Agência Descrição
Quantidade
de Vagas
Experiência Salário Escolaridade
Engenheiro mecânico
(estágio)
1 não exigido não informado superior incompleto
Motorista de
empilhadeira
20 não exigido não informado médio completo
Pedreiro 3 6 meses CTPS R$ 1.443,20 médio incompleto
Programador de
sistemas de
computador
1 6 meses CTPS não informado médio completo
Vendedor de comércio
varejista
2 6 meses CTPS não informado médio completo
Recepcionista, em
geral
1 6 meses CTPS R$ 1.027,80 médio completo
Vendedor pracista 1 6 meses CTPS R$ 1.060,00 médio completo
Mecânico de
manutenção de
máquinas de costura
1 6 meses CTPS não informado médio incompleto
Motofretista 1 6 meses CTPS R$ 964,00 médio completo
Atendente de balcão 1 6 meses CTPS não informado médio completo
Costureiro, a máquina
na confecção em série
4 6 meses não informado fundamental completo
Farmacêutico 1 6 meses CTPS não informado superior completo
Funileiro de
automóveis
(reparação)
1 6 meses não informado fundamental completo
Modelista 1 6 meses CTPS não informado médio completo
Motorista entregador 1 6 meses CTPS não informado médio completo
Pintor de automóveis 1 6 meses R$ 1.305,00 fundamental completo
Pizzaiolo 1 6 meses CTPS não informado médio completo
Preparador de tintas 1 6 meses não informado médio completo
Vendedor pracista 3 6 meses não informado médio completo
Vendedor pracista 2 6 meses CTPS não informado médio completo
Vendedor pracista 2 6 meses não informado fundamental completo
Vendedor pracista 10 6 meses não informado fundamental incompleto
SÃO LOURENÇO Lavandeiro, em geral 1 6 meses CTPS não informado não exigida
VITÓRIA
Encarregado de seção
de controle de
produção
1 6 meses CTPS R$ 1.200,00 médio completo
Gesseiro 1 6 meses não informado não exigida
Graniteiro 1 6 meses não informado não exigida
Jardineiro 1 3 meses não informado não exigida
Técnico em
manutenção de
equipamentos de
informática
1 3 meses não informado médio completo
Vidraceiro 1 6 meses não informado médio completo
BELO JARDIM
Recepcionista
atendente
1 não exigido não informado médio completo
Camareira de hotel 1 6 meses CTPS não informado fundamental incompleto
IGARASSU
GOIANA
Vagas a serem publicadas dia 05 de junho de 2017
Obs: vagas sujeitas a alterações no decorrer do dia.
Informações Central de Vagas 3183-7201
*VAGAS PARA O PUBLICO EM GERAL
IPOJUCA
BEZERROS
ESCADA
SANTA CRUZ
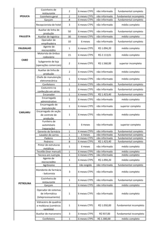
Cozinheiro de
restaurante
2 6 meses CTPS não informado fundamental completo
Cozinheiro geral 2 6 meses CTPS não informado fundamental incompleto
Garçom 8 6 meses CTPS não informado fundamental completo
Recepcionista de hotel 3 6 meses CTPS não informado médio completo
Auxiliar de linha de
produção
50 6 meses CTPS não informado fundamental completo
Auxiliar de logistica 30 6 meses CTPS não informado médio completo
Operador de
empilhadeira
10 6 meses não informado fundamental completo
PAUDALHO
Agente de
microcrédito
1 6 meses CTPS R$ 1.094,20 médio completo
Motorista de ônibus
rodoviário
15 6 meses CTPS R$ 2.113,01 médio completo
Subgerente de loja
(operações comerciais)
2 6 meses CTPS R$ 1.560,00 superior incompleto
Auxiliar de linha de
produção
2 6 meses CTPS não informado médio completo
Chefe de manutenção
eletromecânica
1 6 meses CTPS não informado médio completo
Confeiteiro 1 6 meses CTPS não informado fundamental completo
Costureiro na
confecção em sérire
1 6 meses CTPS não informado fundamental completo
Encanador 1 6 meses CTPS R$ 1.423,40 fundamental completo
Encarregado
administrativo
1 6 meses CTPS não informado médio completo
Encarregado de
manutenção
1 6 meses CTPS não informado superior completo
Encarregado de seção
de controle de
produção
1 6 meses CTPS não informado médio completo
Funileiro de
automóveis
(reparação)
1 6 meses não informado superior completo
Gerente de farmácia 1 6 meses CTPS não informado fundamental completo
Lavador de carros 1 6 meses não informado fundamental completo
Padeiro 1 6 meses CTPS não informado fundamental completo
Pedreiro 8 6 meses CTPS R$ 1.423,40 fundamental completo
Pintor de estruturas
metálicas
1 6 meses não informado médio completo
Tecelão (tear manual) 1 6 meses CTPS não informado médio completo
Técnico em nutrição 1 6 meses CTPS não informado médio completo
Agente de
microcredito
1 6 meses CTPS R$ 1.094,20 médio completo
Agrônomo 1 não exigido não informado fundamental completo
Atendente de farmácia
- balconista
3 6 meses CTPS não informado médio completo
Cozinheira de
restaurante
1 6 meses CTPS não informado fundamental completo
Garçom 1 6 meses CTPS não informado médio completo
Operador de sistemas
de informática
(teleprocessamento)
1 6 meses CTPS não informado médio completo
Vidraceiro de quadros
e molduras (comércio
varejista)
1 6 meses CTPS R$ 1.050,00 fundamental incompleto
Auxiliar de marceneiro 3 6 meses CTPS R$ 937,00 fundamental incompleto
Confeiteiro 1 6 meses CTPS R$ 1.300,00 médio completo
PAULISTA
CARUARU
PETROLINA
IPOJUCA
CABO
Desenhista industrial
gráfico (designer
gráfico)
1 6 meses CTPS R$ 1.064,00 médio completo
Engenheiro de projetos
de telecomunicações
(estágio)
1 6 meses não informado superior incompleto
Marceneiro de móveis 3 6 meses CTPS R$ 1.400,00 fundamental incompleto
Motorista carreteiro 1 6 meses CTPS R$ 1.880,00 fundamental incompleto
Tosador 1
Vendedor pracista 1 6 meses CTPS não informado médio completo
Vendedor pracista 1 6 meses CTPS R$ 1.199,00 médio completo
TOTAL 238
Agência Descrição
Quantidade
de Vagas
Experiência Salário Escolaridade
*Auxiliar financeiro 1 6 meses CTPS não informado médio completo
*Pedreiro 1 6 meses não informado fundamental completo
* Servente de pedreiro 1 6 meses não informado fundamental completo
*Assistente de logística
de transporte
1 não exigido R$ 1.260,99 fundamental completo
* Auxiliar de limpeza 1 6 meses CTPS não informado fundamental completo
*Consultor de vendas 1 6 meses R$ 942,00 fundamental completo
*Servente de obras 1 6 meses R$ 1.071,40 fundamental incompleto
*Auxiliar
administrativo
1 2 meses R$ 1.094,20 médo completo
*Servente de obras 1 não exigido R$ 1.086,80 fundamental completo
PETROLINA
*Trabalhador da
cultura de uva
1 3 meses CTPS não informado fundamental incompleto
*Analista de controle
de qualidade
1 6 meses CTPS não informado superior completo
* Analista financeiro
(economista)
1 6 meses CTPS não informado superior incompleto
*Auxiliar
administrativo
1 6 meses CTPS R$ 950,00 médio completo
* Auxiliar de limpeza 20 6 meses R$ 937,00 médio completo
* Auxiliar de linha de
produção
22 não exigido R$ 937,00 fundamental completo
*Repositor de
mercadoria
9 6 meses CTPS R$ 958,00 médio completo
* Técnico de
enfermagem
10 não exigido R$ 1.000,00 médio completo
IGARASSU
GARANHUNS
Informações Central de Vagas 3183-7201
Obs: vagas sujeitas a alterações no decorrer do dia.
*VAGAS PARA PESSOAS COM DEFICIÊNCIA - PCD
TRABALHADOR: Caso tenha interesse nas vagas ofertadas, favor comparecer a uma de nossas
unidades ou acessar o site : maisemprego.mte.gov.br.
EMPREGADOR: Caso deseje ofertar vagas de emprego, favor ligar para a nossa Central de Vagas no
telefone: 3183-7201.
RECIFE
RECIFE
CARUARU
Vagas a serem publicadas dia 05 de junho de 2017
TOTAL 74
Informações Central de Vagas 3183-7201
*(VAGAS EXCLUSIVAS PARA PESSOAS COM DEFICIÊNCIA (PCD))

Quadro de vagas_05_06_2017

  • 1.
    Agência Descrição Quantidade de Vagas ExperiênciaSalário Escolaridade Engenheiro mecânico (estágio) 1 não exigido não informado superior incompleto Motorista de empilhadeira 20 não exigido não informado médio completo Pedreiro 3 6 meses CTPS R$ 1.443,20 médio incompleto Programador de sistemas de computador 1 6 meses CTPS não informado médio completo Vendedor de comércio varejista 2 6 meses CTPS não informado médio completo Recepcionista, em geral 1 6 meses CTPS R$ 1.027,80 médio completo Vendedor pracista 1 6 meses CTPS R$ 1.060,00 médio completo Mecânico de manutenção de máquinas de costura 1 6 meses CTPS não informado médio incompleto Motofretista 1 6 meses CTPS R$ 964,00 médio completo Atendente de balcão 1 6 meses CTPS não informado médio completo Costureiro, a máquina na confecção em série 4 6 meses não informado fundamental completo Farmacêutico 1 6 meses CTPS não informado superior completo Funileiro de automóveis (reparação) 1 6 meses não informado fundamental completo Modelista 1 6 meses CTPS não informado médio completo Motorista entregador 1 6 meses CTPS não informado médio completo Pintor de automóveis 1 6 meses R$ 1.305,00 fundamental completo Pizzaiolo 1 6 meses CTPS não informado médio completo Preparador de tintas 1 6 meses não informado médio completo Vendedor pracista 3 6 meses não informado médio completo Vendedor pracista 2 6 meses CTPS não informado médio completo Vendedor pracista 2 6 meses não informado fundamental completo Vendedor pracista 10 6 meses não informado fundamental incompleto SÃO LOURENÇO Lavandeiro, em geral 1 6 meses CTPS não informado não exigida VITÓRIA Encarregado de seção de controle de produção 1 6 meses CTPS R$ 1.200,00 médio completo Gesseiro 1 6 meses não informado não exigida Graniteiro 1 6 meses não informado não exigida Jardineiro 1 3 meses não informado não exigida Técnico em manutenção de equipamentos de informática 1 3 meses não informado médio completo Vidraceiro 1 6 meses não informado médio completo BELO JARDIM Recepcionista atendente 1 não exigido não informado médio completo Camareira de hotel 1 6 meses CTPS não informado fundamental incompleto IGARASSU GOIANA Vagas a serem publicadas dia 05 de junho de 2017 Obs: vagas sujeitas a alterações no decorrer do dia. Informações Central de Vagas 3183-7201 *VAGAS PARA O PUBLICO EM GERAL IPOJUCA BEZERROS ESCADA SANTA CRUZ
  • 2.
    Cozinheiro de restaurante 2 6meses CTPS não informado fundamental completo Cozinheiro geral 2 6 meses CTPS não informado fundamental incompleto Garçom 8 6 meses CTPS não informado fundamental completo Recepcionista de hotel 3 6 meses CTPS não informado médio completo Auxiliar de linha de produção 50 6 meses CTPS não informado fundamental completo Auxiliar de logistica 30 6 meses CTPS não informado médio completo Operador de empilhadeira 10 6 meses não informado fundamental completo PAUDALHO Agente de microcrédito 1 6 meses CTPS R$ 1.094,20 médio completo Motorista de ônibus rodoviário 15 6 meses CTPS R$ 2.113,01 médio completo Subgerente de loja (operações comerciais) 2 6 meses CTPS R$ 1.560,00 superior incompleto Auxiliar de linha de produção 2 6 meses CTPS não informado médio completo Chefe de manutenção eletromecânica 1 6 meses CTPS não informado médio completo Confeiteiro 1 6 meses CTPS não informado fundamental completo Costureiro na confecção em sérire 1 6 meses CTPS não informado fundamental completo Encanador 1 6 meses CTPS R$ 1.423,40 fundamental completo Encarregado administrativo 1 6 meses CTPS não informado médio completo Encarregado de manutenção 1 6 meses CTPS não informado superior completo Encarregado de seção de controle de produção 1 6 meses CTPS não informado médio completo Funileiro de automóveis (reparação) 1 6 meses não informado superior completo Gerente de farmácia 1 6 meses CTPS não informado fundamental completo Lavador de carros 1 6 meses não informado fundamental completo Padeiro 1 6 meses CTPS não informado fundamental completo Pedreiro 8 6 meses CTPS R$ 1.423,40 fundamental completo Pintor de estruturas metálicas 1 6 meses não informado médio completo Tecelão (tear manual) 1 6 meses CTPS não informado médio completo Técnico em nutrição 1 6 meses CTPS não informado médio completo Agente de microcredito 1 6 meses CTPS R$ 1.094,20 médio completo Agrônomo 1 não exigido não informado fundamental completo Atendente de farmácia - balconista 3 6 meses CTPS não informado médio completo Cozinheira de restaurante 1 6 meses CTPS não informado fundamental completo Garçom 1 6 meses CTPS não informado médio completo Operador de sistemas de informática (teleprocessamento) 1 6 meses CTPS não informado médio completo Vidraceiro de quadros e molduras (comércio varejista) 1 6 meses CTPS R$ 1.050,00 fundamental incompleto Auxiliar de marceneiro 3 6 meses CTPS R$ 937,00 fundamental incompleto Confeiteiro 1 6 meses CTPS R$ 1.300,00 médio completo PAULISTA CARUARU PETROLINA IPOJUCA CABO
  • 3.
    Desenhista industrial gráfico (designer gráfico) 16 meses CTPS R$ 1.064,00 médio completo Engenheiro de projetos de telecomunicações (estágio) 1 6 meses não informado superior incompleto Marceneiro de móveis 3 6 meses CTPS R$ 1.400,00 fundamental incompleto Motorista carreteiro 1 6 meses CTPS R$ 1.880,00 fundamental incompleto Tosador 1 Vendedor pracista 1 6 meses CTPS não informado médio completo Vendedor pracista 1 6 meses CTPS R$ 1.199,00 médio completo TOTAL 238 Agência Descrição Quantidade de Vagas Experiência Salário Escolaridade *Auxiliar financeiro 1 6 meses CTPS não informado médio completo *Pedreiro 1 6 meses não informado fundamental completo * Servente de pedreiro 1 6 meses não informado fundamental completo *Assistente de logística de transporte 1 não exigido R$ 1.260,99 fundamental completo * Auxiliar de limpeza 1 6 meses CTPS não informado fundamental completo *Consultor de vendas 1 6 meses R$ 942,00 fundamental completo *Servente de obras 1 6 meses R$ 1.071,40 fundamental incompleto *Auxiliar administrativo 1 2 meses R$ 1.094,20 médo completo *Servente de obras 1 não exigido R$ 1.086,80 fundamental completo PETROLINA *Trabalhador da cultura de uva 1 3 meses CTPS não informado fundamental incompleto *Analista de controle de qualidade 1 6 meses CTPS não informado superior completo * Analista financeiro (economista) 1 6 meses CTPS não informado superior incompleto *Auxiliar administrativo 1 6 meses CTPS R$ 950,00 médio completo * Auxiliar de limpeza 20 6 meses R$ 937,00 médio completo * Auxiliar de linha de produção 22 não exigido R$ 937,00 fundamental completo *Repositor de mercadoria 9 6 meses CTPS R$ 958,00 médio completo * Técnico de enfermagem 10 não exigido R$ 1.000,00 médio completo IGARASSU GARANHUNS Informações Central de Vagas 3183-7201 Obs: vagas sujeitas a alterações no decorrer do dia. *VAGAS PARA PESSOAS COM DEFICIÊNCIA - PCD TRABALHADOR: Caso tenha interesse nas vagas ofertadas, favor comparecer a uma de nossas unidades ou acessar o site : maisemprego.mte.gov.br. EMPREGADOR: Caso deseje ofertar vagas de emprego, favor ligar para a nossa Central de Vagas no telefone: 3183-7201. RECIFE RECIFE CARUARU Vagas a serem publicadas dia 05 de junho de 2017
  • 4.
    TOTAL 74 Informações Centralde Vagas 3183-7201 *(VAGAS EXCLUSIVAS PARA PESSOAS COM DEFICIÊNCIA (PCD))