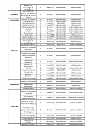
Agência Descrição
Quantidade
de Vagas
Experiência Salário Escolaridade
Eletrotécnico 4 6 meses CTPS não informado médio completo
Gerente de
departamento pessoal
1 6 meses CTPS não informado médio completo
Motofretista 1 6 meses CTPS R$ 964,00 médio completo
PESQUEIRA Eletricista 1 6 meses não informado médio completo
Açougueiro 1 6 meses CTPS não informado fundamental completo
Costureiro, a máquina
na confecção em série
11 6 meses não informado fundamental completo
Estoquista 1 6 meses CTPS não informado médio completo
Farmacêutico 1 6 meses CTPS não informado superior completo
Gerente de farmácia 1 6 meses CTPS não informado médio completo
Garçom 2 6 meses CTPS não informado médio completo
Vendedor pracista 2 6 meses CTPS não informado médio completo
Vendedor pracista 3 6 meses não informado fundamental completo
Vendedor pracista 10 6 meses não informado médio completo
Vendedor pracista 1 6 meses CTPS não informado médio completo
Vendedor porta a porta 4 6 meses não informado médio completo
Encarregado de
produção química
1 6 meses não informado médio completo
Fermentador 9 6 meses não informado médio completo
Instrumentista de
laboratório
(manutenção)
1 6 meses não informado médio completo
Laboratorista químico 1 6 meses não informado médio completo
Operador de cozedor a
vácuo na refinação de
açúcar
26 6 meses não informado fundamental completo
Serralheiro 16 6 meses não informado fundamental completo
Soldador 17 6 meses não informado fundamental completo
Técnico de gestão do
meio ambiente
1 6 meses não informado médio completo
Operador de máquinas
agrícolas
36 6 meses não informado fundamental completo
Agente de microcrédito 2 6 meses CTPS R$ 1.094,20 médio completo
Líder de recepção 1 6 meses CTPS não informado superior completo
Cozinheiro geral 10 6 meses CTPS não informado médio incompleto
Podólogo 1 6 meses CTPS não informado médio completo
Auxiliar de manutenção
predial
2 6 meses CTPS não informado médio completo
Mecânico de ar-
condicionado e
refrigeração
1 6 meses CTPS não informado médio completo
ARARIPINA
SANTA CRUZ
VITÓRIA
PAULISTA
BEZERROS
Vagas a serem publicadas dia 29 de junho de 2017
Obs: vagas sujeitas a alterações no decorrer do dia.
Informações Central de Vagas 3183-7201
*VAGAS PARA O PUBLICO EM GERAL
IPOJUCA
PALMARES
Mecânico de
manutenção de
empilhadeiras
5 6 meses CTPS não informado médio completo
PAUDALHO
Fiscal técnico na
geração, transmissão e
distribuição de energia
elétrica
3 6 meses não informado médio completo
Corretor de imóveis 10 6 meses não informado médio completo
Vendedor pracista 4 6 meses não informado médio completo
Apontador de obras 1 6 meses CTPS R$ 1.423,40 médio completo
Auxiliar de cozinha 1 6 meses CTPS não informado médio completo
Auxiliar de pizzaiolo 1 6 meses não informado fundamental completo
Açougueiro 1 6 meses não informado fundamental completo
Barbeiro 1 6 meses CTPS não informado fundamental completo
Churrasqueiro 1 6 meses não informado fundamental completo
Confeiteiro 1 6 meses CTPS não informado médio completo
Cozinheiro geral 1 6 meses CTPS não informado fundamental completo
Costureira em geral 1 6 meses não informado fundamental completo
Encarregado de
manutenção
1 6 meses CTPS não informado médio completo
Estampador de tecido 2 6 meses CTPS R$ 1.070,00 médio incompleto
Funileiro de automóveis
(reparação)
1 6 meses não informado fundamental completo
Instalador de sistemas
eletroeletrônicos de
segurança
1 6 meses não informado médio completo
Mecânico de
refrigeração
1 6 meses não informado fundamental completo
Operador de
empilhadeira
1 6 meses CTPS não informado médio completo
Pizzaiolo 1 6 meses CTPS não informado fundamental completo
Promotor de vendas 2 6 meses CTPS R$ 1.170,00 médio completo
Recepcionista
atendente
1 6 meses CTPS não informado médio completo
Sushiman 1 6 meses CTPS não informado médio completo
Tecelão (tear manual) 1 6 meses CTPS não informado fundamental completo
Instrutor de informática 1 6 meses não informado médio completo
Mecânico de
motocicletas
2 6 meses CTPS não informado não exigido
Vendedor interno 1 6 meses CTPS não informado médio incompleto
Ajudante de açougueiro
(comércio)
2 6 meses CTPS não informado fundamental completo
Costureira de
máquinas industriais
1 6 meses CTPS não informado fundamental incompleto
Gerente de pesquisa e
desenvolvimento (p&d)
1 6 meses CTPS não informado superior completo
Oficial de serviços
gerais na manutenção
de edificações
1 6 meses não informado superior completo
Supervisor de logística 1 6 meses CTPS não informado superior completo
Vendedor pracista 2 6 meses CTPS não informado médio completo
Tecnólogo em
alimentos
1 não exigido não informado superior completo
Alinhador de pneus 2 6 meses CTPS R$ 1.100,00 fundamental completo
CAMARAGIBE
PETROLINA
PAULISTA
GARANHUNS
CARUARU
Analista de recursos
humanos
1 6 meses CTPS R$ 2.000,00 superior completo
Barman 1 6 meses CTPS não informado médio completo
Cabeleireiro escovista 1 6 meses não informado fundamental completo
Corretor de imóveis 10 6 meses não informado médio completo
Costureira de máquina
reta
5 6 meses R$ 1.012,00 fundamental completo
Costureira de máquina
reta
3 6 meses CTPS R$ 937,00 médio completo
Cumim 2 6 meses CTPS R$ 978,90 médio completo
Farmacêutico 1 6 meses CTPS não informado superior completo
Gerente de
departamento de
produção
1 6 meses CTPS R$ 1.400,00 médio completo
Mecânico de ar-
condicionado e
refrigeração
5 6 meses CTPS R$ 1.000,00 médio completo
Mecânico de automóvel 11 6 meses CTPS R$ 937,00 fundamental completo
Mecânico de automóvel 1 6 meses CTPS R$ 1.200,00 fundamental completo
Motofretista 3 6 meses CTPS não informado médio completo
Sapateiro (calçados sob
medida)
1 5 meses CTPS R$ 1.060,00 fundamental completo
Supervisor comercial 2 6 meses CTPS R$ 1.100,00 superior incompleto
Supervisor de logística 1 6 meses CTPS R$ 1.600,00 médio completo
Técnico eletrônico 2 6 meses CTPS R$ 1.200,00 médio completo
TOTAL 279
Agência Descrição
Quantidade
de Vagas
Experiência Salário Escolaridade
* Auxiliar
administrativo
1 não exigido não informado médio completo
* Auxiliar de limpeza 1 não exigido não informado fundamental incompleto
* Professor das séries
iniciais
1 não exigido não informado superior incompleto
IGARASSU
*Técnico de
enfermagem do
trabalho
1 6 meses CTPS não informado médio completo
GOIANA
*Auxiliar de linha de
produção
1 não exigido não informado médio completo
*Auxiliar de linha de
produção
1 não exigido não informado fundamental completo
* Operador de
empilhadeira
1 6 meses CTPS não informado médio completo
NAZARÉ
*VAGAS PARA PESSOAS COM DEFICIÊNCIA - PCD
Vagas a serem publicadas dia 29 de junho de 2017
RECIFE
CABO
TRABALHADOR: Caso tenha interesse nas vagas ofertadas, favor comparecer a uma de nossas
unidades ou acessar o site : www.empregabrasil.mte.gov.br.
EMPREGADOR: Caso deseje ofertar vagas de emprego, favor ligar para a nossa Central de Vagas no
telefone: 3183-7201.
Informações Central de Vagas 3183-7201
Obs: vagas sujeitas a alterações no decorrer do dia.
*Assistente de logística
de transporte
1 não exigido R$ 1.260,99 fundamental completo
* Atendente de lojas 1 não exigido não informado médio completo
*Auxiliar de costureira
(no acabamento)
1 6 meses não informado fundamental completo
*Auxiliar de limpeza 1 6 meses CTPS não informado fundamental completo
* Auxiliar de estoque 1 6 meses não informado fundamental completo
*Marceneiro 2 6 meses não informado fundamental completo
*Porteiro 2 6 meses não informado médio completo
*Ajudante de
embalador
5 6 meses R$ 1.006,00 fundamental completo
*Ascensorista 9 6 meses R$ 1.015,00 médio completo
*Assistente de
prevenção de perdas
1 não exigido R$ 1.065,00 médio completo
* Auxiliar de biblioteca 9 6 meses R$ 1.015,00 médio completo
*Auxiliar de
coordenador escolar
5 6 meses R$ 1.015,00 médio completo
*Auxiliar de limpeza 3 6 meses CTPS R$ 937,00 médio completo
*Auxiliar de limpeza 10 6 meses CTPS R$ 937,00 médio completo
* Auxiliar de linha de
produção
22 não exigido R$ 937,00 fundamental completo
* Auxiliar de logistica 13 6 meses R$ 1.060,00 médio completo
* Balconista 1 6 meses CTPS R$ 1.006,00 médio completo
*Estoquista 3 6 meses CTPS R$ 937,00 médio completo
*Operador de caixa 6 6 meses CTPS R$ 1.060,00 médio completo
*Operador de
telemarketing ativo e
receptivo
50 não exigido R$ 937,00 médio completo
*Recepcionista
atendente
10 6 meses R$ 1.015,00 médio completo
*Repositor de
mercadorias
9 6 meses CTPS R$ 1.006,00 médio incompleto
TOTAL 172
CARUARU
GARANHUNS
Informações Central de Vagas 3183-7201
*(VAGAS EXCLUSIVAS PARA PESSOAS COM DEFICIÊNCIA (PCD))
RECIFE

Quadro de vagas_29_06_2017

  • 1.
    Agência Descrição Quantidade de Vagas ExperiênciaSalário Escolaridade Eletrotécnico 4 6 meses CTPS não informado médio completo Gerente de departamento pessoal 1 6 meses CTPS não informado médio completo Motofretista 1 6 meses CTPS R$ 964,00 médio completo PESQUEIRA Eletricista 1 6 meses não informado médio completo Açougueiro 1 6 meses CTPS não informado fundamental completo Costureiro, a máquina na confecção em série 11 6 meses não informado fundamental completo Estoquista 1 6 meses CTPS não informado médio completo Farmacêutico 1 6 meses CTPS não informado superior completo Gerente de farmácia 1 6 meses CTPS não informado médio completo Garçom 2 6 meses CTPS não informado médio completo Vendedor pracista 2 6 meses CTPS não informado médio completo Vendedor pracista 3 6 meses não informado fundamental completo Vendedor pracista 10 6 meses não informado médio completo Vendedor pracista 1 6 meses CTPS não informado médio completo Vendedor porta a porta 4 6 meses não informado médio completo Encarregado de produção química 1 6 meses não informado médio completo Fermentador 9 6 meses não informado médio completo Instrumentista de laboratório (manutenção) 1 6 meses não informado médio completo Laboratorista químico 1 6 meses não informado médio completo Operador de cozedor a vácuo na refinação de açúcar 26 6 meses não informado fundamental completo Serralheiro 16 6 meses não informado fundamental completo Soldador 17 6 meses não informado fundamental completo Técnico de gestão do meio ambiente 1 6 meses não informado médio completo Operador de máquinas agrícolas 36 6 meses não informado fundamental completo Agente de microcrédito 2 6 meses CTPS R$ 1.094,20 médio completo Líder de recepção 1 6 meses CTPS não informado superior completo Cozinheiro geral 10 6 meses CTPS não informado médio incompleto Podólogo 1 6 meses CTPS não informado médio completo Auxiliar de manutenção predial 2 6 meses CTPS não informado médio completo Mecânico de ar- condicionado e refrigeração 1 6 meses CTPS não informado médio completo ARARIPINA SANTA CRUZ VITÓRIA PAULISTA BEZERROS Vagas a serem publicadas dia 29 de junho de 2017 Obs: vagas sujeitas a alterações no decorrer do dia. Informações Central de Vagas 3183-7201 *VAGAS PARA O PUBLICO EM GERAL IPOJUCA PALMARES
  • 2.
    Mecânico de manutenção de empilhadeiras 56 meses CTPS não informado médio completo PAUDALHO Fiscal técnico na geração, transmissão e distribuição de energia elétrica 3 6 meses não informado médio completo Corretor de imóveis 10 6 meses não informado médio completo Vendedor pracista 4 6 meses não informado médio completo Apontador de obras 1 6 meses CTPS R$ 1.423,40 médio completo Auxiliar de cozinha 1 6 meses CTPS não informado médio completo Auxiliar de pizzaiolo 1 6 meses não informado fundamental completo Açougueiro 1 6 meses não informado fundamental completo Barbeiro 1 6 meses CTPS não informado fundamental completo Churrasqueiro 1 6 meses não informado fundamental completo Confeiteiro 1 6 meses CTPS não informado médio completo Cozinheiro geral 1 6 meses CTPS não informado fundamental completo Costureira em geral 1 6 meses não informado fundamental completo Encarregado de manutenção 1 6 meses CTPS não informado médio completo Estampador de tecido 2 6 meses CTPS R$ 1.070,00 médio incompleto Funileiro de automóveis (reparação) 1 6 meses não informado fundamental completo Instalador de sistemas eletroeletrônicos de segurança 1 6 meses não informado médio completo Mecânico de refrigeração 1 6 meses não informado fundamental completo Operador de empilhadeira 1 6 meses CTPS não informado médio completo Pizzaiolo 1 6 meses CTPS não informado fundamental completo Promotor de vendas 2 6 meses CTPS R$ 1.170,00 médio completo Recepcionista atendente 1 6 meses CTPS não informado médio completo Sushiman 1 6 meses CTPS não informado médio completo Tecelão (tear manual) 1 6 meses CTPS não informado fundamental completo Instrutor de informática 1 6 meses não informado médio completo Mecânico de motocicletas 2 6 meses CTPS não informado não exigido Vendedor interno 1 6 meses CTPS não informado médio incompleto Ajudante de açougueiro (comércio) 2 6 meses CTPS não informado fundamental completo Costureira de máquinas industriais 1 6 meses CTPS não informado fundamental incompleto Gerente de pesquisa e desenvolvimento (p&d) 1 6 meses CTPS não informado superior completo Oficial de serviços gerais na manutenção de edificações 1 6 meses não informado superior completo Supervisor de logística 1 6 meses CTPS não informado superior completo Vendedor pracista 2 6 meses CTPS não informado médio completo Tecnólogo em alimentos 1 não exigido não informado superior completo Alinhador de pneus 2 6 meses CTPS R$ 1.100,00 fundamental completo CAMARAGIBE PETROLINA PAULISTA GARANHUNS CARUARU
  • 3.
    Analista de recursos humanos 16 meses CTPS R$ 2.000,00 superior completo Barman 1 6 meses CTPS não informado médio completo Cabeleireiro escovista 1 6 meses não informado fundamental completo Corretor de imóveis 10 6 meses não informado médio completo Costureira de máquina reta 5 6 meses R$ 1.012,00 fundamental completo Costureira de máquina reta 3 6 meses CTPS R$ 937,00 médio completo Cumim 2 6 meses CTPS R$ 978,90 médio completo Farmacêutico 1 6 meses CTPS não informado superior completo Gerente de departamento de produção 1 6 meses CTPS R$ 1.400,00 médio completo Mecânico de ar- condicionado e refrigeração 5 6 meses CTPS R$ 1.000,00 médio completo Mecânico de automóvel 11 6 meses CTPS R$ 937,00 fundamental completo Mecânico de automóvel 1 6 meses CTPS R$ 1.200,00 fundamental completo Motofretista 3 6 meses CTPS não informado médio completo Sapateiro (calçados sob medida) 1 5 meses CTPS R$ 1.060,00 fundamental completo Supervisor comercial 2 6 meses CTPS R$ 1.100,00 superior incompleto Supervisor de logística 1 6 meses CTPS R$ 1.600,00 médio completo Técnico eletrônico 2 6 meses CTPS R$ 1.200,00 médio completo TOTAL 279 Agência Descrição Quantidade de Vagas Experiência Salário Escolaridade * Auxiliar administrativo 1 não exigido não informado médio completo * Auxiliar de limpeza 1 não exigido não informado fundamental incompleto * Professor das séries iniciais 1 não exigido não informado superior incompleto IGARASSU *Técnico de enfermagem do trabalho 1 6 meses CTPS não informado médio completo GOIANA *Auxiliar de linha de produção 1 não exigido não informado médio completo *Auxiliar de linha de produção 1 não exigido não informado fundamental completo * Operador de empilhadeira 1 6 meses CTPS não informado médio completo NAZARÉ *VAGAS PARA PESSOAS COM DEFICIÊNCIA - PCD Vagas a serem publicadas dia 29 de junho de 2017 RECIFE CABO TRABALHADOR: Caso tenha interesse nas vagas ofertadas, favor comparecer a uma de nossas unidades ou acessar o site : www.empregabrasil.mte.gov.br. EMPREGADOR: Caso deseje ofertar vagas de emprego, favor ligar para a nossa Central de Vagas no telefone: 3183-7201. Informações Central de Vagas 3183-7201 Obs: vagas sujeitas a alterações no decorrer do dia.
  • 4.
    *Assistente de logística detransporte 1 não exigido R$ 1.260,99 fundamental completo * Atendente de lojas 1 não exigido não informado médio completo *Auxiliar de costureira (no acabamento) 1 6 meses não informado fundamental completo *Auxiliar de limpeza 1 6 meses CTPS não informado fundamental completo * Auxiliar de estoque 1 6 meses não informado fundamental completo *Marceneiro 2 6 meses não informado fundamental completo *Porteiro 2 6 meses não informado médio completo *Ajudante de embalador 5 6 meses R$ 1.006,00 fundamental completo *Ascensorista 9 6 meses R$ 1.015,00 médio completo *Assistente de prevenção de perdas 1 não exigido R$ 1.065,00 médio completo * Auxiliar de biblioteca 9 6 meses R$ 1.015,00 médio completo *Auxiliar de coordenador escolar 5 6 meses R$ 1.015,00 médio completo *Auxiliar de limpeza 3 6 meses CTPS R$ 937,00 médio completo *Auxiliar de limpeza 10 6 meses CTPS R$ 937,00 médio completo * Auxiliar de linha de produção 22 não exigido R$ 937,00 fundamental completo * Auxiliar de logistica 13 6 meses R$ 1.060,00 médio completo * Balconista 1 6 meses CTPS R$ 1.006,00 médio completo *Estoquista 3 6 meses CTPS R$ 937,00 médio completo *Operador de caixa 6 6 meses CTPS R$ 1.060,00 médio completo *Operador de telemarketing ativo e receptivo 50 não exigido R$ 937,00 médio completo *Recepcionista atendente 10 6 meses R$ 1.015,00 médio completo *Repositor de mercadorias 9 6 meses CTPS R$ 1.006,00 médio incompleto TOTAL 172 CARUARU GARANHUNS Informações Central de Vagas 3183-7201 *(VAGAS EXCLUSIVAS PARA PESSOAS COM DEFICIÊNCIA (PCD)) RECIFE