1
ECONOMIA AMBIENTAL
9º PERÍODO ENGENHARIA AMBIENTAL
Prof Fernán Vergara
ANOTAÇÕES DE AULA
Conceitos básicos de Economia:
1. A economia é um estudo da riqueza e um ramo do estudo do homem.
2. Quais as causas que afetam o consumo e a produção, a distribuição e a troca de riquezas;
3. Estudo das condições materiais da vida em sociedade.
4. As necessidades humanas:
Necessidades biológicas; são essenciais à sobrevivência, como comer, respirar, dormir
etc...
Necessidades voltadas à existência social: têm caráter relativo e procuram trazer
conforto.
Necessidades espirituais: são aquelas de caráter subjetivo e são empregadas por
elementos próprios de cada cultura.
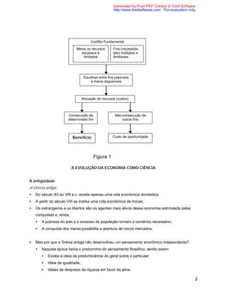
A sistematização de Robbins
A sociedade tem objetivos múltiplos, ilimitados, mas meios limitados para conseguí-los. A
conduta econômica consiste em escolher entre fins possíveis e meios escassos para alcançá-los.
A economia é um ramo que estuda as formas do comportamento humano que resultam da
relação entre necessidades ilimitadas e recursos escassos.
Meios escassos, fins alternativos, escolha e alocação são elementos a partir dos quais se
define o campo de que se ocupa a economia (figura 1).
Fatores de produção
São os elementos indispensáveis para a geração de bens e serviços. Eles são: terra
(natureza), trabalho e o capital.
A terra é a fonte onde se originam todos os bens propriamente ditos, também é o
receptáculo de todos os dejetos e rejeitos da atividade produtiva. Esta pode ter características
geográficas, climatológicas, de subsolos etc... que podem influenciar a atividade produtiva.
O trabalho tem sua potência determinada pela volume (quantidade de pessoas
envolvidas) e pela eficiência econ6omica da população. Aqui considera-se a população
economicamente ativa, geralmente entre 15 e 60 anos.
O capital e a técnica podem ser definidos com os bens destinados a produzir outros bens
e serviços. São bens de capital não somente as construções, máquinas e ferramentas, como
também as tecnologias (métodos e processos) de produção.
Generated by Foxit PDF Creator © Foxit Software
http://www.foxitsoftware.com For evaluation only.
2
A EVOLUÇÃO DA ECONOMIA COMO CIÊNCIA
A antigüidade
A Grécia antiga
• Do século XII ao VIII a.c. existia apenas uma vida econômica doméstica;
• A partir do século VIII se institui uma vida econômica de trocas;
• Os estrangeiros e os libertos são os agentes mais ativos dessa economia estimulada pelas
conquistas e, ainda:
• A pobreza do solo e o excesso da população tornam o comércio necessário;
• A conquista dos mares possibilita a abertura de novos mercados.
• Mas por que a Grécia antiga não desenvolveu um pensamento econômico independente?
• Naquela época havia o predomínio do pensamento filosófico, sendo assim:
• Existia a idéia da predominância do geral sobre o particular
• Idéia de igualdade;
• Idéias de desprezo da riqueza em favor da alma.
Conflito Fundamental
Meios ou recursos
escassos e
limitados
Fins (necessida-
des) múltiplos e
ilimitáveis
Escolhas entre fins possíveis
e meios disponíveis
Alocação de recursos (custos)
Consecução de
determinado fim
Não-consecução de
outros fins
Benefício Custo de oportunidade
Figura 1
Generated by Foxit PDF Creator © Foxit Software
http://www.foxitsoftware.com For evaluation only.
3
• Criação da moeda apenas para base de troca.
O império Romano
• Pensamento econômico deixa de estar subordinado ao filosófico e passa a ser parte da
política (o estado).
• Ainda não há um pensamento econômico independente;
• A construção de cidades, estradas, aquedutos etc. tinham uma finalidade política (garantir a
existência do império e não o desenvolvimento das atividades econômicas.
Mesmo assim podemos distinguir duas tendências, a intervencionista e a individualista:
A tendência intervencionista
• Intervenção do estado;
• Regularização do abastecimento de cereais;
• Distribuição de pão feita pelo estado, benefício para a população carente.
As conseqüências
• Aumento do déficit público;
• Incentivo à indolência e às fraudes;
• Decadência da agricultura
A tendência individualista
• Desenvolvimento do direito de propriedade privada.
• Base das escolas clássica e fisiocrata.
O PENSAMENTO ECONÔMICO NA IDADE MÉDIA
Até o século XI
• Com as invasões dos bárbaros desaparece a economia antiga;
• A exclusividade da produção rural;
• A moeda é de mau quilate e de circulação restrita.
Do século XI ao XIV
• Ressurge uma vida econômica de trocas;
• Estabelecimento da ordem social e da organização política;
• O comércio mediterrâneo retoma um novo impulso - Gênova, Pisa, Florença, Veneza.
Princípio de equilíbrio: tornar justa a troca
Generated by Foxit PDF Creator © Foxit Software
http://www.foxitsoftware.com For evaluation only.
4
- O pensamento econômico estava subordinada à moral;
- É preciso que o preço seja justo (manifestações escolásticas);
- O preço justo é:
• Bastante baixo para que o consumidor possa comprar (ponto de vista econômico);
• Sem extorsão (ponto de vista moral);
• Suficientemente elevado para que o vendedor tenha interesse em vender (ponto de
vista econômico) e poder viver de maneira decente (ponto de vista moral).
MERCANTILISMO
É o conjunto de idéias e práticas econômicas que floresceram na Europa entre 1450 e
1750.
Isto se deve a uma tríplice transformação de ordem intelectual, política e geográfica,
marcando o início dos tempos modernos.
- Transformação Intelectual
• Surge o Renascimento, um maravilhoso rendamento da civilização (Leonardo da Vinci,
Michelângelo, Rafael);
• O estudo científico começa a substituir, em parte, a doutrina religiosa;
• Estímulo à atividade econômica, condenação da ociosidade, justifica o sucesso dos
negócios e consequentemente o lucro ( Caloinismo).
- Transformação Política
• Surge, no sec. XVI, o estado Moderno;
• As monarquias surgem para substituir os feudos;
• A noção passa a ser um organismo econômico;
• O mercado passa de regional para nacional.
- Transformações Geográficas
• O início das grandes descobertas;
• Utilização da bússola e as primeiras cartas marítimas propiciam a navegação em alto
mar;
• Descobrimento do caminho das Índias, da América e do Brasil;
• Afluxo de metais preciosos.
• A idéia metalista - quanto maior a quantidade de metais preciosos, maior será a
riqueza e a prosperidade do país.
• O ouro e a prata são o mais perfeito instrumento de aquisição da riqueza.
• É levada em consideração o caráter de durabilidade das riquezas metálicas.
• A necessidade de dinheiro para fazer a guerra.
Generated by Foxit PDF Creator © Foxit Software
http://www.foxitsoftware.com For evaluation only.
5
A ESCOLA FISIOCRÁTICA
• De origem francesa, inicia-se na segunda metade do séc. XVIII, seu principal
representante é Quesnay.
As duas principais concepções desta doutrina são a Ordem Natural e a Ordem
Providencial.
A noção de Ordem Natural
• Os fenômenos econômicos processam-se livre e independentemente de qualquer
coação exterior seguindo as leis naturais.
A Sociedade se comporia de três classes:
• Produtiva: agricultores;
• Proprietários imobiliários;
• A classe estéril: comércio, indústria, profissionais liberais.
• Importância exagerada da produção agrícola;
• Não considera comércio e indústria, atividades produtivas;
• É reconhecido o direito de propriedade.
A noção de Ordem Providencial
• Tudo é para a felicidade dos homens e desejada por Deus;
• As leis são supremas e estão num plano divino;
• O homem busca obter o máximo de satisfação com o mínimo de esforço.
A ESCOLA CLÁSSICA
• Não é mais importante o fortalecimento do Estado, mas sim a riqueza das nações.
A fundamentação da economia é formada pela:
• Formação
• Acumulação
• Distribuição
• Consumo
• A concorrência maximiza o desenvolvimento econômico e de que os benefícios deste
seriam compartilhados por toda a Sociedade.
Generated by Foxit PDF Creator © Foxit Software
http://www.foxitsoftware.com For evaluation only.
6
• A população cresceria numa progressão geométrica e a produção agrícola cresceria
numa progressão aritmética (Malthus). Aqui não foi levado em consideração o
desenvolvimento tecnológico.
• Terra, trabalho e capital; sustentam a economia.
• O trabalho é uma definição mais abrangente do "produtor agrícola" dos fisiocrátas.
• A revolução industrial e o comércio internacional.
A ABORDAGEM NEOCLÁSSICA
A economia é um estudo dos homens tal como vivem, agem e pensam nos assuntos ordinários da
vida. Mas diz respeito, principalmente aos motivos que afetam, de modo intenso e constante, a
condução do homem no trato com as questões que interferem em sua riqueza e nas condições
materiais de seu bem-estar.
• Riqueza
• Pobreza
• Bem-estar
• Consiste em descobrir como as virtudes humanas e a concorrência podem conduzir ao
bem-estar social.
O SOCIALISMO
• As necessidades humanas são determinadas pelo estágio cultural da sociedade.
• Para satisfazer a um padrão de necessidades, o homem se dedica a um ato social: a
produção.
• A realização desse processo se completa com a distribuição do produto social.
• O estudo das leis sociais que regulam a produção e a distribuição resume o campo de
que se ocupa a economia.
A Revolução Keynesiana
As críticas às teorias clássicas e neoclássicas, que seriam uma teoria particular e parcial
da atividade econômica:
a) Apoiava-se numa hipótese nem sempre confirmada, ou seja, a do pleno emprego;
b) Elimina a moeda de seus raciocínios;
c) Os problemas econômicos não são apresentados em termos gerais, mas sim,
individuais e fragmentados.
• Com isso passa a ser primordial, estudar:
• As causas do desemprego;
• As condições de existência de uma posição de equilíbrio em uma economia com
desemprego;
Generated by Foxit PDF Creator © Foxit Software
http://www.foxitsoftware.com For evaluation only.
7
• As forças que determinam esta posição de equilíbrio.
• A moeda deixa de ter uma função passiva nas trocas introduzindo-se a noção de
tempo.
COMPARTIMENTALIZAÇÃO USUAL DA ECONOMIA
1) - Proposições positivas e normativas: diferenciação fundamental.
2) - A microeconomia: A abordagem Microscópica.
3) - A macroeconomia: A abordagem Macroscópica.
4) - A política econômica: o processo de escolha de fins e meios.
Proposições positivas e normativas: diferenciação fundamental.
- A economia positiva trata a realidade como ela é.
- A economia normativa trata de como a realidade deveria ser.
- Enquanto a positiva se pergunta "quais as medidas que reduzem o desemprego e cortam
a inflação?", a normativa diria "deveríamos dar mais importância ao desemprego do que à
inflação". Enquanto a primeira poderia ser respondida por uma lista de medidas possíveis,
a Segunda é passível de controvérsia, já que o inverso também é aceitável.
A Microeconomia: A Abordagem Microscópica
A microeconomia está voltada, fundamentalmente, para:
• As unidades individualizadas da economia, como o consumidor e a empresa,
consideradas isoladamente ou em agrupamentos homogêneos.
• O comportamento do consumidor: a busca da satisfação máxima (dada sua restrição
orçamentária) e outras motivações.
• O comportamento da empresa: a busca do lucro máximo (dadas as estruturas de
custos e a atuação da concorrência) e outras motivações.
• A estrutura e os mecanismos de funcionamento dos mercados. As conformações
básicas da oferta e da procura, microscopicamente consideradas.
• As funções e as imperfeições dos mercados, na alocação eficaz dos escassos recursos
da sociedade e na geração dos produtos destinados a satisfazer às necessidades tidas como
imitáveis.
• As remunerações pagas aos agentes que participam do processo produtivo e a
conseqüente repartição funcional da renda social.
• Os preços recebidos pelas unidades que geram cada um dos bens e serviços que
compõem o produto social.
• A interface entre custos e benefícios privados e o interesse maior do bem comum.
Generated by Foxit PDF Creator © Foxit Software
http://www.foxitsoftware.com For evaluation only.
8
As decisões individuais, sustentadas por posturas utilitaristas e hedonistas, decorrem
mecanismos de interação capazes de justapor os interesses privados aos sociais. A metodologia
fundamental dessa abordagem é dedutiva. O nível de abstração envolvido é necessariamente
alto, ao investigar categorias do tipo utilidade, valor, satisfação, indiferença e bem-estar.
A despeito de sua abordagem microscópica, a microeconomia interessou-se também pelo
equilíbrio geral do sistema econômico, a partir da interdependência entre as atividades dos
produtores, proprietários de recursos e consumidores. O pressuposto teórico é o equilíbrio geral,
sob a situação do ótimo econômico. Pelos mecanismos da livre tensão que se manifesta em
cada mercado, via preços, orientam-se as ações convergentes de cada um dos agentes do
processo econômico. Os produtos maximizam seus lucros; os consumidores, sua satisfação; os
recursos escassos são aplicados da forma mais eficaz possível, maximizando tanto o conceito de
retornos privados, quanto o de retorno social como um todo. O funcionamento desse sistema
corresponde ao de um jogo não cooperativo, tensionado, no sentido de que cada unidade
individual cuida de seus próprios interesses, sem coalizações com as demais. A maximização
teórica é tal, sob este conceito de alocação ótima e eficiente, que nenhum dos participantes do
sistema pode, em dado momento, melhorar sua própria posição sem sacrificar os níveis de
satisfação, também máximos, de outro ou de outros participantes.
A Macroeconomia: A Abordagem Macroscópica
A macroeconomia está voltada, fundamentalmente, para:
• O comportamento da economia em seu conjunto, agregativamente considerado. A
unidade de referência é o todo, não suas partes individualizadamente consideradas.
• O desempenho totalizado da economia. As causas e os mecanismos corretivos das
grandes flutuações conjunturais. Os altos e baixos da economia como um todo.
• Os agregados econômicos, resultantes de mensurações globais, de que são exemplos
o Produto Interno Bruto e a Renda Nacional - ou seja, respectivamente, a soma de todos os
bens e serviços finais produzidos dentro das fronteiras econômicas de determinado país e a
renda apropriada pelo conjunto de todas as unidades participantes do processo econômico.
• As relações entre macrovariáveis. Por exemplo, as conexões entre o nível dos
investimentos e o nível do emprego de todos os recursos.
• Medidas de tendência central, como as taxas de juros e de câmbio, bem como suas
influências sobre o desempenho da economia como um todo.
• Variáveis-fluxo e variáveis-estoque calculadas para a economia agregativamente
considerada. Fluxos agregados, por exemplo, como a renda, o consumo, a poupança e a
acumulação. Estoques agregados, por exemplo, como os meios de pagamento e as reservas
de divisas internacionais.
Generated by Foxit PDF Creator © Foxit Software
http://www.foxitsoftware.com For evaluation only.
9
• As trocas internacionais de bens e serviços, vistas como um todo. Os fluxos totalizados
dos movimentos internacionais de capitais. O registro e a contabilização desses movimentos,
possibilitando levantamentos como o Balanço Internacional de Pagamentos.
• As finanças públicas. Os tributos arrecadados por todas as esferas de governo. Os
dispêndios públicos, correntes e de investimentos. As execuções orçamentárias. O equilíbrio
das contas públicas.
• As grandes disfunções da economia. Questões globais, agregadas, de massa, como a
inflação e o desemprego.
• O crescimento e o desenvolvimento das economias nacionais. A determinação de seus
principais fatores condicionantes.
• Os indicadores básicos para comparações internacionais do desempenho totalizado
das economias nacionais, como os níveis de produto e de renda per capita, os padrões de
produtividade e os de competitividade.
Fica evidente que as palavras e expressões-chave que mais empregamos para elucidar o
conceito e o campo de interesse da macroeconomia foram agregado, conjunto, totalizado,
como um todo, níveis gerais e padrões globais. Efetivamente, enquanto a microeconomia
cuida de aspectos da realidade econômica em escala reduzida, a macroeconomia trata de
questões de grande escala.
A Política Econômica: O Processo de Escolha de Fins e Meios
Os desenvolvimentos conceituais, as leis, os princípios e os modelos simplificadores da
realidade econômica atendem ao propósito maior de orientar e de dar sustentação técnica à
política econômica - esse segmento normativo da economia. Como já destacamos, as
proposições de política econômica enquadram-se no campo da economia normativa.
Consequentemente , além de se alicerçarem nos desenvolvimentos da teoria econômica, micro e
macro, traduzem concepções de ordenamento da vida econômica derivadas de posições
filosóficas e político-ideológicas, bem como de juízos de valor sobre como e em que direções
devem ser canalizados os esforços econômicos da sociedade.
A concepção conceitual e a compreensão do significado e dos limites da política
econômica vão, portanto, além de sua subordinação formal aos desenvolvimentos das teorias
micro e macroeconômica. Além de atender aos paradigmas ideológicos da estrutura de poder
estabelecida, a política econômica posta em prática geralmente integra um quadro ainda mais
amplo, a que se dá a denominação de política pública. Esta envolve um complexo sistema de
aspirações nacionais e de comprometimentos internacionais. A política pública abrange as
relações externas ou as da comunidade internacional a que o país se encontra integrado. Abrange
ainda a política de defesa e de segurança nacional, a política social e todo um conjunto inter-
relacionado de ações públicas de que fazem parte as de natureza econômica.
Generated by Foxit PDF Creator © Foxit Software
http://www.foxitsoftware.com For evaluation only.
10
OS OBJETIVOS DA POLÍTICA ECONÔMICA. A despeito das complexas redes de
influência destacadas, a política econômica atende a três objetivos básicos: o crescimento, a
estabilidade e a eqüitatividade. A influência dos fatores destacados se exerce notadamente
sobre dois aspectos cruciais. O primeiro diz respeito a como serão hierarquizados esses objetivos,
o que significa dizer a qual deles será dada maior ênfase. Basta olhar para a constelação dos
fatores reais de poder para se perceber que uns atribuiriam alta ênfase ao crescimento com
estabilidade - uma diretriz que se alinha a suas crenças e aos interesses de seus negócios; outros
dariam ênfase à questão da eqüitatividade - uma diretriz alinhada a suas convicções e interesses
políticos. E o segundo aspecto diz respeito a como se procurará alcançar o objetivo primordial da
hierarquia definida.
Os objetivos básicos da política econômica, que se apresentam para as disputas políticas
envolvendo sua hierarquização e modos de execução, são:
• O crescimento econômico, envolvendo:
1. A melhoria ou expansão das disponibilidades de recursos para a expansão econômica:
a) a adequação do tamanho e da estrutura da população; b) a modernização e a
ampliação da capacidade instalada de produção; e c) a exploração das reservas
naturais ocorrentes no espaço econômico, sob a condição de preservação auto-
sustentada do meio ambiente.
2. A implantação de infra-estrutura adequada, que se dê suporte à eficiente utilização dos
recursos econômicos disponíveis.
3. A adequação da capacidade de financiamento para as necessidades de investimento,
compatíveis com os padrões e o ritmo desejado de crescimento.
• A estabilidade econômica, envolvendo:
1. A estabilidade geral do processo econômico, garantindo-se normalidade conjuntural e
sustentação dos níveis de emprego observados na economia como um todo.
2. A estabilidade do nível geral dos preços. Embora preços de determinados bens ou
serviços possam flutuar, sofrendo, por exemplo, a influência de fatores sazonais, a
média geral de todos os preços permanece estável ou registra variações pouco
expressivas. Vale dizer: a redução da taxa de inflação para níveis não
significativamente diferentes de zero.
3. O equilíbrio nas transações econômicas com o exterior, envolvendo o equilíbrio do
balanço internacional de pagamentos como um todo e a manutenção, sustentada por
fluxos não especulativos, de um nível adequado de reservas internacionais.
• A eqüitatividade, envolvendo:
1. Uma distribuição eqüitativa da renda e da riqueza.
2. A redução ou, no limite, a total remoção dos bolsões de pobreza absoluta.
3. A redução do contingente dos excluídos do quadro socioeconômico; no limite, sua total
supressão.
Generated by Foxit PDF Creator © Foxit Software
http://www.foxitsoftware.com For evaluation only.
11
SISTEMA DE ECONOMIA DE MERCADO
funcionamento de uma economia capitalista ou de mercado como a nossa está baseada em um
conjunto de regras, onde se compram e vendem bens e serviços assim como fatores produtivos.
• Mercado é toda instituição social na qual bens e serviços, assim como os fatores
produtivos são trocados livremente.
É essencial que em todo mercado, os compradores e vendedores de qualquer bem ou serviço
entrem livremente em contato para comercializá-lo. Sempre que isso ocorre, podemos dizer que
estamos diante de um mercado.
Graças à existência do dinheiro as trocas se tornaram indiretas. Um bem ou serviço se troca por
dinheiro que depois são trocados por outros bens serviços.
Os mercados e os preços
Os compradores (demandantes) e os vendedores (ofertantes) entra em acordo sobre o preço de
um bem(ou serviço), de forma que se dará uma troca de quantidades determinadas de um bem
por uma quantidade de dinheiro, também determinada.
• O preço de um bem é sua relação de troca pelo dinheiro, isto é, o número de reais
necessários para obter em troca uma unidade do bem.
• Livre jogo da oferta e demanda é uma chave no funcionamento de toda a economia de
mercado.
A demanda
A princípio, a quantidade que um indivíduo demandará de um bem, num momento
determinado do tempo, dependerá de seu preço.
Quanto maior o preço de um bem, menor será a quantidade que cada indivíduo estará
disposto a comprar e vice-versa.
Mas sabemos que a demanda de um bem não depende só de seu preço e, sim de outros
fatores tais como gosto, preferências, renda disponível e o preço de outros bens que poderiam
substituir este.
Para simplificar esta análise escolhemos um produto, a laranja por exemplo, se
mantivermos todos os outros fatores que interferem na demanda constantes para um indivíduo,
obteremos a curva de demanda individual, isto é, a relação existente entre o preço das laranjas e
sua quantidade demandada, por parte de um indivíduo, durante um período de tempo
determinado.
Somando para cada preço as quantidades de laranjas que cada um dos indivíduos estaria
disposto a comprar, obteríamos a curva de demanda de mercado de laranjas.
Generated by Foxit PDF Creator © Foxit Software
http://www.foxitsoftware.com For evaluation only.
12
• A curva de demanda decrescente mostra que quanto maior o preço de um bem, menor será a
quantidade desse bem que os consumidores estariam dispostos a comprar. Paralelamente,
quanto mais baixo o preço do bem, mais unidades serão demandadas.
A oferta
Assim como a demanda, a oferta de um bem depende de um conjunto de fatores. São
eles: a tecnologia, os preços de fatores produtivos (terra, trabalho, capital etc.) e o preço do bem
que se quer oferecer.
Voltando ao exemplo das laranjas, a relação entre o preço da laranja e a quantidade oferecida por
um agricultor é conhecida como curva de oferta individual, sendo assim, a soma da oferta de
laranja que cada agricultor está disposto a oferecer, obtemos a curva de oferta de mercado de
laranjas.
• A curva crescente de oferta mostram como a quantidade oferecida aumenta junto com o preço,
refletindo o comportamento dos produtores.
O equilíbrio de mercado
Quando colocamos em contato consumidores e produtores com seus relativos planos e
produção, isto é, com suas respectivas curvas de demanda e oferta em um mercado particular.
O equilíbrio de mercado só é atingido quando a quantidade demandada é igual à
quantidade ofertada. Quando temos uma oferta maior do que a demanda temos um excesso de
oferta ou seja há mais produto no mercado do que pessoas interessadas em comprá-lo, para
corrigir esta situação os produtores reduzem o preço e, consequentemente a quantidade ofertada
até atingir o ponto de equilíbrio. No caso de haver um excedente de demanda, ou seja, mais gente
querendo comprar um produto do que quantidade ofertada, se forçara uma alta do preço até
atingir o equilíbrio.
A alocação de recursos
Suponhamos que exista o desejo dos consumidores de comprar mais sapatos do que
cadernos. Esta preferência pode fazer com que o preço dos sapatos se eleve e o dos cadernos
diminua. O que quer dizer esta variação de preços?
Com aumento dos preços dos sapatos surge uma maior possibilidade de lucro fabricando
sapatos do que fabricando cadernos, cujo preço está diminuindo. Portanto haverá uma maior
produção de sapatos. Para aumentar a produção, deverão instalar-se novas empresas ou
aumentar a capacidade das já existentes sendo necessário mais trabalho e capital. Estes fatores
podem ser realocados da fabricação de cadernos. O realocamento de recursos é resultado da
alteração de preços, o qual tenta sempre alcançar o principal objetivo do empresário: maximizar o
lucro.
Generated by Foxit PDF Creator © Foxit Software
http://www.foxitsoftware.com For evaluation only.
13
No sistema de economia de mercado, é essencial que todos os bens e serviços tenham
preços, sendo assim, este ajuste ocorre tanto para os bens de consumo e dos fatores de
produção.
As fases do processo de alocação de recursos
O processo de alocação de recursos se desenvolve em três partes:
• Os consumidores revelam suas preferências nos mercados ao comprar algumas coisas
e não outras. Este comportamento condiciona assim, O QUE deve ser produzido;
• A concorrência propicia às empresas uma busca de combinações de fatores de
produção de tal forma que consigam produzir com o menor custo possível. Aqui a
empresa decide COMO produzir os bens;
• A oferta e a demanda de fatores produtivos determinam PARA QUEM se deve produzir.
A empresa e a produção
A atividade fundamental da empresa é a produção e, seu objetivo é maximizar o lucro. Para isso,
a empresa deverá ajustar os fatores que emprega de forma tal que minimize o custo da produção
da quantidade oferecida.
A empresa é uma unidade econômica de produção encarregada de trocar os fatores de produção
para produzir bens e serviços, que depois serão vendidos no mercado.
Terra Processo
Trabalho produtivo Produto
Capital com uma dada final
Produtos tecnologia
intermediários
A empresa e os lucros
O objetivo principal da empresa em atividade consiste em buscar a maximização dos lucros.
O lucro de uma empresa é a diferença entre as receitas e os custos durante um período
determinado.
As receitas são o resultado da multiplicação do preço unitário de cada produto pelo número de
unidades vendidas.
Os custos são os gastos com pagamentos derivados da mão-de-obra e dos demais fatores de
produção.
A tecnologia e a empresa
Generated by Foxit PDF Creator © Foxit Software
http://www.foxitsoftware.com For evaluation only.
14
Na maioria dos processos produtivos, utilizam-se todos os fatores de produção. A proporção em
que participam pode variar bastante, sempre dentro das possibilidades que oferece a tecnologia
disponível.
A função de produção de uma empresa mostra a quantidade máxima de um produto que se pode
obter com uma quantidade de fatores produtivos.
Eficiência técnica e eficácia econômica
O conceito em economia associa-se ao emprego da menor quantidade possível de recursos para
obter uma determinada quantidade de produto.
Eficiência técnica
Suponhamos que possamos empregar técnicas para obter uma certa quantidade de um produto.
variando dois fatores de produção, trabalho e capital, temos o seguinte:
Técnica A - 2 unidades de capital e 16 de trabalho;
Técnica B - 4 unidades de capital e 8 de trabalho;
Técnica C - 3 unidades e capital 17 de trabalho.
A técnica A usa menos capital do que a técnica B mas por outro lado , a técnica B, usa
menos unidades de trabalho. Tecnicamente as duas são eficientes, não daria para decidir entre
estas duas apenas com este critério. Por outro lado daria já para descartar a técnica C por que
usa mais capital e trabalho que a técnica A, podendo ser descartada, uma vez que é
tecnicamente ineficiente.
Eficiência econômica
Analisando as técnicas anteriores, se supormos que o custo de capital é de 50 reais por
dia por máquina e o custo por dia por trabalhador é de 10 reais. De acordo com os preços dos
fatores, custo total da técnica A é menor do que a B. Sendo assim A é mais eficiente
economicamente.
A substituição no emprego de fatores
Como vimos anteriormente A é mais eficiente por que utiliza menos capital e mais trabalho, sendo
assim, caso haja uma aumento do custo do capital, A será mais eficiente ainda. Por outro lado,
caso ocorra um aumento no custo do trabalho (mantendo o custo de capital constante) devem ser
analisadas
novamente, já que o custo deste fator pode tornar A menos eficiente que B por que o fator
trabalho pesa muito mais em A do que em B.
Generated by Foxit PDF Creator © Foxit Software
http://www.foxitsoftware.com For evaluation only.
15
Deslocamento da Curva de Demanda
A curva de demanda de um bem, é traçada mantendo constantes todos os fatores que
incidem sobre a demanda, exceto o preço do bem considerado. Por exemplo, ao determinar que
quantidade de discos se deseja demandar a diferentes preços, supomos que os fatores - com
exceção do preço - que afetam a demanda de discos permaneçam constantes. Na realidade, é
freqüente que os demais fatores não permaneçam inalterados, o que motivará deslocamentos da
curva de demanda de discos. Dentre esses fatores, os mais importantes são:
• As rendas ou receitas dos consumidores.
• Os preços dos bens relacionados.
• As mudanças nos gostos ou preferências dos consumidores.
As Rendas dos Consumidores
Aumenta-se a renda de um consumidor, este normalmente desejará gastar mais e
demandará maior quantidade de bens (mas não todos). Precisamente, esse fato nos permite
estabelecer a distinção entre os bens normais e os bens inferiores.
Bens Normais e Bens Inferiores
Os bens inferiores geralmente são bens para os quais há alternativas de maior qualidade.
Exemplos de bens inferiores poderiam ser a mortadela, a margarina, o transporte coletivo.
Quando aumenta a renda dos indivíduos, geralmente há consumo menor desses bens. Os bens
inferiores são poucos e podemos prescindir deles em nossa análise.
• Bem inferior é aquele cuja quantidade demandada diminui quando aumenta a renda.
• Bem normal é aquele cuja quantidade demandada aumenta quando aumenta a renda.
No caso dos bens normais, o aumento da renda dos consumidores eleva a quantidade
demandada para cada preço. Essa mudança se representa graficamente como um deslocamento
da curva de demanda dos bens normais para a direita . Assim, por exemplo, quando acontece um
aumento na renda das famílias, estas podem consumir mais discos para cada um dos preços
possíveis de discos, fazendo a curva de demanda se deslocar para a direita.
Bens de luxo e bens de primeira necessidade
• Um bem é de primeira necessidade quando, ao aumentar a renda, a quantidade
demandada do bem aumenta em menor proporção.
• Um bem é de luxo quando, ao aumentar a renda, a quantidade demandada do bem
aumenta em maior proporção.
Os preços dos bens relacionados
Generated by Foxit PDF Creator © Foxit Software
http://www.foxitsoftware.com For evaluation only.
16
A quantidade de um bem depende das variações dos preços dos bens relacionados a ele.
Se as variações das fitas cassetes afetaram a quantidade demandada de discos, já que as fitas e
os discos são dois bens que podem satisfazer a mesma necessidade de consumo. Assim, por
exemplo, uma elevação no preço das fitas induzirá alguns consumidores a consumir mais discos e
menos fitas.
Bens substitutos e complementares
A influência da variação do preço de um bem na curva de demanda de outro depende de
que ambos sejam substitutos ou complementares.
• Os bens são substitutos se o aumento de preço de um deles aumenta a quantidade
demandada do outro, qualquer que seja o preço. Ex; carne bovina e suína; café e chá, fitas e
discos.
• Os bens são complementares se o aumento de preço de um deles reduz a quantidade
demandada do outro. Ex. automóveis e gasolina, sapatos e cadarços.
Enquanto a elevação do preço de um bem substituto desloca a curva de demanda para a
direita, a elevação de um bem complementar desloca a curva de demanda para a esquerda.
Mudanças nos gostos ou preferências dos consumidores
Os gostos também experimentam alterações que podem ocasionar deslocamentos na
curva de demanda. As preferências dos consumidores podem-se alterar simplesmente porque
os gostos se modificam com o decorrer do tempo ou devido a uma campanha publicitária. Se
os gostos variam no sentido de que se deseja demandar maior quantidade de um determinado
produto, a curva de demanda será deslocada para a direita, enquanto a mudança das
preferências for no sentido contrário, o deslocamento será para a esquerda.
Deslocamento da curva de oferta
A curva de oferta de um bem, por exemplo, sapatos, mostra exclusivamente os efeitos de
variações nos preços sobre a quantidade oferecida, supondo-se constantes os determinantes dos
custos dos vendedores. Sendo o mais significativo, os preços dos fatores de produção e a
tecnologia disponível
A tecnologia existente
Qualquer melhoria tecnológica permite produzir e vender um produto a um preço menor,
permitindo que as empresas elevem a quantidade oferecida deste produto a qualquer preço.
Graficamente podemos dizer quer a curva de demanda se desloca para a direita.
Os movimentos ao longo da curva de demanda de um bem, acontece em função de uma
mudança de preços deste produto.
Os deslocamentos de uma curva de demanda se devem a alterações de alguns outros
fatores, que não o preço. Por exemplo, a renda dos consumidores.
Generated by Foxit PDF Creator © Foxit Software
http://www.foxitsoftware.com For evaluation only.
17
Deslocamentos da curva de oferta e sua incidência sobre o preço e a quantidade de
equilíbrio.
Se houver uma redução do preço de capital, haverá um deslocamento da curva de
demanda para a direita. O novo ponto de equilíbrio vai depender da inclinação da curva de
demanda.
As variações nos preços e a elasticidade da demanda
Dada uma curva de demanda, a quantidade demandada será maior se os preços
abaixarem. Porém, se estes sobem, a quantidade demandada diminuirá. Uma informação
importante é saber como as mudanças de preços afetam a receita total, ou seja, se as mudanças
nos preços aumentarão ou diminuirão a receita total, isto é, qual será o resultado da multiplicação
do preço pela quantidade vendida. O sentido da variação da receita total, quando muda o preço,
depende da “sensibilidade da quantidade demandada”. Isso se expressa por meio do conceito de
elasticidade da demanda.
Elasticidade-preço da demanda
A elasticidade-preço da demanda mede o grau em que a quantidade demandada varia
devido às variações de preço de mercado e se expressa como o quociente entre a variação
percentual da quantidade demandada do bem, produzida por uma variação de seu preço em 1%,
mantendo-se constantes todos os demais fatores que afetam a quantidade demandada.
A elasticidade é calculada da seguinte forma:
Elasticidade = ∆ percentual da quant. demanda = ∆Q/Q x 100
da demanda ∆ percentual do preço ∆P/P x 100
Tipologia das elasticidades da demanda
A demanda é elástica se o valor numérico da elasticidade é maior que a unidade, isto é, se a
variação na quantidade é percetualmente maior que no preço, ou seja, a elasticidade é maior do
que 1.
A demanda tem elasticidade unitária se uma variação se uma variação percentual do preço
produz uma variação percentual da quantidade igual àquela.
A demanda é inelástica se o valor numérico da elasticidade é menor que a unidade, isto é, se a
variação na quantidade é percentualmente menor que a variação do preço.
Generated by Foxit PDF Creator © Foxit Software
http://www.foxitsoftware.com For evaluation only.
18
A elasticidade da demanda: casos extremos
Podemos ter dois casos extremos aqui: quando a demanda é perfeitamente elástica é quando é
perfeitamente inelástica.
• A demanda é perfeitamente inelástica, isto é, sua elasticidade é zero, quando, ao variar o
preço, a demanda não mostra nenhuma resposta na quantidade demandada. É o caso, por
exemplo, quando uma pessoa diz: ”Tenho de conseguir a qualquer preço”, está afirmando que
por ela , a demanda é perfeitamente inelástica.
• A demanda é perfeitamente elástica, ou infinita, quando os compradores não estão dispostos
a pagar mais que um determinado preço, qualquer que seja a quantidade do bem.
Elasticidade no ponto
Dependendo do ponto aonde é calculada a elasticidade de uma determinada curva de demanda,
ela pode ser elástica, inelástica ou Unitária.
A elasticidade da demanda e a receita total
• Quando a demanda é elástica, a variação percentual na quantidade demandada será maior do
que a produzida no preço. Se, por exemplo, este se reduz em 10%, a quantidade demandada
aumentará em mais de 10% e a receita total aumentará. Por outro lado, se o preço aumenta
10%, a quantidade demandada será reduzida em mais de 10% e a receita total diminuirá.
Quando a demanda é elástica, uma redução do preço aumentará a receita total. Um aumento
de preço diminuirá a receita total.
• Quando a demanda é inelástica, a variação percentual na quantidade demandada é menor
que a variação percentual no preço. Dessa forma se o preço reduz em 10%, a quantidade
demandada aumentará em menos de 10%. A receita total será reduzida. Por outro lado, se o
preço aumenta 10%, a quantidade demandada será reduzida em menos de 10%, e a receita
total aumentará. Quando a demanda é inelástica, uma diminuição no preço reduzirá a receita
total e um aumento elevará a receita.
Por isso se explica porque os agricultores preferem queimar ou destruir parte de suas
colheitas pois dessa forma, conseguem elevar os preços de seus produtos e aumentar suas
receitas totais, uma vez que a demanda de um produto agrícola pode ser inelástica.
O mercado e a concorrência
A concorrência está normalmente associada, à idéia de rivalidade ou oposição. A economia
considera a concorrência um mecanismo da organização dos mercados como uma forma de
determinar preços e as quantidades de equilíbrio.
Generated by Foxit PDF Creator © Foxit Software
http://www.foxitsoftware.com For evaluation only.
19
A concorrência perfeita
Um mercado em concorrência perfeita é aquele onde existem muitos compradores e
muitos vendedores, de forma que nenhum comprador ou vendedor individual exerce influência
sobre o preço.
Para que ocorra um mercado perfeitamente competitivo, as seguintes condições devem
ser cumpridas:
• Existência de elevado número de ofertantes e demandantes. Implica que a decisão individual
de cada um deles exercerá pouca influência sobre o mercado como um todo. Assim, se um
produtor individual decide aumentar ou reduzir a quantidade produzida, não influi sobre o
preço de mercado.
• Homogeneidade do produto. Supõe que não existe diferença entre o produto que vende um
ofertante e o que vendem os demais.
• Transparência de mercado. Requer que todos os participantes tenham pleno conhecimento
das condições gerais em que opera o mercado.
• Liberdade de entrada e saídas de empresas. Todas as empresas participantes poderão entrar
e sair do mercado de forma imediata. Assim, por exemplo, se uma empresa está produzindo
calçados esportivos e não obtém lucros, abandonará esta atividade e começará a produzir
outros bens mais lucrativos.
O monopólio
Na realidade é raro acontecer uma concorrência perfeita. Normalmente a empresa tenta
quebrar as condições da concorrência perfeita buscando melhorar sua posição individual.
• No mercado monopolista existe um só ofertante, que tem plena capacidade de determinar o
preço.
Dentre os fatores que explicam a aparição do monopólio, podemos destacar os seguintes:
• O controle exclusivo de um fator produtivo por uma empresa ou domínio das fontes mais
importantes de matéria prima indispensáveis para a produção de um determinado bem.
• A concessão de uma patente, determina uma situação monopolista de caráter temporal.
• O controle estatal da oferta de determinados serviços origina os monopólios estatais.
• O porte do mercado e a estrutura de custos de industrias especiais podem dar lugar a um
monopólio natural. Isto pode ocorrer quando uma empresa diminui de maneira expressiva seu
custo médio a medida que aumenta sua produção. Consequentemente, poderá satisfazer as
necessidades do mercado de forma mais eficiente que muitas empresas.
Comparando a concorrência perfeita e o monopólio
Quando uma industria se monopoliza. O preço da venda será maior que o preço de
mercado em concorrência perfeita e, o nível de produção inferior. Portanto a empresa monopolista
Generated by Foxit PDF Creator © Foxit Software
http://www.foxitsoftware.com For evaluation only.
20
obterá, em geral, maiores lucros que em concorrência perfeita, e os consumidores serão
prejudicados ao pagar um preço superior e em ter reduzida a quantidade ofertada do bem.
A regularização do monopólio: possíveis alternativas
Cabe ao governo tomar medidas para controlar a ação dos monopólios. Algumas medidas
que podem ser tomadas:
• Permitir o monopólio com seu lucro extraordinário, mas taxar estes lucros através de impostos.
Seria uma forma de transferência de parte dos preços que os consumidores pagaram.
• Fixar um preço máximo para os produtos de tal forma que a empresa não sai do mercado.
• Fixar preços em acordo com os de concorrência perfeita.
Os mercados oligopolistas
Quanto existe um número reduzido de vendedores, diante de uma grande quantidade de
compradores, de forma que os vendedores podem exercer algum tipo de controle sobre o preço.
As guerras de preços têm mostrado aos oligopolistas a conveniência de realizar acordos
para fixar preços ou repartir mercados
Um tipo de acordo é o cartel. O cartel é um agrupamento de empresas que procura limitar
a ação da livre concorrência para estabelecer um preço comum e/ou alcançar uma maximização
conjunta de lucros.
ECONOMIA AMBIENTAL
Como a economia neoclássica e a economia ecológica se apresentam em relação ao meio
ambiente (Prugh, 1995):
Análise custo-benefício estendida
Nos projetos de desenvolvimento econômico o objetivo é alcançar o máximo de benefícios
com um mínimo de custos. Para isto, a metodologia normalmente utilizada para avaliar projetos de
desenvolvimento econômico é a análise de custo-benefício.
Esta técnica tem como objetivo principal a eficiência econômica. A eficiência econômica
está intimamente relacionada à produção nacional ou ao poder aquisitivo. São considerados
benefícios no âmbito em que eles aumentam a saída de bens e serviços e/ou disposição a pagar
por eles. Os custos são reduzidos na entrada ou no fornecimento de recursos que poderiam ser
usados em caminhos alternativos, podendo-se assim diminuí-los.
Esta análise leva em consideração as seguintes premissas:
n As pessoas prejudicadas estão dispostos a aceitar uma compensação financeira por sua
perdas e o valor total das perdas deve ser em termos monetários;
n As pessoas prejudicadas conhecem o valor do que estão perdendo e o tempo da transação;
Generated by Foxit PDF Creator © Foxit Software
http://www.foxitsoftware.com For evaluation only.
21
n Não há uma eqüidade na distribuição de perdas e ganhos; os benefícios podem aumentar por
um lado, e por outro haverem maiores perdas.
Além disso, os seguintes problemas não estão diretamente relacionados:
n As futuras gerações das pessoas prejudicadas não vão poder valorar as perdas da mesma
forma;
n Espécies de animais e plantas, ou seja, organismos vivos que não pessoas, não podem ser
consultados se estão dispostos a participar da transação (WESTMAN, 1985).
Ao contrário da análise financeira que se baseia apenas nos preços de mercado e visa
lucros de indivíduos ou empresas, a análise econômica aborda a eficiência do objetivos dentro de
economia como um todo (MUNASINGHE, 1992).
Vários critérios são utilizados na ACB, o mais básico é a comparação entre custos e
benefícios do projeto para que assegure que o valor presente líquido (VPL) seja positivo. O VPL é
dado pela seguinte equação:
VLP
B C
r
t t
t
t
T
=
−
+=
∑
( )
( )10
(2)
Sendo:
Bt e Ct = benefícios e custos no ano t
r = taxa de descontos
T = tempo de horizonte do projeto
Outro critério utilizado é a taxa interna de retorno (TIR), que pode ser definida como:
( )
( )
B C
TIR
t t
t
t
T
−
+
=
=
∑ 1
0
0
(3)
A TIR é a taxa de desconto em que o VPL é zero. O projeto é viável quando a TIR é maior
que a taxa de desconto esperada para o projeto. Podem ocorrer problemas de interpretação para
diferentes horizontes de tempo, tendo a taxa de desconto um papel crítico na viabilidade do
projeto (MUNASINGHE, 1992).
Um outro critério muito utilizado é a relação benefício - custo (RBC), sendo:
RBC
B
r
C
r
t
t
t
T
t
t
t
T
=
+






+






=
=
∑
∑
( )
( )
1
1
0
0
(4)
Se a RBC for maior do que 1, então VPL é maior que zero, sendo assim o projeto é viável.
Com as recentes exigências de inserção da variável ambiental nos projetos de
desenvolvimento por parte dos órgãos financiadores, desenvolveu-se uma análise de custo-
benefício estendida, que levaria em consideração os custos ambientais, a qual tentaria minimizar
a serie de problemas citados acima (HUFSCHMIDT et al., 1982).
A análise custo-benefício estendida tenta ter uma função chave na identificação de
eficientes opções de manejo de recursos naturais que facilitam o desenvolvimento sustentado. É
Generated by Foxit PDF Creator © Foxit Software
http://www.foxitsoftware.com For evaluation only.
22
uma ligação essencial entre as técnicas tradicionais de tomada de decisão e uma abordagem
emergente mais sensível ambientalmente. Este tipo de análise ajuda a incorporar considerações
ecológicas dentro da estrutura convencional da sociedade humana. Nos últimos anos, boa parte
dos governos têm ajustado suas políticas, com o objetivo de incluir o próprio gerenciamento de
recursos naturais ao lado do crescimento econômico, distribuição de renda e diminuição de
pobreza. Dada a escassez de recursos humanos e financeiros nos países em desenvolvimento, e
a pressão emergente nos recursos naturais, é particularmente importante o uso destes recursos
sustentavelmente limitados, tendo estes, um grande benefício em termos de metas para estes
países (MUNASINGHE, 1992; HUFSCHIMIDT et al., 1982).
Dentro da análise custo-benefício, DIXON & SHERMAN (1990; 1991) apresentam uma
série de benefícios gerados pelo meio ambiente que normalmente não são levados em
consideração em uma análise custo-benefício convencional:
1. Recreação e turismo.
2. Proteção da bacia hidrográfica
• Controle de erosão
• Amortecimento de cheias
• Regularização de vazão
3. Processos ecológicos
• Fixação e ciclagem de nutrientes
• Formação do solo
• Circulação e melhoria da qualidade da água e do ar
• Suporte de vida global
4. Biodiversidade
• Banco genético
• Preservação de espécies
• Diversidade de espécies
• Mudanças evolutivas
5. Educação e pesquisa
6. Benefícios com mercado
7. Benefícios sem mercado
• Estéticos
• Espiritual
• Históricos e culturais
• Valor de existência
8. Valores futuros
• Valor de opção
Levando-se em consideração os custos, o custo de oportunidade é um conceito muito
importante dentro da análise econômica do ambiente. Este tipo de custo representa os benefícios
que os indivíduos e a sociedade perdem quando o meio ambiente é degradado. Estes custos
incluem o que se deixa de extrair do local (animais, madeiras etc.). Não são considerados apenas
os recursos diretos encontrados no local mas também aqueles que poderiam ter sido
desenvolvidos através de uma exploração mais intensiva. O custo de oportunidade inclui os
benefícios que poderiam ter sido ganhos da conversão para um uso alternativo. Este tipo de
Generated by Foxit PDF Creator © Foxit Software
http://www.foxitsoftware.com For evaluation only.
23
custo, seja grande ou pequeno, pode representar um papel importante no processo de tomada de
decisão política (DIXON & SHERMAN, 1990).
Para a elaboração de uma análise de custo benefício é seguido o procedimento chamado
ciclo do projeto (ABAZA, 1993):
Identificação: durante esta fase, as idéias de projeto que representam uma grande
prioridade no uso de recursos naturais por parte dos países para obter desenvolvimento, devem
ser identificados. Estas idéias passariam por um teste preliminar de viabilidade. Isto requer que se
assegure soluções técnicas e institucionais com custos comensurados e com a expectativa dos
benefícios. Serão adotadas políticas convenientes e apropriadas.
Preparação: uma vez que o projeto passou pela fase de identificação, deve ser feito um
refinamento do projeto em todas suas dimensões: técnica, econômica, ambiental, financeira,
social e institucional.
Estimativa: nesta fase ocorre uma avaliação da eficiência do projeto e a justificativa de sua
implementação.
Implementação: Esse estágio abrange da atual situação de desenvolvimento do projeto até
sua fase operacional. Incluindo o monitoramento e supervisão do projeto.
Avaliação: é feita uma avaliação após o projeto para estimar a extensão de sua realização,
e verificar os conhecimentos adquiridos com a experiência, para implementação em projetos
futuros .
INTRODUÇÃO À ECONOMIA ECOLÓGICA
CONCEITOS GERAIS
A economia ecológica é uma nova abordagem transdiciplinar que contempla toda a gama
de inter-relacionamentos entre sistemas econômico e ecológico. Esta amplitude é essencial, se
quisermos compreender e administrar nosso planeta com sabedoria diante dos problemas globais
crescentes e interdependentes relacionados com o meio ambiente, a população e o
desenvolvimento econômico (COSTANZA, 1994).
A economia ecológica procura uma abordagem preventiva contra as catástrofes ambientais
iminentes, pregando a conservação de recursos naturais através de uma ótica que considere
adequadamente as necessidades potenciais das gerações futuras. Essa abordagem pressupõe
que os limites ao crescimento fundamentados na escassez dos recursos naturais e sua
capacidade de suporte são reais e não necessariamente superáveis através do desenvolvimento
tecnológico. Isso significa que ao lado dos mecanismos tradicionais de alocação e distribuição
geralmente aceitos na análise econômica, a economia ecológica acrescentaria o conceito de
escala, no que se refere ao volume físico da matéria e energia que é convertido e absorvido nos
processos entrópicos da expansão econômica. A escala sustentável se adapta de forma gradativa
Generated by Foxit PDF Creator © Foxit Software
http://www.foxitsoftware.com For evaluation only.
24
às inovações tecnológicas, de modo que a capacidade de suporte não sofra desgaste através do
tempo. Em vez de começar a análise com a questão da eficiência alocativa pelos economistas
neoclássicos e, a partir daí, procurar internalizar os custos ambientais e distributivos, a economia
ecológica inverte a ordem destas preocupações. A capacidade de suporte da terra é considerada
primordial para definir o limites dos impactos das atividades humanas em uma escala julgada
ecologicamente sustentável. Também a permissão às atividades poluidoras e o acesso aos
recursos deveriam ser distribuídos de forma eqüitativa. Somente num terceiro momento, após
haver tomado decisões sociais relativas a uma escala ecologicamente sustentável e uma
distribuição eticamente justa, poderá permitir-se a realocação entre indivíduos através de
mercados nos interesses da eficiência (MAY, 1995).
Defini-se como desenvolvimento sustentado aquele em que em que se alcançam as
necessidades presentes sem comprometer a disponibilidade para que as gerações futuras
possam alcançar suas próprias necessidades (ELLIOT, 1994). O autor apresenta também
definições de outros autores que seriam as seguintes:
• Conhecimentos da ecologia que poderiam ser aplicados aos processos econômicos;
• Taxas de crescimento que não comprometam os estoques de capital natural, ou seja, os
recursos naturais;
• Crescimento dentro da perpetuação do meio ambiente.
Ainda segundo este autor, são apresentadas as considerações e as condições para que se
possa implantar um desenvolvimento sustentado:
• Considerações:
• População e desenvolvimento;
• Garantia de alimentos
• Espécies e ecossistemas
• Energia
• Industria
• O desafio da urbanização
• Considerações requeridas para um desenvolvimento sustentado:
• Um sistema político que assegure a efetiva participação dos cidadãos nos processos de
tomada de decisão;
• Um sistema econômico que contemple soluções para os problemas decorrentes de um
desenvolvimento desigual;
• Um sistema de produção que respeite a obrigação de preservar as bases ecológicas
para o desenvolvimento;
• Desenvolvimento tecnológico que promova padrões sustentáveis para o comercio e as
finanças;
• Um sistema administrativo que seja flexível e que tenha a capacidade de se auto
corrigir.
Generated by Foxit PDF Creator © Foxit Software
http://www.foxitsoftware.com For evaluation only.
25
As formas sustentáveis de desenvolvimento representam uma nova perspectiva, pois conseguem
elevar o padrão de vida da geração atual, sem destruir a base dos recursos naturais e ambientais
da qual depende, em última estância, toda a atividade econômica. O que ameaça o
desenvolvimento sustentado não é a tecnologia moderna por si só, mas as condições sob as
quais estas tecnologias são criadas e utilizadas. Tanto a capacidade do ambiente de absorver
poluição, como a capacidade de fornecer recursos esgotáveis, como energia e minerais, são
finitas. Os ecossistemas só podem tolerar uma certa quantidade de agressão sem que sofram
mudanças, muitas vezes de forma dramática e inesperada (TIETENBERG, 1994a).
A garantia da sustentabilidade dos sistemas econômicos e ecológicos depende da
capacidade para traçar objetivos locais e de curto prazo, consistentes com os objetivos globais e
de longo prazo (como a sustentabilidade e a qualidade de vida mundial). Para isto é necessário
estabelecer uma hierarquia de objetivos para o gerenciamento e planejamento econômico e
ecológico a nível local, nacional e global; desenvolver melhores capacidades de modelagem
ecológica-econômica regional e global, de forma a permitir uma gama de possíveis conseqüências
das atividades atuais; ajustar preços e outros incentivos locais para que reflitam os custos
ecológicos globais a longo prazo, inclusive a incerteza; e desenvolver programas que não levem
ao declínio contínuo do capital natural (COSTANZA, 1991). O principal erro da visão
econômica atual é tratar o meio ambiente meramente como um fator de produção (e de pouca
importância dentro deste). Ou seja, esta visão aloca e submete o meio ambiente à economia
humana. Sob o ponto de vista da economia ecológica, isto é uma inversão. Por muito tempo tem-
se olhado o meio ambiente e seus recursos naturais através de uma ótica distorcida, sob uma
visão mais ecológica poderia ver-se a importância e relevância da natureza. A economia anda ”de
mãos dadas” com a natureza. A economia é um sistema aberto dentro da ecosfera, importando os
recursos úteis da natureza e exportando resíduos para ela. O ser humano vem se apropriando dos
recursos providos pela terra (petróleo, madeira, minérios, peixes etc.) e retorna para esta, comida
ou artefatos (máquinas, ferramentas, fábricas, sistemas de transportes etc.), gerando uma série
de resíduos, os quais o meio ambiente pode assimilar até certo ponto. O meio ambiente também
fornece serviços (geração de oxigênio, purificação da água, solo etc.), até certo ponto. Toda a
economia deriva dos recursos naturais. Uma vez que se admite que a economia humana está
alocada dentro da ecosfera e não pode desenvolver-se sem ela, vários conceitos negligenciados
ou incompreendidos pela economia neoclássica terão de ser revistos (PRUGH et al. 1995).
O valor econômico do meio ambiente:
O valor econômico do meio ambiente tem sido objeto de intensa discussão . Entretanto, é
possível obter a partir da seguinte expressão uma serie de variações que tentam contemplar de
forma mais abrangente possível todas as parcelas que estariam dentro deste valor econômico
(PEARCE & TURNER, 1990; MOTTA, 1990; TURNER, 1991).
Generated by Foxit PDF Creator © Foxit Software
http://www.foxitsoftware.com For evaluation only.
26
Valor econômico total = Valor de uso + Valor de opção + Valor de existência
Sendo que o valor de uso é atribuído pelas pessoas que realmente usam ou usufruem do
meio ambiente em risco, por meio de dados estatísticos. Por exemplo, as populações urbanas que
se abastecem de um rio ou as comunidades que sobrevivem de atividades extrativistas em
florestas tropicais atribuem um valor de uso ao consumo direto do meio ambiente. Outras pessoas
podem usufruir também de um serviço ambiental como a apreciação de uma beleza natural, tal
como uma catarata ou a vista de um vale. Aquelas pessoas, porém, que não usufruem do meio
ambiente podem também valorá-lo em relação a usos futuros, seja para elas mesmas ou para as
gerações futuras. Este valor é referido como valor de opção, ou seja, opção para uso futuro ao
invés do uso presente conforme compreendido no valor de uso. A terceira parcela, o valor de
existência, é mais difícil de conceituar, pois representa um valor atribuído à existência do meio
ambiente independentemente do uso atual e futuro. Na verdade, as pessoas parecem conferir
valor a certos ativos ambientais, como florestas e espécies em extinção, mesmo que não
tencionem usá-los ou apreciá-los (MOTTA, 1990).
Finalmente, é importante ressaltar que as pessoas atribuem estes valores de acordo com a
avaliação que fazem da singularidade e da irreversibilidade da destruição do meio ambiente,
associadas à incerteza da extensão dos seus efeitos negativos.
Dentro desta expressão pode-se acrescentar algumas subdivisões. O valor econômico
total (VET) de um recurso consistiria em seu valor de uso (VU) e de não uso (VNU). Os valores de
uso podem ser divididos em valores de uso direto (VUD), indireto (VUI) e o valor de opção (VO,
valor de uso potencial). As categorias de valores de não uso são o valor de existência (VE) e o
valor de legado (VL). Portanto pode-se escrever:
VET = VU +VNU ou
VET = [VUD +VUI +VO] + [VE +VL]
MUNASINGHE (1992) e TURNER (1991)
O valor de opção é baseado em quanto os indivíduos estão dispostos a pagar pela opção
de preservar um bem para uso pessoal direto ou indireto no futuro.
O valor de legado, excluindo valores próprios dos indivíduos, é o valor que as pessoas
derivam do fato de que outras pessoas (talvez seus próprios descendentes) estarão aptas a
beneficiar-se deste recurso no futuro.
Dentro do valor econômico há também que levar em consideração as seguintes
características do meio ambiente:
Irreversibilidade: se o bem em questão não for preservado, provavelmente terá pouca ou
nenhuma regeneração.
Incerteza: o futuro não é conhecido, e por isso existem custos potenciais se o bem for extinto e a
escolha futura esta determinada.
Generated by Foxit PDF Creator © Foxit Software
http://www.foxitsoftware.com For evaluation only.
27
Singularidade: algumas considerações empíricas para mensurar os valores de existência tendem
a relacionar espécies em extinção e paisagens únicas. Esta combinação de atributos irá deter as
preferências, as quais poderiam direcionar-se para um lado mais cauteloso da exploração,
fazendo com que a preservação seja relativamente mais favorecida em comparação com os
projetos de desenvolvimento (PEARCE & TURNER, 1990).
Técnicas de valoração do Meio Ambiente
As técnicas a seguir resumidas procuram estimar valores econômicos, da forma mas completa
possível.
Mudanças na produtividade
Projetos de desenvolvimento podem afetar a produção e a produtividade positiva ou
negativamente. O incremento da saída pode ser valorada usando padrões econômicos de preços.
Existem exemplos de trabalhos em casos que demostram isto. Num estudo de caso em Lesoto,
Africa do Sul, foi estimado o aumento da produtividade nas terras conservadas. O valor
econômico da preservação seria o aumento na produção (MUNASINGHE, 1992),.
Produção sacrificada
Quando os efeitos ambientais são localizados ou específicos, é possível medir diretamente
seus impactos negativos em termos de produção sacrificada ou perdida. Por exemplo, a perda da
produção pesqueira devido ao despejo de elementos tóxicos por uma certa fábrica em um
determinado rio, ou a perda de produção agrícola causada pela poluição atmosférica de uma
fábrica vizinha (MUNASINGHE, 1992).
Mesmo em casos mais complexos, é possível medir diretamente alguns impactos
ambientais que por si só justifiquem as medidas de controle. Por exemplo, os custos de reparos
devidos à corrosão resultante da poluição do ar podem ser suficientemente elevados para
compensar o controle de emissão de certos elementos tóxicos, mesmo não considerando os
efeitos à saúde das pessoas e outros impactos. Da mesma forma, o controle de emissão de
chumbo tetra-etila, para a combustão da gasolina, poderia ser viabilizado levando-se em conta
apenas os custos de manutenção dos carros decorrentes da corrosão que este elemento exerce
sobre diversas partes do automóvel, sem se considerar os custos com a saúde humana. É
importante ressaltar, todavia, que este valor não incorpora os custos associados a questões
intertemporais que consideram a disponibilidade dos recursos naturais para gerações futuras.
Para tal, seria necessário estimar os impactos econômicos futuros no caso dos recursos não
renováveis, o que exigiria uma gama variada de informações quase sempre não disponíveis.
Sempre, porém, que tais custos diretamente estimados representam pequenas partes dos custos
Generated by Foxit PDF Creator © Foxit Software
http://www.foxitsoftware.com For evaluation only.
28
totais, não autorizando uma tomada de decisões, outros procedimentos devem ser adotados para
avaliar o valor econômico total do meio ambiente (MOTTA, op. cit.).
Gastos preventivos
Indivíduos, empresas e governos comprometem-se a uma variedade de gastos para evitar
ou diminuir efeitos ambientais indesejáveis. Prejuízos ambientais normalmente são difíceis de
avaliar, mas a informação de gastos com prevenção pode ser disponível ou pode ser obtido a um
custo menor do que das avaliações diretas dos bens ambientais em questão. Tais gastos “atuais”
indicam que indivíduos, empresas e governos julgam os benefícios resultantes serem maiores do
que os custos. Os gastos com prevenção podem então ser interpretados como uma avaliação
mínima dos benefícios (MUNASINGHE,1992).
Custo de reposição
Nesta técnica faz-se uma estimativa dos custos que teriam sido incorridos para repor um
prejuízo ao meio ambiente.
A estimativa não é de se evitar um prejuízo em primeiro plano, uma vez que os custos dos
prejuízos podem ser maiores ou menores do que o custo de reposição. Contudo, é uma técnica
apropriada se existe alguma forte razão para que o prejuízo seja restaurado. O custo de
reposição, é utilizado para proteção de aqüíferos determinando o custo de desenvolver fontes
alternativas de abastecimento de água. Também, é aplicado nos processos de erosão calculando
o fertilizante necessário para substituir as perdas de solo (MUNASINGHE, 1992).
MITSCH & GOSSELINK (1993) apresentam algumas tecnologias para substituir algumas
funções naturais das áreas alagadas, as quais teriam um custo. Verifica-se que para algumas
funções como a diversidade de espécies ainda não existe tecnologia artificial para substituí-la
(tabela 04).
Algumas tecnologias de substituição de valores de interesse social fornecidos pelas áreas
alagadas.
Tipo de função e seu valor Tecnologias de reposição
Acumulação de turfa
Acúmulo e estocagem de matéria orgânica Fertilizantes artificiais
Função hidrológica
Manutenção da qualidade da água Transporte de água
Bombeamento de fontes distantes
Manutenção da recarga de aqüíferos Perfuração de poços profundos
Filtragem da água do mar
Manutenção do nível das águas superficiais Barragens para irrigação
Generated by Foxit PDF Creator © Foxit Software
http://www.foxitsoftware.com For evaluation only.
29
Bombeamento de água para reservatórios
Amortecimento de cheias Regulação através de comportas
Bombeamento para outros rios
Funções biogeoquímicas
Processamentos de esgotos e ciclagem de
nutrientes
Plantas de tratamento de esgotos
Transportes de esgotos
Reservatórios de resíduos
Manutenção da qualidade da água Fiscalização
Redução de Nitrogênio nos tratamentos de
esgoto
Plantas de purificação de água
Funções da cadeia alimentar
Prover alimento para o Homem e os
animais domésticos
Produção agrícola
Importação de alimentos
Fornecimento de abrigo Materiais para abrigo
Sustento de espécies de peixes e
dependência da flora e da fauna para com
as áreas alagadas
Trabalho feito por organizações não
governamentais
Diversidade de espécies: banco de material
genético
Reposição impossível
Valor recreacional (observação de
pássaros, pesca, etc.)
Reposição impossível
Valores estéticos e espirituais Reposição impossível
Fonte: adaptado de MITSCH(1993)
O Custo de reposição só é aplicável no caso de externalidades reversíveis , supondo que
os prejudicados sejam identificáveis e que possam atuar em uma negociação (ALIER, 1996).
Técnica do custo de viagem
Uma forma de medir a disposição para pagar pelo uso, por exemplo, de um parque ou de
um lago livre de poluição, pode ser baseada nos custos da viagem que se precisa fazer para ter
acesso aos benefícios daquele parque ou lago. Ou seja, o valor de uso atribuído aos benefícios
recreativos ou turísticos daquele local devem ser, pelo menos, iguais ao dispêndio da viagem que
se realiza para desfrutar do lugar (MOTTA, 1990). Esta metodologia valora a disposição a pagar
dos visitantes a um local natural, supondo que esta disposição a pagar é uma medida dos
benefícios sociais que o local proporciona (ALIER, 1996). Tais estimativas podem apresentar certa
dificuldade, pois é imprescindível separar, dos custos de viagem, as parcelas relativas a outros
Generated by Foxit PDF Creator © Foxit Software
http://www.foxitsoftware.com For evaluation only.
30
benefícios que se possa aferir no local em análise, como, por exemplo, visitar locais históricos ou
fazer compras (MOTTA, 1990).
O local de recreação é identificado, e a área em volta é dividida em zonas concêntricas a
medida que a distância aumenta, o que representa um aumento nos níveis do custo de viagem.
São levadas em consideração varias determinações em relação aos usuários de cada zona, tais
como: taxa de visitação, custo da viagem e várias características sócio-econômicas, como renda e
nível de instrução do indivíduo (HUFSCHIMDT, 1990). Com estas informações se constrói uma
curva de demanda em função do número de visitas por ano. A áreas abaixo da curva de mede,
em termos econômicos, todo o benefício obtido pela sociedade (ou mais precisamente pelos
visitantes), que visitaram o local. Mesmo que esta técnica tenha vantagens pode dar resultados
paradoxais. Uma reserva que seja distante e de difícil acesso teria seu valor econômico diminuído
mas ao mesmo tempo estaria mais preservada, por outro lado, locais com uma grande demanda
de visitantes teriam um grande valor econômico, mas com uma exposição maior à degradação
(ALIER, 1996).
Técnica do valor de propriedade
A elevação do nível de poluição nas grandes cidades tem sido uma constante preocupação
e vem sendo apontada como causadora de diversos problemas da saúde nas pessoas, como a
perda da capacidade auditiva, distúrbio respiratórios e outros efeitos extenuantes.
No caso da poluição sonora e do ar, o diferencial de preços entre as casas situadas nos
lugares onde não existem tais poluições e aquelas localizadas em lugares poluídos, pode permitir
estimar a disposição para pagar pela redução desta poluição. Este método consiste, então, em
utilizar um mercado de recorrência - no caso de mercado de imóveis - para mensurar os custos de
uso associados à poluição. Estes procedimentos são denominados de modelos de preços de
propriedade e consistem no emprego de técnicas econométricas com o objetivo de isolar das
variações de preços dos imóveis aquele efeito resultante do nível de poluição. Como é facilmente
observável, esta técnica pode ser de difícil utilização, dados os diversos aspectos que afetam os
preços dos imóveis, como as facilidades de comércio, de transportes e de escolas, por exemplo.
Além do mais, o próprio desconhecimento dos compradores de imóveis quanto aos distúrbios
causados pela poluição pode prejudicar sensivelmente as estimativas resultantes (MOTTA, 1990).
Da mesma forma, esta técnica consegue oferecer algum tipo de valoração que reflita um indicador
do benefício de não haver poluição ou a disposição para pagar pelo controle dela (PEARCE &
TURNER, 1990).
Mercado artificial
Tais mercados poderiam ser construídos para propósitos experimentais, para determinar a
disposição a pagar por um bem ou serviço. Por exemplo, coloca-se vários níveis de preços para
um kit de purificação da água para uso doméstico ou para uso recreacional, oferecida a diferentes
Generated by Foxit PDF Creator © Foxit Software
http://www.foxitsoftware.com For evaluation only.
31
níveis de taxas, podendo facilitar as estimativas de um valor dado por indivíduos para obter água
pura ou recreação (MUNASINGHE, 1992).
Avaliação de contingente
Este tipo de técnica estima os valores econômicos dos custos de externalidades
ambientais com base no conceito de disposição para pagar. Este conceito econômico reflete a
medida de valor (ou utilidade) que os consumidores atribuem às mercadorias que desejam
comprar. Como os serviços ambientais ou o uso futuro dos recursos naturais não tem mercados
próprios específicos, identificam-se mercados de recorrências (substitutos) ou mercados
hipotéticos nos quais seja possível determinar estes valores (MOTTA, 1990).
Além das limitações de um mercado de recorrência ou hipotético para refletir estes valores,
existem também as próprias limitações teóricas associadas ao conceito de disposição para pagar.
Estas limitações questionam se os valores assim estimados realmente apresentam o valor social
dos bens e serviços, quando consideradas as distorções e as imperfeições existentes na
economia (HUFSCHIMIDT, 1990).
Certas atividades econômicas podem afetar a sensibilidade e a beleza natural de um
parque nacional, de um rio, de um lago ou de uma reserva florestal por causa do despejo de
poluentes, inundações ou explorações intensivas. Nestes casos, é possível empregar a técnica de
avaliação de contingente ou do mercado hipotético. Esta técnica se vale de pesquisas que
procuram identificar o valor de uso, ou mesmo de existência, que as pessoas associam à melhoria
hipotética do meio ambiente. Assim, o valor de uso de um local pode ser medido por uma
pesquisa que indicasse quanto as pessoas estariam dispostas a pagar pela preservação destes
ativos ambientais: por exemplo, pela entrada ou licença para usar um local livre de poluição. O
valor econômico total pode também ser medido se na pesquisa, for indicado quanto estas pessoas
estariam dispostas a pagar para que os parques, rios e lagos não fiquem expostos à poluição, ou
para que a vida animal seja preservada. A mesma técnica pode ser aplicada à estimativa destes
valores para programas de despoluição que permitam o uso específico do rio ou lago, para
pescaria, natação ou outra finalidade qualquer. É compreensível que viés possam influir nos
resultados de pesquisas deste tipo, tanto pelas imprecisões das perguntas e do instrumento de
coleta quanto pela desinformação dos que a elas respondem e suas expectativas quanto ao que
está sendo pesquisado, por isso é fundamental que os entrevistados tenham a maior quantidade
de informações sobre a situação física que se quer corrigir ou o bem ambiental que se quer
preservar. (MOTTA, 1990; ALIER, 1996).
TIETENBERG (1994b) apresenta os quatro principais viés deste tipo de avaliação:
1. Viés de estratégia: acontece quando o entrevistado fornece uma resposta errada para
influenciar um resultado em particular. Se uma decisão para preservar o trecho de um rio para
a pesca, por exemplo, depende se a produção é ou não suficientemente grande para ter um
Generated by Foxit PDF Creator © Foxit Software
http://www.foxitsoftware.com For evaluation only.
32
valor de pesca. Os usuários que já usufruem da pesca podem dar uma resposta que garanta
um valor mais alto do que aquele que refletiria sua verdadeira avaliação.
2. Viés de informação: acontece quando os entrevistados são forçados a atribuir valores, os quais
eles têm pouco ou nenhum conhecimento. Por exemplo, a avaliação de um banhista para um
local onde a qualidade d’água está deteriorada, deve basear-se em função de outro local onde
a água esteja mais limpa. Por outro lado se ele não conhece, ou nunca freqüentou um lugar
assim, a avaliação será feita numa percepção falsa.
3. Viés de ponto inicial: acontece quando os instrumentos utilizados para verificar as respostas
dos entrevistados obedecem um padrão preestabelecido. Uma faixa de $0 a $100 pode
produzir diferentes avaliações por parte dos entrevistados do que uma faixa entre $10 e $100,
mesmo que não haja nenhuma resposta entre $0 e $10.
4. Viés de hipótese: é um erro potencial, por ser um estudo hipotético e não uma situação real. O
entrevistado pode, também, achar o estudo sem muita importância, fornecendo uma resposta
considerada ruim.
Conceito da "vida estatística"
Um dos mais controversos temas da economia do meio ambiente diz respeito a valores da
vida. Esta valoração às vezes se faz necessária quando os efeitos ambientais negativos colocam
em risco a vida humana.
Não há dúvida de que a vida não tem preço de mercado. Por outro lado, é possível falar da
"vida estatística" . Este conceito é empregado para mensurar o valor de salvar-se uma vida
quando este tem que ser decidido socialmente. As técnicas adotadas são as mesmas acima
discutidas, com ajuste para este caso específico, e podem ser assim resumidas:
I) Da mesma forma que, com a técnica de avaliação de contingente, discutiu-se como medir
quantas pessoas estariam dispostas a pagar pela preservação ambiental, é possível também
obter destas pessoas quanto estariam dispostas a pagar para reduzir por exemplo, o número de
mortos em acidentes numa estrada com despesas de manutenção e sinalização. Suponha-se que
a população de um município pesquisado indique que, no total, estaria decidida a gastar X reais
para que as mortes por acidentes na rodovia caíssem de 100 para uma por ano. Poder-se-ia
então admitir-se que o valor da "vida estatística" seria de X/99, pois estes investimentos seriam
feitos para salvar vidas em geral e não a de alguém em particular. O mesmo procedimento pode
ser adotado no que diz respeito a gastos em hospitais , com o desenvolvimento de remédios e
outras situações relacionadas com o risco de vida, como as tabelas de benefícios da previdência
social nos caso de acidentes, mutilações e mortes.
II) A técnica do preço de propriedade pode também ser ajustada ao conceito de "vida estatística"
ao se compararem os salários de trabalhos arriscados com aqueles que não envolvem riscos. As
limitações, neste caso, são ainda mais restritivas que aquelas apontadas para o mercado de
imóveis, uma vez que as imperfeições no mercado de trabalho são ainda mais marcantes.
Generated by Foxit PDF Creator © Foxit Software
http://www.foxitsoftware.com For evaluation only.
33
Todavia, é prática comum entre sindicatos e patrões estabelecerem valores adicionais de salários
para atividades insalubres e arriscadas.
III) A técnica da produção sacrificada também tem sido bastante aplicada no caso da "vida
estatística", tentando-se mensurar a produção que seria perdida caso certa pessoa viesse a
falecer prematuramente. Seria necessário determinar, para cada pessoa, o fluxo futuro de
produção e também, para efeitos de descontos o consumo que ela realizaria se estivesse viva.
Estes procedimentos são bastantes criticados por que certamente discriminam os idosos e os
incapazes física e mentalmente (MOTTA, 1990).
A poluição como Objeto de Avaliação Econômica
Uma das conseqüências mais elementares do crescimento da população humana aliado
às suas necessidades, é sem dúvida a poluição. A poluição é o produto da civilização. Ela tem
efeito drástico para a humanidade, não só para o Homem em si como também para os seus
descendentes (ARIZA, 1974).
A ausência de gestão, planejamento, aliado à falta de controle, e medidas de minimização
das causas dos vários tipos de poluição (ar, água e solo) faz com que ocorram significativas
alterações nos sistemas naturais e sensível queda na qualidade de vida das sociedades atingidas.
A definição econômica de poluição depende basicamente de dois fatores: o efeito físico
dos resíduos no meio ambiente e a reação humana a estes efeitos físicos. Esta reação pode ser
resumida como uma “perda de bem-estar”, conceito baseado na utilidade e na satisfação. A partir
do momento que um agente é atingido é gerado o que se chama de uma externalidade negativa.
Para que isto ocorra, dois fatores devem estar associados: a atividade exercida por uma agente
gera uma perda de bem-estar para um outro agente, e a perda deste bem-estar não é
compensada. Quando a perda deste bem-estar é compensada, diz-se que esta foi internalizada
(PEARCE & TURNER, 1990).
Pode-se reduzir a poluição renunciando-se aos produtos comercializáveis em favor de
mais lazer e desfrute direto da natureza mediante a recreação ao ar livre. Todas estas "trocas"
devem ser baseadas no envolvimento de grande número de decisões e, para tomá-las, há que se
ter um padrão de comparação. Os economistas utilizam o princípio do marginalismo para este fim,
podendo maximizar as atividades econômicas a partir de uma externalidade ótima (PEARCE &
TURNER, 1990).
Considerando, por exemplo, a decisão relativa à quantidade de poluição que deveria ser tolerada,
tem-se que esta decisão requer que se encontre o equilíbrio entre duas margens, a dos benefícios
privados que correspondem aos lucros da atividade econômica e a dos custos sociais, que é
relacionada com a perda de bem-estar decorrentes desta mesma.
Custos e benefícios marginais decorrentes da poluição
Fonte: adaptado de PEARCE & TURNER (1990) e MARGULIS (1990).
Generated by Foxit PDF Creator © Foxit Software
http://www.foxitsoftware.com For evaluation only.
34
No gráfico acima verifica-se os custos das externalidades marginais (CEM) e os benefícios
privados marginais (BMP), as quais são curvas marginais, indicam uma resposta para cada
incremento de uma unidade de atividade econômica (produção). A curva CEM mostra que para
cada acréscimo de uma unidade de produção, o custo marginal para a sociedade é maior, mas
esta curva não é necessariamente sempre crescente, pode ser constante, ou seja, para cada
acréscimo de uma unidade na quantidade produzida, o custo marginal é o mesmo, ou se o
tratamento destes resíduos se tornarem mais baratos (por unidade) a medida que quantidade
aumenta, os custos das externalidades marginais diminuem (ALIER, 1996). Um mesmo
incremento de atividade econômica gera cada vez mais um benefício menor. Caso uma empresa,
por exemplo, não tivesse que levar em consideração os custos sociais, esta atingiria seu benefício
máximo em Qmax, a partir deste ponto os custos internos, ou seja os de produção, superam os
benefícios, não sendo interessante para o dono continuar produzindo. Quando se passa a levar
em consideração os custos sociais (externalidades) dentro da produção, ou seja, quando ocorre a
internalização das externalidades, o ponto ótimo de atividade econômica é deslocado para Q*,
que é o ponto em que os benefícios marginais se igualam aos custos sociais marginais. Em
relação ao ponto Q*, a área abaixo da curva de custos marginais (II), que representa as
externalidades é menor do que a área abaixo da curva marginal dos benefícios privados (I+II),
justificando ainda a atividade econômica, uma vez que ainda é possível compensar as
externalidades. A partir de Q* a área abaixo da curva marginal de custos é (III + IV) é maior do
que a área abaixo da curva de benefícios marginais privados (III), sendo assim a empresa não
teria como compensar pela sua produção, ou seja não teria como internalizar estes custos uma
vez que superam os seus benefícios (PEARCE & TURNER, 1990 e MARGULIS, 1990).
Os custos sociais normalmente são quantificados levando-se em conta os seguintes itens:
o dano à propriedade; o custo da saúde, medido através das despesas médicas e tempo de
trabalho perdido; o valor da vida silvestre; a destruição de plantações; a sensibilidade estética; os
desconfortos. As estimativas reais do custo de todos estes tópicos apresentam muitos defeitos,
pois alguns assumem conotação claramente subjetivas, caso da sensibilidade estética e do
PRODUÇÃOQ*
Qmax
BMP
CEM
CUSTOS
BENEFÍCIOS
I
II III
IV
Generated by Foxit PDF Creator © Foxit Software
http://www.foxitsoftware.com For evaluation only.
35
desconforto. Contudo estes têm grande valor econômico representado principalmente pela desva-
lorização de terras e mudanças de pessoas de lugar devido à poluição (MARGULIS, 1990).
Verifica-se que o sistema de preços de mercado não está aparelhado para captar estas
alterações devido a estas externalidades. Isto pode ser feito forçando-se a criação deste mercado
através da imposição de taxas, subsídios ou outro mecanismo econômico e, também, de normas
de conduta com o estabelecimento de um sistema de multas. Estas intervenções seriam feitas
pelo poder público. Podem ser de três tipos: normas de qualidade do meio ambiente, que estaria
relacionadas com a capacidade do corpo receptor destes resíduos, normas de despejo, que
incidem diretamente nas emissões das atividades poluentes, e normas de produtos finais, que
estaria relacionado com o processo de produção verificando seus índices de poluição (COMUNE,
1994).
Imposição de padrões ambientais - A taxação
PIGOU, em 1932 propôs que se tributa-se o agente gerador de externalidade de tal modo
que ele corrija sua atividade até que o nível de externalidade atinja o socialmente ótimo. O valor
da tributação deve ser exatamente o custo marginal de degradação causado pela poluição (ou
qualquer que seja a externalidade) (MARGULIS, 1990).
O conceito de taxa pigoviana ótima é aquela que tem como valor o custo marginal das
externalidade no nível ótimo de poluição. Como é mostrada no gráfico a seguir, a imposição de
um tributo t com este valor, a curva de benefícios seria deslocada para baixo para um valor de
BMP para BMP-t, sendo esta diminuição o valor do custo marginal do ponto ótimo de poluição, o
poluente estaria pagando pelo direito de poluir, dando uma compensação pelo dano causado.
Para determinar estas relações de poluidor-pagador segue-se a seguinte seqüência: atividade do
poluidor, emissão de poluentes, exposição aos poluentes, danos físicos, valor monetário dos
danos. O maior empecilho para a aplicação dessa técnica é a carência de dados para traçar as
curvas marginais (PEARCE & TURNER, 1990 e ALIER, 1996).
Representação gráfica da taxa pigoviana ótima.
Fonte: Extraído e adaptado de PEARCE & TURNER (1990) e ALIER (1996)
PRODUÇÃO
t
BMP
BMP-t
CEM
CUSTOS
BENEFÍCIOS
Q*
Generated by Foxit PDF Creator © Foxit Software
http://www.foxitsoftware.com For evaluation only.
36
O resultado pode causar certa surpresa a quem acha justo que as “vitimas” devam ser
compensadas. Uma maneira intuitiva de justificar o resultado é ver que, caso se pague uma
indenização às “vítimas” (além da taxação ao agente poluidor), elas terão uma motivação para
“não sair do lugar”, o que pode inclusive, atrair outras pessoas para o local de poluição, caso
estas achem que a indenização “compensa”. Isto fará com que os custos de degradação
aumentem, o que de certo não é desejável. Assim, caso se compense as vítimas por todos os
custos sociais a que ficam sujeitas, elas não se ajustarão à nova situação, e os custos totais serão
maiores (MARGULIS, 1990).
A informação necessária para se impor um sistema pigouviano de taxação não se pode
obter na prática, principalmente a relativa aos custos marginais de degradação. Na prática
determina-se um nível aceitável de poluição, com base em critérios não necessariamente apenas
econômicos. Abre-se mão, no entanto, de se alcançar o nível ótimo de poluição, adota-se como
ótimo o socialmente aceitável, o que é tipicamente estabelecido por padrões ambientais
(MARGULIS, 1990)
O padrão ambiental é estabelecido a priori, de tal modo que o valor da taxa não é o valor
do dano marginal causado (podendo acontecer o exemplo acima apresentado). Aqui a taxa é
unitária e igual para todos os agentes poluidores, que vão pagar proporcionalmente às suas
emissões (HUFSCHIMIDT, 1982).
A taxa pode produzir um incentivo para que haja pesquisas de tecnologia mais baratas, já
que a taxação é proporcional à quantidade emitida. Por mais que o agente tenha investido em
controle, ele sempre terá uma motivação para reduzir ainda mais as emissões, o que acontecerá
quando houver uma nova tecnologia tal que os custos marginais de controle sejam menores que o
valor da taxa (MARGULIS, 1990).
Generated by Foxit PDF Creator © Foxit Software
http://www.foxitsoftware.com For evaluation only.
37
Generated by Foxit PDF Creator © Foxit Software
http://www.foxitsoftware.com For evaluation only.
38
Generated by Foxit PDF Creator © Foxit Software
http://www.foxitsoftware.com For evaluation only.
39
Generated by Foxit PDF Creator © Foxit Software
http://www.foxitsoftware.com For evaluation only.
40
Generated by Foxit PDF Creator © Foxit Software
http://www.foxitsoftware.com For evaluation only.
41
Generated by Foxit PDF Creator © Foxit Software
http://www.foxitsoftware.com For evaluation only.
42
Generated by Foxit PDF Creator © Foxit Software
http://www.foxitsoftware.com For evaluation only.
43
Generated by Foxit PDF Creator © Foxit Software
http://www.foxitsoftware.com For evaluation only.
44
Generated by Foxit PDF Creator © Foxit Software
http://www.foxitsoftware.com For evaluation only.
45
Generated by Foxit PDF Creator © Foxit Software
http://www.foxitsoftware.com For evaluation only.
46
Generated by Foxit PDF Creator © Foxit Software
http://www.foxitsoftware.com For evaluation only.
47
Generated by Foxit PDF Creator © Foxit Software
http://www.foxitsoftware.com For evaluation only.
48
Generated by Foxit PDF Creator © Foxit Software
http://www.foxitsoftware.com For evaluation only.

Apostila economia ambiental

  • 1.
    1 ECONOMIA AMBIENTAL 9º PERÍODOENGENHARIA AMBIENTAL Prof Fernán Vergara ANOTAÇÕES DE AULA Conceitos básicos de Economia: 1. A economia é um estudo da riqueza e um ramo do estudo do homem. 2. Quais as causas que afetam o consumo e a produção, a distribuição e a troca de riquezas; 3. Estudo das condições materiais da vida em sociedade. 4. As necessidades humanas: Necessidades biológicas; são essenciais à sobrevivência, como comer, respirar, dormir etc... Necessidades voltadas à existência social: têm caráter relativo e procuram trazer conforto. Necessidades espirituais: são aquelas de caráter subjetivo e são empregadas por elementos próprios de cada cultura. A sistematização de Robbins A sociedade tem objetivos múltiplos, ilimitados, mas meios limitados para conseguí-los. A conduta econômica consiste em escolher entre fins possíveis e meios escassos para alcançá-los. A economia é um ramo que estuda as formas do comportamento humano que resultam da relação entre necessidades ilimitadas e recursos escassos. Meios escassos, fins alternativos, escolha e alocação são elementos a partir dos quais se define o campo de que se ocupa a economia (figura 1). Fatores de produção São os elementos indispensáveis para a geração de bens e serviços. Eles são: terra (natureza), trabalho e o capital. A terra é a fonte onde se originam todos os bens propriamente ditos, também é o receptáculo de todos os dejetos e rejeitos da atividade produtiva. Esta pode ter características geográficas, climatológicas, de subsolos etc... que podem influenciar a atividade produtiva. O trabalho tem sua potência determinada pela volume (quantidade de pessoas envolvidas) e pela eficiência econ6omica da população. Aqui considera-se a população economicamente ativa, geralmente entre 15 e 60 anos. O capital e a técnica podem ser definidos com os bens destinados a produzir outros bens e serviços. São bens de capital não somente as construções, máquinas e ferramentas, como também as tecnologias (métodos e processos) de produção. Generated by Foxit PDF Creator © Foxit Software http://www.foxitsoftware.com For evaluation only.
  • 2.
    2 A EVOLUÇÃO DAECONOMIA COMO CIÊNCIA A antigüidade A Grécia antiga • Do século XII ao VIII a.c. existia apenas uma vida econômica doméstica; • A partir do século VIII se institui uma vida econômica de trocas; • Os estrangeiros e os libertos são os agentes mais ativos dessa economia estimulada pelas conquistas e, ainda: • A pobreza do solo e o excesso da população tornam o comércio necessário; • A conquista dos mares possibilita a abertura de novos mercados. • Mas por que a Grécia antiga não desenvolveu um pensamento econômico independente? • Naquela época havia o predomínio do pensamento filosófico, sendo assim: • Existia a idéia da predominância do geral sobre o particular • Idéia de igualdade; • Idéias de desprezo da riqueza em favor da alma. Conflito Fundamental Meios ou recursos escassos e limitados Fins (necessida- des) múltiplos e ilimitáveis Escolhas entre fins possíveis e meios disponíveis Alocação de recursos (custos) Consecução de determinado fim Não-consecução de outros fins Benefício Custo de oportunidade Figura 1 Generated by Foxit PDF Creator © Foxit Software http://www.foxitsoftware.com For evaluation only.
  • 3.
    3 • Criação damoeda apenas para base de troca. O império Romano • Pensamento econômico deixa de estar subordinado ao filosófico e passa a ser parte da política (o estado). • Ainda não há um pensamento econômico independente; • A construção de cidades, estradas, aquedutos etc. tinham uma finalidade política (garantir a existência do império e não o desenvolvimento das atividades econômicas. Mesmo assim podemos distinguir duas tendências, a intervencionista e a individualista: A tendência intervencionista • Intervenção do estado; • Regularização do abastecimento de cereais; • Distribuição de pão feita pelo estado, benefício para a população carente. As conseqüências • Aumento do déficit público; • Incentivo à indolência e às fraudes; • Decadência da agricultura A tendência individualista • Desenvolvimento do direito de propriedade privada. • Base das escolas clássica e fisiocrata. O PENSAMENTO ECONÔMICO NA IDADE MÉDIA Até o século XI • Com as invasões dos bárbaros desaparece a economia antiga; • A exclusividade da produção rural; • A moeda é de mau quilate e de circulação restrita. Do século XI ao XIV • Ressurge uma vida econômica de trocas; • Estabelecimento da ordem social e da organização política; • O comércio mediterrâneo retoma um novo impulso - Gênova, Pisa, Florença, Veneza. Princípio de equilíbrio: tornar justa a troca Generated by Foxit PDF Creator © Foxit Software http://www.foxitsoftware.com For evaluation only.
  • 4.
    4 - O pensamentoeconômico estava subordinada à moral; - É preciso que o preço seja justo (manifestações escolásticas); - O preço justo é: • Bastante baixo para que o consumidor possa comprar (ponto de vista econômico); • Sem extorsão (ponto de vista moral); • Suficientemente elevado para que o vendedor tenha interesse em vender (ponto de vista econômico) e poder viver de maneira decente (ponto de vista moral). MERCANTILISMO É o conjunto de idéias e práticas econômicas que floresceram na Europa entre 1450 e 1750. Isto se deve a uma tríplice transformação de ordem intelectual, política e geográfica, marcando o início dos tempos modernos. - Transformação Intelectual • Surge o Renascimento, um maravilhoso rendamento da civilização (Leonardo da Vinci, Michelângelo, Rafael); • O estudo científico começa a substituir, em parte, a doutrina religiosa; • Estímulo à atividade econômica, condenação da ociosidade, justifica o sucesso dos negócios e consequentemente o lucro ( Caloinismo). - Transformação Política • Surge, no sec. XVI, o estado Moderno; • As monarquias surgem para substituir os feudos; • A noção passa a ser um organismo econômico; • O mercado passa de regional para nacional. - Transformações Geográficas • O início das grandes descobertas; • Utilização da bússola e as primeiras cartas marítimas propiciam a navegação em alto mar; • Descobrimento do caminho das Índias, da América e do Brasil; • Afluxo de metais preciosos. • A idéia metalista - quanto maior a quantidade de metais preciosos, maior será a riqueza e a prosperidade do país. • O ouro e a prata são o mais perfeito instrumento de aquisição da riqueza. • É levada em consideração o caráter de durabilidade das riquezas metálicas. • A necessidade de dinheiro para fazer a guerra. Generated by Foxit PDF Creator © Foxit Software http://www.foxitsoftware.com For evaluation only.
  • 5.
    5 A ESCOLA FISIOCRÁTICA •De origem francesa, inicia-se na segunda metade do séc. XVIII, seu principal representante é Quesnay. As duas principais concepções desta doutrina são a Ordem Natural e a Ordem Providencial. A noção de Ordem Natural • Os fenômenos econômicos processam-se livre e independentemente de qualquer coação exterior seguindo as leis naturais. A Sociedade se comporia de três classes: • Produtiva: agricultores; • Proprietários imobiliários; • A classe estéril: comércio, indústria, profissionais liberais. • Importância exagerada da produção agrícola; • Não considera comércio e indústria, atividades produtivas; • É reconhecido o direito de propriedade. A noção de Ordem Providencial • Tudo é para a felicidade dos homens e desejada por Deus; • As leis são supremas e estão num plano divino; • O homem busca obter o máximo de satisfação com o mínimo de esforço. A ESCOLA CLÁSSICA • Não é mais importante o fortalecimento do Estado, mas sim a riqueza das nações. A fundamentação da economia é formada pela: • Formação • Acumulação • Distribuição • Consumo • A concorrência maximiza o desenvolvimento econômico e de que os benefícios deste seriam compartilhados por toda a Sociedade. Generated by Foxit PDF Creator © Foxit Software http://www.foxitsoftware.com For evaluation only.
  • 6.
    6 • A populaçãocresceria numa progressão geométrica e a produção agrícola cresceria numa progressão aritmética (Malthus). Aqui não foi levado em consideração o desenvolvimento tecnológico. • Terra, trabalho e capital; sustentam a economia. • O trabalho é uma definição mais abrangente do "produtor agrícola" dos fisiocrátas. • A revolução industrial e o comércio internacional. A ABORDAGEM NEOCLÁSSICA A economia é um estudo dos homens tal como vivem, agem e pensam nos assuntos ordinários da vida. Mas diz respeito, principalmente aos motivos que afetam, de modo intenso e constante, a condução do homem no trato com as questões que interferem em sua riqueza e nas condições materiais de seu bem-estar. • Riqueza • Pobreza • Bem-estar • Consiste em descobrir como as virtudes humanas e a concorrência podem conduzir ao bem-estar social. O SOCIALISMO • As necessidades humanas são determinadas pelo estágio cultural da sociedade. • Para satisfazer a um padrão de necessidades, o homem se dedica a um ato social: a produção. • A realização desse processo se completa com a distribuição do produto social. • O estudo das leis sociais que regulam a produção e a distribuição resume o campo de que se ocupa a economia. A Revolução Keynesiana As críticas às teorias clássicas e neoclássicas, que seriam uma teoria particular e parcial da atividade econômica: a) Apoiava-se numa hipótese nem sempre confirmada, ou seja, a do pleno emprego; b) Elimina a moeda de seus raciocínios; c) Os problemas econômicos não são apresentados em termos gerais, mas sim, individuais e fragmentados. • Com isso passa a ser primordial, estudar: • As causas do desemprego; • As condições de existência de uma posição de equilíbrio em uma economia com desemprego; Generated by Foxit PDF Creator © Foxit Software http://www.foxitsoftware.com For evaluation only.
  • 7.
    7 • As forçasque determinam esta posição de equilíbrio. • A moeda deixa de ter uma função passiva nas trocas introduzindo-se a noção de tempo. COMPARTIMENTALIZAÇÃO USUAL DA ECONOMIA 1) - Proposições positivas e normativas: diferenciação fundamental. 2) - A microeconomia: A abordagem Microscópica. 3) - A macroeconomia: A abordagem Macroscópica. 4) - A política econômica: o processo de escolha de fins e meios. Proposições positivas e normativas: diferenciação fundamental. - A economia positiva trata a realidade como ela é. - A economia normativa trata de como a realidade deveria ser. - Enquanto a positiva se pergunta "quais as medidas que reduzem o desemprego e cortam a inflação?", a normativa diria "deveríamos dar mais importância ao desemprego do que à inflação". Enquanto a primeira poderia ser respondida por uma lista de medidas possíveis, a Segunda é passível de controvérsia, já que o inverso também é aceitável. A Microeconomia: A Abordagem Microscópica A microeconomia está voltada, fundamentalmente, para: • As unidades individualizadas da economia, como o consumidor e a empresa, consideradas isoladamente ou em agrupamentos homogêneos. • O comportamento do consumidor: a busca da satisfação máxima (dada sua restrição orçamentária) e outras motivações. • O comportamento da empresa: a busca do lucro máximo (dadas as estruturas de custos e a atuação da concorrência) e outras motivações. • A estrutura e os mecanismos de funcionamento dos mercados. As conformações básicas da oferta e da procura, microscopicamente consideradas. • As funções e as imperfeições dos mercados, na alocação eficaz dos escassos recursos da sociedade e na geração dos produtos destinados a satisfazer às necessidades tidas como imitáveis. • As remunerações pagas aos agentes que participam do processo produtivo e a conseqüente repartição funcional da renda social. • Os preços recebidos pelas unidades que geram cada um dos bens e serviços que compõem o produto social. • A interface entre custos e benefícios privados e o interesse maior do bem comum. Generated by Foxit PDF Creator © Foxit Software http://www.foxitsoftware.com For evaluation only.
  • 8.
    8 As decisões individuais,sustentadas por posturas utilitaristas e hedonistas, decorrem mecanismos de interação capazes de justapor os interesses privados aos sociais. A metodologia fundamental dessa abordagem é dedutiva. O nível de abstração envolvido é necessariamente alto, ao investigar categorias do tipo utilidade, valor, satisfação, indiferença e bem-estar. A despeito de sua abordagem microscópica, a microeconomia interessou-se também pelo equilíbrio geral do sistema econômico, a partir da interdependência entre as atividades dos produtores, proprietários de recursos e consumidores. O pressuposto teórico é o equilíbrio geral, sob a situação do ótimo econômico. Pelos mecanismos da livre tensão que se manifesta em cada mercado, via preços, orientam-se as ações convergentes de cada um dos agentes do processo econômico. Os produtos maximizam seus lucros; os consumidores, sua satisfação; os recursos escassos são aplicados da forma mais eficaz possível, maximizando tanto o conceito de retornos privados, quanto o de retorno social como um todo. O funcionamento desse sistema corresponde ao de um jogo não cooperativo, tensionado, no sentido de que cada unidade individual cuida de seus próprios interesses, sem coalizações com as demais. A maximização teórica é tal, sob este conceito de alocação ótima e eficiente, que nenhum dos participantes do sistema pode, em dado momento, melhorar sua própria posição sem sacrificar os níveis de satisfação, também máximos, de outro ou de outros participantes. A Macroeconomia: A Abordagem Macroscópica A macroeconomia está voltada, fundamentalmente, para: • O comportamento da economia em seu conjunto, agregativamente considerado. A unidade de referência é o todo, não suas partes individualizadamente consideradas. • O desempenho totalizado da economia. As causas e os mecanismos corretivos das grandes flutuações conjunturais. Os altos e baixos da economia como um todo. • Os agregados econômicos, resultantes de mensurações globais, de que são exemplos o Produto Interno Bruto e a Renda Nacional - ou seja, respectivamente, a soma de todos os bens e serviços finais produzidos dentro das fronteiras econômicas de determinado país e a renda apropriada pelo conjunto de todas as unidades participantes do processo econômico. • As relações entre macrovariáveis. Por exemplo, as conexões entre o nível dos investimentos e o nível do emprego de todos os recursos. • Medidas de tendência central, como as taxas de juros e de câmbio, bem como suas influências sobre o desempenho da economia como um todo. • Variáveis-fluxo e variáveis-estoque calculadas para a economia agregativamente considerada. Fluxos agregados, por exemplo, como a renda, o consumo, a poupança e a acumulação. Estoques agregados, por exemplo, como os meios de pagamento e as reservas de divisas internacionais. Generated by Foxit PDF Creator © Foxit Software http://www.foxitsoftware.com For evaluation only.
  • 9.
    9 • As trocasinternacionais de bens e serviços, vistas como um todo. Os fluxos totalizados dos movimentos internacionais de capitais. O registro e a contabilização desses movimentos, possibilitando levantamentos como o Balanço Internacional de Pagamentos. • As finanças públicas. Os tributos arrecadados por todas as esferas de governo. Os dispêndios públicos, correntes e de investimentos. As execuções orçamentárias. O equilíbrio das contas públicas. • As grandes disfunções da economia. Questões globais, agregadas, de massa, como a inflação e o desemprego. • O crescimento e o desenvolvimento das economias nacionais. A determinação de seus principais fatores condicionantes. • Os indicadores básicos para comparações internacionais do desempenho totalizado das economias nacionais, como os níveis de produto e de renda per capita, os padrões de produtividade e os de competitividade. Fica evidente que as palavras e expressões-chave que mais empregamos para elucidar o conceito e o campo de interesse da macroeconomia foram agregado, conjunto, totalizado, como um todo, níveis gerais e padrões globais. Efetivamente, enquanto a microeconomia cuida de aspectos da realidade econômica em escala reduzida, a macroeconomia trata de questões de grande escala. A Política Econômica: O Processo de Escolha de Fins e Meios Os desenvolvimentos conceituais, as leis, os princípios e os modelos simplificadores da realidade econômica atendem ao propósito maior de orientar e de dar sustentação técnica à política econômica - esse segmento normativo da economia. Como já destacamos, as proposições de política econômica enquadram-se no campo da economia normativa. Consequentemente , além de se alicerçarem nos desenvolvimentos da teoria econômica, micro e macro, traduzem concepções de ordenamento da vida econômica derivadas de posições filosóficas e político-ideológicas, bem como de juízos de valor sobre como e em que direções devem ser canalizados os esforços econômicos da sociedade. A concepção conceitual e a compreensão do significado e dos limites da política econômica vão, portanto, além de sua subordinação formal aos desenvolvimentos das teorias micro e macroeconômica. Além de atender aos paradigmas ideológicos da estrutura de poder estabelecida, a política econômica posta em prática geralmente integra um quadro ainda mais amplo, a que se dá a denominação de política pública. Esta envolve um complexo sistema de aspirações nacionais e de comprometimentos internacionais. A política pública abrange as relações externas ou as da comunidade internacional a que o país se encontra integrado. Abrange ainda a política de defesa e de segurança nacional, a política social e todo um conjunto inter- relacionado de ações públicas de que fazem parte as de natureza econômica. Generated by Foxit PDF Creator © Foxit Software http://www.foxitsoftware.com For evaluation only.
  • 10.
    10 OS OBJETIVOS DAPOLÍTICA ECONÔMICA. A despeito das complexas redes de influência destacadas, a política econômica atende a três objetivos básicos: o crescimento, a estabilidade e a eqüitatividade. A influência dos fatores destacados se exerce notadamente sobre dois aspectos cruciais. O primeiro diz respeito a como serão hierarquizados esses objetivos, o que significa dizer a qual deles será dada maior ênfase. Basta olhar para a constelação dos fatores reais de poder para se perceber que uns atribuiriam alta ênfase ao crescimento com estabilidade - uma diretriz que se alinha a suas crenças e aos interesses de seus negócios; outros dariam ênfase à questão da eqüitatividade - uma diretriz alinhada a suas convicções e interesses políticos. E o segundo aspecto diz respeito a como se procurará alcançar o objetivo primordial da hierarquia definida. Os objetivos básicos da política econômica, que se apresentam para as disputas políticas envolvendo sua hierarquização e modos de execução, são: • O crescimento econômico, envolvendo: 1. A melhoria ou expansão das disponibilidades de recursos para a expansão econômica: a) a adequação do tamanho e da estrutura da população; b) a modernização e a ampliação da capacidade instalada de produção; e c) a exploração das reservas naturais ocorrentes no espaço econômico, sob a condição de preservação auto- sustentada do meio ambiente. 2. A implantação de infra-estrutura adequada, que se dê suporte à eficiente utilização dos recursos econômicos disponíveis. 3. A adequação da capacidade de financiamento para as necessidades de investimento, compatíveis com os padrões e o ritmo desejado de crescimento. • A estabilidade econômica, envolvendo: 1. A estabilidade geral do processo econômico, garantindo-se normalidade conjuntural e sustentação dos níveis de emprego observados na economia como um todo. 2. A estabilidade do nível geral dos preços. Embora preços de determinados bens ou serviços possam flutuar, sofrendo, por exemplo, a influência de fatores sazonais, a média geral de todos os preços permanece estável ou registra variações pouco expressivas. Vale dizer: a redução da taxa de inflação para níveis não significativamente diferentes de zero. 3. O equilíbrio nas transações econômicas com o exterior, envolvendo o equilíbrio do balanço internacional de pagamentos como um todo e a manutenção, sustentada por fluxos não especulativos, de um nível adequado de reservas internacionais. • A eqüitatividade, envolvendo: 1. Uma distribuição eqüitativa da renda e da riqueza. 2. A redução ou, no limite, a total remoção dos bolsões de pobreza absoluta. 3. A redução do contingente dos excluídos do quadro socioeconômico; no limite, sua total supressão. Generated by Foxit PDF Creator © Foxit Software http://www.foxitsoftware.com For evaluation only.
  • 11.
    11 SISTEMA DE ECONOMIADE MERCADO funcionamento de uma economia capitalista ou de mercado como a nossa está baseada em um conjunto de regras, onde se compram e vendem bens e serviços assim como fatores produtivos. • Mercado é toda instituição social na qual bens e serviços, assim como os fatores produtivos são trocados livremente. É essencial que em todo mercado, os compradores e vendedores de qualquer bem ou serviço entrem livremente em contato para comercializá-lo. Sempre que isso ocorre, podemos dizer que estamos diante de um mercado. Graças à existência do dinheiro as trocas se tornaram indiretas. Um bem ou serviço se troca por dinheiro que depois são trocados por outros bens serviços. Os mercados e os preços Os compradores (demandantes) e os vendedores (ofertantes) entra em acordo sobre o preço de um bem(ou serviço), de forma que se dará uma troca de quantidades determinadas de um bem por uma quantidade de dinheiro, também determinada. • O preço de um bem é sua relação de troca pelo dinheiro, isto é, o número de reais necessários para obter em troca uma unidade do bem. • Livre jogo da oferta e demanda é uma chave no funcionamento de toda a economia de mercado. A demanda A princípio, a quantidade que um indivíduo demandará de um bem, num momento determinado do tempo, dependerá de seu preço. Quanto maior o preço de um bem, menor será a quantidade que cada indivíduo estará disposto a comprar e vice-versa. Mas sabemos que a demanda de um bem não depende só de seu preço e, sim de outros fatores tais como gosto, preferências, renda disponível e o preço de outros bens que poderiam substituir este. Para simplificar esta análise escolhemos um produto, a laranja por exemplo, se mantivermos todos os outros fatores que interferem na demanda constantes para um indivíduo, obteremos a curva de demanda individual, isto é, a relação existente entre o preço das laranjas e sua quantidade demandada, por parte de um indivíduo, durante um período de tempo determinado. Somando para cada preço as quantidades de laranjas que cada um dos indivíduos estaria disposto a comprar, obteríamos a curva de demanda de mercado de laranjas. Generated by Foxit PDF Creator © Foxit Software http://www.foxitsoftware.com For evaluation only.
  • 12.
    12 • A curvade demanda decrescente mostra que quanto maior o preço de um bem, menor será a quantidade desse bem que os consumidores estariam dispostos a comprar. Paralelamente, quanto mais baixo o preço do bem, mais unidades serão demandadas. A oferta Assim como a demanda, a oferta de um bem depende de um conjunto de fatores. São eles: a tecnologia, os preços de fatores produtivos (terra, trabalho, capital etc.) e o preço do bem que se quer oferecer. Voltando ao exemplo das laranjas, a relação entre o preço da laranja e a quantidade oferecida por um agricultor é conhecida como curva de oferta individual, sendo assim, a soma da oferta de laranja que cada agricultor está disposto a oferecer, obtemos a curva de oferta de mercado de laranjas. • A curva crescente de oferta mostram como a quantidade oferecida aumenta junto com o preço, refletindo o comportamento dos produtores. O equilíbrio de mercado Quando colocamos em contato consumidores e produtores com seus relativos planos e produção, isto é, com suas respectivas curvas de demanda e oferta em um mercado particular. O equilíbrio de mercado só é atingido quando a quantidade demandada é igual à quantidade ofertada. Quando temos uma oferta maior do que a demanda temos um excesso de oferta ou seja há mais produto no mercado do que pessoas interessadas em comprá-lo, para corrigir esta situação os produtores reduzem o preço e, consequentemente a quantidade ofertada até atingir o ponto de equilíbrio. No caso de haver um excedente de demanda, ou seja, mais gente querendo comprar um produto do que quantidade ofertada, se forçara uma alta do preço até atingir o equilíbrio. A alocação de recursos Suponhamos que exista o desejo dos consumidores de comprar mais sapatos do que cadernos. Esta preferência pode fazer com que o preço dos sapatos se eleve e o dos cadernos diminua. O que quer dizer esta variação de preços? Com aumento dos preços dos sapatos surge uma maior possibilidade de lucro fabricando sapatos do que fabricando cadernos, cujo preço está diminuindo. Portanto haverá uma maior produção de sapatos. Para aumentar a produção, deverão instalar-se novas empresas ou aumentar a capacidade das já existentes sendo necessário mais trabalho e capital. Estes fatores podem ser realocados da fabricação de cadernos. O realocamento de recursos é resultado da alteração de preços, o qual tenta sempre alcançar o principal objetivo do empresário: maximizar o lucro. Generated by Foxit PDF Creator © Foxit Software http://www.foxitsoftware.com For evaluation only.
  • 13.
    13 No sistema deeconomia de mercado, é essencial que todos os bens e serviços tenham preços, sendo assim, este ajuste ocorre tanto para os bens de consumo e dos fatores de produção. As fases do processo de alocação de recursos O processo de alocação de recursos se desenvolve em três partes: • Os consumidores revelam suas preferências nos mercados ao comprar algumas coisas e não outras. Este comportamento condiciona assim, O QUE deve ser produzido; • A concorrência propicia às empresas uma busca de combinações de fatores de produção de tal forma que consigam produzir com o menor custo possível. Aqui a empresa decide COMO produzir os bens; • A oferta e a demanda de fatores produtivos determinam PARA QUEM se deve produzir. A empresa e a produção A atividade fundamental da empresa é a produção e, seu objetivo é maximizar o lucro. Para isso, a empresa deverá ajustar os fatores que emprega de forma tal que minimize o custo da produção da quantidade oferecida. A empresa é uma unidade econômica de produção encarregada de trocar os fatores de produção para produzir bens e serviços, que depois serão vendidos no mercado. Terra Processo Trabalho produtivo Produto Capital com uma dada final Produtos tecnologia intermediários A empresa e os lucros O objetivo principal da empresa em atividade consiste em buscar a maximização dos lucros. O lucro de uma empresa é a diferença entre as receitas e os custos durante um período determinado. As receitas são o resultado da multiplicação do preço unitário de cada produto pelo número de unidades vendidas. Os custos são os gastos com pagamentos derivados da mão-de-obra e dos demais fatores de produção. A tecnologia e a empresa Generated by Foxit PDF Creator © Foxit Software http://www.foxitsoftware.com For evaluation only.
  • 14.
    14 Na maioria dosprocessos produtivos, utilizam-se todos os fatores de produção. A proporção em que participam pode variar bastante, sempre dentro das possibilidades que oferece a tecnologia disponível. A função de produção de uma empresa mostra a quantidade máxima de um produto que se pode obter com uma quantidade de fatores produtivos. Eficiência técnica e eficácia econômica O conceito em economia associa-se ao emprego da menor quantidade possível de recursos para obter uma determinada quantidade de produto. Eficiência técnica Suponhamos que possamos empregar técnicas para obter uma certa quantidade de um produto. variando dois fatores de produção, trabalho e capital, temos o seguinte: Técnica A - 2 unidades de capital e 16 de trabalho; Técnica B - 4 unidades de capital e 8 de trabalho; Técnica C - 3 unidades e capital 17 de trabalho. A técnica A usa menos capital do que a técnica B mas por outro lado , a técnica B, usa menos unidades de trabalho. Tecnicamente as duas são eficientes, não daria para decidir entre estas duas apenas com este critério. Por outro lado daria já para descartar a técnica C por que usa mais capital e trabalho que a técnica A, podendo ser descartada, uma vez que é tecnicamente ineficiente. Eficiência econômica Analisando as técnicas anteriores, se supormos que o custo de capital é de 50 reais por dia por máquina e o custo por dia por trabalhador é de 10 reais. De acordo com os preços dos fatores, custo total da técnica A é menor do que a B. Sendo assim A é mais eficiente economicamente. A substituição no emprego de fatores Como vimos anteriormente A é mais eficiente por que utiliza menos capital e mais trabalho, sendo assim, caso haja uma aumento do custo do capital, A será mais eficiente ainda. Por outro lado, caso ocorra um aumento no custo do trabalho (mantendo o custo de capital constante) devem ser analisadas novamente, já que o custo deste fator pode tornar A menos eficiente que B por que o fator trabalho pesa muito mais em A do que em B. Generated by Foxit PDF Creator © Foxit Software http://www.foxitsoftware.com For evaluation only.
  • 15.
    15 Deslocamento da Curvade Demanda A curva de demanda de um bem, é traçada mantendo constantes todos os fatores que incidem sobre a demanda, exceto o preço do bem considerado. Por exemplo, ao determinar que quantidade de discos se deseja demandar a diferentes preços, supomos que os fatores - com exceção do preço - que afetam a demanda de discos permaneçam constantes. Na realidade, é freqüente que os demais fatores não permaneçam inalterados, o que motivará deslocamentos da curva de demanda de discos. Dentre esses fatores, os mais importantes são: • As rendas ou receitas dos consumidores. • Os preços dos bens relacionados. • As mudanças nos gostos ou preferências dos consumidores. As Rendas dos Consumidores Aumenta-se a renda de um consumidor, este normalmente desejará gastar mais e demandará maior quantidade de bens (mas não todos). Precisamente, esse fato nos permite estabelecer a distinção entre os bens normais e os bens inferiores. Bens Normais e Bens Inferiores Os bens inferiores geralmente são bens para os quais há alternativas de maior qualidade. Exemplos de bens inferiores poderiam ser a mortadela, a margarina, o transporte coletivo. Quando aumenta a renda dos indivíduos, geralmente há consumo menor desses bens. Os bens inferiores são poucos e podemos prescindir deles em nossa análise. • Bem inferior é aquele cuja quantidade demandada diminui quando aumenta a renda. • Bem normal é aquele cuja quantidade demandada aumenta quando aumenta a renda. No caso dos bens normais, o aumento da renda dos consumidores eleva a quantidade demandada para cada preço. Essa mudança se representa graficamente como um deslocamento da curva de demanda dos bens normais para a direita . Assim, por exemplo, quando acontece um aumento na renda das famílias, estas podem consumir mais discos para cada um dos preços possíveis de discos, fazendo a curva de demanda se deslocar para a direita. Bens de luxo e bens de primeira necessidade • Um bem é de primeira necessidade quando, ao aumentar a renda, a quantidade demandada do bem aumenta em menor proporção. • Um bem é de luxo quando, ao aumentar a renda, a quantidade demandada do bem aumenta em maior proporção. Os preços dos bens relacionados Generated by Foxit PDF Creator © Foxit Software http://www.foxitsoftware.com For evaluation only.
  • 16.
    16 A quantidade deum bem depende das variações dos preços dos bens relacionados a ele. Se as variações das fitas cassetes afetaram a quantidade demandada de discos, já que as fitas e os discos são dois bens que podem satisfazer a mesma necessidade de consumo. Assim, por exemplo, uma elevação no preço das fitas induzirá alguns consumidores a consumir mais discos e menos fitas. Bens substitutos e complementares A influência da variação do preço de um bem na curva de demanda de outro depende de que ambos sejam substitutos ou complementares. • Os bens são substitutos se o aumento de preço de um deles aumenta a quantidade demandada do outro, qualquer que seja o preço. Ex; carne bovina e suína; café e chá, fitas e discos. • Os bens são complementares se o aumento de preço de um deles reduz a quantidade demandada do outro. Ex. automóveis e gasolina, sapatos e cadarços. Enquanto a elevação do preço de um bem substituto desloca a curva de demanda para a direita, a elevação de um bem complementar desloca a curva de demanda para a esquerda. Mudanças nos gostos ou preferências dos consumidores Os gostos também experimentam alterações que podem ocasionar deslocamentos na curva de demanda. As preferências dos consumidores podem-se alterar simplesmente porque os gostos se modificam com o decorrer do tempo ou devido a uma campanha publicitária. Se os gostos variam no sentido de que se deseja demandar maior quantidade de um determinado produto, a curva de demanda será deslocada para a direita, enquanto a mudança das preferências for no sentido contrário, o deslocamento será para a esquerda. Deslocamento da curva de oferta A curva de oferta de um bem, por exemplo, sapatos, mostra exclusivamente os efeitos de variações nos preços sobre a quantidade oferecida, supondo-se constantes os determinantes dos custos dos vendedores. Sendo o mais significativo, os preços dos fatores de produção e a tecnologia disponível A tecnologia existente Qualquer melhoria tecnológica permite produzir e vender um produto a um preço menor, permitindo que as empresas elevem a quantidade oferecida deste produto a qualquer preço. Graficamente podemos dizer quer a curva de demanda se desloca para a direita. Os movimentos ao longo da curva de demanda de um bem, acontece em função de uma mudança de preços deste produto. Os deslocamentos de uma curva de demanda se devem a alterações de alguns outros fatores, que não o preço. Por exemplo, a renda dos consumidores. Generated by Foxit PDF Creator © Foxit Software http://www.foxitsoftware.com For evaluation only.
  • 17.
    17 Deslocamentos da curvade oferta e sua incidência sobre o preço e a quantidade de equilíbrio. Se houver uma redução do preço de capital, haverá um deslocamento da curva de demanda para a direita. O novo ponto de equilíbrio vai depender da inclinação da curva de demanda. As variações nos preços e a elasticidade da demanda Dada uma curva de demanda, a quantidade demandada será maior se os preços abaixarem. Porém, se estes sobem, a quantidade demandada diminuirá. Uma informação importante é saber como as mudanças de preços afetam a receita total, ou seja, se as mudanças nos preços aumentarão ou diminuirão a receita total, isto é, qual será o resultado da multiplicação do preço pela quantidade vendida. O sentido da variação da receita total, quando muda o preço, depende da “sensibilidade da quantidade demandada”. Isso se expressa por meio do conceito de elasticidade da demanda. Elasticidade-preço da demanda A elasticidade-preço da demanda mede o grau em que a quantidade demandada varia devido às variações de preço de mercado e se expressa como o quociente entre a variação percentual da quantidade demandada do bem, produzida por uma variação de seu preço em 1%, mantendo-se constantes todos os demais fatores que afetam a quantidade demandada. A elasticidade é calculada da seguinte forma: Elasticidade = ∆ percentual da quant. demanda = ∆Q/Q x 100 da demanda ∆ percentual do preço ∆P/P x 100 Tipologia das elasticidades da demanda A demanda é elástica se o valor numérico da elasticidade é maior que a unidade, isto é, se a variação na quantidade é percetualmente maior que no preço, ou seja, a elasticidade é maior do que 1. A demanda tem elasticidade unitária se uma variação se uma variação percentual do preço produz uma variação percentual da quantidade igual àquela. A demanda é inelástica se o valor numérico da elasticidade é menor que a unidade, isto é, se a variação na quantidade é percentualmente menor que a variação do preço. Generated by Foxit PDF Creator © Foxit Software http://www.foxitsoftware.com For evaluation only.
  • 18.
    18 A elasticidade dademanda: casos extremos Podemos ter dois casos extremos aqui: quando a demanda é perfeitamente elástica é quando é perfeitamente inelástica. • A demanda é perfeitamente inelástica, isto é, sua elasticidade é zero, quando, ao variar o preço, a demanda não mostra nenhuma resposta na quantidade demandada. É o caso, por exemplo, quando uma pessoa diz: ”Tenho de conseguir a qualquer preço”, está afirmando que por ela , a demanda é perfeitamente inelástica. • A demanda é perfeitamente elástica, ou infinita, quando os compradores não estão dispostos a pagar mais que um determinado preço, qualquer que seja a quantidade do bem. Elasticidade no ponto Dependendo do ponto aonde é calculada a elasticidade de uma determinada curva de demanda, ela pode ser elástica, inelástica ou Unitária. A elasticidade da demanda e a receita total • Quando a demanda é elástica, a variação percentual na quantidade demandada será maior do que a produzida no preço. Se, por exemplo, este se reduz em 10%, a quantidade demandada aumentará em mais de 10% e a receita total aumentará. Por outro lado, se o preço aumenta 10%, a quantidade demandada será reduzida em mais de 10% e a receita total diminuirá. Quando a demanda é elástica, uma redução do preço aumentará a receita total. Um aumento de preço diminuirá a receita total. • Quando a demanda é inelástica, a variação percentual na quantidade demandada é menor que a variação percentual no preço. Dessa forma se o preço reduz em 10%, a quantidade demandada aumentará em menos de 10%. A receita total será reduzida. Por outro lado, se o preço aumenta 10%, a quantidade demandada será reduzida em menos de 10%, e a receita total aumentará. Quando a demanda é inelástica, uma diminuição no preço reduzirá a receita total e um aumento elevará a receita. Por isso se explica porque os agricultores preferem queimar ou destruir parte de suas colheitas pois dessa forma, conseguem elevar os preços de seus produtos e aumentar suas receitas totais, uma vez que a demanda de um produto agrícola pode ser inelástica. O mercado e a concorrência A concorrência está normalmente associada, à idéia de rivalidade ou oposição. A economia considera a concorrência um mecanismo da organização dos mercados como uma forma de determinar preços e as quantidades de equilíbrio. Generated by Foxit PDF Creator © Foxit Software http://www.foxitsoftware.com For evaluation only.
  • 19.
    19 A concorrência perfeita Ummercado em concorrência perfeita é aquele onde existem muitos compradores e muitos vendedores, de forma que nenhum comprador ou vendedor individual exerce influência sobre o preço. Para que ocorra um mercado perfeitamente competitivo, as seguintes condições devem ser cumpridas: • Existência de elevado número de ofertantes e demandantes. Implica que a decisão individual de cada um deles exercerá pouca influência sobre o mercado como um todo. Assim, se um produtor individual decide aumentar ou reduzir a quantidade produzida, não influi sobre o preço de mercado. • Homogeneidade do produto. Supõe que não existe diferença entre o produto que vende um ofertante e o que vendem os demais. • Transparência de mercado. Requer que todos os participantes tenham pleno conhecimento das condições gerais em que opera o mercado. • Liberdade de entrada e saídas de empresas. Todas as empresas participantes poderão entrar e sair do mercado de forma imediata. Assim, por exemplo, se uma empresa está produzindo calçados esportivos e não obtém lucros, abandonará esta atividade e começará a produzir outros bens mais lucrativos. O monopólio Na realidade é raro acontecer uma concorrência perfeita. Normalmente a empresa tenta quebrar as condições da concorrência perfeita buscando melhorar sua posição individual. • No mercado monopolista existe um só ofertante, que tem plena capacidade de determinar o preço. Dentre os fatores que explicam a aparição do monopólio, podemos destacar os seguintes: • O controle exclusivo de um fator produtivo por uma empresa ou domínio das fontes mais importantes de matéria prima indispensáveis para a produção de um determinado bem. • A concessão de uma patente, determina uma situação monopolista de caráter temporal. • O controle estatal da oferta de determinados serviços origina os monopólios estatais. • O porte do mercado e a estrutura de custos de industrias especiais podem dar lugar a um monopólio natural. Isto pode ocorrer quando uma empresa diminui de maneira expressiva seu custo médio a medida que aumenta sua produção. Consequentemente, poderá satisfazer as necessidades do mercado de forma mais eficiente que muitas empresas. Comparando a concorrência perfeita e o monopólio Quando uma industria se monopoliza. O preço da venda será maior que o preço de mercado em concorrência perfeita e, o nível de produção inferior. Portanto a empresa monopolista Generated by Foxit PDF Creator © Foxit Software http://www.foxitsoftware.com For evaluation only.
  • 20.
    20 obterá, em geral,maiores lucros que em concorrência perfeita, e os consumidores serão prejudicados ao pagar um preço superior e em ter reduzida a quantidade ofertada do bem. A regularização do monopólio: possíveis alternativas Cabe ao governo tomar medidas para controlar a ação dos monopólios. Algumas medidas que podem ser tomadas: • Permitir o monopólio com seu lucro extraordinário, mas taxar estes lucros através de impostos. Seria uma forma de transferência de parte dos preços que os consumidores pagaram. • Fixar um preço máximo para os produtos de tal forma que a empresa não sai do mercado. • Fixar preços em acordo com os de concorrência perfeita. Os mercados oligopolistas Quanto existe um número reduzido de vendedores, diante de uma grande quantidade de compradores, de forma que os vendedores podem exercer algum tipo de controle sobre o preço. As guerras de preços têm mostrado aos oligopolistas a conveniência de realizar acordos para fixar preços ou repartir mercados Um tipo de acordo é o cartel. O cartel é um agrupamento de empresas que procura limitar a ação da livre concorrência para estabelecer um preço comum e/ou alcançar uma maximização conjunta de lucros. ECONOMIA AMBIENTAL Como a economia neoclássica e a economia ecológica se apresentam em relação ao meio ambiente (Prugh, 1995): Análise custo-benefício estendida Nos projetos de desenvolvimento econômico o objetivo é alcançar o máximo de benefícios com um mínimo de custos. Para isto, a metodologia normalmente utilizada para avaliar projetos de desenvolvimento econômico é a análise de custo-benefício. Esta técnica tem como objetivo principal a eficiência econômica. A eficiência econômica está intimamente relacionada à produção nacional ou ao poder aquisitivo. São considerados benefícios no âmbito em que eles aumentam a saída de bens e serviços e/ou disposição a pagar por eles. Os custos são reduzidos na entrada ou no fornecimento de recursos que poderiam ser usados em caminhos alternativos, podendo-se assim diminuí-los. Esta análise leva em consideração as seguintes premissas: n As pessoas prejudicadas estão dispostos a aceitar uma compensação financeira por sua perdas e o valor total das perdas deve ser em termos monetários; n As pessoas prejudicadas conhecem o valor do que estão perdendo e o tempo da transação; Generated by Foxit PDF Creator © Foxit Software http://www.foxitsoftware.com For evaluation only.
  • 21.
    21 n Não háuma eqüidade na distribuição de perdas e ganhos; os benefícios podem aumentar por um lado, e por outro haverem maiores perdas. Além disso, os seguintes problemas não estão diretamente relacionados: n As futuras gerações das pessoas prejudicadas não vão poder valorar as perdas da mesma forma; n Espécies de animais e plantas, ou seja, organismos vivos que não pessoas, não podem ser consultados se estão dispostos a participar da transação (WESTMAN, 1985). Ao contrário da análise financeira que se baseia apenas nos preços de mercado e visa lucros de indivíduos ou empresas, a análise econômica aborda a eficiência do objetivos dentro de economia como um todo (MUNASINGHE, 1992). Vários critérios são utilizados na ACB, o mais básico é a comparação entre custos e benefícios do projeto para que assegure que o valor presente líquido (VPL) seja positivo. O VPL é dado pela seguinte equação: VLP B C r t t t t T = − += ∑ ( ) ( )10 (2) Sendo: Bt e Ct = benefícios e custos no ano t r = taxa de descontos T = tempo de horizonte do projeto Outro critério utilizado é a taxa interna de retorno (TIR), que pode ser definida como: ( ) ( ) B C TIR t t t t T − + = = ∑ 1 0 0 (3) A TIR é a taxa de desconto em que o VPL é zero. O projeto é viável quando a TIR é maior que a taxa de desconto esperada para o projeto. Podem ocorrer problemas de interpretação para diferentes horizontes de tempo, tendo a taxa de desconto um papel crítico na viabilidade do projeto (MUNASINGHE, 1992). Um outro critério muito utilizado é a relação benefício - custo (RBC), sendo: RBC B r C r t t t T t t t T = +       +       = = ∑ ∑ ( ) ( ) 1 1 0 0 (4) Se a RBC for maior do que 1, então VPL é maior que zero, sendo assim o projeto é viável. Com as recentes exigências de inserção da variável ambiental nos projetos de desenvolvimento por parte dos órgãos financiadores, desenvolveu-se uma análise de custo- benefício estendida, que levaria em consideração os custos ambientais, a qual tentaria minimizar a serie de problemas citados acima (HUFSCHMIDT et al., 1982). A análise custo-benefício estendida tenta ter uma função chave na identificação de eficientes opções de manejo de recursos naturais que facilitam o desenvolvimento sustentado. É Generated by Foxit PDF Creator © Foxit Software http://www.foxitsoftware.com For evaluation only.
  • 22.
    22 uma ligação essencialentre as técnicas tradicionais de tomada de decisão e uma abordagem emergente mais sensível ambientalmente. Este tipo de análise ajuda a incorporar considerações ecológicas dentro da estrutura convencional da sociedade humana. Nos últimos anos, boa parte dos governos têm ajustado suas políticas, com o objetivo de incluir o próprio gerenciamento de recursos naturais ao lado do crescimento econômico, distribuição de renda e diminuição de pobreza. Dada a escassez de recursos humanos e financeiros nos países em desenvolvimento, e a pressão emergente nos recursos naturais, é particularmente importante o uso destes recursos sustentavelmente limitados, tendo estes, um grande benefício em termos de metas para estes países (MUNASINGHE, 1992; HUFSCHIMIDT et al., 1982). Dentro da análise custo-benefício, DIXON & SHERMAN (1990; 1991) apresentam uma série de benefícios gerados pelo meio ambiente que normalmente não são levados em consideração em uma análise custo-benefício convencional: 1. Recreação e turismo. 2. Proteção da bacia hidrográfica • Controle de erosão • Amortecimento de cheias • Regularização de vazão 3. Processos ecológicos • Fixação e ciclagem de nutrientes • Formação do solo • Circulação e melhoria da qualidade da água e do ar • Suporte de vida global 4. Biodiversidade • Banco genético • Preservação de espécies • Diversidade de espécies • Mudanças evolutivas 5. Educação e pesquisa 6. Benefícios com mercado 7. Benefícios sem mercado • Estéticos • Espiritual • Históricos e culturais • Valor de existência 8. Valores futuros • Valor de opção Levando-se em consideração os custos, o custo de oportunidade é um conceito muito importante dentro da análise econômica do ambiente. Este tipo de custo representa os benefícios que os indivíduos e a sociedade perdem quando o meio ambiente é degradado. Estes custos incluem o que se deixa de extrair do local (animais, madeiras etc.). Não são considerados apenas os recursos diretos encontrados no local mas também aqueles que poderiam ter sido desenvolvidos através de uma exploração mais intensiva. O custo de oportunidade inclui os benefícios que poderiam ter sido ganhos da conversão para um uso alternativo. Este tipo de Generated by Foxit PDF Creator © Foxit Software http://www.foxitsoftware.com For evaluation only.
  • 23.
    23 custo, seja grandeou pequeno, pode representar um papel importante no processo de tomada de decisão política (DIXON & SHERMAN, 1990). Para a elaboração de uma análise de custo benefício é seguido o procedimento chamado ciclo do projeto (ABAZA, 1993): Identificação: durante esta fase, as idéias de projeto que representam uma grande prioridade no uso de recursos naturais por parte dos países para obter desenvolvimento, devem ser identificados. Estas idéias passariam por um teste preliminar de viabilidade. Isto requer que se assegure soluções técnicas e institucionais com custos comensurados e com a expectativa dos benefícios. Serão adotadas políticas convenientes e apropriadas. Preparação: uma vez que o projeto passou pela fase de identificação, deve ser feito um refinamento do projeto em todas suas dimensões: técnica, econômica, ambiental, financeira, social e institucional. Estimativa: nesta fase ocorre uma avaliação da eficiência do projeto e a justificativa de sua implementação. Implementação: Esse estágio abrange da atual situação de desenvolvimento do projeto até sua fase operacional. Incluindo o monitoramento e supervisão do projeto. Avaliação: é feita uma avaliação após o projeto para estimar a extensão de sua realização, e verificar os conhecimentos adquiridos com a experiência, para implementação em projetos futuros . INTRODUÇÃO À ECONOMIA ECOLÓGICA CONCEITOS GERAIS A economia ecológica é uma nova abordagem transdiciplinar que contempla toda a gama de inter-relacionamentos entre sistemas econômico e ecológico. Esta amplitude é essencial, se quisermos compreender e administrar nosso planeta com sabedoria diante dos problemas globais crescentes e interdependentes relacionados com o meio ambiente, a população e o desenvolvimento econômico (COSTANZA, 1994). A economia ecológica procura uma abordagem preventiva contra as catástrofes ambientais iminentes, pregando a conservação de recursos naturais através de uma ótica que considere adequadamente as necessidades potenciais das gerações futuras. Essa abordagem pressupõe que os limites ao crescimento fundamentados na escassez dos recursos naturais e sua capacidade de suporte são reais e não necessariamente superáveis através do desenvolvimento tecnológico. Isso significa que ao lado dos mecanismos tradicionais de alocação e distribuição geralmente aceitos na análise econômica, a economia ecológica acrescentaria o conceito de escala, no que se refere ao volume físico da matéria e energia que é convertido e absorvido nos processos entrópicos da expansão econômica. A escala sustentável se adapta de forma gradativa Generated by Foxit PDF Creator © Foxit Software http://www.foxitsoftware.com For evaluation only.
  • 24.
    24 às inovações tecnológicas,de modo que a capacidade de suporte não sofra desgaste através do tempo. Em vez de começar a análise com a questão da eficiência alocativa pelos economistas neoclássicos e, a partir daí, procurar internalizar os custos ambientais e distributivos, a economia ecológica inverte a ordem destas preocupações. A capacidade de suporte da terra é considerada primordial para definir o limites dos impactos das atividades humanas em uma escala julgada ecologicamente sustentável. Também a permissão às atividades poluidoras e o acesso aos recursos deveriam ser distribuídos de forma eqüitativa. Somente num terceiro momento, após haver tomado decisões sociais relativas a uma escala ecologicamente sustentável e uma distribuição eticamente justa, poderá permitir-se a realocação entre indivíduos através de mercados nos interesses da eficiência (MAY, 1995). Defini-se como desenvolvimento sustentado aquele em que em que se alcançam as necessidades presentes sem comprometer a disponibilidade para que as gerações futuras possam alcançar suas próprias necessidades (ELLIOT, 1994). O autor apresenta também definições de outros autores que seriam as seguintes: • Conhecimentos da ecologia que poderiam ser aplicados aos processos econômicos; • Taxas de crescimento que não comprometam os estoques de capital natural, ou seja, os recursos naturais; • Crescimento dentro da perpetuação do meio ambiente. Ainda segundo este autor, são apresentadas as considerações e as condições para que se possa implantar um desenvolvimento sustentado: • Considerações: • População e desenvolvimento; • Garantia de alimentos • Espécies e ecossistemas • Energia • Industria • O desafio da urbanização • Considerações requeridas para um desenvolvimento sustentado: • Um sistema político que assegure a efetiva participação dos cidadãos nos processos de tomada de decisão; • Um sistema econômico que contemple soluções para os problemas decorrentes de um desenvolvimento desigual; • Um sistema de produção que respeite a obrigação de preservar as bases ecológicas para o desenvolvimento; • Desenvolvimento tecnológico que promova padrões sustentáveis para o comercio e as finanças; • Um sistema administrativo que seja flexível e que tenha a capacidade de se auto corrigir. Generated by Foxit PDF Creator © Foxit Software http://www.foxitsoftware.com For evaluation only.
  • 25.
    25 As formas sustentáveisde desenvolvimento representam uma nova perspectiva, pois conseguem elevar o padrão de vida da geração atual, sem destruir a base dos recursos naturais e ambientais da qual depende, em última estância, toda a atividade econômica. O que ameaça o desenvolvimento sustentado não é a tecnologia moderna por si só, mas as condições sob as quais estas tecnologias são criadas e utilizadas. Tanto a capacidade do ambiente de absorver poluição, como a capacidade de fornecer recursos esgotáveis, como energia e minerais, são finitas. Os ecossistemas só podem tolerar uma certa quantidade de agressão sem que sofram mudanças, muitas vezes de forma dramática e inesperada (TIETENBERG, 1994a). A garantia da sustentabilidade dos sistemas econômicos e ecológicos depende da capacidade para traçar objetivos locais e de curto prazo, consistentes com os objetivos globais e de longo prazo (como a sustentabilidade e a qualidade de vida mundial). Para isto é necessário estabelecer uma hierarquia de objetivos para o gerenciamento e planejamento econômico e ecológico a nível local, nacional e global; desenvolver melhores capacidades de modelagem ecológica-econômica regional e global, de forma a permitir uma gama de possíveis conseqüências das atividades atuais; ajustar preços e outros incentivos locais para que reflitam os custos ecológicos globais a longo prazo, inclusive a incerteza; e desenvolver programas que não levem ao declínio contínuo do capital natural (COSTANZA, 1991). O principal erro da visão econômica atual é tratar o meio ambiente meramente como um fator de produção (e de pouca importância dentro deste). Ou seja, esta visão aloca e submete o meio ambiente à economia humana. Sob o ponto de vista da economia ecológica, isto é uma inversão. Por muito tempo tem- se olhado o meio ambiente e seus recursos naturais através de uma ótica distorcida, sob uma visão mais ecológica poderia ver-se a importância e relevância da natureza. A economia anda ”de mãos dadas” com a natureza. A economia é um sistema aberto dentro da ecosfera, importando os recursos úteis da natureza e exportando resíduos para ela. O ser humano vem se apropriando dos recursos providos pela terra (petróleo, madeira, minérios, peixes etc.) e retorna para esta, comida ou artefatos (máquinas, ferramentas, fábricas, sistemas de transportes etc.), gerando uma série de resíduos, os quais o meio ambiente pode assimilar até certo ponto. O meio ambiente também fornece serviços (geração de oxigênio, purificação da água, solo etc.), até certo ponto. Toda a economia deriva dos recursos naturais. Uma vez que se admite que a economia humana está alocada dentro da ecosfera e não pode desenvolver-se sem ela, vários conceitos negligenciados ou incompreendidos pela economia neoclássica terão de ser revistos (PRUGH et al. 1995). O valor econômico do meio ambiente: O valor econômico do meio ambiente tem sido objeto de intensa discussão . Entretanto, é possível obter a partir da seguinte expressão uma serie de variações que tentam contemplar de forma mais abrangente possível todas as parcelas que estariam dentro deste valor econômico (PEARCE & TURNER, 1990; MOTTA, 1990; TURNER, 1991). Generated by Foxit PDF Creator © Foxit Software http://www.foxitsoftware.com For evaluation only.
  • 26.
    26 Valor econômico total= Valor de uso + Valor de opção + Valor de existência Sendo que o valor de uso é atribuído pelas pessoas que realmente usam ou usufruem do meio ambiente em risco, por meio de dados estatísticos. Por exemplo, as populações urbanas que se abastecem de um rio ou as comunidades que sobrevivem de atividades extrativistas em florestas tropicais atribuem um valor de uso ao consumo direto do meio ambiente. Outras pessoas podem usufruir também de um serviço ambiental como a apreciação de uma beleza natural, tal como uma catarata ou a vista de um vale. Aquelas pessoas, porém, que não usufruem do meio ambiente podem também valorá-lo em relação a usos futuros, seja para elas mesmas ou para as gerações futuras. Este valor é referido como valor de opção, ou seja, opção para uso futuro ao invés do uso presente conforme compreendido no valor de uso. A terceira parcela, o valor de existência, é mais difícil de conceituar, pois representa um valor atribuído à existência do meio ambiente independentemente do uso atual e futuro. Na verdade, as pessoas parecem conferir valor a certos ativos ambientais, como florestas e espécies em extinção, mesmo que não tencionem usá-los ou apreciá-los (MOTTA, 1990). Finalmente, é importante ressaltar que as pessoas atribuem estes valores de acordo com a avaliação que fazem da singularidade e da irreversibilidade da destruição do meio ambiente, associadas à incerteza da extensão dos seus efeitos negativos. Dentro desta expressão pode-se acrescentar algumas subdivisões. O valor econômico total (VET) de um recurso consistiria em seu valor de uso (VU) e de não uso (VNU). Os valores de uso podem ser divididos em valores de uso direto (VUD), indireto (VUI) e o valor de opção (VO, valor de uso potencial). As categorias de valores de não uso são o valor de existência (VE) e o valor de legado (VL). Portanto pode-se escrever: VET = VU +VNU ou VET = [VUD +VUI +VO] + [VE +VL] MUNASINGHE (1992) e TURNER (1991) O valor de opção é baseado em quanto os indivíduos estão dispostos a pagar pela opção de preservar um bem para uso pessoal direto ou indireto no futuro. O valor de legado, excluindo valores próprios dos indivíduos, é o valor que as pessoas derivam do fato de que outras pessoas (talvez seus próprios descendentes) estarão aptas a beneficiar-se deste recurso no futuro. Dentro do valor econômico há também que levar em consideração as seguintes características do meio ambiente: Irreversibilidade: se o bem em questão não for preservado, provavelmente terá pouca ou nenhuma regeneração. Incerteza: o futuro não é conhecido, e por isso existem custos potenciais se o bem for extinto e a escolha futura esta determinada. Generated by Foxit PDF Creator © Foxit Software http://www.foxitsoftware.com For evaluation only.
  • 27.
    27 Singularidade: algumas consideraçõesempíricas para mensurar os valores de existência tendem a relacionar espécies em extinção e paisagens únicas. Esta combinação de atributos irá deter as preferências, as quais poderiam direcionar-se para um lado mais cauteloso da exploração, fazendo com que a preservação seja relativamente mais favorecida em comparação com os projetos de desenvolvimento (PEARCE & TURNER, 1990). Técnicas de valoração do Meio Ambiente As técnicas a seguir resumidas procuram estimar valores econômicos, da forma mas completa possível. Mudanças na produtividade Projetos de desenvolvimento podem afetar a produção e a produtividade positiva ou negativamente. O incremento da saída pode ser valorada usando padrões econômicos de preços. Existem exemplos de trabalhos em casos que demostram isto. Num estudo de caso em Lesoto, Africa do Sul, foi estimado o aumento da produtividade nas terras conservadas. O valor econômico da preservação seria o aumento na produção (MUNASINGHE, 1992),. Produção sacrificada Quando os efeitos ambientais são localizados ou específicos, é possível medir diretamente seus impactos negativos em termos de produção sacrificada ou perdida. Por exemplo, a perda da produção pesqueira devido ao despejo de elementos tóxicos por uma certa fábrica em um determinado rio, ou a perda de produção agrícola causada pela poluição atmosférica de uma fábrica vizinha (MUNASINGHE, 1992). Mesmo em casos mais complexos, é possível medir diretamente alguns impactos ambientais que por si só justifiquem as medidas de controle. Por exemplo, os custos de reparos devidos à corrosão resultante da poluição do ar podem ser suficientemente elevados para compensar o controle de emissão de certos elementos tóxicos, mesmo não considerando os efeitos à saúde das pessoas e outros impactos. Da mesma forma, o controle de emissão de chumbo tetra-etila, para a combustão da gasolina, poderia ser viabilizado levando-se em conta apenas os custos de manutenção dos carros decorrentes da corrosão que este elemento exerce sobre diversas partes do automóvel, sem se considerar os custos com a saúde humana. É importante ressaltar, todavia, que este valor não incorpora os custos associados a questões intertemporais que consideram a disponibilidade dos recursos naturais para gerações futuras. Para tal, seria necessário estimar os impactos econômicos futuros no caso dos recursos não renováveis, o que exigiria uma gama variada de informações quase sempre não disponíveis. Sempre, porém, que tais custos diretamente estimados representam pequenas partes dos custos Generated by Foxit PDF Creator © Foxit Software http://www.foxitsoftware.com For evaluation only.
  • 28.
    28 totais, não autorizandouma tomada de decisões, outros procedimentos devem ser adotados para avaliar o valor econômico total do meio ambiente (MOTTA, op. cit.). Gastos preventivos Indivíduos, empresas e governos comprometem-se a uma variedade de gastos para evitar ou diminuir efeitos ambientais indesejáveis. Prejuízos ambientais normalmente são difíceis de avaliar, mas a informação de gastos com prevenção pode ser disponível ou pode ser obtido a um custo menor do que das avaliações diretas dos bens ambientais em questão. Tais gastos “atuais” indicam que indivíduos, empresas e governos julgam os benefícios resultantes serem maiores do que os custos. Os gastos com prevenção podem então ser interpretados como uma avaliação mínima dos benefícios (MUNASINGHE,1992). Custo de reposição Nesta técnica faz-se uma estimativa dos custos que teriam sido incorridos para repor um prejuízo ao meio ambiente. A estimativa não é de se evitar um prejuízo em primeiro plano, uma vez que os custos dos prejuízos podem ser maiores ou menores do que o custo de reposição. Contudo, é uma técnica apropriada se existe alguma forte razão para que o prejuízo seja restaurado. O custo de reposição, é utilizado para proteção de aqüíferos determinando o custo de desenvolver fontes alternativas de abastecimento de água. Também, é aplicado nos processos de erosão calculando o fertilizante necessário para substituir as perdas de solo (MUNASINGHE, 1992). MITSCH & GOSSELINK (1993) apresentam algumas tecnologias para substituir algumas funções naturais das áreas alagadas, as quais teriam um custo. Verifica-se que para algumas funções como a diversidade de espécies ainda não existe tecnologia artificial para substituí-la (tabela 04). Algumas tecnologias de substituição de valores de interesse social fornecidos pelas áreas alagadas. Tipo de função e seu valor Tecnologias de reposição Acumulação de turfa Acúmulo e estocagem de matéria orgânica Fertilizantes artificiais Função hidrológica Manutenção da qualidade da água Transporte de água Bombeamento de fontes distantes Manutenção da recarga de aqüíferos Perfuração de poços profundos Filtragem da água do mar Manutenção do nível das águas superficiais Barragens para irrigação Generated by Foxit PDF Creator © Foxit Software http://www.foxitsoftware.com For evaluation only.
  • 29.
    29 Bombeamento de águapara reservatórios Amortecimento de cheias Regulação através de comportas Bombeamento para outros rios Funções biogeoquímicas Processamentos de esgotos e ciclagem de nutrientes Plantas de tratamento de esgotos Transportes de esgotos Reservatórios de resíduos Manutenção da qualidade da água Fiscalização Redução de Nitrogênio nos tratamentos de esgoto Plantas de purificação de água Funções da cadeia alimentar Prover alimento para o Homem e os animais domésticos Produção agrícola Importação de alimentos Fornecimento de abrigo Materiais para abrigo Sustento de espécies de peixes e dependência da flora e da fauna para com as áreas alagadas Trabalho feito por organizações não governamentais Diversidade de espécies: banco de material genético Reposição impossível Valor recreacional (observação de pássaros, pesca, etc.) Reposição impossível Valores estéticos e espirituais Reposição impossível Fonte: adaptado de MITSCH(1993) O Custo de reposição só é aplicável no caso de externalidades reversíveis , supondo que os prejudicados sejam identificáveis e que possam atuar em uma negociação (ALIER, 1996). Técnica do custo de viagem Uma forma de medir a disposição para pagar pelo uso, por exemplo, de um parque ou de um lago livre de poluição, pode ser baseada nos custos da viagem que se precisa fazer para ter acesso aos benefícios daquele parque ou lago. Ou seja, o valor de uso atribuído aos benefícios recreativos ou turísticos daquele local devem ser, pelo menos, iguais ao dispêndio da viagem que se realiza para desfrutar do lugar (MOTTA, 1990). Esta metodologia valora a disposição a pagar dos visitantes a um local natural, supondo que esta disposição a pagar é uma medida dos benefícios sociais que o local proporciona (ALIER, 1996). Tais estimativas podem apresentar certa dificuldade, pois é imprescindível separar, dos custos de viagem, as parcelas relativas a outros Generated by Foxit PDF Creator © Foxit Software http://www.foxitsoftware.com For evaluation only.
  • 30.
    30 benefícios que sepossa aferir no local em análise, como, por exemplo, visitar locais históricos ou fazer compras (MOTTA, 1990). O local de recreação é identificado, e a área em volta é dividida em zonas concêntricas a medida que a distância aumenta, o que representa um aumento nos níveis do custo de viagem. São levadas em consideração varias determinações em relação aos usuários de cada zona, tais como: taxa de visitação, custo da viagem e várias características sócio-econômicas, como renda e nível de instrução do indivíduo (HUFSCHIMDT, 1990). Com estas informações se constrói uma curva de demanda em função do número de visitas por ano. A áreas abaixo da curva de mede, em termos econômicos, todo o benefício obtido pela sociedade (ou mais precisamente pelos visitantes), que visitaram o local. Mesmo que esta técnica tenha vantagens pode dar resultados paradoxais. Uma reserva que seja distante e de difícil acesso teria seu valor econômico diminuído mas ao mesmo tempo estaria mais preservada, por outro lado, locais com uma grande demanda de visitantes teriam um grande valor econômico, mas com uma exposição maior à degradação (ALIER, 1996). Técnica do valor de propriedade A elevação do nível de poluição nas grandes cidades tem sido uma constante preocupação e vem sendo apontada como causadora de diversos problemas da saúde nas pessoas, como a perda da capacidade auditiva, distúrbio respiratórios e outros efeitos extenuantes. No caso da poluição sonora e do ar, o diferencial de preços entre as casas situadas nos lugares onde não existem tais poluições e aquelas localizadas em lugares poluídos, pode permitir estimar a disposição para pagar pela redução desta poluição. Este método consiste, então, em utilizar um mercado de recorrência - no caso de mercado de imóveis - para mensurar os custos de uso associados à poluição. Estes procedimentos são denominados de modelos de preços de propriedade e consistem no emprego de técnicas econométricas com o objetivo de isolar das variações de preços dos imóveis aquele efeito resultante do nível de poluição. Como é facilmente observável, esta técnica pode ser de difícil utilização, dados os diversos aspectos que afetam os preços dos imóveis, como as facilidades de comércio, de transportes e de escolas, por exemplo. Além do mais, o próprio desconhecimento dos compradores de imóveis quanto aos distúrbios causados pela poluição pode prejudicar sensivelmente as estimativas resultantes (MOTTA, 1990). Da mesma forma, esta técnica consegue oferecer algum tipo de valoração que reflita um indicador do benefício de não haver poluição ou a disposição para pagar pelo controle dela (PEARCE & TURNER, 1990). Mercado artificial Tais mercados poderiam ser construídos para propósitos experimentais, para determinar a disposição a pagar por um bem ou serviço. Por exemplo, coloca-se vários níveis de preços para um kit de purificação da água para uso doméstico ou para uso recreacional, oferecida a diferentes Generated by Foxit PDF Creator © Foxit Software http://www.foxitsoftware.com For evaluation only.
  • 31.
    31 níveis de taxas,podendo facilitar as estimativas de um valor dado por indivíduos para obter água pura ou recreação (MUNASINGHE, 1992). Avaliação de contingente Este tipo de técnica estima os valores econômicos dos custos de externalidades ambientais com base no conceito de disposição para pagar. Este conceito econômico reflete a medida de valor (ou utilidade) que os consumidores atribuem às mercadorias que desejam comprar. Como os serviços ambientais ou o uso futuro dos recursos naturais não tem mercados próprios específicos, identificam-se mercados de recorrências (substitutos) ou mercados hipotéticos nos quais seja possível determinar estes valores (MOTTA, 1990). Além das limitações de um mercado de recorrência ou hipotético para refletir estes valores, existem também as próprias limitações teóricas associadas ao conceito de disposição para pagar. Estas limitações questionam se os valores assim estimados realmente apresentam o valor social dos bens e serviços, quando consideradas as distorções e as imperfeições existentes na economia (HUFSCHIMIDT, 1990). Certas atividades econômicas podem afetar a sensibilidade e a beleza natural de um parque nacional, de um rio, de um lago ou de uma reserva florestal por causa do despejo de poluentes, inundações ou explorações intensivas. Nestes casos, é possível empregar a técnica de avaliação de contingente ou do mercado hipotético. Esta técnica se vale de pesquisas que procuram identificar o valor de uso, ou mesmo de existência, que as pessoas associam à melhoria hipotética do meio ambiente. Assim, o valor de uso de um local pode ser medido por uma pesquisa que indicasse quanto as pessoas estariam dispostas a pagar pela preservação destes ativos ambientais: por exemplo, pela entrada ou licença para usar um local livre de poluição. O valor econômico total pode também ser medido se na pesquisa, for indicado quanto estas pessoas estariam dispostas a pagar para que os parques, rios e lagos não fiquem expostos à poluição, ou para que a vida animal seja preservada. A mesma técnica pode ser aplicada à estimativa destes valores para programas de despoluição que permitam o uso específico do rio ou lago, para pescaria, natação ou outra finalidade qualquer. É compreensível que viés possam influir nos resultados de pesquisas deste tipo, tanto pelas imprecisões das perguntas e do instrumento de coleta quanto pela desinformação dos que a elas respondem e suas expectativas quanto ao que está sendo pesquisado, por isso é fundamental que os entrevistados tenham a maior quantidade de informações sobre a situação física que se quer corrigir ou o bem ambiental que se quer preservar. (MOTTA, 1990; ALIER, 1996). TIETENBERG (1994b) apresenta os quatro principais viés deste tipo de avaliação: 1. Viés de estratégia: acontece quando o entrevistado fornece uma resposta errada para influenciar um resultado em particular. Se uma decisão para preservar o trecho de um rio para a pesca, por exemplo, depende se a produção é ou não suficientemente grande para ter um Generated by Foxit PDF Creator © Foxit Software http://www.foxitsoftware.com For evaluation only.
  • 32.
    32 valor de pesca.Os usuários que já usufruem da pesca podem dar uma resposta que garanta um valor mais alto do que aquele que refletiria sua verdadeira avaliação. 2. Viés de informação: acontece quando os entrevistados são forçados a atribuir valores, os quais eles têm pouco ou nenhum conhecimento. Por exemplo, a avaliação de um banhista para um local onde a qualidade d’água está deteriorada, deve basear-se em função de outro local onde a água esteja mais limpa. Por outro lado se ele não conhece, ou nunca freqüentou um lugar assim, a avaliação será feita numa percepção falsa. 3. Viés de ponto inicial: acontece quando os instrumentos utilizados para verificar as respostas dos entrevistados obedecem um padrão preestabelecido. Uma faixa de $0 a $100 pode produzir diferentes avaliações por parte dos entrevistados do que uma faixa entre $10 e $100, mesmo que não haja nenhuma resposta entre $0 e $10. 4. Viés de hipótese: é um erro potencial, por ser um estudo hipotético e não uma situação real. O entrevistado pode, também, achar o estudo sem muita importância, fornecendo uma resposta considerada ruim. Conceito da "vida estatística" Um dos mais controversos temas da economia do meio ambiente diz respeito a valores da vida. Esta valoração às vezes se faz necessária quando os efeitos ambientais negativos colocam em risco a vida humana. Não há dúvida de que a vida não tem preço de mercado. Por outro lado, é possível falar da "vida estatística" . Este conceito é empregado para mensurar o valor de salvar-se uma vida quando este tem que ser decidido socialmente. As técnicas adotadas são as mesmas acima discutidas, com ajuste para este caso específico, e podem ser assim resumidas: I) Da mesma forma que, com a técnica de avaliação de contingente, discutiu-se como medir quantas pessoas estariam dispostas a pagar pela preservação ambiental, é possível também obter destas pessoas quanto estariam dispostas a pagar para reduzir por exemplo, o número de mortos em acidentes numa estrada com despesas de manutenção e sinalização. Suponha-se que a população de um município pesquisado indique que, no total, estaria decidida a gastar X reais para que as mortes por acidentes na rodovia caíssem de 100 para uma por ano. Poder-se-ia então admitir-se que o valor da "vida estatística" seria de X/99, pois estes investimentos seriam feitos para salvar vidas em geral e não a de alguém em particular. O mesmo procedimento pode ser adotado no que diz respeito a gastos em hospitais , com o desenvolvimento de remédios e outras situações relacionadas com o risco de vida, como as tabelas de benefícios da previdência social nos caso de acidentes, mutilações e mortes. II) A técnica do preço de propriedade pode também ser ajustada ao conceito de "vida estatística" ao se compararem os salários de trabalhos arriscados com aqueles que não envolvem riscos. As limitações, neste caso, são ainda mais restritivas que aquelas apontadas para o mercado de imóveis, uma vez que as imperfeições no mercado de trabalho são ainda mais marcantes. Generated by Foxit PDF Creator © Foxit Software http://www.foxitsoftware.com For evaluation only.
  • 33.
    33 Todavia, é práticacomum entre sindicatos e patrões estabelecerem valores adicionais de salários para atividades insalubres e arriscadas. III) A técnica da produção sacrificada também tem sido bastante aplicada no caso da "vida estatística", tentando-se mensurar a produção que seria perdida caso certa pessoa viesse a falecer prematuramente. Seria necessário determinar, para cada pessoa, o fluxo futuro de produção e também, para efeitos de descontos o consumo que ela realizaria se estivesse viva. Estes procedimentos são bastantes criticados por que certamente discriminam os idosos e os incapazes física e mentalmente (MOTTA, 1990). A poluição como Objeto de Avaliação Econômica Uma das conseqüências mais elementares do crescimento da população humana aliado às suas necessidades, é sem dúvida a poluição. A poluição é o produto da civilização. Ela tem efeito drástico para a humanidade, não só para o Homem em si como também para os seus descendentes (ARIZA, 1974). A ausência de gestão, planejamento, aliado à falta de controle, e medidas de minimização das causas dos vários tipos de poluição (ar, água e solo) faz com que ocorram significativas alterações nos sistemas naturais e sensível queda na qualidade de vida das sociedades atingidas. A definição econômica de poluição depende basicamente de dois fatores: o efeito físico dos resíduos no meio ambiente e a reação humana a estes efeitos físicos. Esta reação pode ser resumida como uma “perda de bem-estar”, conceito baseado na utilidade e na satisfação. A partir do momento que um agente é atingido é gerado o que se chama de uma externalidade negativa. Para que isto ocorra, dois fatores devem estar associados: a atividade exercida por uma agente gera uma perda de bem-estar para um outro agente, e a perda deste bem-estar não é compensada. Quando a perda deste bem-estar é compensada, diz-se que esta foi internalizada (PEARCE & TURNER, 1990). Pode-se reduzir a poluição renunciando-se aos produtos comercializáveis em favor de mais lazer e desfrute direto da natureza mediante a recreação ao ar livre. Todas estas "trocas" devem ser baseadas no envolvimento de grande número de decisões e, para tomá-las, há que se ter um padrão de comparação. Os economistas utilizam o princípio do marginalismo para este fim, podendo maximizar as atividades econômicas a partir de uma externalidade ótima (PEARCE & TURNER, 1990). Considerando, por exemplo, a decisão relativa à quantidade de poluição que deveria ser tolerada, tem-se que esta decisão requer que se encontre o equilíbrio entre duas margens, a dos benefícios privados que correspondem aos lucros da atividade econômica e a dos custos sociais, que é relacionada com a perda de bem-estar decorrentes desta mesma. Custos e benefícios marginais decorrentes da poluição Fonte: adaptado de PEARCE & TURNER (1990) e MARGULIS (1990). Generated by Foxit PDF Creator © Foxit Software http://www.foxitsoftware.com For evaluation only.
  • 34.
    34 No gráfico acimaverifica-se os custos das externalidades marginais (CEM) e os benefícios privados marginais (BMP), as quais são curvas marginais, indicam uma resposta para cada incremento de uma unidade de atividade econômica (produção). A curva CEM mostra que para cada acréscimo de uma unidade de produção, o custo marginal para a sociedade é maior, mas esta curva não é necessariamente sempre crescente, pode ser constante, ou seja, para cada acréscimo de uma unidade na quantidade produzida, o custo marginal é o mesmo, ou se o tratamento destes resíduos se tornarem mais baratos (por unidade) a medida que quantidade aumenta, os custos das externalidades marginais diminuem (ALIER, 1996). Um mesmo incremento de atividade econômica gera cada vez mais um benefício menor. Caso uma empresa, por exemplo, não tivesse que levar em consideração os custos sociais, esta atingiria seu benefício máximo em Qmax, a partir deste ponto os custos internos, ou seja os de produção, superam os benefícios, não sendo interessante para o dono continuar produzindo. Quando se passa a levar em consideração os custos sociais (externalidades) dentro da produção, ou seja, quando ocorre a internalização das externalidades, o ponto ótimo de atividade econômica é deslocado para Q*, que é o ponto em que os benefícios marginais se igualam aos custos sociais marginais. Em relação ao ponto Q*, a área abaixo da curva de custos marginais (II), que representa as externalidades é menor do que a área abaixo da curva marginal dos benefícios privados (I+II), justificando ainda a atividade econômica, uma vez que ainda é possível compensar as externalidades. A partir de Q* a área abaixo da curva marginal de custos é (III + IV) é maior do que a área abaixo da curva de benefícios marginais privados (III), sendo assim a empresa não teria como compensar pela sua produção, ou seja não teria como internalizar estes custos uma vez que superam os seus benefícios (PEARCE & TURNER, 1990 e MARGULIS, 1990). Os custos sociais normalmente são quantificados levando-se em conta os seguintes itens: o dano à propriedade; o custo da saúde, medido através das despesas médicas e tempo de trabalho perdido; o valor da vida silvestre; a destruição de plantações; a sensibilidade estética; os desconfortos. As estimativas reais do custo de todos estes tópicos apresentam muitos defeitos, pois alguns assumem conotação claramente subjetivas, caso da sensibilidade estética e do PRODUÇÃOQ* Qmax BMP CEM CUSTOS BENEFÍCIOS I II III IV Generated by Foxit PDF Creator © Foxit Software http://www.foxitsoftware.com For evaluation only.
  • 35.
    35 desconforto. Contudo estestêm grande valor econômico representado principalmente pela desva- lorização de terras e mudanças de pessoas de lugar devido à poluição (MARGULIS, 1990). Verifica-se que o sistema de preços de mercado não está aparelhado para captar estas alterações devido a estas externalidades. Isto pode ser feito forçando-se a criação deste mercado através da imposição de taxas, subsídios ou outro mecanismo econômico e, também, de normas de conduta com o estabelecimento de um sistema de multas. Estas intervenções seriam feitas pelo poder público. Podem ser de três tipos: normas de qualidade do meio ambiente, que estaria relacionadas com a capacidade do corpo receptor destes resíduos, normas de despejo, que incidem diretamente nas emissões das atividades poluentes, e normas de produtos finais, que estaria relacionado com o processo de produção verificando seus índices de poluição (COMUNE, 1994). Imposição de padrões ambientais - A taxação PIGOU, em 1932 propôs que se tributa-se o agente gerador de externalidade de tal modo que ele corrija sua atividade até que o nível de externalidade atinja o socialmente ótimo. O valor da tributação deve ser exatamente o custo marginal de degradação causado pela poluição (ou qualquer que seja a externalidade) (MARGULIS, 1990). O conceito de taxa pigoviana ótima é aquela que tem como valor o custo marginal das externalidade no nível ótimo de poluição. Como é mostrada no gráfico a seguir, a imposição de um tributo t com este valor, a curva de benefícios seria deslocada para baixo para um valor de BMP para BMP-t, sendo esta diminuição o valor do custo marginal do ponto ótimo de poluição, o poluente estaria pagando pelo direito de poluir, dando uma compensação pelo dano causado. Para determinar estas relações de poluidor-pagador segue-se a seguinte seqüência: atividade do poluidor, emissão de poluentes, exposição aos poluentes, danos físicos, valor monetário dos danos. O maior empecilho para a aplicação dessa técnica é a carência de dados para traçar as curvas marginais (PEARCE & TURNER, 1990 e ALIER, 1996). Representação gráfica da taxa pigoviana ótima. Fonte: Extraído e adaptado de PEARCE & TURNER (1990) e ALIER (1996) PRODUÇÃO t BMP BMP-t CEM CUSTOS BENEFÍCIOS Q* Generated by Foxit PDF Creator © Foxit Software http://www.foxitsoftware.com For evaluation only.
  • 36.
    36 O resultado podecausar certa surpresa a quem acha justo que as “vitimas” devam ser compensadas. Uma maneira intuitiva de justificar o resultado é ver que, caso se pague uma indenização às “vítimas” (além da taxação ao agente poluidor), elas terão uma motivação para “não sair do lugar”, o que pode inclusive, atrair outras pessoas para o local de poluição, caso estas achem que a indenização “compensa”. Isto fará com que os custos de degradação aumentem, o que de certo não é desejável. Assim, caso se compense as vítimas por todos os custos sociais a que ficam sujeitas, elas não se ajustarão à nova situação, e os custos totais serão maiores (MARGULIS, 1990). A informação necessária para se impor um sistema pigouviano de taxação não se pode obter na prática, principalmente a relativa aos custos marginais de degradação. Na prática determina-se um nível aceitável de poluição, com base em critérios não necessariamente apenas econômicos. Abre-se mão, no entanto, de se alcançar o nível ótimo de poluição, adota-se como ótimo o socialmente aceitável, o que é tipicamente estabelecido por padrões ambientais (MARGULIS, 1990) O padrão ambiental é estabelecido a priori, de tal modo que o valor da taxa não é o valor do dano marginal causado (podendo acontecer o exemplo acima apresentado). Aqui a taxa é unitária e igual para todos os agentes poluidores, que vão pagar proporcionalmente às suas emissões (HUFSCHIMIDT, 1982). A taxa pode produzir um incentivo para que haja pesquisas de tecnologia mais baratas, já que a taxação é proporcional à quantidade emitida. Por mais que o agente tenha investido em controle, ele sempre terá uma motivação para reduzir ainda mais as emissões, o que acontecerá quando houver uma nova tecnologia tal que os custos marginais de controle sejam menores que o valor da taxa (MARGULIS, 1990). Generated by Foxit PDF Creator © Foxit Software http://www.foxitsoftware.com For evaluation only.
  • 37.
    37 Generated by FoxitPDF Creator © Foxit Software http://www.foxitsoftware.com For evaluation only.
  • 38.
    38 Generated by FoxitPDF Creator © Foxit Software http://www.foxitsoftware.com For evaluation only.
  • 39.
    39 Generated by FoxitPDF Creator © Foxit Software http://www.foxitsoftware.com For evaluation only.
  • 40.
    40 Generated by FoxitPDF Creator © Foxit Software http://www.foxitsoftware.com For evaluation only.
  • 41.
    41 Generated by FoxitPDF Creator © Foxit Software http://www.foxitsoftware.com For evaluation only.
  • 42.
    42 Generated by FoxitPDF Creator © Foxit Software http://www.foxitsoftware.com For evaluation only.
  • 43.
    43 Generated by FoxitPDF Creator © Foxit Software http://www.foxitsoftware.com For evaluation only.
  • 44.
    44 Generated by FoxitPDF Creator © Foxit Software http://www.foxitsoftware.com For evaluation only.
  • 45.
    45 Generated by FoxitPDF Creator © Foxit Software http://www.foxitsoftware.com For evaluation only.
  • 46.
    46 Generated by FoxitPDF Creator © Foxit Software http://www.foxitsoftware.com For evaluation only.
  • 47.
    47 Generated by FoxitPDF Creator © Foxit Software http://www.foxitsoftware.com For evaluation only.
  • 48.
    48 Generated by FoxitPDF Creator © Foxit Software http://www.foxitsoftware.com For evaluation only.