UNIVERSIDADE FEDERAL DE PERNAMBUCO
CENTRO DE TECNOLOGIA E GEOCIÊNCIAS
DEPARTAMENTO DE ELETRÔNICA E SISTEMAS
FELIPE PEREIRA BARROS
MODELAMENTO DE CANAIS COM
DESVANECIMENTO PLANO USANDO MODELOS
NASCIMENTO E MORTE
RECIFE, JUNHO DE 2014.
Resumo do Trabalho de Graduação apresentado à UFPE como parte dos requisitos necessários para a
obtenção de Graduado em Engenharia Elétrica - Eletrônica
MODELAMENTO DE CANAIS COM DESVANECIMENTO PLANO USANDO
MODELOS NASCIMENTO E MORTE
Felipe Pereira Barros
Junho/2014
Orientador: Cecilio José Lins Pimentel, Ph.D.
Área de Concentração: Comunicações
Palavras-chaves: canais com desvanecimento Rayleigh, modelos Markovianos de estados finitos,
canais com memória, quantização, decisão suave, probabilidade de erro.
Número de páginas: VI + 39
MODELOS de canais de estados finitos Markovianos (FSMC, Finite State Markov Channel)
são comumente usados para caracterizar a memória de canais discretos binários (entrada
binária, saída binária). Este trabalho propõe empregar uma topologia de canais FSMC conhecida
como modelo nascimento e morte (NM) para capturar a memória do canal com desvanecimento
plano correlacionado no tempo. O modelo proposto foi utilizado para modelar um sistema de co-
municação composto por um modulador BPSK binário, um canal de desvanecimento Rayleigh cor-
relacionado no tempo com ruído aditivo Gaussiano branco (AWGN, additive white Gaussian noise),
e um demodulador de quantização abrupta. Esse sistema foi denominado como Canal Discreto com
Desvanecimento (DFC, discrete fading channel). Seus parâmetros serão estimados a partir do al-
goritmo Baum-Welch (BW) de modo a se aproximar do DFC. Para medir a precisão do modelo,
comparamos algumas estatísticas do modelo NM com a do DFC. Para cada conjunto de parâmet-
ros do DFC identificamos o número ótimo de estados do NM que é capaz de aproximá-lo. Além
disso, foi feito um estudo para modelar um DFC com quantização suave (entrada binária e saída
ternária). Então, propomos FSMC não binários para modelar este canal. A contribuição deste tra-
balho é identificar modelos NM precisos que aproximem canais com desvanecimento plano e analisar
o desempenho de códigos corretores de erro em canais com memória.
II
SUMÁRIO
1 INTRODUÇÃO 1
1.1 Organização do Trabalho . . . . . . . . . . . . . . . . . . . . . . . . . . . . . . . . 3
2 CANAIS DE ESTADOS FINITOS MARKOVIANOS 4
2.1 Canais de Estados Finitos Binários . . . . . . . . . . . . . . . . . . . . . . . . . . 4
2.2 Modelo Nascimento e Morte . . . . . . . . . . . . . . . . . . . . . . . . . . . . . . 6
2.2.1 Prova do Vetor Estacionário para o Modelo K-NM . . . . . . . . . . . . . . . 7
2.3 Canal Discreto com Desvanecimento . . . . . . . . . . . . . . . . . . . . . . . . . . 8
3 RESULTADOS OBTIDOS DO BAUM-WELCH 10
3.1 Modelos K-NM para DFCs com fDT = 10−3
. . . . . . . . . . . . . . . . . . . . 10
3.2 Modelos K-NM para DFCs com fDT = 10−4
. . . . . . . . . . . . . . . . . . . . 17
4 MODELO COM APAGAMENTO PARA CANAIS DE ESTADOS FINITOS 26
4.1 Modelo com Apagamento . . . . . . . . . . . . . . . . . . . . . . . . . . . . . . . . 26
4.2 Modelo do Sistema . . . . . . . . . . . . . . . . . . . . . . . . . . . . . . . . . . . 29
4.3 Modelos com Apagamento para Canais de Estados Finitos . . . . . . . . . . . . . 30
5 CONCLUSÃO 34
5.1 Sugestões para Trabalhos Futuros . . . . . . . . . . . . . . . . . . . . . . . . . . . 35
Apêndice A PUBLICAÇÕES 36
BIBLIOGRAFIA 38
III
LISTA DE TABELAS
3.1 Condições iniciais do BW para modelos GEC para DFC com fDT = 10−3
. . . . . . 11
3.2 Modelos K-NM, K = 2, 3 e 4, que aproximam um DFC com fDT = 10−3
. . . . . . 12
3.3 Modelos K-NM, K = 2, · · · , 7, que aproximam um DFC com fDT = 10−4
. . . . . 19
3.4 Modelos K-NM que aproximam um DFC com fDT = 10−3
e 10−4
para SNR =
5dB, 10 dB e 15dB . . . . . . . . . . . . . . . . . . . . . . . . . . . . . . . . . . . 20
4.1 Modelos MA que aproximam um DFC com SNR = 10 dB e δ = 0, 15 e para SNR =
15 dB e δ = 0, 1. . . . . . . . . . . . . . . . . . . . . . . . . . . . . . . . . . . . . 31
IV
LISTA DE FIGURAS
2.1 Transições da cadeia de Markov para o modelo 4-NM. . . . . . . . . . . . . . . . . 7
3.1 Logaritmo da função de verossimilhança versus número de iterações para os parâmet-
ros do GEC da primeira linha da Tabela 3.1. DFC com SNR = 15 dB e fDT = 10−3
.
. . . . . . . . . . . . . . . . . . . . . . . . . . . . . . . . . . . . . . . . . . . . . 11
3.2 Logaritmo da função de verossimilhança versus número de iterações para os parâmet-
ros do GEC da segunda linha da Tabela 3.1. DFC com SNR = 15 dB e fDT = 10−3
.
. . . . . . . . . . . . . . . . . . . . . . . . . . . . . . . . . . . . . . . . . . . . . 12
3.3 R[m] versus m para DFC com fDT = 10−3
, SNR=5 dB. . . . . . . . . . . . . . . 13
3.4 R[m] versus m para DFC com fDT = 10−3
, SNR=10 dB. . . . . . . . . . . . . . . 14
3.5 R[m] versus m para DFC com fDT = 10−3
, SNR= 15 dB. . . . . . . . . . . . . . 14
3.6 P(0m
|1) versus m para DFC com fDT = 10−3
, SNR=5 dB. . . . . . . . . . . . . . 15
3.7 P(0m
|1) versus m para DFC com fDT = 10−3
, SNR=10 dB. . . . . . . . . . . . . 15
3.8 P(0m
|1) versus m para DFC com fDT = 10−3
, SNR=15 dB. . . . . . . . . . . . . 16
3.9 Vazão do protocolo GBN versus SNR com fDT = 10−3
, para n = 80 e N = 10. . . 16
3.10 Divergência normalizada de décima ordem para um DFC com fDT = 10−3
. . . . . 17
3.11 P(m, n) para um K-NM que aproxima um DFC com fDT = 10−3
, SNR = 5 dB,
para n = 127. . . . . . . . . . . . . . . . . . . . . . . . . . . . . . . . . . . . . . . 17
3.12 P(m, n) para um K-NM que aproxima um DFC com fDT = 10−3
, SNR = 10 dB,
para n = 127. . . . . . . . . . . . . . . . . . . . . . . . . . . . . . . . . . . . . . . 18
3.13 P(m, n) para um K-NM que aproxima um DFC com fDT = 10−3
, SNR = 15 dB,
para n = 127. . . . . . . . . . . . . . . . . . . . . . . . . . . . . . . . . . . . . . . 18
3.14 R[m] versus m para DFC com fDT = 10−4
, SNR=5 dB. . . . . . . . . . . . . . . 20
3.15 R[m] versus m para DFC com fDT = 10−4
, SNR=10 dB. . . . . . . . . . . . . . . 21
3.16 R[m] versus m para DFC com fDT = 10−4
, SNR= 15 dB. . . . . . . . . . . . . . 21
3.17 P(0m
|1) versus m para DFC com fDT = 10−4
, SNR=5 dB. . . . . . . . . . . . . . 22
3.18 P(0m
|1) versus m para DFC com fDT = 10−4
, SNR=10 dB. . . . . . . . . . . . . 22
3.19 P(0m
|1) versus m para DFC com fDT = 10−4
, SNR=15 dB. . . . . . . . . . . . . 23
3.20 Vazão do protocolo GBN versus SNR com fDT = 10−4
, para n = 240 e N = 30. . 23
3.21 Divergência normalizada de décima ordem para um DFC com fDT = 10−4
. . . . . 24
3.22 P(m, n) para um K-NM que aproxima um DFC com fDT = 10−4
, SNR = 5 dB,
para n = 127. . . . . . . . . . . . . . . . . . . . . . . . . . . . . . . . . . . . . . . 24
V
3.23 P(m, n) para um K-NM que aproxima um DFC com fDT = 10−4
, SNR = 10 dB,
para n = 127. . . . . . . . . . . . . . . . . . . . . . . . . . . . . . . . . . . . . . . 25
3.24 P(m, n) para um K-NM que aproxima um DFC com fDT = 10−4
, SNR = 15 dB,
para n = 127. . . . . . . . . . . . . . . . . . . . . . . . . . . . . . . . . . . . . . . 25
4.1 Modelo com apagamento para canais com memória. . . . . . . . . . . . . . . . . . 27
4.2 Regiões de decisão para um canal discreto com 3 níveis de quantização. . . . . . . . 30
4.3 R[m] versus m para DFC com fDT = 10−2
e δ = 0, 15, SNR = 10 dB. . . . . . . . 32
4.4 R[m] versus m para DFC com fDT= 5×10−3
e δ = 0, 15, SNR = 10 dB. . . . . . . 32
4.5 R[m] versus m para DFC com fDT = 10−3
e δ = 0, 15, SNR = 10 dB. . . . . . . . 32
4.6 PCE para MA que aproxima um DFC com fDT = 10−2
e δ = 0, 15, SNR = 10 dB,
n = 127. . . . . . . . . . . . . . . . . . . . . . . . . . . . . . . . . . . . . . . . . 33
4.7 PCE para MA que aproxima um DFC com fDT = 5 × 10−3
e δ = 0, 1, SNR = 15
dB, n = 127. . . . . . . . . . . . . . . . . . . . . . . . . . . . . . . . . . . . . . . 33
4.8 PCE para MA que aproxima um DFC com fDT = 10−2
e δ = 0, 1, SNR = 15 dB, n
= 127. . . . . . . . . . . . . . . . . . . . . . . . . . . . . . . . . . . . . . . . . . . 33
VI
CAPITULO 1
INTRODUÇÃO
COMUNICAÇÃO sem fio é dos grandes sucessos da engenharia dos últimos 25 anos - não apenas
observando o ponto de vista científico, mas também em termos de tamanho de mercado e
impacto social [1]. Atualmente a sociedade exige de um sistema eficiente e dinâmico em que haja
troca de informações de forma rápida e segura. Entretanto, neste tipo de comunicação, os efeitos
combinados de distorções e atenuações no sinal transmitido tendem a introduzir erros na sequência
recebida de tal forma que estes são agrupados em surtos [2]. Existe então uma dependência estatística
na ocorrência de erros no canal, sendo este denominado canal com memória. Para o modelamento
de canais com memória utilizamos neste trabalho a classe de canais de estados finitos Markovianos
(FSMC, Finite State Markov Channels).
FSMC binários (entrada binária, saída binária) são largamente utilizados para modelar canais
discretos com desvanecimento correlacionado no tempo devido a sua tratabilidade matemática [2]-
[4]. Além disso, as aplicações do FSMC tem sido um sucesso numa variedade de problemas impor-
tantes na área de comunicações [5]. Modelos FSMC são versáteis, e com escolhas adequadas de seus
parâmetros, podem capturar a essência de canais com desvanecimento invariantes no tempo [6].
Em 1960, Gilbert [7] propôs um FSMC binário para determinar a capacidade de informação de
linhas telefônicas ruidosas. Logo após o trabalho de Gilbert, Elliot [8] utilizou esse modelo para
calcular e comparar a taxa de erros de códigos corretores de erros em canais ruidosos. Esse canal
ficou conhecido como o canal Gilbert-Elliot (GEC, Gilbert-Elliot Channel). Em 1967, Fritchman [9]
propôs um canal de estados finitos com A0 estados livres de erros e A1 estados com erros. Contudo,
o modelo de Fritchman era complexo para obter-se as probabilidades de erro, a não ser que fosse
1
utilizado apenas 1 estado com erro (A1 = 1).
Em 1968, Gallager [10] desenvolveu uma fórmula para a capacidade de canal de um FSMC. A
definição de Gallager acerca do FSMC é usada pelos pesquisadores até os dias atuais. Ela engloba
tanto o caso em que a transição dos estados do canal é controlada pela entrada deste (como no caso de
canais com interferência intersimbólica), quanto o caso em que o estado do canal é estatisticamente
independente da entrada (como os modelos usados para canais com desvanecimento). Recentemente,
outros modelos FSMC baseados em memória variável [11] e em filas finitas [12] foram desenvolvi-
dos.
Este trabalho propõe empregar uma topologia de canais FSMC conhecida como modelos nasci-
mento e morte (NM) para capturar a memória do canal com desvanecimento plano correlacionado
no tempo. O modelo proposto foi idealizado para modelar um sistema de comunicações composto
por um modulador BPSK binário, um canal de desvanecimento Rayleigh correlacionado no tempo
com ruído aditivo Gaussiano branco (AWGN, additive white Gaussian noise), e um demodulador
de quantização abrupta. Esse sistema foi denominado como Canal Discreto com Desvanecimento
(DFC, discrete fading channel).
Uma vez definido o modelo NM com número fixo de estados, seus parâmetros serão estima-
dos a partir do algoritmo de Baum-Welch (BW) de modo a se aproximar do DFC. Tabelas com os
parâmetros do modelo NM que aproximam DFC’s são mostradas neste trabalho. Para mensurar a
precisão do modelo, comparamos algumas estatísticas do modelo NM com a do DFC. As estatísticas
consideradas são a função autocorrelação R[m], a probabilidade que o canal produza pelo menos
m transmissões corretas consecutivas dado que ocorreu um erro, P(0m
|1), a vazão do protocolo
Go-Back-N, a divergência de Kullback-Leibler de l-ésima ordem e a probabilidade do canal pro-
duzir m erros em um bloco de comprimento n, P(m, n). Para cada conjunto de parâmetros do DFC
identificamos o número ótimo de estados do NM que é capaz de aproxima-lo.
Além disso, foi feito um estudo para modelar um sistema de comunicações com quantização
suave. Neste caso, o canal discreto com desvanecimento a ser considerado tem entrada binária e saída
ternária. Então, propomos canais FSMC não binários para modelar este canal. Uma vez definido o
modelo, seus parâmetros serão estimados pelo BW. Para validar o modelo utilizaremos as estatísticas
função autocorrelação R[m] e a probabilidade de decodificação sem sucesso (PCE, probability of
codeword error).
A principal contribuição deste trabalho é identificar modelos NM precisos que aproximem canais
com desvanecimento plano. Este modelos podem substituir o DFC e constituem uma ferramenta
2
teórica para analisar o desempenho de códigos corretores de erro em canais com memória. Em geral,
usa-se códigos projetados para canais sem memória e para que estes sejam eficientes destroe-se a
memória do canal através do uso do entrelaçamento. Entretanto, um entrelaçador perfeito requer um
sistema mais complexo com elevada demanda de memória e um alto processamento digital. Este
trabalho parte da premissa que a memória do canal não deve ser destruída, mas sim explorada na
decodificação a fim de obter-se desempenhos melhores em relação aos sistemas entrelaçados.
1.1 Organização do Trabalho
O restante deste trabalho está organizado 4 capítulos.
No Capítulo 2, será apresentada uma breve introdução sobre FSMC e o modelo NM. Além disso,
serão definidas as principais características do DFC que queremos modelar.
No Capítulo 3, serão mostrados os resultados do modelamento e curvas estatísticas comparando
o modelo NM obtido com o DFC, além de comentários sobre o resultado.
No Capítulo 4, será introduzido um modelo com apagamento, que é um modelo não-binário (en-
trada binária, saída ternária), bem como serão desenvolvidas as expressões para algumas estatísticos
do modelo. Neste capítulo, também serão mostrados os resultados do modelamento e sua validação.
E, por fim, o Capítulo 5 contém as Conclusões deste trabalho e sugestões de trabalhos futuros.
3
CAPITULO 2
CANAIS DE ESTADOS FINITOS
MARKOVIANOS
NESTE capítulo será apresentada uma breve introdução sobre FSMC e o modelo NM que serão
úteis para o entendimento do modelo proposto. Além disso, serão abordadas as principais
características do DFC que deseja-se modelar. E, por fim, a prova de uma expressão fechada para o
vetor estacionário no modelo NM.
2.1 Canais de Estados Finitos Binários
As sequências de entrada e de saída de um canal discreto binário são definidas, respectivamente,
por xn = (x1, x2, ..., xn) e yn = (y1, y2, ..., yn), em que xk , yk ∈ {0, 1} e são relacionadas por:
yk = xk ⊕ zk (2.1)
em que ⊕ denota soma módulo 2 e zk é uma amostra de erro binária causada por interferências e
distorções do canal. Se zk = 1, houve um erro na k-ésima transmissão, ou se zk = 0, a k-ésima
transmissão foi realizada corretamente. A sequência zn é independente da sequência de entrada
xn e modela a dinâmica dos erros transmitidos pelo canal de comunicação. Assuminos que existe
uma dependência estatística na ocorrência de erros no canal e denominamos este tipo de canal de
canal com memória. Para o modelamento de canais com memória utilizamos a classe de canais
FSMC. Modelos FSMC binários são largamente utilizados para modelar canais com desvanecimento
correlacionado no tempo [2]-[4], [11] ,[13]-[15].
Um FSMC é composto de uma cadeia de Markov homogênia, estacionária, de K estados, sendo P
4
a K×K matriz de probabilidades de transição. Cada elemento desta matriz, pi,j, i, j ∈ {0, 1, · · · K−
1}, é a probabilidade condicional que a cadeia transicione para o estado j dado que esteja no estado
i. Definimos o K ×1 vetor coluna Π = [π0 π1 ... πK−1]T
, como a distribuição estacionária da cadeia
de Markov, em que o sobrescrito [.]T
indica transposição de uma matriz, que possui as seguintes
propriedades:
ΠT
P = ΠT
(2.2)
K−1∑
j=0
πj = 1. (2.3)
Para cada estado j, o processo de geração de erro está relacionado a um canal binário simétrico ( BSC,
Binary Symmetric Channel) com probabilidade de erro Pj. Em cada intervalo, a cadeia transiciona do
estado i para o estado j e gera um erro com probabilidade Pj. Definimos a K × K matriz P(0) como
a matriz de probabilidades de transição de estados sem ocorrência de erro, em que cada elemento é a
probabilidade da cadeia transicionar do estado i para o estado j e gerar zk = 0. Da mesma maneira,
a matriz P(1) é definida como a matriz de probabilidades de transição de estados com ocorrência de
erro e cada elemento representa a probabilidade da cadeia transicionar do estado i para o estado j e
gerar zk = 1. Estas duas matrizes são definidas da seguinte forma:
P(0) =








p0,0(1 − P0) p0,1(1 − P1) · · · p0,N−1(1 − PN−1)
p1,0(1 − P0) p1,1(1 − P1) · · · p1,N−1(1 − PN−1)
...
...
...
...
pN−1,0(1 − P0) pN−1,1(1 − P1) · · · pN−1,N−1(1 − PN−1)








P(1) =








p0,0P0 p0,1P1 · · · p0,N−1PN−1
p1,0P0 p1,1P1 · · · p1,N−1PN−1
...
...
...
...
pN−1,0P0 pN−1,1P1 · · · pN−1,N−1PN−1








.
Observe que P = P(0) + P(1). Uma expressão geral para encontrar a probabilidade de ocorrer uma
sequência de erros zn = (z1, z2, ..., zn) é dada por [16]:
P(zn) = ΠT
n∏
k=1
P(zk)1 (2.4)
em que 1 é um K × 1 vetor coluna de 1’s. Algumas estatísticas do FSMC são comumente usadas
para validar os modelos. Utilizamos a função autocorrelação R[m], a probabilidade de ocorrer m
5
zeros seguidos dado a ocorrência de um erro, P(0m
|1), e a vazão η de um protocolo Go-Back-N
(GBN) [17]. Para cada FSMC, expressões para estas estatísticas estão descritas na forma matricial
em termos de P, Π, P(0), P(1):
R[m] P(zk = 1, zk+m = 1) = ΠT
P(1)Pm−1
P(1)1; (2.5)
P(0m
|1) =
ΠT
P(1)Pm
(0)1
ΠT P(1)1
; (2.6)
η =
ΠT
Pn
(0)1
ΠT Pn(0)(I − Pn(1)(Pn)N−1)−1[NPn(1)(Pn)N−1(I − Pn(1)(Pn)N−1)−1 + I]Pn(0)1
.
(2.7)
2.2 Modelo Nascimento e Morte
O modelo Nascimento e Morte com K estados (K-NM) é um caso particular de um FSMC em
que existem apenas transições entre os estados vizinhos. Dado que o modelo esteja no estado i,
i ∈ {1, · · · , K − 2}, a cadeia pode transicionar apenas para o estado i − 1, i + 1, ou permanecer no
mesmo estado. Quando a cadeia se encontra no estado 0, pode ocorrer transição para o estado 0 ou
para o estado 1. Analogamente, estando no estado K − 1, a cadeia pode permanecer neste mesmo
estado ou transicionar para o estado K −2. A Figura 2.1 ilustra as transições possíveis para o modelo
4-NM. Cada componente do vetor estacionário Π é dada por:
πi = α
K−i−2∏
j=0
pK−j−1,K−j−2
i−1∏
z=0
pi−z−1,i−z (2.8)
em que i = 0, 1, · · · K − 1 e a constante de normalização α deve ser escolhida para satisfazer:
K−1∑
i=0
πi = 1.
A prova da fórmula (2.8) é dada na Subseção 2.2.1 O modelo NM mais simples é o canal GEC,
também denotado por 2-NM. Este canal possui apenas dois estados que definimos como estado bom,
estado 0, e estado ruim, estado 1. O modelo GEC pode ser especificado pelas matrizes P, P(0),
P(1) e Π:
P =


1 − Q Q
q 1 − q


6
10 2 3
Figura 2.1: Transições da cadeia de Markov para o modelo 4-NM.
P(0) =


(1 − Q)(1 − P0) Q(1 − P1)
q(1 − P0) (1 − q)(1 − P1)


P(1) =


(1 − Q)P0 QP1
qP0 (1 − q)P1


Π =
[
q
Q+q
Q
Q+q
]
.
Podemos calcular qualquer sequência de erro utilizando (2.4). Como um exemplo, suponha que
queremos calcular a probabilidade P(1) P(zk = 1). Então:
P(1) = ΠT
P(1)1 =
q
q + Q
P0 +
Q
q + Q
P1. (2.9)
e a probabilidade de ocorrer uma recepção correta, ou seja, P(0) P(zk = 0), é dada por:
P(0) = ΠT
P(0)1 =
q
q + Q
(1 − P0) +
Q
q + Q
(1 − P1). (2.10)
Neste trabalho, usaremos o modelo K-NM para modelar um sistema de comunicações com
desvanecimento que será descrito na próxima subseção.
2.2.1 Prova do Vetor Estacionário para o Modelo K-NM
Uma coluna genérica da matriz P é da forma:
7
























0
...
0
pi−1,i
1 − pi,i−1 − pi,i+1
pi+1,i
0
...
0
























. (2.11)
Pela propriedade do vetor estacionário, a multiplicação do vetor linha ΠT
pelo vetor coluna dado em
(2.11) deve resultar em πi. Esta multiplicação é igual a:
πi−1 pi−1,i + πi (1 − pi,i−1 − pi,i+1) + πi+1 pi+1,i. (2.12)
O primeiro termo de (2.12) é:
πi−1pi−1,i = α
(K−(i−1)−2
∏
j=0
pK−j−1,K−j−2
i−2∏
z=0
pi−1−z−1,i−1−z
)
pi−1,i. (2.13)
No entanto
K−(i−1)−2
∏
j=0
pK−j−1,K−j−2 = pi,i−1
K−i−2∏
j=0
pK−j−1,K−j−2 (2.14)
e (i−2∏
z=0
pi−1−z−1,i−1−z
)
pi−1,i =
i−1∏
z=0
pi−z−1,i−z. (2.15)
Substituindo (2.14) e (2.15) a (2.13) e usando a fórmula de πi podemos concluir:
πi−1pi−1,i = πi pi,i−1. (2.16)
De forma análoga, pode mostrar que
πi+1pi+1,i = πi pi,i+1 (2.17)
Portanto, (2.12) resulta em πi.
2.3 Canal Discreto com Desvanecimento
Considere um DFC composto por um modulador BPSK binário, um canal com desvanecimento
Rayleigh plano correlacionado no tempo com ruído aditivo Gaussiano branco (AWGN), e um de-
modulador coerente com quantização abrupta. Definem-se os alfabetos de entrada e saída do canal
8
discreto por X = {0, 1} e Y = {0, 1}, respectivamente. Seja Xk, Xk ∈ X, onde k = 1, 2, ..., o
processo de entrada do canal discreto. A amostra do símbolo recebido na saída do filtro casado no
k-ésimo intervalo de sinalização é dada por
Rk =
√
Es AkSk + Nk, k = 1, 2, · · · (2.18)
onde Sk = (2Xk − 1), Es é a energia do sinal transmitido e Nk é uma sequência de variáveis
aleatórias Gaussianas independentes e igualmente distribuídas de média zero e variância N0/2. Além
disso, Ak = |Gk| é o processo de desvanecimento em que Gk é um processo Gaussiano complexo
estacionário de sentido amplo correlacionado no tempo, com média zero e função autocorrelação
dada pelo modelo de desvanecimento de Clarke R[k] = J0(2πfDT|k|), em que J0(x) é a função de
Bessel de ordem zero do primeiro tipo e fDT é a máxima frequência Doppler normalizada pela taxa
de sinalização 1/T. Assim, Ak é uma variável Rayleigh com segundo momento unitário (E[A2
k] =
1). Os processos {Ak} e {Nk} são independentes entre si e do processo de entrada. A função
densidade de probabilidade de Rayleigh é dada por
PAk
(a) = 2ae−a2
. (2.19)
Define-se a relação sinal ruído média recebida por SNR = Es/N0. A saída do canal discreto Yk é
obtida por quantização abrupta de Rk.
A função de autocorrelação para o DFC é dada por:
R[m] =
1
π2
∫ π/2
0
∫ π/2
0
sin2
θ1 sin2
θ2
sin2
θ1 sin2
θ2 + Es
N0
(sin2
θ1 + sin2
θ2) +
(
Es
N0
)2
(1 − ρ2)
dθ1dθ2.
(2.20)
em que ρ = J0(2πmfDT).
9
CAPITULO 3
RESULTADOS OBTIDOS DO
BAUM-WELCH
OObjetivo deste capítulo é modelar o canal DFC usando modelos K-NM. Serão mostrados
os resultados dos modelamentos e curvas estatísticas comparando os modelos com o DFC,
além de análises sobre o resultado.
3.1 Modelos K-NM para DFCs com fDT = 10−3
Para cada valor de fDT e SNR, uma sequência de erro do DFC é gerada por simulação e os
parâmetros deste modelo são estimados usando o algoritmo BW. Inicialmente, fixamos fDT = 10−3
,
um valor típico para um canal com desvanecimento lento e fizemos um estudo de condições iniciais
do BW para o modelo GEC (K = 2). Portanto, pressupõe-se que as probabilidades de transições
entre os estados sejam baixas. Dessa forma, foram escolhidas condições iniciais na ordem de 10−2
e
10−3
(para Q, q e P0) enquanto na ordem de 0.1 − 0.5 para P1. Propomos 6 condições iniciais para
o GEC, conforme é mostrado na Tabela 3.1.
Considerando uma sequência de erro de tamanho N = 107
, um número de iterações fixado
arbitrariamente igual a 20 e um valor de SNR na faixa entre 5 dB - 15 dB, os GECs estimados
convergiram para os mesmos parâmetros para todas condições iniciais mostradas na Tabela 3.1, isso
mostra a robustez do algoritmo quanto as condições iniciais escolhidas.
O algoritmo BW fornece como saída o logaritmo da função verosimilhança para cada iteração
do algoritmo. Esta função é um indicador da precisão do modelo em aproximar a sequência de erro
10
Tabela 3.1: Condições iniciais do BW para modelos GEC para DFC com fDT = 10−3
.
Q q P0 P1
0.0010 0.0100 0.0100 0.1000
0.0050 0.0500 0.0500 0.5000
0.0010 0.0010 0.0010 0.1000
0.0100 0.0100 0.0100 0.1000
0.0500 0.0500 0.0500 0.1000
0.0100 0.1000 0.0100 0.1000
e a partir desta pode-se definir um critério de parada do BW observando a sua convergencia em
função do número de iterações. As Figuras 3.1 e 3.2 mostram o gráfico do logaritmo da função de
verossimilhança versus o número de iterações para os dois primeiros casos mostrados da Tabela 3.1.
Pode-se perceber que os gráficos são semelhantes, assim como foi observado para os demais casos
(curvas não são mostradas). Além disso, a curva converge com 5 iterações, ou seja, o número de
iterações para K = 2 pode ser igual ou maior que 5. Nesse caso, o valor inicial arbitrário igual a 20
(número de iterações) utilizado para a simulação foi suficiente para gerar os modelos GEC.
0 5 10 15 20
−1.6
−1.55
−1.5
−1.45
−1.4
−1.35
−1.3
−1.25
−1.2
x 10
5
Iteracoes
LogProbabilidade
Figura 3.1: Logaritmo da função de verossimilhança versus número de iterações para os parâmetros do GEC
da primeira linha da Tabela 3.1. DFC com SNR = 15 dB e fDT = 10−3
.
Parâmetros dos modelos GEC foram estimados pelo BW para fDT = 10−3
e para 3 valores de
SNR (5 dB, 10 dB e 15 dB), com N = 107
. Foram utilizadas seis condições iniciais para cada caso
e todas convergiram para os mesmos parâmetros do GEC.
Em seguida, este estudo foi realizado com modelos mais complexos com K = 3 e K = 4
estados. As condições iniciais para cada caso foram baseadas no mesmo princípio adotado para
K = 2. Verificou-se robustez quanto a escolha das condições iniciais. Os resultados do modelamento
11
0 5 10 15 20
−3.5
−3
−2.5
−2
−1.5
−1
x 10
5
Iteracoes
LogProbabilidade
Figura 3.2: Logaritmo da função de verossimilhança versus número de iterações para os parâmetros do GEC
da segunda linha da Tabela 3.1. DFC com SNR = 15 dB e fDT = 10−3
.
Tabela 3.2: Modelos K-NM, K = 2, 3 e 4, que aproximam um DFC com fDT = 10−3
.
K SNR p0,1 p1,0 p1,2 p2,1 p2,3 p3,2 P0 P1 P2 P3
5dB 0.0022 0.0054 - - - - 0.0111 0.1991 - -
2 10dB 0.0013 0.0084 - - - - 0.0019 0.1635 - -
15dB 0.0007 0.0132 - - - - 0.0003 0.1473 - -
5dB 0.0026 0.0050 0.0040 0.0077 - - 0.0035 0.0772 0.2828 -
3 10dB 0.0016 0.0090 0.0056 0.0144 - - 0.0004 0.0539 0.2640 -
15dB 0.0010 0.0170 0.0087 0.0264 - - 0.00002 0.0532 0.2712 -
5dB 0.0032 0.0057 0.0057 0.0087 0.0055 0.0116 0.0012 0.0382 0.1434 0.3355
4 10dB 0.0021 0.0110 0.0079 0.0164 0.0088 0.0224 < 10−6
0.0286 0.1365 0.3382
15dB 0.0017 0.0280 0.0177 0.0282 0.0119 0.0320 < 10−6
0.0108 0.0909 0.3042
são mostrados na Tabela 3.2 para os modelos 2-NM (GEC), 3-NM e 4-NM, respectivamente. Para os
casos com K > 2, consideramos 80 iterações para o BW e sequências de erro de tamanho N = 107
.
A validação dos modelos estimados na Tabela 3.2 bem como a escolha de um valor de K apro-
priado para cada SNR será realizada comparando-se algumas estatísticas do canal DFC com as dos
modelos K-NM. Para isto, usamos as seguintes estatísticas.
◃ Função autocorrelação R[m].
◃ A probabilidade P(0m
|1).
◃ Vazão do protocolo Go-Back-N.
◃ Divergência de Kullback-Leibler de ℓ-ésima ordem.
◃ Probabilidade do canal produzir m erros em um bloco de comprimento n, P(m, n).
12
As estatísticas do DFC são obtidas por simulação, enquanto as do modelo K-NM são obtidas
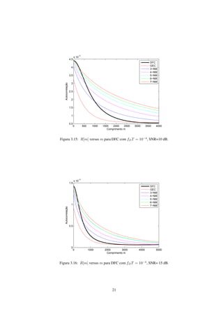
pelas expressões matriciais usando-se P, P(0), P(1) e Π. As Figs. 3.3-3.5 apresentam R[m] versus
m para três valores de SNR (5 dB, 10 dB e 15 dB). Observa-se que para valores pequenos de m,
em que a autocorrelação apresenta valores mais elevados, o aumento de K implica que a curva do
modelo se aproxima da curva do DFC. Para valores elevados de m, todas as curvas convergem para a
autocorrelação de um canal sem memória binário, ou seja, P(1)2
. Para SNR = 15 dB, não observa-se
melhoria do modelo para K > 3. As curvas de P(0m
|1) versus m apresentadas nas Figs. 3.6-3.8,
indicam que os modelos K-NM apresentam significativa melhoria em relação ao GEC, sendo K = 4
um valor adequado para SNR = 5 dB e K = 3 um valor adequado para SNR = 10 dB e 15 dB.
Estes valores estimados para K são compatíveis com a curva da vazão do protocolo GBN versus
SNR mostrada na Fig. 3.9. Esta figura ilustra a precisão do modelo K-NM em descrever a vazão do
protocolo operando em um canal DFC. Uma melhoria significativa em relação ao GEC é obtida com
o modelo 3-NM, sendo que uma pequena melhoria é obtida com o modelo 4-NM para SNR = 5 dB.
0 100 200 300 400 500 600
4
5
6
7
8
9
10
11
12
13
14
x 10
−3
Comprimento m
Autocorrelação
DFC
GEC
3−NM
4−NM
Figura 3.3: R[m] versus m para DFC com fDT = 10−3
, SNR=5 dB.
13
0 100 200 300 400 500
0.5
1
1.5
2
2.5
3
3.5
4
4.5
5
x 10
−3
Comprimento m
Autocorrelação
DFC
GEC
3−NM
4−NM
Figura 3.4: R[m] versus m para DFC com fDT = 10−3
, SNR=10 dB.
0 50 100 150 200 250 300
0
0.2
0.4
0.6
0.8
1
1.2
1.4
1.6
x 10
−3
Comprimento m
Autocorrelação
DFC
GEC
3−NM
4−NM
Figura 3.5: R[m] versus m para DFC com fDT = 10−3
, SNR= 15 dB.
Usaremos uma medida de distância entre duas medidas de probabilidade, PDFC e PK-NM para validar
os modelos K-NM estimados. A medida adotada é a divergência de Kullback-Leibler que é expressa
da seguinte forma:
D (PDFC || PK-NM) = lim
ℓ→∞
1
ℓ
Dℓ
(
PDFC(Zℓ
) || PK-NM(Zℓ
)
)
em que 1
ℓ Dℓ
(
PDFC(Zℓ
) || PGEC(Zℓ
)
)
é a divergência normalizada de ℓ-ésima ordem entre as dis-
14
10
0
10
1
10
2
10
3
10
−5
10
−4
10
−3
10
−2
10
−1
10
0
Pr(0m|1)
Comprimento m
DFC
GEC
3−NM
4−NM
Figura 3.6: P(0m
|1) versus m para DFC com fDT = 10−3
, SNR=5 dB.
10
0
10
1
10
2
10
3
10
4
10
−5
10
−4
10
−3
10
−2
10
−1
10
0
Pr(0m|1)
Comprimento m
DFC
GEC
3−NM
4−NM
Figura 3.7: P(0m
|1) versus m para DFC com fDT = 10−3
, SNR=10 dB.
tribuições PDFC(Zℓ
) e PK-NM(Zℓ
):
Dℓ
(
PDFC(Zℓ
) || PK-NM(Zℓ
)
)
=
∑
Zℓ∈{0,1}ℓ
PDFC(Zℓ
) log2
PDFC(Zℓ
)
PK-NM(Zℓ)
(3.1)
em que PDFC(Zℓ
) é obtida via simulação do DFC e PK-NM(Zℓ
) é calculada pela expressão matricial. A
Figura 3.10 ilustra a variação da divergência normalizada de décima-ordem com o número de estados
do modelo K-NM. Observa-se uma estabilização das curvas para K = 4 (SNR = 5 dB e SNR = 10
dB) e K = 3 (SNR = 15 dB). Estes valores são compatíveis com a estimação realizada com outras
estatísticas apresentadas anteriormente.
15
10
0
10
1
10
2
10
3
10
4
10
−4
10
−3
10
−2
10
−1
10
0
Pr(0m|1)
Comprimento m
DFC
GEC
3−NM
4−NM
Figura 3.8: P(0m
|1) versus m para DFC com fDT = 10−3
, SNR=15 dB.
5 10 15
0
0.1
0.2
0.3
0.4
0.5
0.6
0.7
SNR
Throughput
DFC
GEC
3−MN
4−MN
Figura 3.9: Vazão do protocolo GBN versus SNR com fDT = 10−3
, para n = 80 e N = 10.
Consideramos a probabilidade do canal gerar m erros em um bloco de comprimento n = 127,
denominada de P(m, n). A comparação das curvas obtidas pelos modelos K-MN com as do DFC
são mostradas nas Figuras 3.11-3.13. Novamente, comprova-se que um K-MN com 3 ou 4 estados é
um modelo preciso na faixa de SNR considerada.
16
2 3 4 5
10
−4
10
−3
10
−2
10
−1
K−NM
Divergência
5 dB
10 dB
15 dB
Figura 3.10: Divergência normalizada de décima ordem para um DFC com fDT = 10−3
.
0 5 10 15 20 25 30 35 40
10
−4
10
−3
10
−2
10
−1
10
0
m
P(m,n)
DFC
GEC
3−NM
4−NM
Figura 3.11: P(m, n) para um K-NM que aproxima um DFC com fDT = 10−3
, SNR = 5 dB, para n = 127.
3.2 Modelos K-NM para DFCs com fDT = 10−4
Nesta seção, desenvolveremos modelos K-NM para canais DFC lentos com fDT = 10−4
. Os
resultados do algoritmo BW para K = 1, · · · , 7 são mostrados na Tabela 3.3. Comparações da
função autocorrelação, da probabilidade P(0m
| 1) e da vazão para o DFC e os modelos K-NM são
mostradas nas Figuras 3.14-3.20 para três valores de SNR. Podemos concluir a partir destas figuras
que um bom modelo K-NM para SNR = 5 dB é obtido para K = 7, bem como para SNR = 10 dB
pode-se escolher K = 6 e K = 5 é adequado para SNR = 15 dB. As curvas da divergência de décima
17
0 5 10 15 20 25 30 35 40
10
−7
10
−6
10
−5
10
−4
10
−3
10
−2
10
−1
10
0
m
P(m,n)
DFC
GEC
3−NM
Figura 3.12: P(m, n) para um K-NM que aproxima um DFC com fDT = 10−3
, SNR = 10 dB, para n = 127.
0 5 10 15 20 25 30 35 40
10
−9
10
−8
10
−7
10
−6
10
−5
10
−4
10
−3
10
−2
10
−1
m
P(m,n)
DFC
GEC
3−NM
Figura 3.13: P(m, n) para um K-NM que aproxima um DFC com fDT = 10−3
, SNR = 15 dB, para n = 127.
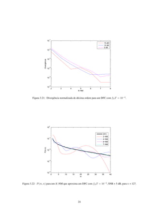
ordem entre o DFC e os models K-NM são mostradas na Figura 3.21. A curva da divergência para
SNR = 15 dB apresentou uma oscilação que impossibilita deduzir um valor de K adequado usando
esta curva. Resultados para P(m, n) para modelos K-NM que aproximam DFCs com fDT = 10−4
são mostrados nas Figuras 3.22-3.24. Estas curvas reforçam que os valores de K obtidos com as
outras estatísticas são adequados.
Foram realizadas estimações com o algoritmo BW para um DFC com fDT = 10−4
para SNR =
5 dB e 15 dB em que as condições iniciais são de um modelo FSMC genérico, com K = 4 e K = 7
estados, isto é, não existem restrições na transição de estados da cadeia de Markov. O objetivo desta
18
Tabela3.3:ModelosK-NM,K=2,···,7,queaproximamumDFCcomfDT=10−4
.
KSNRp0,1p1,0p1,2p2,1p2,3p3,2p3,4p4,3p4,5p5,4p5,6p6,5P0P1P2P3P4P5P6
5dB0.0005710.001352----------0.0125560.190718-----
210dB0.0002870.001664----------0.0024220.148416-----
15dB0.0001180.001927----------0.0004610.126343-----
5dB0.0003670.0006980.0006400.001230--------0.0048920.0748340.264600----
310dB0.0001870.0009120.0007050.001715--------0.0006980.0472970.238094----
15dB0.0000990.0014350.0009850.002514--------0.0000990.0344290.216018----
5dB0.0003290.0005840.0005790.0008300.0005870.001158------0.0023590.0378430.1347280.312772---
410dB0.0001910.0009010.0007380.0013860.0008620.001793------0.0002470.0213760.1034360.289998---
15dB0.0001080.0015190.0010700.0022520.0012910.003168------0.0000280.0159180.0980960.288425---
5dB0.0003310.0005560.0006590.0009150.0007620.0010380.0006920.001277----0.0012440.0218790.0780760.1766500.339078--
510dB0.0002050.0009580.0008390.0013830.0010210.0017600.0010370.002024----0.0000910.0110740.0557380.1540290.326063--
15dB0.0001260.0021330.0014620.0026340.0019560.0029330.0017080.003429----<10−6
0.0083260.0476290.1395680.304843--
5dB0.0003500.0005710.0007210.0009170.0008470.0010710.0008910.0012610.0008070.001448--0.0006590.0130270.0478020.1130170.2111270.359613-
610dB0.0002240.0010230.0009130.0014950.0012130.0018720.0013410.0021850.0012130.002367--0.0000330.0070160.0363620.0977720.2034760.357414-
15dB0.0003080.0027460.0013250.0024240.0016150.0029180.0020030.0031560.0017670.003695--<10−6
0.0005590.0125580.0570280.1507960.324718-
5dB0.0003670.0005900.0007580.0009420.0009280.0011890.0010440.0013110.0009450.0014930.0009790.0018680.0004650.0099770.0370180.0869180.1606110.2613470.389927
710dB0.0002410.0010940.0010020.0017220.0015100.0022160.0017260.0025320.0017520.0026220.0014050.0027070.0000110.0054080.0274480.0695150.1386420.2411110.378587
15dB0.0001390.0020550.0018690.0038770.0029570.0043940.0032390.0043820.0027840.0050580.0030210.006313<10−6
0.0049200.0258600.0673490.1393890.2464130.386891
19
0 1000 2000 3000 4000 5000
4
5
6
7
8
9
10
11
12
13
14
x 10
−3
Comprimento m
Autocorrelação
DFC
GEC
3−NM
4−NM
5−NM
6−NM
7−NM
Figura 3.14: R[m] versus m para DFC com fDT = 10−4
, SNR=5 dB.
análise é avaliar o resultado do modelo FSMC em relação ao K-NM. As condições iniciais foram
pij = 10−3
, para i ̸= j e pjj = 1 −
∑K−1
i=0(i̸=j) pij para j = 0, . . . , K − 1. Foi observado que apesar
das condições iniciais partirem de um modelo FSMC, o algoritmo convergiu para um modelo NM
em todos os casos. Provavelmente este resultado ocorre devido ao modelamento de um canal lento
(fDT = 10−4
) em que apenas transições entre estados adjacentes são relevantes.
A Tabela 3.4 mostra o K ótimo para cada tipo de canal trabalhado.
Tabela 3.4: Modelos K-NM que aproximam um DFC com fDT = 10−3
e 10−4
para SNR = 5dB, 10 dB e
15dB
fDT SNR K
5dB 4
10−3
10dB 3
15dB 3
5dB 7
10−4
10dB 6
15dB 5
20
0 500 1000 1500 2000 2500 3000 3500 4000
0.5
1
1.5
2
2.5
3
3.5
4
4.5
x 10
−3
Comprimento m
Autocorrelação
DFC
GEC
3−NM
4−NM
5−NM
6−NM
7−NM
Figura 3.15: R[m] versus m para DFC com fDT = 10−4
, SNR=10 dB.
0 1000 2000 3000 4000 5000
0
0.5
1
1.5
x 10
−3
Comprimento m
Autocorrelação
DFC
GEC
3−NM
4−NM
5−NM
6−NM
7−NM
Figura 3.16: R[m] versus m para DFC com fDT = 10−4
, SNR= 15 dB.
21
10
0
10
1
10
2
10
3
10
4
10
−10
10
−8
10
−6
10
−4
10
−2
10
0
Pr(0m|1)
Comprimento m
DFC
GEC
3−NM
4−NM
5−NM
6−NM
7−NM
Figura 3.17: P(0m
|1) versus m para DFC com fDT = 10−4
, SNR=5 dB.
10
0
10
1
10
2
10
3
10
4
10
−4
10
−3
10
−2
10
−1
10
0
Pr(0m|1)
Comprimento m
DFC
GEC
3−NM
4−NM
5−NM
6−NM
Figura 3.18: P(0m
|1) versus m para DFC com fDT = 10−4
, SNR=10 dB.
22
10
0
10
1
10
2
10
3
10
4
10
−6
10
−5
10
−4
10
−3
10
−2
10
−1
10
0
Pr(0m|1)
Comprimento m
DFC
GEC
3−NM
4−NM
5−NM
Figura 3.19: P(0m
|1) versus m para DFC com fDT = 10−4
, SNR=15 dB.
5 10 15
0
0.1
0.2
0.3
0.4
0.5
0.6
0.7
SNR
Throughput
DFC
2−NM
3−NM
4−NM
5−NM
6−NM
Figura 3.20: Vazão do protocolo GBN versus SNR com fDT = 10−4
, para n = 240 e N = 30.
23
2 3 4 5 6 7 8
10
−6
10
−5
10
−4
10
−3
10
−2
10
−1
K−NM
Divergência
15 dB
10 dB
5 dB
Figura 3.21: Divergência normalizada de décima ordem para um DFC com fDT = 10−4
.
0 5 10 15 20 25 30 35 40
10
−4
10
−3
10
−2
10
−1
10
0
m
P(m,n)
DFC
2−NM
4−NM
6−NM
7−NM
Figura 3.22: P(m, n) para um K-NM que aproxima um DFC com fDT = 10−4
, SNR = 5 dB, para n = 127.
24
0 5 10 15 20 25 30 35 40
10
−5
10
−4
10
−3
10
−2
10
−1
10
0
m
P(m,n)
DFC
2−NM
4−NM
6−NM
7−NM
Figura 3.23: P(m, n) para um K-NM que aproxima um DFC com fDT = 10−4
, SNR = 10 dB, para n = 127.
0 5 10 15 20 25 30 35 40
10
−10
10
−8
10
−6
10
−4
10
−2
10
0
m
P(m,n)
DFC
2−NM
3−NM
4−NM
5−NM
Figura 3.24: P(m, n) para um K-NM que aproxima um DFC com fDT = 10−4
, SNR = 15 dB, para n = 127.
25
CAPITULO 4
MODELO COM APAGAMENTO PARA
CANAIS DE ESTADOS FINITOS
NESTE capítulo será introduzido o modelo MA, as características do DFC com decisão suave
(entrada binária, saída ternária). Além disso, serão mostrado os modelos obtidos, curvas
estatísticas e análise dos resultados.
4.1 Modelo com Apagamento
O modelo de canal com apagamento, inicialmente proposto em [18], denominado de MA, foi
idealizado como um canal de estados finitos não-binário, com três níveis de quantização, a fim de
que haja uma menor perda de informação, quando comparado a FSMC binários, os quais possuem
apenas dois níveis de quantização [19].
As seqüências de entrada e saída do canal são denotadas, respectivamente, por xn = (x1, x2, ..., xn)
e yn = (y1, y2, ..., yn), em que xk ∈ {0, 1} e yk ∈ {0, 1, 2}, e são relacionadas por:
yk = 2xk + (−1)xk
zk (4.1)
ou
yk =



zk, se xk = 0
2 − zk, se xk = 1.
(4.2)
em que zk é uma amostra de ruído ternário, zk ∈ {0, 1, 2}, causada por interferências ou distorções
26
Figura 4.1: Modelo com apagamento para canais com memória.
do canal. É dito que ocorreu um erro na recepção, no k-ésimo intervalo, se zk = 2, um apagamento
se zk = 1, ou a recepção foi correta se zk = 0.
O canal MA consiste de uma cadeia de Markov com dois estados. Quando a cadeia se encontra
no estado 0, ou estado bom, a probabilidade de erro é nula, a probabilidade de apagamento é ξ e
a probabilidade de um bit ser transmitido corretamente é igual a 1 − ξ. O processo de geração do
apagamento associado ao estado 0 é representado por um canal binário com apagamento, BEC (do
inglês Binary Erasure Channel), no qual uma fração ξ dos bits é apagada [20]. Esse estado representa
a transmissão com boa qualidade, em que a probabilidade de erro é desprezível quando comparada
com a probabilidade de acerto e de apagamento. Quando a cadeia se encontra no estado 1 (deno-
minado de estado ruim), ocorrerá um erro com probabilidade β, um apagamento com probabilidade
α e a probabilidade de acerto é igual a 1 − α − β. A geração do dígito zk no estado 1 é representada
por um canal discreto sem memória, DMC (do inglês Discrete Memoryless Channel), no qual uma
fração α dos bits enviados é apagada e outra fração β destes é corrompida, gerando erros na saída do
canal. A probabilidade de transição do estado 0 para o estado 1 é dada por Q, e a probabilidade de
transição do estado 1 para o estado 0 é dada por q. A Figura 4.1 mostra o diagrama de estados deste
canal.
O canal MA é especificado pelas matrizes P(0), P(1) e P(2), dadas, respectivamente, por:
P(0) =


(1 − Q)(1 − ξ) Q(1 − α − β)
q(1 − ξ) (1 − q)(1 − α − β)

 (4.3)
P(1) =


(1 − Q)ξ Qα
qξ (1 − q)α

 (4.4)
27
P(2) =


0 Qβ
0 (1 − q)β

 . (4.5)
A matriz de probabilidade de transição da cadeia de Markov é dada por:
P = P(0) + P(1) + P(2) =


(1 − Q) Q
q (1 − q)

 . (4.6)
O vetor de probabilidade estacionária dos estados é:
Π = [π0 π1]T
=
[
q
Q+q
Q
Q+q
]T
. (4.7)
É possível calcular a probabilidade de qualquer sequência de erros, apagamentos e recepções corretas
utilizando (2.4). Por exemplo, no canal MA, a probabilidade de ocorrer um erro, ou seja, P(2)MA
P(Zk = 2), é calculada como segue:
P(2)MA = ΠT
P(2)1 = [π0 π1]


0 Qβ
0 (1 − q)β




1
1


=
Q
Q + q
β. (4.8)
A probabilidade de ocorrer um apagamento, ou seja, P(1)MA P(Zk = 1), é dada por:
P(1)MA = ΠT
P(1)1 = [π0 π1]


(1 − Q)ξ Qα
qξ (1 − q)α




1
1


=
q
Q + q
ξ +
Q
Q + q
α, (4.9)
e a probabilidade de ocorrer uma recepção correta, ou seja, P(0)MA P(Zk = 0), é dada por:
P(0)MA = ΠT
P(0)1 = [π0π1]


(1 − Q)(1 − ξ) Q(1 − α − β)
q(1 − ξ) (1 − q)(1 − α − β)




1
1


=
q
Q + q
(1 − ξ) +
Q
Q + q
(1 − α − β). (4.10)
Algumas estatísticas do FSMC são comumente usadas para validar os modelos. Utilizamos a
função autocorrelacao R[m] e a probabilidade de decodificação sem sucesso, PCE. Para cada FSMC,
28
expressões para estas estatísticas estão descritas a partir dos parâmetros do modelo MA, Q, q, ϵ,α e
β.
◃ Função autocorrelação R[m].
R(m) =
(
Q
Q + q
(α + 2β) +
q
Q + q
(ξ)
)2
+
qQ(α + 2β − ξ)
2
(1 − q − Q)
m
(Q + q)
2
= µ2
+
qQ(α + 2β − ξ)
2
(1 − q − Q)
m
(Q + q)
2 . (4.11)
◃ A probabilidade de decodificação sem sucesso, PCE.
Seja um codificador de bloco binário, linear, de parâmetros (n, k) e distância de Hamming
mínima dmin. A entrada do codificador é uma sequência de k dígitos binários de informação,
u = (u1u2 · · · uk), e a saída é uma palavra-código binária v = (v1v2 · · · vn). Os efeitos indesejados
da propagação são modelados como uma sequência ternária de ruídos z = (z1z2 · · · zn), modelada
estatisticamente pelo MA que, por sua vez, produz a seqüência r = (r1r2 · · · rn) na entrada do
decodificador.
Seja e o número de erros em r e a a quantidade de apagamentos em r. Se 2e+a+1 ≤ dmin,
o padrão de ruídos corrigível pelo código, o que implica u = û. Portanto, a probabilidade de uma
decodificacao correta, denotada por P(c), é dada por:
P(c) = P(2e + a + 1 ≤ dmin). (4.12)
Porém, se 2e+a+1 > dmin, duas situações podem ocorrer: falha na decodificação, o que irá gerar
um apagamento, ou erro de decodificação. Estes dois eventos serão considerados como decodificação
sem sucesso. Assim, a probabilidade de uma decodificação sem sucesso, denominada de PCE, é dada
por:
PCE = 1 − P(c) = 1 − P(2e + a + 1 ≤ dmin). (4.13)
Uma fórmula de recorrência para o cálculo do PCE para canais MA foi desenvolvida em [18].
4.2 Modelo do Sistema
Considere um DFC composto por um modulador BPSK, um canal com desvanecimento Rayleigh
plano correlacionado no tempo com ruído aditivo gaussiano branco (AWGA), e um demodulador
29
Figura 4.2: Regiões de decisão para um canal discreto com 3 níveis de quantização.
coerente com quantização de três níveis, como ilustrado na Figura 4.2. Definem-se os alfabetos
de entrada e saída do canal discreto por X = {0, 1} e Y = {0, 1, 2}, respectivamente. Seja Xk,
Xk ∈ X, onde k = 1, 2, · · · , o processo de entrada do canal discreto. A amostra do símbolo
recebido na saída do filtro casado no k-ésimo intervalo de sinalização é dado por:
Rk = AkSk + Nk, (4.14)
em que Sk = (2Xk −1)Es, Es é a energia do sinal transmitido, Ak é uma variável aleatória Rayleigh
que modela o desvanecimento multiplicativo e Nk é uma variável aleatória Gaussiana com variância
N0/2. No sistema considerado, um quantizador escalar uniforme é utilizado para mapear Rk em Yk
da seguinte forma:
Yk = j se Rk ∈ RDj
, j = 0, 1, 2, (4.15)
em que as regiões de decisão RDj
são definidas por:
RD0
= {r ∈ R : r < −∆} (4.16)
RD1 = {r ∈ R : −∆ < r < ∆} (4.17)
RD2
= {r ∈ R : r > ∆}, (4.18)
onde ∆ é o passo do quantizador. A Figura 4.2 ilustra o referido mapeamento.
4.3 Modelos com Apagamento para Canais de Estados Finitos
O objetivo desta seção é modelar o canal DFC usando MA para FSMC. Para cada valor de
fDT e SNR, uma sequência de erro do DFC é gerada por simulação e os parâmetros deste modelo
são estimados usando o algoritmo BW. Inicialmente, fixamos fDT = 10−2
, um valor típico para
30
um canal com desvanecimento rápido e fizemos um estudo de condições iniciais do BW para MA
com dois estados. Portanto, pressupõe-se que as probabilidades de transições entre os estados sejam
baixas. Dessa forma, foram escolhidas condições iniciais na ordem de 10−2
e 10−3
para Q, q, ξ
e α enquanto na ordem de 0, 1 à 0, 5 para β. As condições iniciais convergiram para os mesmos
parâmetros, o resultado pode ser observado na Tabela 4.1.
Verificou-se robustez quanto a escolha das condições iniciais. Em ambos os casos, consideramos
80 iterações para o BW e sequências de erro de tamanho N = 107
. A validação dos modelos
estimados na Tabela 4.1, bem como a escolha de um valor de K apropriado para cada SNR, será
realizada comparando-se algumas estatísticas do canal DFC com as dos modelos K-NM. Para isto,
usamos as seguintes estatísticas.
◃ Função autocorrelação R[m].
◃ A probabilidade de decodificação sem sucesso PCE.
As estatísticas do DFC são obtidas por simulação, enquanto as do modelo MA são obtidas a partir
dos seus parãmetros, Q, q, ϵ, α e β. As Figs. 4.3-4.5 apresentam R[m] versus m para três valores
de fDT (10−2
, 5 × 10−3
e 10−3
) com SNR = 10 dB e δ = 0, 15. Observa-se que para valores
pequenos de m, a autocorrelação apresenta valores mais elevados e que o modelo se aproxima da
curva do DFC. Para valores elevados de m, todas as curvas convergem para a autocorrelação de um
canal sem memória binário, ou seja, P(1)2
. As Figs. 4.6-4.8 apresentam PCE versus dmin para dois
valores de SNR (10 dB e 15 dB), para um bloco de comprimento n = 127. Observa-se que o modelo
comporta-se bem com dmin até 25.
Tabela 4.1: Modelos MA que aproximam um DFC com SNR = 10 dB e δ = 0, 15 e para SNR = 15 dB e
δ = 0, 1.
SNR fDT Q q ξ α β
0.01 0.013429 0.072747 0.004052 0.308841 0.045709
10dB 0.005 0.006896 0.034302 0.004759 0.286276 0.043467
0.001 0.001753 0.007742 0.006009 0.253243 0.038668
0.01 0.007901 0.125290 0.000748 0.345777 0.030705
15dB 0.005 0.004053 0.056376 0.000874 0.305105 0.027165
0.001 0.000926 0.010771 0.001240 0.255875 0.023054
31
0 20 40 60 80 100
0
0.005
0.01
0.015
0.02
0.025
0.03
m
R[m]
MA
DFC
Figura 4.3: R[m] versus m para DFC com fDT = 10−2
e δ = 0, 15, SNR = 10 dB.
0 50 100 150
0
0.005
0.01
0.015
0.02
0.025
0.03
m
R[m]
DFC
MA
Figura 4.4: R[m] versus m para DFC com fDT= 5×10−3
e δ = 0, 15, SNR = 10 dB.
0 100 200 300 400 500
0
0.005
0.01
0.015
0.02
0.025
0.03
m
R[m]
MA
DFC
Figura 4.5: R[m] versus m para DFC com fDT = 10−3
e δ = 0, 15, SNR = 10 dB.
32
5 10 15 20 25 30 35
10
−3
10
−2
10
−1
10
0
dmin
PCE
DFC
MA
Figura 4.6: PCE para MA que aproxima um DFC com fDT = 10−2
e δ = 0, 15, SNR = 10 dB, n = 127.
5 10 15 20 25 30 35
10
−4
10
−3
10
−2
10
−1
10
0
d
PCE
MA
DFC
Figura 4.7: PCE para MA que aproxima um DFC com fDT = 5 × 10−3
e δ = 0, 1, SNR = 15 dB, n = 127.
5 10 15 20 25 30 35 40
10
−5
10
−4
10
−3
10
−2
10
−1
10
0
d
PCE
DFC
MA
Figura 4.8: PCE para MA que aproxima um DFC com fDT = 10−2
e δ = 0, 1, SNR = 15 dB, n = 127.
33
CAPITULO 5
CONCLUSÃO
NESTE trabalho, foi proposto uma topologia de canal de estados finitos binário denominado
modelo nascimento e morte e denotado por NM. Onde seus parâmetros foram estimados à
partir do algoritmo BW de modo a capturar a memória do DFC.
Foram descritas as matrizes de distribuição de erros e de acertos, bem como a matriz de transição
de estados. Também foi mostrado o canal discreto com desvanecimento (DFC), o qual deseja-se
modelar com o uso do NM.
Uma vez definido o modelo NM com número fixo de estados, seus parâmetros serão estimados
a partir do BW de modo a se aproximar do DFC para diferentes valores dos parametros do canal
discreto com desvanecimento, fDT = 10−3
e 10−4
, e Es/N0 =5 dB, 10 dB, 15 dB.
Para mensurar a precisão do modelo, comparamos algumas estatísticas do modelo NM com a do
DFC. Dentre elas a funcão autocorrelação R[m], a probabilidade que o canal produza pelo menos m
transmissões corretas consecutivas dado que ocorreu um erro, P(0m
|1), a vazão do protocolo Go-
Back-N, a divergência de Kullback-Leibler de l-ésima ordem e a probabilidade do canal produzir m
erros em um bloco de comprimento n, P(m, n). Desta maneira, verificou-se que o NM descreve,
estatisticamente e de maneira satisfatória, o DFC com um K ótimo para cada canal.
Em seguida, foi feito o estudo para modelar um sistema de comunicações composto por um
quantizador suave. Para validar o modelo utilizaremos as estatísticas função autocorrelação R[m] e
a probabilidade de decodificação sem sucesso PCE e pode-se verificar que o modelo descreve bem o
DFC.
34
5.1 Sugestões para Trabalhos Futuros
Alguns outros tópicos que podem ser abordados em pesquisas futuras:
◃ Analisar os resultados do BW para canais com desvanecimento com outras funções autocor-
relação (por exemplo: canal com autocorrelação exponencial) e diferentes funções densidades de
probabilidade da amplitude do desvanecimento (por exemplo: Rice, Nakagami);
◃ Verificar as faixas de parâmetros para outras modulações, como: M-PSK, M-QAM, OFDM;
◃ Propor modelos com mais níveis de quantização e avaliar o ganho em relação a modelos com
decisão abrupta;
◃ Realizar o estudo de códigos corretores de erro para canais com memória e analisar o desem-
penho do modelo;
35
APENDICE A
PUBLICAÇÕES
Deste trabalho, foi publicado o seguinte artigo:
1. BARROS, F.; PIMENTEL, C.; PINTO, E. L. . Modelos Markovianos Nascimento e Morte
para Canais com Desvanecimento, XXXI Simpósio Brasileiro de Telecomunicações, Fortaleza, CE,
setembro, 2013.
36
37
BIBLIOGRAFIA
[1] A. F. Molish, “Wireless Communications,” John Wiley & Sons, 2a
ed., Califórnia, 2011.
[2] C. Pimentel, T. H. Falk e L. Lisboa, “Finite-state Markov modeling of correlated Rician fading
channels,” IEEE Trans. Veh. Technol., vol. 53, pp. 1491-1501, Setembro 2004.
[3] W. Kumwilaisak, C.-C. J. Kuo, and D. Wu, “Fading channel modeling via variable-length
Markov chain technique,” IEEE Trans. Veh. Technol., vol. 57, pp. 1338-1358, Maio 2008.
[4] L. Zhong, F. Alajaji, and G. Takahara, “A model for correlated Rician fading channels based on
a finite queue,” IEEE Trans. Veh. Technol., vol. 57, pp. 79-89, Janeiro 2008.
[5] W. H. Tranter, “Principles of Communications Systems Simulation with Wireless Applications,”
Pretence Hall, New Jersey, 2004.
[6] P. Sadeghi, R. Kennedy, P. Rapajic, R. Shams, “Finite-state Markov modeling of fading chan-
nels,” IEEE Signal Processing Magazine, vol. 58, Sept. 2008.
[7] E. N. Gilbert, “Capacity of a burst-noise channel,” Bell Syst. Tech. J., vol. 39, pp. 1253-1266,
Sep. 1960.
[8] E. O. Elliot, “Estimates of error rates for codes on burst-noise channels,” Bell Syst. Tech. J., vol.
42, pp. 1977-1997, Sep. 1963.
[9] B. D. Fritchman, “A binary channel characterization using partitioned markov chains,” IEEE
Trans. Inf. Theory, vol. 13, no. 2, pp. 221-227, Apr. 1967.
[10] R. G. Gallager, “Information Theory and Reliable Communications,” New York, Wiley, 1968.
[11] F. Babich, O. Kelly, and G. Lombardi, “Generalized Markov modeling for flat fading,” IEEE
Trans. Commun., vol. 48, pp. 547-551, Apr. 2000.
38
[12] L. Zhong, F. Alajaji, and G. Takahara, “A binary communication channel with memory based
on a finite queue,” IEEE Trans. Inf. Theory, vol. 53, no. 8, pp. 2815-2840, Aug. 2007.
[13] L. Wilhelmsson and L. B. Milstein, “On the effect of imperfect interleaving for the Gilbert-
Elliott channel”, IEEE Trans. Commun. , vol. 47, pp. 681-688, May 1999.
[14] P. Sadeghi and P. Rapajic, “Capacity analysis for finite-state Markov mapping of Markov chan-
nels,” IEEE Trans. Commun., vol. 53, pp. 833-840, May 2005.
[15] V. Tralli and M. Zorzi, “Markov models for the physical layer block error process in a WCDMA
cellular system,” IEEE Trans. Veh. Technol., vol. 54, pp. 2102-2113, Nov. 2005.
[16] C. Pimentel and I.F. Blake, “Enumeration of Markov chains and burst error statistics for finite
state channel models,” IEEE Trans. Veh. Technol., vol. 48, pp. 415-428, Mar. 1999.
[17] C. Pimentel and R. L. Siqueira, “Analysis of the Go-Back-N protocol on finite-state Markov
Rician fading channels,” IEEE Trans. Veh. Technol., vol. 57, no. 4, pp. 2627-2632, July 2008.
[18] I. M. L. Moreira “Modelo de canal de estados finitos para canais com desvanecimento cor-
relacionado no tempo e decisão suave,” Dissertação de Mestrado, Dez. 2008 . Programa de
Pós-Graduação em Engenharia Elétrica, UFPE.
[19] L. N. Kanal and A. R. K. Sastry, “Models for channels with memory and their applications to
error control,” Proc. of the IEEE, vol. 66, no. 7, pp. 724-744, July 1978.
[20] T. Cover and J. Thomas, Elements of Information Theory, 2nd ed. Wiley-Interscience, 2006.
39

felipe_tg

  • 1.
    UNIVERSIDADE FEDERAL DEPERNAMBUCO CENTRO DE TECNOLOGIA E GEOCIÊNCIAS DEPARTAMENTO DE ELETRÔNICA E SISTEMAS FELIPE PEREIRA BARROS MODELAMENTO DE CANAIS COM DESVANECIMENTO PLANO USANDO MODELOS NASCIMENTO E MORTE RECIFE, JUNHO DE 2014.
  • 2.
    Resumo do Trabalhode Graduação apresentado à UFPE como parte dos requisitos necessários para a obtenção de Graduado em Engenharia Elétrica - Eletrônica MODELAMENTO DE CANAIS COM DESVANECIMENTO PLANO USANDO MODELOS NASCIMENTO E MORTE Felipe Pereira Barros Junho/2014 Orientador: Cecilio José Lins Pimentel, Ph.D. Área de Concentração: Comunicações Palavras-chaves: canais com desvanecimento Rayleigh, modelos Markovianos de estados finitos, canais com memória, quantização, decisão suave, probabilidade de erro. Número de páginas: VI + 39 MODELOS de canais de estados finitos Markovianos (FSMC, Finite State Markov Channel) são comumente usados para caracterizar a memória de canais discretos binários (entrada binária, saída binária). Este trabalho propõe empregar uma topologia de canais FSMC conhecida como modelo nascimento e morte (NM) para capturar a memória do canal com desvanecimento plano correlacionado no tempo. O modelo proposto foi utilizado para modelar um sistema de co- municação composto por um modulador BPSK binário, um canal de desvanecimento Rayleigh cor- relacionado no tempo com ruído aditivo Gaussiano branco (AWGN, additive white Gaussian noise), e um demodulador de quantização abrupta. Esse sistema foi denominado como Canal Discreto com Desvanecimento (DFC, discrete fading channel). Seus parâmetros serão estimados a partir do al- goritmo Baum-Welch (BW) de modo a se aproximar do DFC. Para medir a precisão do modelo, comparamos algumas estatísticas do modelo NM com a do DFC. Para cada conjunto de parâmet- ros do DFC identificamos o número ótimo de estados do NM que é capaz de aproximá-lo. Além disso, foi feito um estudo para modelar um DFC com quantização suave (entrada binária e saída ternária). Então, propomos FSMC não binários para modelar este canal. A contribuição deste tra- balho é identificar modelos NM precisos que aproximem canais com desvanecimento plano e analisar o desempenho de códigos corretores de erro em canais com memória. II
  • 3.
    SUMÁRIO 1 INTRODUÇÃO 1 1.1Organização do Trabalho . . . . . . . . . . . . . . . . . . . . . . . . . . . . . . . . 3 2 CANAIS DE ESTADOS FINITOS MARKOVIANOS 4 2.1 Canais de Estados Finitos Binários . . . . . . . . . . . . . . . . . . . . . . . . . . 4 2.2 Modelo Nascimento e Morte . . . . . . . . . . . . . . . . . . . . . . . . . . . . . . 6 2.2.1 Prova do Vetor Estacionário para o Modelo K-NM . . . . . . . . . . . . . . . 7 2.3 Canal Discreto com Desvanecimento . . . . . . . . . . . . . . . . . . . . . . . . . . 8 3 RESULTADOS OBTIDOS DO BAUM-WELCH 10 3.1 Modelos K-NM para DFCs com fDT = 10−3 . . . . . . . . . . . . . . . . . . . . 10 3.2 Modelos K-NM para DFCs com fDT = 10−4 . . . . . . . . . . . . . . . . . . . . 17 4 MODELO COM APAGAMENTO PARA CANAIS DE ESTADOS FINITOS 26 4.1 Modelo com Apagamento . . . . . . . . . . . . . . . . . . . . . . . . . . . . . . . . 26 4.2 Modelo do Sistema . . . . . . . . . . . . . . . . . . . . . . . . . . . . . . . . . . . 29 4.3 Modelos com Apagamento para Canais de Estados Finitos . . . . . . . . . . . . . 30 5 CONCLUSÃO 34 5.1 Sugestões para Trabalhos Futuros . . . . . . . . . . . . . . . . . . . . . . . . . . . 35 Apêndice A PUBLICAÇÕES 36 BIBLIOGRAFIA 38 III
  • 4.
    LISTA DE TABELAS 3.1Condições iniciais do BW para modelos GEC para DFC com fDT = 10−3 . . . . . . 11 3.2 Modelos K-NM, K = 2, 3 e 4, que aproximam um DFC com fDT = 10−3 . . . . . . 12 3.3 Modelos K-NM, K = 2, · · · , 7, que aproximam um DFC com fDT = 10−4 . . . . . 19 3.4 Modelos K-NM que aproximam um DFC com fDT = 10−3 e 10−4 para SNR = 5dB, 10 dB e 15dB . . . . . . . . . . . . . . . . . . . . . . . . . . . . . . . . . . . 20 4.1 Modelos MA que aproximam um DFC com SNR = 10 dB e δ = 0, 15 e para SNR = 15 dB e δ = 0, 1. . . . . . . . . . . . . . . . . . . . . . . . . . . . . . . . . . . . . 31 IV
  • 5.
    LISTA DE FIGURAS 2.1Transições da cadeia de Markov para o modelo 4-NM. . . . . . . . . . . . . . . . . 7 3.1 Logaritmo da função de verossimilhança versus número de iterações para os parâmet- ros do GEC da primeira linha da Tabela 3.1. DFC com SNR = 15 dB e fDT = 10−3 . . . . . . . . . . . . . . . . . . . . . . . . . . . . . . . . . . . . . . . . . . . . . . 11 3.2 Logaritmo da função de verossimilhança versus número de iterações para os parâmet- ros do GEC da segunda linha da Tabela 3.1. DFC com SNR = 15 dB e fDT = 10−3 . . . . . . . . . . . . . . . . . . . . . . . . . . . . . . . . . . . . . . . . . . . . . . 12 3.3 R[m] versus m para DFC com fDT = 10−3 , SNR=5 dB. . . . . . . . . . . . . . . 13 3.4 R[m] versus m para DFC com fDT = 10−3 , SNR=10 dB. . . . . . . . . . . . . . . 14 3.5 R[m] versus m para DFC com fDT = 10−3 , SNR= 15 dB. . . . . . . . . . . . . . 14 3.6 P(0m |1) versus m para DFC com fDT = 10−3 , SNR=5 dB. . . . . . . . . . . . . . 15 3.7 P(0m |1) versus m para DFC com fDT = 10−3 , SNR=10 dB. . . . . . . . . . . . . 15 3.8 P(0m |1) versus m para DFC com fDT = 10−3 , SNR=15 dB. . . . . . . . . . . . . 16 3.9 Vazão do protocolo GBN versus SNR com fDT = 10−3 , para n = 80 e N = 10. . . 16 3.10 Divergência normalizada de décima ordem para um DFC com fDT = 10−3 . . . . . 17 3.11 P(m, n) para um K-NM que aproxima um DFC com fDT = 10−3 , SNR = 5 dB, para n = 127. . . . . . . . . . . . . . . . . . . . . . . . . . . . . . . . . . . . . . . 17 3.12 P(m, n) para um K-NM que aproxima um DFC com fDT = 10−3 , SNR = 10 dB, para n = 127. . . . . . . . . . . . . . . . . . . . . . . . . . . . . . . . . . . . . . . 18 3.13 P(m, n) para um K-NM que aproxima um DFC com fDT = 10−3 , SNR = 15 dB, para n = 127. . . . . . . . . . . . . . . . . . . . . . . . . . . . . . . . . . . . . . . 18 3.14 R[m] versus m para DFC com fDT = 10−4 , SNR=5 dB. . . . . . . . . . . . . . . 20 3.15 R[m] versus m para DFC com fDT = 10−4 , SNR=10 dB. . . . . . . . . . . . . . . 21 3.16 R[m] versus m para DFC com fDT = 10−4 , SNR= 15 dB. . . . . . . . . . . . . . 21 3.17 P(0m |1) versus m para DFC com fDT = 10−4 , SNR=5 dB. . . . . . . . . . . . . . 22 3.18 P(0m |1) versus m para DFC com fDT = 10−4 , SNR=10 dB. . . . . . . . . . . . . 22 3.19 P(0m |1) versus m para DFC com fDT = 10−4 , SNR=15 dB. . . . . . . . . . . . . 23 3.20 Vazão do protocolo GBN versus SNR com fDT = 10−4 , para n = 240 e N = 30. . 23 3.21 Divergência normalizada de décima ordem para um DFC com fDT = 10−4 . . . . . 24 3.22 P(m, n) para um K-NM que aproxima um DFC com fDT = 10−4 , SNR = 5 dB, para n = 127. . . . . . . . . . . . . . . . . . . . . . . . . . . . . . . . . . . . . . . 24 V
  • 6.
    3.23 P(m, n)para um K-NM que aproxima um DFC com fDT = 10−4 , SNR = 10 dB, para n = 127. . . . . . . . . . . . . . . . . . . . . . . . . . . . . . . . . . . . . . . 25 3.24 P(m, n) para um K-NM que aproxima um DFC com fDT = 10−4 , SNR = 15 dB, para n = 127. . . . . . . . . . . . . . . . . . . . . . . . . . . . . . . . . . . . . . . 25 4.1 Modelo com apagamento para canais com memória. . . . . . . . . . . . . . . . . . 27 4.2 Regiões de decisão para um canal discreto com 3 níveis de quantização. . . . . . . . 30 4.3 R[m] versus m para DFC com fDT = 10−2 e δ = 0, 15, SNR = 10 dB. . . . . . . . 32 4.4 R[m] versus m para DFC com fDT= 5×10−3 e δ = 0, 15, SNR = 10 dB. . . . . . . 32 4.5 R[m] versus m para DFC com fDT = 10−3 e δ = 0, 15, SNR = 10 dB. . . . . . . . 32 4.6 PCE para MA que aproxima um DFC com fDT = 10−2 e δ = 0, 15, SNR = 10 dB, n = 127. . . . . . . . . . . . . . . . . . . . . . . . . . . . . . . . . . . . . . . . . 33 4.7 PCE para MA que aproxima um DFC com fDT = 5 × 10−3 e δ = 0, 1, SNR = 15 dB, n = 127. . . . . . . . . . . . . . . . . . . . . . . . . . . . . . . . . . . . . . . 33 4.8 PCE para MA que aproxima um DFC com fDT = 10−2 e δ = 0, 1, SNR = 15 dB, n = 127. . . . . . . . . . . . . . . . . . . . . . . . . . . . . . . . . . . . . . . . . . . 33 VI
  • 7.
    CAPITULO 1 INTRODUÇÃO COMUNICAÇÃO semfio é dos grandes sucessos da engenharia dos últimos 25 anos - não apenas observando o ponto de vista científico, mas também em termos de tamanho de mercado e impacto social [1]. Atualmente a sociedade exige de um sistema eficiente e dinâmico em que haja troca de informações de forma rápida e segura. Entretanto, neste tipo de comunicação, os efeitos combinados de distorções e atenuações no sinal transmitido tendem a introduzir erros na sequência recebida de tal forma que estes são agrupados em surtos [2]. Existe então uma dependência estatística na ocorrência de erros no canal, sendo este denominado canal com memória. Para o modelamento de canais com memória utilizamos neste trabalho a classe de canais de estados finitos Markovianos (FSMC, Finite State Markov Channels). FSMC binários (entrada binária, saída binária) são largamente utilizados para modelar canais discretos com desvanecimento correlacionado no tempo devido a sua tratabilidade matemática [2]- [4]. Além disso, as aplicações do FSMC tem sido um sucesso numa variedade de problemas impor- tantes na área de comunicações [5]. Modelos FSMC são versáteis, e com escolhas adequadas de seus parâmetros, podem capturar a essência de canais com desvanecimento invariantes no tempo [6]. Em 1960, Gilbert [7] propôs um FSMC binário para determinar a capacidade de informação de linhas telefônicas ruidosas. Logo após o trabalho de Gilbert, Elliot [8] utilizou esse modelo para calcular e comparar a taxa de erros de códigos corretores de erros em canais ruidosos. Esse canal ficou conhecido como o canal Gilbert-Elliot (GEC, Gilbert-Elliot Channel). Em 1967, Fritchman [9] propôs um canal de estados finitos com A0 estados livres de erros e A1 estados com erros. Contudo, o modelo de Fritchman era complexo para obter-se as probabilidades de erro, a não ser que fosse 1
  • 8.
    utilizado apenas 1estado com erro (A1 = 1). Em 1968, Gallager [10] desenvolveu uma fórmula para a capacidade de canal de um FSMC. A definição de Gallager acerca do FSMC é usada pelos pesquisadores até os dias atuais. Ela engloba tanto o caso em que a transição dos estados do canal é controlada pela entrada deste (como no caso de canais com interferência intersimbólica), quanto o caso em que o estado do canal é estatisticamente independente da entrada (como os modelos usados para canais com desvanecimento). Recentemente, outros modelos FSMC baseados em memória variável [11] e em filas finitas [12] foram desenvolvi- dos. Este trabalho propõe empregar uma topologia de canais FSMC conhecida como modelos nasci- mento e morte (NM) para capturar a memória do canal com desvanecimento plano correlacionado no tempo. O modelo proposto foi idealizado para modelar um sistema de comunicações composto por um modulador BPSK binário, um canal de desvanecimento Rayleigh correlacionado no tempo com ruído aditivo Gaussiano branco (AWGN, additive white Gaussian noise), e um demodulador de quantização abrupta. Esse sistema foi denominado como Canal Discreto com Desvanecimento (DFC, discrete fading channel). Uma vez definido o modelo NM com número fixo de estados, seus parâmetros serão estima- dos a partir do algoritmo de Baum-Welch (BW) de modo a se aproximar do DFC. Tabelas com os parâmetros do modelo NM que aproximam DFC’s são mostradas neste trabalho. Para mensurar a precisão do modelo, comparamos algumas estatísticas do modelo NM com a do DFC. As estatísticas consideradas são a função autocorrelação R[m], a probabilidade que o canal produza pelo menos m transmissões corretas consecutivas dado que ocorreu um erro, P(0m |1), a vazão do protocolo Go-Back-N, a divergência de Kullback-Leibler de l-ésima ordem e a probabilidade do canal pro- duzir m erros em um bloco de comprimento n, P(m, n). Para cada conjunto de parâmetros do DFC identificamos o número ótimo de estados do NM que é capaz de aproxima-lo. Além disso, foi feito um estudo para modelar um sistema de comunicações com quantização suave. Neste caso, o canal discreto com desvanecimento a ser considerado tem entrada binária e saída ternária. Então, propomos canais FSMC não binários para modelar este canal. Uma vez definido o modelo, seus parâmetros serão estimados pelo BW. Para validar o modelo utilizaremos as estatísticas função autocorrelação R[m] e a probabilidade de decodificação sem sucesso (PCE, probability of codeword error). A principal contribuição deste trabalho é identificar modelos NM precisos que aproximem canais com desvanecimento plano. Este modelos podem substituir o DFC e constituem uma ferramenta 2
  • 9.
    teórica para analisaro desempenho de códigos corretores de erro em canais com memória. Em geral, usa-se códigos projetados para canais sem memória e para que estes sejam eficientes destroe-se a memória do canal através do uso do entrelaçamento. Entretanto, um entrelaçador perfeito requer um sistema mais complexo com elevada demanda de memória e um alto processamento digital. Este trabalho parte da premissa que a memória do canal não deve ser destruída, mas sim explorada na decodificação a fim de obter-se desempenhos melhores em relação aos sistemas entrelaçados. 1.1 Organização do Trabalho O restante deste trabalho está organizado 4 capítulos. No Capítulo 2, será apresentada uma breve introdução sobre FSMC e o modelo NM. Além disso, serão definidas as principais características do DFC que queremos modelar. No Capítulo 3, serão mostrados os resultados do modelamento e curvas estatísticas comparando o modelo NM obtido com o DFC, além de comentários sobre o resultado. No Capítulo 4, será introduzido um modelo com apagamento, que é um modelo não-binário (en- trada binária, saída ternária), bem como serão desenvolvidas as expressões para algumas estatísticos do modelo. Neste capítulo, também serão mostrados os resultados do modelamento e sua validação. E, por fim, o Capítulo 5 contém as Conclusões deste trabalho e sugestões de trabalhos futuros. 3
  • 10.
    CAPITULO 2 CANAIS DEESTADOS FINITOS MARKOVIANOS NESTE capítulo será apresentada uma breve introdução sobre FSMC e o modelo NM que serão úteis para o entendimento do modelo proposto. Além disso, serão abordadas as principais características do DFC que deseja-se modelar. E, por fim, a prova de uma expressão fechada para o vetor estacionário no modelo NM. 2.1 Canais de Estados Finitos Binários As sequências de entrada e de saída de um canal discreto binário são definidas, respectivamente, por xn = (x1, x2, ..., xn) e yn = (y1, y2, ..., yn), em que xk , yk ∈ {0, 1} e são relacionadas por: yk = xk ⊕ zk (2.1) em que ⊕ denota soma módulo 2 e zk é uma amostra de erro binária causada por interferências e distorções do canal. Se zk = 1, houve um erro na k-ésima transmissão, ou se zk = 0, a k-ésima transmissão foi realizada corretamente. A sequência zn é independente da sequência de entrada xn e modela a dinâmica dos erros transmitidos pelo canal de comunicação. Assuminos que existe uma dependência estatística na ocorrência de erros no canal e denominamos este tipo de canal de canal com memória. Para o modelamento de canais com memória utilizamos a classe de canais FSMC. Modelos FSMC binários são largamente utilizados para modelar canais com desvanecimento correlacionado no tempo [2]-[4], [11] ,[13]-[15]. Um FSMC é composto de uma cadeia de Markov homogênia, estacionária, de K estados, sendo P 4
  • 11.
    a K×K matrizde probabilidades de transição. Cada elemento desta matriz, pi,j, i, j ∈ {0, 1, · · · K− 1}, é a probabilidade condicional que a cadeia transicione para o estado j dado que esteja no estado i. Definimos o K ×1 vetor coluna Π = [π0 π1 ... πK−1]T , como a distribuição estacionária da cadeia de Markov, em que o sobrescrito [.]T indica transposição de uma matriz, que possui as seguintes propriedades: ΠT P = ΠT (2.2) K−1∑ j=0 πj = 1. (2.3) Para cada estado j, o processo de geração de erro está relacionado a um canal binário simétrico ( BSC, Binary Symmetric Channel) com probabilidade de erro Pj. Em cada intervalo, a cadeia transiciona do estado i para o estado j e gera um erro com probabilidade Pj. Definimos a K × K matriz P(0) como a matriz de probabilidades de transição de estados sem ocorrência de erro, em que cada elemento é a probabilidade da cadeia transicionar do estado i para o estado j e gerar zk = 0. Da mesma maneira, a matriz P(1) é definida como a matriz de probabilidades de transição de estados com ocorrência de erro e cada elemento representa a probabilidade da cadeia transicionar do estado i para o estado j e gerar zk = 1. Estas duas matrizes são definidas da seguinte forma: P(0) =         p0,0(1 − P0) p0,1(1 − P1) · · · p0,N−1(1 − PN−1) p1,0(1 − P0) p1,1(1 − P1) · · · p1,N−1(1 − PN−1) ... ... ... ... pN−1,0(1 − P0) pN−1,1(1 − P1) · · · pN−1,N−1(1 − PN−1)         P(1) =         p0,0P0 p0,1P1 · · · p0,N−1PN−1 p1,0P0 p1,1P1 · · · p1,N−1PN−1 ... ... ... ... pN−1,0P0 pN−1,1P1 · · · pN−1,N−1PN−1         . Observe que P = P(0) + P(1). Uma expressão geral para encontrar a probabilidade de ocorrer uma sequência de erros zn = (z1, z2, ..., zn) é dada por [16]: P(zn) = ΠT n∏ k=1 P(zk)1 (2.4) em que 1 é um K × 1 vetor coluna de 1’s. Algumas estatísticas do FSMC são comumente usadas para validar os modelos. Utilizamos a função autocorrelação R[m], a probabilidade de ocorrer m 5
  • 12.
    zeros seguidos dadoa ocorrência de um erro, P(0m |1), e a vazão η de um protocolo Go-Back-N (GBN) [17]. Para cada FSMC, expressões para estas estatísticas estão descritas na forma matricial em termos de P, Π, P(0), P(1): R[m] P(zk = 1, zk+m = 1) = ΠT P(1)Pm−1 P(1)1; (2.5) P(0m |1) = ΠT P(1)Pm (0)1 ΠT P(1)1 ; (2.6) η = ΠT Pn (0)1 ΠT Pn(0)(I − Pn(1)(Pn)N−1)−1[NPn(1)(Pn)N−1(I − Pn(1)(Pn)N−1)−1 + I]Pn(0)1 . (2.7) 2.2 Modelo Nascimento e Morte O modelo Nascimento e Morte com K estados (K-NM) é um caso particular de um FSMC em que existem apenas transições entre os estados vizinhos. Dado que o modelo esteja no estado i, i ∈ {1, · · · , K − 2}, a cadeia pode transicionar apenas para o estado i − 1, i + 1, ou permanecer no mesmo estado. Quando a cadeia se encontra no estado 0, pode ocorrer transição para o estado 0 ou para o estado 1. Analogamente, estando no estado K − 1, a cadeia pode permanecer neste mesmo estado ou transicionar para o estado K −2. A Figura 2.1 ilustra as transições possíveis para o modelo 4-NM. Cada componente do vetor estacionário Π é dada por: πi = α K−i−2∏ j=0 pK−j−1,K−j−2 i−1∏ z=0 pi−z−1,i−z (2.8) em que i = 0, 1, · · · K − 1 e a constante de normalização α deve ser escolhida para satisfazer: K−1∑ i=0 πi = 1. A prova da fórmula (2.8) é dada na Subseção 2.2.1 O modelo NM mais simples é o canal GEC, também denotado por 2-NM. Este canal possui apenas dois estados que definimos como estado bom, estado 0, e estado ruim, estado 1. O modelo GEC pode ser especificado pelas matrizes P, P(0), P(1) e Π: P =   1 − Q Q q 1 − q   6
  • 13.
    10 2 3 Figura2.1: Transições da cadeia de Markov para o modelo 4-NM. P(0) =   (1 − Q)(1 − P0) Q(1 − P1) q(1 − P0) (1 − q)(1 − P1)   P(1) =   (1 − Q)P0 QP1 qP0 (1 − q)P1   Π = [ q Q+q Q Q+q ] . Podemos calcular qualquer sequência de erro utilizando (2.4). Como um exemplo, suponha que queremos calcular a probabilidade P(1) P(zk = 1). Então: P(1) = ΠT P(1)1 = q q + Q P0 + Q q + Q P1. (2.9) e a probabilidade de ocorrer uma recepção correta, ou seja, P(0) P(zk = 0), é dada por: P(0) = ΠT P(0)1 = q q + Q (1 − P0) + Q q + Q (1 − P1). (2.10) Neste trabalho, usaremos o modelo K-NM para modelar um sistema de comunicações com desvanecimento que será descrito na próxima subseção. 2.2.1 Prova do Vetor Estacionário para o Modelo K-NM Uma coluna genérica da matriz P é da forma: 7
  • 14.
                            0 ... 0 pi−1,i 1 − pi,i−1− pi,i+1 pi+1,i 0 ... 0                         . (2.11) Pela propriedade do vetor estacionário, a multiplicação do vetor linha ΠT pelo vetor coluna dado em (2.11) deve resultar em πi. Esta multiplicação é igual a: πi−1 pi−1,i + πi (1 − pi,i−1 − pi,i+1) + πi+1 pi+1,i. (2.12) O primeiro termo de (2.12) é: πi−1pi−1,i = α (K−(i−1)−2 ∏ j=0 pK−j−1,K−j−2 i−2∏ z=0 pi−1−z−1,i−1−z ) pi−1,i. (2.13) No entanto K−(i−1)−2 ∏ j=0 pK−j−1,K−j−2 = pi,i−1 K−i−2∏ j=0 pK−j−1,K−j−2 (2.14) e (i−2∏ z=0 pi−1−z−1,i−1−z ) pi−1,i = i−1∏ z=0 pi−z−1,i−z. (2.15) Substituindo (2.14) e (2.15) a (2.13) e usando a fórmula de πi podemos concluir: πi−1pi−1,i = πi pi,i−1. (2.16) De forma análoga, pode mostrar que πi+1pi+1,i = πi pi,i+1 (2.17) Portanto, (2.12) resulta em πi. 2.3 Canal Discreto com Desvanecimento Considere um DFC composto por um modulador BPSK binário, um canal com desvanecimento Rayleigh plano correlacionado no tempo com ruído aditivo Gaussiano branco (AWGN), e um de- modulador coerente com quantização abrupta. Definem-se os alfabetos de entrada e saída do canal 8
  • 15.
    discreto por X= {0, 1} e Y = {0, 1}, respectivamente. Seja Xk, Xk ∈ X, onde k = 1, 2, ..., o processo de entrada do canal discreto. A amostra do símbolo recebido na saída do filtro casado no k-ésimo intervalo de sinalização é dada por Rk = √ Es AkSk + Nk, k = 1, 2, · · · (2.18) onde Sk = (2Xk − 1), Es é a energia do sinal transmitido e Nk é uma sequência de variáveis aleatórias Gaussianas independentes e igualmente distribuídas de média zero e variância N0/2. Além disso, Ak = |Gk| é o processo de desvanecimento em que Gk é um processo Gaussiano complexo estacionário de sentido amplo correlacionado no tempo, com média zero e função autocorrelação dada pelo modelo de desvanecimento de Clarke R[k] = J0(2πfDT|k|), em que J0(x) é a função de Bessel de ordem zero do primeiro tipo e fDT é a máxima frequência Doppler normalizada pela taxa de sinalização 1/T. Assim, Ak é uma variável Rayleigh com segundo momento unitário (E[A2 k] = 1). Os processos {Ak} e {Nk} são independentes entre si e do processo de entrada. A função densidade de probabilidade de Rayleigh é dada por PAk (a) = 2ae−a2 . (2.19) Define-se a relação sinal ruído média recebida por SNR = Es/N0. A saída do canal discreto Yk é obtida por quantização abrupta de Rk. A função de autocorrelação para o DFC é dada por: R[m] = 1 π2 ∫ π/2 0 ∫ π/2 0 sin2 θ1 sin2 θ2 sin2 θ1 sin2 θ2 + Es N0 (sin2 θ1 + sin2 θ2) + ( Es N0 )2 (1 − ρ2) dθ1dθ2. (2.20) em que ρ = J0(2πmfDT). 9
  • 16.
    CAPITULO 3 RESULTADOS OBTIDOSDO BAUM-WELCH OObjetivo deste capítulo é modelar o canal DFC usando modelos K-NM. Serão mostrados os resultados dos modelamentos e curvas estatísticas comparando os modelos com o DFC, além de análises sobre o resultado. 3.1 Modelos K-NM para DFCs com fDT = 10−3 Para cada valor de fDT e SNR, uma sequência de erro do DFC é gerada por simulação e os parâmetros deste modelo são estimados usando o algoritmo BW. Inicialmente, fixamos fDT = 10−3 , um valor típico para um canal com desvanecimento lento e fizemos um estudo de condições iniciais do BW para o modelo GEC (K = 2). Portanto, pressupõe-se que as probabilidades de transições entre os estados sejam baixas. Dessa forma, foram escolhidas condições iniciais na ordem de 10−2 e 10−3 (para Q, q e P0) enquanto na ordem de 0.1 − 0.5 para P1. Propomos 6 condições iniciais para o GEC, conforme é mostrado na Tabela 3.1. Considerando uma sequência de erro de tamanho N = 107 , um número de iterações fixado arbitrariamente igual a 20 e um valor de SNR na faixa entre 5 dB - 15 dB, os GECs estimados convergiram para os mesmos parâmetros para todas condições iniciais mostradas na Tabela 3.1, isso mostra a robustez do algoritmo quanto as condições iniciais escolhidas. O algoritmo BW fornece como saída o logaritmo da função verosimilhança para cada iteração do algoritmo. Esta função é um indicador da precisão do modelo em aproximar a sequência de erro 10
  • 17.
    Tabela 3.1: Condiçõesiniciais do BW para modelos GEC para DFC com fDT = 10−3 . Q q P0 P1 0.0010 0.0100 0.0100 0.1000 0.0050 0.0500 0.0500 0.5000 0.0010 0.0010 0.0010 0.1000 0.0100 0.0100 0.0100 0.1000 0.0500 0.0500 0.0500 0.1000 0.0100 0.1000 0.0100 0.1000 e a partir desta pode-se definir um critério de parada do BW observando a sua convergencia em função do número de iterações. As Figuras 3.1 e 3.2 mostram o gráfico do logaritmo da função de verossimilhança versus o número de iterações para os dois primeiros casos mostrados da Tabela 3.1. Pode-se perceber que os gráficos são semelhantes, assim como foi observado para os demais casos (curvas não são mostradas). Além disso, a curva converge com 5 iterações, ou seja, o número de iterações para K = 2 pode ser igual ou maior que 5. Nesse caso, o valor inicial arbitrário igual a 20 (número de iterações) utilizado para a simulação foi suficiente para gerar os modelos GEC. 0 5 10 15 20 −1.6 −1.55 −1.5 −1.45 −1.4 −1.35 −1.3 −1.25 −1.2 x 10 5 Iteracoes LogProbabilidade Figura 3.1: Logaritmo da função de verossimilhança versus número de iterações para os parâmetros do GEC da primeira linha da Tabela 3.1. DFC com SNR = 15 dB e fDT = 10−3 . Parâmetros dos modelos GEC foram estimados pelo BW para fDT = 10−3 e para 3 valores de SNR (5 dB, 10 dB e 15 dB), com N = 107 . Foram utilizadas seis condições iniciais para cada caso e todas convergiram para os mesmos parâmetros do GEC. Em seguida, este estudo foi realizado com modelos mais complexos com K = 3 e K = 4 estados. As condições iniciais para cada caso foram baseadas no mesmo princípio adotado para K = 2. Verificou-se robustez quanto a escolha das condições iniciais. Os resultados do modelamento 11
  • 18.
    0 5 1015 20 −3.5 −3 −2.5 −2 −1.5 −1 x 10 5 Iteracoes LogProbabilidade Figura 3.2: Logaritmo da função de verossimilhança versus número de iterações para os parâmetros do GEC da segunda linha da Tabela 3.1. DFC com SNR = 15 dB e fDT = 10−3 . Tabela 3.2: Modelos K-NM, K = 2, 3 e 4, que aproximam um DFC com fDT = 10−3 . K SNR p0,1 p1,0 p1,2 p2,1 p2,3 p3,2 P0 P1 P2 P3 5dB 0.0022 0.0054 - - - - 0.0111 0.1991 - - 2 10dB 0.0013 0.0084 - - - - 0.0019 0.1635 - - 15dB 0.0007 0.0132 - - - - 0.0003 0.1473 - - 5dB 0.0026 0.0050 0.0040 0.0077 - - 0.0035 0.0772 0.2828 - 3 10dB 0.0016 0.0090 0.0056 0.0144 - - 0.0004 0.0539 0.2640 - 15dB 0.0010 0.0170 0.0087 0.0264 - - 0.00002 0.0532 0.2712 - 5dB 0.0032 0.0057 0.0057 0.0087 0.0055 0.0116 0.0012 0.0382 0.1434 0.3355 4 10dB 0.0021 0.0110 0.0079 0.0164 0.0088 0.0224 < 10−6 0.0286 0.1365 0.3382 15dB 0.0017 0.0280 0.0177 0.0282 0.0119 0.0320 < 10−6 0.0108 0.0909 0.3042 são mostrados na Tabela 3.2 para os modelos 2-NM (GEC), 3-NM e 4-NM, respectivamente. Para os casos com K > 2, consideramos 80 iterações para o BW e sequências de erro de tamanho N = 107 . A validação dos modelos estimados na Tabela 3.2 bem como a escolha de um valor de K apro- priado para cada SNR será realizada comparando-se algumas estatísticas do canal DFC com as dos modelos K-NM. Para isto, usamos as seguintes estatísticas. ◃ Função autocorrelação R[m]. ◃ A probabilidade P(0m |1). ◃ Vazão do protocolo Go-Back-N. ◃ Divergência de Kullback-Leibler de ℓ-ésima ordem. ◃ Probabilidade do canal produzir m erros em um bloco de comprimento n, P(m, n). 12
  • 19.
    As estatísticas doDFC são obtidas por simulação, enquanto as do modelo K-NM são obtidas pelas expressões matriciais usando-se P, P(0), P(1) e Π. As Figs. 3.3-3.5 apresentam R[m] versus m para três valores de SNR (5 dB, 10 dB e 15 dB). Observa-se que para valores pequenos de m, em que a autocorrelação apresenta valores mais elevados, o aumento de K implica que a curva do modelo se aproxima da curva do DFC. Para valores elevados de m, todas as curvas convergem para a autocorrelação de um canal sem memória binário, ou seja, P(1)2 . Para SNR = 15 dB, não observa-se melhoria do modelo para K > 3. As curvas de P(0m |1) versus m apresentadas nas Figs. 3.6-3.8, indicam que os modelos K-NM apresentam significativa melhoria em relação ao GEC, sendo K = 4 um valor adequado para SNR = 5 dB e K = 3 um valor adequado para SNR = 10 dB e 15 dB. Estes valores estimados para K são compatíveis com a curva da vazão do protocolo GBN versus SNR mostrada na Fig. 3.9. Esta figura ilustra a precisão do modelo K-NM em descrever a vazão do protocolo operando em um canal DFC. Uma melhoria significativa em relação ao GEC é obtida com o modelo 3-NM, sendo que uma pequena melhoria é obtida com o modelo 4-NM para SNR = 5 dB. 0 100 200 300 400 500 600 4 5 6 7 8 9 10 11 12 13 14 x 10 −3 Comprimento m Autocorrelação DFC GEC 3−NM 4−NM Figura 3.3: R[m] versus m para DFC com fDT = 10−3 , SNR=5 dB. 13
  • 20.
    0 100 200300 400 500 0.5 1 1.5 2 2.5 3 3.5 4 4.5 5 x 10 −3 Comprimento m Autocorrelação DFC GEC 3−NM 4−NM Figura 3.4: R[m] versus m para DFC com fDT = 10−3 , SNR=10 dB. 0 50 100 150 200 250 300 0 0.2 0.4 0.6 0.8 1 1.2 1.4 1.6 x 10 −3 Comprimento m Autocorrelação DFC GEC 3−NM 4−NM Figura 3.5: R[m] versus m para DFC com fDT = 10−3 , SNR= 15 dB. Usaremos uma medida de distância entre duas medidas de probabilidade, PDFC e PK-NM para validar os modelos K-NM estimados. A medida adotada é a divergência de Kullback-Leibler que é expressa da seguinte forma: D (PDFC || PK-NM) = lim ℓ→∞ 1 ℓ Dℓ ( PDFC(Zℓ ) || PK-NM(Zℓ ) ) em que 1 ℓ Dℓ ( PDFC(Zℓ ) || PGEC(Zℓ ) ) é a divergência normalizada de ℓ-ésima ordem entre as dis- 14
  • 21.
    10 0 10 1 10 2 10 3 10 −5 10 −4 10 −3 10 −2 10 −1 10 0 Pr(0m|1) Comprimento m DFC GEC 3−NM 4−NM Figura 3.6:P(0m |1) versus m para DFC com fDT = 10−3 , SNR=5 dB. 10 0 10 1 10 2 10 3 10 4 10 −5 10 −4 10 −3 10 −2 10 −1 10 0 Pr(0m|1) Comprimento m DFC GEC 3−NM 4−NM Figura 3.7: P(0m |1) versus m para DFC com fDT = 10−3 , SNR=10 dB. tribuições PDFC(Zℓ ) e PK-NM(Zℓ ): Dℓ ( PDFC(Zℓ ) || PK-NM(Zℓ ) ) = ∑ Zℓ∈{0,1}ℓ PDFC(Zℓ ) log2 PDFC(Zℓ ) PK-NM(Zℓ) (3.1) em que PDFC(Zℓ ) é obtida via simulação do DFC e PK-NM(Zℓ ) é calculada pela expressão matricial. A Figura 3.10 ilustra a variação da divergência normalizada de décima-ordem com o número de estados do modelo K-NM. Observa-se uma estabilização das curvas para K = 4 (SNR = 5 dB e SNR = 10 dB) e K = 3 (SNR = 15 dB). Estes valores são compatíveis com a estimação realizada com outras estatísticas apresentadas anteriormente. 15
  • 22.
    10 0 10 1 10 2 10 3 10 4 10 −4 10 −3 10 −2 10 −1 10 0 Pr(0m|1) Comprimento m DFC GEC 3−NM 4−NM Figura 3.8:P(0m |1) versus m para DFC com fDT = 10−3 , SNR=15 dB. 5 10 15 0 0.1 0.2 0.3 0.4 0.5 0.6 0.7 SNR Throughput DFC GEC 3−MN 4−MN Figura 3.9: Vazão do protocolo GBN versus SNR com fDT = 10−3 , para n = 80 e N = 10. Consideramos a probabilidade do canal gerar m erros em um bloco de comprimento n = 127, denominada de P(m, n). A comparação das curvas obtidas pelos modelos K-MN com as do DFC são mostradas nas Figuras 3.11-3.13. Novamente, comprova-se que um K-MN com 3 ou 4 estados é um modelo preciso na faixa de SNR considerada. 16
  • 23.
    2 3 45 10 −4 10 −3 10 −2 10 −1 K−NM Divergência 5 dB 10 dB 15 dB Figura 3.10: Divergência normalizada de décima ordem para um DFC com fDT = 10−3 . 0 5 10 15 20 25 30 35 40 10 −4 10 −3 10 −2 10 −1 10 0 m P(m,n) DFC GEC 3−NM 4−NM Figura 3.11: P(m, n) para um K-NM que aproxima um DFC com fDT = 10−3 , SNR = 5 dB, para n = 127. 3.2 Modelos K-NM para DFCs com fDT = 10−4 Nesta seção, desenvolveremos modelos K-NM para canais DFC lentos com fDT = 10−4 . Os resultados do algoritmo BW para K = 1, · · · , 7 são mostrados na Tabela 3.3. Comparações da função autocorrelação, da probabilidade P(0m | 1) e da vazão para o DFC e os modelos K-NM são mostradas nas Figuras 3.14-3.20 para três valores de SNR. Podemos concluir a partir destas figuras que um bom modelo K-NM para SNR = 5 dB é obtido para K = 7, bem como para SNR = 10 dB pode-se escolher K = 6 e K = 5 é adequado para SNR = 15 dB. As curvas da divergência de décima 17
  • 24.
    0 5 1015 20 25 30 35 40 10 −7 10 −6 10 −5 10 −4 10 −3 10 −2 10 −1 10 0 m P(m,n) DFC GEC 3−NM Figura 3.12: P(m, n) para um K-NM que aproxima um DFC com fDT = 10−3 , SNR = 10 dB, para n = 127. 0 5 10 15 20 25 30 35 40 10 −9 10 −8 10 −7 10 −6 10 −5 10 −4 10 −3 10 −2 10 −1 m P(m,n) DFC GEC 3−NM Figura 3.13: P(m, n) para um K-NM que aproxima um DFC com fDT = 10−3 , SNR = 15 dB, para n = 127. ordem entre o DFC e os models K-NM são mostradas na Figura 3.21. A curva da divergência para SNR = 15 dB apresentou uma oscilação que impossibilita deduzir um valor de K adequado usando esta curva. Resultados para P(m, n) para modelos K-NM que aproximam DFCs com fDT = 10−4 são mostrados nas Figuras 3.22-3.24. Estas curvas reforçam que os valores de K obtidos com as outras estatísticas são adequados. Foram realizadas estimações com o algoritmo BW para um DFC com fDT = 10−4 para SNR = 5 dB e 15 dB em que as condições iniciais são de um modelo FSMC genérico, com K = 4 e K = 7 estados, isto é, não existem restrições na transição de estados da cadeia de Markov. O objetivo desta 18
  • 25.
    Tabela3.3:ModelosK-NM,K=2,···,7,queaproximamumDFCcomfDT=10−4 . KSNRp0,1p1,0p1,2p2,1p2,3p3,2p3,4p4,3p4,5p5,4p5,6p6,5P0P1P2P3P4P5P6 5dB0.0005710.001352----------0.0125560.190718----- 210dB0.0002870.001664----------0.0024220.148416----- 15dB0.0001180.001927----------0.0004610.126343----- 5dB0.0003670.0006980.0006400.001230--------0.0048920.0748340.264600---- 310dB0.0001870.0009120.0007050.001715--------0.0006980.0472970.238094---- 15dB0.0000990.0014350.0009850.002514--------0.0000990.0344290.216018---- 5dB0.0003290.0005840.0005790.0008300.0005870.001158------0.0023590.0378430.1347280.312772--- 410dB0.0001910.0009010.0007380.0013860.0008620.001793------0.0002470.0213760.1034360.289998--- 15dB0.0001080.0015190.0010700.0022520.0012910.003168------0.0000280.0159180.0980960.288425--- 5dB0.0003310.0005560.0006590.0009150.0007620.0010380.0006920.001277----0.0012440.0218790.0780760.1766500.339078-- 510dB0.0002050.0009580.0008390.0013830.0010210.0017600.0010370.002024----0.0000910.0110740.0557380.1540290.326063-- 15dB0.0001260.0021330.0014620.0026340.0019560.0029330.0017080.003429----<10−6 0.0083260.0476290.1395680.304843-- 5dB0.0003500.0005710.0007210.0009170.0008470.0010710.0008910.0012610.0008070.001448--0.0006590.0130270.0478020.1130170.2111270.359613- 610dB0.0002240.0010230.0009130.0014950.0012130.0018720.0013410.0021850.0012130.002367--0.0000330.0070160.0363620.0977720.2034760.357414- 15dB0.0003080.0027460.0013250.0024240.0016150.0029180.0020030.0031560.0017670.003695--<10−6 0.0005590.0125580.0570280.1507960.324718- 5dB0.0003670.0005900.0007580.0009420.0009280.0011890.0010440.0013110.0009450.0014930.0009790.0018680.0004650.0099770.0370180.0869180.1606110.2613470.389927 710dB0.0002410.0010940.0010020.0017220.0015100.0022160.0017260.0025320.0017520.0026220.0014050.0027070.0000110.0054080.0274480.0695150.1386420.2411110.378587 15dB0.0001390.0020550.0018690.0038770.0029570.0043940.0032390.0043820.0027840.0050580.0030210.006313<10−6 0.0049200.0258600.0673490.1393890.2464130.386891 19
  • 26.
    0 1000 20003000 4000 5000 4 5 6 7 8 9 10 11 12 13 14 x 10 −3 Comprimento m Autocorrelação DFC GEC 3−NM 4−NM 5−NM 6−NM 7−NM Figura 3.14: R[m] versus m para DFC com fDT = 10−4 , SNR=5 dB. análise é avaliar o resultado do modelo FSMC em relação ao K-NM. As condições iniciais foram pij = 10−3 , para i ̸= j e pjj = 1 − ∑K−1 i=0(i̸=j) pij para j = 0, . . . , K − 1. Foi observado que apesar das condições iniciais partirem de um modelo FSMC, o algoritmo convergiu para um modelo NM em todos os casos. Provavelmente este resultado ocorre devido ao modelamento de um canal lento (fDT = 10−4 ) em que apenas transições entre estados adjacentes são relevantes. A Tabela 3.4 mostra o K ótimo para cada tipo de canal trabalhado. Tabela 3.4: Modelos K-NM que aproximam um DFC com fDT = 10−3 e 10−4 para SNR = 5dB, 10 dB e 15dB fDT SNR K 5dB 4 10−3 10dB 3 15dB 3 5dB 7 10−4 10dB 6 15dB 5 20
  • 27.
    0 500 10001500 2000 2500 3000 3500 4000 0.5 1 1.5 2 2.5 3 3.5 4 4.5 x 10 −3 Comprimento m Autocorrelação DFC GEC 3−NM 4−NM 5−NM 6−NM 7−NM Figura 3.15: R[m] versus m para DFC com fDT = 10−4 , SNR=10 dB. 0 1000 2000 3000 4000 5000 0 0.5 1 1.5 x 10 −3 Comprimento m Autocorrelação DFC GEC 3−NM 4−NM 5−NM 6−NM 7−NM Figura 3.16: R[m] versus m para DFC com fDT = 10−4 , SNR= 15 dB. 21
  • 28.
    10 0 10 1 10 2 10 3 10 4 10 −10 10 −8 10 −6 10 −4 10 −2 10 0 Pr(0m|1) Comprimento m DFC GEC 3−NM 4−NM 5−NM 6−NM 7−NM Figura 3.17:P(0m |1) versus m para DFC com fDT = 10−4 , SNR=5 dB. 10 0 10 1 10 2 10 3 10 4 10 −4 10 −3 10 −2 10 −1 10 0 Pr(0m|1) Comprimento m DFC GEC 3−NM 4−NM 5−NM 6−NM Figura 3.18: P(0m |1) versus m para DFC com fDT = 10−4 , SNR=10 dB. 22
  • 29.
    10 0 10 1 10 2 10 3 10 4 10 −6 10 −5 10 −4 10 −3 10 −2 10 −1 10 0 Pr(0m|1) Comprimento m DFC GEC 3−NM 4−NM 5−NM Figura 3.19:P(0m |1) versus m para DFC com fDT = 10−4 , SNR=15 dB. 5 10 15 0 0.1 0.2 0.3 0.4 0.5 0.6 0.7 SNR Throughput DFC 2−NM 3−NM 4−NM 5−NM 6−NM Figura 3.20: Vazão do protocolo GBN versus SNR com fDT = 10−4 , para n = 240 e N = 30. 23
  • 30.
    2 3 45 6 7 8 10 −6 10 −5 10 −4 10 −3 10 −2 10 −1 K−NM Divergência 15 dB 10 dB 5 dB Figura 3.21: Divergência normalizada de décima ordem para um DFC com fDT = 10−4 . 0 5 10 15 20 25 30 35 40 10 −4 10 −3 10 −2 10 −1 10 0 m P(m,n) DFC 2−NM 4−NM 6−NM 7−NM Figura 3.22: P(m, n) para um K-NM que aproxima um DFC com fDT = 10−4 , SNR = 5 dB, para n = 127. 24
  • 31.
    0 5 1015 20 25 30 35 40 10 −5 10 −4 10 −3 10 −2 10 −1 10 0 m P(m,n) DFC 2−NM 4−NM 6−NM 7−NM Figura 3.23: P(m, n) para um K-NM que aproxima um DFC com fDT = 10−4 , SNR = 10 dB, para n = 127. 0 5 10 15 20 25 30 35 40 10 −10 10 −8 10 −6 10 −4 10 −2 10 0 m P(m,n) DFC 2−NM 3−NM 4−NM 5−NM Figura 3.24: P(m, n) para um K-NM que aproxima um DFC com fDT = 10−4 , SNR = 15 dB, para n = 127. 25
  • 32.
    CAPITULO 4 MODELO COMAPAGAMENTO PARA CANAIS DE ESTADOS FINITOS NESTE capítulo será introduzido o modelo MA, as características do DFC com decisão suave (entrada binária, saída ternária). Além disso, serão mostrado os modelos obtidos, curvas estatísticas e análise dos resultados. 4.1 Modelo com Apagamento O modelo de canal com apagamento, inicialmente proposto em [18], denominado de MA, foi idealizado como um canal de estados finitos não-binário, com três níveis de quantização, a fim de que haja uma menor perda de informação, quando comparado a FSMC binários, os quais possuem apenas dois níveis de quantização [19]. As seqüências de entrada e saída do canal são denotadas, respectivamente, por xn = (x1, x2, ..., xn) e yn = (y1, y2, ..., yn), em que xk ∈ {0, 1} e yk ∈ {0, 1, 2}, e são relacionadas por: yk = 2xk + (−1)xk zk (4.1) ou yk =    zk, se xk = 0 2 − zk, se xk = 1. (4.2) em que zk é uma amostra de ruído ternário, zk ∈ {0, 1, 2}, causada por interferências ou distorções 26
  • 33.
    Figura 4.1: Modelocom apagamento para canais com memória. do canal. É dito que ocorreu um erro na recepção, no k-ésimo intervalo, se zk = 2, um apagamento se zk = 1, ou a recepção foi correta se zk = 0. O canal MA consiste de uma cadeia de Markov com dois estados. Quando a cadeia se encontra no estado 0, ou estado bom, a probabilidade de erro é nula, a probabilidade de apagamento é ξ e a probabilidade de um bit ser transmitido corretamente é igual a 1 − ξ. O processo de geração do apagamento associado ao estado 0 é representado por um canal binário com apagamento, BEC (do inglês Binary Erasure Channel), no qual uma fração ξ dos bits é apagada [20]. Esse estado representa a transmissão com boa qualidade, em que a probabilidade de erro é desprezível quando comparada com a probabilidade de acerto e de apagamento. Quando a cadeia se encontra no estado 1 (deno- minado de estado ruim), ocorrerá um erro com probabilidade β, um apagamento com probabilidade α e a probabilidade de acerto é igual a 1 − α − β. A geração do dígito zk no estado 1 é representada por um canal discreto sem memória, DMC (do inglês Discrete Memoryless Channel), no qual uma fração α dos bits enviados é apagada e outra fração β destes é corrompida, gerando erros na saída do canal. A probabilidade de transição do estado 0 para o estado 1 é dada por Q, e a probabilidade de transição do estado 1 para o estado 0 é dada por q. A Figura 4.1 mostra o diagrama de estados deste canal. O canal MA é especificado pelas matrizes P(0), P(1) e P(2), dadas, respectivamente, por: P(0) =   (1 − Q)(1 − ξ) Q(1 − α − β) q(1 − ξ) (1 − q)(1 − α − β)   (4.3) P(1) =   (1 − Q)ξ Qα qξ (1 − q)α   (4.4) 27
  • 34.
    P(2) =   0 Qβ 0(1 − q)β   . (4.5) A matriz de probabilidade de transição da cadeia de Markov é dada por: P = P(0) + P(1) + P(2) =   (1 − Q) Q q (1 − q)   . (4.6) O vetor de probabilidade estacionária dos estados é: Π = [π0 π1]T = [ q Q+q Q Q+q ]T . (4.7) É possível calcular a probabilidade de qualquer sequência de erros, apagamentos e recepções corretas utilizando (2.4). Por exemplo, no canal MA, a probabilidade de ocorrer um erro, ou seja, P(2)MA P(Zk = 2), é calculada como segue: P(2)MA = ΠT P(2)1 = [π0 π1]   0 Qβ 0 (1 − q)β     1 1   = Q Q + q β. (4.8) A probabilidade de ocorrer um apagamento, ou seja, P(1)MA P(Zk = 1), é dada por: P(1)MA = ΠT P(1)1 = [π0 π1]   (1 − Q)ξ Qα qξ (1 − q)α     1 1   = q Q + q ξ + Q Q + q α, (4.9) e a probabilidade de ocorrer uma recepção correta, ou seja, P(0)MA P(Zk = 0), é dada por: P(0)MA = ΠT P(0)1 = [π0π1]   (1 − Q)(1 − ξ) Q(1 − α − β) q(1 − ξ) (1 − q)(1 − α − β)     1 1   = q Q + q (1 − ξ) + Q Q + q (1 − α − β). (4.10) Algumas estatísticas do FSMC são comumente usadas para validar os modelos. Utilizamos a função autocorrelacao R[m] e a probabilidade de decodificação sem sucesso, PCE. Para cada FSMC, 28
  • 35.
    expressões para estasestatísticas estão descritas a partir dos parâmetros do modelo MA, Q, q, ϵ,α e β. ◃ Função autocorrelação R[m]. R(m) = ( Q Q + q (α + 2β) + q Q + q (ξ) )2 + qQ(α + 2β − ξ) 2 (1 − q − Q) m (Q + q) 2 = µ2 + qQ(α + 2β − ξ) 2 (1 − q − Q) m (Q + q) 2 . (4.11) ◃ A probabilidade de decodificação sem sucesso, PCE. Seja um codificador de bloco binário, linear, de parâmetros (n, k) e distância de Hamming mínima dmin. A entrada do codificador é uma sequência de k dígitos binários de informação, u = (u1u2 · · · uk), e a saída é uma palavra-código binária v = (v1v2 · · · vn). Os efeitos indesejados da propagação são modelados como uma sequência ternária de ruídos z = (z1z2 · · · zn), modelada estatisticamente pelo MA que, por sua vez, produz a seqüência r = (r1r2 · · · rn) na entrada do decodificador. Seja e o número de erros em r e a a quantidade de apagamentos em r. Se 2e+a+1 ≤ dmin, o padrão de ruídos corrigível pelo código, o que implica u = û. Portanto, a probabilidade de uma decodificacao correta, denotada por P(c), é dada por: P(c) = P(2e + a + 1 ≤ dmin). (4.12) Porém, se 2e+a+1 > dmin, duas situações podem ocorrer: falha na decodificação, o que irá gerar um apagamento, ou erro de decodificação. Estes dois eventos serão considerados como decodificação sem sucesso. Assim, a probabilidade de uma decodificação sem sucesso, denominada de PCE, é dada por: PCE = 1 − P(c) = 1 − P(2e + a + 1 ≤ dmin). (4.13) Uma fórmula de recorrência para o cálculo do PCE para canais MA foi desenvolvida em [18]. 4.2 Modelo do Sistema Considere um DFC composto por um modulador BPSK, um canal com desvanecimento Rayleigh plano correlacionado no tempo com ruído aditivo gaussiano branco (AWGA), e um demodulador 29
  • 36.
    Figura 4.2: Regiõesde decisão para um canal discreto com 3 níveis de quantização. coerente com quantização de três níveis, como ilustrado na Figura 4.2. Definem-se os alfabetos de entrada e saída do canal discreto por X = {0, 1} e Y = {0, 1, 2}, respectivamente. Seja Xk, Xk ∈ X, onde k = 1, 2, · · · , o processo de entrada do canal discreto. A amostra do símbolo recebido na saída do filtro casado no k-ésimo intervalo de sinalização é dado por: Rk = AkSk + Nk, (4.14) em que Sk = (2Xk −1)Es, Es é a energia do sinal transmitido, Ak é uma variável aleatória Rayleigh que modela o desvanecimento multiplicativo e Nk é uma variável aleatória Gaussiana com variância N0/2. No sistema considerado, um quantizador escalar uniforme é utilizado para mapear Rk em Yk da seguinte forma: Yk = j se Rk ∈ RDj , j = 0, 1, 2, (4.15) em que as regiões de decisão RDj são definidas por: RD0 = {r ∈ R : r < −∆} (4.16) RD1 = {r ∈ R : −∆ < r < ∆} (4.17) RD2 = {r ∈ R : r > ∆}, (4.18) onde ∆ é o passo do quantizador. A Figura 4.2 ilustra o referido mapeamento. 4.3 Modelos com Apagamento para Canais de Estados Finitos O objetivo desta seção é modelar o canal DFC usando MA para FSMC. Para cada valor de fDT e SNR, uma sequência de erro do DFC é gerada por simulação e os parâmetros deste modelo são estimados usando o algoritmo BW. Inicialmente, fixamos fDT = 10−2 , um valor típico para 30
  • 37.
    um canal comdesvanecimento rápido e fizemos um estudo de condições iniciais do BW para MA com dois estados. Portanto, pressupõe-se que as probabilidades de transições entre os estados sejam baixas. Dessa forma, foram escolhidas condições iniciais na ordem de 10−2 e 10−3 para Q, q, ξ e α enquanto na ordem de 0, 1 à 0, 5 para β. As condições iniciais convergiram para os mesmos parâmetros, o resultado pode ser observado na Tabela 4.1. Verificou-se robustez quanto a escolha das condições iniciais. Em ambos os casos, consideramos 80 iterações para o BW e sequências de erro de tamanho N = 107 . A validação dos modelos estimados na Tabela 4.1, bem como a escolha de um valor de K apropriado para cada SNR, será realizada comparando-se algumas estatísticas do canal DFC com as dos modelos K-NM. Para isto, usamos as seguintes estatísticas. ◃ Função autocorrelação R[m]. ◃ A probabilidade de decodificação sem sucesso PCE. As estatísticas do DFC são obtidas por simulação, enquanto as do modelo MA são obtidas a partir dos seus parãmetros, Q, q, ϵ, α e β. As Figs. 4.3-4.5 apresentam R[m] versus m para três valores de fDT (10−2 , 5 × 10−3 e 10−3 ) com SNR = 10 dB e δ = 0, 15. Observa-se que para valores pequenos de m, a autocorrelação apresenta valores mais elevados e que o modelo se aproxima da curva do DFC. Para valores elevados de m, todas as curvas convergem para a autocorrelação de um canal sem memória binário, ou seja, P(1)2 . As Figs. 4.6-4.8 apresentam PCE versus dmin para dois valores de SNR (10 dB e 15 dB), para um bloco de comprimento n = 127. Observa-se que o modelo comporta-se bem com dmin até 25. Tabela 4.1: Modelos MA que aproximam um DFC com SNR = 10 dB e δ = 0, 15 e para SNR = 15 dB e δ = 0, 1. SNR fDT Q q ξ α β 0.01 0.013429 0.072747 0.004052 0.308841 0.045709 10dB 0.005 0.006896 0.034302 0.004759 0.286276 0.043467 0.001 0.001753 0.007742 0.006009 0.253243 0.038668 0.01 0.007901 0.125290 0.000748 0.345777 0.030705 15dB 0.005 0.004053 0.056376 0.000874 0.305105 0.027165 0.001 0.000926 0.010771 0.001240 0.255875 0.023054 31
  • 38.
    0 20 4060 80 100 0 0.005 0.01 0.015 0.02 0.025 0.03 m R[m] MA DFC Figura 4.3: R[m] versus m para DFC com fDT = 10−2 e δ = 0, 15, SNR = 10 dB. 0 50 100 150 0 0.005 0.01 0.015 0.02 0.025 0.03 m R[m] DFC MA Figura 4.4: R[m] versus m para DFC com fDT= 5×10−3 e δ = 0, 15, SNR = 10 dB. 0 100 200 300 400 500 0 0.005 0.01 0.015 0.02 0.025 0.03 m R[m] MA DFC Figura 4.5: R[m] versus m para DFC com fDT = 10−3 e δ = 0, 15, SNR = 10 dB. 32
  • 39.
    5 10 1520 25 30 35 10 −3 10 −2 10 −1 10 0 dmin PCE DFC MA Figura 4.6: PCE para MA que aproxima um DFC com fDT = 10−2 e δ = 0, 15, SNR = 10 dB, n = 127. 5 10 15 20 25 30 35 10 −4 10 −3 10 −2 10 −1 10 0 d PCE MA DFC Figura 4.7: PCE para MA que aproxima um DFC com fDT = 5 × 10−3 e δ = 0, 1, SNR = 15 dB, n = 127. 5 10 15 20 25 30 35 40 10 −5 10 −4 10 −3 10 −2 10 −1 10 0 d PCE DFC MA Figura 4.8: PCE para MA que aproxima um DFC com fDT = 10−2 e δ = 0, 1, SNR = 15 dB, n = 127. 33
  • 40.
    CAPITULO 5 CONCLUSÃO NESTE trabalho,foi proposto uma topologia de canal de estados finitos binário denominado modelo nascimento e morte e denotado por NM. Onde seus parâmetros foram estimados à partir do algoritmo BW de modo a capturar a memória do DFC. Foram descritas as matrizes de distribuição de erros e de acertos, bem como a matriz de transição de estados. Também foi mostrado o canal discreto com desvanecimento (DFC), o qual deseja-se modelar com o uso do NM. Uma vez definido o modelo NM com número fixo de estados, seus parâmetros serão estimados a partir do BW de modo a se aproximar do DFC para diferentes valores dos parametros do canal discreto com desvanecimento, fDT = 10−3 e 10−4 , e Es/N0 =5 dB, 10 dB, 15 dB. Para mensurar a precisão do modelo, comparamos algumas estatísticas do modelo NM com a do DFC. Dentre elas a funcão autocorrelação R[m], a probabilidade que o canal produza pelo menos m transmissões corretas consecutivas dado que ocorreu um erro, P(0m |1), a vazão do protocolo Go- Back-N, a divergência de Kullback-Leibler de l-ésima ordem e a probabilidade do canal produzir m erros em um bloco de comprimento n, P(m, n). Desta maneira, verificou-se que o NM descreve, estatisticamente e de maneira satisfatória, o DFC com um K ótimo para cada canal. Em seguida, foi feito o estudo para modelar um sistema de comunicações composto por um quantizador suave. Para validar o modelo utilizaremos as estatísticas função autocorrelação R[m] e a probabilidade de decodificação sem sucesso PCE e pode-se verificar que o modelo descreve bem o DFC. 34
  • 41.
    5.1 Sugestões paraTrabalhos Futuros Alguns outros tópicos que podem ser abordados em pesquisas futuras: ◃ Analisar os resultados do BW para canais com desvanecimento com outras funções autocor- relação (por exemplo: canal com autocorrelação exponencial) e diferentes funções densidades de probabilidade da amplitude do desvanecimento (por exemplo: Rice, Nakagami); ◃ Verificar as faixas de parâmetros para outras modulações, como: M-PSK, M-QAM, OFDM; ◃ Propor modelos com mais níveis de quantização e avaliar o ganho em relação a modelos com decisão abrupta; ◃ Realizar o estudo de códigos corretores de erro para canais com memória e analisar o desem- penho do modelo; 35
  • 42.
    APENDICE A PUBLICAÇÕES Deste trabalho,foi publicado o seguinte artigo: 1. BARROS, F.; PIMENTEL, C.; PINTO, E. L. . Modelos Markovianos Nascimento e Morte para Canais com Desvanecimento, XXXI Simpósio Brasileiro de Telecomunicações, Fortaleza, CE, setembro, 2013. 36
  • 43.
  • 44.
    BIBLIOGRAFIA [1] A. F.Molish, “Wireless Communications,” John Wiley & Sons, 2a ed., Califórnia, 2011. [2] C. Pimentel, T. H. Falk e L. Lisboa, “Finite-state Markov modeling of correlated Rician fading channels,” IEEE Trans. Veh. Technol., vol. 53, pp. 1491-1501, Setembro 2004. [3] W. Kumwilaisak, C.-C. J. Kuo, and D. Wu, “Fading channel modeling via variable-length Markov chain technique,” IEEE Trans. Veh. Technol., vol. 57, pp. 1338-1358, Maio 2008. [4] L. Zhong, F. Alajaji, and G. Takahara, “A model for correlated Rician fading channels based on a finite queue,” IEEE Trans. Veh. Technol., vol. 57, pp. 79-89, Janeiro 2008. [5] W. H. Tranter, “Principles of Communications Systems Simulation with Wireless Applications,” Pretence Hall, New Jersey, 2004. [6] P. Sadeghi, R. Kennedy, P. Rapajic, R. Shams, “Finite-state Markov modeling of fading chan- nels,” IEEE Signal Processing Magazine, vol. 58, Sept. 2008. [7] E. N. Gilbert, “Capacity of a burst-noise channel,” Bell Syst. Tech. J., vol. 39, pp. 1253-1266, Sep. 1960. [8] E. O. Elliot, “Estimates of error rates for codes on burst-noise channels,” Bell Syst. Tech. J., vol. 42, pp. 1977-1997, Sep. 1963. [9] B. D. Fritchman, “A binary channel characterization using partitioned markov chains,” IEEE Trans. Inf. Theory, vol. 13, no. 2, pp. 221-227, Apr. 1967. [10] R. G. Gallager, “Information Theory and Reliable Communications,” New York, Wiley, 1968. [11] F. Babich, O. Kelly, and G. Lombardi, “Generalized Markov modeling for flat fading,” IEEE Trans. Commun., vol. 48, pp. 547-551, Apr. 2000. 38
  • 45.
    [12] L. Zhong,F. Alajaji, and G. Takahara, “A binary communication channel with memory based on a finite queue,” IEEE Trans. Inf. Theory, vol. 53, no. 8, pp. 2815-2840, Aug. 2007. [13] L. Wilhelmsson and L. B. Milstein, “On the effect of imperfect interleaving for the Gilbert- Elliott channel”, IEEE Trans. Commun. , vol. 47, pp. 681-688, May 1999. [14] P. Sadeghi and P. Rapajic, “Capacity analysis for finite-state Markov mapping of Markov chan- nels,” IEEE Trans. Commun., vol. 53, pp. 833-840, May 2005. [15] V. Tralli and M. Zorzi, “Markov models for the physical layer block error process in a WCDMA cellular system,” IEEE Trans. Veh. Technol., vol. 54, pp. 2102-2113, Nov. 2005. [16] C. Pimentel and I.F. Blake, “Enumeration of Markov chains and burst error statistics for finite state channel models,” IEEE Trans. Veh. Technol., vol. 48, pp. 415-428, Mar. 1999. [17] C. Pimentel and R. L. Siqueira, “Analysis of the Go-Back-N protocol on finite-state Markov Rician fading channels,” IEEE Trans. Veh. Technol., vol. 57, no. 4, pp. 2627-2632, July 2008. [18] I. M. L. Moreira “Modelo de canal de estados finitos para canais com desvanecimento cor- relacionado no tempo e decisão suave,” Dissertação de Mestrado, Dez. 2008 . Programa de Pós-Graduação em Engenharia Elétrica, UFPE. [19] L. N. Kanal and A. R. K. Sastry, “Models for channels with memory and their applications to error control,” Proc. of the IEEE, vol. 66, no. 7, pp. 724-744, July 1978. [20] T. Cover and J. Thomas, Elements of Information Theory, 2nd ed. Wiley-Interscience, 2006. 39