Tema ENEM: 
Energia Nuclear
• Consiste no uso controlado das reações 
nucleares para a obtenção de energia 
para realizar movimento, geração calor e 
eletricidade 
• Ocorre espontaneamente em alguns 
elementos; em outros se deve provocar a 
reação mediante técnicas de 
bombardeamento de nêutrons ou outras. 
• Fissão 
• Fusão
• A energia nuclear é gerada pela fissão de um núcleo atômico – 
normalmente o Urânio (235U) – a partir de um bombardeamento de 
nêutrons: essa reação libera três nêutrons e calor, sendo que estes 
nêutrons liberados ativam novas reações que liberam mais nêutrons e 
mais calor, produzindo uma reação em cadeia.
Esquema simplificado de uma usina nuclear 
O controle da reação em cadeia é obtido por meio da inserção de varetas 
metálicas que absorvem nêutrons (feitas de cádmio ou boro), entre os arranjos 
do combustível.
• O urânio enriquecido é colocado dentro de tubos feitos de uma liga 
metálica de zircônio e estanho (zircaloy) ou, eventualmente, de aço 
inoxidável. Estes tubos formam um arranjo reticulado que varia de 
tamanho, geometria e quantidade de tubos, dependendo do tipo de 
reator. 
• Existem basicamente dois tipos de reator: 
– BWR (boiling water reactor – reator de água fervente) 
– PWR (pressurized water reactor – reator de água pressurizada)
Elementos mais usados como 
fonte de energia 
• Tório 
– Fissão assistida 
• Urânio 
– Atualmente mais usado 
• Actínio 
– Altamente radioativo, com radioatividade 150 vezes 
maior do que o urânio
Vantagens 
• Substituir fontes de energia
Menos poluente
Pouco espaço para construção 
Usina Nuclear de Angra dos Reis
Menor quantidade de material
Desvantagens
Desvantagens 
• Desenvolvimento de Armas de Destruição 
em massa. 
– Hiroshima e Nagasaki 
 VVaassaammeennttoo nnuucclleeaarr.. 
 GGooiiâânniiaa 
 TThhrreeee MMiilleess IIssllaanndd 
 CChheerrnnoobbyyll
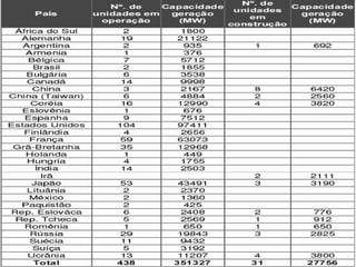
Países e Locais que utilizam 
Energia Nuclear 
• Os países europeus são os que mais 
utilizam energia nuclear. 
• Saltou de 0,1% para 16% em 30 anos
Consumo Energético 
Consumo no Brasil (esquerda) e no mundo (direita)
Controle da Reação de Fissão 
Nuclear em Cadeia
Vaso do Reator
Fusões Nuclear 
• Produzir energia a partir de átomos de 
hidrogênio. 
• Obtendo, como resultado da reação, o 
inofensivo gás hélio. 
• Coréia do Sul, Japão, Estados Unidos, 
União Européia, Rússia e China 
• Temperatura superior a 100 milhões de 
graus Celsius. 
• Protótipo: 6 bilhões de euros.
Reator de fusão nuclear
• A energia nuclear pode ser usada para o 
bem da humanidade (produzindo energia, 
contribuindo para a redução de impactos 
ambientais,etc), porém a sua capacidade 
de destruição é evidenciada por vários 
fatos e catástrofes, mostrando que o seu 
uso deve ser bem pensado e isento de 
erros.
Aula de energia nuclear

Aula de energia nuclear

  • 1.
  • 2.
    • Consiste nouso controlado das reações nucleares para a obtenção de energia para realizar movimento, geração calor e eletricidade • Ocorre espontaneamente em alguns elementos; em outros se deve provocar a reação mediante técnicas de bombardeamento de nêutrons ou outras. • Fissão • Fusão
  • 3.
    • A energianuclear é gerada pela fissão de um núcleo atômico – normalmente o Urânio (235U) – a partir de um bombardeamento de nêutrons: essa reação libera três nêutrons e calor, sendo que estes nêutrons liberados ativam novas reações que liberam mais nêutrons e mais calor, produzindo uma reação em cadeia.
  • 4.
    Esquema simplificado deuma usina nuclear O controle da reação em cadeia é obtido por meio da inserção de varetas metálicas que absorvem nêutrons (feitas de cádmio ou boro), entre os arranjos do combustível.
  • 5.
    • O urânioenriquecido é colocado dentro de tubos feitos de uma liga metálica de zircônio e estanho (zircaloy) ou, eventualmente, de aço inoxidável. Estes tubos formam um arranjo reticulado que varia de tamanho, geometria e quantidade de tubos, dependendo do tipo de reator. • Existem basicamente dois tipos de reator: – BWR (boiling water reactor – reator de água fervente) – PWR (pressurized water reactor – reator de água pressurizada)
  • 6.
    Elementos mais usadoscomo fonte de energia • Tório – Fissão assistida • Urânio – Atualmente mais usado • Actínio – Altamente radioativo, com radioatividade 150 vezes maior do que o urânio
  • 7.
    Vantagens • Substituirfontes de energia
  • 8.
  • 9.
    Pouco espaço paraconstrução Usina Nuclear de Angra dos Reis
  • 10.
  • 11.
  • 12.
    Desvantagens • Desenvolvimentode Armas de Destruição em massa. – Hiroshima e Nagasaki  VVaassaammeennttoo nnuucclleeaarr..  GGooiiâânniiaa  TThhrreeee MMiilleess IIssllaanndd  CChheerrnnoobbyyll
  • 13.
    Países e Locaisque utilizam Energia Nuclear • Os países europeus são os que mais utilizam energia nuclear. • Saltou de 0,1% para 16% em 30 anos
  • 15.
    Consumo Energético Consumono Brasil (esquerda) e no mundo (direita)
  • 16.
    Controle da Reaçãode Fissão Nuclear em Cadeia
  • 18.
  • 19.
    Fusões Nuclear •Produzir energia a partir de átomos de hidrogênio. • Obtendo, como resultado da reação, o inofensivo gás hélio. • Coréia do Sul, Japão, Estados Unidos, União Européia, Rússia e China • Temperatura superior a 100 milhões de graus Celsius. • Protótipo: 6 bilhões de euros.
  • 20.
  • 21.
    • A energianuclear pode ser usada para o bem da humanidade (produzindo energia, contribuindo para a redução de impactos ambientais,etc), porém a sua capacidade de destruição é evidenciada por vários fatos e catástrofes, mostrando que o seu uso deve ser bem pensado e isento de erros.