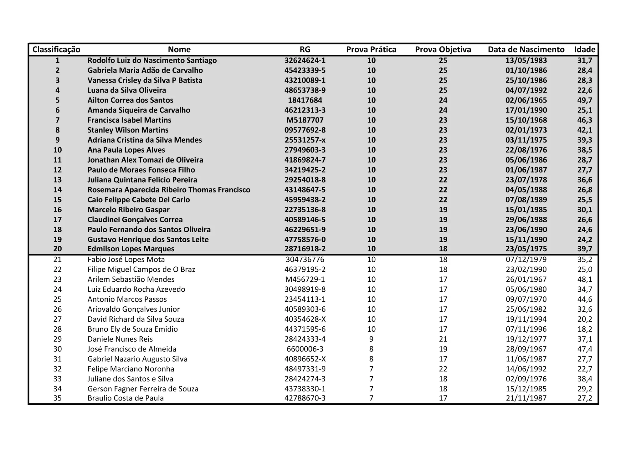
Classificação Nome RG Prova Prática Prova Objetiva Data de Nascimento Idade
1 Rodolfo Luiz do Nascimento Santiago 32624624-1 10 25 13/05/1983 31,7
2 Gabriela Maria Adão de Carvalho 45423339-5 10 25 01/10/1986 28,4
3 Vanessa Crisley da Silva P Batista 43210089-1 10 25 25/10/1986 28,3
4 Luana da Silva Oliveira 48653738-9 10 25 04/07/1992 22,6
5 Ailton Correa dos Santos 18417684 10 24 02/06/1965 49,7
6 Amanda Siqueira de Carvalho 46212313-3 10 24 17/01/1990 25,1
7 Francisca Isabel Martins M5187707 10 23 15/10/1968 46,3
8 Stanley Wilson Martins 09577692-8 10 23 02/01/1973 42,1
9 Adriana Cristina da Silva Mendes 25531257-x 10 23 03/11/1975 39,3
10 Ana Paula Lopes Alves 27949603-3 10 23 22/08/1976 38,5
11 Jonathan Alex Tomazi de Oliveira 41869824-7 10 23 05/06/1986 28,7
12 Paulo de Moraes Fonseca Filho 34219425-2 10 23 01/06/1987 27,7
13 Juliana Quintana Felicio Pereira 29254018-8 10 22 23/07/1978 36,6
14 Rosemara Aparecida Ribeiro Thomas Francisco 43148647-5 10 22 04/05/1988 26,8
15 Caio Felippe Cabete Del Carlo 45959438-2 10 22 07/08/1989 25,5
16 Marcelo Ribeiro Gaspar 22735136-8 10 19 15/01/1985 30,1
17 Claudinei Gonçalves Correa 40589146-5 10 19 29/06/1988 26,6
18 Paulo Fernando dos Santos Oliveira 46229651-9 10 19 23/06/1990 24,6
19 Gustavo Henrique dos Santos Leite 47758576-0 10 19 15/11/1990 24,2
20 Edmilson Lopes Marques 28716918-2 10 18 23/05/1975 39,7
21 Fabio José Lopes Mota 304736776 10 18 07/12/1979 35,2
22 Filipe Miguel Campos de O Braz 46379195-2 10 18 23/02/1990 25,0
23 Arilem Sebastião Mendes M456729-1 10 17 26/01/1967 48,1
24 Luiz Eduardo Rocha Azevedo 30498919-8 10 17 05/06/1980 34,7
25 Antonio Marcos Passos 23454113-1 10 17 09/07/1970 44,6
26 Ariovaldo Gonçalves Junior 40589303-6 10 17 25/06/1982 32,6
27 David Richard da Silva Souza 40354628-X 10 17 19/11/1994 20,2
28 Bruno Ely de Souza Emidio 44371595-6 10 17 07/11/1996 18,2
29 Daniele Nunes Reis 28424333-4 9 21 19/12/1977 37,1
30 José Francisco de Almeida 6600006-3 8 19 28/09/1967 47,4
31 Gabriel Nazario Augusto Silva 40896652-X 8 17 11/06/1987 27,7
32 Felipe Marciano Noronha 48497331-9 7 22 14/06/1992 22,7
33 Juliane dos Santos e Silva 28424274-3 7 18 02/09/1976 38,4
34 Gerson Fagner Ferreira de Souza 43738330-1 7 18 15/12/1985 29,2
35 Braulio Costa de Paula 42788670-3 7 17 21/11/1987 27,2

Lista final dengue

  • 1.
    Classificação Nome RGProva Prática Prova Objetiva Data de Nascimento Idade 1 Rodolfo Luiz do Nascimento Santiago 32624624-1 10 25 13/05/1983 31,7 2 Gabriela Maria Adão de Carvalho 45423339-5 10 25 01/10/1986 28,4 3 Vanessa Crisley da Silva P Batista 43210089-1 10 25 25/10/1986 28,3 4 Luana da Silva Oliveira 48653738-9 10 25 04/07/1992 22,6 5 Ailton Correa dos Santos 18417684 10 24 02/06/1965 49,7 6 Amanda Siqueira de Carvalho 46212313-3 10 24 17/01/1990 25,1 7 Francisca Isabel Martins M5187707 10 23 15/10/1968 46,3 8 Stanley Wilson Martins 09577692-8 10 23 02/01/1973 42,1 9 Adriana Cristina da Silva Mendes 25531257-x 10 23 03/11/1975 39,3 10 Ana Paula Lopes Alves 27949603-3 10 23 22/08/1976 38,5 11 Jonathan Alex Tomazi de Oliveira 41869824-7 10 23 05/06/1986 28,7 12 Paulo de Moraes Fonseca Filho 34219425-2 10 23 01/06/1987 27,7 13 Juliana Quintana Felicio Pereira 29254018-8 10 22 23/07/1978 36,6 14 Rosemara Aparecida Ribeiro Thomas Francisco 43148647-5 10 22 04/05/1988 26,8 15 Caio Felippe Cabete Del Carlo 45959438-2 10 22 07/08/1989 25,5 16 Marcelo Ribeiro Gaspar 22735136-8 10 19 15/01/1985 30,1 17 Claudinei Gonçalves Correa 40589146-5 10 19 29/06/1988 26,6 18 Paulo Fernando dos Santos Oliveira 46229651-9 10 19 23/06/1990 24,6 19 Gustavo Henrique dos Santos Leite 47758576-0 10 19 15/11/1990 24,2 20 Edmilson Lopes Marques 28716918-2 10 18 23/05/1975 39,7 21 Fabio José Lopes Mota 304736776 10 18 07/12/1979 35,2 22 Filipe Miguel Campos de O Braz 46379195-2 10 18 23/02/1990 25,0 23 Arilem Sebastião Mendes M456729-1 10 17 26/01/1967 48,1 24 Luiz Eduardo Rocha Azevedo 30498919-8 10 17 05/06/1980 34,7 25 Antonio Marcos Passos 23454113-1 10 17 09/07/1970 44,6 26 Ariovaldo Gonçalves Junior 40589303-6 10 17 25/06/1982 32,6 27 David Richard da Silva Souza 40354628-X 10 17 19/11/1994 20,2 28 Bruno Ely de Souza Emidio 44371595-6 10 17 07/11/1996 18,2 29 Daniele Nunes Reis 28424333-4 9 21 19/12/1977 37,1 30 José Francisco de Almeida 6600006-3 8 19 28/09/1967 47,4 31 Gabriel Nazario Augusto Silva 40896652-X 8 17 11/06/1987 27,7 32 Felipe Marciano Noronha 48497331-9 7 22 14/06/1992 22,7 33 Juliane dos Santos e Silva 28424274-3 7 18 02/09/1976 38,4 34 Gerson Fagner Ferreira de Souza 43738330-1 7 18 15/12/1985 29,2 35 Braulio Costa de Paula 42788670-3 7 17 21/11/1987 27,2