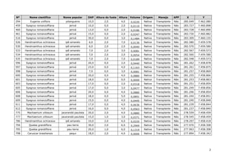
1
Anexo 1-1: Árvores nativas para manutenção
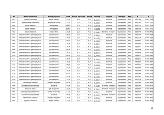
Nº Nome científico Nome popular DAP Altura do fuste Altura Volume Origem Manejo APP X Y
27 Syagrus romanzoffiana jerivá 30,0 0,0 6,0 0,2969 Nativa Manutenção Não 288.301 7.464.436
28 Syagrus romanzoffiana jerivá 25,0 0,0 5,0 0,1718 Nativa Manutenção Não 288.298 7.464.431
30 Syagrus romanzoffiana jerivá 23,0 0,0 6,0 0,1745 Nativa Manutenção Não 288.296 7.464.427
33 Syagrus romanzoffiana jerivá 28,0 0,0 7,0 0,3017 Nativa Manutenção Não 288.294 7.464.423
37 Syagrus romanzoffiana jerivá 28,0 0,0 8,0 0,3448 Nativa Manutenção Não 288.292 7.464.415
46 Syagrus romanzoffiana jerivá 30,0 0,0 8,0 0,3958 Nativa Manutenção Não 288.294 7.464.384
47 Syagrus romanzoffiana jerivá 30,0 0,0 8,0 0,3958 Nativa Manutenção Não 288.289 7.464.383
54 Machaerium hirtum pau-de-angu 30,0 2,0 5,0 0,2474 Nativa Manutenção Não 288.018 7.464.398
55 Machaerium hirtum pau-de-angu 25,0 2,0 4,0 0,1374 Nativa Manutenção Não 287.965 7.464.399
56 Machaerium hirtum pau-de-angu 8,0 2,0 4,0 0,0141 Nativa Manutenção Não 287.952 7.464.395
61 Machaerium hirtum pau-de-angu 30,0 2,0 8,0 0,3958 Nativa Manutenção Não 287.912 7.464.370
63 Syagrus romanzoffiana jerivá 20,0 0,0 6,0 0,1319 Nativa Manutenção Não 287.798 7.464.325
64 Syagrus romanzoffiana jerivá 20,0 0,0 6,0 0,1319 Nativa Manutenção Não 287.801 7.464.320
68 Triplaris americana pau-formiga 17,0 2,0 7,0 0,1112 Nativa Manutenção Não 287.160 7.463.825
69 Syagrus romanzoffiana jerivá 20,0 0,0 5,0 0,1100 Nativa Manutenção Não 286.982 7.463.695
70 Triplaris americana pau-formiga 6,0 2,0 4,0 0,0079 Nativa Manutenção Não 286.978 7.463.693
72 Syagrus romanzoffiana jerivá 10,0 0,0 2,0 0,0110 Nativa Manutenção Não 286.799 7.463.512
73 Syagrus romanzoffiana jerivá 20,0 0,0 4,0 0,0880 Nativa Manutenção Não 286.797 7.463.508
74 Syagrus romanzoffiana jerivá 18,0 0,0 4,0 0,0713 Nativa Manutenção Não 286.795 7.463.506
75 Syagrus romanzoffiana jerivá 18,0 0,0 3,0 0,0534 Nativa Manutenção Não 286.792 7.463.504
102 Syagrus oleracea guariroba 25,0 0,0 8,0 0,2749 Nativa Manutenção Não 285.496 7.462.332
103 Ceiba speciosa paineira-rosa 53,0 6,0 8,0 1,2355 Nativa Manutenção Não 285.488 7.462.337
104 Syagrus oleracea guariroba 25,0 0,0 8,0 0,2749 Nativa Manutenção Não 285.489 7.462.334
105 Senna multijuga pau-cigarra 43,0 2,0 8,0 0,8132 Nativa Manutenção Não 285.483 7.462.340
106 Syagrus oleracea guariroba 25,0 0,0 8,0 0,2749 Nativa Manutenção Não 285.485 7.462.335
107 Syagrus oleracea guariroba 25,0 0,0 7,0 0,2405 Nativa Manutenção Não 285.485 7.462.331
108 Senna multijuga pau-cigarra 38,0 1,0 5,0 0,3969 Nativa Manutenção Não 285.481 7.462.337
110 Syagrus oleracea guariroba 30,0 0,0 8,0 0,3958 Nativa Manutenção Não 285.481 7.462.331
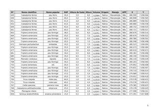
2
Nº Nome científico Nome popular DAP Altura do fuste Altura Volume Origem Manejo APP X Y
111 Senna multijuga pau-cigarra 78,0 1,0 7,0 2,3414 Nativa Manutenção Não 285.472 7.462.341
112 Syagrus oleracea guariroba 27,0 0,0 7,0 0,2806 Nativa Manutenção Não 285.477 7.462.332
113 Senna multijuga pau-cigarra 43,0 2,0 8,0 0,8132 Nativa Manutenção Não 285.484 7.462.320
114 Ceiba speciosa paineira-rosa 35,0 4,0 8,0 0,5388 Nativa Manutenção Não 285.474 7.462.335
115 Senna multijuga pau-cigarra 20,0 4,0 8,0 0,1759 Nativa Manutenção Não 285.470 7.462.336
117 Syagrus oleracea guariroba 25,0 0,0 8,0 0,2749 Nativa Manutenção Não 285.480 7.462.318
118 Syagrus oleracea guariroba 30,0 0,0 7,0 0,3464 Nativa Manutenção Não 285.468 7.462.333
119 Senna multijuga pau-cigarra 45,0 2,0 8,0 0,8906 Nativa Manutenção Não 285.471 7.462.330
120 Senna multijuga pau-cigarra 35,0 2,0 8,0 0,5388 Nativa Manutenção Não 285.467 7.462.311
121 Syagrus oleracea guariroba 20,0 0,0 6,0 0,1319 Nativa Manutenção Não 285.470 7.462.306
122 Senna multijuga pau-cigarra 20,0 2,0 5,0 0,1100 Nativa Manutenção Não 285.465 7.462.309
123 Ceiba speciosa paineira-rosa 98,0 1,0 9,0 4,7521 Nativa Manutenção Não 285.458 7.462.318
126 Senna multijuga pau-cigarra 35,0 2,0 7,0 0,4714 Nativa Manutenção Não 285.461 7.462.306
127 Senna multijuga pau-cigarra 28,0 2,0 8,0 0,3448 Nativa Manutenção Não 285.455 7.462.311
128 Syagrus oleracea guariroba 28,0 0,0 7,0 0,3017 Nativa Manutenção Não 285.457 7.462.308
129 Senna multijuga pau-cigarra 45,0 3,0 8,0 0,8906 Nativa Manutenção Não 285.455 7.462.304
130 Ceiba speciosa paineira-rosa 49,0 6,0 9,0 1,1880 Nativa Manutenção Não 285.450 7.462.303
131 Syagrus oleracea guariroba 20,0 0,0 9,0 0,1979 Nativa Manutenção Não 285.444 7.462.300
132 Syagrus oleracea guariroba 28,0 0,0 8,0 0,3448 Nativa Manutenção Não 285.448 7.462.293
133 Pterogyne nitens amendoim-bravo 20,0 3,0 6,0 0,1319 Nativa Manutenção Não 285.450 7.462.240
134 Pterogyne nitens amendoim-bravo 20,0 2,0 5,0 0,1100 Nativa Manutenção Não 285.458 7.462.223
136 Handroanthus heptaphyllus ipê-roxo 20,0 1,0 5,0 0,1100 Nativa Manutenção Não 285.386 7.462.259
259 Croton urucurana sangra-dágua 6,0 1,0 2,0 0,0040 Nativa Manutenção Não 285.033 7.462.119
281 Acosmium subelegans amendoim-falso 20,0 2,0 5,0 0,1100 Nativa Manutenção Não 285.058 7.462.094
288 Tabebuia roseo-alba ipê-branco 30,0 1,0 5,0 0,2474 Nativa Manutenção Não 285.060 7.462.086
291 Anacardium occidentale cajueiro 12,0 2,0 3,0 0,0238 Nativa Manutenção Não 284.999 7.462.087
295 Inga sessilis ingá 15,0 2,0 4,0 0,0495 Nativa Manutenção Não 285.010 7.462.083
317 Triplaris americana pau-formiga 42,0 6,0 8,0 0,7758 Nativa Manutenção Não 284.982 7.461.977
437 Caesalpinia ferrea pau-ferro 20,0 2,0 7,0 0,1539 Nativa Manutenção Não 283.751 7.461.231
448 Caesalpinia ferrea pau-ferro 33,0 1,0 6,0 0,3592 Nativa Manutenção Não 283.737 7.460.987
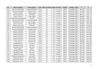
3
Nº Nome científico Nome popular DAP Altura do fuste Altura Volume Origem Manejo APP X Y
449 Caesalpinia ferrea pau-ferro 20,0 1,0 6,0 0,1319 Nativa Manutenção Não 283.741 7.460.977
450 Caesalpinia ferrea pau-ferro 20,0 2,0 7,0 0,1539 Nativa Manutenção Não 283.752 7.460.964
451 Caesalpinia ferrea pau-ferro 20,0 2,0 7,0 0,1539 Nativa Manutenção Não 283.749 7.460.957
452 Caesalpinia ferrea pau-ferro 10,0 1,0 6,0 0,0330 Nativa Manutenção Não 283.754 7.460.952
490 Triplaris americana pau-formiga 20,0 1,0 6,0 0,1319 Nativa Manutenção Não 283.462 7.460.380
521 Senna multijuga pau-cigarra 35,0 1,0 6,0 0,4041 Nativa Manutenção Sim 282.605 7.459.609
522 Senna multijuga pau-cigarra 50,0 2,0 6,0 0,8247 Nativa Manutenção Sim 282.602 7.459.616
536 Pterodon violaceus algrado 27,0 2,0 7,0 0,2806 Nativa Manutenção Não 281.656 7.459.111
537 Pterodon violaceus algrado 28,0 0,5 7,0 0,3017 Nativa Manutenção Não 281.649 7.459.108
546 Pterodon violaceus algrado 30,0 2,0 7,0 0,3464 Nativa Manutenção Não 281.592 7.459.073
548 Pterodon violaceus algrado 30,0 1,0 7,0 0,3464 Nativa Manutenção Não 281.584 7.459.070
550 Pterodon violaceus algrado 46,0 2,0 7,0 0,8143 Nativa Manutenção Não 281.573 7.459.070
551 Pterodon violaceus algrado 45,0 2,0 7,0 0,7793 Nativa Manutenção Não 281.571 7.459.074
552 Pterodon violaceus algrado 47,0 2,0 7,0 0,8501 Nativa Manutenção Não 281.572 7.459.064
553 Pterodon violaceus algrado 20,0 2,0 7,0 0,1539 Nativa Manutenção Não 281.566 7.459.065
554 Pterodon violaceus algrado 20,0 2,0 7,0 0,1539 Nativa Manutenção Não 281.562 7.459.071
555 Pterodon violaceus algrado 34,0 2,0 7,0 0,4449 Nativa Manutenção Não 281.557 7.459.062
556 Pterodon violaceus algrado 35,0 3,0 6,0 0,4041 Nativa Manutenção Não 281.501 7.459.042
557 Pterodon violaceus algrado 25,0 2,0 7,0 0,2405 Nativa Manutenção Não 281.497 7.459.045
558 Pterodon violaceus algrado 45,0 3,0 6,0 0,6680 Nativa Manutenção Não 281.486 7.459.041
559 Pterodon violaceus algrado 20,0 2,0 7,0 0,1539 Nativa Manutenção Não 281.484 7.459.036
560 Pterodon violaceus algrado 47,0 2,0 6,0 0,7287 Nativa Manutenção Não 281.477 7.459.033
561 Pterodon violaceus algrado 20,0 2,0 6,0 0,1319 Nativa Manutenção Não 281.469 7.459.030
562 Pterodon violaceus algrado 35,0 3,0 7,0 0,4714 Nativa Manutenção Não 281.460 7.459.029
563 Pterodon violaceus algrado 25,0 2,0 7,0 0,2405 Nativa Manutenção Não 281.460 7.459.022
564 Pterodon violaceus algrado 35,0 2,0 7,0 0,4714 Nativa Manutenção Não 281.454 7.459.026
565 Pterodon violaceus algrado 32,0 2,0 7,0 0,3941 Nativa Manutenção Não 281.421 7.459.009
566 Pterodon violaceus algrado 35,0 2,0 7,0 0,4714 Nativa Manutenção Não 281.422 7.459.002
567 Pterodon violaceus algrado 25,0 2,0 7,0 0,2405 Nativa Manutenção Não 281.416 7.459.002
568 Pterodon violaceus algrado 35,0 2,0 7,0 0,4714 Nativa Manutenção Não 281.414 7.458.996
4
Nº Nome científico Nome popular DAP Altura do fuste Altura Volume Origem Manejo APP X Y
569 Pterodon violaceus algrado 20,0 3,0 7,0 0,1539 Nativa Manutenção Não 281.407 7.459.004
570 Pterodon violaceus algrado 25,0 2,0 7,0 0,2405 Nativa Manutenção Não 281.400 7.459.006
571 Pterodon violaceus algrado 30,0 2,0 7,0 0,3464 Nativa Manutenção Não 281.401 7.459.000
572 Pterodon violaceus algrado 25,0 2,0 7,0 0,2405 Nativa Manutenção Não 281.400 7.458.995
573 Pterodon violaceus algrado 25,0 3,0 7,0 0,2405 Nativa Manutenção Não 281.397 7.458.987
574 Pterodon violaceus algrado 30,0 1,0 7,0 0,3464 Nativa Manutenção Não 281.395 7.458.991
575 Pterodon violaceus algrado 30,0 3,0 7,0 0,3464 Nativa Manutenção Não 281.389 7.458.993
576 Pterodon violaceus algrado 30,0 2,0 7,0 0,3464 Nativa Manutenção Não 281.390 7.458.985
577 Pterodon violaceus algrado 30,0 2,0 7,0 0,3464 Nativa Manutenção Não 281.385 7.458.987
578 Pterodon violaceus algrado 20,0 3,0 6,0 0,1319 Nativa Manutenção Não 281.384 7.458.983
579 Pterodon violaceus algrado 25,0 3,0 7,0 0,2405 Nativa Manutenção Não 281.386 7.458.979
580 Pterodon violaceus algrado 25,0 0,5 7,0 0,2405 Nativa Manutenção Não 281.380 7.458.983
581 Pterodon violaceus algrado 30,0 2,0 7,0 0,3464 Nativa Manutenção Não 281.379 7.458.978
582 Pterodon violaceus algrado 16,0 2,0 7,0 0,0985 Nativa Manutenção Não 281.375 7.458.979
583 Pterodon violaceus algrado 30,0 3,0 7,0 0,3464 Nativa Manutenção Não 281.376 7.458.971
584 Pterodon violaceus algrado 33,0 2,0 6,0 0,3592 Nativa Manutenção Não 281.373 7.458.974
585 Pterodon violaceus algrado 30,0 3,0 7,0 0,3464 Nativa Manutenção Não 281.367 7.458.977
586 Pterodon violaceus algrado 37,0 3,0 7,0 0,5269 Nativa Manutenção Não 281.366 7.458.971
587 Pterodon violaceus algrado 30,0 2,0 6,0 0,2969 Nativa Manutenção Não 281.360 7.458.969
588 Pterodon violaceus algrado 34,0 3,0 7,0 0,4449 Nativa Manutenção Não 281.359 7.458.964
589 Pterodon violaceus algrado 20,0 1,0 6,0 0,1319 Nativa Manutenção Não 281.359 7.458.960
594 Syagrus romanzoffiana jerivá 19,0 0,0 3,0 0,0595 Nativa Manutenção Não 281.285 7.458.904
595 Syagrus romanzoffiana jerivá 17,0 0,0 4,0 0,0636 Nativa Manutenção Não 281.278 7.458.894
636 Schinus terebinthifolia aroeira-pimenteira 27,0 2,0 4,0 0,1603 Nativa Manutenção Não 281.143 7.458.721
643 Caesalpinia ferrea pau-ferro 48,0 4,0 8,0 1,0134 Nativa Manutenção Não 281.014 7.458.587
644 Caesalpinia ferrea pau-ferro 42,0 5,0 8,0 0,7758 Nativa Manutenção Não 281.001 7.458.586
645 Caesalpinia ferrea pau-ferro 40,0 3,0 8,0 0,7037 Nativa Manutenção Não 280.961 7.458.577
646 Caesalpinia ferrea pau-ferro 39,0 4,0 8,0 0,6690 Nativa Manutenção Não 280.952 7.458.577
647 Caesalpinia ferrea pau-ferro 37,0 3,0 8,0 0,6021 Nativa Manutenção Não 280.943 7.458.573
648 Caesalpinia ferrea pau-ferro 45,0 2,0 8,0 0,8906 Nativa Manutenção Não 280.929 7.458.571
5
Nº Nome científico Nome popular DAP Altura do fuste Altura Volume Origem Manejo APP X Y
649 Caesalpinia ferrea pau-ferro 34,0 3,0 8,0 0,5084 Nativa Manutenção Não 280.909 7.458.566
650 Caesalpinia ferrea pau-ferro 46,0 3,0 9,0 1,0470 Nativa Manutenção Não 280.898 7.458.565
651 Caesalpinia ferrea pau-ferro 41,0 3,0 9,0 0,8318 Nativa Manutenção Não 280.889 7.458.563
652 Caesalpinia ferrea pau-ferro 43,0 3,0 9,0 0,9149 Nativa Manutenção Não 280.880 7.458.558
659 Caesalpinia ferrea pau-ferro 42,0 4,0 8,0 0,7758 Nativa Manutenção Não 280.732 7.458.525
661 Caesalpinia ferrea pau-ferro 40,0 3,0 9,0 0,7917 Nativa Manutenção Não 280.721 7.458.521
663 Triplaris americana pau-formiga 38,0 6,0 8,0 0,6351 Nativa Manutenção Não 280.676 7.458.516
664 Triplaris americana pau-formiga 25,0 4,0 7,0 0,2405 Nativa Manutenção Não 280.674 7.458.522
667 Triplaris americana pau-formiga 30,0 3,0 8,0 0,3958 Nativa Manutenção Não 280.580 7.458.502
670 Triplaris americana pau-formiga 20,0 4,0 7,0 0,1539 Nativa Manutenção Não 280.548 7.458.498
672 Cecropia pachystachya embaúba 10,0 3,0 7,0 0,0385 Nativa Manutenção Não 280.523 7.458.494
676 Triplaris americana pau-formiga 35,0 2,0 8,0 0,5388 Nativa Manutenção Não 280.473 7.458.484
677 Triplaris americana pau-formiga 32,0 5,0 9,0 0,5067 Nativa Manutenção Não 280.410 7.458.473
681 Triplaris americana pau-formiga 30,0 0,5 8,0 0,3958 Nativa Manutenção Não 280.382 7.458.468
685 Triplaris americana pau-formiga 35,0 0,5 7,0 0,4714 Nativa Manutenção Não 280.330 7.458.442
690 Pterodon violaceus algrado 20,0 0,5 7,0 0,1539 Nativa Manutenção Não 280.318 7.458.439
708 Triplaris americana pau-formiga 30,0 2,0 8,0 0,3958 Nativa Manutenção Não 280.203 7.458.460
733 Licania tomentosa oiti 20,0 0,5 6,0 0,1319 Nativa Manutenção Não 279.842 7.458.408
734 Triplaris americana pau-formiga 30,0 2,0 7,0 0,3464 Nativa Manutenção Não 279.831 7.458.407
741 Triplaris americana pau-formiga 35,0 2,0 7,0 0,4714 Nativa Manutenção Não 279.719 7.458.414
743 Triplaris americana pau-formiga 37,0 3,0 5,0 0,3763 Nativa Manutenção Não 279.689 7.458.414
746 Triplaris americana pau-formiga 25,0 3,0 7,0 0,2405 Nativa Manutenção Não 279.651 7.458.418
750 Ficus insipida mata-pau 40,0 1,0 4,0 0,3519 Nativa Manutenção Não 279.578 7.458.433
751 Ficus insipida mata-pau 40,0 1,0 4,0 0,3519 Nativa Manutenção Não 279.578 7.458.433
767 Ceiba speciosa paineira-rosa 48,0 2,0 6,0 0,7600 Nativa Manutenção Não 279.385 7.458.425
768 Caesalpinia pelthophoroides sibipiruna 25,0 2,0 6,0 0,2062 Nativa Manutenção Não 279.378 7.458.429
796 Pterogyne nitens 15,0 0,5 2,0 0,0247 Nativa Manutenção Não 277.908 7.458.321
836 Schinus terebinthifolia aroeira-pimenteira 15,0 0,5 2,0 0,0247 Nativa Manutenção Não 277.391 7.457.808
6
Anexo 1-2: Síntese das árvores nativas para manutenção
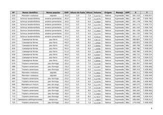
Nome Popular Nome Científico Qnt DAP médio (m) Altura média (m) Volume Total (m³)
Syagrus romanzoffiana jerivá 16 22,3 5,3 2,8020
Machaerium hirtum pau-de-angu 4 23,3 5,3 0,7948
Triplaris americana pau-formiga 17 28,6 7,1 6,1956
Syagrus oleracea guariroba 12 25,7 7,6 3,3392
Ceiba speciosa paineira-rosa 5 56,6 8,0 8,4743
Senna multijuga pau-cigarra 13 39,6 7,1 9,0158
Pterogyne nitens amendoim-bravo 3 18,3 4,3 0,2666
Handroanthus heptaphyllus ipê-roxo 1 20,0 5,0 0,1100
Croton urucurana sangra-dágua 1 6,0 2,0 0,0040
Acosmium subelegans amendoim-falso 1 20,0 5,0 0,1100
Tabebuia roseo-alba ipê-branco 1 30,0 5,0 0,2474
Anacardium occidentale cajueiro 1 12,0 3,0 0,0238
Inga sessilis ingá 1 15,0 4,0 0,0495
Caesalpinia ferrea pau-ferro 18 34,4 7,7 10,5102
Pterodon violaceus algrado 45 29,7 6,8 15,8312
Schinus terebinthifolia aroeira-pimenteira 2 21,0 3,0 0,1851
Cecropia pachystachya embaúba 1 10,0 7,0 0,0385
Licania tomentosa oiti 1 20,0 6,0 0,1319
Ficus insipida mata-pau 2 40,0 4,0 0,7037
Caesalpinia pelthophoroides sibipiruna 1 25,0 6,0 0,2062
Total 146 - - 59,0396
1
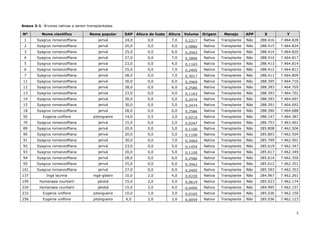
Anexo 2-1: Árvores nativas a serem transplantadas
Nº Nome científico Nome popular DAP Altura do fuste Altura Volume Origem Manejo APP X Y
1 Syagrus romanzoffiana jerivá 24,0 0,0 7,0 0,2217 Nativa Transplante Não 288.416 7.464.828
2 Syagrus romanzoffiana jerivá 20,0 0,0 4,0 0,0880 Nativa Transplante Não 288.415 7.464.824
3 Syagrus romanzoffiana jerivá 25,0 0,0 6,0 0,2062 Nativa Transplante Não 288.414 7.464.820
4 Syagrus romanzoffiana jerivá 27,0 0,0 7,0 0,2806 Nativa Transplante Não 288.414 7.464.817
5 Syagrus romanzoffiana jerivá 23,0 0,0 4,0 0,1163 Nativa Transplante Não 288.413 7.464.814
6 Syagrus romanzoffiana jerivá 25,0 0,0 7,0 0,2405 Nativa Transplante Não 288.412 7.464.811
7 Syagrus romanzoffiana jerivá 28,0 0,0 7,0 0,3017 Nativa Transplante Não 288.411 7.464.809
11 Syagrus romanzoffiana jerivá 30,0 0,0 6,0 0,2969 Nativa Transplante Não 288.395 7.464.710
12 Syagrus romanzoffiana jerivá 28,0 0,0 6,0 0,2586 Nativa Transplante Não 288.393 7.464.705
13 Syagrus romanzoffiana jerivá 23,0 0,0 4,0 0,1163 Nativa Transplante Não 288.393 7.464.701
14 Syagrus romanzoffiana jerivá 30,0 0,0 5,0 0,2474 Nativa Transplante Não 288.393 7.464.697
15 Syagrus romanzoffiana jerivá 30,0 0,0 5,0 0,2474 Nativa Transplante Não 288.391 7.464.692
18 Syagrus romanzoffiana jerivá 28,0 0,0 6,0 0,2586 Nativa Transplante Não 288.390 7.464.688
50 Eugenia uniflora pitangueira 14,0 0,5 2,0 0,0216 Nativa Transplante Não 288.147 7.464.387
76 Syagrus romanzoffiana jerivá 15,0 0,0 2,0 0,0247 Nativa Transplante Não 286.753 7.463.461
89 Syagrus romanzoffiana jerivá 20,0 0,0 5,0 0,1100 Nativa Transplante Não 285.808 7.462.506
90 Syagrus romanzoffiana jerivá 20,0 0,0 5,0 0,1100 Nativa Transplante Não 285.803 7.462.504
91 Syagrus romanzoffiana jerivá 30,0 0,0 7,0 0,3464 Nativa Transplante Não 285.799 7.462.501
92 Syagrus romanzoffiana jerivá 23,0 0,0 5,0 0,1454 Nativa Transplante Não 285.619 7.462.347
93 Syagrus romanzoffiana jerivá 20,0 0,0 5,0 0,1100 Nativa Transplante Não 285.617 7.462.349
94 Syagrus romanzoffiana jerivá 28,0 0,0 6,0 0,2586 Nativa Transplante Não 285.614 7.462.350
95 Syagrus romanzoffiana jerivá 25,0 0,0 6,0 0,2062 Nativa Transplante Não 285.612 7.462.351
101 Syagrus romanzoffiana jerivá 27,0 0,0 6,0 0,2405 Nativa Transplante Não 285.593 7.462.353
137 Inga laurina ingá-glabro 10,0 2,0 4,0 0,0220 Nativa Transplante Não 284.967 7.462.261
199 Hymenaea courbaril jatobá 15,0 2,0 5,0 0,0619 Nativa Transplante Não 285.023 7.462.174
220 Hymenaea courbaril jatobá 15,0 2,0 4,0 0,0495 Nativa Transplante Não 284.995 7.462.157
232 Eugenia uniflora pitangueira 10,0 1,0 3,0 0,0165 Nativa Transplante Não 285.036 7.462.150
256 Eugenia uniflora pitangueira 6,0 2,0 3,0 0,0059 Nativa Transplante Não 285.036 7.462.123
2
Nº Nome científico Nome popular DAP Altura do fuste Altura Volume Origem Manejo APP X Y
294 Eugenia uniflora pitangueira 10,0 2,0 4,0 0,0220 Nativa Transplante Não 285.049 7.462.080
459 Syagrus romanzoffiana jerivá 10,0 0,0 2,0 0,0110 Nativa Transplante Não 283.727 7.460.898
460 Syagrus romanzoffiana jerivá 13,0 0,0 2,0 0,0186 Nativa Transplante Não 283.728 7.460.890
461 Syagrus romanzoffiana jerivá 15,0 0,0 2,0 0,0247 Nativa Transplante Não 283.730 7.460.882
516 Syagrus romanzoffiana jerivá 30,0 0,0 3,0 0,1484 Nativa Transplante Não 283.309 7.460.155
526 Handroanthus ochraceus ipê-amarelo 6,0 2,0 7,0 0,0139 Nativa Transplante Não 282.580 7.459.578
530 Handroanthus ochraceus ipê-amarelo 6,0 2,0 2,0 0,0040 Nativa Transplante Não 282.570 7.459.580
533 Handroanthus ochraceus ipê-amarelo 7,0 2,0 3,0 0,0081 Nativa Transplante Não 282.567 7.459.573
534 Handroanthus ochraceus ipê-amarelo 7,0 2,0 2,0 0,0054 Nativa Transplante Não 282.560 7.459.580
535 Handroanthus ochraceus ipê-amarelo 7,0 2,0 7,0 0,0189 Nativa Transplante Não 282.548 7.459.573
596 Syagrus romanzoffiana jerivá 20,0 0,0 2,0 0,0440 Nativa Transplante Não 281.262 7.458.878
597 Syagrus romanzoffiana jerivá 23,0 0,0 4,0 0,1163 Nativa Transplante Não 281.261 7.458.875
598 Syagrus romanzoffiana jerivá 7,0 0,0 3,0 0,0081 Nativa Transplante Não 281.257 7.458.869
600 Syagrus romanzoffiana jerivá 20,0 0,0 4,0 0,0880 Nativa Transplante Não 281.255 7.458.866
601 Syagrus romanzoffiana jerivá 18,0 0,0 0,0 0,0000 Nativa Transplante Não 281.253 7.458.863
603 Syagrus romanzoffiana jerivá 17,0 0,0 2,0 0,0318 Nativa Transplante Não 281.251 7.458.859
605 Syagrus romanzoffiana jerivá 17,0 0,0 3,0 0,0477 Nativa Transplante Não 281.249 7.458.856
606 Syagrus romanzoffiana jerivá 20,0 0,0 4,0 0,0880 Nativa Transplante Não 281.246 7.458.854
608 Syagrus romanzoffiana jerivá 18,0 0,0 5,0 0,0891 Nativa Transplante Não 281.244 7.458.851
609 Syagrus romanzoffiana jerivá 15,0 0,0 4,0 0,0495 Nativa Transplante Não 281.240 7.458.848
611 Syagrus romanzoffiana jerivá 17,0 0,0 4,0 0,0636 Nativa Transplante Não 281.239 7.458.844
612 Syagrus romanzoffiana jerivá 16,0 0,0 4,0 0,0563 Nativa Transplante Não 281.237 7.458.840
775 Machaerium villosum jacarandá-paulista 20,0 2,0 4,0 0,0880 Nativa Transplante Não 278.559 7.458.459
777 Machaerium villosum jacarandá-paulista 15,0 1,0 3,0 0,0371 Nativa Transplante Não 278.545 7.458.459
786 Handroanthus ochraceus ipê-amarelo 10,0 2,0 4,0 0,0220 Nativa Transplante Não 278.297 7.458.418
794 Qualea grandiflora pau-terra 30,0 2,0 6,0 0,2969 Nativa Transplante Não 277.970 7.458.308
795 Qualea grandiflora pau-terra 20,0 1,0 6,0 0,1319 Nativa Transplante Não 277.963 7.458.308
798 Caruocar brasiliensis pequi 18,0 2,0 4,0 0,0000 Nativa Transplante Não 277.894 7.458.342
3
Anexo 2-2: Síntese das árvores nativas a serem transplantadas
Nome Popular Nome Científico Qnt DAP médio (m) Altura média (m) Volume Total (m³)
Syagrus romanzoffiana jerivá 38 21,7 4,4 5,3167
Eugenia uniflora pitangueira 4 10,0 3,0
0,0660
Inga laurina
ingá-glabro
1 10,0 4,0
0,0220
Hymenaea courbaril
jatobá
2 15,0 4,5
0,1113
Handroanthus ochraceus
ipê-amarelo
6 7,2 4,2
0,0721
Machaerium villosum
jacarandá-paulista
2 17,5 3,5
0,1251
Qualea grandiflora
pau-terra
2 25,0 6,0
0,4288
Caruocar brasiliensis
pequi
1 18,0 4,0
0,0713
Total 56 - - 6,2133
1
Anexo 3-1: Árvores nativas a serem suprimidas
Nº Nome científico Nome popular DAP Altura do fuste Altura Volume Origem Manejo APP X Y
32 Caesalpinia pelthophoroides sibipiruna 70,0 2,0 6,0 1,6163 Nativa Supressão Não 288.316 7.464.417
41 Caesalpinia pelthophoroides sibipiruna 50,0 2,5 6,0 0,8247 Nativa Supressão Não 288.314 7.464.400
48 Caesalpinia pelthophoroides sibipiruna 35,0 2,0 6,0 0,4041 Nativa Supressão Não 288.306 7.464.374
53 Anacardium occidentale cajueiro 14,0 0,5 2,0 0,0216 Nativa Supressão Não 288.133 7.464.390
58 Machaerium hirtum pau-de-angu 20,0 3,0 8,0 0,1759 Nativa Supressão Não 287.916 7.464.376
59 Machaerium hirtum pau-de-angu 35,0 3,0 8,0 0,5388 Nativa Supressão Não 287.920 7.464.369
60 Machaerium hirtum pau-de-angu 20,0 3,0 7,0 0,1539 Nativa Supressão Não 287.915 7.464.367
67 Schinus molle chorão 30,0 2,0 3,0 0,1484 Nativa Supressão Não 287.704 7.464.214
100 Schinus molle chorão 6,0 0,5 2,0 0,0040 Nativa Supressão Não 285.597 7.462.354
139 Inga sessilis ingá 20,0 0,5 6,0 0,1319 Nativa Supressão Não 284.953 7.462.249
142 Poecilanthes parviflora coração-de-negro 10,0 0,5 4,0 0,0220 Nativa Supressão Não 284.956 7.462.237
186 Schinus molle chorão 27,0 1,0 4,0 0,1603 Nativa Supressão Não 284.982 7.462.205
187 Schinus molle chorão 18,0 1,0 4,0 0,0713 Nativa Supressão Não 284.976 7.462.204
188 Schinus molle chorão 20,0 1,0 4,0 0,0880 Nativa Supressão Não 284.979 7.462.203
190 Poecilanthes parviflora coração-de-negro 10,0 1,0 4,0 0,0220 Nativa Supressão Não 284.984 7.462.200
191 Schinus molle chorão 15,0 1,0 3,0 0,0371 Nativa Supressão Não 284.978 7.462.198
193 Schinus molle chorão 15,0 1,0 3,0 0,0371 Nativa Supressão Não 284.987 7.462.195
194 Schinus molle chorão 10,0 1,0 3,0 0,0165 Nativa Supressão Não 284.978 7.462.195
195 Poecilanthes parviflora coração-de-negro 10,0 0,5 4,0 0,0220 Nativa Supressão Não 284.981 7.462.192
196 Poecilanthes parviflora coração-de-negro 8,0 1,0 4,0 0,0141 Nativa Supressão Não 284.968 7.462.183
200 Poecilanthes parviflora coração-de-negro 10,0 2,0 5,0 0,0275 Nativa Supressão Não 285.031 7.462.174
201 Poecilanthes parviflora coração-de-negro 10,0 0,5 4,0 0,0220 Nativa Supressão Não 285.027 7.462.172
207 Schinus molle chorão 15,0 1,0 4,0 0,0495 Nativa Supressão Não 284.997 7.462.166
210 Lafoensia glyptocarpa mirinduva 6,0 1,0 2,0 0,0040 Nativa Supressão Não 284.993 7.462.163
211 Schinus molle chorão 33,0 3,0 5,0 0,2994 Nativa Supressão Não 284.997 7.462.162
225 Cytharexyllum myrianthum pau-vióla 7,0 2,0 4,0 0,0108 Nativa Supressão Não 285.050 7.462.156
230 Cytharexyllum myrianthum pau-vióla 7,0 2,0 4,0 0,0108 Nativa Supressão Não 285.052 7.462.152
231 Schinus terebinthifolia aroeira-pimenteira 30,0 2,0 7,0 0,3464 Nativa Supressão Não 285.038 7.462.151
2
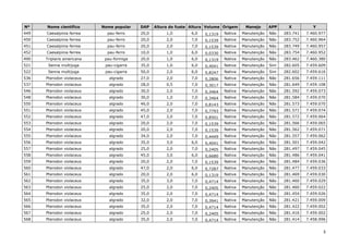
Nº Nome científico Nome popular DAP Altura do fuste Altura Volume Origem Manejo APP X Y
237 Schinus terebinthifolia aroeira-pimenteira 20,0 2,0 6,0 0,1319 Nativa Supressão Não 285.048 7.462.144
244 Acosmium subelegans amendoim-falso 30,0 1,0 4,0 0,1979 Nativa Supressão Não 284.996 7.462.137
257 Croton urucurana sangra-dágua 8,0 1,0 2,0 0,0070 Nativa Supressão Não 285.036 7.462.120
268 Samanea tubulosa sete-cascas 30,0 0,5 4,0 0,1979 Nativa Supressão Não 285.001 7.462.111
271 Croton urucurana sangra-dágua 25,0 1,0 4,0 0,1374 Nativa Supressão Não 284.996 7.462.111
274 Handroanthus impetiginosus ipê-roxo 25,0 1,0 4,0 0,1374 Nativa Supressão Não 285.003 7.462.107
276 Schinus terebinthifolia aroeira-pimenteira 25,0 0,5 4,0 0,1374 Nativa Supressão Não 284.995 7.462.105
277 Machaerium hirtum pau-de-angu 25,0 0,5 4,0 0,1374 Nativa Supressão Não 285.000 7.462.104
278 Croton urucurana sangra-dágua 20,0 2,0 4,0 0,0880 Nativa Supressão Não 285.003 7.462.103
289 Tabebuia roseo-alba ipê-branco 25,0 2,0 5,0 0,1718 Nativa Supressão Não 285.063 7.462.083
297 Schinus terebinthifolia aroeira-pimenteira 35,0 2,0 6,0 0,4041 Nativa Supressão Não 285.041 7.462.079
304 Acosmium subelegans amendoim-falso 13,0 1,0 4,0 0,0372 Nativa Supressão Não 285.043 7.462.070
313 Triplaris americana pau-formiga 47,0 4,0 8,0 0,9716 Nativa Supressão Não 284.996 7.462.005
314 Triplaris americana pau-formiga 48,0 5,0 7,0 0,8867 Nativa Supressão Não 285.004 7.461.996
315 Triplaris americana pau-formiga 48,0 4,0 8,0 1,0134 Nativa Supressão Não 284.992 7.461.999
316 Triplaris americana pau-formiga 40,0 5,0 7,0 0,6158 Nativa Supressão Não 284.984 7.461.985
318 Triplaris americana pau-formiga 34,0 7,0 8,0 0,5084 Nativa Supressão Não 284.974 7.461.969
319 Triplaris americana pau-formiga 19,0 1,0 3,0 0,0595 Nativa Supressão Não 284.989 7.461.952
327 Ceiba speciosa paineira-rosa 115,0 2,0 11,0 7,9979 Nativa Supressão Não 284.604 7.461.923
444 Caesalpinia ferrea pau-ferro 30,0 0,5 7,0 0,3464 Nativa Supressão Não 283.746 7.461.208
453 Caesalpinia ferrea pau-ferro 7,0 1,5 2,0 0,0054 Nativa Supressão Não 283.742 7.460.946
454 Caesalpinia ferrea pau-ferro 23,0 2,0 6,0 0,1745 Nativa Supressão Não 283.758 7.460.941
455 Parkia pendula faveira 10,0 1,0 2,0 0,0110 Nativa Supressão Não 283.744 7.460.937
456 Caesalpinia ferrea pau-ferro 54,0 2,0 8,0 1,2825 Nativa Supressão Não 283.759 7.460.933
457 Caesalpinia ferrea pau-ferro 15,0 1,0 2,0 0,0247 Nativa Supressão Não 283.746 7.460.928
458 Caesalpinia ferrea pau-ferro 30,0 2,0 7,0 0,3464 Nativa Supressão Não 283.761 7.460.926
496 Piptadenia gonoacantha pau-jacaré 27,0 2,0 8,0 0,3206 Nativa Supressão Não 283.396 7.460.292
497 Machaerium hirtum pau-de-angu 20,0 1,0 5,0 0,1100 Nativa Supressão Não 283.393 7.460.294
498 Machaerium hirtum pau-de-angu 15,0 1,0 5,0 0,0619 Nativa Supressão Não 283.386 7.460.282
499 Machaerium hirtum pau-de-angu 25,0 2,0 7,0 0,2405 Nativa Supressão Não 283.384 7.460.277
3
Nº Nome científico Nome popular DAP Altura do fuste Altura Volume Origem Manejo APP X Y
501 Machaerium hirtum pau-de-angu 10,0 0,5 4,0 0,0220 Nativa Supressão Não 283.384 7.460.272
513 Anacardium occidentale cajueiro 7,0 1,0 2,0 0,0054 Nativa Supressão Não 283.311 7.460.175
518 Senna multijuga pau-cigarra 55,0 2,0 7,0 1,1642 Nativa Supressão Sim 282.695 7.459.614
519 Senna multijuga pau-cigarra 25,0 3,0 6,0 0,2062 Nativa Supressão Sim 282.671 7.459.617
520 Senna multijuga pau-cigarra 48,0 1,0 7,0 0,8867 Nativa Supressão Sim 282.638 7.459.615
538 Pterodon violaceus algrado 20,0 1,0 7,0 0,1539 Nativa Supressão Não 281.646 7.459.097
540 Pterodon violaceus algrado 34,0 2,0 7,0 0,4449 Nativa Supressão Não 281.642 7.459.092
541 Pterodon violaceus algrado 20,0 1,0 7,0 0,1539 Nativa Supressão Não 281.631 7.459.089
542 Pterodon violaceus algrado 33,0 2,0 7,0 0,4191 Nativa Supressão Não 281.623 7.459.085
543 Pterodon violaceus algrado 20,0 0,5 7,0 0,1539 Nativa Supressão Não 281.615 7.459.081
544 Pterodon violaceus algrado 32,0 2,0 7,0 0,3941 Nativa Supressão Não 281.607 7.459.077
545 Pterodon violaceus algrado 20,0 2,0 7,0 0,1539 Nativa Supressão Não 281.602 7.459.077
547 Pterodon violaceus algrado 46,0 0,5 7,0 0,8143 Nativa Supressão Não 281.577 7.459.091
549 Pterodon violaceus algrado 23,0 2,0 7,0 0,2036 Nativa Supressão Não 281.570 7.459.084
590 Pterodon violaceus algrado 20,0 2,0 6,0 0,1319 Nativa Supressão Não 281.337 7.458.952
591 Pterodon violaceus algrado 30,0 0,5 6,0 0,2969 Nativa Supressão Não 281.336 7.458.946
592 Pterodon violaceus algrado 33,0 2,0 7,0 0,4191 Nativa Supressão Não 281.324 7.458.946
593 Pterodon violaceus algrado 28,0 3,0 6,0 0,2586 Nativa Supressão Não 281.319 7.458.942
599 Pterodon violaceus algrado 30,0 2,0 6,0 0,2969 Nativa Supressão Não 281.246 7.458.879
602 Pterodon violaceus algrado 40,0 2,0 6,0 0,5278 Nativa Supressão Não 281.241 7.458.871
604 Pterodon violaceus algrado 36,0 2,0 6,0 0,4275 Nativa Supressão Não 281.236 7.458.866
607 Pterodon violaceus algrado 43,0 2,0 6,0 0,6099 Nativa Supressão Não 281.234 7.458.861
610 Pterodon violaceus algrado 42,0 2,0 7,0 0,6789 Nativa Supressão Não 281.229 7.458.854
613 Pterodon violaceus algrado 35,0 2,0 6,0 0,4041 Nativa Supressão Não 281.220 7.458.844
614 Pterodon violaceus algrado 37,0 2,0 6,0 0,4516 Nativa Supressão Não 281.216 7.458.846
615 Pterodon violaceus algrado 35,0 2,0 7,0 0,4714 Nativa Supressão Não 281.218 7.458.840
616 Pterodon violaceus algrado 38,0 2,0 7,0 0,5557 Nativa Supressão Não 281.218 7.458.840
617 Pterodon violaceus algrado 35,0 2,0 7,0 0,4714 Nativa Supressão Não 281.218 7.458.840
618 Ceiba speciosa paineira-rosa 10,0 2,0 4,0 0,0220 Nativa Supressão Não 281.218 7.458.840
619 Pterodon violaceus algrado 35,0 2,0 6,0 0,4041 Nativa Supressão Não 281.215 7.458.841
4
Nº Nome científico Nome popular DAP Altura do fuste Altura Volume Origem Manejo APP X Y
620 Pterodon violaceus algrado 35,0 2,0 7,0 0,4714 Nativa Supressão Não 281.216 7.458.837
622 Schinus terebinthifolia aroeira-pimenteira 30,0 0,5 5,0 0,2474 Nativa Supressão Não 281.185 7.458.783
624 Schinus terebinthifolia aroeira-pimenteira 30,0 4,0 6,0 0,2969 Nativa Supressão Não 281.178 7.458.783
626 Schinus terebinthifolia aroeira-pimenteira 25,0 0,5 4,0 0,1374 Nativa Supressão Não 281.173 7.458.773
629 Schinus terebinthifolia aroeira-pimenteira 23,0 2,0 4,0 0,1163 Nativa Supressão Não 281.165 7.458.759
632 Schinus terebinthifolia aroeira-pimenteira 30,0 4,0 6,0 0,2969 Nativa Supressão Não 281.158 7.458.745
634 Schinus terebinthifolia aroeira-pimenteira 25,0 0,5 4,0 0,1374 Nativa Supressão Não 281.150 7.458.734
637 Schinus terebinthifolia aroeira-pimenteira 37,0 0,5 6,0 0,4516 Nativa Supressão Não 281.137 7.458.710
653 Caesalpinia ferrea pau-ferro 43,0 4,0 8,0 0,8132 Nativa Supressão Não 280.863 7.458.557
654 Caesalpinia ferrea pau-ferro 49,0 4,0 8,0 1,0560 Nativa Supressão Não 280.853 7.458.555
655 Caesalpinia ferrea pau-ferro 45,0 4,0 8,0 0,8906 Nativa Supressão Não 280.798 7.458.545
656 Caesalpinia ferrea pau-ferro 50,0 3,0 8,0 1,0996 Nativa Supressão Não 280.786 7.458.545
657 Caesalpinia ferrea pau-ferro 51,0 4,0 9,0 1,2870 Nativa Supressão Não 280.780 7.458.541
658 Caesalpinia ferrea pau-ferro 46,0 4,0 8,0 0,9307 Nativa Supressão Não 280.732 7.458.534
660 Caesalpinia ferrea pau-ferro 45,0 4,0 8,0 0,8906 Nativa Supressão Não 280.719 7.458.533
662 Caesalpinia ferrea pau-ferro 45,0 3,0 8,0 0,8906 Nativa Supressão Não 280.713 7.458.525
679 Triplaris americana pau-formiga 20,0 2,0 7,0 0,1539 Nativa Supressão Não 280.397 7.458.469
688 Triplaris americana pau-formiga 18,0 3,0 7,0 0,1247 Nativa Supressão Não 280.319 7.458.466
691 Triplaris americana pau-formiga 20,0 2,0 6,0 0,1319 Nativa Supressão Não 280.316 7.458.462
693 Pterodon violaceus algrado 26,0 1,0 7,0 0,2602 Nativa Supressão Não 280.312 7.458.404
694 Pterodon violaceus algrado 25,0 1,0 7,0 0,2405 Nativa Supressão Não 280.305 7.458.449
696 Triplaris americana pau-formiga 25,0 2,0 8,0 0,2749 Nativa Supressão Não 280.287 7.458.455
697 Triplaris americana pau-formiga 20,0 5,0 9,0 0,1979 Nativa Supressão Não 280.284 7.458.469
699 Machaerium hirtum pau-de-angu 25,0 0,5 4,0 0,1374 Nativa Supressão Não 280.275 7.458.465
700 Triplaris americana pau-formiga 20,0 5,0 7,0 0,1539 Nativa Supressão Não 280.267 7.458.465
705 Triplaris americana pau-formiga 20,0 2,0 8,0 0,1759 Nativa Supressão Não 280.244 7.458.464
714 Triplaris americana pau-formiga 30,0 4,0 7,0 0,3464 Nativa Supressão Não 280.065 7.458.428
715 Triplaris americana pau-formiga 40,0 2,0 8,0 0,7037 Nativa Supressão Não 280.048 7.458.424
718 Caesalpinia pelthophoroides sibipiruna 60,0 1,0 7,0 1,3854 Nativa Supressão Não 280.006 7.458.415
725 Triplaris americana pau-formiga 20,0 4,0 7,0 0,1539 Nativa Supressão Não 279.938 7.458.409
5
Nº Nome científico Nome popular DAP Altura do fuste Altura Volume Origem Manejo APP X Y
726 Triplaris americana pau-formiga 30,0 6,0 8,0 0,3958 Nativa Supressão Não 279.924 7.458.406
728 Licania tomentosa oiti 7,0 0,5 5,0 0,0135 Nativa Supressão Não 279.903 7.458.405
744 Triplaris americana pau-formiga 36,0 3,0 7,0 0,4988 Nativa Supressão Não 279.678 7.458.414
745 Triplaris americana pau-formiga 30,0 3,0 7,0 0,3464 Nativa Supressão Não 279.664 7.458.415
773 Platypodium elegans amendoim-do-campo 20,0 1,0 4,0 0,0880 Nativa Supressão Não 278.573 7.458.463
774 Platypodium elegans amendoim-do-campo 20,0 1,0 4,0 0,0880 Nativa Supressão Não 278.565 7.458.463
776 Platypodium elegans amendoim-do-campo 20,0 1,0 3,0 0,0660 Nativa Supressão Não 278.557 7.458.463
778 Handroanthus impetiginosus ipê-roxo 20,0 0,5 6,0 0,1319 Nativa Supressão Não 278.438 7.458.453
780 Caesalpinia pelthophoroides sibipiruna 15,0 0,5 7,0 0,0866 Nativa Supressão Não 278.419 7.458.448
781 Handroanthus impetiginosus ipê-roxo 30,0 1,0 7,0 0,3464 Nativa Supressão Não 278.409 7.458.446
785 Handroanthus impetiginosus ipê-roxo 35,0 4,0 7,0 0,4714 Nativa Supressão Não 278.306 7.458.420
787 Handroanthus impetiginosus ipê-roxo 20,0 0,5 7,0 0,1539 Nativa Supressão Não 278.283 7.458.413
788 Caesalpinia pelthophoroides sibipiruna 27,0 0,5 7,0 0,2806 Nativa Supressão Não 278.253 7.458.409
789 Ficus insipida mata-pau 10,0 1,0 4,0 0,0220 Nativa Supressão Não 278.101 7.458.335
790 Ficus insipida mata-pau 10,0 1,0 4,0 0,0220 Nativa Supressão Não 278.101 7.458.335
792 Ficus insipida mata-pau 20,0 1,0 4,0 0,0880 Nativa Supressão Não 278.077 7.458.331
793 Ficus insipida mata-pau 20,0 1,0 4,0 0,0880 Nativa Supressão Não 278.077 7.458.331
799 Parkia pendula faveira 10,0 1,0 4,0 0,0220 Nativa Supressão Não 277.893 7.458.283
803 Caesalpinia pelthophoroides sibipiruna 30,0 0,5 5,0 0,2474 Nativa Supressão Não 277.687 7.458.118
815 Anacardium occidentale cajueiro 20,0 1,0 4,0 0,0880 Nativa Supressão Não 277.613 7.458.056
822 Parkia pendula faveira 10,0 2,0 3,0 0,0165 Nativa Supressão Não 277.542 7.458.008
829 Parkia pendula faveira 15,0 0,5 4,0 0,0495 Nativa Supressão Não 277.532 7.457.999
830 Cecropia pachystachya embaúba 20,0 2,0 7,0 0,1539 Nativa Supressão Não 277.530 7.458.001
834 Parkia pendula faveira 6,0 0,5 3,0 0,0059 Nativa Supressão Não 277.528 7.457.995
837 Gochnatia polymorpha candeia 40,0 2,0 6,0 0,5278 Nativa Supressão Não 277.387 7.457.803
840 Inga sessilis ingá 10,0 0,5 4,0 0,0220 Nativa Supressão Não 277.391 7.457.777
841 Inga laurina ingá-glabro 20,0 0,5 4,0 0,0880 Nativa Supressão Não 277.389 7.457.770
842 Schinus terebinthifolia aroeira-pimenteira 23,0 2,0 4,0 0,1163 Nativa Supressão Não 277.392 7.457.767
6
Anexo 3-2: Síntese das árvores nativas a serem suprimidas
Nome Científico Nome Popular Qnt DAP médio (m) Altura média (m) Volume Total (m³)
Caesalpinia pelthophoroides sibipiruna 7 41,0 6,3 4,8451
Anacardium occidentale cajueiro 3 13,7 2,7 0,1149
Machaerium hirtum pau-de-angu 9 21,7 5,8 1,5779
Schinus molle chorão 10 18,9 3,5 0,9115
Inga sessilis ingá 2 15,0 5,0 0,1539
Poecilanthes parviflora coração-de-negro 6 9,7 4,2 0,1295
Lafoensia glyptocarpa mirinduva 1 6,0 2,0 0,0040
Cytharexyllum myrianthum pau-vióla 2 7,0 4,0 0,0216
Schinus terebinthifolia aroeira-pimenteira 12 27,8 5,2 2,8201
Acosmium subelegans amendoim-falso 2 21,5 4,0 0,2351
Croton urucurana sangra-dágua 3 17,7 3,3 0,2324
Samanea tubulosa sete-cascas 1 30,0 4,0 0,1979
Handroanthus impetiginosus ipê-roxo 5 26,0 6,2 1,2411
Tabebuia roseo-alba ipê-branco 1 25,0 5,0 0,1718
Triplaris americana pau-formiga 19 29,7 7,2 7,7136
Ceiba speciosa paineira-rosa 2 62,5 7,5 8,0199
Caesalpinia ferrea pau-ferro 14 38,1 6,9 10,0382
Parkia pendula faveira 5 10,2 3,2 0,1049
Piptadenia gonoacantha pau-jacaré 1 27,0 8,0 0,3206
Senna multijuga pau-cigarra 3 42,7 6,7 2,2570
Pterodon violaceus algrado 27 31,5 6,6 10,2697
Licania tomentosa oiti 1 7,0 5,0 0,0135
Platypodium elegans amendoim-do-campo 3 20,0 3,7 0,2419
Ficus insipida mata-pau 4 15,0 4,0 0,2199
Cecropia pachystachya embaúba 1 20,0 7,0 0,1539
Gochnatia polymorpha candeia 1 40,0 6,0 0,5278
Inga laurina ingá-glabro 1 20,0 4,0 0,0880
1
Anexo 4-1: Árvores exóticas a serem suprimidas
Nº Nome científico Nome popular DAP Altura do fuste Altura Volume Origem Manejo APP X Y
8 Phoenix canariensis tamareira-das-canárias 30,0 0,0 4,0 0,1979 Exótica Supressão Não 288.393 7.464.762
9 Phoenix canariensis tamareira-das-canárias 25,0 0,0 4,0 0,1374 Exótica Supressão Não 288.394 7.464.758
10 Phoenix canariensis tamareira-das-canárias 25,0 0,0 4,0 0,1374 Exótica Supressão Não 288.392 7.464.752
16 Roystonea oleracea palmeira-imperial 25,0 0,0 2,0 0,0687 Exótica Supressão Não 288.380 7.464.694
17 Roystonea oleracea palmeira-imperial 25,0 0,0 2,0 0,0687 Exótica Supressão Não 288.380 7.464.694
19 Roystonea oleracea palmeira-imperial 25,0 0,0 2,0 0,0687 Exótica Supressão Não 288.375 7.464.675
20 Roystonea oleracea palmeira-imperial 25,0 0,0 2,0 0,0687 Exótica Supressão Não 288.375 7.464.675
21 Roystonea oleracea palmeira-imperial 35,0 0,0 3,0 0,2020 Exótica Supressão Não 288.366 7.464.648
22 Roystonea oleracea palmeira-imperial 35,0 0,0 3,0 0,2020 Exótica Supressão Não 288.366 7.464.648
23 Roystonea oleracea palmeira-imperial 15,0 0,0 2,0 0,0247 Exótica Supressão Não 288.335 7.464.542
24 Roystonea oleracea palmeira-imperial 15,0 0,0 2,0 0,0247 Exótica Supressão Não 288.335 7.464.542
25 Roystonea oleracea palmeira-imperial 15,0 0,0 2,0 0,0247 Exótica Supressão Não 288.331 7.464.523
26 Roystonea oleracea palmeira-imperial 15,0 0,0 2,0 0,0247 Exótica Supressão Não 288.331 7.464.523
29 Tipuana tipu tipuana 68,0 3,0 8,0 2,0337 Exótica Supressão Não 288.284 7.464.433
31 Senna didymobotrya cássia-africana 18,0 2,0 4,0 0,0713 Exótica Supressão Não 288.282 7.464.429
34 Senna didymobotrya cássia-africana 18,0 2,0 5,0 0,0891 Exótica Supressão Não 288.281 7.464.425
35 Senna didymobotrya cássia-africana 18,0 2,0 4,0 0,0713 Exótica Supressão Não 288.280 7.464.422
36 Tipuana tipu tipuana 63,0 2,0 8,0 1,7457 Exótica Supressão Não 288.278 7.464.420
38 Tipuana tipu tipuana 75,0 2,0 8,0 2,4740 Exótica Supressão Não 288.278 7.464.416
39 Ligustrum lucidum alfeneiro 30,0 2,0 6,0 0,2969 Exótica Invasora Supressão Não 288.278 7.464.416
40 Tipuana tipu tipuana 78,0 2,0 8,0 2,6759 Exótica Supressão Não 288.277 7.464.413
42 Tipuana tipu tipuana 65,0 2,0 8,0 1,8583 Exótica Supressão Não 288.275 7.464.411
43 Phoenix canariensis tamareira-das-canárias 30,0 0,0 8,0 0,3958 Exótica Supressão Não 288.297 7.464.390
44 Phoenix canariensis tamareira-das-canárias 50,0 0,0 5,0 0,6872 Exótica Supressão Não 288.291 7.464.389
45 Phoenix canariensis tamareira-das-canárias 53,0 0,0 6,0 0,9266 Exótica Supressão Não 288.300 7.464.386
49 Morus nigra amoreira 13,0 0,5 2,0 0,0186 Exótica Invasora Supressão Não 288.148 7.464.390
51 Mangifera indica mangueira 14,0 0,5 4,0 0,0431 Exótica Invasora Supressão Não 288.138 7.464.390
2
Nº Nome científico Nome popular DAP Altura do fuste Altura Volume Origem Manejo APP X Y
52 Mangifera indica mangueira 14,0 0,5 4,0 0,0431 Exótica Invasora Supressão Não 288.138 7.464.390
57 Tipuana tipu tipuana 25,0 2,0 8,0 0,2749 Exótica Supressão Não 287.921 7.464.374
62 Persea americana abacateiro 15,0 1,5 4,0 0,0495 Exótica Invasora Supressão Não 287.880 7.464.341
65 Morus nigra amoreira 15,0 0,5 2,0 0,0247 Exótica Invasora Supressão Não 287.763 7.464.257
66 Melia azadirachta santa-bárbara 30,0 2,0 4,0 0,1979 Exótica Supressão Não 287.708 7.464.217
71 Caryota urens palmeira-rabo-de-peixe 12,0 0,0 4,0 0,0317 Exótica Invasora Supressão Não 286.975 7.463.690
77 Peltophorum dubium canafístula 40,0 0,5 8,0 0,7037 Exótica Supressão Não 286.502 7.463.179
78 Peltophorum dubium canafístula 40,0 2,0 7,0 0,6158 Exótica Supressão Não 286.514 7.463.169
79 Peltophorum dubium canafístula 40,0 0,5 7,0 0,6158 Exótica Supressão Não 286.503 7.463.173
80 Peltophorum dubium canafístula 30,0 3,0 6,0 0,2969 Exótica Supressão Não 286.498 7.463.173
81 Peltophorum dubium canafístula 35,0 3,0 7,0 0,4714 Exótica Supressão Não 286.508 7.463.166
82 Leucaena leucocephala leucena 8,0 2,0 4,0 0,0141 Exótica Invasora Supressão Não 286.500 7.463.152
83 Peltophorum dubium canafístula 18,0 2,0 5,0 0,0891 Exótica Supressão Não 286.488 7.463.155
84 Peltophorum dubium canafístula 37,0 3,0 7,0 0,5269 Exótica Supressão Não 286.491 7.463.149
85 Peltophorum dubium canafístula 40,0 5,0 7,0 0,6158 Exótica Supressão Não 286.484 7.463.138
86 Peltophorum dubium canafístula 54,0 3,0 7,0 1,1222 Exótica Supressão Não 286.476 7.463.138
87 Peltophorum dubium canafístula 12,0 2,0 5,0 0,0396 Exótica Supressão Não 286.479 7.463.131
88 Senna didymobotrya cássia-africana 28,0 2,0 4,0 0,1724 Exótica Supressão Não 286.347 7.462.949
96 Callistemon viminalis escova-de-garrafa 7,0 2,0 3,0 0,0081 Exótica Supressão Não 285.603 7.462.363
97 Tipuana tipu tipuana 48,0 3,0 7,0 0,8867 Exótica Supressão Não 285.599 7.462.362
98 Bauhinia variegata pata-de-vaca 35,0 2,0 6,0 0,4041 Exótica Supressão Não 285.601 7.462.358
99 Callistemon viminalis escova-de-garrafa 8,0 2,0 3,0 0,0106 Exótica Supressão Não 285.596 7.462.357
116 Plumeria rubra jasmim-manga 20,0 2,0 5,0 0,1100 Exótica Supressão Não 285.474 7.462.330
124 Mangifera indica mangueira 30,0 2,0 7,0 0,3464 Exótica Invasora Supressão Não 285.459 7.462.311
125 Mangifera indica mangueira 30,0 2,0 7,0 0,3464 Exótica Invasora Supressão Não 285.459 7.462.311
135 Morus nigra amoreira 30,0 1,0 5,0 0,2474 Exótica Invasora Supressão Não 285.391 7.462.256
138 Muntingia calabura calabura 20,0 2,0 4,0 0,0880 Exótica Supressão Não 284.969 7.462.248
140 Leucaena leucocephala leucena 6,0 0,5 2,0 0,0040 Exótica Invasora Supressão Não 284.968 7.462.237
3
Nº Nome científico Nome popular DAP Altura do fuste Altura Volume Origem Manejo APP X Y
141 Leucaena leucocephala leucena 6,0 0,5 2,0 0,0040 Exótica Invasora Supressão Não 284.970 7.462.237
143 Leucaena leucocephala leucena 6,0 0,5 2,0 0,0040 Exótica Invasora Supressão Não 284.970 7.462.236
144 Leucaena leucocephala leucena 7,0 0,5 2,0 0,0054 Exótica Invasora Supressão Não 284.968 7.462.235
145 Leucaena leucocephala leucena 6,0 0,5 2,0 0,0040 Exótica Invasora Supressão Não 284.970 7.462.234
146 Leucaena leucocephala leucena 6,0 0,5 2,0 0,0040 Exótica Invasora Supressão Não 284.969 7.462.233
147 Leucaena leucocephala leucena 6,0 0,5 2,0 0,0040 Exótica Invasora Supressão Não 284.971 7.462.232
148 Leucaena leucocephala leucena 6,0 0,5 2,0 0,0040 Exótica Invasora Supressão Não 284.970 7.462.232
149 Leucaena leucocephala leucena 6,0 0,5 2,0 0,0040 Exótica Invasora Supressão Não 284.971 7.462.231
150 Leucaena leucocephala leucena 6,0 0,5 2,0 0,0040 Exótica Invasora Supressão Não 284.970 7.462.230
151 Leucaena leucocephala leucena 6,0 0,5 2,0 0,0040 Exótica Invasora Supressão Não 284.972 7.462.229
152 Leucaena leucocephala leucena 6,0 0,5 2,0 0,0040 Exótica Invasora Supressão Não 284.971 7.462.229
153 Leucaena leucocephala leucena 6,0 0,5 2,0 0,0040 Exótica Invasora Supressão Não 284.972 7.462.228
154 Leucaena leucocephala leucena 8,0 0,5 2,0 0,0070 Exótica Invasora Supressão Não 284.972 7.462.226
155 Leucaena leucocephala leucena 6,0 0,5 2,0 0,0040 Exótica Invasora Supressão Não 284.974 7.462.225
156 Leucaena leucocephala leucena 6,0 0,5 2,0 0,0040 Exótica Invasora Supressão Não 284.972 7.462.225
157 Leucaena leucocephala leucena 6,0 0,5 2,0 0,0040 Exótica Invasora Supressão Não 284.974 7.462.223
158 Leucaena leucocephala leucena 7,0 0,5 2,0 0,0054 Exótica Invasora Supressão Não 284.973 7.462.223
159 Leucaena leucocephala leucena 6,0 0,5 2,0 0,0040 Exótica Invasora Supressão Não 284.973 7.462.222
160 Leucaena leucocephala leucena 6,0 0,5 2,0 0,0040 Exótica Invasora Supressão Não 284.974 7.462.221
161 Leucaena leucocephala leucena 28,0 1,0 5,0 0,2155 Exótica Invasora Supressão Não 284.959 7.462.220
162 Leucaena leucocephala leucena 6,0 0,5 2,0 0,0040 Exótica Invasora Supressão Não 284.975 7.462.220
163 Leucaena leucocephala leucena 6,0 0,5 2,0 0,0040 Exótica Invasora Supressão Não 284.973 7.462.220
164 Leucaena leucocephala leucena 8,0 0,5 2,0 0,0070 Exótica Invasora Supressão Não 284.974 7.462.219
165 Leucaena leucocephala leucena 6,0 0,5 2,0 0,0040 Exótica Invasora Supressão Não 284.976 7.462.218
166 Leucaena leucocephala leucena 6,0 0,5 2,0 0,0040 Exótica Invasora Supressão Não 284.974 7.462.217
167 Leucaena leucocephala leucena 7,0 0,5 2,0 0,0054 Exótica Invasora Supressão Não 284.976 7.462.217
168 Leucaena leucocephala leucena 6,0 0,5 2,0 0,0040 Exótica Invasora Supressão Não 284.977 7.462.216
169 Leucaena leucocephala leucena 6,0 0,5 2,0 0,0040 Exótica Invasora Supressão Não 284.974 7.462.216
4
Nº Nome científico Nome popular DAP Altura do fuste Altura Volume Origem Manejo APP X Y
170 Leucaena leucocephala leucena 6,0 0,5 2,0 0,0040 Exótica Invasora Supressão Não 284.976 7.462.215
171 Leucaena leucocephala leucena 6,0 0,5 2,0 0,0040 Exótica Invasora Supressão Não 284.978 7.462.215
172 Leucaena leucocephala leucena 7,0 0,5 2,0 0,0054 Exótica Invasora Supressão Não 284.977 7.462.214
173 Leucaena leucocephala leucena 6,0 0,5 2,0 0,0040 Exótica Invasora Supressão Não 284.978 7.462.214
174 Leucaena leucocephala leucena 6,0 0,5 2,0 0,0040 Exótica Invasora Supressão Não 284.975 7.462.213
175 Leucaena leucocephala leucena 6,0 0,5 2,0 0,0040 Exótica Invasora Supressão Não 284.977 7.462.213
176 Leucaena leucocephala leucena 6,0 0,5 2,0 0,0040 Exótica Invasora Supressão Não 284.980 7.462.213
177 Leucaena leucocephala leucena 6,0 0,5 2,0 0,0040 Exótica Invasora Supressão Não 284.978 7.462.212
178 Leucaena leucocephala leucena 6,0 0,5 2,0 0,0040 Exótica Invasora Supressão Não 284.976 7.462.211
179 Terminalia catappa chapéu-de-praia 14,0 1,0 2,0 0,0216 Exótica Supressão Não 284.964 7.462.211
180 Leucaena leucocephala leucena 6,0 0,5 2,0 0,0040 Exótica Invasora Supressão Não 284.980 7.462.211
181 Leucaena leucocephala leucena 6,0 0,5 2,0 0,0040 Exótica Invasora Supressão Não 284.978 7.462.211
182 Leucaena leucocephala leucena 8,0 0,5 2,0 0,0070 Exótica Invasora Supressão Não 284.977 7.462.210
183 Leucaena leucocephala leucena 6,0 0,5 2,0 0,0040 Exótica Invasora Supressão Não 284.979 7.462.210
184 Leucaena leucocephala leucena 39,0 1,0 5,0 0,4181 Exótica Invasora Supressão Não 284.958 7.462.208
185 Muntingia calabura calabura 25,0 1,0 4,0 0,1374 Exótica Supressão Não 284.979 7.462.208
189 Leucaena leucocephala leucena 57,0 1,0 5,0 0,8931 Exótica Invasora Supressão Não 284.980 7.462.200
192 Muntingia calabura calabura 25,0 1,0 4,0 0,1374 Exótica Supressão Não 284.982 7.462.197
197 Leucaena leucocephala leucena 30,0 0,5 5,0 0,2474 Exótica Invasora Supressão Não 284.982 7.462.176
198 Delonix regia flamboyant 40,0 2,0 6,0 0,5278 Exótica Supressão Não 285.027 7.462.176
202 Handroanthus pentaphyllus ipê-bálsamo 50,0 0,5 5,0 0,6872 Exótica Supressão Não 284.993 7.462.170
203 Morus nigra amoreira 12,0 1,0 5,0 0,0396 Exótica Invasora Supressão Não 285.022 7.462.171
205 Artocarpus heterophyllus jaqueira 10,0 2,0 5,0 0,0275 Exótica Invasora Supressão Não 285.024 7.462.168
206 Peltophorum dubium canafístula 40,0 1,0 8,0 0,7037 Exótica Supressão Não 285.027 7.462.168
208 Muntingia calabura calabura 18,0 2,0 5,0 0,0891 Exótica Supressão Não 284.990 7.462.165
209 Persea americana abacateiro 18,0 0,5 6,0 0,1069 Exótica Invasora Supressão Não 285.035 7.462.166
212 Murraya paniculata murta 6,0 0,5 3,0 0,0059 Exótica Supressão Não 285.042 7.462.163
213 Psidium guajava goiabeira 20,0 1,0 3,0 0,0660 Exótica Invasora Supressão Não 285.035 7.462.162
5
Nº Nome científico Nome popular DAP Altura do fuste Altura Volume Origem Manejo APP X Y
214 Psidium guajava goiabeira 10,0 2,0 4,0 0,0220 Exótica Invasora Supressão Não 284.989 7.462.159
215 Murraya paniculata murta 6,0 0,5 3,0 0,0059 Exótica Supressão Não 285.046 7.462.162
216 Murraya paniculata murta 6,0 0,5 3,0 0,0059 Exótica Supressão Não 285.038 7.462.161
217 Murraya paniculata murta 6,0 0,5 3,0 0,0059 Exótica Supressão Não 285.041 7.462.160
218 Murraya paniculata murta 8,0 0,5 3,0 0,0106 Exótica Supressão Não 285.048 7.462.161
219 Murraya paniculata murta 7,0 0,5 3,0 0,0081 Exótica Supressão Não 285.044 7.462.160
221 Murraya paniculata murta 7,0 0,5 3,0 0,0081 Exótica Supressão Não 285.035 7.462.159
222 Psidium guajava goiabeira 16,0 0,5 3,0 0,0422 Exótica Invasora Supressão Não 285.039 7.462.158
223 Psidium guajava goiabeira 18,0 1,0 3,0 0,0534 Exótica Invasora Supressão Não 285.047 7.462.158
224 Psidium guajava goiabeira 17,0 0,5 3,0 0,0477 Exótica Invasora Supressão Não 285.043 7.462.157
226 Artocarpus altilis fruta-pão 20,0 2,0 6,0 0,1319 Exótica Supressão Não 285.037 7.462.154
227 Ficus benjamina figueira-benjamina 30,0 2,0 4,0 0,1979 Exótica Supressão Não 284.992 7.462.151
228 Mangifera indica mangueira 30,0 2,0 6,0 0,2969 Exótica Invasora Supressão Não 285.039 7.462.153
229 Mangifera indica mangueira 30,0 2,0 6,0 0,2969 Exótica Invasora Supressão Não 285.039 7.462.153
233 Psidium guajava goiabeira 10,0 2,0 4,0 0,0220 Exótica Invasora Supressão Não 285.041 7.462.150
234 Mangifera indica mangueira 25,0 1,0 4,0 0,1374 Exótica Invasora Supressão Não 284.989 7.462.146
235 Mangifera indica mangueira 25,0 1,0 4,0 0,1374 Exótica Invasora Supressão Não 284.989 7.462.146
236 Jacaranda mimosaefolia jacarandá 38,0 4,0 7,0 0,5557 Exótica Supressão Não 285.037 7.462.147
238 Peltophorum dubium canafístula 70,0 2,0 8,0 2,1551 Exótica Supressão Não 285.051 7.462.143
239 Mangifera indica mangueira 10,0 2,0 4,0 0,0220 Exótica Invasora Supressão Não 285.046 7.462.141
240 Mangifera indica mangueira 10,0 2,0 4,0 0,0220 Exótica Invasora Supressão Não 285.046 7.462.141
241 Citrus limonia limão-cravo 10,0 2,0 4,0 0,0220 Exótica Supressão Não 285.051 7.462.140
242 Persea americana abacateiro 20,0 2,0 6,0 0,1319 Exótica Invasora Supressão Não 285.054 7.462.140
243 Persea americana abacateiro 25,0 3,0 6,0 0,2062 Exótica Invasora Supressão Não 285.043 7.462.140
245 Psidium guajava goiabeira 6,0 0,5 4,0 0,0079 Exótica Invasora Supressão Não 285.052 7.462.138
246 Schizolobium parahyba guapuruvu 50,0 10,0 14,0 1,9242 Exótica Invasora Supressão Não 285.045 7.462.137
247 Morus nigra amoreira 20,0 1,0 6,0 0,1319 Exótica Invasora Supressão Não 285.055 7.462.137
248 Hibiscus rosa-sinensis hibísco 6,0 0,5 4,0 0,0079 Exótica Supressão Não 285.048 7.462.136
6
Nº Nome científico Nome popular DAP Altura do fuste Altura Volume Origem Manejo APP X Y
249 Handroanthus pentaphyllus ipê-bálsamo 10,0 1,0 3,0 0,0165 Exótica Supressão Não 284.994 7.462.133
250 Dracaena arborea dracena-arbórea 28,0 4,0 6,0 0,2586 Exótica Supressão Não 285.053 7.462.134
251 Psidium guajava goiabeira 20,0 2,0 4,0 0,0880 Exótica Invasora Supressão Não 285.053 7.462.130
252 Citrus limonia limão-cravo 6,0 1,0 4,0 0,0079 Exótica Supressão Não 285.061 7.462.129
253 Annona squamosa pinha 20,0 2,0 5,0 0,1100 Exótica Supressão Não 285.063 7.462.126
254 Mangifera indica Mangueira 8,0 2,0 4,0 0,0141 Exótica Invasora Supressão Não 285.031 7.462.123
255 Mangifera indica Mangueira 8,0 2,0 4,0 0,0141 Exótica Invasora Supressão Não 285.031 7.462.123
258 Terminalia catappa chapéu-de-praia 6,0 2,0 3,0 0,0059 Exótica Supressão Não 285.040 7.462.121
260 Cordia abyssinica cordia-africana 20,0 2,0 5,0 0,1100 Exótica Supressão Não 285.043 7.462.119
261 Cordia abyssinica cordia-africana 20,0 2,0 4,0 0,0880 Exótica Supressão Não 285.041 7.462.117
262 Cordia abyssinica cordia-africana 20,0 2,0 4,0 0,0880 Exótica Supressão Não 285.037 7.462.116
263 Muntingia calabura calabura 23,0 2,0 4,0 0,1163 Exótica Supressão Não 285.034 7.462.116
264 Schizolobium parahyba guapuruvu 55,0 6,0 9,0 1,4968 Exótica Invasora Supressão Não 284.998 7.462.113
265 Cordia abyssinica cordia-africana 20,0 2,0 4,0 0,0880 Exótica Supressão Não 285.044 7.462.115
266 Cordia abyssinica cordia-africana 15,0 2,0 3,0 0,0371 Exótica Supressão Não 285.040 7.462.114
267 Cordia abyssinica cordia-africana 43,0 2,0 6,0 0,6099 Exótica Supressão Não 285.038 7.462.113
269 Ficus benjamina figueira-benjamina 30,0 1,0 5,0 0,2474 Exótica Supressão Não 285.048 7.462.111
270 Murraya paniculata murta 10,0 1,0 3,0 0,0165 Exótica Supressão Não 285.052 7.462.108
272 Handroanthus pentaphyllus ipê-bálsamo 45,0 2,0 7,0 0,7793 Exótica Supressão Não 285.048 7.462.106
273 Delonix regia flamboyant 38,0 0,5 4,0 0,3176 Exótica Supressão Não 284.998 7.462.108
275 Ficus benjamina figueira-benjamina 6,0 1,0 2,0 0,0040 Exótica Supressão Não 285.052 7.462.102
279 Senna didymobotrya cássia-africana 18,0 4,0 6,0 0,1069 Exótica Supressão Não 285.055 7.462.097
280 Bauhinia variegata pata-de-vaca 18,0 2,0 4,0 0,0713 Exótica Supressão Não 284.999 7.462.101
282 Mangifera indica mangueira 20,0 2,0 5,0 0,1100 Exótica Invasora Supressão Não 285.053 7.462.092
283 Mangifera indica mangueira 20,0 2,0 5,0 0,1100 Exótica Invasora Supressão Não 285.053 7.462.092
284 Terminalia catappa chapéu-de-praia 20,0 2,0 4,0 0,0880 Exótica Supressão Não 285.063 7.462.090
285 Psidium guajava goiabeira 12,0 1,0 2,0 0,0158 Exótica Invasora Supressão Não 285.004 7.462.095
286 Artocarpus heterophyllus jaqueira 25,0 1,0 4,0 0,1374 Exótica Invasora Supressão Não 285.054 7.462.087
7
Nº Nome científico Nome popular DAP Altura do fuste Altura Volume Origem Manejo APP X Y
287 Leucaena leucocephala leucena 20,0 1,0 4,0 0,0880 Exótica Invasora Supressão Não 285.003 7.462.091
290 Senna didymobotrya cássia-africana 30,0 2,0 6,0 0,2969 Exótica Supressão Não 285.058 7.462.083
292 Albizia lebbeck batata-frita 45,0 2,0 6,0 0,6680 Exótica Invasora Supressão Não 285.061 7.462.080
293 Morus nigra amoreira 20,0 2,0 5,0 0,1100 Exótica Invasora Supressão Não 285.055 7.462.080
296 Leucaena leucocephala leucena 18,0 1,0 4,0 0,0713 Exótica Invasora Supressão Não 284.986 7.462.084
298 Morus nigra amoreira 17,0 2,0 5,0 0,0794 Exótica Invasora Supressão Não 285.048 7.462.076
299 Annona squamosa pinha 10,0 1,0 3,0 0,0165 Exótica Supressão Não 285.024 7.462.077
300 Artocarpus heterophyllus jaqueira 20,0 0,5 5,0 0,1100 Exótica Invasora Supressão Não 285.040 7.462.075
301 Handroanthus pentaphyllus ipê-bálsamo 30,0 1,0 5,0 0,2474 Exótica Supressão Não 285.031 7.462.075
302 Ligustrum lucidum alfeneiro 15,0 1,0 3,0 0,0371 Exótica Invasora Supressão Não 285.051 7.462.073
303 Bauhinia variegata pata-de-vaca 30,0 0,5 5,0 0,2474 Exótica Supressão Não 285.039 7.462.071
305 Leucaena leucocephala leucena 35,0 1,0 5,0 0,3367 Exótica Invasora Supressão Não 285.017 7.462.072
306 Annona squamosa pinha 10,0 2,0 3,0 0,0165 Exótica Supressão Não 285.023 7.462.071
307 Botryophora japonica ameixa-japonesa 12,0 0,5 4,0 0,0317 Exótica Supressão Não 285.047 7.462.068
308 Albizia lebbeck batata-frita 30,0 2,0 5,0 0,2474 Exótica Invasora Supressão Não 285.029 7.462.067
309 Koelreuteria bipinnata árvore-da-china 12,0 2,0 6,0 0,0475 Exótica Supressão Não 285.040 7.462.065
310 Ligustrum lucidum alfeneiro 10,0 1,0 3,0 0,0165 Exótica Invasora Supressão Não 285.024 7.462.064
311 Leucaena leucocephala leucena 14,0 2,0 4,0 0,0431 Exótica Invasora Supressão Não 284.990 7.462.064
312 Leucaena leucocephala leucena 42,0 2,0 6,0 0,5819 Exótica Invasora Supressão Não 284.991 7.462.058
320 Handroanthus pentaphyllus ipê-bálsamo 0,0 4,0 7,0 0,0000 Exótica Supressão Não 284.695 7.461.962
321 Handroanthus pentaphyllus ipê-bálsamo 0,0 4,0 7,0 0,0000 Exótica Supressão Não 284.681 7.461.960
322 Handroanthus pentaphyllus ipê-bálsamo 33,0 4,0 7,0 0,4191 Exótica Supressão Não 284.662 7.461.945
323 Handroanthus pentaphyllus ipê-bálsamo 30,0 3,0 7,0 0,3464 Exótica Supressão Não 284.662 7.461.935
324 Handroanthus pentaphyllus ipê-bálsamo 45,0 4,0 7,0 0,7793 Exótica Supressão Não 284.641 7.461.926
325 Handroanthus pentaphyllus ipê-bálsamo 33,0 5,0 7,0 0,4191 Exótica Supressão Não 284.631 7.461.921
326 Handroanthus pentaphyllus ipê-bálsamo 40,0 0,5 7,0 0,6158 Exótica Supressão Não 284.618 7.461.913
328 Handroanthus pentaphyllus ipê-bálsamo 34,0 3,0 7,0 0,4449 Exótica Supressão Não 284.599 7.461.904
329 Handroanthus pentaphyllus ipê-bálsamo 40,0 5,0 7,0 0,6158 Exótica Supressão Não 284.591 7.461.897
8
Nº Nome científico Nome popular DAP Altura do fuste Altura Volume Origem Manejo APP X Y
330 Handroanthus pentaphyllus ipê-bálsamo 26,0 0,5 7,0 0,2602 Exótica Supressão Não 284.579 7.461.887
331 Handroanthus pentaphyllus ipê-bálsamo 46,0 2,0 7,0 0,8143 Exótica Supressão Não 284.574 7.461.883
332 Handroanthus pentaphyllus ipê-bálsamo 35,0 4,0 7,0 0,4714 Exótica Supressão Não 284.569 7.461.878
333 Handroanthus pentaphyllus ipê-bálsamo 20,0 0,5 7,0 0,1539 Exótica Supressão Não 284.562 7.461.870
334 Handroanthus pentaphyllus ipê-bálsamo 30,0 0,5 7,0 0,3464 Exótica Supressão Não 284.550 7.461.856
335 Handroanthus pentaphyllus ipê-bálsamo 30,0 3,0 7,0 0,3464 Exótica Supressão Não 284.540 7.461.849
336 Handroanthus pentaphyllus ipê-bálsamo 33,0 4,0 7,0 0,4191 Exótica Supressão Não 284.535 7.461.842
337 Handroanthus pentaphyllus ipê-bálsamo 34,0 5,0 6,0 0,3813 Exótica Supressão Não 284.528 7.461.836
338 Handroanthus pentaphyllus ipê-bálsamo 28,0 4,0 7,0 0,3017 Exótica Supressão Não 284.519 7.461.830
339 Handroanthus pentaphyllus ipê-bálsamo 37,0 3,0 7,0 0,5269 Exótica Supressão Não 284.507 7.461.821
340 Handroanthus pentaphyllus ipê-bálsamo 35,0 3,0 7,0 0,4714 Exótica Supressão Não 284.500 7.461.814
341 Handroanthus pentaphyllus ipê-bálsamo 35,0 3,0 7,0 0,4714 Exótica Supressão Não 284.493 7.461.805
342 Handroanthus pentaphyllus ipê-bálsamo 34,0 5,0 7,0 0,4449 Exótica Supressão Não 284.486 7.461.799
343 Handroanthus pentaphyllus ipê-bálsamo 30,0 0,5 7,0 0,3464 Exótica Supressão Não 284.463 7.461.779
344 Handroanthus pentaphyllus ipê-bálsamo 36,0 5,0 7,0 0,4988 Exótica Supressão Não 284.456 7.461.773
345 Handroanthus pentaphyllus ipê-bálsamo 46,0 3,0 7,0 0,8143 Exótica Supressão Não 284.450 7.461.768
346 Handroanthus pentaphyllus ipê-bálsamo 45,0 2,0 7,0 0,7793 Exótica Supressão Não 284.439 7.461.756
347 Handroanthus pentaphyllus ipê-bálsamo 45,0 3,0 7,0 0,7793 Exótica Supressão Não 284.427 7.461.746
348 Handroanthus pentaphyllus ipê-bálsamo 40,0 3,0 7,0 0,6158 Exótica Supressão Não 284.422 7.461.740
349 Handroanthus pentaphyllus ipê-bálsamo 6,0 1,0 7,0 0,0139 Exótica Supressão Não 284.408 7.461.719
350 Handroanthus pentaphyllus ipê-bálsamo 12,0 0,2 7,0 0,0554 Exótica Supressão Não 284.394 7.461.707
351 Handroanthus pentaphyllus ipê-bálsamo 38,0 3,0 7,0 0,5557 Exótica Supressão Não 284.356 7.461.670
352 Handroanthus pentaphyllus ipê-bálsamo 39,0 2,0 7,0 0,5853 Exótica Supressão Não 284.338 7.461.676
353 Handroanthus pentaphyllus ipê-bálsamo 40,0 2,0 7,0 0,6158 Exótica Supressão Não 284.343 7.461.660
354 Handroanthus pentaphyllus ipê-bálsamo 45,0 2,0 7,0 0,7793 Exótica Supressão Não 284.332 7.461.673
355 Handroanthus pentaphyllus ipê-bálsamo 40,0 5,0 7,0 0,6158 Exótica Supressão Não 284.329 7.461.650
356 Handroanthus pentaphyllus ipê-bálsamo 45,0 3,0 7,0 0,7793 Exótica Supressão Não 284.316 7.461.662
357 Handroanthus pentaphyllus ipê-bálsamo 44,0 4,0 7,0 0,7451 Exótica Supressão Não 284.323 7.461.647
9
Nº Nome científico Nome popular DAP Altura do fuste Altura Volume Origem Manejo APP X Y
358 Handroanthus pentaphyllus ipê-bálsamo 20,0 0,5 7,0 0,1539 Exótica Supressão Não 284.316 7.461.645
359 Handroanthus pentaphyllus ipê-bálsamo 35,0 3,0 7,0 0,4714 Exótica Supressão Não 284.310 7.461.640
360 Handroanthus pentaphyllus ipê-bálsamo 35,0 4,0 7,0 0,4714 Exótica Supressão Não 284.301 7.461.636
361 Handroanthus pentaphyllus ipê-bálsamo 34,0 2,0 7,0 0,4449 Exótica Supressão Não 284.293 7.461.632
362 Handroanthus pentaphyllus ipê-bálsamo 40,0 2,0 7,0 0,6158 Exótica Supressão Sim 284.276 7.461.642
363 Handroanthus pentaphyllus ipê-bálsamo 36,0 3,0 7,0 0,4988 Exótica Supressão Não 284.285 7.461.627
364 Handroanthus pentaphyllus ipê-bálsamo 38,0 2,0 7,0 0,5557 Exótica Supressão Sim 284.271 7.461.642
365 Handroanthus pentaphyllus ipê-bálsamo 47,0 3,0 7,0 0,8501 Exótica Supressão Não 284.279 7.461.624
366 Handroanthus pentaphyllus ipê-bálsamo 35,0 2,0 7,0 0,4714 Exótica Supressão Não 284.274 7.461.622
367 Morus nigra amoreira 6,0 0,5 3,0 0,0059 Exótica Invasora Supressão Sim 284.258 7.461.638
368 Morus nigra amoreira 10,0 0,5 4,0 0,0220 Exótica Invasora Supressão Sim 284.253 7.461.634
369 Morus nigra amoreira 6,0 0,5 3,0 0,0059 Exótica Invasora Supressão Sim 284.250 7.461.630
370 Handroanthus pentaphyllus ipê-bálsamo 35,0 3,0 7,0 0,4714 Exótica Supressão Não 284.230 7.461.601
371 Handroanthus pentaphyllus ipê-bálsamo 29,0 3,0 7,0 0,3237 Exótica Supressão Não 284.224 7.461.597
372 Handroanthus pentaphyllus ipê-bálsamo 35,0 3,0 7,0 0,4714 Exótica Supressão Não 284.218 7.461.593
373 Handroanthus pentaphyllus ipê-bálsamo 45,0 3,0 8,0 0,8906 Exótica Supressão Não 284.213 7.461.603
374 Handroanthus pentaphyllus ipê-bálsamo 35,0 2,0 6,0 0,4041 Exótica Supressão Não 284.211 7.461.589
375 Handroanthus pentaphyllus ipê-bálsamo 23,0 4,0 6,0 0,1745 Exótica Supressão Não 284.213 7.461.577
376 Handroanthus pentaphyllus ipê-bálsamo 20,0 0,5 4,0 0,0880 Exótica Supressão Não 284.204 7.461.588
377 Handroanthus pentaphyllus ipê-bálsamo 35,0 2,0 4,0 0,2694 Exótica Supressão Não 284.194 7.461.595
378 Handroanthus pentaphyllus ipê-bálsamo 46,0 2,0 6,0 0,6980 Exótica Supressão Não 284.181 7.461.576
379 Handroanthus pentaphyllus ipê-bálsamo 35,0 3,0 6,0 0,4041 Exótica Supressão Não 284.176 7.461.570
380 Handroanthus pentaphyllus ipê-bálsamo 30,0 3,0 6,0 0,2969 Exótica Supressão Não 284.168 7.461.566
381 Handroanthus pentaphyllus ipê-bálsamo 38,0 3,0 6,0 0,4763 Exótica Supressão Não 284.165 7.461.560
382 Handroanthus pentaphyllus ipê-bálsamo 35,0 2,0 6,0 0,4041 Exótica Supressão Não 284.160 7.461.559
383 Handroanthus pentaphyllus ipê-bálsamo 35,0 2,0 6,0 0,4041 Exótica Supressão Sim 284.160 7.461.554
384 Handroanthus pentaphyllus ipê-bálsamo 35,0 2,0 6,0 0,4041 Exótica Supressão Não 284.156 7.461.554
385 Handroanthus pentaphyllus ipê-bálsamo 35,0 2,0 6,0 0,4041 Exótica Supressão Não 284.152 7.461.549
10
Nº Nome científico Nome popular DAP Altura do fuste Altura Volume Origem Manejo APP X Y
386 Handroanthus pentaphyllus ipê-bálsamo 37,0 3,0 6,0 0,4516 Exótica Supressão Não 284.148 7.461.542
387 Handroanthus pentaphyllus ipê-bálsamo 40,0 3,0 6,0 0,5278 Exótica Supressão Não 284.143 7.461.536
388 Handroanthus pentaphyllus ipê-bálsamo 42,0 2,0 6,0 0,5819 Exótica Supressão Não 284.138 7.461.532
389 Handroanthus pentaphyllus ipê-bálsamo 43,0 3,0 6,0 0,6099 Exótica Supressão Não 284.134 7.461.528
390 Handroanthus pentaphyllus ipê-bálsamo 36,0 3,0 6,0 0,4275 Exótica Supressão Não 284.129 7.461.523
391 Handroanthus pentaphyllus ipê-bálsamo 34,0 2,0 6,0 0,3813 Exótica Supressão Não 284.124 7.461.518
392 Handroanthus pentaphyllus ipê-bálsamo 33,0 3,0 6,0 0,3592 Exótica Supressão Não 284.120 7.461.514
393 Handroanthus pentaphyllus ipê-bálsamo 30,0 3,0 6,0 0,2969 Exótica Supressão Não 284.115 7.461.509
394 Handroanthus pentaphyllus ipê-bálsamo 20,0 3,0 6,0 0,1319 Exótica Supressão Não 284.108 7.461.504
395 Handroanthus pentaphyllus ipê-bálsamo 20,0 3,0 6,0 0,1319 Exótica Supressão Não 284.102 7.461.498
396 Handroanthus pentaphyllus ipê-bálsamo 25,0 2,0 6,0 0,2062 Exótica Supressão Não 284.095 7.461.492
397 Handroanthus pentaphyllus ipê-bálsamo 32,0 3,0 6,0 0,3378 Exótica Supressão Não 284.091 7.461.485
398 Handroanthus pentaphyllus ipê-bálsamo 26,0 3,0 6,0 0,2230 Exótica Supressão Não 284.087 7.461.480
399 Handroanthus pentaphyllus ipê-bálsamo 10,0 2,0 6,0 0,0330 Exótica Supressão Não 284.080 7.461.474
400 Handroanthus pentaphyllus ipê-bálsamo 20,0 2,0 6,0 0,1319 Exótica Supressão Não 284.074 7.461.467
401 Handroanthus pentaphyllus ipê-bálsamo 10,0 2,0 4,0 0,0220 Exótica Supressão Não 284.067 7.461.461
402 Handroanthus pentaphyllus ipê-bálsamo 24,0 2,0 4,0 0,1267 Exótica Supressão Não 284.063 7.461.456
403 Handroanthus pentaphyllus ipê-bálsamo 60,0 2,0 4,0 0,7917 Exótica Supressão Não 284.057 7.461.450
404 Handroanthus pentaphyllus ipê-bálsamo 23,0 2,0 6,0 0,1745 Exótica Supressão Não 284.044 7.461.438
405 Handroanthus pentaphyllus ipê-bálsamo 36,0 4,0 6,0 0,4275 Exótica Supressão Não 284.033 7.461.423
406 Handroanthus pentaphyllus ipê-bálsamo 38,0 4,0 6,0 0,4763 Exótica Supressão Não 284.019 7.461.406
407 Handroanthus pentaphyllus ipê-bálsamo 39,0 3,0 8,0 0,6690 Exótica Supressão Não 283.989 7.461.376
408 Handroanthus pentaphyllus ipê-bálsamo 41,0 3,0 7,0 0,6469 Exótica Supressão Não 283.980 7.461.367
409 Handroanthus pentaphyllus ipê-bálsamo 46,0 3,0 7,0 0,8143 Exótica Supressão Não 283.975 7.461.362
410 Handroanthus pentaphyllus ipê-bálsamo 20,0 3,0 7,0 0,1539 Exótica Supressão Não 283.967 7.461.355
411 Handroanthus pentaphyllus ipê-bálsamo 40,0 3,0 7,0 0,6158 Exótica Supressão Não 283.960 7.461.349
412 Handroanthus pentaphyllus ipê-bálsamo 20,0 3,0 6,0 0,1319 Exótica Supressão Não 283.953 7.461.344
413 Handroanthus pentaphyllus ipê-bálsamo 35,0 2,0 6,0 0,4041 Exótica Supressão Não 283.948 7.461.339
11
Nº Nome científico Nome popular DAP Altura do fuste Altura Volume Origem Manejo APP X Y
414 Handroanthus pentaphyllus ipê-bálsamo 35,0 3,0 7,0 0,4714 Exótica Supressão Não 283.936 7.461.329
415 Handroanthus pentaphyllus ipê-bálsamo 34,0 3,0 6,0 0,3813 Exótica Supressão Não 283.929 7.461.325
416 Cordia abyssinica cordia-africana 30,0 0,5 3,0 0,1484 Exótica Supressão Não 283.917 7.461.327
417 Handroanthus pentaphyllus ipê-bálsamo 20,0 3,0 7,0 0,1539 Exótica Supressão Não 283.923 7.461.319
418 Handroanthus pentaphyllus ipê-bálsamo 36,0 3,0 7,0 0,4988 Exótica Supressão Não 283.918 7.461.313
419 Handroanthus pentaphyllus ipê-bálsamo 41,0 2,0 7,0 0,6469 Exótica Supressão Não 283.912 7.461.307
420 Handroanthus pentaphyllus ipê-bálsamo 38,0 4,0 7,0 0,5557 Exótica Supressão Não 283.903 7.461.304
421 Handroanthus pentaphyllus ipê-bálsamo 40,0 3,0 7,0 0,6158 Exótica Supressão Não 283.903 7.461.299
422 Handroanthus pentaphyllus ipê-bálsamo 37,0 2,0 8,0 0,6021 Exótica Supressão Não 283.898 7.461.300
423 Handroanthus pentaphyllus ipê-bálsamo 40,0 3,0 7,0 0,6158 Exótica Supressão Não 283.897 7.461.294
424 Handroanthus pentaphyllus ipê-bálsamo 36,0 3,0 7,0 0,4988 Exótica Supressão Não 283.879 7.461.281
425 Handroanthus pentaphyllus ipê-bálsamo 57,0 5,0 7,0 1,2504 Exótica Supressão Não 283.859 7.461.267
426 Handroanthus pentaphyllus ipê-bálsamo 38,0 3,0 7,0 0,5557 Exótica Supressão Não 283.851 7.461.259
427 Handroanthus pentaphyllus ipê-bálsamo 44,0 2,0 7,0 0,7451 Exótica Supressão Não 283.846 7.461.255
428 Handroanthus pentaphyllus ipê-bálsamo 45,0 3,0 7,0 0,7793 Exótica Supressão Não 283.825 7.461.241
429 Handroanthus pentaphyllus ipê-bálsamo 43,0 3,0 7,0 0,7116 Exótica Supressão Não 283.828 7.461.237
430 Handroanthus pentaphyllus ipê-bálsamo 43,0 3,0 8,0 0,8132 Exótica Supressão Não 283.814 7.461.229
431 Handroanthus pentaphyllus ipê-bálsamo 34,0 2,0 8,0 0,5084 Exótica Supressão Não 283.803 7.461.219
432 Handroanthus pentaphyllus ipê-bálsamo 40,0 2,0 7,0 0,6158 Exótica Supressão Não 283.798 7.461.215
433 Handroanthus pentaphyllus ipê-bálsamo 30,0 3,0 8,0 0,3958 Exótica Supressão Não 283.793 7.461.212
434 Handroanthus pentaphyllus ipê-bálsamo 41,0 3,0 7,0 0,6469 Exótica Supressão Não 283.788 7.461.210
435 Handroanthus pentaphyllus ipê-bálsamo 43,0 3,0 7,0 0,7116 Exótica Supressão Não 283.784 7.461.205
436 Handroanthus pentaphyllus ipê-bálsamo 36,0 3,0 7,0 0,4988 Exótica Supressão Não 283.779 7.461.201
438 Handroanthus pentaphyllus ipê-bálsamo 33,0 4,0 8,0 0,4790 Exótica Supressão Não 283.768 7.461.205
439 Handroanthus pentaphyllus ipê-bálsamo 27,0 2,0 7,0 0,2806 Exótica Supressão Não 283.747 7.461.225
440 Koelreuteria bipinnata árvore-da-china 10,0 0,5 4,0 0,0220 Exótica Supressão Não 283.766 7.461.203
441 Roystonea oleracea palmeira-imperial 15,0 0,0 2,0 0,0247 Exótica Supressão Não 283.763 7.461.202
442 Roystonea oleracea palmeira-imperial 15,0 0,0 2,0 0,0247 Exótica Supressão Não 283.763 7.461.202
12
Nº Nome científico Nome popular DAP Altura do fuste Altura Volume Origem Manejo APP X Y
443 Dypsis lutescens areca-bambu 10,0 0,0 3,0 0,0165 Exótica Supressão Não 283.765 7.461.198
445 Koelreuteria bipinnata árvore-da-china 25,0 2,0 7,0 0,2405 Exótica Supressão Não 283.743 7.461.171
446 Ficus elastica seringueira 156,0 3,0 9,0 12,0415 Exótica Supressão Não 283.731 7.461.016
447 Ficus elastica seringueira 214,0 3,0 9,0 22,6599 Exótica Supressão Não 283.728 7.461.002
462 Albizia lebbeck batata-frita 20,0 1,0 4,0 0,0880 Exótica Invasora Supressão Não 283.745 7.460.871
463 Handroanthus pentaphyllus ipê-bálsamo 30,0 1,0 7,0 0,3464 Exótica Supressão Não 283.744 7.460.738
464 Handroanthus pentaphyllus ipê-bálsamo 20,0 1,0 5,0 0,1100 Exótica Supressão Não 283.738 7.460.733
465 Handroanthus pentaphyllus ipê-bálsamo 40,0 1,0 5,0 0,4398 Exótica Supressão Não 283.667 7.460.645
466 Handroanthus pentaphyllus ipê-bálsamo 35,0 2,0 5,0 0,3367 Exótica Supressão Não 283.660 7.460.633
467 Handroanthus pentaphyllus ipê-bálsamo 30,0 2,0 6,0 0,2969 Exótica Supressão Não 283.653 7.460.623
468 Handroanthus pentaphyllus ipê-bálsamo 40,0 0,5 6,0 0,5278 Exótica Supressão Não 283.648 7.460.616
469 Handroanthus pentaphyllus ipê-bálsamo 30,0 0,5 6,0 0,2969 Exótica Supressão Não 283.640 7.460.604
470 Handroanthus pentaphyllus ipê-bálsamo 40,0 2,0 5,0 0,4398 Exótica Supressão Não 283.633 7.460.593
471 Handroanthus pentaphyllus ipê-bálsamo 30,0 2,0 5,0 0,2474 Exótica Supressão Não 283.632 7.460.588
472 Handroanthus pentaphyllus ipê-bálsamo 20,0 1,0 5,0 0,1100 Exótica Supressão Não 283.609 7.460.557
473 Handroanthus pentaphyllus ipê-bálsamo 40,0 2,0 5,0 0,4398 Exótica Supressão Não 283.603 7.460.544
474 Handroanthus pentaphyllus ipê-bálsamo 43,0 2,0 5,0 0,5083 Exótica Supressão Não 283.595 7.460.529
475 Handroanthus pentaphyllus ipê-bálsamo 30,0 1,0 5,0 0,2474 Exótica Supressão Não 283.580 7.460.529
476 Handroanthus pentaphyllus ipê-bálsamo 45,0 2,0 5,0 0,5567 Exótica Supressão Não 283.589 7.460.523
477 Handroanthus pentaphyllus ipê-bálsamo 20,0 1,0 5,0 0,1100 Exótica Supressão Não 283.583 7.460.516
478 Handroanthus pentaphyllus ipê-bálsamo 35,0 2,0 5,0 0,3367 Exótica Supressão Não 283.578 7.460.508
479 Terminalia catappa chapéu-de-praia 40,0 1,0 6,0 0,5278 Exótica Supressão Não 283.569 7.460.498
480 Leucaena leucocephala leucena 45,0 0,5 6,0 0,6680 Exótica Invasora Supressão Não 283.562 7.460.472
481 Tecoma stans ipê-de-jardim 35,0 1,0 5,0 0,3367 Exótica Invasora Supressão Não 283.554 7.460.479
482 Caesalpinia pulcherrima barba-de-barata 12,0 1,0 4,0 0,0317 Exótica Supressão Não 283.554 7.460.465
483 Leucaena leucocephala leucena 40,0 0,5 6,0 0,5278 Exótica Invasora Supressão Não 283.551 7.460.457
484 Terminalia catappa chapéu-de-praia 30,0 2,0 6,0 0,2969 Exótica Supressão Não 283.509 7.460.425
485 Dypsis lutescens areca-bambu 10,0 0,0 2,0 0,0110 Exótica Supressão Não 283.491 7.460.398
13
Nº Nome científico Nome popular DAP Altura do fuste Altura Volume Origem Manejo APP X Y
486 Koelreuteria bipinnata árvore-da-china 20,0 2,0 5,0 0,1100 Exótica Supressão Não 283.478 7.460.378
487 Handroanthus pentaphyllus ipê-bálsamo 6,0 2,0 2,0 0,0040 Exótica Supressão Não 283.473 7.460.375
488 Mangifera indica mangueira 7,0 2,0 4,0 0,0108 Exótica Invasora Supressão Não 283.475 7.460.371
489 Mangifera indica mangueira 7,0 2,0 4,0 0,0108 Exótica Invasora Supressão Não 283.475 7.460.371
491 Handroanthus pentaphyllus ipê-bálsamo 20,0 1,0 5,0 0,1100 Exótica Supressão Não 283.455 7.460.333
492 Terminalia catappa chapéu-de-praia 38,0 3,0 6,0 0,4763 Exótica Supressão Não 283.435 7.460.340
493 Terminalia catappa chapéu-de-praia 30,0 3,0 6,0 0,2969 Exótica Supressão Não 283.450 7.460.326
494 Tecoma stans ipê-de-jardim 25,0 1,0 6,0 0,2062 Exótica Invasora Supressão Não 283.398 7.460.305
495 Tecoma stans ipê-de-jardim 10,0 0,5 2,0 0,0110 Exótica Invasora Supressão Não 283.402 7.460.302
500 Tecoma stans ipê-de-jardim 20,0 0,5 5,0 0,1100 Exótica Invasora Supressão Não 283.380 7.460.276
502 Psidium guajava goiabeira 10,0 0,5 4,0 0,0220 Exótica Invasora Supressão Não 283.381 7.460.268
503 Tecoma stans ipê-de-jardim 20,0 1,0 5,0 0,1100 Exótica Invasora Supressão Não 283.377 7.460.270
504 Tecoma stans ipê-de-jardim 35,0 1,0 6,0 0,4041 Exótica Invasora Supressão Não 283.375 7.460.265
505 Tecoma stans ipê-de-jardim 6,0 0,5 2,0 0,0040 Exótica Invasora Supressão Não 283.369 7.460.239
506 Bauhinia variegata pata-de-vaca 30,0 0,5 6,0 0,2969 Exótica Supressão Não 283.364 7.460.215
507 Tecoma stans ipê-de-jardim 6,0 0,5 2,0 0,0040 Exótica Invasora Supressão Não 283.362 7.460.210
508 Tecoma stans ipê-de-jardim 6,0 0,5 2,0 0,0040 Exótica Invasora Supressão Não 283.351 7.460.201
509 Tecoma stans ipê-de-jardim 6,0 0,5 2,0 0,0040 Exótica Invasora Supressão Não 283.347 7.460.197
510 Tecoma stans ipê-de-jardim 7,0 0,5 2,0 0,0054 Exótica Invasora Supressão Não 283.345 7.460.193
511 Tecoma stans ipê-de-jardim 10,0 0,5 2,0 0,0110 Exótica Invasora Supressão Não 283.342 7.460.190
512 Tecoma stans ipê-de-jardim 8,0 0,5 2,0 0,0070 Exótica Invasora Supressão Não 283.339 7.460.186
514 Tecoma stans ipê-de-jardim 6,0 0,5 2,0 0,0040 Exótica Invasora Supressão Não 283.305 7.460.176
515 Tecoma stans ipê-de-jardim 6,0 0,5 2,0 0,0040 Exótica Invasora Supressão Não 283.304 7.460.169
517 Handroanthus pentaphyllus ipê-bálsamo 38,0 0,5 6,0 0,4763 Exótica Supressão Não 283.288 7.460.157
523 Dillenia indica maça-de-elefante 6,0 0,5 4,0 0,0079 Exótica Supressão Sim 282.593 7.459.626
524 Dillenia indica maça-de-elefante 15,0 0,5 4,0 0,0495 Exótica Supressão Sim 282.581 7.459.605
525 Dillenia indica maça-de-elefante 12,0 0,5 4,0 0,0317 Exótica Supressão Sim 282.582 7.459.600
527 Dillenia indica maça-de-elefante 6,0 0,5 4,0 0,0079 Exótica Supressão Sim 282.575 7.459.608
14
Nº Nome científico Nome popular DAP Altura do fuste Altura Volume Origem Manejo APP X Y
528 Dillenia indica maça-de-elefante 7,0 0,5 3,0 0,0081 Exótica Supressão Sim 282.571 7.459.603
529 Dillenia indica maça-de-elefante 7,0 0,5 2,0 0,0054 Exótica Supressão Sim 282.568 7.459.599
531 Dillenia indica maça-de-elefante 7,0 0,5 2,0 0,0054 Exótica Supressão Sim 282.565 7.459.601
532 Dillenia indica maça-de-elefante 6,0 0,5 3,0 0,0059 Exótica Supressão Sim 282.558 7.459.596
539 Ficus guaranitica figueira-branca 50,0 1,0 8,0 1,0996 Exótica Supressão Não 281.642 7.459.102
621 Leucaena leucocephala leucena 35,0 3,0 8,0 0,5388 Exótica Invasora Supressão Não 281.183 7.458.793
623 Koelreuteria bipinnata árvore-da-china 20,0 0,5 5,0 0,1100 Exótica Supressão Não 281.194 7.458.776
625 Koelreuteria bipinnata árvore-da-china 20,0 2,0 5,0 0,1100 Exótica Supressão Não 281.189 7.458.768
627 Koelreuteria bipinnata árvore-da-china 24,0 2,0 5,0 0,1583 Exótica Supressão Não 281.181 7.458.758
628 Koelreuteria bipinnata árvore-da-china 25,0 0,5 5,0 0,1718 Exótica Supressão Não 281.177 7.458.753
630 Koelreuteria bipinnata árvore-da-china 33,0 2,0 5,0 0,2994 Exótica Supressão Não 281.174 7.458.745
631 Koelreuteria bipinnata árvore-da-china 30,0 2,0 5,0 0,2474 Exótica Supressão Não 281.168 7.458.739
633 Koelreuteria bipinnata árvore-da-china 28,0 8,0 5,0 0,2155 Exótica Supressão Não 281.164 7.458.732
635 Koelreuteria bipinnata árvore-da-china 25,0 2,0 5,0 0,1718 Exótica Supressão Não 281.160 7.458.722
638 Koelreuteria bipinnata árvore-da-china 25,0 0,5 5,0 0,1718 Exótica Supressão Não 281.157 7.458.686
639 Koelreuteria bipinnata árvore-da-china 23,0 8,0 5,0 0,1454 Exótica Supressão Não 281.156 7.458.678
640 Leucaena leucocephala leucena 18,0 2,0 4,0 0,0713 Exótica Invasora Supressão Não 281.130 7.458.678
641 Koelreuteria bipinnata árvore-da-china 35,0 2,0 5,0 0,3367 Exótica Supressão Não 281.148 7.458.667
642 Koelreuteria bipinnata árvore-da-china 21,0 2,0 5,0 0,1212 Exótica Supressão Não 281.124 7.458.632
665 Cordia abyssinica cordia-africana 34,0 2,0 7,0 0,4449 Exótica Supressão Não 280.655 7.458.517
666 Cordia abyssinica cordia-africana 20,0 4,0 6,0 0,1319 Exótica Supressão Não 280.648 7.458.514
668 Cordia abyssinica cordia-africana 20,0 3,0 8,0 0,1759 Exótica Supressão Não 280.567 7.458.507
669 Cordia abyssinica cordia-africana 20,0 3,0 8,0 0,1759 Exótica Supressão Não 280.558 7.458.503
671 Cordia abyssinica cordia-africana 30,0 1,0 7,0 0,3464 Exótica Supressão Não 280.532 7.458.493
673 Delonix regia flamboyant 10,0 2,0 5,0 0,0275 Exótica Supressão Não 280.514 7.458.491
674 Cordia abyssinica cordia-africana 15,0 0,5 5,0 0,0619 Exótica Supressão Não 280.501 7.458.490
675 Cordia abyssinica cordia-africana 20,0 1,0 5,0 0,1100 Exótica Supressão Não 280.483 7.458.486
678 Cordia abyssinica cordia-africana 20,0 2,0 6,0 0,1319 Exótica Supressão Não 280.402 7.458.471
15
Nº Nome científico Nome popular DAP Altura do fuste Altura Volume Origem Manejo APP X Y
680 Cordia abyssinica cordia-africana 22,0 0,5 5,0 0,1330 Exótica Supressão Não 280.389 7.458.469
682 Cordia abyssinica cordia-africana 25,0 4,0 5,0 0,1718 Exótica Supressão Não 280.374 7.458.465
683 Cordia abyssinica cordia-africana 20,0 0,5 4,0 0,0880 Exótica Supressão Não 280.363 7.458.466
684 Cordia abyssinica cordia-africana 32,0 0,5 7,0 0,3941 Exótica Supressão Não 280.337 7.458.454
686 Muntingia calabura calabura 27,0 1,0 6,0 0,2405 Exótica Supressão Não 280.327 7.458.437
687 Cordia abyssinica cordia-africana 26,0 2,0 7,0 0,2602 Exótica Supressão Não 280.324 7.458.429
689 Muntingia calabura calabura 26,0 2,0 6,0 0,2230 Exótica Supressão Não 280.320 7.458.423
692 Muntingia calabura calabura 26,0 2,0 6,0 0,2230 Exótica Supressão Não 280.318 7.458.415
695 Leucaena leucocephala leucena 12,0 2,0 4,0 0,0317 Exótica Invasora Supressão Não 280.290 7.458.463
698 Delonix regia flamboyant 8,0 1,0 3,0 0,0106 Exótica Supressão Não 280.277 7.458.453
701 Delonix regia flamboyant 6,0 1,0 2,0 0,0040 Exótica Supressão Não 280.267 7.458.452
702 Delonix regia flamboyant 6,0 1,0 2,0 0,0040 Exótica Supressão Não 280.255 7.458.465
703 Roystonea oleracea palmeira-imperial 10,0 1,0 5,0 0,0275 Exótica Supressão Não 280.253 7.458.453
704 Roystonea oleracea palmeira-imperial 10,0 1,0 5,0 0,0275 Exótica Supressão Não 280.253 7.458.453
706 Schefflera actinophylla cheflera 6,0 1,0 2,0 0,0040 Exótica Invasora Supressão Não 280.235 7.458.461
707 Cordia abyssinica cordia-africana 20,0 2,0 4,0 0,0880 Exótica Supressão Não 280.220 7.458.452
709 Cordia abyssinica cordia-africana 25,0 1,0 6,0 0,2062 Exótica Supressão Não 280.151 7.458.450
710 Cordia abyssinica cordia-africana 30,0 1,0 6,0 0,2969 Exótica Supressão Não 280.142 7.458.447
711 Senna didymobotrya cássia-africana 20,0 1,0 4,0 0,0880 Exótica Supressão Não 280.134 7.458.447
712 Artocarpus heterophyllus jaqueira 25,0 1,0 5,0 0,1718 Exótica Invasora Supressão Não 280.086 7.458.436
713 Ficus benjamina figueira-benjamina 30,0 1,0 4,0 0,1979 Exótica Supressão Não 280.076 7.458.433
716 Cordia abyssinica cordia-africana 20,0 0,5 5,0 0,1100 Exótica Supressão Não 280.032 7.458.419
717 Cordia abyssinica cordia-africana 35,0 0,5 5,0 0,3367 Exótica Supressão Não 280.015 7.458.416
719 Cordia abyssinica cordia-africana 30,0 1,0 5,0 0,2474 Exótica Supressão Não 279.992 7.458.414
720 Cordia abyssinica cordia-africana 40,0 2,0 6,0 0,5278 Exótica Supressão Não 279.977 7.458.411
721 Muntingia calabura calabura 30,0 2,0 5,0 0,2474 Exótica Supressão Não 279.966 7.458.404
722 Albizia lebbeck batata-frita 20,0 2,0 4,0 0,0880 Exótica Invasora Supressão Não 279.960 7.458.411
723 Ficus benjamina figueira-benjamina 20,0 1,0 4,0 0,0880 Exótica Supressão Não 279.958 7.458.400
16
Nº Nome científico Nome popular DAP Altura do fuste Altura Volume Origem Manejo APP X Y
724 Albizia lebbeck batata-frita 80,0 2,0 8,0 2,8149 Exótica Invasora Supressão Não 279.950 7.458.410
727 Albizia lebbeck batata-frita 35,0 2,0 7,0 0,4714 Exótica Invasora Supressão Não 279.913 7.458.405
729 Ficus benjamina figueira-benjamina 20,0 1,0 4,0 0,0880 Exótica Supressão Não 279.892 7.458.406
730 Ficus benjamina figueira-benjamina 30,0 1,0 4,0 0,1979 Exótica Supressão Não 279.884 7.458.407
731 Delonix regia flamboyant 30,0 1,0 5,0 0,2474 Exótica Supressão Não 279.850 7.458.404
732 Ligustrum lucidum alfeneiro 20,0 0,5 7,0 0,1539 Exótica Invasora Supressão Não 279.849 7.458.411
735 Cordia abyssinica cordia-africana 28,0 2,0 5,0 0,2155 Exótica Supressão Não 279.810 7.458.408
736 Ficus benjamina figueira-benjamina 20,0 2,0 4,0 0,0880 Exótica Supressão Não 279.794 7.458.409
737 Muntingia calabura calabura 20,0 0,5 4,0 0,0880 Exótica Supressão Não 279.785 7.458.409
738 Muntingia calabura calabura 20,0 2,0 4,0 0,0880 Exótica Supressão Não 279.761 7.458.410
739 Cordia abyssinica cordia-africana 30,0 2,0 5,0 0,2474 Exótica Supressão Não 279.747 7.458.412
740 Albizia lebbeck batata-frita 40,0 2,0 6,0 0,5278 Exótica Invasora Supressão Não 279.731 7.458.412
742 Cordia abyssinica cordia-africana 20,0 0,5 7,0 0,1539 Exótica Supressão Não 279.701 7.458.414
747 Handroanthus pentaphyllus ipê-bálsamo 25,0 1,0 7,0 0,2405 Exótica Supressão Não 279.624 7.458.415
748 Handroanthus pentaphyllus ipê-bálsamo 30,0 1,0 4,0 0,1979 Exótica Supressão Não 279.615 7.458.415
749 Handroanthus pentaphyllus ipê-bálsamo 25,0 1,0 7,0 0,2405 Exótica Supressão Não 279.599 7.458.416
752 Muntingia calabura calabura 15,0 2,0 4,0 0,0495 Exótica Supressão Não 279.578 7.458.398
753 Muntingia calabura calabura 21,0 0,5 4,0 0,0970 Exótica Supressão Não 279.577 7.458.390
754 Muntingia calabura calabura 15,0 2,0 7,0 0,0866 Exótica Supressão Não 279.577 7.458.442
755 Muntingia calabura calabura 17,0 2,0 4,0 0,0636 Exótica Supressão Não 279.575 7.458.407
756 Muntingia calabura calabura 15,0 2,0 4,0 0,0495 Exótica Supressão Não 279.572 7.458.438
757 Muntingia calabura calabura 17,0 2,0 4,0 0,0636 Exótica Supressão Não 279.572 7.458.430
758 Muntingia calabura calabura 20,0 1,0 4,0 0,0880 Exótica Supressão Não 279.565 7.458.401
759 Muntingia calabura calabura 23,0 1,0 4,0 0,1163 Exótica Supressão Não 279.559 7.458.407
760 Albizia lebbeck batata-frita 30,0 1,0 5,0 0,2474 Exótica Invasora Supressão Não 279.534 7.458.419
761 Albizia lebbeck batata-frita 20,0 0,5 5,0 0,1100 Exótica Invasora Supressão Não 279.522 7.458.420
762 Dombeya wallichii astrapéia 17,0 2,0 3,0 0,0477 Exótica Supressão Não 279.497 7.458.419
763 Persea americana abacateiro 17,0 2,0 5,0 0,0794 Exótica Invasora Supressão Não 279.492 7.458.423
17
Nº Nome científico Nome popular DAP Altura do fuste Altura Volume Origem Manejo APP X Y
764 Albizia lebbeck batata-frita 20,0 1,0 4,0 0,0880 Exótica Invasora Supressão Não 279.485 7.458.420
765 Ficus benjamina figueira-benjamina 10,0 2,0 5,0 0,0275 Exótica Supressão Não 279.410 7.458.425
766 Terminalia catappa chapéu-de-praia 12,0 2,0 5,0 0,0396 Exótica Supressão Não 279.396 7.458.428
769 Albizia lebbeck batata-frita 20,0 1,0 6,0 0,1319 Exótica Invasora Supressão Não 279.344 7.458.427
770 Albizia lebbeck batata-frita 30,0 1,0 7,0 0,3464 Exótica Invasora Supressão Não 279.311 7.458.428
771 Albizia lebbeck batata-frita 60,0 1,0 7,0 1,3854 Exótica Invasora Supressão Não 279.306 7.458.434
772 Albizia lebbeck batata-frita 20,0 1,0 4,0 0,0880 Exótica Invasora Supressão Não 279.271 7.458.437
779 Leucaena leucocephala leucena 20,0 0,5 6,0 0,1319 Exótica Invasora Supressão Não 278.428 7.458.450
782 Albizia lebbeck batata-frita 20,0 0,5 4,0 0,0880 Exótica Invasora Supressão Não 278.398 7.458.442
783 Leucaena leucocephala leucena 10,0 0,5 6,0 0,0330 Exótica Invasora Supressão Não 278.378 7.458.437
784 Ficus benjamina figueira-benjamina 7,0 0,5 2,0 0,0054 Exótica Supressão Não 278.326 7.458.425
791 Handroanthus pentaphyllus ipê-bálsamo 15,0 1,0 5,0 0,0619 Exótica Supressão Não 278.096 7.458.343
797 Eucalyptus grandis eucaplipto 0,0 1,0 12,0 0,0000 Exótica Supressão Não 277.907 7.458.318
800 Mangifera indica mangueira 20,0 2,0 4,0 0,0880 Exótica Invasora Supressão Não 277.702 7.458.132
801 Mangifera indica mangueira 20,0 2,0 4,0 0,0880 Exótica Invasora Supressão Não 277.702 7.458.132
802 Senna didymobotrya cássia-africana 20,0 0,5 5,0 0,1100 Exótica Supressão Não 277.694 7.458.124
804 Psidium guajava goiabeira 15,0 0,5 4,0 0,0495 Exótica Invasora Supressão Não 277.673 7.458.105
805 Mangifera indica mangueira 15,0 0,5 5,0 0,0619 Exótica Invasora Supressão Não 277.668 7.458.101
806 Mangifera indica mangueira 15,0 0,5 5,0 0,0619 Exótica Invasora Supressão Não 277.668 7.458.101
807 Senna didymobotrya cássia-africana 10,0 1,0 5,0 0,0275 Exótica Supressão Não 277.655 7.458.097
808 Pachira aquatica monguba 30,0 0,5 4,0 0,1979 Exótica Supressão Não 277.656 7.458.089
809 Senna didymobotrya cássia-africana 25,0 1,0 5,0 0,1718 Exótica Supressão Não 277.641 7.458.083
810 Senna didymobotrya cássia-africana 20,0 1,0 5,0 0,1100 Exótica Supressão Não 277.642 7.458.078
811 Albizia lebbeck batata-frita 30,0 0,5 4,0 0,1979 Exótica Invasora Supressão Não 277.632 7.458.079
812 Persea americana abacateiro 20,0 2,0 5,0 0,1100 Exótica Invasora Supressão Não 277.630 7.458.072
813 Persea americana abacateiro 35,0 2,0 7,0 0,4714 Exótica Invasora Supressão Não 277.623 7.458.068
814 Persea americana abacateiro 25,0 0,5 7,0 0,2405 Exótica Invasora Supressão Não 277.619 7.458.060
816 Mangifera indica mangueira 20,0 0,5 4,0 0,0880 Exótica Invasora Supressão Não 277.600 7.458.051
18
Nº Nome científico Nome popular DAP Altura do fuste Altura Volume Origem Manejo APP X Y
817 Mangifera indica mangueira 20,0 0,5 4,0 0,0880 Exótica Invasora Supressão Não 277.600 7.458.051
818 Plumeria rubra jasmim-manga 10,0 2,0 3,0 0,0165 Exótica Supressão Não 277.550 7.458.013
819 Plumeria rubra jasmim-manga 10,0 0,5 3,0 0,0165 Exótica Supressão Não 277.548 7.458.010
820 Lagerstroemia speciosa resedá-gigante 18,0 2,0 4,0 0,0713 Exótica Supressão Não 277.545 7.458.012
821 Lagerstroemia speciosa resedá-gigante 28,0 2,0 6,0 0,2586 Exótica Supressão Não 277.546 7.458.008
823 Dypsis lutescens areca-bambu 8,0 0,0 6,0 0,0211 Exótica Supressão Não 277.544 7.458.006
824 Peltophorum dubium canafístula 25,0 2,0 6,0 0,2062 Exótica Supressão Não 277.540 7.458.007
825 Lagerstroemia speciosa resedá-gigante 10,0 0,5 3,0 0,0165 Exótica Supressão Não 277.542 7.458.005
826 Lagerstroemia speciosa resedá-gigante 10,0 2,0 3,0 0,0165 Exótica Supressão Não 277.538 7.458.005
827 Persea americana abacateiro 20,0 1,0 5,0 0,1100 Exótica Invasora Supressão Não 277.534 7.458.004
828 Lagerstroemia speciosa resedá-gigante 7,0 3,0 3,0 0,0081 Exótica Supressão Não 277.536 7.458.001
831 Lagerstroemia speciosa resedá-gigante 10,0 1,0 4,0 0,0220 Exótica Supressão Não 277.530 7.457.997
832 Mangifera indica mangueira 30,0 0,5 5,0 0,2474 Exótica Invasora Supressão Não 277.528 7.457.999
833 Mangifera indica mangueira 30,0 0,5 5,0 0,2474 Exótica Invasora Supressão Não 277.528 7.457.999
835 Muntingia calabura calabura 20,0 2,0 5,0 0,1100 Exótica Supressão Não 277.396 7.457.810
838 Persea americana abacateiro 17,0 2,0 5,0 0,0794 Exótica Invasora Supressão Não 277.387 7.457.788
839 Muntingia calabura calabura 20,0 2,0 5,0 0,1100 Exótica Supressão Não 277.393 7.457.785
843 Cupressus macrocarpa cipreste-de-monterey 20,0 2,0 4,0 0,0880 Exótica Supressão Não 277.389 7.457.763
844 Muntingia calabura calabura 25,0 2,0 5,0 0,1718 Exótica Supressão Não 277.390 7.457.757
19
Anexo 4-2: Síntese das árvores exóticas a serem suprimidas
Nome científico Nome popular Qnt DAP médio (m) Altura média (m) Volume Total (m³)
Phoenix canariensis tamareira-das-canárias 6 35,5 5,2 2,4825
Roystonea oleracea palmeira-imperial 14 20,0 2,6 0,8824
Tipuana tipu tipuana 7 60,3 7,9 11,9491
Senna didymobotrya cássia-africana 11 20,5 4,8 1,3149
Ligustrum lucidum alfeneiro 4 18,8 4,8 0,5044
Morus nigra amoreira 10 14,9 4,0 0,6855
Mangifera indica mangueira 24 19,1 4,7 2,9315
Persea americana abacateiro 10 21,2 5,6 1,5852
Melia azadirachta santa-bárbara 1 30,0 4,0 0,1979
Caryota urens palmeira-rabo-de-peixe 1 12,0 4,0 0,0317
Peltophorum dubium canafístula 13 37,0 6,8 8,1620
Leucaena leucocephala leucena 58 12,5 2,9 5,0888
Callistemon viminalis escova-de-garrafa 2 7,5 3,0 0,0186
Bauhinia variegata pata-de-vaca 4 28,3 5,3 1,0196
Plumeria rubra jasmim-manga 3 13,3 3,7 0,1429
Muntingia calabura calabura 22 21,3 4,6 2,6837
Terminalia catappa chapéu-de-praia 8 23,8 4,8 1,7529
Delonix regia flamboyant 7 19,7 3,9 1,1387
Handroanthus pentaphyllus ipê-bálsamo 141 33,4 6,4 61,4782
Artocarpus heterophyllus jaqueira 4 20,0 4,8 0,4467
Murraya paniculata murta 8 7,0 3,0 0,0670
Psidium guajava goiabeira 11 14,0 3,5 0,4365
Artocarpus altilis fruta-pão 1 20,0 6,0 0,1319
Ficus benjamina figueira-benjamina 10 20,3 3,8 1,1419
Jacaranda mimosaefolia jacarandá 1 38,0 7,0 0,5557
Citrus limonia limão-cravo 2 8,0 4,0 0,0299
Schizolobium parahyba guapuruvu 2 52,5 11,5 3,4210
20
Nome científico Nome popular Qnt DAP médio (m) Altura média (m) Volume Total (m³)
Hibiscus rosa-sinensis hibísco 1 6,0 4,0 0,0079
Dracaena arborea dracena-arbórea 1 28,0 6,0 0,2586
Annona squamosa pinha 3 13,3 3,7 0,1429
Cordia abyssinica cordia-africana 30 25,0 5,4 6,2249
Albizia lebbeck batata-frita 16 32,5 5,4 7,5883
Botryophora japonica ameixa-japonesa 1 12,0 4,0 0,0317
Koelreuteria bipinnata árvore-da-china 16 23,5 5,1 2,6793
Dypsis lutescens areca-bambu 3 9,3 3,7 0,0486
Ficus elastica seringueira 2 185,0 9,0 34,7014
Tecoma stans ipê-de-jardim 15 13,7 3,1 1,2251
Caesalpinia pulcherrima barba-de-barata 1 12,0 4,0 0,0317
Dillenia indica maça-de-elefante 8 8,3 3,3 0,1218
Ficus guaranitica figueira-branca 1 50,0 8,0 1,0996
Schefflera actinophylla cheflera 1 6,0 2,0 0,0040
Dombeya wallichii astrapéia 1 17,0 3,0 0,0477
Eucalyptus grandis eucaplipto 1 0,0 12,0 0,0000
Pachira aquatica monguba 1 30,0 4,0 0,1979
Lagerstroemia speciosa resedá-gigante 6 13,8 3,8 0,3929
Cupressus macrocarpa cipreste-de-monterey 1 20,0 4,0 0,0880
1
Foto 1: Início do segmento do
empreendimento, Av. João Jorge. Palmeiras
nativas, Syagrus romanzoffiana – jerivá,
localizados no canteiro central, os quais
devem ser transplantados
Foto 2: Três indivíduos arbóreos exóticos da
espécie Phoenix canariensis (tamareira-das-
canárias) que serão suprimidas devido a sua
localização próxima ao empreendimento.
Foto 3: Palmeiras nativas, Syagrus
romanzoffiana – jerivá. Que deverão ser
transplantadas com a implantação do
empreeendimento.
Foto 4: Palmeira-imperial (Roystonea
oleracea) que será suprimida com as obras do
empreendimento.
Foto 5: Palmeiras nativas, Syagrus
romanzoffiana – jerivá. Que deverão ser
preservadas, mesmo com a implantação do
empreeendimento
Foto 6: Exemplares arbóreos de uma
Caesalpinia pluviosa – sibipiruina, que apesar
de sua proximidade das vias que serão
implantadas, será preservado.
3
Foto 13: Área urbanizada com grande
presença de indivíduos arbóreos exóticos. O
lugar dará lugar a um novo dispositovo de
trânsito.
Foto 14: Panorama das árvores exóticas
isoladas situadas na área de intervenção do
empreendimento.
Foto 15: Canteiro central com presença de
indivíduos arbóreos exóticos - Handroanthus
pentaphyllus - ipê-bálsamo.
Foto 16: APP 1 utilizada como
estacionamento. Para fins de mapeamento, o
local foi classificado como Campo Antrópico.
Foto 17: Canteiro Central da Avenida
Piracicaba, com grande número de
Handroanthus pentaphyllus.
Foto 18: Praça pública com exemplares
arbóreos de Caesalpinia ferrea. As
ibntervenções não devem afetar tais
indivíduos.
4
Foto 19: Vista Geral dos indivíduos arvóreos
exóticos/exóticos invasores de número 506 a
512.
Foto 20: Vista Geral da APP 2, principalmente
ocupada por vegetação graminóide. Área
classificada como Campo Antrópico.
Foto 21: Indivíduos arbóreos nativos situados
na APP 2, os quais serão suprimidos.
Foto 22: Trecho da APP 3 com domínio de
Leucaena leucocephala e presença de
recomposição vegetal em estágio pioneiro.
Foto 23: Para a remodelação do viário local,
parte das árvores nativas (Pterodon violaceus)
situadas nesse local serão suprimidas.
Foto 24: Indivíduos de Pterodon violaceus
que podem ser preservados, mesmo após
implantação das obras.
5
Foto 25: Para a implantação do corredor
nesse local, sugere-se o transplante destes
exemplares de Syagrus romanzoffiana.
Foto 25: Exemplares de Koelreuteria
bipinnata, popularmente conhecidos como
árvore-da-china, os quais serão suprimidos
com o empreendimento.
Foto 27: Indica-se a manutenção dos
exemplares arbóreos de Caesalpinia ferrea –
pau-ferro, mostrados acima.
Foto 28: Local onde as intervenções não
devem afetar diretamente os indivícuos
arboreos. Porém é sugerida a supressão dos
indivíduos exóticos e manutenção dos nativos
do local.
Foto 29: Segmento da Avenida Camucim,
com induvíduos nativos e exóticos destinados
a supressão.
Foto 30: Segmento da Avenida Camucim,
com induvíduos nativos e exóticos. Parte dos
nativos poderão ser preservados.
6
Foto 31: Indica-se a supressão dos indivíduos
arboreos exóticos presentes nesta praça
pública.
Foto 32: Indivíduos arbóreos nativos
indicados a supressão e a transplante,
confome indicado no Mapa Síntese do
diagnóstico Ambiental.
Foto 33: Indivíduos arbóreos 778 a 783,
nativos e exóticos, indicados a supressão.
Foto 34: Tinal do segmento do
empreendimento, onde estão situados os
indivíuos arbóreos 835 a 844. No local
existem árvores de origem, conforme indicado
no mapa síntese.
Verificação
Aprovação
Resp Técnico
Thais Pagotto
EDUARDO CAMPOS - CREA 5060866872/D
Desenhista
Projetista
Gabriel Bispo
Consórcio ENGITRANS
Consórcio ENGITRANS
00
N Descrição Emissão
1ª Emissão do Desenho 17/06/2014
Verificação
NCA
Aprovação
PRE
Código
Documentos de Referência
Objeto
Contratada Contratada
Verificação ;
Aprovação ;
Coordenação :
VERIFICADOR EMDEC
APROVADOR_EMDEC
COORD_EMDEC
/ /
/ /
/ /
Projeto
Área Escala Data Código
Fl./fls.
A
Rev.
Título
Local
A aprovação deste documento tem como
única finalidade a verificação de sua
compatibilidade com os demais
documentos de projeto e não exime a
contratada de sua total responsabilidade
sobre o conteúdo técnico do mesmo.
MAPA SÍNTESE DO DIACNÓSTICO AMBIENTAL
PROJETO: IMPLANTAÇÃO DE CORREDORES BRT (BUS RAPID TRANSIT)
CORREDOR OURO VERDE - CAMPINAS-SP
Planta Geral
1:2000 13/06/2014
01/03
48
8 a 10
1 a 7
66
67
65
64
63
62
57 a 61
56
55
54
49 a 53
11 a 18 2019
22
21
24
23
26
25
43 a 47
27 a 42
7
8
1
2
5
4
3
6
287600287800288000288200288400288600
288600
7463800746400074642007464400
7464800
77 a 87
88
76
72 a 75
69
70
71
68
9
8
10
286400286600286800287000287200
287200
746280074630007463200746340074636007463800
7464000
120 a 132
312
311
198 a 310
140 a 195
92 a 101
9089 91
318
317
316
319
314
315313
197
136
135
134
133
102 a 119
11
13
12
12
285000285200285400285600285800286000286200
286200
746200074622007462600
74628007463000
CARTAS TOPOGRÁFICAS - IGC
0 40 8020
m
PROJEÇÃO
UTM SIRGAS 2000 23S
CONVENÇÕES CARTOGRÁFICAS
CARTA FOLHAFora de APP Em APP %
- 1,24 100,00
Uso do solo
Total Geral
QUADRO DE ÁREAS PASSÍVEIS DE LICENCIAMENTO
LEGENDA:
Drenagem Intermitente
Drenagem Perene
APP
Projeto
ADA
Canteiros
Projeto Paisagístico Visada de foto
Drenagem descaracterizada
ou canalizada
IDENTIFICAÇÃO:MapaSíntese-OV-F1-A1.pdf
DE-BRT-CG-01-OV-GEO-001
Corte Manutenção Transplante Total
620 172 52 844TOTAL
Forma de Manejo
Origem
338
146
146
56 56
146
338
146
146 56
IDENTIFICAÇÃO:MapaSíntese-OV-F2-A1.pdf
00
N Descrição Emissão
1ª Emissão do Desenho 17/06/2014
Verificação
NCA
Aprovação
PRE
Código
Documentos de Referência
Objeto
Contratada
Verificação ;
Aprovação ;
Coordenação :
VERIFICADOR EMDEC
APROVADOR_EMDEC
COORD_EMDEC
/ /
/ /
/ /
Projeto
Área Escala Data Código
Fl./fls.
A
Rev.
Título
Local
A aprovação deste documento tem como
única finalidade a verificação de sua
compatibilidade com os demais
documentos de projeto e não exime a
contratada de sua total responsabilidade
sobre o conteúdo técnico do mesmo.
MAPA SÍNTESE DO DIACNÓSTICO AMBIENTAL
PROJETO: IMPLANTAÇÃO DE CORREDORES BRT (BUS RAPID TRANSIT)
CORREDOR OURO VERDE - CAMPINAS-SP
Planta Geral
1:2000 13/06/2014
02/03
355 a 336
378 a 403
349 350
321 322
445
438 a 443
439
444
437
429420 a 423
424 425 426 427
428
430
431 a 436
407
408 a 413
414 a 419
406
405
367 a 369
354352
351 353
320
328 329 331
334
323
335 336 337
330
338 339
332
340 341 342 343 344 345 346 347 348
333327326
324 325
315
313
16
17
15
APP 1
283800284000284200284400284600284800285000
285000
746140074616007461800
7462200
517
516
506 507 508 a 512
513
515
514
505492 494 a 504
481
480 483482
493
484 485
486 a 490 491
475
474 476 477473472 478 479470465 467466 468 471469
464463
461
460
459
462
446
449
448
447
458
456
452
454
451
450
453
457
455
18
19
283200283400283600283800
283800
745980074600007460200746040074606007460800
7461000
522
536 a 555
524 a 535
523
518
521
520
519
22
23
20
21
APP 3
APP 3
APP 2
281800282000282200282400282600282800283000
283000
7459000745920074594007459600
74598007460000
CARTAS TOPOGRÁFICAS - IGC
0 40 8020
m
PROJEÇÃO
UTM SIRGAS 2000 23S
CONVENÇÕES CARTOGRÁFICAS
CARTA FOLHAFora de APP Em APP %
- 1,24 100,00
Uso do solo
Total Geral
QUADRO DE ÁREAS PASSÍVEIS DE LICENCIAMENTO
LEGENDA:
Drenagem Intermitente
Drenagem Perene
APP
Projeto
ADA
Canteiros
Projeto Paisagístico Visada de foto
Drenagem descaracterizada
ou canalizada
DE-BRT-CG-01-OV-GEO-001
Verificação
Aprovação
Resp Técnico
Thais Pagotto
EDUARDO CAMPOS - CREA 5060866872/D
Desenhista
Projetista
Gabriel Bispo
Consórcio ENGITRANS
Consórcio ENGITRANS
Corte Manutenção Transplante Total
620 172 52 844TOTAL
Forma de Manejo
Origem
338
146
146
56 56
146
338
146
146 56
IDENTIFICAÇÃO:MapaSíntese-OV-F3-A1.pdf
00
N Descrição Emissão
1ª Emissão do Desenho 17/06/2014
Verificação
NCA
Aprovação
PRE
Código
Documentos de Referência
Objeto
Contratada Contratada
Verificação ;
Aprovação ;
Coordenação :
VERIFICADOR EMDEC
APROVADOR_EMDEC
COORD_EMDEC
/ /
/ /
/ /
Projeto
Área Escala Data Código
Fl./fls.
A
Rev.
Título
Local
A aprovação deste documento tem como
única finalidade a verificação de sua
compatibilidade com os demais
documentos de projeto e não exime a
contratada de sua total responsabilidade
sobre o conteúdo técnico do mesmo.
MAPA SÍNTESE DO DIACNÓSTICO AMBIENTAL
PROJETO: IMPLANTAÇÃO DE CORREDORES BRT (BUS RAPID TRANSIT)
CORREDOR OURO VERDE - CAMPINAS-SP
Planta Geral
1:2000 13/06/2014
03/03
536 a 555
695 a 706
694
684 a 693
677 a 683
668 669
667
676675
674
673672
671670
663
664
666665
644
658 a 662
657656655
654
643
653
651650649
648647646
652
645
621 a 635
642
639
641
638
640
636 637
596 a 620
594
595
557
556
558 a 564
590 a 593
565 a 589
26
28
27
24
25
23
280400280600280800281000281200281400281600 74584007458800
7459000
707
772
769 770
771
768767766765
764762
763
760 761
750 a 759
747 749748732
746
745744743742741740735
739738737736734
731
733
712
721 728
723
713
730729727726
724722720
719718717
716
715
714
725
709
710 711695 a 706
708
694
31
30
29
278800279000279200279400279600279800280000280200
7458400
800 a 803
804 a 808
809 a 816
817
796797
798
835 a 837
838 a 844
818 a 834
799
794
795
784
782
783
779778
781
785
786
787
780
788
793
792
790
789
791
777
775
773
774
776
32
33
34
277400277600277800278000278200278400278600278800
278800
7458200
7458600
CARTAS TOPOGRÁFICAS - IGC
0 40 8020
m
PROJEÇÃO
UTM SIRGAS 2000 23S
CONVENÇÕES CARTOGRÁFICAS
CARTA FOLHAFora de APP Em APP %
- 1,24 100,00
Uso do solo
Total Geral
QUADRO DE ÁREAS PASSÍVEIS DE LICENCIAMENTO
LEGENDA:
Drenagem Intermitente
Drenagem Perene
APP
Projeto
ADA
Canteiros
Projeto Paisagístico Visada de foto
Drenagem descaracterizada
ou canalizada
Verificação
Aprovação
Resp Técnico
Thais Pagotto
EDUARDO CAMPOS - CREA 5060866872/D
Desenhista
Projetista
Gabriel Bispo
Consórcio ENGITRANS
Consórcio ENGITRANS
DE-BRT-CG-01-OV-GEO-001
Corte Manutenção Transplante Total
620 172 52 844TOTAL
Forma de Manejo
Origem
338
146
146
56 56
146
338
146
146 56
Banco Itaú - Comprovante de Pagamento
Títulos Outros Bancos
Identificação no extrato: SISPAG FORNECEDORES
Dados da conta debitada:
Nome: GEOTEC CONSULT AMBIENTAL LTDA
Agência: 0368 Conta: 59720 - 9
Dados do pagamento:
Nome do favorecido: CREA-SP
Código de barras: 00199 22210 29222 122011 40793 301215 6 61060000016768
Valor do documento: R$ 167,68
Valor de juros/multa: R$ 0,00
Valor de desconto/abatimento: R$ 0,00
Valor do pagamento: R$ 167,68
Data de vencimento: 26/06/2014
Informações fornecidas
pelo pagador:
Operação efetuada em 17/06/2014 às 00:00:00 via Sispag, CTRL 599949443000034.
- O cliente assume total responsabilidade por eventuais danos decorrentes de inexatidão ou insuficiência nas informações
por ele inseridas.
Autenticação:
3F2EE48B825F9C1C4923F9670FF0123A55040E37
Dúvidas, sugestões e reclamações: na sua agência. Se preferir, ligue para o SAC Itaú: 0800 728 0728 (todos os dias, 24h) ou acesse o Fale Conosco no www.itau.com.br.
Se não ficar satisfeito com a solução apresentada, ligue para a Ouvidoria Corporativa Itaú: 0800 570 0011 (em dias úteis, das 9h às 18h) ou Caixa Postal 67.600, CEP
03162-971. Deficientes auditivos ou de fala: 0800 722 1722 (todos os dias, 24h). 4
Anexos

Anexos

  • 1.
    1 Anexo 1-1: Árvoresnativas para manutenção Nº Nome científico Nome popular DAP Altura do fuste Altura Volume Origem Manejo APP X Y 27 Syagrus romanzoffiana jerivá 30,0 0,0 6,0 0,2969 Nativa Manutenção Não 288.301 7.464.436 28 Syagrus romanzoffiana jerivá 25,0 0,0 5,0 0,1718 Nativa Manutenção Não 288.298 7.464.431 30 Syagrus romanzoffiana jerivá 23,0 0,0 6,0 0,1745 Nativa Manutenção Não 288.296 7.464.427 33 Syagrus romanzoffiana jerivá 28,0 0,0 7,0 0,3017 Nativa Manutenção Não 288.294 7.464.423 37 Syagrus romanzoffiana jerivá 28,0 0,0 8,0 0,3448 Nativa Manutenção Não 288.292 7.464.415 46 Syagrus romanzoffiana jerivá 30,0 0,0 8,0 0,3958 Nativa Manutenção Não 288.294 7.464.384 47 Syagrus romanzoffiana jerivá 30,0 0,0 8,0 0,3958 Nativa Manutenção Não 288.289 7.464.383 54 Machaerium hirtum pau-de-angu 30,0 2,0 5,0 0,2474 Nativa Manutenção Não 288.018 7.464.398 55 Machaerium hirtum pau-de-angu 25,0 2,0 4,0 0,1374 Nativa Manutenção Não 287.965 7.464.399 56 Machaerium hirtum pau-de-angu 8,0 2,0 4,0 0,0141 Nativa Manutenção Não 287.952 7.464.395 61 Machaerium hirtum pau-de-angu 30,0 2,0 8,0 0,3958 Nativa Manutenção Não 287.912 7.464.370 63 Syagrus romanzoffiana jerivá 20,0 0,0 6,0 0,1319 Nativa Manutenção Não 287.798 7.464.325 64 Syagrus romanzoffiana jerivá 20,0 0,0 6,0 0,1319 Nativa Manutenção Não 287.801 7.464.320 68 Triplaris americana pau-formiga 17,0 2,0 7,0 0,1112 Nativa Manutenção Não 287.160 7.463.825 69 Syagrus romanzoffiana jerivá 20,0 0,0 5,0 0,1100 Nativa Manutenção Não 286.982 7.463.695 70 Triplaris americana pau-formiga 6,0 2,0 4,0 0,0079 Nativa Manutenção Não 286.978 7.463.693 72 Syagrus romanzoffiana jerivá 10,0 0,0 2,0 0,0110 Nativa Manutenção Não 286.799 7.463.512 73 Syagrus romanzoffiana jerivá 20,0 0,0 4,0 0,0880 Nativa Manutenção Não 286.797 7.463.508 74 Syagrus romanzoffiana jerivá 18,0 0,0 4,0 0,0713 Nativa Manutenção Não 286.795 7.463.506 75 Syagrus romanzoffiana jerivá 18,0 0,0 3,0 0,0534 Nativa Manutenção Não 286.792 7.463.504 102 Syagrus oleracea guariroba 25,0 0,0 8,0 0,2749 Nativa Manutenção Não 285.496 7.462.332 103 Ceiba speciosa paineira-rosa 53,0 6,0 8,0 1,2355 Nativa Manutenção Não 285.488 7.462.337 104 Syagrus oleracea guariroba 25,0 0,0 8,0 0,2749 Nativa Manutenção Não 285.489 7.462.334 105 Senna multijuga pau-cigarra 43,0 2,0 8,0 0,8132 Nativa Manutenção Não 285.483 7.462.340 106 Syagrus oleracea guariroba 25,0 0,0 8,0 0,2749 Nativa Manutenção Não 285.485 7.462.335 107 Syagrus oleracea guariroba 25,0 0,0 7,0 0,2405 Nativa Manutenção Não 285.485 7.462.331 108 Senna multijuga pau-cigarra 38,0 1,0 5,0 0,3969 Nativa Manutenção Não 285.481 7.462.337 110 Syagrus oleracea guariroba 30,0 0,0 8,0 0,3958 Nativa Manutenção Não 285.481 7.462.331
  • 2.
    2 Nº Nome científicoNome popular DAP Altura do fuste Altura Volume Origem Manejo APP X Y 111 Senna multijuga pau-cigarra 78,0 1,0 7,0 2,3414 Nativa Manutenção Não 285.472 7.462.341 112 Syagrus oleracea guariroba 27,0 0,0 7,0 0,2806 Nativa Manutenção Não 285.477 7.462.332 113 Senna multijuga pau-cigarra 43,0 2,0 8,0 0,8132 Nativa Manutenção Não 285.484 7.462.320 114 Ceiba speciosa paineira-rosa 35,0 4,0 8,0 0,5388 Nativa Manutenção Não 285.474 7.462.335 115 Senna multijuga pau-cigarra 20,0 4,0 8,0 0,1759 Nativa Manutenção Não 285.470 7.462.336 117 Syagrus oleracea guariroba 25,0 0,0 8,0 0,2749 Nativa Manutenção Não 285.480 7.462.318 118 Syagrus oleracea guariroba 30,0 0,0 7,0 0,3464 Nativa Manutenção Não 285.468 7.462.333 119 Senna multijuga pau-cigarra 45,0 2,0 8,0 0,8906 Nativa Manutenção Não 285.471 7.462.330 120 Senna multijuga pau-cigarra 35,0 2,0 8,0 0,5388 Nativa Manutenção Não 285.467 7.462.311 121 Syagrus oleracea guariroba 20,0 0,0 6,0 0,1319 Nativa Manutenção Não 285.470 7.462.306 122 Senna multijuga pau-cigarra 20,0 2,0 5,0 0,1100 Nativa Manutenção Não 285.465 7.462.309 123 Ceiba speciosa paineira-rosa 98,0 1,0 9,0 4,7521 Nativa Manutenção Não 285.458 7.462.318 126 Senna multijuga pau-cigarra 35,0 2,0 7,0 0,4714 Nativa Manutenção Não 285.461 7.462.306 127 Senna multijuga pau-cigarra 28,0 2,0 8,0 0,3448 Nativa Manutenção Não 285.455 7.462.311 128 Syagrus oleracea guariroba 28,0 0,0 7,0 0,3017 Nativa Manutenção Não 285.457 7.462.308 129 Senna multijuga pau-cigarra 45,0 3,0 8,0 0,8906 Nativa Manutenção Não 285.455 7.462.304 130 Ceiba speciosa paineira-rosa 49,0 6,0 9,0 1,1880 Nativa Manutenção Não 285.450 7.462.303 131 Syagrus oleracea guariroba 20,0 0,0 9,0 0,1979 Nativa Manutenção Não 285.444 7.462.300 132 Syagrus oleracea guariroba 28,0 0,0 8,0 0,3448 Nativa Manutenção Não 285.448 7.462.293 133 Pterogyne nitens amendoim-bravo 20,0 3,0 6,0 0,1319 Nativa Manutenção Não 285.450 7.462.240 134 Pterogyne nitens amendoim-bravo 20,0 2,0 5,0 0,1100 Nativa Manutenção Não 285.458 7.462.223 136 Handroanthus heptaphyllus ipê-roxo 20,0 1,0 5,0 0,1100 Nativa Manutenção Não 285.386 7.462.259 259 Croton urucurana sangra-dágua 6,0 1,0 2,0 0,0040 Nativa Manutenção Não 285.033 7.462.119 281 Acosmium subelegans amendoim-falso 20,0 2,0 5,0 0,1100 Nativa Manutenção Não 285.058 7.462.094 288 Tabebuia roseo-alba ipê-branco 30,0 1,0 5,0 0,2474 Nativa Manutenção Não 285.060 7.462.086 291 Anacardium occidentale cajueiro 12,0 2,0 3,0 0,0238 Nativa Manutenção Não 284.999 7.462.087 295 Inga sessilis ingá 15,0 2,0 4,0 0,0495 Nativa Manutenção Não 285.010 7.462.083 317 Triplaris americana pau-formiga 42,0 6,0 8,0 0,7758 Nativa Manutenção Não 284.982 7.461.977 437 Caesalpinia ferrea pau-ferro 20,0 2,0 7,0 0,1539 Nativa Manutenção Não 283.751 7.461.231 448 Caesalpinia ferrea pau-ferro 33,0 1,0 6,0 0,3592 Nativa Manutenção Não 283.737 7.460.987
  • 3.
    3 Nº Nome científicoNome popular DAP Altura do fuste Altura Volume Origem Manejo APP X Y 449 Caesalpinia ferrea pau-ferro 20,0 1,0 6,0 0,1319 Nativa Manutenção Não 283.741 7.460.977 450 Caesalpinia ferrea pau-ferro 20,0 2,0 7,0 0,1539 Nativa Manutenção Não 283.752 7.460.964 451 Caesalpinia ferrea pau-ferro 20,0 2,0 7,0 0,1539 Nativa Manutenção Não 283.749 7.460.957 452 Caesalpinia ferrea pau-ferro 10,0 1,0 6,0 0,0330 Nativa Manutenção Não 283.754 7.460.952 490 Triplaris americana pau-formiga 20,0 1,0 6,0 0,1319 Nativa Manutenção Não 283.462 7.460.380 521 Senna multijuga pau-cigarra 35,0 1,0 6,0 0,4041 Nativa Manutenção Sim 282.605 7.459.609 522 Senna multijuga pau-cigarra 50,0 2,0 6,0 0,8247 Nativa Manutenção Sim 282.602 7.459.616 536 Pterodon violaceus algrado 27,0 2,0 7,0 0,2806 Nativa Manutenção Não 281.656 7.459.111 537 Pterodon violaceus algrado 28,0 0,5 7,0 0,3017 Nativa Manutenção Não 281.649 7.459.108 546 Pterodon violaceus algrado 30,0 2,0 7,0 0,3464 Nativa Manutenção Não 281.592 7.459.073 548 Pterodon violaceus algrado 30,0 1,0 7,0 0,3464 Nativa Manutenção Não 281.584 7.459.070 550 Pterodon violaceus algrado 46,0 2,0 7,0 0,8143 Nativa Manutenção Não 281.573 7.459.070 551 Pterodon violaceus algrado 45,0 2,0 7,0 0,7793 Nativa Manutenção Não 281.571 7.459.074 552 Pterodon violaceus algrado 47,0 2,0 7,0 0,8501 Nativa Manutenção Não 281.572 7.459.064 553 Pterodon violaceus algrado 20,0 2,0 7,0 0,1539 Nativa Manutenção Não 281.566 7.459.065 554 Pterodon violaceus algrado 20,0 2,0 7,0 0,1539 Nativa Manutenção Não 281.562 7.459.071 555 Pterodon violaceus algrado 34,0 2,0 7,0 0,4449 Nativa Manutenção Não 281.557 7.459.062 556 Pterodon violaceus algrado 35,0 3,0 6,0 0,4041 Nativa Manutenção Não 281.501 7.459.042 557 Pterodon violaceus algrado 25,0 2,0 7,0 0,2405 Nativa Manutenção Não 281.497 7.459.045 558 Pterodon violaceus algrado 45,0 3,0 6,0 0,6680 Nativa Manutenção Não 281.486 7.459.041 559 Pterodon violaceus algrado 20,0 2,0 7,0 0,1539 Nativa Manutenção Não 281.484 7.459.036 560 Pterodon violaceus algrado 47,0 2,0 6,0 0,7287 Nativa Manutenção Não 281.477 7.459.033 561 Pterodon violaceus algrado 20,0 2,0 6,0 0,1319 Nativa Manutenção Não 281.469 7.459.030 562 Pterodon violaceus algrado 35,0 3,0 7,0 0,4714 Nativa Manutenção Não 281.460 7.459.029 563 Pterodon violaceus algrado 25,0 2,0 7,0 0,2405 Nativa Manutenção Não 281.460 7.459.022 564 Pterodon violaceus algrado 35,0 2,0 7,0 0,4714 Nativa Manutenção Não 281.454 7.459.026 565 Pterodon violaceus algrado 32,0 2,0 7,0 0,3941 Nativa Manutenção Não 281.421 7.459.009 566 Pterodon violaceus algrado 35,0 2,0 7,0 0,4714 Nativa Manutenção Não 281.422 7.459.002 567 Pterodon violaceus algrado 25,0 2,0 7,0 0,2405 Nativa Manutenção Não 281.416 7.459.002 568 Pterodon violaceus algrado 35,0 2,0 7,0 0,4714 Nativa Manutenção Não 281.414 7.458.996
  • 4.
    4 Nº Nome científicoNome popular DAP Altura do fuste Altura Volume Origem Manejo APP X Y 569 Pterodon violaceus algrado 20,0 3,0 7,0 0,1539 Nativa Manutenção Não 281.407 7.459.004 570 Pterodon violaceus algrado 25,0 2,0 7,0 0,2405 Nativa Manutenção Não 281.400 7.459.006 571 Pterodon violaceus algrado 30,0 2,0 7,0 0,3464 Nativa Manutenção Não 281.401 7.459.000 572 Pterodon violaceus algrado 25,0 2,0 7,0 0,2405 Nativa Manutenção Não 281.400 7.458.995 573 Pterodon violaceus algrado 25,0 3,0 7,0 0,2405 Nativa Manutenção Não 281.397 7.458.987 574 Pterodon violaceus algrado 30,0 1,0 7,0 0,3464 Nativa Manutenção Não 281.395 7.458.991 575 Pterodon violaceus algrado 30,0 3,0 7,0 0,3464 Nativa Manutenção Não 281.389 7.458.993 576 Pterodon violaceus algrado 30,0 2,0 7,0 0,3464 Nativa Manutenção Não 281.390 7.458.985 577 Pterodon violaceus algrado 30,0 2,0 7,0 0,3464 Nativa Manutenção Não 281.385 7.458.987 578 Pterodon violaceus algrado 20,0 3,0 6,0 0,1319 Nativa Manutenção Não 281.384 7.458.983 579 Pterodon violaceus algrado 25,0 3,0 7,0 0,2405 Nativa Manutenção Não 281.386 7.458.979 580 Pterodon violaceus algrado 25,0 0,5 7,0 0,2405 Nativa Manutenção Não 281.380 7.458.983 581 Pterodon violaceus algrado 30,0 2,0 7,0 0,3464 Nativa Manutenção Não 281.379 7.458.978 582 Pterodon violaceus algrado 16,0 2,0 7,0 0,0985 Nativa Manutenção Não 281.375 7.458.979 583 Pterodon violaceus algrado 30,0 3,0 7,0 0,3464 Nativa Manutenção Não 281.376 7.458.971 584 Pterodon violaceus algrado 33,0 2,0 6,0 0,3592 Nativa Manutenção Não 281.373 7.458.974 585 Pterodon violaceus algrado 30,0 3,0 7,0 0,3464 Nativa Manutenção Não 281.367 7.458.977 586 Pterodon violaceus algrado 37,0 3,0 7,0 0,5269 Nativa Manutenção Não 281.366 7.458.971 587 Pterodon violaceus algrado 30,0 2,0 6,0 0,2969 Nativa Manutenção Não 281.360 7.458.969 588 Pterodon violaceus algrado 34,0 3,0 7,0 0,4449 Nativa Manutenção Não 281.359 7.458.964 589 Pterodon violaceus algrado 20,0 1,0 6,0 0,1319 Nativa Manutenção Não 281.359 7.458.960 594 Syagrus romanzoffiana jerivá 19,0 0,0 3,0 0,0595 Nativa Manutenção Não 281.285 7.458.904 595 Syagrus romanzoffiana jerivá 17,0 0,0 4,0 0,0636 Nativa Manutenção Não 281.278 7.458.894 636 Schinus terebinthifolia aroeira-pimenteira 27,0 2,0 4,0 0,1603 Nativa Manutenção Não 281.143 7.458.721 643 Caesalpinia ferrea pau-ferro 48,0 4,0 8,0 1,0134 Nativa Manutenção Não 281.014 7.458.587 644 Caesalpinia ferrea pau-ferro 42,0 5,0 8,0 0,7758 Nativa Manutenção Não 281.001 7.458.586 645 Caesalpinia ferrea pau-ferro 40,0 3,0 8,0 0,7037 Nativa Manutenção Não 280.961 7.458.577 646 Caesalpinia ferrea pau-ferro 39,0 4,0 8,0 0,6690 Nativa Manutenção Não 280.952 7.458.577 647 Caesalpinia ferrea pau-ferro 37,0 3,0 8,0 0,6021 Nativa Manutenção Não 280.943 7.458.573 648 Caesalpinia ferrea pau-ferro 45,0 2,0 8,0 0,8906 Nativa Manutenção Não 280.929 7.458.571
  • 5.
    5 Nº Nome científicoNome popular DAP Altura do fuste Altura Volume Origem Manejo APP X Y 649 Caesalpinia ferrea pau-ferro 34,0 3,0 8,0 0,5084 Nativa Manutenção Não 280.909 7.458.566 650 Caesalpinia ferrea pau-ferro 46,0 3,0 9,0 1,0470 Nativa Manutenção Não 280.898 7.458.565 651 Caesalpinia ferrea pau-ferro 41,0 3,0 9,0 0,8318 Nativa Manutenção Não 280.889 7.458.563 652 Caesalpinia ferrea pau-ferro 43,0 3,0 9,0 0,9149 Nativa Manutenção Não 280.880 7.458.558 659 Caesalpinia ferrea pau-ferro 42,0 4,0 8,0 0,7758 Nativa Manutenção Não 280.732 7.458.525 661 Caesalpinia ferrea pau-ferro 40,0 3,0 9,0 0,7917 Nativa Manutenção Não 280.721 7.458.521 663 Triplaris americana pau-formiga 38,0 6,0 8,0 0,6351 Nativa Manutenção Não 280.676 7.458.516 664 Triplaris americana pau-formiga 25,0 4,0 7,0 0,2405 Nativa Manutenção Não 280.674 7.458.522 667 Triplaris americana pau-formiga 30,0 3,0 8,0 0,3958 Nativa Manutenção Não 280.580 7.458.502 670 Triplaris americana pau-formiga 20,0 4,0 7,0 0,1539 Nativa Manutenção Não 280.548 7.458.498 672 Cecropia pachystachya embaúba 10,0 3,0 7,0 0,0385 Nativa Manutenção Não 280.523 7.458.494 676 Triplaris americana pau-formiga 35,0 2,0 8,0 0,5388 Nativa Manutenção Não 280.473 7.458.484 677 Triplaris americana pau-formiga 32,0 5,0 9,0 0,5067 Nativa Manutenção Não 280.410 7.458.473 681 Triplaris americana pau-formiga 30,0 0,5 8,0 0,3958 Nativa Manutenção Não 280.382 7.458.468 685 Triplaris americana pau-formiga 35,0 0,5 7,0 0,4714 Nativa Manutenção Não 280.330 7.458.442 690 Pterodon violaceus algrado 20,0 0,5 7,0 0,1539 Nativa Manutenção Não 280.318 7.458.439 708 Triplaris americana pau-formiga 30,0 2,0 8,0 0,3958 Nativa Manutenção Não 280.203 7.458.460 733 Licania tomentosa oiti 20,0 0,5 6,0 0,1319 Nativa Manutenção Não 279.842 7.458.408 734 Triplaris americana pau-formiga 30,0 2,0 7,0 0,3464 Nativa Manutenção Não 279.831 7.458.407 741 Triplaris americana pau-formiga 35,0 2,0 7,0 0,4714 Nativa Manutenção Não 279.719 7.458.414 743 Triplaris americana pau-formiga 37,0 3,0 5,0 0,3763 Nativa Manutenção Não 279.689 7.458.414 746 Triplaris americana pau-formiga 25,0 3,0 7,0 0,2405 Nativa Manutenção Não 279.651 7.458.418 750 Ficus insipida mata-pau 40,0 1,0 4,0 0,3519 Nativa Manutenção Não 279.578 7.458.433 751 Ficus insipida mata-pau 40,0 1,0 4,0 0,3519 Nativa Manutenção Não 279.578 7.458.433 767 Ceiba speciosa paineira-rosa 48,0 2,0 6,0 0,7600 Nativa Manutenção Não 279.385 7.458.425 768 Caesalpinia pelthophoroides sibipiruna 25,0 2,0 6,0 0,2062 Nativa Manutenção Não 279.378 7.458.429 796 Pterogyne nitens 15,0 0,5 2,0 0,0247 Nativa Manutenção Não 277.908 7.458.321 836 Schinus terebinthifolia aroeira-pimenteira 15,0 0,5 2,0 0,0247 Nativa Manutenção Não 277.391 7.457.808
  • 6.
    6 Anexo 1-2: Síntesedas árvores nativas para manutenção Nome Popular Nome Científico Qnt DAP médio (m) Altura média (m) Volume Total (m³) Syagrus romanzoffiana jerivá 16 22,3 5,3 2,8020 Machaerium hirtum pau-de-angu 4 23,3 5,3 0,7948 Triplaris americana pau-formiga 17 28,6 7,1 6,1956 Syagrus oleracea guariroba 12 25,7 7,6 3,3392 Ceiba speciosa paineira-rosa 5 56,6 8,0 8,4743 Senna multijuga pau-cigarra 13 39,6 7,1 9,0158 Pterogyne nitens amendoim-bravo 3 18,3 4,3 0,2666 Handroanthus heptaphyllus ipê-roxo 1 20,0 5,0 0,1100 Croton urucurana sangra-dágua 1 6,0 2,0 0,0040 Acosmium subelegans amendoim-falso 1 20,0 5,0 0,1100 Tabebuia roseo-alba ipê-branco 1 30,0 5,0 0,2474 Anacardium occidentale cajueiro 1 12,0 3,0 0,0238 Inga sessilis ingá 1 15,0 4,0 0,0495 Caesalpinia ferrea pau-ferro 18 34,4 7,7 10,5102 Pterodon violaceus algrado 45 29,7 6,8 15,8312 Schinus terebinthifolia aroeira-pimenteira 2 21,0 3,0 0,1851 Cecropia pachystachya embaúba 1 10,0 7,0 0,0385 Licania tomentosa oiti 1 20,0 6,0 0,1319 Ficus insipida mata-pau 2 40,0 4,0 0,7037 Caesalpinia pelthophoroides sibipiruna 1 25,0 6,0 0,2062 Total 146 - - 59,0396
  • 7.
    1 Anexo 2-1: Árvoresnativas a serem transplantadas Nº Nome científico Nome popular DAP Altura do fuste Altura Volume Origem Manejo APP X Y 1 Syagrus romanzoffiana jerivá 24,0 0,0 7,0 0,2217 Nativa Transplante Não 288.416 7.464.828 2 Syagrus romanzoffiana jerivá 20,0 0,0 4,0 0,0880 Nativa Transplante Não 288.415 7.464.824 3 Syagrus romanzoffiana jerivá 25,0 0,0 6,0 0,2062 Nativa Transplante Não 288.414 7.464.820 4 Syagrus romanzoffiana jerivá 27,0 0,0 7,0 0,2806 Nativa Transplante Não 288.414 7.464.817 5 Syagrus romanzoffiana jerivá 23,0 0,0 4,0 0,1163 Nativa Transplante Não 288.413 7.464.814 6 Syagrus romanzoffiana jerivá 25,0 0,0 7,0 0,2405 Nativa Transplante Não 288.412 7.464.811 7 Syagrus romanzoffiana jerivá 28,0 0,0 7,0 0,3017 Nativa Transplante Não 288.411 7.464.809 11 Syagrus romanzoffiana jerivá 30,0 0,0 6,0 0,2969 Nativa Transplante Não 288.395 7.464.710 12 Syagrus romanzoffiana jerivá 28,0 0,0 6,0 0,2586 Nativa Transplante Não 288.393 7.464.705 13 Syagrus romanzoffiana jerivá 23,0 0,0 4,0 0,1163 Nativa Transplante Não 288.393 7.464.701 14 Syagrus romanzoffiana jerivá 30,0 0,0 5,0 0,2474 Nativa Transplante Não 288.393 7.464.697 15 Syagrus romanzoffiana jerivá 30,0 0,0 5,0 0,2474 Nativa Transplante Não 288.391 7.464.692 18 Syagrus romanzoffiana jerivá 28,0 0,0 6,0 0,2586 Nativa Transplante Não 288.390 7.464.688 50 Eugenia uniflora pitangueira 14,0 0,5 2,0 0,0216 Nativa Transplante Não 288.147 7.464.387 76 Syagrus romanzoffiana jerivá 15,0 0,0 2,0 0,0247 Nativa Transplante Não 286.753 7.463.461 89 Syagrus romanzoffiana jerivá 20,0 0,0 5,0 0,1100 Nativa Transplante Não 285.808 7.462.506 90 Syagrus romanzoffiana jerivá 20,0 0,0 5,0 0,1100 Nativa Transplante Não 285.803 7.462.504 91 Syagrus romanzoffiana jerivá 30,0 0,0 7,0 0,3464 Nativa Transplante Não 285.799 7.462.501 92 Syagrus romanzoffiana jerivá 23,0 0,0 5,0 0,1454 Nativa Transplante Não 285.619 7.462.347 93 Syagrus romanzoffiana jerivá 20,0 0,0 5,0 0,1100 Nativa Transplante Não 285.617 7.462.349 94 Syagrus romanzoffiana jerivá 28,0 0,0 6,0 0,2586 Nativa Transplante Não 285.614 7.462.350 95 Syagrus romanzoffiana jerivá 25,0 0,0 6,0 0,2062 Nativa Transplante Não 285.612 7.462.351 101 Syagrus romanzoffiana jerivá 27,0 0,0 6,0 0,2405 Nativa Transplante Não 285.593 7.462.353 137 Inga laurina ingá-glabro 10,0 2,0 4,0 0,0220 Nativa Transplante Não 284.967 7.462.261 199 Hymenaea courbaril jatobá 15,0 2,0 5,0 0,0619 Nativa Transplante Não 285.023 7.462.174 220 Hymenaea courbaril jatobá 15,0 2,0 4,0 0,0495 Nativa Transplante Não 284.995 7.462.157 232 Eugenia uniflora pitangueira 10,0 1,0 3,0 0,0165 Nativa Transplante Não 285.036 7.462.150 256 Eugenia uniflora pitangueira 6,0 2,0 3,0 0,0059 Nativa Transplante Não 285.036 7.462.123
  • 8.
    2 Nº Nome científicoNome popular DAP Altura do fuste Altura Volume Origem Manejo APP X Y 294 Eugenia uniflora pitangueira 10,0 2,0 4,0 0,0220 Nativa Transplante Não 285.049 7.462.080 459 Syagrus romanzoffiana jerivá 10,0 0,0 2,0 0,0110 Nativa Transplante Não 283.727 7.460.898 460 Syagrus romanzoffiana jerivá 13,0 0,0 2,0 0,0186 Nativa Transplante Não 283.728 7.460.890 461 Syagrus romanzoffiana jerivá 15,0 0,0 2,0 0,0247 Nativa Transplante Não 283.730 7.460.882 516 Syagrus romanzoffiana jerivá 30,0 0,0 3,0 0,1484 Nativa Transplante Não 283.309 7.460.155 526 Handroanthus ochraceus ipê-amarelo 6,0 2,0 7,0 0,0139 Nativa Transplante Não 282.580 7.459.578 530 Handroanthus ochraceus ipê-amarelo 6,0 2,0 2,0 0,0040 Nativa Transplante Não 282.570 7.459.580 533 Handroanthus ochraceus ipê-amarelo 7,0 2,0 3,0 0,0081 Nativa Transplante Não 282.567 7.459.573 534 Handroanthus ochraceus ipê-amarelo 7,0 2,0 2,0 0,0054 Nativa Transplante Não 282.560 7.459.580 535 Handroanthus ochraceus ipê-amarelo 7,0 2,0 7,0 0,0189 Nativa Transplante Não 282.548 7.459.573 596 Syagrus romanzoffiana jerivá 20,0 0,0 2,0 0,0440 Nativa Transplante Não 281.262 7.458.878 597 Syagrus romanzoffiana jerivá 23,0 0,0 4,0 0,1163 Nativa Transplante Não 281.261 7.458.875 598 Syagrus romanzoffiana jerivá 7,0 0,0 3,0 0,0081 Nativa Transplante Não 281.257 7.458.869 600 Syagrus romanzoffiana jerivá 20,0 0,0 4,0 0,0880 Nativa Transplante Não 281.255 7.458.866 601 Syagrus romanzoffiana jerivá 18,0 0,0 0,0 0,0000 Nativa Transplante Não 281.253 7.458.863 603 Syagrus romanzoffiana jerivá 17,0 0,0 2,0 0,0318 Nativa Transplante Não 281.251 7.458.859 605 Syagrus romanzoffiana jerivá 17,0 0,0 3,0 0,0477 Nativa Transplante Não 281.249 7.458.856 606 Syagrus romanzoffiana jerivá 20,0 0,0 4,0 0,0880 Nativa Transplante Não 281.246 7.458.854 608 Syagrus romanzoffiana jerivá 18,0 0,0 5,0 0,0891 Nativa Transplante Não 281.244 7.458.851 609 Syagrus romanzoffiana jerivá 15,0 0,0 4,0 0,0495 Nativa Transplante Não 281.240 7.458.848 611 Syagrus romanzoffiana jerivá 17,0 0,0 4,0 0,0636 Nativa Transplante Não 281.239 7.458.844 612 Syagrus romanzoffiana jerivá 16,0 0,0 4,0 0,0563 Nativa Transplante Não 281.237 7.458.840 775 Machaerium villosum jacarandá-paulista 20,0 2,0 4,0 0,0880 Nativa Transplante Não 278.559 7.458.459 777 Machaerium villosum jacarandá-paulista 15,0 1,0 3,0 0,0371 Nativa Transplante Não 278.545 7.458.459 786 Handroanthus ochraceus ipê-amarelo 10,0 2,0 4,0 0,0220 Nativa Transplante Não 278.297 7.458.418 794 Qualea grandiflora pau-terra 30,0 2,0 6,0 0,2969 Nativa Transplante Não 277.970 7.458.308 795 Qualea grandiflora pau-terra 20,0 1,0 6,0 0,1319 Nativa Transplante Não 277.963 7.458.308 798 Caruocar brasiliensis pequi 18,0 2,0 4,0 0,0000 Nativa Transplante Não 277.894 7.458.342
  • 9.
    3 Anexo 2-2: Síntesedas árvores nativas a serem transplantadas Nome Popular Nome Científico Qnt DAP médio (m) Altura média (m) Volume Total (m³) Syagrus romanzoffiana jerivá 38 21,7 4,4 5,3167 Eugenia uniflora pitangueira 4 10,0 3,0 0,0660 Inga laurina ingá-glabro 1 10,0 4,0 0,0220 Hymenaea courbaril jatobá 2 15,0 4,5 0,1113 Handroanthus ochraceus ipê-amarelo 6 7,2 4,2 0,0721 Machaerium villosum jacarandá-paulista 2 17,5 3,5 0,1251 Qualea grandiflora pau-terra 2 25,0 6,0 0,4288 Caruocar brasiliensis pequi 1 18,0 4,0 0,0713 Total 56 - - 6,2133
  • 10.
    1 Anexo 3-1: Árvoresnativas a serem suprimidas Nº Nome científico Nome popular DAP Altura do fuste Altura Volume Origem Manejo APP X Y 32 Caesalpinia pelthophoroides sibipiruna 70,0 2,0 6,0 1,6163 Nativa Supressão Não 288.316 7.464.417 41 Caesalpinia pelthophoroides sibipiruna 50,0 2,5 6,0 0,8247 Nativa Supressão Não 288.314 7.464.400 48 Caesalpinia pelthophoroides sibipiruna 35,0 2,0 6,0 0,4041 Nativa Supressão Não 288.306 7.464.374 53 Anacardium occidentale cajueiro 14,0 0,5 2,0 0,0216 Nativa Supressão Não 288.133 7.464.390 58 Machaerium hirtum pau-de-angu 20,0 3,0 8,0 0,1759 Nativa Supressão Não 287.916 7.464.376 59 Machaerium hirtum pau-de-angu 35,0 3,0 8,0 0,5388 Nativa Supressão Não 287.920 7.464.369 60 Machaerium hirtum pau-de-angu 20,0 3,0 7,0 0,1539 Nativa Supressão Não 287.915 7.464.367 67 Schinus molle chorão 30,0 2,0 3,0 0,1484 Nativa Supressão Não 287.704 7.464.214 100 Schinus molle chorão 6,0 0,5 2,0 0,0040 Nativa Supressão Não 285.597 7.462.354 139 Inga sessilis ingá 20,0 0,5 6,0 0,1319 Nativa Supressão Não 284.953 7.462.249 142 Poecilanthes parviflora coração-de-negro 10,0 0,5 4,0 0,0220 Nativa Supressão Não 284.956 7.462.237 186 Schinus molle chorão 27,0 1,0 4,0 0,1603 Nativa Supressão Não 284.982 7.462.205 187 Schinus molle chorão 18,0 1,0 4,0 0,0713 Nativa Supressão Não 284.976 7.462.204 188 Schinus molle chorão 20,0 1,0 4,0 0,0880 Nativa Supressão Não 284.979 7.462.203 190 Poecilanthes parviflora coração-de-negro 10,0 1,0 4,0 0,0220 Nativa Supressão Não 284.984 7.462.200 191 Schinus molle chorão 15,0 1,0 3,0 0,0371 Nativa Supressão Não 284.978 7.462.198 193 Schinus molle chorão 15,0 1,0 3,0 0,0371 Nativa Supressão Não 284.987 7.462.195 194 Schinus molle chorão 10,0 1,0 3,0 0,0165 Nativa Supressão Não 284.978 7.462.195 195 Poecilanthes parviflora coração-de-negro 10,0 0,5 4,0 0,0220 Nativa Supressão Não 284.981 7.462.192 196 Poecilanthes parviflora coração-de-negro 8,0 1,0 4,0 0,0141 Nativa Supressão Não 284.968 7.462.183 200 Poecilanthes parviflora coração-de-negro 10,0 2,0 5,0 0,0275 Nativa Supressão Não 285.031 7.462.174 201 Poecilanthes parviflora coração-de-negro 10,0 0,5 4,0 0,0220 Nativa Supressão Não 285.027 7.462.172 207 Schinus molle chorão 15,0 1,0 4,0 0,0495 Nativa Supressão Não 284.997 7.462.166 210 Lafoensia glyptocarpa mirinduva 6,0 1,0 2,0 0,0040 Nativa Supressão Não 284.993 7.462.163 211 Schinus molle chorão 33,0 3,0 5,0 0,2994 Nativa Supressão Não 284.997 7.462.162 225 Cytharexyllum myrianthum pau-vióla 7,0 2,0 4,0 0,0108 Nativa Supressão Não 285.050 7.462.156 230 Cytharexyllum myrianthum pau-vióla 7,0 2,0 4,0 0,0108 Nativa Supressão Não 285.052 7.462.152 231 Schinus terebinthifolia aroeira-pimenteira 30,0 2,0 7,0 0,3464 Nativa Supressão Não 285.038 7.462.151
  • 11.
    2 Nº Nome científicoNome popular DAP Altura do fuste Altura Volume Origem Manejo APP X Y 237 Schinus terebinthifolia aroeira-pimenteira 20,0 2,0 6,0 0,1319 Nativa Supressão Não 285.048 7.462.144 244 Acosmium subelegans amendoim-falso 30,0 1,0 4,0 0,1979 Nativa Supressão Não 284.996 7.462.137 257 Croton urucurana sangra-dágua 8,0 1,0 2,0 0,0070 Nativa Supressão Não 285.036 7.462.120 268 Samanea tubulosa sete-cascas 30,0 0,5 4,0 0,1979 Nativa Supressão Não 285.001 7.462.111 271 Croton urucurana sangra-dágua 25,0 1,0 4,0 0,1374 Nativa Supressão Não 284.996 7.462.111 274 Handroanthus impetiginosus ipê-roxo 25,0 1,0 4,0 0,1374 Nativa Supressão Não 285.003 7.462.107 276 Schinus terebinthifolia aroeira-pimenteira 25,0 0,5 4,0 0,1374 Nativa Supressão Não 284.995 7.462.105 277 Machaerium hirtum pau-de-angu 25,0 0,5 4,0 0,1374 Nativa Supressão Não 285.000 7.462.104 278 Croton urucurana sangra-dágua 20,0 2,0 4,0 0,0880 Nativa Supressão Não 285.003 7.462.103 289 Tabebuia roseo-alba ipê-branco 25,0 2,0 5,0 0,1718 Nativa Supressão Não 285.063 7.462.083 297 Schinus terebinthifolia aroeira-pimenteira 35,0 2,0 6,0 0,4041 Nativa Supressão Não 285.041 7.462.079 304 Acosmium subelegans amendoim-falso 13,0 1,0 4,0 0,0372 Nativa Supressão Não 285.043 7.462.070 313 Triplaris americana pau-formiga 47,0 4,0 8,0 0,9716 Nativa Supressão Não 284.996 7.462.005 314 Triplaris americana pau-formiga 48,0 5,0 7,0 0,8867 Nativa Supressão Não 285.004 7.461.996 315 Triplaris americana pau-formiga 48,0 4,0 8,0 1,0134 Nativa Supressão Não 284.992 7.461.999 316 Triplaris americana pau-formiga 40,0 5,0 7,0 0,6158 Nativa Supressão Não 284.984 7.461.985 318 Triplaris americana pau-formiga 34,0 7,0 8,0 0,5084 Nativa Supressão Não 284.974 7.461.969 319 Triplaris americana pau-formiga 19,0 1,0 3,0 0,0595 Nativa Supressão Não 284.989 7.461.952 327 Ceiba speciosa paineira-rosa 115,0 2,0 11,0 7,9979 Nativa Supressão Não 284.604 7.461.923 444 Caesalpinia ferrea pau-ferro 30,0 0,5 7,0 0,3464 Nativa Supressão Não 283.746 7.461.208 453 Caesalpinia ferrea pau-ferro 7,0 1,5 2,0 0,0054 Nativa Supressão Não 283.742 7.460.946 454 Caesalpinia ferrea pau-ferro 23,0 2,0 6,0 0,1745 Nativa Supressão Não 283.758 7.460.941 455 Parkia pendula faveira 10,0 1,0 2,0 0,0110 Nativa Supressão Não 283.744 7.460.937 456 Caesalpinia ferrea pau-ferro 54,0 2,0 8,0 1,2825 Nativa Supressão Não 283.759 7.460.933 457 Caesalpinia ferrea pau-ferro 15,0 1,0 2,0 0,0247 Nativa Supressão Não 283.746 7.460.928 458 Caesalpinia ferrea pau-ferro 30,0 2,0 7,0 0,3464 Nativa Supressão Não 283.761 7.460.926 496 Piptadenia gonoacantha pau-jacaré 27,0 2,0 8,0 0,3206 Nativa Supressão Não 283.396 7.460.292 497 Machaerium hirtum pau-de-angu 20,0 1,0 5,0 0,1100 Nativa Supressão Não 283.393 7.460.294 498 Machaerium hirtum pau-de-angu 15,0 1,0 5,0 0,0619 Nativa Supressão Não 283.386 7.460.282 499 Machaerium hirtum pau-de-angu 25,0 2,0 7,0 0,2405 Nativa Supressão Não 283.384 7.460.277
  • 12.
    3 Nº Nome científicoNome popular DAP Altura do fuste Altura Volume Origem Manejo APP X Y 501 Machaerium hirtum pau-de-angu 10,0 0,5 4,0 0,0220 Nativa Supressão Não 283.384 7.460.272 513 Anacardium occidentale cajueiro 7,0 1,0 2,0 0,0054 Nativa Supressão Não 283.311 7.460.175 518 Senna multijuga pau-cigarra 55,0 2,0 7,0 1,1642 Nativa Supressão Sim 282.695 7.459.614 519 Senna multijuga pau-cigarra 25,0 3,0 6,0 0,2062 Nativa Supressão Sim 282.671 7.459.617 520 Senna multijuga pau-cigarra 48,0 1,0 7,0 0,8867 Nativa Supressão Sim 282.638 7.459.615 538 Pterodon violaceus algrado 20,0 1,0 7,0 0,1539 Nativa Supressão Não 281.646 7.459.097 540 Pterodon violaceus algrado 34,0 2,0 7,0 0,4449 Nativa Supressão Não 281.642 7.459.092 541 Pterodon violaceus algrado 20,0 1,0 7,0 0,1539 Nativa Supressão Não 281.631 7.459.089 542 Pterodon violaceus algrado 33,0 2,0 7,0 0,4191 Nativa Supressão Não 281.623 7.459.085 543 Pterodon violaceus algrado 20,0 0,5 7,0 0,1539 Nativa Supressão Não 281.615 7.459.081 544 Pterodon violaceus algrado 32,0 2,0 7,0 0,3941 Nativa Supressão Não 281.607 7.459.077 545 Pterodon violaceus algrado 20,0 2,0 7,0 0,1539 Nativa Supressão Não 281.602 7.459.077 547 Pterodon violaceus algrado 46,0 0,5 7,0 0,8143 Nativa Supressão Não 281.577 7.459.091 549 Pterodon violaceus algrado 23,0 2,0 7,0 0,2036 Nativa Supressão Não 281.570 7.459.084 590 Pterodon violaceus algrado 20,0 2,0 6,0 0,1319 Nativa Supressão Não 281.337 7.458.952 591 Pterodon violaceus algrado 30,0 0,5 6,0 0,2969 Nativa Supressão Não 281.336 7.458.946 592 Pterodon violaceus algrado 33,0 2,0 7,0 0,4191 Nativa Supressão Não 281.324 7.458.946 593 Pterodon violaceus algrado 28,0 3,0 6,0 0,2586 Nativa Supressão Não 281.319 7.458.942 599 Pterodon violaceus algrado 30,0 2,0 6,0 0,2969 Nativa Supressão Não 281.246 7.458.879 602 Pterodon violaceus algrado 40,0 2,0 6,0 0,5278 Nativa Supressão Não 281.241 7.458.871 604 Pterodon violaceus algrado 36,0 2,0 6,0 0,4275 Nativa Supressão Não 281.236 7.458.866 607 Pterodon violaceus algrado 43,0 2,0 6,0 0,6099 Nativa Supressão Não 281.234 7.458.861 610 Pterodon violaceus algrado 42,0 2,0 7,0 0,6789 Nativa Supressão Não 281.229 7.458.854 613 Pterodon violaceus algrado 35,0 2,0 6,0 0,4041 Nativa Supressão Não 281.220 7.458.844 614 Pterodon violaceus algrado 37,0 2,0 6,0 0,4516 Nativa Supressão Não 281.216 7.458.846 615 Pterodon violaceus algrado 35,0 2,0 7,0 0,4714 Nativa Supressão Não 281.218 7.458.840 616 Pterodon violaceus algrado 38,0 2,0 7,0 0,5557 Nativa Supressão Não 281.218 7.458.840 617 Pterodon violaceus algrado 35,0 2,0 7,0 0,4714 Nativa Supressão Não 281.218 7.458.840 618 Ceiba speciosa paineira-rosa 10,0 2,0 4,0 0,0220 Nativa Supressão Não 281.218 7.458.840 619 Pterodon violaceus algrado 35,0 2,0 6,0 0,4041 Nativa Supressão Não 281.215 7.458.841
  • 13.
    4 Nº Nome científicoNome popular DAP Altura do fuste Altura Volume Origem Manejo APP X Y 620 Pterodon violaceus algrado 35,0 2,0 7,0 0,4714 Nativa Supressão Não 281.216 7.458.837 622 Schinus terebinthifolia aroeira-pimenteira 30,0 0,5 5,0 0,2474 Nativa Supressão Não 281.185 7.458.783 624 Schinus terebinthifolia aroeira-pimenteira 30,0 4,0 6,0 0,2969 Nativa Supressão Não 281.178 7.458.783 626 Schinus terebinthifolia aroeira-pimenteira 25,0 0,5 4,0 0,1374 Nativa Supressão Não 281.173 7.458.773 629 Schinus terebinthifolia aroeira-pimenteira 23,0 2,0 4,0 0,1163 Nativa Supressão Não 281.165 7.458.759 632 Schinus terebinthifolia aroeira-pimenteira 30,0 4,0 6,0 0,2969 Nativa Supressão Não 281.158 7.458.745 634 Schinus terebinthifolia aroeira-pimenteira 25,0 0,5 4,0 0,1374 Nativa Supressão Não 281.150 7.458.734 637 Schinus terebinthifolia aroeira-pimenteira 37,0 0,5 6,0 0,4516 Nativa Supressão Não 281.137 7.458.710 653 Caesalpinia ferrea pau-ferro 43,0 4,0 8,0 0,8132 Nativa Supressão Não 280.863 7.458.557 654 Caesalpinia ferrea pau-ferro 49,0 4,0 8,0 1,0560 Nativa Supressão Não 280.853 7.458.555 655 Caesalpinia ferrea pau-ferro 45,0 4,0 8,0 0,8906 Nativa Supressão Não 280.798 7.458.545 656 Caesalpinia ferrea pau-ferro 50,0 3,0 8,0 1,0996 Nativa Supressão Não 280.786 7.458.545 657 Caesalpinia ferrea pau-ferro 51,0 4,0 9,0 1,2870 Nativa Supressão Não 280.780 7.458.541 658 Caesalpinia ferrea pau-ferro 46,0 4,0 8,0 0,9307 Nativa Supressão Não 280.732 7.458.534 660 Caesalpinia ferrea pau-ferro 45,0 4,0 8,0 0,8906 Nativa Supressão Não 280.719 7.458.533 662 Caesalpinia ferrea pau-ferro 45,0 3,0 8,0 0,8906 Nativa Supressão Não 280.713 7.458.525 679 Triplaris americana pau-formiga 20,0 2,0 7,0 0,1539 Nativa Supressão Não 280.397 7.458.469 688 Triplaris americana pau-formiga 18,0 3,0 7,0 0,1247 Nativa Supressão Não 280.319 7.458.466 691 Triplaris americana pau-formiga 20,0 2,0 6,0 0,1319 Nativa Supressão Não 280.316 7.458.462 693 Pterodon violaceus algrado 26,0 1,0 7,0 0,2602 Nativa Supressão Não 280.312 7.458.404 694 Pterodon violaceus algrado 25,0 1,0 7,0 0,2405 Nativa Supressão Não 280.305 7.458.449 696 Triplaris americana pau-formiga 25,0 2,0 8,0 0,2749 Nativa Supressão Não 280.287 7.458.455 697 Triplaris americana pau-formiga 20,0 5,0 9,0 0,1979 Nativa Supressão Não 280.284 7.458.469 699 Machaerium hirtum pau-de-angu 25,0 0,5 4,0 0,1374 Nativa Supressão Não 280.275 7.458.465 700 Triplaris americana pau-formiga 20,0 5,0 7,0 0,1539 Nativa Supressão Não 280.267 7.458.465 705 Triplaris americana pau-formiga 20,0 2,0 8,0 0,1759 Nativa Supressão Não 280.244 7.458.464 714 Triplaris americana pau-formiga 30,0 4,0 7,0 0,3464 Nativa Supressão Não 280.065 7.458.428 715 Triplaris americana pau-formiga 40,0 2,0 8,0 0,7037 Nativa Supressão Não 280.048 7.458.424 718 Caesalpinia pelthophoroides sibipiruna 60,0 1,0 7,0 1,3854 Nativa Supressão Não 280.006 7.458.415 725 Triplaris americana pau-formiga 20,0 4,0 7,0 0,1539 Nativa Supressão Não 279.938 7.458.409
  • 14.
    5 Nº Nome científicoNome popular DAP Altura do fuste Altura Volume Origem Manejo APP X Y 726 Triplaris americana pau-formiga 30,0 6,0 8,0 0,3958 Nativa Supressão Não 279.924 7.458.406 728 Licania tomentosa oiti 7,0 0,5 5,0 0,0135 Nativa Supressão Não 279.903 7.458.405 744 Triplaris americana pau-formiga 36,0 3,0 7,0 0,4988 Nativa Supressão Não 279.678 7.458.414 745 Triplaris americana pau-formiga 30,0 3,0 7,0 0,3464 Nativa Supressão Não 279.664 7.458.415 773 Platypodium elegans amendoim-do-campo 20,0 1,0 4,0 0,0880 Nativa Supressão Não 278.573 7.458.463 774 Platypodium elegans amendoim-do-campo 20,0 1,0 4,0 0,0880 Nativa Supressão Não 278.565 7.458.463 776 Platypodium elegans amendoim-do-campo 20,0 1,0 3,0 0,0660 Nativa Supressão Não 278.557 7.458.463 778 Handroanthus impetiginosus ipê-roxo 20,0 0,5 6,0 0,1319 Nativa Supressão Não 278.438 7.458.453 780 Caesalpinia pelthophoroides sibipiruna 15,0 0,5 7,0 0,0866 Nativa Supressão Não 278.419 7.458.448 781 Handroanthus impetiginosus ipê-roxo 30,0 1,0 7,0 0,3464 Nativa Supressão Não 278.409 7.458.446 785 Handroanthus impetiginosus ipê-roxo 35,0 4,0 7,0 0,4714 Nativa Supressão Não 278.306 7.458.420 787 Handroanthus impetiginosus ipê-roxo 20,0 0,5 7,0 0,1539 Nativa Supressão Não 278.283 7.458.413 788 Caesalpinia pelthophoroides sibipiruna 27,0 0,5 7,0 0,2806 Nativa Supressão Não 278.253 7.458.409 789 Ficus insipida mata-pau 10,0 1,0 4,0 0,0220 Nativa Supressão Não 278.101 7.458.335 790 Ficus insipida mata-pau 10,0 1,0 4,0 0,0220 Nativa Supressão Não 278.101 7.458.335 792 Ficus insipida mata-pau 20,0 1,0 4,0 0,0880 Nativa Supressão Não 278.077 7.458.331 793 Ficus insipida mata-pau 20,0 1,0 4,0 0,0880 Nativa Supressão Não 278.077 7.458.331 799 Parkia pendula faveira 10,0 1,0 4,0 0,0220 Nativa Supressão Não 277.893 7.458.283 803 Caesalpinia pelthophoroides sibipiruna 30,0 0,5 5,0 0,2474 Nativa Supressão Não 277.687 7.458.118 815 Anacardium occidentale cajueiro 20,0 1,0 4,0 0,0880 Nativa Supressão Não 277.613 7.458.056 822 Parkia pendula faveira 10,0 2,0 3,0 0,0165 Nativa Supressão Não 277.542 7.458.008 829 Parkia pendula faveira 15,0 0,5 4,0 0,0495 Nativa Supressão Não 277.532 7.457.999 830 Cecropia pachystachya embaúba 20,0 2,0 7,0 0,1539 Nativa Supressão Não 277.530 7.458.001 834 Parkia pendula faveira 6,0 0,5 3,0 0,0059 Nativa Supressão Não 277.528 7.457.995 837 Gochnatia polymorpha candeia 40,0 2,0 6,0 0,5278 Nativa Supressão Não 277.387 7.457.803 840 Inga sessilis ingá 10,0 0,5 4,0 0,0220 Nativa Supressão Não 277.391 7.457.777 841 Inga laurina ingá-glabro 20,0 0,5 4,0 0,0880 Nativa Supressão Não 277.389 7.457.770 842 Schinus terebinthifolia aroeira-pimenteira 23,0 2,0 4,0 0,1163 Nativa Supressão Não 277.392 7.457.767
  • 15.
    6 Anexo 3-2: Síntesedas árvores nativas a serem suprimidas Nome Científico Nome Popular Qnt DAP médio (m) Altura média (m) Volume Total (m³) Caesalpinia pelthophoroides sibipiruna 7 41,0 6,3 4,8451 Anacardium occidentale cajueiro 3 13,7 2,7 0,1149 Machaerium hirtum pau-de-angu 9 21,7 5,8 1,5779 Schinus molle chorão 10 18,9 3,5 0,9115 Inga sessilis ingá 2 15,0 5,0 0,1539 Poecilanthes parviflora coração-de-negro 6 9,7 4,2 0,1295 Lafoensia glyptocarpa mirinduva 1 6,0 2,0 0,0040 Cytharexyllum myrianthum pau-vióla 2 7,0 4,0 0,0216 Schinus terebinthifolia aroeira-pimenteira 12 27,8 5,2 2,8201 Acosmium subelegans amendoim-falso 2 21,5 4,0 0,2351 Croton urucurana sangra-dágua 3 17,7 3,3 0,2324 Samanea tubulosa sete-cascas 1 30,0 4,0 0,1979 Handroanthus impetiginosus ipê-roxo 5 26,0 6,2 1,2411 Tabebuia roseo-alba ipê-branco 1 25,0 5,0 0,1718 Triplaris americana pau-formiga 19 29,7 7,2 7,7136 Ceiba speciosa paineira-rosa 2 62,5 7,5 8,0199 Caesalpinia ferrea pau-ferro 14 38,1 6,9 10,0382 Parkia pendula faveira 5 10,2 3,2 0,1049 Piptadenia gonoacantha pau-jacaré 1 27,0 8,0 0,3206 Senna multijuga pau-cigarra 3 42,7 6,7 2,2570 Pterodon violaceus algrado 27 31,5 6,6 10,2697 Licania tomentosa oiti 1 7,0 5,0 0,0135 Platypodium elegans amendoim-do-campo 3 20,0 3,7 0,2419 Ficus insipida mata-pau 4 15,0 4,0 0,2199 Cecropia pachystachya embaúba 1 20,0 7,0 0,1539 Gochnatia polymorpha candeia 1 40,0 6,0 0,5278 Inga laurina ingá-glabro 1 20,0 4,0 0,0880
  • 16.
    1 Anexo 4-1: Árvoresexóticas a serem suprimidas Nº Nome científico Nome popular DAP Altura do fuste Altura Volume Origem Manejo APP X Y 8 Phoenix canariensis tamareira-das-canárias 30,0 0,0 4,0 0,1979 Exótica Supressão Não 288.393 7.464.762 9 Phoenix canariensis tamareira-das-canárias 25,0 0,0 4,0 0,1374 Exótica Supressão Não 288.394 7.464.758 10 Phoenix canariensis tamareira-das-canárias 25,0 0,0 4,0 0,1374 Exótica Supressão Não 288.392 7.464.752 16 Roystonea oleracea palmeira-imperial 25,0 0,0 2,0 0,0687 Exótica Supressão Não 288.380 7.464.694 17 Roystonea oleracea palmeira-imperial 25,0 0,0 2,0 0,0687 Exótica Supressão Não 288.380 7.464.694 19 Roystonea oleracea palmeira-imperial 25,0 0,0 2,0 0,0687 Exótica Supressão Não 288.375 7.464.675 20 Roystonea oleracea palmeira-imperial 25,0 0,0 2,0 0,0687 Exótica Supressão Não 288.375 7.464.675 21 Roystonea oleracea palmeira-imperial 35,0 0,0 3,0 0,2020 Exótica Supressão Não 288.366 7.464.648 22 Roystonea oleracea palmeira-imperial 35,0 0,0 3,0 0,2020 Exótica Supressão Não 288.366 7.464.648 23 Roystonea oleracea palmeira-imperial 15,0 0,0 2,0 0,0247 Exótica Supressão Não 288.335 7.464.542 24 Roystonea oleracea palmeira-imperial 15,0 0,0 2,0 0,0247 Exótica Supressão Não 288.335 7.464.542 25 Roystonea oleracea palmeira-imperial 15,0 0,0 2,0 0,0247 Exótica Supressão Não 288.331 7.464.523 26 Roystonea oleracea palmeira-imperial 15,0 0,0 2,0 0,0247 Exótica Supressão Não 288.331 7.464.523 29 Tipuana tipu tipuana 68,0 3,0 8,0 2,0337 Exótica Supressão Não 288.284 7.464.433 31 Senna didymobotrya cássia-africana 18,0 2,0 4,0 0,0713 Exótica Supressão Não 288.282 7.464.429 34 Senna didymobotrya cássia-africana 18,0 2,0 5,0 0,0891 Exótica Supressão Não 288.281 7.464.425 35 Senna didymobotrya cássia-africana 18,0 2,0 4,0 0,0713 Exótica Supressão Não 288.280 7.464.422 36 Tipuana tipu tipuana 63,0 2,0 8,0 1,7457 Exótica Supressão Não 288.278 7.464.420 38 Tipuana tipu tipuana 75,0 2,0 8,0 2,4740 Exótica Supressão Não 288.278 7.464.416 39 Ligustrum lucidum alfeneiro 30,0 2,0 6,0 0,2969 Exótica Invasora Supressão Não 288.278 7.464.416 40 Tipuana tipu tipuana 78,0 2,0 8,0 2,6759 Exótica Supressão Não 288.277 7.464.413 42 Tipuana tipu tipuana 65,0 2,0 8,0 1,8583 Exótica Supressão Não 288.275 7.464.411 43 Phoenix canariensis tamareira-das-canárias 30,0 0,0 8,0 0,3958 Exótica Supressão Não 288.297 7.464.390 44 Phoenix canariensis tamareira-das-canárias 50,0 0,0 5,0 0,6872 Exótica Supressão Não 288.291 7.464.389 45 Phoenix canariensis tamareira-das-canárias 53,0 0,0 6,0 0,9266 Exótica Supressão Não 288.300 7.464.386 49 Morus nigra amoreira 13,0 0,5 2,0 0,0186 Exótica Invasora Supressão Não 288.148 7.464.390 51 Mangifera indica mangueira 14,0 0,5 4,0 0,0431 Exótica Invasora Supressão Não 288.138 7.464.390
  • 17.
    2 Nº Nome científicoNome popular DAP Altura do fuste Altura Volume Origem Manejo APP X Y 52 Mangifera indica mangueira 14,0 0,5 4,0 0,0431 Exótica Invasora Supressão Não 288.138 7.464.390 57 Tipuana tipu tipuana 25,0 2,0 8,0 0,2749 Exótica Supressão Não 287.921 7.464.374 62 Persea americana abacateiro 15,0 1,5 4,0 0,0495 Exótica Invasora Supressão Não 287.880 7.464.341 65 Morus nigra amoreira 15,0 0,5 2,0 0,0247 Exótica Invasora Supressão Não 287.763 7.464.257 66 Melia azadirachta santa-bárbara 30,0 2,0 4,0 0,1979 Exótica Supressão Não 287.708 7.464.217 71 Caryota urens palmeira-rabo-de-peixe 12,0 0,0 4,0 0,0317 Exótica Invasora Supressão Não 286.975 7.463.690 77 Peltophorum dubium canafístula 40,0 0,5 8,0 0,7037 Exótica Supressão Não 286.502 7.463.179 78 Peltophorum dubium canafístula 40,0 2,0 7,0 0,6158 Exótica Supressão Não 286.514 7.463.169 79 Peltophorum dubium canafístula 40,0 0,5 7,0 0,6158 Exótica Supressão Não 286.503 7.463.173 80 Peltophorum dubium canafístula 30,0 3,0 6,0 0,2969 Exótica Supressão Não 286.498 7.463.173 81 Peltophorum dubium canafístula 35,0 3,0 7,0 0,4714 Exótica Supressão Não 286.508 7.463.166 82 Leucaena leucocephala leucena 8,0 2,0 4,0 0,0141 Exótica Invasora Supressão Não 286.500 7.463.152 83 Peltophorum dubium canafístula 18,0 2,0 5,0 0,0891 Exótica Supressão Não 286.488 7.463.155 84 Peltophorum dubium canafístula 37,0 3,0 7,0 0,5269 Exótica Supressão Não 286.491 7.463.149 85 Peltophorum dubium canafístula 40,0 5,0 7,0 0,6158 Exótica Supressão Não 286.484 7.463.138 86 Peltophorum dubium canafístula 54,0 3,0 7,0 1,1222 Exótica Supressão Não 286.476 7.463.138 87 Peltophorum dubium canafístula 12,0 2,0 5,0 0,0396 Exótica Supressão Não 286.479 7.463.131 88 Senna didymobotrya cássia-africana 28,0 2,0 4,0 0,1724 Exótica Supressão Não 286.347 7.462.949 96 Callistemon viminalis escova-de-garrafa 7,0 2,0 3,0 0,0081 Exótica Supressão Não 285.603 7.462.363 97 Tipuana tipu tipuana 48,0 3,0 7,0 0,8867 Exótica Supressão Não 285.599 7.462.362 98 Bauhinia variegata pata-de-vaca 35,0 2,0 6,0 0,4041 Exótica Supressão Não 285.601 7.462.358 99 Callistemon viminalis escova-de-garrafa 8,0 2,0 3,0 0,0106 Exótica Supressão Não 285.596 7.462.357 116 Plumeria rubra jasmim-manga 20,0 2,0 5,0 0,1100 Exótica Supressão Não 285.474 7.462.330 124 Mangifera indica mangueira 30,0 2,0 7,0 0,3464 Exótica Invasora Supressão Não 285.459 7.462.311 125 Mangifera indica mangueira 30,0 2,0 7,0 0,3464 Exótica Invasora Supressão Não 285.459 7.462.311 135 Morus nigra amoreira 30,0 1,0 5,0 0,2474 Exótica Invasora Supressão Não 285.391 7.462.256 138 Muntingia calabura calabura 20,0 2,0 4,0 0,0880 Exótica Supressão Não 284.969 7.462.248 140 Leucaena leucocephala leucena 6,0 0,5 2,0 0,0040 Exótica Invasora Supressão Não 284.968 7.462.237
  • 18.
    3 Nº Nome científicoNome popular DAP Altura do fuste Altura Volume Origem Manejo APP X Y 141 Leucaena leucocephala leucena 6,0 0,5 2,0 0,0040 Exótica Invasora Supressão Não 284.970 7.462.237 143 Leucaena leucocephala leucena 6,0 0,5 2,0 0,0040 Exótica Invasora Supressão Não 284.970 7.462.236 144 Leucaena leucocephala leucena 7,0 0,5 2,0 0,0054 Exótica Invasora Supressão Não 284.968 7.462.235 145 Leucaena leucocephala leucena 6,0 0,5 2,0 0,0040 Exótica Invasora Supressão Não 284.970 7.462.234 146 Leucaena leucocephala leucena 6,0 0,5 2,0 0,0040 Exótica Invasora Supressão Não 284.969 7.462.233 147 Leucaena leucocephala leucena 6,0 0,5 2,0 0,0040 Exótica Invasora Supressão Não 284.971 7.462.232 148 Leucaena leucocephala leucena 6,0 0,5 2,0 0,0040 Exótica Invasora Supressão Não 284.970 7.462.232 149 Leucaena leucocephala leucena 6,0 0,5 2,0 0,0040 Exótica Invasora Supressão Não 284.971 7.462.231 150 Leucaena leucocephala leucena 6,0 0,5 2,0 0,0040 Exótica Invasora Supressão Não 284.970 7.462.230 151 Leucaena leucocephala leucena 6,0 0,5 2,0 0,0040 Exótica Invasora Supressão Não 284.972 7.462.229 152 Leucaena leucocephala leucena 6,0 0,5 2,0 0,0040 Exótica Invasora Supressão Não 284.971 7.462.229 153 Leucaena leucocephala leucena 6,0 0,5 2,0 0,0040 Exótica Invasora Supressão Não 284.972 7.462.228 154 Leucaena leucocephala leucena 8,0 0,5 2,0 0,0070 Exótica Invasora Supressão Não 284.972 7.462.226 155 Leucaena leucocephala leucena 6,0 0,5 2,0 0,0040 Exótica Invasora Supressão Não 284.974 7.462.225 156 Leucaena leucocephala leucena 6,0 0,5 2,0 0,0040 Exótica Invasora Supressão Não 284.972 7.462.225 157 Leucaena leucocephala leucena 6,0 0,5 2,0 0,0040 Exótica Invasora Supressão Não 284.974 7.462.223 158 Leucaena leucocephala leucena 7,0 0,5 2,0 0,0054 Exótica Invasora Supressão Não 284.973 7.462.223 159 Leucaena leucocephala leucena 6,0 0,5 2,0 0,0040 Exótica Invasora Supressão Não 284.973 7.462.222 160 Leucaena leucocephala leucena 6,0 0,5 2,0 0,0040 Exótica Invasora Supressão Não 284.974 7.462.221 161 Leucaena leucocephala leucena 28,0 1,0 5,0 0,2155 Exótica Invasora Supressão Não 284.959 7.462.220 162 Leucaena leucocephala leucena 6,0 0,5 2,0 0,0040 Exótica Invasora Supressão Não 284.975 7.462.220 163 Leucaena leucocephala leucena 6,0 0,5 2,0 0,0040 Exótica Invasora Supressão Não 284.973 7.462.220 164 Leucaena leucocephala leucena 8,0 0,5 2,0 0,0070 Exótica Invasora Supressão Não 284.974 7.462.219 165 Leucaena leucocephala leucena 6,0 0,5 2,0 0,0040 Exótica Invasora Supressão Não 284.976 7.462.218 166 Leucaena leucocephala leucena 6,0 0,5 2,0 0,0040 Exótica Invasora Supressão Não 284.974 7.462.217 167 Leucaena leucocephala leucena 7,0 0,5 2,0 0,0054 Exótica Invasora Supressão Não 284.976 7.462.217 168 Leucaena leucocephala leucena 6,0 0,5 2,0 0,0040 Exótica Invasora Supressão Não 284.977 7.462.216 169 Leucaena leucocephala leucena 6,0 0,5 2,0 0,0040 Exótica Invasora Supressão Não 284.974 7.462.216
  • 19.
    4 Nº Nome científicoNome popular DAP Altura do fuste Altura Volume Origem Manejo APP X Y 170 Leucaena leucocephala leucena 6,0 0,5 2,0 0,0040 Exótica Invasora Supressão Não 284.976 7.462.215 171 Leucaena leucocephala leucena 6,0 0,5 2,0 0,0040 Exótica Invasora Supressão Não 284.978 7.462.215 172 Leucaena leucocephala leucena 7,0 0,5 2,0 0,0054 Exótica Invasora Supressão Não 284.977 7.462.214 173 Leucaena leucocephala leucena 6,0 0,5 2,0 0,0040 Exótica Invasora Supressão Não 284.978 7.462.214 174 Leucaena leucocephala leucena 6,0 0,5 2,0 0,0040 Exótica Invasora Supressão Não 284.975 7.462.213 175 Leucaena leucocephala leucena 6,0 0,5 2,0 0,0040 Exótica Invasora Supressão Não 284.977 7.462.213 176 Leucaena leucocephala leucena 6,0 0,5 2,0 0,0040 Exótica Invasora Supressão Não 284.980 7.462.213 177 Leucaena leucocephala leucena 6,0 0,5 2,0 0,0040 Exótica Invasora Supressão Não 284.978 7.462.212 178 Leucaena leucocephala leucena 6,0 0,5 2,0 0,0040 Exótica Invasora Supressão Não 284.976 7.462.211 179 Terminalia catappa chapéu-de-praia 14,0 1,0 2,0 0,0216 Exótica Supressão Não 284.964 7.462.211 180 Leucaena leucocephala leucena 6,0 0,5 2,0 0,0040 Exótica Invasora Supressão Não 284.980 7.462.211 181 Leucaena leucocephala leucena 6,0 0,5 2,0 0,0040 Exótica Invasora Supressão Não 284.978 7.462.211 182 Leucaena leucocephala leucena 8,0 0,5 2,0 0,0070 Exótica Invasora Supressão Não 284.977 7.462.210 183 Leucaena leucocephala leucena 6,0 0,5 2,0 0,0040 Exótica Invasora Supressão Não 284.979 7.462.210 184 Leucaena leucocephala leucena 39,0 1,0 5,0 0,4181 Exótica Invasora Supressão Não 284.958 7.462.208 185 Muntingia calabura calabura 25,0 1,0 4,0 0,1374 Exótica Supressão Não 284.979 7.462.208 189 Leucaena leucocephala leucena 57,0 1,0 5,0 0,8931 Exótica Invasora Supressão Não 284.980 7.462.200 192 Muntingia calabura calabura 25,0 1,0 4,0 0,1374 Exótica Supressão Não 284.982 7.462.197 197 Leucaena leucocephala leucena 30,0 0,5 5,0 0,2474 Exótica Invasora Supressão Não 284.982 7.462.176 198 Delonix regia flamboyant 40,0 2,0 6,0 0,5278 Exótica Supressão Não 285.027 7.462.176 202 Handroanthus pentaphyllus ipê-bálsamo 50,0 0,5 5,0 0,6872 Exótica Supressão Não 284.993 7.462.170 203 Morus nigra amoreira 12,0 1,0 5,0 0,0396 Exótica Invasora Supressão Não 285.022 7.462.171 205 Artocarpus heterophyllus jaqueira 10,0 2,0 5,0 0,0275 Exótica Invasora Supressão Não 285.024 7.462.168 206 Peltophorum dubium canafístula 40,0 1,0 8,0 0,7037 Exótica Supressão Não 285.027 7.462.168 208 Muntingia calabura calabura 18,0 2,0 5,0 0,0891 Exótica Supressão Não 284.990 7.462.165 209 Persea americana abacateiro 18,0 0,5 6,0 0,1069 Exótica Invasora Supressão Não 285.035 7.462.166 212 Murraya paniculata murta 6,0 0,5 3,0 0,0059 Exótica Supressão Não 285.042 7.462.163 213 Psidium guajava goiabeira 20,0 1,0 3,0 0,0660 Exótica Invasora Supressão Não 285.035 7.462.162
  • 20.
    5 Nº Nome científicoNome popular DAP Altura do fuste Altura Volume Origem Manejo APP X Y 214 Psidium guajava goiabeira 10,0 2,0 4,0 0,0220 Exótica Invasora Supressão Não 284.989 7.462.159 215 Murraya paniculata murta 6,0 0,5 3,0 0,0059 Exótica Supressão Não 285.046 7.462.162 216 Murraya paniculata murta 6,0 0,5 3,0 0,0059 Exótica Supressão Não 285.038 7.462.161 217 Murraya paniculata murta 6,0 0,5 3,0 0,0059 Exótica Supressão Não 285.041 7.462.160 218 Murraya paniculata murta 8,0 0,5 3,0 0,0106 Exótica Supressão Não 285.048 7.462.161 219 Murraya paniculata murta 7,0 0,5 3,0 0,0081 Exótica Supressão Não 285.044 7.462.160 221 Murraya paniculata murta 7,0 0,5 3,0 0,0081 Exótica Supressão Não 285.035 7.462.159 222 Psidium guajava goiabeira 16,0 0,5 3,0 0,0422 Exótica Invasora Supressão Não 285.039 7.462.158 223 Psidium guajava goiabeira 18,0 1,0 3,0 0,0534 Exótica Invasora Supressão Não 285.047 7.462.158 224 Psidium guajava goiabeira 17,0 0,5 3,0 0,0477 Exótica Invasora Supressão Não 285.043 7.462.157 226 Artocarpus altilis fruta-pão 20,0 2,0 6,0 0,1319 Exótica Supressão Não 285.037 7.462.154 227 Ficus benjamina figueira-benjamina 30,0 2,0 4,0 0,1979 Exótica Supressão Não 284.992 7.462.151 228 Mangifera indica mangueira 30,0 2,0 6,0 0,2969 Exótica Invasora Supressão Não 285.039 7.462.153 229 Mangifera indica mangueira 30,0 2,0 6,0 0,2969 Exótica Invasora Supressão Não 285.039 7.462.153 233 Psidium guajava goiabeira 10,0 2,0 4,0 0,0220 Exótica Invasora Supressão Não 285.041 7.462.150 234 Mangifera indica mangueira 25,0 1,0 4,0 0,1374 Exótica Invasora Supressão Não 284.989 7.462.146 235 Mangifera indica mangueira 25,0 1,0 4,0 0,1374 Exótica Invasora Supressão Não 284.989 7.462.146 236 Jacaranda mimosaefolia jacarandá 38,0 4,0 7,0 0,5557 Exótica Supressão Não 285.037 7.462.147 238 Peltophorum dubium canafístula 70,0 2,0 8,0 2,1551 Exótica Supressão Não 285.051 7.462.143 239 Mangifera indica mangueira 10,0 2,0 4,0 0,0220 Exótica Invasora Supressão Não 285.046 7.462.141 240 Mangifera indica mangueira 10,0 2,0 4,0 0,0220 Exótica Invasora Supressão Não 285.046 7.462.141 241 Citrus limonia limão-cravo 10,0 2,0 4,0 0,0220 Exótica Supressão Não 285.051 7.462.140 242 Persea americana abacateiro 20,0 2,0 6,0 0,1319 Exótica Invasora Supressão Não 285.054 7.462.140 243 Persea americana abacateiro 25,0 3,0 6,0 0,2062 Exótica Invasora Supressão Não 285.043 7.462.140 245 Psidium guajava goiabeira 6,0 0,5 4,0 0,0079 Exótica Invasora Supressão Não 285.052 7.462.138 246 Schizolobium parahyba guapuruvu 50,0 10,0 14,0 1,9242 Exótica Invasora Supressão Não 285.045 7.462.137 247 Morus nigra amoreira 20,0 1,0 6,0 0,1319 Exótica Invasora Supressão Não 285.055 7.462.137 248 Hibiscus rosa-sinensis hibísco 6,0 0,5 4,0 0,0079 Exótica Supressão Não 285.048 7.462.136
  • 21.
    6 Nº Nome científicoNome popular DAP Altura do fuste Altura Volume Origem Manejo APP X Y 249 Handroanthus pentaphyllus ipê-bálsamo 10,0 1,0 3,0 0,0165 Exótica Supressão Não 284.994 7.462.133 250 Dracaena arborea dracena-arbórea 28,0 4,0 6,0 0,2586 Exótica Supressão Não 285.053 7.462.134 251 Psidium guajava goiabeira 20,0 2,0 4,0 0,0880 Exótica Invasora Supressão Não 285.053 7.462.130 252 Citrus limonia limão-cravo 6,0 1,0 4,0 0,0079 Exótica Supressão Não 285.061 7.462.129 253 Annona squamosa pinha 20,0 2,0 5,0 0,1100 Exótica Supressão Não 285.063 7.462.126 254 Mangifera indica Mangueira 8,0 2,0 4,0 0,0141 Exótica Invasora Supressão Não 285.031 7.462.123 255 Mangifera indica Mangueira 8,0 2,0 4,0 0,0141 Exótica Invasora Supressão Não 285.031 7.462.123 258 Terminalia catappa chapéu-de-praia 6,0 2,0 3,0 0,0059 Exótica Supressão Não 285.040 7.462.121 260 Cordia abyssinica cordia-africana 20,0 2,0 5,0 0,1100 Exótica Supressão Não 285.043 7.462.119 261 Cordia abyssinica cordia-africana 20,0 2,0 4,0 0,0880 Exótica Supressão Não 285.041 7.462.117 262 Cordia abyssinica cordia-africana 20,0 2,0 4,0 0,0880 Exótica Supressão Não 285.037 7.462.116 263 Muntingia calabura calabura 23,0 2,0 4,0 0,1163 Exótica Supressão Não 285.034 7.462.116 264 Schizolobium parahyba guapuruvu 55,0 6,0 9,0 1,4968 Exótica Invasora Supressão Não 284.998 7.462.113 265 Cordia abyssinica cordia-africana 20,0 2,0 4,0 0,0880 Exótica Supressão Não 285.044 7.462.115 266 Cordia abyssinica cordia-africana 15,0 2,0 3,0 0,0371 Exótica Supressão Não 285.040 7.462.114 267 Cordia abyssinica cordia-africana 43,0 2,0 6,0 0,6099 Exótica Supressão Não 285.038 7.462.113 269 Ficus benjamina figueira-benjamina 30,0 1,0 5,0 0,2474 Exótica Supressão Não 285.048 7.462.111 270 Murraya paniculata murta 10,0 1,0 3,0 0,0165 Exótica Supressão Não 285.052 7.462.108 272 Handroanthus pentaphyllus ipê-bálsamo 45,0 2,0 7,0 0,7793 Exótica Supressão Não 285.048 7.462.106 273 Delonix regia flamboyant 38,0 0,5 4,0 0,3176 Exótica Supressão Não 284.998 7.462.108 275 Ficus benjamina figueira-benjamina 6,0 1,0 2,0 0,0040 Exótica Supressão Não 285.052 7.462.102 279 Senna didymobotrya cássia-africana 18,0 4,0 6,0 0,1069 Exótica Supressão Não 285.055 7.462.097 280 Bauhinia variegata pata-de-vaca 18,0 2,0 4,0 0,0713 Exótica Supressão Não 284.999 7.462.101 282 Mangifera indica mangueira 20,0 2,0 5,0 0,1100 Exótica Invasora Supressão Não 285.053 7.462.092 283 Mangifera indica mangueira 20,0 2,0 5,0 0,1100 Exótica Invasora Supressão Não 285.053 7.462.092 284 Terminalia catappa chapéu-de-praia 20,0 2,0 4,0 0,0880 Exótica Supressão Não 285.063 7.462.090 285 Psidium guajava goiabeira 12,0 1,0 2,0 0,0158 Exótica Invasora Supressão Não 285.004 7.462.095 286 Artocarpus heterophyllus jaqueira 25,0 1,0 4,0 0,1374 Exótica Invasora Supressão Não 285.054 7.462.087
  • 22.
    7 Nº Nome científicoNome popular DAP Altura do fuste Altura Volume Origem Manejo APP X Y 287 Leucaena leucocephala leucena 20,0 1,0 4,0 0,0880 Exótica Invasora Supressão Não 285.003 7.462.091 290 Senna didymobotrya cássia-africana 30,0 2,0 6,0 0,2969 Exótica Supressão Não 285.058 7.462.083 292 Albizia lebbeck batata-frita 45,0 2,0 6,0 0,6680 Exótica Invasora Supressão Não 285.061 7.462.080 293 Morus nigra amoreira 20,0 2,0 5,0 0,1100 Exótica Invasora Supressão Não 285.055 7.462.080 296 Leucaena leucocephala leucena 18,0 1,0 4,0 0,0713 Exótica Invasora Supressão Não 284.986 7.462.084 298 Morus nigra amoreira 17,0 2,0 5,0 0,0794 Exótica Invasora Supressão Não 285.048 7.462.076 299 Annona squamosa pinha 10,0 1,0 3,0 0,0165 Exótica Supressão Não 285.024 7.462.077 300 Artocarpus heterophyllus jaqueira 20,0 0,5 5,0 0,1100 Exótica Invasora Supressão Não 285.040 7.462.075 301 Handroanthus pentaphyllus ipê-bálsamo 30,0 1,0 5,0 0,2474 Exótica Supressão Não 285.031 7.462.075 302 Ligustrum lucidum alfeneiro 15,0 1,0 3,0 0,0371 Exótica Invasora Supressão Não 285.051 7.462.073 303 Bauhinia variegata pata-de-vaca 30,0 0,5 5,0 0,2474 Exótica Supressão Não 285.039 7.462.071 305 Leucaena leucocephala leucena 35,0 1,0 5,0 0,3367 Exótica Invasora Supressão Não 285.017 7.462.072 306 Annona squamosa pinha 10,0 2,0 3,0 0,0165 Exótica Supressão Não 285.023 7.462.071 307 Botryophora japonica ameixa-japonesa 12,0 0,5 4,0 0,0317 Exótica Supressão Não 285.047 7.462.068 308 Albizia lebbeck batata-frita 30,0 2,0 5,0 0,2474 Exótica Invasora Supressão Não 285.029 7.462.067 309 Koelreuteria bipinnata árvore-da-china 12,0 2,0 6,0 0,0475 Exótica Supressão Não 285.040 7.462.065 310 Ligustrum lucidum alfeneiro 10,0 1,0 3,0 0,0165 Exótica Invasora Supressão Não 285.024 7.462.064 311 Leucaena leucocephala leucena 14,0 2,0 4,0 0,0431 Exótica Invasora Supressão Não 284.990 7.462.064 312 Leucaena leucocephala leucena 42,0 2,0 6,0 0,5819 Exótica Invasora Supressão Não 284.991 7.462.058 320 Handroanthus pentaphyllus ipê-bálsamo 0,0 4,0 7,0 0,0000 Exótica Supressão Não 284.695 7.461.962 321 Handroanthus pentaphyllus ipê-bálsamo 0,0 4,0 7,0 0,0000 Exótica Supressão Não 284.681 7.461.960 322 Handroanthus pentaphyllus ipê-bálsamo 33,0 4,0 7,0 0,4191 Exótica Supressão Não 284.662 7.461.945 323 Handroanthus pentaphyllus ipê-bálsamo 30,0 3,0 7,0 0,3464 Exótica Supressão Não 284.662 7.461.935 324 Handroanthus pentaphyllus ipê-bálsamo 45,0 4,0 7,0 0,7793 Exótica Supressão Não 284.641 7.461.926 325 Handroanthus pentaphyllus ipê-bálsamo 33,0 5,0 7,0 0,4191 Exótica Supressão Não 284.631 7.461.921 326 Handroanthus pentaphyllus ipê-bálsamo 40,0 0,5 7,0 0,6158 Exótica Supressão Não 284.618 7.461.913 328 Handroanthus pentaphyllus ipê-bálsamo 34,0 3,0 7,0 0,4449 Exótica Supressão Não 284.599 7.461.904 329 Handroanthus pentaphyllus ipê-bálsamo 40,0 5,0 7,0 0,6158 Exótica Supressão Não 284.591 7.461.897
  • 23.
    8 Nº Nome científicoNome popular DAP Altura do fuste Altura Volume Origem Manejo APP X Y 330 Handroanthus pentaphyllus ipê-bálsamo 26,0 0,5 7,0 0,2602 Exótica Supressão Não 284.579 7.461.887 331 Handroanthus pentaphyllus ipê-bálsamo 46,0 2,0 7,0 0,8143 Exótica Supressão Não 284.574 7.461.883 332 Handroanthus pentaphyllus ipê-bálsamo 35,0 4,0 7,0 0,4714 Exótica Supressão Não 284.569 7.461.878 333 Handroanthus pentaphyllus ipê-bálsamo 20,0 0,5 7,0 0,1539 Exótica Supressão Não 284.562 7.461.870 334 Handroanthus pentaphyllus ipê-bálsamo 30,0 0,5 7,0 0,3464 Exótica Supressão Não 284.550 7.461.856 335 Handroanthus pentaphyllus ipê-bálsamo 30,0 3,0 7,0 0,3464 Exótica Supressão Não 284.540 7.461.849 336 Handroanthus pentaphyllus ipê-bálsamo 33,0 4,0 7,0 0,4191 Exótica Supressão Não 284.535 7.461.842 337 Handroanthus pentaphyllus ipê-bálsamo 34,0 5,0 6,0 0,3813 Exótica Supressão Não 284.528 7.461.836 338 Handroanthus pentaphyllus ipê-bálsamo 28,0 4,0 7,0 0,3017 Exótica Supressão Não 284.519 7.461.830 339 Handroanthus pentaphyllus ipê-bálsamo 37,0 3,0 7,0 0,5269 Exótica Supressão Não 284.507 7.461.821 340 Handroanthus pentaphyllus ipê-bálsamo 35,0 3,0 7,0 0,4714 Exótica Supressão Não 284.500 7.461.814 341 Handroanthus pentaphyllus ipê-bálsamo 35,0 3,0 7,0 0,4714 Exótica Supressão Não 284.493 7.461.805 342 Handroanthus pentaphyllus ipê-bálsamo 34,0 5,0 7,0 0,4449 Exótica Supressão Não 284.486 7.461.799 343 Handroanthus pentaphyllus ipê-bálsamo 30,0 0,5 7,0 0,3464 Exótica Supressão Não 284.463 7.461.779 344 Handroanthus pentaphyllus ipê-bálsamo 36,0 5,0 7,0 0,4988 Exótica Supressão Não 284.456 7.461.773 345 Handroanthus pentaphyllus ipê-bálsamo 46,0 3,0 7,0 0,8143 Exótica Supressão Não 284.450 7.461.768 346 Handroanthus pentaphyllus ipê-bálsamo 45,0 2,0 7,0 0,7793 Exótica Supressão Não 284.439 7.461.756 347 Handroanthus pentaphyllus ipê-bálsamo 45,0 3,0 7,0 0,7793 Exótica Supressão Não 284.427 7.461.746 348 Handroanthus pentaphyllus ipê-bálsamo 40,0 3,0 7,0 0,6158 Exótica Supressão Não 284.422 7.461.740 349 Handroanthus pentaphyllus ipê-bálsamo 6,0 1,0 7,0 0,0139 Exótica Supressão Não 284.408 7.461.719 350 Handroanthus pentaphyllus ipê-bálsamo 12,0 0,2 7,0 0,0554 Exótica Supressão Não 284.394 7.461.707 351 Handroanthus pentaphyllus ipê-bálsamo 38,0 3,0 7,0 0,5557 Exótica Supressão Não 284.356 7.461.670 352 Handroanthus pentaphyllus ipê-bálsamo 39,0 2,0 7,0 0,5853 Exótica Supressão Não 284.338 7.461.676 353 Handroanthus pentaphyllus ipê-bálsamo 40,0 2,0 7,0 0,6158 Exótica Supressão Não 284.343 7.461.660 354 Handroanthus pentaphyllus ipê-bálsamo 45,0 2,0 7,0 0,7793 Exótica Supressão Não 284.332 7.461.673 355 Handroanthus pentaphyllus ipê-bálsamo 40,0 5,0 7,0 0,6158 Exótica Supressão Não 284.329 7.461.650 356 Handroanthus pentaphyllus ipê-bálsamo 45,0 3,0 7,0 0,7793 Exótica Supressão Não 284.316 7.461.662 357 Handroanthus pentaphyllus ipê-bálsamo 44,0 4,0 7,0 0,7451 Exótica Supressão Não 284.323 7.461.647
  • 24.
    9 Nº Nome científicoNome popular DAP Altura do fuste Altura Volume Origem Manejo APP X Y 358 Handroanthus pentaphyllus ipê-bálsamo 20,0 0,5 7,0 0,1539 Exótica Supressão Não 284.316 7.461.645 359 Handroanthus pentaphyllus ipê-bálsamo 35,0 3,0 7,0 0,4714 Exótica Supressão Não 284.310 7.461.640 360 Handroanthus pentaphyllus ipê-bálsamo 35,0 4,0 7,0 0,4714 Exótica Supressão Não 284.301 7.461.636 361 Handroanthus pentaphyllus ipê-bálsamo 34,0 2,0 7,0 0,4449 Exótica Supressão Não 284.293 7.461.632 362 Handroanthus pentaphyllus ipê-bálsamo 40,0 2,0 7,0 0,6158 Exótica Supressão Sim 284.276 7.461.642 363 Handroanthus pentaphyllus ipê-bálsamo 36,0 3,0 7,0 0,4988 Exótica Supressão Não 284.285 7.461.627 364 Handroanthus pentaphyllus ipê-bálsamo 38,0 2,0 7,0 0,5557 Exótica Supressão Sim 284.271 7.461.642 365 Handroanthus pentaphyllus ipê-bálsamo 47,0 3,0 7,0 0,8501 Exótica Supressão Não 284.279 7.461.624 366 Handroanthus pentaphyllus ipê-bálsamo 35,0 2,0 7,0 0,4714 Exótica Supressão Não 284.274 7.461.622 367 Morus nigra amoreira 6,0 0,5 3,0 0,0059 Exótica Invasora Supressão Sim 284.258 7.461.638 368 Morus nigra amoreira 10,0 0,5 4,0 0,0220 Exótica Invasora Supressão Sim 284.253 7.461.634 369 Morus nigra amoreira 6,0 0,5 3,0 0,0059 Exótica Invasora Supressão Sim 284.250 7.461.630 370 Handroanthus pentaphyllus ipê-bálsamo 35,0 3,0 7,0 0,4714 Exótica Supressão Não 284.230 7.461.601 371 Handroanthus pentaphyllus ipê-bálsamo 29,0 3,0 7,0 0,3237 Exótica Supressão Não 284.224 7.461.597 372 Handroanthus pentaphyllus ipê-bálsamo 35,0 3,0 7,0 0,4714 Exótica Supressão Não 284.218 7.461.593 373 Handroanthus pentaphyllus ipê-bálsamo 45,0 3,0 8,0 0,8906 Exótica Supressão Não 284.213 7.461.603 374 Handroanthus pentaphyllus ipê-bálsamo 35,0 2,0 6,0 0,4041 Exótica Supressão Não 284.211 7.461.589 375 Handroanthus pentaphyllus ipê-bálsamo 23,0 4,0 6,0 0,1745 Exótica Supressão Não 284.213 7.461.577 376 Handroanthus pentaphyllus ipê-bálsamo 20,0 0,5 4,0 0,0880 Exótica Supressão Não 284.204 7.461.588 377 Handroanthus pentaphyllus ipê-bálsamo 35,0 2,0 4,0 0,2694 Exótica Supressão Não 284.194 7.461.595 378 Handroanthus pentaphyllus ipê-bálsamo 46,0 2,0 6,0 0,6980 Exótica Supressão Não 284.181 7.461.576 379 Handroanthus pentaphyllus ipê-bálsamo 35,0 3,0 6,0 0,4041 Exótica Supressão Não 284.176 7.461.570 380 Handroanthus pentaphyllus ipê-bálsamo 30,0 3,0 6,0 0,2969 Exótica Supressão Não 284.168 7.461.566 381 Handroanthus pentaphyllus ipê-bálsamo 38,0 3,0 6,0 0,4763 Exótica Supressão Não 284.165 7.461.560 382 Handroanthus pentaphyllus ipê-bálsamo 35,0 2,0 6,0 0,4041 Exótica Supressão Não 284.160 7.461.559 383 Handroanthus pentaphyllus ipê-bálsamo 35,0 2,0 6,0 0,4041 Exótica Supressão Sim 284.160 7.461.554 384 Handroanthus pentaphyllus ipê-bálsamo 35,0 2,0 6,0 0,4041 Exótica Supressão Não 284.156 7.461.554 385 Handroanthus pentaphyllus ipê-bálsamo 35,0 2,0 6,0 0,4041 Exótica Supressão Não 284.152 7.461.549
  • 25.
    10 Nº Nome científicoNome popular DAP Altura do fuste Altura Volume Origem Manejo APP X Y 386 Handroanthus pentaphyllus ipê-bálsamo 37,0 3,0 6,0 0,4516 Exótica Supressão Não 284.148 7.461.542 387 Handroanthus pentaphyllus ipê-bálsamo 40,0 3,0 6,0 0,5278 Exótica Supressão Não 284.143 7.461.536 388 Handroanthus pentaphyllus ipê-bálsamo 42,0 2,0 6,0 0,5819 Exótica Supressão Não 284.138 7.461.532 389 Handroanthus pentaphyllus ipê-bálsamo 43,0 3,0 6,0 0,6099 Exótica Supressão Não 284.134 7.461.528 390 Handroanthus pentaphyllus ipê-bálsamo 36,0 3,0 6,0 0,4275 Exótica Supressão Não 284.129 7.461.523 391 Handroanthus pentaphyllus ipê-bálsamo 34,0 2,0 6,0 0,3813 Exótica Supressão Não 284.124 7.461.518 392 Handroanthus pentaphyllus ipê-bálsamo 33,0 3,0 6,0 0,3592 Exótica Supressão Não 284.120 7.461.514 393 Handroanthus pentaphyllus ipê-bálsamo 30,0 3,0 6,0 0,2969 Exótica Supressão Não 284.115 7.461.509 394 Handroanthus pentaphyllus ipê-bálsamo 20,0 3,0 6,0 0,1319 Exótica Supressão Não 284.108 7.461.504 395 Handroanthus pentaphyllus ipê-bálsamo 20,0 3,0 6,0 0,1319 Exótica Supressão Não 284.102 7.461.498 396 Handroanthus pentaphyllus ipê-bálsamo 25,0 2,0 6,0 0,2062 Exótica Supressão Não 284.095 7.461.492 397 Handroanthus pentaphyllus ipê-bálsamo 32,0 3,0 6,0 0,3378 Exótica Supressão Não 284.091 7.461.485 398 Handroanthus pentaphyllus ipê-bálsamo 26,0 3,0 6,0 0,2230 Exótica Supressão Não 284.087 7.461.480 399 Handroanthus pentaphyllus ipê-bálsamo 10,0 2,0 6,0 0,0330 Exótica Supressão Não 284.080 7.461.474 400 Handroanthus pentaphyllus ipê-bálsamo 20,0 2,0 6,0 0,1319 Exótica Supressão Não 284.074 7.461.467 401 Handroanthus pentaphyllus ipê-bálsamo 10,0 2,0 4,0 0,0220 Exótica Supressão Não 284.067 7.461.461 402 Handroanthus pentaphyllus ipê-bálsamo 24,0 2,0 4,0 0,1267 Exótica Supressão Não 284.063 7.461.456 403 Handroanthus pentaphyllus ipê-bálsamo 60,0 2,0 4,0 0,7917 Exótica Supressão Não 284.057 7.461.450 404 Handroanthus pentaphyllus ipê-bálsamo 23,0 2,0 6,0 0,1745 Exótica Supressão Não 284.044 7.461.438 405 Handroanthus pentaphyllus ipê-bálsamo 36,0 4,0 6,0 0,4275 Exótica Supressão Não 284.033 7.461.423 406 Handroanthus pentaphyllus ipê-bálsamo 38,0 4,0 6,0 0,4763 Exótica Supressão Não 284.019 7.461.406 407 Handroanthus pentaphyllus ipê-bálsamo 39,0 3,0 8,0 0,6690 Exótica Supressão Não 283.989 7.461.376 408 Handroanthus pentaphyllus ipê-bálsamo 41,0 3,0 7,0 0,6469 Exótica Supressão Não 283.980 7.461.367 409 Handroanthus pentaphyllus ipê-bálsamo 46,0 3,0 7,0 0,8143 Exótica Supressão Não 283.975 7.461.362 410 Handroanthus pentaphyllus ipê-bálsamo 20,0 3,0 7,0 0,1539 Exótica Supressão Não 283.967 7.461.355 411 Handroanthus pentaphyllus ipê-bálsamo 40,0 3,0 7,0 0,6158 Exótica Supressão Não 283.960 7.461.349 412 Handroanthus pentaphyllus ipê-bálsamo 20,0 3,0 6,0 0,1319 Exótica Supressão Não 283.953 7.461.344 413 Handroanthus pentaphyllus ipê-bálsamo 35,0 2,0 6,0 0,4041 Exótica Supressão Não 283.948 7.461.339
  • 26.
    11 Nº Nome científicoNome popular DAP Altura do fuste Altura Volume Origem Manejo APP X Y 414 Handroanthus pentaphyllus ipê-bálsamo 35,0 3,0 7,0 0,4714 Exótica Supressão Não 283.936 7.461.329 415 Handroanthus pentaphyllus ipê-bálsamo 34,0 3,0 6,0 0,3813 Exótica Supressão Não 283.929 7.461.325 416 Cordia abyssinica cordia-africana 30,0 0,5 3,0 0,1484 Exótica Supressão Não 283.917 7.461.327 417 Handroanthus pentaphyllus ipê-bálsamo 20,0 3,0 7,0 0,1539 Exótica Supressão Não 283.923 7.461.319 418 Handroanthus pentaphyllus ipê-bálsamo 36,0 3,0 7,0 0,4988 Exótica Supressão Não 283.918 7.461.313 419 Handroanthus pentaphyllus ipê-bálsamo 41,0 2,0 7,0 0,6469 Exótica Supressão Não 283.912 7.461.307 420 Handroanthus pentaphyllus ipê-bálsamo 38,0 4,0 7,0 0,5557 Exótica Supressão Não 283.903 7.461.304 421 Handroanthus pentaphyllus ipê-bálsamo 40,0 3,0 7,0 0,6158 Exótica Supressão Não 283.903 7.461.299 422 Handroanthus pentaphyllus ipê-bálsamo 37,0 2,0 8,0 0,6021 Exótica Supressão Não 283.898 7.461.300 423 Handroanthus pentaphyllus ipê-bálsamo 40,0 3,0 7,0 0,6158 Exótica Supressão Não 283.897 7.461.294 424 Handroanthus pentaphyllus ipê-bálsamo 36,0 3,0 7,0 0,4988 Exótica Supressão Não 283.879 7.461.281 425 Handroanthus pentaphyllus ipê-bálsamo 57,0 5,0 7,0 1,2504 Exótica Supressão Não 283.859 7.461.267 426 Handroanthus pentaphyllus ipê-bálsamo 38,0 3,0 7,0 0,5557 Exótica Supressão Não 283.851 7.461.259 427 Handroanthus pentaphyllus ipê-bálsamo 44,0 2,0 7,0 0,7451 Exótica Supressão Não 283.846 7.461.255 428 Handroanthus pentaphyllus ipê-bálsamo 45,0 3,0 7,0 0,7793 Exótica Supressão Não 283.825 7.461.241 429 Handroanthus pentaphyllus ipê-bálsamo 43,0 3,0 7,0 0,7116 Exótica Supressão Não 283.828 7.461.237 430 Handroanthus pentaphyllus ipê-bálsamo 43,0 3,0 8,0 0,8132 Exótica Supressão Não 283.814 7.461.229 431 Handroanthus pentaphyllus ipê-bálsamo 34,0 2,0 8,0 0,5084 Exótica Supressão Não 283.803 7.461.219 432 Handroanthus pentaphyllus ipê-bálsamo 40,0 2,0 7,0 0,6158 Exótica Supressão Não 283.798 7.461.215 433 Handroanthus pentaphyllus ipê-bálsamo 30,0 3,0 8,0 0,3958 Exótica Supressão Não 283.793 7.461.212 434 Handroanthus pentaphyllus ipê-bálsamo 41,0 3,0 7,0 0,6469 Exótica Supressão Não 283.788 7.461.210 435 Handroanthus pentaphyllus ipê-bálsamo 43,0 3,0 7,0 0,7116 Exótica Supressão Não 283.784 7.461.205 436 Handroanthus pentaphyllus ipê-bálsamo 36,0 3,0 7,0 0,4988 Exótica Supressão Não 283.779 7.461.201 438 Handroanthus pentaphyllus ipê-bálsamo 33,0 4,0 8,0 0,4790 Exótica Supressão Não 283.768 7.461.205 439 Handroanthus pentaphyllus ipê-bálsamo 27,0 2,0 7,0 0,2806 Exótica Supressão Não 283.747 7.461.225 440 Koelreuteria bipinnata árvore-da-china 10,0 0,5 4,0 0,0220 Exótica Supressão Não 283.766 7.461.203 441 Roystonea oleracea palmeira-imperial 15,0 0,0 2,0 0,0247 Exótica Supressão Não 283.763 7.461.202 442 Roystonea oleracea palmeira-imperial 15,0 0,0 2,0 0,0247 Exótica Supressão Não 283.763 7.461.202
  • 27.
    12 Nº Nome científicoNome popular DAP Altura do fuste Altura Volume Origem Manejo APP X Y 443 Dypsis lutescens areca-bambu 10,0 0,0 3,0 0,0165 Exótica Supressão Não 283.765 7.461.198 445 Koelreuteria bipinnata árvore-da-china 25,0 2,0 7,0 0,2405 Exótica Supressão Não 283.743 7.461.171 446 Ficus elastica seringueira 156,0 3,0 9,0 12,0415 Exótica Supressão Não 283.731 7.461.016 447 Ficus elastica seringueira 214,0 3,0 9,0 22,6599 Exótica Supressão Não 283.728 7.461.002 462 Albizia lebbeck batata-frita 20,0 1,0 4,0 0,0880 Exótica Invasora Supressão Não 283.745 7.460.871 463 Handroanthus pentaphyllus ipê-bálsamo 30,0 1,0 7,0 0,3464 Exótica Supressão Não 283.744 7.460.738 464 Handroanthus pentaphyllus ipê-bálsamo 20,0 1,0 5,0 0,1100 Exótica Supressão Não 283.738 7.460.733 465 Handroanthus pentaphyllus ipê-bálsamo 40,0 1,0 5,0 0,4398 Exótica Supressão Não 283.667 7.460.645 466 Handroanthus pentaphyllus ipê-bálsamo 35,0 2,0 5,0 0,3367 Exótica Supressão Não 283.660 7.460.633 467 Handroanthus pentaphyllus ipê-bálsamo 30,0 2,0 6,0 0,2969 Exótica Supressão Não 283.653 7.460.623 468 Handroanthus pentaphyllus ipê-bálsamo 40,0 0,5 6,0 0,5278 Exótica Supressão Não 283.648 7.460.616 469 Handroanthus pentaphyllus ipê-bálsamo 30,0 0,5 6,0 0,2969 Exótica Supressão Não 283.640 7.460.604 470 Handroanthus pentaphyllus ipê-bálsamo 40,0 2,0 5,0 0,4398 Exótica Supressão Não 283.633 7.460.593 471 Handroanthus pentaphyllus ipê-bálsamo 30,0 2,0 5,0 0,2474 Exótica Supressão Não 283.632 7.460.588 472 Handroanthus pentaphyllus ipê-bálsamo 20,0 1,0 5,0 0,1100 Exótica Supressão Não 283.609 7.460.557 473 Handroanthus pentaphyllus ipê-bálsamo 40,0 2,0 5,0 0,4398 Exótica Supressão Não 283.603 7.460.544 474 Handroanthus pentaphyllus ipê-bálsamo 43,0 2,0 5,0 0,5083 Exótica Supressão Não 283.595 7.460.529 475 Handroanthus pentaphyllus ipê-bálsamo 30,0 1,0 5,0 0,2474 Exótica Supressão Não 283.580 7.460.529 476 Handroanthus pentaphyllus ipê-bálsamo 45,0 2,0 5,0 0,5567 Exótica Supressão Não 283.589 7.460.523 477 Handroanthus pentaphyllus ipê-bálsamo 20,0 1,0 5,0 0,1100 Exótica Supressão Não 283.583 7.460.516 478 Handroanthus pentaphyllus ipê-bálsamo 35,0 2,0 5,0 0,3367 Exótica Supressão Não 283.578 7.460.508 479 Terminalia catappa chapéu-de-praia 40,0 1,0 6,0 0,5278 Exótica Supressão Não 283.569 7.460.498 480 Leucaena leucocephala leucena 45,0 0,5 6,0 0,6680 Exótica Invasora Supressão Não 283.562 7.460.472 481 Tecoma stans ipê-de-jardim 35,0 1,0 5,0 0,3367 Exótica Invasora Supressão Não 283.554 7.460.479 482 Caesalpinia pulcherrima barba-de-barata 12,0 1,0 4,0 0,0317 Exótica Supressão Não 283.554 7.460.465 483 Leucaena leucocephala leucena 40,0 0,5 6,0 0,5278 Exótica Invasora Supressão Não 283.551 7.460.457 484 Terminalia catappa chapéu-de-praia 30,0 2,0 6,0 0,2969 Exótica Supressão Não 283.509 7.460.425 485 Dypsis lutescens areca-bambu 10,0 0,0 2,0 0,0110 Exótica Supressão Não 283.491 7.460.398
  • 28.
    13 Nº Nome científicoNome popular DAP Altura do fuste Altura Volume Origem Manejo APP X Y 486 Koelreuteria bipinnata árvore-da-china 20,0 2,0 5,0 0,1100 Exótica Supressão Não 283.478 7.460.378 487 Handroanthus pentaphyllus ipê-bálsamo 6,0 2,0 2,0 0,0040 Exótica Supressão Não 283.473 7.460.375 488 Mangifera indica mangueira 7,0 2,0 4,0 0,0108 Exótica Invasora Supressão Não 283.475 7.460.371 489 Mangifera indica mangueira 7,0 2,0 4,0 0,0108 Exótica Invasora Supressão Não 283.475 7.460.371 491 Handroanthus pentaphyllus ipê-bálsamo 20,0 1,0 5,0 0,1100 Exótica Supressão Não 283.455 7.460.333 492 Terminalia catappa chapéu-de-praia 38,0 3,0 6,0 0,4763 Exótica Supressão Não 283.435 7.460.340 493 Terminalia catappa chapéu-de-praia 30,0 3,0 6,0 0,2969 Exótica Supressão Não 283.450 7.460.326 494 Tecoma stans ipê-de-jardim 25,0 1,0 6,0 0,2062 Exótica Invasora Supressão Não 283.398 7.460.305 495 Tecoma stans ipê-de-jardim 10,0 0,5 2,0 0,0110 Exótica Invasora Supressão Não 283.402 7.460.302 500 Tecoma stans ipê-de-jardim 20,0 0,5 5,0 0,1100 Exótica Invasora Supressão Não 283.380 7.460.276 502 Psidium guajava goiabeira 10,0 0,5 4,0 0,0220 Exótica Invasora Supressão Não 283.381 7.460.268 503 Tecoma stans ipê-de-jardim 20,0 1,0 5,0 0,1100 Exótica Invasora Supressão Não 283.377 7.460.270 504 Tecoma stans ipê-de-jardim 35,0 1,0 6,0 0,4041 Exótica Invasora Supressão Não 283.375 7.460.265 505 Tecoma stans ipê-de-jardim 6,0 0,5 2,0 0,0040 Exótica Invasora Supressão Não 283.369 7.460.239 506 Bauhinia variegata pata-de-vaca 30,0 0,5 6,0 0,2969 Exótica Supressão Não 283.364 7.460.215 507 Tecoma stans ipê-de-jardim 6,0 0,5 2,0 0,0040 Exótica Invasora Supressão Não 283.362 7.460.210 508 Tecoma stans ipê-de-jardim 6,0 0,5 2,0 0,0040 Exótica Invasora Supressão Não 283.351 7.460.201 509 Tecoma stans ipê-de-jardim 6,0 0,5 2,0 0,0040 Exótica Invasora Supressão Não 283.347 7.460.197 510 Tecoma stans ipê-de-jardim 7,0 0,5 2,0 0,0054 Exótica Invasora Supressão Não 283.345 7.460.193 511 Tecoma stans ipê-de-jardim 10,0 0,5 2,0 0,0110 Exótica Invasora Supressão Não 283.342 7.460.190 512 Tecoma stans ipê-de-jardim 8,0 0,5 2,0 0,0070 Exótica Invasora Supressão Não 283.339 7.460.186 514 Tecoma stans ipê-de-jardim 6,0 0,5 2,0 0,0040 Exótica Invasora Supressão Não 283.305 7.460.176 515 Tecoma stans ipê-de-jardim 6,0 0,5 2,0 0,0040 Exótica Invasora Supressão Não 283.304 7.460.169 517 Handroanthus pentaphyllus ipê-bálsamo 38,0 0,5 6,0 0,4763 Exótica Supressão Não 283.288 7.460.157 523 Dillenia indica maça-de-elefante 6,0 0,5 4,0 0,0079 Exótica Supressão Sim 282.593 7.459.626 524 Dillenia indica maça-de-elefante 15,0 0,5 4,0 0,0495 Exótica Supressão Sim 282.581 7.459.605 525 Dillenia indica maça-de-elefante 12,0 0,5 4,0 0,0317 Exótica Supressão Sim 282.582 7.459.600 527 Dillenia indica maça-de-elefante 6,0 0,5 4,0 0,0079 Exótica Supressão Sim 282.575 7.459.608
  • 29.
    14 Nº Nome científicoNome popular DAP Altura do fuste Altura Volume Origem Manejo APP X Y 528 Dillenia indica maça-de-elefante 7,0 0,5 3,0 0,0081 Exótica Supressão Sim 282.571 7.459.603 529 Dillenia indica maça-de-elefante 7,0 0,5 2,0 0,0054 Exótica Supressão Sim 282.568 7.459.599 531 Dillenia indica maça-de-elefante 7,0 0,5 2,0 0,0054 Exótica Supressão Sim 282.565 7.459.601 532 Dillenia indica maça-de-elefante 6,0 0,5 3,0 0,0059 Exótica Supressão Sim 282.558 7.459.596 539 Ficus guaranitica figueira-branca 50,0 1,0 8,0 1,0996 Exótica Supressão Não 281.642 7.459.102 621 Leucaena leucocephala leucena 35,0 3,0 8,0 0,5388 Exótica Invasora Supressão Não 281.183 7.458.793 623 Koelreuteria bipinnata árvore-da-china 20,0 0,5 5,0 0,1100 Exótica Supressão Não 281.194 7.458.776 625 Koelreuteria bipinnata árvore-da-china 20,0 2,0 5,0 0,1100 Exótica Supressão Não 281.189 7.458.768 627 Koelreuteria bipinnata árvore-da-china 24,0 2,0 5,0 0,1583 Exótica Supressão Não 281.181 7.458.758 628 Koelreuteria bipinnata árvore-da-china 25,0 0,5 5,0 0,1718 Exótica Supressão Não 281.177 7.458.753 630 Koelreuteria bipinnata árvore-da-china 33,0 2,0 5,0 0,2994 Exótica Supressão Não 281.174 7.458.745 631 Koelreuteria bipinnata árvore-da-china 30,0 2,0 5,0 0,2474 Exótica Supressão Não 281.168 7.458.739 633 Koelreuteria bipinnata árvore-da-china 28,0 8,0 5,0 0,2155 Exótica Supressão Não 281.164 7.458.732 635 Koelreuteria bipinnata árvore-da-china 25,0 2,0 5,0 0,1718 Exótica Supressão Não 281.160 7.458.722 638 Koelreuteria bipinnata árvore-da-china 25,0 0,5 5,0 0,1718 Exótica Supressão Não 281.157 7.458.686 639 Koelreuteria bipinnata árvore-da-china 23,0 8,0 5,0 0,1454 Exótica Supressão Não 281.156 7.458.678 640 Leucaena leucocephala leucena 18,0 2,0 4,0 0,0713 Exótica Invasora Supressão Não 281.130 7.458.678 641 Koelreuteria bipinnata árvore-da-china 35,0 2,0 5,0 0,3367 Exótica Supressão Não 281.148 7.458.667 642 Koelreuteria bipinnata árvore-da-china 21,0 2,0 5,0 0,1212 Exótica Supressão Não 281.124 7.458.632 665 Cordia abyssinica cordia-africana 34,0 2,0 7,0 0,4449 Exótica Supressão Não 280.655 7.458.517 666 Cordia abyssinica cordia-africana 20,0 4,0 6,0 0,1319 Exótica Supressão Não 280.648 7.458.514 668 Cordia abyssinica cordia-africana 20,0 3,0 8,0 0,1759 Exótica Supressão Não 280.567 7.458.507 669 Cordia abyssinica cordia-africana 20,0 3,0 8,0 0,1759 Exótica Supressão Não 280.558 7.458.503 671 Cordia abyssinica cordia-africana 30,0 1,0 7,0 0,3464 Exótica Supressão Não 280.532 7.458.493 673 Delonix regia flamboyant 10,0 2,0 5,0 0,0275 Exótica Supressão Não 280.514 7.458.491 674 Cordia abyssinica cordia-africana 15,0 0,5 5,0 0,0619 Exótica Supressão Não 280.501 7.458.490 675 Cordia abyssinica cordia-africana 20,0 1,0 5,0 0,1100 Exótica Supressão Não 280.483 7.458.486 678 Cordia abyssinica cordia-africana 20,0 2,0 6,0 0,1319 Exótica Supressão Não 280.402 7.458.471
  • 30.
    15 Nº Nome científicoNome popular DAP Altura do fuste Altura Volume Origem Manejo APP X Y 680 Cordia abyssinica cordia-africana 22,0 0,5 5,0 0,1330 Exótica Supressão Não 280.389 7.458.469 682 Cordia abyssinica cordia-africana 25,0 4,0 5,0 0,1718 Exótica Supressão Não 280.374 7.458.465 683 Cordia abyssinica cordia-africana 20,0 0,5 4,0 0,0880 Exótica Supressão Não 280.363 7.458.466 684 Cordia abyssinica cordia-africana 32,0 0,5 7,0 0,3941 Exótica Supressão Não 280.337 7.458.454 686 Muntingia calabura calabura 27,0 1,0 6,0 0,2405 Exótica Supressão Não 280.327 7.458.437 687 Cordia abyssinica cordia-africana 26,0 2,0 7,0 0,2602 Exótica Supressão Não 280.324 7.458.429 689 Muntingia calabura calabura 26,0 2,0 6,0 0,2230 Exótica Supressão Não 280.320 7.458.423 692 Muntingia calabura calabura 26,0 2,0 6,0 0,2230 Exótica Supressão Não 280.318 7.458.415 695 Leucaena leucocephala leucena 12,0 2,0 4,0 0,0317 Exótica Invasora Supressão Não 280.290 7.458.463 698 Delonix regia flamboyant 8,0 1,0 3,0 0,0106 Exótica Supressão Não 280.277 7.458.453 701 Delonix regia flamboyant 6,0 1,0 2,0 0,0040 Exótica Supressão Não 280.267 7.458.452 702 Delonix regia flamboyant 6,0 1,0 2,0 0,0040 Exótica Supressão Não 280.255 7.458.465 703 Roystonea oleracea palmeira-imperial 10,0 1,0 5,0 0,0275 Exótica Supressão Não 280.253 7.458.453 704 Roystonea oleracea palmeira-imperial 10,0 1,0 5,0 0,0275 Exótica Supressão Não 280.253 7.458.453 706 Schefflera actinophylla cheflera 6,0 1,0 2,0 0,0040 Exótica Invasora Supressão Não 280.235 7.458.461 707 Cordia abyssinica cordia-africana 20,0 2,0 4,0 0,0880 Exótica Supressão Não 280.220 7.458.452 709 Cordia abyssinica cordia-africana 25,0 1,0 6,0 0,2062 Exótica Supressão Não 280.151 7.458.450 710 Cordia abyssinica cordia-africana 30,0 1,0 6,0 0,2969 Exótica Supressão Não 280.142 7.458.447 711 Senna didymobotrya cássia-africana 20,0 1,0 4,0 0,0880 Exótica Supressão Não 280.134 7.458.447 712 Artocarpus heterophyllus jaqueira 25,0 1,0 5,0 0,1718 Exótica Invasora Supressão Não 280.086 7.458.436 713 Ficus benjamina figueira-benjamina 30,0 1,0 4,0 0,1979 Exótica Supressão Não 280.076 7.458.433 716 Cordia abyssinica cordia-africana 20,0 0,5 5,0 0,1100 Exótica Supressão Não 280.032 7.458.419 717 Cordia abyssinica cordia-africana 35,0 0,5 5,0 0,3367 Exótica Supressão Não 280.015 7.458.416 719 Cordia abyssinica cordia-africana 30,0 1,0 5,0 0,2474 Exótica Supressão Não 279.992 7.458.414 720 Cordia abyssinica cordia-africana 40,0 2,0 6,0 0,5278 Exótica Supressão Não 279.977 7.458.411 721 Muntingia calabura calabura 30,0 2,0 5,0 0,2474 Exótica Supressão Não 279.966 7.458.404 722 Albizia lebbeck batata-frita 20,0 2,0 4,0 0,0880 Exótica Invasora Supressão Não 279.960 7.458.411 723 Ficus benjamina figueira-benjamina 20,0 1,0 4,0 0,0880 Exótica Supressão Não 279.958 7.458.400
  • 31.
    16 Nº Nome científicoNome popular DAP Altura do fuste Altura Volume Origem Manejo APP X Y 724 Albizia lebbeck batata-frita 80,0 2,0 8,0 2,8149 Exótica Invasora Supressão Não 279.950 7.458.410 727 Albizia lebbeck batata-frita 35,0 2,0 7,0 0,4714 Exótica Invasora Supressão Não 279.913 7.458.405 729 Ficus benjamina figueira-benjamina 20,0 1,0 4,0 0,0880 Exótica Supressão Não 279.892 7.458.406 730 Ficus benjamina figueira-benjamina 30,0 1,0 4,0 0,1979 Exótica Supressão Não 279.884 7.458.407 731 Delonix regia flamboyant 30,0 1,0 5,0 0,2474 Exótica Supressão Não 279.850 7.458.404 732 Ligustrum lucidum alfeneiro 20,0 0,5 7,0 0,1539 Exótica Invasora Supressão Não 279.849 7.458.411 735 Cordia abyssinica cordia-africana 28,0 2,0 5,0 0,2155 Exótica Supressão Não 279.810 7.458.408 736 Ficus benjamina figueira-benjamina 20,0 2,0 4,0 0,0880 Exótica Supressão Não 279.794 7.458.409 737 Muntingia calabura calabura 20,0 0,5 4,0 0,0880 Exótica Supressão Não 279.785 7.458.409 738 Muntingia calabura calabura 20,0 2,0 4,0 0,0880 Exótica Supressão Não 279.761 7.458.410 739 Cordia abyssinica cordia-africana 30,0 2,0 5,0 0,2474 Exótica Supressão Não 279.747 7.458.412 740 Albizia lebbeck batata-frita 40,0 2,0 6,0 0,5278 Exótica Invasora Supressão Não 279.731 7.458.412 742 Cordia abyssinica cordia-africana 20,0 0,5 7,0 0,1539 Exótica Supressão Não 279.701 7.458.414 747 Handroanthus pentaphyllus ipê-bálsamo 25,0 1,0 7,0 0,2405 Exótica Supressão Não 279.624 7.458.415 748 Handroanthus pentaphyllus ipê-bálsamo 30,0 1,0 4,0 0,1979 Exótica Supressão Não 279.615 7.458.415 749 Handroanthus pentaphyllus ipê-bálsamo 25,0 1,0 7,0 0,2405 Exótica Supressão Não 279.599 7.458.416 752 Muntingia calabura calabura 15,0 2,0 4,0 0,0495 Exótica Supressão Não 279.578 7.458.398 753 Muntingia calabura calabura 21,0 0,5 4,0 0,0970 Exótica Supressão Não 279.577 7.458.390 754 Muntingia calabura calabura 15,0 2,0 7,0 0,0866 Exótica Supressão Não 279.577 7.458.442 755 Muntingia calabura calabura 17,0 2,0 4,0 0,0636 Exótica Supressão Não 279.575 7.458.407 756 Muntingia calabura calabura 15,0 2,0 4,0 0,0495 Exótica Supressão Não 279.572 7.458.438 757 Muntingia calabura calabura 17,0 2,0 4,0 0,0636 Exótica Supressão Não 279.572 7.458.430 758 Muntingia calabura calabura 20,0 1,0 4,0 0,0880 Exótica Supressão Não 279.565 7.458.401 759 Muntingia calabura calabura 23,0 1,0 4,0 0,1163 Exótica Supressão Não 279.559 7.458.407 760 Albizia lebbeck batata-frita 30,0 1,0 5,0 0,2474 Exótica Invasora Supressão Não 279.534 7.458.419 761 Albizia lebbeck batata-frita 20,0 0,5 5,0 0,1100 Exótica Invasora Supressão Não 279.522 7.458.420 762 Dombeya wallichii astrapéia 17,0 2,0 3,0 0,0477 Exótica Supressão Não 279.497 7.458.419 763 Persea americana abacateiro 17,0 2,0 5,0 0,0794 Exótica Invasora Supressão Não 279.492 7.458.423
  • 32.
    17 Nº Nome científicoNome popular DAP Altura do fuste Altura Volume Origem Manejo APP X Y 764 Albizia lebbeck batata-frita 20,0 1,0 4,0 0,0880 Exótica Invasora Supressão Não 279.485 7.458.420 765 Ficus benjamina figueira-benjamina 10,0 2,0 5,0 0,0275 Exótica Supressão Não 279.410 7.458.425 766 Terminalia catappa chapéu-de-praia 12,0 2,0 5,0 0,0396 Exótica Supressão Não 279.396 7.458.428 769 Albizia lebbeck batata-frita 20,0 1,0 6,0 0,1319 Exótica Invasora Supressão Não 279.344 7.458.427 770 Albizia lebbeck batata-frita 30,0 1,0 7,0 0,3464 Exótica Invasora Supressão Não 279.311 7.458.428 771 Albizia lebbeck batata-frita 60,0 1,0 7,0 1,3854 Exótica Invasora Supressão Não 279.306 7.458.434 772 Albizia lebbeck batata-frita 20,0 1,0 4,0 0,0880 Exótica Invasora Supressão Não 279.271 7.458.437 779 Leucaena leucocephala leucena 20,0 0,5 6,0 0,1319 Exótica Invasora Supressão Não 278.428 7.458.450 782 Albizia lebbeck batata-frita 20,0 0,5 4,0 0,0880 Exótica Invasora Supressão Não 278.398 7.458.442 783 Leucaena leucocephala leucena 10,0 0,5 6,0 0,0330 Exótica Invasora Supressão Não 278.378 7.458.437 784 Ficus benjamina figueira-benjamina 7,0 0,5 2,0 0,0054 Exótica Supressão Não 278.326 7.458.425 791 Handroanthus pentaphyllus ipê-bálsamo 15,0 1,0 5,0 0,0619 Exótica Supressão Não 278.096 7.458.343 797 Eucalyptus grandis eucaplipto 0,0 1,0 12,0 0,0000 Exótica Supressão Não 277.907 7.458.318 800 Mangifera indica mangueira 20,0 2,0 4,0 0,0880 Exótica Invasora Supressão Não 277.702 7.458.132 801 Mangifera indica mangueira 20,0 2,0 4,0 0,0880 Exótica Invasora Supressão Não 277.702 7.458.132 802 Senna didymobotrya cássia-africana 20,0 0,5 5,0 0,1100 Exótica Supressão Não 277.694 7.458.124 804 Psidium guajava goiabeira 15,0 0,5 4,0 0,0495 Exótica Invasora Supressão Não 277.673 7.458.105 805 Mangifera indica mangueira 15,0 0,5 5,0 0,0619 Exótica Invasora Supressão Não 277.668 7.458.101 806 Mangifera indica mangueira 15,0 0,5 5,0 0,0619 Exótica Invasora Supressão Não 277.668 7.458.101 807 Senna didymobotrya cássia-africana 10,0 1,0 5,0 0,0275 Exótica Supressão Não 277.655 7.458.097 808 Pachira aquatica monguba 30,0 0,5 4,0 0,1979 Exótica Supressão Não 277.656 7.458.089 809 Senna didymobotrya cássia-africana 25,0 1,0 5,0 0,1718 Exótica Supressão Não 277.641 7.458.083 810 Senna didymobotrya cássia-africana 20,0 1,0 5,0 0,1100 Exótica Supressão Não 277.642 7.458.078 811 Albizia lebbeck batata-frita 30,0 0,5 4,0 0,1979 Exótica Invasora Supressão Não 277.632 7.458.079 812 Persea americana abacateiro 20,0 2,0 5,0 0,1100 Exótica Invasora Supressão Não 277.630 7.458.072 813 Persea americana abacateiro 35,0 2,0 7,0 0,4714 Exótica Invasora Supressão Não 277.623 7.458.068 814 Persea americana abacateiro 25,0 0,5 7,0 0,2405 Exótica Invasora Supressão Não 277.619 7.458.060 816 Mangifera indica mangueira 20,0 0,5 4,0 0,0880 Exótica Invasora Supressão Não 277.600 7.458.051
  • 33.
    18 Nº Nome científicoNome popular DAP Altura do fuste Altura Volume Origem Manejo APP X Y 817 Mangifera indica mangueira 20,0 0,5 4,0 0,0880 Exótica Invasora Supressão Não 277.600 7.458.051 818 Plumeria rubra jasmim-manga 10,0 2,0 3,0 0,0165 Exótica Supressão Não 277.550 7.458.013 819 Plumeria rubra jasmim-manga 10,0 0,5 3,0 0,0165 Exótica Supressão Não 277.548 7.458.010 820 Lagerstroemia speciosa resedá-gigante 18,0 2,0 4,0 0,0713 Exótica Supressão Não 277.545 7.458.012 821 Lagerstroemia speciosa resedá-gigante 28,0 2,0 6,0 0,2586 Exótica Supressão Não 277.546 7.458.008 823 Dypsis lutescens areca-bambu 8,0 0,0 6,0 0,0211 Exótica Supressão Não 277.544 7.458.006 824 Peltophorum dubium canafístula 25,0 2,0 6,0 0,2062 Exótica Supressão Não 277.540 7.458.007 825 Lagerstroemia speciosa resedá-gigante 10,0 0,5 3,0 0,0165 Exótica Supressão Não 277.542 7.458.005 826 Lagerstroemia speciosa resedá-gigante 10,0 2,0 3,0 0,0165 Exótica Supressão Não 277.538 7.458.005 827 Persea americana abacateiro 20,0 1,0 5,0 0,1100 Exótica Invasora Supressão Não 277.534 7.458.004 828 Lagerstroemia speciosa resedá-gigante 7,0 3,0 3,0 0,0081 Exótica Supressão Não 277.536 7.458.001 831 Lagerstroemia speciosa resedá-gigante 10,0 1,0 4,0 0,0220 Exótica Supressão Não 277.530 7.457.997 832 Mangifera indica mangueira 30,0 0,5 5,0 0,2474 Exótica Invasora Supressão Não 277.528 7.457.999 833 Mangifera indica mangueira 30,0 0,5 5,0 0,2474 Exótica Invasora Supressão Não 277.528 7.457.999 835 Muntingia calabura calabura 20,0 2,0 5,0 0,1100 Exótica Supressão Não 277.396 7.457.810 838 Persea americana abacateiro 17,0 2,0 5,0 0,0794 Exótica Invasora Supressão Não 277.387 7.457.788 839 Muntingia calabura calabura 20,0 2,0 5,0 0,1100 Exótica Supressão Não 277.393 7.457.785 843 Cupressus macrocarpa cipreste-de-monterey 20,0 2,0 4,0 0,0880 Exótica Supressão Não 277.389 7.457.763 844 Muntingia calabura calabura 25,0 2,0 5,0 0,1718 Exótica Supressão Não 277.390 7.457.757
  • 34.
    19 Anexo 4-2: Síntesedas árvores exóticas a serem suprimidas Nome científico Nome popular Qnt DAP médio (m) Altura média (m) Volume Total (m³) Phoenix canariensis tamareira-das-canárias 6 35,5 5,2 2,4825 Roystonea oleracea palmeira-imperial 14 20,0 2,6 0,8824 Tipuana tipu tipuana 7 60,3 7,9 11,9491 Senna didymobotrya cássia-africana 11 20,5 4,8 1,3149 Ligustrum lucidum alfeneiro 4 18,8 4,8 0,5044 Morus nigra amoreira 10 14,9 4,0 0,6855 Mangifera indica mangueira 24 19,1 4,7 2,9315 Persea americana abacateiro 10 21,2 5,6 1,5852 Melia azadirachta santa-bárbara 1 30,0 4,0 0,1979 Caryota urens palmeira-rabo-de-peixe 1 12,0 4,0 0,0317 Peltophorum dubium canafístula 13 37,0 6,8 8,1620 Leucaena leucocephala leucena 58 12,5 2,9 5,0888 Callistemon viminalis escova-de-garrafa 2 7,5 3,0 0,0186 Bauhinia variegata pata-de-vaca 4 28,3 5,3 1,0196 Plumeria rubra jasmim-manga 3 13,3 3,7 0,1429 Muntingia calabura calabura 22 21,3 4,6 2,6837 Terminalia catappa chapéu-de-praia 8 23,8 4,8 1,7529 Delonix regia flamboyant 7 19,7 3,9 1,1387 Handroanthus pentaphyllus ipê-bálsamo 141 33,4 6,4 61,4782 Artocarpus heterophyllus jaqueira 4 20,0 4,8 0,4467 Murraya paniculata murta 8 7,0 3,0 0,0670 Psidium guajava goiabeira 11 14,0 3,5 0,4365 Artocarpus altilis fruta-pão 1 20,0 6,0 0,1319 Ficus benjamina figueira-benjamina 10 20,3 3,8 1,1419 Jacaranda mimosaefolia jacarandá 1 38,0 7,0 0,5557 Citrus limonia limão-cravo 2 8,0 4,0 0,0299 Schizolobium parahyba guapuruvu 2 52,5 11,5 3,4210
  • 35.
    20 Nome científico Nomepopular Qnt DAP médio (m) Altura média (m) Volume Total (m³) Hibiscus rosa-sinensis hibísco 1 6,0 4,0 0,0079 Dracaena arborea dracena-arbórea 1 28,0 6,0 0,2586 Annona squamosa pinha 3 13,3 3,7 0,1429 Cordia abyssinica cordia-africana 30 25,0 5,4 6,2249 Albizia lebbeck batata-frita 16 32,5 5,4 7,5883 Botryophora japonica ameixa-japonesa 1 12,0 4,0 0,0317 Koelreuteria bipinnata árvore-da-china 16 23,5 5,1 2,6793 Dypsis lutescens areca-bambu 3 9,3 3,7 0,0486 Ficus elastica seringueira 2 185,0 9,0 34,7014 Tecoma stans ipê-de-jardim 15 13,7 3,1 1,2251 Caesalpinia pulcherrima barba-de-barata 1 12,0 4,0 0,0317 Dillenia indica maça-de-elefante 8 8,3 3,3 0,1218 Ficus guaranitica figueira-branca 1 50,0 8,0 1,0996 Schefflera actinophylla cheflera 1 6,0 2,0 0,0040 Dombeya wallichii astrapéia 1 17,0 3,0 0,0477 Eucalyptus grandis eucaplipto 1 0,0 12,0 0,0000 Pachira aquatica monguba 1 30,0 4,0 0,1979 Lagerstroemia speciosa resedá-gigante 6 13,8 3,8 0,3929 Cupressus macrocarpa cipreste-de-monterey 1 20,0 4,0 0,0880
  • 36.
    1 Foto 1: Iníciodo segmento do empreendimento, Av. João Jorge. Palmeiras nativas, Syagrus romanzoffiana – jerivá, localizados no canteiro central, os quais devem ser transplantados Foto 2: Três indivíduos arbóreos exóticos da espécie Phoenix canariensis (tamareira-das- canárias) que serão suprimidas devido a sua localização próxima ao empreendimento. Foto 3: Palmeiras nativas, Syagrus romanzoffiana – jerivá. Que deverão ser transplantadas com a implantação do empreeendimento. Foto 4: Palmeira-imperial (Roystonea oleracea) que será suprimida com as obras do empreendimento. Foto 5: Palmeiras nativas, Syagrus romanzoffiana – jerivá. Que deverão ser preservadas, mesmo com a implantação do empreeendimento Foto 6: Exemplares arbóreos de uma Caesalpinia pluviosa – sibipiruina, que apesar de sua proximidade das vias que serão implantadas, será preservado.
  • 37.
    3 Foto 13: Áreaurbanizada com grande presença de indivíduos arbóreos exóticos. O lugar dará lugar a um novo dispositovo de trânsito. Foto 14: Panorama das árvores exóticas isoladas situadas na área de intervenção do empreendimento. Foto 15: Canteiro central com presença de indivíduos arbóreos exóticos - Handroanthus pentaphyllus - ipê-bálsamo. Foto 16: APP 1 utilizada como estacionamento. Para fins de mapeamento, o local foi classificado como Campo Antrópico. Foto 17: Canteiro Central da Avenida Piracicaba, com grande número de Handroanthus pentaphyllus. Foto 18: Praça pública com exemplares arbóreos de Caesalpinia ferrea. As ibntervenções não devem afetar tais indivíduos.
  • 38.
    4 Foto 19: VistaGeral dos indivíduos arvóreos exóticos/exóticos invasores de número 506 a 512. Foto 20: Vista Geral da APP 2, principalmente ocupada por vegetação graminóide. Área classificada como Campo Antrópico. Foto 21: Indivíduos arbóreos nativos situados na APP 2, os quais serão suprimidos. Foto 22: Trecho da APP 3 com domínio de Leucaena leucocephala e presença de recomposição vegetal em estágio pioneiro. Foto 23: Para a remodelação do viário local, parte das árvores nativas (Pterodon violaceus) situadas nesse local serão suprimidas. Foto 24: Indivíduos de Pterodon violaceus que podem ser preservados, mesmo após implantação das obras.
  • 39.
    5 Foto 25: Paraa implantação do corredor nesse local, sugere-se o transplante destes exemplares de Syagrus romanzoffiana. Foto 25: Exemplares de Koelreuteria bipinnata, popularmente conhecidos como árvore-da-china, os quais serão suprimidos com o empreendimento. Foto 27: Indica-se a manutenção dos exemplares arbóreos de Caesalpinia ferrea – pau-ferro, mostrados acima. Foto 28: Local onde as intervenções não devem afetar diretamente os indivícuos arboreos. Porém é sugerida a supressão dos indivíduos exóticos e manutenção dos nativos do local. Foto 29: Segmento da Avenida Camucim, com induvíduos nativos e exóticos destinados a supressão. Foto 30: Segmento da Avenida Camucim, com induvíduos nativos e exóticos. Parte dos nativos poderão ser preservados.
  • 40.
    6 Foto 31: Indica-sea supressão dos indivíduos arboreos exóticos presentes nesta praça pública. Foto 32: Indivíduos arbóreos nativos indicados a supressão e a transplante, confome indicado no Mapa Síntese do diagnóstico Ambiental. Foto 33: Indivíduos arbóreos 778 a 783, nativos e exóticos, indicados a supressão. Foto 34: Tinal do segmento do empreendimento, onde estão situados os indivíuos arbóreos 835 a 844. No local existem árvores de origem, conforme indicado no mapa síntese.
  • 41.
    Verificação Aprovação Resp Técnico Thais Pagotto EDUARDOCAMPOS - CREA 5060866872/D Desenhista Projetista Gabriel Bispo Consórcio ENGITRANS Consórcio ENGITRANS 00 N Descrição Emissão 1ª Emissão do Desenho 17/06/2014 Verificação NCA Aprovação PRE Código Documentos de Referência Objeto Contratada Contratada Verificação ; Aprovação ; Coordenação : VERIFICADOR EMDEC APROVADOR_EMDEC COORD_EMDEC / / / / / / Projeto Área Escala Data Código Fl./fls. A Rev. Título Local A aprovação deste documento tem como única finalidade a verificação de sua compatibilidade com os demais documentos de projeto e não exime a contratada de sua total responsabilidade sobre o conteúdo técnico do mesmo. MAPA SÍNTESE DO DIACNÓSTICO AMBIENTAL PROJETO: IMPLANTAÇÃO DE CORREDORES BRT (BUS RAPID TRANSIT) CORREDOR OURO VERDE - CAMPINAS-SP Planta Geral 1:2000 13/06/2014 01/03 48 8 a 10 1 a 7 66 67 65 64 63 62 57 a 61 56 55 54 49 a 53 11 a 18 2019 22 21 24 23 26 25 43 a 47 27 a 42 7 8 1 2 5 4 3 6 287600287800288000288200288400288600 288600 7463800746400074642007464400 7464800 77 a 87 88 76 72 a 75 69 70 71 68 9 8 10 286400286600286800287000287200 287200 746280074630007463200746340074636007463800 7464000 120 a 132 312 311 198 a 310 140 a 195 92 a 101 9089 91 318 317 316 319 314 315313 197 136 135 134 133 102 a 119 11 13 12 12 285000285200285400285600285800286000286200 286200 746200074622007462600 74628007463000 CARTAS TOPOGRÁFICAS - IGC 0 40 8020 m PROJEÇÃO UTM SIRGAS 2000 23S CONVENÇÕES CARTOGRÁFICAS CARTA FOLHAFora de APP Em APP % - 1,24 100,00 Uso do solo Total Geral QUADRO DE ÁREAS PASSÍVEIS DE LICENCIAMENTO LEGENDA: Drenagem Intermitente Drenagem Perene APP Projeto ADA Canteiros Projeto Paisagístico Visada de foto Drenagem descaracterizada ou canalizada IDENTIFICAÇÃO:MapaSíntese-OV-F1-A1.pdf DE-BRT-CG-01-OV-GEO-001 Corte Manutenção Transplante Total 620 172 52 844TOTAL Forma de Manejo Origem 338 146 146 56 56 146 338 146 146 56
  • 42.
    IDENTIFICAÇÃO:MapaSíntese-OV-F2-A1.pdf 00 N Descrição Emissão 1ªEmissão do Desenho 17/06/2014 Verificação NCA Aprovação PRE Código Documentos de Referência Objeto Contratada Verificação ; Aprovação ; Coordenação : VERIFICADOR EMDEC APROVADOR_EMDEC COORD_EMDEC / / / / / / Projeto Área Escala Data Código Fl./fls. A Rev. Título Local A aprovação deste documento tem como única finalidade a verificação de sua compatibilidade com os demais documentos de projeto e não exime a contratada de sua total responsabilidade sobre o conteúdo técnico do mesmo. MAPA SÍNTESE DO DIACNÓSTICO AMBIENTAL PROJETO: IMPLANTAÇÃO DE CORREDORES BRT (BUS RAPID TRANSIT) CORREDOR OURO VERDE - CAMPINAS-SP Planta Geral 1:2000 13/06/2014 02/03 355 a 336 378 a 403 349 350 321 322 445 438 a 443 439 444 437 429420 a 423 424 425 426 427 428 430 431 a 436 407 408 a 413 414 a 419 406 405 367 a 369 354352 351 353 320 328 329 331 334 323 335 336 337 330 338 339 332 340 341 342 343 344 345 346 347 348 333327326 324 325 315 313 16 17 15 APP 1 283800284000284200284400284600284800285000 285000 746140074616007461800 7462200 517 516 506 507 508 a 512 513 515 514 505492 494 a 504 481 480 483482 493 484 485 486 a 490 491 475 474 476 477473472 478 479470465 467466 468 471469 464463 461 460 459 462 446 449 448 447 458 456 452 454 451 450 453 457 455 18 19 283200283400283600283800 283800 745980074600007460200746040074606007460800 7461000 522 536 a 555 524 a 535 523 518 521 520 519 22 23 20 21 APP 3 APP 3 APP 2 281800282000282200282400282600282800283000 283000 7459000745920074594007459600 74598007460000 CARTAS TOPOGRÁFICAS - IGC 0 40 8020 m PROJEÇÃO UTM SIRGAS 2000 23S CONVENÇÕES CARTOGRÁFICAS CARTA FOLHAFora de APP Em APP % - 1,24 100,00 Uso do solo Total Geral QUADRO DE ÁREAS PASSÍVEIS DE LICENCIAMENTO LEGENDA: Drenagem Intermitente Drenagem Perene APP Projeto ADA Canteiros Projeto Paisagístico Visada de foto Drenagem descaracterizada ou canalizada DE-BRT-CG-01-OV-GEO-001 Verificação Aprovação Resp Técnico Thais Pagotto EDUARDO CAMPOS - CREA 5060866872/D Desenhista Projetista Gabriel Bispo Consórcio ENGITRANS Consórcio ENGITRANS Corte Manutenção Transplante Total 620 172 52 844TOTAL Forma de Manejo Origem 338 146 146 56 56 146 338 146 146 56
  • 43.
    IDENTIFICAÇÃO:MapaSíntese-OV-F3-A1.pdf 00 N Descrição Emissão 1ªEmissão do Desenho 17/06/2014 Verificação NCA Aprovação PRE Código Documentos de Referência Objeto Contratada Contratada Verificação ; Aprovação ; Coordenação : VERIFICADOR EMDEC APROVADOR_EMDEC COORD_EMDEC / / / / / / Projeto Área Escala Data Código Fl./fls. A Rev. Título Local A aprovação deste documento tem como única finalidade a verificação de sua compatibilidade com os demais documentos de projeto e não exime a contratada de sua total responsabilidade sobre o conteúdo técnico do mesmo. MAPA SÍNTESE DO DIACNÓSTICO AMBIENTAL PROJETO: IMPLANTAÇÃO DE CORREDORES BRT (BUS RAPID TRANSIT) CORREDOR OURO VERDE - CAMPINAS-SP Planta Geral 1:2000 13/06/2014 03/03 536 a 555 695 a 706 694 684 a 693 677 a 683 668 669 667 676675 674 673672 671670 663 664 666665 644 658 a 662 657656655 654 643 653 651650649 648647646 652 645 621 a 635 642 639 641 638 640 636 637 596 a 620 594 595 557 556 558 a 564 590 a 593 565 a 589 26 28 27 24 25 23 280400280600280800281000281200281400281600 74584007458800 7459000 707 772 769 770 771 768767766765 764762 763 760 761 750 a 759 747 749748732 746 745744743742741740735 739738737736734 731 733 712 721 728 723 713 730729727726 724722720 719718717 716 715 714 725 709 710 711695 a 706 708 694 31 30 29 278800279000279200279400279600279800280000280200 7458400 800 a 803 804 a 808 809 a 816 817 796797 798 835 a 837 838 a 844 818 a 834 799 794 795 784 782 783 779778 781 785 786 787 780 788 793 792 790 789 791 777 775 773 774 776 32 33 34 277400277600277800278000278200278400278600278800 278800 7458200 7458600 CARTAS TOPOGRÁFICAS - IGC 0 40 8020 m PROJEÇÃO UTM SIRGAS 2000 23S CONVENÇÕES CARTOGRÁFICAS CARTA FOLHAFora de APP Em APP % - 1,24 100,00 Uso do solo Total Geral QUADRO DE ÁREAS PASSÍVEIS DE LICENCIAMENTO LEGENDA: Drenagem Intermitente Drenagem Perene APP Projeto ADA Canteiros Projeto Paisagístico Visada de foto Drenagem descaracterizada ou canalizada Verificação Aprovação Resp Técnico Thais Pagotto EDUARDO CAMPOS - CREA 5060866872/D Desenhista Projetista Gabriel Bispo Consórcio ENGITRANS Consórcio ENGITRANS DE-BRT-CG-01-OV-GEO-001 Corte Manutenção Transplante Total 620 172 52 844TOTAL Forma de Manejo Origem 338 146 146 56 56 146 338 146 146 56
  • 46.
    Banco Itaú -Comprovante de Pagamento Títulos Outros Bancos Identificação no extrato: SISPAG FORNECEDORES Dados da conta debitada: Nome: GEOTEC CONSULT AMBIENTAL LTDA Agência: 0368 Conta: 59720 - 9 Dados do pagamento: Nome do favorecido: CREA-SP Código de barras: 00199 22210 29222 122011 40793 301215 6 61060000016768 Valor do documento: R$ 167,68 Valor de juros/multa: R$ 0,00 Valor de desconto/abatimento: R$ 0,00 Valor do pagamento: R$ 167,68 Data de vencimento: 26/06/2014 Informações fornecidas pelo pagador: Operação efetuada em 17/06/2014 às 00:00:00 via Sispag, CTRL 599949443000034. - O cliente assume total responsabilidade por eventuais danos decorrentes de inexatidão ou insuficiência nas informações por ele inseridas. Autenticação: 3F2EE48B825F9C1C4923F9670FF0123A55040E37 Dúvidas, sugestões e reclamações: na sua agência. Se preferir, ligue para o SAC Itaú: 0800 728 0728 (todos os dias, 24h) ou acesse o Fale Conosco no www.itau.com.br. Se não ficar satisfeito com a solução apresentada, ligue para a Ouvidoria Corporativa Itaú: 0800 570 0011 (em dias úteis, das 9h às 18h) ou Caixa Postal 67.600, CEP 03162-971. Deficientes auditivos ou de fala: 0800 722 1722 (todos os dias, 24h). 4