A batalha do Atlântico Norte e o conceito de concentração
Quem é este sujeito? Almirante Karl Dönitz líder do Terceiro Reich após a morte de Hitler (por 23 dias, até a rendição para os aliados) Condenado pelo tribunal de Nuremberg Escreveu a  auto - biogra fia  “ Dez anos e vinte dias "  criador da estratégia de  wolf-packs
A batalha do Norte do Atlântico A batalha mais longa da guerra, começando desde o primeiro dia em que a Inglaterra entrou na guerra, e teve seu navio  Athena  abatido, e prosseguindo até Maio de 1945. Winston Churchill disse uma vez que “ the only thing that ever frightened me during the war was the U-boat peril ”.
Na primavera de 1941, os Britânicos estavam perdendo 300.000 toneladas por mês.  Isso era atribuído à estratégia de  wolf-packs  de Dönitz. 1. Um U-boat identifica um cargueiro ou comboio 2. O U-boat envia posição codificada pela Enigma 3. Dönitz retransmitia um broadcast para todos U-Boats 4. Os U-boats atacavam simultaneamente Os wolf-packs variavam em tamanho, desde alguns poucos até o incrível número de 40 U-Boats, às vezes trazendo uma proporção 1:1 com navios do comboio.
Em Novembro de 1942, as estimativas do OIC (operational intelligence center) em Londres eram: 200 U-boats operacionais 170 U-boats em testes e preparações 135 U-boats abatidos pelos aliados e... 1,160 navios aliados abatidos Mas com a quebra do código ENIGMA pelos aliados, a situação se inverteu a partir de 1943.
U-Boat U117 sob ataque   (abatido pela força aérea Americana em 7 de Agosto de 1943)
Podemos extrair dois conceitos:   (i) concentração (ii) informação Saindo da história militar... Vejamos como estes conceitos surgem na logística moderna
Configurando a rede Fedex
O transporte de Carga Aérea Um dos combustíveis da globalização: Campinas para Ilhas Fiji: 48 horas Brasil para Baku, no Azerbaijão: 48 horas Crescimento: Em 1982, aproximadamente 50 Bilhões de RTKs (Revenue Tonne Kilometres) Em 2000, aproximadamente 210 Bilhões de RTKs
O caso FEDEX “ This company is nothing short of being the logistics arm of a whole new society that is building up in our economy – a society that isn’t built around automobile and steel production, but that is built up instead around service industries and high technology endeavors in electronics and optics and medical science.  It is the movement of these support items that Federal Express is all about”. Frederick W Smith
O caso FEDEX – a configuração da rede Modelos de operação da FEDEX nos EUA:  (i) Single hub (ii) Bypass hub (iii) Set of hubs (iv) Overlay hub
O caso FEDEX – a configuração da rede (i) Single hub
A triagem no SuperHUB de Memphis
O caso FEDEX – a configuração da rede (ii) Bypass hub
O caso FEDEX – a configuração da rede (iii) Set of hubs
O caso FEDEX – a configuração da rede (iv) Overlay hub
Comparando modelos O modelo hub-and-spoke obviamente exibe algumas ineficiências.  Mas quais são suas vantagens, por exemplo, em comparação ao modelo ponto a ponto?
 
O caso FEDEX   Decisões estratégicas do depto pesquisa operacional Estrutura original de rotas Arquitetura operacional da rede: Superhub + Overlay hubs FLY Joe/Engine AUTOROUTE COSMOS (Customer, Operations, Service, Management Operating System) A Fedex não realiza nenhuma aposta de longo prazo sem o estudo adequado do departamento .
Mas nem sempre foi assim...
Management science e a configuração de redes logísticas Nos anos 60, um estudante de Yale apresentou um trabalho que argumentava basicamente os seguintes pontos: a indústria americana estava tornando-se uma economia baseada em serviços. desta forma, havia grande demanda por uma empresa de transportes e entregas confiável, capaz de realizar rapidamente (overnight) o transporte de pequenos pacotes e documentos. Seu trabalho tirou nota C. Felizmente, isso não desanimou o estudante Frederick W Smith, que anos mais tarde iria fundar a  Federal Express Corporation .
O caso FEDEX – a configuração da rede 1 Fred Smith  conseguiu juntar US$80M para seu projeto (aproximadamente $40M de investidores, $8M de sua família e o resto de financiamentos de bancos). 1. FONTE:  R. Mason, J. McKenney, W. Carlson, D. Copeland,  Absolutely, Positively Operations Research: The Federal Express Story.  INTERFACES  27/2, 1997, 17-36.
O caso FEDEX – a configuração da rede Arquitetura operacional inicial Frota de  Dassault Falcon-20  twin engine executive jets 11 cidades (mostly south/southeast) que eram bem conhecidas pelos fundadores Arquitetura hub-and-spoke: pacotes são enviados para um hub (em Memphis), são ordenados lá, e re-enviados para a cidade de destino
O caso FEDEX – a configuração da rede A FEDEX começou a operar em 12 de Março de 1973.  Nas palavras de Henry Meers, um banqueiro de investimentos:  “ I saw the anguish on their faces as they waited. Most were very worried about their future. It was a critical moment for all of them as they finally crowded around the falcons and the cargo doors opened. But as they gazed inside, there was bitter disappointment.  There were only six packages and one of them was a birthday present Fred Smith sent to his close aid Irby Tedder ” Após três dias de operação, a FEDEX descontinuou o serviço de entrega aérea, enviando o pequeno volume de seus clientes por vias alternativas enquanto tentava-se tomar o controle da situação.
O caso FEDEX – a configuração da rede Smith contratou uma força tarefa, chefiada pelo Físico Charles Brandon, seu velho amigo, o qual havia sido considerado previamente o uso de computadores para escalonar as aeronaves. As questões enviadas para a força tarefa eram básicas: (i) Onde nós erramos? (ii) O que devemos fazer?
“ De todas as coisas, o bom senso é a melhor distribuída: todas as pessoas se sentem tão bem supridas dele que mesmo aquelas mais difíceis de satisfazer em qualquer aspecto nunca desejam mais do que já têm.”  René Descartes ,  Discurso sobre o método, 1637
“ O bom senso é a coleção de preconceitos adquiridos até os dezoito anos”  Albert Einstein in E.T. Bell, Mathematics: queen and servant of the sciences, 1952 “Se você for um verdadeiro buscador da verdade, você deverá, ao menos uma vez em sua vida, duvidar de todas as coisas.”  René Descartes ,  Discurso sobre o método, 1637
O caso FEDEX – a configuração da rede A equipe da força tarefa trancou-se em Little Rock, trabalhando de 18 a 20 horas por dia, durante 15 dias seguidos.  Sua abordagem foi clássica.  Eles começaram por atacar a suposição de que as 11 cidades escolhidas originariamente (que eram as melhores conhecidas pelos fundadores) eram as melhores para a FEDEX, desenvolvendo uma análise científica. A primeira questão com a qual se defrontaram foi:  O que faz uma cidade ser boa candidata para nossa estrutura de rotas?
O caso FEDEX – a configuração da rede O que faz uma cidade ser boa candidata para inclusão na estrutura de rotas? As conclusões da análise foram: Algumas cidades devem ser incluídas porque geram uma grande quantidade de pacotes saindo; Outras devem ser incluídas pois recebem grande quantidade de pequenos pacotes; Outras devem ser incluídas por possuir um volume maciço (como New York) e aumentarem o efeito “massa crítica”. A idéia agora era: como maximizar o volume do sistema?
O caso FEDEX – a configuração da rede Como maximizar o volume do sistema? A força tarefa então formulou o problema como um modelo de fluxo origem-destino.  Estavam sendo consideradas 112 cidades.  Foi então desenvolvida uma matriz com 12,422 células, usando estatísticas trazidas da Civil Aeronautics Board em volumes de transporte aéreo, população, emprego e atividades de negócios.  Diversos ajustes foram feitos nos dados para compensar o volume de transporte de cargas pesadas, que não seriam consideradas pela FEDEX.  Esses dados foram então usados para o estabelecimento de uma estimativa de volume  outbound .  Para estimar o volume  inbound,  foi considerado o tamanho relativo da população de cada cidade.
O caso FEDEX – a configuração da rede Para estimar o volume de tráfego em cada par de cidades, o coeficiente de tráfego  outbound  de cada origem foi multiplicado pelo coeficiente de tráfego  inbound  de cada destino.  A força tarefa pregou, então, folhas de papel em uma enorme parede, e, com ajuda de uma calculadora HP-35, preencheu cada uma das células na mão. O próximo passo foi analisar os padrões existentes de tráfego aéreo (dados pelos  Official Airline Guide  e  Air   Cargo   Guide ), para estimar a demanda reprimida para cada par origem-destino.  Tudo feito à mão.
O caso FEDEX – a configuração da rede A matriz resultante revelou fatos muito importantes. A matriz mostrava que a natureza do tráfego de cada cidade e a presença da competição em cada rota afetavam diretamente a sua atratividade para a FEDEX.  Por exemplo, Rochester, NY, era uma cidade atrativa, pois, além de agregar indústrias que enviavam pacotes pequenos, como a KODAK e a XEROX, ela era mal atendida pela competição.  A análise mostrava que a FEDEX seria capaz de capturar aproximadamente 30% do mercado em algumas cidades. Algumas cidades do conjunto original, como Jackson e New Orleans, eram significativamente inferiores.  A Delta airlines já prestava serviço nestas cidades, fazendo com que a estimativa de mercado da FEDEX fosse de apenas 5%.
O caso FEDEX – a configuração da rede Em 17 de Abril de 1973, a FEDEX reestruturou sua rede para atender a 26 novas cidades. Numa virada histórica, o novo plano de operações funcionou. Hoje a FEDEX fatura US$14 Bilhões por ano, realizando 3 milhões de envios por dia, empregando (e subcontratando) mais de 200,000 pessoas.
O que é  local  e o que é  global ? Vinhos, máscaras, a gripe asiática e o mapa do globo
Le Beaujolais Noveau est arrivé! Beaujolais é uma região da França que planta uvas do tipo Gamay desde pelo menos 1395. Seu vinho pouco fermentado e pouco envelhecido era visto como uma celebração da colheita, como uma recompensa para os camponeses.  Com o tempo, esta celebração  local  tornou-se tão grande que o próprio governo francês colocou sérias restrições em 1938:  o vinho não pode ser vendido antes da manhã da terceira quinta-feira de Novembro.  E hoje esta data tornou-se uma espécie de feriado na França.
 
 
 
Management science e arquiteturas mistas de operação
Logística aérea DHL Europe:  a configuração da rede Hubs Gateways Centros de triagem ilustração do processo, desde a coleta até a entrega
 
The wrong Guy A courtesy of… The British Broadcasting Corporation (BBC) May, 2006
In a room,  Guy Goma Born in Congo Graduate of Congo University, economics and business administration studies Waits for an interview for a data support cleanser job.  Meanwhile…
… in another room,  Guy Kewney Born in Britain Editor of technology website Newswireless.net Waits for a BBC live interview concerning the technology industry ’s move into media: Apple Corp. vs. Apple Corp.
And then, …  someone picks up the phone and says: Send the GUY up!
Goma, hearing himself introduced as the editor of a website, goes through three distinct facial expressions. The first, almost mischievously smug, is: "Oh my God, I can't believe how badly you are screwing up!"  The second is the horrified realization: "Oh my God, but I'm the one who's going to look like the idiot here."  And the third is amused resignation: "Ah, what the hell."
Suddenly she announces he ’s the editor of a technology website.
The BBC interviewer, Karen Bowerman, asks Goma if he's surprised by the verdict in the legal battle between Apple Computer and the Beatles' Apple Corp. Goma replies, in his heavy French accent: "I am very surprised to see this verdict to come on me because I was not expecting that. When I came they told me something else and I am coming, and (got) an interview. So, a big surprise anyway." Bowerman, like a good host, reinforces: "A big surprise, yeah, yes.” (Goma)  “Exactly!”
Here's what he has to say about the costs of downloading music, and how they'll be affected by the Apple verdict:  "Actually if you can walk everywhere, you are going to see a lot of people downloading the Internet and the website and everything they want. But I think.... It is much better for development and... to inform people what they want and to get the easy way and so faster if they are looking for.” "You can go everywhere on the cyber café and you can take, you can go easy. It is going to be an easy way for everyone to get something to the Internet."
Mr Goma said his interview was "very short", but he was prepared to return to the airwaves and was "happy to speak about any situation". Mr Goma later added that next time he would insist upon "preparing myself".
 
What ’s going on here? One speaker primes the other.  (Exactly!) Immersion in a changing context (mgmt) Imperfect information (mgmt) Immediate response to context (mgmt) Unpredictable consequences of actions (mgmt)
www.guygoma.com  !!!
The nature of management "Well I found that the myth of the managers kind of orchestra conductor with everything under control and all very organised and systematic and so on just didn’t hold up. It was a job characterised by  enormous amounts of interruption, it was almost frenetic, people moving back and forth from one thing to another . A lot of  very short tasks , very verbal, not just verbal but oral as opposed to written, not much written. Managers in my study and every other study generally spend as much time with people outside their own units as they do with their own so-called subordinates, whereas management is always described as relationship with subordinates, but managers spend enormous amounts of time with other people outside their units, so they are as much linkers as they are leaders."
Mintzberg ’s observations "Well, what I found is that half the tasks I watched them perform last less than nine minutes and often you will see a  very rapid sequence of activities  that will just bounce back and forth between things, they get interrupted a lot and so on. Yes, it sounds like how are you supposed to run an organisation like … by doing things like that, but then you have to understand what running an organisation means. A lot of it means dealing with the issues that nobody else can deal with. So  anything that comes up that doesn’t fall neatly into somebody or other’s responsibility naturally ends up with the manager , so managers end up dealing with all kinds of unexpected things. It’s  a very unexpected job .
Mintzberg ’s observations (cont’d.) The real issue is how do you think long term? How do you think systematically? How do you plan, or develop strategy under those circumstances?  And the answer is that you don’t develop strategy the way the strategy text books suggest you do which is in a very systematic or planning process. Not only because the job is hectic but because it wouldn’t work anyway, because  strategy  has to be, in my view, crafted, it has to be evolved, it  has to emerge as you deal with issues and put them together and you do your thinking all the time. It’s very sterile to think that people go off and think in uninterrupted way.  Sometimes it pays to do something like that but you know it could be in the shower or it could be driving the car or it could be in the midst of a meeting or whatever it is. I think effective strategists are constantly mulling over all kinds of issues and putting it together as a kind of moving average if you like, or a moving symphony of the various things they are dealing with."
GOL ’s example
Management Science Metodologia 1. Identificação do problema 2. Determinação do conjunto de soluções alternativas 3. Determinação do critério de avaliação destas alternativas 4. Avaliação das alternativas  5. Escolha de uma alternativa como solução final
 
 
 
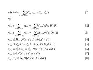
Número de caminhões com 2 e 1  containers partindo de  d  para  d’ Variáveis de decisão D   conjunto de depósitos (inclui h)
m dd’     qtde partindo do depósito  d  para  d’   m dd’  (d,d’    D\{h}; d<>d’)    qtde redirecionada m dd’  (d    D\{h}; d’=h)    qtde passando pelo hub Variáveis de decisão
Se o transporte entre dois depósitos têm variação de volume,  é necessário empregar a mesma capacidade nos dois sentidos Número de caminhões com 2 e 1  containers partindo de  d  para  d’
Número de caminhões com 2 e 1  containers partindo de  d  para  d’ Qtde indo de d para d’ não excederá a capacidade dos caminhões alocados K 1 , K 2     Capacidade (parcels) de caminhões com 1 e 2 containeres m dd’     qtde partindo do depósito  d  para  d’
A restrição 4 define que para cada rota as quantidades designadas para transporte direto ou via hub não excederão os pedidos dos clientes M dd’     pedidos originais dos clientes.  Qtde parcels entre  d  e  d’ .  m dd’     Qtde alocada de parcels entre  d  e  d’  (transporte direto ou hubs).
Para cada depósito  d , a soma do transporte alocado (parcels) via hub com o transporte alocado diretamente dos outros depósitos tem que ser igual ao volume demandado pelos clientes (chegando ao depósito  d ).
Para cada depósito  d , a soma do transporte alocado (em parcels) via hub com  o transporte alocado diretamente para os outros depósitos tem que ser igual  ao volume demandado (saindo do deposito).
A soma dos custos de transporte depende do número de caminhões alocados e seus respectivos custos. Deseja-se, então, minimizar estes custos totais. Número de caminhões com 2 e 1  containers partindo de  d  para  d’ Custo de transporte dos caminhões com 2 e 1  containers entre  d  e  d’
$100 $89
Mas o problema é  NP-Completo...
O que diz a teoria de NP-Completeness? Para um problema NP-Completo não se conhece nenhum método  exato  de solução. Aparentemente, demandam crescimento exponencial, o que inviabiliza qualquer abordagem exata de problemas grandes. Busca-se, então, soluções aproximadas, e, ao invés de métodos exatos, usa-se  heurísticas.
Then we get back to management science… A hub-and-spoke model…
Management science methodology:  added options can only improve choice Methodology 1. Problem identification & modelling 2. Determination of the set of possible alternatives 3. Determination of an evaluation criterion for these alternatives 4. Evaluation of the alternatives 5. Selection of an alternative as a final decision
Evoluindo soluções: os algoritmos genéticos
Knapsack problem ? Capacidade: 10 metros 9 metros, $111/m 3 metros, $100/m 5 metros, $100/m 2 metros, $100/m Alternativas :  0100   1100   1001   1011   etc... Dois conceitos-chave: (i)  alternativas   e (ii)  codificação
Dois conceitos-chave:  (i)  alternativas,   e  (ii)  codificação Alternativas :  0100   1100   1001   1011   etc...
Vamos imaginar o seguinte processo:  criamos uma população de alternativas iniciais, que serão avaliadas em relação ao custo.  As piores alternativas possuem pouca probabilidade de “reprodução” e as melhores possuem alta probabilidade de “reprodução”.  Novas alternativas são criadas, ao se cruzar características das melhores soluções. Estas novas alternativas criam uma nova população.  E então retorna-se ao passo (ii).
Crossover (cruzamento de alternativas) Alternativas:  0100   0100 + 1011  1100 1001 0111  1000 1011 etc... Vejamos o  processo ...
O problema de roteamento de veículos. Dados: (i) um armazém central, (ii) um conjunto de caminhões (ou aviões ou barcos, com capacidade igual), e (iii) um conjunto de clientes distribuídos geograficamente, quais são as rotas de distribuição (ou coleta) que minimizam o transporte total? Problema  NP-Completo .
No problema do caixeiro viajante, uma alternativa é dada por uma seqüência de cidades percorridas. Vejamos como estas populações de alternativas evoluem... Genetic Algorithm  TSP
Revisão  Concentração e hubs Arquiteturas operação FEDEX Histórico de sua origem e virada histórica Foco nos modelos  management science Heurísticas A tecnologia de algoritmos genéticos

Synchronizing a planet

  • 1.
    A batalha doAtlântico Norte e o conceito de concentração
  • 2.
    Quem é estesujeito? Almirante Karl Dönitz líder do Terceiro Reich após a morte de Hitler (por 23 dias, até a rendição para os aliados) Condenado pelo tribunal de Nuremberg Escreveu a auto - biogra fia “ Dez anos e vinte dias &quot; criador da estratégia de wolf-packs
  • 3.
    A batalha doNorte do Atlântico A batalha mais longa da guerra, começando desde o primeiro dia em que a Inglaterra entrou na guerra, e teve seu navio Athena abatido, e prosseguindo até Maio de 1945. Winston Churchill disse uma vez que “ the only thing that ever frightened me during the war was the U-boat peril ”.
  • 4.
    Na primavera de1941, os Britânicos estavam perdendo 300.000 toneladas por mês. Isso era atribuído à estratégia de wolf-packs de Dönitz. 1. Um U-boat identifica um cargueiro ou comboio 2. O U-boat envia posição codificada pela Enigma 3. Dönitz retransmitia um broadcast para todos U-Boats 4. Os U-boats atacavam simultaneamente Os wolf-packs variavam em tamanho, desde alguns poucos até o incrível número de 40 U-Boats, às vezes trazendo uma proporção 1:1 com navios do comboio.
  • 5.
    Em Novembro de1942, as estimativas do OIC (operational intelligence center) em Londres eram: 200 U-boats operacionais 170 U-boats em testes e preparações 135 U-boats abatidos pelos aliados e... 1,160 navios aliados abatidos Mas com a quebra do código ENIGMA pelos aliados, a situação se inverteu a partir de 1943.
  • 6.
    U-Boat U117 sobataque (abatido pela força aérea Americana em 7 de Agosto de 1943)
  • 7.
    Podemos extrair doisconceitos: (i) concentração (ii) informação Saindo da história militar... Vejamos como estes conceitos surgem na logística moderna
  • 8.
  • 9.
    O transporte deCarga Aérea Um dos combustíveis da globalização: Campinas para Ilhas Fiji: 48 horas Brasil para Baku, no Azerbaijão: 48 horas Crescimento: Em 1982, aproximadamente 50 Bilhões de RTKs (Revenue Tonne Kilometres) Em 2000, aproximadamente 210 Bilhões de RTKs
  • 10.
    O caso FEDEX“ This company is nothing short of being the logistics arm of a whole new society that is building up in our economy – a society that isn’t built around automobile and steel production, but that is built up instead around service industries and high technology endeavors in electronics and optics and medical science. It is the movement of these support items that Federal Express is all about”. Frederick W Smith
  • 11.
    O caso FEDEX– a configuração da rede Modelos de operação da FEDEX nos EUA: (i) Single hub (ii) Bypass hub (iii) Set of hubs (iv) Overlay hub
  • 12.
    O caso FEDEX– a configuração da rede (i) Single hub
  • 13.
    A triagem noSuperHUB de Memphis
  • 14.
    O caso FEDEX– a configuração da rede (ii) Bypass hub
  • 15.
    O caso FEDEX– a configuração da rede (iii) Set of hubs
  • 16.
    O caso FEDEX– a configuração da rede (iv) Overlay hub
  • 17.
    Comparando modelos Omodelo hub-and-spoke obviamente exibe algumas ineficiências. Mas quais são suas vantagens, por exemplo, em comparação ao modelo ponto a ponto?
  • 18.
  • 19.
    O caso FEDEX Decisões estratégicas do depto pesquisa operacional Estrutura original de rotas Arquitetura operacional da rede: Superhub + Overlay hubs FLY Joe/Engine AUTOROUTE COSMOS (Customer, Operations, Service, Management Operating System) A Fedex não realiza nenhuma aposta de longo prazo sem o estudo adequado do departamento .
  • 20.
    Mas nem semprefoi assim...
  • 21.
    Management science ea configuração de redes logísticas Nos anos 60, um estudante de Yale apresentou um trabalho que argumentava basicamente os seguintes pontos: a indústria americana estava tornando-se uma economia baseada em serviços. desta forma, havia grande demanda por uma empresa de transportes e entregas confiável, capaz de realizar rapidamente (overnight) o transporte de pequenos pacotes e documentos. Seu trabalho tirou nota C. Felizmente, isso não desanimou o estudante Frederick W Smith, que anos mais tarde iria fundar a Federal Express Corporation .
  • 22.
    O caso FEDEX– a configuração da rede 1 Fred Smith conseguiu juntar US$80M para seu projeto (aproximadamente $40M de investidores, $8M de sua família e o resto de financiamentos de bancos). 1. FONTE: R. Mason, J. McKenney, W. Carlson, D. Copeland, Absolutely, Positively Operations Research: The Federal Express Story. INTERFACES 27/2, 1997, 17-36.
  • 23.
    O caso FEDEX– a configuração da rede Arquitetura operacional inicial Frota de Dassault Falcon-20 twin engine executive jets 11 cidades (mostly south/southeast) que eram bem conhecidas pelos fundadores Arquitetura hub-and-spoke: pacotes são enviados para um hub (em Memphis), são ordenados lá, e re-enviados para a cidade de destino
  • 24.
    O caso FEDEX– a configuração da rede A FEDEX começou a operar em 12 de Março de 1973. Nas palavras de Henry Meers, um banqueiro de investimentos: “ I saw the anguish on their faces as they waited. Most were very worried about their future. It was a critical moment for all of them as they finally crowded around the falcons and the cargo doors opened. But as they gazed inside, there was bitter disappointment. There were only six packages and one of them was a birthday present Fred Smith sent to his close aid Irby Tedder ” Após três dias de operação, a FEDEX descontinuou o serviço de entrega aérea, enviando o pequeno volume de seus clientes por vias alternativas enquanto tentava-se tomar o controle da situação.
  • 25.
    O caso FEDEX– a configuração da rede Smith contratou uma força tarefa, chefiada pelo Físico Charles Brandon, seu velho amigo, o qual havia sido considerado previamente o uso de computadores para escalonar as aeronaves. As questões enviadas para a força tarefa eram básicas: (i) Onde nós erramos? (ii) O que devemos fazer?
  • 26.
    “ De todasas coisas, o bom senso é a melhor distribuída: todas as pessoas se sentem tão bem supridas dele que mesmo aquelas mais difíceis de satisfazer em qualquer aspecto nunca desejam mais do que já têm.” René Descartes , Discurso sobre o método, 1637
  • 27.
    “ O bomsenso é a coleção de preconceitos adquiridos até os dezoito anos” Albert Einstein in E.T. Bell, Mathematics: queen and servant of the sciences, 1952 “Se você for um verdadeiro buscador da verdade, você deverá, ao menos uma vez em sua vida, duvidar de todas as coisas.” René Descartes , Discurso sobre o método, 1637
  • 28.
    O caso FEDEX– a configuração da rede A equipe da força tarefa trancou-se em Little Rock, trabalhando de 18 a 20 horas por dia, durante 15 dias seguidos. Sua abordagem foi clássica. Eles começaram por atacar a suposição de que as 11 cidades escolhidas originariamente (que eram as melhores conhecidas pelos fundadores) eram as melhores para a FEDEX, desenvolvendo uma análise científica. A primeira questão com a qual se defrontaram foi: O que faz uma cidade ser boa candidata para nossa estrutura de rotas?
  • 29.
    O caso FEDEX– a configuração da rede O que faz uma cidade ser boa candidata para inclusão na estrutura de rotas? As conclusões da análise foram: Algumas cidades devem ser incluídas porque geram uma grande quantidade de pacotes saindo; Outras devem ser incluídas pois recebem grande quantidade de pequenos pacotes; Outras devem ser incluídas por possuir um volume maciço (como New York) e aumentarem o efeito “massa crítica”. A idéia agora era: como maximizar o volume do sistema?
  • 30.
    O caso FEDEX– a configuração da rede Como maximizar o volume do sistema? A força tarefa então formulou o problema como um modelo de fluxo origem-destino. Estavam sendo consideradas 112 cidades. Foi então desenvolvida uma matriz com 12,422 células, usando estatísticas trazidas da Civil Aeronautics Board em volumes de transporte aéreo, população, emprego e atividades de negócios. Diversos ajustes foram feitos nos dados para compensar o volume de transporte de cargas pesadas, que não seriam consideradas pela FEDEX. Esses dados foram então usados para o estabelecimento de uma estimativa de volume outbound . Para estimar o volume inbound, foi considerado o tamanho relativo da população de cada cidade.
  • 31.
    O caso FEDEX– a configuração da rede Para estimar o volume de tráfego em cada par de cidades, o coeficiente de tráfego outbound de cada origem foi multiplicado pelo coeficiente de tráfego inbound de cada destino. A força tarefa pregou, então, folhas de papel em uma enorme parede, e, com ajuda de uma calculadora HP-35, preencheu cada uma das células na mão. O próximo passo foi analisar os padrões existentes de tráfego aéreo (dados pelos Official Airline Guide e Air Cargo Guide ), para estimar a demanda reprimida para cada par origem-destino. Tudo feito à mão.
  • 32.
    O caso FEDEX– a configuração da rede A matriz resultante revelou fatos muito importantes. A matriz mostrava que a natureza do tráfego de cada cidade e a presença da competição em cada rota afetavam diretamente a sua atratividade para a FEDEX. Por exemplo, Rochester, NY, era uma cidade atrativa, pois, além de agregar indústrias que enviavam pacotes pequenos, como a KODAK e a XEROX, ela era mal atendida pela competição. A análise mostrava que a FEDEX seria capaz de capturar aproximadamente 30% do mercado em algumas cidades. Algumas cidades do conjunto original, como Jackson e New Orleans, eram significativamente inferiores. A Delta airlines já prestava serviço nestas cidades, fazendo com que a estimativa de mercado da FEDEX fosse de apenas 5%.
  • 33.
    O caso FEDEX– a configuração da rede Em 17 de Abril de 1973, a FEDEX reestruturou sua rede para atender a 26 novas cidades. Numa virada histórica, o novo plano de operações funcionou. Hoje a FEDEX fatura US$14 Bilhões por ano, realizando 3 milhões de envios por dia, empregando (e subcontratando) mais de 200,000 pessoas.
  • 34.
    O que é local e o que é global ? Vinhos, máscaras, a gripe asiática e o mapa do globo
  • 35.
    Le Beaujolais Noveauest arrivé! Beaujolais é uma região da França que planta uvas do tipo Gamay desde pelo menos 1395. Seu vinho pouco fermentado e pouco envelhecido era visto como uma celebração da colheita, como uma recompensa para os camponeses. Com o tempo, esta celebração local tornou-se tão grande que o próprio governo francês colocou sérias restrições em 1938: o vinho não pode ser vendido antes da manhã da terceira quinta-feira de Novembro. E hoje esta data tornou-se uma espécie de feriado na França.
  • 36.
  • 37.
  • 38.
  • 39.
    Management science earquiteturas mistas de operação
  • 40.
    Logística aérea DHLEurope: a configuração da rede Hubs Gateways Centros de triagem ilustração do processo, desde a coleta até a entrega
  • 41.
  • 42.
    The wrong GuyA courtesy of… The British Broadcasting Corporation (BBC) May, 2006
  • 43.
    In a room, Guy Goma Born in Congo Graduate of Congo University, economics and business administration studies Waits for an interview for a data support cleanser job. Meanwhile…
  • 44.
    … in anotherroom, Guy Kewney Born in Britain Editor of technology website Newswireless.net Waits for a BBC live interview concerning the technology industry ’s move into media: Apple Corp. vs. Apple Corp.
  • 45.
    And then, … someone picks up the phone and says: Send the GUY up!
  • 46.
    Goma, hearing himselfintroduced as the editor of a website, goes through three distinct facial expressions. The first, almost mischievously smug, is: &quot;Oh my God, I can't believe how badly you are screwing up!&quot; The second is the horrified realization: &quot;Oh my God, but I'm the one who's going to look like the idiot here.&quot; And the third is amused resignation: &quot;Ah, what the hell.&quot;
  • 47.
    Suddenly she announceshe ’s the editor of a technology website.
  • 48.
    The BBC interviewer,Karen Bowerman, asks Goma if he's surprised by the verdict in the legal battle between Apple Computer and the Beatles' Apple Corp. Goma replies, in his heavy French accent: &quot;I am very surprised to see this verdict to come on me because I was not expecting that. When I came they told me something else and I am coming, and (got) an interview. So, a big surprise anyway.&quot; Bowerman, like a good host, reinforces: &quot;A big surprise, yeah, yes.” (Goma) “Exactly!”
  • 49.
    Here's what hehas to say about the costs of downloading music, and how they'll be affected by the Apple verdict: &quot;Actually if you can walk everywhere, you are going to see a lot of people downloading the Internet and the website and everything they want. But I think.... It is much better for development and... to inform people what they want and to get the easy way and so faster if they are looking for.” &quot;You can go everywhere on the cyber café and you can take, you can go easy. It is going to be an easy way for everyone to get something to the Internet.&quot;
  • 50.
    Mr Goma saidhis interview was &quot;very short&quot;, but he was prepared to return to the airwaves and was &quot;happy to speak about any situation&quot;. Mr Goma later added that next time he would insist upon &quot;preparing myself&quot;.
  • 51.
  • 52.
    What ’s goingon here? One speaker primes the other. (Exactly!) Immersion in a changing context (mgmt) Imperfect information (mgmt) Immediate response to context (mgmt) Unpredictable consequences of actions (mgmt)
  • 53.
  • 54.
    The nature ofmanagement &quot;Well I found that the myth of the managers kind of orchestra conductor with everything under control and all very organised and systematic and so on just didn’t hold up. It was a job characterised by enormous amounts of interruption, it was almost frenetic, people moving back and forth from one thing to another . A lot of very short tasks , very verbal, not just verbal but oral as opposed to written, not much written. Managers in my study and every other study generally spend as much time with people outside their own units as they do with their own so-called subordinates, whereas management is always described as relationship with subordinates, but managers spend enormous amounts of time with other people outside their units, so they are as much linkers as they are leaders.&quot;
  • 55.
    Mintzberg ’s observations&quot;Well, what I found is that half the tasks I watched them perform last less than nine minutes and often you will see a very rapid sequence of activities that will just bounce back and forth between things, they get interrupted a lot and so on. Yes, it sounds like how are you supposed to run an organisation like … by doing things like that, but then you have to understand what running an organisation means. A lot of it means dealing with the issues that nobody else can deal with. So anything that comes up that doesn’t fall neatly into somebody or other’s responsibility naturally ends up with the manager , so managers end up dealing with all kinds of unexpected things. It’s a very unexpected job .
  • 56.
    Mintzberg ’s observations(cont’d.) The real issue is how do you think long term? How do you think systematically? How do you plan, or develop strategy under those circumstances? And the answer is that you don’t develop strategy the way the strategy text books suggest you do which is in a very systematic or planning process. Not only because the job is hectic but because it wouldn’t work anyway, because strategy has to be, in my view, crafted, it has to be evolved, it has to emerge as you deal with issues and put them together and you do your thinking all the time. It’s very sterile to think that people go off and think in uninterrupted way. Sometimes it pays to do something like that but you know it could be in the shower or it could be driving the car or it could be in the midst of a meeting or whatever it is. I think effective strategists are constantly mulling over all kinds of issues and putting it together as a kind of moving average if you like, or a moving symphony of the various things they are dealing with.&quot;
  • 57.
  • 58.
    Management Science Metodologia1. Identificação do problema 2. Determinação do conjunto de soluções alternativas 3. Determinação do critério de avaliação destas alternativas 4. Avaliação das alternativas 5. Escolha de uma alternativa como solução final
  • 59.
  • 60.
  • 61.
  • 62.
    Número de caminhõescom 2 e 1 containers partindo de d para d’ Variáveis de decisão D  conjunto de depósitos (inclui h)
  • 63.
    m dd’  qtde partindo do depósito d para d’ m dd’ (d,d’  D\{h}; d<>d’)  qtde redirecionada m dd’ (d  D\{h}; d’=h)  qtde passando pelo hub Variáveis de decisão
  • 64.
    Se o transporteentre dois depósitos têm variação de volume, é necessário empregar a mesma capacidade nos dois sentidos Número de caminhões com 2 e 1 containers partindo de d para d’
  • 65.
    Número de caminhõescom 2 e 1 containers partindo de d para d’ Qtde indo de d para d’ não excederá a capacidade dos caminhões alocados K 1 , K 2  Capacidade (parcels) de caminhões com 1 e 2 containeres m dd’  qtde partindo do depósito d para d’
  • 66.
    A restrição 4define que para cada rota as quantidades designadas para transporte direto ou via hub não excederão os pedidos dos clientes M dd’  pedidos originais dos clientes. Qtde parcels entre d e d’ . m dd’  Qtde alocada de parcels entre d e d’ (transporte direto ou hubs).
  • 67.
    Para cada depósito d , a soma do transporte alocado (parcels) via hub com o transporte alocado diretamente dos outros depósitos tem que ser igual ao volume demandado pelos clientes (chegando ao depósito d ).
  • 68.
    Para cada depósito d , a soma do transporte alocado (em parcels) via hub com o transporte alocado diretamente para os outros depósitos tem que ser igual ao volume demandado (saindo do deposito).
  • 69.
    A soma doscustos de transporte depende do número de caminhões alocados e seus respectivos custos. Deseja-se, então, minimizar estes custos totais. Número de caminhões com 2 e 1 containers partindo de d para d’ Custo de transporte dos caminhões com 2 e 1 containers entre d e d’
  • 70.
  • 71.
    Mas o problemaé NP-Completo...
  • 72.
    O que diza teoria de NP-Completeness? Para um problema NP-Completo não se conhece nenhum método exato de solução. Aparentemente, demandam crescimento exponencial, o que inviabiliza qualquer abordagem exata de problemas grandes. Busca-se, então, soluções aproximadas, e, ao invés de métodos exatos, usa-se heurísticas.
  • 73.
    Then we getback to management science… A hub-and-spoke model…
  • 74.
    Management science methodology: added options can only improve choice Methodology 1. Problem identification & modelling 2. Determination of the set of possible alternatives 3. Determination of an evaluation criterion for these alternatives 4. Evaluation of the alternatives 5. Selection of an alternative as a final decision
  • 75.
    Evoluindo soluções: osalgoritmos genéticos
  • 76.
    Knapsack problem ?Capacidade: 10 metros 9 metros, $111/m 3 metros, $100/m 5 metros, $100/m 2 metros, $100/m Alternativas : 0100 1100 1001 1011 etc... Dois conceitos-chave: (i) alternativas e (ii) codificação
  • 77.
    Dois conceitos-chave: (i) alternativas, e (ii) codificação Alternativas : 0100 1100 1001 1011 etc...
  • 78.
    Vamos imaginar oseguinte processo: criamos uma população de alternativas iniciais, que serão avaliadas em relação ao custo. As piores alternativas possuem pouca probabilidade de “reprodução” e as melhores possuem alta probabilidade de “reprodução”. Novas alternativas são criadas, ao se cruzar características das melhores soluções. Estas novas alternativas criam uma nova população. E então retorna-se ao passo (ii).
  • 79.
    Crossover (cruzamento dealternativas) Alternativas: 0100 0100 + 1011 1100 1001 0111 1000 1011 etc... Vejamos o processo ...
  • 80.
    O problema deroteamento de veículos. Dados: (i) um armazém central, (ii) um conjunto de caminhões (ou aviões ou barcos, com capacidade igual), e (iii) um conjunto de clientes distribuídos geograficamente, quais são as rotas de distribuição (ou coleta) que minimizam o transporte total? Problema NP-Completo .
  • 81.
    No problema docaixeiro viajante, uma alternativa é dada por uma seqüência de cidades percorridas. Vejamos como estas populações de alternativas evoluem... Genetic Algorithm TSP
  • 82.
    Revisão Concentraçãoe hubs Arquiteturas operação FEDEX Histórico de sua origem e virada histórica Foco nos modelos management science Heurísticas A tecnologia de algoritmos genéticos