Incorporar apresentação
Baixado 52 vezes


















































































































































































































































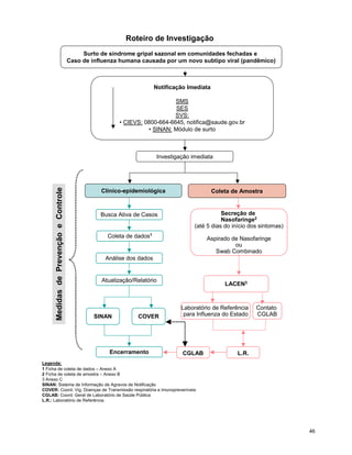
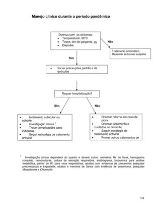
1. O documento apresenta o Plano Brasileiro de Preparação para uma Pandemia de Influenza, com o objetivo de organizar a vigilância, prevenção e controle no Brasil. 2. Discutem-se os riscos de uma nova pandemia de influenza e cenários possíveis para o Brasil, com estimativas de recursos e organização dos serviços de saúde necessários. 3. São apresentados protocolos e ações estratégicas para vigilância, diagnóstico laboratorial, imunização, assistência à saúde e comunicação, vis

















































































































































































































































