CAP6.XLS
Excel Aplicado à Gestão Empresarial
Adriano Leal Bruni (albruni@infinitaweb.com.br)
Roberto Brazileiro Paixão (brazileiro@valorintelectual.com.br)




Este aplicativo consiste em ferramenta auxiliar do livro e apresenta uma série de exercícios
para a fixação da aprendizagem. Seu conteúdo está estruturado sob a forma de atividades
que devem ser executadas sequencialmente. Para isso, use os botões de navegação.

Bom trabalho e muito sucesso!


                                                                                  Menu
CAP6.XLS



Selecione a atividade desejada:

Atividade 1                       Atividade 1 - Respostas
Atividade 2                       Atividade 2 - Respostas
Atividade 3                       Atividade 3 - Respostas
Atividade 4                       Atividade 4 - Respostas
Atividade 5                       Atividade 5 - Respostas
                                                            Início
Menu               Atividade 2               Respostas
Atividade 1

Um professor calculou as notas dos alunos sem definir a quantidade de casas decimais a ser considerada.
Sabendo que a escola utiliza apenas uma casa decimal, faça os devidos ajustes.

         Aluno        Nota      Ajustada
João                6.944567
Paulo               8.767820
Ana                   8.120
Carol                4.3888
Vivian              9.73056
a ser considerada.
Menu              Voltar
Atividade 1 - Respostas

A tabela a seguir apresenta as escolaridades encontradas em uma amostra formada por quarenta funcionários
de uma determinada empresa. Construa um diagrama de pizza que apresente as informações contidas na
tabela.

         Aluno        Nota     Ajustada
João                6.944567      6.9
Paulo               8.767820      8.8
Ana                   8.120       8.1
Carol                4.3888       4.4
Vivian              9.73056       9.7
r quarenta funcionários
mações contidas na
Menu                Atividade 1         Atividade 3           Respostas
Atividade 2

Calcule a soma das vendas por região.

      Região           Jan         Fev         Mar        Total
Norte               10,000.00   7,000.00     8,200.00
Sul                 28,700.00   31,300.00   25,675.00
Sudeste             34,200.00   36,789.00   40,225.00
Nordeste            18,790.00   19,800.00   21,550.00
Centro Oeste        17,543.00   23,070.00   20,000.00
Total
Menu               Voltar
Atividade 2 - Respostas

Calcule a soma das vendas por região.

      Região            Jan          Fev          Mar        Total
Norte                10,000.00    7,000.00     8,200.00    25,200.00
Sul                  28,700.00    31,300.00    25,675.00   85,675.00
Sudeste              34,200.00    36,789.00    40,225.00   111,214.00
Nordeste             18,790.00    19,800.00    21,550.00   60,140.00
Centro Oeste         17,543.00    23,070.00    20,000.00   60,613.00
Total               109,233.00   117,959.00   115,650.00   342,842.00
Menu                Atividade 2          Atividade 4                Respostas
Atividade 3

Calcule quantos lançamentos financeiros foram feitos em cada um dos departamentos da empresa e em cada
uma das classes de custo (rubricas).

       Área           Classe        Jan                    Marketing
Marketing          Pessoal        294.15                   Produção
Produção           Materiais     4,889.62                  Financeiro
Produção           Pessoal        286.46
Marketing          Pessoal        174.62                   Pessoal
Produção           Pessoal        211.35                   Materiais
Produção           Pessoal        294.43                   Desp Gerais
Financeiro         Desp Gerais    261.56                   Serviços
Produção           Materiais      447.95
Produção           Serviços      6,181.64
Produção           Pessoal        183.01
Financeiro         Serviços       135.25
Marketing          Serviços       235.81
empresa e em cada
Menu               Voltar
Atividade 3 - Respostas

Calcule quantos lançamentos financeiros foram feitos em cada um dos departamentos da empresa e em cada uma
das classes de custo (rubricas).

       Área           Classe        Jan                Marketing          3
Marketing          Pessoal        294.15               Produção           7
Produção           Materiais     4,889.62              Financeiro         2
Produção           Pessoal        286.46
Marketing          Pessoal        174.62               Pessoal            6
Produção           Pessoal        211.35               Materiais          2
Produção           Pessoal        294.43               Desp Gerais        1
Financeiro         Desp Gerais    261.56               Serviços           3
Produção           Materiais      447.95
Produção           Serviços      6,181.64
Produção           Pessoal        183.01
Financeiro         Serviços       135.25
Marketing          Serviços       235.81
da empresa e em cada uma
Menu                Atividade 3           Atividade 5                Respostas
Atividade 4

Calcule o valor total dos gastos realizados no mês de Janeiro de cada um dos departamentos da empresa e em
cada uma das classes de custo (rubricas).

       Área           Classe         Jan                    Marketing
Marketing          Pessoal         294.15                   Produção
Produção           Materiais      4,889.62                  Financeiro
Produção           Pessoal         286.46
Marketing          Pessoal         174.62                   Pessoal
Produção           Pessoal         211.35                   Materiais
Produção           Pessoal         294.43                   Desp Gerais
Financeiro         Desp Gerais     261.56                   Serviços
Produção           Materiais       447.95
Produção           Serviços       6,181.64
Produção           Pessoal         183.01
Financeiro         Serviços        135.25
Marketing          Serviços        235.81
ntos da empresa e em
Menu               Voltar
Atividade 4 - Respostas

Calcule o valor total dos gastos realizados no mês de Janeiro de cada um dos departamentos da empresa e em
cada uma das classes de custo (rubricas).

       Área           Classe         Jan                Marketing        704.58
Marketing          Pessoal         294.15               Produção        12,494.46
Produção           Materiais      4,889.62              Financeiro       396.81
Produção           Pessoal         286.46
Marketing          Pessoal         174.62               Pessoal         1,444.02
Produção           Pessoal         211.35               Materiais       5,337.57
Produção           Pessoal         294.43               Desp Gerais      261.56
Financeiro         Desp Gerais     261.56               Serviços        6,552.70
Produção           Materiais       447.95
Produção           Serviços       6,181.64
Produção           Pessoal         183.01
Financeiro         Serviços        135.25
Marketing          Serviços        235.81
mentos da empresa e em
Menu                Atividade 4                  Respostas
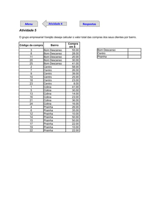
Atividade 5

O grupo empresarial Varejão deseja calcular o valor total das compras dos seus clientes por bairro.

                                         Compra
Código da compra          Bairro
                                          em $
        3           Bom Descanso            55.00                 Bom Descanso
        8           Bom Descanso            28.00                 Centro
        11          Bom Descanso            20.00                 Prainha
        20          Bom Descanso            30.00
        25          Bom Descanso            41.00
        2           Centro                  58.00
        7           Centro                  26.00
        9           Centro                  39.00
        10          Centro                  25.00
        18          Centro                  23.00
        23          Centro                   8.00
        1           Colina                  41.00
        5           Colina                  30.00
        13          Colina                  14.00
        16          Colina                  23.00
        21          Colina                  36.00
        24          Colina                  16.00
        4           Prainha                 26.00
        6           Prainha                 35.00
        12          Prainha                 10.00
        14          Prainha                 50.00
        15          Prainha                 50.00
        17          Prainha                 22.00
        19          Prainha                 10.00
        22          Prainha                 22.00
or bairro.
Menu               Voltar
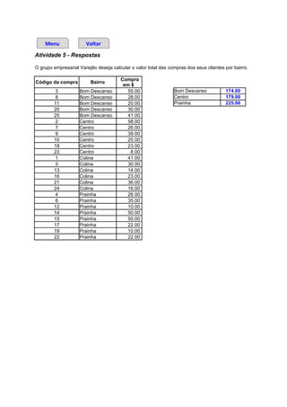
Atividade 5 - Respostas

O grupo empresarial Varejão deseja calcular o valor total das compras dos seus clientes por bairro.

                                       Compra
Código da compra         Bairro
                                        em $
        3           Bom Descanso          55.00                 Bom Descanso            174.00
        8           Bom Descanso          28.00                 Centro                  179.00
        11          Bom Descanso          20.00                 Prainha                 225.00
        20          Bom Descanso          30.00
        25          Bom Descanso          41.00
        2           Centro                58.00
        7           Centro                26.00
        9           Centro                39.00
        10          Centro                25.00
        18          Centro                23.00
        23          Centro                 8.00
        1           Colina                41.00
        5           Colina                30.00
        13          Colina                14.00
        16          Colina                23.00
        21          Colina                36.00
        24          Colina                16.00
        4           Prainha               26.00
        6           Prainha               35.00
        12          Prainha               10.00
        14          Prainha               50.00
        15          Prainha               50.00
        17          Prainha               22.00
        19          Prainha               10.00
        22          Prainha               22.00
por bairro.

Cap6

  • 1.
    CAP6.XLS Excel Aplicado àGestão Empresarial Adriano Leal Bruni (albruni@infinitaweb.com.br) Roberto Brazileiro Paixão (brazileiro@valorintelectual.com.br) Este aplicativo consiste em ferramenta auxiliar do livro e apresenta uma série de exercícios para a fixação da aprendizagem. Seu conteúdo está estruturado sob a forma de atividades que devem ser executadas sequencialmente. Para isso, use os botões de navegação. Bom trabalho e muito sucesso! Menu
  • 2.
    CAP6.XLS Selecione a atividadedesejada: Atividade 1 Atividade 1 - Respostas Atividade 2 Atividade 2 - Respostas Atividade 3 Atividade 3 - Respostas Atividade 4 Atividade 4 - Respostas Atividade 5 Atividade 5 - Respostas Início
  • 3.
    Menu Atividade 2 Respostas Atividade 1 Um professor calculou as notas dos alunos sem definir a quantidade de casas decimais a ser considerada. Sabendo que a escola utiliza apenas uma casa decimal, faça os devidos ajustes. Aluno Nota Ajustada João 6.944567 Paulo 8.767820 Ana 8.120 Carol 4.3888 Vivian 9.73056
  • 4.
  • 5.
    Menu Voltar Atividade 1 - Respostas A tabela a seguir apresenta as escolaridades encontradas em uma amostra formada por quarenta funcionários de uma determinada empresa. Construa um diagrama de pizza que apresente as informações contidas na tabela. Aluno Nota Ajustada João 6.944567 6.9 Paulo 8.767820 8.8 Ana 8.120 8.1 Carol 4.3888 4.4 Vivian 9.73056 9.7
  • 6.
  • 7.
    Menu Atividade 1 Atividade 3 Respostas Atividade 2 Calcule a soma das vendas por região. Região Jan Fev Mar Total Norte 10,000.00 7,000.00 8,200.00 Sul 28,700.00 31,300.00 25,675.00 Sudeste 34,200.00 36,789.00 40,225.00 Nordeste 18,790.00 19,800.00 21,550.00 Centro Oeste 17,543.00 23,070.00 20,000.00 Total
  • 9.
    Menu Voltar Atividade 2 - Respostas Calcule a soma das vendas por região. Região Jan Fev Mar Total Norte 10,000.00 7,000.00 8,200.00 25,200.00 Sul 28,700.00 31,300.00 25,675.00 85,675.00 Sudeste 34,200.00 36,789.00 40,225.00 111,214.00 Nordeste 18,790.00 19,800.00 21,550.00 60,140.00 Centro Oeste 17,543.00 23,070.00 20,000.00 60,613.00 Total 109,233.00 117,959.00 115,650.00 342,842.00
  • 11.
    Menu Atividade 2 Atividade 4 Respostas Atividade 3 Calcule quantos lançamentos financeiros foram feitos em cada um dos departamentos da empresa e em cada uma das classes de custo (rubricas). Área Classe Jan Marketing Marketing Pessoal 294.15 Produção Produção Materiais 4,889.62 Financeiro Produção Pessoal 286.46 Marketing Pessoal 174.62 Pessoal Produção Pessoal 211.35 Materiais Produção Pessoal 294.43 Desp Gerais Financeiro Desp Gerais 261.56 Serviços Produção Materiais 447.95 Produção Serviços 6,181.64 Produção Pessoal 183.01 Financeiro Serviços 135.25 Marketing Serviços 235.81
  • 12.
  • 13.
    Menu Voltar Atividade 3 - Respostas Calcule quantos lançamentos financeiros foram feitos em cada um dos departamentos da empresa e em cada uma das classes de custo (rubricas). Área Classe Jan Marketing 3 Marketing Pessoal 294.15 Produção 7 Produção Materiais 4,889.62 Financeiro 2 Produção Pessoal 286.46 Marketing Pessoal 174.62 Pessoal 6 Produção Pessoal 211.35 Materiais 2 Produção Pessoal 294.43 Desp Gerais 1 Financeiro Desp Gerais 261.56 Serviços 3 Produção Materiais 447.95 Produção Serviços 6,181.64 Produção Pessoal 183.01 Financeiro Serviços 135.25 Marketing Serviços 235.81
  • 14.
    da empresa eem cada uma
  • 15.
    Menu Atividade 3 Atividade 5 Respostas Atividade 4 Calcule o valor total dos gastos realizados no mês de Janeiro de cada um dos departamentos da empresa e em cada uma das classes de custo (rubricas). Área Classe Jan Marketing Marketing Pessoal 294.15 Produção Produção Materiais 4,889.62 Financeiro Produção Pessoal 286.46 Marketing Pessoal 174.62 Pessoal Produção Pessoal 211.35 Materiais Produção Pessoal 294.43 Desp Gerais Financeiro Desp Gerais 261.56 Serviços Produção Materiais 447.95 Produção Serviços 6,181.64 Produção Pessoal 183.01 Financeiro Serviços 135.25 Marketing Serviços 235.81
  • 16.
  • 17.
    Menu Voltar Atividade 4 - Respostas Calcule o valor total dos gastos realizados no mês de Janeiro de cada um dos departamentos da empresa e em cada uma das classes de custo (rubricas). Área Classe Jan Marketing 704.58 Marketing Pessoal 294.15 Produção 12,494.46 Produção Materiais 4,889.62 Financeiro 396.81 Produção Pessoal 286.46 Marketing Pessoal 174.62 Pessoal 1,444.02 Produção Pessoal 211.35 Materiais 5,337.57 Produção Pessoal 294.43 Desp Gerais 261.56 Financeiro Desp Gerais 261.56 Serviços 6,552.70 Produção Materiais 447.95 Produção Serviços 6,181.64 Produção Pessoal 183.01 Financeiro Serviços 135.25 Marketing Serviços 235.81
  • 18.
  • 19.
    Menu Atividade 4 Respostas Atividade 5 O grupo empresarial Varejão deseja calcular o valor total das compras dos seus clientes por bairro. Compra Código da compra Bairro em $ 3 Bom Descanso 55.00 Bom Descanso 8 Bom Descanso 28.00 Centro 11 Bom Descanso 20.00 Prainha 20 Bom Descanso 30.00 25 Bom Descanso 41.00 2 Centro 58.00 7 Centro 26.00 9 Centro 39.00 10 Centro 25.00 18 Centro 23.00 23 Centro 8.00 1 Colina 41.00 5 Colina 30.00 13 Colina 14.00 16 Colina 23.00 21 Colina 36.00 24 Colina 16.00 4 Prainha 26.00 6 Prainha 35.00 12 Prainha 10.00 14 Prainha 50.00 15 Prainha 50.00 17 Prainha 22.00 19 Prainha 10.00 22 Prainha 22.00
  • 20.
  • 21.
    Menu Voltar Atividade 5 - Respostas O grupo empresarial Varejão deseja calcular o valor total das compras dos seus clientes por bairro. Compra Código da compra Bairro em $ 3 Bom Descanso 55.00 Bom Descanso 174.00 8 Bom Descanso 28.00 Centro 179.00 11 Bom Descanso 20.00 Prainha 225.00 20 Bom Descanso 30.00 25 Bom Descanso 41.00 2 Centro 58.00 7 Centro 26.00 9 Centro 39.00 10 Centro 25.00 18 Centro 23.00 23 Centro 8.00 1 Colina 41.00 5 Colina 30.00 13 Colina 14.00 16 Colina 23.00 21 Colina 36.00 24 Colina 16.00 4 Prainha 26.00 6 Prainha 35.00 12 Prainha 10.00 14 Prainha 50.00 15 Prainha 50.00 17 Prainha 22.00 19 Prainha 10.00 22 Prainha 22.00
  • 22.