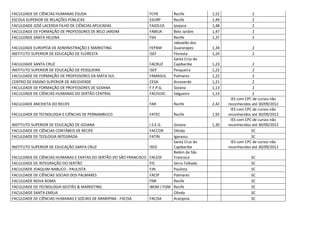
INSTITUIÇÃO                                                     SIGLA       SEDE             IGC    IGC-FAIXA
UNIVERSIDADE FEDERAL DE PERNAMBUCO                              UFPE      Recife             3,55       4
FACULDADE DAMAS DA INSTRUÇÃO CRISTÃ                             FADIC     Recife             3,26       4
UNIVERSIDADE FEDERAL RURAL DE PERNAMBUCO                        UFRPE     Recife             3,08       4
FUNDAÇÃO UNIVERSIDADE FEDERAL DO VALE DO SÃO FRANCISCO          UNIVASF   Petrolina          2,84       3
                                                                          Vitória de Santo
FACULDADE ESCRITOR OSMAN DA COSTA LINS                          FACOL     Antão              2,82       3
FACULDADE DE CIÊNCIAS DE TIMBAÚBA                               FACET     Timbaúba           2,78       3
INSTITUTO SALESIANO DE FILOSOFIA                                INSAF     Recife             2,75       3
FACULDADE SANTA CATARINA                                        FASC      Recife             2,69       3
FACULDADE SENAC PERNAMBUCO                                      SENACPE   Recife             2,62       3
UNIVERSIDADE DE PERNAMBUCO                                      UPE       Recife             2,58       3
                                                                          Vitória de Santo
FACULDADES INTEGRADAS DA VITÓRIA DE SANTO ANTÃO                 FAINTVISA Antão              2,54       3
FACULDADE DE INFORMÁTICA DO RECIFE                              FACIR     Olinda             2,53       3
ESCOLA SUPERIOR DE SAÚDE DE ARCOVERDE                           ESSA      Arcoverde          2,50       3
                                                                          Afogados da
FACULDADE DE FORMAÇÃO DE PROFESSORES DE AFOGADOS DA INGAZEIRA   FAFOPAI   Ingazeira          2,49       3
FACULDADE ASCES                                                 ASCES     Caruaru            2,47       3
FACULDADE BOA VIAGEM                                            FBV       Recife             2,46       3
FACULDADE MARISTA                                               FMR       Recife             2,42       3
FACULDADE DE ENFERMAGEM DE BELO JARDIM                          FAEB      Belo Jardim        2,41       3
FACULDADE DE TECNOLOGIA IBRATEC                                 UNIBRATEC Recife             2,33       3
FACULDADE PERNAMBUCANA DE SAÚDE                                 FPS       Recife             2,31       3
CENTRO UNIVERSITÁRIO MAURÍCIO DE NASSAU                         UNINASSAU Recife             2,30       3
                                                                          Jaboatão dos
FACULDADE METROPOLITANA DA GRANDE RECIFE                        UNESJ     Guararapes         2,28       3
FACULDADE SANTA MARIA                                           FSM       Recife             2,28       3
                                                                          Jaboatão dos
FACULDADE DOS GUARARAPES                                        FG        Guararapes         2,27       3
UNIVERSIDADE CATÓLICA DE PERNAMBUCO                             UNICAP    Recife             2,26       3
FACULDADE DO VALE DO IPOJUCA                                    FAVIP     Caruaru            2,23       3
FACULDADE FRASSINETTI DO RECIFE                                 FAFIRE    Recife             2,21       3
FACULDADE ESTÁCIO DO RECIFE - ESTÁCIO FIR                       FIR       Recife             2,18       3
FACULDADE DE CIÊNCIAS HUMANAS DE OLINDA                         FACHO       Olinda           2,17       3
Jaboatão dos
INSTITUTO DE ENSINO SUPERIOR DE PIEDADE                              IESP        Guararapes      2,11   3
                                                                     FACULDADE
                                                                     SÃO
FACULDADE SÃO MIGUEL                                                 MIGUEL      Recife          2,09   3
UNIÃO DE ESCOLAS SUPERIORES DA FUNESO                                UNESF       Olinda          2,08   3
FOCCA - FACULDADE DE OLINDA                                          FOCCA       Olinda          2,07   3
FACULDADE DE TECNOLOGIA FAMA                                         FAMA        Recife          2,07   3
INSTITUTO FEDERAL DE EDUCAÇÃO, CIÊNCIA E TECNOLOGIA DO SERTÃO
PERNAMBUCANO                                                                     Petrolina       2,06   3
                                                                                 Belém de São
CENTRO DE ENSINO SUPERIOR DO VALE SÃO FRANCISCO                      CESVASF     Francisco       2,05   3
FACULDADE JOAQUIM NABUCO RECIFE                                      FJN         Recife          2,05   3
FACULDADE DECISÃO                                                    FADE        Paulista        2,01   3
FACULDADE DE CIÊNCIAS APLICADAS DE LIMOEIRO                          FACAL       Limoeiro        1,99   3
FACULDADE DO RECIFE                                                  FAREC       Recife          1,98   3
FACULDADE DE ODONTOLOGIA DO RECIFE                                   FOR         Recife          1,98   3
FACULDADE DE CIÊNCIAS HUMANAS E SOCIAIS DE IGARASSU                  FACIG       Igarassu        1,97   3
FACULDADE DE FILOSOFIA CIÊNCIAS E LETRAS DE CARUARU                  FAFICA      Caruaru         1,86   2
FACULDADE DE CIÊNCIAS APLICADAS E SOCIAIS DE PETROLINA               FACAPE      Petrolina       1,86   2
                                                                                 Santa Cruz do
FACULDADE DE DESENVOLVIMENTO E INTEGRAÇÃO REGIONAL                   FADIRE      Capibaribe      1,84   2
FACULDADE DE COMUNICAÇÃO E TURISMO DE OLINDA                         FACOTTUR    Olinda          1,83   2
FACULDADE INTEGRADA DE PERNAMBUCO                                    FACIPE      Recife          1,80   2
FACULDADE DE FORMAÇÃO DE PROFESSORES DE ARARIPINA                    FAFOPA      Araripina       1,76   2
FACULDADE DE FORMAÇÃO DE PROFESSORES DE SERRA TALHADA                FAFOPST     Serra Talhada   1,74   2
FACULDADES INTEGRADAS BARROS MELO                                    FIBAM       Olinda          1,73   2
ESCOLA SUPERIOR DE MARKETING                                         ESM         Recife          1,72   2
INSTITUTO PERNAMBUCANO DE ENSINO SUPERIOR                            IPESU       Recife          1,70   2
FACULDADE DA ESCADA                                                  FAESC       Escada          1,66   2
FACULDADE DE CIÊNCIAS HUMANAS E SOCIAIS APLICADAS DO CABO DE SANTO               Cabo de Santo
AGOSTINHO                                                            FACHUCA     Agostinho       1,65   2
INSTITUTO DE ENSINO SUPERIOR DE OLINDA                               IESO        Olinda          1,61   2
FACULDADE LUSO-BRASILEIRA                                            FALUB       Carpina         1,60   2
FACULDADE DE CIÊNCIAS HUMANAS DE PERNAMBUCO                          FCHPE       Recife          1,58   2
FACULDADE SALESIANA DO NORDESTE                                      FASNE       Recife          1,57   2
FACULDADE DE CIÊNCIAS HUMANAS ESUDA                               FCHE        Recife          1,52               2
ESCOLA SUPERIOR DE RELAÇÕES PÚBLICAS                              ESURP       Recife          1,49               2
FACULDADE JOSÉ LACERDA FILHO DE CIÊNCIAS APLICADAS                FAJOLCA     Ipojuca         1,48               2
FACULDADE DE FORMAÇÃO DE PROFESSORES DE BELO JARDIM               FABEJA      Belo Jardim     1,47               2
FACULDADE SANTA HELENA                                            FSH         Recife          1,37               2
                                                                              Jaboatão dos
FACULDADE EUROPÉIA DE ADMINISTRAÇÃO E MARKETING                   FEPAM       Guararapes      1,34               2
INSTITUTO SUPERIOR DE EDUCAÇÃO DE FLORESTA                        ISEF        Floresta        1,24               2
                                                                              Santa Cruz do
FACULDADE SANTA CRUZ                                              FACRUZ      Capibaribe      1,23                2
INSTITUTO SUPERIOR DE EDUCAÇÃO DE PESQUEIRA                       ISEP        Pesqueira       1,22                2
FACULDADE DE FORMAÇÃO DE PROFESSORES DA MATA SUL                  FAMASUL     Palmares        1,22                2
CENTRO DE ENSINO SUPERIOR DE ARCOVERDE                            CESA        Arcoverde       1,21                2
FACULDADE DE FORMAÇÃO DE PROFESSORES DE GOIANA                    F.F.P.G.    Goiana          1,13                2
FACULDADE DE CIÊNCIAS HUMANAS DO SERTÃO CENTRAL                   FACHUSC     Salgueiro       1,13                2
                                                                                                      IES com CPC de cursos não
FACULDADE ANCHIETA DO RECIFE                                      FAR         Recife          2,42   reconhecidos até 30/09/2012
                                                                                                      IES com CPC de cursos não
FACULDADE DE TECNOLOGIA E CIÊNCIAS DE PERNAMBUCO                  FATEC       Recife          1,92   reconhecidos até 30/09/2012
                                                                                                      IES com CPC de cursos não
INSTITUTO SUPERIOR DE EDUCAÇÃO DE GOIANA                          I.S.E.G.   Goiana           1,30   reconhecidos até 30/09/2012
FACULDADE DE CIÊNCIAS CONTÁBEIS DE RECIFE                         FACCOR     Olinda                              SC
FACULDADE DE TEOLOGIA INTEGRADA                                   FATIN      Igarassu                            SC
                                                                             Santa Cruz do            IES com CPC de cursos não
INSTITUTO SUPERIOR DE EDUCAÇÃO SANTA CRUZ                         ISED       Capibaribe              reconhecidos até 30/09/2012
                                                                             Belém de São
FACULDADE DE CIÊNCIAS HUMANAS E EXATAS DO SERTÃO DO SÃO FRANCISCO FACESF     Francisco                           SC
FACULDADE DE INTEGRAÇÃO DO SERTÃO                                 FIS        Serra Talhada                       SC
FACULDADE JOAQUIM NABUCO - PAULISTA                               FJN        Paulista                            SC
FACULDADE DE CIÊNCIAS SOCIAIS DOS PALMARES                        FACIP      Palmares                            SC
FACULDADE NOVA ROMA                                               FNR        Recife                              SC
FACULDADE DE TECNOLOGIA GESTÃO & MARKETING                        IBGM / FGM Recife                              SC
FACULDADE SANTA EMÍLIA                                                       Olinda                              SC
FACULDADE DE CIÊNCIAS HUMANAS E SOCIAIS DE ARARIPINA - FACISA     FACISA     Araripina                           SC
Índice Geral de Cursos (ICG) - PERNAMBUCO

Índice Geral de Cursos (ICG) - PERNAMBUCO

  • 1.
    INSTITUIÇÃO SIGLA SEDE IGC IGC-FAIXA UNIVERSIDADE FEDERAL DE PERNAMBUCO UFPE Recife 3,55 4 FACULDADE DAMAS DA INSTRUÇÃO CRISTÃ FADIC Recife 3,26 4 UNIVERSIDADE FEDERAL RURAL DE PERNAMBUCO UFRPE Recife 3,08 4 FUNDAÇÃO UNIVERSIDADE FEDERAL DO VALE DO SÃO FRANCISCO UNIVASF Petrolina 2,84 3 Vitória de Santo FACULDADE ESCRITOR OSMAN DA COSTA LINS FACOL Antão 2,82 3 FACULDADE DE CIÊNCIAS DE TIMBAÚBA FACET Timbaúba 2,78 3 INSTITUTO SALESIANO DE FILOSOFIA INSAF Recife 2,75 3 FACULDADE SANTA CATARINA FASC Recife 2,69 3 FACULDADE SENAC PERNAMBUCO SENACPE Recife 2,62 3 UNIVERSIDADE DE PERNAMBUCO UPE Recife 2,58 3 Vitória de Santo FACULDADES INTEGRADAS DA VITÓRIA DE SANTO ANTÃO FAINTVISA Antão 2,54 3 FACULDADE DE INFORMÁTICA DO RECIFE FACIR Olinda 2,53 3 ESCOLA SUPERIOR DE SAÚDE DE ARCOVERDE ESSA Arcoverde 2,50 3 Afogados da FACULDADE DE FORMAÇÃO DE PROFESSORES DE AFOGADOS DA INGAZEIRA FAFOPAI Ingazeira 2,49 3 FACULDADE ASCES ASCES Caruaru 2,47 3 FACULDADE BOA VIAGEM FBV Recife 2,46 3 FACULDADE MARISTA FMR Recife 2,42 3 FACULDADE DE ENFERMAGEM DE BELO JARDIM FAEB Belo Jardim 2,41 3 FACULDADE DE TECNOLOGIA IBRATEC UNIBRATEC Recife 2,33 3 FACULDADE PERNAMBUCANA DE SAÚDE FPS Recife 2,31 3 CENTRO UNIVERSITÁRIO MAURÍCIO DE NASSAU UNINASSAU Recife 2,30 3 Jaboatão dos FACULDADE METROPOLITANA DA GRANDE RECIFE UNESJ Guararapes 2,28 3 FACULDADE SANTA MARIA FSM Recife 2,28 3 Jaboatão dos FACULDADE DOS GUARARAPES FG Guararapes 2,27 3 UNIVERSIDADE CATÓLICA DE PERNAMBUCO UNICAP Recife 2,26 3 FACULDADE DO VALE DO IPOJUCA FAVIP Caruaru 2,23 3 FACULDADE FRASSINETTI DO RECIFE FAFIRE Recife 2,21 3 FACULDADE ESTÁCIO DO RECIFE - ESTÁCIO FIR FIR Recife 2,18 3 FACULDADE DE CIÊNCIAS HUMANAS DE OLINDA FACHO Olinda 2,17 3
  • 2.
    Jaboatão dos INSTITUTO DEENSINO SUPERIOR DE PIEDADE IESP Guararapes 2,11 3 FACULDADE SÃO FACULDADE SÃO MIGUEL MIGUEL Recife 2,09 3 UNIÃO DE ESCOLAS SUPERIORES DA FUNESO UNESF Olinda 2,08 3 FOCCA - FACULDADE DE OLINDA FOCCA Olinda 2,07 3 FACULDADE DE TECNOLOGIA FAMA FAMA Recife 2,07 3 INSTITUTO FEDERAL DE EDUCAÇÃO, CIÊNCIA E TECNOLOGIA DO SERTÃO PERNAMBUCANO Petrolina 2,06 3 Belém de São CENTRO DE ENSINO SUPERIOR DO VALE SÃO FRANCISCO CESVASF Francisco 2,05 3 FACULDADE JOAQUIM NABUCO RECIFE FJN Recife 2,05 3 FACULDADE DECISÃO FADE Paulista 2,01 3 FACULDADE DE CIÊNCIAS APLICADAS DE LIMOEIRO FACAL Limoeiro 1,99 3 FACULDADE DO RECIFE FAREC Recife 1,98 3 FACULDADE DE ODONTOLOGIA DO RECIFE FOR Recife 1,98 3 FACULDADE DE CIÊNCIAS HUMANAS E SOCIAIS DE IGARASSU FACIG Igarassu 1,97 3 FACULDADE DE FILOSOFIA CIÊNCIAS E LETRAS DE CARUARU FAFICA Caruaru 1,86 2 FACULDADE DE CIÊNCIAS APLICADAS E SOCIAIS DE PETROLINA FACAPE Petrolina 1,86 2 Santa Cruz do FACULDADE DE DESENVOLVIMENTO E INTEGRAÇÃO REGIONAL FADIRE Capibaribe 1,84 2 FACULDADE DE COMUNICAÇÃO E TURISMO DE OLINDA FACOTTUR Olinda 1,83 2 FACULDADE INTEGRADA DE PERNAMBUCO FACIPE Recife 1,80 2 FACULDADE DE FORMAÇÃO DE PROFESSORES DE ARARIPINA FAFOPA Araripina 1,76 2 FACULDADE DE FORMAÇÃO DE PROFESSORES DE SERRA TALHADA FAFOPST Serra Talhada 1,74 2 FACULDADES INTEGRADAS BARROS MELO FIBAM Olinda 1,73 2 ESCOLA SUPERIOR DE MARKETING ESM Recife 1,72 2 INSTITUTO PERNAMBUCANO DE ENSINO SUPERIOR IPESU Recife 1,70 2 FACULDADE DA ESCADA FAESC Escada 1,66 2 FACULDADE DE CIÊNCIAS HUMANAS E SOCIAIS APLICADAS DO CABO DE SANTO Cabo de Santo AGOSTINHO FACHUCA Agostinho 1,65 2 INSTITUTO DE ENSINO SUPERIOR DE OLINDA IESO Olinda 1,61 2 FACULDADE LUSO-BRASILEIRA FALUB Carpina 1,60 2 FACULDADE DE CIÊNCIAS HUMANAS DE PERNAMBUCO FCHPE Recife 1,58 2 FACULDADE SALESIANA DO NORDESTE FASNE Recife 1,57 2
  • 3.
    FACULDADE DE CIÊNCIASHUMANAS ESUDA FCHE Recife 1,52 2 ESCOLA SUPERIOR DE RELAÇÕES PÚBLICAS ESURP Recife 1,49 2 FACULDADE JOSÉ LACERDA FILHO DE CIÊNCIAS APLICADAS FAJOLCA Ipojuca 1,48 2 FACULDADE DE FORMAÇÃO DE PROFESSORES DE BELO JARDIM FABEJA Belo Jardim 1,47 2 FACULDADE SANTA HELENA FSH Recife 1,37 2 Jaboatão dos FACULDADE EUROPÉIA DE ADMINISTRAÇÃO E MARKETING FEPAM Guararapes 1,34 2 INSTITUTO SUPERIOR DE EDUCAÇÃO DE FLORESTA ISEF Floresta 1,24 2 Santa Cruz do FACULDADE SANTA CRUZ FACRUZ Capibaribe 1,23 2 INSTITUTO SUPERIOR DE EDUCAÇÃO DE PESQUEIRA ISEP Pesqueira 1,22 2 FACULDADE DE FORMAÇÃO DE PROFESSORES DA MATA SUL FAMASUL Palmares 1,22 2 CENTRO DE ENSINO SUPERIOR DE ARCOVERDE CESA Arcoverde 1,21 2 FACULDADE DE FORMAÇÃO DE PROFESSORES DE GOIANA F.F.P.G. Goiana 1,13 2 FACULDADE DE CIÊNCIAS HUMANAS DO SERTÃO CENTRAL FACHUSC Salgueiro 1,13 2 IES com CPC de cursos não FACULDADE ANCHIETA DO RECIFE FAR Recife 2,42 reconhecidos até 30/09/2012 IES com CPC de cursos não FACULDADE DE TECNOLOGIA E CIÊNCIAS DE PERNAMBUCO FATEC Recife 1,92 reconhecidos até 30/09/2012 IES com CPC de cursos não INSTITUTO SUPERIOR DE EDUCAÇÃO DE GOIANA I.S.E.G. Goiana 1,30 reconhecidos até 30/09/2012 FACULDADE DE CIÊNCIAS CONTÁBEIS DE RECIFE FACCOR Olinda SC FACULDADE DE TEOLOGIA INTEGRADA FATIN Igarassu SC Santa Cruz do IES com CPC de cursos não INSTITUTO SUPERIOR DE EDUCAÇÃO SANTA CRUZ ISED Capibaribe reconhecidos até 30/09/2012 Belém de São FACULDADE DE CIÊNCIAS HUMANAS E EXATAS DO SERTÃO DO SÃO FRANCISCO FACESF Francisco SC FACULDADE DE INTEGRAÇÃO DO SERTÃO FIS Serra Talhada SC FACULDADE JOAQUIM NABUCO - PAULISTA FJN Paulista SC FACULDADE DE CIÊNCIAS SOCIAIS DOS PALMARES FACIP Palmares SC FACULDADE NOVA ROMA FNR Recife SC FACULDADE DE TECNOLOGIA GESTÃO & MARKETING IBGM / FGM Recife SC FACULDADE SANTA EMÍLIA Olinda SC FACULDADE DE CIÊNCIAS HUMANAS E SOCIAIS DE ARARIPINA - FACISA FACISA Araripina SC