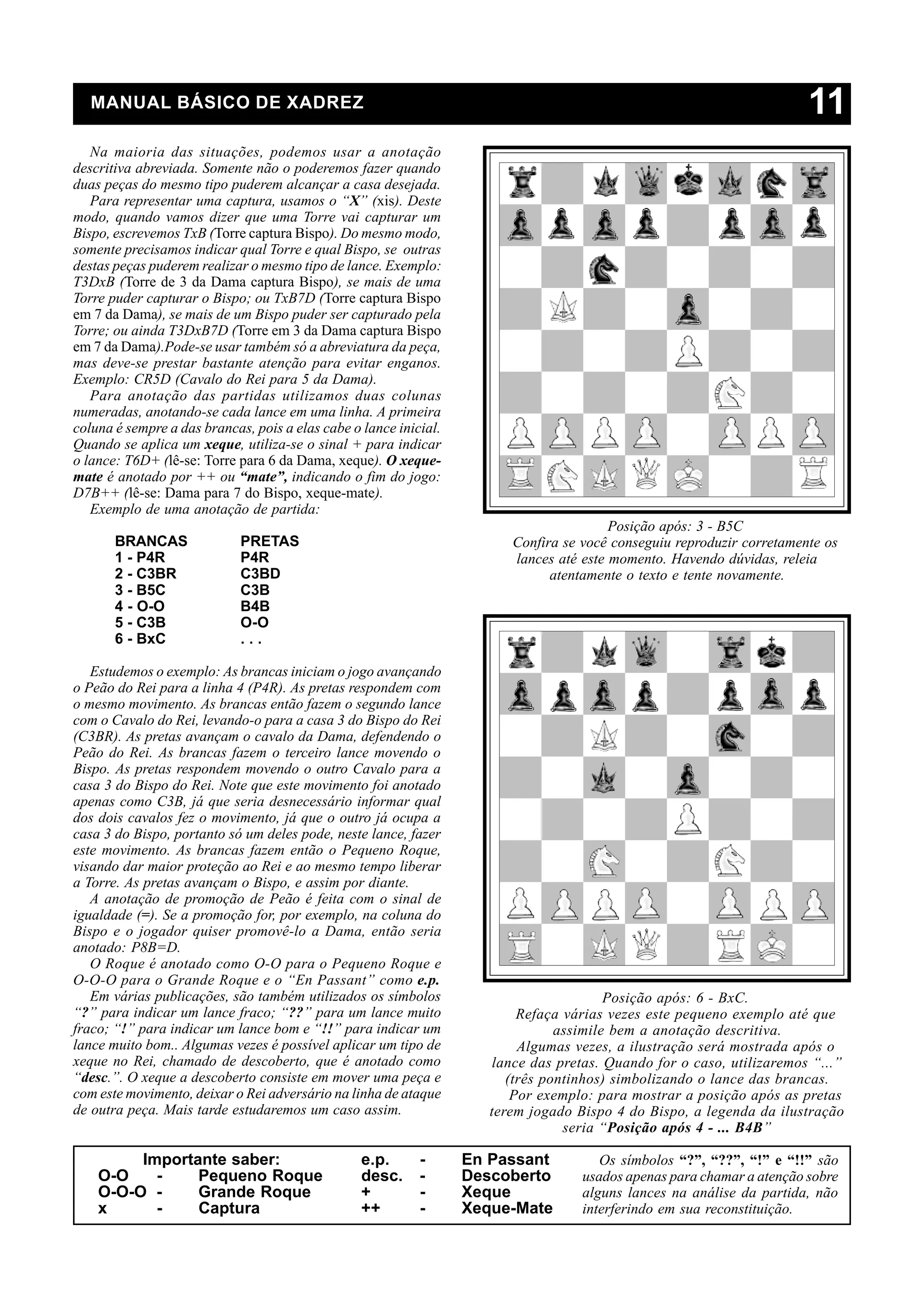
                                                                                         Posição após: 3 - B5C
       BRANCAS               PRETAS                                      Confira se você conseguiu reproduzir corretamente os
       1 - P4R               P4R                                         lances até este momento. Havendo dúvidas, releia
       2 - C3BR              C3BD                                              atentamente o texto e tente novamente.
       3 - B5C               C3B
       4 - O-O               B4B
       5 - C3B               O-O
       6 - BxC               ...

   Estudemos o exemplo: As brancas iniciam o jogo avançando
o Peão do Rei para a linha 4 (P4R). As pretas respondem com
o mesmo movimento. As brancas então fazem o segundo lance
com o Cavalo do Rei, levando-o para a casa 3 do Bispo do Rei
(C3BR). As pretas avançam o cavalo da Dama, defendendo o
Peão do Rei. As brancas fazem o terceiro lance movendo o
Bispo. As pretas respondem movendo o outro Cavalo para a
casa 3 do Bispo do Rei. Note que este movimento foi anotado
apenas como C3B, já que seria desnecessário informar qual
dos dois cavalos fez o movimento, já que o outro já ocupa a
casa 3 do Bispo, portanto só um deles pode, neste lance, fazer
este movimento. As brancas fazem então o Pequeno Roque,
visando dar maior proteção ao Rei e ao mesmo tempo liberar
a Torre. As pretas avançam o Bispo, e assim por diante.
   A anotação de promoção de Peão é feita com o sinal de
igualdade (=). Se a promoção for, por exemplo, na coluna do
Bispo e o jogador quiser promovê-lo a Dama, então seria
anotado: P8B=D.
   O Roque é anotado como O-O para o Pequeno Roque e
O-O-O para o Grande Roque e o “En Passant” como e.p.
   Em várias publicações, são também utilizados os símbolos                              Posição após: 6 - BxC.
“?” para indicar um lance fraco; “??” para um lance muito                  Refaça várias vezes este pequeno exemplo até que
fraco; “!” para indicar um lance bom e “!!” para indicar um                      assimile bem a anotação descritiva.
lance muito bom.. Algumas vezes é possível aplicar um tipo de              Algumas vezes, a ilustração será mostrada após o
xeque no Rei, chamado de descoberto, que é anotado como                lance das pretas. Quando for o caso, utilizaremos “...”
“desc.”. O xeque a descoberto consiste em mover uma peça e               (três pontinhos) simbolizando o lance das brancas.
com este movimento, deixar o Rei adversário na linha de ataque            Por exemplo: para mostrar a posição após as pretas
de outra peça. Mais tarde estudaremos um caso assim.                  terem jogado Bispo 4 do Bispo, a legenda da ilustração
                                                                                  seria “Posição após 4 - ... B4B”

         Importante saber:                        e.p.      -      En Passant          Os símbolos “?”, “??”, “!” e “!!” são
    O-O    -    Pequeno Roque                     desc.     -      Descoberto       usados apenas para chamar a atenção sobre
    O-O-O -     Grande Roque                      +         -      Xeque            alguns lances na análise da partida, não
    x      -    Captura                           ++        -      Xeque-Mate       interferindo em sua reconstituição.
MANUAL BÁSICO DE XADREZ                                                                                           12
                       Reconstituição                               de            Partida
   Conhecer a movimentação das peças e como anotar uma
partida são pontos fundamentais para que se possa aproveitar
bem o jogo de xadrez. Uma vez que estes conceitos estejam
bem fixados, todo o aprendizado será facilitado e o iniciante
estará podendo jogar em pouquíssimo tempo. Estude bem o
que foi visto até aqui antes de prosseguir.
   Agora, você vai refazer uma partida completa e poderá fixar
o que aprendeu sobre anotação, movimento das peças,
capturas, ataque e defesa e será brindado no final com um
xeque-mate de rara beleza. Reproduza a partida com bastante
calma, quantas vezes forem necessárias até ter certeza de que
assimilou bem o processo descritivo de anotação, pois daqui
para a frente, ele será utilizado para todos os tópicos.



    Brancas                     Pretas
    Capablanca                  Steiner
    1 - P4R                     P4R
    2 - C3BR                    C3BD
    3 - C3B                     C3B
    4 - B5C                     B5C                                               Posição após 10 - B4BD.
                                                                 Confira se a posição coincide com a de sua reconstituição.
    5 - O-O                     O-O                              Caso contrário, reinicie com bastante atenção, voltando ao
    6 - P3D                     P3D                                       texto explicativo sempre que necessário
    7 - B5C                     BxC
    8 - PxB                     C2R
    9 - C4T                     P3B
    10 - B4BD                   B3R
    11 - BxC                    PxB
    12 - BxB                    PxB
    13 - D4C+                   R2B
    14 - P4BR                   T1CR
    15 - D5T+                   R2C
    16 - PxP                    PDxP
    17 - TxP                    RxT
    18 - T1B                    C4B
    19 - CxC                    PxC
    20 - TxP+                   R2R
    21 - D7B+                   R3D
    22 - T6B+                   R4B
    23 - DxPC                   D3C                                                Posição após 18 - T1B+
    24 - TxP+                                                    O Rei preto está em uma situação bem delicada, exposto ao
                                DxT                              forte ataque adversário, enquanto suas Torres e sua Dama
    25 - D4C++                                                                nada podem fazer para socorrê-lo

    Notação Forsyth: é um sistema para se anotar a posição       Para anotar a posição das peças nos diagramas acima
 das peças em um tabuleiro. Anota-se a posição de cada peça      teríamos, respectivamente:
 em uma linha, a partir da primeira linha das pretas, da
 esquerda para a direita. As casas vazias são representadas
                                                                     t1bd1tr - pp2cppp - 2pp1c2 - 4p1B1 - 2B1P2C
 por um número. As peças são indicadas por suas letras           - 2PP4 - P1P2PPP - T2D1TR1; e
 iniciais escritas em maiúsculas para as peças brancas e em          t2d2t1 - pp2c2p - 2p1pr2 - 4p2D - 4P2C - 2PP4
 minúsculas para as pretas. As linhas são separadas por “-”.     - P1P3PP - 5TR1.
MANUAL BÁSICO DE XADREZ                                                                13
                      Exercícios                   de         Fixação
01) Reproduza as partidas abaixo no tabuleiro e anote a posição das peças,
    usando a Notação de Forsyth, após o 10º e o 20º lance das pretas:
   a) 1ª partida - São Paulo -1952                   b) 2ª partida - Helsinque - 1952
         Brancas       Pretas                                 Brancas       Pretas
        M. Eidelman   L. Engels                                Stoltz      Bronstein
      01   P4D         C3BR                             01    P4R          P4BD
      02   P4BD        P3R                              02    C3BR         C3BD
      03   C3BR        P4D                              03    P3B          P3R
      04   C3B         P4B                              04    P4D          P4D
      05   PxPD        CxP                              05    P5R          D3C
      06   P4R         CxC                              06    PxP          BxP
      07   PxC         PxP                              07    D2B          D2B
      08   PxP         B5C+                             08    D2R          CR2R
      09   B2D         BxB                              09    B3R          BxB
      10   DxB         O-O                              10    DxB          C4B
      11   B2R         P3CD                             11    D2R          O-O
      12   O-O         B2C                              12    C3T          P3B
      13   D3R         C2D                              13    C5CD         D4T
      14   C2D         C3B                              14    PxP          TxP
      15   P4B         D2D                              15    D2D          P3TD
      16   B3B         TR1D                             16    C5C-4D       C4BxC
      17   C3C         TD1B                             17    PxC          DxD+
      18   P4C         C1R                              18    RxD          B2D
      19   P5B         PxP                              19    B3D          B1R
      20   PCxP        C3D                              20    R3R          B4T
      21   P6B         CxP                              21    C5R          CxC
      22   PxP         T6B                              22    PxC          P5D+
      23   D4B         C4C                              23    RxP          TxP
      24   B4C         D4D                              24    B4R          T1D+
      25   R2B         D7C+                             25    R5B          TxPCD
      26   R1R         T1R+                             26    TR1CD        T1B+
      27   R1D         D7BD++                           27    R6D          T7D+
                                                        28    abandonam

   a) Posição após 10 ... O-O                           c) Posição após 10 ... C4B

   b) Posição após 20 ... C3D                           d) Posição após 20 ... B4T

02) Numere a coluna da direita de acordo com a da esquerda:
   1 - P4R                        (   )   Bispo três do Bispo, xeque a descoberto
   2 - C5D7B                      (   )   Torre oito da Torre, xeque
   3 - CxP                        (   )   Pequeno Roque
   4 - T8T+                       (   )   Cavalo de cinco da Dama sete do Bispo
   5 - D6C                        (   )   Rei dois do Rei
   6 - P8R=D                      (   )   Torre captura Peão, xeque
   7 - B3B desc.                  (   )   Peão quatro do Rei
   8 - D7D++                      (   )   Torre de sete do Cavalo sete da Dama
   9 - R2R                        (   )   Bispo captura Peão
   10 - T7C-7D                    (   )   Dama seis do Cavalo
   11 - PxP                       (   )   Dama captura Torre, xeque-mate
   12 - BxP                       (   )   Cavalo captura Peão
   13 - TxP+                      (   )   Peão oito do Rei, promovido a Dama
   14 - DxT++                     (   )   Dama sete da Dama, xeque-mate
   15 - O-O                       (   )   Peão captura Peão

                          Respostas dos exercícios na página 28
MANUAL BÁSICO DE XADREZ
                                                                                                                         14
                                             Fases do Jogo
   Agora que você já sabe as regras de movimentação das            permitirem. Final é a fase em que normalmente o tabuleiro
peças podemos falar sobre outros aspectos importantes do jogo.     apresenta poucas peças e parte-se para o ataque final ao Rei.
Uma partida de xadrez pode ser dividida em três etapas:            O xeque-mate não precisa ocorrer necessariamente na fase
abertura, meio-jogo e final. Não existe um critério para separar   final, sendo comum que ocorra no meio-jogo e muito raramente
estas fases com exatidão. Abertura é a fase em que cada lado       na abertura.
faz seus movimentos inicias, visando liberar a movimentação           As três fases do jogo são de fundamental importância e deve
de suas peças e posicioná-las de modo a poder tirar vantagem       o iniciante conhecer pelo menos alguns conceitos básicos
no decorrer do jogo. Meio-jogo é a fase em que os jogadores        referentes a estas fases, por isto, serão analisadas
procuram colocar em jogo suas estratégias e táticas, de acordo     separadamente.
com as possibilidades que as movimentações de abertura lhe


                                      Fase               de        Abertura
   Nesta fase o jogador procurará mover suas peças de forma          5 - O-O            ...
a posicioná-las em locais onde possam atuar mais efetivamente
do que em suas posições iniciais. Surgem então os conceitos           As brancas realizam o Roque, defendendo o Rei e liberando
de “Centro” e “Desenvolvimento”. Inicialmente, encaremos           a Torre e aguardam agora o próximo lance das pretas.
o Centro como sendo apenas as quatro casas centrais (4R, 5R,          Agora, analise a situação dos dois lados e veja como ambos
4D e 5D). O domínio da área central é ponto fundamental            atuam no centro do tabuleiro e como várias peças foram
para que se busque uma posição de vitória. Quem controla a         desenvolvidas ampliando-lhes o raio de ação. Estes são os
área central tem mais liberdade para mover suas peças e com        principais pontos que o jogador deve pensar nas aberturas:
isso, maiores condições de elaborar estratégias e táticas. Já o    centro e desenvolvimento.
conceito de desenvolvimento refere-se à mobilidade das peças.
Na posição inicial as peças ficam tolhidas. É necessário liberá-
las para que possam ampliar seu raio de ação. Na abertura
cada lance deve obedecer a duas regras básicas: a) deve visar
o desenvolvimento de uma peça, colocando-a em uma posição
melhor que a que ocupava ou ampliando seu raio de ação ou
mesmo abrindo espaço para outra peça; b) deve visar algum
tipo de ação no centro do tabuleiro, fazendo pressão para
dominá-lo ou impedir que o adversário o faça.
   O lance mais comum das brancas na saída é P4R. É uma
excelente jogada, pois em apenas um movimento o jogador
exerce pressão no meio (exerce influência nas casas 5BR e
5D) e libera duas de suas peças que antes estavam travadas (o
Bispo do Rei e a Dama). Pelos mesmos motivos, é muito comum
que as pretas respondam com P4R, exercendo a mesma pressão
no centro do tabuleiro e liberando suas duas peças.
   Estudemos um exemplo de abertura:

   1 - P4R           P4R
   Uma saída clássica, com os dois lados avançando o Peão
do Rei. Uma boa alternativa agora para as brancas é C3BR.
O Cavalo pode, em seu primeiro lance, posicionar-se em 3 da
Torre ou 3 do Bispo. Como já vimos, deve-se dar preferência a
lances que atuem no centro, portanto a casa mais indicada é 3
do Bispo. O Cavalo do Rei eventualmente possui ainda a casa
2R, quando se faz o avanço do Peão. Este movimento contudo,
serve apenas para travar a Dama e tem pouca ação na área
central. Vejamos o lance mais normal:                                                  Posição após 5 - O-O.
   2 - C3BR          C3BD                                               As casas 4R, 5R, 4D e 5D são o centro do tabuleiro.
   As brancas, com seu cavalo, exercem forte pressão central            Por extensão, podemos ampliar o conceito de centro,
e ainda atacam o Peão do Rei das pretas. Estas últimas                    englobando todas as casas adjacentes a estas,
decidiram avançar o Cavalo da Dama, exercendo também                                   conforme o diagrama.
pressão central e defendendo o seu Peão.
   3 - C3B           C3B                                                                       Lembre-se:
   Os outros dois Cavalos foram colocados em ação, exercendo                         na abertura cada lance deve
assim uma grande pressão no centro.
   4 - B5C           B4B                                                           visar o desenvolvimento de uma
   As brancas avançam o Bispo atacando o Cavalo. As pretas                         peça ou algum tipo de ação no
não precisam se preocupar pois, se BxC, elas jogam PxB.                                  centro do tabuleiro.
MANUAL BÁSICO DE XADREZ
                                                                                                                     15
  Apenas a título ilustrativo são apresentadas várias          para visualizar as diferentes opções que se apresentam após
aberturas, com seus lances característicos. Procure apenas     cada uma delas. O mais importante nas aberturas não é
conhecê-las, sem se importar em decorar nomes ou métodos.      conhecer nomes de cor, mas sim ter sempre em mente os
O importante é saber que são possíveis vários tipos de         conceitos de centro e desenvolvimento. Uma boa estratégia
aberturas.                                                     na abertura é realizar o Roque tão logo seja possível e tentar
  É bom que o iniciante refaça estes movimentos no tabuleiro   impedir que o adversário o faça.



                                          Aberturas com P4R - P4R

   Abertura                      Abertura Ruy Lopes            Abertura dos                     Abertura do Centro
   Giuoco Piano                  1 - P4R   P4R                 Quatro Cavalos                   1 - P4R   P4R
   1 - P4R   P4R                 2 - C3BR C3BD                 1 - P4R   P4R                    2 - P4D   PxP
   2 - C3BR C3BD                 3 - B5C                       2 - C3BR C3BD                    3 - DxP   C3BD
   3 - B4B   B4B                                               3 - C3B   C3B                    4 - D3R   C3B
   4 - P3B                                                     4 - B5C                          5 - C3BD


                                Quando as pretas não jogam 1 - ... P4R

   Defesa Francesa               Defesa Caro-Kann              Defesa Siciliana                 Defesa Alekhine
   1 - P4R   P3R                 1 - P4R   P3BD                1 - P4R   P4BD                   1 - P4R   C3BR
   2 - P4D   P4D                 2 - P4D   P4D                                                  2 - P5R   C4D
   3 - C3BD                                                                                     3 - P4BD

                                      Aberturas com o Peão da Dama
   Gambito da Dama               Defesa Ortodoxa               Defesa Tarrasch                  Defesa Eslava
   1 - P4D  P4D                  1 - P4D   P4D                 1 - P4D   P4D                    1 - P4D   P4D
   2 - P4BD                      2 - P4BD P3R                  2 - P4BD P3R                     2 - P4BD P3BD
                                                               3 - C3BR P4BD

                                   Defesas Indianas: 1 - P4D                  C3BR
           Todas as aberturas que se iniciam com 1 - P4D - C3BR, fazem parte das Defesas Indianas

   Defesa                        Defesa Índia                  Defesa Índia do Rei              Defesa Grunfeld
   Nimzowitch                    da Dama                       1 - P4D   C3BR                   1 - P4D   C3BR
   1 - P4D  C3BR                 1 - P4D   C3BR                2 - P4BD P3CR                    2 - P4BD P3CR
   2 - P4BD P3R                  2 - P4BD P3R                  3 - C3BD B2C                     3 - C3BD P4D
   3 - C3BD B5C                  3 - C3BR P3CD                 4 - P4R   P3D

                                           Aberturas menos usuais:
   Abertura Reti                 Abertura Inglesa              Abertura Bird
   1 - P4D   C3BR                1 - P4BD P4R                  1 - P4BR
   2 - P4B

     Note que mesmo nas aberturas menos usuais, não            foi ou está em vias de ser atingido. Note que nas defesas
   temos nenhuma que se inicie com Peão do Cavalo ou           indianas é comum o lance P3CR, abrindo espaço para o
   Peão da Torre. Os motivos são simples, bastando recordar    Bispo se posicionar em 2R, de onde poderá atuar no
   o mandamento principal das aberturas: ação central e        centro do tabuleiro e na defesa do Roque. Este
   desenvolvimento de peças. Estes Peões possuem grande        desenvolvimento do Bispo, pelos flancos do tabuleiro, é
   importância quando o objetivo principal da abertura já      conhecido como “fianchetto”.
MANUAL BÁSICO DE XADREZ                                                                                     16
                                      Fase de Meio-Jogo
   Nesta fase os jogadores deverão pôr em prática a estratégia      8 - C3B!         P3B
definida pelas posições conseguidas na abertura, procurando         9 - B5CR         P4C
obter vantagens de posicionamento e elaborando os meios para        10 - CxP         PxC
se realizar ataques ao Rei ou enfraquecer o adversário para         11 - BxPC+       CD2D
tirar vantagem na fase final. Esta é a fase mais movimentada        12 - O-O-O!      T1D
da partida. Todo movimento deve ser feito visando a um              13 - TxC!        TxT
objetivo, imediato ou posterior, seja de ataque ou de defesa.       14 - T1D         D3R
Antes de realizar um lance o jogador deve analisar a situação
atual e se decidir por qual será o melhor movimento a fazer. É
muito comum o principiante pensar apenas em termos de
ataques diretos ao Rei, o que não é de todo condenável, já que
o objetivo do jogo é colocá-lo em xeque, todavia, ataques
impensados ou mal elaborados tendem a fracassar e podem
resultar em posições fracas, dando ampla vantagem ao
adversário. Deve o jogador entender que o ataque ao Rei deve
ser uma conseqüência de sua estratégia. Do correto
posicionamento de suas peças, dando-lhes mobilidade e ação
efetiva, poderá ele realizar ataques vitoriosos.
   Entre os grandes mestres, esta fase já proporcionou
verdadeiras pérolas, jogadas de efeitos tão surpreendentes que
encantam e fascinam por sua beleza plástica e pela argúcia e
criatividade do jogador.
   Uma das mais belas partidas de todos os tempos, conhecida
como “Jóia de Primeira Água”, foi jogada em 1958, em Paris,
por Paul Morphy contra uma dupla formada pelo Duque Karl
de Brunswick e o Conde Isouard. Refaça no tabuleiro esta
partida, pois ela lhe dará importantes lições sobre as aberturas,
a importância do domínio do centro do tabuleiro e do uso de
criatividade e perspicácia.

  1   - P4R           P4R                                                         Posição após: 13 - ... TxT
  2   - C3BR          P3D
  3   - P4D           B5C
  4   - PxP           BxC                                           15 - BxT+        CxB
  5   - DxB           PxP                                           16 - D8C+!       CxD
  6   - B4BD          C3BR                                          17 - T8D++
  7    - D3CD!        D2R




                   Posição após 6: ... C3BR                                        Um xeque-mate genial!
MANUAL BÁSICO DE XADREZ
                                                                                                                        17
                                   Análise                       das        Forças
   É importante que o enxadrista tenha sempre em mente a
situação geral da partida, procurando identificar fraquezas e
forças, suas e do adversário, facilitando a tomada de decisões
quanto às estratégias a seguir. Antes de cada lance, deve o
jogador fazer uma rápida análise. Um bom método é perguntar
a si próprio:
   a) Meu Rei está em perigo imediato?
   b) Quais das minhas peças estão sendo atacadas neste
momento?
   b) Tenho alguma fraqueza grave que possa ser aproveitada
pelo adversário imediatamente?
   c) A peça que quero mover não está melhor na posição em
que se encontra?
   d) O lance que pretendo realizar não vai abrir nenhuma
fraqueza em minhas defesas?
   e) Se eu fizer este lance, qual poderá ser o próximo lance
do adversário?

                   Na prática, deve o jogador desenvolver uma
                visão geral e criteriosa do tabuleiro. Um dos
                bons métodos para isso é através das linhas
                imaginárias do domínio das peças.
                Simplesmente procure visualizar todas as casas
que podem ser alcançadas no próximo lance, suas e do                  Veja a situação das pretas. Suas peças estão em posições
adversário. Com isto, pode-se identificar a direção de um          restringidas e não alcançam grande raio de ação. Fica difícil
possível ataque, os locais onde a disputa parece ser mais          o planejamento de bons ataques, já que para isto é essencial
intensa, as fraquezas, etc. Vejamos um exemplo:                    que as peças ocupem boas posições. O cavalo, na casa lateral,
                                                                   alcança apenas 4 casas e está desprotegido porém, as outras
                                                                   peças formam um compacto bloco defensivo.




   Quem está em melhor situação no jogo? Podemos usar                 A diferença fica bem visível neste caso. As peças brancas
o método das linhas imaginárias para ter uma boa noção             possuem ampla liberdade de ação e atuam firmemente no
da área de atuação de cada conjunto de peças, verificando          terreno inimigo. O cavalo está bem posicionado, atuando na
a mobilidade e a força das peças em conjunto.                      defesa e no ataque. O Peão da Dama está indefeso e pode
   Lembre-se que isto é apenas para dar uma noção da               correr risco se as pretas moverem o Cavalo para 3 do Bispo.
situação atual. Não significa que o lado em melhor situação        Pela análise das linhas imaginárias, podemos afirmar que as
vai ganhar a partida, mas sim que tem melhores                     brancas possuem melhores possibilidades de realizar ataques
possibilidades de ganhá-la.                                        vitoriosos.
MANUAL BÁSICO DE XADREZ                                                                                            18
                                                Fase             Final
   A fase final é de fundamental importância no xadrez e deve      Finais com Bispos e Cavalos requerem estudos mais
o enxadrista conhecer pelo menos alguns de seus conceitos        aprofundados. A limitação de movimentos destas peças faz com
básicos, já que de nada adiantaria realizar uma bela partida e   que os mates devam ser bem trabalhados, encurralando o Rei
perdê-la no final por não saber como levar o Rei adversário à    adversário em uma posição em que seja possível vencê-lo.
derrota. A fase final é disputada com poucas peças no
tabuleiro. O jogador poderá procurar a vitória ou mesmo uma
situação de empate, evitando assim a derrota.
   Finais com Dama e Rei contra Rei ou Torre e Rei contra
Rei são relativamente fáceis de serem definidos. O atacante
deve entretanto ficar atento para as grandes possibilidades de
empate que podem surgir de lances incorretos. Vejamos alguns
casos:




O lance é das pretas: o Rei     O lance é das pretas: o Rei
Preto está em xeque-mate em     Preto não tem como se
todas as situações.             mover: empate.


                                                 Mates Elementares
      São situações em que um dos lados possui apenas o Rei.     Já vimos que apenas com Rei e Cavalo ou Rei e Bispo não
  A ação do adversário é toda concentrada em encurralar o Rei    se consegue aplicar xeque-mate. Havendo porém mais pe-
  até uma posição em que seja possível aplicar o xeque-mate.     ças, será possível aplicá-lo.
MANUAL BÁSICO DE XADREZ
                                                                                                                        19
                                          Finais de Peões
   Raramente a fase final acontece sem a presença de peões.                        Regra do Quadrado
Philidor, grande mestre do passado já dizia que “o peão é a
alma do xadrez” e mais tarde, Reuben Fine completou esta
                                                                      Uma regra valiosa em finais de Peão é a do Quadrado, que
frase dizendo que “se o peão é alma do xadrez, no final ele é
                                                                   mostra se o Rei conseguirá ou não alcançar um Peão afastado
também nove décimos do corpo”. Com efeito, o peão, com
                                                                   de seu próprio Rei, antes que ele consiga alcançar a oitava
sua aparência frágil e movimentos limitados, irrompe com
                                                                   linha para ser promovido.
grande força nos finais de jogo, tornando-se valioso, tanto
                                                                      Traça-se um quadrado imaginário de lado igual ao número
pela possibilidade de promovê-lo a uma peça de maior valor
                                                                   de casas de onde está o Peão até a oitava linha, conforme o
quanto pela sua posição estratégica que normalmente dita o
rumo dos acontecimentos. Existem muitas regras para as             diagrama.
diversas situações que podem ocorrer nestes finais. Neste             Surgem daí três casos:
manual, nos limitaremos a apresentar alguns casos e dicas.
Com isto, você poderá ter uma boa base para se aprofundar             a) Se o Rei estiver dentro do quadrado, sendo sua ou não a
mais no tema posteriormente.                                       vez de jogar, alcançará o Peão;
   No caso de Rei sozinho contra Rei e Peão, a vitória se dará
                                                                      b) Se o Rei estiver fora do quadrado mas o lance for seu e
com a promoção do Peão. O Rei solitário deverá então tentar
                                                                   com este lance ele puder penetrar ná área do quadrado,
a captura do Peão ou impedir que ele possa ser promovido,
                                                                   alcançará o Peão (pois caíra na situação “a” apresentada
conquistando o empate. De ambos os lados, os movimentos
                                                                   acima);
devem ser precisos e bem pensados, pois qualquer erro pode
significar fatal vantagem ao adversário. O lado mais forte deve
                                                                     c) Se o Rei estiver fora do quadrado e o lance for do Peão,
aproximar o Rei de seu Peão, para protegê-lo no avanço em
direção à oitava horizontal, para ser promovido. Este avanço       então ele não conseguirá impedir a promoção.
não pode ser feito desordenamente, pois quanto mais se
aproximar da casa de promoção, maiores serão as
possibilidades de empate.
   Estudemos os diagramas:




   Se a vez de jogar for das pretas, então elas conseguem o
empate por “pat” em qualquer dos casos. Se for a vez das
brancas, elas ganham no diagrama à esquerda, movendo o
Rei lateralmente. O Rei preto terá então que abandonar a casa
de promoção do Peão na sua vez de jogar. Já no diagrama à
direita, a partida está empatada: se for a vez das pretas, o Rei
                                                                      Estude bem a Regra do Quadrado pois ela tem grande
está sem movimento. Se for a vez das brancas, o Rei movendo-
                                                                        utilidade prática nos finais de partida com Peões.
se para 6 da Torre, não deixa opções de movimento para o Rei
adversário. Se ele se mover para qualquer outra casa, afasta-
se do Peão, deixando-a à mercê do Rei preto.
                                                                      No diagrama, utilizando a regra do quadrado, podemos
   Os finais de Peãos exigem muita perícia e são assunto tão       concluir que o Rei preto somente alcançará o Peão se o
complexo que existem diversas regras, descritas em inúmeras        lance for seu, caso em que penetrará no quadrado
publicações especializadas. O assunto torna-se ainda mais          imaginário em 4C. O Peão conseguirá sua promoção, mas
atraente quando consideramos finais com vários Peões. Nestes       será tarde demais, já que o Rei inimigo estará já a seu
casos o posicionamento de cada um deles é de fundamental           lado, quando isto acontecer. Acompanhe:
importância.                                                          1 - ... R4C; 2 - P6R R3B; 3 - P7R R2D; 4 - P8R=D+
   Como a proposta deste trabalho é servir apenas como um          RxD e empate.
manual básico para o iniciante, nos limitaremos a demonstrar
alguns poucos exemplos, esperando que eles agucem a                  Se o lance for do Peão, ele conseguirá alcançar sem
curiosidade do leitor e o façam procurar literatura mais
                                                                   problemas a oitava linha:
completa.
                                                                     1 - P6R R4C; 2 - P7R R3B; 3 - P8R=D+.
MANUAL BÁSICO DE XADREZ                                                                                               20
                    Finais com mais de um Peão
   Os finais que envolvem mais de um Peão são bem                                   Peão Passado
interessantes porém, é assunto bastante extenso.
Apresentaremos apenas algumas situações para que o iniciante      O Peão passado é aquele que ultrapassou a barreira de
possa se familiarizar com as diversas facetas deste tema.      Peões inimigos. Pode ser aproveitado conseguindo-se sua
                                                               promoção, já que seu avanço é mais livre; avançando-o, mesmo
                                                               com sacrifício, para dar a sua casa a uma peça de maior valor
                                                               ou para auxiliar um ataque no terreno do adversário.

                                                                                     Peão Isolado
                                                                  O Peão isolado é aquele que não pode ser defendido por
                                                               outro Peão, por não existirem Peões de sua mesma cor nas
                                                               colunas vizinhas. Quase sempre constitui uma desvantagem
                                                               para quem o possui. Suas principais desvantagens são: pode
                                                               ser alvo fácil de ataque, por não possuir defesa de outros Peões;
                                                               obstrui a progressão de suas peças, principalmente Bispos e
                                                               Torres e deixa uma casa muito fraca à sua frente, onde pode-
                                                               se posicionar uma peça adversária, principalmente o Cavalo,
                                                               que é ideal para este tipo de situação. Como não existem Peões
                                                               nas colunas vizinhas, o Cavalo dificilmente será desalojado
                                                               desta casa.




As brancas ganham, tendo ou não o lance. O Rei preto não
conseguirá impedir que um dos dois Peões seja promovido




                                                               O Peão do Bispo da Dama branco é um Peão passado. Já o
                                                                Peão do Cavalo da Dama das pretas é um Peão isolado.


                                                                                   Peões Dobrados

                                                                                                   Peões dobrados são aqueles
                                                                                                que ficaram posicionados em
                                                                                                uma mesma coluna. Como o
                                                                                                Peão só se move para a frente,
                                                                                                o Peão de trás estará
  Ganham as brancas, tendo ou não o lance. O Rei branco                                         bloqueado em seu movimento.
 pode capturar o Peão preto mas o Rei preto só pode tentar                                      Raramente os Peões dobrados
capturar o Peão do Bispo, já que os outros estão defendidos.                                    representam uma vantagem.
 Caso ele avance em direção ao Peão do Bispo, as brancas                                        São, via de regra, uma
  avançam, no momento oportuno, o Peão da Torre para a                                          fraqueza para o lado que os
                    casa de promoção.                                                           possui.

Manual básico de xadrez

  • 1.
    MANUAL BÁSICO DEXADREZ 11 Na maioria das situações, podemos usar a anotação descritiva abreviada. Somente não o poderemos fazer quando duas peças do mesmo tipo puderem alcançar a casa desejada. Para representar uma captura, usamos o “X” (xis). Deste modo, quando vamos dizer que uma Torre vai capturar um Bispo, escrevemos TxB (Torre captura Bispo). Do mesmo modo, somente precisamos indicar qual Torre e qual Bispo, se outras destas peças puderem realizar o mesmo tipo de lance. Exemplo: T3DxB (Torre de 3 da Dama captura Bispo), se mais de uma Torre puder capturar o Bispo; ou TxB7D (Torre captura Bispo em 7 da Dama), se mais de um Bispo puder ser capturado pela Torre; ou ainda T3DxB7D (Torre em 3 da Dama captura Bispo em 7 da Dama).Pode-se usar também só a abreviatura da peça, mas deve-se prestar bastante atenção para evitar enganos. Exemplo: CR5D (Cavalo do Rei para 5 da Dama). Para anotação das partidas utilizamos duas colunas numeradas, anotando-se cada lance em uma linha. A primeira coluna é sempre a das brancas, pois a elas cabe o lance inicial. Quando se aplica um xeque, utiliza-se o sinal + para indicar o lance: T6D+ (lê-se: Torre para 6 da Dama, xeque). O xeque- mate é anotado por ++ ou “mate”, indicando o fim do jogo: D7B++ (lê-se: Dama para 7 do Bispo, xeque-mate). Exemplo de uma anotação de partida: Posição após: 3 - B5C BRANCAS PRETAS Confira se você conseguiu reproduzir corretamente os 1 - P4R P4R lances até este momento. Havendo dúvidas, releia 2 - C3BR C3BD atentamente o texto e tente novamente. 3 - B5C C3B 4 - O-O B4B 5 - C3B O-O 6 - BxC ... Estudemos o exemplo: As brancas iniciam o jogo avançando o Peão do Rei para a linha 4 (P4R). As pretas respondem com o mesmo movimento. As brancas então fazem o segundo lance com o Cavalo do Rei, levando-o para a casa 3 do Bispo do Rei (C3BR). As pretas avançam o cavalo da Dama, defendendo o Peão do Rei. As brancas fazem o terceiro lance movendo o Bispo. As pretas respondem movendo o outro Cavalo para a casa 3 do Bispo do Rei. Note que este movimento foi anotado apenas como C3B, já que seria desnecessário informar qual dos dois cavalos fez o movimento, já que o outro já ocupa a casa 3 do Bispo, portanto só um deles pode, neste lance, fazer este movimento. As brancas fazem então o Pequeno Roque, visando dar maior proteção ao Rei e ao mesmo tempo liberar a Torre. As pretas avançam o Bispo, e assim por diante. A anotação de promoção de Peão é feita com o sinal de igualdade (=). Se a promoção for, por exemplo, na coluna do Bispo e o jogador quiser promovê-lo a Dama, então seria anotado: P8B=D. O Roque é anotado como O-O para o Pequeno Roque e O-O-O para o Grande Roque e o “En Passant” como e.p. Em várias publicações, são também utilizados os símbolos Posição após: 6 - BxC. “?” para indicar um lance fraco; “??” para um lance muito Refaça várias vezes este pequeno exemplo até que fraco; “!” para indicar um lance bom e “!!” para indicar um assimile bem a anotação descritiva. lance muito bom.. Algumas vezes é possível aplicar um tipo de Algumas vezes, a ilustração será mostrada após o xeque no Rei, chamado de descoberto, que é anotado como lance das pretas. Quando for o caso, utilizaremos “...” “desc.”. O xeque a descoberto consiste em mover uma peça e (três pontinhos) simbolizando o lance das brancas. com este movimento, deixar o Rei adversário na linha de ataque Por exemplo: para mostrar a posição após as pretas de outra peça. Mais tarde estudaremos um caso assim. terem jogado Bispo 4 do Bispo, a legenda da ilustração seria “Posição após 4 - ... B4B” Importante saber: e.p. - En Passant Os símbolos “?”, “??”, “!” e “!!” são O-O - Pequeno Roque desc. - Descoberto usados apenas para chamar a atenção sobre O-O-O - Grande Roque + - Xeque alguns lances na análise da partida, não x - Captura ++ - Xeque-Mate interferindo em sua reconstituição.
  • 2.
    MANUAL BÁSICO DEXADREZ 12 Reconstituição de Partida Conhecer a movimentação das peças e como anotar uma partida são pontos fundamentais para que se possa aproveitar bem o jogo de xadrez. Uma vez que estes conceitos estejam bem fixados, todo o aprendizado será facilitado e o iniciante estará podendo jogar em pouquíssimo tempo. Estude bem o que foi visto até aqui antes de prosseguir. Agora, você vai refazer uma partida completa e poderá fixar o que aprendeu sobre anotação, movimento das peças, capturas, ataque e defesa e será brindado no final com um xeque-mate de rara beleza. Reproduza a partida com bastante calma, quantas vezes forem necessárias até ter certeza de que assimilou bem o processo descritivo de anotação, pois daqui para a frente, ele será utilizado para todos os tópicos. Brancas Pretas Capablanca Steiner 1 - P4R P4R 2 - C3BR C3BD 3 - C3B C3B 4 - B5C B5C Posição após 10 - B4BD. Confira se a posição coincide com a de sua reconstituição. 5 - O-O O-O Caso contrário, reinicie com bastante atenção, voltando ao 6 - P3D P3D texto explicativo sempre que necessário 7 - B5C BxC 8 - PxB C2R 9 - C4T P3B 10 - B4BD B3R 11 - BxC PxB 12 - BxB PxB 13 - D4C+ R2B 14 - P4BR T1CR 15 - D5T+ R2C 16 - PxP PDxP 17 - TxP RxT 18 - T1B C4B 19 - CxC PxC 20 - TxP+ R2R 21 - D7B+ R3D 22 - T6B+ R4B 23 - DxPC D3C Posição após 18 - T1B+ 24 - TxP+ O Rei preto está em uma situação bem delicada, exposto ao DxT forte ataque adversário, enquanto suas Torres e sua Dama 25 - D4C++ nada podem fazer para socorrê-lo Notação Forsyth: é um sistema para se anotar a posição Para anotar a posição das peças nos diagramas acima das peças em um tabuleiro. Anota-se a posição de cada peça teríamos, respectivamente: em uma linha, a partir da primeira linha das pretas, da esquerda para a direita. As casas vazias são representadas t1bd1tr - pp2cppp - 2pp1c2 - 4p1B1 - 2B1P2C por um número. As peças são indicadas por suas letras - 2PP4 - P1P2PPP - T2D1TR1; e iniciais escritas em maiúsculas para as peças brancas e em t2d2t1 - pp2c2p - 2p1pr2 - 4p2D - 4P2C - 2PP4 minúsculas para as pretas. As linhas são separadas por “-”. - P1P3PP - 5TR1.
  • 3.
    MANUAL BÁSICO DEXADREZ 13 Exercícios de Fixação 01) Reproduza as partidas abaixo no tabuleiro e anote a posição das peças, usando a Notação de Forsyth, após o 10º e o 20º lance das pretas: a) 1ª partida - São Paulo -1952 b) 2ª partida - Helsinque - 1952 Brancas Pretas Brancas Pretas M. Eidelman L. Engels Stoltz Bronstein 01 P4D C3BR 01 P4R P4BD 02 P4BD P3R 02 C3BR C3BD 03 C3BR P4D 03 P3B P3R 04 C3B P4B 04 P4D P4D 05 PxPD CxP 05 P5R D3C 06 P4R CxC 06 PxP BxP 07 PxC PxP 07 D2B D2B 08 PxP B5C+ 08 D2R CR2R 09 B2D BxB 09 B3R BxB 10 DxB O-O 10 DxB C4B 11 B2R P3CD 11 D2R O-O 12 O-O B2C 12 C3T P3B 13 D3R C2D 13 C5CD D4T 14 C2D C3B 14 PxP TxP 15 P4B D2D 15 D2D P3TD 16 B3B TR1D 16 C5C-4D C4BxC 17 C3C TD1B 17 PxC DxD+ 18 P4C C1R 18 RxD B2D 19 P5B PxP 19 B3D B1R 20 PCxP C3D 20 R3R B4T 21 P6B CxP 21 C5R CxC 22 PxP T6B 22 PxC P5D+ 23 D4B C4C 23 RxP TxP 24 B4C D4D 24 B4R T1D+ 25 R2B D7C+ 25 R5B TxPCD 26 R1R T1R+ 26 TR1CD T1B+ 27 R1D D7BD++ 27 R6D T7D+ 28 abandonam a) Posição após 10 ... O-O c) Posição após 10 ... C4B b) Posição após 20 ... C3D d) Posição após 20 ... B4T 02) Numere a coluna da direita de acordo com a da esquerda: 1 - P4R ( ) Bispo três do Bispo, xeque a descoberto 2 - C5D7B ( ) Torre oito da Torre, xeque 3 - CxP ( ) Pequeno Roque 4 - T8T+ ( ) Cavalo de cinco da Dama sete do Bispo 5 - D6C ( ) Rei dois do Rei 6 - P8R=D ( ) Torre captura Peão, xeque 7 - B3B desc. ( ) Peão quatro do Rei 8 - D7D++ ( ) Torre de sete do Cavalo sete da Dama 9 - R2R ( ) Bispo captura Peão 10 - T7C-7D ( ) Dama seis do Cavalo 11 - PxP ( ) Dama captura Torre, xeque-mate 12 - BxP ( ) Cavalo captura Peão 13 - TxP+ ( ) Peão oito do Rei, promovido a Dama 14 - DxT++ ( ) Dama sete da Dama, xeque-mate 15 - O-O ( ) Peão captura Peão Respostas dos exercícios na página 28
  • 4.
    MANUAL BÁSICO DEXADREZ 14 Fases do Jogo Agora que você já sabe as regras de movimentação das permitirem. Final é a fase em que normalmente o tabuleiro peças podemos falar sobre outros aspectos importantes do jogo. apresenta poucas peças e parte-se para o ataque final ao Rei. Uma partida de xadrez pode ser dividida em três etapas: O xeque-mate não precisa ocorrer necessariamente na fase abertura, meio-jogo e final. Não existe um critério para separar final, sendo comum que ocorra no meio-jogo e muito raramente estas fases com exatidão. Abertura é a fase em que cada lado na abertura. faz seus movimentos inicias, visando liberar a movimentação As três fases do jogo são de fundamental importância e deve de suas peças e posicioná-las de modo a poder tirar vantagem o iniciante conhecer pelo menos alguns conceitos básicos no decorrer do jogo. Meio-jogo é a fase em que os jogadores referentes a estas fases, por isto, serão analisadas procuram colocar em jogo suas estratégias e táticas, de acordo separadamente. com as possibilidades que as movimentações de abertura lhe Fase de Abertura Nesta fase o jogador procurará mover suas peças de forma 5 - O-O ... a posicioná-las em locais onde possam atuar mais efetivamente do que em suas posições iniciais. Surgem então os conceitos As brancas realizam o Roque, defendendo o Rei e liberando de “Centro” e “Desenvolvimento”. Inicialmente, encaremos a Torre e aguardam agora o próximo lance das pretas. o Centro como sendo apenas as quatro casas centrais (4R, 5R, Agora, analise a situação dos dois lados e veja como ambos 4D e 5D). O domínio da área central é ponto fundamental atuam no centro do tabuleiro e como várias peças foram para que se busque uma posição de vitória. Quem controla a desenvolvidas ampliando-lhes o raio de ação. Estes são os área central tem mais liberdade para mover suas peças e com principais pontos que o jogador deve pensar nas aberturas: isso, maiores condições de elaborar estratégias e táticas. Já o centro e desenvolvimento. conceito de desenvolvimento refere-se à mobilidade das peças. Na posição inicial as peças ficam tolhidas. É necessário liberá- las para que possam ampliar seu raio de ação. Na abertura cada lance deve obedecer a duas regras básicas: a) deve visar o desenvolvimento de uma peça, colocando-a em uma posição melhor que a que ocupava ou ampliando seu raio de ação ou mesmo abrindo espaço para outra peça; b) deve visar algum tipo de ação no centro do tabuleiro, fazendo pressão para dominá-lo ou impedir que o adversário o faça. O lance mais comum das brancas na saída é P4R. É uma excelente jogada, pois em apenas um movimento o jogador exerce pressão no meio (exerce influência nas casas 5BR e 5D) e libera duas de suas peças que antes estavam travadas (o Bispo do Rei e a Dama). Pelos mesmos motivos, é muito comum que as pretas respondam com P4R, exercendo a mesma pressão no centro do tabuleiro e liberando suas duas peças. Estudemos um exemplo de abertura: 1 - P4R P4R Uma saída clássica, com os dois lados avançando o Peão do Rei. Uma boa alternativa agora para as brancas é C3BR. O Cavalo pode, em seu primeiro lance, posicionar-se em 3 da Torre ou 3 do Bispo. Como já vimos, deve-se dar preferência a lances que atuem no centro, portanto a casa mais indicada é 3 do Bispo. O Cavalo do Rei eventualmente possui ainda a casa 2R, quando se faz o avanço do Peão. Este movimento contudo, serve apenas para travar a Dama e tem pouca ação na área central. Vejamos o lance mais normal: Posição após 5 - O-O. 2 - C3BR C3BD As casas 4R, 5R, 4D e 5D são o centro do tabuleiro. As brancas, com seu cavalo, exercem forte pressão central Por extensão, podemos ampliar o conceito de centro, e ainda atacam o Peão do Rei das pretas. Estas últimas englobando todas as casas adjacentes a estas, decidiram avançar o Cavalo da Dama, exercendo também conforme o diagrama. pressão central e defendendo o seu Peão. 3 - C3B C3B Lembre-se: Os outros dois Cavalos foram colocados em ação, exercendo na abertura cada lance deve assim uma grande pressão no centro. 4 - B5C B4B visar o desenvolvimento de uma As brancas avançam o Bispo atacando o Cavalo. As pretas peça ou algum tipo de ação no não precisam se preocupar pois, se BxC, elas jogam PxB. centro do tabuleiro.
  • 5.
    MANUAL BÁSICO DEXADREZ 15 Apenas a título ilustrativo são apresentadas várias para visualizar as diferentes opções que se apresentam após aberturas, com seus lances característicos. Procure apenas cada uma delas. O mais importante nas aberturas não é conhecê-las, sem se importar em decorar nomes ou métodos. conhecer nomes de cor, mas sim ter sempre em mente os O importante é saber que são possíveis vários tipos de conceitos de centro e desenvolvimento. Uma boa estratégia aberturas. na abertura é realizar o Roque tão logo seja possível e tentar É bom que o iniciante refaça estes movimentos no tabuleiro impedir que o adversário o faça. Aberturas com P4R - P4R Abertura Abertura Ruy Lopes Abertura dos Abertura do Centro Giuoco Piano 1 - P4R P4R Quatro Cavalos 1 - P4R P4R 1 - P4R P4R 2 - C3BR C3BD 1 - P4R P4R 2 - P4D PxP 2 - C3BR C3BD 3 - B5C 2 - C3BR C3BD 3 - DxP C3BD 3 - B4B B4B 3 - C3B C3B 4 - D3R C3B 4 - P3B 4 - B5C 5 - C3BD Quando as pretas não jogam 1 - ... P4R Defesa Francesa Defesa Caro-Kann Defesa Siciliana Defesa Alekhine 1 - P4R P3R 1 - P4R P3BD 1 - P4R P4BD 1 - P4R C3BR 2 - P4D P4D 2 - P4D P4D 2 - P5R C4D 3 - C3BD 3 - P4BD Aberturas com o Peão da Dama Gambito da Dama Defesa Ortodoxa Defesa Tarrasch Defesa Eslava 1 - P4D P4D 1 - P4D P4D 1 - P4D P4D 1 - P4D P4D 2 - P4BD 2 - P4BD P3R 2 - P4BD P3R 2 - P4BD P3BD 3 - C3BR P4BD Defesas Indianas: 1 - P4D C3BR Todas as aberturas que se iniciam com 1 - P4D - C3BR, fazem parte das Defesas Indianas Defesa Defesa Índia Defesa Índia do Rei Defesa Grunfeld Nimzowitch da Dama 1 - P4D C3BR 1 - P4D C3BR 1 - P4D C3BR 1 - P4D C3BR 2 - P4BD P3CR 2 - P4BD P3CR 2 - P4BD P3R 2 - P4BD P3R 3 - C3BD B2C 3 - C3BD P4D 3 - C3BD B5C 3 - C3BR P3CD 4 - P4R P3D Aberturas menos usuais: Abertura Reti Abertura Inglesa Abertura Bird 1 - P4D C3BR 1 - P4BD P4R 1 - P4BR 2 - P4B Note que mesmo nas aberturas menos usuais, não foi ou está em vias de ser atingido. Note que nas defesas temos nenhuma que se inicie com Peão do Cavalo ou indianas é comum o lance P3CR, abrindo espaço para o Peão da Torre. Os motivos são simples, bastando recordar Bispo se posicionar em 2R, de onde poderá atuar no o mandamento principal das aberturas: ação central e centro do tabuleiro e na defesa do Roque. Este desenvolvimento de peças. Estes Peões possuem grande desenvolvimento do Bispo, pelos flancos do tabuleiro, é importância quando o objetivo principal da abertura já conhecido como “fianchetto”.
  • 6.
    MANUAL BÁSICO DEXADREZ 16 Fase de Meio-Jogo Nesta fase os jogadores deverão pôr em prática a estratégia 8 - C3B! P3B definida pelas posições conseguidas na abertura, procurando 9 - B5CR P4C obter vantagens de posicionamento e elaborando os meios para 10 - CxP PxC se realizar ataques ao Rei ou enfraquecer o adversário para 11 - BxPC+ CD2D tirar vantagem na fase final. Esta é a fase mais movimentada 12 - O-O-O! T1D da partida. Todo movimento deve ser feito visando a um 13 - TxC! TxT objetivo, imediato ou posterior, seja de ataque ou de defesa. 14 - T1D D3R Antes de realizar um lance o jogador deve analisar a situação atual e se decidir por qual será o melhor movimento a fazer. É muito comum o principiante pensar apenas em termos de ataques diretos ao Rei, o que não é de todo condenável, já que o objetivo do jogo é colocá-lo em xeque, todavia, ataques impensados ou mal elaborados tendem a fracassar e podem resultar em posições fracas, dando ampla vantagem ao adversário. Deve o jogador entender que o ataque ao Rei deve ser uma conseqüência de sua estratégia. Do correto posicionamento de suas peças, dando-lhes mobilidade e ação efetiva, poderá ele realizar ataques vitoriosos. Entre os grandes mestres, esta fase já proporcionou verdadeiras pérolas, jogadas de efeitos tão surpreendentes que encantam e fascinam por sua beleza plástica e pela argúcia e criatividade do jogador. Uma das mais belas partidas de todos os tempos, conhecida como “Jóia de Primeira Água”, foi jogada em 1958, em Paris, por Paul Morphy contra uma dupla formada pelo Duque Karl de Brunswick e o Conde Isouard. Refaça no tabuleiro esta partida, pois ela lhe dará importantes lições sobre as aberturas, a importância do domínio do centro do tabuleiro e do uso de criatividade e perspicácia. 1 - P4R P4R Posição após: 13 - ... TxT 2 - C3BR P3D 3 - P4D B5C 4 - PxP BxC 15 - BxT+ CxB 5 - DxB PxP 16 - D8C+! CxD 6 - B4BD C3BR 17 - T8D++ 7 - D3CD! D2R Posição após 6: ... C3BR Um xeque-mate genial!
  • 7.
    MANUAL BÁSICO DEXADREZ 17 Análise das Forças É importante que o enxadrista tenha sempre em mente a situação geral da partida, procurando identificar fraquezas e forças, suas e do adversário, facilitando a tomada de decisões quanto às estratégias a seguir. Antes de cada lance, deve o jogador fazer uma rápida análise. Um bom método é perguntar a si próprio: a) Meu Rei está em perigo imediato? b) Quais das minhas peças estão sendo atacadas neste momento? b) Tenho alguma fraqueza grave que possa ser aproveitada pelo adversário imediatamente? c) A peça que quero mover não está melhor na posição em que se encontra? d) O lance que pretendo realizar não vai abrir nenhuma fraqueza em minhas defesas? e) Se eu fizer este lance, qual poderá ser o próximo lance do adversário? Na prática, deve o jogador desenvolver uma visão geral e criteriosa do tabuleiro. Um dos bons métodos para isso é através das linhas imaginárias do domínio das peças. Simplesmente procure visualizar todas as casas que podem ser alcançadas no próximo lance, suas e do Veja a situação das pretas. Suas peças estão em posições adversário. Com isto, pode-se identificar a direção de um restringidas e não alcançam grande raio de ação. Fica difícil possível ataque, os locais onde a disputa parece ser mais o planejamento de bons ataques, já que para isto é essencial intensa, as fraquezas, etc. Vejamos um exemplo: que as peças ocupem boas posições. O cavalo, na casa lateral, alcança apenas 4 casas e está desprotegido porém, as outras peças formam um compacto bloco defensivo. Quem está em melhor situação no jogo? Podemos usar A diferença fica bem visível neste caso. As peças brancas o método das linhas imaginárias para ter uma boa noção possuem ampla liberdade de ação e atuam firmemente no da área de atuação de cada conjunto de peças, verificando terreno inimigo. O cavalo está bem posicionado, atuando na a mobilidade e a força das peças em conjunto. defesa e no ataque. O Peão da Dama está indefeso e pode Lembre-se que isto é apenas para dar uma noção da correr risco se as pretas moverem o Cavalo para 3 do Bispo. situação atual. Não significa que o lado em melhor situação Pela análise das linhas imaginárias, podemos afirmar que as vai ganhar a partida, mas sim que tem melhores brancas possuem melhores possibilidades de realizar ataques possibilidades de ganhá-la. vitoriosos.
  • 8.
    MANUAL BÁSICO DEXADREZ 18 Fase Final A fase final é de fundamental importância no xadrez e deve Finais com Bispos e Cavalos requerem estudos mais o enxadrista conhecer pelo menos alguns de seus conceitos aprofundados. A limitação de movimentos destas peças faz com básicos, já que de nada adiantaria realizar uma bela partida e que os mates devam ser bem trabalhados, encurralando o Rei perdê-la no final por não saber como levar o Rei adversário à adversário em uma posição em que seja possível vencê-lo. derrota. A fase final é disputada com poucas peças no tabuleiro. O jogador poderá procurar a vitória ou mesmo uma situação de empate, evitando assim a derrota. Finais com Dama e Rei contra Rei ou Torre e Rei contra Rei são relativamente fáceis de serem definidos. O atacante deve entretanto ficar atento para as grandes possibilidades de empate que podem surgir de lances incorretos. Vejamos alguns casos: O lance é das pretas: o Rei O lance é das pretas: o Rei Preto está em xeque-mate em Preto não tem como se todas as situações. mover: empate. Mates Elementares São situações em que um dos lados possui apenas o Rei. Já vimos que apenas com Rei e Cavalo ou Rei e Bispo não A ação do adversário é toda concentrada em encurralar o Rei se consegue aplicar xeque-mate. Havendo porém mais pe- até uma posição em que seja possível aplicar o xeque-mate. ças, será possível aplicá-lo.
  • 9.
    MANUAL BÁSICO DEXADREZ 19 Finais de Peões Raramente a fase final acontece sem a presença de peões. Regra do Quadrado Philidor, grande mestre do passado já dizia que “o peão é a alma do xadrez” e mais tarde, Reuben Fine completou esta Uma regra valiosa em finais de Peão é a do Quadrado, que frase dizendo que “se o peão é alma do xadrez, no final ele é mostra se o Rei conseguirá ou não alcançar um Peão afastado também nove décimos do corpo”. Com efeito, o peão, com de seu próprio Rei, antes que ele consiga alcançar a oitava sua aparência frágil e movimentos limitados, irrompe com linha para ser promovido. grande força nos finais de jogo, tornando-se valioso, tanto Traça-se um quadrado imaginário de lado igual ao número pela possibilidade de promovê-lo a uma peça de maior valor de casas de onde está o Peão até a oitava linha, conforme o quanto pela sua posição estratégica que normalmente dita o rumo dos acontecimentos. Existem muitas regras para as diagrama. diversas situações que podem ocorrer nestes finais. Neste Surgem daí três casos: manual, nos limitaremos a apresentar alguns casos e dicas. Com isto, você poderá ter uma boa base para se aprofundar a) Se o Rei estiver dentro do quadrado, sendo sua ou não a mais no tema posteriormente. vez de jogar, alcançará o Peão; No caso de Rei sozinho contra Rei e Peão, a vitória se dará b) Se o Rei estiver fora do quadrado mas o lance for seu e com a promoção do Peão. O Rei solitário deverá então tentar com este lance ele puder penetrar ná área do quadrado, a captura do Peão ou impedir que ele possa ser promovido, alcançará o Peão (pois caíra na situação “a” apresentada conquistando o empate. De ambos os lados, os movimentos acima); devem ser precisos e bem pensados, pois qualquer erro pode significar fatal vantagem ao adversário. O lado mais forte deve c) Se o Rei estiver fora do quadrado e o lance for do Peão, aproximar o Rei de seu Peão, para protegê-lo no avanço em direção à oitava horizontal, para ser promovido. Este avanço então ele não conseguirá impedir a promoção. não pode ser feito desordenamente, pois quanto mais se aproximar da casa de promoção, maiores serão as possibilidades de empate. Estudemos os diagramas: Se a vez de jogar for das pretas, então elas conseguem o empate por “pat” em qualquer dos casos. Se for a vez das brancas, elas ganham no diagrama à esquerda, movendo o Rei lateralmente. O Rei preto terá então que abandonar a casa de promoção do Peão na sua vez de jogar. Já no diagrama à direita, a partida está empatada: se for a vez das pretas, o Rei Estude bem a Regra do Quadrado pois ela tem grande está sem movimento. Se for a vez das brancas, o Rei movendo- utilidade prática nos finais de partida com Peões. se para 6 da Torre, não deixa opções de movimento para o Rei adversário. Se ele se mover para qualquer outra casa, afasta- se do Peão, deixando-a à mercê do Rei preto. No diagrama, utilizando a regra do quadrado, podemos Os finais de Peãos exigem muita perícia e são assunto tão concluir que o Rei preto somente alcançará o Peão se o complexo que existem diversas regras, descritas em inúmeras lance for seu, caso em que penetrará no quadrado publicações especializadas. O assunto torna-se ainda mais imaginário em 4C. O Peão conseguirá sua promoção, mas atraente quando consideramos finais com vários Peões. Nestes será tarde demais, já que o Rei inimigo estará já a seu casos o posicionamento de cada um deles é de fundamental lado, quando isto acontecer. Acompanhe: importância. 1 - ... R4C; 2 - P6R R3B; 3 - P7R R2D; 4 - P8R=D+ Como a proposta deste trabalho é servir apenas como um RxD e empate. manual básico para o iniciante, nos limitaremos a demonstrar alguns poucos exemplos, esperando que eles agucem a Se o lance for do Peão, ele conseguirá alcançar sem curiosidade do leitor e o façam procurar literatura mais problemas a oitava linha: completa. 1 - P6R R4C; 2 - P7R R3B; 3 - P8R=D+.
  • 10.
    MANUAL BÁSICO DEXADREZ 20 Finais com mais de um Peão Os finais que envolvem mais de um Peão são bem Peão Passado interessantes porém, é assunto bastante extenso. Apresentaremos apenas algumas situações para que o iniciante O Peão passado é aquele que ultrapassou a barreira de possa se familiarizar com as diversas facetas deste tema. Peões inimigos. Pode ser aproveitado conseguindo-se sua promoção, já que seu avanço é mais livre; avançando-o, mesmo com sacrifício, para dar a sua casa a uma peça de maior valor ou para auxiliar um ataque no terreno do adversário. Peão Isolado O Peão isolado é aquele que não pode ser defendido por outro Peão, por não existirem Peões de sua mesma cor nas colunas vizinhas. Quase sempre constitui uma desvantagem para quem o possui. Suas principais desvantagens são: pode ser alvo fácil de ataque, por não possuir defesa de outros Peões; obstrui a progressão de suas peças, principalmente Bispos e Torres e deixa uma casa muito fraca à sua frente, onde pode- se posicionar uma peça adversária, principalmente o Cavalo, que é ideal para este tipo de situação. Como não existem Peões nas colunas vizinhas, o Cavalo dificilmente será desalojado desta casa. As brancas ganham, tendo ou não o lance. O Rei preto não conseguirá impedir que um dos dois Peões seja promovido O Peão do Bispo da Dama branco é um Peão passado. Já o Peão do Cavalo da Dama das pretas é um Peão isolado. Peões Dobrados Peões dobrados são aqueles que ficaram posicionados em uma mesma coluna. Como o Peão só se move para a frente, o Peão de trás estará Ganham as brancas, tendo ou não o lance. O Rei branco bloqueado em seu movimento. pode capturar o Peão preto mas o Rei preto só pode tentar Raramente os Peões dobrados capturar o Peão do Bispo, já que os outros estão defendidos. representam uma vantagem. Caso ele avance em direção ao Peão do Bispo, as brancas São, via de regra, uma avançam, no momento oportuno, o Peão da Torre para a fraqueza para o lado que os casa de promoção. possui.