Transfira gratuitamente durante 30 dias
Fazer login
Carregar
Idioma (PT)
Suporte
Negócios
Celular
Mídias sociais
Marketing
Tecnologia
Arte e fotografia
Carreiras
Design
Educação
Apresentações e oratória
Governo e ONGs
Saúde
Internet
Direito
Liderança e gerenciamento
Indústria automotiva
Engenharia
Software
Recrutamento e RH
Varejo
Vendas
Serviços
Ciências
Pequenos negócios e empreendedorismo
Alimentos
Meio ambiente
Economia e finanças
Dados e análise
Relação com investidores
Esportes
Espiritual
Notícias e política
Turismo
Aperfeiçoamento pessoal
Imóveis
Diversão e humor
Saúde e medicina
Dispositivos e hardware
Estilo de vida
Mudar o idioma
Idioma
English
Español
Português
Français
Deutsche
Cancelar
Salvar
Enviar pesquisa
PT
Carregado por
Mirian De Lima Mendes
PPT, PDF
413 visualizações
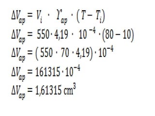
Dilatação dos líquidos
EXERCÍCIOS RESOLVIDOS
Educação
◦
Leia mais
0
Salvar
Compartilhar
Incorporar
Incorporar apresentação
Baixar
Baixar para ler offline
1
/ 21
2
/ 21
3
/ 21
4
/ 21
5
/ 21
6
/ 21
7
/ 21
8
/ 21
9
/ 21
10
/ 21
11
/ 21
12
/ 21
13
/ 21
14
/ 21
15
/ 21
16
/ 21
17
/ 21
18
/ 21
19
/ 21
20
/ 21
21
/ 21
Mais conteúdo relacionado
PDF
Dilatação térmica dos líquidos
por
O mundo da FÍSICA
PPTX
Dilatação de líquidos
por
fisicaatual
PDF
Dilatação térmica dos líquidos
por
Daniela F Almenara
ODP
Dilatação térmica aula
por
Roberto Bagatini
PPT
DilataçãO TéRmica
por
guest130aa0
PPT
Leitura e identificação da ideia cental de texto
por
tecciencia
PPT
Aula 06 Estados da materia - sólidos, líquidos e gases - Prof. Nelson Virgilio
por
Nelson Virgilio Carvalho Filho
PDF
Aula 07 estados da materia - sólidos, líquidos e gases - 16.03
por
Nelson Virgilio Carvalho Filho
Dilatação térmica dos líquidos
por
O mundo da FÍSICA
Dilatação de líquidos
por
fisicaatual
Dilatação térmica dos líquidos
por
Daniela F Almenara
Dilatação térmica aula
por
Roberto Bagatini
DilataçãO TéRmica
por
guest130aa0
Leitura e identificação da ideia cental de texto
por
tecciencia
Aula 06 Estados da materia - sólidos, líquidos e gases - Prof. Nelson Virgilio
por
Nelson Virgilio Carvalho Filho
Aula 07 estados da materia - sólidos, líquidos e gases - 16.03
por
Nelson Virgilio Carvalho Filho
Mais de Mirian De Lima Mendes
PPTX
Reflexões espíritas sobre o carnaval
por
Mirian De Lima Mendes
PPTX
Resolução de atividade 2º ano
por
Mirian De Lima Mendes
PPTX
Mu 1º G e H
por
Mirian De Lima Mendes
PPTX
Mu 1º
por
Mirian De Lima Mendes
PPTX
Romantismo
por
Mirian De Lima Mendes
PPTX
REVISÃO DE TRANSFORMAÇÃO DE ESCALAS TERMOMÉTRICAS...
por
Mirian De Lima Mendes
PPTX
Dilatação e escalas calor
por
Mirian De Lima Mendes
PPTX
3º Bimestre 3º ano
por
Mirian De Lima Mendes
PPTX
Avaliação 3º bimestre 2º ano
por
Mirian De Lima Mendes
PPTX
REVISÃO DE ASSOCIAÇÃO DE RESISTORES
por
Mirian De Lima Mendes
PPTX
Resolução dilatação dos líquidos
por
Mirian De Lima Mendes
PPTX
As bem aventuranças (jesus)
por
Mirian De Lima Mendes
PPTX
Dai gratuitamente...
por
Mirian De Lima Mendes
PPTX
Quantidade e troca de calor
por
Mirian De Lima Mendes
PPT
Dilatação dos líquidos
por
Mirian De Lima Mendes
PPS
42coisasparaeulembrar
por
Mirian De Lima Mendes
PPTX
RECIFE PERNAMBUCO
por
Mirian De Lima Mendes
Reflexões espíritas sobre o carnaval
por
Mirian De Lima Mendes
Resolução de atividade 2º ano
por
Mirian De Lima Mendes
Mu 1º G e H
por
Mirian De Lima Mendes
Mu 1º
por
Mirian De Lima Mendes
Romantismo
por
Mirian De Lima Mendes
REVISÃO DE TRANSFORMAÇÃO DE ESCALAS TERMOMÉTRICAS...
por
Mirian De Lima Mendes
Dilatação e escalas calor
por
Mirian De Lima Mendes
3º Bimestre 3º ano
por
Mirian De Lima Mendes
Avaliação 3º bimestre 2º ano
por
Mirian De Lima Mendes
REVISÃO DE ASSOCIAÇÃO DE RESISTORES
por
Mirian De Lima Mendes
Resolução dilatação dos líquidos
por
Mirian De Lima Mendes
As bem aventuranças (jesus)
por
Mirian De Lima Mendes
Dai gratuitamente...
por
Mirian De Lima Mendes
Quantidade e troca de calor
por
Mirian De Lima Mendes
Dilatação dos líquidos
por
Mirian De Lima Mendes
42coisasparaeulembrar
por
Mirian De Lima Mendes
RECIFE PERNAMBUCO
por
Mirian De Lima Mendes
Último
DOCX
PLANO DE AULA SEMANAL 03 junho para planejamento
por
GisellyAdriana1
PDF
A Matemática nos Ritos Africanos ensino.
por
LhdeSousaSilva
PPTX
Slide: O Ciclo de Vida das Plantas para trabalhos escolares
por
SinhaSilva
PPTX
Farsa de Inês Pereira, Inês a sonhadora.pptx
por
soniafaria15
PPTX
Slides Lição 4, CPAD, A Paternidade Divina, 1Tr26.pptx
por
Assembleia de Deus
PPTX
aula 3 Motivadores para construção de um programa
por
ciceraleandro
PPTX
Ppt_Direitos_Humanos.pptx..................
por
mariagrave
PPTX
Slides Lição 4, Betel, Os discípulos de Cristo e a tentação, 1Tr26.pptx
por
Assembleia de Deus
PPTX
O que é biologia? Introduzindo conceitos.pptx
por
BrunaLusaFadel
PPTX
polias.pptx aula de fisica polias 1 serie
por
leandropereira826119
PDF
Infografia | Presidência cipriota do Conselho da UE
por
Centro Jacques Delors
PPTX
principeSapo.pptx , conto dos irmãos Grimm, analisado segundo o esquema narra...
por
Marilia Ferreira
PPT
Recurso PPT: Impulsão e lei de Arquimedes
por
Casa Ciências
PPTX
Aula_2_Gestão_Armazenagem_Movimentação_Interna_Embalagens..pptx
por
JulioLeitePar1
PPTX
Aula1_Diferença_Armazenagem_Estocagem.pptx
por
JulioLeitePar1
PPTX
Apresentação livro Diogo Dias (2).pptxEsta apresentação oral é sobre O Diário...
por
Marilia Ferreira
PPTX
Slides Lição 3, Betel, Os compromissos dos discípulos de Cristo, 1Tr26.pptx
por
Assembleia de Deus
PDF
Um pouco da história e do cálculo da penicilina
por
ProfMarceloFerreirad
PDF
Aula 7 - Propriedades mecânicas ciencias.pdf
por
LeonardoPellinRigon
PDF
PALITOCHE-Camilão, o Comilão-@eriimendes.pdf
por
carolinaschaefer4
PLANO DE AULA SEMANAL 03 junho para planejamento
por
GisellyAdriana1
A Matemática nos Ritos Africanos ensino.
por
LhdeSousaSilva
Slide: O Ciclo de Vida das Plantas para trabalhos escolares
por
SinhaSilva
Farsa de Inês Pereira, Inês a sonhadora.pptx
por
soniafaria15
Slides Lição 4, CPAD, A Paternidade Divina, 1Tr26.pptx
por
Assembleia de Deus
aula 3 Motivadores para construção de um programa
por
ciceraleandro
Ppt_Direitos_Humanos.pptx..................
por
mariagrave
Slides Lição 4, Betel, Os discípulos de Cristo e a tentação, 1Tr26.pptx
por
Assembleia de Deus
O que é biologia? Introduzindo conceitos.pptx
por
BrunaLusaFadel
polias.pptx aula de fisica polias 1 serie
por
leandropereira826119
Infografia | Presidência cipriota do Conselho da UE
por
Centro Jacques Delors
principeSapo.pptx , conto dos irmãos Grimm, analisado segundo o esquema narra...
por
Marilia Ferreira
Recurso PPT: Impulsão e lei de Arquimedes
por
Casa Ciências
Aula_2_Gestão_Armazenagem_Movimentação_Interna_Embalagens..pptx
por
JulioLeitePar1
Aula1_Diferença_Armazenagem_Estocagem.pptx
por
JulioLeitePar1
Apresentação livro Diogo Dias (2).pptxEsta apresentação oral é sobre O Diário...
por
Marilia Ferreira
Slides Lição 3, Betel, Os compromissos dos discípulos de Cristo, 1Tr26.pptx
por
Assembleia de Deus
Um pouco da história e do cálculo da penicilina
por
ProfMarceloFerreirad
Aula 7 - Propriedades mecânicas ciencias.pdf
por
LeonardoPellinRigon
PALITOCHE-Camilão, o Comilão-@eriimendes.pdf
por
carolinaschaefer4
Dilatação dos líquidos
1.
DILATAÇÃO DOS LÍQUIDOS PROFa.
MIRIAN
Baixar