GOVERNO DO ESTADO DA BAHIA

SECRETARIA DA ADMINISTRAÇÃO DO ESTADO DA BAHIA (SAEB)

SECRETARIA DO MEIO AMBIENTE DO ESTADO DA BAHIA (SEMA)

INSTITUTO DO MEIO AMBIENTE E RECURSOS HIDRÍCOS (INEMA)

CONCURSO PÚBLICO PARA OS CARGOS DE ESPECIALISTA EM MEIO AMBIENTE E RECURSOS
HÍDRICOS E DE TÉCNICO EM MEIO AMBIENTE E RECURSOS HÍDRICOS DO

ESTADO DA BAHIA

EDITAL DE CONVOCAÇÃO PARA PERÍCIA MÉDICA

O Superintendente de Recursos Humanos da Secretaria da Administração do Estado da Bahia,
no uso de suas atribuições, convoca para perícia médica os candidatos que se declararam com
deficiência no momento da inscrição, aprovados e classificados nas provas objetivas, na prova
discursiva e na avaliação de títulos, do Concurso Público para Provimento dos Cargos de
Especialista em Meio Ambiente e Recursos Hídricos e de Técnico em Meio Ambiente e
Recursos Hídricos, nos termos deste Edital e do Edital de Abertura de Inscrições –
SAEB/03/2012, de 2 de outubro de 2012, publicado no Diário Oficial do Estado da Bahia em 3
de outubro de 2012.



I – DATA, LOCAL, ENDEREÇO E HORÁRIO.



Local para realização da Perícia Médica: Junta Médica Oficial do Estado da Bahia - Centro de
Atenção à Saúde Prof. Dr. José Maria de Magalhães Netto – 4º andar.

Endereço: Av. ACM, s/nº, Iguatemi – Salvador, BA – CEP: 41820-000.

Telefone: 3116-5240 / 5241.



A perícia médica será realizada na Junta Médica Oficial do Estado da Bahia, na cidade de
Salvador/BA, para todos os candidatos que se declararam com deficiência, aprovados e
classificados nas provas objetivas, na prova discursiva e na avaliação de títulos.



Os candidatos deverão apresentar no momento da Perícia Médica, todos os Exames que
comprovem sua condição de DEFICIENTE PARA FINS DE CONCURSO PÚBLICO.



Cargo: Especialista em Meio Ambiente e Recursos Hídricos
Data: 13/05/2013

Tema 1: Ordenamento de Recursos Florestais/INEMA – Salvador

Insc       Nome                        Horário           Documento




10003245 Cristiano Meira Almeida       10:00h            0808949500 Ba




10002382 Diego Lobo da Silva           10:30h            30171580 Se




10003242 Fernando Santos Barreto       11:00h            0971889139 Ba




10002973 Maria do Rozario de Souza 11:30h                01683364      30
         Palitot Santana                                 Ba




Data: 14/05/2013

Tema 2: Conservação de Biodiversidade/INEMA – Salvador

Insc       Nome                        Horário           Documento




10004289 Daniel Chaves de Almeida      07:00h            848249488 Ba




10005738 Eduardo Boulhosa Portela      07:30h            0975699415 Ba




10004106 Thiago Alves Nilo             08:00h            0921513534 Ba
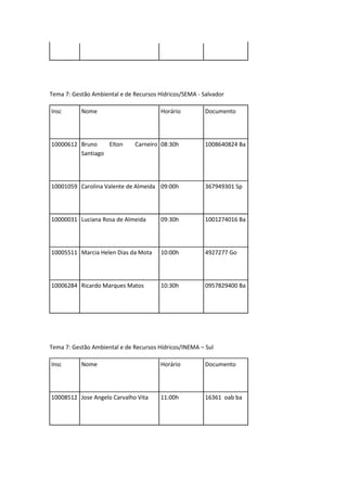
Tema 7: Gestão Ambiental e de Recursos Hídricos/SEMA - Salvador

Insc       Nome                         Horário         Documento




10000612 Bruno    Elton       Carneiro 08:30h           1008640824 Ba
         Santiago




10001059 Carolina Valente de Almeida 09:00h             367949301 Sp




10000031 Luciana Rosa de Almeida        09:30h          1001274016 Ba




10005511 Marcia Helen Dias da Mota      10:00h          4927277 Go




10006284 Ricardo Marques Matos          10:30h          0957829400 Ba




Tema 7: Gestão Ambiental e de Recursos Hídricos/INEMA – Sul

Insc       Nome                         Horário         Documento




10008512 Jose Angelo Carvalho Vita      11:00h          16361 oab ba
Cargo: Técnico em Meio Ambiente e Recursos Hídricos



Data: 14/05/2013

Técnico em Meio Ambiente e Recursos Hídricos/INEMA – Salvador

Insc        Nome                          Horário          Documento




10007798 Joao Carlos Souza Barros         11:30h           205585205 Ba




DA PERÍCIA MÉDICA

1. Os candidatos que se declararem com deficiência, se não eliminados no concurso, antes da
publicação do resultado final no concurso, serão convocados para se submeter à perícia
médica, de responsabilidade da Junta Médica Oficial do Estado da Bahia, que verificará sobre a
sua qualificação como deficiente, nos termos do artigo 43 do Decreto Federal nº 3.298/1999 e
suas alterações e da Súmula nº 377 do Superior Tribunal de Justiça (STJ).

2. Os candidatos deverão comparecer à perícia médica munidos de documento de identidade
original, de laudo médico (original ou cópia autenticada em cartório) e de exames que atestem
a espécie e o grau ou nível de deficiência, com expressa referência ao código correspondente
da Classificação Internacional de Doenças (CID-10), conforme especificado no Decreto Federal
nº 3.298/1999 e suas alterações, bem como à provável causa da deficiência, de acordo o
Anexo I deste edital, e, se for o caso, de exames complementares específicos que comprovem
a deficiência.

3. O laudo médico (original ou cópia autenticada em cartório) será retido pela Junta Médica
Oficial do Estado da Bahia por ocasião da realização da perícia médica.

4. Os candidatos convocados para a perícia médica deverão comparecer com uma hora de
antecedência do horário marcado para o seu início, conforme item I deste edital, que será
publicado no Diário Oficial do Estado da Bahia e divulgado nos endereços eletrônicos
http://www.cespe.unb.br/concursos/saeb_12_semainema                                     e
http://www.portaldoservidor.ba.gov.br.

5. Perderá o direito de concorrer às vagas reservadas às pessoas com deficiência o candidato
que não apresentar laudo médico (original ou cópia autenticada em cartório) ou exames ou
que apresentar laudo ou exames que não tenham sido emitidos nos últimos doze meses, bem
como o que não for qualificado como pessoa com deficiência ou, ainda, que não comparecer à
perícia.

6. O candidato que não for considerado com deficiência na perícia médica, caso seja aprovado
no concurso, figurará na lista de classificação de ampla concorrência por tema/região, para o
cargo de Especialista em Meio Ambiente e

Recursos Hídricos, e por região, para o cargo Técnico em Meio Ambiente e Recursos Hídricos,
bem como também na lista classificação geral por tema para o cargo de Especialista em Meio
Ambiente e Recursos Hídricos e na lista classificação geral para o cargo de Técnico em Meio
Ambiente e Recursos Hídricos.

7. O candidato que, no ato da inscrição, se declarar com deficiência, se for qualificado na
perícia médica e não for eliminado do concurso, terá seu nome publicado em listas à parte e
figurará também na lista de classificação de ampla concorrência por tema/região, para o cargo
de Especialista em Meio Ambiente e Recursos Hídricos, e por região, para o cargo Técnico em
Meio Ambiente e Recursos Hídricos, bem como também na lista classificação geral por tema
para o cargo de Especialista em Meio Ambiente e Recursos Hídricos e na lista classificação
geral para o cargo de Técnico em Meio Ambiente e Recursos Hídricos.

8. Após a investidura no cargo, a deficiência não poderá ser arguida para justificar concessão
de aposentadoria.

9. Os exames médicos e os exames complementares específicos serão realizados às expensas
do candidato.



Salvador, 23 de abril de 2013.



Adriano Tambone

Superintendente



Anexo I



Todos os inscritos para as vagas destinadas À DEFICIENTES, deverão apresentar no ato da
Inspeção Médica, realizada pela Junta Médica Oficial do Estado da Bahia, exames
complementares que comprovem sua condição de Deficiente, conforme preconiza a
Legislação, a saber:



§ 1o Considera-se Deficiente:
I - pessoa portadora de deficiência, além daquelas previstas na Lei no 10.690, de 16 de junho
de 2003, a que possui limitação ou incapacidade para o desempenho de atividade e se
enquadra nas seguintes categorias:

a) deficiência física: alteração completa ou parcial de um ou mais segmentos do corpo
humano, acarretando o comprometimento da função física, apresentando-se sob a forma de
paraplegia, paraparesia, monoplegia, monoparesia, tetraplegia, tetraparesia, triplegia,
triparesia, hemiplegia, hemiparesia, ostomia, amputação ou ausência de membro, paralisia
cerebral, nanismo, membros com deformidade congênita ou adquirida, exceto as
deformidades estéticas e as que não produzam dificuldades para o desempenho de funções;



b) deficiência auditiva: perda bilateral, parcial ou total, de quarenta e um decibéis (dB) ou
mais, aferida por audiograma nas freqüências de 500Hz, 1.000Hz, 2.000Hz e 3.000Hz;



c) deficiência visual: visão monocular, cegueira, na qual a acuidade visual é igual ou menor que
0,05 no melhor olho, com a melhor correção óptica; a baixa visão, que significa acuidade visual
entre 0,3 e 0,05 no melhor olho, com a melhor correção óptica; os casos nos quais a somatória
da medida do campo visual em ambos os olhos for igual ou menor que 60o; ou a ocorrência
simultânea de quaisquer das condições anteriores;



d) deficiência mental: funcionamento intelectual significativamente inferior à média, com
manifestação antes dos dezoito anos e limitações associadas a duas ou mais áreas de
habilidades adaptativas, tais como:

    1. comunicação;

    2. cuidado pessoal;

    3. habilidades sociais;

    4. utilização dos recursos da comunidade;

    5. saúde e segurança;

    6. habilidades acadêmicas;

    7. lazer; e

    8. trabalho;



e) deficiência múltipla - associação de duas ou mais deficiências; e
II - pessoa com mobilidade reduzida, aquela que, não se enquadrando no conceito de pessoa
portadora de deficiência, tenha, por qualquer motivo, dificuldade de movimentar-se,
permanente ou temporariamente, gerando redução efetiva da mobilidade, flexibilidade,
coordenação motora e percepção.




DECISÃO DO SUPERINTENDENTE DE RECURSOS HUMANOS                        DA    SECRETARIA     DA
ADMINISTRAÇÃO DO ESTADO DA BAHIA EM 23 DE ABRIL DE 2013

1 Julgamento dos recursos contra o resultado provisório na avaliação de títulos dos candidatos
ao cargo de Especialista em Meio Ambiente e Recursos Hídricos, do Concurso Público para
provimento de cargos de Especialista em Meio Ambiente e Recursos Hídricos e de Técnico em
Meio Ambiente e Recursos Hídricos do quadro de pessoal da Secretaria do Meio Ambiente do
Estado da Bahia (SEMA) e do Instituto do Meio Ambiente e Recursos Hídricos (INEMA), Edital
de Abertura de Inscrições – SAEB/03/2012, de 2 de outubro de 2012, publicado no Diário
Oficial do Estado da Bahia em 3 de outubro de 2012.



2 RECURSOS PROCEDENTES

Julgo procedentes, com base no Parecer Técnico da Banca Examinadora do CESPE/UnB, os
recursos interpostos pelos seguintes candidatos.

2.1 Cargo 1: Especialista em Meio Ambiente e Recursos Hídricos

2.1.1 Tema 2: Conservação de Biodiversidade/INEMA – Piemoente da Diamantina

NOME                                  DOCUMENTO




Edemir Barbosa dos Santos             0945805969 BA




2.1.2 Tema 7: Gestão Ambiental e de Recursos Hídricos/SEMA - Salvador

NOME                                  DOCUMENTO
Mariana Aguiar Sales                  1008213160 BA




Pedro Carlos Pacheco de Oliveira      17869 Ba




2.1.3 Tema 7: Gestão Ambiental e de Recursos Hídricos/INEMA – Salvador

NOME                                  DOCUMENTO




Marcela Soliz Nakamura                324944329 SP




3 RECURSOS IMPROCEDENTES

Julgo improcedentes, com base no Parecer Técnico da Banca Examinadora do CESPE/UnB, os
recursos interpostos pelos seguintes candidatos.

3.1 Cargo 1: Especialista em Meio Ambiente e Recursos Hídricos

3.1.1 Tema 2: Conservação de Biodiversidade/INEMA – Extremo Sul

NOME                                 DOCUMENTO




Cleverson Zapelini dos Santos        109634492 PR




Leonardo Silva Santa Rosa Macedo     1344501249 BA




Rodrigo Araujo Santos                0974905984 BA
Vanessa Calil Barbosa               0698559436 BA




3.1.2 Tema 2: Conservação de Biodiversidade/INEMA – Extremo Sul

NOME                                DOCUMENTO




Flavio Messias Carvalho Oliveira    0960006869 BA




3.1.3 Tema 2: Conservação de Biodiversidade/INEMA – Sul

NOME                                DOCUMENTO




Petrus Fauaze Moreira               1201380340 BA




3.1.4 Tema 3: Engenharia e Meio Ambiente/INEMA - Salvador

NOME                                DOCUMENTO




Nilson Roque Leite Farias           0349612595 BA




Patricia dos Santos Nascimento      1131197208 BA
Sara Ferreira Boaventura            0844125938 BA




Vlamir Marcio Ramos Lessa           06539652 BA




Wilson de Sousa Mendes Junior       0827246013 BA




3.1.5 Tema 3: Engenharia e Meio Ambiente/INEMA – Extremo Sul

NOME                                DOCUMENTO




Ivan Junior de Souza Vieira         3218131 PA




3.1.6 Tema 3: Engenharia e Meio Ambiente/INEMA - Sul

NOME                                DOCUMENTO




Helio Rocha Guimaraes Filho         Mg 14460439 MG




3.1.7 Tema 4: Ciências da Terra e Meio Ambiente/INEMA – Sudoeste

NOME                                DOCUMENTO
George Ferraz Pereira                4647048 BA




3.1.8 Tema 5: Meio Ambiente e Sociedade/INEMA - Salvador

NOME                                 DOCUMENTO




Leib Alem Braunstein                 1128463431 BA




Luanda Oliveira Rodrigues            0768499968 BA




3.1.9 Tema 6: Tempo e Clima/INEMA - Salvador

NOME                                 DOCUMENTO




Raffi Agop Sismanoglu                070449426 RJ




3.1.10 Tema 7: Gestão Ambiental e de Recursos Hídricos/INEMA - Salvador

NOME                                 DOCUMENTO




Alessandra da Silva Faria            464210844 BA
Alice Rachel Moura Ribeiro Loyola 1142151549 BA
Dantas




Amanda Costa Sampaio                 1128995956 BA




Eratostenes de Almeida Fraga Lima    100058892 BA




Laize Lantyer Luz                    0958378096 BA




Luis Fabricio Moura Viana Santos     0869394592 BA




Maria Auxiliadora de Abreu Macedo    855347 BA




Pedro Carlos Pacheco de Oliveira     17869 BA




Rosalvo de Oliveira Junior           0702701777 DF




3.1.11 Tema 7: Gestão Ambiental e de Recursos Hídricos/INEMA - Salvador

NOME                                 DOCUMENTO




Rafael Oliveira de Abreu             0911286926 BA




Vanda Almeida da Cunha               0801990548 BA
3.1.12 Tema 7: Gestão Ambiental e de Recursos Hídricos/INEMA - Sul

NOME                                    DOCUMENTO




Ana Camila Oliveira Freitas             1155333624 BA




3.1.13 Tema 7: Gestão Ambiental e de Recursos Hídricos/INEMA - Sudoeste

NOME                                    DOCUMENTO




Antonia     dos    Reis       Salustiana 918912806 BA
Evangelista




Fernanda Almeida Grisi                  0876739672 BA




Nadson Aparecido Costa Pereira          0849814316 BA




4 As decisões dos recursos serão dadas a conhecer aos candidatos por meio do site do
CESPE/UnB (http://www.cespe.unb.br/concursos/saeb_12_semainema).



ADRIANO TAMBONE

Superintendente
Pericia e julgamento dos recursos

Pericia e julgamento dos recursos

  • 1.
    GOVERNO DO ESTADODA BAHIA SECRETARIA DA ADMINISTRAÇÃO DO ESTADO DA BAHIA (SAEB) SECRETARIA DO MEIO AMBIENTE DO ESTADO DA BAHIA (SEMA) INSTITUTO DO MEIO AMBIENTE E RECURSOS HIDRÍCOS (INEMA) CONCURSO PÚBLICO PARA OS CARGOS DE ESPECIALISTA EM MEIO AMBIENTE E RECURSOS HÍDRICOS E DE TÉCNICO EM MEIO AMBIENTE E RECURSOS HÍDRICOS DO ESTADO DA BAHIA EDITAL DE CONVOCAÇÃO PARA PERÍCIA MÉDICA O Superintendente de Recursos Humanos da Secretaria da Administração do Estado da Bahia, no uso de suas atribuições, convoca para perícia médica os candidatos que se declararam com deficiência no momento da inscrição, aprovados e classificados nas provas objetivas, na prova discursiva e na avaliação de títulos, do Concurso Público para Provimento dos Cargos de Especialista em Meio Ambiente e Recursos Hídricos e de Técnico em Meio Ambiente e Recursos Hídricos, nos termos deste Edital e do Edital de Abertura de Inscrições – SAEB/03/2012, de 2 de outubro de 2012, publicado no Diário Oficial do Estado da Bahia em 3 de outubro de 2012. I – DATA, LOCAL, ENDEREÇO E HORÁRIO. Local para realização da Perícia Médica: Junta Médica Oficial do Estado da Bahia - Centro de Atenção à Saúde Prof. Dr. José Maria de Magalhães Netto – 4º andar. Endereço: Av. ACM, s/nº, Iguatemi – Salvador, BA – CEP: 41820-000. Telefone: 3116-5240 / 5241. A perícia médica será realizada na Junta Médica Oficial do Estado da Bahia, na cidade de Salvador/BA, para todos os candidatos que se declararam com deficiência, aprovados e classificados nas provas objetivas, na prova discursiva e na avaliação de títulos. Os candidatos deverão apresentar no momento da Perícia Médica, todos os Exames que comprovem sua condição de DEFICIENTE PARA FINS DE CONCURSO PÚBLICO. Cargo: Especialista em Meio Ambiente e Recursos Hídricos
  • 2.
    Data: 13/05/2013 Tema 1:Ordenamento de Recursos Florestais/INEMA – Salvador Insc Nome Horário Documento 10003245 Cristiano Meira Almeida 10:00h 0808949500 Ba 10002382 Diego Lobo da Silva 10:30h 30171580 Se 10003242 Fernando Santos Barreto 11:00h 0971889139 Ba 10002973 Maria do Rozario de Souza 11:30h 01683364 30 Palitot Santana Ba Data: 14/05/2013 Tema 2: Conservação de Biodiversidade/INEMA – Salvador Insc Nome Horário Documento 10004289 Daniel Chaves de Almeida 07:00h 848249488 Ba 10005738 Eduardo Boulhosa Portela 07:30h 0975699415 Ba 10004106 Thiago Alves Nilo 08:00h 0921513534 Ba
  • 3.
    Tema 7: GestãoAmbiental e de Recursos Hídricos/SEMA - Salvador Insc Nome Horário Documento 10000612 Bruno Elton Carneiro 08:30h 1008640824 Ba Santiago 10001059 Carolina Valente de Almeida 09:00h 367949301 Sp 10000031 Luciana Rosa de Almeida 09:30h 1001274016 Ba 10005511 Marcia Helen Dias da Mota 10:00h 4927277 Go 10006284 Ricardo Marques Matos 10:30h 0957829400 Ba Tema 7: Gestão Ambiental e de Recursos Hídricos/INEMA – Sul Insc Nome Horário Documento 10008512 Jose Angelo Carvalho Vita 11:00h 16361 oab ba
  • 4.
    Cargo: Técnico emMeio Ambiente e Recursos Hídricos Data: 14/05/2013 Técnico em Meio Ambiente e Recursos Hídricos/INEMA – Salvador Insc Nome Horário Documento 10007798 Joao Carlos Souza Barros 11:30h 205585205 Ba DA PERÍCIA MÉDICA 1. Os candidatos que se declararem com deficiência, se não eliminados no concurso, antes da publicação do resultado final no concurso, serão convocados para se submeter à perícia médica, de responsabilidade da Junta Médica Oficial do Estado da Bahia, que verificará sobre a sua qualificação como deficiente, nos termos do artigo 43 do Decreto Federal nº 3.298/1999 e suas alterações e da Súmula nº 377 do Superior Tribunal de Justiça (STJ). 2. Os candidatos deverão comparecer à perícia médica munidos de documento de identidade original, de laudo médico (original ou cópia autenticada em cartório) e de exames que atestem a espécie e o grau ou nível de deficiência, com expressa referência ao código correspondente da Classificação Internacional de Doenças (CID-10), conforme especificado no Decreto Federal nº 3.298/1999 e suas alterações, bem como à provável causa da deficiência, de acordo o Anexo I deste edital, e, se for o caso, de exames complementares específicos que comprovem a deficiência. 3. O laudo médico (original ou cópia autenticada em cartório) será retido pela Junta Médica Oficial do Estado da Bahia por ocasião da realização da perícia médica. 4. Os candidatos convocados para a perícia médica deverão comparecer com uma hora de antecedência do horário marcado para o seu início, conforme item I deste edital, que será publicado no Diário Oficial do Estado da Bahia e divulgado nos endereços eletrônicos http://www.cespe.unb.br/concursos/saeb_12_semainema e http://www.portaldoservidor.ba.gov.br. 5. Perderá o direito de concorrer às vagas reservadas às pessoas com deficiência o candidato que não apresentar laudo médico (original ou cópia autenticada em cartório) ou exames ou que apresentar laudo ou exames que não tenham sido emitidos nos últimos doze meses, bem
  • 5.
    como o quenão for qualificado como pessoa com deficiência ou, ainda, que não comparecer à perícia. 6. O candidato que não for considerado com deficiência na perícia médica, caso seja aprovado no concurso, figurará na lista de classificação de ampla concorrência por tema/região, para o cargo de Especialista em Meio Ambiente e Recursos Hídricos, e por região, para o cargo Técnico em Meio Ambiente e Recursos Hídricos, bem como também na lista classificação geral por tema para o cargo de Especialista em Meio Ambiente e Recursos Hídricos e na lista classificação geral para o cargo de Técnico em Meio Ambiente e Recursos Hídricos. 7. O candidato que, no ato da inscrição, se declarar com deficiência, se for qualificado na perícia médica e não for eliminado do concurso, terá seu nome publicado em listas à parte e figurará também na lista de classificação de ampla concorrência por tema/região, para o cargo de Especialista em Meio Ambiente e Recursos Hídricos, e por região, para o cargo Técnico em Meio Ambiente e Recursos Hídricos, bem como também na lista classificação geral por tema para o cargo de Especialista em Meio Ambiente e Recursos Hídricos e na lista classificação geral para o cargo de Técnico em Meio Ambiente e Recursos Hídricos. 8. Após a investidura no cargo, a deficiência não poderá ser arguida para justificar concessão de aposentadoria. 9. Os exames médicos e os exames complementares específicos serão realizados às expensas do candidato. Salvador, 23 de abril de 2013. Adriano Tambone Superintendente Anexo I Todos os inscritos para as vagas destinadas À DEFICIENTES, deverão apresentar no ato da Inspeção Médica, realizada pela Junta Médica Oficial do Estado da Bahia, exames complementares que comprovem sua condição de Deficiente, conforme preconiza a Legislação, a saber: § 1o Considera-se Deficiente:
  • 6.
    I - pessoaportadora de deficiência, além daquelas previstas na Lei no 10.690, de 16 de junho de 2003, a que possui limitação ou incapacidade para o desempenho de atividade e se enquadra nas seguintes categorias: a) deficiência física: alteração completa ou parcial de um ou mais segmentos do corpo humano, acarretando o comprometimento da função física, apresentando-se sob a forma de paraplegia, paraparesia, monoplegia, monoparesia, tetraplegia, tetraparesia, triplegia, triparesia, hemiplegia, hemiparesia, ostomia, amputação ou ausência de membro, paralisia cerebral, nanismo, membros com deformidade congênita ou adquirida, exceto as deformidades estéticas e as que não produzam dificuldades para o desempenho de funções; b) deficiência auditiva: perda bilateral, parcial ou total, de quarenta e um decibéis (dB) ou mais, aferida por audiograma nas freqüências de 500Hz, 1.000Hz, 2.000Hz e 3.000Hz; c) deficiência visual: visão monocular, cegueira, na qual a acuidade visual é igual ou menor que 0,05 no melhor olho, com a melhor correção óptica; a baixa visão, que significa acuidade visual entre 0,3 e 0,05 no melhor olho, com a melhor correção óptica; os casos nos quais a somatória da medida do campo visual em ambos os olhos for igual ou menor que 60o; ou a ocorrência simultânea de quaisquer das condições anteriores; d) deficiência mental: funcionamento intelectual significativamente inferior à média, com manifestação antes dos dezoito anos e limitações associadas a duas ou mais áreas de habilidades adaptativas, tais como: 1. comunicação; 2. cuidado pessoal; 3. habilidades sociais; 4. utilização dos recursos da comunidade; 5. saúde e segurança; 6. habilidades acadêmicas; 7. lazer; e 8. trabalho; e) deficiência múltipla - associação de duas ou mais deficiências; e
  • 7.
    II - pessoacom mobilidade reduzida, aquela que, não se enquadrando no conceito de pessoa portadora de deficiência, tenha, por qualquer motivo, dificuldade de movimentar-se, permanente ou temporariamente, gerando redução efetiva da mobilidade, flexibilidade, coordenação motora e percepção. DECISÃO DO SUPERINTENDENTE DE RECURSOS HUMANOS DA SECRETARIA DA ADMINISTRAÇÃO DO ESTADO DA BAHIA EM 23 DE ABRIL DE 2013 1 Julgamento dos recursos contra o resultado provisório na avaliação de títulos dos candidatos ao cargo de Especialista em Meio Ambiente e Recursos Hídricos, do Concurso Público para provimento de cargos de Especialista em Meio Ambiente e Recursos Hídricos e de Técnico em Meio Ambiente e Recursos Hídricos do quadro de pessoal da Secretaria do Meio Ambiente do Estado da Bahia (SEMA) e do Instituto do Meio Ambiente e Recursos Hídricos (INEMA), Edital de Abertura de Inscrições – SAEB/03/2012, de 2 de outubro de 2012, publicado no Diário Oficial do Estado da Bahia em 3 de outubro de 2012. 2 RECURSOS PROCEDENTES Julgo procedentes, com base no Parecer Técnico da Banca Examinadora do CESPE/UnB, os recursos interpostos pelos seguintes candidatos. 2.1 Cargo 1: Especialista em Meio Ambiente e Recursos Hídricos 2.1.1 Tema 2: Conservação de Biodiversidade/INEMA – Piemoente da Diamantina NOME DOCUMENTO Edemir Barbosa dos Santos 0945805969 BA 2.1.2 Tema 7: Gestão Ambiental e de Recursos Hídricos/SEMA - Salvador NOME DOCUMENTO
  • 8.
    Mariana Aguiar Sales 1008213160 BA Pedro Carlos Pacheco de Oliveira 17869 Ba 2.1.3 Tema 7: Gestão Ambiental e de Recursos Hídricos/INEMA – Salvador NOME DOCUMENTO Marcela Soliz Nakamura 324944329 SP 3 RECURSOS IMPROCEDENTES Julgo improcedentes, com base no Parecer Técnico da Banca Examinadora do CESPE/UnB, os recursos interpostos pelos seguintes candidatos. 3.1 Cargo 1: Especialista em Meio Ambiente e Recursos Hídricos 3.1.1 Tema 2: Conservação de Biodiversidade/INEMA – Extremo Sul NOME DOCUMENTO Cleverson Zapelini dos Santos 109634492 PR Leonardo Silva Santa Rosa Macedo 1344501249 BA Rodrigo Araujo Santos 0974905984 BA
  • 9.
    Vanessa Calil Barbosa 0698559436 BA 3.1.2 Tema 2: Conservação de Biodiversidade/INEMA – Extremo Sul NOME DOCUMENTO Flavio Messias Carvalho Oliveira 0960006869 BA 3.1.3 Tema 2: Conservação de Biodiversidade/INEMA – Sul NOME DOCUMENTO Petrus Fauaze Moreira 1201380340 BA 3.1.4 Tema 3: Engenharia e Meio Ambiente/INEMA - Salvador NOME DOCUMENTO Nilson Roque Leite Farias 0349612595 BA Patricia dos Santos Nascimento 1131197208 BA
  • 10.
    Sara Ferreira Boaventura 0844125938 BA Vlamir Marcio Ramos Lessa 06539652 BA Wilson de Sousa Mendes Junior 0827246013 BA 3.1.5 Tema 3: Engenharia e Meio Ambiente/INEMA – Extremo Sul NOME DOCUMENTO Ivan Junior de Souza Vieira 3218131 PA 3.1.6 Tema 3: Engenharia e Meio Ambiente/INEMA - Sul NOME DOCUMENTO Helio Rocha Guimaraes Filho Mg 14460439 MG 3.1.7 Tema 4: Ciências da Terra e Meio Ambiente/INEMA – Sudoeste NOME DOCUMENTO
  • 11.
    George Ferraz Pereira 4647048 BA 3.1.8 Tema 5: Meio Ambiente e Sociedade/INEMA - Salvador NOME DOCUMENTO Leib Alem Braunstein 1128463431 BA Luanda Oliveira Rodrigues 0768499968 BA 3.1.9 Tema 6: Tempo e Clima/INEMA - Salvador NOME DOCUMENTO Raffi Agop Sismanoglu 070449426 RJ 3.1.10 Tema 7: Gestão Ambiental e de Recursos Hídricos/INEMA - Salvador NOME DOCUMENTO Alessandra da Silva Faria 464210844 BA
  • 12.
    Alice Rachel MouraRibeiro Loyola 1142151549 BA Dantas Amanda Costa Sampaio 1128995956 BA Eratostenes de Almeida Fraga Lima 100058892 BA Laize Lantyer Luz 0958378096 BA Luis Fabricio Moura Viana Santos 0869394592 BA Maria Auxiliadora de Abreu Macedo 855347 BA Pedro Carlos Pacheco de Oliveira 17869 BA Rosalvo de Oliveira Junior 0702701777 DF 3.1.11 Tema 7: Gestão Ambiental e de Recursos Hídricos/INEMA - Salvador NOME DOCUMENTO Rafael Oliveira de Abreu 0911286926 BA Vanda Almeida da Cunha 0801990548 BA
  • 13.
    3.1.12 Tema 7:Gestão Ambiental e de Recursos Hídricos/INEMA - Sul NOME DOCUMENTO Ana Camila Oliveira Freitas 1155333624 BA 3.1.13 Tema 7: Gestão Ambiental e de Recursos Hídricos/INEMA - Sudoeste NOME DOCUMENTO Antonia dos Reis Salustiana 918912806 BA Evangelista Fernanda Almeida Grisi 0876739672 BA Nadson Aparecido Costa Pereira 0849814316 BA 4 As decisões dos recursos serão dadas a conhecer aos candidatos por meio do site do CESPE/UnB (http://www.cespe.unb.br/concursos/saeb_12_semainema). ADRIANO TAMBONE Superintendente