APOSTILA DE TÉCNICAS DE
PROGRAMAÇÃO
E LINGUAGEM PASCAL
2
SUMÁRIO
1 INTRODUÇÃO À PROGRAMAÇÃO .......................................................................................4
1.1 DEFINIÇÃO DE ALGORITMO........................................................................................................4
1.1.1 Algoritmo x Programa .....................................................................................................4
1.2 LINGUAGEM DE PROGRAMAÇÃO ................................................................................................4
1.2.1 Tipos de Linguagens de Programação..............................................................................4
1.2.2 Processo de Criação e Execução de um Programa...........................................................5
1.3 CRITÉRIOS DE QUALIDADE DE UM PROGRAMA............................................................................6
1.4 A LINGUAGEM PASCAL .............................................................................................................7
1.4.1 Histórico .........................................................................................................................7
1.4.2 O Turbo Pascal ...............................................................................................................7
2 ESTRUTURA DE UM PROGRAMA EM PASCAL..................................................................9
2.1 CABEÇALHO DO PROGRAMA ......................................................................................................9
2.2 ÁREA DE DECLARAÇÕES............................................................................................................9
2.3 CORPO DO PROGRAMA.............................................................................................................10
2.4 EXEMPLO DE UM PROGRAMA EM PASCAL .................................................................................10
3 VARIÁVEIS E CONSTANTES................................................................................................12
3.1 IDENTIFICADORES....................................................................................................................12
3.2 PALAVRAS RESERVADAS .........................................................................................................12
3.3 COMENTÁRIOS ........................................................................................................................13
3.4 TIPOS DE DADOS .....................................................................................................................13
3.4.1 Tipos de Dados Inteiros.................................................................................................13
3.4.2 Tipos de Dados Reais ....................................................................................................14
3.4.3 Tipos de Dados Caracteres............................................................................................14
3.4.4 Tipos Lógicos ................................................................................................................15
3.5 VARIÁVEIS..............................................................................................................................15
3.6 CONSTANTES...........................................................................................................................15
4 OPERADORES E EXPRESSÕES............................................................................................17
4.1 PRIORIDADE DAS OPERAÇÕES ..................................................................................................17
4.2 TIPOS DE EXPRESSÕES .............................................................................................................17
4.3 TIPOS DE OPERADORES ............................................................................................................18
4.3.1 Operador de Atribuição.................................................................................................18
4.3.2 Operadores Aritméticos.................................................................................................18
4.3.3 Operador de Concatenação ...........................................................................................19
4.3.4 Operadores Relacionais.................................................................................................20
4.3.5 Operadores Lógicos.......................................................................................................21
4.4 FUNÇÕES PREDEFINIDAS ..........................................................................................................22
5 ESTRUTURAS DE DECISÃO .................................................................................................24
5.1 A INSTRUÇÃO IF..THEN ............................................................................................................24
5.2 A INSTRUÇÃO IF...THEN...ELSE .................................................................................................26
6 ESTRUTURAS DE REPETIÇÃO (LOOPS)............................................................................29
6.1 INSTRUÇÃO FOR ......................................................................................................................29
6.2 INSTRUÇÃO WHILE...DO ...........................................................................................................30
6.3 INSTRUÇÃO REPEAT...UNTIL .....................................................................................................32
7 VETORES, MATRIZES E REGISTROS.................................................................................35
7.1 VETORES.................................................................................................................................35
7.2 MATRIZES...............................................................................................................................39
7.3 REGISTROS..............................................................................................................................43
8 PROCEDURES E FUNCTIONS ..............................................................................................46
8.1 UTILIZAÇÃO DE UNITS.............................................................................................................46
3
8.2 PROCEDURES...........................................................................................................................47
8.2.1 Variáveis Globais e Locais.............................................................................................51
8.3 PARÂMETROS ..........................................................................................................................52
8.3.1 Passagem por Valor ......................................................................................................53
8.3.2 Passagem por Referência...............................................................................................54
8.4 FUNCTIONS .............................................................................................................................55
9 ARQUIVOS...............................................................................................................................58
9.1 DEFINIÇÃO DE UM ARQUIVO ....................................................................................................58
9.2 OPERAÇÕES DE UM ARQUIVO...................................................................................................58
9.3 FORMAS DE ACESSO EM UM ARQUIVO......................................................................................59
9.3.1 Acesso Seqüencial..........................................................................................................59
9.3.2 Acesso Direto ................................................................................................................60
9.3.3 Acesso Indexado ............................................................................................................60
9.4 ARQUIVOS DO TIPO TEXTO ......................................................................................................60
9.5 ARQUIVOS COM TIPO DEFINIDO ...............................................................................................61
9.6 ARQUIVO COM TIPO DEFINIDO DE REGISTRO ............................................................................63
4
1 INTRODUÇÃO À PROGRAMAÇÃO
1.1 Definição de Algoritmo
É a descrição, de forma lógica, dos passos a serem executados no cumprimento
de determinada tarefa.
É a forma pela qual descrevemos soluções de problemas do nosso mundo, afim
de serem implementadas utilizando os recursos do mundo computacional. Como este
possuí severas limitações em relação ao nosso mundo, exige que sejam impostas
algumas regras básicas na forma de solucionar os problemas para que possamos utilizar
os recursos de hardware e software disponíveis.
1.1.1 Algoritmo x Programa
Um algoritmo é uma seqüência lógica de ações a serem executadas para se
executar uma determinada tarefa. Um programa é a formalização de um algoritmo em
uma determinada linguagem de programação, segundo suas regras de sintaxe e
semântica, de forma a permitir que o computador possa entender a seqüência de ações.
1.2 Linguagem de Programação
Uma linguagem de programação é um conjunto de símbolos ( comandos,
identificadores, caracteres ASCII, etc. ... ) e regras de sintaxe que permitem a
construção de sentenças que descrevem de forma precisa ações compreensíveis e
executáveis para o computador.
LINGUAGEM DE PROGRAMAÇÃO = SÍMBOLOS + REGRAS DE SINTAXE
Uma linguagem de programação é uma notação formal para descrição de
algoritmos que serão executados por um computador. Como todas as notações formais,
uma linguagem de programação tem dois componentes: Sintaxe e Semântica. A sintaxe
consiste em um conjunto de regras formais, que especificam a composição de
programas a partir de letras, dígitos, e outros símbolos. Por exemplo, regras de sintaxe
podem especificar que cada parênteses aberto em uma expressão aritmética deve
corresponder a um parênteses fechado, e que dois comandos quaisquer devem ser
separados por um ponto-e-vírgula. As regras de semântica especificam o “significado”
de qualquer programa, sintaticamente válido, escrito na linguagem.
1.2.1 Tipos de Linguagens de Programação
Existem diversas linguagens de programação, cada uma com suas características
específicas e com níveis de complexidade e objetivos diferentes, como pode ser visto na
tab. 1.1.
5
LINGUAGEM CARACTERÍSTICAS
Linguagem de Máquina Única compreendida pelo computador.
Específica de cada computador.
Linguagens de Baixo Nível Utiliza mnemônicos para representar instruções
elementares
Ex.: Assembly
Linguagens de Alto Nível Utiliza instruções próximas da linguagem humana de
forma a facilitar o raciocínio.
Ex.: Uso Científico : Fortran
Propósito Geral : Pascal, C, Basic
Uso Comercial : Cobol, Clipper
Uso específico : Lisp, Prolog
TABELA 1.1 – TIPOS DE LINGUAGENS DE PROGRAMAÇÃO E SUAS CARACTERÍSTICAS
1.2.2 Processo de Criação e Execução de um Programa
Embora seja teoricamente possível a construção de computadores especiais,
capazes de executar programas escritos em uma linguagem de programação qualquer, os
computadores, existentes hoje em dia são capazes de executar somente programas em
linguagem de baixo nível, a Linguagem de Máquina.
Linguagens de Máquina são projetadas levando-se em conta os seguintes
aspectos :
• rapidez de execução de programas;
• custo de sua implementação; e
• flexibilidade com que permite a construção de programas de nível mais alto.
Por outro lado, linguagens de programação de alto nível são projetadas em
função de :
• facilidade de construção de programas; e
• confiabilidade dos programas.
O PROBLEMA É: Como a linguagem de nível mais alto pode ser implementada
em um computador, cuja linguagem é bastante diferente e de nível mais baixo ?
SOLUÇÃO: Através da tradução de programas escritos em linguagens de alto
nível para a linguagem de baixo nível do computador.
Para isso existem três tipos de programas tradutores : Montadores,
Interpretadores e Compiladores. Vejamos o que cada um deles representa.
MONTADOR
Efetua a tradução de linguagem de montagem ( Assembly ) para a linguagem de
máquina, da seguinte forma:
• obtém a próxima instrução do Assembly;
• traduz para as instruções correspondentes em linguagem de máquina;
6
• executa as instruções em linguagem de máquina; e
• repete o passo 1 até o fim do programa.
INTERPRETADOR
Efetua a tradução a de uma linguagem de alto nível para linguagem de máquina
da seguinte forma:
• obtém próxima instrução do código-fonte em linguagem de alto nível;
• traduz para as instruções correspondentes em linguagem de máquina;
• executa as instruções em linguagem de máquina; e
• repete o passo 1 até o fim do programa
COMPILADOR
Efetua a tradução de todo o código-fonte em linguagem de alto nível para as
instruções correspondentes em linguagem de máquina, gerando o código-objeto do
programa. Em seguida é necessário o uso de um outro programa ( Link-Editor ) que é
responsável pela junção de diversos códigos-objeto em um único programa executável.
EDIÇÃO COMPILAÇÃO LINK-EDIÇÃO
ALGORITMO ⇒ CÓDIGO-FONTE ⇒ CÓDIGO-OBJETO ⇒ PROGRAMA EXECUTÁVEL
Possibilidades de Erros no Programa:
• Erros de Compilação : erros de digitação e de uso da sintaxe da linguagem.
• Erros de Link-Edição : erro no uso de bibliotecas de sub-programas
necessárias ao programa principal.
• Erros de Execução : erro na lógica do programa (algoritmo).
1.3 Critérios de Qualidade de um Programa
Vejamos alguns critérios para escrevermos um programa com qualidade:
Integridade: refere-se à precisão das informações manipuladas pelo programa,
ou seja, os resultados gerados pelo processamento do programa devem estar corretos,
caso contrário o programa simplesmente não tem sentido;
Clareza: refere-se à facilidade de leitura do programa. Se um programa for
escrito com clareza, deverá ser possível a outro programador seguir a lógica do
programa sem muito esforço, assim como o próprio autor do programa entendê-lo após
ter estado um longo período afastado dele. O Pascal favorece a escrita de programas
com clareza e legibilidade;
Simplicidade: a clareza e precisão de um programa são normalmente
melhoradas tornando seu entendimento o mais simples possível, consistente com os
objetivos do programa. Muitas vezes torna-se necessário sacrificar alguma eficiência de
processamento, de forma a manter a estrutura do programa mais simples;
7
Eficiência: refere-se à velocidade de processamento e a correta utilização da
memória. Um programa deve ter performance SUFICIENTE para atender às
necessidade do problema e do usuário, bem como deve utilizar os recursos de memória
de forma moderada, dentro das limitações do problema;
Modularidade: consiste no particionamento do programa em módulos menores
bem identificáveis e com funções específicas, de forma que o conjunto desses módulos
e a interação entre eles permite a resolução do problema de forma mais simples e clara;
e
Generalidade: é interessante que um programa seja tão genérico quanto
possível de forma a permitir a reutilização de seus componentes em outros projetos.
1.4 A Linguagem Pascal
1.4.1 Histórico
Origem: desenvolvida nos anos entre 1968 e 1970 por Nicklaus Wirth na
Universidade Técnica de Zurique, Suíça. Em 1970 é disponibilizado o primeiro
compilador para a linguagem.
Objetivo: desenvolver uma linguagem de programação disciplinada de alto nível
para ensinar programação estruturada. Esta linguagem foi batizada com o nome de
Pascal, em homenagem a Blaise Pascal, filósofo e matemático francês que viveu entre
1623 e 1662.
Padronização: ANSI ( American National Standars Institute ) e IEEE ( Institute
of Eletrical and Eletronics Engineers )
Padrão de Fato: Borland International cria em 1983 o Turbo Pascal.
Atualizações: durante os últimos anos foram lançadas diversas variações da
linguagem Pascal-Padrão, implementando recursos que não são encontrados na estrutura
padrão da linguagem. Nas mãos da Borland, já foram lançadas as versões 3.0, 4.0, 5.0 e
5.5 na década de 80. Durante a década de 90 foram lançadas as versões 6.0, 7.0 e o
lançamento da linguagem Delphi, para programação em ambiente Windows.
1.4.2 O Turbo Pascal
O Turbo Pascal é mais que um simples compilador da linguagem Pascal, ele é
um Ambiente Integrado de Desenvolvimento ( IDE - Integrated Development
Environment ), consistindo de um conjunto de ferramentas de desenvolvimento
integradas. Entre as ferramentas que compõem o Turbo Pascal temos:
8
• Editor de Código-Fonte
• Compilador
• Link-Editor
• Depurador
• Ajuda On-Line da Linguagem e do próprio IDE
Podemos citar alguns comandos principais do Turbo Pascal :
• Compilar o programa : ALT + F9
• Compilar e Executar o Programa : CTRL + F9
• Acessar o Menu : ALT + Letra realçada.
• Criar um novo programa : menu FILE | NEW
• Salvar o programa atual : F2
• Sair do Turbo Pascal : ALT + X
• Ver tela com os resultados do programa executado : ALT + F5
9
2 ESTRUTURA DE UM PROGRAMA EM PASCAL
Todo programa escrito em Pascal é subdividido em três áreas distintas:
cabeçalho do programa, área de declarações e corpo do programa.
2.1 Cabeçalho do Programa
Esta área é utilizada para se fazer a identificação do programa com um nome. O
cabeçalho de um programa é atribuído pela instrução program seguida de um nome. Ao
final do nome deve-se colocar o símbolo ponto-e-vírgula ( ; ). Não pode existir
nenhuma variável no programa que tenha o mesmo nome dado ao programa.
Vejamos um exemplo:
program CALCULA_AREA;
Caso você tenha atribuído ao programa o nome Soma e também tenha atribuído
este nome a uma variável no programa, quando for executado apresentará um
mensagem de erro.
2.2 Área de Declarações
Esta área é utilizada para validar o uso de qualquer tipo de identificador que não
seja predefinido, estando subdividida em sete sub-áreas: uses, label, const, type, var,
procedure e function.
Inicialmente, vamos estudar apenas a sub-área var. As demais serão estudadas
em capítulos posteriores. A sub-área var é utilizada na declaração das variáveis que
serão utilizadas durante a execução de um programa, bem como, também o seu tipo.
Desta forma, a linguagem Pascal efetua a reserva de espaço na memória para que as
variáveis sejam utilizadas.
A declaração das variáveis é atribuída pela instrução var seguida da relação de
variáveis. Após os nomes de cada variável deverá ser utilizado o símbolo dois-pontos
( : ), e após estes é mencionado o tipo de dado que a variável irá receber, seguido de
ponto-e-vírgula.
Vejamos um exemplo:
var
NOME : string;
IDADE : integer;
ALTURA : real;
Caso as variáveis sejam de mesmo tipo, estas poderão ser relacionadas separadas
por vírgula. Vejamos um exemplo:
A, B, C : integer;
10
2.3 Corpo do Programa
O programa propriamente dito em Pascal está escrito na área denominada corpo
do programa. esta área tem início com a instrução begin e é finalizada pela instrução
end seguida do símbolo ponto ( . ). O uso destas instruções caracteriza o que é chamado
de bloco, como indicado abaixo:
begin
instruções;
(...)
end.
Na área denominada corpo do programa, poderão existir, dependendo da
necessidade, vários blocos.
2.4 Exemplo de um Programa em Pascal
Para se colocar em prática o que foi explicado até este momento, considere o
seguinte exemplo de um problema:
“Desenvolver um programa que efetue a leitura de dois valores numéricos.
Faça a operação de adição entre os dois valores e apresente o resultado obtido.”
Note que sempre estaremos diante de um problema, e que este deverá ser
resolvido primeiro por nós, para que depois seja resolvido por um computador.
Primeiramente, você deve entender bem o problema, para depois buscar a sua solução
dentro de um computador, ou seja, você deverá “ensinar” a máquina a resolver seu
problema, através de um programa. Desta forma, o segredo de uma boa lógica está na
compreensão adequada do problema a ser solucionado. Vejamos nosso problema citado
acima:
Algoritmo:
1. Ler um valor para a variável A;
2. Ler outro valor para a variável B;
3. Efetuar a soma das variáveis A e B, colocando o resultado na variável X;
4. Apresentar o valor da variável X após a operação de soma dos dois valores
fornecidos.
Completada a fase de interpretação do problema e da definição das variáveis a
serem utilizadas passa-se para a fase de codificação de nosso programa para a
linguagem Pascal.
11
Programa em Pascal
program ADICIONA_NUMEROS;
var
X : integer;
A : integer;
B : integer;
begin
readln(A);
readln(B);
X := A + B;
writeln(X);
end.
Entrada e Saída dos Dados
Você deve ter observado os comandos readln e writeln. Estes comandos são
chamados de entrada e saída dos dados, respectivamente. A instrução readln permite a
entrada de dados via teclado e a instrução writeln gera a saída de dados via vídeo.
Poderiam também ser utilizadas as instruções write e read. Mas qual a diferença
entre elas?
É muito simples: a colocação da ln indica line new, ou seja, nova linha. Será
realizado um “pulo” de linha após a leitura ou exibição dos dados. As instruções write e
read permitem manter o cursor na mesma linha, após a exibição das mensagens ou
leitura de dados.
12
3 VARIÁVEIS e CONSTANTES
3.1 Identificadores
Os identificadores são nomes a serem dados a variáveis, tipos definidos,
procedimentos, funções e constantes nomeadas.
Devem seguir as seguintes regras de construção:
• iniciar sempre por uma letra (a - z , A - Z) ou um underscore ( _ );
• o restante do identificador deve conter apenas letras, underscores ou dígitos
(0 - 9). Não pode conter outros caracteres; e
• pode ter qualquer tamanho, desde que os primeiros 63 caracteres sejam
significativos.
Não existe distinção entre letras maiúsculas e minúsculas no nome de um
identificador. Por exemplo, os nomes ALPHA, alpha e Alpha são equivalentes.
Atenção para o fato de que identificadores muito longos são mais fáceis de serem lidos
pelas as pessoas quando se usa uma mistura de letras maiúsculas e minúsculas; por
exemplo, SalarioMinimo é mais fácil de se ler do que SALARIOMINIMO.
Vejamos alguns exemplos de identificadores válidos:
PAGAMENTO
Soma_Total
MaiorValor
Media1
_Media
e alguns exemplos de identificadores inválidos:
%Quantidade O símbolo % não é permitido
4Vendedor Não pode começar com um número
Soma Total Não pode ter espaços entre as letras
Observação : Um identificador deverá ficar inteiramente contido em uma linha
do programa, ou seja você não pode começar a digitar o nome do identificador numa
linha e acabar em outro.
3.2 Palavras Reservadas
Pascal reconhece certo grupo de palavras como sendo reservadas. Essas
palavras tem significado especial e não podem ser usadas como identificadores em um
programa. A tab. 3.1 apresenta todas as palavras reservadas do Pascal Padrão:
13
and downto In packed to
array else inline procedure type
asm End interface program unit
begin File Label record until
case For mod repeat until
const Foward nil set uses
constructor Function not shl var
destructor Goto object shr while
div If of string with
do implementation or then xor
TABELA 3.1 – PALAVRAS RESERVADAS DO PASCAL
3.3 Comentários
Comentários são textos escritos dentro do código-fonte para explicar ou
descrever alguns aspectos relativos ao mesmo. Os comentários podem ser colocados
em qualquer lugar do programa onde um espaço em branco possa existir.
Você pode colocar comentários de duas formas: ou envolvendo o texto entre
chaves “{..}” ou entre “ (* .. *)”. Quando o compilador encontra o símbolo “{“ ele salta
todos os caracteres até encontrar um “}”. Da mesma forma, todos os caracteres que
seguem “(*” são pulados até ser detectado o símbolo ”*)”. Como resultado disso,
qualquer uma das formas pode ficar dentro da outra; por exemplo {...(*...*)...} é um
comentário.
3.4 Tipos de Dados
Os dados são representados pelas informações a serem processadas por um
computado. Um tipo de dados especifica as características, ou seja os valores e
operações possíveis de serem utilizados com um dado desse tipo. Toda variável e
constante usada em um programa tem um tipo associado a ela. A linguagem Pascal
fornece ao programador um conjunto de tipos de dados predefinidos.
3.4.1 Tipos de Dados Inteiros
São caracterizados tipos inteiros, os dados numéricos positivos ou negativos,
excluindo-se qualquer número fracionário. Em Pascal, este tipo de dado pode ser
referenciado por um dos seguintes identificadores:
Tipo de dado inteiro Faixa de abrangência Tamanho(bytes )
shortint de –128 até 127 1 byte
integer de –32.768 a 32.767 2 bytes
longint de –2.147.483.648 a 2.147.483.647 4 bytes
byte de 0 até 255 1 byte
word de 0 até 65535 2 bytes
14
Vejamos um exemplo:
var
NumAlunos : integer;
Cont,cont1 : integer;
3.4.2 Tipos de Dados Reais
O tipo de dado real permite trabalhar com números fracionários, tanto positivos
como negativos, sendo sua capacidade de armazenamento maior que dos números
inteiros. Vejamos os tipos:
Tipo de dado real Faixa de abrangência Tamanho(bytes )
real de 2.9 e-39 até 1.7 e38 6 bytes
single de 1.5 e-45 até 3.4 e38 4 bytes
double de 5.0 e-324 até 1.7e308 8 bytes
extended de 3.4 e-4.932 até 1.1 e4.932 10 bytes
comp de –9.2 e18 até 9.2 e18 8 bytes
Vejamos um exemplo:
var
Nota : real;
Salario, media : real;
3.4.3 Tipos de Dados Caracteres
São considerados tipos caracteres, as seqüências contendo letras, números e
símbolos especiais. Uma seqüência de caracteres, em Pascal, deve ser representada entre
apóstrofos (‘’). Este tipo de dado é referenciado pelo identificador string, podendo
armazenar de 1 até 255 caracteres. Podemos ainda especificar um tamanho menor do
que os 255 caracteres permitidos. Vejamos a sintaxe para criarmos uma variável do tipo
string com tamanho limitado.
Sintaxe:
variável : string[tamanho];
Vejamos um exemplo do uso de strings:
var
Frase : string;
Nome : string[45];
Existe ainda o tipo char, utilizado da mesma forma que o tipo string, porém
com uma pequena diferença: é usado para strings de apenas um caracter. Vejamos um
exemplo do tipo de dado char:
var
Sexo : char;
15
3.4.4 Tipos Lógicos
São caracterizados tipos lógicos, os dados com valores true (verdadeiro) e false
(false). Este tipo de dado também e chamado de tipo boleano. Ele é representado pelo
identificador boolean.
Vejamos um exemplo da utilização do tipo de dado boolean:
var
Aprovado : boolean;
Confirma : boolean;
3.5 Variáveis
Variável, no sentido de programação, é uma região previamente identificada,
que tem por finalidade armazenar informações (dados) de um programa
temporariamente. Uma variável armazena apenas um valor por vez. Sendo considerado
como valor o conteúdo de uma variável, este valor está associado ao tipo de dado da
variável.
Sintaxe:
var
identif [ , identif ]... : tipo-de-dado;
[identif [ , identif ]... : tipo-de-dado; ] ...
onde: tipo-de-dado é um dos tipos predefinidos ou um tipo definido pelo
usuário:
Vejamos um exemplo:
var
Soma, Total, Salario : real;
Idade, Contador : integer;
3.6 Constantes
Uma constante é um valor que não pode ser alterado durante a execução do
programa, sendo que seu tipo é definido por seu conteúdo.
Sintaxe:
const
identificador = expressão;
...
identificador = expressão;
Vejamos um exemplo:
16
program Area_Circulo;
{ Programa para calcular a área de um círculo. }
const
PI = 3.141519265;
var
Area, Comprimento, Raio : real;
begin
writeln( ´Digite o Raio : ´ );
readln( Raio );
Area := PI * Raio * Raio;
Comprimento := 2 * PI * Raio;
writeln( ´Área = ´, Area );
writeln( ´Comprimento da Circunferencia = ´, Comprimento );
end.
17
4 OPERADORES E EXPRESSÕES
Um programa tem como característica fundamental a capacidade de processar
dados. Processar dados significa realizar operações com estes dados. O uso de
operadores permite a realização de tais operações.
Exemplo: o símbolo + é um operador que representa a operação aritmética de
adição.
Uma expressão é um arranjo de operadores e operandos. A cada expressão
válida é atribuído um valor numérico.
Exemplo:
4 + 6 é uma expressão cujo valor é 10.
Os operandos podem ser variáveis, constantes ou valores gerados por funções.
Os operadores identificam as operações a serem efetuadas sobre os operandos. Cada
tipo de dados possui um conjunto de operadores relacionados. Os operadores
classificam-se em Unários e Binários, conforme tenham um ou dois operandos,
respectivamente.
4.1 Prioridade das Operações
Se vários operadores aparecerem em uma expressão, a ordem de execução das
operações será dada segundo os critérios abaixo :
• pelo emprego explícito de parênteses;
• pela ordem de precedência existente entre os operadores; e
• se existirem operadores de mesma ordem de precedência, a avaliação será
feita da esquerda para a direita..
Vejamos a ordem de precedência dos operadores ( da maior para a menor ):
Operadores Categoria
( ) Parêntesis
not Operador Lógico Unário
* / div mod Operadores Multiplicativos
and or Operadores Lógicos
= <> < > <= >= Operadores Relacionais
4.2 Tipos de Expressões
Existem três tipos básicos de expressões:
Numéricas: uma expressão é numérica quando os seus operandos são numéricos
( inteiros ou reais ) e o resultado também é um valor numérico.
18
Literais: Uma expressão é literal quando os seus operandos são literais do tipo
string (não pode ser char) e o resultado também é um valor literal. Só existe um único
operador para se usar em expressões literais, o operador Concatenação( + ).
Boolenas: Uma expressão é booleana quando seu resultado é do tipo boolean
(TRUE ou FALSE), podendo seu operando serem de qualquer tipo de dados. Nas
expressões relacionais são usados os operadores Lógicos e os Relacionais.
4.3 Tipos de Operadores
Existem vários operadores para a realização de expressões em Pascal. Veremos
agora algumas das mais importantes.
4.3.1 Operador de Atribuição
O operador de atribuição é utilizado para atribuir o valor de uma expressão a
uma variável.
Sintaxe:
identificador_variável := expressão;
Vejamos um exemplo:
A := 10;
Nome := ´Josias´;
4.3.2 Operadores Aritméticos
Os operadores aritméticos são utilizados para efetuar operações aritméticas com
número inteiros e reais. A tab. 4.1 apresenta os operadores aritméticos existentes em
Pascal.
Operador Símbolo
Subtração -
Adição +
Multiplicação *
Divisão Real /
Divisão Inteira ( truncada ) div
Resto da Divisão Inteira mod
Inverte Sinal -
Mantém Sinal +
TABELA 4.1 – OPERADORES ARITMÉTICOS
19
Vejamos um exemplo:
var
A, B : integer;
C, D : real;
begin
A := 1;
B := 3;
C := 5;
D := 10;
A := 1 + B;
A := B + D; { errado, D é real }
B := 10 div 3;
A := 10 mod 3;
C := D / C;
D := 10 div C; { errado, o operado div é só para
inteiros }
A := -1;
B := 5 + A;
B := -A;
C := D * A;
B := C * B; { errado, C é real }
end.
4.3.3 Operador de Concatenação
O operador de concatenação efetua a junção de duas variáveis ou constantes do
tipo string.
Vejamos um exemplo:
var
PreNome, SobreNome, NomeCompleto : string[ 30 ];
begin
{ Suponhamos o nome Josias Lima Santos }
PreNome := ´Josias´;
SobreNome := ´Santos´;
NomeCompleto := PreNome + SobreNome;
writeln( NomeCompleto );
NomeCompleto := ´Jose´ + ´Maria´;
writeln( NomeCompleto );
...
end.
20
4.3.4 Operadores Relacionais
Os operadores relacionais são utilizados para efetuar a comparação entre dados
de mesmo tipo. Os operadores relacionais existentes em Pascal podem ser vistos na
tab.4.2.
Operador Símbolo
Maior que >
Menor que <
Maior ou igual >=
Menor ou igual <=
Igual =
Diferente <>
TABELA 4.2 – OPERADORES RELACIONAIS
Vejamos um exemplo:
var
Nota1, Nota2 : real;
NomeAluno1, NomeAluno2 : string[ 30 ];
A, B, C : integer;
begin
A := 2;
B := 3;
C := 1;
if B = A + C then
writeln( B );
Nota1 := 5.0;
Nota2 := 10.0;
if Nota1 < Nota2 then
writeln( Nota1 );
NomeAluno1 := ´Maria Jose´;
NomeAluno2 := ´MariaJose´;
if NomeAluno1 < NomeAluno2 then
writeln( NomeAluno1 );
end.
21
4.3.5 Operadores Lógicos
Os operadores lógicos são utilizados para se analisar duas ou mais expressões
interrelacionadas. A tab. 4.3 exibe os operadores lógicos existentes em Pascal.
Operador Símbolo
E and
OU or
NÃO not
TABELA 4.3 – OPERADORES LÓGICOS
Vejamos um exemplo:
var
Nota1, Nota2 : real;
NomeAluno1, NomeAluno2 : string[ 30 ];
A, B, C : integer;
begin
A := 2;
B := 3;
C := 1;
NomeAluno1 := ´Maria Jose´;
NomeAluno2 := ´MariaJose´;
if ( B = A + C ) and ( NomeAluno1 <> NomeAluno2 ) then
writeln( NomeAluno1, B );
if ( A = C ) or ( NomeAluno1 = NomeAluno2 ) then
writeln( NomeAluno1 );
if not( A = C ) then
writeln( NomeAluno1 );
end.
Abaixo, segue três tabelas, chamadas tabela-verdade, contendo o resultado do
uso dos operadores lógicos sobre dois operandos.
OPERADOR AND
OPERANDO 1 OPERANDO 2 RESULTADO
TRUE TRUE TRUE
TRUE FALSE FALSE
FALSE TRUE FALSE
FALSE FALSE FALSE
22
OPERADOR OR
OPERANDO 1 OPERANDO 2 RESULTADO
TRUE TRUE TRUE
TRUE FALSE TRUE
FALSE TRUE TRUE
FALSE FALSE FALSE
OPERADOR NOT
OPERANDO RESULTADO
TRUE FALSE
FALSE TRUE
4.4 Funções predefinidas
O Pascal oferece um conjunto de funções predefinidas (built-in functions), que
são usadas com vários tipos de dados simples. As funções, na maioria das vezes,
necessitam de dados como parâmetro (dados de entrada). Vejamos algumas dessas
funções:
Funções Matemáticas:
Nome Função Objetivo Tipo Parâmetro Tipo do Retorno
abs( x ) Calcula o valor absoluto de x. inteiro ou real o mesmo que x
cos( x ) Calcula o coseno de x em radianos inteiro ou real real
exp( x ) Calcula ex
, em que e=2.7182818 é
sistema natural de logaritmos
neperianos.
inteiro ou real real
ln( x ) Calcula o logaritmo natural de x (x>0) inteiro ou real real
exp(ln(x)*y) Retorna x elevado a y
{utilizando regras de logaritmos}.
Inteiro ou real real
sin( x ) Calcula o seno de x em radianos inteiro ou real real
sqr( x ) Calcula o quadrado de x inteiro ou real o mesmo que x
sqrt( x ) Calcula a raiz quadrada de x (x>=0) inteiro ou real real
odd( x ) Determina se x é par ou impar
TRUE, X é par / FALSE, X é impar
inteiro boolean
random( x ) Retorna um número pseudo-aleatório
entre 0 e x. Se x não for especificado
retorna um valor entre 0.0 e 1.0
inteiro real
pi Retorna o valor de PI (3.1415...) Nenhum real
23
Funções Literais:
Nome Função Objetivo Tipo Parâmetro Tipo Retorno
length( x ) Determina o número de caracteres
de x
string inteiro
concat( x1, x2, x3,...) Concatena duas ou mais strings
(máx 255 caracteres)
string string
copy( x, y, z ) Retorna uma subcadeia da cadeia x,
com z caracteres, começando no
caracter y.
string, inteiro,
inteiro
string
UpCase( x ) Retorna x convertido para
maiúscula
char char
Funções para Conversão:
Nome Função Objetivo Tipo
Parâmetro
Tipo
Retorno
trunc( x ) Trunca x para um número inteiro real inteiro
int( x ) Retorna a parte inteira de x real real
frac( x ) Retorna a parte fracionária de x real real
round( x ) Arredonda x para um inteiro real inteiro
chr( x ) Determina o caracter ASCII representado por x inteiro char
Funções e Procedimentos de Uso Geral:
Nome Função Objetivo Tipo Parâmetro Tipo do Retorno
sizeof( x ) Retorna o número de byte de x qualquer tipo inteiro
gotoxy(x,y) Move o curso para a coluna x e linha y inteiro
24
5 ESTRUTURAS DE DECISÃO
Imagine um programa que apresente a média escolar de um aluno. Até aqui,
muito simples; mas além de calcular a média, o programa deve apresentar uma
mensagem indicando se o aluno foi aprovado ou reprovado. Esta variável, que até então
servia para cálculos, agora passa a ser uma variável de controle, onde partir dela
poderemos tomar uma decisão sobre o status do aluno. Em Pascal existem duas
instruções para efetuar tomadas de decisão e desvios de operações:
• a instrução de decisão simples if...then; e
• a instrução de decisão composta if...then...else.
5.1 A instrução if..then
A instrução if...then tem por finalidade tomar uma decisão e efetuar um desvio
no processamento, dependendo, é claro, da condição atribuída ser verdadeira ou falsa.
Sendo a condição verdadeira, será executada a instrução que estiver escrita após a
instrução if..then. Se a instrução for falsa, serão executadas as instruções que estejam
após as instruções consideradas verdadeiras.
Sintaxe:
if <condição> then
<instrução para condição verdadeira>;
<instrução para condição falsa ou após condição ser
verdadeira>;
Vejamos um exemplo de um trecho de programa com o uso da instrução
if...then:
...
if (x > 10) then
writeln(“O valor da variavel X e 10”);
...
Caso venha a existir mais de uma instrução verdadeira para uma determinada
condição, estas deverão estar inseridas em um bloco. Um bloco é o conjunto de
instruções estar entre begin e end.
Sintaxe:
if <condição> then
begin
<instrução para condição verdadeira>
<instrução para condição verdadeira>
<instrução para condição verdadeira>
<instrução para condição verdadeira>
end;
<instrução para condição falsa ou após condição ser
verdadeira>
25
Observe que o end é finalizado com um ponto-e-vírgula ( ; ) e não apenas ponto.
O uso de ponto ao final de um end ocorre somente na finalização de um programa.
Vejamos um exemplo de um trecho de programa com a utilização de um bloco
de instruções:
...
if (x > 10) then
begin
writeln(“O valor da variavel X e 10”);
x : = x + 1;
writeln(“O valor da variavel X agora e11”);
end;
...
Vejamos um exemplo completo de um programa com o uso da instrução
if...then.
“Ler dois valores inteiros e independentemente da ordem em que foram
inseridos, estes deverão ser exibidos em ordem crescente, ou seja, se forem fornecidos 5
e 3 respectivamente, deverão ser apresentados 3 e 5. O programa em questão deverá
efetuar a troca dos valores entre as duas variáveis”
Algoritmo
1. Ler dois valores inteiros (estabelecer variáveis A e B);
2. Verificar se o valor de A é maior que o valor de B:
a. se for verdadeiro, efetuar a troca de valores entre as variáveis;
b. se for falso, pedir para executar o que está estabelecido no passo 3;
3. Apresentar os valores das duas variáveis.
Programa em Pascal
program ORDENA;
var
X, A, B : integer;
begin
write (‘Informe uma valor para a variavel A: ‘);
readln(A);
write (‘Informe uma valor para a variavel B: ‘);
readln(B);
writeln;
if (A > B) then
begin
X := A;
A := B;
B := X;
end;
writeln(‘Os valores ordenados são: ‘);
write(A, ‘ ‘, B);
end.
26
5.2 A instrução if...then...else
Assim como a instrução if...then, a instrução if...then...else tem por finalidade
tomar uma decisão e efetuar um desvio no processamento. Se a condição for verdadeira
será executada a instrução logo abaixo do if. Sendo a condição falsa, será executada a
instrução que estiver posicionada logo após a instrução else. O conceito de blocos de
instruções vale também para esta instrução.
Sintaxe:
if <condição> then
<instruções para condição verdadeira>
else
<instruções para condição falsa>;
Caso venha a existir mais de uma instrução verdadeira ou falsa para uma
condição, estas deverão estar inseridas em um bloco.
Sintaxe:
if <condição> then
begin
<instruções para condição verdadeira>;
<instruções para condição verdadeira>;
end
else
begin
<instruções para condição falsa>;
<instruções para condição falsa>;
end;
Observe que nos dois casos abordados acima, qualquer instrução que antecede a
instrução else está escrita sem o ponto-e-vírgula (;). Isto ocorre pelo fato de a instrução
else ser uma extensão da instrução if...then, e sendo assim, o final da condição somente
ocorre após o processamento da instrução else.
Vejamos um exemplo:
“Ler dois valores numéricos e efetuar a adição. Caso o valor somado seja maior
ou igual a 10, este deverá ser apresentado somando-se a ele mais 5. Caso o valor
somado não seja maior ou igual a 10, esta deverá ser apresentado subtraindo-se 7.”
Algoritmo
1. Ler dois valores (variáveis A e B);
2. Efetuar a soma dos valores A e B, atribuindo o resultado da soma a uma
variável X;
3. Verificar se X é maior ou igual a 10:
a. se for verdadeiro, mostrar X+5;
b. se for falso, mostrar X-7.
27
Programa em Pascal
program ADICIONA_NUMEROS;
var
X, A, B : integer;
begin
write(‘Informe um valor para a variavel A: ‘);
readln(A);
write(‘Informe um valor para a variavel B: ‘);
readln(B);
writeln;
X := A + B;
write (‘O resultado equivale a: ‘);
if (X>=10) then
writeln(X+5)
else
writeln(X-5)
end.
Podemos trabalhar com o relacionamento de duas ou mais condições dentro da
instrução if...then. Para estes casos, é necessário trabalhar com os operador lógicos,
vistos anteriormente. Vejamos alguns exemplos :
Operador AND
program TESTA-LOGICA-AND;
var
NUMERO : integer;
begin
write(‘Informe um numero: ’);
readln(NUMERO);
writeln;
if (NUMERO >= 20) and (NUMERO <=90) then
writeln(‘O numero esta na faixa de 20 a 90’)
else
writeln(‘O numero esta fora da faixa de 20 a 90’);
end.
28
Operador OR
program TESTA-LOGICA-OR;
var
A, B : integer;
begin
write(‘Informe um valor para a variavel A: ‘);
readln(A);
write(‘Informe um valor para a variavel B: ‘);
readln(B);
writeln;
if (A>0) or (B>0) then
writeln(‘Um dos numeros e positivo’);
Operador NOT
program TESTA-LOGICA-NOT;
var
A, B, C, X : integer;
begin
write(‘Informe um valor para a variavel A: ‘);
readln(A);
write(‘Informe um valor para a variavel B: ‘);
readln(B);
write(‘Informe um valor para a variavel X: ‘);
readln(X);
if not (X>5) then
C := (A + B) * X
else
C := (A - B) * X;
writeln(‘O resultado da variavel C corresponde a:’, C);
end.
29
6 ESTRUTURAS DE REPETIÇÃO (LOOPS)
Existem situações onde é necessário repetir um determinado trecho de um
programa um certo número de vezes. Imagine que você tenha que executar um
determinado bloco de instruções 5 vezes. Com os conhecimentos que você tem até
agora, seria necessário repetir as instruções CINCO vezes, tornando seu trabalho muito
cansativo. Assim, existem as estruturas de repetição, que permitem que você execute
estas tarefas de forma mais simplificada. Podemos chamar as estruturas de repetição de
laços ou loops, sendo que podem existir dois tipos de laços de repetição:
• laços finitos: neste tipo de laço se conhece previamente o número de
repetições que serão executadas; e
• laços infinitos: neste tipo de laço não se conhece previamente o número de
repetições que serão executadas. São também chamados de condicionais,
pelo fato de encerrarem sua execução mediante uma determinada condição.
6.1 Instrução for
O comando FOR executa repetitivamente um comando enquanto é atribuído
uma série de valores a uma variável de controle (contador do FOR).
Sintaxe :
for variavel := <início> to/downto <fim> do
instrução;
ou
for variavel := <início> to/downto <fim> do
begin
instrução1;
instrução2;
instrução3;
end;
Vejamos um exemplo da utilização da estrutura de repetição for.
““Ler dois valores inteiros. Realize a adição destes números, armazenando o
resultado em uma terceira variável. Apresente o valor encontrado. Repita esta
operação 5 vezes.”
Algoritmo
1. Criar uma variável para servir como contador, que irá variar de 1 até 5;
2. Ler dois valores (variáveis A e B);
3. Efetuar o cálculo, armazenando o resultado em R;
4. Apresentar o valor calculado contido na variável R;
5. Repetir os passos 2, 3 e 4 até que o contador seja encerrado.
30
Programa em Pascal
program EXEMPLO_FOR;
var
A, B, R, I : integer;
begin
for I := 1 to 5 do
begin
write(‘Entre um valor para A: ’);
readln(A);
write(‘Entre um valor para B: ’);
readln(B);
writeln;
R := A + B;
writeln(‘O resultado corresponde a: ’,R);
writeln;
end;
end.
Quando executado o programa, o conjunto de instruções situadas abaixo da
instrução for serão executadas durante 5 vezes, pois a variável I (variável de controle)
inicializada com o valor 1 é incrementada com mais 1 a cada vez que o processamento
passa pela instrução for. Este tipo de estrutura de repetição pode ser utilizado todas as
vezes que se tiver necessidade de repetir trechos finitos, ou seja, quando se conhece o
número de vezes que se deseja repetir tais instruções.
6.2 Instrução while...do
Esta estrutura de repetição se caracteriza por efetuar um teste lógico no início de
um loop, verificando se é permitido executar o trecho de instruções abaixo dela. A
estrutura while...do tem o seu funcionamento controlado por condição. Desta forma,
poderá executar um determinado conjunto de instruções enquanto a condição verificada
permanecer verdadeira. No momento em que a condição se torna falsa, o processamento
da rotina é desviado para fora do loop. Sendo a condição falsa logo no início do loop, as
instruções contidas nele são ignoradas.
Sintaxe:
while <condição> do
<instrução para condição verdadeira>;
ou
while <condição> do
begin
<instruções para condição verdadeira>;
end;
31
Vejamos novamente o exemplo da adição de dois números, utilizado agora a
instrução while...do.
““Ler dois valores inteiros. Realize a adição destes números, armazenando o
resultado em uma terceira variável. Apresente o valor encontrado. Repita esta
operação 5 vezes.”
Algoritmo
1. Criar uma variável para servir como contador, com valor inicial igual a1;
2. Enquanto o valor do contador for menor ou igual a 5, processar os passos 3,
4 e 5;
3. Ler dois valores (variáveis A e B);
4. Efetuar o cálculo, armazenando o resultado em R;
5. Apresentar o valor calculado contido na variável R;
6. Acrescentar ao contador mais 1; e
7. Quando o contador for maior que 5, encerrar o processamento.
Programa em Pascal
program EXEMPLO_WHILE_DO1;
var
A, B, R, I : integer;
begin
while (I <= 5) do
begin
write(‘Entre um valor para A: ’);
readln(A);
write(‘Entre um valor para B: ’);
readln(B);
writeln;
R := A + B;
writeln(‘O resultado corresponde a: ’,R);
writeln;
I := I + 1;
end;
end.
Além da utilização das variáveis A, B e R, foi necessário criar uma terceira
variável, no caso I, para controlar a contagem do número de vezes que o trecho de
programa deverá ser executado.
Imagine ainda uma outra situação, onde o usuário deseja executar a rotina do
programa várias vezes, mas este não sabe quantas vezes ao certo deverá executar o
trecho de programa. Neste caso não seria conveniente manter um contador para
controlar o looping, e sim, seria melhor que o programa fizesse ao usuário uma
pergunta, solicitando se o mesmo deseja ou não continuar executando o programa.
Vejamos o mesmo exemplo, agora sob esta nova situação:
32
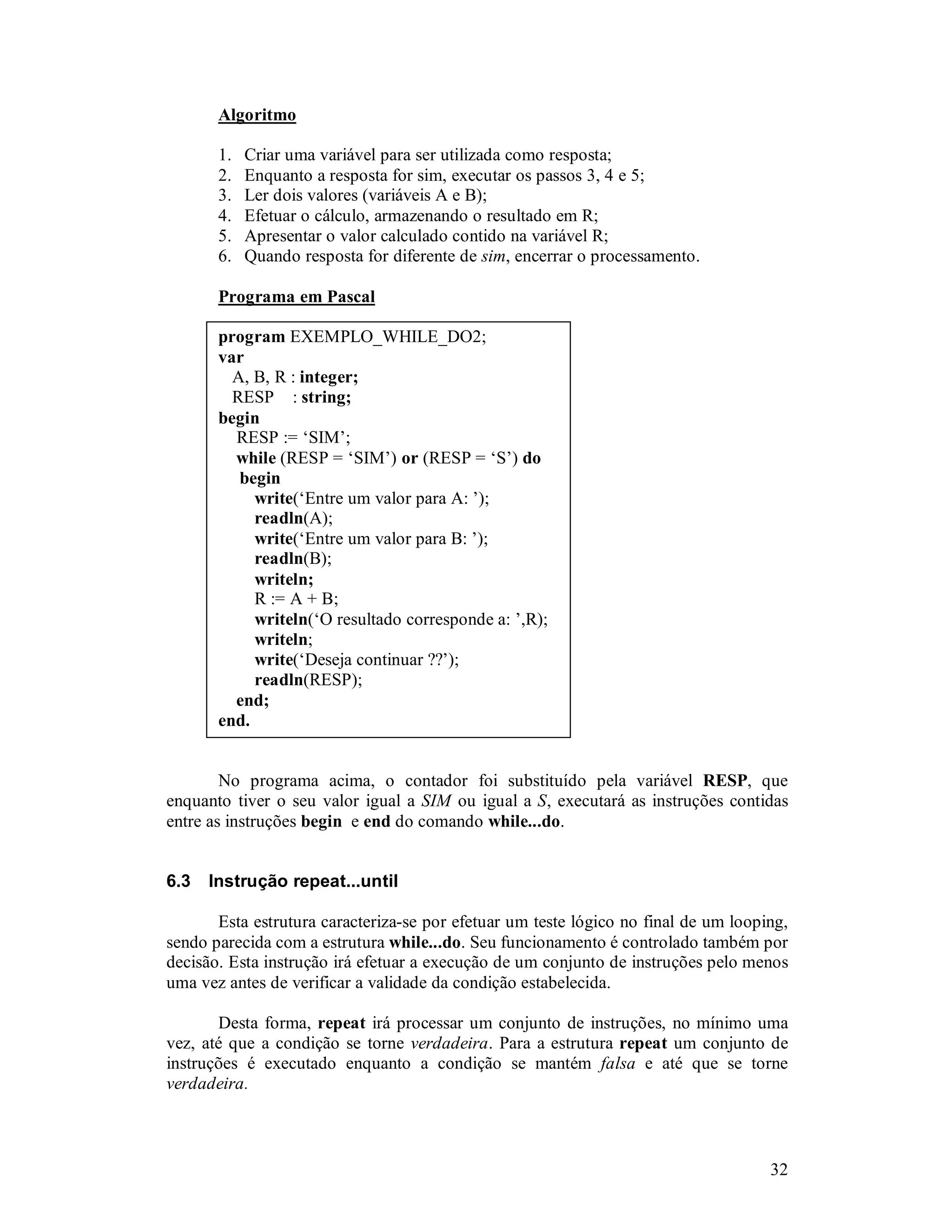
Algoritmo
1. Criar uma variável para ser utilizada como resposta;
2. Enquanto a resposta for sim, executar os passos 3, 4 e 5;
3. Ler dois valores (variáveis A e B);
4. Efetuar o cálculo, armazenando o resultado em R;
5. Apresentar o valor calculado contido na variável R;
6. Quando resposta for diferente de sim, encerrar o processamento.
Programa em Pascal
program EXEMPLO_WHILE_DO2;
var
A, B, R : integer;
RESP : string;
begin
RESP := ‘SIM’;
while (RESP = ‘SIM’) or (RESP = ‘S’) do
begin
write(‘Entre um valor para A: ’);
readln(A);
write(‘Entre um valor para B: ’);
readln(B);
writeln;
R := A + B;
writeln(‘O resultado corresponde a: ’,R);
writeln;
write(‘Deseja continuar ??’);
readln(RESP);
end;
end.
No programa acima, o contador foi substituído pela variável RESP, que
enquanto tiver o seu valor igual a SIM ou igual a S, executará as instruções contidas
entre as instruções begin e end do comando while...do.
6.3 Instrução repeat...until
Esta estrutura caracteriza-se por efetuar um teste lógico no final de um looping,
sendo parecida com a estrutura while...do. Seu funcionamento é controlado também por
decisão. Esta instrução irá efetuar a execução de um conjunto de instruções pelo menos
uma vez antes de verificar a validade da condição estabelecida.
Desta forma, repeat irá processar um conjunto de instruções, no mínimo uma
vez, até que a condição se torne verdadeira. Para a estrutura repeat um conjunto de
instruções é executado enquanto a condição se mantém falsa e até que se torne
verdadeira.
33
Sintaxe:
repeat
<instrução1 até que a condição seja verdadeira> ;
<instrução1 até que a condição seja verdadeira> ;
<instrução1 até que a condição seja verdadeira> ;
until <condição>;
Vejamos novamente nosso exemplo da adição, agora utilizando a instrução
repeat...until:
Algoritmo
1. Criar uma variável para servir como contador, com valor inicial igual a 1;
2. Ler dois valores (variáveis A e B);
3. Efetuar o cálculo, armazenando o resultado em R;
4. Apresentar o valor calculado contido na variável R;
5. Acrescentar o contador com mais 1;
6. Repetir os passos 2, 3 e 4 até que o contador seja maior que 5.
Programa em Pascal
program EXEMPLO_REPEAT1;
var
A, B, R, I : integer;
begin
I := 1;
repeat
write(‘Entre um valor para A: ’);
readln(A);
write(‘Entre um valor para B: ’);
readln(B);
writeln;
R := A + B;
writeln(‘O resultado corresponde a: ’,R);
writeln;
I := I + 1;
until (I > 5);
end.
Assim que o programa é executado, a variável contador é inicializada com valor
igual a 1. Em seguida a instrução repeat indica que todo trecho de instruções situado até
a instrução until será executado repetidas vezes até que sua condição se torne
verdadeira, ou seja, até que I seja maior que 5.
Vejamos o mesmo exemplo, agora considerando que o usuário encerrará a
execução segundo sua vontade.
34
Algoritmo
1. Criar uma variável para ser utilizada como resposta;
2. Ler dois valores (variáveis A e B);
3. Efetuar o cálculo, armazenando o resultado em R;
4. Apresentar o valor calculado contido na variável R;
5. Perguntar ao usuário se deseja continuar executando o programa; e
6. Repetir o passos 2, 3 e 4 até que a resposta do usuário seja não.
Programa em Pascal
program EXEMPLO_REPEAT2;
var
A, B, R : integer;
RESP : string;
begin
RESP := ‘SIM’;
repeat
write(‘Entre um valor para A: ’);
readln(A);
write(‘Entre um valor para B: ’);
readln(B);
writeln;
R := A + B;
writeln(‘O resultado corresponde a: ’,R);
writeln;
write(‘Deseja continuar Sim/Não ??’);
readln(RESP);
writeln;
until (<RESP <> ‘SIM’) and (<RESP <> ‘sim’);
end.
Assim que o programa é executado, a variável RESP é inicializada com o valor
SIM. Em seguia, a instrução repeat indica que todas as instruções situadas até a
instrução until deverão ser executadas até que sua condição se torne verdadeira, ou seja
que o usuário responda algo diferente de SIM, e também diferente de sim.
35
7 VETORES, MATRIZES E REGISTROS
Ao utilizamos variáveis, podemos armazenar apenas um valor por vez. Agora,
imagine um programa onde precisa-se armazenar as notas de 5 provas realizadas por um
aluno. Com os conhecimentos que você possui até agora, seria necessário criar cinco
variáveis para armazenar as notas. Desta forma:
NOTA1, NOTA2, NOTA3, NOTA4, NOTA5 : integer;
Em Pascal existem estruturas que nos permitem agrupar várias informações
dentro de uma mesma variável. Estas estruturas são chamadas de vetores e matrizes.
7.1 Vetores
Este tipo de estrutura é também chamado de matriz unidimensional. Um vetor
é representado por seu nome, tamanho e seu tipo.
Sintaxe:
<vetor> : array[tamanho] of <tipo_de_dado>;
onde: vetor é o nome atribuído ao vetor, tamanho é o tamanho atribuído ao
vetor, em número de elementos e tipo_de_dado é o tipo de elemento armazenado
(inteiro, real...).
Como já visto, uma variável somente pode conter um valor por vez. No caso dos
vetores, estes poderão armazenar mais de um valor por vez, pois são dimensionados
exatamente para este fim.
Vejamos como poderíamos declarar um vetor para armazenar as cinco notas do
aluno:
NOTAS : array[1..5] of real;
A leitura e exibição de vetores são feitas indicando individualmente quais
elementos se deseja ler ou imprimir. Vejamos como inserir as notas do aluno:
NOTA[1] := 5.2;
NOTA[2] := 8.0;
NOTA[3] := 9.2;
NOTA[4] := 7.5;
NOTA[5] := 8.3;
Observe que o nome é um só, o que muda é a informação indicada dentro dos
colchetes. A esta informação dá-se o nome de índice, sendo este o endereço onde o
valor está armazenado, ou seja, a nota do aluno. Podemos imaginar o vetor como uma
tabela com cinco colunas:
NOTA
5.2 8.0 9.2 7.5 8.3
36
Vamos analisar um programa com a utilização de vetores:
“Desenvolver um programa que efetue a leitura de 10 elementos de um vetor A
Construir um vetor B de mesmo tipo, observando a seguinte lei de formação: se o valor
do índice for par, o valor deverá ser multiplicado por 5; sendo ímpar, deverá ser
somado com 5. Ao final, mostrar os conteúdos dos dois vetores. ”
Algoritmo
1. Iniciar o contador do índice de um vetor (A), com valor 1 até 10;
2. Ler os 10 valores, um a um;
3. Verificar se o índice é par:
a. Se for, multiplica por 5 e atualiza no vetor B;
b. Se não for par, soma 5 e atualiza no vetor B.
4. Apresentar o conteúdo dos dois vetores.
Programa em Pascal
program EXEMPLO_VETOR;
var
A, B : array[1..10] of integer;
I : integer;
begin
{ *** Entrada dos Dados ***}
for I := 1 to 10 do
begin
write(‘Informe o valor’, I);
readln(A[I]);
end;
{ *** Teste Par ou Ímpar ***}
for I := 1 to 10 do
if (I mod 2 = 0) then
B[I] := A[I] * 5
else
B[I] := A[I] + 5;
writeln;
{ *** Apresentação das matrizes ***}
for I := 1 to 10 do
writeln(‘A[‘, I:2,’] = ’, A[I]:2, ‘ ’, ‘B[’, I:2, ‘] = ’, B[I]:2 );
writeln;
writeln(‘Tecle <ENTER> para encerrar: ’);
readln;
end.
Vejamos um exemplo do uso de vetores de strings:
37
“Ler e exibir o nome de 10 pessoas.”
Algoritmo
1. Definir a variável I do tipo inteira para controlar a repetição;
2. Definir a matriz NOME do tipo string para 10 elementos;
3. Iniciar o programa, fazendo a leitura dos 10 nomes; e
4. apresentar, após a leitura, os 10 nomes.
Programa em Pascal
program LISTA_NOME;
var
NOME : array[1..10] of string;
I: integer;
begin
writeln(‘Listagem de nomes’);
writeln;
{ *** Entrada dos Dados *** }
for I := 1 to 10 do
begin
write(‘Digite o ’, I:2, ‘ o. nome: ’);
readln(NOME[I]);
end;
writeln;
{ *** Apresentação dos Nomes *** }
for I := 1 to 10 do
writeln(‘Nome: ’ , I:2, ‘ --> ’, NOME[I]);
writeln;
writeln(‘Tecle <ENTER> para encerrar: ’);
readln;
end.
Uma forma mais organizada de apresentar o programa acima, seria exibir os
nomes das pessoas em ordem alfabética, contribuindo para uma pesquisa mais fácil.
Vejamos como ficaria o programa desta forma:
38
Programa em Pascal
program LISTA_NOME_ORDENADO;
var
NOME : array[1..10] of string;
I, J: integer;
X : string;
begin
writeln(‘Listagem de nomes’);
writeln;
{ *** Entrada dos Dados *** }
for I := 1 to 10 do
begin
write(‘Digite o ’, I:2, ‘ o. nome: ’);
readln(NOME[I]);
end;
{ *** Ordenação dos Nomes *** }
for I := 1 to 9 do
for J := I +1 to 10 do
if (NOME[I] > NOME[J]) then
begin
X := NOME[I];
NOME[I] := NOME[J];
NOME[J] := X;
end;
{ *** Apresentação dos Nomes *** }
writeln;
for I := 1 to 10 do
writeln(‘Nome: ’ , I:2, ‘ --> ’, NOME[I]);
writeln;
writeln(‘Tecle <ENTER> para encerrar: ’);
readln;
end.
Observe o algoritmo da troca, utilizado junto da instrução if NOME[I] >
NOME[J] then. Após a verificação desta condição, sendo o primeiro nome maior que o
segundo, efetua-se então a sua troca com a seqüência:
X := NOME[I];
NOME[I] := NOME[J];
NOME[J] := X;
39
Considere o vetor NOME[I] com o valor “CARLOS” e o vetor NOME[J] com o
valor “ALBERTO”. Ao final, NOME[I] deverá estar com “ALBERTO” e NOME[J]
deverá estar com o valor “CARLOS”. Para se conseguir este efeito é necessária a
utilização de uma variável de apoio, no caso X.
Para que o vetor NOME[I] fique livre para receber o valor do vetor NOME[J], X
deverá receber o valor de NOME[I], assim sendo X passa a ter o valor “CARLOS”.
Neste momento passa-se o valor de NOME[J] para NOME[I], no caso “ALBERTO”. Po
fim, NOME[J] pode receber o valor de X para receber o valor “CARLOS”.
7.2 Matrizes
Vamos imaginar que queremos rescrever o programa das notas do aluno, agora
mantendo o controle para cinco alunos ao invés de apenas um. Com os conhecimentos
adquiridos até agora seria necessário criar cinco vetores (matrizes unidimensionais), um
para cada aluno. Esta é uma solução, e funciona, porém, torna nosso trabalho mais
cansativo.
Para facilitar o trabalho com estruturas deste porte, existem as chamadas
matrizes (ou matrizes multidimensionais, se você pensar que vetores são matrizes
unidimensionais).A mais comum é a matriz de duas dimensões.
Uma matriz de duas dimensões estará sempre fazendo menção a linhas e colunas
e será representada por seu nome e seu tamanho.
Sintaxe:
<matriz> : array[dimensão_linha,dimensão_coluna] of
<tipo_de_dado>;
onde: matriz é o nome atribuído à matriz, dimensão_linha é o tamanho da matriz
em número de linhas, dimensão_coluna é o tamanho da matriz em número de colunas e
tipo_de_dado é o tipo do elemento armazenado(inteiros, reais...).
Vejamos como ficaria a matriz das notas dos nossos 5 alunos:
8.5 9.0 7.8 8.9
5.0 6.8 8.7 6.5
7.0 7.5 7.8 6.5
8.5 8.0 9.2 7.9
5.5 8.0 7.2 7.0
E como ficaria sua declaração em Pascal:
NOTAS : array[1..5,1..4] of real;
Vamos ver o programa em Pascal para este exemplo para entenderemos melhor
o conceito de matriz:
Pedro
Ana
Joana
Joao
Mauro
40
Programa em Pascal
program NOTA_ALUNO;
var
NOTAS : array[1..5,1..4] of real;
I, J : integer;
begin
writeln(‘Leitura e Apresentacao da Notas’);
writeln;
for I := 1 to 5 do
begin
writeln;
writeln(‘Informe as notas do ’, I:2, ‘o. aluno: ’);
for J:= 1 to 4 do
begin
write(‘Nota’, J:2, ‘:’);
readln(NOTAS[I, J]);
end;
end;
writeln;
for I:= 1 to 5 do
begin
write(‘As notas do aluno ’, I:2, ‘ são: ’);
for J := 1 to 4 do
write(NOTAS[I, J] :2 :2, ‘ ’);
writeln;
end;
writeln;
writeln(‘Tecle <ENTER> para encerrar: ’);
readln;
end.
Em um exemplo anterior, foi utilizada a variável I para controlar as posições dos
elementos dentro do vetor, ou seja, a posição em nível de linha. Neste exemplo, a
variável I continua tendo o mesmo efeito e a segunda variável, J, está controlando a
posição da coluna.
Analisando o programa, temos a inicialização das variáveis I e J como 1, ou
seja, a leitura será efetuada na primeira linha da primeira coluna. Primeiro é iniciado o
looping das linhas e após, para cada linha é feito o looping para todas as colunas de uma
linha. Quando todas as notas (colunas) de um aluno forem preenchidas, passa-se para o
próximo aluno (linha), e novamente são preenchidas todas as notas(colunas) para o
segundo aluno (linhas). Assim até o final.
Vamos ver mais um exemplo para fixarmos nosso conhecimento:
41
“Desenvolver um programa de agenda que cadastre o nome, endereço, CEP,
bairro e telefone de 10 pessoas. Ao final, o programa deverá apresentar seus elementos
dispostos em ordem alfabética, independentemente da ordem em que foram digitados”
Algoritmo
Para resolver este problema, você deverá possuir uma tabela com 10 linhas
(pessoas) e 5 colunas (dados pessoais). Assim sendo, imagine esta tabela:
Nome Endereço CEP Bairro Telefone
1
2
3
4
5
6
7
8
9
10
Nesta tabela, serão utilizados dois elementos numéricos, O CEP e o telefone,
mas como não são executados cálculos com estes números, eles serão armazenados
como caracteres.
Depois de cadastrar todos os elementos, será iniciado o processo de classificação
alfabética, pelo nome de cada pessoa. Este método já foi anteriormente estudado,
bastando aplicá-lo neste contexto. Porém, após a comparação do primeiro nome com o
segundo, sendo o primeiro maior que o segundo, estes deverão ser trocados, bem como
os elementos relacionados ao nome também. Ao final, as informações são apresentadas.
Programa em Pascal
program AGENDA;
var
DADO : array[1..10,1..5] of string;
I, J : integer;
X : string;
begin
{ *** Rotina de Entrada ***}
writeln(‘Programa agenda’);
writeln;
for I := 1 to 10 do
begin
write(‘Nome......: ’); readln(DADO[I,1]);
write(‘Endereço.: ’); readln(DADO[I,2]);
write(‘CEP.........: ’); readln(DADO[I,3]);
write(‘Bairro.....: ’); readln(DADO[I,4]);
write(‘Telefone..: ’); readln(DADO[I,5]);
42
writeln;
end;
{ *** Rotina de ordenação e troca de elementos *** }
for I := 1 to 9 do
for J := I + 1 to 10 do
if (DADO[I,1] )> (DADO[J,1]) then
begin
{Troca Nome}
X := DADO[I,1];
DADO[I,1] := DADO[J,1];
DADO[J,1] := X;
{Troca Endereço}
X := DADO[I,2];
DADO[I,2] := DADO[J,2];
DADO[J,2] := X;
{Troca CEP}
X := DADO[I,3];
DADO[I,3] := DADO[J,3];
DADO[J,3] := X;
{Troca Bairro}
X := DADO[I,4];
DADO[I,4] := DADO[J,4];
DADO[J,4] := X;
{Troca Telefone}
X := DADO[I,5];
DADO[I,5] := DADO[J,5];
DADO[J,5] := X;
end;
{ *** Rotina de Saida ***}
for I := 1 to 10 do
for J := 1 to 5 do
writeln(DADO[I, J]);
writeln;
writeln(‘Tecle <ENTER> para encerrar: ’); readln;
end.
43
7.3 Registros
Quando trabalhamos com matrizes percebemos que somente foi possível agrupar
informações com o mesmo tipo de dados. Caso fosse necessário trabalhar com mais de
um tipo de dado, precisaríamos criar matrizes diferentes. Para solucionar esta
deficiência podemos utilizar uma estrutura de dados chamada de Registro.
Em um registro poderemos utilizar uma estrutura que agrupe várias informações,
que podem ser de tipos de dados diferentes. Por esta razão, este tipo de dado é
considerado heterogêneo. Em Pascal, os tipos registro devem ser declarados ou
atribuídos antes das definições das variáveis, pois é muito comum ocorrer a necessidade
de se declarar uma variável com o tipo de registro atribuído. Um tipo registro é
declarado em Pascal com a instrução type em conjunto com a instrução record.
Sintaxe:
type
<identificador> = record
<lista de campos e seus tipos>
end;
var
<variavel> : <identificador_registro>
onde: identificador é o nome do tipo registro e lista de campos e seus tipos é a
relação de variáveis que serão usadas como campos, bem como seu tipo(real, integer...).
Após a instrução var, deverá ser indicada uma variável tipo registro e a
declaração do seu tipo de acordo com um identificador definido anteriormente. Perceba
que a instrução type deverá ser utilizada antes da instrução var, pois, ao definir um tipo
de variável, pode-se fazer uso deste tipo definido.
Vamos novamente analisar o exemplo do aluno e suas 4 notas, considerando,
agora, que devemos armazenar o nome deste aluno e suas 4 notas em uma mesma
estrutura.
Programa em Pascal
program EX_REGISTRO1;
type
CAD_ALUNO = record
NOME : string;
NOTA1 : real;
NOTA2 : real;
NOTA3 : real;
NOTA4 : real;
end;
var
ALUNO : cad_aluno;
begin
writeln(‘Cadastro de Aluno’);
writeln;
write(‘Informe o nome..............: ’); readln(ALUNO.NOME);
44
write(‘Informe a primeira nota..: ’); readln(ALUNO.NOTA1);
write(‘Informe a segunda nota...: ’); readln(ALUNO.NOTA2);
write(‘Informe a terceira nota....: ’); readln(ALUNO.NOTA3);
write(‘Informe a quarta nota......: ’); readln(ALUNO.NOTA4);
writeln;
writeln(‘Nome..: ’ , ALUNO.NOME);
writeln(‘Nota 1.: ’ , ALUNO.NOTA1 :2:2);
writeln(‘Nota 2.: ’ , ALUNO.NOTA2 :2:2);
writeln(‘Nota 3.: ’ , ALUNO.NOTA3 :2:2);
writeln(‘Nota 4.: ’ , ALUNO.NOTA4 :2:2); writeln;
writeln(‘Tecle <ENTER> para encerrar: ’); readln;
end.
Perceba que o registro está sendo denominado como CAD_ALUNO, o qual será
um conjunto de dados heterogêneos (um campo tipo string e quatro do tipo real). Desta
forma, é possível guardar em uma mesma estrutura, vários tipos diferentes de dados.
Para armazenar as notas do aluno foram necessárias 4 variáveis. E se
utilizássemos um vetor para armazenar as notas, como já fizemos anteriormente?
Vejamos como ficará:
Programa em Pascal
program EXEMPLO_REGISTRO2;
type
NOTAS = array[1..4] of real;
CAD_ALUNO = record
NOME : string;
NOTA : notas;
end;
var
ALUNO : cad_aluno;
I : integer;
begin
writeln(‘Cadastro de Aluno’);
writeln;
write(‘Informe o nome..............: ’); readln(ALUNO.NOME);
writeln;
for I := 1 to 4 do
begin
write(‘Informe a ’ , I:2, ‘a. nota..: ’);
readln(ALUNO.NOTA[I]);
end;
writeln;
writeln(‘Nome..: ’ , ALUNO.NOME);
for I := 1 to 4 do
writeln(‘Nota ’ ,I, ‘...: ’, ALUNO.NOTA[I]:2:2);
writeln;
writeln(‘Tecle <ENTER> para encerrar: ’); readln;
end.
45
Até agora, os dois exemplos apresentados só servem para a leitura e exibição das
notas de um aluno. E se quiséssemos apresentar as notas de cinco alunos, como fizemos
utilizando matrizes? Vamos ver como ficaria um programa assim:
Programa em Pascal
program EXEMPLO_REGISTRO3;
type
NOTAS = array[1..4] of real;
CAD_ALUNO = record
NOME : string;
NOTA : notas;
end;
var
ALUNO : array[1..5] of cad_aluno;
I , J: integer;
begin
writeln(‘Cadastro de Aluno’);
writeln;
for J := 1 to 5 do
begin
write(‘Informe o nome do ’, J:2, ‘o. aluno...: ’);
readln(ALUNO[J].NOME);
writeln;
for I := 1 to 4 do
begin
write(‘Informe a ’ , I:2, ‘a. nota...............: ’);
readln(ALUNO[J].NOTA[I]);
end;
writeln;
end;
writeln;
writeln;
for J := 1 to 5 do
begin
writeln(‘Nome aluno ’ , J:2, ‘...: ’, ALUNO[J].NOME);
writeln;
for I := 1 to 4 do
writeln(‘Nota ’ ,I, ‘............: ’, ALUNO[J].NOTA[I]:2:2);
writeln;
end;
writeln(‘Tecle <ENTER> para encerrar: ’); readln;
end.
46
8 PROCEDURES E FUNCTIONS
Até agora temos desenvolvido programas que englobam a lógica completa do
algoritmo para a solução de um determinado problema. É comum, em programação,
decompor a lógica de programas complexos em programas menores e, depois, juntá-los
para compor o programa final. Essa técnica de programação é denominada
programação modular.
A programação modular consiste num método para facilitar a construção de
grandes programas, através de sua divisão em pequenas etapas, que são os módulos ou
rotinas e para possibilitar o reaproveitamento de código, já que podemos utilizar um
módulo quantas vezes for necessário, eliminando assim a necessidade de escrever o
mesmo código do programa em situações repetitivas. Outra importância da
modularização é que ela permite que diferentes programadores trabalhem
simultaneamente na solução de um mesmo problema, através da codificação separada
dos diferentes módulos.
A modularização, em Pascal, pode ser feita através de procedimentos
(procedures) e funções (functions). Isso é feito associando-se um nome a uma
seqüência de comandos através do que chamamos Declaração do Procedimento ou da
Função. Pode-se, então, usar o nome do procedimento ou da função dentro do corpo do
programa, sempre que desejarmos que o seu bloco de comandos seja executado, isso é o
que chamamos de Chamada do Procedimento ou da Função.
Além das rotinas desenvolvidas pelo usuário, existe na linguagem Pascal, um
conjunto de rotinas embutidas. Este tipo de rotina embutida é conhecido pelo nome de
unidade (do inglês, unit).
8.1 Utilização de Units
Vejamos de forma básica as units embutidas no Turbo Pascal. As units são
conjuntos de rotinas prontas para serem usadas pelo programador. Uma unit é, na
verdade, uma biblioteca de funções e procedimentos. Vejamos a lista das unidades do
Pascal:
• CRT: esta unidade é a mais utilizada na programação Pascal. Ela possui a
maior parte das rotinas e variáveis de geração de som, controle de vídeo e
teclado;
• DOS: esta unidade possui as rotinas que envolvem a utilização do sistema
operacional, na maior parte das vezes permitindo controles de baixo nível;
• GRAPH: esta unidade possui rotinas destinadas à manipulações gráficas;
• OVERLAY: esta unidade possibilita gerenciar as atividades de um
programa, desta forma, é possível aproveitar uma mesma área de memória
para rodar várias rotinas diferentes, economizando memória;
• PRINTER: esta unidade permite declarar um arquivo tipo texto com o
nome LST e associá-lo à impressora; e
• SYSTEM: esta unidade possui a maior parte das rotinas padrão da
linguagem Pascal, não necessitando ser citada para ser usada, pois o turbo
Pascal já a executa de forma automática.
47
Para se fazer uso deste recurso é necessário o uso da instrução uses situada antes
da declaração da instrução var.
Sintaxe:
uses <unidade>;
À medida que formos estudando procedimentos e funções veremos a utilização
das units.
8.2 Procedures
Um procedimento é uma estrutura de programa autônoma que está incluída num
programa em Pascal. Nele podem ser colocados todos os elementos da linguagem
Pascal, como se fosse um programa completo; isso é feito através de sua declaração.
Um procedimento pode ser referido escrevendo simplesmente o seu nome
seguido de um lista opcional de parâmetros. Quando um procedimento é referenciado,
o controle de execução do programa é automaticamente transferido para o início do
procedimento. As instruções de execução dentro do procedimento são então
executadas, tendo em conta quaisquer declarações especiais que sejam únicas para o
procedimento. Quando todas as instruções de execução tiverem sido executadas, o
controle passa automaticamente para a instrução imediatamente a seguir à da chamada
do procedimento.
Sintaxe:
procedure Nome( parametros )
var
<variáveis>
begin
<instruções>
end;
onde: nome é o nome atribuído ao procedimento e parametros são informações
adicionais que serão vistas mais tarde.
A linguagem Pascal exige que os procedimentos sejam definidos antes do
programa principal Para entendermos melhor o conceito de procedimento vamos fazer
um exemplo.
“Desenvolver um programa calculadora que apresente um menu de seleções no
programa principal. Este menu deverá dar ao usuário a possibilidade de escolher uma
entre duas operações aritméticas. Escolhida a opção desejada, deverá ser solicitada a
entrada de dois números, e processada a operação, deverá ser exibido o resultado.”
Algoritmo
Note que este programa deverá ser um conjunto de cinco rotinas sendo uma
principal e 2 secundárias. A rotina principal efetuará o controle sobre as duas rotinas
secundárias, que por sua vez efetuarão o pedido de leitura de dois valores, farão a
operação e apresentarão o resultado obtido. Tendo-se uma idéia da estrutura geral do
48
programa, será escrito em separado cada algoritmo com os seus detalhes de operação.
Primeiro o programa principal e depois as outras rotinas.
Programa principal
1. Apresentar um menu de seleção com cinco opções:
a. Adição
b. Multiplicação
c. Fim de Programa
2. Ao ser selecionado um valor, procedimento correspondente deverá ser
executado; e
3. Ao se escolher o valor 3 (c), o programa deverá ser encerrado.
Rotina 1 – Adição
1. Ler dois valores, no caso, variáveis A e B;
2. Efetuar a soma das variáveis A e B, armazenando o resultado na variável X;
3. Apresentar o valor da variável X; e
4. Voltar ao programa principal.
Rotina 1 – Multiplicação
1. Ler dois valores, no caso, variáveis A e B;
2. Efetuar a multiplicação das variáveis A e B, armazenando o resultado na
variável X;
3. Apresentar o valor da variável X; e
4. Voltar ao programa principal.
Programa em Pascal
program CALCULADORA;
uses
Crt;
var
OPCAO : char;
{ ** Procedimento de Soma ** }
procedure ADICAO;
var
X, A, B : real;
TECLA : char;
begin
clrscr; gotoxy(32,1);
write(‘Procedimento de Adicao’);
gotoxy(5,6);
write(‘Informe um valor para A: ’);
readln(A);
gotoxy(5,7);
write(‘Informe um valor para B: ’);
readln(B);
X := A + B;
gotoxy(5,10);
write(‘O resultado e: ’, X:4:2);
49
gotoxy(25,24);
writeln(‘Tecle algo para voltar ao menu’);
TECLA := readkey;
end;
{ ** Procedimento de Multiplicacao ** }
procedure MULTIPLICA;
var
X, A, B : real;
TECLA : char;
begin
clrscr; gotoxy(32,1);
write(‘Procedimento de Multiplicacao’);
gotoxy(5,6);
write(‘Informe um valor para A: ’);
readln(A);
gotoxy(5,7);
write(‘Informe um valor para B: ’);
readln(B);
X := A * B;
gotoxy(5,10);
write(‘O resultado e: ’, X:4:2);
gotoxy(25,24);
writeln(‘Tecle algo para voltar ao menu’);
TECLA := readkey;
end;
{ ** Programa Principal **}
begin
OPCAO := ‘0’
while (OPCAO <> 3) do
begin
clrscr;
gotoxy(33,1);
write(‘Menu Principal’);
gotoxy(28,6);
write(‘1. Soma....................’);
gotoxy(28,8);
write(‘2. Multiplicacao.......’);
gotoxy(28,10);
write(‘3. Fim do Programa.’);
gotoxy(28,12);
write(‘Escolha uma opcao:’);
readln(OPCAO);
if (OPCAO = ‘1’) then
Adicao;
if (OPCAO = ‘2’) then
Multiplica;
end;
end.
50
Como você já deve ter percebido, uma das unidades foi utilizada neste
programa: a CRT, e com ela apareceram algumas novas instruções, tais como gotoxy,
clrscr e readkey. Vamos ver a funcionalidade destas instruções:
Instrução Tipo Funcionalidade
clrscr Procedure Efetua a limpeza da tela, posicionando o cursor do
lado esquerdo superior.
gotoxy (coluna,linha) Procedure Permite posicionar o cursor em ponto da tela. Para
utilizá-lo é necessário informar dois parâmetros: a
coluna e linha para posicionamento.
readkey Function Permite retornar o valor da tecla pressionada,
sendo este valor do tipo caractere. Quando
utilizada em um programa, e esta função faz a
leitura de apenas um caractere. Por esta razão, não
necessita ser usada a tecla <ENTER> para
confirmar a entrada da informação
Podemos simplificar nosso programa com a utilização da instrução condicional,
semelhante ao if...then, chamada case...of
Sintaxe:
case <variavel> of
<opcao1> : <instrucao1>;
<opcao2> : <instrucao2>;
<opcao3> : <instrucao3>;
else
<instrução4>;
end;
onde: variavel é o nome da variável a ser controlada na decisão, opcao é o
conteúdo da variável a ser verificado e instrucao é a execução de um comando ou bloco
de comandos.
Lembre-se que você pode inserir um bloco de instruções após uma instrução
condicional. Para isto basta colocar as instruções entre begin e end.
Vejamos um trecho do programa da calculadora, com o uso da instrução
case...of.
51
Programa em Pascal
{ ** Programa Principal **}
begin
OPCAO := ‘0’
while (OPCAO <> 3) do
begin
clrscr;
gotoxy(33,1);
write(‘Menu Principal’);
gotoxy(28,6); write(‘1. Soma....................’);
gotoxy(28,8); write(‘2. Multiplicacao.......’);
gotoxy(28,10); write(‘3. Fim do Programa.’);
gotoxy(28,12); write(‘Escolha uma opcao:’);
readln(OPCAO);
if (OPCAO <> ‘3’) then
case OPCAO of
‘1’ : Adicao;
‘2’ : Multiplica;
else
gotoxy(27,24);
writeln(‘Opcao invalida – Tecle algo: ’);
OPCAO := readkey;
end;
end;
end.
No programa da calculadora você deve ter observado que utilizamos algumas
variáveis dentro dos procedimentos (A, B e X), e também uma variável fora das rotinas
(OPCAO). Estas variáveis são chamadas de locais e globais, respectivamente.
8.2.1 Variáveis Globais e Locais
Uma variável é considerada Global quando é declarada no início de um
programa escrito em Pascal, podendo ser utilizada por qualquer procedimento ou
função. Assim sendo, este tipo de variável passa a ser visível a todas as funções ou
procedimentos. No programa anterior, a variável OPCAO é uma variável global.
Uma variável é considerada Local quando é declarada dentro de uma função ou
procedimento, sendo somente válida dentro da qual está declarada. Desta forma, as
demais rotinas e o programa principal não poderão fazer uso daquelas variáveis como
Global, pois não visualizam a existência das mesmas. No programa anterior, as
variáveis A, B e X são locais. Por este motivo estão sendo declaradas repetidas vezes
dentro de cada procedimento.
Dependendo da forma como se trabalha com as varáveis, é possível economizar
espaço em memória, tornando o programa mais eficiente.
52
8.3 Parâmetros
Os parâmetros têm por finalidade servir como um ponto de comunicação entre
uma rotina e o programa principal, ou com outra rotina de nível mais alto. Desta forma,
é possível passar valores de uma rotina a outra rotina, através do uso de parâmetros que
poderão ser formais ou reais.
Serão considerados parâmetros formais quando forem declarados através de
variáveis juntamente com a identificação do nome da rotina, os quais serão tratados
exatamente da mesma forma que são tratadas as variáveis globais ou locais.
Vejamos um exemplo:
procedure CALC_ADICAO(A, B : integer);
var
Z : integer;
begin
Z := A + B;
writeln(Z);
end;
Observe que Z é uma variável local e está sendo usada para armazenar a soma
das variáveis A e B que representam os parâmetros formais da rotina CALC_ADICAO
Serão considerados parâmetros Reais quando estes substituírem os parâmetros
formais, quando da utilização da rotina por um programa principal ou por uma rotina
chamadora.
Vejamos um exemplo do programa principal que chama o procedimento
CALC_ADICAO
begin
readln(X);
readln(Y);
Calc_Adicao(X,Y);
readln(W);
readln(T);
Calc_Adicao(W,T);
Calc_Adicao(6, 4);
end.
No trecho acima, toda vez que a rotina CALC_ADICAO é chamada, faz-se uso
de parâmetros reais. Desta forma, são parâmetros reais as variáveis X, Y, W e T, pois
são fornecidos seus valores para as rotinas.
Vejamos agora o programa completo:
53
Programa em Pascal
procedure CALC_ADICAO(A, B : integer);
var
Z : integer;
begin
Z := A + B;
writeln(Z);
end;
var
X, Y, W, T : integer;
begin
readln(X);
readln(Y);
Calc_Adicao(X,Y);
readln(W);
readln(T);
Calc_Adicao(W,T);
Calc_Adicao(6, 4);
end.
A passagem de parâmetro ocorre quando é feita uma substituição dos parâmetros
formais pelos reais no momento da execução da rotina. Estes parâmetros serão passados
de duas formas: por valor e por referência.
8.3.1 Passagem por Valor
A passagem de parâmetro por valor caracteriza-se pela não alteração do valor do
parâmetro real, quando este é manipulado dentro da rotina. Assim sendo, o valor
passado pelo parâmetro real é copiado para o parâmetro formal, que no caso assume o
papel de variável local da rotina. Desta forma, qualquer modificação que ocorra na
variável local da rotina não afetará o valor do parâmetro real correspondente.
Vejamos um exemplo utilizando passagem de parâmetro por valor:
54
Programa em Pascal
program FATORIAL;
uses
Crt;
procedure FATOR(N : integer);
var
I, FAT : integer;
begin
FAT := 1;
for 1 to N do
FAT := FAT * I;
writeln(‘A fatorial de ’, N, ‘ equivale a: ’, FAT);
end;
var
LIMITE : integer;
begin
clrscr;
writeln(‘Programa Fatorial’);
writeln;
write(‘Informe um valor inteiro: ’);
readln(LIMITE);
Fatorial (LIMITE);
writeln(‘Tecle <ENTER> para encerrar o programa’);
readln;
end.
8.3.2 Passagem por Referência
A passagem de parâmetro por referência caracteriza-se pela ocorrência da
alteração do valor do parâmetro real quando o parâmetro formal é manipulado dentro da
rotina chamada. Desta forma, qualquer modificação feita no parâmetro formal, implica
em alteração no parâmetro real correspondente. A alteração efetuada é devolvida para a
rotina chamadora.
Vejamos novamente o exemplo do programa FATORIAL agora com passagem
de parâmetros por referência:
55
program FATORIAL2;
uses
Crt;
procedure FATOR(N : integer; var FAT : integer);
var
I : integer;
begin
FAT := 1;
for 1 to N do
FAT := FAT * I;
end;
var
LIMITE, RETORNO : integer;
begin
clrscr;
writeln(‘Programa Fatorial’);
writeln;
write(‘Informe um valor inteiro: ’);
readln(LIMITE);
Fatorial (LIMITE, RETORNO);
writeln(‘A fatorial de ’, LIMITE, ‘ equivale a: ’, RETORNO);
writeln(‘Tecle <ENTER> para encerrar o programa’);
readln;
end.
Neste exemplo, é indicado o uso da passagem de parâmetro por referência. A
variável N continua sendo uma variável do tipo passagem por valor, pois esta receberá
o valor de LIMITE. Este valor estabelece quantas vezes o looping deve ser executado.
Dentro da rotina é encontrada a variável FAT que é do tipo passagem de parâmetro por
referência. Ao término do looping o valor da variável FAT é transferido para fora da
rotina, ou seja, seu valor é transferido para a variável RETORNO.
8.4 Functions
Uma function, assim com uma procedure, é um bloco de programa, ao qual são
válidas todas as regras estudadas de programação. Sua diferença em relação a uma
procedure está no fato de retornar sempre um valor. O valor de uma função é retornado
no próprio nome da função. Quando se diz valor, devem ser levados em conta os valores
numéricos, lógicos ou literais.
Sintaxe:
function <nome> [(parâmetros)] : <tipo>;
var
<variaveis> ;
begin
<instrucoes>;
end;
56
onde: nome é o nome atribuído a uma função, parâmetro é uma informação
opcional e tipo é o tipo de dado a ser retornado pela função.
Vejamos o exemplo da procedure do Fatorial agora, na forma de função:
Programa em Pascal
function FATOR(N : integer) : integer;
var
I, FAT : integer;
begin
FAT := 1;
for 1 to N do
FAT := FAT * I;
FATOR := FAT;
end;
Observe que o nome da função, no caso FATOR, é também o nome da variável
interna que recebe o valor acumulado da variável FAT, caso o número fornecido para o
parâmetro não seja zero. É muito simples, o resultado da função é atribuído ao próprio
nome da função.
A definição de tipo de dado fora do parênteses, na declaração da função, indica o
tipo de dado que retornará à rotina chamadora.
Vejamos um exemplo completo do uso de funções:
“Desenvolver um programa que faça uso de uma rotina de função que retorne o
valor da adição de dois valores fornecidos como parâmetros.”
Algoritmo
Programa Principal:
1. Ler dois valores, no caso as variáveis NUM1 e NUM2;
2. Chamar a função de soma, fornecendo como parâmetros as duas variáveis; e
3. Apresentar o resultado retornado.
Rotina para Adição:
1. Receber dois valores fornecidos através de parâmetros;
2. Efetuar o cálculo entre os dois valores, no caso a adição; e
3. Retornar para a função o resultado obtido.
57
Programa em Pascal
program CALC_ADICAO;
uses
Crt;
function ADICAO (A, B : real) : real;
begin
ADICAO := A + B;
end;
var
NUM1, NUM2 : real;
begin
clrscr;
write(‘Informe o 1o
. valor : ’);
readln(NUM1);
write(‘Informe o 2o
. valor : ’);
readln(NUM2);
writeln;
writeln(‘O resultado da adicao = ’, Adicao(NUM1, NUM2) :2:2 );
writeln(‘Tecle <ENTER> para encerrar o program’);
readln;
end.
58
9 ARQUIVOS
Anteriormente foi estudado o conceito de vetores e matrizes para armazenar
informações. Depois foi estudado o tipo registro. Porém, estas informações são
armazenadas na memória RAM de nosso computador, permanecendo lá apenas até que
nosso programa encerre a execução.
Para que possamos armazenar nossas informações fisicamente, de forma a
recuperarmos tais informações quando quisermos surge o conceito de arquivos, que
permite que gravemos nossas informações em dispositivos físicos, tais como o
winchester e os disquetes.
A principal vantagem na utilização de um arquivo está no fato de as informações
poderem ser utilizadas a qualquer momento. Outra vantagem encontrada na utilização
de arquivos é o fato de poder armazenar um número maior de informações do que as de
memória, estando apenas limitado ao tamanho do meio físico para sua gravação.
9.1 Definição de um Arquivo
A manipulação de um arquivo em Pascal ocorre com a definição do tipo file, o
qual se caracteriza por ser uma estrutura formada por elementos do mesmo tipo
dispostos de forma seqüencial, tendo como finalidade fazer a comunicação entre a
memória principal e a memória secundária.
Sintaxe:
type
<arquivo> = [text][file [of <tipo>]];
var
<variavel> : <arquivo>;
ou
<variavel> : [text][file [of <tipo>]];
onde: arquivo é o nome de um arquivo com tipo definido, tipo é o tipo de um
arquivo (text, string, real, record, etc...) e variavel é a variável que será usada para
representar o arquivo.
9.2 Operações de um Arquivo
Um arquivo tem a capacidade de executar algumas operações, tais como:
abertura, leitura ou escrita e fechamento de um arquivo, sendo que estas operações, em
Pascal, possuem algumas instruções apropriadas. Vejamos:
59
Instrução Tipo Sintaxe Descrição
assign procedure assign (<variavel>, <arquivo>) Tem por finalidade associar um
nome lógico de arquivo ao arquivo
físico. o parâmetro <variavel> é a
indicação da variável do tipo
arquivo, e <arquivo> é o nome do
arquivo a ser manipulado
rewrite procedure rewrite (<variavel>) Tem por finalidade criar um
arquivo para uso, utilizando o
nome associado ao parâmetro
<variavel>. Caso o arquivo já
exista, esta instrução o apagará
para criá-lo novamente.
reset procedure reset (<variavel>) Tem por finalidade abrir um
arquivo existente, colocando-o
disponível par leitura e gravação,
utilizando o nome associado ao
parâmetro <variavel>.
write procedure write(<variavel>,<dado>) Tem por finalidade escrever a
informação <dado> no arquivo
indicado pelo parâmetro
<variavel>.
read procedure read(<variavel>,<dado>) Tem por finalidade ler a
informação <dado> no arquivo
indicado pelo parâmetro
<variavel>.
close procedure close(<variavel>) Tem por finalidade fechar um
arquivo em uso dentro de um
programa. nenhum programa deve
ser encerrado sem antes fechar os
arquivos abertos.
9.3 Formas de Acesso em um Arquivo
Os arquivos criados poderão ser acessados para leitura e gravação na forma
seqüencial, direta ou indexada.
9.3.1 Acesso Seqüencial
O acesso seqüencial ocorre quando o processo de gravação e leitura é feito de
forma contínua, um após o outro. Desta forma, para se gravar a informação é necessário
percorrer todo o arquivo a partir do primeiro registro, até localizar a primeira posição
vazia. A leitura também ocorre desta maneira.
60
9.3.2 Acesso Direto
O acesso direto ocorre através de um campo chave previamente definido. Desta
forma, passa a existir um vínculo existente entre um dos campos do registro e sua
posição de armazenamento, através da chave. Assim sendo, o acesso a um registro tanto
para leitura como para gravação poderá ser feito de forma instantânea.
9.3.3 Acesso Indexado
O acesso indexado ocorre quando se acessa de forma direta um arquivo
seqüencial. Na sua maioria, todo arquivo criado armazena os registros de forma
seqüencial. A forma seqüencial de acesso se torna inconveniente, pois à medida que o
arquivo aumenta de tamanho, aumenta também o tempo de acesso ao mesmo.
Por isso, cria-se um índice de consulta, passando a ser esse arquivo indexado.
Existirão dois arquivos, um seqüencial e outro indexado. Os acessos serão feitos com
em um livro: primeiro se consulta o índice de localização, e depois procura-se o
conteúdo desejado.
9.4 Arquivos do Tipo Texto
Os arquivos do tipo texto estão capacitados a armazenar palavras, frases e
também dados numéricos. Os números, entretanto, serão armazenados com um
caractere do tipo alfanumérico. Ao serem lidos de um arquivo e passados para a
memória, os dados numéricos são convertidos para seu formato original.
Vamos criar um arquivo do tipo texto:
program CRIA_ARQUIVO_TEXTO;
var
ARQUIVO_TXT : text;
begin
assign(ARQUIVO_TXT, ‘ARQTXT.XXX’);
rewrite(ARQUIVO_TXT);
close(ARQUIVO_TXT);
end.
O programa acima estabelece para a variável ARQUIVO_TXT o identificador
text, que tem por finalidade definir para a variável indicada o tipo de arquivo texto.
Tendo sido o arquivo criado, este poderá ser agora utilizado para a gravação das
informações que irá guardar. Vejamos:
61
program GRAVA_ARQUIVO_TEXTO;
var
ARQUIVO_TXT : text;
MENSAGEM : string[50];
begin
assign(ARQUIVO_TXT, ‘ARQTXT.XXX’);
append(ARQUIVO_TXT);
readln(MENSAGEM);
writeln(ARQUIVO_TXT, MENSAGEM);
close(ARQUIVO_TXT);
end.
Observação: quando a instrução write ou writeln é utilizada para escrever um
dado em um arquivo, esta não apresenta o dado no vídeo, ficando disponível apenas
para a operação de gravação do arquivo.
A seguir, é necessário podermos ler nosso arquivo texto. O programa abaixo
mostra como fazemos isto:
program LER_ARQUIVO_TEXTO;
var
ARQUIVO_TXT : text;
MENSAGEM : string[50];
begin
assign(ARQUIVO_TXT, ‘ARQTXT.XXX’);
reset(ARQUIVO_TXT);
readln(ARQUIVO_TXT , MENSAGEM);
writeln( MENSAGEM);
close(ARQUIVO_TXT);
end.
9.5 Arquivos com Tipo Definido
Os arquivos com tipo definido caracterizam-se por serem do tipo binário,
diferente dos arquivos do tipo texto. Este arquivo permite armazenar específicos,
podendo ser: integer, real, record, entre outros. Um arquivo com tipo definido executa
as operações de gravação e leitura mais rápido que os arquivos texto. Os arquivos de
tipo definido estão capacitados a armazenar dados na forma de registro.
Vamos criar um arquivo que seja capacitado a receber dados numéricos inteiros:
program CRIA_ARQUIVO_INTEIRO;
var
ARQUIVO_INT : file of integer;
begin
assign(ARQUIVO_INT, ‘ARQINT.XXX’);
rewrite(ARQUIVO_INT);
close(ARQUIVO_INT);
end.
62
O programa acima estabelece para a variável ARQUIVO_INT o identificador
file of integer, que tem a finalidade de definir para a variável indicada de arquivo como
sendo inteiro. Todas as operações são semelhantes às operações usadas para se criar um
arquivo texto
Estando o arquivo criado, este agora poderá ser utilizado para a gravação de
dados de tipo inteiro. Vejamos
program CADASTRA_ARQUIVO_INTEIRO;
uses
Crt;
var
ARQUIVO_INT : file of integer;
NUMERI : integer;
RESP :char;
begin
assign(ARQUIVO_INT, ‘ARQINT.XXX’);
reset(ARQUIVO_INT);
RESP := ‘S’;
while (RESP = ‘S’) or (RESP = ‘s’) do
begin
clrscr;
writeln(‘Gravacao de Registros Inteiros’);
writeln;
seek(ARQUIVO_INT, filesize(ARQUIVO_INT));
write(‘Informe um numero inteiro: ’);
readln(NUMERO);
write(ARQUIVO_INT, NUMERO);
writeln;
write(‘Deseja continuar ? [S/N] ’);
readln(RESP);
end;
close(ARQUIVO_INT);
end.
O programa acima utiliza a função assign para associar o arquivo à variável de
controle. Faz uso da instrução reset para abrir o arquivo. Um pouco abaixo é
apresentada uma linha com a instrução seek(ARQUIVO_INT,
filesize(ARQUIVO_INT)); que executa em um arquivo definido o mesmo efeito que a
instrução append em um arquivo texto, ou seja, se o arquivo já possuir algum registro,
o próximo registro será sempre colocado após o último cadastrado. A instrução filesize
retorna o número de registros do arquivo e a instrução seek posiciona o ponteiro de
registro em uma determinada posição do arquivo.
Vamos agora ver um programa, que irá efetuar a leitura em um arquivo do tipo
definido:
“Ler um arquivo de números inteiros, mostrando no vídeo a informação
armazenada com o programa anterior.”
63
program CADASTRA_ARQUIVO_INTEIRO;
uses
Crt;
var
ARQUIVO_INT : file of integer;
NUMERI : integer;
RESP :char;
begin
assign(ARQUIVO_INT, ‘ARQINT.XXX’);
reset(ARQUIVO_INT);
RESP := ‘S’;
while not eof(ARQUIVO_INT) do
begin
read(ARQUIVO_INT, NUMERO);
writeln(NUMERO);
end;
close(ARQUIVO_INT);
end.
9.6 Arquivo com Tipo Definido de Registro
Em Pascal, existe um arquivo do tipo record, que nos permite desenvolver uma
aplicação de forma mais profissional e com acessos mais rápidos.
Sintaxe:
type
<nome_arquivo> = record
<campos do arquivo>
end;
var
<variavel> : <nome_arquivo>;
<variavel> : file of <nome_arquivo>;
Vejamos um exemplo:
type
BIMESTRE = array[1..4] of real;
REG_ALUNO = record
FLAG : char;
MATRICULA : integer;
NOME : string[30];
NOTAS : bimestre;
end;
var
ALUNO : reg_aluno;
ARQALU : file of reg_aluno;

Apostila pascal

  • 1.
    APOSTILA DE TÉCNICASDE PROGRAMAÇÃO E LINGUAGEM PASCAL
  • 2.
    2 SUMÁRIO 1 INTRODUÇÃO ÀPROGRAMAÇÃO .......................................................................................4 1.1 DEFINIÇÃO DE ALGORITMO........................................................................................................4 1.1.1 Algoritmo x Programa .....................................................................................................4 1.2 LINGUAGEM DE PROGRAMAÇÃO ................................................................................................4 1.2.1 Tipos de Linguagens de Programação..............................................................................4 1.2.2 Processo de Criação e Execução de um Programa...........................................................5 1.3 CRITÉRIOS DE QUALIDADE DE UM PROGRAMA............................................................................6 1.4 A LINGUAGEM PASCAL .............................................................................................................7 1.4.1 Histórico .........................................................................................................................7 1.4.2 O Turbo Pascal ...............................................................................................................7 2 ESTRUTURA DE UM PROGRAMA EM PASCAL..................................................................9 2.1 CABEÇALHO DO PROGRAMA ......................................................................................................9 2.2 ÁREA DE DECLARAÇÕES............................................................................................................9 2.3 CORPO DO PROGRAMA.............................................................................................................10 2.4 EXEMPLO DE UM PROGRAMA EM PASCAL .................................................................................10 3 VARIÁVEIS E CONSTANTES................................................................................................12 3.1 IDENTIFICADORES....................................................................................................................12 3.2 PALAVRAS RESERVADAS .........................................................................................................12 3.3 COMENTÁRIOS ........................................................................................................................13 3.4 TIPOS DE DADOS .....................................................................................................................13 3.4.1 Tipos de Dados Inteiros.................................................................................................13 3.4.2 Tipos de Dados Reais ....................................................................................................14 3.4.3 Tipos de Dados Caracteres............................................................................................14 3.4.4 Tipos Lógicos ................................................................................................................15 3.5 VARIÁVEIS..............................................................................................................................15 3.6 CONSTANTES...........................................................................................................................15 4 OPERADORES E EXPRESSÕES............................................................................................17 4.1 PRIORIDADE DAS OPERAÇÕES ..................................................................................................17 4.2 TIPOS DE EXPRESSÕES .............................................................................................................17 4.3 TIPOS DE OPERADORES ............................................................................................................18 4.3.1 Operador de Atribuição.................................................................................................18 4.3.2 Operadores Aritméticos.................................................................................................18 4.3.3 Operador de Concatenação ...........................................................................................19 4.3.4 Operadores Relacionais.................................................................................................20 4.3.5 Operadores Lógicos.......................................................................................................21 4.4 FUNÇÕES PREDEFINIDAS ..........................................................................................................22 5 ESTRUTURAS DE DECISÃO .................................................................................................24 5.1 A INSTRUÇÃO IF..THEN ............................................................................................................24 5.2 A INSTRUÇÃO IF...THEN...ELSE .................................................................................................26 6 ESTRUTURAS DE REPETIÇÃO (LOOPS)............................................................................29 6.1 INSTRUÇÃO FOR ......................................................................................................................29 6.2 INSTRUÇÃO WHILE...DO ...........................................................................................................30 6.3 INSTRUÇÃO REPEAT...UNTIL .....................................................................................................32 7 VETORES, MATRIZES E REGISTROS.................................................................................35 7.1 VETORES.................................................................................................................................35 7.2 MATRIZES...............................................................................................................................39 7.3 REGISTROS..............................................................................................................................43 8 PROCEDURES E FUNCTIONS ..............................................................................................46 8.1 UTILIZAÇÃO DE UNITS.............................................................................................................46
  • 3.
    3 8.2 PROCEDURES...........................................................................................................................47 8.2.1 VariáveisGlobais e Locais.............................................................................................51 8.3 PARÂMETROS ..........................................................................................................................52 8.3.1 Passagem por Valor ......................................................................................................53 8.3.2 Passagem por Referência...............................................................................................54 8.4 FUNCTIONS .............................................................................................................................55 9 ARQUIVOS...............................................................................................................................58 9.1 DEFINIÇÃO DE UM ARQUIVO ....................................................................................................58 9.2 OPERAÇÕES DE UM ARQUIVO...................................................................................................58 9.3 FORMAS DE ACESSO EM UM ARQUIVO......................................................................................59 9.3.1 Acesso Seqüencial..........................................................................................................59 9.3.2 Acesso Direto ................................................................................................................60 9.3.3 Acesso Indexado ............................................................................................................60 9.4 ARQUIVOS DO TIPO TEXTO ......................................................................................................60 9.5 ARQUIVOS COM TIPO DEFINIDO ...............................................................................................61 9.6 ARQUIVO COM TIPO DEFINIDO DE REGISTRO ............................................................................63
  • 4.
    4 1 INTRODUÇÃO ÀPROGRAMAÇÃO 1.1 Definição de Algoritmo É a descrição, de forma lógica, dos passos a serem executados no cumprimento de determinada tarefa. É a forma pela qual descrevemos soluções de problemas do nosso mundo, afim de serem implementadas utilizando os recursos do mundo computacional. Como este possuí severas limitações em relação ao nosso mundo, exige que sejam impostas algumas regras básicas na forma de solucionar os problemas para que possamos utilizar os recursos de hardware e software disponíveis. 1.1.1 Algoritmo x Programa Um algoritmo é uma seqüência lógica de ações a serem executadas para se executar uma determinada tarefa. Um programa é a formalização de um algoritmo em uma determinada linguagem de programação, segundo suas regras de sintaxe e semântica, de forma a permitir que o computador possa entender a seqüência de ações. 1.2 Linguagem de Programação Uma linguagem de programação é um conjunto de símbolos ( comandos, identificadores, caracteres ASCII, etc. ... ) e regras de sintaxe que permitem a construção de sentenças que descrevem de forma precisa ações compreensíveis e executáveis para o computador. LINGUAGEM DE PROGRAMAÇÃO = SÍMBOLOS + REGRAS DE SINTAXE Uma linguagem de programação é uma notação formal para descrição de algoritmos que serão executados por um computador. Como todas as notações formais, uma linguagem de programação tem dois componentes: Sintaxe e Semântica. A sintaxe consiste em um conjunto de regras formais, que especificam a composição de programas a partir de letras, dígitos, e outros símbolos. Por exemplo, regras de sintaxe podem especificar que cada parênteses aberto em uma expressão aritmética deve corresponder a um parênteses fechado, e que dois comandos quaisquer devem ser separados por um ponto-e-vírgula. As regras de semântica especificam o “significado” de qualquer programa, sintaticamente válido, escrito na linguagem. 1.2.1 Tipos de Linguagens de Programação Existem diversas linguagens de programação, cada uma com suas características específicas e com níveis de complexidade e objetivos diferentes, como pode ser visto na tab. 1.1.
  • 5.
    5 LINGUAGEM CARACTERÍSTICAS Linguagem deMáquina Única compreendida pelo computador. Específica de cada computador. Linguagens de Baixo Nível Utiliza mnemônicos para representar instruções elementares Ex.: Assembly Linguagens de Alto Nível Utiliza instruções próximas da linguagem humana de forma a facilitar o raciocínio. Ex.: Uso Científico : Fortran Propósito Geral : Pascal, C, Basic Uso Comercial : Cobol, Clipper Uso específico : Lisp, Prolog TABELA 1.1 – TIPOS DE LINGUAGENS DE PROGRAMAÇÃO E SUAS CARACTERÍSTICAS 1.2.2 Processo de Criação e Execução de um Programa Embora seja teoricamente possível a construção de computadores especiais, capazes de executar programas escritos em uma linguagem de programação qualquer, os computadores, existentes hoje em dia são capazes de executar somente programas em linguagem de baixo nível, a Linguagem de Máquina. Linguagens de Máquina são projetadas levando-se em conta os seguintes aspectos : • rapidez de execução de programas; • custo de sua implementação; e • flexibilidade com que permite a construção de programas de nível mais alto. Por outro lado, linguagens de programação de alto nível são projetadas em função de : • facilidade de construção de programas; e • confiabilidade dos programas. O PROBLEMA É: Como a linguagem de nível mais alto pode ser implementada em um computador, cuja linguagem é bastante diferente e de nível mais baixo ? SOLUÇÃO: Através da tradução de programas escritos em linguagens de alto nível para a linguagem de baixo nível do computador. Para isso existem três tipos de programas tradutores : Montadores, Interpretadores e Compiladores. Vejamos o que cada um deles representa. MONTADOR Efetua a tradução de linguagem de montagem ( Assembly ) para a linguagem de máquina, da seguinte forma: • obtém a próxima instrução do Assembly; • traduz para as instruções correspondentes em linguagem de máquina;
  • 6.
    6 • executa asinstruções em linguagem de máquina; e • repete o passo 1 até o fim do programa. INTERPRETADOR Efetua a tradução a de uma linguagem de alto nível para linguagem de máquina da seguinte forma: • obtém próxima instrução do código-fonte em linguagem de alto nível; • traduz para as instruções correspondentes em linguagem de máquina; • executa as instruções em linguagem de máquina; e • repete o passo 1 até o fim do programa COMPILADOR Efetua a tradução de todo o código-fonte em linguagem de alto nível para as instruções correspondentes em linguagem de máquina, gerando o código-objeto do programa. Em seguida é necessário o uso de um outro programa ( Link-Editor ) que é responsável pela junção de diversos códigos-objeto em um único programa executável. EDIÇÃO COMPILAÇÃO LINK-EDIÇÃO ALGORITMO ⇒ CÓDIGO-FONTE ⇒ CÓDIGO-OBJETO ⇒ PROGRAMA EXECUTÁVEL Possibilidades de Erros no Programa: • Erros de Compilação : erros de digitação e de uso da sintaxe da linguagem. • Erros de Link-Edição : erro no uso de bibliotecas de sub-programas necessárias ao programa principal. • Erros de Execução : erro na lógica do programa (algoritmo). 1.3 Critérios de Qualidade de um Programa Vejamos alguns critérios para escrevermos um programa com qualidade: Integridade: refere-se à precisão das informações manipuladas pelo programa, ou seja, os resultados gerados pelo processamento do programa devem estar corretos, caso contrário o programa simplesmente não tem sentido; Clareza: refere-se à facilidade de leitura do programa. Se um programa for escrito com clareza, deverá ser possível a outro programador seguir a lógica do programa sem muito esforço, assim como o próprio autor do programa entendê-lo após ter estado um longo período afastado dele. O Pascal favorece a escrita de programas com clareza e legibilidade; Simplicidade: a clareza e precisão de um programa são normalmente melhoradas tornando seu entendimento o mais simples possível, consistente com os objetivos do programa. Muitas vezes torna-se necessário sacrificar alguma eficiência de processamento, de forma a manter a estrutura do programa mais simples;
  • 7.
    7 Eficiência: refere-se àvelocidade de processamento e a correta utilização da memória. Um programa deve ter performance SUFICIENTE para atender às necessidade do problema e do usuário, bem como deve utilizar os recursos de memória de forma moderada, dentro das limitações do problema; Modularidade: consiste no particionamento do programa em módulos menores bem identificáveis e com funções específicas, de forma que o conjunto desses módulos e a interação entre eles permite a resolução do problema de forma mais simples e clara; e Generalidade: é interessante que um programa seja tão genérico quanto possível de forma a permitir a reutilização de seus componentes em outros projetos. 1.4 A Linguagem Pascal 1.4.1 Histórico Origem: desenvolvida nos anos entre 1968 e 1970 por Nicklaus Wirth na Universidade Técnica de Zurique, Suíça. Em 1970 é disponibilizado o primeiro compilador para a linguagem. Objetivo: desenvolver uma linguagem de programação disciplinada de alto nível para ensinar programação estruturada. Esta linguagem foi batizada com o nome de Pascal, em homenagem a Blaise Pascal, filósofo e matemático francês que viveu entre 1623 e 1662. Padronização: ANSI ( American National Standars Institute ) e IEEE ( Institute of Eletrical and Eletronics Engineers ) Padrão de Fato: Borland International cria em 1983 o Turbo Pascal. Atualizações: durante os últimos anos foram lançadas diversas variações da linguagem Pascal-Padrão, implementando recursos que não são encontrados na estrutura padrão da linguagem. Nas mãos da Borland, já foram lançadas as versões 3.0, 4.0, 5.0 e 5.5 na década de 80. Durante a década de 90 foram lançadas as versões 6.0, 7.0 e o lançamento da linguagem Delphi, para programação em ambiente Windows. 1.4.2 O Turbo Pascal O Turbo Pascal é mais que um simples compilador da linguagem Pascal, ele é um Ambiente Integrado de Desenvolvimento ( IDE - Integrated Development Environment ), consistindo de um conjunto de ferramentas de desenvolvimento integradas. Entre as ferramentas que compõem o Turbo Pascal temos:
  • 8.
    8 • Editor deCódigo-Fonte • Compilador • Link-Editor • Depurador • Ajuda On-Line da Linguagem e do próprio IDE Podemos citar alguns comandos principais do Turbo Pascal : • Compilar o programa : ALT + F9 • Compilar e Executar o Programa : CTRL + F9 • Acessar o Menu : ALT + Letra realçada. • Criar um novo programa : menu FILE | NEW • Salvar o programa atual : F2 • Sair do Turbo Pascal : ALT + X • Ver tela com os resultados do programa executado : ALT + F5
  • 9.
    9 2 ESTRUTURA DEUM PROGRAMA EM PASCAL Todo programa escrito em Pascal é subdividido em três áreas distintas: cabeçalho do programa, área de declarações e corpo do programa. 2.1 Cabeçalho do Programa Esta área é utilizada para se fazer a identificação do programa com um nome. O cabeçalho de um programa é atribuído pela instrução program seguida de um nome. Ao final do nome deve-se colocar o símbolo ponto-e-vírgula ( ; ). Não pode existir nenhuma variável no programa que tenha o mesmo nome dado ao programa. Vejamos um exemplo: program CALCULA_AREA; Caso você tenha atribuído ao programa o nome Soma e também tenha atribuído este nome a uma variável no programa, quando for executado apresentará um mensagem de erro. 2.2 Área de Declarações Esta área é utilizada para validar o uso de qualquer tipo de identificador que não seja predefinido, estando subdividida em sete sub-áreas: uses, label, const, type, var, procedure e function. Inicialmente, vamos estudar apenas a sub-área var. As demais serão estudadas em capítulos posteriores. A sub-área var é utilizada na declaração das variáveis que serão utilizadas durante a execução de um programa, bem como, também o seu tipo. Desta forma, a linguagem Pascal efetua a reserva de espaço na memória para que as variáveis sejam utilizadas. A declaração das variáveis é atribuída pela instrução var seguida da relação de variáveis. Após os nomes de cada variável deverá ser utilizado o símbolo dois-pontos ( : ), e após estes é mencionado o tipo de dado que a variável irá receber, seguido de ponto-e-vírgula. Vejamos um exemplo: var NOME : string; IDADE : integer; ALTURA : real; Caso as variáveis sejam de mesmo tipo, estas poderão ser relacionadas separadas por vírgula. Vejamos um exemplo: A, B, C : integer;
  • 10.
    10 2.3 Corpo doPrograma O programa propriamente dito em Pascal está escrito na área denominada corpo do programa. esta área tem início com a instrução begin e é finalizada pela instrução end seguida do símbolo ponto ( . ). O uso destas instruções caracteriza o que é chamado de bloco, como indicado abaixo: begin instruções; (...) end. Na área denominada corpo do programa, poderão existir, dependendo da necessidade, vários blocos. 2.4 Exemplo de um Programa em Pascal Para se colocar em prática o que foi explicado até este momento, considere o seguinte exemplo de um problema: “Desenvolver um programa que efetue a leitura de dois valores numéricos. Faça a operação de adição entre os dois valores e apresente o resultado obtido.” Note que sempre estaremos diante de um problema, e que este deverá ser resolvido primeiro por nós, para que depois seja resolvido por um computador. Primeiramente, você deve entender bem o problema, para depois buscar a sua solução dentro de um computador, ou seja, você deverá “ensinar” a máquina a resolver seu problema, através de um programa. Desta forma, o segredo de uma boa lógica está na compreensão adequada do problema a ser solucionado. Vejamos nosso problema citado acima: Algoritmo: 1. Ler um valor para a variável A; 2. Ler outro valor para a variável B; 3. Efetuar a soma das variáveis A e B, colocando o resultado na variável X; 4. Apresentar o valor da variável X após a operação de soma dos dois valores fornecidos. Completada a fase de interpretação do problema e da definição das variáveis a serem utilizadas passa-se para a fase de codificação de nosso programa para a linguagem Pascal.
  • 11.
    11 Programa em Pascal programADICIONA_NUMEROS; var X : integer; A : integer; B : integer; begin readln(A); readln(B); X := A + B; writeln(X); end. Entrada e Saída dos Dados Você deve ter observado os comandos readln e writeln. Estes comandos são chamados de entrada e saída dos dados, respectivamente. A instrução readln permite a entrada de dados via teclado e a instrução writeln gera a saída de dados via vídeo. Poderiam também ser utilizadas as instruções write e read. Mas qual a diferença entre elas? É muito simples: a colocação da ln indica line new, ou seja, nova linha. Será realizado um “pulo” de linha após a leitura ou exibição dos dados. As instruções write e read permitem manter o cursor na mesma linha, após a exibição das mensagens ou leitura de dados.
  • 12.
    12 3 VARIÁVEIS eCONSTANTES 3.1 Identificadores Os identificadores são nomes a serem dados a variáveis, tipos definidos, procedimentos, funções e constantes nomeadas. Devem seguir as seguintes regras de construção: • iniciar sempre por uma letra (a - z , A - Z) ou um underscore ( _ ); • o restante do identificador deve conter apenas letras, underscores ou dígitos (0 - 9). Não pode conter outros caracteres; e • pode ter qualquer tamanho, desde que os primeiros 63 caracteres sejam significativos. Não existe distinção entre letras maiúsculas e minúsculas no nome de um identificador. Por exemplo, os nomes ALPHA, alpha e Alpha são equivalentes. Atenção para o fato de que identificadores muito longos são mais fáceis de serem lidos pelas as pessoas quando se usa uma mistura de letras maiúsculas e minúsculas; por exemplo, SalarioMinimo é mais fácil de se ler do que SALARIOMINIMO. Vejamos alguns exemplos de identificadores válidos: PAGAMENTO Soma_Total MaiorValor Media1 _Media e alguns exemplos de identificadores inválidos: %Quantidade O símbolo % não é permitido 4Vendedor Não pode começar com um número Soma Total Não pode ter espaços entre as letras Observação : Um identificador deverá ficar inteiramente contido em uma linha do programa, ou seja você não pode começar a digitar o nome do identificador numa linha e acabar em outro. 3.2 Palavras Reservadas Pascal reconhece certo grupo de palavras como sendo reservadas. Essas palavras tem significado especial e não podem ser usadas como identificadores em um programa. A tab. 3.1 apresenta todas as palavras reservadas do Pascal Padrão:
  • 13.
    13 and downto Inpacked to array else inline procedure type asm End interface program unit begin File Label record until case For mod repeat until const Foward nil set uses constructor Function not shl var destructor Goto object shr while div If of string with do implementation or then xor TABELA 3.1 – PALAVRAS RESERVADAS DO PASCAL 3.3 Comentários Comentários são textos escritos dentro do código-fonte para explicar ou descrever alguns aspectos relativos ao mesmo. Os comentários podem ser colocados em qualquer lugar do programa onde um espaço em branco possa existir. Você pode colocar comentários de duas formas: ou envolvendo o texto entre chaves “{..}” ou entre “ (* .. *)”. Quando o compilador encontra o símbolo “{“ ele salta todos os caracteres até encontrar um “}”. Da mesma forma, todos os caracteres que seguem “(*” são pulados até ser detectado o símbolo ”*)”. Como resultado disso, qualquer uma das formas pode ficar dentro da outra; por exemplo {...(*...*)...} é um comentário. 3.4 Tipos de Dados Os dados são representados pelas informações a serem processadas por um computado. Um tipo de dados especifica as características, ou seja os valores e operações possíveis de serem utilizados com um dado desse tipo. Toda variável e constante usada em um programa tem um tipo associado a ela. A linguagem Pascal fornece ao programador um conjunto de tipos de dados predefinidos. 3.4.1 Tipos de Dados Inteiros São caracterizados tipos inteiros, os dados numéricos positivos ou negativos, excluindo-se qualquer número fracionário. Em Pascal, este tipo de dado pode ser referenciado por um dos seguintes identificadores: Tipo de dado inteiro Faixa de abrangência Tamanho(bytes ) shortint de –128 até 127 1 byte integer de –32.768 a 32.767 2 bytes longint de –2.147.483.648 a 2.147.483.647 4 bytes byte de 0 até 255 1 byte word de 0 até 65535 2 bytes
  • 14.
    14 Vejamos um exemplo: var NumAlunos: integer; Cont,cont1 : integer; 3.4.2 Tipos de Dados Reais O tipo de dado real permite trabalhar com números fracionários, tanto positivos como negativos, sendo sua capacidade de armazenamento maior que dos números inteiros. Vejamos os tipos: Tipo de dado real Faixa de abrangência Tamanho(bytes ) real de 2.9 e-39 até 1.7 e38 6 bytes single de 1.5 e-45 até 3.4 e38 4 bytes double de 5.0 e-324 até 1.7e308 8 bytes extended de 3.4 e-4.932 até 1.1 e4.932 10 bytes comp de –9.2 e18 até 9.2 e18 8 bytes Vejamos um exemplo: var Nota : real; Salario, media : real; 3.4.3 Tipos de Dados Caracteres São considerados tipos caracteres, as seqüências contendo letras, números e símbolos especiais. Uma seqüência de caracteres, em Pascal, deve ser representada entre apóstrofos (‘’). Este tipo de dado é referenciado pelo identificador string, podendo armazenar de 1 até 255 caracteres. Podemos ainda especificar um tamanho menor do que os 255 caracteres permitidos. Vejamos a sintaxe para criarmos uma variável do tipo string com tamanho limitado. Sintaxe: variável : string[tamanho]; Vejamos um exemplo do uso de strings: var Frase : string; Nome : string[45]; Existe ainda o tipo char, utilizado da mesma forma que o tipo string, porém com uma pequena diferença: é usado para strings de apenas um caracter. Vejamos um exemplo do tipo de dado char: var Sexo : char;
  • 15.
    15 3.4.4 Tipos Lógicos Sãocaracterizados tipos lógicos, os dados com valores true (verdadeiro) e false (false). Este tipo de dado também e chamado de tipo boleano. Ele é representado pelo identificador boolean. Vejamos um exemplo da utilização do tipo de dado boolean: var Aprovado : boolean; Confirma : boolean; 3.5 Variáveis Variável, no sentido de programação, é uma região previamente identificada, que tem por finalidade armazenar informações (dados) de um programa temporariamente. Uma variável armazena apenas um valor por vez. Sendo considerado como valor o conteúdo de uma variável, este valor está associado ao tipo de dado da variável. Sintaxe: var identif [ , identif ]... : tipo-de-dado; [identif [ , identif ]... : tipo-de-dado; ] ... onde: tipo-de-dado é um dos tipos predefinidos ou um tipo definido pelo usuário: Vejamos um exemplo: var Soma, Total, Salario : real; Idade, Contador : integer; 3.6 Constantes Uma constante é um valor que não pode ser alterado durante a execução do programa, sendo que seu tipo é definido por seu conteúdo. Sintaxe: const identificador = expressão; ... identificador = expressão; Vejamos um exemplo:
  • 16.
    16 program Area_Circulo; { Programapara calcular a área de um círculo. } const PI = 3.141519265; var Area, Comprimento, Raio : real; begin writeln( ´Digite o Raio : ´ ); readln( Raio ); Area := PI * Raio * Raio; Comprimento := 2 * PI * Raio; writeln( ´Área = ´, Area ); writeln( ´Comprimento da Circunferencia = ´, Comprimento ); end.
  • 17.
    17 4 OPERADORES EEXPRESSÕES Um programa tem como característica fundamental a capacidade de processar dados. Processar dados significa realizar operações com estes dados. O uso de operadores permite a realização de tais operações. Exemplo: o símbolo + é um operador que representa a operação aritmética de adição. Uma expressão é um arranjo de operadores e operandos. A cada expressão válida é atribuído um valor numérico. Exemplo: 4 + 6 é uma expressão cujo valor é 10. Os operandos podem ser variáveis, constantes ou valores gerados por funções. Os operadores identificam as operações a serem efetuadas sobre os operandos. Cada tipo de dados possui um conjunto de operadores relacionados. Os operadores classificam-se em Unários e Binários, conforme tenham um ou dois operandos, respectivamente. 4.1 Prioridade das Operações Se vários operadores aparecerem em uma expressão, a ordem de execução das operações será dada segundo os critérios abaixo : • pelo emprego explícito de parênteses; • pela ordem de precedência existente entre os operadores; e • se existirem operadores de mesma ordem de precedência, a avaliação será feita da esquerda para a direita.. Vejamos a ordem de precedência dos operadores ( da maior para a menor ): Operadores Categoria ( ) Parêntesis not Operador Lógico Unário * / div mod Operadores Multiplicativos and or Operadores Lógicos = <> < > <= >= Operadores Relacionais 4.2 Tipos de Expressões Existem três tipos básicos de expressões: Numéricas: uma expressão é numérica quando os seus operandos são numéricos ( inteiros ou reais ) e o resultado também é um valor numérico.
  • 18.
    18 Literais: Uma expressãoé literal quando os seus operandos são literais do tipo string (não pode ser char) e o resultado também é um valor literal. Só existe um único operador para se usar em expressões literais, o operador Concatenação( + ). Boolenas: Uma expressão é booleana quando seu resultado é do tipo boolean (TRUE ou FALSE), podendo seu operando serem de qualquer tipo de dados. Nas expressões relacionais são usados os operadores Lógicos e os Relacionais. 4.3 Tipos de Operadores Existem vários operadores para a realização de expressões em Pascal. Veremos agora algumas das mais importantes. 4.3.1 Operador de Atribuição O operador de atribuição é utilizado para atribuir o valor de uma expressão a uma variável. Sintaxe: identificador_variável := expressão; Vejamos um exemplo: A := 10; Nome := ´Josias´; 4.3.2 Operadores Aritméticos Os operadores aritméticos são utilizados para efetuar operações aritméticas com número inteiros e reais. A tab. 4.1 apresenta os operadores aritméticos existentes em Pascal. Operador Símbolo Subtração - Adição + Multiplicação * Divisão Real / Divisão Inteira ( truncada ) div Resto da Divisão Inteira mod Inverte Sinal - Mantém Sinal + TABELA 4.1 – OPERADORES ARITMÉTICOS
  • 19.
    19 Vejamos um exemplo: var A,B : integer; C, D : real; begin A := 1; B := 3; C := 5; D := 10; A := 1 + B; A := B + D; { errado, D é real } B := 10 div 3; A := 10 mod 3; C := D / C; D := 10 div C; { errado, o operado div é só para inteiros } A := -1; B := 5 + A; B := -A; C := D * A; B := C * B; { errado, C é real } end. 4.3.3 Operador de Concatenação O operador de concatenação efetua a junção de duas variáveis ou constantes do tipo string. Vejamos um exemplo: var PreNome, SobreNome, NomeCompleto : string[ 30 ]; begin { Suponhamos o nome Josias Lima Santos } PreNome := ´Josias´; SobreNome := ´Santos´; NomeCompleto := PreNome + SobreNome; writeln( NomeCompleto ); NomeCompleto := ´Jose´ + ´Maria´; writeln( NomeCompleto ); ... end.
  • 20.
    20 4.3.4 Operadores Relacionais Osoperadores relacionais são utilizados para efetuar a comparação entre dados de mesmo tipo. Os operadores relacionais existentes em Pascal podem ser vistos na tab.4.2. Operador Símbolo Maior que > Menor que < Maior ou igual >= Menor ou igual <= Igual = Diferente <> TABELA 4.2 – OPERADORES RELACIONAIS Vejamos um exemplo: var Nota1, Nota2 : real; NomeAluno1, NomeAluno2 : string[ 30 ]; A, B, C : integer; begin A := 2; B := 3; C := 1; if B = A + C then writeln( B ); Nota1 := 5.0; Nota2 := 10.0; if Nota1 < Nota2 then writeln( Nota1 ); NomeAluno1 := ´Maria Jose´; NomeAluno2 := ´MariaJose´; if NomeAluno1 < NomeAluno2 then writeln( NomeAluno1 ); end.
  • 21.
    21 4.3.5 Operadores Lógicos Osoperadores lógicos são utilizados para se analisar duas ou mais expressões interrelacionadas. A tab. 4.3 exibe os operadores lógicos existentes em Pascal. Operador Símbolo E and OU or NÃO not TABELA 4.3 – OPERADORES LÓGICOS Vejamos um exemplo: var Nota1, Nota2 : real; NomeAluno1, NomeAluno2 : string[ 30 ]; A, B, C : integer; begin A := 2; B := 3; C := 1; NomeAluno1 := ´Maria Jose´; NomeAluno2 := ´MariaJose´; if ( B = A + C ) and ( NomeAluno1 <> NomeAluno2 ) then writeln( NomeAluno1, B ); if ( A = C ) or ( NomeAluno1 = NomeAluno2 ) then writeln( NomeAluno1 ); if not( A = C ) then writeln( NomeAluno1 ); end. Abaixo, segue três tabelas, chamadas tabela-verdade, contendo o resultado do uso dos operadores lógicos sobre dois operandos. OPERADOR AND OPERANDO 1 OPERANDO 2 RESULTADO TRUE TRUE TRUE TRUE FALSE FALSE FALSE TRUE FALSE FALSE FALSE FALSE
  • 22.
    22 OPERADOR OR OPERANDO 1OPERANDO 2 RESULTADO TRUE TRUE TRUE TRUE FALSE TRUE FALSE TRUE TRUE FALSE FALSE FALSE OPERADOR NOT OPERANDO RESULTADO TRUE FALSE FALSE TRUE 4.4 Funções predefinidas O Pascal oferece um conjunto de funções predefinidas (built-in functions), que são usadas com vários tipos de dados simples. As funções, na maioria das vezes, necessitam de dados como parâmetro (dados de entrada). Vejamos algumas dessas funções: Funções Matemáticas: Nome Função Objetivo Tipo Parâmetro Tipo do Retorno abs( x ) Calcula o valor absoluto de x. inteiro ou real o mesmo que x cos( x ) Calcula o coseno de x em radianos inteiro ou real real exp( x ) Calcula ex , em que e=2.7182818 é sistema natural de logaritmos neperianos. inteiro ou real real ln( x ) Calcula o logaritmo natural de x (x>0) inteiro ou real real exp(ln(x)*y) Retorna x elevado a y {utilizando regras de logaritmos}. Inteiro ou real real sin( x ) Calcula o seno de x em radianos inteiro ou real real sqr( x ) Calcula o quadrado de x inteiro ou real o mesmo que x sqrt( x ) Calcula a raiz quadrada de x (x>=0) inteiro ou real real odd( x ) Determina se x é par ou impar TRUE, X é par / FALSE, X é impar inteiro boolean random( x ) Retorna um número pseudo-aleatório entre 0 e x. Se x não for especificado retorna um valor entre 0.0 e 1.0 inteiro real pi Retorna o valor de PI (3.1415...) Nenhum real
  • 23.
    23 Funções Literais: Nome FunçãoObjetivo Tipo Parâmetro Tipo Retorno length( x ) Determina o número de caracteres de x string inteiro concat( x1, x2, x3,...) Concatena duas ou mais strings (máx 255 caracteres) string string copy( x, y, z ) Retorna uma subcadeia da cadeia x, com z caracteres, começando no caracter y. string, inteiro, inteiro string UpCase( x ) Retorna x convertido para maiúscula char char Funções para Conversão: Nome Função Objetivo Tipo Parâmetro Tipo Retorno trunc( x ) Trunca x para um número inteiro real inteiro int( x ) Retorna a parte inteira de x real real frac( x ) Retorna a parte fracionária de x real real round( x ) Arredonda x para um inteiro real inteiro chr( x ) Determina o caracter ASCII representado por x inteiro char Funções e Procedimentos de Uso Geral: Nome Função Objetivo Tipo Parâmetro Tipo do Retorno sizeof( x ) Retorna o número de byte de x qualquer tipo inteiro gotoxy(x,y) Move o curso para a coluna x e linha y inteiro
  • 24.
    24 5 ESTRUTURAS DEDECISÃO Imagine um programa que apresente a média escolar de um aluno. Até aqui, muito simples; mas além de calcular a média, o programa deve apresentar uma mensagem indicando se o aluno foi aprovado ou reprovado. Esta variável, que até então servia para cálculos, agora passa a ser uma variável de controle, onde partir dela poderemos tomar uma decisão sobre o status do aluno. Em Pascal existem duas instruções para efetuar tomadas de decisão e desvios de operações: • a instrução de decisão simples if...then; e • a instrução de decisão composta if...then...else. 5.1 A instrução if..then A instrução if...then tem por finalidade tomar uma decisão e efetuar um desvio no processamento, dependendo, é claro, da condição atribuída ser verdadeira ou falsa. Sendo a condição verdadeira, será executada a instrução que estiver escrita após a instrução if..then. Se a instrução for falsa, serão executadas as instruções que estejam após as instruções consideradas verdadeiras. Sintaxe: if <condição> then <instrução para condição verdadeira>; <instrução para condição falsa ou após condição ser verdadeira>; Vejamos um exemplo de um trecho de programa com o uso da instrução if...then: ... if (x > 10) then writeln(“O valor da variavel X e 10”); ... Caso venha a existir mais de uma instrução verdadeira para uma determinada condição, estas deverão estar inseridas em um bloco. Um bloco é o conjunto de instruções estar entre begin e end. Sintaxe: if <condição> then begin <instrução para condição verdadeira> <instrução para condição verdadeira> <instrução para condição verdadeira> <instrução para condição verdadeira> end; <instrução para condição falsa ou após condição ser verdadeira>
  • 25.
    25 Observe que oend é finalizado com um ponto-e-vírgula ( ; ) e não apenas ponto. O uso de ponto ao final de um end ocorre somente na finalização de um programa. Vejamos um exemplo de um trecho de programa com a utilização de um bloco de instruções: ... if (x > 10) then begin writeln(“O valor da variavel X e 10”); x : = x + 1; writeln(“O valor da variavel X agora e11”); end; ... Vejamos um exemplo completo de um programa com o uso da instrução if...then. “Ler dois valores inteiros e independentemente da ordem em que foram inseridos, estes deverão ser exibidos em ordem crescente, ou seja, se forem fornecidos 5 e 3 respectivamente, deverão ser apresentados 3 e 5. O programa em questão deverá efetuar a troca dos valores entre as duas variáveis” Algoritmo 1. Ler dois valores inteiros (estabelecer variáveis A e B); 2. Verificar se o valor de A é maior que o valor de B: a. se for verdadeiro, efetuar a troca de valores entre as variáveis; b. se for falso, pedir para executar o que está estabelecido no passo 3; 3. Apresentar os valores das duas variáveis. Programa em Pascal program ORDENA; var X, A, B : integer; begin write (‘Informe uma valor para a variavel A: ‘); readln(A); write (‘Informe uma valor para a variavel B: ‘); readln(B); writeln; if (A > B) then begin X := A; A := B; B := X; end; writeln(‘Os valores ordenados são: ‘); write(A, ‘ ‘, B); end.
  • 26.
    26 5.2 A instruçãoif...then...else Assim como a instrução if...then, a instrução if...then...else tem por finalidade tomar uma decisão e efetuar um desvio no processamento. Se a condição for verdadeira será executada a instrução logo abaixo do if. Sendo a condição falsa, será executada a instrução que estiver posicionada logo após a instrução else. O conceito de blocos de instruções vale também para esta instrução. Sintaxe: if <condição> then <instruções para condição verdadeira> else <instruções para condição falsa>; Caso venha a existir mais de uma instrução verdadeira ou falsa para uma condição, estas deverão estar inseridas em um bloco. Sintaxe: if <condição> then begin <instruções para condição verdadeira>; <instruções para condição verdadeira>; end else begin <instruções para condição falsa>; <instruções para condição falsa>; end; Observe que nos dois casos abordados acima, qualquer instrução que antecede a instrução else está escrita sem o ponto-e-vírgula (;). Isto ocorre pelo fato de a instrução else ser uma extensão da instrução if...then, e sendo assim, o final da condição somente ocorre após o processamento da instrução else. Vejamos um exemplo: “Ler dois valores numéricos e efetuar a adição. Caso o valor somado seja maior ou igual a 10, este deverá ser apresentado somando-se a ele mais 5. Caso o valor somado não seja maior ou igual a 10, esta deverá ser apresentado subtraindo-se 7.” Algoritmo 1. Ler dois valores (variáveis A e B); 2. Efetuar a soma dos valores A e B, atribuindo o resultado da soma a uma variável X; 3. Verificar se X é maior ou igual a 10: a. se for verdadeiro, mostrar X+5; b. se for falso, mostrar X-7.
  • 27.
    27 Programa em Pascal programADICIONA_NUMEROS; var X, A, B : integer; begin write(‘Informe um valor para a variavel A: ‘); readln(A); write(‘Informe um valor para a variavel B: ‘); readln(B); writeln; X := A + B; write (‘O resultado equivale a: ‘); if (X>=10) then writeln(X+5) else writeln(X-5) end. Podemos trabalhar com o relacionamento de duas ou mais condições dentro da instrução if...then. Para estes casos, é necessário trabalhar com os operador lógicos, vistos anteriormente. Vejamos alguns exemplos : Operador AND program TESTA-LOGICA-AND; var NUMERO : integer; begin write(‘Informe um numero: ’); readln(NUMERO); writeln; if (NUMERO >= 20) and (NUMERO <=90) then writeln(‘O numero esta na faixa de 20 a 90’) else writeln(‘O numero esta fora da faixa de 20 a 90’); end.
  • 28.
    28 Operador OR program TESTA-LOGICA-OR; var A,B : integer; begin write(‘Informe um valor para a variavel A: ‘); readln(A); write(‘Informe um valor para a variavel B: ‘); readln(B); writeln; if (A>0) or (B>0) then writeln(‘Um dos numeros e positivo’); Operador NOT program TESTA-LOGICA-NOT; var A, B, C, X : integer; begin write(‘Informe um valor para a variavel A: ‘); readln(A); write(‘Informe um valor para a variavel B: ‘); readln(B); write(‘Informe um valor para a variavel X: ‘); readln(X); if not (X>5) then C := (A + B) * X else C := (A - B) * X; writeln(‘O resultado da variavel C corresponde a:’, C); end.
  • 29.
    29 6 ESTRUTURAS DEREPETIÇÃO (LOOPS) Existem situações onde é necessário repetir um determinado trecho de um programa um certo número de vezes. Imagine que você tenha que executar um determinado bloco de instruções 5 vezes. Com os conhecimentos que você tem até agora, seria necessário repetir as instruções CINCO vezes, tornando seu trabalho muito cansativo. Assim, existem as estruturas de repetição, que permitem que você execute estas tarefas de forma mais simplificada. Podemos chamar as estruturas de repetição de laços ou loops, sendo que podem existir dois tipos de laços de repetição: • laços finitos: neste tipo de laço se conhece previamente o número de repetições que serão executadas; e • laços infinitos: neste tipo de laço não se conhece previamente o número de repetições que serão executadas. São também chamados de condicionais, pelo fato de encerrarem sua execução mediante uma determinada condição. 6.1 Instrução for O comando FOR executa repetitivamente um comando enquanto é atribuído uma série de valores a uma variável de controle (contador do FOR). Sintaxe : for variavel := <início> to/downto <fim> do instrução; ou for variavel := <início> to/downto <fim> do begin instrução1; instrução2; instrução3; end; Vejamos um exemplo da utilização da estrutura de repetição for. ““Ler dois valores inteiros. Realize a adição destes números, armazenando o resultado em uma terceira variável. Apresente o valor encontrado. Repita esta operação 5 vezes.” Algoritmo 1. Criar uma variável para servir como contador, que irá variar de 1 até 5; 2. Ler dois valores (variáveis A e B); 3. Efetuar o cálculo, armazenando o resultado em R; 4. Apresentar o valor calculado contido na variável R; 5. Repetir os passos 2, 3 e 4 até que o contador seja encerrado.
  • 30.
    30 Programa em Pascal programEXEMPLO_FOR; var A, B, R, I : integer; begin for I := 1 to 5 do begin write(‘Entre um valor para A: ’); readln(A); write(‘Entre um valor para B: ’); readln(B); writeln; R := A + B; writeln(‘O resultado corresponde a: ’,R); writeln; end; end. Quando executado o programa, o conjunto de instruções situadas abaixo da instrução for serão executadas durante 5 vezes, pois a variável I (variável de controle) inicializada com o valor 1 é incrementada com mais 1 a cada vez que o processamento passa pela instrução for. Este tipo de estrutura de repetição pode ser utilizado todas as vezes que se tiver necessidade de repetir trechos finitos, ou seja, quando se conhece o número de vezes que se deseja repetir tais instruções. 6.2 Instrução while...do Esta estrutura de repetição se caracteriza por efetuar um teste lógico no início de um loop, verificando se é permitido executar o trecho de instruções abaixo dela. A estrutura while...do tem o seu funcionamento controlado por condição. Desta forma, poderá executar um determinado conjunto de instruções enquanto a condição verificada permanecer verdadeira. No momento em que a condição se torna falsa, o processamento da rotina é desviado para fora do loop. Sendo a condição falsa logo no início do loop, as instruções contidas nele são ignoradas. Sintaxe: while <condição> do <instrução para condição verdadeira>; ou while <condição> do begin <instruções para condição verdadeira>; end;
  • 31.
    31 Vejamos novamente oexemplo da adição de dois números, utilizado agora a instrução while...do. ““Ler dois valores inteiros. Realize a adição destes números, armazenando o resultado em uma terceira variável. Apresente o valor encontrado. Repita esta operação 5 vezes.” Algoritmo 1. Criar uma variável para servir como contador, com valor inicial igual a1; 2. Enquanto o valor do contador for menor ou igual a 5, processar os passos 3, 4 e 5; 3. Ler dois valores (variáveis A e B); 4. Efetuar o cálculo, armazenando o resultado em R; 5. Apresentar o valor calculado contido na variável R; 6. Acrescentar ao contador mais 1; e 7. Quando o contador for maior que 5, encerrar o processamento. Programa em Pascal program EXEMPLO_WHILE_DO1; var A, B, R, I : integer; begin while (I <= 5) do begin write(‘Entre um valor para A: ’); readln(A); write(‘Entre um valor para B: ’); readln(B); writeln; R := A + B; writeln(‘O resultado corresponde a: ’,R); writeln; I := I + 1; end; end. Além da utilização das variáveis A, B e R, foi necessário criar uma terceira variável, no caso I, para controlar a contagem do número de vezes que o trecho de programa deverá ser executado. Imagine ainda uma outra situação, onde o usuário deseja executar a rotina do programa várias vezes, mas este não sabe quantas vezes ao certo deverá executar o trecho de programa. Neste caso não seria conveniente manter um contador para controlar o looping, e sim, seria melhor que o programa fizesse ao usuário uma pergunta, solicitando se o mesmo deseja ou não continuar executando o programa. Vejamos o mesmo exemplo, agora sob esta nova situação:
  • 32.
    32 Algoritmo 1. Criar umavariável para ser utilizada como resposta; 2. Enquanto a resposta for sim, executar os passos 3, 4 e 5; 3. Ler dois valores (variáveis A e B); 4. Efetuar o cálculo, armazenando o resultado em R; 5. Apresentar o valor calculado contido na variável R; 6. Quando resposta for diferente de sim, encerrar o processamento. Programa em Pascal program EXEMPLO_WHILE_DO2; var A, B, R : integer; RESP : string; begin RESP := ‘SIM’; while (RESP = ‘SIM’) or (RESP = ‘S’) do begin write(‘Entre um valor para A: ’); readln(A); write(‘Entre um valor para B: ’); readln(B); writeln; R := A + B; writeln(‘O resultado corresponde a: ’,R); writeln; write(‘Deseja continuar ??’); readln(RESP); end; end. No programa acima, o contador foi substituído pela variável RESP, que enquanto tiver o seu valor igual a SIM ou igual a S, executará as instruções contidas entre as instruções begin e end do comando while...do. 6.3 Instrução repeat...until Esta estrutura caracteriza-se por efetuar um teste lógico no final de um looping, sendo parecida com a estrutura while...do. Seu funcionamento é controlado também por decisão. Esta instrução irá efetuar a execução de um conjunto de instruções pelo menos uma vez antes de verificar a validade da condição estabelecida. Desta forma, repeat irá processar um conjunto de instruções, no mínimo uma vez, até que a condição se torne verdadeira. Para a estrutura repeat um conjunto de instruções é executado enquanto a condição se mantém falsa e até que se torne verdadeira.
  • 33.
    33 Sintaxe: repeat <instrução1 até quea condição seja verdadeira> ; <instrução1 até que a condição seja verdadeira> ; <instrução1 até que a condição seja verdadeira> ; until <condição>; Vejamos novamente nosso exemplo da adição, agora utilizando a instrução repeat...until: Algoritmo 1. Criar uma variável para servir como contador, com valor inicial igual a 1; 2. Ler dois valores (variáveis A e B); 3. Efetuar o cálculo, armazenando o resultado em R; 4. Apresentar o valor calculado contido na variável R; 5. Acrescentar o contador com mais 1; 6. Repetir os passos 2, 3 e 4 até que o contador seja maior que 5. Programa em Pascal program EXEMPLO_REPEAT1; var A, B, R, I : integer; begin I := 1; repeat write(‘Entre um valor para A: ’); readln(A); write(‘Entre um valor para B: ’); readln(B); writeln; R := A + B; writeln(‘O resultado corresponde a: ’,R); writeln; I := I + 1; until (I > 5); end. Assim que o programa é executado, a variável contador é inicializada com valor igual a 1. Em seguida a instrução repeat indica que todo trecho de instruções situado até a instrução until será executado repetidas vezes até que sua condição se torne verdadeira, ou seja, até que I seja maior que 5. Vejamos o mesmo exemplo, agora considerando que o usuário encerrará a execução segundo sua vontade.
  • 34.
    34 Algoritmo 1. Criar umavariável para ser utilizada como resposta; 2. Ler dois valores (variáveis A e B); 3. Efetuar o cálculo, armazenando o resultado em R; 4. Apresentar o valor calculado contido na variável R; 5. Perguntar ao usuário se deseja continuar executando o programa; e 6. Repetir o passos 2, 3 e 4 até que a resposta do usuário seja não. Programa em Pascal program EXEMPLO_REPEAT2; var A, B, R : integer; RESP : string; begin RESP := ‘SIM’; repeat write(‘Entre um valor para A: ’); readln(A); write(‘Entre um valor para B: ’); readln(B); writeln; R := A + B; writeln(‘O resultado corresponde a: ’,R); writeln; write(‘Deseja continuar Sim/Não ??’); readln(RESP); writeln; until (<RESP <> ‘SIM’) and (<RESP <> ‘sim’); end. Assim que o programa é executado, a variável RESP é inicializada com o valor SIM. Em seguia, a instrução repeat indica que todas as instruções situadas até a instrução until deverão ser executadas até que sua condição se torne verdadeira, ou seja que o usuário responda algo diferente de SIM, e também diferente de sim.
  • 35.
    35 7 VETORES, MATRIZESE REGISTROS Ao utilizamos variáveis, podemos armazenar apenas um valor por vez. Agora, imagine um programa onde precisa-se armazenar as notas de 5 provas realizadas por um aluno. Com os conhecimentos que você possui até agora, seria necessário criar cinco variáveis para armazenar as notas. Desta forma: NOTA1, NOTA2, NOTA3, NOTA4, NOTA5 : integer; Em Pascal existem estruturas que nos permitem agrupar várias informações dentro de uma mesma variável. Estas estruturas são chamadas de vetores e matrizes. 7.1 Vetores Este tipo de estrutura é também chamado de matriz unidimensional. Um vetor é representado por seu nome, tamanho e seu tipo. Sintaxe: <vetor> : array[tamanho] of <tipo_de_dado>; onde: vetor é o nome atribuído ao vetor, tamanho é o tamanho atribuído ao vetor, em número de elementos e tipo_de_dado é o tipo de elemento armazenado (inteiro, real...). Como já visto, uma variável somente pode conter um valor por vez. No caso dos vetores, estes poderão armazenar mais de um valor por vez, pois são dimensionados exatamente para este fim. Vejamos como poderíamos declarar um vetor para armazenar as cinco notas do aluno: NOTAS : array[1..5] of real; A leitura e exibição de vetores são feitas indicando individualmente quais elementos se deseja ler ou imprimir. Vejamos como inserir as notas do aluno: NOTA[1] := 5.2; NOTA[2] := 8.0; NOTA[3] := 9.2; NOTA[4] := 7.5; NOTA[5] := 8.3; Observe que o nome é um só, o que muda é a informação indicada dentro dos colchetes. A esta informação dá-se o nome de índice, sendo este o endereço onde o valor está armazenado, ou seja, a nota do aluno. Podemos imaginar o vetor como uma tabela com cinco colunas: NOTA 5.2 8.0 9.2 7.5 8.3
  • 36.
    36 Vamos analisar umprograma com a utilização de vetores: “Desenvolver um programa que efetue a leitura de 10 elementos de um vetor A Construir um vetor B de mesmo tipo, observando a seguinte lei de formação: se o valor do índice for par, o valor deverá ser multiplicado por 5; sendo ímpar, deverá ser somado com 5. Ao final, mostrar os conteúdos dos dois vetores. ” Algoritmo 1. Iniciar o contador do índice de um vetor (A), com valor 1 até 10; 2. Ler os 10 valores, um a um; 3. Verificar se o índice é par: a. Se for, multiplica por 5 e atualiza no vetor B; b. Se não for par, soma 5 e atualiza no vetor B. 4. Apresentar o conteúdo dos dois vetores. Programa em Pascal program EXEMPLO_VETOR; var A, B : array[1..10] of integer; I : integer; begin { *** Entrada dos Dados ***} for I := 1 to 10 do begin write(‘Informe o valor’, I); readln(A[I]); end; { *** Teste Par ou Ímpar ***} for I := 1 to 10 do if (I mod 2 = 0) then B[I] := A[I] * 5 else B[I] := A[I] + 5; writeln; { *** Apresentação das matrizes ***} for I := 1 to 10 do writeln(‘A[‘, I:2,’] = ’, A[I]:2, ‘ ’, ‘B[’, I:2, ‘] = ’, B[I]:2 ); writeln; writeln(‘Tecle <ENTER> para encerrar: ’); readln; end. Vejamos um exemplo do uso de vetores de strings:
  • 37.
    37 “Ler e exibiro nome de 10 pessoas.” Algoritmo 1. Definir a variável I do tipo inteira para controlar a repetição; 2. Definir a matriz NOME do tipo string para 10 elementos; 3. Iniciar o programa, fazendo a leitura dos 10 nomes; e 4. apresentar, após a leitura, os 10 nomes. Programa em Pascal program LISTA_NOME; var NOME : array[1..10] of string; I: integer; begin writeln(‘Listagem de nomes’); writeln; { *** Entrada dos Dados *** } for I := 1 to 10 do begin write(‘Digite o ’, I:2, ‘ o. nome: ’); readln(NOME[I]); end; writeln; { *** Apresentação dos Nomes *** } for I := 1 to 10 do writeln(‘Nome: ’ , I:2, ‘ --> ’, NOME[I]); writeln; writeln(‘Tecle <ENTER> para encerrar: ’); readln; end. Uma forma mais organizada de apresentar o programa acima, seria exibir os nomes das pessoas em ordem alfabética, contribuindo para uma pesquisa mais fácil. Vejamos como ficaria o programa desta forma:
  • 38.
    38 Programa em Pascal programLISTA_NOME_ORDENADO; var NOME : array[1..10] of string; I, J: integer; X : string; begin writeln(‘Listagem de nomes’); writeln; { *** Entrada dos Dados *** } for I := 1 to 10 do begin write(‘Digite o ’, I:2, ‘ o. nome: ’); readln(NOME[I]); end; { *** Ordenação dos Nomes *** } for I := 1 to 9 do for J := I +1 to 10 do if (NOME[I] > NOME[J]) then begin X := NOME[I]; NOME[I] := NOME[J]; NOME[J] := X; end; { *** Apresentação dos Nomes *** } writeln; for I := 1 to 10 do writeln(‘Nome: ’ , I:2, ‘ --> ’, NOME[I]); writeln; writeln(‘Tecle <ENTER> para encerrar: ’); readln; end. Observe o algoritmo da troca, utilizado junto da instrução if NOME[I] > NOME[J] then. Após a verificação desta condição, sendo o primeiro nome maior que o segundo, efetua-se então a sua troca com a seqüência: X := NOME[I]; NOME[I] := NOME[J]; NOME[J] := X;
  • 39.
    39 Considere o vetorNOME[I] com o valor “CARLOS” e o vetor NOME[J] com o valor “ALBERTO”. Ao final, NOME[I] deverá estar com “ALBERTO” e NOME[J] deverá estar com o valor “CARLOS”. Para se conseguir este efeito é necessária a utilização de uma variável de apoio, no caso X. Para que o vetor NOME[I] fique livre para receber o valor do vetor NOME[J], X deverá receber o valor de NOME[I], assim sendo X passa a ter o valor “CARLOS”. Neste momento passa-se o valor de NOME[J] para NOME[I], no caso “ALBERTO”. Po fim, NOME[J] pode receber o valor de X para receber o valor “CARLOS”. 7.2 Matrizes Vamos imaginar que queremos rescrever o programa das notas do aluno, agora mantendo o controle para cinco alunos ao invés de apenas um. Com os conhecimentos adquiridos até agora seria necessário criar cinco vetores (matrizes unidimensionais), um para cada aluno. Esta é uma solução, e funciona, porém, torna nosso trabalho mais cansativo. Para facilitar o trabalho com estruturas deste porte, existem as chamadas matrizes (ou matrizes multidimensionais, se você pensar que vetores são matrizes unidimensionais).A mais comum é a matriz de duas dimensões. Uma matriz de duas dimensões estará sempre fazendo menção a linhas e colunas e será representada por seu nome e seu tamanho. Sintaxe: <matriz> : array[dimensão_linha,dimensão_coluna] of <tipo_de_dado>; onde: matriz é o nome atribuído à matriz, dimensão_linha é o tamanho da matriz em número de linhas, dimensão_coluna é o tamanho da matriz em número de colunas e tipo_de_dado é o tipo do elemento armazenado(inteiros, reais...). Vejamos como ficaria a matriz das notas dos nossos 5 alunos: 8.5 9.0 7.8 8.9 5.0 6.8 8.7 6.5 7.0 7.5 7.8 6.5 8.5 8.0 9.2 7.9 5.5 8.0 7.2 7.0 E como ficaria sua declaração em Pascal: NOTAS : array[1..5,1..4] of real; Vamos ver o programa em Pascal para este exemplo para entenderemos melhor o conceito de matriz: Pedro Ana Joana Joao Mauro
  • 40.
    40 Programa em Pascal programNOTA_ALUNO; var NOTAS : array[1..5,1..4] of real; I, J : integer; begin writeln(‘Leitura e Apresentacao da Notas’); writeln; for I := 1 to 5 do begin writeln; writeln(‘Informe as notas do ’, I:2, ‘o. aluno: ’); for J:= 1 to 4 do begin write(‘Nota’, J:2, ‘:’); readln(NOTAS[I, J]); end; end; writeln; for I:= 1 to 5 do begin write(‘As notas do aluno ’, I:2, ‘ são: ’); for J := 1 to 4 do write(NOTAS[I, J] :2 :2, ‘ ’); writeln; end; writeln; writeln(‘Tecle <ENTER> para encerrar: ’); readln; end. Em um exemplo anterior, foi utilizada a variável I para controlar as posições dos elementos dentro do vetor, ou seja, a posição em nível de linha. Neste exemplo, a variável I continua tendo o mesmo efeito e a segunda variável, J, está controlando a posição da coluna. Analisando o programa, temos a inicialização das variáveis I e J como 1, ou seja, a leitura será efetuada na primeira linha da primeira coluna. Primeiro é iniciado o looping das linhas e após, para cada linha é feito o looping para todas as colunas de uma linha. Quando todas as notas (colunas) de um aluno forem preenchidas, passa-se para o próximo aluno (linha), e novamente são preenchidas todas as notas(colunas) para o segundo aluno (linhas). Assim até o final. Vamos ver mais um exemplo para fixarmos nosso conhecimento:
  • 41.
    41 “Desenvolver um programade agenda que cadastre o nome, endereço, CEP, bairro e telefone de 10 pessoas. Ao final, o programa deverá apresentar seus elementos dispostos em ordem alfabética, independentemente da ordem em que foram digitados” Algoritmo Para resolver este problema, você deverá possuir uma tabela com 10 linhas (pessoas) e 5 colunas (dados pessoais). Assim sendo, imagine esta tabela: Nome Endereço CEP Bairro Telefone 1 2 3 4 5 6 7 8 9 10 Nesta tabela, serão utilizados dois elementos numéricos, O CEP e o telefone, mas como não são executados cálculos com estes números, eles serão armazenados como caracteres. Depois de cadastrar todos os elementos, será iniciado o processo de classificação alfabética, pelo nome de cada pessoa. Este método já foi anteriormente estudado, bastando aplicá-lo neste contexto. Porém, após a comparação do primeiro nome com o segundo, sendo o primeiro maior que o segundo, estes deverão ser trocados, bem como os elementos relacionados ao nome também. Ao final, as informações são apresentadas. Programa em Pascal program AGENDA; var DADO : array[1..10,1..5] of string; I, J : integer; X : string; begin { *** Rotina de Entrada ***} writeln(‘Programa agenda’); writeln; for I := 1 to 10 do begin write(‘Nome......: ’); readln(DADO[I,1]); write(‘Endereço.: ’); readln(DADO[I,2]); write(‘CEP.........: ’); readln(DADO[I,3]); write(‘Bairro.....: ’); readln(DADO[I,4]); write(‘Telefone..: ’); readln(DADO[I,5]);
  • 42.
    42 writeln; end; { *** Rotinade ordenação e troca de elementos *** } for I := 1 to 9 do for J := I + 1 to 10 do if (DADO[I,1] )> (DADO[J,1]) then begin {Troca Nome} X := DADO[I,1]; DADO[I,1] := DADO[J,1]; DADO[J,1] := X; {Troca Endereço} X := DADO[I,2]; DADO[I,2] := DADO[J,2]; DADO[J,2] := X; {Troca CEP} X := DADO[I,3]; DADO[I,3] := DADO[J,3]; DADO[J,3] := X; {Troca Bairro} X := DADO[I,4]; DADO[I,4] := DADO[J,4]; DADO[J,4] := X; {Troca Telefone} X := DADO[I,5]; DADO[I,5] := DADO[J,5]; DADO[J,5] := X; end; { *** Rotina de Saida ***} for I := 1 to 10 do for J := 1 to 5 do writeln(DADO[I, J]); writeln; writeln(‘Tecle <ENTER> para encerrar: ’); readln; end.
  • 43.
    43 7.3 Registros Quando trabalhamoscom matrizes percebemos que somente foi possível agrupar informações com o mesmo tipo de dados. Caso fosse necessário trabalhar com mais de um tipo de dado, precisaríamos criar matrizes diferentes. Para solucionar esta deficiência podemos utilizar uma estrutura de dados chamada de Registro. Em um registro poderemos utilizar uma estrutura que agrupe várias informações, que podem ser de tipos de dados diferentes. Por esta razão, este tipo de dado é considerado heterogêneo. Em Pascal, os tipos registro devem ser declarados ou atribuídos antes das definições das variáveis, pois é muito comum ocorrer a necessidade de se declarar uma variável com o tipo de registro atribuído. Um tipo registro é declarado em Pascal com a instrução type em conjunto com a instrução record. Sintaxe: type <identificador> = record <lista de campos e seus tipos> end; var <variavel> : <identificador_registro> onde: identificador é o nome do tipo registro e lista de campos e seus tipos é a relação de variáveis que serão usadas como campos, bem como seu tipo(real, integer...). Após a instrução var, deverá ser indicada uma variável tipo registro e a declaração do seu tipo de acordo com um identificador definido anteriormente. Perceba que a instrução type deverá ser utilizada antes da instrução var, pois, ao definir um tipo de variável, pode-se fazer uso deste tipo definido. Vamos novamente analisar o exemplo do aluno e suas 4 notas, considerando, agora, que devemos armazenar o nome deste aluno e suas 4 notas em uma mesma estrutura. Programa em Pascal program EX_REGISTRO1; type CAD_ALUNO = record NOME : string; NOTA1 : real; NOTA2 : real; NOTA3 : real; NOTA4 : real; end; var ALUNO : cad_aluno; begin writeln(‘Cadastro de Aluno’); writeln; write(‘Informe o nome..............: ’); readln(ALUNO.NOME);
  • 44.
    44 write(‘Informe a primeiranota..: ’); readln(ALUNO.NOTA1); write(‘Informe a segunda nota...: ’); readln(ALUNO.NOTA2); write(‘Informe a terceira nota....: ’); readln(ALUNO.NOTA3); write(‘Informe a quarta nota......: ’); readln(ALUNO.NOTA4); writeln; writeln(‘Nome..: ’ , ALUNO.NOME); writeln(‘Nota 1.: ’ , ALUNO.NOTA1 :2:2); writeln(‘Nota 2.: ’ , ALUNO.NOTA2 :2:2); writeln(‘Nota 3.: ’ , ALUNO.NOTA3 :2:2); writeln(‘Nota 4.: ’ , ALUNO.NOTA4 :2:2); writeln; writeln(‘Tecle <ENTER> para encerrar: ’); readln; end. Perceba que o registro está sendo denominado como CAD_ALUNO, o qual será um conjunto de dados heterogêneos (um campo tipo string e quatro do tipo real). Desta forma, é possível guardar em uma mesma estrutura, vários tipos diferentes de dados. Para armazenar as notas do aluno foram necessárias 4 variáveis. E se utilizássemos um vetor para armazenar as notas, como já fizemos anteriormente? Vejamos como ficará: Programa em Pascal program EXEMPLO_REGISTRO2; type NOTAS = array[1..4] of real; CAD_ALUNO = record NOME : string; NOTA : notas; end; var ALUNO : cad_aluno; I : integer; begin writeln(‘Cadastro de Aluno’); writeln; write(‘Informe o nome..............: ’); readln(ALUNO.NOME); writeln; for I := 1 to 4 do begin write(‘Informe a ’ , I:2, ‘a. nota..: ’); readln(ALUNO.NOTA[I]); end; writeln; writeln(‘Nome..: ’ , ALUNO.NOME); for I := 1 to 4 do writeln(‘Nota ’ ,I, ‘...: ’, ALUNO.NOTA[I]:2:2); writeln; writeln(‘Tecle <ENTER> para encerrar: ’); readln; end.
  • 45.
    45 Até agora, osdois exemplos apresentados só servem para a leitura e exibição das notas de um aluno. E se quiséssemos apresentar as notas de cinco alunos, como fizemos utilizando matrizes? Vamos ver como ficaria um programa assim: Programa em Pascal program EXEMPLO_REGISTRO3; type NOTAS = array[1..4] of real; CAD_ALUNO = record NOME : string; NOTA : notas; end; var ALUNO : array[1..5] of cad_aluno; I , J: integer; begin writeln(‘Cadastro de Aluno’); writeln; for J := 1 to 5 do begin write(‘Informe o nome do ’, J:2, ‘o. aluno...: ’); readln(ALUNO[J].NOME); writeln; for I := 1 to 4 do begin write(‘Informe a ’ , I:2, ‘a. nota...............: ’); readln(ALUNO[J].NOTA[I]); end; writeln; end; writeln; writeln; for J := 1 to 5 do begin writeln(‘Nome aluno ’ , J:2, ‘...: ’, ALUNO[J].NOME); writeln; for I := 1 to 4 do writeln(‘Nota ’ ,I, ‘............: ’, ALUNO[J].NOTA[I]:2:2); writeln; end; writeln(‘Tecle <ENTER> para encerrar: ’); readln; end.
  • 46.
    46 8 PROCEDURES EFUNCTIONS Até agora temos desenvolvido programas que englobam a lógica completa do algoritmo para a solução de um determinado problema. É comum, em programação, decompor a lógica de programas complexos em programas menores e, depois, juntá-los para compor o programa final. Essa técnica de programação é denominada programação modular. A programação modular consiste num método para facilitar a construção de grandes programas, através de sua divisão em pequenas etapas, que são os módulos ou rotinas e para possibilitar o reaproveitamento de código, já que podemos utilizar um módulo quantas vezes for necessário, eliminando assim a necessidade de escrever o mesmo código do programa em situações repetitivas. Outra importância da modularização é que ela permite que diferentes programadores trabalhem simultaneamente na solução de um mesmo problema, através da codificação separada dos diferentes módulos. A modularização, em Pascal, pode ser feita através de procedimentos (procedures) e funções (functions). Isso é feito associando-se um nome a uma seqüência de comandos através do que chamamos Declaração do Procedimento ou da Função. Pode-se, então, usar o nome do procedimento ou da função dentro do corpo do programa, sempre que desejarmos que o seu bloco de comandos seja executado, isso é o que chamamos de Chamada do Procedimento ou da Função. Além das rotinas desenvolvidas pelo usuário, existe na linguagem Pascal, um conjunto de rotinas embutidas. Este tipo de rotina embutida é conhecido pelo nome de unidade (do inglês, unit). 8.1 Utilização de Units Vejamos de forma básica as units embutidas no Turbo Pascal. As units são conjuntos de rotinas prontas para serem usadas pelo programador. Uma unit é, na verdade, uma biblioteca de funções e procedimentos. Vejamos a lista das unidades do Pascal: • CRT: esta unidade é a mais utilizada na programação Pascal. Ela possui a maior parte das rotinas e variáveis de geração de som, controle de vídeo e teclado; • DOS: esta unidade possui as rotinas que envolvem a utilização do sistema operacional, na maior parte das vezes permitindo controles de baixo nível; • GRAPH: esta unidade possui rotinas destinadas à manipulações gráficas; • OVERLAY: esta unidade possibilita gerenciar as atividades de um programa, desta forma, é possível aproveitar uma mesma área de memória para rodar várias rotinas diferentes, economizando memória; • PRINTER: esta unidade permite declarar um arquivo tipo texto com o nome LST e associá-lo à impressora; e • SYSTEM: esta unidade possui a maior parte das rotinas padrão da linguagem Pascal, não necessitando ser citada para ser usada, pois o turbo Pascal já a executa de forma automática.
  • 47.
    47 Para se fazeruso deste recurso é necessário o uso da instrução uses situada antes da declaração da instrução var. Sintaxe: uses <unidade>; À medida que formos estudando procedimentos e funções veremos a utilização das units. 8.2 Procedures Um procedimento é uma estrutura de programa autônoma que está incluída num programa em Pascal. Nele podem ser colocados todos os elementos da linguagem Pascal, como se fosse um programa completo; isso é feito através de sua declaração. Um procedimento pode ser referido escrevendo simplesmente o seu nome seguido de um lista opcional de parâmetros. Quando um procedimento é referenciado, o controle de execução do programa é automaticamente transferido para o início do procedimento. As instruções de execução dentro do procedimento são então executadas, tendo em conta quaisquer declarações especiais que sejam únicas para o procedimento. Quando todas as instruções de execução tiverem sido executadas, o controle passa automaticamente para a instrução imediatamente a seguir à da chamada do procedimento. Sintaxe: procedure Nome( parametros ) var <variáveis> begin <instruções> end; onde: nome é o nome atribuído ao procedimento e parametros são informações adicionais que serão vistas mais tarde. A linguagem Pascal exige que os procedimentos sejam definidos antes do programa principal Para entendermos melhor o conceito de procedimento vamos fazer um exemplo. “Desenvolver um programa calculadora que apresente um menu de seleções no programa principal. Este menu deverá dar ao usuário a possibilidade de escolher uma entre duas operações aritméticas. Escolhida a opção desejada, deverá ser solicitada a entrada de dois números, e processada a operação, deverá ser exibido o resultado.” Algoritmo Note que este programa deverá ser um conjunto de cinco rotinas sendo uma principal e 2 secundárias. A rotina principal efetuará o controle sobre as duas rotinas secundárias, que por sua vez efetuarão o pedido de leitura de dois valores, farão a operação e apresentarão o resultado obtido. Tendo-se uma idéia da estrutura geral do
  • 48.
    48 programa, será escritoem separado cada algoritmo com os seus detalhes de operação. Primeiro o programa principal e depois as outras rotinas. Programa principal 1. Apresentar um menu de seleção com cinco opções: a. Adição b. Multiplicação c. Fim de Programa 2. Ao ser selecionado um valor, procedimento correspondente deverá ser executado; e 3. Ao se escolher o valor 3 (c), o programa deverá ser encerrado. Rotina 1 – Adição 1. Ler dois valores, no caso, variáveis A e B; 2. Efetuar a soma das variáveis A e B, armazenando o resultado na variável X; 3. Apresentar o valor da variável X; e 4. Voltar ao programa principal. Rotina 1 – Multiplicação 1. Ler dois valores, no caso, variáveis A e B; 2. Efetuar a multiplicação das variáveis A e B, armazenando o resultado na variável X; 3. Apresentar o valor da variável X; e 4. Voltar ao programa principal. Programa em Pascal program CALCULADORA; uses Crt; var OPCAO : char; { ** Procedimento de Soma ** } procedure ADICAO; var X, A, B : real; TECLA : char; begin clrscr; gotoxy(32,1); write(‘Procedimento de Adicao’); gotoxy(5,6); write(‘Informe um valor para A: ’); readln(A); gotoxy(5,7); write(‘Informe um valor para B: ’); readln(B); X := A + B; gotoxy(5,10); write(‘O resultado e: ’, X:4:2);
  • 49.
    49 gotoxy(25,24); writeln(‘Tecle algo paravoltar ao menu’); TECLA := readkey; end; { ** Procedimento de Multiplicacao ** } procedure MULTIPLICA; var X, A, B : real; TECLA : char; begin clrscr; gotoxy(32,1); write(‘Procedimento de Multiplicacao’); gotoxy(5,6); write(‘Informe um valor para A: ’); readln(A); gotoxy(5,7); write(‘Informe um valor para B: ’); readln(B); X := A * B; gotoxy(5,10); write(‘O resultado e: ’, X:4:2); gotoxy(25,24); writeln(‘Tecle algo para voltar ao menu’); TECLA := readkey; end; { ** Programa Principal **} begin OPCAO := ‘0’ while (OPCAO <> 3) do begin clrscr; gotoxy(33,1); write(‘Menu Principal’); gotoxy(28,6); write(‘1. Soma....................’); gotoxy(28,8); write(‘2. Multiplicacao.......’); gotoxy(28,10); write(‘3. Fim do Programa.’); gotoxy(28,12); write(‘Escolha uma opcao:’); readln(OPCAO); if (OPCAO = ‘1’) then Adicao; if (OPCAO = ‘2’) then Multiplica; end; end.
  • 50.
    50 Como você jádeve ter percebido, uma das unidades foi utilizada neste programa: a CRT, e com ela apareceram algumas novas instruções, tais como gotoxy, clrscr e readkey. Vamos ver a funcionalidade destas instruções: Instrução Tipo Funcionalidade clrscr Procedure Efetua a limpeza da tela, posicionando o cursor do lado esquerdo superior. gotoxy (coluna,linha) Procedure Permite posicionar o cursor em ponto da tela. Para utilizá-lo é necessário informar dois parâmetros: a coluna e linha para posicionamento. readkey Function Permite retornar o valor da tecla pressionada, sendo este valor do tipo caractere. Quando utilizada em um programa, e esta função faz a leitura de apenas um caractere. Por esta razão, não necessita ser usada a tecla <ENTER> para confirmar a entrada da informação Podemos simplificar nosso programa com a utilização da instrução condicional, semelhante ao if...then, chamada case...of Sintaxe: case <variavel> of <opcao1> : <instrucao1>; <opcao2> : <instrucao2>; <opcao3> : <instrucao3>; else <instrução4>; end; onde: variavel é o nome da variável a ser controlada na decisão, opcao é o conteúdo da variável a ser verificado e instrucao é a execução de um comando ou bloco de comandos. Lembre-se que você pode inserir um bloco de instruções após uma instrução condicional. Para isto basta colocar as instruções entre begin e end. Vejamos um trecho do programa da calculadora, com o uso da instrução case...of.
  • 51.
    51 Programa em Pascal {** Programa Principal **} begin OPCAO := ‘0’ while (OPCAO <> 3) do begin clrscr; gotoxy(33,1); write(‘Menu Principal’); gotoxy(28,6); write(‘1. Soma....................’); gotoxy(28,8); write(‘2. Multiplicacao.......’); gotoxy(28,10); write(‘3. Fim do Programa.’); gotoxy(28,12); write(‘Escolha uma opcao:’); readln(OPCAO); if (OPCAO <> ‘3’) then case OPCAO of ‘1’ : Adicao; ‘2’ : Multiplica; else gotoxy(27,24); writeln(‘Opcao invalida – Tecle algo: ’); OPCAO := readkey; end; end; end. No programa da calculadora você deve ter observado que utilizamos algumas variáveis dentro dos procedimentos (A, B e X), e também uma variável fora das rotinas (OPCAO). Estas variáveis são chamadas de locais e globais, respectivamente. 8.2.1 Variáveis Globais e Locais Uma variável é considerada Global quando é declarada no início de um programa escrito em Pascal, podendo ser utilizada por qualquer procedimento ou função. Assim sendo, este tipo de variável passa a ser visível a todas as funções ou procedimentos. No programa anterior, a variável OPCAO é uma variável global. Uma variável é considerada Local quando é declarada dentro de uma função ou procedimento, sendo somente válida dentro da qual está declarada. Desta forma, as demais rotinas e o programa principal não poderão fazer uso daquelas variáveis como Global, pois não visualizam a existência das mesmas. No programa anterior, as variáveis A, B e X são locais. Por este motivo estão sendo declaradas repetidas vezes dentro de cada procedimento. Dependendo da forma como se trabalha com as varáveis, é possível economizar espaço em memória, tornando o programa mais eficiente.
  • 52.
    52 8.3 Parâmetros Os parâmetrostêm por finalidade servir como um ponto de comunicação entre uma rotina e o programa principal, ou com outra rotina de nível mais alto. Desta forma, é possível passar valores de uma rotina a outra rotina, através do uso de parâmetros que poderão ser formais ou reais. Serão considerados parâmetros formais quando forem declarados através de variáveis juntamente com a identificação do nome da rotina, os quais serão tratados exatamente da mesma forma que são tratadas as variáveis globais ou locais. Vejamos um exemplo: procedure CALC_ADICAO(A, B : integer); var Z : integer; begin Z := A + B; writeln(Z); end; Observe que Z é uma variável local e está sendo usada para armazenar a soma das variáveis A e B que representam os parâmetros formais da rotina CALC_ADICAO Serão considerados parâmetros Reais quando estes substituírem os parâmetros formais, quando da utilização da rotina por um programa principal ou por uma rotina chamadora. Vejamos um exemplo do programa principal que chama o procedimento CALC_ADICAO begin readln(X); readln(Y); Calc_Adicao(X,Y); readln(W); readln(T); Calc_Adicao(W,T); Calc_Adicao(6, 4); end. No trecho acima, toda vez que a rotina CALC_ADICAO é chamada, faz-se uso de parâmetros reais. Desta forma, são parâmetros reais as variáveis X, Y, W e T, pois são fornecidos seus valores para as rotinas. Vejamos agora o programa completo:
  • 53.
    53 Programa em Pascal procedureCALC_ADICAO(A, B : integer); var Z : integer; begin Z := A + B; writeln(Z); end; var X, Y, W, T : integer; begin readln(X); readln(Y); Calc_Adicao(X,Y); readln(W); readln(T); Calc_Adicao(W,T); Calc_Adicao(6, 4); end. A passagem de parâmetro ocorre quando é feita uma substituição dos parâmetros formais pelos reais no momento da execução da rotina. Estes parâmetros serão passados de duas formas: por valor e por referência. 8.3.1 Passagem por Valor A passagem de parâmetro por valor caracteriza-se pela não alteração do valor do parâmetro real, quando este é manipulado dentro da rotina. Assim sendo, o valor passado pelo parâmetro real é copiado para o parâmetro formal, que no caso assume o papel de variável local da rotina. Desta forma, qualquer modificação que ocorra na variável local da rotina não afetará o valor do parâmetro real correspondente. Vejamos um exemplo utilizando passagem de parâmetro por valor:
  • 54.
    54 Programa em Pascal programFATORIAL; uses Crt; procedure FATOR(N : integer); var I, FAT : integer; begin FAT := 1; for 1 to N do FAT := FAT * I; writeln(‘A fatorial de ’, N, ‘ equivale a: ’, FAT); end; var LIMITE : integer; begin clrscr; writeln(‘Programa Fatorial’); writeln; write(‘Informe um valor inteiro: ’); readln(LIMITE); Fatorial (LIMITE); writeln(‘Tecle <ENTER> para encerrar o programa’); readln; end. 8.3.2 Passagem por Referência A passagem de parâmetro por referência caracteriza-se pela ocorrência da alteração do valor do parâmetro real quando o parâmetro formal é manipulado dentro da rotina chamada. Desta forma, qualquer modificação feita no parâmetro formal, implica em alteração no parâmetro real correspondente. A alteração efetuada é devolvida para a rotina chamadora. Vejamos novamente o exemplo do programa FATORIAL agora com passagem de parâmetros por referência:
  • 55.
    55 program FATORIAL2; uses Crt; procedure FATOR(N: integer; var FAT : integer); var I : integer; begin FAT := 1; for 1 to N do FAT := FAT * I; end; var LIMITE, RETORNO : integer; begin clrscr; writeln(‘Programa Fatorial’); writeln; write(‘Informe um valor inteiro: ’); readln(LIMITE); Fatorial (LIMITE, RETORNO); writeln(‘A fatorial de ’, LIMITE, ‘ equivale a: ’, RETORNO); writeln(‘Tecle <ENTER> para encerrar o programa’); readln; end. Neste exemplo, é indicado o uso da passagem de parâmetro por referência. A variável N continua sendo uma variável do tipo passagem por valor, pois esta receberá o valor de LIMITE. Este valor estabelece quantas vezes o looping deve ser executado. Dentro da rotina é encontrada a variável FAT que é do tipo passagem de parâmetro por referência. Ao término do looping o valor da variável FAT é transferido para fora da rotina, ou seja, seu valor é transferido para a variável RETORNO. 8.4 Functions Uma function, assim com uma procedure, é um bloco de programa, ao qual são válidas todas as regras estudadas de programação. Sua diferença em relação a uma procedure está no fato de retornar sempre um valor. O valor de uma função é retornado no próprio nome da função. Quando se diz valor, devem ser levados em conta os valores numéricos, lógicos ou literais. Sintaxe: function <nome> [(parâmetros)] : <tipo>; var <variaveis> ; begin <instrucoes>; end;
  • 56.
    56 onde: nome éo nome atribuído a uma função, parâmetro é uma informação opcional e tipo é o tipo de dado a ser retornado pela função. Vejamos o exemplo da procedure do Fatorial agora, na forma de função: Programa em Pascal function FATOR(N : integer) : integer; var I, FAT : integer; begin FAT := 1; for 1 to N do FAT := FAT * I; FATOR := FAT; end; Observe que o nome da função, no caso FATOR, é também o nome da variável interna que recebe o valor acumulado da variável FAT, caso o número fornecido para o parâmetro não seja zero. É muito simples, o resultado da função é atribuído ao próprio nome da função. A definição de tipo de dado fora do parênteses, na declaração da função, indica o tipo de dado que retornará à rotina chamadora. Vejamos um exemplo completo do uso de funções: “Desenvolver um programa que faça uso de uma rotina de função que retorne o valor da adição de dois valores fornecidos como parâmetros.” Algoritmo Programa Principal: 1. Ler dois valores, no caso as variáveis NUM1 e NUM2; 2. Chamar a função de soma, fornecendo como parâmetros as duas variáveis; e 3. Apresentar o resultado retornado. Rotina para Adição: 1. Receber dois valores fornecidos através de parâmetros; 2. Efetuar o cálculo entre os dois valores, no caso a adição; e 3. Retornar para a função o resultado obtido.
  • 57.
    57 Programa em Pascal programCALC_ADICAO; uses Crt; function ADICAO (A, B : real) : real; begin ADICAO := A + B; end; var NUM1, NUM2 : real; begin clrscr; write(‘Informe o 1o . valor : ’); readln(NUM1); write(‘Informe o 2o . valor : ’); readln(NUM2); writeln; writeln(‘O resultado da adicao = ’, Adicao(NUM1, NUM2) :2:2 ); writeln(‘Tecle <ENTER> para encerrar o program’); readln; end.
  • 58.
    58 9 ARQUIVOS Anteriormente foiestudado o conceito de vetores e matrizes para armazenar informações. Depois foi estudado o tipo registro. Porém, estas informações são armazenadas na memória RAM de nosso computador, permanecendo lá apenas até que nosso programa encerre a execução. Para que possamos armazenar nossas informações fisicamente, de forma a recuperarmos tais informações quando quisermos surge o conceito de arquivos, que permite que gravemos nossas informações em dispositivos físicos, tais como o winchester e os disquetes. A principal vantagem na utilização de um arquivo está no fato de as informações poderem ser utilizadas a qualquer momento. Outra vantagem encontrada na utilização de arquivos é o fato de poder armazenar um número maior de informações do que as de memória, estando apenas limitado ao tamanho do meio físico para sua gravação. 9.1 Definição de um Arquivo A manipulação de um arquivo em Pascal ocorre com a definição do tipo file, o qual se caracteriza por ser uma estrutura formada por elementos do mesmo tipo dispostos de forma seqüencial, tendo como finalidade fazer a comunicação entre a memória principal e a memória secundária. Sintaxe: type <arquivo> = [text][file [of <tipo>]]; var <variavel> : <arquivo>; ou <variavel> : [text][file [of <tipo>]]; onde: arquivo é o nome de um arquivo com tipo definido, tipo é o tipo de um arquivo (text, string, real, record, etc...) e variavel é a variável que será usada para representar o arquivo. 9.2 Operações de um Arquivo Um arquivo tem a capacidade de executar algumas operações, tais como: abertura, leitura ou escrita e fechamento de um arquivo, sendo que estas operações, em Pascal, possuem algumas instruções apropriadas. Vejamos:
  • 59.
    59 Instrução Tipo SintaxeDescrição assign procedure assign (<variavel>, <arquivo>) Tem por finalidade associar um nome lógico de arquivo ao arquivo físico. o parâmetro <variavel> é a indicação da variável do tipo arquivo, e <arquivo> é o nome do arquivo a ser manipulado rewrite procedure rewrite (<variavel>) Tem por finalidade criar um arquivo para uso, utilizando o nome associado ao parâmetro <variavel>. Caso o arquivo já exista, esta instrução o apagará para criá-lo novamente. reset procedure reset (<variavel>) Tem por finalidade abrir um arquivo existente, colocando-o disponível par leitura e gravação, utilizando o nome associado ao parâmetro <variavel>. write procedure write(<variavel>,<dado>) Tem por finalidade escrever a informação <dado> no arquivo indicado pelo parâmetro <variavel>. read procedure read(<variavel>,<dado>) Tem por finalidade ler a informação <dado> no arquivo indicado pelo parâmetro <variavel>. close procedure close(<variavel>) Tem por finalidade fechar um arquivo em uso dentro de um programa. nenhum programa deve ser encerrado sem antes fechar os arquivos abertos. 9.3 Formas de Acesso em um Arquivo Os arquivos criados poderão ser acessados para leitura e gravação na forma seqüencial, direta ou indexada. 9.3.1 Acesso Seqüencial O acesso seqüencial ocorre quando o processo de gravação e leitura é feito de forma contínua, um após o outro. Desta forma, para se gravar a informação é necessário percorrer todo o arquivo a partir do primeiro registro, até localizar a primeira posição vazia. A leitura também ocorre desta maneira.
  • 60.
    60 9.3.2 Acesso Direto Oacesso direto ocorre através de um campo chave previamente definido. Desta forma, passa a existir um vínculo existente entre um dos campos do registro e sua posição de armazenamento, através da chave. Assim sendo, o acesso a um registro tanto para leitura como para gravação poderá ser feito de forma instantânea. 9.3.3 Acesso Indexado O acesso indexado ocorre quando se acessa de forma direta um arquivo seqüencial. Na sua maioria, todo arquivo criado armazena os registros de forma seqüencial. A forma seqüencial de acesso se torna inconveniente, pois à medida que o arquivo aumenta de tamanho, aumenta também o tempo de acesso ao mesmo. Por isso, cria-se um índice de consulta, passando a ser esse arquivo indexado. Existirão dois arquivos, um seqüencial e outro indexado. Os acessos serão feitos com em um livro: primeiro se consulta o índice de localização, e depois procura-se o conteúdo desejado. 9.4 Arquivos do Tipo Texto Os arquivos do tipo texto estão capacitados a armazenar palavras, frases e também dados numéricos. Os números, entretanto, serão armazenados com um caractere do tipo alfanumérico. Ao serem lidos de um arquivo e passados para a memória, os dados numéricos são convertidos para seu formato original. Vamos criar um arquivo do tipo texto: program CRIA_ARQUIVO_TEXTO; var ARQUIVO_TXT : text; begin assign(ARQUIVO_TXT, ‘ARQTXT.XXX’); rewrite(ARQUIVO_TXT); close(ARQUIVO_TXT); end. O programa acima estabelece para a variável ARQUIVO_TXT o identificador text, que tem por finalidade definir para a variável indicada o tipo de arquivo texto. Tendo sido o arquivo criado, este poderá ser agora utilizado para a gravação das informações que irá guardar. Vejamos:
  • 61.
    61 program GRAVA_ARQUIVO_TEXTO; var ARQUIVO_TXT :text; MENSAGEM : string[50]; begin assign(ARQUIVO_TXT, ‘ARQTXT.XXX’); append(ARQUIVO_TXT); readln(MENSAGEM); writeln(ARQUIVO_TXT, MENSAGEM); close(ARQUIVO_TXT); end. Observação: quando a instrução write ou writeln é utilizada para escrever um dado em um arquivo, esta não apresenta o dado no vídeo, ficando disponível apenas para a operação de gravação do arquivo. A seguir, é necessário podermos ler nosso arquivo texto. O programa abaixo mostra como fazemos isto: program LER_ARQUIVO_TEXTO; var ARQUIVO_TXT : text; MENSAGEM : string[50]; begin assign(ARQUIVO_TXT, ‘ARQTXT.XXX’); reset(ARQUIVO_TXT); readln(ARQUIVO_TXT , MENSAGEM); writeln( MENSAGEM); close(ARQUIVO_TXT); end. 9.5 Arquivos com Tipo Definido Os arquivos com tipo definido caracterizam-se por serem do tipo binário, diferente dos arquivos do tipo texto. Este arquivo permite armazenar específicos, podendo ser: integer, real, record, entre outros. Um arquivo com tipo definido executa as operações de gravação e leitura mais rápido que os arquivos texto. Os arquivos de tipo definido estão capacitados a armazenar dados na forma de registro. Vamos criar um arquivo que seja capacitado a receber dados numéricos inteiros: program CRIA_ARQUIVO_INTEIRO; var ARQUIVO_INT : file of integer; begin assign(ARQUIVO_INT, ‘ARQINT.XXX’); rewrite(ARQUIVO_INT); close(ARQUIVO_INT); end.
  • 62.
    62 O programa acimaestabelece para a variável ARQUIVO_INT o identificador file of integer, que tem a finalidade de definir para a variável indicada de arquivo como sendo inteiro. Todas as operações são semelhantes às operações usadas para se criar um arquivo texto Estando o arquivo criado, este agora poderá ser utilizado para a gravação de dados de tipo inteiro. Vejamos program CADASTRA_ARQUIVO_INTEIRO; uses Crt; var ARQUIVO_INT : file of integer; NUMERI : integer; RESP :char; begin assign(ARQUIVO_INT, ‘ARQINT.XXX’); reset(ARQUIVO_INT); RESP := ‘S’; while (RESP = ‘S’) or (RESP = ‘s’) do begin clrscr; writeln(‘Gravacao de Registros Inteiros’); writeln; seek(ARQUIVO_INT, filesize(ARQUIVO_INT)); write(‘Informe um numero inteiro: ’); readln(NUMERO); write(ARQUIVO_INT, NUMERO); writeln; write(‘Deseja continuar ? [S/N] ’); readln(RESP); end; close(ARQUIVO_INT); end. O programa acima utiliza a função assign para associar o arquivo à variável de controle. Faz uso da instrução reset para abrir o arquivo. Um pouco abaixo é apresentada uma linha com a instrução seek(ARQUIVO_INT, filesize(ARQUIVO_INT)); que executa em um arquivo definido o mesmo efeito que a instrução append em um arquivo texto, ou seja, se o arquivo já possuir algum registro, o próximo registro será sempre colocado após o último cadastrado. A instrução filesize retorna o número de registros do arquivo e a instrução seek posiciona o ponteiro de registro em uma determinada posição do arquivo. Vamos agora ver um programa, que irá efetuar a leitura em um arquivo do tipo definido: “Ler um arquivo de números inteiros, mostrando no vídeo a informação armazenada com o programa anterior.”
  • 63.
    63 program CADASTRA_ARQUIVO_INTEIRO; uses Crt; var ARQUIVO_INT :file of integer; NUMERI : integer; RESP :char; begin assign(ARQUIVO_INT, ‘ARQINT.XXX’); reset(ARQUIVO_INT); RESP := ‘S’; while not eof(ARQUIVO_INT) do begin read(ARQUIVO_INT, NUMERO); writeln(NUMERO); end; close(ARQUIVO_INT); end. 9.6 Arquivo com Tipo Definido de Registro Em Pascal, existe um arquivo do tipo record, que nos permite desenvolver uma aplicação de forma mais profissional e com acessos mais rápidos. Sintaxe: type <nome_arquivo> = record <campos do arquivo> end; var <variavel> : <nome_arquivo>; <variavel> : file of <nome_arquivo>; Vejamos um exemplo: type BIMESTRE = array[1..4] of real; REG_ALUNO = record FLAG : char; MATRICULA : integer; NOME : string[30]; NOTAS : bimestre; end; var ALUNO : reg_aluno; ARQALU : file of reg_aluno;