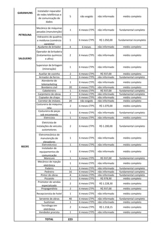
Agência Descrição
Quantidade
de Vagas
Experiência Salário Escolaridade
ARARIPINA Ajudante de eletricista 1 3 meses R$ 937,00 fundamental completo
Auxiliar de
desenvolvimento
infantil
1 3 meses CTPS não informado médio completo
Borracheiro 1 6 meses CTPS não informado fundamental completo
Montador de móveis
de madeira
1 6 meses CTPS não informado médio completo
Carpinteiro de obras 4 6 meses CTPS não informado fundamental completo
Estoquista 1 não exigido não informado médio completo
Técnico em construção
civil (obras de
saneamento)
1 6 meses CTPS não informado médio incompleto
Gerente de
departamento pessoal
1 6 meses CTPS não informado médio completo
Costureiro, a máquina
na confecção em série
5 6 meses não informado fundamental completo
Farmacêutico 1 6 meses CTPS não informado superior completo
Gerente de farmácia 1 6 meses CTPS não informado médio completo
Cozinheiro de
restaurante
1 6 meses CTPS não informado médio completo
Vendedor pracista 1 6 meses CTPS não informado médio completo
Açougueiro 1 6 meses CTPS não informado fundamental completo
Cozinheiro de
restaurante
2 6 meses CTPS não informado fundamental completo
Podólogo 1 6 meses CTPS não informado médio completo
Auxiliar de logistica 30 6 meses CTPS não informado médio completo
Açougueiro 1 6 meses CTPS não informado fundamental completo
Copeiro de hospital 2 6 meses CTPS R$ 946,37 fundamental completo
CABO
Motorista de ônibus
rodoviário
15 6 meses CTPS R$ 2.113,01 médio completo
Chefe de manutenção
eletromecânica
1 6 meses CTPS não informado médio completo
Desenhista industrial
gráfico (designer
gráfico)
1 6 meses não informado superior incompleto
Encarregado de
construção civil e
manutenção
1 6 meses CTPS não informado médio completo
Gerente de farmácia 1 6 meses CTPS não informado superior completo
Farmacêutico 1 não exigido R$ 2.800,00 superior completo
Instalador de alarme 2 6 meses não informado médio completo
BEZERROS
CAMARAGIBE
Vagas a serem publicadas dia 13 de junho de 2017
Obs: vagas sujeitas a alterações no decorrer do dia.
Informações Central de Vagas 3183-7201
*VAGAS PARA O PUBLICO EM GERAL
IGARASSU
CARUARU
PAULISTA
GARANHUNS
VITÓRIA
GOIANA
IPOJUCA
SANTA CRUZ
Instalador-reparador
de redes telefônicas e
de comunicação de
dados
5 não exigido não informado médio completo
Mecânico de máquinas
pesadas (manutenção)
1 6 meses CTPS não informado fundamental completo
Vidraceiro de quadros
e molduras (comércio
varejista)
1 6 meses CTPS R$ 1.050,00 fundamental incompleto
Ajudante de britador 4 6 meses não informado médio completo
Operador de britadeira
(tratamentos químicos
e afins)
2 6 meses CTPS não informado médio completo
Supervisor de britagem
(mineração)
1 6 meses CTPS não informado médio completo
Auxiliar de cozinha 2 6 meses CTPS R$ 937,00 médio completo
Armador de ferros 1 6 meses CTPS não informado fundamental completo
Atendente de
telemarketing
1 6 meses CTPS não informado médio completo
Bombeiro civil 20 6 meses CTPS não informado médio completo
Cabeleireiro 1 6 meses CTPS R$ 937,00 fundamental completo
Carpinteiro de obras 2 6 meses CTPS não informado fundamental completo
Copiador de chapa 1 6 meses CTPS não informado médio completo
Corretor de imóveis 20 não exigido não informado médio completo
Costureira de máquina
reta
2 6 meses CTPS R$ 1.070,00 médio completo
Costureira de peças
sob encomenda
1 6 meses CTPS não informado fundamental completo
Eletricista 1 6 meses CTPS não informado médio completo
Eletricista de
instalações de veículos
automotores
2 6 meses CTPS R$ 1.200,00 fundamental completo
Eletromecânico de
manutenção de
elevadores
1 6 meses CTPS não informado médio completo
Eletrotécnico 1 6 meses CTPS não informado médio completo
Instalador de
equipamentos de
comunicação
1 6 meses CTPS não informado médio completo
Manicure 1 6 meses CTPS R$ 937,00 fundamental completo
Mecânico de injeção
eletrônica
1 6 meses CTPS não informado médio completo
Padeiro 1 6 meses CTPS não informado fundamental completo
Pedreiro 16 6 meses CTPS não informado fundamental completo
Pintor de obras 4 6 meses CTPS não informado fundamental completo
Pizzaiolo 1 6 meses CTPS R$ 978,90 médio completo
Promotor de vendas
especializado
2 6 meses CTPS R$ 1.228,30 médio completo
Propagandista 2 6 meses CTPS R$ 937,00 médio completo
Recepcionista de hotel 1 6 meses CTPS não informado médio completo
Servente de obras 40 6 meses CTPS não informado fundamental completo
Sushiman 1 6 meses CTPS não informado médio completo
Tecnólogo em
eletrônica
2 6 meses CTPS R$ 1.218,15 médio completo
Vendedor pracista 1 6 meses CTPS não informado médio completo
TOTAL 223
SALGUEIRO
RECIFE
PETROLINA
GARANHUNS
Agência Descrição
Quantidade
de Vagas
Experiência Salário Escolaridade
GOIANA
*Auxiliar de linha de
produção
4 não exigido não informado médio completo
*Oficial de serviços
diversos na
manutenção de
edificações
6 6 meses não informado fundamental completo
*Camareira de hotel 5 6 meses R$ 1.181,87 médio completo
*Ajudante de cozinha 5 6 meses R$ 1.090,03 fundamental completo
PAULISTA
*Auxiliar de linha de
produção
5 não exigido R$ 1.049,00 fundamental completo
*Assistente de logística
de transporte
1 não exigido R$ 1.260,99 fundamental completo
* Auxiliar de limpeza 1 6 meses CTPS não informado fundamental completo
*Consultor de vendas 1 6 meses R$ 942,00 fundamental completo
PETROLINA
*Trabalhador na
operação de sistemas
de irrigação por
superfície e drenagem
1 6 meses não informado fundamental completo
*Analista de controle
de qualidade
1 6 meses CTPS não informado superior completo
*Ajudante de carga e
descarga de
mercadoria
8 não exigido não informado fundamental completo
*Auxiliar de limpeza 20 6 meses R$ 937,00 médio completo
* Repositor de
mercadorias
3 não exigido R$ 983,00 médio completo
*Atendente de lojas e
mercados
2 6 meses R$ 1.006,00 médio completo
TOTAL 63
*VAGAS PARA PESSOAS COM DEFICIÊNCIA - PCD
Informações Central de Vagas 3183-7201
TRABALHADOR: Caso tenha interesse nas vagas ofertadas, favor comparecer a uma de nossas
unidades ou acessar o site : maisemprego.mte.gov.br.
EMPREGADOR: Caso deseje ofertar vagas de emprego, favor ligar para a nossa Central de Vagas no
telefone: 3183-7201.
IPOJUCA
Informações Central de Vagas 3183-7201
Obs: vagas sujeitas a alterações no decorrer do dia.
*(VAGAS EXCLUSIVAS PARA PESSOAS COM DEFICIÊNCIA (PCD))
RECIFE
CARUARU
Vagas a serem publicadas dia 13 de junho de 2017

Quadro de vagas_13_06_2017

  • 1.
    Agência Descrição Quantidade de Vagas ExperiênciaSalário Escolaridade ARARIPINA Ajudante de eletricista 1 3 meses R$ 937,00 fundamental completo Auxiliar de desenvolvimento infantil 1 3 meses CTPS não informado médio completo Borracheiro 1 6 meses CTPS não informado fundamental completo Montador de móveis de madeira 1 6 meses CTPS não informado médio completo Carpinteiro de obras 4 6 meses CTPS não informado fundamental completo Estoquista 1 não exigido não informado médio completo Técnico em construção civil (obras de saneamento) 1 6 meses CTPS não informado médio incompleto Gerente de departamento pessoal 1 6 meses CTPS não informado médio completo Costureiro, a máquina na confecção em série 5 6 meses não informado fundamental completo Farmacêutico 1 6 meses CTPS não informado superior completo Gerente de farmácia 1 6 meses CTPS não informado médio completo Cozinheiro de restaurante 1 6 meses CTPS não informado médio completo Vendedor pracista 1 6 meses CTPS não informado médio completo Açougueiro 1 6 meses CTPS não informado fundamental completo Cozinheiro de restaurante 2 6 meses CTPS não informado fundamental completo Podólogo 1 6 meses CTPS não informado médio completo Auxiliar de logistica 30 6 meses CTPS não informado médio completo Açougueiro 1 6 meses CTPS não informado fundamental completo Copeiro de hospital 2 6 meses CTPS R$ 946,37 fundamental completo CABO Motorista de ônibus rodoviário 15 6 meses CTPS R$ 2.113,01 médio completo Chefe de manutenção eletromecânica 1 6 meses CTPS não informado médio completo Desenhista industrial gráfico (designer gráfico) 1 6 meses não informado superior incompleto Encarregado de construção civil e manutenção 1 6 meses CTPS não informado médio completo Gerente de farmácia 1 6 meses CTPS não informado superior completo Farmacêutico 1 não exigido R$ 2.800,00 superior completo Instalador de alarme 2 6 meses não informado médio completo BEZERROS CAMARAGIBE Vagas a serem publicadas dia 13 de junho de 2017 Obs: vagas sujeitas a alterações no decorrer do dia. Informações Central de Vagas 3183-7201 *VAGAS PARA O PUBLICO EM GERAL IGARASSU CARUARU PAULISTA GARANHUNS VITÓRIA GOIANA IPOJUCA SANTA CRUZ
  • 2.
    Instalador-reparador de redes telefônicase de comunicação de dados 5 não exigido não informado médio completo Mecânico de máquinas pesadas (manutenção) 1 6 meses CTPS não informado fundamental completo Vidraceiro de quadros e molduras (comércio varejista) 1 6 meses CTPS R$ 1.050,00 fundamental incompleto Ajudante de britador 4 6 meses não informado médio completo Operador de britadeira (tratamentos químicos e afins) 2 6 meses CTPS não informado médio completo Supervisor de britagem (mineração) 1 6 meses CTPS não informado médio completo Auxiliar de cozinha 2 6 meses CTPS R$ 937,00 médio completo Armador de ferros 1 6 meses CTPS não informado fundamental completo Atendente de telemarketing 1 6 meses CTPS não informado médio completo Bombeiro civil 20 6 meses CTPS não informado médio completo Cabeleireiro 1 6 meses CTPS R$ 937,00 fundamental completo Carpinteiro de obras 2 6 meses CTPS não informado fundamental completo Copiador de chapa 1 6 meses CTPS não informado médio completo Corretor de imóveis 20 não exigido não informado médio completo Costureira de máquina reta 2 6 meses CTPS R$ 1.070,00 médio completo Costureira de peças sob encomenda 1 6 meses CTPS não informado fundamental completo Eletricista 1 6 meses CTPS não informado médio completo Eletricista de instalações de veículos automotores 2 6 meses CTPS R$ 1.200,00 fundamental completo Eletromecânico de manutenção de elevadores 1 6 meses CTPS não informado médio completo Eletrotécnico 1 6 meses CTPS não informado médio completo Instalador de equipamentos de comunicação 1 6 meses CTPS não informado médio completo Manicure 1 6 meses CTPS R$ 937,00 fundamental completo Mecânico de injeção eletrônica 1 6 meses CTPS não informado médio completo Padeiro 1 6 meses CTPS não informado fundamental completo Pedreiro 16 6 meses CTPS não informado fundamental completo Pintor de obras 4 6 meses CTPS não informado fundamental completo Pizzaiolo 1 6 meses CTPS R$ 978,90 médio completo Promotor de vendas especializado 2 6 meses CTPS R$ 1.228,30 médio completo Propagandista 2 6 meses CTPS R$ 937,00 médio completo Recepcionista de hotel 1 6 meses CTPS não informado médio completo Servente de obras 40 6 meses CTPS não informado fundamental completo Sushiman 1 6 meses CTPS não informado médio completo Tecnólogo em eletrônica 2 6 meses CTPS R$ 1.218,15 médio completo Vendedor pracista 1 6 meses CTPS não informado médio completo TOTAL 223 SALGUEIRO RECIFE PETROLINA GARANHUNS
  • 3.
    Agência Descrição Quantidade de Vagas ExperiênciaSalário Escolaridade GOIANA *Auxiliar de linha de produção 4 não exigido não informado médio completo *Oficial de serviços diversos na manutenção de edificações 6 6 meses não informado fundamental completo *Camareira de hotel 5 6 meses R$ 1.181,87 médio completo *Ajudante de cozinha 5 6 meses R$ 1.090,03 fundamental completo PAULISTA *Auxiliar de linha de produção 5 não exigido R$ 1.049,00 fundamental completo *Assistente de logística de transporte 1 não exigido R$ 1.260,99 fundamental completo * Auxiliar de limpeza 1 6 meses CTPS não informado fundamental completo *Consultor de vendas 1 6 meses R$ 942,00 fundamental completo PETROLINA *Trabalhador na operação de sistemas de irrigação por superfície e drenagem 1 6 meses não informado fundamental completo *Analista de controle de qualidade 1 6 meses CTPS não informado superior completo *Ajudante de carga e descarga de mercadoria 8 não exigido não informado fundamental completo *Auxiliar de limpeza 20 6 meses R$ 937,00 médio completo * Repositor de mercadorias 3 não exigido R$ 983,00 médio completo *Atendente de lojas e mercados 2 6 meses R$ 1.006,00 médio completo TOTAL 63 *VAGAS PARA PESSOAS COM DEFICIÊNCIA - PCD Informações Central de Vagas 3183-7201 TRABALHADOR: Caso tenha interesse nas vagas ofertadas, favor comparecer a uma de nossas unidades ou acessar o site : maisemprego.mte.gov.br. EMPREGADOR: Caso deseje ofertar vagas de emprego, favor ligar para a nossa Central de Vagas no telefone: 3183-7201. IPOJUCA Informações Central de Vagas 3183-7201 Obs: vagas sujeitas a alterações no decorrer do dia. *(VAGAS EXCLUSIVAS PARA PESSOAS COM DEFICIÊNCIA (PCD)) RECIFE CARUARU Vagas a serem publicadas dia 13 de junho de 2017