LAUDO ARBITRAL DA
  ARBITRAGEM SIMULADA DO CONFLITO ENTRE A CONCESSIONÁRIA DA LINHA 4 DO
              METRÔ DE SÃO PAULO E O ESTADO DE SÃO PAULO




                     Contexto em que foi produzido o Laudo Arbitral

             O professor Mario Engler Pinto, responsável pelo curso de Clínica de Direito
Público dos Negócios, do Curso de Graduação em Direito da EDESP – Escola de Direito de
São Paulo, da FGV – Fundação Getúlio Vargas, resolveu, no primeiro semestre letivo de 2011,
simular, como atividade central desse curso, um processo de arbitragem, utilizando como base
para tanto fatos e documentos públicos relativos às conseqüências para o contrato de
concessão patrocinada da Linha 4 do Metrô de São Paulo dos atrasos na entrega da obra
pública da mesma linha do Metrô decorrentes do desabamento da Estação de Pinheiros.
             A turma composta de 10 alunos foi divida em dois grupos um para fazer o papel
dos advogados da Concessionária da Linha 4 do Metrô, liderado pelo Professor Mario Engler, e
o outro para exercer a posição dos advogados do Estado de São Paulo, sob a liderança, do
Professor Fernando Marcato, que foi convidado especificamente para tanto.
             O Professor Mario Engler convidou-me para exercer a posição de árbitro neste
processo, que durou todo o primeiro semestre letivo de 2011. Os detalhes do processo serão
objeto de publicação a parte, que está sendo organizada pelo Professor Mario Engler.
             Decidi, entretanto, dar a público o presente laudo, em vista da relevância das
questões que foram tratadas no processo simulado para o pensamento sobre a aplicação da
Lei de PPP brasileira (Lei 11.079/04), e da Lei Geral de Concessões (Lei 8.987/95).




                                                                                          1
LAUDO ARBITRAL



1. Relato das ocorrências

    1.1.       Em 29 de novembro de 2006, o Estado de São Paulo (“Estado”) celebrou com a
Concessionária da Linha 4 do Metrô de São Paulo (“Concessionária”) o contrato de parceria
público-privada (“Contrato de Concessão”), tendo por objeto concessão patrocinada para
exploração dos serviços de transporte de passageiros da Linha 4 – Amarela do Metrô de São
Paulo, da estação Luz até Taboão da Serra, em três fases progressivas (“Linha 4”)
(“Concessão”).
    1.2.        Também foram Partes intervenientes ou anuentes no Contrato de Concessão a
Companhia do Metropolitano de São Paulo (“Metrô”), a Companhia Paulista de Trens
Metropolitanos – CPTM, a Empresa Metropolitana de Transportes Urbanos de São Paulo S.A.
– EMTU e a Companhia Paulista de Parcerias – CPP.
    1.3.        A celebração do Contrato de Concessão foi precedida de concorrência pública,
vencida pelo consórcio formado pelos atuais acionistas da Concessionária, que se transformou
em sociedade de propósito específico (“SPE”), para atendimento de exigência contida no edital
da licitação (“Edital”). A licitação teve como critério de julgamento a menor demanda de
contraprestação pecuniária por parte do Estado, a ser paga parceladamente, em duas
tranches.
    1.4.       O Edital, o Contrato de Concessão e seus anexos (“Documentos da Licitação”)
previram que a Linha 4 entraria em operação em duas fases. A primeira fase abrangia o
funcionamento simultâneo de seis estações (Butantã, Pinheiros, Faria Lima, Paulista,
República e Luz) (“Fase I”), e a segunda fase de todas as demais estações (Vila Sônia,
Morumbi, Fradique Coutinho, Oscar Freire e Higienópolis) (“Fase II”).
    1.5.       Após a entrada em operação comercial da Fase I, o Estado devia iniciar o
pagamento da primeira tranche das parcelas da contraprestação pecuniária. O mesmo
ocorreria em relação à Fase II.
    1.6.       O Estado ficou responsável pela realização das obras de construção civil da
Linha 4 (“Obras Civis”), que haviam sido contratadas pelo Metrô em regime de empreitada
global, com financiamento do Banco Mundial e do Banco de Desenvolvimento Japonês. Os
investimentos a cargo da Concessionária consistiam basicamente na aquisição de trens e
sistemas informatizados, considerados necessários à operação da Linha 4.
    1.7.       As Obras Civis deviam estar concluídas para a Concessionária iniciar a
operação da Fase I (e posteriormente também da Fase II), de acordo com o cronograma
previsto no Contrato de Concessão. Para isso, a Concessionária seria avisada formalmente
pelo Estado, com pelo menos 24 (vinte e quatro) meses de antecedência, de modo a
encomendar antecipadamente a fabricação dos trens e o desenvolvimento dos sistemas
informatizados.
    1.8.       O atraso na conclusão das Obras Civis, em relação ao prazo vinculado ao aviso
expedido pelo Estado, daria ensejo ao pagamento de multas compensatórias de valor pré-
determinado em favor da Concessionária. Por outro lado, o atraso da Concessionária na


                                                                                           2
disponibilização dos trens e sistemas informatizados seria sancionado com o pagamento dos
mesmos valores de multa compensatória em favor do Estado.
     1.9.      O Contrato de Concessão continha ainda disposições sobre obrigações
específicas das Partes, alocação de riscos e recomposição do equilíbrio econômico-financeiro.
Em relação aos riscos de demanda de passageiros e variação cambial, foi previsto o
compartilhamento entre o Estado e a Concessionária.
     1.10.     Em 30 de novembro de 2007, as Partes assinaram o Primeiro Aditivo ao
Contrato de Concessão (“Primeiro Aditivo”), comprometendo-se a reprogramar, de comum
acordo, os prazos para concluir a infraestrutura de responsabilidade do Estado e a liberação
das áreas correspondentes, com observância das seguintes datas limites: (i) estações Butantã,
Faria Lima e Paulista, em 30 de outubro de 2010; e (ii) estações República e Luz, em 30 de
janeiro de 2010. Na mesma data do Primeiro Aditivo, o Estado emitiu o aviso para a
Concessionária contratar os projetos dos trens (“Ordem de Serviço do Projeto da Fase I”).
     1.11.     Em 29 de maio de 2008, as Partes assinaram o Segundo Aditivo ao Contrato de
Concessão (“Segundo Aditivo”), estabelecendo novo cronograma de eventos para a Fase I. No
dia seguinte, o Estado emitiu outro aviso concedendo o prazo de vinte meses e nove dias para
a Concessionária iniciar a operação comercial da Fase I (“Ordem de Serviço de Fabricação da
Fase I”).
     1.12.     Em 18 de junho de 2010, as Partes assinaram o Terceiro Aditivo ao Contrato de
Concessão (“Terceiro Aditivo”), fixando novas datas para entrega das Obras Civis e início da
operação em três etapas: (i) estações Faria Lima e Paulista, em 21 de junho de 2010; (ii)
estações Butantã e Pinheiros, em 15 de novembro de 2010; e (iii) estações República e Luz,
em 31 de março de 2011. O Terceiro Aditivo tratou ainda de outras questões correlatas à
operação subfaseada, tais como: (i) distribuição do pagamento da contraprestação pecuniária;
(ii) adequação do mecanismo de mitigação do risco de demanda de passageiros; (iii)
compensações devidas no caso de atraso do cumprimento das obrigações de cada parte; (iv)
liberação progressiva da garantia contratual; (v) procedimento para eventual recomposição do
equilíbrio econômico-financeiro.
     1.13.     Em 25 de março de 2011, as Partes assinaram o Quarto Aditivo ao Contrato de
Concessão (“Quarto Aditivo”), para se adequar aos novos prazos para a conclusão da Infra-
Estrutura da Fase I e refletir a alteração das datas do início de operação das etapas da Fase I.
     1.14.     Em razão das alterações no cronograma e demais modificações introduzidas
pelos aditivos contratuais, a Concessionária pleiteou administrativamente a recomposição do
equilíbrio econômico-financeiro do Contrato de Concessão. O pedido assim formulado não foi
aceito pelo Estado.
     1.15.     Com base nas Cláusulas 35.11 e seguintes do Contrato de Concessão, as
Partes decidiram submeter o pleito da Concessionária à arbitragem.

2. Instauração da arbitragem, alegações iniciais das partes, delimitação da controvérsia
   e definições sobre o procedimento

   2.1.       Seguindo o artigo 35.13 do Contrato de Concessão, que designa a Câmara de
Comércio Internacional (“CCI”) como instituição que instaurará e administrará arbitragem entre
as Partes, o Estado e a Concessionária, em 8 de abril de 2011, submeteram à Secretaria da


                                                                                              3
CCI requerimento conjunto (“Requerimento”) para a instauração de procedimento arbitral, com
indicação de um árbitro e respectivo suplente.
    2.2.       O Requerimento solicitava ainda que o árbitro indicado comparecesse na Direito
GV, no dia 15 de abril, às 9 horas, para apresentar a sua minuta de Ata de Missão, para ser
discutida e formalizada pelas Partes.
    2.3.       O valor da demanda foi estimado preliminarmente em R$ 120.000.000,00,
correspondente, nesta data, a US$ 75.000.000,00. Por solicitação do Estado, a Concessionária
efetuou o depósito prévio das custas, no valor de US$ 294.249,00, cujo ônus final deverá ser
suportado pela parte vencida no procedimento de arbitragem, conforme as regras do
regulamento da CCI.
    2.4.       A Secretaria da CCI designou-me como árbitro, e, em 15 de abril, às 9 horas,
ocorreu audiência na qual apresentei, foi discutida, modificada e assinada pelas Partes a Ata
de Missão, que descreveu as alegações iniciais das partes, delimitou a controvérsia e
estabeleceu regras para o procedimento arbitral conforme exposto a seguir.

As alegações iniciais da Concessionária

   2.5.        As alegações iniciais da Concessionária podem ser assim resumidas:
       2.5.1. A versão original do Contrato de Concessão previa a entrada em operação
            comercial da Linha 4 simultaneamente com seis estações, (Butantã, Pinheiros,
            Faria Lima, Paulista, República e Luz), no prazo máximo de dezoito meses após a
            emissão da Ordem de Serviço de Fabricação da Fase I.
       2.5.2. Os trens encomendados pela Concessionária estavam prontos para entrar em
            operação na data prevista no contrato de concessão original, não havendo
            nenhum indício em sentido contrário.
       2.5.3. O atraso da conclusão das Obras Civis de responsabilidade do Estado, após a
            emissão da Ordem de Serviço de Fabricação da Fase I, tornou necessária a
            reprogramação de datas, assim como o subfaseamento da operação, não previsto
            no Contrato de Concessão.
       2.5.4. A Concessionária não contribuiu de qualquer forma para o atraso verificado após
            a emissão da Ordem de Serviço de Fabricação da Fase I.
       2.5.5. A reprogramação dos prazos contratuais e a adoção do subfaseamento
            resultaram na celebração de quatro aditivos contratuais. Os aditamentos
            invocaram como fundamento o artigo 57, § 1º, incisos I, II e V, da Lei nº 8.666/93,
            e tiveram por objetivo atender exclusivamente às necessidades do Estado.
       2.5.6. O Quarto Aditivo ressalvou expressamente o direito da concessionária à
            recomposição do equilíbrio econômico financeiro do Contrato de Concessão em
            razão das alterações introduzidas pelos quatro aditivos contratuais, a ser apurado
            na forma originalmente prevista no Contrato de Concessão.
       2.5.7. Em razão da celebração do Quarto Aditivo, o início da operação comercial plena
            da Fase I (caracterizado pelo funcionamento simultâneo das seis estações
            Butantã, Pinheiros, Faria Lima, Paulista, República e Luz) foi fixado para 15 de
            agosto de 2011 (“Operação Plena”).



                                                                                             4
2.5.8. Entre a data da emissão da Ordem de Serviço de Fabricação da Fase I e a data
     prevista para o início da Operação Plena, haverá o transcurso de trinta e oito
     meses e quinze dias, o que representa um atraso de vinte meses e quinze dias em
     relação ao interregno máximo de dezoito meses previsto no Contrato de
     Concessão.
2.5.9. O pleito de recomposição do equilíbrio econômico-financeiro não decorre
     apenas do atraso na conclusão das Obras Civis de responsabilidade do Estado,
     mas também da reprogramação das datas para liberação das áreas e das
     modificações introduzidas no projeto inicial para implantação do subfaseamento.
2.5.10. Por exigência do edital, a proposta econômica apresentada pela Concessionária
     na fase de licitação continha um plano de negócios, com projeção de receitas,
     despesas e investimentos, resultando em uma taxa interna de retorno de 15,13%,
     para o projeto (“Plano de Negócios”). A taxa interna de retorno implícita na
     proposta econômica da Concessionária foi referendada posteriormente pelo
     Estado, por intermédio do Metrô.
2.5.11. O Plano de Negócios integra a proposta da Concessionária e está sujeito à
     proteção do artigo 37, XXI, da Constituição Federal, que assegura a manutenção
     do equilíbrio econômico-financeiro dos contratos administrativos, conforme a
     equação vigente por ocasião da apresentação da proposta. Além disso, as
     cláusulas 13.6 e 13.8 do Contrato de Concessão dispõem expressamente no
     mesmo sentido.
2.5.12. Em razão da postergação do início da Operação Plena e da adoção do
     subfaseamento, a Concessionária arcou com custos não previstos no Plano de
     Negócios (despesas pré-operacionais, investimentos adicionais e custo de
     carregamento da garantia contratual), além da frustração das receitas estimadas.
2.5.13. O cálculo do desequilíbrio deve considerar o valor presente líquido da estimativa
     das perdas e ganhos da Concessionária, para a data-base da apresentação da
     proposta (agosto/2006). Para isso, deverão ser mantidas as projeções originais, a
     taxa interna de retorno, VPL e demais premissas do Plano de Negócios,
     desconsiderando eventuais ocorrências posteriores, conforme estabelece a
     Cláusula 13.6, do contrato de concessão. Essa sistemática apresenta-se neutra
     para ambas as partes, podendo tanto favorecer ou prejudicar a concessionária em
     relação à realidade constatada.
2.5.14. A aplicação dessa metodologia encontra amparo no Contrato de Concessão e
     faz justiça no caso concreto, na medida em que proporciona à Concessionária o
     mesmo resultado financeiro que poderia auferir, se não tivesse ocorrido o evento
     de desequilíbrio. Além disso, decorre do princípio da vinculação ao edital e tem
     apoio na doutrina, jurisprudência e decisões dos tribunais de contas.
2.5.15. A Concessionária estima preliminarmente em R$120.000.000,00 (cento e vinte
     milhões) o valor líquido do desequilíbrio provocado pelas alterações introduzidas
     até o Terceiro Aditivo (inclusive). As novas datas previstas no Quarto Aditivo ainda
     não foram calculadas, mas devem implicar o aumento do valor inicialmente
     estimado.



                                                                                       5
2.5.16. Embora a cláusula 13.7 do Contrato de Concessão atribua ao Estado a
           prerrogativa de escolher a forma pela qual será implementada a recomposição do
           equilíbrio econômico-financeiro, a Concessionária postula o pagamento à vista do
           valor do desequilíbrio, de modo a viabilizar a continuidade da prestação do serviço
           e preservar a capacidade de pagamento dos financiamentos contratados.

As alegações do Estado

   2.6. As alegações do Estado podem ser assim resumidas:
       2.6.1. A Concessionária não faz jus a nenhuma recomposição do equilíbrio econômico-
            financeiro do Contrato de Concessão, ou pelo menos não na extensão pretendida.
       2.6.2. Conforme o artigo 4o, VI, da Lei nº 11.079/04, os contratos de parceria público-
            privada devem repartir de forma objetiva os riscos entre as partes. Nesse contexto,
            a Concessionária somente teria direito ao reequilíbrio econômico-financeiro
            quando determinado risco assumido direta e expressamente pelo Estado impactar
            a equação econômico-financeira do Contrato de Concessão, e desde que não haja
            mecanismo contratual específico de mitigação do risco.
       2.6.3. O risco de atraso nas Obras Civis tem mecanismo de mitigação contratual
            específico, de forma que não cabe pedido de reequilíbrio econômico-financeiro.
       2.6.4. Se porventura for entendido que existe algum direito ao reequilíbrio em favor da
            Concessionária, a taxa interna de retorno prevista no Plano de Negócios não é
            mecanismo válido para o cálculo do desequilíbrio, devendo ser adotada forma
            alternativa.
       2.6.5. A consecução de um projeto complexo, como de fato é a Concessão da Linha 4,
            deve pressupor a boa-fé de ambas as Partes. A Concessionária não está agindo
            de boa-fé ao pretender a recomposição do equilíbrio econômico-financeiro, cuja
            negativa pelo Estado deu ensejo ao pedido de instauração da arbitragem.

Os pontos controvertidos

   2.7.        Em face das alegações das Partes, os pontos litigiosos são os seguintes:
       2.7.1. Os eventos que motivaram a celebração dos aditivos contratuais dão ensejo à
            recomposição do equilíbrio econômico-financeiro do Contrato de Concessão?
       2.7.2. Supondo que existe o direito da Concessionária à recomposição do equilíbrio
            econômico-financeiro, houve renúncia à tal direito em relação aos fatos ocorridos
            anteriormente aos aditivos 1, 2 e 3 simplesmente por ter assinado tais aditivos?
            Como deve ser interpretada a ressalva ao direito de recomposição do equilíbrio
            econômico-financeiro constante do Aditivo 4?
       2.7.3. O caráter consensual dos aditivos contratuais implicou renúncia da
            Concessionária à recomposição do equilíbrio econômico-financeiro? Sendo o
            direito ao equilíbrio econômico-financeiro, um direito constitucional (art. 37, inc.
            XXI), caberia renúncia a esse direito? Além disso, será que o fato dos eventos
            supostamente ensejadores do direito a recomposição do equilíbrio econômico-
            financeiro do contrato terem sido tratados nos aditivos contratuais impacta a


                                                                                              6
possibilidade de tais eventos serem caracterizados como “álea extracontratual” nos
     termos da alínea “d”, inciso II, do art. 65, da Lei 8.666/93? Se tais eventos não
     forem caracterizados como “álea extracontratual”, isso seria suficiente para excluir
     a incidência do direito à recomposição do equilíbrio econômico-financeiro?
2.7.4. A Concessionária contribuiu para o atraso do início da operação comercial da
     Fase I? O que deve ser entendido como “operação comercial da Fase I”, nos
     termos do Contrato de Concessão? O Contrato de Concessão assegura à
     Concessionária o direito a operar a Linha 4 pelo prazo de trinta anos? Esse prazo
     deve ser contado a partir da inauguração da primeira estação, ou somente após o
     início da Operação Plena, com o funcionamento simultâneo das seis estações da
     Fase I?
2.7.5. A previsão de multa contratual pelo atraso na conclusão das Obras Civis afasta
     a necessidade de recomposição do equilíbrio econômico-financeiro do Contrato de
     Concessão?
2.7.6. A Concessionária foi prejudicada pela reprogramação de datas e da adoção do
     subfaseamento? Como devem ser calculados os prejuízos daí decorrentes?
2.7.7. De acordo com a legislação brasileira e com o contrato de concessão, a
     recomposição do equilíbrio econômico financeiro deve assegurar à Concessionária
     os ganhos previstos no Plano de Negócios apresentado por ocasião da proposta
     vencedora da licitação? Está o Poder Público vinculado às simulações constantes
     do Plano de Negócios ou somente ao preço final decorrente de tais simulações e
     ofertado na licitação? O Plano de Negócios se caracteriza como uma mera
     declaração do concessionário, ou, uma vez aceito pelo Poder Público, ele se torna
     vinculante para as Partes? Seria relevante verificar que tipo de análise o Poder
     Público fez do plano de negócios durante a licitação para saber em que medida ele
     pode ser vinculante? Se se entender que o contrato de concessão requer um
     regime de regulação da taxa de retorno, não deveria o Poder Público, na condição
     de regulador, estipular a metodologia para cálculo do custo de capital do
     concessionário? Se for este o caso, e se o Poder Público resolver para tanto usar
     a metodologia do CAPM – Capital Asset Pricing Model, que é mais tradicional para
     isso, qual seria o Beta setorial utilizado como referência e qual o corte na série
     histórica do risco-país a ser utilizada?
2.7.8. Que taxa de desconto deve ser aplicada às novas projeções financeiras para
     trazê-las a valor presente na data da proposta? Se tomada a taxa de retorno
     declarada no Plano de Negócios como referência para a definição da taxa de
     desconto dos fluxos, deve ser usada para tanto a taxa interna de retorno do
     projeto, ou a taxa interna de retorno do investidor?
2.7.9. Ao fazer eventual comparação entre a diferença do VPL do projeto resultante do
     Plano de Negócios originário (“Fluxo Originário”) e o VPL do projeto considerando
     as ocorrências que supostamente dão azo à recomposição do equilíbrio
     econômico-financeiro (“Fluxo Atual”), quais premissas utilizadas no Fluxo
     Originário poderiam ser atualizadas para a composição do Fluxo Atual e quais não
     poderiam ser atualizadas? Caberia, por exemplo, no Fluxo Atual fazer constar os
     valores reais dos investimentos realizados (em substituição ao valor originalmente


                                                                                       7
estimado do investimento realizado até aqui) e os montantes e custos reais de
            financiamento já obtido pelo concessionário em lugar dos custos de financiamento
            originariamente estimados, de maneira que eventuais ganhos obtidos pelo
            concessionário no seu financiamento e na redução de custos de investimento por
            conta, por exemplo, da variação cambial sejam computados no processo de
            recomposição do equilíbrio econômico-financeiro? E, para evitar que o
            concessionário se aproprie sozinho de ganhos que decorrem da mera melhoria da
            situação econômica do país, será que caberia estimar o “spread” entre uma taxa
            de mercado qualquer (por exemplo, o CDI) e a taxa interna de retorno do Fluxo
            Originário, de maneira que a recomposição do equilíbrio econômico-financeiro
            garanta não a taxa interna de retorno declarada, mas apenas o “spread” entre ela
            e uma taxa de mercado qualquer? Se isso fizer sentido, qual seria essa taxa de
            mercado?

A composição do Tribunal Arbitral

   2.8.       Em relação a composição do Tribunal, a Ata de Missão estabeleceu que:
       2.8.1. As Partes optaram por compor o Tribunal Arbitral com um único árbitro e
            delegaram à Corte a sua indicação, respeitados os requisitos de elegibilidade
            previstos na cláusula compromissória do Contrato de Concessão.
       2.8.2. A Corte indicou-me para atuar como árbitro titular.
       2.8.3. As Partes aceitaram o árbitro assim indicado e reconheceram que possui
            independência, idoneidade e competência técnica para julgar o litígio de forma
            honesta e imparcial.

O valor em disputa

    2.9.       No que concerne ao valor em disputa, a Ata de Missão faz referência que a
Concessionária estimou-o em R$ 120.000.000,00 (cento e vinte milhões de reais),
correspondentes, na data da assinatura da Ata de Missão, segundo o Concessionário, a US$
75.000.000,00.
        2.9.1. As custas preliminares relativas ao procedimento de arbitragem, no valor de US$
             294.249,00, foram antecipadas pela Concessionária e depositadas em favor da
             Corte.
        2.9.2. As Partes estabeleceram que o ônus final das custas e despesas com a
             arbitragem será suportado pela parte vencida, conforme as regras do regulamento
             da Corte.

O procedimento de arbitragem

    2.10.       No que toca ao procedimento da arbitragem, a Ata de Missão, em consonância
com o que consta do Requerimento, estabeleceu que o procedimento priorizará a simplificação
de ritos e a oralidade, observado o seguinte:



                                                                                            8
2.10.1. A comunicação entre as Partes, a Corte e o Tribunal Arbitral adotará sempre a
     língua portuguesa.
2.10.2. As audiências necessárias ao procedimento de arbitragem realizar-se-ão na
     cidade de São Paulo – SP, no prédio principal da Direito GV, localizado na Rua
     Rocha nº 233.
2.10.3. Cada Parte deverá depositar o seu memorial de alegações iniciais na Secretaria
     da Corte, até a data de 6 de maio de 2011.
2.10.4. No final do dia 6 de maio de 2011, a Secretaria da Corte encaminhará a cada
     Parte o memorial de alegações iniciais apresentado pela outra Parte.
2.10.5. Cada Parte terá até o dia 13 de maio para se manifestar sobre o memorial de
     alegações iniciais da outra Parte, podendo formular perguntas por escrito às
     testemunhas potenciais que foram entrevistadas conjuntamente pelas Partes.
2.10.6. No final do dia 13 de maio, a Secretaria da Corte encaminhará a cada Parte a
     manifestação apresentada pela outra Parte. Caberá ainda à Secretaria da Corte
     zelar para que as perguntas formuladas às testemunhas sejam respondidas até o
     dia 20 de maio de 2011.
2.10.7. No dia 3 de junho de 2011, o Tribunal Arbitral realizará audiência presencial,
     quando então as partes poderão apresentar alegações finais e proceder aos
     debates orais. Ao final da audiência, cada Parte depositará na Secretaria da Corte
     a sua proposta de solução amigável do litígio (“Proposta”), que será mantida em
     sigilo até a divulgação do laudo arbitral.
2.10.8. A Proposta de cada Parte terá caráter final, ficando vedada a sua alteração
     posterior. Além disso, deverá conter os critérios de cálculo do valor do
     desequilíbrio e os procedimentos a serem adotados para recomposição do
     equilíbrio.
2.10.9. O Tribunal Arbitral depositará o laudo arbitral (“Laudo”) na Secretaria da Corte
     até o dia 17 de junho de 2011. Após a escrutinização do laudo arbitral pela Corte,
     o seu conteúdo será divulgado simultaneamente às Partes. Na mesma
     oportunidade, cada Parte tomará conhecimento da Proposta apresentada pela
     outra Parte.
2.10.10.        O Laudo conterá duas alternativas de decisões, ambas devidamente
     fundamentadas. A primeira será resultante da aplicação do Contrato de Concessão
     à luz do direito brasileiro (“Primeira Decisão”). A segunda deverá indicar a
     Proposta que pareça mais justa ao Tribunal ao Arbitral sob o ponto de vista da
     eqüidade (“Segunda Decisão”).
2.10.11.        A Primeira Decisão indicará o critério de cálculo do valor do eventual
     desequilíbrio e os procedimentos a serem adotados para a recomposição do
     equilíbrio. A apuração do valor exato do desequilíbrio será objeto de perícia
     realizada por empresa especializada de notória reputação a ser sugerida pelo
     árbitro em sua decisão. Essa empresa poderá ser substituída caso haja acordo
     entre as partes sobre outra empresa para realização da perícia.
2.10.12.        A Segunda Decisão também levará em conta os princípios gerais do
     direito e não poderá contrariar a matriz de riscos adotada no Contrato de



                                                                                      9
Concessão. O Tribunal Arbitral deverá se limitar à escolha integral da Proposta
             apresentada por uma das Partes, sendo-lhe vedado formular nova proposta.
        2.10.13.       Conforme a sua natureza, os compromissos assumidos pela Parte autora
             da Proposta escolhida pelo Tribunal Arbitral configuram obrigação irrevogável de
             dar, fazer ou não fazer, passível de execução pelas vias judiciais.
        2.10.14.       A Parte que tiver a sua Proposta escolhida pelo Tribunal Arbitral poderá
             adotá-la como alternativa preferencial de solução do litígio, à qual também ficará
             vinculada a outra Parte. Nesse caso, ficará afastada a aplicação da Primeira
             Decisão.

3.    Argumentos trazidos pela Partes em suas alegações iniciais1

     3.1. Em 11 de maio de 2011 a Concessionária protocolou junto ao Tribunal documento no
          qual expõe os fundamentos da sua pretensão, que pode ser resumido nos seguintes
          termos:
         3.1.1. Em relação ao cabimento do pedido de recomposição do equilíbrio econômico-
              financeiro, aduz:
             3.1.1.1.    Que a necessidade de reprogramação e subfaseamento da operação
                    dos serviços objeto do Contrato de Concessão foram decorrentes de evento
                    de responsabilidade única e exclusiva do Poder Concedente, que após emitir
                    Ordem de Serviço de Fabricação dos trens da Fase I, não foi capaz de
                    cumprir com suas obrigações, necessitando alterar as previsões do Contrato
                    de Concessão original, o que causou enorme prejuízo à Concessionária.
             3.1.1.2.    Que os 4 aditivos ao Contrato de Concessão original que foram
                    celebrados entre as partes, que alteraram os prazos para implementação e
                    conclusão das Obras Civis, e conseqüentemente para a operação dos trens e
                    sistemas informatizados, bem como previram o Subfaseamento da operação,
                    foram decorrentes de eventos de culpa atribuível ao Poder Concedente, e
                    considerando que esses 4 aditivos invocam os incisos I, II e V do §1º do art.
                    57 da Lei 8.666/93, que admitem nos casos que especifica a mudança do
                    prazo de execução dos contratos “assegurada a manutenção de seu
                    equilíbrio econômico-financeiro”, conforme dicção do mencionado §1° .
             3.1.1.3.    Que, como o Quarto Aditivo ressalvou expressamente o direito da
                    Concessionária ao reequilíbrio econômico-financeiro, tornando-se superada a
                    discussão sobre o cabimento desse reequilíbrio.
             3.1.1.4.    Que a Constituição Federal estabelece também a possibilidade da
                    recomposição do equilíbrio econômico-financeiro na forma prevista pelo
                    inciso XXI do art. 37, que menciona a necessidade de manutenção das
                    condições efetivas da proposta, e que, no caso em questão, tais condições
                    correspondem às previstas no Plano de Negócios apresentado pela
                    Concessionária no momento da licitação.

1
 Neste item, utilizei trechos de textos constantes dos documentos trazidos aos autos pelas partes sem
preocupação de seguir as formalidades para citação, mas com preocupação apenas de fidelidade de
conteúdo e de atribuição.

                                                                                                    10
3.1.1.5.    que o caráter consensual dos 4 aditivos celebrados não implicou em
           renúncia, por parte da Concessionária ao direito ao reequilíbrio econômico-
           financeiro, uma vez que as provisões legais e constitucionais afastam
           qualquer pretensão nesse sentido.
    3.1.1.6.    Que a suposta renúncia ao direito à recomposição do equilíbrio
           econômico-financeiro, considerando caráter consensual dos aditivos não
           seria nem mesmo passível de discussão no caso em tela, considerando que,
           sendo consensual ou não, os próprios aditivos mencionam os dispositivos da
           Lei 8.666/93, que prevêem, expressamente a possibilidade de pedido de
           reequilíbrio econômico-financeiro, que, sendo previsão legal e constitucional,
           não seria nem mesmo um direito que poderia ser renunciado pela parte.
    3.1.1.7.    Que a Concessionária não possui culpa alguma frente os acontecimentos
           que fizeram com que fosse necessária a celebração dos aditivos ao Contrato
           de Concessão original, culpa essa atribuível inteiramente ao Poder
           Concedente que expediu Ordem de Serviço sem conseguir concluir com as
           Obras Civis no prazo estipulado entre as partes, causando enormes prejuízos
           à Concessionária uma vez que essa, em decorrência da Ordem de Serviço, já
           havia encomendado os trens para operação em seis linhas, tal como foi
           definido pelo Contrato de Concessão original.
    3.1.1.8.    Que o atraso na conclusão das obras civis que culminaram no
           Subfaseamento, conforme os aditivos um a quatro geraram frustração de
           receitas tarifárias projetadas para operação plena, aumento das despesas
           pré-operacionais, assim como redução das receitas não tarifárias e
           adiamento no início do pagamento da contraprestação pecuniária; e aumento
           dos custos financeiros com a garantia contratual pela necessidade da sua
           manutenção por prazo mais longo do que o inicialmente previsto, em razão
           do atraso do início da operação comercial plena da Fase I. E, que isso tudo
           implicou em redução da TIR de projeto esperada para o negócio, que
           segundo o Plano de Negócios da Concessionária é de 15,3%.
3.1.2. Em relação ao regramento contratual para a recomposição do equilíbrio
     econômico financeiro, a Concessionária argumenta:
    3.1.2.1.    Que a cláusula 13.6 do Contrato de Concessão prevê, de forma
           inequívoca, o parâmetro que deve ser utilizado para a recomposição do
           equilíbrio econômico-financeiro do Contrato de Concessão, que é o Plano de
           Negócios realizado pela Concessionária.
    3.1.2.2.    Que o Plano de Negócios caracteriza-se como um mecanismo prévio de
           análise por parte de um investidor, do retorno esperado do investimento
           pretendido. Nessa medida, assim como todo investidor experiente, a
           Concessionária realizou o Plano de Negócios, fundado nas informações
           disponíveis à data da celebração do Contrato de Concessão, com vistas a
           determinar a possível realização do investimento.
    3.1.2.3.    Que apesar do Plano de Negócios ser produto de uma análise privada do
           investidor, que não possui caráter vinculante para terceiros, no caso em
           questão, a situação seria distinta porque tanto a Concessionária, quanto o


                                                                                      11
Estado acordaram em pactuar o Plano de Negócios realizado pela
               Concessionária como o parâmetro para o estabelecimento de um possível
               reequilíbrio econômico-financeiro.
        3.1.2.4.     Que o Plano de Negócios é um Anexo ao próprio Contrato de
               Concessão, o que evidenciaria ainda mais seu caráter vinculante, tornando
               obrigatória a sua observância para apuração do valor do desequilíbrio
               passível de recomposição.
        3.1.2.5.     Que não importaria a avaliação atual do Plano de Negócios pelo poder
               público, tendo em vista que, independentemente dos motivos, o Estado optou
               legitimamente por se vincular à ele. Sustentar o contrário agora implicaria em
               violação ao caráter vinculante do edital e de toda a documentação relativa à
               licitação.
        3.1.2.6.     Que a Taxa Interna de Retorno (“TIR”) é a resultante principal do Plano
               de Negócios, pois determina em que medida o investimento tem ou não a
               rentabilidade adequada, e que, como o Plano de Negócios é apenas um
               mecanismo para a obtenção da TIR, na medida em que ela é variável que
               determina a decisão do Investidor, é nela que deve se basear o cálculo do
               valor para a recomposição do equilíbrio econômico- financeiro ora violado.
        3.1.2.7.     Que a TIR estabelecida no Plano de Negócios é resultante da situação
               econômica na época da formulação da proposta, e que, independentemente
               das perdas ou ganhos havidas por cada uma das Partes por conta da
               mudança desse cenário econômico, o Estado tem obrigação de honrar com
               os compromissos advindos de um contrato juridicamente válido.
3.2. Em resposta ao pleito da Concessionária, o Estado protocolou, também e 11 de maio
     de 2010, suas alegações iniciais, rejeitando as pretensões da Concessionária baseado
     nos seguintes argumentos:
    3.2.1. Em relação à repartição de riscos:
        3.2.1.1.     Que a repartição de riscos – conforme dispõe a Lei 11.079/2004, Lei
               Geral para Contratação de Parceira Público-Privada no âmbito da
               Administração Pública, mais especificamente nos seus art. 4º, VI, e art. 5º, III
               - é central nas PPP e que o Contrato de Concessão repartiu de forma
               detalhada os riscos dos eventos objeto da presente demanda. E, como,
               exemplo, o Estado traz a colação as seguintes cláusulas:
            3.2.1.1.1.       Cláusula 11.1.4 do Contrato de Concessão, que afirma que caso
                      a demanda trimestral real contabilizada esteja entre 90% e 110% não
                      haverá nenhum ajuste nas receitas decorrentes das tarifas de
                      remuneração;
            3.2.1.1.2.        Cláusulas 11.1.5, 11.1.6, 11.1.7 e 11.1.8 que prevêem
                      expressamente a aplicação de uma fórmula matemática especialmente
                      criada para o ajuste da tarifa caso a demanda prevista oscile entre o
                      intervalo de 60% a 140% da demanda projetada; e,
            3.2.1.1.3.       Cláusula 11.1.9 , que assegura que somente caso a demanda
                      trimestral real contabilizada esteja abaixo de 60% e acima de 140% da
                      demanda projetada para o período caberá a recomposição do equilíbrio


                                                                                            12
econômico-financeiro do contrato, em favor da Concessionária no
         primeiro caso, e em favor do Poder Concedente no segundo.
3.2.1.1.4.      Cláusulas 4.2, 11.4, 11.5, 11.10 e 11.12.4 do Contrato de
         Concessão que evidencia cuidadoso detalhamento das conseqüências
         geradas por eventual atraso nestas obras. Referidas cláusulas prevêem,
         inclusive, em que momento o atraso em tais obras pode gerar direito ao
         reequilíbrio econômico financeiro do contrato. Cabe detalhar esse
         procedimento de forma esquemática no intuito de melhor compreender o
         mecanismo de mitigação de riscos previsto no Contrato de Concessão.
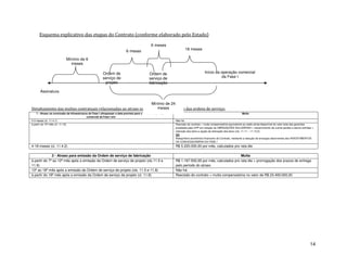
    3.2.1.1.4.1.        O Estado traz aos autos a seguir o esquema explicativo da
              disciplina do Contrato de Concessão sobre o risco de atraso nas
              obras civis, que reproduzo a seguir:




                                                                              13
Esquema explicativo das etapas do Contrato (conforme elaborado pelo Estado)

                                                                                                X meses
                                                                            6 meses                                    18 meses

                            Mínimo de 6
                              meses

                                                         Ordem de                              Ordem de                               Início da operação comercial
                                                         serviço de                            serviço de                                       da Fase I
                                                          projeto                              fabricação

       Assinatura


                                                                                                 Mínimo de 24
Detalhamento das multas contratuais relacionadas ao atraso nas Obras meses emissão das ordens de serviço:
                                                                     Civis e
    1 - Atraso na conclusão da Infraestrutura da Fase I ultrapassar a data prevista para o início da operação                                                       Multa
                                            comercial da Fase I em:
0-3 meses (cl. 11.4.1)                                                                                          Não há
à partir do 15º mês (cl. 11.10)                                                                                 Rescisão do contrato + multa compensatória equivalente ao saldo ainda disponível do valor total das garantias
                                                                                                                prestadas pela CPP em relação às OBRIGAÇÕES SOLIDÁRIAS + ressarcimento de outras perdas e danos sofridas +
                                                                                                                retenção dos bens e opção de alienação dos bens (cls. 11.11 – 11.12.2)
                                                                                                                OU
                                                                                                                Reequilíbrio econômico-financeiro do Contrato, mediante a redução de encargos decorrentes dos INVESTIMENTOS
                                                                                                                DA CONCESSIONÁRIA DA FASE I
4-18 meses (cl. 11.4.2)                                                                                         R$ 5.220.000,00 por mês, calculados pro rata die

              2 - Atraso para emissão da Ordem de serviço de fabricação                                                                                 Multa
à partir do 7º ao 12º mês após a emissão da Ordem de serviço de projeto (cls 11.5 e                             R$ 1.167.500,00 por mês, calculados pro rata die + prorrogação dos prazos de entrega
11.9)                                                                                                           pelo período do atraso
13º ao 18º mês após a emissão da Ordem de serviço de projeto (cls. 11.5 e 11.8)                                 Não há
à partir do 18º mês após a emissão da Ordem de serviço de projeto (cl. 11.8)                                    Rescisão do contrato + multa compensatória no valor de R$ 23.400.000,00




                                                                                                                                                                                                                          14
3.2.2. A partir do esquema acima, o Estado desenvolve explicação mais detalhada
     sobre a disciplina do risco de atraso das obras civis no Contrato, nos seguintes
     termos:
    3.2.2.1.    O Contrato de Concessão não impõe obrigação vinculante ou multa para
           que o Estado indique ao parceiro privado a data de início da operação
           comercial da Fase I. Cabe ao Estado, exclusivamente, decidir quando a
           operação comercial da Fase I terá início.
    3.2.2.2.    O Estado deve apenas assegurar um prazo mínimo de exploração
           econômica dos serviços de 30 (trinta) anos a contar do início da operação
           comercial da Fase I, conforme estabelece a cláusula 4.1 do Contrato de
           Concessão.
    3.2.2.3.    Consequentemente, argumenta o Estado, as datas para os eventos
           previstos na Cláusula 4.4 do Contrato de Concessão são meramente
           estimativas. Tanto é assim que o Contrato se refere a “Datas Previstas” e não
           “datas Obrigatórias ou Peremptórias”. Daí ser perfeitamente possível alterar
           tais datas, conforme a necessidade do projeto.
    3.2.2.4.    Volta então o Estado à análise do cronograma dos eventos ocorridos à
           luz das premissas acima:
        3.2.2.4.1.       A Ordem de serviço de projeto foi emitida em 30.11.2007.
        3.2.2.4.2.       De acordo com o 1º Aditivo, a operação comercial plena da Fase
                 1 teria início em 30.01.2010.
        3.2.2.4.3.       Em 29.05.2010 foi assinado o 2º Aditivo estabelecendo que a
                 operação comercial poderia ter início após transcorridos 20 meses e 9
                 dias contados da emissão da Ordem de Serviço de Fabricação e não
                 mais após 18 meses dessa emissão, conforme inicialmente previsto no
                 Contrato.
        3.2.2.4.4.       Em 30.5.2008 foi emitida a Ordem de Serviço de Fabricação.
                 Consequentemente, a operação comercial deveria iniciar-se em
                 08.02.2010.
    3.2.2.5.    Conclui dessa análise que o Concessionário só poderia aplicar multa ao
           Poder Concedente pelo atraso nas Obras Civis à partir de 8.5.2010, isto é 3
           meses após a data prevista para o início da operação comercial da Fase I.
    3.2.2.6.    O Estado segue analisando o que ocorreu após essa data para sustentar
           que o Concessionário tinha duas alternativas para lidar com o atraso das
           Obras Civis: (a) a primeira seria a aplicação integral do Contrato de
           Concessão, cumprindo-o conforme previsto inicialmente e aplicando as
           multas e penalidades ao Estado à partir do momento em que os respectivos
           fatos geradores se verificassem; (b) a segunda seria renegociar e definir, em
           conjunto com o Estado, novos prazos e cronograma contratual, firmando
           aditivos bilaterais e mutuamente acordados, que foi, segundo o Estado a
           alternativa preferida pela Concessionária. Para sustentar essa posição, o
           Estado menciona que:
        3.2.2.6.1.       O Concessionário não aplicou qualquer multa ao Poder
                 Concedente. Pelo contrário, em 18.06.2010 firmou o 3º aditivo ao


                                                                                     15
Contrato estabelecendo que a operação comercial da Fase I teria início
              em 31.3.2011.
      3.2.2.6.2.     Além disso, o Concessionário estabeleceu, em conjunto com o
              Poder Concedente, novo mecanismo para mitigação de possíveis
              futuros atrasos na conclusão das Obras Civis, conforme evidenciado no
              item 5.4 do Aditivo.

       3.2.2.6.3.      O item 5.6 do mesmo Aditivo estabeleceu ainda novo prazo para
                o Concessionário rescindir o Contrato, no caso de atraso no início da
                operação comercial por período superior a 15 meses.
       3.2.2.6.4.      O item 5.7 do 3º Aditivo atualizou, ainda, o procedimento a ser
                adotado caso o Concessionário opte por não rescindir o Contrato. Nessa
                hipótese e, somente nessa hipótese, (a exemplo do texto original do
                Contrato de Concessão) se admitiu um pleito de reequilíbrio econômico-
                financeiro do Contrato pautado no atraso das Obras Civis.
       3.2.2.6.5.      Também o 4º Aditivo assinado em 25.03.2011 teria seguido o
                modelo do 3º Aditivo, reprogramando a data de início da operação
                comercial e prevendo os mecanismos de penalização do Estado em
                caso de não cumprimento do prazo para início da fase comercial em
                função do atraso na conclusão das Obras Civis.
   3.2.2.7.    Por fim, o Estado chama atenção para a importância do item 5.7 do
          Aditivo 3, pois ele cria uma nova hipótese de reequilíbrio econômico-
          financeiro quando o Contrato de Concessão, na cláusula 12.3, teria
          estipulado taxativamente e exaustivamente os motivos ensejadores de
          reequilíbrio econômico-financeiro do Contrato. E que, por isso também, não
          haveria possibilidade de pleitear reequilíbrio econômico-financeiro do
          Contrato em hipóteses não previstas expressamente no Contrato.

3.2.3. Em relação à alegação de que os aditivos foram impostos unilateralmente à
     Concessionária, argumenta o Estado:

   3.2.3.1.    Que não seria cabível ou razoável que uma das partes assine 4 Aditivos
          a um Contrato, prevendo inclusive penalidades no caso de descumprimento
          das cláusulas desses aditivos e alegue, posteriormente, que não anui com as
          alterações e que para aceitá-las não procedeu a uma análise prévia dos
          impactos que essas alterações poderiam ter em suas projeções financeiras.

   3.2.3.2.    Que não haveria qualquer evidência fática que indique que a
          Concessionária foi obrigada a aceitar qualquer das condições ou assinar os
          Aditivos contratuais. Se fossem unilaterais as imposições, não faria qualquer
          sentido assinar Aditivos.




                                                                                    16
3.2.3.3.    Que a Concessionária alegar que não anuiu com as condições dos
          Aditivos equivale a alegar a própria torpeza para se eximir de
          responsabilidade.

   3.2.3.4.  O Estado afirma que o subfaseamento da operação comercial constituiu
          uma alternativa extracontratual (não prevista inicialmente no Contrato original)
          com o intuito de adequar o projeto a situações alheias à vontade das partes.

      3.2.3.4.1.     E que tal alternativa só pode ser implementada, porque o
              Concessionário teria renunciado a aplicar as penalidades para atraso
              previstas no Contrato inicial.

   3.2.3.5.    Que duas razões levaram a Concessionária a aceitar a alteração de
          cronograma e o subfaseamento, e a renunciar à aplicação das penalidades: a
          primeira é que se tais alterações não fossem realizadas no contrato originário,
          a Concessionária ficaria inadimplente, pois teria atrasado a fabricação dos
          trens; a segunda é que a Concessionária conseguiu condições privilegiadas
          de financiamento do projeto e que o financiador condicionou o fechamento do
          contrato de financiamento à emissão da ordem de serviço, o que só ocorreu
          após a emissão do primeiro Aditivo.

3.2.4. Em relação à utilização da TIR como critério para a realização de eventual
     equilíbrio econômico-financeiro do contrato, o Estado aduz:

   3.2.4.1.     Que em nenhuma parte do Plano de Negócios apresentado pela
          concessionária há menção expressa a TIR de 15,13%. O que por si só já
          justifica o fato de que não há como se afirmar ter o Estado referendado tal
          taxa.

   3.2.4.2.    Que o Plano de Negócios é instrumento para análise da exeqüibilidade
          da proposta e que a TIR nele estimada não é vinculante, pois, se o fosse,
          todos os mecanismos contratuais para distribuição de riscos seriam fúteis,
          uma vez que – independentemente do desempenho do parceiro privado na
          lida com os riscos que lhe foram atribuídos ou dos eventos havidos em torno
          do contrato – estaria assegurada ao parceiro privado a rentabilidade
          representada pela TIR estimada no Plano de Negócios.

   3.2.4.3.    Que é preciso separar critérios para a realização do equilíbrio
          econômico-financeiro das condições necessárias para surgimento do direito à
          recomposição do equilíbrio econômico-financeiro do contrato, e, por isso, o
          fato da TIR real da Concessionária não corresponder a TIR estimada no
          Plano de Negócios não implicaria por si em direito à recomposição do
          equilíbrio econômico-financeiro.



                                                                                       17
3.2.4.3.1.     Exemplifica mostrando que diversas das premissas do Plano de
                       Negócios não corresponderam a realidade favorecendo a
                       Concessionária, e nem por isso o Estado teria direito à recomposição do
                       equilíbrio econômico-financeiro em seu favor.

       3.2.5. Em relação ao critério para cálculo de eventuais custos imprevistos havidos pela
            Concessionária, o Estado contesta o uso da data da assinatura do contrato como
            data de referencia para análise do fluxo de caixa da Concessionária, uma vez que
            as obrigações da Concessionária só teriam surgido com a emissão da Ordem de
            Serviço do Projeto da Fase I, que só ocorreu após a assinatura do Primeiro Aditivo
            em 30 de novembro de 2007, não tendo havido, antes disso, qualquer mobilização
            de capital da Concessionária para execução do contrato.

       3.2.6. O Estado por fim nega haver qualquer cláusula contratual que corrobore a
            metodologia proposta pela Concessionária para cálculo do valor da recomposição
            do equilíbrio econômico-financeiro, e, por isso, entende não ter amparo jurídico a
            estimativa da Concessionária de R$ 120.000.000,00 enquanto valor líquido do
            desequilíbrio econômico-financeiro.

4. Argumentos apresentados na réplica da Concessionária e tréplica do Estado2

    4.1. Em 20 de maio de 2011, a Concessionária apresentou réplica em que aduz o seguinte:
        4.1.1. Em relação a distribuição de riscos relativos a atraso na obra civil, a
             Concessionária alega:
            4.1.1.1.    Que a posição do Estado de que o risco da realização tempestiva das
                   obras civis deveria ser compartilhado com a Concessionária mostra-se
                   flagrantemente equivocada.
            4.1.1.2.    Que o item 11.4 do contrato de concessão é claro ao atribuir ao Estado a
                   responsabilidade exclusiva pela conclusão das obras civis. O prazo máximo
                   para isso era de 18 meses, contados a partir da emissão da Ordem de
                   Serviço de Fabricação, sob pena do pagamento de multa contratual.
            4.1.1.3.    Que o Quarto Aditivo, por sua vez, ressalvou expressamente o direito da
                   Concessionária de pleitear a recomposição do equilíbrio econômico-financeiro
                   em razão dos eventos supervenientes (reprogramação de datas e adoção do
                   modelo de subfaseamento). Portanto, tornou-se definitivamente superada a
                   discussão sobre o caráter unilateral ou consensual das alterações contratuais
                   para postergar o início da operação comercial plena e, ao mesmo tempo,
                   estabelecer a prestação parcelada dos serviços. De todo modo, o direito ao
                   reequilíbrio não decorre apenas do previsto no contrato de concessão e
                   posteriores aditamentos, mas possui fundamento legal e constitucional, como
                   demonstrado nas alegações iniciais desta Concessionária.

2
 Neste item, utilizei trechos de textos constantes dos documentos trazidos aos autos pelas partes sem
preocupação de seguir as formalidades para citação, mas com preocupação apenas de fidelidade de
conteúdo e de atribuição.

                                                                                                    18
4.1.1.4.    Que, nesse contexto, seria, portanto, flagrantemente contrária a lei – e
           consequentemente inválida sob o ponto de vista jurídico – a cláusula que
           privasse a Concessionária do direito de reivindicar a recomposição equilíbrio
           econômico-financeiro, no caso, de alteração contratual enquadrável em
           qualquer das hipóteses do artigo 57, §1º, da Lei nº 8.666/93 (v.g. prorrogação
           de prazos e alteração do projeto ou das especificações por interesse da
           Administração). A Concessionária alega que também o artigo 37, XXI, da
           Constituição Federal, dispõe nesse mesmo sentido.
    4.1.1.5.    Que, como o risco de atraso nas obras civis cabia exclusivamente ao
           Estado, a sua verificação implica em inadimplemento contratual, com a
           conseqüente obrigação de ressarcimento dos prejuízos sofridos pela
           Concessionária.
    4.1.1.6.    Que o conceito de reequilíbrio econômico-financeiro dos contratos
           administrativos em geral (e do contrato de concessão patrocinada em
           especial) equivale ao dever de indenizar do ordenamento civilístico. Os
           prejuízos indenizáveis abrangem não só o dano emergente (custos diretos e
           indiretos experimentados pela Concessionária), mas também os lucros
           cessantes (frustração das receitas projetadas para realizar a TIR prevista no
           Plano de Negócios).
    4.1.1.7.    Que a Concessionária, conforme mencionado em oportunidade anterior,
           em momento algum contribuiu para o atraso das obras civis. Ao contrário,
           agiu sempre de boa-fé e cumpriu rigorosamente as obrigações que lhe
           cabiam por força do contrato de concessão.
4.1.2. Sobre a compatibilidade entre o regime de multas e o direito à recomposição do
     equilíbrio econômico-financeiro, a Concessionária argumenta:
    4.1.2.1.    Que a previsão de multa contratual não exclui o direito ao reequilíbrio
           pelas seguintes razões. Primeiro, porque a demora no início da operação
           comercial plena, por conta do atraso na conclusão das obras civis,
           ultrapassou consideravelmente o período de aplicação da multa contratual,
           tornando-as ineficazes para ressarcir o prejuízo efetivamente sofrido pela
           Concessionária. Segundo, porque os aditamentos posteriormente celebrados
           entre o Estado e a Concessionária, especialmente o Quarto Aditivo,
           recalcularam o valor da multa e reservaram a sua incidência apenas para a
           hipótese de não serem respeitados os novos prazos para inauguração das
           várias etapas da operação subfaseada.
    4.1.2.2.    Paralelamente, ficou ressalvado o direito de a Concessionária pleitear a
           recomposição do equilíbrio econômico-financeiro. Em outras palavras, a
           decisão de afastar a incidência das multas estipuladas para o atraso na
           conclusão das obras civis, substituindo-as pelo reequilíbrio contratual, foi
           tomada de forma conjunta e no melhor interesse de ambas as partes.
4.1.3. Sobre a alegação de que não tinha condições de entregar os trens nos prazos
     originalmente pactuados, a Concessionária afirma:




                                                                                      19
4.1.3.1.    Que não corresponde à verdade a alegação do Estado, de que a
           Concessionária não tinha condições de cumprir sua obrigação de entregar os
           trens, de acordo com o cronograma previsto no contrato de concessão.
4.1.4. Sobre a alegação de que não a Concessionária concordou com o faseamento a
     Concessionária afirma:
    4.1.4.1.    Que o Estado contradiz a realidade quando afirma que a Concessionária
           concordou com o subfaseamento porque isso também era do seu interesse.
    4.1.4.2.    Que após a emissão da Ordem de Serviço de Fabricação, a
           Concessionária efetivamente encomendou todos os trens exigidos pelo
           contrato de concessão e contraiu financiamento para o custeio desse e de
           outros investimentos que lhe competia fazer. Essa decisão implicou em
           despesas e custos não previstos em razão dos atrasos e do subfaseamento,
           tudo isso redundando em prejuízos objeto do pedido de recomposição do
           equilíbrio. E que, por isso, não é correto alegar que o subfaseamento visava a
           atender aos interesses da Concessionária. Pois, a rigor, o subfaseamento foi
           a fórmula encontrada pelo Estado para antecipar parcialmente a prestação
           dos serviços, em benefício da população usuária.
4.1.5. Sobre a alegação de que a Concessionária teria se beneficiado com a emissão
     imediata da Ordem de Serviço de Projeto para obtenção de financiamento a
     valores abaixo dos previstos em sua proposta, sustenta a Concessionária que:
    4.1.5.1.    É verdade que a emissão da Ordem de Serviço de Fabricação permitiu à
           Concessionária celebrar desde logo o contrato de financiamento com
           organismo multilateral em condições relativamente vantajosas. No entanto,
           isso não significa que a Ordem de Serviço de Fabricação foi dada a pedido da
           Concessionária e, portanto, por sua conta e risco.
    4.1.5.2.    A conclusão tempestiva das obras civis era obrigação exclusiva do
           Estado, de forma que a Ordem de Serviço de Fabricação somente deveria ter
           sido dada no próprio interesse do Estado e após assegurada a sua
           capacidade de cumprir com os prazos determinados no contrato de
           concessão. Não procede a alegação do Estado de que tal Ordem de Serviço
           de Fabricação teria sido dada somente em benefício da Concessionária. Isso
           porque o Estado podia decidir livremente o momento de emitir a Ordem de
           Serviço de Fabricação; se errou nos cálculos, deve agora responder pelas
           consequências do seu ato perante a Concessionária.
4.1.6.          Sobre a utilização da TIR como critério para recomposição do equilíbrio
     econômico-financeiro, a Concessionária sustenta que
    4.1.6.1.    A Taxa Interna de Retorno (TIR) é uma variável implícita em qualquer
           Plano de Negócios, na medida em que corresponde ao desconto aplicado às
           projeções futuras do fluxo de caixa do empreendimento, abrangendo as
           receitas e despesas esperadas durante a vigência do contrato de concessão,
           de modo a produzir um valor presente líquido (VPL) igual a zero. Com base
           nessa lógica financeira, fica fácil perceber que a TIR pressuposta no Plano de
           Negócios da Concessionária era 15,13%, ainda que não estivesse ali
           expressamente declarada. De resto, o Estado, por intermédio de seus


                                                                                      20
agentes, confirmou posteriormente que a TIR adotada no Plano de Negócios
           foi realmente de 15,13%, afastando qualquer dúvida quantitativa nesse
           particular.
    4.1.6.2.    O Plano de Negócios apresentado não é um mero instrumento para o
           Estado avaliar a exequibilidade das propostas econômicas apresentadas na
           fase da licitação. Na verdade, o Plano de Negócio consolida as informações
           (premissas, cenários futuros, variáveis econômicas, cálculos financeiros)
           consideradas determinantes para orientar a decisão de investimento dos
           concorrentes, como base na chamada Taxa Mínima de Atratividade (TMA).
           Sendo o Plano de Negócios um anexo da proposta de cada licitante (e
           também do contrato de concessão posteriormente celebrado com o vencedor
           da licitação), torna-se forçoso admitir o seu caráter vinculante em relação ao
           Estado (poder concedente), para todos os efeitos jurídicos, sobretudo no que
           se refere à eventual recomposição do equilíbrio econômico-financeiro.
4.1.7. No tocante a correlação entre risco de demanda e recomposição do equilíbrio
     econômico-financeiro, a Concessionária alega que:
    4.1.7.1.    O risco da demanda, conforme previsto no contrato de concessão, não é
           afetado quando a recomposição é efetuada com base na TIR. Isso porque o
           pedido de reequilíbrio no caso concreto não se fundamenta no risco de
           demanda, mas sim no atraso das obras civis e decisão governamental de
           adotar o modelo de operação subfaseada que não estava previsto nem no
           edital, nem no contrato de concessão afinal celebrado. Ambos os eventos
           (reprogramação de datas e subfaseamento) alteraram radicalmente as
           projeções adotadas no Plano de Negócios, implicando a frustração de
           receitas e a assunção de encargos adicionais, em prejuízo das legítimas
           expectativas da Concessionária de auferir a rentabilidade inicialmente
           prevista, que motivou sua decisão de investimento.
    4.1.7.2.    O risco da demanda não deve ser suportado pela Concessionária além
           do estritamente estabelecido no contrato de concessão, se a causa que
           originou a redução das receitas tarifárias é imputável exclusivamente ao
           Estado. O fato de o risco de demanda ser compartilhado não significa que o
           Estado possa unilateralmente postergar o início da operação ou alterar a
           forma de prestação dos serviços (cláusulas regulamentares), com impacto no
           número de passageiros transportados, sem que daí decorra nenhuma
           responsabilidade perante a Concessionária. A previsão do compartilhamento
           não serve de justificativa para o Estado negar a obrigação de reequilibrar o
           contrato de concessão, em face da superveniência de eventos cujo risco não
           foi contratualmente assumido pela Concessionária.
    4.1.7.3.    A adoção das projeções do Plano de Negócios, para efeito de calcular o
           valor desequilíbrio, nem sempre é favorável à Concessionária, mormente
           quando a demanda real está muito aquém da estimada, como de fato ocorre
           no caso concreto.
    4.1.7.4.    A doutrina trazida pelo Poder Concedente, para sustentar que a TIR não
           pode ser o único critério para recomposição do equilíbrio econômico-


                                                                                      21
financeiro, não se aplica ao caso concreto. Isso porque o contrato de
           concessão dispôs sobre o assunto de modo diverso, ao prescrever
           expressamente no item 13.6, que o cálculo do valor do desequilíbrio deve
           tomar por base as projeções constantes do Plano de Negócios que integra a
           proposta econômica do Concessionário. Essa disposição nada tem de ilegal
           ou inconstitucional, mas apenas reflete uma opção estratégica do Estado
           para tornar mais atrativa participação no certame pelos investidores privados.
    4.1.7.5.    A Concessionária não pode ser penalizada, quando se verifica algum
           evento de desequilíbrio para o qual não tenha concorrido por qualquer forma.
           A penalização ocorreria se o valor do desequilíbrio fosse calculado sem
           considerar a TIR do Plano de Negócios, na medida em que a Concessionária
           ficaria impedida de auferir a rentabilidade inicialmente projetada. A obrigação
           de recomposição assemelha-se à responsabilização civil de quem foi culpado
           pela perda de uma chance que poderia ser aproveitada por outrem de forma
           lucrativa.
4.1.8. Sobre a acusação de que a recomposição do equilíbrio econômico-financeiro
     com base na TIR levaria a dar-se à Concessionária rentabilidade garantida,
     eximindo a Concessionária de riscos que ela assumiu no Contrato de Concessão,
     a Concessionária afirma que não está reivindicando nenhuma garantia de
     rentabilidade. E que, a rigor, se não tivesse ocorrido o evento de desequilíbrio, a
     TIR do Plano de Negócio não deveria ser recomposta. A Concessionária auferiria a
     rentabilidade proporcionada pelas condições econômicas vigentes no momento
     atual, independentemente das previsões constantes do Plano de Negócios. Mas
     não foi isso o que aconteceu, pois a expectativa de realizar o Plano de Negócios
     foi frustrada por culpa do Estado, que não cumpriu com a obrigação de
     disponibilizar a infraestrutura no prazo estipulado e, além disso, alterou as
     condições de prestação do serviço com a adoção do subfaseamento.
4.1.9. Quanto à alegação do Estado de que atualmente a realidade é diversa do
     momento em que foi elaborado o Plano de Negócios, a Concessionária afirma que:
    4.1.9.1.    Isso apenas reforça a boa fé e coerência da Concessionária. Isso porque
           a recomposição referenciada às projeções previstas no Plano de Negócios
           opera tanto a favor quanto contra a Concessionária, conforme a realidade
           verificada for melhor ou pior do que a projetada.
    4.1.9.2.    O Plano de Negócios representa aquilo que foi acordado entre as partes
           no momento da celebração do contrato de concessão. O cálculo da
           recomposição por critérios desconectados das projeções do Plano de
           Negócios significa o descumprimento do pactuado, além introduzir elevada
           dose de subjetivismo na escolha de novas premissas e antecipação de
           cenários futuros que irão influenciar a geração de caixa da Concessionária.
           Ater-se ao Plano de Negócios, portanto, propicia maior previsibilidade e
           segurança jurídica, o que é fundamental para atração de investimentos
           privados em infraestrutura pública, considerados essenciais para o
           desenvolvimento econômico do país.



                                                                                       22
4.1.9.3.    A eventual deterioração das condições macro e microeconômicas que
               orientaram a elaboração do Plano de Negócios, quando da apresentação da
               proposta, foi um risco assumido pela Concessionária. A mesma regra deve
               prevalecer se for constatado o contrário, vale dizer, se o cenário presente for
               melhor do que o imaginado no passado. Não faz sentido adotar dois pesos e
               duas medidas para o cálculo do desequilíbrio, beneficiando indiretamente a
               Concessionária se a condições pioraram, ou favorecendo-a se ocorrer a
               situação inversa.
    4.1.10.         E conclui solicitando que a recomposição do equilíbrio econômico-
         financeiro seja apurada tomando-se como referência a data base da apresentação
         da proposta, na medida em que ela reflete as condições econômicas vigentes
         naquele momento.
4.2. Em tréplica oferecida em 20 de maio de 2011, o Estado aduziu o seguinte:
    4.2.1. Em relação à consensualidade das alterações no projeto:
        4.2.1.1.    Que as alterações realizadas no contrato, basicamente subfaseamento e
               mudança de prazos, foram feitas consensualmente.
        4.2.1.2.    Que a Concessionária tinha a seu alcance o instrumento das multas
               contratuais por atraso, que poderia compensá-la dos eventuais prejuízos
               conseqüentes da alteração dos prazos.
        4.2.1.3.    Que, em relação ao subfaseamento, a Concessionária poderia ter
               solicitado reequilíbrio como condição de aceitação do sub-faseamento, mas
               não o fez. Aceitou consensualmente a realização do subfaseamento.
        4.2.1.4.    Que a razão que a Concessionária não questionou tempestivamente o
               subfaseamento e não solicitou tempestivamente a aplicação das multas é que
               ela teria conseguido ainda na época da celebração do primeiro aditivo
               condições favoráveis de financiamento, condições estas que somente seriam
               chanceladas pela Instituição Financeira caso o Governo emitisse a ordem de
               serviço, o que veio a fazer exatamente um dia após a celebração do 1º
               aditivo.
    4.2.2. No tocante à utilização do Plano de Negócios para a realização do equilíbrio
         econômico-financeiro:
        4.2.2.1.    Que a recomposição do equilíbrio econômico-financeiro é mecanismo
               secundário e residual dentro da lógica de distribuição de riscos prevista no
               contrato, e que, por isso, a utilização do pedido de recomposição do equilíbrio
               econômico-financeiro e da utilização da TIR prevista no Plano de Negócios
               para tanto só pode ser realizada excepcionalmente, o que não é o caso aqui,
               pois há outros mecanismos no contrato para a compensação dos prejuízos da
               Concessionária.
            4.2.2.1.1.       Exemplifica isso mostrando que no caso da variação da demanda
                     o mecanismo de reequilíbrio só é aplicável quando a variação da
                     demanda for maior que 40% do que a esperada. Se menor que 40%, o
                     contrato estabelece uma regra específica que afasta a possibilidade de
                     utilização da garantia do equilíbrio econômico-financeiro. E que se



                                                                                           23
entender diferente seria assegurar à Concessionária o pleito de
             reequilíbrio cada vez que a demanda vier a variar.
4.2.2.2.     Que o Plano de Negócios é no Contrato de Concessão sobretudo um
       instrumento para viabilizar a análise, pelo Poder Concedente, da capacidade
       da Concessionária executar o que propôs na licitação, e não como um
       instrumento vinculante, sob pena de distorcer todo o conjunto de atribuições
       de riscos estabelecidos no contrato.
    4.2.2.2.1.      Exemplifica isso dizendo que a Tarifa de Remuneração de R$
             2,08 por passageiro transportado, conforme o disposto na Cláusula
             Sexta, item 6.1, é vinculante apesar de, conforme plano apresentado
             pela Concessionária, a tarifa necessária para garantir a TIR de projeto
             de 15.13% prevista no Plano de Negócios seria de R$ 2,14 por
             passageiro. O fato da tarifa real, vinculante, prevista no contrato ser
             menor do que a prevista no Plano de Negócios, não necessariamente
             implica em sua correção para garantir a TIR ali prevista para a
             Concessionária.
4.2.2.3.     Que caso esses outros mecanismos contratuais sejam ignorados a favor
       da garantia da TIR de 15.13% prevista no Plano de Negócios estar-se-ia a
       converter o Contrato de Concessão em um investimento comparável a um
       título público, pois significaria livrar a Concessionária dos riscos inerentes ao
       negócio assegurando-lhe uma remuneração fixa independetemente das
       ocorrências que cercam o negócio e do seu desempenho na gestão dos
       riscos inerentes ao negócio.
4.2.2.4.     Que haveria fazer prevalecer a TIR prevista em um anexo ao contrato (o
       Plano de Negócios) sobre as regras contratuais que dispõe especificamente
       sobre como lidar com cada um dos riscos contratuais seria contrariar a regra
       prevista no item 3.2 do Contrato que diz que “No caso de divergência entre o
       CONTRATO e seus anexos, prevalecerá o disposto no CONTRATO”.
4.2.2.5.     Propõe fórmula para cálculo para os gastos havidos pela Concessionária
       por conseqüência do subfaseamento, na qual se compense tais gastos com
       eventuais economias de investimento realizadas por conta do
       subfaseamento. A fórmula proposta pelo Estado é a seguinte:

 D=B–A+C

 Em que D é o valor devido pelo Estado pelo aumento de gastos;
 A = Valores que seriam gastos sem o subfaseamento;
 B = Valores que foram gastos em virtude subfaseamento;
 C = Valores que foram salvos em virtude da postergação de investimentos.

4.2.2.6.   Propõe por fim que quanto ao custo de oportunidade decorrente das
       receitas que a Concessionária alega não ter recebido, eventual valor a ser
       compensado deve ser calculado usando-se o Custo Médio Ponderado de
       Capital da Concessionária (“WACC”) à época da proposta como parâmetro.


                                                                                     24
Este WACC seria calculado sobre a demanda prevista no item 3.1 do plano
                   de negócios. Ao final seriam retiradas as receitas extras auferidas pela
                   Concessionária em virtude da operação parcial das estações. O cálculo seria
                   feito então conforme a fórmula mais tradicional de Juros Simples, em que

             M = (C + i ) . N - G

             M = Valor devido pelo Estado por conta do custo de oportunidade.
             C = Demanda prevista no plano de negócios.
             i = WACC da companhia no momento da proposta;
             N = número de períodos de receita frustrada em virtude da não operação plena
             das operações.
             G = Receitas verificadas com a operação subfaseada da FASE I.

É o relatório, passo então à fundamentação da decisão.




5. Fundamentação jurídica e análise dos argumentos das partes

A garantia ao        equilíbrio     econômico-financeiro       e   sua   fundamentação        legal      e
constitucional

    5.1. O artigo 37, inciso XXI, da Constituição Federal dispõe que:
             “Art. 37. A administração pública direta e indireta de qualquer dos Poderes da
             União, dos Estados, do Distrito Federal e dos Municípios obedecerá aos princípios
             de legalidade, impessoalidade, moralidade, publicidade e eficiência e, também, ao
             seguinte:
             (...)
             XXI - ressalvados os casos especificados na legislação, as obras, serviços,
             compras e alienações serão contratados mediante processo de licitação pública
             que assegure igualdade de condições a todos os concorrentes, com cláusulas que
             estabeleçam obrigações de pagamento, mantidas as condições efetivas da
             proposta, nos termos da lei, o qual somente permitirá as exigências de qualificação
             técnica e econômica indispensáveis à garantia do cumprimento das obrigações.”
        5.1.1. Apesar de ser costume da doutrina jurídica e jurisprudencia do Direito
             Administrativo brasileiro vincular a esse dispositivo constitucional a garantia do
             equilíbrio econômico-financeiro, tenho sustentado3 que não há na Constituição
             Federal qualquer exigência de garantia de equilíbrio econômico-financeiro de

3
 Cf.: Ribeiro, Mauricio Portugal, Concessões e PPPs: melhores práticas em contratos e licitações, Rio
de Janeiro, 2010, Mimeo; e, Ribeiro, Mauricio Portugal e Prado, Lucas Navarro, Comentários à Lei de
PPP – fundamentos econômico-jurídicos, Malheiros Editores, São Paulo, 2007.

                                                                                                        25
contratos administrativos, ou um “direito ao equillíbrio econômico-financeiro do
          contrato” que possa ser extraído diretamente e sem mais desse dispositivo.
    5.1.2. Perceba-se que no que concerne ao tema da garantia ao equilíbrio econômico-
          financeiro de contratos, o dispositivo comentado fala apenas em “... cláusulas que
          estabeleçam obrigações de pagamento, mantidas as condições efetivas da
          proposta, nos termos da lei...”.
    5.1.3. Portanto, o que a Constituição Federal protege é a manutenção das condições
          efetivas da proposta, nos termos da lei.
    5.1.4. Em primeiro lugar, é preciso indagar se há um núcleo duro de sentido na
          expressão “manutenção das condições efetivas da proposta”. E me parece claro
          que não, pois existe um extenso universo de possibilidades de interpretação do
          que seria “condições da proposta”, do que seria “efetivas”, e do que seria a sua
          “manutenção”. Para cada uma dessas expressões há um universo de
          possibilidades de interpretação e correlatamente procedimentos e formas que
          poderiam ser adotados para tutelar ou executar a “manutenção das condições
          efetivas da proposta”.
    5.1.5. Se olharmos, contudo, esse dispositivo de uma perspectiva econômico e
          financeira, e considerando a percepção de que todos os contratos complexos são
          sobretudo instrumentos de alocação/distribuição de riscos, a melhor interpretação
          de “condições efetivas da proposta” é como uma referência ao conjunto de
          elementos positivados na minuta de contrato, veiculada em conjunto com o edital
          de licitação, e a vista dos quais a proposta do participante da licitação pública é
          formulada. Deve-se, pois, entender como “condições efetivas da proposta” tanto o
          objeto das prestações das partes, quanto a matriz de riscos contratual, que são o
          cerne de qualquer contrato.
    5.1.6. O objeto das prestações contratuais é o que caracteriza o tipo de contrato a ser
          firmado, e isso, nos contratos administrativos, evidentemente não pode ser
          alterado, sob pena, inclusive de constituir burla à exigência de prévia licitação.
    5.1.7. A matriz de riscos contratual, por sua vez, é a distribuição entre as partes da
          responsabilidade por prevenir, controlar (quando possível), mitigar as
          conseqüências e reparar os efeitos de ocorrências que afetem a execução das
          prestações contratuais de cada uma das partes.
5.2. Ainda que a melhor interpretação da disposição constitucional seja no sentido da
     estabilização do objeto das prestações e da matriz de riscos do contrato, é preciso não
     olvidar que a referência constitucional às condições efetivas da proposta é modalizada,
     já na sua gênese, pela expressão “nos termos da lei”, que remete, assim, à legislação
     infraconstitucional os contornos de como a proposta deve ser mantida. E, considerando
     que se trata no caso em análise de uma concessão patrocinada, será necessário em
     primeiro lugar voltar atenção para o artigo 10, da Lei 8.987/95, que diz que:
          “Art. 10. Sempre que forem atendidas as condições do contrato, considera-se
          mantido seu equilíbrio econômico-financeiro.”
    5.2.1. Esse dispositivo remete a cada contrato a formulação do que é o seu equilíbrio
          econômico-finacneiro e de quais são os mecanismos e instrumentos para a
          manutenção das condições da proposta.


                                                                                          26
5.2.2. À luz desse dispositivo, não há que se falar, para os contratos de concessão
          (comum, patrocinada e administrativa) de um direito geral, de uma garantia aberta
          ao equilíbrio econômico-financeiro dos contratos. O mecanismo de recomposição
          de equilíbrio econômico-financeiro existe na medida em que ele esteja previsto e
          disciplinado no contrato.
    5.2.3. E como a Lei 8.987/95 é especial e posterior à Lei 8.666/93 a interpretação
          conforme a melhor técnica jurídica é de que ela afasta as disposições da Lei
          8.666/93 sobre o assunto.
    5.2.4. Isso já direciona a condição para a solução da controvérsia mencionada no item
          2.7.1 acima. Pois, a questão de se há ou não o direito da Concessionária ao
          equilíbrio econômico-financeiro, neste contexto, deve ser analisado à luz
          exclusivamente do Contrato de Concessão.
5.3. De qualquer modo, uma vez que existe corrente doutrinária que, por razões pouco
     claras, discorda do afastamento pela Lei 8.987/95 das disposições sobre equilíbrio
     econômico-financeiro previstas na Lei 8.666/93, e tendo em vista que a Concessionária
     invocou dispositivos da Lei 8.666/93, com a finalidade de maximizar a clareza e a
     completude da presente decisão, vou analisar também o caso à luz da Lei 8.666/93,
     apesar de entender que os parâmetros legais para verificação da existência de um
     direito ao reequilíbrio econômico-financeiro são nesse caso dados pela Lei 8.987/95.
    5.3.1. A Lei 8.666/93, nos seus artigos 57, 65 e em outros menciona o direito ao
          equilíbrio econômico-financeiro do contrato.
    5.3.2. A regulação nela prevista é bastante mal feita, não havendo por exemplo
          qualquer explicação do que significa recompor o equilíbrio econômico-financeiro.
          Isto é: a conseqüência da incidência de um eventual direito de recomposição do
          equilíbrio econômico-financeiro sequer é mencionada pela Lei 8.666/93, sequer é
          tratada.
    5.3.3. É como se a execução da recomposição do equilíbrio econômico-financeiro
          fosse algo óbvio, fácil, plenamente definido em sede jurisprudencial e doutrinária.
          O que não é.
    5.3.4. De qualquer modo, apesar da dispersão da disciplina prevista na Lei 8.666/93, é
          possível resumir em duas hipóteses principais os eventos nela previstos como
          causadores do surgimento de um eventual direito à recomposição do equilíbrio
          econômico-financeiro.
    5.3.5. O primeiro caso é o de alteração unilateral do contrato pela Administração
          Pública para cumprimento de interesse público. Nessa hipótese se enquadram os
          casos de alteração de projeto, alteração de níveis de serviço, e modificação de
          quaisquer outras disposições regulamentares do contrato que o Poder Público
          deseje alterar para satisfazer um interesse público superveniente à licitação.
    5.3.6. O segundo caso é o de ocorrência que represente álea extraordinária e
          extracontratual que impacte a execução do contrato, e o dispositivo da Lei
          8.666/93 sobre o assunto, o art. 65, inciso II, alínea “d”, menciona, entre outros os
          eventos considerados caso fortuito, força maior, fato do príncipe etc.




                                                                                            27
5.3.7. Isso significa que, por lei, a Administração Pública brasileira é responsável, nos
             contratos administrativos que celebra pelo risco de eventos que sejam
             concomitantemente extracontratuais e extraordinários.
       5.3.8. Contudo, supondo-se, como eu disse acima, para efeitos argumentativos a
             aplicação da Lei 8.666/93 ao Contrato de Concessão no que concerne ao
             equilíbrio econômico-financeiro, é preciso mencionar que, em relação aos
             contratos de concessão administrativa e patrocinada, a Lei 11.079/04 afastou o art.
             65, inciso II, alínea “d” da Lei 8.666/93, ao estabelecer que:
             “Art. 5° As cláusulas dos contratos de parceria público-privada atenderão ao
                      .
             disposto no art. 23 da Lei no 8.987, de 13 de fevereiro de 1995, no que couber,
             devendo também prever:
             (...)
             III – a repartição de riscos entre as partes, inclusive os referentes a caso fortuito,
             força maior, fato do príncipe e álea econômica extraordinária;”
       5.3.9. Isso quer dizer que em relação às concessões administrativas e patrocinadas, a
             Lei de PPP não exige que a administração pública assuma o risco de eventos
             extracontratuais e extraordinários. O contrato pode distribuir esses riscos entre as
             partes da forma que for mais conveniente no caso concreto, com o objetivo de
             maximizar a eficiência da execução do contrato.
   5.4. Dessa resenha preliminar resulta que: (a) de acordo com a Lei 8.987/95 o direito ao
        equilíbrio econômico-financeiro depende exclusivamente do disposto no Contrato de
        Concessão; (b) de acordo com a Lei 8.666/93, o direito ao equilíbrio econômico-
        financeiro só surge se ocorrer alteração do contrato pela Administração Pública, ou se
        ocorrer evento extraordinário e extracontratual que impacte de forma relevante a
        execução do contrato.
   5.5. A análise da questão à luz da Lei 8.666/93, como já dito acima, se faz apenas para
        clareza e pronunciamento sobre todas as matérias controversas e argumentos
        levantados pelas partes, uma vez que, no meu entendimento, como já mencionei
        acima, o art. 10, da Lei 8.987/95 afasta a incidência, nesse caso, dos dispositivos sobre
        o tema constantes da Lei 8.666/93. Passo, então, à análise do Contrato de Concessão.

O direito ao equilíbrio econômico-financeiro à luz do Contrato de Concessão e dos seus
aditivos

   5.6. O projeto da concessão da Linha 4 do Metrô foi inicialmente estruturado sob a
        assessoria do Unibanco ao Governo do Estado de São Paulo, sob a Lei de
        Concessões, Lei 8.987/95.
   5.7. Após a aprovação da Lei Federal de PPP e da Lei de PPP do Estado de São Paulo, o
        projeto foi retomado pelo Estado de São Paulo, que reestruturou completamente a
        minuta de contrato então disponível. Nessa reestruturação, os agentes públicos e
        consultores envolvidos enfrentaram uma série de resistências da corporação do Metrô,
        e o desafio não apenas de encontrar as fórmulas adequadas, mas também de
        convencer diversos atores internos e externos do Governo da eficiência das inovações
        que propuseram. Resultou desse processo uma modelagem financeira e jurídica do


                                                                                                28
projeto, com um nível de qualidade diferenciado em relação ao existente na época no
     Brasil.
5.8. A perfeição do trabalho de elaboração da minuta de contrato se mostra, sobretudo, na
     forma como distribuiu os riscos e criou mitigantes para os principais riscos específicos
     do projeto, entre eles os dois riscos que são objeto de controvérsia no caso em tela: o
     de atraso nas obras e o de demanda dos serviços.
5.9. Esses riscos estão mitigados no contrato pelo estabelecimento de diversos
     mecanismos bastante inovadores.
5.10.        Esses mecanismos, contudo, têm seu funcionamento atrelado a algumas
     premissas e, por isso, eles são funcionais apenas em determinados cenários. Em
     outros cenários, naqueles que estão no âmbito do que a Lei 8.666/93, chamou de
     “extraordinário e extracontratual”, o contrato invoca a possibilidade de uso da
     recomposição do equilíbrio econômico-financeiro. Daí que, nesse caso, no projeto da
     concessão da Linha 4 do Metrô, me parece completamente harmônico o Contrato de
     Concessão com ambas a Lei 8.987/95 (e a idéia nela expressa de que é o contrato que
     estabelece o seu sistema de equilíbrio econômico-financeiro), e a Lei 8.666/93, que
     estabelece que a recomposição do equilíbrio é cabível ou por alteração unilateral
     (imposta pela Administração Pública para cumprir um dado interesse público), ou pela
     ocorrência de evento extraordinário e extracontratual.
5.11.        O marco que viabiliza essa compatibilidade entre o modo como o equilíbrio
     econômico-financeiro é tratado no contrato e a Lei 8.666/93 é a clareza com o contrato
     separa os eventos contratuais daqueles sem tratamento específico no contrato. Para
     esses últimos, o contrato cria, por meio da enumeração taxativa, constante da Cláusula
     Décima Segunda, o direito à recomposição do equilíbrio econômico-financeiro.
    5.11.1. Por exemplo, no caso do risco de demanda, o contrato estabelece mecanismos
          claros de mitigação da demanda para uma variação de mais que 40% em relação
          a demanda originalmente projetada. E diz que qualquer variação de demanda para
          além desse percentual, é motivo para a recomposição do equilíbrio econômico-
          financeiro (Cláusula Décima Primeira do Contrato de Concessão, no seu item
          11.1.9).
    5.11.2. Já o risco de atraso das obras civis é tratado de forma bastante diferente no
          Contrato de Concessão. Ao contrário do risco de demanda, o atraso das obras foi
          tratado à exaustão no contrato, por meio do estabelecimento de multas contratuais
          claras para os atrasos a serem pagas pelo Poder Público ao Concessionário.
          Essas multas liquidam os danos potenciais que possam ser causados pelos
          atrasos à Concessionária.
    5.11.3. Esse tratamento contratual do risco de atraso das obras faz todo sentido em um
          contexto em que atrasos em obras são a regra, enquanto que obras concluídas
          nos prazos são exceções bastante raras – mesmo quando há compromissos
          eleitorais que põem em curso regime formal ou informal de urgência na sua
          execução. Daí que, neste caso, o atraso da obra civil, apesar de ser risco
          claramente atribuído ao Estado, não é nem extracontratual (pois as suas
          conseqüências estão claramente contratualizadas), nem extraordinário, pois tais
          atrasos são esperados, e, sua ocorrência, em nada surpreende aqueles que


                                                                                          29
conhecem minimamente o mundo das obras públicas. Isso responde à parcela
           ainda não respondida até aqui da controvérsia mencionada no item 2.7.3 acima.
  5.12.      Perceba-se, além disso, que a Cláusula 11 do Contrato de Concessão, que é a
      que disciplina as condições de surgimento do direito ao equilíbrio econômico-
      financeiro, apesar de expressamente e taxativamente enumerar as hipóteses de
      reequilíbrio do contrato, não menciona em momento algum o atraso da obra civil como
      motor de arranque para o surgimento do direito ao equilíbrio econômico-financeiro. E
      isso não foi por acaso. Trata-se de um desdobramento da previsão no Contrato de
      Concessão de multas claras para compensar o Concessionário pelos eventuais atrasos
      na obra civil.
  5.13.      Disto se conclui que não há no Contrato de Concessão previsão de direito ao
      equilíbrio econômico-financeiro para o caso de atraso de obra civil. Apesar do risco do
      atraso da obra ser atribuído claramente pelo contrato ao Estado, a compensação ao
      Concessionário pela materialização do evento gravoso relacionado a tal risco é o
      pagamento das multas claramente definidas para tanto no contrato. Isso resolve
      claramente a questão controvertida descrita pelo item 2.7.5 acima.
  5.14.      Por fim, uma nota para dizer que, malgrado os méritos do Contrato de
      Concessão ele – assim, aliás, como a doutrina e a jurisprudência brasileiras – apesar
      de apontar para o Plano de Negócios como instrumento para a recomposição do
      equilíbrio econômico-financeiro, não especifica o que significa recompor o equilíbrio
      econômico-financeiro. E isso, dá margem, no caso em análise, a outro conjunto de
      controvérsias sobre qual o critério, metodologia e parâmetros para uma eventual
      recomposição do equilíbrio econômico-financeiro, caso esse reequilíbrio venha a
      ocorrer; questões essas que estão apontadas nos itens 2.7.7, 2.7.8 e 2.7.9 acima, que,
      como se verá a seguir, restarão prejudicadas pelo conteúdo da presente decisão.
  5.15.      De qualquer modo, antes de firmar, neste caso, que as questões tratadas nos
      itens 2.7.7, 2.7.8 e 2.7.9 sobre a metodologia para recomposição do equilíbrio
      econômico-financeiro estão prejudicadas será preciso investigar o que os Aditivos ao
      contrato dizem sobre o assunto. Essa análise dos Aditivos será também importante
      para lidar com as controvérsias mencionadas nos itens 2.7.2 e 2.7.3.

O impacto dos aditivos ao contrato sobre o eventual direito à recomposição do
equilíbrio econômico-financeiro

  5.16.      O Aditivo 1 ao Contrato de Concessão foi assinado em 30 de novembro de
      2007. No que atina ao presente caso, esse aditivo modificou as projeções de demanda
      para um cenário em que a entrada em operação da Estação de Pinheiros seria
      retardada por conta do acidente havido na obra civil. Facilitou, além disso, a emissão
      da ordem de serviço de projeto, ao condicioná-la exclusivamente ao item 4.2.1.2 do
      Contrato de Concessão.
  5.17.      O Aditivo 2 foi assinado em 29 de maio de 2008 para alterar o prazo entre a
      Ordem de Serviço de Fabricação e a entrada em operação do serviço, modificando o
      prazo originário de 18 meses para 20 meses e 9 dias. Além disso, foram alterados os
      prazos para as entregas parciais das obras.


                                                                                          30
5.18.       O Aditivo 3 foi assinado em 18 de junho de 2010, além de nova reprogramação
    dos prazos parciais das obras, nele aparece pela primeira vez a divisão da entrada em
    operação dos serviços programados originalmente para a Fase I em 3 subfases.
5.19.       Ao mesmo tempo, esse aditivo prevê a reprogramação do pagamento da
    contraprestação pública e da entrada em vigência de alguns indicadores de qualidade
    do serviço para adequá-los ao subfaseamento.
5.20.       Consta, também, desse aditivo, disposição (Cláusula 11.4.4) que diz que a
    previsão de multas para atraso das obras civis não implica renuncia ao direito à
    recomposição do equilíbrio econômico-financeiro.
5.21.       O ajuste final entre as Partes até o presente é o Aditivo 4, que, assinado em 25
    de março de 2011, traz também um novo cronograma para entrega das obras civis, no
    qual a subfase II (ou Trecho II, na linguagem usada por esse aditivo) é dividida em 3
    etapas. Esse Aditivo adéqua, ainda, as cláusulas de multa e direito de rescisão do
    Contrato de Concessão pela Concessionária a essa nova realidade.
5.22.       Assim como no Aditivo 3, encontra-se, também, no Aditivo 4, cláusula (6.1) que
    diz que esse aditivo não importa em renuncia aos direitos assegurado às Partes pelo
    Contrato de Concessão.
5.23.       Por fim, e também na cláusula supracitada, o Aditivo 4 enuncia que: “Os efeitos
    decorrentes dos eventos de desequilíbrio econômico-financeiro do CONTRATO em
    razão das alterações ocorridas após a assinatura do CONTRATO, incluindo as
    advindas de TERMOS ADITIVOS, serão apurados e recompostos em procedimento
    específico, da forma da Cláusula 13 do CONTRATO, observado o quanto disposto na
    Cláusula 13.5, in fine do CONTRATO.”
5.24.       Vale a pena listar o conjunto de questões que emergem desses Aditivos antes
    de me pronunciar sobre elas:
   a) A assinatura por si dos aditivos reprogramando as datas implicou em renúncia pela
         Concessionária ao seu direito de exigir o pagamento de multas? As ressalvas de
         que tais aditivos não se constituem em renúncia a qualquer direito foram
         suficientes para protegerem o direito da Concessionária à cobrança das multas
         para atraso das obras civis previstas no Contrato de Concessão?
   b) Supondo, apenas por hipótese, que se aplicam ao caso os parâmetros para
         recomposição do equilíbrio econômico-financeiro constantes da Lei 8.666/93, os
         aditivos e a reprogramação de prazos que eles realizam para entrega das obras e
         início da operação dos serviços podem ser considerados como alterações
         unilaterais do Contrato de Concessão para atendimento do interesse público, e por
         isso gerariam direito ao equilíbrio econômico-financeiro? A invocação do art. 57,
         §1° da Lei 8.666/93, que menciona o equilíbrio econômico-financeiro, como
             ,
         fundamento para a realização dos respectivos aditivos é suficiente para fazer
         surgir o direito ao equilíbrio econômico-financeiro da Concessionária no caso em
         questão? Em que medida a ressalva expressa nos aditivos ao direito de
         recomposição do equilíbrio econômico-financeiro cria ou protege tal direito?
5.25.       Passo à resposta a cada uma dessas questões.
5.26.       A reprogramação das datas constante dos aditivos não implicou em qualquer
    renúncia da Concessionária ao direito de exigir as multas pelos atrasos da obra civil,


                                                                                         31
por três razões: em primeiro lugar porque não há renuncia expressa nos Aditivos ao
    direito da cobrança das multas. Em segundo lugar, não se pode ter que a
    reprogramação das datas por si representa renúncia tácita ao direito à cobrança das
    multas. É que há diversos outros interesses – e, portanto, diversos outros motivos –
    para a Concessionária buscar uma reprogramação do cronograma, de maneira que
    não é possível supor que, ao fazê-lo, ela estaria a expressar tacitamente vontade de
    renunciar às multas cabíveis por atraso. Em terceiro lugar, porque as Partes pactuaram
    claramente nos aditivos que eles não implicam em renúncia de qualquer direito (Cf.:
    cláusula 6.1 do Aditivo 4, e penúltimo parágrafo do Aditivo 3). Fica afastada, desta
    forma, a idéia de que a assinatura dos aditivos levaria a qualquer tipo de renúncia do
    direito da Concessionária à cobrança de multas, e isso resolve totalmente a
    controvérsia apontada no item 2.7.2, e parcialmente aquela constante do item 2.7.3.
5.27.       A segunda questão é em que medida os aditivos caracterizam alteração
    unilateral do contrato a exigir compensação por meio de equilíbrio econômico-
    financeiro.
5.28.       A questão nos parece bastante simples no caso em tela. É que a alteração
    realizada no contrato pelos aditivos para adequação do cronograma de entrega da
    obra, entrada em operação dos serviços e seus apanágios, foi realizada em todos os
    casos para lidar com o problema criado pela materialização do evento gravoso relativo
    ao risco de atraso de obras, que, como já mencionamos diversas vezes, foi claramente
    atribuído ao Estado.
5.29.       Há duas hipóteses possíveis de interpretação dessa questão: ou supomos que
    essas alterações são desdobramento da ocorrência gravosa relativa ao risco de atraso
    da obra, que, como já vimos acima, não gera, pelo contrato, direito a recomposição do
    equilíbrio econômico-financeiro, mas somente de pagamento de multas pelo Estado ao
    Concessionário; ou, supomos que, como se trata de reprogramação de datas de
    execução do contrato, isso se subsume necessariamente entre outros ao artigo 65,
    inciso I, alínea (a), e, por isso, seria necessária a realização da recomposição do
    equilíbrio econômico-financeiro, considerando não só custos, mas também impactos na
    demanda, nas receitas do concessionário.
5.30.       Perfilhar esse último entendimento significaria simplesmente ignorar a
    distribuição de riscos do contrato, sobrepondo a ela uma distribuição genérica de riscos
    prevista na Lei 8.666/93; isso significaria que a Administração Pública, ao recompor o
    equilíbrio por conta da suposta alteração unilateral do contrato, estaria a pagar ao
    Concessionário por um risco que já foi precificado ao longo da licitação, no momento
    em que o Concessionário ofereceu preço que embutia a remuneração pelos riscos
    envolvidos no contrato. E isso seria evidentemente contra o princípio da eficiência e da
    economicidade da Administração Pública.
5.31.       A alteração do cronograma, bilateral ou unilateral – para esse fim, pouco importa
    – é, neste caso, um desdobramento da necessidade de lidar com as conseqüências do
    atraso da obra civil.
5.32.       Isso me parece completamente alheio à proteção que artigos como o 57, e 65,
    inc. I, alínea “a”, ambos da Lei 8.666/93, buscam atingir.



                                                                                          32
5.33.       Esses dispositivos têm por objetivo proteger o Concessionário de alterações
    feitas pela Administração Pública para adequarem o contrato ao interesse público. A
    recomposição do equilíbrio econômico-financeiro se faz nesses casos como uma
    compensação porque não é razoável que o contratado arque sozinho com os ônus da
    adequação do contrato ao interesse público, adequação essa que a todos beneficia.
    Por isso, não é razoável a Administração Pública, ou a coletividade enriquecer às
    custas do contratado. É um imperativo mesmo do princípio da igualdade que o
    contratado seja compensado nesses casos.
5.34.       Contudo, no caso em tela, a situação é completamente diferente. Utilizar esses
    dispositivos para recompor o equilíbrio econômico-financeiro significaria compensar o
    Concessionário novamente, por evento para o qual já há compensação específica
    prevista no contrato, configurando bis in idem na compensação pelo evento gravoso e
    enriquecimento indevido do Concessionário.
5.35.       Isso quer dizer que aplicar nesse caso a proteção constante do art. 65, inc. I,
    alínea “a”, seria dar execução à lei completamente à revelia dos seus objetivos, das
    suas razões. Pior que isso: seria aplicar a lei contra as suas razões, contra os seus
    óbvios objetivos, o que contrariaria princípio antigo e consolidado da interpretação e
    aplicação do direito: ubi eadem ratio, ubi eadem dispositio (o que está de acordo com a
    razão da lei, está de acordo com a lei). Por isso, não me parece razoável subsumir o
    caso ao previsto no art. 65, inc. I, alínea “a”, ou ao art. 57, ambos da Lei 8.666/93.
5.36.       Por fim, para concluir essa investigação em torno dos aditivos do Contrato de
    Concessão, é preciso verificar em que medida a invocação expressa do artigo 57, § 1º,
    incisos I, II e V, da Lei nº 8.666/93 como fundamento dos aditivos e em que medida a
    ressalva da apuração posterior da recomposição do equilíbrio econômico-financeiro
    cria direito à recomposição do equilíbrio econômico financeiro do contrato.
5.37.       A resposta nesse caso é muito simples. Evidentemente que a menção a
    dispositivos legais que tocam o tema do equilíbrio econômico-financeiro e a menção ao
    próprio equilíbrio econômico-financeiro não faz surgir o direito à recomposição do
    equilíbrio econômico-financeiro.
5.38.       Uma base elementar de teoria geral do direito é suficiente para perceber que o
    direito à recomposição do equilíbrio econômico-financeiro surge quando se realizam as
    condições previstas nas normas para tanto. A atualização, a realização do conjunto
    dessas condições normativas (também chamadas de hipóteses normativas, condições
    de incidência etc.) é, juridicamente, a causa do surgimento da relação jurídica, isto é do
    plexo de direitos e deveres que vinculam as partes: aquela que tem o direito ao
    equilíbrio econômico-financeiro do contrato àquela que deve a recomposição do
    equilíbrio econômico-financeiro.
5.39.       Dessa perspectiva, as menções nos Aditivos a artigos de Lei que tratam do
    equilíbrio econômico-financeiro e ao direito ao reequilíbrio a ser apurado em
    procedimento próprio não são mais do que instrumento retórico, pois elas nem
    estabelecem ou modificam as regras existentes sobre a recomposição do equilíbrio
    econômico-financeiro, nem dizem nada relevante sobre a ocorrência, sobre a
    materialização dos fatos, que, realizando as condições descritas nas hipóteses



                                                                                           33
normativas, dariam cabida ao surgimento do direito à recomposição do equilíbrio
       econômico-financeiro do contrato.
   5.40.      Ressalto mais uma vez que faço toda essa argumentação em torno dos
       parâmetros da Lei 8.666/93 apenas para me pronunciar sobre todos os aspectos
       levantados pelas Partes. Meu entendimento, entretanto, como já disse mais acima, é
       que os parâmetros da Lei 8.666/93 não se aplicam a esse caso, apesar de reconhecer
       que o contrato foi feito de forma a ser perfeitamente compatível com a Lei 8.666/93,
       caso se entenda a sua aplicabilidade.

Culpa da Concessionária e operação comercial da Fase I

   5.41.      Por fim, há duas questões de fato e de direito, elencadas entre as questões
       controvertidas mencionadas nos itens 2.7.4 e 2.7.6 acima, que não tive oportunidade
       de abordar na argumentação acima. Tratarei delas nas próximas linhas.
      5.41.1. A controvérsia descrita no item 2.7.4 é se a Concessionária teria contribuído
           para o atraso da operação comercial da Fase I e o que é que carateriza “operação
           comercial da Fase I”, para todos os efeitos do Contrato de Concessão.
      5.41.2. Analisando os autos, não há qualquer evidência de que a Concessionária tenha
           contribuído para o atraso do início da operação comercial. Apesar do Estado ter
           afirmado a culpa concorrente da Concessionária em relação ao atraso da entrada
           de operação dos serviços, e ter tentado, com isso, evitar a incidência da multa
           (conforme parte final do item 11.4, do Contrato de Concessão), o Estado não
           trouxe aos autos qualquer prova, qualquer evidencia de que a Concessionária
           tenha contribuído para o atraso do início da operação do serviço.
      5.41.3. Quanto à definição de “operação comercial da Fase I” para todos os efeitos
           contratuais, inclusive a definição do prazo do Contrato de Concessão (que está
           atrelado pela Cláusula 4.1., do Contrato de Concessão, ao início da operação
           comercial da Fase I), e também para estabelecer a entrada em funcionamento do
           mecanismo de mitigação de demanda previsto no item 11.1.1 do Contrato de
           Concessão, não me parece haver espaço para dúvidas de que a data da entrada
           em operação da Fase I será a data em que todas as subfases e trechos da Fase I
           estiverem em operação. Essa data, conforme previsto no Aditivo 4, será a data de
           15 de agosto de 2011.
      5.41.4. É, pois, da data de 15 de agosto de 2011 que devem ser contados ambos o
           prazo de 30 anos de validade do contrato e a fluência do prazo em que valem os
           mecanismos por exemplo de mitigação do risco de demanda.
          5.41.4.1. Talvez isso leve o contrato a ter mais que 35 anos de validade, o que não
                 é permitido pela Lei de PPP Federal. Caso isso ocorra, conforme regra
                 prevista no Contrato de Concessão, ele deverá ser resolvido em perdas e
                 danos, a ser apurada em momento oportuno e procedimento próprio.
          5.41.4.2. Com isso, resta resolvida a controvérsia mencionada no item 2.7.4.
                 acima.

Foi a Concessionária prejudicada pela reprogramação de datas?


                                                                                          34
5.42.       Quanto a saber se a Concessionária foi prejudicada pela reprogramação de
       datas e adoção do subfaseamento (2.7.6), essa questão ficou prejudicada. É que como
       já dito acima, o risco de atraso na obra é do Estado, que deve compensá-lo por meio
       do pagamento das multas contratuais, e não por meio de uma recomposição genérica
       do equilíbrio econômico-financeiro. Logo, pouco importa apurar se a Concessionária
       restou ou não prejudicada com o atraso. O que é relevante é que o atraso ocorreu e
       que no contrato existem multas claras previstas para compensação à Concessionária
       por esse atraso.

Dimensionando o atraso no cumprimento das obrigações pelo Estado

   5.43.      Quanto ao tempo de atraso da entrada em operação do projeto (que é insumo
       essencial para dimensionamento da multa devida pelo Estado à Concessionária), o
       Contrato de Concessão estabelece que se o atraso for superior a 3 meses, contados
       do prazo previsto para entrada em operação do projeto, a partir do quarto mês, será
       devida a multa no valor de R$5.220.000 por mês de atraso, limitado o valor do
       pagamento a um máximo de 18 meses. A partir do décimo oitavo mês (isto é vigésimo
       primeiro mês de atraso) o Concessionário teria o direito de rescindir o contrato de
       Concessão.
      5.43.1. Em relação a este ponto há um problema, não levantado pelas Partes, que
           demanda posicionamento anterior a decisão sobre o assunto. É que o Contrato de
           Concessão ao estabelecer a multa comete o que me parece um erro: estabelece
           como referencia para contagem do atraso que faz incidir a multa a data prevista
           para o início da operação comercial. Ora, a data prevista para o início da operação
           comercial é alguns meses posterior à data prevista para entrega das obras. Isso
           porque após a entrega das obras o Concessionário inicia a instalação dos
           sistemas e do material rodante, comissionamento, testes etc., para só então ser
           possível, após tudo isso, o início da operação comercial. Por isso, que, para efeito
           do pagamento da multa do Estado ao Concessionário, não faz sentido que o prazo
           de atraso seja contado da data prevista para início da operação comercial, e sim
           da data prevista para entrega das obras pelo Estado.
      5.43.2. Entender-se o contrário seria permitir, por exemplo, que o Estado pudesse
           atrasar a entrega parcial de segmentos da obra civil, por mais que 3 meses, a
           ponto de disponibilizá-los ao Concessionário na véspera da data de início da
           operação comercial, e, por isso, por tê-lo feito antes da data de operação
           comercial, ficaria isento de multas, ficando o Concessionário, na esdrúxula
           situação de ser responsável pelo cumprimento do prazo previsto de operação
           comercial, com risco de receber multas (porque fatalmente atrasará), e sem direito
           a qualquer compensação pelo atraso incorrido pelo Estado.
      5.43.3. Por isso que a data correta, a partir da qual a multa contratual deveria incidir é a
           de 3 meses após a data prevista para a entrega das obras.
      5.43.4. Como, entretanto, o cronograma de entrega das obras contempla múltiplas
           datas, cada uma para uma entrega parcial da obra, como o Contrato de


                                                                                               35
Concessão foi claro de que a multa deveria incidir a partir de atraso na data de
           operação comercial, e como nos diversos aditivos assinados parece ter sido
           preservado o prazo entre término das obras civis e entrada de operação dos
           serviços, de modo que a Concessionária pudesse realizar adequadamente e sem
           custos adicionais, a instalação e teste dos sistemas e término da fabricação,
           instalação e teste do material rodante, e considerando também que não houve
           qualquer questionamento da Concessionária sobre esse ponto, decido por
           dimensionar as multas considerando os prazos de atraso do início da operação
           comercial dos serviços.

Liquidação da multa

   5.44.      Uma vez que a ordem de serviço de fabricação dos trens foi emitida em 30 de
       maio de 2008, que foi dado ao Concessionário 20 meses e 9 dias para entrada da
       operação do serviço contados dessa data, a multa contratual deverá iniciar a sua
       incidência após 23 meses e 9 dias contados do dia 30 de maio de 2008, isto é no dia 8
       de maio de 2010.
   5.45.      A partir, portanto, do dia 8 de maio de 2010, até a data efetiva do início da
       operação comercial do serviço, é devida a multa mensal de R$5.220.000,00 pelo
       Estado à Concessionária, tendo em vista que não há prova nos autos que a
       Concessionária tenha contribuído para esses atrasos.
   5.46.      No entanto, é preciso verificar em que medida os Aditivos 3 e 4 modificaram a
       incidência dessa multa, e o direito ao pagamento dessa multa, na medida em que, no
       ato do subfaseamento realizado pelo Aditivo 3, houve também uma segmentação da
       multa para que ela correspondesse ao subfaseamento.
   5.47.      Como apesar do estabelecimento da, por assim dizer, multa subfaseada não
       houve renúncia pela Concessionária à cobrança das multas passadas, a multa
       subfaseada só passa a incidir a partir dos atrasos em relação ao cronograma previsto
       no Aditivo 3.
   5.48.      Portanto, apenas para deixar clara a conclusão até aqui, incide a multa de
       R$5.220.000 por mês, ou fração, do dia 8 de maio de 2010 até o dia 21 de junho de
       2010, que é a data de entrega da primeira subfase da Fase I. Do que consta nos autos
       essa primeira subfase foi entregue no prazo.
   5.49.      Isso significa o valor de multa de
   5.50.       1+      × 5220000 = 7482000
   5.51.       É importante lembrar que o subfaseamento é em si conseqüência do atraso. Por
       isso, a multa originalmente pactuada no contrato deve continuar incidindo até o dia em
       que ela vier a ser substituída pela multa subfaseada, isto é no quarto mês de atraso da
       entrada prevista em operação do serviço subfaseado.
   5.52.       E como no subfaseamento da Fase I, as Partes consideraram que a multa
       originária deve ser dividida em 3 partes de R$1.740.000, cada uma destas partes para
       eventuais atrasos nas respectivas subfases, decido que, no dia 21 de junho de 2010 –
       pelo que consta dos autos, data de entrada em operação da primeira subfase – pare de
       incidir 1/3, isto é R$1.740.000 da multa mensal originária.

                                                                                           36
5.53.     O 1/3 da multa originária relativa à subfase III continua incidindo pelo menos até
       a data de 15 de agosto de 2011, que é a data de entrada em operação do serviço
       dessa fase. Isso significa um valor adicional de:
   5.54.       13 +     ×         = 24012000
   5.55.      Em relação à subfase II, ela foi divida pelo Aditivo 4 em 3 etapas. Por isso, será
       necessário calcular a incidência da multa até a data da entrada em operação comercial
       do serviço para cada uma dessas etapas, considerando que cada uma dessas etapas
       representa 1/9 do resultado a ser disponibilizado pelo Estado.
      5.55.1. Em primeiro lugar, até a data de 28 de março de 2011 e a partir de 21 de junho
           de 2010, continua incidindo a multa subfaseada, o que resulta em:
      5.55.2. 9 +      ×         = 16066000
      5.55.3. Como não há qualquer pedido da Concessionária específico sobre isso, vou
           supor que em 28/03/2011 entrou em operação a Etapa 2.1, de maneira que a partir
           de então, deixa de incidir a multa para essa etapa.
      5.55.4. Para Etapa 2.2, 1/9 da multa originária continua incidindo de 28 de março de
           2011 até a data de 16 de maio de 2011, o que resulta na multa de:
      5.55.5. 1 +      ×         = 928000
      5.55.6. Para Etapa 2.3, 1/9 da multa originária continua incidindo de 28 de março de
           2011 até a data de 18 de julho de 2011, o que resulta na multa de:
   5.56.       3+      ×         = 2126666.67
   5.57.     Portanto o valor total das multas devidas pelo Estado a Concessionária supondo
       que não haverão novos atrasos na entrega das obras é de R$50.614.666,67 (cinqüenta
       milhões seiscentos e quatorze mil e seiscentos e sessenta e seis reais e sessenta e
       sete centavos).
   5.58.     Esse valor de multa tem como base o dia 01/08/2006 e deve ser corrigido pelo
       IPC/FIPE para a data de pagamento da obrigação. De qualquer modo, apenas para dar
       uma idéia do valor total da obrigação, esse valor corrigido mensalmente (isto é, sem
       fração por dia) até junho de 2011 resultava em montante de, aproximadamente:
       R$65.244.243,88.

6. Primeira Decisão (com base no Contrato de Concessão e no direito brasileiro)

   6.1. Conforme já mencionado no item 2.10.11 acima, a Primeira Decisão será tomada com
        base no Contrato de Concessão e no direito brasileiro.
   6.2. Uma vez que a fundamentação da Primeira Decisão já foi extensamente alinhavada no
        item 5 acima, passo imediatamente a decidir nos seguintes termos:
   6.3. Pelo Contrato de Concessão e pelo direito brasileiro, a Concessinária não tem direito
        no caso em tela à recomposição do equilíbrio econômico-financeiro.
   6.4. Supondo que não haverão novos atrasos de obras, a Concessionária, entretanto, tem
        direito a receber em pagamento do Estado as multas contratuais no valor total de:
        R$50.614.666,67 (cinqüenta milhões seiscentos e quatorze mil e seiscentos e sessenta
        e seis reais e sessenta e sete centavos).


                                                                                             37
6.5. Esse valor de multa tem como base o dia 01/08/2006 e deve ser corrigido pelo
        IPC/FIPE para a data de pagamento da obrigação.
   6.6. O pagamento do valor dessa multa deve ser realizado pelo Estado ao Concessionário
        no prazo máximo de 120 dias da data da presente decisão, sob pena da incidência de
        multa mensal pro rata temporis de 5% até a data do efetivo pagamento da obrigação.
   6.7. A execução do montante global da multa definida no item 6.4 acima, assim como a
        multa por atraso no seu pagamento prevista no item 6.6 acima, poderá se fazer sobre
        as garantias dadas pela CPP para cumprimento do Contrato de Concessão.

7. Propostas de solução com base na equidade e nos princípios gerais do direito,
   respeitando a matriz de riscos contratual

   7.1. Para que eu possa escolher entre as duas propostas de decisão com base na
        equidade, é preciso, em primeiro lugar, torná-las públicas e explicá-las, o que farei
        sumariamente a seguir, sem preocupação, contudo, em trazer na íntegra os
        argumentos realizados pelas Partes.
       7.1.1. A Concessionária propõe o seguinte: “(i) que a fase subfaseada (sic!) seja
            reequilibrada considerando-se os custos efetivos de operação e de capital da
            Concessionária, levando-se em conta a sua estrutura atual de capital, de modo
            que o VPL do período seja igual a zero; (ii) que o prazo contratual de 30 anos para
            exploração do serviço concedido só comece a fluir após o início da operação
            comercial plena da Linha 4, com o funcionamento simultâneo e em horário
            completo das seis estações da Fase I; (iii) que o atraso no início da operação
            comercial plena da Fase I, após a emissão da Ordem de Serviço de Fabricação,
            seja compensado financeiramente pelo Estado, com base no mesmo valor
            estipulado para multa contratual prevista na cláusula 11.4.2 do Contrato de
            Concessão; (iv) pagamento da compensação financeira devida à Concessionária
            será efetuado por meio da Câmara de Compensações, de forma diluída durante a
            vigência do contrato.”
       7.1.2. Já o Estado propõe o seguinte: “(i) fornecer a Concessionária o direito de operar
            a linha pelo prazo de 30 anos a contar da data da operação plena; (ii) a
            Concessionária terá direito ao reequilíbrio econômico financeiro por eventual
            prejuízo sofrido a partir da assinatura do terceiro aditivo até a data de operação
            plena; (iii) para fins de verificação de eventual prejuízo deverão ser considerados
            os custos efetivamente incorridos e as receitas auferidas pela Concessionária
            durante esse período, aplicando-se o wacc (custo médio ponderado de capital) da
            Concessionária a época da ordem de fabricação dos trens (segundo aditivo). O
            escopo de tal proposta seria determinar a diferença existente entre os custos
            previstos pela Concessionária na data da ordem de fabricação dos trens com os
            custos que efetivamente incorreu até o início da operação plena. A este valor
            calculado serão subtraídas as receitas auferidas pela Concessionária em virtude
            da operação sub-faseada até a data de início da operação plena. Sendo assim,
            eventual o Estado propõe que o valor a ser ressarcido à Concessionária deverá
            ser calculado de acordo com a seguinte fórmula:


                                                                                            38
M = (C – D + R) x W

          Em que:
          M = montante devido pelo Estado;
          C = todos os custos de fato incorridos pela Concessionária até o início da
          operação plena;
          D = custos previstos no momento do aditivo de nº 2;
          R = receitas obtidas pela operação sub-faseada;
          W = custo médio ponderado de capital (wacc) da Concessionária à época da
          celebração do aditivo de nº 2.”

             7.1.2.1.1.     Propõe ainda o Estado que, uma vez calculado o montante
                     devido pelo Estado, este deverá efetivar o pagamento da quantia em até
                     1 (um) mês a contar da data de início da operação plena, em parcela
                     única.

8. Segunda decisão (com base na equidade e nos princípios gerais do direito,
   respeitando a matriz de riscos contratual)

  8.1. Conforme as regras previstas na Ata de Missão (item 2.10.12 acima), na Segunda
       Decisão o árbitro deve adotar na íntegra uma das propostas realizadas pelas Partes,
       sem fazer qualquer alteração em relação ao seu conteúdo, usando na sua escolha a
       equidade, os princípios gerais do direito, e levando em consideração o respeito pela
       matriz de riscos do contrato. Seguindo essas linhas mestras, decido pela adoção da
       proposta realizada pela Concessionária, tecendo, por fim, os seguintes comentários:
  8.2. Ambas as Partes propuseram, no meu entender corretamente, que o prazo de 30 anos
       de operação comercial seja contado a partir do início da operação plena da Primeira
       Fase, de maneira que esse item não foi utilizado como critério para a escolha entre as
       propostas de decisão.
  8.3. Ambas as Partes propuseram o reequilíbrio do Contrato de Concessão a partir do
       subfaseamento da operação. Isso, portanto, também não pode ser critério para a
       escolha entre as duas propostas.
  8.4. A proposta da Concessionária propôs aplicação de multa a partir do atraso da entrada
       de operação do serviço após a emissão da ordem de serviço de fabricação. Nesse
       particular, creio que a proposta da Concessionária está correta, e consetânea com a
       matriz de riscos contratual e com a equidade.
  8.5. O mais problemático das propostas de ambas as Partes é a aplicação da metodologia
       para a implantação do equilíbrio econômico-financeiro que ambas propõe.
      8.5.1. A proposta do Estado, neste particular, me parece mais equivocada do que a da
            Concessionária, porque para cálculo do reequilíbrio ela manda auferir as receitas e
            custos efetivamente realizados no período entre o Aditivo 3 e a efetiva entrada em
            operação do serviço, o que me parece contrariar frontalmente a matriz de riscos
            contratuais, porque a título de realização da recomposição do equilíbrio


                                                                                            39
econômico-financeiro, simplesmente ignora a distribuição de riscos contratuais,
            voltando assim a um regime de custo de serviço, o que contraria também o art. 9°   ,
            da Lei 8.987/95. Já tratei desse tema extensamente em outro trabalho4, e, por isso,
            me eximo de descer a detalhes sobre ele aqui.
           8.5.1.1.    Além disso, o Estado propõe que se aplique a esse fluxo de despesas e
                  receitas “o wacc (custo médio ponderado de capital) da Concessionária a
                  época da ordem de fabricação dos trens (segundo aditivo)”.
           8.5.1.2.    Creio que haja uma incompreensão sobre o que é o wacc, sigla em
                  inglês para a expressão “weighted average cost of capital”, que pode ser
                  traduzido como custo ponderado de capital. Como a Concessionária não
                  estava operando ainda por ocasião da assinatura do Aditivo 3, ela não tem
                  receitas, portanto, não há como saber qual é o seu wacc, pois falta um
                  elemento fundamental que é o custo de capital próprio, que é algo que só se
                  saberá no futuro; e, para o projeto como um todo só se saberá de fato por
                  ocasião do término do Contrato de Concessão, daqui a mais de 30 anos, ou
                  por qualquer um dos casos de extinção antecipada do Contrato de
                  Concessão.
           8.5.1.3.    Parece-me importante lembrar que nesse caso estamos falando do wacc
                  de um projeto, e não de uma empresa (que, por definição, possui vários
                  projetos). No caso da empresa, supondo que ela possui diversos projetos em
                  estado de maturação diferenciados, faz sentido muitas vezes analisar o wacc
                  dela tomando como referencia um momento temporal específico. Já, contudo,
                  no caso de um projeto, não faz sentido a análise do wacc em um ponto
                  isolado, especialmente se esse ponto está situado no princípio da sua
                  execução, como é o caso aqui, pois, nesse momento inicial do projeto, o
                  único elemento significativo do custo ponderado de capital que existirá é o
                  custo da dívida do Concessionário, uma vez que o contrato de financiamento
                  já estará fechado.
           8.5.1.4.    Usando esse wacc (mesmo que se consiga obtê-lo, ele não terá nenhum
                  significado), o Estado propõe fazer uma modelagem com os custos e receitas
                  reais havidos pela Concessionária, para, assim, definir o montante de receitas
                  que a concessionária deveria receber.
       8.5.2. A Concessionária também na sua proposta de solução por equidade incorre em
            erro muito semelhante, pois diz que “a fase subfaseada seja reequilibrada
            considerando-se os custos efetivos de operação e de capital da Concessionária,
            levando-se em conta a sua estrutura atual de capital, de modo que o VPL do
            período seja igual a zero”. Como já dito acima, o custo real de capital próprio do
            projeto não está pré-definido. O que existe é (a) uma estimativa de custo de capital
            próprio que foi utilizada pelos acionistas do Concessionário quando da decisão de
            participação da licitação; (b) a taxa real de retorno do investidor do projeto, que
            pode ser medida em qualquer momento do projeto, mas que, especialmente nesse
            momento inicial do projeto, deve ser negativa, por conta do projeto estar em fase

4
 Ribeiro, Mauricio Portugal, Concessões e PPPs: melhores práticas em contratos e licitações, Rio de
Janeiro, 2010, Mimeo.

                                                                                                      40
inicial, na qual grande parte dos investimentos já foram feitos e somente uma
              parcela reduzida das receitas começou a se materializar. O problema – para o qual
              não poderei apontar solução nos limites desse laudo – é que nem a estimativa (a),
              nem a taxa real de retorno (b) são adequados como parâmetro para a realização
              da recomposição do equilíbrio econômico-financeiro.
8.6. Apesar dos equívocos, creio que a proposta da Concessionária foi mais aderente à
     equidade e aos princípios gerais do direito, e mais consentânea com a matriz de riscos, na
     medida em que previu o pagamento das multas contratuais pelo Estado a Concessionária
     pelo atraso em relação à data estipulada no ato da emissão da Ordem de Serviço de
     Fabricação, para início da operação comercial do serviço.

9. Liquidação das decisões

    9.1. A Primeira Decisão, aquela dada de acordo com o Contrato de Concessão e com o
         Direito Brasileiro já foi liquidada no presente laudo, de maneira que dispensaria a
         necessidade do processo de liquidação previsto no item 2.10.11 acima.
    9.2. Contudo, conforme a regra prevista no item 2.10.14 acima, pode ser que a
         Concessionária, vencedora no processo por equidade, prefira a decisão por equidade
         àquela de acordo com o Direito e o Contrato, e, neste caso, será necessária a
         liquidação dessa decisão.
    9.3. A regra constante do item 2.10.11 requer que o árbitro aponte uma empresa
         especializada de notória reputação para realizar a arbitragem, que as Partes poderão
         substituir em comum acordo.
    9.4. A empresa apontada para realizar a liquidação é a Pezco Consultoria e Pesquisa, e a
         equipe para tanto deve ser liderada pelo Professor Frederico Araujo Turolla.

10. Custas, honorários e outras despesas

    10.1.    Solicito à Secretaria da Corte o cálculo das custas, honorários e demais
        despesas, que deverão ser arcadas pelo Estado.


                              Rio de Janeiro, 15 de julho de 2011




                             _____________________________
                                 Mauricio Portugal Ribeiro
                                          Árbitro




                                                                                            41

Laudo arbitral da arbitragem simulada da Linha 4 do Metrô de São Paulo

  • 1.
    LAUDO ARBITRAL DA ARBITRAGEM SIMULADA DO CONFLITO ENTRE A CONCESSIONÁRIA DA LINHA 4 DO METRÔ DE SÃO PAULO E O ESTADO DE SÃO PAULO Contexto em que foi produzido o Laudo Arbitral O professor Mario Engler Pinto, responsável pelo curso de Clínica de Direito Público dos Negócios, do Curso de Graduação em Direito da EDESP – Escola de Direito de São Paulo, da FGV – Fundação Getúlio Vargas, resolveu, no primeiro semestre letivo de 2011, simular, como atividade central desse curso, um processo de arbitragem, utilizando como base para tanto fatos e documentos públicos relativos às conseqüências para o contrato de concessão patrocinada da Linha 4 do Metrô de São Paulo dos atrasos na entrega da obra pública da mesma linha do Metrô decorrentes do desabamento da Estação de Pinheiros. A turma composta de 10 alunos foi divida em dois grupos um para fazer o papel dos advogados da Concessionária da Linha 4 do Metrô, liderado pelo Professor Mario Engler, e o outro para exercer a posição dos advogados do Estado de São Paulo, sob a liderança, do Professor Fernando Marcato, que foi convidado especificamente para tanto. O Professor Mario Engler convidou-me para exercer a posição de árbitro neste processo, que durou todo o primeiro semestre letivo de 2011. Os detalhes do processo serão objeto de publicação a parte, que está sendo organizada pelo Professor Mario Engler. Decidi, entretanto, dar a público o presente laudo, em vista da relevância das questões que foram tratadas no processo simulado para o pensamento sobre a aplicação da Lei de PPP brasileira (Lei 11.079/04), e da Lei Geral de Concessões (Lei 8.987/95). 1
  • 2.
    LAUDO ARBITRAL 1. Relatodas ocorrências 1.1. Em 29 de novembro de 2006, o Estado de São Paulo (“Estado”) celebrou com a Concessionária da Linha 4 do Metrô de São Paulo (“Concessionária”) o contrato de parceria público-privada (“Contrato de Concessão”), tendo por objeto concessão patrocinada para exploração dos serviços de transporte de passageiros da Linha 4 – Amarela do Metrô de São Paulo, da estação Luz até Taboão da Serra, em três fases progressivas (“Linha 4”) (“Concessão”). 1.2. Também foram Partes intervenientes ou anuentes no Contrato de Concessão a Companhia do Metropolitano de São Paulo (“Metrô”), a Companhia Paulista de Trens Metropolitanos – CPTM, a Empresa Metropolitana de Transportes Urbanos de São Paulo S.A. – EMTU e a Companhia Paulista de Parcerias – CPP. 1.3. A celebração do Contrato de Concessão foi precedida de concorrência pública, vencida pelo consórcio formado pelos atuais acionistas da Concessionária, que se transformou em sociedade de propósito específico (“SPE”), para atendimento de exigência contida no edital da licitação (“Edital”). A licitação teve como critério de julgamento a menor demanda de contraprestação pecuniária por parte do Estado, a ser paga parceladamente, em duas tranches. 1.4. O Edital, o Contrato de Concessão e seus anexos (“Documentos da Licitação”) previram que a Linha 4 entraria em operação em duas fases. A primeira fase abrangia o funcionamento simultâneo de seis estações (Butantã, Pinheiros, Faria Lima, Paulista, República e Luz) (“Fase I”), e a segunda fase de todas as demais estações (Vila Sônia, Morumbi, Fradique Coutinho, Oscar Freire e Higienópolis) (“Fase II”). 1.5. Após a entrada em operação comercial da Fase I, o Estado devia iniciar o pagamento da primeira tranche das parcelas da contraprestação pecuniária. O mesmo ocorreria em relação à Fase II. 1.6. O Estado ficou responsável pela realização das obras de construção civil da Linha 4 (“Obras Civis”), que haviam sido contratadas pelo Metrô em regime de empreitada global, com financiamento do Banco Mundial e do Banco de Desenvolvimento Japonês. Os investimentos a cargo da Concessionária consistiam basicamente na aquisição de trens e sistemas informatizados, considerados necessários à operação da Linha 4. 1.7. As Obras Civis deviam estar concluídas para a Concessionária iniciar a operação da Fase I (e posteriormente também da Fase II), de acordo com o cronograma previsto no Contrato de Concessão. Para isso, a Concessionária seria avisada formalmente pelo Estado, com pelo menos 24 (vinte e quatro) meses de antecedência, de modo a encomendar antecipadamente a fabricação dos trens e o desenvolvimento dos sistemas informatizados. 1.8. O atraso na conclusão das Obras Civis, em relação ao prazo vinculado ao aviso expedido pelo Estado, daria ensejo ao pagamento de multas compensatórias de valor pré- determinado em favor da Concessionária. Por outro lado, o atraso da Concessionária na 2
  • 3.
    disponibilização dos trense sistemas informatizados seria sancionado com o pagamento dos mesmos valores de multa compensatória em favor do Estado. 1.9. O Contrato de Concessão continha ainda disposições sobre obrigações específicas das Partes, alocação de riscos e recomposição do equilíbrio econômico-financeiro. Em relação aos riscos de demanda de passageiros e variação cambial, foi previsto o compartilhamento entre o Estado e a Concessionária. 1.10. Em 30 de novembro de 2007, as Partes assinaram o Primeiro Aditivo ao Contrato de Concessão (“Primeiro Aditivo”), comprometendo-se a reprogramar, de comum acordo, os prazos para concluir a infraestrutura de responsabilidade do Estado e a liberação das áreas correspondentes, com observância das seguintes datas limites: (i) estações Butantã, Faria Lima e Paulista, em 30 de outubro de 2010; e (ii) estações República e Luz, em 30 de janeiro de 2010. Na mesma data do Primeiro Aditivo, o Estado emitiu o aviso para a Concessionária contratar os projetos dos trens (“Ordem de Serviço do Projeto da Fase I”). 1.11. Em 29 de maio de 2008, as Partes assinaram o Segundo Aditivo ao Contrato de Concessão (“Segundo Aditivo”), estabelecendo novo cronograma de eventos para a Fase I. No dia seguinte, o Estado emitiu outro aviso concedendo o prazo de vinte meses e nove dias para a Concessionária iniciar a operação comercial da Fase I (“Ordem de Serviço de Fabricação da Fase I”). 1.12. Em 18 de junho de 2010, as Partes assinaram o Terceiro Aditivo ao Contrato de Concessão (“Terceiro Aditivo”), fixando novas datas para entrega das Obras Civis e início da operação em três etapas: (i) estações Faria Lima e Paulista, em 21 de junho de 2010; (ii) estações Butantã e Pinheiros, em 15 de novembro de 2010; e (iii) estações República e Luz, em 31 de março de 2011. O Terceiro Aditivo tratou ainda de outras questões correlatas à operação subfaseada, tais como: (i) distribuição do pagamento da contraprestação pecuniária; (ii) adequação do mecanismo de mitigação do risco de demanda de passageiros; (iii) compensações devidas no caso de atraso do cumprimento das obrigações de cada parte; (iv) liberação progressiva da garantia contratual; (v) procedimento para eventual recomposição do equilíbrio econômico-financeiro. 1.13. Em 25 de março de 2011, as Partes assinaram o Quarto Aditivo ao Contrato de Concessão (“Quarto Aditivo”), para se adequar aos novos prazos para a conclusão da Infra- Estrutura da Fase I e refletir a alteração das datas do início de operação das etapas da Fase I. 1.14. Em razão das alterações no cronograma e demais modificações introduzidas pelos aditivos contratuais, a Concessionária pleiteou administrativamente a recomposição do equilíbrio econômico-financeiro do Contrato de Concessão. O pedido assim formulado não foi aceito pelo Estado. 1.15. Com base nas Cláusulas 35.11 e seguintes do Contrato de Concessão, as Partes decidiram submeter o pleito da Concessionária à arbitragem. 2. Instauração da arbitragem, alegações iniciais das partes, delimitação da controvérsia e definições sobre o procedimento 2.1. Seguindo o artigo 35.13 do Contrato de Concessão, que designa a Câmara de Comércio Internacional (“CCI”) como instituição que instaurará e administrará arbitragem entre as Partes, o Estado e a Concessionária, em 8 de abril de 2011, submeteram à Secretaria da 3
  • 4.
    CCI requerimento conjunto(“Requerimento”) para a instauração de procedimento arbitral, com indicação de um árbitro e respectivo suplente. 2.2. O Requerimento solicitava ainda que o árbitro indicado comparecesse na Direito GV, no dia 15 de abril, às 9 horas, para apresentar a sua minuta de Ata de Missão, para ser discutida e formalizada pelas Partes. 2.3. O valor da demanda foi estimado preliminarmente em R$ 120.000.000,00, correspondente, nesta data, a US$ 75.000.000,00. Por solicitação do Estado, a Concessionária efetuou o depósito prévio das custas, no valor de US$ 294.249,00, cujo ônus final deverá ser suportado pela parte vencida no procedimento de arbitragem, conforme as regras do regulamento da CCI. 2.4. A Secretaria da CCI designou-me como árbitro, e, em 15 de abril, às 9 horas, ocorreu audiência na qual apresentei, foi discutida, modificada e assinada pelas Partes a Ata de Missão, que descreveu as alegações iniciais das partes, delimitou a controvérsia e estabeleceu regras para o procedimento arbitral conforme exposto a seguir. As alegações iniciais da Concessionária 2.5. As alegações iniciais da Concessionária podem ser assim resumidas: 2.5.1. A versão original do Contrato de Concessão previa a entrada em operação comercial da Linha 4 simultaneamente com seis estações, (Butantã, Pinheiros, Faria Lima, Paulista, República e Luz), no prazo máximo de dezoito meses após a emissão da Ordem de Serviço de Fabricação da Fase I. 2.5.2. Os trens encomendados pela Concessionária estavam prontos para entrar em operação na data prevista no contrato de concessão original, não havendo nenhum indício em sentido contrário. 2.5.3. O atraso da conclusão das Obras Civis de responsabilidade do Estado, após a emissão da Ordem de Serviço de Fabricação da Fase I, tornou necessária a reprogramação de datas, assim como o subfaseamento da operação, não previsto no Contrato de Concessão. 2.5.4. A Concessionária não contribuiu de qualquer forma para o atraso verificado após a emissão da Ordem de Serviço de Fabricação da Fase I. 2.5.5. A reprogramação dos prazos contratuais e a adoção do subfaseamento resultaram na celebração de quatro aditivos contratuais. Os aditamentos invocaram como fundamento o artigo 57, § 1º, incisos I, II e V, da Lei nº 8.666/93, e tiveram por objetivo atender exclusivamente às necessidades do Estado. 2.5.6. O Quarto Aditivo ressalvou expressamente o direito da concessionária à recomposição do equilíbrio econômico financeiro do Contrato de Concessão em razão das alterações introduzidas pelos quatro aditivos contratuais, a ser apurado na forma originalmente prevista no Contrato de Concessão. 2.5.7. Em razão da celebração do Quarto Aditivo, o início da operação comercial plena da Fase I (caracterizado pelo funcionamento simultâneo das seis estações Butantã, Pinheiros, Faria Lima, Paulista, República e Luz) foi fixado para 15 de agosto de 2011 (“Operação Plena”). 4
  • 5.
    2.5.8. Entre adata da emissão da Ordem de Serviço de Fabricação da Fase I e a data prevista para o início da Operação Plena, haverá o transcurso de trinta e oito meses e quinze dias, o que representa um atraso de vinte meses e quinze dias em relação ao interregno máximo de dezoito meses previsto no Contrato de Concessão. 2.5.9. O pleito de recomposição do equilíbrio econômico-financeiro não decorre apenas do atraso na conclusão das Obras Civis de responsabilidade do Estado, mas também da reprogramação das datas para liberação das áreas e das modificações introduzidas no projeto inicial para implantação do subfaseamento. 2.5.10. Por exigência do edital, a proposta econômica apresentada pela Concessionária na fase de licitação continha um plano de negócios, com projeção de receitas, despesas e investimentos, resultando em uma taxa interna de retorno de 15,13%, para o projeto (“Plano de Negócios”). A taxa interna de retorno implícita na proposta econômica da Concessionária foi referendada posteriormente pelo Estado, por intermédio do Metrô. 2.5.11. O Plano de Negócios integra a proposta da Concessionária e está sujeito à proteção do artigo 37, XXI, da Constituição Federal, que assegura a manutenção do equilíbrio econômico-financeiro dos contratos administrativos, conforme a equação vigente por ocasião da apresentação da proposta. Além disso, as cláusulas 13.6 e 13.8 do Contrato de Concessão dispõem expressamente no mesmo sentido. 2.5.12. Em razão da postergação do início da Operação Plena e da adoção do subfaseamento, a Concessionária arcou com custos não previstos no Plano de Negócios (despesas pré-operacionais, investimentos adicionais e custo de carregamento da garantia contratual), além da frustração das receitas estimadas. 2.5.13. O cálculo do desequilíbrio deve considerar o valor presente líquido da estimativa das perdas e ganhos da Concessionária, para a data-base da apresentação da proposta (agosto/2006). Para isso, deverão ser mantidas as projeções originais, a taxa interna de retorno, VPL e demais premissas do Plano de Negócios, desconsiderando eventuais ocorrências posteriores, conforme estabelece a Cláusula 13.6, do contrato de concessão. Essa sistemática apresenta-se neutra para ambas as partes, podendo tanto favorecer ou prejudicar a concessionária em relação à realidade constatada. 2.5.14. A aplicação dessa metodologia encontra amparo no Contrato de Concessão e faz justiça no caso concreto, na medida em que proporciona à Concessionária o mesmo resultado financeiro que poderia auferir, se não tivesse ocorrido o evento de desequilíbrio. Além disso, decorre do princípio da vinculação ao edital e tem apoio na doutrina, jurisprudência e decisões dos tribunais de contas. 2.5.15. A Concessionária estima preliminarmente em R$120.000.000,00 (cento e vinte milhões) o valor líquido do desequilíbrio provocado pelas alterações introduzidas até o Terceiro Aditivo (inclusive). As novas datas previstas no Quarto Aditivo ainda não foram calculadas, mas devem implicar o aumento do valor inicialmente estimado. 5
  • 6.
    2.5.16. Embora acláusula 13.7 do Contrato de Concessão atribua ao Estado a prerrogativa de escolher a forma pela qual será implementada a recomposição do equilíbrio econômico-financeiro, a Concessionária postula o pagamento à vista do valor do desequilíbrio, de modo a viabilizar a continuidade da prestação do serviço e preservar a capacidade de pagamento dos financiamentos contratados. As alegações do Estado 2.6. As alegações do Estado podem ser assim resumidas: 2.6.1. A Concessionária não faz jus a nenhuma recomposição do equilíbrio econômico- financeiro do Contrato de Concessão, ou pelo menos não na extensão pretendida. 2.6.2. Conforme o artigo 4o, VI, da Lei nº 11.079/04, os contratos de parceria público- privada devem repartir de forma objetiva os riscos entre as partes. Nesse contexto, a Concessionária somente teria direito ao reequilíbrio econômico-financeiro quando determinado risco assumido direta e expressamente pelo Estado impactar a equação econômico-financeira do Contrato de Concessão, e desde que não haja mecanismo contratual específico de mitigação do risco. 2.6.3. O risco de atraso nas Obras Civis tem mecanismo de mitigação contratual específico, de forma que não cabe pedido de reequilíbrio econômico-financeiro. 2.6.4. Se porventura for entendido que existe algum direito ao reequilíbrio em favor da Concessionária, a taxa interna de retorno prevista no Plano de Negócios não é mecanismo válido para o cálculo do desequilíbrio, devendo ser adotada forma alternativa. 2.6.5. A consecução de um projeto complexo, como de fato é a Concessão da Linha 4, deve pressupor a boa-fé de ambas as Partes. A Concessionária não está agindo de boa-fé ao pretender a recomposição do equilíbrio econômico-financeiro, cuja negativa pelo Estado deu ensejo ao pedido de instauração da arbitragem. Os pontos controvertidos 2.7. Em face das alegações das Partes, os pontos litigiosos são os seguintes: 2.7.1. Os eventos que motivaram a celebração dos aditivos contratuais dão ensejo à recomposição do equilíbrio econômico-financeiro do Contrato de Concessão? 2.7.2. Supondo que existe o direito da Concessionária à recomposição do equilíbrio econômico-financeiro, houve renúncia à tal direito em relação aos fatos ocorridos anteriormente aos aditivos 1, 2 e 3 simplesmente por ter assinado tais aditivos? Como deve ser interpretada a ressalva ao direito de recomposição do equilíbrio econômico-financeiro constante do Aditivo 4? 2.7.3. O caráter consensual dos aditivos contratuais implicou renúncia da Concessionária à recomposição do equilíbrio econômico-financeiro? Sendo o direito ao equilíbrio econômico-financeiro, um direito constitucional (art. 37, inc. XXI), caberia renúncia a esse direito? Além disso, será que o fato dos eventos supostamente ensejadores do direito a recomposição do equilíbrio econômico- financeiro do contrato terem sido tratados nos aditivos contratuais impacta a 6
  • 7.
    possibilidade de taiseventos serem caracterizados como “álea extracontratual” nos termos da alínea “d”, inciso II, do art. 65, da Lei 8.666/93? Se tais eventos não forem caracterizados como “álea extracontratual”, isso seria suficiente para excluir a incidência do direito à recomposição do equilíbrio econômico-financeiro? 2.7.4. A Concessionária contribuiu para o atraso do início da operação comercial da Fase I? O que deve ser entendido como “operação comercial da Fase I”, nos termos do Contrato de Concessão? O Contrato de Concessão assegura à Concessionária o direito a operar a Linha 4 pelo prazo de trinta anos? Esse prazo deve ser contado a partir da inauguração da primeira estação, ou somente após o início da Operação Plena, com o funcionamento simultâneo das seis estações da Fase I? 2.7.5. A previsão de multa contratual pelo atraso na conclusão das Obras Civis afasta a necessidade de recomposição do equilíbrio econômico-financeiro do Contrato de Concessão? 2.7.6. A Concessionária foi prejudicada pela reprogramação de datas e da adoção do subfaseamento? Como devem ser calculados os prejuízos daí decorrentes? 2.7.7. De acordo com a legislação brasileira e com o contrato de concessão, a recomposição do equilíbrio econômico financeiro deve assegurar à Concessionária os ganhos previstos no Plano de Negócios apresentado por ocasião da proposta vencedora da licitação? Está o Poder Público vinculado às simulações constantes do Plano de Negócios ou somente ao preço final decorrente de tais simulações e ofertado na licitação? O Plano de Negócios se caracteriza como uma mera declaração do concessionário, ou, uma vez aceito pelo Poder Público, ele se torna vinculante para as Partes? Seria relevante verificar que tipo de análise o Poder Público fez do plano de negócios durante a licitação para saber em que medida ele pode ser vinculante? Se se entender que o contrato de concessão requer um regime de regulação da taxa de retorno, não deveria o Poder Público, na condição de regulador, estipular a metodologia para cálculo do custo de capital do concessionário? Se for este o caso, e se o Poder Público resolver para tanto usar a metodologia do CAPM – Capital Asset Pricing Model, que é mais tradicional para isso, qual seria o Beta setorial utilizado como referência e qual o corte na série histórica do risco-país a ser utilizada? 2.7.8. Que taxa de desconto deve ser aplicada às novas projeções financeiras para trazê-las a valor presente na data da proposta? Se tomada a taxa de retorno declarada no Plano de Negócios como referência para a definição da taxa de desconto dos fluxos, deve ser usada para tanto a taxa interna de retorno do projeto, ou a taxa interna de retorno do investidor? 2.7.9. Ao fazer eventual comparação entre a diferença do VPL do projeto resultante do Plano de Negócios originário (“Fluxo Originário”) e o VPL do projeto considerando as ocorrências que supostamente dão azo à recomposição do equilíbrio econômico-financeiro (“Fluxo Atual”), quais premissas utilizadas no Fluxo Originário poderiam ser atualizadas para a composição do Fluxo Atual e quais não poderiam ser atualizadas? Caberia, por exemplo, no Fluxo Atual fazer constar os valores reais dos investimentos realizados (em substituição ao valor originalmente 7
  • 8.
    estimado do investimentorealizado até aqui) e os montantes e custos reais de financiamento já obtido pelo concessionário em lugar dos custos de financiamento originariamente estimados, de maneira que eventuais ganhos obtidos pelo concessionário no seu financiamento e na redução de custos de investimento por conta, por exemplo, da variação cambial sejam computados no processo de recomposição do equilíbrio econômico-financeiro? E, para evitar que o concessionário se aproprie sozinho de ganhos que decorrem da mera melhoria da situação econômica do país, será que caberia estimar o “spread” entre uma taxa de mercado qualquer (por exemplo, o CDI) e a taxa interna de retorno do Fluxo Originário, de maneira que a recomposição do equilíbrio econômico-financeiro garanta não a taxa interna de retorno declarada, mas apenas o “spread” entre ela e uma taxa de mercado qualquer? Se isso fizer sentido, qual seria essa taxa de mercado? A composição do Tribunal Arbitral 2.8. Em relação a composição do Tribunal, a Ata de Missão estabeleceu que: 2.8.1. As Partes optaram por compor o Tribunal Arbitral com um único árbitro e delegaram à Corte a sua indicação, respeitados os requisitos de elegibilidade previstos na cláusula compromissória do Contrato de Concessão. 2.8.2. A Corte indicou-me para atuar como árbitro titular. 2.8.3. As Partes aceitaram o árbitro assim indicado e reconheceram que possui independência, idoneidade e competência técnica para julgar o litígio de forma honesta e imparcial. O valor em disputa 2.9. No que concerne ao valor em disputa, a Ata de Missão faz referência que a Concessionária estimou-o em R$ 120.000.000,00 (cento e vinte milhões de reais), correspondentes, na data da assinatura da Ata de Missão, segundo o Concessionário, a US$ 75.000.000,00. 2.9.1. As custas preliminares relativas ao procedimento de arbitragem, no valor de US$ 294.249,00, foram antecipadas pela Concessionária e depositadas em favor da Corte. 2.9.2. As Partes estabeleceram que o ônus final das custas e despesas com a arbitragem será suportado pela parte vencida, conforme as regras do regulamento da Corte. O procedimento de arbitragem 2.10. No que toca ao procedimento da arbitragem, a Ata de Missão, em consonância com o que consta do Requerimento, estabeleceu que o procedimento priorizará a simplificação de ritos e a oralidade, observado o seguinte: 8
  • 9.
    2.10.1. A comunicaçãoentre as Partes, a Corte e o Tribunal Arbitral adotará sempre a língua portuguesa. 2.10.2. As audiências necessárias ao procedimento de arbitragem realizar-se-ão na cidade de São Paulo – SP, no prédio principal da Direito GV, localizado na Rua Rocha nº 233. 2.10.3. Cada Parte deverá depositar o seu memorial de alegações iniciais na Secretaria da Corte, até a data de 6 de maio de 2011. 2.10.4. No final do dia 6 de maio de 2011, a Secretaria da Corte encaminhará a cada Parte o memorial de alegações iniciais apresentado pela outra Parte. 2.10.5. Cada Parte terá até o dia 13 de maio para se manifestar sobre o memorial de alegações iniciais da outra Parte, podendo formular perguntas por escrito às testemunhas potenciais que foram entrevistadas conjuntamente pelas Partes. 2.10.6. No final do dia 13 de maio, a Secretaria da Corte encaminhará a cada Parte a manifestação apresentada pela outra Parte. Caberá ainda à Secretaria da Corte zelar para que as perguntas formuladas às testemunhas sejam respondidas até o dia 20 de maio de 2011. 2.10.7. No dia 3 de junho de 2011, o Tribunal Arbitral realizará audiência presencial, quando então as partes poderão apresentar alegações finais e proceder aos debates orais. Ao final da audiência, cada Parte depositará na Secretaria da Corte a sua proposta de solução amigável do litígio (“Proposta”), que será mantida em sigilo até a divulgação do laudo arbitral. 2.10.8. A Proposta de cada Parte terá caráter final, ficando vedada a sua alteração posterior. Além disso, deverá conter os critérios de cálculo do valor do desequilíbrio e os procedimentos a serem adotados para recomposição do equilíbrio. 2.10.9. O Tribunal Arbitral depositará o laudo arbitral (“Laudo”) na Secretaria da Corte até o dia 17 de junho de 2011. Após a escrutinização do laudo arbitral pela Corte, o seu conteúdo será divulgado simultaneamente às Partes. Na mesma oportunidade, cada Parte tomará conhecimento da Proposta apresentada pela outra Parte. 2.10.10. O Laudo conterá duas alternativas de decisões, ambas devidamente fundamentadas. A primeira será resultante da aplicação do Contrato de Concessão à luz do direito brasileiro (“Primeira Decisão”). A segunda deverá indicar a Proposta que pareça mais justa ao Tribunal ao Arbitral sob o ponto de vista da eqüidade (“Segunda Decisão”). 2.10.11. A Primeira Decisão indicará o critério de cálculo do valor do eventual desequilíbrio e os procedimentos a serem adotados para a recomposição do equilíbrio. A apuração do valor exato do desequilíbrio será objeto de perícia realizada por empresa especializada de notória reputação a ser sugerida pelo árbitro em sua decisão. Essa empresa poderá ser substituída caso haja acordo entre as partes sobre outra empresa para realização da perícia. 2.10.12. A Segunda Decisão também levará em conta os princípios gerais do direito e não poderá contrariar a matriz de riscos adotada no Contrato de 9
  • 10.
    Concessão. O TribunalArbitral deverá se limitar à escolha integral da Proposta apresentada por uma das Partes, sendo-lhe vedado formular nova proposta. 2.10.13. Conforme a sua natureza, os compromissos assumidos pela Parte autora da Proposta escolhida pelo Tribunal Arbitral configuram obrigação irrevogável de dar, fazer ou não fazer, passível de execução pelas vias judiciais. 2.10.14. A Parte que tiver a sua Proposta escolhida pelo Tribunal Arbitral poderá adotá-la como alternativa preferencial de solução do litígio, à qual também ficará vinculada a outra Parte. Nesse caso, ficará afastada a aplicação da Primeira Decisão. 3. Argumentos trazidos pela Partes em suas alegações iniciais1 3.1. Em 11 de maio de 2011 a Concessionária protocolou junto ao Tribunal documento no qual expõe os fundamentos da sua pretensão, que pode ser resumido nos seguintes termos: 3.1.1. Em relação ao cabimento do pedido de recomposição do equilíbrio econômico- financeiro, aduz: 3.1.1.1. Que a necessidade de reprogramação e subfaseamento da operação dos serviços objeto do Contrato de Concessão foram decorrentes de evento de responsabilidade única e exclusiva do Poder Concedente, que após emitir Ordem de Serviço de Fabricação dos trens da Fase I, não foi capaz de cumprir com suas obrigações, necessitando alterar as previsões do Contrato de Concessão original, o que causou enorme prejuízo à Concessionária. 3.1.1.2. Que os 4 aditivos ao Contrato de Concessão original que foram celebrados entre as partes, que alteraram os prazos para implementação e conclusão das Obras Civis, e conseqüentemente para a operação dos trens e sistemas informatizados, bem como previram o Subfaseamento da operação, foram decorrentes de eventos de culpa atribuível ao Poder Concedente, e considerando que esses 4 aditivos invocam os incisos I, II e V do §1º do art. 57 da Lei 8.666/93, que admitem nos casos que especifica a mudança do prazo de execução dos contratos “assegurada a manutenção de seu equilíbrio econômico-financeiro”, conforme dicção do mencionado §1° . 3.1.1.3. Que, como o Quarto Aditivo ressalvou expressamente o direito da Concessionária ao reequilíbrio econômico-financeiro, tornando-se superada a discussão sobre o cabimento desse reequilíbrio. 3.1.1.4. Que a Constituição Federal estabelece também a possibilidade da recomposição do equilíbrio econômico-financeiro na forma prevista pelo inciso XXI do art. 37, que menciona a necessidade de manutenção das condições efetivas da proposta, e que, no caso em questão, tais condições correspondem às previstas no Plano de Negócios apresentado pela Concessionária no momento da licitação. 1 Neste item, utilizei trechos de textos constantes dos documentos trazidos aos autos pelas partes sem preocupação de seguir as formalidades para citação, mas com preocupação apenas de fidelidade de conteúdo e de atribuição. 10
  • 11.
    3.1.1.5. que o caráter consensual dos 4 aditivos celebrados não implicou em renúncia, por parte da Concessionária ao direito ao reequilíbrio econômico- financeiro, uma vez que as provisões legais e constitucionais afastam qualquer pretensão nesse sentido. 3.1.1.6. Que a suposta renúncia ao direito à recomposição do equilíbrio econômico-financeiro, considerando caráter consensual dos aditivos não seria nem mesmo passível de discussão no caso em tela, considerando que, sendo consensual ou não, os próprios aditivos mencionam os dispositivos da Lei 8.666/93, que prevêem, expressamente a possibilidade de pedido de reequilíbrio econômico-financeiro, que, sendo previsão legal e constitucional, não seria nem mesmo um direito que poderia ser renunciado pela parte. 3.1.1.7. Que a Concessionária não possui culpa alguma frente os acontecimentos que fizeram com que fosse necessária a celebração dos aditivos ao Contrato de Concessão original, culpa essa atribuível inteiramente ao Poder Concedente que expediu Ordem de Serviço sem conseguir concluir com as Obras Civis no prazo estipulado entre as partes, causando enormes prejuízos à Concessionária uma vez que essa, em decorrência da Ordem de Serviço, já havia encomendado os trens para operação em seis linhas, tal como foi definido pelo Contrato de Concessão original. 3.1.1.8. Que o atraso na conclusão das obras civis que culminaram no Subfaseamento, conforme os aditivos um a quatro geraram frustração de receitas tarifárias projetadas para operação plena, aumento das despesas pré-operacionais, assim como redução das receitas não tarifárias e adiamento no início do pagamento da contraprestação pecuniária; e aumento dos custos financeiros com a garantia contratual pela necessidade da sua manutenção por prazo mais longo do que o inicialmente previsto, em razão do atraso do início da operação comercial plena da Fase I. E, que isso tudo implicou em redução da TIR de projeto esperada para o negócio, que segundo o Plano de Negócios da Concessionária é de 15,3%. 3.1.2. Em relação ao regramento contratual para a recomposição do equilíbrio econômico financeiro, a Concessionária argumenta: 3.1.2.1. Que a cláusula 13.6 do Contrato de Concessão prevê, de forma inequívoca, o parâmetro que deve ser utilizado para a recomposição do equilíbrio econômico-financeiro do Contrato de Concessão, que é o Plano de Negócios realizado pela Concessionária. 3.1.2.2. Que o Plano de Negócios caracteriza-se como um mecanismo prévio de análise por parte de um investidor, do retorno esperado do investimento pretendido. Nessa medida, assim como todo investidor experiente, a Concessionária realizou o Plano de Negócios, fundado nas informações disponíveis à data da celebração do Contrato de Concessão, com vistas a determinar a possível realização do investimento. 3.1.2.3. Que apesar do Plano de Negócios ser produto de uma análise privada do investidor, que não possui caráter vinculante para terceiros, no caso em questão, a situação seria distinta porque tanto a Concessionária, quanto o 11
  • 12.
    Estado acordaram empactuar o Plano de Negócios realizado pela Concessionária como o parâmetro para o estabelecimento de um possível reequilíbrio econômico-financeiro. 3.1.2.4. Que o Plano de Negócios é um Anexo ao próprio Contrato de Concessão, o que evidenciaria ainda mais seu caráter vinculante, tornando obrigatória a sua observância para apuração do valor do desequilíbrio passível de recomposição. 3.1.2.5. Que não importaria a avaliação atual do Plano de Negócios pelo poder público, tendo em vista que, independentemente dos motivos, o Estado optou legitimamente por se vincular à ele. Sustentar o contrário agora implicaria em violação ao caráter vinculante do edital e de toda a documentação relativa à licitação. 3.1.2.6. Que a Taxa Interna de Retorno (“TIR”) é a resultante principal do Plano de Negócios, pois determina em que medida o investimento tem ou não a rentabilidade adequada, e que, como o Plano de Negócios é apenas um mecanismo para a obtenção da TIR, na medida em que ela é variável que determina a decisão do Investidor, é nela que deve se basear o cálculo do valor para a recomposição do equilíbrio econômico- financeiro ora violado. 3.1.2.7. Que a TIR estabelecida no Plano de Negócios é resultante da situação econômica na época da formulação da proposta, e que, independentemente das perdas ou ganhos havidas por cada uma das Partes por conta da mudança desse cenário econômico, o Estado tem obrigação de honrar com os compromissos advindos de um contrato juridicamente válido. 3.2. Em resposta ao pleito da Concessionária, o Estado protocolou, também e 11 de maio de 2010, suas alegações iniciais, rejeitando as pretensões da Concessionária baseado nos seguintes argumentos: 3.2.1. Em relação à repartição de riscos: 3.2.1.1. Que a repartição de riscos – conforme dispõe a Lei 11.079/2004, Lei Geral para Contratação de Parceira Público-Privada no âmbito da Administração Pública, mais especificamente nos seus art. 4º, VI, e art. 5º, III - é central nas PPP e que o Contrato de Concessão repartiu de forma detalhada os riscos dos eventos objeto da presente demanda. E, como, exemplo, o Estado traz a colação as seguintes cláusulas: 3.2.1.1.1. Cláusula 11.1.4 do Contrato de Concessão, que afirma que caso a demanda trimestral real contabilizada esteja entre 90% e 110% não haverá nenhum ajuste nas receitas decorrentes das tarifas de remuneração; 3.2.1.1.2. Cláusulas 11.1.5, 11.1.6, 11.1.7 e 11.1.8 que prevêem expressamente a aplicação de uma fórmula matemática especialmente criada para o ajuste da tarifa caso a demanda prevista oscile entre o intervalo de 60% a 140% da demanda projetada; e, 3.2.1.1.3. Cláusula 11.1.9 , que assegura que somente caso a demanda trimestral real contabilizada esteja abaixo de 60% e acima de 140% da demanda projetada para o período caberá a recomposição do equilíbrio 12
  • 13.
    econômico-financeiro do contrato,em favor da Concessionária no primeiro caso, e em favor do Poder Concedente no segundo. 3.2.1.1.4. Cláusulas 4.2, 11.4, 11.5, 11.10 e 11.12.4 do Contrato de Concessão que evidencia cuidadoso detalhamento das conseqüências geradas por eventual atraso nestas obras. Referidas cláusulas prevêem, inclusive, em que momento o atraso em tais obras pode gerar direito ao reequilíbrio econômico financeiro do contrato. Cabe detalhar esse procedimento de forma esquemática no intuito de melhor compreender o mecanismo de mitigação de riscos previsto no Contrato de Concessão. 3.2.1.1.4.1. O Estado traz aos autos a seguir o esquema explicativo da disciplina do Contrato de Concessão sobre o risco de atraso nas obras civis, que reproduzo a seguir: 13
  • 14.
    Esquema explicativo dasetapas do Contrato (conforme elaborado pelo Estado) X meses 6 meses 18 meses Mínimo de 6 meses Ordem de Ordem de Início da operação comercial serviço de serviço de da Fase I projeto fabricação Assinatura Mínimo de 24 Detalhamento das multas contratuais relacionadas ao atraso nas Obras meses emissão das ordens de serviço: Civis e 1 - Atraso na conclusão da Infraestrutura da Fase I ultrapassar a data prevista para o início da operação Multa comercial da Fase I em: 0-3 meses (cl. 11.4.1) Não há à partir do 15º mês (cl. 11.10) Rescisão do contrato + multa compensatória equivalente ao saldo ainda disponível do valor total das garantias prestadas pela CPP em relação às OBRIGAÇÕES SOLIDÁRIAS + ressarcimento de outras perdas e danos sofridas + retenção dos bens e opção de alienação dos bens (cls. 11.11 – 11.12.2) OU Reequilíbrio econômico-financeiro do Contrato, mediante a redução de encargos decorrentes dos INVESTIMENTOS DA CONCESSIONÁRIA DA FASE I 4-18 meses (cl. 11.4.2) R$ 5.220.000,00 por mês, calculados pro rata die 2 - Atraso para emissão da Ordem de serviço de fabricação Multa à partir do 7º ao 12º mês após a emissão da Ordem de serviço de projeto (cls 11.5 e R$ 1.167.500,00 por mês, calculados pro rata die + prorrogação dos prazos de entrega 11.9) pelo período do atraso 13º ao 18º mês após a emissão da Ordem de serviço de projeto (cls. 11.5 e 11.8) Não há à partir do 18º mês após a emissão da Ordem de serviço de projeto (cl. 11.8) Rescisão do contrato + multa compensatória no valor de R$ 23.400.000,00 14
  • 15.
    3.2.2. A partirdo esquema acima, o Estado desenvolve explicação mais detalhada sobre a disciplina do risco de atraso das obras civis no Contrato, nos seguintes termos: 3.2.2.1. O Contrato de Concessão não impõe obrigação vinculante ou multa para que o Estado indique ao parceiro privado a data de início da operação comercial da Fase I. Cabe ao Estado, exclusivamente, decidir quando a operação comercial da Fase I terá início. 3.2.2.2. O Estado deve apenas assegurar um prazo mínimo de exploração econômica dos serviços de 30 (trinta) anos a contar do início da operação comercial da Fase I, conforme estabelece a cláusula 4.1 do Contrato de Concessão. 3.2.2.3. Consequentemente, argumenta o Estado, as datas para os eventos previstos na Cláusula 4.4 do Contrato de Concessão são meramente estimativas. Tanto é assim que o Contrato se refere a “Datas Previstas” e não “datas Obrigatórias ou Peremptórias”. Daí ser perfeitamente possível alterar tais datas, conforme a necessidade do projeto. 3.2.2.4. Volta então o Estado à análise do cronograma dos eventos ocorridos à luz das premissas acima: 3.2.2.4.1. A Ordem de serviço de projeto foi emitida em 30.11.2007. 3.2.2.4.2. De acordo com o 1º Aditivo, a operação comercial plena da Fase 1 teria início em 30.01.2010. 3.2.2.4.3. Em 29.05.2010 foi assinado o 2º Aditivo estabelecendo que a operação comercial poderia ter início após transcorridos 20 meses e 9 dias contados da emissão da Ordem de Serviço de Fabricação e não mais após 18 meses dessa emissão, conforme inicialmente previsto no Contrato. 3.2.2.4.4. Em 30.5.2008 foi emitida a Ordem de Serviço de Fabricação. Consequentemente, a operação comercial deveria iniciar-se em 08.02.2010. 3.2.2.5. Conclui dessa análise que o Concessionário só poderia aplicar multa ao Poder Concedente pelo atraso nas Obras Civis à partir de 8.5.2010, isto é 3 meses após a data prevista para o início da operação comercial da Fase I. 3.2.2.6. O Estado segue analisando o que ocorreu após essa data para sustentar que o Concessionário tinha duas alternativas para lidar com o atraso das Obras Civis: (a) a primeira seria a aplicação integral do Contrato de Concessão, cumprindo-o conforme previsto inicialmente e aplicando as multas e penalidades ao Estado à partir do momento em que os respectivos fatos geradores se verificassem; (b) a segunda seria renegociar e definir, em conjunto com o Estado, novos prazos e cronograma contratual, firmando aditivos bilaterais e mutuamente acordados, que foi, segundo o Estado a alternativa preferida pela Concessionária. Para sustentar essa posição, o Estado menciona que: 3.2.2.6.1. O Concessionário não aplicou qualquer multa ao Poder Concedente. Pelo contrário, em 18.06.2010 firmou o 3º aditivo ao 15
  • 16.
    Contrato estabelecendo quea operação comercial da Fase I teria início em 31.3.2011. 3.2.2.6.2. Além disso, o Concessionário estabeleceu, em conjunto com o Poder Concedente, novo mecanismo para mitigação de possíveis futuros atrasos na conclusão das Obras Civis, conforme evidenciado no item 5.4 do Aditivo. 3.2.2.6.3. O item 5.6 do mesmo Aditivo estabeleceu ainda novo prazo para o Concessionário rescindir o Contrato, no caso de atraso no início da operação comercial por período superior a 15 meses. 3.2.2.6.4. O item 5.7 do 3º Aditivo atualizou, ainda, o procedimento a ser adotado caso o Concessionário opte por não rescindir o Contrato. Nessa hipótese e, somente nessa hipótese, (a exemplo do texto original do Contrato de Concessão) se admitiu um pleito de reequilíbrio econômico- financeiro do Contrato pautado no atraso das Obras Civis. 3.2.2.6.5. Também o 4º Aditivo assinado em 25.03.2011 teria seguido o modelo do 3º Aditivo, reprogramando a data de início da operação comercial e prevendo os mecanismos de penalização do Estado em caso de não cumprimento do prazo para início da fase comercial em função do atraso na conclusão das Obras Civis. 3.2.2.7. Por fim, o Estado chama atenção para a importância do item 5.7 do Aditivo 3, pois ele cria uma nova hipótese de reequilíbrio econômico- financeiro quando o Contrato de Concessão, na cláusula 12.3, teria estipulado taxativamente e exaustivamente os motivos ensejadores de reequilíbrio econômico-financeiro do Contrato. E que, por isso também, não haveria possibilidade de pleitear reequilíbrio econômico-financeiro do Contrato em hipóteses não previstas expressamente no Contrato. 3.2.3. Em relação à alegação de que os aditivos foram impostos unilateralmente à Concessionária, argumenta o Estado: 3.2.3.1. Que não seria cabível ou razoável que uma das partes assine 4 Aditivos a um Contrato, prevendo inclusive penalidades no caso de descumprimento das cláusulas desses aditivos e alegue, posteriormente, que não anui com as alterações e que para aceitá-las não procedeu a uma análise prévia dos impactos que essas alterações poderiam ter em suas projeções financeiras. 3.2.3.2. Que não haveria qualquer evidência fática que indique que a Concessionária foi obrigada a aceitar qualquer das condições ou assinar os Aditivos contratuais. Se fossem unilaterais as imposições, não faria qualquer sentido assinar Aditivos. 16
  • 17.
    3.2.3.3. Que a Concessionária alegar que não anuiu com as condições dos Aditivos equivale a alegar a própria torpeza para se eximir de responsabilidade. 3.2.3.4. O Estado afirma que o subfaseamento da operação comercial constituiu uma alternativa extracontratual (não prevista inicialmente no Contrato original) com o intuito de adequar o projeto a situações alheias à vontade das partes. 3.2.3.4.1. E que tal alternativa só pode ser implementada, porque o Concessionário teria renunciado a aplicar as penalidades para atraso previstas no Contrato inicial. 3.2.3.5. Que duas razões levaram a Concessionária a aceitar a alteração de cronograma e o subfaseamento, e a renunciar à aplicação das penalidades: a primeira é que se tais alterações não fossem realizadas no contrato originário, a Concessionária ficaria inadimplente, pois teria atrasado a fabricação dos trens; a segunda é que a Concessionária conseguiu condições privilegiadas de financiamento do projeto e que o financiador condicionou o fechamento do contrato de financiamento à emissão da ordem de serviço, o que só ocorreu após a emissão do primeiro Aditivo. 3.2.4. Em relação à utilização da TIR como critério para a realização de eventual equilíbrio econômico-financeiro do contrato, o Estado aduz: 3.2.4.1. Que em nenhuma parte do Plano de Negócios apresentado pela concessionária há menção expressa a TIR de 15,13%. O que por si só já justifica o fato de que não há como se afirmar ter o Estado referendado tal taxa. 3.2.4.2. Que o Plano de Negócios é instrumento para análise da exeqüibilidade da proposta e que a TIR nele estimada não é vinculante, pois, se o fosse, todos os mecanismos contratuais para distribuição de riscos seriam fúteis, uma vez que – independentemente do desempenho do parceiro privado na lida com os riscos que lhe foram atribuídos ou dos eventos havidos em torno do contrato – estaria assegurada ao parceiro privado a rentabilidade representada pela TIR estimada no Plano de Negócios. 3.2.4.3. Que é preciso separar critérios para a realização do equilíbrio econômico-financeiro das condições necessárias para surgimento do direito à recomposição do equilíbrio econômico-financeiro do contrato, e, por isso, o fato da TIR real da Concessionária não corresponder a TIR estimada no Plano de Negócios não implicaria por si em direito à recomposição do equilíbrio econômico-financeiro. 17
  • 18.
    3.2.4.3.1. Exemplifica mostrando que diversas das premissas do Plano de Negócios não corresponderam a realidade favorecendo a Concessionária, e nem por isso o Estado teria direito à recomposição do equilíbrio econômico-financeiro em seu favor. 3.2.5. Em relação ao critério para cálculo de eventuais custos imprevistos havidos pela Concessionária, o Estado contesta o uso da data da assinatura do contrato como data de referencia para análise do fluxo de caixa da Concessionária, uma vez que as obrigações da Concessionária só teriam surgido com a emissão da Ordem de Serviço do Projeto da Fase I, que só ocorreu após a assinatura do Primeiro Aditivo em 30 de novembro de 2007, não tendo havido, antes disso, qualquer mobilização de capital da Concessionária para execução do contrato. 3.2.6. O Estado por fim nega haver qualquer cláusula contratual que corrobore a metodologia proposta pela Concessionária para cálculo do valor da recomposição do equilíbrio econômico-financeiro, e, por isso, entende não ter amparo jurídico a estimativa da Concessionária de R$ 120.000.000,00 enquanto valor líquido do desequilíbrio econômico-financeiro. 4. Argumentos apresentados na réplica da Concessionária e tréplica do Estado2 4.1. Em 20 de maio de 2011, a Concessionária apresentou réplica em que aduz o seguinte: 4.1.1. Em relação a distribuição de riscos relativos a atraso na obra civil, a Concessionária alega: 4.1.1.1. Que a posição do Estado de que o risco da realização tempestiva das obras civis deveria ser compartilhado com a Concessionária mostra-se flagrantemente equivocada. 4.1.1.2. Que o item 11.4 do contrato de concessão é claro ao atribuir ao Estado a responsabilidade exclusiva pela conclusão das obras civis. O prazo máximo para isso era de 18 meses, contados a partir da emissão da Ordem de Serviço de Fabricação, sob pena do pagamento de multa contratual. 4.1.1.3. Que o Quarto Aditivo, por sua vez, ressalvou expressamente o direito da Concessionária de pleitear a recomposição do equilíbrio econômico-financeiro em razão dos eventos supervenientes (reprogramação de datas e adoção do modelo de subfaseamento). Portanto, tornou-se definitivamente superada a discussão sobre o caráter unilateral ou consensual das alterações contratuais para postergar o início da operação comercial plena e, ao mesmo tempo, estabelecer a prestação parcelada dos serviços. De todo modo, o direito ao reequilíbrio não decorre apenas do previsto no contrato de concessão e posteriores aditamentos, mas possui fundamento legal e constitucional, como demonstrado nas alegações iniciais desta Concessionária. 2 Neste item, utilizei trechos de textos constantes dos documentos trazidos aos autos pelas partes sem preocupação de seguir as formalidades para citação, mas com preocupação apenas de fidelidade de conteúdo e de atribuição. 18
  • 19.
    4.1.1.4. Que, nesse contexto, seria, portanto, flagrantemente contrária a lei – e consequentemente inválida sob o ponto de vista jurídico – a cláusula que privasse a Concessionária do direito de reivindicar a recomposição equilíbrio econômico-financeiro, no caso, de alteração contratual enquadrável em qualquer das hipóteses do artigo 57, §1º, da Lei nº 8.666/93 (v.g. prorrogação de prazos e alteração do projeto ou das especificações por interesse da Administração). A Concessionária alega que também o artigo 37, XXI, da Constituição Federal, dispõe nesse mesmo sentido. 4.1.1.5. Que, como o risco de atraso nas obras civis cabia exclusivamente ao Estado, a sua verificação implica em inadimplemento contratual, com a conseqüente obrigação de ressarcimento dos prejuízos sofridos pela Concessionária. 4.1.1.6. Que o conceito de reequilíbrio econômico-financeiro dos contratos administrativos em geral (e do contrato de concessão patrocinada em especial) equivale ao dever de indenizar do ordenamento civilístico. Os prejuízos indenizáveis abrangem não só o dano emergente (custos diretos e indiretos experimentados pela Concessionária), mas também os lucros cessantes (frustração das receitas projetadas para realizar a TIR prevista no Plano de Negócios). 4.1.1.7. Que a Concessionária, conforme mencionado em oportunidade anterior, em momento algum contribuiu para o atraso das obras civis. Ao contrário, agiu sempre de boa-fé e cumpriu rigorosamente as obrigações que lhe cabiam por força do contrato de concessão. 4.1.2. Sobre a compatibilidade entre o regime de multas e o direito à recomposição do equilíbrio econômico-financeiro, a Concessionária argumenta: 4.1.2.1. Que a previsão de multa contratual não exclui o direito ao reequilíbrio pelas seguintes razões. Primeiro, porque a demora no início da operação comercial plena, por conta do atraso na conclusão das obras civis, ultrapassou consideravelmente o período de aplicação da multa contratual, tornando-as ineficazes para ressarcir o prejuízo efetivamente sofrido pela Concessionária. Segundo, porque os aditamentos posteriormente celebrados entre o Estado e a Concessionária, especialmente o Quarto Aditivo, recalcularam o valor da multa e reservaram a sua incidência apenas para a hipótese de não serem respeitados os novos prazos para inauguração das várias etapas da operação subfaseada. 4.1.2.2. Paralelamente, ficou ressalvado o direito de a Concessionária pleitear a recomposição do equilíbrio econômico-financeiro. Em outras palavras, a decisão de afastar a incidência das multas estipuladas para o atraso na conclusão das obras civis, substituindo-as pelo reequilíbrio contratual, foi tomada de forma conjunta e no melhor interesse de ambas as partes. 4.1.3. Sobre a alegação de que não tinha condições de entregar os trens nos prazos originalmente pactuados, a Concessionária afirma: 19
  • 20.
    4.1.3.1. Que não corresponde à verdade a alegação do Estado, de que a Concessionária não tinha condições de cumprir sua obrigação de entregar os trens, de acordo com o cronograma previsto no contrato de concessão. 4.1.4. Sobre a alegação de que não a Concessionária concordou com o faseamento a Concessionária afirma: 4.1.4.1. Que o Estado contradiz a realidade quando afirma que a Concessionária concordou com o subfaseamento porque isso também era do seu interesse. 4.1.4.2. Que após a emissão da Ordem de Serviço de Fabricação, a Concessionária efetivamente encomendou todos os trens exigidos pelo contrato de concessão e contraiu financiamento para o custeio desse e de outros investimentos que lhe competia fazer. Essa decisão implicou em despesas e custos não previstos em razão dos atrasos e do subfaseamento, tudo isso redundando em prejuízos objeto do pedido de recomposição do equilíbrio. E que, por isso, não é correto alegar que o subfaseamento visava a atender aos interesses da Concessionária. Pois, a rigor, o subfaseamento foi a fórmula encontrada pelo Estado para antecipar parcialmente a prestação dos serviços, em benefício da população usuária. 4.1.5. Sobre a alegação de que a Concessionária teria se beneficiado com a emissão imediata da Ordem de Serviço de Projeto para obtenção de financiamento a valores abaixo dos previstos em sua proposta, sustenta a Concessionária que: 4.1.5.1. É verdade que a emissão da Ordem de Serviço de Fabricação permitiu à Concessionária celebrar desde logo o contrato de financiamento com organismo multilateral em condições relativamente vantajosas. No entanto, isso não significa que a Ordem de Serviço de Fabricação foi dada a pedido da Concessionária e, portanto, por sua conta e risco. 4.1.5.2. A conclusão tempestiva das obras civis era obrigação exclusiva do Estado, de forma que a Ordem de Serviço de Fabricação somente deveria ter sido dada no próprio interesse do Estado e após assegurada a sua capacidade de cumprir com os prazos determinados no contrato de concessão. Não procede a alegação do Estado de que tal Ordem de Serviço de Fabricação teria sido dada somente em benefício da Concessionária. Isso porque o Estado podia decidir livremente o momento de emitir a Ordem de Serviço de Fabricação; se errou nos cálculos, deve agora responder pelas consequências do seu ato perante a Concessionária. 4.1.6. Sobre a utilização da TIR como critério para recomposição do equilíbrio econômico-financeiro, a Concessionária sustenta que 4.1.6.1. A Taxa Interna de Retorno (TIR) é uma variável implícita em qualquer Plano de Negócios, na medida em que corresponde ao desconto aplicado às projeções futuras do fluxo de caixa do empreendimento, abrangendo as receitas e despesas esperadas durante a vigência do contrato de concessão, de modo a produzir um valor presente líquido (VPL) igual a zero. Com base nessa lógica financeira, fica fácil perceber que a TIR pressuposta no Plano de Negócios da Concessionária era 15,13%, ainda que não estivesse ali expressamente declarada. De resto, o Estado, por intermédio de seus 20
  • 21.
    agentes, confirmou posteriormenteque a TIR adotada no Plano de Negócios foi realmente de 15,13%, afastando qualquer dúvida quantitativa nesse particular. 4.1.6.2. O Plano de Negócios apresentado não é um mero instrumento para o Estado avaliar a exequibilidade das propostas econômicas apresentadas na fase da licitação. Na verdade, o Plano de Negócio consolida as informações (premissas, cenários futuros, variáveis econômicas, cálculos financeiros) consideradas determinantes para orientar a decisão de investimento dos concorrentes, como base na chamada Taxa Mínima de Atratividade (TMA). Sendo o Plano de Negócios um anexo da proposta de cada licitante (e também do contrato de concessão posteriormente celebrado com o vencedor da licitação), torna-se forçoso admitir o seu caráter vinculante em relação ao Estado (poder concedente), para todos os efeitos jurídicos, sobretudo no que se refere à eventual recomposição do equilíbrio econômico-financeiro. 4.1.7. No tocante a correlação entre risco de demanda e recomposição do equilíbrio econômico-financeiro, a Concessionária alega que: 4.1.7.1. O risco da demanda, conforme previsto no contrato de concessão, não é afetado quando a recomposição é efetuada com base na TIR. Isso porque o pedido de reequilíbrio no caso concreto não se fundamenta no risco de demanda, mas sim no atraso das obras civis e decisão governamental de adotar o modelo de operação subfaseada que não estava previsto nem no edital, nem no contrato de concessão afinal celebrado. Ambos os eventos (reprogramação de datas e subfaseamento) alteraram radicalmente as projeções adotadas no Plano de Negócios, implicando a frustração de receitas e a assunção de encargos adicionais, em prejuízo das legítimas expectativas da Concessionária de auferir a rentabilidade inicialmente prevista, que motivou sua decisão de investimento. 4.1.7.2. O risco da demanda não deve ser suportado pela Concessionária além do estritamente estabelecido no contrato de concessão, se a causa que originou a redução das receitas tarifárias é imputável exclusivamente ao Estado. O fato de o risco de demanda ser compartilhado não significa que o Estado possa unilateralmente postergar o início da operação ou alterar a forma de prestação dos serviços (cláusulas regulamentares), com impacto no número de passageiros transportados, sem que daí decorra nenhuma responsabilidade perante a Concessionária. A previsão do compartilhamento não serve de justificativa para o Estado negar a obrigação de reequilibrar o contrato de concessão, em face da superveniência de eventos cujo risco não foi contratualmente assumido pela Concessionária. 4.1.7.3. A adoção das projeções do Plano de Negócios, para efeito de calcular o valor desequilíbrio, nem sempre é favorável à Concessionária, mormente quando a demanda real está muito aquém da estimada, como de fato ocorre no caso concreto. 4.1.7.4. A doutrina trazida pelo Poder Concedente, para sustentar que a TIR não pode ser o único critério para recomposição do equilíbrio econômico- 21
  • 22.
    financeiro, não seaplica ao caso concreto. Isso porque o contrato de concessão dispôs sobre o assunto de modo diverso, ao prescrever expressamente no item 13.6, que o cálculo do valor do desequilíbrio deve tomar por base as projeções constantes do Plano de Negócios que integra a proposta econômica do Concessionário. Essa disposição nada tem de ilegal ou inconstitucional, mas apenas reflete uma opção estratégica do Estado para tornar mais atrativa participação no certame pelos investidores privados. 4.1.7.5. A Concessionária não pode ser penalizada, quando se verifica algum evento de desequilíbrio para o qual não tenha concorrido por qualquer forma. A penalização ocorreria se o valor do desequilíbrio fosse calculado sem considerar a TIR do Plano de Negócios, na medida em que a Concessionária ficaria impedida de auferir a rentabilidade inicialmente projetada. A obrigação de recomposição assemelha-se à responsabilização civil de quem foi culpado pela perda de uma chance que poderia ser aproveitada por outrem de forma lucrativa. 4.1.8. Sobre a acusação de que a recomposição do equilíbrio econômico-financeiro com base na TIR levaria a dar-se à Concessionária rentabilidade garantida, eximindo a Concessionária de riscos que ela assumiu no Contrato de Concessão, a Concessionária afirma que não está reivindicando nenhuma garantia de rentabilidade. E que, a rigor, se não tivesse ocorrido o evento de desequilíbrio, a TIR do Plano de Negócio não deveria ser recomposta. A Concessionária auferiria a rentabilidade proporcionada pelas condições econômicas vigentes no momento atual, independentemente das previsões constantes do Plano de Negócios. Mas não foi isso o que aconteceu, pois a expectativa de realizar o Plano de Negócios foi frustrada por culpa do Estado, que não cumpriu com a obrigação de disponibilizar a infraestrutura no prazo estipulado e, além disso, alterou as condições de prestação do serviço com a adoção do subfaseamento. 4.1.9. Quanto à alegação do Estado de que atualmente a realidade é diversa do momento em que foi elaborado o Plano de Negócios, a Concessionária afirma que: 4.1.9.1. Isso apenas reforça a boa fé e coerência da Concessionária. Isso porque a recomposição referenciada às projeções previstas no Plano de Negócios opera tanto a favor quanto contra a Concessionária, conforme a realidade verificada for melhor ou pior do que a projetada. 4.1.9.2. O Plano de Negócios representa aquilo que foi acordado entre as partes no momento da celebração do contrato de concessão. O cálculo da recomposição por critérios desconectados das projeções do Plano de Negócios significa o descumprimento do pactuado, além introduzir elevada dose de subjetivismo na escolha de novas premissas e antecipação de cenários futuros que irão influenciar a geração de caixa da Concessionária. Ater-se ao Plano de Negócios, portanto, propicia maior previsibilidade e segurança jurídica, o que é fundamental para atração de investimentos privados em infraestrutura pública, considerados essenciais para o desenvolvimento econômico do país. 22
  • 23.
    4.1.9.3. A eventual deterioração das condições macro e microeconômicas que orientaram a elaboração do Plano de Negócios, quando da apresentação da proposta, foi um risco assumido pela Concessionária. A mesma regra deve prevalecer se for constatado o contrário, vale dizer, se o cenário presente for melhor do que o imaginado no passado. Não faz sentido adotar dois pesos e duas medidas para o cálculo do desequilíbrio, beneficiando indiretamente a Concessionária se a condições pioraram, ou favorecendo-a se ocorrer a situação inversa. 4.1.10. E conclui solicitando que a recomposição do equilíbrio econômico- financeiro seja apurada tomando-se como referência a data base da apresentação da proposta, na medida em que ela reflete as condições econômicas vigentes naquele momento. 4.2. Em tréplica oferecida em 20 de maio de 2011, o Estado aduziu o seguinte: 4.2.1. Em relação à consensualidade das alterações no projeto: 4.2.1.1. Que as alterações realizadas no contrato, basicamente subfaseamento e mudança de prazos, foram feitas consensualmente. 4.2.1.2. Que a Concessionária tinha a seu alcance o instrumento das multas contratuais por atraso, que poderia compensá-la dos eventuais prejuízos conseqüentes da alteração dos prazos. 4.2.1.3. Que, em relação ao subfaseamento, a Concessionária poderia ter solicitado reequilíbrio como condição de aceitação do sub-faseamento, mas não o fez. Aceitou consensualmente a realização do subfaseamento. 4.2.1.4. Que a razão que a Concessionária não questionou tempestivamente o subfaseamento e não solicitou tempestivamente a aplicação das multas é que ela teria conseguido ainda na época da celebração do primeiro aditivo condições favoráveis de financiamento, condições estas que somente seriam chanceladas pela Instituição Financeira caso o Governo emitisse a ordem de serviço, o que veio a fazer exatamente um dia após a celebração do 1º aditivo. 4.2.2. No tocante à utilização do Plano de Negócios para a realização do equilíbrio econômico-financeiro: 4.2.2.1. Que a recomposição do equilíbrio econômico-financeiro é mecanismo secundário e residual dentro da lógica de distribuição de riscos prevista no contrato, e que, por isso, a utilização do pedido de recomposição do equilíbrio econômico-financeiro e da utilização da TIR prevista no Plano de Negócios para tanto só pode ser realizada excepcionalmente, o que não é o caso aqui, pois há outros mecanismos no contrato para a compensação dos prejuízos da Concessionária. 4.2.2.1.1. Exemplifica isso mostrando que no caso da variação da demanda o mecanismo de reequilíbrio só é aplicável quando a variação da demanda for maior que 40% do que a esperada. Se menor que 40%, o contrato estabelece uma regra específica que afasta a possibilidade de utilização da garantia do equilíbrio econômico-financeiro. E que se 23
  • 24.
    entender diferente seriaassegurar à Concessionária o pleito de reequilíbrio cada vez que a demanda vier a variar. 4.2.2.2. Que o Plano de Negócios é no Contrato de Concessão sobretudo um instrumento para viabilizar a análise, pelo Poder Concedente, da capacidade da Concessionária executar o que propôs na licitação, e não como um instrumento vinculante, sob pena de distorcer todo o conjunto de atribuições de riscos estabelecidos no contrato. 4.2.2.2.1. Exemplifica isso dizendo que a Tarifa de Remuneração de R$ 2,08 por passageiro transportado, conforme o disposto na Cláusula Sexta, item 6.1, é vinculante apesar de, conforme plano apresentado pela Concessionária, a tarifa necessária para garantir a TIR de projeto de 15.13% prevista no Plano de Negócios seria de R$ 2,14 por passageiro. O fato da tarifa real, vinculante, prevista no contrato ser menor do que a prevista no Plano de Negócios, não necessariamente implica em sua correção para garantir a TIR ali prevista para a Concessionária. 4.2.2.3. Que caso esses outros mecanismos contratuais sejam ignorados a favor da garantia da TIR de 15.13% prevista no Plano de Negócios estar-se-ia a converter o Contrato de Concessão em um investimento comparável a um título público, pois significaria livrar a Concessionária dos riscos inerentes ao negócio assegurando-lhe uma remuneração fixa independetemente das ocorrências que cercam o negócio e do seu desempenho na gestão dos riscos inerentes ao negócio. 4.2.2.4. Que haveria fazer prevalecer a TIR prevista em um anexo ao contrato (o Plano de Negócios) sobre as regras contratuais que dispõe especificamente sobre como lidar com cada um dos riscos contratuais seria contrariar a regra prevista no item 3.2 do Contrato que diz que “No caso de divergência entre o CONTRATO e seus anexos, prevalecerá o disposto no CONTRATO”. 4.2.2.5. Propõe fórmula para cálculo para os gastos havidos pela Concessionária por conseqüência do subfaseamento, na qual se compense tais gastos com eventuais economias de investimento realizadas por conta do subfaseamento. A fórmula proposta pelo Estado é a seguinte: D=B–A+C Em que D é o valor devido pelo Estado pelo aumento de gastos; A = Valores que seriam gastos sem o subfaseamento; B = Valores que foram gastos em virtude subfaseamento; C = Valores que foram salvos em virtude da postergação de investimentos. 4.2.2.6. Propõe por fim que quanto ao custo de oportunidade decorrente das receitas que a Concessionária alega não ter recebido, eventual valor a ser compensado deve ser calculado usando-se o Custo Médio Ponderado de Capital da Concessionária (“WACC”) à época da proposta como parâmetro. 24
  • 25.
    Este WACC seriacalculado sobre a demanda prevista no item 3.1 do plano de negócios. Ao final seriam retiradas as receitas extras auferidas pela Concessionária em virtude da operação parcial das estações. O cálculo seria feito então conforme a fórmula mais tradicional de Juros Simples, em que M = (C + i ) . N - G M = Valor devido pelo Estado por conta do custo de oportunidade. C = Demanda prevista no plano de negócios. i = WACC da companhia no momento da proposta; N = número de períodos de receita frustrada em virtude da não operação plena das operações. G = Receitas verificadas com a operação subfaseada da FASE I. É o relatório, passo então à fundamentação da decisão. 5. Fundamentação jurídica e análise dos argumentos das partes A garantia ao equilíbrio econômico-financeiro e sua fundamentação legal e constitucional 5.1. O artigo 37, inciso XXI, da Constituição Federal dispõe que: “Art. 37. A administração pública direta e indireta de qualquer dos Poderes da União, dos Estados, do Distrito Federal e dos Municípios obedecerá aos princípios de legalidade, impessoalidade, moralidade, publicidade e eficiência e, também, ao seguinte: (...) XXI - ressalvados os casos especificados na legislação, as obras, serviços, compras e alienações serão contratados mediante processo de licitação pública que assegure igualdade de condições a todos os concorrentes, com cláusulas que estabeleçam obrigações de pagamento, mantidas as condições efetivas da proposta, nos termos da lei, o qual somente permitirá as exigências de qualificação técnica e econômica indispensáveis à garantia do cumprimento das obrigações.” 5.1.1. Apesar de ser costume da doutrina jurídica e jurisprudencia do Direito Administrativo brasileiro vincular a esse dispositivo constitucional a garantia do equilíbrio econômico-financeiro, tenho sustentado3 que não há na Constituição Federal qualquer exigência de garantia de equilíbrio econômico-financeiro de 3 Cf.: Ribeiro, Mauricio Portugal, Concessões e PPPs: melhores práticas em contratos e licitações, Rio de Janeiro, 2010, Mimeo; e, Ribeiro, Mauricio Portugal e Prado, Lucas Navarro, Comentários à Lei de PPP – fundamentos econômico-jurídicos, Malheiros Editores, São Paulo, 2007. 25
  • 26.
    contratos administrativos, ouum “direito ao equillíbrio econômico-financeiro do contrato” que possa ser extraído diretamente e sem mais desse dispositivo. 5.1.2. Perceba-se que no que concerne ao tema da garantia ao equilíbrio econômico- financeiro de contratos, o dispositivo comentado fala apenas em “... cláusulas que estabeleçam obrigações de pagamento, mantidas as condições efetivas da proposta, nos termos da lei...”. 5.1.3. Portanto, o que a Constituição Federal protege é a manutenção das condições efetivas da proposta, nos termos da lei. 5.1.4. Em primeiro lugar, é preciso indagar se há um núcleo duro de sentido na expressão “manutenção das condições efetivas da proposta”. E me parece claro que não, pois existe um extenso universo de possibilidades de interpretação do que seria “condições da proposta”, do que seria “efetivas”, e do que seria a sua “manutenção”. Para cada uma dessas expressões há um universo de possibilidades de interpretação e correlatamente procedimentos e formas que poderiam ser adotados para tutelar ou executar a “manutenção das condições efetivas da proposta”. 5.1.5. Se olharmos, contudo, esse dispositivo de uma perspectiva econômico e financeira, e considerando a percepção de que todos os contratos complexos são sobretudo instrumentos de alocação/distribuição de riscos, a melhor interpretação de “condições efetivas da proposta” é como uma referência ao conjunto de elementos positivados na minuta de contrato, veiculada em conjunto com o edital de licitação, e a vista dos quais a proposta do participante da licitação pública é formulada. Deve-se, pois, entender como “condições efetivas da proposta” tanto o objeto das prestações das partes, quanto a matriz de riscos contratual, que são o cerne de qualquer contrato. 5.1.6. O objeto das prestações contratuais é o que caracteriza o tipo de contrato a ser firmado, e isso, nos contratos administrativos, evidentemente não pode ser alterado, sob pena, inclusive de constituir burla à exigência de prévia licitação. 5.1.7. A matriz de riscos contratual, por sua vez, é a distribuição entre as partes da responsabilidade por prevenir, controlar (quando possível), mitigar as conseqüências e reparar os efeitos de ocorrências que afetem a execução das prestações contratuais de cada uma das partes. 5.2. Ainda que a melhor interpretação da disposição constitucional seja no sentido da estabilização do objeto das prestações e da matriz de riscos do contrato, é preciso não olvidar que a referência constitucional às condições efetivas da proposta é modalizada, já na sua gênese, pela expressão “nos termos da lei”, que remete, assim, à legislação infraconstitucional os contornos de como a proposta deve ser mantida. E, considerando que se trata no caso em análise de uma concessão patrocinada, será necessário em primeiro lugar voltar atenção para o artigo 10, da Lei 8.987/95, que diz que: “Art. 10. Sempre que forem atendidas as condições do contrato, considera-se mantido seu equilíbrio econômico-financeiro.” 5.2.1. Esse dispositivo remete a cada contrato a formulação do que é o seu equilíbrio econômico-finacneiro e de quais são os mecanismos e instrumentos para a manutenção das condições da proposta. 26
  • 27.
    5.2.2. À luzdesse dispositivo, não há que se falar, para os contratos de concessão (comum, patrocinada e administrativa) de um direito geral, de uma garantia aberta ao equilíbrio econômico-financeiro dos contratos. O mecanismo de recomposição de equilíbrio econômico-financeiro existe na medida em que ele esteja previsto e disciplinado no contrato. 5.2.3. E como a Lei 8.987/95 é especial e posterior à Lei 8.666/93 a interpretação conforme a melhor técnica jurídica é de que ela afasta as disposições da Lei 8.666/93 sobre o assunto. 5.2.4. Isso já direciona a condição para a solução da controvérsia mencionada no item 2.7.1 acima. Pois, a questão de se há ou não o direito da Concessionária ao equilíbrio econômico-financeiro, neste contexto, deve ser analisado à luz exclusivamente do Contrato de Concessão. 5.3. De qualquer modo, uma vez que existe corrente doutrinária que, por razões pouco claras, discorda do afastamento pela Lei 8.987/95 das disposições sobre equilíbrio econômico-financeiro previstas na Lei 8.666/93, e tendo em vista que a Concessionária invocou dispositivos da Lei 8.666/93, com a finalidade de maximizar a clareza e a completude da presente decisão, vou analisar também o caso à luz da Lei 8.666/93, apesar de entender que os parâmetros legais para verificação da existência de um direito ao reequilíbrio econômico-financeiro são nesse caso dados pela Lei 8.987/95. 5.3.1. A Lei 8.666/93, nos seus artigos 57, 65 e em outros menciona o direito ao equilíbrio econômico-financeiro do contrato. 5.3.2. A regulação nela prevista é bastante mal feita, não havendo por exemplo qualquer explicação do que significa recompor o equilíbrio econômico-financeiro. Isto é: a conseqüência da incidência de um eventual direito de recomposição do equilíbrio econômico-financeiro sequer é mencionada pela Lei 8.666/93, sequer é tratada. 5.3.3. É como se a execução da recomposição do equilíbrio econômico-financeiro fosse algo óbvio, fácil, plenamente definido em sede jurisprudencial e doutrinária. O que não é. 5.3.4. De qualquer modo, apesar da dispersão da disciplina prevista na Lei 8.666/93, é possível resumir em duas hipóteses principais os eventos nela previstos como causadores do surgimento de um eventual direito à recomposição do equilíbrio econômico-financeiro. 5.3.5. O primeiro caso é o de alteração unilateral do contrato pela Administração Pública para cumprimento de interesse público. Nessa hipótese se enquadram os casos de alteração de projeto, alteração de níveis de serviço, e modificação de quaisquer outras disposições regulamentares do contrato que o Poder Público deseje alterar para satisfazer um interesse público superveniente à licitação. 5.3.6. O segundo caso é o de ocorrência que represente álea extraordinária e extracontratual que impacte a execução do contrato, e o dispositivo da Lei 8.666/93 sobre o assunto, o art. 65, inciso II, alínea “d”, menciona, entre outros os eventos considerados caso fortuito, força maior, fato do príncipe etc. 27
  • 28.
    5.3.7. Isso significaque, por lei, a Administração Pública brasileira é responsável, nos contratos administrativos que celebra pelo risco de eventos que sejam concomitantemente extracontratuais e extraordinários. 5.3.8. Contudo, supondo-se, como eu disse acima, para efeitos argumentativos a aplicação da Lei 8.666/93 ao Contrato de Concessão no que concerne ao equilíbrio econômico-financeiro, é preciso mencionar que, em relação aos contratos de concessão administrativa e patrocinada, a Lei 11.079/04 afastou o art. 65, inciso II, alínea “d” da Lei 8.666/93, ao estabelecer que: “Art. 5° As cláusulas dos contratos de parceria público-privada atenderão ao . disposto no art. 23 da Lei no 8.987, de 13 de fevereiro de 1995, no que couber, devendo também prever: (...) III – a repartição de riscos entre as partes, inclusive os referentes a caso fortuito, força maior, fato do príncipe e álea econômica extraordinária;” 5.3.9. Isso quer dizer que em relação às concessões administrativas e patrocinadas, a Lei de PPP não exige que a administração pública assuma o risco de eventos extracontratuais e extraordinários. O contrato pode distribuir esses riscos entre as partes da forma que for mais conveniente no caso concreto, com o objetivo de maximizar a eficiência da execução do contrato. 5.4. Dessa resenha preliminar resulta que: (a) de acordo com a Lei 8.987/95 o direito ao equilíbrio econômico-financeiro depende exclusivamente do disposto no Contrato de Concessão; (b) de acordo com a Lei 8.666/93, o direito ao equilíbrio econômico- financeiro só surge se ocorrer alteração do contrato pela Administração Pública, ou se ocorrer evento extraordinário e extracontratual que impacte de forma relevante a execução do contrato. 5.5. A análise da questão à luz da Lei 8.666/93, como já dito acima, se faz apenas para clareza e pronunciamento sobre todas as matérias controversas e argumentos levantados pelas partes, uma vez que, no meu entendimento, como já mencionei acima, o art. 10, da Lei 8.987/95 afasta a incidência, nesse caso, dos dispositivos sobre o tema constantes da Lei 8.666/93. Passo, então, à análise do Contrato de Concessão. O direito ao equilíbrio econômico-financeiro à luz do Contrato de Concessão e dos seus aditivos 5.6. O projeto da concessão da Linha 4 do Metrô foi inicialmente estruturado sob a assessoria do Unibanco ao Governo do Estado de São Paulo, sob a Lei de Concessões, Lei 8.987/95. 5.7. Após a aprovação da Lei Federal de PPP e da Lei de PPP do Estado de São Paulo, o projeto foi retomado pelo Estado de São Paulo, que reestruturou completamente a minuta de contrato então disponível. Nessa reestruturação, os agentes públicos e consultores envolvidos enfrentaram uma série de resistências da corporação do Metrô, e o desafio não apenas de encontrar as fórmulas adequadas, mas também de convencer diversos atores internos e externos do Governo da eficiência das inovações que propuseram. Resultou desse processo uma modelagem financeira e jurídica do 28
  • 29.
    projeto, com umnível de qualidade diferenciado em relação ao existente na época no Brasil. 5.8. A perfeição do trabalho de elaboração da minuta de contrato se mostra, sobretudo, na forma como distribuiu os riscos e criou mitigantes para os principais riscos específicos do projeto, entre eles os dois riscos que são objeto de controvérsia no caso em tela: o de atraso nas obras e o de demanda dos serviços. 5.9. Esses riscos estão mitigados no contrato pelo estabelecimento de diversos mecanismos bastante inovadores. 5.10. Esses mecanismos, contudo, têm seu funcionamento atrelado a algumas premissas e, por isso, eles são funcionais apenas em determinados cenários. Em outros cenários, naqueles que estão no âmbito do que a Lei 8.666/93, chamou de “extraordinário e extracontratual”, o contrato invoca a possibilidade de uso da recomposição do equilíbrio econômico-financeiro. Daí que, nesse caso, no projeto da concessão da Linha 4 do Metrô, me parece completamente harmônico o Contrato de Concessão com ambas a Lei 8.987/95 (e a idéia nela expressa de que é o contrato que estabelece o seu sistema de equilíbrio econômico-financeiro), e a Lei 8.666/93, que estabelece que a recomposição do equilíbrio é cabível ou por alteração unilateral (imposta pela Administração Pública para cumprir um dado interesse público), ou pela ocorrência de evento extraordinário e extracontratual. 5.11. O marco que viabiliza essa compatibilidade entre o modo como o equilíbrio econômico-financeiro é tratado no contrato e a Lei 8.666/93 é a clareza com o contrato separa os eventos contratuais daqueles sem tratamento específico no contrato. Para esses últimos, o contrato cria, por meio da enumeração taxativa, constante da Cláusula Décima Segunda, o direito à recomposição do equilíbrio econômico-financeiro. 5.11.1. Por exemplo, no caso do risco de demanda, o contrato estabelece mecanismos claros de mitigação da demanda para uma variação de mais que 40% em relação a demanda originalmente projetada. E diz que qualquer variação de demanda para além desse percentual, é motivo para a recomposição do equilíbrio econômico- financeiro (Cláusula Décima Primeira do Contrato de Concessão, no seu item 11.1.9). 5.11.2. Já o risco de atraso das obras civis é tratado de forma bastante diferente no Contrato de Concessão. Ao contrário do risco de demanda, o atraso das obras foi tratado à exaustão no contrato, por meio do estabelecimento de multas contratuais claras para os atrasos a serem pagas pelo Poder Público ao Concessionário. Essas multas liquidam os danos potenciais que possam ser causados pelos atrasos à Concessionária. 5.11.3. Esse tratamento contratual do risco de atraso das obras faz todo sentido em um contexto em que atrasos em obras são a regra, enquanto que obras concluídas nos prazos são exceções bastante raras – mesmo quando há compromissos eleitorais que põem em curso regime formal ou informal de urgência na sua execução. Daí que, neste caso, o atraso da obra civil, apesar de ser risco claramente atribuído ao Estado, não é nem extracontratual (pois as suas conseqüências estão claramente contratualizadas), nem extraordinário, pois tais atrasos são esperados, e, sua ocorrência, em nada surpreende aqueles que 29
  • 30.
    conhecem minimamente omundo das obras públicas. Isso responde à parcela ainda não respondida até aqui da controvérsia mencionada no item 2.7.3 acima. 5.12. Perceba-se, além disso, que a Cláusula 11 do Contrato de Concessão, que é a que disciplina as condições de surgimento do direito ao equilíbrio econômico- financeiro, apesar de expressamente e taxativamente enumerar as hipóteses de reequilíbrio do contrato, não menciona em momento algum o atraso da obra civil como motor de arranque para o surgimento do direito ao equilíbrio econômico-financeiro. E isso não foi por acaso. Trata-se de um desdobramento da previsão no Contrato de Concessão de multas claras para compensar o Concessionário pelos eventuais atrasos na obra civil. 5.13. Disto se conclui que não há no Contrato de Concessão previsão de direito ao equilíbrio econômico-financeiro para o caso de atraso de obra civil. Apesar do risco do atraso da obra ser atribuído claramente pelo contrato ao Estado, a compensação ao Concessionário pela materialização do evento gravoso relacionado a tal risco é o pagamento das multas claramente definidas para tanto no contrato. Isso resolve claramente a questão controvertida descrita pelo item 2.7.5 acima. 5.14. Por fim, uma nota para dizer que, malgrado os méritos do Contrato de Concessão ele – assim, aliás, como a doutrina e a jurisprudência brasileiras – apesar de apontar para o Plano de Negócios como instrumento para a recomposição do equilíbrio econômico-financeiro, não especifica o que significa recompor o equilíbrio econômico-financeiro. E isso, dá margem, no caso em análise, a outro conjunto de controvérsias sobre qual o critério, metodologia e parâmetros para uma eventual recomposição do equilíbrio econômico-financeiro, caso esse reequilíbrio venha a ocorrer; questões essas que estão apontadas nos itens 2.7.7, 2.7.8 e 2.7.9 acima, que, como se verá a seguir, restarão prejudicadas pelo conteúdo da presente decisão. 5.15. De qualquer modo, antes de firmar, neste caso, que as questões tratadas nos itens 2.7.7, 2.7.8 e 2.7.9 sobre a metodologia para recomposição do equilíbrio econômico-financeiro estão prejudicadas será preciso investigar o que os Aditivos ao contrato dizem sobre o assunto. Essa análise dos Aditivos será também importante para lidar com as controvérsias mencionadas nos itens 2.7.2 e 2.7.3. O impacto dos aditivos ao contrato sobre o eventual direito à recomposição do equilíbrio econômico-financeiro 5.16. O Aditivo 1 ao Contrato de Concessão foi assinado em 30 de novembro de 2007. No que atina ao presente caso, esse aditivo modificou as projeções de demanda para um cenário em que a entrada em operação da Estação de Pinheiros seria retardada por conta do acidente havido na obra civil. Facilitou, além disso, a emissão da ordem de serviço de projeto, ao condicioná-la exclusivamente ao item 4.2.1.2 do Contrato de Concessão. 5.17. O Aditivo 2 foi assinado em 29 de maio de 2008 para alterar o prazo entre a Ordem de Serviço de Fabricação e a entrada em operação do serviço, modificando o prazo originário de 18 meses para 20 meses e 9 dias. Além disso, foram alterados os prazos para as entregas parciais das obras. 30
  • 31.
    5.18. O Aditivo 3 foi assinado em 18 de junho de 2010, além de nova reprogramação dos prazos parciais das obras, nele aparece pela primeira vez a divisão da entrada em operação dos serviços programados originalmente para a Fase I em 3 subfases. 5.19. Ao mesmo tempo, esse aditivo prevê a reprogramação do pagamento da contraprestação pública e da entrada em vigência de alguns indicadores de qualidade do serviço para adequá-los ao subfaseamento. 5.20. Consta, também, desse aditivo, disposição (Cláusula 11.4.4) que diz que a previsão de multas para atraso das obras civis não implica renuncia ao direito à recomposição do equilíbrio econômico-financeiro. 5.21. O ajuste final entre as Partes até o presente é o Aditivo 4, que, assinado em 25 de março de 2011, traz também um novo cronograma para entrega das obras civis, no qual a subfase II (ou Trecho II, na linguagem usada por esse aditivo) é dividida em 3 etapas. Esse Aditivo adéqua, ainda, as cláusulas de multa e direito de rescisão do Contrato de Concessão pela Concessionária a essa nova realidade. 5.22. Assim como no Aditivo 3, encontra-se, também, no Aditivo 4, cláusula (6.1) que diz que esse aditivo não importa em renuncia aos direitos assegurado às Partes pelo Contrato de Concessão. 5.23. Por fim, e também na cláusula supracitada, o Aditivo 4 enuncia que: “Os efeitos decorrentes dos eventos de desequilíbrio econômico-financeiro do CONTRATO em razão das alterações ocorridas após a assinatura do CONTRATO, incluindo as advindas de TERMOS ADITIVOS, serão apurados e recompostos em procedimento específico, da forma da Cláusula 13 do CONTRATO, observado o quanto disposto na Cláusula 13.5, in fine do CONTRATO.” 5.24. Vale a pena listar o conjunto de questões que emergem desses Aditivos antes de me pronunciar sobre elas: a) A assinatura por si dos aditivos reprogramando as datas implicou em renúncia pela Concessionária ao seu direito de exigir o pagamento de multas? As ressalvas de que tais aditivos não se constituem em renúncia a qualquer direito foram suficientes para protegerem o direito da Concessionária à cobrança das multas para atraso das obras civis previstas no Contrato de Concessão? b) Supondo, apenas por hipótese, que se aplicam ao caso os parâmetros para recomposição do equilíbrio econômico-financeiro constantes da Lei 8.666/93, os aditivos e a reprogramação de prazos que eles realizam para entrega das obras e início da operação dos serviços podem ser considerados como alterações unilaterais do Contrato de Concessão para atendimento do interesse público, e por isso gerariam direito ao equilíbrio econômico-financeiro? A invocação do art. 57, §1° da Lei 8.666/93, que menciona o equilíbrio econômico-financeiro, como , fundamento para a realização dos respectivos aditivos é suficiente para fazer surgir o direito ao equilíbrio econômico-financeiro da Concessionária no caso em questão? Em que medida a ressalva expressa nos aditivos ao direito de recomposição do equilíbrio econômico-financeiro cria ou protege tal direito? 5.25. Passo à resposta a cada uma dessas questões. 5.26. A reprogramação das datas constante dos aditivos não implicou em qualquer renúncia da Concessionária ao direito de exigir as multas pelos atrasos da obra civil, 31
  • 32.
    por três razões:em primeiro lugar porque não há renuncia expressa nos Aditivos ao direito da cobrança das multas. Em segundo lugar, não se pode ter que a reprogramação das datas por si representa renúncia tácita ao direito à cobrança das multas. É que há diversos outros interesses – e, portanto, diversos outros motivos – para a Concessionária buscar uma reprogramação do cronograma, de maneira que não é possível supor que, ao fazê-lo, ela estaria a expressar tacitamente vontade de renunciar às multas cabíveis por atraso. Em terceiro lugar, porque as Partes pactuaram claramente nos aditivos que eles não implicam em renúncia de qualquer direito (Cf.: cláusula 6.1 do Aditivo 4, e penúltimo parágrafo do Aditivo 3). Fica afastada, desta forma, a idéia de que a assinatura dos aditivos levaria a qualquer tipo de renúncia do direito da Concessionária à cobrança de multas, e isso resolve totalmente a controvérsia apontada no item 2.7.2, e parcialmente aquela constante do item 2.7.3. 5.27. A segunda questão é em que medida os aditivos caracterizam alteração unilateral do contrato a exigir compensação por meio de equilíbrio econômico- financeiro. 5.28. A questão nos parece bastante simples no caso em tela. É que a alteração realizada no contrato pelos aditivos para adequação do cronograma de entrega da obra, entrada em operação dos serviços e seus apanágios, foi realizada em todos os casos para lidar com o problema criado pela materialização do evento gravoso relativo ao risco de atraso de obras, que, como já mencionamos diversas vezes, foi claramente atribuído ao Estado. 5.29. Há duas hipóteses possíveis de interpretação dessa questão: ou supomos que essas alterações são desdobramento da ocorrência gravosa relativa ao risco de atraso da obra, que, como já vimos acima, não gera, pelo contrato, direito a recomposição do equilíbrio econômico-financeiro, mas somente de pagamento de multas pelo Estado ao Concessionário; ou, supomos que, como se trata de reprogramação de datas de execução do contrato, isso se subsume necessariamente entre outros ao artigo 65, inciso I, alínea (a), e, por isso, seria necessária a realização da recomposição do equilíbrio econômico-financeiro, considerando não só custos, mas também impactos na demanda, nas receitas do concessionário. 5.30. Perfilhar esse último entendimento significaria simplesmente ignorar a distribuição de riscos do contrato, sobrepondo a ela uma distribuição genérica de riscos prevista na Lei 8.666/93; isso significaria que a Administração Pública, ao recompor o equilíbrio por conta da suposta alteração unilateral do contrato, estaria a pagar ao Concessionário por um risco que já foi precificado ao longo da licitação, no momento em que o Concessionário ofereceu preço que embutia a remuneração pelos riscos envolvidos no contrato. E isso seria evidentemente contra o princípio da eficiência e da economicidade da Administração Pública. 5.31. A alteração do cronograma, bilateral ou unilateral – para esse fim, pouco importa – é, neste caso, um desdobramento da necessidade de lidar com as conseqüências do atraso da obra civil. 5.32. Isso me parece completamente alheio à proteção que artigos como o 57, e 65, inc. I, alínea “a”, ambos da Lei 8.666/93, buscam atingir. 32
  • 33.
    5.33. Esses dispositivos têm por objetivo proteger o Concessionário de alterações feitas pela Administração Pública para adequarem o contrato ao interesse público. A recomposição do equilíbrio econômico-financeiro se faz nesses casos como uma compensação porque não é razoável que o contratado arque sozinho com os ônus da adequação do contrato ao interesse público, adequação essa que a todos beneficia. Por isso, não é razoável a Administração Pública, ou a coletividade enriquecer às custas do contratado. É um imperativo mesmo do princípio da igualdade que o contratado seja compensado nesses casos. 5.34. Contudo, no caso em tela, a situação é completamente diferente. Utilizar esses dispositivos para recompor o equilíbrio econômico-financeiro significaria compensar o Concessionário novamente, por evento para o qual já há compensação específica prevista no contrato, configurando bis in idem na compensação pelo evento gravoso e enriquecimento indevido do Concessionário. 5.35. Isso quer dizer que aplicar nesse caso a proteção constante do art. 65, inc. I, alínea “a”, seria dar execução à lei completamente à revelia dos seus objetivos, das suas razões. Pior que isso: seria aplicar a lei contra as suas razões, contra os seus óbvios objetivos, o que contrariaria princípio antigo e consolidado da interpretação e aplicação do direito: ubi eadem ratio, ubi eadem dispositio (o que está de acordo com a razão da lei, está de acordo com a lei). Por isso, não me parece razoável subsumir o caso ao previsto no art. 65, inc. I, alínea “a”, ou ao art. 57, ambos da Lei 8.666/93. 5.36. Por fim, para concluir essa investigação em torno dos aditivos do Contrato de Concessão, é preciso verificar em que medida a invocação expressa do artigo 57, § 1º, incisos I, II e V, da Lei nº 8.666/93 como fundamento dos aditivos e em que medida a ressalva da apuração posterior da recomposição do equilíbrio econômico-financeiro cria direito à recomposição do equilíbrio econômico financeiro do contrato. 5.37. A resposta nesse caso é muito simples. Evidentemente que a menção a dispositivos legais que tocam o tema do equilíbrio econômico-financeiro e a menção ao próprio equilíbrio econômico-financeiro não faz surgir o direito à recomposição do equilíbrio econômico-financeiro. 5.38. Uma base elementar de teoria geral do direito é suficiente para perceber que o direito à recomposição do equilíbrio econômico-financeiro surge quando se realizam as condições previstas nas normas para tanto. A atualização, a realização do conjunto dessas condições normativas (também chamadas de hipóteses normativas, condições de incidência etc.) é, juridicamente, a causa do surgimento da relação jurídica, isto é do plexo de direitos e deveres que vinculam as partes: aquela que tem o direito ao equilíbrio econômico-financeiro do contrato àquela que deve a recomposição do equilíbrio econômico-financeiro. 5.39. Dessa perspectiva, as menções nos Aditivos a artigos de Lei que tratam do equilíbrio econômico-financeiro e ao direito ao reequilíbrio a ser apurado em procedimento próprio não são mais do que instrumento retórico, pois elas nem estabelecem ou modificam as regras existentes sobre a recomposição do equilíbrio econômico-financeiro, nem dizem nada relevante sobre a ocorrência, sobre a materialização dos fatos, que, realizando as condições descritas nas hipóteses 33
  • 34.
    normativas, dariam cabidaao surgimento do direito à recomposição do equilíbrio econômico-financeiro do contrato. 5.40. Ressalto mais uma vez que faço toda essa argumentação em torno dos parâmetros da Lei 8.666/93 apenas para me pronunciar sobre todos os aspectos levantados pelas Partes. Meu entendimento, entretanto, como já disse mais acima, é que os parâmetros da Lei 8.666/93 não se aplicam a esse caso, apesar de reconhecer que o contrato foi feito de forma a ser perfeitamente compatível com a Lei 8.666/93, caso se entenda a sua aplicabilidade. Culpa da Concessionária e operação comercial da Fase I 5.41. Por fim, há duas questões de fato e de direito, elencadas entre as questões controvertidas mencionadas nos itens 2.7.4 e 2.7.6 acima, que não tive oportunidade de abordar na argumentação acima. Tratarei delas nas próximas linhas. 5.41.1. A controvérsia descrita no item 2.7.4 é se a Concessionária teria contribuído para o atraso da operação comercial da Fase I e o que é que carateriza “operação comercial da Fase I”, para todos os efeitos do Contrato de Concessão. 5.41.2. Analisando os autos, não há qualquer evidência de que a Concessionária tenha contribuído para o atraso do início da operação comercial. Apesar do Estado ter afirmado a culpa concorrente da Concessionária em relação ao atraso da entrada de operação dos serviços, e ter tentado, com isso, evitar a incidência da multa (conforme parte final do item 11.4, do Contrato de Concessão), o Estado não trouxe aos autos qualquer prova, qualquer evidencia de que a Concessionária tenha contribuído para o atraso do início da operação do serviço. 5.41.3. Quanto à definição de “operação comercial da Fase I” para todos os efeitos contratuais, inclusive a definição do prazo do Contrato de Concessão (que está atrelado pela Cláusula 4.1., do Contrato de Concessão, ao início da operação comercial da Fase I), e também para estabelecer a entrada em funcionamento do mecanismo de mitigação de demanda previsto no item 11.1.1 do Contrato de Concessão, não me parece haver espaço para dúvidas de que a data da entrada em operação da Fase I será a data em que todas as subfases e trechos da Fase I estiverem em operação. Essa data, conforme previsto no Aditivo 4, será a data de 15 de agosto de 2011. 5.41.4. É, pois, da data de 15 de agosto de 2011 que devem ser contados ambos o prazo de 30 anos de validade do contrato e a fluência do prazo em que valem os mecanismos por exemplo de mitigação do risco de demanda. 5.41.4.1. Talvez isso leve o contrato a ter mais que 35 anos de validade, o que não é permitido pela Lei de PPP Federal. Caso isso ocorra, conforme regra prevista no Contrato de Concessão, ele deverá ser resolvido em perdas e danos, a ser apurada em momento oportuno e procedimento próprio. 5.41.4.2. Com isso, resta resolvida a controvérsia mencionada no item 2.7.4. acima. Foi a Concessionária prejudicada pela reprogramação de datas? 34
  • 35.
    5.42. Quanto a saber se a Concessionária foi prejudicada pela reprogramação de datas e adoção do subfaseamento (2.7.6), essa questão ficou prejudicada. É que como já dito acima, o risco de atraso na obra é do Estado, que deve compensá-lo por meio do pagamento das multas contratuais, e não por meio de uma recomposição genérica do equilíbrio econômico-financeiro. Logo, pouco importa apurar se a Concessionária restou ou não prejudicada com o atraso. O que é relevante é que o atraso ocorreu e que no contrato existem multas claras previstas para compensação à Concessionária por esse atraso. Dimensionando o atraso no cumprimento das obrigações pelo Estado 5.43. Quanto ao tempo de atraso da entrada em operação do projeto (que é insumo essencial para dimensionamento da multa devida pelo Estado à Concessionária), o Contrato de Concessão estabelece que se o atraso for superior a 3 meses, contados do prazo previsto para entrada em operação do projeto, a partir do quarto mês, será devida a multa no valor de R$5.220.000 por mês de atraso, limitado o valor do pagamento a um máximo de 18 meses. A partir do décimo oitavo mês (isto é vigésimo primeiro mês de atraso) o Concessionário teria o direito de rescindir o contrato de Concessão. 5.43.1. Em relação a este ponto há um problema, não levantado pelas Partes, que demanda posicionamento anterior a decisão sobre o assunto. É que o Contrato de Concessão ao estabelecer a multa comete o que me parece um erro: estabelece como referencia para contagem do atraso que faz incidir a multa a data prevista para o início da operação comercial. Ora, a data prevista para o início da operação comercial é alguns meses posterior à data prevista para entrega das obras. Isso porque após a entrega das obras o Concessionário inicia a instalação dos sistemas e do material rodante, comissionamento, testes etc., para só então ser possível, após tudo isso, o início da operação comercial. Por isso, que, para efeito do pagamento da multa do Estado ao Concessionário, não faz sentido que o prazo de atraso seja contado da data prevista para início da operação comercial, e sim da data prevista para entrega das obras pelo Estado. 5.43.2. Entender-se o contrário seria permitir, por exemplo, que o Estado pudesse atrasar a entrega parcial de segmentos da obra civil, por mais que 3 meses, a ponto de disponibilizá-los ao Concessionário na véspera da data de início da operação comercial, e, por isso, por tê-lo feito antes da data de operação comercial, ficaria isento de multas, ficando o Concessionário, na esdrúxula situação de ser responsável pelo cumprimento do prazo previsto de operação comercial, com risco de receber multas (porque fatalmente atrasará), e sem direito a qualquer compensação pelo atraso incorrido pelo Estado. 5.43.3. Por isso que a data correta, a partir da qual a multa contratual deveria incidir é a de 3 meses após a data prevista para a entrega das obras. 5.43.4. Como, entretanto, o cronograma de entrega das obras contempla múltiplas datas, cada uma para uma entrega parcial da obra, como o Contrato de 35
  • 36.
    Concessão foi clarode que a multa deveria incidir a partir de atraso na data de operação comercial, e como nos diversos aditivos assinados parece ter sido preservado o prazo entre término das obras civis e entrada de operação dos serviços, de modo que a Concessionária pudesse realizar adequadamente e sem custos adicionais, a instalação e teste dos sistemas e término da fabricação, instalação e teste do material rodante, e considerando também que não houve qualquer questionamento da Concessionária sobre esse ponto, decido por dimensionar as multas considerando os prazos de atraso do início da operação comercial dos serviços. Liquidação da multa 5.44. Uma vez que a ordem de serviço de fabricação dos trens foi emitida em 30 de maio de 2008, que foi dado ao Concessionário 20 meses e 9 dias para entrada da operação do serviço contados dessa data, a multa contratual deverá iniciar a sua incidência após 23 meses e 9 dias contados do dia 30 de maio de 2008, isto é no dia 8 de maio de 2010. 5.45. A partir, portanto, do dia 8 de maio de 2010, até a data efetiva do início da operação comercial do serviço, é devida a multa mensal de R$5.220.000,00 pelo Estado à Concessionária, tendo em vista que não há prova nos autos que a Concessionária tenha contribuído para esses atrasos. 5.46. No entanto, é preciso verificar em que medida os Aditivos 3 e 4 modificaram a incidência dessa multa, e o direito ao pagamento dessa multa, na medida em que, no ato do subfaseamento realizado pelo Aditivo 3, houve também uma segmentação da multa para que ela correspondesse ao subfaseamento. 5.47. Como apesar do estabelecimento da, por assim dizer, multa subfaseada não houve renúncia pela Concessionária à cobrança das multas passadas, a multa subfaseada só passa a incidir a partir dos atrasos em relação ao cronograma previsto no Aditivo 3. 5.48. Portanto, apenas para deixar clara a conclusão até aqui, incide a multa de R$5.220.000 por mês, ou fração, do dia 8 de maio de 2010 até o dia 21 de junho de 2010, que é a data de entrega da primeira subfase da Fase I. Do que consta nos autos essa primeira subfase foi entregue no prazo. 5.49. Isso significa o valor de multa de 5.50. 1+ × 5220000 = 7482000 5.51. É importante lembrar que o subfaseamento é em si conseqüência do atraso. Por isso, a multa originalmente pactuada no contrato deve continuar incidindo até o dia em que ela vier a ser substituída pela multa subfaseada, isto é no quarto mês de atraso da entrada prevista em operação do serviço subfaseado. 5.52. E como no subfaseamento da Fase I, as Partes consideraram que a multa originária deve ser dividida em 3 partes de R$1.740.000, cada uma destas partes para eventuais atrasos nas respectivas subfases, decido que, no dia 21 de junho de 2010 – pelo que consta dos autos, data de entrada em operação da primeira subfase – pare de incidir 1/3, isto é R$1.740.000 da multa mensal originária. 36
  • 37.
    5.53. O 1/3 da multa originária relativa à subfase III continua incidindo pelo menos até a data de 15 de agosto de 2011, que é a data de entrada em operação do serviço dessa fase. Isso significa um valor adicional de: 5.54. 13 + × = 24012000 5.55. Em relação à subfase II, ela foi divida pelo Aditivo 4 em 3 etapas. Por isso, será necessário calcular a incidência da multa até a data da entrada em operação comercial do serviço para cada uma dessas etapas, considerando que cada uma dessas etapas representa 1/9 do resultado a ser disponibilizado pelo Estado. 5.55.1. Em primeiro lugar, até a data de 28 de março de 2011 e a partir de 21 de junho de 2010, continua incidindo a multa subfaseada, o que resulta em: 5.55.2. 9 + × = 16066000 5.55.3. Como não há qualquer pedido da Concessionária específico sobre isso, vou supor que em 28/03/2011 entrou em operação a Etapa 2.1, de maneira que a partir de então, deixa de incidir a multa para essa etapa. 5.55.4. Para Etapa 2.2, 1/9 da multa originária continua incidindo de 28 de março de 2011 até a data de 16 de maio de 2011, o que resulta na multa de: 5.55.5. 1 + × = 928000 5.55.6. Para Etapa 2.3, 1/9 da multa originária continua incidindo de 28 de março de 2011 até a data de 18 de julho de 2011, o que resulta na multa de: 5.56. 3+ × = 2126666.67 5.57. Portanto o valor total das multas devidas pelo Estado a Concessionária supondo que não haverão novos atrasos na entrega das obras é de R$50.614.666,67 (cinqüenta milhões seiscentos e quatorze mil e seiscentos e sessenta e seis reais e sessenta e sete centavos). 5.58. Esse valor de multa tem como base o dia 01/08/2006 e deve ser corrigido pelo IPC/FIPE para a data de pagamento da obrigação. De qualquer modo, apenas para dar uma idéia do valor total da obrigação, esse valor corrigido mensalmente (isto é, sem fração por dia) até junho de 2011 resultava em montante de, aproximadamente: R$65.244.243,88. 6. Primeira Decisão (com base no Contrato de Concessão e no direito brasileiro) 6.1. Conforme já mencionado no item 2.10.11 acima, a Primeira Decisão será tomada com base no Contrato de Concessão e no direito brasileiro. 6.2. Uma vez que a fundamentação da Primeira Decisão já foi extensamente alinhavada no item 5 acima, passo imediatamente a decidir nos seguintes termos: 6.3. Pelo Contrato de Concessão e pelo direito brasileiro, a Concessinária não tem direito no caso em tela à recomposição do equilíbrio econômico-financeiro. 6.4. Supondo que não haverão novos atrasos de obras, a Concessionária, entretanto, tem direito a receber em pagamento do Estado as multas contratuais no valor total de: R$50.614.666,67 (cinqüenta milhões seiscentos e quatorze mil e seiscentos e sessenta e seis reais e sessenta e sete centavos). 37
  • 38.
    6.5. Esse valorde multa tem como base o dia 01/08/2006 e deve ser corrigido pelo IPC/FIPE para a data de pagamento da obrigação. 6.6. O pagamento do valor dessa multa deve ser realizado pelo Estado ao Concessionário no prazo máximo de 120 dias da data da presente decisão, sob pena da incidência de multa mensal pro rata temporis de 5% até a data do efetivo pagamento da obrigação. 6.7. A execução do montante global da multa definida no item 6.4 acima, assim como a multa por atraso no seu pagamento prevista no item 6.6 acima, poderá se fazer sobre as garantias dadas pela CPP para cumprimento do Contrato de Concessão. 7. Propostas de solução com base na equidade e nos princípios gerais do direito, respeitando a matriz de riscos contratual 7.1. Para que eu possa escolher entre as duas propostas de decisão com base na equidade, é preciso, em primeiro lugar, torná-las públicas e explicá-las, o que farei sumariamente a seguir, sem preocupação, contudo, em trazer na íntegra os argumentos realizados pelas Partes. 7.1.1. A Concessionária propõe o seguinte: “(i) que a fase subfaseada (sic!) seja reequilibrada considerando-se os custos efetivos de operação e de capital da Concessionária, levando-se em conta a sua estrutura atual de capital, de modo que o VPL do período seja igual a zero; (ii) que o prazo contratual de 30 anos para exploração do serviço concedido só comece a fluir após o início da operação comercial plena da Linha 4, com o funcionamento simultâneo e em horário completo das seis estações da Fase I; (iii) que o atraso no início da operação comercial plena da Fase I, após a emissão da Ordem de Serviço de Fabricação, seja compensado financeiramente pelo Estado, com base no mesmo valor estipulado para multa contratual prevista na cláusula 11.4.2 do Contrato de Concessão; (iv) pagamento da compensação financeira devida à Concessionária será efetuado por meio da Câmara de Compensações, de forma diluída durante a vigência do contrato.” 7.1.2. Já o Estado propõe o seguinte: “(i) fornecer a Concessionária o direito de operar a linha pelo prazo de 30 anos a contar da data da operação plena; (ii) a Concessionária terá direito ao reequilíbrio econômico financeiro por eventual prejuízo sofrido a partir da assinatura do terceiro aditivo até a data de operação plena; (iii) para fins de verificação de eventual prejuízo deverão ser considerados os custos efetivamente incorridos e as receitas auferidas pela Concessionária durante esse período, aplicando-se o wacc (custo médio ponderado de capital) da Concessionária a época da ordem de fabricação dos trens (segundo aditivo). O escopo de tal proposta seria determinar a diferença existente entre os custos previstos pela Concessionária na data da ordem de fabricação dos trens com os custos que efetivamente incorreu até o início da operação plena. A este valor calculado serão subtraídas as receitas auferidas pela Concessionária em virtude da operação sub-faseada até a data de início da operação plena. Sendo assim, eventual o Estado propõe que o valor a ser ressarcido à Concessionária deverá ser calculado de acordo com a seguinte fórmula: 38
  • 39.
    M = (C– D + R) x W Em que: M = montante devido pelo Estado; C = todos os custos de fato incorridos pela Concessionária até o início da operação plena; D = custos previstos no momento do aditivo de nº 2; R = receitas obtidas pela operação sub-faseada; W = custo médio ponderado de capital (wacc) da Concessionária à época da celebração do aditivo de nº 2.” 7.1.2.1.1. Propõe ainda o Estado que, uma vez calculado o montante devido pelo Estado, este deverá efetivar o pagamento da quantia em até 1 (um) mês a contar da data de início da operação plena, em parcela única. 8. Segunda decisão (com base na equidade e nos princípios gerais do direito, respeitando a matriz de riscos contratual) 8.1. Conforme as regras previstas na Ata de Missão (item 2.10.12 acima), na Segunda Decisão o árbitro deve adotar na íntegra uma das propostas realizadas pelas Partes, sem fazer qualquer alteração em relação ao seu conteúdo, usando na sua escolha a equidade, os princípios gerais do direito, e levando em consideração o respeito pela matriz de riscos do contrato. Seguindo essas linhas mestras, decido pela adoção da proposta realizada pela Concessionária, tecendo, por fim, os seguintes comentários: 8.2. Ambas as Partes propuseram, no meu entender corretamente, que o prazo de 30 anos de operação comercial seja contado a partir do início da operação plena da Primeira Fase, de maneira que esse item não foi utilizado como critério para a escolha entre as propostas de decisão. 8.3. Ambas as Partes propuseram o reequilíbrio do Contrato de Concessão a partir do subfaseamento da operação. Isso, portanto, também não pode ser critério para a escolha entre as duas propostas. 8.4. A proposta da Concessionária propôs aplicação de multa a partir do atraso da entrada de operação do serviço após a emissão da ordem de serviço de fabricação. Nesse particular, creio que a proposta da Concessionária está correta, e consetânea com a matriz de riscos contratual e com a equidade. 8.5. O mais problemático das propostas de ambas as Partes é a aplicação da metodologia para a implantação do equilíbrio econômico-financeiro que ambas propõe. 8.5.1. A proposta do Estado, neste particular, me parece mais equivocada do que a da Concessionária, porque para cálculo do reequilíbrio ela manda auferir as receitas e custos efetivamente realizados no período entre o Aditivo 3 e a efetiva entrada em operação do serviço, o que me parece contrariar frontalmente a matriz de riscos contratuais, porque a título de realização da recomposição do equilíbrio 39
  • 40.
    econômico-financeiro, simplesmente ignoraa distribuição de riscos contratuais, voltando assim a um regime de custo de serviço, o que contraria também o art. 9° , da Lei 8.987/95. Já tratei desse tema extensamente em outro trabalho4, e, por isso, me eximo de descer a detalhes sobre ele aqui. 8.5.1.1. Além disso, o Estado propõe que se aplique a esse fluxo de despesas e receitas “o wacc (custo médio ponderado de capital) da Concessionária a época da ordem de fabricação dos trens (segundo aditivo)”. 8.5.1.2. Creio que haja uma incompreensão sobre o que é o wacc, sigla em inglês para a expressão “weighted average cost of capital”, que pode ser traduzido como custo ponderado de capital. Como a Concessionária não estava operando ainda por ocasião da assinatura do Aditivo 3, ela não tem receitas, portanto, não há como saber qual é o seu wacc, pois falta um elemento fundamental que é o custo de capital próprio, que é algo que só se saberá no futuro; e, para o projeto como um todo só se saberá de fato por ocasião do término do Contrato de Concessão, daqui a mais de 30 anos, ou por qualquer um dos casos de extinção antecipada do Contrato de Concessão. 8.5.1.3. Parece-me importante lembrar que nesse caso estamos falando do wacc de um projeto, e não de uma empresa (que, por definição, possui vários projetos). No caso da empresa, supondo que ela possui diversos projetos em estado de maturação diferenciados, faz sentido muitas vezes analisar o wacc dela tomando como referencia um momento temporal específico. Já, contudo, no caso de um projeto, não faz sentido a análise do wacc em um ponto isolado, especialmente se esse ponto está situado no princípio da sua execução, como é o caso aqui, pois, nesse momento inicial do projeto, o único elemento significativo do custo ponderado de capital que existirá é o custo da dívida do Concessionário, uma vez que o contrato de financiamento já estará fechado. 8.5.1.4. Usando esse wacc (mesmo que se consiga obtê-lo, ele não terá nenhum significado), o Estado propõe fazer uma modelagem com os custos e receitas reais havidos pela Concessionária, para, assim, definir o montante de receitas que a concessionária deveria receber. 8.5.2. A Concessionária também na sua proposta de solução por equidade incorre em erro muito semelhante, pois diz que “a fase subfaseada seja reequilibrada considerando-se os custos efetivos de operação e de capital da Concessionária, levando-se em conta a sua estrutura atual de capital, de modo que o VPL do período seja igual a zero”. Como já dito acima, o custo real de capital próprio do projeto não está pré-definido. O que existe é (a) uma estimativa de custo de capital próprio que foi utilizada pelos acionistas do Concessionário quando da decisão de participação da licitação; (b) a taxa real de retorno do investidor do projeto, que pode ser medida em qualquer momento do projeto, mas que, especialmente nesse momento inicial do projeto, deve ser negativa, por conta do projeto estar em fase 4 Ribeiro, Mauricio Portugal, Concessões e PPPs: melhores práticas em contratos e licitações, Rio de Janeiro, 2010, Mimeo. 40
  • 41.
    inicial, na qualgrande parte dos investimentos já foram feitos e somente uma parcela reduzida das receitas começou a se materializar. O problema – para o qual não poderei apontar solução nos limites desse laudo – é que nem a estimativa (a), nem a taxa real de retorno (b) são adequados como parâmetro para a realização da recomposição do equilíbrio econômico-financeiro. 8.6. Apesar dos equívocos, creio que a proposta da Concessionária foi mais aderente à equidade e aos princípios gerais do direito, e mais consentânea com a matriz de riscos, na medida em que previu o pagamento das multas contratuais pelo Estado a Concessionária pelo atraso em relação à data estipulada no ato da emissão da Ordem de Serviço de Fabricação, para início da operação comercial do serviço. 9. Liquidação das decisões 9.1. A Primeira Decisão, aquela dada de acordo com o Contrato de Concessão e com o Direito Brasileiro já foi liquidada no presente laudo, de maneira que dispensaria a necessidade do processo de liquidação previsto no item 2.10.11 acima. 9.2. Contudo, conforme a regra prevista no item 2.10.14 acima, pode ser que a Concessionária, vencedora no processo por equidade, prefira a decisão por equidade àquela de acordo com o Direito e o Contrato, e, neste caso, será necessária a liquidação dessa decisão. 9.3. A regra constante do item 2.10.11 requer que o árbitro aponte uma empresa especializada de notória reputação para realizar a arbitragem, que as Partes poderão substituir em comum acordo. 9.4. A empresa apontada para realizar a liquidação é a Pezco Consultoria e Pesquisa, e a equipe para tanto deve ser liderada pelo Professor Frederico Araujo Turolla. 10. Custas, honorários e outras despesas 10.1. Solicito à Secretaria da Corte o cálculo das custas, honorários e demais despesas, que deverão ser arcadas pelo Estado. Rio de Janeiro, 15 de julho de 2011 _____________________________ Mauricio Portugal Ribeiro Árbitro 41