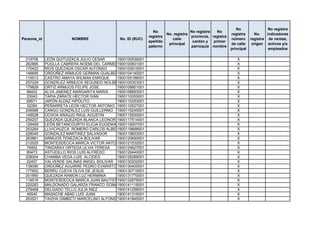
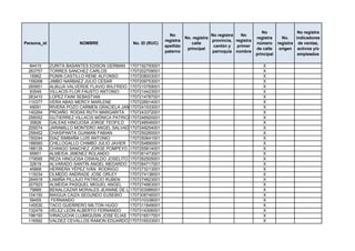
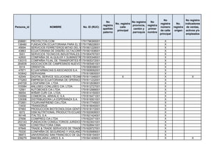
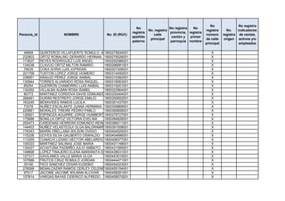
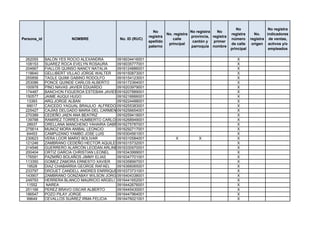
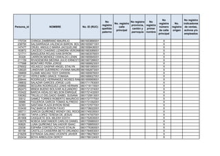
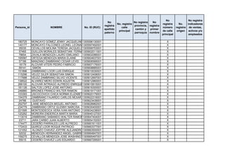
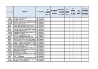
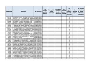
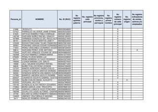
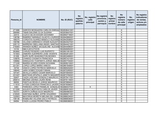
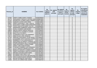
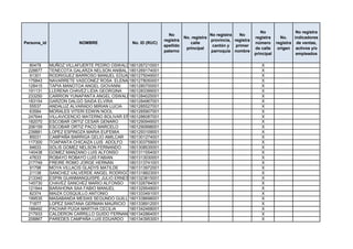
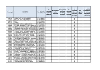
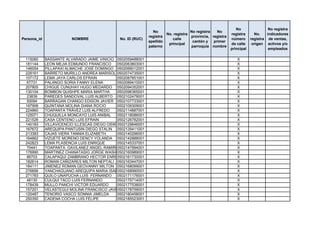
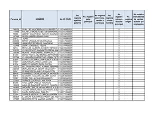
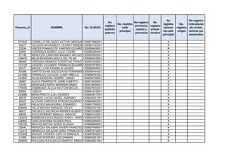
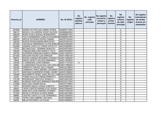
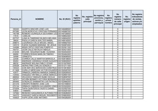
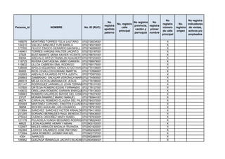
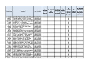
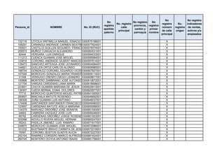
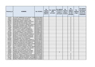
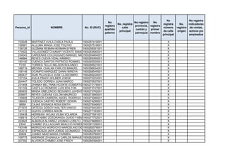
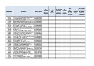
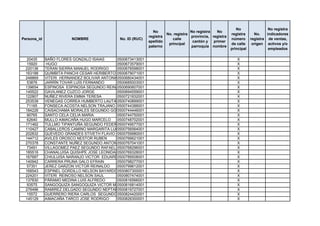
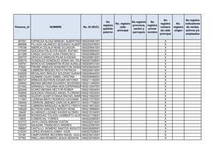
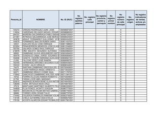
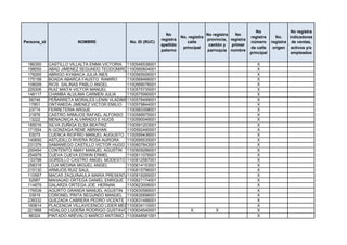
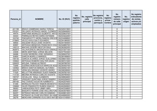
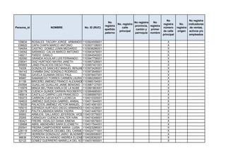
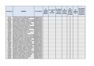
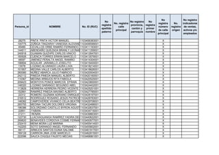
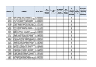
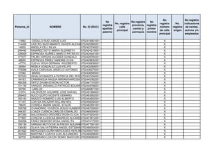
No                 No registra
                                                               No                    No registra   No
                                                                        No. registra                       registra      No.    indicadores
                                                             registra                provincia, registra
Persona_id               NOMBRE               No. ID (RUC)                 calle                           número      registra de ventas,
                                                             apellido                 cantón y   primer
                                                                         principal                         de calle     origen activos y/o
                                                             paterno                 parroquia nombre
                                                                                                           principal             empleados

 243603      ROSALES HEREDIA PABLO BLADIMIRO 0100000934001                                                    X
 199754      GUZMAN GALARZA JAIME OSWALDO 0100003938001                                                       X
  90970      UGALDE ESPINOSA LEONEL ROLANDO 0100007269001                                                     X
 170516      MORA BARROS ALFREDO JOSE        0100009844001                                                    X
 171247      CABRERA ROLDAN LIA MERCEDES     0100018589001                                                    X
 204698      LEON JARA GUSTAVO ROMULO        0100021898001                  X            X                    X
  69209      VINTIMILLA BORRERO MARCELO AUGUSTO
                                             0100023134001                                                    X
 171014      TORRES TORAL ANGEL POLIVIO      0100032887001                                                    X
 231013      IDROVO PESANTEZ RENE ARQUIMIDES0100033240001                                                     X
 183602      LIMA ASTUDILLO GUSTAVO FLORENCIO0100037225001                                                    X
 246309      PINOS ESPINOZA CESAR FROILAN    0100052604001                                                    X
  86744      MONTESDEOCA MORALES LUIS FERNANDO
                                             0100052703001                                                    X
 277782      GUILLEN LEON FRANCO MEDARDO     0100053834001                                                    X
 138878      RIVERA OCHOA REMIGIO RIGOBERTO 0100054287001                                                     X
 146777      LOJANO VILLA JAIME ROGELIO      0100066232001                                                    X
 162133      MOSCOSO DURAN SILVIO SERAFIN    0100076371001                                                    X
 101023      ORDÓÑEZ JIMENEZ SEGUNDO ENERJITO0100081538001                                                    X
 104808      BRAVO BERNAL JORGE ELOY         0100087469001                                                    X
 195879      PALTAN CABRERA FLORENCIO ABELARDO
                                             0100090174001                                                    X
  81821      DUCHI JIMENEZ GERMAN LEOPOLDO 0100091362001                                                      X
  53636       GERARDO GARCÍA                 0100091750001                                                    X
 228656      CARMONA ALEMAN LUIS FERNANDO 0100109040001                                                       X
 124290      AUQUILLA BRAVO JULIO CESAR      0100110576001                                                    X
 182688      CELLERI TOLA JOSE EMILIO        0100125285001                                                    X
 116019      SINCHI CHIQUI CARLOS ANDRES     0100127265001                                                    X
  88315      NIEVES LOJA VICTOR PORFIRIO     0100157619001                                                    X
 200192      CRIOLLO GUAMAN ALFONSO CORNELIO 0100157957001                                                    X
 109669      VON LIPPKE AYAVACA HERRMANN EDISSON
                                             0100164243001                                                    X
  86623      ILLESCAS MORALES JOSE GERARDO 0100165810001                                                      X
  88754      DOMINGUEZ RODAS MARIO OSWALDO 0100167931001                                                      X
 168039      HIDALGO CARRASCO GALO OLMEDO 0100173780001                                                       X
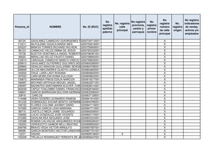
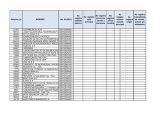
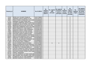
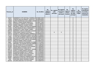
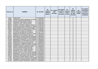
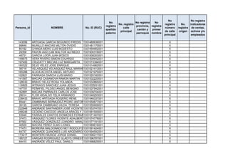
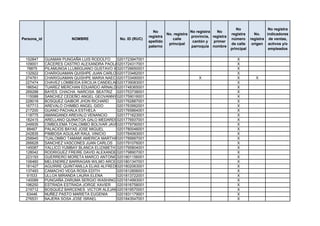
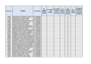
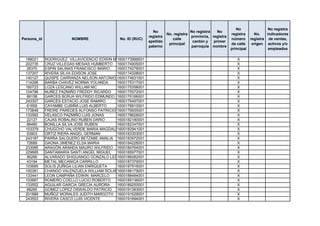
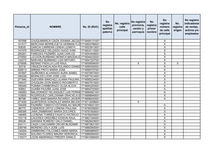
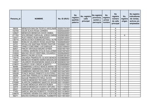
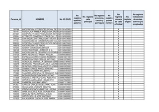
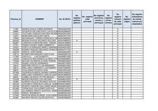
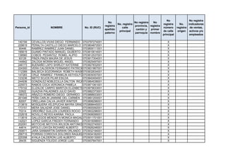
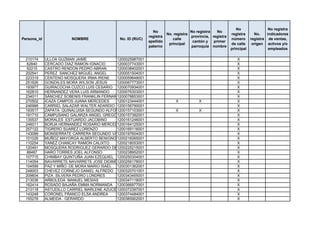
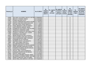
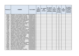
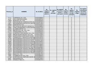
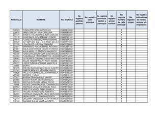
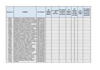
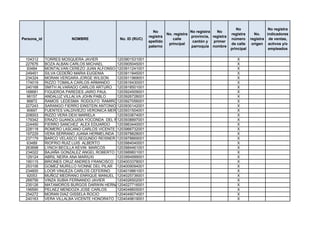
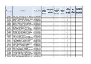
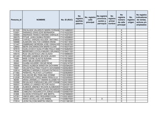
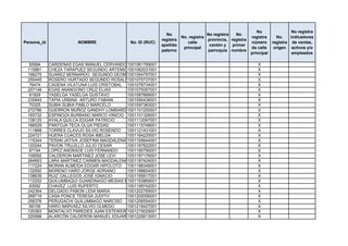
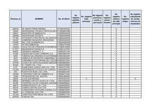
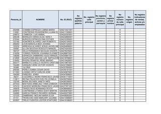
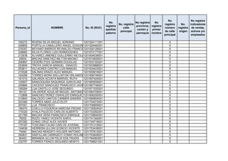
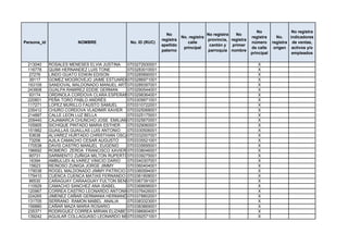
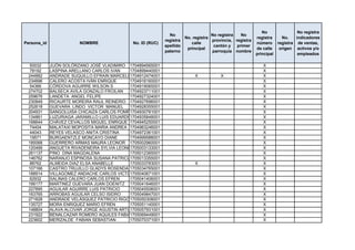
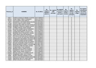
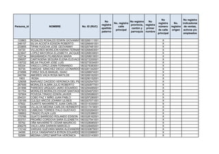
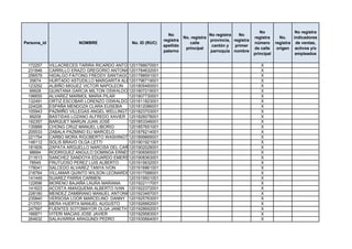
No                 No registra
                                                               No                    No registra   No
                                                                        No. registra                       registra      No.    indicadores
                                                             registra                provincia, registra
Persona_id               NOMBRE               No. ID (RUC)                 calle                           número      registra de ventas,
                                                             apellido                 cantón y   primer
                                                                         principal                         de calle     origen activos y/o
                                                             paterno                 parroquia nombre
                                                                                                           principal             empleados

  88627      SANCHEZ DELGADO LUIS GALO       0100174218001                                                    X
  75242      JIMBO TACURI MANUEL JESUS       0100174994001                                                    X
  64975      MÉNDEZ MOGROVEJO JULIO CÉSAR 0100198779001                                                       X
 261011      MORA JIMBO ROSA INES            0100211614001                                                    X
 116792      MORA VILLAGOMEZ JORGE ERNESTO0100231257001                                                       X
 148637      IÑIGUEZ DELGADO SERAPIO SERAFIN 0100253913001                                                    X
 121565      MORALES CAMPOVERDE JOSE MIGUEL0100260082001                                                      X
  95291      ZABALETA CASTRO CESAR AUGUSTO 0100268655001                                                      X
  76108      CORDERO ORDOÑEZ BENJAMIN        0100270925001                                                    X
 228994      BALAREZO HERNANDEZ JOSE ARCESIO 0100277110001                                                    X
  67528      VALLEJO VALLEJO VICTOR MANUEL   0100279777001                                                    X
 180077      GUAMBANA PULGARIN ALFONSO RICARDO
                                             0100300151001                                                    X
 112352      ORDOÑEZ ASCARIBAY LUIS GERARDO 0100306356001                                                     X
  58970      JERVES IÑIGUEZ RUBEN ALEJANDRO 0100316348001                                                     X
 120949      CHACON ZHAPAN JUAN ARIOSTO      0100316538001                                                    X
 168669      CORDERO OCHOA DANIEL RODRIGO 0100318609001                                                       X
 223374      AGUILAR AGUILAR ENRIQUE BOLÍVAR 0100325877001                                                    X
 154105      MARTINEZ BUSTOS EFRAIN HUMBERTO 0100329432001                                                    X
 144025      BANEGAS PICON RAUL EFRAIN       0100329697001                                                    X
 107537      TENESACA VILLACIS FROILAN RODRIGO
                                             0100329788001                                                    X
  56934      ARPI ALVAREZ JOSE MARIA         0100332212001                                                    X
 159291      MUÑOZ MOLINA GALO HIPOLITO      0100337385001                                                    X
  88075      VALDIVIESO CARRASCO ARNOLDO ALEJANDRO
                                             0100346816001                                                    X
 240729      ARIAS PADILLA LIA CARMELINA     0100354588001                                                    X
 225625      ASTUDILLO NOVILLO ROSA CELIA    0100355965001                                                    X
 136341      QUEZADA PIEDRA JULIA ELVIRA     0100396142001                                                    X
 121093      MOROCHO GUANUCHI MARCELINA DE 0100399104001
                                             JESUS                                                            X
 152312      ONCE GUACHUN CARLOS VIRGILIO    0100405067001                                                    X
 145870      ZHICAY VERA LUIS SENEN          0100406651001                                                    X
 134652      ALVEAR BARZALLO MIGUEL EUGENIO 0100409176001                                                     X
 135241      CONDO ONCE ROSENDO              0100410851001                                                    X
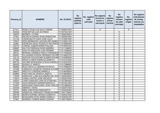
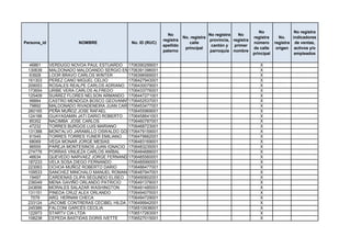
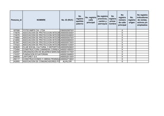
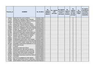
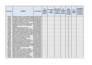
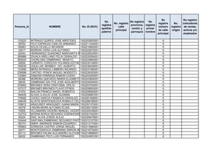
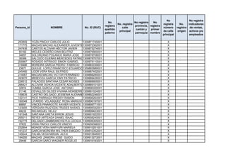
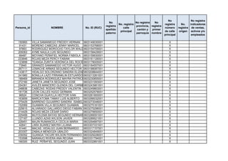
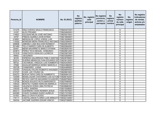
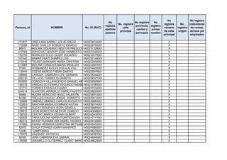
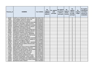
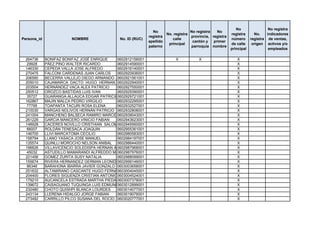
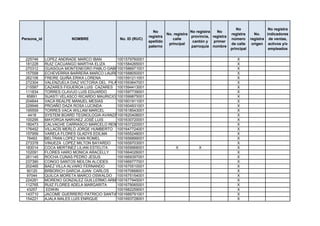
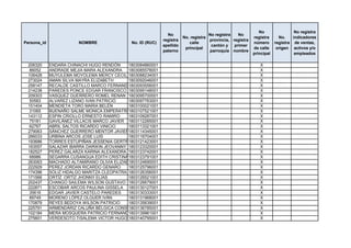
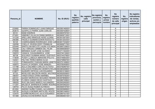
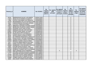
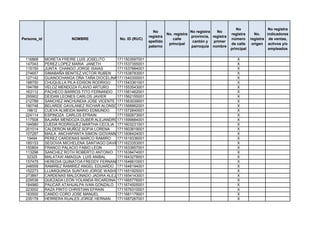
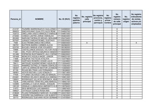
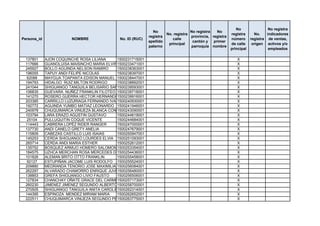
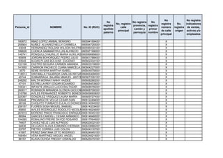
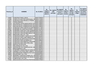
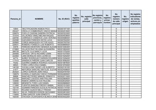
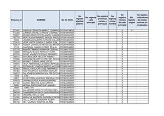
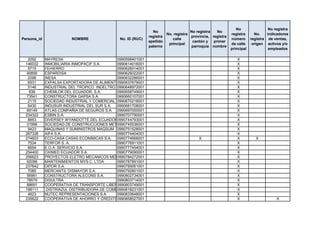
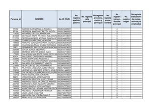
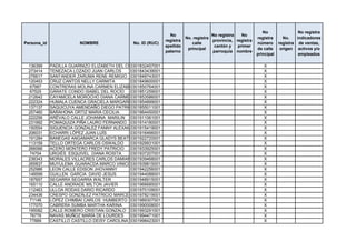
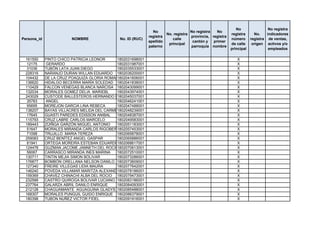
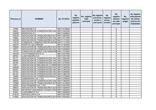
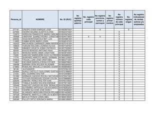
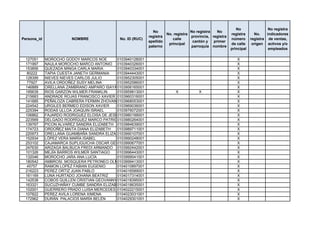
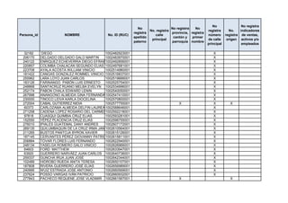
No                 No registra
                                                               No                    No registra   No
                                                                        No. registra                       registra      No.    indicadores
                                                             registra                provincia, registra
Persona_id               NOMBRE               No. ID (RUC)                 calle                           número      registra de ventas,
                                                             apellido                 cantón y   primer
                                                                         principal                         de calle     origen activos y/o
                                                             paterno                 parroquia nombre
                                                                                                           principal             empleados

 256769      ANGUASHA MAYANCHI JUAN JOSÉ     0100431402001                                                    X
 260047      BALAREZO PIZCOCAMA CESAR HUMBERTO
                                             0100431881001                                                    X
  61966      RODAS MOROCHO JUAN ALCIDES      0100466473001                                                    X
  86478      ORELLANA ORELLANA ANGEL POLIVIO 0100474188001                                                    X
 128023      GALLEGO DUMA ROSALINO           0100480797001                                                    X
 214579      AYALA GLORIA MARIA              0100491596001                                                    X
 114647      MACAO PELAEZ MANUEL JESÚS       0100498518001                                                    X
  43849      CUJI LEON LUIS GERARDO          0100502137001                                                    X
 146263      OCHOA ORDOÑEZ MIGUEL ARIOLFO 0100503606001                                                       X
 231174      IÑIGUEZ CORONEL LUIS ALFONSO    0100504760001                                                    X
 183690      MATUTE GUNCAY JAIME EFRAÍN      0100504943001                                                    X
 168356      LUCERO GONZALEZ SILVIA MARIA    0100508407001                                                    X
 128932      MAURAT BUSTOS ADOLFO MARIA      0100532993001                                                    X
 186078      VAZQUEZ GALARZA LUZ ELVIRA      0100543131001                                                    X
 128455      LEON LOJA MANUEL EDUARDO        0100549815001                                                    X
 139198      ASTUDILLO ORDOÑEZ SAMUEL WALTER100550201001
                                             0                                                                X
 166463      CHAVEZ ORELLANA BLANCA PASTORA 0100551688001                                                     X
  46783      GOMEZ ERRAIS MARIA GRETA        0100576271001                                                    X
  86354      GODOY GODOY SEGUNDO NOE         0100578384001                                                    X
  76610      CARPIO MOGROVEJO JUAN PONCIANO0100578400001                                                      X
 140439      GUERRERO ALVAREZ GERARDINA ISABEL
                                             0100578418001                                                    X
 186270      SÁNCHEZ MENDIETA GUSTAVO DE JESÚS
                                             0100578707001                                                    X
  60607      ORTIZ BELTRAN MANUEL ANTONIO    0100578749001                                                    X
 174347      CHUMI CEDILLO MARIA ELENA       0100581511001                                                    X
 122145      MENDIETA GERARDO DE JESUS       0100586676001                                                    X
 172996      NEIRA AGUIRRE LAVIO RAUL        0100589852001                                                    X
 205098      ORELLANA JIMENEZ LEONIDAS GUILLERMO
                                             0100609692001                                                    X
 179021      LLANOS IDROVO BELISARIO MARIA   0100620186001                                                    X
 245057      PULLA SAMANIEGO VICTOR MANUEL 0100630144001                                                      X
 193985      SUMBA SUMBA ALFONSO MARIA       0100649128001                                                    X
 161638      PONTON JARAMILLO EMERITA LUCIA 0100668490001                                                     X
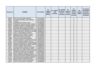
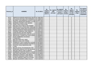
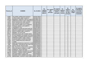
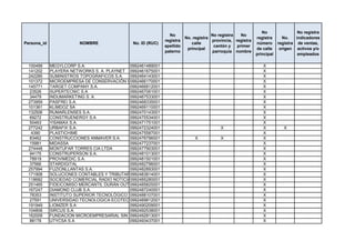
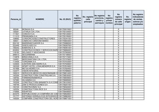
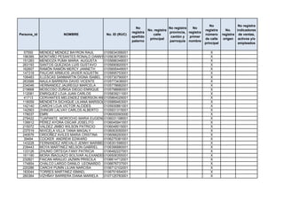
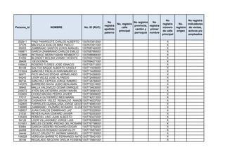
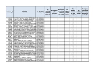
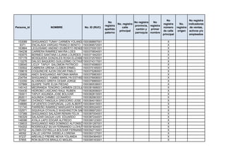
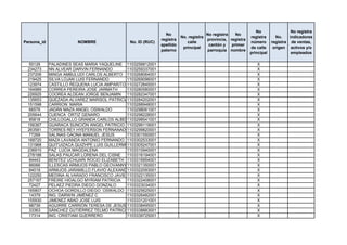
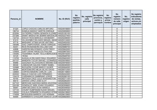
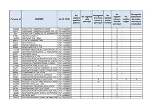
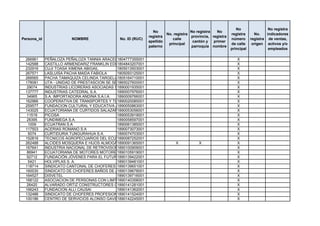
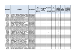
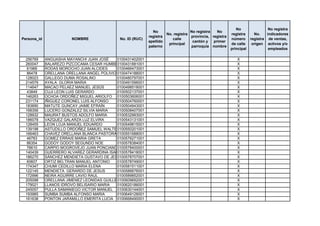
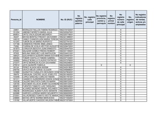
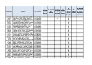
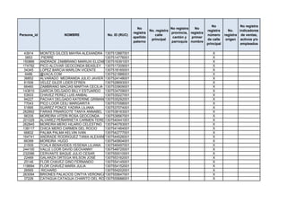
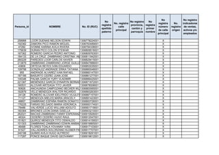
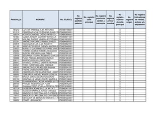
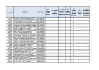
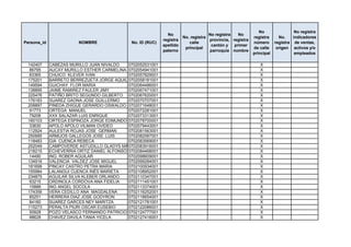
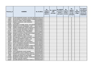
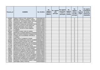
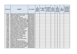
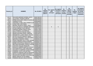
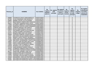
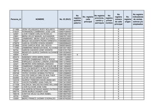
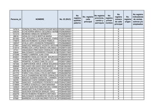
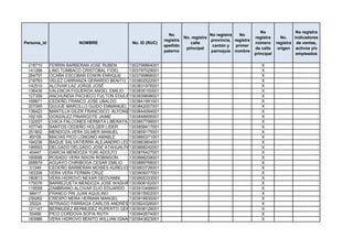
No                 No registra
                                                                No                    No registra   No
                                                                         No. registra                       registra      No.    indicadores
                                                              registra                provincia, registra
Persona_id               NOMBRE                No. ID (RUC)                 calle                           número      registra de ventas,
                                                              apellido                 cantón y   primer
                                                                          principal                         de calle     origen activos y/o
                                                              paterno                 parroquia nombre
                                                                                                            principal             empleados

  80754      VALLADARES VALLADADRES CESAR SALVADOR
                                              0100668706001                                                    X
 167410      JADAN BERMEO JUAN JOSE           0100676501001                                                    X
 101248      TORRES URGILEZ JOSE GUILLERMO 0100678580001                     X            X                    X
 116097      SACAQUIRIN CAMPOVERDE LUZ ESPERANZA
                                              0100692185001                                                    X
  50672      ROJAS ZAMORA JORGE ENRIQUE       0100692649001                                                    X
  84784      PESANTEZ BERMUDEZ GLORIA ARGENYINA
                                              0100696707001                                                    X
  59592      CRESPO CRIOLLO EDUARDO VICENTE 0100698505001                                                      X
 271564      LOPEZ GARAY MANUEL GUILLERMO 0100704659001                                                        X
 208561      MERCHAN AUCAPIÑA JOSE FRANCISCO  0100716042001                                                    X
 147640      CEVALLOS BECERRA CLAUDIO HERMEL  0100720077001                                                    X
  28743      TAPIA OCHOA ROMÁN URBANO         0100720713001                                                    X
 111769      BERREZUETA BERREZUETA ROSA DELIA 0100722792001                                                    X
 228670      GORDILLO MENDEZ MARIO RUBEN      0100729698001                                                    X
  90272      ALVAREZ PATIÑO CARLOS HUMBERTO0100740786001                                                       X
 189175      GUILLEN CABRERA OLGA ISABEL      0100768472001                                                    X
 100631      PANAMA PAUTE ANGEL OCTAVIANO 0100769215001                                                        X
  93806      GARCÍA JARAMILLO VICENTE HERNÁN 0100769876001                                                     X
 156882      OCHOA AGUIRRE JAIME ENRIQUE      0100771781001                                                    X
 210311      MÉNDEZ ORTIZ ANGEL BERTULFO      0100780683001                                                    X
 222082      ONCE MARIA MARIA MAGDALENA       0100781079001                                                    X
  50416      VERA CARDENAS MIGUEL GUALBERTO   0100782630001                                                    X
 177770      SANCHEZ PILLCO MARIA ROSARIO     0100783000001                                                    X
 190656      ORDOÑEZ TAPIA CARMEN GUILLERMINA 0100783414001                                                    X
 103687      VANEGAS LEÓN HERNAN LAUTARO      0100787084001                                                    X
 101137      CALLE ORTEGA FELIX ANTONIO       0100796010001                                                    X
  68474      AGUIRRE FLORES IVÁN ARTURO       0100797083001                                                    X
 108239      MOROCHO CARDENAS GUSTAVO DANIEL  0100801067001                                                    X
 181894      OLEAS MORALES ANGEL BENEDICTO 0100805431001                                                       X
 116393      JARAMILLO NÚÑEZ DEL ARCO JAVIER FRANCISCO
                                              0100809631001                                                    X
  64414      ALVAREZ MENDIETA MARCELO JOSE 0100812601001                                                       X
  79532      VALLEJO CALLE CARLOS LUCIANO     0100815018001                                                    X
No                 No registra
                                                                No                    No registra   No
                                                                         No. registra                       registra      No.    indicadores
                                                              registra                provincia, registra
Persona_id               NOMBRE                No. ID (RUC)                 calle                           número      registra de ventas,
                                                              apellido                 cantón y   primer
                                                                          principal                         de calle     origen activos y/o
                                                              paterno                 parroquia nombre
                                                                                                            principal             empleados

  59246      SALCEDO TORAL MANUEL ELOY        0100822030001                                                    X
 272325      QUEZADA RIERA LUZ GUADALUPE      0100823285001                                                    X
 223620      TAMAYO JARAMILLO HERNÁN GERARDO  0100823400001                                                    X
  86457      LOYOLA VINTIMILLA HERNAN PATRICIO0100825470001                                                    X
 127321      PEREZ ROCANO JUAN MARIA          0100828904001                                                    X
 144310      ASTUDILLO RIOFRIO VICENTA ORFELINA
                                              0100832096001                                                    X
 151705      CASTRO PIEDRA JAIME ANTONIO      0100844356001                                                    X
 236890      SILVA SEGARRA JAIME ROLANDO      0100848159001                                                    X
  41618      TOSI MORENO EGIDIO ROBERTO       0100849686001                                                    X
 225069      OCHOA SOLANO MANUEL IGNACIO      0100851963001                                                    X
 142377      CORONEL VELEZ TRANCITO INES      0100854256001                                                    X
 174040      MEJÍA BARROS SEGUNDO GABRIEL     0100855691001                                                    X
 267921      HERNANDEZ CAMPOVERDE ALBERTO MARÍA
                                              0100858380001                                                    X
  53249      ABRIL GUERRERO RAMIRO PATRICIO 0100863000001                                                      X
 196094      VILLA VILLA JUAN CARLOS          0100865799001                                                    X
  64679      BERMEO PESÁNTEZ JAIME ALFREDO 0100865930001                                                       X
 104445      ANDRADE HEREDIA EDGAR GABRIEL 0100869072001                                                       X
 192330      JUCA GOMEZ JULIO VICENTE         0100872399001                                                    X
 184150      LOPEZ GUARACA MARTHA DOLORES 0100882521001                                                        X
 209507      ILLESCAS VILLA JULIO CESAR       0100891951001                                                    X
 172123      SIGUENZA VERA ELOY ELEUTERIO     0100894393001                                                    X
 175758      CÁRDENAS SAQUICELA ULBIO EFRÉN 0100896208001                                                      X
 124607      GUZMÁN CRESPO JAIME ROLANDO      0100898949001                                                    X
 191660      CHIRIBOGA LOZADO MANUEL SALVADOR 0100901230001                                                    X
 101453      MOLINA ORELLANA SEGUNDO MANUEL0100906130001                                                       X
 140474      PEREZ RODAS JUAN HERIBERTO       0100909266001                                                    X
 206501      PESANTEZ PESANTEZ RAUL SN        0100912070001                                                    X
 182027      GALARZA LOPEZ NEPTALI SECUNDINO 0100912120001                                                     X
 179745      CABRERA LUNA LUIS MARCELO        0100914282001                                                    X
 155830      PERALTA MELGAREJO MARIANA DE LOURDES
                                              0100914746001                                                    X
 165976      PATIÑO ALVAREZ SILVIO DIOGENES 0100924059001                                                      X
No                 No registra
                                                               No                    No registra   No
                                                                        No. registra                       registra      No.    indicadores
                                                             registra                provincia, registra
Persona_id               NOMBRE               No. ID (RUC)                 calle                           número      registra de ventas,
                                                             apellido                 cantón y   primer
                                                                         principal                         de calle     origen activos y/o
                                                             paterno                 parroquia nombre
                                                                                                           principal             empleados

 216862      NAULA UREÑA LUIS ANTONIO        0100925924001                                                    X
 184479      MUÑOZ SERRANO YOLANDA AZUCENA   0100935444001                                                    X
 174845      GUEVARA ORDOÑEZ LEOCARIO BENITO 0100937317001                                                    X
 162385      CURILLO NASQUI VICTOR MANUEL    0100937366001                                                    X
 148310      MORA SANMARTIN LUIS ALBERTO     0100942218001                                                    X
  48095      CARRASCO PEÑA PAUL CORNELIO     0100944008001                                                    X
 196223      BANEGAS SEGARRA JUAN            0100947951001                                                    X
  41420      MORALES SANMARTIN WILSON EDUARDO0100953082001                                                    X
 130886      AGUIRRE BARZALLO AURELIO PATRICIO
                                             0100956242001                                                    X
 121612      MEJIA RIVERA JOSE GERARDO       0100956382001                                                    X
  33743      NIETO GÓMEZ MARIO BOLÍVAR       0100957505001                                                    X
  29728      GUACHUN ROCANO ROSA ELVIRA      0100963370001                                                    X
 174702      AMBROSI ARCE ELIAS EULOGIO      0100963826001                                                    X
 234150      PALACIOS MENDEZ CARLOS ABDON 0100967397001                                                       X
 198246      MALDONADO VALVERDE ROGELIO ELIDEO
                                             0100969823001                                                    X
 169106      RAMÓN QUEZADA VILMA ESPERANZA 0100969989001                                                      X
 107383      ALVARADO AVILA MARCO RODRIGO    0100975408001                                                    X
  46386      INGA GUARTATANGA LUIS HERIBERTO 0100977065001                                                    X
  93519      TORRES MOROCHO ELVIA HUMBERTINA100987361001
                                             0                                                                X
 148457      PAUTE GUZMÁN LAURA MARÍA        0100990977001                                                    X
 127042      IDROVO ABRIL MANUEL EMILIANO    0100994136001                                                    X
 109192      DELGADO GONZÁLEZ TARCICIO MIGUEL100995984001
                                             0                                                                X
  65938      CORDERO OCHOA DANIEL VICENTE    0101000206001                                                    X
 273029      GUILLERMO CALLE LAUTARO BONELSE 0101001345001                                                    X
  80239      VAZQUEZ ZAMORA CARLOS ALBERTO 0101003028001                                                      X
 226493      CABRERA CABRERA RODRIGO MARIA 0101008563001                                                      X
 165277      MARIN MORA LUIS HUMBERTO        0101012169001                                                    X
 122071      URENA URENA JOVITA HERMOSINA    0101013233001                                                    X
 134695      VERA TORRES CARLOS VICENTE      0101016947001                                                    X
  47038       ANDRADE ANDRADE JULIO CESAR    0101018463001                                                    X
 215700      MELGAR QUITO MIGUEL ANGEL       0101028546001                                                    X
No                 No registra
                                                                 No                    No registra   No
                                                                          No. registra                       registra      No.    indicadores
                                                               registra                provincia, registra
Persona_id               NOMBRE                 No. ID (RUC)                 calle                           número      registra de ventas,
                                                               apellido                 cantón y   primer
                                                                           principal                         de calle     origen activos y/o
                                                               paterno                 parroquia nombre
                                                                                                             principal             empleados

 187797      LOJA ABEL CAMILO                 0101029916001                                                     X
  15143      INGENIERIA CIVIL                 0101031151001                                                     X
 229980      VANEGAS MALLA AIDA               0101033546001                                                     X
 183718      ORELLANA GALARZA MARIA ELENA     0101034064001                                                     X
 165674      CEDILLO NAULA MANUEL LEONIDAS 0101037497001                                                        X
  92011      GUZMAN VIDAL WILSON GILBERTO     0101038024001                                                     X
 242209      CREAMER NICOLALDE HUGO RICARDO0101038339001                                                        X
 101394      CISNEROS ESPINOZA FELIPE EDUARDO 0101045540001                                                     X
 170706      MOGROVEJO TAPIA MANUEL RODRIGO0101048528001                                                        X
 205092      CARPIO MARIN HUGO AUGUSTO        0101049484001                                                     X
 225365      VALDIVIESO ULLAURI FRANKIE FERNANDO
                                              0101050334001                                                     X
 232446      RAMON GUACHICHULCA LUIS CRISTOBAL0101053346001                                                     X
 142186      GUAICHA SAGBAY LUIS GERMAN       0101053692001                                                     X
 141755      DOMÍNGUEZ MONTAÑO JESÚS MARÍA 0101053882001                                                        X
 192349      RIQUETTI VÉLEZ IVÁN EUGENIO      0101054278001                                                     X
 226690      GOMEZ CASTRO LUCIANO             0101054815001                                                     X
  77494      YUNGA VILLA ALFONSO MARIA        0101055762001                                                     X
 136542      GALÁN AMAYA JUAN FLORENCIO       0101059061001                                                     X
  93371      CRESPO MÁRQUEZ MARCELO ORLANDO   0101060408001                                                     X
 168196      CHOCHO PISCOCAMA WALTER OLMEDO101065696001
                                              0                                                                 X
 107232      ORELLANA MATUTE MIGUEL OCTAVIO 0101074912001                                                       X
 208605      OTAVALO CARDENAS LUIS FAUSTO     0101079200001                                                     X
  27959      VEGA PALACIOS ANTONIO RENE       0101079648001                                                     X
 167373      CHIRIBOGA PESANTEZ LIVIA CORINA 0101079812001                                                      X
 205018      MAZA ALVAREZ ROSA FLORINDA       0101081461001                                                     X
 252697      ESPAÑA TAPIA JORGE MANUEL        0101082923001                                                     X
 119127      COELLO FERNÁNDEZ CARMEN ELSA 0101085793001                                                         X
 160550      ILLESCAS ILLESCAS ELVIA EMPERATRIZ 101089522001
                                              0                                                                 X
 273470      DUFFAUT DEL PINO CLOTILDE ALICIA 0101094910001                                                     X
  82005      PINDO DUTA MANUEL HUMBERTO       0101095313001                                                     X
 132658      PELAEZ SAMANIEGO ROSA ERMELINDA  0101095842001                                                     X
No                 No registra
                                                               No                    No registra   No
                                                                        No. registra                       registra      No.    indicadores
                                                             registra                provincia, registra
Persona_id               NOMBRE               No. ID (RUC)                 calle                           número      registra de ventas,
                                                             apellido                 cantón y   primer
                                                                         principal                         de calle     origen activos y/o
                                                             paterno                 parroquia nombre
                                                                                                           principal             empleados

 193680      DELGADO VALVERDE CARLOS ANTONIO 0101098465001                                                    X
 103485      MATUTE ROSARIO AMADA            0101103034001                                                    X
 135851      COBOS SALAZAR JULIO             0101103349001                                                    X
 116109      OCHOA CARDENAS BOLIVAR ELIODORO 0101110047001                                                    X
 163085      GARCIA GUEVARA EDISON BOLIVAR 0101111144001                                                      X
  34591      SOLANO VERA JORGE MARCELO       0101111300001                                                    X
 188139      VIDAL MENDIETA CARLOS RONALD    0101114684001                                                    X
 145127      LAZO REINOSO MANUEL MARIA       0101115731001                                                    X
 231589      CHIRIBOGA QUITUISACA JOSE RICARDO101116226001
                                             0                                                                X
 237022      TENEZACA CARDENAS JAIME         0101117422001                                                    X
 158536      MOROCHO MOROCHO SEGUNDO ROGERIO 0101118578001                                                    X
 174895      CUENCA LLIVIPUMA JULIO CÉSAR    0101118925001                                                    X
  77799      ESPINOZA LUNA JENNY             0101119113001                                                    X
 159201      MORA RIVERA ARTURO PATRICIO     0101122273001                                                    X
 178495      AVILES MUÑOZ ADELAIDA AZUCENA 0101124766001                                                      X
 198804      AVILA MOSQUERA JAIME PATRICIO   0101131944001                                                    X
  55835      LEDESMA VILLALTA MIGUEL         0101138071001                                                    X
 165004      GUZMAN ZHICAY LUIS AUGUSTO      0101139129001                                                    X
  14899      ING. GUILLERMO CANTOS S.        0101143642001                                                    X
 162411      GUTAMA MUEVECELA ISAIAS         0101146108001                                                    X
 219869      RAMÓN QUEZADA VICTOR ALEJANDRO0101146173001                                                      X
 263530      PEÑA ORDOÑEZ MARGARITA ROSA     0101146777001                                                    X
  91467      TENORIO FIGUEROA ISAURO MIGUEL 0101148542001                                                     X
 227245      CUEVA MALO RODRIGO              0101148609001                                                    X
 151319      PUCHA JARA CELSO REINALDO       0101149110001                                                    X
  26515      VASQUEZ RIVERA VICTOR MIGUEL    0101151157001                                                    X
 135920      ZHICAY YANZA LAURO              0101151678001                                                    X
 144760      PALACIOS ORDOÑEZ RAQUEL MARIA 0101159176001                                                      X
 135739      ALVARADO ALVARADO MARIA ANTONIETA
                                             0101159713001                                                    X
 152823      PERALTA BRZOSA CARLOS RUBEN     0101162121001                                                    X
 101860      ZEAS ORELLANA MARCELO ARTURO 0101162204001                                                       X
No                 No registra
                                                                No                    No registra   No
                                                                         No. registra                       registra      No.    indicadores
                                                              registra                provincia, registra
Persona_id               NOMBRE                No. ID (RUC)                 calle                           número      registra de ventas,
                                                              apellido                 cantón y   primer
                                                                          principal                         de calle     origen activos y/o
                                                              paterno                 parroquia nombre
                                                                                                            principal             empleados

  92084      POGO LOYOLA WILMAN ANASTACIO 0101166916001                                                        X
 244768      FLORES PESANTEZ RODRIGO ANTONIO  0101169829001                                                    X
 192420      LAZO SAQUIQUÍN JAIME RODRIGO     0101170140001                                                    X
 174336      TUBA QUILLI JULIO MARIO          0101170637001                                                    X
  84037      CEDILLO TIGRE ROMEL EDUARDO      0101173664001                                                    X
  37075      PUMA MAYANCELA MIGUEL ANGEL      0101178333001                                                    X
 246087      TACURI GUNCAY LUIS ENRIQUE       0101181436001                                                    X
 224963      SANGURIMA TACURI VICTOR MANUEL 0101185643001                                                      X
  13227      CARROCERIAS CUENCA               0101189165001                                                    X
 100594      SANCHEZ QUEZADA JOSE ADOLFO      0101189744001                                                    X
 207887      ORTIZ ENCALADA SANTOS FLORESMILO101192821001
                                              0                                                                X
 164232      CANDO RIOS NANCY EULALIA         0101193605001                                                    X
 108257      ORTIZ ALVAREZ WILSON GUSTAVO     0101194181001                                                    X
 204538      SANGURIMA LUPERCIO GONZALO       0101195295001                                                    X
  93700      GUZMAN AVILA BRAULIO ALEJANDRO 0101196160001                                                      X
  75068      GUERRERO NOVILLO MARIA TERESA 0101197416001                                                       X
  77519      LITUMA LUNA GABRIELA MARIANITA DE0101197838001
                                               JESUS                                                           X
 152596      FREIRE VICUÑA MANUEL OCTAVIO     0101200889001                                                    X
 102031      GONZALEZ LOPEZ MARIO HERNAN      0101202323001                                                    X
 255472      CABRERA AREVALO MIGUEL ANGEL     0101214831001                                                    X
 122060      CHUVA CHACHA LUIS GUILLERMO      0101216737001                                                    X
 127894      CHACON PICON JULIO LAURO         0101219210001                                                    X
 196114      LOMBAIDA ORELLANA SEGUNDO MESIAS 0101221042001                                                    X
 154314      JADAN VERIÑEZ MARY BEATRIZ       0101221356001                                                    X
 231428      CORDERO DÍAZ DIEGO EDUARDO       0101221513001                                                    X
  68635      RODAS MORALES LUIS MARIO         0101230811001                                                    X
  23082      BRAVO ASTUDILLO CARLOS IVAN      0101231959001                                                    X
  91409      HIDALGO CASTRO EDGAR PATRICIO 0101232205001                                                       X
 142723      ZHUNIO WASHIMA SEGUNDO TRINIDAD0101232825001                                                      X
  78611      QUEZADA QUEZADA RUBEN OSWALDO0101233419001                                                        X
 229102      ALBARRACIN BACULIMA JUAN JOSE    0101235414001                                                    X
No                 No registra
                                                                No                    No registra   No
                                                                         No. registra                       registra      No.    indicadores
                                                              registra                provincia, registra
Persona_id               NOMBRE                No. ID (RUC)                 calle                           número      registra de ventas,
                                                              apellido                 cantón y   primer
                                                                          principal                         de calle     origen activos y/o
                                                              paterno                 parroquia nombre
                                                                                                            principal             empleados

  71245      ORDÓÑEZ JARA MANUEL HERNÁN       0101236081001                                                    X
 102840      TAPIA VERA LUIS FERNANDO         0101236222001                                                    X
 242969      RAMON RAMON VICTOR DE JESÚS      0101241883001                                                    X
 253508      NIVELO MENDIETA MANUEL EUGENIO 0101243095001                                                      X
 129014      CHIMBO CAJAMARCA LAURO GONZALO   0101243319001                                                    X
  81013      PIZARRO PIZARRO JOSE FRANCISCO 0101244093001                                                      X
  65189      MENDEZ PALACIOS JAIME NASARIO    0101244432001                                                    X
  57666      ING. GUANANGA                    0101245322001                                                    X
 124121      VAZQUEZ ARIZAGA JOSE SANTIAGO 0101246197001                                                       X
 139901      MOROCHO SUQUI JOSE ELICEO        0101247922001                                                    X
  53283      GUAMÁN RODRÍGUEZ SEGUNDO ABRAHAM 0101249985001                                                    X
 226681      QUITO VILLA LUIS ENRIQUE         0101255412001                                                    X
 158282      YANSAGUANO CORTE VICTOR MIGUEL   0101258457001                                                    X
 209758      CARRION OCHOA SEGUNDO SANTIAGO   0101261923001                                                    X
 189782      ZUÑIGA SUAREZ LUIS ARTURO        0101263465001                  X            X                    X
 181461      GUTAMA GUTAMA SEGUNDO DANIEL 0101265718001                                                        X
 132049      SAGUAY YANZA VICTOR MIGUEL       0101266278001                                                    X
  13579      CARROCERIAS Y FURGONES FAICAN 0101266468001                                                       X
 101795      PESANTES BENAVIDES LIZARDO ANTONIO
                                              0101269959001                                                    X
 254570      MARQUEZ SARMIENTO JOSE TEOFILO 0101270627001                                                      X
 239103      YARI MOROCHO DANIEL SALVADOR     0101270684001                                                    X
 232913      GUACHICHULLCA CARDENAS MIGUEL ANGEL
                                              0101276400001                                                    X
 174587      ALVARADO CORDERO LUCIA DEL ROSARIO
                                              0101279958001                                                    X
 145481      MORALES SANMARTIN HUGO MARCELO   0101280808001                                                    X
 132026      ORTEGA REINOSO LUIS ANTONIO      0101282721001                                                    X
 235876      VINTIMILLA GUZMAN GLADYS DEL ROSARIO
                                              0101285633001                                                    X
  92573      ARÉVALO CHUCHUCA BIGVERTO        0101287167001                                                    X
 226634      YEPEZ CARRASCO HERNAN ARTURO 0101290104001                                                        X
  30017      CARPIO BENALCAZAR JAIME PATRICIO 0101291821001                                                    X
 232710      SÁNCHEZ GRANDA ANGEL HERNÁN      0101292290001                                                    X
 242512      PESANTEZ RIVERA WILLIAN GEOVANNY 0101292712001                                                    X
No                 No registra
                                                                No                    No registra   No
                                                                         No. registra                       registra      No.    indicadores
                                                              registra                provincia, registra
Persona_id               NOMBRE                No. ID (RUC)                 calle                           número      registra de ventas,
                                                              apellido                 cantón y   primer
                                                                          principal                         de calle     origen activos y/o
                                                              paterno                 parroquia nombre
                                                                                                            principal             empleados

 137082      ABAD ORDOÑEZ PRUDENCIO RIGOBERTO 0101293579001                                                    X
 118515      TIGRE GUAMAN VICTOR MANUEL       0101293934001                                                    X
 229104      GOMEZ PERALTA JOSE LUIS          0101294585001                                                    X
 240691      CABRERA REYES PETRONIO FRANCISCO 0101297133001                                                    X
  54412       TELMO                           0101299766001                                                    X
  80020      VILLACIS OCHOA FERNANDO ALBERTO0101301810001                                                      X
  53716      ING. REMIGIO GUSTAVO PADRÓN MUÑOZ0101301836001                                                    X
  91213      NEIRA ALVARADO ALFONSO AUGUSTO0101301984001                                                       X
 130784      VINTIMILLA OCHOA SEGUNDO DIOGENES0101302222001                                                    X
 234515      SARMIENTO LOPEZ LUIS EDUARDO 0101302578001                                                        X
 137184      VACA CUEVA CLEMENCIA INES        0101305423001                                                    X
 226763      ARIAS MALDONADO IRMA CECILIA DE LOS DOLORES
                                              0101306645001                                                    X
 132325      ESPINOZA ARTEAGA MARIA DE LOURDES0101307767001                                                    X
 118015      AMAYA ARCE TEODORO EMILIANO      0101310407001                                                    X
 175459      ULLOA COELLAR EDWIN LEONARDO 0101310423001                                                        X
  75421      CAPELO QUEZADA GILBER ALCIVAR 0101310803001                                                       X
 117885      LEON CORONEL JULIA MARTHA        0101311439001                                                    X
 246979      DIAS BARRERA JUANA PIEDAD        0101313179001                                                    X
 185333      ABRIL DURAN FRANCISCO GUSTAVO 0101313625001                                                       X
 230553      VALDIVIEZO NARANJO FRANKLIN EMILIANO
                                              0101317212001                                                    X
 203830      PERALTA VILLAVICENCIO GERARDO ALFREDO
                                              0101318244001                                                    X
 123745      CARRIÓN MALDINADO JUAN MARCELO 0101318848001                                                      X
 177505      QUEZADA NIVICELA GUILLERMO AMADOR0101319093001                                                    X
 267502      CASTAÑEDA SANCHEZ NELSON ENRIQUE 0101320257001                                                    X
 149029      MUÑOZ LUCERO CÉSAR VICENTE       0101320448001                                                    X
 245215      NN VELETANGA LUIS ANTONIO        0101325793001                                                    X
  38160      CLAVIJO RODRIGUEZ EDUARDO PATRICIO
                                              0101326205001                                                    X
  26452      GARCÉS LEÓN FERNANDO PATRICIO 0101329522001                                                       X
 203407      ZAMBRANO ZAMBRANO WILSON SOLIMAN 0101335453001                                                    X
 152989      MATUTE ARSENTALES LUIS ARTURO 0101335511001                                                       X
  46668      BERMEO LOJA LUIS VICENTE         0101336543001                               X
No                 No registra
                                                               No                    No registra   No
                                                                        No. registra                       registra      No.    indicadores
                                                             registra                provincia, registra
Persona_id               NOMBRE               No. ID (RUC)                 calle                           número      registra de ventas,
                                                             apellido                 cantón y   primer
                                                                         principal                         de calle     origen activos y/o
                                                             paterno                 parroquia nombre
                                                                                                           principal             empleados

  64922      SARMIENTO BRAVO RENE MARCELO 0101344943001                                                       X
 222732      CHAPA MACAS WILFRIDO MARIO      0101345924001                                                    X
 233185      VEGA VEGA MARIA LOURDES         0101347441001                                                    X
 209714      CAJAS CAPA SAGRACINO ABEL       0101347680001                                                    X
 200467      BRAVO RUTH AMERICA              0101348951001                                                    X
 274557      RUBIO TAPIA FLORENCIA EMERITA   0101350650001                                                    X
  38994      PANAMÁ PALACIOS JOSE AURELIO    0101350700001                                                    X
 147044      TORAL GUERRERO ALICIA CUMANDA 0101357929001                                                      X
 176370      CALLE DELGADO RAQUEL OLIVA      0101361343001                                                    X
  30471      MOSCOSO GAVILANES PATRICIO EDMUNDO
                                             0101364107001                                                    X
 213590      SÁNCHEZ ABAD CLERMO GERARDO 0101364172001                                                        X
  62777      SARMIENTO REGALADO BOLÍVAR LEONARDO
                                             0101364198001                                                    X
  62086      GONZÁLEZ SOLÓRZANO EDWIN CRISTÓBAL
                                             0101366300001                                                    X
 209206      CHUCHUCA ABRIL MARCO VINICIO    0101366458001                                                    X
  49634      RAMIRO DARÍO PADRÓN BRIONES     0101366573001                                                    X
  99108      FLORES LOZAY HUGO RENE          0101372290001                                                    X
 270448      IÑIGUEZ CABRERA GLADYS          0101374015001                                                    X
 171907      SASAGUAY LALVAY HUMBERTO RAFAEL101374049001
                                             0                                                                X
 260111      VANEGAS ASTUDILLO ARTURO TEODORO0101374940001                                                    X
 117818      PACHECO SALDAÑA OLGA            0101376853001                                                    X
 170850      HEREDIA FIALLO DIEGO RODRIGO    0101378172001                                                    X
 227499      ORTIZ LARREA JUVENAL OCTAVIO    0101378776001                                                    X
  67759      PÉREZ IDROVO CARLOS FABIÁN      0101378784001                                                    X
  15468      ING. OSWALDO RODAS              0101379626001                                                    X
 132810      BRAVO PEÑAFIEL MANUEL BOLIVAR 0101380822001                                                      X
  89666      ASTUDILLO OCHOA ISIDRO FEDERICO 0101383495001                                                    X
  91164      BACULIMA BERNAL GALO RENE       0101384600001                                                    X
 129065      TORRES BORJA CESAR ALEJANDRO 0101384998001                                                       X
 178471      MUÑOZ PESANTEZ JORGE ALEJANDRO0101386886001                                                      X
 148880      ORDOÑEZ VINTIMILLA JOSE RIOCARDO0101387926001                                                    X
 217394      TINTIN PASATO EMILIANO TEODORO 0101389666001                                                     X
No                 No registra
                                                                No                    No registra   No
                                                                         No. registra                       registra      No.    indicadores
                                                              registra                provincia, registra
Persona_id               NOMBRE                No. ID (RUC)                 calle                           número      registra de ventas,
                                                              apellido                 cantón y   primer
                                                                          principal                         de calle     origen activos y/o
                                                              paterno                 parroquia nombre
                                                                                                            principal             empleados

 107462      FLORES SANCHEZ ALICIA BEATRIZ    0101392504001                                                    X
 185548      PALACIOS ALVAREZ FAUSTO CORNELIO 0101394062001                                                    X
 131209      VILLAVICENCIO ESCANDON MARIO HELIODORO
                                              0101395697001                                                    X
  54846      MUNIVE ORELLANA FERNANDO PATRICIO0101397636001                                                    X
 187655      PATIÑO GUAMAN CARLOS MARIA       0101400224001                                                    X
  34073      SOLÓRZANO ANDRADE JACKSON PATRICIO
                                              0101409514001                                                    X
 228437      ARÉVALO BARRERA CARMITA EUGENIA  0101410751001                                                    X
  39376      PICON SARMIENTO LUIS EDUARDO     0101410868001                                                    X
  89952      FANNY BETHI ABAD ROMERO          0101411692001                                                    X
 244370      PACHECO FARFAN RAFAEL EDUARDO 0101411700001                                                       X
  77418      LEON CHUMBI CARMEN MELCHORA      0101413755001                                                    X
  92616      VALDIVIESO NARANJO MILTON WILFRIDO
                                              0101414548001                                                    X
 162245      QUEZADA JAIME MARCELO            0101416600001                                                    X
 179437      BUENO AGURTO MIGUEL ANGEL        0101416642001                                                    X
 243780      IÑAMAGUA IÑAMAGUA MANUEL KAISER0101417525001                                                      X
 188975      ZHUNO VALDIVIEZO PATRICIO ANTONIO0101417913001                                                    X
  81198      CARRION GUAMAN HERMOGENES MARCIANO
                                              0101418317001                                                    X
  69978      MOGROVEJO VILLACIS FRANCISCO EULALIO
                                              0101419364001                                                    X
  81225      SALINAS SALINAS HUMBERTO RODRIGO 0101420883001                                                    X
 131672      MOROCHO PACHAR MARIA GRICELDA 0101423358001                                                       X
  94530      ZHICAY QUILLAY MANUEL JESUS      0101425635001                                                    X
 122033      SILVA SANTACRUZ IVAN ARTURO      0101430700001                                                    X
 167916      DURAN JARRIN JORGE ALEJANDRO     0101434397001                                                    X
 167589      VELEZ FAICAN GUILLERMO BELISARIO 0101436764001                                                    X
 173302      ALVAREZ ALVAREZ BLANCA CRISTINA 0101440816001                                                     X
 139111      FLORES SANCHEZ SAVINA ANATOLIA 0101442721001                                                      X
 151332      CAPELO QUEZADA SILVIO ARMANDO 0101445278001                                                       X
 158779      CRESPO MUÑOZ PATRICIO HUMBERTO0101445930001                                                       X
 205123      PALACIOS ARGUDO CARLOS ALFREDO0101446177001                                                       X
 224039      CHALCO PEÑA PEDRO FABIAN         0101448603001                                                    X
 208610      COELLO PALACIOS JAIME ROBERTO 0101452134001                                                       X
No                 No registra
                                                                 No                    No registra   No
                                                                          No. registra                       registra      No.    indicadores
                                                               registra                provincia, registra
Persona_id               NOMBRE                 No. ID (RUC)                 calle                           número      registra de ventas,
                                                               apellido                 cantón y   primer
                                                                           principal                         de calle     origen activos y/o
                                                               paterno                 parroquia nombre
                                                                                                             principal             empleados

 175203      VANEGAS MANZANO PAUL FERNANDO 0101456259001                                                        X
 210302      CABRERA VASQUEZ LAURA BEATRIZ 0101459253001                                                        X                      X
 168842      AUQUILLA PACURUCO IVÁN VINICIO    0101460277001                                                    X
 146819      MOROCHO MANUEL JESUS              0101461002001                                                    X
 218125      JIMENEZ ULLOA SEGUNDO CARLOS      0101464295001                                                    X
 153311      LLORET ZAMORA PABLO FERNANDO 0101464907001                                    X                    X
  99634      YUNGASACA ARMIJOS LUZ MARINA      0101465177001                                                    X
 103395      SERRANO CABRERA LUIS EDUARDO 0101469740001                                                         X
 256375      PEÑA ARPI JOSE ANTONIO            0101472728001                                                    X
  20235      IÑAMAGUA AVEROS CARLOS ANTONIO 0101474757001                                                       X
 149666      JARA LOPEZ SEGUNDO JOSE           0101477719001                                                    X
 174651      OCHOA MALDONADO ANTONIO ESTUARDO  0101479996001                                                    X
  29142      GIÑIN GUALLPA MARÍA GERARDINA     0101482156001                                                    X
 154411      MOROCHO SUÑA ALEJANDRO DE JESÚS   0101483329001                                                    X
 244452      SANCHEZ DELGADO SERGIO OSWALDO    0101485456001                                                    X
 117758      ROLDAN NEIRA LUISA BEATRIZ        0101487536001                                                    X
  23189      PALACIOS DURÁN EDGAR ARNULFO 0101488591001                                                         X
 248158      RIOS POZO FABIAN OCTAVIO          0101491322001                                                    X
 178147      PUIN LAZO ANGEL CRISTOBAL         0101493872001                                                    X
 213083      SAQUICELA SAMANIEGO JORGE MARCELO 0101500015001                                                    X
 203761      TIBILLIN ESPINOZA MARIA FELICIDAD 0101500676001                                                    X
 250915      SANCHEZ ALVARRACIN LUIS FERNANDO101501393001
                                               0                                                                X
  94798      MARIN CARDENAS LUIS UBALDO        0101503316001                                                    X
 239057      SALINAS CASTRO JOSE RAFAEL        0101506228001                                                    X
 146444      PATIÑO ORDOÑEZ LUIS GONZALO       0101506574001                                                    X
 228638      LEDESMA VILLALTA REBECA MARIA     0101511590001                                                    X
  23709      BRAVO ASTUDILLO ANA NOEMI         0101512655001                                                    X
  80283      DELGADO AVILA EDGAR POLIBIO       0101513703001                                                    X
  78092      VINTIMILLA BARSALLO EDGAR NAPOLEON0101518017001                                                    X
 117197      GODOY GODOY DIGNA LEILA           0101518439001                                                    X
 114762      LAZO SINCHI FERNANDO FRANCISCO 0101521391001                                                       X
No                 No registra
                                                               No                    No registra   No
                                                                        No. registra                       registra      No.    indicadores
                                                             registra                provincia, registra
Persona_id              NOMBRE                No. ID (RUC)                 calle                           número      registra de ventas,
                                                             apellido                 cantón y   primer
                                                                         principal                         de calle     origen activos y/o
                                                             paterno                 parroquia nombre
                                                                                                           principal             empleados

 123610      ORTIZ MALDONADO ROSA ELENA     0101521524001                                                     X
 162993      VIRI LANDI ELVIA MARGARITA     0101531937001                                                     X
  90598      VELEZ ALEMAN MARIA EUGENIA     0101532513001                                                     X
 174107      NN LAZO JULIO AURELIO          0101536761001                                                     X
 232176      MANCHENO JIMENEZ EDISON PATRICIO
                                            0101536852001                                                     X
 121230      VELASQUEZ CABRERA EUGENIO MARCELO
                                            0101540698001                                                     X
 172413      MOSCOSO PACHECO VICTOR TARQUINO0101541266001                                                     X
  90405      SEGARRA TAPIA MIGUEL LUCIANO   0101541993001                                                     X
 123431      SANGURIMA QUISHPI ROSA AMELIA  0101542546001                                                     X
 139393      ABAD SARMIENTO DIEGO VINICIO   0101547966001                                                     X
 264825      ORTIZ BRAVO RUBEN SALVADOR     0101548113001                                                     X
 179321      TAPIA MACHUCA DIGNA SANTOS     0101549632001                                                     X
 242390      GAIBOR ANGUMBA RENÉ PATRICIO   0101554327001                                                     X
  29025      SACOTO GARCIA ANA LUCIA        0101557213001                                                     X
 178322      TOGRA TOGRA MANUEL GUILLERMO 0101560498001                                                       X
 259672      SAMANIEGO MARIA NOEMI          0101567394001                                                     X
 192313      SAMANIEGO ZUMBA ROSA FELICIA   0101576353001                                                     X
 275880      ORELLANA GARCIA MARIO FERNANDO 0101576700001                                                     X
 244432      NARVÁEZ AVILES RAÚL EMILIANO   0101580124001                                                     X
 141213      OCHOA ZAMORA HANS MARCEL       0101581148001                                                     X
 118416      BELEZACA FERNANDEZ SEGUNDO ANGEL
                                            0101581163001                                                     X
 249173      ORELLANA SERRANO TARQUINO ALBERTO
                                            0101583425001                                                     X
 146745      AVENDAÑO DURAN ELVIA NUVE      0101585420001                                                     X
  97071      FAICAN CABRERA PABLO EDUARDO 0101586998001                                                       X
 171620      ESCANDON PACHECO GUILLERMO     0101588390001                                                     X
 114149      PEREZ ROLDAN ANA MARIA         0101588911001                                                     X
 198477      PIZARRO PIZARRO LUIS GONZALO   0101589786001                                                     X
 212605      PAIDA BAUTISTA ANGEL OLMEDO    0101590214001                                                     X
  81208      CRESPO VEGA JOSE LUIS          0101593051001                                                     X
 145430      ABAD ORELLANA CARLOS GUILLERMO 0101593879001                                                     X
 242904      UGALDE NORITZ MARCIA EULALIA   0101598217001                                                     X
No                 No registra
                                                               No                    No registra   No
                                                                        No. registra                       registra      No.    indicadores
                                                             registra                provincia, registra
Persona_id              NOMBRE                No. ID (RUC)                 calle                           número      registra de ventas,
                                                             apellido                 cantón y   primer
                                                                         principal                         de calle     origen activos y/o
                                                             paterno                 parroquia nombre
                                                                                                           principal             empleados

  98863      SÁNCHEZ ROMERO JOSÉ EDMUNDO 0101599967001                                                        X
  66868      ALVAREZ CARRION ORLANDO JOSE   0101600237001                                                     X
 111632      MONTALVÁN PINTADO VICENTE MARCELO
                                            0101600674001                                                     X
  19888      PONCE PRIETO OSWALDO PATRICIO 0101601060001                                                      X
 105963      CASTRO RIERA GLADYS NOEMI      0101601227001                                                     X
 270591      ANGUISACA PACHECO MANOLO JESÚS0101603629001                                                      X
  47299      TAPIA CALLE GLADIS PIEDAD      0101604908001                                                     X
 104643      N MONCAYO MANUEL MILTON        0101605962001                                                     X
 174403      FLORES MOLINA MARIA NATALIA    0101606721001                                                     X
 125254      LEÓN GUILLEN HUGO PATRICIO     0101607877001                                                     X
 134404      SALDAÑA CARMONA BLANCA AZUCENA 0101608784001                                                     X
 258233      NARANJO TORRES LUIS BOLIVAR HUMBERTO
                                            0101611937001                                                     X
 153114      CALDERON GUZMAN FABIAN GERARDO 0101615094001                                                     X
 110274      ORDOÑEZ MONTERO ROBERTO ANDRES 0101621688001                                                     X
 149234      MEJÍA REINOSO JAIME EDMUNDO    0101631281001                                                     X
 223939      TOLEDO BARROS FLAVIO RODRIGO   0101631497001                                                     X
 194680      CARDENAS CARDENAS JUAN CORNELIO0101634780001                                                     X
 215170      PEÑARANDA GUERRERO MARIA EUGENIA
                                            0101635043001                                                     X
 182980      PULLA PACHECO SUSANA CUMANDA 0101635480001                                                       X
  59079      VÁSQUEZ GALARZA JUAN CÉSAR     0101638591001                                                     X
  92458      BARROS VELEZ ARTURO RENE       0101638823001                                                     X
 133879      CORDERO DÍAZ PAÚL CORNELIO     0101638849001                                                     X
 273149      ORDÓÑEZ GONZÁLEZ MAURO TARSICIO0101643559001                                                     X
 110579      GUILLERMO RIOS VICTOR HUGO     0101643807001                                                     X
  12133      CARRION MALDONADO RUBEN HOMERO 0101644003001                                                     X
 139354      VASQUEZ PADILLA JUAN BAUTISTA  0101651859001                                                     X
 143271      TOLEDO CORAISACA YOLANDA JOSEFINA
                                            0101654374001                                                     X
 165918      ESCANDON CALLE HERNAN HOMERO 0101655025001                                                       X
  74201      MALDONADO VELEZ MARCO GUILLERMO0101657302001                                                     X
 176973      ARGUDO VICUNA LAURA ISABEL     0101660066001                                                     X
 243429      GUAMÁN CAJAS EDGAR BOLÍVAR     0101662492001                                                     X
No                 No registra
                                                               No                    No registra   No
                                                                        No. registra                       registra      No.    indicadores
                                                             registra                provincia, registra
Persona_id               NOMBRE               No. ID (RUC)                 calle                           número      registra de ventas,
                                                             apellido                 cantón y   primer
                                                                         principal                         de calle     origen activos y/o
                                                             paterno                 parroquia nombre
                                                                                                           principal             empleados

 204205      SARMIENTO PACHECO SEGUNDO FRANCISCO
                                             0101664928001                                                    X
 100386      CHIRIBOGA PESANTES RUFO HERMEL 0101665503001                                                     X
 170076      JARRIN OCHOA RUTH BARBARITA     0101667426001                                                    X
 116632      OCHOA CARDENAS LUIS ALBERTHO 0101667475001                                                       X
 119268      CHUCHUCA CURZ VICTOR ANTONIO 0101669521001                                                       X
  50955      CONTRERAS CALDERÓN MARCO GILBERTO
                                             0101669596001                                                    X
 153399      JERVES ULLLAURI CARLOS ALFONSO 0101673705001                                                     X
 146452      COYAGO TOLEDO LUIS GUSTAVO      0101677243001                                                    X
 262263      CUMBE LAUTARO JULIO LAUTARO     0101678514001                                                    X
 182486      CORDOVA FIGUEROA MANUEL MESIAS0101678746001                                                      X
 233698      ORELLANA REINO GALO ROLANDO     0101679124001                                                    X
  27564      ZEA VALDANO ROBERTO PATRICIO    0101679512001                                                    X
 206077      URUCHIMA RAMOS RAFAEL MARÍA     0101680239001                                                    X
 111088      ORTEGA ANDRADE MAX FERNANDO 0101680874001                                                        X
  28993      ASTUDILLO ASTUDILLO SALVADOR REMIGIO
                                             0101683159001                                                    X
 116185      ORELLANA AREVALO MARCO TULIO    0101684199001                                                    X
 185269      LOJA RAMON LUZ AMADA            0101684900001                                                    X
  79537      ORTIZ VERDUGO OSWALDO           0101685535001                                                    X
 200819      TINTIN ORDOÑEZ OLMEDO JUSTINIANO0101685691001                                                    X
  40033      ASTUDILLO NOVILLO WILSON IVAN   0101686038001                                                    X
 148246      PINTADO PERALTA ROMEO OSWALDO 0101686996001                                                      X
  69263      ROSAS ESCADÓN MARCELO PATRICIO 0101688752001                                                     X
 204038      ASTUDILLO ROMERO MARCELO FABIAN 0101689685001                                                    X
  93684      SIGCHI TUCTO LUIS ANGEL         0101689826001                                                    X
  56819      PAREDES SANTOS VICENTE DE JESUS 0101694701001                                                    X
  21028      NIVELO CABRERA WILSON IVÁN      0101695443001                                                    X
  32522      HIDALGO CARRASCO CÉSAR PAUL     0101695500001                                                    X
  95132      CARDOSO VASQUEZ CARLOS DANIEL 0101696979001                                                      X
  95795      ZHINDÓN ARGOTI DIEGO RAUL       0101697241001                                                    X
 145969      INIGUEZ MEJIA WILSON LEONARDO   0101697845001                                                    X
  17674      CORDERO GARATE MILTON ALFONSO 0101697910001                                                      X
No                 No registra
                                                               No                    No registra   No
                                                                        No. registra                       registra      No.    indicadores
                                                             registra                provincia, registra
Persona_id               NOMBRE               No. ID (RUC)                 calle                           número      registra de ventas,
                                                             apellido                 cantón y   primer
                                                                         principal                         de calle     origen activos y/o
                                                             paterno                 parroquia nombre
                                                                                                           principal             empleados

  97534      ULLOA RODRÍGUEZ MANUEL ALEJANDRO0101698058001                                                    X
 202577      DOMINGUEZ CAMBISACA JORGE ENRIQUE
                                             0101698884001                                                    X
  70806      CARVALLO UGALDE RODRIGO HUMBERTO0101699304001                                                    X
  11647      ARTURO ACOSTA R                 0101699676001                                                    X
  46545      MARTÍNEZ ANDRADE RAMÓN DE LA CRUZ
                                             0101700003001                                                    X
 267731      QUEZADA ALVAREZ RAUL NECTARIO 0101702959001                                                      X
 115252      RAMON QUEZADA RICARDO           0101703254001                                                    X
 179853      DELGADO HURTADO JOSE ABELARDO 0101704708001                                                      X
 136402      SARI CAJAMARCA JORGE FELIPE     0101706000001                                                    X
  31432      RAFAEL                          0101706927001                                                    X
 269331      SUÁREZ GARCÍA DIEGO FERNANDO    0101707966001                                                    X
 113055      TERREROS LEON FAUSTO ENRIQUE 0101716454001                                                       X
 111373      PAREDES LOJA PATRICIA DOLORES 0101717395001                                                      X
 250474      BARROS LOPEZ MELANEA MACLOVIA 0101718617001                                                      X
 243143      TORRES RODAS CARLOS HUGO        0101722536001                                                    X
 158997      ZARUMEÑO ILLEZCAS MARIA TERESA DE JESUS
                                             0101722544001                                                    X
 123325      PINOS SOLIS MARCO ANTONIO       0101725711001                                                    X
 103704      ULLOA GUILLEN NORMA YOLANDA     0101729382001                                                    X
 135301      BELTRAN NOVILLO SAMUEL NN       0101730729001                                                    X
 183663      VASQUEZ SANCHEZ MARIO HUMBERTO  0101731040001                                                    X
  92516      SEGARRA TENORIO JORGE ROMAN     0101731123001                                                    X
  33958      LÓPEZ ULLAURI ESTUARDO RICARDO 0101731867001                                                     X
 127462      LASSO CRESPO DEVORA LEONOR      0101734515001                                                    X
 158106      RIVERA CONTRERAS FELIX ANTONIO 0101736791001                                                     X
  55650      MORA LALVAY JOSE ROLENDIO       0101736882001                                                    X
 202618      FLORES IBARRA MANUEL BALTAZAR 0101736965001                                                      X
 178464      SAMANIEGO QUIZHPE JAIME OSWALDO 0101739431001                                                    X
 134830      VALVERDE PERALTA LUISA FAUSTINA 0101741494001                                                    X
 248385      LUCERO YANZA MANUEL JESUS       0101742062001                                                    X
  73701      PEÑA CORDERO MARIO TEODORO      0101746857001                                                    X
  70357      PESANTEZ TOLEDO MARCO ANTONIO 0101747210001                                                      X
No                 No registra
                                                               No                    No registra   No
                                                                        No. registra                       registra      No.    indicadores
                                                             registra                provincia, registra
Persona_id              NOMBRE                No. ID (RUC)                 calle                           número      registra de ventas,
                                                             apellido                 cantón y   primer
                                                                         principal                         de calle     origen activos y/o
                                                             paterno                 parroquia nombre
                                                                                                           principal             empleados

  16173      MILTON                         0101754117001                                                     X
 196984      SUMBA MARCA LUIS RUBEN         0101758092001                                                     X
 122778      OCHOA PARRA EMMA LUCIA         0101758803001                                                     X
 266310      SANCHEZ SANCHEZ CLARA MARIANA 0101762094001                                                      X
 149229      CEVALLOS VÁSQUEZ DIANA DE LOURDES
                                            0101764066001                                                     X
 136317      NEIRA PONCE MARTHA LITAMAR     0101765527001                                                     X
 261821      VIDAL VALENCIA MARCO TULIO     0101766426001                                                     X
 215310      CARRION OREGA JORGE OSWALDO 0101766616001                                                        X
 182423      GUTAMA GUTAMA FELIX MODESTO    0101767614001                                                     X
  55942      JOEL                           0101768513001                                                     X
 216268      DELGADO RIOS SONIA MARLENE     0101769156001                                                     X
 137542      TEPAN QUITO LUIS ALBERTO       0101772986001                                                     X
 121725      ORELLANA RODAS ALEJANDRO DE JESUS
                                            0101773349001                                                     X
 277052      TORAL SUQUINAGUA NANCY FABIOLA 0101773364001                                                     X
 115863      GONZALES FLORES WILSON ROBERTO0101773539001                                                      X
 275872      PESÁNTEZ CÓRDOVA FREDDY GUILLERMO
                                            0101776417001                                                     X
  88242      ULLOA ARIZAGA VICTOR ROLANDO   0101776649001                                                     X
 183322      BERNAL TORRES DIEGO FERNANDO 0101785657001                                                       X
 163267      SARMIENTO SAMANIEGO CRUZ GUADALUPE
                                            0101786523001                                                     X
 234564      PEREZ MARIA DEL ROCIO          0101787471001                                                     X
 276063      SUAREZ ABAD LUIS ENRIQUE       0101788024001                                                     X
 174823      LEÓN VILLA FAUSTO EDUARDO      0101793925001                                                     X
  70535      ROBLES PILLCO JAIME            0101795201001                                                     X
  96076      MOLINA PESANTEZ JOSE GENARO    0101795458001                                                     X
 168231      MOROCHO MOROCHO LUIS           0101795599001                                                     X
 186225      CORONEL RODRIGUEZ RAFAEL ALEJANDRO
                                            0101795789001                                                     X
 256312      SANMARTIN MOROCHO LUIS GONZALO0101798254001                                                      X
 144768      NN MARIN LUIS UBALDO           0101799245001                                                     X
 120978      ESCOBAR ULLAURI FRANCISCO MIGUEL101801314001
                                            0                                                                 X
 151097      CRESPO MOSCOSO JOSE BERNARDO 0101801496001                                                       X
 234777      CORDERO MOSCOSO RODRIGO ANDRÉS 0101801686001                                                     X
No                 No registra
                                                               No                    No registra   No
                                                                        No. registra                       registra      No.    indicadores
                                                             registra                provincia, registra
Persona_id               NOMBRE               No. ID (RUC)                 calle                           número      registra de ventas,
                                                             apellido                 cantón y   primer
                                                                         principal                         de calle     origen activos y/o
                                                             paterno                 parroquia nombre
                                                                                                           principal             empleados

 207314      MIZQUERO YUNGA LUIS JACINTO     0101804557001                                                    X
 190222      MORA NOVILLO LUIS ALBERTO       0101805604001                                                    X
  46405      MARCHÁN GUERRERO PABLO EUGENIO  0101807493001                                                    X
 210469      CULCAY CRUZ RUFFO LEONARDO      0101807576001                                                    X
  40790       JAIME                          0101809531001                                                    X
 204090      SERRANO SAQUICELA FABIÁN PATRICIO101812584001
                                             0                                                                X
 201892      SOTOMAYOR FERNÁNDEZ MARCELO FELIPE AGUSTÍN
                                             0101812683001                                                    X
 168731      MALDONADO BUSTOS CELIA ROSARIO 0101813988001                                                     X
  97022      ANDRADE RODAS JORGE EDUARDO 0101814648001                                                        X
 110611      PERALTA CORNEJO CARLOS MANUEL 0101814895001                                                      X
 173495      RAMON MENDIA AMADO SALOMON      0101816213001                                                    X
 211006      OCHOA MENDEZ RAFAEL ANTONIO     0101816478001                                                    X
 243202      PINTADO VELECELA ANA DIONISIA   0101816882001                                                    X
 150830      IDROVO MURILLO MEDARDO ENRIQUE 0101821379001                                                     X
 147879      PALOMEQUE RODAS FANNY MARGARITA 0101822088001                                                    X
 197084      VASQUEZ GUAMAN JOSE PATRICIO    0101822757001                                                    X
 140490      TAMARIZ VASQUEZ RENSO ABELARDO 0101825222001                                                     X
 104928      MORALES PALACIOS ROSA ELVIRA    0101827251001                                                    X
 209518      GUARACA CUJI OLGER PATRICIO     0101827525001                                                    X
 173582      TOLA GALAN RENE BOLIVAR         0101827798001                                                    X
  31627      ROSAS CASTRO CARLOS ROMAN       0101829372001                                                    X
  74592      BELTRAN CUESTA MERI JACQUELINE 0101832228001                                                     X
 142907      VINTIMILLA GARATE JUAN FELIPE   0101833218001                                                    X
 181865      SARMIENTO SAMANIEGO PLUTARCO LEONARDO
                                             0101839637001                                                    X
 147427      CARPIO TAPIA NANCY CATALINA     0101839884001                                                    X
 112548      TORRES PESANTEZ ANA LUISA       0101841351001                                                    X
 142628      PEÑALOZA ROLDAN LEON IGINIO     0101842771001                                                    X
 146840      QUEZADA CARDENAS GERARDO BOLIVAR0101844934001                                                    X
 172477      MENDOZA ORTEGA GLADYS ESPERANZA 0101852010001                                                    X
 190122      GUILLERMO GUAMANCELA FAUSTO ALEJANDRO
                                             0101853604001                                                    X
  69755      WAZHIMA ZHUNIO VICTORIA EUGENIA 0101854925001                                                    X
No                 No registra
                                                             No                    No registra   No
                                                                      No. registra                       registra      No.    indicadores
                                                           registra                provincia, registra
Persona_id              NOMBRE              No. ID (RUC)                 calle                           número      registra de ventas,
                                                           apellido                 cantón y   primer
                                                                       principal                         de calle     origen activos y/o
                                                           paterno                 parroquia nombre
                                                                                                         principal             empleados

 239840      ASTUDILLO CHACON RUTH CECILIA   0101862456001                                                  X
 211731      CORONEL CRESPO WALTER ANTONIO 0101864569001                                                    X
 228933      LIMA MACHUCA EDGAR TEODORO      0101865483001                                                  X
 228328      FAICAN ARAUJO ZOILA NARCISA     0101866028001                                                  X
 167706      ORDOÑEZ PAREDES LUZ GETRUDES 0101871135001                                                     X
 275000      QUEZADA ZUMBA ZOILA ELVIRA      0101871218001                                                  X
  36334      NUGRA SANCHEZ FELIX ANTONIO     0101871440001                                                  X
  84888      CHICA SEGOVIA FRANCISCO MARCELO0101872448001                                                   X
 164109      CHIRIBOGA PESANTEZ LAURA MARINA 0101873610001                                                  X
  57182      PACHECO JOSÉ VICENTE            0101874840001                                                  X
 143796      ARICHAVALA RIOS WILSON PETRONIO 0101876381001                                                  X
  93701      QUITUISACA LOZADA JOSE ADOLFO 0101878064001                                                    X
 115298      ORDOÑEZ ALVAREZ TEODORO         0101880532001                                                  X
 135777      SAULA SANANGO CESAR ALEJANDRO 0101880904001                                                    X
 259725      LEDESMA MERCHAN YOLANDA BEATRIZ 101881985001
                                             0                                                              X
 121743      ESTRELLA CHACON LUIS ADOLFO     0101884070001                                                  X
 215705      AUQUILLA FAREZ PEDRO IGNACIO    0101884286001                                                  X
 146280      RODAS PACHECO LIGIA VIOLETA     0101887867001                                                  X
 232060      RODRIGUEZ PEDRO GIOVANI         0101895217001                                                  X
 263039      JADAN BUENO ANGEL REINALDO      0101895613001                                                  X
  60558       SERGIO                         0101898146001                                                  X
 108636      PEÑA VÁSQUEZ CARLOS ENRIQUE     0101900421001                                                  X
 188036      AVILA DURAN VILMA NOEMI         0101901007001                                                  X
 109445      MUÑOZ HEREDIA MANUEL IGNACIO    0101904266001                                                  X
 102865      CHAVEZ RODRIGUEZ CARLOS VICENTE 0101924140001                                                  X
  70712      SERVICIOS REGULARES DE TRANSPORTES DE PASAJEROS EN AUTOBUSES
                                             0101926129001                                                  X
 264963      MERCHÁN PESÁNTEZ MARIO ROLANDO  0101942399001                                                  X
  15769      MARTINEZ ANDRADE RUBEN DARIO    0101942902001                                                  X
  62199      MALDONADO ZHUNIO ROSA CATALINA 0101944726001                                                   X
  81269      ORDÓÑEZ MOLILNA FRANKLIN MIGUEL 0101945004001                                                  X
  70033      LOPEZ BERMEO ROMULO SALVADOR 0101949659001                                                     X
No                 No registra
                                                               No                    No registra   No
                                                                        No. registra                       registra      No.    indicadores
                                                             registra                provincia, registra
Persona_id               NOMBRE               No. ID (RUC)                 calle                           número      registra de ventas,
                                                             apellido                 cantón y   primer
                                                                         principal                         de calle     origen activos y/o
                                                             paterno                 parroquia nombre
                                                                                                           principal             empleados

 137889      ORTIZ YADAICELA JOSE LUIS       0101952356001                                                    X
  81072      MÉNDEZ MORA CECILIA DEL CARMEN 0101952810001                                                     X
  56782      ASTUDILLO CUESTA LUIS RICARDO   0101957082001                                                    X
  23890      ORELLANA ESPINOZA MANUEL OSWALDO0101957348001                                                    X
  41102      ZHUNIO MAITA HUMBERTO ANTOLIANO0101960318001                                                     X
 193297      CHUCHUCA GIA VICTOR ENRIQUE     0101961076001                                                    X
 183759      GUERRERO GALARZA ELSA CECILIA 0101962744001                                                      X
 196552      CHUQUIRA TOGRA LUIS RICARDO     0101964500001                                                    X
  73684      ARMIJOS MENDIETA DANIEL SALVADOR0101967453001                                                    X
 217836      GARCÍA ALVEAR JAIME ENRIQUE     0101967594001                                                    X
 241619      TAPIA ABRIL ROSA ESPERANZA      0101970077001                                                    X
  37590      CORDERO CUEVA PAULA MILENA      0101970945001                                                    X
 148524      GUZMAN BRITO MARIA ESPERANZA    0101977395001                                                    X
 198300      JIMENEZ ORELLANA VICTOR ANTONIO 0101979474001                                                    X
  96909      CORDERO FARÍAS IVÁN VICENTE     0101981231001                                                    X
  83571      BELTRAN CUESTA LINA VETTY       0101985158001                                                    X
 257391      MARTINEZ ANDRADE LUIS GUSTAVO 0101985422001                                                      X
  61145      CARPIO SEGARRA NANCY YOLANDA 0101986248001                                                       X
 211518      FERNANDEZ LOJANO LUIS ALEJANDRO0101986982001                                                     X
  51585      MEDINA LAZO NANCY SOLEDAD       0101989317001                                                    X
 238594      QUEZADA JARA TERESA DEL PILAR   0101989358001                                                    X
 174659      ROLDÁN MONSALVE VIRGINIA JANNETH0101989630001                                                    X
 151817      CARCHIPULLA CAJAMARCA MIGUEL HUMBERTO
                                             0101990414001                                                    X
 146258      MATUTE CONTRERAS DIEGO HERNAN 0101995256001                                                      X
 258928      VELEZ ESPINOZA MARCOS FABRICIO 0101996932001                                                     X
  83681      LOPÉZ VASQUÉZ ANGEL GUIDO       0101997369001                                                    X
 100493      VILLA RAIBAN OLGA ROSARIO       0101997971001                                                    X
 184423      ZHININ PINTADO JOSE SEGUNDO     0101998565001                                                    X
 107675      GUILLEN TORRES IMELDA GUILLERMINA102001088001
                                             0                                                                X
 144715      QUICHIMBO ZUMBA ARMANDO MIGUEL0102001286001                                                      X
  45280      SEMPÉRTEGUI DÁVILA MARCELO ARMANDO
                                             0102001765001                                                    X
No                 No registra
                                                               No                    No registra   No
                                                                        No. registra                       registra      No.    indicadores
                                                             registra                provincia, registra
Persona_id               NOMBRE               No. ID (RUC)                 calle                           número      registra de ventas,
                                                             apellido                 cantón y   primer
                                                                         principal                         de calle     origen activos y/o
                                                             paterno                 parroquia nombre
                                                                                                           principal             empleados

  27019       WILLAN                         0102003100001                                                    X
  38931      VALENCIA GUARICELA NELSON PATRICIO
                                             0102005295001                                                    X
 217400      VILLAVICENCIO ALVARADO MARLON ANTONIO
                                             0102005972001                                                    X
 216494      PEREZ YANZA CARLOS TEODORO      0102007101001                                                    X
 170003      MEJIA QUITO CARLOS ALBERTO      0102008091001                                                    X
  64007      VILLA PAUTE LUIS RIGOBERTO      0102008471001                                                    X
 169575      MATUTE PEÑA MILTON ALFONSO      0102019569001                                                    X
 228971      PORTILLA MENDOZA JOSÉ ROMÁN     0102023926001                                                    X
 110626      BERNAL VELEZ LUIS ALFREDO       0102031242001                                                    X
 186499      RUBIO MOLINA JAIME JOSE         0102032299001                                                    X
 177974      ULLOA RODAS MAURICIO ENRIQUE    0102033446001                                                    X
 210352      JERVES PALACIOS NORMA CATALINA 0102035862001                                                     X
  99751      LLIVIGAÑAY YANZA MANUEL HERMENEGILDO
                                             0102037181001                                                    X
  55780      OJEDA SIGUENZA LUIS REMIGIO     0102037728001                                                    X
 122851      ORELLANA SACA JULIA VALVINA     0102043379001                                                    X
 117340      JIMBO JULIO CESAR               0102043494001                                                    X
 211383      CORDERO DOMINGUEZ LUIS EUGENIO 0102043957001                                                     X
  90654      QUITO MERCHAN MANUEL VICENTE    0102044237001                                                    X
 135754      RODAS TIRADO ANGEL RODOLFO      0102044286001                                                    X
  22435      ARIAS ATIENCIA JOSÉ VICENTE     0102046950001                                                    X
 151988      ABAD SOLIZ PAULO MAURICIO       0102049491001                                                    X
  59044      BRITO GALARZA CESAR FERNANDO 0102050283001                                                       X
 160309      ORTIZ PINO ANA EULALIA          0102053147001                                                    X
 205636      OROZCO BAUTISTA TARCILA DEL ROCIO
                                             0102057528001                                                    X
 219339      VASQUEZ VILLAVICENCIO CARLOS ALFONSO
                                             0102061314001                                                    X
 138633      PACHECO SALTOS ELIODORO         0102061561001                                                    X
 151878      FAJARDO CALDERÓN PABLO RAMIRO 0102066966001                                                      X
  55963      RIVAS CARRIÓN MARIO EDUARDO     0102067188001                                                    X
 124474      OCHOA SOLORZANO IMELDA RUTH     0102067477001                                                    X
  64665      LÓPEZ SEMINARIO KLÉVER ALEJANDRO0102069028001                               X
 219166      SOLANO OCHOA OLGA LEONOR        0102069598001                                                    X
No                 No registra
                                                                No                    No registra   No
                                                                         No. registra                       registra      No.    indicadores
                                                              registra                provincia, registra
Persona_id               NOMBRE                No. ID (RUC)                 calle                           número      registra de ventas,
                                                              apellido                 cantón y   primer
                                                                          principal                         de calle     origen activos y/o
                                                              paterno                 parroquia nombre
                                                                                                            principal             empleados

  80153      SARMIENTO JARRÍN MARLENE ELISABETH
                                              0102070711001                                                    X
 167949      VASQUEZ QUEZADA JUAN ALFREDO 0102072030001                                                        X
 228467      ALVAREZ ORTEGA MANUEL RENE       0102073053001                                                    X
  53972      ILLESCAS PEÑA MARCO GEOVANY      0102075710001                                                    X
 108897      SALAZAR DAVILA MARCIA KAREN      0102076312001                                                    X
 204339      UGALDE ARELLANO EDGAR FABIAN     0102079738001                                                    X
 106625      MORALES ALVARADO PABLO RICARDO   0102080819001                                                    X
 178154      GUACHUN TENECORA LUIS ALBERTO 0102083854001                                                       X
  33029      SORIA NOVOA CESAR HUMBERTO       0102084084001                                                    X
 137535      YUNGA VILLA DOLORES FANNY        0102085891001                                                    X
  71521      BARBA CARDENAS GIOVANNI VICENTE 0102086733001                                                     X
 223574      AREVALO AREVALO EMILIANO EFRAIN 0102086808001                                                     X
 104095      LLERENA ROMAN MILTON ARTURO      0102086865001                                                    X
 244500      MONTALVAN CALDERON LUIS GERARDO  0102089554001                                                    X
 176529      CARRION LEON ROGMI DAVID         0102093622001                                                    X
 137645      MORA MOLINA MERITA NOEMI         0102093895001                                                    X
 201581      SISALIMA SONGOR CARLOS MOISES 0102095049001                                                       X
 193593      VILLA RAIBAN HUGO LEONARDO       0102096088001                                                    X
 145444      LLIVISACA SANISACA CARLOS HUMBERTO
                                              0102101516001                                                    X
 168111      LAZO LAZO MARTIN ARTURO          0102104130001                                                    X
  98572      VILLAVICENCIO CONTRERAS PATRICIA 0102107257001
                                              DE JESUS                                                         X
  65684      MONGE BARROS ALCIBAR MICHEL      0102109626001                                                    X
 255841      ROMAN PEREZ DIEGO FERNANDO       0102109766001                                                    X
  47868      BOJORQUE BOJORQUE JAIME EDUARDO  0102110293001                                                    X
 121830      SAMANIEGO PINEDA JOHN WALTER     0102110582001                                                    X
  90890      POZO VIDAL KLEVER RAFAEL         0102112349001                                                    X
 179349      MOSQUERA CARDENAS JANETH EULALIA 0102112679001                                                    X
  87087      CARDENAS CARDENAS LIGIA VICTORIA0102113172001                                                     X
  67779      VÁSCONEZ VÁSQUEZ HUGO FRANCISCO  0102114642001                                                    X
 143916      CARRASCO VINTIMILLA JOSE ANDRES 0102115508001                                                     X
 187781      CORDERO CABRERA FRED PATRICIO 0102116993001                                                       X
No                 No registra
                                                                 No                    No registra   No
                                                                          No. registra                       registra      No.    indicadores
                                                               registra                provincia, registra
Persona_id               NOMBRE                 No. ID (RUC)                 calle                           número      registra de ventas,
                                                               apellido                 cantón y   primer
                                                                           principal                         de calle     origen activos y/o
                                                               paterno                 parroquia nombre
                                                                                                             principal             empleados

  59024      CALLE CEVALLOS JHON FERNANDO      0102117421001                                                    X
  70836      CARPIO VÁZQUEZ FABIÁN RAMIRO      0102117454001                                                    X
 245054      ALVAREZ DELGADO RUBEN RAFAEL 0102117777001                                                         X
  86371      CALLE SIGUENCIA JOHN IGNACIO      0102118213001                                                    X
  82339      CORDERO LÓPEZ JUAN FRANCISCO 0102118247001                                                         X
 135669      FERNANDEZ DE CORDOVA RUBIO GERMAN LENIN
                                               0102119039001                                                    X
 136343      ALVAREZ ALVAREZ LUIS EFRAIN       0102120573001                                                    X
 167420      VASQUEZ ALVARRACIN CARLOS RIGOBERTO
                                               0102121340001                                                    X
 126976      PADILLA LUZURIAGA GUSTAVO DAMIAN  0102122058001                                                    X
 111126      ORDÓÑEZ SEGOVIA DIEGO FERNANDO0102123163001                                                        X
  52849      BRAVO REINOSO JORGE FERNANDO 0102124922001                                                         X
  30970      SEGOVIA ALVARADO RUTH PATRICIA 0102125184001                                                       X
 120493      MATUTE CONTRERAS AIDA NATALIA 0102125531001                                                        X
 189367      CARRION VILLA SANTIAGO ROBERTO 0102128972001                                                       X
 160288      TRONCOSO MINCHALA FELIX HUGOLINO  0102131208001                                                    X
 183627      QUIZHPILEMA PAGUAY MANUEL JESUS0102131380001                                                       X
 130807      CABRERA MOLINA ELSA BEATRIZ       0102131661001                                                    X
 176427      MEJIA SANCHEZ MIRIAM ELENA        0102131836001                                                    X
 186932      ZAMBRANO CARRIÓN MARTÍN JAVIER 0102134632001                                                       X
 265268      SALINAS SAGBAY ROSA MERCEDES 0102134665001                                                         X
  42090      ING. CIVIL BORIS MEJÍA R.         0102137510001                                                    X
 104656      AREVALO VEGA BOLIVAR FERNANDO 0102137627001                                                        X
  20788      CRIOLLO PLAZA MARTHA CECILIA      0102138823001                                                    X
 163511      MERCHÁN MARTÍNEZ FANNY MARGOT 0102142700001                                                        X
 123033      ERAS SOTO CARMEN NARCISA          0102142999001                                                    X
 157343      PUMAYUGRA VANEGAS ELVA CARMITA0102143757001                                                        X
 150516      HERAS ROBLES LIBIA MARLENE        0102145851001                                                    X
  87778      JARAMILLO VINTIMILLA CARLOS JULIO 0102147261001                                                    X
  99590      JARAMIILLO VINTIMILLA XAVIER NAPOLEÓN
                                               0102147279001                                                    X
  65601      ESCOBEDO VASQUEZ RICARDO XAVIER   0102147519001                                                    X
 239969      PACURUCU TORRES WALTER ANTONIO    0102148657001                                                    X
No                 No registra
                                                                No                    No registra   No
                                                                         No. registra                       registra      No.    indicadores
                                                              registra                provincia, registra
Persona_id               NOMBRE                No. ID (RUC)                 calle                           número      registra de ventas,
                                                              apellido                 cantón y   primer
                                                                          principal                         de calle     origen activos y/o
                                                              paterno                 parroquia nombre
                                                                                                            principal             empleados

 195236      ALBARRACIN CALLE JESSICA CECILIA 0102148772001                                                    X
 230399      MUÑOZ UCHO WILSON GEOVANNY       0102149838001                                                    X
  17516       PABLO                           0102151685001                                                    X
 247540      REINOSO BRITO FABIAN FERNANDO 0102152386001                                                       X
  24921      CALLE IDROVO JOSE FERNANDO       0102153103001                                                    X
 146693      URGILES CABRERA MARIO TRAJANO 0102153350001                                                       X
 219284      MENA TRUJILLO ERNESTO JAVIER     0102153574001                                                    X
  79664      ALVARADO ALUMA REYNEL ALBERTO 0102154622001                                                       X
  43943      ORDOÑEZ GALVEZ CARLOS FABIAN     0102156023001                                                    X
 180066      FLORES SANCHEZ GUSTAVO GEOVANNI  0102157161001                                                    X
 165512      LUPERCIO NOVILLO FAUSTO ROBERTO  0102157245001                                                    X
 180940      DIAZ HEREDIA GABRIEL FELIPE      0102160926001                                                    X
 227860      CAMPOS AGUIRRE HERMEL EMMANUEL   0102161387001                                                    X
 172314      TORAL MACHUCA JUAN FERNANDO 0102161478001                                                         X
  88907      IDROVO CASTRO RICHARD BOLIVAR 0102162880001                                                       X
  57986      MARTINEZ ANDRADE FAUSTO RODRIGO  0102164282001                                                    X
  51771      ANDRADE GONZALEZ LUIS ALBERTO 0102164431001                                                       X
  79909      NN ALVEAR LUIS HUMBERTO          0102166006001                                                    X
 111691      TRELLES MENDEZ ARTURO HOMERO 0102166717001                                                        X
 111139      PINOS CANTOS GIOVANNY JENARO     0102167244001                                                    X
 199468      BRAVO CALLE LUIS ANTONIO         0102168119001                                                    X
 125595      RODAS RODAS BLANCA NOEMY DE JESUS0102168895001                                                    X
  52618      YANEZ MOLINA RUBEN GONZALO       0102171709001                                                    X
  66132      SALCEDO ALVEAR GABRIELA ESPERANZA0102177243001                                                    X
  66030      OCHOA SOLORZANO SILVIO DANIEL 0102178274001                                                       X
 160870      PROAÑO ESACANDÓN CARLOS ANIBAL0102181534001                                                       X
 174246      RODRIGUEZ PEÑAFIEL FELIX EFREN 0102182318001                                                      X
 213970      CANDO CANDO MARIA GUADALUPE      0102182565001                                                    X
  38428      DURÁN PERALTA PABLO VICENTE      0102183225001                                                    X
 227929      TINOCO ALVEAR MONICA LUCIA       0102184330001                                                    X
  70402      REA PARRA MODESTO ELICEO         0102185329001                                                    X
No                 No registra
                                                                No                    No registra   No
                                                                         No. registra                       registra      No.    indicadores
                                                              registra                provincia, registra
Persona_id               NOMBRE                No. ID (RUC)                 calle                           número      registra de ventas,
                                                              apellido                 cantón y   primer
                                                                          principal                         de calle     origen activos y/o
                                                              paterno                 parroquia nombre
                                                                                                            principal             empleados

 101834      CLAVIJO CAMPOS MIRIAM SANDRA     0102185865001                                                    X
 207677      BURBANO PESANTEZ FANNY MERCEDES  0102185899001                                                    X
 166052      VIMOS ASTUDILLO NANCY CARMITA 0102186715001                                                       X
 251391      AGUILAR SEGUNDO                  0102187119001                                                    X
 248161      VAZQUEZ NEIRA JAVIER ENRQUE      0102187689001                                                    X
  67877      SANTÍN AVILA CÉSAR GASTÓN        0102190121001                                                    X
  19181      SALTO CUBILLOS WILSON FERNANDO 0102192655001                                                      X
 189484      LEÓN OCHOA JOSÉ AUGUSTO          0102192770001                                                    X
  58280      CORREA LOPEZ WILMAN PATRICIO     0102193505001                                                    X
  64792      AGUIRRE ORELLANA ADRIANO PATRICIO0102197399001                                                    X
  14844      NEW OFFICE                       0102197654001                                                    X
 254641      HERMIDA JERVES IVAN EDUARDO      0102197902001                                                    X
 231568      GUAZHAMBO JARA NESTOR OLMEDO 0102198280001                                                        X
 138858      PANAMÁ VALDIVIEZO PABLO AMADOR 0102200839001                                                      X
 211780      GONZALEZ CARDENAS PATRICIO       0102204484001                                                    X
  53017      FALCONI VINTIMILLA MIGUEL FRANCISCO
                                              0102209665001                                                    X
 191112      ASTUDILLO SALDAÑA NANCY CLAUDINA 0102209749001                                                    X
 257069      BERMEO MALDONADO RUPERTO MARCELO 0102210408001                                                    X
  71835      ROJAS ULLAURI WILSON FERNANDO 0102216736001                                                       X
  77301      ROJAS ULLAURI MANUEL FELIPE      0102216744001                                                    X
 214822      SUCUZHAÑAY MENDEZ MANUEL LORENZO 0102218229001                  X            X                    X
 239827      PEÑA GARCIA LUIS ALBERTO         0102220399001                                                    X
  60770      ROMÁN PÉREZ CÉSAR PATRICIO       0102226289001                                                    X
  96325      RENGEL VIZHÑAY DIEGO ARTURO      0102227121001                                                    X
 115560      GUAMAN CALLE ANGEL OCTAVIO       0102229010001                                                    X
 151372      SEGOVIA LUNA MARÍA VICTORIA      0102230976001                                                    X
 275237      CORDOVA CARDENAS MANUEL AUGUSTO  0102231362001                                                    X
 266603      ORDONEZ ALVARADO SEGUNDO ALEJANDRO
                                              0102232410001                                                    X
 213291      SACAQUIRIN ZHUNIO DANNY HERNAN 0102232691001                                                      X
  75155      TAPIA SAAVEDRA RAUL BOLIVAR      0102235785001                                                    X
 222813      ALTAMIRANO PACHECO MARIA FELICIA0102240223001                                                     X
No                 No registra
                                                                No                    No registra   No
                                                                         No. registra                       registra      No.    indicadores
                                                              registra                provincia, registra
Persona_id               NOMBRE                No. ID (RUC)                 calle                           número      registra de ventas,
                                                              apellido                 cantón y   primer
                                                                          principal                         de calle     origen activos y/o
                                                              paterno                 parroquia nombre
                                                                                                            principal             empleados

 236529      GUAILLAS YASCARIBAY LUIS AURELIO 0102244381001                                                    X
 114769      PACHECO MORENO ESTEBAN MAURICIO  0102245750001                                                    X
  79066      LLORET VALDIVIESO ALVARO SANTIAGO0102246295001                                                    X
 147586      SERPA LARREA FRANS IVAN          0102246410001                                                    X
  37912       JUAN                            0102246980001                                                    X
 208249      MARÍN VÁSQUEZ PABLO FABIAN       0102247004001                                                    X
 209938      JARA REYES CARLOS SANTIAGO       0102249455001                                                    X
 152448      LARA LEON DIEGO FELIPE           0102249463001                                                    X
  72134      MORALES IGLESIAS XAVIER FABRICIO 0102249554001                                                    X
 263120      VILLAVICENCIO NARVÁEZ LORENA ANA0102252996001                                                     X
 239286      HOYOS TAPIA GABRIEL FRANCISCO    0102253168001                                                    X
  81799      MERCHAN VALDEZ MONICA MARGARITA102254943001
                                              0                                                                X
 202784      VILLAZHAÑAY BARBECHO HENRY PIETRO0102258084001                                                    X
  97699      BARRIGA GUIRACOCHA RUBÉN BOLÍVAR 0102258589001                                                    X
  41807      LUZURIAGA LARRIVA JOSÉ LUIS      0102258738001                                                    X
  81254      MATUTE BARROS ROSA ELVIRA        0102258910001                                                    X
 126272      BELTRAN MACHADO JOHNNY FERNANDO  0102259033001                                                    X
 233134      DURAZNO SILVA CÉSAR GEOVANNY 0102259181001                                                        X
  59941      PEÑAHERRERA WILCHES AGUSTIN      0102260882001                                                    X
  86406      SARMIENTO GOMEZ FABIOLA MONSERRATH
                                              0102263852001                                                    X
  66815      SEGARRA SEGARRA GLORIA MARÍA 0102264066001                                                        X
  79567      PEREZ PULLA PAULINO AMADEO       0102266541001                                                    X
 221820      TORRES GOERCKE LIAN ROSA         0102268281001                                                    X
  84098      AVILA LUNA CARLOS RODRIGO        0102268380001                                                    X
 130812      AGUILAR SANCHEZ VICENTE CLAUDILIO0102270022001                                                    X
 160866      ORDOÑEZ SUCULANDA CARLOS ALEJANDRO
                                              0102270451001                                                    X
 206763      TACURI MOROCHO ALMAGRO DE JESUS102271327001
                                              0                                                                X
  70019      PAUTA ORTIZ JUAN CARLOS          0102271533001                                                    X
  73094      TORRES ASTUDILLO FABIOLA ISAURA 0102272218001                                                     X
 200804      ILLESCAS BUESTÁN CATALINA DEL ROCÍO
                                              0102272366001                                                    X
 127027      CHICAIZA ORTIZ MARCIA JANNETH    0102272564001                                                    X
No                 No registra
                                                               No                    No registra   No
                                                                        No. registra                       registra      No.    indicadores
                                                             registra                provincia, registra
Persona_id              NOMBRE                No. ID (RUC)                 calle                           número      registra de ventas,
                                                             apellido                 cantón y   primer
                                                                         principal                         de calle     origen activos y/o
                                                             paterno                 parroquia nombre
                                                                                                           principal             empleados

 224398      NIVELO DELGADO FABIAN BOLÍVAR  0102276631001                                                     X
 194864      SARMIENTO RODRÍGUEZ EDWIN MARCELO
                                            0102278496001                                                     X
 172149      LEON CHUMBI MERCEDES MARIA ASUNCION
                                            0102278942001                                                     X
 186978      JACOME GUZMAN MARCO VINICIO    0102279247001                                                     X
 141003      ALVARRACIN SALAMEA BLANCA REBECA
                                            0102281219001                                                     X
 220503      ZHICAY ZHICAY DAMIAN SEGUNDO   0102281557001       X                                             X
  84652      ORELLANA ALMACHE JORGE JEFFERSON
                                            0102283603001                                                     X
 218938      PALACIOS GOMEZ PABLO JAVIER    0102283637001                                                     X
 147710      CORDOVA GARZON ANTONIO         0102284759001                                                     X
  54917      LEÓN ARMIJOS WILLAM ROBERTO    0102287133001                                                     X
  24104      MOSCOSO LOAIZA LUIS ALBERTO    0102287158001                                                     X
 127087      APOLO VELEZ OSCAR ENRIQUE      0102287877001                                                     X
  80654      ROJAS ESCANDÓN BLANCA ALEGRIA 0102289402001                                                      X
 205804      GARCÍA MOSCOSO CARLOS PATRICIO 0102289451001                                                     X
  46801      DELGADO ORELLANA MIGUEL LEOPOLDO
                                            0102292471001                                                     X
 199511      PIZARRO INGA CLEVER OSWALDO    0102293602001                                                     X
 135650      LUNA CALLE MARIA DE LOURDES    0102295110001                                                     X
 134426      IDROVO ARIZAGA MARIA INES      0102295714001                                                     X
  35074      CORNEJO GUAMÁN HERNÁN MARCELO0102298171001                                                       X
 123534      VELE CALLE LUIS GUILLERMO      0102298403001                                                     X
 242357      ORDONEZ FAJARDO JUAN PABLO     0102298635001                                                     X
 182232      GELLIBERT TORAL FRANCISCO FERNANDO
                                            0102300357001                                                     X
 259510      PESÁNTEZ CALLE NIDYA ANTONIETA 0102302338001                                                     X
 204428      LLIVICHUZHCA BALAREZO ROSA CARMELA
                                            0102303385001                                                     X
 247434      MERCHAN PEÑAFIEL MARÍA ELENA   0102304870001                                                     X
  95175      TENEZACA ZHUNIO BERTHA LEONOR 0102307014001                                                      X
 252987      JARA CUMBE YOLANDA PATRICIA    0102308251001                                                     X
 265870      TACURI PINTADO MANUEL ESTEBAN 0102309093001                                                      X
 182641      PIEDRA BELTRÁN GEOVANNY FRANCISCO
                                            0102309135001                                                     X
  26520      CARCHI ILDA MARINA             0102310901001                                                     X
  34451      QUEZADA QUEZADA KARLA CRISTINA 0102310984001                                                     X
No                 No registra
                                                               No                    No registra   No
                                                                        No. registra                       registra      No.    indicadores
                                                             registra                provincia, registra
Persona_id               NOMBRE               No. ID (RUC)                 calle                           número      registra de ventas,
                                                             apellido                 cantón y   primer
                                                                         principal                         de calle     origen activos y/o
                                                             paterno                 parroquia nombre
                                                                                                           principal             empleados

  94884      PALACIO CARRION ANA MARIA       0102311347001                                                    X
 193104      RECALDE ANGULO MARCELO          0102311628001                                                    X
 104929      GUTIERREZ CARMONA HERNAN ISAIAS0102312774001                                                     X
 107404      ABRIL REINOSO LOURDES PATRICIA 0102314523001                                                     X
 185111      ENCALADA ORDOÑEZ MARCIO FERNANDO0102315686001                                                    X
 142059      MENDIETA CHACON XAVIER ROLANDO 0102315819001                                                     X
 192317      PULGARIN PALACIOS XAVIER ESTEBAN0102315850001                                                    X
 221627      PARRA TENEMPAGUAY FAUSTO LIZARDO0102319159001                                                    X
 246466      AYAVACA MOGROVEJO GERARDO MIGEUL0102319647001                                                    X
 171701      RAMON ESPINOZA LUIS RAFAEL      0102323607001                                                    X
 253727      CRIOLLO MOROCHO SANDRA DE LOURDES
                                             0102324043001                                                    X
  26441      ANDRADE PALACIOS CESAR VINICIO 0102326915001                                                     X
 239605      PARRA PARRA LORGIA BRUMILDA     0102327269001                                                    X
 239445      ZAMORA ORELLANA JAVIER PATRICIO 0102327491001                                                    X
 160404      PIEDRA LANDIVAR MANUEL REMIGIO 0102330628001                                                     X
 120996      RUIZ JARA GALO LEONCIO          0102333010001                                                    X
 221212      CORDERO CONTRERAS SEGUNDO JHON  0102335932001                                                    X
 240706      PERALTA DELGADO FREDDY BOLIVAR 0102337961001                                                     X
 177105      ARIAS VASQUEZ JOSE ANTONIO      0102338951001                                                    X
 163931      SALTO QUITO ANGEL BENITO        0102340015001                                                    X
 113928      PAREDES MELENA CARLOS PATRICIO 0102342508001                                                     X
  34644      VERDUGO BUSTAMANTE SEGUNDO MARCELO
                                             0102343290001                                                    X
 183300      GUAMAN SAETEROS JOSE LEONARDO 0102345139001                                                      X
 161148      LOPEZ VILLALTA LUIS GERARDO     0102345667001                                                    X
  39557      SANCHEZ GALARZA JANNETH ALEXANDRA
                                             0102347549001                                                    X
  69638      GUAMAN GUEVARA JAIME RODRIGO 0102349669001                                                       X
 146168      PIEDRA CORNEJO LUIS TOMAS       0102350121001                                                    X
 167460      SAMANIEGO MARIA HERMOSINA       0102350329001                                                    X
  85985      PALACIOS OCHOA JORGE FABIAN     0102351434001                                                    X
 252259      SANMARTIN RODRIGUEZ MARIA EUGENIA
                                             0102351699001                                                    X
  88078      PULLA LLANOS MIRIAN LEONOR      0102353083001                                                    X
No                 No registra
                                                               No                    No registra   No
                                                                        No. registra                       registra      No.    indicadores
                                                             registra                provincia, registra
Persona_id               NOMBRE               No. ID (RUC)                 calle                           número      registra de ventas,
                                                             apellido                 cantón y   primer
                                                                         principal                         de calle     origen activos y/o
                                                             paterno                 parroquia nombre
                                                                                                           principal             empleados

 196786      SARMIENTO JARA NUBE CARLOTA     0102353398001                                                    X
  50283      MARTÍNEZ GAVILANEZ ANA KARINA   0102355815001                                                    X
 155463      SANCHEZ PLAZA LORENA DEL ROCIO 0102356128001                                                     X
  26992       JORGE                          0102358074001                                                    X
 218675      ESPINOZA ABRIL MARY ISABEL      0102358330001                                                    X
  43319      CÁRDENAS SALAMEA JORGE ESTID    0102358579001                                                    X
 101999      RIERA MENDEZ FELIX ANTONIO      0102360245001                                                    X
  98331      GORDILLO PONCE ROSA FRANCISCA 0102361094001                                                      X
 155849      OCHOA MOLINA LUIS GERARDO       0102367943001                                                    X
 138556      MARTÍNEZ LOAIZA JORGE ALBERTO 0102370103001                                                      X
 227568      VÁSQUEZ BRAVO NARCISA SOLEDAD 0102374154001                                                      X
  74379      ZAMORA CARVALLO JUAN FRANCISCO 0102378031001                                                     X
  60017      MUÑOZ GRANDA FREDY GUSTAVO      0102380383001                                                    X
 141980      NIETO AVILA ALFONSO LEONARDO    0102382074001                                                    X
  32665      VÉLEZ CARRASCO MIGUEL AUGUSTO 0102386166001                                                      X
 167649      JAYA GODOY ANGEL GALO           0102387727001                                                    X
 112189      MOLINA ASTUDILLO MARIA LOURDES 0102388261001                                                     X
 209225      SARI CAJAMARCA JUAN TADEO       0102388303001                                                    X
  30582      IÑIGUEZ CÁRDENAS ALFREDO TEODORO0102389087001                                                    X
 237534      LUCERO ILLESCAS JACINTO BERNABE 0102394202001                                                    X
 159932      PESANTEZ CUESTA LUISA YOLANDA 0102394897001                                                      X
  31826      VINTIMILLA BUSTAMANTE EFRAÍN EDMUNDO
                                             0102395175001                                                    X
 109207      AGUIRRE MENDOZA LAUTARO NICOLAY 0102395191001                                                    X
  20212      RENDON ESCANDON RENE VINICIO    0102395282001                                                    X
 176724      CORONEL BARRERA SEGUNDO IDALGO  0102395530001                                                    X
 153648      ORELLANA BARROS MANUEL IGNACIO 0102401304001                                                     X
 241679      LOZANO ANGULO MARIA ANGELITA    0102404514001                                                    X
 135419      CRIOLLO PINTA ALBA JACQUELINE   0102404902001                                                    X
 134291      BERZOSA CÁRDENAS MARCOS ENRIQUE 0102405610001                                                    X
 156990      CRIOLLO QUIZHPE MANUEL LEONIDAS 0102406865001                                                    X
 136033      LEDESMA SANCHEZ CRISTIAN DAMIAN 0102407293001                                                    X
No                 No registra
                                                               No                    No registra   No
                                                                        No. registra                       registra      No.    indicadores
                                                             registra                provincia, registra
Persona_id               NOMBRE               No. ID (RUC)                 calle                           número      registra de ventas,
                                                             apellido                 cantón y   primer
                                                                         principal                         de calle     origen activos y/o
                                                             paterno                 parroquia nombre
                                                                                                           principal             empleados

 100994      MOLINARI TORAL JAVIER EDUARDO   0102407350001                                                    X
 231232      VERA REINO JOSE LEONARDO        0102407525001                                                    X
 151886      VEGA MALO JUAN CARLOS           0102407533001                                                    X
 213006      SANCHEZ ESPINOZA CHRISTIAN ALEJANDRO
                                             0102408291001                                                    X
 228967      GUAMAN SALTOS MANUEL EUGENIO 0102411006001                                                       X
 139760      RAMON GUACHICHULCA TERESA DE JESUS
                                             0102413622001                                                    X
 217949      JIMENEZ ULLOA JOSE GILBERTO     0102414851001                                                    X
 228951      PESANTEZ PESANTEZ BLANCA DEL ROCIO
                                             0102415502001                                                    X
 171306      PILLAJO ROCANO CESAR IVAN       0102418142001                                                    X
 194092      QUEZADA DUMAS NESTOR ARIOLFO 0102420627001                                                       X
  36322      JERVES IÑIGUEZ FABIAN EDMUNDO   0102421989001                                                    X
  41360      ATIENCIA HOYOS EDISON GIOVANNY 0102422714001                                                     X
 209101      ORELLANA ALVEAR ESTEBAN MARCELO 0102424439001                                                    X
 123148      QUINTERO QUINTERO CHRISTIAN DAVID
                                             0102424454001                               X
 245808      DARQUEA CÓRDOVA JUAN BERNARDO0102424694001                                                       X
 215298      TIGRE TORRES DIGNA EUDOCIA      0102427416001                                                    X
  29666       WILSON                         0102429289001                                                    X
  67782      BURGOS MORÁN RICARDO ERNESTO 0102431335001                                                       X
  54282      FIGUEROA CONDO MIGUEL ANGEL     0102433489001                                                    X
 186531      SERRANO PESANTEZ MARCO LEONARDO 0102435997001                                                    X
 134448      GARCIA SEMPERTEGUI EDGAR GILBERTO
                                             0102437738001                                                    X
 128134      REMACHE SUMBA MARÍA ROSA ELVIRA 0102440856001                                                    X
 197978      MOROCHO PULLA ANGEL HERIBERTO 0102444403001                                                      X
 146990      ILLAISACA QUINDE ANIBAL MACARIO 0102450095001                                                    X
  70832      IÑIGUEZ SÁNCHEZ JORGE EDUARDO 0102451317001                                                      X
 138009      MÉNDEZ MÉNDEZ FREDDY RUBÉN      0102451564001                                                    X
 163421      BACULIMA QUINDE ANGEL PATRICIO 0102453032001                                                     X
 273571      CRIOLLO PLAZA XIMENA DEL ROCÍO 0102456118001                                                     X
  34706      CÁRDENAS ZÚÑIGA RÓMULO VICENTE 0102459039001                                                     X
 236025      GALARZA GALARZA MARIO XAVIER    0102459765001                                                    X
 121291      ORTEGA MARIA LEONOR             0102459989001                                                    X
No                 No registra
                                                               No                    No registra   No
                                                                        No. registra                       registra      No.    indicadores
                                                             registra                provincia, registra
Persona_id               NOMBRE               No. ID (RUC)                 calle                           número      registra de ventas,
                                                             apellido                 cantón y   primer
                                                                         principal                         de calle     origen activos y/o
                                                             paterno                 parroquia nombre
                                                                                                           principal             empleados

 262505      URUCHIMA PILLCO EVA MARLENE     0102460417001                                                    X
 214947      BERNAL JARA LUIS EDUARDO        0102460540001                                                    X
 124779      DURAN QUINTEROS LUPE MONSERRATH 0102460995001                                                    X
 101038      ORELLANA REVILLA SONIA ISAVEL   0102462009001                                                    X
  80898      YUNGA JADAN CARMEN CECILIA      0102462942001                                                    X
   1441      SAQUICELA LUPERCIO JAIME RUBÉN 0102462991001                                                     X
 199628      MOLINA TORRES MANUEL GONZALO 0102464310001                                                       X
 142958      BACUILIMA CHIMBO WILMER FAUSTO 0102467636001                                                     X
  52850      ULLOA MORA XAVIER ROLANDO       0102468857001                                                    X
  76002      CABRERA SANCHEZ JOSE ALFREDO 0102470135001                                                       X
 135065      MORA GUZHÑAY ROSANA EMERITA     0102470622001                                                    X
 191748      LITUMA ORELLANA MANUEL AGUSTIN 0102477692001                                                     X
  73668      GARCIA MACIAS MARIA CRISTINA    0102478229001                                                    X
  33581      MEJIA LEON JULIO MEDARDO        0102480258001                                                    X
 203034      VERDUGO ROMERO DAVID REMIGIO 0102480415001                                                       X
  35651      OCHOA AVILES JUAN PABLO         0102481405001                                                    X
  31262      NARANJO SAITEROS GUIDO GEOVANNY 0102481413001                                                    X
 141467      HERNANDEZ ZUMBA FLAVIO VICENTE 0102481470001                                                     X
  71252      SOLANO JARA PEDRO ROLANDO       0102483567001                                                    X
  43139       WALTER                         0102485224001                                                    X
 158957      SAN MARTÍN GARCIA BRIGIDA XIMENA0102485356001                                                    X
 141918      IDROVO PUGA FRANKLIN GEOVANNY 0102487402001                                                      X
  84330      CAMPOVERDE AMBROSI BORIS SANDRO 0102488764001                                                    X
 169990      MEJIA CORONEL LUIS FERNANDO     0102489697001                                                    X
  73431      AYALA CRUZ ROMEL VINICIO        0102489853001                                                    X
  55260      MORALES CAMPOVERDE MARTÍN LEONARDO
                                             0102490141001                                                    X
 167011      PESANTEZ BRITO JOSE FERNANDO    0102490224001                                                    X
 156607      MANOSALVAS SACTA DIEGO FELIPE 0102490943001                                                      X
 115430      AVILES TAPIA EDWIN PATRICIO     0102491628001                                                    X
 172259      TORRES ORELLANA CARLOS OSWALDO  0102493533001                                                    X
 220551      MATUTE DÍAZ LUIS ANTONIO        0102494200001                                                    X
No                 No registra
                                                               No                    No registra   No
                                                                        No. registra                       registra      No.    indicadores
                                                             registra                provincia, registra
Persona_id               NOMBRE               No. ID (RUC)                 calle                           número      registra de ventas,
                                                             apellido                 cantón y   primer
                                                                         principal                         de calle     origen activos y/o
                                                             paterno                 parroquia nombre
                                                                                                           principal             empleados

 238857      BARROS CORDOVA DIEGO ANDRES     0102494952001                                                    X
 245839      GARCIA CARCHI ROBERTO DARIO     0102495033001                                                    X
 211890      PINOS VÁZQUEZ CÉSAR LAUTARO     0102495132001                                                    X
 200236      REA REA CHRISTIAN PAÚL          0102495652001                                                    X
 153558      CRESPO PESANTEZ JUAN ESTEBAN 0102495744001                                                       X
 247093      CORDERO PALACIOS PABLO ESTEBAN 0102496767001                                                     X
 232058      VELEZ TELLO HENRY LAUTARO       0102496932001                                                    X
  88579      PÉREZ PÉREZ EDISON GIOVANNY     0102497625001                                                    X
 106712      CLAVIJO PAREDES JORGE JOSELITO 0102497849001                                                     X
  60727      PILLAGA GUAYAS JORGE GIOVANNY 0102498854001                                                      X
  66476      MEDINA MENDEZ JULIO FABIAN      0102505872001                                                    X
 137829      MOLINA CAPON JULIA CLORINDA     0102506003001                                                    X
  50134       OMAR                           0102512092001                                                    X
  15536      ING. JORGE RODAS L.             0102517745001                                                    X
 146913      CHERREZ SOLANO WILSON ARTURO 0102519055001                                                       X
  77744      ALBAN CRESPO BOLIVAR RAFAEL     0102520525001                                                    X
  19858      RIOS GUAMAN ELIANA ESTHER       0102523172001                                                    X
 243838      VIZUETE TOAPANTA MARCELO VINICIO0102524402001                                                    X
 153870      ZAMORA CARRION MARCO GEOVANY 0102525508001                                                       X
 147842      ALVAREZ ZHINDON CARMITA XIMENA 0102527553001                                                     X
 173659      PATIÑO RAMON FANNY ANTONIETA    0102532181001                                                    X
  17824       FAUSTO                         0102532694001                                                    X
 148589      NIVELO CABRERA ANA ELIZABETH    0102534070001                                                    X
 198955      QUEZADA ORTEGA VICENTE PATRICIO 0102534625001                                                    X
 238908      PEÑALOZA BUSTAMANTE CARLOS AUGUSTO
                                             0102535465001                                                    X
 139700      VASQUEZ BUESTAN WILSON GEOVANNY 0102535861001                                                    X
 192345      RIQUETTI MORALES JUAN PABLO     0102537198001                                                    X
 152487      ZARATE FAICAN NORMA CECILIA     0102538121001                                                    X
  49349      CORDOVA SEGARRA JAIME ESTEBAN 0102538139001                                                      X
 108006      LLANGARI MEJIA JUAN MARCELINO   0102538576001                                                    X
  69068      CALDAS GUANUQUIZA LUIS ENRIQUE 0102539129001                                                     X
No                 No registra
                                                                 No                    No registra   No
                                                                          No. registra                       registra      No.    indicadores
                                                               registra                provincia, registra
Persona_id               NOMBRE                 No. ID (RUC)                 calle                           número      registra de ventas,
                                                               apellido                 cantón y   primer
                                                                           principal                         de calle     origen activos y/o
                                                               paterno                 parroquia nombre
                                                                                                             principal             empleados

 159388      CALDERON CONDO FAUSTO RUFINO 0102540556001                                                         X
 203548      SARMIENTO SARMIENTO SANDRA EULALIA0102540598001                                                    X
 210872      SARMIENTO SARMIENTO JUAN CARLOS   0102540606001                                                    X
  70995      LEON BUSTAMANTE GUILLERMINA       0102545217001                                                    X
 205432      SISALIMA SAQUICILI FABIAN GUSTAVO 0102546017001                                                    X
  78958      IÑIGUEZ ARTEAGA LEONARDO          0102547130001                                                    X
  61272      TOGRA AGUILAR EDISON RENÉ         0102549235001                                                    X
 197110      ZHINGRI TEPAN MIGUEL ANGEL        0102550050001                                                    X
 138539      LANDIVAR VILLAGOMEZ BORIS XAVIER 0102550076001                                                     X
 171464      MOROCHO MOROCHO MANUEL AGUSTIN    0102558335001                                                    X
  83055      BERMEO GUARTAMBEL WASHINGTON 0102559739001
                                               LENIN                                                            X
 276714      PEÑAFIEL CALLE EUGENIO RAMIRO     0102560414001                                                    X
 223636      ORELLANA SINCHE JORGE EFRAIN      0102562071001                                                    X
 181838      VALLEJO MOSCOSO                   0102562162001                                                    X
 141285      ALVAREZ TENECORA WILLIAM FERNANDO 0102566080001                                                    X
 118423      BANEGAS ANGEL PORFILIO            0102566171001                                                    X
 255280      CABRERA LANCHE WALTER ENRIQUE 0102567864001                                                        X
 117514      CAJAMARCA CARDENAS ANA DEL TRANCITO
                                               0102569217001                                                    X
 139470      ORELLANA CRIOLLO LUIS GILBERTO 0102571064001                                                       X
 169353      ANDRADE TORRES RICHAR             0102571460001                                                    X
 256289      ULLOA MERCHAN FREDDY EDUARDO 0102572575001                                                         X
  38559      VALLEJO CEDILLO MAURICIO ESTEBAN  0102572674001                                                    X
  67792      LARREA MANCHENO DAVID JOHANN 0102572781001                                                         X
 109450      IDROVO BORJA MACARIO CLEMENTE 0102579349001                                                        X
  81630      LEON BRITO HUGO VALENTIN          0102579547001                                                    X
 252993      VANEGAS QUIZHPI DIEGO FRANCISCO 0102581469001                                                      X
 227431      GRANDA VICUÑA EDGAR RAFAEL        0102582012001                                                    X
 131739      CAJAMARCA CARDENAS WILSON BOLIVAR 0102584208001                                                    X
  44804      BARRETO CANTOS DANIEL ROBERTO 0102584265001                                                        X
  84671      NARANJO PEÑAFIEL JUAN ALBERTO 0102586807001                                                        X
 262418      CAJAMARCA VELETANGA ANGEL ROGELIO 0102587516001                                                    X
No                 No registra
                                                               No                    No registra   No
                                                                        No. registra                       registra      No.    indicadores
                                                             registra                provincia, registra
Persona_id               NOMBRE               No. ID (RUC)                 calle                           número      registra de ventas,
                                                             apellido                 cantón y   primer
                                                                         principal                         de calle     origen activos y/o
                                                             paterno                 parroquia nombre
                                                                                                           principal             empleados

 185363      LOJA LOJA TRANCITO GUADALUPE    0102591179001                                                    X
 136553      FERNANDEZ MACHUCA RUTH MATILDE0102593126001                                                      X
 193546      CABRERA CORREA WILSON BOLIVAR 0102594660001                                                      X
  49687      PESANTEZ OCHOA JUAN PABLO       0102595535001                                                    X
 263450      MORALES ZHINGRI JUAN DIEGO      0102595691001                                                    X
 141388      AVILA LOPEZ HECTOR FRANCISCO    0102595840001                                                    X
 274072      GUILLÉN LÓPEZ DANIEL MAURICIO   0102596772001                                                    X
  98485      LEÓN MACHUCA WALTER FABIÁN      0102597887001                                                    X
 221433      GUANUCHE ANDRADE WILMAN MARLENE 0102598059001                                                    X
 237287      PARRA ZHAÑAY XAVIER SAUL        0102599909001                                                    X
 209205      MORALES SÁNCHEZ MARÍA ROSA      0102605466001                                                    X
 101314      PEÑAFIEL TENORIO MARÍA EULALIA  0102608197001                                                    X
 232246      JARA TORRES PABLO PATRICIO      0102608700001                                                    X
  59008      ALVARRACIN SAQUIPAY LUIS MANUEL 0102609021001                                                    X
 137812      QUEZADA ALVARADO CHRISTIAN CORNELIO
                                             0102610904001                                                    X
 259980      CHERRES FREIRE JUAN ESTEBAN     0102612736001                                                    X
  60518      SOLÁ QUINTUÑA JUAN MEDARDO      0102613148001                               X
 215535      CORDERO PALACIOS SANTIAGO EFRAIN102613510001
                                             0                                           X                    X
 137491      ESPINOZA VINTIMILLA CLARA LUZ   0102615416001                                                    X
 264541      MOGROVEJO LAZO ALBERTO ESTEBAN0102616406001                                                      X
 135797      CORRAL CORRAL ANDRÉS NICANOR 0102616612001                                                       X
  47255      ING. JOEL CAIVINAGUA            0102617438001                                                    X
 249907      ORELLANA GUARTATANGA MANUEL SANTIAGO
                                             0102620341001                                                    X
  47152      MORALES POLO JUAN PABLO         0102621489001                                                    X
 111382      VASQUEZ BUESTAN LUIS XAVIER     0102622487001                                                    X
 152304      VASQUEZ BUESTAN JHONSO FERNANDO 0102623188001                                                    X
 149688      GAVILANEZ CUEVA MONICA MERCEDES 0102625803001                                                    X
 125445      CABRERA ORDOÑEZ ROMULO MAURO 0102626959001                                                       X
 199884      TOLEDO GARCIA MARTIN EULALIO    0102627536001                                                    X
 216470      CARRASCO VINTIMILLA PETER PAUL 0102628922001                                                     X
 233002      MORA QUEZADA GENNY PATRICIA     0102629979001                                                    X
No                 No registra
                                                               No                    No registra   No
                                                                        No. registra                       registra      No.    indicadores
                                                             registra                provincia, registra
Persona_id               NOMBRE               No. ID (RUC)                 calle                           número      registra de ventas,
                                                             apellido                 cantón y   primer
                                                                         principal                         de calle     origen activos y/o
                                                             paterno                 parroquia nombre
                                                                                                           principal             empleados

 249588      SANGACHA ORTIZ JUAN CARLOS      0102631603001                                                    X
  59794      GALARZA GRANDA EDGAR DIOGENES 0102631892001                                                      X
 257206      RIERA SIGUENZA CARLOS LEONIDAS 0102634342001                                                     X
  90606      URGILÉS RAMOS ERICA MARCELA     0102636982001                                                    X
  26980      EDGAR                           0102637733001                                                    X
 131499      LEÓN ALVAREZ FREDDY EDMUNDO     0102637766001                                                    X
 153309      QUINDE MAZA JOSE PATRICIO       0102638053001                                                    X
 134290      CASTILLO MUÑOZ MARIA ELENA      0102640737001                                                    X
  21115      VÍCTOR                          0102641099001                                                    X
 276041      ORELLANA ULLAURI MARTHA DOLORES 0102641743001                                                    X
 178118      CHUNIR GUTAMA HOMERO CRISTOBAL  0102641958001                                                    X
 207925      MOLINA MESÍAS MARÍA XIMENA      0102643566001                                                    X
 145024      BACUILIMA GUAMÁN JUAN CARLOS    0102645546001                                                    X
  63056      GARCIA GARCIA CARLOS ALBERTO    0102647906001                                                    X
 111476      PEÑA RODAS JUAN BERNARDO        0102648029001                                                    X
 267707      VAZQUEZ ESPINOZA PAUL ESTEBAN 0102648144001                                                      X
 211615      CEVALLOS SERRANO JORGE EDUARDO  0102648284001                                                    X
 226953      GUAMÁN LOJA CLAUDIO ARIOLFO     0102651445001                                                    X
 136496      PAZMIÑO SERRANO BYRON MAURICIO 0102652294001                                                     X
 203808      CABRERA MALDONADO PABLO GILBERTO0102653797001                                                    X
  87226      QUINTUÑA TENE HERNÁN EUCLIDES 0102654555001                                                      X
  59051      ESPINOZA ESPINOZA GALO ARMANDO 0102660644001                                                     X
 136277      BARRETO ROBLES BLANCA REBECA 0102661832001                                                       X
  58145      NEIRA GARCÍA JORGE DAVID        0102664067001                                                    X
 152521      LEON CARDOSO ELIANA DOLORES     0102664653001                                                    X
 250670      SAQUICELA CHILLOGALLO LUIS ALEJANDRO
                                             0102667375001                                                    X
 238812      BOJORQUE PAZMIÑO MIRIAN ELIANA 0102672516001                                                     X
 263987      RIVERA SUAREZ SHOVANI WAHINTON 0102674041001                                                     X
  82094      PÉREZ LOZADO MANUEL ANTONIO     0102676772001                                                    X
 239511      PETROVA PETROVA LATINA          0102678463001                                                    X
  31849      BARRIGA URVANO MONICA TERESA 0102678737001                                                       X
No                 No registra
                                                                 No                    No registra   No
                                                                          No. registra                       registra      No.    indicadores
                                                               registra                provincia, registra
Persona_id               NOMBRE                 No. ID (RUC)                 calle                           número      registra de ventas,
                                                               apellido                 cantón y   primer
                                                                           principal                         de calle     origen activos y/o
                                                               paterno                 parroquia nombre
                                                                                                             principal             empleados

  56882      FÁREZ MATUTE MARGARITA EUGENIA 0102678794001                                                       X
 259651      NEIRA MALO ANDRES MARTIN          0102679776001                                                    X
  34219      BARRERA TELLO DINO MANUEL         0102681376001                                                    X
 209256      TIGRE GUAMAN WILSON FERNANDO 0102682150001                                                         X
 131311      MORA HUIRACOCHA NORMA ANGELICA    0102684024001                                                    X
 110898      VILLARREAL ARCENTALES CARLOS KALIMAN MANUEL
                                               0102690674001                                                    X
 115524      QUIZHPE QUIRIDUMBAY ANTONIO GERMÁN0102698560001                                                    X
  48148      CÁRDENAS CÁRDENAS CARLOS GUSTAVO  0102698867001                                                    X
 228948      OCHOA CABRERA OSWALDO FILUJER 0102699212001                                                        X
 238968      ESQUIVEL ARIAS OLGA EULALIA       0102703154001                                                    X
  50084      PACHECO VILLAVICENCIO SILVANA MONSERRATH
                                               0102703600001                                                    X
 123229      LUZURIAGA VASCONEZ WASHINGTON GERMAN
                                               0102708815001                                                    X
 235560      OROSCO CABRERA JOSE HUMBERTO 0102711991001                                                         X
 115278      BUSTAMANTE PINTADO MAGALY JACQUELINE
                                               0102713328001                                                    X
  47310      LOPEZ LOPEZ MARCOS MISAEL         0102714185001                                                    X
  99270      LETA NIVICELA PEDRO PABLO         0102714862001                                                    X
 227145      DUMAS NARVAEZ EDUARDO XAVIER 0102715471001                                                         X
 248786      SORIA NOBOA PEDRO ELOY            0102716057001                                                    X
 149586      PANAMA BARROS LUIS LEONARDO       0102716727001                                                    X
 211981      CÁRDENAS SALAMEA DANIEL BOLÍVAR 0102720430001                                                      X
 214741      YUMLA AREVALO KATYA CELINA        0102721032001                                                    X
 163137      MENDOZA CASTRO FREDI EUCLIDES 0102725645001                                                        X
  95091      PIZARRO CHICAIZA SOILA LUZ        0102726338001                                                    X
 122815      MOLINA CALLE ANA ROSALIA          0102728565001                                                    X
 148194      MURILLO VEGA BRAULIO BENJAMIN     0102729597001                                                    X
 187380      GONZÁLEZ TAPIA PEDRO VICENTE      0102733755001                                                    X
 215887      VELEZ ANDRADE AGUSTIN RENE        0102734878001                                                    X
 161783      VELASQUEZ IDROVO SAUL VICENTE 0102734936001                                                        X
  39240      VILLAVICENCIO QUIZHPI DIANA XIMENA0102739521001                                                    X
  84800      DOMINGUEZ NIEVES LUIS ALFONSO     0102740289001                                                    X
 261090      GARCÍA CANDO MICHAEL ISRAEL       0102740420001                                                    X
No                 No registra
                                                               No                    No registra   No
                                                                        No. registra                       registra      No.    indicadores
                                                             registra                provincia, registra
Persona_id               NOMBRE               No. ID (RUC)                 calle                           número      registra de ventas,
                                                             apellido                 cantón y   primer
                                                                         principal                         de calle     origen activos y/o
                                                             paterno                 parroquia nombre
                                                                                                           principal             empleados

 201066      LOJA MORA MANUEL MARCELO        0102742228001                                                    X
 115923      GOMEZ MARIA ROSA                0102743887001                                                    X
 160202      PERALTA TORRES PATRICIA TARCILA 0102748373001                                                    X
 261691      TORRES RIVERA KLEVER ALFREDO    0102750247001                                                    X
 136735      VALVERDE VANEGAS DOLORES RAQUEL 0102752193001                                                    X
 218179      LOZANO QUIZHPI VICTOR HUGO      0102752359001                                                    X
 169975      SAQUICELA PELAEZ FAUSTO VICENTE0102754017001                   X            X                    X
 101806      RIVERA MARQUEZ MILTON LEONEL    0102759040001                                                    X
  33011       RICHARD                        0102773561001                                                    X
 149160      FAJARDO SANCHEZ WILSON GUILLERMO0102775277001                                                    X
  29812      CHERREZ BERNAL RICHARD FELIPE 0102777117001                                                      X
  56175      LARRIVA GARCÍA VERÓNICA FABIOLA 0102777778001                                                    X
 116145      MÉNDEZ ESPINOZA FÉLIX ANTONIO   0102779121001                                                    X
 133845      VALENCIA CELI JHONSON PATRICIO 0102779303001                                                     X
 158590      CONDO RIVERA JANETH MERCEDES 0102780962001                                                       X
  65950      CRUZ BAJAÑA MARCO ALEJANDRO     0102781556001                                                    X
 172684      CHICAIZA MACANCELA FERNANDO RAMIRO
                                             0102783636001                                                    X
 214776      FAJARDO JUELA MARIA JESUS       0102788536001                                                    X
 185192      ORELLANA CALDERON ESTHER MARGARITA
                                             0102797248001                                                    X
  70509      CALVACHE RODAS CARLOS LUIS      0102797966001                                                    X
 200820      BRAVO BRAVO MIGUEL LEONARDO     0102800844001                                                    X
  13919      ING. FREDY CARRION LEON         0102801040001                                                    X
  94310      VIDAL VIDAL NATALIA DE JESUS    0102801222001                                                    X
 260411      MATAILO PILLACELA ROLDAN OLIVEROS102801628001
                                             0                                                                X
 142272      ABRIL CORDERO GUILLERMO IVAN    0102802154001                                                    X
 196467      MOLINA LOJANO SONIA ALEXANDRA 0102806973001                                                      X
 274797      VILLA GUZMÁN IVAN PATRICIO      0102808193001                                                    X
 166436      ENRIQUEZ MOROCHO ABRAHAN CLEVER 0102810959001                                                    X
 175484      FAJARDO PULGARIN ELSA ROSARIO 0102811189001                                                      X
 203023      MONGE BARROS TITO ESTEBAN       0102811429001                                                    X
 143085      BACUILILMA GUAMÁN FREDY LEONARDO0102811460001                                                    X
No                 No registra
                                                               No                    No registra   No
                                                                        No. registra                       registra      No.    indicadores
                                                             registra                provincia, registra
Persona_id               NOMBRE               No. ID (RUC)                 calle                           número      registra de ventas,
                                                             apellido                 cantón y   primer
                                                                         principal                         de calle     origen activos y/o
                                                             paterno                 parroquia nombre
                                                                                                           principal             empleados

  24662      REIBAN JHONNY                   0102813318001                                                    X
 248905      SERRANO PEREZ ELSA CRISTINA     0102814373001                                                    X
 151057      MUÑOZ CONDO WUASHINTON RIGOBERTO0102816303001                                                    X
 111424      PINTADO BECERRA WILSON FABIAN 0102816436001                                                      X
 245382      CORONEL AREVALO DIEGO GEOVANNY  0102817855001                                                    X
 202279      CAPELO MEJIA LUIS SANTIAGO      0102818747001                               X
 151769      SERRANO SAQUICELA CARLOS ESTUARDO
                                             0102820529001                                                    X
 148930      CÁRDENAS CORONEL JOSÉ GERARDO 0102821212001                                                      X
  86335      NIEVES PAUTE FABIÁN PATRICIO    0102822731001                                                    X
 228962      MORALES TORRES SEGUNDO ALFONSO  0102822939001                                                    X
  63021      MORAN GEOVANNY RENE             0102823598001                                                    X
  61177      RODAS LEÓN LENIN MAURICIO       0102824893001                                                    X
 222016      CRIOLLO QUIZHPI MARCOS MEDARDO 0102825536001                                                     X
 100688      CORDERO PEÑA CARLOS ENRIQUE     0102825668001                                                    X
 249763      SOLANO VALDIVIEZO FRANKLIN LEONARDO
                                             0102825866001                                                    X
  28587      LARRIVA GONZALEZ EDWIN FRANCISCO0102828654001                                                    X
 196511      MOGROVEJO ROLDÁN DORIAN ENRIQUE 0102830775001                                                    X
  82796      SILVA RIVERA JAIME ABDON        0102834777001                                                    X
 118937      ABRIL ALVAREZ EDGAR RAMIRO      0102835170001                                                    X
 152089      PANGOL TOLA ANDRES PATRICIO     0102836343001                                                    X
 273109      CAMPOVERDE SARMIENTO ANA FERNANDA
                                             0102838786001                                                    X
 146937      SUQUI MOROCHO ALFONSO EDUARDO0102842051001                                                       X
  39940      RODRÍGUEZ CHIMBO CARMITA YOLANDA0102843398001                                                    X
 132688      VINTIMILLA GUANANGA FAUSTO MARCELO
                                             0102849130001                                                    X
 137984      CURILLO LANDY LUIS SEBASTIAN    0102853389001                                                    X
 197867      AUQUILLA AUQUILLA ANGEL EDUARDO 0102853652001                                                    X
 163696      BERMEO ROSA                     0102855335001                                                    X
  80943      LALVAY ORTEGA WILSON ALFREDO    0102858990001                                                    X
 112440      MERCHÁN MORA DANIEL             0102861986001                                                    X
 118035      ORDÓÑEZ REMACHE OLGA BEATRIZ 0102862885001                                                       X
 197239      SEGARRA CORONEL CARLOS ANDRES 0102864030001                                                      X
No                 No registra
                                                               No                    No registra   No
                                                                        No. registra                       registra      No.    indicadores
                                                             registra                provincia, registra
Persona_id              NOMBRE                No. ID (RUC)                 calle                           número      registra de ventas,
                                                             apellido                 cantón y   primer
                                                                         principal                         de calle     origen activos y/o
                                                             paterno                 parroquia nombre
                                                                                                           principal             empleados

 258464      LEON CRIOLLO JAIME PATRICIO    0102865201001                                                     X
 147993      JIMBO SARMIENTO FABIAN OSWALDO 0102869690001                                                     X
 101070      UTRERAS BERMEO JOSE ANTONIO    0102869922001                                                     X
 185579      BLANDIN COELLAR ROMAN EDMUNDO 0102870557001                                                      X
 191695      FLOR CALLE MARGOTH ELIZA       0102871910001                                                     X
 157914      CHUÑIR ARÉVALO LUIS EUDORO     0102872140001                                                     X
 195731      DOMINGUEZ PAUTA MANUEL CRUZ    0102873387001                                                     X
 172918      TORAL MACHUCA JAIME ANTONIO    0102877503001                                                     X
  36199      MARÍN ARÉVALO GONZALO JOSELITO 0102881091001                                                     X
 228598      BALAREZO ORTIZ JOSE SANTIAGO   0102881166001                                                     X
 208292      SACAQUIRIN ROJAS DIEGO RAFAEL  0102884426001                                                     X
 131667      UGUÑA BARZALLO JOB ADALBERTO 0102884608001                                                       X
 149597      LEON NIETO MILTON ELOY         0102889078001                                                     X
  32775       RENÉ                          0102892148001                                                     X
 198420      QUEZADA MOROCHO SILVIA ROSARIO 0102894367001                                                     X
 197414      MATUTE QUINTEROS DAMIÁN ANDRÉS0102897519001                                                      X
  59014      MONTENEGRO REINOSO DANNY JAVIER0102897956001                                                     X
 118502      BARROS TORAL LUIS ANGEL        0102898053001                                                     X
 202752      NN VASQUEZ ROSA INES           0102904034001                                                     X
 258820      LUCERO AUQUILLA SONIA AMALIA   0102906682001                                                     X
 119570      CARCHI FERNANDEZ LUIS FELIPE   0102908712001                                                     X
 116675      GODOY CRUZ JOSE DEL CARMEN     0102908936001                                                     X
 176470      FERNANDEZ CARRION NANCY ANGELITA
                                            0102909470001                                                     X
 105120      DELGADO VERA LUISA DOLORES     0102911146001                                                     X
  44926      URGILEZ SOLORZANO JENNY LUCIA 0102916954001                                                      X
 119587      FIGUEROA CONGO SAMUEL ERNESTO 0102918737001                                                      X
 161359      MEJIA FERNANDEZ MAURO VINICIO  0102923927001                                                     X
 200100      SUQUI CARCHIPULLA ZENEN ABDON 0102926490001                                                      X
 198838      LOPEZ JARRO NARCISA CARMITA    0102930344001                                                     X
 246689      ESTRELLA MARÍN FAVIO           0102931367001                                                     X
  70427      TRELLES TORRES POMERIO EDUARDO0102933850001                                                      X
No                 No registra
                                                               No                    No registra   No
                                                                        No. registra                       registra      No.    indicadores
                                                             registra                provincia, registra
Persona_id               NOMBRE               No. ID (RUC)                 calle                           número      registra de ventas,
                                                             apellido                 cantón y   primer
                                                                         principal                         de calle     origen activos y/o
                                                             paterno                 parroquia nombre
                                                                                                           principal             empleados

 172381      TRELLES TORRES EDWIN ROMEO      0102933876001                                                    X
 146955      VALVERDE BERMEO MIRIAM ROCÍO    0102933983001                                                    X
 198926      ORELLAMA RODAS JUAN CARLOS      0102934437001                                                    X
  64433      RODAS BARROS SANTIAGO NAPOLEON  0102935517001                                                    X
 181381      GUTIÉRREZ VÉLEZ FREDY EFRÉN     0102938651001                                                    X
  24633      VERA CABRERA NILSA ELVIA        0102939360001                                                    X
 141634      ENRRIQUEZ TOCTO GEOVANNY HUMBERTO
                                             0102942646001                                                    X
  68323      FLORES TORRES JAVIER MAURICIO   0102944212001                                                    X
 149062      LEON GUACHUN CARLOS RODRIGO     0102945425001                                                    X
  40193      ALVARADO CALLE CHRISTIAN XAVIER 0102947033001                                                    X
 155699      ZAMBRANO CAMPOVERDE CARMEN PATRICIA
                                             0102948510001                                                    X
 120722      LOPEZ PACHECO SONIA EULALIA     0102951357001                                                    X
 141469      PULLA QUITO VICTORIA ELIZABETH  0102952124001                                                    X
 221634      SANGURIMA MEZA VICTOR HUGO      0102959756001                                                    X
  99920      BRAVO OCHOA PAUL VICENTE        0102961661001                                                    X
 124146      VILLA RAIBÁN DIEGO OSWALDO      0102961778001                                                    X
 197305      MORA QUEZADA HUGO GEOVANY       0102962032001                                                    X
  89810      JARA ALVEAR JOSE ESTUARDO       0102963451001                                                    X
 197751      GALARZA GARCÍA CÉSAR AQUILES    0102963527001                                                    X
 173897      CARRION QUEZADA HERMES GABRIEL 0102964368001                                                     X
 115864      ORTEGA ORELLANA DIANA ELIZABETH 0102964897001                                                    X
 205980      VÉLEZ BERMEO GUILLERMO MATEO 0102965043001                                                       X
 125555      VALLADARES MUÑOZ LIVIA SUSANA   0102965837001                                                    X
 259507      LEÓN REYES ROBINSON ROMÁN       0102966009001                                                    X
  97488      AVILA PLASENCIA ARTURO VINICIO  0102967130001                                                    X
 218724      AZCARIBAY ANDRADE SONIA LEONOR 0102967155001                                                     X
 118627      ATANCURI GORDILLO MANUEL ARMANDO0102971140001                                                    X
 156032      SANGURIMA SANGURIMA OLGA CELINA 0102972221001                                                    X
 209149      LUCANO ILLESCAS LUIS ROGELIO    0102973799001                                                    X
 135789      PINEDA MOROCHO MANUEL CESAR     0102975398001                                                    X
 252619      RODAS CARPIO ERMES RAMIRO       0102979424001                                                    X
No                 No registra
                                                               No                    No registra   No
                                                                        No. registra                       registra      No.    indicadores
                                                             registra                provincia, registra
Persona_id               NOMBRE               No. ID (RUC)                 calle                           número      registra de ventas,
                                                             apellido                 cantón y   primer
                                                                         principal                         de calle     origen activos y/o
                                                             paterno                 parroquia nombre
                                                                                                           principal             empleados

 154596      GUAYACONDO PASTUZO JOHN GUAYACONDO
                                             0102979606001                                                    X
 199015      MOLINA LITUMA LUIS ALFONSO      0102984341001                                                    X
 135181      MOROCHO GUAMAN ELMA MARLENE 0102985280001                                                        X
 157762      BUESTAN SINCHI TERESA MARIA     0102988433001                                                    X
  78093      GUEVARA QUIZHPI RENE OSWALDO 0102990660001                                                       X
 270802      LEON AZAÑA CARMEN YOLANDA       0102992146001                                                    X
 229045      CHIRIBOGA VILLALTA JOHANA GRACIELA
                                             0102993391001                                                    X
 176552      PEÑAFIEL TAPIA VILLMAN ROSARIO  0102994183001                                                    X
 130483      MOROCHO WAZHIMA DIEGO AURELIO 0102998218001                                                      X
  55404      TACURI CHALCO LORENA VIVIANA    0102999083001                                                    X
  94808      RODAS LEÓN ROSARIO DE LA NUBE 0103001285001                                                      X
 178542      AMAYA CASTILLO CARLOS RAFAEL    0103011276001                                                    X
  29989      PIEDRA TORRES OMAR ANDRES       0103012696001                                                    X
 206053      CHICA ULLAURI HOLMER SCHUBERT 0103013892001                                                      X
 100725      RODAS ULLOA HIPOLITO SANDRO     0103016556001                                                    X
 206669      MONTES ABARCA JORGE EFRAIN      0103017711001                                                    X
 250522      ALMACHE HERAS MONICA PRISCILA 0103025151001                                                      X
 261219      AREVALO ILLESCAS DORILA         0103025805001                                                    X
 262536      UGUÑA BARZALLO JESUS MARCELO 0103030433001                                                       X
 162801      GUERRERO LLIVICHUZCA CARMEN ANGELICA
                                             0103030656001                                                    X
 226865      VINTIMILLA MENDEZ TANIA AUGUSTA 0103031860001                                                    X
  91541      GUACHICHULCA CARDENAS ZHOBANY 0103036984001
                                             ANTONIO                                                          X
 254360      HERRERA FIGUEROA WILMAN LADISLAO0103040200001                                                    X
 229261      CARRIÓN MATUTE FABIÁN HERNANDO 0103040952001                                                     X
 105847      GUZMAN RICO GINA FERNANDA       0103046496001                                                    X
 266017      ORELLANA CHUNCHI LUIS SANTIAGO 0103050126001                                                     X
 123094      FAJARDO TENECORA WALTER HORACIO 0103051082001                                                    X
  80404      SINCHI JIMBO DORIS MARISOL      0103052395001                                                    X
 191655      LOPEZ VILLALBA FERNANDA ELIZABETH
                                             0103054136001                                                    X
 107010      RAMOS LINARES CÉSAR EDUARDO     0103054284001                                                    X
  93354      VEGA SOTO JORGE ENRIQUE         0103054292001                                                    X
No                 No registra
                                                                No                    No registra   No
                                                                         No. registra                       registra      No.    indicadores
                                                              registra                provincia, registra
Persona_id               NOMBRE                No. ID (RUC)                 calle                           número      registra de ventas,
                                                              apellido                 cantón y   primer
                                                                          principal                         de calle     origen activos y/o
                                                              paterno                 parroquia nombre
                                                                                                            principal             empleados

 157800      HERAS ABRIL MARCELO JAVIER       0103055620001                                                    X
 130957      PACHECO NIVICELA DORIS PRICILA   0103058020001                                                    X
 190502      MATUTE VINTIMILLA MILTON EUGENIO 0103059770001                                                    X
  77271      GALAN ALVARADO CARLOS SANTIAGO 0103062188001                                                      X
 135900      AMON BARRERA JUAN MANUEL         0103074647001                                                    X
  46007      PINEDA UZHCA GABRIEL RIGOBERTO 0103076139001                                                      X
 203546      PENA ULLAGUARI MARIA TRANSITO 0103077426001                                                       X
 223296      ARMIJOS RAMON MILTON FERNANDO 0103080271001                                                       X
 184415      ARCENTALES CHIRIBOGA PIETRO DOMINGO
                                              0103082038001                                                    X
 171616      MEJIA ROLDAN JOSE ORLANDO        0103083622001                                                    X
 101094      ALVAREZ ALVAREZ MAURO ALFREDO 0103083788001                                                       X
 148012      DELGADO MENA MANUEL CARLOS       0103085015001                                                    X
  63149      RODAS MÁRQUEZ WILSON SANTIAGO 0103087144001                                                       X
 107403      GUZMAN CALLE TERESA CRISTINA     0103088274001                                                    X
  97012      CRESPO VICUÑA WILSON SANTIAGO 0103088803001                                                       X
  67652      CAJAMARCA PIÑA LUIS VICENTE      0103089884001                                                    X
 152392      TIMBI ULLOA MARTHA ELIZABETH     0103091716001                                                    X
  64747      CÁRDENAS MORENO IRENE LUCILA     0103092201001                                                    X
 273294      ALVAREZ BERMEO MARÍA GABRIELA 0103093019001                                                       X
 141540      MENDIETA SINCHE MARCO ANTONIO 0103093860001                     X            X                    X
 244388      PARRA SILVA JUAN PABLO           0103095147001                                                    X
 112847      CHALCO QUIZPE RUBEN DE JESUS     0103096111001                                                    X
 174595      RODAS LITUMA JORGE MAURICIO      0103096137001                                                    X
  91420      VASQUEZ COBOS MARIA EUGENIA      0103096533001                                                    X
 205727      MONTALEZA SAGUAY VIRGILIO OSWALDO0103097770001                                                    X
 216467      FAICÁN MATUTE FRANKLIN AUGUSTO 0103101853001                                                      X
 185293      SERRANO PESANTEZ WILSON GALO 0103103479001                                                        X
 259717      DIAZ ENRIQUEZ XIMENA DE LOS ANGELES
                                              0103103594001                                                    X
 192879      ALVAREZ OCHOA JUAN PABLO         0103105441001                                                    X
 228861      PEÑAFIEL CARRASCO VÍCTOR ERNESTO 0103106688001                                                    X
 132730      MEDINA NARANJO ELVIS GENARO      0103110789001                                                    X
No                 No registra
                                                                No                    No registra   No
                                                                         No. registra                       registra      No.    indicadores
                                                              registra                provincia, registra
Persona_id               NOMBRE                No. ID (RUC)                 calle                           número      registra de ventas,
                                                              apellido                 cantón y   primer
                                                                          principal                         de calle     origen activos y/o
                                                              paterno                 parroquia nombre
                                                                                                            principal             empleados

 209926      PANAMA VALDIVIEZO MAGDALENA ROSARIO
                                              0103110821001                                                    X
 273515      ZENTENO BARRETO MARCO ANTONIO 0103111993001                                                       X
 106783      YARI MALLA GERMAN ROLANDO        0103118279001                                                    X
 230989      TELLO LOJANO FIDEL RENE          0103126405001                                                    X
  93968      OCHOA SANCHEZ ELVIA SABINA       0103128492001                                                    X
 277327      CARCHI PATIÑO MANUEL EDUARDO     0103129466001                                                    X
 168921      BRAVO MOSQUERA NIDYA MAGALI      0103129755001                                                    X
  90900      MENDEZ JAIGUA ALEX PAÚL          0103130589001                                                    X
 200593      YUNGA TACURI MARCO FABIAN        0103132965001                                                    X
 100526      GUANGA RAMON JUAN GUILLERMO      0103133567001                                                    X
 139126      PANAMA ZHUNO EFREN VINICIO       0103136578001                                                    X
 159069      MOROCHO MOROCHO NANCY SARBELIA   0103141834001                                                    X
 181604      PEÑAFIEL CAMPOVERDE MIGUEL ANGEL 0103142071001                                                    X
 161068      VILLALTA MARTÍNEZ ALDER XAVIER   0103146916001                                                    X
  73457      LARRIVA FLORES CLAUTIO JONAS     0103148185001                                                    X
  74086      LARRIVA FLORES JAIRO SAUL        0103148193001                                                    X
 146827      ORTIZ BANEGAS PABLO JAVIER       0103151841001                                                    X
  56735      DOMINGUEZ VILLA MANUEL MECIAS 0103151924001                                                       X
 271803      CAPELO BARREIROS HELEN MARIELA 0103152146001                                                      X
  20702      TELLO AREVALO JOSE GENDRI        0103155339001                                                    X
 246247      MOSCOSO RAMIREZ MARTIN ALBERTO0103156485001                                                       X
 134402      PAREDES OCHOA GERMAN PATRICIO 0103162269001                                                       X
 245848      ALVAREZ QUIZHPI CRISTHIAN ALONSO 0103163465001                                                    X
 268457      VEGA LOAIZA IVAN JESUS           0103166831001                                                    X
 151772      QUIZHPI MEJIA JUAN ALFREDO       0103169876001                                                    X
 159343      PACHECO SAGUAY LUIS EDUARDO      0103170551001                                                    X
 183937      DOMINGUEZ CARDENAS FANY VICTORIA 0103173423001                                                    X
  83329      NIEVES NIEVES VICTOR JUAN        0103174017001                                                    X
 160345      SINCHI LEON ANDRES GABRIEL       0103180949001                                                    X
 265218      ALVARADO PEÑA MODESTA DELICIA 0103181939001                                                       X
 246944      MOGROVEJO CASTRO LUIS EFREN      0103182242001                                                    X
No                 No registra
                                                               No                    No registra   No
                                                                        No. registra                       registra      No.    indicadores
                                                             registra                provincia, registra
Persona_id               NOMBRE               No. ID (RUC)                 calle                           número      registra de ventas,
                                                             apellido                 cantón y   primer
                                                                         principal                         de calle     origen activos y/o
                                                             paterno                 parroquia nombre
                                                                                                           principal             empleados

 176068      RODAS AUQUILLA JOSE HERNESTO    0103187712001                                                    X
 192525      OCHOA GUEVARA ISABEL ANDREA     0103188090001                  X            X                    X
 243212      MORALES VALDIVIESO FAUSTO IVAN 0103188777001                                                     X
 228269      JARA MORALES IRENE FELICIA      0103188785001                                                    X
 263021      OTAVALO ORDOÑEZ LORENA ELISABETH0103192662001                                                    X
 237407      DURAN DURAN JACINTO EMILIANO    0103194510001                                                    X
 196988      NARVAEZ MENDEZ EDGAR FABIAN     0103201273001                                                    X
 227522      DURAN JARRIN ISRAEL ARCECIO     0103202404001                                                    X
 110910      CÁRDENAS PACHECO CECILIA        0103203709001                                                    X
 229399      ORELLANA SANGURIMA LUZMILA BEATRIZ
                                             0103207056001                                                    X
 149798      PANAMA JADAN MAGALY ALEXANDRA 0103208252001                                                      X
 199583      SANCHEZ LOJA LUIS HUMBERTO      0103209045001                                                    X
 155921      BUSTOS ORELLANA GRACIELA INES 0103212668001                                                      X
 101115      PELAEZ VAZQUEZ ADRIAN FLORENCIO 0103214136001                                                    X
 116241      QUIRIDUMBAY JETON MANUEL EDUARDO0103215786001                                                    X
 255225      RIVAS MURILLO JUAN CARLOS       0103215901001                                                    X
  73433      SÁNCHEZ FÁREZ BENITO PAUL       0103218079001                                                    X
  40434      ASTUDILLO MONTERO RICARDO MARTIN0103220901001                                                    X
 109115      GUZMAN CALLE MARIA AUGUSTA      0103221537001                                                    X
 272839      ARMIJOS RODRIGUEZ OLGER OMRI    0103226999001                                                    X
  99800      JIMENEZ SASAGUAY IVAN PATRICIO 0103227005001                                                     X
 274273      PEÑALOZA PUIN FLAVIO NOLVERTO 0103228482001                                                      X
 122591      AVELLAN SANCHEZ MIGUEL DEMARIO 0103238598001                                                     X
 248422      MOYANO TOBAR CHRISTIAN MARCELO0103245676001                                                      X
 157382      PASATO CADME ERNESTO JULIAN     0103247862001                                                    X
  95677      REYES CORDOVA CAYO FRANCISCO 0103253126001                                                       X
 244888      QUEZADA ULLAURI HOLGER LENIN    0103253761001                                                    X
 159835      MIRANDA PIEDRA MAGALI MERCEDES 0103255493001                                                     X
 166517      ROMAN LOPEZ HERNAN GUILLERMO 0103255865001                                                       X
 195517      VAZQUEZ SOLIZ LIBIA NATIVIDAD   0103258679001                                                    X
 197290      PINDO PINDO SERVIO ENRIQUE      0103260758001                                                    X
No                 No registra
                                                               No                    No registra   No
                                                                        No. registra                       registra      No.    indicadores
                                                             registra                provincia, registra
Persona_id               NOMBRE               No. ID (RUC)                 calle                           número      registra de ventas,
                                                             apellido                 cantón y   primer
                                                                         principal                         de calle     origen activos y/o
                                                             paterno                 parroquia nombre
                                                                                                           principal             empleados

 232946      CONTRERAS CONTRERAS RUBEN EDGAR 0103263505001                                                    X
 219861      GARZON TAPIA ALBA ROGELIA       0103264099001                                                    X
  90801      NARVAEZ DURAN JULIO             0103265948001                                                    X
 226369      RODRIGUEZ ULLOA REGINA ADELINA 0103289492001                                                     X
 135174      ASTUDILLO DUMAS WILSON PATRICIO0103294575001                                                     X
 160841      UGUÑA DURÁN PEDRO ENRIQUE       0103297420001                                                    X
 222251      FAICAN GOMEZ MERY CECILIA       0103298337001                                                    X
 220379      MONTESINOS CARRASCO BONNIE XIMENA
                                             0103299855001                                                    X
 215399      ALEMAN GRANJA VICTOR MANUEL     0103301032001                                                    X
 108330      TORRES FAJARDO MONICA JANETH 0103303921001                                                       X
 268399      MALDONADO ABRIL WILLIAM PATRICIO0103311155001                                                    X
 102574      MARTINEZ AVILA RAUL FRANCISCO   0103311858001                                                    X
 244457      BARRERA ESPEJO JAIME OSWALDO 0103316014001                                                       X
  62641      ENCALADA BRAVO PABLO DAVID      0103317962001                                                    X
 277669      CAJAMARCA MOROCHO WILSON ANANIAS0103318507001                                                    X
 149860      LOJA SAENZ REINALDO EULOGIO     0103326252001                                                    X
 142355      RODAS LEON SANDRO AQUILES       0103329884001                                                    X
 233771      GUTIÉRREZ JARA DAVID ALBERTO    0103330577001                                                    X
 167852      VELEZ BRAVO ANDREA CRISTINA     0103330890001                                                    X
  36185      AVILA PRADO MANOLO NATHANIEL    0103334959001                                                    X
 223011      FAREZ CHUMBI LUCAS HERMEGENILDO 0103336749001                                                    X
 145383      MATUTE FARFAN CARLOS GEOVANNY 0103338844001                                                      X
 183809      OCHOA DURAN OSWALDO RENE        0103344560001                                                    X
 160301      ORBE ASTUDILLO MARCOS HUMBERTO  0103345054001                                                    X
 263680      JARA NIEVES JUAN GEOVANNY       0103346821001                                                    X
 230563      PACHO MEJÍA JOSÉ FRANCISCO      0103347118001                                                    X
 273935      NIETO ALLIERI MARIO SANTIAGO    0103352639001                                                    X
 135917      VALDIVIEZO BELTRAN EDWIN ROMEO 0103353561001                                                     X
 120099      BACUILIMA NIVICELA JUAN CARLOS  0103354767001                                                    X
 136585      JARA URGILES MARIA NARCISA      0103354866001                                                    X
  39844      AUCAY CABRERA JOSE PATRICIO     0103357646001                                                    X
No                 No registra
                                                               No                    No registra   No
                                                                        No. registra                       registra      No.    indicadores
                                                             registra                provincia, registra
Persona_id              NOMBRE                No. ID (RUC)                 calle                           número      registra de ventas,
                                                             apellido                 cantón y   primer
                                                                         principal                         de calle     origen activos y/o
                                                             paterno                 parroquia nombre
                                                                                                           principal             empleados

 112445      MAURAD LUCERO ROSA TARGELIA    0103361655001                                                     X
 152525      ONCE VERA RUBEN ALCIVIADES     0103362364001                                                     X
 179427      NUGRA MOROCHO RODRIGO IVAN     0103365615001                                                     X
 107259      GUEVARA LUPERCIO JHONNY BENITO 0103377149001                                                     X
 208200      ILLESCAS DOMÍNGUEZ FAUSTO LEONIDAS
                                            0103380416001                                                     X
 107553      CAMPOVERDE CORONEL WALTER RICARDO
                                            0103381620001                                                     X
 242667      REYES VEGA PEDRO RICARDO       0103383360001                                                     X
 123255      MEJÍA QUIZHPI DIMAS SIMON      0103392031001                                                     X
  78616      BARBECHO QUIZHPI ALFONSO MARÍA 0103400594001                                                     X
 131125      NANKAMAI SHAKAI CIRO BOSCO     0103400685001                                                     X
 139545      CALLE JARA FREDDY EDUARDO      0103403234001                                                     X
 112055      LEDESMA DELGADO HENRY MIGUEL 0103404950001                                                       X
 108292      QUITO MATUTE ADRIANA PATRICIA  0103405114001                                                     X
  57356      ANDRADE ARCE JUAN PABLO        0103409405001                                                     X
  48794      URGILES AVILA CARLOS EFREN     0103411187001                                                     X
  88536      ORDOÑEZ MOROCHO HERMENEGILDO 0103411674001
                                             DE JESÚS                                                         X
 215571      GUAILLAS OCHOA OLGER JUVENTINO 0103414678001                                                     X
 270539      IDROVO CASTAÑEDA XAVIER IDROVO 0103418174001                                                     X
  88821      GUAYLLAZACA FERNANDEZ ROSA CARMELINA
                                            0103418620001                                                     X
 155667      QUITO MOSCOSO RUBÉN FERNANDO 0103420303001                                                       X
 151523      LAZO VELEZ CRISTIAN ESTEBAN    0103420915001                                                     X
  34161      ALVEAR CASTRO PABLO HERNAN     0103421046001                                                     X
 240813      MOROCHO TENECELA ZOILA MERCEDES0103422002001                                                     X
 155956      CARDENAS PACHECO IRMA PATRICIA 0103425302001                                                     X
 266854      MORENO ORDOÑEZ GUIDO BENJAMIN 0103429056001                                                      X
 188585      CUESTA OCHOA AGUSTIN ESTEBAN 0103429486001                                                       X
  30453      MOLINA MOLINA JORGE HERNAN     0103431706001                                                     X
 156480      ABRIL GUZMÁN MAYRA ALEXANDRA 0103433835001                                                       X
 138447      MENDEZ ERRAEZ MARIA SARBELIA   0103438768001                                                     X
 221863      ULLOA ULLAURI CARLOS FERNANDO 0103439634001                                                      X
 227429      CASTRO VALVERDE GALO IVAN      0103440392001                                                     X
No                 No registra
                                                               No                    No registra   No
                                                                        No. registra                       registra      No.    indicadores
                                                             registra                provincia, registra
Persona_id               NOMBRE               No. ID (RUC)                 calle                           número      registra de ventas,
                                                             apellido                 cantón y   primer
                                                                         principal                         de calle     origen activos y/o
                                                             paterno                 parroquia nombre
                                                                                                           principal             empleados

 172038      NUGRA SALAZAR FREDY IVAN        0103440632001                                                    X
 127031      VINTIMILLA JOSE                 0103442521001                                                    X
 138848      SISALIMA SEGARRA BYRON GEOVANNY 0103443438001                                                    X
 213104      SUIN MALLA ROMAN MESIAS         0103444568001                                                    X
 221873      CABRERA PAREDES MARIA JOSE      0103445425001                                                    X
 222061      LEON AUCAPIÑA JULIO RENE        0103452157001                                                    X
  80706      CARRION NARANJO PABLO FAVIAN    0103454401001                                                    X
 180891      ILLARES MUÑOZ NORMA LUCRECIA    0103470753001                                                    X
 106106      QUIROZ ORTIZ XAVIER RENATO      0103471231001                                                    X
 250198      GUANGA CESAR RODRIGO            0103473005001                                                    X
 190489      PENARANDA CAMBIZACA MANUEL ELOY103474193001
                                             0                                                                X
 149638      PARRA MENDOZA NESTOR ALEJANDRO  0103475414001                                                    X
 232376      PACHO VELECELA VICTOR OSWALDO 0103479093001                                                      X
 126295      CAJAMARCA TORRES BLANCA ROCIO 0103492054001                                                      X
 235079      BUENO LEON ANGEL OSWALDO        0103492633001                                                    X
 222510      OCHOA CABRERA HERNAN ROBER      0103494720001                                                    X
 154760      ORELLANA ARICHABALA JUAN BAUTISTA
                                             0103496816001                                                    X
 202292      SERRANO PESANTEZ CRISTIAN PAUL 0103500831001                                                     X
 135978      INGA JARA WILLIAN PATRICIO      0103506689001                                                    X
 173862      ARIAS CRIOLLO DOLORES MARIUXI   0103506788001                                                    X
 251577      RODAS CARRIÓN FRANCISCO HERNÁN0103507489001                                                      X
 259205      QUEZADA IBARRA PAULO CÉSAR      0103524229001                                                    X
 169131      PATIÑO PATIÑO ZOILA MAXIMINA    0103525432001                                                    X
 191701      NAULA CAYAMBE SUSY ESMERALDA 0103525499001                                                       X
 210681      ULLAURI VASQUEZ JAIME MARCELO 0103527313001                                                      X
 195487      BRITO FLORES MARIA EULALIA      0103528063001                                                    X
  67373      JIMENEZ AREVALO RICHAR SECUNDINO0103528196001                                                    X
 119544      PANE PIEDRA ROSA ESPERANZA      0103532149001                                                    X
 140346      QUEZADA PATIÑO CARLOS JAVIER    0103532263001                                                    X
 200034      ZALAMEA PESANTEZ RENATO XAVIER 0103537668001                                                     X
 101903      CASTRO SARMIENTO ARMANDO GUILLERMO
                                             0103542858001                                                    X
No                 No registra
                                                                 No                    No registra   No
                                                                          No. registra                       registra      No.    indicadores
                                                               registra                provincia, registra
Persona_id               NOMBRE                 No. ID (RUC)                 calle                           número      registra de ventas,
                                                               apellido                 cantón y   primer
                                                                           principal                         de calle     origen activos y/o
                                                               paterno                 parroquia nombre
                                                                                                             principal             empleados

 276435      BERREZUETA PARRA EUGENIA PATRICIA 0103546628001                                                    X
 209132      PIEDRA VEINTIMILLA RENATO ALFONSO 0103547022001                                                    X
 132819      FERNÁNDEZ PILLAGA JOSÉ LUIS       0103547386001                                                    X
  70012      AVILA VILLAVICENCIO DIEGO PATRICIO0103547717001                                                    X
 228943      PALACIOS GUERRERO DIEGO ANDRES 0103555884001                                                       X
 241545      CRIOLLO BACULIMA JOSE ALBERTO 0103559878001                                                        X
  39278      CARPIO PADILLA JUAN GABRIEL       0103559936001                                                    X
 101810      VERDUGO TAPIA DAVID TEODORO       0103561577001                                                    X
 196686      BARRETO VINTIMILLA JORGE GONZALO  0103562633001                                                    X
 174171      GUAYAS ULLAURI ANDRÉS PAULO       0103563169001                                                    X
  90483      MENDEZ BRAVO ROMELL LEONARDO 0103564373001                                                         X
 111095      ASTUDILLO CONTRERAS ROSA VERONICA 0103564449001                                                    X
 177781      AMAYA ORTEGA ANDRES PATRICIO      0103567111001                                                    X
  33749      AGUIRRE VARGAS HUGO XAVIER        0103567228001                                                    X
  48177      VIDAL ASTUDILLO BORIS ESTEBAN     0103567384001                                                    X
 230211      VALDIVIESO GUZMÁN PABLO EDUARDO   0103567434001                                                    X
 257808      SÁNCHEZ MOLINARI ROSALBA CATERINA 0103568259001                                                    X
 109140      GUERRERO LOJANO CARMEN ROCIO 0103574935001                                                         X
 233569      ORDOÑEZ ORDOÑEZ FLOR MARIA        0103575668001                                                    X
 156692      AVILA YUGA VICTOR GERARDO         0103576021001                                                    X
  20581      BALAREZO GUTIÉRREZ CARLOS ALBERTO 0103576252001                                                    X
 203083      SUAREZ AVILA GERZON ALFONSO       0103578944001                                                    X
  54562      VIVAR YUNGA GLENDA ELIZABETH      0103581427001                                                    X
 149244      IDROVO LEÓN ZAIDA MELINA          0103583191001                                                    X
 138943      BORJA NARANJO FABIOLA JANNETH 0103586715001                                                        X
 265588      DOMINGUEZ ESCANDON LILIA SUSANA0103587754001                                                       X
 142251      CRIOLLO CHICA SONIA BEATRIZ       0103588232001                                                    X
 169443      RIERA GARAY EDGAR JACINTO         0103588281001                                                    X
  63318       ARACELI                          0103594537001                                                    X
 128286      CASTILLO CABRERA LAURA LORENA 0103597944001                                                        X
  89794      TAPIA PAREDES ALFONSO BOLIVAR     0103597977001                                                    X
No                 No registra
                                                               No                    No registra   No
                                                                        No. registra                       registra      No.    indicadores
                                                             registra                provincia, registra
Persona_id               NOMBRE               No. ID (RUC)                 calle                           número      registra de ventas,
                                                             apellido                 cantón y   primer
                                                                         principal                         de calle     origen activos y/o
                                                             paterno                 parroquia nombre
                                                                                                           principal             empleados

 177238      MERCHAN FAJARDO ALVA MARITZA 0103599262001                                                       X
 112486      VERA LOPEZ LUIS GUILLERMO       0103601811001                                                    X
 117310      CHIMBO JADAN JOHNY MAURICIO     0103603619001                                                    X
 114827      OCHOA GUTIERREZ PAUL SANTIAGO 0103605606001                                                      X
 150678      SIAVICHAY PERALTA MARTHA SUSANA0103613048001                                                     X
 245632      MOGROVEJO ILLESCAS OLMEDO TEODORO
                                             0103620449001                                                    X
 269248      BUESTÁN GUERRERO WILSON GEOVANNY0103622874001                                                    X
 198364      BRAVO QUIZHPE MARTHA CATALINA 0103623211001                                                      X
  34140      VERDUGO RIVERA KATERINE         0103623732001                                                    X
 163186      NARVAEZ ANDRADE RAUL SANTIAGO 0103624920001                                                      X
 159316      CONDO BAU JENNY LOURDES         0103628889001                                                    X
  17775      COBOS TORRES DARIO HUMBERTO     0103631826001                                                    X
 229038      BARRERA CARRION CESAR RIGOBERTO 0103634721001                                                    X
 121792      PALAGUACHI JARAMA MARIA DOLORES 0103636809001                                                    X
 108915      FEIJOO ONCE JHONATAN SANTIAGO 0103641684001                                                      X
  28224      ANDREA                          0103642187001                                                    X
 191286      CAGUANA CORDERO LUIS SANTIAGO 0103646006001                                                      X
 140887      DAVILA VALLEJO JORGE OSWALDO    0103648507001                                                    X
 122020      QUEZADA QUEZADA JOSE FLORENCIO 0103649042001                                                     X
 120265      DELGADO MENDOZA JUAN CARLOS     0103649364001                                                    X
 107041      VELECELA ESPINOZA OLGA MERCEDES 0103650453001                                                    X
 233042      ZUMBA TIBILLIN LUIS ARIOLFO     0103650602001                                                    X
 217963      VILLA ALVAREZ MARCOS ANIBAL     0103651410001                                                    X
 140768      PANAMÁ PARAPI MARÍA DOLORES     0103653358001                                                    X
 155241      ANTUNISH KUJA MILTON ALBERTO    0103654505001                                                    X
  44039      QUILAMBAQUI REINOSO ADRIAN XAVIER103654828001
                                             0                                                                X
 239000      AGUIRRE RIVADENEIRA SANTIAGO ISRAEL
                                             0103656096001                                                    X
  19653      VINICIO                         0103656732001                                                    X
 119695      PROAÑO ESCANDÓN DIEGO JAVIER    0103656898001                                                    X
  48902      CUADRADO ORDOÑEZ CESAR ALFREDO  0103657177001                                                    X
 110191      QUICHIMBO MIGUITAMA FREDI GERARDO
                                             0103659348001                                                    X
No                 No registra
                                                                No                    No registra   No
                                                                         No. registra                       registra      No.    indicadores
                                                              registra                provincia, registra
Persona_id               NOMBRE                No. ID (RUC)                 calle                           número      registra de ventas,
                                                              apellido                 cantón y   primer
                                                                          principal                         de calle     origen activos y/o
                                                              paterno                 parroquia nombre
                                                                                                            principal             empleados

 195300      CAMPOVERDE PEÑA MANUEL TRINIDAD  0103662540001                                                    X
 197139      PALLAZHCO YUNGA LUIS JUVENTINO 0103662615001                                                      X
 204770      MALDONADO FAJARDO HERNÁN SANTIAGO0103663142001                                                    X
  49853      CEDILLO ILLESCAS MARCO MANOLO 0103664447001                                                       X
 128777      LUZURIAGA LARRIVA SANTIAGO FELIPE0103666350001                                                    X
 105903      PULLA QUITO JORGE ROSENDO        0103666483001                                                    X
 251784      GARCIA ORTIZ SHASKYA MILDRED     0103667747001                                                    X
 201417      CAMPOVERDE CASTRO LILIANA DEL CARMEN
                                              0103668067001                                                    X
  80711      COYAGO SÁNCHEZ JULIO GUSTAVO 0103668752001                                                        X
  19885      NUGRA SANCHEZ JOSE POMPILIO      0103668760001                                                    X
 235534      GUICHAY PARRA ZOILA TRANCITO     0103669081001                                                    X
 195589      ARCE JÁCOME FRANKLIN ADRIAN      0103673653001                                                    X
 144823      JIMENEZ JIMENEZ NUBE MARLENE     0103675443001                                                    X
 133234      GUZMAN TAPIA MILTON GEOVANNY     0103678363001                                                    X
 270599      PALLAZHCO CHILLOGALLI CARLOS AMBROCIO
                                              0103679221001                                                    X
 101424      SANCHEZ MATUTE LAURA IRENE       0103683256001                                                    X
 187672      PACURUCU PERALTA EDISSON MIGUEL103684189001
                                              0                                                                X
 240145      CALLE VERA JOHANA DE LOS ANGELES 0103687729001                                                    X
 176765      CONTRERAS GUEVARA IVAN PATRICIO0103689451001                                                      X
 161059      CABRERA ERRAEZ LUDY VALERIA      0103691796001                                                    X
 138431      BAJAÑA ORELLANA WALTER FERNANDO  0103691911001                                                    X
 103171      PESANTEZ CALLE EULALIA PATRICIA 0103693859001                                                     X
 141939      GONZALEZ ROSALES VINICIO ANTONIO0103694642001                                                     X
 199882      AUCAPINA BUENO GUIDO MARCELO 0103695177001                                                        X
 156659      LOPEZ BORJA DIANA BEATRIZ        0103696878001                                                    X
 251535      LALVAY MAYAGUARI MAGNO ADOLFO 0103701983001                                                       X
 133364      PIEDRA ZAMBRANO HUGO TEODORO 0103708376001                                                        X
 118825      GODOY JARAMILLO JOFFRE VINICIO 0103710596001                                                      X
 145618      RIVERA YANZA PABLO ROGERIO       0103716403001                                                    X
 214878      LOPEX VILLALTA MARCO ENRIQUE     0103722724001                                                    X
  47842      TAPIA VERA JESUS LEODAN          0103735973001                                                    X
No                 No registra
                                                               No                    No registra   No
                                                                        No. registra                       registra      No.    indicadores
                                                             registra                provincia, registra
Persona_id              NOMBRE                No. ID (RUC)                 calle                           número      registra de ventas,
                                                             apellido                 cantón y   primer
                                                                         principal                         de calle     origen activos y/o
                                                             paterno                 parroquia nombre
                                                                                                           principal             empleados

 195285      COBOS SUSCAL SEGUNDO CESILIO   0103739694001                                                     X
 266004      GUACHUN SUMBA MARIA DE LOURDES 0103743662001                                                     X
 147610      LOPEZ JARRO SAUL IVAN          0103743670001                                                     X
  74168      LUCERO LICERO PABLO IVAN       0103745436001                                                     X
 270044      FREIRE CARRERA JUAN FERNANDO   0103747499001                                                     X
 202358      JAMI GUITIERREZ NELSON EDUARDO 0103748018001                                                     X
 203081      IDROVO ALVAREZ DIEGO EFRAIN    0103757951001                                                     X
 159630      BAUTISTA CARLOS SANTIAGO       0103760716001                                                     X
 248805      VELEZ DAVILA SANTIAGO ROBERTO 0103761243001                                                      X
 141721      ROJAS VILLA FREDDY JOSE        0103764817001                                                     X
 233038      CHUNIR PEÑALOZA JUAN MANUEL    0103765061001                                                     X
  18668      YUMBLA SALINAS JOSE HERNAN     0103765970001                                                     X
  29321      SANMARTÍN ESPINOZA MARÍA LUISA 0103766622001                                                     X
 144555      LLERENA GOMEZ FRANCISCO XAVIER 0103767059001                                                     X
 261949      VILLALTA MARTINEZ LUIS NELSON  0103770087001                                                     X
 176699      BERREZUETA BANEGAS MICHEL ANDRÉS
                                            0103771564001                                                     X
 224316      PAUTA ORELLANA ELVIS IVAN      0103773305001                                                     X
 103121      ENCALADA RIOS EDISON HERNAN    0103775482001                                                     X
 127642      MOSQUERA MATUTE CORNELIO EFRAIN0103779443001                                                     X
 152307      BERNAL JARA WILSON PAULINO     0103779682001                                                     X
 193932      PAÑEGA GUAMAN JUAN CARLOS      0103782512001                                                     X
 139825      VELEZ MORA BORIS XAVIER        0103783262001                                                     X
 196036      LUZURIAGA RODAS MARTHA CESILIA 0103784799001                                                     X
 105950      NARANJO NARANJO EDGAR DARIO    0103786760001                                                     X
 237378      CHAPA GUANGA WILSON LEANDRO    0103786844001                                                     X
 211994      CHIQUI SINCHI MARIA BALTAZARA  0103789202001                                                     X
 250639      OCHOA CRESPO HANS ANDRES       0103796108001                                                     X
 166632      AVILA PATIÑO ALBA PATRICIA     0103796223001                                                     X
 141462      DAVILA AVILA PAOLA FERNANDA    0103797023001                                                     X
 144181      MENDIETA VIDAL ROMULO CIRILO   0103800652001                                                     X
 256665      PORTILLA VÉLEZ ALEX RUBÉN      0103803904001                                                     X
No                 No registra
                                                                No                    No registra   No
                                                                         No. registra                       registra      No.    indicadores
                                                              registra                provincia, registra
Persona_id               NOMBRE                No. ID (RUC)                 calle                           número      registra de ventas,
                                                              apellido                 cantón y   primer
                                                                          principal                         de calle     origen activos y/o
                                                              paterno                 parroquia nombre
                                                                                                            principal             empleados

 239950      GENOVEZ SOLANO PAULO XAVIER      0103804241001                                                    X
 127123      HIGALGO LOJA MARIA EUGENIA       0103805131001                                                    X
 216993      ORTEGA MOROCHO TEMISTOCLES ISMAEL0103807558001                                                    X
 157308      SANCHEZ ZHIMINAYCELA MARIA DOLORES
                                              0103808382001                                                    X
 195199      SERRANO PESANTEZ JUAN DIEGO      0103810941001                                                    X
 221214      GUERRERO DOMINGUEZ LORENA JANETH 0103811360001                                                    X
 165061      MOLINA BARAHONA EDGAR SANTIAGO 0103811402001                                                      X
   2923                                       0103812327001                                                    X
 126284      PALTA VALLADARES CARMEN BEATRIZ0103814240001                                                      X
 148363      CARPIO ALEMAN MARCO ALEXANDER 0103815338001                                                       X
  84621      MINCHALA VELECELA MARÍA LOURDES0103820478001                                                      X
 175060      ORTIZ MOSQUERA PACO FABIAN       0103823084001                                                    X
 127646      PALOMEQUE MACIAS DAVID LENIN     0103823159001                                                    X
 207844      BERREZUETA HERAS LUIS ABDÓN      0103830444001                                                    X
 238177      ORDÓÑEZ AMOROSO JHONATAN ADRIAN  0103831970001                                                    X
 265615      JIMENEZ JIMENEZ ANGEL ARIOLFO 0103841888001                                                       X
 249962      MOROCHO MOROCHO LUIS PABLO       0103842811001                                                    X
 172294      AGUIRRE RAMON MARCIA FERNANDA 0103844585001                                                       X
  39322      ALVAREZ ESCOBAR MARLON MANUEL 0103846788001                                                       X
 158368      CHACON CAMPOVERDE NANCY MARIBEL  0103849980001                                                    X
 142530      URGILES CHILLOGALLI MONICA DEL ROSIO
                                              0103858668001                                                    X
 270820      MEJIA LEON LUZ MARGARITA         0103865184001                                                    X
 242400      IDROVO VELEZ MONICA ROCIO        0103870077001                                                    X
 121162      AZAÑA LOZADA RENE FABIAN         0103875704001                                                    X
 101642      ALVARADO MALDONADO MARIA VERONICA0103879219001                                                    X
 142745      GUTAMA GUAILLAS KLEBER BOLIVAR 0103880498001                                                      X
 244200      CABRERA LEMACHE WILSON XAVIER 0103881280001                                                       X
 105809      LEON ULLAURI OMAR ESTEBAN        0103885414001                                                    X
 230634      CARCHI NAULA KLEBER PORFIRIO     0103886958001                                                    X
  39151      AUCAPIÑA AREVALO FABIAN FELIPE 0103891206001                                                      X
 270608      ASTUDILLO KLEVER                 0103893640001                                                    X
No                 No registra
                                                               No                    No registra   No
                                                                        No. registra                       registra      No.    indicadores
                                                             registra                provincia, registra
Persona_id               NOMBRE               No. ID (RUC)                 calle                           número      registra de ventas,
                                                             apellido                 cantón y   primer
                                                                         principal                         de calle     origen activos y/o
                                                             paterno                 parroquia nombre
                                                                                                           principal             empleados

 262217      NIEVES NIEVES PATRICIO ROMUALDO 0103893798001                                                    X
 242525      VIZUETE LOPEZ MARCOS MESIAS     0103898748001                                                    X
 130229      BUSTAMANTE PAREDES DIEGO PAÚL 0103899175001                                                      X
 262842      VEGA MEDINA ISMAEL JOSUÉ        0103899274001                                                    X
 147678      CALLE PACHECO SANTIAGO PATRICIO 0103899506001                                                    X
 112970      GARCIA CARCHI EDISSON GERARDO 0103901641001                                                      X
 222214      ARMIJOS RODRIGUEZ JOSE ANTONIO 0103902342001                                                     X
 160413      AYALA PÉREZ BOLÍVAR ISRAEL      0103909925001                                                    X
 259663      NARVAEZ TIGRE BLANCA EULALIA    0103910931001                                                    X
 173004      PEREZ MATUTE DIANA PEREZ        0103911855001                                                    X
 266127      TACURI TORAL JAVIER MAURICIO    0103912234001                                                    X
 163351      VANEGAS AVECILLAS BOLÍVAR GONZALO
                                             0103912838001                                                    X
 156228      NEIRA PATIÑO CESAR OSWALDO      0103914792001                                                    X
 107293      ORELLANA ULLOA PABLO ALEJANDRO 0103915484001                                                     X
 244990      CABRERA MALDONADO GLORIA ISABEL 0103918223001                                                    X
 236045      ONCE CÁRDENAS FREDDY ALEXANDER  0103919114001                                                    X
 128885      PESANTEZ MANZANO JOSE LUIS      0103922225001                                                    X
 107301      RAMOS PESANTEZ ERIKA FRANCISCA 0103923900001                                                     X
 170065      ALVAREZ ASTUDILLO JENRY FABIAN 0103924544001                                                     X
 128109      ZUÑIGA PACHECO DANNY ROBERTO 0103927497001                                                       X
 222266      BALAREZO SARMIENTO DIEGO XAVIER 0103930202001                                                    X
 215900      IDROVO VINTIMILLA FAUSTO PAÚL   0103930939001                                                    X
 189758      BRAVO DIAZ ANDREA ELIZABETH     0103931382001                                                    X
  26436      RIQUETTI PERALTA CARLOS ENRIQUE 0103931598001                                                    X
 199424      CARPIO PADILLA MARTÍN SANTIAGO 0103932497001                                                     X
 178601      AREVALO GUZMAN OSCAR GEOVANNY0103933321001                                                       X
 124166      MEDINA MEDINA ROSA DOLORES      0103935524001                                                    X
 171275      VEGA LARGO NELLY MARIBEL        0103936365001                                                    X
 236848      VIZNAY DURAN ADRIANA LUCIA      0103937686001                                                    X
 150713      MIRANDA VELETANGA MERCY CUMANDA 0103939294001                                                    X
 122179      RAMON QUEZADA GILDA LILIANA     0103939989001                                                    X
No                 No registra
                                                               No                    No registra   No
                                                                        No. registra                       registra      No.    indicadores
                                                             registra                provincia, registra
Persona_id               NOMBRE               No. ID (RUC)                 calle                           número      registra de ventas,
                                                             apellido                 cantón y   primer
                                                                         principal                         de calle     origen activos y/o
                                                             paterno                 parroquia nombre
                                                                                                           principal             empleados

 127051      MOROCHO GODOY MARCOS NOE        0103940128001                                                    X
 171997      NAULA MOROCHO MARCO ANTONIO 0103940326001                                                        X
 153856      QUEZADA MINGA CARLA MARIA       0103940334001                                                    X
  80222      TAPIA CUESTA JANETH GERMANIA    0103944443001                                                    X
 128399      NIEVES NIEVES CARLOS JULIO      0103952305001                                                    X
  77927      AVILA ORDOÑEZ SUSY MELINA       0103952586001                                                    X
 146889      ORELLANA ZAMBRANO AMPARO ISAYANA0103956165001                                                    X
 195639      RIOS GARZON WILMER FRANKLIN     0103959813001                  X            X                    X
 215683      ANDRADE ROJAS FRANCISCO XAVIER 0103960316001                                                     X
 141685      PEÑALOZA CABRERA FERMIN ZHOVANI0103968053001                                                     X
 224542      URGILES BERMEO EDISON XAVIER    0103969036001                                                    X
 225394      RODAS ULLOA JOAQUIN ISRAEL      0103976072001                                                    X
 106862      FAJARDO RODRIGUEZ ELOISA DE JESUS
                                             0103980199001                                                    X
 223569      DELGADO RODRÍGUEZ MARCO PATRICIO0103980264001                                                    X
 139767      PICON ALVAREZ SANDRA ELIZABETH 0103984639001                                                     X
 174723      ORDOÑEZ MAITA DIANA ELIZABETH   0103989711001                                                    X
 220973      ORELLANA GUAMBAÑA SANDRA ELIZABETH
                                             0103990107001                                                    X
 152934      LÓPEZ VERA MARÍA ISABEL         0103990248001                                                    X
 253102      CAJAMARCA SUPLIGUICHA OSCAR GEOVANY
                                             0103990677001                                                    X
 247630      ARIZAGA BALBUCA FREDI ARMANDO 0103992442001                                                      X
 101326      MEJÍA BARROS WILMER SANTIAGO    0103996443001                                                    X
 132046      MOROCHO JARA ANA LUCÍA          0103999041001                                                    X
 180542      AMBROSI MOSQUERA PETRONEO OLMEDO0103999413001                                                    X
  45757      RAMON LOPEZ FABIAN EUGENIO      0104010897001                                                    X
 216223      PEREZ ORTIZ JUAN PABLO          0104016589001                                                    X
 161169      LUNA HURTADO JOHANA BEATRIZ     0104017314001                                                    X
 142538      COBOS GUILLEN CRISTIAN GEOVANNY0104018395001                                                     X
 163321      SUCUZHAÑAY CUMBE SANDRA ELIZABETH
                                             0104018635001                                                    X
 102001      GUERRERO PRADO LUISA MERCEDES 0104022215001                                                      X
 107822      PEREZ AVILA LORENA XIMENA       0104023031001                                                    X
 172962      DURÁN PALACIOS MARÍA BELÉN      0104029301001                                                    X
No                 No registra
                                                               No                    No registra   No
                                                                        No. registra                       registra      No.    indicadores
                                                             registra                provincia, registra
Persona_id               NOMBRE               No. ID (RUC)                 calle                           número      registra de ventas,
                                                             apellido                 cantón y   primer
                                                                         principal                         de calle     origen activos y/o
                                                             paterno                 parroquia nombre
                                                                                                           principal             empleados

 240457      TELLO CRESPO DIEGO FERNANDO     0104030523001                                                    X
 156467      NAULA CAYAMBE VALERIA ELISABETH 0104035720001                                                    X
 213259      CHINCHILIMA PESANTEZ JAIME CORNELIO
                                             0104036520001                                                    X
 243242      HIDALGO CORDERO JUAN FERNANDO 0104040431001                                                      X
 195357      CARRILLO SERRANO VERÓNICA MARGARITA
                                             0104040480001                                                    X
 207671      CHILLOGALLO REMACHI ANA EULALIA 0104043880001                                                    X
  83963      LOPEZ ABAD PABLO JOAQUIN        0104045729001                                                    X
 127636      AVILES LEON JOSE LUIS           0104046107001                                                    X
 157200      QUEZADA QUEZADA MAYRA KATERINE0104046297001                                                      X
 272395      QUITO FAICAN ANA LORENA         0104047667001                                                    X
 265883      ENRRIQUEZ TOCTO MARCELO RENE 0104049739001                                                       X
 142672      AYABACA CHALACO JULIO DAVID     0104050273001                                                    X
 226741      ORDOÑEZ GALVEZ JUAN PABLO       0104052451001                                                    X
 156582      PELAEZ JARA ANIBAL LIZARDO      0104053418001                                                    X
 125473      SINCHI MEJIA JOSÉ DANIEL        0104054291001                                                    X
 129870      BUENO CRUZADO JOSE VICENTE      0104056551001                                                    X
 137051      CASTRO TORRES SANTIAGO FERNANDO 0104056940001                                                    X
 190868      CHACA REINO WALTER BENITO       0104059209001                                                    X
  42945      CASTILLO ARIAS JORGE ESTUARDO 0104060355001                                                      X
 150162      SUSCAL MACHUCA DIGNA NIEVES     0104061296001                                                    X
 115640      MALDONADO CAJAS GEOVANNY MAURICIO
                                             0104062294001                                                    X
 134429      PALLAZHCO JAYA PACO NOE         0104066857001                                                    X
 158605      RIVERA TORRES MABEL MARIANELA 0104069638001                                                      X
  67305      CALLE ARIZAGA MARCO ANTONIO     0104072376001                                                    X
 176926      CANDO BERMEO ANGEL RAFAEL       0104079694001                                                    X
 163954      MERCHAN ALVAREZ GLORIA INES     0104082284001                                                    X
 225048      PONCE ZAMBRANO MARÍA CRISTINA 0104089404001                                                      X
 105712      GUERRERO MERCHÁN MANUEL ANTONIO 0104091533001                                                    X
 218813      FAWCETT SAURIN JACQUELINE MARIA 0104105010001                                                    X
 178084      VIZHNAY DOMINGUEZ MANUEL SANTIAGO
                                             0104106141001                                                    X
 111469      PIZARRO ORELLANA DAVID GUSTAVO 0104107560001                                                     X
No                 No registra
                                                               No                    No registra   No
                                                                        No. registra                       registra      No.    indicadores
                                                             registra                provincia, registra
Persona_id               NOMBRE               No. ID (RUC)                 calle                           número      registra de ventas,
                                                             apellido                 cantón y   primer
                                                                         principal                         de calle     origen activos y/o
                                                             paterno                 parroquia nombre
                                                                                                           principal             empleados

 168476      HEREDIA LEON CARLOS ROBERTO     0104117866001                                                    X
 155860      SANGURIMA GUNCAY WILSON NICOLAS 0104119771001                                                    X
 183381      PILLACELA GUANUQUIZA NARCISA DE JESUS
                                             0104120688001                                                    X
 176944      FLORES MOLINA JOSE LUIS         0104124029001                                                    X
 204989      UGUÑA SARI ANA LUCÍA            0104124615001                                                    X
 249556      MATUTE TENEMAZA FRANKLIN GUSTAVO0104125281001                                                    X
 165936      ROCANO VALLADARES REINA ISABEL 0104129838001                                                     X
 126451      ANGUISACA ALVARES GLADYS TARGELIA
                                             0104129846001                                                    X
 112564      ARIAS PULLA JUANA ELIZABETH     0104132998001                                                    X
 104803      ARIZAGA BERMEO JENDRY EDUARDO 0104134317001                                                      X
  49763      VITERI AGUILAR JORGE LUIS       0104135264001                                                    X
  51528      RODAS VÁSQUEZ ALFREDO GEOVANNY  0104138631001                                                    X
 178360      AGUIRRE DELGADO TARQUINO ROLANDO0104141189001                                                    X
 240844      CABRERA CAMPOVERDE ANDRES FERNANDO
                                             0104146337001                                                    X
 235374      BUSTAMANTE NOBOA ANDRÉS SEBASTIÁN
                                             0104152004001                                                    X
 186224      GUERRERO CALLE MARIA BERNARDA 0104155122001                                                      X
 204965      URGILÉS ALVAREZ MIGUEL PATRICIO 0104156450001                                                    X
 141651      QUINDI PICHASACA RUMIÑAHUI      0104157276001                                                    X
 228773      ORTIZ VERA VERONICA MARCELA     0104158902001                                                    X
 222196      GARCIA ARMIJOS ITALO ADRIAN     0104158928001                                                    X
 191297      VANEGAS MAURAD GLADYS MARGARITA 0104159967001                                                    X
 254766      PESANTEZ CHUQUI MARTHA CECILIA 0104165683001                                                     X
 166385      ALVAREZ RODAS FRANCISCO MOISES 0104167226001                                                     X
 212435      MATUTE MATUTE JUAN CARLOS       0104168885001                                                    X
 146981      PERALTA CARDENAS MARIA FERNANDA 0104172267001                                                    X
 222460      MENA AVILA CHRISTIAN GUSTAVO    0104172853001                                                    X
 186267      GUACHICHULCA ARIAS CHRISTIAN REINALDO
                                             0104173794001                                                    X
 276267      GUAZHIMA PILLACELA NORMA ESPERANZA
                                             0104175104001                                                    X
 110451      CEDILLO PAUTE IRENE ISABEL      0104176615001                                                    X
 234727      ORTEGA CARCHIPULLA JUAN CARLOS 0104185897001                                                     X
 270271      PAREDES QUINDE WILMER EDUARDO 0104187521001                                                      X
No                 No registra
                                                               No                    No registra   No
                                                                        No. registra                       registra      No.    indicadores
                                                             registra                provincia, registra
Persona_id               NOMBRE               No. ID (RUC)                 calle                           número      registra de ventas,
                                                             apellido                 cantón y   primer
                                                                         principal                         de calle     origen activos y/o
                                                             paterno                 parroquia nombre
                                                                                                           principal             empleados

 108488      TORRES FAJARDO MARIA VERONICA 0104197280001                                                      X
 210204      CANTOS ORTIZ OSCAR HUMBERTO     0104200266001                                                    X
 135719      RUIZ SANMARTÍN ANDRÉS FELIPE    0104200712001                                                    X
 142248      VÁSQUEZ BUSTOS JOSÉ LUIS        0104203369001                                                    X
 179115      CHIMBO CAMPOVERDE CARLOS ADRIAN104205000001
                                             0                                                                X
  56853      LEÓN BRAVO CLARITA VERÓNICA     0104207444001                                                    X
 215673      ACURIO TORRES GABRIELA CAROLINA0104207840001                                                     X
 227383      VILLA CHUCHUCA CLAUDIO FERNANDO 0104209846001                                                    X
 158363      TENESACA TEPAN EZEQUIEL GONZALO 0104224290001                                                    X
 158132      PILLACELA IÑAMAGUA JAVIER BENIGNO
                                             0104225016001                                                    X
 128651      ASTUDILLO LOOR ANDRES PATRICIO 0104230610001                                                     X
 257152      PATIÑO QUEZADA ANGEL MARCELO 0104233473001                                                       X
 223612      TACURI BUENO JOSE MANUEL        0104235429001                                                    X
  66741      VELEZ DIAZ KATHERINE JUDITH     0104235981001                                                    X
 177071      PESÁNTEZ CALLE MONICA ALEXANDRA 0104239546001                                                    X
  63973      MARCIA                          0104240148001                                                    X
 167290      REINO PERALTA JOHN LIZARDO      0104241013001                                                    X
 212776      VINTIMILLA LOPEZ GALO ALFONSO   0104242896001                                                    X
 140604      TENESACA MOROCHO SEGUNDO AGUSTÍN0104244785001                                                    X
 212319      ORDONEZ LOPEZ SERVIO ABDON      0104249768001                                                    X
 161243      CABRERA CARDENAS MIRIAM MAGALI 0104251202001                                                     X
 229917      SAAVEDRA MACHUCA NORMAN ISRAEL 104251574001
                                             0                                                                X
  40992      MARCELO                         0104253059001                                                    X
 144010      CÁCERES BARRERA LUIS OLMEDO     0104254420001                                                    X
 215370      SERRANO CABRERA JOHANNA MARLENE 0104261094001                                                    X
 222272      PIZARRO ATARIGUANA NANCY ELIZABETH
                                             0104271325001                                                    X
 103588      MOROCHO BERMEO JAIME PATRICIO 0104271432001                                                      X
  51243      JOHANNA                         0104274808001                                                    X
 140981      COBOS VILLA BLANCA SUSANA       0104275136001                                                    X
 106566      GALÁN GALÁN JORGE ESTEBAN       0104278312001                                                    X
  22320      TENECOTA NIEVES SANDRA GABRIELA0104279120001                                                     X
No                 No registra
                                                               No                    No registra   No
                                                                        No. registra                       registra      No.    indicadores
                                                             registra                provincia, registra
Persona_id               NOMBRE               No. ID (RUC)                 calle                           número      registra de ventas,
                                                             apellido                 cantón y   primer
                                                                         principal                         de calle     origen activos y/o
                                                             paterno                 parroquia nombre
                                                                                                           principal             empleados

  57866       BLANCA                         0104283064001                                                    X
 262717      CÁRDENAS PETROV KALOYAN PABLO 0104284484001                                                      X
 178306      ORELLANA FLORES DANIEL DAVID    0104285028001                                                    X
 181812      FLORES PADILLA CRISTIAN ERNESTO 0104288592001                                                    X
 198498      RAMON QUEZADA ERWIN PETER       0104288964001                                                    X
  58958      CARDENAS ORELLANA ANIBAL VICENTE0104290093001                                                    X
  97001      ZHICAY CARDENAZ ELIANA PRISCILA 0104293808001                                                    X
 181457      CALLE BARROS MARLENE ELIZABETH 0104294392001                                                     X
 156270      TOLEDO ZEAS ADRIANA ELIZABETH   0104295340001                                                    X
 158225      GALARZA MUÑOZ PRISCILA LORENA 0104295431001                                                      X
 253610      LIGER LUZURIAGA JUAN PABLO      0104295720001                                                    X
 159900      MURILLO VEGA JOSE ALFREDO       0104297452001                                                    X
 189667      ARÉVALO UGUÑA FREDDY ROLANDO 0104299110001                                                       X
 144725      ZHAGUI TENESACA JORGUE GIAVANY 0104303805001                                                     X
 184086      SUQUI SUQUI NELI CONCEPCÍÓN     0104304126001                                                    X
  86448      LÓPEZ SANTANDER WALTER ADRIAN 0104306451001                                                      X
 105344      JARA LLANOS MONICA MARICELA     0104320809001                                                    X
 124905      JIMENEZ TORAL JUAN PABLO        0104323217001                                                    X
 136659      CALLE ROMERO LUIS OLGER         0104339015001                                                    X
  71550      BACUILIMA ALVARRACÍN NARDO GABRIEL
                                             0104339916001                                                    X
 174105      OCHOA QUEZADA MARIA ISABEL      0104348867001                                                    X
 217257      ORTEGA ORDOÑEZ CLAUDIA MARGARITA0104349022001                                                    X
 211622      LOPEZ AVECILLAS JUAN CARLOS     0104351754001                                                    X
  66372      TACURI PATIÑO FREDDY ROLENDIO 0104357025001                                                      X
 153387      AVILES AVILES MARCO FABIAN      0104361746001                                                    X
 229111      AGUILAR VELEZ VICTOR HUGO       0104367644001                                                    X
 181858      VEGA ALTAMIRANO CHRISTIAN VEGA 0104368246001                                                     X
 211996      TORRES BERMEO PEDRO ADRIAN      0104368584001                                                    X
 150007      BUESTÁN GUERRERO MILTON PABLO 0104369699001                                                      X
 111115      PAUCAR FLORES VERONICA PATRICIA 0104389184001                                                    X
 164423      GUERRERO BACUILIMA DIANA ELIZABETH
                                             0104393152001                                                    X
No                 No registra
                                                               No                    No registra   No
                                                                        No. registra                       registra      No.    indicadores
                                                             registra                provincia, registra
Persona_id               NOMBRE               No. ID (RUC)                 calle                           número      registra de ventas,
                                                             apellido                 cantón y   primer
                                                                         principal                         de calle     origen activos y/o
                                                             paterno                 parroquia nombre
                                                                                                           principal             empleados

 112071      ROCANO CURILLO MELIDA NOEMI     0104399423001                                                    X
 132837      DELGADO ABAD JUAN CARLOS        0104406624001                                                    X
 125441      PERALTA FLORES DIEGO BINICIO    0104409446001                                                    X
 162886      NARVAEZ BRAVO MARIA CECILIA     0104419684001                                                    X
 132649      UYAGUARI YARI NANCY RAQUEL      0104420674001                                                    X
 148092      YANZA LEON PAUL SANTIAGO        0104421185001                                                    X
 262647      CAMPOS AMAYA KARLA VALERIA      0104426457001                                                    X
 211767      COBOS COBOS JHON FERNANDO       0104433438001                                                    X
  52720      CEDILLO CHICA MANUEL ROGERIO    0104434733001                                                    X
 180943      INGA GONZALEZ WILSON FERNANDO 0104439278001                                                      X
 248973      VELE LOPEZ OSWALDO RUBEN        0104442942001                                                    X
 172681      ABAD HUNTER GINA MARIA          0104443270001                                                    X
 273563      RODRIGUEZ PERALTA MIGUEL CESAR 0104447206001                                                     X
 192691      MOROCHO CHICAIZA WALTER GEOVANNY0104448725001                                                    X
 169094      LITUMA LLIVICURA SONIA JANETH   0104448956001                                                    X
 179558      TENESACA VERA DIEGO ALEJANDRO 0104456132001                                                      X
 191156      ARCOS ARMIJOS ELVIA PAULINA     0104461470001                                                    X
 236590      HURTADO CABRERA TANIA CRISTINA 0104461629001                                                     X
 202700      ERRAEZ TENESACA EDILMA NOEMI    0104472550001                                                    X
 208720      PANGOL ILLESCAS ALFONSO GEOVANNY0104482039001                                                    X
 112883      SUQUI PESANTEZ WASHINGTON OSWALDO
                                             0104486634001                                                    X
 109553      MONTALEZA OCHOA MARÍA JOSÉ      0104486964001                                                    X
 119450      ONCE ONCE DAVID JOEL            0104493614001                                                    X
 181788      AGUIRRE CASTRO PAMELA JULIANA 0104497094001                                                      X
 201392      CÁRDENAS INGA MARÍA DEL CARMEN 0104504824001                                                     X
 207875      CARCHIPULLA ZHUNIO NOÉ ALBERTO 0104507751001                                                     X
 108097      TACURI LLIVICURA JORGE ISAAC    0104513197001                                                    X
 268472      FIGUEROA ULLAURI PATRICIO FERNANDO
                                             0104515051001                                                    X
 161658      CARCHIPULLA TENECOTA MANUEL JESUS
                                             0104527528001                                                    X
 227856      PENAFIEL MOSCOSO FRANKLIN MANUEL0104532627001                                                    X
 174397      HURTADO FAJARDO ERMEN WILFRIDO0104538731001                                                      X
No                 No registra
                                                                No                    No registra   No
                                                                         No. registra                       registra      No.    indicadores
                                                              registra                provincia, registra
Persona_id               NOMBRE                No. ID (RUC)                 calle                           número      registra de ventas,
                                                              apellido                 cantón y   primer
                                                                          principal                         de calle     origen activos y/o
                                                              paterno                 parroquia nombre
                                                                                                            principal             empleados

 258456      GUZMAN CHACON LILIANA MARIBEL    0104542873001                                                    X
 222692      PALACIOS ORDOÑEZ JOHANNA PRISCILA0104559448001                                                    X
 204175      GUACHUN GUACHUN WILSON ANDRES0104566492001                                                        X
 171575      LLIVICURA TIGRE SERGIO MARTIN    0104569918001                                                    X
 233877      GUAMAN MAXI LUZ MARIA            0104570791001                                                    X
 142382      GARCÍA TOLEDO VERÓNICA GABRIELA0104574355001                                                      X
 243096      GUARANGO FAJARDO ELIZABETH VERONICA
                                              0104576566001                                                    X
  24987      UNKUCH GONZALEZ DIEGO FERNANDO   0104576673001                                                    X
 164410      LOZADA QUITO MARIA GRICELDA      0104577812001                                                    X
 105925      AVILA CASTRO CRISTHIAN RAFAEL    0104594676001                                                    X
 236224      UCHUPAILLE ZAMBRANO ANZHELA FERNANDITA
                                              0104601745001                                                    X
 136445      PESANTEZ PESANTEZ FRANKLIN LEONEL0104604590001                                                    X
 243383      GUTAMA MISACANGO WILIAN IDALSO 0104606439001                                                      X
 264491      CABRERA LEON FRANKLIN PAUL       0104611769001                                                    X
 145911      LANDY CABRERA MIRIAM PATRICIA    0104611777001                                                    X
 165420      SOLA TENEPAGUAY EDISON CHRISTIAN 0104612908001                                                    X
 211512      PALTÍN MALDONADO GILBERT LEONARDO0104620737001                                                    X
 212894      GUASHA AGUIRRE JAIME ORLANDO     0104621495001                                                    X
 171829      OTAVALO CORAISACA JAIME MODESTO  0104622105001                                                    X
 135268      LAZO CASTRO PEDRO VICENTE        0104625306001                                                    X
 122400      CHIMBORAZO GUAMAN JUAN CARLOS 0104625900001                                                       X
 168697      PEÑARANDA LUCERO MILTON EDUARDO  0104629662001                                                    X
 145543      SEMPERTEGUI CÁRDENAS MARÍA CRISTINA
                                              0104634613001                                                    X
 244263      PADILLA PLACENCIA JESSICA DANIELA0104640305001                                                    X
 146022      MALO LARREA DANIELA              0104647391001                                                    X
 141192      DAVILA AVILA LESLIE TATIANA      0104647912001                                                    X
 209197      SOTOMAYOR RODRIGUEZ ANA MARIA 0104649678001                                                       X
  96485      SEGARRA PACHECO PABLO SEGUNDO0104652078001                                                        X
 147971      MOROCHO CORREA CESAR MARCELO 0104652136001                                                        X
 149159      PACHAR MOROCHO MARÍA ANGELITA 0104654017001                                                       X
 268650      MEJIA MOROCHO FAUSTO ARMANDO 0104655097001                                                        X
No                 No registra
                                                               No                    No registra   No
                                                                        No. registra                       registra      No.    indicadores
                                                             registra                provincia, registra
Persona_id               NOMBRE               No. ID (RUC)                 calle                           número      registra de ventas,
                                                             apellido                 cantón y   primer
                                                                         principal                         de calle     origen activos y/o
                                                             paterno                 parroquia nombre
                                                                                                           principal             empleados

 104529      YUNGA PINTADO JORGE LUIS        0104659305001                                                    X
 226878      JIMBO SINCHI TANIA CAROLINA     0104663810001                                                    X
 239179      BONETE VALLADARES JUAN CARLOS 0104665526001                                                      X
 113116      GUAPISACA JUCA MIRIAM LEONOR    0104667951001                                                    X
 219916      FLORES FLORES ROTMAN YASMANI 0104679543001                                                       X
 265926      ALTAMIRANO CALLLE BLANCA CECILA 0104695119001                                                    X
 271755      LOJA QUITO LUCIO ALEJANDRO      0104701586001                                                    X
 227671      SARMIENTO PLAZA ISMAEL ANTONIO 0104702543001                                                     X
 231851      SOLIS CONTRERAS EDGAR PATRICIO 0104702626001                                                     X
 278982      AVILA MURILLO EDISSON MAURICIO  0104708086001                                                    X
 150300      TENECORA SUQUITANA JOSÉ MIGUEL 0104714217001                                                     X
 173762      TUQUIÑAGUI TACURI MARTHA LEONOR 0104717129001                                                    X
 106063      GUTIERREZ GONZALEZ WASHINGTON SANTIAGO
                                             0104718168001                                                    X
 264243      ROJAS TENEMPAGUAY RUTH NOEMI 0104718978001                                                       X
 154377      LOPEZ ZUÑIGA ADRIANA MARICELA 0104722673001                                                      X
  56830      IDEART                          0104735535001                                                    X
 151879      ESPANA BARAHONA CARLOS ALBERTO0104756820001                                                      X
 221763      GARCÍA ARMIJOS HERNÁN VINICIO   0104761069001                                                    X
 179626      YACILA CHORRES JULLISA MARISELA 0104761853001                                                    X
 265582      BERMEO FABIAN                   0104766191001                                                    X
 113077      RIVERA GRANDA PAUL JAVIER       0104766498001                                                    X
 254880      GODOY RODAS DEIVI OSWALDO       0104769328001                                                    X
 106376      IDROVO CORONEL JENNY ROCIO      0104774583001                                                    X
  56849      PELAEZ CAMBIZACA MILTON MARCELO0104775135001                                                     X
 205552      ANDRADE VASQUEZ MANUEL RAUL     0104781166001                                                    X
 257074      PRIETO ALVAREZ TANIA PAMELA     0104783139001                                                    X
 241144      TACURI FAJARDO LUIS ALBERTO     0104785167001                                                    X
 184576      CORNEJO NARVAEZ FABIAN GEOVANNY104786272001
                                             0                                                                X
 148794      HERAS CEDILLO MARÍA AUGUSTA     0104792395001                                                    X
 112110      CAGUANA ORELLANA RUTH PATRICIA 0104793518001                                                     X
 112149      GUAMAN SALAN MARTHA LIZETH      0104801063001                                                    X
No                 No registra
                                                                No                    No registra   No
                                                                         No. registra                       registra      No.    indicadores
                                                              registra                provincia, registra
Persona_id               NOMBRE                No. ID (RUC)                 calle                           número      registra de ventas,
                                                              apellido                 cantón y   primer
                                                                          principal                         de calle     origen activos y/o
                                                              paterno                 parroquia nombre
                                                                                                            principal             empleados

  15583      HERRAMIENTAS PARA CARROS         0104801873001                                                    X
 200382      SÁNCHEZ YUMBO BYRON OLMEDO       0104822705001                                                    X
 146802      VINTIMILLA LOPEZ JORGE LUIS      0104831060001                                                    X
 207784      FAREZ CHALCO DELIA MARGARITA     0104833447001                                                    X
 114435      REINO VIVANCO ANDRES AGUSTIN     0104843677001                                                    X
 107124      NARANJO VACA MARIA EUGENIA       0104846860001                                                    X
 140752      GONZÁLEZ AVILA DIEGO FERNANDO 0104850516001                                                       X
 236913      PINA PINA CLAUDIA VANESSA        0104853528001                                                    X
 132122      SANCHEZ ZAMORA MARIA GABRIELA 0104853726001                                                       X
 106351      GARCIA CANTOS GUISELLE FERNANDA0104855077001                                                      X
 121081      CORREA BARAHONA ALICIA BEATRIZ 0104857610001                                                      X
 106556      GUAMÁN SALÁN MARIBEL EMPERATRIZ0104859046001                                                      X
 243779      TORRES ABAD SANDRA MAGALI        0104863071001                                                    X
 152496      PARRA CORONEL BRYAND DARIO       0104863097001                                                    X
 132464      LOJA LOJA MARIA DOLORES          0104867445001                                                    X
 198320      BALAREZO TIGRE MIGUEL ANTONIO 0104869177001                                                       X
 256281      ORDONEZ PALOMEQUE PAOLA JACKELINE0104879002001                                                    X
 203372      SOLANO RAMON HERNAN MAURICIO 0104898804001                                                        X
 163889      MARQUEZ MERCHAN FRANKLIN IVAN 0104924618001                                                       X
 205747      LLIVICHUZHCA UYAGUARI MARIA CECILIA
                                              0104941141001                                                    X
 247556      SEGOVIA GRANDA CARLOS ISRAEL     0104944665001                                                    X
 140675      MACANCELA URDIALES WILSON GEOVANNY
                                              0104950894001                                                    X
 226001      QUEZADA PACHAR JESSICA SARA      0104953369001                                                    X
  48546      PLAZA MOROCHO CRISTIAN JHONNY 0104957857001                                                       X
 143307      CRIOLLO NIVELO JORGE RODRIGO     0104968318001                                                    X
 130333      CAJAMARCA ZHICAY MELIDA JUDITH 0104969803001                                                      X
 209395      ASTUDILLO GUILLEN DIEGO BOLIVAR 0104971106001                                                     X
 265730      TORRES ARÉVALO JACQUELINE ANDREA 0104972765001                                                    X
 241633      ASTUDILLO CAMBI VERONICA VANESSA 0104981303001                                                    X
 148281      LLIVISUPA CUSCO ADRIANA MARINA 0104994553001                                                      X
 223312      CACERES YUPANGUI PEDRO FERNANDO  0105006860001                                                    X
No                 No registra
                                                               No                    No registra   No
                                                                        No. registra                       registra      No.    indicadores
                                                             registra                provincia, registra
Persona_id              NOMBRE                No. ID (RUC)                 calle                           número      registra de ventas,
                                                             apellido                 cantón y   primer
                                                                         principal                         de calle     origen activos y/o
                                                             paterno                 parroquia nombre
                                                                                                           principal             empleados

 106350      RODRIGUEZ CARCHIPULLA JOHANNA NATALIA
                                            0105012660001                                                     X
 106675      DELEG GUAZHA NANCY ROSARIO     0105013973001                                                     X
 175402      PIEDRA MINGA ADELAIDA JULIETA  0105017826001                                                     X
 235188      MOROCHO PIEDRA MAYRA CUMANDA 0105018139001                                                       X
 141841      FAJARDO SALTO WILMER FELIPE    0105024350001                                                     X
 264329      QUICHIMBO MIGUITAMA IVÁN MARCELO
                                            0105031967001                                                     X
 106567      SUMBA VEGA ANGEL ISRAEL        0105034755001                                                     X
 133542      ORTIZ SEGARRA REYNA ISABEL     0105037550001                                                     X
 276035      PEÑALOZA TERREROS JENNY PATRICIA
                                            0105041008001                                                     X
 147400      PATIÑO CABRERA MERCY ELISABETH 0105061212001                                                     X
 226704      SOSORANGA MOROCHO NEIL ALEXANDER
                                            0105072730001                                                     X
 148133      QUEZADA OCHOA LEANDRO DAMIAN 0105073175001                                                       X
 227904      ARIAS MOSCOSO JUAN DIEGO       0105073803001                                                     X
 262390      RIVERA FLORES ANGEL FLORENCIO 0105077937001                                                      X
  56213      LLIVISACA AYALA DIEGO FERNANDO 0105082994001                                                     X
 166982      JADÁN JUELA WILSON LUCIANO     0105092514001                                                     X
 161309      GRANDA AVILA MARCELO FABIÁN    0105094866001                                                     X
 268743      GALVIS BAILÓN MARÍA VERÓNICA   0105100978001                                                     X
 259129      CAPELO QUIROLA PEDRO FERNANDO 0105106330001                                                      X
 237997      MEJIA MORALES MARIA CRISTINA   0105109219001                                                     X
 109469      CAJAMARCA CUJI JULIO EDUARDO   0105121271001                                                     X
 217587      GUAMAN GARNICA JUAN PABLO      0105126916001                                                     X
 123787      QUINDE PANJON SILVIA SUSANA    0105148308001                                                     X
 123399      ZHIÑIN QUIZHPI DIANA ALEXANDRA 0105151062001                                                     X
 272496      MALO LARREA JUAN ALBERTO       0105163059001                                                     X
 258135      ZALAMEA PESANTEZ PAUL ANDRES   0105167571001                                                     X
 215835      PAÑI ROJAS RUTH ALEXANDRA      0105170054001                                                     X
 103152      FIGUEROA BRAVO STALIN DAVID    0105189070001                                                     X
 216252      MUEVECELA GALARZA MARIO RODOLFO0105190789001                                                     X
 259666      LANDY VERDUGO XAVIER PATRICIO  0105192801001                                                     X
 158199      ENRIQUEZ PATIÑO MARCIA JANETH  0105208045001                                                     X
No                 No registra
                                                               No                    No registra   No
                                                                        No. registra                       registra      No.    indicadores
                                                             registra                provincia, registra
Persona_id               NOMBRE               No. ID (RUC)                 calle                           número      registra de ventas,
                                                             apellido                 cantón y   primer
                                                                         principal                         de calle     origen activos y/o
                                                             paterno                 parroquia nombre
                                                                                                           principal             empleados

 163986      PARRA BUESTAN JOSE FERNANDO     0105208771001                                                    X
 142519      GOMEZ MORALES DIANA ELIZABETH 0105212948001                                                      X
 220284      ORTEGA MARCA ELIANA MARCELA     0105233571001                                                    X
 194743      MOSCOSO HURTADO ROBERTO CARLOS  0105253546001                                                    X
 130367      ALBARRACÍN MÉNDEZ JENNY PILAR   0105259998001                                                    X
 174729      MOLINA AVENDAÑO VICTOR EDUARDO0105260772001                                                      X
 126550      ULLAURI HERNANDEZ DIANA EULALIA 0105263446001                                                    X
 169448      SANMARTIN QUEZADA DORA ELIZABETH0105280846001                                                    X
 235289      ESTRADA CEVALLOS BOLIVAR XAVIER 0105284665001                                                    X
 198447      FAJARDO CARPIO RUBEN MAURICIO 0105286512001                                                      X
 198492      FAJARDO CARPIO JANETH MARITZA 0105286520001                                                      X
 262424      YUPANGUI ABAD GALO XAVIER       0105287064001                                                    X
 198982      GUERRERO SANMARTIN WILMER ALEJANDRO
                                             0105324354001                                                    X
 212489      DELEG CAJAS MARCO ESTEVAN       0105324990001                                                    X
 204601      GUANUCHE CAPA ROSA ELIZABETH    0105325096001                                                    X
 143099      LAZO ORELLANA JORGE MECIAS      0105333744001                                                    X
 233631      LEON MOLINA CARLOS ALEJANDRO    0105423032001                                                    X
 185039      QUIZHPI LOJA MAYRA LIZETH       0105426209001                                                    X
 265645      CALLE FLORES JUAN GABRIEL       0105472922001                                                    X
 223383      COYAGO SUCUSHAÑAY RONALD LUCIANO0105474407001                                                    X
 159444      JIMENEZ CARPIO BENITO EUGENIO   0105486435001                                                    X
 111042      BONILLA TORRES SANDRO MANUEL 0105490379001                                                       X
 168593      SANMARTIN CAPON ROSA SOLEDAD 0105505929001                                                       X
 200783      ORTEGA ORTEGA VERONICA FERNANDA 0105547079001                                                    X
 220664      IDROVO CASTRO JORGE LUIS        0105547319001                                                    X
 127151      VERA ATARIGUANA HEYDY ELIZABETH 0105552111001                                                    X
 217296      MOROCHO ORDOÑEZ PEDRO FERNANDO  0105590111001                                                    X
 156422      CORONEL ESPINOSA JESSICA CATALINA
                                             0105605182001                                                    X
 262391      GARCIA AVILA CARMEN ISABEL      0105615959001                                                    X
 268339      JARA AVILA PEDRO XAVIER         0105622179001                                                    X
 199018      URGILES CLAVIJO JUAN SEBASTIAN  0105627111001                                                    X
No                 No registra
                                                                No                    No registra   No
                                                                         No. registra                       registra      No.    indicadores
                                                              registra                provincia, registra
Persona_id               NOMBRE                No. ID (RUC)                 calle                           número      registra de ventas,
                                                              apellido                 cantón y   primer
                                                                          principal                         de calle     origen activos y/o
                                                              paterno                 parroquia nombre
                                                                                                            principal             empleados

  57550      MENDEZ MENDEZ BAYRON RAUL        0105634356001                                                    X
 196385      MONTAÑO PESANTES RONALD DANNY 0105636708001                                                       X
 151283      MENDOZA PUMA MARIA AUGUSTA       0105686349001                                                    X
 263193      SANTOS QUEZADA LUIS GUSTAVO      0105690820001                                                    X
 162607      RAMÓN RAMÓN MERCY JANNETH        0105695449001                                                    X
 147318      PAUCAR ARMIJOS JAVIER AGUSTÍN    0105695753001                                                    X
 106483      ILLESCAS SANMARTIN DIGNA ISABEL 0105730790001                                                     X
 263588      NAULA BARRERA DAVID VICENTE      0105773436001                                                    X
 234046      HERNANDEZ JAUREGUI MARCELA       0105778682001                                                    X
 219668      MOSCOSO ZUÑIGA DIEGO ENRIQUE 0105798680001                                                        X
 112081      ENRIQUEZ LOJA JUAN CARLOS        0105839211001                                                    X
  41713      CERVANTES MELENDEZ EMERSON ANTONIO
                                              0105864029001                                                    X
 118059      MENDIETA SICHIQUE LILIANA MARISOL0105889463001                                                    X
 142140      CARCHI LOJA VICTOR ALCIDES       0105930861001                                                    X
 142563      ZHINGRI LALVAY CARLOS ALBERTO    0105931315001                                                    X
 178037      EMRI                             0106000093000                                                    X
 279422      TUAPANTE MOROCHO MARIA EUGENIA   0106031198001                                                    X
 139912      PÉREZ AYORA OSCAR JOSELITO       0106045941001                                                    X
 215072      VALDEZ JIMBO WILSON PATRICIO     0106048515001                                                    X
 237519      NIVICELA VILLA TANIA MAGALY      0106063050001                                                    X
 240676      ORDOÑEZ AVILES MARIA CRISTINA    0106066293001                                                    X
  39494      COCKER ANDREW EDWARD             0106275381001                                                    X
 143228      FERNANDEZ AREVALO JENNY MARIBEL0106351596001                                                      X
 239443      MOYA MARTINEZ NELSON GABRIEL     0106396880001                                                    X
 133126      ZHUNIO ORTEGA FANY PATRICIA      0106482227001                                                    X
 161190      MORA IÑAGUAZO BOLÍVAR ALEXANDER  0106506355001                                                    X
 232821      FAICAN ARAUJO JAZMIN PRISCILA    0106614712001                                                    X
 174854      CHALCO LARGO DANILO LEONARDO 0106676737001                                                        X
 220286      CARCHI PUNÍN LILIAN NARCISA      0106712102001                                                    X
 183044      TORRES MARTINEZ ISMAEL           0106751654001                                                    X
 260364      VIZHÑAY BARRERA DIANA MARIELA    0107125783001                                                    X
No                 No registra
                                                               No                    No registra   No
                                                                        No. registra                       registra      No.    indicadores
                                                             registra                provincia, registra
Persona_id              NOMBRE                No. ID (RUC)                 calle                           número      registra de ventas,
                                                             apellido                 cantón y   primer
                                                                         principal                         de calle     origen activos y/o
                                                             paterno                 parroquia nombre
                                                                                                           principal             empleados

 222030      DE SANTIS PIRAS ANDREA           0107261067001                                                   X
  35028      UNIVERSIDAD TECNICA PARTICULAR DE LOJA
                                              0119006872900                                                   X
  49047      MUNICIPIO DE BABAHOYO            0126000022000                                                   X
 226995      UNIVERSIDAD TÉCNICA              0136000209000                                                   X
 177367      PATRONATO PROVINCIAL DE SERVICIO0146002404000
                                               SOCIAL DEL GOBIERNO DE MORONA SANTIAGO                         X
  38126      GOBIERNO MUNICIPAL ARCHIDONA     0156000043000                                                   X
 210693      ING. LUIS CAJAMARCA E.           0160040500300                                                   X
  77443      PETROCOMERCIAL                   0176803770000                                                   X
 125403      FACULTAD DE CIENCIAS ECONOMICAS 0176809183000 CENTRAL ECUADOR
                                              UNIVERSIDAD                                                     X
 211617      BALNEARIOS DURAN S A             0190001237001                                                   X
  92602      CERAMICA ANDINA C. A.            0190002071001                                                   X
  51055      CUENCA BOTTLING COMPANY C.A.     0190003647001                                                   X
   6455      TUBERIA GALVANIZADA ECUATORIANA0190004643001
                                               S. A.                                                          X
   6475      FABRICA DE RESORTES VANDERBILT S. A.
                                              0190004678001                                                   X
   2329      COMPAÑIA ECUATORIANA DEL CAUCHO SA
                                              0190005070001                                                   X
 161035      CLINICA DE ESPECIALIDADES MEDICAS0190006808001
                                               SANTA INÉS S.A.                                                X
  87249      EL TIEMPO CIA. LTDA.             0190007049001                                                   X
   6127      ALMACENES JUAN ELJURI CIA. LTDA. 0190007510001                                                   X
 121364      UNIVERSIDAD CATOLICA DE CUENCA 0190032981001                                                     X
    972      PLASTICOS RIVAL CIA. LTDA.       0190050033001                                                   X
 104064      CONSTRUCTORA DE CAMINOS S.A.     0190054314001                                                   X
  15260      TECNICENTRO DEL AUSTRO           0190061884001                                                   X
  38220      C.E.M AUSTROGAS                  0190070301001             X                                     X                      X
  59936      GERARDO ORTIZ E HIJOS CIA. LTDA. 0190072002001                                                   X
  89180      COOPERATIVA DE CONSUMO UNIVERSIDAD DE CUENCA
                                              0190080994001                                                   X
  46010      HORMIGPOSTEC CIA. LTDA.          0190084205001                                                   X
  80316      CONSULCENTRO CIA LTDA            0190084558001                                                   X
  73792      CUENCAORO HOTELERA CUENCA S.A. 0190085376001                                                     X
  59436      EL CARRUSEL CIA.LTDA             0190085503001                                                   X
 191242      CONSTRUCTORA MEJIA CIA. LTDA.    0190089371001                                                   X
 207635      CYMCIALTDA                       0190094065001                                                   X
No                 No registra
                                                              No                    No registra   No
                                                                       No. registra                       registra      No.    indicadores
                                                            registra                provincia, registra
Persona_id              NOMBRE               No. ID (RUC)                 calle                           número      registra de ventas,
                                                            apellido                 cantón y   primer
                                                                        principal                         de calle     origen activos y/o
                                                            paterno                 parroquia nombre
                                                                                                          principal             empleados

  84225      PLASTIAZUAY S.A.                 0190096343001                                                  X
 245689      ROLANDO RIOS CIA. LTDA.          0190097781001                                                  X
 181243      PROKLINER COMPAÑIA PROFESIONAL DE LIMPIEZA
                                              0190101452001                                                  X
 103142      COMERCIAL AVILA OCHOA CIA. LTDA. 0190101576001                                                  X
  46497      HIDROINSTALACIONES Y SERVICIOS AFINES HIDROSA S.A.
                                              0190103110001                                                  X
 116378      HORMIGONES Y PISOS CIA. LTDA.    0190103536001                                                  X
  77658      ZIONSEGUROS CIA. LTDA.           0190108996001                                                  X
  27451      ALMACEN FABIAN CARVALLO CIA. LTDA0190109127001                                                  X
 172571      COOPERATIVA DE CONSUMO DE ARTICULOS DE PRIMERA NECESIDAD UNE DEL AZUAY
                                              0190109844001                                                  X
 145668      LAS FRAGANCIAS CIA. LTDA.        0190111881001                                                  X
 135630      CAMARA DE LA CONSTRUCCION DE CUENCA
                                              0190117693001                                                  X
  88266      CONFERENCIA SAN VICENTE DE PAUL 0190118312001                                                   X
 205741      FUNDACION PAUL RIVET             0190118894001                                                  X
   6351      GRAIMAN CIA. LTDA.               0190122271001                                                  X
 193523      COLEGIO DE INGENIEROS ELECTRICOS Y ELECTRONICOS DEL AZUAY
                                              0190124266001                                                  X
   7026      SINTECUERO S.A.                  0190133346001                                                  X
  21589      CONSTRUARIAS CIA LTDA            0190133753001                                                  X
  61568      CONSTRUARIAS CIA LTDA            0190133753001            X                                     X                      X
 144291      FUNDACION HUMANITARIA PABLO JARAMILLO CRESPO
                                              0190136094001                                                  X
 107209      IMPORTADORA MERCANOVA CIA LTDA 0190141411001                                                    X
  10968      DISTRIBUIDORA JOSE VERDEZOTO CIA0190146596001
                                               LTDA                                                          X
  11735      ALVAREZ LARREA EQUIPOS MEDICOS 0190146677001                                                    X
  61914      ORTIZ & JACOME DE COMERCIO CIA. LTDA
                                              0190147398001                                                  X
  82397      GENEROS ECUATORIANOS ECUAGENERA CIA LTDA
                                              0190147983001                                                  X
  98864      SOCIEDAD ECUATORIANA DE CALIDAD 0190148416001
                                               Y PRODUCTIVIDAD                                               X
 261572      ASOCIACION DE TOQUILLEROS MARIA AUXILIADORA
                                              0190148718001                                                  X
 221048      OFTALMOLASER DIAGNOSTICO Y TRATAMIENTO OFTALMOLOGICO CIA. LTDA.
                                              0190149048001                                                  X
  31967      INDUSTRIAS GRAFICAS              0190149285001                                                  X
 268685      FORCONT FORMAS Y CONTRASTES CIA. LTDA.
                                              0190150070001                                                  X
 238190      AUTOMOTORES DE COMERCIO TRINIDAD-TRINITY CIA. LTDA.
                                              0190150119001                                                  X
  69997      CENTRO DE DESARROLLO E INVESTIGACION RURAL
                                              0190150801001                                                  X
No                 No registra
                                                                No                    No registra   No
                                                                         No. registra                       registra      No.    indicadores
                                                              registra                provincia, registra
Persona_id               NOMBRE                No. ID (RUC)                 calle                           número      registra de ventas,
                                                              apellido                 cantón y   primer
                                                                          principal                         de calle     origen activos y/o
                                                              paterno                 parroquia nombre
                                                                                                            principal             empleados

 155337      COMERCIAL Y COMISARIATO ECONOMICO 0190151867001                                                   X
  89947      EMPRESA AZUAYA DE READIODIFUSION Y TELEVISION EMART CIA. LTDA.
                                               0190152006001                                                   X
 123527      CENTRO INTERANDINO DE DESARROLLO  0190152030001                                                   X
  58252      ADAPAUSTRO S.A.                   0190152197001                                                   X
 202651      SINDICATO DE CHOFERES PROFESIONALES DEL CANTON GUALACEO
                                               0190153355001                                                   X
  33935      FUNDACIÓN DEL DEPORTE             0190153487001                                                   X
  86709      DISTRIBUIDORA DE TABLEROS DEL AUSTRO S.A
                                               0190153711001                                                   X
  30684      UNIÓN REGIONAL DE ORGANIZACIONES CAMPESINAS DEL LITORAL
                                               0190153797001                                                   X
  41308      DURAPLAST S.A.                    0190153827001                                                   X
   8021      TRACTOCOMERCIO CIA. LTDA.         0190154696001                                                   X
 149241      FUNDACIÓN AYUDA MUTUA             0190155277001                                                   X
  24178      COOPERATIVA DE TRASNPORTE PESADO COLA DE SAN PABLO
                                               0190155641001                                                   X
 268644      JORGE EDUARDO ARPI Y ASOCIADOS CIA.LTDA.
                                               0190156354001                                                   X
  84957      ISOLLANTA CIA. LTDA.              0190156389001             X                X                    X
 100393      COMERCIAL ASTUCOR SA              0190156702001                                                   X
  48614      SUMINISTRO PRODUCTOS              0190156877001                                                   X
  42535      AUSTROCOPY S. A.                  0190157598001                                                   X
  89959      RADIOACTIVA FM 88 CIA. LTDA       0190157849001                                                   X
 109991      COMPAÑIA MINERA ROOKAAZUL CIA LTDA.
                                               0190158616001                                                   X
 271036      COMERCIAL PALACIOS REYES CIA. LTDA.
                                               0190158802001                                                   X
  40441      COMPUTADORAS Y FACILIDADES CIA. LTDA.
                                               0190159205001                                                   X
 106047      INDUSTRIA MECANICA AVILA GARCIA CIA. LTDA.
                                               0190159329001                                                   X
  65739      ASETRONIX CIA.LTDA.               0190159337001                                                   X
 172356      COMERCIALIZADORA JUAN CARLOS ESPINOSA VINTIMILLA CIA. LTDA.
                                               0190159663001                                                   X
  42979      FUNDACIÓN JATUN KAWSAY            0190160386001                                                   X
 218258      CARRASCO Y CARRASCO C Y C CIA. LTDA.
                                               0190166813001                                                   X
  81024      HERRERA Y ASOCIADOS ALLCHOG H&A CIA. LTDA
                                               0190166856001                                                   X
 102279      PARTACCESORIOS PARTES Y ACCESORIOS0190167364001                                                   X
 211060      PIGGIS EMBUTIDOS PIGEM CIA. LTDA. 0190167976001                                                   X
   9614      SENALX                            0190168417001                                                   X
 205680      CONSTRUCTORA JARAMILLO Y JARAMILLO CIA LTDA.
                                               0190168751001                                                   X
No                 No registra
                                                               No                    No registra   No
                                                                        No. registra                       registra      No.    indicadores
                                                             registra                provincia, registra
Persona_id              NOMBRE                No. ID (RUC)                 calle                           número      registra de ventas,
                                                             apellido                 cantón y   primer
                                                                         principal                         de calle     origen activos y/o
                                                             paterno                 parroquia nombre
                                                                                                           principal             empleados

 104618      COMERCIAL LUNA PAZMIÑO CIA LTDA 0190168824001                                                    X
 141570      AUSTROCARGA CIA. LTDA.           0190169669001                                                   X
  47731      ELECTROCEREQU                    0190169782001                                                   X
 188392      AGROCARRASCO                     0190170292001                                                   X
  90833      AGROTA CIA. LTDA.                0190170322001                                                   X
 138445      FUNDACIÓN CORAZONES FRATERNOS 0190300218001
                                              CORFRA                                                          X
 163857      COOPERATIVA DE TRANSPORTES EN TAXIS EL SOL
                                              0190301567001                                                   X
 153626      ESCUELA ESPECIAL SAN JOSÉ DE CALASANZ
                                              0190302008001                                                   X
 109971      CAMARA DE COMERCIO ECUATORIANO-AMERICANA
                                              0190303705001                                                   X
 153984      ASOCIACION DE PRODUCCION MANOS 0190304825001
                                              UNIDAS                                                          X
 179131      ASOCIACION UNION Y PROGRESO LA ASUNCION
                                              0190304868001                                                   X
 249069      FUNDACION SER                    0190306887001                                                   X
  71579      INMOBILIARIA Y COMERCIAL MODASA S.A. INCOMODASA
                                              0190307859001                                                   X
  31414      QUIMICALZEN CIA. LTD             0190307883001                                                   X
  81836      NEGOCIOS AUTOMOTRICES NEOHYUNDAI S.A.
                                              0190310647001                                                   X
 114747      COMERCIALIZADORA ECOVIHGA CIA. LTDA.
                                              0190310981001                                                   X
  40677      CONSTRUCCIONES RODAS ROMAN CIA. LTDA.
                                              0190312585001                                                   X
  85571      SERVICIOS Y COMERCIO             0190312801001                                                   X
  74227      CRESPO VEGA JOSE LUIS            0190313115001                                                   X
 103591      PEMALU CIA. LTDA.                0190314375001                                                   X
 179421      VIDRIOS DEL AUSTRO               0190315045001                                                   X
 170246      MUSIC AND PROGRAMS 3 CIA. LTDA 0190316033001                                                     X
 111462      EDLATEX CIA. LTDA.               0190316521001                                                   X
 169511      HOSPITAL DEL RIO HOSPIRIO S.A.   0190316564001                                                   X
  99732      VITRINAS SUPERNORDICOS CORONA MANRIQUE E HIJOS CIA LTDA
                                              0190317161001                                                   X
 135734      SOCIEDAD DE HECHO MINAS HUASCACHACA
                                              0190318044001                                                   X
 148042      CREIAD SOCIEDAD DE HECHO Y CUENTAS EN PARTICIPACION
                                              0190318486001                                                   X
 108306      VICARÍA PASTORAL DEL SUR         0190318524001                                                   X
  32526      ALHIEDSUR CIA. LTDA              0190318613001                                                   X
 213685      INTELLITEAM CIA LTDA             0190318656001                                                   X
 264340      MUEBLES CLASSIC COLLECTION KARPINTESA CÍA. LTDA.
                                              0190318664001                                                   X
No                 No registra
                                                             No                    No registra   No
                                                                      No. registra                       registra      No.    indicadores
                                                           registra                provincia, registra
Persona_id              NOMBRE              No. ID (RUC)                 calle                           número      registra de ventas,
                                                           apellido                 cantón y   primer
                                                                       principal                         de calle     origen activos y/o
                                                           paterno                 parroquia nombre
                                                                                                         principal             empleados

 156088      VENTA DE PLANTAS FORESTALES      0190320480001                                    X
 132587      TRANSPORTE NARIGUINA             0190320618001                                    X
  21195      SERVICIO DE SEGURIDAD Y VIGILANCIA SERSEIVI CIA. LTDA.
                                              0190320839001                                    X
 148048      ASOCIACION DE PRODUCCION UNION Y TRABAJO GUEL
                                              0190321827001                                    X
 143893      ALIANZA Y PROGRESO               0190321940001                                    X
 230335      PEJOJA CIA. LTDA                 0190322068001                                    X
  72101      NAPOLEON QUEZADA E HIJOS         0190322173001                                    X
 123111      VOLGUAL CIA. LTDA.               0190322203001                                    X
 153243      ASOCIACION DE PRODUCCION SININCAY0190322319001                                    X
 118462      REPRESENTACIONES DISTEIMPORT CIA. LTDA.
                                              0190322408001                                    X
 154614      ASOCIACION DE PRODUCCION LA ESPERANZA
                                              0190322416001                                    X
 177547      MULTIFAMILIARES TRES DE NOVIEMBRE BLOQUE 8-9
                                              0190322556001                                    X
 228425      COOPERA LTDA                     0190322637001                                    X
  56362      ROMEL URGILES CONSTRUCTORES CIA LTDA
                                              0190322874001                                    X
 143463      NUEVO AMANECER                   0190323145001                                    X
  95519      ELECTRONICA Y TELECOMUNICACIONES ELYTFECOMP CIA. LTDA.
                                              0190324125001                                    X
  67674      COMERCIAL PALACIOS PALACIO       0190324737001                                    X
 147331      DISTRIBUCIONES Y COMERCIO OCHOA0190324907001
                                               AVILA CIA.LTDA                                  X
 204442      CORPORACION PARA EL DESARROLLO0190325792001 LA MICRO Y PEQUEÑA EMPRESA DEL ECUADOR CODEMYPE
                                               SOSTENIBLE DE                                   X
 244047      ARQUITECTURA IMAGEN Y PRODUCCION ARQUIPROD CIA. LTDA.
                                              0190325903001                                    X
 163631      COMBUSDER CIA. LTDA.             0190326071001                                    X
  35253      ZAMORA CARVALLO JUAN FRANCISCO   0190326624001                                    X
  30953      MUEBLES BIENSTAR CORONEL CONTRERAS MUBINSCORCON CIA. LTDA.
                                              0190326764001                                    X
  70469      CORPORACION INCUBADORA DE EMPRESAS DEL AUSTRO
                                              0190326969001                                    X
 199563      CENTRO DE DIAGNOSTICO POR IMAGENES
                                              0190327809001                                    X
 166355      TAPIA SAAVEDRA CIA. LTDA.        0190328058001                                    X
  59428      SOLUCIONES INTEGRALES DE GERENCIA DE RIESGOS C.A SOINGER
                                              0190328171001                                    X
 212476      CREHABIT                         0190328570001                                    X
 118771      EDITORIAL GRULLAMERLUC CIA. LTDA.0190328724001                                    X
  27335      HOLIDATSERV CIA. LTDA.           0190329119001                                    X
  60834      CASTVISE CIA. LTDA.              0190329461001                                    X
No                 No registra
                                                              No                    No registra   No
                                                                       No. registra                       registra      No.    indicadores
                                                            registra                provincia, registra
Persona_id              NOMBRE               No. ID (RUC)                 calle                           número      registra de ventas,
                                                            apellido                 cantón y   primer
                                                                        principal                         de calle     origen activos y/o
                                                            paterno                 parroquia nombre
                                                                                                          principal             empleados

 186185      CONSTRUCTORA Y MAQUINARIAS CHACON CIA. LTDA.
                                               0190330222001                                     X
 185476      GRANISTONE                        0190331660001                                     X
 198624      LOGISTALMADEC CIA. LTDA.          0190333329001                                     X
 114994      GLOCALIZACION & TECNOLOGIAS EXTREM CIA LTDA
                                               0190333485001                                     X
 166470      R & R CONSTRUCCIONES              0190333523001                                     X
 233083      HORMIGONES DEL AZUAY CIA. LTDA. 0190333825001                                       X
 248512      MOTORALMOR CIA. LTDA              0190333973001                                     X
  92891      EMPRESA VIAL DEL AZUAY EMVIAL S.A.0190333981001                      X
 270892      PROYECTOHABIT CIA. LTDA.          0190334651001                                     X
  42008      FUNDACION COMPROMISO Y BIENESTAR  0190334716001                                     X
 114384      SANILSA DISTRIBUIDORA DE ALIMENTOS CIA LTDA
                                               0190335194001                                     X
 141317      EQUIPAMIENTOS ARQUITECTONICOS Y URBANOS ARQURB CIA LTDA
                                               0190335399001                                     X
 103693      OLAVE VARGAS TATIANA              0190335488001                                     X
  86857      JARQUIFAR COMPAÑIA LIMITADA       0190336298001                                     X
 153494      RESS(RESTAURANTES, ENTRETENIMIENTO Y SERVICIOS
                                               0190336646001                                     X
  88795      ASOCIACION DE CONSERVACION VIAL GUALACEO LA VIRGEN
                                               0190336751001                                     X
 228347      SERVICIO AUTOMOTRIZ MAORGO CIA. LTDA.
                                               0190337391001                                     X
  50603      COMPANIA DE CONSTRUCCION DE OBRAS CIVILES Y ALQUILER DE MAQUINARIA PINOS VERDUGO CONSTRUCTORES C.A.
                                               0190337669001                                     X
 154768      SOLINAG CIA LTDA                  0190337898001                                     X
  83605      SAGITTA                           0190338185001                                     X
 144826      BPHARMALATAM                      0190339165001                                     X
 145494      ASOCIACION DE PRODUCCION LA LIBERTAD
                                               0190339408001                                     X
 144032      COMERCIO Y DISTRIBUCIONES DEL SUR (CODISUR CIA LTDA)
                                               0190339505001                                     X
  22226      INDUSTRIAS TECNOLOGICAS ALVAREZ0190341003001
                                                CIA. LTDA.                                       X
 241741      MAQUINARIA Y COMERCIO ORDOÑEZ PATIÑO MCO CIA. LTDA.
                                               0190341135001                                     X
  37800      NEOAUTO S.A.                      0190341526001                                     X
  84197      PUNTOEVENT CADENA DE ALIMENTOS 0190342166001
                                               S.A.                                              X
  64296      COMPAÑIA ANONIMA DE TRANSPORTE 0190342255001 DEL AUXILIO TRANSRELIO
                                               PESADO REINA                                      X
  46354      CONSTRUCTORA DE SOLUCIONES HABITACIONALES
                                               0190342433001                                     X
 118301      SPACEGROUP S.A.                   0190342441001                                     X
 167932      ASOCIACION DE CONSERVACION VIAL SANTA ISABEL
                                               0190342581001                                     X
No                 No registra
                                                             No                    No registra   No
                                                                      No. registra                       registra      No.    indicadores
                                                           registra                provincia, registra
Persona_id              NOMBRE              No. ID (RUC)                 calle                           número      registra de ventas,
                                                           apellido                 cantón y   primer
                                                                       principal                         de calle     origen activos y/o
                                                           paterno                 parroquia nombre
                                                                                                         principal             empleados

  77113      CORPMOSA CIA. LTDA.              0190342689001                                                 X
  32187      HDH CONSTRUCCIONES               0190342697001                                                 X
 116929      BURGUÉS CÍA. LTDA.               0190342824001                                                 X
  77235      ASOCIACIÓN DE CONSERVACIÓN VIAL LÉNTAG
                                              0190342972001                                                 X
 178911      MICROEMPRESA ASOCIATIVA JUNTOS PODEMOS
                                              0190343316001                                                 X
 208865      ANDEANTRACTOR                    0190343553001                                                 X
 144471      ESTACION DE SERVICIO VAZGAS S.A. 0190343588001                                                 X
 148687      CIRKO ENGINEERING FLUIDOCONTROL CIRKOENG CIA LTDA
                                              0190344231001                                                 X
 202005      ALUMBRA IMPORT S.A.              0190345440001                                                 X
 121824      MEGASYSTEL INC. CIA. LTDA.       0190345807001                                                 X
 214174      TRANSHARRIS CIA LTDA             0190346064001                                                 X
 173053      CONSTRUCTORA ARGUDO CIA. LTDA. 0190347206001                                                   X
 216287      IMPORTADORA ARGUDO CIA.LTDA.     0190347222001                                                 X
 199690      CARROCERIAS ESPECIALES FAICAN 0190347303001                                                    X
 175831      TRANSPORTE Y SERVICIO DE MATERIALES PETREOS TRANSTAPIA SA
                                              0190347567001                                                 X
 181283      MICROEMPRESA ASOCIATIVA VIALIDAD0190347591001
                                               Y PROGRESO                                                   X
 181319      MICROEMPRESA ASOCIATIVA PAUTE 0190347613001                                                    X
 180850      MICROEMPRESA ASOCIATIVA ESPERANZA Y FUTURO
                                              0190347893001                                                 X
 158630      MICROEMPRESA ASOCIATIVA NUEVOS 0190347931001
                                              SENDEROS                                                      X
 173676      MICROEMPRESA ASOCIATIVA CAMINOS DEL FUTURO
                                              0190347958001                                                 X
 161087      MICROEMPRESA ASOCIATIVA SAN VICENTE DE PAÚL
                                              0190347966001                                                 X
 145751      MICROEMPRESA ASOCIATIVA TURI PROGRESISTA
                                              0190348008001                                                 X
 147728      DISTRIBUIDORA VASQUEZ ORDOÑEZ DISTRIVASOR CIA LTDA
                                              0190348016001                                                 X
 158739      MICROEMPRESA ASOCIATIVA GRANDA 0190348083001
                                              CENTENO                                                       X
 170010      MICROEMPRESA ASOCIATIVA SAN ANDRES DE CHECA
                                              0190348091001                                                 X
 145711      MICROEMPRESA ASOCIATIVA VIRGEN DEL ROSARIO
                                              0190348318001                                                 X
 194691      DADA CIA. LTDA.                  0190348601001                                                 X
  19265      COAMBIAUSTRO CÍA. LTDA.          0190348865001                                                 X
 211324      CORPORACION CAMPESINA MAZAR JATARISHUM PADRE RAFAEL GONZALEZ SOLORZANO
                                              0190348954001                                                 X
  63497      SWISSANDESTEL                    0190349160001                                                 X
  87079      TRANSCOTABE S.A.                 0190349837001                                                 X
No                 No registra
                                                               No                    No registra   No
                                                                        No. registra                       registra      No.    indicadores
                                                             registra                provincia, registra
Persona_id              NOMBRE                No. ID (RUC)                 calle                           número      registra de ventas,
                                                             apellido                 cantón y   primer
                                                                         principal                         de calle     origen activos y/o
                                                             paterno                 parroquia nombre
                                                                                                           principal             empleados

 107476      ALTERNATIVAS AL DESARROLLO PARA0190350266001
                                               EL AZUAY                                                       X
  67821      LIMA PEREZ MANUEL                 0190350282001                                                  X
  91426      DISEÑO Y CONSULTORIA DE TECNOLOGIA DE LA INFORMACION
                                               0190350339001                                                  X
 248464      CONSTRUSANMAR                     0190350347001                                                  X
  82591      ARTEAGA SARMIENTO MARIA DOLORES   0190350878001                                                  X
 112697      ROCANOS ASOCIADOS                 0190351130001                                                  X
  93276      GEOIDE CIA. LTDA.                 0190351270001                                                  X
  89012      CONSORCIO MORONA                  0190352390001                                                  X
 233871      AGRICOLAS PARA EL CAMPO Y VETERINARIA AGRICAV CIA LTDA
                                               0190352455001                                                  X
 133445      JAIME ORTEGA PAZMIÑO JOP INGENIERIA ELECTRICA CIA LTDA
                                               0190352757001                                                  X
 180492      EJECUCIÓN DE ESTUDIOS DE DIAGNÓSTICO POR IMAGEN
                                               0190352765001                                                  X
 150689      MICROEMPRESA ASOCIATIVA BAÑOS 0190352900001                                                      X
 151160      CONSULTORA AMBIENTAL AYSANA CIA. LTDA.
                                               0190352978001                                                  X
 269366      AIRCUENCA S.A.                    0190353222001                                                  X
 134494      CONSTRUCTORA DIEMAR CÍA. LTDA. 0190353664001                                                     X
 185561      CRISTALES DEL AUSTRO S.A          0190353761001                                                  X
 237510      ELTELYCON CIA. LTDA.              0190356639001                                                  X
 154975      ASOCIACION DE CONSERVACION VIAL LUZ DEL SUR
                                               0190357163001                                                  X
 155997      ASOSIACION DE CONSERVACION VIAL CAMINO AL PROGRESO
                                               0190357317001                                                  X
 204136      MARIA ANGELA FLORES E HIJOS CIA.LTDA.
                                               0190357384001                                                  X
 190216      ASOCIACION DE TRUCHICULTORES DE0190357554001
                                                SHAGLLI                                                       X
 194767      GASOLINERA BELTRAN E HIJOS CIA LTDA
                                               0190357759001                                                  X
 176390      CONSULNEIRA CIA. LTDA.            0190358380001                                                  X
 244139      TOJARICIALTDA                     0190358526001                                                  X
 183815      ESPERANZAS DEL FUTURO             0190358925001                                                  X
 277049      VTOURS CIA LTDA                   0190359050001                                                  X
 187350      MAQUITRAC CIA LTDA                0190359115001                                                  X
 219364      AGROAUSTRO CIA LTDA               0190359123001                                                  X
 187568      ASOCIACION DE CONSERVACION VIAL RIO NEGRO
                                               0190359158001                                                  X
 211018      FUNDACION DE DESARROLLO INTEGRAL PARA EL SER HUMANO SENDERO DE LUNA
                                               0190359905001                                                  X
 249940      FUNDACION ESCUELAS LIBRES DE INVESTIGACION CIENTIFICA PARA NIÑOS ELIC
                                               0190360520001                                                  X
No                 No registra
                                                               No                    No registra   No
                                                                        No. registra                       registra      No.    indicadores
                                                             registra                provincia, registra
Persona_id               NOMBRE               No. ID (RUC)                 calle                           número      registra de ventas,
                                                             apellido                 cantón y   primer
                                                                         principal                         de calle     origen activos y/o
                                                             paterno                 parroquia nombre
                                                                                                           principal             empleados

 228910      NIÑO DIVINO DE BELEN S.A ASOBELEN 0190360628001                                                  X
 251043      CONSTRUOFERTAS CIA. LTDA.         0190360873001                                                  X
 232930      ZIMA TRAVEL CIA LTDA              0190360903001                                                  X
 219483      MICRO EMPRESA ASOCIATIVA RÍO LEÓN190360946001
                                               0                                                              X
 222151      ASOCIACION DE CONSERVACION VIAL SARAYUNGA
                                               0190360997001                                                  X
 227099      CONSTRUCCIONES Y COMERCIO WASAGA CIA.LTDA.
                                               0190361608001                                                  X
 241759      BESTPOINT CIA. LTDA.              0190362086001                                                  X
 238736      CONSTRUCTORA CUENCA RIO DEL JUBONES OC CIA LTDA
                                               0190362507001                                                  X
 238726      CONSTRUCTORA CHORDELEG OCHOA 0190362515001LTDA
                                               CARRION CIA                                                    X
 245989      ACMIECU S:A:                      0190362582001                                                  X
 253183      AMATEUR SPORTS AND EVENTS         0190362590001                                                  X
 257259      CONSTRUCCIONES VIALES, ESTRUCTURALES Y SANITARIAS CONVIALES CÍA. LTDA.
                                               0190363767001                                                  X
 252658      CONSORCIO DELGADO BARRERA         0190364089001                                                  X
 258546      TAURUSTECH CIA. LTDA.             0190364143001                                                  X
 263915      ELECTRICIDAD &TELEFONIA MERCHAN0190364380001
                                                CIA LTDA                                                      X
 263864      CONSORCIO ELECTRICO               0190365050001                                                  X
 264220      CONSORCIO ELECTRICO PARA GIRON 0190365069001                                                     X
 269715      SERCOBACO CIA LTDA                0190365492001                                                  X
 269582      CONSORCIO JARAMILLO-CALLE         0190365662001                                                  X
 273523      CONSORCIO FABIS ASOCIADOS         0190365964001                                                  X
 273584      CONSORCIO FAJUAN ASOCIADOS        0190365972001                                                  X
 278965      OBRAS CIVILES DEL AUSTRO          0190366553001                                                  X
 129818      SAA ALBAN GLADYS MARIA            0200003564001                                                  X
 174167      GARCIA ZAPATA MISAEL NOLBERTO 0200003713001                                                      X
 182646      PURCACHI CHIGUANO CARLOS ENRIQUE  0200005296001                                                  X
 115427      POVEDA PAZMIÑO GIL ENRIQUE        0200013050001                                                  X
 180804      VACA CALERO MARIA SOLEDAD         0200019578001                                                  X
 225009      DIAZ SERRANO ROBERTO GERARDO 0200026045001                                                       X
  67947      SORIA SALVADOR                    0200035889001                                                  X
 101498      COELLO VIZUETE SOFIA ISABEL       0200036689001                                                  X
 136714      BAZANTE RODRIGUEZ WILSON ROMELO200042968001
                                               0                                                              X
No                 No registra
                                                               No                    No registra   No
                                                                        No. registra                       registra      No.    indicadores
                                                             registra                provincia, registra
Persona_id               NOMBRE               No. ID (RUC)                 calle                           número      registra de ventas,
                                                             apellido                 cantón y   primer
                                                                         principal                         de calle     origen activos y/o
                                                             paterno                 parroquia nombre
                                                                                                           principal             empleados

 135805      GARCIA CAMINO MARIA YOLANDA     0200047124001                                                    X
 260748      BONILLA MALDONADO RAUL IGNACIO 0200049815001                                                     X
 122078      BORJA VILLACRES ALBERTO GERARDO 0200052835001                                                    X
  89431      AGUILA VICTOR MANUEL            0200053627001                                                    X
 130838      GAVILANEZ ROLDAN RAUL ERNESTO 0200054393001                                                      X
  31462      MEZA PAZMIÑO RAÚL ENRIQUE       0200055044001                                                    X
 107516      AGUAGUINA MURILLO ANGEL MARIA 0200060556001                                                      X
 272611      CUENCA BONIFAZ MELCHOR          0200063618001                                                    X
 156402      GUERRA ARAGON ANA JUDITH        0200075224001                                                    X
 192258      MARQUEZ POZO MIGUEL ANGEL       0200077006001                                                    X
 207338      CHAVES ULLOA ANGEL POLIVIO      0200078327001                                                    X
 138574      FIERRO TACO SARA AMERICA        0200078814001                                                    X
 132070      JARRÍN DURANGO MARINA DEL PILAR 0200085363001                                                    X
  53007      BRITO ANDRADE AUGUSTO RUPERTO 0200093425001                                                      X
  16015      CAMBIADO                        0200102408001                                                    X
 120282      VELOZ QUINCHA JULIO CESAR       0200117612001                                                    X
 143338      CAÑAS JOSE BOLIVAR              0200139418001                                                    X
 249429      AROCA MORETA POLICARPA NOEMA 0200140655001                                                       X
 182908      JARRIN SANCHEZ ELIAS OLMEDO     0200150399001                                                    X
 114783      GAIBOR MOREIRA LUZ ELVIRA       0200152379001                                                    X
 244373      GALLEGOS MORALES FAUSTO DUBERLI 0200158202001                                                    X
  62659       JOSÉ                           0200159440001                                                    X
 149485      MUÑOZ LUIS ODINO                0200160034001                                                    X
 192328      GUTIERREZ CORDERO EDUARDO EFRAIN0200161172001                                                    X
 149315      CARVAJAL ANGEL CELIO            0200174928001                                                    X
 244527      DAVILA CAMACHO AUGUSTO GUILLERMO0200216489001                                                    X
   8804      DAVO DAVO DAVO DAVO             0200230035001                                                    X
 150053      TENELEMA AREVALO RAMON          0200267433001                                                    X
 236032      PURCACHI ATACUSHI SEGUNDO GERARDO
                                             0200270742001                                                    X
 112436      BONILLA MALDONADO TERESA AMERICA0200272318001                                                    X
 139723      VARGAS GARCIA PROCULO AUSTRIACO 0200275394001                                                    X
No                 No registra
                                                               No                    No registra   No
                                                                        No. registra                       registra      No.    indicadores
                                                             registra                provincia, registra
Persona_id              NOMBRE                No. ID (RUC)                 calle                           número      registra de ventas,
                                                             apellido                 cantón y   primer
                                                                         principal                         de calle     origen activos y/o
                                                             paterno                 parroquia nombre
                                                                                                           principal             empleados

 125117      POVEDA ANDRADE JORGE           0200289957001                                                     X
 216543      LARA OLALLA LUZ NATIVIDAD      0200292860001                                                     X
 267145      ROMAN VASCONEZ LUIS HERNAN     0200327625001                                                     X
 250776      DURAN BORJA MANUEL DE JESUS    0200333078001                                                     X
 225534      CAMACHO VALENCIA JOSE MANUEL 0200336360001                                                       X
  76503      SALAS GAVILANES RAUL SALOMON   0200339604001                                                     X
 150378      PINOS MANZANO NEICER FILADELFO 0200353837001                                                     X
 157571      LEDESMA CASTRO NELSON FEDERICO0200355469001                                                      X
 261176      QUINTANA GAIBOR JOSE ANTONIO   0200355824001                                                     X
  79669      CHACON SANTACRUZ ANA ESPERANZA 0200371375001                                                     X
 183308      GUEVARA GARCIA BERTHA PRUDENCIA0200391621001                                                     X
 190054      QUILLE PILAMUNGA GABRIEL       0200392876001                                                     X
 274301      TRONCOSO CAJAS JUAN JOSE       0200394047001                                                     X
 115791      BORJA LINARES LICIO ANIBAL     0200403384001                                                     X
 198070      MERA VILLACRES JOSE ANIBAL     0200405355001                                                     X
 185381      ARMIJO BOSQUEZ SEVERO HUMBERTO 0200406551001                                                     X
  59606      JIMENEZ ANDRADE JORGE OSWALDO 0200408649001                                                      X
 100065      CORTES PEREZ JORGE EFRAIN      0200409258001                                                     X
 102080      GARCÍA VILLARES LUIS LUPERCIO  0200416303001                                                     X
 128313      PAZOS RAMOS ANGEL HOMERO       0200416592001                                                     X
 193477      CHAVEZ SANCHEZ GUIDO GONZALO 0200419240001                                                       X
 199163      AVILES CHIMBO SEGUNDO SIMON    0200420347001                                                     X
  19927       GUILLERMO                     0200420735001                                                     X
 156153      VARGAS MORALES MOISES ARNULFO 0200421048001                                                      X
 254210      ARGUELLO LOPEZ CESAR HIPOLITO 0200422269001                                                      X
 130614      MULLO TOALOMBO MARTIN          0200430932001                                                     X
 240634      GUAMAN VARGAS ANGEL ALBERTO    0200433233001                                                     X
 181591      GUAMÁN HINOJOSA GONZALO EFRAÍN 0200436079001                                                     X
  41300      MARTINEZ PAREDES NELSON AUGUSTO0200436194001                                                     X
 116616      MORA DOMINGUEZ CESAR AUGUSTO 0200438018001                                                       X
  88123      ROMERO VARGAS LUIS ENRIQUE     0200440527001                                                     X
No                 No registra
                                                               No                    No registra   No
                                                                        No. registra                       registra      No.    indicadores
                                                             registra                provincia, registra
Persona_id              NOMBRE                No. ID (RUC)                 calle                           número      registra de ventas,
                                                             apellido                 cantón y   primer
                                                                         principal                         de calle     origen activos y/o
                                                             paterno                 parroquia nombre
                                                                                                           principal             empleados

 142367      GAVILANES GUTIERRES GERMÁN OSWALDO
                                            0200446011001                                                     X
  19449      GORDILLO MARIÑO ALBERTO GUIULLERMO
                                            0200449478001                                                     X
 209915      POMA TAMAMI CARLOS DEIFILIO    0200460061001                                                     X
 168353      GAIBOR CHANGO MARÍA DEL LOURDES0200465219001                                                     X
 176011      BAÑOS GAVILANES ANIBAL ESTUARDO0200467967001                                                     X
 173418      GAVILANEZ FLORES CARLOS ALBERTO0200473627001                                                     X
 114378      BOSQUEZ RODRIGUEZ ANGEL GERARDO0200479335001                                                     X
 103605      WONSANG GAVILANES MARIANA CECILIA
                                            0200482149001                                                     X
 206309      ALBAN SANCHEZ JOSE OSWALDO     0200483576001                                                     X
 138385      MOYANO ABSALON JESÚS           0200485258001                                                     X
 264568      ESCOBAR QUINGATUÑA FANNY OFELIA0200491280001                                                     X
 131256      TARAGUAY ANALUIZA PABLO HUMBERTO
                                            0200491561001                                                     X
 124031      AGUILAR GAIBOR FELIX ROQUE     0200493195001                                                     X
 206881      CARVAJAL SILVA HUGO WELINGTON 0200493450001                                                      X
 229998      GAVILANEZ RODRIGUEZ GILBERTO MESIAS
                                            0200496008001                                                     X
 132551      RUIZ MATEO RAFAEL GUILLERMO    0200497170001                                                     X
 222405      CARVAJAL GONZÁLEZ JORGE WASHINGTON
                                            0200497725001                                                     X
 208873      GARCÍA CAMACHO LEONOR NARCISA 0200498103001                                                      X
 162231      ARGUELLO CAUTULLIN MANUEL GEREMIAS
                                            0200498913001                                                     X
 252248      RIVERA GUERRA JANETH DEL ROCIO 0200500551001                                                     X
 146894      RUMIGUANO MANOBANDA RAUL ESTUARDO
                                            0200510246001                                                     X
 274143      BENAVIDES ANGULO MONICA VICTORIA
                                            0200510360001                                                     X
  95500      ROJAS SALVADOR SANTIAGO ORLANDO0200512101001                                                     X
 246736      CEVALLOS MOREJON LUVER ESTUARDO0200512705001                                                     X
 105444      CULQUI GATIA FIDEL NICANOR     0200512812001                                                     X
 242290      PAREDES GALLEGOS LIBANO RAUL   0200513398001                                                     X
  68421      VILLACREZ NARANJO LAUTARO      0200513729001                                                     X
 165490      POVEDA VILLENA MILTON EMERIO   0200515385001                                                     X
 104627      DELGADO MORA LUIS GILBERTO     0200521789001                                                     X
 236287      GUERRERO TORRES MAURO GUERRERO 0200523827001                                                     X
 141110      MELENDEZ MELENDEZ CARLOS HOMERO0200529584001                                                     X
No                 No registra
                                                                No                    No registra   No
                                                                         No. registra                       registra      No.    indicadores
                                                              registra                provincia, registra
Persona_id               NOMBRE                No. ID (RUC)                 calle                           número      registra de ventas,
                                                              apellido                 cantón y   primer
                                                                          principal                         de calle     origen activos y/o
                                                              paterno                 parroquia nombre
                                                                                                            principal             empleados

 174953      HUILCA COBOS OSWALDO ATAHUALPA0200533008001                                                       X
  82029      GARCÍA VILLACÍS JULIO CÉSAR      0200534246001                                                    X
 210205      POMA CANDO LUZ OLGA              0200535045001                                                    X
  23873      CARVAJAL CAMACHO HERMERSON XAVIER0200535250001                                                    X
 142501      AVILES CHACAN VICTOR             0200542777001                                                    X
 104712      SANABRIA BÓSQUEZ CECILIA BEATRIZ 0200543650001                                                    X
 216016      JIMRNEZ PAREDES OLMES ANIBAL     0200544625001                                                    X
 111931      MORA VELOZ OSWALDO FERNANDO 0200551927001                                                         X
 132549      MANOBANDA GOMEZ SEGUNDO AGUSTIN  0200554640001                                                    X
 153726      ALEGRIA CALERO JORGE RAMIRO      0200559029001                                                    X
 258380      ALDAZ DEL SALTO CARLOS NAPOLEON0200559706001                                                      X
 258905      CHACHA CHACHA SEGUNDO DOMINGO0200561645001                                                        X
 157456      NOBOA VILLALTA JOSÉ ALFREDO      0200564334001                                                    X
 143779      YANEZ SANCHEZ SEGUNDA CELINDA 0200568855001                                                       X
 113721      VELARDE CABEZAS ANGEL ALFREDO 0200570786001                                                       X
  13137      DAVILA AROCA GABRIEL FERNANDO 0200586709001                                                       X
 116561      FREIRE FREIRE NILO JESUS         0200587582001                                                    X
 243369      SALTOS GUAMAN JORGE ENRIQUE      0200590404001                                                    X
  73834      ESPÍN SALTOS ENRIQUE ELICEO      0200594943001                                                    X
 139097      TOAPANTA TOAPANTA NÉSTOR MANUEL  0200598654001                                                    X
  62516      GUEVARA ERAZO MARCO ANTONIO      0200600823001                                                    X
 105713      MANOBANDA ZURITA DIONEL          0200604221001                                                    X
 117534      PILAMUNGA CAYAMBE LAURA BEATRIZ0200608735001                                                      X
  85437      AUMALA POZO ROSA FABIOLA         0200614196001                                                    X
 164917      LLANOS VARGAS ISMAEL ELIECER     0200614584001                                                    X
 205455      CANDO GUAMAN MOISES HOMERO       0200617074001                                                    X
 210172      ESPIN GAVILANEZ BERTHA ELISA     0200631463001                                                    X
 189903      RAMIREZ GUANANGA GERMAN RODOLFO  0200633279001                                                    X
 114771      RODRIGUEZ VEGA ANGELA BERATRIZ 0200633923001                                                      X
 260276      ALBAN VERDESOTO JOSE VICENTE 0200635746001                                                        X
 262402      CAIZA PILCO ROBERTO AGNELIDO     0200636363001                                                    X
No                 No registra
                                                               No                    No registra   No
                                                                        No. registra                       registra      No.    indicadores
                                                             registra                provincia, registra
Persona_id               NOMBRE               No. ID (RUC)                 calle                           número      registra de ventas,
                                                             apellido                 cantón y   primer
                                                                         principal                         de calle     origen activos y/o
                                                             paterno                 parroquia nombre
                                                                                                           principal             empleados

 176202      GARCIA RODRIGUEZ VICTOR ELIAS   0200637270001                                                    X
 145225      DURAN BORJA JOSÉ ALFONSO        0200637999001                                                    X
 155888      ROMERO TRUJILLO RAMIRO AURELIO 0200638310001                                                     X
 145723      GARCIA NARANJO AURELIO MOISES 0200645661001                                                      X
 123103      ORDOÑEZ SANCHEZ WASHINGTON MARCELO
                                             0200648012001                                                    X
 258186      CHELA AREVALO MANUEL SEGUNDO 0200651016001                                                       X
 111465      ARELLANO REA MARIA IGNACIA      0200653129001                                                    X
 199042      SALTOS MONCAYO JAVIER ARTURO 0200656999001                                                       X
 115291      GAIBOR DE LA PARED NUMA MARCIAL 0200658763001                                                    X
  88780      XXXXXX CAIZA CAMILO RODRIGO     0200675536001                                                    X
 112021      NARANJO ARGUELLO CARMEN AIDA 0200683944001                                                       X
 198220      CHIMBORAZO TALAHUA JUAN CESAR 0200691434001                                                      X
 256247      BUENAÑO ANGULO SEGUNDO MARTINIANO
                                             0200704005001                                                    X
 205527      RIERA WILSON                    0200704419001                                                    X
 179706      TARIS LLUMIGUANO MANUEL         0200704690001                                                    X
 227487      LOPEZ NARANJO GALUD CLARA       0200705093001                                                    X
  88305      CHAVEZ FIERRO OLGA PIEDAD       0200711158001                                                    X
  52832      MILTON                          0200711257001                                                    X
  13893      ARQUITECTO RODRIGO GOYES NOBOA  0200711265001                                                    X
 172942      CHIMBO CHELA CARLOS MARCOS      0200712610001                                                    X
  91872      VISTÍN MENA GORQUI ELISALDE     0200719243001                                                    X
 102039      BUÑAY GUARANGA CESAR AUGUSTO 0200719946001                                                       X
  19815      NOBOA FLORES GINO ALONSO GUILLERMO
                                             0200720142001                                                    X
 199156      SANGACHA MORA LIDA MARUJA       0200720464001                                                    X
 210031      LARA FLORES EDWIN ALBERTO       0200721553001                                                    X
  56798      GAVILANEZ BARRAGAN SELSO PACO 0200722510001                                                      X
 182428      PAZMIÑO ESTRADA DAVID GILBERTO 0200723146001                                                     X
 150874      TAMAMI AREVALO PEDRO            0200728905001                                                    X
 168465      BOSQUEZ OROZCO PASTOR NAPOLEON200731842001
                                             0                                                                X
 202409      CHAVEZ CHAVEZ LUIS FERNANDO     0200732360001                                                    X
  83530      GARCIA CAMINO MIGUEL LIZARDO    0200734515001                                                    X
No                 No registra
                                                                No                    No registra   No
                                                                         No. registra                       registra      No.    indicadores
                                                              registra                provincia, registra
Persona_id               NOMBRE                No. ID (RUC)                 calle                           número      registra de ventas,
                                                              apellido                 cantón y   primer
                                                                          principal                         de calle     origen activos y/o
                                                              paterno                 parroquia nombre
                                                                                                            principal             empleados

  60124      GAVILANEZ CAMACHO GUIORGENES TUNIN
                                              0200734713001                                                    X
 110211      MUYULEMA YAZACA MARIA INES       0200750016001                                                    X
 220227      MINAYA TORRES RICHARD WILHEIN    0200755809001                                                    X
  86123      CAMACHO VELOZ EMMA DE JESUS      0200782332001                                                    X
  70738      BUSTOS VEINTIMILLA ANGEL ROBERTO 0200796381001                                                    X
  95920      MIRALLAS VELOZ FAUSTO DANIEL     0200798940001                                                    X
 133614      CARVAJAL CAMACHO MARCO VINICIO 0200799625001                                                      X
 209913      GAVILANEZ GUTIERREZ DOLORES DEL 0200800266001
                                              CARMEN                                                           X
 226864      HIDALGO ARAGON GUILLERMO SERGIO  0200804789001                                                    X
 269608      ULLOA MELENDRES GLADYS LUZMILA 0200804805001                                                      X
 193500      CRUZ LARA LADY ROSANA            0200806925001                                                    X
 197933      LARA MOREJON SONIA EULOGIA       0200809622001                                                    X
 130673      MIARANDA PINOS EDILIA NARCIZA    0200819217001                                                    X
 166997      MOYANO ARTEAGA MIGUEL ANGEL      0200822971001                                                    X
 238497      BAZANTES SANTAMARIA KLEVER IVAN0200826014001                                                      X
 262639      CAPUZ TOALOMBO DANIEL FRANCISCO  0200828184001                                                    X
 166601      GARCIA BARRAGAN BOLIVAR HERNAN 0200832590001                                                      X
  25819      CARLOS                           0200837128001                                                    X
 114498      VERA CEDEÑO LEONARDO RAMON       0200841914001                                                    X
 181230      DOMINGUEZ AGUIAR BENITO GERMÁN 0200844785001                                                      X
 149152      FLORES COLOMA JHONNY DARIO       0200847119001                                                    X
 107260      GARCIA GARCIA LIDIA MARIANA      0200847713001                                                    X
  86715      CASTILLO MEZA JAIME EDUARDO      0200850006001                                                    X
 159582      LUCIO GONZALEZ JOSE VICENTE      0200853174001                                                    X
 272360      GAVILAN REA SEGUNDO JOSE         0200853323001                                                    X
 125388      ROMAN CALVACHE ARQUIMIDES ROGELIO0200856284001                                                    X
 120253      VERDEZOTO GAIBOR NELLI BEATRIZ 0200856920001                                                      X
 249790      BRAVO VEGA VICTOR ARNULFO        0200857597001                                                    X
  68596      GARCIA MONTERO HECTOR LANDIVAR0200857761001                                                       X
  12231      DADAD                            0200858736001                  X                                 X
 152029      TRUJILLO RODRIGUEZ TERESITA DE JESUS
                                              0200859247001                                                    X
No                 No registra
                                                                No                    No registra   No
                                                                         No. registra                       registra      No.    indicadores
                                                              registra                provincia, registra
Persona_id               NOMBRE                No. ID (RUC)                 calle                           número      registra de ventas,
                                                              apellido                 cantón y   primer
                                                                          principal                         de calle     origen activos y/o
                                                              paterno                 parroquia nombre
                                                                                                            principal             empleados

 118073      SILVA LOMBEYDA GASTON ALEXANDER  0200861359001                                                    X
 228349      ANILEMA GARCIA BOLIVAR BENITO    0200866663001                                                    X
  90935      CHIDA QUINALOA SEGUNDO TOMAS 0200866812001                                                        X
  37061      PALIZ BAYAS ROBERT GENDER        0200870731001                                                    X
 133749      GUALPA YANCHATUÑA SEGUNDO FRANCISCO
                                              0200874345001                                                    X
 212576      GARCIA VERDEZOTO OSWALDO BAYARDO 0200881274001                                                    X
  78090      TOAPANTA TOAPANTA NANCY MARINA0200882371001                                                       X
 114705      GARCIA VELASTEGUI EDWIN GARCIA 0200882967001                                                      X
 132019      SAMANIEGO CHAMORRO BELGICA GRIMANEZA
                                              0200885879001                                                    X
 250566      GALLMEIER JARAMILLO MAXIMILIANO SEBASTIAN
                                              0200887016001                                                    X
  16427      BORJA VILLACRES ELIECER BACILIO 0200890523001                                                     X
 243969      VÁSQUEZ YÁNEZ CÉSAR BALTAZAR     0200890879001                  X            X                    X
  19979      RAMIREZ GUANIPATIN CESAR EDUARDO 0200891422001                                                    X
 153084      BOSQUEZ RODRIGUEZ GABRIEL ALCIDES0200893089001                                                    X
 239021      IZA GUASHPA AUGUSTO ARMANDO      0200897163001                                                    X
 193210      GARCIA VEGA GALO VINICIO         0200900009001                                                    X
 176490      RODRIGUEZ CHILUISA AGUSTIN OSWALDO
                                              0200901072001                                                    X
 158184      LLANOS YANEZ JOHN EDILBERTO      0200901429001                                                    X
 153097      GUILLIN SAGNAI JOSE OSWALDO      0200901833001                                                    X
 117315      URBANO URBANO LUIS GUSTAVO       0200909299001                                                    X
  51568      CHANGOLUIZA GAVILANEZ JOSE MIGUEL0200910552001                                                    X
 239155      VELOZ MANOBANDA VICTOR LEON      0200916476001                                                    X
 206345      BARRAGAN NARANJO MARIA EFIGENIA  0200917482001                                                    X
 144783      ZAPATA JIMENEZ NEICER ROBERTO 0200920783001                                                       X
 130512      RAMOS CHAMORO JUDITH CECILIA     0200923050001                                                    X
 224883      AGUAGUIÑA ARGUELLO MERCEDES GUADALUPE
                                              0200925634001                                                    X
  91651      ARMIJOS MONCAYO CECILIA DE LOS ANGELES
                                              0200932721001                                                    X
 163603      LARA BARRAGAN PEDRO ALSIDES      0200934677001                                                    X
 219407      CAMACHO BARRIGAS RAUL OSWALDO 0200936185001                                                       X
 236069      RAMOS CHIMBO EDUARDO GUSTAVO 0200937332001                                                        X
 196083      JIMENEZ VEGA ZOILA ROSA          0200938975001                                                    X
No                 No registra
                                                               No                    No registra   No
                                                                        No. registra                       registra      No.    indicadores
                                                             registra                provincia, registra
Persona_id               NOMBRE               No. ID (RUC)                 calle                           número      registra de ventas,
                                                             apellido                 cantón y   primer
                                                                         principal                         de calle     origen activos y/o
                                                             paterno                 parroquia nombre
                                                                                                           principal             empleados

 207486      CHAVEZ IVÁN MARCELO             0200940724001                                                    X
  92716      TOAPANTA TOAPANTA LUIS ARMANDO 0200942498001                                                     X
 135494      CAMACHO GAROFALO AMADO WALBERTO 0200943660001                                                    X
 265112      MORETA ESPINOZA WILMER RAFAEL 0200944908001                                                      X
 203624      FIERRO BARRAGAN FRANKLIN FROILAN0200948065001                                                    X
  82421      ARGUELLO ARGUELLO ANGEL OSWALDO 0200950202001                                                    X
 117619      VASCONEZ SEGURA BOLIVAR GENRRY0200950590001                                                      X
 239811      BARRAGAN CARVAJAL LUIS BENJAMIN 0200950723001                                                    X
  86352      TUQUERES GALLO ANGEL ORLANDO 0200952067001                                                       X
 112328      CUELLAR CASTILLO MARIA DANNIS   0200952760001                                                    X
 156697      MORA GAVILANEZ IVAN ARTURO      0200955623001                                                    X
 130900      LLIGUISUPA PASTOR RODRIGO PATRICIO
                                             0200967354001                                                    X
 259260      GARCIA PONCE ANA FABIOLA        0200967412001                                                    X
 217236      VERDEZOTO MILTON JAVIER         0200972818001                                                    X
 110857      ARELLANO REA SEGUNDA AURORA     0200974236001                                                    X
  93640      NUÑEZ BAÑOS JAIME RODRIGO       0200974517001                                                    X
 278736      AGUALONGO YALLICO PASCUAL       0200978534001                                                    X
  69847      VISCARRA CARRILLO WILSON LUIS   0200980605001                                                    X
  99240      CHAVEZ ESTRELLA MARIA MELIDA    0200982213001                                                    X
 166720      CHILLO RAMIREZ PEPA HILDA       0200982569001                                                    X
 136006      PATIN PATIN FELICIANO           0200984581001                                                    X
 134602      ARGUELLO VASQUEZ BOLIVAR RODRIGO0200988145001                                                    X
 187113      NARANJO SARMIENTO MARGOTH ANGELICA
                                             0200991750001                                                    X
 189654      RUIZ GUERRERO MANUEL EDUARDO 0200992063001                                                       X
 191228      HERRERA CEVALLOS JOSE ALCIVAR 0200995173001                                                      X
 225423      GARCIA RAMOS MEDARDO ABSALON 0201001286001                                                       X
 134490      CHACHA CHATA ALBERTO NAPO       0201004298001                                                    X
 266076      CHIMBO REA MARÍA NATIVIDAD      0201010865001                                                    X
 202051      ZURITA BARRAGAN JOSE ENRIQUE    0201015252001                                                    X
 111164      JÁTIVA ALVEAR JANNET SUSANA     0201017183001                                                    X
  91036      VEGA ANGEL AUGUSTO              0201018322001                                                    X
No                 No registra
                                                                No                    No registra   No
                                                                         No. registra                       registra      No.    indicadores
                                                              registra                provincia, registra
Persona_id               NOMBRE                No. ID (RUC)                 calle                           número      registra de ventas,
                                                              apellido                 cantón y   primer
                                                                          principal                         de calle     origen activos y/o
                                                              paterno                 parroquia nombre
                                                                                                            principal             empleados

 242173      CHICO RUIZ VICENTE RIVERSON      0201020690001                                                    X
 110195      CANDO SILVA ROSA TERESA          0201021672001                                                    X
  22859      BELTRAN AVILES EDISON JAVIER     0201026101001                                                    X
 196514      BECERRA GARCIA FRANKLIN OSWALDO  0201026168001                                                    X
  50689      ESCUDERO VASCONEZ FABIAN OCTAVIO 0201027216001                                                    X
 212563      CHACAN CARDENAS CARLOS GONZALO   0201032257001                                                    X
 200269      IBARRA IBARRA GALO GILBERTO      0201032836001                                                    X
 112680      JARRIN CARVAJAL OLMEDO GERMAN 0201037272001                                                       X
 147373      VILLARROEL SILVA ANIBAL VLADIMIR 0201038924001                                                    X
 116419      SANTACRUZ SANTACRUZ MERCEDES ANGELICA
                                              0201044245001                                                    X
 102565      NARANJO COLOMA HAROLD OMAR       0201044849001                                                    X
 115455      YANEZ RONQUILLO EDGAR OSWALDO 0201047131001                                                       X
 143008      CASTILLO VELOZ WUILLAN AVELINO 0201047479001                                                      X
 238551      REA AGUALONGO AGUSTIN            0201050275001                                                    X
 200792      IBARRA ERAZO ANGEL EDUBERTO      0201053311001                                                    X
 177342      ALBÁN ARGUELLO CÉSAR ANIBAL      0201053477001                                                    X
 167971      CORDOVA ARIAS BLANCA NORMITA     0201055563001                                                    X
 182391      ESPIN MANUEL EVANGELIO           0201055845001                                                    X
 114123      CAMPANA VASQUEZ GUSTAVO VINICIO0201058153001                                                      X
 255868      VERGARA ESTRADA MANUEL MECIAS 0201058187001                                                       X
 184447      DE LA CRUZ GAVILÁNEZ LUIS OCTAVIO0201058401001                                                    X
 258219      ALOMÍA BALAREZO JENY JACQUELIN 0201059854001                                                      X
 264471      LUIS FAUSTO ALMENDARIZ ORTIZ     0201060662001                                                    X
 173769      VEGA LLANOS NESTOR FRANCISCO 0201063088001                                                        X
 132207      CHIMBOLEMA TELENCHANO JOSÉ TOMAS 0201063468001                                                    X
 160276      QUINALOA CHOQUICONDOR ANGEL HOMERO
                                              0201066180001                                                    X
  95103      MASABANDA CADENA SEGUNDO ISALAO  0201072899001                                                    X
 136684      QUIROZ GARCIA MERY URSULINA      0201080371001                                                    X
  40257      VÁSCONEZ CHÁVEZ ALEX FABIÁN      0201082690001                                                    X
 194353      GUANO ANDAGANA SEGUNDO JULIAN 0201083243001                                                       X
  44471      QUINTANA ARMIJO JORGE RAUL       0201086568001                                                    X
No                 No registra
                                                               No                    No registra   No
                                                                        No. registra                       registra      No.    indicadores
                                                             registra                provincia, registra
Persona_id              NOMBRE                No. ID (RUC)                 calle                           número      registra de ventas,
                                                             apellido                 cantón y   primer
                                                                         principal                         de calle     origen activos y/o
                                                             paterno                 parroquia nombre
                                                                                                           principal             empleados

  43895      AGUILAR IBARRA PEDRO MANUEL    0201087285001                                                     X
 130505      GARCÍA GARCÍA STALIN VINICIO   0201088200001                                                     X
 207272      TORRES JIMENEZ GALO ROLANDO    0201089620001                                                     X
 218474      TRUJILLO POZO LUZ MARIA        0201091501001                                                     X
 277958      MONAR PAREDES PATRICIO OSWALDO0201092350001                                                      X
 107247      GUEVARA GAIBOR HEDILBERTO MIGUEL
                                            0201094554001                                                     X
  89738      CALERO NAVAS GUIDO NAPOLEON    0201095783001                                                     X
  71308      SOLORZANO HERRERA MILTON ESTUARDO
                                            0201106168001                                                     X
 263380      AVALOS ALARCON FLOR ELISA      0201108941001                                                     X
 168704      CALERO MONCAYO VICTOR HUGO     0201109840001                                                     X
  69675      BENAVIDES BENITEZ GUDBER ALSUBER
                                            0201110160001                                                     X
 232075      QUINTANA AVILES MARLON ENRIQUE 0201110814001                                                     X
 255572      CHIMBO HINOJOZA SEGUNDO MANUEL0201111408001                                                      X
 115073      AVILES TARIS SEGUNDO PEDRO     0201112083001                                                     X
 191225      HERRERA GRANIZO ANGEL RODRIGO 0201121902001                                                      X
 239614      SINMALEZA ARTEAGA GASPAR ABEL 0201123320001                                                      X
  79806      MANZANO JAVIER MARTÍN          0201127974001                                                     X
 194179      LEON ARTEAGA MIGUEL ANGEL      0201129541001                                                     X
 202894      ARIAS PALACIOS MANUEL VITERBO  0201135639001                                                     X
 193467      SISA MANCERO ABRAHAM MOISES    0201146883001                                                     X
  81890      SILVA NUÑEZ ROMEO FERNANDO     0201149168001                                                     X
 117144      CHIMBO MAZABANDA ANGEL PEDRO 0201149838001                                                       X
 230916      CAMACHO QUINTANILLA LAURA SALUSTIA
                                            0201155447001                                                     X
 105894      GARCIA POVEDA CARMEN CANDELARIA0201158649001                                                     X
 127383      NUÑEZ BAÑOS NINFA MARIA        0201161031001                                                     X
 170474      AGUILAR ESCOBAR ANGEL RAUL     0201162922001                                                     X
 246082      BARRAGAN GAROFALO ALBERTO LEON 0201164332001                                                     X
  91515      ARELLANO MORAN ASPRIN ROBERTO 0201165735001                                                      X
 214673      PULLAS TORO SANDRA MARIANITA   0201165842001                                                     X
 119523      TENELEMA MULLO JOSE            0201166196001                                                     X
 227213      GARCIA CAMACHO ROBERT ANIBAL   0201168655001                                                     X
No                 No registra
                                                                No                    No registra   No
                                                                         No. registra                       registra      No.    indicadores
                                                              registra                provincia, registra
Persona_id               NOMBRE                No. ID (RUC)                 calle                           número      registra de ventas,
                                                              apellido                 cantón y   primer
                                                                          principal                         de calle     origen activos y/o
                                                              paterno                 parroquia nombre
                                                                                                            principal             empleados

  96845      MONTERO MEZA LEONEL DOMENGHINI0201168887001                                                       X
 192239      RAMOS CAMACHO LORENA MAGALI      0201171147001                                                    X
 140351      BONILLA PÉREZ GONZALO HENÁN      0201171477001                                                    X
 145689      PINOS GARCIA MARIO EDISON        0201172079001                                                    X
 151862      VILLACIS ESPIN CRISTINA LISSETTE 0201173192001                                                    X
  61360      NAVARRETE CAÑAR LUIS FRANS       0201173952001                                                    X
 246767      PRADO QUISPE VICENTE HERNAN      0201174117001                                                    X
 107193      ARGUELLO PAZMINO JORGE NAPOLEON201174802001
                                              0                                                                X
 171816      GARCIA CACERES GONZALO CALIXTO 0201175957001                                                      X
 114938      GARCIA PEÑALOZA EDISON GUALBERTO 0201176542001                                                    X
  47672      BENAVIDES BENITEZ LEBINZON REMIGIO
                                              0201177342001                                                    X
 111671      RIVADENEIRA GONZALO VINICIO      0201178183001                                                    X
 102568      TUALA PASTOR HOLGER VINICIO      0201178951001                                                    X
 173671      GUAMBUGUETE AGUALONGO AGUSTIN SEGUNDO
                                              0201182797001                                                    X
 210567      URBANO URBANO GONZALO VINICIO 0201186632001                                                       X
  55792      FLORES PAZMIÑO SONIA DE LOS ANGELES
                                              0201191160001                                                    X
 128006      ESPÍN SALTOS GONZALO XAVIER      0201195468001                                                    X
 227634      GONZALEZ SEGURA KLEVER GUSTAVO0201198678001                                                       X
 236578      RAMIREZ ROMERO ANDRES LINO       0201201399001                                                    X
 112421      GUAMAN AGUAGUIÑA LUIS ALBERTO 0201204146001                                                       X
 114830      PUNINA POAQUIZA CARLOS BENIGNO 0201205093001                                                      X
 260410      REA AGUALONGO LEANDRO            0201206034001                                                    X
  21181      ZAPATA CHAFLA LEONARDO MISAEL 0201210853001                                                       X
 172841      ROMERO PAZMIÑO STANLEY TELEMACO  0201210952001                                                    X
 148545      CHÁVEZ LARREA LUIS ESTEBAN       0201212214001                                                    X
 248179      AGUAY PAREDES MERCEDES ANITA 0201212834001                                                        X
 186340      ESCOBAR PEREZ KLERY GEOVANY      0201220787001                                                    X
 194487      REA MINCHALO CARMEN BEATRIZ      0201224359001                                                    X
 269170      REMACHE LOPEZ PATRICIO MARCELO 0201229481001                                                      X
 245999      CORTEZ PEREZ OLGA AZUCENA        0201234440001                                                    X
 141352      CAIZA LEMA EDUARDO MARCELO       0201235785001                                                    X
No                 No registra
                                                               No                    No registra   No
                                                                        No. registra                       registra      No.    indicadores
                                                             registra                provincia, registra
Persona_id               NOMBRE               No. ID (RUC)                 calle                           número      registra de ventas,
                                                             apellido                 cantón y   primer
                                                                         principal                         de calle     origen activos y/o
                                                             paterno                 parroquia nombre
                                                                                                           principal             empleados

 156069      PEÑA CASTRO MARCO ANTONIO       0201238631001                                                    X
 148942      GUTIERREZ JARRIN JAIME PATRICIO 0201238748001                                                    X
 188383      ZURITA MANOSALVAS MARIA DEL PILAR
                                             0201243136001                                                    X
 193702      GUANO JOGACHO EFRAIN EDUARDO 0201244464001                                                       X
 258860      MONAR SANCHEZ EUGENIA CELESTE 0201245636001                                                      X
 139667      CHAVEZ MARTINEZ CARMEN DELICIA 0201252731001                                                     X
 103922      ROMERO ANGULO GRACE MRISOL      0201262565001                                                    X
 156345      RAMIREZ RAMIREZ JUAN RODRIGO    0201262664001                                                    X
 245280      LEDESMA POZO MARCOS OSWALDO 0201263092001                                                        X
 185616      AGUILAR SALTOS IVAN ANTONIO     0201263613001                                                    X
 204495      GUERRERO ULLOA MARTHA CONSEPCIO 0201265188001                                                    X
 139178      GOMEZ GOMEZ OSCAR LAUTARO       0201265345001                                                    X
 198671      SANCHEZ BARAHONA SILVIA EUGENIA 0201267333001                                                    X
 182506      QUINATOA PACHALA CESAR ALBERTO 0201273240001                                                     X
 103031      CALERO CHAVEZ OSWALDO OLMEDO 0201275260001                                                       X
 178505      BORJA BORJA GLADYS EDITH        0201276136001                                                    X
 270723      CHIMBO CUTIUPALA MANUEL         0201280492001                                                    X
 114095      CHIMBO BAYAS PEDRO SEGUNDO      0201280856001                                                    X
 140431      BOSQUEZ MOREJÓN GILMA JOSEFINA 0201284866001                                                     X
 135167      RUIZ AYALA SEGUNDO FRANCISCO    0201287471001                                                    X
 126519      SINMALEZA SANCHEZ CARLOS NAPOLEON
                                             0201288305001                                                    X
  64743      QUISHPE PUNINA LUIS HUMBERTO    0201288800001                                                    X
 264368      LEDESMA LEDESMA BLANCA ESMERALDA0201290913001                                                    X
 112652      ALLAN ALARCON JHONSON FERNANDO  0201295227001                                                    X
 102938      CARVAJAL VASCONEZ ALEXANDRA PAQUITA
                                             0201295417001                                                    X
 235080      VALVERDE VALVERDE WASHINGTON GUSTAVO
                                             0201298353001                                                    X
 244372      ORDOÑEZ SANCHEZ MARIA DE LAS MERCEDES
                                             0201300845001                                                    X
  70731      BANITEZ AMANCHE AMANCHE ALEXANDRA
                                             0201306198001                                                    X
 210675      CHIMBOLEMA CHIMBOLEMA LUIS MEDARDO
                                             0201309770001                                                    X
  93496      BALAREZO CALERO JESUSITA RUBI   0201313400001                                                    X
 113779      CASTRO CARVAJAL MILTON ENRIQUE 0201318292001                                                     X
No                 No registra
                                                               No                    No registra   No
                                                                        No. registra                       registra      No.    indicadores
                                                             registra                provincia, registra
Persona_id               NOMBRE               No. ID (RUC)                 calle                           número      registra de ventas,
                                                             apellido                 cantón y   primer
                                                                         principal                         de calle     origen activos y/o
                                                             paterno                 parroquia nombre
                                                                                                           principal             empleados

  92441      ARGUELLO PAREDES MARIA DE LOURDES
                                             0201319902001                                                    X
 178636      GAROFALO CORONEL WILPER ANIBAL0201325164001                                                      X
 203837      YANEZ YANEZ MARIANA DE LOURDES 0201332673001                                                     X
 131931      RUMIGUANO VILLACIS EVA INES     0201335981001                                                    X
 205579      AGUALONGO OROSCO HENRY ANIBAL 0201338316001                                                      X
 177305      VELOZ CHAVEZ AMPARO ELIZABETH 0201342227001                                                      X
 223672      LARA SALAS ANGEL ISRAEL         0201345246001                                                    X
 196934      VILLEGAS BAZANTES OSCAR RAMIRO 0201346442001                                                     X
 218997      CARVAJAL LUNA EDISON BOANERGES 0201346491001                                                     X
  19994      NUÑEZ SOLIZ MANUEL RODRIGO      0201347267001                                                    X
 151253      CHIMBO CHIMBO SEGUNDO REIMUNDO  0201353588001                                                    X
 130480      ORTIZ SANCHEZ LIA OLIVANA       0201353851001                                                    X
 191319      CELI ESPINOZA TANIA GIOMAR      0201355252001                                                    X
 113297      RAMOS MONTERO ANTONIO GONZALO0201356755001                                                       X
  18720      CAMACHO ANGULO ADOLFO RODRIGO0201357993001                                                       X
 274314      LINARES PILAMUNGA JANETH CARMITA0201358447001                                                    X
 208621      CARVAJAL ESPINOZA ANGEL FLAVIO 0201360112001                                                     X
 116576      ROCHINA SISA SEGUNDO FRANCISCO 0201360401001                                                     X
 167765      GUAMÁN ZAPATA CARMEN LUZ        0201368073001                                                    X
 140795      GALEAS BUNAY IRMA MARGARITA     0201368552001                                                    X
 253064      ALBÁN RAMOS EDISON PATRICIO     0201376373001                                                    X
  50743      ESTRADA POVEDA ANGEL EDUARDO 0201376589001                                                       X
 189837      GONZALEZ COLOMA MILTON GUILLERMO0201377058001                                                    X
 188054      GAIBOR VINUEZA MARCELO NAPOLEÓN 0201380581001                                                    X
 168581      RUEDA RAMOS RICHARD ALBERTO     0201386794001                                                    X
 115155      PILCO ATACUSHI WASHINGTON REMIGIO
                                             0201392164001                                                    X
 255640      BONILLA SANTANA ROSA GALUD      0201393469001                                                    X
  78766      GUERRERO CEPEDA VICENTE JAVIER 0201395753001                                                     X
  57005      ORDOÑEZ ESCOBAR NORNA JAKELINE0201395787001                                                      X
 114991      PINOS GUILLEN IVAN MARCELO      0201397148001                                                    X
 108159      TARQUI FREIRE WILLIAM DANIEL    0201397650001                                                    X
No                 No registra
                                                               No                    No registra   No
                                                                        No. registra                       registra      No.    indicadores
                                                             registra                provincia, registra
Persona_id              NOMBRE                No. ID (RUC)                 calle                           número      registra de ventas,
                                                             apellido                 cantón y   primer
                                                                         principal                         de calle     origen activos y/o
                                                             paterno                 parroquia nombre
                                                                                                           principal             empleados

 141606      TOALOMBO QUISHPE EDWIN ISRAEL 0201400827001                                                      X
 224784      BARCENES RUMIGUANO RENE GERMAN 0201401833001                                                     X
 167109      CHIMBORAZO CANDO ZOILA MARINA 0201407921001                                                      X
 232393      CHASIQUIZA CHILENO CARLOS GONZALO
                                            0201409703001                                                     X
 167511      CASTILLO VELASCO CARLOS ALBERTO0201410016001                                                     X
 205384      CARRILLO FREIRE RAUL FERNANDO 0201413556001                                                      X
 187386      VELOZ DEL POZO CARLOS AUGUSTO 0201415668001                                                      X
 165158      MANOSALVAS ORTIZ PACO ALEXANDER0201417789001                                                     X
 182278      GAIBOR CAMACHO JORGE FELIPE    0201418274001                                                     X
  64979      ESCUDERO CAMACHO LEO EDUARDO 0201419454001                                                       X
 218645      VARGAS ARMIJO HERMEL RIGOBERTO 0201420874001                                                     X
  69407      GARCÍA MONTERO WILFER WALPER 0201422425001                                                       X
 263271      PINOS ROBALINO ROBERTO VICENTE 0201422946001                   X            X                    X
 205561      GUANO GUANO LUIS OSWALDO       0201424462001                                                     X
 172981      PEÑA PATRICIA MORAIMA          0201427572001                                                     X
 173856      REA LOPEZ SANDRO RIQUELME      0201428067001                                                     X
 205034      QUILLE GUERRERO GALO CISERON   0201428166001                                                     X
 265407      CARRASCO LEMA EDWIN GONZALO    0201428190001                                                     X
  75306      FIERRO MONTERO BORIS DILON     0201428539001                                                     X
 181839      VELOZ NARANJO OLGA FIDELINA    0201429289001                                                     X
 265521      MORETA ESPINOZA MARCOS ENRIQUE 0201429560001                                                     X
 194613      ARMIJO SANABRIA ROBINSON SEVERO0201434297001                                                     X
 150047      GARCIA RIERA MARCYA ESTERFILA  0201435211001                                                     X
 160480      BAÑO PEÑA BETTY ARACELY        0201436730001                                                     X
 167675      QUINATOA CHELA MIGUEL ANGEL    0201438793001                                                     X
 101500      HINOJOZA SERRANO STALIN JAVIER 0201438850001                                                     X
 252885      ANDRADE PABON ALLEM DAVID      0201439205001                                                     X
 128884      SIMALEZA MONAR ATILIO ROMAN    0201440385001                                                     X
  43224      BORJA ULLOA LUIS AUGUSTO       0201444643001                                                     X
 226826      ZAPATA NINA JOSÉ VENANCIO      0201445731001                                                     X                      X
  46361      HINOJOZA CALUÑA CARLOS HOMERO 0201446010001                                                      X
No                 No registra
                                                                No                    No registra   No
                                                                         No. registra                       registra      No.    indicadores
                                                              registra                provincia, registra
Persona_id               NOMBRE                No. ID (RUC)                 calle                           número      registra de ventas,
                                                              apellido                 cantón y   primer
                                                                          principal                         de calle     origen activos y/o
                                                              paterno                 parroquia nombre
                                                                                                            principal             empleados

 218655      LLUMITAXI AROCA JORGE RAUL       0201453917001                                                    X
 194663      BENAVIDES BENAVIDES MARCELO PAUL 0201455003001                                                    X
 118356      ACOSTA MELENDEZ KLEVER PATRICIO0201459914001                                                      X
 211151      CARVAJAL VASCONEZ JEOCONDA ANJELITA
                                              0201461399001                                                    X
 101009      PEÑALOZA MELENDREZ EDISON JOSE 0201461829001                                                      X
 226503      GUEVARA GARCIA MIGUEL DECIDERIO 0201462439001                                                     X
  94245      CULQUI BONILLA DIANA PATRICIA    0201462611001                                                    X
 204704      MANCERO MONTEROS JOSÉ LUIS       0201463791001                                                    X
 209280      ARIAS BRAVO MARÍA ESTEFANÍA      0201463981001                                                    X
 128355      CARVAJAL GAIBOR JORGE HUGO       0201473154001                                                    X
 166434      MORA SANCHEZ MENTOR MANUEL       0201474129001                                                    X
 264248      GUZMÁN CÁCERES MARCIA JANETH 0201476330001                                                        X
 257129      PAVON URIARTE ANTONIO CUSTODIO 0201479698001                                                      X
 158046      SOLIS VELASCO NANCY PATRICIA     0201480894001                                                    X
 227000      PIÑALOZA QUINATOA JORGE EFRAIN 0201481603001                                                      X
 191271      GARCIA VERDEZOTO ENIN WILFRIDO 0201482155001                                                      X
 259433      ROBALINO VILLACIS WILFRIDO ALONSO0201482866001                                                    X
 269078      GARCIA NUÑEZ GLADIS CIELO        0201490448001                                                    X
 200628      VISCARRA VEGA MIRIAM PAQUITA     0201490778001                                                    X
 220827      ESPINOZA HEREDIA JUANITO STTYD 0201491743001                                                      X
 243337      FOGACHO CHIMBORAZO ANGEL AURELIO 0201494044001                                                    X
 206445      BALAREZO CALERO ELENITA DEL ROCIO0201497120001                                                    X
 271621      CHAVEZ CARRERA FREDDY OSWALDO0201497799001                                   X                                X
 111758      REA CHIMBO LUIS RAUL             0201499662001                                                    X
 125239      QUICALIQUIN SISA WILLIAM ADOLFO 0201508587001                                                     X
  64418      AVEIGA GUAMAN RAUL ARMANDO       0201508934001                                                    X
 151394      BORJA DURAN EDGAR VINICIO        0201511961001                                                    X
 202268      PEÑA CARLOS OSWALDO              0201512209001                                                    X
 149483      BARRAGAN BARRAGAN TANIA PATRICIA 0201513017001                                                    X
 161078      GARCIA ARGUELLO ROSA GUADALUPE0201514346001                                                       X
 137424      BENAVIDES CORREA EDISON GIOVANNY 0201521176001                                                    X
No                 No registra
                                                                No                    No registra   No
                                                                         No. registra                       registra      No.    indicadores
                                                              registra                provincia, registra
Persona_id               NOMBRE                No. ID (RUC)                 calle                           número      registra de ventas,
                                                              apellido                 cantón y   primer
                                                                          principal                         de calle     origen activos y/o
                                                              paterno                 parroquia nombre
                                                                                                            principal             empleados

 250398      QUILLE AGUALONGO CLAUDIO WILFRIDO0201526340001                                                    X
 133114      TOALOMBO QUISHPE JAVIER ALONSO 0201527231001                                                      X
  99378      LEDESMA SALTOS MARIA CECILIA     0201527397001                                                    X
 170467      GOMEZ GUAMAN ANGEL ENRIQUE       0201528379001                                                    X
 218579      RIOS ENCALADA JORGE ALFREDO      0201534252001                                                    X
  79333      BARRAGÁN AROCA GREY IRENE        0201535549001                                                    X
 148264      MALATAY LEMA ISIDRO FERNANDO     0201538576001                                                    X
 212400      GUAMÁN AGUAGUIÑA LAURA MARIA 0201545076001                                                        X
 234263      MIRALLAS VELOZ GUADALUPE DEL CONSUELO
                                              0201549292001                                                    X
 224806      HIDALGO AGUILAR JOHN IVAN        0201552221001                                                    X
 121886      LARA VEGA EDISON RODRIGO         0201552544001                                                    X
  25390      REA HINOJOSA LUIS FERNANDO       0201552841001                                                    X
  33537      MORALES ANGULO JANINA MAGALY 0201562774001                                                        X
 237877      SIMALIZA CHELA MARÍA ZOILA       0201564523001                                                    X
 204466      PILCO ATACUSHI EDISON DAVID      0201565900001                                                    X
 114628      LEMA CANDO ANGEL WILFRIDO        0201566809001                                                    X
 244308      SOLIZ BRAVO JUAN CARLOS          0201568854001                                                    X
 199591      ESPINOZA JIMENEZ CARLOS RAUL     0201571080001                                                    X
 210242      JIMENEZ NUÑEZ PAUL ROBERTO       0201576584001                                                    X
 188534      GAIBOR MONAR SILVANA ESTEFANIA 0201579141001                                                      X
  91702      GALARZA LUNA DAVID GUILLERMO     0201580008001                                                    X
 146090      RAMIREZ CAMBO SEGUNDO LEONIDAS0201598257001                                                       X
 207346      YANEZ CASALOMBO FAUSTO GILBERTO  0201601291001                                                    X
  79015      GAVILANEZ SORIA YESSENIA AMELIA 0201602828001                                                     X
 227990      CHELA CHELA MESIAS SAUL          0201603842001                                                    X
 171717      GAVILANES AYALA MARIA SUSANA     0201604584001                                                    X
 245856      PAZOS PASTO LIBIA ROSANITA       0201606589001                                                    X
 120497      SANCHEZ HUILCA FREDDY ROLANDO 0201608197001                                                       X
 252910      GARCIA CAMACHO JAIME IVAN        0201608585001                                                    X
 162873      VILLACIS PACAJI GIOVANNY LORENZO 0201611043001                                                    X
 220699      GAIBOR JURADO MARIA PAOLA        0201621364001                                                    X
No                 No registra
                                                               No                    No registra   No
                                                                        No. registra                       registra      No.    indicadores
                                                             registra                provincia, registra
Persona_id               NOMBRE               No. ID (RUC)                 calle                           número      registra de ventas,
                                                             apellido                 cantón y   primer
                                                                         principal                         de calle     origen activos y/o
                                                             paterno                 parroquia nombre
                                                                                                           principal             empleados

 157549      QUINATOA CHELA ANGEL AURELIO    0201623592001                                                    X
  83030      BORJA ULLOA EMMA MARLENE        0201626447001                                                    X
 260896      TIBANLOMBO TIBANLOMBO LUIS WILFRIDO
                                             0201627445001                                                    X
 116060      SEGURA TACLE MARIA ALEXANDRA 0201629821001                                                       X
 265631      TOAPANTA URBANO EDGAR GEOVANNY201630464001
                                             0                                                                X
 264680      CEVALLOS CEVALLOS LUIS ALFREDO 0201631942001                                                     X
 109975      CAMPI OCAMPO RONALD HAMILTON 0201633153001                                                       X
 254504      BORJA JIMENEZ DARWIN FABIAN     0201633922001                                                    X
 198815      YANEZ GAYBOR CARLOS ISIDRO      0201641651001                                                    X
 245633      MULLO PILAMUNGA NELSON GEOVANNY 0201642097001                                                    X
 185819      ARMIJO SANABRIA ROSA ELENA      0201643111001                                                    X
 275837      ALDAZ GONZALES CRISTHIAN DANILO 0201656048001                                                    X
 249567      TENEZACA JOSÉ                   0201656055001                                                    X
 231197      GUALUNTUÑA BRONCANO REISY KARINA0201660628001                                                    X
 189614      GRANIZO CUJI RAUL MEDARDO       0201662848001                                                    X
 223223      RODAS ALBÁN NATHALIE MARGOTH 0201663275001                                                       X
  73309      CASTRO GUILLEN TYRONE ALEXIS    0201666641001                                                    X
 191274      ILLACHUMA NINABANDA HERNAN EDUARDO
                                             0201675865001                                                    X
 136879      GUANANGA TERRANOVA GIINA PETITA0201677051001                                                     X
 227476      VERDEZOTO MONTERO MARIA EUGENIA201680402001
                                             0                                                                X
 111130      AVILES GUERRA DIEGO FERNANDO    0201690328001                                                    X
 235233      ULLOA ULLOA LOURDES ANITA       0201693173001                                                    X
  82015      PACHALA LLUMIGUANO KLEVER EFRAIN0201698982001                                                    X
 192708      LUCIO JUAN MARCELO              0201699444001                                                    X
 107345      LIZANO MUÑOZ VINICIO EFRAIN     0201702347001                                                    X
 165379      CAMBO CAMBO VILMA BEATRIZ       0201708609001                                                    X
  85977      ARMIJOS MONAR ANGELA GABRIELA 0201712841001                                                      X
 167356      SILVA BAÑO CRISTIAN GILBERTO    0201714375001                                                    X
 241863      PILAMUNGA AGUALONGO EDWIN ANIBAL0201716693001                                                    X
 177810      QUINLLÍN MORETA MIGUEL ANGEL    0201717899001                                                    X
 197465      BASTIDAS CALERO FREDDY NEY      0201719150001                                                    X
No                 No registra
                                                                No                    No registra   No
                                                                         No. registra                       registra      No.    indicadores
                                                              registra                provincia, registra
Persona_id               NOMBRE                No. ID (RUC)                 calle                           número      registra de ventas,
                                                              apellido                 cantón y   primer
                                                                          principal                         de calle     origen activos y/o
                                                              paterno                 parroquia nombre
                                                                                                            principal             empleados

 152847      GUAMAN PUNGAÑA LUIS RODOLFO      0201723947001                                                    X
 109001      CÁCERES CASTRO ALEXANDRA PAOLA0201724317001                                                       X
  78875      PILAMUNGA LLUMIGUANO GUSTAVO XAVIER
                                              0201726650001                                                    X
 132922      CHARIGUAMAN QUISHPE JUAN CARLOS  0201733482001                                                    X
 274761      CHARIGUAMAN QUISHPE MARIA NAECISA0201733490001                               X                    X           X
 227474      CHAVEZ LOMBEIDA ERCILIA CANDELARIA
                                              0201739083001                                                    X
 186542      TUAREZ MERCHAN EDUARDO ARNALDO   0201748365001                                                    X
 269288      BAYES CHACHA NARCISA BEATRIZ 0201753738001                                                        X
 115088      SANCHEZ CEDEÑO ANGEL GEOVANNY 0201759016001                                                       X
 228018      BOSQUEZ GAIBOR JHON RICHARD      0201762887001                                                    X
 167713      AREVALO CHIMBO ANGEL GIDO        0201763992001                                                    X
 217200      GUANO PACHALA ESTHELA            0201765864001                                                    X
 118775      AMANGANDI AREVALO VENANCIO       0201771623001                                                    X
 182415      ARELLANO QUINATOA GALO MEDARDO0201776937001                                                       X
 249935      CIMBOLEMA TOALOMBO BOLIVAR JAVIER0201779790001                                                    X
  88467      PALACIOS BAYAS JOSE MIGUEL       0201780046001                                                    X
 242835      PIMBOSA AGUILAR RAUL VINICIO     0201784063001                                                    X
 258945      TUALOMBO TAMAMI AMERICA MARTHA0201789997001                                                       X
 266628      SANCHEZ VASCONES JUAN CARLOS 0201791076001                                                        X
 145087      YALLICO YUMBAY BLANCA ELIZABETH 0201795804001                                                     X
 128042      RODRIGUEZ FREIRE DAVID ALEXANDER 0201798907001                                                    X
 223193      GUERRERO MORETA MARCO ANTONIO0201801156001                                                        X
 106460      MELENDREZ BARRAGAN WILMO ARCENIO 0201801347001                                                    X
 181427      AGUIRRE QUINTANILLA ELIAS ALFREDO0201802063001                                                    X
 137493      CAMACHO VEGA ROSA EDITH          0201812856001                                                    X
  91533      ULLOA MIRANDA LAURA ELENA        0201813722001                                                    X
 140089      PUNGAÑA ZARUMA SERGIO WASHINGTON 0201814993001                                                    X
 196250      ESTRADA ESTRADA JORGE XAVIER     0201816758001                                                    X
 219712      BOSQUEZ BARCENES VICTOR ALEJANDRO0201819570001                                                    X
  63446      NUÑEZ PASTO MARIETA EUGENIA      0201831179001                                                    X
 276531      NAJERA SOSA JOSE ISRAEL          0201843547001                                                    X
No                 No registra
                                                              No                    No registra   No
                                                                       No. registra                       registra      No.    indicadores
                                                            registra                provincia, registra
Persona_id              NOMBRE               No. ID (RUC)                 calle                           número      registra de ventas,
                                                            apellido                 cantón y   primer
                                                                        principal                         de calle     origen activos y/o
                                                            paterno                 parroquia nombre
                                                                                                          principal             empleados

 163042      SERRANO CASTRO ANITA KARINA     0201849445001                                                   X
 202634      FIERRO PAZMIÑO DIANA ELIZABETH 0201851466001                                                    X
 109360      REAL NAVARRETE LUIS EDUARDO     0201854403001                                                   X
  84554      GARCIA VALENCIA BLANCA CORINA 0201871464001                                                     X
 237427      CHASI NUÑEZ FRANKLIN MARCELO    0201873726001                                                   X
 246552      ALBINO GUACHO MARITZA ELIZBETH 0201874963001                                                    X
 211623      TORRES QUINATOA CARLOS OVIVIO 0201880465001                                                     X
 114659      BORJA POZO ANITA MARIA          0201884103001                                                   X
 172984      CHAMORRO LUIZANA                0201893609001                                                   X
 186958      QUICALIQUIN CHASI GUIDO ORLANDO 0201894623001                                                   X
 145983      CABEZAS PAZMIÑO MIGUEL ANGEL    0201896735001                                                   X
 222969      VASQUEZ FONSECA GEOVANY ISRAEL 0201898350001                                                    X
 264727      ALVARADO DAVILA ANTHONY VICENTE0201901352001                                                    X
 107766      VILLAREAL ACURIA DENNIS MARIELA 0201902277001                                                   X
  89704      PUCHA LEMA EDWIN MANUEL         0201924024001                                                   X
 144148      AVEROS MORA REMIGIO GERMAN      0201926342001                                                   X
 155031      ARGUELLO HOLGUIN CHRISTIAN GARDEL
                                             0201972221001                                                   X
 124393      MANOBANDA REA CRISTIAN JESUS    0201988110001                                                   X
 231140      JIMÉNEZ RAMOS JYNA ELIZABETH    0201996360001                                                   X
 263950      LUCINTUÑA AGUAGALLO ANA ELOISA 0201996444001                                                    X
 224183      GARCÍA NÚÑEZ ALEXANDER JAVIER 0202005633001                                                     X
 258953      COLOMA SANTOS EDGAR ROLANDO 0202028247001                                                       X
 225512      GARCIA MUÑOZ IVAN FRANCISCO     0202029047001                                                   X
 249373      CHARIGUAMAN QUISHPE LUIS ALFREDO0202060331001                                                   X
 273040      CHISAG CHISAG ANA MARÍA         0202100483001                                                   X
 212547      COOPERATIVA DE TRANSPORTE DE MATERIALES DE CONSTRUCCION CAMINO REAL
                                             0290039649001                                                   X
 142564      DIOCESIS DE GUARANDA            0290044812001                                                   X
  91337      FUNDACION GRUPO JUVENIL SALINAS 0290044863001                                                   X
  33481      FUNDACION RUNACUNAPAC YACHANA0291500382001                                                      X
 167549      PANERATI ZORZI ALBERTO          0291500609001                                                   X
 266756      COOPERATIVA DE TRANSPORTE MIXTO EN CAMIONETAS DOBLE CABINA UNION BOLIVARENSE
                                             0291500943001                                                   X
No                 No registra
                                                              No                    No registra   No
                                                                       No. registra                       registra      No.    indicadores
                                                            registra                provincia, registra
Persona_id              NOMBRE               No. ID (RUC)                 calle                           número      registra de ventas,
                                                            apellido                 cantón y   primer
                                                                        principal                         de calle     origen activos y/o
                                                            paterno                 parroquia nombre
                                                                                                          principal             empleados

 130788      ASOCIACION INTERPROFESIONAL DE MAESTROS Y OPERARIOS 22 DE ABRIL
                                              0291501478001                                                  X
  15149      FUNDACION FAMILIA SALESIANA SALINAS
                                              0291501583001                                                  X
 251021      COOPERATIVA DE PRODUCCIÓN ARTESANAL "5 DE NOVIEMBRE"
                                              0291501885001                                                  X
  25289      ATTREZZO CONSTRUCTORES CIA. LTDA.0291503535001                                                  X
 145325      SAN MIGUEL DISTRIBUCION Y VENTA SAMIDISV S.A
                                              0291504736001                                                  X
  77140      ASOCIACIÓN DE CONSERVACIÓN VIAL EMANUEL
                                              0291505031001                                                  X
 268030      COOPERATIVA DE PRODUCCION INDUSTRIAL TAMBAN ECUADOR
                                              0291506720001                                                  X
 148979      ASOCIACION LOS PINOS             0291508804001                                                  X
 197240      IGAREP COMPANIA LIMITADA         0291509185001                                                  X
 198128      CONSTRUCTORA LAYMICER S. A.      0291509223001                                                  X
 275930      ASOCIACION DE DESARROLLO COMUNITARIO SAN FRANCISCO DE BOLA DE ORO
                                              0291509908001                                                  X
 216726      MATA REGALADO FANNY RAQUEL       0300005386001                                                  X
 163675      ESPINOZA CORDOVA LUIS ROBERTO 0300016011001                                                     X
 155499      ROMERO ACERO CARLOS ANTONIO      0300019759001                                                  X
 119102      GONZALEZ VINTIMILLA GERMAN GERMAN0300027364001                                                  X
 132678      MOROCHO PALOMEQUE JULIA LUCRECIA 0300030574001                                                  X
 107851      REINOSO CARDENAS ARIOSTO ARMANDO 0300033255001                                                  X
 177026      ZUMBA TORRES ANGEL BENIGNO       0300040490001                                                  X
 166198      ROMERO GUAMAN NOLBERTO           0300055464001                                                  X
 171380      FAJARDO ARCENTALES REINALDO ISAAC0300057809001                                                  X
 138387      ROSAS PIÑA SEGUNDO POLIDORO      0300058609001                                                  X
 111506      AREVALO AREVALO JOSE ALBERTO 0300067089001                                                      X
 226720      ORTIZ GUARACA LUIS HUMBERTO      0300070620001                                                  X
 200198      CABRERA LUIS ABELARDO            0300071719001                                                  X
  94382      GARCES GARCES GUILLERMO JOSE 0300075876001                                                      X
 278330      RIVAS ARCE VICENTE SERAFIN       0300088168001                                                  X
 181104      IDROVO ESPINOZA MARTHA LIVERIA 0300091998001                                                    X
 108611      ORBE VÁSQUEZ JOSÉ GUALBERTO      0300097383001                                                  X
 163646      URGILEZ NEIRA MANUEL JESUS       0300105293001                                                  X
 164295      ORTIZ PADILLA JOSE ANTONIO       0300108685001                                                  X
 107823      PALAGUACHI CUENCA JOSE MARIA     0300120094001                                                  X
No                 No registra
                                                                No                    No registra   No
                                                                         No. registra                       registra      No.    indicadores
                                                              registra                provincia, registra
Persona_id               NOMBRE                No. ID (RUC)                 calle                           número      registra de ventas,
                                                              apellido                 cantón y   primer
                                                                          principal                         de calle     origen activos y/o
                                                              paterno                 parroquia nombre
                                                                                                            principal             empleados

 162129      ANDRADE ASTUDILLO ANGEL JOEL     0300130994001                                                    X
 135481      CASTILLO GUILLEN DANIEL HOMERO 0300136702001                                                      X
 156981      BUESTÁN ACERO MANUEL IGNACIO     0300143468001                                                    X
 256986      PEÑAFIEL MARIN TARGELIA DE JESÚS 0300154770001                                                    X
 107274      MORENO BARRERA JULIO RICARDO 0300156957001                                                        X
 107925      ABAD PALACIOS FRANCISCO JOSE     0300164464001                                                    X
 104027      MOREJON SIGUENCIA MANUEL MARIA 0300174760001                                                      X
 172374      MOREJON SIGUENCIA MARÍA CELESTINA0300174778001                                                    X
 108073      VAZQUEZ BRUNO AURELIO ANTONIO 0300183035001                                                       X
 148596      GUILLEN CASTILLO MANUEL JESUS    0300185121001                                                    X
 164197      RODRIGUEZ GONZALEZ LEONCIO FELICIANO
                                              0300193166001                                                    X
 100085      NAULA TORRES CARLOS IVAN         0300209863001                                                    X
 174977      ANDRADE VASQUEZ LUIS ALBERTO     0300211570001                                                    X
  92046      PERALTA PERALTA JUAN BAUTISTA    0300221959001                                                    X
 189791      VASQUEZ URGILEZ CARLOS HERIBERTO 0300236320001                                                    X
 211794      GARCIA MORA VICTOR ELICEO        0300241429001                                                    X
  57902      CORREA PADRON DANIEL ANTONIO     0300251600001                                                    X
  45760      ZAMORA ZEA HERNAN FEDERICO       0300275054001                                                    X
  36784      MATUTE MOLINA HUGO HOMERO        0300278603001                                                    X
 259059      MATA CALLE CARLOS DANIEL         0300326352001                                                    X
 124732      RUBIO GERARDO GONZALO            0300328754001                                                    X
 110320      LUZURIAGA VILLACIS CARLOS EFRAIN 0300340429001                                                    X
 147826      TOLEDO AGUILAR BLANCA ELOISA     0300342508001                                                    X
  96130      MENDIETA MENDEZ MARCELO RODRIGO  0300349271001                                                    X
  64696      REDROVÁN GONZÁLEZ EDGAR RENÉ 0300352093001                                                        X
 123142      LEÓN SARMIENTO NELSON HOMERO 0300369485001                                                        X
 167424      GANZHI BERMEJO MANUEL MATIA      0300375219001                                                    X
 214213      BRITO PENARANDA ANGEL SALVADOR 0300375920001                                                      X
 184028      TENEZACA MACANCELA MIGUEL ANGEL 300389244001
                                              0                                                                X
 179263      FERNANDEZ GARZON JOSE FRANCISCO  0300390069001                                                    X
 108916      CORREA ESPINOZA JAIME RODRIGO 0300391133001                                                       X
No                 No registra
                                                               No                    No registra   No
                                                                        No. registra                       registra      No.    indicadores
                                                             registra                provincia, registra
Persona_id              NOMBRE                No. ID (RUC)                 calle                           número      registra de ventas,
                                                             apellido                 cantón y   primer
                                                                         principal                         de calle     origen activos y/o
                                                             paterno                 parroquia nombre
                                                                                                           principal             empleados

 177649      TENEZACA BARRERA JULIO CESAR   0300398898001                                                     X
  79754      CALLE PEREZ MIGUEL HUGO        0300399839001                                                     X
 155896      GUALLPA GUALLPA FROILAN RODRIGO0300409596001                                                     X
 222241      CEDILLO FEIJOO TEODORO EDUARDO 0300410693001                                                     X
   4204      PALACIOS WAGNER                0300417862001                                                     X
 181024      PADILLA PADILLA JOSE           0300418829001                                                     X
 212717      SARMIENTO MERCHÁN JOSÉ EDUARDO 0300419405001                                                     X
  50576      MINCHALA NAULA LUIS FROILÁN    0300420304001                                                     X
 165943      ANDRADE MINCHALA MIGUEL        0300423183001                                                     X
 228444      PIEDRA PIEDRA BOLIVAR JACINTO  0300427937001                                                     X
  67414      LOYOLA SALAZAR ADOLFO DARIO    0300432176001                                                     X
 208538      SANCHEZ LOPEZ VICTOR MANUEL    0300437142001                                                     X
 163806      YUMBLA JACHERO SEGUNDO ALFONSO 0300437837001                                                     X
  30591      ALOMÍA VAZQUEZ MARCO GARIBALDI 0300439643001                                                     X
 258975      GUAMAN MACANCELA FAUSTO EZEQUIEL
                                            0300439791001                                                     X
 142891      GONZÁLEZ ARGUDO JOSÉ EDGAR     0300439957001                                                     X
 163182      CAMPOVERDE QUIZHPI MANUEL ISIDORO
                                            0300443397001                                                     X
 161245      BUSTAMANTE BRAVO FLAVIO TARQUINO
                                            0300443546001                                                     X
 108997      RODRIGUEZ SARMIENTO ALBERTO ENRIQUE
                                            0300444056001                                                     X
  71083      PEÑAFIEL GONZÁLEZ BOLÍVAR IVÁN 0300444395001                                                     X
 273459      ANDRADE AMOROSO MARCO RICARDO0300446978001                                                       X
 150890      CASTILLO GUILLEN EFRAIN        0300456688001                                                     X
 209945      RODRIGUEZ TAPIA ANGEL GABRIEL 0300457157001                                                      X
 136218      PADILLA BERMEJO ANIBAL         0300460797001                                                     X
  75077      ANDINO ESPINOZA JOHN ALEXANDER 0300469954001                                                     X
 176609      TOBAR IGLESIAS POLIVIO RAMIRO  0300477197001                                                     X
 276835      LATACELA MINCHALA JOSE RICARDO 0300477361001                                                     X
  26706      SÁNCHEZ CÁRDENAS NUBE GRACIELA 0300479953001                                                     X
 105895      LATACELA MINCHALA LUIS ANTONIO 0300481801001                                                     X
 223951      CARMILEMA SANCHEZ MIGUEL ANGEL 0300482833001                                                     X
 152782      SUQUITANA LUIS ALBERTO         0300483286001                                                     X
No                 No registra
                                                               No                    No registra   No
                                                                        No. registra                       registra      No.    indicadores
                                                             registra                provincia, registra
Persona_id               NOMBRE               No. ID (RUC)                 calle                           número      registra de ventas,
                                                             apellido                 cantón y   primer
                                                                         principal                         de calle     origen activos y/o
                                                             paterno                 parroquia nombre
                                                                                                           principal             empleados

  81697      SOLÓRZANO CORONEL CELSO ALFREDO 0300486040001                                                    X
 162806      TAPIA VAZQUEZ JUAN MARIA        0300486859001                                                    X
 133037      PERALTA OCHOA JOSE FRANCISCO    0300487097001                                                    X
 126650      ECHEVERRIA PRIETO MARIA TRANSITO0300488707001                                                    X
 106866      CORONEL FLORES TALITA GUADALUPE 0300489077001                                                    X
  61465      SALDAÑA MENDIETA EDGAR FERNANDO300489879001
                                             0                                                                X
 163160      POMAQUIZA ZAMORA FRANCISCO      0300495215001                                                    X
 179884      BERNAL MOLINA CESAR AUGUSTO     0300496379001                                                    X
 140413      PERUGACHI MARTINEZ LUIS ISAAC   0300510336001                                                    X
 239432      GARCIA MENDIETA JUAN NICOLAS    0300512662001                                                    X
 216757      MATUTE CORDERO RIGOBERTO SEGUNDO0300520137001                                                    X
 106734      FLORES SOLANO JULIO CESAR       0300520830001                                                    X
 182165      GARCIA SACOTO CARLOS OSWALDO 0300526852001                                                       X
 165253      BARAHONA GARATE HERNAN DARIO 0300528080001                                                       X
 150172      SANTANDER GUILLEN SILVIO LEONARDO
                                             0300528783001                                                    X
 163206      MUÑOZ SEGUNDO JUAN              0300530763001                                                    X
 148697      TORRES REYES PATRICIO TEODORO 0300532132001                                                      X
  56641      ROMO LOYOLA SAUL PATRICIO       0300533700001                                                    X
 228441      LEÓN CÁCERES GUILLERMO ALFONSO0300542818001                                                      X
 139989      CHIMA NARVAEZ RICARDO           0300544939001                                                    X
 213638      CLAVIJO NIETO OSWALDO EDILBERTO 0300556388001                                                    X
  97301      PAUTA CALLE JAIME OSWALDO       0300558467001                                                    X
 107192      CABRERA YUMBLA NAPOLEON         0300558897001                                                    X
 272729      QUINTUÑA PIÑA FERNANDO ARCESIO 0300561602001                                                     X
 248854      LUNA MATUTE SEGUNDO ADOLFO      0300563665001                                                    X
 146080      LEMA BERMEO MANUEL MARIA        0300563707001                                                    X
 189368      DELGADO LALA SEGUNDO FRANCISCO0300565470001                                                      X
 181747      FERNANDEZ ORTIZ JUAN ALBERTO 0300565520001                                                       X
  60107      MONCAYO ANDRADE ROMEO LUIS      0300568367001                                                    X
 191010      CARANGUI ANDRADE CÉSAR FERNANDO 0300572245001                                                    X
 200129      FERNANDEZ IDROVO BERTHA XIMENA 0300573607001                                                     X
No                 No registra
                                                                No                    No registra   No
                                                                         No. registra                       registra      No.    indicadores
                                                              registra                provincia, registra
Persona_id               NOMBRE                No. ID (RUC)                 calle                           número      registra de ventas,
                                                              apellido                 cantón y   primer
                                                                          principal                         de calle     origen activos y/o
                                                              paterno                 parroquia nombre
                                                                                                            principal             empleados

 132116      LOYOLA VINTIMILLA MANUEL IGNACIO 0300575198001                                                    X
 108291      CARANGUI ANDRADE CARMEN BEATRIZ  0300577624001                                                    X
 150931      CASTILLO GUILLEN SEGUNDO FRANCISCO
                                              0300578374001                                                    X
 255573      MUÑOZ CUNGACHI ALEJANDRO         0300583531001                                                    X
  82444      VERGARA LUIS ENRIQUE             0300594033001                                                    X
 111213      CUENCA GUAMAN JOSE MIGUEL        0300595584001                                                    X
 125816      CORONEL ANDRADE GILBERT MARCELO  0300597614001                                                    X
 139473      SANCHEZ ARTEAGA JOSE LEONARDO 0300604584001                                                       X
 144921      GUILLEN ORTIZ CARLOS ALONSO      0300606985001                                                    X
 198704      GONZALEZ CORONEL EDUARDO VICENTE 0300607827001                                                    X
 157046      MOROCHO GONZALEZ MARIA TRANSITO ROSARIO
                                              0300608114001                                                    X
  31308      VERDUGO CRESPO DIEGO LIZANDRO 0300608817001                                                       X
 100898      MONTERO ZAMBRANO JOSÉ ALFONSO0300610672001                                                        X
 121704      VARGAS CÁRDENAS LIANA MARÍA      0300618998001                                                    X
 223651      CHUYA GUAMAN MARIANA DE JESUS 0300625613001                                                       X
 138307      OJEDA BERNAL EGMA DOLORES        0300625977001                                                    X
  77710      MOROCHO QUINTEROS MIGUEL PATRICIO0300641065001                                                    X
 250857      MINCHALA MATUTE ROSENDO          0300646692001                                                    X
 196308      ZUÑA GUAMAN LUIS ANTONIO         0300648037001                                                    X
 174408      SANTANDER SANTANDER FRANCISCO 0300649480001                                                       X
 123697      CARDENAS MATUTE ADELA MARIANA 0300650066001                                                       X
 134379      NARVAEZ ORDOÑEZ JOSE SERAFIN     0300651593001                                                    X
  24693      CABRERA VAZQUEZ JOSE LUIS        0300656246001                                                    X
  66782      CARDENAS ORDOÑEZ JORGE ROSENDO   0300661923001                                                    X
 203588      NOVILLO RIVERA MIGUEL HERNAN     0300665247001                                                    X
  55243      PADILLA JIMENEZ LUIS RAMIRO      0300671617001                                                    X
 249870      MOROCHO GUAMAN JOSE MIGUEL       0300672086001                                                    X
 161232      BUSTMANTE BRAVO CARMITA DE JESUS 0300672219001                                                    X
  79397      CORONEL BUSTOS GLADYS ALICIA     0300672227001                                                    X
 252104      RAMIREZ CORDERO MARCO ALFREDO 0300681624001                                                       X
 260745      MONTERO OCHOA ANTONIO ISAIAS     0300681756001                                                    X
No                 No registra
                                                                No                    No registra   No
                                                                         No. registra                       registra      No.    indicadores
                                                              registra                provincia, registra
Persona_id               NOMBRE                No. ID (RUC)                 calle                           número      registra de ventas,
                                                              apellido                 cantón y   primer
                                                                          principal                         de calle     origen activos y/o
                                                              paterno                 parroquia nombre
                                                                                                            principal             empleados

 163821      ROSAS PADILLA SEGUNDO GABRIEL 0300685070001                                                       X
 182538      CHAUCA CHUQUI MANUEL JESUS       0300687027001                                                    X
 176197      SOTAMBA LUNA JUAN JOSE           0300688702001                                                    X
 201966      NEIRA PALOMEQUE LOURDES SUSANA0300691060001                                                       X
  58507      BARRERA PINOS WILLER EDMUNDO 0300695046001                                                        X
 139088      CALLE ARGUDO LUISA MARIANA       0300701380001                                                    X
  38597       OCTAVIO                         0300701802001                                                    X
  52670      JARA PALOMEQUE CESAR RODRIGO 0300701810001                                                        X
 180273      VICUNA CARPIO GALO MIGUEL        0300702214001                                                    X
 156491      ALVAREZ LARREA LUIS ELOY         0300705779001                                                    X
 201820      OLIVEROS MENDIETA JORGE OSWALDO  0300707064001                                                    X
 172928      VILLAVICENCIO VILLAVICENCIO MANUEL LEOPOLDO
                                              0300709144001                                                    X
 131022      CONTRERAS LEON GERMAN EDIBERTO   0300709326001                                                    X
 248631      SANANGO URGILEZ ANA MARIA        0300709847001                                                    X
 175919      CHUCHUCA ABRIL JOHN SILVERIO     0300718319001                                                    X
 163141      PINGUIL PICHAZACA ASENCIO MARIA 0300721289001                                                     X
 163310      QUITO PEREZ MANUEL EUDORO        0300723780001                                                    X
 187091      PAUCAY SARABIA JOSE ELOY         0300726213001                                                    X
 143943      VINTIMILLA MALDONADO JOSE EDUARDO0300735412001                                                    X
 113743      MONTOYA NARVAEZ OLGER ROLANDO0300739604001                                                        X
 127330      SIGUENZA ROJAS WILSON EUGENIO 0300739992001                                                       X
 114177      MORA BUESTAN SEGUNDO MIGUEL      0300742558001                                                    X
 139235      JARAMILLO CASTILLO GERARDO       0300745932001                                                    X
 210111      VAZQUES PACHECO MARIA ELENA      0300746740001                                                    X
  74696      AVILA GAVILANEZ VICTOR OSWALDO 0300750221001                                                      X
  59551      PALOMEQUE CANTOS REMIGIO EFRAÍN  0300751260001                                                    X
 140388      BARRERA MARTINEZ CESAR PAULINO 0300751385001                                                      X
 272281      CALLE ROMERO GENARO              0300751864001                                                    X
  71462      REYES SACOTO PABLO ESTEBAN       0300755279001                                                    X
 137561      GARCIA SIGUENZA RUBEN DARIO      0300757226001                                                    X
 159485      PATIÑO JIMENEZ CLAUDIO RAUL      0300768132001                                                    X
No                 No registra
                                                                 No                    No registra   No
                                                                          No. registra                       registra      No.    indicadores
                                                               registra                provincia, registra
Persona_id               NOMBRE                 No. ID (RUC)                 calle                           número      registra de ventas,
                                                               apellido                 cantón y   primer
                                                                           principal                         de calle     origen activos y/o
                                                               paterno                 parroquia nombre
                                                                                                             principal             empleados

 235427      RIVERA HEREDIA LUIS HUMBERTO      0300768835001                                                    X
  90655      BARRETO AREVALO FRANCISCO BOSCO   0300769528001                                                    X
 150902      GUILLEN ORTIZ LUIS EDGAR          0300772795001                                                    X
 159910      CASTRO GONZALEZ SEGUNDO ROBERTO   0300776952001                                                    X
  78646      ANDRADE SIGUENCIA JULIO CÉSAR     0300776960001                                                    X
 111741      BENAVIDES TENEZACA RUBEN DARIO 0300778545001                                                       X
  53934      ASITIMBAY TENEZACA CARLOS MARCELO 0300780004001                                                    X
 163135      ZAMORA ZAMORA ESTEBAN             0300784725001                                                    X
 136013      AVILA GAVILANEZ MARCO ANTONIO     0300790037001                                                    X
 226083      GUAMAN LOJA LUIS ANTONIO          0300792397001                                                    X
  59223      CALDERON AVILA MARIA CECILIA DE LA NUBE
                                               0300795812001                                                    X
 111663      MOLINA SUAREZ ANGEL EUCLIDES      0300796562001                                                    X
 209954      BAUTISTA BAUTISTA EUCEBIO DANIEL 0300804663001                                                     X
 160078      TITO NAULA LUIS GERARDO           0300806361001                                                    X
 250373      OCHOA MOLINA WILSON PATRCIO       0300808672001                                                    X
  89010      PARRA SEGOVIA MARCELO TEODORO 0300810629001                                                        X
  30067      GARCÍA CADENA VOLTAIRE VALENTIN 0300816568001                                                      X
 152175      CAMPOVERDE PALLAROSO ROBLISON 0300822723001
                                               IVAN                                                             X
 185468      AVILA CLAVIJO VICTOR MANUEL       0300830171001                                                    X
 205700      VAZQUEZ MERCHAN JANETH KZHAQUELINE0300831260001                                                    X
  78180      AVILA SACOTO LUIS ROBERTO         0300831716001                                                    X
  31025      VELECELA SERRANO MARCO VINICIO 0300831955001                                                       X
 205177      RODRIGUEZ SACOTO LEONOR CECILIA0300832532001                                                       X
 199361      EZQUIBEL SARMIENTO JORGE ENRIQUE300833811001
                                               0                                                                X
 145996      RODRIGUEZ CASTILLO FREIRE HERIBERTO
                                               0300835899001                                                    X
 243228      FRANCO CALLE MONICA ELIZABETH 0300836798001                                                        X
 113576      SALAMEA ARGUDO JOSÉ ANTONIO       0300838539001                                                    X
 194015      NARANJO PALLAROSO ANA LUCIA       0300851409001                                                    X
 220474      MALDONADO SIGUENCIA JORGE ALBERTO 0300859345001                                                    X
 236811      CALLE HERAS RAMIRO                0300859881001                                                    X
  33401      MALDONADO VILLAVICENCIO JHON PATRICIO
                                               0300862687001                                                    X
No                 No registra
                                                               No                    No registra   No
                                                                        No. registra                       registra      No.    indicadores
                                                             registra                provincia, registra
Persona_id               NOMBRE               No. ID (RUC)                 calle                           número      registra de ventas,
                                                             apellido                 cantón y   primer
                                                                         principal                         de calle     origen activos y/o
                                                             paterno                 parroquia nombre
                                                                                                           principal             empleados

 119133      RODRIGUEZ ESCANDON JAVIER ABRAHAM
                                             0300870292001                                                    X
 277476      PALACIOS CORONEL ESTEBAN GUILLERMO
                                             0300874930001                                                    X
 210094      SERRANO ORTIZ JAKELINE DE LA NUBE
                                             0300875689001                                                    X
  51575       JHONY                          0300879111001                                                    X
  42527      VERGARA CALLE CARLOS PATRICIO 0300880796001                                                      X
 218560      LUZURIAGA SAQUICELA JOSE ROLANDO300886025001
                                             0                                                                X
 151206      MIRANDA URGILES WILSON ANTONIO 0300889250001                                                     X
 198810      ORDOÑEZ ALVAREZ CARLOS GUSTAVO  0300890142001                                                    X
 164329      ORTIZ ENCALADA JOSE RAMIRO      0300895349001                                                    X
  65138      SALAZAR PALAGUACHI MILTON TEODORO
                                             0300903481001                                                    X
  49586       WILSON                         0300910981001                                                    X
 179878      CRESPO AMOROSO MARLENE JESUS 0300915584001                                                       X
  82818      SERRANO VINTIMILLA OSCAR NAPOLEÓN
                                             0300918372001                                                    X
 141953      ESQUIVEL SARMIENTO CESAR EUGENIO300925633001
                                             0                                                                X
 146708      MACANCELA HERRERA ANGEL WILFRIDO0300926185001                                                    X
 163591      BERNAL CASTILLO HOLGER OTILIO 0300928181001                                                      X
 243446      CLAVIJO PINOS WILSON REMIGIO    0300928611001                                                    X
 109384      ESPINOZA GUSMAN JAVIER GUILLERMO0300928975001                                                    X
  54845      PIEDRA ARGUDO SAMUEL HERIBERTO 0300929619001                                                     X
 199345      AVILA SARMIENTO BERTHA PATRICIA 0300930195001                                                    X
 207022      CARANGUI FERNANDEZ JOSE MARCELO 0300930229001                                                    X
 196588      LARA OCHOA JUAN CARLOS          0300933710001                                                    X
  80616      GONZALEZ BUSTAMANTE REMIGIO ELISEO
                                             0300934809001                                                    X
 148774      PINGUIL ZARUMA MARÍA JULIANA    0300938826001                                                    X
 133287      GONZALEZ GONZALEZ MARTHA LUZMILA0300944584001                                                    X
 232160      IÑAMAGUA GUAMAN MANUEL MARIA 0300944691001                                                       X
 220129      YUMBLA PINEDA MANUEL JESUS      0300951738001                                                    X
 260349      VARGAS QUEVEDO JUANA GUILFRIDA 0300951910001                                                     X
 133969      DEFAZ PADILLA CESAR ANTONIO     0300953965001                                                    X
 239572      MERA ANDRADE CARLOS ALBERTO     0300955630001                                                    X
 214393      ROMERO AVECILLAS ANTONIO NEPTALI0300955945001                                                    X
No                 No registra
                                                               No                    No registra   No
                                                                        No. registra                       registra      No.    indicadores
                                                             registra                provincia, registra
Persona_id               NOMBRE               No. ID (RUC)                 calle                           número      registra de ventas,
                                                             apellido                 cantón y   primer
                                                                         principal                         de calle     origen activos y/o
                                                             paterno                 parroquia nombre
                                                                                                           principal             empleados

  44673      ROJAS LUNA HJALMAR FABIAN       0300956018001                                                    X
  69440      CANTOS ORMAZA WILSON JACINTO    0300957933001                                                    X
 105567      ALVAREZ AUQUI MAURO ABDON       0300959012001                                                    X
 138029      PACHARI PACHARI JOSE RENE       0300960135001                                                    X
 226832      CASTRO GONZALEZ XAVIER HOMERO 0300963089001                                                      X
 217743      LEON VAZQUEZ JUAN REMIGIO       0300964012001                                                    X
 200483      ABAD CHACHA RÓMULO RIGOBERTO 0300966520001                                                       X
 112612      ORTIZ ALVARADO LUIS ROBERTO     0300968518001                                                    X
  49672      CASTRO CALLE ANGEL EDUARDO      0300970142001                                                    X
 266510      GUALLPA GUALLPA RENE MANUEL     0300973104001                                                    X
 262096      PAREDES PEÑAFIEL LUIS RANULFO   0300974276001                                                    X
  84710      CALLE PERALTA ONDINA DE LOURDES 0300975174001                                                    X
 110526      JARA MILTON                     0300977360001                                                    X
 226175      LUCERO MUÑOZ JOSÉ ALBERTO       0300986650001                                                    X
 205864      LOPEZ NARANJO REINA PIEDAD      0300988516001                                                    X
 158645      DOMINGUEZ GALLEGOS GLORIA ESTELA0300989852001                                                    X
 216157      CURILLO HUMALA FAUSTO RODRIGO 0300991585001                                                      X
 149857      JARAMILLO ORTIZ FLAVIO OSWALDO 0300992146001                                                     X
 247323      LÓPEZ QUEVEDO FRANKLIN GEOVANNY301001806001
                                             0                                                                X
 128394      JEREZ FAJARDO JORGE ISIDRO      0301006102001                                                    X
  23779      CARDENAS ROJAS JORGE OSWALDO 0301011847001                     X                                 X
 220523      CHOGLLO ZAMBRANO JOSE BOLIVAR 0301014577001                                                      X
 234887      ZUMBA LEMA MARCO AUGUSTO        0301014734001                                                    X
 142147      VAZQUEZ ALVAREZ BENJAMIN DEMETRIO
                                             0301015103001                                                    X
  69622      SIGUENCIA AGUILAR CARMEN ELISA 0301024600001                                                     X
 163166      ORDOÑEZ ORDOÑEZ JULIO BENJAMIN 0301025672001                                                     X
 182174      AVILA IDROVO JHON GUILLERMO     0301026118001                                                    X
 116867      SALINAS CORDOVA DIANA PAOLA     0301029898001                                                    X
 179822      DEFAZ ANDRADE HENRY HUMBERTO 0301031035001                                                       X
 117881      ZHINDON ESPINOZA MIGUEL ANGEL 0301034732001                                                      X
 192429      BARRERA SÁNCHEZ LORENA GENOVEVA 0301040069001                                                    X
No                 No registra
                                                                No                    No registra   No
                                                                         No. registra                       registra      No.    indicadores
                                                              registra                provincia, registra
Persona_id               NOMBRE                No. ID (RUC)                 calle                           número      registra de ventas,
                                                              apellido                 cantón y   primer
                                                                          principal                         de calle     origen activos y/o
                                                              paterno                 parroquia nombre
                                                                                                            principal             empleados

 245719      ULLOA BARAHONA WILSON ABRAHAN 0301041224001                                                       X
 175648      DUTÁN RAÚL                       0301043683001                                                    X
  41659      VERDUGO CRESPO JOSÉ MANUEL       0301045126001                                                    X
  80272      GUAMAN SACTA SANDRA DEL ROCIO 0301046868001                                                       X
 192934      DUCHI ZARUMA RAFAEL MARIA        0301048195001                                                    X
 174849      CASTRO SALAZAR GLORIA CUMANDÁ 0301048443001                                                       X
 142606      CASTILLLO REMACHE EFRAIN ANIBAL 0301053187001                                                     X
  59888      CALLE CORDERO SEGUNDO FERNADO0301053856001                                                        X
 273689      PALCHIZACA ANGAMARCA SEGUNDO MANUEL
                                              0301054649001                                                    X
 214868      LEON MÉNDEZ CRUZ ROMELIA         0301055851001                                                    X
 191029      REINOSO PEÑAFIEL HERNAN RAUL     0301056909001                                                    X
  20331      MOROCHO OCHOA LUIS EMILIO        0301057014001                                                    X
 108412      ORTIZ ALVARADO MIGUEL TEODORO 0301059218001                                                       X
 140010      ANGAMARCA CALDERON MARCO FERNANDO0301060737001                                                    X
 184654      SERPA TOLEDO ELSA NOEMI          0301062139001                                                    X
 246974      MOREJON ENCALADA SEVERO HUMBERTO 0301064739001                                                    X
 189346      PERALTA LUNA EDGAR PATRICIO      0301066577001                                                    X
 165994      ORTIZ ANDRADE MANUEL             0301067807001                                                    X
  86923      JARA AREVALO FLORENCIO MAURICIO 0301069944001                                                     X
 108407      PAREDES OCHOA WILSON MANUEL      0301070272001                                                    X
 125273      VARGAS RAMIREZ ROBERT PAUL       0301077657001                                                    X
 250334      PERALTA SAETEROS ZOILA MARÍA     0301079851001                                                    X
  23763      LUCERO AVILA EDUARDO TEODORO 0301081360001                                                        X
 151188      GUAMAN CACERES JORGE FERNANDO0301085569001                                                        X
 177521      PALACIOS VALDIVIEZO FRANCISCO JAVIER
                                              0301088274001                                                    X
 222802      PEREZ REINOSO FREDDY GEOVANNY 0301095741001                                                       X
 165409      CANTOS ORMAZA WILMAN JACOBO      0301098398001                                                    X
 274639      BUSTAMANTE PAREDES ENA PILAR     0301110706001                                                    X
 196770      CALLE MAZAPANTA JOSE RENE        0301110987001                                                    X
  71186      HARRIS VASQUEZ VICTOR OSWALDO 0301112777001                                                       X
 136668      ZHINDON YASCARIBAY PABLO IVAN    0301113429001                                                    X
No                 No registra
                                                               No                    No registra   No
                                                                        No. registra                       registra      No.    indicadores
                                                             registra                provincia, registra
Persona_id               NOMBRE               No. ID (RUC)                 calle                           número      registra de ventas,
                                                             apellido                 cantón y   primer
                                                                         principal                         de calle     origen activos y/o
                                                             paterno                 parroquia nombre
                                                                                                           principal             empleados

 216638      TAMAY QUICHIMBO FERNANDO        0301115473001                                                    X
 184589      FERNANDEZ VAZQUEZ FREDY ESTUARDO0301115648001                                                    X
 181792      VÁZQUEZ QUEZADA CARLOS GUSTAVO  0301116752001                                                    X
 160504      CAJAS GONZALEZ VICTOR ORLANDO 0301118543001                                                      X
 128865      ABAD PALACIOS FRANCISCO ALEJANDRO
                                             0301121810001                                                    X
 226985      GUAILLAS AGUAIZA SEGUNDO JULIO 0301123600001                                                     X
 115743      PICHASACA GUAMAN MARIANO        0301125290001                                                    X
 226394      PIÑA REINOZO CARLOS ROMÁN       0301126280001                                                    X
 151041      GAONA MOROCHO GLADYS RAQUEL 0301128104001                                                        X
 149651      MENDOZA BERMEO JIMMY JAVIER     0301138608001                                                    X
 251488      PUCHUELA ZEA GENARO DE JESÚS    0301142840001                                                    X
 229553      ANGUISACA PRADO OLGER VICENTE 0301144978001                                                      X
 108055      MUÑOZ GONZALEZ JUAN CARLOS      0301147492001                                                    X
 185275      ROJAS CUMBE OLGER ELIZALDE      0301153045001                                                    X
 211441      LEON ANDRADE MONICA PIEDAD      0301155545001                                                    X
 234725      CHAUCA ALBARRACÍN VICTOR MIGUEL0301156113001                                                     X
 227453      PADILLA VERDUGO ANÍBAL MEDARDO 0301158473001                                                     X
 248060      PADILLA PIÑA EDGAR EFRAIN       0301159075001                                                    X
 163633      ORTIZ MARTINEZ PEDRO ALEJANDRO 0301161816001                                                     X
  67621      ROMERO PALOMEQUE XAVIER EUGENIO 0301162012001                                                    X
  35295       CHRISTIAN                      0301162145001                                                    X
 212582      BERMEO PEREZ JOSE RICARDO       0301170403001                                                    X
 104068      GALLEGOS CONTRERAS EDISON EDUARDO
                                             0301172961001                                                    X
 110027      BONETE SACOTO WALTER ALFONSO 0301173639001                                                       X
 164279      MARTINEZ AVECILLAS JOSE MARCELO 0301178042001                                                    X
  85940      JARA BRAVO MARIA ALEJANDRINA    0301181459001                                                    X
  28723      TERÁN PALACIOS CARLOS OSWALDO 0301190229001                                                      X
 225063      LARGO GUAMAN LUIS ERNESTO       0301203626001                                                    X
 272858      VAZQUEZ JUAN ALEJANDRO          0301206769001                                                    X
 163121      ORTIZ PIÑA GUILLERMO            0301209144001                                                    X
 272098      TENEMAZA LEON JHON PATRICIO     0301211066001                                                    X
No                 No registra
                                                                No                    No registra   No
                                                                         No. registra                       registra      No.    indicadores
                                                              registra                provincia, registra
Persona_id               NOMBRE                No. ID (RUC)                 calle                           número      registra de ventas,
                                                              apellido                 cantón y   primer
                                                                          principal                         de calle     origen activos y/o
                                                              paterno                 parroquia nombre
                                                                                                            principal             empleados

  21514      CÁRDENAS VERDUGO PABLO XAVIER 0301211595001                                                       X
 142069      URGILES ALVARADO ROMEL ERNESTO0301211942001                                                       X
 231855      ARIZAGA LEMA HONORIO             0301218459001                                                    X
 221261      MENDIETA MUÑOZ LUIS RODRIGO      0301218855001                                                    X
 162749      REDROVAN VINTIMILLA JOSE JACOB 0301219358001                                                      X
 155693      GONZÁLEZ LÓPEZ LUIS TRAJANO      0301221313001                                                    X
 142412      MAINATO SANTOS JOSE GILBERTO     0301222998001                                                    X
  34963      VINTIMILLA GONZALEZ LUIS ALBERTO 0301223467001                                                    X
 142113      MAINATO GUAMÁN DAVID             0301225728001                                                    X
 219190      FERNANDEZ CRUZ JIMMY LAUDELINO 0301226858001                                                      X
  31581      GUARACA GONZALEZ JORGE EDUARDO   0301227377001                                                    X
 195403      BERNAL VERDUGO MERCEDES REGINA   0301230348001                                                    X
 163414      RODRIGUEZ HERAS HECTOR ANTONIO0301230785001                                                       X
 108879      CÁRDENAS VERDUGO FANNY MARISOL   0301233086001                                                    X
  81511      NIETO LUIS ROBERTO               0301236246001                                                    X
  44911      SEGUNDO                          0301237855001                                                    X
 253616      CALLE HERAS DARWIN MILTON        0301239315001                                                    X
 163458      ANDRADE SIGUENCIA VICENTE        0301239901001                                                    X
 266975      TIXI PEÑALOZA CRISTIAN ALBERTO   0301248191001                                                    X
 186903      NAULA ROJAS LUISA BEATRIZ        0301249306001                                                    X
 202626      TERAN IDROVO XAVIER EDMUNDO      0301252466001                                                    X
  63535      CAYAMCELA MOROCHO ANGEL REMIGIO  0301256046001                                                    X
  52156      JUAN                             0301257093001                                                    X
  88724      CAMPOVERDE PAREDES NELY CUMANDA  0301274536001                                                    X
  65802      SERPA PALLAROSO CATALINA CONSUELO0301279352001                                                    X
  63385      RIVAS ALVARADO LENIN ISRAEL      0301281150001                                                    X
 252366      TENEZACA QUIZHPI JOSE VICENTE    0301284378001                                                    X
 177532      PASTUIZACA ASITIMBAY JOSEMARIA DE JESUS
                                              0301284634001                                                    X
  57396      GUAMAN HURTADO CONSUELO DE LA NUBE
                                              0301285342001                                                    X
  35404      BERNAL ORDÓNEZ MILTON EMILIANO 0301285375001                                                      X
 201301      VARGAS CASTILLO CLÉBER FRANCISCO 0301290896001                                                    X
No                 No registra
                                                               No                    No registra   No
                                                                        No. registra                       registra      No.    indicadores
                                                             registra                provincia, registra
Persona_id               NOMBRE               No. ID (RUC)                 calle                           número      registra de ventas,
                                                             apellido                 cantón y   primer
                                                                         principal                         de calle     origen activos y/o
                                                             paterno                 parroquia nombre
                                                                                                           principal             empleados

 112641      LOYOLA SIGUENCIA CARLOS ALEJANDRO
                                             0301294104001                                                    X
  46435      URUCHIMA CACERES FRANCISCO JAVIER
                                             0301304481001                                                    X
 110617      TENEZACA BRAVO TELMO ABSALÓN 0301305132001                                                       X
 104465      VIDAL SOLÓRZANO JAIME EZEQUIEL 0301305256001                                                     X
  82693      BUSTAMANTE CALDERÓN FAVIAN PATRICIO
                                             0301312393001                                                    X
 163581      FERNANDEZ VASQUEZ JUAN CARLOS 0301312583001                                                      X
 123393      VAZQUEZ SALAZAR EDWIN EFRAIN    0301314308001                                                    X
  64094      ROMERO GONZALEZ CARLOS OSWALDO  0301319000001                                                    X
 233906      SANTANDER SIGUENCIA SONIA DE JESUS
                                             0301322145001                                                    X
 140424      CORONEL SACOTO CARLOS ALFONSO 0301339081001                                                      X
 271281      GUACHAMIN MINCHALA LUCY DEL CARMEN
                                             0301339123001                                                    X
 191541      BARRETO ENCALADA FRANCISCO DANILO
                                             0301340444001                                                    X
 275594      TACURI PALAGUACHI JAIME GUSTAVO 0301342069001                                                    X
 245537      GUAMAN CACERES MARIA EUGENIA 0301366514001                                                       X
 234864      ORBE PERALTA OLGER ISAIAS       0301370409001                                                    X
 140012      AMENDAÑO JUCA CARLOS ENRIQUE 0301374823001                                                       X
 265998      CARANGUI QUEVEDO WILMER STALIN 0301376935001                                                     X
 183820      CARRASCO PINOS MARIANA DE JESUS0301382438001                                                     X
 223658      ORDOÑEZ TIXI JORGE GIOVANNY     0301382487001                                                    X
 142230      ZUMBA NAULA MANUEL JACINTO      0301387791001                                                    X
 218866      GUILLEN OJEDA LUIS JOFRE        0301389805001                                                    X
 153451      ESPINOZA CALLE JUAN PABLO       0301390795001                                                    X
  98085      CARDENAS ANDRADE CESAR ALFREDO  0301391876001                                                    X
  83134      ESPINOZA PAIDA FRANKLIN EDUARDO 0301395463001                                                    X
  61372      FLORES CLAVIJO JANNETH LORENA 0301397535001                                                      X
  40189      VEDUGO SILVA MANUEL FRANCISCO 0301397576001                                                      X
  96873      CALLE PADILLA MARTHA ASUCENA    0301398954001                                                    X
  26561      DIEGO                           0301400982001                                                    X
  74694      TAMAY ALLAICO MAYRA VICTORIA    0301410460001                                                    X
 223441      PALLAROSO BENAVIDES ROSA ALEJANDRA
                                             0301410593001                                                    X
 123047      MATUTE MACANCELA MOISES VALENTIN0301412011001                                                    X
No                 No registra
                                                               No                    No registra   No
                                                                        No. registra                       registra      No.    indicadores
                                                             registra                provincia, registra
Persona_id               NOMBRE               No. ID (RUC)                 calle                           número      registra de ventas,
                                                             apellido                 cantón y   primer
                                                                         principal                         de calle     origen activos y/o
                                                             paterno                 parroquia nombre
                                                                                                           principal             empleados

 109211      ZUNIGA GONZALEZ MIRIAM EUGENIA 0301415964001                                                     X
 208724      LEMA TAMAY PABLO FERNANDO       0301417812001                                                    X
 162103      CALLE NEIRA JOSE IGNACIO        0301420931001                                                    X
 116877      IZQUIERDO CASTANIER RENE MAURICIO
                                             0301422705001                                                    X
 191236      CHUYA LUNA CLAUDIO CESAR        0301422762001                                                    X
 107686      VÁZQUEZ BELTRÁN VÍCTOR PATRICIO 0301428108001                                                    X
 206558      ROMERO CÓRDOVA FABIÁN VICENTE 0301430849001                                                      X
 121805      YUMBLA NAVAS JOHNY EDISON       0301432050001                                                    X
 143151      ALVAREZ GOMEZ DIEGO FERNANDO 0301437604001                                                       X
 222259      YUBI CACERES NUBE DEL ROCIO     0301437752001                                                    X
 100730      CADMILEMA PÉREZ CLAUDIA LUCÍA   0301438651001                                                    X
  63629      MORENO ORTIZ FRANCISCO JAVIER 0301442968001                                                      X
 144348      LIMA PINOS CRISTIAN MAURICIO    0301443099001                                                    X
 126027      PACHECO NARVAEZ SILVIO ENRIQUE 0301450631001                                                     X
 274018      CALLE CEVALLOS CRISTIAN OSWALDO0301451860001                                                     X
 146916      CÁRDENAS YASCARIBAY SOLEDAD DE 0301456687001
                                             LOS ANGELES                                                      X
 133222      CABRERA GOMEZ EDGAR KLEBER      0301459921001                                                    X
 195819      VÁZQUEZ RODAS FELIPE ESTUARDO 0301463600001                                                      X
 204487      ROJAS AVENDAÑO JENNY PATRICIA 0301464715001                                                      X
 139820      BURI MACANCELA NANCY JACQUELINE0301466710001                                                     X
 174033      GONZALEZ PIÑA WILFRIDO JAVIER   0301470811001                                                    X
 194244      CHIMA BUÑAY ELSA SORAIDA        0301471306001                                                    X
 190795      BERNAL NAULA JONAS PATRICIO     0301474854001                                                    X
  53952      SARMIENTO ORTIZ LUIS HERNAN     0301476016001                                                    X
 213180      ABAD SAGAL ANGEL RODOLFO        0301479556001                                                    X
 225403      REYES CASTILLO VLADIMIR STALIN  0301485611001                                                    X
 124875      ZAMBRANO ABAD JULIO CÉSAR       0301489696001                                                    X
  40999      BUÑAY REINOSO ANDRES STALIN     0301490074001                                                    X
 144343      URGILES ALVARADO EDISON GEOVANNY0301490108001                                                    X
 103205      AMOROSO MATUTE JUAN CARLOS      0301492450001                                                    X
 176933      PRIETO ROJAS ELOY ANTONIO       0301492740001                                                    X
No                 No registra
                                                               No                    No registra   No
                                                                        No. registra                       registra      No.    indicadores
                                                             registra                provincia, registra
Persona_id               NOMBRE               No. ID (RUC)                 calle                           número      registra de ventas,
                                                             apellido                 cantón y   primer
                                                                         principal                         de calle     origen activos y/o
                                                             paterno                 parroquia nombre
                                                                                                           principal             empleados

 165320      HUERTA SINCHIRI JOSÉ LUIS       0301494985001                                                    X
 257280      LEON MOROCHO CRISTIAN FERNANDO0301495867001                                                      X
 140198      ROMERO GUARQUILA GEOVANNY LEONARDO
                                             0301497269001                                                    X
  17515      CARLOS                          0301498523001                                                    X
 257707      LUNA ALTAMIRANO BLANCA MELANIA 0301499042001                                                     X
  36624      PADILLA GARCIA WALTER ANIBAL    0301499190001                                                    X
 258673      LUZURIAGA CALLE MIGUEL ANGEL    0301499927001                                                    X
 145315      OJEDA GUAMAN MARIANA DE JESUS 0301500872001                                                      X
 104589      ARIAS ORTIZ CRISTIAN POMPEYO    0301503611001                                                    X
 164751      LEÓN CALLE NATALIA FABIOLA      0301504213001                                                    X
 212035      MOLINA SIGUENZA NUBE EUGENIA    0301504544001                                                    X
  66959      TORRES RODAS MARLON TIBERIO     0301504643001                                                    X
  30599      ERNESTO                         0301506085001                                                    X
  22408      CORREA CALLE MARTHA MARICELA    0301508198001                                                    X
  80293      ANDRADE CARANGUI CESAR AUGUSTO  0301508495001                                                    X
  88232      ANDRADE MOLINA PABLO CESAR      0301510079001                                                    X
 235028      HERAS PINO CARLOS GONZALO       0301512711001                                                    X
 145423      CON SER VEG SERVICIOS CONSTRUCTIVOS VEGA
                                             0301514618001                                                    X
 211928      CURILLO MERCHAN VICTOR EDUARDO0301525267001                                                      X
  43577      ORMAZA CABRERA AMANDA GABRIELA0301526265001                                                      X
 133052      VASQUEZ VINTIMILLA JORGE MARCELO0301526901001                                                    X
 266502      VELEZACA TANDAZO NUBE CECILIA   0301528097001                                                    X
 187071      VICUÑA BERMEO VICTORIA BERNARDA0301529145001                                                     X
 265465      GONZALEZ SANMARTIN LUIS PATRICIO0301529962001                                                    X
 231216      CRESPO ROMERO JOSE LUIS         0301531596001                                                    X
 270134      ORMAZA CABRERA ALEJANDRO VINICIO0301533220001                                                    X
 270208      TAPIA QUINTEROS FAUSTO DANIEL   0301533527001                                                    X
  53604      TAMARA                          0301534251001                                                    X
 147062      REINOSO GAGUANCELA ALFONSO PATRICIO
                                             0301536280001                                                    X
 164372      VASQUEZ GARCIA MIGUEL RIGOBERTO0301536835001                                                     X
 163623      YUPA LEON JOSE ANTONIO          0301540282001                                                    X
No                 No registra
                                                               No                    No registra   No
                                                                        No. registra                       registra      No.    indicadores
                                                             registra                provincia, registra
Persona_id               NOMBRE               No. ID (RUC)                 calle                           número      registra de ventas,
                                                             apellido                 cantón y   primer
                                                                         principal                         de calle     origen activos y/o
                                                             paterno                 parroquia nombre
                                                                                                           principal             empleados

 232140      MOINA ZURITA JAVIER EDUARDO     0301547386001                                                    X
  44151      SIGUENCIA GONZALEZ CRISTIAN SANTIAGO
                                             0301550729001                                                    X
 175865      JIMENEZ NARVAEZ LUIS MANUEL     0301551412001                                                    X
 266084      TRELLES BAYAS KARINA NUBE       0301553889001                                                    X
 176132      GODOY CHACHA JUAN DIEGO         0301561577001                                                    X
 149489      TIXI PEÑALOZA ROSA ESTEFANIA    0301572152001                                                    X
 272664      VASQUEZ ROMERO LUIS ALFREDO     0301573028001                                                    X
  23657       WILSON                         0301584058001                                                    X
 128605      SANTANDER SIGUENCIA GABRIELA DE 0301584629001
                                             LA NUBE                                                          X
 157474      GUAMAN GUALLPA MIRIAM ELIZABETH 0301588786001                                                    X
 191201      TAPIA IDROVO DIEGO ESTEBAN      0301589172001                                                    X
 208847      VERDUGO ORDOÑEZ LUIS ROBERTO 0301589446001                                                       X
 149324      CASANOVA PADILLA JOSE ANTONIO 0301593463001                                                      X
 207299      CANTOS NEIRA ESTEBAN            0301593950001                                                    X
 189342      DELGADO YUPA SEGUNDO PEDRO      0301595419001                                                    X
 119053      CÓRDOVA CUANCA MIGUEL ALFREDO 0301609517001                                                      X
 215239      SANTANDER ZARUMA NELSON WILFRIDO0301611562001                                                    X
 163620      ORDOÑEZ ESPINOZA CARLOS ALBERTO 0301626693001                                                    X
 261106      ALVARADO ORBE JOSE EDUARDO      0301630513001                                                    X
 258569      ARCE MACERA CRISTIAN RENE       0301630711001                                                    X
  66877      ZAMBRANO CORONEL CRISTIAN OSWALDO
                                             0301638805001                                                    X
  84620      ZHINDÓN PAIDA LUIS REMIGIO      0301639100001                                                    X
 107445      QUITO LEMA MONICA ADRIANA       0301642211001                                                    X
 183483      CABRERA VÉLEZ MARÍA EUGENIA     0301642351001                                                    X
 250591      CABRERA VÉLEZ SONIA LUCÍA       0301642369001                                                    X
 276787      PEÑAFIEL ENCALADA ESTEBAN GASTÓN0301642401001                                                    X
 136454      RODIRIGUEZ QUINTEROS DANIEL RICHER
                                             0301644399001                                                    X
 109256      CALLE GONZALEZ JUAN PABLO       0301644985001                                                    X
  37306      LOZADO DIEZ DANIEL VICENTE      0301648150001                                                    X
 163664      POMAQUIZA POMAQUIZA LUIS OCTAVIO0301649943001                                                    X
 229366      ESPINOZA PINEDA MARIA CISNE     0301649984001                                                    X
No                 No registra
                                                                No                    No registra   No
                                                                         No. registra                       registra      No.    indicadores
                                                              registra                provincia, registra
Persona_id               NOMBRE                No. ID (RUC)                 calle                           número      registra de ventas,
                                                              apellido                 cantón y   primer
                                                                          principal                         de calle     origen activos y/o
                                                              paterno                 parroquia nombre
                                                                                                            principal             empleados

  70972      VERGARA URGILES RUTH ALEXANDRA 0301655262001                                                      X
 245206      ROMERO TORRES MARIA GABRIELA 0301657482001                                                        X
 177286      BALLADARES MONTERO MAURICIO JOSE 0301661500001                                                    X
 266085      TRELLES BAYAS JORGE LUIS         0301671764001                                                    X
 275093      ENCALADA NARVAEZ EDISON PATRICIO 0301676490001                                                    X
 189051      PINEDA MACAO DENNIS VYRON        0301679270001                                                    X
 144179      YUPA MOROCHO FRANCISCO SEGUNDO   0301683785001                                                    X
 163929      CELLERI GENOVEZ CARLOS MANUEL 0301686994001                                                       X
 157317      KATTANI SACOTO OSCAR EUGENIO 0301687810001                                                        X
 155349      BANEGAS AVILA HENRY ESTITH       0301689071001                                                    X
 209123      BUSTAMANTE CRIOLLO MAURICIO MARCELO
                                              0301689642001                                                    X
 134300      ORTIZ ORTIZ ORTIZ GOMEZ ILDA MAGDALENA
                                              0301690251001                                                    X
 265401      PESANTEZ NARVAEZ PATRICIO ISRAEL0301692273001                                                     X
  48648      CORREA BARAHONA DIEGO ESTUARDO   0301695300001                                                    X
 261719      SUMBA MUYUDUMBAY SAUL ROBERTO0301696969001                                                        X
 129329      CÁRDENAS GÁRATE GINA PIEDAD      0301698635001                                                    X
 103743      ROMERO GONZÁLEZ JORGE ABDÓN 0301703567001                                                         X
 164666      JARA SACOTO DIANA LUCIA          0301714390001                                                    X
 111245      TENEMAZA VAZQUEZ DIEGO FRANCISCO 0301716858001                                                    X
 199523      PAGUAY VERDUGO LILIA VERÓNICA    0301717757001                                                    X
 130758      ORTEGA TORRE ANA LUCIA           0301724134001                                                    X
 154500      RODRIGUEZ RODRIGUEZ DIANA PAULINA0301726709001                                                    X
 156593      GONZALEZ SANCHEZ ANA LUCIA       0301731097001                                                    X
  45290      OCHOA MUÑOZ CECILIA PAZ          0301750766001                                                    X
 103632      ROMO MEJIA ANGELICA              0301750857001                                                    X
  62097      SIGUENCIA MONTERO BRISA ADRIANA0301750980001                                                      X
 256692      SARMIENTO HEREDIA FERNANDA ELIZABETH
                                              0301756698001                                                    X
 143423      CABRERA PADRON LUIS VICENTE      0301765590001                                                    X
 121238      CASTRO CASTRO MARIA ANTONIETA 0301772372001                                                       X
 168355      QUEZADA MINGA JUAN PABLO         0301789202001                                                    X
 210339      PRADO SANCHEZ MIREYA ELIZABETH 0301793774001                                                      X
No                 No registra
                                                                No                    No registra   No
                                                                         No. registra                       registra      No.    indicadores
                                                              registra                provincia, registra
Persona_id               NOMBRE                No. ID (RUC)                 calle                           número      registra de ventas,
                                                              apellido                 cantón y   primer
                                                                          principal                         de calle     origen activos y/o
                                                              paterno                 parroquia nombre
                                                                                                            principal             empleados

 136399      PADILLA GUARNIZO ELIZABETH DEL CISNE
                                              0301832457001                                                    X
 273414      TENEZACA LOZADO JUAN CARLOS      0301843439001                                                    X
 276617      SANTANDER ZARUMA RENE REMIGIO 0301848743001                                                       X
 120453      CRUZ CANTOS NELLY CARMITA        0301849600001                                                    X
  67987      CONTRERAS MOLINA CARMEN ELIZABETH0301850764001                                                    X
  67525      GÁRATE CONDO ISABEL DEL ROCÍO 0301851259001                                                       X
 212642      CAYAMCELA MOROCHO DIANA CARMEN   0301853586001                                                    X
 222324      HUMALA CUENCA GRACIELA MARGARITA 0301854899001                                                    X
 137137      SAQUICUYA AMENDAÑO DIEGO PATRICIO0301855011001                                                    X
 257460      BARAHONA ORTIZ MARIA CECILIA     0301864450001                                                    X
 222256      ARÉVALO CALLE JOHANNA MARILIN 0301911061001                                                       X
 231992      POMAQUIZA PIÑA LAURO FERNANDO 0301914180001                                                       X
 150554      SIGUENCIA GONZALEZ FANNY ALEXANDRA
                                              0301915419001                                                    X
 206031      ECHARRI LÓPEZ JUAN LUÍS          0301916466001                                                    X
 191284      BANEGAS ANGAMARCA GLADYS BEATRIZ 0301922720001                                                    X
 113159      TELLO ORTEGA CARLOS OSWALDO      0301929931001                                                    X
 266066      ACERO MONTERO FREDY PATRICIO 0301933925001                                                        X
  74754      URGIÉS ESQUIVEL DIANA ROSITA     0301937207001                                                    X
 238343      MORALES VILLACRES CARLOS DAMIAN0301939468001                                                      X
 265837      MUYULEMA GUARACDA MARCO VINICIO  0301939815001                                                    X
 252986      LEON CALLE EDISON JHOVANNY       0301942256001                                                    X
 148599      GUILLEN GARCIA DAVID JESUS       0301944088001                                                    X
 187657      SEGARRA SEGARRA WALTER           0301948915001                                                    X
 165110      CALLE ANDRADE MILTON JAVIER      0301966685001                                                    X
 112463      ULLOA RODAS DARIO RICARDO        0301970109001                                                    X
 234436      CRESPO GONZÁLEZ PATRICIO MARCELO 0301978219001                                                    X
  71146      LÓPEZ CHIMBAI CARLOS HUMBERTO 0301989307001                                                       X
 177070      CABRERA SUMBA MARTHA KARINA      0301990008001                                                    X
 195082      CALLE ROMERO CRISTIAN GONZALO 0301993291001                                                       X
  76776      NAVAS MUÑOZ MARÍA DE LOURDES     0301994471001                                                    X
  77889      CASTILLO CASTILLO DEISY CAROLINA 0301998423001                                                    X
No                 No registra
                                                             No                    No registra   No
                                                                      No. registra                       registra      No.    indicadores
                                                           registra                provincia, registra
Persona_id              NOMBRE              No. ID (RUC)                 calle                           número      registra de ventas,
                                                           apellido                 cantón y   primer
                                                                       principal                         de calle     origen activos y/o
                                                           paterno                 parroquia nombre
                                                                                                         principal             empleados

 140971      VELEZ REDROVAN MARIA PRISCILA   0301999801001                                                  X
 135996      ROMERO BRAVO JULIA ETELVINA     0302014303001                                                  X
 119630      ZHUZHINGO QUINDE NOEMI DEL ROCIO0302018841001                                                  X
 179238      CAJAMARCA SARMIENTO FERNANDO ISMAEL
                                             0302024476001                                                  X
 141566      CASTRO CAJAMARCA CARMEN ISABEL 0302049325001                                                   X
 171978      LEMA POMAQUIZA MERCY VERONICA 0302077748001                                                    X
 236649      PULLA MOROCHO ROSARIO DELCARMEN 0302084983001                                                  X
 141725      REINOSO RODRIGUEZ ROSA UBALDINA0302102447001                                                   X
 142557      ALVARADO VERDUGO CESAR OSWALDO  0302118989001                                                  X
 172053      CARPIO ORTIZ LEONIDAS EDMUNDO 0302140785001                                                    X
 265994      NAVAS AMOROSO EDMUNDO PATRICIO  0302159264001                                                  X
 262796      ZHIRVI ORDOÑEZ CRISTIAN MANUEL 0302165956001                                                   X
 204691      CALLE MORALES MARCOS VINICIO    0302169511001                                                  X
 117214      TAPIA SOTAMBA OSCAR FERNANDO 0302183066001                                                     X
 220564      ARAUJO MEZA IVÁN FERNANDO       0302203039001                                                  X
 265983      PESANTEZ QUEVEDO PAUL FERNANDO  0302222757001                                                  X
 195604      SIGUENCIA ABAD FREDDY GIOVANNI 0302336532001                                                   X
 256053      REMACHE MARQUEZ CARMEN PIEDAD 0302414115001                                                    X
 255226      ESTACION EXPERIMENTAL DEL AUSTRO360015930001
                                             0                                         X
  45831      PATRONATO PROVINCIAL DE DESARROLLO SOCIAL
                                             0360020420001                X                                 X
 130427      COMPAÑIA INDUSTRIAS GUAPAN S.A. 0390001398001                                                  X
  23836      RADIO LA VOZ DE INGAPIRCA       0390014686001                                                  X
 249683      FUNDACION CAÑARI CARLOS PEREZ PERASSO
                                             0390023812001                                                  X
  48226      ASOCIACIÓN SAN GABRIEL          0390023871001                                                  X
 148898      ASILO DE ANCIANOS "R            0390023928001                                                  X
 131766      RADIODIFUSORASANTAMARIA         0390023936001                                                  X
  51091      ASOCIACION DE AGRONOMOS INDIGENAS DEL CANTON CAÑAR
                                             0390029284001                                                  X
 142029      HOTELPARAISO S.A                0390037007001                                                  X
  32901      CORPORACION MUJER, SOCIEDAD Y DESARROLLO
                                             0391001979001                                                  X
 147782      COMPLEJO TURISTICO CUNA DEL SOL HUASISOL CIA.LTDA.
                                             0391003041001                                                  X
  41398      SAGUAY ARMIJOS CIA. LTDA.       0391004684001                                                  X
No                 No registra
                                                             No                    No registra   No
                                                                      No. registra                       registra      No.    indicadores
                                                           registra                provincia, registra
Persona_id              NOMBRE              No. ID (RUC)                 calle                           número      registra de ventas,
                                                           apellido                 cantón y   primer
                                                                       principal                         de calle     origen activos y/o
                                                           paterno                 parroquia nombre
                                                                                                         principal             empleados

 174142      TRANSJATARI C.A.                0391004838001                                                  X
  58305      FUNDACION PARA EL DESARROLLO HUMANO
                                             0391005087001                                                  X
  81738      SER VIG SEG TRAV                0391005125001                                                  X
 169273      TRANSPORTE DE CARGA PESADA TRANS CORTIALVA S.A.
                                             0391005494001                                                  X
 179762      UNION PARROQUIAL DE COMUNIDADES INDIGENAS Y CAMPESINAS DE JUNCAL
                                             0391005729001                                                  X
 141162      SERVIMOTORS                     0391005834001                                                  X
 278207      AGROEMPRESA COMUNITARIA DE PRODUCCION Y COMERCIALIZACION CHUYA MIKUNA
                                             0391005885001                                                  X
  76435      ASOCIACION DE CONSERVACION VIAL PRIMAVERA
                                             0391006261001                                                  X
  76606      ASOCIACION DE CONSERVACION VIAL COCHANCAY
                                             0391006288001                                                  X
 126853      SEGAZ CIA LTDA                  0391007578001                                                  X
 233323      JOSE ORBE & VASQUEZ CIA, LTDA.  0391007594001                                                  X
 141211      ALCAYA CONSTRUC CIA. LTDA       0391007802001                                                  X
 154721      ASOCIACION DE CONSERVACION VIAL JAVIN
                                             0391009295001                                                  X
 243046      MICROEMPRESA ASOCIATIVA MATAPIN0391010595001                                                   X
 258747      CONSTRUCTORA DEL AUSTRO CODELAUSTRO CIA.LTDA.
                                             0391010870001                                                  X
 251983      SALAZAR BURBANO LEONILA         0400030748001                                                  X
 187332      SUAREZ JIMENEZ CARLOS EMILIO    0400045233001                                                  X
 224223      BURBANO BENAVIDES JOSE OLMEDO 0400045779001                                                    X
  63631      ROSERO BENITEZ LUDGARDO RAUL 0400053278001                                                     X
  68267      XXX NAZATE SEGUNDO LUIS         0400056016001                                                  X
 228205      MONTENEGRO FUEL LUIS GERMAN     0400057337001            X        X                            X
 258259      TOBAR ESTRADA LUIS EDUARDO      0400062048001                                                  X
  46337      TARAPUEZ CHUGA TITO FELIX       0400063392001                                                  X
  62295      REVELO BUSTOS AURELIO COLON     0400063582001                                                  X
 193312      AUZ VINUEZA AGAPIO EFREN        0400104659001                                                  X
  94626      GARCIA POZO HUGO GERMAN         0400107033001                                                  X
 112270      CAPELO BAEZ GUILLERMO ALFONSO 0400123824001                                                    X
 186249      RAMIREZ FLORES NEURIO EUTIMIO 0400142006001                                                    X
  92720      CHAMORRO ANGULO EFREN ORLANDO   0400145421001                                                  X
 277351      CHULDE REVELO CARLOS ANIBAL     0400157129001                                                  X
 138314      CALDERON DE LA CRUZ LUIS ALFREDO0400179081001                                                  X
No                 No registra
                                                               No                    No registra   No
                                                                        No. registra                       registra      No.    indicadores
                                                             registra                provincia, registra
Persona_id               NOMBRE               No. ID (RUC)                 calle                           número      registra de ventas,
                                                             apellido                 cantón y   primer
                                                                         principal                         de calle     origen activos y/o
                                                             paterno                 parroquia nombre
                                                                                                           principal             empleados

 118518      CORDOVA BERTHA JOSEFINA         0400185500001                                                    X
 222648      VERGARA GARRIDO MAGDALENA RUBI0400215737001                                                      X
 119583      LEMA HERRERA MIGUEL ANGEL       0400253001001                                                    X
 269198      MONTERO ONOFRE RAÚL ERNESTO 0400271524001                                                        X
  64065      O LUNA JORGE BOLIVAR            0400277711001                                                    X
 223941      OBANDO ARTEAGA EDGAR RAUL       0400293494001                                                    X
 239215      PEREZ DIAZ MARIA ESTHER         0400299681001                                                    X
  70611      BURBANO DELGADO CARLOS ANTONIO  0400310421001                                                    X
  58238      MEJIA ARCOS BLANCA ERNESTINA    0400311676001                                                    X
  88867      GUERRERO MORA SEGUNDO ALFONSO   0400320370001                                                    X
  43232      ARCOS PEÑAFIEL MANUEL BOLIVAR 0400322566001                                                      X
  42752      AGUIRRE BENAVIDES ROMULO GERARDO0400324430001                                                    X
  79107      NOBOA PALACIOS JULIO CESAR      0400328860001                                                    X
  81514      MARTINEZ JORGE GALO             0400329769001                                                    X
 105061      QUENGUAN CEVALLOS MARÍA DEL CARMEN
                                             0400333050001                                                    X
 120071      CHAMORRO ROMO GERMAN            0400340527001                                                    X
 271124      URRESTA ROSERO LENIN WILFRIDO 0400346201001                                                      X
 112396      GUERRÓN MORILLO MARCO ANTONIO 0400354866001                                                      X
 235786      BURBANO REGALDO JAIRO ARMANDO 0400366522001                                                      X
 156471      CASTILLO HUERA EDMUNDO SECUNDINO0400367694001                                                    X
 121684      OSEJO CASTILLO VÍCTOR MANUEL LORENZO
                                             0400373890001                                                    X
 183575      REVELO GLORIA LUCILA            0400375085001                                                    X
 176778      CERON JIMENEZ CARMEN ELOISA     0400376752001                                                    X
 199977      QUIROZ QUIROZ SEGUNDO ISIDRO    0400378949001                                                    X
 178009      MUÑOZ AGUDELO ROQUE             0400379178001                                                    X
 229888      NOVOA MERA OCTAVIO AQUILES      0400380457001                                                    X
 182706      TORRES FOLLECO LEONSO ABSIMARO0400388864001                                                      X
 163566      BENAVIDES GALVIZ ALFREDO EDUARDO400398939001
                                             0                                                                X
 260436      CADENA CHAFUEL ELENA ERLINDA    0400408332001                                                    X
 115283      GARCIA LOPEZ VICTOR ALONSO      0400415212001                                                    X
 206152      ORTEGA CADENA SEGUNDO CARLOS 0400424024001                                                       X
No                 No registra
                                                               No                    No registra   No
                                                                        No. registra                       registra      No.    indicadores
                                                             registra                provincia, registra
Persona_id               NOMBRE               No. ID (RUC)                 calle                           número      registra de ventas,
                                                             apellido                 cantón y   primer
                                                                         principal                         de calle     origen activos y/o
                                                             paterno                 parroquia nombre
                                                                                                           principal             empleados

  71480      QUIROZ AYALA TOBÍAS RODRIGO     0400425047001                                                    X
  99994      CIFUENTES BETANCOURT LUIS ALFONSO
                                             0400429080001                                                    X
 213421      TATICUAN FUENTES ANTONIO RICARDO0400430518001                                                    X
  15207      MOBILIARIO ESCOLAR YANCA        0400433371001                                                    X
 176840      MAYANQUER TORRES FRANCISCO GERMAN
                                             0400434858001                                                    X
 254392      MORAN XXXXXX SEGUNDO BOLIVAR 0400434882001         X                                             X
 203681      CÓRDOVA CHANGUAN AIDA TERESA 0400441606001                                                       X
  27781      FRANCO ERAZO JAIME HUMBERTO     0400443255001                                                    X
 130207      PORTILLA ENRIQUEZ MARCO MARIANO0400444519001                                                     X
 184298      ROMÁN VÁSQUEZ SEGUNDO FRANCISCO 0400447017001                                                    X
 233679      GARCIA JOSE DANIEL              0400448445001      X                                             X
 139712      ROSERO MAYANQUER JOSE ELIAS     0400462651001                                                    X
 117997      CASTILLO    LUIS GILBERTO       0400465613001                                                    X
 134493      TANICUCHI MALDONADO ALONSO VITELIO
                                             0400466058001                                                    X
 170046      MOLINA CALDERON GLORIA TERESA 0400466769001                                                      X
 137791      RUANO CHULDE HERNANDO           0400467379001                                                    X
  30910      MARTÍNEZ REVELO LUIS ARMANDO    0400468120001                                                    X
  48610      ARELLANO CARRANCO LUIS RAMIRO 0400470563001                                                      X
  65679      CUVA ARIAS PATRICIO IVAN        0400470910001                                                    X
 227994      GUERRON ALMEIDA JHONNY DARWIN 0400474482001                                                      X
  14429      ARELLANO CARRANCO CARLOS GUSTAVO0400479663001                                                    X
  69004      CUMBA VALENCIA VICTOR MANUEL    0400481016001                                                    X
 216339      MUESES MUESES LUIS ANTONIO      0400486163001      X                                             X
  40388      ALMEIDA VALLEJO RICARDO POLIVIO 0400489076001                                                    X
 202332      CHICANGO PERGUEZA CARLOS ALBERTO0400491536001                                                    X
 160169      ROSERO GARZON GUILLERMO ANGEL MARIA
                                             0400499752001                                                    X
 201689      TERAN RUIZ GUILLERMO GUSTAVO    0400501227001                                                    X
 112037      VILLARREAL ARGOTI GUSTAVO ERNESTO
                                             0400502068001                                                    X
 215235      ERAZO RIGOBERTO                 0400503231001                                                    X
 127454      ARAGON ARAGON ANGEL GUILLERMO 0400503603001                                                      X
  64385      NAVISOY REYES COLÓN GUSTAVO     0400503892001                                                    X
No                 No registra
                                                               No                    No registra   No
                                                                        No. registra                       registra      No.    indicadores
                                                             registra                provincia, registra
Persona_id               NOMBRE               No. ID (RUC)                 calle                           número      registra de ventas,
                                                             apellido                 cantón y   primer
                                                                         principal                         de calle     origen activos y/o
                                                             paterno                 parroquia nombre
                                                                                                           principal             empleados

  91478      CAICEDO ROSERO GUSTAVO ERNESTO  0400506903001                                                    X
 252151      HIDALGO MARTINEZ ANGEL MARIA    0400507315001                                                    X
  89197      LORA ROBLES LUIS ALFREDO        0400508925001                                                    X
  64967      ALQUINGA MAFLA MARCO VINICIO    0400511226001                                                    X
  55010      REVELO VILLARREAL JULIO         0400513370001                                                    X
  51583      CALERO VELA EDGAR FABIÁN        0400513610001                                                    X
 119926      JARAMILLO GALO VINICIO          0400514196001                                                    X
 248175      ALARCÓN DÍAZ ROSA ELISA         0400521043001                                                    X
 135901      FUEL TULCÁN ARTURO RAUL         0400521324001                                                    X
 150381      CHUNCHIR OSWALDO                0400521571001                                                    X
 162542      CARVAJAL MARIA GUADALUPE        0400524740001                                                    X
  36472      PEÑAFIEL AYALA PASTORA NOEMÍ    0400524930001                                                    X
  53618      MEDINA MEJIA HERIBERTO NAPOLEON0400527297001                                                     X
  71238      NARVAEZ ROSERO CARLOS ALBERTO 0400527453001                                                      X
 210527      VALLEJO LUIS ALBERTO            0400528204001                                                    X
  23464      TAPIA GUERRERO WILSON BAYARDO 0400530234001                                                      X
 139782      ALVEAR VALENCIA EDISON AMILCAR 0400530275001                                                     X
  14430      ARQ. SONIA CAICEDO ROSERO       0400531398001                                                    X
 156796      JIMENEZ DOMINGUEZ MARIANITA PILAR
                                             0400536397001                                                    X
 135980      TRUJILLO TUPE MANOLO ALFONSO    0400536876001                                                    X
 199750      VILLOTA CARLOSAMA SEGUNDO GUILLERMO
                                             0400543930001                                                    X
 192053      SANDOVAL PANTOJA JOSÉ LUIS      0400545265001                                                    X
  42243      REVELO GUERRERO PEDRO ANIBAL 0400547139001                                                       X
 136772      BASTIDAS DE JANON MARIA DE LOS ANGLES
                                             0400550703001                                                    X
 103868      NAZAMUES ECHE MILTON POLIVIO    0400561155001                                                    X
  92076      ORTEGA CADENA MIGUEL ANGEL      0400563235001                                                    X
 120893      ACOSTA ZOILA GUADALUPE          0400565271001                                                    X
 175497      CADENA ERAZO EDGAR RAMIRO       0400567228001                                                    X
  45181      MONGE FLORES DE VALGAS MARIA DOLORES
                                             0400567913001                                                    X
 176715      QUINTERO CHAMORRO JOSE LUIS     0400569414001                                                    X
  70133      BURBANO RAMIREZ NELSON GUILLERMO0400572038001                                                    X
No                 No registra
                                                               No                    No registra   No
                                                                        No. registra                       registra      No.    indicadores
                                                             registra                provincia, registra
Persona_id               NOMBRE               No. ID (RUC)                 calle                           número      registra de ventas,
                                                             apellido                 cantón y   primer
                                                                         principal                         de calle     origen activos y/o
                                                             paterno                 parroquia nombre
                                                                                                           principal             empleados

 269080      FLORES SALAZAR JULIO ESTUARDO 0400572590001                                                      X
  84929      ORTIZ VINUEZA ROMULO ARMANDO 0400576757001                                                       X
  11283      JORGE                           0400577466001                                                    X
 216947      ARELLANO CASTRO HECTRO RAFAEL 0400582433001                                                      X
 148357      BATALLAS LOMAS ORLANDO GERMAN 0400586137001                                                      X
 162262      GONZALEZ VILLARREAL SEGUNDO MARCELO
                                             0400588406001                                                    X
 232340      SANCHEZ JACOME JORGE ELIECER    0400590790001                                                    X
 121924      ORBE GUZMAN EDUARDO RAMIRO      0400593398001                                                    X
  54194      RODRIGUEZ HUERTAS JULIO HOMERO 0400593430001                                                     X
 195637      ROSERO JOSE ANTONIO             0400594404001                                                    X
 207549      VALENCIA BORJA MARCELO DEMETRIO 0400594545001                                                    X
  53031      HUERA HURTADO CARLOS GUSTAVO 0400594685001                                                       X
  80503      VERA MARTINEZ MARIA LUCILA      0400600599001                                                    X
  96167      MORILLO PUEDMAG OSWALDO ERNESTO 0400602777001                                                    X
  83493      NO TENGO JIMENEZ LUIS FERNANDO 0400605101001       X                                             X
 155999      NARVAEZ LOPEZ WILSON FEDERICO 0400608329001                                                      X
  92219      POZO ENRÍQUEZ MARCO REMIGIO     0400612065001                                                    X
  82924      VILLAREAL VILLACIS LUIS ALFREDO 0400612503001                                                    X
 186798      ENRIQUEZ NARVAEZ LUIS ANIBAL    0400614731001                                                    X
  58822      ERAZO BURBANO OSCAR EDWIN       0400615571001                                                    X
  79981      POZO GUAMÁ JORGE ROBERTO        0400615654001                                                    X
 223511      ALMEIDA BENAVIDES LUIS GONZALO 0400619540001                                                     X
 196986      SANTAFE POZO WILSON RUBEN       0400620225001                                                    X
  88719      MUECES ENRIQUEZ ANIBAL RAMIRO 0400622148001                                                      X
  90022      BURBANO CORAL CARLOS NELSON     0400622593001                                                    X
 219094      LUIS RAMIRO MORA MUÑOZ          0400627980001                                                    X
 216170      HERRERA IMBAQUINGO SERGIO MANUEL0400629366001                                                    X
  36701      MEJIA HERRERA MIGUEL ANGEL      0400630638001                                                    X
  60746       ROBLES ERNESTO RAMIRO          0400630976001                                                    X
  57112      VENEGAS RECALDE EDWIN ULISES    0400631164001                                                    X
  24689      BURBANO GUBE ARNO ALEXANDER     0400631255001                                                    X
No                 No registra
                                                               No                    No registra   No
                                                                        No. registra                       registra      No.    indicadores
                                                             registra                provincia, registra
Persona_id               NOMBRE               No. ID (RUC)                 calle                           número      registra de ventas,
                                                             apellido                 cantón y   primer
                                                                         principal                         de calle     origen activos y/o
                                                             paterno                 parroquia nombre
                                                                                                           principal             empleados

  91628      GOYES PUETATE CLEMENTE BAYARDO  0400631685001                                                    X
 166795      REASCOS MORÁN GALO FERNANDO 0400631974001                                                        X
  41253      REGALADO ROSERO JAIME EDUARDO 0400632758001                                                      X
  37779      CHUGA ENRIQUEZ JORGE BAYARDO 0400634630001                                                       X
  12876      INGENIERO CIVIL                 0400636643001                                                    X
 218250      FLORES CUASES VICTOR HUGO       0400639969001                                                    X
  61757      CARDENAS CAICEDO MAURO RAMIRO 0400639985001                                                      X
   7249      GUAMIALAMA VASQUEZ JORGE BINICIO0400641262001                                                    X
 249304      SANCHEZ LOPEZ HUGO REINALDO     0400645263001                                                    X
 145536      GUERRERO MIGUEL                 0400653986001                                                    X
  76783      MEJIA YANDUN GANDY PATRICIO     0400655551001                                                    X
 135059      GARRIDO MERA SEGUNDO WASHINGTON 0400660122001                                                    X
 192096      REINA LLORENTE SEGUNDO FABIAN 0400661088001                                                      X
 163680      MEJÍA HERNÁNDEZ ARNULFO HORACIO 0400663597001                                                    X
 152943      CABRERA GUERRERO ANTONIO ESTEVAN0400663993001                                                    X
 184572      ARMAS MARTINEZ SANDRA LORENA JAZMINA
                                             0400669024001                                                    X
  73110      CASTILLO CEVALLOS TELESFORO ALFREDO
                                             0400669545001                                                    X
 210561      PAREDES MERA CARLOS EDWIN       0400672044001                                                    X
  94226      RAMIREZ RAMIREZ JOSE GILBERTO   0400673356001      X                                             X
 118316      HERNANDEZ AGUIRRE SILVIO RODRIGO0400673570001                                                    X
  84675      GUERRON PAZOS LAURA MATILDE     0400677308001                                                    X
  75353      ROSERO POZO TERESA CECILIA      0400679742001                                                    X
  12993      NARVAEZ CHIRIBOGA EDISON FERNANDO
                                             0400682993001                                                    X
 159065      HIGUERA CHAMORRO LUIS ALFREDO 0400683702001                                                      X
 166966      LOPEZ PAREDES ROSA MARÍA        0400684551001                                                    X
  68913      PORTILLA YÉPEZ ROMEL IVÁN       0400688552001                                                    X
 205032      ROSERO RODRIGUEZ LUIS ALFREDO 0400688586001                                                      X
 147591      PEÑAFIEL RUANO LUIS ELIMIO      0400691903001                                                    X
  64725      TAPIA AYALA INES ESPERANZA      0400693313001                                                    X
  71349      ALMEIDA BENALCAZAR FAUSTO ERNESTO
                                             0400696696001                                                    X
  61379      BENAVIDES NARVAÉZ VILMA NARCÍZA 0400697165001                                                    X
No                 No registra
                                                               No                    No registra   No
                                                                        No. registra                       registra      No.    indicadores
                                                             registra                provincia, registra
Persona_id               NOMBRE               No. ID (RUC)                 calle                           número      registra de ventas,
                                                             apellido                 cantón y   primer
                                                                         principal                         de calle     origen activos y/o
                                                             paterno                 parroquia nombre
                                                                                                           principal             empleados

 267995      HUERA VICTOR GUILLERMO EFREN    0400697710001                                                    X
 188137      REVELO VILLARREAL EDDIC WILSON 0400698023001                                                     X
 269239      ROMO AYALA MAGALI MONSERRAT     0400699617001                                                    X
 188917      POLO HERNANDEZ CARLOS EDUARDO 0400699914001                                                      X
 265076      ARCOS ESTRADA PEDRO FABIAN      0400701322001                                                    X
 166760      RUEDA ROSAS MARÍA MERCEDES      0400703021001                                                    X
 207538      VALENCIA HERNÁNDEZ OLIVIA MARLENE
                                             0400703393001                                                    X
 232268      JURADO CASTILLO JORGE HIPOLITO 0400703609001                                                     X
  73156      BETANCOURT GERMAN HERALDO       0400706743001                                                    X
 168424      YANDUN ARELLANO MARCO TULIO     0400707626001                                                    X
 190722      GUERRÓN ENRIQUEZ MARCO ANIBAL 0400710497001                                                      X
 251005      SALAZAR AGUAS LUIS ENRIQUE      0400710661001                                                    X
  68978      RUEDA CANGAS SEGUNDO GONZALO 0400713962001                                                       X
  19828      ERAZO ARGOTI WILSON ARMANDO     0400714028001                                                    X
 124430      C CARDENAS JOHN HERNAN          0400717161001      X                                             X
  49492      LLUMIQUINGA PALACIOS LUIS CARLOS0400717690001                                                    X
 100230      URRESTA CHAVEZ GALO FABIAN      0400720199001                                                    X
  25733      CARRERA LÓPEZ ANDRÉS EDUARDO 0400720306001                                                       X
 212171      NARVAEZ GUERRERO ROMEL HENRY 0400721908001                                                       X
 135496      NAVARRETE PEREZ JAKELINE DE LOURDES
                                             0400723797001                                                    X
  75455      TOBAR VALLEJO FABIAN ERNESTO    0400723920001                                                    X
 170136      RODRIGUEZ CANTICUZ ROMULO       0400724431001                                                    X
  48053      ALMEIDA HURTADO ARMANDO MAURICIO0400725172001                                                    X
 215486      DIAZ DIAZ GEMAN SELIN           0400727756001                                                    X
  75757      ROSERO MALES JORGE ALBERTO      0400729661001                                                    X
  59640      TAPIA FUERTES MARIELA DE JESUS 0400730644001                                                     X
 222660      SÁNCHEZ LEÓN SANDRA JOVANNY     0400731667001                                                    X
 121630      REVELO ORTEGA GLORIA ISABEL     0400734018001                                                    X
  88886      CASTRO CASTILLO LUIS FERNANDO 0400735254001                                                      X
 174262      YEPEZ LIMA GABRIEL ANTONIO      0400735296001                                                    X
  89328      MEJIA ESCOBAR LUZ ELENA         0400735585001                                                    X
No                 No registra
                                                               No                    No registra   No
                                                                        No. registra                       registra      No.    indicadores
                                                             registra                provincia, registra
Persona_id               NOMBRE               No. ID (RUC)                 calle                           número      registra de ventas,
                                                             apellido                 cantón y   primer
                                                                         principal                         de calle     origen activos y/o
                                                             paterno                 parroquia nombre
                                                                                                           principal             empleados

 168971      OBANDO JIMENEZ NANCY ERNESTINA 0400735783001                                                     X
 256798      HERNANDEZ FLORES FAUSTO RODRIGO 0400739090001                                                    X
 250893      MAFLA CADENA JUAN BAUTISTA      0400740627001                                                    X
 217668      JARAMILLO MORAN LUZ NARCIZA     0400741104001                                                    X
 160742      MORENO ORTEGA LUIS CLEMENTE     0400741609001                                                    X
 197217      BENALCAZAR CANACUAN SEGUNDO GERMAN
                                             0400749990001                                                    X
 250320      PASPUEL PUETATE LUIS MEDARDO    0400750089001                                                    X
 118458      VALLEJO MENDOZA JOSE JAVIER     0400750584001                                                    X
  79256      POZO GARCIA BYRON ALBERTO       0400753026001                                                    X
 112018      DOMINGUEZ NARVAEZ WILSON JOSE 0400755039001                                                      X
  67685      AYALA GUERRERO ALFONSO HERNÁN 0400757019001                                                      X
  26111      BENAVIDES LEITON LAERCIO MILTON 0400761367001                                                    X
 157182      NAZATE FLORES LUIS ANTONIO      0400763637001                                                    X
 194325      REASCOS MORAN WASHINGTON ALFREDO0400765848001                                                    X
  86977      CALÁN NARVÁEZ FERNANDO VLADIMIR0400768255001                                                     X
 208985      CISNEROS GARCIA LUIS ALBERTO    0400772661001                                                    X
  63753      FUENTES AYALA WILLIAM FEDERICO 0400773784001                                                     X
 228065      OVIEDO PANTOJA MARCELO ROVINSON 0400774550001                                                    X
 105552      CUASAPAZ VICTOR HUGO            0400775508001                                                    X
  68369      LOMAS LOMAS EDWIN FABIAN        0400779450001                                                    X
 118006      ALMEIDA AYALA DARWIN IVAN       0400781266001                                                    X
 137302      CHANGUAN ERAZO JORGE ALFREDO 0400782496001                                                       X
 277370      VEGA ERAZO MIRYAM SUSANA        0400782553001                                                    X
 210556      YAPUD LARA SEGUNDO BRISENIO     0400783627001                                                    X
  36407      ENRÍQUEZ CHICANGO JAIME JEAN    0400791166001                                                    X
 225953      ISIZAN TANAI FERNANDO PALFREI   0400792537001                                                    X
 258385      MUEPAS CHAMBA SEGUNDO MAXIMINO  0400794012001                                                    X
  53252       WILSON                         0400794277001                                                    X
 245789      YEPEZ CHINGAL MARIA EDILMA      0400799557001                                                    X
 204336      ESCOBAR RODRIGUEZ GIOVANNY RAUL400802120001
                                             0                                                                X
 213892      NAZATE OLIVO RAUL GIOVANY       0400803581001                                                    X
No                 No registra
                                                                No                    No registra   No
                                                                         No. registra                       registra      No.    indicadores
                                                              registra                provincia, registra
Persona_id               NOMBRE                No. ID (RUC)                 calle                           número      registra de ventas,
                                                              apellido                 cantón y   primer
                                                                          principal                         de calle     origen activos y/o
                                                              paterno                 parroquia nombre
                                                                                                            principal             empleados

  70238      GAONA BASTIDAS JOSE FERNANDO 0400803847001                                                        X
 179484      OBANDO GUERRERO EDWIN NELSON 0400804571001                                                        X
 250401      CARCELEN CHALA JOSE GERMAN       0400808200001                                                    X
  55997      TROTSKY                          0400808887001                                                    X
 263777      LUIS ALFREDO FEULLET IMUES       0400809562001                                                    X
  37731      MANUEL                           0400810263001                                                    X
  94211      ALVAREZ ALVAREZ CARLOS ANIVAL    0400813564001                                                    X
 255953      EGAS CHACÓN FANI ROCÍO           0400814232001                                                    X
 115649      RUIZ PULE ARNULFO JOSELITO       0400820700001                                                    X
 195180      LANDETA VILLARREAL XIMENA DEL PILAR
                                              0400822854001                                                    X
 155358      LANDAZURI CORDOVA IVAN OSWALDO0400823886001                                                       X
  38920      BAYARDO                          0400824074001                                                    X
  12312      MARCO TULCAN ENRIQUEZ            0400824124001                                                    X
  62775      ARTEAGA JONATHAN AGUSTIN         0400825816001                                                    X
 154901      FIERRO GARCIA RICARDO GABRIEL    0400829644001                                                    X
  58226      SARMIENTO PAREDES JUAN ERNESTO 0400829651001                                                      X
 115281      PALACIOS GUERRÓN CAMPO ELÍAS     0400833273001                                                    X
 243418      CHULDE TIPAZ TARCISO RAMIRO      0400834305001                                                    X
  95200      MORA QUILISMAL SEGUNDO RAMIRO 0400834727001                                                       X
 167838      REVELO GARCIA HUGO FERNANDO      0400839023001                                                    X
 210101      CHALACAN CALDERON LUIS ALFREDO 0400844411001                                                      X
 209717      ROJAS JARAMILLO HUGO GERARDO 0400852208001                                                        X
 225073      CHINGAL DE LA CRUZ EDISON GERMAN 0400855300001                                                    X
 216441      NARVÁEZ GUERRA NORMA CECILIA     0400856407001                                                    X
 199772      ROSAS GONZALEZ JUAN ELIAS        0400856456001                                                    X
 131710      BOTINA JIMENEZ JULIO CESAR       0400858023001                                                    X
 255396      PASPUEL MORA VICTOR ANTONIO      0400860979001                                                    X
 164346      BAUTISTA YACELGA JOSE SEGUNDO 0400862025001                                                       X
   7001      ASESORIA FORESTAL                0400868261001                                                    X
 153945      VINUEZA ITAZ GERMÁN ERNESTO      0400869871001                                                    X
  64110      SARAUZ VASQUEZ DORIS LUCILA      0400871984001                                                    X
No                 No registra
                                                               No                    No registra   No
                                                                        No. registra                       registra      No.    indicadores
                                                             registra                provincia, registra
Persona_id              NOMBRE                No. ID (RUC)                 calle                           número      registra de ventas,
                                                             apellido                 cantón y   primer
                                                                         principal                         de calle     origen activos y/o
                                                             paterno                 parroquia nombre
                                                                                                           principal             empleados

 117991      PAILLACHO DELGADO ERNESTO ARMANDO
                                            0400872727001                                                     X
 179274      LÓPEZ DE LA CRUZ LEILA TANIA   0400881447001                                                     X
 217925      PASTAZ PUETATE JOSE FABIAN     0400884284001                                                     X
 257640      FUEL LÓPEZ AMILCAR RICARDO     0400897419001                                                     X
 180027      LEON FUENTES JOSÉ ALFREDO      0400898342001                                                     X
 197460      TARUPI REASCOS MILTON OSWALDO 0400898417001                                                      X
 131070      QUITACAN BRACHO AURORA ESTEFY 0400898680001                                                      X
 219507      YÉPEZ GUERRA MANOLA MERCEDES 0400898987001                                                       X
 107392      GUAMIALAMA VILLARREAL NELSON RODRIGO
                                            0400900064001                                                     X
 262260      VINUEZA TAPIA EDWIN OLIMPO     0400900122001                                                     X
 207759      RODRIGUEZ VILLARREAL NANCY MARGARITA
                                            0400901930001                                                     X
  36269      CALDERÓN AYALA JUAN MARTÍN     0400902516001                                                     X
 201197      CACHIGUANGO SANTILLAN LUIS CESAR
                                            0400902698001                                                     X
  34657      ROMERO JIMENEZ MARCO VINICIO   0400904215001                                                     X
 216921      MENDEZ BENAVIDES JUAN DE DIOS  0400908398001                                                     X
 150682      LIMA MEJÍA PEDRO IVÁN          0400909198001                                                     X
 198485      NARVAEZ ARTEAGA ORLANDO LORENZO0400917571001                                                     X
 166550      MONTENEGRO SALAZAR MARCIA JACQUELINE
                                            0400917720001                                                     X
  16613      ALMEIDA TERAN OSCAR IVAN       0400919809001                                                     X
  33161      DORADO UBIDIA PATRICIO RUBEN   0400921490001                                                     X
 216948      NARVAEZ HURTADO VICENTE EFRAIN 0400932711001                                                     X
 137430      CASTRO LAGUNA WALDIR TOBIAS    0400936498001                                                     X
  92324      NARVÁEZ MONTENEGRO JAIRO ANIBAL0400936597001                                                     X
 224363      CUAICAL PUENAYAN JOSE LUIS     0400938569001                                                     X
 196532      PONCE BENAVIDES ENMA LUCIA     0400939278001                                                     X
 247706      LOPEZ VEGA OLAVO MARCELO       0400943510001                                                     X
  12368      ING.                           0400945341001                                                     X
  23904      PORTILLO CORDOVA JUAN CARLOS   0400946505001                                                     X
  57891      CARLOS                         0400952511001                                                     X
 180987      QUELAL MEJIA JOSE ANTONIO      0400952537001                                                     X
  70212      GAONA BASTIDAS MARCO VINICIO   0400955050001                                                     X
No                 No registra
                                                               No                    No registra   No
                                                                        No. registra                       registra      No.    indicadores
                                                             registra                provincia, registra
Persona_id               NOMBRE               No. ID (RUC)                 calle                           número      registra de ventas,
                                                             apellido                 cantón y   primer
                                                                         principal                         de calle     origen activos y/o
                                                             paterno                 parroquia nombre
                                                                                                           principal             empleados

 245803      ARMAS POZO TERESA EPIFEMIA      0400957247001                                                    X
  78926      CAICEDO ALVAREZ EDGAR MAURO     0400957775001                                                    X
  60335      BOLAÑOS TOBAR DENNYS ANDRÉS     0400959870001                                                    X
  10361       VELASCO ENRIQUEZ CARLOS ALBERTO0400959979001                                                    X
  88842      LOPEZ NARVAEZ JAMES FABRICIO    0400962874001                                                    X
 136253      GAON YEPEZ GERMAN HUMBERTO      0400963013001                                                    X
 224334      ESCOBAR CUESTA LUIS IGNACIO     0400964359001                                                    X
 199642      HUACA VILLARREAL RAMIRO EDMUNDO 0400967071001                                                    X
  62450       JANNETH                        0400969507001                                                    X
  85269      CEVALLOS LEITON STALIN GUSTAVO 0400971693001                                                     X
 256359      ROMO AYALA JOSE AGAPITO         0400974234001                                                    X
 164401      BOLAÑOS MARTINEZ FERNANDO TRAJANO
                                             0400974994001                                                    X
 264013      MERA ALV AREZ KATHY MARITZA     0400983961001                                                    X
  75665      BENAVIDES ROSALES HERNÁN RIGOBERTO
                                             0400985248001                                                    X
  80876      JACOME ROBLES ADRIAN MAURICIO 0400985883001                                                      X
 172760      BENITEZ PEREIRA ANTONIO MARCELO 0400987707001                                                    X
 180012      QUISHPE TUPIZA MAURICIO ALEJANDRO
                                             0400993291001                                                    X
  87687      FOLLECO GUERRERO MIGUEL PATRICIO400995528001
                                             0                                                                X
 105491      POZO ESPAÑA JOSE AMABLE         0400996518001                                                    X
  99784      MARTINEZ PEREZ YACO MARLON      0400996559001                                                    X
  93944      OBANDO RODRIGUEZ OLGER HOMERO0400997367001                                                       X
 242090      RECALDE BENITEZ ZOILA LEONOR    0401000633001                                                    X
 209382      TOBAR HUERTAS RAMIRO VLADIMIR 0401000641001                                                      X
 190959      BENAVIDES VALLEJO SEGUNDO DANIEL 401002183001
                                             0                                                                X
 197909      PATIÑO POZO NELSON BOLIVAR      0401007588001                                                    X
 250238      IMBAQUINGO ALBAN VICENTE        0401012190001                                                    X
 230778      TAPIA SALAZAR NORMA LUCIA       0401013891001                                                    X
 272857      PEREZ PUETATE JOSE HUMBERTO     0401017496001                                                    X
  66099      CHAMORRO ALVAREZ EDWIN MARCELO  0401017926001                                                    X
 268133      ROBLES MORILLO MARCO RENÁN      0401024047001                                                    X
 132618      LANDAZURI USINA JUAN PABLO      0401024674001                                                    X
No                 No registra
                                                                No                    No registra   No
                                                                         No. registra                       registra      No.    indicadores
                                                              registra                provincia, registra
Persona_id               NOMBRE                No. ID (RUC)                 calle                           número      registra de ventas,
                                                              apellido                 cantón y   primer
                                                                          principal                         de calle     origen activos y/o
                                                              paterno                 parroquia nombre
                                                                                                            principal             empleados

 229693      FRAGA JÁCOME VÍCTOR DARWIN       0401026000001                                                    X
 189925      ROMERO OBANDO MARLENE ADRIANA 0401027628001                                                       X
 251172      PASTAZ CHAMORRO SILVER OMAR      0401028154001                                                    X
 225777      TITACUAN CARDENAS CARLOS VLADIMIR0401028667001                                                    X
 174469      CHAMORRO REYES OMAR WILFRIDO 0401029376001                                                        X
  57287      ROSERO BUSTOS WILFRIDO GIOVANNY  0401029756001                                                    X
  63983      ALMEIDA BURBANO DIEGO GUILLERMO0401031281001                                                      X
 103665      SALAS FRANCO GABRIELA NATALY     0401031851001                                                    X
 213533      TATAMUES ARTEAGA EDISON FERNANDO 0401033147001                                                    X
 119631      NAZATE OLIVO LUIS ANIBAL         0401035027001                                                    X
 262039      VERA VELASCO NILO BENITO         0401036256001                                                    X
 246463      TENGANÁN TISALEMA EDISON PATRICIO0401036348001                                                    X
 181149      CHUNES CHANGUAN GERARDO VICENTE  0401036629001                                                    X
 191145      LAGUNA PÉREZ MARGOTH ALEXANDRA   0401037650001                                                    X
 195153      CORAL ROSERO EDISON ANDRES       0401046594001                                                    X
  95645      ROMO LANDAZURI MARIA JOSE        0401050505001                                                    X
 113043      JIMENEZ TIRIRA DELIA ELIZABETH   0401054077001                                                    X
 166501      QUIROZ CARLOSAMA SILVIA JANNETH 0401058151001                                                     X
  91561      JACOME BRAVO EDWIN RAMIRO        0401062674001                                                    X
 269409      ORTEGA CHANDI PABLO EDISON       0401063573001                                                    X
 265977      MIRANDA QUITIAQUEZ SILVIA XIMENA 0401065206001                                                    X
 184398      TERMAL YAR LEDY BARBARITA        0401065545001                                                    X
 141860      RIVAS RAMIREZ KAROL ANDREA       0401065917001                                                    X
  67568      LUNA LOPEZ BERTHA ISABEL         0401069125001                                                    X
  53399       ALVARO                          0401073168001                                                    X
 174716      FUELTALA CUASPUD NELSON RAMIRO 0401078035001                                                      X
 213647      CASTRO ARCOS MERCY LEONOR        0401079736001                                                    X
 148419      CABRERA VALENCIA JORGE IGNACIO 0401080742001                                                      X
 223255      CAICEDO ALVAREZ JAIME ESTUARDO 0401087523001                                                      X
 213479      ACOSTA VILLOTA JUAN PABLO        0401089206001                                                    X
 132947      MORILLO MEJIA FELIX ALBERTO      0401093521001                                                    X
No                 No registra
                                                               No                    No registra   No
                                                                        No. registra                       registra      No.    indicadores
                                                             registra                provincia, registra
Persona_id               NOMBRE               No. ID (RUC)                 calle                           número      registra de ventas,
                                                             apellido                 cantón y   primer
                                                                         principal                         de calle     origen activos y/o
                                                             paterno                 parroquia nombre
                                                                                                           principal             empleados

 273815      TULCAN ARTEAGA PEDRO FRANCISCO0401097761001                                                      X
 175121      PASPUEL MENESES WIILMER FISHER 0401102231001                                                     X
 243961      RODRIGUEZ ROSERO NARCIZA GERMANIA
                                             0401107206001                                                    X
  72683      DURÁN VIZCAINO CARMEN AMELIA    0401107362001                                                    X
 230785      TAPIA SALAZAR MARLENE ARACELY 0401109384001                                                      X
 256688      MONTENEGRO LAGOS DARWIN JESUS 0401111075001                                                      X
 278422      CARAPAZ ANDRADE WILMER IVAN     0401111927001                                                    X
 246203      SALCEDO ALDAS HECTOR DANIEL     0401112354001                                                    X
 194737      ROSERO CHACON OMAIRA DEL ROCIO 0401117890001                                                     X
 159597      BENAVIDES GUERRERO OSCAR ORLANDO0401117908001                                                    X
 144128      MORA MORA JOSE ALIRIO           0401121124001                                                    X
 245651      JURADO MORILLO SEGUNDO JAVIER 0401125919001                                                      X
 127662      PANTOJA CARPIO JHON WLADIMIR    0401128715001                                                    X
 189996      ESPAÑA CHAMPUTIZ MYRIAM ROCIO 0401128897001                                                      X
 195660      CHAVISNAN FLORES EDWIN PATRICIO 0401130679001                                                    X
 265380      VINUEZA MIÑO WILLAM JAVIER      0401133970001                                                    X
 236748      MEJIA PUEDMAG PATRICIO FERNANDO0401136874001                                                     X
  43987      GUERRA TREJO VINICIO ARNOL      0401139704001                                                    X
  26089      TERÁN PÉREZ MARY LUZ            0401140975001                                                    X
 266135      LESCANO SANCHEZ LUCIA KARINA    0401143078001                                                    X
  87501      POZO BURGOS MAURICIO ALFONSO 0401144605001                                                       X
 239158      CARVAJAL FUEL ALEX JAVIER       0401150768001                                                    X
 258594      PINEDA IMBAQUIBNGO LUIS ANDRES 0401153044001                                                     X
 181888      ORTIZ TARAMUEL HENRY RAMIRO     0401156096001                                                    X
 173056      RUANO PALACIOS BYRON ANDRES     0401167622001                                                    X
 230817      ORTEGA GAONA ANDRES VICENTE     0401172309001                                                    X
 226675      GARCIA CANDO BYRON EFREN        0401175997001                                                    X
 206040      LÓPEZ HUERA LADY MARIANA        0401180229001                                                    X
 171809      TATAMUÉS VOSMEDIANO OSCAR EDMUNDO
                                             0401187489001                                                    X
  93472      CHAMORRO ERAZO GLORIA J JIMENA 0401189261001                                                     X
 214063      MARTINEZ SANTILLAN ANDREA YANIRA0401190020001                                                    X
No                 No registra
                                                               No                    No registra   No
                                                                        No. registra                       registra      No.    indicadores
                                                             registra                provincia, registra
Persona_id               NOMBRE               No. ID (RUC)                 calle                           número      registra de ventas,
                                                             apellido                 cantón y   primer
                                                                         principal                         de calle     origen activos y/o
                                                             paterno                 parroquia nombre
                                                                                                           principal             empleados

 276512      RUANO RUANO JUAN CARLOS         0401192042001                                                    X
 111779      MORILLO BOLAÑOS JIMMY ALEXANDER 0401193313001                               X
  64710      TAPIA FUERTES ANA LIDIA         0401194600001                                                    X
 209088      CARRERA BENALCAZAR CARLOS ALBERTO
                                             0401196670001                                                    X
 112228      VILLARREAL SALAZAR FERNANDO JAVIER
                                             0401200241001                                                    X
 231389      CUASAPAZ TIRIRA BLANCA MARISOL 0401201280001                                                     X
 269124      GARCIA PATIÑO JESSICA VIVIANA   0401208046001                                                    X
 220137      CHAMORRO CHAMORRO MAURA MARLENE 0401209879001                                                    X
 175199      YARPAZ TIRACA GALO FERNANDO     0401210356001                                                    X
 273327      BOLAÑOS CADENA ANDREA DEL CARMEN0401218300001                                                    X
 210587      MONENEGRO HERNANDEZ CARLOS FERNANDO
                                             0401226014001                                                    X
 200770      HEREMBÁS GARCÍA ALICIA GERMANIA 0401234158001                                                    X
 168661      VILLARREAL MORÁN BYRON ORLANDO0401236872001                                                      X
 261369      PONCE BOLAÑOS ROSA ISABEL       0401237482001                                                    X
 258322      JACOME ARELLANO YAMILE VIVIANA 0401243647001                                                     X
  31040      PASPUEL DIAZ JUAN EDILBERTO     0401254909001                                                    X
   8161      PASPUEL DIAZ NANCY ARACELY      0401254925001                                                    X
 181242      RIVERA POZO MARIA FERNANDA      0401256458001                                                    X
  86786      BENAVIDES HARO ROSA KARINA      0401259692001                                                    X
 210120      CADENA JIMENEZ JUAN CARLOS      0401266986001                                                    X
 177116      POZO AGUIRRE MARIA MARIANA      0401270103001                                                    X
 199298      GONZÁLEZ VIVEROS CLAUDIA PATRICIA
                                             0401273594001                                                    X
 204464      BURBANO PULLES IVÁN ANÍBAL      0401276928001                                                    X
 131170      ERAZO USIÑA EDISON MARCELO      0401280250001                                                    X
 262795      LOMAS MORILLO EDISSON OMAR      0401281357001                                                    X
 276842      OBANDO AYALA AMANDA JANETH      0401281860001                                                    X
 178833      ANDRADE JIMENEZ EFREN EUGENIO 0401282314001                                                      X
 132310      ANDRADE JIMENEZ LILIAN MARGOTH 0401282322001                                                     X
 177826      MONTENEGRO FUEL JOSE LUIS       0401288089001                                                    X
 268892      VALLEJO GARCIA EDGAR DAVID      0401290465001                                                    X
 150881      FUENTES ANDRÉS                  0401300157001                                                    X
No                 No registra
                                                               No                    No registra   No
                                                                        No. registra                       registra      No.    indicadores
                                                             registra                provincia, registra
Persona_id               NOMBRE               No. ID (RUC)                 calle                           número      registra de ventas,
                                                             apellido                 cantón y   primer
                                                                         principal                         de calle     origen activos y/o
                                                             paterno                 parroquia nombre
                                                                                                           principal             empleados

 179046      ANDRADE JIMENEZ FRANKLIN ANDRES 0401300595001                                                    X
 206588      ENRIQUEZ ROSERO MARIA LUISA     0401301932001                                                    X
 119699      ERAZO MONCAYO DIEGO JAVIER      0401302732001                                                    X
 153109      PINCHAO CUASPUD HECTOR LIDIO    0401304456001                                                    X
 223513      CUAMACAS MONTENEGRO DANIELA IRENE
                                             0401307053001                                                    X
  99580      CARRILLO MAYANQUER FREDY ROLANDO0401308648001                                                    X
 108788      TUCANÉS VELASCO NUBIA LENNY     0401315619001                                                    X
 271818      FUERTES SOTELO ALEXANDER MIGUEL 0401318274001                                                    X
 218941      CHINDE PEREIRA ROBERTO FERNANDO 0401337274001                                                    X
 250757      BOLAÑOS BAEZ PABLO GUILLERMO    0401355623001                                                    X
 125740      GONZALEZ IBARRA DIEGO FABIAN    0401359534001                                                    X
 172697      SALAZAR MERA DIEGO EDUARDO      0401373220001                                                    X
 249100      ROSERO RODERO MARCIA GABRIELA 0401374970001                                                      X
 221053      LUZON PUSDA RUTH MYREYA         0401376702001                                                    X
 242436      CHAMBA RUANO ALVARO FERNANDO 0401383195001                                                       X
 235662      SANTAFÉ RUEDA CHRISTIAN ABELARDO0401389499001                                                    X
 164962      CANDO HUERTAS JHONNY IVAN       0401391347001                                                    X
  99814      MORA CHINGUA MARITZA MARGARITA 0401396031001                                                     X
 206155      RIASCOS ORTEGA WILLIAM RENE     0401400700001                                                    X
  54838      GUEVARA ROSERO JAIRO MAURICIO 0401400940001                                                      X
 253896      CHULDE FRAGA SEGUNDO MOISES     0401401203001                                                    X
 202387      OSORIO HERRERA JUAN CARLOS      0401402615001                                                    X
  93563      HERRERA RAMÍREZ CARLOS DAVID    0401419783001                                                    X
 162662      POZO AYALA JOSE LUIS            0401432539001                                                    X
 152653      ACOSTA CHICANGO MARCIA KATERINE0401436670001                                                     X
 244027      ROSERO DELGADO ERNESTO ALONSO0401438155001                                                       X
  97791      ALMEIDA BENÍTEZ VERÓNICA MARLENE0401440045001                                                    X
  79959      PANTOJA PUETATE SANDRA VERONICA 0401452156001                                                    X
 264180      GUILLEN PISCO FRANCISCO ANDDRES 0401454160001                                                    X
 195826      VILLA PILCO CRISTIAN FERNANDO   0401454954001                                                    X
 193784      GUACALES TENGANAN JAIME ALIRIO 0401456025001                                                     X
No                 No registra
                                                              No                    No registra   No
                                                                       No. registra                       registra      No.    indicadores
                                                            registra                provincia, registra
Persona_id              NOMBRE               No. ID (RUC)                 calle                           número      registra de ventas,
                                                            apellido                 cantón y   primer
                                                                        principal                         de calle     origen activos y/o
                                                            paterno                 parroquia nombre
                                                                                                          principal             empleados

 254300      DE LA CRUZ PANTOJA DIEGO FERNANDO0401461603001                                                  X
 249063      DELGADO CAMPAÑA WILMAR ALBERTO   0401467329001                                                  X
 218762      BURGOS PASPUEL LILIANA TAMARA 0401468541001                                                     X
 269019      REVELO PUETATE EDWIN WLADIMIR 0401474846001                                                     X
 168420      MORA CHUQUER EDWIN JONATHAN 0401495262001                                                       X
 266773      BRAVO VILLARREAL EDUARDO JHONATAN0401542212001                                                  X
 234108      RUALES MORÁN JUAN CARLOS         0401545991001                                                  X
 132872      ROSERO MANCERO SANDRA MILENA 0401556584001                                                      X
 234893      CALDERON PATIÑO ALVARO ROLANDO0401559547001                                                     X
 195365      MEDICIS BERNAL VICENTE EDILBERTO 0401568597001                                                  X
 267056      FIGUEROA VALENZUELA ERIKA VIVIANA0401584933001                                                  X
 211112      REALPE RODRIGUEZ JHONATAN DIEGO  0401587985001                                                  X
 182063      LOMAS TAPIA LUIS ALFONSO         0401594890001                                                  X
 102599      LUCERO ALPALA LUIS ANTONIO       0401630249001                                                  X
 173071      PUETATE CANTINCUZ CRISTIAN PATRICIO
                                              0401659966001                                                  X
 250973      CANTICUZ RIVERA AGUSTO CLAUDIO 0401697545001                                                    X
 151578      CORDOBA CORDOBA CRISTIAN ANDRES401816426001
                                              0                                                              X
  37174      GOBIERNO MUNICIPAL MIRA          0460000560001                                                  X                      X
 256412      TRANSAPORTES VELOTAX NORTE S.A.0490013644001                                                    X
 211425      IMPORTACION Y EXPORTACION PARA EL AGRO "INTERANDESA S.A."
                                              0490040285001                                                  X
 192807      BOLIVARIANA DE TRANSPORTES DE CARGA TRANSBOLIVARIANA C.A.
                                              0490041826001                                                  X
 157408      COOPERATIVA DE CAMIONETAS 10 DE 0490041893001
                                              MARZO CARCHENSE                                                X
 189036      CLINICA DE ESPECIALIDADES MEDICAS0490042091001                                                  X
 202524      FUNDACION ASILO DE ANCIANOS SARA ESPINDOLA DE BURBANO
                                              0490042903001                                                  X
 205081      CAMPO FERTIL                     0491500611001                                                  X
 118551      CINE CABLE TV                    0491500972001                                                  X
  47133      ASOCIACION EDUCACION Y PROGRESO  0491501928001                                                  X
 168404      VIZCAINO ANDRADE ELIZABETH LUCIA 0491502053001                                                  X
 255888      CORPORACIÓN PROVINCIAL DE ORGANIZACIONES CAMPESINAS DEL CARCHI
                                              0491503025001                             X                                           X
 242230      ASOCIACION DE CONSERVACION VIAL "NUEVA ESPERANZA"
                                              0491505613001                                                  X
 244695      ASOCIACION DE CONSERVACION VIAL CAMINO HACIA EL FUTURO
                                              0491505621001                                                  X
No                 No registra
                                                              No                    No registra   No
                                                                       No. registra                       registra      No.    indicadores
                                                            registra                provincia, registra
Persona_id              NOMBRE               No. ID (RUC)                 calle                           número      registra de ventas,
                                                            apellido                 cantón y   primer
                                                                        principal                         de calle     origen activos y/o
                                                            paterno                 parroquia nombre
                                                                                                          principal             empleados

  71095      ASOCIACIÓN DE CONSERVACIÓN VIAL FRONTERA DEL PROGRESO
                                             0491506652001                                                   X
  55727      ASOCIACION DE CONSERVACION VIAL 1 DE ABRIL
                                             0491506660001                                                   X
  71080      ASOCIACIÓN DE CONSERVACIÓN VIAL TRABAJADORES DEL NORTE
                                             0491506679001                                                   X
  71135      ASOCIACIÓN DE CONSERVACIÓN VIAL PORVENIR DEL PARAISO
                                             0491506687001                                                   X
 185554      DELISERTRANS S.A.               0491506997001                                                   X
  71183      ASOCIACIÓN DE CONSERVACIÓN VIAL MIRA
                                             0491507551001                                                   X
  71158      ASOCIACIÓN DE CONSERVACIÓN VIAL NUEVO AMANECER
                                             0491507578001                                                   X
 152319      TRANSDORAMALD S.A.              0491507764001                                                   X
 105995      LEDERGERBER MARIA VERENA        0491508051001                                                   X
 256047      CORPORACIÓN CODESTAAE           0491508280001                                                   X
 160552      TULCANCOFERINT CIA. LTDA:       0491508507001                                                   X
 224945      CORPORACION AGROPECUARIA SEMBRANDO EL FUTURO
                                             0491509058001                                                   X
 262016      GUERRERO GUERRERO JULIO         0491509139001                                                   X
 239167      ASOCIACION DE CONSERVACION VIAL PRIMERO DE MAYO
                                             0491509406001                                                   X
 275427      ALMACENES O PUNTOS DE VENTA CARCHI PRODUCTIVO
                                             0491509856001                                                   X
  46582      ESPIN MORENO MANUEL ESTUARDO 0500000617001                                                      X
 274841      ESPIN CONDOR MANUEL MARIA       0500012307001                                                   X
 253504      TRUJILLO GARCÍA SIMÓN SELUCIDES 0500015805001                                                   X
 120658      CHICAIZA MORENO MARIA PIEDAD    0500047600001                                                   X
 161396      DURÁN SALGADO MARIANA TERESA DE JESÚS
                                             0500050182001                                                   X
 181374      KAROLYS RIVADENEIRA MANUEL ESTUARDO
                                             0500051305001                                                   X
 266621      TOVAR ACURIO CARLOS VICENTE     0500055512001                                                   X
 240128      TAPIA TAPIA CÉSAR ALFREDO       0500057062001                                                   X
 203749      AMORES CASTELLANO LUIS ANIBAL   0500059217001                                                   X
  86332      BENITEZ CATOTA CARLOS ALBERTO 0500072798001                                                     X
  42990      CHILIQUINGA LLANGANATE ANGEL POLIVIO
                                             0500077177001                                                   X
 246534      ESPINOSA MOLINA SEGUNDO HELEODORO
                                             0500079868001                                                   X
 136255      RAMON VIZCAINO CLARA ESTELA     0500089370001                                                   X
 253735      ARROYO VALLAROEL MANUEL EDUARDO 0500095336001                                                   X
 201541      SILVA FIALLOS GRACIANO ANTONIO 0500096730001                                                    X
 159514      VILLAFUERTE FERNANDEZ MAGDA JUDITH
                                             0500111216001                                                   X
No                 No registra
                                                               No                    No registra   No
                                                                        No. registra                       registra      No.    indicadores
                                                             registra                provincia, registra
Persona_id               NOMBRE               No. ID (RUC)                 calle                           número      registra de ventas,
                                                             apellido                 cantón y   primer
                                                                         principal                         de calle     origen activos y/o
                                                             paterno                 parroquia nombre
                                                                                                           principal             empleados

  54086       FRAYNE                         0500114616001                                                    X
 206611      JACOME CEPEDA CRISTOBAL HOMERO0500118641001                                                      X
  56701      DEFAZ DEFAZ MANUEL              0500129358001                                                    X
 177955      ESPIN VELOZ FAUSTO LEOVIGILDO   0500158217001                                                    X
  55315      MORENO MENA JAIME ARTURO        0500172325001                                                    X
  75940      ORDONEZ MURILLO LUIS MARCELO    0500176466001                                                    X
  40400      TOBAR PAREDES GUSTAVO EDUARDO 0500176664001                                                      X
 108588      MOLINA VELA OSWALDO WASHINGTON  0500177779001                                                    X
 118182      CRIOLLO VELA SEGUNDO MOISES GONZALO
                                             0500184155001                                                    X
  95539      ARROYO ALVEAR LUIS GONZALO GAERARDO
                                             0500198841001                                                    X
 169004      CHANCUSIG CHANCUSIG JAIME GONZALO
                                             0500205406001                                                    X
 190467      MERIZALDE LARA JOSE AUGUSTO     0500207022001                                                    X
  50174      LEON TIGSE SEGUNDO RAFAEL       0500212634001                                                    X
 264474      POZO MOREJON CARLOS ISIDRO      0500215009001                                                    X
  51137      SORIA LOPEZ REISNER RANULFO     0500233267001                                                    X
 198311      PILA PILA JOSE MARIA            0500247283001                                                    X
 129510      MENDEZ VEGA ISABEL DEL ROSARIO 0500256714001                                                     X
 157779      TOAQUIZA TOAPANTA SEGUNDO RICARDO
                                             0500260864001                                                    X
 126670      TAPIA TAPIA JORGE ALBERTO       0500266648001                                                    X
 258362      DE LA CRUZ AIMACAÑA ROSA ELVIRA 0500272182001                                                    X
 259313      MORENO VERA LUIS ALBERTO        0500276407001                                                    X
 191323      TINAJERO ESPINEL VICENTE MARCELO0500292941001                                                    X
 133059      COELLO VERA FLORENCIO NICANOR 0500302013001                                                      X
 139669      ARIAS ESPINEL ANGEL OSWALDO     0500354568001                                                    X
 178048      REINOSO ALARCON MARGARITA TERESA0500355722001                                                    X
 134682      CHASI RIVERA LUIS ENRIQUE       0500408463001                                                    X
  92061      CASTELLANO NIETO SEGUNDO FRANCISCO
                                             0500413455001                                                    X
 120368      IZA OÑA PEDRO PABLO             0500422571001                                                    X
 241608      CHANCUSIG CHUQUILLA SEGUNDO ANICETO
                                             0500439732001                                                    X
  93382      BUSTOS DUQUE MIGUEL ANTONIO     0500443239001                                                    X
 173207      SANCHEZ TIPANTUÑA JOAQUIN       0500451760001                                                    X
No                 No registra
                                                               No                    No registra   No
                                                                        No. registra                       registra      No.    indicadores
                                                             registra                provincia, registra
Persona_id               NOMBRE               No. ID (RUC)                 calle                           número      registra de ventas,
                                                             apellido                 cantón y   primer
                                                                         principal                         de calle     origen activos y/o
                                                             paterno                 parroquia nombre
                                                                                                           principal             empleados

 142798      PROCEL REINALDO JACOBO          0500455118001                                                    X
 153425      BUNCES GARCÍA IDER GILBERTO     0500455894001                                                    X
  34746      JIMENEZ SALAZAR ANTONIO JOSE    0500482690001                                                    X
 213488      MOLINA HERRERA FAUSTO GERMAN 0500484209001                                                       X
 213198      TUTILLO OÑA VICTORIANO          0500487004001                                                    X
  30191      SAILEMA VACA SEGUNDO NICASIO 0500490511001                                                       X
 242260      BRASALES VILLAROEL MIGUEL ANGEL 0500504063001                                                    X
  81753      ALVAREZ VIERA GALO ANIBAL       0500507603001                                                    X
 206175      ESPINEL GORDILLO EDGAR FERNANDO 0500508247001                                                    X
 171177      TINAJERO ABAD GERMÁN EDUARDO 0500509427001                                                       X
 115826      PACHECO PACHECO HUGO VICENTE 0500511027001                                                       X
 118547      NARANJO SANTANDER FREDDY OSWALDO0500514880001                                                    X
 165938      ARIAS JIMENEZ LUIS HERNAN       0500524376001                                                    X
 138937      CAIZAGUANO UNAPUCHA JOSE        0500524517001                                                    X
  33529      METAL MECANICA RIVADENEIRA      0500536891001                                                    X
  94931      ALVAREZ CARRILLO NELSON ANIBAL 0500537238001                                                     X
 183596      MOROCHO CHARIGUAMAN RAUL CESAR500558242001
                                             0                                                                X
  49017      OLALLA MORALES ARTURO OLALLA    0500569777001                                                    X
  77487      NARANJO SANTANDER CARLOS ALBERTO0500587233001                                                    X
 273472      RIERA RIERA BEATRIZ ENCARNACION 0500601620001                                                    X
 221183      RODRIGUEZ QUIMBITA CESAR GONZALO0500606967001                                                    X
 160367      LOPEZ CARRILLO EDISON GERMANICO0500610563001                                                     X
 149888      COBO CARRILLO HITLER GUILLERMO 0500634811001                                                     X
 179121      MENA MENA ABSALON ARMANDO       0500634845001                                                    X
 132700      GRANDES ROBAYO CARMEN TERESA 0500638259001                                                       X
 271988      GUTIERREZ SOLIS SEGUNDO DAVID 0500640594001                                                      X
 215330      CHANALATA IZA MARIA ELVIRA      0500646740001                                                    X
 214575      SERRANO AIMACAÑA MARIA ANA      0500652102001                                                    X
 139640      VEGA CARRILLO RENE RODRIGO      0500666870001                                                    X
 195410      REINOSO ARAQUE LUIS OSCAR       0500667001001                                                    X
 229510      RIERA MOLINA POLIVIO BALERIANO  0500668256001                                                    X
No                 No registra
                                                               No                    No registra   No
                                                                        No. registra                       registra      No.    indicadores
                                                             registra                provincia, registra
Persona_id               NOMBRE               No. ID (RUC)                 calle                           número      registra de ventas,
                                                             apellido                 cantón y   primer
                                                                         principal                         de calle     origen activos y/o
                                                             paterno                 parroquia nombre
                                                                                                           principal             empleados

  20435      BAÑO FLORES GONZALO ISAIAS      0500673413001                                                    X
  15920       HUGO                           0500673579001                                                    X
 220136      TERAN SIERRA MANUEL RODRIGO     0500676598001                                                    X
 163188      QUIMBITA PANCHI CESAR HERIBERTO 0500679071001                                                    X
 248869      VITERI HERNANDEZ BOLIVAR ANTONIO0500680434001                                                    X
  53876      JARRÍN TOVAR LUÍS FERNANDO      0500685003001                                                    X
 139654      ESPINOSA ESPINOSA SEGUNDO REINALDO
                                             0500690607001                                                    X
 145522      GAVILANEZ CUZCO JORGE           0500694559001                                                    X
 122807      NUÑEZ RIVERA EMMA TERESA        0500721832001                                                    X
 253539      VENEGAS CORREA HUMBERTO LAUTARO 0500740899001                                                    X
  71165      FONSECA ACOSTA NELSON TRAJANO 0500744388001                                                      X
 184226      CAISACHAMA MORALES SEGUNDO GONZALO
                                             0500744446001                                                    X
  90765      SANTO CELA CELIA MARIA          0500744750001                                                    X
  62640      MULLO AIMACAÑA HUGO MARCELO     0500748702001                                                    X
 171462      TULLMO TIPANTUÑA SEGUNDO FEDERICO
                                             0500749577001                                                    X
 110427      CABALLEROS CAMINO MARGARITA LUCINDA
                                             0500756564001                                                    X
 202832      QUEVEDO GRANDES STIVETH FLAVIO 0500759980001                                                     X
 144712      AVILES OROSCO NESTOR RUBEN      0500766621001                                                    X
 270378      CONSTANTE NUÑEZ SEGUNDO ANTONIO 0500767041001                                                    X
  73491      VILLAGOMEZ PAEZ SEGUNDO RAFAEL 0500768296001                                                     X
 185516      CHANALUISA QUISHPE JOSE LEONIDAS0500769328001                                                    X
 167687      CHIULUISA NARANJO VICTOR EDUARDO0500789508001                                                    X
 140942      CARRERA PRUNA GALO EFRAIN       0500798277001                                                    X
  57351      JEREZ GARZON VICTOR REINALDO    0500799812001                                                    X
 168543      ESPINEL GORDILLO NELSON BAYARDO0500807300001                                                     X
 224201      VITERI REINOSO NELSON SAUL      0500807474001                                                    X
 137830      PÁRAMO MEDINA LUIS ALFREDO      0500816566001                                                    X
  93575      SANGOQUIZA SANGOQUIZA VICTOR MANUEL
                                             0500816814001                                                    X
 276496      RAMIREZ DELGADO SEGUNDO NEPTARIO0500819727001                                                    X
  15572      GUERRERO RIERA CARLOS SEGUNDO0500824420001                                                       X
 145129      AIMACAÑA TARCO JOSE RODRIGO     0500826300001                                                    X
No                 No registra
                                                               No                    No registra   No
                                                                        No. registra                       registra      No.    indicadores
                                                             registra                provincia, registra
Persona_id               NOMBRE               No. ID (RUC)                 calle                           número      registra de ventas,
                                                             apellido                 cantón y   primer
                                                                         principal                         de calle     origen activos y/o
                                                             paterno                 parroquia nombre
                                                                                                           principal             empleados

  57811      ZAMBONINO BALAREZO FRANCISCO ALBERTO
                                             0500826821001                                                    X
  11563      CARLOS                          0500827977001                                                    X
 204243      PORRAS CORTEZ HECTOR GUSTAVO 0500831177001                                                       X
 180394      CÁCERES GARZÓN MARÍA REYNA      0500841119001                                                    X
 119590      ZAMBONINO ORDÓÑEZ ROBERTO EFRÉN 0500851225001                                                    X
 256557      GARAY BANO RAFAEL ESTUARDO      0500853585001                                                    X
  88707      ALPÚSIG TACO JUAN SEGUNDO       0500857677001                                                    X
 268591      PAZMILO DOMINGA SUSANA          0500862560001                                                    X
 244201      VILLACIS VELA MARCELO GERARDO 0500863634001                                                      X
 258388      CANGUI LUZMILA                  0500867262001                                                    X
  66578      NAVAS GUERRERO SERGIO ELADIO    0500874771001                                                    X
  30583      TAIPE QUINALUISA JUAN MANUEL    0500886718001                                                    X
 238093      UCHUPANTA BUNSHI SEGUNDO FEDERICO
                                             0500889092001                                                    X
 116803      PULLUQUITIN COQUE SALVADOR      0500889670001                                                    X
 266200      VILLACIS JACOME MANUEL NEPTALI 0500898564001                                                     X
 121159      SORIA CASILLAS MARIA DOLORES    0500900311001                                                    X
 149127      CAJAS SEGOVIA JAIME GERARDO ALFONSO
                                             0500900741001                                                    X
 108187      NARANJO RAMON EUSTORGIO JULIAN 0500904396001                                                     X
 127548      PURUNCAJAS EVA AMERICA          0500908264001                                                    X
  99309      BUSTILLOS AMAYA PABLO MAURICIO 0500908843001                                                     X
 124613      RIVERA MORENO CAMILO ENRIQUE    0500909775001                                                    X
  93815      VILLACIS TENEDA KLEVER ALEJANDRO0500911557001                                                    X
 134572      MORENO MENA HUGO FERNANDO       0500915459001                                                    X
 165924      MONCAYO SORIA WILMO GILBERTO 0500922687001                                                       X
  86551      CAÑA SANGUCHO GERARDO MANUEL 0500925334001                                                       X
 265443      TIPANTUÑA LEMA PEDRO PABLO      0500927439001                                                    X
 179896      CHANATÁSIG MULLO SEGUNDO ANGEL0500930458001                                                      X
 109008      GUANOPATIN ATI MIGUEL ANGEL     0500930466001                                                    X
 216300      ALMACHI TACO JOSE LEONIDAS      0500934542001                                                    X
 202642      ALVAREZ CRUZ ENRIQUE ESTUARDO 0500946868001                                                      X
 183701      CORRALES MENA FANNY             0500956792001                                                    X
No                 No registra
                                                                No                    No registra   No
                                                                         No. registra                       registra      No.    indicadores
                                                              registra                provincia, registra
Persona_id               NOMBRE                No. ID (RUC)                 calle                           número      registra de ventas,
                                                              apellido                 cantón y   primer
                                                                          principal                         de calle     origen activos y/o
                                                              paterno                 parroquia nombre
                                                                                                            principal             empleados

 101010      MORENO RAMIREZ JORGE ELOY        0500963699001                                                    X
 103230      SANTAMARIA CUITO ARQUIVALDO GUSTAVO
                                              0500964465001                                                    X
 162674      QUINGATUÑA ACOSTA PATRICIO       0500977277001                                                    X
 154422      PANOLUISA PANCHI JOSÉ FLORESMILO 0500984232001                                                    X
  73947      LESCANO SANTANA ANGEL ALFREDO 0500989272001                                                       X
 162733      COCHA GUATO SONIA GUILLERMINA 0500993001001                                                       X
 263790      VALLADARES GUERRA GONZALO RODRIGO0500994561001                                                    X
 116065      TOVAR VILLACIS FREDDY NELSON     0501000723001                                                    X
 130835      ZAPATA PORRAS JUAN ABELARDO      0501004139001                                                    X
 148029      PILATASIG IZA JUAN NN            0501011183001                                                    X
 228079      CHIQUITO CASTELLANO LILIA AMÉRICA0501040711001                                                    X
  49207      X ESCOBAR IVAN GERMANICO         0501040729001                                                    X
 157021      VENEGAS MERA MARIA ELENA         0501041081001                                                    X
 234381      QUEVEDO MANOTOA JAIME HORACIO 0501043772001                                                       X
 114003      CAICEDO ALVAREZ FREDY FRANCISCO0501047906001                                                      X
 235077      CUYACHAMIN CHILIQUINGA JOSE ROBERTO
                                              0501049415001                                                    X
  30409      CÓRDOVA RAMÓN JOSÉ ESTUARDO 0501051528001                                                         X
  94228      CASNANZUELA DE LA CRUZ ISIDRO    0501057228001                                                    X
 109098      CANDO ROJAS MARIO RODRIGO        0501057905001                                                    X
 118844      JIMENEZ HERRERA ROBERTO EFRAIN 0501061451001                                                      X
 155512      VILLAVICENCIO FABARA LUIS FERNANDO
                                              0501062731001                                                    X
  50029      CAJIAO CÓRDOVA JORGE HERNANDO 0501062822001                                                       X
  80859      VACA SANCHEZ MARCO RUBEN         0501069736001                                                    X
  36665      PROAÑO LÓPEZ WILLAMS FREDY       0501073845001                                                    X
 109237      IZA TOAPANTA JORGE ANIBAL        0501076160001                                                    X
 168343      ALVAREZ ALVAREZ AMPARO DEL ROCIO 0501077473001                                                    X
  88688      ANDRADE HIDALGO IVAN FERNANDO 0501079222001                                                       X
  36710      PEÑAHERRERA VACA JAIME ENRIQUE 0501080808001                                                      X
 271077      MEJIA MANTILLA MARIA MAGDALENA 0501088827001                                                      X
 195994      TORO VASCO GREGORIO PATRICIO     0501092704001                                                    X
  79396      BUSTILLOS AMAYA JOSÉ DAVID       0501093199001                                                    X
No                 No registra
                                                               No                    No registra   No
                                                                        No. registra                       registra      No.    indicadores
                                                             registra                provincia, registra
Persona_id               NOMBRE               No. ID (RUC)                 calle                           número      registra de ventas,
                                                             apellido                 cantón y   primer
                                                                         principal                         de calle     origen activos y/o
                                                             paterno                 parroquia nombre
                                                                                                           principal             empleados

 184974      CRUZ GUANOLUISA CÉSAR OSWALDO 0501096994001                                                      X
 225121      FONSECA GARCIA BOLIVAR GERMAN 0501097182001                                                      X
 214071      OCHOA TINAJERO PATRICIO FABIAN 0501100028001                                                     X
 220226      PROAÑO AMORES OSWALDO WASHINGTON0501102305001                                                    X
  99218      QUILUMBA QUINAPALLO SEGUNDO FRANCISCO
                                             0501102578001                                                    X
 121431      OÑA GONZALEZ JULIO PATRICIO     0501105613001                                                    X
 198234      VELOZ CORRAL SEGUNDO EDWIN      0501106710001                                                    X
 268655      CHANTASIG ALCOCER NELSON WILLIANS
                                             0501108062001                                                    X
 127550      TIGSE ALOMOTO LUIS JOSE ALFREDO 0501109938001                                                    X
  53967      PLAZA BAUTISTA PEDRO ALEJANDRO 0501115562001                                                     X
 227969      CAMPAÑA ESPIN MANUEL ALONSO     0501122543001                                                    X
 127405      CARRILLO JARAMILLO DELIA LADI   0501124143001                                                    X
 194821      CHICAIZA CAMPOS GLORIA PIEDAD   0501125744001                                                    X
 186123      CHILIQUINGA TAIPE MARIA TOMASA 0501126916001                                                     X
 138080      TUTASIG GUANOLUISA JORGE ENRIQUE501134498001
                                             0                                                                X
 136500      MALLITASIG CAIZA CESAR GONZALO 0501140693001                                                     X
 200872      OSORIO ALVAREZ ANA FABIOLA      0501141659001                                                    X
 135707      SORIA ESPINOZA RAÚL RODRIGO     0501142996001                                                    X
 117895      TOAPANTA CAGUANA MEDARDO ULPIANO0501145700001                                                    X
 189862      TONATO PLASENCIA CESAR SERAFIN 0501146609001                                                     X
  47011      TIPANGUANO BAÑO JOSE AUGUSTO 0501148126001                                                       X
  34040      SANTOS TOAPANTA SEGUNDO FAUSTO  0501150445001                                                    X
 109682      PULLOTASIG TIPANLUISA EFRAIN NN 0501152243001                                                    X
 127398      VITERI PAZMIÑO MANUEL AUGUSTO 0501153860001                                                      X
 210502      BUSTAMANTE SANTOS JORGE WASHINGTON
                                             0501155493001                                                    X
 167632      AVILA ROSERO GALO RAUL          0501156061001                                                    X
 277494      AGUILERA BARAHONA JORGE ENRIQUE 0501161392001                                                    X
 117509      VARGAS MORA JUAN FRANCISCO      0501162416001                                                    X
 109062      PICHUCHO CHICAIZA CESAR FERNANDO0501163711001                                                    X
 107529      CRSPO JIMENEZ OCTAVIO MARCELO 0501163778001                                                      X
 184930      NAVAS PADILLA MARÍA DE LOURDES 0501164552001                                                     X
No                 No registra
                                                               No                    No registra   No
                                                                        No. registra                       registra      No.    indicadores
                                                             registra                provincia, registra
Persona_id               NOMBRE               No. ID (RUC)                 calle                           número      registra de ventas,
                                                             apellido                 cantón y   primer
                                                                         principal                         de calle     origen activos y/o
                                                             paterno                 parroquia nombre
                                                                                                           principal             empleados

 244282      MALDONADO CACPATA LUIS MARCELO0501166169001                                                      X
 271185      BENITEZ TOAPANTA BLANCA MARGARITA
                                             0501185920001                                                    X
  94768      CHANGO CAIZA JOSE RAFAEL        0501193676001                                                    X
  35645      JEREZ GARZON JOSE MARCELO       0501194385001                                                    X
 136771      AYALA ROSERO NAPOLEON           0501198808001                                                    X
 100324      ACOSTA GUTIERREZ JOSE ELOY      0501199541001                                                    X
 118240      LAGLA TIPAN SEGUNDO MARCELO     0501205058001                                                    X
 137152      BENAVIDES CAÑAVERAL SEGUNDO ABEL0501211130001                                                    X
 248091      BASSANTES ALARCÓN BYRON HORFAYT 0501214456001                                                    X
 169863      ESQUIVEL AYALA EDGAR PATRICIO   0501214803001                                                    X
 165755      CABRERA ULLCO JUAN LUIS         0501215164001                                                    X
 139881      SALAZAR ALBAN ANGEL NEPTALI     0501223234001                                                    X
 240374      LUSPA CHITO JUAN JOSE           0501224802001                                                    X
 138629      HOYOS GANCINO JULIO ALFONSO     0501227318001                                                    X
 138580      TIGSE VILLACRES FRANCISCO RUBEN 0501231781001                                                    X
  33450      MORA PRIAS LUIS ALBERTO         0501240709001                                                    X
 106755      SARAGOSIN SEGUNDO PLACIDO       0501242408001                                                    X
 154059      VARGAS CHICAIZA ENRIQUE         0501245526001                                                    X
  89730      GUALOTUÑA CHICAIZA CARLOS MEDARDO
                                             0501251078001                                                    X
 110046      MATUTE VILLAVICENCIO SEGUNDO RAFAEL
                                             0501251607001                                                    X
 180368      JACOME FREIRE GUSTAVO ALEXIS    0501253033001                                                    X
 117441      GUANGAJE PILATASIG LUIS         0501254965001                                                    X
  21048      AMORES MATUTE LUIS ERNESTO      0501258313001                                                    X
  95492      COMASISIN PILATASIG LUIS SERGIO 0501264998001                                                    X
 229837      VILLACIS RENJIFO JOSE CARLOS    0501273510001                                                    X
 152688      ESPIN JACOME GERARDO OSWALDO 0501274914001                                                       X
  62558      USHCO MOSQUERA SEGUNDO MANUEL   0501275424001                                                    X
 166002      GUANOTUÑA CHICAIZA ELSA MERIDA 0501278402001                                                     X
 162380      CHULCO USHCO JUAN JOSE          0501278576001                                                    X
 112131      COCHA TRIVIÑO HÉCTOR PATRICIO   0501282925001                                                    X
 148763      GALLO LIGER JORGE OMERO         0501284947001                                                    X
No                 No registra
                                                               No                    No registra   No
                                                                        No. registra                       registra      No.    indicadores
                                                             registra                provincia, registra
Persona_id               NOMBRE               No. ID (RUC)                 calle                           número      registra de ventas,
                                                             apellido                 cantón y   primer
                                                                         principal                         de calle     origen activos y/o
                                                             paterno                 parroquia nombre
                                                                                                           principal             empleados

 104842      CALVOPINA LEON RAUL GERMAN      0501294979001                                                    X
 166758      CALALA CASA GUIDO RAMIRO        0501295448001                                                    X
 233894      TAIPE TAIPE LUIS ALFREDO        0501305684001                                                    X
  37242      ACHOTE ESTRELLA CARLOS GONZALO  0501307995001                                                    X
 217790      NUÑEZ COCA VITERVO RAUL         0501315691001                                                    X
 126358      GONZALEZ CAJIAO LIA PAULINA     0501318455001                                                    X
 155496      JACOME SILVA LUIS EDUARDO       0501318810001                                                    X
 213328      FALCONI GALARZA MARY CONCEPCION 0501323430001                                                    X
  91953      PILA ALMACHI JOSE MARCELO       0501324180001                                                    X
 147797      GARAY BAÑO MODESTO WIDIBILSON 0501324362001                                                      X
 154238      TORRES PAZMIÑO LUIS ROBERTO     0501325773001                                                    X
  67470      MARTÍNEZ VEGA PABLO ARTURO      0501328694001                                                    X
  58387      MAIGUA BRONCANO FAUSTO JOSE     0501330765001                                                    X
 175140      LAGLA TIPÁN JUAN JOSÉ           0501332217001                                                    X
 230503      ALVAREZ SALAZAR ALICIA MATGOTH 0501337893001                                                     X
  40975      SALAZAR CORRALES NELSON GERARDO 0501339030001                                                    X
 208777      BANDA BUSTILLOS MARCO FERNANDO0501344212001                                                      X
 176846      TAIPE TONATO MARIA ERMELINDA    0501351167001                                                    X
  47622      GUAMAN GUANOPATIN SEGUNDO OSWALDO
                                             0501354096001                                                    X
 111433      GARCIA MIGUEL ANTONIO           0501355796001                                                    X
 162431      ALVEAR VILLACIS LIDIA VIRGINIA  0501360689001                                                    X
  32013      SALAZAR TELLO RAÚL ALBERTO      0501368450001                                                    X
 146555      OSORIO HERRERA LUIS ALEJANDRINO 0501376529001                                                    X
 141454      YANCHAPAXI CAYO FRANCISCO RAMIRO0501381974001                                                    X
  36258      DISFOB                          0501384622001                                                    X
 207317      BEDÓN CHICAIZA EDGAR LEONIDAS 0501385553001                                                      X
 228675      CAYO CUYO JUAN                  0501387922001                                                    X
 154320      VILCA TOAPANTA SEGUNDO FRANKLIN0501391262001                                                     X
 107419      JAMI JAMI MARÍA ISABEL          0501397921001                                                    X
  94171      MEDINA ACOSTA HOLGUER MARCELO 0501400188001                                                      X
 217238      PACHECO FABARA GERARDO IVAN     0501404016001                                                    X
No                 No registra
                                                               No                    No registra   No
                                                                        No. registra                       registra      No.    indicadores
                                                             registra                provincia, registra
Persona_id               NOMBRE               No. ID (RUC)                 calle                           número      registra de ventas,
                                                             apellido                 cantón y   primer
                                                                         principal                         de calle     origen activos y/o
                                                             paterno                 parroquia nombre
                                                                                                           principal             empleados

 225142      CHOLOQUINGA MARCELO             0501406912001                                                    X
  22419      RIVAS ALEMAN RUBEN RODRIGO      0501408157001                                                    X
 155158      MEDINA MATUTE MARÍA TERESA      0501409130001                                                    X
 157721      NEGRETE TOAPANTA ABELARDO       0501410955001                                                    X
 102986      CAISA ANGEL MARIA               0501411144001                                                    X
 102582      ZAPATA DIAZ SEGUNDO GUSTAVO     0501412456001                                                    X
  56412      BONILLA CANDELEJO SANDRA ELÍZABETH
                                             0501412738001                                                    X
  18936      EDMUNDO ALONSO CALERO HIDALGO 0501416440001                                                      X
 166543      ARAUJO ROBAYO MILTON            0501418487001                                                    X
 162124      RODRIGUEZ RUBIO EDISON GERMANICO0501421721001                                                    X
 129612      CAJAMARCA TACO FAUSTO RODRIGO 0501422513001                                                      X
 168241      CHICAIZA SEGUNDO JOSE MARIA     0501429070001                                                    X
 178578      ERAZO LAVERDE WASHINGTON GERMÁN 0501432637001                                                    X
 115637      GUALPA TAPIA JORGE RAMIRO       0501436893001                                                    X
  44500      MONTALUISA PANCHI EDWIN PATRICIO0501443816001                                                    X
  32259       RAUL                           0501448633001                                                    X
 152243      TOSCANO CHICAIZA CESAR MARTIN 0501454052001                                                      X
 259762      CARRERA GUIDO IVAN              0501460547001                                                    X
 149249      GERMAN MASABANDA JOSE AUGUSTO0501461891001                                                       X
 161645      ESQUIVEL ESQUIVEL GLADIS ZUZANA 0501465579001                                                    X
 176729      IZA DEFAZ MANUEL MARIA          0501469969001                                                    X
 145049      PALMA GUERRA MARIA TERESA       0501470280001                                                    X
  98189      MENA CHANGOLUISA MILTON ARTURO0501472484001                                                      X
 257930      ESPÍN ALVEAR ALEXANDRA SABINA   0501477236001                                                    X
 174392      TIPAN SUNTASIG ELSA MARINA      0501477343001                                                    X
  81982      CHACON CLAUDIO MELIDA BETSABE 0501483788001                                                      X
 254710      TOAQUIZA CHITUPANTA SERAFIN     0501485668001                                                    X
 213260      VIRACOCHA MENDOZA LUIS ANTONIO 0501490643001                                                     X
 187450      CARRERA VITERI WASHINGTON RAMIRO0501499271001                                                    X
 174310      CAIZA ALANUCA ROSA MARÍA        0501506968001                                                    X
 124813      YANCHATIPAN ALANUCA JOSE FRANCISCO
                                             0501508220001                                                    X
No                 No registra
                                                               No                    No registra   No
                                                                        No. registra                       registra      No.    indicadores
                                                             registra                provincia, registra
Persona_id               NOMBRE               No. ID (RUC)                 calle                           número      registra de ventas,
                                                             apellido                 cantón y   primer
                                                                         principal                         de calle     origen activos y/o
                                                             paterno                 parroquia nombre
                                                                                                           principal             empleados

 205838      VARGAS TERAN MARINA BEATRIZ     0501509251001                                                    X
 259947      LEMA PALLO JORGE OSWALDO        0501509491001                                                    X
 238496      CHASIPANTA QUIMBITA CÉSAR RÓMULO0501512826001                                                    X
 103119      ALMEIDA BATALLAS CONSUELO       0501515506001                                                    X
 169525      QUISHPE VELANA SEGUNDO          0501516330001                                                    X
 167657      ACOSTA NÚÑEZ JULIO FRANCISCO    0501519490001                                                    X
 100274      CHUQUI VACA JUAN MANUEL         0501519995001                                                    X
  71341      PILA DAMACELA MANUEL MARTIN     0501522627001                                                    X
 115232      LEÓN RODRÍGUEZ IVAN XAVIER      0501524367001                                                    X
 201393      BENITEZ CAICEDO MARIO JAVIER    0501526727001                                                    X
 163594      CHILUISA HERRERA MARCO DAVID    0501527881001                                                    X
 202290      SALAZAR QUINAUCHO ARTURO ABSALON0501530869001                                                    X
  43777      MONTALUISA ESCOBAR HUGO PATRICIO0501532618001                                                    X
 278108      CAMPAÑA CAICEDO FABIAN PATRICIO 0501544852001                               X                    X           X
 154581      NARANJO VASQUEZ FRANCIS ESTEBAN 0501544928001                                                    X
 103964      LOGROÑO AVILEZ JOSE VICENTE     0501547186001                                                    X
 160050      CARDENAS ACUÑA CARLOS ALBDERTO  0501551709001                                                    X
 165524      VASCO TAIPE HUGO MARCELO        0501552145001                                                    X
 101880      BELTRAN RAMIREZ SANDRA PATRICIA 0501553044001                                                    X
  47827      PACHECO ZAPATA GLORIA PIEDAD    0501560700001                                                    X
 244984      OÑA CHILIQUINGA JOSÉ MANUEL     0501560874001                                                    X
 247569      PALMA CORRALES EDWIN GIOVANNY 0501562193001                                                      X
 121745      TOSCANO TILINCHANA JOSE HERNANDO0501565667001                                                    X
 169839      GARZON HUERTAS MARCELA JUDITH 0501569735001                                                      X
  73795      BONIFAZ LISINTUÑA ENRIQUE ANGEL 0501571749001                                                    X
  36076      AVILÉS LUCERO PATRICIO FERNANDO 0501573992001                                                    X
 138554      ILLESCAS CERDA GLINYS JANETH    0501576482001                                                    X
 143080      PESANTEZ ERAZO CARLOS MAGUITO 0501576581001                                                      X
 254141      PALOMO MULLO FLOR ANGELICA      0501576771001                                                    X
  51512      ESPINOSA GALLRADO EDISON GONZALO0501577910001                                                    X
 143932      VELASTEGUI NAVAS RICARDO AUGUSTO0501580690001                                                    X
No                 No registra
                                                                No                    No registra   No
                                                                         No. registra                       registra      No.    indicadores
                                                              registra                provincia, registra
Persona_id               NOMBRE                No. ID (RUC)                 calle                           número      registra de ventas,
                                                              apellido                 cantón y   primer
                                                                          principal                         de calle     origen activos y/o
                                                              paterno                 parroquia nombre
                                                                                                            principal             empleados

 262650      CAICEDO VENEGAS PATRICIA DEL PILAR
                                              0501584189001                                                    X
 119357      VIERA CARRERA GIL FRANCISCO      0501585558001                                                    X
 113732      VITERI TAPIA ANA MARIA           0501597470001                                                    X
 105961      RIOS SHUNTA WILSON RODRIGO       0501598007001                                                    X
  95882      MOREANO MOREANO RUBEN DARIO 0501605778001                                                         X
 159617      SILVA TENORIO SEGUNDO ANGEL      0501612410001                                                    X
 149929      CHARIGUAMAN CHANALUISA JUAN MANUEL
                                              0501615983001                                                    X
 162188      GAVILANEZ VILLAMARIN KETTY DEL ROSARIO
                                              0501617674001                                                    X
  31171      HERRERA CORREDORES MIGUEL ORLANDO0501621320001                                                    X
 184697      VEGA TIGASI JOSE FLORENCIO       0501623086001                                                    X
 167673      MISE AREQUIPA SEGUNDO RAUL       0501628093001                                                    X
 233389      BALSECA TOAPANTA CARLOS FERNANDO 0501630917001                                                    X
  72042      MENA MENA CESAR FREDY            0501637326001                                                    X
 161852      BONILLA HARO NELSON HIPOLITO     0501639561001                                                    X
  87915      MALDONADO ANDINO PATRICIO FABIAN501640817001
                                              0                                                                X
  33548      ALAJO GUILCAMAIGUA MILTON HERNAN 0501652036001                                                    X
 222146      JÁCOME SALAZAR JÉSSICA MARÍA     0501653281001                                                    X
 155610      ALVAREZ ROMERO DIEGO FRANCISCO 0501653919001                                                      X
 164838      ALTAMIRANO BAUTISTA SILVIA HORTENCIA
                                              0501655575001                                                    X
  95515      ARROYO CAICEDO PATRICIO GIOVANNI 501657209001
                                              0                                                                X
  31450      MOGRO CEPEDA YENSON VINICIO      0501657514001                                                    X
  29537       EDISON                          0501662035001                                                    X
 212876      TOAQUIZA LUTUALA LUIS GABRIEL    0501667471001                                                    X
 168057      TAPIA SÁNCHEZ ESTHER ORFELINA    0501670228001                                                    X
  88144      VARGAS JACOME LUIS GEOVANNY      0501671960001                                                    X
 170726      TERCERO QUISPE SEGUNDO SALVADOR  0501672844001                                                    X
 145922      PUMASHUNTA CAIZA SEGUNDO HIPOLITO0501677215001                                                    X
 175448      CAISA RONQUILLO CARLOS HUMBERTO  0501677462001                                                    X
 169033      UNAPUCHA BLANCA SUSANA           0501677736001                                                    X
 205014      MORENO PAZUÑA CARLOS ESTUARDO0501677835001                                                        X
  70053      SUNTASIG QUISHPE MARIO RAÚL      0501682975001                                                    X
No                 No registra
                                                               No                    No registra   No
                                                                        No. registra                       registra      No.    indicadores
                                                             registra                provincia, registra
Persona_id               NOMBRE               No. ID (RUC)                 calle                           número      registra de ventas,
                                                             apellido                 cantón y   primer
                                                                         principal                         de calle     origen activos y/o
                                                             paterno                 parroquia nombre
                                                                                                           principal             empleados

 239704      PARREÑO HERRERA CARLOS ALBERTO  0501686380001                                                    X
 224297      TONATO LEMA SEGUNDO RODRIGO     0501686489001                                                    X
  84987      CHINCHUÑA IZA CELIO GONZALO     0501687149001                                                    X
 227198      DELGADO GALLARDO INDIRA DE MONSERRATTE
                                             0501689608001                                                    X
  66799      PERALVO QUISHPE ELVIA MARINA    0501700058001                                                    X
 240777      HERRERA BONILLA FLAVIO ENRIQUE 0501700876001                                                     X
 263609      UNAPANTA BAUTISTA HERNAN VINICIO0501701460001                                                    X
 272092      HINOJOSA CALLE CESAR AUGUSTO    0501702658001                                                    X
 124811      CORDOVA ALTAMIRANO JOSE LEODAN0501710156001                                                      X
 261059      ULLOA ORTIZ YOLANDA ELIZABETH 0501712350001                                                      X
 201209      ANDRADE FLORES GUILLERMO NERVIN 0501715486001                                                    X
 228094      HERRERA HERRERA WILLIAN DAVID 0501717581001                                                      X
 268516      MORALES LASCANO CARMENCITA AMALIA
                                             0501721799001                                                    X
 257115      TOVAR ROMAN DIEGO               0501722581001                                                    X
 156947      CAZARES GUALPA GERARDO JIMMY 0501736268001                                                       X
 258376      ZUMBA VEINTIMILLA EDWIN EDUARDO 0501736300001                               X
 263741      ESTRELLA CARMEN                 0501742605001                                                    X
 216327      MOLINA HURTADO RODRIGO          0501750392001                                                    X
 133021      VEGA CHUSIN SEGUNDO RAFAEL      0501753248001                                                    X
 277195      NAVAS VENEGAS MONICA DEL CARMEN 0501757694001                                                    X
 122058      TOAPANTA ALMACHE JOSÉ VICENTE 0501762421001                                                      X
 186191      ORTIZ MOYA SANDRA ELIZABETH     0501765614001                                                    X
 151888      DAVALOS ARELLANO EDUARDO ENRIQUE0501765721001                                                    X
  29109      VELASTEGUI MOLINA SANTIAGO RUBEN0501777304001                                                    X
  91263      XXXXXXX TONATO LUIS ALFONSO     0501777619001                                                    X
  98840      VASQUEZ ACOSTA JANETH SERAFIN 0501779011001                                                      X
 124093      ACOSTA CORTEZ WILLAN FERNANDO 0501779029001                                                      X
 215181      FLORES CEVALLOS ROSA ALBA       0501783682001                                                    X
 151162      CASA REA LUIS ALFONSO           0501784268001                                                    X
 187606      ANALUISA ANGUETA CARMEN SALVADORA
                                             0501785034001                                                    X
 106730      MUZO CHASIPANTA SEGUNDO LORENZO 0501785182001                                                    X
No                 No registra
                                                                No                    No registra   No
                                                                         No. registra                       registra      No.    indicadores
                                                              registra                provincia, registra
Persona_id               NOMBRE                No. ID (RUC)                 calle                           número      registra de ventas,
                                                              apellido                 cantón y   primer
                                                                          principal                         de calle     origen activos y/o
                                                              paterno                 parroquia nombre
                                                                                                            principal             empleados

  23685      PEREZ VILLAMARIN MARIBEL PATRICIA0501785992001                                                    X
  19895      CHANGOLUISA YANEZ CAMILO ESTUARDO0501787642001                                                    X
  19363      JIMÉNEZ FERNÁNDEZ EDWIN ISRAEL 0501790661001                                                      X
 132432      CASTELLANO ARIAS HECTOR RAUL     0501795132001                                                    X
  82880      CHACON CLAUDIO SEGUNDO GUILLERMO 0501804975001                                                    X
 265397      PASTUÑA FLORES IRMA JIMENA       0501808901001                                                    X
 229528      GAVILANEZ CAMPANA LINA PATRICIA 0501809628001                                                     X
 178075      QUISHPE MARTINEZ SEGUNDO GUIVALDO0501816938001                                                    X
 230612      CARRERA CEPEDA CESAR OSWALDO 0501818744001                                                        X
 154771      LLUMITASIG ALAJO JOSE ACENCIO    0501823819001                                                    X
 273186      ROJAS CHICAIZA MIGUEL ANGEL      0501827133001                                                    X
 148324      DOICELA TOAPANTA MARIA MERCEDES  0501831168001                                                    X
 179804      CEPEDA RIVADENEIRA DARWIN FERNANDO
                                              0501831663001                                                    X
 226977      CHUQUI SÁNCHEZ MANUEL MARÍA      0501836134001                                                    X
 209314      CRUZ MOLINA WILMA SUSANA         0501838932001                                                    X
 259046      SANDOVAL LAICA GALO              0501840011001                                                    X
 233365      LLASAG FERNÁNDEZ MILTON GALO     0501843247001                                                    X
 101752      LEMA VACA JUAN JOSE              0501848279001                  X            X                    X
 168008      VACA CAILLAGUA EMMA LILIANA      0501851414001                                                    X
 178885      MOLINA ARMAS PAUL ERNESTO        0501855209001                                                    X
  35503      PEREZ CLAUDIO CARLOS AURELIO     0501858898001                                                    X
 264246      MASAPANTA GUILCAMAIGUA EDWIN PATRICIO
                                              0501859011001                                                    X
 188007      MORA RIVADENEIRA PABLO FERNANDO  0501859144001                                                    X
 167899      MALDONADO CAMACHO NARCISA ALEXANDRA
                                              0501860902001                                                    X
 138535      RUALES BURBANO ROSAURA MARIANA0501862346001                                                       X
  95164      RODRIGUEZ PANCHI WILLIAN IVAN    0501872048001                                                    X
  24652      SANCHO AGUILERA SANTIAGO         0501872220001                                                    X
  21762      MAIGUA CAÑA MARÍA ELBA           0501877179001                                                    X
  15130      ING. GUILLERMO MOLINA CACERES    0501881569001                                                    X
  42133      QUINATOA TOAPANTA MANUEL GUILLERMO
                                              0501884209001                                                    X
 236310      SACA SACA NESTOR GONZALO         0501884910001                                                    X
No                 No registra
                                                                No                    No registra   No
                                                                         No. registra                       registra      No.    indicadores
                                                              registra                provincia, registra
Persona_id               NOMBRE                No. ID (RUC)                 calle                           número      registra de ventas,
                                                              apellido                 cantón y   primer
                                                                          principal                         de calle     origen activos y/o
                                                              paterno                 parroquia nombre
                                                                                                            principal             empleados

 138833      CABRERA ARAQUE LIBIA CATERINE    0501890008001                                                    X
 239444      MUÑOZ VILLEGAS LUIS ALFONSO      0501890016001                                                    X
  47989      BURBANO MONTALVO BYRON HERNÁN0501890248001                                                        X
 180941      VELASCO MALLITASIG MIGUEL ANGEL 0501894810001                                                     X
 172561      VILLAMARIN VILLAMARIN DANIEL ALONSO
                                              0501897714001                                                    X
 204033      CHICAIZA TIPANQUIZA MANUEL MESIAS0501897813001                                                    X
 142620      MENDOZA CHANALATA LUIS CARLOS 0501906440001                                                       X
  33181      OLALLA VALENCIA ZOILA ANGÉLICA 0501907067001                                                      X
  91610      OLALLA VALENCIA TATIANA ELIZABETH0501907075001                                                    X
 218024      CASA CENTENO MANUEL EDGAR        0501909253001                                                    X
 254023      TAIPE QUISHPE GLORIA MARISOL     0501910350001                                                    X
 261746      PARREÑO VELASQUEZ LENIN RAMIRO 0501911234001                                                      X
 125490      ENRÍQUEZ CENTENO ROSA MARIELA 0501912828001                                                       X
  39912      TIPANQUIZA ESCOBAR WILLIAN AURELIO
                                              0501918361001                                                    X
  94702      VIERA RECALDE MARIO              0501923841001                                                    X
 166282      MARTINEZ PURUNCAJAS RUTH ISABEL 0501925101001                                                     X
 182248      VELASCO GUANOLUISA MARIO GUSTAVO 0501928568001                                                    X
 155133      FLORES SOSA WILMER EDUARDO       0501939185001                                                    X
 192614      MARTINEZ MEZA EDISON DANIEL      0501941751001                                                    X
  35710      TORRES LÓPEZ FANNY               0501946172001                                                    X
 265580      CHUQUITARCO TRAVEZ MATILDE LUCRECIA
                                              0501946404001                                                    X
 118978      SANCHEZ CUYO JULIO               0501951271001                                                    X
 261321      OTTO YANQUI MANUEL               0501954069001                                                    X
 242309      SEGOVIA ALBARRACÍN HUGO FERNANDO 0501955660001                                                    X
 170985      TOAQUIZA LLANO LUIS MARCELO      0501957583001                                                    X
  64651      VEINTIMILLA FLORES VERÓNICA ELIZABETH
                                              0501963367001                                                    X
 173348      VEINTIMILLA FLORES PABLO GEOVANNY0501963623001                                                    X
  41638      ORDOÑEZ CEVALLOS ALINE ROXANA 0501972780001                                                       X
 271025      TUCUMBI CHUGCHILAN SUSANA        0501973267001                                                    X
 172774      MOYA PACHECO LOLIA GIOCONDA      0501975130001                                                    X
 186870      RIOFRIO AVILA SELENE DEL CARMEN 0501975262001                                                     X
No                 No registra
                                                                No                    No registra   No
                                                                         No. registra                       registra      No.    indicadores
                                                              registra                provincia, registra
Persona_id               NOMBRE                No. ID (RUC)                 calle                           número      registra de ventas,
                                                              apellido                 cantón y   primer
                                                                          principal                         de calle     origen activos y/o
                                                              paterno                 parroquia nombre
                                                                                                            principal             empleados

 186421      PANCHI YANCHAGUANO LUIS PATRICIO 0501976153001                                                    X
 116598      ARMAS SANDOVAL GLADYS MARISOL 0501978274001                                                       X
 153487      VILLEGAS MATRINEZ PABLO ANGEL    0501984801001                                                    X
 192717      CARRILLO GAVILANEZ WILSON PATRICIO
                                              0501988570001                                                    X
  69943      VELASCO PILATASIG SEGUNDO EDUARDO0501988927001                                                    X
 225329      GUAMANGALLO CABEZAS MIGUEL ANTONIO
                                              0501991012001                                                    X
  34747      SANTAMARIA TIPANTASI LUIS ENRIQUE0502000243001                                                    X
 200753      CHILE BUSTILLOS MARCO ORLANDO 0502002876001                                                       X
 114067      TAPIA MOLINA MARCIA BEATRIZ      0502004955001                                                    X
 164778      BAUTISTA TONATO JUAN REMIGIO     0502005036001                                                    X
 159670      SEGOVIA MATUTE EDUARDO SANTIAGO  0502006331001                                                    X
 158688      CABRERA MARTINEZ XAVIER BENITO 0502006729001                                                      X
  71414      ULLOA ROJAS ARMANDO VINICIO      0502007073001                                                    X
  23670      CHUQUITARCO CHILUISA LUIS ALFREDO502016660001
                                              0                                                                X
 203841      TIPAN PASTUSA JUAN MANUEL        0502021231001                                                    X
 236050      SAILEMA MAIGUA KLEBER RAMIRO     0502023419001                                                    X
 137191      ALARCON ESPIN SEGUNDO DANIEL     0502024169001                                                    X
 190804      FLORES SILVA MARTHA ELIZABETH    0502027113001                                                    X
  94700      MORENO VEINTIMILLA JORGE EDUARDO 0502029556001                                                    X
 193133      UNAPUCHA MOROCHO LUIS RODRIGO 0502032063001                                                       X
  57298      GALLO SANTACRUZ GALO DANIEL      0502037096001                                                    X
 130525      PACHECO PROAÑO JOFRE HOMERO 0502037351001                                                         X
 222198      LEON SEGOVIA MANUEL ANGEL        0502041353001                                                    X
  83896      TERAN HERRERA EDWIN FABIAN       0502047285001                                                    X
 227893      ARCOS NOGALES CARLA FLORIANA     0502048796001                                                    X
  77740      PANCHI VEGA EDISON GERMANICO     0502049422001                                                    X
 133763      LAICA LAICA SEGUNDO HERNAN       0502056682001                                                    X
 137695      VALENZUELA MENDOZA ANÍBAL VALENZUELA
                                              0502056708001                                                    X
 205764      GUAMANI TOAPANTA MONICA          0502058258001                                                    X
 170933      BALSECA CHACON VICENTE SALVADOR  0502058894001                                                    X
 147596      LLAMUCA MONTALUISA SEGUNDO ATAHUALPA
                                              0502059108001                                                    X
No                 No registra
                                                               No                    No registra   No
                                                                        No. registra                       registra      No.    indicadores
                                                             registra                provincia, registra
Persona_id               NOMBRE               No. ID (RUC)                 calle                           número      registra de ventas,
                                                             apellido                 cantón y   primer
                                                                         principal                         de calle     origen activos y/o
                                                             paterno                 parroquia nombre
                                                                                                           principal             empleados

 115060      BASSANTE ALVARADO JAIME VINICIO 0502059488001                                                    X
 181144      LEON MEJIA EDMUNDO FRANCISCO    0502063803001                                                    X
 146054      PILLAPAXI ALMACHE JOSÉ DOMINGO 0502066012001                                                     X
 228161      BARRETO MURILLO ANDREA MARISOL 0502074735001                                                     X
 107172      LEMA JAYA CARLOS EFRAIN         0502087851001                                                    X
  67731      PALANGO SORIA FANNY ELENA       0502089410001                                                    X
 207805      CHIGUE CUNUHAY HUGO MEDARDO 0502094352001                                                        X
 130104      BOMBON QUISHPE MARIA MARTHA     0502096365001                                                    X
  23839      PAREDES SANDOVAL LUIS ALBERTO 0502102478001                                                      X
  50094      BARRAGAN CHANGO EDISON JAVIER 0502107733001                                                      X
 197906      QUINTANA MOLINA DIANA ROCIO     0502109309001                                                    X
 224860      TOAPANTA TRÁVEZ LUIS ALFREDO    0502114887001                                                    X
 125071      CHUQUILLA MONCAYO LUIS ANIBAL   0502118086001                                                    X
 221526      CASA CENTENO LUIS EFRAIN        0502126782001                                                    X
 140183      VILLAVICENCIO ILLESCAS DIEGO OSWALDO
                                             0502129646001                                                    X
 167672      AREQUIPA PANTUSIN DIEGO STALIN 0502135411001                                                     X
 213383      CAJAS VIERA TANNIA ELIZABETH    0502140296001                                                    X
 164862      VIZUETE MORENO DENCY YOLANDA 0502142888001                                                       X
 242823      LEMA PLASENCIA LUIS ENRIQUE     0502145337001                                                    X
  70441      TOAPANTA GAVILANEZ ANGEL RAMIRO 0502147994001                                                    X
 176990      MARTINEZ CHANATASIG JORGE WASHINGTON
                                             0502160989001                                                    X
  86703      CALAPAQUI ZAMBRANO HECTOR ENRIQUE
                                             0502161730001                                                    X
 182614      ROMAN CAÑIZARES MILTON NEPTALI 0502163447001                                                     X
 184111      JIMENEZ ROMAN GEOVANNY MILTON 0502168099001                                                      X
 276856      YANCHAGUANO AREQUIPA MARIA ISABEL
                                             0502168990001                                                    X
 271783      QUILO UNAPUCHA LUIS FERNANDO 0502171176001                                                       X
  46130      CULQUI TACO LUIS FERNANDO       0502175714001                                                    X
 178439      MULLO PANCHI VICTOR EDUARDO     0502177538001                                                    X
 157201      VELASTEGUI MOLINA FRANCISCO JAVIER
                                             0502178759001                                                    X
 120487      TENORIO VASCO SONNIA JIMELDA    0502180458001                                                    X
 250350      CADENA COCHA LUIS FELIPE        0502185523001                                                    X
No                 No registra
                                                                No                    No registra   No
                                                                         No. registra                       registra      No.    indicadores
                                                              registra                provincia, registra
Persona_id               NOMBRE                No. ID (RUC)                 calle                           número      registra de ventas,
                                                              apellido                 cantón y   primer
                                                                          principal                         de calle     origen activos y/o
                                                              paterno                 parroquia nombre
                                                                                                            principal             empleados

  56643      PILATASIG PILA LUIS ALFREDO      0502186216001                                                    X
 250894      VEGA VEGA FABIAN                 0502186695001                                                    X
 151639      PILATASIG QUINGATUÑA SANDRA MARGARITA
                                              0502187255001                                                    X
 141753      ENRIQUEZ TOVAR CRISTIAN FERNANDO 0502198443001                                                    X
   9698       INGENIERIA TECNICA & CONSTRUCCIONES
                                              0502201460001                                                    X
 221718      SORIA PERALVO DIEGO RODOLFO      0502201478001                                                    X
 235346      DURAN SALINAS CARLOS EDUARDO 0502204134001                                                        X
 258196      LEMA LEMA AÍDA ISABEL            0502212384001                                                    X
 158340      CHANGO CASTRO CARMEN DEL PILAR 0502220213001                                                      X
  33258       PÁUL                            0502226681001                                                    X
 268006      ARCOS CHACÓN NORMA XIMENA        0502229941001                                                    X
 209238      LATACUNGA PILATASIG MARIO        0502232747001                                                    X
  46498      ILAQUICHE LICTA FAUSTO HERNAN    0502233570001                                                    X
 141089      MARTINEZ FRANKLIN                0502238678001                                                    X
 178544      CHASI OÑATE FAUSTO FABIAN        0502249204001                                                    X
 133281      RUBIO TORRES JUAN PABLO          0502251341001                                                    X
 138606      VILLAGOMEZ CUZCO JOSE TOMAS      0502257694001                                                    X
  52767      CAISAGUANO COCHA JOSE AMABLE 0502262462001                                                        X
 276099      NAVARRO ORTEGA NORMA CECILIA 0502269202001                                                        X
 151386      CAISALUISA PANCHI CLEVER         0502269822001                                                    X
 167530      LOZADA LESCANO PAOLA DE LAS MERCEDES
                                              0502272149001                                                    X
 146952      TAPIA GARCIA LUIS FERNANDO       0502275076001                                                    X
  63675      TOAQUIZA CEDEÑO LUIS JAVIER      0502275670001                                                    X
 200951      CALVACHI CEVALLOS GONZALO EFRAIN 0502276090001                                                    X
 136410      ANTE ALTMIRNO MARIA LIDA         0502282387001                                                    X
 230792      ESPINEL BARTHELOTTI JOSE FERNANDO0502283054001                                                    X
 257486      LEON TORO JENNY MARICELA         0502283112001                                                    X
 138646      MENA COLLANTES JORGE HERNAN 0502284680001                                                         X
 182104      CHACHA MARTINEZ NARCISA DEL PILAR0502289531001                                                    X
 161803      GUANOTASIG ARAQUE FRANKLIN WLADIMIR
                                              0502292196001                                                    X
 180657      BELANO PALOMO JOSE ROBERTO       0502294622001                                                    X
No                 No registra
                                                               No                    No registra   No
                                                                        No. registra                       registra      No.    indicadores
                                                             registra                provincia, registra
Persona_id               NOMBRE               No. ID (RUC)                 calle                           número      registra de ventas,
                                                             apellido                 cantón y   primer
                                                                         principal                         de calle     origen activos y/o
                                                             paterno                 parroquia nombre
                                                                                                           principal             empleados

  20686      CHANGO CASTRO FERNANDO PATRICIO 0502298086001                                                    X
 184669      AVELLAN HERRERA NILDA ALEXANDRA0502301476001                                                     X
 275332      BONILLA JIMÉNEZ DORIS MARLENE   0502303324001                               X                                X
  40949      ANDRADE SANGUCHO MIRIAN ROCIO 0502308562001                                                      X
  20076      CHALUISA CHALUISA RAUL          0502309024001                                                    X
 206556      TACURI TUCUMBI ANA MARIA        0502311418001                                                    X
 266809      SERRANO PARRA VICTOR HUGO       0502311715001                                                    X
 176459      QUIROZ ERAZO JOSÉ LIZANDRO      0502312796001                                                    X
  48697      VELOZ JACOME DARIO JAVIER       0502314339001                                                    X
 274391      ANTE VARELA OSWALDO             0502317639001                                                    X
 134998      GUISCASO PAEZ MANUEL ADAN       0502318595001                                                    X
 216486      SEGOVIA SOLORZANO GINO PATRICIO 0502319924001                                                    X
 208382      VELOZ RAMIREZ CESAR HUMBERTO 0502325962001                                                       X
 105461      JEREZ CAICEDO VICTOR HUGO       0502331226001                                                    X
 218279      GALARZA CHACÓN MAIRA JANETH     0502334063001                                                    X
 267403      MORA ATIAGA JOSE GERMAN         0502338932001                                                    X
 105430      ALVAREZ VASCO ELENA PATRICIA    0502346927001                                                    X
 203004      CALERO BONILLA LUIS GERMANICO   0502347081001                                                    X
 135874      GARCIA ARMAS GALO XAVIER        0502351232001                                                    X
 192987      MALLITASIG PANCHI OSCAR GONZALO 0502351778001                                                    X
 269806      TOBAR VELASCO ROSA XIMENA       0502356314001                                                    X
 128091      CELLERI ESCOBAR DIEGO MANUEL    0502357700001                                                    X
  96881      LÓPEZ ANDRANGO SEGUNDO MANUEL0502358641001                                                       X
 194200      MULLO CASILLAS JOSE LUIS        0502365869001                                                    X
 177565      TIGASI VEGA EDGAR ROBERTO       0502366040001                                                    X
 228749      PURUNCAJA BERRONES NELLY ROSARIO0502366347001                                                    X
  71455      HIDALGO ARIAS MARTHA CECILIA    0502366354001                                                    X
 220279      ALULEMA GASPATA NESTOR ANIBAL 0502373822001                                                      X
 184947      AVILES JIMENEZ ELSA LILIANA     0502379050001                                                    X
 169242      MEJIA VARGAS LOURDES MARIBEL    0502393192001                                                    X
 150502      ANDRADE VARGAS ANA ROSA         0502393598001                                                    X
No                 No registra
                                                               No                    No registra   No
                                                                        No. registra                       registra      No.    indicadores
                                                             registra                provincia, registra
Persona_id               NOMBRE               No. ID (RUC)                 calle                           número      registra de ventas,
                                                             apellido                 cantón y   primer
                                                                         principal                         de calle     origen activos y/o
                                                             paterno                 parroquia nombre
                                                                                                           principal             empleados

 221306      QUINDIL COCHA JOSE FRANCISCO    0502401847001                                                    X
 139592      FALCÓN SORIA SILVIA JANETH      0502409170001                                                    X
 195048      YUPANGUI TACURI EDWIN RUBÉN     0502411242001                                                    X
 146401      TAPIA MOLINA MARINA GABRIELA    0502414386001                                                    X
 142296      PAREDES RAMIREZ GALO ALEJANDRO 0502436637001                                                     X
 270784      CANDO ARMAS PAULINA ELIZABETH 0502443831001                                                      X
 198319      ALVAREZ CHILUIZA DIEGO PATRICIO 0502444946001                                                    X
 220356      SUATUNCE TOAQUIZA VICTOR JONNY 0502457500001                                                     X
 231177      QUINTANA VARGAS BOLIVAR OCTAVIO0502458821001                                                     X
 155963      GARCIA SARCOS ALEX FERNANDO     0502467731001                                                    X
   3733      ITURRALDE VACA MARIA FERNANDA 0502476666001                                                      X
 175822      ALMENDARIZ TERAN VICTORIA CAROLINA
                                             0502478001001                                                    X
 106415      SEGOVIA TOAPANTA KLEVER LEONIDAS502491244001
                                             0                                                                X
  20777      MULLO TENORIO MARCO VINICIO     0502493430001                                                    X
 188915      QUIROZ ERAZO LEONIDAS ANTONIO 0502509995001                                                      X
  59979      CALVOPIÑA CASTELLANO VICTOR HUGO0502526015001                                                    X
 168444      CHICAIZA CHILIQUINGA SEGUNDO RAMON
                                             0502537681001                                                    X
 198915      CASA CENTENO HUGO RAMIRO        0502538978001                                                    X
 191988      ESPARZA ILLANES JESSY VERONICA 0502544893001                                                     X
 102210      CHISAGUANO FLORES OLGA MARISOL 0502563216001                                                     X
 231901      CARRILLO CAZAÑAS JOSE LUIS      0502571987001                                                    X
 265959      TOPA SORIA JENNY MARGOTH        0502572712001                                                    X
 249163      ARMAS CALVOPIÑA YESEÑA MARIBEL 0502573835001                                                     X
 271939      RUIZ MOROCHO LASTENIA AMELIA    0502576135001                                                    X
 264423      QUEVEDO NOBOA MANUEL MESIAS     0502582893001                                                    X
 236183      SALGUERO ESPINOSA FANNY PAOLA 0502594872001                                                      X
 153918      TAIPE UNAUCHO SILVIA ANGELICA   0502597628001                                                    X
 264570      PORRAS ATIAGA HECTOR RUBEN      0502598220001                                                    X
 134748      GUANOLUISA GUANOLUISA CESAR AUGUSTO
                                             0502603863001                                                    X
  64558      MORA RIVADENEIRA YOLANDA MARGARITA
                                             0502610355001                                                    X
 208448      MENA QUINTANILLA PABLO EFREN    0502610884001                                                    X
No                 No registra
                                                                No                    No registra   No
                                                                         No. registra                       registra      No.    indicadores
                                                              registra                provincia, registra
Persona_id               NOMBRE                No. ID (RUC)                 calle                           número      registra de ventas,
                                                              apellido                 cantón y   primer
                                                                          principal                         de calle     origen activos y/o
                                                              paterno                 parroquia nombre
                                                                                                            principal             empleados

  77359      GARCÍA RUIZ NATHALIA PAMELA      0502623432001                                                    X
  87188      HERRERA MARTINEZ BETTY JUDITH 0502623960001                                                       X
 113531      NAVARRO ORTEGA MARÍA ANA         0502628365001                                                    X
 224669      ESTRELLA TAPIA PATRICIA ALEJANDRA0502633142001                                                    X
 211725      ORTEGA AMORES MYRIAN GUADALUPE   0502634405001                                                    X
 275991      TORRES SUAREZ WILMA NOEMI        0502635873001                                                    X
 148963      ARROYO JURADO YAHAIRA GUADALUPE  0502636293001                                                    X
 232382      CHACON BELTRAN WILMA VERONICA 0502638257001                                                       X
  39831      FERNÁNDEZ BAUTISTA HIPATIA MORAYMA
                                              0502644479001                                                    X
 258339      IZA IZA JORGE MEDARDO            0502649726001                                                    X
 250098      MORENO SANTOS DIEGO ALEX         0502656713001                                                    X
 172830      CALAPAQUI VALIENTE DIANA ESTEFANIA
                                              0502657067001                                                    X
  47434      SALGUERO CRUZ DAYSI MARIBEL      0502658644001                                                    X
 263882      ARIAS ESPIN WILLIAN DANILO       0502664170001                                                    X
 161679      FALCONI HIDALGO CRISTIAN MARCELO0502666662001                                                     X
  41725      GALARZA ESPÍN MARCO VINICIO      0502666829001                                                    X
 213831      VEGA CORTEZ DIEGO ARMANDO        0502669310001                                                    X
  48715      PILATASIG LASLUISA JAIME VINICIO 0502679285001                                                    X
 225055      JÁCOME VILLAGOMEZ JOSEPH JONATHAN0502681448001                                                    X
 275989      CALVACHE ATIAJA MONICA DEL PILAR 0502683105001                                                    X
 115713      RIERA SÚAREZ WILSON IVÁN         0502687213001                                                    X
  56670      VIRACOCHA IZA JOSE SANTOS        0502689581001                                                    X
 100252      HINOJOSA SEGOVIA JULIO CESAR     0502693682001                                                    X
 109656      ANDRADE VILLALVA CARLOS ANDRES 0502694532001                                                      X
 226745      BURGOS OLALLA ALAMIRO LIBORIO    0502695422001                                                    X
 255865      MARCA BARAJA JOSE ANTONIO        0502697279001                                                    X
 140609      ALARCON CHILLAGANA MARTHA CECILIA0502699366001                                                    X
 164221      PACHECO TACO DIANA PATRICIA      0502726136001                                                    X
 162728      LAICA LAICA IVAN PAUL            0502752017001                                                    X
 229410      HINOJOSA CALVOPIÑA DANILO        0502753445001                                                    X
 245637      ARIAS VITE OLGA PAULINA          0502755093001                                                    X
No                 No registra
                                                                No                    No registra   No
                                                                         No. registra                       registra      No.    indicadores
                                                              registra                provincia, registra
Persona_id               NOMBRE                No. ID (RUC)                 calle                           número      registra de ventas,
                                                              apellido                 cantón y   primer
                                                                          principal                         de calle     origen activos y/o
                                                              paterno                 parroquia nombre
                                                                                                            principal             empleados

  54615      CLAUDIO TRUJILLO BLANCA JIMENA 0502758675001                                                      X
 135616      CHUQUI RONQUILLO PABLO RENÁN     0502758709001                                                    X
 278403      CHOLONQUINGA NINASUNTA PEDRO SEGUNDO
                                              0502768351001                                                    X
 206174      ERAZO RODAS MAYRA JOHANNA        0502771314001                                                    X
  40858      TANIA                            0502778343001                                                    X
  86005      MOLINA PROAÑO FAUSTO ANTONIO 0502784218001                                                        X
 203594      AYMACAÑA MASAPANTA WALTER ROLANDO0502785751001                                                    X
 231315      SOLIS LOPEZ JENNY ALEXANDRA      0502786031001                                                    X
 110512      VILLALVA VALLEJO WALTER VINICIO 0502817505001                                                     X
 242268      BRASALES BORJA JOSE MIGUEL       0502817687001                                                    X
 266091      PADILLA MEDINA CRISTIAN ALFREDO 0502818818001                                                     X
  51909      RICAURTE VINUEZA GALO SANTIAGO 0502829161001                                                      X
 260870      EGAS VACA JESSY MARIANELA        0502833106001                                                    X
 262507      SINGAUCHO ANCHATUÑA JOSE GERMANICO
                                              0502834252001                                                    X
 102198      NARANJO JARAMILLO GERMANICO AUGUSTO
                                              0502841976001                                                    X
 190490      CALO SANGUCHO MARIA LOURDES      0502842123001                                                    X
 237968      MAIGUA GUANOLUISA ALICIA YOLANDA0502869308001                                                     X
 160611      SIMBA TACO NANCY DEL ROCIO       0502873698001                                                    X
 100391      LOZANO TAPIA MAYRA PAULINA       0502873771001                                                    X
  55984      CHILIQUINGA LLANGANATE EDWIN DANIEL
                                              0502877202001                                                    X
 210782      ESPINOSA LLUMITASIG JAIME EDUARDO502879083001
                                              0                                                                X
 187585      QUIMBITA QUIMBITA MARCELO JESUS 0502898265001                                                     X
 203038      TENORIO VILLAMAR DIANA CAROLINA 0502923188001                                                     X
  94493      RUIZ SIGCHA CÉSAR ARTURO         0502939465001                                                    X
 219992      CAJAS VILLEGAS YESSENIA ELIZABETH0502947112001                                                    X
  85160      PILA CHICAIZA CELIA JANETH       0502954167001                                                    X
 198920      PEÑAFIEL JURADO ANA MARÍA        0502967490001                                                    X
 162962      CUNALATA RAMOS WILLAN EFRAIN     0502968183001                                                    X
  24127      TUITISE CHANATASIG MAYRA ELIZABETH
                                              0502972599001                                                    X
 186619      MASAPANTA GUILCAMAIGUA JORGE ROLANDO
                                              0502975030001                                                    X
 157982      ESTRELLA TONATO AIDA MARICELA    0502981566001                                                    X
No                 No registra
                                                               No                    No registra   No
                                                                        No. registra                       registra      No.    indicadores
                                                             registra                provincia, registra
Persona_id              NOMBRE                No. ID (RUC)                 calle                           número      registra de ventas,
                                                             apellido                 cantón y   primer
                                                                         principal                         de calle     origen activos y/o
                                                             paterno                 parroquia nombre
                                                                                                           principal             empleados

 162644      MISAL CHIMBA JUAN MANUEL         0502983968001                                                   X
 207595      BERMEO MARCALLA LENIN EDUARDO 0503013674001                                                      X
 260049      BARROS CAMPUZANO EUGENIO ROBERTO 0503025181001                                                   X
 178346      FUERTES LOPEZ JHON HAROL         0503036501001                                                   X
 143024      VERA ZAMORA ROXANA BETHSABET 0503042749001                                                       X
 263643      ATIAJA MOLLOCANA FRANCISCO ISRAEL0503046823001                                                   X
 202774      LOPEZ ILLESCAS IBETH CAROLINA    0503047029001                                                   X
 230348      MONTAGUANO MONTAGUANO OMAR PAUL  0503059206001                                                   X
 174847      MORENO ALBAN VERONICA ALEJANDRA503063919001
                                              0                                                               X
 138512      CAIZA TIPANLUISA MARIO FERNANDO 0503119109001                                                    X
 230357      TOCTAGUANO VIRACUCHA MARCIA ALEXANDRA
                                              0503123945001                                                   X
 194563      MORALES SUÁREZ WILLIAM BOLÍVAR 0503147464001                                                     X
 171610      CHANALUISA CHANALUISA LUIS NELSON0503175101001                                                   X
 273788      ILAQUICHE LATACUNGA ALONSO       0503215584001                                                   X
 240838      CHACON CHACON MARIANA BEATRIZ 0503221426001                                                      X
 256890      HERRERA QUIROLA LUIS GABRIEL     0503253817001                                                   X
 266616      CASA GUALPA CARMEN MARIBEL       0503256836001                                                   X
 149787      CASTILLO ESCUDERO LILIANA NATALI 0503293854001                                                   X
 152613      MORALES CUNUHAY JOHANNA MIREYA0503364150001                                                      X
 279351      REVELO DIANA                     0503383986001                                                   X
 276598      GALARZA PÉREZ LILIANA ALEXANDRA 0503400335001                                                    X
 140056      AGLOMERADOS COTOPAXI S.A.        0590028665001                                                   X
   6379      CHOVA DEL ECUADOR S.A.           0590031399001                                                   X
 153378      SINDICATO DE CHOFERES PROFESIONALES DEL CANTON SAQUISILI
                                              0590052116001                                                   X
  90159      FUENTES SAN FELIPE S.A.          0590055328001                                                   X
  75322      PILONES LA VICTORIA S.A          0590060895001                                                   X
  47857      INDUACERO INDUSTRIA DE ACERO DEL ECUADOR CIA. LTDA.
                                              0590060933001                                                   X
 234441      COOPERATIVA DE AHORRO Y CREDITO0590061123001
                                               FUTURO LAMANENSE                                               X
 251795      ESTACION DE SERVICIOS GASOLINERA0591700448001
                                               LOS MOLLES                                                     X
 172812      SUSTRATOS POALO S.A.             0591702335001                                                   X
 183328      COMUNA GUANTOPOLO                0591703013001                                                   X
No                 No registra
                                                              No                    No registra   No
                                                                       No. registra                       registra      No.    indicadores
                                                            registra                provincia, registra
Persona_id              NOMBRE               No. ID (RUC)                 calle                           número      registra de ventas,
                                                            apellido                 cantón y   primer
                                                                        principal                         de calle     origen activos y/o
                                                            paterno                 parroquia nombre
                                                                                                          principal             empleados

 168089      COMUNA COLLANTES CHUCUTISI       0591703099001                                                  X
 109344      UNION DE ORGANIZACIONES CAMPESINAS DEL NORTE DE COTOPAXI
                                              0591703498001                                                  X
 122756      SAIT SAMANIEGO ITURRALDE S.A.    0591705466001                                                  X
 155371      FERRETOL CIA LTDA                0591705555001                                                  X
 230935      COMPAÑIA DE TRANSPORTE PESADO RUTAS SALCEDENSES S.A
                                              0591705938001                                                  X
 263964      TRANSPORTES ESTUDIANTILES DEL COTOPAXI
                                              0591706381001                                                  X
  62276      MULTIMPORTACIONES                0591707175001                                                  X
 166772      ESTACION DE SERVICIOS CORPORACION CHICAIZA
                                              0591708422001                                                  X
 217808      FUNDACIÓN INDIGENA DE DESARROLLO INTEGRAL COTOPAXI FINDICO ÑUCALLACTA
                                              0591708759001                                                  X
 154995      PANELES Y CONSTRUCCIONES PANECONS S.A.
                                              0591709224001                                                  X
  94919      FLORETS S.C.                     0591710303001                                                  X
  35914      COMITE PRO-DEFENSA DE LOS INTERESES DE LOS INDIGENAS Y CAMPESINOS DE ZUMBAHUA
                                              0591710893001                                                  X
 124357      NARCIS SUPERMERCADOS SA.         0591711784001                                                  X
 258160      COMERCIAL YUCAILLA CÍA. LTDA.    0591713221001                                                  X
 159559      DISTRIBUIDOR AL POR MAYOR Y MENOR DE PRODUCTOS AGRICOLAS
                                              0591713957001                                                  X
 197642      CEPEDA FASSLER CRISTOBAL ALEJANDRO
                                              0591715976001                                                  X
 148778      MARTINEZ HERMANOS                0591717278001                                                  X
 159962      PUPO LABRADA MARIZOL             0591717383001                                                  X
 267198      IS&MAS SEGURIDAD CIA. LTDA.      0591719025001                                                  X
 249130      CUYERA NACIONLA CUY CUNA CIA. LTDA.
                                              0591719106001                                                  X
 265315      CONSORCIO ELECTRICO TENA         0591719939001                                                  X
 271573      CORPORACION PARIBUS              0591720201001                                                  X
  40199      TORRES PEÑAFIEL JOSE ANTONIO     0600003420001                                                  X
  49999      LOPEZ BUENAÑO JOSE WILFRIDO      0600019319001                                                  X
 138238      LOGROÑO VACA FREY EDISON         0600020044001                                                  X
 277259      AGUIRRE PAUCAR DELFINA ALBA      0600024327001                       X                                      X
 168796      CALERO RIVADENEIRA JOSE VICENTE 0600041024001                                                   X
 171158      PADILLA YAMBAY RAFAEL            0600048607001                                                  X
  28026      LLANGA CHAFLA JORGE OSWALDO      0600086292001                                                  X
 200571      TOASA JANETA JULIO CESAR         0600092159001                                                  X
 224263      HEREDIA MOLINA MARIA REBECA      0600093652001                                                  X
No                 No registra
                                                               No                    No registra   No
                                                                        No. registra                       registra      No.    indicadores
                                                             registra                provincia, registra
Persona_id               NOMBRE               No. ID (RUC)                 calle                           número      registra de ventas,
                                                             apellido                 cantón y   primer
                                                                         principal                         de calle     origen activos y/o
                                                             paterno                 parroquia nombre
                                                                                                           principal             empleados

 259587      MENA GARCIA GERARDO TEMISTOCLES600095004001
                                             0                                                                X
  32529      REINOSO YAMBAY LUIS EFRAIN      0600108419001                                                    X
  37073      ARIAS JUAN ABDÓN                0600123467001                                                    X
 177034      ROJAS CHAGNAY VICENTE           0600127450001                                                    X
 154282      LEMA CARRASCO ROGELIO ELICEO    0600146690001                                                    X
 264257      CARGUACUNDO TIGXE SEGUNDO CAMILO0600153589001                                                    X
 124369      BARRIGA OLMEDO GABRIEL CORAZON 0600171813001                                                     X
 175102      VELASTEGUI BENALCAZAR RAUL AURELIO
                                             0600174650001                                                    X
 181504      RODRIGUEZ CHAVEZ ELVA PIEDAD    0600187041001                                                    X
 253223      SAMANIEGO VITERI CARLOS ANTONIO 0600230585001                                                    X
 197635      GAVILANES INFANTE MARÍA BALBINA 0600231237001                                                    X
  76799      AREVALO GUALOTO ANGEL EDUARDO 0600231534001                                                      X
  11924      FMC INGENIEROS Y ARQUITECTOS    0600232540001                                                    X
  32578      YEPEZ MERINO CESAR MARCELO      0600232557001                                                    X
  79990      LOZA PAREDES HUGO VINICIO       0600232599001                                                    X
 148603      SANCHO HERDOIZA LILIAN GEOMAR 0600241665001                                                      X
 128475      GUANGA MERINO JOSE MANUEL       0600242796001                                                    X
  51722      LÓPEZ ESPINOZA JORGE ANIBAL     0600261259001                                                    X
 149409      GUTIERREZ MORA GALO EFRAIN      0600269955001                                                    X
 167737      MENDOZA YUICELA SIMON           0600281323001                                                    X
 110922      SILVA ENDERICA SILVIO BOLIVAR   0600282271001                                                    X
 115632      BRITO BAUZ JULIO CESAR          0600282776001                                                    X
 258156      CORDOVA AREVALO LUIS ALFREDO    0600288732001                                                    X
 195658      GARCIA ELBA                     0600306310001                                                    X
 144785      CARRILLO ABARCA CLARA LUZ       0600351746001                                                    X
  57911      ROLDAN ORTIZ MANUEL RICARDO     0600392856001                                                    X
 202839      GRANIZO GRANIZO ELIECER BENIGNO 0600417422001                                                    X
 104320      HEREDIA VIQUE GEORGINA PASTORIZA0600428718001                                                    X
 169309      CAMAÑERO GONZALEZ JULIO CESAR 0600433361001                                                      X
 255133      ROMERO ROMERO VICTOR FABIAN     0600443857001                                                    X
 232619      RIVAS TERÁN JORGE ALBERTO       0600466536001                                                    X
No                 No registra
                                                               No                    No registra   No
                                                                        No. registra                       registra      No.    indicadores
                                                             registra                provincia, registra
Persona_id               NOMBRE               No. ID (RUC)                 calle                           número      registra de ventas,
                                                             apellido                 cantón y   primer
                                                                         principal                         de calle     origen activos y/o
                                                             paterno                 parroquia nombre
                                                                                                           principal             empleados

 251562      CARRASCO GUSQUI SEGUNDO SANTOS  0600486435001                                                    X
 159148      FREIRE BAYAS ANGEL EDMUNDO      0600493498001                                                    X
  42508      BASTIDAS ARELLANO MARIANA DE JESUS
                                             0600499370001                                                    X
  97820      BALLESTEROS GONZÁLEZ INÉS MARGARITA
                                             0600501944001                                                    X
 169086      PAREDES FRANCISCO EDUARDO       0600545669001                                                    X
 200020      ARELLANO ABEDRABBO MARCO ANTONIO0600556344001                                                    X
  26373      SALAZAR ALBAN JOSE LUIS         0600585541001                                                    X
 154909      SANCHEZ VACACELA ANTONIO        0600653034001                                                    X
 102623      INCHIGLEMA CATAGNA JUSTO        0600669337001                                                    X
 183592      RICAURTE RICAURTE BOLIVAR       0600672406001                                                    X
 236696      CANTOS HERNANDEZ LUCRECIA MARIA600693311001
                                             0                                                                X
 166574      NOBOA CABRERA CARLOS MILTON     0600724470001                                                    X
 139996      AMAGUAYA GUEVARA LAURA GERARDINA0600728091001                                                    X
 263301      DONOSO QUIROZ JUAN CARLOS       0600728745001                                                    X
 115369      MONTES PARRA SEGUNDO PEDRO      0600744965001                                                    X
  41649      FABRICA "LA ITALICA"            0600745459001      X                                  X          X
 244952      BACA SUAREZ GERMAN YAAKOV       0600746655001                                                    X
 183932      DIAZ ULLOA SEGUNDO MIGUEL       0600781553001                                                    X
 129046      REA GUALOTO JOSE IGNACIO        0600795439001                                                    X
 242224      GUERRA BADILLO MARIA CARMEN     0600805394001                                                    X
 215025      HARO GUANGA LUZ MACLOVIA        0600808109001                                                    X
 130929      GUALAN CABA MANUEL              0600819296001                                                    X
 173868      VELARDE VALDIVIEZO MARIA ALICIA 0600823371001                                                    X
  82967      ARMAS PEREZ VIRGILIO RODOLFO    0600831069001                                                    X
 212629      LONDOÑO LÓPEZ JENNY DEL PILAR 0600849871001                                                      X
 131192      CARVAJAL AYALA LUIS ANTONIO     0600859342001                                                    X
 238269      GRANIZO CORREA OSWALDO          0600862957001                                                    X
 132476      CALLE ZEGARRA JORGE HERNAN      0600863567001                                                    X
 221410      PAZ RAMOS MIGUEL ANGEL          0600866982001                                                    X
 234291      OÑATE GUERRA POLIBIO CESAR      0600867170001                                                    X
 275929      MULLO TENESACA SEGUNDO MANUEL 0600867915001                                                      X
No                 No registra
                                                                No                    No registra   No
                                                                         No. registra                       registra      No.    indicadores
                                                              registra                provincia, registra
Persona_id               NOMBRE                No. ID (RUC)                 calle                           número      registra de ventas,
                                                              apellido                 cantón y   primer
                                                                          principal                         de calle     origen activos y/o
                                                              paterno                 parroquia nombre
                                                                                                            principal             empleados

 147909      ANAGUARQUI GUAMAN BALERIANA      0600873848001                                                    X
 268888      MAJI CHACHA SEGUNDO JUAN         0600887566001                                                    X
  94568      OCHOA HARO HENRY AURELIO         0600889745001                                                    X
  99585      AGUAYO CHAFLA JUAN               0600890958001                                                    X
  50093      NAULA CAMPOVERDE ADOLFO MISENO   0600892103001                                                    X
  46399      OSWALDO                          0600894893001                                                    X
 139139      MACHADO ANDRADE GUILLERMO        0600902811001                                                    X
 215818      REINO YASACA SEGUNDO TORIBIO 0600920037001                                                        X
  47363      SIGCHO VELOZ ROBERTO WASHINGTON  0600923486001                                                    X
  16385      VIZUETE MEJIA HECTOR VLADIMIR    0600935647001                                                    X
  93630      MOROCHO TARCO JOSE SEFERINO      0600938823001                                                    X
 190026      AGUIRRE BONIFAZ CARMEN AMELIA 0600940696001                                                       X
 120329      LEON CALDERON ROSA MARIANA       0600975924001                                                    X
 242029      LIMA TENEMASA SEGUNDO FRANCISCO  0600977615001                                                    X
 150158      YUMISACA YUPANGUI JOSE MARIA     0600997241001                                                    X
 268513      RIVERA MAZON ANGEL AUSTO         0601006505001                                                    X
 125325      RIVERA CORONEL FRAN RODRIGO      0601008246001                                                    X
 267490      ABARCA TRUJILLO SANTIAGO HERIBERTO
                                              0601008535001                                                    X
  21613      LEOPOLDO                         0601013303001                                                    X
 269005      LOPEZ CARLOS DESIDERIO           0601017387001                                                    X
 180679      MELENA COLCHA JUAN MANUEL        0601018963001                                                    X
  87016      CÁCERES VELASCO MARIA DE LOURDES 0601020084001                                                    X
 159893      VELASTEGUI GALLEGOS MARIA DEL ROSARIO
                                              0601021405001                                                    X
  32475      RAMOS GONZALEZ ROMULO CORNELIO   0601023823001                                                    X
 101779      BARRETO PALACIOS ALEJANDRO       0601035041001                                                    X
 161625      VALDIVIESO VALDIVIESO JOSE AGUSTIN
                                              0601043136001                               X                    X
 209835      DAQUILEMA VILLA JUAN JOSE        0601048168001                                                    X
 135640      AGUALSACA MAJÍN MARTÍN           0601055478001                                                    X
 208435      SATIAN QUISHPI CARLOS HUMBERTO 0601064660001                                                      X
 172955      CASTELO CASTRO SEGUNDO DANILO 0601073059001                                                       X
 154711      RODRIGUEZ HUILCAPI JOSE EDMUNDO  0601077696001                                                    X
No                 No registra
                                                               No                    No registra   No
                                                                        No. registra                       registra      No.    indicadores
                                                             registra                provincia, registra
Persona_id               NOMBRE               No. ID (RUC)                 calle                           número      registra de ventas,
                                                             apellido                 cantón y   primer
                                                                         principal                         de calle     origen activos y/o
                                                             paterno                 parroquia nombre
                                                                                                           principal             empleados

 143133      SANCHO HERDOIZA CESAR EDMUNDO 0601079023001                                                      X
 159353      OCHOA ORTEGA CESAR AUGUSTO      0601094196001                                                    X
 221154      SALGADO BERRONES MANUEL IGNACIO 0601095763001                                                    X
 154970      MEYTHALER CAMPOS TELMO GUSTAVO DE LA PAZ
                                             0601098635001                                                    X
 244587      VILLACRES TAPIA BLANCA GRIMANEZA0601102585001                                                    X
 183273      GUTIERREZ MOREIRA JULIO CESAR   0601103096001                                                    X
 266298      CANDO ROBALINO IVAN GUILLERMO 0601107238001                    X            X                    X
 203047      MIÑO ORBE ANA ROSARIO           0601108111001                                                    X
  96667      APUGLLON MARINO JOSE MANUEL     0601111503001                                                    X
  28854      PÁSTOR RODAS MARIO EDMUNDO      0601112204001                                                    X
  55968      MORENO CADENA GUSTAVO ALONSO 0601119043001                                                       X
   3472      JUNES VALLADARES JORGE GUALBERTO0601125529001                                                    X
 250029      CASCO PILCO PEDRO PABLO         0601127186001                                                    X
 244371      FREIRE LOPEZ LORGIO ALBERTO     0601130065001                                                    X
 211926      FIALLOS INFANTE JORGE ESTUARDO 0601130412001                                                     X
 116274      PUMAGUALLE NOBOA LUIS ALBERTO 0601131014001                                                      X
  45894      CHOTO INCHIGLEMA LUIS ALBERTO   0601134026001                                                    X
 177491      PUERTAS VILLACRES MARCO ANTONIO 0601140106001                                                    X
 163945      VIÑAN LEMA MARIA                0601140155001                                                    X
 195911      LLAGSHA SHAGÑAY JORGE           0601141575001                                                    X
 187421      CUZCO AGUALSACA FRANCISCO       0601143332001                                                    X
 138450      GAVILANEZ DUQUE JACINTO EDUARDO 0601146194001                                                    X
  63068      CHÁVEZ ZUMBA ANGEL HUMBERTO 0601150824001                                                        X
 202459      DAVALOS FREIRE MARIA ELIZA      0601156722001                                                    X
 111250      LLERENA INCA SEGUNDO ANGEL      0601159213001                                                    X
  96779      CHAVEZ BASTIDAS FREDY ALONSO    0601160476001                                                    X
 150610      PAZMINO CAYAMBE JOSE LUIS       0601164163001                                                    X
 176215      VELASCO BAYAS OTTO OSWALDO      0601177090001                                                    X
 184614      SARABIA CISNEROS MANUEL ALEJANDRO
                                             0601185358001                                                    X
  99518      LLERENA GERARDO VICENTE         0601188246001                                                    X
 106247      GUFFANTI RAMOS RODRIGO ALFONSO0601193238001                                                      X
No                 No registra
                                                               No                    No registra   No
                                                                        No. registra                       registra      No.    indicadores
                                                             registra                provincia, registra
Persona_id               NOMBRE               No. ID (RUC)                 calle                           número      registra de ventas,
                                                             apellido                 cantón y   primer
                                                                         principal                         de calle     origen activos y/o
                                                             paterno                 parroquia nombre
                                                                                                           principal             empleados

 154808      PIEDRA OROZCO RUTH CECILIA      0601196066001                                                    X
 140317      RODRIGUEZ ARELLANO NANCY GEORGINA
                                             0601199516001                                                    X
 256873      CARDENAS CASCANTE ELENA LEONOR  0601201049001                                                    X
 265674      MEJIA LLIVI CARLOS ENRIQUE      0601214323001                                                    X
   8168      MARIANA ROMERO DE ALVAREZ       0601242001001                                                    X
 198885      MARCATOMA EVAS PEDRO BALERIO 0601242480001                                                       X
 222840      NONO JOSE                       0601244924001                                                    X
 275204      GUAMAN CAIZAGUANO FRANCISCO     0601261142001                                                    X
  62291      ZUMBA POAQUIZA CARLOS BOLIVAR 0601275969001                                                      X
 153586      SILVA CORONEL EDGAR EDMUNDO     0601276587001                                                    X
 217318      MALAN CURICHUMBI RECCION        0601286958001                                                    X
 240915      LEON SANCHEZ MANUEL             0601292667001                                                    X
 231768      VALLEJO CHATO SEGUNDO MANUEL 0601294580001                                                       X
 245785      MOROCHO VILLAGOMEZ JORGE WASHINGTON
                                             0601294622001                                                    X
 249678      GANAN ACAN MANUEL APOLINARIO 0601304496001                                                       X
 269647      ALLAUCA VARGAS LUIS HUMRETO     0601308737001                                                    X
  84932      IBARRA RIVERA LORENZO MATIAS    0601313927001                                                    X
 129103      ORTIZ CUEVAS ANGEL              0601325848001                                                    X
  18157      BASTIDAS FIERRO GUSTAVO XAVIER 0601339781001                                                     X
 273987      REA LEON SEBASTIAN              0601343353001                               X                    X           X
  45874      VILLAGOMEZ BOZMEDIANO GLADYS NIRMA
                                             0601346265001                                                    X
 265145      MANGUIA ROBALINO HILARIO        0601351992001                                                    X
 118223      PIÑA LOPEZ DANIEL               0601361504001                                                    X
 256284      TIERRA CAUJA CARLOS HOMERO      0601363005001                                                    X
 176640      PUNIN GUZMÁN WILLAM HERNÁN      0601365778001                                                    X
 202210      GALARRAGA BRITO ANGEL GERARDO 0601366230001                                                      X
 274052      ROBALINO CHIRIBOGA MYRIAM PATRICIA
                                             0601376585001                                                    X
 192183      LLUILEMA TIXI SEGUNDO ALFONSO   0601379365001                                                    X
 173833      YAMBAY GUAMÁN LUIS ENRIQUE      0601392871001                                                    X
 125153      GAVILANEZ HEREDIA CARLOTA ISABEL0601400781001                                                    X
 277488      ZAMORA PENAFIEL FRANCISCO RAMIRO601412158001
                                             0                                                                X
No                 No registra
                                                               No                    No registra   No
                                                                        No. registra                       registra      No.    indicadores
                                                             registra                provincia, registra
Persona_id               NOMBRE               No. ID (RUC)                 calle                           número      registra de ventas,
                                                             apellido                 cantón y   primer
                                                                         principal                         de calle     origen activos y/o
                                                             paterno                 parroquia nombre
                                                                                                           principal             empleados

  79919      FERNANDEZ VINUEZA MANUEL IVAN 0601415581001                                                      X
 187561      YANZA ALBAN MARIA ELENA         0601419336001                                                    X
 104598      GUSQUI GUAÑO BOLIVAR GONZALO 0601444755001                                                       X
 175744      FAJARDO GUAMAN FLOR MARIA       0601447691001                                                    X
  93226      CANDO CANDO VICENTE NEPTALI     0601450786001                                                    X
 106360      CALLE QUEZADA FAUSTO LEONARDO 0601458763001                                                      X
 231506      GUAMAN CHAUCA SEGUNDO DOMINGO   0601462724001                                                    X
 216521      GUAMAN YUPANQUI GILBERTO        0601465834001                                                    X
  28644      BENITEZ ESPINOZA EDINSON OLMEDO 0601466295001                                                    X
 139070      ASTO CANTOS TERESA GEORGINA     0601467285001                                                    X
  31107      GUALOTO GUALOTO SEGUNDO PEDRO0601467335001                                                       X
  85234      CHAVEZ NAJERA ROBERTO MANOLO 0601470164001                                                       X
 236382      MOREANO BEJARANO MELADIA CUMANDA0601473804001                                                    X
 229749      UGSIÑA VELOZ MANUEL MESÍAS      0601477474001                                                    X
 205761      LLANGARI CUVI ELINA             0601481492001                                                    X
 106551      TAYUPANDA CUVI SEGUNDO JUAN     0601482714001                                                    X
 158650      GUEVARA GARÓFALO JORGE OSWALDO  0601493646001                                                    X
 231781      MURILLO ROSERO GABRIEL ALEJANDRO0601494206001                                                    X
 261086      TENELEMA JANETA SEGUNDO MIGUEL 0601503824001                   X            X                    X
 199617      HUMALA GUAMAN MANUEL ESPIRITU 0601507866001                                                      X
  36325      QUEZADA CLAVIJO JAIME EDUARDO 0601508450001                                                      X
  89635      YUMISACA MOROCHO LUIS GERARDO 0601510324001                                                      X
 236451      PAUCAR CAMAS JULIO NORBERTO     0601510548001                  X            X                    X
 162066      PARCO CANTUÑA MANUEL ANTONIO 0601513773001                                                       X
 158467      MOREIRA VINTIMILLA MARCO ANTONIO0601521669001                                                    X
  94349      CRUZ RUIZ ELSA CECILIA          0601523558001                                                    X
 119521      MORALES DAQUILEMA SEGUNDO ENRIQUE
                                             0601528045001                                                    X
 118588      COLCHA AREVALO LIZARDO ENRIQUE 0601534514001                                                     X
 123520      GALLEGOS LEON JORGE FABRICIO    0601536618001                                                    X
  57152      CAZORLA GARCÍA JORGE MANUEL     0601539786001                                                    X
 243115      VALDIVIEZO CAMACHO SEGUNDO NAPOLEON
                                             0601540651001                                                    X
No                 No registra
                                                               No                    No registra   No
                                                                        No. registra                       registra      No.    indicadores
                                                             registra                provincia, registra
Persona_id               NOMBRE               No. ID (RUC)                 calle                           número      registra de ventas,
                                                             apellido                 cantón y   primer
                                                                         principal                         de calle     origen activos y/o
                                                             paterno                 parroquia nombre
                                                                                                           principal             empleados

  74358      PULGAR VINUEZA ROMULO EFRAIN    0601541204001                                                    X
  19468      YAMBAY PILLAJO LUIS HUMBERTO    0601542160001                                                    X
  95426      TRUJILLO QUEZADA EDMUNDO JAVIER 0601546443001                                                    X
  74413      GUALOTO QUINCHUELA LUIS ALFONSO0601547656001                                                     X
  91281      LADINO LLONGO MARCELO VICENTE 0601551179001                                                      X
 164931      MOREANO CARLOS ROBERTO          0601563497001                                                    X
 195058      ZABALA ARELLANO CARLOS HERNAN 0601568041001                                                      X
 190922      URGILES DIAZ SEGUNDO RUBEN      0601570260001                                                    X
  98849      MOROCHO JANETA LUIS ALFREDO     0601582935001                                                    X
 113933      DE LA CRUZ ARCE GLORIA MAAGDALENA
                                             0601602121001                                                    X
  93465      CHARIGUAMAN YAUCAN MARIA EDELINA0601609969001                                                    X
  55655      LEON VALENCIA PATRICIO OSWALDO 0601612609001                                                     X
 196836      MONTESDEOCA JÁCOME MARTHA CECILIA
                                             0601613938001                                                    X
  82062      JARA PEÑAFIEL GALO VINICIO      0601616576001                                                    X
 227813      SEPA LOPEZ JUAN ESTUARDO        0601621113001                                                    X
 154831      ARRIETA ACEVEDO EDINSON BOLIVAR 0601628191001                                                    X
 190901      TOAPANTA LEMACHE ROMMEL HERNAN  0601632243001                                                    X
 212467      ARMIJO LUCIO IRMA HERMINIA      0601632763001                                                    X
 273912      VINTIMILLA HURTADO MARIANA DEL ROCIO
                                             0601637333001                                                    X
 146131      GUACHILEMA VELARDE ANGEL FERNANDO
                                             0601637366001                                                    X
 220300      CHAVEZ GUARACA WILSON ERNESTO 0601637390001                                                      X
 160043      PAUCAR GUILCAPI ANGEL MARCELO 0601641194001                                                      X
 201885      GODOY GOMEZ ELIZABETH FLOR      0601651060001                                                    X
 183459      SHILQUIGUA CANDO SEGUNDO ISAIAS 0601652076001                                                    X
 173061      ANGAMARCA YUPA BLANCA AZUCENA 0601653561001                                                      X
 273483      CUTIOPALA PALTAN SALVADOR       0601654221001                                                    X
 129567      GUAMAN MANSANO VICTOR MANUEL 0601654429001                                                       X
 114135      ORTÍZ ORTEGA DARIO GEOVANNY     0601668841001                                                    X
  37631      LOGRONO RIOFRIO LILIAN DOLORES 0601678576001                                                     X
 215925      LEMA LEMA FRANCISCO             0601681489001                                                    X
 252580      OCHOG GUILCAPI SEGUNDO MELCHOR  0601686280001                                                    X
No                 No registra
                                                               No                    No registra   No
                                                                        No. registra                       registra      No.    indicadores
                                                             registra                provincia, registra
Persona_id              NOMBRE                No. ID (RUC)                 calle                           número      registra de ventas,
                                                             apellido                 cantón y   primer
                                                                         principal                         de calle     origen activos y/o
                                                             paterno                 parroquia nombre
                                                                                                           principal             empleados

 160060      SARMIENTO BELTRAN LUCIO ENRIQUE0601690068001                                                     X
 191640      FLORES FRANCO SUSANA GENOVEVA 0601690662001                                                      X
  38856      CRUZ TOLEDO EDWIN GEOVANNI     0601691363001                                                     X
 195942      GADVAY MACAS LIDIA NORMITA     0601692320001                                                     X
 197009      TADAY YUQUILEMA JOSE MIGUEL    0601706773001                                                     X
 180045      CHITO GUACHO JOSE              0601710320001                                                     X
 191348      YUPA CUENCA FELIX              0601713449001                                                     X
  67959      ROMERO ROMERO FAUSTO ULPIANO 0601723661001                                                       X
 158138      BERRONES ROMERO NELLY CECILIA 0601738453001                                                      X
 204425      PINEDA ZARUMA MANUEL MARIA     0601740780001                                                     X
 138973      YAGUACHI LEMA GUSTAVO LUIS     0601764095001                                                     X
 143081      OROZCO CANTOS RAUL GERARDO     0601771405001                                                     X
 167068      CHAVARRERA MUNOZ JENNY ALICIA 0601774151001                                                      X
 168562      PEREZ BALSECA WILSON GONZALO 0601775760001                                                       X
 159008      GANAN JARA VICTOR MANUEL       0601779341001                                                     X
  86106      ILLAPA CONDO ANGEL NOLBERTO    0601786775001                                                     X
  69315      HEREDIA CABRERA CARLOS LEONARDO601788144001
                                            0                                                                 X
 101246      HERNÁNDEZ FLORES JOSÉ MIGUEL   0601801400001                                                     X
  66897      GUAPULEMA SANIPATIN ANGEL WASHINGTON
                                            0601806128001                                                     X
 197653      UVIDIA GARCÉS LAURA GRIMANESA 0601807993001                                                      X
 194870      RAMOS JORGE RODRIGO            0601809460001                                                     X
  18318      JARAMILLO GONZALEZ ALBERTO NICOLAS
                                            0601809627001                                                     X
  76967      ALVAREZ ROMERO MARIA PAULINA   0601810021001                                                     X
 187620      LEÓN CEVALLOS VÍCTOR HUGO      0601811615001                                                     X
  80558      ARGUELLO ALBAN ALEX RAUL       0601812019001                                                     X
 122979      LLERENA CORTEZ EDGAR GONZALO 0601815046001                                                       X
 130472      CONDO VIMOS MARIO HERNAN       0601821499001                                                     X
 151527      ORNA OCAÑA MANUEL VINICIO      0601823388001                                                     X
 200394      ORDOÑEZ SAN MARTIN KLEVER ROSALINO
                                            0601824055001                                                     X
 146247      CHICAIZA NAULA JOSE MANUEL     0601826910001                                                     X
 108092      QUISHPI MOINA ALEJANDRO        0601831001001                                                     X
No                 No registra
                                                              No                    No registra   No
                                                                       No. registra                       registra      No.    indicadores
                                                            registra                provincia, registra
Persona_id              NOMBRE               No. ID (RUC)                 calle                           número      registra de ventas,
                                                            apellido                 cantón y   primer
                                                                        principal                         de calle     origen activos y/o
                                                            paterno                 parroquia nombre
                                                                                                          principal             empleados

 137547      ULLOA MOROCHO MARIA ULLOA     0601831860001                                                     X
 207545      CORDERO CORDERO CLAUDIA JAQUELINE
                                           0601836349001                                                     X
 100632      PUMAGUALLE LEMA JUAN PATRICIO 0601837453001                                                     X
  91080      VARGAS SANCHEZ JUAN MANUEL    0601848716001                                                     X
 213090      CHAVEZ MEDINA MANUEL MESIAS   0601851678001                                                     X
  74819      CABAY CONCHA GUIDO VICENTE    0601852015001                                                     X
  47189       JOSE GALLEGOS                0601856578001                                                     X
 140878      OÑATE GAVIDIA MANUEL EFREN    0601866734001                                                     X
  92833      MARTINEZ ERAZO RODRIGO MARCELO0601868532001                                                     X
  41010      MORENO YANEZ MAURO PATRICIO   0601879398001                                                     X
 153609      JARAMILLO DIAZ ROBERTO ALEX   0601879620001                                                     X
 105468      PAREDES LUCAS SACRAMENTO      0601882137001                                                     X
  61665      CARRASCO CANO JAIME RODRIGO   0601883432001                                                     X
  74700      DIAZ PEREZ HECTOR IVAN        0601888803001                                                     X
 198406      MORA ESPINOZA WASHINGTON JOSUE0601890197001                                                     X
  29386      BAYAS ZAPATA BOLIVAR IVAN     0601891393001                                                     X
  61043      VILLARROEL PÉREZ CESAR HERNÁN 0601893647001                                                     X
 248819      LLANGARI CHAFLA PEDRO VICENTE 0601896194001                                                     X
  16630      GUEVARA DAQUI FAUSTO FERNANDO 0601896954001                                                     X
  98560      ESTRADA TOALOMBO MARIO JUAN   0601900152001                                                     X
  34654      CHÁVEZ VALLEJO SILVIA MARÍA   0601908007001                                                     X
 207339      LOPEZ VILEMA MARIA LAURA      0601908767001                                                     X
  17299      HEREDIA HEREDIA WILSON TELMO  0601915978001                                                     X
 190734      NARVÁEZ ORTEGA LUIS ANÍBAL    0601916414001                                                     X
 101793      COSTALES VITERI CESAR MARCELO 0601916570001                                                     X
  91674      FLORES RAMOS JOSE ERMIT       0601916703001                                                     X
  36829      SANIPATIN CUVI RAUL ALFREDO   0601918410001                                                     X
 188796      MURILLO FIERRO MARCO ANTONIO  0601919178001                                                     X
 194794      MOROCHO TARCO JOSE MANUEL     0601936057001                                                     X
 120000      LEMA CHIMBOLEMA LORENZA       0601939085001                                                     X
 168977      CORTEZ ROSARIO NANCY LORENA   0601940513001                                                     X
No                 No registra
                                                               No                    No registra   No
                                                                        No. registra                       registra      No.    indicadores
                                                             registra                provincia, registra
Persona_id               NOMBRE               No. ID (RUC)                 calle                           número      registra de ventas,
                                                             apellido                 cantón y   primer
                                                                         principal                         de calle     origen activos y/o
                                                             paterno                 parroquia nombre
                                                                                                           principal             empleados

 149143      YAURIPOMA LEÓN MANUEL           0601942113001                                                    X
  98390      SANCHEZ CORTE SEGUNDO LUIS      0601945892001                                                    X
 256282      VILLAGRAN VIVAR EDISON ALONSO   0601948102001                                                    X
 184407      MERA ZEA NELSON VICTOR          0601954563001                                                    X
 207565      FUENTES RAMOS SILVIA MARITZA    0601958440001                                                    X
  98070      RAMOS RAMOS LEONCIO RAMON       0601964885001                                                    X
  67226      COSTALES RUIZ WILSON PATRICIO   0601968886001                                                    X
 249301      NUÑEZ RAMOS JENNY ELIZABETH     0601974785001                                                    X
 110384      ARIAS GARIA FANNY JULIETA       0601985021001                                                    X
 266169      CUJI GUAMBA ANGEL ENRIQUE       0601987894001                                                    X
 184168      CUENCA LOPEZ SEGUNDO JOSE       0601993140001                                                    X
  52124      ALVAREZ OVIEDO NELLY JOSEFINA   0601997240001                                                    X
 211434      CHIRO GUAMINGA FRANCISCO        0601998982001                                                    X
 181497      OVIEDO FREIRE FABIAN ERNESTO    0602003519001                                                    X
  76256      SALAZAR ALMEIDA LENIN FABIAN    0602005019001                                                    X
  99997      SERRANO SAETEROS WILLIAN ANTONIO602007940001
                                             0                                                                X
 139941      GUZMAN NARANJO BLANQUITA        0602008740001                                                    X
 191377      GAIBOR LEÓN DINA MENCIA         0602012916001                                                    X
  80270      PASTOR GUEVARA ERNESTO ALEJANDRO0602013542001                                                    X
 171772      CARRASCO BASTIDAS JOSE MANUEL 0602016909001                                                      X
  83145      MEJIA FLORES MILTON FABIÁN      0602018517001                                                    X
  94672      PACA SHUCAD JUAN CRUZ           0602021925001                                                    X
 112089      VILEMA PADILLA BLANCA ALICIA    0602023517001                                                    X
 252250      GUAMÁN ÑAUÑAY SEGUNDO MANUEL 0602026742001                                                       X
  66843      OCAÑA MIRANDA ANGEL ERNESTO     0602028466001                                                    X
 143827      LLIGUILEMA LLIGUILEMA SEGUNDO JOSE
                                             0602032179001                                                    X
  30511      ESCALANTE YÉPEZ DALTON MANOLO 0602032674001                                                      X
 241440      YAURIPOMA YAURIPOMA PETRONA     0602034498001                                                    X
  44499      NAULA YUQUILEMA BALTAZAR        0602035115001                                                    X
 176794      ORTIZ BORJA IVÁN MARCELO        0602036626001                                                    X
  55491      GRANIZO CAMINOS MARCOS JAVIER 0602037160001                                                      X
No                 No registra
                                                                No                    No registra   No
                                                                         No. registra                       registra      No.    indicadores
                                                              registra                provincia, registra
Persona_id               NOMBRE                No. ID (RUC)                 calle                           número      registra de ventas,
                                                              apellido                 cantón y   primer
                                                                          principal                         de calle     origen activos y/o
                                                              paterno                 parroquia nombre
                                                                                                            principal             empleados

 168410      CALI OROZCO MARIA CLEMENTINA     0602039539001                                                    X
 143990      CABEZAS MOREANO RICARDO MARCELO  0602042087001                                                    X
 259218      OLEAS SANTILLÁN STALIN FERNANDO 0602042137001                                                     X
 218683      MONCAYO ZAVALA LUIS VITERBO      0602042954001                                                    X
  32484      CARRION SAMANIEGO FABIAN GUSTAVO 0602045791001                                                    X
 124670      YANEZ CARGUACHI CORINA AURORA 0602051112001                                                       X
 198762      CASTILLO CASTILLO CARMEN DEL PILAR
                                              0602052847001                                                    X
 239529      SANI SATAN SEGUNDO ELIO          0602060568001                                                    X
  88128      NARANJO AYALA WILSON GUILLERMO 0602063067001                                                      X
 225947      LLIQUIN VALLEJO SEGUNDO FRANCISCO0602064404001                                                    X
 146775      GUAMBO GALARZA GILBERTO GUSTAVO  0602065310001                                                    X
 264356      CARRASCO GAVILANES JUAN SANTIAGO 0602070427001                                                    X
 211186      LEMA MONCAYO GLORIA AZUCENA      0602070484001                                                    X
 191230      GARCIA PEREZ SEGUNDO JULIAN      0602074056001                                                    X
  40462      TORRES GUANANGA EDGAR FABIAN 0602077836001                                                        X
 246310      TENECELA ARISAGA JOSE HUMBERTO 0602081689001                                                      X
 207649      PAREDES ASTUDILLO LUIS DEONISIO 0602082828001                                                     X
 233602      LOPEZ RAMIREZ ROCIO DEL PILAR    0602083941001                                                    X
  96017      UQUILLAS MUNIZAGA BORIS ANTONIO 0602086324001                                                     X
  50676      CORNELIO                         0602086639001                                                    X
 180731      QUISHPI PAGUAY JOSE GILBERTO     0602090417001                                                    X
  86956      ALVAREZ MANCERO MANUEL MESIAS 0602091498001                                                       X
 134068      BADILLO BERNAL DAVID HERNÁN      0602091571001                                                    X
 163635      LEON LARA GUSTAVO ROBERTO        0602093080001                                                    X
 107698      ZAVALA SECAIRA NELSON ADOLFO     0602093569001                                                    X
 157443      CABEZAS CHILIQUINGA JOSELITO GEOVANNY
                                              0602094666001                                                    X
 182209      ROA PALADINES CROSWEL OSWALDO 0602094880001                                                       X
 236939      LLIGUILEMA TENELEMA HECTOR EUDORO0602096067001                                                    X
  75367      GUACHILEMA YANTALEMA SEGUNDO GABRIEL
                                              0602098378001                                                    X
 150320      YAMBAY LUCERO CARMEN             0602098758001                                                    X
  73031      CALI GUSQUI CARLOS VICENTE       0602098857001                                                    X
No                 No registra
                                                               No                    No registra   No
                                                                        No. registra                       registra      No.    indicadores
                                                             registra                provincia, registra
Persona_id               NOMBRE               No. ID (RUC)                 calle                           número      registra de ventas,
                                                             apellido                 cantón y   primer
                                                                         principal                         de calle     origen activos y/o
                                                             paterno                 parroquia nombre
                                                                                                           principal             empleados

 132369      ECHEVERRÍA ROSERO JORGE EDMUNDO 0602106338001                                                    X
 143452      ARRIETA YANES FRANKLIN RODRIGO 0602106890001                                                     X
 202968      APUGLLÓN GAVIN MARÍA TERESA     0602112021001                                                    X
 142440      ORTEGA OCAÑA ANGEL FERNANDO 0602116352001                                                        X
 275818      YAULEMA OCAÑA NELSON IVAN       0602117574001                                                    X
  57586      LOGROÑO AMOROSO MARIANA EDITH 0602124059001                                                      X
 158329      GADVAY GUACHO LAURA JAQUELINE 0602124505001                                                      X
 226397      AREVALO ORTIZ FILIBERTO FILEMON 0602130023001                  X            X                    X
 164909      OROZCO FLORES GUALBERTO EDISON  0602132011001                                                    X
 257033      MONTOYA LLALAO HUGO LINO        0602132250001                                                    X
 127012      MERINO GUILLÉN MIGUEL IGNACIO   0602134942001                                                    X
 263671      PADILLA PADILLA LUIS ANIBAL     0602136160001                                                    X
 277464      VELASTEGUI VACA GUSTAVO ALFREDO 0602137671001                                                    X
 146248      GUAMBO YUQUILEMA MANUEL VICTOR0602145088001                                                      X
 183674      ALVARADO AMBI BERTHA CENOVIA    0602146342001                                                    X
 252753      TORRES ZAVALA ANGEL LEONARDO 0602148819001                                                       X
 233670      BRITO BORJA MAYRA LORENA        0602152431001                                                    X
 262622      HERRERA HENRI WILLIAM           0602155475001                                                    X
  84134      OROZCO ASHQUI MARIA MARGARITA 0602157133001                                                      X
 136455      ALLAUCA LLAMUCA MARIA PIEDAD    0602158289001                                                    X
 257456      GUILCAPI MOSQUERA SEGUNDO FAUSTO0602158610001                                                    X
 232421      GUZMAN RECALDE MARÍA LUCRECIA 0602162380001                                                      X
 240348      CAZCO BARRIGA FAUSTO RAMIRO     0602165656001                                                    X
 215831      HARNISTH RIVADENEIRA TANYA XIOMARA
                                             0602169211001                                                    X
 113613      SOLANO ALTAMIRANO CARMITA MERLINA
                                             0602174757001                                                    X
 218671      PÁSTOR ACOSTA ISAAC             0602177917001                                                    X
 114875      CHOCA RODRIGUEZ JUAN ALBERTO 0602178824001                                                       X
 252409      FIALLOS VALDIVIESO MIGUEL ANGEL 0602180184001                                                    X
 123553      ZAVALA MENDOZA EDWIN PACO       0602184491001                                                    X
 143512      PONCE COSTALES ISAAC            0602184723001                                                    X
 253669      ALTAMIRANO BALSECA LUIS ALFONSO 0602185860001                                                    X
No                 No registra
                                                               No                    No registra   No
                                                                        No. registra                       registra      No.    indicadores
                                                             registra                provincia, registra
Persona_id               NOMBRE               No. ID (RUC)                 calle                           número      registra de ventas,
                                                             apellido                 cantón y   primer
                                                                         principal                         de calle     origen activos y/o
                                                             paterno                 parroquia nombre
                                                                                                           principal             empleados

  42992      NELSON                          0602198152001                                                    X
 128179      CABEZAS GRANIZO DIEGO MAURICIO 0602201253001                                                     X
 110447      SHAIGUA AREVALO MARIANA         0602201964001                                                    X
 233230      OROZCO POMA ROBERT DANILO       0602202475001                                                    X
 217261      QUISHPI CHULLI LUIS JACINTO     0602214249001                                                    X
 222852      NARANJO QUITO JOSE EVARISTO     0602226623001                                                    X
 252688      MITA QUINZO JUAN MANUEL         0602227183001                                                    X
 151223      OCHOA TITO INÉS VICTORIA        0602234049001                                                    X
  24043      VALENCIA HARO JUAN ESTEBAN      0602239642001                                                    X
  32753      CARRIÓN SAMANIEGO PAÚL FERNANDO 0602243255001                                                    X
  52157      SALTOS FLORES JUAN CARLOS       0602244055001                                                    X
 185879      MINARCAJA TACURI SILVERIO       0602253189001                                                    X
 228463      LOPEZ LLUAY BEATRIZ FABIOLA     0602269342001                                                    X
 169921      HARO FIALLOS ALFREDO GUSTAVO    0602271744001                                                    X
 207734      ZAVALA MENDOZA WILLIAM EMILIO   0602275331001                                                    X
 143746      BORJA CEVALLOS MERCEDES NOEMÍ 0602277972001                                                      X
 142190      VELOZ AVENDAÑO GILBERTO EZEQUIEL602280190001
                                             0                                                                X
   6647      LUIS GONZALO LEON CEVALLOS      0602283228001                                                    X
 146300      YAULEMA ORNA LUIS ENRIQUE       0602283277001                                                    X
 240419      SANGOLQUIZA CALI PEDRO PABLO    0602283533001                                                    X
 237029      YUMICEBA TIERRA WILSON HERNÁN 0602287740001                                                      X
 176078      TADAY TENEGUZNAY JOSE           0602288557001                                                    X
 121723      MERIZALDE PEREZ TANIA MARISOL   0602289480001                                                    X
 225832      OCANA SALAZAR ETELVINA ELINA    0602290520001                                                    X
  37475      ASQUI LLANGARI VIRGILIO MARCIAL 0602293474001                                                    X
 172435      VELOZ VARGAS MARLO ENRIQUE      0602306565001                                                    X
 152209      ARRRIETA YANES ANGEL ARIOSTO    0602313058001                                                    X
 128669      HUILCA GUEVARA GALO FERNANDO 0602316481001                                                       X
 250845      YASACA GUARACA JUAN EDUARDO     0602320863001                                                    X
  33580      BONILLA RUIZ HAUCEMBERGHT ARFAZADD
                                             0602323891001                                                    X
 256254      CARRASCO QUISNIA JOSE ANTONIO 0602328544001                                                      X
No                 No registra
                                                               No                    No registra   No
                                                                        No. registra                       registra      No.    indicadores
                                                             registra                provincia, registra
Persona_id               NOMBRE               No. ID (RUC)                 calle                           número      registra de ventas,
                                                             apellido                 cantón y   primer
                                                                         principal                         de calle     origen activos y/o
                                                             paterno                 parroquia nombre
                                                                                                           principal             empleados

 220814      PUCHA INGA JOSÉ GERARDO         0602335861001                                                    X
 197783      YEPEZ ORTIZ JESUS RAMIRO        0602336547001                                                    X
 147316      VACACELA TAPAY SEGUNDO IGNACIO 0602350910001                                                     X
 156812      SILVA FAUSTO EDUARDO            0602353914001                                                    X
 151451      MOROMENACHO CHILIQUINGA JOSE RAMIRO
                                             0602355372001                                                    X
 165933      LEON ANDRADE JUAN JOSE          0602360661001                                                    X
 248180      PILCO JULIO CESAR               0602362360001                                                    X
 115143      PACA SISA ANTONIO               0602362543001                                                    X
 133331      GUAYTACARA SUAREZ JHONNY REANTO 0602363079001                                                    X
  97361      GUILCAPI OCAÑA VICTOR HERNAN    0602367914001                                                    X
 115022      GARCIA ROMERO MAURO SALVADOR 0602368540001                                                       X
 202458      CRUZ VALDIVIEZO CÉSAR SALOMÓN 0602371635001                                                      X
 273067      DUCHI CHUCHO SEGUNDO MARIANO 0602372450001                                                       X
 226119      MARROQUIN MUÑOZ EDUARDO UFREDO  0602377277001                                                    X
  53037      ORTEGA YAMASCA PEDRO            0602377731001                                                    X
 134642      ADRIANO VILLA CARMEN AMELIA     0602380602001                                                    X
 275183      MANZANO MEJIA LUIS ALFREDO      0602384265001                                                    X
  73436      BALSECA SANCHEZ ARNALDO OCTAVIO 0602389728001                                                    X
  20362      LUIS                            0602392706001                                                    X
 173934      HERRERA CABEZAS JORGE EDUARDO 0602395014001                                 X                    X
 175940      QUINCHUELA CUJILEMA ANA GRACIELA0602401457001                                                    X
 254378      AVILÉS MANCERO PATRICIA ALEXANDRA
                                             0602403503001                                                    X
 153202      MERCHAN ARIAS RODRIGO ADALBERTO 0602406159001                                                    X
 163158      CUVI ZAMBRANO GALO CRISTOBAL    0602406381001                                                    X
  88273      OROZCO BASTIDAS MILTON BOLIVAR 0602409930001                                                     X
 106997      CHIMBO CORO JOSÉ LEÓN           0602410102001                                                    X
 167297      YAMBAY DÍAZ FANNY PATRICIA      0602411720001                                                    X
 216030      PUCUPALA VILLA HELIODORO        0602416125001                                                    X
 259051      LEON USCA MARCIA EULOGIA        0602416638001                                                    X
 263402      CACOANGO REA JULIO DANIEL       0602421463001                                                    X
 267992      VILLA QUIZHI MANUEL             0602422859001                                                    X
No                 No registra
                                                                 No                    No registra   No
                                                                          No. registra                       registra      No.    indicadores
                                                               registra                provincia, registra
Persona_id               NOMBRE                 No. ID (RUC)                 calle                           número      registra de ventas,
                                                               apellido                 cantón y   primer
                                                                           principal                         de calle     origen activos y/o
                                                               paterno                 parroquia nombre
                                                                                                             principal             empleados

 114404      LEON ANDRADE BLANCA JACQUELINE 0602433021001                                                       X
 108981      ECHEVERRIA ESCOBAR ANGEL ROBERTO  0602454688001                                                    X
 126037      CHAUCA YANEZ JESUS RAMIRO         0602460065001                                                    X
 243427      ASQUI GONZALEZ JOSÉ ARSENIO       0602461840001                                                    X
  43490      SEGUNDO                           0602463838001                                                    X
 248883      QUIGUIRI CAYAMBE ANGEL GUALBERTO602466948001
                                               0                                                                X
 163543      SANIPATIN CUVI FERNANDO LUIS      0602474942001                                                    X
  21699      ZABALA BARRAGÁN JORGE RODOLFO 0602477572001                                                        X
 111291      TIXI CUJILEMA SEGUNDO ALFREDO     0602479123001                                                    X
 181941      ORNA VILEMA GEOCONDA AMADA        0602479131001                                                    X
 234211      TAPIA HERMIDA PAUL FERNANDO       0602479388001                                                    X
 243598      RAMOS VALENCIA CESAR GUILLERMO 0602480071001                                                       X
  93586      LEMA QUINGUE JOSE PEDRO           0602481897001                                                    X
 277255      OÑATE MIRANDA NANCY ESTELA        0602490922001                                                    X
 161809      PILAMUNGA LLUILEMA SEGUNDO JULIAN 0602491243001                                                    X
 162494      NAULA ANGAMARCA ANGEL LUIS        0602503922001                                                    X
 120594      SINALUISA AUQUILLA NICOLAS        0602505588001                                                    X
  98071      MANZANO CONDO LUIS EDUARDO        0602510323001                                                    X
 153519      YUPA TENEMASA SEGUNDO AGUSTIN 0602513632001                                                        X
 166143      APO PAZ MARCIA PATRICIA           0602514697001                                                    X
 187660      PULGAR MONTERO RAMIRO FABRICIO 0602525958001                                                       X
 125313      ZAVALA SALAZAR NARCISA OLINDA     0602534166001                                                    X
 161048      BONILLA VALAREZO ALEX EDUARDO 0602534497001                                                        X
  33795      JORGE                             0602534612001                                                    X
 194538      VACA MOREANO GUIDO MUNIR          0602535049001                                                    X
  28116      CAJAMARCA DACTO MARCO VINICIO 0602546400001                                                        X
  19909      YÉPEZ VILLAVICENCIO CRISTIAN LUIS 0602551327001                                                    X
  47253      ROBALINO PEREZ GLORIA RENÉ        0602555617001                                                    X
 233450      ROMERO ROMERO EDGAR FRANCISCO     0602557043001                                                    X
 111127      PARCO PAUCAR JOSEFA               0602557571001                                                    X
 263857      OCAÑA MIRANDA SEGUNDO ASISCLO 0602564205001                                                        X
No                 No registra
                                                               No                    No registra   No
                                                                        No. registra                       registra      No.    indicadores
                                                             registra                provincia, registra
Persona_id               NOMBRE               No. ID (RUC)                 calle                           número      registra de ventas,
                                                             apellido                 cantón y   primer
                                                                         principal                         de calle     origen activos y/o
                                                             paterno                 parroquia nombre
                                                                                                           principal             empleados

  58506      BRAVO POZO GLADYS LORENA        0602566879001                                                    X
 131652      REA CUJILEMA JOSE               0602572430001                                                    X
  73537      HIDALGO CARRARA CHRISTIAN HERNAN602575425001
                                             0                                                                X
  97946      CADENA RODRIGEZ YURI FABRICIO   0602576183001                                                    X
 259311      PADILLA SAMANIEGO WILTER KLEVER 0602576407001                                                    X
  53452      PILCO AMANCHA LUIS GERARDO      0602578981001                                                    X
 184735      SEGARRA CHAVEZ JORGE GONZALO 0602584062001                                                       X
 166155      CHIMBORAZO ALVAREZ LUIS TELMO 0602584377001                                                      X
 150276      CHACASAGUAY VACACELA MARCELO SEGUNDO
                                             0602584716001                                                    X
 130948      CARRION TORRES MARCO VINICIO    0602584963001                                                    X
  77952      CHAMBA MUÑOZ ANA JACQUELINE     0602587008001                                                    X
  60353      CABEZAS CARCHI JUAN CARLOS      0602587883001                                                    X
 151448      FILA MOROCHO PEDRO              0602591885001                                                    X
 181651      LARA LARA JOSÉ MANUEL           0602597346001                                                    X
 253772      PACA ACAN MANUEL SEGUNDO        0602603581001                                                    X
 268471      BRITO DEL PINO DAVID EFRAYN     0602605248001                                                    X
 172272      BUENAÑO ALLUCA LUIS ANTONIO     0602607723001                                                    X
 161827      CARANQUI ALDAZ JORGE MARCELO 0602612566001                                                       X
 137651      CHAUCA ZANDOVAL EDUARDO RAMON0602615916001                                                       X
 219153      PACA CAPITO JUAN DE DIOS        0602617698001                                                    X
  93001      TIXI PILAMUNGA ANGEL MIGUEL     0602620163001                                                    X
 129429      LEMA CURICHUMBI RICARDO ROBERTO 0602622938001                                                    X
 195361      VARGAS NUÑEZ ANGEL ERNESTO      0602626970001                                                    X
 263360      QUIROZ MONTERO EDUARDO ROMELIO  0602630212001                                                    X
 185574      AVENDAÑO GUAMAN MARIA HILDA     0602636102001                                                    X
 237385      FIERRO BEJARANO MARIA DE LAS MERCEDES
                                             0602643835001                                                    X
 210938      GUAMAN QUIJOSACA JOSE ALFREDO 0602646572001                                                      X
 271748      PULIG YANEZ VICTOR HUGO         0602647539001                                                    X
 190247      CHUQUISALA RIVERA ALBA REGINA   0602655730001                                                    X
 224479      NOBOA CORTEZ TERESITA DEL ROCIO 0602667586001                                                    X
 156693      ASHQUI ASHQUI JOSE              0602671273001                                                    X
No                 No registra
                                                               No                    No registra   No
                                                                        No. registra                       registra      No.    indicadores
                                                             registra                provincia, registra
Persona_id              NOMBRE                No. ID (RUC)                 calle                           número      registra de ventas,
                                                             apellido                 cantón y   primer
                                                                         principal                         de calle     origen activos y/o
                                                             paterno                 parroquia nombre
                                                                                                           principal             empleados

 226170      AULLA ERAZO WASHINTON JOEL     0602671364001                                                     X
  30206      BARROS CASTRO DANIEL ALONSO    0602671539001                                                     X
 221669      FILA CAGUANA SEGUNDO AGUSTIN   0602673576001                                                     X
 100128      LOPEZ CHAVEZ JOHNNY            0602681058001                                                     X
  95309      GUINAN NAULA JULIO ANDRES      0602682445001                                                     X
 116830      ROBLES SALGUERO EDISON BOLIVAR 0602684821001                                                     X
 237307      JARAMILLO ORDOÑEZ AZUCENA ROCIO0602685083001                                                     X
 249057      CEVALLOS VIQUE RAMIRO OVIDIO   0602686578001                                                     X
 158902      GUEVARA RODRÍGUEZ FAUSTO DAVID 0602687519001                                                     X
 106937      BENÍTEZ CHÁVEZ ROBERT MANUEL   0602696171001                                                     X
 147622      TACO QUINCHE JOSE GERARDO      0602705212001                                                     X
 260711      ASHQUI ASHQUI JAIME RODRIGO    0602705444001                                                     X
 266970      VAQUILEMA ATUPAÑA ALEJANDRO    0602705709001                                                     X
  31052      SHAGÑAY ILLAPA LUIS ALFREDO    0602706004001                                                     X
 121145      GUZÑAY PINTA LAURA MARIS       0602708455001                                                     X
 185592      GUADALUPE BONILLA JORGE IVAN   0602710915001                                                     X
 133097      OLMEDO GRANIZO ROMULO BOLIVAR 0602710923001                                                      X
 185364      BARRETO MONTERO ANGEL DECIDERIO0602711186001                                                     X
  79851      MEZA MERINO RAUL RAFAEL        0602718744001                                                     X
 180109      LLANGARI GANAN JOSE ARCESIO    0602724791001                                                     X
 193422      QUISHPI ILLICACHI MAXIMILIANO  0602726556001                                                     X
 147748      MATA OROZCO SEGUNDO ABEL       0602727075001                                                     X
 115906      NO ANDRADE JOSE EDUARDO        0602736662001                                                     X
  75979      RODAS ROSERO PABLO FREDDY      0602752180001                                                     X
 123938      BERNAL BARZALLO PAUL FERNANDO 0602752339001                                                      X
  70883      BRAVO NOBOA SANDRA MARITZA     0602753832001                                                     X
 230686      LARA SILVA EDISON RENAN        0602757882001                                                     X
 269254      TUAZA CASTRO LUIS ALBERTO      0602761736001                                                     X
 212996      AVALOS ARIAS DIEGO AQUILES     0602763054001                                                     X
 216129      SANCHEZ REVELO XAVIER EDUARDO 0602763591001                                                      X
 110521      SAMANIEGO LÓPEZ ARTURO VINICIO 0602764672001                                                     X
No                 No registra
                                                               No                    No registra   No
                                                                        No. registra                       registra      No.    indicadores
                                                             registra                provincia, registra
Persona_id               NOMBRE               No. ID (RUC)                 calle                           número      registra de ventas,
                                                             apellido                 cantón y   primer
                                                                         principal                         de calle     origen activos y/o
                                                             paterno                 parroquia nombre
                                                                                                           principal             empleados

  37697      VALLEJO RODRÍGUEZ VÍCTOR XAVIER 0602766750001                                                    X
 183027      PUCUPALA GUAMÁN SEGUNDO         0602767410001                                                    X
 110820      ESTRELLA RIOS ANGEL ANIBAL      0602768665001                                                    X
  59528      CRESPO OCHOA PATRICIO JOSE      0602775843001                                                    X
 148005      ESTRADA VARGAS MIGUEL ANGEL     0602782500001                                                    X
  89411      MURILLO CASTRO DARIO FERNANDO 0602784621001                                                      X
 143135      HERRERA CRUZ SARA RAQUEL        0602797003001                                                    X
  37100      APUGLLON BUÑAY JOSE             0602810350001                                                    X
 123730      GAVILANES CUZCO YOLANDA VICTORIA0602812133001                                                    X
 161734      OCHOA FAJARDO ANGELICA CRISTINA 0602812471001                                                    X
 152093      SILVA ROBALINO MONICA PATRICIA  0602818783001                                                    X
 267999      VILLA SUCUY LUIS FRANKLIN       0602821795001                                                    X
 259887      YASACA YASACA SEGUNDO HUMBERTO  0602842213001                                                    X
 277483      PADILLA PACA GONZALO RAMON      0602842726001                                                    X
 228078      BRAVO ANASICHA SEGUNDO ANDRES 0602844953001                                                      X
 150742      PEÑA PADILLA SEGUNDO EZEQUIEL 0602845190001                                                      X
 235186      TIPAN AUCANZHALA SEGUNDO GUILLERMO
                                             0602845281001                                                    X
 102022      PINGOS TACURI LUIS ARTURO       0602863334001                                                    X
  34655      CABA LEMA MOISES                0602872061001                                                    X
 177068      ILBAY LLANGARI ISAAC ABDON      0602882193001                                                    X
 159866      SALGUERO SALGUERO NARCIZA DE JESUS
                                             0602888356001                                                    X
 143941      QUISHPI GUZMAN LUIS ALFONSO     0602891905001                                                    X
 236729      HUACHO ÑAUÑAY TELMO RODRIGO     0602894131001                                                    X
 116147      ROMERO URREA HERNAN CRISTOBAL 0602897084001                                                      X
 144041      CABEZAS MOREANO FRANKLIN RAMIRO 0602899668001                                                    X
 231644      URQUIZO CHAVEZ PAUL MIGUEL      0602902140001                                                    X
 153260      LLIQUIN VILLA ANGEL RODRIGO     0602902496001                                                    X
 271212      PALTAN CAIZA JOSE JOAQUIN       0602903056001                                                    X
  60395      CAIZA NIAMA VALERIA BELÉN       0602903544001                                                    X
 251738      NAVARRETE QUISNANCELA ALEX GONZALO
                                             0602906968001                                                    X
  86874      ORELLANA GUINGLA LUIS ALFONSO 0602909913001                                                      X
No                 No registra
                                                               No                    No registra   No
                                                                        No. registra                       registra      No.    indicadores
                                                             registra                provincia, registra
Persona_id               NOMBRE               No. ID (RUC)                 calle                           número      registra de ventas,
                                                             apellido                 cantón y   primer
                                                                         principal                         de calle     origen activos y/o
                                                             paterno                 parroquia nombre
                                                                                                           principal             empleados

 264736      BONIFAZ BONIFAZ JOSÉ ENRIQUE    0602912156001                  X            X                    X
  29928      PÁEZ PINO WALTER RICARDO        0602914590001                                                    X
 146330      CEPEDA VALLA JOSE ALFREDO       0602916140001                                                    X
 270475      FALCONI CARDENAS JUAN CARLOS    0602920936001                                                    X
 206580      BECERRA VALLEJO DIEGO ARMANDO 0602921561001                                                      X
 205010      CAJAMARCA DACTO HUGO HERNAN 0602922940001                                                        X
 203504      HERNÁNDEZ VACA ALEX PATRICIO    0602927550001                                                    X
 250512      OROZCO BASTIDAS LUIS IVAN       0602929390001                                                    X
  35727      GUARANGA ALLAUCA EDGAR PATRICIO 0602929721001                                                    X
 162867      MAJIN MALCA PEDRO VIRGILIO      0602932295001                                                    X
  77795      TOAPANTA TACURI ROSA ELENA      0602932527001                                                    X
 210030      VARGAS NOLIVOS HERNÁN PATRICIO 0602932808001                                                     X
 241004      MANCHENO BALSECA RAMIRO MARCELO 0602939043001                                                    X
 261229      GARCIA MANCERO VINICIO FABIAN   0602943623001                                                    X
 148928      CACERES NOVILLO CRISTHIAN SALOMON
                                             0602945560001                                                    X
  66007      ROLDÁN TENESACA JOAQUIN         0602955361001                                                    X
 146700      LLIVI MARCATOMA CECILIO         0602980583001                                                    X
 158794      LLANO YASACA JOSE MANUEL        0602984197001                                                    X
 135574      QUINLLI MOROCHO NELSON ANIBAL 0602986440001                                                      X
 196626      VILLAVICENCIO SOLEDISPA HERNAN ANTONIO
                                             0602987968001                                                    X
  45032      ASTUDILLO MAMARANDI ALFREDDO MAURICIO
                                             0602987976001                                                    X
 221456      GOMEZ ZURITA SUSY NATALIA       0602988099001                                                    X
 155674      RIVERA HERNANDEZ GERMAN LEONIDAS0602999146001                                                    X
  86346      BARAHONA IBARRA JAVIER GONZALO 0603003658001                                                     X
 251632      ALTAMIRANO CASCANTE HUGO FERNANDO
                                             0603004045001                                                    X
 204400      FLORES SIGUENZA CRISTIAN ANTONIO0603004524001                                                    X
 179210      AUCANCELA ESTRADA MARTHA PIEDAD 0603007378001                                                    X
 139672      CAISAGUANO TUQUINGA LUIS EDMUNDO0603012899001                                                    X
 232480      CHOTO QUISHPI BLANCA LOURDES    0603014077001                                                    X
 243134      LLERENA HIDALGO JORGE FABIAN    0603019076001                                                    X
 273492      CARRILLO PILCO SUSANA DEL ROCÍO 0603020777001                                                    X
No                 No registra
                                                               No                    No registra   No
                                                                        No. registra                       registra      No.    indicadores
                                                             registra                provincia, registra
Persona_id               NOMBRE               No. ID (RUC)                 calle                           número      registra de ventas,
                                                             apellido                 cantón y   primer
                                                                         principal                         de calle     origen activos y/o
                                                             paterno                 parroquia nombre
                                                                                                           principal             empleados

 168787      LEMA ESCOBAR JUAN CARLOS        0603021627001                                                    X
 110915      TERREROS SALAS RENE MAURICIO    0603021635001                                                    X
 261990      ESTRELLA ARIAS XAVIER OSWALDO 0603022930001                                                      X
  41381      AJITIMBAY MUÑOZ MARCO VINICIO   0603023391001                                                    X
 189681      TAPIA GUEVARA DEYSI ANA         0603023839001                                                    X
 104378      ZABALA HIDALGO SANTIAGO PATRICIO0603032111001                                                    X
  48874      AVALOS AVALOS CARLOS LUIS       0603033184001                                                    X
 257423      GUEVARA BALLADARES GONZALO IVAN 0603039231001                                                    X
  49498      GUILLÉN HERRERA LEONARDO DAVID 0603041781001                                                     X
 150178      VILLA UVIDIA RUFFO NEPTALI      0603044108001                                                    X
 264320      CEVALLOS PALACIOS ELSY CUMANDA 0603044538001                                                     X
 147731      RUIZ RUIZ MAYRA LASTENIA        0603047226001                                                    X
 228540      ALARCÓN BECERRA JUAN GABRIEL    0603055294001                  X            X                    X
 259934      VALLEJO TAPIA BEATRIZ HORTENCIA 0603060054001                                                    X
 123109      ORTEGA TAMAYO JORGE LUIS        0603063215001                                                    X
 270058      HIDALGO HIDALGO NORMA ELISA     0603072174001                                                    X
 271938      CHAFLA ORTIZ WILMER OSWALDO     0603076589001                                                    X
 257102      CABEZAS SAMANIEGO MARCO VINICIO 0603081514001                                                    X
 104347      MOROCHO VALLEJO MARIA GEHOMAR 0603093220001                                                      X
 243027      ANDINO NÁJERA CARMEN ELENA      0603099623001                                                    X
 259932      ERAZO ROMAN CARLOS FELICIANO    0603104076001                                                    X
  40813      ROLDÁN DAQUILEMA MARÍA ANA      0603108796001                                                    X
  95921      ROLDAN GUAMAN JOSE ANTONIO      0603110750001                                                    X
 244142      VIZUETE NEGRETE VICTOR ELOY     0603112384001                                                    X
 219056      COELLO LLERENA JORGE AUGUSTO 0603115510001                                                       X
 268334      GUERRERO LARA EDWIN PAUL        0603119058001                                                    X
 242366      VALLEJO GUAMAN LUIS RODRIGO     0603123837001                                                    X
 246781      MANZANO HERDOIZA XAVIER PATRICIO0603128125001                                                    X
 127591      MERINO SAMANIEGO EDGAR ENRIQUE 0603136706001                                                     X
 199807      JARAMILLO ALVERCA ALEXANDRA MARIBEL
                                             0603138462001                                                    X
 173928      BALSECA SANTILLÁN VÍCTOR IVÁN   0603143082001                                                    X
No                 No registra
                                                               No                    No registra   No
                                                                        No. registra                       registra      No.    indicadores
                                                             registra                provincia, registra
Persona_id               NOMBRE               No. ID (RUC)                 calle                           número      registra de ventas,
                                                             apellido                 cantón y   primer
                                                                         principal                         de calle     origen activos y/o
                                                             paterno                 parroquia nombre
                                                                                                           principal             empleados

 150993      VILLA SAMANIEGO FREDDY HERNAN 0603149030001                                                      X
  91431      MORENO CABEZAS JENNY MARICEL 0603153768001                                                       X
  97893      RODRIGUEZ MOROCHO TAYLOR WALDIMIR
                                             0603154709001                                                    X
 209363      AYME NAULA LUIS SEGUNDO         0603158429001                                                    X
  66487      MOYANO PEÑAFIEL NORMA FABIOLA 0603159930001                                                      X
 233646      ROJAS MEZA PERCY FABIAN         0603161126001                                                    X
 123699      TEANGA ZURITA VERÓNICA DEL ROCÍO0603178005001                                                    X
  73945      GRANIZO SAMANIEGO VICTOR HUGO 0603184557001                                                      X
 267111      LEMACHE ARMAS SEGUNDO HECTOR 0603188087001                                                       X
 143617      HIDALGO SOLORZANO SANDRA ELIZABETH
                                             0603208844001                                                    X
 241960      BONILLA LAZO FRRANKLIN ESTUARDO 0603213281001                                                    X
 188469      MIRANDA RODRIGUEZ MAYRA PATRICIA0603230855001                                                    X
 272160      JANETA JANETA SEGUNDO JOSE      0603231093001                                                    X
 254361      AVILÉS MANCERO GLENDA DEL CARMEN0603243981001                                                    X
 248836      CABEZAS RODAS FREDDY VALENTIN 0603249863001                                                      X
 181726      LEON CALLES HUGO GERMAN         0603252578001                                                    X
  96524      CONCHA GUAYLLA HECTOR IVAN      0603261900001                                                    X
 163659      MARCATOMA TAMAY LUIS ALBERTO 0603266032001                                                       X
 275429      BARRENO GUIJARRO SANDRA ISABEL 0603272048001                                                     X
 152069      GUAMAN VILLA SEGUNDO GUAMAN     0603275181001                                                    X
 225615      ALVARADO GALLARDO DIEGO FABIÁN 0603275298001                                                     X
 214429      ROJAS MEZA CÉSAR DARIO          0603276650001                                                    X
 225499      MUYOLEMA BAYAS SEGUNDO HERNAN0603289091001                                                       X
 127167      LLUNDO AZAS WILSON JAVIER       0603289521001                                                    X
 228451      MAJIN RUMANCELA CECILIA MARIA   0603294687001                                                    X
  42641      LARA SUAREZ MAYRA LILIANA       0603307331001                                                    X
  91440      MACAS HIDALGO JUAN BERNARDO     0603317157001                                                    X
 203357      ZABALA MENDOZA UBALDO           0603324849001                                                    X
 239352      GUANGA TACURI WILSON FERNANDO 0603329228001                                                      X
 153598      NARANJO RIVERA ANA REGINA       0603331794001                                                    X
 166300      RUIZ PEÑAFIEL SEGUNDO JUAN      0603332891001                                                    X
No                 No registra
                                                                No                    No registra   No
                                                                         No. registra                       registra      No.    indicadores
                                                              registra                provincia, registra
Persona_id               NOMBRE                No. ID (RUC)                 calle                           número      registra de ventas,
                                                              apellido                 cantón y   primer
                                                                          principal                         de calle     origen activos y/o
                                                              paterno                 parroquia nombre
                                                                                                            principal             empleados

 217067      NARANJO MORENO JOSÉ LUIS         0603336090001                                                    X
  98391      VÁSQUEZ VILLACRÉS DAMIÁN RAFAEL 0603338260001                                                     X
 195368      GUAMAN MITA ANGEL RAMIRO         0603344185001                                                    X
  46265      MUÑOZ FLORES AIDA PATRICIA       0603351701001                                                    X
 251924      BONIFAZ PALACIOS CRISTIAN MARCELO0603351719001                                                    X
  42330      QUIGUIRI LOPEZ JOSE FAUSO        0603355405001                                                    X
 245683      CARRILLO AYALA HECTOR PAUL       0603365941001                                                    X
 144055      COELLO MARROQUIN EDWIN OSWALDO   0603370735001                                                    X
 160131      MURILLO CHICA VERONICA DEL CARMEN0603374760001                                                    X
 190707      VALLEJO SUAREZ OSCAR IVAN        0603375098001                                                    X
 164631      JIMÉNEZ JAIME                    0603376328001                                                    X
 252296      MERINO NARANJO MARIO ADRIAN      0603378076001                                                    X
 250135      GUAMÁN CAUJA MARIA DEL PILAR     0603383779001                                                    X
 160696      GUAIÑA REMACHE JORGE LUIS        0603386715001                                                    X
 122693      TACURI TENE SEGUNDO PASCUAL      0603389487001                                                    X
  79690      SALCAN AGUAGALLO VERONICA ALEXANDRA
                                              0603394578001                                                    X
 114203      DIAZ MARTINEZ ROMMEL FRANCISCO 0603404138001                                                      X
  53733      OCAÑA COELLO ELVIS MAURICIO      0603407180001                                                    X
 258038      GUINGLA FACONDA BLADIMIRO ISAIAS 0603408527001                                                    X
 255919      NAULA QUISHPE JOSE MANUEL        0603420225001                                                    X
 206082      MOROCHO VELASCO PAOLA JACQUELINE 0603426594001                                                    X
 145868      QUITO YUNGA VICENTE              0603444753001                                                    X
 157390      GUILCAPI SANTAMARIA VERONICA DEL0603453820001
                                               PILAR                                                           X
  97885      RAMOS DIAZ MARIA FERNANDA        0603471491001                                                    X
 190637      LEAL GUILCAPI JUAN CARLOS        0603474222001                                                    X
 111881      SANCHEZ MERINO RICARDO DANIEL 0603476581001                                                       X
 124160      BARROS BERRONES JULIO CESAR      0603496332001                                                    X
 140196      POLO CABEZAS MARIA AGUSTA        0603499013001                                                    X
 135189      MURILLO HERNANDEZ ANA PIEDAD     0603501834001                                                    X
  68854      SALAS PROAÑO XAVIER ENRIQUE      0603507120001                                                    X
 279475      GUACHO VILLA ANA LUCIA           0603529389001                                                    X
No                 No registra
                                                               No                    No registra   No
                                                                        No. registra                       registra      No.    indicadores
                                                             registra                provincia, registra
Persona_id              NOMBRE                No. ID (RUC)                 calle                           número      registra de ventas,
                                                             apellido                 cantón y   primer
                                                                         principal                         de calle     origen activos y/o
                                                             paterno                 parroquia nombre
                                                                                                           principal             empleados

 233992      PARRA DOMINGUEZ JUAN ENRIQUE   0603561465001                                                     X
 253615      QUISPILLO PARRA JUAN CARLOS    0603597428001                                                     X
  65151      NSIM DISEÑOS                   0603605767001                                                     X
 273291      XIMENEZ VILLALVA DIANA MARIELA 0603609710001                                                     X
 141228      ARELLANO MANGUIS AIDEE ILEANA  0603610973001                                                     X
 256386      PAGALO GUAMAN EDWIN RODOLFO 0603612003001                                                        X
  50125      CHARIGUAMAN RODRIGUEZ JOSE LUIS0603617234001                                                     X
 192558      COELLO RIVERA EDDY FRANKLIN    0603658717001                                                     X
 220449      SANTILLAN MATUTE LAURA YOLANDA 0603667338001                                                     X
 160258      CALI VARGAS CARMEN DEL PILAR   0603685090001                                                     X
 279595      MIRANDA GUAPI JOSE ALONSO      0603711524001                                                     X
 150572      YASACA CHUQUIMARCA JOSE        0603740135001                                                     X
  95738      SOLDADO GUAMAN ANGEL GUSTAVO 0603744376001                                                       X
 173839      PUSAY LLAMUCA ABRAHAN IPOLITO 0603746843001                                                      X
 142001      PALTAN PEREZ MARIA OLGA        0603748567001                                                     X
 112121      POMAQUERO YUNGAN MARIA JANETH 0603751306001                                                      X
 182872      GUAYLLA GADBAY JOSE MANUEL     0603760406001                                                     X
 131788      AULLA SALAMEH CARLOS OCTAVIO   0603782897001                                                     X
 183208      GALLEGOS ROBALINO DENNYS ROLANDO
                                            0603805268001                                                     X
 218877      QUISHPE ORTEGA LUIS EDUARDO    0603810136001                                                     X
  97723      MOSCOSO BALDEON ANGEL WILFRIDO0603830936001                                                      X
 188357      YANZA ERAZO ERIKA MARIBEL      0603875782001                                                     X
 229191      QUISAY MOROCHO SEGUNDO RENAN 0603878596001                                                       X
 259788      FLORES CAMAS DIEGO GUSTAVO     0603887258001                                                     X
 189205      RUIZ SALGADO MARCO ALEJANDRO 0603922493001                                                       X
 171297      BALSECA BARREROS DANNY RODRIGO 0603943952001                                                     X
 128704      PILCO AUQUI RUBEN ALFREDO      0603948167001                                                     X
 251652      ANDINO NUÑEZ DANIEL ALEJANDRO 0603955899001                                                      X
 105730      AUQUILLA MONAR ANITA DEL ROCÍO 0603961046001                                                     X
 123470      GUAIÑA MOROCHO JULIO EDUARDO 0603967431001                                                       X
 161368      ZAVALA ECHEVERRIA HILDA        0603994831001                                                     X
No                 No registra
                                                               No                    No registra   No
                                                                        No. registra                       registra      No.    indicadores
                                                             registra                provincia, registra
Persona_id               NOMBRE               No. ID (RUC)                 calle                           número      registra de ventas,
                                                             apellido                 cantón y   primer
                                                                         principal                         de calle     origen activos y/o
                                                             paterno                 parroquia nombre
                                                                                                           principal             empleados

 233648      CARRASCO TOAPANTA JULIO CESAR 0604011692001                                            X
 111425      PUCULPALA CHOTO SEGUNDO ESTUARDO 0604017574001                                         X
 166770      CABRERA SIBAMBE HECTOR RAMIRO 0604026625001                                            X
 244954      GARCES CASTRO ARTURO FELIX       0604063586001                                         X
  82636      SINALUISA TOPA CESAR GEOVANNY 0604069393001                                            X
 193698      CAIZA FALCONI JAVIER ALFONSO     0604077008001                                         X
 208996      PAUCAR GUALANCAÑAY GLADYS ADELAIDA
                                              0604125153001                                         X
 234910      MALDONADO NÚÑEZ ALBA ISABEL      0604136358001                                         X
 244840      GUAIÑA REMACHE TOMAS ELIAS       0604140699001                                         X
 148793      SAMANIEGO HURTADO MARIA MARIBEL  0604193649001                                         X
 195261      QUISHPE MOROCHO FREDY XAVIER 0604196246001                                             X
 205465      CAMAS QUIZHPE ROBERTO CARLOS 0604200667001                                             X
 143680      GRANIZO ATUPAÑA LUIS ALFREDO     0604203422001                                         X
 155381      QUISHPE ORTIZ MYRIAM PATRICIA    0604229591001                                         X
 128411      MENDOZA TAPAY MARCO VINICIO      0604293936001                                         X
 216505      GUAMAN GUSÑAY LUIS ALFONSO       0604381152001                                         X
 207358      GUEVARA HERNANDEZ MONICA ELIZABETH
                                              0604470971001                                         X
 119586      RODRIGUEZ GUEVARA ADRIANA NATALI 0604522151001                                         X
  99584      RUMIPAMBA CARANQUI NELSON BALERIO0604524405001                                         X
 112163      FLORES CHUNATA NELLY FERNANDA 0604540500001                                            X
 246667      SERRANO BRITO DARWIN FERNANDO 0604569806001                                            X
  90939      ALTAMIRANO NAJERA CARLOS VICENTE604572016001
                                              0                                                     X
  95153      RAMOS BERMEO JORGE WALTER        0604764985001                                         X
 108215      DAGA UVIDIA MARÍA FERNANDA       0604802272001                                         X
 251533      CUJILEMA YUNDA JUAN JOSE         0605213859001                                         X
  34223      MUNICIPIO DE RIOBAMBA            0660000360001                                         X                X
  34322      MUNICIPIO DE COLTA               0660000520001                                         X
 133790      UNIVERSIDAD NACIONAL DE CHIMBORAZO
                                              0660001840001                                         X                X
  45972      DIRECCION PROVINCIAL DE EDUCACION INTERCULTURAL BILINGUE DE CHIMBORAZO
                                              0660810520001             X                           X                X
  65163      CENTRO DE SERVICIOS TÉCNICOS Y TRASFERENCIA TECNOLÓGICA AMBIENTAL
                                              0660830200001                                         X
  42155      PATRONATO SERVICIO A LA NIÑEZ APOYO A LA MUJER Y TERCERA EDAD DEL GOBIERNO DE LA PROVINCIA DE CHIMBORAZO
                                              0660831360001             X                           X
No                 No registra
                                                              No                    No registra   No
                                                                       No. registra                       registra      No.    indicadores
                                                            registra                provincia, registra
Persona_id              NOMBRE               No. ID (RUC)                 calle                           número      registra de ventas,
                                                            apellido                 cantón y   primer
                                                                        principal                         de calle     origen activos y/o
                                                            paterno                 parroquia nombre
                                                                                                          principal             empleados

  39853      CENTRO DE TRANSFERENCIA TECNOLOGICA SERVICIOS TECNOLOGICOS INTEGRALES SETEIN ESPOCH
                                              0660832920001                                    X
 177677      CENTRO DE TRANSFERENCIA TECNOLOGICA DESARROLLO LOCAL PARA EL BIENESTAR HUMANO
                                              0660833570001                                    X
 169672      PRODUCTOS LACTEOS CHIMBORAZO SOCIEDAD DE ECONOMIA MIXTA "PROLAC" S.E.M.
                                              0690004887001                                    X
  64963      SINDICATO DE CHOFERES LOS ANDES 0690019124001                                     X
 217371      SINDICATO UNICO CHOFERES DE CHIMBORAZO
                                              0690021617001                                    X
  56202      INPAPEL PATRIA CIA. LTDA.        0690033143001                                    X
 270911      COOPERATIVA DE TRANSPORTES ALIANZA SAN JUAN
                                              0690043645001                                    X
  15991      CONSTRUCTORA OVIEDO PALACIOS COVIPAL CIA LTDA
                                              0690050587001                                    X
  77609      ELABORADOS DE HORMIGON C. LTDA 0690054604001                                      X
 138803      ALBERGUE TURISTICO ABRASPUNGO CIA. LTDA
                                              0690073005001                                    X
 135332      UNIÓN DE ORGANIZACIONES POPULARES INCA ATAHUALPA
                                              0690074168001                                    X
  34714      FUNDACION MANO AMIGA             0690074206001                                    X
  34928      CORPORACION DE ORGANIZACIONES CAMPESINAS DE LICTO
                                              0690075571001                                    X
 165515      CONFEDERACION DE PUEBLOS ORGANIZACIONES INDIGENAS EVANGELICAS DE CHIMBORAZO
                                              0690076586001                                    X
 265568      CANTERA SHOBOL CENTRAL           0691703126001                                    X
  23586      DE HOWITT ENRIQUEZ CIA LTDA      0691710211001                                    X
  52007      BCS OKO GARANTIE CIA. LTDA.      0691710726001                                    X
   4764      ECUANUTRIONIMEX S.A.             0691710807001                                    X
 214985      COMUNIDAD SAN FRANSISCO DE BUSHCUD
                                              0691713032001                                    X
 241977      CORPORACION DE ORGANIZACIONES E INSTITUCIONES DE DESARROLLO SOCIAL LOS ANDES
                                              0691713113001                                    X
 173646      SANSERVICIOS CIA. LTDA.          0691713377001                                    X
 112982      ASOCIAION DE CONSERVACION VIAL PATRONO SAN JUAN
                                              0691715817001                                    X
 253866      ASOCIACIÓN DE CONSERVACIÓN VIAL 0691715930001                                     X
  26795      UNIÓN DE COMITES BARRIALES DEL SUR UCOBASUR
                                              0691716244001                                    X
  40463      CONSTRUCTORA TORRES SALAZAR CONSTOSA CIA LTDA
                                              0691717062001                                    X
  45177      MOCEPROSA S.A.                   0691717577001                                    X
 135606      HOSTERIA EL TROJE HOSTROJE CIA. LTDA.
                                              0691717674001                                    X
 195714      CORPORACION DE PRODUCCION Y COMERCIALIZACION AGROPECUARIA PALLATANGA
                                              0691717682001                                    X
 111561      ESTACION DE SERVICIO "GASYARUQUIES" CIA. LTDA.
                                              0691718832001                                    X
  32441      ASOCIACION DE CONSERVACION VIAL NUEVO AMANECER
                                              0691720829001                                    X
  88863      RECTIFICADORA AUTOBAMBA CIA. LTDA.
                                              0691721396001                                    X
No                 No registra
                                                               No                    No registra   No
                                                                        No. registra                       registra      No.    indicadores
                                                             registra                provincia, registra
Persona_id               NOMBRE               No. ID (RUC)                 calle                           número      registra de ventas,
                                                             apellido                 cantón y   primer
                                                                         principal                         de calle     origen activos y/o
                                                             paterno                 parroquia nombre
                                                                                                           principal             empleados

  38028      JOSAFERCO CONSTRUCTORA CIA. LTDA.
                                             0691721507001                                                    X
 145814      HOSTERIA LA ANDALUZA            0691722406001                                                    X
 271598      ASOCIACION DE SERVICIOS COMUNITARIOS DR. JAIMR ROLDOS AGUILERA
                                             0691722821001                                                    X
 107352      ASOCIACION EN PARTICIPACION MICROEMPRESARIAL ASST
                                             0691723062001                                                    X
 201662      CULTIVO Y VENTA DE FREJOL       0691724069001                                                    X
 193268      MAGIC MOUNTAINS                 0691726894001                                                    X
 205202      NUVINAT S.A.                    0691728005001                                                    X
 230101      BULLCANDLE COMPANY              0691728641001              X                X                    X
 240780      CORPORACION TECNICA EMPRESARIAL COTESA S C
                                             0691729079001                                                    X
 259483      ASOCIACIÓN DE CONSERVACIÓN VIAL CHAZASAL
                                             0691729885001                                                    X
 171574      HEREDIA AYALA ROSSITER URBANO 0700004542001                                                      X
 219523      SOTOMAYOR CARLOS GUILLERMO      0700007354001                                                    X
 189029      VARGAS VICTOR EMILIO            0700008345001    X                                               X
 224072      TORRES LOPEZ CELSO HONORATO     0700010705001                                                    X
 230276      ASTUDILLO NIEMES LUCIO ODILON   0700021769001                                                    X
  79788      SOLANO ESPINOZA JUAN SIXTO      0700022510001                                                    X
  93045      JIMÉNEZ RIVERA LUIS ANGEL       0700033301001                                                    X
 188368      CRUZ PARRALES LUCIO RICARDO     0700040546001                                                    X
 154779      SANGURIMA CRESPO JOSE LUIS      0700047202001                                                    X
  99965      SANCHEZ JOSE ALBERTO            0700058928001                                                    X
 278464      PESANTES CASTILLO ALEJANDRO ERNESTO
                                             0700068463001                                                    X
 191216      SALCEDO PARRALES CESAR DIONISIO 0700078413001                                                    X
 206509      GARCES PEREZ JUAN HUMBERTO      0700081730001                                                    X
 168779      GRANDA FELIX EUTILIO            0700090848001                                                    X
 247081      ORELLANA ORELLANA NORMAN OSWALDO0700097793001                                                    X
  69560      AJILA AJILA EMIGDIO ALCIDES     0700102577001                                                    X
 241547      ORELLANA JIMENEZ ANGEL GABRIEL 0700115710001                                                     X
  86102      PORRAS QUINTANILLA MAXIMILIANO ALBERTO
                                             0700117997001                                                    X
 199123      VASQUEZ GUAMAN VICTOR MANUEL 0700118029001                                                       X
 138929      AGUIRRE OCHOA LUIS VICENTE      0700118300001                                                    X
 200641      LOAIZA SERGIO ENRIQUE           0700127459001                                                    X
No                 No registra
                                                               No                    No registra   No
                                                                        No. registra                       registra      No.    indicadores
                                                             registra                provincia, registra
Persona_id               NOMBRE               No. ID (RUC)                 calle                           número      registra de ventas,
                                                             apellido                 cantón y   primer
                                                                         principal                         de calle     origen activos y/o
                                                             paterno                 parroquia nombre
                                                                                                           principal             empleados

  99362      JORDAN CHAVEZ MARTHA MARIA      0700127574001                                                    X
 135800      ORTIZ PEREZ ANTONIO HOLGER      0700129752001                                                    X
 234359      PACHECO ESPINOSA MANUEL TRINIDAD700145659001
                                             0                                                                X
 155376      RIOFRIO OJEDA JUAN ALEJANDRO    0700153471001                                                    X
  66369      AMBROSI AMBROSI ROMULO ELIAS    0700154925001                                                    X
 216110      LOAYZA JARAMILLO HUGO VICENTE 0700178015001                                                      X
 158420      ROMERO LOAYZA MIGUEL ANGEL      0700179542001                                                    X
 274178      MOROCHO CORDOVA MARIA ESTHER 0700201544001                     X            X                    X
  85256      JUMBO QUITO HORACIO             0700212335001                                                    X
 145724      CABRERA DURAN VICTOR MIGUEL     0700240435001                                                    X
 147335      MORALES GALLARDO JOSE ANTONIO 0700253859001                                                      X
 229624      MATAILO CUEVA SANTOS FRANCISCO 0700273220001                                                     X
 142267      PIZARRO POMA LUIS FERNANDO      0700292758001                                                    X
 141746      SERRANO ZAMBRANO VICENTE ANTONIO0700296999001                                                    X
  82970      REYES ROMERO NORMAN EFREN       0700301765001                                                    X
 132667      ARMIJOS TORRES ELENA BEATRIZ    0700312143001                                                    X
 109545      GUAYCHA RIVERA CARLOS ALBERTO 0700323173001                                                      X
 139671      GRANDA ALULIMA JOSE EFREAIN     0700323595001                                                    X
 151024      ULLOA ULLOA CARLOS ORLANDO      0700345614001      X                                             X
 119289      PARRALES ACOSTA JOSE VICTOR     0700345671001                                                    X
 223517      MORENO RIOS VICENTE AURELIO     0700349103001                                                    X
 132337      CHANGO CHANGOTASIG LEONIDAS     0700349996001                                                    X
  23180      BORJA RAMIREZ WALTER STALIN     0700366636001                                                    X
 227623      VEINTEMILLA MUÑOZ MARIANA AGRIPINA
                                             0700368525001                                                    X
 140339      RAMIREZ AGUILAR ORLANDO ENRIQUE0700370448001                                                     X
 208423      JARA ARMIJOS JOSE MANUEL        0700393150001                                                    X
 139730      RAMIREZ CASTRO ENRIQUE GILBERTO0700394372001                                                     X
 215418      ROMERO ASANZA ANGEL BENIGNO     0700402530001                                                    X
  96532      GALLARDO GALARZA SERGIO MARIA 0700417728001                                                      X
 186628      AYALA VILLAMAR AQUILES MANUEL   0700420433001                                                    X
 207360      REBOLLEDO YANGE JOSE ENRIQUE    0700422959001                                                    X
No                 No registra
                                                               No                    No registra   No
                                                                        No. registra                       registra      No.    indicadores
                                                             registra                provincia, registra
Persona_id               NOMBRE               No. ID (RUC)                 calle                           número      registra de ventas,
                                                             apellido                 cantón y   primer
                                                                         principal                         de calle     origen activos y/o
                                                             paterno                 parroquia nombre
                                                                                                           principal             empleados

 127908      TORRES CARRION MANUEL IGNACIO 0700431406001                                                      X
  92780      MONCAYO MOLESTINA NELSON FELIPE 0700440886001                                                    X
  91790      PEREZ ARCENTALES NORMA CRUZ     0700483431001                                                    X
 258921      PINEDA IZQUIERDO RODRIGO HUMBERTO
                                             0700484603001                                                    X
 113162      CORELLA VERDUGA CARLOS          0700494065001                                                    X
 226064      VALLADAREZ CUENCA JUAN JOSE     0700522089001                                                    X
  82807      CUEVA VICENTE TEODULO           0700543309001                                                    X
 133886      BARRAGAN BUSTOS GALO HUMBERTO0700570500001                                                       X
 139590      AGUILAR AGUILAR JOSE TOBIAS     0700570815001                                                    X
  89155      ZAMBRANO MARCO TULIO            0700572340001                                                    X
 178815      ASTUDILLO FEIJOO OSWALDO ARTURO 0700581002001                                                    X
 135867      SERRANO JACOME GUILLERMO DANILO 0700581275001                                                    X
 130433      PIEDRA RUBIO SABINO DELFIN      0700584352001                                                    X
 263623      CONDE JIMENEZ CARMEN LUCRECIA 0700592082001                                                      X
  96390      MURILLO CORDOVA LUZ ELENA       0700595531001                                                    X
 232877      CORDOVA BUSTAMANTE ALFREDO ALEX 0700596976001                                                    X
 134313      JARAMILLO CARRIÓN PEDRO ANTONIO0700599418001                                                     X
 225510      LUNA AREVALO MERCEDES ALPAQUITA 0700609969001                                                    X
  86887      MONTALVO SERRANO JULIO HENRY 0700637739001                                                       X
 149377      LUPU SANTOS SOTERO              0700639925001                                                    X
 121548      MUÑOZ CALDERON CARLOS ALFREDO 0700640683001                                                      X
  38868      MORA HIDALGO JORGE ENRIQUE      0700656143001                                                    X
 112058      GALARZA IZURIETA CESAR ANTONIO 0700665573001                                                     X
 188231      CUEVA GALLARDO SAMUEL MARIA     0700691397001                                                    X
  83321      MORA SERRANO JOSE ABELINO       0700696180001                                                    X
 140394      URBINA RAMIREZ LORENZO          0700700776001                                                    X
  57040      JROMERO MATAMOROS JORGE ERNESTO 0700703242001                                                    X
 245398      VALDIVIEZO VEGA SAMUEL EDILBERTO0700705197001                                                    X
 221205      CUNALATA NARANJO CESAR ALIPIO   0700706039001                                                    X
 135232      ALBAN VALAREZO AMADO ALBERTO 0700707029001                                                       X
 275853      AYALA FLORESMILO                0700707185001                               X                                X
No                 No registra
                                                                No                    No registra   No
                                                                         No. registra                       registra      No.    indicadores
                                                              registra                provincia, registra
Persona_id               NOMBRE                No. ID (RUC)                 calle                           número      registra de ventas,
                                                              apellido                 cantón y   primer
                                                                          principal                         de calle     origen activos y/o
                                                              paterno                 parroquia nombre
                                                                                                            principal             empleados

 264408      REYES ORELLANA ROMULO EFREN      0700712862001                                                    X
 172353      FEIJOO SANCHEZ JORGE WILMAN      0700715550001                                                    X
 138550      ORDONEZ PERPETUA                 0700719289001                                                    X
 131171      AGUILAR CASTILLO NORA ESPERANZA 0700720030001                                                     X
  97658      CHIRIBOGA VERGARA TERESA         0700723174001                                                    X
  21377      QUEZADA MOSQUERA JOSE GILBERTO0700726060001                                                       X
  21439      DAVILA AGUILERA IVAN ENRIQUE     0700729320001                                                    X
 271267      ELIZALDE GRANDA JOSE AGUSTIN     0700730898001                  X            X                    X
 215505      PEÑAFIEL VALDIVIEZO TEREZA ANGELICA
                                              0700732191001                                                    X
 267361      MARIN GOMEZ SEGUDO ANGEL         0700736366001                                                    X
 219554      RÍOS BUSTAMANTE FRANCISCO BOLÍVAR0700737018001                                                    X
  81317      RAMIREZ RAMIREZ MIGUEL ANTONIO 0700737042001                                                      X
 217886      AGUILAR CARRION GERTRUDIS ESPERANZA
                                              0700740491001                                                    X
 134976      VÉLEZ TORRES ULBIO ANGEL         0700743990001                                                    X
 258087      RIOS VELEPUCHA EULOGIO           0700746134001                                                    X
 145179      PINDO ATARIGUANA MARIA ZOILA     0700746902001                                                    X
 166647      BEDOYA MOROCHO BLANCA AMERICA 0700749617001                                                       X
 143515      BERMEO CABEZAS MARGARITA DE LA CRUZ
                                              0700763295001                                                    X
 148453      BARAGAN RAMIREZ JULIO CESAR      0700766470001                                                    X
 244211      RENDÓN VERA FREDDY EDMUNDO       0700771157001                                                    X
  63042      JARAMILLO SARITAMA TELMO         0700771363001                                                    X
 195119      ALVARADO VALLADARES JOSE SEGUNDO 0700773211001                                                    X
 107801      AGUIRRE SANCHEZ ROBERTO ALFONSO  0700775000001                                                    X
 183312      GUANUCHE FLORES LUPERTO IVAN 0700778293001                                                        X
  83610      ROMERO APOLO EVA CARMITA         0700783434001                                                    X
  67191      GARCIA PINEDA REBECA             0700784838001                                                    X
 140075      TORRES RUIZ ANGEL ROLANDO        0700792880001                                                    X
  67385      ZALDUMBIDE PEÑARRETA MILTON EDUARDO
                                              0700794795001                                                    X
  77313      SANCHEZ ESPINOZA LUIS ALFREDO    0700795818001                                                    X
  49583      AUCAPEÑA MEDINA FRANCISCO RAFAEL 0700799281001                                                    X
 175610      TITUANA RAMON BOLIVAR IDELFONSO 0700805542001                                                     X
No                 No registra
                                                               No                    No registra   No
                                                                        No. registra                       registra      No.    indicadores
                                                             registra                provincia, registra
Persona_id               NOMBRE               No. ID (RUC)                 calle                           número      registra de ventas,
                                                             apellido                 cantón y   primer
                                                                         principal                         de calle     origen activos y/o
                                                             paterno                 parroquia nombre
                                                                                                           principal             empleados

   3426      ARAGONES VASQUEZ GRACE DEL PILAR0700806185001                                                    X
 114414      SANCHEZ PINEDA BENIGNO LAUTARO 0700810336001                                                     X
  97847      ORTEGA VALDIVIEZO LUIS ANTONIO 0700819972001                                                     X
 104675      FEIJÓO FEIJÓO JUAN MANUEL       0700834468001                                                    X
 178922      MONTALVO VITERI ROOSEVELT MARCO 0700837255001                                                    X
  33234      ORELLANA SABAY JULIO HUMBERTO 0700846694001                                                      X
  91717      TANDAZO GALO HERMEL             0700847932001                                                    X
 202484      CASTILLO GUARNIZO FRANCISCO     0700853633001                                                    X
 109003      ARCAYE PRIETO CIRO SATURDINO    0700854086001                                                    X
  20383      CRUZ MARCIAL ELOY GUILLERMO     0700854409001                                                    X
 175757      RODRIGUEZ PEÑAHERRERA RAFAEL ALBERTO
                                             0700854599001                                                    X
 166130      ALVARADO SANTISTEVAN EDGAR GUILLERMO
                                             0700856164001                                                    X
 135286      ROMERO LOAYZA FULVIO MANUEL     0700864150001                                                    X
 256007      MALDONADO JARA SILVIO ROSENDO 0700865553001                                                      X
 188129      CASTRO GUMERCINDO               0700871684001                                                    X
 154089      HONORES HONORES JOSE ELEUTERIO0700874779001                                                      X
 138344      APOLO IZQUIERDO ANGELINO ANGELES700883788001
                                             0                                                                X
 143868      CABRERA SIMON ENRIQUE           0700884323001                                                    X
 265878      VALAREZO TORO OSWALDO ALFREDO 0700885890001                                                      X
 209070      JARAMILLO AGUIRRE ULVIA LIDIA   0700887979001                                                    X
  18047      SEGARRA PACHECO JHONNY FERNANDO 0700889199001                                                    X
  65229      VALAREZO ROMERO HUGO MANFREDY0700890577001                                                       X
  53025      CABRERA APOLO JUAN MANUEL       0700891997001                                                    X
 215137      GALLARDO MARIA ALBA             0700892268001                                                    X
 254097      APOLO APOLO MIGUEL ANGEL        0700892839001                                                    X
  84997      LÓPEZ CACAY GILBER HONORATO     0700898752001                                                    X
 139594      ROMERO MANUEL JACINTO           0700901499001                                                    X
  97214      CASTILLO AZADOVAY ARSENIO VICENTE
                                             0700906324001                                                    X
 111971      ESTRELLA CARRION LUIS EMETERIO 0700906373001                                                     X
 234745      ZEAS PROCEL MARCO ORLANDO       0700907413001                                                    X
 244835      RAMIREZ GALARZA JOSE VICENTE    0700908833001                                                    X
No                 No registra
                                                               No                    No registra   No
                                                                        No. registra                       registra      No.    indicadores
                                                             registra                provincia, registra
Persona_id               NOMBRE               No. ID (RUC)                 calle                           número      registra de ventas,
                                                             apellido                 cantón y   primer
                                                                         principal                         de calle     origen activos y/o
                                                             paterno                 parroquia nombre
                                                                                                           principal             empleados

 112886      JIMENEZ BRITO LUIS CESARIO      0700910284001                                                    X
 119317      PRIETO PRIETO ROSA ISABEL       0700919509001                                                    X
 158446      RAMIREZ ENCARNACION SANTOS MARCELINO
                                             0700920291001                                                    X
 174968      ROMERO LOAYZA SEGUNDO AMABLE 0700920531001                                                       X
 214283      MENDEZ ARMIJOS EDGAR GONZALO 0700925324001                                                       X
 151630      MOROCHO COELLO LORGIA LUZ       0700925753001                                                    X
  94147      GUAYCHA ESPINOZA GUILLERMO WILMER
                                             0700929631001                                                    X
 203313      GUAILLAS ROMERO JOSE MOISES     0700932296001                                                    X
 150799      SALVATIERRA MENDOZA LUIS GUSTAVO700933542001
                                             0                                                                X
 140466      GODOY LUNA ANGEL IVAN           0700935620001                                                    X
 255377      SAÑAY ASANZA HOLGER SULPICIO    0700939499001                                                    X
 215873      CUMBICOS VERA JOSE SERVILIO     0700942717001                                                    X
 272940      CHILLOGALLO LOJA MANUEL ROLANDO 0700942980001                                                    X
  22966      AGUILAR MOSQUERA LUIS ARNALDO 0700952294001                                                      X
  99586      CAMPOVERDE HIDALGO MAGNA DEL ROSARIO
                                             0700953151001                                                    X
 237248      PINEDA ZHIGUE MANUEL ELIAZAR    0700955040001                                                    X
 175516      AGUILAR PINEDA ANGEL POLIVIO    0700956642001                                                    X
 112822      MOCHAS ARCE EMILIANO ALFONSO    0700957160001                                                    X
 230750      ROMERO GOMEZ CECILIA DE LOS ANGELES
                                             0700961840001                                                    X
  87439      TENICELA GONZALEZ SIMON BOLIVAR 0700962707001                                                    X
 242210      SANCHEZ MARIN ANGEL POLIVIO     0700963036001                                                    X
 173529      ZAPUTT ORELLANA ABEL MOISES     0700963093001                                                    X
 275999      RAMBAY MEDINA MIRNA IRLANDA     0700965510001                                                    X
  85381      GONZALEZ ANAZCO FELIX GUILLERMO 0700965643001                                                    X
  91982      LOAYZA SANCHEZ SERVIO MANUEL    0700965890001                                                    X
 103790      BUELE MAZA ESMAR ADOLFO         0700968662001                                                    X
  25705      ORELLANA PINEDA ARNALDO DE JESUS0700971443001                                                    X
 204674      VERA INTRIAGO DIOMEDES EDILBERTO0700977762001                                                    X
 196811      DE LA ROSA ARIAS NORMA CALLETANA0700978091001                                                    X
  60434      RAMÍREZ RAMÍREZ CONSTANTE DE JESÚS
                                             0700983364001                                                    X
 143204      ANDRADE CARRION RODRIGO         0700988256001                                                    X
No                 No registra
                                                               No                    No registra   No
                                                                        No. registra                       registra      No.    indicadores
                                                             registra                provincia, registra
Persona_id               NOMBRE               No. ID (RUC)                 calle                           número      registra de ventas,
                                                             apellido                 cantón y   primer
                                                                         principal                         de calle     origen activos y/o
                                                             paterno                 parroquia nombre
                                                                                                           principal             empleados

 176181      SANCHEZ MONTALVAN GOVER MARINO  0700991490001                                                    X
  31397      VELEPUCHA VELEPUCHA RENE RODRIGO0700992704001                                                    X
 176586      ROMERO CISNEROS CARLOS ALBERTO  0700993207001                                                    X
  62836      FREIRE PONTÓN ROQUE ERMEL       0700999576001                                                    X
  71093      JARRIN ROMERO GEOVANNA CECILIA 0701002230001                                                     X
 259834      QUEZADA SANGURIMA LUIS ALEJANDRO0701007726001                                                    X
 188249      HIDALGO SANCHEZ GUSTAVO SALVADOR0701008609001                                                    X
 206095      CRUZ MENDIETA ANGEL ROQUE       0701012148001                                                    X
 156852      PEÑA QUICHIMBO OCTAVIO DE LA CRUZ701012197001
                                             0                                                                X
 182255      GONZALEZ ABAD HUGO DEMETRIO     0701018509001                                                    X
  97516      FERNANDEZ RIOFRIO WALTER EDUARDO0701019184001                                                    X
 267309      PERALTA CARLOS VICENTE          0701022071001                                                    X
  39087      AVILÉS AGUILAR GERARDO RIGOBERTO0701023061001                                                    X
 147422      AJILA CUENCA CANDIDO GONZALO    0701031478001                                                    X
 196310      AVILA BENITEZ LINDA EUGENIA     0701032179001                                                    X
 267781      ARMIJOS ARMIJOS ARECIO BERNABE 0701032732001                                                     X
 221215      PENA AGUILAR ENRIQUETA DEL CARMEN
                                             0701033862001                                                    X
 164228      MOROCHO PEREZ ESTRELLA NOEMÍ 0701034068001                                                       X
  23356      JARAMILLO ESPINOZA PEDRO ALONSO0701034563001                                                     X
  60253      DELGADO TENEZACA STALIN HUMBERTO0701041907001                                                    X
 112722      SILVA GONZALO ENRIQUE           0701048167001                                                    X
 184710      CASTRO PATIÑO RAMON BOLIVAR     0701048530001                                                    X
 251164      VIVIAN CARDENAS MARIA TERESA    0701056038001                                                    X
 215029      DIAZ SARANGO NATALIA            0701060105001                                                    X
 127854      TORO CELI SERVIO AUGUSTO        0701062572001                                                    X
 178771      SANCHEZ PINEDA EDGAR EDUARDO 0701063547001                                                       X
 154653      ALVAREZ HEREDIA DULCE MARIA     0701068132001                                                    X
 211183      MORENO CASTILLO CARMEN ADELA 0701072530001                                                       X
 149014      BUSTAMANTE RIOFRIO LUZ MARIA    0701076325001                                                    X
  21987       LUIS                           0701077786001                                                    X
  13756      QUEZADA ROMERO LUIS ALBERTO     0701079121001                                                    X
No                 No registra
                                                               No                    No registra   No
                                                                        No. registra                       registra      No.    indicadores
                                                             registra                provincia, registra
Persona_id               NOMBRE               No. ID (RUC)                 calle                           número      registra de ventas,
                                                             apellido                 cantón y   primer
                                                                         principal                         de calle     origen activos y/o
                                                             paterno                 parroquia nombre
                                                                                                           principal             empleados

 104014      CAMPOVERDE AGUILAR MARÍA ELENA 0701080699001                                                     X
 122994      FEIJOO CRUZ ROOSELVET EMILIO    0701081143001                                                    X
 190679      ROJAS BUSTAMANTE JULIO CESAR    0701081341001                                                    X
  37422       CARLOS                         0701086282001                                                    X
 178382      CASTRO LUCERO TERESA DE JESUS 0701092645001                                                      X
 176216      LOAYZA AGUILAR ARTURO JOEL      0701092785001                                                    X
  57309      CHAMAIDAN SOLANO ENRIQUE XAVIER0701093296001                                                     X
 276887      ALVARADO GUICHAY HECTOR VIRGILIO0701096364001                                                    X
 107532      CALVA VALLADOLID FRANCISCO BOLIVAR
                                             0701100091001                                                    X
  63513      ORTEGA MORALES LIVIO MARCELO    0701100802001                                                    X
 161264      MURILLO UGARTE ADA PILAR        0701100885001                                                    X
 180561      OSORIO MARCA EDUARDO FELIPE     0701100935001                                                    X
  18547      ALVARADO QUEZADA MANUEL WILFRIDO0701102337001                                                    X
 138111      CHAMBA TORO JORGE ALBERTO       0701105355001                                                    X
  47535       FERNANDO                       0701106858001                                                    X
 225525      CAÑAR CHUQUIMARCA DIGNA EMERITA701114548001
                                             0                                                                X
 135068      MONCADA SOLANO FRANCISCO ISIDRO 0701114738001                                                    X
 160606      RIOS PEÑARANDA SERGIO GONZALO 0701115305001                                                      X
 153397      JIMENEZ CASTILLO ZOILA LUZ      0701115537001                                                    X
 166269      QUIMI BUSTAMANTE EDGAR YOVANI 0701116253001                                                      X
  29616      BRITO AVILA MIGUEL VICENTE      0701118341001                                                    X
  66265      PEDREROS SANCHEZ FERNANDO HERNAN0701119323001                                                    X
 163387      AGUILAR ORTEGA MARIA OTILIA     0701126179001                                                    X
 105456      ORTIZ BRICEÑO NELSON OLIVIO     0701127284001                                                    X
 265771      CHÁVEZ ALVARADO JULIO ANDRÉS    0701131773001                                                    X
 126196      PERALTA CAMPOVERDE JAIME NECTARIO
                                             0701133167001                                                    X
 198912      PANEZO VILELA SECUNDINO         0701137804001                                                    X
 192272      CHANGO CAJAS JORGE MESIAS       0701138356001                                                    X
 225647      TINIZARAY RIVAS LUZ DEL CARMEN  0701140642001                                                    X
  92945      SOTO PINEDA SILVIA JUDITH       0701140964001                                                    X
  92984      DE LA CRUZ CRUZ JACINTA CLEOPE 0701141053001                                                     X
No                 No registra
                                                               No                    No registra   No
                                                                        No. registra                       registra      No.    indicadores
                                                             registra                provincia, registra
Persona_id               NOMBRE               No. ID (RUC)                 calle                           número      registra de ventas,
                                                             apellido                 cantón y   primer
                                                                         principal                         de calle     origen activos y/o
                                                             paterno                 parroquia nombre
                                                                                                           principal             empleados

 173333      OLAYA ACARO CARLOS FERNANDO     0701143208001                                                    X
 150432      TOLEDO GONZAGA KLEBER ANIBAL    0701143539001                                                    X
 228942      DURÁN CORREA LUIS ALFREDO       0701144586001                                                    X
 158415      SALVATIERRA SALAZAR ANGEL LUCIANO
                                             0701144875001                                                    X
  66418      CARRION OJEDA ROLANDO VICENTE 0701146573001                                                      X
  91303      CHAMBA HERRERA MARTHA MARGARITA 0701147167001                                                    X
  18749      LUZURIAGA OROZCO EULER EGBERTO0701149239001                                                      X
  91043      ROJAS PALACIOS MARIO HERMANY    0701149809001                                                    X
 258531      VALLADOLID LUZ GLANES           0701150005001                                                    X
 176063      NIOLA ARIAS JOSE MANUEL         0701154478001                                                    X
  88176      APOLO ROMERO LUIS FERNANDO      0701160863001                                                    X
 154315      RAMIREZ VILLALTA MARIA JANETH   0701162729001                                                    X
 150957      ARMIJOS CONDOY TOMASA AMELIA 0701166985001                                                       X
  98363      TORO ARMIJOS ABEL SEGUNDO       0701167603001                                                    X
 118734      ELIZALDE YUPANGUI LUIS ALBERTO 0701172207001                                                     X
 222225      CAMPOVERDE QUEZADA ANGEL ALCIBAR0701175275001                                                    X
 212714      SOLANO ARMIJOS LUIS DE LOS ANGELES
                                             0701176539001                                                    X
  13459      CABRERA MURILLO MARCELO RAMIRO0701181109001                                                      X
  25011      PARDO CARRIÓN CARLOS OVIDIO     0701182834001                                                    X
  43723      ULLAURI SOLANO PATRICIO ALBERTO 0701188831001                                                    X
 213657      DESCONOSIDO SARANGO JOSE FELIX 0701195224001                                                     X
 100267      PEÑALOZA AGUILAR NIMIA ELVIRA   0701204026001                                                    X
 101897      BRAVO CAMACHO ALCIVAR SIGIFREDO0701207003001                                                     X
 199484      NARVAEZ QUIZHPE WILVER SALOMON 0701215402001                                                     X
  87850      CARRILLO HEGAS PABLO MIGUEL     0701217861001                                                    X
 187292      CUJILEMA YUMISEVA JUAN          0701220949001                                                    X
   8631      COMERCIAL EL ROCIO              0701223794001                                                    X
  40028      CHANGOTASIG QUISATASIG LUIS ALFREDO
                                             0701227043001                                                    X
  13533      PRODISA                         0701228587001                                                    X
 207816      GONZALEZ GUERRERO HUGO HERIBERTO0701231763001                                                    X
 121241      TORRES TORRES JOSÉ GUSTAVO      0701241440001                                                    X
No                 No registra
                                                                No                    No registra   No
                                                                         No. registra                       registra      No.    indicadores
                                                              registra                provincia, registra
Persona_id               NOMBRE                No. ID (RUC)                 calle                           número      registra de ventas,
                                                              apellido                 cantón y   primer
                                                                          principal                         de calle     origen activos y/o
                                                              paterno                 parroquia nombre
                                                                                                            principal             empleados

 104870      SALAZAR CASTRO ABRAHAN DANILO 0701247256001                                                       X
  19799      PIZARRO FERNÁNDEZ OSWALDO ARMANDO0701250870001                                                    X
 258320      MAYAGUARE REMACHE SEGUNDO MARCIAL0701260341001                                                    X
  82168      CABRERA ASTUDILLO LUIS EMILIO    0701264814001                                                    X
 141078      PINEDA POMA BREMEN ALEJANDRINA 0701265357001                                                      X
 122788      VALAREZO AGUILAR MARIE ELIZABETH0701268849001                                                     X
 125912      AGUIRRE PIEDRA RUTH CARMITA      0701271850001                                                    X
 144209      VEINTIMILLA AVILA MAGDALENA DEL CISNE
                                              0701275398001                                                    X
 227294      MOLINA MATUTE EDUARDO MARINO 0701277634001                                                        X
 140710      ESPINOSA ANGUIZACA JOSE MANUEL 0701280208001                                                      X
 119633      VEINTEMILLA LOZANO GINA AGRIPINA 0701281081001                                                    X
  61974      MORA NAULA GERARDO LEONIDAS      0701281263001                                                    X
  89714      BELTRAN ORELLANA TARQUINO RAMIRO 0701281875001                                                    X
  25842      MARTINEZ BRICEÑO SEGUNDO ALEJANDRO
                                              0701283871001                                                    X
 257767      TORO AGUILAR JOSE HONORIO        0701292278001                                                    X
 248500      FRANCO TORRES ARMANGEL RICARDO   0701293847001                                                    X
  73122      TERREROS PRIETO JAIME ARTURO     0701304198001                                                    X
 116674      ZUMBA SUING JORGE ALFREDO        0701308280001                                                    X
 141008      CAPELO ERRAEZ MANUEL REMIGIO 0701311946001                                                        X
 214169      RIOFRIO SUAREZ JULIA DEL CARMEN 0701312068001                                                     X
 235242      SAMANIEGO AGUILAR AIDEE LUZ      0701314114001                                                    X
 214518      SILVA PULLAGUARI LUZ RAQUEL      0701315004001                                                    X
  44912      VILELA SILVA JULIO ENRIQUE       0701317778001                                                    X
  62479       JUAN                            0701320079001                                                    X
  23818       LUIS                            0701321846001                                                    X
 176424      GONZALEZ SOLORZANO LUIS AUGUSTO  0701329195001                                                    X
  92727      RAMIREZ AGUILAR JORGE NATIVIDAD 0701335630001                                                     X
 264421      ENRIQUEZ SALAZAR MERCEDES GUADALUPE
                                              0701343154001                                                    X
 147356      LOAYZA TOLEDO BEATRIZ MELANIA    0701353245001                                                    X
 219910      GUANUCHE SANMARTIN SEGUNDO AMADEO0701356578001                                                    X
 115315      IÑAGUAZO HECTOR POLADIRIO        0701356958001                                                    X
No                 No registra
                                                             No                    No registra   No
                                                                      No. registra                       registra      No.    indicadores
                                                           registra                provincia, registra
Persona_id              NOMBRE              No. ID (RUC)                 calle                           número      registra de ventas,
                                                           apellido                 cantón y   primer
                                                                       principal                         de calle     origen activos y/o
                                                           paterno                 parroquia nombre
                                                                                                         principal             empleados

 140681      AREVALO PEÑALOZA SERVILIO GILBERTO
                                             0701361321001                                                  X
 211010      GARCES VALDIVIEZO HUMBERTO NELSON
                                             0701364358001                                                  X
 127114      PINARGOTE GUILLEM MIGUEL ANTONIO0701367062001                                                  X
  63112       CARLOS                         0701370629001                                                  X
 266982      QUIROLA ANZOATEGUI FERNANDO JAVIER DEL CONSUELO
                                             0701375438001                                                  X
  21350      CABRERA ARMIJOS JORGE DELVIN    0701376121001                                                  X
 112305      REYES MORA JUAN ALBERTO         0701384059001                                                  X
  67260      JUMBO CASTILLO ANGEL GABRIEL    0701385395001                                                  X
 117282      BELDUMA CANDIDO UBERTO          0701386690001                                                  X
  21285       CLAUDIO                        0701387441001                                                  X
 181393      MOCHA NOVILLO JORGE EDUARDO     0701392664001                                                  X
 116359      AGUULAR RAMÍREZ JOSÉ EUDALDO    0701394660001                                                  X
  86526      AGUIRRE VALAREZO BENITO GERMANICO
                                             0701397564001                                                  X
 117459      ROMERO MOROCHO MANUEL MECIAS 0701399107001                                                     X
  85550      CHICA ROSILLO PEDRO PATRICIO    0701399222001                                                  X
 143728      MONTENEGRO GONZAGA ESCILDA MARIA ISABEL
                                             0701401879001                                                  X
 197387      POGO PENALOZA NELLY GERMANIA 0701403438001                                                     X
 167604      ZAPATA GUERRERO JORGE ADALBERTO 0701403750001                                                  X
 132088      GÓMEZ GONZÁLEZ CELSO EMILIO     0701416794001                                                  X
 199202      PEREIRA RAMBAY REBECA NANCY     0701418907001                                                  X
 178300      REYES DAVILA CARLOS MANUEL      0701423626001                                                  X
 156313      YUNGA TIGRE JUAN MIGUEL         0701428559001                                                  X
 222830      PATIÑO MONTALVAN JOSE EUGENIO 0701428682001                                                    X
  86164      LEON VERGARA FANNY DEL CARMEN 0701431272001                                                    X
 182590      FEIJOO JARAMILLO MAXIMO ALFREDO 0701433112001                                                  X
 134282      QUEZADA MAZA HECTOR GABINO      0701442360001                                                  X
 214262      VALLADOLID VICTOR ALCIDES       0701445579001                                                  X
 196438      QUEZADA ARIAS JAIME ROMAN       0701449217001                                                  X
 162933      OCHOA ORDOÑEZ JOHN GILBERTO     0701458317001                                                  X
 246184      CRUZ ZAMBRANO JOSE FERNANDO     0701464802001                                                  X
  75576      ZHINDON ALMEIDA MERCEDES RAQUEL 0701471575001                                                  X
No                 No registra
                                                               No                    No registra   No
                                                                        No. registra                       registra      No.    indicadores
                                                             registra                provincia, registra
Persona_id               NOMBRE               No. ID (RUC)                 calle                           número      registra de ventas,
                                                             apellido                 cantón y   primer
                                                                         principal                         de calle     origen activos y/o
                                                             paterno                 parroquia nombre
                                                                                                           principal             empleados

 138043      RUIZ MANZANARES ODILA MARIA     0701473084001                                                    X
 116276      QUILUMBA AQUINO ANGEL LUCIANO 0701473605001                                                      X
 142863      RUIZ CAMACHO ALVINA ESPERANZA 0701474470001                                                      X
 182555      GONZALEZ RAMIREZ CARLOS RUPERTO 0701475592001                                                    X
  91626      BORJA CRUZ NICOLAY NASSER       0701477184001                                                    X
  99975      ORDOÑEZ ORDOÑEZ ANGEL POLIBIO 0701478836001                                                      X
 162535      MONGE PLAZA EURO ALEXANDER      0701480170001                                                    X
 213518      SOTOMAYOR DIAZ CESAR NAPOLEON 0701490328001                                                      X
 108234      COYAGO PACHAR EFRAIN GERARDO 0701490716001                                                       X
 270536      SERRANO SOLÍS JAIME GUSTAVO     0701492050001                                                    X
 193683      YAGUAL SALCEDO JORGE EFREN      0701492258001                                                    X
 206203      TORRES RUILOVA MANUEL LEONARDO0701495244001                                                      X
  36681      JARAMILLO FREIRE JULIO MAXIMO   0701495434001                                                    X
  93504      PINEDA SEGUNDO RAMON            0701496804001                                                    X
 162790      MURILLO LEON ENRIQUE WILFRIDO   0701497802001                                                    X
 162831      CUEVA DIAZ JOSE MANUEL          0701497844001                                                    X
 153473      VALAREZO VALDIVIEZO ROGELIO VICENTE
                                             0701499279001                                                    X
  61520      GALARZA CAMPUZANO ANDRES FRANCISCO
                                             0701499444001                                                    X
 116347      CABRERA CEVALLOS JOSE LUCIANO 0701501025001                                                      X
  84290      OJEDA QUEZADA JAIME KENNEDY     0701502379001                                                    X
 179245      JAÉN VEGA HÉCTOR GONZALO        0701502973001                                                    X
 219927      NIETO ESPINOZA NORA LORENA      0701503369001                                                    X
  77178      PIZARRO BARREZUETA EITHEL GUSTAVO
                                             0701503377001                                                    X
  94102      MOSCOSO OCHOA FAUSTO ALEJANDRO701506370001
                                             0                                                                X
  81301      SOLANO BLACIO WIMPER VICENTE    0701508566001                                                    X
 180885      REYES ROMERO MARCO ANTONIO      0701511123001                                                    X
  89221      JIMÉNEZ RÍOS ANDREA ESPERANZA 0701514234001                                                      X
 203615      YANEZ GUZMAN ROSA EDELMIRA      0701515256001                                                    X
 232124      REDROVAN MATUTE TOMAS JOEL      0701515751001                                                    X
  18535      CEDILLO FERNANDEZ FRANKLIN DAVID0701517294001                                                    X
 224020      LOSSA ACOSTA JORGE ENRIQUE      0701520876001                                                    X
No                 No registra
                                                               No                    No registra   No
                                                                        No. registra                       registra      No.    indicadores
                                                             registra                provincia, registra
Persona_id               NOMBRE               No. ID (RUC)                 calle                           número      registra de ventas,
                                                             apellido                 cantón y   primer
                                                                         principal                         de calle     origen activos y/o
                                                             paterno                 parroquia nombre
                                                                                                           principal             empleados

 243426      AGUILAR GONZALEZ RUBEN MEDARDO0701521007001                                                      X
 114313      LEON SARANGO RAMIRO ONOFRE      0701523557001                                                    X
 210843      OSORIO MARCA WALTER ARTURO      0701528150001                                                    X
 237841      LUNA RUEDA HIGEY HERNAN         0701531824001                                                    X
 134813      GRANDA TORRES AURELIA EMPERATRIZ0701535247001                                                    X
 122510      LOAIZA MARGARITA YAZMITH        0701543456001                                                    X
  98162      RAMON MEDINA JAVIER             0701545907001                                                    X
  75394      CASTILLO HIDALGO CARMEN YOLANDA0701547473001                                                     X
  80574      PINEDA GÓMEZ TITO ORLANDO       0701547960001                                                    X
  39247      EGAS NOBLECILLA FERNANDO BELISARIO
                                             0701548257001                                                    X
 208600      QUILLE ORTEGA CARLOS HUMBERTO 0701548497001                                                      X
 182288      PUMA PORRAS JOSE LUIS           0701549321001                                                    X
 133663      GUAICHA OBACO EUSTORGIO MANUEL0701556367001                                                      X
  36092      ALVAREZ CÉSAR ARIOSTO           0701570285001                                                    X
  41212      PINEDA SUÁREZ BOANERGES ALFREDO 0701576019001                                                    X
  57807      CARLOS                          0701576027001                                                    X
  56610      VILLARREAL VILLACIS MARIO OSWALDO
                                             0701578775001                                                    X
  92758      YAGUACHI AGILA FAUSTINO JUVENAL 0701581316001                                                    X
 215760      ERAS SANCHEZ SEGUNDO EUCLIDES 0701587453001                                                      X
  85023      GALVEZ ZAMBRANO SEGUNDO ROGELIO 0701589095001                                                    X
 203547      CABRERA TINOCO HIRALDA VICTORIA 0701592016001                                                    X
 101063      SANCHEZ CHAVEZ DANIEL ALBERTO 0701594749001                                                      X
  55730      SANCEN CELI HENRY DIONICIO      0701598757001                                                    X
 277898      PEREIRA ANGEL RODRIGO           0701600249001                                                    X
 127674      MANZANARES RUIZ HOLMES FREDDY 0701600900001                                                      X
  75804      CAMPOVERDE BURGOS EDGAR URBANO  0701601411001                                                    X
  89130      SALAZAR SANCHEZ VICTOR MANUEL 0701601593001                                                      X
 245193      MALDONADO ROMERO SERVIO JERINELDO
                                             0701601817001                                                    X
  45711      BALCAZAR ROMERO GENRY ALFREDO 0701602799001                                                      X
 195788      GUERRERO ORELLANA DANIEL SALVADOR
                                             0701603128001                                                    X
 269936      DOMINGUEZ QUIMI FELIX AGUSTIN   0701607459001                                                    X
No                 No registra
                                                                No                    No registra   No
                                                                         No. registra                       registra      No.    indicadores
                                                              registra                provincia, registra
Persona_id               NOMBRE                No. ID (RUC)                 calle                           número      registra de ventas,
                                                              apellido                 cantón y   primer
                                                                          principal                         de calle     origen activos y/o
                                                              paterno                 parroquia nombre
                                                                                                            principal             empleados

  80015      GONZAGA ROMERO FRANCISCO GERMAN  0701608325001                                                    X
 203255      PONCE ROSARIOS DELVOS LUIS       0701608721001                                                    X
 219399      VASQUEZ SANCHEZ FIDEL ANTONIO 0701610305001                                                       X
 101937      FIERRO SILVA WASHINGTON MANUEL 0701612020001                                                      X
  11714       PARDO VELEZ MANUEL ANTONIO      0701612558001                                                    X
  71693      FARIAS CAMACHO SEGUNDO BOLIVAR 0701612863001                                                      X
 112072      QUISHPI ALCOCER INES MARIA       0701613937001                                                    X
 115040      GONZALEZ CAPELO VICTOR HUGO      0701614026001                                                    X
 142686      VERDUGA ZAMORA FABIO STALIN      0701621898001                                                    X
 112510      GRANDA JUMBO FLOR ENIDT          0701627507001                                                    X
  86916      FARFAN APONTE SANTOS JORGE       0701638520001                                                    X
  93188      CARPIO GOMEZ TERESA DE JESUS     0701639155001                                                    X
 193992      MENDIETA GUERRERO RUFINO SEGUNDO 0701640534001                                                    X
 177830      N MORA FRANCISCO ANTONIO         0701640864001      X                                             X
  83974      VALDEZ ELIZALDE SANTOS APOLINARIO0701641839001                                                    X
 215808      REY TORRES MERCEDES MARÍA        0701648818001                  X            X                    X
 150416      POLO ARMIJOS ADRIANO PORFIRIO    0701653974001                                                    X
  19450      CABRERA LOAIZA DENIS EFREN       0701655235001                                                    X
  82004      PAREDES VILELA WASHINGTON RICARDO0701655458001                                                    X
 254028      ECHEVERRIA ORTIZ LIDIA EMPERATRIZ0701660938001                                                    X
  14865      INGENIERO CIVIL                  0701663486001                                                    X
  97013      TINOCO MATAMOROS ANGEL GERMÁN0701664245001                                                        X
 162734      FEIJOO CABRERA CALIXTO RENE      0701664609001                                                    X
 164465      POGO PEÑALOZA KLEVER ALFONSO 0701666232001                                                        X
  37043      CHAPA CUEVA ENRIQUE WALTER       0701667958001                                                    X
 179664      LEON SERGIO HUMBERTO             0701667982001                                                    X
  48024       PATRICIA                        0701670325001                                                    X
 115504      MASACHE SARANGO HUGO JOSELITO 0701671125001                                                       X
  13960       JAIME                           0701673121001                                                    X
  37195      PORRAS ESCOBAR JULIO CESAR       0701673634001                                                    X
 135126      JARA AGUILAR EFRAÍN ALBERTO      0701673642001                                                    X
No                 No registra
                                                               No                    No registra   No
                                                                        No. registra                       registra      No.    indicadores
                                                             registra                provincia, registra
Persona_id              NOMBRE                No. ID (RUC)                 calle                           número      registra de ventas,
                                                             apellido                 cantón y   primer
                                                                         principal                         de calle     origen activos y/o
                                                             paterno                 parroquia nombre
                                                                                                           principal             empleados

  32654      FAREZ ORDOÑEZ DIMAS JOSELITO   0701677916001                                                     X
 146961      RAMON VALLADOLID LUIS BOLIVAR  0701684714001                                                     X
 251763      LOPEZ SALDARRIAGA LUIS ALBERTO 0701685711001                                                     X
 205985      MORA PRADO JORGE ENRIQUE       0701692642001                                                     X
  94646      VALAREZO SARANGO LUIS ALFREDO 0701696445001                                                      X
 224174      PALTA HONORES JAIME FRANKLIN   0701706574001                                                     X
  72743      CELI GOMEZ LUZ AMERICA         0701707978001                                                     X
  14540      RICHARD CABANILLA AGUIRRE      0701712291001                                                     X
 162249      ORDOÑEZ BENITEZ JORGE ENRIQUE 0701714057001                                                      X
  39771      COBOS ZERDA JEORGE BAUDILIO    0701715104001                                                     X
 141024      ESPINOSA ANGUISACA ANGEL OCTAVIO
                                            0701715617001                                                     X
 136229      GUANUCHI SEGUNDO JUAN          0701718298001                                                     X
  72000      ROMERO ORELLANA WILMAN JOSE    0701728768001                                                     X
  86735      GOROTIZA VALAREZO HUMBERTO     0701730392001                                                     X
  34097      FEIJÓO AGUILAR JORGE MAURICIO  0701731309001                                                     X
 237381      OLLAGUE VALAREZO JOSE KENNEDY 0701735284001                                                      X
 215002      TORRES CORONEL WILSON FABIAN 0701735425001                                                       X
 254355      SANCHEZ SANCHEZ MAGNOLO EDUARDO A
                                            0701737512001                                                     X
 130244      GALLARDO RAMIA CARLOS ENRIQUE 0701741258001                                                      X
  83552      SALAZAR FRANCO MARIA MAGDALENA0701744906001                                                      X
 132433      DELGADO SUAREZ RUTH ELIZABETH 0701746828001                                                      X
 243222      ROMERO MOROCHO JOSE MARÍA      0701757791001                                                     X
  92086      OYOLA SANCHEZ TERESA YOLANDA 0701758500001                                                       X
  93153      VILLALTA OROSCO DORA NOEMI     0701760720001                                                     X
 238362      ROMERO ROMERO SILVIO LUCIANO   0701761470001                                                     X
  62139      JARRE ABAD MAURICIO RAFAEL     0701765620001                                                     X
  51191      CHAVEZ VALAREZO HERNAN AUGUSTO 0701768236001                                                     X
  92813      RIOFRIO OCHOA LUIS ALCIVAR     0701772758001                                                     X
 130082      CAMPOS VASQUEZ FRANCISCO OLIVEROS
                                            0701773756001                                                     X
 161774      TENESACA DELGADO HECTOR ROSENDO0701779423001                                                     X
 207179      AGUILAR RAMIREZ TOMÁS GUILLERMO0701782138001                                                     X
No                 No registra
                                                               No                    No registra   No
                                                                        No. registra                       registra      No.    indicadores
                                                             registra                provincia, registra
Persona_id              NOMBRE                No. ID (RUC)                 calle                           número      registra de ventas,
                                                             apellido                 cantón y   primer
                                                                         principal                         de calle     origen activos y/o
                                                             paterno                 parroquia nombre
                                                                                                           principal             empleados

  91465      ROMERO EDWIN ALEJANDRO           0701782724001                                                   X
  19310       ELIZABETH                       0701783045001                                                   X
  14451      INGENIERO CIVIL CONTRATISTA/CONSULTOR
                                              0701787897001                                                   X
 196647      ARANDA ORDOÑEZ DUYAR ALFREDO 0701791196001                                                       X
 161866      PONTON IÑIGUEZ MARIA ERNESTINA DE LOS ANGELES
                                              0701791220001                                                   X
 207226      CUESTA AQUIN ALEXANDRA ELVIRA 0701793036001                                                      X
  12683       INGENIERO CIVIL                 0701793390001                                                   X
 210507      LOPEZ HERAS ROSA ISABEL          0701793721001                                                   X
 135035      MATAILO TORRES LORGIO FRANCISCO0701794661001                                                     X
  57809      AMAYA MOGOLLÓN FRANKLIN IVÁN     0701795148001                                                   X
  17409       CARLOS                          0701795247001                                                   X
  43170      ORELLANA ESPEJO SEGUNDO EUGENIO  0701798225001                                                   X
 265386      CORREA MUÑOZ LUCIO BISMARK       0701798373001                                                   X
 178783      MALDONADO MENDOZA BERTHA OTILIA701798746001
                                              0                                                               X
 199070      VIDAL PEÑARANDA ZOILO SILVERIO   0701799967001                                                   X
  40649      VELASQUEZ ROMERO ANTONIO ROLANDO 0701806465001                                                   X
 264287      TINOCO TINOCO ESTRELLA MARIA NARCISA
                                              0701806663001                                                   X
 238518      RIOFRIO ORTIZ EDUARDO DE JESUS 0701808917001                                                     X
 153172      SARMIENTO AVILA DANIEL SALUSTINO 0701811671001                                                   X
 266564      DE LA CRUZ CEVALLOS VOLTAIRE ABRAHAN
                                              0701813180001                                                   X
  98735      VEINTEMILLA LOZANO EDGAR ASTOLFO 0701815912001                                                   X
 159808      CARRION ARMIJOS MANUEL ANTONIO 0701818361001                                                     X
 225695      AREVALO GUZMAN MARLON ERNESTO 0701819583001                                                      X
  20980      CHANGOTACI QUISATACI LUIS ARMANDO0701823650001                                                   X
 190933      CARRION ROMAN ANGEL BENITO       0701826521001                                                   X
  43948       FERNANDO                        0701828287001                                                   X
 273972      ARMIJOS COCHERES JOSE ORLANDO 0701828600001                                                      X
 267816      SANCHEZ ISABEL ORFITA            0701831091001                                                   X
  71590      RAMIREZ ESPINOZA FAUSTO ROLANDO  0701832248001                                                   X
  21268      GUARTATANGA JACOME ANA MARIA 0701834210001                                                       X
 197233      ZHUNIO RENTERIA MIGUEL FRANCISCO 0701836504001                                                   X
No                 No registra
                                                               No                    No registra   No
                                                                        No. registra                       registra      No.    indicadores
                                                             registra                provincia, registra
Persona_id              NOMBRE                No. ID (RUC)                 calle                           número      registra de ventas,
                                                             apellido                 cantón y   primer
                                                                         principal                         de calle     origen activos y/o
                                                             paterno                 parroquia nombre
                                                                                                           principal             empleados

 147737      BERREZUETA DELGADO SEGUNDO NICANOR
                                            0701838740001                                                     X
  33678      OSCAR RAMIRO FLORES TIBANTA    0701840068001                                                     X
 111699      YANGE SANCHEZ JOSE FREDDY      0701840415001                                                     X
 181306      FAREZ LUCERO MARCO VINICIO     0701842270001                                                     X
  15763      CARLITOS                       0701843286001                                                     X
  93140      CARCHIPUYA ARMIJOS BLANCA ROSA 0701843575001                                                     X
 197480      VARGAS OCHOA LUIS NIVALDO      0701844169001                                                     X
 267960      SALCEDO ROMERO ELSY MARIA      0701844581001                                                     X
  54523      CORREA ILLESCAS FULTON KENY    0701846651001                                                     X
  32308      PALADINES ACOSTA WILSON ALFREDO701850869001
                                            0                                                                 X
  97969      JARAMILLO ESPINOSA JORGE OSWALDO
                                            0701851909001                                                     X
 138158      RUILOVA GARCIA JOSE GERARDO    0701858920001                                                     X
 222700      ROMERO OJEDA SEGUNDO DANIEL    0701862278001                                                     X
 122567      AJILA TORRES GALO ELIGIO       0701865750001                                                     X
  88349      ZÚÑIGA BONIFAZ FERNANDO ARTURO 0701870248001                                                     X
 268517      CARCHIPULLA GRANDA WILLIAM ALFREDO
                                            0701874505001                                                     X
 218408      TORRES JOSE CRESENCIO          0701874893001                                                     X
 145457      CASTILLO SA MOISES ANTONIO     0701875080001                                                     X
  93528      CAMACHO VALDIVIEZO NELSON GONZALO
                                            0701876336001                                                     X
 182739      MATUTE GUANOLIQUE HERNAN ROBERTO
                                            0701876401001                                                     X
 169596      GIRON PORRAS ELIBERTO CONFESOR 0701877417001                                                     X
 128688      LUNA JARAMILLO DOLORES ALEXANDRA
                                            0701882177001                                                     X
 107665      HURTADO HERNANDEZ HUMBERTO IBAR0701888919001                                                     X
 204367      RIOFRIO RAMIREZ GUIDO ALBERTO  0701891897001                                                     X
 112562      OCHOA ARIAS LUIS FERNANDO      0701893059001                                                     X
 168317      PORTILLA OCHOA AURORA DEL CARMEN
                                            0701895310001                                                     X
 207406      AGUILAR MORA OMAR FRANCISCO    0701898637001                                                     X
  27339      VALVERDE ROMÁN JORGE ENRIQUE 0701898819001                                                       X
  25001      ROMÁN BARZOLA NARCISA DE JESUS 0701903981001                                                     X
 104855      HIDALGO SANTOS AMABLE          0701904641001                                                     X
 199886      CRESPIN SALINAS TOMAS ANIBAL   0701907578001                                                     X
No                 No registra
                                                               No                    No registra   No
                                                                        No. registra                       registra      No.    indicadores
                                                             registra                provincia, registra
Persona_id               NOMBRE               No. ID (RUC)                 calle                           número      registra de ventas,
                                                             apellido                 cantón y   primer
                                                                         principal                         de calle     origen activos y/o
                                                             paterno                 parroquia nombre
                                                                                                           principal             empleados

 190215      ALBARRACIN ENCALADA ANITA VICTORIA
                                             0701912826001                                                    X
  91874      CASTRO VERA JORGE RENE          0701914087001                                                    X
 186952      MORALES FEIJOO MANUEL IVAN      0701916082001                                                    X
  16711      ARMIJOS BLANCO PEDRO TEL MO     0701916371001                                                    X
  82653      GRANDA CORREA WILLIAN SIMON     0701916439001                                                    X
 141674      TOBAR PAZMIÑO CARLOS JULIO      0701916785001                                                    X
 207611      AGUILAR MORA PABLO GERMAN       0701917114001                                                    X
  13944      INGENIERIA CIVIL                0701918377001                                                    X
 155068      PARDO ORELLANA JOSE HUMBERTO 0701918740001                                                       X
 199098      CORTEZ SANCHEZ ROSA ESTHER      0701920159001                                                    X
  29452      CABRERA PRIETO HERNAN RAMIRO    0701923179001                                                    X
 115979      VALDIVIESO LOJAN WILFRIDO SUPERMAN
                                             0701923401001                                                    X
 165871      ROMERO ESPINOZA VICTOR FRANCISCO0701924953001                                                    X
 189218      HERNANDEZ AGUILAR HERGMANN HERNAN
                                             0701927287001                                                    X
  43135      VEGA CAMPUZANO ROMULO RODRIGO0701927915001                                                       X
 251723      ORTIZ MORA MARLOMBRANDO COLON0701928152001                                                       X
 236833      APOLO RAMIREZ BLANCA FLOR       0701934804001                                                    X
 213359      PEÑA SOTOMAYOR HUGO LISTON KLAY 0701937039001                                                    X
 215529      TANDAZO TANDAZO FELIX GONZALO 0701938144001                                                      X
  23045      REYES NEIRA MIGUEL ALFREDO      0701941122001                                                    X
  13918      ING. ANGEL GUSTAVO ROMERO       0701950313001                                                    X
 137807      SANCHEZ PAREDES WALTER HORACIO0701951303001                                                      X
 202250      PAREDES SAGAL NASSER NARVAEZ 0701955932001                                                       X
 214634      QUIZHPE ZHUNAULA CLOTARIO SEGUNDO
                                             0701957078001                                                    X
  63931      GALARZA RAMIREZ WILSON PATRICIO 0701964439001                                                    X
 150125      JARAMILLO OCHOA WILMAN SAULI    0701964553001                                                    X
 149132      VILLÓN VELEZ LUIS ANTONIO       0701969503001                                                    X
  58184      ARIAS LOPÉZ GABRIEL GEOVANY     0701976490001                                                    X
 154669      VILELA PINCAY WILSON EXSON      0701979692001                                                    X
 141100      LOOR ROBLES DELCITO RAMON       0701982811001                                                    X
 200842      BRAVO RIOFRFIO JAIME DANIEL     0701986754001                                                    X
No                 No registra
                                                                No                    No registra   No
                                                                         No. registra                       registra      No.    indicadores
                                                              registra                provincia, registra
Persona_id               NOMBRE                No. ID (RUC)                 calle                           número      registra de ventas,
                                                              apellido                 cantón y   primer
                                                                          principal                         de calle     origen activos y/o
                                                              paterno                 parroquia nombre
                                                                                                            principal             empleados

 152116      MENDIETA GARZON JUAN STALIN      0701987786001                                                    X
 173490      GUAYCHA VALAREZO JORGE EDUARDO   0701989915001                                                    X
 131809      GOMEZ MONTALVAN ALFONSO ELIGORIO 0701990681001                                                    X
 178932      VASQUEZ AGUILAR JORGE KLEVER     0701994873001                                                    X
 111274      ARMIJOS SERRANO ABDON BELISARIO0701997710001                                                      X
 266276      RAMIREZ JARAMILLO FLOR MIREYA    0702003740001                                                    X
 214476      MATUTE CASTRO LUIS GUSTAVO       0702004318001                                                    X
  11532       INGENIERO CIVIL CONSTRUCTOR/CONSULTOR
                                              0702005679001                                                    X
 210929      REY TORRES GINA ELIZABETH        0702006255001                  X            X                    X
 128053      CARVAJAL ALBAN HERNAN EDUARDO 0702009572001                                                       X
 148864      SARMIENTO MACHUCA MEDARDO AUGUSTO0702010372001                                                    X
 180071      PACHECO ARMIJOS FLOR DEL CARMEN  0702012048001                                                    X
 264667      PROCEL LUNA JOHNNY DANIEL        0702014218001                                                    X
 182504      GARRIDO FLORES MIGUEL EDISON     0702015470001                                                    X
  92317      SHIGUANGO ABAD CORINA DE LOS ANGELES
                                              0702016882001                                                    X
 241877      MOCHA ELIZALDE FREDDY DARIO      0702017898001                                                    X
  16526       ERWIN                           0702019738001                                                    X
 101941      SANCHEZ SANCHEZ MILTA RUMALDA 0702021163001                                                       X
  12522       SONIA PINDO                     0702022138001                                                    X
 187754      RIVAS GALARZA WINSTON EFREN      0702027475001                                                    X
   4568      INGENIERO CIVIL                  0702030198001                                                    X
 215568      VILLACIS ARELLANO FILANDIA OLANDA0702033143001                                                    X
  32360      QUEZADA BUSTAMANTE NANCY EMERITA 0702036385001                                                    X
 134321      AGILA DIAZ FREDDY VICENTE        0702038407001                                                    X
 218315      ESCANDON JARA FERNANDO ENRIQUE0702041849001                                                       X
  70739      MURILLO LEON ANGEL ANTONIO       0702042425001                                                    X
 142214      SANCHEZ NOBLECILLA DIMAS OSWALDO 0702043001001                                                    X
 197075      JIMENEZ MAZA JENNY MARELA        0702046012001                                                    X
 269622      AGUIRRE ORDOÑEZ VICTOR MANUEL 0702046483001                                                       X
  85272      MERINO MORENO CARLOS HUMBERTO0702048281001                                                        X
 118107      GALARZA GALLARDO ANDRES FERNANDO 0702052424001                                                    X
No                 No registra
                                                               No                    No registra   No
                                                                        No. registra                       registra      No.    indicadores
                                                             registra                provincia, registra
Persona_id               NOMBRE               No. ID (RUC)                 calle                           número      registra de ventas,
                                                             apellido                 cantón y   primer
                                                                         principal                         de calle     origen activos y/o
                                                             paterno                 parroquia nombre
                                                                                                           principal             empleados

 142407      CABEZAS MURILLO JUAN NIVALDO    0702052531001                                                    X
  86795      AUCAY MURILLO ESTHER CARMELINA 0702054941001                                                     X
  83365      CHUICO KLEVER IVAN              0702057829001                                                    X
 175201      BARRETO BERREZUETA JORGE AQUILES0702058181001                                                    X
 149594      GUICHAY FLOR MARIA              0702064486001                                                    X
 138895      JAIME RAMIREZ FAULER JIMY       0702067471001                                                    X
 225476      PATIÑO BRITO SEGUNDO GILBERTO 0702067620001                                                      X
 176183      SUAREZ GAONA JOSE GUILLERMO     0702070707001                                                    X
 208897      PINEDA ZHIGUE GERARDO OSWALDO 0702071648001                                                      X
  91773      ORTEGA MANUEL                   0702072281001                                                    X
  79206      XXX SALAZAR LUIS ENRIQUE        0702073313001                                                    X
 160103      ORTEGA ESPINOZA JORGE EDMUNDO 0702078700001                                                      X
  33630      APOLO APOLO VILMAN OVIDEO       0702079443001                                                    X
 112924      AULESTIA ROJAS JOSE GERMAN      0702081563001                                                    X
 250685      ARMIJOS GALLEGOS JOSE LUIS      0702082587001                                                    X
 118483      GIA CUENCA REBECA               0702083569001                                                    X
 252049      CAMPOVERDE ASTUDILLO GLADYS MARIA
                                             0702083916001                                                    X
 218215      ECHEVERRIA ORTIZ DANIEL ALFONSO 0702084468001                                                    X
  14490      ING. ROBER AGUILAR              0702098609001                                                    X
 134916      VALENCIA VALDEZ JOSE MIGUEL     0702099284001                                                    X
 181699      PINCAY CASTRO PETRA MARIA       0702100934001                                                    X
 155984      LALANGUI CUENCA INÉS MARIETA    0702108952001                                                    X
 234875      AGUILAR SILVA KLEBER ORLANDO    0702110347001                                                    X
  93215      ORDINOLA CORDOVA ANA FIDELIA    0702111451001                                                    X
  15888      ING ANGEL SOCOLA                0702113374001                                                    X
 174356      VERA CEDILLO ANA MAGDALENA      0702116252001                                                    X
  85251      HERRERA DIAZ JOSE GODYRON       0702118654001                                                    X
  84160      SUAREZ GARCES NEY MARITZA       0702121781001                                                    X
 115273      PERALTA PIURI OSCAR EUSEBIO     0702122086001                                                    X
  50928      POZO VELASCO FERNANDO PATRICIO 0702124777001                                                     X
  98628      CHAVEZ DAVILA TANIA YICELA      0702127416001                                                    X
No                 No registra
                                                               No                    No registra   No
                                                                        No. registra                       registra      No.    indicadores
                                                             registra                provincia, registra
Persona_id               NOMBRE               No. ID (RUC)                 calle                           número      registra de ventas,
                                                             apellido                 cantón y   primer
                                                                         principal                         de calle     origen activos y/o
                                                             paterno                 parroquia nombre
                                                                                                           principal             empleados

  11246      CONSTRUCTORA HNOS. LOPEZ        0702129867001                                                    X
 178744      BENITEZ PEREZ ESTHELA MARGARITA 0702130212001                                                    X
 259622      ROMAN MORA ROLANDO OMAR         0702130733001                                                    X
 105260      LOJA QUICHIMBO CARMITA LUCIA    0702131608001                                                    X
 166722      SANCHEZ ROMERO PATRICIA SOLEDAD 0702131921001                                                    X
 116062      BLACIO ESPINOZA GEORGE BENJAMIN0702136540001                                                     X
 173440      FLORES HUGO ADALBERTO           0702136946001                                                    X
 177169      MACAS YAGUANA JOSE ANTONIO      0702138900001                                                    X
 193798      ASENCIO CRUZ GUILLERMO WILFRIDO 0702139031001                                                    X
  82948      CAMPOVERDE PALACIOS JOHN JESUS 0702139932001                                                     X
 176023      CAMPOVERDE RAMIREZ FABIAN ALFREDO
                                             0702140088001                                                    X
  68983      FARIAS GONZALEZ ISABEL MARISOL 0702140708001                                                     X
 195631      REYES VERA ANGEL BACILIO        0702141813001                                                    X
 232922      LAPO MANCHAY SERVIO             0702142639001                                                    X
 173476      PEREIRA TINOCO KEPTI LENIN      0702144833001                                                    X
   3583      MACIAS PARRA MERCEDES DEL ROCIO0702147927001                                                     X
 182272      AGREDA AGREDA LUIS JOSELITO     0702153180001                                                    X
 108905      AVENDAÑO CARRION CARLOS FRANCISCO
                                             0702153818001                                                    X
 146410      QUZADA RUEDA SEGUNDO AGUSTIN 0702156464001                                                       X
 143473      REYES AGUILAR PEDRO JOSÉ        0702156704001                                                    X
 109378      GADVAY YAMBAY MARTHA FABIOLA    0702159476001                                                    X
  40672      EDUARDO MODESTO AREVALO         0702159740001                                                    X
 192135      RUIZ TORO CARLOS JOSELITO       0702166356001                                                    X
  30384      VALAREZO ESPINOZA WASHINGTON HONORIO
                                             0702169616001                                                    X
  57451      JORGE                           0702174319001                                                    X
  17952      ROGER                           0702179110001                                                    X
 237524      AGUILAR MOROCHO SARITA MARIA    0702179425001                                                    X
  45529      VERA MORA JOHNNY ELFRIE         0702179433001                                                    X
 237397      RAMIREZ MAURO ALFREDO           0702181314001                                                    X
 116457      BUSTAMANTE ELIZALDE SARITA CONSUELO
                                             0702181405001                                                    X
 207046      VALAREZO OCHOA CECILIA MARGARITA0702184904001                                                    X
No                 No registra
                                                            No                    No registra   No
                                                                     No. registra                       registra      No.    indicadores
                                                          registra                provincia, registra
Persona_id             NOMBRE              No. ID (RUC)                 calle                           número      registra de ventas,
                                                          apellido                 cantón y   primer
                                                                      principal                         de calle     origen activos y/o
                                                          paterno                 parroquia nombre
                                                                                                        principal             empleados

  79488      BERMEO GAONA GUAREDERAS JIMENEZ JONATHAN LEONARDO
                                             0702185315001                                                 X
 143660      DELGADO HERRERA ELIZABETH MERCEDES
                                             0702185919001                                                 X
 146887      YAGUANA CARRION OLFER BOLIVAR 0702186313001                                                   X
 173975      ROMERO JARAMILLO GUIDO ALFREDO 0702188590001                                                  X
 168192      XX ESPINOZA RENE DE JESUS       0702188673001                                                 X
 217976      CAMACHO VALDIVIESO GLADIS MARIA 0702190570001                                                 X
 140749      ROMERO PAUCAR LUIS FERNANDO     0702197096001                                                 X
  35123      SAMUEL                          0702198565001                                                 X
 193596      PRADO SALAZAR ELVIS PAÚL        0702199373001                                                 X
  21463      CRUZ PRECIADO MARIA DEL ROCIO   0702203126001                                                 X
 141936      AMAYA CAMPOVERDE EMERITA ESPERANZA
                                             0702203233001                                                 X
  78389      MATAMOROS SANCHEZ MARITZA DEL CARMEN
                                             0702209693001                                                 X
 138869      SANTORUN JIMENEZ MIRIAN ELIZABETH
                                             0702212028001                                                 X
  58960      PAZMAY GALARZA BOLIVAR ENRIQUE 0702217605001                                                  X
 211595      DAUL URDIALES LUZ DEL PILAR     0702217720001                                                 X
 107286      TACURI RIVAS MARCO ANTONIO      0702217944001                                                 X
 276107      ELIZALDE OLGA MARINA            0702222142001                                                 X
 198166      PEREZ MOSCOSO IVONNE MARIA      0702223280001                                                 X
  28740      PINDO MACAS MARLENE ESPERANZA 0702223512001                                                   X
 228054      RAMIREZ ROMERO EDDI GABINO      0702227190001                                                 X
 228635      AGUILAR RAMIREZ ROSA ALEJANDRINA0702228032001                                                 X
 243934      ORELLANA CABRERA RICHARD HERNAN702233412001
                                             0                                                             X
  18485      FADUL BELTRAN CESAR YAMIL       0702233834001                                                 X
  13722      ELSI ROMERO                     0702237280001                                                 X
 242811      MERY MARIETA CUENCA CHAMBA      0702243320001                                                 X
 194043      MALACATOA CALDERON LUIS ALBERTO 0702246174001                                                 X
 251628      GONZALEZ YUMBLA TANYA MARTHA 0702250440001                                                    X
 146276      QUITO CORDOVA IRMA MARISOL      0702250481001                                                 X
  42032      ESCANDON JARA JIMMY JOEL        0702257999001                                                 X
 163880      VERA CAJAMARCA RUTH MAGALY      0702271826001                                                 X
 149775      PANTALEON AGUILAR LUIS HERNAN 0702273772001                                                   X
No                 No registra
                                                                No                    No registra   No
                                                                         No. registra                       registra      No.    indicadores
                                                              registra                provincia, registra
Persona_id               NOMBRE                No. ID (RUC)                 calle                           número      registra de ventas,
                                                              apellido                 cantón y   primer
                                                                          principal                         de calle     origen activos y/o
                                                              paterno                 parroquia nombre
                                                                                                            principal             empleados

 165858      ERAS ABAD SABINA MARISOL         0702275884001                                                    X
 150587      CABRERA MOROCHO ENMA ROSA        0702277310001                                                    X
 103775      OLLAGUE ASTUDILLO BISMARK ITALO 0702277971001                                                     X
 247065      ORDOÑEZ RIOS LEONOR ISABEL       0702278730001                                                    X
  18291      MALDONADO AGUILAR ANGEL RENEE 0702281031001                                                       X
 210341      OLMEDO VALAREZO NAPOLEON ALEXANDER
                                              0702281338001                                                    X
 115194      ALVAREZ SIVISAPA PODALIRIO MIGUEL0702283318001                                                    X
 180799      PESANTEZ JIMENEZ RENE ANTONIO 0702285198001                                                       X
 111020      RAMIREZ ROMERO ROGGER GUSTAVO0702286543001                                                        X
  39814      ASENCIO VERA MANUEL EDUARDO      0702292517001                                                    X
 145571      PALACIOS MARQUEZ JENNY ELIZABETH 0702294448001                                                    X
 147147      ZAMBRANO TORRES FREDY FRANCISCO  0702296179001                                                    X
 147135      AGUILAR BELTRAN CESAR HUMBERTO 0702299231001                                                      X
  76152                                       0702299298001                                                    X
 165181      MERIZALDE POVEDA JHON FREDDY     0702307943001                                                    X
 132901      GONZALEZ MALDONADO VICTOR AMARILDO
                                              0702308099001                                                    X
  94170      LUIS PORFIRIO RODRIGUEZ CONTENTO 0702312273001                                                    X
 210533      GUZMAN GUZMAN JHON ROLANDO       0702314667001                                                    X
  34416      RIOS HERRERA NANCY EUGENIA       0702316720001                                                    X
 167638      PAZMIÑO RODRIGUEZ CARLOS ALBERTO 0702317280001                                                    X
 270705      OROZCO SOLANO THUESMAN HORTENCIO 0702322017001                                                    X
  34225      BALCAZAR ARMIJOS NARCISA DE JESUS0702324377001                                                    X
  50257      PORRAS ARAÚJO NÉSTOR VOLTAIRE 0702324781001                                                       X
 168334      ALDAS CAIZ LOURDES ADELA         0702325929001                                                    X
 190677      VEGA CESAR AUGUSTO               0702326984001                                                    X
 105192      RODRIGUEZ GUAMAN CARLOS FERNANDO 0702335480001                                                    X
 245560      CHACHA PESANTES LUIS BOLIVAR     0702348442001                                                    X
 206817      ALDAZ SIGCHO FREDDY EDUARDO      0702352899001                                                    X
 158662      CEVALLOS SUÁREZ JHON MARCOS      0702352998001                                                    X
  83494      CAMINOS CUEVA ORFELINA DEL CARMEN0702353871001                                                    X
 138116      MALDONADO SALAZAR LUIS ENRIQUE 0702361551001                                                      X
No                 No registra
                                                               No                    No registra   No
                                                                        No. registra                       registra      No.    indicadores
                                                             registra                provincia, registra
Persona_id               NOMBRE               No. ID (RUC)                 calle                           número      registra de ventas,
                                                             apellido                 cantón y   primer
                                                                         principal                         de calle     origen activos y/o
                                                             paterno                 parroquia nombre
                                                                                                           principal             empleados

  22595      VITONERA GASTIABUR MARYURI DEL ROSARIO
                                             0702365842001                                                    X
  99330      SANCHEZ SUAREZ CESAR FERNANDO 0702366618001                                                      X
 194099      OLMEDO GIRON ARMANDO LENIN      0702368341001                                                    X
 134909      GONZALEZ AGUILAR ELICIA DEL CARMEN
                                             0702368846001                                                    X
 163735      GAVILANES TENESACA JAVIER OTON 0702370347001                                                     X
  93060      NARVAEZ CASTILLO SANTOS MERCI 0702381138001                                                      X
 130421      CONDOY BLACIO ROBERTH MONFILIO 0702384876001                                                     X
 103730      NIEBLA CEVALLOS LILA GERMANIA   0702385758001                                                    X
  27599      ALVAREZ MOLINA EDGAR VLADIMIR   0702388588001                                                    X
 125601      GALVEZ LLANLLAN MARIA ELENA     0702389180001                                                    X
 167415      PEREIRA TINOCO YURI BORIS       0702393430001                                                    X
 113670      GRANDA AGUILAR GERMANIA MERCEDES0702395864001                                                    X
 166013      JUMBO SANCHEZ FULTON FRANCISCO0702399684001                                                      X
  19920      ZUMBA BRITO MARCO GEOVANNY      0702401159001                                                    X
 204804      ORDOÑEZ BRITO YOLANDA GABRIELA 0702401985001                                                     X
 143644      VARGAS JACOME ISAIAS FERNANDO 0702403742001                                                      X
 162112      MOROCHO MOLINA WILMER VICENTE 0702406851001                                                      X
 241974      SAMANIEGO ARELLANO FRANKLIN HUMBERTO
                                             0702407693001                                                    X
 223917      LOAYZA RAMIREZ FREDDY MANUEL    0702408238001                                                    X
  94183      CORREA AGUILERA SORAYA JACKELINE702410341001
                                             0                                                                X
 268900      ARMIJOS RIOS JOSE LUIS          0702411505001                                                    X
 231436      NIEBLA ALVAREZ CARLOS ALBERTO 0702412248001                                                      X
  98120      SARAGURO MONTERO LUZ EULALIA 0702413808001                                                       X
 245540      GALVEZ SANCHEZ YONI RAQUEL      0702415563001                                                    X
  16987      ESPINOSA ESPINOSA MARIO ELIAS   0702417346001                                                    X
 162242      ESPARZA TOALONGO MANUEL JACINTO 0702418013001                                                    X
  54426      PAZMIÑO RODRIGUEZ RUBÉN ALFONSO 0702418294001                                                    X
  43648       SERVILIO                       0702418625001                                                    X
 267938      BLACIO TORRES JOSE LUIS         0702418781001                                                    X
 210889      RAMON QUEZADA MANUEL AGUSTIN 0702418922001                                                       X
 165839      VACACELA GIA FROILAN ANTONIO    0702419458001                                                    X
No                 No registra
                                                               No                    No registra   No
                                                                        No. registra                       registra      No.    indicadores
                                                             registra                provincia, registra
Persona_id               NOMBRE               No. ID (RUC)                 calle                           número      registra de ventas,
                                                             apellido                 cantón y   primer
                                                                         principal                         de calle     origen activos y/o
                                                             paterno                 parroquia nombre
                                                                                                           principal             empleados

  11882      CEDILLO RUIZ JORGE LUIS         0702419961001                                                    X
 114408      CASTRO BUSTAMANTE XAVIER ALEXANDER
                                             0702420985001                                                    X
  14930      ANGELA CELI SILVA               0702423740001                                                    X
 249442      RAMIREZ SOTO MARIA ELIZABETH    0702424219001                                                    X
 229009      ESPINOSA SUÁREZ MARCO PATRICIO 0702424441001                                                     X
 177077      PALMA VARGAS ALCIDES GONZALO    0702426784001                                                    X
  46650      ESPINOZA PÉREZ SANDRA OLIVA     0702428632001                                                    X
  47779      CUEVA VEGA GERMAN RIGOBERTO 0702430638001                                                        X
  26584      NIEBLA GONZALEZ LUIS FELIPE     0702432568001                                                    X
 178088      AVILA CARVAJAL ASISCLO ALFONSO 0702436270001                                                     X
  57080      MARIO                           0702436585001                                                    X
 167023      HIDALGO BARZOLA PATRICIA DEL ROCIO
                                             0702437054001                                                    X
  94163      CAIMINAGUA NAGUA MIRIAM NARCISA 0702445362001                                                    X
 185308      ORTIZ ZHUMI EDISON VICTOR       0702447103001                                                    X
 131130      VARGAS JARAMILLO PATRICIO EDUARDO
                                             0702448788001                                                    X
  50795      CARLOS                          0702450677001                                                    X
  51074      VALDIVIEZO AGUIRRE JOSÉ RAFAEL 0702451899001                                                     X
 259403      SUCO QUITO VICENTE GENARO       0702453952001                                                    X
 183143      ANAZCO ROMERO LUIS ALBERTO      0702454653001                                                    X
  61140      LOAYZA SALAZAR WILLIAN NEIL     0702459264001                                                    X
  76635      CORREA MARIN ANGEL STALIN       0702462581001                                                    X
 158799      CHAMORRO VIVEROS JESUS HUMBERTO 0702467556001                                                    X
 144307      LOAIZA CUENCA CARLOS OSWALDO 0702469354001                                                       X
 267380      MALDONADO ORDOÑEZ ROSA ELICIA 0702470204001                                                      X
 177857      CONCHA ILLESCAS MAURICIO ALCIDES0702473612001                                                    X
 195298      FAREZ REINOSO ROSA ANGELITA     0702474172001                                                    X
 195134      VARGAS MOTOCHE ALFREDO ALEJANDRO0702477951001                                                    X
 136430      OLAYA SALVATIERRA ANGEL ESTEBAN0702485004001                                                     X
 261822      MERCEDES GUIÑA MERCEDES HERLINDA0702495375001                                                    X
 183520      MARTINEZ LOAYZA LUIS ALEJANDRO 0702499286001                                                     X
  82735      ZAMBRANO LOAYZA YENNY MAGYURI 0702500083001                                                      X
No                 No registra
                                                               No                    No registra   No
                                                                        No. registra                       registra      No.    indicadores
                                                             registra                provincia, registra
Persona_id              NOMBRE                No. ID (RUC)                 calle                           número      registra de ventas,
                                                             apellido                 cantón y   primer
                                                                         principal                         de calle     origen activos y/o
                                                             paterno                 parroquia nombre
                                                                                                           principal             empleados

  88025      AYALA RODRIGO                  0702505132001                                                     X
  98726      LEÓN AGUIRRE PABLO GEOVANNY    0702506817001                                                     X
 165809      MACAS PACHECO JOSELITO ENRIQUE 0702514035001                                                     X
 103858      APOLO LOZA MARÍA TERESA        0702514704001                                                     X
 155129      DAVILA FEIJOO FAUSTO CELESTINO 0702517160001                                                     X
 160434      MURILLO GUAJALA NUMA EFREN     0702517202001                                                     X
 189350      ESPINOZA ENCARNACIÓN SEGUNDO RODRIGO
                                            0702517673001                                                     X
 149428      SANMARTIN ROBLES EDILME ABILIO 0702518358001                                                     X
 257768      AÑAZCO ROBLES EDI MARCELO      0702518747001                                                     X
 150540      AÑAZCO VALAREZO LUIS UFREDO    0702518895001                                                     X
 221425      SANDOVAL MALDONADO JOSE MIGUEL0702523820001                                                      X
 206867      RAMIREZ CAMPOVERDE NESTOR IVAN 0702526633001                                                     X
 168894      YANEZ YANEZ MANUEL SUCRE       0702537044001                                                     X
 204375      LOAYZA CALERO WALTER SANTOS    0702537069001                                                     X
 192283      CORDOVA NARVAEZ ANA OFELIA     0702541509001                                                     X
 136323      AGUILAR LOAYZA ROSA ELENA      0702542192001                                                     X
  58492      LUNA FLORES ELICEO EZEQUIEL    0702544461001                                                     X
 248298      VALAREZO SUSCAL GINA CLEMENCIA 0702547019001                                                     X
 161953      ALVAREZ GUARNIZO RAMON         0702547407001                                                     X
 181010      GALVEZ NAGUA MARTHA YOMAR      0702548884001                                                     X
  77736      MATAMOROS VALAREZO ARTURO MANUEL
                                            0702549726001                                                     X
 223785      QUIMI TORO FREDDY ALITTETH     0702549940001                                                     X
 102365      SEGARRA TIGRE JOSE ABEL        0702551953001                                                     X
 213980      OSORIO GRANDA HILDA LUPE       0702552050001                                                     X
 228871      TENEZACA ROMERO CLAIDER XIMENA 0702555236001                                                     X
 144549      CADENA SOLORZANO SANDRA CECILIA0702555657001                                                     X
 152901      SANCHEZ SARMIENTO LORGIO GUILLERMO
                                            0702555673001                                                     X
 276439      CAMPOZANO RAMIREZ TAMARA JAKELL0702556556001                                                     X
  58482      MÁRQUEZ CAJAMARCA LUIS WILSON 0702558388001                                                      X
 256463      MURILLO LEON NESTOR BALDEMAR 0702559329001                                                       X
 178519      MEDINA ZHUNE ESTHER JUANITA    0702559931001                                                     X
No                 No registra
                                                               No                    No registra   No
                                                                        No. registra                       registra      No.    indicadores
                                                             registra                provincia, registra
Persona_id               NOMBRE               No. ID (RUC)                 calle                           número      registra de ventas,
                                                             apellido                 cantón y   primer
                                                                         principal                         de calle     origen activos y/o
                                                             paterno                 parroquia nombre
                                                                                                           principal             empleados

 147814      GONZALEZ MALDONADO EDGAR MIGUEL 0702561333001                                                    X
 238335      ECHEVERRIA BRAVO SEGUNDO HERIBERTO
                                             0702562695001                                                    X
 101210      MORENO ARMIJOS HERIBERTO        0702568387001                                                    X
  98918      HIDALGO CHICA BERTHA MARIA      0702570995001                                                    X
 261063      DEL ROSARIO CUJILÁN MANUEL ENRIQUE
                                             0702573734001                                                    X
 176875      MACAS ROMERO GLENDA PAMELA      0702583675001                                                    X
 126537      AYALA LAPO JOHNSON FERNANDO     0702584996001                                                    X
 273641      SANCHEZ MARQUEZ VICENTE GEOVANNY0702585985001                                                    X
 213014      PEÑALOZA LOPEZ SERGIO ORLANDO 0702587312001                                                      X
  37741      UNUZUNGO PRECIADO OSWALDO LENIN 0702590514001                                                    X
  83848      MALDONADO GUERRERO FRANKLIN HIPOLITO
                                             0702593179001                                                    X
 272296      YANEZ CABRERA JUAN JOSE         0702594581001                                                    X
 204831      ROMERO HIDALGO OSCAR MAURICIO 0702603747001                                                      X
 112750      TENELEMA CHANGO WILLIAM GIOVANNI0702604505001                                                    X
  49204      PENAFIEL FLORES CARLOS JULIO    0702607128001                                                    X
 187394      CAMPOVERDE ARCE JORGE EDUARDO0702609157001                                                       X
 269648      DELGADO DELGADO EDID MARCELO 0702610643001                                                       X
  92538      AGUILAR MOROCHO TROZKY GEORGE0702615733001                                                       X
 267478      KAM BUSTOS CARLOS EDUARDO       0702619990001                                                    X
 241772      FAREZ CHILLOGALLI FELIX ANTONIO 0702622697001                                                    X
 242027      AJILA CHAMAIDAN NECKER OSWALDO 0702623513001                                                     X
 143608      MACAS GUZMAN SAIDA DEL CARMEN 0702631037001                                                      X
  90376      MANCHAY CAPA CARMEN NANCY       0702638909001                                                    X
 227885      SANCHEZ GUERRERO FEDERICO LAURO 0702642729001                                                    X
 218969      TORRES GONZÁLEZ GINA MARIANA    0702643628001                                                    X
 120623      FEIJOÓ QUEZADA MALENA DEL CISNE 0702643875001                                                    X
 192383      ARIAS BRITO ALFONSO MANUEL      0702644360001                                                    X
 165322      QUEZADA ESPINOZA MANUEL SAUL    0702644915001                                                    X
 252076      RIVAS ROMERO ROBERTO ANTONIO 0702645342001                                                       X
  55335      MALDONADO ALBARRACIN HELEN ALEXANDRA
                                             0702650359001                                                    X
  87590      BARRERA ULLAURI MILDRED CECILIA 0702658204001                                                    X
No                 No registra
                                                               No                    No registra   No
                                                                        No. registra                       registra      No.    indicadores
                                                             registra                provincia, registra
Persona_id               NOMBRE               No. ID (RUC)                 calle                           número      registra de ventas,
                                                             apellido                 cantón y   primer
                                                                         principal                         de calle     origen activos y/o
                                                             paterno                 parroquia nombre
                                                                                                           principal             empleados

 142768      PINEDA ARMIJOS WELLINGTON EDGARDO
                                             0702663063001                                                    X
  15595      FERROBLOK                       0702665944001                                                    X
  10575       RUIZ VEINTIMILLA JOSE AGUSTIN  0702666355001                                                    X
 135045      MAZA IÑIGUEZ JOSE VICENTE       0702673583001                                                    X
  48091      CAMPOVERDE AYMAR EDWIN FRANKLIN702674136001
                                             0                                                                X
 161684      AGILA PINZON GALO VIDAL         0702677485001                                                    X
  24013      GORDILLO GONZALEZ JORGE MARCELO702678509001
                                             0                                                                X
  51253      HERRERA PALADINEZ GEORGINA PIEDAD
                                             0702680224001                                                    X
 168864      BORBOR ALDAZ HAMLLER VICENTE    0702680604001                                                    X
 193577      RODAS VERA BAYRON STALIN        0702681446001                                                    X
 112127      BERREZUETA DURAN JORGE BOLIVAR 0702682345001                                                     X
 168246      CARRILLO PADILLA BALTAZARA      0702683079001                                                    X
 136474      SANCHEZ VILLALTA JENNY MARÍA    0702684903001                                                    X
 214021      LOYOLA CHONG BORIS VLADIMIR     0702686353001                                                    X
 159082      BERMEO CHAVEZ FLORA ANGELINA    0702695891001                                                    X
  57605      JARAMILLO CASTILLO CARLOS TELMO 0702699448001                                                    X
 117168      VILLEGAS AGUIRRE CARMEN GRICELDA0702702499001                                                    X
 126793      VIVANCO VALAREZO CLEMENTE ROGELIO
                                             0702704073001                                                    X
 190274      CARRENO TANDAZO RUBISKI LESTHERSON
                                             0702706938001                                                    X
 268404      MALDONADO GODOY MANUEL GONZALO  0702708892001                                                    X
 112691      ALVARADO HURTADO SEGUNDO HERNAN 0702710104001                                                    X
 130647      GUERRERO PINZON WALTER EFRAÍN 0702711326001                                                      X
 119876      PESANTES SAMANIEGO ABEL ARTURO 0702712639001                                                     X
  54648      ZAMBRANO GALLARDO FLOR MARIA 0702716069001                                                       X
 258488      RAMIREZ SALAZAR GUILLERMO GUSTAVO
                                             0702717299001                                                    X
 254343      SANMARTIN VASQUEZ EDIN REMIGIO 0702719881001                                                     X
 167174      PATIÑO NAULA JOSE RUPERTO       0702721796001                                                    X
 118906      MACAS PEÑARRETA JORGE ENRIQUE 0702723834001                                                      X
 151299      CAMACHO CAMACHO MANUEL ALVARO0702726233001                                                       X
 183298      RODRIGUEZ CARRION LUIS EFREN    0702733833001                                                    X
 253821      RAMIREZ LOAIZA LUIS ENRIQUE     0702734039001                                                    X
No                 No registra
                                                               No                    No registra   No
                                                                        No. registra                       registra      No.    indicadores
                                                             registra                provincia, registra
Persona_id               NOMBRE               No. ID (RUC)                 calle                           número      registra de ventas,
                                                             apellido                 cantón y   primer
                                                                         principal                         de calle     origen activos y/o
                                                             paterno                 parroquia nombre
                                                                                                           principal             empleados

 166676      MONTAÑO TORRES FELIX LAUTARO 0702736034001                                                       X
 134310      VALDEZ SANCHEZ YURI MARILU      0702745019001                                                    X
 177200      FEIJOO TINOCO GERARDO MAXWELL 0702746595001                                                      X
 149401      TORRES VARGAS WALTER JACINTO 0702753187001                                                       X
  27825      BUSTAMANTE MENA XAVIER VICENTE 0702766791001                                                     X
  69094      AREVALO ORTIZ FRANKLIN ADALBERTO0702767203001                                                    X
 118725      RIVERA CARTAGENA JIMMY DARWIN 0702768979001                                                      X
 119832      ULLOA CABRERA EMIL RODRIGO      0702769175001                                                    X
 138509      APOLO ISQUIERDO CERVILIO OCTAVIO0702770108001                                                    X
  65655      RIOS CEVALLOS EDWARD MARTIN     0702772690001                                                    X
 102593      AREVALO FAJARDO PETITA JUDITH   0702772872001                                                    X
 259883      ZAMBRANO SALAZAR VERÓNICA MARICELA
                                             0702774563001                                                    X
 266515      MEJIA OCHOA MARIANA DE JESUS    0702776196001                                                    X
 201147      RODRIGUEZ JARAMILLO JOHN FERNANDO
                                             0702778101001                                                    X
 107800      ORTEGA ROMERO EDDIE FERNANDO 0702778127001                                                       X
 149632      ORELLANA ROMERO DARWIN ENRIQUE  0702778135001                                                    X
 168983      ROMERO VALAREZO MAYDE DEL CISNE 0702778374001                                                    X
  23727      MORAN RAMIREZ MARIO MANUEL      0702780941001                                                    X
  96274      CARVAJAL ROMERO CLAUDIA DEL PILAR
                                             0702784372001                                                    X
 205564      MARTINEZ CORONEL EINSTEN ECUADOR0702786815001                                                    X
  38658      RIOFRÍO AGUILAR LUIS EDUARDO    0702787912001                                                    X
 213684      SANCHEZ SANCHEZ VICTOR ARNALDO0702794116001                                                      X
 251265      SORIANO BERMUDES RAUL BENEDICTO 0702795436001                                                    X
 275042      CUENCA ORDOÑEZ MARY ISABEL      0702797630001                                                    X
 121178      PILLACELA YUNGA SEGUNDO RODRIGO 0702798224001                                                    X
  48622      LEON AGUIRRE HENRY FABIAN       0702800152001                                                    X
 122867      MALES ARMIJOS MADALIA IRLANDIA 0702801820001                                                     X
 162364      LOAYZA VALAREZO JOSE ANTONIO    0702802422001                                                    X
 173064      JARA ROMERO JHONNY RAFAEL       0702802737001                                                    X
   4304       MARCOS                         0702802885001                                                    X
 106962      QUEZADA IÑAMAGUA JACINTO BLADIMIR
                                             0702804584001                                                    X
No                 No registra
                                                               No                    No registra   No
                                                                        No. registra                       registra      No.    indicadores
                                                             registra                provincia, registra
Persona_id               NOMBRE               No. ID (RUC)                 calle                           número      registra de ventas,
                                                             apellido                 cantón y   primer
                                                                         principal                         de calle     origen activos y/o
                                                             paterno                 parroquia nombre
                                                                                                           principal             empleados

 271273      CEDILLO CALLE CARLOS ARTURO     0702806068001                                                    X
 200575      CAPELO SILVA JOSEPH LEANDRO     0702808494001                                                    X
 181324      GOMEZ SUAREZ CARLOS JOHN        0702811464001                                                    X
  52889      CALVA ARMIJOS JHONNY HENRY      0702824384001                                                    X
 151028      NOBLECILLA SOTOMAYOR WALTER EDUARDO
                                             0702824657001                                                    X
 220758      PEREZ APOLO RANDOL EDINZON      0702830977001                                                    X
 114624      AUCAY AUCAY WILLIAN DIMAS       0702834219001                                                    X
 150207      VALENCIA ZAMBRANO JAVIER MANUEL0702836156001                                                     X
 148551      AGUILAR CAMPOVERDE MARIANA DE JESUS
                                             0702848748001                                                    X
  83522      PEZO QUINCHE GRISELDA ISABEL    0702849746001                                                    X
  79312      TORO TORO BAUDILIO EVERALDO     0702852138001                                                    X
 222112      HUIRACOCHA COELLO KLEVER ANTONIO0702852690001                                                    X
 134340      DAVILA CARRION SILVIA ESPERANZA 0702865189001                                                    X
 140791      DAVILA GONZALEZ PABLO FERNANDO 0702875840001                                                     X
  12364      JCAVILAJARAM                    0702877432001                                                    X
 219406      OJEDA VALLE KLEWIN MANUEL       0702877903001                                                    X
 110420      BUSTAMANTE RUEDA EDINSON BORIS 0702878505001                                                     X
 192638      MARIN ORTEGA HUGO RAMIRO        0702880956001                                                    X
 174122      ROMERO ESPINOZA LENIN EFRAÍN    0702889015001                                                    X
 169683      MOROCHO CALLE JOSE EUSEBIO      0702890880001                                                    X
 101977      VARGAS MOTOCHE GILBERTO SALOMON 0702893710001                                                    X
  12518      LUNA TENESACA VILMA JANETH      0702896218001                                                    X
 170203      MEDINA ZAPATANGA PEDRO JAVIER 0702898651001                                                      X
 275589      VIVANCO AGUIAR DANNY ALEXANDER 0702903204001                                                     X
 178038      UREÑA UREÑA ZOILA ROSA          0702910035001                                                    X
 255632      VALLE ESPINOSA KARINA PATRICIA  0702910316001                                                    X
  79748      LOPEZ ITURRALDE NERY ELVIRA     0702916107001                                                    X
 218697      SOTOMAYOR FLORES HEELENN HENNESY0702917071001                                                    X
 222899      POGO VILELA LUIS BERNARDO       0702926338001                                                    X
 255744      LAINES MORAN WILLIAN JHONSON    0702928284001                                                    X
 212391      RIVERA TORRES FRANCISCA ELIZABETH
                                             0702932146001                                                    X
No                 No registra
                                                                No                    No registra   No
                                                                         No. registra                       registra      No.    indicadores
                                                              registra                provincia, registra
Persona_id               NOMBRE                No. ID (RUC)                 calle                           número      registra de ventas,
                                                              apellido                 cantón y   primer
                                                                          principal                         de calle     origen activos y/o
                                                              paterno                 parroquia nombre
                                                                                                            principal             empleados

 148536      QUEZADA CASTILLO WILSON ENRIQUE  0702933672001                                                    X
  93257      LEON VARGAS JACKELINE LETICIA    0702935453001                                                    X
 178290      ROMERO ROMERO WINSTON POLIBIO 0702937590001                                                       X
  43740      CARPIO ORBES EUCLIDES HONORIO 0702938960001                                                       X
 120021      ANDRADE ORDOÑEZ ROSITA ELENA 0702940016001                                                        X
 221265      CALVA CHUQUIMARCA JOFRE ANTONIANO0702940529001                                                    X
 179644      CEDILLO ROMERO SEGUNDO SALVADOR  0702942335001                                                    X
 264117      ASTUDILLO AÑAZCO JORGE ARTURO 0702945262001                                                       X
  90105      CAMPOVERDE VARGAS KENNETH SANTIAGO
                                              0702947128001                                                    X
 221552      JARAMILLO CENTENO JIMY STALIN    0702952730001                                                    X
 138270      MACAS ESPINOZA FIDEL AMNELIO     0702953548001                                                    X
  90726      APONTE SOCOLA SEGUNDO GABINO 0702961574001                                                        X
 108575      MACHUCA VIVANCO CARLOS DAVID     0702962291001                                                    X
 125827      SANMARTIN QUEZADA WALTER IPOLIO0702970120001                                                      X
 257952      MACAS LABANDA ANGEL PATRICIO     0702981952001                                                    X
 103357      CEDILLO RIVAS FELIX ALI          0702986076001                                                    X
 246276      VALAREZO LEON OSWALDO DE JESUS 0702987991001                                                      X
 107945      NARAMJO VELECELA FRANCISCO LIBORIO
                                              0702995721001                                                    X
  58281       HECTOR                          0702998790001                                                    X
  36764      DELGADO JAIME SEGUNDO            0703000406001                                                    X
 141733      ZAMBRANO ZAMBRANO FREDDY ENRIQUE 0703003665001                                                    X
 188347      CUENCA RODRIGUEZ FLORESMILO GERISELDO
                                              0703005421001                                                    X
 149844      NOBLECILLA VELEZ MAURICIO EFRAIN 0703006288001                                                    X
 211013      RIOFRIO LOAYZA DARWIN ALFONSO 0703014423001                                                       X
  65084      DAVILA CASTRO ROBERTH ENRIQUE 0703021576001                                                       X
 144581      MALDONADO CHALÁN RICARDO EDUARDO 0703022202001                                                    X
 214088      RAMBAY SALINAS DARWIN WASHINGTON 0703022723001                                                    X
  38971      OCHOA NAVARRO CARLOS ALBERTO 0703031799001                                                        X
 208419      SARANGO ARIAS NIXON GEOVANNY 0703038307001                                                        X
 206828      APOLO LOZA FRANKLLIN             0703042226001                                                    X
 226624      FLORES MENDEZ MERCEDES HONORINA  0703043067001                                                    X
No                 No registra
                                                                No                    No registra   No
                                                                         No. registra                       registra      No.    indicadores
                                                              registra                provincia, registra
Persona_id               NOMBRE                No. ID (RUC)                 calle                           número      registra de ventas,
                                                              apellido                 cantón y   primer
                                                                          principal                         de calle     origen activos y/o
                                                              paterno                 parroquia nombre
                                                                                                            principal             empleados

 165673      ZAPATA COBOS GUILLERMO EFRAÍN 0703049593001                                                       X
 109143      ARÉVALO APOLO KLEBER ANTONIO     0703067660001                                                    X
 219020      NIETO ROMERO MAYRA KARINA        0703070086001                                                    X
 191439      GIA CUENCA DILMO GONZALO         0703072074001                                                    X
  96698      QUEZADA SOTO MARTHA PATRICIA     0703073346001                                                    X
 244037      AVILA GALLEGOS CECILIA ELIZABETH 0703074211001                                                    X
 110888      ALVAREZ SUAREZ MARTHA GISELA     0703076695001                                                    X
 112470      MATUTE ESPINOZA YOCONDA DEL CISNE0703079301001                                                    X
 154963      RUIZ CARRION MONICA DEL CARMEN 0703080887001                                                      X
 114559      ROMERO FREIRE SEGUNDO ENRIQUE 0703081836001                                                       X
 102099      GALARZA FREIRE JOSE HUMBERTO     0703094516001                                                    X
 198877      CASTILLO JIMENEZ ALBA MAGDALENA 0703098491001                                                     X
 235410      GUILLEN PINOS CARLOS MARCELO     0703106567001                                                    X
 218980      MENDEZ BRAVO ANGEL DAVID         0703111203001                                                    X
 137888      DUARTE ELIZALDE MELVANIA JACQUELINE
                                              0703114264001                                                    X
 228550      FERNADEZ VILELA YESENIA ELIZABETH0703116715001                                                    X
  37853      JUMBO YAMUCA FRANCO EDUARDO 0703118349001                                                         X
 260119      ORELLANA MOCHA EDISON DANIEL     0703118810001                                                    X
 163443      QUIMI ESPINOZA MARYURI EUFEMIA 0703119057001                                                      X
  68121      GALVEZ FEIJOO HUGO RAFAEL        0703127985001                                                    X
 165768      ARMIJOS GUAMAN EDGAR MANUEL      0703137885001                                                    X
 261615      OCAMPO RAMIREZ LUIS SALVADOR     0703146498001                                                    X
 140045      AGUILAR AGUILAR JUAN CARLOS      0703148882001                                                    X
 143749      GOMEZ QUIÑONEZ JULIO ANTONIO     0703154583001                                                    X
  23396      FERNANDEZ MALDONADO WIILIAM JEAN PAUL
                                              0703159632001                                                    X
  21938      BUSTAMANTE ABAD OSWALDO FERNANDO 0703162016001                                                    X
 258076      VARGAS FEIJOO JORGE FABIAN       0703162438001                                                    X
 109487      PELAEZ ROMERO MARCOS ANTONIO 0703167015001                                                        X
  93372      LUNA HERVIN                      0703170506001                                                    X
  17081       JORGE                           0703170555001                                                    X
 175456      VIVANCO CASTRO JEFFERSON FERNANDO0703170647001                                                    X
No                 No registra
                                                              No                    No registra   No
                                                                       No. registra                       registra      No.    indicadores
                                                            registra                provincia, registra
Persona_id              NOMBRE               No. ID (RUC)                 calle                           número      registra de ventas,
                                                            apellido                 cantón y   primer
                                                                        principal                         de calle     origen activos y/o
                                                            paterno                 parroquia nombre
                                                                                                          principal             empleados

 265330      QUEVEDO MOLINA JHON HENRRY       0703172478001                                                  X
 214386      RAMIREZ RUILOVA LINDER JONATAN 0703176628001                                                    X
 107778      LEON JORDAN RICHARD EMILIO       0703177493001                                                  X
 226080      VILLACIS GONZALEZ ROSA ELISA     0703179549001                                                  X
 138178      FAREZ GALARZA DARWIN PATRICIO 0703182600001                                                     X
  68097      CASTRO BLACIO VIVIANA ELIZABETH 0703182881001                                                   X
 236921      AGUILAR HERRERA DENISE FAVIOLA 0703187807001                                                    X
 133276      SANCHEZ IDROVO CELINA CAROLA     0703190066001                                                  X
  86339      IÑIGUEZ LEON GLORIA NATIVIDAD    0703197236001                                                  X
 136986      SIVISAPA CARAGUAY DENISSE ELIZABETH
                                              0703198846001                                                  X
  58484      CORPORACION DE PROMOCION ECONOMICA CONQUITO
                                              0703201012001                                                  X
 182886      ROMERO RIVERA JESSENIA DE LA NUBE703216184001
                                              0                                                              X
 161841      CAPELO PONTON WILLIAM PATRICIO 0703221663001                                                    X
  19948       DENNIS                          0703225292001                                                  X
  97067      PULGARIN VALDIVIEZO JHONNY JOSE 0703227173001                                                   X
  22436      MOROCHO MATUTE DESSY JOHAN       0703228080001                                                  X
 130167      VITE CEVALLOS HARRY ALEXANDER 0703231043001                                                     X
 199431      MALDONADO GUZMAN SARA DEL ROCIO703234120001
                                              0                                                              X
 180481      MUÑOZ TORRES JAVIER ROBERTO      0703236026001                                                  X
 144377      PALADINES SALDAÑA LEONARDO HUMBERTO
                                              0703238469001                                                  X
 171222      ZÚÑIGA CASTRO NÉSTOR ANTONIO     0703239772001                                                  X
  30434      RAMIREZ RAMIREZ ANGEL FABIAN     0703241372001                                                  X
 261576      CASTRO CHUNGATA MARITZA ALEXANDRA0703249425001                                                  X
  85487      VEGA GUILLIN JAISER GUSTAVO      0703251603001                                                  X
 101828      REYES GALLARDO BYRON DARWIN      0703255067001                                                  X
 274637      FIALLOS PAREDES JOSE FRANCISCO 0703260646001                                                    X           X
  71343      AGUILAR AGUILAR JUAN CARLOS      0703265017001                                                  X
   3991      CARRION MORA MERY YESSENIA       0703266304001                                                  X
 108395      AQUINO PALOMEQUE OSCAR FIDEL     0703269308001                                                  X
 186821      JUMBO PAZ JOSE RAMIRO            0703270363001                                                  X
 108409      ZURITA OQUENDO ROLANDO JAVIER 0703272732001                                                     X
No                 No registra
                                                               No                    No registra   No
                                                                        No. registra                       registra      No.    indicadores
                                                             registra                provincia, registra
Persona_id               NOMBRE               No. ID (RUC)                 calle                           número      registra de ventas,
                                                             apellido                 cantón y   primer
                                                                         principal                         de calle     origen activos y/o
                                                             paterno                 parroquia nombre
                                                                                                           principal             empleados

 213040      ROSALES MENESES ELVIA JUSTINA   0703272930001                                                    X
 116778      QUIMI HERNANDEZ LUIS TONE       0703283010001                                                    X
  27276      LINDO GUATO EDWIN EDISON        0703285890001                                                    X
  39117      GOMEZ MOGROVEJO JAIME ESTUARDO  0703286971001                                                    X
 193109      SANDOVAL MALDONADO MANUEL ARTURO0703289397001                                                    X
 243908      GUALPA RAMIREZ EDDIE GERMAN     0703290544001                                                    X
  93174      ORDINOLA CORDOVA CLARA ESPERANZA0703298364001                                                    X
 220801      PEÑA TORO PABLO ANDRÉS          0703309971001                                                    X
 117271      LOPEZ MURILLO FAUSTO SAMUEL     0703310722001                                                    X
 235412      CHURO CORDOVA VLADIMIR XAVIER 0703325068001                                                      X
 214887      CALLE LEON LUZ BELLA            0703325175001                                                    X
 209440      CAJAMARCA CHUNCHO JOSE EMILIANO 0703325670001                                                    X
 105905      SICHIQUE PINTADO MARIA ESTHER   0703329060001                                                    X
 151882      GUAILLAS GUAILLAS LUIS ANTONIO  0703330506001                                                    X
  53638      ALVAREZ HURTADO CHRISTHIAN OSCAR0703332007001                                                    X
  73206      AJILA CAMACHO CESAR AUGUSTO     0703335521001                                                    X
 170538      DAVIS CASTRO MANUEL EUGENIO     0703335695001                                                    X
 196692      ROMERO ZERDA FRANCISCO XAVIER 0703338046001                                                      X
  90731      SARMIENTO ZUÑIGA MILTON RUPERTO0703339275001                                                     X
  16394      AMBULUDI ALVAREZ VINICIO DARIO  0703340307001                                                    X
  15623      REINOSO ZUNIGA JORGE JIMMY      0703360404001                                                    X
 179038      ROGEL MALDONADO JIMMY PATRICIO 0703360594001                                                     X
 179410      CUENCA CUENCA MATIAS FERNANDO 0703361808001                                                      X
  86530      CARAGUAY CARAAGUAY FULTON BENEDICTO
                                             0703367391001                                                    X
 110929      CAMACHO SANCHEZ ANA ISABEL      0703368696001                                                    X
 120967      CORREA CASTRO LEONARDO ANTONIO  0703376426001                                                    X
 224265      JIMENEZ CAÑAR GERMANIA HERMANDINA
                                             0703378802001                                                    X
 131705      SERRANO RAMON MABEL ANALIA      0703383323001                                                    X
 156880      CAÑAR MAZA MARIA ROSARIO        0703383869001                                                    X
 235371      RODRIGUEZ CORREA MIRIAN ELIZABETYH
                                             0703386904001                                                    X
 139242      AGUILAR COLLAGUASO LEONARDO MIGUEL
                                             0703392571001                                                    X
No                 No registra
                                                               No                    No registra   No
                                                                        No. registra                       registra      No.    indicadores
                                                             registra                provincia, registra
Persona_id               NOMBRE               No. ID (RUC)                 calle                           número      registra de ventas,
                                                             apellido                 cantón y   primer
                                                                         principal                         de calle     origen activos y/o
                                                             paterno                 parroquia nombre
                                                                                                           principal             empleados

  16812      QUIROLA VILELA DAMIAN MARCELO   0703395723001                                                    X
 111240      ARMIJOS TOALONGO MARICELA ISABEL0703399253001                                                    X
 183099      PARRA CACERES ORLANDO JAVIER    0703399824001                                                    X
 222462      CHAMBA BELTRAN MANUEL AUGUSTO 0703405068001                                                      X
 158755      ROMERO GALARZA MARIELA DEL ROCIO0703410167001                                                    X
 160299      ORDOÑEZ AGUILAR YINSON OVIDIO   0703411660001                                                    X
 267114      COOFFRE PINZON MARIA LORENA     0703418608001                                                    X
 253341      SARMAS FREIRE ARMANDO EFREN     0703419853001                                                    X
 166074      QUINDE RENDON RICHARD EFRAIN    0703420794001                                                    X
  20422      ORTEGA ESPINOZA MABEL IBETH     0703422154001                                                    X
  98297      IÑIGUEZ LOAIZA LUIS ALBERTO     0703429027001                                                    X
 124187      CARRION LEIVA WILMAN FERNANDO 0703432799001                                                      X
  97871      ORTEGA RAMON JHASMIN SOLEDAD 0703440321001                                                       X
 200656      FLORES SANCHEZ XIOMARA ISABEL 0703442418001                                                      X
 185524      RIVERA CAMPOS SANTOS LUPERCIO 0703442657001                                                      X
 129824      QUITO CHAMBA XAVIER SALVADOR    0703443945001                                                    X
 150050      GRANDA SANCHEZ PATRICIA DEL CARMEN
                                             0703445197001                                                    X
 248789      PUGLLA MOSQUERA RODRIGO MARCELO 0703450668001                                                    X
 266614      PEÑA QUEVEDO JUAN CARLOS        0703477885001                                                    X
 123705      JIMÉNEZ JARAMILLO SEBASTIAN ESTUARDO
                                             0703477984001                                                    X
 140968      SALINAS CAMACHO ALBERTO         0703479139001                                                    X
 211640      CARRIEL RAMIREZ EDISON JAVIER   0703487660001                                                    X
 217171      CAVERO PALMA HILARIO RUPERTO    0703487850001                                                    X
 129676      CABRERA CRIOLLO TERESITA DE LAS NIEVES
                                             0703489278001                                                    X
  92517      PALACIOS TACURI VERÓNICA ALEXANDRA
                                             0703497271001                                                    X
 122791      ROMERO YAMUNAQUE YADIRA LORENA  0703499772001                                                    X
 260801      MEDINA GARCÉS OSCAR MARCEL      0703522193001                                                    X
 241551      I URGILES LORGIO MAURITO        0703524199001      X                                             X
 174506      RODRIGUEZ SISALIMA GRIMALDA NATIVIDAD
                                             0703524249001                                                    X
 100227      CHICA CHUCHUCA YULY KAREN       0703527671001                                                    X
 111855      BARZALLO MOSCOSO JULIO ANDRES 0703528869001                                                      X
No                 No registra
                                                                No                    No registra   No
                                                                         No. registra                       registra      No.    indicadores
                                                              registra                provincia, registra
Persona_id               NOMBRE                No. ID (RUC)                 calle                           número      registra de ventas,
                                                              apellido                 cantón y   primer
                                                                          principal                         de calle     origen activos y/o
                                                              paterno                 parroquia nombre
                                                                                                            principal             empleados

 277497      VARGAS ESPINOZA MARCO EDUARDO 0703534784001                                                       X           X
 173392      JUMBO SANCHEZ CARLOS EDUARDO 0703549931001                                                        X
 122621      BENALCAZAR COTERA ANGEL GABRIEL  0703550541001                                                    X
 197778      MONTALVAN RAMIREZ MIGUEL ANGEL 0703561951001                                                      X
  85402      JARAMILLO GUERRA CARLOS GUILLERMO0703563841001                                                    X
 170410      VERA ORTIZ GONZALO NAPOLEON      0703573139001                                                    X
 190579      RAMÓN GUANUCHI MERCEDES MARÍA 0703584649001                                                       X
  97116      SANDOVAL CANAR LEODAN STALIN     0703585554001                                                    X
 237730      RAMIREZ BRAVO HERMINIA DELFINA 0703585737001                                                      X
 130888      MARQUEZ SAGAL MARCIA YADIRA      0703586933001                                                    X
 207579      ROJAS VIVANCO ESTALIN EDUARDO 0703590455001                                                       X
 199751      PAVON OCHOA HECTOR RAMIRO        0703596239001                                                    X
 175568      SUNCION INFANTE FLORCI DEL ROCIO 0703599746001                                                    X
 167215      BERMEO ZUÑIGA JAIME LUCIO        0703601971001                                                    X
 178994      VEGA FERNANDEZ JESSENIA MARICELA 0703604876001                                                    X
 195115      RODRIGUEZ YANDUN MARCO ANTONIO   0703608190001                                                    X
 183062      ARMIJOS AGUILAR JOSE FERNANDO 0703615252001                                                       X
 197363      RUIZ TINIZARAY JOHANNA MARYURI 0703618652001                                                      X
 154077      PALADINES CARRERA WALTER GEOVANNY0703624551001                                                    X
  12618       JOSE                            0703625004001                                                    X
  68811      ECHEVERRIA VASQUEZ ANDREA CECILIA0703625913001                                                    X
 149579      JARAMILLO NIOLA MARIUXI NATALI   0703635250001                                                    X
 241160      CARCHI BENITEZ JUAN CARLOS       0703642280001                                                    X
  63820      MEDINA PUGO SANTIAGO MANUEL      0703653097001                                                    X
  25650       TEMISTICO                       0703653840001                                                    X
 244312      SALAZAR FLORES PATRICIO LEONEL 0703659953001                                                      X
 266248      ZAMBRANO BALSECA CARLOS MIGUEL0703664037001                                                       X
 224142      ORDOÑEZ TELLO LUIS               0703665042001                                                    X
 214360      MASACHE BARRERA DARWIN HONORIO   0703668418001                                                    X
 258361      TELLO ZAPATA JESSENIA JUDITH     0703669739001                                                    X
 220130      CELI VIVANCO SANTOS MILTON       0703673046001                                                    X
No                 No registra
                                                               No                    No registra   No
                                                                        No. registra                       registra      No.    indicadores
                                                             registra                provincia, registra
Persona_id               NOMBRE               No. ID (RUC)                 calle                           número      registra de ventas,
                                                             apellido                 cantón y   primer
                                                                         principal                         de calle     origen activos y/o
                                                             paterno                 parroquia nombre
                                                                                                           principal             empleados

 129597      ORDOÑEZ SÁNCHEZ MANUEL ISMAEL 0703688283001                                                      X
 270094      LUZARDO QUEZADA MARCO DAVID     0703689232001                                                    X
 264578      CAHUANA PALMA KLEBER ANTONIO    0703689570001                                                    X
 245095      BRAVO BRAVO VERONICA PATRICIA 0703690123001                                                      X
 171793      JARAMILLO GODOY PABLO EDER      0703691873001                                                    X
  91686      AGUIRRE RODRÍGUEZ JOSÉ EDUARDO0703692442001                                                      X
 271995      PLACENCIO LOAYZA MAURICIO RODRIGO
                                             0703693218001                                                    X
 263421      LOYOLA CASTRO RUDID ORLANDO     0703697466001                                                    X
 210924      OROSCO CASTILLO DALTON RODRIGO 0703702308001                                                     X
 149937      LEON TORO MARIA DEL CARMEN      0703708917001                                                    X
 221953      GALLARDO ORELLANA ALEXANDER PATRICIO
                                             0703709485001                                                    X
 104218      RAMIREZ CAMPOVERDE AGUSTO CELIN 0703721613001                                                    X
 200253      QUIÑONES QUIÑONES EDWIN HUMBERTO0703723718001                                                    X
 173181      RECLDE JIMBO MARITZA VIVIANA    0703728428001                                                    X
 251586      HERRERA PINZÓN MONICA           0703729947001                                                    X
  83471      ELIZALDE CARPIO MERCY MAGALI    0703730200001                                                    X
  17470      FEIJOO CARRION DARWIN ROLANDO 0703732479001                                                      X
 156221      OÑA ROMERO CRISTIAN ALEXANDER 0703738567001                                                      X
 257537      ARROBO ARCOS BETY VANESA        0703739086001                                                    X
  92451      CASTILLO TROYA LUCRECIA ERNESTINA
                                             0703741009001                                                    X
 138381      AGUILAR PENALOZA JUAN DIEGO     0703745794001                                                    X
 162575      BRITO PELAEZ RICARDO GABRIEL    0703750349001                                                    X
 221117      RUGEL VALLE ROBERT FERNANDO     0703751677001                                                    X
 244092      ROMERO HOLGUIN LENIN JOSE       0703752089001                                                    X
 265191      RIVERA MORENO PAULO CESAR       0703753251001                                                    X
 117897      MARQUEZ CHICAIZA JESSICA VANESA 0703756494001                                                    X
 119672      AGUIRRE VEINTEMILLA KARLO WILLMAR
                                             0703757351001                                                    X
 161627      BELDUMA CUENCA JORGE INDALECIO 0703780072001                                                     X
  90166      SINCHE ALBAN ALEX MAURICIO      0703780445001                                                    X
 263820      MENENDEZ PRADO HENRY FABRICIO 0703783209001                                                      X
 108990      JIMENEZ SUQUILANDA JORGE PATRICIO703792754001
                                             0                                                                X
No                 No registra
                                                                No                    No registra   No
                                                                         No. registra                       registra      No.    indicadores
                                                              registra                provincia, registra
Persona_id               NOMBRE                No. ID (RUC)                 calle                           número      registra de ventas,
                                                              apellido                 cantón y   primer
                                                                          principal                         de calle     origen activos y/o
                                                              paterno                 parroquia nombre
                                                                                                            principal             empleados

 140194      CEVALLOS VIVAS DIEGO FERNANDO 0703797274001                                                       X
 229819      PERALTA CASTILLO DIEGO MARCELO 0703804872001                                                      X
  90446      RAMÍREZ RAMÍREZ JUAN DANIEL      0703809111001                                                    X
 185619      GUAMO PINTADO MANUEL GILBERTO 0703810614001                                                       X
 138560      COBOS PESANTEZ ROMEL ALIPIO      0703812537001                                                    X
  93129      PINZA PINZA MAURA DE JESUS       0703817304001                                                    X
 144842      ZALDÚA MORÁN MIGUEL ANGEL        0703825497001                                                    X
 246173      BUENAÑO LAPO SHIRLEY KATERINE 0703827832001                                                       X
 224300      VERA CALDERON FERNANDO PATRICIO  0703831867001                                                    X
 112369      BALSECA SOZORANGA ROBETH WASHINGTON
                                              0703832634001                                                    X
 147283      CRUZ RAMIREZ FRANKLIN ASTHOLFO0703839357001                                                       X
 123236      NIETO SOJOS PILAR ESILDA         0703840454001                                                    X
 244936      GONZALEZ NOBLECILLA DALTON RICARDO
                                              0703864538001                                                    X
 225573      RAMOS COCA VERONICA PAMELA       0703871061001                                                    X
 179102      ELIZALDE CARPIO MARITZA ELIZABETH0703875633001                                                    X
  22922      GUAZHA PALADINES JULIO DAVID     0703882373001                                                    X
 199372      AÑAZCO ROMERO DIEGO GERARDO 0703888933001                                                         X
 261046      PEÑA CARLIN JANNINE DEL CARMEN 0703891200001                                                      X
  82007      ORELLANA CALVA JAVIER WIMTER     0703898296001                                                    X
 213819      MOSQUERA VELEPUCHA MAYRA GRACIELA0703898445001                                                    X
 173151      MERA SALAZAR JOSE DANIEL         0703900092001                                                    X
  70314      ORDOÑEZ GUILLEN LOURDES ROCIO 0703902296001                                                       X
 232618      NOVILLO REYES KARINA PAOLA       0703906099001                                                    X
 113619      GALLEGOS MENDIETA MONICA MAGALY  0703911701001                                                    X
 142021      LOPEZ GARCIA FREDDY FERNANDO 0703916098001                                                        X
 202091      MOTOCHE MOTOYA WILSON ANTONIO 0703922740001                                                       X
  44614      APOLO LOAYZA RICHARD ALBERTO     0703926246001                                                    X
 250671      JARA SANMARTIN DARWIN ORLANDO 0703932194001                                                       X
 256715      PORRAS CORDOVA DOLORES RAQUEL0703934182001                                                        X
 225358      AYALA CALDERON LUIS ALBERTO      0703935130001                                                    X
  26435      SIGUENZA TOLEDO JORGE LUIS       0703937847001                                                    X
No                 No registra
                                                                 No                    No registra   No
                                                                          No. registra                       registra      No.    indicadores
                                                               registra                provincia, registra
Persona_id               NOMBRE                 No. ID (RUC)                 calle                           número      registra de ventas,
                                                               apellido                 cantón y   primer
                                                                           principal                         de calle     origen activos y/o
                                                               paterno                 parroquia nombre
                                                                                                             principal             empleados

 163823      RIOFRIO CANO MARCO VINICIO        0703938043001                                                    X
  13875      ROBER                             0703939322001                                                    X
  90951      CAPOZANO STALIN                   0703955898001                                                    X
 163878      TINOCO CAMPOVERDE MARIA ALEXANDRA 0703955971001                                                    X
  34861      CUEVA VEGA MERY GERMANIA          0703962506001                                                    X
 198499      ZUÑIGA OQUENDO ANGEL FRANCISCO0703968248001                                                        X
 267474      RAMIREZ VIVANCO JOHANA DEL CISNE703969444001
                                               0                                                                X
  97512      QUIROLA CRUZ SHIRLEY ALEXANDRA 0703970517001                                                       X
 169231      GUIÑA VIVIÁN VERONICA ELIZABETH 0703973628001                                                      X
  37894      ALMEIDA RUGEL IRLANDA JOSETTE     0703985952001                                                    X
 163893      CARDENAS TINOCO JORGE EFRAIN      0703994178001                                                    X
 216261      ERRAEZ CANTOS GINHADASHA MARIA 0703998864001                                                       X
 106703      FIERRO VALAREZO LUIS ALBERTO      0704004498001                                                    X
 241190      GUANOLUISA MOROCHO SEGUNDO ROBERTO0704016260001                                                    X
 214218      BRICENO CAMPOVERDE OLMEDO SALVADOR0704028919001                                                    X
 109135      CORDOVA COELLO JULIO CESAR        0704050160001                                                    X
 100567      BENAVIDES RAMIREZ MARITZA FERNANDA0704052265001                                                    X
 202309      SÁNCHEZ CALLE VÍCTOR JOSEPH       0704058759001                                                    X
 221383      GONZALEZ LUDEÑA DIANA MARGOT 0704065812001                                                         X
 276431      NIVICELA LOJA NURY JOHANNA        0704066042001                                                    X
 243231      SIN APELLIDO MENDOZA JOSE VINICIO 0704072214001                                                    X
 210885      GOMEZ ZAMBRANO DANIELA ANALIA 0704073212001                                                        X
 258988      LOAYZA CHUCHUCA ELVIS CHRISTIAM 0704073584001                                                      X
 223533      MENDOZA CASTRO RONALD FABRICIO 0704079177001                                                       X
  76291      REGALADO LOJA EDWIN ANTONIO       0704082601001                                                    X
 140712      AGUILAR PEÑALOZA EDIN FABIAN      0704083211001                                                    X
 234465      SANMARTIN JIMENEZ JOHANNA ESPERANZA
                                               0704117274001                                                    X
 144906      TOLEDO ARTEAGA MARGURI ANGELICA   0704123280001                                                    X
 273331      ASANZA BRAVO ELMER VICENTE        0704125871001                                                    X
 276155      FARES ARIAS JOHANNA MARISOL       0704127638001                                                    X
 178848      VARGAS ORTIZ CARLOS JULIO         0704136050001                                                    X
No                 No registra
                                                               No                    No registra   No
                                                                        No. registra                       registra      No.    indicadores
                                                             registra                provincia, registra
Persona_id               NOMBRE               No. ID (RUC)                 calle                           número      registra de ventas,
                                                             apellido                 cantón y   primer
                                                                         principal                         de calle     origen activos y/o
                                                             paterno                 parroquia nombre
                                                                                                           principal             empleados

 136687      AVILA CRUZ JAVIER ASDRUBAL      0704142926001                                                    X
  89157      JUMBO GRANDA CARLOS GABRIEL     0704143551001                                                    X
 150436      BENAVIDES ESPEJO MONICA SABINA 0704145739001                                                     X
 222441      BENAVIDES ESPEJO YOLANDA PRISCILA704145747001
                                             0                                                                X
  74226      LOAYZA GALLARDO EDUARDO FABRICIO0704147842001                                                    X
 265807      BACULIMA GUACHICHULCA WILLIAM ENRIQUE
                                             0704150374001                                                    X
 208590      TOLEDO SANCHEZ DIEGO ARMANDO 0704150861001                                                       X
  32381      CUENCA CHUCHUCA JOSE GIOVANNI 0704165216001                                                      X
 150071      CAMPOVERDE CAMACHO VICENTE RAFAEL
                                             0704167881001                                                    X
 104848      MEDINA PLASENCIA CAROL ISABELA 0704175280001                                                     X
 152657      MOROCHO TACURI EDISON ARMANDO 0704177310001                                                      X
 195280      AGURTO JIMÉNEZ RAMIRO FABIÁN    0704221829001                                                    X
 115523      INAGUAZO INAGUAZO CARLOS JULIO 0704228105001                                                     X
 222262      VASQUEZ SARANGO YENNY KATHERINE704234970001
                                             0                                                                X
  61519       JORGE                          0704253319001                                                    X
 210514      JORDAN MAZA NILO CRISTHIAM      0704253855001                                                    X
 245338      SANCHEZ RIOS GERMANIA ELIZABETH 0704281518001                                                    X
 154857      SOLORZANO PORTILLA MAYRA VERONICA
                                             0704300169001                                                    X
 254175      ROMAN LOAYZA JIMMY ALEXANDER 0704316835001                                                       X
 264787      GALARZA CRUZ NINO JAIRO         0704324953001                                                    X
 239993      AGUIRRE VILLA GLADYS PATRICIA   0704336791001                                                    X
 138377      ARMIJOS TITUANA NIBALDO MILTON 0704352830001                                                     X
 139636      RAMIREZ DIAZ FELIX SALOMON      0704354810001                                                    X
 138418      CAMPOS RAMON DIEGO JESUS        0704356971001                                                    X
 190947      CHAPIN BORJA MARIA ISABEL       0704360205001                                                    X
 194426                                      0704360478001                                                    X
 181088      CABRERA ROMAN BEATRIZ YESSENIA 0704366095001                                                     X
 171209      MEDINA CORDERO DARWIN RODOLFO 0704367754001                                                      X
 199970      VELEZ ROMERO RONAL ANGELITO     0704372986001                                                    X
  23829      MALDONADO DELGADO CINTHIA DENISSE
                                             0704376649001                                                    X
 151189      REYES MIRANDA ROGER RUBEN       0704426840001                                                    X
No                 No registra
                                                                No                    No registra   No
                                                                         No. registra                       registra      No.    indicadores
                                                              registra                provincia, registra
Persona_id               NOMBRE                No. ID (RUC)                 calle                           número      registra de ventas,
                                                              apellido                 cantón y   primer
                                                                          principal                         de calle     origen activos y/o
                                                              paterno                 parroquia nombre
                                                                                                            principal             empleados

 248169      YAGUANA YAGUANA MARCO ANTONIO 0704488311001                                                       X
 175335      TITUANA VALAREZO DENNIS BOLIVAR 0704488691001                                                     X
 257041      LLANOS RODRIGUEZ DANIEL ALEXANDER0704502293001                                                    X
 155542      MENDIA MALLA LADY PATRICIA       0704533967001                                                    X
 206874      VALENCIA CHICA CARLOS STALIN     0704534858001                                                    X
  31918      ESPINOSA LUNA CHRISTIAN IVAN     0704572643001                                                    X
 256075      BALAREZO OCHOA MANUEL IGNACIO 0704578152001                                                       X
 197502      ESPINOZA ROJAS MARIA BELEN       0704581099001                                                    X
  68940      TENESACA LUNA LUIS FERNANDO      0704585413001                                                    X
 123024      ROMAN AGUILAR MARIA MAGDALENA 0704586312001                                                       X
 265656      GONZÁLEZ VALLADARES CINTHIA ELIZABETH
                                              0704592187001                                                    X
 151604      MENDOZA MACAS CARLOS PAUL        0704603521001                                                    X
 123752      YAGUACHI VARGAS CESAR RENE       0704608116001                                                    X
 203571      PALADINES JIMENEZ CRISTHIAN ALEXANDER
                                              0704610013001                                                    X
 172732      ASANZA ORDOÑEZ MARIA CLEMENCIA 0704614023001                                                      X
 140110      GONZA TANDAZO JOSE NICANOR       0704626977001                                                    X
 235706      OCAMPO DUARTE GRACE DIANA        0704668615001                                                    X
 244663      CORDOVA MONAR NIDIA KARINA       0704721497001                                                    X
 258983      FEIJOO TORRES CRISTIAN MANUEL    0704727460001                                                    X
  70462      LOPEZ RONQUILLO JULIA ELENA      0704759224001                                                    X
 215489      ESCOBEDO QUEZADA LENIN ALEJANDRO 0704772144001                                                    X
 154493      MONTESINOS ROMAN JOSE OSWALDO0704783554001                                                        X
 270085      AGUILAR MÉNDEZ DENISSE LORETH 0704786003001                                                       X
  90418      MACIAS FALCONEZ ERIKA PILAR      0704811355001                                                    X
 261577      GONZALEZ ESPINOSA SORAYA VIVIANA 0704821693001                                                    X
 262403      MIRANDA MOREIRA HENRRY XAVIER 0704826494001                                                       X
 156492      AGUILAR SOSORANGA DANNY GERARDO  0704842681001                                                    X
 129848      LUDEÑA TINOCO NANCY PIEDAD       0704842947001                                                    X
 143846      VASQUEZ VARGAS JAIRO DAVID       0704848753001                                                    X
 155028      CHUICO PARDO JACQUELINE PATRICIA0704864628001                                                     X
  92982      CONDOY RIOFRIO JOSELITO OMAR     0704870856001                                                    X
No                 No registra
                                                              No                    No registra   No
                                                                       No. registra                       registra      No.    indicadores
                                                            registra                provincia, registra
Persona_id              NOMBRE               No. ID (RUC)                 calle                           número      registra de ventas,
                                                            apellido                 cantón y   primer
                                                                        principal                         de calle     origen activos y/o
                                                            paterno                 parroquia nombre
                                                                                                          principal             empleados

 184272      LOAYZA RAMIREZ ALEX ANTONIO      0704887488001                                                  X
 231018      CABRERA PACHECO FRANKLIN WILFRIDO0704888858001                                                  X
 195074      AGURTO JIMENEZ DIEGO PATRICIO    0704893858001                                                  X
 151563      OJEDA JORDAN MARYURI MARCELA 0704895911001                                                      X
 168739      MOLINA ZHIGUE VALERIA ESTEFANIA 0704916832001                                                   X
 203291      JIMÉNEZ GALLARDO ANIBAL PABLO    0704944990001                                                  X
 239878      VELASQUEZ LAZ ALEX AGUSTIN       0704948827001                                                  X
 241162      SANCHEZ CHACHA GLENDA MAGDALENA  0704976489001                                                  X
 239523      MURILLO QUICHIMBO GIOVANNI VINICIO
                                              0704993880001                                                  X
 258082      TORRES GOMEZ ROMMEL ROLANDO 0705004224001                                                       X
 175233      SUSCAL AREVALO JUAN PABLO        0705027951001                                                  X
 138458      SEGARRA TITUANA ROBERTO CARLOS0705037810001                                                     X
 166668      PUGO PADILLA EDGAR GONZALO       0705041663001                                                  X
 206113      MOROCHO SILVA JORGE LUIS         0705045003001                                                  X
 258643      VIVANCO VIVANCO DARWIN HERNAN 0705068096001                                                     X
 229523      TORO CURIPOMA ABEL ENRIQUE       0705086726001                                                  X
 268002      JIMENEZ AGUILAR KLEBER FABIAN    0705090041001                                                  X
 108360      FREIRE JIMBO HENRY RENE          0705151389001                                                  X
 253053      CABRERA FLORES KATHERINE LISBETH 0705187029001                                                  X
 196992      TENESACA JIMÉNEZ KAREN LIZBETH 0705198927001                                                    X
 170047      NAGUA DUMAS LEONARDO DAVID       0705221257001                                                  X
 222150      VEINTIMILLA VEGA LISSETH MAROLA 0705223196001                                                   X
 233289      GUAMAN BENALCAZAR ANDREA ESTEFANIA
                                              0705257384001                                                  X
 269790      PROCEL RIVERA BELLA FLOR         0705296762001                                                  X
 236261      GUAMAN CARCHIPULLA JORGE ALCIDES 0705318368001                                                  X
 187729      DIOSES PALADINES KELLY NATALI    0705492411001                                                  X
 158302      AGUILAR RAMIREZ JORGE ENRIQUE 0705635118001                                                     X
 153245      SINDICATO CANTONAL DE CHIFERES PROFESIONALES DE SANTA ROSA
                                              0790050673001                                                  X
  75411      SINDICATO CANTONAL DE CHOFERES PROF DE PINAS
                                              0790051580001                                                  X
 189777      ESTACION DE SERVICIO MAROD C. LTDA.
                                              0790067223001                                                  X
 198652      CONST HERNANDEZ                  0790067274001                                                  X
No                 No registra
                                                              No                    No registra   No
                                                                       No. registra                       registra      No.    indicadores
                                                            registra                provincia, registra
Persona_id              NOMBRE               No. ID (RUC)                 calle                           número      registra de ventas,
                                                            apellido                 cantón y   primer
                                                                        principal                         de calle     origen activos y/o
                                                            paterno                 parroquia nombre
                                                                                                          principal             empleados

 167803      COOPERATIVA DE PRODUCCION MATERIALES DE CONSTRUCCION 23 DE AGOSTO LTDA
                                              0790080424001                                                  X
  69307      TELEVISION Y EDITORA             0790084209001                                                  X
 126675      SINDICATO CANTONAL DE CHOFERES 0790089375001
                                              PROFESIONALES DE EL GUABO                                      X
  39807      TRANSPORTES TRANSTAX S.A.        0790091507001                                                  X
 143355      GASOLINERA MARITIMA GASOMAR S.A.0790092007001                                                   X
  21880      CONSTRUCTORA PATRIDASA S.A.      0790093844001                                                  X
  10963      CULMORO                          0790096290001                                                  X
 176227      NEMALAB S.A.                     0790097521001                                                  X
 244505      COOPERATIVA DE TRANSPORTE DE PASAJEROS EN TAXI URSEZA
                                              0790098676001                                                  X
  35153      PROVEEEDORA Y CONSTRUCTORA PROVEYCON CÍA.LTDA.
                                              0790099087001                                                  X
  29527      OBRECO CIA. LTDA.                0790099389001                                                  X
 209927      ASOCIACION DE CAÑICULTORES SITIO 0790099516001 ATAHUALPA
                                              BONO CANTON                                                    X
  47666      TREO S.A.                        0790100867001                                                  X
  71695      AMERICANA DE VIAJES AMEVIA S.A.  0790101057001                                                  X
 163058      SERVICIOS E IMPORTACIONES.SA     0790101294001                                                  X
 251588      JULIO PESANTEZ C. LTDA.          0790150945001                                                  X
  80438      COMPAÑÍA DISTRIBUIDORA FEIJOO Y PÁSTOR F.P. S.A.
                                              0790151739001                                                  X
 110281      SINDICATO DE CHOFERES PROFESIONALES DE ARENILLAS
                                              0791701775001                                                  X
  41081      ELCIV CIA LTDA                   0791702305001                                                  X
 178662      FARIÑO NOBOA FARINOA Y COMPAÑIA 0791704901001                                                   X
  31862      ASESORIA TECNICA E INGENIERIA ASTEINGSA S.A.
                                              0791706696001                                                  X
  73868      FUNDACIÓN QUIMERA                0791707838001                                                  X
 157097      FÁBRICA DE VINOS ECHEVERRIA S.A. 0791707889001                                                  X
  31721      COELSA CIA LTDA                  0791708184001                                                  X
 264770      TRANSPORTES FRONTERIZOS DEL SUR TRANSFROSUR CIA LTDA
                                              0791709563001                                                  X
 150968      CORPORACION AGROEMPRESARIAL ARENILLAS "COAGRO"
                                              0791710472001                                                  X
  54138      ECUACONDUCTOS C. LTDA.           0791711274001                                                  X
 179957      TALLERES AUTOCAM CIA.LTDA.       0791712300001                                                  X
  13620      BZ CONSTRUCCIONES                0791713129001                                                  X
  54546      JAFZ SOCIEDAD CIVIL              0791713234001                                                  X
  23468      CONSTRUCTORA, FISCALIZACIONES Y 0791713269001
                                              CONSTRUCCIONES FISYCON CIA. LTDA.                              X
No                 No registra
                                                              No                    No registra   No
                                                                       No. registra                       registra      No.    indicadores
                                                            registra                provincia, registra
Persona_id              NOMBRE               No. ID (RUC)                 calle                           número      registra de ventas,
                                                            apellido                 cantón y   primer
                                                                        principal                         de calle     origen activos y/o
                                                            paterno                 parroquia nombre
                                                                                                          principal             empleados

  70139      RUTHY CIA LTDA                    0791713293001                                                 X
  72374      CONSTRUCTORA DAV ROM C LTDA       0791713412001                                                 X
 180529      RENTAFLASH                        0791714168001                                                 X
  38791      PERSONALSERVICE S.A               0791715091001                                                 X
  38841      CONSTRUCSURSA S.A.                0791715164001                                                 X
 142558      PALMAR PASAJE CIA. LTDA.          0791715431001                                                 X
  33702      FUNDACION MANOS JUNTAS            0791716780001                                                 X
 179802      MULTIROSE S.A.                    0791716837001                                                 X
  93503      COCETEL SA                        0791717035001                                                 X                      X
 186589      CELPLUS SA                        0791717345001                                                 X
 256632      RUIZ DIAZ ALONSO                  0791717477001                                                 X
 190611      COMPUTERQUALITY                   0791718805001                                                 X
  39458      FUNDACION KOINONIA                0791719186001                                                 X
 181261      INMOBILIARIA PALKOW S.A.          0791720125001                                                 X
 184267      DECORCERAMICA CIA. LTDA.          0791720419001                                                 X
 258203      FERRETERIA VIOLETA MARQUEZ CIA. LTDA.
                                               0791721253001                                                 X
  41776      DISTRIBUIDORA SAENZ TORRES CIA. LTDA.
                                               0791721407001                                                 X
 265799      ECOSIMAS S A                      0791722357001                                                 X
 116217      FNC MEDICAL PRODUCTS CIA LTDA     0791722543001                                                 X
 166284      DISTRIBUIDORA DEL NORTE S.A. DISTRANORTSA
                                               0791723698001                                                 X
  80486      MICROEMPRESA VIAL TORATA          0791723701001                                                 X
 117886      MICROEMPRESA DE CONSERVACIÓN VIAL PORTOVELO
                                               0791723752001                                                 X
 165225      MAGNER L.AGUIRRE CIA.LTDA.        0791723833001                                                 X
 148178      GONZALEZ MALDONADO CONSTRUCCIONES 0791724309001                                                 X
 164682      IMPROACERO IMPORTADORA DE PRODUCTOS DE ACERO C. LTDA.
                                               0791725038001                                                 X
  57344      OBRAS Y MAQUINARIAS OBRYMAQ S.A.0791725240001                                                   X
 254199      ASOCIACIÓN MONTUBIA EL CASTILLO 0791725585001                                                   X
  37805      INTELNEXO S.A.                    0791725658001                                                 X
  70718      INVENCONSELEC S.A.                0791726301001                                                 X
 111566      MACHALACONSTRUC                   0791726557001                                                 X
  35973      AJICEL COMPAÑIA LIMITADA          0791727707001                                                 X
No                 No registra
                                                              No                    No registra   No
                                                                       No. registra                       registra      No.    indicadores
                                                            registra                provincia, registra
Persona_id              NOMBRE               No. ID (RUC)                 calle                           número      registra de ventas,
                                                            apellido                 cantón y   primer
                                                                        principal                         de calle     origen activos y/o
                                                            paterno                 parroquia nombre
                                                                                                          principal             empleados

  38871      ELETRICA VALVERDE CIA. LTDA.      0791728134001                                                 X
 257482      ASOCIACION UNICA DE PERSONAS CON DISCAPACIDAD DEL CANTON ATAHUALPA
                                               0791729076001                                                 X
 105240      ELECTRICORO C. LTDA.              0791729122001                                                 X
  68253      ELECTRICPOWER S.A.                0791729173001                                                 X
 142604      SERVIAUTOMOTRIZ CIA LTDA          0791729459001                                                 X
  88257      SAGOELEC CIA. LTDA                0791730554001                                                 X
 159221      PROCESADORA DE MATERIALES PETREOS Y AGRICOLAS PROMAPET
                                               0791731569001                                                 X
  39464      OCIELM CIA. LTDA.                 0791731798001                                                 X
 119482      FUNDACION DE DESARROLLO AGROECOLOGICO Y PECUARIO
                                               0791731801001                                                 X
 218883      ASOCIACION FEMENINA "23 DE FEBRERO"
                                               0791731895001                                                 X
  14386      CONSTRUCTORA OPS CIA LTDA         0791732093001                                                 X
 130842      SOCIEDAD UNION OBRERA PINASIENSE  0791733022001                                                 X
  59341      ZF CONSULTORES CIA. LTDA.         0791733588001                                                 X
  68064      INMOBILIARIA PAULITAS S.A.        0791733804001                                                 X
 163356      SOCIEDAD CIVILL CIP CAPACITACION INTEGRAL Y PROFESIONAL
                                               0791734266001                                                 X
 156039      CONSTRUCTORA TINORA CIA.LTDA. 0791734290001                                                     X
 203402      MARIA CARMITA PASTOR CIA. LTDA    0791736641001                                                 X
 171927      CONCTRUCIONES CIVILES LUNA CONCILU CIA LTDA
                                               0791738407001                                                 X
 186226      CONSTRUCTORA M&C CIA LTDA         0791738776001                                                 X
 245524      INNOVISUAL & ASOCIADOS S.A.       0791739594001                                                 X
 210074      NACHIBAL INGENIEROS CONSULTORES Y ASOCIADOS CIA. LTDA.
                                               0791739829001                                                 X
 203333      ANMAR Y COMPAÑIA                  0791739837001                                                 X
 242119      CONSTRUCTORA E INMOBILIARIA VALAREZO RUIZ C LTDA COINVARU
                                               0791740061001                                                 X
 230114      FARMAMIA CIA. LTDA.               0791740150001                                                 X
 246800      POLISPORT S.A.                    0791740215001                                                 X
 255307      EDUCATRONIC CIA. LTDA.            0791740533001                                                 X
 236084      OBRAS Y SERVICIOS DEL ECUADOR S.0791741084001
                                                A.                                                           X
 245554      ASOCIACIÓN DE DICAPACITADOS CANTON PASAJE
                                               0791741890001                                                 X
 249392      DISCONJOFA CIA LTDA               0791742048001                                                 X
 248335      CONSTRUCTORA BUSTAMANTE PELAEZ791742064001
                                               0                                                             X
 252984      CORPPRIECONSTRUC CIA LTADA        0791742412001                                                 X
No                 No registra
                                                               No                    No registra   No
                                                                        No. registra                       registra      No.    indicadores
                                                             registra                provincia, registra
Persona_id              NOMBRE                No. ID (RUC)                 calle                           número      registra de ventas,
                                                             apellido                 cantón y   primer
                                                                         principal                         de calle     origen activos y/o
                                                             paterno                 parroquia nombre
                                                                                                           principal             empleados

 262015      CONSORCIO INTEGRAL              0791742781001                                         X
 272365      ASOCIACIÓN DE INTERPROFESIONALES ARTESANOS EN EL AREA DEL BUEN VESTIR Y AFINES (MODISTAS, MAESTRAS ARTESANAS EN CORTE Y CON
                                             0791743044001                                         X
 275468      INGEDUARE CONSTRUCCIONES C. LTDA.
                                             0791743591001                                         X
 150503      AVILA CRUZ JULIO OSWALDO        0800000440001                                         X
  60045      CALVOPIÑA GONZALEZ GUSTAVO DANIEL
                                             0800011355001                                         X
 132236      SIMISTERRA GODOY CESAR ENRIQUE 0800013062001                                          X
 103637      MINA MANCILLA HERLOS            0800023442001                                         X
 202507      ROBLES IÑAMAGUA TARQUINO ARTURO 0800026080001                                         X
 210871      TORRES ROCHE BENJAMIN ARTURO 0800026882001                                            X
 150928      TREJO CARLOS VICTOR             0800033896001                                         X
  87106      JEREZ BOMBOM SEGUNDO FRANCISCO  0800034126001                                         X
 216196      ZAMBRANORO RODRIGUEZ PEDRO EFRAIN
                                             0800040016001                                         X
  72637      MONTAÑO ALBAN TITO OLIVIRIO     0800040487001                                         X
 173415      PEREZ ZORRILLA VICTOR HUGO      0800046286001                                         X
 134013      RAMIREZ CULTER GUSTAVO ALONSO 0800046906001                                           X
  96562      PEREA LARA STONE DE LOS ANGELES 0800047482001                                         X
 235291      CONTRERAS CONSTANTE SEGUBDO BENICIO
                                             0800050874001                                         X
  93349      ANGULO BECERRA JOSE CRISTOBAL 0800060972001                                           X
  40360      CARVACHE VERA ANGEL MARCELINO 0800072530001                                           X
 116630      CADENA CARVAJAL JORGE RENE      0800085888001                                         X
 100504      TRUJILLO ESTUPIÑAN LUIS ENRIQUE 0800087835001                                         X
 125099      ROBINZON ARCE GUTEMBERG         0800104374001                                         X
  84186      MORAN VACA JORGE ADOLFO         0800106882001                                         X
 216206      TOLEDO BASS LUIS ERNESTO        0800130015001                                         X
 107004      NAZARENO RAMIREZ NELSON BOLIVAR 0800137671001                                         X
 275388      CUELLAR VALVERDE BENTURA TOMACITO
                                             0800139503001                                         X
 226396      CASELLA PONCE JOSUE ANIBAL      0800143356001                                         X
  89693      ARBOLEDA LARA JOSÉ ALEJANDRO    0800163081001                                         X
 178655      PINTO BENITEZ LUIS GALO         0800170227001                                         X
 140704      ROBALINO CARTAGENA GUILLERMO MESIAS
                                             0800195208001                                         X
 197827      ESTRADA MENDEZ JULIO NO         0800198608001                                         X
No                 No registra
                                                               No                    No registra   No
                                                                        No. registra                       registra      No.    indicadores
                                                             registra                provincia, registra
Persona_id              NOMBRE                No. ID (RUC)                 calle                           número      registra de ventas,
                                                             apellido                 cantón y   primer
                                                                         principal                         de calle     origen activos y/o
                                                             paterno                 parroquia nombre
                                                                                                           principal             empleados

 137694      ZERNA GALARZA JOHNNY ALVINO    0800200347001                                                     X
 126209      ARROYO BENAVIDES MANUEL ALBERTANO
                                            0800202723001                                                     X
  25678       TRIFILO                       0800204133001                                                     X
 105947      CORREA CUELLAR MARIA RAQUEL    0800204778001                                                     X
 114805      LUJANO SANTOS MILTON ANTONIO   0800206237001                                                     X
  53565      QUINONEZ PERLAZA VILLAUL       0800216723001                                                     X
 109582      LOPEZ MUENTES AROLDO MARTIN    0800222267001                                                     X
 197219      CUSME CIFUENTES TEODORO ENRIQUE800225658001
                                            0                                                                 X
 212839      BERMEO CORTEZ ANDRES ARMANDO 0800229304001                                                       X
  55136      PORTOCARRERO ALEGRIA TITO APOLINARIO
                                            0800232068001                                                     X
  86054      DELGADO CLAVIJO RAUL HUMBERTO 0800238024001                                                      X
 257942      MARQUEZ BALTÁN CRUZ MAFALDO    0800239543001                                                     X
 228860      VILLEGAS MEZA MARCO OSWALDO    0800242174001                                                     X
 113937      QUINTERO ORTIZ SEGUNDO TEOFILO 0800250383001                                                     X
 184907      MONTALVAN SANTOS FELIX ANIBAL  0800251100001                                                     X
  84158      MINA CAICEDO ARTUNIO           0800262636001                                                     X
 196193      RODRIGUERZ SALMERON CAYETANO JACOBO
                                            0800268237001                                                     X
 211968      SOSA TREJO JOSE CHAMBERLAIN    0800268971001                                                     X
 240798      TENORIO QUINTERO MARIA EUGENIA 0800270704001                                                     X
  30464      CARVACHE ULLOA YONNY ROBERTO 0800279796001                                                       X
 136774      OLARTE BOLANOS RUTH BEGNER     0800287047001                                                     X
 110050      PACHITO VALENCIA CERGIO        0800294506001                                                     X
  67104      VIDAL PERLAZA CESAR            0800296212001                                                     X
 144869      VALENCIA VELIZ CARLOS ALBERTO  0800299356001                                                     X
 159197      GUEVARA OCHOA ANA DEL CARMEN 0800305369001                                                       X
 167709      JAMA NAVIA CLIMACO EMIL        0800309957001                                                     X
  59646      MOJARRANGO BATIOJA BENANCIO ABRIL
                                            0800317026001                                                     X
 104759      MENDOZA SALAZAR CLIMACO PASCUAL 800320657001
                                            0                                                                 X
  55520      CASTILLO RUANO GUSTAVO ROBERTO0800323479001                                                      X
 184152      NARANJO UQUILLAS MILTON RODRIGO0800326985001                                                     X
  78514      CASTILLO SOSA WILSON KELO      0800333403001                                                     X
No                 No registra
                                                               No                    No registra   No
                                                                        No. registra                       registra      No.    indicadores
                                                             registra                provincia, registra
Persona_id               NOMBRE               No. ID (RUC)                 calle                           número      registra de ventas,
                                                             apellido                 cantón y   primer
                                                                         principal                         de calle     origen activos y/o
                                                             paterno                 parroquia nombre
                                                                                                           principal             empleados

  74399      ESTUPINAN AQUILES               0800340481001                                                    X
 211820      LARA NAZARENO WHILTON RUDY      0800342198001                                                    X
 140276      DEMERA HERNANDEZ ROSA RAMONA 0800343840001                                                       X
 208580      JARAMILLO CEVALLOS JOSE MANUEL 0800345977001                                                     X
 108090      ESTRADA ARROYO TEOFILO JACINTO 0800350480001                                                     X
 199130      ESPAÑA ORTIZ MIGUEL FERNANDO    0800354870001                                                    X
 202327      HURTADO ALARCON FELIX SATURNO 0800360042001                                                      X
 204708      GONZALEZ ARROYO JESUS ASENCION 0800363566001                                                     X
  29923      BARCO BONE NELSON ALFREDO       0800368508001                                                    X
 192843      BETANCOURT QUINONEZ FANNY AMALIA0800375719001                                                    X
  48182      LUZÓN PICO ANGEL BENJAMÍN       0800377996001                                                    X
 206649      MEDINA MURILLO RITA ANTONIA     0800380818001                                                    X
  81703      OBANDO MEDINA MILTON ANTONIO    0800386666001                                                    X
 117600      PEREA VALVERDE AMELIS           0800387995001                                                    X
 128357      PEZO ORTIZ DOLORES MARGARITA 0800391013001                                                       X
 192366      QUIÑONEZ PERLAZA MARIA ROSELINA 0800393829001                                                    X
 235637      PALOMINO COLOBON ALBERTO JAIME 0800395808001                                                     X
 192647      PEREA BALLESTERO GUILLERMO ELEODORO
                                             0800396400001                                                    X
  73250      ROJAS PINCAY ESTUARDO JULIAN    0800399982001                                                    X
 106481      CABEZA LARA LINCOLN ROBERTO     0800407520001                                                    X
 113597      ESTUPIÑAN ERAZO HECTOR EDILBERTO0800425449001                                                    X
  75371      PLAZA ANDRADE DORIAN ANIBAL     0800425969001                                                    X
 236693      SANTANDER ESTUPIÑAN TEODORA     0800430597001                                                    X
 144317      BARCIA PALACIOS JAIME ALEJANDRO 0800431892001                                                    X
  98095      CORTES PEREA MIGUEL ANGEL       0800432593001                                                    X
 106476      CASANOVA LOOR GREGORIO EULOGIO0800433914001                                                      X
  99501      DOMINGUEZ PROAÑO DAVID ANTONIO 0800437758001                                                     X
 127004      RAMIREZ QUIJIJE RAÚL POMPELLO   0800439036001                                                    X
 115077      QUINTERO VERNAZA KAMARALS CAMAN 0800441727001                                                    X
 253013      PEREA BALLESTEROS CARLOS WALBERTO
                                             0800444184001                                                    X
 183417      VELEZ TUAREZ JULIO CESAR        0800449365001                                                    X
No                 No registra
                                                               No                    No registra   No
                                                                        No. registra                       registra      No.    indicadores
                                                             registra                provincia, registra
Persona_id               NOMBRE               No. ID (RUC)                 calle                           número      registra de ventas,
                                                             apellido                 cantón y   primer
                                                                         principal                         de calle     origen activos y/o
                                                             paterno                 parroquia nombre
                                                                                                           principal             empleados

 146356      PALACIOS MOREIRA CIRIO ANDRES 0800452468001                                                      X
 254652      CALDERON RAMIREZ GONZALO        0800454779001                                                    X
 174117      ESCOBEDO VALENCIA JULIO RAMIRO 0800458226001                                                     X
  33435      VALENCIA AYOVI MARTIRES FELIX   0800459513001                                                    X
 258892      ROSERO RODRIGUEZ VICENTE        0800460354001                                                    X
 123640      QUIÑONEZ LANDAZURI LUIS EISENHOWER
                                             0800463465001                                                    X
 226457      SERRANO GUERRERO SOCRATES FRNACISCO
                                             0800463879001                                                    X
 273172      MARINY QUIÑONEZ GARI EDGAR      0800466427001                                                    X
 102925      ARBOLEDA LARA GUALBERTO RICHARD 0800472920001                                                    X
  66303      ROMERO BENITEZ OMAR             0800478463001                                                    X
 157828      CABEZAS DEL CASTILLO NORMAN YOJANER
                                             0800481186001                                                    X
  53659      NAZARENO CAICEDO MELANIO        0800492852001                                                    X
 223921      BECERRA QUINTERO WILLIAN HUMBERTOI
                                             0800493587001                                                    X
 126062      BERNAL ACOSTA CEVERO LEOPOLDO 0800495582001                                                      X
  14198      HOLGER HOLGUIN LARA             0800496952001                                                    X
 106821      DROUET TUTIVÉN JAIME LUIS       0800497794001                                                    X
 121187      MERA BENAVIDES GUSTAVO IGNACIO 0800501090001                                                     X
 277970      DELGADO VELEZ RODYS EFRAIN      0800503278001                                                    X
  13928      ING. ALFREDO AYOVI AYOVI        0800514150001                                                    X
 164421      GARCIA GARCIA NEPTALI ESTUARDO 0800520165001                                                     X
 138300      BANGUERA SANTANDER BETTY        0800520652001                                                    X
  54269      MORAN CHICA MARIA PETITA        0800521270001                                                    X
  88708      MERA OLIVES SEGUNDO ANTERO      0800527327001                                                    X
 104780      MARCHAN RUMBEA SIRIA ELENA      0800529463001                                                    X
  39178      QUIÑONEZ ROJAS CIPRIANO         0800532590001                                                    X
 108675      RECALDE ENDARA ARTURO EDISON 0800534950001                                                       X
 174050      EGAS SEGOVIA GUILLERMO EDUARDO 0800546814001                                                     X
  79553      ROJAS BONE NARCISO              0800548810001                                                    X
  24575      LUNA QUIÑONEZ WALDIR RENE       0800564056001                                                    X
 183572      VELIZ INTRIAGO EUFEMIA ARICELA  0800565152001                                                    X
 114645      TENORIO GARCIA DANIEL JACINTO   0800567257001                                                    X
No                 No registra
                                                                No                    No registra   No
                                                                         No. registra                       registra      No.    indicadores
                                                              registra                provincia, registra
Persona_id               NOMBRE                No. ID (RUC)                 calle                           número      registra de ventas,
                                                              apellido                 cantón y   primer
                                                                          principal                         de calle     origen activos y/o
                                                              paterno                 parroquia nombre
                                                                                                            principal             empleados

  82419      GUERRERO JACOME ZOILA LUCRECIA 0800570525001                                                      X
  62866      MENDOZA HEREDIA HORACIO ERNESTO  0800572653001                                                    X
 103262      GUACHAMIN CORDOVA PATRICIO ERNESTO
                                              0800574535001                                                    X
 220342      TIGASI LEON FRIDSON ISIDRO       0800579443001                                                    X
 228276      GRACIA GAMEZ ESTRELLA DE GUADALUPE
                                              0800581266001                                                    X
 142794      VELASCO CAICEDO NAPOLEON ALEJANDRO
                                              0800582082001                                                    X
 195931      NAJERA RUIZ BOLIVAR RAFAEL       0800582116001                                                    X
  41097      GUERRERO ALVARADO CARLOS ALBERTO 0800587677001                                                    X
  91163      CANO ROSAS ENRRICO DE LA CRUZ 0800587701001                                                       X
 254605      AYOVI INTRIAGO ROQUE MIGUEL      0800588519001                                                    X
 259822      CEVALLOS QUINTERO SACOTO         0800589376001                                                    X
 104377      MARTINEZ JURADO MARIA ESTHER     0800592883001                                                    X
 191663      TACO LEMA LUIS GUSTAVO           0800594368001                                                    X
  95856      MORLAS WILLIAMS FERNANDO LEOPOLDO0800597080001                                                    X
 121112      TENORIO RANGEL LUIS VIVIANO      0800605990001                                                    X
  90188      TOSCANO RAMIREZ WILSON MARCO 0800609703001                                                        X
 272006      BECERRA QUIÑONEZ WALTER VICTOR 0800609786001                                                      X
 122642      CASTILLO CABEZA MARTIRES JUSTINO0800613218001                                                     X
 106337      VERNAZA CASSTILLO LUCÍA MARUJA 0800618126001                                                      X
  29685      DIX                              0800625527001                                                    X
 128444      REASCO GUEVARA AGUSTIN           0800629651001                                                    X
 255391      CAICEDO OROVIO EBER ELADIO       0800630196001                                                    X
 174096      CORTEZ MONTENEGRO CARLOS JULIO0800637118001                                                       X
  69313      ESTUPIÑAN AVILA DORIAN BETHXEIDA 0800638637001                                                    X
 144646      ESTUPIÑAN MENA RUBEN DARIO       0800638744001                                                    X
 192309      MOREIRA ROLDAN FROILAN EDUARDO0800640203001                                                       X
  23757      REALPE CAICEDO LEILA MARIELA     0800647471001                                                    X
  33240      ROMO ALTAMIRANO DERINSON SIGFRIDO0800648024001                                                    X
 208344      VERA PANTA CARLOS ENRIQUE        0800648792001                                                    X
 234353      PRECIADO RUIZ ALCIDES WIBALDO    0800650814001                                                    X
 137836      MEZA MOSQUERA CESIL PATRICIO     0800652265001                                                    X
No                 No registra
                                                               No                    No registra   No
                                                                        No. registra                       registra      No.    indicadores
                                                             registra                provincia, registra
Persona_id               NOMBRE               No. ID (RUC)                 calle                           número      registra de ventas,
                                                             apellido                 cantón y   primer
                                                                         principal                         de calle     origen activos y/o
                                                             paterno                 parroquia nombre
                                                                                                           principal             empleados

 105612      ALIAGA SANDOVAL ANASTACIO FERMIN0800652737001                                                    X
  30617      YEPEZ FIGUEROA MILTON RIGOBERTO0800657264001                                                     X
  39976      AGUILAR OLMEDO KLEBER IVAN      0800663445001                                                    X
 135627      BALLESTEROS CEDEÑO LUIS ALFREDO800663932001
                                             0                                                                X
 162327      BARRERA MINA WILSON ALBERTO     0800673113001                                                    X
 145183      CUENCA SARANGO AMADOR           0800673576001                                                    X
 104947      SALAZAR MACIAS GRICELDA MARCELA0800678534001                                                     X
 106558      VELASCO MONTAÑO STALIN ALFREDO 0800682361001                                                     X
  96207      CUERO RAMIREZ DOMONGO EFREN 0800684409001                                                        X
 168808      VACA VERDEZOTO MARIANA TRINIDAD0800688186001                                                     X
  99111      GARCIA OVIEDO YOLNADA           0800688624001                                                    X
 213342      MARTINEZ VALVERDE MARIANA DE JESUS
                                             0800693335001                                                    X
 259897      CUERO PERALTA JUAN ELVIS        0800695736001                                                    X
 218603      HEREDIA GRESELY JHONNY ERNESTO 0800696932001                                                     X
 124327      GALLARDO GALLARDO HECTOR RAMIRO 0800698268001                                                    X
 155703      RIVAS VALLEJO FLOR MARIA        0800708117001                                                    X
 183087      COROZO AYOVI TRIFILO DOMINGO    0800713422001                                                    X
 139392      CORELLA ORTIZ DANNER            0800721474001                                                    X
 213158      LARGACHA ALARCON EUGENIO ROBERTO0800729055001                                                    X
 213520      VASQUEZ MORQUECHO JAIME OSWALDO 0800729071001                                                    X
 252766      RODRIGUEZ TENORIO COLON         0800735540001                                                    X
  51853      ORTIZ GRACIA LINO BELTRAN       0800747644001                                                    X
  89033      ANGULO ERAZO LENIN FIDEL        0800753063001                                                    X
  85222      KLINGER CAMPAS LUIS HERMOGENES 0800754673001                                                     X
 129532      PLAZA CASTILLO LENIN            0800756371001                                                    X
 115766      RODRIGUEZ SALMERON MANUEL SALVADOR
                                             0800756819001                                                    X
 104764      WATTS QUIÑONEZ CONSTANTINO ALFONSO
                                             0800757171001                                                    X
 125727      BENAVIDES ITURRE FELIPE JULIO   0800761314001                                                    X
 130535      ORTEGA LOPEZ NESTOR ARMANDO 0800764128001                                                        X
 134308      BECERRA TENORIO CESAR FLORENCIO 0800768558001                                                    X
 146137      MARTÍNEZ PATIÑO WALTER VICENTE 0800778375001                                                     X
No                 No registra
                                                                No                    No registra   No
                                                                         No. registra                       registra      No.    indicadores
                                                              registra                provincia, registra
Persona_id               NOMBRE                No. ID (RUC)                 calle                           número      registra de ventas,
                                                              apellido                 cantón y   primer
                                                                          principal                         de calle     origen activos y/o
                                                              paterno                 parroquia nombre
                                                                                                            principal             empleados

  81599      CORTEZ RAMIREZ IGNACIO           0800780793001                                                    X
 115782      ARCE MANTILLA BEYRU              0800781585001                                                    X
 138222      CEVALLOS QUIÑONEZ ANITALINA      0800785479001                                                    X
  32479      RIVAS MESIAS FREDDY RICARDO      0800787368001                                                    X
 105655      SIMBAÑA NAVAS MERCEDES ESMERALDAS0800792475001                                                    X
  14250      MARLIN FUENTES                   0800792715001                                                    X
 164442      MUENTES MORA FRANKLIN TAOS       0800793051001                                                    X
 107332      CORTES CHILLAMBO EDWIN ERNESTO0800798035001                                                       X
 179833      AREBALO ARIZALA DIONICIO         0800799371001                                                    X
 102665      CASTRO PEÑA CARMEN CENEIDA       0800799538001                                                    X
 235400      MAFFARES VERA EDGAR ENRYS        0800802423001                                                    X
 102450      ACUÑA BONE GARYS PEDRO           0800803066001                                                    X
 159413      MEZA MOSQUERA ROBERTO ANIBAL 0800806879001                                                        X
 175849      ESTACIO CRUEL CARLOS MARCELINO 0800821043001                                                      X
 275216      QUIÑONEZ ESPAÑA DOMITILA BOLIVIA 0800821548001                                                    X
  44479      PORTOCARRERO MONSERRATE KIKO EDUARDO
                                              0800821951001                                                    X
 149469      TONATO YANEZ MARIO OSWALDO       0800824344001                                                    X
 246887      CABEZAS CUELLAR LORENZO          0800826547001                                                    X
 272134      VALLEJO BERMEO JOSE ANTONIO      0800827107001                                                    X
 217153      REDIN SUAREZ MIRNA MILENA        0800827339001                                                    X
  64639      VASQUEZ MORENO GIOVANI LEONARDO  0800827636001                                                    X
 236076      ORTIZ ROMERO LINO JHONNY         0800828923001                                                    X
 278379      ALCIVAR RIBADENEIRA HUGO ARIEL 0800835324001                                                      X
  90313      SANTI RODRIGEZ ANGEL WELINTONG 0800836280001                                                      X
 140303      BERNAL BERNAL RODOLFO ABRAHAN 0800841801001                                                       X
 205400      CASTANEDA MURILLO VICTOR GILUMBERTO
                                              0800845497001                                                    X
 240642      VELEZ ZAMBRANO CARLOS EDGAR      0800856056001                                                    X
 167403      AGUAS ARISMENDI WALTER SALOMON0800859969001                                                       X
  58995      VIVAR QUINTERO JORGE PATRICIO    0800866444001                                                    X
 154568      VALAREZO VALCAZAR EDUAR GREGORIO 0800868234001                                                    X
  68999      GARCIA MACIAS WALTER             0800868739001                                                    X
No                 No registra
                                                               No                    No registra   No
                                                                        No. registra                       registra      No.    indicadores
                                                             registra                provincia, registra
Persona_id               NOMBRE               No. ID (RUC)                 calle                           número      registra de ventas,
                                                             apellido                 cantón y   primer
                                                                         principal                         de calle     origen activos y/o
                                                             paterno                 parroquia nombre
                                                                                                           principal             empleados

  62390      PACHECO ALCIVAR JHON ROBINZON 0800898082001                                                      X
  52886      NAZARENO CAICEDO WASHINGTON 0800910192001                                                        X
  53614      MEJIA GONZALES TARGELIO MARTIRE 0800914954001                                                    X
  61069      BRANDA BANGUERA NISON ARCELIO 0800915209001                                                      X
 249695      HERNÁNDEZ IBARRA FRANCISCO JAVIER
                                             0800924797001                                                    X
  69990      CORTEZ PORTOCARRERO JOHNNY ALEJANDRO
                                             0800944654001                                                    X
 179111      VERDEZOTO GAIBOR GLORIA NORMA HAIDEE
                                             0800953614001                                                    X
  77317      CHAVEZ SOLIS FILIBERTO          0800955056001                                                    X
 206104      CAICEDO BONILLA PATRICIO SAUL   0800958597001                                                    X
  46267      JAVI                            0800960056001                                                    X
 101906      SOLORZANO PLAZA PEDRO ELI       0800963555001                                                    X
 155596      CANGA GARCIA VITA GEISY         0800963951001                                                    X
  28210      SEVILLA GALLO SANDRO ANTONIO    0800965147001                                                    X
 260359      PROAÑO CORTEZ GABRIEL           0800970303001                                                    X
 170687      SAEN BERMEO SEGUNDO ISRRAEL     0800974396001                                                    X
 148976      ZAMBRANO STOPPER ESLINDA DEL JESUS
                                             0800976797001                                                    X
 135492      QUIÑONEZ RODRIGUEZ CONSTANZO 0800987422001                                                       X
 179989      CASTILLO MONTENEGRO SERAPIO GUMERCINDO
                                             0800999013001                                                    X
 174650      REZABALA ZAMBRANO VICTOR GABRIEL0801008889001                                                    X
 237521      SIMISTERRA ANGULO MERCEDES IVONN0801010919001                                                    X
 166498      TERAN PINO JORGE MANUEL         0801011198001                                                    X
 171543      BRAVO PONCE KIIRE CECILIO       0801020447001                                                    X
 199402      LOOR ARRIAGA NEURO BENITO       0801020538001                                                    X
 209258      MOSQUERA CABEZA MIGUEL ENRIQUE0801026006001                                                      X
 180475      MAYORGA QUIÑONEZ WILLIAN        0801028549001                                                    X
  19826      VALENCIA MINA LUIS ALBERTO      0801048968001                                                    X
  95588      GARCIA MORA LENIN EUDORO        0801060930001                                                    X
 200179      GARCÍA HIDALGO JOSÉ UBALDO      0801065988001                                                    X
 153927      BONE LASSO JOSÉ RODRIGO         0801066531001                                                    X
 227953      MONTAÑO TORRES LEONEL ALCIVAR 0801095167001                                                      X
 111120      TORRES MORALES KATHY LEONOR     0801095175001                                                    X
No                 No registra
                                                               No                    No registra   No
                                                                        No. registra                       registra      No.    indicadores
                                                             registra                provincia, registra
Persona_id              NOMBRE                No. ID (RUC)                 calle                           número      registra de ventas,
                                                             apellido                 cantón y   primer
                                                                         principal                         de calle     origen activos y/o
                                                             paterno                 parroquia nombre
                                                                                                           principal             empleados

  77181      DELGADO PACHECO HUMBERTOI ABEL0801098401001                                                      X
 114346      BRAVO WILFRIDO BERMUZ          0801103755001                                                     X
 142819      PALOMINO BECERRA BELLA HORTENCIA
                                            0801107731001                                                     X
 276371      BIOJO QUIÑONEZ SEGUNDO SANTIAGO0801123027001                                                     X
 134252      ORTIZ QUIÑONEZ GILGER          0801129057001                                                     X
  44078      ORTÍZ ARAUJO TOMAS DEAQUINO    0801148834001                                                     X
 249344      BERNAL GARCIA JOSE JHONATHAN   0801162843001                                                     X
 194967      SEGURA SEGURA ALBERTO ALCIVAR 0801165572001                                                      X
 106164      GUERRERO DELGADO ANA TERESA    0801169228001                                                     X
 184291      VALENCIA RAMIREZ GULNARA RAQUEL0801179565001                                                     X
 229397      ESPINAL SANTANA ANGEL          0801183831001                                                     X
 145585      CUERO LEYES FELIPE             0801185190001                                                     X
  85972      DELGADO CLAVIJO WALTER EUSBERTO0801187709001                                                     X
 176719      CALDERON VEGA LIVIO ECUADOR    0801192121001                                                     X
  86060      GORDILLO FLORES JHON FERNANDO 0801197765001                                                      X
  83661      PADILLA ORLANDO MIGUEL ANGEL   0801202052001                                                     X
 161414      AYOVI SOLIS ESTALINZON         0801202508001                                                     X
  31491      JOSE                           0801203811001                                                     X
  16958      ENDARA SANTOS MABEL SIBILA     0801208604001                                                     X
 119679      MÁRQUEZ RAMÍREZ ROSA ISABEL    0801209552001                                                     X
 174962      ARBOLEDA TORRES MARJORI PATRICIA
                                            0801211087001                                                     X
 101144      DEL CASTILLO LUGO DEYANIRA JOHANA
                                            0801211673001                                                     X
 229862      GARCES ROMERO MABEL            0801215815001                                                     X
 210415                                     0801233347001                                                     X
 131731      CEVALLOS ROLDAN SANDRA EDELMIRA0801238866001                                                     X
 230526      GONZALEZ JARA LORENA ROCIO     0801239385001                                                     X
 242426      CAMACHO MINA LEOCADI LEOCADI   0801242181001                                                     X
 141403      BANGUERA SANTANDER LUISA ANTONIETA
                                            0801243395001                                                     X
 216372      ZAMBRANO LARA LAURENCE         0801243635001                                                     X
 268480      SÁNCHEZ PLATA ANA CRISTINA     0801245697001                                                     X
 141409      ROMERO GUARNIZO MARIANA DE JESUS
                                            0801246695001                                                     X
No                 No registra
                                                               No                    No registra   No
                                                                        No. registra                       registra      No.    indicadores
                                                             registra                provincia, registra
Persona_id               NOMBRE               No. ID (RUC)                 calle                           número      registra de ventas,
                                                             apellido                 cantón y   primer
                                                                         principal                         de calle     origen activos y/o
                                                             paterno                 parroquia nombre
                                                                                                           principal             empleados

  80258      CASTILLO CORTEZ MILTON YOVANNY 0801250317001                                                     X
  70805      ESTUPIÑAN CORDOVA WINSTON       0801251307001                                                    X
 135145      COX SANTILLÁN FELIX JESUS       0801251554001                                                    X
 115203      BAZURTO ESTACIO EVERSON WALDEMAR0801253246001                                                    X
 159767      SANCHEZ ORDOÑEZ JOSE VICENTE    0801254251001                                                    X
 135038      AGURTO AGURTO HILBRANDO JAVIER 0801255563001                                                     X
 192370      QUIÑONEZ RAMOS RODDY ALFREDO 0801259789001                                                       X
  60120      GRACIA PLAZA ANGEL MIGUEL       0801269234001                                                    X
  28626      SANCHEZ CASTRO ERWIN FRANCISCO0801272485001                                                      X
  52884      MERLIN QUINTERO VALENTIN ORLEN 0801273210001                                                     X
 259455      HERRERA RAMIREZ IVAN MARCELO    0801273574001                                                    X
  77792      FIGUEROA PITA VICENTE BERNABE 0801276635001                                                      X
  82179      INTRIAGO PINARGOTE HECTOR ELIAS 0801297680001                                                    X
 219357      FLORES CONZA FLORESMILA         0801300427001                                                    X
  84347      FERRER MOSQUERA WILSON VICENTE0801314071001                                                      X
  86970      ALVARADO VELEZ FABRICIO ANNELIO 0801316498001                                                    X
 129835      ZUÑIGA CASTAÑEDA AMELIA         0801318072001                                                    X
  80180      HURTADO QUIÑONEZ JIMMY ANDRES 0801321142001                                                      X
 106215      ZAMORA MACIAS MARIA MAGDALENA 0801335928001                                                      X
  14494      CONSTRUCTOR                     0801338617001                                                    X
  66248      MONTAÑO ESTACIO CELSO FERNANDO  0801340795001                                                    X
 213578      MEZA MUÑOZ GONZALO TIMOTEO      0801346313001                                                    X
 133340      SAVINOVICH MEJÍA KAROL GEOVANNA 0801348871001                                                    X
 117494      ARDILA LOZANO EDNA PATRICIA     0801355611001                                                    X
  91002      GONZALES CAICEDO JOSE LUIS      0801357450001                                                    X
  78497      URGILEZ IDROVO BELLA NUVE       0801381393001                                                    X
 113284      TAMA VASQUEZ NIGNSON ESTALIN    0801404377001                                                    X
 153921      CAICEDO NAZARENO JOSE ALDRIN    0801407891001                                                    X
 104653      CORTEZ CHARCOPA EDIT BERONICA 0801410572001                                                      X
 100756      TRIVIÑO ESTUPIÑAN GIOCONDA GARDENIA
                                             0801411398001                                                    X
 248245      BURBANO BONE XIMENA             0801418039001                                                    X
No                 No registra
                                                                No                    No registra   No
                                                                         No. registra                       registra      No.    indicadores
                                                              registra                provincia, registra
Persona_id               NOMBRE                No. ID (RUC)                 calle                           número      registra de ventas,
                                                              apellido                 cantón y   primer
                                                                          principal                         de calle     origen activos y/o
                                                              paterno                 parroquia nombre
                                                                                                            principal             empleados

 268045      MORA DROUET ANDREA MONSERRATE0801422197001                                                        X
  21659      MARIDUEÑA KARLA                  0801429994001                                                    X
 183767      BRIONES COLLANTES PATRICIA PILAR 0801430406001                                                    X
  95338      VELÁSQUEZ CASTILLO MANUELA ZORAYA0801434002001                                                    X
  80674      ORTIZ ANGULO TERESA DE JESUS     0801434572001                                                    X
 207054      ZUÑIGA VALENCIA JOSE WILMER      0801437419001                                                    X
  98859      PULLAS TORREA PETER STALIN       0801438870001                                                    X
 235800      BONE OYARVIDE GORKY RENE         0801447517001                                                    X
  89845      MURILLO CAGUA LINA BERONICA      0801452095001                                                    X
 248489      HEREDIA TELLO KLEBER OSWALDO     0801452145001                                                    X
  95723      PLATA CABEZAS CARLOS VICENTE     0801455338001                                                    X
  82974      BONE SEGURA BARBARA ISABEL       0801458662001                                                    X
 262229      MORENO GARZON CESIL JACOBO       0801460379001                                                    X
 106197      CORTEZ CASIERRA DILSON ABSALON 0801467200001                                                      X
 192734      MARQUEZ PERLAZA JHOANNA ELISA 0801468398001                                                       X
 106078      LEMOS MINA FRANCISCA             0801471087001                                                    X
 237476      CAÑIZARES BANGUERA HENRY FRANKLIN0801477985001                                                    X
 238188      BARBERAN SANCHEZ LETTY ANABEL 0801485616001                                                       X
  67575      HURTADO REASCO SERGIO JACINTO 0801491960001                                                       X
 139711      HURTADO BETANCOURT KLEBER        0801495227001                                                    X
  95562      JAMA SOSA YONIZ ESTALIN          0801502774001                                                    X
 105173      HURTADO TORAL ROMÁN FRANCISCO 0801511122001                                                       X
 149189      MONTESDEOCA SALDARRIAGA NILO JOSÉ0801517129001                                                    X
 175689      ESTRADA GRACIA LILIAN SOBEIDY    0801520586001                                                    X
 161541      LUCAS MEDINA JOSE ANTONIO        0801522137001                                                    X
 234517      MAZO VEIRA ERIKA                 0801527425001                                                    X
 196964      LOAIZA ITURRE CRISTIAN CLODOBEO 0801527458001                                                     X
  67997      QUENDAMBU BARAHONA JOSÉ          0801539511001                                                    X
 260397      JAEN BENALCAZAR GUILLERMO LIVIO 0801539669001                                                     X
 240815      PLAZA CEDEÑO EUGENIO DAVID       0801539743001                                                    X
 104132      BALLESTEROS GASPAR JUAN ALBERTO  0801540303001                                                    X
No                 No registra
                                                               No                    No registra   No
                                                                        No. registra                       registra      No.    indicadores
                                                             registra                provincia, registra
Persona_id              NOMBRE                No. ID (RUC)                 calle                           número      registra de ventas,
                                                             apellido                 cantón y   primer
                                                                         principal                         de calle     origen activos y/o
                                                             paterno                 parroquia nombre
                                                                                                           principal             empleados

 175327      TAMAYO QUIROZ PABLO AUGUSTO    0801544842001                                                     X
  57266      TAFUR BONE YAXON DOUGLAS       0801545724001                                                     X
 235778      CORTEZ ESPAÑA JAIRO JAMINHTON 0801552464001                                                      X
 123647      ORDONEZ CORDOVA LUIS ALBERTO 0801554155001                                                       X
 131469      OJEDA MORAN VINICIO            0801554692001                                                     X
  57793      MENDOZA GARCÍA JOSÉ EDUARDO    0801561408001                                                     X
  37098      BONIFAZ BONE FRANCISCO JOSE    0801566613001                                                     X
 257616      CAICEDO ORTIZ FANNY MARLENE    0801570581001                                                     X
  59368       CECILIA                       0801574864001                                                     X
 105885      VALVERDE PERLAZA JENNY FRANCISCA801578097001
                                            0                                                                 X
 206805      NIEVES ESPAÑA ORLIN ERNESTO    0801584046001                                                     X
 274735      ALMEIDA VIVAS EDUARDO ENRIQUE 0801584806001                                                      X
 185997      JAEN CAICEDO RUMALDO           0801586645001                                                     X
  26672      WAGNER BINDER TILMAN SAX       0801587932001                                                     X
 196179      OCHOA ALARCON GRECIA SUSANA    0801587981001                                                     X
 230115      VACA GOMEZ GORKY ARTURO        0801589573001                                                     X
  78233      PINILLO CASTILLO LUIS ALFREDO  0801606336001                                                     X
 217217      HERNANDEZ ZALAZAR DAVID ARTURO 0801609355001                                                     X
 211005      BALLESTEROS ESPAÑA COLON ALBERTO
                                            0801615840001                                                     X
  48346      RODRIGUEZ SANTACRUZ RONAL GEHOVANNY
                                            0801617010001                                                     X
  95531      DECKER AYALA IRMA EDITH        0801620881001                                                     X
 175608      OBANDO QUIÑONEZ FLAVIO FERNANDO0801626268001                                                     X
 213644      TREJO VALENCIA ERICSON ALFREDO 0801627894001                                                     X
 174321      SOLIS BAGUI SEGUNDO LEONARDO   0801635871001                                                     X
 171794      FIGUEROA CEDEÑO JAIRO LENIN    0801637000001                                                     X
 207239      VERA FERRIN JACINTO GASTHON    0801637927001                                                     X
 251266      DURAN JARAMILLO NELSON ARTURO 0801639808001                                                      X
  77345      CASIERRA ESCOBAR JASSON REINALDO
                                            0801640061001                                                     X
 151106      PACHO CORTEZ JEFFERSON         0801640624001                                                     X
 253513      PEREA SOLIS CRUZ MARIA         0801645631001                                                     X
  84945      YEPEZ ALCIVAR ENRIQUE DAGOBERTO0801648536001                                                     X
No                 No registra
                                                               No                    No registra   No
                                                                        No. registra                       registra      No.    indicadores
                                                             registra                provincia, registra
Persona_id               NOMBRE               No. ID (RUC)                 calle                           número      registra de ventas,
                                                             apellido                 cantón y   primer
                                                                         principal                         de calle     origen activos y/o
                                                             paterno                 parroquia nombre
                                                                                                           principal             empleados

 170724      CHINGA ZAMBRANO MAURILIO        0801653890001                                                    X
 238750      SALDARRIAGA VALENCIA BARON BOLTAIRE
                                             0801655671001                                                    X
 147477      CRUEL ANGULO MARIA JACQUELINE 0801658436001                                                      X
 163872      CAICEDO CHASING LIZANDRA VERONICA
                                             0801663089001                                                    X
 121711      BANGUERA ROJAS IVAN BYRON       0801663576001                                                    X
  30328      CARRION MENDEZ OSWALDO LENIN 0801665845001                                                       X
 211159      RIVADENEIRA MEDINA JULIO ERNESTO0801667288001                                                    X
 177998      MONTAÑO PEÑA JORGE              0801668823001                                                    X
 276002      VELASCO GASPAR ANGEL STALYN     0801681065001                                                    X
 126020      LANDIVAR GUERRERO VIVIANA MAURIXI
                                             0801682873001                                                    X
 199859      CUSME MACIAS TEDY DARWIN        0801685876001                                                    X
 207181      YÉPEZ MIÑO GRACE TOMASA         0801689027001                                                    X
 208444      RODRIGUEZ HERNANDEZ MOISES RAMSES
                                             0801695859001                                                    X
 198832      SALAZAR GARCES JORGE LUIS       0801711763001                                                    X
 259892      SEGURA RODRIGUEZ LENIS HERNAN 0801718115001                                                      X
 262473      MINDA BUENO BOLIVAR ALEJANDRO 0801721374001                                                      X
 153422      BARCIA HIDALGO NELSON ENRIQUE 0801721432001                                                      X
 106362      TRUJILLO DELGADO ISABEL SUSANA 0801725813001                                                     X
  33012      GAMEZ TORRES ROBERTO MAURICIO 0801727777001                                                      X
  39986      FIGUEROA GARCÍA TOMAS ALFREDO 0801731092001                                                      X
  32393      SANTANA PLAZA BYRON RENE        0801737677001                                                    X
 103430      PAZ BARCIA BYRON FAVIO          0801738022001                                                    X
 185711      GARCIA QUIÑONEZ WENDY DEL ROCIO0801745035001                                                     X
 251851      TAPIA LOPEZ TERESA DE JESUS     0801747007001                                                    X
 261908      CASQUETE SOL MILENY EDITH       0801752635001                                                    X
 108376      NOBOA SANTANDER CARLOS DANIEL 0801755885001                                                      X
  60829      LUNA QUIÑONEZ SALVADOR ISAAC    0801758855001                                                    X
  23036      ESPAÑA CORTEZ OCTAVIO STALIN    0801776360001                                                    X
  95158      CASTILLO CASIERRA BETO ORLANDO 0801784653001                                                     X
 218209      ESTRADA GALIANO VICENTE JAVIER 0801786278001                                                     X
 202434      BOYA ARBOLEDA DERCY             0801789124001                                                    X
No                 No registra
                                                                No                    No registra   No
                                                                         No. registra                       registra      No.    indicadores
                                                              registra                provincia, registra
Persona_id               NOMBRE                No. ID (RUC)                 calle                           número      registra de ventas,
                                                              apellido                 cantón y   primer
                                                                          principal                         de calle     origen activos y/o
                                                              paterno                 parroquia nombre
                                                                                                            principal             empleados

  14118      ING. BLADIMIR PRADO              0801789348001                                                    X
  16973      VALVERDE RIASCOS HECTOR FABIO 0801802240001                                                       X
 209457      GRANADOS CUERO JANIO EFREN       0801802547001                                                    X
 212851      SANABRIA GARCIA GERMAN ARQUIMIDES0801804881001                                                    X
  39209      VALENCIA ZAMORA LUZ ESTRELLA     0801806134001                                                    X
 259912      MENDEZ VITERI FRANCISCO DAVID    0801806613001                                                    X
 132262      GIL BARRE JAVIER RAFAEL          0801816406001                                                    X
  94880      BAUTISTA PINCAY JENNYS MARTHA    0801818329001                                                    X
  98007      MURILLO LOOR EDUARDO EDMUNDO 0801818501001                                                        X
  99553      SEGURA RODRIGUEZ ANA DEL CARMEN  0801819913001                                                    X
  99249      PARRAGA ALCIVAR JAVIER RICAURTE 0801829946001                                                     X
  50938      ORTIZ CAICEDO FRANCISCO LUIS     0801830365001                                                    X
 256743      PILLASAGUA ALMEIDA JAIME ADRIANO 0801835620001                                                    X
 141806      VALENCIA QUIÑONEZ ENQUI FRANKLIN0801839341001                                                     X
 124876      ZAMBRANO ZAMBRANO MAURICIO ENRIQUE
                                              0801842279001                                                    X
 146025      MIDERO VASQUEZ BIENBENIDO GUTEMBER
                                              0801843475001                                                    X
 136826      CEVALLOS CEDEÑO VERONICA MAGDALENNA
                                              0801843798001                                                    X
 139507      CASTRO VARGAS XAVIER VINICIO     0801856279001                                                    X
 148371      PERLAZA ESTACIO DIANA LORENA     0801861717001                                                    X
  38596      VINUEZA MOPOSITA DIEGO FRANCISCO 0801861808001                                                    X
 264956      QUIÑONEZ TAFUR LEONARDO WILSON0801862442001                                                       X
 261895      GOMEZ SANCHEZ RENE PATRICIO      0801865429001                                                    X
 236086      HERNANDEZ CHILA HEIDEN HAHIDEE 0801866591001                                                      X
 107370      QUIÑONEZ ANGULO ELVER BOLIVAR 0801875659001                                                       X
 115218      ROBINZON CHEME VICTOR HUGO       0801878612001                                                    X
  28487      PADILLA SANTILLAN JUAN CARLOS    0801879784001                                                    X
 216229      KLINGER QUINTERO LUIS TICIANO    0801884669001                                                    X
  75400      CARVACHE SEGURA DELINDER ANTONIO 0801892704001                                                    X
  62407      MERO MOSQUERA FABRICIO FORTUNATO 0801895186001                                                    X
 128473      CASTILLO BARBOZA ISMENIA ELEODORA0801895400001                                                    X
  75237      HURTADO ALOMIA EDISON ALEJANDRO  0801900689001                                                    X
No                 No registra
                                                               No                    No registra   No
                                                                        No. registra                       registra      No.    indicadores
                                                             registra                provincia, registra
Persona_id               NOMBRE               No. ID (RUC)                 calle                           número      registra de ventas,
                                                             apellido                 cantón y   primer
                                                                         principal                         de calle     origen activos y/o
                                                             paterno                 parroquia nombre
                                                                                                           principal             empleados

 273396      MONTAÑO QUIÑONEZ RICAUTER ALEJANDRO
                                             0801903816001                               X                    X           X
 182579      QUIÑÓNEZ QUIÑÓNEZ JULIO CÉSAR 0801905134001                                                      X
 228589      RIVERO REYNA JAVIER ANTONIO     0801907635001                                                    X
 113583      JAMA NAZARENO BELKYS FERNANDA 0801910183001                                                      X
 143708      CABANILLA MINA HECTOR JAVIER    0801910407001                                                    X
 113740      FERRIN ACEVEDO KATIA MARIBEL    0801916487001                                                    X
  98747      GARCIA MENDOZA EDWIN LEONARDO 0801924002001                                                      X
 127566      GUAMANI BUSTOS DARWIN PATRICIO 0801925132001                                                     X
 106661      RENDON QUIÑONEZ CARMEN IDALINA 0801929969001                                                     X
  67669      SILVA CEPEDA ROBERTO ADOLFO     0801933482001                                                    X
  91456      ARROBO OLIVES JOSE BENEDICTO    0801935982001                                                    X
 215100      TOAPANTA REINA FRANCISCA LUCIA 0801944620001                                                     X
 148418      PACHO ORTIZ LENIN JOSE          0801965880001                                                    X
 211158      FERNANDEZ CEDEÑO MARIUXI RAQUEL 0801972811001                                                    X
  93659      ENDARA DEMERA JOHANNA ELIZABETH 0801981838001                                                    X
 208043      CASTILLO BETANCOURT MARLON ESTHALIN
                                             0801984998001                                                    X
 100116      QUINATOA HERNANDEZ JOSE LUIS    0801985854001                                                    X
 230345      SAMANIEGO MARINES JENNIFER PAOLA0801998055001                                                    X
 221167      LERMA CAICEDO PEDRO MARCELO     0802008847001                                                    X
 243759      MINA ARROYO AURELIO             0802012815001                                                    X
 155748      AVELLAN MOREIRA BAYRON FERNANDO802021030001
                                             0                                                                X
 104420      RUALES ARCOS ALEX PAUL          0802031278001                                                    X
 153476      VELASCO QUIÑONEZ NIEVE PATRICIA 0802032623001                                                    X
 157789      PIMENTEL PONCE ROBERTO CARLOS 0802037085001                                                      X
 230226      CASTILLO BASTIDAS SEGUNDO ALEJANDRO
                                             0802039966001                                                    X
 127868      CHILLAMBO LANDAZURI WISTON FRANCISCO
                                             0802068254001                                                    X
 109874      ZAMBRANO ZAMORA JUANA DEL ROCÍO 0802076406001                                                    X
  31238       CARLOS                         0802092932001                                                    X
  51267      ESTACIO DIAZ JIMMY RAUL         0802099101001                                                    X
  32275      VALENCIA DIAZ JORGE LUIS        0802099762001                                                    X
 207044      MIELES INTRIAGO JUAN VLADIMIR   0802106872001                                                    X
No                 No registra
                                                               No                    No registra   No
                                                                        No. registra                       registra      No.    indicadores
                                                             registra                provincia, registra
Persona_id               NOMBRE               No. ID (RUC)                 calle                           número      registra de ventas,
                                                             apellido                 cantón y   primer
                                                                         principal                         de calle     origen activos y/o
                                                             paterno                 parroquia nombre
                                                                                                           principal             empleados

 116094      ENDARA DEMERA JUAN ALBERTO      0802110122001                                                    X
 246727      ZAMBRANO SALDARRIAGA HUGO SILVERIO
                                             0802110387001                                                    X
 278255      PALLO GUAITA ALBA LUCIA         0802111211001                                                    X
 182048      MENDOZA MENDIETA MARIELA MAGDALENA
                                             0802114926001                                                    X
  67930      ALARCON MONTAÑO XAVIER ANTONIO0802116566001                                                      X
 247223      BONE LEMOS LENIN STALIN         0802117911001                                                    X
  42566       FABIAN                         0802123794001                                                    X
 127011      CHANOLUISA MARTINEZ XAVIER GERARDO
                                             0802126615001                                                    X
 165191      INTRIAGO CRESPO DAVID ALFREDO 0802133967001                                                      X
  29251      VITE ROSALES MARCO ANTONIO      0802140517001                                                    X
 254826      ORTIZ FRANCIS EDGAR HERMOGENES0802140780001                                                      X
 174998      INTRIAGO MENDOZA OSCAR ANTONIO 0802142430001                                                     X
 230327      RODRIGUEZ MAFLA JERRY DANNER 0802145524001                                                       X
 132713      ROMERO SABANDO RAMON ANTONIO 0802153072001                                                       X
 241475      ROBLES CHARCOPA ALBERTO PABLO 0802155309001                                                      X
 271701      COX CUELLAR JOSE ANTONIO        0802155507001                                                    X
  48050      GUAGUA SUAREZ SAMUEL ENRIQUE 0802167148001                                                       X
  33087      GARZON CHARCOPA VICENTE ANTONIO 0802174631001                                                    X
 160809      KLINGER ORTIZ NAILA DOLORES     0802175737001                                                    X
  92775      LOAYZA PEÑAFIEL CHRISTIAN ALFREDO
                                             0802177931001                                                    X
  99640      OCHOA GAVILANES JUAN JOSE       0802180380001                                                    X
 188201      ALVARADO PORTOCARRERO WALTER ENRIQUE
                                             0802224253001                                                    X
 124281      QUILA MOREIRA MAYRA ELIZABETH   0802236588001                                                    X
 134132      ARBOLEDA SANCHEZ KARLA PAOLA 0802244988001                                                       X
 127858      VERA RIVERO FRANCISCO EZEQUIEL 0802246850001                                                     X
 182267      MENDEZ CHICHANDE JOSE NERGY     0802249383001                                                    X
  60421      CORTEZ ZAMORA HAIRO XAVIER      0802262923001                                                    X
 233318      DELGADO HERRERA AMPARO LILIANA 0802266536001                                                     X
 121595      ALCIVAR SORIA EVELYN EUGENIA    0802266858001                                                    X
 143387      OLAYA HUILA LEONIDAS LIBERMAN   0802271965001                                                    X
 195651      MEDINA VALENCIA LEADER ENNER    0802278911001                                                    X
No                 No registra
                                                               No                    No registra   No
                                                                        No. registra                       registra      No.    indicadores
                                                             registra                provincia, registra
Persona_id               NOMBRE               No. ID (RUC)                 calle                           número      registra de ventas,
                                                             apellido                 cantón y   primer
                                                                         principal                         de calle     origen activos y/o
                                                             paterno                 parroquia nombre
                                                                                                           principal             empleados

 217970      GARRIDO RAMIREZ CARLOS ALBERTO 0802281469001                                                     X
 259616      ARROYO BAQUERIZO MARTHA TOMASA  0802283598001                                                    X
 208011      MANCILLA CAMPAZ A OMAR          0802283887001                                                    X
 221339      PINCAY MINA JUAN LUIS           0802291146001                                                    X
 243950      VALENCIA TORRES WASHINGTON GEOVANNY
                                             0802297093001                                                    X
 268713      MONTAÑO CAICEDO JOSE LUIS       0802297804001                                                    X
  46084      ROSERO ESPIN ROLY RAMIRO        0802300624001                                                    X
 116092      GRUEZO LUNA DIANA MELANIA       0802305599001                                                    X
 259235      DUEÑAS LÓPEZ VÁSQUEZ OSWALDO PATRICIO
                                             0802306274001                                                    X
  68072      CAICEDO COLOBON VICTORIA PAOLA 0802318360001                                                     X
 201024      MERA TANDAZO FERNANDO JAVIER 0802326819001                                                       X
 187480      MORENO SNACHEZ MARIA ESTELA     0802329615001                                                    X
 275397      CHINGA QUINONEZ JUAN FRANKLIN 0802337527001                                                      X
 226577      CASTILLO CAICEDO AURA MAJHOGANNY0802343566001                                                    X
 177586      ZAMORA MACIAS CARLOS JAVIER     0802356196001                                                    X
 118763      SANTANA VERA VENUS LETICIA      0802359117001                                                    X
 208962      CEVALLOS MENDOZA MARIA FERNANDA802360560001
                                             0                                                                X
  84811      RIVERA MEJIA JORGE ENRIQUE      0802366559001                                                    X
  93314      GONZALES VERNANZA MARJORIE JESSENIA
                                             0802372128001                                                    X
 272953      VALENCIA VERNAZA DAGLER BOLIVAR 0802380063001                                                    X
 181163      VALENCIA DELGADO ESTELA MARIA 0802406777001                                                      X
 135080      ARGUELLO BARAHONA ROCIO DEL PILAR
                                             0802408120001                                                    X
 104980      ROMERO ROMERO JIMMY DANIEL      0802436261001                                                    X
 113285      SALAZAR IBARRA WILFRIDO ROBERTO 0802438788001                                                    X
 114260      RAMIREZ SALTOS DANNY MAGALY     0802438838001                                                    X
 118606      NEVAREZ PIN NURIS NEREIDA       0802460758001                                                    X
 182870      PEREA OLMEDO PATRICIO FLORIAN 0802468744001                                                      X
 264852      QUIÑONEZ AYOVI WALBER           0802471847001                                                    X
 252483      PEÑAFIEL SANCHEZ MARCOS ANTONIO 0802475764001                                                    X
  68023      MORENO CEDEÑO DIANA MERCEDES 0802489245001                                                       X
  69758      CASTILLO PANTOJA JEAN CARLOS    0802502146001                                                    X
No                 No registra
                                                                No                    No registra   No
                                                                         No. registra                       registra      No.    indicadores
                                                              registra                provincia, registra
Persona_id               NOMBRE                No. ID (RUC)                 calle                           número      registra de ventas,
                                                              apellido                 cantón y   primer
                                                                          principal                         de calle     origen activos y/o
                                                              paterno                 parroquia nombre
                                                                                                            principal             empleados

 222725      CIFUENTES ORTIZ SOCRATES DAVID 0802506923001                                                      X
  59019      ARCE NAZARENO PATRICIO           0802507160001                                                    X
 236209      COROZO QUIÑONEZ MARYURI BANEZA   0802527762001                                                    X
 198874      PAZMIÑO FIGUEROA JOHANNA YIMABEL802528141001
                                              0                                                                X
  66722      FERRIN MARTINEZ OSCAR ALFREDO 0802528414001                                                       X
 116737      REALPE BURBANO MARIA FERNANDA 0802535716001                                                       X
 217952      FLORES GARCIA JUAN CARLOS        0802539031001                                                    X
  94319      ROSALES BALLADARES SUSANA STEPHANIA
                                              0802539916001                                                    X
 251879      MASAQUIZA LAICA PAUL FERNANDO 0802548941001                                                       X
 133833      ANGULO LASTRA NEY TERESA         0802553776001                                                    X
  80410      ESTUPINAN QUINONEZ MARIUXI YANETH0802563544001                                                    X
 262548      ORAMAS SANTANDER MARJORIE VERONICA
                                              0802576017001                                                    X
 243634      QUINTERO CAMPOS CRISTHIAN FERNANDO
                                              0802590273001                                                    X
  33410      PEREA ORTIZ RUBEN DARIO          0802590661001                                                    X
 138052      TENORIO BONE FRIXON GUSTAVO      0802637033001                                                    X
 139579      TENORIO BONE OSCAR ALFREDO       0802637223001                                                    X
 207012      PATIÑO SATIZÁBAL JAVIER ALEJANDRO0802641704001                                                    X
 271070      MARTINEZ CHEME ANDREA EMERITA 0802648774001                                                       X
  54827      DÍAZ SOLIS ANDY RICARDO          0802652149001                                                    X
 276978      PERLAZA QUIÑONEZ JORGE LUIS      0802660225001                                                    X
 250209      LASTRA ALEGRÍA ABRAHAM ALTEMAR 0802690172001                                                      X
 172176      CHICAIZA QUINATOA MAURICIO RIGOBERTO
                                              0802726836001                                                    X
 131814      PEREA OLMEDO BERNARDO MANUEL 0802745323001                                                        X
 126190      RENTERIA CAMACHO CRISTHIAN FERNANDO
                                              0802758813001                                                    X
 232592      DELVICIER CAMPOS YULY GENOVEVA 0802774992001                                                      X
  93946      GONZALEZ MARQUEZ SEGUNDO JORGE802782862001
                                              0                                                                X
  82275      GRACIA CHEME PEDRO WLADIMIR      0802817163001                                                    X
  54349      NESTOR                           0802818567001                                                    X
  97246      CAJAS ESTRADA LEONELA VANESSA 0802824326001                                                       X
 103493      COLOBON CORTEZ PAOLA JESSENIA 0802833442001                                                       X
 214289      VALDEZ DEMERA JOSE JOAQUIN       0802838623001                                                    X
No                 No registra
                                                              No                    No registra   No
                                                                       No. registra                       registra      No.    indicadores
                                                            registra                provincia, registra
Persona_id              NOMBRE               No. ID (RUC)                 calle                           número      registra de ventas,
                                                            apellido                 cantón y   primer
                                                                        principal                         de calle     origen activos y/o
                                                            paterno                 parroquia nombre
                                                                                                          principal             empleados

 200875      PONCE REASCO KAREN ELIZABETH     0802853580001                                                  X
 173861      VERA LOOR OSCAR ANTONIO          0802855304001                                                  X
 179087      BRAVO QUIÑONEZ GLORIA JACKELINE 0802869446001                                                   X
 209541      PARRAGA GARCIA GUIDO GASTON      0802899518001                                                  X
  43392      GIRON SANCHEZ MONICA ADELAIDA 0802914283001                                                     X
  95434      BAZURTO PONCE CONSUELO BEATRIZ0802934711001                                                     X
 219771      CEVALLOS CAÑOLA JHOANNA ROXANA0802940387001                                                     X
 115123      MOREIRA POZO DAVID ALEJANDRO     0802949750001                                                  X
  61101      OREJUELA ORTIZ JACKSON LEONID    0802953398001                                                  X
 110303      ORTIZ CAICEDO VERONICA ELIZABETH 0802977116001                                                  X
 196981      ZAMBRANO LOOR VERONICA ALEXANDRA 0803044817001                                                  X
 207397      AREVALO SANCHEZ JIMENA ALEXANDRA 0803095520001                                                  X
 235769      GONZALEZ GARCIA CARMEN ROSA      0803115724001                                                  X
 246018      JAÉN REASCOS ALEX EDUARDO        0803165109001                                                  X
 249121      RODRTIGUEZ BURVANO MELVA KARINA  0803236439001                                                  X
 260305      MERA PAREDES MIGUEL ANGEL        0803242627001                                                  X
 261808      ALVAREZ BATIOJA MARIA FERNANDA 0803298165001                                                    X
 104389      BLANDON GUAGUA FERNANDO DANILO   0803439686001                                                  X
 269105      LARA CAMACHO BORIS ALEXANDER 0803514017001                                                      X
 186749      QUIÑONEZ PERLAZA ORLANDO DAVID 0803560077001                                                    X
  30267      JUNTA PARROQUIAL DE TONSUPA      0860013300001                                                  X
 239209      BATALLON DE INFANTERIA MOTORIZADO 13 ESMERALDAS
                                              0860040030001                             X                                           X
 131723      VICARIATO APOSTOLICO DE ESMERALDAS
                                              0890012183001                                                  X
 102383      SINDICATO DE CHOFERES PROFESIONALES DEL CANTON QUININDE
                                              0890033318001                                                  X
  96686      EDITORES ESMERALDEÑOS EDIESA S.A.0890044719001                                                  X
  99498      SERVICIOS MARÍTIMOS Y LOGÍSTICOS 0890044816001                                                  X
  82452      FORO DE DESARROLLO INTEGRAL DE LA MUJER Y LA FAMILIA
                                              0890045715001                                                  X
 116072      TELEVISION ESMERALDEÑA COMPAÑIA DE ECONOMIA MIXTA
                                              0890048242001                                                  X
  59053      JORGE VIVAR SERVICIOS DE INGENIERIA MECANICA CIA LTDA
                                              0890051421001                                                  X
 227066      PORTOKEROS CIA. LTDA.            0891700105001                                                  X
 251300      PONTIFICIA UNIVERSIDAD CATOLICA DEL ECUADOR SEDE ESMERALDAS
                                              0891702744001                                                  X
No                 No registra
                                                              No                    No registra   No
                                                                       No. registra                       registra      No.    indicadores
                                                            registra                provincia, registra
Persona_id              NOMBRE               No. ID (RUC)                 calle                           número      registra de ventas,
                                                            apellido                 cantón y   primer
                                                                        principal                         de calle     origen activos y/o
                                                            paterno                 parroquia nombre
                                                                                                          principal             empleados

  84182      COOPERATIVA DE SERVICIO DE MANTENIMIENTO NAVAL ESMERALDAS
                                              0891703171001                                       X
  34442      COMITE PROMEJORAS 20 DE NOVIEMBRE DE LA ISLA LUIS VARGAS TORRES
                                              0891704259001                                       X
 260826      ASOCIACION FORO DE MUJERES DE QUININDE
                                              0891704771001                                       X
 216967      ASOCIACION DE PARTICIPACION SOCIAL NUCLEO AUTOGESTIONARIO DE ASISTENCIA TECNICA DE ESMERALDAS
                                              0891705433001                                       X
  44613      ASOCIACION DE PARTICIPACION SOCIAL BIENESTAR DE LOS NIÑOS
                                              0891706383001                                       X
  44627      FUNDACION TOLITA ESMERALDA       0891706839001                                       X
 116718      RADIO GAVIOTA F.M. DE ESMERALDAS 0891707061001
                                              GAVIESMERALDAS CIA. LTDA.                           X
  90515      MICROEMPRESA DE CONSERVACIÓN VIAL UNIDOS TRABAJANDO POR EL FUTURO
                                              0891707258001                                       X
 269597      MICROEMPRESA DE CONSERVACION VIAL ESTERO ANCHO
                                              0891707355001                                       X
  36708      SAN FRANCISCO DE LOS MILAGROS 0891709366001                                          X
 163789      ASOCIACION DE PARTICIPACION SOCIAL SATA FE DE LAS AMERICAS
                                              0891710321001                                       X
 110467      OLUVA CIA.LTDA                   0891712723001                                       X
  37066      FUNDACION TAVE TRABAJO AMOR VIDA Y ESPERANZA
                                              0891712820001                                       X
  30834      FUNDACION DE DESARROLLO SOCIAL, 0891712936001
                                              CULTURAL, EDUCATIVA Y ECONOMICA DE LOS SECTORES MARGINALES DEL ECUADOR
                                                                                                  X
 212305      SERVICIOS INDUSTRIALES CASTILLO CIA. LTDA
                                              0891713010001                                       X
 140297      BIENES Y SERVICIOS CASTILLO S-A- 0891713029001                                       X
 184763      CONSTRUCCIONES BENAL S.A.        0891713231001                                       X
 210715      ASOCIACION PARA EL DESARROLLO AFROCULTURAL, SOCIAL Y ARTESANAL "BAMBUCO"
                                              0891714890001                                       X
  15370      UNIÓN PROVINCIAL                 0891715927001                                       X
 191770      PATRIA NUEVA                     0891716001001                                       X
  32153      DIVINA ESPERANZA                 0891716540001                                       X
  34519      COMITE PROMEJORAS VIVIR CON DIGNIDAD
                                              0891716664001                                       X
  34581      FUNDACION JUAN ISAAC QUIÑONEZ ANGULO
                                              0891716796001                                       X
  30877      FUNDACION PARA EL DESARROLLO INTEGRAL DE LOS NIÑOS MADRES Y ANCIANOS POBRES DE ESMERALDAS
                                              0891717024001                                       X
  12485      PROCOMATEL S A                   0891717946001                                       X
 182019      SISCONTEL S.A.                   0891717970001                                       X
  30772      FUNDACION UNIDOS PARA EL CAMBIO LA AMISTAD Y EL PROGRESO DEL ECUIADOR
                                              0891718543001                                       X
 268260      ASOCIACION DE CONSERVACION VIAL ALTO TAMBO
                                              0891718748001                                       X
 181474      TERESCORP S.A                    0891719132001                                       X
 202826      MANTENIMIENTO & SERVICIOS GENERALES STAPU S.A
                                              0891719140001                                       X
 158708      COMPAÑIA SUBMARINO CONTRASUB 0891719477001                                           X
No                 No registra
                                                              No                    No registra   No
                                                                       No. registra                       registra      No.    indicadores
                                                            registra                provincia, registra
Persona_id              NOMBRE               No. ID (RUC)                 calle                           número      registra de ventas,
                                                            apellido                 cantón y   primer
                                                                        principal                         de calle     origen activos y/o
                                                            paterno                 parroquia nombre
                                                                                                          principal             empleados

 270453      ASOCIACION DE CONSERVACION VIAL DURANGO
                                              0891719671001                                        X
 134869      MOREIRA ALVARADO CIA. LTDA.      0891719701001                                        X
 157583      DISEÑO PROYECTOS Y CONSTRUCCIONES DISEPROCONS S.A.
                                              0891719841001                                        X
  95806      ANBEC S.A.                       0891720041001                                        X
  29613      LAYPRE S.A.                      0891720149001                                        X
  72017      SERVICIOSBONREQUI                0891720157001                                        X
 256032      CONSTRUCCIONES DE SISTEMAS ELECTRICOS Y OBRAS CIVILES CONSISTELOC CIA. LTDA
                                              0891720270001                                        X
 127999      ASOCIACION DE CAMPESINOS AUTONOMOS FUERZAS UNIDAS DEL RECINTO 5 DE AGOSTO
                                              0891720831001                                        X                X
  57342      RIGACE S.A.                      0891722524001                                        X
  87458      GEORGIA SERVICIOS TECNICOS INDUSTRIALES S.A.
                                              0891722540001                                        X
 126502      CONSTRUCCIONES CARALFBAL S.A. 0891723601001                                           X
 259794      ASOCIACION DE PROFESIONALES Y AFINES AFROS PARA EL DESARROLLO
                                              0891723660001                                        X
 137298      CONSTRUCTORA JARUCHAS            0891723768001                                        X
 144300      CONSTRUCTORA CUBONSA S.A.        0891724020001                                        X
 181531      CONSTRUCTORA COPCINM S.A.        0891725744001                                        X
 275241      COMITE BARRIAL 15 DE OCTUBRE PIANGUAPI ISLA LUIS VARGAS TORRES
                                              0891726678001                                        X
 223243      CASTILLO PRECIADO JAIME          0891727119001                                        X
 233621      ASOCIACION DE TRABAJADORES QUE REALIZAN LA LIMPIEZA DE DESECHOS DE MARISCOS Y AREAS VERDES DEL PUERTO PESQUERO DEL CANTON
                                              0891727577001                                        X
 255237      COMERCIALIZADORA MORENO JIMENEZ CIA.LTDA
                                              0891728662001                                        X
 259125      SOLIMIKA S.A. CONSTRUCTORA       0891728867001                                        X
 273046      CONSTRUCTORA QUINRADDY S.A.      0891729146001                                        X
 276618      CONSTRUCCION Y MANTENIMIENTO KATRICKAL S.A
                                              0891729197001                                        X
 276386      SERVICIOS Y MANTENIMIENTO INDUSTRIAL BAJUCHELCA S.A
                                              0891729200001                                        X
 276306      CONSORCIO PROCOMATEL ROMSERR 0891729448001                                            X
 142591      RODRIGUEZ JORGE                  0900017245001                                        X
 232291      CABRERA CHICA FAUSTO ENRIQUE     0900054222001                                        X
 151225      GONZALEZ VILLACIS ROBERTO JOSE 0900094376001                                          X
 145570      ROMERO VASQUEZ RAFAEL ALBERTO 0900154139001                                           X
 267884      CORNEJO CRESPO WALTER GUSTAVO0900176462001                                            X
 113298      TOLEDO VALENCIA BOLIVAR TOLEDO 0900180720001                                          X
 228975      SANCHEZ SERRANO LEON ARTURO      0900182288001                                        X
No                 No registra
                                                               No                    No registra   No
                                                                        No. registra                       registra      No.    indicadores
                                                             registra                provincia, registra
Persona_id               NOMBRE               No. ID (RUC)                 calle                           número      registra de ventas,
                                                             apellido                 cantón y   primer
                                                                         principal                         de calle     origen activos y/o
                                                             paterno                 parroquia nombre
                                                                                                           principal             empleados

  44033      CHAVEZ MESIAS MARCIA CECILIA    0900184136001                                                    X
 204028      SUAREZ PAZ JACINTO EDUARDO      0900188632001                                                    X
 261211      MACIAS ALVARADO RAMON CLOTARIO 0900190406001                                                     X
 166120      FERREIRA BRAVO GUILLERMO        0900190448001                                                    X
 149276      TOALA VILLACRECES HEDILBERTO GREGORIO
                                             0900223819001                                                    X
 190702      ESPINOZA COLOMA MILTON ELADIO 0900231390001                                                      X
 111554      SERRANO AGUILAR LISIMACO ENRIQUE0900244252001                                                    X
 153107      MONCADA VILLAMAR MANUEL DE JESUS0900299314001                                                    X
 256621      BARBERAN HERNANDEZ CARLOS ALFREDO
                                             0900315854001                                                    X
 147290      ANDRADE CAAMAÑO BOLIVAR MARIANO 0900332024001                                                    X
  59713      GUERRERO GIL ABDÓN EUGENIO      0900332297001                                                    X
 103279      CARVACHE FLORES PEDRO SATURNINO900337676001
                                             0                                                                X
 232035      MOREIRA VILLEGAS NELSON DEMOFILO0900468919001                                                    X
 177786      MARTINEZ ENRIQUEZ FLERIDA BEYRUT0900516576001                                                    X
 208627      PEREZ PEREZ DOMINGO REINALDO    0900528829001                                                    X
 203640      ARREAGA HUACON JOSE ALEJANDRO 0900572660001                                                      X
 202950      CASTRO RIVADENEIRA SERGIO AGUSTIN
                                             0900590647001                                                    X
 186962      NUÑEZ BALAREZO FERNANDO AMADO 0900666710001                                                      X
 140269      MURRIETA CALERO WALTER EDUARDO  0900693722001                                                    X
  97087      CHAVEZ BAIRD MARIO FERNANDO     0900730391001                                                    X
  72324      LEON NAVAS VICTOR MANUEL        0900730714001                                                    X
 179403      MARTINEZ HERRERA LUIS REYES     0900743402001                                                    X
 259626      FRIEND ZAMBRANO DAVID SALOMON 0900802836001                                                      X
 250610      ZEA ALVARADO VICTOR MIGUEL      0900813072001                                                    X
  27873      BERNAL LANGE CARLOS ALBERTO     0900818196001                                                    X
  26319      VIEJO ALVARADO MIGUEL ANTONIO   0900887803001                                                    X
  41707      VELASQUEZ VELEZ ROBERTO ARTURO0900907825001                                                      X
 246470      VALVERDE CUERO LUIS SEGUNDO     0900919093001                                                    X
  43624      GARCÍA MENENDEZ LINCOLN EDISON 0900928508001                                                     X
 261662      GALLARDO ROSERO LUIS ALBERTO    0900963430001                                                    X
 180953      OCHOA VEINTIMILLA LORENZO AQUILES900966102001
                                             0                                                                X
No                 No registra
                                                                 No                    No registra   No
                                                                          No. registra                       registra      No.    indicadores
                                                               registra                provincia, registra
Persona_id               NOMBRE                 No. ID (RUC)                 calle                           número      registra de ventas,
                                                               apellido                 cantón y   primer
                                                                           principal                         de calle     origen activos y/o
                                                               paterno                 parroquia nombre
                                                                                                             principal             empleados

  42438      POZO CORDERO CARLOS HERMOGENES    0900989591001                                                    X
 180269      TORRES CUENCA ABSALON SIGIFRIDO0901019463001                                                       X
  76821      LAMAN LA MOTA JOSE JOAQUIN        0901020263001                                                    X
 129364      SALVADOR GONZALEZ JOSE VICENTE 0901027359001                                                       X
 143787      OYOLA MURILLO LUIS ALBERTO        0901029694001                                                    X
 190955      CUEVA PARDO JUANA MARIA           0901032128001                                                    X
 109459      GELLIBERT LARRETA WALTER RICARDO  0901047571001                                                    X
 178644      REYES GUILLEN CARLOS ENRRIQUE 0901052332001                                                        X
 166003      MOROCHO PALMA CARLOS GENARO 0901053595001                                                          X
 248032      FIGUEROA MEJILLON JESUS ECUADOR0901053785001                                                       X
  67298      CAIZAPANTA GUTIERREZ ANGEL RAFAEL 0901058503001                                                    X
 129397      MORENO SANCHEZ GLADYS JULIA       0901070136001                                                    X
 106184      DEL PEZO ORRALA PASCUALA PETRONILA0901077529001                                                    X
 199030      MOSQUERA DE LA ESE WASHIGTON MARTIN
                                               0901107524001                                                    X
 236607      VILLAVICENCIO ESCOBAR LUIS FELIPE 0901128173001                                                    X
 168638      MURRIETA VILLAMAR SILVIO PASTOR 0901132159001                                                      X
  66833      IDROVO MATERNO JOSE MIGUEL        0901141317001                                                    X
 137863      JACOME CONTRERAS SONIA ESTHER 0901169839001                                                        X
 167117      HERRERA FLORENCIA MARGARITA DOLORES
                                               0901192856001                                                    X
 207378      CEDEÑO CHILA GUNTHER ELEODORO 0901192955001                                                        X
 217557      COBO MOLINEROS RICARDO ALBERTO0901194712001                                                        X
 154155      REYES MATIAS MIGUEL ROLANDO       0901212225001                                                    X
 100722      PILAY EUGENIO SEGUNDO EUGENIO 0901234815001                                                        X
 153201      SANTOS SUÁREZ HUGO WALTER         0901246983001                                                    X
 180700      PRECIADO REINOSO GABRIEL ANIBAL 0901259648001                                                      X
 214385      PEREZ CORNEJO ESTEBAN ANTENOR 0901259853001                                                        X
  67631      GRANIZO SEGARRA VICTOR HUGO       0901266460001                                                    X
 162779      RAMOS RICARDO NERIS ARMANDO       0901285692001                                                    X
  69647      VILLAO PACHECO OSCAR OSWALDO 0901286377001                                                         X
 247643      PILALO CASTRO LUIS ENRIQUE        0901294967001                                                    X
 129113      ARRIAGA OLVERA RITA FELIPA        0901301598001                                                    X
No                 No registra
                                                               No                    No registra   No
                                                                        No. registra                       registra      No.    indicadores
                                                             registra                provincia, registra
Persona_id               NOMBRE               No. ID (RUC)                 calle                           número      registra de ventas,
                                                             apellido                 cantón y   primer
                                                                         principal                         de calle     origen activos y/o
                                                             paterno                 parroquia nombre
                                                                                                           principal             empleados

 252556      LOPEZ CORNEJO ENRIQUE JULIO     0901302661001                  X            X                    X
 144077      SUDARIO BARZOLA ELIECER GUALBERTO
                                             0901304998001                                                    X
   3371      SOLANO MORALES NORMA ALICIA     0901314328001                                                    X
 108042      BARRERA CAMPOS AMBROCIO CARLOS  0901335497001                                                    X
 142841      RUIZ SEGURA KLEBER VIRGILIO     0901351957001                                                    X
 190701      ANDRADE MARQUEZ CESAR NEPTALI 0901390054001                                                      X
 162447      PEÑA VARGAS JULIETA MARGOT      0901446823001                                                    X
 125593      GASTIABURO CANTOS CARLOS ALBERTO0901481861001                                                    X
 104379      FLORES ORTEGA MARIA ANGELA      0901485102001                                                    X
 214692      OROZCO ZAMBRANO LASTENIA MARIA0901512004001                                                      X
  86641      VALERO PEÑAFIEL MAXIMO EZEQUIEL 0901550301001                                                    X
 189220      PANCHANA RODRIGUEZ GUILLERMO GILBERTO
                                             0901647214001                                                    X
 230232      MUÑOZ DOMINGUEZ ADOLFO AMABLE 0901669788001                                                      X
 183689      MOSQUERA SANTANA JOSE SIMON     0901728261001                                                    X
 269382      MARTINEZ MACIAS ZOILA MERCEDES 0901728790001                                                     X
 262004      LOVATO PALACIOS BAKUNIN         0901753194001                                                    X
 196559      BURGOS CABRERA VICTORIANO ELISEO901773119001
                                             0                                                                X
 207864      RODRIGUEZ VÉLEZ JOSÉ ENRIQUE    0901778878001                                                    X
 198799      ALAVA GONZALEZ PATRICIO RAMIRO 0901787606001                                                     X
 104096      DUMAN GARCÍA JOSÉ DOMINGO       0901813592001                                                    X
 249120      ZAMBRANO FARÍAS HUMBOLDT DEL JESÚS
                                             0901833558001                                                    X
 244832      LOJA SUCONOTA MANUEL DE JESUS 0901853903001                                                      X
  38494      DELGADO MONCAYO CRUZ MARIA      0901854695001                                                    X
 217177      SAMANIEGO SANTILLAN ROMULO JORGE0901855460001                                                    X
 155039      MEJILLONES VERA JUAN ADOLFO     0901882654001                                                    X
 151823      SUAREZ ORRALA GUILLERMO SAMUEL 0901885327001                                                     X
   3499      LARROSA SAA ANA FELICITA        0901912675001                                                    X
 244332      ANDRADE MENDOZA BETTY MARIA     0901921502001                                                    X
 148407      IBARRA VERA JUSTO ALBERTO       0901930867001                                                    X
 241211      CHICA CARMONA DARIO ERNESTO     0901952176001                                                    X
 249719      SUAREZ HERRERA ANDRES GERMAN 0901971184001                                                       X
No                 No registra
                                                               No                    No registra   No
                                                                        No. registra                       registra      No.    indicadores
                                                             registra                provincia, registra
Persona_id               NOMBRE               No. ID (RUC)                 calle                           número      registra de ventas,
                                                             apellido                 cantón y   primer
                                                                         principal                         de calle     origen activos y/o
                                                             paterno                 parroquia nombre
                                                                                                           principal             empleados

  77536      GARCIA LEMA CARLOS ENRIQUE      0901986661001                                                    X
  21560      VALENCIA PEREZ VICENTE VITELIO  0902032556001                                                    X
 145278      CAMBALA MONTECE CARLOS ALBERTO  0902071117001                                                    X
  10819      CARLOS MONTOYA SOTOMAYOR        0902072164001                                                    X
 178812      ROBLES POVEDA FAUSTO ALVINO     0902093921001                                                    X
  87067      BERMÚDEZ SALAZAR MARÍA VERÓNICA 0902109131001                                                    X
 196068      ASPIAZU GARCIA VIOLETA AZUCENA 0902181387001                                                     X
  15855       SERGIO                         0902183482001                                                    X
  21447      ING.CARLOS MOROCHO              0902183557001                                                    X
  12894       JULIO MATAMOROS                0902186147001                                                    X
  26072      AGUIRRE ROMERO HENRY JACINTO 0902225044001                                                       X
 163831      CENTENO CENTENO LUIS OCTAVIO 0902233683001                                                       X
  66691      ASTUDILLO VELASCO LEOPOLDO ENRIQUE
                                             0902256254001                                                    X
 146527      RAMIREZ GONZALEZ LERIDA         0902267459001                                                    X
 220805      MORANTE ROMERO MANUEL DE JESUS  0902276302001                                                    X
 129697      RIVERA MIRANDA ERNESTO OSWALDO0902302611001                                                      X
  37886      MORA SUÁREZ DELIA DE LAS MERCEDES
                                             0902341593001                                                    X
  54003      GALLARDO CABRERA JOSE EDUARDO 0902376110001                                                      X
 151692      MONROY MIRANDA LUIS ENRIQUE     0902441633001                                                    X
  79214      LA MOTA BRAVO CARLOS RAFAEL     0902470707001                                                    X
 152926      SOTOMAYOR ROSALES EDMUNDO       0902515659001                                                    X
 207669      SALAZAR ESPINOZA NORMA ARACELIA0902519321001                                                     X
   3824      FERAUD CRESPO ROBERTO FRANCISCO 0902527480001                                                    X
 146213      CEDENO MURILLO RAMON DARIO      0902541515001                                                    X
  75682      CASTRO LEON CRUZ DEL CARMEN     0902544840001                                                    X
  79880      GARNICA GARNICA MANUEL RODRIGO 0902545086001                                                     X
 120670      CAAMAÑO QUINTONG WILSON RIGOBERTO
                                             0902582022001                                                    X
   7434      GONZALEZ PINOS GLORIA DEL ROSARIO
                                             0902603463001                                                    X
 213752      MARTINEZ LEON LUIS ALBERTO      0902611680001                                                    X
  64851      SOLÍS CABEZAS JOSÉ LOMBARDO     0902621671001                                                    X
  47903      AMBROSSI BANCHON JUAN VICENTE 0902674555001                                                      X
No                 No registra
                                                                No                    No registra   No
                                                                         No. registra                       registra      No.    indicadores
                                                              registra                provincia, registra
Persona_id               NOMBRE                No. ID (RUC)                 calle                           número      registra de ventas,
                                                              apellido                 cantón y   primer
                                                                          principal                         de calle     origen activos y/o
                                                              paterno                 parroquia nombre
                                                                                                            principal             empleados

  35334      CORTEZ OLVERA VICTOR EFREN       0902676436001                                                    X
 161692      SUAREZ URUETA CESAR AUGUSTO      0902679547001                                                    X
 143392      YANEZ JORGE ENRIQUE              0902695329001                                                    X
   3505      ROMERO BAJANA ELSA DEL CARMEN 0902703271001                                                       X
 215539      SANDOVAL ROSERO FRANCISCO ANGEL  0902753664001                                                    X
 220826      MONROY VERA LUIS ALBERTO         0902755966001                                                    X
 234191      ANCHUNDIA BERNARDA               0902794486001                  X            X                    X
 179730      BATALLAS BERNAL BAUDILLO         0902796200001                                                    X
 195078      SAMANIEGO SAMANIEGO VICTOR RADOY 0902848381001                                                    X
  60363      CORTEZ LAPO FRANCISCO MIGUEL     0902898329001                                                    X
  85606      GRANJA GILER DOUGLAS ALBERTO     0902898865001                                                    X
 168266      SARMIENTO ORELLANA CARLOS AMABLE 0902923747001                                                    X
  92174      MARTINEZ UNAMUNO JOSE VICTOR     0902950310001                                                    X
 148629      QUIMI MURILLO SEGUNDO FRANCISCO0903000669001                                                      X
 162251      AVECILLAS JORGE CORNELIO         0903011534001                                                    X
 137938      CALDERON GUZMAN SEGUNDO LUIS 0903052728001                                                        X
 175683      RUIZ FREIRE CARLOS ALBERTO       0903150431001                                                    X
 143527      RUIZ ALVARADO MARIANO WASHINGTON 0903153575001                                                    X
 182487      CHANG ALAVA MANUEL ROBERTO       0903186484001                                                    X
 237887      MERINO PLAZA JOSE APARICIO       0903225928001                                                    X
 108518      MORA JAIME DAVID                 0903241693001                                                    X
   3407      MIRANDA YEPEZ BELGICA ISABEL     0903255263001                                                    X
  72286      BALLADARES MAGALLANES OSWALDO 0903283869001
                                              SUCRE                                                            X
 215311      BATALLA VEGA MANUEL WELLINGTON 0903288074001                                                      X
 100963      IDROVO FEIJÓO MARTA PIEDAD       0903334563001                                                    X
  88480      VERNAZA TRUJILLO ERNESTO         0903338440001                                                    X
   3718      JARRIN PLUAS JENNY ARACELY       0903345395001                                                    X
 205995      MERA VILLARREAL CRISTOBAL ELPIDIO0903366599001                                                    X
 260337      ALVEAR MACÍAS JORGE GUILLERMO 0903393155001                                                       X
 104417      RUIZ RUIZ JULIO CLARO            0903394526001                                                    X
  32907      REYES MATIAS JULIO DSNIEL        0903423903001                                                    X
No                 No registra
                                                                No                    No registra   No
                                                                         No. registra                       registra      No.    indicadores
                                                              registra                provincia, registra
Persona_id               NOMBRE                No. ID (RUC)                 calle                           número      registra de ventas,
                                                              apellido                 cantón y   primer
                                                                          principal                         de calle     origen activos y/o
                                                              paterno                 parroquia nombre
                                                                                                            principal             empleados

  21340      MERCHAN ALIAGA WILLIAN ROBERTO 0903426013001                                                      X
 193841      COELLO MANZANARES CARLOS SEGUNDO 0903437531001                                                    X
 170838      CORDERO MATUTE JAIME HUMBERTO 0903447746001                                                       X
 161166      ESTEVEZ FIERRO ZOILA ESPERANZA 0903453298001                                                      X
  31354      VILLAO BORBOR LUIS EDUARDO       0903456200001                                                    X
 254407      ALMEIDA VERA ISMAEL ISMAEL       0903459329001                  X            X                    X
  74084      SANCHEZ FALCONES ARACELI ELENA 0903470649001                                                      X
 249064      CASANOVA XXXXXXX ALEJANDRO AUGUSTO
                                              0903485845001                                                    X
 140547      ORRALA GONZABAY CRISTOBAL NEPTALI0903501013001                                                    X
 234107      PIZARRO RODRIGUEZ PLACIDO JUSTINO0903510063001                                                    X
  99945      RAMIREZ CARLOS HUMBERTO          0903521656001                                                    X
  42876      FLORES ARROBA ALFREDO ELÍAS      0903543346001                                                    X
 217561      CAJAS RIZZO ESTHELA FLOR         0903560472001                                                    X
 118034      TUTIVEN ALVARADO NELSON AQUILES0903571008001                                                      X
 140036      CONCHA LECARO VICENTE FRANCISCO  0903575165001                                                    X
 190319      AGUILAR JOSE PEDRO               0903576288001                                                    X
  53940      PROAÑO ORTÍZ JUAN ANTONIO        0903582336001                                                    X
 130025      OROZCO OROZCO GUILLERMO WASHINGTON
                                              0903583318001                                                    X
 250692      TELLO AVILA TERESA DEL NIÑO JESUS0903583912001                                                    X
 214539      VELOZ LEMARIE ROSA KETTY         0903589943001                                                    X
  31172      HELGUERO OBANDO CARLOS VICENTE0903594158001                                                       X
 141356      FAJARDO GARCIA CARLOS ALFONSO 0903624245001                                                       X
  85064      TUTIVEN HERRERA CELSO COLON      0903634269001                                                    X
 213222      VASQUEZ RONQUILLO LUIS EUSEBIO 0903664373001                                                      X
 172827      MENDOZA CORONEL WILLIANS EZEQUIEL0903670776001                                                    X
   3456      MANRIQUE SANCHEZ ROSA ISABEL     0903762698001                                                    X
 276919      LOPEZ ALVAREZ OLGA IRENE         0903771020001                                                    X
  90190      AGUIRRE BONOSO NELLY IRENE       0903799377001                                                    X
 218329      CALDERON CHOEZ JUAN BAUTISTA     0903826899001                                                    X
 160520      BAQUE PALMA NATIVIDAD ESTEBAN 0903845592001                                                       X
 205852      PAZMIÑO BARRENO YOANDA EUGENIA0903860534001                                                       X
No                 No registra
                                                               No                    No registra   No
                                                                        No. registra                       registra      No.    indicadores
                                                             registra                provincia, registra
Persona_id               NOMBRE               No. ID (RUC)                 calle                           número      registra de ventas,
                                                             apellido                 cantón y   primer
                                                                         principal                         de calle     origen activos y/o
                                                             paterno                 parroquia nombre
                                                                                                           principal             empleados

 231049      JACOME INOQUIO TOMAS AQUILINO 0903873560001                                                      X
 136403      ESCALANTE QUINDE CARLOS JACINTO0903874394001                                                     X
 235268      CANARTE TERAN PAUL EMILIO       0903895860001                                                    X
 123617      GRIET RENDON RICARDO WASHINGTON903908366001
                                             0                                                                X
 248120      MENDEZ VILLARROEL JULIO TEODORO0903911543001                                                     X
 106322      MOREIRA DUQUE MARINO ALVARO     0903917391001                                                    X
 143517      ZAMBRANO IZQUIERDO FROWEN XAVIER0903924686001                                                    X
 240756      VALAREZO MEJÍA CARMEN MARÍA     0903941367001                                                    X
 160719      PALOMEQUE HERRERA CARLOS GUILLERMO
                                             0903966083001                                                    X
 133764      MARQUEZ VILLACRES HUGO OSWALDO  0903977122001                                                    X
   1235       HENRY                          0903987600001                                                    X
  20402       NATALIA                        0903990794001                                                    X
   8493      FUMIGATIONS & SERVICES          0903995736001                                                    X
 184660      RIBAS VERA JUAN ALFREDO         0903998086001                                                    X
  30326      PAREDES LÓPEZ HÉCTOR ANIBAL     0904032992001                                                    X
 195769      GONZALEZ PARRA PEDRO MANUEL     0904050374001                                                    X
 219348      VALLE PLUAS NAPOLEON MANUEL     0904076684001                                                    X
  42676      VASQUEZ ROJAS JUSTO ABRAHAN     0904090628001                                                    X
 210663      ESTRADA VELASQUEZ RAFAEL LEONIDAS
                                             0904104429001                                                    X
  65983      CARCHI PAREDES CARLOS LUIS      0904108859001                                                    X
  67892      JIJÓN GUERRERO MILTON OMAR      0904109394001                                                    X
 264601      RUIZ CAMPOSANO LUIS ARNOLDO     0904123353001                                                    X
 112672      CHAVEZ MENDOZA JACINTO GONZALO0904125770001                                                      X
 252846      CASTILLO MACIAS JACINTO AROL    0904127115001                                                    X
 237594      GUEVARA VASQUEZ TOMAS ROSSBELT  0904135019001                                                    X
 230647      ALEJANDRO JAIME VICENTE EVARISTO0904135175001                                                    X
 181635      GOMEZ SIERRA MARCOS ANTONIO     0904173671001                                                    X
 115432      PARRALES SILVA CARLOS ENRIQUE 0904176351001                                                      X
  37206      AGUIRRE ABAD LUIS ANTONIO       0904180205001                                                    X
 267468      BETANCOURT NEIRA TOMAS ALBERTO  0904218468001                                                    X
 221384      MOLINA PENA CARLOS ALFONSO      0904242237001                                                    X
No                 No registra
                                                                No                    No registra   No
                                                                         No. registra                       registra      No.    indicadores
                                                              registra                provincia, registra
Persona_id               NOMBRE                No. ID (RUC)                 calle                           número      registra de ventas,
                                                              apellido                 cantón y   primer
                                                                          principal                         de calle     origen activos y/o
                                                              paterno                 parroquia nombre
                                                                                                            principal             empleados

 185489      LOOR BUENO TERESA DE JESUS       0904318870001                                                    X
 109652      WONSANG AMEN JOSE SIGIFREDO      0904320744001                                                    X
 206150      VIVAR MONTERO GONZALO EDMUNDO0904325842001                                                        X
 240000      VERA CRIOLLO VICTOR HUGO         0904330495001                                                    X
  25032      ARCE BURGOS LUIS XAVIER          0904333366001                                                    X
 152882      BAEZ VELASTEGUI GUADALUPE DEL PILAR
                                              0904353034001                                                    X
   3525      PALMA SANDE ROSA MATILDE         0904354040001                                                    X
 131634      BORJA POMBO CESAR EDUARDO        0904367141001                                                    X
  82135      MARTINEZ GARCIA WALTER MORGAN 0904417094001                                                       X
 180585      DE LA CRUZ RODRÍGUEZ FLORENCIO ANASTACIO
                                              0904460938001                                                    X
 265111      BARCIA VILLACIS OMAR MAXIMILIANO 0904480985001                                                    X
 220302      CEPEDA JACOME GLADYS YOLANDA 0904505492001                                                        X
  52730      FIGUEROA GUARANDA BEATRIZ FABIANA0904520210001                                                    X
 148459      GUEVARA ORTIZ JAIME VICENTE      0904521077001                                                    X
 260906      PALOMEQUE ALVARADO LUIS ALBERTO  0904528262001                                                    X
 205054      FRANCO FALQUEZ MARIA MAGDALENA0904528999001                                                       X
 141200      SOLANO LAINEZ PROSPERO RUBEN 0904542255001                                                        X
 192930      MACIAS RAMOS CARLOS EDUARDO      0904554201001                                                    X
  61718      GAMBOA VILLAVICENCIO CARLOS RAFAEL
                                              0904592565001                                                    X
  13112      MORENO MANCHENO PATRICIO         0904596632001                                                    X
  41196      ESTRELLA PARRA CAROLA PETRONILA0904628930001                                                      X
 220374      SANTISTEVAN VILLAO MARIA JESUS 0904632486001                                                      X
  72332      HOLGUIN PILAY GLADYS             0904674900001                                                    X
 146997      BURGOS VILLACÍS JOEL             0904679370001                                                    X
 187964      BONILLA GARCES ELBA GEORGINA     0904714854001                                                    X
  63484      CARRERA CALDERON FABIAN ANTONIO  0904718616001                                                    X
   9507      IMPRENTA SAN FRANCISCO           0904742723001                                                    X
 196928      DUQUE JIMENEZ MARIA GRACIELA     0904749389001                               X
 209683      CHAVEZ ARCE MARIO FERNANDO       0904766284001                                                    X
 109085      PIÑA MUÑOZ VICTOR MANUEL         0904769742001                                                    X
 131118      VILCHE COELLO RAMON ENRIQUE      0904774189001                                                    X
No                 No registra
                                                               No                    No registra   No
                                                                        No. registra                       registra      No.    indicadores
                                                             registra                provincia, registra
Persona_id               NOMBRE               No. ID (RUC)                 calle                           número      registra de ventas,
                                                             apellido                 cantón y   primer
                                                                         principal                         de calle     origen activos y/o
                                                             paterno                 parroquia nombre
                                                                                                           principal             empleados

 211410      POZO LÓPEZ CARLOS CALIXTO       0904778628001                                                    X
   3617      CRUZ BORBOR LILIA ALBA          0904781887001                                                    X
 133674      POZO BORBOR LUIS                0904783776001                                                    X
 241483      URGILES FLORES NEPTALI ALBINO   0904811684001                                                    X
 171559      MAQUILON VERA CESAR AUGUSTO     0904819703001                                                    X
  33994      PORTILLA BOTTO HÉCTOR LOLO      0904821790001                                                    X
 211576      TORRES ARAUJO VÍCTOR EMILIO     0904828290001                                                    X
 152072      PALACIOS CABRERA PABLO CESAR    0904864089001                                                    X
 227360      SEVERINO MORAN BERNARDO EDUARDO 0904866407001                                                    X
  51838      SANCHEZ ALVARADO EDDY DAVID     0904880150001                                                    X
 154561      DEL HIERRO CAICEDO AUGUSTO EMILIO904893419001
                                             0                                                                X
 251869      FALQUEZ LAMULLER LUZ MERCEDES 0904896883001                                                      X
 199767      CRIOLLO CONSUEGRA VICENTE EPIFANIO
                                             0904901329001                                                    X
  33289      FERRER TRIVIÑO LEONCIO ARISTOTELES
                                             0904915287001                                                    X
  53917      JARAMILLO POVEDA JOSÉ ABELARDO 0904926615001                                                     X
  73366      CEDEÑO AYONG JORGE LUIS         0904935855001                                                    X
  20640      EGAS PEÑA HUGO ERNESTO          0904949195001                                                    X
 201060      VÉLEZ CEDEÑO JORGE HUGO         0904953197001                                                    X
 232108      OSEJO GONZALEZ ELSA FABIOLA     0904971967001                                                    X
 265152      RODRIGUEZ LEON GUADALUPE DE LOS ANGELES
                                             0904975463001                                                    X
 105851      RUBIRA GOMEZ GILDA GRACIELA     0904978079001                                                    X
 189181      SALTOS CRESPIN MANUEL MAURO     0904982782001                                                    X
  81594      ROMERO ESPINOZA OLGA EMPERATRIZ 0905000477001                                                    X
 179033      CARVAJAL CANCIO CESAR ERNESTO 0905017612001                                                      X
  89617      ALVAREZ RIVAS PABLO ALVERTO     0905023404001                                                    X
 128825      GARCIA MENDOZA EUGENIO ERIBERTO 0905025771001                                                    X
 221838      PINCAY FLORES ROSA TOMASA       0905050225001                                                    X
  53624      PESANTES MANRIQUE ALFONSO JAVIER905050910001
                                             0                                                                X
 120600      CEDEÑO PINCAY LILIA AZUCENA     0905057360001                                                    X
 199840      TOMALA POZO CARMELO             0905077459001                                                    X
 134833      VELIZ MEZA CAMILO FRANCISCO     0905083986001                                                    X
No                 No registra
                                                                No                    No registra   No
                                                                         No. registra                       registra      No.    indicadores
                                                              registra                provincia, registra
Persona_id               NOMBRE                No. ID (RUC)                 calle                           número      registra de ventas,
                                                              apellido                 cantón y   primer
                                                                          principal                         de calle     origen activos y/o
                                                              paterno                 parroquia nombre
                                                                                                            principal             empleados

 252820      LAZ VERA DANIEL WILSON           0905089918001                                                    X
   3587      CANTOS MORA ROSALIA MARGARITA 0905091005001                                                       X
 225247      PONCE PONCE BRAULIO ANTONIO      0905095519001                                                    X
 155390      CHAVEZ PALACIOS JOSE VICENTE     0905103537001                                                    X
  75419      BARRERA MALDONADO JOSÉ WILSON 0905134169001                                                       X
  85983      ORTEGA VALVERDE GUSTAVO DAVID 0905140216001                                                       X
 119419      PARRAGA MERCHAN CESAR ANDRES 0905148425001                                                        X
  88308      RODRÍGUEZ ALEJANDRO JUAN HOLGER  0905166476001                                                    X
 263804      PANCHANA ANASTACIO VICTOR ROLANDO0905167482001                                                    X
 151941      ROMAN ALBURQUEQUE NOLBERTO       0905170460001                                                    X
 137089      ALBAN CASTRO BOLIVAR EDUARDO     0905171476001                                                    X
  51946      SIGCHO GRANDA VICENTE MINOS      0905175873001                                                    X
  84538      CARRILLO UBIDIA VICTOR HUGO      0905176327001                                                    X
  74881      OLIVARES ARELLANO MARIA LUISA    0905180832001                                                    X
  72663      CASTRO CERCADO ANDRES CASTULO 0905193611001                                                       X
  68682      PORTOCARRERO MÁRQUEZ MARCOS ENRIQUE
                                              0905195517001                                                    X
 254676      RECALDE ARREAGA MARIANO EUGENIO  0905204426001                                                    X
   3555      ROSALES CHAVEZ GLORIA ANGELICA 0905204608001                                                      X
 196295      BAYAS TORRES OLIVA               0905213666001                                                    X
 175553      LEON ALVARADO WILMIRTON MANUEL 0905239984001                                                      X
  92819      PERERO MEDINA LUIS WILLIAM       0905271847001                                                    X
 218558      AGUIRRE COSTA MARIA GRACIELA     0905282182001                                                    X
 138886      MUÑOZ MONCAYO FERNANDO ALFREDO   0905286407001                                                    X
   3404      PONCE MARINKOVIC PATRICIA PONCE 0905288254001                                                     X
 241895      VAN ISSCHOT DE LA PEÑA LUCIA MARIA
                                              0905294229001                                                    X
  36159      ANDRADE LEDESMA CARLOS IVÁN      0905294773001                                                    X
  57340      ILLINGWORTH CABANILLA GUSTAVO FRANCISCO
                                              0905305926001                                                    X
  34643      ASENCIO RAMIREZ ELOY EFRAIN      0905307492001                                                    X
  18215      LAZO REGATO PASTOR ENRIQUE       0905316519001                                                    X
  42107       BLANCA                          0905317251001                                                    X
  29173      CRUZ CHANG OSCAR ALFREDO         0905328977001                                                    X
No                 No registra
                                                               No                    No registra   No
                                                                        No. registra                       registra      No.    indicadores
                                                             registra                provincia, registra
Persona_id               NOMBRE               No. ID (RUC)                 calle                           número      registra de ventas,
                                                             apellido                 cantón y   primer
                                                                         principal                         de calle     origen activos y/o
                                                             paterno                 parroquia nombre
                                                                                                           principal             empleados

  21896       RODOLFO                        0905329348001                                                    X
 127421      PARRALES VALVERDE JAIME EFRAIN 0905342333001                                                     X
  61825      ORTEGA RAMIREZ PABLO ENRIQUE    0905346136001                                                    X
 146749      GUEVARA NUÑEZ RAFAEL IGNACIO    0905361283001                                                    X
 167868      HARMSEN GONZÁLEZ DEL RIEGO ALFREDO EDUARDO
                                             0905362216001                                                    X
  66191      SANCHEZ RUEDA MARTHA JANETT     0905362224001                                                    X
 123249      RODAS PANCHANA TELMO FRANCISCO0905370615001                                                      X
  90563      POWHING VARGAS EDGAR FERNANDO0905372231001                                                       X
  71643      PÉREZ VÁSCONEZ LEONARDO VICENTE 0905387254001                                                    X
  59814      GUEVARA PEREZ JOSE ANTONIO      0905394334001                                                    X                      X
 175545      HURTADO ARMIJOS YOVANA DE JESUS0905409660001                                                     X
 182568      OCHOA RAMIREZ CARMEN MARIA      0905415774001                                                    X
 278283      PERALTA ZEAS MARIA LUZ          0905432308001                                                    X
  83171      PEÑA HERRERA OCTAVIO RODRIGO 0905433272001                                                       X
 146065      LOZADA MIRABA LUIS EMILIO       0905436374001                                                    X
  18568      JALIL SALMON EDUARDO RAFAEL     0905446712001                                                    X
  94635      NUÑEZ FIALLOS ROSA LEONOR       0905447264001                                                    X
 127337      RAMOS HEREDERO ISIDRO EVELIO    0905459384001                                                    X
 100540      CHIQUITO GARCÍA SANTOS DIONISIO 0905483491001                                                    X
  94500      GONZAGA MONTALVAN AMADO CLEVER  0905502928001                                                    X
 137560      BARROS LABORDA ADOLFO ROMÁN 0905514832001                                                        X
 200027      CASANOVA AGUAYO GABRIEL GUSTAVO 0905526950001                                                    X
 272329      QUIMI CHALEN ANGEL AUGUSTO      0905540878001                               X                                X
 222053      VERGARA HECTOR                  0905547980001                                                    X
 144140      GONZALEZ ALVIA FREDDY EDUARDO 0905573846001                                                      X
 172802      MORA GARCIA JOSE PROCOPIO       0905578951001                                                    X
 277226      VARGAS LLAMUCA HUGO PONCIANO 0905589982001                                                       X
 198398      CEVALLOS LUQUE ALFONSO GASPAR 0905597860001                                                      X
  37748      SOLANO ALVAREZ ROBERTO AMADEO 0905600318001                                                      X
 124625      JIMENEZ CRUZ BRAULIO MAXIMO     0905615464001                                                    X
   3411      HIDALGO ROMERO VERALEE          0905623401001                                                    X
No                 No registra
                                                               No                    No registra   No
                                                                        No. registra                       registra      No.    indicadores
                                                             registra                provincia, registra
Persona_id              NOMBRE                No. ID (RUC)                 calle                           número      registra de ventas,
                                                             apellido                 cantón y   primer
                                                                         principal                         de calle     origen activos y/o
                                                             paterno                 parroquia nombre
                                                                                                           principal             empleados

 211557      ONOFRE ARBOLEDA WALTER RAUL 0905624078001                                                        X
  85668      PINCAY RODRIGUEZ RUIZ WENCESLAO0905631677001                                                     X
 156590      TOMALA TOMALA HIPOLITO JUAN    0905639274001                                                     X
 173094      ANDRADE CALDERON PEDRO MARTIN 0905653234001                                                      X
 176032      REYES CARLOS                   0905680492001                                                     X
 141561      GUAMAN SALINAS MIGUEL ANGEL    0905683215001                                                     X
 196796      CRESPO ECHEVERRIA GUILLERMO ADALBERTO
                                            0905685327001                                                     X
  51986      ALOMIA QUEVEDO ANDRES          0905706057001                                                     X
   3807      SALAS JARAMILLO LEOPOLDO ENRIQUE
                                            0905710661001                                                     X
 263988      JIMENEZ AVILEZ ROBERTO RODOLFO 0905722716001                                                     X
  29306      PIZARRO ARIAS CLAUDIO JAVIER   0905739330001                                                     X
  56951      GUERRERO GARCÍA MARCOS VINICIO 0905745014001                                                     X
  52780      TOBAR AGUIRRE TELMO PATRICIO   0905771366001                                                     X
  18623      ROJAS CASTRO CARLOS FERNANDO 0905779708001                                                       X
 187073      COELLO LUNA ENRIQUE NERY       0905782033001                                                     X
  76377      ZARAMA SERRANO MIGUEL ANGEL    0905787933001                                                     X
 198228      CRUZ ANCHUNDIA MILTON BIENVENIDO
                                            0905798195001                                                     X
 219116      BAQUERIZO CARVAJAL ENA FRANCISCA905817342001
                                            0                                                                 X
 195066      GUEVARA ALARCON BEATRIZ FATIMA 0905835005001                                                     X
 243862      GARCES ROSADO MARCOS AUGUSTO 0905838967001                                                       X
 252453      MARQUINO JACOME MARTHA JANET 0905841219001                                                       X
 219729      SALINAS GONZALEZ VICENTA       0905855045001                                                     X
 219740      SALINAS GONZALEZ MARIA INES    0905855102001                                                     X
 246491      ANDRADE ERAZO MARCO BOLIVAR    0905862470001                                                     X
 218772      YAMBAY VALDIVIEZO WASHINGTON GERMAN
                                            0905863676001                                                     X
 274468      CLAVIJO BARRERA LUIS           0905883666001                                                     X
 210199      ALVARADO COTO IRENE MARGARITA 0905904637001                                                      X
 164793      BARRAGAN MELENDRES JACINTO ENRIQUE
                                            0905908695001                                                     X
  50319      ANDA MONCAYO CARLOS ALBERTO    0905925251001                                                     X
 142144      PAUCAR ROBLES MARIA JESUS      0905925541001                                                     X
 184345      BARRENO HINOJOSA ROLAND AUGUSTO0905929568001                                                     X
No                 No registra
                                                               No                    No registra   No
                                                                        No. registra                       registra      No.    indicadores
                                                             registra                provincia, registra
Persona_id               NOMBRE               No. ID (RUC)                 calle                           número      registra de ventas,
                                                             apellido                 cantón y   primer
                                                                         principal                         de calle     origen activos y/o
                                                             paterno                 parroquia nombre
                                                                                                           principal             empleados

 180672      ABAD LOPEZ ANIBAL BENIGNO       0905941894001                                                    X
 259904      NUÑEZ ALVAREZ NELLY CARMELA     0905947255001                                                    X
  43048      HERNANDEZ ROLDAN WILSON WILFRIDO0905954301001                                                    X
 186626      CUENCA SANMARTIN LUIS ALFREDO 0905971990001                                                      X
 146741      RONQUILLO MURILLO MARIA AUXILIADORA
                                             0905996898001                                                    X
  60909      JORDAN BOHORQUEZ PEDRO JULIO 0906017884001                                                       X
  63549      ALDAS PLUAS BOLIVAR EUGENIO     0906022041001                                                    X
 103198      CASTRO SEGURA CARMEN AMANDA 0906033196001                                                        X
 141650      CARRION PACHECO CLARA MARCELA 0906042270001                                                      X
   3570      SEME RIVERA MARTHA ISABEL       0906048756001                                                    X
 118513      VINTIMILLA FIGUEROA CARLOS ARTURO906053095001
                                             0                                                                X
  45744      SUMARRAGA BAJAÑA MANUEL ANTONIO 0906072061001                                                    X
 248292      MALTA MORAN FANNY HAIDEE        0906082862001                                                    X
  47191      ESTRELLA REY EDGAR EDUARDO      0906084538001                                                    X
 106341      INFANTE ARAUJO LUCIO BALTAZAR   0906085782001                                                    X
 260617      ROBINSON MIRANDA GLENDA GIOCONDA0906087093001                                                    X
 215788      AVILES FERNANDEZ ROBERTO BENEDICTO
                                             0906096508001                                                    X
 225367      GONZÁLEZ VÁSQUEZ LAURA MARÍA    0906097274001                                                    X
  60648      PINOARGOTE VELOZ CESAR IVAN     0906122494001                                                    X
  98199      CHIQUITO TUMBACO EULALIO DIONICIO
                                             0906140942001                                                    X
 259157      FLORES SOSA MIGUEL SAMUEL       0906143334001                                                    X
  65850      AVILES RODRIGUEZ RODOLFO NICOLAS906146246001
                                             0                                                                X
 267619      MORENO PINOS FRANCISCO ENRIQUE 0906146451001                                                     X
  86584      GARCES CANDELL CESAR ARMANDO 0906148465001                                                       X
 194085      ROBALINO FREIRE DAYCE ROSARIO 0906170949001                                                      X
  74407      CHOEZ VELIZ LUIS ALFREDO        0906230321001                                                    X
  94836      DELGADO ALAVA EDMUNDO HERNAN 0906236682001                                                       X
  63797      PIETRO CORREA LUIS COLON        0906243167001                                                    X
  41567      PEREZ SANTANA OTTO RODRIGO      0906245451001                                                    X
 168484      VERA MARTINEZ MIGUEL ANGEL      0906248216001                                                    X
  86167      ALAVA OCHOA FREDDY OSWALDO      0906255757001                                                    X
No                 No registra
                                                               No                    No registra   No
                                                                        No. registra                       registra      No.    indicadores
                                                             registra                provincia, registra
Persona_id               NOMBRE               No. ID (RUC)                 calle                           número      registra de ventas,
                                                             apellido                 cantón y   primer
                                                                         principal                         de calle     origen activos y/o
                                                             paterno                 parroquia nombre
                                                                                                           principal             empleados

   3545      IZQUIERDO CEVALLOS FLOR AZUCENA0906264015001                                                     X
 150341      MONTENEGRO TRONCOZO PEDRO JUVENCIO
                                             0906267117001                                                    X
  23263      SANCHEZ CORREA ALBERTO XAVIER 0906280128001                                                      X
 236691      CHILA JARAMILLO ADOLFO STALIN   0906286042001                                                    X
  30889      MORALES MERA KLEBER NAPOLEÓN 0906286216001                                                       X
 255545      LOPEZ MENDOZA MARIELA JANETH    0906287305001                                                    X
   3612      JACOME ALVAREZ MARIANA DE JESUS 0906302575001                                                    X
 108754      ALARCON FRANCO JOSÉ RAIMUNDO 0906303904001                                                       X
 123296      ALVEAR ACURIO SEGUNDO VICTOR    0906314398001                                                    X
 153913      TOMALÁ QUEVEDO HOLGUER ESTEBAN  0906335633001                                                    X
 202874      MITE LARROCHELLE MANUEL DE JESUS0906345004001                                                    X
  94341      PEÑA SORIANO ROBERTO ELOY       0906358775001                                                    X
  65193      VASQUEZ MORAN CARLOS ALBERTO 0906374657001                                                       X
 168891      ORRALA MITE JULIO SILVINO       0906375431001                                                    X
  66701      SALINAS ALVAREZ ALFREDO JAMES 0906382163001                                                      X
 238348      PUMA VALENTE JOSÉ MARTÍN        0906406632001                                                    X
 163737      AGUIRRE TORRES WALTER ALBERTO 0906408836001                                                      X
 147874      PAZMIÑO MARISCAL EDISON HOMERO 0906416599001                                                     X
  12527       ARQ. SEGUNDO DUENAS            0906426929001                                                    X
  11311       ITURRALDE ANDRADE GRETA JACINTA0906443585001                                                    X
 152749      LINDAO ALAVA RICARDO JACINTO    0906451786001                                                    X
 241817      CARRERA BUSTOS RICARDO HUMBERTO 0906456462001                                                    X
 100723      BOLAÑOS TORRES VIRGILIO OSWALDO 0906462072001                                                    X
   3414      ZAMORA RAMOS MARTHA DEL CARMEN  0906471925001                                                    X
 230860      CADENA SANCHEZ LUIS ARTURO      0906530779001                                                    X
 232556      PEREZ ROMERO FRANKLIN ENRIQUE 0906549191001                                                      X
 276572      ORTIZ COX CAROLINA DEL ROSARIO 0906558861001                                                     X
 114472      RODRÍGUEZ ORRALA RICARDO JULIAN0906578703001                                                     X
 255376      CABRERA FRANCO LEONEL RAUL      0906587472001                                                    X
 191666      RODRIGUEZ MARTINEZ MARIO ERNESTO0906593470001                                                    X
 226602      LARA CABRERA EDWIN ORLANDO      0906596374001                                                    X
No                 No registra
                                                                No                    No registra   No
                                                                         No. registra                       registra      No.    indicadores
                                                              registra                provincia, registra
Persona_id               NOMBRE                No. ID (RUC)                 calle                           número      registra de ventas,
                                                              apellido                 cantón y   primer
                                                                          principal                         de calle     origen activos y/o
                                                              paterno                 parroquia nombre
                                                                                                            principal             empleados

 110322      OROZCO VILLEGAS JORGE BENITO     0906599402001                                                    X
 178600      REYES POZO FREDDY ARNOLFO        0906611181001                                                    X
 276553      LANDINES LANDAZURI GLADYS MAGDALENA
                                              0906623814001                                                    X
 263279      ACOSTA MARTINEZ PETITA MERCY     0906639711001                                                    X
 174118      FRUTO MURILLO PRUDENCIO          0906644893001                                                    X
  97862      SANCHEZ REINOSO CARMEN ALICIA 0906661756001                                                       X
 108793      GUERRA CABRERA NELSON GUILLERMO  0906686555001                                                    X
 208746      CANDADO MURILLO PEDRO MANUEL 0906690227001                                                        X
 165417      MACIAS MIELES NUGUET             0906706619001                                                    X
 106232      SALDAÑA SALDAÑA FELIX ROSENDO 0906736129001                                                       X
  98269      MEDINA MERA RAMONA DEL PILAR     0906759246001                                                    X
 164531      ZAVALA DEL CASTILLO LUIS ENRIQUE 0906771647001                                                    X
  83331      PACHAY MORA PEDRO PABLO          0906835087001                                                    X
 182795      GUERRA TORRES ALEX ENRIQUE       0906841390001                                                    X
 267499      RECALDE CARLOS NESTOR ADMIRAL 0906851332001                                                       X
  31504      CORTEZ URETA FAUSTO GUSTAVO      0906851662001                                                    X
 199524      MIRABA GONZALEZ MIGUEL CATALINO 0906877261001                                                     X
 193655      VILLAFUERTE MACIAS MANUEL HERACLIDES
                                              0906877386001                                                    X
 196251      PICO EGUEZ ELSA ALICIA           0906887310001                                                    X
  99401      SUMAT TELLO ADRIANO AUGUSTO      0906889068001                                                    X
 145632      CARREÑO VERA JUANA EDITH         0906901673001                                                    X
 203535      ROCAFUERTE CALVACHE AMADA NARCISA0906903042001                                                    X
  10704      FABIAN VELASQUEZ CENTENO         0906921754001                                                    X
 185699      SOLIS CAMACHO EDILMA PERPETUA 0906941083001                                                       X
 191003      CAIVINAGUA PULLA JULIO BARTOLOME0907002711001                                                     X
 252603      MARTINEZ AGUIRRE ROBERTO ECUADOR 0907003560001                                                    X
 199394      RODRIGUEZ MIRABA EFREN FELIX     0907007090001                                                    X
 196010      MERCADO COROZO PASTOR ERLIN      0907023840001                                                    X
  70128      RODRIGUEZ MERCHAN FREDDY RAMOS   0907035463001                                                    X
 196503      PANCHANA VERA CARLOS ALBERTO 0907054100001                                                        X
 192978      VALDIVIEZO LOZANO JUAN ALBERTO 0907054704001                                                      X
No                 No registra
                                                               No                    No registra   No
                                                                        No. registra                       registra      No.    indicadores
                                                             registra                provincia, registra
Persona_id               NOMBRE               No. ID (RUC)                 calle                           número      registra de ventas,
                                                             apellido                 cantón y   primer
                                                                         principal                         de calle     origen activos y/o
                                                             paterno                 parroquia nombre
                                                                                                           principal             empleados

 111243      LLANOS GARCIA PEDRO SIMON       0907055966001                                                    X
 125434      ALVARO PAEZ VILMA LUCIA         0907060651001                                                    X
  70172      QUINTEROS AVILA TEODORO RODRIGO 0907066179001                                                    X
 186611      SANCHEZ SANTOS FRANKLIN ELICEO 0907066856001                                                     X
 238804      YAGUAL VILLALTA GALO VINICIO    0907077051001                                                    X
 184925      ESPINOZA GOYA JOSE FELICIANO    0907087043001                                                    X
 225990      ANDALUZ JACOME MANUEL UBALDO 0907090583001                                                       X
  96250      BERNABE GONZALEZ JORGE WITHER 0907091318001                                                      X
  87001      MARTÍNEZ ALVARADO FREDY ROBERTO 0907096549001                                                    X
 198594      POVEDA RICAURTE WILLIAM ENRIQUE 0907097406001                                                    X
 114713      LAJE CARRIEL VICENTE GONZALO    0907100499001                                                    X
 119003      MAZZINI LINDAO WASHINGTON ANTONIO
                                             0907112221001                                                    X
 105070      MACIAS MARURI HERMES FLORENTINO 0907112866001                                                    X
 278891      PINOARGOTE PEÑAFIEL DARIO ROLANDO
                                             0907122204001                                                    X
 182311      SUAREZ RIVAS ASICLO FLAVIO      0907122253001                                                    X
 165963      GIL PARRA BEATRIZ PAULINA       0907128623001                                                    X
  88093      ROMERO VILLAGOMEZ ANGEL JOFFRE0907138762001                                                      X
 104477      ELIAS CABRERA ANGELA MARIA      0907145742001                                                    X
  95399      ZEA ZEA ANIBAL ROBERTO          0907150387001                                                    X
  72225      LINO TOMALA MILTON ELIAS        0907163711001                                                    X
 255738      MORALES TOBAR FREDDY FERNANDO0907165914001                                                       X
  40188      TORRES TELLO MODESTO DAVID      0907170369001                                                    X
 210371      RODRIGUEZ LUZURIAGA JAIME ROLANDO
                                             0907178339001                                                    X
 162864      ORDOÑEZ LEGARDA MARÍA ELENA     0907183487001                                                    X
  13716      JCVINGENIERIA                   0907184055001                                                    X
 147861      MOLINA MARIN MARGOTH            0907194518001                                                    X
  51094      GELLIBERT SALAS ANGELA JULIA    0907214415001                                                    X
 146354      PANCHANA GAVINO ALEJANDRO       0907232227001                                                    X
 272691      VILLAMAR GUERRERO ELIZABETH EMMMA
                                             0907250542001                                                    X
 270788      YTURRALDE TAGLE WALTER ERNESTO0907253157001                                                      X
 248699      BUNCES GARCIA TERESA ANGELITA 0907255657001                                                      X
No                 No registra
                                                               No                    No registra   No
                                                                        No. registra                       registra      No.    indicadores
                                                             registra                provincia, registra
Persona_id               NOMBRE               No. ID (RUC)                 calle                           número      registra de ventas,
                                                             apellido                 cantón y   primer
                                                                         principal                         de calle     origen activos y/o
                                                             paterno                 parroquia nombre
                                                                                                           principal             empleados

 109883      SANCHEZ MONTIEL WIMPER          0907271985001                                                    X
 166873      MORENO ALAVA JUAN DE DIOS       0907272785001                                                    X
  37911       CARLOS                         0907287304001                                                    X
  29976      MEDINA ULLOA JULIO FERNANDO     0907292783001                                                    X
 133547      FLORES MORAN JOHN FREDDY        0907300677001                                                    X
  31236      BUSTAMANTE BUSTAMANTE CESAR GERARDO
                                             0907301600001                                                    X
  52440      ANDRADE QUICHIMBO WALTER ALFREDO0907330260001                                                    X
  66623      ACUÑA COBOS ALEJANDRO AGUSTIN 0907334924001                                                      X
 157879      GUZHÑAY JAIME LUIS FERNANDO     0907339261001                                                    X
  69705      BARRAGAN VERA VICENTE RENELMO 0907363949001                                                      X
 273255      VILLACIS GUARANDA ENRIQUE EDUARDO
                                             0907373666001                               X                                X
 210221      CHAVEZ VELEZ ROBERTO ALEJANDRO 0907381438001                                                     X
 161842      ALBARRACIN BAJAÑA SERGIO ADRIAN 0907382873001                                                    X
 166753      PINTO DELGADO CARLOS ZENÓN      0907391742001                                                    X
  19187      GARCIA QUINTO RINA AGUSTINA     0907393300001                                                    X
 268335      ACOSTA PIÑA MÓNICA HERMELINDA 0907410039001                                                      X
 161810      DOMINGUEZ RODRIGUEZ LUIS CLEMENTE
                                             0907417059001                                                    X
 268725      TRAVEZ MONTESDEOCA WALTER JULIO 0907419485001                                                    X
 110412      GONZAGA SARMIENTO LUIS EDUARDO0907426407001                                                      X
 267973      DELGADO FRANCOA ANGELA UBALDINA 0907427041001                                                    X
 247923      NAVARRETE CASTILLO XAVIER GONZALO
                                             0907432843001                                                    X
 174159      LOPEZ MENDOZA ROBERTO RAFAEL 0907438345001                                                       X
 103709      PERALTA AVILA ALFONSO ROLANDO 0907443485001                                                      X
 141610      BARZOLA RONQILLO HUGO FRANCISCO TEODORO
                                             0907452494001                                                    X
 225802      VERA SANCAN CARMEN ELVIRA       0907455158001                                                    X
 107603      CARGUA YAUCAN PASCACIO          0907456693001                                                    X
 232523      CRUZ CRESPIN LUIS ALBERTO       0907458905001                                                    X
  55346      CALDERON QUIMIS HICER ALBERTO 0907463814001                                                      X
 158656      MACIAS TORRES MARIO BARTOLO     0907465553001                                                    X
 116020      INTRIAGO ZAMBRANO WISTON RICHARD0907465918001                                                    X
  17861      COSTA SISALIMA HECTOR ALCIVAR   0907489603001                                                    X
No                 No registra
                                                               No                    No registra   No
                                                                        No. registra                       registra      No.    indicadores
                                                             registra                provincia, registra
Persona_id               NOMBRE               No. ID (RUC)                 calle                           número      registra de ventas,
                                                             apellido                 cantón y   primer
                                                                         principal                         de calle     origen activos y/o
                                                             paterno                 parroquia nombre
                                                                                                           principal             empleados

 136378      ALCIVAR ZAMBRANO ESTUARDO JOSE0907505168001                                                      X
 182673      DUQUE SAULA YURI PATRICIO       0907509244001                                                    X
 123993      PERDOMO FRANCO MARIO IVAN       0907511612001                                                    X
 252702      QUIMI BAQUERIZO JORGE RODOLFO 0907517908001                                                      X
 196743      SANCHEZ MUTRE MAXIMO VIDAL      0907519599001                                                    X
 126211      SANCHEZ VALENCIA LORENZO PASTOR 0907527535001                                                    X
  40078      SALAZAR LEDESMA FIDEL MAURICIO 0907537716001                                                     X
 110365      SEMINARIO DÁVILA MARIO LUIS     0907543524001                                                    X
  79924      CHAVEZ PILAY EDGAR GONZALO      0907584197001                                                    X
 114393      DE LA CRUZ LAINEZ LUIS ENRIQUE  0907589022001                                                    X
  49279      ICAZA ANDINO FAUSTO FRANCISCO 0907589113001                                                      X
 251838      SIVISAPA TORRES JUAN GONZALO    0907589303001                                                    X
 254038      MOREIRA VILLALBA MAXIMO IGNACIO 0907606198001                                                    X
 150506      BONILLA RIVERA MOISES OSWALDO 0907613186001                                                      X
  75341      RONQUILLO VELIZ AGUSTIN RAMON 0907614358001                                                      X
 249338      RIZZO BAJAÑA JULIO ENRIQUE      0907616320001                                                    X
 264493      HERRERA LOQUI WILFRIDO AURELIO 0907617666001                                                     X
 112719      MARQUEZ OBREGON RIGOBERTO MIGUEL0907621221001                                                    X
 202273      MUZZIO MOLINA BOLIVAR ALBERTO   0907623631001                                                    X
 263472      ARMIJOS RODRIGUEZ EUGENIO GIOVANNY
                                             0907635825001                                                    X
 142381      PLAZA ANDRADE RAFAEL IGNACIO    0907636872001                                                    X
  92817      DE LA PUERTA TORRES VICTOR FREDDY
                                             0907653919001                                                    X
 157915      BRITO ULLOA SEGUNDO SALVADOR 0907657027001                                                       X
 123267      CEVALLOS ALVAREZ JHON IVAN      0907657936001                                                    X
 140063      RUSSO CHAUVIN GUIDO GEOVANNI    0907663587001                                                    X
 196948      JARRIN BELTRAN RICARDO JAVIER   0907683650001                               X
  64379      SANCHEZ PILLA MARIA ESTELILIA   0907687677001                                                    X
 218776      BONILLA TOMALA JUVENCIO GUSTAVO0907702518001                                                     X
 251793      MENDOZA MENDOZA HENRRY PERFECTO 0907711295001                                                    X
 163027      MASSON SANCHEZ MAXWELL NELSON 0907711436001                                                      X
 211285      MUÑOZ PIÑANCELA HENRY EDUARDO 0907724389001                                                      X
No                 No registra
                                                               No                    No registra   No
                                                                        No. registra                       registra      No.    indicadores
                                                             registra                provincia, registra
Persona_id              NOMBRE                No. ID (RUC)                 calle                           número      registra de ventas,
                                                             apellido                 cantón y   primer
                                                                         principal                         de calle     origen activos y/o
                                                             paterno                 parroquia nombre
                                                                                                           principal             empleados

 261743      MORA MORA MIGUEL ANTONIO       0907724801001                                                     X
 270367      VALAREZO AGUIRRE NELSON OSWALDO0907727846001                                                     X
 196002      HIGUERA VILLAMAR ERNESTO JULIO 0907729727001                                                     X
 117878      CARCHI ALAVA CAROLINA TOMASA   0907734701001                                                     X
 204877      LOOR PALOMINO MARIA OLIVIA     0907737761001                                                     X
 148677      ORTIZ AVILES ROCIO DEL PILAR   0907744973001                                                     X
 185271      GARCÍA MARTÍNEZ VICTOR MANUEL 0907745475001                                                      X
 105520      MOYA MORALES GERARDO MELITON 0907757942001                                                       X
  47480      JULIO                          0907759583001                                                     X
  44181      FREDDY                         0907771232001                                                     X
 207438      FIGUEROA FLORES YOLANDA DEL ROCIO
                                            0907771315001                                                     X
 164705      NAVARRO NAVARRO PASTOR INDALECIO
                                            0907777510001                                                     X
 231377      RODRIGUEZ FREIRE HUGO ENRIQUE 0907792006001                                                      X
   3950      NEIRA CARBACHE CONSUELO HERLINDA
                                            0907792550001                                                     X
 138335      FRANCO COELLO CLARA LUZ        0907796767001                                                     X
  61255      NO BARRIONUEVO DAVID MESIAS    0907807853001                                                     X
 234375      SANCHEZ CABRITONGO MANUEL RENE0907834709001                                                      X
  29754      DOMÍNGUEZ SANDOVAL VICTORIA DOLORES
                                            0907835003001                                                     X
 273099      GUERRERO LARA WASHINGTON ALFREDO
                                            0907847107001                                X                                X
  34431      VARGAS BURGOS JUAN ANTONIO     0907850820001                                                     X
 211790      LITUMA ARGUDO ALVARO GEOVANNI 0907867253001                                                      X
 243799      SARMIENTO LEON RENE ALBERTO    0907871396001                                                     X
  19739      ZAMBRANO ASENCIO CARMEN ESTELA 0907879969001                                                     X
 147750      CARRERA MENDOZA JOSE VICENTE 0907892277001                                                       X
  89248      VÉLEZ PIÑA HUGO SEGUNDO        0907894612001                                                     X
  98145      GOMEZ GAONA FRANCO WILMAN      0907908040001                                                     X
  78966      ZURITA BAYAS EDWYN GONZALO     0907910285001                                                     X
 221834      ANGULO BONE LEBSON YINIO       0907919328001                                                     X
 139765      LINDAO ALEJANDRO ANDRES GILBERTO
                                            0907920334001                                                     X
  86644      ROMERO SUAREZ CARLOS EPIFANIO 0907945596001                                                      X
 190967      MENDEZ TOMALA SECUNDINO ROMULO 0907955215001                                                     X
No                 No registra
                                                                No                    No registra   No
                                                                         No. registra                       registra      No.    indicadores
                                                              registra                provincia, registra
Persona_id               NOMBRE                No. ID (RUC)                 calle                           número      registra de ventas,
                                                              apellido                 cantón y   primer
                                                                          principal                         de calle     origen activos y/o
                                                              paterno                 parroquia nombre
                                                                                                            principal             empleados

 193881      VALVERDE JARRIN ENA PATRICIA     0907961395001                                                    X
 136921      LOPEZ ALMEA JIMMY ALBERTO        0907962310001                                                    X
 242978      BARRERA PAREDES CARLOS ALBERTO   0907969513001                                                    X
 177640      ARREAGA DUARTE JUAN FRANCISCO 0907970073001                                                       X
  65728      RUIZ GUADALUPE JOSE VICENTE      0907982946001                                                    X
 136760      SILVA BLUM CARLOS ALFREDO        0907984728001                                                    X
 145318      SALVADOR FABRE ALDO CLEMENTE 0907985493001                                                        X
 258480      YAGUAL LINDAO LUIS ALBERTO       0907989453001                                                    X
  12405      INGENIERO CIVIL                  0907991285001                                                    X
 198460      CABRERA OLVERA WILSON PASCUAL 0908001597001                                                       X
 166331      MOLINA GUZMAN NESTOR ORLANDO 0908005002001                                                        X
 230140      ARCE FAJARDO ABEL GILBERTO       0908009251001                                                    X
 222114      MARIÑO VICTOR ELIAS              0908031578001                                                    X
 267541      NARANJO ROVALINO IVONNE MARIA 0908038664001                                                       X
 231176      PLAZA RAMIREZ HOLDEMAR ANTONIO 0908044688001                                                      X
 187873      ALVAREZ VERGARA SERGIA AURELIA 0908045297001                                                      X
  53215      PAREDES DUMES CAMILO EMILIO      0908048952001                                                    X
  61624      CHALEN ANGEL GLORIA AZUCENA      0908060593001                                                    X
 175603      PITA TORRES NELSON OSWALDO       0908066053001                                                    X
  52386      ISABEL                           0908082944001                                                    X
 130004      SANTOS RODRIGUEZ SANTIAGO JUAN 0908091663001                                                      X
   2395      ORDOÑEZ CERVANTES WELLINGTON 0908102791001                                                        X
 157108      ORTIZ YAGUAL ROSA ELENA          0908112592001                                                    X
  85292      DEL PEZO DE LA CRUZ OTTO GABRIEL 0908114200001                                                    X
 212113      AGUILAR BRAVO ROBERTO JUAN       0908141146001                                                    X
 215965      PARRAGA JESUS ANTONIO            0908141831001                                                    X
 171789      ROMERO SUAREZ EDUARDO DE JESUS0908153364001                                                       X
 268700      FRANCO TORRES FREDDY MANUEL 0908157084001                                                         X
 162181      ARTEAGA BRAVO JUAN JOSE          0908169295001                                                    X
 110662      CEDEÑO DOMO CARMEN DOLORES       0908171960001                                                    X
 251742      MENDIZABAL LAGASCA JOSE ALBERTO0908178601001                                                      X
No                 No registra
                                                               No                    No registra   No
                                                                        No. registra                       registra      No.    indicadores
                                                             registra                provincia, registra
Persona_id               NOMBRE               No. ID (RUC)                 calle                           número      registra de ventas,
                                                             apellido                 cantón y   primer
                                                                         principal                         de calle     origen activos y/o
                                                             paterno                 parroquia nombre
                                                                                                           principal             empleados

   3735      BANCHON PERALTA ANGEL FRANCISCO 0908179492001                                                    X
  91449      MINDA ROSALES NILDA DINORA      0908188113001                                                    X
 121868      VIZUETA TAPIA JOSE TEOBALDO     0908195209001                                                    X
  42557      YAGUAL FIGUEROA MERCY ENMA      0908213432001                                                    X
 219710      PERERO CERCADO JACINTO RODOLFO0908213721001                                                      X
 177696      HERRERA CASTILLO AURELIO AGUSTIN0908215726001                                                    X
  68500      HARO TIGRERO ALEXANDRA DEL PILAR0908215882001                                                    X
 259055      SUAREZ VICENTE ANASTACIO        0908229412001                                                    X
 179894      JIMENEZ BONE FREDY VIDAL        0908232226001                                                    X
 273794      VILLAMAR WILLIAM                0908266398001                                                    X
 222472      LOZANO BARZOLA GILBERTO ROBERTO 0908277452001                                                    X
 259250      ALVARADO SANDOVAL PEDRO EMILIO 0908284250001                                                     X
  58938      BRITO MARTINEZ TELMO RODRIGO    0908285356001                                                    X
 243523      SEGOVIA PERALTA MARÍA DEL CARMEN0908307598001                                                    X
 167520      HERNANDEZ MANOSALVAS DARWIN ARMANDO
                                             0908308836001                                                    X
 139784      DE LA ROSA CRUZ GILBERTO        0908312721001                                                    X
  94202      NARANJO MARTINEZ CRISTINA GENOVEVA
                                             0908325202001                                                    X
 248390      ALARCÓN HERNÁNDEZ WARNER RAMÓN  0908343775001                                                    X
 275205      ARGUDO RODRIGUEZ JAIME FERNANDO908377229001
                                             0                                                                X
  35116      MADERA MOLINA MAURO             0908398902001                                                    X
 117572      CASTILLO MARTINEZ JULIO BALDEMAR0908406937001                                                    X
 210299      MIRANDA LEON FRANCISCO ABDON    0908414485001                                                    X
 249898      MONCADA VARAS DIOMEDES HUGO 0908442270001                                                        X
 200191      ORDÓÑEZ NAVAS EDUARDO IVÁN      0908442734001                                                    X
  58841      BERREZUETA ASTUDILLO ALFONSO FERNANDO
                                             0908444995001                                                    X
  70596      SOTOMAYOR ALVEAR HECTOR HUGO 0908447402001                                                       X
  60504      ALTAMIRANO MONTESINOS IVÁN DANILO
                                             0908457740001                                                    X
 236449      SUAREZ RIVERA RIGOBERTO EFRAIN 0908482482001                                                     X
 204203      ANASTACIO MITE ISMAEL MARCELINO 0908493935001                                                    X
 194258      VILLAGRAN CEPEDA LEONIDAS HUMBERTO
                                             0908512932001                                                    X
  74482      NEIRA NARVAEZ VICTOR ADRIANO    0908517451001                               X                    X
No                 No registra
                                                               No                    No registra   No
                                                                        No. registra                       registra      No.    indicadores
                                                             registra                provincia, registra
Persona_id               NOMBRE               No. ID (RUC)                 calle                           número      registra de ventas,
                                                             apellido                 cantón y   primer
                                                                         principal                         de calle     origen activos y/o
                                                             paterno                 parroquia nombre
                                                                                                           principal             empleados

 194025      SAN LUCAS MONCADA HOLBER MIGUEL 0908518103001                                                    X
 112963      SOLORZANO JARAMILLO LUIS ALBERTO0908535180001                                                    X
 237213      CANO VERA VOLTAIRE ASTOLFO      0908546369001                                                    X
 237717      POZO PONCE JOSE DIONICIO        0908563612001                                                    X
 207454      GILER PONCE OLINDA BERNARDITA   0908569684001                                                    X
  43062      ANCHUNDIA GARCIA GONZALO EVARISTO
                                             0908571417001                                                    X
  28798      PINTO AGUILERA WALTER MIGUEL    0908571755001                                                    X
 232171      ANDRADE ITURRALDE CARLOS XAVIER0908578990001                                                     X
 259409      MATIAS PANCHANA PEDRO PABLO     0908579568001                                                    X
 138960      COCHEA MUÑOZ TEOFILO EUGENIO 0908590383001                                                       X
 276322      CHAGUAY PEÑAFIEL ZOILA ROSA     0908594708001                                                    X
  44917      PANCHANA BAIDAL GRACIELA MARJORIE
                                             0908598469001                                                    X
 250979      MONAR SORIA LAURA LEONOR        0908631948001                                                    X
 192893      VERA VERA FREDY GONZALO         0908651631001                                                    X
 208835      SUAREZ FLORES MARJORIE DEL CONSUELO
                                             0908663495001                                                    X
 171416      ULLAURI VELA KLEBER MANUEL      0908663982001                                                    X
 158845      BUENANO GUEVARA SEGUNDO LEONARDO0908669674001                                                    X
 203928      JURADO AURIA STALIN AUGUSTO     0908670276001                                                    X
  34153      DELGADO CARAVEDO ROBERT MANUEL908670722001
                                             0                                                                X
 245681      BARBOZA PROAÑO FERNANDO VINICIO0908681695001                                                     X
 231983      SORIANO SORIANO ECUADOR ABSALÓN908682206001
                                             0                                                                X
  99179      SUAREZ TIGRERO JHONNY DAVID     0908691108001                                                    X
 259263      BETANCOURT ESPINOZA HERNAN ALONSO
                                             0908709579001                                                    X
 125618      ESPINOZA DALGO JOFFRE FABRIZIO 0908731268001                                                     X
 219961      SANCHEZ ORTEGA SONNY ALBERTO 0908737398001                                                       X
  58494      VINUEZA FREIRE LUIS EUGENIO     0908742695001                                                    X
 118213      VILLEGAS FAJARDO ALICIA         0908743925001                                                    X
 169952      LARROSA BENITEZ MANUEL RICARDO 0908765688001                                                     X
  51356      RODRIGUEZ ORRALA ELLEN PATRICIA 0908782360001                                                    X
 136815      AGUILAR ANDRADE MERCY MARILU    0908834419001                                                    X
  67272      MONROY ESCOBAR DIANA DEL ROCIO 0908842651001                                                     X
No                 No registra
                                                               No                    No registra   No
                                                                        No. registra                       registra      No.    indicadores
                                                             registra                provincia, registra
Persona_id               NOMBRE               No. ID (RUC)                 calle                           número      registra de ventas,
                                                             apellido                 cantón y   primer
                                                                         principal                         de calle     origen activos y/o
                                                             paterno                 parroquia nombre
                                                                                                           principal             empleados

   3544      TORRES CANALES MARTHA MARLENE 0908844327001                                                      X
 234149      SOLIS PINCAY JUAN ENRIQUE       0908852767001                                                    X
 263244      HERNANDEZ MORAN LETICIA CECIBEL 0908864655001                                                    X
  64045      ORELLANA GUERRERO MARTHA ANNABELLE
                                             0908872096001                                                    X
  87989      AVILA MUÑOZ JOFFRE ORLANDO      0908912249001                                                    X
 244286      ULLOA PALACIO NICOLÁS ANTONIO   0908945694001                                                    X
 110390      URGILÉS MORÁN NUBE ROCIO        0908946569001                                                    X
 207800      SORNOZA DELGADO SONNY ALFREDO 0908955156001                                                      X
 124677      GUTIERREZ OCHOA MARITZA ESPERANZA
                                             0908959406001                                                    X
  87769      LOOSE BARBOZA ANA MARÍA         0908959422001                                                    X
  21203      MOSCOSO RIERA KLEBER ALBERTO 0908960628001                                                       X
 194495      CHALEN CRESPIN JULIO ELIAS      0908961220001                                                    X
 136337      GARCIA VELIZ ANA SUSSY          0908967144001                                                    X
 145497      ALVARADO BARDI PLUTARCO ANTONIO 0908972615001                                                    X
  38799      DELGADO JIMENEZ CARLOTA NARCISA0908995442001                                                     X
 220715      REYES ORRALA RITA JACQUELINE DEL0908996762001
                                              ROCIO                                                           X
 259440      MOSQUERA VELIZ GINA NARCISA     0909001281001                                                    X
  86615      ORMEÑO SALAZAR ALEXANDRA ARACELY0909008138001                                                    X
 154726      REYES RODRIGUEZ JHON FREDDY     0909008179001                                                    X
 102926      ROMERO LENIS MARIO CRISTOBAL    0909014227001                                                    X
 143687      IGLESIAS INTRIAGO FEDERICO EDUARDO
                                             0909016669001                                                    X
 145874      MACIAS GOMEZ JAVIER GEOVANNY    0909038994001                                                    X
  78277      FLORES BERMEO MARIO FRANCISCO 0909044372001                                                      X
 216906      JIMENEZ CHANG MARCOS OLMEDO     0909046013001                                                    X
 191542      GOMEZ MORAN CARMEN PRICILA      0909059610001                                                    X
 251058      YAGUAL NAVARRETE LUIS ALBERTO 0909069494001                                                      X
 158946      PINARGOTE DURANGO JANER WILTON0909070534001                                                      X
 137344      SANCHEZ URIETA JORGE DARWIN     0909072167001                                                    X
 209948      DURAN PEREZ MARCO ANTONIO       0909072589001                                                    X
 257387      PLAZA GILER ANDREA PATRICIA     0909091035001                                                    X
 235834      MEDINA SUAREZ MEDARDO           0909098071001                                                    X
No                 No registra
                                                               No                    No registra   No
                                                                        No. registra                       registra      No.    indicadores
                                                             registra                provincia, registra
Persona_id               NOMBRE               No. ID (RUC)                 calle                           número      registra de ventas,
                                                             apellido                 cantón y   primer
                                                                         principal                         de calle     origen activos y/o
                                                             paterno                 parroquia nombre
                                                                                                           principal             empleados

 239129      ELIZALDE PAZMIÑO MANUEL EDUARDO0909105371001                                                     X
 147781      ANDRADE PESÁNTEZ NARCISA CARMEN909116808001
                                             0                                                                X
 226819      PEREDO PACHECO MARIO ALEJANDRO  0909136970001                                                    X
 116949      QUIMI ASENCIO MARIO MARINO      0909138182001                                                    X
 191725      LARA PLUAS ISIDRO AGUSTIN       0909141236001                                                    X
 245479      SAEZ AGREDA EUGENIA INES        0909159113001                                                    X
  96018      ORTEGA MANJARREZ VERONICA ALEXANDRA
                                             0909161895001                                                    X
 147772      NUÑEZ BAJAÑA WILMER VICENTE     0909164535001                                                    X
 177901      GRANADOS MITE MIXI YELTA        0909167645001                                                    X
  63384      PACHECO MAYEZA CESAR DIOGENES 0909184657001                                                      X
 196892      PORTILLA ORELLANA CARMITA MARLENE
                                             0909211641001                                                    X
 106843      POZO ROMERO ROQUE JACINTO       0909217226001                                                    X
  86169      CONTRERAS ESTUPIÑAN PABLO ERNESTO
                                             0909224149001                                                    X
  28849      ESPINOSA GALVEZ GUILLERMO OSVALDO
                                             0909224644001                                                    X
 240647      CERVANTES HEREDERO EDGAR ELIECER0909228199001                                                    X
 210441      TOMALA OSIO WILLIAM GUILLERMO   0909239881001                                                    X
 225680      CHÁVEZ CAMONES GUADALUPE IDALINDA
                                             0909256877001                               X
  64671      ROSALES MERA LUIS FERNANDO      0909259228001                                                    X
 117882      REYES MERCHAN HEBERT AUBERTO 0909271694001                                                       X
 239371      ESPINOZA GARCIA MARIO JOSE      0909280810001                                                    X
 214559      VILLAMAR VERA TITO EUGENIO      0909289720001                                                    X
 237650      PEÑALOZA BONILLA MILTON FREDAULTER
                                             0909309064001                                                    X
  68606      COBOS BARRETO JOSE ALEJANDRO 0909324170001                                                       X
 140248      MORALES DIAZ JULIO ORLANDO      0909328262001                                                    X
  80412      SOLÍS MONTALVO CARMEN MARILÚ    0909329807001                                                    X
 240572      PHILLIPS VELASCO JULIAN ENRIQUE 0909331860001                                                    X
 210557      PEREZ LOPEZ VICTOR ZACARIAS     0909333338001                                                    X
  10127      SALAZAR BORJA CARLOS EDUARDO 0909346660001                                                       X
  64676      AGUIRRE CANO WILLIAM HERNAN     0909363053001                                                    X
 158521      RIVADENEIRA PAZMIÑO CELIA RUTH 0909375545001                                                     X
 217208      SALAVATIERRA ERRAZURIS FRANKLIN FORTUNATO
                                             0909378333001                                                    X
No                 No registra
                                                                No                    No registra   No
                                                                         No. registra                       registra      No.    indicadores
                                                              registra                provincia, registra
Persona_id               NOMBRE                No. ID (RUC)                 calle                           número      registra de ventas,
                                                              apellido                 cantón y   primer
                                                                          principal                         de calle     origen activos y/o
                                                              paterno                 parroquia nombre
                                                                                                            principal             empleados

 201127      VELOZ ARREAGA FATIMA MARCELA     0909383937001                                                    X
  26590      ALVAREZ CARVAJAL MARCIO GERARDO  0909391054001                                                    X
  73555      ORTIZ HERBENER ANDRÉS EMILIO     0909393654001                                                    X
 126792      VINTIMILLA FIGUEROA GINA MARGARITA
                                              0909427122001                                                    X
 100524      FALCONI DELGADO JESSICA MARIA    0909440166001                                                    X
  89284      SANCHEZ FAJARDO JOHN WENCESLAO   0909448946001                                                    X
 125230      ALMEIDA MURILLO CARLOS ALBERTO 0909449324001                                                      X
  98098      ZAMBRANO AGUAYO PABLA LIOLUBINA0909455099001                                                      X
 270895      VASQUEZ MENDOZA ELVIA RIQUELDA 0909481665001                                                      X
 196586      TOMALA QUINDE FRANCISCO ANGEL 0909495533001                                                       X
 143539      RIVAS MONSERRATE ALFREDO NICOLAS 0909495574001                                                    X
 193214      LUCIN SUAREZ ROSA AZUCENA        0909497513001                                                    X
 200165      REYES MORENO FRANCISCO ALFREDO   0909503138001                                                    X
 242587      BRAVO DUQUE RAÚL GEOVANNY        0909503740001                                                    X
 212127      FRANCO MARTINEZ JUANA ISABEL     0909505679001                                                    X
 229362      DONOSO RIVERA GUILLERMO COLON 0909509820001                                                       X
 213232      TUTIVEN MONTALVO SAMUEL FEDERICO 0909513319001                                                    X
 200014      SANTISTEVAN MOSQUERA XAVIER ENRIQUE
                                              0909526915001                                                    X
  87628      BURGOS HERNANDEZ VIRGINIA RUTH 0909575334001                                                      X
 245715      MOLINA FONSECA ALEXANDER IVÁN 0909582470001                                                       X
  84523      BUSTAMANTE BAJAÑA GEORGE GREGORIO0909611923001                                                    X
 180761      MORCILLO QUIÑONEZ JOSE WASHINGTON0909649287001                                                    X
 157076      REINADO ARELLANO ESMERILDO ANTONIO
                                              0909663106001                                                    X
 225490      DELGADO FALCONES PATRICIO LEONARDO
                                              0909667479001                                                    X
  65984      VARGAS JIMÉNEZ JULIO ALBERTO     0909674491001                                                    X
 268422      AGUIRRE PARKER MARIA TERESA      0909676207001                                                    X
 249523      CARRILLO VERA RODRIGO JAVIER     0909680670001                                                    X
 191831      RAMIREZ PICO JUAN ALFREDO        0909688863001                                                    X
 134499      PARRA MARTINEZ INES NARCISA      0909689028001                                                    X
 144718      LARA BAQUERIZO ROLANDO ALBERTO 0909689200001                                                      X
 272818      RAMOS CHALEN ANGEL MISAEL        0909712556001                                                    X
No                 No registra
                                                               No                    No registra   No
                                                                        No. registra                       registra      No.    indicadores
                                                             registra                provincia, registra
Persona_id               NOMBRE               No. ID (RUC)                 calle                           número      registra de ventas,
                                                             apellido                 cantón y   primer
                                                                         principal                         de calle     origen activos y/o
                                                             paterno                 parroquia nombre
                                                                                                           principal             empleados

  52080      ALVAREZ PALOMEQUE FERNANDO SILVINO
                                             0909712622001                                                    X
  52335      PALACIOS REYES LUISA MARGOT     0909713455001                                                    X
 112375      GUTIERREZ VELEZ MARITZA RAQUEL 0909723439001                                                     X
  71563      ARGUELLO MEJILLON WILPER JOHN 0909733099001                                                      X
 177140      GONZALEZ ANDRADE MARIA EUGENIA 0909742926001                                                     X
  37011      MORALES MERELO FRANCISCO WALTER 0909746224001                                                    X
  71478      VILCAHUANO MORA CESAR MANUEL 0909751737001                                                       X
 163598      SABANDO CEDEÑO SILVIA LILIANA   0909773319001                                                    X
 123516      VELEZ PALOMINO ROMULO NAPOLEON0909776221001                                                      X
   6197      CECIBELL ESTRADA MOLINA         0909777658001                                                    X
 213060      CARRASCO VERA SAMUEL FROILAN 0909781619001                                                       X
 167652      TUTIVEN MACIAS GERARDO ISAAC    0909785438001                                                    X
  96769      TUTIVEN MOSQUERA PAUL GUERING 0909794430001                                                      X
 239953      SUAREZ SUAREZ JUSTO OTTO        0909810830001                                                    X
 232494      BRUNO FLORES JORGE HUMBERTO 0909813149001                                                        X
 246206      BURGOS ZAMBRANO PETTER JOHN     0909815177001                                                    X
 238312      VILLALTA VEGA MANUEL EDUARDO    0909823262001                                                    X
 216009      MORAN ALMEIDA WILLIAM ELADIO    0909829640001                                                    X
 103011      DELGADO FABIANI JENNY ELIZABETH 0909846396001                                                    X
 263377      SANTACRUZ MUÑOZ LEONOR GISSELLA909852345001
                                             0                                                                X
 240294      PORTILLA LARRETA CESAR APOLONIO 0909862294001                                                    X
 225661      ZAVALA CEVALLOS PLÁCIDO MANUEL 0909864159001                                                     X
  61860      ROJAS HARB PEDRO MANUEL         0909880700001                                                    X
  19925      TROYA FORTUN HIPOLITO WILBERTO 0909881328001                                                     X
 210960      BARROSO CRUZ JULIO ARMANDO      0909894347001                                                    X
 276920      BARZOLA VACA SONIA DOLORES      0909900946001                                                    X
 122789      BURGOS PLATON JOSE NAZARIO      0909910606001                                                    X
 119625      MARTILLO GRAVE JOSE LUIS        0909912388001                                                    X
 276450      COFRE VARGAS FREDDY IVAN        0909916900001                                                    X
 247122      CAICEDO NARVAEZ JULIO CESAR     0909936411001                                                    X
 111404      ARMIJOS PINEDA JOSÉ EMILIO      0909976896001                                                    X
No                 No registra
                                                               No                    No registra   No
                                                                        No. registra                       registra      No.    indicadores
                                                             registra                provincia, registra
Persona_id               NOMBRE               No. ID (RUC)                 calle                           número      registra de ventas,
                                                             apellido                 cantón y   primer
                                                                         principal                         de calle     origen activos y/o
                                                             paterno                 parroquia nombre
                                                                                                           principal             empleados

 247860      ERAZO CARVAJAL PEDRO YURSES     0910011105001                                                    X
 189406      TIGRERO SILVESTRE JUAN AURELIANO0910026707001                                                    X
 182053      RODRIGUEZ LAINEZ VICENTE ARMANDO0910027366001                                                    X
  83385      RODRIGUEZ RODRIGUEZ LUIS GUSTAVO0910032036001                                                    X
 117994      GONZALEZ PAREDES ALEX IVAN      0910043496001                                                    X
   3877      CEDENO LEON JULIO DOMINGO       0910047539001                                                    X
 191491      MUÑOZ TOMALA JOSE VICENTE       0910080027001                                                    X
 179596      ARCE CARRERA JOSE IXSON         0910102797001                                                    X
 132232      BORBOR COCHEA ORLANDO WILLIANS0910108729001                                                      X
  93610      SANCHEZ MUNIZ JENNY JANETH      0910108752001                                                    X
  67500      ESCOBAR VILLACRES HUGO ALONSO 0910121813001                                                      X
  79755      QUINTO OCHOA JORGE ANDRES       0910128453001                                                    X
 162594      CARBO PALACIOS CARLOS WILBER    0910165687001                                                    X
 142531      VILLEGAS CHANCAY EULALIA DORALIZA
                                             0910178714001                                                    X
  64638      PRECIADO PEZO LUIS ALBERTO      0910183318001                                                    X
 265162      DELGADO CABRERA JOSE VICENTE 0910184696001                                                       X
 157615      FREIRE BENALCAZAR XAVIER HUMBERTO
                                             0910191527001                                                    X
 243886      BAJANA VILLAMAR VICTOR WILBERTO 0910197730001                                                    X
 103681      VERA VILLON JOHNNY JAVIER       0910215748001                                                    X
  63345      ZAMORA NORIEGA JORGE ALBERTO 0910222678001                                                       X
 258568      BRIONES GOMEZ LUIS ALBERTO      0910226620001                                                    X
 232583      RODRIGUEZ COX JUAN FERNANDO     0910228626001                                                    X
  97318      SALAZAR POZO LETTY MANUELA      0910229772001                                                    X
 213691      MORAN VELOX WELLINGTON ALEIS    0910233261001                                                    X
  16456      JARAMILLO MOREANO NORA ELENA 0910238849001                                                       X
 154719      PORTILLA URBANO NELSON ROBERTO0910242452001                                                      X
 214297      MARTINEZ MORAN DELIA ESPERANZA 0910245406001                                                     X
 273899      SALAZAR POZO JULIO ROBERTO      0910250604001                                                    X
 171040      MENDOZA VERA ELVIS MODESTO      0910270222001                                                    X
 107776      BRIONES SÁNCHEZ EULOGIO GREGORIO0910278209001                                                    X
 198165      PEZO QUINDE PEDRO JAHSON        0910285303001                  X            X                    X
No                 No registra
                                                               No                    No registra   No
                                                                        No. registra                       registra      No.    indicadores
                                                             registra                provincia, registra
Persona_id               NOMBRE               No. ID (RUC)                 calle                           número      registra de ventas,
                                                             apellido                 cantón y   primer
                                                                         principal                         de calle     origen activos y/o
                                                             paterno                 parroquia nombre
                                                                                                           principal             empleados

 250346      LEÓN CEDEÑO MANUEL LEINZ        0910291426001                                                    X
 103505      PALADINES FIGUEROA FRANKLIN BENJAMIN
                                             0910322510001                                                    X
  11182      LUDENA DIAZ JACQUELINE CRISTINA 0910336841001                                                    X
 275946      VELEZ WECHSLER ROSMARIE         0910344126001                               X                                X
 225998      RIOS MORENO JUAN ABEL           0910370535001                               X
 270239      ROJAS SALCEDO JUAN FERNANDO     0910371541001                                                    X
  76308      PAZ RIVERA ROQUE JACINTO        0910388024001                                                    X
  96423      LUZURIAGA MOLINA ELVIS LINDON   0910404987001                                                    X
 134857      MAZZINI MITE NESTOR RUBEN       0910405760001                                                    X
 174625      GOMEZ MARQUEZ GLADYS JUDITH     0910405901001                                                    X
  75309      FARÍAS MEJÍA MARÍA AUXILIADORA  0910429067001                                                    X
  40069      ORRALA CASTILLO FELIX SANTIAGO 0910435361001                                                     X
 273787      SALVATIERRA CONSTANTINE DARWIN BOLIVAR
                                             0910436104001                               X                                X
 275083      ZAMBRANO MORENO JOSE IVAN       0910437201001                                                    X
 246670      ALCIVAR MORAN JACINTO ESTEBAN 0910441732001                                                      X
 151455      WILLIAMS ACOSTA MARTHA CECILIA 0910451434001                                                     X
 211896      ARREAGA PISCO YIMMI IVAN        0910458223001                                                    X
 171485      FALQUEZ KITTYLE JOSE GLAUCO     0910495266001                                                    X
 169841      ZURITA COLOMA STEVENT PAUL      0910502095001                                                    X
 243407      GONZÁLEZ FRANCO SEGUNDO RAFAEL  0910515683001                                                    X
 248735      ERAZO MARIN GERMAN ARMANDO      0910516103001                                                    X
  31261      CALVACHE SOSA DARÍO GONZALO     0910518836001                                                    X
 217040      MOLINA PALACIOS EDWIN JAVIER    0910544014001                                                    X
 223481      CASTRO BERIO TANIA ALEXANDRA 0910574193001                                                       X
 192901      UNDA ROMERO GRACE ELIZABETH     0910593169001                                                    X
  83906      VILLEGAS NAVARRETE CLARA LAURA 0910614072001                                                     X
  63130      OSORIO JIMENEZ ELVI WILLIAM     0910620624001                                                    X
  87607      ROBLES FERNANDEZ JOHN HAROLT 0910621838001                                                       X
 209996      ZAPATA GALLEGOS XAVIER BENJAMIN 0910627058001                                                    X
 158157      ROBLES VALERO PATRICIA ALEXANDRA0910638147001                                                    X
 256179      SUAREZ RODRIGUEZ MILTON JAVIER 0910655646001                                                     X
No                 No registra
                                                                No                    No registra   No
                                                                         No. registra                       registra      No.    indicadores
                                                              registra                provincia, registra
Persona_id               NOMBRE                No. ID (RUC)                 calle                           número      registra de ventas,
                                                              apellido                 cantón y   primer
                                                                          principal                         de calle     origen activos y/o
                                                              paterno                 parroquia nombre
                                                                                                            principal             empleados

 147307      TUMBACO ALVARADO EDWIN MARLON 0910664101001                                                       X
 211379      LITUMA VILLAMAR NEY MICHEL       0910682764001                                                    X
  80186      ACOSTA ALAVA ERNESTO VALENTIN 0910696723001                                                       X
 106848      GUERRA HOLGUIN RAUL ANIBAL       0910698596001                                                    X
 146132      ALCIVAR PINOS MARIA ELENA        0910704865001                                                    X
 225489      LABORDA FAJARDO NORMA LUCILA     0910708841001                                                    X
 181667      PALOMINO ZAMBRANO JAVIER ANDRES  0910719871001                                                    X
 112790      MACIAS PETTAO RAMON KLEVER       0910743285001                                                    X
 221617      ROMERO RUIZ RUTH ELIZABETH       0910745355001                                                    X
 263739      CHANG CORDOBA CARLOS LUIS        0910755883001                                                    X
 253886      RAMIREZ AVILA CARLOS EUSEBIO     0910757558001                                                    X
 238955      GONZABAY BARCIA ILIANA DEL ROCIO 0910779669001                                                    X
 248662      FIGUEROA CONTRERAS CLEMENTE SAMUEL
                                              0910801018001                                                    X
 165342      ESTRADA SÁNCHEZ RICHARD EMILIO 0910801554001                                                      X
 156213      NAVARRETE RUGEL PATRICIA ESPERANZA
                                              0910812916001                                                    X
 189405      VILLAMAR MUNOZ RODOLFO ENRIQUE 0910821362001                                                      X
 137850      MERA BARREZUETA ANGELA ELENA 0910828052001                                                        X
  58436      MACIAS BUENAÑO ANDRES DAVID      0910836154001                                                    X
 111998      CEDEÑO JAEN JACQUELINE CECILIA 0910867837001                                                      X
 193253      JAIME RODRIGUEZ SONNIA ESPERANZA 0910871847001                                                    X
 267367      ROSALES MOROCHO ANA GRACIELA 0910895549001                                                        X
  83746      RAFFO MEJIA PABLO DAVID          0910908524001                                                    X
 172779      MORALES HOLGUIN RODOLFO ANTENOR  0910913987001                                                    X
 213888      RUIZ ASCENCIO TOMAS FRANCISCO 0910931914001                                                       X
 249936      BRIONES DIAZ HECTOR FERNANDO     0910934215001                                                    X
  81600      ALAVA BOZA IVAN XAVIER           0910948579001                                                    X
  66051      RENTERIA ZAMBRANO VICTOR ANTONIO 0910950963001                                                    X
 219958      ALEJANDRO MENDOZA JOSE RAFAEL 0910954049001                                                       X
 176125      MARQUEZ FRANCO XAVIER BENITO     0910973874001                                                    X
  70302      VERA SUÁREZ MANUEL IVO           0910977073001                                                    X
  52514      BUENO LOZANO ELI JOSELITO        0910979590001                                                    X
No                 No registra
                                                               No                    No registra   No
                                                                        No. registra                       registra      No.    indicadores
                                                             registra                provincia, registra
Persona_id              NOMBRE                No. ID (RUC)                 calle                           número      registra de ventas,
                                                             apellido                 cantón y   primer
                                                                         principal                         de calle     origen activos y/o
                                                             paterno                 parroquia nombre
                                                                                                           principal             empleados

 263048      OBANDO ESTRELLA SANDRA VERONICA0911002293001                                                     X
  25093      LÓPEZ REYES ERICK XAVIER       0911020790001                                                     X
 150314      BENITES TORRES EDUARDO ANTONIO 0911030005001                                                     X
 140085      SOLIS PIN FERMIN HORACIO       0911032019001                                                     X
 196614      ZEAS SANCHEZ LUIS LEONIDAS     0911048569001                                                     X
 170758      HERNANDEZ ARREAGA JULIO GEOVANNY
                                            0911068294001                                                     X
 183824      LLAGUNO RAMOS NORA MANUELA     0911075935001                                                     X
 124734      SEMINARIO LITARDO KAFFA ROSA   0911078335001                                                     X
 171660      MORALES PONCE IVONNE ALEXANDRA0911082378001                                                      X
 105210      ULLAURI JIMENEZ MEDARDO ECUADOR0911085074001                                                     X
 152165      HERMENEJILDO LIMONES FREDDY ALBERTO
                                            0911085561001                                                     X
 211391      RAMIREZ GONZALEZ ORLY EDISON   0911114734001                                                     X
 148151      ROMAN LAINEZ FABIAN RIGOBERTO 0911132462001                                                      X
  83319      VIVANCO NELLY                  0911143873001                                                     X
 116780      AGUILERA SALAZAR OMAR          0911168680001                                                     X
  18447      MORENO RAMIREZ ALVARO LEOPOLDO 0911215044001                                                     X
 269463      MARTINEZ VANEGAS SEGUNDO JOSE 0911217008001                                                      X
 131644      IZURIETA TOLEDO SEGUNDO XAVIER 0911217966001                                                     X
 152071      TOAL MORALES JOHANA CARIDAD    0911234441001                                                     X
 157197      CASTRO RENDON PEDRO OSWALDO 0911244929001                                                        X
 241647      NEIRA LOOR EDITH JUDITH        0911251817001                                                     X
 160096      PACHAY CAMPUZANO LUIS ALBERTO 0911259273001                                                      X
 224481      PILAY JARAMILLO LUIS ANTONIO   0911264885001                                                     X
 148666      GALVEZ RODRIGUEZ WILMER ALFREDO0911275543001                                                     X
   1944      MENDOZA MACIAS JOHN RONALD     0911279263001                                                     X
 144987      FAREZ REINOSO LUIS FLORENCIO   0911284529001                                                     X
 108686      LOOR APRAEZ GLENDA DAXI        0911288363001                                                     X
 262786      CELI CECILIA DEL CISNE         0911288520001                                                     X
  50226      MALAGON RIVAS ERIKA CECILIA    0911291383001                                                     X
  27286      CARDOSO TERRELONGE EDWIN EDILBERTO
                                            0911299402001                                                     X
 213238      ORTEGA ZAMORA WILSON EDUARDO 0911300341001                                                       X
No                 No registra
                                                               No                    No registra   No
                                                                        No. registra                       registra      No.    indicadores
                                                             registra                provincia, registra
Persona_id               NOMBRE               No. ID (RUC)                 calle                           número      registra de ventas,
                                                             apellido                 cantón y   primer
                                                                         principal                         de calle     origen activos y/o
                                                             paterno                 parroquia nombre
                                                                                                           principal             empleados

 201807      RONQUILLO CASTRO JOSE BOLIVAR 0911319713001                                                      X
 110318      GOMEZ PANCHANA JOSÉ GUILLERMO 0911336592001                                                      X
   4153      FERNANDEZ BADITH                0911351575001                                                    X
 235692      LINDAO BERNABÉ ROSA MARÍA       0911371938001                                                    X
 193382      REYES LAINEZ SEIMOY VELKIS      0911374361001                                                    X
 202441      CENTENO MERCHAN NERCIZA ELENA 0911375855001                                                      X
  26832      GINEZ BUSTAMANTE MARÍA RUTH     0911376184001                                                    X
 206423      TORO CRUZ VICENTE YOVANI        0911386639001                                                    X
 100642      IZURIETA LAINEZ NORMAN ISAAC    0911387314001                                                    X
  40098      GUZHÑAY MOSQUERA ROBERT RICHARD 0911390433001                                                    X
 275061      PARRAGA ZAMBRANO RENE DAVID     0911390854001                                                    X
  63105      MARQUEZ GALLEGOS EDUARDO RAFAEL 0911409134001                                                    X
 233769      VINCES CEVALLOS ALISON ESTALIN 0911409829001                                                     X
 177772      MAGALLANES SILVA LEONEL EDIGNO 0911436004001                                                     X
 184574      RAMÍREZ TOMALÁ JOHN VICENTE     0911450765001                                                    X
  78714      JARA ALVARADO JOSE EDUARDO      0911453645001                                                    X
 144582      PARRALES GUERRERO NARCISA CLEOPATRA
                                             0911459725001                                                    X
 262565      WONG AGUIRRE JORGE ALBERTO      0911476182001                                                    X
   5211      FIBRADOR                        0911481687001                                                    X
   1112      ALVARADO ORTEGA JUAN AURELIO    0911488831001                                                    X
 246501      MONTENEGRO JIMENEZ JOFFRE LEONARDO
                                             0911492387001                                                    X
  66775      HUAMAN MARCILLO WASHINGTON EDUARDO
                                             0911516870001                                                    X
  19186      LAVAYEN MONTALVAN JULIO CESAR 0911523264001                                                      X
 228596      PEREZ CHILA MARCOS JULIAN       0911528115001                                                    X
 277223      GOMEZ VILLAO AMILCAR LUPERCIO DE0911529196001
                                              JESUS                                                           X
  85406      MUÑOZ MENOSCAL BOLÍVAR COLON 0911561785001                                                       X
 231993      CATAGUA CERVANTES RODOLFO VALENTINO
                                             0911564888001                                                    X
 254517      VERA CHERE VICTOR HUGO          0911564961001                                                    X
 221309      APOLINARIO POZO ANGEL RAMON     0911586634001                                                    X
 264628      ALAVA ZAMBRANO GLADYS LENNY     0911606382001                                                    X
 188219      VASQUEZ CASTRO CARLOS ANTONIO 0911610723001                                                      X
No                 No registra
                                                               No                    No registra   No
                                                                        No. registra                       registra      No.    indicadores
                                                             registra                provincia, registra
Persona_id               NOMBRE               No. ID (RUC)                 calle                           número      registra de ventas,
                                                             apellido                 cantón y   primer
                                                                         principal                         de calle     origen activos y/o
                                                             paterno                 parroquia nombre
                                                                                                           principal             empleados

 208874      CAMPO VERDE CARDENAS JULIO CESAR0911611606001                                                    X
 209405      RIOFRIO LOPEZ MIGUEL ALEJANDRO 0911641496001                                                     X
 210414      POZO RODRÍGUEZ JUAN CARLOS      0911644359001                                                    X
 212572      SOLORZANO ZAMBRANO ORLEY IBAL 0911649671001                                                      X
 179249      RUANO ARAUZ CARLOS ALBERTO      0911650018001                                                    X
 221400      POZO TOMALA PABLO ELOY          0911668879001                                                    X
 170533      MUÑOZ CAJAS WALBERTO JACINTO 0911688935001                                                       X
 174875      GARCIA ESPINOZA JAEL TEODORA    0911693018001                                                    X
 181030      MORAN CASTRO WILLIAM FERNANDO 0911708675001                                                      X
 130510      MOREIRA CHIRIGUAYA HILMA MARITZA0911730430001                                                    X
  59817      PÉREZ CARRIEL LUIS RAFAEL       0911743136001                                                    X
 100433      ELIECER GARCIA JORGE            0911746436001                                                    X
 132933      TUBAY TORRES TITO ERNESTO       0911747426001                                                    X
 225475      ORTIZ QUIMI MIRIAN MERCEDES     0911770485001                                                    X
 160889      PINCAY JACOME RAUL RONNY        0911829125001                                                    X
 165955      NAVIA CEDEÑO ULBIO ALINTOHON    0911867646001                                                    X
 225379      ORRALA SUAREZ JULIO CESAR       0911881340001                                                    X
   3389      REYES TIGSE ANGELA DEL ROCIO    0911894954001                                                    X
 180262      CALDERON TOALA JOSE FIDEL       0911913143001                                                    X
 147278      HERNANDEZ RIVERA HEIDY RAQUEL 0911955565001                                                      X
 229659      TRIANA MOSCOSO JOSE VICENTE     0911963445001                                                    X
 194886      CARREÑO LANIZ BYRON MOISES      0911996775001                               X
  62997      MOSQUERA BURNHAN PRISCILA YULIANA
                                             0912000866001                  X            X                    X
 263325      BUSTAMANTE MARTINEZ FELIPA CATALINA
                                             0912023454001                                                    X
 266896      ULLOA MARIDUEÑA DORA NATALIA    0912028545001                                                    X
  67858      BALLADARES HERRERA MARIA ELENA 0912065943001                                                     X
 242002      CORRAL SEGURA MAURICIO FERNANDO912076346001
                                             0                                                                X
  41554      BAIRON                          0912100237001                                                    X
 259735      MOLINA SANCHEZ ANGELLO JOSE     0912105103001                                                    X
 202593      PEREZ QUIZHPI MARIA DOLORES     0912118056001                                                    X
 256652      LUNA CARBO JUAN CARLOS          0912129095001                                                    X
No                 No registra
                                                                No                    No registra   No
                                                                         No. registra                       registra      No.    indicadores
                                                              registra                provincia, registra
Persona_id               NOMBRE                No. ID (RUC)                 calle                           número      registra de ventas,
                                                              apellido                 cantón y   primer
                                                                          principal                         de calle     origen activos y/o
                                                              paterno                 parroquia nombre
                                                                                                            principal             empleados

  29057      HARO PINCAY JORGE WASHINGTON 0912144433001                                                        X
 259945      MARTILLO VERA MILTON ENRIQUE     0912160132001                                                    X
 168032      JIJON FIALLOS JAVIER ERNESTO     0912165826001                                                    X
  72514      VINTIMILLA FIGUEROA JOSE IGNACIO 0912169190001                                                    X
  29214      LOPEZ ASPIAZU VICTOR JOHNNY      0912169901001                                                    X
   1026      GUERRERO PACHECO DAVID SEGUNDO   0912181120001                  X                                 X
 275903      ZAMBRANO CARRIEL ANGELA FLERIDA0912206422001                                 X                                X
 140598      BURGOS BRIONES RICARDO ARMANDO   0912217890001                                                    X
 134331      BAEZ MEZA MARCELO RAFAEL         0912240082001                                                    X
  41774      JUNCO SALGUERO NAPOLEON ANIBAL 0912273547001                                                      X
 174804      MARCIAL RAMOS GENARO NEPTALY 0912275831001                                                        X
 178516      VERA CAICHA LUCAS PALERMO        0912276482001                                                    X
 246030      ZAMBRANO CAICEDO INES PATRICIA 0912280294001                                                      X
 277505      SOLIS ZUÑIGA ELBIA MAGDALENA     0912282712001                                                    X           X
  44634      GONZALEZ GONZABAY CARLOS ENRIQUE 0912299377001                                                    X
 119512      IZA BALLIN BLANCA AZUCENA        0912320728001                                                    X
 196595      ZAMBRANO SAN LUCAS NEIL ARNOLDO  0912322898001                               X
  66614      PEÑAFIEL NARANJO JOSE PAUL       0912329315001                                                    X
  32655      ALAVA LEON FELIX ENRIQUE         0912343605001                                                    X
  77207      IBARRA MENDOZA JULIO JACINTO     0912344579001                                                    X
 154573      DE LA A TORRES PEDRO ANTONIO     0912349909001                                                    X
 227309      PALMA FLORES BYRON LEON          0912370640001                                                    X
  72726      ANDRADE VÁSCONEZ CÉSAR ENRIQUE0912376753001                                                       X
 235733      BRIONES MORAN FRANCISCO ENRIQUE  0912395373001                                                    X
 108370      LOOR RODRIGUEZ CARLOS VICTORIANO 0912396090001                                                    X
 215917      TOBAR MIRANDA MARÍA MAGDALENA 0912431608001                                                       X
 152180      VILLAMAR POSLIGUA NELLY JAQUELINE0912489002001                                                    X
  75296      PAZ RIVERA FATIMA DEL ROCIO      0912489697001                                                    X
 266233      ARRIAGA HOLGUIN SHIRLEY AGUSTINA0912503463001                                                     X
 143937      ESCOBAR HARO GUSTAVO ALFREDO 0912513389001                                                        X
 208389      SALVATIERRA ALVAREZ AGUSTINA DE LOS ANGELES
                                              0912526688001                                                    X
No                 No registra
                                                               No                    No registra   No
                                                                        No. registra                       registra      No.    indicadores
                                                             registra                provincia, registra
Persona_id              NOMBRE                No. ID (RUC)                 calle                           número      registra de ventas,
                                                             apellido                 cantón y   primer
                                                                         principal                         de calle     origen activos y/o
                                                             paterno                 parroquia nombre
                                                                                                           principal             empleados

 231442      LAINEZ CHECA NELSON EDUARDO    0912572344001                                                     X
 226854      MASCOTE ESPINOZA CARLOS AMERICO0912592722001                                                     X
  80001      HOLGUIN PEÑAFIEL LUIS ROBERTO  0912595485001                                                     X
  50748      RIVADENEIRA SANCHEZ SANDRO HUMBERTO
                                            0912599388001                                                     X
  39566      ARBAIZA PLUAS PATRICIO HOMERO  0912603255001                                                     X
 185420      RAMIREZ TOMALS HECTOR ANIBAL   0912606217001                                                     X
 142827      TORRES LUNA EDGAR JAVIER       0912606613001                                                     X
 105604      BARRETO BAQUE AMPARO AZUCENA 0912624947001                                                       X
 249646      CAMPOVERDE SOLIS VICTOR HOMAR 0912635760001                                                      X
 155192      YAGUAL REYES SEGUNDO GABRIEL 0912681343001                                                       X
  73747      SORNOZA CENTENO JENS CARLOS 0912704921001                                                        X
 205259      MUÑIZ SANCHEZ MIGUEL LEUNER    0912743382001                                                     X
  98421      ROLANDO ANGAMARA IRENE ROXANA 0912757614001                                                      X
 181029      ZAMBRANO GARCIA FRANCISCO JESUS0912771144001                                                     X
 238380      PITA MORALES VICOR HUGO        0912853835001                                                     X
 201031      SARAGURO ASTUDILLO HERMAN BOLIVAR
                                            0912856457001                                                     X
 212658      CHALEN RODRIGUEZ LUIS CESAR    0912872603001                                                     X
  92255      CHUNGA SUAREZ ALEXANDRA EMMA 0912886157001                                                       X
  37708      GOMERO ESPINEL LOURDES REGINA 0912894565001                                                      X
   3536      GUTIERREZ CRUZ SILVIA ESTHER   0912896974001                                                     X
 121699      AURIA SANTIBANEZ JAIME ALBERTO 0912903713001                                                     X
 173054      GARCIA MORAN GIANINA PAOLA     0912925567001                                                     X
 242276      TOLEDO MORAN BELLA KARINA      0912926276001                                                     X
 107234      REYES LAINEZ ANGELA MARIA      0912926342001                                                     X
 147741      ARROBA SORIA GABRIEL VICENTE   0912934643001                                                     X
  88353      TOLEDO MORAN JOHNNY FABRICIO   0912936952001                                                     X
 250189      VELA ANDRADE NELSON DANIEL     0912939899001                                                     X
  94002      LUNA MURILLO RICARDO AUGUSTO 0912969227001                                                       X
  51373      CASTRO MORENO KAREN ELIZABETH 0912972353001                                                      X
 100808      ROCHA SANDOYA JACQUELINE MIREYA912979580001
                                            0                                                                 X
 107623      QUEVEDO ZAMBRANO EDISON JHONNY 0912986510001                                                     X
No                 No registra
                                                                No                    No registra   No
                                                                         No. registra                       registra      No.    indicadores
                                                              registra                provincia, registra
Persona_id               NOMBRE                No. ID (RUC)                 calle                           número      registra de ventas,
                                                              apellido                 cantón y   primer
                                                                          principal                         de calle     origen activos y/o
                                                              paterno                 parroquia nombre
                                                                                                            principal             empleados

 185882      NOLES VASQUEZ BAIRON EDUARDO 0912986536001                                                        X
 259267      CHUNGA LOPEZ DOLORES BETSABE 0913026043001                                                        X
 118900      GÓMEZ TUMBACO GUIDO BERNARDO 0913031803001                                                        X
 199765      CUSME VERA CARLOS JOHNNY         0913033254001                                                    X
 238192      CHIMBO VALLADOLID JORGE SAUL     0913038063001                                                    X
  64897      TANUS CAMACHO NAHON MANUEL       0913039756001                                                    X
 215402      YEPEZ VACA HECTOR MAURICIO       0913053286001                                                    X
 277219      MERCHAN CATUTO EVER WASHINGTON   0913053344001                                                    X
 158929      ANDRADE MOSQUERA MIGUEL ORLY 0913059150001                                                        X
 152547      ZAMBRANO PARRAGA HECTOR ALFREDO  0913070553001                                                    X
  98555      MENDOZA TARABÓ ARNALDO EFRÉN 0913073615001                                                        X
 258431      RAMOS VALDEZ JUAN JOSE           0913075347001                                                    X
 251683      VERA JIMENEZ EDISON ANTONIO      0913091161001                                                    X
 252895      BASURTO OLVERA FRANCISCA ESPERANZA
                                              0913104246001                                                    X
 126180      CEVALLOS LUDEÑA REMIGIO CARLOS 0913129565001                                                      X
 103675      LOPEZ VALENCIA SILVANA MARIUXI   0913136693001                                                    X
 116004      GARCÉS VARGAS JUAN FRANCISCO 0913140216001                                                        X
  36941      COELLO CHANG NINO RICKY          0913140422001                                                    X
 170053      SUAREZ ORRALA FRANCISCO VICENTE0913140745001                                                      X
 266766      ANGEL YAGUAL ALFONSO ENRIQUE     0913141198001                                                    X
 108615      LINO DE LA CRUZ GILBERT JOFFRE   0913141677001                                                    X
 226435      MENDEZ DOMINGUEZ GLENDA ALEXANDRA0913152724001                                                    X
 217109      VELEZ BARROS MARCOS ANTONIO      0913175675001                                                    X
  72898      RIVERA DE LA CRUZ EUSEBIO EDISON 0913179263001                                                    X
 211220      FLORES SUÁREZ JORGE              0913179313001                                                    X
 238309      FLORES SOLORZANO MERCEDES ELENA  0913221602001                                                    X
 276610      MENDIETA OLEAS BELARMINO HERMILTON
                                              0913232369001                                                    X
 220065      GUEVARA COELLO PAMELA DEL ROCIO  0913241410001                                                    X
 207697      ECHEVERRIA MEJIA CHRISTIAN ARMANDO
                                              0913263158001                                                    X
 128088      BUCHELI MIELES FRANCIS JHONNY    0913264149001                                                    X
 198078      ROSALES SANTISTEVAN HUGO ALBERTO 0913270955001                                                    X
No                 No registra
                                                               No                    No registra   No
                                                                        No. registra                       registra      No.    indicadores
                                                             registra                provincia, registra
Persona_id               NOMBRE               No. ID (RUC)                 calle                           número      registra de ventas,
                                                             apellido                 cantón y   primer
                                                                         principal                         de calle     origen activos y/o
                                                             paterno                 parroquia nombre
                                                                                                           principal             empleados

  36249      SORIANO PANCHANA JOSÉ DANIEL    0913271011001                                                    X
 119549      MOREIRA MENDOZA CARLOS ANTENOR  0913276564001                                                    X
 111703      ZAMBRANO BARCOS CIRO LUDOVICO 0913278917001                                                      X
 104322      NEIRA MATIAS JULIO ANTONIO      0913280665001                                                    X
 232119      HURTADO NARANJO SEGUNDO RICARDO 0913286266001                                                    X
 152280      ALARCON ALAVA GONZALO ARTURO 0913287595001                                                       X
 119817      RODRIGUEZ FRANCO OSWALDO MANUEL 0913289336001                                                    X
 147786      BOMBON TRIVIÑO GUILLERMO EFRAIN 0913289518001                                                    X
 173826      OCHOA PUIN BLANCA LEONOR        0913304549001                                                    X
 192630      COROZO AYOVI ANTONIO ADOLFO     0913311023001                                                    X
   1687      ROCHA MEDINA HENRY FERNANDO 0913311411001                                                        X
  61988      PUMARES FRANCO EDUARDO ANIBAL 0913315941001                                                      X
 176086      DIAZ LEMACHE ALINA ISABEL       0913324471001                                                    X
  76005      MENDOZA PALMA MARJORIE PATRICIA 0913327227001                                                    X
 246303      MORENO LEON WILFRIDO OSWALDO 0913351599001                                                       X
 137077      MORENO SANCHEZ COLON JUNIOR     0913352050001                                                    X
 239307      SANCHEZ PAREDEZ LUIS ALBERTO    0913354569001                                                    X
 275793      VALERO PEÑAFIEL IRMA ALEXANDRA 0913361721001                                                     X
 159097      MACIAS CORTEZ OSCAR ARQUIMIDES 0913379178001                                                     X
  95052      GALAN CALEÑO JOSE ADRIAN        0913390159001                                                    X
  11305      SALINAS RODRIGUEZ GLENDA JEANNET0913400156001                                                    X
 198378      REYES LAINEZ ANGELA MARIA       0913401014001                                                    X
 162423      MONZON QUEZADA GRACIELA CELINDA 0913402533001                                                    X
 109548      GELLIBERT MORA JEANNINA ANNABELLE
                                             0913408738001                                                    X
 200982      PARRALES CHAVEZ JAVIER BENIGNO 0913411997001                                                     X
 199492      BAQUE TOALA BERNI ROLANDO       0913414108001                                                    X
 248536      BENITES TORRES JOSE MARIA       0913439071001                                                    X
 215394      ROMERO VERA GLENDA MARISOL      0913443438001                                                    X
 256352      CALDERON JACOME CECILIA         0913465571001                                                    X
 165499      SANTOS MANUEL ANTONIO           0913496816001                                                    X
 223178      ROMOLEROUX PAZMIÑO LIDA MARIELA0913517579001                                                     X
No                 No registra
                                                               No                    No registra   No
                                                                        No. registra                       registra      No.    indicadores
                                                             registra                provincia, registra
Persona_id               NOMBRE               No. ID (RUC)                 calle                           número      registra de ventas,
                                                             apellido                 cantón y   primer
                                                                         principal                         de calle     origen activos y/o
                                                             paterno                 parroquia nombre
                                                                                                           principal             empleados

 147131      MURILLO ALTAMIRANO OLIVIA LIDIA 0913575577001                                                    X
 188329      MANOTOA MOYA LLORDY GEOVANY 0913629804001                                                        X
 156552      DUEÑAS CABEZAS LUIS ADOLFO      0913647095001                                                    X
 210654      CHILAN BAYAS SEGUNDO SIXTO      0913654729001                                                    X
 263624      LOOR CUJILAN BLANCA VERONICA    0913676920001                                                    X
 171637      AGUIRRE MORALE VICENTE LEONARDO 0913694287001                                                    X
 176331      CHAVEZ CORONADO HOLGER FERNANDO 0913695938001                                                    X
   3580      MORA REYES MARIA EUGENIA        0913730727001                                                    X
 206716      MACIAS VITERI JOSE LUIS         0913766705001                                                    X
 118907      DUNKLEY TOMALA MARIANA ISABEL 0913777348001                                                      X
  99552      CAMPOVERDE RUMAZO WASHINGTON 0913801452001
                                             ROBERTO                                                          X
 211826      LITUMA RAMIREZ NORMAN           0913801775001                                                    X
 140879      VALENZUELA VASCONEZ BETSY ELIZABETH
                                             0913809216001                                                    X
 208520      BUENO NIETO RONALD GEOVANNY     0913812194001                                                    X
  96787      MURILLO BARCOS HAROLD ARQUIMIDES0913815791001                                                    X
 168161      LARRETA FAJARDO MARCOS ANTONIO0913826269001                                                      X
 195678      DROUET LEON CARLOS HUGO         0913826814001                                                    X
  62221      PLAZA CASTRO ROSA ISABEL        0913831145001                                                    X
 258034      CARREÑO CHAMBA SORAYDA DEL CISNE0913844411001                                                    X
 263696      FREIRE FREIRE MERY DEL ROCIO    0913874327001                                                    X
  51499      ALMEIDA MORALES OASIS FRANCISCO0913884193001                                                     X
 178917      ESCALANTE TOMALA CARLOS LUIS    0913903795001                                                    X
 165861      LAINEZ REYES CESAR EDUARDO      0913923371001                                                    X
 141595      LOPEZ PINOS BEYRRUT YANINA      0913946117001                                                    X
  74977      FIGUEROA BRIONES RICHARD ANTONIO0913951315001                                                    X
 165684      RODRIGUEZ ORRALA CARLOS ARISTIDES
                                             0913974655001                                                    X
 176087      MONTERO HINOJOSA ORLANDO ENRIQUE0913976148001                                                    X
 155540      PEÑAFIEL SALGUERO CARLOS ALBERTO0913977385001                                                    X
 147891      VALDEZ CABEZA MARIA DOMIRA      0913981932001                                                    X
 231654      YANEZ MORENO GLADYS ELIZABETH 0913984324001                                                      X                      X
  77447      MENOSCAL CASTILLO ROGGER DANIEL 0913988077001                                                    X
No                 No registra
                                                                No                    No registra   No
                                                                         No. registra                       registra      No.    indicadores
                                                              registra                provincia, registra
Persona_id               NOMBRE                No. ID (RUC)                 calle                           número      registra de ventas,
                                                              apellido                 cantón y   primer
                                                                          principal                         de calle     origen activos y/o
                                                              paterno                 parroquia nombre
                                                                                                            principal             empleados

  41207      MENOSCAL CASTILLO HARRY ALBERTO  0913988085001                                                    X
 187755      PLAZA ZAMBRANO ELOY JOSE         0913991568001                                                    X
 156519      BECERRA ORTIZ LEONARDO ALBERTO 0914042353001                                                      X
 229850      MARTINEZ TOMALA WIMPER ROVI      0914051594001                                                    X
 249448      JARA TANDAZO SERGIO ANIBAL       0914061296001                                                    X
 242254      CHAVEZ MUÑOZ GALO XAVIER         0914077300001                                                    X
  13392      ARQ.YOLANDA ZUÑIGA               0914081401001                                                    X
  11821       ARQ DOMENICO BAEZ               0914092283001                                                    X
  82747      MURILLO ALTAMIRANO MARIBEL OLIVIA0914104708001                                                    X
 206364      CORDERO LEON MILTON PAUL         0914113931001                                                    X
 192365      PEÑAFIEL YULAN NIXI MAENA        0914180997001                                                    X
 203310      ZAVALA MENDOZA FREDI RAMON       0914193917001                                                    X
 213848      YAGUAL CHANCAY JORGE WILMER      0914196068001                                                    X
 181629      GARCIA CASTAÑEDA LUIS ENRIQUE    0914196258001                                                    X
 103950      ORTIZ CAMACHO DELFINA JASMIN     0914241724001                  X            X                    X
  68044      CENTENO MARÍN FABIO LEONARDO     0914256623001                                                    X
 236668      RUGEL MEJIA LUIS ANTONIO         0914278924001                                                    X
  13911      GEOLINERS                        0914292586001                                                    X
 101956      ESPINOZA BARROSO WENDY KATIUSKA  0914309307001                                                    X
 170763      FREIRE SÁNCHEZ JORGE ADALBERTO 0914315544001                                                      X
 176528      MACIAS JARAMILLO DELIA PIEDAD    0914323217001                                                    X
  86733      SOLORZANO SOLORZANO LUIS ALBERTO 0914333646001                                                    X
 193281      LAINEZ PINCAY JOHN CARLOS        0914356704001                                                    X
 273568      MEJIA PIÑA MARIA NARCISA         0914370226001                               X                                X
 198825      RUIZ BARRAGAN GINA MAGALI        0914375704001                                                    X
  75174      ANDRADE ARELLANO PAOLA FERNANDA  0914378930001                                                    X
 273929      PEÑAHERRERA GARZÓN MARÍA PAOLA0914395330001                                                       X
 186307      AVECILLAS RIVERA MARIBEL ALEXANDRA
                                              0914396858001                                                    X
 147787      ORRALA SORIANO AMARILIS SOVEIDA 0914398250001                                                     X
 237551      RIVERA ZAMBRANO MARIO ROLANDO 0914415401001                                                       X
  95745      RUGEL CAICEDO HILIANA MARGARITA 0914441233001                                                     X
No                 No registra
                                                               No                    No registra   No
                                                                        No. registra                       registra      No.    indicadores
                                                             registra                provincia, registra
Persona_id               NOMBRE               No. ID (RUC)                 calle                           número      registra de ventas,
                                                             apellido                 cantón y   primer
                                                                         principal                         de calle     origen activos y/o
                                                             paterno                 parroquia nombre
                                                                                                           principal             empleados

 115951      GRANADOS RIVAS YANILA ESTHER    0914464110001                                                    X
 185446      QUIMIS ZAMBRANO GERTRUDIS JANETH914466156001
                                             0                                                                X
 151260      ALVARADO MEJIA WLADIMIR ALEJANDRO
                                             0914510789001                                                    X
 192604      PILLIGUA PONCE YUNER EDUARDO    0914515572001                                                    X
  46952      PALIZ BAYAS LUIS ENRIQUE        0914537014001                                                    X
 211039      CEVALLOS BRAVO MERTIRE BENITO 0914538772001                                                      X
 115393      FREIRE KNUTH ANDREA CRISTINA    0914544291001                                                    X
 198205      ANASTACIO CHAMAIDAN GREGORIO GABRIEL
                                             0914550918001                                                    X
 193818      RUIZ ALVEAR JESUS MARTIN        0914554746001                                                    X
 149011      RAMIREZ RAMOS DAVID FRANCISCO 0914559521001                                                      X
 247892      CHOEZ PEÑAFIEL RUFINO HONORIO 0914568720001                                 X
 247035      COBOS LOPEZ OSCAR ENRIQUE       0914579594001                                                    X
  13582      DISTRIBUIDORA SURMEDIC          0914581228001                                                    X
 132540      GONZALEZ CERCADO EDGAR MICHEL 0914583497001                                                      X
 237826      ALMEIDA SALAS FRANCISCO JAVIER 0914607403001                                                     X
 142864      SUAREZ OCHOA CESAR RULLY        0914608971001                                                    X
 247105      GORDILLO PINOS CARLOS HUMBERTO 0914621719001                                                     X
 202097      CRUZ ANCHUNDIA KELLY MARIELA    0914626874001                                                    X
  37125      SORROZA FLORES DENISSE LIZETTE 0914629910001                                                     X
 181022      ALVARADO MERCHAN BOANERGUES GIOVANNY
                                             0914633995001                                                    X
 168919      OROZCO CUNA JUAN                0914638853001                                                    X
 112379      ZAMORA LOZANO JAIRO FERNANDO 0914640438001                                                       X
 173409      MUÑOZ CATUTO JOFFRE MIGUEL      0914646666001                                                    X
  94641      PALMA HOLGUIN IMELDA MARIANELLA0914652805001                                                     X
 248743      ALULEMA ZAPATA NORMAN ENRIQUE 0914662317001                                                      X
 175176      MORA MORA MANUEL APOLINARIO     0914672357001                                                    X
 175979      MANTUANO VELEZ PEDRO FERNANDO 0914681549001                                                      X
 220529      ROSALES LOPEZ DARWIN FRANCISCO 0914711437001                                                     X
 165710      VALLADOLI URGILES NATHALIA MONSERRATE
                                             0914715032001                                                    X
   4175      ARMIJOS EDUARDO                 0914740832001                                                    X
 222290      RAMON EDGAR                     0914745005001                                                    X
No                 No registra
                                                                No                    No registra   No
                                                                         No. registra                       registra      No.    indicadores
                                                              registra                provincia, registra
Persona_id               NOMBRE                No. ID (RUC)                 calle                           número      registra de ventas,
                                                              apellido                 cantón y   primer
                                                                          principal                         de calle     origen activos y/o
                                                              paterno                 parroquia nombre
                                                                                                            principal             empleados

 146807      ZARAUZ ANGARITA JUAN CARLOS      0914754429001                                                    X
 185889      MARIN PENAFIEL DANIEL EFREN      0914796909001                                                    X
 239948      GOMEZ VERA ALEXANDRA             0914808878001                                                    X
 143578      AVILES PLUAS SERGIO FELIPE       0914857651001                                                    X
 157631      CAYAMBE PAZMIÑO VICTOR MANUEL 0914880158001                                                       X
 145700      JACOME CABRERA PEDRO MIGUEL      0914891718001                                                    X
 125229      DE LA ESE RUIZ PEDRO AUGUSTO     0914899380001                                                    X
 153358      MUÑOZ MORANTE MIRO RAFAEL        0914927926001                                                    X
 210937      CEDEÑO ANGULO EUDALDO BENJAMIN0914962451001                                                       X
  49005      FLORES PEREZ REINALDO ABEL       0914962733001                                                    X
 145496      SANCHEZ RUIZ VICENTE ANTONIO     0914968847001                                                    X
 143086      CEDILLO LOPEZ LUIS ALBINO        0914973318001                                                    X
 141535      ROCA VELEZ XAVIER FERNANDO       0914976030001                                                    X
 198313      NUPIA MACIAS JOFFRE ALFREDO      0914990213001                                                    X
 194944      GONZALEZ ESPINOZA WILME BOLIVAR 0915006142001                                                     X
  51084      JARRIN CRUZ XAVIER ANTONIO       0915007264001                                                    X
  39076       ROMMEL                          0915018337001                                                    X
 127177      MONTIEL LANDIVAR ANDRES RAUL     0915053730001                                                    X
 222154      ROSALES BALLADARES ANGEL FERNANDO0915090260001                  X            X                    X
 188268      SANCHEZ LUIS ALBERTO             0915110068001                                                    X
 186760      AREVALO GARCIA HERMINIA DEL RCIO 0915124572001                                                    X
 275886      PRADO RIOS MERY MAGALY           0915129712001                               X                    X           X
 224003      MORÁN BENALCÁZAR HUGO ALFREDO 0915154967001                                                       X
 135859      LOPEZ ROSADO JULIO JOSE          0915166490001                                                    X
 215731      BUENAÑO LLANOS SEGUNDO ANIBAL 0915167308001                                                       X
 196034      RODRIGUEZ SEPULVEDA MONICA       0915201156001                                                    X
 119383      IZA BALLIN MARIA LAURA           0915204069001                                                    X
 107773      IZURIETA PINARGOTE BORIS COLON 0915206247001                                                      X
 220948      BARBA NOBOA MARCO VINICIO        0915214118001                                                    X
 257609      MENDOZA MOREIRA MARIA MARCELA 0915220354001                                                       X
 255910      BARCIA TOALA MARIA GISELA        0915227136001                                                    X
No                 No registra
                                                               No                    No registra   No
                                                                        No. registra                       registra      No.    indicadores
                                                             registra                provincia, registra
Persona_id               NOMBRE               No. ID (RUC)                 calle                           número      registra de ventas,
                                                             apellido                 cantón y   primer
                                                                         principal                         de calle     origen activos y/o
                                                             paterno                 parroquia nombre
                                                                                                           principal             empleados

 101167      SILVA MERA DAVID ALEXANDER      0915235246001                                                    X
  84582      VELIZ MACIAS CARMEN IRLEY       0915251219001                                                    X
 262805      CLEMENTE GONZALEZ HECTOR WILFRIDO
                                             0915261507001                                                    X
   3486      RIVADENEIRA MANRIQUE GERMAN HERMOGENES
                                             0915279418001                                                    X
 206332      PONCE FLORES RUTH ELIZABETH     0915285118001                                                    X
 197677      GARCIA GARCIA RICHAR GARDEL     0915308506001                                                    X
 238795      GONZALEZ GONZALEZ LUIS GERSON 0915345193001                                                      X
 262264      CHUNGATA PELÁEZ JOSÉ WILMER     0915356406001                                                    X
 185771      MORALES REYES JOSE VICENTE      0915357156001                                                    X
 258314      VALLEJO COSTALES FERNANDO ALBERTO
                                             0915414262001                                                    X
 232239      CASTRO ZAMBRANO JAVIER ENRIQUE 0915414270001                                                     X
 189852      PILAY PINCAY HERIBERTO LORENZO 0915450621001                                                     X
 148463      TOALA SUAREZ ANGELA LUCIA       0915483374001                                                    X
 126822      BENALCAZAR CRUZ JOSE ENRIQUE    0915499131001                                                    X
 179088      ALAVA ESPINOZA ADRIANA VIOLETA 0915512719001                                                     X
 222188      TERAN GARCIA FEDERICO GUSTAVO 0915514582001                                                      X
  28948      ORTEGA CORONEL JULIO ANTONIO    0915521330001                                                    X
 130137      MACIAS LOPEZ ESTHER ADELAIDA    0915521520001                                                    X
 219154      GONZABAY REYES LEONARDO BERNABE 0915576946001                                                    X
  73951      GONZALEZ RAMIREZ HECTOR MANUEL0915593008001                                                      X
  96611      HIDALGO RODRIGUEZ LESLY FERNANDO0915595078001                                                    X
 169770      MURILLO SANTILLAN JUAN CAMILO   0915595359001                                                    X
 232018      LOPEZ MANCERO CARLOS ENRIQUE 0915599914001                                                       X
   3584      BUENO ESPINOZA MARJORIE LUCIA   0915605901001                                                    X
   6369      CASBER                          0915628804001                                                    X
 267823      MENDEZ ARAUJO JOHN WILLIAM      0915631170001                                                    X
  84206      MAZÓN POZO OMAR FABIAN          0915641310001                                                    X
 266095      PAZ NARVAEZ NANCY ALEXANDRA     0915649396001                                                    X
 270774      MORANTE VERA TOMAS MARCELINO 0915670368001                                                       X
 211224      SANTANA QUIMIS SILVERIO MARIANO 0915692396001                                                    X
 216617      ROSALES POZO MARCOS EDUARDO 0915703896001                                                        X
No                 No registra
                                                                No                    No registra   No
                                                                         No. registra                       registra      No.    indicadores
                                                              registra                provincia, registra
Persona_id               NOMBRE                No. ID (RUC)                 calle                           número      registra de ventas,
                                                              apellido                 cantón y   primer
                                                                          principal                         de calle     origen activos y/o
                                                              paterno                 parroquia nombre
                                                                                                            principal             empleados

 235021      TENELEMA RODRIGUEZ MARCO MARCELO 0915705065001                                                    X
 261457      BURGOS TAPIA BOLIVAR PEDRO       0915731962001                                                    X
 263536      YEPEZ ARICHAVALA DARWIN WILMER 0915774756001                                                      X
  45248      PERERO CERCADO OSWALDO YUBANY    0915792048001                                                    X
 196283      CARCHI CARPIO GALO JOSE          0915799274001                                                    X
 126710      AREVALO CELI HERNAN ALBERTO      0915807242001                                                    X
  90917      LEON CASTRO PAULINA SOLEDAD      0915808638001                                                    X
 157161      RIERA CEVALLOS WILLIAM GEOVANNY 0915809537001                                                     X
 178515      MONTESDEOCA SALAZAR JULIO EDUARDO0915826804001                                                    X
 117016      SINCHI BASTIDAS JULIO AGUSTIN    0915834154001                                                    X
  52810      JEIMY                            0915861280001                                                    X
 203660      MARIN PEREZ CARLOS ANDRES        0915861504001                                                    X
  11286      ANTONIO                          0915863237001                                                    X
 201863      LOPEZ CARRILLO EDDY RUBEN        0915882138001                                                    X
 266739      PERERO GONZALEZ PABLO XAVIER     0915885370001                                                    X
  43893      PARRALES TIGRERO WILMER SANDRO0915889505001                                                       X
 258437      GONZALES ANZULES VICTOR HUGO 0915902084001                                                        X
 211311      RODRIGUEZ GONZALEZ CARLOS ABSALON0915915706001                                                    X
 263010      SUAREZ MEJILLONES MARIUXI ELIZABETH
                                              0915918999001                                                    X
 203592      PIGUAVE CAICHE JOSE ALBERTO      0915919757001                                                    X
 131149      ZAMBRANO DELGADO BELQUIS DORAINA 0915940027001                                                    X
 166656      DE LA A ANASTACIO JORGE LEONARDO 0915948194001                                                    X
 205617      ESPINOZA LOOR CARMEN HAIDEE      0915960348001                                                    X
 215604      MONSERRATE CONSTANTINE JOSE DANIEL
                                              0915962468001                                                    X
 208910      TOMALA AYALA DELIA MARIBEL       0915968663001                                                    X
 179904      NARANJO ROSALES WILLIAMS RUBEN 0915968929001                                                      X
 139069      MONTIEL TIRAPE MARIA MAGDALENA 0915972780001                                                      X
 241414      ASUNCION RUIZ FRANCISCA DEL ROCIO0915988224001                                                    X
 227981      COLOMA HUREL JOSE IVAN           0915992762001                                                    X
 248280      VÉLEZ CÓRDOVA JULIO CÉSAR        0916007164001                                                    X
  82493      MARINEZ GONZALEZ ITALO MAURICIO 0916032923001                                                     X
No                 No registra
                                                               No                    No registra   No
                                                                        No. registra                       registra      No.    indicadores
                                                             registra                provincia, registra
Persona_id               NOMBRE               No. ID (RUC)                 calle                           número      registra de ventas,
                                                             apellido                 cantón y   primer
                                                                         principal                         de calle     origen activos y/o
                                                             paterno                 parroquia nombre
                                                                                                           principal             empleados

 262055      BALON YES ROCIO ALEXANDRA       0916034416001                                                    X
 108153      SUAREZ ROCA EVELYN ROSAURA      0916035777001                                                    X
 204667      FIALLOS QUINSO NANCY NATALIA    0916124886001                                                    X
 118640      GELLIBERT VILLAO JORGE WALTER   0916150873001                                                    X
 255856      TAGLE QUIMI GABINO RODOLFO      0916154123001                                                    X
 253086      PONCE QUINDE CARLOS ALBERTO     0916172364001                                                    X
 100978      PINO NAVAS JAVIER EDUARDO       0916203979001                                                    X
 174487      BANCHON FIGUEROA ESTEBAN JAVIER0916207889001                                                     X
 150577      JAIME AUQUI HUGO                0916216666001                                                    X
  13393      ARQ.JORGE ALBAN                 0916224488001                                                    X
  99017      CAICEDO YAGUAL BRAULIO ALFREDO 0916255383001                                                     X
 225427      CAJÍAS DELGADO MARIA DEL CARMEN 0916256654001                                                    X
 270389      CEDEÑO JAEN ANA BEATRIZ         0916259419001                                                    X
 139788      RAMIREZ TORRES HUMBERTO CARLOS  0916268949001                                                    X
  28937      ORELLANA MANCHENO YAHAIRA GABRIELA
                                             0916275787001                                                    X
 275614      MUNOZ MORA ANIBAL LEONCIO       0916292717001                                                    X
  64453      CAMPUZANO YAMBO JOSE LUIS       0916304561001                                                    X
 230623      VERA LOOR MARIO BOLIVAR         0916310584001                  X            X                    X
 121246      ZAMBRANO CEDEÑO HECTOR AQUILES  0916315732001                                                    X
 214546      GUERRERO ALARCÓN LEODAN ARLINE0916330970001                                                      X
 200404      ORTIZ GARCIA CHRISTIAN LEONEL   0916343999001                                                    X
 176591      PAZMIÑO BOLAÑOS JIMMY ELIAS     0916347701001                                                    X
 113350      GOMEZ ZAMORA ERNESTO XAVIER     0916358997001                                                    X
  19528      DIAZ CHABARRIA GEORGE RAFAEL    0916366065001                                                    X
 233797      DROUET CANDELL ANDRES ENRRIQUE0916373731001                                                      X
 143907      ZAMBRANO GONZABAY WILSON JORGE  0916404338001                                                    X
 249793      HERRERA BLANCO MAURICIO ARGELI 0916441652001                                                     X
  11552       NAREA                          0916442676001                                                    X
 251166      PEREZ BRAVO OSCAR ALBERTO       0916445430001                                                    X
 186547      POZO PILAY JORGE                0916447964001                                                    X
  99649      CEVALLOS SUÁREZ IRMA FELICIA    0916476021001                                                    X
No                 No registra
                                                               No                    No registra   No
                                                                        No. registra                       registra      No.    indicadores
                                                             registra                provincia, registra
Persona_id               NOMBRE               No. ID (RUC)                 calle                           número      registra de ventas,
                                                             apellido                 cantón y   primer
                                                                         principal                         de calle     origen activos y/o
                                                             paterno                 parroquia nombre
                                                                                                           principal             empleados

 277181      CRESPO EISER ENRIQUE JOSE       0916505670001                               X                                X
 227650      OSORIO BAJAÑA GLADYS ELOISA     0916524374001                                                    X
 133970      VERDUGA PINARGOTE MARIA CARLINA0916535974001                                                     X
 190698      LANDIVAR SUAREZ PEDRO CHRISTIAN 0916544778001                  X            X                    X
 248462      VEGA MONTESDEOCA NEY LUIS       0916545981001                                                    X
 114855      CAMBA MORA MARIO LENIN          0916548167001                                                    X
 142433      ANCHUNDIA CARRANZA JINNA ARGENTINA
                                             0916570161001                                                    X
 158840      YUNGAN ROLDAN LOURDES ALICIA    0916577257001                                                    X
  79290      OBANDO VIZUETA JONNY PATRICIO   0916577935001                                                    X
  82429      AVILES REINOSO ANTONIO RAUL     0916632870001                                                    X
  82418      REINOSO MORA OMAR JONATHAN      0916638745001                                                    X
  70285      SANCHEZ MARIDUEÑA HUGO ALFREDO  0916649890001                                                    X
  71779      QUINONEZ ARROYO ANGEL GERMAN 0916651235001                                                       X
 254802      YAGUAL LUNA JOSE CRISTOBAL      0916653710001                                                    X
 174807      ESCOBAR BARZOLA ROSA ESTHER     0916669708001                                                    X
 168498      SARABIA VERA WILDEN WLADIMIR    0916693849001                                                    X
 216882      ROBALINO ARGUELLO MAGNO CESAR 0916698558001                                                      X
  56148      ALEXANDER                       0916707821001                                                    X
 204894      GUALE CASTILLO GUILLERMO GUSTAVO916721996001
                                             0                                                                X
  21434      DEU GUARINO WALTER              0916723448001                                                    X
 151080      VERNAZA CAICEDO ROCELI NATIVIDAD0916755473001                                                    X
  85048      TUTIVEN RODRIGUEZ EDGAR COLON 0916758899001                                                      X
 228355      ZAMORA PEREZ WALTER IVAN        0916763105001                                                    X
 226406      TOMALA SUAREZ WILSON ENRIQUE    0916776719001                                                    X
 155446      SANCHEZ VARGAS WILSON REINALDO0916782394001                                                      X
 171613      GUTIÉRREZ ARTEAGA LUIS EDUARDO 0916782832001                                                     X
 183016      CEDEÑO ALCIVAR JOSE DORLY       0916792260001                                                    X
 205343      ALVARADO MERCHÁN EDIXON ROLANDO 0916814429001                                                    X
 187028      PENAFIEL MARTILLO CARLOS ALBERTO0916844202001                                                    X
 223893      BACILIO PONCE LENIIN ABEL       0916849185001                                                    X
 249349      PULLEY ORTIZ VERONICA MARIA     0916881089001                                                    X
No                 No registra
                                                                No                    No registra   No
                                                                         No. registra                       registra      No.    indicadores
                                                              registra                provincia, registra
Persona_id               NOMBRE                No. ID (RUC)                 calle                           número      registra de ventas,
                                                              apellido                 cantón y   primer
                                                                          principal                         de calle     origen activos y/o
                                                              paterno                 parroquia nombre
                                                                                                            principal             empleados

 183331      SARMIENTO VITE NATHALLY MARIELA 0916889132001                                                     X
 118612      VARGAS MACIAS MANUEL OSWALDO 0916895345001                                                        X
 105065      LOPEZ RODRIGUEZ GUILLERMO JAVIER 0916901267001                                                    X
 170637      BRAVO TERAN HEIDEE MARCELA       0916907116001                                                    X
 112942      GONZALEZ TIGRERO OLGA MARÍA      0916910862001                                                    X
 257455      URINA CABRERA JOHNNY DANIEL      0916915812001                                                    X
  99464      RICARDO TOMALA WILSON ALEJANDRO  0916922917001                                                    X
 213923      LOPEZ MORALES NELLY MARGARITA 0916929920001                                                       X
 135309      PINARGOTE LUNA YADIRA ISABEL     0916932080001                                                    X
 266176      MORANTE CANTOS GREGORY AUGUSTO   0916957434001                                                    X
 244871      VERA SERIZ IGNACIO PATRICIO      0916971427001                  X            X                    X
 165770      IZURIETA LANDIVAR MARIA GABRIELA 0916982481001                                                    X
 191747      PARRALES HENRIQUEZ MARCO ANTONIO 0917012965001                                                    X
 115821      LOOR SALVATIERRA ALBERTO JACINTO 0917049454001                                                    X
 144485      ALCIVAR GUERRERO CRISTHIAN RAFAEL0917056491001                                                    X
 252950      PINARGOTE LOOR CARLOS GIOVANNY 0917067167001                                                      X
 277013      MALAVE MARIN JORGE XAVIER        0917080301001                                                    X
  89881      VARGAS GARCIA ALEXANDRA ELIZABETH0917101420001                                                    X
 217974      BRIONES SOLORZANO BETINA ESMERALDA
                                              0917110421001                                                    X
 223345      ULLOA YEPEZ OTTO ALEXANDER       0917138976001                                                    X
 253382      RODRIGUEZ ESPINOZA HILDA KARINA 0917180580001                                                     X
 190977      ARIAS AROCA TATIANA IVETTE       0917188534001                                                    X
 268712      CRESPIN RIVERA FRANCISCO JAVIER 0917189037001                                                     X
 274139      ZUNA ALVAREZ MARIA LASTENIA      0917195075001                                                    X
 252838      FIGUEROA MUÑOZ KATTY MARIA       0917218299001                                                    X
 153919      ROBALINO MUÑIZ GUSTAVO DAVID     0917223430001                                                    X
 278272      LITARDO GARCIA GALO MANUEL       0917232746001                                                    X
 252920      YUGCHA CORRALES DÁMARIS NATALY0917255556001                                                       X
  86065      MENESES CUCALON LUIS AGUSTIN     0917273377001                                                    X
   3354      GUEVARA ARIAS VERONICA ISABEL    0917282535001                                                    X
 264792      VICUÑA SANCHEZ VICTOR FIDEL      0917282907001                                                    X
No                 No registra
                                                               No                    No registra   No
                                                                        No. registra                       registra      No.    indicadores
                                                             registra                provincia, registra
Persona_id               NOMBRE               No. ID (RUC)                 calle                           número      registra de ventas,
                                                             apellido                 cantón y   primer
                                                                         principal                         de calle     origen activos y/o
                                                             paterno                 parroquia nombre
                                                                                                           principal             empleados

 201350      BURBANO PALMA JORGE LUIS        0917322885001                                                    X
 141795      MACIAS VERA JESSICA LORENA      0917330094001                                                    X
 250570      SALAZAR UGARTE RONALD ALEXIS    0917341794001                                                    X
  46927      NAVARRO MERELO JESUS INDALECIO 0917387326001                                                     X
 209133      YUNDA LASTRE YESENIA MARÍA      0917400053001                                                    X
 181910      SORNOZA YAGUAL LUIS ELVIS       0917404147001                                                    X
  99560      PONCE SALTOS JOSE FACUNDO       0917411100001                                                    X
 231248      SANCHEZ VARGAS MARTHA KARINA 0917417735001                                                       X
 142734      ARELLANO AGUILERA JORGE WASHINGTÓN
                                             0917423683001                                                    X
 278134      FRANCO AGUAYO JESUS MANUEL      0917493215001                                                    X
  88976      ALEJANDRO PALMA ROSA MARIA      0917497026001                                                    X
 207189      RODRIGUEZ RODRIGUEZ JOSE AGUSTIN0917510232001                                                    X
 188448      RODRÍGUEZ MIRABÁ EFRAÍN RAÚL    0917510257001                                                    X
 244744      SUAREZ CAICHE JORGE ALBERTO     0917514689001                                                    X
 140400      TORO GONZABAY MARIA DEL CARMEN 0917515983001                                                     X
 106737      SUAREZ TOMALA JOSE LUIS         0917518474001                                                    X
 214200      GAVILANES FABIANI RAFAEL ROLANDO0917535437001                                                    X
 144851      GORTAIRE ROMERO HENRRY ALFREDO  0917565970001                                                    X
 229483      MEDINA ALCOSER DANIEL ALISTER   0917568859001                                                    X
 133882      RUA ESTACIO LUIS GIN            0917575391001                                                    X
 112479      MORÁN ELÍAS ADRIANA MARÍA       0917601387001                                                    X
 133780      CACERES HURTADO CLEI MAXIMILIANO0917619710001                                                    X
 242858      MERCHÁN PANCHANA MARIELISA FERNANDA
                                             0917642761001                                                    X
 176017      MAGALLANES DARWIN               0917656290001                                                    X
 171688      LUQUE MIRANDA LUIS EDUARDO      0917672800001                                                    X
 180854      BANCHON TOMALA SANTIAGO MICHEL 0917687808001                                                     X
 239708      RIVERA IDROVO CARLOS FERNANDO 0917712267001                                                      X
 162859      PINOS TACLE MONICA ALEXANDRA    0917713620001                                                    X
 253070      VALLE TORRES IVAN SEGUNDO       0917717563001                                                    X
 244382      GUIJARRO RIVERO BELLA MARÍA     0917718603001                                                    X
 185094      TOMALA BAJAÑA VINICIO DAVID     0917718835001                                                    X
No                 No registra
                                                               No                    No registra   No
                                                                        No. registra                       registra      No.    indicadores
                                                             registra                provincia, registra
Persona_id               NOMBRE               No. ID (RUC)                 calle                           número      registra de ventas,
                                                             apellido                 cantón y   primer
                                                                         principal                         de calle     origen activos y/o
                                                             paterno                 parroquia nombre
                                                                                                           principal             empleados

 236139      CEDEÑO MERA WILMER EDUARDO      0917734014001                                                    X
 204009      ASAQUIBAY YUMISEVA PEDRO        0917734444001                                                    X
 200934      BAJAÑA BAJAÑA ANDRES FREDDY     0917751364001                                                    X
 214735      AVELINO RODRIGUEZ CESAR HUMBERTO0917762726001                                                    X
 270042      SANTOS MARIN GLADYS YRENE       0917798985001                                                    X
 206932      CARRANZA GOMEZ FERNANDO JACINTO 0917801367001                                                    X
 199677      SILVA GUIRACOCHA WLADIMIR EDUARDO
                                             0917803629001                                                    X
 206767      GUERRERO MERCHAN ANA NARCISA 0917809246001                                                       X
 225172      REYES TOMALA VICTOR ANGEL       0917866923001                                                    X
 116593      GUARACA GUARACA SEGUNDO GABRIEL 0917888737001                                                    X
 203426      YAGUAL CRUZ JOSE ALFREDO        0917890980001                                                    X
  53478      OJEDA ORDOÑEZ PATRICIA NOEMI    0917921223001                                                    X
  37595      CAMPOVERDE CHICA SYLVANA LUCIA 0917967036001                                                     X
  24926      ESPINOSA QUIJIJE EUNICE VALERIA 0917978769001                                                    X
 216927      FLORES LOPEZ GERMAN RAUL        0917988057001                                                    X
 216876      CHOEZ PILAY MILTON CRECENSIO    0917997678001                                                    X
  60084      MORENO GARCIA ISAAC BUENAVENTURA0918021197001                                                    X
 256416      YAGUAL GONZÁLEZ ROSARIO MARITZA0918024092001                                                     X
 107970      ASENCIO SUÁREZ JUAN ALFREDO     0918024928001                                                    X
 263285      CHAVEZ RIVERA FLOR MARLENE      0918031253001                                                    X
 254126      LEON OBANDO SUSANA EDELMIRA     0918067182001                                                    X
 257726      LAGE MORALES LUIS ALBERTO       0918118803001                                                    X
 249293      YAGUAL BORBOR JUAN CARLOS       0918170879001                                                    X
 149755      CORTEZ BORBOR MARIA MAGDALENA 0918171513001                                                      X
   3615      CRUZ TORRES MONICA ARELICE      0918175357001                                                    X
 259323      MOLINA MATEO TOMAS ELIAS        0918178468001                                                    X
 103481      MACIAS MORAN VICTOR ALFREDO     0918188541001                                                    X
 244278      GUAMÁN SUMBA FRANKLIN PAÚL      0918221466001                                                    X
 262789      RUIZ BURGOS IMELDA YADIRA       0918244286001                                                    X
 224911      LINDAO VERA GRISELDA LUCIA      0918264888001                                                    X
  60316      QUINDE RODRIGUEZ VILMA HERLINDA 0918265208001                                                    X
No                 No registra
                                                                No                    No registra   No
                                                                         No. registra                       registra      No.    indicadores
                                                              registra                provincia, registra
Persona_id               NOMBRE                No. ID (RUC)                 calle                           número      registra de ventas,
                                                              apellido                 cantón y   primer
                                                                          principal                         de calle     origen activos y/o
                                                              paterno                 parroquia nombre
                                                                                                            principal             empleados

  87594      ESPINOZA BURGOS NIXON RUBEN      0918427725001                                                    X
  31985      GOYES VALAREZO CHRISTIAN DOMINIQUE
                                              0918443003001                                                    X
 250975      CEDEÑO COBEÑA LUIS ALBERTO       0918473307001                                                    X
 263695      RODRIGUEZ RAMOS VICTOR ANGEL 0918483769001                                                        X
 206173      GOMEZ ALEJANDRO JOHN GABRIEL     0918505280001                                                    X
  81813      VASQUEZ MORALES JAZMANI OCTAVIO0918505975001                                                      X
 105580      MONTALVÁN TOALA FRANCISCO JAVIER918533415001
                                              0                                                                X
 201845      BARZOLA BURGOS PEDRO VINICIO     0918554759001                                                    X
 263167      CABRERA NIVELO GLADYS PATRICIA 0918577651001                                                      X
  92278      BALDEON VARGAS VICTORIA ELIZABETH0918585209001                                                    X
 187280      RIVERA HERRERA SANDRA PATRICIA 0918586611001                                                      X
 159355      ROMERO VILLACIS MILTON LIENEY    0918615402001                                                    X
 263108      TORRES PRIETO LILIANA PATRICIA   0918633819001                                                    X
 184148      MENDOZA DEL VALLE MARIA AUXLILIADORA
                                              0918668997001                                                    X
 275301      ORRALA PALACIOS OMAR ORLANDO 0918670548001                                   X                    X           X
 160156      VÉLEZ ESPINOZA JEAN PIERRE       0918671595001                                                    X
 276952      MENDOZA CEDEÑO JUAN CARLOS       0918730342001                  X            X                    X
 222503      CHICA VELEZ WILSON EDUARDO       0918746009001                                                    X
  45115      SPANDRE ZELAYA LEONARDO RENE 0918763186001                                                        X
 120613      FLORES CEVALLOS JOHANNA GLENDALY 0918797952001                                                    X
 227502      RICCIO ANASTACIO FRANCISCO       0918833658001                                                    X
 275474      TANDAZO LAINEZ CARLOS ALFREDO 0918841818001                                                       X
  47886      QUIMÍ PLÚA CARLOS ALBERTO        0918848854001                                                    X
 174161      LOPEZ GONZALEZ JOSE RODOLFO      0918880287001                                                    X
 225412      TOMALA MALAVE NELSON EDUARDO 0918889239001                                                        X
 272007      FIGUEROA PEÑAHERRERA JONNY ALFREDO
                                              0918941832001                               X                                X
 195188      MORENO PEREZ MILTON JOSE         0918946419001                                                    X
 192534      SOLIS NEGRETE ELVIS DAVID        0918968553001                                                    X
 196783      MURILLO TRIVIÑO FELIX ANTONIO    0918981259001                                                    X
 132496      CEDEÑO ARISTEGA ANDRES ABSALON0918986829001                                                       X
 147704      JURADO TORRES JAVIER ARTURO      0919087460001                                                    X
No                 No registra
                                                               No                    No registra   No
                                                                        No. registra                       registra      No.    indicadores
                                                             registra                provincia, registra
Persona_id               NOMBRE               No. ID (RUC)                 calle                           número      registra de ventas,
                                                             apellido                 cantón y   primer
                                                                         principal                         de calle     origen activos y/o
                                                             paterno                 parroquia nombre
                                                                                                           principal             empleados

  45658      PEÑA BAQUE EDGAR FERNANDO       0919097410001                                                    X
 166474      JIMENEZ MAYA FRANCISCO JAVIER   0919162859001                                                    X
 213007      SALINAS SANCHEZ RICHARD MAURICIO0919209163001                                                    X
 218496      URETA MERA CARLOS FABRISIO      0919229989001                                                    X
  79921      CEDEÑO QUIROZ GABRIEL AUGUSTO 0919316455001                                                      X
 189189      GONZALEZ PARRAGA IVAN ANDRES    0919328161001                                                    X
 237978      LOOR MATAILO CESAR IVAN         0919384768001                                                    X
  48118      ORTEGA CAMACHO DAVID ALBERTO 0919400697001                                                       X
 205543      MEJIA MERCHAN LILIANA KARINA    0919414201001                                                    X
  92854      AREVALO VIDAL LENIN ALBERTO     0919453340001                                                    X
 152858      BORBOR NEIRA ALBERTO FREDERIS 0919472522001                                                      X
 207813      SUAREZ REYES EDUARDO JAVIER     0919477257001                                                    X
 162823      MORAN TRIANA PEDRO JAVIER       0919498154001                                                    X
 120979      CARABAJO MORALES ORLANDO MANUEL 0919498782001                                                    X
 115237      GUERRERO ASENCIO CHRISTIAN STALIN
                                             0919583559001                                                    X
 171319      SALAZAR GREFA RAMON ADOLFO      0919587618001                                                    X
 269602      MORA LEON WILSON OMAR           0919623603001                                                    X
 195538      RAMIREZ CEDEÑO CRISTIAN OMAR    0919640326001                                                    X
 267904      RODRIGUEZ SOLANO CINTHYA MERCEDES
                                             0919656728001                                                    X
 164477      RODRIGUEZ DEL PEZO DENNISE ANGELICA
                                             0919714063001                                                    X
  67741      BALON BALON LUCY ALEXANDRA      0919715888001                                                    X
 139123      RAMOS PEREZ EDUARDO NESTOR      0919770388001                                                    X
  99756      OROZCO LARA SONIA AMPARO        0919791624001                                                    X
 155468      SUAREZ MEJILLON MARIO ALBERTO 0919792168001                                                      X
 206921      ALEJANDRO VALLEJO SULLY MABELL 0919793315001                                                     X
 190039      SALTOS ALAVA RENZO FABIAN       0919796185001                                                    X
 227984      GOYES ANDRADE LEYDI DEL ROSARIO0919810473001                                                     X
 193526      VELEZ TIGRERO MIGUEL ANDRES     0919821157001                                                    X
 197113      ECHEVERRIA SALGADO JAEL FERNANDO0919842286001                                                    X
 273630      SANCAN QUIMIS ALEXI ROSANNY     0919845479001                               X                                X
  59931      RODRÍGUEZ VERA CARLOS VICENTE 0919868562001                                                      X
No                 No registra
                                                               No                    No registra   No
                                                                        No. registra                       registra      No.    indicadores
                                                             registra                provincia, registra
Persona_id              NOMBRE                No. ID (RUC)                 calle                           número      registra de ventas,
                                                             apellido                 cantón y   primer
                                                                         principal                         de calle     origen activos y/o
                                                             paterno                 parroquia nombre
                                                                                                           principal             empleados

 230584      CERON GONZALEZ FAUSTO FRANCISCO919869867001
                                            0                                                                 X
 255387      TIERRA GAVILANES ANA DEL ROCIO 0919874412001                                                     X
 250271      MEDINA SALINAS HUMBERTO ALDRING0919921585001                                                     X
 257191      RODRIGUEZ POZO JULIO MERQUIADES0919961813001                                                     X
  96408      FERNANDEZ SANCHEZ ANGELA ELIZABETH
                                            0919982181001                                                     X
  66788      MAGALLANES MAGALLANEZ ARCENIA ARICELA
                                            0920067964001                                                     X
 236121      BORBOR SUAREZ JHONNY JAVIER    0920070539001                   X            X                    X
 205873      CONSTANTE ROSALES RAQUEL MIRTHA920074234001
                                            0                                                                 X
  72141      ALCIVAR TORRES LUIS ALBERTO    0920104742001                                                     X
 115259      PONCE ANZULES OMAR ARTURO      0920117801001                                                     X
 155734      BARBOSA ORALLENA JUAN CARLOS 0920147600001                                                       X
 173345      CHIQUITO PÉREZ JORGE LUIS      0920199510001                                                     X
 204307      POMA CORONEL DOLORES ELIZABETH0920214913001                                                      X
 173260      MONTENEGRO BEJEGUEN VALERIA JULIANA
                                            0920217338001                                                     X
 259655      SALCEDO GUTIERREZ NORMA JULISSA0920239464001                                                     X
 162581      VASCONEZ BENITES CARLOS ADRIAN 0920270501001                                                     X
 197121      GONZÁLEZ TOMALÁ JORGE RODOLFO 0920275252001                                                      X
 142849      LOPEZ TAPIA JOSE EDUARDO       0920295292001                                                     X
 152826      PEÑAHERRERA VELEZ CINDY DEL CARMEN
                                            0920298205001                                                     X
  56493      GOMEZ CEDEÑO LUIS ALBERTO      0920299617001                                                     X
 264154      ORTIZ ORDOÑEZ EDWARD DAVID     0920336278001                                                     X
 198904      PANEZO CHEME MIGUEL ANGEL      0920342672001                                                     X
 276006      QUEZADA MENOSCAL SANDY DEL PILAR920356177001
                                            0                                                                 X
  89363      SIZALEMA MEDINA HENRY YASMANI  0920510005001                                                     X
  13670      REPRESENTACIONES MFG           0920554466001                                                     X
 271677      JACOME ROSADO PEDRO JESUS      0920568912001                                                     X
 157716      VASCO PAGUAY JIMMY LEONARDO    0920576501001                                                     X
 194850      PLAZA MOREIRA AMERICA ZORAYDA 0920581816001                                                      X
  89355      MALDONADO FUENTES JOHANNA PATRICIA
                                            0920646692001                                                     X
 113956      CASCANTE VELÁSQUEZ MARTHA JANETH
                                            0920732278001                                                     X
 145141      LOOR VELASQUEZ ALFREDO VICENTE 0920737079001                                                     X
No                 No registra
                                                               No                    No registra   No
                                                                        No. registra                       registra      No.    indicadores
                                                             registra                provincia, registra
Persona_id               NOMBRE               No. ID (RUC)                 calle                           número      registra de ventas,
                                                             apellido                 cantón y   primer
                                                                         principal                         de calle     origen activos y/o
                                                             paterno                 parroquia nombre
                                                                                                           principal             empleados

 146965      GONZABAY SORIANO JHONNY GERARDO 0920781473001                                                    X
 245231      ZHAPAN QUITEÑO JOSE MIGUEL      0920793981001                                                    X
 220946      CEVALLOS PILLIGUA WILMAN ENRIQUE0920806296001                                                    X
 149498      RIVAS LEON ELVIS RUBEN          0920845930001                                                    X
 167111      DICAO PÉREZ LILIANA ELIZABETH   0920911005001                                                    X
 187642      LAINEZ VERA CHRISTIAN WILFRIDO  0920930377001                                                    X
 220384      ORRALA RODRIGUEZ JANETH CLEOTILDE
                                             0920936754001                                                    X
 116637      GUARANDA QUINTO FREDDY MAURICIO 0920980851001                                                    X
 212911      GRANIZO VIVANCO VICTOR HUGO     0921031969001                                                    X
 221846      CELA MEZA WILSON HUMBERTO       0921040580001                                                    X
 254838      MANZABA RODRIGUEZ NARCISA MAGDALENA
                                             0921064432001                                                    X
 157301      ZAMBRANO ZAMBRANO JOSE FABRICIO 0921065140001                                                    X
 206531      GARCIA ANDRIUOLI HAMILTON GEOVANNY
                                             0921142790001                                                    X
 177889      ERRÁEZ RÁMÓN JUAN CARLOS        0921180964001                                                    X
  53491      ESPINOZA MURILLO MARTHA CECILIA 0921203857001                                                    X
  85306      CONSTANTE SANTOS HUMBERTO CONSTANTE
                                             0921224663001                                                    X
 166308      ALMAGRO MALAVÉ WALTER MARCELO0921243788001                                                       X
 190228      ORTEGA MALDONADO LOURDES HILDA0921264701001                                                      X
 146118      GÓMEZ VILLÓN EVELYN JANETH      0921264859001                                                    X
 204792      SANCHEZ VELOZ MARCOS ALEJANDRO0921339255001                                                      X
 279555      MEDINA TOVAR GABRIELA MARIANELA 0921381794001                                                    X
 186173      GOMES ORTIZ DIXON MANUEL        0921387650001                                                    X
 212065      OLVERA OCHOA JORGE NEY          0921393872001                                                    X
 214414      TRIVIÑO ROMERO SOLANGE NATALI 0921414850001                                                      X
 145376      RONQUILLO HOLGUIN FRANKLIN HERME921426045001
                                             0                                                                X
  73032      ROSERO SALVATIERRA PAUL GIUSSEPPE
                                             0921434619001                                                    X
 140131      MORALES MACIAS EDISON ROGELIO 0921459376001                                                      X
 180736      MORA ZAMBRANO LORENA PATRICIA 0921463212001                                                      X
 218023      BAQUERIZO QUIRUMBAY HUGO FERNANDO
                                             0921522652001                                                    X
 257446      VINUEZA FRANCO LORENA LUCIA     0921525804001                                                    X
 177126      LÓPEZ PILALÓ HENRY PAUL         0921537684001                                                    X
No                 No registra
                                                               No                    No registra   No
                                                                        No. registra                       registra      No.    indicadores
                                                             registra                provincia, registra
Persona_id               NOMBRE               No. ID (RUC)                 calle                           número      registra de ventas,
                                                             apellido                 cantón y   primer
                                                                         principal                         de calle     origen activos y/o
                                                             paterno                 parroquia nombre
                                                                                                           principal             empleados

 128199      TORRES ROMERO STALIN FERNANDO 0921578407001                                                      X
 171936      ORTUÑO MARTINEZ MERCEDES MARIA0921594610001                                                      X
 222980      PERREROS ALMENDARIZ KARINA DE LOURDES
                                             0921632063001                                                    X
 263295      CONTRERAS PEÑAFIEL DIANA ISABEL 0921639258001                                                    X
 267351      PALACIOS LOOR LARRY ORLANDO     0921640520001                                                    X
 235824      PEREZ NUÑEZ EVELYN FABIOLA      0921676722001                                                    X
  99387      ZAMBRANO GARCIA JOSE ROLANDO 0921691275001                                                       X
 139352      HOLGUIN BRIONES JEFFERSON ARTURO0921696647001                                                    X
 146630      MIRANDA GARCIA EPIFANIO REYMUNDO0921788386001                                                    X
  52581      RIVERA TOALA ESTEFANIA TAMARA   0921828026001                  X            X                    X
 253576      RODRIGUEZ RODRIGUEZ JEFFERSON MANUEL
                                             0921830386001                                                    X
 226161      BRIONES RODRIGUEZ ISRAEL DARIO 0921833034001                                                     X
  89546      TINOCO MARTÍNEZ RUTH ELIZABETH 0921890497001                                                     X
 132099      MALDONADO PALACIOS ERICA JULIANA0921917746001                                                    X
 218236      PADILLA HOLGUIN HECTOR FABRICIO 0921935078001                                                    X
 157336      RENDON MOREIRA NIMIA JANINA     0922097431001                                                    X
 130186      MUÑOZ ZAMORA CRISTIAN GONZALO 0922128368001                                                      X
  38034      VALERO ALVAREZ MARIA AUXILIADORA0922158084001                                                    X
  99155      JIMENEZ FLOR DANIEL ENRIQUE     0922228044001                                                    X
 118986      MOLINA SANCHEZ LUIS ALBERTO     0922282793001                                                    X
 161168      WIDMER BRANDLE BETTINA MARIA    0922288188001                                                    X
 128025      CAJAS ARRIAGA VICTOR TOMAS      0922338710001                                                    X
 152722      VILLAGOMEZ ABELINO ALVARO ALEXIS0922415674001                                                    X
 235875      DELGADO MEDINA FÁTIMA DEL ROCÍO 0922446943001                                                    X
 278717      CHAVEZ MITE DENNIS EFRAIN       0922463419001                               X                                X
  94518      ASENCIO GONZABAY WILMER SANTIAGO0922474424001                                                    X
 195260      RUBIO NARVAEZ ANDREA JOHANNA 0922508254001                                                       X
  86229      MIELES FIGUEROA WENDY CRISTINA 0922517107001                                                     X
 201788      BARRIZOLA MORAN KLEBER EDUARDO0922517990001                                                      X
 147925      SALGADO CASTRO RONALD IVAN      0922548581001                                                    X
 253554      BUSTAMANTE ARMIJOS ANA LUCIA    0922567847001                                                    X
No                 No registra
                                                               No                    No registra   No
                                                                        No. registra                       registra      No.    indicadores
                                                             registra                provincia, registra
Persona_id               NOMBRE               No. ID (RUC)                 calle                           número      registra de ventas,
                                                             apellido                 cantón y   primer
                                                                         principal                         de calle     origen activos y/o
                                                             paterno                 parroquia nombre
                                                                                                           principal             empleados

 200795      FAGGIONI MERA CRISTINA MERCEDES 0922584545001                                                    X
 207259      MAXI BASILIO CARMEN TATIANA     0922622634001                                                    X
  49656      CASTRO LOOR WALTER GABRIEL      0922629654001                                                    X
 273375      DROUET MORÁN DENNIS ALFREDO     0922635537001                               X                                X
 173532      CARRIEL CEREZO VANESSA MIREYA 0922639463001                                                      X
 195766      ANCHUNDIA QUINONEZ MARIA PAOLA 0922668041001                                                     X
 158960      RODRIGUEZ JARAMILLO ELSA KARINA 0922693593001                                                    X
 180578      NAVI HURTADO RUT JEMIMA         0922821939001                                                    X
 219512      TAPIA SOLORZANO MILTON GONZALO 0922828769001                                                     X
 265203      SANCHEZ OLAYA MARIA AUXILIADORA 0922836564001                                                    X
 176874      SANCHEZ ARCOS MIRIAN ELIZA      0922850417001                                                    X
 257170      LOPEZ DELGADO CLEMENTE EFRAIN 0922902481001                                                      X
  56244      TANDAZO ORTEGA EDDIE RUBEN      0923013346001                                                    X
 128903      DUTÁN MEJÍA MARCELA DESIREEE    0923040943001                                                    X
 254352      SALVADOR VELASCO JIMMY DAVID    0923045132001                                                    X
 174213      MEDINA JARA JUAN FERNANDO       0923097067001                                                    X
 235569      TUMBACO CABANILLA NANCY GABRIELA923130363001
                                             0                                                                X
 190233      VILLACRES MATIAS JULIO CESAR    0923138044001                                                    X
 277747      DAVID MARIDUEÑA MARIO ISMAEL    0923176531001                                                    X
 248560      DUMES OSORIO NESTOR STANLEY     0923249916001                                                    X
 201085      MORALES ALVAREZ EDGAR VICENTE 0923274229001                    X            X                    X
 101349      MENDEZ RENDON GEOVANNY FRANCISCO0923279715001                                                    X
 237881      LOPEZ LOPEZ GUSTAVO HUMBERTO 0923286439001                                                       X
  40369      AREVALO RODRIGUEZ JOHNNY AREVALO0923310957001                                                    X
 168908      QUINTERO MURILLO MAYRA PAMELA 0923315162001                                                      X
 223334      LOPEZ TUBAY JENNIFER JANINA     0923342455001                                                    X
 162857      TUNJA SALAZAR PETER PAUL        0923364129001                                                    X
 251173      PEÑAFIEL SUAREZ JEFFERSON STALIN0923423602001                                                    X
 234837      GUZMAN PLUAS CARLOS ALBERTO     0923426654001                                                    X
 207310      RAMIREZ GONZABAY VICTOR JAVIER 0923560197001                                                     X
 177394      PARRA PALACIOS MARCO GABRIEL    0923606156001                                                    X
No                 No registra
                                                                No                    No registra   No
                                                                         No. registra                       registra      No.    indicadores
                                                              registra                provincia, registra
Persona_id               NOMBRE                No. ID (RUC)                 calle                           número      registra de ventas,
                                                              apellido                 cantón y   primer
                                                                          principal                         de calle     origen activos y/o
                                                              paterno                 parroquia nombre
                                                                                                            principal             empleados

 258796      MORA ROSSI KARLA ANDREA          0923676001001                                                    X
 197972      LANCHE REYES JOHN MICHAEL        0923676290001                                                    X
 275923      ROMERO SIGUENZA KAREN LAURA      0923708663001                                                    X
 199045      FLORES HUARACHI ABRAHAN          0923733877001                                                    X
 272102      ROMERO ISAZA LENIN WALBERTO      0923761902001                                                    X
 268291      ROMERO SALAZAR GUSTAVO BOLIVAR0923920789001                                                       X
 230699      SÁNCHEZ PEÑAFIEL JESSENIA AMADA 0923944532001                                                     X
 213516      TAPIA GUARTATANGA FREDDY JAVIER 0924082340001                                                     X
 247975      GOMEZ CARPIO LUIS MANUEL         0924110968001                                                    X
  96989      RAMIREZ MARTILLO HUGO ANTONIO 0924222532001                                                       X
 238935      CRUZ SANABRIA GEOVANNY ELIZABETH924243926001
                                              0                                                                X
 146953      SALINAS ALCIVAR GARDENIA CRISTINA0924271786001                                                    X
 191600      MORETA FREIRE BRAULIO ISAIAS     0924307820001                                                    X
 186538      CHOEZ ALAVA GRACE MARILU         0924355704001                                                    X
 141802      DURÁN LIMA DANIEL ELÍAS          0924383953001                                                    X
 220822      BACUSOY CHOEZ EDISON ORLANDO 0924438385001                                                        X
 274609      SUAREZ MOLINA MARCOS RAUL        0924488588001                                                    X
 237299      AVILA ANCHUNDIA JUAN PABLO       0924540396001                                                    X
 255276      NARANJO ALMEIDA JORGE LUIS       0924551690001                                                    X
 146096      ALAVA VELEZ ANGELA MERCEDES      0924602154001                                                    X
  48160      MARIA                            0924605157001                                                    X
 225840      BAZURTO FLOR CARMEN ELENA        0924678493001                                                    X
 246723      FLORES ALDAS MONICA DEL ROCIO    0924681273001                                                    X
 104857      ORTIZ MUÑOZ ROSSY CAROL          0924687163001                                                    X
 180716      MOLINA RODRIGUEZ CHRISTIAN ROGELIO
                                              0924687239001                                                    X
 128603      BAUTISTA TANDAZO ELADIO JAVIER 0924701311001                                                      X
 125759      MORENO CHAVEZ ANGELA GABRIELA 0924945892001                                                       X
 223431      BARCO ESPINOZA JORGE GREGORIO 0924970239001                                                       X
 143965      CALDERON PONCE HERME ENRIQUE 0924990823001                                                        X
 257680      DIAZ CEDILLO JONATHAN LENIN      0925006785001                                                    X
 273121      RODRIGUEZ NUÑEZ DANNY VLADIMIR 0925028185001                                                      X
No                 No registra
                                                               No                    No registra   No
                                                                        No. registra                       registra      No.    indicadores
                                                             registra                provincia, registra
Persona_id               NOMBRE               No. ID (RUC)                 calle                           número      registra de ventas,
                                                             apellido                 cantón y   primer
                                                                         principal                         de calle     origen activos y/o
                                                             paterno                 parroquia nombre
                                                                                                           principal             empleados

 141604      CUENCA CARCHI LUIS FABRICIO     0925085300001                                                    X
  57536      SORIA MIRANDA NADIA LIZETT      0925220071001                                                    X
 103370      GARCIA MORENO CARLOS LEONARDO 0925254682001                                                      X
 251610      AROCA PALADINES WELLINGTON FABIAN
                                             0925371155001                                                    X
 182321      NAVARRETE MORENO DIANA GRACIELA 0925396293001                                                    X
 247406      SÁNCHEZ HERNÁNDEZ NEIDYS        0925397861001                                                    X
 108975      HOLGUIN SACÁN SERGIO ALEJANDRO 0925503799001                                                     X
 138197      BONE TENORIO JOSE ISRRAEL       0925574923001                                                    X
 248754      OCHOA CASTILLO ANGEL ALBERTO    0925650657001                                                    X
 267912      CARDENAS ARTEAGA CARLOS LUIS    0925676116001                                                    X
 167450      ARDILA BARLIS JENNY FRANCINET   0925701948001                                                    X
 259868      AQUINO MERCHAN MARIA DEL CARMEN 0925723090001                                                    X
 137495      GOMEZ MATIAS ELVIS DAVID        0925729360001                                                    X
 246916      DELGADO MUGUERZA TATIANA LILIBETH
                                             0925847840001                                                    X
 196053      ZAPATA ORTIZ CARLOS ENRIQUE     0925858516001                                                    X
 250155      ARZUBE PALMA STALIN XAVIER      0925858623001                                                    X
 263323      ASTUDILLO SANCHEZ JORGE ISRAEL 0925962185001                                                     X
 206636      ZAMBRANO ZAMBRANO JAVIER ORLANDO0926016072001                                                    X
  71439      ASENCIO ZAVALA ADALBERTO HUMBERTO
                                             0926032418001                                                    X
 197879      PISCO GUEVARA MARCO ANTONIO     0926052531001                                                    X
 263299      CHUNGA ALEJANDRO CARLOS ALBERTO 0926093576001                                                    X
 191141      GALVEZ CALLE MARIA PAULINA      0926237371001                                                    X
 194113      REYES PARRALES MARIA FERNANDA 0926369018001                                                      X
 269586      LOPEZ PITA MARIA ANTONIA        0926412214001                                                    X
 248643      TAPIA SOLORZANO EULISES LEONEL 0926494196001                                                     X
 145713      ANCHUNDIA SUAREZ ABIGAIL ALEXANDRA
                                             0926494626001                                                    X
 120810      INCA ARELLANO MARÍA LEONOR      0926651555001                                                    X
  88831      DONG HUA                        0926682683001                                                    X
 120344      CABRERA ESPINOZA LUIS ROSENDO 0926739723001                                                      X
 244476      BRIONES ESPINOZA WILTER ANTONIO 0926885161001                                                    X
 182828      GOMEZ RUBIO HARRY DANIEL        0926928797001                                                    X
No                 No registra
                                                               No                    No registra   No
                                                                        No. registra                       registra      No.    indicadores
                                                             registra                provincia, registra
Persona_id              NOMBRE                No. ID (RUC)                 calle                           número      registra de ventas,
                                                             apellido                 cantón y   primer
                                                                         principal                         de calle     origen activos y/o
                                                             paterno                 parroquia nombre
                                                                                                           principal             empleados

 216415      MUNOZ ASUNCION TOMAS ANGEL        0927029025001                                                  X
 232884      MATIAS VEGA LILIANA ESTEFANIA     0927088617001                                                  X
 234376      MOREIRA FRANCO LIBER SMITH        0927094730001                                                  X
 275526      SOTO GONZALEZ DIANA LORENA        0927357178001                                                  X
 219117      BAQUE GUALE BYRON ARNALDO         0927834366001                                                  X
 206305      SHALEV ABRAMOWICZ ARIE            0927854588001                                                  X
 237937      CEDEÑO FUENTES DANIELA BEATRIZ 0928345693001                                                     X
 275129      BALLESTER CALDERON MARIA STEFANY  0928419506001                                                  X
 251865      VILLON ADALBERTO                  0928616127001                                                  X
 261781      VALAREZO NAVAS ALEJANDRO ANDRES   0930003637001                                                  X
 187502      TOALA LUCAS ANGEL MIGUEL          0930057120001                                                  X
 273583      SARMIENTO RONQUILLO ROSA VIRGINIA 0930181623001          X                  X                    X
 251484      VERA GALARZA KAREN GIANELLA       0931194609001                                                  X
 171049      VILLA FOLLECO JORGE ENRIQUE       0940738727001                                                  X
 259269      URUETA AREVALO STEVE              0940876212001                                                  X
  36948      MUNICIPIO DE MILAGRO PROVEEDOR 0960000730001             X                                       X
  45845      MUNICIPIO DE SALINAS              0960001380001          X                                       X                      X
 112307      UG-OFIC DE PROYECTOS              0960002510001                                                  X
 112334      DIPA-2                            0960002510001                             X                                           X
 135175      UNIDAD DE PROYECTOS DE VINCULACION CON LA COLECTIVIDAD
                                               0960002510001                                                  X                      X
 130328      AREA DE SALUD N. 22 NARANJAL      0968504330001                                                  X                      X
 102934      INSTITUTO NACIONAL DE PESCA       0968518040001                             X                                           X
 176173      COLEGIO FISCAL TECNICO INDUSTRIAL JOSE PERALTA
                                               0968524790001                                                  X                      X
 215243      COLEGIO FISCAL TECNICO INDUSTRIAL LA ALBORADA
                                               0968529830001                                                  X
  44843      JUNTA PARROQUIAL MAN              0968538230001          X                                       X                      X
  81626      INIAP ESTACION EXPERIMENTAL BOLICHE
                                               0968539470001                                                  X                      X
 219898      JUNTA ADMINISTRADORA DEL SISTEMA DE AGUA POTABLE REGIONAL VALDIVIA
                                               0968576400001                                                  X
 250510      HIDROESPOL E.P.                   0968585580001                                                  X                      X
   1651      LABORATORIOS TOFIS S A            0990000360001                                                  X
   5582      INSTITUTO FARMACO BIOLOGICO       0990000603001                                                  X
 172382      PLASTICOS DEL LITORAL PLASTLIT S.A. 990001626001
                                               0                                                              X
No                 No registra
                                                                No                    No registra   No
                                                                         No. registra                       registra      No.    indicadores
                                                              registra                provincia, registra
Persona_id               NOMBRE                No. ID (RUC)                 calle                           número      registra de ventas,
                                                              apellido                 cantón y   primer
                                                                          principal                         de calle     origen activos y/o
                                                              paterno                 parroquia nombre
                                                                                                            principal             empleados

   5130      OSRAM DEL ECUADOR S.A.            0990001820001                                                   X
   5672      AMANCO PLASTIGAMA S.A.            0990003769001                                                   X
   5059      BRENNTAG ECUADOR S.A.             0990005087001                                                   X
   5470      FRENOSEGURO CIA LTDA              0990006059001                                                   X
  52249      CAN-VER C. LTDA.                  0990006695001                                                   X
 163894      NEGOCIOS INDUSTRIALES REAL NIRSA0990007020001
                                                S.A                                                            X
   5518      DELTA -DELFINI & CIA. S.A.        0990007721001                                                   X
   6327      PRODUCTOS METALURGICOS S.A. "PROMESA"
                                               0990008167001                                                   X
   7907      CIAGRALDECOMERCIOYMANDATOSA 0990009732001                                                         X
   8767      MAQUINARIAS HENRIQUES C.A.        0990010870001                                                   X
  14740      IIASA                             0990011109001                                                   X
  16323      TALLERES PARA MAQUINARIA INDUSTRIAL AGRICOLA SA
                                               0990011117001                                                   X
   7542      DISTRIBUIDORA DE MADERAS COMPAÑIA LIMITADA DISMA C. TDA.
                                               0990011532001                                                   X
  14349      INDUAUTO                          0990014094001                                                   X
   6248      INDUSTRIAS REUNIDAS CIA. LTDA. INDUNIDAD LABORATORIOS INDUNIDAS
                                               0990014450001                                                   X
   6470      ECUADOR OVERSEAS AGENCIES C.A. 0990015325001                                                      X
 189053      PROCOMA ELECTRICO CIA. LTDA       0990015341001                                                   X
   6016      INTACO ECUADOR S.A.               0990015449001                                                   X
 173585      COMPAÑIA AGROQUIMICA INDUSTRIAL 0990015643001
                                                S.A.                                                           X
    892      CONAUTO CIA ANONIMA AUTOMOTRIZ 0990018685001                                                      X
   4660      ECUAQUIMICA ECUATORIANA DE PRODUCTOS QUIMICOS
                                               0990018707001                                                   X
  18861      EL UNIVERSO                       0990019657001                                                   X
  27105      INPROEL                           0990020264001                                                   X
   7090      FEBRES CORDERO CIA. DE COMERCIO 0990023654001
                                                S.A.                                                           X
  58432      VALLEJO ARAUJO S.A.               0990023859001                                                   X
   5208      PLASTICOS PANAMERICANOS PLAPASA S.A.
                                               0990028044001                                                   X
   5472      PINTURAS ECUATORIANAS S. A. PINTEC0990034958001                                                   X
   7088      LABORATORIOS CHEFAR S.A.          0990036349001                                                   X
 186374      INDUSTRIAS LACTEAS S.A. "INDULAC" 0990045577001                                                   X
 121276      LAVANDERIA SECOMATICO S.A.        0990058229001                                                   X
   5105      PLASTICOS GUAYAQUIL S.A.          0990059594001                                                   X
No                 No registra
                                                                 No                    No registra   No
                                                                          No. registra                       registra      No.    indicadores
                                                               registra                provincia, registra
Persona_id               NOMBRE                No. ID (RUC)                  calle                           número      registra de ventas,
                                                               apellido                 cantón y   primer
                                                                           principal                         de calle     origen activos y/o
                                                               paterno                 parroquia nombre
                                                                                                             principal             empleados

   2205      SEGUROS SUCRE                     0990064474001                                                    X
  62615      GENERALI ECUADOR COMPAÑÍA DE SEGUROS S.A.
                                               0990064733001                                                    X
  14860      BOLIVAR COMPAÑIA DE               0990093490001                                                    X
   5121      SCHLUMBERGER SURENCO              0990101094001                                                    X
  56245      NAVIPAC S.A.                      0990102163001                                                    X
   4655      CORPORACION ECUATORIANA DE TELEVISION
                                               0990126135001                                                    X
   6957      HIVIMAR S.A.                      0990129185001                                                    X
   2978      OFFSET ABAD CIA LTDA              0990129363001                                                    X
 164828      ITE INGENIERÍA CÍA LTDA.          0990131791001                                                    X
  76538      ECUATORIANA DE RADIADORES S.A. 0990136866001                                                       X
 155231      AERO CLUB DEL ECUADOR             0990140421001                                                    X
 210259      UNIVERSIDAD CATÓLICA DE SANTIAGO0990149054001
                                                DE GUAYAQUIL                                                    X
   1208      POLIGRAFICA C.A.                  0990158436001                                                    X
  81032      INDUSTRIA ECUATORIANA METAL MECANICA INEM C.A.
                                               0990159998001                                                    X
  10934      GRUNENTHAL ECUATORIANA            0990160422001                                                    X
  34798      ENVASADORA ECUATORIANA S.A.       0990161755001                                                    X
  26648      INDUSTRIA ANDINA DE TRANSFORMADORES S.A.
                                               0990169640001                                                    X
  27833      QUIMICAMP DEL ECUADOR S.A.        0990177805001                                                    X
  42455      PROVENCO CIA. LTDA                0990178364001                                                    X
   6891      PAPELESA CIA LTDA                 0990179085001                                                    X
  65291      VOPAK ECUADOR S.A.                0990218994001                                                    X
   7336      MACASA, MÁQUINAS Y CAMIONES S.A. 0990225923001                                                     X
  15497      VEPAMIL                           0990270236001                                                    X
  37285      CENTRO ELECTROMECANICO C.A.       0990281300001                                                    X
   6279      HOLCIM ECUADOR S.A.               0990293244001                                                    X
 157930      COOPERATIVA DE TRANSPORTE VILLAMIL0990296820001                                                    X
  54548      HORMIGONERA GUAYAQUIL             0990303169001                                                    X
  49441      AUTO IMPORTADORA GALARZA S.A      0990303789001                                                    X
 193597      INDUSTRIAS MOTORIZADAS INDUMOT S.A.
                                               0990304211001                                                    X
 245755      RADIODIFUSORA DEL PACIFICO S.A. RAPASA
                                               0990316961001                                                    X
   7365      IVAN BOHMAN C. A.                 0990320810001                                                    X
No                 No registra
                                                                No                    No registra   No
                                                                         No. registra                       registra      No.    indicadores
                                                              registra                provincia, registra
Persona_id               NOMBRE                No. ID (RUC)                 calle                           número      registra de ventas,
                                                              apellido                 cantón y   primer
                                                                          principal                         de calle     origen activos y/o
                                                              paterno                 parroquia nombre
                                                                                                            principal             empleados

   5219      INDURA ECUADOR SA                0990340900001                                                    X
   5548      PROQUIMSA S.A                    0990344760001                                                    X
  65488      PROQUIMSA S.A.                   0990344760001                                                    X                      X
  32776      CONSTRUMERCADO S.A.              0990347476001                                                    X
   4335      KRONOS LABORATORIOS              0990347654001                                                    X
  85657      DISTRIBUCION Y SERIVICIOS PETROCAL SA
                                              0990352054001                                                    X
 151897      COMERCIAL ORGU S.A.              0990358885001                                                    X
  81200      TALLERES METALURGICOS 21TALME S.A.
                                              0990360545001                                                    X
  59098      ECUANAVE C.A.                    0990360995001                                                    X
   4296      ELECTRODATUM INDUSTRIAL Y COMERCIAL
                                              0990373930001                                                    X
  55050      SEMAMSA S.A.                     0990374201001                                                    X
  69521      EMTURISA S.A.                    0990376719001                                                    X
   6240      POLIMALLA S. A.                  0990377170001                                                    X
   1825      PLASTIGOMEZ                      0990381011001                                                    X
  93240      LA GALERIA CLEYDIA S.A.          0990387745001                                                    X
  35275      INGECONSA S.A.                   0990389578001                                                    X
  13438      CONSTRUCTORA JH SORICANV         0990475903001                                                    X
   5393      MAFRICO S.A.                     0990481490001                                                    X
 140782      AGUA CRISTAL ACRISTAL C.A.       0990495432001                                                    X
  23510      MATERIALES DE VIVIENDAS MAVISA S.A.
                                              0990497672001                                                    X
 108938      SERVIAIRE CIA LTDA               0990532281001                                                    X
  26487      TROPIDATOS S.A.                  0990543143001                                                    X
   4493      LICOSA                           0990547580001                                                    X
 179882      MEDIAK S.A.                      0990553270001                                                    X
   6306      ELECTROCABLES C.A.               0990553742001                                                    X
  79517      LAMIGAL, LAMINADOS DEL ECUADOR C. LTDA. INDUSTRIA DE PERFILES
                                              0990559635001                                                    X
   1667      INDUSTRIA ECUATORIANA DE CABLES 0990562091001                                                     X
  91917      AUDIO PROFESIONAL CI             0990565872001                                                    X
   8450      PERFILSA C. A.                   0990577986001                                                    X
 121500      CABLEVISIÓN S.A.                 0990581827001                                                    X
  60680      TRANSFUEL C.A.                   0990596158001                                                    X
No                 No registra
                                                                 No                    No registra   No
                                                                          No. registra                       registra      No.    indicadores
                                                               registra                provincia, registra
Persona_id               NOMBRE                 No. ID (RUC)                 calle                           número      registra de ventas,
                                                               apellido                 cantón y   primer
                                                                           principal                         de calle     origen activos y/o
                                                               paterno                 parroquia nombre
                                                                                                             principal             empleados

   2092      MAYRESA                          0990598401001                                                     X
 146032      INMOBILIARIA INMOPACIF S.A.      0990614016001                                                     X
   5715      FEHIERRO                         0990626014001                                                     X
  90856      ESPARDISA                        0990626022001                                                     X
   2096      INESA                            0990632286001                                                     X
   6531      EXPALSA EXPORTADORA DE ALIMENTOS S.A.
                                              0990637679001                                                     X
   5146      INDUSTRIAL DEL TROPICO INDELTRO S. A.
                                              0990648972001                                                     X
    838      CHEMLOK DEL ECUADOR, S.A.        0990658749001                                                     X
  73541      CONSTRUCTORA GAPSA S.A.          0990660107001                                                     X
   2115      SOCIEDAD INDUSTRIAL Y COMERCIAL EICA
                                              0990670218001                                                     X
   6430      INDUSUR INDUSTRIAL DEL SUR S.A.  0990681708001                                                     X
  69149      ATLAS COMPAÑIA DE SEGUROS S.A. 0990697000001                                                       X
 234322      ESBIN S.A.                       0990707790001                                                     X
   8853      DIVERSEY WYANDOTTE DEL ECUADOR0990744793001
                                               S.A.                                                             X
  31998      SOCIEDAD DE CONSTRUCCIONES METALICAS S.A. SOCOMETAL
                                              0990745536001                                                     X
   9423      MAQUINAS Y SUMINISTROS MAQSUM 0990751528001                                                        X
 267338      AIFA S.A.                        0990774404001                                                     X
 274603      ECO-CASA CASAS ECONIMICAS S.A, 0990774668001                                  X                    X           X
   7534      TERFOR S. A.                     0990776911001                                                     X
   6654      E.O.A. SERVICIO S.A.             0990777454001                                                     X
 254400      OXIMED ECUADOR S.A.              0990779090001                                                     X
 256623      PROYECTOS ELETRO MECANICOS MEPROSA
                                              0990784272001                                                     X
  92098      MANTENIMIENTOS MYS C. LTDA.      0990787891001                                                     X
 237842      DIPOR S.A.                       0990789061001                                                     X
   7085      MERCANTIL DISMAYOR S.A.          0990792801001                                                     X
  56981      CONSTRUCTORA ALECONS S.A.        0990802734001                                                     X
  78579      DISULTRA                         0990803714001                                                     X
  88691      COOPERATIVA DE TRANSPORTE LIBERTAD PENINSULAR
                                              0990803749001                                                     X
 198111       DISTRIAZUL DISTRIBUIDORA DE COMBUSTIBLES P. AZUL CIA. LTDA.
                                              0990818231001                                                     X
   4623      NUTEC REPRESENTACIONES S.A       0990833648001                                                     X
 235622      COOPERATIVA DE AHORRO Y CREDITO0990858527001
                                               SALITRE LTDA                                                     X                      X
No                 No registra
                                                            No                    No registra   No
                                                                     No. registra                       registra      No.    indicadores
                                                          registra                provincia, registra
Persona_id              NOMBRE             No. ID (RUC)                 calle                           número      registra de ventas,
                                                          apellido                 cantón y   primer
                                                                      principal                         de calle     origen activos y/o
                                                          paterno                 parroquia nombre
                                                                                                        principal             empleados

 140473      CONSTRUCCIONES Y EQUIPOS SA       0990867097001                                               X
  69152      ASENABRA S.A.                     0990877750001                                               X
    554      INDUTORRES S.A                    0990881561001                                               X
  34260      INDUSTRIAL KATON                  0990892555001                                               X
  23477      CALDERESA SA                      0990893071001                                               X
 216911      NASARE S.A.                       0990913412001                                               X
   2949      PROELECTRICA                      0990935254001                                               X
  71950      AVECAN CONSTRUCCIONES CIVILES C.0990935297001
                                                LTDA.                                                      X
    375      ECUACOTTON S.A.                   0990941017001                                               X
   8055      ECUAFLEX S.A.                     0990943494001                                               X
  37343      IMPORTADORA INVALMIR S.A.         0990948976001                                               X
  47726      CONSTRUCTORA REQUIVIAL S.A.       0990952345001                                               X
   8352      SUMELEC S A                       0990963045001                                               X
 141744      CORPORACIÓN BOLSA NACIONAL DE PRODUCTOS AGROPECUARIOS
                                               0990964785001                                               X
 171216      CAMARA ECUATORIANO AMERICANA DE COMERCIO,GUAYAQUIL
                                               0990968004001                                               X
 221806      CAMARA DE COMERCIO DE GUAYAQUIL   0990971986001                                               X
 152744      REUSE ECUADOR S.A.                0990980896001                                               X
   6235      INDUSTRIA DE BELLEZA Y SALUD B.A.S.S.A. C. LTDA.
                                               0990987874001                                               X
 246397      DOUCAS S.A.                       0991027025001                                               X
   4498      INTEROC S.A.                      0991028544001                                               X
   5244      INDUSTRIAS PLÁSTICAS JOSA CÍA. LTDA.
                                               0991039295001                                               X
 146704      OTELO & FABELL S.A.               0991047808001                                               X
  44891      ELOT, CONSTRUCCIONES Y SERVICIOS C. LTDA.
                                               0991054952001                                               X
   4649      SACOS DURAN REYSAC                0991058761001                                               X
  81204      VETORE S.A.                       0991082735001                                               X
  47619      GLOBAL CONSULT GLOC C. LTDA.      0991085424001                                               X
 246168      SURREY S.A.                       0991095020001                                               X
 160670      VIKINGOTEC S.A.                   0991097201001                                               X
   9217      IMPORTADORA INDUSTRIAL AGRICOLA0991098127001 INMONTE
                                                DEL MONTE SA                                               X
  67261      LA LINEA MODERNA LINEMOD          0991099573001                                               X
 212230      SOLDADURAS PARA MANTENIMIENTO SPRAM S.A.
                                               0991099816001                                               X
No                 No registra
                                                                No                    No registra   No
                                                                         No. registra                       registra      No.    indicadores
                                                              registra                provincia, registra
Persona_id               NOMBRE                No. ID (RUC)                 calle                           número      registra de ventas,
                                                              apellido                 cantón y   primer
                                                                          principal                         de calle     origen activos y/o
                                                              paterno                 parroquia nombre
                                                                                                            principal             empleados

 116361      OCITEL S.A.                        0991121781001                                                  X
  71898      CORPOCOMP S.A.                     0991133593001                                                  X
 253521      GALAPAGOS SUB AQUA TURISMO CIA. LTDA.
                                                0991136258001                                                  X
  61573      PASTELO S.A.                       0991141553001                                                  X
   6384      EXPLAST, EXTRUSIONES PLASTICAS S.A.0991152792001                                                  X
 128950      AGENCIA NAVIERA AGNAMAR S.A.       0991181717001                                                  X
   1447      ENERLUZ S.A.                       0991193332001                                                  X
 101373      UNIDADES Y REPUESTOS S.A.          0991199853001                                                  X
   4824      PLASTIEMPAQUES S.A.                0991208291001                                                  X
 209341      TULIPANESA S.A.                    0991222235001                                                  X
   6140      PLASTICOS MUÑOZ S.A.               0991223630001                                                  X
  15217      SERVICIOS DE SEGURIDAD INTEGRAL 0991225692001                                                     X
 271200      LINEA AEREA Y SERVICIOS S.A. LINASERSA
                                                0991227601001                                                  X
  56878      TECNOLOGIA Y SISTEMAS INDUSTRIALES CONTRA INCENDIO TECSIND CIA. LTDA.
                                                0991241027001                                                  X
  16281      FORMAS YACCESORIOS FORMAC S A 0991243453001                                                       X
   7418      CHEM TECH S.A.                     0991244085001                                                  X
 220923      FARMEL FARMACOS Y MEDICAMENTOS     0991244506001                                                  X
  24780      ODORISIO S.A.                      0991250883001                                                  X
 107487      FUNDACION CRECER PARA EL DESARROLLO DEL MENOR
                                                0991251928001                                                  X
  64331      SOCIEDAD ANONIMA EMETEBE           0991253394001                                                  X
   5920      INDEUREC                           0991254374001                                                  X
  39638      EMETASA, ELABORADOS METALURGICOS Y AFINES S.A.
                                                0991256121001                                                  X
  49183      CONSULTORA ANDINA COA CÍA. LTDA. 0991256237001                                                    X
  33486      CONSTRUCTORA GOMERO CONGOME 0991256342001
                                                S.A.                                                           X
  72995      RECUBRITEK S.A.                    0991258310001                                                  X
 130808      PERONE S.A.                        0991259600001                                                  X
 140034      FUNDACION CARIÑO                   0991262970001                                                  X
 174751      AVILES & VELEZ "AVVE" LABORATORIOS DE ANALISIS DE ALIMENTOS S.A.
                                                0991265465001                                                  X
 216673      INPROFARM COMPAÑÍA ECUATORIANA0991266461001 FARMACÉUTICOS S.A.
                                                 DE PRODUCTOS                                                  X
 175872      REMAKEN,RESONANCIA MAGNETICA KENNEDY S.A.
                                                0991269002001                                                  X
  54673      AMERICAVISION S.A                  0991271961001                                                  X
No                 No registra
                                                               No                    No registra   No
                                                                        No. registra                       registra      No.    indicadores
                                                             registra                provincia, registra
Persona_id               NOMBRE               No. ID (RUC)                 calle                           número      registra de ventas,
                                                             apellido                 cantón y   primer
                                                                         principal                         de calle     origen activos y/o
                                                             paterno                 parroquia nombre
                                                                                                           principal             empleados

 251459      GODDARD CATERING GROUP GUAYAQUIL S.A.
                                                0991273085001                                                 X
 110008      CONSTRUCCIONES REGIONALES CIVILES E INDUSTRIALES CONSRECI CIA. LTDA.
                                                0991275150001                                                 X                      X
 105916      GALAUTO GRUPO AUTOMOTRIZ GALARZA HNOS.
                                                0991275592001                                                 X
  44607      SEGURIDAD Y PROTECCION SEGPRO CIA LTDA
                                                0991278192001                                                 X
  78587      CALIFICADORA DE RIESGOS HUMPHREYS  0991278648001                                                 X
  39734      HEROSA S.A.                        0991279334001                                                 X
 178125      CAMARA NACIONAL DE ACUACULTURA0991279539001                                                      X
 269701      ESTRELLACORP S.A.                  0991280235001                                                 X
 106687      SISTEMA DE TELEVISION UHF S.A      0991280553001                                                 X
   5415      DITECA S. A.                       0991284214001                                                 X
  87476      CORPORACION INTERNACIONAL CORINT S.A
                                                0991284850001                                                 X
   1813      SERVIENTREGA ECUADOR               0991285679001                                                 X
 245911      OXIGENOS DEL GUAYAS OXIGUAYAS S.A. 0991285938001                                                 X
   5704      INCOPLAST S.A.                     0991286454001                                                 X
   7219      REFRESCOS SIN GAS S.A.             0991288449001                                                 X
  49044      ALFAREDES S.A.                     0991288872001                                                 X
 268242      DERMIGON, DERIVADOS DE HORMIGON S.A.
                                                0991292691001                                                 X
 138752      TRALISANSA S.A.                    0991294333001                                                 X
   5709      GISIS S.A.                         0991295437001                                                 X
 268236      TUBOS DE HIERRO S.A.               0991295976001                                                 X
  52030      ANDIVISION S.A.                    0991296425001                                                 X
  88262      TELEVISION INDEPENDIENTE INDETEL 0991296433001                                                   X
  43066      HOLCIM AGREGADOS S.A.              0991296778001                                                 X
  72122      CONSORCIO VACHAGNON                0991300031001                                                 X
 126181      RADIO EXCELSIOR ESTUDIO 11.90 S.A. 0991302611001                                                 X
  32424      TECFARONI S.A.                     0991304282001                                                 X
 201680      MAGNETOCORP                        0991306080001                                                 X
 190239      GASOMAXI                           0991306633001                                                 X
  23785      LATINA VIDA                        0991311645001           X                                     X                      X
  72443      CONSTRUCTORA E INMOBILIARIA TORRE SAN S.A.
                                                0991311858001                                                 X
   1757      EFICIENCIA ENERGÉTICA Y AMBIENTAL0991313168001CONSULTORA CÍA LTDA
                                                 EFFICÁCITAS                                                  X
No                 No registra
                                                               No                    No registra   No
                                                                        No. registra                       registra      No.    indicadores
                                                             registra                provincia, registra
Persona_id              NOMBRE                No. ID (RUC)                 calle                           número      registra de ventas,
                                                             apellido                 cantón y   primer
                                                                         principal                         de calle     origen activos y/o
                                                             paterno                 parroquia nombre
                                                                                                           principal             empleados

 161764      BURGJA INC S.A.                   0991314156001                                                  X
  29092      COMPUHELP S.A.                    0991315063001                                                  X
   1340      GRUPO QUIMICO MARCOS              0991315314001                                                  X
   7548      PRIME LABORATORIO PRILAB S.A.     0991316043001                                                  X
 244706      MABE ECUADOR S.A.                 0991321020001                                                  X
   5234      TAINMESA                          0991321217001                                                  X
 190478      PRODUCARGO S.A. PRODUCTORA DE ALCOHOLES
                                               0991323058001                                                  X
  67009      TECNOAPLICA S.A. TECNOLOGÍA Y APLICACIONES PARA LA CONSTRUCCIÓN
                                               0991323503001                                                  X
 101414      PUERTO TRINITARIA TRINIPUERTO S.A.0991323724001                                                  X
  84600      IMPORBARSA S.A.                   0991327630001                                                  X
  79266      CONSTRUCTORA PALOSA S.A.          0991328076001                                                  X
 231825      ATIMASA S.A.                      0991331859001                                                  X
 134508      ARCO VILLA TRES ARVITRES S.A.     0991332413001                                                  X
  18806      INDUSTRIA METALMECANICA CONSTRUCTORA IMETECO
                                               0991336648001                                                  X
  74519      SIEMBRAMAR S.A.                   0991336672001                                                  X
  88573      FABRILANA S.A.                    0991337814001                                                  X
 107451      CÍA GAOLINERA MONFAVESA S.A.      0991339825001                                                  X
 252707      FUNDACION DE AYUDA A LA EDUCACION MEDIA
                                               0991341889001                                                  X
 183108      BISMARK S.A.                      0991343784001                                                  X
   1190      COMERCIAL Y DISTRIBUIDORA OFERTISIMAS S.A.
                                               0991346716001                                                  X
  36338      COECHAN S.A.                      0991348182001                                                  X
  98203      EDICIONES DIGITALES EDICTAL S.A. 0991350950001                                                   X
  19339      DROCARAS INDUSTRIA Y REPRESENTACIONES S.A.
                                               0991351264001                                                  X
   5717      FERTISA                           0991352937001                                                  X
  14783      PUBLISTIK                         0991353569001                                                  X
 194264      AHCORP ECUADOR CIA LTDA           0991355316001                                                  X
  88490      RADIODIFUSORA AYAX DEL ECUADOR S.A.
                                               0991357300001                                                  X
  89004      RADIODIFUSORA TRAFALGAR DEL ECUADOR S.A.
                                               0991357327001                                                  X
  89975      RADIODIFUSORA KASHMIR             0991357335001                                                  X
 223115      MATERIALES GRAFICOS               0991358935001           X                 X                    X
  18750      TICURE                            0991360409001                                                  X
No                 No registra
                                                              No                    No registra   No
                                                                       No. registra                       registra      No.    indicadores
                                                            registra                provincia, registra
Persona_id              NOMBRE               No. ID (RUC)                 calle                           número      registra de ventas,
                                                            apellido                 cantón y   primer
                                                                        principal                         de calle     origen activos y/o
                                                            paterno                 parroquia nombre
                                                                                                          principal             empleados

 118653      SERVICIOS TÈCNICOS INDEPENDIENTES S.A.
                                               0991361170001                                                 X
   6375      EXPOMEDIOS S.A.                   0991361502001                                                 X
 171757      CONSORCIO NAVIERO EQUINOCCIAL CONAVEQSA S.A.
                                               0991363505001                                                 X
 119299      SEGUPEN CIA. LTDA.                0991366954001                                                 X
 155577      IMI DEL ECUADOR S.A.              0991369686001                                                 X
  72130      INSTITUTO ECUATORIANO DE DIALISIS 0991374485001
                                               Y TRASPLANTES, IEDYT S.A.                                     X
  60624      COMPAÑIA PRIVADA DE SEGURIDDA ESPECIAL CÍA. LTDA. C.O.P.S.E
                                               0991377433001                                                 X
  31746      SERVAMAIN S.A.                    0991380922001                                                 X
   8596      ACSEREL ASESORIA COM              0991383336001                                                 X
   9578      COMPANIA DE AUTOMATIZACION Y CONTROL GENESYS SA
                                               0991384987001                                                 X
 273221      METALMECANICA AGROINDUSTRIAL METAGRO S.A.
                                               0991389024001                            X                    X           X
  80907      POLIDORO S.A.                     0991389342001                                                 X
   5427      FIDEICOMISO MERCANTIL GRASAS UNICOL
                                               0991393013001                                                 X
 264566      JATARIG COMPAÑIA LIMITADA         0991394028001                                                 X
 244470      CORPORACION PARA PROMOCION DE EXPORTACIONES E INVERSIONES
                                               0991397396001                            X
 118013      COMPAÑIA DE CONSTRUCCIONES JCL 0991407790001
                                               S.A                                                           X
  40378      FRONTESA S.A.                     0991410686001                                                 X
    594      SOLNET S.A.                       0991412425001                                                 X
   7700      CODIBAL S.A.                      0991413332001                                                 X
 135912      SURTAX S.A.                       0991414649001                                                 X
  26722      INDUSTRIAL Y COMERCIAL DOCAST CIA LTDA
                                               0991419373001                                                 X
  45320      PITUNIX                           0991419632001                                                 X
 105476      RIOLANGO S.A.                     0991421297001                                                 X
  33638      CONSULTORA E.R.D. CIA. LTDA.      0991421718001                                                 X
  51132      FESTATI S.A.                      0991422137001                                                 X
  26416      CORPORACION JORVAZ S.A.           0991425454001                                                 X
 157368      CORPORATION INTERNATIONAL SERVICE S.A.
                                               0991429328001                                                 X
 190237      SOSVOS S.A.                       0991432167001                                                 X
  32202      COECHIR S.A.                      0991432795001                                                 X
  33405      ASOCIACION DE VOLUNTARIADO INNFA DE SANTA ELENA
                                               0991435441001                                                 X
  66564      FIGURETTI S.A.                    0991440429001                                                 X
No                 No registra
                                                                 No                    No registra   No
                                                                          No. registra                       registra      No.    indicadores
                                                               registra                provincia, registra
Persona_id               NOMBRE                No. ID (RUC)                  calle                           número      registra de ventas,
                                                               apellido                 cantón y   primer
                                                                           principal                         de calle     origen activos y/o
                                                               paterno                 parroquia nombre
                                                                                                             principal             empleados

    622      DEFA NEGOCIOS CIA . LTDA.         0991442014001                                                    X
  98238      BORINQUECORP S. A.                0991442359001                                                    X
 109376      EXPONOVA S.A.                     0991443312001                                                    X
  24628      DIEMPEC C. LTDA. DISTRIBUIDORA FARMACEUTICA
                                               0991445242001                                                    X
 201226      TASMENCORP.S.A.                   0991446680001                                                    X
  14264      ADAMUZ                            0991449124001                                                    X
 140672      RELLENOR S.A.                     0991449191001                                                    X
  57301      LESOTHO S.A.                      0991454233001                                                    X
   6283      BVTRADING S. A.                   0991454519001                                                    X
   1555      EQUIPOS INDUSTRIALES MANABI       0991456937001                                                    X
   5734      GRUPO PROVI                       0991459804001                                                    X
 217984      COMPAÑIA NAVIERA J. MARTINEZ S.A. 0991462937001                                                    X
 100321      ASOCIACION DE VOLUNTARIAS DEL INNFA DE MILAGRO
                                               0991463224001                                                    X
  43386      FECORSA INDUSTRIAL Y COMERCIAL S.A.
                                               0991466436001                                                    X
  29217      SADINSA S.A.                      0991467343001                                                    X
 175693      PARIS CHIQUITO PARICHIC S.A.      0991471065001                                                    X
  75415      TOFILI S.A                        0991472622001                                                    X
 262174      ATLASCAPITAL S. A.                0991472746001                                                    X
 261730      MARCESA S.A.                      0991473211001                                                    X
 217184      SERVICIOS HOSPITALARIOS S.A. ALBOTEOTON
                                               0991475214001                                                    X
  36687      LUBTECHNOLOGY CIA LTDA            0991477624001                                                    X
  90454      CONSULEGIS S.A.                   0991495495001                                                    X
  10444      AMERICAN CALL CENTER              0991506241001                                                    X
  53298      SENETEL                           0991508600001                                                    X
 180495      AGRICOLA GANADERA REYSAHIWAL AGR S.A.
                                               0991509836001                                                    X
  20618      TELEBAK S.A.                      0991511687001                                                    X
  88213      MADOPAL S.A.                      0991513736001                                                    X
 151789      TECPLUS S.A.                      0991515984001                                                    X
  14661      EQUIPOS MEDICOS HURTBAN S A       0991516409001                                                    X
  58380      ECUALABOR S.A.                    0991516808001                                                    X
    921      FALCONI & LEON CONSULTORES C. LTDA.
                                               0991517146001                                                    X
No                 No registra
                                                              No                    No registra   No
                                                                       No. registra                       registra      No.    indicadores
                                                            registra                provincia, registra
Persona_id              NOMBRE               No. ID (RUC)                 calle                           número      registra de ventas,
                                                            apellido                 cantón y   primer
                                                                        principal                         de calle     origen activos y/o
                                                            paterno                 parroquia nombre
                                                                                                          principal             empleados

 101622      ZITEK S.A.                       0991518800001                                                  X
 106130      PURIFICADORA DE AGUA NATURAL "NATURLIQUID CÍA. LTDA."
                                              0991521135001                                                  X
   5895      UNADES S.A.                      0991522158001                                                  X
 203667      FUNDACION YERBABUENA             0992000163001                    X                                                    X
 104748      SISTELESA S.A.                   0992105453001                                                  X
  64404      MEGAPRODUCTOS S.A.               0992105623001                                                  X                      X
 255475      PILOGALSA S.A.                   0992105941001                                                  X
 144233      CORPORACION OLYMPIC ECUADOR      0992106107001                                                  X
   9118      COMPUMILLENIUM S.A.              0992106301001                                                  X
 132296      MULMERCONST S.A.                 0992108185001                                                  X
  71402      MEDIOS INTERACTIVOS MIWEBWORKS0992108347001
                                               S.A.                                                          X
 134990      EDITODO S.A.                     0992109378001                                                  X
 209879      CORRICHECSA CORRUGADOS CHILENOS ECUATORIANOS S.A.
                                              0992109386001                                                  X
 104700      ALONE S.A.                       0992109793001                                                  X
  87871      CRILARSA                         0992110945001                                                  X
  11650      CARROCERIAS BUSCARS KARINA BUSKARINA
                                              0992112611001                                                  X
  93981      CORPORACIÓN DE ASESORÍA Y DESARROLLO MICROEMPRESARIAL "ALBERTO VELA"
                                              0992115289001                                                  X
  62733      COMPAÑIA DE SERVICIOS ALIMENTICIOS COSERAL
                                              0992117397001                                                  X
  70505      AGROINDUSTRIAS DAJAHU S.A.       0992119748001                                                  X
   7770      ECUANOBEL S.A.                   0992121858001                                                  X
  65386      GERDELL S. A.                    0992122366001                                                  X
 222184      ECUDOS S.A.                      0992123117001                    X                                                    X
  86731      JNG DEL ECUADOR S.A.             0992124377001                                                  X
  84138      FZ CONSTRUCCIONES S.A.           0992124938001                                                  X
  55133      LIPROTEN S.A                     0992125144001                                                  X
  82873      KITTON S.A.                      0992125691001                                                  X
  25708      TELERADIO S.A.                   0992125705001                                                  X
 101186      ODUSA S.A.                       0992126175001                                                  X
 206540      PCJ & ASOCIADOS CIA. LTDA.       0992128070001                                                  X
 152373      ANDRES PERDOMO E HIJOS S.A.      0992128097001                                                  X
  36498      COINDOS S.A.                     0992130830001                                                  X
No                 No registra
                                                              No                    No registra   No
                                                                       No. registra                       registra      No.    indicadores
                                                            registra                provincia, registra
Persona_id              NOMBRE               No. ID (RUC)                 calle                           número      registra de ventas,
                                                            apellido                 cantón y   primer
                                                                        principal                         de calle     origen activos y/o
                                                            paterno                 parroquia nombre
                                                                                                          principal             empleados

  68955      UNIDAD ONCOLOGICA CANTONAL SOLCA DE SANTA ELENA
                                               0992134593001                                                 X
  66359      EXPODELTA S.A.                    0992135077001                                                 X
  34760      TRANSFERDATOS S. A.               0992136502001                                                 X
 270120      AGENCIA NAVIERA NAVELAT S.A.      0992139943001                     X
  22380      COMPU MARKET S.A. MARKETCOMPU 0992142103001                                                     X
  30981      ALEXSOFT S.A.                     0992142960001                                                 X
  30350      GASEC                             0992143576001                                                 X
   7411      PUNTO VERDE S.A. PUNVERSA         0992144904001                                                 X
   9906      AFGASA SA                         0992147164001                                                 X
  61943      ORTEGAFTER S.A.                   0992151692001                                                 X
  79173      YONALSA S.A.                      0992153725001                                                 X
   5289      SERVICIOS TECNOLOGICOS PARA LA ACUACULTURA
                                               0992154063001                                                 X
   9079      COMERGUR S.A.                     0992154985001                                                 X
   5113      GRANOTEC ECUADOR S.A. GRANOTECUA  0992155663001                                                 X
  12269      PORCOHESA S A                     0992155892001                                                 X
  85398      IMPORTADORA CHRIS SANTELLI S.A. 0992156252001                                                   X
  82462      MARYI S.A                         0992160063001                                                 X
 219658      FUNDACION MINISTERIO INTERNACIONAL DE SERVICIOS COMUNITARIOS-SECCION ECUADOR-MMI
                                               0992160969001                                                 X
  83835      INDUCOM IMPORTADORA INDUSTRIAL Y COMERCIAL
                                               0992162767001                                                 X
 175630      ASOCIACION ECUATORIANA DE INGENIERIA SANITARIA Y AMBIENTAL
                                               0992164301001                                                 X
 258828      INMOBILIARIA CISNEROS ESPINOZA S.A.
                                               0992165456001                                                 X
 115472      DISTRIBUCION Y REPRESENTACION YOMAR S.A.
                                               0992166002001                                                 X
  89203      FELBUR S. A.                      0992166568001                                                 X
 233096      SONFRI                            0992166789001                                                 X
  19746      DERLAN S.A.                       0992166967001                                                 X
  75780      TRAVIS S.A.                       0992167467001                                                 X
  31284      AEROMILITEC PARTS S. A.           0992167505001                                                 X
 169032      PERYES S.A.                       0992167882001                                                 X
  55646      COMPAÑIA SIELE S.A.               0992168943001                                                 X
 163480      AUTOLUBRICADORA G-3 S.A.          0992169702001                                                 X
   5514      CENTRO ACERO S.A.                 0992169982001                                                 X
No                 No registra
                                                              No                    No registra   No
                                                                       No. registra                       registra      No.    indicadores
                                                            registra                provincia, registra
Persona_id              NOMBRE               No. ID (RUC)                 calle                           número      registra de ventas,
                                                            apellido                 cantón y   primer
                                                                        principal                         de calle     origen activos y/o
                                                            paterno                 parroquia nombre
                                                                                                          principal             empleados

 175443      FUNDACION PARA CIEGOS ESPERANZA  0992170719001                                      X
 255321      FUNDACIÓN EDUCAR EN CRISTO       0992171677001                                      X
  87241      ASOCIACIÓN DE GRADUADOS DE LA ESCUELA DE AGRICULTURA DE LA REGIÓN TROPICAL HÚMEDA ECUADOR
                                              0992176652001                                      X
  38186      COELIT S.A. COMPAÑIA ELECTRICA DEL LITORAL
                                              0992176865001                                      X
  84546      REA MENDOZA JORGE HUMBERTO       0992176938001                                      X
 161906      WONG Y WONG, CONSULTORES ASOCIADOS, CIA. LTDA.
                                              0992177632001                                      X
   7724      APRACOM S.A.                     0992179155001                                      X
  52279      AUTORIDAD AEROPORTUARIA DE GUAYAQUIL FUNDACION DE LA M.I MUNICIPALIDAD DE GUAYAQUIL X
                                              0992179619001               X                                                         X
  80589      STRESS PRODUCCIONES Y EVENTOS STRESSPRO S.A.
                                              0992181672001               X       X              X
  62530      CONSTRUCTORA CONSPIBERSA S. A. 0992182431001                                        X
  96461      JUEZA S.A. "JUEZASA"             0992182571001                                      X
 265541      OPEVIAL S.A.                     0992182997001                                      X
  20885      KMOTOR SA                        0992183934001                                      X                                  X
 198437      TERMINAVES AGENCIA MARITIMA S.A. 0992184728001                                      X
   4121      MEDICINAS Y SUMINISTROS MEDICOS MESUME
                                              0992187301001                                      X
 178720      PARROQUIA ECLESIASTICA DE LA SANTISIMA TRINIDAD DE LA LIBERTAD
                                              0992198346001                                      X
 198249      CENTRO DE TRANSFERENCIA Y DESARROLLO DE TECNOLOGÍAS DE LA UNIVERSIDAD DE GUAYAQUIL CTT-UG
                                              0992198893001                                      X
  91903      CANCESA S.A.                     0992199970001                                      X
  28052      CERAMICAS Y MATERIALES LA ECONOMIA PENINSULAR S.A. CERMAPENSA
                                              0992202793001                                      X
 195862      CATILOK S.A.                     0992204044001                                      X
  69487      CENTRO DE EDUCACIÓN INTEGRAL     0992206896001                                      X
  39990      JERILEX S.A.                     0992209321001                                      X
  26669      VIRGETSY S.A.                    0992209933001                                      X
  47806      JORDISA S.A.                     0992213264001                                      X
  54714      ACRUXZA C.A.                     0992213647001                                      X
   7603      FAVETEX S.A.                     0992216298001                                      X
  91830      INFOPRONT S.A.                   0992219726001                                      X
 132348      UNCANI S.A.                      0992220074001                                      X
  81004      ECUAYUTONG S.A.                  0992221593001                                      X                                  X
  19634      LINSATA                          0992224355001                                      X
  53289      CORPUSLAB                        0992224533001                                      X
No                 No registra
                                                             No                    No registra   No
                                                                      No. registra                       registra      No.    indicadores
                                                           registra                provincia, registra
Persona_id              NOMBRE              No. ID (RUC)                 calle                           número      registra de ventas,
                                                           apellido                 cantón y   primer
                                                                       principal                         de calle     origen activos y/o
                                                           paterno                 parroquia nombre
                                                                                                         principal             empleados

  86616      FERRETERIA IVAN Y CELSO SOLIS S.A. 0992228504001                                               X
  35258      INMOBILIARIA UNICORNIO S.A.        0992228784001                                               X
  41153      CONSTRUCTORA CORONEL PARRA HNOS. S.A.
                                                0992228814001                                               X
  88613      CONSTRUCTORA JACKOS S.A.           0992229020001                                               X
  39789      ESTUDIOS Y CONSTRUCCIONES S.A. CONSTRUSTUDIOS
                                                0992229446001                                               X
  18688      EVOLUX                             0992229721001                                               X
  51644      CENTRO DE ARCHIVOS INFORMÁTICOS CENTRALFILE S.A.
                                                0992231041001                                               X
  70095      DEVIES CORP S.A.                   0992231092001                                               X
    821      VOICORP S.A.                       0992231270001                                               X
  10132      ALDEBERAN CIA LTDA                 0992234121001                                               X
 115943      NEGOCIOS GRÁFICOS GRAFINPREN S.A.  0992235950001                                               X
 113180      INTERNATIONAL SECURITY SERVICE "INSERSER C.LTDA"
                                                0992236442001                                               X
 239289      CEIBO CAPITAL LIMITED CEIBCAPITAL S.A.
                                                0992236582001                                               X                      X
 138797      SOCIEDAD DE LUCHA CONTRA EL CANCER DEL ECUADOR SOLCA
                                                0992238208001                                               X
 160859      CONSULTORES INTERNACIONALES ASOCIADOS C. LTDA
                                                0992238372001                                               X
   3601      GENSYSTEMS                         0992238402001                                               X
 248098      FUNDACIÓN PARA EL DESARROLLO ALTERNATIVO RESPONSABLE DE GALÁPAGOS
                                                0992239107001                                               X
  30126      PLAZA VILLAVICENCIO CONSULTORES 0992239115001
                                                CÍA. LTDA.                                                  X
 246224      ASOCIACION DE SALVAVIDAS           0992240644001                                               X
   6213      DISTRIBUIDORA DE VEHICULOS S.A. DIVESA
                                                0992240776001                                               X
  72142      DISTRIBUIDORA DE VEHICULOS S.A. DIVESA
                                                0992240776001        X                                      X                      X
  39456      ARTEOFI S. A.                      0992246472001                                               X
 120578      LA ESTACION S.A.                   0992247401001                                               X
 198898      COMAQ S.A.                         0992249609001                                               X
  33784      CONSTRUCTORA DEL RÍO S.A. CONDERSA 0992251514001                                               X
   8999      PEUCRO SA                          0992252146001                                               X
  85696      ECLIPSOFT S.A.                     0992253428001                                               X
  68517      DEFEN CIA LTDA                     0992253495001                                               X
 197936      PROMOLOGICS S. A.                  0992257156001                                               X
  81750      MARCANZA S.A.                      0992257350001                                               X
  98477      SETMABAS S.A.                      0992257504001                                               X
No                 No registra
                                                             No                    No registra   No
                                                                      No. registra                       registra      No.    indicadores
                                                           registra                provincia, registra
Persona_id              NOMBRE              No. ID (RUC)                 calle                           número      registra de ventas,
                                                           apellido                 cantón y   primer
                                                                       principal                         de calle     origen activos y/o
                                                           paterno                 parroquia nombre
                                                                                                         principal             empleados

  77079      ECUASERVIGLOBAL S.A.            0992257946001                                                  X
 109356      FUNDACION PRO-AMBIENTE          0992258268001                                                  X
 120532      AGRIPOWER S. A.                 0992258667001                                                  X
  42215      CONSMOR S.A.                    0992263555001                                                  X
 114663      CONSTRUFACIL S.A.               0992263806001                                                  X
 132820      CLUB NAVAL GUAYAQUIL            0992264810001                                                  X
 165089      CENTRO AUTOMOTRIZ HNOS TUAREZ S.A.
                                             0992272295001                                                  X
 189302      DEFARANA S.A.                   0992273151001                                                  X
  77456      CEGASERVICES S.A.               0992273399001                                                  X
  95400      ERLYVE S.A.                     0992275685001                                                  X
  10135      STECH                           0992279311001                                                  X
 149576      ALOMAGSA S.A.                   0992280026001                                                  X
 178313      LIDERCOMPANY S.A.               0992280778001                                                  X
   7022      AGENCIA ALEMANA DEL ECUADOR S.A.0992281545001
                                              AAE                                                           X
 167143      SERVIECSA S.A.                  0992283912001                                                  X
 164817      CONSORCIO ECUATORIANO PARA EL DESARROLLO DEL INTERNET AVANZADO
                                             0992284269001                                                  X
   9018      IMPRESICORP S. A.               0992286121001                                                  X
 221241      COMUNIWAY S.A.                  0992286296001                             X
 178006      FOLICY S.A.                     0992288574001                                                  X
  42582      GADERE S.A.                     0992294272001                                                  X
   2035      COMARSA                         0992294361001                                                  X
 241048      BRIOCOMPANY S.A.                0992298383001                                                  X
 205859      KAVIESTAR S.A.                  0992298391001                                                  X
 195688      VICRESI                         0992300531001                                                  X
 111074      CONSEJO EMPRESARIAL PARA EL DESARROLLO SOSTENIBLE DEL ECUADOR
                                             0992300574001                                                  X
  51233      CONSTRUCTORA GALAPAGOS COMPANY  0992302305001                                                  X
  56891      CONSORCIO IMPRESICORP           0992302356001                                                  X
 192033      CRASH CAR S.A.                  0992303476001                                                  X
 185033      DISGLOBAL S.A.                  0992303867001                                                  X
 212248      TERRALINDA                      0992304022001                                                  X
  12857      ANDINAGESTION                   0992304731001                                                  X
No                 No registra
                                                             No                    No registra   No
                                                                      No. registra                       registra      No.    indicadores
                                                           registra                provincia, registra
Persona_id              NOMBRE              No. ID (RUC)                 calle                           número      registra de ventas,
                                                           apellido                 cantón y   primer
                                                                       principal                         de calle     origen activos y/o
                                                           paterno                 parroquia nombre
                                                                                                         principal             empleados

  72345      CORPORACION PARA EL DESARROLLO0992306920001 CALIDAD ECUADOR
                                                Y TECNOLOGIA                                                X
  13713      CORPORACION EMPRESARIAL DE PROYECTOS COREMPRO SA
                                               0992308737001                                                X
  90983      VENSERMAX S.A.                    0992308893001                                                X
  52414      MEGACOMUNICATIONS S.A.            0992314079001                                                X
  54894      ORGELCORP                         0992314168001                                                X
  67883      CONSTRUCCIONESGMP S.A.            0992317965001                                                X
 228288      GUZETI S.A.                       0992319216001                                                X
  58018      MIGLIAMOTOR S.A.                  0992320036001                                                X
 199203      MALCA S.A.                        0992320389001                                                X
   7265      CIOGAMUL S.A.                     0992321563001                                                X
  97386      ERODATA S. A.                     0992324236001                                                X
  93138      SLEM SA                           0992328029001                                                X
 272638      CARNES Y FRIGORIFICOS CARFIG S. A.0992328665001                                                X
  26776      FIDEICOMISO FIADHOT               0992328711001                                                X
  33908      CASTEK S.A.                       0992329432001                                                X
   9082      SEGURIDAD Y SUPERVIVENCIA EN EL MAR AMSUMAR ECUADOR S. A.
                                               0992331461001                                                X
 210504      FRIDMANY S.A.                     0992331755001                                                X
 279480      PERSONAL VIP S.A.                 0992332697001                                                X
  35921      DARENY S.A.                       0992335912001                                                X
  56615      FERRETERIA CENTRAL GALAPAGOS C.A. 0992336234001                                                X
 171465       MEGAQUIN S.A.                    0992336633001                                                X
   7229      THEMAL DEL ECUADOR S.A. THERMECUADOR
                                               0992338245001                                                X
 258279      CONSTRUCCIONES CIVILES DEL ECUADOR S.A. CONCIESA
                                               0992338644001                                                X
  28016      BACPETROL S.A.                    0992338903001                                                X
  85867      GALAPAGOS OCEANDIESEL S.A.        0992340940001                                                X
  15703      ZAZAPRINT SA                      0992342587001                                                X
 231113      KOMSA S.A                         0992342803001                                                X
 172912      MFRA S.A.                         0992343192001                                                X
  46437      CONSTRUCTURA COHESCASA S.A        0992343281001                                                X
  49601      INTERNATIONAL SOLUTIONS VINAIRE S. A.
                                               0992345748001                                                X
  13962      INMOYA S A                        0992345888001                                                X
No                 No registra
                                                              No                    No registra   No
                                                                       No. registra                       registra      No.    indicadores
                                                            registra                provincia, registra
Persona_id              NOMBRE               No. ID (RUC)                 calle                           número      registra de ventas,
                                                            apellido                 cantón y   primer
                                                                        principal                         de calle     origen activos y/o
                                                            paterno                 parroquia nombre
                                                                                                          principal             empleados

  60202      CONSULTORIA & APOYO JASORHIN CIA. LTDA.
                                              0992346299001                                                  X
 164678      FIDEICOMISO LANDUNI              0992346817001                                                  X
 215222      MAXINVEST S.A                    0992347945001                                                  X
 224892      ECOELECTRIC S.A.                 0992350091001                                                  X
  59177      RADIO AMERICA STEREO S.A. RADAMETSA
                                              0992351454001                                                  X
 146519      CONGREGACION DE LAS RELIGIOSAS DE LA ASUNCION DEL ECUADOR
                                              0992354097001                                                  X
 224452      INSTITUTO SUPERIOR TECNOLOGICO DE ARTES DEL ECUADOR "ITAE"
                                              0992355395001                                                  X
 227849      ECONOCORP S.A                    0992356642001                                                  X
   6951      AMEIDY                           0992357762001                                                  X
  92867      PRIMERUS S.A.                    0992360097001                                                  X
 194858      INDUCTROC S.A.                   0992360399001                                                  X
   7396      ROOFTEC ECUADOR S.A.             0992362316001                                                  X
  63120      UTIMPOR S.A.                     0992362537001                                                  X
  16153      DITELME                          0992364327001                                                  X
 182644      POLINDUSTRIA S.A.                0992366257001                                                  X
    613      CLIMAPARTES S.A.                 0992367938001                                                  X
 126456      AYPA S.A.                        0992370351001                                                  X
  58299      CONSORCIO ILM-LAS IGUANAS        0992372613001                                                  X
 195120      SALUDINC S.A.                    0992372729001                                                  X
   1242      PUBLISA S.A.                     0992373105001                                                  X
  34540      PROENERGY S.A.                   0992373563001                                                  X
  60729      COMPAÑIA DE SERVICIOS CLEMENCIA BRAVO MENDOZA CLEMENLIGHT S.A.
                                              0992375213001                                                  X
 115745      GEOSERVICIOS S.A.                0992375787001                                                  X
 215359      MERLUZA (MERZA) S.A              0992376058001                                                  X
 153553      PICUDO (FITOP) S.A.              0992376066001                                                  X
  24416      IMPORTADORA Y DISTRIBUIDORA COMERCIAL INDUCOMICC S.A.
                                              0992376538001                                                  X
 169541      COREYPOL S.A. COMPAÑIA EL REY DEL POLLO S.A.
                                              0992377127001                                                  X
  16270      TARNOSKY SA                      0992378565001                                                  X
 215199      VISOLANTI S.A.                   0992378840001                                                  X
 157093      OIL BUSINESS S.A.                0992380357001                                                  X
 277801      CORPSOTSA S.A.                   0992380578001                                                  X
No                 No registra
                                                                No                    No registra   No
                                                                         No. registra                       registra      No.    indicadores
                                                              registra                provincia, registra
Persona_id               NOMBRE                No. ID (RUC)                 calle                           número      registra de ventas,
                                                              apellido                 cantón y   primer
                                                                          principal                         de calle     origen activos y/o
                                                              paterno                 parroquia nombre
                                                                                                            principal             empleados

 125002      ECUAVERDAD                        0992381272001                                                   X
  21402      GRAFICAS JALON ENAJA              0992381426001                                                   X
 107673      TELEFICAZ S.A.                    0992383291001                                                   X
  45638      AQUAGAMEX SA                      0992384638001                                                   X
  19344      INGENIERIA DE OBRAS S.A. INOBRASA 0992385324001                                                   X
 111901      TELTOTALCORP SA                   0992390751001                                                   X
 258268      FASECORP S.A.                     0992392169001                                                   X
 176534      VALVERDE & VALVERDE ABOGADOS C.0992392991001
                                                LTDA.                                                          X
  54996      URBANVERDE S.A.                   0992393807001                                                   X
  14040      ENSAMBLAJE PUERTAS METALICAS Y ESTRUCTURAS SA LS
                                               0992394390001                                                   X
 161818      ACEDIA                            0992394951001                                                   X
  79216      DESIGCORP                         0992396180001                                                   X
 170972      HACEB DEL ECUADOR S.A.            0992396849001                                                   X
 161719      DROMAYOR S.A.                     0992398442001                                                   X
  28925      OBRAVENTS S. A.                   0992399279001                                                   X
 135192      DUNESKY S.A.                      0992399295001                                                   X
 114674      CONSTRUCTORA NACIONAL SA CONSTRUCNACIONAL
                                               0992402342001                                                   X
 264189      GRANDMAR-CORP. S.A.               0992402598001                                                   X
 272721      COLINA NAVAS REPRESENTACIONES, SERVICIOS Y ASESORÍAS S.A.
                                               0992403217001                                                   X
  84050      COTRASCON S.A.                    0992403853001                                                   X
 157557      R&R CONSTRUCCIONES                0992404361001                                                   X
 160068      JARDINTE S.A.                     0992407190001                                                   X
  12592      TECNOLOGIA QUIMICA S A QUIMITECNOLOSA
                                               0992413050001                                                   X
 241017      PRODUXPEND S.A.                   0992414146001                                                   X
   9893      ACERUM                            0992415045001                                                   X
 103634      BARLOQUIL CIA. LTDA.              0992415215001                                                   X
 115715      FUNDACION DE ASISTENCIA SOCIAL Y ATENCION INTEGRAL A DISCAPACITADOS CISNE II
                                               0992417765001                                                   X
  98591      ADVANCED TECHNOLOGIES SOLUTIONS992418931001
                                               0                                                               X
 130958      DAVIMESA COMERCIAL IMPORT S.A. 0992420928001                                                      X
 259939      COMERCIALIZADORA ELECTRICA S.A. COMELEC.
                                               0992421150001                                                   X
  23565      SEÑATAP S.A. SEÑALIZACIONES TAPCO S.A.
                                               0992422629001                                                   X
No                 No registra
                                                              No                    No registra   No
                                                                       No. registra                       registra      No.    indicadores
                                                            registra                provincia, registra
Persona_id              NOMBRE               No. ID (RUC)                 calle                           número      registra de ventas,
                                                            apellido                 cantón y   primer
                                                                        principal                         de calle     origen activos y/o
                                                            paterno                 parroquia nombre
                                                                                                          principal             empleados

  72964      TECNI CONSTRU S.A.              0992424699001                                                   X
  58486      COMPAÑIA DISTRIBUIDORA PRIMATERIALES S.A.
                                             0992425873001                                                   X
 175380      FIDEICOMISO TITULARIZACION OMNIHOSPITAL
                                             0992426187001                                                   X
  68176      RICOPRO S.A.                    0992427019001                                                   X
  19108      GOLDYMAX S.A.                   0992427272001                                                   X
 177198      CIATRANSFAE S.A.                0992428090001                                                   X
  88474      CESARSA S.A.                    0992429232001                                                   X
  92126      MULTISERDIG CIA LTDA            0992430958001                                                   X
 180669      INSTITUTO TECNOLOGICO SUPERIOR DE FORMACION PROFESIONAL ADMINISTRATIVA Y COMERCIAL
                                             0992434090001                                                   X
 107324      SERVICIOS PORTUARIOS S. A.      0992434821001                                                   X
   1076      INTELLITY CONSULTING            0992434856001                                                   X
 178166      ECONOTRANS ECUADOR S.A.         0992434996001                                                   X
   8151      COMPAÑIA DE MAQUINARIAS PESADAS0992437952001
                                              MIGLIAMOTORSHEAVY INDUSTRIES S.A.                              X
 253960      ECUACAMINOS S.A.                0992440139001                                                   X
 166088      CITIKOLD S. A.                  0992441534001                                                   X
  39649      CONSTRUCTORA DE OBRAS CIVILES Y 0992442409001
                                              VIALES S.A.                                                    X
  52303      WORKCITY SA                     0992442751001                                                   X
  16155      DARIMCORP                       0992443219001                                                   X
  77904      HIDROESPOL                      0992443537001                                                   X
 112634      TRANSPACXIFIC S.A.              0992446048001                                                   X
   8197      PORKAGRO S.A.                   0992449306001                                                   X
 160283      C & T ASOCIADOS CIA. LTDA.      0992449535001                                                   X
 249199      GRUPENSY S.A.                   0992450770001                                                   X
 105379      SEGARTE S.A.                    0992450983001                                                   X
  88368      LIBITRACORP S. A.               0992451645001                                                   X
  63283      BM TOURS SA BMTOURS             0992452692001                                                   X
  66826      DUTXEL                          0992453125001                                                   X
  13856      STYLES TECHNOLOGY SA            0992453427001                                                   X
 171495      TECFORMATIC                     0992453524001                                                   X
   5307      TUBYTEK S. A.                   0992455586001                                                   X
  72582      PREMCOCAL S.A.                  0992456949001                                                   X
No                 No registra
                                                              No                    No registra   No
                                                                       No. registra                       registra      No.    indicadores
                                                            registra                provincia, registra
Persona_id              NOMBRE               No. ID (RUC)                 calle                           número      registra de ventas,
                                                            apellido                 cantón y   primer
                                                                        principal                         de calle     origen activos y/o
                                                            paterno                 parroquia nombre
                                                                                                          principal             empleados

 100499      MEGYLCORP S.A.                  0992461489001                                                   X
 141202      PLAYERA NETWORKS S. A. PLAYNET 0992461675001                                                    X
 242285      SUMINISTROS TOPOGRAFICOS S.A.   0992464143001                                                   X
 101372      MICROEMPRESA DE CONSERVACIÓN VIAL DATA DE VILLAMIL
                                             0992466170001                                                   X
 145771      TARGET COMPANY S.A.             0992466812001                                                   X
  23526      SUPERTECNIC S.A                 0992467061001                                                   X
  34479      INDUMARKETING S. A.             0992467533001                                                   X
 273959      PASFREI S.A.                    0992468335001                                                   X
 101361      KLIMDOZ SA                      0992469110001                                                   X
 132506      RUMARLENSES S.A.                0992470143001                                                   X
  69272      CONSTRUENERGY S.A               0992470534001                                                   X
  50463      YISAMAX S.A.                    0992471751001                                                   X
 277242      URBAFIX S.A.                    0992472324001                      X                            X           X
   4390      PLASTICHIME                     0992475587001                                                   X
  83462      CONSTRUCCIONES ANMAVER S.A.     0992476796001            X         X                            X
  15981      MIDASSA                         0992477237001                                                   X
 274448      MONTUFAR TORRES CIA LTDA        0992477903001                                                   X
  94175      CONSTRUPERSON S.A.              0992481013001                                                   X
  78919      PROVIMEDIC S.A.                 0992481501001                                                   X
  37566      STARDIGITAL                     0992482796001                                                   X
 257994      FUZIONLLANTAS S.A.              0992482893001                                                   X
 171908      SOLUCIONES CONTABLES Y TRIBUTARIAS
                                             0992483814001                                                   X
 118682      SOCIEDAD COMERCIAL RADIO NOTICIA0992485280001                                                   X
 251465      FIDEICOMISO MERCANTIL DURÁN OUTLET
                                             0992485825001                                                   X
 167247      DIAMOND CLUB S.A.               0992487240001                                                   X
  78353      INSTITUTO SUPERIOR TECNOLÓGICO "DE DESARROLLO INTEGRAL DE LA PERSONA"
                                             0992488107001                                                   X
  27591      UNIVERSIDAD TECNOLOGICA ECOTEC 0992489812001                                                    X
 191949      LIOMZER S.A                     0992490209001                                                   X
 104806      SIRCUS S.A.                     0992492538001                                                   X
 162009      FUNDACION MICROEMPRESARIAL SIN LIMITES
                                             0992492813001                                                   X
  88178      UTYCSA S.A                      0992493437001                                                   X
No                 No registra
                                                               No                    No registra   No
                                                                        No. registra                       registra      No.    indicadores
                                                             registra                provincia, registra
Persona_id               NOMBRE               No. ID (RUC)                 calle                           número      registra de ventas,
                                                             apellido                 cantón y   primer
                                                                         principal                         de calle     origen activos y/o
                                                             paterno                 parroquia nombre
                                                                                                           principal             empleados

 162016      PROYECTO5 S.A. PROYE5            0992493828001                                                   X
 219666      DANTOKA S.A.                     0992494085001                                                   X
  59575      ENGOROY TOUR S.A                 0992494433001                                                   X
   1410      OFISTORE S.A.                    0992495146001                                                   X
  26965      MILOVAN                          0992496541001                                                   X
  58591      PLATINUM TRAVEL AGENCIES         0992497955001                                                   X
 135009      MARKETAGTE PLUS S.A.             0992498080001                                                   X
  72602      TRANSJIRAV S.A                   0992499206001                                                   X
 269044      COMPAÑÍA DE SERVICIOS AUTONOMOS PRIVADO Y PÚBLICO 10 DE AGOSTO S.A.
                                              0992499451001                                                   X
 141135      CREATISERVICE S.A.               0992500719001                                                   X
   8186      EZONE                            0992502649001                                                   X
 126453      JUNTA CANTONAL DE MILAGRO DE LA CRUZ ROJA ECUATORIANA
                                              0992505850001                                                   X
  28201      GALAPAGOS RADIANTE               0992506709001                                                   X
  18814      BOLINGAR SA                      0992507675001                                                   X
  10115      INMOBILIARIA MONTOYA SA          0992507799001                                                   X
 130729      SOLSERVICE S.A                   0992508442001                                                   X
 213038      MARKFISH S.A                     0992510935001                                                   X
 222282      TURNER S.A.                      0992511915001                                                   X
 199105      GASPYCONT S. A                   0992512067001                                                   X
  42798      SOLUCIONES INTEGRALES INDUSTRIALES DILMECSA S.A
                                              0992512652001                                                   X
 238742      BOLTYMAR IMPORTACION             0992514469001                                                   X
  59048      KM ILUMINACION S.A. MEGASHOW     0992515821001                                                   X
 198540      CLINICA SAN VICENTE CLINSAVIC SA 0992516569001                                                   X
 177100      CENTRO DE TRANSFERENCIAS Y DESARROLLO DE TECNOLOGIAS
                                              0992517484001                                                   X
 251886      SERINTU S.A.                     0992519215001                                                   X
  63209      SONOCARE S.A.                    0992519738001                                                   X
  94654      DESTENTI                         0992522011001                                                   X                      X
 181423      CONSTRUCTORA MALUSIN CIA. LTDA. 0992522224001                                                    X
  31980      IMPORMILLON S.A.                 0992522852001                                                   X
 271887      LECSAPRON S.A.                   0992522976001                                                   X
 130404      GUAYSERVICE S. A.                0992523484001                                                   X
No                 No registra
                                                               No                    No registra   No
                                                                        No. registra                       registra      No.    indicadores
                                                             registra                provincia, registra
Persona_id               NOMBRE               No. ID (RUC)                 calle                           número      registra de ventas,
                                                             apellido                 cantón y   primer
                                                                         principal                         de calle     origen activos y/o
                                                             paterno                 parroquia nombre
                                                                                                           principal             empleados

  55708      DISEÑOS Y CONSTRUCCION            0992523824001                                                  X
 230113      ASOCONSULTORES C. LTDA.           0992524375001                                                  X
 184600      MOLDOVIA S.A.                     0992525126001                                                  X
  66586      GERENCIA DEL PODER                0992525355001                                                  X
 203875      MUNTARI S.A.                      0992527196001                                                  X
 114974      AISLAPOL S.A. AISLANTES POLITERMICOS
                                               0992528400001                                                  X
  72029      AQUATIC TECHNOLOGY S.A.           0992528435001                                                  X
    698      ACCEQUIP DEL ECUADOR S. A.        0992528974001                                                  X
  42843      UIPPSI,UNIDAD INTERNACIONAL DE PROTECCIÓN PERSONAL Y SERVICIOS DE INFORMACIÓN S.A.
                                               0992529245001                                                  X
  13810      AHORASERVI                        0992529725001                                                  X
 269799      PROMOTORA DE BIENES INMUEBLES PRODEBIEN S.A.
                                               0992530243001                                                  X
 153992      PROCISA ECUADOR S.A.              0992530448001                                                  X
 196818      MALICE S.A.                       0992531010001           X           X                          X
 192679      COPAGRIN                          0992531649001                                                  X
  10902      VELASCO QUINTERO OBRAS Y PROYECTOS0992532564001                                                  X
  94710      ECUAMENUS S.A.                    0992533080001                                                  X
  70740      VIGIACORP                         0992533463001                                                  X
  56944      INMOMAXI S.A.                     0992533749001                                                  X
 140908      DUTY PAID S.A. DUPASA             0992535091001                                                  X
  71532      DIMENSION VERDE S.A. DIMENVERSA 0992536748001                                                    X
  93414      CADERAUTO                         0992536810001                                                  X
 119885      COMERCIAL MOLINA PROAÑO S.A. CMP  0992538716001                                                  X
  32763      LIAISON S.A                       0992539674001                                                  X
 119731      EDME S.A.                         0992541555001                                                  X
 168235      CORPSTRANGER S.A.                 0992542497001                                                  X
   8330      EXPERTSERVI                       0992542721001                                                  X
 125337      RITUSER S. A.                     0992542896001                                                  X
 119196      SOBALCORP S.A.                    0992543019001                                                  X
  46179      CONSORCIO PUENTES, MUELLES Y PUERTOS, PMP
                                               0992544058001                                                  X
  16885      ODENSE                            0992544899001           X                                      X
  79897      TRADENEGO S.A.                    0992545070001                                                  X
No                 No registra
                                                                No                    No registra   No
                                                                         No. registra                       registra      No.    indicadores
                                                              registra                provincia, registra
Persona_id               NOMBRE                No. ID (RUC)                 calle                           número      registra de ventas,
                                                              apellido                 cantón y   primer
                                                                          principal                         de calle     origen activos y/o
                                                              paterno                 parroquia nombre
                                                                                                            principal             empleados

  16922      DUMIAN                          0992545216001                                                     X
  83108      SYSTEMDIGITAL S.A               0992545550001                                                     X
  76907      SERVICEMANIA                    0992546069001                                                     X
  76938      TECNISOLIDA                     0992552271001                                                     X
 133797      DICOMSPROC                      0992552417001                                                     X
 206799      FAYRUZ SA                       0992553847001                                                     X
 273136      LIBRIGUAYAS S.A.                0992554134001                                                     X
  17129      IMPESO S.A.                     0992555653001                                                     X
  87401      ASOCIACION SAN VICENTE          0992555904001                                                     X
 225883      ARNEBUK S.A.                    0992555998001                                                     X
 252855      CIMERCONSA S.A                  0992556080001                   X            X                    X
 163752      CONSTRUCCIONES CIVILES          0992556269001                                                     X
  19444      COASTMAN ECUADOR CONSULTORA CIA LTDA.
                                             0992556447001                                                     X
  97714      MUNDANUS ECUADOR S.A            0992556889001                                                     X
 196369      TELENLACES SISTEMAS Y TELECOMUNICACIONES S.A.
                                             0992558601001                                                     X
  37489      VERIAMTI SA                     0992559195001                                                     X
  54395      ASOCIACION DE CONSERVACION VIAL SAN ISIDRO
                                             0992560215001                                                     X
  71524      IPSOMARY S.A.                   0992560665001                                                     X
  16180      OVCONS                          0992561599001                                                     X
 171214      ASOCIACION DE SOLDADORES ASME Y0992563842001
                                              ANEXO A.S.A.Y.A.                                                 X
 243390      COMERCIALIZADORA NARANJAL S.A. EPU
                                             0992564202001                                                     X
 186595      BIOANDINA S.A                   0992564385001                                                     X
 245048      ECO RECICLA S.A.                0992565691001                                                     X
 125059       LEXNIMEX S.A.                  0992566272001                                                     X
  52301      VOYPACK S.A.                    0992569409001                                                     X
  56253      NEGYGAME S.A.                   0992570644001                                                     X
 231120      ORLANDO & NIETO CONSTRUCCIONES 0992571470001
                                              S.A. ORNICONSA                                                   X
  56322      STOREBIAN S.A.                  0992571543001                                                     X
  55717      ASOGLOBAL S.A.                  0992571764001                                                     X
  69645      WOQUI S.A.                      0992572833001                                                     X
  93612      AMERICAN TECHNICAL SOLUTIONS DEL ECUADOR S.A.
                                             0992573880001                                                     X
No                 No registra
                                                             No                    No registra   No
                                                                      No. registra                       registra      No.    indicadores
                                                           registra                provincia, registra
Persona_id              NOMBRE              No. ID (RUC)                 calle                           número      registra de ventas,
                                                           apellido                 cantón y   primer
                                                                       principal                         de calle     origen activos y/o
                                                           paterno                 parroquia nombre
                                                                                                         principal             empleados

  70715      ZEOLEXPORT S.A.                  0992575050001                                                 X
  43195      ICORCORP S.A.                    0992577142001                                                 X
 133985      CALANS DEL ECUADOR S             0992578262001                                                 X
  33716      SERINMEC S.A.                    0992579404001                                                 X
 131900      EMSERCOM                         0992581514001                                                 X
 254484      VITAMINAH S.A.                   0992582413001                                                 X
 238790      PROSECURITY CIA.LTDA.            0992582642001                                                 X
 177296      STRUCSACORP S.A.                 0992582715001                                                 X
 131028      MAXIMA COMPANY SA                0992583401001                                                 X
 179035      PAINTECUADOR S.A.                0992584025001                                                 X
 137385      MECIND                           0992585404001                                                 X
 222348      ENGITECH S.A.                    0992586044001                                                 X
  68946      FONMAXSA S.A.                    0992588179001                                                 X
 158626      AFITGER S.A.                     0992589078001                                                 X
 132087      INSTALASA TECNOFIRE S.A (INSTECNO)
                                              0992589256001                            X
  74529      INDICO S.A                       0992590084001                                                 X
  93582      MEDICALPLUS S.A.                 0992591323001                                                 X
  83068      POLISERVITEC S.A.                0992591471001                                                 X
 228394      FIDEICOMISO CIUDAD VALENCIA      0992591994001                                                 X
 107582      ZAZALED S.A.                     0992592362001                                                 X
 204788      DESARROLLO INMOBILIARIO & CONSTRUCCIONES DEICONSA S.A.
                                              0992592850001                                                 X
  84371      J.CORP S.A.                      0992592915001                                                 X
  90271      EQUIPOS Y RENTAS, EQUIRENT S.A. 0992594020001                                                  X
 220386      CEVARSA S.A.                     0992594624001                                                 X
 249178      DATA DISPATCH SYSTEMS S.A. DDS   0992595523001                                                 X
 106873      GYOCART S.A.                     0992598360001                                                 X
 136194      CNELSANTAELENA                   0992598468001                                                 X
 229665      ELADREP S.A.                     0992598743001                                                 X
 111148       FACTOR VERDE VERFACTOR CIA LTDA 0992599235001                                                 X
 115162      CONSTRUCTORA Y CONSULTORA SERRANO AMAYA CONSSERAMA S.A.
                                              0992600101001                                                 X
 125075      SERVICIOS PROFESIONALES ELECTRICOS S.A.
                                              0992600500001                                                 X
No                 No registra
                                                               No                    No registra   No
                                                                        No. registra                       registra      No.    indicadores
                                                             registra                provincia, registra
Persona_id               NOMBRE               No. ID (RUC)                 calle                           número      registra de ventas,
                                                             apellido                 cantón y   primer
                                                                         principal                         de calle     origen activos y/o
                                                             paterno                 parroquia nombre
                                                                                                           principal             empleados

 155581      CONSTRUCTORA Q3 S.A.             0992603992001                                                   X
 187991      SELUMIEL S.A.                    0992606061001                                                   X
 147761      FUNDACION GRATITUD A LA VIDA     0992606592001                                                   X
 246236      MIRANOVIC S.A.                   0992614102001                                                   X
 214318      ENCALEGA S.A.                    0992614420001                                                   X
 236198      CIA. CEDEMASA                    0992614714001                                                   X
 180499      COMERCIAL LOS PEPILLOS S.A.      0992616180001                                                   X
 245597      SISMEING SISTEMAS MECANICOS E INGENIERIA S.A.
                                              0992616881001                                                   X
 171080      RIQUEZACORP                      0992616962001                                                   X
 164212      ELECTCONSTRU                     0992617365001                                                   X
 210195      CONCRECASA S.A.                  0992618574001                                                   X
 169836      POLICONSTRUC S.A.                0992620609001                                                   X
 264794      SCHWENKE INCORPORATED S.A.       0992625775001                                                   X
 199297      GALAQUIM S.A.                    0992626461001                                                   X
 247655      TRACTOLITORAL CIA. LTDA.         0992627778001                                                   X
 200053      ENVIRONMENTAL PRODUCTS & ADVICE S.A.
                                              0992628170001                                                   X
 230191      PLASTIELECTRIC S.A.              0992630620001                                                   X
 235579      ECUADOR HOLISTICO ECUAHOLIS SA 0992631090001                                                     X
 204194      QLIMPIO S.A.                     0992631848001                                                   X
 274994      VALLE COMPAÑIA AGRICOLA S.A. VALLECOMSA
                                              0992633468001                                                   X
 213790      CONSTRUFUSION S.A.               0992633603001                                                   X
 206618      SEOBCI S.A.                      0992634162001                                                   X
 214090      DELTAPOWER S.A.                  0992634197001                                                   X
 207602      BLACKBOXMEDIA S.A.               0992634723001                                                   X
 210402      TRINERGYTECH                     0992635193001                                                   X
 216901      RISOFLIN S.A.                    0992635509001                                                   X
 208485      CONSORCIO EQUIRENT-OSS           0992636165001                                                   X
 217795      NEXUSCOMPANY                     0992636238001                                                   X
 210367      CONCREFUTURO S.A.                0992636661001                                                   X
 220276      HEMARU S.A.                      0992637692001                                                   X
 225255      CIDIMER COMPAÑÍA DSITRIBUIDORA Y 0992637846001
                                              COMERCIALIZADORA MERCANTIL S.A.                                 X
No                 No registra
                                                                No                    No registra   No
                                                                         No. registra                       registra      No.    indicadores
                                                              registra                provincia, registra
Persona_id               NOMBRE                No. ID (RUC)                 calle                           número      registra de ventas,
                                                              apellido                 cantón y   primer
                                                                          principal                         de calle     origen activos y/o
                                                              paterno                 parroquia nombre
                                                                                                            principal             empleados

 217982      RDM REPRESENTACIONES Y DISTRIBUCIONES MILENIO S.A
                                               0992639083001                                                   X
 216406      INFOSISTEMAS S.A.                 0992639121001                                                   X
 221744      J Y M CONSULTORIAS Y SERVICIOS C.A. (JYMCA)
                                               0992640251001                                                   X
 223716      RIBAS CONSULTING CIA. LTDA.       0992641002001                                                   X
 226524      FUNDACION PARA EL DESARROLLO INTEGRAL GRAN CLAN
                                               0992642351001                                                   X
 240258      LEGAL ECUATORIANA DE AUDITORÍA-NEGOCIOS, AUDITORÍA LEGAL S.A. AUDILEGAL
                                               0992642882001                                                   X
 227943      ASOCIACION ALLMIGHTY LATIN KING QUEEN NATION ECUADOR
                                               0992644559001                                                   X
 233532      CONTROL TOTAL S.A. CONTROTALSA 0992646764001                                                      X
 266682      CEPRIVAP S. A.                    0992647043001                                                   X
 252823      CARGOLOGIC, CARGA LOGISTICA S.A. 0992647205001                                                    X
 242741      BRONJE SA                         0992650028001                                                   X
 242427      MACHINESCORP S.A.                 0992651881001                                                   X
 247920      LUINESA                           0992655224001                                                   X
 258199      PROVEEDOR MUNDIAL, PROMUNDI S.A. 992655925001
                                               0                                                               X
 253152      PIÑOLE S.A.                       0992657006001                                                   X
 257064      CONSORCIO AVECAN-COG              0992657367001                                                   X
 264311      OSTEOAMERICA HEALTH SOLUTIONS, OSTEOAMERICA
                                               0992658029001                                                   X
 256520      DARSA S.A.                        0992659017001                                                   X
 260219      G8 CONSTRUCCIÓN, MONTAJE & LOGISTICA DE LINEAS PETROLERAS CIA.LTDA
                                               0992660090001                                                   X
 272307      AGUA TOTAL S.A. AGUTALSA          0992663146001                                                   X
 277777      COMPANY CLEANING SERVICE S.A. COMCLESERVICE
                                               0992665319001                                                   X
 272701      ASOCIACION DE PRODUCTORES AGROPECUARIOS LA NUEVA FORTUNA
                                               0992665882001                                                   X
 274925      MCFLY MCSA S.A.                   0992665971001                                                   X
 275009      CONGRAINS S.A.                    0992667540001                                                   X
 270461      CONSORCIO BELFI - CIPORT          0992667702001                                                   X
 274728      CEPADOR S.A.                      0992669594001                                                   X
 252176      SANTOS CARCELEN SEGUNDO GERMAN000061430001
                                               1                                                               X
 135090      BEDON AGUIRRE JOSE AURELIO        1000069581001                                                   X
 201871      TORRES CLAVIJO SEGUNDO MANUEL ENRIQUE
                                               1000079028001                                                   X
 267523      LOPEZ RIOS MARIA HORTERNCIA       1000087880001                                                   X
 162072      ROMO BURGOS SEGUNDO JAIME         1000088425001                                                   X
No                 No registra
                                                               No                    No registra   No
                                                                        No. registra                       registra      No.    indicadores
                                                             registra                provincia, registra
Persona_id              NOMBRE                No. ID (RUC)                 calle                           número      registra de ventas,
                                                             apellido                 cantón y   primer
                                                                         principal                         de calle     origen activos y/o
                                                             paterno                 parroquia nombre
                                                                                                           principal             empleados

  72319      GUERRA ARMAS WILSON ANIBAL     1000093540001                                                     X
  50129      IZA CHILIQUINGA ALFREDO        1000100683001                                                     X
  20379      VILLARRUEL BURBANO JOSE RAUL   1000100899001                                                     X
 164876      SALAZAR GUERRERO LUIS GILBERTO 1000112191001                                                     X
 118263      MORA MEDIAVILLA CESAR RAUL     1000113272001                                                     X
 121361      CARRILLO VARGAS MARIO ALFREDO 1000117786001                                                      X
 227228      MOSCOSO CAÑADAS HERNAN RAMIRO1000127926001                                                       X
 142079      PONCE TAPIA JORGE ENRIQUE      1000128833001                                                     X
 260649      FARINANGO LEMA JOSE            1000129419001                                                     X
 147108      BORJA PAREDES JORGE HERIBERTO 1000220457001                                                      X
 155543      RUIZ DAVILA CESAR ANTONIO      1000221760001                                                     X
 165331      RUEDA BURBANO GUILLERMO ALBERTO000250413001
                                            1                                                                 X
  90585      CUPUERAN GONZALO EFRAIN        1000321768001                                                     X
  58706      BONILLA BÁEZ MIGUEL ANGEL      1000327161001                                                     X
 133065      CHECA FARINANGO JOSE ELIAS     1000386589001                                                     X
 179413      ACELDO SALCEDO JOSE MGUEL      1000388775001                                                     X
 152616      VILLOTA RUALES LUIS ALFONSO    1000431500001                                                     X
 206733      CEPEDA UNIGARRO LUIS GILBERTO 1000441152001                                                      X
 274003      SÁNCHEZ SALTOS LUIS FABIÁN     1000498566001                                                     X
 144306      NINGUNO BURBANO ANTONIO MANUEL1000515260001                                                      X
 240229      PULLOPAXI BRONCANO MANUEL MARIA1000548048001                                                     X
 234775      BUCHELI OÑATE HUMBERTO ANIBAL 1000557502001                                                      X
 206168      CHALA CRUZ VICTOR HUGO         1000558062001                                                     X
 130885      ORTIZ RIVADENEIRA JOSE RAFAEL  1000561447001                                                     X
 145105      YASELGA ANDRADE LUIS OSWALDO 1000563260001                                                       X
 252181      DELGADO CRIBAN NORBERTO        1000584647001                                                     X
 120122      INGA PASTAZ CLARA ELISA        1000607331001                                                     X
 101921      MARANON LOOR JUAN AMABLE       1000610632001                                                     X
  71477      AGUILAR POZO RAMIRO VICENTE    1000611960001                                                     X
 144150      LARA ALBA JUAN DE DIOS         1000662534001                                                     X
 243874      TORRES PASTILLO JOSE MIGUEL    1000666915001                                                     X
No                 No registra
                                                                No                    No registra   No
                                                                         No. registra                       registra      No.    indicadores
                                                              registra                provincia, registra
Persona_id               NOMBRE                No. ID (RUC)                 calle                           número      registra de ventas,
                                                              apellido                 cantón y   primer
                                                                          principal                         de calle     origen activos y/o
                                                              paterno                 parroquia nombre
                                                                                                            principal             empleados

 259653      VENEGAS RIVERA MARÍA MAGDALENA 1000667608001                                                      X
  93722      BOLAÑOS FLORES JUAN              1000695799001                                                    X
 136959      SATAMA JIMBO OLGA VICTORIA       1000701829001                                                    X
  85743      LOPEZ MONTESDEOCA OLGA LIDIA     1000703387001                                                    X
 242373      CONGO GARCIA SEGUNDO LEONARDO1000726388001                                                        X
 112205      LEON MARIA MARIETA               1000739274001                                                    X
 250416      POZO CHAMORRO SEGUNDO EMILIO 1000746584001                                                        X
  34504      RODRÍGUEZ UBIDIA FAUSTO GONZALO1000762516001                                                      X
 278384      QUITO QUILCA BLANCA MARIA MAGDALENA
                                              1000765006001                                                    X
 118707      ERAZO ESTEVEZ MARTHA MAGDALENA   1000776540001                                                    X
 244745      LEMA AYALA MARCO RODRIGO         1000776946001                                                    X
  95232      PIJAL TOCAGON LUIS ENRIQUE       1000780583001                                                    X
 271648      ANDRADE ESCOLA CAMILO OSWALDO 1000782969001                     X            X                    X           X
  78484      SIMBA PORTILLA JULIO CESAR       1000783603001                                                    X
 161750      REYES TERAN NELSON GUILLERMO     1000789022001                                                    X
 122903      PUMA CUASQUI LUIS ALFONSO        1000794337001                                                    X
 123092      URBANO CASTILLO JAIME ARMANDO 1000796316001                                                       X
 205914      MAFLA PORTILLA LUIS GALVE        1000797371001                                                    X
 196930      QUILUMBA GUAJAN JOSE ANDRES      1000798247001                                                    X
 241946      BRITO ARIAS ANA ROCIO DE LOS ANGELES
                                              1000798536001                                                    X
  51297      DE LA TORRE AMAGUAÑA LUIS ALBERTO1000803039001                                                    X
 261215      NARVAEZ GONZALEZ CAMPO ELIAS     1000805984001                                                    X
 197873      CARRERA SIMBAÑA ZOILA MATILDE    1000815066001                                                    X
 252024      RIVERA ROMERO HECTOR ANGEL       1000824076001                                                    X
 141168      CEVALLOS SEVILLA LUIS ERNESTO    1000838258001                                                    X
 160592      POSSO ANDRADE MARCO PATRICIO 1000841393001                                                        X
 193159      FLORES VARELA MANUEL ALFREDO 1000853141001                                                        X
  32507      TAFUR JARAMILLO GERMAN ALFONSO 1000862290001                                                      X
  58814      GUERRERO SUÁREZ JAIME BOLÍVAR 1000871739001                                                       X
 258142      MORALES GUZMAN JOSE ELIAS        1000872166001                                                    X
 112302      CARDENAS FUENTES SEGUNDO ESTEBAN 1000876241001                                                    X
No                 No registra
                                                               No                    No registra   No
                                                                        No. registra                       registra      No.    indicadores
                                                             registra                provincia, registra
Persona_id               NOMBRE               No. ID (RUC)                 calle                           número      registra de ventas,
                                                             apellido                 cantón y   primer
                                                                         principal                         de calle     origen activos y/o
                                                             paterno                 parroquia nombre
                                                                                                           principal             empleados

 268419      CAMPUES TOCAGON VICTOR MANUEL 1000881001001                                                      X
 201534      CACHIGUANGO FICHAMBA JOSE LUIS ALFONSO
                                             1000884088001                                                    X
  24075      POSSO LOPEZ RUTH CECILIA        1000887040001                                                    X
 112969      PÉREZ ALBUJA LUIS PATRICIO      1000907681001                                                    X
  66570      ANDRADE RAMIREZ JULIO ALFONSO 1000918639001                                                      X
  45205      NARANJO LÓPEZ MARÍA CRISTINA    1000929941001                                                    X
  52087      CHICAIZA CHIRIBOGA CESAR ENRIQUE1000930261001                                                    X
 174884      GUERRA GUDIÑO LUIS ALFONSO      1000931376001                                                    X
  89235      GUANOLUISA FARFAN MILTON        1000932648001                                                    X
 231425      CIFUENTES CIFUENTES LUIS HONORIO1000935898001                                                    X
 135613      YÉPEZ GARCIA CARMEN YOLANDA     1000949071001                                                    X
 118339      CARDENAS BLANCA ESPERANZA       1000961266001                                                    X
 228579      VILLAREAL CADENA PASTORA NOEMI 1000964450001                                                     X
 112891      PERUGACHI GRANADA MARIA PASTORA 1000969285001                                                    X
  22325      TERAN MORALES CESAR ROLANDO     1000972842001                                                    X
  63271      FUENTES RIVERA JUAN FRANCISCO 1000981314001                                                      X
 144080      ALMEIDA JIMENEZ DARWIN HERNAN 1000985612001                                                      X
 144643      CARRION ALBUJA EDWIN AGUSTIN    1000985802001                                                    X
  40046      YÉPEZ ROSERO EDISON PATRICIO    1000999464001                                                    X
 134216      BARRERA ALMEIDA LUIS EDUARDO    1001001286001                                                    X
 255791      BETANCOURT PERUGACHI VITELMA ANGELITA
                                             1001001708001                                                    X
  76546      GUEVARA MONTALVO SEGUNDO GERMAN 1001002177001                                                    X
 254283      REVELO CHAMORRO LUIS EDELBERTO1001011715001                                                      X
 154747      MERA PLACENCIA JUDITH RAQUEL    1001012374001                                                    X
  99012      PUMA GUERRERO JUAN CRISTOBAL 1001013331001                                                       X
  48627      GERMÁN                          1001017910001                                                    X
  50729      NELSON                          1001038346001                                                    X
 167186      BENAVIDES MORA MARCO VINICIO    1001044344001                                                    X
 229337      GRIJALVA TAMAYO CESAR ANTONIO 1001047446001                                                      X
 144432      FERNANDEZ SANCHEZ JOSE MARIA    1001057338001                                                    X
 187473      GUERRERO FUENTES JOSÉ ELÍAS     1001058336001                                                    X
No                 No registra
                                                               No                    No registra   No
                                                                        No. registra                       registra      No.    indicadores
                                                             registra                provincia, registra
Persona_id               NOMBRE               No. ID (RUC)                 calle                           número      registra de ventas,
                                                             apellido                 cantón y   primer
                                                                         principal                         de calle     origen activos y/o
                                                             paterno                 parroquia nombre
                                                                                                           principal             empleados

  50994      CARDENAS EGAS MANUEL CERVANDO 1001061769001                                                      X
 115881      CHEZA TARAPUEZ SEGUNDO ARTEMIO1001062031001                                                      X
 198275      SUAREZ BERNARDO SEGUNDO DEOMEDES1001064797001                                                    X
 255445      ROSERO HURTADO SEGUNDO ROSALINO 1001070737001                                                    X
  76474      CADENA VILATUNA LUIS CRISTOBAL 1001076734001                                                     X
 257148      EGAS ANANGONO CRUZ ELIAS        1001079357001                                                    X
  91929      YASELGA YASELGA GUSTAVO         1001087889001                                                    X
 235845      TAPIA URBINA ARTURO FABIAN      1001090438001                                                    X
  70325      SUBIA SUBIA PABLO MARCELO       1001097383001                                                    X
 272786      GUERRON MUÑOZ GANDHY LOMBARDO   1001101250001                                                    X
 165732      ESPINOZA BURBANO MARCO VINICIO 1001101326001                                                     X
 138125      AYALA QUILCA EDGAR PATRICIO     1001112067001                                                    X
 166529      PANTOJA TECA OLGA PIEDAD        1001115748001                                                    X
 111868      TORRES CLAVIJO SILVIO ROSENDO   1001121431001                                                    X
 224721      HUERA CUACES ROSA IMELDA        1001164225001                                                    X
 115344      TERAN JATIVA JOSEFINA MAGDALENA 1001165644001                                                    X
 120244      PAVON TRUJILLO JULIO CESAR      1001167822001                                                    X
  87194      LOPEZ ANDRADE LUIS FERNANDO     1001185790001                                                    X
 109592      CALDERON MARTINEZ JOSE LEVI     1001187176001                                                    X
 264663      LARA MARTINEZ CARMEN MAGDALENA1001187424001                                                      X
 117224      MORAN ALMEIDA EDGAR HIPOLOTO 1001188349001                                                       X
 132592      MORENO HARO JORGE ADRIANO       1001188604001                                                    X
 138639      RUIZ GALLEGOS JOSÉ IGNACIO      1001189917001                                                    X
 112252      QUILUMBAQUI GUANDINAGO MESIAS MANUEL
                                             1001193869001                                                    X
  93092      CHAVEZ LUIS RUPERTO             1001199742001                                                    X
 242364      DELGADO PABON LIDIA MARIA       1001202769001                                                    X
 268719      CASA PONCE TERESA JUDITH        1001205556001                                                    X
 256376      PERUGACHI QUILUMBAGO NARCISO 1001206554001                                                       X
  66109      HARO NARVAEZ SILVIO OLMEDO      1001218427001                                                    X
 120363      MONTALVO PAREDES JUAN ESTEWER 1001219029001                                                      X
 220998      ALARCÓN CALDERÓN MANUEL EDUARDO 1001220613001                                                    X
No                 No registra
                                                               No                    No registra   No
                                                                        No. registra                       registra      No.    indicadores
                                                             registra                provincia, registra
Persona_id              NOMBRE                No. ID (RUC)                 calle                           número      registra de ventas,
                                                             apellido                 cantón y   primer
                                                                         principal                         de calle     origen activos y/o
                                                             paterno                 parroquia nombre
                                                                                                           principal             empleados

 248676      ZAMBRANO CISNEROS LUIS ALEJANDRO
                                            1001224672001                                                     X
  64077      KRALJEVIC PINTO SHTEFKO MARIO  1001225539001                                                     X
  33492       JACINTO                       1001230752001                                                     X
 250824      URCUANGO ESCOLA RAUL VICENTE 1001233178001                                                       X
 221591      LEON NOVOA AURELIO             1001233517001                                                     X
  85735      CHUQUÍN YÉPEZ OSWALDO RODROGO1001236981001                                                       X
  71655      SUGULI CABASCANGO JOSE RAFAEL 1001240215001                                                      X
 105539      TUQUERREZ MAIGUA JOSÉ MARÍA    1001242260001                                                     X
 150499      BAEZ ESPINOSA LUIS PATRICIO    1001245370001                                                     X
 140508      MENDEZ CEVALLOS WILSON ABDON 1001249026001                                                       X
  54946      MOSQUERA LOPEZ MARCELO PATRICIO1001250446001                                                     X
 155874      SUQUILLO CAIZA JUAN JOSE       1001252277001                                                     X
 226445      JATIVA LUNA GLADYS MARGARITA   1001258779001                                                     X
 211705      TORRES SIERRA VICENTE MARCELO 1001273158001                                                      X
 109359      GOMEZ TORRES LEONIDAS ISAAC    1001280393001                                                     X
 178427      TAPIA GONZALEZ JOSE ELIAS      1001281755001                                                     X
  57901      PUPIALES ANGAMARCA LUIS ALBERTO1001285178001                                                     X
  73299      PINEDA PALACIOS JOSÉ GUILLERMO 1001294584001                                                     X
 223758      YUCATO CHULDE LUIS ANIBAL      1001295599001                                                     X
 172379      ANDRADE NARVAEZ JESUS AMILCAR 1001297223001                                                      X
 239966      DAZA TREJO GERMANICO ALEJANDRO 1001302619001                                                     X
 257394      CORREA RODRIGUEZ ALVARO SANTIAGO
                                            1001307154001                                                     X
  38739      NAVARRO ANTAMBA WASHINGTON FABIÁN
                                            1001307402001                                                     X
 168531      CAYAMBE CAYAMBE JOSÉ CAMILO    1001313673001                                                     X
 214373      HIDALGO AMAGUAÑA LAURA MARINA 1001335692001                                                      X
  96921      AYALA PAZMINIO ROSA ELENA      1001337953001                                                     X
  50498      GARRIDO ALMEIDA RENÁN OSWALDO 1001345196001                                                      X
 117165      TIRIRA TIRIRA BERNARDITA       1001348166001                                                     X
 131160      CALDERON VALLEJOS JUAN FRANCISCO
                                            1001349917001                                                     X
 113391      SARANSIG PAREDES NESTOR FABIAN 1001351954001                                                     X
 275672      CORDOVA PINEDA ERNESTO         1001353448001                                                     X
No                 No registra
                                                                No                    No registra   No
                                                                         No. registra                       registra      No.    indicadores
                                                              registra                provincia, registra
Persona_id               NOMBRE                No. ID (RUC)                 calle                           número      registra de ventas,
                                                              apellido                 cantón y   primer
                                                                          principal                         de calle     origen activos y/o
                                                              paterno                 parroquia nombre
                                                                                                            principal             empleados

  36778      BENALCAZAR TERÁN HUGO AMILCAR 1001354974001                                                       X
 227834      RUBIO DE LA CRUZ DANIEL OLMEDO 1001355278001                                                      X
  27020      AYALA MEJÍA JUAN FERNANDO        1001359411001                                                    X
 129977      NAVARRETE NAVARRETE CESAR RICARDO1001360807001                                                    X
 218755      CHAVEZ ANDRADE CARLOS JAVIER 1001367174001                                                        X
 196341      CABRERA ROSERO VICENTE PLACIDO 1001392198001                                                      X
  16172      VITERI LLERENA MARCELO EUGENIO 1001395365001                                                      X
 278406      PAVON MEJIA GUSTAVO ADOLFO       1001395654001                               X                                X
 232687      DELGADO BATALLAS WILSON HUMBERTO 1001401916001                                                    X
   6829       HECTOR                          1001403839001                                                    X
  33635      CISNEROS VALLEJOS VICTOR HUGO 1001406717001                                                       X
  65656      HERRERA DÁVILA NEPTALÍ           1001416393001                                                    X
 208993      MANOSALVAS VILLARREAL LUISA MERCEDES
                                              1001416765001                                                    X
  33507      HERRERA MONTENEGRO GANDHI FIDEL001417193001
                                              1                                                                X
  96699      GUARANGUAY GUARNGUAY HECTOR SALOMON
                                              1001418142001                                                    X
 165908      DELGADO TROYA SEGUNDO HECTOR 1001418811001                                                        X
 230808      YEPEZ MUÑOZ ANGEL ROLAN          1001419264001                                                    X
 192590      MORILLO PUEDMAG MARCELO SEGUNDO  1001420064001                                                    X
 204811      GUDIÑO MEJIA SULIE ANTONIETA     1001429131001                                                    X
 125219      LOPEZ TORRES LUIS ROQUE          1001439569001                                                    X
 238879      SANTAFÉ POZO JORGE WASHINGTON 1001441383001                                                       X
  47595      ARIAS TERAN ROSA MATILDE         1001444213001                                                    X
 155837      MINA MINDA JOSELITO ARMANDO      1001447919001                                                    X
  84136      MIÑO VALENCIA CARMEN PATRICIA    1001449196001                                                    X
 159613      NO TIENE PASTRANA LUIS ARNULFO REMIGIO
                                              1001449980001                                                    X
 141180      TORRES ALMEIDA OSCAR MARCELO 1001450640001                                                        X
 197808      MARTÍNEZ CARRERA DOLORES         1001451499001                                                    X
 182865      NARANJO MORILLO MANUEL MESÍAS 1001452547001                                                       X
 234410      ALMEIDA CHICANGO HÉCTOR MARCELO  1001465341001                                                    X
  80292      ORTIZ OVIEDO IVAN PATRICIO       1001474889001                                                    X
  25674      JIMÉNEZ SANAFRIA JAKKELINE DEL ROSARIO
                                              1001479391001                                                    X
No                 No registra
                                                               No                    No registra   No
                                                                        No. registra                       registra      No.    indicadores
                                                             registra                provincia, registra
Persona_id               NOMBRE               No. ID (RUC)                 calle                           número      registra de ventas,
                                                             apellido                 cantón y   primer
                                                                         principal                         de calle     origen activos y/o
                                                             paterno                 parroquia nombre
                                                                                                           principal             empleados

 100771      MORA SALAS LAURA JACQUELINE     1001484862001                                                    X
 277215      MUENALA PINEDA LUIS I           1001486933001                               X                                X
 249706      POTOSÍ MONTALVO MARIA ISABEL    1001487428001                                                    X
 120230      RUIZ MOROCHO AGAPITO            1001493566001                                                    X
 204860      ZUMÁRRAGA AGUINAGA JOSÉ PONTONY 1001502879001                                                    X
 134690      ANRANGO CORDOVA SEGUNDO         1001507779001                                                    X
 250293      TAYA TAYA MARIA AMABLE          1001518578001      X                                             X
 183150      TORRES CALDERON HUGO RIGOBERTO  1001519402001                                                    X
  90355      JÁTIVA CEVALLOS LUCIANO RODRIGO 1001519808001                                                    X
  87071      PUMA CARLOSAMA SEGUNDO FABIAN 1001520244001                                                      X
 141735      HERNANDEZ POZO MARIA MAGDALENA  1001520871001                                                    X
  95173      O VALENCIA MILTON PATRICIO      1001525730001      X                                             X
 148849      NOBOA REVELO LUIS ALBERTO       1001528312001                                                    X
  84024      VASQUEZ RIVERA WILSON MANUEL    1001533213001                                                    X
 127234      PEÑAFIEL CARLOS MARCELO         1001534641001                                                    X
   4419      ING. HÉCTOR ANTAMBA A.          1001538014001                                                    X
 232134      PROAÑO AYALA WILSON ARMANDO 1001541851001                                                        X
 101592      PADILLA REASCOS JORGE ADRIANO 1001543121001                                                      X
  54028      ROSERO LEON MARCO VINICIO       1001545506001                                                    X
  59695      AYALA BRITO SAMMYR PATRICIO     1001545886001                                                    X
 106979      URCUANGO ESCOLA JAIME           1001549664001                                                    X
  62650      MENDEZ FARINANGO JOSE ANTONIO 1001553989001                                                      X
 156350      ESTEVEZ FUENTES MARCO ERNESTO 1001555653001                                                      X
 172320      CORRALES VASQUEZ GUADALUPE MERCEDES
                                             1001556008001                                                    X
 127157      CACHIPUENDO PERUGACHI JOSÉ      1001556388001                                                    X
 190658      TAFUR VASCONEZ COSME RAUL       1001558251001                                                    X
  89095      NÓQUEZ ANRANGO JOSÉ RAMIRO      1001562485001                                                    X
  88837      PUPIALES GÓMEZ FAUSTO RAMIRO    1001563442001                                                    X
  72523      LOPEZ BENAVIDES DORIS LUCIA     1001568748001                                                    X
 136149      PIÑÁN CHÁVEZ LUIS ISIDRO        1001573326001                                                    X
 145286      ROSALES RUIZ LEISLEY XIOMARA    1001579703001                                                    X
No                 No registra
                                                                No                    No registra   No
                                                                         No. registra                       registra      No.    indicadores
                                                              registra                provincia, registra
Persona_id               NOMBRE                No. ID (RUC)                 calle                           número      registra de ventas,
                                                              apellido                 cantón y   primer
                                                                          principal                         de calle     origen activos y/o
                                                              paterno                 parroquia nombre
                                                                                                            principal             empleados

 225746      LOPEZ ANDRADE MARCO IBAN         1001579760001                                                    X
 181228      RUIZ CACUANGO MARTHA ELIZA       1001584265001                                                    X
 270312      GUASGUA MONTENEGRO PABLO GABRIEL 1001586971001                                                    X
 157558      ECHEVERRIA BARRERA MARCO LAUREANO1001588050001                                                    X
 262106      FREIRE QUIÑA ERIKA LORENA        1001591211001                                                    X
 272304      VALENZUELA DIAZ VICTORIA DEL PILAR
                                              1001593647001                                                    X
 215587      CAZARES FIGUEROA LUIS CAZARES 1001594413001                                                       X
 111834      TORRES CLAVIJO LUIS EDUARDO      1001597739001                                                    X
  85891      SUASTI VELASCO RICARDO MAURICIO 1001599875001                                                     X
 204844      VACA REALPE MANUEL MESIAS        1001601911001                                                    X
 229946      PROAÑO DAZA ROSA LUCINDA         1001604931001                                                    X
 195559      TORRES VACA WILLAM MARCEL        1001618543001                                                    X
   4418      SYSTEM BOARD TEGNOLOGIA AVANZADA 1001620408001                                                    X
 100295      MAYORGA NARVAEZ JOSÉ LUIS        1001630720001                                                    X
 180473      CALVACHE CARRASCO MARCELO RENE   1001637220001                                                    X
 176452      VILLACÍS MERLO JORGE HUMBERTO 1001647724001                                                       X
 157959      VARELA FLORES GLADYS EDILMA      1001655248001                                                    X
  76493      BELTRAN LOPEZ IVAN ROMEL         1001656899001                                                    X
 273378      VINUEZA LOPEZ MILTON BAYARDO     1001659703001                                                    X
 183014      COCA MERTINEZ LILIAN ESTELITA    1001659968001                  X            X                    X
 102091      FLORES HARO MONICA ARACELLY      1001664026001                                                    X
 261145      ROCHA CUNAS PEDRO JESUS          1001669397001                                                    X
 237390      CONGO SANTOS NEILON ALCIDES      1001669777001                                                    X
 202465      BAEZ VILLA ALVARO FERNANDO       1001670510001                                                    X
  90120      BRBORICH GARCIA JUAN CARLOS      1001670668001                                                    X
  97044      QUILCA MORETA MARCO OSWALDO 1001675154001                                                         X
 224281      MORENO GONZALEZ GUILLERMO ARMANDO1001677945001                                                    X
 112765      RUIZ FLORES ADELA MARGARITA      1001679065001                                                    X
  43257       EDWIN                           1001682259001                                                    X
 143710      JACOME GUERRERO PATRICIO SANTIAGO1001689791001                                                    X
 154221      AJALA MALES LUIS ENRIQUE         1001693728001                                                    X
No                 No registra
                                                               No                    No registra   No
                                                                        No. registra                       registra      No.    indicadores
                                                             registra                provincia, registra
Persona_id               NOMBRE               No. ID (RUC)                 calle                           número      registra de ventas,
                                                             apellido                 cantón y   primer
                                                                         principal                         de calle     origen activos y/o
                                                             paterno                 parroquia nombre
                                                                                                           principal             empleados

 257959      CIFUENTES AGUIRRE PABLO RODOLFO 1001695483001                                                    X
 151674      MOREJON CEVALLOS OSCAR HERNAN 1001696606001                                                      X
 265990      PUPILAES PUPIALES JOSÉ ALFONSO 1001708195001                                                     X
 178033      MENA PÁEZ CARLOS EDUARDO        1001708286001                                                    X
 265461      ESPARZA TERAN EDWIN GILBERTO    1001714094001                                                    X
  74879      ENDARA VASQUEZ MARCELO JACINTO 1001720711001                                                     X
 149055      GÓMEZ ROBLES SEGUNDO TEODOMIRO001726510001
                                             1                                                                X
   4323      ERNESTO                         1001730124001                                                    X
 119691      HERNANDEZ PANTOJA MIGUEL ANTONIO1001731999001                                                    X
 251691      PANTOJA MENDEZ ROCIO DE LOS ANGELES
                                             1001737830001                                                    X
 179784      SALAZAR FUENTES EDISON PATRICIO 1001738564001                                                    X
 114689      ALVAREZ VACA MILTON PATRICIO    1001738978001                                                    X
 155865      NAVARRETE VALLEJOS WASHINGTON OSWALDO
                                             1001740404001                                                    X
 117228      FARINANGO ZULETA ROCIO DEL CARMEN
                                             1001741857001                                                    X
 202648      LUZURIAGA AGUINAGA JOHN ROBERT 1001742855001                                                     X
 108445      DEFAZ ANDRANGO RICARDO ADRIANO1001745445001                                                      X
 266277      REASCOS HURTADO SEGUNDO AGAPITO 1001747722001                                                    X
 252180      DELGADO VASQUEZ LUIS ANTONIO    1001750791001                                                    X
 242375      SANTOS CHALA BOLIVIO IBEN       1001750825001                                                    X
 249239      QUILCA RAMOS JUAN ELIAS         1001751971001                                                    X
 265322      BERMEO RODAS MARIA EUGENIA      1001755618001                                                    X
 278713      PALACIOS JARAMILLO FANNY ANABELA1001755642001                                                    X
 250850      REYES TERÁN LUIS ALBERTO        1001755683001                                                    X
 253171      PITA CEVALLOS LEONARDO BLADIMIR 1001756244001                                                    X
 237395      CONGO GARCIA HOMAR ALCIBAR      1001761962001                                                    X
  59090      RIVERA QUINTEROS ORACIO AUGUSTO 1001762309001                                                    X
  90016      GUERRERO SUÁREZ FAUSTO MARCELO  1001765864001                                                    X
 118086      ACOSTA ORTIZ JULIO CESAR        1001770047001                                                    X
 114947      VALLEJO PAZ REINALDO RAFAEL     1001773223001                                                    X
 209792      PUERRES VERA DIEGO MIGUEL       1001778982001                                                    X
 161986      ANDRADE ENDARA MARIO PATRICIO 1001779519001                                                      X
No                 No registra
                                                               No                    No registra   No
                                                                        No. registra                       registra      No.    indicadores
                                                             registra                provincia, registra
Persona_id               NOMBRE               No. ID (RUC)                 calle                           número      registra de ventas,
                                                             apellido                 cantón y   primer
                                                                         principal                         de calle     origen activos y/o
                                                             paterno                 parroquia nombre
                                                                                                           principal             empleados

 262627      CARAGULLA DIAZ PEDRO MANUEL     1001780962001                                                    X
 181789      MORALES ANGAMARCA LUIS ALFREDO1001786456001                                                      X
 166381      TORRES MORILLO DIEGO RENAN      1001786613001                                                    X
 266581      VINUEZA OCHOA MARIA GERMANIA    1001787942001                                                    X
 222334      DELGADO MARCIA                  1001791076001                                                    X
 241307      HIDROBO VELEZ EDISSON HUMBERTO 1001791688001                                                     X
 185533      CHACON ORTEGA EDWIN HUMBERTO 1001798899001                                                       X
 252649      SAMANIEGO SEVILLA EDGAR ALEJANDRO
                                             1001817277001                                                    X
  85192      CHASIGUANO TUQUERREZ VICTOR MANUEL
                                             1001818358001                                                    X
 191147      ACOSTA JARRIN MONICA ELIZABETH 1001822392001                                                     X
 145352      SIZA MONTALVO MARÍA MERCEDES    1001829470001                                                    X
 260193      JÁCOME TERÁN HUGO JAVIER        1001832961001                                                    X
 225460      GUZMÁN RAMÍREZ LUIS ERNESTO     1001834389001                                                    X
 252182      SANTOS CONGO JOSE MARCELO       1001847795001                                                    X
 153828      LEMA VISUETE BYRON MARCELO      1001847977001                                                    X
 219353      RUIZ RUIZ FAUSTO GERMANICO      1001852803001                                                    X
 136502      DE LA TORRE BISARREA FRANKLIN ROLANDO
                                             1001857893001                                                    X
 175951      MERA LÓPEZ JUAN CARLOS          1001862125001                                                    X
  42913      BILBAO CHALPU BLANCA ETELVINA   1001862398001                                                    X
  68130      FLORES ESPINOSA NORMA CECILIA 1001864709001                                                      X
 246503      PERUGACHI LIMAICO LIZANDRO MANUEL
                                             1001868262001                                                    X
 183369      VILLALVA PIEDRA FREDY ALONSO RENE001868379001
                                             1                                                                X
 182368      LOPEZ LUIS FERNANDO             1001872488001                                                    X
 120345      SANDOVAL SANDOVAL SEGUNDO PATRICIO
                                             1001880184001                                                    X
 140600      FARINANGO SANDOVAL RAÚL OSWALDO 1001882149001                                                    X
 224823      PINEDA ORTIZ DANNY ROBERTO      1001893310001                  X            X                    X
 123939      PULLAS BENALCAZAR LUPE FLORA    1001895893001                                                    X
 184461      MORETA QUILCA GUSTAVO           1001897451001                                                    X
 183494      TITO LARA MELIDA EDITH          1001899754001                                                    X
 103105      ERAZO ALVAREZ EDWIN FAUSTO      1001902368001                                                    X
 131369      ORTEGA CORAL WILLIAN ORLANDO    1001904513001                                                    X
No                 No registra
                                                                 No                    No registra   No
                                                                          No. registra                       registra      No.    indicadores
                                                               registra                provincia, registra
Persona_id               NOMBRE                 No. ID (RUC)                 calle                           número      registra de ventas,
                                                               apellido                 cantón y   primer
                                                                           principal                         de calle     origen activos y/o
                                                               paterno                 parroquia nombre
                                                                                                             principal             empleados

 159689      GUERRERO ANDRADE MILTON RAMIRO1001918406001                                                        X
 183280      RAMOS ESCANTA LUIS ROGELIO        1001923158001                                                    X
  70686      ARTEAGA HUERTAS JORGE ARTURO 1001928322001                                                         X
 200683      LOPEZ VASQUEZ ROSA DEL PILAR      1001933298001                                                    X
  79901      GRIJALVA CEVALLOS ROCIO DEL CARMEN1001934593001                                                    X
 252183      CONGO YEPEZ POLIVIO               1001945300001                                                    X
 146068      FARINANGO CARLOSAMA LUIS CESAR 1001945334001                                                       X
 159953      GUZMÁN MORENO NILKA PATRICIA      1001968450001                                                    X
  51779      QUINONES QUINTERO WALTER OMAR 1001969789001                                                        X
 171259      INUCA PIJAL MARIA IMELDA          1001970670001                                                    X
 222453      HERNANDEZ LOPEZ JOSE ANTONIO      1001973070001                                                    X
 177739      PEÑAFIEL PLAZAS JORGE MARCELO 1001976362001                                                        X
 142275      IBUJÉS BRAVO RAMIRO FABIÁN        1001976917001                                                    X
 158693      RAMIREZ GALARZA AUGUSTO EDUARDO   1001981479001                                                    X
 263109      BENAVIDES QUESPAZ LUIS ALFREDO 1001983756001                                                       X
  60643      RAMIREZ BAEZ EDWARD JESUS         1001984622001                                                    X
 263251      HURTADO CHACON MIRIAN ELISABET 1001985470001                                                       X
 250396      SANTOS PALACIOS PEDRO VICENTE 1001986346001                                                        X
  92382      FUERES TORRES LUIS HUMBERTO       1001991064001                                                    X
 172686      BASANTES USIÑA LILIÁN JANETH      1001991155001                                                    X
 186427      YAR CUASPA EUGENIO GABRIEL        1001991890001                                                    X
 126577      TERAN BURBANO JOEL ALBINO         1002002440001                                                    X
  70489      VILCA FUENTES LUIS WILMER         1002002697001                                                    X
 263171      PEREIRA CASTRO MAURICIO FERNANDO  1002002960001                                                    X
 141486      GARCES FLORES JIMMY ROLANDO       1002005294001                                                    X
 240874      SANDOVAL JOSE MIGUEL              1002007258001                                                    X
 139146      BOLAÑOS PITA LEANDRO RODRIGO      1002008603001                                                    X
 235491      CABRERA RECALDE CARLOS FERNANDO   1002011037001                                                    X
 243311      DE LA CRUZ DE LA CRUZ BEATRIZ DE LAS MERCEDES
                                               1002016358001                                                    X
 260540      TAMBACO MORALES ANGEL RAUL        1002018032001                                                    X
 159891      CACHIMUEL GUALAPURO SEGUNDO SANTIAGO
                                               1002021580001                                                    X
No                 No registra
                                                               No                    No registra   No
                                                                        No. registra                       registra      No.    indicadores
                                                             registra                provincia, registra
Persona_id              NOMBRE                No. ID (RUC)                 calle                           número      registra de ventas,
                                                             apellido                 cantón y   primer
                                                                         principal                         de calle     origen activos y/o
                                                             paterno                 parroquia nombre
                                                                                                           principal             empleados

 173238      VINUEZA ESCOBAR MIGUEL SANTIAGO1002021663001                                                     X
 150921      BORJA MANTILLA JORGE RICHARD   1002022125001                                                     X
 237405      GARCIA SANTOS ELLY DAMIAN      1002026332001                                                     X
  49844      ARIAS CARVAJAL MARÍA SOLEDAD   1002026670001                                                     X
  72470      CARLOSAMA ICHAU LUIS HERNAN    1002030797001                                                     X
 103603      BONILLA FLORES ANÍBAL FERNANDO 1002037404001                                                     X
  41691      HIDROBO FLORES ALEX OMAR       1002038915001                                                     X
  26027      GARRIDO QUIROLA EDISON FABIAN  1002047254001                                                     X
 127479      AMUY CALDERON MARIA DORA       1002051637001                                                     X
 195838      PEREZ POZO CHONCLI ORLANDO     1002062808001                                                     X
 145682      SANCHEZ HERNANDEZ SERGIO ARMANDO
                                            1002076543001                                                     X
 138054      CASTRO ONOFRE JAIME OSWALDO    1002081840001                                                     X
 178320      GOMEZ VENEGAS CARLOS RAFAEL    1002083119001                                                     X
  73769      ANDRADE BONILLA LUIS ADALBERTO 1002088464001                                                     X
 133450      CAMPO FLORES RAFAEL            1002091864001                                                     X
 173327      ARAGON ARAGON VICENTE NELSON 1002095402001                                                       X
 139461      RODRIGUEZ AGUIRRE JUAN CARLOS 1002096707001                                                      X
 171148      POZO DÍAZ REINALDO RAMIRO      1002097630001                                                     X
 278481      LARA SUBIA OSCAR PATRICIO      1002104501001                                X                                X
 233123      GAIBOR VILLOTA JANETH GAIBOR   1002104600001                                                     X
  70684      QUIGUANGO ANRANGO JOSE MIGUEL 1002106225001                                                      X
 140316      LEMA RUÍZ EDWIN ARMANDO        1002110219001                                                     X
 152263      ESPINOSA HURTADO JAVIER DAVID  1002110656001                                                     X
 185482      ANRANGO ANTAMBA JOSE MARIO     1002115374001                                                     X
 277269      MUENALA MORALES AMAHURY TONATYU1002121794001                                                     X
 259919      POZO QUELAL WILFRIDO AUGUSTO   1002122719001                                                     X
  73902      FLORES FLORES ADRIANA PATRICIA 1002123436001                                                     X
 105195      ESCOBAR TERÁN SANDRA JANNET    1002129367001                                                     X
 165891      PAVÓN ANRANGO REMBERTO ANÍBAL 1002130639001                                                      X
  92672      CAMPO GUAJAN LUZ MARIA         1002143111001                                                     X
 138800      SALTOS FERNANDEZ MARINA MARIBEL1002158564001                                                     X
No                 No registra
                                                               No                    No registra   No
                                                                        No. registra                       registra      No.    indicadores
                                                             registra                provincia, registra
Persona_id               NOMBRE               No. ID (RUC)                 calle                           número      registra de ventas,
                                                             apellido                 cantón y   primer
                                                                         principal                         de calle     origen activos y/o
                                                             paterno                 parroquia nombre
                                                                                                           principal             empleados

  94996      TATAMUES NARVAEZ SEGUNDO HERIBERTO
                                             1002161519001                                                    X
  55338      CASTAÑEDA VELÁSQUEZ MARÍA ERCILIA
                                             1002165528001                                                    X
 150882      PUEDMAG TULCÁN NELLY SORAIDA    1002170015001                                                    X
  34266      CASTILLO NARVAEZ LUIS FERNANDO 1002173829001                                                     X
  69931      LEYTON RUANO NAPOLEON DILON     1002176434001                                                    X
 248135      MUENALA MORETA ADELA GRACIELA 1002178695001                                                      X
  92303      RAMÍREZ GALARZA HERNÁN PATRICIO 1002179677001                                                    X
 270368      PIÑAN IBADANGO EDGAR FABIAN     1002182341001                                                    X
 129148      BEDON HUACA MAURICIO ANDRES     1002212577001                                                    X
 232652      PROAÑO MENDEZ MARTHA CECILIA    1002213658001                                                    X
 270353      DELGADO CAMPOS LUIS JOHVANI     1002214391001                                                    X
 165170      FERNANDEZ FARINANGO PEDRO       1002214631001                                                    X
 271849      EWOLDT ESCUDERO WILFRIED ALEJANDRO
                                             1002216008001                                                    X
 252187      CERVANTES CONGO DARWIN PATRICIO 1002218434001                                                    X
 160469      RAMOS ESPIN CLAUDIO GERARDO     1002219986001                                                    X
 252051      GARRIDO GARCES FRANKLIN EDUARDO 1002226783001                                                    X
 127336      PAREDES VEGA FREDDY JOAQUIN     1002237350001                                                    X
 276872      CHILUISA CHANGO WILSON RUBEN    1002239315001                                                    X
 253244      PINEDA CARLOSAMA LUIS HERNAN    1002246195001                                                    X
  64886      BEJARANO GUBIO MARCIA ELIZABETH 1002249579001                                                    X
 229961      CEVALLOS PINEDA SILVIA LORENA   1002254777001                                                    X
 183803      OÑA ESPARZA IRMA ALEXANDRA      1002258356001                                                    X
 143104      FERNANDEZ VARGAS NORMA NARCIZA1002264875001
                                              DE JESUS                                                        X
 154547      OTAVALO TUQUERRES MARIA ELENA 1002276606001                                                      X
 263541      RUANO MUÑOZ JANNETH MARIVEL     1002276952001                                                    X
 264697      MARTÍNEZ OBANDO OMAR FERNANDO 1002278461001                                                      X
 201348      ECHEVERRIA MARTINEZ SANDRA MARCELA
                                             1002281994001                                                    X
  38250      LECHON SANDOVAL JUAN DELFIN     1002286811001                                                    X
 206955      CARDENAS ALDAS EDILMA PATRICIA 1002292264001                                                     X
 257158      RUIZ PEREZ ANA PAULINA          1002317392001                                                    X
 140798      TERAN ECHEVERRIA MILTON MARCELO 1002323911001                                                    X
No                 No registra
                                                                No                    No registra   No
                                                                         No. registra                       registra      No.    indicadores
                                                              registra                provincia, registra
Persona_id               NOMBRE                No. ID (RUC)                 calle                           número      registra de ventas,
                                                              apellido                 cantón y   primer
                                                                          principal                         de calle     origen activos y/o
                                                              paterno                 parroquia nombre
                                                                                                            principal             empleados

 258826      ARCE MORALES LUIS GEOVANNY       1002332573001                                                    X
 198452      POTOSI LARA SONIA MARLENE        1002335360001                                                    X
 114038      TORRES CALVA TANIA               1002345005001                                                    X
 273350      GARCIA PASQUEL JOAQUIN ANDRES 1002348025001                     X            X                    X
 225240      CUASCOTA CABASCANGO WASHINGTON FALVIO
                                              1002353348001                                                    X
 205427      CARDENAS CARVAJAL WILLIAM VICENTE1002356036001                                                    X
 192163      ORTEGA NOBOA ROMEL GONZALO       1002359071001                                                    X
 176220      BURGA AGUILAR MARIANO            1002361747001                                                    X
 221381      FUENTES BORJA GONZALO ROBERTO 1002362406001                                                       X
 219717      CHUQUIN CRUZ GALO HERIBERTO      1002370540001                                                    X
 148300      NAZATE NAZATE CECILIA DE LAS MERCEDES
                                              1002390621001                                                    X
 254982      PAREDES YÉPEZ FRANCISCO JAVIER 1002393047001                                                      X
 203676      SILVA RUIZ SILVIA DEL CARMEN     1002395356001                                                    X
  88644      GUZMAN BRAVO JUAN FERNANDO       1002397600001                                                    X
  65822      DAVILA DE LA TORRE MONICA FERNANDA
                                              1002403044001                                                    X
 148329      MALDONADO CÓRDOVA LUZ MARÍA 1002403291001                                                         X
  84726      CANACUAN CANGAS LUIS ALVARO      1002415204001                                                    X
 187851      MENDEZ ORTEGA MARITZA GENOVEVA1002416244001                                                       X
 233923      FUENTES PITA MIGUEL ANGEL        1002418273001                                                    X
 248254      QUILLIGANA POZO LUISA ELIZABETH 1002427167001                                                     X
 126374      GARCIA RUIZ ANGEL RICARDO        1002427365001                                                    X
  79957      VEGA BOLAÑOS BOLÍVAR MARCELO 1002428405001                                                        X
 148882      LARA TELLO MARIA SOLEDAD         1002433199001                                                    X
 199957      MORILLO HURTADO JOSE ADRIAN      1002443289001                                                    X
 195851      LIMAICO IBADANGO NELSON ROBERTO1002445896001                                                      X
 170673      DUQUE BUITRON EDISON MARQUEZ 1002450086001                                                        X
 156045      ANGULO MAIGUA BYRON ANDRES       1002453346001                                                    X
 149002      LÓPEZ BUITRÓN SEGUNDO GALLARDO1002459772001                                                       X
 157841      TORRES RODRIGUEZ ALEXANDRA       1002466231001                                                    X
 161632      ORTIZ SAMPEDRO RUTH ELENA        1002473526001                                                    X
 141179      MERA ROSERO CARMEN PATRICIA      1002477303001                                                    X
No                 No registra
                                                               No                    No registra   No
                                                                        No. registra                       registra      No.    indicadores
                                                             registra                provincia, registra
Persona_id               NOMBRE               No. ID (RUC)                 calle                           número      registra de ventas,
                                                             apellido                 cantón y   primer
                                                                         principal                         de calle     origen activos y/o
                                                             paterno                 parroquia nombre
                                                                                                           principal             empleados

  32182       DIEGO                          1002482923001                                                    X
 206170      DELGADO DELGADO GALO MARTIN     1002483970001                                                    X
 240122      ENRIQUEZ ECHEVERRIA DIEGO EFRAIN1002492856001                                                    X
 220857      COLIMBA CHALACAN SEGUNDO ELIAS 1002497681001                                                     X
 223708      AYALA ACOSTA WILLIAM VINICIO    1002514980001                                                    X
 181422      CANGAS GONZALEZ ROMMEL VINICIO 1002516837001                                                     X
 255962      LARA LOYO JUAN CARLOS           1002519666001                                                    X
 183126      FARINANGO PABÓN LUIS ERNESTO 1002525754001                                                       X
 248868      SANTACRUZ RUANO MELBA EVELYN 1002534996001                                                       X
 252174      PABON CHALA EDWARD LENIN        1002540050001                                                    X
 267998      ANANGONO ALMEIDA GINA FERNANDA 1002547410001                                                     X
 230000      TINOCO LEIVA KARLA DIOCELINA    1002570800001                                                    X
 272004      CABAL GUTIERREZ NIDIA           1002577755001                               X                    X           X
  60373      CARLOZAMA ALMEIDA DELFIN LAUREANO
                                             1002588646001                                                    X
 271258      CADENA LOPEZ ROSARIO DEL CARMEN 1002592218001                                                    X
  97818      CUASQUI QUIMBIA CRUZ ELIAS      1002593281001                                                    X
 152550      YÉPEZ PLACENCIA CRUZ ELIAS      1002596755001                                                    X
 276010      IPIALES GUATEMAL DANY ANDRES    1002607172001                                                    X
 269135      QUILUMBAQUIN DE LA CRUZ IRMA JANNETH
                                             1002610564001                                                    X
 211265      BUSTOS PANTOJA BYRON XAVIER     1002615126001                                                    X
 187145      CERVANTES PÉREZ GIOVANNY PATRICIO
                                             1002615811001                                                    X
 206884      TOVAR FLORES LUIS FERNANDO      1002622940001                                                    X
 248134      YASELGA ROMERO GALO VINICIO     1002626966001                                                    X
  64603      FORD MATTHEW                    1002633947001                                                    X
  63920      GUERRERO NARVÁEZ JUAN CARLOS 1002640736001                                                       X
 259337      GUNCHA IRUA JUAN JOSÉ           1002642344001                                                    X
 102489      HIDROBO RUEDA ANITA TERESA      1002650107001                                                    X
 187808      RIVERA GUERRERO JOSÉ ELÍAS      1002656989001                                                    X
 240995      WUIZ ESTRADA JOSE ANTONIO       1002660569001                                                    X
 237624      POSSO VARGAS IVÁN PATRICIO      1002660932001                                                    X
 277843      PACHECO REQUENE JOSE VLADIMIR 1002661567001                                 X                                X
No                 No registra
                                                               No                    No registra   No
                                                                        No. registra                       registra      No.    indicadores
                                                             registra                provincia, registra
Persona_id               NOMBRE               No. ID (RUC)                 calle                           número      registra de ventas,
                                                             apellido                 cantón y   primer
                                                                         principal                         de calle     origen activos y/o
                                                             paterno                 parroquia nombre
                                                                                                           principal             empleados

 240329      GOMEZ GORDILLO CARMEN SORAYA 1002667648001                                                       X
 270993      VARGAS CHASIPANTA XIMENA MARIBEL 002674156001
                                             1                                           X                    X
 257215      VÁSQUEZ ARROYO ANA LUCÍA        1002689667001                                                    X
  34125      BLANCA                          1002690533001                                                    X
 192342      GUAMÁN CARLOSAMA ANA MARÍA      1002698247001                                                    X
 272409      ENRIQUEZ CUPUERAN NEY ALFREDO 1002715199001                                 X                                X
 248127      POZO QUIROZ MANUEL MESIAS       1002720785001                                                    X
  67608      POTOSI CHUQUIN GLADYS LILIANA   1002734505001                                                    X
 143010      FRAGA PORTILLA YOLANDA MIROSLAVA002735056001
                                             1                                                                X
 238426      YASELGA ANTAMBA KLEVER SANTIAGO 1002743878001                                                    X
 245434      DE LA CRUZ CHICAIZA MARIA IRENE 1002784922001                                                    X
 126730      MARTINEZ TORRES ANA GABRIELA    1002790242001                                                    X
 183762      URBINA MUÑOZ MARÍA ELIZABETH    1002790424001                                                    X
 119758      LOMAS ARIAS LUIS JAVIER         1002791463001                                                    X
 211472      CAZARES RAMIREZ WILFRIDO HORACIO1002800769001                                                    X
 114137      DE LA TORRE MONTALVO CESAR JOSE1002801288001                                                     X
 213274      VACA MORALES CLAUDIO BAYARDO 1002802831001                                                       X
 149019      PASCAL NASTACUAS ROBERTO        1002808036001                                                    X
 244206      TERÁN JÁTIVA GEOVANNA MARGARITA1002815130001                                                     X
 231181      DE LA TORRE ALTAMIRANO MARINA SOLEDAD
                                             1002817185001                                                    X
 120502      ESPINOSA ARCE JOSÉ RAFAEL       1002823647001                                                    X
 241194      SUAREZ SERRANO LEONARDO JAVIER1002826269001                                                      X
 260873      MONTALVO BURGOS KLEBER IVAN     1002827036001                                                    X
 263087      CACHIMUEL BURGA CRISTINA        1002833836001                                                    X
 234122      QUILCA SIMBAÑA LUIS ALBERTO     1002838199001                                                    X
 272581      CEVALLOS JARAMILLO CRISTIAN ALFONSO
                                             1002838363001                                                    X
 226323      GRANIZO VARGAS PAUL EDUARDO     1002849691001                                                    X
 172869      TITUAÑA SOLANO JAIME SANTIAGO   1002854048001                                                    X
 118814      ARMAS MUGMAL CHRISTIAN EDUARDO1002868147001                                                      X
 154866      QUILLIGANA POZO PUBLIO SIMON    1002872750001                                                    X
 250895      YANEZ ALVAREZ MARTHA BEATRIZ    1002874947001                                                    X
No                 No registra
                                                               No                    No registra   No
                                                                        No. registra                       registra      No.    indicadores
                                                             registra                provincia, registra
Persona_id               NOMBRE               No. ID (RUC)                 calle                           número      registra de ventas,
                                                             apellido                 cantón y   primer
                                                                         principal                         de calle     origen activos y/o
                                                             paterno                 parroquia nombre
                                                                                                           principal             empleados

 159764      CHAVEZ ROMAN CARLOS OSWALDO 1002883047001                                                        X
 137948      PERUGACHI PERUGACHI EDUARDO     1002913141001                                                    X
 145214      MARTINEZ ACOSTA ADRIAN ISRAEL 1002931788001                                                      X
 178129      CORDOVA YAMBERLA LUIS FABIAN    1002946471001                                                    X
 255641      ERAZO ANDRADE SANTIAGO MAURICIO 1002948840001                                                    X
 127950      URRESTA ESPAÑA ERNESTINA MARIBEL002949913001
                                             1                                                                X
 179136      REYES TERAN MARIA GABRIELA      1002981635001                                                    X
 160457      CUARAN ROSERO PIEDAD DEL ROCIO 1002982112001                                                     X
 231607      CARRASCAL MORAN BLANCA ELENA 1002986287001                                                       X
 228075      BURBANO IMBAQUINGO ELISA MAGALI 1002998878001                                                    X
 133018      OVIEDO MORALES JORGE SANTIAGO 1003001185001                                                      X
 189883      CAMPO GUAJAN MARIA MATILDE      1003032248001                                                    X
 267981      CHANDI FUERTES HILDA MAGDALENA 1003033915001                                                     X
  80202      VALVERDE GOMEZ JUAN ELIAS       1003042528001                                                    X
 228881      ALBA CAMPUES SEGUNDO FEDERICO 1003042684001                                                      X
 123037      FLORES PUPIALES OSCAR MAURICIO 1003082565001                   X            X                    X
 227483      MARTÍNEZ ACOSTA EDISSON ABEL    1003084645001                                                    X
 162176      MOROCHO PERUGACHI OSWALDO       1003122460001                                                    X
 175598      TUQUERRES ICHAU ELVIS BOLIVAR   1003127071001                                                    X
 159518      VALENZUELA SANCHEZ SEGUNDO RODRIGO
                                             1003175476001                                                    X
 178494      GORDILLO TORRES VERONICA JAQUELIN
                                             1003204409001                                                    X
 262296      CHANDI MUESES LUIS EDMUNDO      1003211032001                                                    X
 183007      VALENCIA MORALES JUAN FERNANDO 1003213129001                                                     X
 261967      VACA BONILLA JHONNY WALTER      1003218060001                                                    X
 233368      REVELO GUARAMAG ROMEL ROMAN 1003250287001                                                        X
 136794      ARAYA FLORES FROILAN ALEJANDRO 1003259882001                                                     X
 244190      ENRIQUEZ BUITRON HECTOR JAIR    1003276662001                                                    X
 216211      CORDOVA YAMBERLA CESAR ENRIQUE1003287586001                                                      X
  49409      ESPINOZA MENDEZ PABLO JAVIER    1003332283001                                                    X
 125423      TAPIA GARCIA VICTOR HUGO        1003440615001                                                    X
 204779      LÓPEZ YAGUAPAZ TATIANA ELIZABETH1003480843001                                                    X
No                 No registra
                                                                No                    No registra   No
                                                                         No. registra                       registra      No.    indicadores
                                                              registra                provincia, registra
Persona_id               NOMBRE                No. ID (RUC)                 calle                           número      registra de ventas,
                                                              apellido                 cantón y   primer
                                                                          principal                         de calle     origen activos y/o
                                                              paterno                 parroquia nombre
                                                                                                            principal             empleados

 265912      JUMA BUITRÓN JORGE ALBERTO       1003577242001                                         X
  59977      DAZA RODRIGUEZ LUIS ALFONSO      1003586987001                                         X
 275504      QUISHPE IMBA PABLO RODRIGO       1003666227001                                         X
 182820      ROBALINO DOMINGUEZ DARIO CRISTOBAL
                                              1003672043001                                         X
 244174      VITERI SALAS AGUSTIN ISRAEL      1003672480001                                         X
 132715      PANTOJA PANTOJA JAIRO ELEUTERIO 1003708284001                                          X
 146973      VALENZUELA CHUQUIN DARIO PATRICIO1003732649001                                         X
 165526      CHANCOSA GÓMEZ ALEXANDRA MARIBEL 1003965652001                                         X
 120076      TAMBI CRIOLLO SAMANTHA MARLENE 1004113195001                                           X
  36705      ATENCION INFANTIL                1060000690001            X                            X                 X
  84348      UNIVERSIDAD TÉCNICA DEL NORTE    1060001070001                                         X                 X
 235771      PATRONATO MUNICIPAL SANTA ANA DE COTACACHI
                                              1060003520001                                         X
 121115      PATRONATO MUNICIPAL DE AMPARO SOCIAL
                                              1060024280001                                         X
 253490      CENTRO DE TRANSFERENCIA Y DESARROLLO TECNOLOGICO DE LA FACULTAD DEX
                                              1060030250001                       INGENIERIA EN CIENCIAS APLICADAS CTT-FICA
 256685      EMPRESAS PINTO S.A.              1090033944001                                         X
 236258      HOSTERIA CHORLAVI                1090054100001                                         X
   6173      INDECAUCHO CIA. LTDA.            1090077887001                                         X
 171303      ZULETA Y ANEXAS CÍA.LTDA.        1090078166001                                         X
 147572      GASOLINERA COTACHACHI            1090083143001                                         X
 178061      EMPRESA DE SERVICIOS AGRICOLAS DE IMBABURA
                                              1090107581001                                         X
  35975      ASOCIACION SIEMPRE UNIDOS SEGUIREMOS ADELANTE
                                              1091701924001                                         X
 227718      INYECCION AUTOMOTRIZ A DIESEL    1091702017001                                         X
 179650      INSTITUTO TECNOLOGICO SUPERIOR LICEO ADUANERO
                                              1091705156001                                         X
 112648      PONTIFICIA UNIVERSIDAD CATÓLICA DEL ECUADOR SEDE IBARRA
                                              1091705172001                                         X
   2137      AUTOMOTORES HIDROBO ESTRADA AUTHESA SA
                                              1091707663001                                         X
 131327      ASOCIACION DE CONSERVACION VIAL INTIRAYMI
                                              1091708635001                                         X
 230514      ASOCIACION MICROEMPRESARIAL DE MANTENIMIENTO VIAL Y RUTINARIO LOS CHASQUIS
                                              1091708732001                                         X
 219388      CLIMODER S.A.                    1091708937001                                         X
 138910      ASOCIACION DE CONSERVACION VIAL UNION Y PROGRESO PATAQUI
                                              1091709674001                                         X
 241813      ASOCIACION DE DESARROLLO SOCIAL 1091710052001
                                              SEMILLA FERTIL                                        X
 148023      UNIVERSIDAD DE OTAVALO           1091710265001                                         X
No                 No registra
                                                             No                    No registra   No
                                                                      No. registra                       registra      No.    indicadores
                                                           registra                provincia, registra
Persona_id              NOMBRE              No. ID (RUC)                 calle                           número      registra de ventas,
                                                           apellido                 cantón y   primer
                                                                       principal                         de calle     origen activos y/o
                                                           paterno                 parroquia nombre
                                                                                                         principal             empleados

  91681      ASOCIACION DE CONSERVACION VIAL CAMINO AL ANDAR
                                               1091710311001                                                X
 170766      SERVICIOS Y COMERCIO PEREZ HINOJOSA SERCOPH CIA. LTDA
                                               1091712020001                                                X
 189550      ASOCIACION AGROARTESANAL DE CAMPESINOS AGROECOLOGICOS DE INTAG
                                               1091712438001                                                X
  33385      CORPORACION DE COMUNIDADES INDIGENAS ANTONIO ANTE
                                               1091713000001                                                X
 187795      AGENCIA DE VIAJES OPERADORA INTERNACIONAL YURIBARRA CIA. LTDA.
                                               1091716719001                                                X
  45114      FUNDACION 4 DE JULIO              1091718347001            X                                   X                      X
 125142      COMERCIO Y AFINES DEL NORTE COYANOR S.A.
                                               1091720821001                                                X
 233537      UNIDAD EJECUTORA DEL PROYECTO DE DESARROLLO ECONÓMICO RURAL PIMAMPIRO PODER-P
                                               1091721240001                                                X
 156124      CORPORACION GALAXSYSTEMS S.A. 1091721852001                                                    X
 152082      ASOCIACION DE CONSERVACION VIAL CAMINO AL ORIENTE
                                               1091722794001                                                X
 196451      FUNDACION SALUD INTEGRAL Y DESARROLLO COMUNITARIO
                                               1091722840001            X     X                             X
  20727      FUNDACION BIODIVERSIDAD INVESTIGACION Y ORGANIZACION SOCIAL BIOS
                                               1091723944001                                                X
  89850      CONSULTORA HIDROSOFT CIA LTDA 1091725637001                                                    X
 107222      ASOCIACION DE MULTISERVICIOS "22 DE MARZO"
                                               1091725963001                                                X
 159902      ASOCIACION DE CONSERVACION VIAL CAMINO A LA CORDILLERA
                                               1091727249001                                                X
 163155      ASOCIACION DE CONSERVACION VIAL RUTA ANTEÑA
                                               1091727575001                                                X
 250582      1091728318001                     1091728318001                                                X
 277519      ASOCIACION AGROPECUARIA SANTA MARTHA DE CHALGUAYACU
                                               1091731459001                                                X
  79351      SILVA GUAMAN CARLOS EDUARDO       1100001682001                                                X
 210148      ABENDAÑO BRICEÑO AUGUSTO EMILIANO 1100008331001                                                X
  99014      BUSTAMANTE QUEZADA MARCO ANTONIO  1100012754001                                                X
 174841      BERMEO PUERTAS SUSANA BEATRIZ 1100014032001                                                    X
 131026      SANCHEZ BERMEO VICTOR MANUEL 1100014602001                                                     X
 107764      SILVA GONZALEZ SEGUNDO ALFREDO 1100015948001                                                   X
  90488      JACOME ARIAS HECTOR LEONARDO 1100019114001                                                     X
 189522      SOLANO PINZON DIOMEDES NINGUNO1100020724001                                                    X
 236981      IÑIGUEZ SARMIENTO HUGO SALVADOR1100033230001                                                   X
 111439      CONTENTO CORREA ARTURO AGUSTO1100037082001                                                     X
 135347      SANTIN CALVA OLIBERTO             1100044641001                                                X
 102610      ALVARADO BAILON JORGE ARTURO 1100053261001                                                     X
 203746      BARBA CARREÑO CAYETANO VICENTE1100056207001                                                    X
No                 No registra
                                                               No                    No registra   No
                                                                        No. registra                       registra      No.    indicadores
                                                             registra                provincia, registra
Persona_id              NOMBRE                No. ID (RUC)                 calle                           número      registra de ventas,
                                                             apellido                 cantón y   primer
                                                                         principal                         de calle     origen activos y/o
                                                             paterno                 parroquia nombre
                                                                                                           principal             empleados

 269938      DELGADO HECTOR BOLIVAR         1100067816001                                                     X
  59738      ESPINOSA VEINTIMILLA VICTOR    1100069663001                                                     X
  84616      CORDOVA ORDOÑEZ CARLOS ANTONIO100082161001
                                            1                                                                 X
 211636      CUEVA EDWIN                    1100086204001                                                     X                      X
 238661      RODRIGUEZ PALACIOS MARCELO ALFREDO
                                            1100092996001                                                     X
 234456      CABRERA ALULIMA MÁXIMO MAURO 1100093200001                                                       X
 198271      JARAMILLO GALVAN JOSE RODRIGO 1100095007001                                                      X
 127928      MOROCHO MOROCHO VICTOR HIPOLITO1100109154001                                                     X
 141460      VIÑAN JIMÉNEZ CRISTÓBAL        1100116597001                                                     X
 116546      REYES CUEVA MERCEDES CUMANDA 1100120938001                                                       X
 177050      TAMBO SACA KLEVER ULICES       1100123189001                                                     X
 194333      VELEZ GRANDA MAYDA ROSA        1100123791001                                                     X
 231258      PUCHA SINCHE JUAN VICENTE      1100124468001                                                     X
 262161      TELLO ESPINOZA VICTOR ORLANDO 1100127826001                                                      X
  83437      GONZÁLEZ SILVA ISABEL MARÍA    1100162674001                                                     X
  81706      ESTRELLA CABRERA CARLOS ALONSO1100171931001                                                      X
 138658      GRANDA SALAS MARIA CONCEPCION 1100187911001                                                      X
 117305      CUEVA AGUIRRE MELIDA VIOLETA   1100191533001                                                     X
  61865      RODRIGUEZ MORENO ISAURO MODESTO1100191814001                                                     X
  67599      ARMIJOS MEDINA JORGE SERAFIN   1100197183001                                                     X
 223284      FLORES LOJÁN ANGEL AMABLE      1100207073001                   X            X                    X
  66155      SAMANIEGO LEÓN CELIA MARÍA     1100214335001                                                     X
 136957      CAMPOVERDE CAPA VICTOR JUVENTINO
                                            1100238417001       X                                  X          X                      X
 136975      CAMPOVERDE CAPA VICTOR JUVENTINO
                                            1100238417001                                                     X                      X
 119027      ACOSTA MONTESDEOCA JOSE NEPTALI1100243839001                                                     X
 138424      OJEDA NORIEGA GUILLERMO EFRAIN 1100261542001                                                     X
 188630      PAUTA MINGA CERSAR FLORESMILO 1100265154001                                                      X
 189129      LIMA AVILA LUCRECIA            1100272309001                                                     X
  94214      MORALES GRACIELA ENITH         1100276771001                                                     X
 274137      GONZÁLEZ PARRA LUISA FLOR      1100277266001                                X                                X
 131971      ERAZO ABARCA JORGE ULPIANO     1100277985001                                                     X
No                 No registra
                                                                 No                    No registra   No
                                                                          No. registra                       registra      No.    indicadores
                                                               registra                provincia, registra
Persona_id               NOMBRE                 No. ID (RUC)                 calle                           número      registra de ventas,
                                                               apellido                 cantón y   primer
                                                                           principal                         de calle     origen activos y/o
                                                               paterno                 parroquia nombre
                                                                                                             principal             empleados

  26157      LEON QUIROLA CELSO ALONSO         1100279197001                                                    X
 164662      OJEDA RODRIGUEZ EDUARDO VICENTE   1100280005001                                                    X
 213858      SERAQUIVE BAO MARIA EUFEMIA       1100286689001                                                    X
 117854      MONTALVAN DIAZ ANTONIO CESAR      1100287653001                                                    X
  92887      CALVA CASTILLO CARLOS GONZALO 1100290889001                                                        X
  21419      ROMERO CELI PABLO                 1100294634001                                                    X
  68484      ALVARADO ESPINOSA SERGIO OSWALDO  1100299864001                                                    X
  55227      REGALADO POLO JOEL ANTONIO        1100310513001                                                    X
  17104      TORRES BUSTOS JUAN CORNELIO       1100314085001                                                    X
  51970      GALAN CUEVA ELVIO VICENTE         1100318011001                                                    X
 134688      ERAZO CONTENTO LASTENIA MARIA OLIVIA
                                               1100320082001                                                    X
 237943      MOLINA MALDONADO MARIA VIOLETA 1100330909001                                                       X
 267465      ASANZA APOLO LUIS OSWALDO         1100345444001                                                    X
  94397      PALACIOS MASACHE JUAN MARCOS 1100372307001                                                         X
  57097      QUEZADA CONDOLO JOSE RICARDO 1100391646001                                                         X
 205012      ROJAS TORRES DIGNA EMERITA        1100438678001                                                    X
 225516      MALLA UZHO LUIS HUMBERTO          1100441383001                                                    X
 255774      AGUILAR JARAMILLO JUAN VICENTE 1100442704001                                                       X
 133347      GUAMÁN GUAMBAÑA LUIS ALFREDO 1100443751001                                                         X
 120898      ROMÁN SARMAS DIDIO ANGEL          1100445814001                                                    X
 161572      SUAREZ MOGRO JOSE MANUEL          1100453248001                                                    X
  38944      HIDALGO TORRES SILVIO RAMIRO      1100456548001                                                    X
 241959      SARAGURO MARTÍNEZ FRNANDO GONZALO 1100458874001                                                    X
 199798      RIOS SALINAS ELVIA MARIANA DE JESUS
                                               1100462835001                                                    X
  38648      RUIZ VALAREZO CARLOS HUMBERTO 1100463098001                                                        X
 116843      CABRERA MENA ANGEL JAVIER         1100478542001                                                    X
 175672      CUEVA QUEZADA MARUJA IBELIA       1100479458001                                                    X
 142403      SOTO LIMA CARLOS                  1100491859001                                                    X
 175633      CARRERA NARANJO JOSE VICENTE 1100492360001                                                         X
 153254      ALVERCA GIRON MANUEL FIDEL        1100495470001                                                    X
 274298      JIMÉNEZ JAIME WILSON              1100499605001                               X                                X
No                 No registra
                                                                No                    No registra   No
                                                                         No. registra                       registra      No.    indicadores
                                                              registra                provincia, registra
Persona_id               NOMBRE                No. ID (RUC)                 calle                           número      registra de ventas,
                                                              apellido                 cantón y   primer
                                                                          principal                         de calle     origen activos y/o
                                                              paterno                 parroquia nombre
                                                                                                            principal             empleados

 186300      CASTILLO VILLALTA ENMA VICTORIA 1100546538001                                                     X
 198050      ABAD JIMENEZ SEGUNDO TEODOMIRO1100560604001                                                       X
 178265      ABRIGO AYABACA JULIA INES        1100565926001                                                    X
 175158      BOADA ABARCA FAUSTO RAMIRO       1100568466001                                                    X
 108009      RIOS SALINAS PABLO ANGEL         1100569076001                                                    X
 229306      RUIZ MAITA VICTOR MANUEL         1100575735001                                                    X
 148117      CHAMBA ALULIMA CARMEN JULIA      1100575990001                                                    X
  56746      PEÑARRETA MORALES LENIN VLADIMIR 1100578499001                                                    X
  17851      ONTANEDA JIMENEZ VICTOR EMILIO 1100579844001                                                      X
  23774      FERRETERIA ARGUE                 1100583358001                                                    X
  21876      CASTRO ARMIJOS RAFAEL ALFONSO 1100589975001                                                       X
  13222      MENACNICA ALVARADO E HIJOS       1100590049001                                                    X
 185016      SILVA ZUÑIGA ELSA BEATRIZ        1100591203001                                                    X
 171554      N GONZAGA RENE ABRAHAN           1100592490001                                                    X
  53075      CUENCA RIOFRÍO MANUEL AUGUSTO 1100595436001                                                       X
 140650      ASTUDILLO RIVERA ROSA AURORA     1100595535001                                                    X
 231379      SAMANIEGO CASTILLO VICTOR HUGO 1100607843001                                                      X
 200454      CONTENTO AMAY MANUEL AGUSTIN 1100609286001                                                        X
 254979      CUEVA CUEVA EDWIN ERMEL          1100611076001                                                    X
 133798      GORDILLO CASTRO ANGEL MODESTO 1100612587001                                                       X
 258318      LOJA MEDINA MIGUEL ANGEL         1100614153001                                                    X
 215130      ARMIJOS RUIZ SAUL                1100615796001                                                    X
 110567      MACAS ZAQUINAULA MARIA PRESENTACION
                                              1100619269001                                                    X
  52987      MAHAUAD ORTEGA DANIEL ENRIQUE 1100621174001                                                       X
 114879      GALARZA ORTEGA JOE HERNAN        1100623006001                                                    X
 176538      AGURTO GRANDA MANUEL AGUSTIN 1100630589001                                                        X
  33919      CORONEL PINTA SEGUNDO MANUEL 1100630696001                                                        X
 239332      QUEZADA CABRERA PEDRO VICENTE 1100631488001                                                       X
 160814      PLACENCIA VILLAVICENCIO LIDER MESIAS
                                              1100634110001                                                    X
 221888      HIDALGO LUDEÑA RODRIGO GUSTAVO1100634540001                     X            X                    X
  86324      PINTADO ARÉVALO MARCO ANTONIO 1100648581001                                                       X
No                 No registra
                                                                 No                    No registra   No
                                                                          No. registra                       registra      No.    indicadores
                                                               registra                provincia, registra
Persona_id               NOMBRE                 No. ID (RUC)                 calle                           número      registra de ventas,
                                                               apellido                 cantón y   primer
                                                                           principal                         de calle     origen activos y/o
                                                               paterno                 parroquia nombre
                                                                                                             principal             empleados

  35822      KAISER                            1100649274001                                                    X
 222705      TORRES RUIZ MILLAN MOISES         1100657053001                                                    X
 241477      PUGLLA PATIÑO LUCIANO             1100659760001                                                    X
 177875      ESPINOZA JARAMILLO RICARDO MOISES 1100673324001                                                    X
 120140      PINOS ORELLANA MANUEL JESUS       1100697273001                                                    X
 217527      GARCIA MORA GALO BOLIVAR          1100710779001                                                    X
 180821      ROGEL MARCELO VICENTE             1100711587001                                                    X
 205397      QUEZADA CALDERON ANGEL EDUARDO    1100712270001                                                    X
 199879      CORDOVA APOLO JULIO PRESVITERO 1100713799001                                                       X
 165102      TORRES QUEZADA JORGE DUMAN        1100754363001                                                    X
 277626      GUAMAN TANDAZO VICTOR CERVILIO 1100785995001                                                       X
  41687      LUNA AGILA GALO VICENTE           1100829702001                                                    X
  14356      CRUZ SARANGO VICTOR ANTONIO       1100838976001                                                    X
 171658      QUEZADA QUEZADA ELVIA MARIETA 1101028379001                                                        X
 116523      TORRES SANCHEZ MANUEL MARIA       1101028866001                                                    X
 189169      MOROCHO ZAPATA HILDA FABIOLA      1101046470001                                                    X
 173456      ESTRADA BENITEZ ANGEL RUPERTO 1101047460001                                                        X
  83181      LLACXAGUANGA CARRILLO JOSE SEFERINO
                                               1101047882001                                                    X
  34661      ZHININ CARRION WILSON             1101048955001                                                    X
  95596      PEÑA ORTIZ LUCIA MERCEDES         1101051363001                                                    X
 126660      CARRION HERNAN GONZALO            1101051454001                                                    X
  35736      SILVA JARAMILLO WALTER WILSON     1101053286001                                                    X
  90467      VIVANCO VILLAVICENCIO JAIME LIZARDO
                                               1101053377001                                                    X
  47770      MACAS CORREA JOSE ANTONIO         1101055737001                                                    X
  10155      CORDOVA MATAMOROS MILTON ROOSVEL  1101057352001                                                    X
 257506      ARMIJOS ARMIJOS MANUEL DE JESUS 1101059549001                                                      X
 122324      GAHONA PACHECO JORGE ENRIQUE 1101061172001                                                         X
 250115      BURNEO CASTILLO OMAR VINICIO      1101063095001                                                    X
  13870      QUIZHPE CORDOVA MANUEL EDUARDO    1101063319001                                                    X
 115418      CEVALLOS MACAS JORGE ALONZO       1101065959001                                                    X
 158787      ENCALADA SALAZAR SEGUNDO FRANCISCO1101067534001                                                    X
No                 No registra
                                                               No                    No registra   No
                                                                        No. registra                       registra      No.    indicadores
                                                             registra                provincia, registra
Persona_id               NOMBRE               No. ID (RUC)                 calle                           número      registra de ventas,
                                                             apellido                 cantón y   primer
                                                                         principal                         de calle     origen activos y/o
                                                             paterno                 parroquia nombre
                                                                                                           principal             empleados

  37656      ING. J. BENJAMIN PUCHA L.       1101067815001                                                    X
 249545      CARRION PALADINES MARCO VINICIO 1101079877001                                                    X
 266086      CARRIÓN PIEDRA EDUARDO CLAUFIRIO1101082848001                                                    X
  24557      HERRERA ROJAS JULIO FRANKLIN    1101085619001                                                    X
 107916      LUDEÑA MONTERO LUIS FRANKLIN FADY
                                             1101091823001                                                    X
 109294      NO TIENE CUENCA ADOLFO HOMERO 1101092102001                                                      X
 197775      JARAMILLO IDROBO LUIS SALVADOR 1101092508001                                                     X
  91269      RIVERA RIVERA MARIELA ROSENDA   1101092862001                                                    X
  36229      RIVAS RIOFRIO EDGAR AGUSTIN     1101093308001                                                    X
 197076      QUIZHPE RIVAS ROLANDO           1101094090001                                                    X
  66352      CUEVA FILEMON ADRIANO           1101095527001                                                    X
 173082      LUDEÑA TOMIN ELIO LUIS          1101106910001                                                    X
  88789      SARI CALLE JOSE GUILLERMO       1101169595001                                                    X
 155021      GRANDA SANTIN ROBERTO           1101172243001                                                    X
 136466      JIMENEZ ALVAREZ JOSE ULPIANO    1101195707001                                                    X
 222443      ARMIJOS PINEDA ISIDRO DE JESÚS  1101264438001                                                    X
 159576      LEÓN GUAMAN FRANCISCO HUGO      1101303848001                                                    X
  61787      CARRIÓN GORDILLO FRANCISCO VICENTE
                                             1101340071001                                                    X
 121897      RIOS JIMENEZ JOSE RAFAEL        1101349056001                                                    X
 164923      GUAMAN YAGUANA MARCOS NICANOR1101351953001                                                       X
 197573      CELI LOAIZA CLEMENTE ADOLFO GUSTAVO
                                             1101354924001                  X            X                    X
  51763      PIEDRA GARCIA AMABLE ALFONSO    1101362612001                                                    X
 155353      ARELLANO MEJIA MARIO ANTONIO    1101366969001                                                    X
 263604      CARTUCHE QUIZHPE JOSE MANUEL 1101367918001                                                       X
 189298      RAMON TORRES HUGO HERNAN        1101370029001                                                    X
 271388      LOJA EDUARDO VICENTE            1101374021001                                                    X
  21155      ERREIS FLORES ROBERTH AUGUSTO 1101374534001                                                      X
 146266      LUIS ALFREDO OCHOA BRAVO        1101375069001                                                    X
 140410      PALACIO VILLAMAGUA RAQUEL       1101395646001                                                    X
 222519      ARMIJOS ARMIJOS CARLOS ELIBERTO 1101397378001                                                    X
  83169      LEON MAZA ESPERANZA DE JESUS    1101401337001                                                    X
No                 No registra
                                                               No                    No registra   No
                                                                        No. registra                       registra      No.    indicadores
                                                             registra                provincia, registra
Persona_id               NOMBRE               No. ID (RUC)                 calle                           número      registra de ventas,
                                                             apellido                 cantón y   primer
                                                                         principal                         de calle     origen activos y/o
                                                             paterno                 parroquia nombre
                                                                                                           principal             empleados

 239146      UCHUARI QUINCHE MIGUEL ANGEL    1101403143001                                                    X
 153139      HERRERA REYES ROSA AMELIA       1101407573001                                                    X
 123920      OVIEDO MALLA SEGUNDO PEDRO      1101408829001                                                    X
 157117      SONGOR ESPARZA JOSÉ GABRIEL     1101409942001                                                    X
  25148      ESPEJO JARAMILLO LUIS MARCELO   1101410148001                                                    X
 200689      JAPON SUQUILANDA ANGEL BACILIO 1101410999001                                                     X
 107170      ORDOÑEZ ARIAS SEGUNDO ROBERTO1101411732001                                                       X
 207909      OCHOA IÑIGUEZ SUSANA DEL ROCIO 1101419008001                   X            X                    X
 102805      GALVEZ CORREA LUIS ALFREDO      1101420337001                                                    X
 246404      JARAMILLO VERSOSA ORLANDO MARCELO
                                             1101424198001                                                    X
  96603      BURNEO VALDIVIESO ROBERTO VICENTE
                                             1101424263001                                                    X
 137555      POZO MONTERO LUIS BOLIVAR       1101424925001                                                    X
 201596      GUALAN PALADINES LUIS DOMINGO 1101427464001                                                      X
  95276      MENDIETA BETANCOURT EDISON BRANLY
                                             1101427829001                                                    X
 137609      JUMBO SERRANO MILTON EFREN      1101428389001                                                    X
 108831      AGUILAR APOLO JORGE LUIS        1101430138001                                                    X
  36606      ZUÑIGA GONZALEZ JORGE           1101431078001                                                    X
  61808      LEÓN CABRERA ALFONSO LUÍS       1101432431001                                                    X
  58652      AGUILAR OCHOA LUIS ALBERTO      1101436127001                                                    X
 207231      PALADINES BALCAZAR JULIO HONORATO
                                             1101436218001                                                    X
  22413      POMA VALVERDE FRANCO VICENTE 1101438305001                                                       X
 269897      ROJAS CUENCA OTILIO MARIANO     1101439089001                                                    X
  14306      PELAEZ ABAD GONZALO VICENTE     1101440442001                                                    X
 154266      VARGAS GONZALES OLIVERIO NAPOLEON
                                             1101446894001                                                    X
 225456      RODRIGUEZ VILLAVICENCIO CARLOS RODRIGO
                                             1101447165001                                                    X
 269695      SANDOVAL LUIS ANTONIO           1101447702001                                                    X
  32166      ARROBO NARVÁEZ GABRIEL EFREN    1101451084001                                                    X
 169771      TUSA TUSA MANUEL LIZARDO        1101451597001                                                    X
 227108      HERRERA ROJAS DINA MARIA        1101453353001                                                    X
  31014      ASTUDILLO NUÑEZ GONZALO LEONARDO1101453981001                                                    X
  28025       GUIDO                          1101458618001                                                    X
No                 No registra
                                                               No                    No registra   No
                                                                        No. registra                       registra      No.    indicadores
                                                             registra                provincia, registra
Persona_id               NOMBRE               No. ID (RUC)                 calle                           número      registra de ventas,
                                                             apellido                 cantón y   primer
                                                                         principal                         de calle     origen activos y/o
                                                             paterno                 parroquia nombre
                                                                                                           principal             empleados

 204384      JARAMILLO GONZALEZ LUZ EMERITA 1101461976001                                                     X
  33052      CUENCA CUENCA MANUEL BENJAMIN 1101462594001                                                      X
 172309      ALVAREZ CELI GUILLERMO HERNAN 1101465381001                                                      X
  40538      ALDEAN AYALA MIGUEL EUDORO      1101465704001                                                    X
 144060      ARMIJOS BENITEZ VICTOR HUGO     1101472239001                                                    X
 174119      CASTILLO HUGO FRANGILU          1101482824001                                                    X
 107882      TENE ANGAMARCA LUIS             1101483780001                                                    X
 258951      CUESTA JIMÉNEZ ALBERTO          1101484978001                                                    X
 210093      GUTIERREZ GORDILLO HUMBERTO     1101492369001                                                    X
 224456      ALBAN AMAYA ISMAEL EDGAR        1101492781001                                                    X
 192080      JARAMILLLO JIMENEZ WILSON EDUARDO
                                             1101495743001                                                    X
  12686       REFORESTADOR                   1101497426001                                                    X
  57292      ARMIJOS ARMIJOS ARCANGEL RODRIGO1101498879001                                                    X
 134566      NN AGUIRRE CLOTILDE NN          1101500518001                                                    X
 178899      ZUÑIGA OCHOA ENCARNACION AURELIA1101543740001                                                    X
  13216      FRANCO GONZALO HERRERA CASTILLO 1101548251001                                                    X
 178624      ABRIGO MONTAÑO ZOILA LIDA       1101564951001                                                    X
 152494      MONTAÑO ROMERO MÁXIMO EMILIANO1101599460001                                                      X
 103549      AGUIRRE CASTILLO JORGE EFREN    1101615316001                                                    X
 147498      QUITO YAGUANA GERMAN FILIBERTO 1101627519001                                                     X
 158889      HERRERA HERRERA MAXIMO GUSTAVO  1101630190001                                                    X
 203379      GRANDA ALBERTO                  1101633319001                                                    X
 132126      LEON ESPINOZA MARIA GEORGINA    1101633665001                                                    X
 123437      CUMBICUS JIMENEZ GENARO MELECIO1101635256001                                                     X
 137835      VELASQUEZ APOLO EUDOLINA MARGARITA
                                             1101648564001                                                    X
 193642      BUSTAMANTE CHIRIBOGA JOSE RODRIGO
                                             1101659587001                                                    X
 275661      SARANGO CALDERON VICTOR WASHINGTON
                                             1101666665001                               X                                X
 140635      CASTILLO ROSELA                 1101669784001                                                    X
 177707      VILLEGAS IÑIGUEZ JORGE GUSTAVO 1101703179001                                                     X
  10566       NERI TOLEDO MOROCHO            1101703344001                                                    X
  42448      PICOITA ROJAS MANUEL JESUS      1101703955001                                                    X
No                 No registra
                                                               No                    No registra   No
                                                                        No. registra                       registra      No.    indicadores
                                                             registra                provincia, registra
Persona_id               NOMBRE               No. ID (RUC)                 calle                           número      registra de ventas,
                                                             apellido                 cantón y   primer
                                                                         principal                         de calle     origen activos y/o
                                                             paterno                 parroquia nombre
                                                                                                           principal             empleados

  87348      GODOY OCAMPO ROSA ANTONIA       1101707006001                                                    X
 209380      OCAMPO CASTILLO GONZALO MIGUEL 1101709192001                                                     X
 150192      CARRION QUIZHPE HUGO WALBERTO 1101710448001                                                      X
 166384      VILLAVICENCIO AGUILAR MIRYAN GERMANIA
                                             1101712204001                                                    X
 214225      CAMACHO SUAREZ FLORESMILO VIDAL 1101721932001                                                    X
 234004      JUMBO SARANGO MAGNO ANTONIO 1101736716001                                                        X
  20408      JUCA RUIZ CESAR REINALDO        1101739678001                                                    X
 192006      CARRION TORRES BERNARDO ONOFRE  1101742714001                                                    X
  80538      OCAMPO MERINO OSCAR IVAN        1101749602001                                                    X
 259791      SILVA GUALPA CARLOS MANUEL      1101751095001                                                    X
 138294      ARMIJOS ESPINOZA RAUL           1101754370001                                                    X
  99537      QUEVEDO RENGEL JOSE MIGUEL      1101756466001                                                    X
  47712      ALVARADO PATIÑO JULIO CESAR     1101757704001                                                    X
 124239      ACARO JAIME ANGELO              1101770590001                                                    X
 249187      TABARA GALLO LUIS ALFREDO       1101771424001                                                    X
 115761      RIOFRIO OSCAR ERMEL             1101778429001                                                    X
 107911      ESPINOSA AGUIRRE MARIA EUGENIA 1101780730001                                                     X
 245539      BENITEZ CABRERA LUIS ALFREDO    1101781571001                                                    X
  19906      ERAZO MALDONADO ULPIANO SALVADOR1101784716001                                                    X
  37747       HUMBERTO                       1101787784001                                                    X
 232576      CARRION ALVARADO ANGEL BENIGNO 1101789327001                                                     X
 206838      CUENCA REMACHE HUGO EFREN       1101791596001                                                    X
 168649      ROMERO GARRIDO SERGIO RENE      1101797031001                                                    X
 128959      ALULIMA GRANDA ALBERTO          1101799110001                                                    X
  85118      SALAS CALVA JUAN DE DIOS        1101805883001                                                    X
 147530      ESPINOSA GONZALEZ VICTOR HUGO 1101806402001                                                      X
 147493      JUMBO TANDAZO COSME EFRAIN      1101808473001                                                    X
 181577      SARANGO RUEDA ANGEL MODESTO 1101809364001                                                        X
 260500      VIVANCO HERRERA OSWALDO VIDAL 1101809554001                                                      X
 130010      MENA TANDAZO LIBER ALBARITO     1101810461001                                                    X
 217154      ALULIMA GOMEZ PUBLIO ENRIQUE    1101810511001                                                    X
No                 No registra
                                                               No                    No registra   No
                                                                        No. registra                       registra      No.    indicadores
                                                             registra                provincia, registra
Persona_id              NOMBRE                No. ID (RUC)                 calle                           número      registra de ventas,
                                                             apellido                 cantón y   primer
                                                                         principal                         de calle     origen activos y/o
                                                             paterno                 parroquia nombre
                                                                                                           principal             empleados

 122785      CABRERA SARANGO REMIGIO DE JESÚS
                                            1101811725001                                                     X
 140890      LOAIZA ALVAREZ DANIEL ALFONSO  1101817177001                                                     X
 139374      ROMERO MICHAY JUAN ANGELITO    1101825931001                                                     X
  44943      LOPEZ FEIJO VICTOR             1101830469001                                                     X
  65096      BURNEO VALAREZO LUIS AURELIO   1101835559001                                                     X
 180965      ALVAREZ BENAVIDES ALEXANDRA CATERINE
                                            1101835864001                                                     X
 144167      VIVANCO VIVANCO JORGE BOLIVAR  1101837688001                                                     X
  63193      JIMENEZ SOTOMAYOR FERNANDO ENRIQUE
                                            1101840930001                                                     X
 113348      CUEVA CASANOVA ALVARO SANTIAGO1101844155001                                                      X
  68364      GONZÁLEZ GONZÁLEZ ANÍBAL EDUARDO
                                            1101845863001                                                     X
  40268      LEON CELI DARWIN ROLANDO       1101846838001                                                     X
 143119      ARMIJOS SERRANO MARIANO JUVENTINO
                                            1101851291001                                                     X
 233194      SILVA GODOY CARLOS GONZALO     1101857751001                                                     X
 157053      HERRERA AGREDA LUIS AURELIO    1101866356001                                                     X
  98910      SOTO CUEVA RIDDEAN ARCANGEL    1101866778001                                                     X
  80968      JAPON QUIZHPE BLANCA LIVIA     1101868063001                                                     X
 230498      HERRERA CUEVA JULIO CESAR      1101869418001                                                     X
 237541      ROSALES CRUZ FABIÁN PATRICIO   1101872453001                                                     X
 214408      PINEDA ZUÑIGA SEGUNDO RAFAEL   1101877023001                                                     X
 132614      TORRES ORDOÑEZ BOISSER PATRICIO1101878484001                                                     X
  74155      TOLEDO PONCE HUMBERTO VINICIO 1101892725001                                                      X
  57758      JIMENEZ VICTOR HUGO            1101893178001                                                     X
  23419      MALO MONTOYA HUGO MAURICIO     1101893202001                                                     X
  19989      BRAVO LUDEÑA ALONSO VINICIO    1101895876001                                                     X
 210598      QUNTUÑA CHIRIBOGA CARLOS ALBERTO
                                            1101895942001                   X            X                    X
  91123      MONTERO ONTANEDA DOLRES CECILIA1101897732001                                                     X
  60472      QUITO VILLA JOSE ANTONIO       1101899845001                                                     X
 204790      JARAMILLO ROSILLO EDITH FLORESBINDA
                                            1101906566001                                                     X
 241400      ZUMBA PINOS GONZALO FRANCO     1101907796001                                                     X
  31600      NN PEREZ GUSTAVO NN            1101911889001                                                     X
  94376      GARNICA CUEVA MANUEL GILBERT   1101912069001                                                     X
No                 No registra
                                                                No                    No registra   No
                                                                         No. registra                       registra      No.    indicadores
                                                              registra                provincia, registra
Persona_id               NOMBRE                No. ID (RUC)                 calle                           número      registra de ventas,
                                                              apellido                 cantón y   primer
                                                                          principal                         de calle     origen activos y/o
                                                              paterno                 parroquia nombre
                                                                                                            principal             empleados

 135399      FERNANDEZ QUEZADA FLOR MARIA 1101915419001                                                        X
  11169       ING.CARLOS EFRAIN MACAS PILLAJO 1101920278001                                                    X
 148539      CARDENAS DAVILA CESAR LEOPOLDO 1101925715001                                                      X
 119644      SARMIENTO BRAVO JULIA BERNARDINA 1101926002001                                                    X
  27542      RUIZ BURNEO LUIS FERNANDO        1101927919001                                                    X
 111136      BETANCOURT LUZURIAGA MATEO       1101928404001                                                    X
 177027      CUESTA SILVERIO ERGUIN GONZALO 1101929915001                                                      X
 133054      HERAS HERAS LUIS ORFELINO        1101934238001                                                    X
 255728      DIAZ AGILA MIGUEL SEBASTIAN      1101936175001                                                    X
 162818      LUNA CRIOLLO WISTON HONORATO 1101941365001                                                        X
 132660      POMA JAVIER                      1101946224001                                                    X
 229834      CALVA CONDOLO ANGEL DANIEL       1101947446001                                                    X
 196029      REYES GONZALEZ JORGE ENRIQUE     1101951638001                                                    X
 181898      VIVANCO HERRERA NELSON YOLANDO1101951745001                                                       X
 165087      CASTILLO AGURTO LUIS EDUARDO     1101954764001                                                    X
 115859      GUAMAN GONZALEZ RAUL REINERIO 1101957338001                                                       X
  62707      FIGUEROA CANO EUDOCIA            1101958369001                                                    X
 138511      CHALCO VASQUEZ LUIS GONZALO      1101958385001                                                    X
  59148      POMA CURIMILMA CARLOS HERNÁN 1101958617001                                                        X
  73698      ROJAS YAGUANA ALCIVAR MANUEL     1101959128001                                                    X
 171803      PALACIO TAPIA ROOSEVELT AGUSTO 1101965604001                                                      X
  60647      ROBLEZ YAGUACHI GERMAN VICENTE 1101968277001                                                      X
  67573      PADRON VASQUEZ HUMBERTO ANTONIO  1101969200001                                                    X
  53370      SALAS CALVA WALTER RAUL          1101975298001                                                    X
  50841      ENCALADA PAUTA WILFRIDO GABRIEL 1101977781001                                                     X
 240570      BERMEO GRANDA NARCISA DEL CARMEN 1101982484001                                                    X
  34126      JARAMILLO VIVANCO VÍCTOR SALVADOR1101987152001                                                    X
  17378      OCHOA ROJAS CARLOS SALVADOR      1101991055001                                                    X
 140432      PERALTA PERALTA LUIS MANUEL      1101991261001                                                    X
  70035      CRIOLLO YUNGA DANIEL OSWALDO     1101991592001                                                    X
 144634      GUACHIZACA EDGAR                 1101993697001                                                    X
No                 No registra
                                                                No                    No registra   No
                                                                         No. registra                       registra      No.    indicadores
                                                              registra                provincia, registra
Persona_id               NOMBRE                No. ID (RUC)                 calle                           número      registra de ventas,
                                                              apellido                 cantón y   primer
                                                                          principal                         de calle     origen activos y/o
                                                              paterno                 parroquia nombre
                                                                                                            principal             empleados

  21261      TENORIO GONZÁLEZ NORMAN FRANCISCO1101994554001                                                    X
  38086      VÁSQUEZ MENA KLÉVER OSWALDO      1101994687001                                                    X
 275233      MONTERO LOAIZA BORIS RAMIRO      1102001227001                                                    X
 180024      AGUIRRE SUÁREZ DIEGO FABIÁN      1102004361001                                                    X
 265033      SARANGO CASTILLO SANTOS EDUVIJES102004387001
                                              1                                                                X
 127809      TORRES LUIS GILEBAR              1102005434001                                                    X
  57242      MINGA SHINGRE EDGAR ALONSO       1102006663001                               X
 138821      JIMENEZ CASTILLO MINOS ANTOLIANO1102007554001                                                     X
 241562      CASTILLO LUDEÑA MARIA YOLANDA 1102007646001                                                       X
  98577      TORRES RODRIGUEZ LILIANA DEL CARMEN
                                              1102011143001                                                    X
  60596      SILVA MORALES ENA MARGOT         1102017967001                                                    X
 178112      NEIRA HINOSTROZA MANUEL FERNANDO 1102020094001                                                    X
 218713      MARTINEZ JARAMILLO LIDIA BEATRIZ 1102020631001                  X            X                    X
  28742       NELSON                          1102025911001                                                    X
 145292      PACHAR ORDONEZ HEVER MONFILIO 1102029582001                                                       X
 156872      ORTEGA VICENTE FABIAN            1102032800001                                                    X
 169736      MONTALBAN CASTILLO FRANCISCO ELIGIO
                                              1102038831001                                                    X
 254111      SANCHEZ TORRES NELSON RODRIGO 1102045968001                                                       X
 130821      CHURO CASTILLO JAIME RAMIRO      1102049408001                                                    X
  21692      BRICEÑO PASACA CARLOS ALBERTO 1102049424001                                                       X
  79119      GALVEZ MORENO JORGE EDUARDO 1102049465001                                                         X
 214396      SOTOMAYOR BASTIDAS EDDY PATRICIO 1102050075001                                                    X
  32327      SAMANIEGO IDROVO DIEGO FRANCISCO 1102050216001                                                    X
 208711      ALVERCA TROYA SEGUNDO MILLAN     1102053053001                                                    X
 105685      DIAZ ROSA MARIA                  1102057583001                                                    X
 133564      ELIZALDE PRADO LUIS ANTONIO      1102059738001                                                    X
  23093      ESPINOSA AGUIRRE WILLIAN ARTURO 1102061189001                                                     X
  11831       CELI MENDEZ GUILLERMO ATAHUALPA 1102061445001                                                    X
  68329      ZHUNAULA PAQUI PEDRO MANUEL      1102062351001                                                    X
 140605      YAURE SARAGURO VICENTE RAFAEL 1102066352001                                                       X
 237885      CUENCA GUAMÁN JULIO CESAR        1102069356001                                                    X
No                 No registra
                                                                No                    No registra   No
                                                                         No. registra                       registra      No.    indicadores
                                                              registra                provincia, registra
Persona_id               NOMBRE                No. ID (RUC)                 calle                           número      registra de ventas,
                                                              apellido                 cantón y   primer
                                                                          principal                         de calle     origen activos y/o
                                                              paterno                 parroquia nombre
                                                                                                            principal             empleados

 154862      GOMEZ PEÑAFIEL MANUEL BENSESLAO  1102069380001                                                    X
  34850      PACHECO JIMENEZ ALVARO ARMANDO1102069703001                                                       X
  37972      ORTEGA MATAILO JUSTO ANTONIO     1102073077001                                                    X
 127469      JARAMILLO LUIS AMABLE            1102074042001                                                    X
 149700      CELI ASTUDILLO LORENA JANET DEL CARMEN
                                              1102076062001                                                    X
  37303      BRAVO JARAMILLO ANGEL MEDARDO 1102076690001                                                       X
 108435      JARAMILLO JARAMILLO ALEX RENE    1102077318001                                                    X
  38599      ARMIJOS GUILLÉN FRANKLIN OSWALDO 1102078308001                                                    X
  62880      TORRES CORNEJO LUIS ALFONZO      1102079538001                                                    X
 229127      ABENDAÑO HERRERA JULIO PABLO     1102081500001                                                    X
  48405      CASTILLO TORRES SEGUNDO EDUARDO  1102082193001                                                    X
 123246      TORRES VALDIVIEZO ROBER EFREN 1102086186001                                                       X
  80192      MALDONADO CASTILLO ANA PAULINA 1102088026001                                                      X
 216013      SANMARTIN SIMON BOLIVAR          1102088844001                                                    X
 100395      TELLO CANO LEONIDAS ALBERTO      1102089545001                                                    X
 153213      MEDINA LAFEBRE MANUEL DE JESUS 1102093521001                                                      X
 117640      CALVA MARTIN FRANCISCO RAFAEL 1102093596001                                                       X
 270407      ORTIZ PANGAY VICTOR HUGO         1102096847001                                                    X
 259631      JIMENEZ LOAIZA JAIME FERNANDO    1102101290001                                                    X
 124020      SEMPERTEGUI ARPI GUSTAVO RAMIRO  1102102793001                                                    X
 107732      SILVA MORALES ULISES FERNANDO 1102104351001                                                       X
 200710      QUISHPE SARANGO MARIA ASUNCION 1102104914001                                                      X
 229668      AYALA JARAMILLO JENI PIEDAD      1102105101001                                                    X
 127661      ERAZO JARA MARIA FRANCISCA       1102105820001                                                    X
 108077      MEDINA SARMIENTO MARCO LEOPOLDO  1102107990001                                                    X
  97628      MAZA MACAS MANUEL AGUSTIN        1102109814001                                                    X
 204051      ROSAS ORDOÑEZ JORGE LUIS         1102110978001                  X            X                    X
 215717      SERAQUIVE BAO FRANCISCO VINICIO 1102112099001                                                     X
 152338      FAJARDO ARMIJOS EDWIN GERMANICO ANTONIO
                                              1102112396001                                                    X
 204089      ARMIJOS SARANGO LEONILDO GUSTAVO 1102113089001                                                    X
 162500      TRUJILLO CARAGUAY PEDRO ELICIO 1102113972001                                                      X
No                 No registra
                                                                No                    No registra   No
                                                                         No. registra                       registra      No.    indicadores
                                                              registra                provincia, registra
Persona_id               NOMBRE                No. ID (RUC)                 calle                           número      registra de ventas,
                                                              apellido                 cantón y   primer
                                                                          principal                         de calle     origen activos y/o
                                                              paterno                 parroquia nombre
                                                                                                            principal             empleados

 121493      CASTILLO JUMBO JOSE DOMINGO      1102114384001                                                    X
 111929      SOTOMAYOR BASTIDAS MARLON FABIAN 1102115878001                               X
  31222      VIÑAN BASTIDAS NÉSTOR MAURICIO 1102116363001                                                      X
  28820      LEON HERRERA FRANCEL DARWIN      1102116421001                                                    X
 133569      BARRAZUETA NAULA ENRRY OSWALDO   1102117718001                                                    X
 191218      ARMIJOS VEINTIMILLA FREDY PATRICIO
                                              1102121405001                                                    X
 153824      JARAMILLO CORONEL CESAR NICOLAS1102126545001                                                      X
  53976      CAMACHO CARRASCO ANIBAL ALONSO   1102127675001                                                    X
  42125      COBOS GALARZA MAX ROMAN          1102131974001                                                    X
 220774      VIRE SALINAS NANCY LILIAN        1102133293001                                                    X
  43354      PEÑA TOLEDO FABIAN ALFREDO       1102137187001                                                    X
  67278      RODRIGUEZ OJEDA MARCELO PATRICIO102137773001
                                              1                                                                X
 204951      VEGA FRANCO DE JESUS             1102143045001                                                    X
 171023      POGO CUENCA WILMER ALBERTO       1102143128001                                                    X
 196580      POGO CUENCA FANNY MAGDALENA 1102143151001                                                         X
 255301      JARAMILLO AMARI WILSON GUBOR     1102145198001                                                    X
 233701      YAGUANA BRAVO SIMON BOLIVAR      1102153515001                                                    X
 162219      TANDAZO LALANGUI SERVIO VELASCO  1102164603001                                                    X
 231400      GUELEDEL PUCHAICELA SANTA TEREZA102168695001
                                              1                                                                X
  59567      CABRERA CABRERA ANGEL RENE       1102172622001                                                    X
 181264      CANGO ANGEL SALVADOR             1102176227001                                                    X
 204117      BURNEO CASTILLO EDUARDO FABIAN 1102182266001                                                      X
 198036      CARRION CAMPOVERDE FROILAN DE JESUS
                                              1102183876001                                                    X
  55313      LOPEZ AMBULUDI LUIS CORNELIO     1102185061001                                                    X
 130501      PINTADO HERRERA EDGAR RODRIGO 1102185327001                                                       X
 217264      CAMPOVERDE CHAMBA FRANCISCO PLUTARCO
                                              1102185343001                                                    X
  46563      GUERRERO CARRIÓN YURI GERMAN 1102186465001                                                        X
  36143      QUEZADA QUEZADA EDGAR PATRICIO 1102186697001                                                      X
 265892      CARRION JOSE ANTONIO             1102188602001                                                    X
 277139      CUEVA CUEVA HEKLIN MARCELO       1102190624001                                                    X
 142311      BENÍTEZ CANO GALO PATRICIO       1102190749001                                                    X
No                 No registra
                                                               No                    No registra   No
                                                                        No. registra                       registra      No.    indicadores
                                                             registra                provincia, registra
Persona_id               NOMBRE               No. ID (RUC)                 calle                           número      registra de ventas,
                                                             apellido                 cantón y   primer
                                                                         principal                         de calle     origen activos y/o
                                                             paterno                 parroquia nombre
                                                                                                           principal             empleados

 161997      TAMBO ESPINOZA KLEVER IVAN      1102191721001                                                    X
 114593      AÑAZCO BALCAZAR TELESFORO ANTONIO
                                             1102193669001                                                    X
 218299      GANCHOZA VALDIVIESO ALBERTO LUIS1102205661001                                                    X
 120274      ROGEL JIMENEZ JUAN DE LA CRUZ   1102205679001                                                    X
 237228      CORDOVA LEIVA MARCO VICENTE     1102206776001                                                    X
 216936      BUSTAMANTE CALDERON LEONARDO 1102207428001
                                             VICENTE                                                          X
  64633      MORENO SAAVEDRA ROSA LUCIA      1102212469001                                                    X
  98267      LUZURIAGA CARMEN MARIA DEL CISNE1102213749001                                                    X
  22149      GONZÁLEZ MONCAYO JORGE HUGO 1102223490001                                                        X
  26586      VALAREZO GARCÍA PATRICIO        1102225107001                                                    X
  25253      ROSALES NAMICELA SEGUNDO RAFAEL 102226840001
                                             1                                                                X
 163871      TORRES BUSTAMANTE FRANCISCO BERARDO
                                             1102235528001                                                    X
  18626      MEDINA SARMIENTO JULIA PILAR    1102236666001                                                    X
  38836      CONDE SHINGRE VICTOR HUGO       1102238431001                                                    X
  71057      SALINAS SALINAS RICHAR AUGUSTO 1102241054001                                                     X
 120530      HIDALGO ONTANEDA MANUEL LIVIO 1102242748001                                                      X
 245135      MENDEZ MAITA YENNY DEL CARMEN 1102244579001                                                      X
 119353      LUDEÑA MONTERO GINO LEONARDO 1102254347001                                                       X
 134559      JUMBO QUEZADA MARIA DIOCELINA 1102263454001                                                      X
 187142      SARANGO CASTILLO ENEVA DE JESUS 1102264460001                                                    X
  40525      SÁNCHEZ CHAMBA RAMÓN VICENTE 1102265202001                                                       X
 114020      CELI GUERRERO FRANCISCO NOLBERTO1102273974001                                                    X
 132533      QUIZHPE CARTUCHE MANUEL MELECIO 1102280961001                                                    X
 153878      ALDAZ LEON ROMEN                1102287248001                                                    X
 145691      CELI FLORES CARLOS FERNANDO     1102288436001                                                    X
  58161      CUEVA MORENO GUSTAVO ADOLFO 1102289673001                                                        X
 197562      ARMIJOS ROBLES ANA MARIA        1102289855001                                                    X
  12309       BILMER                         1102291380001                                                    X
  20963      RAMON DUCHE VICTOR ALBERTO      1102291422001                                                    X
  10250       MEDINA VALLE FRANKLIN ERNESTO 1102292123001                                                     X
 109946      JARAMILLO HILL MARCELO          1102294806001                                                    X
No                 No registra
                                                               No                    No registra   No
                                                                        No. registra                       registra      No.    indicadores
                                                             registra                provincia, registra
Persona_id               NOMBRE               No. ID (RUC)                 calle                           número      registra de ventas,
                                                             apellido                 cantón y   primer
                                                                         principal                         de calle     origen activos y/o
                                                             paterno                 parroquia nombre
                                                                                                           principal             empleados

  50430      SN MAZA BOLIVAR HERNAN          1102295761001                                                    X
 221639      MEJIA JARAMILLO LUIS EDUARDO    1102308473001                                                    X
 172825      CABRERA JUAREZ SENAIDA          1102313556001                                                    X
  29704      FABIAN                          1102320585001                                                    X
  81891      MACAS JULIA HONORINA            1102321393001                                                    X
  21930      PRIETO NAULA FRANKLIN EDUARDO 1102323936001                                                      X
 191750      CELI CHAVEZ MARLON ARMANDO      1102325824001                                                    X
 155786      ARMIJOS RAMON ANGEL GUSTAVO     1102326012001                                                    X
 101817      GRANDA SALAS LUIS MEDARDO       1102327119001                                                    X
  36348      TORRES FLORES MARCO ALONSO      1102327820001                                                    X
 138636      CAMACHO CAMACHO ASENCION ERIBERTO
                                             1102328208001                                                    X
 206578      CRUZ CORDOVA JOSE FELIX         1102328588001                  X            X                    X
  18849      RAFAEL                          1102329511001                                                    X
 259992      FERNANDEZ ORDOÑEZ FERNANDO ENRIQUE
                                             1102331624001                                                    X
 144332      PATIÑO GUERRERO SANTOS NARCISO1102331970001                                                      X
 104706      VASQUEZ SERRANO ROSA JUDITH     1102352687001                                                    X
 114951      ROSALES REYES JORGE POLIVIO     1102354063001                                                    X
 207182      DURAN PALADINES GRETA ELIZABETH 1102356878001                                                    X
 135658      PUGA PULLAGUARI ROSA ISABEL     1102358791001                                                    X
 177337      TOORES TORRES MIRIAN DEL PILAR 1102361035001                                                     X
 119237      ESPARZA ALVARADO JORGE RODRIGO1102361647001                                                      X
 139145      VILLAVICENCIO OJEDA FANY ISABEL 1102364419001                                                    X
  50237      RAMÓN HURTADO MANUEL ROMEL      1102367248001                                                    X
  69228      ROGEL JARA CESAR VALENTIN       1102370655001                                                    X
 163652      GARCIA POMA CARLOS OMAR         1102372776001                                                    X
  36190      NARANJO GUAMÁN FRANCISCO ANÍBAL 1102375357001                                                    X
  81231      DIAZ VITERI LUIS AMABLE         1102375621001                                                    X
 236307      MORA ARMIJOS ELVIA DE JESUS     1102380662001                                                    X
 193413      SALAZAR MANUEL EDILBER          1102383088001                                                    X
 200555      SÁNCHEZ ORDÓNEZ IVÁN ALFREDO 1102390133001                                                       X
 186837      REGALADO JARAMILLO JAMES DAVID 1102390596001                                                     X
No                 No registra
                                                               No                    No registra   No
                                                                        No. registra                       registra      No.    indicadores
                                                             registra                provincia, registra
Persona_id               NOMBRE               No. ID (RUC)                 calle                           número      registra de ventas,
                                                             apellido                 cantón y   primer
                                                                         principal                         de calle     origen activos y/o
                                                             paterno                 parroquia nombre
                                                                                                           principal             empleados

 172392      RIVERA BAO ANGEL AUGUSTO        1102394903001                                                    X
  21417      ING. EDGAR PÍO CAÑAR VEGA       1102401716001                                                    X
  16619      FAJARDO GONZALEZ FRANKLIN EDUARDO
                                             1102405378001                                                    X
 110084      JARAMILLO JARAMILLO MAX YONER 1102408448001                                                      X
 222407      PESANTES SIGCHO HECTOR FLORESMILO
                                             1102411350001                                                    X
 119166      BERMEO ABRAHAM ROSARIO DE LOURDES
                                             1102413737001                                                    X
  22510      ORDÓÑEZ VIVANCO JULIO MAXIMILIANO
                                             1102417159001                                                    X
  43304      SOTOMAYOR MENA FRANCISCO ALBERTO1102417670001                                                    X
 150672      GORDILLO RIOS JUAN MARIA        1102418462001                                                    X
 220481      ALVAREZ JUMBO JOSE HERNAN       1102426192001                                                    X
 139527      PÉREZ YUPANGUI JOSÉ VICENTE     1102427000001                                                    X
 242663      MUÑOZ MATA MARCO VINICIO        1102427976001                                                    X
  69708      ARMIJOS SANMARTIN MIGUEL ANTONIO1102430459001                                                    X
 155876      JUMBO ESTRADA ANTONIO FRANCELIN1102433198001                                                     X
  84854      CUEVA CORONEL RICHARD VICENTE 1102433834001                                                      X
 182345      LARREATEGUI CARRASCO VERONICA FERNANDA
                                             1102434378001                                                    X
 109385      ROMAN VALDIVIESO MAURICIO FERNANDO
                                             1102437413001                                                    X
  50544      CISNEROS ABAD MONICA JACQUELINE1102439237001                                                     X
 225952      VIRE SALINAS DIEGO FABIAN       1102445028001                                                    X
  91740      AGUILAR AGUILAR LEONARDO ERIX   1102446117001                                                    X
 148675      OJEDA OJEDA JOSE EUGENIO        1102447115001                                                    X
 161950      POMA SALCEDO ALEXANDER MAURICIO 1102449624001                                                    X
 180838      CORDOVA ROMERO LUIS FERNANDO 1102455290001                                                       X
 178039      ZAMBRANO OCHOA YUNNI NORMA NOEMI1102456249001                                                    X
 167677      AREVALO VASQUEZ BLANCA JOSEFINA1102456322001                                                     X
  85065      COELLO FERNANDEZ JANEHT GRACIELA1102457742001                                                    X
 132434      MOROCHO JIRON ELSA ANTOÑETA     1102459193001                                                    X
 172232      TORRES SIGCHO VICTOR OSWALDO 1102461454001                                                       X
 111804      CARTUCHE ORTEGA SONIA VICTORIA 1102464334001                                                     X
  42871      FEBRES ALVARADO PATRICIO ENRIQUE1102464607001                                                    X
  29125      SILVA CALLE JOFFRE ANIBAL       1102467410001                                                    X
No                 No registra
                                                               No                    No registra   No
                                                                        No. registra                       registra      No.    indicadores
                                                             registra                provincia, registra
Persona_id               NOMBRE               No. ID (RUC)                 calle                           número      registra de ventas,
                                                             apellido                 cantón y   primer
                                                                         principal                         de calle     origen activos y/o
                                                             paterno                 parroquia nombre
                                                                                                           principal             empleados

 255966      ULISES LEONARDO SILVA CALLE     1102467436001                                                    X
 196998      QUIZHPE PALACIOS CESAR MANUEL 1102469721001                                                      X
  14836      IVAN PERALTA                    1102471198001                                                    X
 277817      AJILA TULIO BOLIVAR             1102472535001                                                    X
  65798      AVILA MONCAYO ANGEL VINICIO     1102473020001                                                    X
  46564      ZHININ LITUMA JOSE VICENTE      1102473897001                                                    X
 188580      TAPIA MUÑOZ NERY ENITH          1102481742001                                                    X
 238198      SARANGO ELIZALDE HILTER ALBERTO 1102484167001                                                    X
 101177      JARAMILLO MALDONADO ORLANDO HOMERO
                                             1102485289001                                                    X
 184943      ENCALADA GUERRERO ENSO DE JESUS102489398001
                                             1                                                                X
 219756      PALACIOS PALOMINO FRANK AUGUSTO 1102490339001                                                    X
 160548      QUIZHPE CORONEL LUZ PIEDAD      1102504105001                                                    X
 171022      HERRERA ROJAS PAULO PATRICIO    1102508585001                                                    X
 222803      RUIZ CASTILLO LILIANA ALBERTINA 1102509054001                                                    X
   4928      ARQ. JORGE A. RODRIGUEZ LEON    1102510888001                                                    X
  39587      GRANDA PALADINES YANDRY EMILIO 1102512355001                                                     X
  32344      ING. RUTH LÓPEZ DELGADO         1102513023001                                                    X
 223199       SIN APELLIDO PATERNO CHAMBA CARLOS GONZALO
                                             1102514229001                                                    X
 186280      CASTILLO ALVERCA JULIO BALTAZAR 1102522636001                                                    X
 138770      CANART MALDONADO LUIS EMIGDIO 1102524616001                                                      X
 148381      CARRION CARRION MAURO HERNAN 1102528203001                                                       X
  15637      ING. JOSÉ L. PIZARRO VÁSQUEZ    1102530126001                                                    X
 186905      CASTILLO OLMEDO RICHAR ALBERTO 1102531942001                                                     X
 228428      JARAMILLO MORILLO ORFA ALVITA   1102532932001                                                    X
 237308      JIMENEZ ROJAS MARCO ANTONIO     1102533138001                                                    X
  71073      CASTILLO GONZAGA NOVARINO       1102534318001                                                    X
 118753      TORRES MORENO LUPE MARLENE      1102534516001                                                    X
  57916      SOTOMAYOR MENA GARY PATRICIO 1102540646001                     X                                 X
  63107      ESPINOSA COBOS LORENA IVANOVA 1102541602001                                                      X
  56359      VILLAVICENCIO CUEVA GLENDA MIREYA102541768001
                                             1                                                                X
 259757      TELLO CANO JULIO CÉSAR          1102542543001                                                    X
No                 No registra
                                                               No                    No registra   No
                                                                        No. registra                       registra      No.    indicadores
                                                             registra                provincia, registra
Persona_id               NOMBRE               No. ID (RUC)                 calle                           número      registra de ventas,
                                                             apellido                 cantón y   primer
                                                                         principal                         de calle     origen activos y/o
                                                             paterno                 parroquia nombre
                                                                                                           principal             empleados

  56002      DANS                            1102545066001                                                    X
 188304                                      1102545439001                                                    X
 116375      ORDOÑEZ BELTRAN FULVIO GONZALO 1102545546001                                                     X
 155832      JARAMILLO VALDIVIESO MERCY JAQUELINE
                                             1102545645001                                                    X
  20240      LEON HERRERA MARIELA LORENA     1102547138001                                                    X
 225180      BETANCOURT GUAMÁN RUBER VICENTE 1102549019001                                                    X
 240082      CASTILLO ABAD JORGE MELQUI      1102550074001                                                    X
  40639      AGUILERA NARVAEZ EDUARDO DANIEL1102551718001                                                     X
 131656      FLORES VALLE VICTOR ANTONIO     1102551759001                                                    X
 224803      MAYGUA ROBLES WILMAN ANTONIO 1102553052001                                                       X
  40766      CHAMBA ACARO HOLGER FREDDY      1102554852001                                                    X
 197498      DAVILA TORRES MARIA FERNANDA    1102554985001                                                    X
 198130      SILVA PONCE YORYI FRANCO        1102555248001                                                    X
 159439      GUAMAN SANCHEZ MARIA BEATRIZ    1102555446001                                                    X
  57818      MICROTECH                       1102560669001                                                    X
  94693      MOROCHO FAJARDO MARIO VINICIO 1102561055001                                                      X
 108391      SILVA MORALES STALIN ALFREDO    1102562434001                                                    X
 148301      CALDERON GALLEGOS LINDON BAYARDO1102562871001                                                    X
  74872      MASACHE ARMIJOS HECTOR OSWALDO  1102565031001                                                    X
 200661      SANCHEZ ARIAS LUIS VICENTE      1102566088001                                                    X
  28372      GONZALEZ CUEVA RICHARD OSWALDO  1102566468001                                                    X
 156769      CARRION CARLOS                  1102569579001                                                    X
 137509      SANCHEZ CABRERA ROMEL PATRICIO 1102572078001                                                     X
  83790      CASTRO ZAPATA FAUSTO HIPOLITO 1102573936001                                                      X
  11125       GALO RODRIGO CURIPOMA SINCHE 1102574314001                                                      X
 152070      ACARO SARANGO JOSE LUIS         1102575659001                                                    X
 142695      ENCARNACION ALVARADO MELVA DEL 1102577416001
                                             CISNE                                                            X
  56574      ALVARADO ROMAN ELSI ARACELY     1102579412001                                                    X
 165762      REY URENA AMILCAR ERASMO        1102580014001                                                    X
 267419      GONZALEZ MARTHA MARLENY         1102584404001                                                    X
 274297      SIGCHO SACA ROSA ALEGRIA        1102584453001                                                    X
No                 No registra
                                                                No                    No registra   No
                                                                         No. registra                       registra      No.    indicadores
                                                              registra                provincia, registra
Persona_id               NOMBRE                No. ID (RUC)                 calle                           número      registra de ventas,
                                                              apellido                 cantón y   primer
                                                                          principal                         de calle     origen activos y/o
                                                              paterno                 parroquia nombre
                                                                                                            principal             empleados

  96847      LEON GRANDA HITLER ALBERTO       1102587183001                                                    X
 274020      LOZANO SACA FRANCISCO            1102587357001                                                    X
 257738      NARVAEZ LOAIZA MARIA DEL CARMEN  1102592068001                                                    X
 168925      PUCHA PUCHA CARLOS MARIA         1102596812001                                                    X
 259656      TELLO CANO LEONIDAS ALBERTO      1102602222001                                                    X
 182102      SARANGO MASACHE MARIA ERMELINDA102602537001
                                              1                                                                X
 116336      MORENO ORDÓÑEZ GERMÁN FABRICIO   1102602859001                                                    X
  26296       ANGEL                           1102603782001                                                    X
  49310      PEÑARANDA REQUELME NELSON MANUEL 1102605464001                                                    X
 127124      CORREA RIOS IBETY MARIBEL        1102606322001                                                    X
 231566      ABAD JIMENEZ JUAN GILBERTO       1102609458001                                                    X
 151887      CHECA HERRERA LINDON AUGUSTO 1102610514001                                                        X
  11668       ING. NEY MONTAÑO                1102611223001                                                    X
 143940      BECERRA CUENCA GEOVANI ERNAN 1102614755001                                                        X
 172452      TINOCO VEGA SANDRA MIREYA        1102614789001                                                    X
 248459      MASACHE CUEVA MARÍA DE LOURDES 1102614870001                                                      X
 230314      VEGA RAMIREZ JUAN JOSE           1102615646001                                                    X
 193864      GUILLEN GONZALEZ PATRICIA ISOLINA1102616164001                                                    X
  84953      ALEJANDRO MATAMOROS JOSE RODRIGO 1102616594001                                                    X
  22034      CARRIÓN JUMBO RONNY YONES        1102616974001                                                    X
 162396      ERAZO MORENO CARLOS EFREN        1102619317001                                                    X
 136932      JARAMILLO SOTO CARLOS            1102622170001                                                    X
 153792      ABAD JIMENEZ ANGEL MANUEL        1102623269001                                                    X
 120774      ARMIJOS HIDALGO GEOVANI PAUL     1102623764001                                                    X
 178411      QUEZADA SUQUILANDA JORGE VICENTE 1102628383001                                                    X
 121375      VARGAS JIMENEZ SEGUNDO SANTIAGO  1102633128001                                                    X
 209992      VINUEZA CORONEL FRANKLIN EDUARDO 1102633441001                                                    X
 254859      CASTILLO SANCHEZ JUAN ANTONIO 1102633607001                                                       X
 195321      ZAPATA BUSTAMANTE LASDI MARIA 1102635206001                                                       X
 117121      YAGUANA CUMBICUS MANUEL FILIMON1102637061001                                                      X
 177575      YUNGA QUEZADA NARCISA ELIZABETH1102643374001                                                      X
No                 No registra
                                                                No                    No registra   No
                                                                         No. registra                       registra      No.    indicadores
                                                              registra                provincia, registra
Persona_id               NOMBRE                No. ID (RUC)                 calle                           número      registra de ventas,
                                                              apellido                 cantón y   primer
                                                                          principal                         de calle     origen activos y/o
                                                              paterno                 parroquia nombre
                                                                                                            principal             empleados

  46756      ALEX CARRERA PALACIOS            1102644380001                                                    X
 147049      GONZALEZ MONCAYO ANTONIO VICENTE 1102646690001                                                    X
 223218      VIVANCO COBOS WALTER AMADEO 1102650239001                                                         X
 110430      TOALONGO GONZALEZ PATRICIO OSWALDO
                                              1102653183001                                                    X
  78544      SANCHEZ LOZANO EDUARDO MARCELO   1102656491001                                                    X
 228280      LUDEÑA MISQUERO NUVIA EYLEEN     1102657630001                                                    X
 192695      JIMENEZ ROMERO LEON RAMIRO       1102659149001                                                    X
 244691      LOYOLA MACHUCA ANGEL ALFONSO 1102661483001                                                        X
 155174      CARRION VEGA JUAN ELISEO         1102663349001                                                    X
 138841      CELI CARRION VICTOR HUGO         1102663810001                                                    X
 224789      ORTIZ IRMA PIEDAD                1102665070001                                                    X
 221497      AGUINSACA SATAMA JOSE FRANCISCO  1102665880001                                                    X
  62125      LOAIZA MONTERO MAX DIEGO         1102666367001                                                    X
  40693      CÁRDENAS CHAMBA HUGO HERNAN 1102668181001                                                         X
 179138      ORTIZ GRANDA ALCIDES             1102669965001                                                    X
 225212      MALLA CHALAN JOSE REINERIO       1102682331001                                                    X
 258254      RAMOS CORREA NANCY CECILIA       1102695861001                                                    X
 112873      ERAZO ERAZO BRIGIDA ELVIRA       1102699814001                                                    X
 183086      QUEZADA CABRERA HELMER HERNAN1102702543001                                                        X
 129420      TORRES CORREA FRANKLIN AGUSTIN 1102703798001                                                      X
 126002      SOTOMAYOR VILLALBA VIVIANA ELIZABEH
                                              1102706916001                                                    X
 101765      ERAS VALAREZO JORGE LENIN        1102711635001                                                    X
 148007      VEGA ANGEL                       1102712559001                                                    X
 167327      ARMIJOS SALINAS LUIS CLAUDIO     1102719364001                                                    X
 220855      GUALAN JAYGUA SEGUNDO MELCHOR 1102728035001                                                       X
 188415      JARAMILLO CAPA CARLOS MARIA DE JESUS
                                              1102730353001                                                    X
  57998      ESTRELLA MOGROVEJO FABRICIO ALFREDO
                                              1102735501001                                                    X
  46525      VELEPUCHA GUZMAN HOMERO ALCIVAR  1102736251001                                                    X
 247331      ARMIJOS ARMIJOS HUGO FRANCISCO 1102738075001                                                      X
 123842      PAREDES ABAD LEONARDO RENE       1102738760001                                                    X
 105301      PUGLLA BENITEZ ANGEL REINALDO    1102744743001                                                    X
No                 No registra
                                                                 No                    No registra   No
                                                                          No. registra                       registra      No.    indicadores
                                                               registra                provincia, registra
Persona_id               NOMBRE                 No. ID (RUC)                 calle                           número      registra de ventas,
                                                               apellido                 cantón y   primer
                                                                           principal                         de calle     origen activos y/o
                                                               paterno                 parroquia nombre
                                                                                                             principal             empleados

  42541      GODOY MEDINA CARLOS JIMMY         1102748173001                                                    X
 249673      NERO JAIME VINICIO                1102748926001                                                    X
 132421      RUILOVA MERIZALDE EDDY BENJAMIN 1102749916001                                                      X
 123478      SILVA SANMARTIN BOLIVAR ARMANDO 1102752340001                                                      X
 148773      MONTOYA PONCE ANGEL MENÉS         1102753041001                                                    X
 164868      LARGO CRIOLLO SANDRA GEORGINA 1102753660001                                                        X
 163775      BENITEZ CABRERA DARWIN HERNÁN 1102760822001                                                        X
 148812      ENRIQUEZ CAMPOVEDE PATRICIO VICENTE
                                               1102761465001                                                    X
  91256      SILVA CÁRDENAS SONIA ALEXANDRA 1102761549001                                                       X
 169458      GRANDA ESPARZA EDGAR AUGUSTO 1102763297001                                                         X
  92634      PACCHA FAICÁN ANGEL RODRIGO       1102767496001                                                    X
  36794      MOROCHO TAMBO VICTOR FRAYNUMAN102768445001
                                               1                                                                X
 274765      HIDALGO TORRES LILIANA SOLEDAD 1102768627001                                                       X
 240753      GRANDA DAVILA JOHNSON ERROLL      1102775630001                                                    X
  24463      VILLAVICENCIO FREIRE JAIME FABIAN 1102776554001                                                    X
 138252      AGUILAR JARAMILLO FREDDY AUGUSTO102781612001
                                               1                                                                X
 194542      SOTO CARAGUAY WALTER FILEMON 1102783568001                                                         X
 100581      CUENCA CASTRO EDGAR FABIAN        1102785316001                                                    X
 148081      TANDAZO CABRERA FREDI MANRIQUE 1102791330001                                                       X
  16501      LOAIZA CAMPOVERDE HOMER ARMANDO   1102792858001                                                    X
 119658      CEVALLOS LUDEÑA DULCE MARIA       1102794193001                                                    X
 262422      MACAS LOZANO MANUEL ANTONIO       1102795166001                                                    X
 217194      GUTIERREZ CURIPOMA MARIA ISABEL 1102795943001                                                      X
 228651      PEÑA ONTANEDA ELIO GERMÁN         1102799374001                                                    X
 232115      MONTERO DIAZ SEGUNDO VICTOR MANUEL1102800719001                                                    X
 227628      PARRA GUAYLLAS SEGUNDO VICENTE 1102803044001                                                       X
 132409      PONCE BENITEZ MARIA DE LOURDES 1102805171001                                                       X
  65199      CORONEL PUCHAICELA ANGEL MEDARDO  1102815386001                                                    X
 234898      JARAMILLO LUZURIAGA JIMMY LEONARDO1102818109001                                                    X
  61763      FIERRO JIMENEZ ANA LUCIA          1102820170001                                                    X
 155310      ORTEGA CARRIÓN ALEX RAMIRO        1102822580001                                                    X
No                 No registra
                                                                 No                    No registra   No
                                                                          No. registra                       registra      No.    indicadores
                                                               registra                provincia, registra
Persona_id               NOMBRE                 No. ID (RUC)                 calle                           número      registra de ventas,
                                                               apellido                 cantón y   primer
                                                                           principal                         de calle     origen activos y/o
                                                               paterno                 parroquia nombre
                                                                                                             principal             empleados

 149836      PARDO ORTÍZ SIMON BOLIVAR         1102826813001                                                    X
 110257      SARANGO RODRIGUEZ MARIA BEATRIZ   1102833033001                                                    X
 178835      NEIRA CUEVA FANNY MERCEDES        1102836176001                                                    X
  38237       ING. FREDDY S. ERAZO BUSTAMANTE 1102836218001                                                     X
 150961      ESTRADA FREDY VICENTE             1102836721001                                                    X
 260776      JIMENEZ RAMIREZ LUIS RODRIGO      1102845979001                                                    X
  11977      ING-CIVIL. ALVARO MOISES VIVANCO CORDOVA
                                               1102847868001                                                    X
 183117      OJEDA MOSQUERA RITA MARIA         1102848866001                                                    X
  41516      ALDEAN ANDRADE MIGUEL ANGEL       1102854278001                                                    X
 109096      CUENCA CHAMBA RUBEN ANTONIO       1102855648001                                                    X
 109403      CUENCA CHAMBA HOMERO FABRICIO 1102855663001                                                        X
 266350      JARAMILLO MONTAÑO DENNIS OMAR 1102856158001                                                        X
 251826      DUARTE VERA NILO SANTIAGO         1102857115001                                                    X
 274770      GUALAN CONTENTO ELÍAS BENIGNO 1102858618001                                                        X
  34705      ELIZALDE MORA FLOR MARÍA          1102859756001                                                    X
 165128      AGUILAR SANMARTIN MARGARITA       1102861372001                                                    X
 237465      ORDOÑEZ ORDOÑEZ ANIBAL LEONIDAS   1102863204001                                                    X
  59854      PEÑA TOLEDO RAMIRO VINICIO        1102867395001                                                    X
 189588      SALINAS RAMON MELECIO EDUARDO 1102868013001                                                        X
  49680      CAMPOVERDE ANDRADE PAÚL ENRIQUE   1102871215001                                                    X
 145012      VIVANCO GALLEGOS MARIA PIEDAD 1102871520001                                                        X
 167781      MERINO JIMENEZ YENY ESTHELITA     1102881560001                                                    X
 170167      AGUINSACA MEDINA JOSE VICENTE     1102882428001                                                    X
 226717      CORDOVA ROJAS PABLO RENE          1102888839001                                                    X
 266989      SALINAS MERINO DARWIN NAPOLEON 1102891163001                                                       X
  22520      SOLANO QUEZADA JORGE MIGUEL       1102893474001                                                    X
 199706      MOLINA CHUQUIMARCA SEGUNDO KLIMER 1102896402001                                                    X
 187262      AGUIRRE ESPARZA FRANCISCO LEONARDO1102897624001                                                    X
 201076      MONTALVAN AREVALO DIEGO FERNANDO  1102900030001                                                    X
  47426      COLLAHUAZO DURAZNO JUAN FERANNDO  1102901368001                                                    X
  23683       MANUEL                           1102901996001                                                    X
No                 No registra
                                                                No                    No registra   No
                                                                         No. registra                       registra      No.    indicadores
                                                              registra                provincia, registra
Persona_id               NOMBRE                No. ID (RUC)                 calle                           número      registra de ventas,
                                                              apellido                 cantón y   primer
                                                                          principal                         de calle     origen activos y/o
                                                              paterno                 parroquia nombre
                                                                                                            principal             empleados

  36396      TROYA CHAMBA ANGEL LEONARDO      1102902150001                                                    X
  34931      ANGEL                            1102903265001                                                    X
 127993      GONZÁLEZ ESTRELLA JULIO CESAR 1102910997001                                                       X
  36834      REYES CORONEL PABLO MANUEL       1102913892001                                                    X
 141175      ERAZO MOGROVEJO XAVIER ALEJANDRO 1102916309001                                                    X
 174830      TORRES VALDIVIESO JANETH MARGARITA
                                              1102916903001                                                    X
  21818      MARCO                            1102918495001                                                    X
 164598      CUEVA VILLAGOMEZ CLAUDIO VICENTE 1102918511001                                                    X
  37900      QUEZADA ROMERO ELIAS RODRIGO 1102920079001                                                        X
 217782      PINEDA MALDONADO WILLAN REMIGIO1102922000001                                                      X
 236221      CAMPOVERDE BUSTAMANTE WILSON MANUEL
                                              1102924832001                                                    X
 226622      ROJAS JIMENEZ JOSE ANGEL         1102926159001                                                    X
 218229      LÓPEZ MONTAÑO MAYRA TATIANA      1102929831001                                                    X
  38879      HIDALGO BARRAZUETA JACK LEONARDO 1102931118001                                                    X
 178915      PADILLA NERO JOSÉ GONZALO        1102934401001                                                    X
  20168      GUAMAN ARMIJOS JULIO FERNANDO 1102935937001                                                       X
 162770      BARBA AREVALO FANNY MERCEDES 1102940465001                                                        X
 269629      YANANGOMEZ BECERRA VICTOR HUGO   1102942016001                                                    X
 129719      ESPINOZA VINCES MARCO ALEXANDER  1102943774001                                                    X
 147110      TORRES SALAZAR LUIS ALFREDO      1102944806001                                                    X
 156322      VILLAMAGUA ARMIJOS GALO EFREN 1102947866001                                                       X
  81808      SANCHEZ FARFAN JUAN CARLOS       1102948823001                                                    X
 108620      SONGOR ESPARZA NELSO AUGUSTO 1102949789001                                                        X
 125917      ZHIGUI PAQUI MARCO ANTONIO       1102952650001                                                    X
 137808      MAZA GUAMAN LEONARDO PATRICIO 1102958731001                                                       X
 125074      FLORES ALEJO MODESTO ANTONIO 1102964887001                                                        X
 174316      PALADINES MACAS JOHN LENNIO      1102965777001                                                    X
 187260      GUAILLAS GUAILLAS MANUEL ASUNCIÓN1102966908001                                                    X
 144425      RAMON ARMIJOS ANGEL PATRICIO     1102970801001                                                    X
 180923      BELTRÁN PINEDA NAHÍN RENÉ        1102971734001                                                    X
  83983      SALINAS VILLAVICENCIO ROSENDA ISABEL
                                              1102974399001                                                    X
No                 No registra
                                                                No                    No registra   No
                                                                         No. registra                       registra      No.    indicadores
                                                              registra                provincia, registra
Persona_id               NOMBRE                No. ID (RUC)                 calle                           número      registra de ventas,
                                                              apellido                 cantón y   primer
                                                                          principal                         de calle     origen activos y/o
                                                              paterno                 parroquia nombre
                                                                                                            principal             empleados

  11599       ING. HECTOR ENRIQUE OCHOA GARCIA102975362001
                                              1                                                                X
 159188      SARANGO GAONA JAVIER ALBERTO 1102978630001                                                        X
  14116       DENNYS                          1102979646001                                                    X
 139713      ASTUDILLO GALLEGOS BAYRON DANILO 1102981840001                                                    X
 130936      ORELLANA SISALIMA GALO ENRIQUE 1102984281001                                                      X
 159614      TENESACA ESPINOZA MARCO LENIN 1102985791001                                                       X
 163541      CHALACO CHALACO MILADY NARDELITA102990627001
                                              1                                                                X
 108962      CUEVA CALDERON EUDES GERMAN 1102996723001                                                         X
 122373      TILLAGUANGO ROSILLO WUILMAN FRANCISCO
                                              1103001192001                                                    X
  33334      VILLAVICENCIO LALANGUI BOLÍVAR MANUEL
                                              1103002174001                                                    X
 136538      RIOFRIO CARRION GILBERTO MANUEL 1103002604001                                                     X
 170155      GONZALEZ CORONEL JUAN CARLOS 1103004378001                                                        X
 226345      GUACHIZACA GUACHIZACA NORMA LUCÍA1103005532001                                                    X
 253819      TITUANA TITUANA ANGEL ELADIO     1103007090001                                                    X
 148314      SANCHEZ RAMOS RUTH SILVANA       1103007496001                                                    X
 121857      JIMENEZ LOYOLA CESAR PATRICIO    1103009989001                                                    X
 272138      JARAMILLO VIVANCO JULIO SANTIAGO 1103012009001                                                    X
 158875      JIMENEZ CORDERO GLORIA MARUJA 1103013486001                                                       X
 251966      SARANGO GONZALEZ LUIS GUDELIO 1103016034001                                                       X
  34176      MARTINEZ CHAMBA FRANZ ALBERTO 1103016729001                                                       X
 248894      ORDOÑEZ CONDOY VINICIO GEOVANNY  1103018022001                                                    X
 103713      ORDOÑEZ AÑAZCO CESAR FABRICIO 1103019897001                                                       X
  80837      SANCHEZ ARIAS VICTOR ANTONIO     1103022941001                                                    X
 236151      TROYA ABAD JUAN MODESTO          1103023840001                                                    X
 167408      VELEZ TAPIA FERNANDO RAFAEL      1103026082001                                                    X
 164618      SALINAS PACHECO AUGUSTO ARMANDO  1103027361001                                                    X
 141636      AUQUILLA YANGARI PATRICIO FERNANDO
                                              1103029847001                                                    X
  34337      PAZMIÑO TOLEDO RICARDO GABRIEL 1103034540001                                                      X
 223548      UCHUARI GRANDA ALBA NATIVIDAD    1103036545001                                                    X
  29564      PAUTA LABANDA JANNYNE NOHEMI     1103037485001                                                    X
 256674      ANGAMARCA CURIPOMA FAUSTO FERNANDO
                                              1103037659001                                                    X
No                 No registra
                                                               No                    No registra   No
                                                                        No. registra                       registra      No.    indicadores
                                                             registra                provincia, registra
Persona_id               NOMBRE               No. ID (RUC)                 calle                           número      registra de ventas,
                                                             apellido                 cantón y   primer
                                                                         principal                         de calle     origen activos y/o
                                                             paterno                 parroquia nombre
                                                                                                           principal             empleados

 153547      BECERRA LEONARDO RAMIREZ        1103040331001                                                    X
  60460      CABRERA IÑIGUEZ WILMAN ERNESTO 1103040661001                                                     X
 120114      HERRERA HERRERA PEDRO GUAZMIN 1103040711001                                                      X
 211827      OBELENCIO CUENCA LUIS ALBERTO 1103041024001                                                      X
 109536      LAPO CASTILLO ANGELA ALEMANIA   1103041222001                                                    X
 228653      GONZÁLEZ CUEVA CARLOS ANTONIO 1103043145001                                                      X
 208593      SALINAS ORDOÑEZ LEONARDO ENRIQUE1103043699001                                                    X
 127556      SARAGURO RAMIREZ ROQUE ARNULFO  1103050579001                                                    X
 109149      JARAMILLO MOREJON ANA LUISA DEL CISNE
                                             1103052807001                                                    X
 149821      CHIRIBOGA SALAZAR LORENA ALEXANDRA
                                             1103053698001                                                    X
 100439      CAMPOVERDE LOPEZ RICHAR DANILO 1103058804001                                                     X
 150282      RODRIGUEZ CARRION DIEGO ISRAEL 1103061584001                                                     X
  51670      CAMACHO QUITO ANTOLIN MECIAS    1103062012001                                                    X
 214748      VALAREZO PIEDRA FERNANDO        1103063523001                                                    X
 172957      ORDONEZ CUENCA ANGEL BENITO     1103063713001                                                    X
  19696       LUIS                           1103063788001                                                    X
 270287      LOZANO CARPIO ELSA NIDIA        1103064273001                                                    X
 176187      BUSTOS RIOFRIO EULER MARCELO    1103064281001                                                    X
 194288      ORTEGA CRIOLLO GALO WLADIMIR    1103067060001                                                    X
 139434      LANCHE GUAMAN LUIS ANTONIO      1103067722001                                                    X
 221026      MOROCHO PESANTEZ LUIS GALINDO 1103068936001                                                      X
 175761      MEDINA LARGO MERCEDES ROSARIO 1103072573001                                                      X
  28653      CAÑAR REYES TEODORO             1103078406001                                                    X
 150264      AGURTO JIMENEZ MAXIMO JEFFERSON 1103079552001                                                    X
  93102      ABRAHAN CUEVA CLORINDA YUZABETH 1103086912001                                                    X
 208443      SANCHEZ ALBAN JOHN VINICIO      1103089056001                                                    X
  35515      GRANDA QUEVEDO CRISTOBAL EDUARDO1103090476001                                                    X
 191018      MALDONADO DIAZ MILTON LIZARDO 1103090690001                                                      X
 229911      TAMBO CARAGUAY VÍCTOR RAÚL      1103091177001                                                    X
 132645      BUSTOS VERA CARLOS FABIAN       1103094312001                                                    X
 227854      REYES SUING RICHARD HUMBERTO 1103100275001                                                       X
No                 No registra
                                                               No                    No registra   No
                                                                        No. registra                       registra      No.    indicadores
                                                             registra                provincia, registra
Persona_id              NOMBRE                No. ID (RUC)                 calle                           número      registra de ventas,
                                                             apellido                 cantón y   primer
                                                                         principal                         de calle     origen activos y/o
                                                             paterno                 parroquia nombre
                                                                                                           principal             empleados

 115146      DELGADO CASTILLO SILVIA PIEDAD 1103106652001                                                     X
 124927      JUMBO BURBANO DARWIN GEOVANY 1103114557001                                                       X
 177887      CORDOVA ROMERO SONIA MARILU    1103120265001                                                     X
 257982      CALDERON BUSTAMANTE CARLOS FABIAN
                                            1103120745001                                                     X
 275097      GONZÁLEZ MARTINEZ CARLOS LEONARDO
                                            1103123269001                   X            X                    X
  17877      CUENCA GUAILLAS ERNESTO RAUL   1103127112001                                                     X
  12775       LUIS                          1103128938001                                                     X
  48454      GÓMEZ ACHUPALLAS ANGEL MAURICIO1103132591001                                                     X
  23628      INGENIERO CIVIL                1103137699001                                                     X
 271600      MALLA GUALAN SEGUNDA JUANA     1103138747001                                                     X
  96196      PUGLLA SUQUILANDA ROBERT MARCELO
                                            1103140172001                                                     X
 278184      PEÑAHERRERA AGUILERA MARCO ANTONIO
                                            1103140396001                                                     X
 245493      OJEDA MENDIETA XIOMARA PAULINA 1103142988001                                                     X
  56120      OCHOA CARRIÓN DULIA NOEMI      1103145494001                                                     X
  54414      ORTIZ CARDENAS MILTON FABRICIO 1103146401001                                                     X
 210737      HERRERA SALCEDO CARLOS RODRIGO 1103146716001                                                     X
 164592      BENAVIDES CALVA ENRIQUE RUFINO 1103146799001                                                     X
 119771      ARTEAGA VERA CESAR AUGUSTO     1103147698001                                                     X
 181813      REYES SUING JAIME OLMEDO       1103148555001                                                     X
 207017      GUZMAN GIRON LUIS ANIBAL       1103149876001                                                     X
 168809      SARANGO SOTO MARLENE DEL ROCIO1103150304001                                                      X
  70628      OCAMPO SALAZAR OSKAR MICHEL    1103151153001                                                     X
 144764      OJEDA MATAMOROS LEONARDO PATRICIO
                                            1103151880001                                                     X
 195668      TENE TENE LUIS GEOVANNY        1103153035001                                                     X
 191123      GUAYLUPO GALVEZ AUREA ESTHELA 1103156699001                                                      X
 240209      GUAYAS PAMBI NELZON EFRAIN     1103157267001                                                     X
 221570      ARIAS CALI BLANCA TEREZA       1103162473001                                                     X
 227768      VALAREZO TOLEDO GERARDO FRANCISCO
                                            1103164057001                                                     X
 171309      BALCAZAR CUEVA MARCO ADARCILIO 1103165187001                                                     X
 237294      RIOFRIO BERMEO NORMA DEL CARMEN1103165963001                                                     X
 141705      ENCARNACION ENCARNACION OLGA MARINELA
                                            1103167142001                                                     X
No                 No registra
                                                                No                    No registra   No
                                                                         No. registra                       registra      No.    indicadores
                                                              registra                provincia, registra
Persona_id               NOMBRE                No. ID (RUC)                 calle                           número      registra de ventas,
                                                              apellido                 cantón y   primer
                                                                          principal                         de calle     origen activos y/o
                                                              paterno                 parroquia nombre
                                                                                                            principal             empleados

   9748       ING. JAVIER RUIZ VÉLEZ          1103167779001                                                    X
  78386      ELIZALDE JIMENEZ GUILLERMO ESTALIN
                                              1103167928001                                                    X
 190298      VASQUEZ ROFRÍO SILVANA MARIANELA 1103175384001                                                    X
 150821      CRIOLLO NIVELO HECTOR RUBEN      1103175665001                                                    X
 175898      RAMIREZ CUEVA JOSE PATRICIO      1103176523001                                                    X
 131778      HIDALGO HIDALGO KLEVER IVAN      1103179329001                                                    X
 126602      DÍAZ GUAMÁN GEOVANNY FRANCO      1103188007001                                                    X
 188778      MONTOYA PONCE JOSÉ FERNANDO 1103194906001                                                         X
 205058      JARAMILLO AYALA EDISON PAUL      1103204861001                                                    X
 157761      VARGAS VARGAS WALTER BOLIVAR 1103211916001                                                        X
 125236      SALINAS CALVA LUIS FERNANDO      1103213706001                                                    X
 193325      MOROCHO CHAMBA BEATRIZ LUCIA 1103215818001                                                        X
  11494       GUILLEN TITUANA OSCAR FIDENCIO 1103216410001                                                     X
 153973      VALAREZO AGUILAR MARLON FRANCISCO1103217129001                                                    X
 144185      PINEDA ORDONEZ KARINA XIMENA     1103218135001                                                    X
  38539      TOLEDO CUEVA ALEX EDUARDO        1103218218001                                                    X
 176218      PARRA CHALAN FLOR MARIA          1103218283001                                                    X
 138240      VILLAVICENCIO FREIRE VLADIMIR ALEJANDRO
                                              1103220149001                                                    X
  46377      CUADRADO TORRES EDGAR OSWALDO    1103221345001                                                    X
 144796      UCHUARI LIMA NANCY YOLANDA       1103221808001                                                    X
  35782      PAREDES HERRERA JORGE ENRIQUE 1103222525001                                                       X
 128235      TORRES VEINTIMILLA GUSTAVO ALFREDO
                                              1103222533001                                                    X
  75090      SARAGURO OJEDA AUGUSTO RAMIRO 1103222541001                                                       X
 200018      CUESTA SILVERIO DIEGO FERNANDO 1103222871001                                                      X
 137256      ENCARNACION MOCHA JAKELYNE ROSIO 1103225866001                                                    X
 255262      TROYA TAMAYO WILLAN FRANCISCO 1103234397001                                                       X
 174813      YAGUACHE BECERRA LUIS ANTONIO 1103235873001                                                       X
  86861      CHAMBA VELEZ PIEDAD MARISOL      1103237838001                                                    X
 198013      YAGUACHI ALVEAR FRANKLIN VICENTE1103249734001                                                     X
 195398      PALACIOS JUAREZ JUAN CARLOS      1103251862001                                                    X
  75687      CALVA CALVA JOSE MELVIN          1103252407001                                                    X
No                 No registra
                                                                No                    No registra   No
                                                                         No. registra                       registra      No.    indicadores
                                                              registra                provincia, registra
Persona_id               NOMBRE                No. ID (RUC)                 calle                           número      registra de ventas,
                                                              apellido                 cantón y   primer
                                                                          principal                         de calle     origen activos y/o
                                                              paterno                 parroquia nombre
                                                                                                            principal             empleados

  55126      PALADINES SEAS MARIA YAQUELINE 1103256812001                                                      X
 234273      NN ALVEAR DARVIN FERNANDO        1103259337001                                                    X
 237206      MINGA AMBULUDÍ CARLOS ALBERTO 1103268064001                                                       X
 219425      SILVA LOJAN LUIS FERNANDO        1103269096001                                                    X
 123974      CASTILLO REQUENA LUCIA AMPARITO 1103272645001                                                     X
 164989      CORREA PEREIRA JOSE JARMATH      1103280580001                                                    X
 226925      COOREA ALDEAN JORGE BENJAMIN 1103282347001                                                        X
 135653      QUEZADA ALVAREZ MARISOL PATRICIA 1103284202001                                                    X
 151598      CARRION MARIA                    1103288948001                                                    X
  66576      JADÁN MAZA ANGEL OSWALDO         1103298061001                                                    X
 205644      CUENCA ORTIZ GENARO              1103298228001                                                    X
  85818      CHILLOGALLO GRANDA CARLOS ALBERTO1103298541001                                                    X
 156367      GUARACA SUNCIÓN ANGEL PATRICIO 1103299119001                                                      X
 263581      TORRES REY HYEFERSON FERNANADO   1103299820001                                                    X
  77269      SALINAS GAONA MANUEL JESUS       1103301550001                                                    X
 168720      MAZA LAVANDA ANTONIO FERNANDO 1103302533001                                                       X
 131968      QUITUIZACA QUIZHPE LUIS GUILLERMO1103305247001                                                    X
 236910      PAZ LUCIA MAGDALENA              1103310940001                                                    X
 278188      SALAS PAUCAR LORENA DEL CISNE    1103316194001                                                    X
  84443      BENITEZ UCHUARI ROCIO ELIZABETH 1103316954001                                                     X
  86066      ILLESCAS ARMIJOS PABLO GEOVANNY1103321350001                                                      X
  84019      ARMIJOS JARAMILLO FLAVIO ALEXANDER
                                              1103322093001                                                    X
 122250      MEDINA ALVARADO FRANCISCO JAVIER 1103322135001                                                    X
 257167      FREIRE HIDALGO MYRIAM PATRICIA   1103322408001                                                    X
  72427      PELAEZ PIEDRA DIEGO GONZALO      1103323034001                                                    X
 165807      OCHOA GORDILLO DIEGO OSWALDO 1103325625001                                                        X
  14379      ING. DARWIN JIMÉNEZ C            1103326482001                                                    X
 155930      JIMENEZ ABAD JOSE LUIS           1103331201001                                                    X
  98739      AGUIRRE CARRIÓN TERESA DE JESUS 1103338495001                                                     X
  33363      SÁNCHEZ GUTIÉRREZ TELMO PATRICIO 1103338883001                                                    X
  17314      ING. CRISTIAM GUERRERO           1103339725001                                                    X
No                 No registra
                                                            No                    No registra   No
                                                                     No. registra                       registra      No.    indicadores
                                                          registra                provincia, registra
Persona_id              NOMBRE             No. ID (RUC)                 calle                           número      registra de ventas,
                                                          apellido                 cantón y   primer
                                                                      principal                         de calle     origen activos y/o
                                                          paterno                 parroquia nombre
                                                                                                        principal             empleados

  30466      TORRES JUMBO GUIDO VICENTE      1103339881001                                                 X
  14134      LEÓN COMPUTERS                  1103343362001                                                 X
 171512      ORDOÑEZ SALCEDO JAIME LEONIDAS 1103348403001                                                  X
 157619      SARANGO CORREA GUIDO RENAN      1103357347001                                                 X
 223621      BERMEO CASTILLO CARLOS DARWIN 1103363196001                                                   X
 240949      GRANDA NIXON ARLIG              1103366009001                                                 X
 238933      RAMON PRADO MAURICIO VICENTE    1103373393001                                                 X
 180820      CORDOVA ELIZALDE HENRY RENAN    1103373997001                                                 X
 262310      PALACIOS ANDRADE LUIS OCTAVIO   1103374268001                                                 X
 242494      VILLA SILVA DIEGO LEONARDO      1103375257001                                                 X
 114751      JIMENEZ MERINO GLORIA ESPERANZA 1103378012001                                                 X
 265648      ORDOÑEZ GUAMAN LUIS ARMANDO     1103380992001                                                 X
 143599      ARIAS CÓRDOVA EDGAR ANTONIO     1103381248001                                                 X
 156323      ORDOÑEZ MOROCHO ANGEL BOLIVAR 1103382931001                                                   X
  79953      GONZALEZ PONCE WUILLAN PORFIRIO 1103383103001                                                 X
  67484      CHIMBO CELI CARLOS MANUEL       1103383459001                                                 X
 104878      MOROCHO MOROCHO PAOLA           1103385538001                                                 X
 216210      JIMENEZ CAMPOVERDE NIVALDO GENINHO
                                             1103386387001                                                 X
 146512      PANGAY CHAMBA JAVIER FERNANDO 1103387823001                                                   X
 219885      HERRERA OCHOA JEOVANNY GUILLERMO1103388706001                                                 X
 134001      CUEVA CARRION MARIA GERMANIA    1103390249001                                                 X
 101003      TROKHIMTCHOUK TROKHIMTCHOUK TATIANA ANATOLYVNA
                                             1103390645001                                                 X
  17521      ORDONEZ GUTIERREZ OSCAR RODRIGO 1103390843001                                                 X
 273511      PUCHA SINCHE LENYN FREDY        1103391270001                                                 X
  96995      ORTEGA ARMIJOS POLIVIO GUILLERMO1103396782001                                                 X
 199561      RODRIGUEZ CORREA VICTOR PATRICIO1103398283001                                                 X
 263028      PELÁEZ CHIMBO DIEGO FERNANDO    1103398358001                                                 X
 175441      MALDONADO GONZÁLEZ FABIÁN MARCELO
                                             1103402358001                                                 X
 189422      SOZORANGA MOROCHO NELSON RODRIGO1103403281001                                                 X
  57073      ZAMBRANO MONCADA MIRIAN MAGALI 1103404412001                                                  X
 194970      ZHIGUI PAQUI JOSE JAVIER        1103405138001                                                 X
No                 No registra
                                                               No                    No registra   No
                                                                        No. registra                       registra      No.    indicadores
                                                             registra                provincia, registra
Persona_id               NOMBRE               No. ID (RUC)                 calle                           número      registra de ventas,
                                                             apellido                 cantón y   primer
                                                                         principal                         de calle     origen activos y/o
                                                             paterno                 parroquia nombre
                                                                                                           principal             empleados

  28275      PINTA PINTA VICTOR MANUEL       1103406383001                                                    X
 100775      ZÚÑIGA TINIZARAY VANESSA ALEXANDRA
                                             1103406599001                                                    X
  45485      CEVALLOS ORBE RAMIRO FERNANDO 1103411193001                                                      X
 144911      ABENDAÑO QUEZADA BRANLY LEONARDO1103411359001                                                    X
 240918      GUAMAN QUIZHPE CARLOS VINICIO   1103412647001                                                    X
 160926      CUENCA TORRES ERWIN MARCELO     1103413579001                                                    X
  48597      JIMENEZ PERALTA ANGEL RAMIRO    1103414304001                                                    X
 196694      AGUILAR JARAMILLO JOSELITO      1103415400001                                                    X
  13078      LOZANO ALVARADO LAURA LIVIA     1103418214001                                                    X
 101907      MEDINA VALLE CARLOS ALBERTO     1103418826001                                                    X
 260080      NÚÑEZ ABARCA JULIO FABRICIO     1103420004001                                                    X
 242112      PINEDA PINEDA MANUEL ALBERTO    1103420160001                                                    X
 110367      MEDINA ARMIJOS RITA FABIOLA     1103420525001                                                    X
 209423      MONTOYA PONCE MARCOS EFRAIN 1103423800001                                                        X
 148320      LOZANO SARANGO SEGUNDO ABEL     1103424402001                                                    X
 113829      HERRERA HERRERA PEDRO VICENTE 1103425201001                                                      X
 152891      RAMIREZ PINEDA MAXIMO ALBERTO 1103427785001                                                      X
  22312      ROMERO GUZMAN ADRIANO ENRIQUE 1103428197001                                                      X
 216512      RODRÍGUEZ ROSARIO JESÚS PATRICIO1103428783001                                                    X
 148382      CAMPOVERDE VIVANCO CELIA BEATRIZ1103429708001                                                    X
 265755      MEDINA TACURI DOLORES VIRGINIA 1103432488001                                                     X
 196386      SOLORZANO CASTILLO BYRON AGUSTIN1103432637001                                                    X
  22851       FABIÁN                         1103434716001                                                    X
  21211       RENÁN                          1103439863001                                                    X
 122730      LLACXAGUANGA RAMÍREZ YADIRA DEL1103440622001
                                              CISNE                                                           X
 269820      BENAVIDES CORDOVA COSME FERNANDO1103450977001                                                    X
 232410      MENA MORA LUZ MARINA            1103455414001                                                    X
 142200      SOTO SARANGO ANGEL FERNANDO 1103455802001                                                        X
  68117      ARMIJOS SANTOS DUNIA SALOME     1103461917001                                                    X
 169129      CARRION JIMA JOSE MARCELO       1103462915001                                                    X
 222096      SAUCA CHUQUI FAUSTO MECIAS      1103468961001                                                    X
No                 No registra
                                                               No                    No registra   No
                                                                        No. registra                       registra      No.    indicadores
                                                             registra                provincia, registra
Persona_id               NOMBRE               No. ID (RUC)                 calle                           número      registra de ventas,
                                                             apellido                 cantón y   primer
                                                                         principal                         de calle     origen activos y/o
                                                             paterno                 parroquia nombre
                                                                                                           principal             empleados

 117529      ROMERO CHIMBO DIANA LORENA      1103468979001                                                    X
  36956      PANAMITO BUSTAMANTE JHONY DARWIN1103471098001                                                    X
 182418      SAMANIEGO OCHOA WALTER LEONARDO 1103477913001                                                    X
  52237      PRADO GUAYCHA GUIDO SEBASTIÁN 1103479794001                                                      X
 140966      PACHAR FIGUEROA FRANKLIN NILO   1103483887001                                                    X
 170983      MACAS SILVA WILSON UFREDO       1103484216001                                                    X
 155650      ATARIHUANA CABRERA NANCY MARLENE1103485684001                                                    X
 137020      SALINAS GONZALEZ LENIN VICENTE 1103489595001                                                     X
  48473      RUIZ TORRES GINA SORAYA         1103492490001                                                    X
 244884      CUENCA CUENCA SEVIO LEONICIO    1103499461001                                                    X
 242249      MASACHE NARVAEZ JOSE ANTONIO 1103500102001                                                       X
 119164      ALEJANDRO CAPA EDGAR BENIGNO 1103501142001                                                       X
  35623      PAUTA LAVANDA JOSE EDUARDO      1103502660001                                                    X
  74963      OCHOA CUEVA SANTIAGO FERNANDO 1103503270001                                                      X
 254937      ESTRELLA PIEDRA ANGEL VICENTE   1103504484001                                                    X
 230764      PACHECO PIEDRA DIEGO FERNANDO 1103504880001                                                      X                      X
  78845      SALINAS RÍOS ROMMEL RAÚL        1103504906001                                                    X
 240853      RAMÓN JARAMILLO CARLOS ALBERTO 1103507065001                                                     X
 154765      LUDEÑA YUNGA VICENTE GEOVANNY 1103509566001                                                      X
 201241      JIMENEZ ONTANEDA MIGUEL ANGEL 1103510010001                                                      X
  19156      CUMBICUS CASTILLO KETTY SOLEDAD 1103515472001                                                    X
 151460      JARAMILLO VALAREZO MARCO ANTONIO1103515688001                                                    X
 230289      YAGUANA HERRERA TANIA GUADALUPE103515902001
                                             1                                                                X
 158737      BALCAZAR VARGAS SEGUNDA URSULINA1103517064001                                                    X
 209139      VIDAL SARANGO WILLAN STALIN     1103517528001                                                    X
  59975      COCIOS MONTESDEOCA VICTORIA SOLEDAD
                                             1103518435001                                                    X
 265776      ESCUDERO YAGUANA CELENIA YADIRA 1103519755001                                                    X
 110327      ORDÓÑEZ GONZÁLEZ DARWIN DANILO1103524698001                                                      X
 191767      REYES SARANGO NICIA DEL PILAR   1103525372001                                                    X
  37891       WILMAN                         1103528814001                                                    X
 245936      CUEVA RODRÍGUEZ MÁXIMO          1103530091001                                                    X
No                 No registra
                                                                No                    No registra   No
                                                                         No. registra                       registra      No.    indicadores
                                                              registra                provincia, registra
Persona_id               NOMBRE                No. ID (RUC)                 calle                           número      registra de ventas,
                                                              apellido                 cantón y   primer
                                                                          principal                         de calle     origen activos y/o
                                                              paterno                 parroquia nombre
                                                                                                            principal             empleados

 230218      REYES CÁRDENAS LENIN OSWALDO 1103531628001                                                        X
  96834      SARANGO LOJÁN SUGEY PAOLA        1103533806001                                                    X
 230819      VILLAMAGUA CONZA ALBA MARITZA 1103541015001                                                       X
  26766      QUEZADA POMA EDWIN GEOVANNY 1103543011001                                                         X
 239996      TORRES GUAMAN CESAR AUGUSTO 1103544191001                                                         X
 224737      CORONEL RODRIGUEZ LUIS PATRICIO 1103546345001                                                     X
 105646      LITUMA TORRES VANEZA EVELINA     1103546683001                                                    X
 241285      ANICETO CUEVA JUAN JOSE          1103547723001                                                    X
 109803      MONTALVAN YAGUANA SEGUNDO RAMIRO 1103548937001                                                    X
 187681      UCHUARI CUENCA ANGEL MANUEL      1103549513001                                                    X
 225758      PAUCAR ENDARA DIEGO FERNANDO 1103562730001                                                        X
 204908      ERAZO CELI GONZALO FERNANDO      1103563894001                                                    X
 279164      GONZAGA VALLEJO GALO RODRIGO 1103570394001                                                        X
 191180      RUIZ YAGUANA BERTHA ELIZABETH    1103573208001                                                    X
 274283      CHAMBA QUIROLA MIRIAM LUCIA      1103573877001                  X            X                    X           X
 202349      GALLO SANCHEZ LUPE MARIANELA     1103579908001                                                    X
 239498      PAREDES CUEVA ANA LUCIA          1103582134001                                                    X
 263785      DUCHE MAITA ANDREA JHOANA        1103583066001                                                    X
 222525      JIMÉNEZ VEGA RAMIRO HERNÁN       1103587653001                                                    X
 244117      GUTIERREZ MONTESINOS ANDRES FELIPE
                                              1103587935001                                                    X
 236143      VIVANCO AGUILAR GINA ELIZABETH   1103588990001                                                    X
 266937      SARMIENTO ANDRADE YOREDY BETHZABÉ1103591770001                                                    X
 235994      SANCHEZ BANEGAS RENE PATRICIO 1103594337001                                                       X
 206140      PESANTEZ CÓRDOVA MARCO ANTONIO   1103596191001                                                    X
 201355      ARMIJOS MATERNO MICHAEL ROLANDO  1103596563001                                                    X
 140876      SIGCHA TORRES MARIA ISABEL       1103600548001                                                    X
 165241      ALTAMIRANO VILLAVICENCIO JUAN ALEJANDRO
                                              1103601082001                                                    X
 118910      ALVERCA CASTILLO LILIA MARISEL   1103603526001                                                    X
 212787      MAZA PINZA JULIO GEOVANNY        1103607154001                                                    X
 179864      MORQUECHO GONZAGA MARTHA MARIBEL 1103609283001                                                    X
 276147      JAPON QUIZHPE DARWIN FELIPE      1103611826001                  X            X                    X
No                 No registra
                                                               No                    No registra   No
                                                                        No. registra                       registra      No.    indicadores
                                                             registra                provincia, registra
Persona_id               NOMBRE               No. ID (RUC)                 calle                           número      registra de ventas,
                                                             apellido                 cantón y   primer
                                                                         principal                         de calle     origen activos y/o
                                                             paterno                 parroquia nombre
                                                                                                           principal             empleados

 117390      TORRES FLORES RUSBEL JACINTO    1103615801001                                                    X
 215476      MUNOZ SILVA ANDRÉS FERNANDO     1103616437001                                                    X
 255834      LÓPEZ CELI YESENIA DISNEY       1103617427001                                                    X
 150292      CASTILLO SANTORUN LIDA MARIA    1103617880001                                                    X
 275610      GUZMAN GARCIA XIMENA ALICIA     1103622070001                                                    X
 242007      SALAZAR CONDOY JOHNNY LOURDES 1103623292001                                                      X
 182080      SARANGO LOPES NARCISA DE JESUS 1103627368001                                                     X
  92350      GRANDA BRICEÑO LORENA ALEXANDRA103628606001
                                             1                                                                X
 228005      AMAYA POGO RICARDO FERNANDO     1103630768001                                                    X
  68848      LEÓN LEÓN EDISON JAVIER         1103635205001                                                    X
  26300      GONZALEZ LANDI JUAN CARLOS      1103636302001                                                    X
 262586      RODRIGUEZ BONILLA WILMAN ORLANDO1103637284001                                                    X
 222215      TORRES CAMACHO ALBERTO NICOLAY1103644223001                                                      X
 198858      ARMIJOS QUEZADA MARCELO ALEXADER1103651244001                                                    X
 131994      PEÑA CARLOS JOSE                1103656110001                                                    X
  28688       MARLENE                        1103666135001                                                    X
  93843      CASTILLO VALAREZO JANNETH LUCIA 1103666580001                                                    X
 134103      MATUTE BEJARANO PAOLO LEONARDO  1103669295001                                                    X
   3334      PUCHA MEDINA BORIS EDUARDO      1103670608001                                                    X
 122882      DUCHISELA MAURAD STALIN MANUEL 1103674600001                                                     X
 195829      JARAMILLO NÚÑEZ ALBA CECILIA    1103680292001                                                    X
 180358      JIMENEZ ABAD LAURO JOSELITO     1103681688001                                                    X
 150188      TAMAYO JARAMILLO NORA FRANCISCA1103684401001                                                     X
  33396      PALACIO LUDEÑA VANESSA MERCEDES 1103688626001                                                    X
 173467      PINEDA SALINAS MYRIAN NOEMI     1103690192001                                                    X
 196508      JIMENEZ ERAS LUIS EFREN         1103690952001                                                    X
 264396      GARCIA BACUILIMA JORGE LUIS     1103692107001                                                    X
  36846      CORREA OROSCO FABIAN ALBERTO 1103701346001                                                       X
 240206      VARGAS PINEDA BYRON RODRIGO     1103702831001                                                    X
 134660      RODRIGUEZ CHAMBA RUBEN          1103704910001                                                    X
 125407      ROMAN ORDOÑEZ JIMY WAGNER       1103706501001                                                    X
No                 No registra
                                                               No                    No registra   No
                                                                        No. registra                       registra      No.    indicadores
                                                             registra                provincia, registra
Persona_id               NOMBRE               No. ID (RUC)                 calle                           número      registra de ventas,
                                                             apellido                 cantón y   primer
                                                                         principal                         de calle     origen activos y/o
                                                             paterno                 parroquia nombre
                                                                                                           principal             empleados

  19239      CONDOY FERNÁNDEZ GUIDO GONZALO  1103707913001                                                    X
 206960      ASTUDILLO JARAMILLO ALEXANDRA GUADALUPE
                                             1103719512001                                                    X
 194659      PALADINEZ CELI RICHARD PAÚL     1103727887001                                                    X
 149808      CUEVA VILLAGÓMEZ OMAR MAURICIO 1103733505001                                                     X
 189520      ZAPATA MORENO YORKY PATRICIO    1103736649001                                                    X
 214697      VILLAVICENCIO SOZORANGA ANGEL LEONARDO
                                             1103736847001                                                    X
 150268      TORRES SUAREZ FRANCISCA ISABEL 1103739023001                                                     X
 229436      GONZÁLEZ PONCE SANDRA BEATRIZ 1103747349001                                                      X
 258466      ROJAS CAZAR WALTER EMILIO       1103752034001                                                    X
 270884      CALDERON QUIZHPE ANGELA PAULINA1103756803001                                                     X
 145327      UREÑA CABRERA JINSOM FABIAN     1103757587001                                                    X
 231538      SOTO FIERRO MARTIN ALEJANDRO    1103760102001                  X            X                    X
 129237      GAONA ABAD ERNESTOR FRANCISCO 1103762942001                                                      X
 133483      MAHURAT CHAMBA CARLOS VICENTE 1103763114001                                                      X
  54853       CARMITA                        1103763247001                                                    X
 103053      LEÓN SUQUILANDA LIDA MARGARITA 1103771984001                                                     X
 199556      ORTEGA LIMA EDWIN VICENTE       1103781884001                                                    X
 184085      GONZALEZ CASTILLO DIANA CELESTE 1103783351001                                                    X
 196712      MINGA SOLANO WALTER GONZALO 1103786297001                                                        X
 248829      BUSTAN ORDOÑEZ RICHARD HERALDO1103788376001                                                      X
 261592      SARANGO JUNGAL LORENA CECILIA 1103795637001                                                      X
  95898      GUAMÁN PALADINES MANUEL EUGENIO 1103799191001                                                    X
 168735      JARAMILLO GUIACHA FREDDY NORBERTO
                                             1103803175001                                                    X
  44854      CUEVA TROYA CHRISTHIAN ARNOLDO 1103804066001                                                     X
 122248      SARANGO GAONA LUCIA JUDITH      1103807739001                                                    X
  49593      TORRES CASTILLO ROLANDO MARCEL 1103812416001                                                     X
 160791      CANGO QUITO MARIO GONZALO       1103812572001                                                    X
  99347      LOZANO CALI HERNAN RODRIGO      1103819288001                                                    X
  81163      CEVALLOS ORTEGA JUAN GABRIEL    1103820419001                                                    X
 112304      CASTILLO ALVERCA SAYDA          1103822357001                                                    X
 266041      GUAMAN GUAMAN BETTY OFELIA      1103823264001                                                    X
No                 No registra
                                                                No                    No registra   No
                                                                         No. registra                       registra      No.    indicadores
                                                              registra                provincia, registra
Persona_id               NOMBRE                No. ID (RUC)                 calle                           número      registra de ventas,
                                                              apellido                 cantón y   primer
                                                                          principal                         de calle     origen activos y/o
                                                              paterno                 parroquia nombre
                                                                                                            principal             empleados

 271045      SÁNCHEZ ESPINOZA MAURICIO EXEQUIEL
                                              1103825525001                                                    X
 123785      VELEZ JIMENEZ JUAN ARMANDO       1103827240001                                                    X
 175221      OJEDA GUERRERO DIANA ELIZABETH 1103828537001                                                      X
 174596      CARRIÓN CORONEL EDUARDO FERNANDO 1103830236001                                                    X
  50899      MERINO MENDEZ FRANCISCO LEONARDO 1103833834001                                                    X
 223642      GUALAN MOROCHO LAURO VICENTE 1103839369001                                                        X
  57299      BRAVO MEDINA JORGE MEDARDO       1103846877001                                                    X
  35081      VARGAS CELI SUZANA ELICIA        1103853675001                                                    X
 166894      SALAS ALEJANDRO SANDRA BETTY     1103854178001                                                    X
 100558      CALVA ROJAS LILO JAVIER          1103856587001                                                    X
 226936      ARMIJOS RAMON ALVARO JASMANY 1103861173001                                                        X
 204912      RAMON LANCHI PILAR ANTONIA       1103863278001                                                    X
 272238      SANTANA IÑAHUAZO ADRIANA JACQUELINE
                                              1103863930001                                                    X
  90875      POMA SOTO JUDITH ESPERANZA       1103864904001                                                    X
  84074      SALAS SANCHEZ CARLOS ALEJANDRO 1103866263001                                                      X
  33094      PEÑA YAGUACHE ERNESTO VLADIMIR 1103870174001                                                      X
  37875      MARTINEZ CARRANZA MEDARDO ALEXANDER
                                              1103872030001                                                    X
  33044      YASMANY DAMIÁN GARCÍA RAMÍREZ 1103873384001                                                       X
 203994      SERMAQ                           1103873392001                                                    X
 195807      RIOFRIO GUAMAN KARINA ELIZABETH 1103874796001                                                     X
 199577      ONTANEDA AREVALO SORAYA ELIZABETH1103876502001                                                    X
 177519      LABANDA PIEDRA LUCIA ELIZABETH   1103878557001                                                    X
  21631      ORDONEZ GUTIERREZ VILMA MARIA 1103879696001                                                       X
  27146      PALACIOS PALACIOS MAIRA VICTORIA 1103881072001                                                    X
 243728      CUEVA OVIEDO SANTIAGO AUGUSTO 1103892202001                                                       X
 155774      SOTO JIMÉNEZ LUIS ANTONIO        1103895171001                                                    X
 149869      JIMENEZ RODRIGUEZ LADY MIREYA    1103899157001                                                    X
 249487      ORDOÑEZ QUEVEDO MARCO STALIN 1103901334001                                                        X
 261650      JARAMILLO MENA JORGE HUMBERTO 1103914402001                                                       X
  36879      OCHOA ROBLEZ JOSÉ LUIS           1103915722001                                                    X
  94662      GARNICA TORRES JOSSIE MABEL      1103917785001                                                    X
No                 No registra
                                                               No                    No registra   No
                                                                        No. registra                       registra      No.    indicadores
                                                             registra                provincia, registra
Persona_id               NOMBRE               No. ID (RUC)                 calle                           número      registra de ventas,
                                                             apellido                 cantón y   primer
                                                                         principal                         de calle     origen activos y/o
                                                             paterno                 parroquia nombre
                                                                                                           principal             empleados

 109634      ROSALES TACURY JORGE ARMANDO 1103924559001                                                       X
 236620      CAPA CHAPA MARCO ANTONIO        1103937106001                                                    X
 194054      CASTRO GOMEZ LENIN MEDARDO      1103938286001                                                    X
 134042      SARANGO CALVA MARCO ANTONIO 1103943476001                                                        X
 148211      PARDO DANILO                    1103944540001                                                    X
 182090      GRANDA AGUILAR LUIS FERNANDO    1103947758001                                                    X
 239041      DIAZ HURTADO MAYRA JANETH       1103957328001                                                    X
 265693      LANDI PALACIOS DIEGO PAÚL       1103957401001                                                    X
  74209      GONZALES SANCHEZ MANUEL BENJAMIN1103972426001                                                    X
 164143      CHAMBA DIAZ GONZALO RODRIGO     1103972848001                                                    X
  79382      GAVELA GUAMAN DIEGO PAUL        1103978407001                                                    X
  95987      SAMANIEGO TORRES CARMEN LAURA 1103982268001                                                      X
  91156      BRICEÑO JIMENEZ FRANCO ALEXANDER1103985154001                                                    X
 200594      GUAILLAS GUAILLAS JAIME BENIGNO 1103987127001                                                    X
 110979      MINGA BELTRAN KARLA DE LA NUBE 1103991863001                                                     X
 238178      CUENCA QUINDE DARWIN RIGOBERTO1103994685001                                                      X
 185614      CASTILLO CARPIO LUIS FRANCISCO 1103995997001                                                     X
 150273      CARRION CUEVA KATY LUCRECIA     1104010325001                                                    X
 164633      JIMÉNEZ QUEZADA GABRIEL ANIBAL 1104011844001                                                     X
 176035      PALACIOS JIMÉNEZ VÍCTOR MANUEL 1104014061001                                                     X
 165010      ESPARZA HURTADO DIEGO ARMANDO 1104014236001                                                      X
 125812      PAUTA LABANDA MARIA YADIRA      1104014467001                                                    X
  65993      ARMIJOS GALLARDO JEFERSON VICENTE
                                             1104015779001                                                    X
  25265      CARAGUAY CUENCA WALTER IVÁN     1104016348001                                                    X
 180421      FREIRE HIDALGO DIANA XIMENA     1104016579001                                                    X
 126898      ABRIL ABENDAÑO SARA ELIZABETH   1104017544001                                                    X
 200541      PIEDRA CAMPOVERDE MARIA LUISA 1104023286001                                                      X
 228119      VARGAS PINEDA CECIBEL DEL CARMEN1104024771001                                                    X
  67117      HERRERA GONZALEZ JAIRO BLADIMIR1104026008001                                                     X
  98636      CÓRDOVA ALVARADO ANDREA ELIZABETH
                                             1104028392001                                                    X
  62122      GOMEZ GUERRERO MARIELLA DEL SOCORRO
                                             1104031800001                                                    X
No                 No registra
                                                                No                    No registra   No
                                                                         No. registra                       registra      No.    indicadores
                                                              registra                provincia, registra
Persona_id               NOMBRE                No. ID (RUC)                 calle                           número      registra de ventas,
                                                              apellido                 cantón y   primer
                                                                          principal                         de calle     origen activos y/o
                                                              paterno                 parroquia nombre
                                                                                                            principal             empleados

 175670      MEDINA VACACELA JOSÉ LUIS        1104033384001                                                    X
 138280      VILLAMAGUA SANCHEZ DANNY JOSE 1104034556001                                                       X
 169083      CAMACHO RUEDA VICTOR DANILO      1104035892001                                                    X
  53407      LOJA SANCHEZ BOLIVAR OSWALDO 1104037849001                                                        X
 121468      SARANGO HERRERA PABLO VINICIO 1104038474001                                                       X
 112247      CASTILLO ALVERCA DAYSY LUCILA    1104045610001                                                    X
 119375      CARRION JIMA JUAN AGUSTIN        1104051444001                                                    X
 141350      OCHOA MATAILO VERONICA ELIZABETH 1104052822001                                                    X
 145484      CALVA SARANGO JAIRON LENIN       1104054604001                                                    X
 183782      RIOS GUAYLLAS MIRIAM ALEXANDRA 1104054687001                                                      X
 235322      ESPINOSA PACHAR XAVIER HERNANDO  1104055817001                                                    X
 245675      OJEDA POMA JUANA PAOLA           1104060411001                                                    X
 246784      CASTILLO QUITO ABDON BELARMINO 1104068703001                                                      X
 234338      VIVANCO VILLAVICENCIO PABLO JAVIER
                                              1104071061001                                                    X
 151501      CHAMBA TRONCOS ALEXANDRA MARIBEL 1104074032001                                                    X
 173788      HURTADO HURTADO JOSÉ CRISTÓBAL1104074073001                                                       X
 272957      COLLAHUAZO PALADINES YESENIA MARIANELA
                                              1104077605001                               X                                X
 143109      JARAMILLO CABRERA LUIS OMAR      1104078587001                                                    X
 259088      POMA TORRES ROSA IBELIA          1104078918001                                                    X
 234034      ROJAS ROJAS MARIBEL KARINA       1104082811001                                                    X
 165757      SANCHEZ GOMEZ JACKSON PAUL       1104083082001                                                    X
 248044      SANMARTIN CUENCA ELEUTERIO FERNANDO
                                              1104084668001                                                    X
 118733      CEVALLOS VILLAVICENCIO GALO ANTONIO
                                              1104088172001                                                    X
 227682      RIVERA GUAMÁN GILBERT RENE       1104088719001                                                    X
 112834      RIVAS SOLORZANO VERONICA MARIA 1104095243001                                                      X
 266326      LANCHI LEÓN DIANA CECILIA        1104097009001                                                    X
 260522      ASTUDILLO RODRÍGUEZ FREDY PAÚL 1104109796001                                                      X
 275199      POMA GOMEZ CARLOS SEGUNDO        1104111263001                               X                    X           X
 221454      SÁNCHEZ BUSTAMANTE DIEGO PATRICIO1104112352001                                                    X
 130096      PUCHAICELA VELIZ FANNY PATRICIA 1104131782001                                                     X
 215451      BUSTAMANTE SILVA CLAUDIA ALEJANDRA
                                              1104135924001                                                    X
No                 No registra
                                                               No                    No registra   No
                                                                        No. registra                       registra      No.    indicadores
                                                             registra                provincia, registra
Persona_id               NOMBRE               No. ID (RUC)                 calle                           número      registra de ventas,
                                                             apellido                 cantón y   primer
                                                                         principal                         de calle     origen activos y/o
                                                             paterno                 parroquia nombre
                                                                                                           principal             empleados

 149792      SARANGO SOLANO EDISON FABIAN    1104139850001                                                    X
 277281      TORRES COLLAGUAZO MAYRA ELIZABETH
                                             1104153596001                               X                    X           X
 212019      ARMIJOS MENDOZA BOLIVAR ESTALIN1104161086001                                                     X
  72858      CORONEL COELLO FLOR MARIA       1104165020001                                                    X
 125187      GONZALEZ GONZALEZ ANGEL VINICIO 1104167703001                                                    X
 134161      AGILA AGILA LEANDRO HAMILTON    1104172406001                                                    X
 216286      RODRIGUEZ PEÑARRETA JOSE LUIS 1104178692001                                                      X
 238347      ROMERO TINOCA JACKSON ALFONSO 1104190242001                                                      X
 136801      LANCHI LEÓN FABRICIO ALEXANDER 1104191109001                                                     X
 268089      MACAS QUITUISACA BYRON GUSTAVO 1104196207001                                                     X
 255821      JUMBO AMBULUDI FABIAN ALBERTO 1104202864001                                                      X
 149831      VALLADARES VALLADARES JOSE ALEXANDER
                                             1104213960001                                                    X
  42853       CECILIA                        1104221005001                                                    X
 143548      GAONA CASTILLO NANCY MARISOL    1104223399001                                                    X
 262972      ORDOÑEZ ERREYES RICHAR ROLANDO  1104231509001                                                    X
 150531      RAMON CABRERA GEOMARA DEL CISNE104231665001
                                             1                                                                X
 262579      GRANDA ROJAS SONIA GABRIELA     1104261027001                                                    X
 260778      GRANDA ROJAS JHONSON DANIEL     1104261035001                                                    X
 203006      PARDO PARDO DORIAN IVÁN         1104266661001                  X            X                    X
  32456      PANAMITO BUSTAMANTE FRANCO EULISER
                                             1104266828001                                                    X
 160036      NAMCELA CANGO CLAUDIA MERCEDES  1104269731001                                                    X
 265586      JAYA SANMARTIN FANY MARICELA    1104278583001                                                    X
 275467      CHAMBA POGO WILLAN GEOVANNI     1104282569001                               X                                X
 149865      AJILA JIMÉNEZ ANGEL VICENTE     1104284029001                                                    X
 166459      CABRERA ROMERO JUAN CARLOS      1104287196001                                                    X
 230924      CHUNCHO CHAPA FRANKLIN MAURICIO 1104293202001                                                    X
 265546      LABANDA PATIÑO ADRIANO RODRIGO 1104297757001                                                     X
 207993      SOLANO SOLANO MERCEDES DE JESUS104305055001
                                             1                                                                X
 142469      BUELE CHAMBA CARMEN VERONICA 1104305493001                                                       X
 130924      VÁSQUEZ GUERRERO JORGE LUIS     1104313596001                                                    X
 147198      CHAVEZ CHINCHILIMA MANUEL EFRAIN1104330632001                                                    X
No                 No registra
                                                               No                    No registra   No
                                                                        No. registra                       registra      No.    indicadores
                                                             registra                provincia, registra
Persona_id               NOMBRE               No. ID (RUC)                 calle                           número      registra de ventas,
                                                             apellido                 cantón y   primer
                                                                         principal                         de calle     origen activos y/o
                                                             paterno                 parroquia nombre
                                                                                                           principal             empleados

 161794      MORAN SUING NELSON JAVIER       1104371479001                                                    X
 253133      JIMÉNEZ JIMÉNEZ SONIA MARÍA     1104399280001                                                    X
 149786      SARANGO CARLOS                  1104402936001                                                    X
 150302      LOAIZA TACURI JUAN PABLO        1104409667001                                                    X
 175573      HERRERA AGUIRRE EDUARDO CAMILO1104460850001                                                      X
 232029      VEGA ORELLANA LUIS HERNAN       1104476427001                                                    X
 254679      CELI LOAIZA JAVIER ALEXANDER    1104476914001                                                    X
 239515      MORA ESPINOZA JOSÉ LUIS         1104495609001                                                    X
 149874      CUEVA RIVERA MERCEDES HORTENCIA 1104502768001                                                    X
 260016      ANDY RIVADENEYRA DIANA KATIA    1104509953001                                                    X
 170554      CALVA SERRANO PEDRO JOSE        1104519572001                                                    X
 260587      ANGAMARCA CURIPOMA CARLOS ENRIQUE
                                             1104519994001                                                    X
 259609      GUALAN CONTENTO VICTOR ANTONIO 1104539349001                                                     X
 149803      CALVA ALVERCA GABRIELA VERÓNICA 1104554421001                                                    X
 149885      JIMENEZ ROJAS DARWIN JOSE       1104560048001                                                    X
 178455      IMAICELA BRAVO CRISTHIAN        1104599962001                                                    X
 126178      TORRES REYES LISSETH DEL CISNE 1104654098001                                                     X
 244009      BETANCOURT BRAVO JORGE LUIS     1104670680001                                                    X
 244227      ROJAS CUMBICUS JULISSA DEL CARMEN
                                             1104691058001                                                    X
 248475      ROJAS SACA JAIRO SANTIAGO       1104711021001                                                    X
 261283      CABRERA FERNANDEZ CARLOS OSWALDO1104712920001                                                    X
 156445      GUAYANAY CHINCHAY MANUEL CARMELINO
                                             1104727266001                                                    X
  69786      TIGRE ORELLANA ROMMEL SAUL      1104732522001                                                    X
 124091      MEDINA LOZANO LUZ YOLANDA       1104750698001                                                    X
 183885      ULLAGUARI PIURI GALO EFREN      1104786403001                                                    X
 253494      COLALA CUEVA MAYRA GABRIELA     1104915069001                                                    X
 233944      PALTIN PALTIN PABLO MIGUEL      1105051286001                                                    X
 224757      ROJAS ROJAS TYRON FABRICIO      1105105207001                                                    X
 107928      TORRES BREFFE ORLYS ERNESTO     1105195620001                                                    X
  44231      MUNICIPIO DE CATAMAY            1160000400001                  X                                 X                      X
  40776      MUNICIPIO DE PUYANGO            1160001050001                  X                                 X                      X
No                 No registra
                                                               No                    No registra   No
                                                                        No. registra                       registra      No.    indicadores
                                                             registra                provincia, registra
Persona_id              NOMBRE                No. ID (RUC)                 calle                           número      registra de ventas,
                                                             apellido                 cantón y   primer
                                                                         principal                         de calle     origen activos y/o
                                                             paterno                 parroquia nombre
                                                                                                           principal             empleados

 174890      UNIVERSIDAD NACIONAL DE LOJA     1160001720001                                                   X                      X
 234037      INSTITUTO ECUATORIANO DE SEGURIDAD SOCIAL DIRECCIÓN GENERAL LOJA
                                              1160020350001                      X                                                   X
 179734      JUNTA PARROQUIAL DE CANGONAMA 1160025230001                                                      X                      X
 178520      JUNTA PARROQUIAL EL INGENIO      1160025580001                                                   X                      X
 257304      JUNTA PARROQUIAL                 1160026040001                                                   X                      X
 233121      JUNTA PARROQUIAL DE BELLAVISTA 1160026470001                                                     X                      X
 213381      JUNTA PARROQUIAL DE LIMONES      1160028920001                                                   X                      X
 208870      JUNTA PARROQUIAL NUEVA FATIMA 1160029300001                         X                            X                      X
 227556      JUNTA PARROQUIAL FUNDOCHAMBA 1160029570001                                                       X                      X
 223015      JUNTA PARROQUIAL EL PARAISO DE CELEN
                                              1160031550001                      X                                                   X
  41660      PATRONATO DE AMPARO SOCIAL ZAPOTILLO
                                              1160032440001            X                                      X
 235547      JUNTA PARROQUIAL CASANGA         1160032600001                                                   X                      X
 230092      JUNTA PARROQUIAL DE              1160033680001                                                   X                      X
 205418      JUNTA PARROQUIAL DE CAZADEROS 1160034220001                         X                                                   X
  77880      CONSTRUCTORA Y COMERCIALIZADORA ORDOÑEZ UREÑA CIA. LTDA
                                              1190010089001                                                   X
  13309      CONSTRUCTORA SARMIENTO           1190042320001                                                   X
 108383      ABENDAÑO BRICEÑO CIA. LTDA.      1190051435001                                                   X
  47209      COMPAÑIA DE ECONOMIA MIXTA LOJAGAS
                                              1190067927001                                                   X
  37670      CONSTRUCTORA ABAD VALLE S.A      1190078953001                                                   X
 120969      MORA HIDALGO CIA LTDA            1190080524001                                                   X
 134734      ASOCIACION CRISTIANA DE INDIGENAS SARAGUROS
                                              1190080559001                                                   X
  57154      VEGA PALACIOS Y CIA              1190081105001                                                   X
  60872      IMPORTADORA ORTEGA               1190081210001                                                   X
 127553      JUAN MEDINA CONSTRUCCIONES Y COMERCIO CIA. LTDA.
                                              1190082047001                                                   X
 177186      COMPAÑIA MINAEXPLO LOJA S.A.     1190082306001                                                   X
 133507      COOPERATIVA DE AHORRO Y CREDITO1190083213001
                                               TRES DICIEMBRE                                                 X
  46772      CONSTRUCTORA Y COMERCIALIZADORA INGA, INGACONSTRUCTORES CIA. LTDA.
                                              1190083868001                                                   X
  29810      CONSTRUCTORA AUSTRORIEGO CIA. LTDA.
                                              1190084244001                                                   X
 160338      INGEAZIMUT CIA. LTDA             1190090155001                                                   X
  28968      EMPRESA ARTESANAL DE CERÁMICA DECORTEJA CIA. LTDA.
                                              1190091100001                                                   X
  75010      FUNDACION DE INVESTIGACION Y CAPACITACION PARA EL DESARROLLO INTEGRAL PANEL
                                              1191702316001                                                   X
No                 No registra
                                                             No                    No registra   No
                                                                      No. registra                       registra      No.    indicadores
                                                           registra                provincia, registra
Persona_id              NOMBRE              No. ID (RUC)                 calle                           número      registra de ventas,
                                                           apellido                 cantón y   primer
                                                                       principal                         de calle     origen activos y/o
                                                           paterno                 parroquia nombre
                                                                                                         principal             empleados

 164038      ESTACION DE SERVICIO PLAZA GAS 1191703991001                                                   X
 107874      SOCIEDAD DE HECHO NUEVO PORVENIR 1191706419001                                                 X
 123129      VILLAVICENCIO LOAIZA Y CIA       1191707040001                                                 X
 267932      COLMENARCONSTRUC S.A.            1191707121001                                                 X
 118544      AGROINDUSTRIA SABSEN CIA. LTDA. 1191707709001                                                  X
 142182      SOLCA NUCLEO DE LOJA             1191707970001                                                 X
 179964      COMPAÑIA EN NOMBRE COLECTIVO CONSTRUCTORA CARRIÓN CORONEL Y COMPAÑIA
                                              1191707997001                                                 X
  67827      CONSTRUCTORA NELSON QUEZADA CIA LTDA
                                              1191708586001                                                 X
 264132      CONSTRUCTORA CÓRDOVA LIMA CÍA. LTDA.
                                              1191710866001                                                 X
 179547      HOTEL HOWARD JOHNSON             1191711307001                                                 X
 122034      MOBERSA                          1191712060001                                                 X
  55814      SEVISA CÍA LTDA.                 1191712478001                                                 X
 160601      HORMICONSTRUCCIONES CIA. LTDA. 1191712893001                                                   X
 246508      BOMBUSCARO RENT A CAR CIIA. LTDA.1191712923001                                                 X
  51862      EMBOTELLADORA LOJA S.A.          1191713636001                                                 X
 195881      ENRIQUE ULLAURI MATERIALES DE CONSTRUCCION CIA. LTDA.
                                              1191714098001                                                 X
  21819      ADEPLAN AMBIENTE DESARROLLO Y PLANIFICACION CIA. LTDA.
                                              1191714373001                                                 X
 184108      CONSTRUCTORA CMASH CIA. LTDA. 1191714810001                                                    X
 125127      HOOVER BERMEO E HIJOS CIA. LTDA. 1191714977001                                                 X
  39328      WEBSAES CIA. LTDA.               1191715701001                                                 X
 127546      HIPERMERCADOS DEL VALLE CIA. LTDA1191717038001                                                 X
  79391      CONSTFACIL CIA. LTDA.            1191717763001                                                 X
  54320      C Y C CORREA CARPIO CONSTRUCCIONES CIA. LTDA.
                                              1191717887001                                                 X
  83148      ASOCIACION MULLUNAMA             1191718255001                                                 X
  85599      ASOCIACION SABIANGO              1191718298001                                                 X
  88152      ASOCIACION DE CONSERVACION VIAL VIRGEN DE LOS REMEDIOS
                                              1191718328001                                                 X
 174972      PROYECONSUL                      1191718581001                                                 X
  16419      CONSTRUCTORA                     1191718611001                                                 X
  78063      FUNDACION PARA EL DESARROLLO SOCIAAL INTEGRAL JATARI
                                              1191719200001                                                 X
 270541      CONSTRUCTORA JAVERYS CIA. LTDA. 1191719294001                                                  X
   9121      TEVICOR Y CIA                    1191719774001                                                 X
No                 No registra
                                                               No                    No registra   No
                                                                        No. registra                       registra      No.    indicadores
                                                             registra                provincia, registra
Persona_id              NOMBRE                No. ID (RUC)                 calle                           número      registra de ventas,
                                                             apellido                 cantón y   primer
                                                                         principal                         de calle     origen activos y/o
                                                             paterno                 parroquia nombre
                                                                                                           principal             empleados

  44304      ARTE ADOKIN CIA. LTDA.          1191719782001                                                    X
 189000      LOJALAC CIA LTDA                1191720365001                                                    X
 174947      TOPCONSURVEY SERVICIOS TOPOGRAFICOS CIA. LTDA.
                                             1191720543001                                                    X
 253218      ASOCIACION PRO-DEFENSA DEL ANCIANO DE VILCABAMBA
                                             1191720616001                                                    X
 104266      SILM OGAS CÍA LTDA              1191720993001                                                    X
  84895      ASOCIACION DE CONSERVBACION VIAL VALLE DE CATAMAYO
                                             1191721000001                                                    X
  85581      SOCIACION DE CONSERVACION VIAL LA RAMA
                                             1191721035001                                                    X
  83454      SOCIACION DE CONSEFVACION VIAL DIVINO NIÑO
                                             1191721051001                                                    X
  83758      ASOCIACION DE CONSERVACION VIAL LOS PALTENCES
                                             1191721108001                                                    X
  49354      CONSTRUCTORA A&Q                1191721825001                                                    X
 205502      CODESAM COMPAÑIA DE DESARROLLO AMAZONICO CIA. LTDA.
                                             1191722058001                                                    X
 121449      GEMESEG CÍA. LTDA.              1191722643001                                                    X
 171945      SCAPE ALQUILER CIA. LTDA.       1191723208001                                                    X
  82829      ASOCIACION SAN JUAN DE POZUL    1191723437001                                                    X
  83431      ASOCIACION SEÑOR DEL CAUTIVO    1191723453001                                                    X
  84881      ASOCIACION LOS TIGRES DEL CAMINO1191723496001                                                    X
  84969      ASOCIACION LAS PALMERAS DE ZAPOTILLO
                                             1191723518001                                                    X
  58856      CONSET CONSTRUCTORA ELECTRICA 1191723860001 CIA. LTDA.
                                             Y TELEFONICA                                                     X
  43348      CONSULTORA CONASTIAM CIA. LTDA 1191723992001                                                     X
 178170      COOPERATIVA DE AHORRO Y CREDITO DE LA CAMARA DE COMERCIO DE PALANDA
                                             1191724530001                                                    X
  35964      ISOTROPIC NETWORKS S.A.         1191724549001                                                    X
 128528      ASOCIACIÓN DE CONSERVACIÓN VIAL LOS ANDES
                                             1191724883001                                                    X
  84927      ASOCIACION DE CONSERVACION VIAL SAN ROQUE
                                             1191724964001                                                    X
  25063      PROYAMCIS CIA LTDA              1191724972001                                                    X
 190495      KATSERVIS CIA LTDA              1191725014001                                                    X
 170111      ASOCIACIÓN DE PRODUCTORES AGROARTESANALES DE PUYANGO APAAP
                                             1191725057001                                                    X
 182474      EQUIPSA S.A.                    1191725677001                                                    X
  72617      V&V Y COMPAÑIA                  1191725839001                                                    X
  59625      COMPAÑIA DE TRANSPORTE DE CARGA PESADA Y COMBUSTIBLE GONZALEZ CIA. LTDA.
                                             1191726436001                                                    X
  77398      IMPORTADORA LAVACOR CIA LTDA    1191726738001                                                    X
 204746      OPTIMIZA TECH CIA. LTDA.        1191728692001                                                    X
No                 No registra
                                                               No                    No registra   No
                                                                        No. registra                       registra      No.    indicadores
                                                             registra                provincia, registra
Persona_id              NOMBRE                No. ID (RUC)                 calle                           número      registra de ventas,
                                                             apellido                 cantón y   primer
                                                                         principal                         de calle     origen activos y/o
                                                             paterno                 parroquia nombre
                                                                                                           principal             empleados

 137189      COBUSAM CONSTRUCTORA CIA LTDA 1191728994001                                           X
 142990      CONSULTINGCONSTRUCTIONS ESCONFISPRO CIA.LTDA
                                              1191729583001                                        X
 187885      REDEMPRENDE CIA LTDA             1191731855001                                        X
 181695      ECO NEGOCIOS CIA. LTDA.          1191731952001                                        X
 175764      PLANIFICACIÓN Y CONSTRUCCIÓN DE OBRAS ARQUITECTÓNICAS Y CIVILES EN GENERAL
                                              1191732061001                                        X
 220044      CONSTRUCTORA CAMACHO & LUNA CIA. LTDA.
                                              1191732258001                                        X
 179576      FERROCONSTRCCIONES COMPAÑÍA LIMITADA
                                              1191732312001                                        X
 184088      GESTOR AMBIENTAL CONSULTORE CIA. LTDA.
                                              1191732398001                                        X
 192611      IOMOTORS S.A.                    1191732568001                                        X
 187226      IARTSTUDIO CIA. LTDA             1191732576001                                        X
 193352      FRATZOCONSULTING CIA. LTDA.      1191732630001                                        X
 210655      GODLIVES CIA. LTDA.              1191732649001                                        X
 210247      REFAYOL CIA. LTDA.               1191732657001                                        X
 192913      MIQUEAS CIA. LTDA.               1191732665001                                        X
 236609      TELECAUSTRONET CIA LTDA          1191733173001                                        X
 224884      ADINCONS CIA. LTDA.              1191733807001                                        X
 229844      ROLLINGROAD CIA. LTDA.           1191734005001                                        X
 249482      CONSTRUCTORAAGUSTOESCUDEROEHIJO.CIA.LTD
                                              1191734188001                                        X
 234672      CONSTRUCTORA E & M CIA. LTDA.    1191734250001                                        X
 248075      FUNDACION COSMOVISION            1191734323001                                        X
 250460      EVALUACION DE IMPACTOS AMBIENTALES, SISTEMA DE GESTION AMBIENTAL, EDUCACION Y CAPACITACION AMBIENTAL, CONTAMINACION, SANEAM
                                              1191735257001                                        X
 258866      ESCUDERO LOYOLA CONSTRUCTORES & CONSULTORES CIA.LTDA
                                              1191735427001                                        X
 259679      GELINCO CONSTRUCTORES CÍA. LTDA.1191735761001                                         X
 264872      ESTACION DE SERVICIO ORTEGA FRELMAC CIA. LTDA.
                                              1191735931001             X         X                X
 267892      SERVICIOS DE INGENIERÍA Y CONSULTORIA ELECTRITELECOM CIA LTDA
                                              1191735982001                                        X
 268103      SAQYLUP CONSTRUCTORA CIA. LTDA. 1191736180001                                         X
 274465      IOCSA CONSTRUCCIONES CIA. LTDA. 1191736474001                                         X
 160196      RUIZ ROJAS NESTOR JUAN           1200000832001                                        X
 190970      LEAL FIGUEROA TELMO BOLÍVAR      1200020350001                                        X
 269924      VARGAS MACHUCA JULIO CLOVIS      1200021143001                                        X
  82279      SOLANO VASQUEZ LUTGARDA ILDAURA  1200024428001                                        X
No                 No registra
                                                               No                    No registra   No
                                                                        No. registra                       registra      No.    indicadores
                                                             registra                provincia, registra
Persona_id              NOMBRE                No. ID (RUC)                 calle                           número      registra de ventas,
                                                             apellido                 cantón y   primer
                                                                         principal                         de calle     origen activos y/o
                                                             paterno                 parroquia nombre
                                                                                                           principal             empleados

 210174      ULLOA GUZMAN JAIME             1200025987001                                                     X
  62840      CERCADO DIAZ RAMON IGNACIO     1200037743001                                                     X
  92215      CASTRO RENDON PEDRO ABRAN      1200038402001                                                     X
 202541      PEREZ SANCHEZ MIGUEL ANGEL     1200051504001                                                     X
 223319      CENTENO MOSQUERA IRMA IRENE    1200059648001                                                     X
 251626      GONZALES MORA WILSON JESUS     1200067773001                                                     X
 193977      GUIRACOCHA CUZCO LUIS CESARIO 1200070934001                                                      X
 162810      HERNANDEZ VERA LUIS ARMANDO    1200076303001                                                     X
 234011      SÁNCHEZ SOBENIS FRANKLIN FERNANDO
                                            1200078853001                                                     X
 270502      ICAZA CAMPOS JUANA MERCEDES    1200123444001                   X            X                    X
 246988      CARRIEL SALAZAR WALTER ADARDIO 1200156790001                                                     X
 193517      ZAPATA QUINALUISA SEGUNDO ALFONSO
                                            1200157103001                   X            X                    X
 191710      CAMPUSANO GALARZA ANGEL GREGORIO
                                            1200157392001                                                     X
 135537      MORALES ESTUARDO JACOBINO      1200161246001                                                     X
 246011      BORJA HERNANDEZ ROSARIO MERCEDES
                                            1200164125001                                                     X
 257122      TIGRERO SUAREZ LORENZO         1200169116001                                                     X
 143089      MONSERRATE CARRERA SEGUNDO VALERIANO
                                            1200197604001                                                     X
 101026      MUÑOZ MAYORGA ALBERTO BENIGNO 1200216065001                                                      X
 110254      YANEZ CHANCAY RAMON CALIXTO    1200218053001                                                     X
 120491      MOSQUERA RODRIGUEZ GERARDO DE1200225215001
                                             LOS ANGELEZ                                                      X
  88487      HARO TORRES JOEL ALFONSO       1200238952001                                                     X
 107715      CHIMBAY QUINTUÑA JUAN EZEQUIEL 1200250304001                                                     X
 114054      NAVARRETE NAVARRETE JOSE DIDIMO1200256178001
                                             GASTON                                                           X
 104599      PAZ Y MIÑO DE MORA MARIO ISAEL 1200301362001                                                     X
 248003      CHEVEZ CORNEJO DANIEL ALFREDO 1200320701001                                                      X
 209604      PIZA SILVERA PEDRO LONDRES     1200343455001                                                     X
 213036      ARBOLEDA MANUEL MESIAS         1200347118001                                                     X
 162414      ROSADO BAJAÑA EMMA NORMANDA 1200366977001                                                        X
 213118      ASTUDILLO CARRIEL MARLENE AZUCENA
                                            1200372397001                                                     X
 143248      CORONEL FRANCO ELSA ANDREA     1200374484001                                                     X
 155276      ALMEIDA GERARDO                1200385902001                                                     X
No                 No registra
                                                               No                    No registra   No
                                                                        No. registra                       registra      No.    indicadores
                                                             registra                provincia, registra
Persona_id               NOMBRE               No. ID (RUC)                 calle                           número      registra de ventas,
                                                             apellido                 cantón y   primer
                                                                         principal                         de calle     origen activos y/o
                                                             paterno                 parroquia nombre
                                                                                                           principal             empleados

  90652      ACOSTA SANDOYA SARA CLOTILDE    1200402624001                                                    X
 235857      MORAN AGUIRRE JULIO HUGO        1200405098001                                                    X
 201359      MENDOZA OCHOA LUISA JACINTA     1200411005001                                                    X
 152567      ARRICIAGA COELLO ROSENDO BASILIO1200414892001                                                    X
 178216      BUSTAMANTE TRIVIÑO JOSE ANGEL 1200414926001                                                      X
 179624      CONGRAINS PEÑA RUPERTO MARCELO  1200415311001                                                    X
  75498      TREJO ALVAREZ MANUEL NICOLÁS    1200415790001                                                    X
 100367      SALAZAR COELLO ALICIA STELLA    1200419958001                                                    X
 132969      ALVAREZ BRAVO ISMAEL CLESENCIO 1200420238001                                                     X
 277439      TERAN MANJARES FANESIS RUFINO 1200420675001                                                      X
 204603      VASCONEZ COELLO HARRY WASHINGTON1200424248001                                                    X
 256168      CARBALLO LUCIO ABEL LEONARDO    1200447124001                                                    X
 216325      TUTILLO OÑA MANUEL MARIA        1200450359001                                                    X
 152638      ZAMBRANO TRUJILLO SABINO EPIFANIO
                                             1200468062001                                                    X
 211263      PICO MIRANDA MARÍA ANGELICA     1200472312001                                                    X
  74988      LAMULLE FIGUEROA JOSEFINA REBECA1200474557001                                                    X
  70691      VILLALBA MARISCAL NORMA ARACELLI1200484622001                                                    X
  74979      MURILLO MORAN ROSA MATILDE      1200489597001                                                    X
 186095      BRAVO CAREGUA LUIS VIDAL        1200490165001                                                    X
 108878      TOVAR TOVAR ELEUTERIO GALDINO 1200492682001                                                      X
 135886      ANCHUNDIA CABEZAS ALEJANDRO GUSTAVO
                                             1200501383001                                                    X
 207826      ORTIZ SEGUNDO EUCLIDES          1200508974001                                                    X
 177335      GUZMAN CARRILLO ESPERANZA HONORINA
                                             1200518544001                                                    X
 156116      COELLO VALVERDE GEORGE LIZARDO 1200536868001                                                     X
  19985      RAMON                           1200542908001                                                    X
 199996      GOMEZ VILCHE ERNESTO CRUZ       1200557179001                                                    X
  98198      ESPADAS HIDALGO JOSE DOMINGO    1200561585001                                                    X
  98889      NUÑEZ ANGULO ANGEL RUPERTO      1200567541001                                                    X
 263549      MORA VILLAFUERTE CARLOS ANDRES 1200570727001                                                     X
 275882      RECILLO DIAZ PEDRO FIDEL        1200571949001                                                    X
 106528      FILIAN HURTADO JUAN ENRIQUE     1200588216001                                                    X
No                 No registra
                                                               No                    No registra   No
                                                                        No. registra                       registra      No.    indicadores
                                                             registra                provincia, registra
Persona_id               NOMBRE               No. ID (RUC)                 calle                           número      registra de ventas,
                                                             apellido                 cantón y   primer
                                                                         principal                         de calle     origen activos y/o
                                                             paterno                 parroquia nombre
                                                                                                           principal             empleados

 213873      SUAREZ BUSTAMANTE DIONISIO ALEJANDRO
                                             1200588364001                                                    X
 109398      ORELLANA PADILLA PEDRO ENRIQUE 1200589255001                                                     X
  86301      CABRERA CABRERA MARIO ANTONIO 1200595575001                                                      X
 274120      HURTADO TERAN JAIME GABRIEL     1200596334001                                                    X
 201728      SARAGUAYO CASTRO PABLO SEBASTIAN1200598272001                                                    X
 100366      GUERRERO FREIRE AMABLE UBALDO 1200612636001                                                      X
 240396      DIAZ VASQUEZ JOSÉ LUIS          1200620738001                                                    X
 117013      VERA ANDRADE GALO LEOCADIO      1200626339001                                                    X
 183600      CEVALLOS VACA ANTONIO ULPIANO 1200627535001                                                      X
 117452      LEDESMA CASTRO OSWALDO GONZALO200629549001
                                             1                                                                X
 264600      JIMÁNEZ VERGARA EDWIN GUALBERTO 1200634341001                                                    X
  96866      CABRERA VERDESOTO CESAR ALBERTO 1200640199001                                                    X
 205024      FIGUEROA CAMPOS ROBIN MARCELO 1200648432001                                                      X
 208335      LEDESMA LARA DIBA DOLORES       1200649232001                                                    X
 145610      CRUZ MORALES LUIS ANTONIO       1200650701001                                                    X
 266622      MONTES CEDEÑO ELVIRA FRANCISCA 1200659017001                                                     X
 101570      SANCHEZ SUAREZ NELLY PRIMITIVA 1200674677001                                                     X
 270073      ROBELLI DONCAN MERCEDES BOLIVIA 1200675492001                  X            X                    X
 227657      DICADO ALBAN MARIANA ANGELITA   1200675799001                                                    X
 162981      JORGGE GONZALEZ VILMA MARIA     1200684684001                                                    X
  42626      RODRIGUEZ VARGAS PEDRO JOSE     1200686747001                                                    X
  86393      DELGADO MACIAS ROBERTO LESTER 1200694154001                                                      X
 154715      CADENA HURTADO LUIS ALBERTO     1200698858001                                                    X
 248675      CARRIEL FUENTES CARLOS A        1200700712001                                                    X
 165227      TERAN ESCOBAR ALBERTO ARCADIO 1200706503001                                                      X
  99352      BURBANO MONTECÉ WILLIAMS DANIEL1200718417001                                                     X
 170503      ROSADO PEÑA TEODORO FLORENCIO 1200731964001                                                      X
 230109      LOPEZ FLORES BLANCA LIDIA       1200738860001                                                    X
 151245      LEON SANCHEZ ENRIQUE SAMUEL     1200739264001                                                    X
 168878      NOBOA SALAZAR ELBA MARIANA      1200745477001                                                    X
  54770      ROCA PONCE VICENTE ENCARNACION 1200755716001                                                     X
No                 No registra
                                                               No                    No registra   No
                                                                        No. registra                       registra      No.    indicadores
                                                             registra                provincia, registra
Persona_id               NOMBRE               No. ID (RUC)                 calle                           número      registra de ventas,
                                                             apellido                 cantón y   primer
                                                                         principal                         de calle     origen activos y/o
                                                             paterno                 parroquia nombre
                                                                                                           principal             empleados

 109919      GUERRERO RENDON FAUSTO ARLINE 1200768099001                                                      X
 257703      VILLACIS HIDALGO CESAR AUGUSTO 1200776464001                                                     X
 200806      OVALLE TOVAR MELVA ZOBEIDA      1200788568001                                                    X
  99086      PAREDES HERNANDEZ MARIANA CONSUELO
                                             1200797650001                                                    X
 163016      BAJAÑA ALVARADO JACINTO MARTIN 1200800900001                                                     X
  43901      POSLIGUA SALAZAR JOSE CIRILO    1200803896001                                                    X
  95322      LOZANO CUADRO ZOILA JUVENCIA    1200806634001                                                    X
 207327      CARVAJAL MONAR EVENCIO SEGUNDO1200814513001                                                      X
  66171      GUERRERO MELENDEZ EVARISTO FLORENTINO
                                             1200816088001                                                    X
  51111      NAGUA RODRIGUEZ MANUEL ANTONIO1200816567001                                                      X
  85163      AGUIRRE FIERRO CARLOS RAMIRO    1200820262001                                                    X
 153763      LOZANO BRIONES SEGUNDO PORFIRIO 1200831277001                                                    X
 239134      SANTILLAN FANDA ALBERTO GALICIO 1200832291001                                                    X
 165281      RODRIGUEZ ABELDANO JOSE FRANCISCO
                                             1200835864001                                                    X
  83841      PISCO MAYORGA VICTOR FRANCISCO  1200847331001                                                    X
 134232      CHUQUIAN ATIENCIA MARGARITA ARMINDA
                                             1200850186001                                                    X
 151617      VERA ARECHUA WALTER VIDAL       1200856373001                                                    X
 259391      ZURITA SANTOS WASHINGTON ALBERTO1200857785001                                                    X
 257237      MENDOZA GAIBOR VICTOR ARMANDO 1200860235001                                                      X
 198528      FRANCO MORA MARTIN NORBERTO     1200861043001                                                    X
  57848      CARDENAS GUERRERO JORGE SENEFELDER
                                             1200867529001                                                    X
 236300      SANCHEZ MOYA LUIS AMABLE        1200870044001                                                    X
 258917      MOSQUERA CORONEL SERGIO RICARDO 1200872842001                                                    X
 153079      MENDOZA CORONEL AZUCENA BETTY 1200876280001                                                      X
  79714      ROLDAN ALCIVAR LEOMBORDO ANTONIO1200877320001                                                    X
 222268      RAMIREZ ARTIAGA VICTOR UGARTE 1200893673001                                                      X
 212819      FABRE CARRASCO SUSANA AURORA 1200893913001                                                       X
 143641      ARIAS AMAYA PABLO LUDIVINO      1200899266001                                                    X
  96115      LOPEZ PITA MELIDA URANIA        1200912770001                                                    X
  80937      ANDRADE JIMENEZ MIGUEL ANGEL    1200927059001                                                    X
 265688      ZAMORA TORRES PLUTARCO OLIMPO 1200930756001                                                      X
No                 No registra
                                                               No                    No registra   No
                                                                        No. registra                       registra      No.    indicadores
                                                             registra                provincia, registra
Persona_id               NOMBRE               No. ID (RUC)                 calle                           número      registra de ventas,
                                                             apellido                 cantón y   primer
                                                                         principal                         de calle     origen activos y/o
                                                             paterno                 parroquia nombre
                                                                                                           principal             empleados

  19383       WALTER                         1200932406001                                                    X
 224185      BRIONES JACOME ELISA DOLORES    1200935367001                  X            X                    X
 107790      SELLAN CAMPOS JOSÉ FELIX        1200937520001                                                    X
 244318      GARCES CORNEJO PEDRO LEOPOLDO 1200938114001                                                      X
 215841      ZAMORA MONTOYA JUAN ABAD        1200940656001                                                    X
  64350      HERVAS ZAMBRANO BETTY BRIGIDA 1200961736001                                                      X
 233593      SALAZAR MAYORGA SEGUNDO FILIBERTO
                                             1200969580001                                                    X
  41263      SARMIENTO TENESACA WILSON ALBERTO
                                             1200970000001                                                    X
 182409      MEJIA DE LUCA LINA NOEMI        1200971883001                                                    X
  32936      ALARCÓN ROMERO ELEODORO PRIMITIVO
                                             1200981239001                                                    X
 229974      ASPIAZU GUERRERO JOSE NICOLAS 1200989315001                                                      X
 199529      JÁCOME LARA GEORGINA ANDALIRA 1200992699001                                                      X
 207345      MAQUILÓN YÉPEZ PEDRO ANTONIO    1200995734001                                                    X
 217151      LUNA MOYANO ADOLFO DAMIAN       1200996922001                                                    X
 180145      VALENZUELA GUERRERO WILSON BACILO
                                             1200997557001                                                    X
 251530      RENDON LEDESMA VICTORIA DE JESUS1201005798001                                                    X
 144982      NAGUA RODRIGUEZ RUBEN DARIO     1201009329001                                                    X
 176169      ZAPATA OLVERA CARLOS HIPOLITO   1201017900001                                                    X
   2057      LAJE SANCHEZ CIPRIANA NARCISA   1201018098001                                                    X
 219975      JACOME BURBANO WILSON ANSELMO 1201026349001                                                      X
 274772      ESTRADA TRONCOZO ERASMA LETICIA 1201029087001                                                    X
 113099      ZAMBRANO DE SANTIS NELSON TEODOMIRO
                                             1201039771001                                                    X
 199833      BURGOS VALENZUELA SAMUEL FULGENCIO
                                             1201042841001                                                    X
 142925      HANZE YEPEZ EULALIA PILAR       1201042965001                                                    X
 137782      OCHOA RECALDE LEONOR            1201045125001                                                    X
 139838      YAGUAL CAMPI JAIME GERARDO      1201046388001                                                    X
 197207      ESTRADA RODRIGUEZ MARIA BRIGIDA 1201046503001                                                    X
 243588      PINARGOTE SANCHEZ ALISVA MARILIN1201053012001                                                    X
 116413      LOPEZ AYON MIRIAM CRISTINA      1201057427001                                                    X
  93062      AVILES PERALTA ALFONSO ANGEL    1201057716001                                                    X
 248710      FAGINSON GAMARRA GILBERTO JORGE 1201063607001                                                    X
No                 No registra
                                                                No                    No registra   No
                                                                         No. registra                       registra      No.    indicadores
                                                              registra                provincia, registra
Persona_id               NOMBRE                No. ID (RUC)                 calle                           número      registra de ventas,
                                                              apellido                 cantón y   primer
                                                                          principal                         de calle     origen activos y/o
                                                              paterno                 parroquia nombre
                                                                                                            principal             empleados

 125420      AGUILAR LIMONES MIRIAN SHIRLEY   1201064142001                                                    X
 150701      BRIONES VERA JUAN JOSÉ           1201064993001                                                    X
 150095      GAVILANEZ CASTRO VICTORIA ARACELY1201067947001                                                    X
 239758      MENDOZA NIVELA FÉLIX WILLIAM     1201076963001                                                    X
 179477      MAYORGA CARDOSO ADELA YADIRA 1201080973001                                                        X
 199168      ARROBA GUAMAN HOLGER GLAISEL 1201095211001                                                        X
 258183      SOLIS MUÑOZ LUIS ALBERTO         1201098207001                                                    X
 158207      VERGARA RIVADENEIRA ELIO GENARO1201098215001                                                      X
 219436      SUAREZ ESPINOZA LUIS ZACARIAS    1201112024001                                                    X
 176905      AVILES MORA MIGUEL ANGEL         1201127709001                                                    X
 224702      VERA ALVAREZ HUGO DIONISIO       1201131305001                                                    X
  35392      SALAZAR DEL POZO MARIA ELENA     1201135785001                                                    X
 236103      BURGOS FREIRE MARICRUZ MIROSLAVA 1201135934001                                                    X
 134131      MORAN BAJAÑA JOBA AMELIA         1201137377001                                                    X
 165465      MOSQUERA MORAN FELIX MIGUEL      1201140835001                                                    X
 203569      CAMPOS CARRIEL CARMEN PIEDAD     1201145628001                                                    X
   3670      BARROS MORANTE MERCY NICOLAZA 1201152400001                                                       X
 143840      VERGARA MELENDES ERNESTO ALEJANDRO
                                              1201175278001                                                    X
 264281      MUÑOZ BURGOS SILVIO ANTONIO      1201176276001                                                    X
  84737      CARBO GONZALES PEDRO JACINTO 1201178835001                                                        X
 233067      PALACIOS MORENO FERNANDO HUMBERTO1201184692001                                                    X
 130860      BENAVIDES BARRIGA VILMA MAGDALENA1201187075001                                                    X
 137438      ESTRADA TROYA HERMOGENES REINALDO1201188529001                                                    X
 263157      TORRES VERA CRISTIAN VINICIO     1201189386001                                                    X
 109172      AGURTO ESPINOZA FRANCISCO DE JESUS
                                              1201194139001                                                    X
 120779      LIBERIO DESIDERIO PEDRO EVARISTO 1201196670001                                                    X
  22563      QUINTANA VERA MARCOS ROBERTO 1201208780001                                                        X
  17476      LEON YEPEZ NINFA VICTORIA        1201212246001                                                    X
  54724      EDWIN                            1201222575001                                                    X
 174916      CAMPUZANO PALOMINO FRANCISCO EDUARDO
                                              1201224597001                                                    X
 214633      CABALLERO FRANCO EDGAR           1201239041001                                                    X
No                 No registra
                                                                No                    No registra   No
                                                                         No. registra                       registra      No.    indicadores
                                                              registra                provincia, registra
Persona_id               NOMBRE                No. ID (RUC)                 calle                           número      registra de ventas,
                                                              apellido                 cantón y   primer
                                                                          principal                         de calle     origen activos y/o
                                                              paterno                 parroquia nombre
                                                                                                            principal             empleados

 271987      GUERRERO GALLEGOS JUAN DANIEL 1201251707001                                                       X
 268512      FIGUEROA LEON ENRIQUE RICARDO 1201258025001                                                       X
 265718      JACOME VEGA JUAN JOSE            1201260492001                                                    X
 263558      GIL TROYA JOSE IVAN              1201261714001                                                    X
   3510      VEAS VELIZ FELICITA DE JESUS     1201261920001                                                    X
  42638      ZAPATA GAVILANEZ VICTOR OSWALDO1201266911001                                                      X
 134620      ARRIAGA NAVARRETE CARLOS ADOLFO  1201267679001                                                    X
 275542      OLAYA VERA AMADA DOLORES         1201269071001                                                    X
  80735      NAVARRETE GOMEZ JUAN ORLANDO 1201269485001                                                        X
  66914      BURGOS VERA VICTOR VICENTE       1201269535001                                                    X
  86481      BUSTAMANTE VERA JORGE ARTURO 1201269543001                                                        X
 136579      VITE CARPIO MANUEL INOCENCIO     1201271416001                                                    X
 274251      VERDEZOTO MORALES ELVA MAGDALENA 1201271580001                  X            X                    X
 103364      VILLALTA FREIRE RAFAEL ANTONIO   1201274097001                                                    X
 178675      SOLIS ALARCON LUIS EUSEBIO       1201274691001                                                    X
 223201      SANCHEZ ASPIAZU CARLOS YAMIR     1201275615001                                                    X
 112859      ZAPATA INFANTE FREDDY JEOVANI    1201284054001                                                    X
 106264      VILLAVICENCIO GARCIA MIGUEL JOFFRE
                                              1201285010001                                                    X
 208781      MOREIRA RAMIREZ EDUARDO GALO 1201285663001                                                        X
  42152      JACOME NAJERA ABDON PRESLEY      1201296967001                                                    X
 217310      TARIRA TOAZA BLANCA FELICIANA    1201308309001                                                    X
 195435      MONTERO ANTONIO                  1201316120001                                                    X
 156563      GOMEZ DE LA TORRE FRANCO CIELITO1201332796001
                                               TERESA                                                          X
 201281      OCHOA ORDOÑEZ HUGO ALBERTO       1201340666001                                                    X
 242021      CARRASCO ECHEVERRIA WILLIAN MANUEL
                                              1201346226001                                                    X
  80751      CABANILLA VERA JORGE ROMULO      1201353495001                                                    X
 116813      COELLO LEON LUCIANA VITALINA     1201356696001                                                    X
  33760      VERA CORNEJO LUIS BENJAMIN       1201363874001                                                    X
 271901      POZO CHANG ANTONIO ARMANDO       1201369145001                                                    X
 204150      GOYES JERVIS JOSÉ ERNESTO        1201371406001                                                    X
  33111      ROMERO ROMAN SILVIA ZORAIDA      1201380043001                                                    X
No                 No registra
                                                                No                    No registra   No
                                                                         No. registra                       registra      No.    indicadores
                                                              registra                provincia, registra
Persona_id               NOMBRE                No. ID (RUC)                 calle                           número      registra de ventas,
                                                              apellido                 cantón y   primer
                                                                          principal                         de calle     origen activos y/o
                                                              paterno                 parroquia nombre
                                                                                                            principal             empleados

  74514      SANCHEZ QUINTANILLA MARTHA JESUS 1201383260001                                                    X
 213887      VALERO RUIZ WALTER SEGUNDO       1201384334001                                                    X
  56965      GUZMAN CAMACHO VICTOR EUGENIO 1201389960001                                                       X
 241624      ALVARADO CASTRO JOSE ELIAS       1201390166001                                                    X
 143935      SANDOYA UBILLA PIERINNE CLEMENCIA201391065001
                                              1                                                                X
  89499      PIEDRA PALMA OTÓN AMADO          1201391081001                                                    X
  68214      MOYA ALCHUNDIA MARGGY ZENEIDA 1201396007001                                                       X
 216258      ROMERO ANGULO MARIA NARCISA      1201399183001                                                    X
 204016      COELLO SANCHEZ MARIA MAGDALENA1201403662001                                                       X
 243909      ZUNIGA LOMBEIDA SEGUNDO ABRAHAN  1201409636001                                                    X
  69367      CHAVEZ NAJERA LUIS ARCENIO       1201416441001                                                    X
  64009      LEON JIMENEZ EDUARDO ALBERTO     1201419510001                                                    X
  59562      AGUIRRE FIERRO NESTOR VINICIO    1201421193001                                                    X
 179118      CAICEDO RAFFO PABLO RAUL         1201422738001                                                    X
  67459      RAMOS MARTINEZ CARMEN NARCISA 1201423033001                                                       X
  40648      LEÓN SUÁREZ SONNIA YOLANDA       1201423173001                                                    X
 212817      FABRE CARRASCO PATRICIA DEL CARMEN
                                              1201423223001                                                    X
 188309      GARCIA MORA MANUEL AURELIO       1201426739001                                                    X
 273740      GUERRERO BUSTAMANTE HUMBERTO 1201450259001
                                              VALENTIN                                    X                    X           X
 141390      VILLA MOREIRA LUIS ALBERTO       1201451299001                                                    X
  82205      CARRIEL VILCHE NARCISA IRENE     1201452933001                                                    X
 126940      PAZMIÑO CAMACHO COLUMBA AMÉRICA  1201457130001                                                    X
 268689      ARAY VARELA JUAN ANGIMIRO        1201462627001                                                    X
 194854      MANSSUR QUIÑONEZ KARIM ALI       1201477815001                                                    X
 212719      BRICIO AQUINO VICENTE NOLBERTO 1201481544001                                                      X
  52788      JULIO                            1201486279001                                                    X
 167770      CARBO VELIZ ALFREDO JAVIER       1201497045001                                                    X
 214545      SANCHEZ CASTAÑEDA WALTER ELEU 1201497771001                                                       X
 226086      MIRANDA ERNESTO                  1201501986001                                                    X
 168077      ONOFRE YEPEZ MERCEDES LUCIA      1201506266001                                                    X
 214498      FUENTES VILLANUEVA PRIMITIVO UBALDO
                                              1201515937001                                                    X
No                 No registra
                                                               No                    No registra   No
                                                                        No. registra                       registra      No.    indicadores
                                                             registra                provincia, registra
Persona_id               NOMBRE               No. ID (RUC)                 calle                           número      registra de ventas,
                                                             apellido                 cantón y   primer
                                                                         principal                         de calle     origen activos y/o
                                                             paterno                 parroquia nombre
                                                                                                           principal             empleados

 160272      RIVERA SILVA MIGUEL ADRIANO     1201524111001                                                    X
 209855      PORTILLA CABALLERO ANGEL EDISON 1201529482001                                                    X
 276357      MOYANO BARROS REYNALDO FRANCISCO1201530126001                                                    X
 238660      SILVA FLORES LUIS HERMOGENES    1201572177001                                                    X
 212636      ALVAREZ JIMENEZ GUILLERMO NICOLAS
                                             1201604038001                                                    X
  25604      MACIAS SANCHEZ MILTON MAGNO     1201610829001                                                    X
 206897      CEDEÑO PIZA GERMÁN DOUGLAS      1201633193001                                                    X
 253609      TROYA GARCIA MANUEL IGNACIO     1201633888001                                                    X
 253811      VILLACRES CASTRO LUIS MANUEL    1201634423001                                                    X
 210028      SALINAS ERAZO ALEX MANUEL       1201655816001                                                    X
 164298      TORRES MORA WELLINTON ORLANDO 1201656749001                                                      X
 161010      GALARZA ACOSTA MARIVEL RUTH     1201657424001                                                    X
 120607      SANGOQUISA SAQUINGA JUAN ELIAS 1201665559001                                                     X
 239866      CAICEDO SANCHJEZ FRANCISCO JAVIER
                                             1201667746001                                                    X
 195264      LUA CASTILLO JOSE SEGUNDO       1201671532001                                                    X
  59123      VALVERDE AGUILAR MIGUEL ANTONIO 1201684709001                                                    X
 112899      SANCHEZ PEREZ OSWALDO ENRIQUE 1201690250001                                                      X
 210840      SALCEDO CANTOS CARMEN SANDRA 1201695804001                                                       X
 203382      TORRES ABAD JULIO ELOY          1201704572001                                                    X
 257001      LUA FRANCISCO                   1201706809001                                                    X
 186370      COELLO FIGUEROA NARCISA PIEDAD 1201730924001                                                     X
 174320      AYALA PULECIO CARLOS ALBERTO    1201733282001                                                    X
 221785      MACIAS VERA FRANCISCO ENRIQUE 1201739644001                                                      X
  76252      RIZZO YANEZ VICENTE KARYL       1201741392001                                                    X
 207282      CHING CRUZ ALEX XAVIER          1201749718001                                                    X
 175167      TOSCANO CAJAS CARLOS JUVENAL 1201751219001                                                       X
 104636      HERRERA ULLON LEONCIO VICENTE 1201753439001                                                      X
  74940      MACIAS RENGIFO HOLGER ANTONIO 1201757612001                                                      X
 250831      SANTILLAN CARRASCO YONNY ROLANDO1201763628001                                                    X
  80453      MIRANDA ULLON FELIX EDILTRUDIS  1201764063001                                                    X
 232757      TORRES FIENCO SEGUNDO BENITO    1201766621001                                                    X
No                 No registra
                                                               No                    No registra   No
                                                                        No. registra                       registra      No.    indicadores
                                                             registra                provincia, registra
Persona_id              NOMBRE                No. ID (RUC)                 calle                           número      registra de ventas,
                                                             apellido                 cantón y   primer
                                                                         principal                         de calle     origen activos y/o
                                                             paterno                 parroquia nombre
                                                                                                           principal             empleados

 172257      VILLACRECES TARIRA RICARDO ANTONIO
                                            1201766670001                                                     X
 231846      CARRILLO ERAZO GREGORIO ANTONIO1201784632001                                                     X
 256579      HIDALGO FAITONG FREDDY SANTIAGO1201788591001                                                     X
  35674      HURTADO ASTUDILLO MARGARITA ALEXANDRA
                                            1201796719001                                                     X
 123252      ALBIÑO MIGUEZ VICTOR NAPOLEON 1201805460001                                                      X
  99928      QUINTANA GARCIA MILTON OSWALDO 1201807219001                                                     X
 196655      ALVAREZ MARMOL MARIA PILAR     1201807730001                                                     X
 132491      ORTIZ ESCOBAR LORENZO OSWALDO 1201811823001                                                      X
 224026      ESPAÑA MENDOZA CLARA EUSEBIA   1201812086001                                                     X
 105943      PAZMIÑO VILLEGAS ANGEL WELLINGTON
                                            1201823703001                                                     X
  99209      BASTIDAS LOZANO ALFREDO XAVIER 1201826078001                                                     X
 192357      BARQUET MARUN JUAN JOSÉ        1201853346001                                                     X
 135889      CHONG CRUZ MANUEL LIBORIO      1201857651001                                                     X
 205533      ZABALA PAZMINO ELI MARCELO     1201876214001                                                     X
 221754      CARBO MORA RIGOBERTO WASHINGTON1201899869001                                                     X
 148112      SOLIS BRAVO OLGA LETTI         1201901921001                                                     X
 181609      ZAPATA ARGUELLO NARCISA DEL CARMEN
                                            1201902028001                                                     X
  98684      RODRIGUEZ ANGULO DOMINGA ERNESTINA
                                            1201906565001                                                     X
 211613      SANCHEZ SANDOYA EDUARDO EMERSON1201908363001                                                     X
  78545      FRUTUOSO PEREZ LUIS ALBERTO    1201915632001                                                     X
 178041      SALCEDO ALVAREZ TANYA IVON     1201916861001                                                     X
 218764      VILLAMAR QUINTO WILSON LEONARDO1201917588001                                                     X
 141449      SUAREZ PARRA CARMEN            1201919501001                                                     X
 122696      MORENO BAJAÑA LAURA MARIANA    1201922117001                                                     X
 141623      ACOSTA AMAIQUEMA ALBERTO IVAN 1201922372001                                                      X
 228180      MENDEZ ZAMBRANO MANUEL ANTONIO 1201923487001                                                     X
 235840      VERSOSA LOOR MARCELINO DANNY 1201925763001                                                       X
 213701      MERA HUERTA MANUEL AUGUSTO     1201926662001                                                     X
 247597      FUENTES SOTOMAYOR OLGA JANETH DE LOURDES
                                            1201928692001                                                     X
 166871      VITERI MACIAS JOSE JAVIER      1201929583001                                                     X
 264632      SALAVARRIA ARAGUNDI PEDRO      1201930664001                                                     X
No                 No registra
                                                               No                    No registra   No
                                                                        No. registra                       registra      No.    indicadores
                                                             registra                provincia, registra
Persona_id               NOMBRE               No. ID (RUC)                 calle                           número      registra de ventas,
                                                             apellido                 cantón y   primer
                                                                         principal                         de calle     origen activos y/o
                                                             paterno                 parroquia nombre
                                                                                                           principal             empleados

 227493      CAICEDO CRUZ MANUEL DE JESUS    1201931266001                                                    X
 135236      VILLACRES CASTRO LUIS SANTIAGO 1201932207001                                                     X
 220145      ASPUAZU MURILLO MARITZA DEL CARMEN
                                             1201942834001                                                    X
 202675      MOREIRA BORJA EDUARDO ARTURO 1201958160001                                                       X
 178501      CARDENAS ARINDIA JUAN MANUEL    1201958939001                                                    X
 143742      VÉLIZ VÉLIZ FELIPE MARTÍN       1201960695001                                                    X
  78593      VELOZ VILLACIS LUIS ALFREDO     1201963335001                                                    X
 189912      ROMERO SALVATIERRA REINALDO NAPOLEÓN
                                             1201965678001                                                    X
 201645      BELTRAN CEDEÑO LUIS BERNARDO    1201982681001                                                    X
 266978      ESPINOZA CEBALLOS BLANCA LASTENIA
                                             1202003685001                                                    X
 257896      ROSS SUAREZ JULIO WILSON        1202014948001                                                    X
 135287      CEJIDO CENTENO FERNANDO EMETERIO1202016125001                                                    X
  58154      LEÓN BAZÁN ELMO VICENTE         1202019368001                                                    X
 119398      MUÑOZ MORANTE NELSON CRISTOBAL1202020895001                                                      X
 236048      VERA SEME MARCIAL OSTANO        1202028484001                                                    X
 252080      VACACELA LOOR JOSE ADALBERTO 1202048821001                                                       X
  99389      BRIONES CHILAN ERASMO LIDER     1202050108001                                                    X
  62044      PAZ Y MIÑO BACILIO MARIO FERNANDO
                                             1202062699001                                                    X
 126501      FAJARDO MALAGON HUGO ANGEL      1202064257001                                                    X
  49433      MORALES ALARCON HUMBERTO MANUEL 1202067755001                                                    X
 242226      MARTINEZ ANDALUZ BELGICA ARMENIA1202075840001                                                    X
 187580      VELEZ CAMACHO FREDDY DENNIS     1202093033001                                                    X
 198573      VITERI JESUS                    1202093546001                                                    X
 216711      RAMOS MARTINEZ HUGO GENARO      1202103832001                                                    X
 137395      CERCADO ESPINOZA ROSENDO EUGENIO1202112429001                                                    X
   9025      ILYPA                           1202122683001                                                    X
 190476      GUERRA DUQUE GUILLERMO GENARO 1202125066001                                                      X
 179742      GOMEZ LEON IRMA ISABEL          1202130066001                                                    X
 103345      ESPARZA HUERTA PATSI HELLEN     1202130116001                                                    X
 179146      DIER ALDAS FABIOLA YOLANDA      1202130660001                                                    X
  28638      SALTOS INTRIAGO MARIA CAROLINA 1202135032001                                                     X
No                 No registra
                                                               No                    No registra   No
                                                                        No. registra                       registra      No.    indicadores
                                                             registra                provincia, registra
Persona_id               NOMBRE               No. ID (RUC)                 calle                           número      registra de ventas,
                                                             apellido                 cantón y   primer
                                                                         principal                         de calle     origen activos y/o
                                                             paterno                 parroquia nombre
                                                                                                           principal             empleados

 138529      GUTIERREZ VARGAS PABLO HILARIO 1202136790001                                                     X
 210424      GUTIERREZ VARGAS GERARDO LIBERATO
                                             1202136808001                                                    X
 250428      BONILLA VISCARRA RAUL ARMANDO 1202140982001                                                      X
 261225      FLORES RAMIREZ JORGE RODOLFO 1202148662001                                                       X
 229539      VERA CASTRO ROSA MERCEDES       1202153852001                                                    X
 173036      MARQUEZ CRISTOBAL               1202160337001                                                    X
 257480      PEÑA ARTEAGA ARNULFO ROMANET 1202166367001                                                       X
 222535      CAMPOS SALINAS JOAQUIN ANTONIO 1202181242001                                                     X
 182393      OCAMPO PAREDES HENRY RANULFO 1202186167001                                                       X
 164958      AGUILA VARGAS TULA ROSARIO      1202210470001                                                    X
  15781      FILIAN ORTEGA CARLOS JULIO      1202210744001                                                    X
 193626      MORENO LEYTON WASHINGTON ERNESTO1202217905001                                                    X
 202251      MACKENSEN MACIAS TEOLINDA EMILIA1202226955001                                                    X
  66871      MAYORGA DOMINGUEZ ALFONSO MIGUEL1202237796001                                                    X
 261094      BARCOS ARIAS NIXON CEFERINO     1202237903001                                                    X
 273133      LEON GUTIERREZ VICENTE ISMAEL   1202238216001                                                    X
  75330      CEREZO CARRIEL BERNABE LUDGARDO 1202238315001                                                    X
 264546      RUIZ ANDRADE WINSTONG GIOVANNY 1202238901001                                                     X
  70877      SUAREZ AYALA JOFFRE ALAMIRO     1202259758001                                                    X
 269214      BARRERA GARCES ELVIA AMERICA 1202260947001                                                       X
  87689      ANDRADE GALARZA PEDRO GIOVANI 1202268064001                                                      X
 178521      MORANTE VILLALVA ABNER JOSELO 1202275572001                                                      X
 175210      MACIAS MERA CIRO BUENAVENTURA 1202276315001                                                      X
 214452      REYES ANDRADE JUAN EULOGIO      1202298657001                                                    X
 107647      REYES ALMEIDA AMADA EULOGIA     1202298863001                                                    X
 244261      SANCHEZ CABRERA ROMELIA AMERICA 1202312540001                                                    X
 219093      MOYANO MORA WALTHER ANTONIO 1202330815001                                                        X
 213963      VARGAS ANDRADE ALFONSO JACINTO 1202331078001                                                     X
  35265      CROSAC                          1202334957001                                                    X
 271302      GARCIA GRANJA EUCEBIO EGGAR     1202338982001                                                    X
 154259      YANCE HUESQUEL ELISEO EUSTAQUIO1202339923001                                                     X
No                 No registra
                                                               No                    No registra   No
                                                                        No. registra                       registra      No.    indicadores
                                                             registra                provincia, registra
Persona_id               NOMBRE               No. ID (RUC)                 calle                           número      registra de ventas,
                                                             apellido                 cantón y   primer
                                                                         principal                         de calle     origen activos y/o
                                                             paterno                 parroquia nombre
                                                                                                           principal             empleados

 194910      CAMPOSANO GARCÍA FÉLIX ADOLFO 1202340376001                                                      X
 217531      PARRAGA LEON FELIX GUILLERMO    1202341259001                                                    X
 221489      MURILLO MORA MARIA ISABEL       1202343313001                                                    X
 193845      MUÑOZ GREGORIO                  1202343370001                                                    X
 175902      CASTILLO RAMIREZ LUIS ALFONSO   1202344113001                                                    X
 110542      FERNANDEZ BONILLA HECTOR CESAR 1202347207001                                                     X
 274984      LITARDO RAMÍREZ JACINTO RENÉ    1202356729001                                                    X
 238405      AGUIRRE ESTRADA ANGEL TOMAS     1202363436001                                                    X
 138460      GAVILANEZ CUEVA CARLOS WILLIAN 1202365076001                                                     X
 275037      FLOR GARCIA JOHN ROOSEVELT      1202367486001                                                    X
 160216      RUIZ YANEZ NESTOR EDUARDO       1202373617001                                                    X
 272707      OCHOA DUARTE ISIDRO MANUEL      1202385983001                                                    X
 216915      RIVERA CHERNES PABLO ANTONIO    1202386528001                                                    X
 195824      CALERO ZAPATA NELSO AURELIO     1202386833001                                                    X
 226631      URIBE ESTRADA LUIS ALBINO       1202387963001                                                    X
 173952      JIMENEZ LOOR WAGNER JHONNY      1202391817001                                                    X
 234018      GODOY ARCE OLIMPI JOSE          1202393284001                                                    X
 205386      TUMBACO MONTES PAULO OLIVER     1202408157001                                                    X
 264767      VILLARREAL CASTRO TIMOTEO MARIO1202418156001                                                     X
 104530      SANTANA CHICHANDA JACINTO IBAN 1202425441001                                                     X
  80413      SANDOYA SANCHEZ MARILYN CARLOTA 1202429856001                                                    X
 190286      MOYOTA CAYO JORGE ESTUARDO      1202430110001                                                    X
 221890      BARRIGA MACIAS ROBERT OLMEDO 1202430698001                                                       X
 220796      PAZMIÑO SANTAMARIA IVAN WILMAN 1202432843001                                                     X
 239668      CASTRO BERIO WILSON EDUARDO     1202438774001                                                    X
 214079      LEDESMA JIMENEZ CESAR MIGUEL    1202460687001                                                    X
 256399      ZERNA MORAN MARIA DEL CARMEN 1202466429001                                                       X
 263980      NARANJO AVILES LUIS PALERMO     1202466999001                                                    X
 247752      BURGOS SANCHEZ JOSE RUSBELL     1202469241001                                                    X
  70677      BAILON GARCIA NARCIZA ELIZABETH 1202473623001                                                    X
 199331      MONAR PAREDES CESAR PEDRO       1202480115001                                                    X
No                 No registra
                                                               No                    No registra   No
                                                                        No. registra                       registra      No.    indicadores
                                                             registra                provincia, registra
Persona_id               NOMBRE               No. ID (RUC)                 calle                           número      registra de ventas,
                                                             apellido                 cantón y   primer
                                                                         principal                         de calle     origen activos y/o
                                                             paterno                 parroquia nombre
                                                                                                           principal             empleados

 232328      MENDOZA OCHOA VICENTE ROLANDO 1202495675001                                                      X
 167001      CORONEL ORELLANA JAUN ANTONIO 1202503122001                                                      X
 144944      MIRANDA COBOS ELIECER ELIAS     1202512099001                                                    X
 186781      BRITO MIRANDA ROSARIO DEL CARMEN1202513741001                                                    X
 247247      CRUZ SOTOMAYOR JAINZINHO DAVID 1202530505001                                                     X
 167285      AVILES ALVARIO MANUEL ERNESTO 1202538532001                                                      X
  26471      PAREDES ORBEA HUGO ALBERTO      1202539589001                                                    X
 208592      HINOJOZA AGUILAR JOHNNY SANTOS 1202547921001                                                     X
 167615      VARGAS ONATE TERESA DEL ROCIO 1202549547001                                                      X
 276393      LOPEZ MENA EDIZA CUMANDA        1202555734001                                                    X
 185440      COELLO VERA ADALBERTO ANTONIO 1202558266001                                                      X
 137145      ALBAN CHAVEZ JAIME FERNANDO     1202565014001                                                    X
 197222      MAYORGA REYES WILMER IVAN       1202571947001                                                    X
 127564      ARTEAGA MACIAS LUIS FERNANDO    1202576177001                                                    X
 151759      VEGA JIMENEZ GLADYS VIVIANA     1202584999001                                                    X
 127185      PROAÑO MOYA WILLIAN IVAN        1202588263001                                                    X
 149896      RABASCO ZAMORA MARIA ANGELICA 1202591721001                                                      X
 265045      VERA CAÑAR FLAVIO TEODORO       1202594550001                                                    X
 164225      URGILES IDROVO LUIS WASHINGTON 1202595029001                                                     X
 211090      OLAYA VERGARA JUAN FRANCISCO    1202597272001                                                    X
 221247      ZAMBRANO WONG ROSARIO DE JESÚS1202603377001                                                      X
  82414      VERA SOLARTE EPIFANIO DANIEL    1202613897001                                                    X
  11862      RAFAEL JACOME                   1202615421001                                                    X
 203148      YEPEZ PERALTA RUBEN ENRIQUE     1202624894001                                                    X
 219971      CASTRO SANTILLAN MONICA DEL PILAR
                                             1202634950001                                                    X
 217545      ARROYO VERGARA CARMEN CONCEPCION1202636666001                                                    X
 196051      VELEZ ZAMBRANO NEISER ROY       1202638191001                                                    X
 149355      FRANCO AVILES VICTOR MANUEL     1202638662001                                                    X
 124888      ROMERO JACOME FREDDY ANTONIO 1202639330001                                                       X
 229429      QUEVEDO PINOS ADELA ROSALVA     1202644819001                                                    X
 110519      ALVAREZ GUITIERREZ OSCAR OMAR 1202645618001                                                      X
No                 No registra
                                                               No                    No registra   No
                                                                        No. registra                       registra      No.    indicadores
                                                             registra                provincia, registra
Persona_id              NOMBRE                No. ID (RUC)                 calle                           número      registra de ventas,
                                                             apellido                 cantón y   primer
                                                                         principal                         de calle     origen activos y/o
                                                             paterno                 parroquia nombre
                                                                                                           principal             empleados

 244844      RIVERA RIVAS ELENA CONSUELO     1202649339001                                                    X
 153226      IZQUIERDO CARRIEL HECTOR JOVANNY202649602001
                                             1                                                                X
  55711      VERA CARRIEL FRANCISCO ANDRÉS 1202661870001                                                      X
 189947      CUADRO GASTESI WILLIAM ARMANDO 1202708358001                                                     X
 141305      VILLAGOMEZ TROYA ESTUARDO BOLIVAR
                                             1202709844001                                                    X
 187567      COELLO PONCE GEOMAR LEONOR      1202717128001                                                    X
 163671      GOYES CABEZAS WASHINGTON GEOVANNY
                                             1202725501001                                                    X
 134452      VILELA LOOR FRANCISCO FLORENTINO1202731186001                                                    X
 256897      BURGOS VERGARA DABID ANTONIO 1202733034001                                                       X
 137523      CEPEDA DELGADO ORLANDO JOSE     1202735153001                                                    X
 226760      OÑA ALCIVAR SANTO JIORGE        1202743033001                                                    X
 137684      CONTRERAS GAMARRA NOLBERTO DAVID1202743629001                                                    X
  98717      GUEVARA VALLEJO JAVIER ALFONSO 1202750194001                                                     X
 174413      COZZARELLI CABEZAS GIOVANNI VICENTE
                                             1202750756001                                                    X
  20821      JACOME NAJERA JIMMY ALEXANDER 1202750848001                                                      X
 215967      VELASQUEZ MORA GIOMAR CLIFTON 1202753321001                                                      X
 170499      CASANOVA VELEZ JOSE FERNANDO 1202756852001                                                       X
 257292      MONTERO RUIZ WELLINTONG GEOVANNY1202759021001                                                    X
 162897      HERNANDEZ CEVALLOS GUSTAVO ABEL 1202766067001                                                    X
 233961      DIAZ CHICA SAR BELLA            1202770499001                                                    X
 159915      PALLASCO RONQUILLO WASHINGTON GERARDO
                                             1202779623001                                                    X
  88956      VILLACRES ROSADO NORTA IVON     1202779813001                                                    X
 202666      MURILLO MOYANO FORTUNATO FERNANDO
                                             1202780738001                                                    X
 205367      VALVERDE MONTERO MANUEL DAVID 1202792097001                                                      X
 126426      TOALA PIHUAVE COSME LIGVINO     1202798698001                                                    X
 267539      BARROSO PANIZO EDUARDO JULIO    1202804132001                                                    X
 164875      ACOSTA CRUZ MAGDALENA ALEXANDRA DE LOURDES
                                             1202804207001                                                    X
 219934      CARRASCO ESLAO MARTHA CONSUELO  1202815559001                                                    X
 168384      ALVAREZ GOYA LORENZO NICOLAS    1202823488001                                                    X
 190770      SOLORZANO FIERRO MARCOS LAUTARO 1202825483001                                                    X
 118246      PAZMIÑO ARETAGA ANGEL ADALBERTO 1202828859001                                                    X
No                 No registra
                                                               No                    No registra   No
                                                                        No. registra                       registra      No.    indicadores
                                                             registra                provincia, registra
Persona_id               NOMBRE               No. ID (RUC)                 calle                           número      registra de ventas,
                                                             apellido                 cantón y   primer
                                                                         principal                         de calle     origen activos y/o
                                                             paterno                 parroquia nombre
                                                                                                           principal             empleados

 206790      MEZA ESTRADA JOHN KEBY          1202829931001                                                    X
 189381      LONGO SALAZAR DENNIS JAVIER     1202830426001                                                    X
 227291      CARPIO MINO RUBY DOMINGO        1202831309001                                                    X
 113828      BARZOLA ZAMBRANO WELINGTON MAGNO1202833164001                                                    X
 215423      COSME IDROVO LUIS EDUARDO       1202835177001                                                    X
 158847      GONZALES CHONG PABLO ROBERTO 1202838551001                                                       X
 257636      BEJARANO PALMA ALBERTO ANTONIO 1202839831001                                                     X
 220809      POSLIGUA MIRIAN                 1202848964001                                                    X
  97597      MORENO MOREIRA RENEE GUSTAVO 1202868798001                                                       X
 257563      RIVERA DIAZ CARLOS BOLIVAR      1202874218001                                                    X
 200784      CARRIEL MUÑOZ MARIO ARMANDO     1202880884001                                                    X
 228452      ALCIVAR TOALA TANYA MARIBEL     1202901961001                                                    X
 217219      PIEDRAHITA BUENO VICENTE ALFREDO1202912208001                                                    X
  30983      CHICO SILVA LENIN ALBERT        1202912323001                                                    X
 234438      TOLEDO MIRANDA DANILO ALFREDO 1202920060001                                                      X
 209834      MUÑOZ LOOR ALEX OMAR            1202920722001                                                    X
 259187      YEPEZ CONTRERAS EDRIN ERASMO 1202922769001                                                       X
 226290      ARTEAGA VASQUEZ LUBEL MANUEL 1202924310001                                                       X
 116228      MAYORGA CHONG NALDA ROSALIA     1202926265001                                                    X
 148144      VASQUEZ MORÁN VICENTE FRANCISCO 1202926893001                                                    X
 258181      ALAVA VALENCIA ALBERTO CAYETANO1202930218001                                                     X
 243942      CHIRIGUAYA PLACENCIO WILLIAM RICHARD
                                             1202936777001                                                    X
 255091      BARRAGAN ALVAREZ ALEXI DANIEL   1202943724001                                                    X
 109213      VEGA JIMENEZ VERONICA VANESSA 1202952881001                                                      X
 148285      SAMANIEGO CARRASCO VICTOR HUGO  1202964753001                                                    X
 210349      JIMENEZ MENDOZA MANUEL DE JESUS1202969778001                                                     X
 140130      YANCE SANDOYA MERCEDES MARIA 1202980999001                                                       X
 119984      MARIQUE MEDRANO JUAN EDISON     1202982110001                                                    X
 154627      PACHECO MONTES ALEXANDRA LUPE202982235001
                                             1                                                                X
 202959      HINOJOSA TERAN MARCO FABRICIO 1202983415001                                                      X
 179541      MONAR VALLE NELSON ALBERTO      1202983639001                                                    X
No                 No registra
                                                               No                    No registra   No
                                                                        No. registra                       registra      No.    indicadores
                                                             registra                provincia, registra
Persona_id              NOMBRE                No. ID (RUC)                 calle                           número      registra de ventas,
                                                             apellido                 cantón y   primer
                                                                         principal                         de calle     origen activos y/o
                                                             paterno                 parroquia nombre
                                                                                                           principal             empleados

 245167      SAAC ROSADO JOSE MARCELO       1202985691001                                                     X
 217517      FUENTES MORENO ALEX RODOLFO    1202990303001                                                     X
 140118      MACIAS GAVILANEZ CESAR LEONARDO1202990451001                                                     X
 257294      ARIAS VERA MANUEL FRANCISCO    1202995179001                                                     X
  61600      FORTTY ZAMBRANO ANGEL SEGUNDO 1202996649001                                                      X
 140397      VACA TOMALA GEORGE ALEJANDRO 1203013378001                                                       X
 101135      GUANUCHI MARIÑO SILVIA TERESA  1203021843001                                                     X
 216735      CARPIO BURGOS OBDULIA NIEVE    1203022114001                                                     X
 217680      AGUIRRE MACIAS SANDY RUVINCA   1203027824001                                                     X
 213811      ARREAGA ALBAN CARLOS ENRIQUE 1203030281001                                                       X
 163701      REMACHE NARANJO GIGGY RAQUEL 1203031636001                                                       X
 191095      MUÑOZ JIMENEZ GENARO ANTONIO 1203036742001                                                       X
  99073      VERGARA SANCHEZ MACARIO GUALBERTO
                                            1203036999001                                                     X
 264936      PENAHERRERA VALVERDE FERNANDO 1203048184001
                                            JESUS                                                             X
 104470      GUEVARA SANTANA FREDDY JAVIER 1203049273001                                                      X
 194994      CARPIO RODRIGUEZ ANA DEL ROCIO 1203055858001                                                     X
 229987      ASTUDILLO SALAZAR OLMEDO ELOY 1203056377001                                                      X
 211132      ARMIJOS REYES DUSTIN LENIN     1203058951001                                                     X
 190861      SOLIS PEREZ LUIS ALFREDO       1203062466001                                                     X
 216306      LEON CANTOS LINDON GOVER       1203063506001                                                     X
 143565      QUIÑONEZ FERNANDEZ ANA ETELVINA1203067713001                                                     X
 212584      GRANADOS VACA CARLOS ALBERTO 1203070899001                                                       X
 162506      GARCIA MENA BOLIVAR ROBERTO    1203073554001                                                     X
 124563      ROBI VITE WALTER EMILIO        1203077233001                                                     X
 230280      CORNEJO MONTERO IVONNE ALEXANDRA
                                            1203080872001                                                     X
  39078       MOISES                        1203081672001                                                     X
 166186      PEREZ MUÑOZ FELIX ABEL         1203082712001                                                     X
  73058      GAMBOA BRAVO MIRIAN MAGALY     1203090178001                                                     X
 196000      LALALEO VERA SEGUNDO ANGEL     1203092646001                                                     X
 150868      IZA BARAHONA JIMMY NICOLAS     1203096308001                                                     X
 198329      GUAMAN SAMANIEGO LUZ MARIA     1203101587001                                                     X
No                 No registra
                                                               No                    No registra   No
                                                                        No. registra                       registra      No.    indicadores
                                                             registra                provincia, registra
Persona_id               NOMBRE               No. ID (RUC)                 calle                           número      registra de ventas,
                                                             apellido                 cantón y   primer
                                                                         principal                         de calle     origen activos y/o
                                                             paterno                 parroquia nombre
                                                                                                           principal             empleados

 198516      ALVAREZ ANA                     1203102312001                                                    X
 220971      TORRES MORA CARLOS RAFAEL       1203110620001                                                    X
 112154      MUÑOZ VERA VICTOR HUGO          1203127012001                                                    X
 204204      CONTRERAS VASQUEZ SIXTO RAFAEL 1203127459001                                                     X
 219442      HERRERA ESPINOZA GLORIA OMEIDA 1203130131001                                                     X
 195690      BONE REYES CRISTOBAL ALBERTO 1203136369001                                                       X
 157470      VERA RODRÍGUEZ EMERSON GEOVANNY 1203136823001                                                    X
 259092      TRONCOSO CEDEÑO RODOLFO SANTIAGO1203137953001                                                    X
 111873      JACOME ALDAS GONZALO JAVIER     1203139942001                                                    X
 148123      FLORES MORAN DALIA NARCISA      1203140999001                                                    X
 207526      CASTAÑEDA LEON FREDDY ISIDRO    1203144298001                                                    X
 169334      MOREIRA NAVARRETE ESAÚ MALAQUÍAS1203144801001                                                    X
 186889      LOMBEYDA SUAREZ CARMEN FLORA 1203146335001                                                       X
 261276      AGUIRRE ESTRADA MERCEDES PASTORA1203151749001                                                    X
 138007      FLORES DIAZ LILIANA ISABEL      1203158207001                                                    X
 210935      ZAMBRANO BONILLA JUANA DEL CARMEN
                                             1203158884001                                                    X
 114982      DORADO MANTILLA WALTER VINICIO 1203164973001                                                     X
 135951      SAAVEDRA ESCOBAR JORGE LUIS     1203166051001                                                    X
 210453      RIZZO VERA SAUL AUGUSTO         1203175458001                                                    X
 211992      MILÁN PAUCAR TEODORO            1203189822001                                                    X
 215340      CARRASCO TITO JUAN MANUEL       1203192537001                                                    X
  37267      QUINTANA GAVILANEZ ELVIA ESTHER 1203203433001                                                    X
 204643      VERA VITE ALINA ALEXANDRA       1203220601001                                                    X
 269109      NICOLA MORAN ALDRIN VICENTE     1203221971001                                                    X
 150461      ZAVALA ORTIZ MIOSOTO MIRELLA    1203238769001                                                    X
  90010      MONTIEL BRITO NARCISA MAGALY    1203243736001                                                    X
 257253      SOLORZANO CARRIEL JOSE VICENTE 1203254709001                                                     X
 239765      ESCOBAR TORRES EDWIN GEOVANNI 1203256134001                                                      X
  85636      MACIAS GUERRA MARIA MAGDALENA 1203260136001                                                      X
 147595      ALVAREZ FIGUEROA ALEJANDRO ALFREDO
                                             1203264302001                                                    X
 190593      GOYA VILLA BETTY EDIT           1203271398001                                                    X
No                 No registra
                                                               No                    No registra   No
                                                                        No. registra                       registra      No.    indicadores
                                                             registra                provincia, registra
Persona_id               NOMBRE               No. ID (RUC)                 calle                           número      registra de ventas,
                                                             apellido                 cantón y   primer
                                                                         principal                         de calle     origen activos y/o
                                                             paterno                 parroquia nombre
                                                                                                           principal             empleados

 188278      ARIAS FLORES MARCOS ANTONIO     1203289416001                                                    X
 216675      MEJIA CERNA SUNNER ALFREDO      1203289432001                                                    X
 228570      GRIN CARRIEL CARLOS ORESTE      1203289515001                                                    X
  99589      ORELLANA ECHEVERRIA MARIA PILAR 1203289812001                                                    X
  78834      ZURITA GAIBOR JAVIER ANTONIO    1203291149001                                                    X
 218453      MONCERRATE PERALTA LINA AMERICA1203292881001                                                     X
  89556      PAZ LARA SILVERIO VICENTE       1203296155001                                                    X
 244170      VELIZ GARCIA MARJORY ANTONIETA 1203297344001                                                     X
 238845      CEDEÑO FIERRO RILLY MODESTO     1203298631001                                                    X
 234087      ZAMORA PEREZ MERCY ROSALBA      1203300759001                                                    X
 146228      FLORES ALVAREZ RICARDO INOCENTE1203309024001                                                     X
 224629      LEÓN MENA ALEXIS JAVIER         1203312697001                  X            X                    X
 152667      CEREZO CARRIEL MARIA DEL PILAR  1203317019001                                                    X
 229711      MONTECE SANCHEZ HILARIO LORENZO 1203319205001                                                    X
 207638      ZURITA EDGAR                    1203326580001                                                    X
  87678      BORJA BENAVIDES NIEVES ERNESTINA1203329949001                                                    X
 237328      MACIAS MUÑOZ MACARIO VALENTIN 1203352735001                                                      X
 237393      VERDESOTO SANTILLAN WILSON JAVIER
                                             1203353279001                                                    X
 240227      MORAN AVEZ NELSON VIVIANO       1203360217001                                                    X
 233687      MORA MONTALVO CONNIE CRISTINA 1203369382001                                                      X
 206538      ZURITA LUZARRAGA ELOY BLADIMIRO 1203372642001                                                    X
 166669      HIDALGO REYES REINA DEL ROCIO   1203395643001                                                    X
 169584      LIBERIO GOYA JUAN ANTONIO       1203396922001                                                    X
 191468      GONZABAY QUISINTUNA ANGEL ALBINO1203399165001                                                    X
 275318      QUINONEZ ANASTACIO PABLO GEOVANNY
                                             1203399652001                                                    X
 196329      DEL SALTO DAVID                 1203402027001                                                    X
 189340      BURGOS BAJAÑA ROLANDO BUENAVENTURA
                                             1203405673001                                                    X
 222221      TRUJILLO CARLOS BIRON           1203409170001                                                    X
 109688      ARIAS PULECIO SILVIA CRISTINA   1203411408001                                                    X
  32761      SILVA PÁRRALES JUAN JOSÉ        1203416357001                                                    X
 168133      SOLORZANO ROMERO GLENDA GICELA  1203419682001                                                    X
No                 No registra
                                                                No                    No registra   No
                                                                         No. registra                       registra      No.    indicadores
                                                              registra                provincia, registra
Persona_id               NOMBRE                No. ID (RUC)                 calle                           número      registra de ventas,
                                                              apellido                 cantón y   primer
                                                                          principal                         de calle     origen activos y/o
                                                              paterno                 parroquia nombre
                                                                                                            principal             empleados

 187901      OCHOA SOLORZANO ENA MARIBEL      1203429699001                                                    X
 129336      VELIZ DIAZ HUGO PRIMITIVO        1203434533001                                                    X
 147046      MORA MONTENEGRO JULIO CESAR      1203436900001                                                    X
  96669      PLUA PANTA KARINA ALEXANDRA      1203445380001                                                    X
 158493      BALLESTEROS BALLESTEROS ERIKA YESSENIA
                                              1203446040001                                                    X
  93986      VERA ROMERO YANDRI BERNABE       1203447311001                                                    X
 225673      PADILLA ROMERO FERNANDO ANTONIO  1203468762001                                                    X
 100827      MENA GUZMAN MARIA ELENA          1203472152001                                                    X
 211215      HOLGUIN MILLAN CARLOS JUAN       1203473168001                                                    X
 217218      GOMEZ ALMEIDA EDI EZEQUIEL       1203479587001                                                    X
  82711      PULECIO VILLALVA ALEJANDRO DARIO 1203482128001                                                    X
 241415      BARDALES NAVARRETE CARLOS JULIO1203486640001                                                      X
 213764      MENDOZA BAJANA JORGE LUIS        1203488588001                                                    X
 199453      GOMEZ MOREIRA DAVID ANTONIO      1203492226001                                                    X
 265309      BALAREZO VISCARRA SARA LUCILA    1203497811001                                                    X
 260067      ALVARADO GAVILANEZ FLOR MARIA 1203503782001                                                       X
  41631      PRIETO LAINA JAVIER ELIAS        1203504384001                                                    X
  62417      MALTA GARCIA SILVIA ELIZABETH    1203506991001                                                    X
 216178      MONTOYA NARANJO GRIMANESA JACQUELINE
                                              1203520976001                                                    X
 237610      HIDALGO FARRO MARIANA AZUCENA 1203524598001                                                       X
 182750      CERCADO MURILLO CRISTIAN EDUARDO 1203540370001                                                    X
 146107      MORALES VEINTIMILLA MAFALDA ESPERANZA
                                              1203545197001                                                    X
 217909      CEDEÑO CAICEDO PEDRO GABRIEL     1203546963001                                                    X
 139382      LEON ALBAN YANCO PATRICIO        1203553894001                                                    X
 277792      GUAMBUGUETE CANDO DELFINA AMADA  1203555402001                                                    X
 274223      ARMIJO VERDEZOTO IVÁN RODRIGO 1203560949001                                                       X
  86711      PALLO ALBARRACIN MARINA FABIOLA 1203563356001                                                     X
  65672      CAMINO CAMPUZANO MARTHA YOLANDA  1203572639001                                                    X
 105983      ERAZO CARVAJAL HECTOR AGUSTIN 1203578164001                                                       X
 222477      COLOMA REGALADO WILSON JAVIER 1203579394001                                                       X
 207582      ERAZO ALMEIDA LUIS FERNANDO      1203584311001                                                    X
No                 No registra
                                                               No                    No registra   No
                                                                        No. registra                       registra      No.    indicadores
                                                             registra                provincia, registra
Persona_id              NOMBRE                No. ID (RUC)                 calle                           número      registra de ventas,
                                                             apellido                 cantón y   primer
                                                                         principal                         de calle     origen activos y/o
                                                             paterno                 parroquia nombre
                                                                                                           principal             empleados

 193700      CAICEDO FUENTES SOFIA ALEXANDRA1203586886001                                                     X
 118758      GUERRERO ZAMORA FRANCISCA GIOCONDA
                                            1203587553001                                                     X
 131436      CADENA MONCADA CARLOS ALBERTO 1203591043001                                                      X
 140770      ARANA CEREZO FELIX ESTUARDO    1203592181001                                                     X
 142222      RODRIGUEZ MORAN MILTON ROLANDO1203598378001                                                      X
 220933      CONTRERAS MENDEZ MAURO ANTONIO 1203613458001                                                     X
  57367      ALVARADO ALVAREZ HUGO JAVIER   1203625247001                                                     X
 126483      CABEZAS TORO FREDDY OSWALDO 1203630932001                                                        X
 191595      ROJAS LEON MARIA MERCEDES      1203631245001                                                     X
  91760      CARRANZA GARCIA BETSY MARGARITA1203636939001                                                     X
 257193      GONZALEZ VASQUEZ LEONCIO LEONARDO
                                            1203638562001                                                     X
 123415      QUEVEDO QUINCHE KETTY ELIZABETH1203645310001                                                     X
 228141      VELOSZ VELASCO LEONARDO JINSOP 1203653272001                                                     X
 165122      LANDIVAR GUALPA LUIS ALBERTO   1203654817001                                                     X
 175490      RODRIGUEZ PALMA ANTONIA ANGELA 1203671829001                                                     X
 142683      BOZA CRUZ CARLOS ALFREDO       1203679699001                                                     X
 184970      YEPEZ RAMOS DALILA ELIZABETH   1203687841001                                                     X
  35053      SANCHEZ MORAN JORGE LUIS       1203690860001                                                     X
 141766      PINCAY IBARRA SOFIA GISELLA    1203707672001                                                     X
 197193      OYAGUE FONSECA DOUGLAS WILLAMS 1203708175001                                                     X
 278622      AGUIRRE PEREZ GIOJAN RICARDO   1203719974001                                                     X
 193869      MACHADO ZERNA GONZALO DUBERLIN 1203720303001                                                     X
 152462      CORNEJO MAYORGA ANA DEL ROCÍO 1203728850001                                                      X
 225112      ALDAZ VERA DARWIN EDMUNDO      1203734130001                                                     X
 237078      CEREZO ESPAÑA RONAL ENRIQUE    1203737364001                                                     X
  15070      ING. FERNANDO GONZALEZ         1203737513001                                                     X
 205312      JARA PINCAY LEONARDO ADOLFO 1203752256001                                                        X
 227327      MONTECE SANCHEZ LUIS ELEUTERIO 1203753049001                                                     X
 218176      MONTECE MORANTE MANUEL RICHARD 1203756539001                                                     X
 130019      ESPINOZA MERA MARY DEL CARMEN 1203757941001                                                      X
 248659      ZAMBRANO RODRIGUEZ JIMMY TEODORO
                                            1203765522001                                                     X
No                 No registra
                                                                No                    No registra   No
                                                                         No. registra                       registra      No.    indicadores
                                                              registra                provincia, registra
Persona_id               NOMBRE                No. ID (RUC)                 calle                           número      registra de ventas,
                                                              apellido                 cantón y   primer
                                                                          principal                         de calle     origen activos y/o
                                                              paterno                 parroquia nombre
                                                                                                            principal             empleados

 276047      LIZONDO MORA MIRIAN DEL ROSARIO 1203768195001                                                     X
  18071      CHILE MOLINA WILMER FABIAN       1203782113001                                                    X
 134191      BARROS RIVERA EVA FERNANDA       1203789035001                                                    X
 268617      ESPINOZA INTRIAGO SILVIA IRENE   1203790470001                                                    X
 217466      GAIBOR MESTANZA RENZO STALIN     1203793813001                                                    X
 195168      ESPIN BAYAS CARMEN PRISCILA      1203795925001                                                    X
   6093      OSCAR JAVIER GONZALEZ JUSTILLO 1203803190001                                                      X
  78541      GRANADOS ROMERO JAVIER FRANCISCO 1203805963001                                                    X
 206454      LASCANO RIVERA HAMILTON JOFFRE 1203808801001                                                      X
 240532      MORALES PAREDES PATRICIA JANETH 1203811425001                                                     X
 157489      NARANJO GORDON ROSA ELINA        1203812563001                                                    X
 211174      CAISACHANA LEON JULIA EDITH      1203812639001                                                    X
 211941      CISNEROS MERELO DANILO RARAEL 1203812811001                                                       X
 168150      FAJARDO CASTILO GLADYS MARIA     1203815426001                                                    X
 147580      VERA RODRIGUEZ MIGUEL GABRIEL 1203817174001                                                       X
 213117      NARANJO ORTEGA ROBINSON ENRIQUE203818008001
                                              1                                                                X
 250060      GARCIA CEDEÑO JULIO DAVID        1203822588001                                                    X
 142337      ZAMBRANO ESPINOZA NICASIO GERMAN 1203822901001                                                    X
  52399      BAJAÑA ZAMBRANO NOE FERNANDO 1203831902001                                                        X
 261017      RIERA RAMIREZ MATILDE LUCRECIA 1203840549001                                                      X
 148659      MAYORGA SANDOYA WINSTON EUFRACIO 1203842909001                                                    X
 127936      SÁNCHEZ MOSQUERA DOUGLAS JASMANY 1203847692001                                                    X
 111384      SILVA OLAVARRIA NATALIA FRANCISCA1203853575001                                                    X
  80539      MOREIRA MEJIA MARIELA PILAR      1203858384001                                                    X
 198031      MEDINA CUEVA HECTOR WILFRIDO     1203861156001                               X
  82907      CHAVEZ ARIZALA NOE DAVID         1203863228001                                                    X
 227774      SARABIA BARROS JAIRO EMILIO      1203883572001                  X            X                    X
 104605      LUGOZ RIVAS LUIS FERDINAND       1203884505001                                                    X
 204025      SANTILLAN LOOR JAQUELINE LEOVIGILDA
                                              1203888118001                                                    X
 226884      CUENCA ZAMBRANO FRANKLIN ODILON203890528001
                                              1                                                                X
  81908      CASTRO GARCÍA JORGE STALIN       1203895543001                                                    X
No                 No registra
                                                               No                    No registra   No
                                                                        No. registra                       registra      No.    indicadores
                                                             registra                provincia, registra
Persona_id               NOMBRE               No. ID (RUC)                 calle                           número      registra de ventas,
                                                             apellido                 cantón y   primer
                                                                         principal                         de calle     origen activos y/o
                                                             paterno                 parroquia nombre
                                                                                                           principal             empleados

 104312      TORRES MOSQUERA JAVIER          1203901531001                                                    X
 227676      BOZA ALBAN CARLOS MICHAEL       1203905045001                                                    X
  93484      MONTALVAN CEREZO JUAN ALFONSO 1203911241001                                                      X
 249451      SILVA CEDEÑO MARIA EUGENIA      1203911845001                                                    X
 234324      MORAN VERGARA JORGE WILSON      1203911969001                                                    X
 174019      RIZZO TOMALA CARLOS ARMANDO     1203916430001                                                    X
 240168      SMITH ALVARADO CARLOS ARTURO 1203918501001                                                       X
 168681      FIGUEROA PAREDES JAIRO PAUL     1203924509001                                                    X
  96157      ANDALUZ VILLALVA JOHN PABLO     1203926728001                                                    X
  86872      RAMOS LEDESMA RODOLFO RAMIRO 1203927056001                                                       X
 227243      SARANGO FIERRO EINSTEIN ANTONIO 1203930142001                                                    X
  90697      FUENTES VALDIVIEZO VERONICA MERCEDES
                                             1203931504001                                                    X
 208003      RIZZO VERA DEXI MARIELA         1203933674001                                                    X
 179342      ERAZO GUANOLUISA YOCONDA DEL ROCIO
                                             1203938897001                                                    X
 224450      FIERRO SANCHEZ ALEX EDUARDO     1203963440001                                                    X
 228118      ROMERO LASCANO CARLOS VICENTE 1203966732001                                                      X
 197229      VERA SERRANO JUANA HERMELINDA 1203978828001                                                      X
 237179      BARCO VELASCO SEGUNDO REISNER 1203978869001                                                      X
  63489      RIOFRIO RUIZ LUIS ALBERTO       1203984040001                                                    X
 263698      LYNCH BECILLA KEVIN MARCOS      1203984461001                                                    X
 234022      BAJAÑA GONZALEZ ANGEL ROBERTO 1203989601001                                                      X
 129124      ABRIL NEIRA ANA MARIUXI         1203994999001                                                    X
 190115      BRIONES CRUZ ANDRES FRANCISCO 1204003378001                                                      X
 253106      GOMEZ MURILLO IVONNE DEL PILAR 1204009094001                                                     X
 234600      LOOR VINUEZA CARLOS CEFERINO    1204019861001                                                    X
  92053      MUÑOZ MEDRANO ENRIQUE MANUEL 1204025736001                                                       X
 268756      VINZA SUBIA FERNANDO JAVIER     1204026502001                                                    X
 235126      MATAMOROS BURGOS DARWIN HERNANDO1204027716001                                                    X
 196590      PELAEZ MENDOZA JOSE CARLOS      1204048605001                                                    X
 254272      MORAN DIAZ GISSELA ROCIO        1204049074001                                                    X
 240163      VERA VILLALBA VICENTE HONORATO 1204049819001                                                     X
No                 No registra
                                                               No                    No registra   No
                                                                        No. registra                       registra      No.    indicadores
                                                             registra                provincia, registra
Persona_id               NOMBRE               No. ID (RUC)                 calle                           número      registra de ventas,
                                                             apellido                 cantón y   primer
                                                                         principal                         de calle     origen activos y/o
                                                             paterno                 parroquia nombre
                                                                                                           principal             empleados

 258118      MONCAYO CASTRO JULIO CÉSAR      1204052862001                                                    X
 237903      VALVERDE VELIZ GUILLERMO FRANCISCO
                                             1204065773001                                                    X
 250701      PONCE GOMEZ TOMAS OVIDIO        1204070781001                                                    X
  96061      ZAMBRANO CRUZ VIOLETA MARIA     1204085953001                                                    X
 205508      SANTANA CARRIEL PABLO GABRIEL   1204093346001                                                    X
 147282      ACOSTA JIMENEZ EVA CLAUDIA      1204095879001                                                    X
 204155      TIGRERO MUÑOZ ZENOBIA MARILU    1204097354001                                                    X
 167499      JAMA PAZOS HUGO ALBERTO         1204100067001                                                    X
 228398      PESANTES SELLAN MANUEL ANTONIO 1204101271001                                                     X
 249599      HERRERA COLIMBA MILTON JAVIER   1204115545001                                                    X
 113483      GUANIN FAJARDO JORGE HUMBERTO 1204117715001                                                      X
 126155      QUIJIJE MACIAS GLADYS GRIMANEZA 1204121766001                                                    X
 198761      VALENZUELA LUNA JAVIER ARMANDO 1204122772001                                                     X
 121326      MACIAS FERNANDEZ PEDRO ALBERTO 1204124414001                                                     X
 152793      ALVARADO ESPINOZA ARTURO FERNANDO
                                             1204127821001                                                    X
 192150      CAMACHO PALACIOS JOSE ALFREDO 1204128589001                                                      X
 215989      GUTIERREZ MIRANDA DANNY ALBERTO 1204129975001                                                    X
 185873      ESTRADA CHAVEZ AMADA MORAIMA 1204135873001                                                       X
  66752      MUÑOZ RONQUILLO FRESIA ZENAIDA 1204139545001                                                     X
 266630      CARVAJAL SOLIZ DAYSI CRISTINA   1204142739001                                                    X
 154703      CARRILLO GAYBOR DIEGO MAURICIO 1204151284001                                                     X
  84083      VERA RUIZ BERTILDA VIRGINIA     1204157943001                                                    X
 260631      CAICEDO CORONEL EDUARDO DANILO1204159196001                                                      X
 228716      BASCONES PALMA ELIAS EDUARDO    1204161267001                                                    X
 254615      BAJAÑA SANTOS FRANCISCO JAVIER 1204172579001                                                     X
 224793      GUAMAN VACA MIRYAN JANETH       1204182545001                                                    X
 202070      RIVERA MUÑOZ AIDA MERCEDES      1204186256001                                                    X
 266236      ARTIEGA GOMEZ FABIAN PEDRO      1204197899001                                                    X
 225965      CONTRERAS LITARDO ORLANDO JAVIER1204201410001                                                    X
 183346      NARANJO SARMIENTO RAQUEL MARICELA
                                             1204210114001                                                    X
 101037      AGUIRRE PÉREZ MARGOTH DE LAS MERCEDES
                                             1204213522001                                                    X
No                 No registra
                                                                No                    No registra   No
                                                                         No. registra                       registra      No.    indicadores
                                                              registra                provincia, registra
Persona_id               NOMBRE                No. ID (RUC)                 calle                           número      registra de ventas,
                                                              apellido                 cantón y   primer
                                                                          principal                         de calle     origen activos y/o
                                                              paterno                 parroquia nombre
                                                                                                            principal             empleados

 252496      CHAMBA ESPINOZA LUBINA MARIA     1204214421001                                                    X
 116581      CONTRERAS RIVADENEIRA LILIANA ELIZABETH
                                              1204217309001                                                    X
 236672      LOMBEIDA LUIS ANIBAL             1204220303001                                                    X
 246338      MORALES VARAS OLGA KERLY         1204232894001                                                    X
 275344      BURGOS ESPINOZA EMA ESTHER       1204233355001                                                    X
 103160      HONORES ALVAREZ JAIR ROBERTO     1204242190001                                                    X
 259253      LEON BARZOLA BEXI JOHANA         1204251324001                                                    X
 120232      ARREAGA ALVAREZ JESUS JACKELINE 1204254856001                                                     X
  93590      ULLON SEGOVIA RODOLFO MANUEL 1204274243001                                                        X
 190727      VELIZ FERNANDEZ NICOLAS VICENTE 1204278376001                                                     X
 219259      TORRES PEREIRA JOHANNA ELIZABETH 1204288672001                                                    X
 138269      ESPINOZA ZAMBRANO HUGO MANUEL 1204309841001                                                       X
 212855      GUAPULEMA MACIAS LUIS NAPOLEON 1204318768001                                                      X
 216452      RIVERA PENAFIEL RENE MARINO      1204319428001                                                    X
 200317      BARBOTO COELLO VICENTE CRISTOBAL 1204319873001                                                    X
 154485      VASQUEZ VERA VICTOR VICENTE      1204321556001                                                    X
  53388      GLORIA                           1204327900001                                                    X
 246365      PEREZ ZUMBA CESAR DAVID          1204345191001                                                    X
 211053      LOZANO ORTIZ CARLOS JOSE         1204345670001                                                    X
 194260      PAREDES JENNY                    1204347858001                                                    X
  39231      COZZARELLI MORA FRANCISCO JAVIER 1204351710001                                                    X
 113611      REYNA PALACIOS EVELYN LEONELA 1204352700001                                                       X
 132745      MORA SECAIRA JANETH INÉS         1204360356001                                                    X
 247033      BASTIDAS ARBELAEZ TANIA ZOBEIDA 1204364903001                                                     X
 107410      CAICEDO MOREIRA FRANCISCO JAVIER 1204377871001                                                    X
 145976      TIRADO RIOS NORMANDI ROCIO       1204386468001                                                    X
 225970      CONTRERAS LITARDO EDDY MARTIN 1204393670001                                                       X
 104965      GARCIA FRANCO RICARDO HERNAN 1204402273001                                                        X
 127333      ZAMBRANO MOLINA MARIA ELIZA      1204408262001                                                    X
  81721      TRONCOSO ASIS MARJORY JULIANA 1204414468001                                                       X
 203507      TREJO FUENTES LESTER STAFFORD 1204419186001                                                       X
No                 No registra
                                                               No                    No registra   No
                                                                        No. registra                       registra      No.    indicadores
                                                             registra                provincia, registra
Persona_id               NOMBRE               No. ID (RUC)                 calle                           número      registra de ventas,
                                                             apellido                 cantón y   primer
                                                                         principal                         de calle     origen activos y/o
                                                             paterno                 parroquia nombre
                                                                                                           principal             empleados

 203530      CALERO ALONSO RICARDO RAFAEL 1204426629001                                                       X
 258334      ZAVALA ARTEAGA LEYDA JOHANNA 1204453334001                                                       X
 224998      LOOR TUBAY JUAN JOSE            1204454118001                                                    X
 244477      FLOR HERRERA JOEL ARCADIO       1204461139001                                                    X
 142567      SANCHEZ VELARDE GEOMAR ALEXANDRA1204475006001                                                    X
 277015      ALCIVAR ALVAREZ DUNIA MARGARITA 1204488595001                               X                                X
 277217      MANZABA TRIVIÑO WALTHER WILLIAMS1204495319001                                                    X
  78018      CEDEÑO LOJA PEDRO EMILIO        1204502056001                                                    X
 155137      CALDERON GONZABAY SAMUEL ESTEBAN1204505935001                                                    X
 238720      BUITRON FERNANDEZ JOSE LUIS     1204513723001                                                    X
 275525      FIGUEROA PERALTA CRISTHIAN JOSE 1204514101001                                                    X
 125405      ROMERO BURGOS FANNY JACQUELINE  1204526543001                                                    X
 166578      ALAVA AYON EDISON JAVIER        1204542540001                                                    X
 268760      PINCAY PONCE DANIEL VICENTE     1204542698001                                                    X
 185924      CALIXTO MEDINA DOLORES GRISELDA 1204549115001                                                    X
 249945      CAMACHO VILLOTA WASHINGTON ALFREDO
                                             1204556532001                                                    X
 250305      GUERRERO JACOME ANA LISSETE     1204572539001                                                    X
  72159      CALDERÓN PONGUILLO JESSICA MARGARITA
                                             1204575094001                                                    X
 103416      SALTOS SIMALEZA MARITZA CECIBEL 1204576761001                                                    X
  29969      SALAS ARAGÓN ELOY ALBERTO       1204582637001                                                    X
 241788      COLOMA ZURITA TANIA SOFIA       1204591307001                                                    X
  72351      RODRIGUEZ BLACIO FERNANDO ARNULFO
                                             1204593329001                                                    X
 216247      DE LUCA FIGUEROA ROSA ANA       1204596843001                                                    X
 216238      ESPINOZA PISCO HECTOR ANDRES    1204602757001                                                    X
 243734      GARCIA AGUIRRE JOFFRE NOLBERTP 1204604811001                                                     X
 127089      ALCIVAR ALVAREZ ADOLFO ANDRES 1204609307001                                                      X
 270657      MORAN SUAREZ JUAN GEOVANNY      1204619272001                                                    X
 105132      FRANCO CASTRO SARA ALEXANDRA 1204644213001                                                       X
 107494      BURBANO CADENA VICTOR HUGO      1204648537001                                                    X
  42603      RODRIGUEZ GOMEZ PEDRO JOSE      1204657512001                                                    X
 250036      MORA ANDRADE HERNANDO PAUL      1204661787001                                                    X
No                 No registra
                                                               No                    No registra   No
                                                                        No. registra                       registra      No.    indicadores
                                                             registra                provincia, registra
Persona_id               NOMBRE               No. ID (RUC)                 calle                           número      registra de ventas,
                                                             apellido                 cantón y   primer
                                                                         principal                         de calle     origen activos y/o
                                                             paterno                 parroquia nombre
                                                                                                           principal             empleados

 277179      AGUILAR ORTIZ KAREN PAULINA     1204682726001                                                    X
 252077      ORELLANA POLO MIGUEL ANGEL      1204700163001                                                    X
 101606      AGUIRRE SANTILLAN CESAR ARTURO 1204702615001                                                     X
 155301      CUESTA MORENO JORGE ENRIQUE     1204705048001                                                    X
 129405      BERMUDEZ LOPEZ JESUS CARMEN     1204718181001                                                    X
 102243      MONSERRATE CONSTANTINE MAYRA MERCEDES
                                             1204727711001                                                    X
 127956      BAJAÑA PUMA BRUNO RICARDO       1204728420001                                                    X
 190077      REINA REMACHE SEGUNDO OMAR      1204729808001                                                    X
  53378      MONTIEL MENDOZA GIDKRIA AURORA 1204734923001                                                     X
 264127      GOMEZ LARA JOSEPT WLADIMIR      1204735722001                                                    X
 179350      MALTA GARCIA YESENIA IVONNE     1204742405001                                                    X
 205089      CASTRO MUÑOZ SELENE MARIA       1204746802001                                                    X
 252184      NARVAEZ ZAMORA CARLOS DAVID     1204758534001                                                    X
 136799      AREVALO MACIAS VERONICA DEL ROCIO
                                             1204760779001                                                    X
 213911      MONSERRATE RIVERA FAUSTO FELIX 1204763872001                                                     X
 267861      HERMIDA HERMIDA LIA ANA         1204766024001                                                    X
 271582      QUIJOSACA RODRIGUEZ MARLO WILIAM1204771891001                                                    X
 142855      SANCHEZ RUBIO WALTER OMAR       1204801219001                                                    X
 159396      CAMACHO LOZANO JULIO CESAR      1204803538001                                                    X
 132791      PLACENCIA LOJA ANGEL RODOLFO    1204809311001                                                    X
 218833      VON LIPPKE ANDINO JACKELINE GRACE
                                             1204825184001                                                    X
 227208      GAIBOR COLOMA ALEXANDRA PATRICIA204833147001
                                             1                                                                X
 179906                                      1204842064001                                                    X
  83978      MENDOZA SANTANA HERNAN RODOLFO  1204843690001                                                    X
 202621      BAJAÑA RIVAS NEIDA ARACELY      1204850208001                                                    X
 267846      DELGADO VARGAS JENNYFFER MARGARITA
                                             1204865453001                                                    X
 232836      SANDOYA QUILA ROLANDO JOSE      1204870693001                                                    X
 275528      SANTANA LOPEZ PEDRO VICENTE     1204877623001                                                    X
 171774      FAJARDO PARRAGA ANGELICA MARIA 1204885956001                                                     X
 214552      GARCÍA CABRERA VIVIANA ANABEL   1204924045001                                                    X
 256812      ALVARADO PAREDES ALAN EDUARDO 1204968901001                                                      X
No                 No registra
                                                                No                    No registra   No
                                                                         No. registra                       registra      No.    indicadores
                                                              registra                provincia, registra
Persona_id               NOMBRE                No. ID (RUC)                 calle                           número      registra de ventas,
                                                              apellido                 cantón y   primer
                                                                          principal                         de calle     origen activos y/o
                                                              paterno                 parroquia nombre
                                                                                                            principal             empleados

 269245      VELOZ GALARZA LIVINSTON FRANKLIN 1204982001001                                                    X
 108266      ROJAS CRIOLLO FREDDY JOFFRE      1205001850001                                                    X
 237150      CARRILLO MUÑOZ JHON ALEX         1205024084001                                                    X
 193140      CEVALLOS ORTEGA JERRY JOSE       1205032277001                                                    X
 183049      BUSTAMANTE MORA FREDDY FERNANDO  1205066580001                                                    X
 249883      ARTEAGA RAMOS EDWIN JAVIER       1205088253001                                                    X
  77196      VILLAMAR ROSADO MARIA OLEGARIA 1205090960001                                                      X
 139868      SAMANIEGO MONTENEGRO MARCO ANTONIO
                                              1205115767001                                                    X
 130903      LOPEZ ALVARADO JOHANNA PATRICIA 1205149485001                                                     X
 181123      FAJARDO LLERENA CASILDA CECILIA 1205164211001                                                     X
 182384      NUÑEZ PIN WILTON ANIBAL          1205185158001                                                    X
 240476      ALVAREZ RIERA FRED STALIN        1205221995001                                                    X
 145569      ARDILA CHINGA ROBERTO CARLOS 1205235722001                                                        X
  68767      LOPEZ PUENTE CARLOS IVAN         1205256538001                                                    X
 201627      ROSERO PIZA ELOISA JOHANA        1205274473001                                                    X
 231438      ZAPATA OLVERA DAVID GUILLERMO 1205298605001                                                       X
 251008      ARROBA VITE IVAN RODOLFO         1205322637001                                                    X
 151202      MORALES SANCHEZ MIGUEL ANGEL 1205387382001                                                        X
 203731      MONTOYA PROANO JORGE JAVIER      1205401134001                                                    X
 244627      GOMEZ LEON FELIX FRANCISCO       1205495425001                                                    X
 192364      GARCIA RUIZ DAVID ANTONIO        1205514639001                  X            X                    X
 122599      MATUTE MATUTE ALEXIS FERNANDO 1205548645001                                                       X
 197929      LOZADA PARRA EDWIN EMILIO        1205557372001                                                    X
 257173      GAROFALO VARGAS JAVIER JOHNNY 1205566993001                                                       X
  96319      GOMEZ VALLE JULIO ALBERTO        1205583550001                                                    X
  53715      HUACON VILLEGAS VICTOR MANUEL 1205615709001                                                       X
 235290      MORAN MORAN JOFFRE GILBERTO      1205630039001                                                    X
 262195      RAMÍREZ RIERA LEANDRO WILFRIDO 1205644949001                                                      X
 205721      PEREZ ELIZONDO CINTHYA ROSANNA 1205653007001                                                      X
 256608      YANCHAPAXI PEREZ LUIS EDUARDO 1205660101001                                                       X
 102073      HERRERA TIGRERO DOMENICA DIANA 1205681867001                                                      X
No                 No registra
                                                               No                    No registra   No
                                                                        No. registra                       registra      No.    indicadores
                                                             registra                provincia, registra
Persona_id               NOMBRE               No. ID (RUC)                 calle                           número      registra de ventas,
                                                             apellido                 cantón y   primer
                                                                         principal                         de calle     origen activos y/o
                                                             paterno                 parroquia nombre
                                                                                                           principal             empleados

 104576      BARRAGAN LOAYZA GRACE ELIZABETH 1205683947001                                                    X
 181659      GONZALES FREIRE JIXU OLGA       1205690728001                                                    X
 218366      LEÓN MORÁN JORGE ENRIQUE        1205699513001                                                    X
 273808      ZAMORA SANCAN RICHARD DARWIN 1205719295001                                                       X
 253008      LLANOS CALERO CRISTHIAN HOMERO 1205789199001                                                     X
 180617      COELLO MARQUEZ RONALD REINALDO1205868365001                                                      X
 201462      CORNEJO DURAN HANDEL NIKOLAI    1205902909001                                                    X
 116377      REYNA MURILLO MIGUEL CRUZ       1205909094001                                                    X
 250079      BARROS NICOLA OSCAR RAMON       1205926015001                                                    X
 157490      MUÑOZ CONTRERAS JUAN CARLOS     1205930991001                                                    X
 265804      VARELA VERA JACINTO ALFREDO     1205945999001                                                    X
 276339      FLORES LÓPEZ PEDRO HONORATO     1205978891001                                                    X
 212592      DAVID MARIDUENA ELIDA AZUCENA   1206009548001                                                    X
 230371      SOTO ALBAN MARTIN ALFONSO       1206013680001                                                    X
  74675      SEMPERTEGUI CHERNEZ JAIRON ANTONIO
                                             1206058156001                                                    X
 266230      MORALES CADENA XAVIER IVAN      1206070789001                                                    X
 268865      HIDALGO LOPEZ EVELINA GABRIELA 1206080762001                                                     X
 251440      VERA LITARDO ALEXANDER FRANCISCO206138925001
                                             1                                                                X
 265276      FREIRE BAQUERIZO EDDYN PATRICIO 1206149062001                                                    X
 179459      GOMEZ VERA DOINA JACQUELINE     1206151472001                                                    X
 255449      BRIONES CADENA GINGER ADRIANA 1206152025001                                                      X
 258599      SEGURA VASCONEZ WASHINGTON ISRAEL
                                             1206190744001                                                    X
 276854      ALMEIDA GARCÍA CARLOS ALFREDO 1206248237001                                                      X
  86477      ZORRILLA ROMERO RAFAEL          1206282814001                                                    X
 150632      ARIAS CARPIO WENDY TATIANA      1206324731001                                                    X
 219265      YEPEZ MONTERO ALFREDO JOSE      1206340109001                                                    X
 243025      ZURITA AVILA CESAR JAVIER       1206383950001                                                    X
 276831      VILELA FRANCO FRANCISCO VLADIMIR1206391359001                                                    X
 180604      GOMEZ BLUM MICHELLE MARIA       1206407965001                                                    X
 235310      MELENDRES PARRAGA VICTOR HUGO 1206455212001                                                      X
 168524      LUCAS ARELLANO WILSON ANDRES 1206484345001                                                       X
No                 No registra
                                                              No                    No registra   No
                                                                       No. registra                       registra      No.    indicadores
                                                            registra                provincia, registra
Persona_id              NOMBRE               No. ID (RUC)                 calle                           número      registra de ventas,
                                                            apellido                 cantón y   primer
                                                                        principal                         de calle     origen activos y/o
                                                            paterno                 parroquia nombre
                                                                                                          principal             empleados

 109557      MONAR GAMARRA JAIRO DAVID          1206487975001                                                X
 244164      DAVILA ESPIN WILSON WLADIMIR       1206542522001                                                X
 195152      MANSSUR FERNANDEZ VICENTE KARIM    1206656413001                                                X
 271797      ZAMBRANO MURILLO IVANNA MARIA 1206688754001                                                     X
 220234      ACOSTA LAMILLA JONATHAN ENRIQUE1206755330001                                                    X
 274887      ZAMORA SUAREZ JOSE MANUEL          1207548486001                                                X
  68451      ESTACION EXPERIMENTAL TROPICAL PICHILINGUE
                                                1260007660001                                                X
  36940      PATRONATO MUNICIPAL                1260033820001                                                X
 207711      SINDICATO CANTONAL DE CHOFERES PROFESIONALES DE VALENCIA
                                                1290042492001                                                X
  98327      ECUAVEGETAL S.A.                   1290050320001                                                X
 240801      COOPERATIVA DE TRANSPORTES DE PASAJEROS 7 DE SEPTIEMBRE
                                                1290057791001                                                X
  79894      COMERCIAL VIZUETE ERAZO            1290066790001                                                X
  77522      INDUHORST CIA. LTDA.               1290067223001                                                X
  16360      CARTOUBASA                         1290067762001                                                X
  49588      MAVARYSA                           1290071719001                                                X
  41402      MILLENNIUM RIOS S.A. MILLENRIOS    1290072030001                                                X
 123196      AGROLAYA S.A.                      1291700647001                                                X
 125398      AGUAS NATURALES DE QUEVEDO S.A. 1291701112001                                                   X
 135248      COMITE FRENTE DE ACCION COMUNITARIA BUENA FE
                                                1291707781001                                                X
  84100      CONSTRUCTORA MORA SA               1291709237001                                                X
   7634      ORIENTAL INDUSTRIA ALIMENTICIA O.I.A. CIA. LTDA.
                                                1291710359001                                                X
  33696      PATRONATO DE AYUDA SOCIAL          1291711185001         X                                      X
  15772      CONSTRUCTORA TOAPANTA SANTA MARIA SA TOASAN
                                                1291711681001                                                X
 101640      ASOCIACION DE SERVICIO DE LIMPIEZA PUBLICA LUZ DE VIDA
                                                1291711819001                                                X
 161885      COMITE DE LA UNIDAD DE HEMODIALISIS DE LOS RIOS
                                                1291712203001                                                X
 231773      COMITE DE DESARROLLO COMUNITARIO LUZ Y VIDA
                                                1291719372001                                                X
  64807      MICROEMPRESA DE CONSERVACION VIAL PATRONO MONTALVO
                                                1291721512001                                                X
  63305      MICROEMPRESA DE CONSERVACION VIAL PATRONO VENTANAS
                                                1291721539001                                                X
  79570      MICROEMPRESA DE CONSERVACION VIAL PATRONO BABAHOYO
                                                1291721547001                                                X
 128483      MICROEMPRESA DE CONSERVACION VIAL EL PITAL
                                                1291721598001                                                X
  38495      CONSTRUCTORA MEYLIN S.A.           1291722888001                                                X
No                 No registra
                                                             No                    No registra   No
                                                                      No. registra                       registra      No.    indicadores
                                                           registra                provincia, registra
Persona_id              NOMBRE              No. ID (RUC)                 calle                           número      registra de ventas,
                                                           apellido                 cantón y   primer
                                                                       principal                         de calle     origen activos y/o
                                                           paterno                 parroquia nombre
                                                                                                         principal             empleados

  75111      MICROEMPRESAS DE CONSERVACION 1291723892001
                                               VIAL SAL LORENZO DE VINCES                     X
 165151      ASOCIACION PALENQUE PUEBLO SOLIDARIO
                                               1291724384001                                  X
 230959      CIA. DE TRANSPORTE MATA DE CACAO1291725216001
                                                TRANSMACACAO S.A.                             X
 240786      FUNDACION MAGRASA                 1291725623001                                  X
 253197      COMITE DE DESARROLLO AMOR Y PAZ1291726190001
                                               DE SANTA LUCIA                                 X
 109387      TURBONET S.A                      1291727081001                                  X
  82165      ASOCIACION DE VIVERISTAS Y PRODUCTORES AGROFORESTALES "SEMBRANDO FUTURO"
                                               1291727499001                                  X
  99446      FUNDACION PARA EL DESARROLLO LOS RIOS FUNDERIOS
                                               1291727731001                                  X
 218064      ASOCIACION CAMPESINA SOLEDAD      1291728436001                                  X
 179591      COMPAÑIA AGROINDUSTRIAL UBIX S.A.1291730155001                                   X
 233232      CIA. DE TRANSPORTE 27 DE MAYO S.A.1291730368001                                  X
 264563      ECOLOGIA DIESEL EN MOVIMIENTO "GUEVARA & PORTILLA" S.A.
                                               1291730783001                                  X
 218241      ASOCIACION PROV.COLECTIVO SOCIAL CORAZONES VALIENTES
                                               1291731356001                                  X
 213181      COOPERATIVA DE AHORRO Y CREDITO1291731518001LTDA
                                                LA NUESTRA                                    X
 235526      ASOCIACION DE MAESTROS ALBAÑILES "6 DE ABRIL"
                                               1291731755001                                  X
 214439      INDURELESA                        1291731844001                                  X
 219530      ASOCIACION DE PRODUCTORES Y PRODUCTORAS EN VARIOS SERVICIOS DE CONSUMO POPULAR MONSEÑOR OSCAR ROMERO
                                               1291732131001                                  X
 236962      OPERADORES DE COMPUTACION FERNALEG S.A
                                               1291733790001                                  X
 249742      AZARIAS S.A.                      1291734320001                                  X
 248069      CONSTRUCCIONES CALE S.A           1291734576001                                  X
 265173      MEGAPRIORITY                      1291734827001                                  X
 273106      NEXUSCONSTRU                      1291735890001                                  X
  36865      CEDEÑO MOREIRA ROBERTO OMAR 1300003058001                                        X
  66225      GUILLEM ZAMBRANO COLON ELOY       1300008610001                                  X
  85151      VILLAMAR CARTAGENA LUIS ANTONIO1300010533001                                     X
 149056      CHILAN CONFORME ELIAS             1300017488001                                  X
 243739      CEVALLOS CEDENO LEONEL            1300018486001                                  X
 199206      FRANCO PALACIOS FRANKLIN FEDERICO 1300018866001                                  X
  93995      VERA CANTOS JACINTO AGUSTIN       1300019013001                                  X
  33149      CEVALLOS MARTINEZ NESTOR AQUILES300023023001
                                               1                                              X
 102187      SOLIS VÁSQUEZ JORGE ISAAC         1300027636001                                  X
No                 No registra
                                                               No                    No registra   No
                                                                        No. registra                       registra      No.    indicadores
                                                             registra                provincia, registra
Persona_id               NOMBRE               No. ID (RUC)                 calle                           número      registra de ventas,
                                                             apellido                 cantón y   primer
                                                                         principal                         de calle     origen activos y/o
                                                             paterno                 parroquia nombre
                                                                                                           principal             empleados

 141814      ALCIVAR DELGADO HECTOR PERDOMO  1300044888001                                                    X
  90712      BENITEZ POVEDA JOSE ANTONIO     1300047188001                                                    X
 197655      GUERRERO GUERRERO MARCIA MARILU 1300048897001                                                    X
 137550      MENESES FARFAN EGDA GLADYS      1300052295001                                                    X
 275719      ALVARADO TRIVIÑO RAMON IDO      1300053228001                                                    X           X
 157100      MENDOZA ZAMBRANO JOSE WINSTON 1300057161001
                                             ALFREDO                                                          X
  20057      CARLOS                          1300057237001                                                    X
  75414      ORMAZA MALDONADO MIGUEL ANGEL 1300065057001                                                      X
 159964      MACIAS LUCAS COLON CRISTOBAL    1300084900001                                                    X
 152298      GARCÍA ROMERO FREDDY CINAR      1300120910001                                                    X
 213568      FRANCO CEDEÑO JORGE WALTER      1300125943001                                                    X
 197487      PEÑARRIETA VELEZ LIDER FEDERICO 1300138730001                                                    X
 151785      MUÑOZ MENDOZA KLEBER AMADOR 1300145685001                                                        X
  76150      MENDOZA PARRAGA HORACIO HUMBERTO1300149539001                                                    X
  60538      CABRERA SUAREZ RAUL ALFREDO     1300150313001                                                    X
  18257      VINCES MENDOZA CESAR HIPOLITO 1300150347001                                                      X
  83278      GUIM GONZALEZ SIMON WAR         1300161880001                                                    X
 121686      BURGOS HOMERO                   1300162490001                                                    X
 147623      GONZALEZ ALARCON WINSTON ELEODORO
                                             1300171061001                                                    X
 118374      CORRAL MARRIOTT JOSE VICENTE    1300172333001                                                    X
 141442      BAQUE PARRALES OTON ELIODORO 1300176169001                                                       X
 142240      ALAVA ZAMORA GUIDO BOANERGE     1300201827001                                                    X
 226377      CARBO RAMON BARTOLOME           1300209077001                                                    X
 173841      REYES ANDRES DIONICIO           1300210000001                                                    X
  83259      GUILLEN SALTOS SECUNDINO EMETERIO
                                             1300219050001                                                    X
  41278      ALAVA SAN PEDRO VICENTE RIGOBERTO
                                             1300231048001                                                    X
 109370      DELGADO CEDEÑO NENIA MARGARITA1300232244001                                                      X
 228281      SUAREZ VERA HORLLY WLADIMIR     1300235767001                                                    X
 135258      ANTÓN LOOR AZUCENA ALBERTINA    1300236351001                                                    X
 262352      LLAGUNO CHICA GINE ARLES        1300238233001                                                    X
 165474      CARRILLO SANTANA PIO ANTONIO    1300264262001                                                    X
No                 No registra
                                                               No                    No registra   No
                                                                        No. registra                       registra      No.    indicadores
                                                             registra                provincia, registra
Persona_id               NOMBRE               No. ID (RUC)                 calle                           número      registra de ventas,
                                                             apellido                 cantón y   primer
                                                                         principal                         de calle     origen activos y/o
                                                             paterno                 parroquia nombre
                                                                                                           principal             empleados

 210192      ALAY VILLAFUERTE AGRICIO MELQUIADES
                                             1300274220001                                                    X
 279434      CALLE DELGADO VICTOR HUGO       1300294558001                                                    X
 148709      GARCIA MACIAS MARCOS TEODATO 1300298161001                                                       X
 149900      GOROZABEL CARRILLO JORGE WALTER300303508001
                                             1                                                                X
 174893      DELGADO PACHAY JUAN MANUEL      1300304308001                                                    X
 117007      QUIÑONEZ HIDALGO CENIA ANGELINA 1300320783001                                                    X
 170279      GILER ALAVA CARMEN ROSA         1300321229001                                                    X
 197844      ZAMBRANO BASURTO CARLINA GENITH300323456001
                                             1                                                                X
 114909      ERAZO LIMONGI FRANCISCO SEBASTIAN
                                             1300329461001                                                    X
 143511      RODRIGUEZ FALCONI RAUL RODRIGO 1300330154001                                                     X
 143122      RODRIGUEZ COLL EDISON EDUARDO 1300338512001                                                      X
 224772      MOREIRA TOALA CARLOS ALEJANDRO 1300341920001                                                     X
 154439      TOAPANTA CHILIQUINGA GLORIA ESPERANZA
                                             1300346093001                                                    X
 119954      SOLORZANO JARAMILLO KARTUN ATILO1300371612001                                                    X
  40879      CEVALLOS CEDEÑO GABINO MARCELO1300372099001                                                      X
 138780      CARRILLO SANTANA GALO AGUSTIN 1300375811001                                                      X
  82405      MENDOZA PINARGOTE OLINDA ESPERANZA
                                             1300378203001                                                    X
 100468      MENDOZA INTRIAGO JOSE ROBERTO ELIAS
                                             1300379532001                                                    X
 111205      CEDEÑO PAZ HUGO VICENTE         1300380258001                                                    X
  20187      BARBERAN RODRIGUEZ KLEBER JUVENAL
                                             1300390851001                                                    X
 193605      ALARCON SOLIS VICTOR HUGO       1300391529001                                                    X
  17212      MOREIRA CEDENO HUMBOLTD LEONEL  1300401997001                                                    X
  21363      MEJIA SALDARRIAGA RIMBERT GILBERT300407879001
                                             1                                                                X
 256505      REGALADO GUTIERREZ GILBERT EPIFANIO
                                             1300429261001                                                    X
  26199      BOWEN BRIONES JOSÉ EUTIMIO      1300452230001                                                    X
  21472      MEJIA CHANCAY WILSON HERNAN     1300515200001                                                    X
 219375      MEJIA BAZURTO JOSE RAMON        1300517636001                                                    X
 109586      SANTANA VINCES ALBERTO RAMÓN 1300521646001                                                       X
  64811      BRAVO ZAMBRANO TITO ORLANDO     1300537196001                                                    X
 125769      VITE CAGUA ISIDRO BOLIVAR       1300545678001                                                    X
  96918      CASTILLO ORMAZA RAMÓN ALFREDO 1300571914001                                                      X
No                 No registra
                                                               No                    No registra   No
                                                                        No. registra                       registra      No.    indicadores
                                                             registra                provincia, registra
Persona_id              NOMBRE                No. ID (RUC)                 calle                           número      registra de ventas,
                                                             apellido                 cantón y   primer
                                                                         principal                         de calle     origen activos y/o
                                                             paterno                 parroquia nombre
                                                                                                           principal             empleados

 104272      VARGAS RODRIGUEZ JUAN JOSE     1300580873001                                                     X
 116934      CARDENAS DELGADO MIGUEL EDGAR 1300586862001                                                      X
 264337      MOREIRA SALDARRIAGA PABLO BIENVENIDO
                                            1300587530001                                                     X
 231067      INTRIAGO SALDARRIAGA JOSE BERCELIO
                                            1300595343001                                                     X
 163678      ARAUZ FERNANDEZ GUILLERMO VICENTE
                                            1300604343001                                                     X
 144676      FERNANDEZ BAILON RUBEN DARIO   1300611637001                                                     X
  33531      GUILLEN VELEZ JOSE ENRIQUE     1300611686001                                                     X
 223554      PENAHERRERA MENDOZA JOSE ELIAS 1300612346001                                                     X
 160790      GALARZA GOMEZ RAUL ENRIQUE     1300612452001                                                     X
 218978      OÑA NACATO SEGUNDO ALFONSO 1300620984001                                                         X
  68900      ZAMBRANO ALAVA ARQUIMEDES ANTONIO
                                            1300624564001                                                     X
 180478      GONZALEZ CABAL JORGE EDUARDO RAMON
                                            1300646906001                                                     X
 164658      OZAETA CEDEÑO MARIANA AUXILIADORA
                                            1300656921001                                                     X
  21292      FALCONÍ YÉPEZ JOSÉ RAMÓN       1300680897001                                                     X
 192449      HERNANDEZ BRIONES SEGUNDO EUSTAQUIO
                                            1300684436001                                                     X
 150333      CHOEZ JULIO VIRGILIO           1300690342001                                                     X
  74470      SANTANA ZAMBRANO GRICEIDA DEL CARMEN
                                            1300700406001                                                     X
 163261      LOOR PARRAGA ANGEL ERNESTO     1300710033001                                                     X
  64571      ZAMBRANO BRAVO COSME SAUL      1300711767001                                                     X
 175642      GANCHOZO ZAMBRANO WALTER HUMBERTO
                                            1300711841001                                                     X
  18702      FERRIN VILLEGAS RAMON ROBERTO 1300742549001                                                      X
  81762      FARIAS LOOR ABEL MARIANO       1300742952001                                                     X
 220610      ANDRADE BOWEN RENÉ OLIVA ANTONIO
                                            1300745435001                                                     X
 138059      VERA ARTEAGA NIDIA CRUZ        1300755616001                                                     X
  37919      MANTUANO MARTINEZ GILBERTO FELIPE
                                            1300863352001                                                     X
 144809      PLUA PONCE JACINTO JOAQUIN     1300867775001                                                     X
 190570      MOGROVEJO PALMA MATIAS GABRIEL 1300867783001                                                     X
  99989      TORRES VERA CESAR TULIO        1300887757001                                                     X
 174440      FIGUEROA PARRALES RAMONA YOLANDA
                                            1300903745001                                                     X
 119195      CHELE GUTIERREZ AIDA EVELIA    1300908470001                                                     X
 179109      ACOSTA ALARCON EDGAR TEOBALDO 1300917901001                                                      X
No                 No registra
                                                               No                    No registra   No
                                                                        No. registra                       registra      No.    indicadores
                                                             registra                provincia, registra
Persona_id               NOMBRE               No. ID (RUC)                 calle                           número      registra de ventas,
                                                             apellido                 cantón y   primer
                                                                         principal                         de calle     origen activos y/o
                                                             paterno                 parroquia nombre
                                                                                                           principal             empleados

 201761      MOREIRA PICO MANUEL VICENTE     1300929138001                                                    X
  81557      MENDOZA SOLORZANO MARIANA DE JESUS
                                             1300945035001                                                    X
 133413      PARRAGA MARCILLO ANA ELIDA      1300957121001                                                    X
 183277      DELGADO GUILLEN JOSE ANTONIO    1301004444001                                                    X
 104546      PEÑARRIETA MERA JOSÉ LEONARDO 1301015622001                                                      X
  31821      ZAMBRANO GANCHOZO MASCIMO LIDER 1301028989001                                                    X
 111760      ALVARADO ARTURO ANGEL MARIA     1301037410001                                                    X
 213456      CASTILLO VILLAMAR ARTURO FRANKLIN301045157001
                                             1                                                                X
  62425      CEDEÑO VERA RAMON EDUARDO       1301047542001                                                    X
  86465      SANTANA CEDEÑO RAMON IGNACIO 1301062269001                                                       X
 135999      CORDOVA GUAIGUA HILDA ERNESTINA1301080253001                                                     X
 202300      ALVARADO GIRALDO JORGE ANTONIO 1301084719001                                                     X
 152642      QUINTERO MACIAS IDER ANTONIO    1301086649001                                                    X
  26829      VERA MONTESDEOCA JACINTO ALMAGRO1301094445001                                                    X
  98737      ZAMBRANO ZAMBRANO RAMÓN ARTURO  1301095087001                                                    X
  34348      BRAVO RIVERO RAMÓN MAXIMINO     1301097810001                                                    X
 111137      LAINE FRANCO MIGUEL ANTONIO     1301103055001                                                    X
   1945      IGLESIAS MATA MARIO ALEX        1301106462001                                                    X
 211405      TAPIA CARPIO HUGO ENRIQUE       1301107387001                                                    X
 272889      JAIME BAQUE PLUTARCO GERMAN     1301108351001                                                    X
 131146      CHILIQUINGA OÑA EDGAR WILLIAMS 1301110902001                                                     X
 173173      OCHOA OCHOA ANGEL RAMON         1301111991001                                                    X
 226956      ORTEGA MENDOZA CECILIA DEL CARMEN
                                             1301112627001                                                    X
  32027      MIELES GUTIERREZ JOSÉ HERIBERTO 1301112858001                                                    X
 121084      BRAVO BRAVO SUCRE SAFADI        1301113112001                                                    X
 114613      LOOR GARCIA ROLANDO ELIAS       1301114318001                                                    X
 152020      MUÑOZ INTRIAGO ARTEMIO NEPTALÍ 1301123392001                                                     X
 120913      ALVAREZ GOMEZ ZOILA TALITA      1301126254001                                                    X
  93895      MEZA MOREIRA CARMEN MARÍA       1301153159001                                                    X
 163950      GUILLÉN MOLINA PULIDO FRANCISCO 1301176176001                                                    X
 203302      MENDOZA RENDON FRANCISCO EUGENIO1301182182001                                                    X
No                 No registra
                                                               No                    No registra   No
                                                                        No. registra                       registra      No.    indicadores
                                                             registra                provincia, registra
Persona_id               NOMBRE               No. ID (RUC)                 calle                           número      registra de ventas,
                                                             apellido                 cantón y   primer
                                                                         principal                         de calle     origen activos y/o
                                                             paterno                 parroquia nombre
                                                                                                           principal             empleados

  55774      MENDOZA MOREIRA MERCEDEZ BEATRIZ1301198915001                                                    X
  37465      PALACIOS SANTANA IVÁN FERNANDO 1301199681001                                                     X
  32615      BLONDET SALDARRIAGA VICENTE ELÍAS301206312001
                                             1                                                                X
 128907      HIDALGO BENAVIDES MAXIMO CLOTARIO
                                             1301211312001                                                    X
 176898      MOREIRA CEDEÑO JOSE ANDRES      1301214688001                                                    X
 147736      VERA TOALA CRUZ ALINA           1301218036001                                                    X
 131941      MOLINA CHICA PUBLIO SIN NOMBRE 1301218317001                                                     X
 168656      ARCENTALES ALCÍVAR NOEL ENRIQUE1301218663001                                                     X
  25319      ANCHUNDIA FARIAS NESTOR MAURILIO1301243653001                                                    X
  27239      MUÑOZ MOREIRA RAMON BENEDICTO 1301249411001                                                      X
  38710      CEDEÑO PARRAGA JOSE ERNESTO     1301260632001                                                    X
  56856      VERA MOGRO ARTURO ANDRES        1301263016001                                                    X
 108335      MENDOZA RODRIGUEZ CARLOS GUSTAVO1301266043001                                                    X
 137936      REGALADO SUAREZ WILTHON FRANCISCO
                                             1301266969001                                                    X
 196991      SOSA ZAMBRANO DIOGENES          1301269831001                                                    X
  23258      FRANCISCO                       1301274369001                                                    X
  86705      MOLINA VERA SULLI INES          1301278592001                                                    X
 120653      MACIAS LEON LUIS TYRONE         1301278824001                                                    X
 125976      PARRALES TOALA FRANCISCO VICENTE1301281505001                                                    X
  25652      CENTENO GARCIA RAMON SIGIFREDO 1301282388001                                                     X
 135893      CASTRO TIGUA SIMON BOLIVAR      1301284491001                                                    X
  41993      JOSÉ                            1301287338001                                                    X
 152933      ROJAS CEVALLOS EDISON BOLIVAR   1301291900001                                                    X
 103347      PERDOMO HIDALGO VÍCTOR GALINDO 1301297139001                                                     X
 127173      MOLINA VINCES JOSE FILIBERTO    1301300685001                                                    X
 196009      ZAMBRANO SANCHEZ BENITO FILIMON1301301543001                                                     X
  89536      DELGADO ANCHUNDIA LUCCIOLA DELGADO
                                             1301301592001                                                    X
 127067      MENDOZA INTRIAGO JOSE ABIGAIL   1301306617001                                                    X
  46656      CASTRO GONZÁLEZ JOSÉ VICENTE    1301310957001                                                    X
 174991      LOPEZ VASQUEZ CARLOTA LEITHER 1301313225001                                                      X
 195028      BAQUE SOLEDISPA CAMILO ALEJO    1301314041001                                                    X
No                 No registra
                                                               No                    No registra   No
                                                                        No. registra                       registra      No.    indicadores
                                                             registra                provincia, registra
Persona_id               NOMBRE               No. ID (RUC)                 calle                           número      registra de ventas,
                                                             apellido                 cantón y   primer
                                                                         principal                         de calle     origen activos y/o
                                                             paterno                 parroquia nombre
                                                                                                           principal             empleados

  44990      QUIMIS PIN JUAN DE DIOS         1301314850001                                                    X
 128056      BAQUE PINCAY FÉLIX ALBERTO      1301316186001                                                    X
 173293      LOOR PINARGOTE DANITA LOURDES 1301318885001                                                      X
  41913      COBOS CASTILLO HUGO VICENTE     1301319628001                                                    X
  48793      CEDEÑO UGALDE EDISON AUGUSTO MARIO
                                             1301325666001                                                    X
 142959      TIGUA YOZA ANGEL AMANCIO        1301326722001                                                    X
  40470      JULIO                           1301327530001                                                    X
  10277      ALFONSO ALCIVAR                 1301336002001                                                    X
 201869      MOREIRA CEDEÑO ARTURO LINARES 1301340525001                                                      X
 177167      FIGUEROA RODRIGUEZ JOSE IGNACIO 1301344741001                                                    X
 183869      CHUEZ HIDALGO ANGEL DIOMENES    1301347256001                                                    X
 176382      CAÑARTE BRIONES NESTOR DIEGO    1301356042001                                                    X
 168671      PINOARGOTTY MORA CARMEN ALICIA 1301356521001                                                     X
  86256      MORAN NARVAEZ EDISON ABSALON 1301357859001                                                       X
  60820      CHAMBA ARSECIO                  1301375182001                                                    X
  17871      DOUGLAS                         1301379127001                                                    X
 113624      MENENDEZ MORAN MILDRE AZUCENA 1301410294001                                                      X
  29653      PAREDES MERA CESAR HUMBERTO 1301420244001                                                        X
 231088      CHON LONG MACIAS MANUEL RAMON DEL JESUS
                                             1301421168001                                                    X
 220351      MOREIRA DE LA CRUZ PEDRO JOSE 1301431621001                                                      X
 186314      PEREZ GARCIA MARIA ROBERTINA    1301436935001                                                    X
  40681      CHIRIBOGA OLTON MARIANA DEL JESÚS
                                             1301450134001                                                    X
 164863      SANCHEZ ALCIVAR FREDDY FRANCISCO301450837001
                                             1                                                                X
  73968      CHILAN INDACOCHEA GONZALO TEODORO
                                             1301456941001                                                    X
  22059      JOEL                            1301458053001                                                    X
  81553      CORDOVA BARCIA BETTY AUDELIS    1301459754001                                                    X
 171683      ZAMBRANO VERA VÍCTOR HUGO       1301470348001                                                    X
  26020      CEVALLOS DUEÑAS ARMANDO HERIBERTO
                                             1301474704001                                                    X
  41430      VERA LOOR LUIS SANTIAGO         1301476311001                                                    X
  37767                                      1301477194001                                                    X
 250689      BERMUDEZ ANGEL SANTISTEBAN      1301477467001                                                    X
No                 No registra
                                                               No                    No registra   No
                                                                        No. registra                       registra      No.    indicadores
                                                             registra                provincia, registra
Persona_id              NOMBRE                No. ID (RUC)                 calle                           número      registra de ventas,
                                                             apellido                 cantón y   primer
                                                                         principal                         de calle     origen activos y/o
                                                             paterno                 parroquia nombre
                                                                                                           principal             empleados

 143056      ARTEAGA GARCIA SEGUNDO FREDIS 1301480636001                                                      X
  99848      MURILLO MACIAS MILTON OVIDIO   1301481170001                                                     X
  80182      CHINGA MERO LUIS MODESTO       1301494462001                                                     X
  29358      PAVON AVELLAN WALTER ALFREDO 1301500318001                                                       X
  48731      GARCIA LOOR JUAN BOSCO         1301508303001                                                     X
 149675      VERA RIVERO SIMON EDUARDO      1301509442001                                                     X
 197493      CRUZATTY MECIAS LUZ MARGARITA 1301513394001                                                      X
 160322      DEJO VELEZ JOSE ENRIQUE        1301514962001                                                     X
  38718      VELASQUEZ VELASQUEZ RAUL MARIANO
                                            1301521413001                                                     X
 165288      ALAVA ACOSTA ANGEL ARTURO      1301521975001                                                     X
 102821      PARRAGA GARCIA LUIS MARIO      1301525182001                                                     X
 141567      MACIAS CASANOVA RAMON MARTIN 1301532220001                                                       X
 128030      BRAVO VELEZ ROSA YOLANDA       1301532865001                                                     X
 116825      INTRIAGO SÁNCHEZ JUAN JESÚS    1301532931001                                                     X
 147751      PEÑAFIEL PILOSO ANGEL BENIGNO  1301537542001                                                     X
 162881      MACIAS PARRALES CARLOS JOSE    1301539704001                                                     X
  29014      FLOR HIDALGO FELIX ARMANDO     1301546253001                                                     X
 238433      BRAVO ARTEAGA ROGERIO RENE     1301546337001                                                     X
  85441      ZAMBRANO BERMUDEZ PEDRO ANTONIO1301550677001                                                     X
  39135      GARCÍA ZAMBRANO HILDA TERESA   1301550909001                                                     X
 222948      ANDRADE SANTANDER JOSÉ VICENTE 1301553747001                                                     X
 248246      CEDENO CAICEDO ANGELA ARACELY 1301561500001                                                      X
  53948      PARRALES CANTOS DIOMEDES FERNANDO
                                            1301571467001                                                     X
  37473      VÁSQUEZ FLORES VICENTE ADALBERTO
                                            1301574776001                                                     X
  87562      VÁSQUEZ GONZÁLEZ LEANDRO MANUEL1301577191001                                                     X
  46529      MACÍAS PÉREZ ELMO LIONEL       1301589618001                                                     X
  77473      MOREIRA MALDONADO NEY RODOLFO 1301591424001                                                      X
  64737      ANDRADE QUINONES LUIS ARGEMIRO 1301594592001                                                     X
 173217      MONTERO MUNOZ JORGE DANIEL     1301596217001                                                     X
 195727      VARGAS RODRIGUEZ GLADYS ERNESTINA
                                            1301596787001                                                     X
  64410      ANDRADE VÉLEZ PAUL DANILO      1301596829001                                                     X
No                 No registra
                                                               No                    No registra   No
                                                                        No. registra                       registra      No.    indicadores
                                                             registra                provincia, registra
Persona_id               NOMBRE               No. ID (RUC)                 calle                           número      registra de ventas,
                                                             apellido                 cantón y   primer
                                                                         principal                         de calle     origen activos y/o
                                                             paterno                 parroquia nombre
                                                                                                           principal             empleados

  61067      LEON ZAMBRANO JAIME FRANCISCO 1301597629001                                                      X
 244437      VERA CUECA SEGUNDO ELEAZAR      1301598403001                                                    X
 132677      MERA MENDOZA CLARA LEOPOLDINA 1301598908001                                                      X
 168154      CUSME SOLORZANO JOSE HORLANDO 1301616486001                                                      X
 170186      BAZURTO LOOR ROQUE MONSERRATE1301624225001                                                       X
 114521      RIVAS UBILLUS RAMON VIRGILIO    1301628135001                                                    X
  50071      ROBINZ CEDEÑO FRANCISCO IRENE 1301630495001                                                      X
  58425      MONCAYO VELEZ ELADIO FRANCISCO 1301630610001                                                     X
  27512      INTRIAGO PAZMIÑO ANGELA REBECA 1301632830001                                                     X
 232542      MEZA RODRIGUEZ JULIO ANDRES     1301642128001                                                    X
  60994      DONOSO GILER EDGAR HERNÁN       1301656359001                                                    X
 182950      ZAMBRANO MUÑOZ CARMEN MARIA 1301656755001                                                        X
  15543      RAMIRO RIVADENEIRA              1301656805001                                                    X
  50435      VELEZ PINARGOTE GALO ENRIQUE    1301658843001                                                    X
 220013      ZAMBRANO ALVARADO FREDDY ELI    1301659635001                                                    X
  34438      LÓPEZ TOMALÁ JUAN EVANGELISTA 1301672075001                                                      X
 122235      CUSME CEVALLOS EDA MERCEDES     1301692073001                                                    X
 194698      ANCHUNDIA SANCHEZ JOSE CECILIO 1301702682001                                                     X
  41468      PARREÑO ALCÍVAR JORGE OSWALDO 1301709752001                                                      X
 190428      GUADAMUD PITA TERESA MONSERRATE 1301711311001                                                    X
  80098      PALADINES VERA PEDRO PABLO      1301711782001                                                    X
 129893      BARCIA BARCIA JOSE ARTURO       1301712723001                                                    X
  52864       LUÍS                           1301714034001                                                    X
  82606      TUMBACO SOLEDISPA CECILIO AGUSTÍN
                                             1301718894001                                                    X
  21267      VINCES RIVAS JOSE ALVARO        1301719124001                                                    X
 223596      RODRIGUEZ MUÑOZ PATRICIA GENOVEVA
                                             1301721948001                                                    X
  40316      VERDUGA RODRÍGUEZ LUIS HUMBERTO 1301723050001                                                    X
 161372      MACIAS PINARGOTE CARLOS ALBERTO 1301723951001                                                    X
 119674      VINCES MENDOZA ULBIO FRANCISCO 1301724926001                                                     X
  89295      RIVERO MENÉNDEZ CARLOS JACINTO 1301725923001                                                     X
 238377      MENÉNDEZ VÉLEZ ZOILA AZUCENA    1301726764001                                                    X
No                 No registra
                                                                No                    No registra   No
                                                                         No. registra                       registra      No.    indicadores
                                                              registra                provincia, registra
Persona_id               NOMBRE                No. ID (RUC)                 calle                           número      registra de ventas,
                                                              apellido                 cantón y   primer
                                                                          principal                         de calle     origen activos y/o
                                                              paterno                 parroquia nombre
                                                                                                            principal             empleados

  89549      GARCIA VELEZ MARIA JACINTA       1301732663001                                                    X
  10806      ING. TITO BALDA                  1301736771001                                                    X
 258671      DELGADO CEDENO MARIA ANGELICA 1301738165001                                                       X
 117280      REGALADO ESPINOZA ENMA LIBERTAD1301741136001                                                      X
  28446      MEZA INTRIAGO CRUZ MARIA AUXILIADORA
                                              1301742670001                                                    X
  86492      ZAMBRANO CEDEÑO RAMÓN HIGINIO 1301743728001                                                       X
 171261      MOREIRA MOREIRA CARLOS AGUSTIN 1301750905001                                                      X
  75013      ALVARADO GIRALDO JULIO RAMON     1301754162001                                                    X
  13398      WASHINGTON                       1301754253001                                                    X
  35214      CANTOS MACIAS HECTOR STALIN      1301760912001                                                    X
  44260      CAÑARTE BELLO CARLOS JULIO       1301762587001                                                    X
 161228      PONCE ARTEAGA CESAR ALBERTO      1301764344001                                                    X
 161144      ALCIVAR RODRIGUEZ KLEVER MAURO 1301767149001                                                      X
 256139      PIN ZAMBRANO MAXIMO ERNESTO      1301767321001                                                    X
  10258      ING. GABRIEL ZAMBRANO A.         1301767453001                                                    X
  22902      BRIONES ROBLES LUIS HUMBERTO     1301768261001                                                    X
 247510      ANCHUNDIA VELASQUEZ SEBASTIAN SIMON
                                              1301768378001                                                    X
 214009      MACIAS ALAVA JOSE CIPRIANO       1301770044001                                                    X
 106178      MERA VINUEZA CRUZ HERMENEGILDO 1301770226001                                                      X
  33636      MACÍAS RENGIFO LESME ANTONIO     1301772057001                                                    X
   4424      PABLO                            1301772180001                                                    X
  43749      LOOR PONCE CARLOS ELÍAS          1301774335001                                                    X
 106909      ALVARADO CASTRO JORGE WASHINGTON 1301774434001                                                    X
 213539      BRIONES VILLAVICENCIO ARTURO     1301774830001                                                    X
  38644      MONTESDEOCA BAIRD JOSE LEONARDO  1301777957001                                                    X
 178711      MOREIRA BERMELLO MARIA ENA       1301778724001                                                    X
 160046      PINCAY BAQUE VICTOR ABAD         1301782502001                                                    X
 133353      CASTRO GONZALEZ JORGE WASHINGTON 1301782676001                                                    X
 199138      SANTANA MACHUCA VICTOR RAUL      1301786164001                                                    X
 174132      MENDOZA MACIAS HUMBERTO ERASMO   1301786891001                                                    X
 121946      ALARCÓN AVILA LUIS ANTONIO       1301787709001                                                    X
No                 No registra
                                                               No                    No registra   No
                                                                        No. registra                       registra      No.    indicadores
                                                             registra                provincia, registra
Persona_id              NOMBRE                No. ID (RUC)                 calle                           número      registra de ventas,
                                                             apellido                 cantón y   primer
                                                                         principal                         de calle     origen activos y/o
                                                             paterno                 parroquia nombre
                                                                                                           principal             empleados

  93957      CEDEÑO MERA PEDRO PABLO        1301787881001                                                     X
  22091      MENDOZA MENDOZA JOSE ALBERTO 1301787956001                                                       X
  52704      CEDEÑO ANTON JESUS VICTORIANO 1301788970001                                                      X
  18949      DELGADO VÉLEZ LUCIANO          1301791230001                                                     X
 116707      TORO DELGADO LUIS MARIO        1301799498001                                                     X
 136231      LOOR LOPEZ ROSA BERTINA        1301807390001                                                     X
  94760      ZAMBRANO ZAMBRANO WILMER VICENTE
                                            1301810063001                                                     X
 236024      TRIVIÑO QUIROZ SIMON BOLIVAR   1301811475001                                                     X
  57214      LUCAS AVELLAN MANUEL AGUSTIN   1301812150001                                                     X
  27806      FIENCO SÁNCHEZ MIGUEL ALFREDO 1301823074001                                                      X
  83116      ALCÍVAR INTRIAGO WILFRIDO      1301835086001                                                     X
 131963      VERA RODRIGUEZ YENNY EDITH     1301836100001                                                     X
 148502      MOREIRA ALVARADO JORGE CECILIO 1301837306001                                                     X
 122742      BRIONES CEVALLOS JOSE REDULPIANO
                                            1301841811001                                                     X
  47652      MIRANDA HERNÁNDEZ EDDISON BENIGNO
                                            1301847131001                                                     X
  47996      VALDIVIEZO MENDOZA MONSERRATE ARACELY
                                            1301848527001                                                     X
  75516      QUIJIJE TELLO MARCO ANTONIO    1301851935001                                                     X
  47650      CHANCAY PERÉZ GONZALO VICTOR 1301862932001                                                       X
  41331      VERA CEDEÑO ANGELA FELICITA    1301863526001                                                     X
 147408      SANTANA MACIAS ANGEL LAURENTINO1301864136001                                                     X
 234959      VERA SALTOS JOSE FRANKLIN      1301865141001                                                     X
  21441      FIENCO SÁNCHEZ BETSY ELIZABETH 1301867931001                                                     X
  27236      VÉLEZ ORTIZ JIMMY MARCELO      1301868335001                                                     X
  97041      QUIMIZ BAQUE CARLOS JOSE       1301871388001                                                     X
  51105      ZAMBRANO LOOR GONZALO EDUARDO1301873996001                                                       X
 275271      PERALTA LOPEZ FLOR MARIA       1301875249001                                                     X
  98049      GARCIA SORNOZA ANGEL RAFAEL    1301876064001                                                     X
 222533      FIGUEROA PEREZ ANDRES ALEJANDRO1301876288001                                                     X
 141140      VILLACIS DELGADO OTHO MAXIMO   1301876767001                                                     X
  23931      DIOCLE                         1301880421001                                                     X
 119318      MARTINEZ QUIJIJE DORYS GRACE   1301880694001                                                     X
No                 No registra
                                                               No                    No registra   No
                                                                        No. registra                       registra      No.    indicadores
                                                             registra                provincia, registra
Persona_id               NOMBRE               No. ID (RUC)                 calle                           número      registra de ventas,
                                                             apellido                 cantón y   primer
                                                                         principal                         de calle     origen activos y/o
                                                             paterno                 parroquia nombre
                                                                                                           principal             empleados

  26143      ZAMBRANO INTRIAGO GUIDO LEOPOLDO1301883680001                                                    X
 192130      MACIAS CHAVEZ RODOLFO ALCIDES 1301888663001                                                      X
 150401      ANCHUNDIA ALVIA RAMON ARCENIO 1301897763001                                                      X
 168323      PARRALES PACHAY FELIX BERNABE 1301898530001                                                      X
 227898      FRANCO CHAVEZ MILTON LORENZO 1301899843001                                                       X
  69606      BAQUE MENDOZA FERNANDO MAURICIO 1301901680001                                                    X
  91147      CHAVEZ CEVALLOS MARIANO DEL JESUS
                                             1301906564001                                                    X
 179674      LINO PENA ELEOCADIO ADALBERTO 1301909717001                                                      X
  48080      GONZÁLEZ ZEDEÑO IVAN RICARDO    1301910129001                                                    X
 200517      BASURTO YENCHONG MERCY CECILIA 1301910749001                                                     X
 216587      LASSO CAÑARTE MANUEL SALVADOR 1301914865001                                                      X
  58034      DIAZ DE LA TORRE CIRO IGNACIO   1301917082001                                                    X
  63583      SANTANA ZAMNRANO VICTOR MIGUEL 1301917967001                                                     X
  52840      PARRAGA INTRIAGO CARLOS REMBERTO1301927313001                                                    X
  77775      MIRANDA CEDEÑO JANETH OFELIA    1301928402001                                                    X
 236558      ZAMBRANO INTRIAGO FRANKLIN EVANAN
                                             1301931224001                                                    X
  71641      SIERRA ESPINALES JOSÉ LUIS      1301931661001                                                    X
  47398      GILER GARCIA EUDORO ARQUIMIDES 1301939557001                                                     X
  16112      DORIGO AMEN LUCIANO             1301941751001                                                    X
 105482      CEVALLOS VALDIVIEZO WILMER JOSE 1301945943001                                                    X
 171545      CEVALLOS MACIAS JORGE JOSE      1301957914001                                                    X
  22334      ZAMBRANO DUENAS ITALO FERNANDO1301961429001                                                      X
 129691      MOREIRA ZAMBRANO JAVIER ORESTE 1301963235001                                                     X
 131957      ANDRADE MEDINA FLORENCIO ANTONIO1301966626001                                                    X
 175401      MERO MERO SEGUNDO NICOLÁS       1301967558001                                                    X
 237026      TOALA ARTEAGA WASHINGTON DANIEL 1301970818001                                                    X
  43676      GALO                            1301971436001                                                    X
  86098      LÓPEZ ESPINOZA HERLIN MARCOS    1301972053001                                                    X
  22811      HERMIDA MACIAS JORGE ENRIQUE    1301984157001                                                    X
 142847      PARRAGA INTRIAGO JACINTO GILDARDO
                                             1301984538001                                                    X
  24613      GARCIA CEDENO JORGE ALFREDO     1301988992001                                                    X
No                 No registra
                                                                No                    No registra   No
                                                                         No. registra                       registra      No.    indicadores
                                                              registra                provincia, registra
Persona_id               NOMBRE                No. ID (RUC)                 calle                           número      registra de ventas,
                                                              apellido                 cantón y   primer
                                                                          principal                         de calle     origen activos y/o
                                                              paterno                 parroquia nombre
                                                                                                            principal             empleados

 243162      MENDOZA CHAVEZ CARLOS LUIS       1301989099001                                                    X
  27399      ALONZO CEDEÑO CÉSAR AUGUSTO 1301992655001                                                         X
   2843      MENDOZA INTRIAGO VICENTE JESUS 1301999106001                                                      X
 103222      ANDRADE CEDEÑO ENMA FIDELINA 1301999148001                                                        X
  24616       GINO                            1301999171001                                                    X
  20343      JARRE VINCES RICARDO GONZALO     1301999189001                                                    X
  62879      JARRE CEDEÑO CÉSAR ALFREDO       1301999197001                                                    X
 207659      FRANCO GARCIA ROSA ELENA         1301999205001                                                    X
 270082      ZAMORA ALCIVAR EUTIMIO EVARISTO 1301999270001                                                     X
  32630      CARPIO ZAMBRANO FABIAN IGNACIO 1301999536001                                                      X
  35862       BARON                           1302000169001                                                    X
  33412      HIDALGO VINCES LUIS ALBERTO      1302004963001                                                    X
  65171      PONCE BAQUE MARCOS ELOY          1302005259001                                                    X
 179522      AGUILAR GARCIA JORGE LEOPOLDO 1302005440001                                                       X
  76287      CEDENO CEDENO LEONERI SAHAGUN 1302007552001                                                       X
 112056      FAUBLA PARRAGA JOSÉ PEDRO        1302016025001                                                    X
  45016      CHÁVEZ ANDRADE WINTER PEDRO      1302016884001                                                    X
 269587      CEVALLOS ZAMBRANO ANA ROSA       1302017130001                                                    X
 142577      CASTILLO CASTRO JULIO SALVADOR 1302019615001                                                      X
  38852      ARTEAGA LOOR DIDIMO EDUARDO      1302020480001                                                    X
  30867      MACIAS LOOR WILSON ANTONIO       1302021447001                                                    X
 114460      SABANDO DE LA CRUZ FELIX ENRIQUE 1302021603001                                                    X
  29102      SANTANA GARCIA LUIS ALBERTO      1302022700001                                                    X
  31861       RAÚL                            1302036114001                                                    X
  34781      FERRIN BARBERAN MARIO EDUARDO 1302038912001                                                       X
 101022      MENÉNDEZ MENÉNDEZ EDGAR ANTONIO  1302040983001                                                    X
 209455      VERA LOOR RAUL GARY              1302041783001                                                    X
 184079      GARCIA VELEZ VITERBO ALBERTO     1302042914001                                                    X
 242343      LOOR MAYA POLICARPA MARY         1302043490001                                                    X
  27943      VINCES SOLÓRZANO MANUEL GREGORIO 1302045420001                                                    X
  42688      ZAMBRANO ANDRADE JOSE GONZAGA 1302045974001                                                       X
No                 No registra
                                                               No                    No registra   No
                                                                        No. registra                       registra      No.    indicadores
                                                             registra                provincia, registra
Persona_id               NOMBRE               No. ID (RUC)                 calle                           número      registra de ventas,
                                                             apellido                 cantón y   primer
                                                                         principal                         de calle     origen activos y/o
                                                             paterno                 parroquia nombre
                                                                                                           principal             empleados

  58039      MENDOZA BAILON TEOFILO APOLINAR 1302051741001                                                    X
 152705      GILER ALAVA ROSA CARMEN         1302052020001                                                    X
 129627      MENDOZA MENDOZA DAVID ANIBAL    1302054240001                                                    X
 271763      SOLORZANO CARVAJAL JORGE ENRIQUE1302056328001                                                    X           X
 132471      RUIZ PARDO ROSA MERCEDES        1302058142001                                                    X
 136770      INDACOCHEA DOMINGUEZ RAUL ALFREDO
                                             1302061054001                                                    X
  84840      ROBLES VALAREZO ROSA AGUSTINA 1302064504001                                                      X
  22731      ZEVALLOS SANTANA PEDRO PASTOR 1302069511001                                                      X
  54553      YANEZ CONFORME LUIS ENRIQUE     1302073364001                                                    X
  82631      PINCAY ARTEAGA MAURO EFREN      1302074917001                                                    X
 161918      CORRAL MOREIRA STALIN GUILLERMO1302074974001                                                     X
 153933      MACIAS VELEZ CRISTOBAL EDUARDO 1302084494001                                                     X
 219786      BRAVO PALMA LETICIA             1302087281001                                                    X
 178775      GALARZA PINARGOTE GLADIS BENEDICTA
                                             1302088396001                                                    X
  77266      MENDOZA ROMERO MARIA MAGDALENA302089840001
                                             1                                                                X
 133837      VALAREZO RIVADENEIRA ANGELICA MARIA
                                             1302090301001                                                    X
 218837      QUIROZ LOOR LORGIO ALBERTO      1302095938001                                                    X
  89489      ZAMBRANO CHAVEZ NENCIS MARIA TERESA
                                             1302103252001                                                    X
 143595      BERNARDI ZAMBRANO EUDOSIA REGINA1302104110001                                                    X
 188013      ZAMBRANO MACIAS DOLORES CLEMENCIA
                                             1302104474001                                                    X
 165028      PONCE BAQUE ERNESTO ELEUTERIO 1302105273001                                                      X
  28258      SANTANA PÁRRALES GLORIA MONSERRATE
                                             1302106743001                                                    X
 120717      QUIJIJE PINARGOTE RAUL OLIVIO   1302106768001                                                    X
  35755      GARCÍA MENEDEZ RICHARD LEOPOLDO 1302107543001                                                    X
 276585      ALARCÓN ZAMBRANO MARCOS SEGUNDO 1302110539001                                                    X
  24595      CHUNG MENDOZA WINTER RUBEN      1302111107001                                                    X
  32570      GARCIA MENDOZA VICENTE ARTURO 1302111354001                                                      X
  26221      ANDRADE ARTEAGA MARCOS ANTONIO  1302112857001                                                    X
  77453      GARCIA MACIAS ROBERTO FEDERICO1302114184001                                                      X
 236679      CORDERO SIERRA DOLORES HORTENCIA1302115538001                                                    X
  56271      MACÍAS SORNOZA MANUEL HUMBERTO  1302119514001                                                    X
No                 No registra
                                                               No                    No registra   No
                                                                        No. registra                       registra      No.    indicadores
                                                             registra                provincia, registra
Persona_id               NOMBRE               No. ID (RUC)                 calle                           número      registra de ventas,
                                                             apellido                 cantón y   primer
                                                                         principal                         de calle     origen activos y/o
                                                             paterno                 parroquia nombre
                                                                                                           principal             empleados

 222887      CASTILLO PICO ENRY MAXIMINIO    1302120991001                                                    X
 120808      VERA ALCIVAR FRANCISCA ANA LUISA1302123508001                                                    X
 120286      ARAGUNDI CUADRO LUIS GUILLERMO 1302128259001                                                     X
  75022      LEÓN DELGADO WASHINGTON AUGUSTO 1302128499001                                                    X
 192546                                      1302130362001                                                    X
 257220      ROSADO DELGADO WILSON RICARDO 1302157480001                                                      X
 194545      SOLORZANO RODRIGUEZ JOSE ALFREDO1302159601001                                                    X
  17306       FELIPE                         1302162001001                                                    X
 182466      ANDRADE NIEVE ALEXANDRA         1302172000001                                                    X
 152666      VILLACIS DELGADO LUIS ALFONSO   1302172190001                                                    X
  24422      SÁNCHEZ KELAL CARLOS YERRI      1302173511001                                                    X
  28410      CEDEÑO PINARGOTE MILTON OLMEDO1302176175001                                                      X
  33853       PABLO                          1302177678001                                                    X
 198903      MOREIRA ROCA JAVIER ENRIQUE     1302178577001                                                    X
 163626      PARRALES MUÑIZ WASHINGTON MANABI1302179344001                                                    X
  74199      RODRÍGUEZ NÚÑEZ RODRIGO ELOY 1302180201001                                                       X
  35122      JARA LOOR JAIME BOLÍVAR         1302180565001                                                    X
  19771      CHILÁN QUIMIS HOLGER ABRAHAN    1302184674001                                                    X
 256492      VILEMA VILEMA CARMEN TARGELIA   1302185085001                                                    X
 206289      PUERTAS DIAZ MODESTO FERNANDO 1302186968001                                                      X
  30260      ANDRADE VÉLEZ GERMÁN ALFREDO 1302187016001                                                       X
  95251      CAMACHO ALARCON FRANCISCO RAFAEL1302188055001                                                    X
  58676       ANTONIO                        1302188758001                                                    X
  36933      MERA BRAVO ALBERTO GREGORIO     1302189228001                                                    X
  34877      ORLANDO LUCIO DIOMEDES AUGUSTO1302189319001                                                      X
 210983      WILLIANS RODRIGUEZ WILFRIDO ERMOGENES
                                             1302190036001                                                    X
  25049      CHANCAY ARROYO MARIA ADELAIDA 1302191679001                                                      X
 170033      POSLIGUA ACOSTA AQUILES ATANACIO1302192123001                                                    X
  21816      PINARGOTE INTRIAGO HUGO DANIEL 1302194012001                                                     X
 217855      GAYBORT BETANCOURT BEATRIZ DEL PILAR SN
                                             1302195472001                                                    X
  67677      DELGADO BASURTO MANUEL BIENVENIDO
                                             1302195993001                                                    X
No                 No registra
                                                               No                    No registra   No
                                                                        No. registra                       registra      No.    indicadores
                                                             registra                provincia, registra
Persona_id               NOMBRE               No. ID (RUC)                 calle                           número      registra de ventas,
                                                             apellido                 cantón y   primer
                                                                         principal                         de calle     origen activos y/o
                                                             paterno                 parroquia nombre
                                                                                                           principal             empleados

 133223      INTRIAGO QUIROZ JOSE ARISTIDES  1302202823001                                                    X
  59764      PICO ESPINOZA CARLOS ARMANDO    1302211444001                                                    X
 166561      SOLIS CEVALLO NICANOR           1302219900001                                                    X
  32517      MORENO VERA LUIS ALFONSO        1302222672001                                                    X
  62453      HERNANDEZ QUINONEZ MARGARITA ROSA
                                             1302229230001                                                    X
 269989      ZAVALA ARELLANO FELIX OSWALDO 1302229354001                                                      X
 200024      CHONLONG ZAMBRANO RENATO        1302234800001                                                    X
  92655      CAÑARTE CÓRDOVA YOLANDA ESTHER  1302235146001                                                    X
 165035      UQUILLAS BERMEO IVO ALBERTO     1302236409001                                                    X
 133090      MERA INTRIAGO LIMBERG RICARDO 1302237365001                                                      X
 239598      CASTRO PONCE MIGUEL MODESTO 1302239353001                                                        X
 142964      ZAMORA PARRAGA RAMON OVIDIO     1302242050001                                                    X
  56388      MOREIRA QUEVEDO MARIA ELIZABETH1302243652001                                                     X
  58230      ZAMBRANO SALTOS JOSE ADALBERTO1302249394001                                                      X
 276902      BRIONES VERA CRISTOBAL OPILIO   1302257934001                                                    X
 107317      BRIONES BRIONES FLAVIO EFREN    1302258502001                                                    X
  31570      BAILON FRANCO ANGEL ROBERTO     1302258593001                                                    X
 184535      ALAVA CLAVIJO JOSE GUZMAN       1302259567001                                                    X
 176082      CHOEZ GARCIA FRANKILN OSWALDO 1302261928001                                                      X
 168435      ALIATIS MONTESDEOCA ROMOLO CELESTINO
                                             1302288186001                                                    X
 109812      ARAGUNDY ARAGUNDY JUANA MARÍA 1302291370001                                                      X
  44278      LINZÁN MORA ALFONSO ELÍAS       1302300130001                                                    X
  75055      VILLAMARIN CEDEÑO MANUEL VICENTE1302300338001                                                    X
 132703      MORAN BORJA SEGUNDO EISENHOWER302301542001
                                             1                                                                X
  50224      DIAZ ALVIA JORGE ALEJO          1302309479001                                                    X
 104444      SANTANA ZAMBRANO SEGUNDO PASTOR 1302312127001                                                    X
 182741      AMEN ANDRADE RAMON EDUARDO      1302313174001                                                    X
 165803      SORNOZA CASTRO JORGE MIGUEL     1302313984001                                                    X
  26371      MONTESDEOCA ZAMBRANO BARON ABELARDO
                                             1302316730001                                                    X
  92113      BRIONES PALMA ALEJANDRO ALCIVIADES
                                             1302316896001                                                    X
  26022      ZAMBRANO PICO LUIS FERNANDO     1302324551001                                                    X
No                 No registra
                                                                No                    No registra   No
                                                                         No. registra                       registra      No.    indicadores
                                                              registra                provincia, registra
Persona_id               NOMBRE                No. ID (RUC)                 calle                           número      registra de ventas,
                                                              apellido                 cantón y   primer
                                                                          principal                         de calle     origen activos y/o
                                                              paterno                 parroquia nombre
                                                                                                            principal             empleados

 221199      BRAVO ZAMBRANO MARIA TERESA      1302325319001                                                    X
 232321      DELGADO INTRIAGO ANGEL CLEMENTE  1302328495001                                                    X
  44474      SANTIANA MORALES GILBERTO ANTONIO1302328537001                                                    X
  44403      PARRALES REYES DARIO ESTEBAN     1302333222001                                                    X
 163740      PINOARGOTTY MORA RAMON GREGORIO  1302334998001                                                    X
 215663      VELEZ AVILA GALO EDUARDO         1302341860001                                                    X
  49554      SALAZAR VÉLEZ JOSÉ VICENTE       1302341944001                                                    X
  60997      ARTEAGA MENDOZA FRANCISCO COLOMBO1302348857001                                                    X
 145212      MACIAS CEDEÑO NESTOR RAUL        1302363922001                                                    X
 262873      VILLAVICENCIO ARCENTALES OSWALDO NARCIZO
                                              1302372071001                                                    X
  43009      MERA MARTINEZ JORGE NELSON       1302377633001                                                    X
  94966      CHOEZ MOREIRA JOSE GERARDO       1302380637001                                                    X
  93650      GARCIA MURILLO MARISOL           1302381858001                                                    X
 159130      GARCIA ALVAREZ JORGE GUILLERMO 1302386410001                                                      X
 105602      ARTEAGA ROMERO WALTER DAVID      1302387210001                                                    X
 226003      MOLINA FABIAN ALFREDO            1302387897001                                                    X
  73069      DUEÑAS MONTEDEOCA MARCOS AGUSTIN 1302393937001                                                    X
 120562      BRAVO SANTOS MANUEL ALFONSO      1302394521001                                                    X
 245475      VERA SOLORZANO VICENTE ISIDRO 1302395395001                                                       X
  71025      BELLETTINI ANDRADE GUIDO RAMON 1302397821001                                                      X
 113120      MEDINA INTRIAGO CARLOS VICENTE 1302397854001                                                      X
 150727      CEVALLOS RAUL CLEMENTE           1302399546001                                                    X
  66541      VÁSQUEZ QUINTANA JORGE RAMIRO 1302400294001                                                       X
 206160      PAZ CHAVEZ AGUSTIN HUMBERTO      1302402076001                                                    X
  51490      MORALES PACHAY RAMON MODESTO 1302402530001                                                        X
 109895      GILER PINARGOTE RUBEN IGNACIO    1302402928001                                                    X
  56063      LANDAVEREA PICO JIMMY ABEL       1302403348001                                                    X
  80507      BASURTO FERRÍN JOSÉ WELLINGTON 1302403579001                                                      X
  84207      INTRIAGO MACIAS CARLOS DAMASO 1302406812001                                                       X
  28029      INTRIAGO ALCIVAR WILFRIDO SILVANO1302406952001                                                    X
  26278      MERCHAN CARREÑO EUCLIDES ANTONIO 1302410160001                                                    X
No                 No registra
                                                                No                    No registra   No
                                                                         No. registra                       registra      No.    indicadores
                                                              registra                provincia, registra
Persona_id               NOMBRE                No. ID (RUC)                 calle                           número      registra de ventas,
                                                              apellido                 cantón y   primer
                                                                          principal                         de calle     origen activos y/o
                                                              paterno                 parroquia nombre
                                                                                                            principal             empleados

 135136      ZAMBRANO CHICA RAMON MARCIAL 1302420474001                                                        X
 276410      ZAMBRANO PAZMIÑO JOSE TIFEY      1302421407001                                                    X
 128438      CARRILLO CARRILLO HILARION GILBERTH
                                              1302428014001                                                    X
  49421      CASTRO MENDOZA EDISON SEVERIANO  1302435696001                                                    X
 123987      ZAMBRANO VERA GUIDO ROBERTO 1302435761001                                                         X
 156170      RODRIGUEZ RIOS ELVIRA BERNARDITA1302447808001                                                     X
  32884      CEBALLOS NUÑEZ VASCO FERNANDO 1302449341001                                                       X
 157867      VERGARA RODRÍGUEZ KLÉVER AMABLE302452659001
                                              1                                                                X
 256630      AVILA REYES ENRIQUE RENEE        1302452857001                                                    X
 160821      VERA ALCÍVAR JESÚS GALO          1302455348001                                                    X
 259782      MORLAS SION THALY ISABEL         1302459241001                  X            X                    X
  14953       TEÓFANES                        1302464431001                                                    X
  44694      AGUI VERA SERGIO VICENTE         1302475379001                                                    X
 232772      SUAREZ PEREZ FAUSTO ALFREDO      1302475627001                                                    X
 119562      FARFÁN VÉLEZ JOSÉ LUÍS           1302483209001                                                    X
 144000      JARAMILLO VELEZ SUSANA BEATRIZ 1302488356001                                                      X
 183070      VELEZ ULLAURI JUAN ARQUIMIDES    1302501331001                                                    X
 147706      PALOMEQUE DELGADO MANUEL JOAQUÍN 1302503162001                                                    X
  94510      VERA GRANJA VITALINA ENEYRA      1302504012001                                                    X
 117470      CHANCAY ARTEAGA BOGAR ALBERT 1302505035001                                                        X
 229918      MENDOZA LOOR VICTOR ELIAS        1302506454001                                                    X
 116134      MARCILLO PLAZA JACINTO AUGUSTO 1302508443001                                                      X
  50856      PRIAS ROMERO JORGE ENRIQUE       1302520323001                                                    X
  25155      VALLEJO SAN ANDRES JIMMY FABIAN 1302522287001                                                     X
 143899      DE LA TORRE ANDRADE EUCLIDES FILIMON
                                              1302527138001                                                    X
 180538      MEZA CAICEDO FRANCISCO ALCIVIADES1302529688001                                                    X
 211009      SOSA MACIAS KLVER FLORENTINO     1302529720001                                                    X
 139686      FRANCO LOPEZ GLORIA LIDIA        1302531072001                                                    X
 151925      ORMAZA CUADROS LUIS ABEL         1302533862001                                                    X
 246550      QUIJANO GUERRERO JHONNY REYNALDO 1302535412001                                                    X
  10579       VILLAVICENCIO PINARGOTE REMIGIO ABRAHAM
                                              1302535636001                                                    X
No                 No registra
                                                               No                    No registra   No
                                                                        No. registra                       registra      No.    indicadores
                                                             registra                provincia, registra
Persona_id               NOMBRE               No. ID (RUC)                 calle                           número      registra de ventas,
                                                             apellido                 cantón y   primer
                                                                         principal                         de calle     origen activos y/o
                                                             paterno                 parroquia nombre
                                                                                                           principal             empleados

  67454      GUTIERREZ SOTO JORGE ABDON      1302537533001                                                    X
 141818      SAN ANDRES AMEN ANIBAL SIGIFREDO1302538135001                                                    X
  77724      SALTOS MOREIRA JAVIER ALEJANDRO 1302542582001                                                    X
 252972      RISCO RODRIGUEZ OSCAR DIOMEDES 1302549314001                                                     X
 157651      ALAVA SALTOS RAMONA EULALIA     1302550189001                                                    X
 139372      FLORES PLAZA JOSE ROBERTO       1302550528001                                                    X
  74938      LUCAS LOOR CARLOS NICANOR       1302551039001                                                    X
 180787      MERA GALARZA ROBERTO MIGUEL     1302551120001                                                    X
 128806      GARCÍA MONGE RUTH MARÍA         1302551187001                                                    X
 229062      PINARGOTE MERA FELICITA EMERITA 1302554322001                                                    X
 223683      ACOSTA MOREIRA FERNANDO TOBIAS1302556053001                                                      X
  79530      AGUILAR MERA WILSON EDUARDO     1302558224001                                                    X
  72885      DELGADO PONCE RUBEN ALFREDO     1302558398001                                                    X
 134521      GARCIA NAVIA CAMILO RAFAEL      1302559180001                                                    X
  36421      MENDOZA MENDOZA MAXIMO SIMON 1302560808001                                                       X
  80290      ESTRADA BONILLA CARLOS ROMAN 1302561665001                                                       X
  29575      MENDOZA CEDEÑO GREGORIO ISOLDO  1302562499001                                                    X
  36225      VERA VELEZ EDUARDO              1302563679001                                                    X
  27605      VILLAVICENCIO LOOR PEDRO ENRIQUE1302567530001                                                    X
 219242      MACIAS CEVALLOS TITO ARQUIMIDES 1302567662001                                                    X
 206737      FRANCO POSLIGUA MANUEL DE LOS SANTOS
                                             1302569338001                                                    X
 108840      ARTEAGA BRIONES LUIS ALFREDO    1302569866001                                                    X
  37904      MARTINEZ HOLGUIN ROSA NARCISA 1302571144001                                                      X
  31121      PARRAGA MEJIA HARVEY ALVARO     1302571995001                                                    X
  63626      CARRILLO ANCHUNDIA AROL EFREN 1302573876001                                                      X
  40995      TOALA INTRIAGO RAMON EDISON     1302575418001                                                    X
 131886      CASTRO MORAN MAURICIO GUILLERMO 1302575798001                                                    X
 221155      BORJA CESAR CAMILO              1302576648001                                                    X
  59524      CAÑARTE GUTIERREZ FRANCISCO MACARTHUR
                                             1302578446001                                                    X
 237792      FALCONEZ VELEZ PABLO VICENTE    1302578503001                                                    X
 240712      LEON BAILON JOSE PEDRO          1302580343001                                                    X
No                 No registra
                                                               No                    No registra   No
                                                                        No. registra                       registra      No.    indicadores
                                                             registra                provincia, registra
Persona_id               NOMBRE               No. ID (RUC)                 calle                           número      registra de ventas,
                                                             apellido                 cantón y   primer
                                                                         principal                         de calle     origen activos y/o
                                                             paterno                 parroquia nombre
                                                                                                           principal             empleados

  45048      GOMEZ SALVATIERRA JULIA MARIA   1302581101001                                                    X
  29036      BRIONES IBARRA DOLORES MARIA    1302592009001                                                    X
 101074      CASTRO ZAMORA VICTOR ARQUIMIDES 1302596760001                                                    X
  96141      CEDEÑO CEDEÑO LOURDES AUXILIADORA
                                             1302602022001                                                    X
  51907      BARRETO AVEIGA JOSE HUMBERTO 1302610843001                                                       X
 175374      BAQUE TOALA JORGE WASHINGTON 1302620982001                                                       X
 135788      HIDALGO CASTILLO JOSE ALEJANDRO 1302625387001                                                    X
 225130      PICO ISAURO VICENTE             1302631393001                                                    X
 271680      CHOEZ SUAREZ EULOGIO SEBASTIAN 1302635402001                                                     X
  88246      MENDOZA GARCÍA GUIDO NAHON      1302636905001                                                    X
 176727      PONCE CAÑARTE GINA PATRICIA     1302637044001                                                    X
 213809      BRAVO PINO VICTOR JAVIER        1302644578001                                                    X
  79199      BARBERAN ARBOLEDA LINDBERGH STEVE
                                             1302646920001                                                    X
  98374      INTRIAGO MENDOZA FREDDY GARIBALDI
                                             1302649510001                                                    X
 182693      SOLEDISPA PLUA VICTOR EDGAR     1302649551001                                                    X
  85439      ZAMBRANO BERMUDEZ JAIME OMAR 1302653074001                                                       X
  94944      CEDEÑO GRACIA CARMEN MARILYN 1302653934001                                                       X
  95460      VERA ESPINOZA DELIA MARIA       1302658354001                                                    X
 143992      MERO CEDEÑO VICTOR JOEL         1302659352001                                                    X
 171328      CHAVEZ ANDRADE ZOILA FATIMA     1302669450001                                                    X
 147616      DUEÑAS CEDEÑO FREDY LEOPOLDO 1302673635001                                                       X
 115006      BAZURTO ROLDAN RAÚL ARÍSTIDES 1302675218001                                                      X
 146614      CHICA CRUZ SANTA CIRA           1302681703001                                                    X
 173130      PINTO BERMUDEZ JOSE DE LOS ANGELES
                                             1302683238001                                                    X
  91092      ANCHUNDIA LÓPEZ ARTURO FERNANDO 1302684186001                                                    X
 133116      QUIMIZ MUÑIZ JUAN DE DIOS       1302686686001                                                    X
  86579      ZAMORA CEDEÑO RAMONA TRINIDAD 1302688971001                                                      X
 172204      MONTESDEOCA MACIAS OLGER IVAN 1302690217001                                                      X
 239788      SABANDO PARRAGA FREDDY ISMAEL 1302690407001                                                      X
  54054      ORMAZA SABANDO GIL HUMBERTO     1302698061001                                                    X
 131725      PONCE MACÍAS TORIBIA ERNESTINA 1302700644001                                                     X
No                 No registra
                                                                 No                    No registra   No
                                                                          No. registra                       registra      No.    indicadores
                                                               registra                provincia, registra
Persona_id               NOMBRE                 No. ID (RUC)                 calle                           número      registra de ventas,
                                                               apellido                 cantón y   primer
                                                                           principal                         de calle     origen activos y/o
                                                               paterno                 parroquia nombre
                                                                                                             principal             empleados

 101057      REYNA REYNA TERESA ESPERANZA 1302702921001                                                         X
 152274      MANTUANO MANTUANO ANGEL VIDAL 1302713787001                                                        X
  90593      VILLAFUERTE PEÑAFIEL BACILIO EMILIO
                                               1302714256001                                                    X
  28930      BARREIRO ALCIVAR GIL HUMBERTO 1302714991001                                                        X
 204853      PEÑARRIETA INTRIAGO JORGE ALEJANDRO
                                               1302716897001                                                    X
  98755      BRIONES DE LA CRUZ NANCY AMERICA1302717499001                                                      X
  93954      GARCIA MENDOZA JOSE AMADO         1302726128001                                                    X
  44399      ZAMBRANO VELÁSQUEZ PIEDAD SUSANA  1302735277001                                                    X
  21809      MONCAYO GÓMEZ MARÓN MILLEMBERG    1302739584001                                                    X
 239955      PARRAGA ZAMBRANO CARLOS ENRIQUE   1302749054001                                                    X
  73035      CEDEÑO AYONG CARLOS ALFREDO 1302778368001                                                          X
 119440      RONQUILLO GARCÍA DOLORES CALIXTA  1302780091001                                                    X
 254098      DELGADO ANCHUNDIA JOSE ANGEL 1302782121001                                                         X
 137518      CUENCA RAMIREZ ERFIDA ESTELIA     1302855596001                                                    X
 119776      TUBAY PINCAY LILA ESMERALDA       1302885247001                                                    X
 195027      QUIJIJE MUÑIZ ANTONIA AGRIPINA    1302911316001                                                    X
 118484      SANCHEZ MERA MANUEL ASUNCION 1302915283001                                                         X
  49531      INTRIAGO LICOA JAIME ENRIQUE      1302921976001                                                    X
 132600      VERA VALENCIA IGNACIO IGSOLIANO 1302923808001                                                      X
 154599      CEDEÑO MUÑOZ GABRIEL DOLORES 1302924418001                                                         X
  32955      CEVALLOS TOALA JOSE MIGUEL        1302925449001                                                    X
  56673      LUCA TRIBIÑO PEDRO PABLO          1302926066001                                                    X
  25606      REZABALA FARÍAS ANGEL RAFAEL      1302926207001                                                    X
  40934      MEDRANDA BRAVO SIXTO JOEL         1302926793001                                                    X
 130022      SOLÓRZANO MUÑOZ CARLOS MAGNO 1302931470001                                                         X
  35346      BENAVIDES BENAVIDES BAYRON WILFRIDO
                                               1302937238001                                                    X
  41203      CARDENAS MACIAS OSCAR ALBERTO 1302940158001                                                        X
  31706      LOOR CUENCA VICENTE AMADOR        1302940513001                                                    X
 185582      LINO CHANCAY CRISTOBAL COLON      1302954753001                                                    X
 193797      ROSERO VILLARREAL SEGUNDA ROSA 1303066086001                                                       X
 145172      CHELE DOMINGUEZ LENIN FREDY       1303069924001                                                    X
No                 No registra
                                                                No                    No registra   No
                                                                         No. registra                       registra      No.    indicadores
                                                              registra                provincia, registra
Persona_id               NOMBRE                No. ID (RUC)                 calle                           número      registra de ventas,
                                                              apellido                 cantón y   primer
                                                                          principal                         de calle     origen activos y/o
                                                              paterno                 parroquia nombre
                                                                                                            principal             empleados

 178517      MENENDEZ PARRALES ANGEL SEGUNDO  1303070724001                                                    X
 143142      PARRAGA VERA MILCIADES CICERON 1303072639001                                                      X
 238214      CANTOS MARCILLO LETTY MAGDALENA  1303072662001                                                    X
  85741      ALCIVAR CEVALLOS GLORIA BETTY    1303083172001                                                    X
 121295      CEDEÑO CANCHINGRE DOLORES ALFADIA1303085722001                                                    X
  24379      BENAVIDES ZAMBRANO IVAN OCTAVIO1303087447001                                                      X
 149471      DELGADO COVEÑA SANTO GLOBYS      1303090664001                                                    X
 276859      LOOR PONCE JOSE IGNACIO          1303096620001                                                    X           X
 275714      REYES LOPEZ MARIANO SANTIAGO     1303099574001                                                    X           X
  77802      VERA LOOR MARÍA MAGDALENA        1303100521001                                                    X
  65659      GARCIA CHILAN OLIMPO             1303101834001                                                    X
  47865      TITO                             1303104069001                                                    X
  97198      LOOR ZAMBRANO JOSÉ MONSERRATE1303107070001                                                        X
  87672      VELEZ MACIAS LUIS ALFREDO        1303113649001                                                    X
  81424      MACIAS PEDRO MIGUEL              1303115016001                                                    X
  89384      GALARZA PINARGOTE JAIME ANTONIO 1303117046001                                                     X
  67286      CARRILLO PALACIOS ERVIS UNIVERSI 1303121584001                                                    X
  77648      GARCIA CAICEDO JOSE RAMON        1303124612001                                                    X
 250241      LOOR LOOR ROSA MARGARITA         1303128506001                                                    X
  32363      GALARZA ZAMBRANO EDDIE EGBERTO1303128514001                                                       X
 170120      MENDOZA MENENDEZ JOSE HERMENEGILDO
                                              1303129314001                                                    X
 142356      CAÑARTE TUAREZ CARLOS ERNESTO 1303130791001                                                       X
  36636      CARREÑO GILER VICENTE NARCISO 1303132656001                                                       X
  24109      MONICA                           1303135824001                                                    X
  26034      VERA VELEZ GUILLERMO PATRICIO    1303136061001                                                    X
 201876      MENDOZA MENENDEZ OSCAR VICENTE   1303137507001                                                    X
 213957      PROANO MACIAS JOEL OSWALDO       1303137994001                                                    X
 247321      RODRIGUEZ DELGADO LUIS MANUEL 1303140287001                                                       X
  81942      MENDOZA GARCIA LETTY ANNABELLE 1303140626001                                                      X
  19197      SALTOS MENDOZA MILTON ROQUE      1303140709001                                                    X
 277722      VERA VELEZ TEMISTOCLES LEONARDO  1303140725001                                                    X
No                 No registra
                                                               No                    No registra   No
                                                                        No. registra                       registra      No.    indicadores
                                                             registra                provincia, registra
Persona_id               NOMBRE               No. ID (RUC)                 calle                           número      registra de ventas,
                                                             apellido                 cantón y   primer
                                                                         principal                         de calle     origen activos y/o
                                                             paterno                 parroquia nombre
                                                                                                           principal             empleados

  33221      DELGADO TOALA CARLOS JULIO      1303141178001                                                    X
 115343      HOLGUIN BARBERAN JOSE OLMEDO AGAPITO
                                             1303142333001                                                    X
  24583      ALCIVAR ARTEAGA EDDIE OCTAVIO   1303143596001                                                    X
 211119      TORO DELGADO MODESTO CRISTOBAL  1303144883001                                                    X
  33189      RAMÓN                           1303145161001                                                    X
 111900      MERO CEDEÑO RICARDO GUZMÁN      1303147506001                                                    X
 218888      URDANIGO PICO MERLY AZUCENA     1303147530001                                                    X
  49555      ACOSTA FARFÁN TERESA ETELVINA 1303151540001                                                      X
 226608      LOOR MUÑOZ SANTIAGO ISMAEL      1303151847001                                                    X
  46424      VERA RODRIGUEZ GUSTAVO LEONARDO 1303151920001                                                    X
 168517      LUCAS HOLGUIN GREGORIO BENICIO 1303156036001                                                     X
 132306      RAMIREZ GARCES GARY EDGAR       1303157281001                                                    X
  19665      TOALA ARCENTALES GALVIN ANTONIO1303161309001                                                     X
  25920      CALLE DELGADO PATRICIO EDUARDO 1303162521001                                                     X
  23402      GERARDO                         1303162539001                                                    X
 154056      CEDEÑO GUERRERO OSWALDO LAUTARO 1303164394001                                                    X
 154850      TUÁREZ TUÁREZ RAMÓN EDUARDO     1303170995001                                                    X
 185176      LÓPEZ MONTERO CARLOS FREDY      1303175051001                                                    X
 210644      MACIAS ZAMBRANO FERNANDO CALVO  1303175507001                                                    X
 218280      MENDOZA ROLDAN OSCAR ANTONIO 1303183378001                                                       X
  76537      SABANDO RIVADENEIRA JORGE ELÍAS 1303191587001                                                    X
 135622      LOPEZ ANDRADE ALBERTO VIVER     1303191801001                                                    X
  82851      CEVALLOS BRITO AMADO HONORIO 1303194409001                                                       X
 205187      PONCE CEVALLOS JOSÉ ALMAGRO     1303196982001                                                    X
 223322      SOLEDISPA TOALA JORGE ENRIQUE 1303198848001                                                      X
  50031      ANDRADE ANDRADE PABLO ANEL      1303199028001                                                    X
  95293      ROJAS MERA ULBIO RICARDO        1303200735001                                                    X
 137466      CANTOS PEREZ JUANA MONSERRATE 1303202715001                                                      X
 204176      MENDOZA HOLGUIN HECTOR ORLANDO  1303205726001                                                    X
 135887      SANCHEZ VELEZ GREGORIA FRANCISCA1303207557001                                                    X
  21921      MIRANDA ESTUPIÑAN ALFREDO GONZALO
                                             1303210650001                                                    X
No                 No registra
                                                               No                    No registra   No
                                                                        No. registra                       registra      No.    indicadores
                                                             registra                provincia, registra
Persona_id               NOMBRE               No. ID (RUC)                 calle                           número      registra de ventas,
                                                             apellido                 cantón y   primer
                                                                         principal                         de calle     origen activos y/o
                                                             paterno                 parroquia nombre
                                                                                                           principal             empleados

  44247      ZAMBRANO ZAMBRANO PATRICIO ANTONIO
                                             1303212300001                                                    X
 262125      PONCE VELEZ MARIA CANDELARIA    1303214587001                                                    X
 150396      VILLAVICENCIO ARCENTALES WALTER RAFAEL
                                             1303220972001                                                    X
  62525      MENENDEZ ZAMORA WASHINGTON BIENVENIDO
                                             1303222408001                                                    X
  21534      MENDOZA VELÍZ JORGE WALTER      1303224032001                                                    X
  26330      PALMA VERA HERMOGENES BIENVENIDO1303226169001                                                    X
 227343      LEONES PESANTES YOLDI JUDITH    1303229056001                                                    X
  71789      CIFUENTES SÁNCHEZ WALTER HÉCTOR303235376001
                                             1                                                                X
  84821      PAZMIÑO ESPAÑA WILMER ANTONIO 1303235665001                                                      X
 217463      PALACIOS GALARZA LINCOLN STALIN 1303241150001                                                    X
  12925      FARMA REPRESENTACIONES          1303244139001                                                    X
  63442      VELIZ MOREIRA CARLOS ESAU       1303244410001                                                    X
 185820      ANDRADE GOMEZ WILMER EUGENIO 1303250565001                                                       X
 136339      GALARZA TAPIA RAUL ARNALDO      1303252330001                                                    X
  43294      PLÚA PINARGOTE FELIPE SANTIAGO MIGUEL
                                             1303252785001                                                    X
  29751      LOOR INTRIAGO JOSÉ SIGIFREDO    1303260267001                                                    X
 219772      BERMEO EDITH                    1303264558001                                                    X
 112141      MORAN GUERRA ANIBAL TEODORO     1303267312001                                                    X
 183597      CASTRO FLORES ANGEL EUGENIO     1303273963001                                                    X
  73266      PAEZ MALDONADO VICTOR MANUEL 1303276636001                                                       X
 221115      MARQUEZ LLORENTI LUIS ALFREDO 1303277097001                                                      X
  44528      LOOR MEJÍA FREDY ALEJANDRO      1303277642001                                                    X
 162229      DELGADO PALMA CICERON ELEAZAR 1303286965001                                                      X
  72984      PALMA GUILLÉN EDGAR PATRICIO    1303289514001                                                    X
 135603      MORALES INTRIAGO JULIO CESAR    1303292013001                                                    X
  50103      GANCHOZO CAICEDO FREDY GEOVANNY 1303293649001                                                    X
 110106      MENDOZA VEINTIMILLA CARLOS ALBERTO
                                             1303299158001                                                    X
  31429      GOROZABEL LUCAS ANGEL HONORIO 1303299919001                                                      X
 115004      CEDEÑO CARRANZA GIL ANTONIO     1303305351001                                                    X
 178178      LOOR PONCE LORGIA IDILIA        1303309296001                                                    X
 276014      MATAMOROS MOLINA DAVID AUGUSTIN 1303314304001                                                    X
No                 No registra
                                                               No                    No registra   No
                                                                        No. registra                       registra      No.    indicadores
                                                             registra                provincia, registra
Persona_id               NOMBRE               No. ID (RUC)                 calle                           número      registra de ventas,
                                                             apellido                 cantón y   primer
                                                                         principal                         de calle     origen activos y/o
                                                             paterno                 parroquia nombre
                                                                                                           principal             empleados

  57339      MORA ALAY WILBER FRANKLIN       1303317968001                                                    X
  56294      SABANDO GARCIA AMABLE ELIAS     1303318701001                                                    X
  49457      PISCO FRANCO FRANCISCO ALEJANDRO1303320665001                                                    X
 211221      ANDRADE ALVAREZ RENE RAUL       1303327025001                                                    X
 164428      CEDEÑO ZAMBRANO SERVIO NEPTALY1303334658001                                                      X
 205844      ZAMBRANO SALVATIERRA JOSE MODESTO
                                             1303338550001                                                    X
  91282      MENDOZA SEGOVIA WILTON ALIVEN 1303339467001                                                      X
 180429      ARAGUNDI ZAMBRANO ANITA DOLORES 1303344541001                                                    X
  25426      MERA PINARGOTE JOSE ROBERTO     1303345019001                                                    X
  34821      PALACIOS GARCIA JOSÉ FERNANDO 1303346819001                                                      X
  34986      MENDOZA GARCIA JORGE EDISON     1303350167001                                                    X
 173624      RODRIGUEZ BAILON CARLOS RENE    1303351629001                                                    X
 273999      SALAZAR CHANCAY MARIA ELENA     1303352650001                                                    X
 247453      ALCIVAR MARIN DOMINGO SIGIFREDO 1303353161001                                                    X
 250044      SANTOS SALDARRIAGA PAULA MONSERRATE
                                             1303359234001                                                    X
 265577      SANCHEZ COVEÑA EDISON DAVID     1303364580001                                                    X
  42116      AYÓN VILLAO NARCISO FERNANDO AUGUSTO
                                             1303366395001                                                    X
 220784      MACIAS INTRIAGO RAMON JOSE      1303369084001                                                    X
 114603      ALAVA NAVIA RAUL CARMELO        1303371080001                                                    X
  96351      ALAVA CEDEÑO CARLOS KLEBER      1303374019001                  X            X                    X
 224685      MERA RIVADENEIRA EDGAR ENRIQUE 1303374688001                                                     X
 190616      ZAMBRANO DELGADO ANGEL HOLIVER1303381931001                                                      X
 223971      ALONSO PICO ORLANDA MIRELLA     1303382715001                                                    X
 138154      CASTRO GONZALES JOSEFA AZUCENA1303384406001                                                      X
  31374      PALMA GUILLEN JACQUELINE JANETH 1303384729001                                                    X
 125355      DELGADO CEDEÑO PEDRO CRISTOBAL1303385494001                                                      X
 243124      HAPPE FREDERIKA                 1303392888001                                                    X
 279178      CALERO MOREIRA ALFONSO MARCIANO 1303393258001                                                    X
 140519      BALLADARES BALLADARES JOSE FERNANDO
                                             1303393902001                                                    X
  20850      CORRALES VELOZ JUAN GERMANICO 1303394033001                                                      X
 107197      MORÁN GONZÁLEZ JOSÉ MIGUEL      1303395139001                                                    X
No                 No registra
                                                               No                    No registra   No
                                                                        No. registra                       registra      No.    indicadores
                                                             registra                provincia, registra
Persona_id               NOMBRE               No. ID (RUC)                 calle                           número      registra de ventas,
                                                             apellido                 cantón y   primer
                                                                         principal                         de calle     origen activos y/o
                                                             paterno                 parroquia nombre
                                                                                                           principal             empleados

  98750      MORA MOREIRA FRANCISCO ORLANDO  1303395154001                                                    X
 224693      VÉLEZ ALARCÓN CARLOS AUGUSTO 1303396608001                                                       X
  18998      ACEBO SANCHEZ OTTO ANTONIO      1303398646001                                                    X
 130410      CASTILLO HIDALGO FATIMA LILIANA 1303401150001                                                    X
 107920      MANTUANO MARTINEZ JORGE ALFREDO 1303406720001                                                    X
  26316      VÁSQUEZ GONZÁLEZ JOSÉ EMERENCIANO
                                             1303406860001                                                    X
 190152      RIVADENEIRA LOOR HAROL HUMBERTO 1303407462001                                                    X
  26405      CEDEÑO REZABALA LUIS LIZARDO    1303408403001                                                    X
 165205      MACÍAS CRUZATY MARÍA AUXILIADORA1303408551001                                                    X
  22032      MARIA MARGARITA SOLORZANO       1303408650001                                                    X
  11642      JOSE                            1303413635001                                                    X
  33989      REYES DELGADO JOSÉ TEODORO      1303421604001                                                    X
  20604      MERO ZAMORA NEURIO ALBERTO      1303422586001                                                    X
  20543      VELEZ LOOR SIXTO ROMULO         1303423154001                                                    X
  24630      MONTESDEOCA PALOMEQUE RAMIRO RICARDO
                                             1303423162001                                                    X
  10569      VILLAVICENCIO PINARGOTE ENRIQUE 1303428914001
                                             ALEJANDRO                                                        X
  47885      VERA VERA PATRICIO NEPTALÍ      1303441586001                                                    X
 220719      LOPEZ ACOSTAQ CARLOS ISIDRO     1303442139001                                                    X
 141527      BENITEZ MERA ANGEL HERMOGENES 1303443178001                                                      X
  28473      GARCÍA CEDEÑO DELSITO GONZALO 1303445850001                                                      X
  51830      SALDARRIAGA CORRAL SANTA MARIBEL1303446304001                                                    X
 189707      BRAVO CHAVEZ NELLY AUXILIADORA 1303449753001                                                     X
 142973      PINCAY WASHINGTON ANTONIO       1303454381001                                                    X
 199219      MACIAS CARRENO JORGE EDDER      1303456741001                                                    X
 226594      MENENDEZ VELEZ REINALDO ALFONSO 1303483927001                                                    X
  35861      GUSTAVO                         1303490252001                                                    X
 148926      PEÑARRIETA BERMELLO JORGE BELISARIO
                                             1303490609001                                                    X
  91242      GILCES BASURTO JOSÉ ENRIQUE     1303492985001                                                    X
 164771      CEDENO REYES PEDRO HUMBERTO 1303509804001                                                        X
  38990      COLLANTES PONCE CAROLINA TEOTISTA
                                             1303514184001                                                    X
 214171      CHANCAY ANGEL RAMON             1303515231001                                                    X
No                 No registra
                                                                No                    No registra   No
                                                                         No. registra                       registra      No.    indicadores
                                                              registra                provincia, registra
Persona_id               NOMBRE                No. ID (RUC)                 calle                           número      registra de ventas,
                                                              apellido                 cantón y   primer
                                                                          principal                         de calle     origen activos y/o
                                                              paterno                 parroquia nombre
                                                                                                            principal             empleados

  46850      SANTANA ANCHUNDIA VÍCTOR ANCHUNDIA
                                              1303520116001                                                    X
 211262      DAVILA VERA GALO ALFREDO         1303523441001                                                    X
 259786      GUTIERREZ LUCAS ANDRES MERCEDES303524902001
                                              1                                                                X
 241370      PARRALES BAQUE TEOFILO ANTONIO 1303538951001                                                      X
  26226      CRUZ                             1303539926001                                                    X
 110041      MARCILLO CHANCAY DIONISIO VICENTE1303543415001                                                    X
 101403      BONILLA CEVALLOS CATALINA ISABEL 1303549347001                                                    X
 269601      MACIAS GANCHOZO AUREA MODESTA 1303550022001                                                       X
 230683      LOOR DELGADO VENUS ARACELY       1303550493001                                                    X
 254836      LOOR SALAVARRIA ANTON DE JESUS 1303551434001                                                      X
  68415      FRANCO ANCHUNDIA MARIA SOLEDEMA303551988001
                                              1                                                                X
 218846      LUCAS DELGADO CARLOS MODESTO 1303553810001                                                        X
   9865      ALCIVAR                          1303565277001                                                    X
  53074      MIELES TARABÓ TITO HARDANY       1303566465001                                                    X
 121021      SAN ANDRES PLÚA XAVIER ENRIQUE 1303566697001                                                      X
  95458      PROAÑO VINCES OSCAR HENRY        1303568552001                                                    X
 135985      VERA ZEVALLOS MANUEL ISAAC       1303572547001                                                    X
 219841      QUIMIZ GUITIERREZ MARCOS ANTONIO 1303572604001                                                    X
 233640      VILLACRESES MACIAS MERCEDES NARCISA
                                              1303572687001                                                    X
  53657      MANTUANO ESPINALES JESUS GEANNETTE
                                              1303575847001                                                    X
  13653      DENNY                            1303577108001                                                    X
 162471      ALBAN GONZALEZ SANTA MARIANA     1303578254001                                                    X
 151175      VERA PAULO MAURO                 1303580110001                                                    X
 133387      VERA LLORENTE ROBERT AUGUSTO 1303580730001                                                        X
 129078      MIELES MORA ROGERIO LEONEL       1303581159001                                                    X
  60240      ZEVALLOS BRAVO VICTOR HUGO       1303581696001                                                    X
 124226      ALAVA PAZMIÑO CRUZ LIDICE        1303583197001                                                    X
 123660      AVELLAN BRAVO BETTY LORENA       1303593311001                                                    X
  75294      ORMAZA MALDONADO ANDRES ALEJANDRO1303596348001                                                    X
 247314      PACHAY PACHAY MANUEL VICENTE     1303596819001                                                    X
 213837      PARRELES VILLAFUERTE JOHNNY ABAD 1303603748001                                                    X
No                 No registra
                                                               No                    No registra   No
                                                                        No. registra                       registra      No.    indicadores
                                                             registra                provincia, registra
Persona_id               NOMBRE               No. ID (RUC)                 calle                           número      registra de ventas,
                                                             apellido                 cantón y   primer
                                                                         principal                         de calle     origen activos y/o
                                                             paterno                 parroquia nombre
                                                                                                           principal             empleados

  87807      PEREZ BRAVO JOSE VICENTE        1303606717001                                                    X
  34233      INTRIAGO ALCIVAR JULIO CESAR    1303609190001                                                    X
  30593       MARIA                          1303609976001                                                    X
  92300      SABANDO CENTENO VICENTE PIO     1303614018001                                                    X
 217499      SANTANA LOOR JHONNY MIGUEL      1303616724001                                                    X
  68394      ALMEIDA DELGADO IVAN ARTURO     1303619645001                                                    X
  33109      RODRIGUEZ QUIROGA AURA DUNIA    1303620007001                                                    X
 263130      SANTANA PARRALES FREDY ALCIVIADES
                                             1303620403001                                                    X
  41475      MENDOZA ZAMBRANO ANGEL CESAR XAVIER
                                             1303629800001                                                    X
  55695      ZAMBRANO MURILLO HERNESTINA ISABEL
                                             1303630246001                                                    X
 278812      MOREIRA SORNOZA ROSA ALEJANDRINA1303632366001                                                    X
 135019      SOLÍS SANCÁN JUAN LÁZARO        1303636847001                                                    X
 252863      MACIAS MENDOZA VICENTE EVARISTO1303638959001                                                     X
  10925       ING. GUSTAVO ZAMBRANO          1303645228001                                                    X
  24448      SOLORZANO SOLORZANO WASHINGTON AQUILES
                                             1303650202001                                                    X
  30790      PINARGOTE PICO GLADYS ELIZABETH 1303651168001                                                    X
 194097      ALAVA AVILA MERCY MORAYMA JAZMINE
                                             1303652547001                                                    X
 256548      ZAMBRANO ZAMBRANO FRANCISCO ARISTIDES
                                             1303654105001                                                    X
 198769      BERMUDEZ HIDALGO DIOGENES ROBERTO
                                             1303657611001                                                    X
  37077      ALVIA VERA BELKIS FEDORA        1303662843001                                                    X
 224626      FARIAS MACIAS VIRGINIA MONSERRATE303662934001
                                             1                                                                X
  62994      ALCÍVAR MERA GIAMPAHOLO         1303663684001                                                    X
 171231      MADRID CARDENAS JIMMY EGBERTO 1303666836001                                                      X
  23491      MEJIA CHANCAY JONLEE RODRIGO    1303668576001                                                    X
 139132      SALTOS ZAMBRANO NELVA ELIZABETH1303670259001                                                     X
 141235      CAZAR GOMEZ ROSA ELENA          1303670465001                                                    X
  28612       LADY                           1303671984001                                                    X
 266395      MENDOZA RODRIGUEZ SEGUNDO RUPERTO
                                             1303672578001                                                    X                      X
 102837      SANCÁN MORÁN JOSÉ TOMÁS         1303672602001                                                    X
  25631       LENIN                          1303677569001                                                    X
 131312      MERA BRIONES TAYRON MANUEL      1303679177001                                                    X
No                 No registra
                                                                No                    No registra   No
                                                                         No. registra                       registra      No.    indicadores
                                                              registra                provincia, registra
Persona_id               NOMBRE                No. ID (RUC)                 calle                           número      registra de ventas,
                                                              apellido                 cantón y   primer
                                                                          principal                         de calle     origen activos y/o
                                                              paterno                 parroquia nombre
                                                                                                            principal             empleados

  36850      VILLAVICENCIO ARCENTALES JIMY YAMIL
                                              1303684334001                                                    X
 172437      PONCE ZAMBRANO JOSE ANTONIO      1303685893001                                                    X
 218188      CEDENO ZAMBRANO HECTOR GONZALO   1303692105001                                                    X
 187310      ESPINALES VELEZ JAVIER ANTONIO   1303692980001                                                    X
  98537      MERA CHINGA LUIS ENRIQUE         1303693871001                                                    X
  29465      VÍCTOR                           1303697302001                                                    X
  44080      FUENTES URRUNAGA TITO MELCHOR 1303699340001                                                       X
  80362      GARCIA CASANOVA ANGEL FREDY      1303700619001                                                    X
 178074      PINCAY CASTRO NELSON JAVIER      1303709636001                                                    X
 230417      GUTIERREZ PACHECO ANDRES         1303722043001                                                    X
 241846      SOLÓRZANO LÓPEZ NELZON ORLANDO   1303724791001                                                    X
 218708      VILLACIS VASQUEZ ISABEL CRISTINA 1303747446001                                                    X
 148103      LOOR ZAMBRANO SIMÓN BOLIVAR      1303750432001                                                    X
 129934      CHAVEZ CEVALLOS TAIRON VICENTE 1303753584001                                                      X
  56857      FRANCO CASTRO ANGEL CONSUELO 1303755092001                                                        X
  63546      MOLINA CEDEÑO JOSE MANUEL        1303756215001                                                    X
 175353      PALACIOS MERO ALEXANDER WLADIMIR 1303756363001                                                    X
 144563      TOMALA PINTO RAUL EDISON         1303756595001                                                    X
 218794      FERRIN INTRIAGO MARIA FERNANDA 1303756678001                                                      X
 135103      ANDRADE CEDEÑO GLENDA MARIA 1303757502001                                                         X
 262320      DUEÑAS VERA WINTER ENRIQUE       1303758641001                                                    X
  86717      BERMÚDEZ VILLAFUERTE HUGO EDISON 1303765745001                                                    X
 155051      RUIZ RUIZ ANGEL ULBIO            1303773301001                                                    X
 238713      BACUSOY MANTUANO CESAR EUDORO1303775728001                                                        X
  82863      ZAMBRANO PINTO DANIEL ALFREDO 1303780538001                                                       X
 224914      VELEZ TEJENA EDUARDO BIENVENIDO 1303782898001                                                     X
 140536      QUIÑONEZ ZAMBRANO RUFINO ANTONIO 1303784548001                                                    X
  57174      LOOR GARCIA DANIEL MACARIO       1303785305001                                                    X
  49972      FALCONES PITA MANUEL ANGEL       1303785636001                                                    X
  17181      ESPINOZA ESPINOZA GALO AGUSTIN 1303788804001                                                      X
  15742      OBANDO NARANJO CRISTOBAL COLON1303796096001                                                       X
No                 No registra
                                                                No                    No registra   No
                                                                         No. registra                       registra      No.    indicadores
                                                              registra                provincia, registra
Persona_id               NOMBRE                No. ID (RUC)                 calle                           número      registra de ventas,
                                                              apellido                 cantón y   primer
                                                                          principal                         de calle     origen activos y/o
                                                              paterno                 parroquia nombre
                                                                                                            principal             empleados

 218710      FERRIN BARBERAN JOSE RUBEN       1303796864001                                                    X
 141286      LINO TUMBACO CRISTOBAL FIDEL     1303797029001                                                    X
 264797      OCAÑA ESCOBAR EDWIN ENRIQUE      1303799868001                                                    X
 218763      VELEZ CARRANZA GERARDO BENITO 1303802522001                                                       X
 142515      ALCÍVAR LAZ JORGE JOSÉ           1303831976001                                                    X
 136439      VALENCIA FIGUEROA ANGEL EMILIO 1303835100001                                                      X
 127359      ANCHUNDIA PACHECO FULTON EDULFO303839698001
                                              1                                                                X
 168871      CEDEÑO FRANCO JOSE UBALDO        1303841991001                                                    X
 207065      QUIJIJE MARCILLO GUIDO EMMANUEL 1303842007001                                                     X
 136423      MANTILLA GILER FRANCISCO ALFONSO 1303844094001                                                    X
 192195      GONZALEZ PINARGOTE JAIME         1303848806001                                                    X
 132557      CHICA FALCONES HERMITA LIBERATA 1303857799001                                                     X
 107745      SANTOS CEDEÑO HOLGER LIDER       1303858417001                                                    X
 251802      MENDOZA VERA GILMER MANUEL       1303859175001                                                    X
  89109      MACIAS PICO LONGINO AMABLE       1303860371001                                                    X
 194236      BAQUE SALVATIERRA ALEJANDRO LEON 1303863904001                                                    X
 199593      DELGADO DELGADO JOSE ATAHUALPA1303868242001                                                       X
  40447      GARCIA MENDOZA YURI ADOLFO       1303876427001                                                    X
 160699      ROSADO VERA NIXON ROBINSON       1303888208001                                                    X
 268879      AGUAYO CHIRIBOGA CESAR EMILIO    1303889768001                                                    X
  31349      CEDEÑO BARBERAN MOISES AURELIO 1303903726001                                                      X
 183306      VERA VERA FERMIN CRUZ            1303905077001                                                    X
 180813      VERA HIDROVO NEXAR GEOVANNI      1303905333001                                                    X
 175076      BARREZUETA MENDOZA JOSE WASHINGTON
                                              1303908162001                                                    X
 118558      ZAMBRANO ALCIVAR ELIO EDUARDO 1303910499001                                                       X
  98417      FRANCO PIN JUAN AQUILINO         1303915902001                                                    X
 239262      CRESPO MERA HERMAN MANUEL        1303918930001                                                    X
  25224      INTRIAGO PÁRRAGA CARLOS ANDRÉS 1303924326001                                                      X
 121147      BERMUDEZ BERMUDEZ RUPERTO GENARO 1303938128001                                                    X
  55496      PICO CORDOVA SOFIA RUTH          1303942674001                                                    X
 183986      VERA HIDROVO BENITO WILLIAN IGNACIO
                                              1303943623001                                                    X
No                 No registra
                                                                No                    No registra   No
                                                                         No. registra                       registra      No.    indicadores
                                                              registra                provincia, registra
Persona_id               NOMBRE                No. ID (RUC)                 calle                           número      registra de ventas,
                                                              apellido                 cantón y   primer
                                                                          principal                         de calle     origen activos y/o
                                                              paterno                 parroquia nombre
                                                                                                            principal             empleados

 126433      BRAVO CEDEÑO PEDRO MARCO         1303947459001                                                    X
 185931      PERALTA VINCES ROBERTO ELPIDIO 1303949554001                                                      X
 273838      CONFORME VALERIANO BOLIVAR SANTIAGO
                                              1303951675001                                                    X
 195922      CEDEÑO GARCIA HOLGER JESUS       1303953101001                                                    X
  47638      SANCHEZ CEDEÑO RAMON VICENTE 1303959330001                                                        X
  53427       ALFREDO                         1303960155001                                                    X
  50827      MOREIRA CEVALLOS MÓNICA PATRICIA 1303960635001                                                    X
 132151      MONCAYO MENDOZA NEXAR NAON       1303960833001                                                    X
  51249      MUÑOZ GILCES ANTONIO EDDIE       1303965626001                                                    X
 124780      GILCES BASURTO ROBERTO ANTONIO 1303968984001                                                      X
 274744      MONTALBAN MENDOZA AMADO ALFREDO  1303969065001                                                    X
  59870      MACÍAS JALKH JANER JACINTO       1303976573001                                                    X
 259336      VILLAVICENCIO KUFFO LUIS ERNESTO 1303979452001                                                    X
  43678      VÉLEZ INTRIAGO PEDRO OSWALDO     1303979825001                                                    X
 132365      RUIZ PARDO BLANCA ELIZABETH      1303980674001                                                    X
  41182      LOOR CARVAJAL YIMMY AUGUSTO      1303982878001                                                    X
 176683      MERA BAILON ANTONIO JOHN         1303989253001                                                    X
 188656      BASURTO LOOR LUIS ANTONIO        1303990285001                                                    X
 179724      CHÁVEZ VÉLEZ MARÍA LEONOR        1303990376001                                                    X
 205715      INTRIAGO VERGARA JENNY CLIDELLY 1304003179001                                                     X
 205063      ESPAÑA CHILAN JOSE GUSTERBEN     1304007691001                                                    X
 202717      VEGA BRAVO RAMON HORACIO         1304008764001                                                    X
  23678      PARRALES QUIMIS LUIS AUGUSTO     1304012410001                                                    X
 101150      LOOR ZAMBRANO LENIN              1304012485001                                                    X
 126931      VERA LOPEZ ENOY ELIZABETH        1304013038001                                                    X
 248810      MIELES BARBERAN JORGE DIEGO      1304014093001                                                    X
  38741      CEVALLOS CEVALLOS JORGE OSWALDO  1304014432001                                                    X
 274701      SANTILLÁN CEDEÑO CARLOS HUMBERTO 1304015660001                                                    X
  15165       JUAN                            1304015744001                                                    X
  75129      GUILLEN MORALES FREDDY HUMBERTO SEBASTIAN
                                              1304016239001                                                    X
  57058       MELVIN                          1304022112001                                                    X
No                 No registra
                                                               No                    No registra   No
                                                                        No. registra                       registra      No.    indicadores
                                                             registra                provincia, registra
Persona_id               NOMBRE               No. ID (RUC)                 calle                           número      registra de ventas,
                                                             apellido                 cantón y   primer
                                                                         principal                         de calle     origen activos y/o
                                                             paterno                 parroquia nombre
                                                                                                           principal             empleados

 134205      ZAMBRANO BAZURTO DOLORES ISABEL 1304023680001                                                    X
  40468      CASTRO RAMON MONSERRATE         1304030347001                                                    X
  23160      LOPEZ VELEZ ROXANA ISABEL       1304031188001                                                    X
 239044      SAETEROS LOPEZ LEONARDO FABRICIO1304031246001                                                    X
 147321      AVENDAÑO VÉLEZ WLTHER ANTONIO 1304032731001                                                      X
 170083      REYES ANCHUNDIA WALTER REINALDO 1304033648001                                                    X
 220448      MENDOZA MACIAS ANTONIO JOSELITO1304034455001                                                     X
 267668      SANTANA PERALTA PEDRO FRANKLIN 1304036997001                                                     X
  38744      VELEZ MENDOZA DIEGO VICENTE     1304037961001                                                    X
 196611      GARCIA MATUTE LUIS MARCELO      1304048075001                                                    X
 114357      MONTEVERDE VELIZ MARTIN ELIAS DEL CONSUELO
                                             1304048612001                                                    X
 163790      MACIAS ALAVA MOISES ABRAHAM     1304049032001                                                    X
  69065      MONTESDEOCA PALOMEQUE ROBERTO MARCELO
                                             1304052143001                                                    X
  33384      GUILLÉN GUILLÉN GEOVANNY MARCEL1304054396001                                                     X
 161616      VILLACRESES BRIONES REINALDO BERLINDI
                                             1304058421001                                                    X
 181001      ZAMBRANO MOREIRA DAVID REMIGIO 1304061680001                                                     X
 159054      GOMEZ PINCAY SEGUNDO ILDEFONSO1304063280001                                                      X
  26945      HEREDIA GARCIA CESAR MARLON     1304065285001                                                    X
  18130      ZAMBRANO POGGI JULIO ZAMBRANO 1304067661001                                                      X
  61724      CHARA MORÁN FEISSAR JAVIER      1304070723001                                                    X
  24874      GARCÍA CEVALLOS JHOONY ESTEBAN 1304073818001                                                     X
 104647      LUCAS LUZARDO INDELIRA VICTORIA 1304075607001                                                    X
 125990      MARIN MARCILLO LORENZO JAVIER   1304077660001                                                    X
 174766      VERA LOOR CRISTO DEL CONSUELO 1304077678001                                                      X
  30426      FRANKLIN                        1304079997001                                                    X
 269256      PINCAY SANCHEZ FREDRIC VICENTE 1304081092001                                                     X
 168895      VELEZ CARREÑO EUCLIDES EVARISTO1304089590001                                                     X
 208325      GUILLEN GARZON MARIA CARMEN     1304089855001                                                    X
  18274      SIMON                           1304091471001                                                    X
  25305      ALVARADO CEDEÑO COLON OSWALDO1304091497001                                                       X
 156177      GILER MOREIRA GIL MARIA         1304094160001                                                    X
No                 No registra
                                                               No                    No registra   No
                                                                        No. registra                       registra      No.    indicadores
                                                             registra                provincia, registra
Persona_id               NOMBRE               No. ID (RUC)                 calle                           número      registra de ventas,
                                                             apellido                 cantón y   primer
                                                                         principal                         de calle     origen activos y/o
                                                             paterno                 parroquia nombre
                                                                                                           principal             empleados

  95724      LINO TUMBACO CRÚZ VICENTE       1304095597001                                                    X
  17856      MELGAR CORDOVA JOSE JAVIER      1304096744001                                                    X
 240313      RUIZ VELEZ CARMITA MONSERRATE 1304097676001                                                      X
 235274      ESTRADA TORAL ENRIQUE ALEXANDER304099433001
                                             1                                                                X
 152143      LÓPEZ MERO MILTÓN VICENTE       1304104027001                                                    X
 168655      SANTANA RIVERA ANA NEREIDA      1304104712001                                                    X
  94277      IBARRA ESPINOZA DIOSELINA MARGARITA
                                             1304104910001                                                    X
  78110      ARIAS TRIVIÑO ANTONIO ALBERTO   1304106782001                                                    X
 178509      NAVIA GALLARDO JOSÉ FERNANDO    1304107830001                                                    X
  23015       HENRY                          1304110016001                                                    X
 193947      VELASQUEZ CALDERON ANGEL BELISARIO
                                             1304111428001                                                    X
 252598      CORDERO SANTANA CESAR AURELIO 1304115825001                                                      X
  68455      ANCHUNDIA SANTANA LAURO RIGOBERTO
                                             1304118365001                                                    X
 138215      BERMELLO BAZURTO GEOVANNY BOLIVAR
                                             1304119546001                                                    X
  25315      FALCONÍ BRAVO CARLOS ALBERTO    1304122516001                                                    X
  58520      MIRANDA VÉLEZ LUIS ALBERTO      1304126855001                                                    X
 140349      ZAMBRANO BARRETO JOSE ANIBAL 1304127754001                                                       X
  57705      ORLANDO LOPEZ RODRIGO ALFREDO 1304130485001                                                      X
  40702      NAVIA CEDEÑO RICARDO PAÚL       1304132358001                                                    X
  38691      MOLINA GRIJALVA JOSÉ RAFAEL     1304132374001                                                    X
  77143      SORNOZA ARAUZ FRANKLIN SATURDINO1304132465001                                                    X
  35856       JAIME                          1304133471001                                                    X
 142561      VIZUETE PINCAY ROLANDO VINICIO  1304137936001                                                    X
 138357      ALBAN NO EXISTE RUBEN MARIANO   1304141292001                                                    X
   2034       JOHNNY                         1304144494001                                                    X
 269269      MACIAS BARRE DIOGENES OLMEDO 1304144775001                                                       X
 219634      SANCHEZ RIVERA SIMON JORGE LUIS 1304146937001                                                    X
  33191      RIVAS VALLE LIDER RENEE         1304146945001                                                    X
 145115      CASTILLO CHICA JOSE FERNANDO    1304150442001                                                    X
  16206      PINARGOTE MACIAS LUIS ORLANDO 1304150715001                                                      X
  43385      MORENO GARCIA WILLIAMS EDISON 1304153461001                                                      X
No                 No registra
                                                                No                    No registra   No
                                                                         No. registra                       registra      No.    indicadores
                                                              registra                provincia, registra
Persona_id               NOMBRE                No. ID (RUC)                 calle                           número      registra de ventas,
                                                              apellido                 cantón y   primer
                                                                          principal                         de calle     origen activos y/o
                                                              paterno                 parroquia nombre
                                                                                                            principal             empleados

 272855      CEDEÑO CASTRO NARCISA DE JESUS 1304155326001                                                      X
 139936      MOREIRA LOOR JOSE RONEY          1304156803001                                                    X
 149759      MONTESDEOCA VELEZ FABRICIO XAVIER1304169251001                                                    X
  56560      LARGACHA CORDOVA RAUL EDUARDO1304170192001                                                        X
  32497      CHICA LUCA ROBERTO ANTONIO       1304179953001                                                    X
  21205       PEDRO                           1304183195001                                                    X
  73014      MOREIRA MENDOZA WILSON GONZALO   1304194515001                                                    X
 141536      MONTES ALCIVAR EDILIA PURIFICACION
                                              1304199019001                                                    X
 200212      CARRASCO DELGADO MARÍA PILAR     1304200288001                                                    X
  76959      SALTOS MARCILLO FREDDY HUMBERTO  1304201088001                                                    X
 163813      MOREIRA MOREIRA WAGNER HERNAN 1304202375001                                                       X
 161155      FRANCO LOPEZ LINTON ITER         1304204082001                                                    X
 136177      MOREIRA MANZABA EDITA SOFIA      1304209768001                                                    X
 213920      JIMENEZ DELGADO RAFAEL ERNESTO 1304211012001                                                      X
 121218      MOREIRA RODRIGUEZ OSCAR WILLIAM1304211491001                                                      X
 257820      ZAMBRANO NAPA MERCEDES NAVIDAD   1304216532001                                                    X
 223718      NAVIA CEDEÑO DEMETRIO ANTONIO 1304216789001                                                       X
  94107      ZAMBRANO LOOR MILTON ENRIQUE 1304216953001                                                        X
  29787      MENENDEZ VINCES HOLGER OSWALDO304217233001
                                              1                                                                X
 122749      BARBERAN INTRIAGO FREDDY EUDALDO 1304219817001                                                    X
 209988      LOOR VERA ANGEL LEONARDO         1304219957001                                                    X
 132385      QUIMIZ TOALA SANTA ANNABELLE     1304220799001                                                    X
 150856      BONILLA MUÑOZ MARIO PATRICIO     1304223108001                                                    X
 166801      CEDEÑO CEDEÑO RAMON EDULFO       1304224189001                                                    X
  18982      LOPEZ CASTRO ERVI YURIS          1304226721001                                                    X
 219792      SANTANA PARRAGA ANGEL OLMEDO 1304231739001                                                        X
 179224      MOREIRA MOREIRA MARIA BERNARDITA304233917001
                                              1                                                                X
  38101      BOWEN GARCIA YEANNY IRINA        1304236241001                                                    X
  72640      ZAMORA CUSME HÉCTOR LUIS         1304241449001                                                    X
  86852      DUEÑAS VELEZ GALO DARIO          1304242512001                                                    X
 132665      MOREIRA ROMERO RENAN ISRAEL      1304243775001                                                    X
No                 No registra
                                                               No                    No registra   No
                                                                        No. registra                       registra      No.    indicadores
                                                             registra                provincia, registra
Persona_id               NOMBRE               No. ID (RUC)                 calle                           número      registra de ventas,
                                                             apellido                 cantón y   primer
                                                                         principal                         de calle     origen activos y/o
                                                             paterno                 parroquia nombre
                                                                                                           principal             empleados

  19947      MERA ARTEAGA XAVIER OVIDIO      1304243866001                                                    X
  38492       RICARDO                        1304246273001                                                    X
  54843      PINARGOTE MERA CARLOS ALFREDO 1304253642001                                                      X
 140899      MACÍAS BARREZUETA MARTHA FLORICELDA
                                             1304253691001                                                    X
  78813      MENDOZA MENDOZA JENNY LOURDES 1304254954001                                                      X
 165133      RIVADENEIRA RODRIGUEZ LORENZO LIZARDO
                                             1304255365001                                                    X
 139127      DELGADO MOREIRA SOLANDA ELIZABETH
                                             1304257874001                                                    X
 216628      MENDOZA GUILLEM MARÍA YOKASTA 1304259904001                                                      X
  47076      VELEZ MORA LAURA SORAYA         1304265224001                                                    X
 201272      GONZALEZ GUTIERREZ ALEX ARTURO1304265257001                                                      X
  60586      LUCAS BAQUE CONSUELO DEL ROCIO 1304268574001                                                     X
  95576      LÓPEZ VILLARREAL JOSÉ PASCUAL   1304270836001                                                    X
 208838      ALVAREZ CEDEÑO LUIS ALBERTO     1304271081001                                                    X
 225353      ORMAZA SABANDO BAYRON MAURICIO1304280116001                                                      X
  95419      ARTEAGA GARCIA ROBERT WILLIAN 1304284076001                                                      X
 248824      ZORRILLA ZORRILLA FRANCISCO BENITO
                                             1304287368001                                                    X
 210549      QUIJIJE SORNOZA ROQUE ANTONIO 1304289505001                                                      X
 219875      MERO PINARGOTE MARGARITA        1304290735001                                                    X
 209529      BRAVO GUERRERO ROQUE ANTONIO 1304290859001                                                       X
 268075      SALTOS ARÁUZ FRANKLIN OSWALDO 1304291758001                                                      X
 123833      IBARRA MUÑOZ SANTIAGO SEGUNDO 1304293002001                                                      X
  45005      LOPEZ VELEZ ERIC VICENTE        1304294711001                                                    X
 261584      GUILLÉN LÓPEZ MARÍA IVONNE      1304297862001                                                    X
 237671      PARRAGA FALTONES MANUEL JACINTO 1304298852001                                                    X
 219414      ZAMBRANO ROBLES JOSE CRISTO DEL1304299322001
                                              CONSUELO                                                        X
  50922      MENDOZA SOLORZANO GRACIELA JAQUELINE
                                             1304300211001                                                    X
 151231      VERDUGA VERDUGA SIGNEY WINGNER  1304305954001                                                    X
 151025      MACIAS GARCIA FREDDY AGAPITO    1304320870001                                                    X
  66947      CANDELA VERA YIMMY NEISSER      1304327792001                                                    X
 178779      CALDERON VERA RAMON DIONISIO    1304329780001                                                    X
 141182      BAIRD MONTALVO ANGELICA MARIA 1304332453001                                                      X
No                 No registra
                                                               No                    No registra   No
                                                                        No. registra                       registra      No.    indicadores
                                                             registra                provincia, registra
Persona_id               NOMBRE               No. ID (RUC)                 calle                           número      registra de ventas,
                                                             apellido                 cantón y   primer
                                                                         principal                         de calle     origen activos y/o
                                                             paterno                 parroquia nombre
                                                                                                           principal             empleados

 201307      CHAVEZ MONTERO NASHIRA          1304333683001                                                    X
 148083      PAREDES MACIAS MANUEL UBALDO 1304341041001                                                       X
 181193      VELEZ PONCE CARLOS WALTER       1304341223001                                                    X
  46444      SANDOVAL AVEIGA JOSE GUIDO      1304350810001                                                    X
 113250      NIETO MARQUEZ JUAN CARLO        1304352188001                                                    X
  92417      MONTES ARTEAGA LUIS ALBERTO     1304352642001                                                    X
  11730       ING. GERARDO FLORES            1304352915001                                                    X
  88961      ORELLANA MACÍAS HÉCTOR EDISON 1304354457001                                                      X
  96729      FLOR HIDALGO MARIA MERCEDES     1304355652001                                                    X
  49663      PONCE NAVARRETE JOSE ARTURO 1304360652001                                                        X
  24280      GARCIA VELEZ ROSA JULIA         1304368341001                                                    X
  57828      ALCÍVAR GILER ELVIS GABRIEL     1304369182001                                                    X
  75527      CHILA ZAMBRANO ENRIQUE FAVIAN   1304373689001                                                    X
 137161      PULIDO ROMERO GEAN RAMON        1304377599001                                                    X
 118709      CARRILLO ANCHUNDIA JACINTO CRUZ 1304379660001                                                    X
  92995      PACHECO JARA WILLIAN JAVIER     1304390022001                                                    X
  24155      ALVAREZ SUAREZ JUNIOR EUDORO    1304392929001                                                    X
  30853      SANTISTEVAN CEVALLOS ECUADOR 1304395559001                                                       X
 259283      FIGUEROA BAQUE GREGORIO CATALINO1304396110001                                                    X
 147994      ALBAN DAVID MARCELO             1304397183001                                                    X
 121544      POVEDA CEVALLOS ELICIO ELOY     1304398439001                                                    X
 198591      MACIAS ARTEAGA WILLIANS FRANCISCO
                                             1304401480001                                                    X
 166082      INTRIAGO MOREIRA ROSA ASUNCION 1304406331001                                                     X
 125417      BAQUE CHIQUITO DOMINGO FLORENTINO
                                             1304407032001                                                    X
  90703      ZAMBRANO LOOR RAFAEL ALFREDO 1304416595001                                                       X
 145474      INTRIAGO SALAZAR JESUS ANNABEL 1304425018001                                                     X
 104364      SANTANA CARRILLO RAMON ANIBAL 1304425190001                                                      X
  17669      VERA GARCIA FRANKLIN PATRICIO   1304425570001                                                    X
 139857      MERO DELGADO FRANCISCO MANUEL1304426867001                                                       X
  63396      MERINO CONFORME JAIME DAVID     1304429812001                                                    X
 205734      MOROCHO CHILAN CECILIA DEL JESUS1304429960001                                                    X
No                 No registra
                                                               No                    No registra   No
                                                                        No. registra                       registra      No.    indicadores
                                                             registra                provincia, registra
Persona_id               NOMBRE               No. ID (RUC)                 calle                           número      registra de ventas,
                                                             apellido                 cantón y   primer
                                                                         principal                         de calle     origen activos y/o
                                                             paterno                 parroquia nombre
                                                                                                           principal             empleados

 122468      REZABALA CEVALLOS YURI RAUL     1304431693001                                                    X
 173836      VEGA ZAMBRANO MANUEL ANGEL      1304434705001                                                    X
  14848      CRISTINA VELEZ                  1304455957001                  X                                 X
  21003      MOREIRA MENDOZA DIMAS ANTONIO 1304456542001                                                      X
  20226      VARGAS CEDEÑO HECTOR HUGO       1304458365001                                                    X
  24190      MORALES MUÑIZ FRANCISCO ENRIQUE 1304461807001                                                    X
 179051      PIN LOOR JUSTINO ANTONIO        1304464967001                                                    X
  18262      GARCIA ARTEAGA EDGAR MIGUEL     1304468133001                                                    X
 218180      RIVAS FRANCO JAVIER ALFONSO     1304476458001                                                    X
  95890      ALVARADO GUTIERREZ IVAN GUILLERMO
                                             1304479874001                                                    X
 203056      FERNANDEZ MENDOZA NARCISA DE JESUS
                                             1304482977001                                                    X
 225866      ZAMBRANO PARRAGA ESPERANZA      1304485160001                                                    X
 115724      VELASQUEZ GALO AGUSTIN          1304488933001                                                    X
 117632      MEZA BERMELLO RAMON ULISES      1304489881001                                                    X
 223479      ZAMBRANO CARRANZA JORGE FERNANDO1304491416001                                                    X
  26335      TATIANA                         1304513821001                                                    X
 227024      PICO CORDOVA AUDY MIJAIL        1304515990001                                                    X
  22487      PICHUCHO MIELES DOUGLAS XAVIER 1304518788001                                                     X
  18919      PAEZ TRUJILLO PATRICIO FERNANDO 1304524315001                                                    X
 147743      ALCIVAR SALAZAR GINA EMPERATRIZ 1304526427001                                                    X
 250756      ZAMBRANO BERMUDEZ PERVIS NOE 1304528381001                                                       X
 182325      SANTANA ANTON YOHNNY RUIZDAEL 1304533969001                                                      X
 252887      M M JOSE LUIS                   1304534694001                                                    X
 124782      AVILA BRAVO JOSE RODOLFO        1304538125001                                                    X
 201460      CEVALLOS MOREIRA KETY ALFARINA 1304538695001                                                     X
 259785      LANGE LOOR RICARDO              1304541715001                                                    X
  34699      VERGARA CEVALLOS LUIS LEOPOLDO 1304544776001                                                     X
 103815      SANTA MARIA ZAPATA MARTHA CECILIA
                                             1304549841001                                                    X
 147661      ZAMBRANO DOMINGUEZ ANCELMO ITALQUITO
                                             1304552829001                                                    X
  50680      ACOSTA ZAMBRANO MILTON ANTONIO 1304554007001                                                     X
 243881      LINO TUBAY HOLGER JOSELITO      1304559899001                                                    X
No                 No registra
                                                               No                    No registra   No
                                                                        No. registra                       registra      No.    indicadores
                                                             registra                provincia, registra
Persona_id              NOMBRE                No. ID (RUC)                 calle                           número      registra de ventas,
                                                             apellido                 cantón y   primer
                                                                         principal                         de calle     origen activos y/o
                                                             paterno                 parroquia nombre
                                                                                                           principal             empleados

  22095      ZEVALLOS LOOR NELSON ROLANDO 1304560798001                                                       X
 213978      CEVALLOS ROBLES JOAQUIN IVAN   1304560921001                                                     X
  99790      CEVALLOS ANDRADE JHON GONZALO 1304577123001                                                      X
 242143      VIVERO ZAMBRANO JORGE FRANKLIN 1304580010001                                                     X
 271384      MENDOZA HOLGUIN TOMIDES BERNABE304592270001
                                            1                                                                 X
 217506      CABALLERO ORTEGA DALINDA ASUNCION
                                            1304595240001                                                     X
 217701      VERA MURILLO RUBINO MARCIAL    1304597931001                                                     X
 263742      ANDRADE ANDRADE MANUEL ISAURO 1304602764001                                                      X
  26437      ZAMBRANO HIDALGO LUIS FERNANDO 1304604554001                                                     X
 230648      LOPEZ GARCIA DANIEL ENRIQUE    1304611914001                                                     X
  79925      SEGOVIA ZAMBRANO VICTOR LENIN 1304614868001                                                      X
 163243      MENDOZA GILER JIMMY ORLEY      1304624651001                                                     X
 122632      ZAMBRANO BUENAVENTURA HUGO FERNANDO
                                            1304628793001                                                     X
 198700      MOREIRA MUÑOZ MARIANA DE JESUS 1304632142001                                                     X
  33437       EDISON                        1304634262001                                                     X
 130642      HERNANDEZ MENDOZA ANA BEATRIZ 1304636283001                                                      X
 182864      FALCONES MERA FERNANDO SEGUNDO 1304637430001                                                     X
 198221      VIVERO PICO EDGAR ANTONIO      1304639618001                                                     X
  25965      MUÑOZ MEZA CESAR AGUSTO        1304644808001                                                     X
 164798      LOPEZ ZAMBRANO YESTER MARLLORY1304646324001                                                      X
 111326      INTRIAGO CEBALLOS LUIS AGUSTIN 1304649906001                                                     X
 168792      MOREIRA ZAMBRANO REYNA JOVITA 1304650680001                                                      X
 169586      CARREÑO PONCE JORGE LUIS       1304651068001                                                     X
  78798      RODRIGUEZ ZAMBRANO TANYA BEATRIZ
                                            1304653445001                                                     X
  81285      CONTRERA CHAVEZ ANGEL AUGUSTO 1304661620001                                                      X
  69281      ESPINEL GARCIA GUSTAVO ALBERTO 1304661869001                                                     X
  16495      COBO VERA MANUEL JOSE          1304663428001                                                     X
 212326      VASQUEZ GARCIA GUSTAVO JAVIER 1304664236001                                                      X
  87835      MOREIRA MENDOZA ALFREDO DE JESÚS
                                            1304664269001                                                     X
 202443      MARIN VELEZ RAMON BENITO       1304664483001                                                     X
  91030      INTRIAGO CHICA MARIA VEGONIA   1304668278001                                                     X
No                 No registra
                                                                 No                    No registra   No
                                                                          No. registra                       registra      No.    indicadores
                                                               registra                provincia, registra
Persona_id               NOMBRE                 No. ID (RUC)                 calle                           número      registra de ventas,
                                                               apellido                 cantón y   primer
                                                                           principal                         de calle     origen activos y/o
                                                               paterno                 parroquia nombre
                                                                                                             principal             empleados

 208291      VERA ALMEIDA JAVIER ALEXANDER     1304669250001                                                    X
 174867      MACÍAS MANRIQUE MIRELLA JACQUELINE1304675372001                                                    X
 272830      MENDOZA GARCIA MARIA NATALIA      1304676685001                                                    X
 133444      VELÁSQUEZ VERA TOMIDES NEPTALÍ 1304677725001                                                       X
 161822      RIVERA RENDON ROSANNI ANTONIA ARACELY
                                               1304679283001                                                    X
  21519      FLORES ORTIZ MIGUEL RIDER         1304679754001                                                    X
 201050      PARRALES MARRASQUIN ISIDRO MAURO  1304686197001                                                    X
  26099      VELEZ SOLEDISPA JHON WILLIAMS     1304690751001                                                    X
  24239      ZAMBRANO ZAMBRANO DARWIN JAVIER304692310001
                                               1                                                                X
 217713      CHAVEZ CHAVEZ MARIANO ANTONIO 1304696691001                                                        X
 174266      MENDOZA MACÍAS ISIDRO MACARIO 1304697277001                                                        X
  53335      ALCIVAR LAZ WILLIAM GALDINO       1304698226001                                                    X
 135786      PINCAY CUSME LINDEMBER ANTONIO 1304703141001                                                       X
 165153      GILER SOLORZANO YEN FREDY         1304704198001                                                    X
  94538      VILLAO SOLEDISPA MARIA GRICELDA 1304721077001                                                      X
 150919      SABANDO GARCIA FREDY MIGUEL       1304721234001                                                    X
  42409      DELGADO BELLO VICENTE OSWALDO 1304721416001                                                        X
 263044      CRUZATTY ARTEAGA JORGE LUIS       1304721812001                                                    X
  83138      SANTOS SALDARRIAGA MAGALI TERESA304723610001
                                               1                                                                X
 268440      GARCÍA MEDRANDA JOSÉ ALFREDO 1304724196001                                                         X
 114837      DELVALLE QUIMIS CARLOS TÍTO       1304727991001                                                    X
 163300      NAVARRETE INTRIAGO DENNY PAOLO 1304729393001                                                       X
  43848      MOLINA MOLINA TONY RAMÓN          1304736679001                                                    X
 143402      SANTANA ANCHUNDIA ELEUTERIO LOUBER1304736828001                                                    X
  50930      FAUBLA LECTONG EDUARDO ANTONIO1304738816001                                                        X
  25163      PONCE BRIONES FRANKLIN ROLANDO 1304742651001                                                       X
  42743      GOMEZ MIELES JUAN CARLOS          1304742735001                                                    X
 267978      CANTOS CASTRO RENE ANGEL          1304742859001                                                    X
 191919      VILLAVICENCIO VELEZ JULIO ANTONIO 1304743519001                                                    X
  84634      FRANCO MARQUEZ LUIS BARÓN         1304745258001                                                    X
  89843      ZAMBRANO MOREIRA ANGELO FELIPE 1304745928001                                                       X
No                 No registra
                                                               No                    No registra   No
                                                                        No. registra                       registra      No.    indicadores
                                                             registra                provincia, registra
Persona_id               NOMBRE               No. ID (RUC)                 calle                           número      registra de ventas,
                                                             apellido                 cantón y   primer
                                                                         principal                         de calle     origen activos y/o
                                                             paterno                 parroquia nombre
                                                                                                           principal             empleados

 168069      FERNANDEZ DELGADO EDGAR WILIAM 1304746637001                                                     X
 171557      MADRID CARDENAS MARCO IGNACIO 1304746736001                                                      X
 134814      CEDEÑO SORNOZA GEOVANNY RAFAEL 304747379001
                                             1                                                                X
 168855      BRAVO MACÍAS MIRIAM MONSERRATE 1304759333001                                                     X
 161345      CHILA ZAMBRANO ANGEL BENITO     1304759713001                                                    X
 190897      ESPINALES VELEZ DENNYS PABLO    1304761420001                                                    X
 109434      LOOR PALMA LIDER LIZANDRO       1304763202001                                                    X
  38308      MACIAS MENDOZA LIMBERG ALFONSO 1304766585001                                                     X
 191972      ENRIQUEZ CEVALLOS ROMEL ENRIQUEZ1304774241001                                                    X
 211864      QUIJIJE GARCIA MANUEL RODNE DELVERT
                                             1304777798001                                                    X
 122408      CEDEÑO LOOR ESPERANZA ALEJANDRINA
                                             1304787102001                                                    X
 145303      VERA ESPINOZA YANELA PILAR      1304797929001                                                    X
 240216      VELIZ DELGADO OSCAR FRANCISCO 1304803347001                                                      X
  21034      SALTOS BURY MARTHA MIRIAM       1304804550001                                                    X
  75607      CAÑARTE BAQUE JACINTO GUILLERMO1304805177001                                                     X
 143808      ZAMBRANO REYNA JOSE ALEJANDRO 1304805631001                                                      X
 105287      PINCAY PARRALES JULIO CESAR     1304807488001                                                    X
 160357      LUCIO FIGUEROA MERCEDES VICTORIA1304807876001                                                    X
  54265      JACINTO                         1304810664001                                                    X
 237913      PAREDES MACIAS JOSE ARTURO      1304823394001                                                    X
  81483      BRIONES PARRAGA CARLOS STALIN 1304824962001                                                      X
 161686      ALCIVAR NEIRA REINALDO AGUSTIN 1304828583001                                                     X
  67236      PÁRRAGA MENDOZA ROBERT BALDEMAR 1304829102001                                                    X
  64951      MOREIRA SALTOS RUTH MARIA       1304833971001                                                    X
 217357      CAMPOZANO JOATEAUX GIMA DEL ROCÍO
                                             1304840828001                                                    X
 211122      BRIONES BERMEO DELIA DE LOURDES1304845280001                                                     X
 218845      COVENA ROMAN MARIA CONCEPCION 1304845785001                                                      X
 174805      TORO DELGADO JHON FRANCISCO     1304847591001                                                    X
  69356      PARRAGA MACIAS JOHNNY ANTONIO 1304849480001                                                      X
 139272      CAMPOS CEDEÑO CARLOS ALFREDO 1304850777001                                                       X
  41546      CEDEÑO CEDEÑO LEONOR MONSERRATE 1304851486001                                                    X
No                 No registra
                                                               No                    No registra   No
                                                                        No. registra                       registra      No.    indicadores
                                                             registra                provincia, registra
Persona_id               NOMBRE               No. ID (RUC)                 calle                           número      registra de ventas,
                                                             apellido                 cantón y   primer
                                                                         principal                         de calle     origen activos y/o
                                                             paterno                 parroquia nombre
                                                                                                           principal             empleados

 222066      ZAMBRANO FERNANDEZ ROLANDO RAFAEL
                                             1304857608001                                                    X
 204102      SALTOS EGUEZ MARCOS ANTONIO     1304857673001                                                    X
  31187      VERA ARCENTALES FREDY ORLEY     1304859554001                                                    X
  16295      ZAMBRANO VERA FREDDY EDBERTO 1304861295001                                                       X
 236336      VERA LAZ JUAN MANUEL            1304865619001                                                    X
 199090      CEDEÑO BALLADARES DANIEL VICENTE1304871708001                                                    X
 159698      MOREIRA LOPEZ ROQUE CRISTOBAL JACINTO
                                             1304873555001                                                    X
 140776      MIELES GARCIA JAVIER ANTONIO    1304873936001                                                    X
  23353      TOALA VERA JOSÉ RAMÓN           1304874389001                                                    X
  84556      ROBLES VALAREZO CRISTO ARMANDO1304879289001                                                      X
 142082      VELEZ DELGADO SANTA MARLENE     1304880089001                                                    X
 209331      QUIJIJE MACIAS MIGUEL ANGEL     1304881525001                                                    X
 199205      MACIAS GONZALEZ LUIS ALBERTO    1304881707001                                                    X
 185222      SOLORZANO CEDEÑO ANDRES MARCELINO
                                             1304882572001                                                    X
  18755      SOLIS CEVALLOS VICTOR XAVIER    1304882754001                                                    X
 251060      QUIROZ MENDOZA ALBERTINA GUADALUPE
                                             1304883380001                                                    X
  55370      VERA SANTANA MONICA DE JESUS    1304884768001                                                    X
  29702      CEVALLOS CEDEÑO JACINTO BOLIVAR 1304887050001                                                    X
  83900      FLORES ANCHUNDIA MARIO JOSE     1304887530001                                                    X
  59160      DAVILA CEDEÑO ROBERTO JAVIER    1304895418001                                                    X
 279365      CHINGA ROBLES MAIRA EDITH       1304897182001                                                    X
  24752      ALAVA SAN PEDRO IRENE ELIZABETH 1304899279001                                                    X
 164802      CEDEÑO ARAGUNDI NIVALDO LAURENTINO
                                             1304900747001                                                    X
 209173      CEDEÑO LOOR RAMON ANTONIO       1304906991001                                                    X
  37265      PICO CORDOVA ELVIS VICTOR       1304912874001                                                    X
  28872      PICO NAVARRO MARÍA ELENA        1304932617001                                                    X
  31475      FRANKLIN                        1304934928001                                                    X
 150293      VARGAS INTRIAGO RICHARD GEOVANNY1304941204001                                                    X
  22984      ROMERO COBEÑA CRISTINA BEATRIZ 1304942087001                                                     X
 123208      RAMIREZ MEZA ENNITA NARCISA     1304942533001                                                    X
  25346      REYES CEDEÑO PEDRO GERARDO      1304950064001                                                    X
No                 No registra
                                                                No                    No registra   No
                                                                         No. registra                       registra      No.    indicadores
                                                              registra                provincia, registra
Persona_id               NOMBRE                No. ID (RUC)                 calle                           número      registra de ventas,
                                                              apellido                 cantón y   primer
                                                                          principal                         de calle     origen activos y/o
                                                              paterno                 parroquia nombre
                                                                                                            principal             empleados

  34163      MOREIRA ALVAREZ RICARDO RAUL     1304951542001                                                    X
  24895      RIVAS PINCAY GUSTAVO JHON        1304953829001                                                    X
  14993      TALLEDO BARRETO LUIS JAVIER      1304958067001                                                    X
 133240      INTRIAGO ALCIVAR LUCY LADY       1304965385001                                                    X
 161418      FALCONEZ PARRAGA LILI MARIA      1304967977001                                                    X
  96800      ZAMBRANO ANDRADE ROLANDO FABIAN  1304968454001                                                    X
 196555      LAAZ MOREIRA JOSE ALBERTO        1304981093001                                                    X
  72234      MIELES DELGADO RAMON AGUSTIN     1304986365001                                                    X
  32489      MOLINA MOLINA RAMÓN EUGENIO      1304988718001                                                    X
 126438      BAILÓN PITA HENRY OLMEDO         1304999871001                                                    X
  20129      GARCÍA PINARGOTE VICTOR MANUEL 1305002980001                                                      X
 159899      GUERRIDO SOLEDISPA JOSÉ MÁXIMO 1305005207001                                                      X
 250336      FRANCO ANCHUNDIA FERNANDO ARTURO 1305012476001                                                    X
 131649      AGUILAR ALAVA KLEVER HERMENEGILDO1305015818001                                                    X
  49169      ANCHUNDIA REYES MARY MIRIAN      1305016089001                                                    X
 149136      TUBAY REYES MIGUEL EDUARDO       1305023820001                                                    X
 157359      VALDIVIESO SOLÓRZANO DANIEL YOFFRE
                                              1305026898001                                                    X
 168629      SANTANA RIVERA PUBLIO ALFONSO 1305028555001                                                       X
 187064      ZAMBRANO SOLORZANO NORMA ARACELY 1305045286001                                                    X
  71567      BAZURTO MANTUANO NILO MANUEL 1305048579001                                                        X
 246872      CHILIQUINGA OÑA JORGE ENRIQUE    1305048959001                                                    X
 235546      DOMINGUEZ LICOA SANTOS WILTON 1305053363001                                                       X
  24039      ROMERO MONTANERO YOHN YIMMY 1305054395001                                                         X
 187731      MANRIQUE TOALA CARLOS JAVIER     1305055541001                                                    X
 127248      TUAREZ INTRIAGO CESAR EDUARDO 1305056986001                                                       X
 260891      MACIAS MENOSCAL MANUELA MARITZA  1305059519001                                                    X
 163068      VILLAFUERTE CHILAN YADIRA DEL PILAR
                                              1305062737001                                                    X
  31410       JOSE ANTONIO BAZURTO ROLDAN     1305063958001                                                    X
  81127      MUÑOZ BAILÓN JUAN CARLOS         1305069823001                                                    X
 241481      BRIONES BRIONES WILTER MARCELO 1305092064001                                                      X
 261241      ANDRADE GUILLEN JOSÉ RAFAEL      1305095513001                                                    X
No                 No registra
                                                               No                    No registra   No
                                                                        No. registra                       registra      No.    indicadores
                                                             registra                provincia, registra
Persona_id               NOMBRE               No. ID (RUC)                 calle                           número      registra de ventas,
                                                             apellido                 cantón y   primer
                                                                         principal                         de calle     origen activos y/o
                                                             paterno                 parroquia nombre
                                                                                                           principal             empleados

 160376      CASTRO PIGUABE EULOGIO RAFAEL 1305105957001                                                      X
 102690      ALCIVAR VINCES RODIS ANTONIO    1305107292001                                                    X
 160511      CEDEÑO PINCAY ALBARO STALIN     1305115741001                                                    X
 148885      PALACIOS SANTANA MARY ELIZABETH 1305116467001                                                    X
 199979      LEONES CAGUA LUIS ANIBAL        1305121509001                                                    X
 271696      RIVERA MACIAS MARGARITA LEONILA 1305122515001                                                    X
  44362      ANCHUNDIA MACIAS WILLIAN LEONEL 1305122887001                                                    X
  74893      MERA CEDEÑO GUSTAVO ANTONIO     1305130401001                                                    X
  74900      MERA CEDEÑO JUAN CARLOS         1305130419001                                                    X
  73045      CEDEÑO AYONG MARIO EDUARDO      1305132696001                                                    X
  72126      VERDUGA PINO ALEXANDRA MARIA    1305135004001                                                    X
 126303      ESPINALES PATIÑO JOHAN DINAMO   1305142463001                                                    X
 220345      CHILA ZAMBRANO FREDDY HUMBERTO1305142570001                                                      X
 179767      ARTEAGA ALCIVAR RENE CALLETANO 1305153924001                                                     X
 100258      ANDRADE ANDRADE AMBROCIO DEL JESUS
                                             1305156505001                                                    X
 135374      GARCIA GUILLEN HOLGER GEOVANNY1305160648001                                                      X
 115195      GARCIA MERA RENE LEONCIO        1305164152001                                                    X
 133144      ALBAN BRAVO LUIS ALBERTO        1305166371001                                                    X
  21825      MOSQUERA FERNANDEZ GABRIEL ELPIDIO
                                             1305168161001                                                    X
  26902      ZAVALA MORA EDUARDO DE JESÚS    1305173088001                                                    X
  20961      PALMA BASURTO ANDRES RENET      1305178343001                                                    X
 201724      SUÁREZ PONCE BLANCA FLOR        1305182428001                                                    X
  38616      ACOSTA VITE TEODULO FRANCISCO 1305193920001                                                      X
 210419      DELVALLE GARCIA JUAN ISAIAS     1305194035001                                                    X
 106886      GARCIA DOMINGUEZ JACINTO ALBERTO1305196683001                                                    X
  10421      ING. LUIS VEGA                  1305198093001                                                    X
 225797      RUIZ DUEÑAS JORGE AUGUSTO       1305198424001                                                    X
  28844      CARREÑO MENDOZA DUVAL JEFAV     1305201319001                                                    X
 188033      CHANG MONSERRATE JOSE ANTONIO 1305205203001                                                      X
  21646      QUIROZ ALCIVAR DENNY ARTURO     1305209718001                                                    X
  86611      ZAMBRANO DELGADO BIENVENIDO ANTONIO
                                             1305235036001                                                    X
No                 No registra
                                                                No                    No registra   No
                                                                         No. registra                       registra      No.    indicadores
                                                              registra                provincia, registra
Persona_id               NOMBRE                No. ID (RUC)                 calle                           número      registra de ventas,
                                                              apellido                 cantón y   primer
                                                                          principal                         de calle     origen activos y/o
                                                              paterno                 parroquia nombre
                                                                                                            principal             empleados

 237422      VILLACIS ZAMBRANO WALTER OCTAVIO 1305235986001                                                    X
 184920      VELIZ ZAMORA VICENTE BIENVENDO 1305236638001                                                      X
 100719      BERGMAN NAPA CARLOS ALFREDO      1305236885001                                                    X
 124920      CEDEÑO MACÍAS JENNY VIOLETA      1305237495001                                                    X
 152121      PARRAGA PARRAGA CARLOS NEVARDO   1305239590001                                                    X
  59572      OVIEDO CEVALLOS MARIA ISABEL     1305241554001                                                    X
 255394      VERA VALDIVIEZO ALEX VINICIO     1305247775001                                                    X
 124903      MACIAS GUERRERO SANDRA MARIA 1305254847001                                                        X
  62771      PESANTES DELGADO RENAN ALEX      1305260281001                                                    X
  81893      COBEÑA LOOR WALTER DAVID         1305267195001                                                    X
 261252      TELLO RIVAS HARRY LEONEL         1305267732001                                                    X
 224219      CEVALLOS CEDEÑO AMANTILIA MONSERRATE
                                              1305272187001                                                    X
 100441      VELASQUEZ GARCÍA DIONICIO GUSTAVO1305274845001                                                    X
 220872      CAÑARTE TOALA LUIS FERNANDO      1305275636001                                                    X
  83521      PRADO MOREIRA GILBERTO JHONNY 1305279414001                                                       X
 189327      PINARGOTE BARCIA JORGE AMANDO 1305281386001                                                       X
 172846      ALAVA ALAVA DIANA ELIZABETH      1305286450001                                                    X
 238540      LOOR LOOR FELIX SEBASTIAN        1305291575001                                                    X
 136517      ZAMBRANO ALCIVAR ITALO ALFREDO1305293423001                                                       X
 114518      ALCIVAR ROSS ANA ALEXANDRA       1305296798001                                                    X
  79440      DE LA FUENTE LETTIERI RICARDO ALFREDO
                                              1305302976001                                                    X
  24474      DUEÑAS LUCAS CARLOS ALBERTO      1305306001001                                                    X
  27899      MERA ZAMBRANO ULBIO RENE         1305307611001                                                    X
  93281      LUCAS REYES LESTER WILMER        1305313486001                                                    X
 151684      ALCIVAR DEMERA LENNY JANET       1305323352001                                                    X
 230129      VERA CEDEÑO JOSELO APOLONEO      1305324400001                                                    X
  41600      PAZMIÑO GUILLEM LUIS ALFONSO     1305325738001                                                    X
  27824      MOREIRA IDROVO MELIDA CELINDA    1305326074001                                                    X
 201385      ZAMBRANO GILER LAURA ARACELY     1305327940001                                                    X
  33427      ARTEAGA DELGADO JOAQUIN EDUARDO  1305336586001                                                    X
  88883      QUITO INTRIAGO MAXIMILIANO TOBIAS1305337881001                                                    X
No                 No registra
                                                               No                    No registra   No
                                                                        No. registra                       registra      No.    indicadores
                                                             registra                provincia, registra
Persona_id              NOMBRE                No. ID (RUC)                 calle                           número      registra de ventas,
                                                             apellido                 cantón y   primer
                                                                         principal                         de calle     origen activos y/o
                                                             paterno                 parroquia nombre
                                                                                                           principal             empleados

  46812      FUENTES FIGUEROA TOMÁS ROBERT 1305338913001                                                      X
 124644      GENDER AVILA MARIANA ANABEL    1305341107001                                                     X
  38540      COVENA ROMAN AURA RAQUEL       1305341404001                                                     X
 182589      NAVARRETE BURGOS ANGEL HENRRY 1305342428001                                                      X
  75963      ALVAREZ REYES JUAN ANDRES      1305348367001                                                     X
  80076      TUBAY LOPEZ FRANCISCO RAFAEL   1305348730001                                                     X
 157639      PERALTA VINCES RICARDO ALBERTO 1305362822001                                                     X
  28962      MARCILLO PARRALES HOLGER ARMANDO
                                            1305368670001                                                     X
  95239      QUEVEDO INTRIAGO JOEL ANTONIO 1305368753001                                                      X
  18315       JIMMY                         1305368860001                                                     X
  16380      BAQUE DEL VALLE NAHIN          1305368886001                                                     X
  84693      QUIMIS QUIMIS JUANA DE LOURDES 1305369710001                                                     X
  24610      ORMEÑO BAZURTO LUIS ALFREDO    1305369777001                                                     X
  24802       ROBERTH                       1305373811001                                                     X
 178502      INTRIAGO GARCIA ERNESTO REIMUNDO305374132001
                                            1                                                                 X
 173738      CABAL BURGOS DOLORES GENERALDO 1305374330001                                                     X
 168522      PIONCE PIGUAVE MIGUEL JULIO    1305374348001                                                     X
  55911      AZÚA SOLEDISPA GERMÁN ALFREDO 1305377788001                                                      X
  52753      PINOS ALAY CARLOS RICHARD      1305403352001                                                     X
 198534      CEDEÑO MERO DIOMEDES EVARISTO 1305416438001                                                      X
 203714      ZAMBRANO ALAVA DOUDLAS VICENTE 1305416941001                                                     X
 101163      AVILA ZAMBRANO PABLO ALFONSO   1305421263001                                                     X
  19089       GINMA                         1305432542001                                                     X
 182413      MORERIA HIDALGO WASHINGTON ANTONIO
                                            1305440131001                                                     X
 275218      BARCIA LOPEZ WALTER EDILBERTO 1305441915001                                                      X
  72706      ARGUELLO VALDIVIESO VICTOR EUDORO
                                            1305444299001                                                     X
  23186      CEDEÑO BUSTAMANTE JUAN BOSCO 1305444554001                                                       X
 245405      ALAVA LENIN                    1305445056001                                                     X
 248522      RIVERA MENENDEZ RICHAR RUBEN   1305445650001                                                     X
  21218      RUIZ CEVALLOS RAMON CIMITRIO   1305452904001                                                     X
 197337      PÉREZ VÉLIZ JONNY VICENTE      1305457705001                                                     X
No                 No registra
                                                               No                    No registra   No
                                                                        No. registra                       registra      No.    indicadores
                                                             registra                provincia, registra
Persona_id               NOMBRE               No. ID (RUC)                 calle                           número      registra de ventas,
                                                             apellido                 cantón y   primer
                                                                         principal                         de calle     origen activos y/o
                                                             paterno                 parroquia nombre
                                                                                                           principal             empleados

 141306      TAPIA DELGADO CONNIE MELVA      1305465542001                                                    X
 122476      VELASQUEZ TORO FABIAN YOVANY    1305471888001                                                    X
 174824      VERA CEDEÑO ENDRICKSON RAMON 1305472852001                                                       X
 241795      ZAMBRANO ACOSTA JIMMY MANUEL 1305472860001                                                       X
 124277      INTRIAGO VARELA AMADO JOSÉ      1305473868001                                                    X
 220979      CEVALLOS MOREIRA VICENTE SILVANO1305480343001                                                    X
 164147      MENDOZA CEDEÑO JOSELITO BOLÍVAR1305492967001                                                     X
  52785      TOALA BAQUE MIGUEL MARTINIANO 1305494575001                                                      X
 206522      BRIONES GALARZA VICTOR MARIO    1305494641001                                                    X
  23672      ZAMBRANO FERNANDEZ PATRICIA ALEXANDRA
                                             1305495192001                                                    X
 108893      MERA MENDOZA RUBEN DARIO        1305502492001                                                    X
  91782      MENDOZA MACIAS RICARDO RODOLFO1305510198001                                                      X
 208869      MENDOZA MEJIA ROSA JACQUELINE 1305512509001                                                      X
  58858      CEDEÑO LINZAN ALEX XAVIER       1305513226001                                                    X
  92162      DELGADO GUAITA WILLIAM EDISON   1305517862001                                                    X
 209970      MACIAS ALAVA RAMONA EDUVIJE     1305521476001                                                    X
  39371      ZAVALA VASQUEZ CARLOS JOSÉ      1305528679001                                                    X
 226563      ZAMBRANO ANDRADE LUIS ANTONIO 1305534255001                                                      X
 121452      SUÁREZ BERMÚDEZ GILBERT PACÍFICO1305540138001                                                    X
 223061      GILER MOREIRA BERYS NARCISO     1305543462001                                                    X
 159709      ZAMBRANO LOOR HECTOR FERNANDO1305545269001                                                       X
 149187      MEDINA RIVADENEIRA MERCEDES LEONOR
                                             1305548768001                                                    X
  30830      ZAMBRANO CEDEÑO EVEN ECUADOR 1305551721001                                                       X
  57362      CEVALLOS MENDOZA FREDDY ARTURO  1305552828001                                                    X
  27534      OROZCO MERO JUAN CARLOS         1305558502001                                                    X
  97582      INTRIAGO MACIAS LUCIA CONCEPCION305566950001
                                             1                                                                X
 138908      CEDEÑO VELEZ PEDRO PABLO        1305567818001                                                    X
  95514      PÁRRAGA MUÑOZ TWIGGY MADELINE 1305584888001                                                      X
 166295      LOPEZ MONTESDEOCA DOLORES ESPERANZA
                                             1305586420001                                                    X
  26898      MUNOZ DELGADO EDDER RAFAEL      1305587113001                                                    X
 225030      CHEME GAMES GREY EDITA          1305591875001                                                    X
No                 No registra
                                                               No                    No registra   No
                                                                        No. registra                       registra      No.    indicadores
                                                             registra                provincia, registra
Persona_id               NOMBRE               No. ID (RUC)                 calle                           número      registra de ventas,
                                                             apellido                 cantón y   primer
                                                                         principal                         de calle     origen activos y/o
                                                             paterno                 parroquia nombre
                                                                                                           principal             empleados

 180725      MONCAYO GÓMEZ JENNY JACQUELINE1305596130001                                                      X
 140177      MONCAYO FALCONES LEONEL LEONARDO1305597492001                                                    X
  35035      CEVALLOS MOLINA TERESA JACQUELINE
                                             1305599753001                                                    X
  57465      GUILLEN MORALES SEBASTIAN FERNANDO
                                             1305602011001                                                    X
  78654      ZAVALA MENDOZA LAURO EMILIANO 1305602086001                                                      X
 195587      ORTEGA MENDOZA MARIA ELAINE     1305604637001                                                    X
  57189      MANZANO ZAMBRANO CESAR LEVID 1305606566001                                                       X
  18179      ALCIVAR VITERI PEDRO FABRICIO   1305607176001                                                    X
  59141       SIMÓN                          1305608885001                                                    X
 151896      ZAMBRANO LOOR LUIS ENRIQUE      1305610030001                                                    X
 115296      VELEZ GILER SEBASTIAN SIMON     1305612408001                                                    X
 117688      VELEZ ZAMBRANO SILVIO VICENTE   1305612697001                                                    X
 138522      ALVAREZ MERO EDWIN AGUSTIN      1305612960001                                                    X
 266100      ALCIVAR INTRIAGO ALFREDO ENRIQUE1305615815001                                                    X
 181126      SALTOS LOPEZ JOSE ANTONIO       1305616300001                                                    X
 246880      BRIONES FRANCO WILTER RAMON     1305619171001                                                    X
 103393      USCOCOVICH CHICA NORMA ELIZABETH1305620179001                                                    X
 154379      ZAMBRANO FAJARDO CARLOS NEXAR 1305622316001                                                      X
  24786       GUSTAVO                        1305623439001                                                    X
 252797      LAINE MENDOZA MIGUEL ANTONIO    1305628982001                                                    X
 234779      ZAMBRANO ORTIZ GLENNY NARCISA 1305630400001                                                      X
 221595      MONTESDEOCA VERA IVAN ANTONIO 1305634238001                                                      X
 120262      MOREIRA ENDERICA MARTA MARIA    1305645127001                                                    X
 113019      ZAMBRANO SABANDO WALTER RAMON   1305647404001                                                    X
  23711      JARA CARBO JUAN ALBERTO         1305654152001                                                    X
 174477      CEDEÑO PARRALES LUIS ALFREDO    1305661611001                                                    X
 172433      QUIROZ LOOR ROQUE PATRICIO      1305663377001                                                    X
 121052       ALONZO CHAVEZ JOFFRE ALEJANDRO1305663500001                                                     X
  32032      MENDOZA HERNANDEZ ANGEL GABRIEL 1305664847001                                                    X
 159275      CEVALLOS MENDOZA JOSE WASHINGTON1305665497001                                                    X
  55015      CEDEÑO CHAVEZ LUIS EDUARDO      1305667295001                                                    X
No                 No registra
                                                                No                    No registra   No
                                                                         No. registra                       registra      No.    indicadores
                                                              registra                provincia, registra
Persona_id               NOMBRE                No. ID (RUC)                 calle                           número      registra de ventas,
                                                              apellido                 cantón y   primer
                                                                          principal                         de calle     origen activos y/o
                                                              paterno                 parroquia nombre
                                                                                                            principal             empleados

 205449      ZAMBRANO ROMERO JOHN ROGER       1305669481001                                                    X
  81320      MOREIRA CABRERA HEVER DAVID 1305685362001                                                         X
  33933      JIMENEZ INSUSTI JONNY LEONARDO 1305686162001                                                      X
 227590      LOOR CASTRO EURISPIDE CLEMIDIO 1305686543001                                                      X
  69898      PALMA CHANCAY OTTO ARMANDO       1305688531001                                                    X
  26287      INTRIAGO INTRIAGO MARIA MAGALY 1305689075001                                                      X
 156931      GUILLÉN TRAVERSO BORIS RENATO 1305689273001                                                       X
 276038      REYES ZAVALA CARLOS EDUARDO      1305689802001                                                    X
  84916      CEDENO VERA JHONNY EDGAR         1305691972001                                                    X
 252772      CHOEZ ALMENDARIZ GREGORIO MANUEL 1305701359001                                                    X
  18975      PÉREZ CEBALLOS LEONARDO IVAN     1305701607001                                                    X
 180984      MENENDEZ ROLDAN JOSE ORLANDO 1305705277001                                                        X
 212575      OJEDA VEINTIMILLA GLENDA LAURA 1305717157001                                                      X
 145624      ESTRADA MACIAS OLGA LORENA       1305721027001                                                    X
 195228      ALONZO CHAVEZ GEORGE ANTONIO 1305722736001                                                        X
 162758      GARCIA MOREIRA HENRY LUIS        1305728402001                                                    X
 183470      CHOEZ CHOEZ RODY ALFREDO         1305731166001                                                    X
 189451      VALENCIA GARCIA PAQUITA ALEXANDRA1305732545001                                                    X
 151326      ANGULO JARA FELIPE ABRAHAM       1305733337001                                                    X
 118235      SOLEDISPA CASTILLO PEDRO ASISCLO1305735258001                                                     X
 101915      VILLACRESES AVILA EDWIN MITCHELL 1305738393001                                                    X
 214115      GARCES ALVAREZ LUIS BOLIVAR      1305749184001                                                    X
  57168      MANZANO ZAMBRANO GABRIEL BIENVENIDO
                                              1305751651001                                                    X
  63416      VILLACRESES VITERI FREDDY RUBEN 1305755447001                                                     X
 161286      MACIAS MACIAS ROSA MERCEDES      1305760843001                                                    X
 172837      BARREIRO NAVARRETE JHON TEDY     1305761940001                                                    X
 152918      OTERO LIMONGI PEDRO EDUARDO      1305762591001                                                    X
  50551      VILLAMAR CEVALLOS ENA ANICIA     1305768358001                                                    X
  40270      BAZURTO VINCES JANDRE XAVIER     1305768648001                                                    X
 167292      MERCHAN AZUA FABIAN NICOLAE      1305772673001                                                    X
 133560      CHIQUITO TUMBACO JENNY CRISTINA 1305773515001                                                     X
No                 No registra
                                                               No                    No registra   No
                                                                        No. registra                       registra      No.    indicadores
                                                             registra                provincia, registra
Persona_id               NOMBRE               No. ID (RUC)                 calle                           número      registra de ventas,
                                                             apellido                 cantón y   primer
                                                                         principal                         de calle     origen activos y/o
                                                             paterno                 parroquia nombre
                                                                                                           principal             empleados

 110515      ARTEAGA PIN JUAN ELIFONSO       1305774133001                                                    X
 143669      LINO CHANCAY ILDEFONSO CEFERINO 1305774869001                                                    X
 202133      PLAZA SANCHEZ ANDERSON ASDRUBAL 1305779538001                                                    X
 212782      SANTANA MORALES RUBEN ANTONIO 1305780544001                                                      X
  59871      ZAMBRANO MENDOZA CRUZ MARIANA 1305782516001                                                      X
  19632      MIRANDA VÉLEZ CARLOS ALBERTO 1305794271001                                                       X
 272146      ZAMBRANO HIDALGO CARLOS DANIEL 1305799445001                                                     X
  65259      NAVARRETE ZAMBRANO EDUAR ENRIQUE1305800235001                                                    X
  58016      SARMIENTO GARZON LENIN ROLANDO 1305808758001                                                     X
  52696      VERA GUERRERO EDDI WALQUER      1305810606001                                                    X
 170260      SOTO CALDERON WILMER GONZALO 1305824177001                                                       X
 197691      BERMUDEZ MORALES CLEOFE EBERGITO1305836361001                                                    X
 106069      LOOR BAILON ARQUIMEDES IVAN     1305844787001                                                    X
  58678      MACIAS ROMERO MIRIAM ESTELLA    1305849711001                                                    X
 158928      VERA VELEZ PABLO DOMINGO        1305850198001                                                    X
   3932      ROSADO VELEZ SONIA MARILU       1305856948001                                                    X
 110914      CONFORME ELEUTERIO PEDRO        1305857748001                                                    X
  51050      GUTIERREZ PALLO JAVIER ENRIQUE 1305859249001                                                     X
 174235      TOMALA TOMALA JOSE DARLIN       1305868901001                                                    X
  73680      MASTARRENO CEDEÑO JOSE ALBERTO  1305877977001                                                    X
  39072      DELGADO VERA ROBERT NELSON      1305886879001                                                    X
 211825      DELGADO CORREA ANGEL PORFIRIO 1305890475001                                                      X
 145306      BAZURTO ROLDAN JAVIER FERNANDO 1305899138001                                                     X
 161999      BRAVO BURGOS YIME FERNAN        1305911297001                                                    X
  95265      SALVATIERRA BRAVO NIEVES GRISELDA
                                             1305912873001                                                    X
 227340      SALVATIERRA MARQUEZ STALIN AGUSTIN
                                             1305920652001                                                    X
 174148      GARCIA RESABALA TONY ROLANDO 1305922823001                                                       X
  83324      MENDOZA FERNANDEZ CARLOS ANTONIO1305924407001                                                    X
  20387      MANRIQUE SÁNCHEZ WALTER EDUARDO 1305928465001                                                    X
  35956      MENDOZA ZAMBRANO DANNY LEONARDO 1305928663001                                                    X
   7660      INTRIAGO PIN CARLOS RAFAEL      1305929091001                                                    X
No                 No registra
                                                                No                    No registra   No
                                                                         No. registra                       registra      No.    indicadores
                                                              registra                provincia, registra
Persona_id               NOMBRE                No. ID (RUC)                 calle                           número      registra de ventas,
                                                              apellido                 cantón y   primer
                                                                          principal                         de calle     origen activos y/o
                                                              paterno                 parroquia nombre
                                                                                                            principal             empleados

 166273      PALACIOS PINARGOTE MARCOS VINICIO1305929703001                                                    X
 211810      PEREZ BARCIA WILLIAN ALBERTO     1305930362001                                                    X
 258499      RODRIGUEZ ROMERO VIVIANA DOLORES 1305939389001                                                    X
 260101      ZAMBRANO ALCIVAR WELINTONG FREMIOT
                                              1305953380001                                                    X
 233048      SALAZAR NAPA RAMON FABIAN        1305954396001                                                    X
 226507      CÁCERES FRANCO ESTEFANÍA VANESSA 1305955724001                                                    X
 210254      CEDEÑO CEDEÑO TELMO MEDARDO 1305963892001                                                         X
 143406      RODRIGUEZ MEJIA LUIS EDGARDO     1305965954001                                                    X
  62487      FRANCO ALONSO LUIGIN ROBERT      1305971259001                                                    X
 154642      MORA PINARGOTE RENE EFIGENIO     1305978049001                                                    X
  29982      ALCÍVAR MOREIRA NANCY ALEXANDRA1305981837001                                                      X
 166467      VELEZ ALVIA EDGAR XAVIER         1305989764001                                                    X
  41732      VASQUEZ PONTE GILBERTO GALDIMIDES1305992511001                                                    X
 139298      SANTANA GONZALEZ HUGO ENRIQUE 1306012020001                                                       X
  28543      ZAMBRANO VERA HUGO ILARION       1306015122001                                                    X
 120689      MARCILLO VELEZ RAMON ADOLFO      1306020510001                                                    X
  20583      PONCE REYES FRANCISCO SEGUNDO 1306023050001                                                       X
 171182      GARCIA MOREIRA LADY MARIBEL      1306024801001                                                    X
  84242      ALAVA VELEZ OLAYA MONSERRATE     1306027655001                                                    X
 159003      MEZA ZAMBRANO ANTONIO ADALBERTO  1306028869001                                                    X
  38009      RONALD                           1306029719001                                                    X
 192608      SANTANA BERMÚDEZ FABIÁN NICANOR  1306037605001                                                    X
 272000      SANTANA DELGADO ISIDRO DEMETRIO1306042738001                                                      X
 174604      ORMAZA BASURTO GIORGE MARCELO 1306043645001                                                       X
  81509      CEVALLOS VILLACRESES STALIN ELIAS1306044155001                                                    X
 240016      CUEVA DUME JOSE VICENTE          1306046440001                                                    X
 138992      CEDEÑO LÓPEZ BYRON VICTORIANO 1306047273001                                                       X
  68004      BAQUE PILAY VIRGILIO SECUNDINO   1306047596001                                                    X
 120343      SOLORZANO VELEZ ENA FLORICELDA 1306051473001                                                      X
  52208      LUQUE INTRIAGO MARCELO DANIEL 1306054394001                                                       X
 201704      MACIAS ANDRADE CRUZ ASIDALIA     1306066380001                                                    X
No                 No registra
                                                               No                    No registra   No
                                                                        No. registra                       registra      No.    indicadores
                                                             registra                provincia, registra
Persona_id               NOMBRE               No. ID (RUC)                 calle                           número      registra de ventas,
                                                             apellido                 cantón y   primer
                                                                         principal                         de calle     origen activos y/o
                                                             paterno                 parroquia nombre
                                                                                                           principal             empleados

 211484      VERA VELASQUEZ RODY NOLASCO     1306067131001                                                    X
 219337      FERNANDEZ ZAMBRANO JOSE LUIS    1306074384001                                                    X
  42597      LOOR TOBAR CARLOS ROGELIO       1306074921001                                                    X
  23691      MERA VELEZ MANUEL ALEXANDER     1306076710001                                                    X
 193943      ZAMBRANO MERA LIDER ALFONSO     1306083526001                                                    X
  73227      BAQUE SOLEDISPA PEDRO ERNESTO 1306088533001                                                      X
 276679      GARCIA CEDEÑO EDWIN HENRRY      1306095884001                                                    X
 273868      VERA GARCIA ROSI DEL ROCIO      1306097484001                                                    X
 117080      ZAMBRANO MENDOZA NOEL ALCIVIADES1306100718001                                                    X
  62704      GARCÍA CAICEDO JOSÉ VICENTE     1306101617001                                                    X
 105262      MENDOZA QUIROZ DARWIN ALEXANDER 1306105394001                                                    X
  40694      RODY                            1306109016001      X                                             X
 200472      SABANDO VERA MARIA NANCI        1306111228001                                                    X
  72466      CEDEÑO ZAMBRANO PERLY ROCIO     1306111566001                                                    X
  83445      ENRIQUEZ CEDENO LORENA JOSEFINA1306112184001                                                     X
  22421      MOREIRA VERA MANUEL EMIGDIO     1306113794001                                                    X
  67626      ZAMBRANO ZAMBRANO JACQUELINE ALEXANDRA
                                             1306115690001                                                    X
  93886      GUILLEN BASURTO ALINA ALEXANDRA 1306116334001                                                    X
 199715      PINARGOTE GILER ANTONIO YOVANNY1306121847001                                                     X
 259748      YEPEZ CEDENO SONNIA PATRICIA    1306125988001                                                    X
  81430      GILCES GARCIA CARLOS WALTHER    1306127034001                                                    X
 202983      LUCAS VELEZ DANIKA SULAY        1306128552001                                                    X
 122316      QUIROZ PAREDES DAVID ANSELMO 1306133313001                                                       X
  50133      LAGOS PAZMIÑO JUAN CARLOS       1306134105001                                                    X
 217308      VALENCIA MACIAS RICHARD WILLIANS1306135839001                                                    X
 172887      LOOR ALCIVAR JOSE IVAN          1306136654001                                                    X
 270269      CALDERON INTRIAGO MARIO PATRICIO1306142488001                                                    X
 256774      VERA MUÑOZ DIGNER JOSE          1306146687001                                                    X
 166018      CANTOS VÉLEZ GLORIA ISABEL      1306156470001                                                    X
  40722      ANGEL                           1306165372001                                                    X
 135581      MERO FRANCO JHONNY EVERALDO     1306167402001                                                    X
No                 No registra
                                                                No                    No registra   No
                                                                         No. registra                       registra      No.    indicadores
                                                              registra                provincia, registra
Persona_id               NOMBRE                No. ID (RUC)                 calle                           número      registra de ventas,
                                                              apellido                 cantón y   primer
                                                                          principal                         de calle     origen activos y/o
                                                              paterno                 parroquia nombre
                                                                                                            principal             empleados

 112488      RIVADENEIRA INTRIAGO CESAR EMILIO1306172386001                                                    X
  28887      GARCÍA CANTOS VICTOR EMILIO      1306176825001                                                    X
 216118      SUAREZ LOPEZ MARIA LUISA         1306178102001                                                    X
 225449      GUERRERO GRACIA DOLORES VERONICA 1306188689001                                                    X
 225025      GUERRERO GRACIA EDITA ELVIRA     1306188697001                                                    X
 100170      BARRE ZAMBRANO HEXON GABRIEL 1306195692001                                                        X
 162146      CEVALLOS CHAVEZ ANTONIO SEBASTIAN1306205541001                                                    X
  34600      VELEZ MOREIRA WILSON GEOVANNY 1306205640001                                                       X
 118187      HIDALGO ANDRADE JORGE ALFONSO 1306207836001                                                       X
 143069      TENELEMA QUISATASIG HOLGER ROBERTO
                                              1306213438001                                                    X
  23786      CENTENO MOREIRA RAUL GERARDO 1306213487001                                                        X
  31933      DEMERA VÉLEZ JEAN PAUL           1306213495001                                                    X
  60114      ALONZO MERA GENNY STELLA         1306214709001                                                    X
 139584      PARRAGA CALDERON NARCISA ALEXANDRA
                                              1306222462001                                                    X
 181709      INTRIAGO GARCÍA WILLIAMS RENÉ    1306223890001                                                    X
 109325      TRAVEZ MENDOZA CARLOS EUGENIO 1306228659001                                                       X
 115823      MOREIRA GARCIA FROWEN BOSCO      1306231117001                                                    X
 167905      CEDEÑO CEDEÑO MANUEL ISIDRO      1306231232001                                                    X
  40744      RENGIFO DE LA CRUZ GEORGI EDILBERTO
                                              1306231885001                                                    X
  88631      ZAMBRANO CHÓEZ DIÓMEDES ENRIQUE  1306233774001                                                    X
 134199      FIGUEROA MOREIRA JOSE IGNACIO    1306235159001                                                    X
  59413      MARCILLO MERINO JUAN EDGAR       1306235472001                                                    X
 137185      GONZÁLEZ MILLER FREDDY HONORIO 1306236025001                                                      X
 260358      DELGADO LUCIO STALIN JAVIER      1306236553001                                                    X
  92443      RODRÍGUEZ AYÓN FANNY CLEOPATRA1306239946001                                                       X
 252227      MENDOZA HIDALGO MAURO ENRIQUE 1306248491001                                                       X
  46700      MENDOZA CAÑARTE LAURA MARICELA1306260603001                                                       X
 195936      VELASCO BERNARDY GRENNY MARIA 1306263052001                                                       X
 266759      LINO MACIAS OSCAR RODOLFO        1306263102001                                                    X
  52548      MENDOZA VÉLEZ RAMIRO JASBINDER 1306269323001                                                      X
 268088      PONCE VELEZ JORGE AGUSTIN        1306269448001                                                    X
No                 No registra
                                                                No                    No registra   No
                                                                         No. registra                       registra      No.    indicadores
                                                              registra                provincia, registra
Persona_id               NOMBRE                No. ID (RUC)                 calle                           número      registra de ventas,
                                                              apellido                 cantón y   primer
                                                                          principal                         de calle     origen activos y/o
                                                              paterno                 parroquia nombre
                                                                                                            principal             empleados

 238351      MUÑOZ MENENDEZ ANGEL LOBERTY 1306280585001                                                        X
  81092      ALVARADO ADÚM HÉCTOR JOSÉ        1306281286001                                                    X
 218827      BARCIA CARRILLO JOHNSON HIGINIO 1306282763001                                                     X
 163257      ROCA BARCIA JULIO ANTONIO        1306283118001                                                    X
  74039      GONZALEZ COBOS OLGA MARIA        1306286053001                                                    X
 189851      LOPEZ VERA ARMANDO RUBEN         1306296508001                                                    X
 109010      AVILA PONCE EDMUNDO ALFREDO      1306305317001                                                    X
 153234      BURGOS MONTANERO WILMER ADALBERTO1306306547001                                                    X
  97144      PINTO MENOSCAL JUAN DOMINGO      1306312289001                                                    X
 144751      MENENDEZ QUIJIJE BEATRIZ ARMINDA 1306321488001                                                    X
 223212      ZAMBRANO FRANCO JESSICA LORENA 1306322742001                                                      X
  49048      JOSE                             1306323237001                                                    X
  36914      LOOR MANTUANO XAVIER FERNANDO 1306325497001                                                       X
  53923      CONFORME PICO MARCOS DANIEL      1306326669001                                                    X
  40669      MERO CHIRIBOGA EDISON FABRICIO 1306342328001                                                      X
 136186      DELGADO NAVIA ANA TEOLINDA       1306342955001                                                    X
  61615      MURILLO CHAVEZ GLADYS ELIZABTEH 1306343037001                                                     X
  31529      CEDENO CEDENO WILSON JOSÉ        1306343698001                                                    X
  43518      LOOR BRAVO WELINTON ANTONIO      1306344076001                                                    X
  96854      CORNEJO ORDOÑEZ CARMEN ELVIRA1306347376001                                                        X
  33990      CEDEÑO CEDEÑO ANGEL GONZALO 1306351261001                                                         X
  44588      SABANDO MERA GENNY MONSERRATE1306352350001                                                        X
 134955      VALLEJOS RODRIGUEZ ANA MARIA     1306353135001                                                    X
 172874      MENDOZA VELEZ MARIA ELENA        1306353895001                                                    X
 240290      LOOR ROJAS MARIA YOLANDA         1306355577001                                                    X
 194557      VILLA CANTOS CLARA ISABEL        1306355700001                                                    X
 122277      CASANOVA CEVALLOS COLON RICARDO306357532001
                                              1                                                                X
 219493      CAMACHO MARCILLO CANDI PAOLA     1306360031001                                                    X
 264482      QUIMIS FRANCO VICENTE CRISTOBAL 1306360122001                                                     X
 128699      ZAMBRANO CEVALLOS RICARTE DANIEL 1306365121001                                                    X
  30212      CUZME REZABALA VERONICA DEL ROSARIO
                                              1306366046001                                                    X
No                 No registra
                                                               No                    No registra   No
                                                                        No. registra                       registra      No.    indicadores
                                                             registra                provincia, registra
Persona_id               NOMBRE               No. ID (RUC)                 calle                           número      registra de ventas,
                                                             apellido                 cantón y   primer
                                                                         principal                         de calle     origen activos y/o
                                                             paterno                 parroquia nombre
                                                                                                           principal             empleados

 195876      JIMÉNEZ REALPE WALTER LUIS      1306373174001                                                    X
 203540      VERDESOTO ZAMBRANO JAIME BELISARIO
                                             1306373653001                                                    X
  14614      COMPU @PTIVA                    1306375013001                                                    X
 178615      ANDRADE ARTEAGA HENRY DEL JESUS 1306375641001                                                    X
 133368      PALMA MENDOZA DOLORES MONSERRATE1306376664001                                                    X
  27539      MACÍAS CEDEÑO NIXON EDILBERTO 1306378231001                                                      X
  66736      ALVAREZ BAZURTO HENRY FRANCISCO 1306381250001                                                    X
  30134      CUVI CABRERA ALDRIN DAVID       1306386465001                                                    X
 166207      MENDOZA RODRIGUEZ MARIA MARIBEL 1306391366001                                                    X
 253346      MUÑOZ TUMA NELSON MILED         1306391531001                                                    X
  20452       RICARDO                        1306391614001                                                    X
 114151      ZAMBRANO MARQUEZ JOSE MILCIADES306401512001
                                             1                                                                X
  38908      BARCIA MENDOZA JOHNNY WASHINGTON1306403914001                                                    X
 189740      ALCIVAR RODRIGUEZ RONAL RAMON 1306404326001                                                      X
  21296      GARCIA VINCES CARLOS AGUSTIN    1306407949001                                                    X
 136909      VENTURA MALDONADO CRISTOBAL LEONARDO
                                             1306411370001                                                    X
 171186      CRUZ MENDOZA JUAN CARLOS        1306411610001                                                    X
 140357      RAMIREZ DELGADO JOSE LUIS       1306416361001                                                    X
 202660      BRIONES MENDOZA FRANCISCO PATRICIO
                                             1306418078001                                                    X
 232866      DELGADO DELGADO ELVIRA JACQUELINE
                                             1306428697001                                                    X
  10697       ING JOSE ZHINGRE               1306435387001                                                    X
 141511      MENDOZA TOALA FIDEL ANTONIO     1306435882001                                                    X
  33513      CEDEÑO QUIROZ EUCLIDES FABIAN   1306437110001                                                    X
 262808      PIN OCHOA RICARDO RUFINO        1306437912001                                                    X
 170523      DELGADO PARRALES ROQUE ALBERTO  1306440163001                                                    X
 133386      INTRIAGO MOREIRA MIRIAN LILIANA 1306463975001                                                    X
 218123      BRAVO VELEZ LUCY MARIA          1306465236001                                                    X
 218851      GARCIA PERERO IVAN VIRGILIO     1306467554001                                                    X
 125785      BURGOS MOREIRA MIGUEL ANGEL     1306471960001                                                    X
 182492      VALDIVIESO SANTOS GINA MERCEDES 1306474352001                                                    X
 129337      ZAMBRANO ROBLES JESUS JIMMY     1306476928001                                                    X
No                 No registra
                                                                No                    No registra   No
                                                                         No. registra                       registra      No.    indicadores
                                                              registra                provincia, registra
Persona_id               NOMBRE                No. ID (RUC)                 calle                           número      registra de ventas,
                                                              apellido                 cantón y   primer
                                                                          principal                         de calle     origen activos y/o
                                                              paterno                 parroquia nombre
                                                                                                            principal             empleados

 237642      BASURTO VILLAVICENCIO JORGE LUIS 1306485085001                                                    X
 167847      BAQUE BAQUE VICENTE CRISTOBAL 1306490481001                                                       X
  45406      VERA TUMBACO BIENVENIDO MAXIMO 1306490713001                                                      X
 110528      VILLACRESES THOMPSON MAGDALENA TERESA
                                              1306490911001                                                    X
 163569      ALCIVAR ALCIVAR RUBER ARNALDO 1306503903001                                                       X
  97495      ALCIVAR ZAMBRANO YINYER YUDIGNA 1306503929001                                                     X
 128982      VINCES CEDEÑO CARLOS EMILIO      1306508845001                                                    X
  83413      VELEZ MENDOZA AUGUSTA LILIANA    1306509652001                                                    X
 172117      ZAMBRANO GILER YOSI GARY         1306517309001                                                    X
  89726      ANDRADE ARTEAGA LORENA DEL ROCIO 1306528108001                                                    X
  46499      PARRALES CHOEZ WASHINGTON RAFAEL 1306533793001                                                    X
  47198      MENDOZA MACÍAS NANCY ELIZABETH 1306537190001                                                      X
 164220      MORAN TUMBACO RUBEN DARIO        1306539352001                                                    X
  48337      VILLAVICENCIO CHAVEZ JULIO CESAR 1306544766001                                                    X
 134006      CEDEÑO BARCIA LETTY MARYCRUZ     1306545946001                                                    X
 236930      MONGE FLORES DE VALGAS GUILLERMO ELIAS
                                              1306548346001                  X            X                    X
 137482      PONCE REYES AULBERTO ISRAEL      1306548874001                                                    X
 213035      ALVARADO CHAVEZ PASTOR MANUEL 1306551548001                                                       X
 227770      QUIJIJE SANCHEZ MARTIN RAMON     1306557628001                                                    X
  58414      LOOR INTRIAGO JOSÉ ELOY          1306569862001                                                    X
  27694      TORRES PÁRRALES JOSÉ FABIAN      1306574045001                                                    X
 275174      MOREIRA VALENCIA SANDRA JAQUELINA1306576701001                                                    X
  94288      LOOR ACOSTA FRANCISCO DIMAS      1306579952001                                                    X
  20370      FRANCO RODRIGUEZ JOSE LUIS       1306580349001                                                    X
 166210      CENTENO SUAREZ JORGE NEPTALI     1306580810001                                                    X
  57278      TERÁN GARCÍA MIGUEL PERFECTO 1306580877001                                                        X
  50336      NN MOREIRA ANGEL OSWALDO         1306580992001                                                    X
  24965      SALTOS QUIROZ GERMAN NEVALDO 1306583442001                                                        X
  28829      ALCIVAR RECALDE MONICA ROSANA 1306592195001                                                       X
  94924      SOLORZANO ZAMBRANO ARACELY ALEJANDRA
                                              1306592633001                                                    X
 126620      SANCÁN GONZABAY PABLA SERVILIA 1306592823001                                                      X
No                 No registra
                                                               No                    No registra   No
                                                                        No. registra                       registra      No.    indicadores
                                                             registra                provincia, registra
Persona_id               NOMBRE               No. ID (RUC)                 calle                           número      registra de ventas,
                                                             apellido                 cantón y   primer
                                                                         principal                         de calle     origen activos y/o
                                                             paterno                 parroquia nombre
                                                                                                           principal             empleados

  22116      VECHEREL CHAVEZ FABIAN ALBERTO 1306593250001                                                     X
 149291      LÓPEZ CEVALLOS RAMÓN JAVIER     1306593888001                                                    X
  22518      CADENA VELEZ IVAN ALEJANDRO     1306594043001                                                    X
  56749      VÉLEZ MOREIRA GLENDA BEATRIZ    1306594126001                                                    X
 184829      GUERRÓN ZEVALLOS LAUTARO SANDINO1306594753001                                                    X
  81797      GARCIA ESPINOZA GREY MARIA      1306595842001                                                    X
  32787      RENGIFO FLORES ROGELIO FERNANDO 1306597178001                                                    X
  25997      ESPINALES CEDEÑO FABIAN RODRIGO1306597657001                                                     X
  40264      LUCAS MANZABA ELDER ALEXANDER 1306598564001                                                      X
 226839      ALAVA PAREDES WILLIAN JAVIER    1306600337001                                                    X
  25259      DURAN PICO WILLIAMS HARVIN      1306603794001                                                    X
  54027      MACÍAS VÉLEZ ROLANDO DANILEL    1306610997001                                                    X
 148219      MONROY REZABALA RAMON ENRIQUE 1306620608001                                                      X
 212643      SANTANA CASTRO JOSÉ RAÚL        1306621044001                                                    X
 274759      GOMEZ LOOR MARIA VICTORIA       1306625540001                                                    X
 136704      SANTOS VILLEGAS JORGE ATILIO    1306638964001                                                    X
 128062      NUÑEZ PALMA FRANKLIN JAVIER     1306644731001                                                    X
 195849      MOREIRA ROSERO ELIECER IVÁN     1306647288001                                                    X
 156554      SANCHEZ CEDEÑO LUIS OCTAVIO     1306650068001                                                    X
 190790      MARTINEZ PLAZA ZOILA HORTENCIA 1306665868001                                                     X
  82489      MACIAS BRIONES JAIRO DUVAL      1306668714001                                                    X
  38926      PINARGOTE BRAVO JOHNNY JOSE     1306669787001                                                    X
  33208      SALDARRIAGA CHICA JOSÉ STALIN   1306670108001                                                    X
 274106      FERRIN QUIROZ VICENTE RICHARD   1306670843001                                                    X
 261208      ARTEAGA ALAVA KARINA DOLORES    1306672351001                                                    X
 133499      VILLAFUERTE SOTO TERESA PAULINA 1306673334001                                                    X
  59877      MOLINA ORMAZA CARLOS IGNACIO    1306680388001                                                    X
  97519      GUTIERREZ CHANCAY ESPERANZA BEATRIZ
                                             1306684208001                                                    X
 229106      VERA GOYES RUDI RUBEN           1306684653001                                                    X
  95185      SOLORZANO ZAMBRANO DANIEL ALEJANDRO
                                             1306688209001                                                    X
 266479      BRAVO LOOR JOSE LEONEL          1306689561001                                                    X
No                 No registra
                                                                No                    No registra   No
                                                                         No. registra                       registra      No.    indicadores
                                                              registra                provincia, registra
Persona_id               NOMBRE                No. ID (RUC)                 calle                           número      registra de ventas,
                                                              apellido                 cantón y   primer
                                                                          principal                         de calle     origen activos y/o
                                                              paterno                 parroquia nombre
                                                                                                            principal             empleados

 103957      BRAVO CHAVEZ LIDER ANTONIO       1306698018001                                                    X
  45563      LINO MIRANDA JESUS MANUEL        1306699024001                                                    X
  94487      MEJÍA RAMOS ALFONSO FABRICIO     1306704972001                                                    X
  58796      MERA ORDOÑEZ ISIDRO JACOBO       1306705615001                                                    X
 274162      ZAMBRANO CHOEZ RODOLFO WILIAN 1306706233001                                  X                                X
 186341      PARRAGA MENENDEZ PUBLIO GEOVANNY 1306707017001                                                    X
  25848      FLOR ALCIVAR ARMANDO IGNACIO     1306708015001                                                    X
  30649      ARTEAGA PALACIOS RICHARD PEDRO 1306709534001                                                      X
  32465      SALTOS CHANCAY FREDDY HUMBERTO   1306713080001                                                    X
  67498      ASTUDILLO ABRIL ELIZABETH DOLORES1306715580001                                                    X
 207679      MACIAS MOREIRA TERESA NEREIDA 1306718014001                                                       X
 154412      BASURTO DEMERA IBERT BERNARDO 1306718311001                                                       X
  20366       JORGE                           1306719327001                                                    X
 269312      PALACIOS VELEZ ENNIS MAYRU       1306721927001                                                    X
 244182      OÑA TOAQUIZA HUGO RENE           1306726454001                                                    X
 237388      VERA TOALA CARLOS ALBERTO        1306727759001                                                    X
 144220      MUÑOZ MONTES NANCY MONSERRATE    1306735117001                                                    X
 243644      GARCÍA BRAVO BYRON FROWEN        1306738889001                                                    X
  26566       WALTHER                         1306747336001                                                    X
 122152      JAIME SALVATIERRA GRISCA ANABEL 1306747898001                                                     X
  84786      MORAN ACUÑA EDISON GREGORIO ANTONIO
                                              1306748441001                                                    X
 234700      ANDRADE SACÓN HOMERO IGNACIO 1306757210001                                                        X
 263767      LLAGUNO MERO FRANCISCO JAVIER 1306758341001                                                       X
 159279      INDDARTE PENAFIEL ARNOLD ANTONIO 1306760750001                                                    X
 225810      SORNOZA RIVERA LAURA EMPERATRIZ1306763416001                                                      X
  75088      FARÍAS VALDIVIESO MILEYDIS VANESSA306764208001
                                              1                                                                X
 143296      BAZURTO PÉREZ CÉSAR EDUARDO      1306764844001                                                    X
  37778      PANTA CHAVEZ XAVIER ALEJANDRO 1306767599001                                                       X
 166925      MOLINA MURILLO MARIO JOSE        1306768902001                                                    X
  91086      ZAMBRANO CEDEÑO DARWIN MANUEL1306771161001                                                        X
  14522      DIAZ RODRIGUEZ VLADIMIR LADISLAO 1306777531001                                                    X
No                 No registra
                                                                No                    No registra   No
                                                                         No. registra                       registra      No.    indicadores
                                                              registra                provincia, registra
Persona_id               NOMBRE                No. ID (RUC)                 calle                           número      registra de ventas,
                                                              apellido                 cantón y   primer
                                                                          principal                         de calle     origen activos y/o
                                                              paterno                 parroquia nombre
                                                                                                            principal             empleados

 258968      LOOR DUENAS NELSON EDWIN         1306778224001                                                    X
 192382      ZAMORA PICO RAMON MIGUEL         1306783489001                                                    X
  47282      IVONNE KARINA AVILA RIVERA       1306794338001                                                    X
 175639      DURAN PICO COLON STEWAR          1306809516001                                                    X
 167362      ROMERO GARCIA PEDRO ANTONIO      1306809763001                                                    X
 184133      DE LA CRUZ ZAMBRANO CRISTINA AMERICA
                                              1306811942001                                                    X
 260229      PAREDES LOOR CARLOS XAVIER       1306829415001                                                    X
 213879      ZAMBRANO ZAMBRANO JORGE GUILLERMO1306847888001                                                    X
  43806      ORTEGA REYES IVÁN EDUARDO        1306853035001                                                    X
 109798      GONZALEZ ANDRADE ERIKA TATIANA 1306860048001                                                      X
   955       ANDRADE ALVAREZ IVAN RAFAEL      1306860147001                                                    X
 187189      BASURTO CEEÑO JUAN JOSE          1306861277001                                                    X
 145346      PALMA GARCIA YURY VLADIMIR       1306866425001                                                    X
 221367      MENÉNDEZ GARCÍA DYNARYN BERNARDITA
                                              1306871672001                                                    X
 160531      ALCIVAR ARTEAGA TITO JAVIER      1306878008001                                                    X
  50826      ANCHUNDIA CAMPOZANO BECKER WLADIMIR
                                              1306883065001                                                    X
 162879      VELIZ MENDOZA WALTER RICARDO     1306883263001                                                    X
  24128      ROMERO ALCIVAR IDELFRIDO VILIULFO1306887157001                                                    X
  71127      MENDOZA MIELES MARIA ARACELY     1306891423001                                                    X
  48857      ZAMBRANO ESPAÑA RAMÓN DONATO 1306893726001                                                        X
 176225      FARIAS DELGADO MARIA VERONICA 1306900174001                                                       X
  78486      VALVERDE LUCIO WILLIAM ADOLFO    1306901719001                                                    X
 160364      BRIONES LEON DIANA GISELLA       1306903210001                                                    X
 262021      MACIAS ZAMBRANO FANNY ESPERANZA306910926001
                                              1                                                                X
  46324      CEDEÑO CEDEÑO HUGO RAUL          1306912047001                                                    X
 151821      QUIROZ MENDOZA TITO OSWALDO      1306914159001                                                    X
 101303      ZAMBRANO ZAMBRANO EDWIN ANIBAL1306916865001                                                       X
  46488      FLORES TOALA YOVANNY IVÁN        1306917103001                                                    X
  81527      VALLADARES SOLORZANO KLEBER PATRICIO
                                              1306917707001                                                    X
 240188      QUIMIS AVILA HUGO ALFREDO        1306918291001                                                    X
 117287      PONCE BAQUE DAVID GEOVANNY       1306919612001                                                    X
No                 No registra
                                                               No                    No registra   No
                                                                        No. registra                       registra      No.    indicadores
                                                             registra                provincia, registra
Persona_id               NOMBRE               No. ID (RUC)                 calle                           número      registra de ventas,
                                                             apellido                 cantón y   primer
                                                                         principal                         de calle     origen activos y/o
                                                             paterno                 parroquia nombre
                                                                                                           principal             empleados

 227353      CADENA ALVAREZ PATRICIA ELIZABETH
                                             1306920768001                                                    X
 160406      RODRIGUEZ VÉLEZ FRANCISCO REGUSTINO
                                             1306920792001                                                    X
 245607      DELGADO SANTANA JULIO CESAR     1306922392001                                                    X
 155788      CEDEÑO FERNANDEZ SANDRA REGINA1306925445001                                                      X
 220781      VÁSQUEZ ARÁUZ ALDO BISMARCK     1306931005001                                                    X
 213730      MANTUANO PONCE FERNANDO SERMIN  1306934082001                                                    X
 146302      PAZ MERA JORGE RAFAEL           1306937291001                                                    X
  40964      INTRIAGO PIN CÉSAR RAÚL         1306937341001                                                    X
 107067      ESPINOZA BAQUE FERNANDO ALBERTO 1306938091001                                                    X
 274058      BRAVO INTRIAGO MARIA DEL CARMEN 1306938638001                                                    X
 268905      ANCHUNDIA LOOR ANDRES MIGUEL 1306938745001                                                       X
 109074      SANTANA INTRIAGO SANDRO LEONARDO1306939388001                                                    X
 205603      GARCIA GARCIA JORGE JHON        1306941129001                                                    X
 213535      ROMERO CEDEÑO AÑGEL RAFAEL      1306942846001                                                    X
  81122      VINUEZA SANTANA SUSANA PATRICIA 1306943455001                                                    X
 230008      ALCIVAR MOREIRA LUIS MAURICIO   1306948959001                                                    X
 139321      ZAMBRANO GARCÍA CARLOS ALBERTO1306951417001                                                      X
  21676      PARRAGA MOREIRA KELO AURO       1306954262001                                                    X
  38804      VINCES NAVARRETE LOURDES KIMBERLY
                                             1306954387001                                                    X
 228917      ALAVA MACIAS ANGEL ROBERTO      1306954726001                                                    X
 143616      ANCHUNDIA GANCHOZO YIMI WANERGE306959071001
                                             1                                                                X
 243744      VACA GUILLEM COLON LENIN        1306959147001                                                    X
 186591      RAMÍREZ VERA WALTER ARTURO      1306960079001                                                    X
 278532      VILLA PIN JOSE FERNANDO         1306960137001                                                    X
  56155      BRAVO GUERRERO NERY ANTONIO     1306964238001                                                    X
 126541      BRAVO CEDEÑO NURY BERTIRENE     1306966647001                                                    X
  62070      VERA ZAMBRANO RENELMO JUNIOR 1306967363001                                                       X
 256737      ORTIZ CAICEDO PEDRO LUIS        1306969138001                                                    X
  33937      CEDEÑO DELGADO CESAR STALIN     1306970383001                                                    X
 184169      ARIAS ZAMBRANO IVAN PERICLES    1306971373001                                                    X
 208393      INTRIAGO DELGADO SONIA AUXILIADORA
                                             1306971977001                                                    X
No                 No registra
                                                                No                    No registra   No
                                                                         No. registra                       registra      No.    indicadores
                                                              registra                provincia, registra
Persona_id               NOMBRE                No. ID (RUC)                 calle                           número      registra de ventas,
                                                              apellido                 cantón y   primer
                                                                          principal                         de calle     origen activos y/o
                                                              paterno                 parroquia nombre
                                                                                                            principal             empleados

  53428      RIVERA CEVALLOS PAULO CESAR      1306972991001                                                    X
  30715      ARTEAGA BRIONES MIGUEL ANGEL     1306973049001                                                    X
  30850      SANCÁN SOLÓRZANO WILLIANS JORGE  1306976992001                                                    X
  19601      BELTRAN FLORES NAPOLEON OVIDIO 1306977248001                                                      X
  29569      CEDEÑO RIVAS ORLANDO FABIAN      1306980473001                                                    X
 209702      SÁNCHEZ TUÁREZ JOSÉ SALOMÓN      1306982941001                                                    X
 198232      PINARGOTE PALACIOS XIMENA DEL ROCIO
                                              1306986702001                                                    X
 271085      GARCIA VERA ULBIO MONCERRATE     1306986785001                                                    X
 201793      PALMA ZAMBRANO WILLIANS PATRICIO 1306988377001                                                    X
 133704      SANTILLAN ACEBO STALIN OLMEDO 1306989839001                                                       X
  28900       JINMY                           1306989847001                                                    X
  25060      CEDEÑO TUÁREZ ELÍ FABRICIO       1306990183001                                                    X
 248767      TOALA RIVAS JOSE AUGUSTO         1306993062001                                                    X
 147670      VINCES CENTENO MARCOS CARLOS 1306997477001                                                        X
  29402      DELGADO SORNOZA MARIO AMILKAR 1307000347001                                                       X
  13629      INGENIERO CIVIL MARCOS TULIO VERA1307001105001
                                               ANDRADE                                                         X
 161635      CAMPUZANO BARCIA CESAR GUSTAVO1307007615001                                                       X
  91395      PICO DELGADO JOSE FABRICIO       1307010783001                                                    X
  94204      GARCIA TUAREZ MARIA DE LOURDES 1307014405001                                                      X
  26792      CHINGA ANDRADE DOVER ANTONIO 1307016079001                                                        X
 261195      GUARANDA VILEMA EDUARDO TYRONE   1307016111001                                                    X
 132016      BOWEN GARCIA ENRIQUE FEDERICO 1307020386001                                                       X
  58112      ZAMBRANO MALDONADO JEISON ALEJANDRO
                                              1307021624001                                                    X
 146038      ALCIVAR PARRALES NIXON FRED      1307025708001                                                    X
  91176      GUILLEN MENDOZA MARIA ISABEL     1307027399001                                                    X
 187782      MERO GARCIA WILMER RAUL          1307031557001                                                    X
 241614      GUTIÉRREZ SALAZAR PAULO ANDRES 1307036812001                                                      X
 142307      LINO SOLORZANO JOSE AGUSTIN      1307039006001                                                    X
  33637      MENDOZA BRAVO YISELA PATRICIA    1307043339001                                                    X
 157120      GOMEZ ARROBA SANDRO ALBERTO 1307050813001                                                         X
 184005      PONCE SILVA JOSE RAMIRO          1307051597001                                                    X
No                 No registra
                                                               No                    No registra   No
                                                                        No. registra                       registra      No.    indicadores
                                                             registra                provincia, registra
Persona_id               NOMBRE               No. ID (RUC)                 calle                           número      registra de ventas,
                                                             apellido                 cantón y   primer
                                                                         principal                         de calle     origen activos y/o
                                                             paterno                 parroquia nombre
                                                                                                           principal             empleados

  57131      LEONARDO                        1307060887001                                                    X
  54756      TUÁREZ DELGADO JOSÉ FRANCISCO 1307061281001                                                      X
 160366      MOREIRA LOPEZ FABRICIO FABIAN   1307063089001                                                    X
 262454      CEDEÑO CHONLONG JORGE MARCELO1307063113001                                                       X
 129326      ALVAREZ PINARGOTE EDDY GEOVANNY307087864001
                                             1                                                                X
  82274      MENDOZA MENDOZA MARIA EUDOCIA 1307094027001                                                      X
 140972      VÉLEZ MOREIRA MARTHA ELIZABETH 1307095545001                                                     X
  44819      SOLORZANO MERO JAVIER LEONEL    1307101129001                                                    X
 103760      ERAZO GARCÍA NUVIA ANGÉLICA     1307103133001                                                    X
 275501      VERA VERA NERY HORLEY           1307107506001                                                    X
  41098      DELGADO PALMA IVES MICHAEL      1307107597001                                                    X
  41397      LOPERA RODRÍGUEZ JOSUE OTONIEL 1307109270001                                                     X
  78408      ZURITA YANEZ JOSE MARCELO       1307109957001                                                    X
 152075      SANTOS LOOR CARLOS HUMBERTO 1307114502001                                                        X
 247528      MACIAS MUÑIZ WALTER STALIN      1307114734001                                                    X
 212160      PAREDES AVILA VICTORIANO ANTONIO1307120178001                                                    X
 146202      LITARDO CEDEÑO RAMON STERLING 1307123487001                                                      X
 147304      MACIAS GARCIA JAIME REMIGIO     1307123677001                                                    X
 187016      VARELA RIVAS FRANCISCO MONCERRATE
                                             1307126969001                                                    X
 197160      MONTESDEOCA VERA MERCEDES ISABEL1307130482001                                                    X
  26553      LOOR ZAMORA GEORGI ENRY         1307131100001                                                    X
 101883      SALTOS GILER MANUEL RICARDO     1307139426001                                                    X
  30242      JOSE                            1307144624001                                                    X
 172877      ZAMBRANO ZAMBRANO ANGELICA MARIA1307146843001                                                    X
  52004      CEDEÑO SOLORZANO JIME TEDDY     1307147684001                                                    X
 154408      SOLEDISPA LOPEZ PABLO ELEUTERIO 1307148153001                                                    X
 189590      MEDRANDA ALCIVAR WISTER YORGEN1307150027001                                                      X
  75383      SALDERRIAGA CORRAL AMPARO HIPATIA
                                             1307156123001                                                    X
  51825      SALDARRIAGA CORRAL YINSON FERNANDO
                                             1307156131001                                                    X
  40866      LOOR VALDIVIEZO GINA ISABEL     1307159275001                                                    X
  94543      LUCAS MACÍAS NANCY MIRELLA      1307159416001                                                    X
No                 No registra
                                                                No                    No registra   No
                                                                         No. registra                       registra      No.    indicadores
                                                              registra                provincia, registra
Persona_id               NOMBRE                No. ID (RUC)                 calle                           número      registra de ventas,
                                                              apellido                 cantón y   primer
                                                                          principal                         de calle     origen activos y/o
                                                              paterno                 parroquia nombre
                                                                                                            principal             empleados

 199260      MACÍAS BAZURTO JOEL ANTONIO      1307160075001                                                    X
  27579      GARCIA CEDEÑO SANDY ELIECER      1307166718001                                                    X
 209532      SANTANA RODRIGUEZ RUDOLF ISAAC 1307169787001                                                      X
  18848       CESAR                           1307170298001                                                    X                      X
 278755      ZAMBRANO CEDEÑO SANDRA ELIZABETH 1307175586001                               X                                X
  33455       PEDRO                           1307176329001                                                    X
  51076      CAÑARTE BAQUE GEORGE ALFREDO 1307180131001                                                        X
 169380      SALAZAR MENÉNDEZ RODOLFO ANTONIO 1307180941001                                                    X
 245073      MONTERO ZAMBRANO RONNY DEL JESUS 1307181402001                                                    X
  92143      ANDRADE MENENDEZ HUGO ALFREDO1307182830001                                                        X
 140291      FIENCO VILLACRESES AGUSTIN DAVID 1307184349001                                                    X
  40944      VILLACRESES PARRALES MAURICIO VICENTE
                                              1307184521001                                                    X
 257637      MOREIRA IDROVO HECTOR AQUILES 1307186419001                                                       X
  75121      CEDEÑO DE LA CRUZ TELMO ALBERTO1307188829001                                                      X
  39983      ARAY ANDRADE CARLOS ALBERTO      1307189991001                                                    X
 164882      GILER VERA JESÚS EGBERTO         1307191377001                                                    X
 128195      ARTEAGA LOPEZ ANGEL RAFAEL       1307201150001                                                    X
 102146      CRUZ GONZALEZ JORGE ENRIQUE      1307203768001                                                    X
  33239      MUGUERZA AREVALO MARCOS RAUL 1307205532001                                                        X
  27311      PINARGOTE MENDOZA DARWIN ANTONIO 1307207322001                                                    X
 263992      ZAMORA REYES CARLOS RAMON        1307208270001                                                    X
 192992      VASQUEZ SANCAN WASHINGTON OLMEDO 1307208437001                                                    X
  21756      ANCHUNDIA REYES JOFFRE MANUEL 1307209435001                                                       X
  89185      INTRIAGO ZAMBRANO YANINA FABIOLA1307210482001                                                     X
 199486      PILLIGUA SALTOS JIMMY ALEXANDER 1307211316001                                                     X
 261360      MENDOZA DAZA CRISTHIAN ALEXANDER 1307211431001                                                    X
 195821      MENDOZA DAZA JUAN CARLOS         1307211449001                                                    X
 243528      PAZMIÑO CEDEÑO ERICK MARLOT      1307213452001                                                    X
  41204      SOLANO SALAZAR JORGE ANTONIO     1307214914001                                                    X
  19413      DENNY FRID                       1307219657001                                                    X
 106343      ESTRELLA ALONSO JHON ANIVAL      1307228575001                                                    X
No                 No registra
                                                               No                    No registra   No
                                                                        No. registra                       registra      No.    indicadores
                                                             registra                provincia, registra
Persona_id              NOMBRE                No. ID (RUC)                 calle                           número      registra de ventas,
                                                             apellido                 cantón y   primer
                                                                         principal                         de calle     origen activos y/o
                                                             paterno                 parroquia nombre
                                                                                                           principal             empleados

 114251      DE LA CRUZ VELEZ JESUS RAMON   1307229060001                                                     X
 263262      MENENDEZ VELEZ KATHERINE PATRICIA
                                            1307231496001                                                     X
  95780      TUMBACO PONCE MARISIDRA PILAR 1307231686001                                                      X
 220026      LOPEZ CASTRO ITALO GUSTAVO     1307232767001                                                     X
 264909      FORTY CARRIEL MERCEDES ALEXANDRA
                                            1307239663001                                                     X
 183998      DEL MÓNACO REYES ALBERTO FERNANDO
                                            1307240687001                                                     X
 246878      DELGADO DELGADO DARWIN ALBERTO 1307242675001                                                     X
  25459      PINO ALAY SONIA MARIBEL        1307243194001                                                     X
 193300      MIRABA ANDRADE FLOR MARIA      1307247328001                                                     X
 250600      RODRIGUEZ VELEZ JONNY ANTONIO 1307261113001                                                      X
 164626      GOMEZ RONQUILLO JOSE PLUTARCO 1307262699001                                                      X
 177300      CEDEÑO BRAVO JESUS NAZARENO    1307268589001                                                     X
 265307      SANCHEZ SABANDO LUIS JAVIER    1307272425001                   X            X                    X
 179685      CEVALLOS CHILAN JOSE JOSELITO  1307274439001                                                     X
 244048      SILVA CHIQUITO JOHNNY DARIO    1307275790001                                                     X
 265591      ZAMBRANO MACIAS KELVIN SALVADOR1307276889001                                                     X
  22532      ALCIVAR MEZA MARA SHAKIRA      1307278497001                                                     X
 192316      LOOR VALDIVIESO RICHARD ORLANDO1307290492001                                                     X
 260532      FERNANDEZ VELEZ PEDRO ANIBAL   1307291722001                                                     X
 193706      BASURTO VIDAL MANUEL ALFREDO   1307292753001                                                     X
 160403      MADRID CASTRO ROSA KARINA      1307294296001                                                     X
 255951      GOROZABEL PALMA DUMAR RAMON 1307295871001                                                        X
  77474      BARCIA MENDOZA JOSE ANIBAL     1307297646001                                                     X
  16238      LOOR SORNOZA LUZBEIDA FLORIXA 1307297729001                                                      X
 177040      GONZALEZ FLORES ALIXON PETITA  1307297968001                                                     X
 225491      VELEZ CEDEÑO JUANA CLEMENTINA 1307298214001                                                      X
  28505      PARRAGA MEJIA YANDRY STANLEY   1307299162001                                                     X
 248224      GOMEZ GONZALEZ GRACIELA ESMERALDA
                                            1307299725001                                                     X
 216952      LUCAS DELGADO MARTHA BEATRIZ   1307300853001                                                     X
 200389      LOOR PLUA HENRY MAURICIO       1307308930001                                                     X
 220447      SOLORZANO MOREIRA ANTONIA AGUEDITA
                                            1307309771001                                                     X
No                 No registra
                                                               No                    No registra   No
                                                                        No. registra                       registra      No.    indicadores
                                                             registra                provincia, registra
Persona_id               NOMBRE               No. ID (RUC)                 calle                           número      registra de ventas,
                                                             apellido                 cantón y   primer
                                                                         principal                         de calle     origen activos y/o
                                                             paterno                 parroquia nombre
                                                                                                           principal             empleados

  47698      CAMPOSANO EGUEZ ANGEL ARISTOBAL 1307310092001                                                    X
 136982      ARTEAGA SANTANA JORGE DANIEL    1307310316001                                                    X
  51384       ROBERT                         1307320083001                                                    X
 243506      CHEVEZ VERA COLON ALBERTO       1307320299001                                                    X
  42181      CARRANZA ZAMBRANO SILBIA ELIZABTEH
                                             1307323368001                                                    X
  40263      GUERRA MERA JUAN CARLOS         1307324093001                                                    X
 136045      INTRIAGO MOREIRA KELVIN DOCITEO 1307328888001                                                    X
 152599      GARCIA GARCIA PEDRO PABLO       1307331379001                                                    X
  40634      MERA DELGADO GONZALO MANUEL 1307336659001                                                        X
  61559      ESPINOZA BRAVO JOSÉ LUIS        1307339182001                                                    X
 224482      MALDONADO SANTANA WILLIAMS ROBERTH
                                             1307341659001                                                    X
  32504      LOPEZ NAVARRETE YVONNE NARCISA 1307351880001                                                     X
  35248      CEDEÑO GARCIA HONORATO VINICIO 1307357663001                                                     X
 254544      ALAVA LAZ JULIO JORGY           1307359305001                                                    X
 100144      PÁRRAGA VALLE JOSÉ EDUARDO      1307359982001                                                    X
  46549      VELEZ MENDOZA ANGEL NEPTALI     1307375343001                                                    X
 232544      ZAMBRANO ROMERO LUIS ALFREDO 1307385383001                                                       X
  25056      CHICA PILLIGUA RAMON RUMALDO    1307385789001                                                    X
 256855      ROMERO LOOR ISIDRO ALADINO      1307386803001                                                    X
  74526      ZAMBRANO MOREIRA RAMON GUSTAVO  1307392389001                                                    X
  13191       ANGELITA                       1307394328001                                                    X
  18089       XAVIER                         1307414886001                                                    X
  24513      CHAVEZ MACÍAS JHONNY XAVIER     1307415511001                                                    X
 275786      CHIQUITO PEDRO                  1307416501001                                                    X
  28086      MORALES CARRILLO JOSÉ NURVI     1307419521001                                                    X
 169415      GARCIA GONZALEZ RUDY LOBERTY    1307419869001                                                    X
  98279      MERA VELEZ RICHARD ANTONIO      1307420941001                                                    X
  25796      ANRANGO PABON FELIX PATRICIO    1307425429001                                                    X
 182297      MERA VELIZ GUSTAVO JAVIER       1307427276001                                                    X
 183124      CRUZ VENTURA JIMMY HERNAN       1307430387001                                                    X
 189456      BAQUE SOLEDISPA EDDY RAMON      1307435410001                                                    X
No                 No registra
                                                                No                    No registra   No
                                                                         No. registra                       registra      No.    indicadores
                                                              registra                provincia, registra
Persona_id               NOMBRE                No. ID (RUC)                 calle                           número      registra de ventas,
                                                              apellido                 cantón y   primer
                                                                          principal                         de calle     origen activos y/o
                                                              paterno                 parroquia nombre
                                                                                                            principal             empleados

 223673      BRIONES FRANCO LENNI MARIA       1307443455001                                                    X
 195582      VÉLEZ GUERRERO CÉSAR RENÉ        1307444180001                                                    X
 138933      REYES BAQUE NEYLL ALEXANDER      1307451102001                                                    X
 268152      CORNEJO INTRIAGO JUDITH DEL CARMEN
                                              1307456705001                                                    X
 114513      CAICEDO AREVALO OLINDA ELIZABETH1307456846001                                                     X
  70187      CASTRO GARCÍA WESNER OLIVER      1307459881001                                                    X
 203337      NAPA ZAMBRANO AFRANIO EVERALDO1307460277001                                                       X
  24959      ARTEAGA ESPINOZA MONICA YISELA 1307466324001                                                      X
 202982      JARRE BARCIA RAFAEL DANNY        1307467272001                                                    X
 245492      LEON LEON HECTOR MAGIN           1307469773001                                                    X
 224161      VEGA SORNOZA JUVENAL JOSUE       1307471902001                                                    X
  59461      CHINGA POSLIGUA CECILIA ANNABEL 1307474765001                                                     X
 214543      GONZÁLEZ LUCAS JOHN NIXON        1307476034001                                                    X
 162764      MACIAS CASTRO LUIS ENRIQUE       1307481737001                                                    X
 201617      MUÑOZ SANCHEZ CARLOS NIXON       1307489219001                                                    X
 110825      MENDOZA CASTRO WILSON HERNAN 1307490597001                                                        X
 267577      GOMEZ PIONCE JOSE MAXIMILIANO    1307491090001                                                    X
  87951      VELEZ RIVERA JUAN SISIFREDO      1307491843001                                                    X
  44060      ZAMBRANO ESPINOZA VASCO ENRIQUE  1307492254001                                                    X
 166691      DAVALOS MOREIRA JOSE VICENTE     1307492510001                                                    X
  18135      MORAN ZAVALA NELLY LEONOR        1307492957001                                                    X
  52631      PICO MENDOZA NEWTON ALEXANDER 1307494342001                                                       X
  23695      SOLEDISPA VALERIANO LEINER FELIPE1307495612001                                                    X
 133550      COBEÑA PARRAGA EDISSON ALFREDO1307496487001                                                       X
 182060      CRUZATTY ARTEAGA JOSE ROBERTO 1307498004001                                                       X
 112251      HIDALGO PALACIOS ALEX JAVIER     1307504256001                                                    X
 219143      BRAVO SOLEDISPA JOSE ERIBERTO 1307508182001                                                       X
 193941      ALVARADO GARCIA JOAN NABOR       1307508992001                                                    X
  25098      PONCE PALMA CARLOS OSWALDO       1307509297001                                                    X
 263089      LOOR SANCHEZ HAYDEE RAQUEL       1307510295001                                                    X
 118321      PEREZ TOALA MARIA XIMENA         1307510584001                                                    X
No                 No registra
                                                               No                    No registra   No
                                                                        No. registra                       registra      No.    indicadores
                                                             registra                provincia, registra
Persona_id               NOMBRE               No. ID (RUC)                 calle                           número      registra de ventas,
                                                             apellido                 cantón y   primer
                                                                         principal                         de calle     origen activos y/o
                                                             paterno                 parroquia nombre
                                                                                                           principal             empleados

  43914      MONTES GILCES MAYRA ALEXANDRA 1307512887001                                                      X
   3853      PIERRE                          1307514776001                                                    X
 150866      ANDRADE ZAMBRANO MARIUXI ELIZABETH
                                             1307516391001                                                    X
 174792      PICO ALCIVAR GEOCONDA BEASLEY 1307517209001                                                      X
  34345      LOPEZ BARCIA MARLON VICENTE     1307518165001                                                    X
   6486      @VACA.COM                       1307521888001                                                    X
  36852      ALVARADO MEDRANDA JULIO JAVIER 1307524148001                                                     X
  81506      VELEZ GILER LIDER EFREN         1307528693001                                                    X
  66460      ZAMBRANO MACIAS MARTHA CECILIA 1307533909001                                                     X
 143610      GARCIA DELGADO BILLY ESTUARDO 1307534709001                                                      X
  53933      CHAVEZ PEREZ LUIS ANIBAL        1307535227001                                                    X
  94227      PACHAY DELGADO KATERINE GRIMANECI
                                             1307535292001                                                    X
  77043      PICO LOOR CEILI MARGARITA       1307537058001                                                    X
  51895      SUÁREZ PONCE YADIRA LILIANA     1307537074001                                                    X
 262892      FARIAS PINARGOTE TANYA ANNABEL 1307538163001                                                     X
  56335      MOREIRA VITERI ROSA GEOCONDA    1307539567001                                                    X
 201029      ALVAREZ PEÑARRIETA CARMEN TERESA1307540441001                                                    X
 262845      MOREIRA MERO HILARIO CELESTINO 1307540763001                                                     X
 138117      CHICA MERO CARMEN DEL ROCIO     1307541464001                                                    X
  66832      PALMA PALMA KELVIN IVAN         1307542777001                                                    X
 164741      ANDRADE RODRIGUEZ TANIA ALEXANDRA
                                             1307544526001                                                    X
  66399      MOREIRA HUGO                    1307545804001                                                    X
  21509      TOALA BENAVIDES YESENIA LILIANA 1307546497001                                                    X
 244100      VALLE LOOR DAVID GEOVANNY       1307548725001                                                    X
 232086      CERVANTE BAQUE JULIO CESAR      1307550010001                                                    X
  22469      GALARZA ORTEGA WILSON JOSÉ      1307553162001                                                    X
  25146      FLOR CHAVEZ GINO FERNANDO       1307554145001                                                    X
 118694      FLOR CHÁVEZ MARÍA JULIA         1307554152001                                                    X
  26565      RICHARD                         1307554202001                                                    X
 263094      BRIONES PALACIOS CINTYA VERONICA1307555647001                                                    X
  37226      CATAGUA CATAGUA CHARITO DEL ROSARIO
                                             1307555688001                                                    X
No                 No registra
                                                               No                    No registra   No
                                                                        No. registra                       registra      No.    indicadores
                                                             registra                provincia, registra
Persona_id              NOMBRE                No. ID (RUC)                 calle                           número      registra de ventas,
                                                             apellido                 cantón y   primer
                                                                         principal                         de calle     origen activos y/o
                                                             paterno                 parroquia nombre
                                                                                                           principal             empleados

 183841      ALCIVAR MONTES JORGE LUIS      1307557551001                                                     X
 145904      FRANCO FRANCO JANDRY HERNALDO 1307558146001                                                      X
  62272      DELGADO MUÑOZ RAFAEL DARIO     1307561520001                                                     X
  30292      CARRERA UQUILLA MARCO VINICIO  1307565331001                                                     X
   4357       MARCO                         1307572048001                                                     X
  71129      BARRERA CABRERA KARLA FERNANDA 1307572840001                                                     X
 167628      PAZMINO CHEME NATACHA IRINA    1307582120001                                                     X
 260002      ANDRADE INDIO DIANA MARLENE    1307583177001                                                     X
  92951      YANCHPAXI FLORES CARLOS OTHON 1307583912001                                                      X
 175234      MERO ACEBO KARLINA VANESSA     1307585701001                                                     X
  64829      GARCIA BAREBRAN JOHON FERNANDO1307590230001                                                      X
  60271      SALDARREAGA ZAMBRANO WILMER ARTURO
                                            1307601573001                                                     X
  24005      MEZA VERA JAIME BENITO         1307605285001                                                     X
 230793      PALMA MENDOZA MERCEDES JENNIFER307605558001
                                            1                                                                 X
  82903      SANTANA MARÍN ANIBAL REINERIO 1307608057001                                                      X
 149478      TORRES MOREIRA BYRON ROLAN     1307609295001                                                     X
 119636      CHONILLO MACÍAS DARWIN EDUARDO 1307610905001                                                     X
 231037      CHAVEZ ALVARADO JOSE FELIX     1307612273001                                                     X
 218968      MIELES REYES KELVIN RAFAEL     1307614063001                                                     X
 262826      PALMA VERA PATRICIO ALBERTO    1307620359001                                                     X
 242469      NAVARRETE BAILON HEVERT EDISON 1307626356001                                                     X
 153468      MORA SALTOS MARÍA INES         1307627495001                                                     X
 202439      CHIQUITO PALMA VICTOR JESUS    1307628071001                                                     X
 190949      MURILLO CEDEÑO LODANNY IDUARTE 1307638476001                                                     X
 124228      PITA RAMIREZ NEWTONG STALIN    1307640605001                                                     X
 208763      INTRIAGO PICO JONNY GASPAR     1307644730001                                                     X
 214092      ZAMBRANO YURI                  1307648004001                                                     X
 110270      QUIROZ MACIAS GLENDA MARIBEL   1307653780001                                                     X
  90855      ZAMBRANO CEDEÑO MARYURI IRLEINE1307655850001                                                     X
 157691      ALVAREZ PINCAY DARWIN ALBERTO 1307656254001                                                      X
 177527      SALDARRIAGA CORRAL KARINA JACQUELINE
                                            1307657492001                                                     X
No                 No registra
                                                               No                    No registra   No
                                                                        No. registra                       registra      No.    indicadores
                                                             registra                provincia, registra
Persona_id               NOMBRE               No. ID (RUC)                 calle                           número      registra de ventas,
                                                             apellido                 cantón y   primer
                                                                         principal                         de calle     origen activos y/o
                                                             paterno                 parroquia nombre
                                                                                                           principal             empleados

 202911      PINO PINARGOTE CARLOS ALBERTO 1307673812001                                                      X
  37376      MACHUCA AVALOS MIKE PAOLO       1307673911001                                                    X
  65003      ZAMBRANO SANTOS LEWIS MANUEL 1307687465001                                                       X
 189871      GARCIA ZAMBRANO CARLOS EMILIO 1307687895001                                                      X
 103849      INTRIAGO MERA FABIAN REMBERTO 1307688984001                                                      X
  51059      BLONDET MOLINA VIANNY VICENTE   1307690170001                                                    X
  28408       GEOCONDA                       1307694271001                                                    X
 165942      ROSERO FLORES JOSÉ IGNACIO      1307705713001                                                    X
  80148      SALTOS BAQUE ALBERTO CASELY     1307714046001                                                    X
 151624      SANCHEZ PADILLA IVAN MAURICIO   1307714285001                                                    X
  96971      PICO MACIAS EDGAR HERMELINDO    1307724268001                                                    X
  64243      LOOR VELEZ JOSE ALFREDO         1307724565001                                                    X
  68734      SÁNCHEZ CEPEDA JORGE RAMIRO     1307726768001                                                    X
 145370      BARREIRO NAVIA ULBIO BENJAMIN   1307733319001                                                    X
  36943      MALLA VALDIVEZO CESAR ENRIQUE 1307734630001                                                      X
 245572      AYÓN SALVATIERRA JHONY NAHÍN    1307736981001                                                    X
 103900      CHOEZ MACIAS PEDRO JAVIER       1307736999001                                                    X
  77017      ZAVALA GUTIERREZ INES MARIA     1307742013001                                                    X
 259139      CASANOVA VELEZ REINALDO AMADEO307746337001
                                             1                                                                X
 142800      PARRALES GUANALUISA JORGE GEOVANNY
                                             1307749851001                                                    X
 136885      ZAMBRANO PAZMIÑO ROSARIO ELIZABEL
                                             1307750792001                                                    X
 168937      JUAN CARLOS ZAMBRANO LAZ        1307753226001                                                    X
  21530      REYES ALAVA EDWARD JAVIER       1307762003001                                                    X
 125455      PEÑAFIEL LINO JUAN ALBERTO      1307763472001                                                    X
  54126      LOOR VILLAGOMEZ JORGE LUIS      1307763589001                                                    X
 101651      MIELES CEDEÑO PIEDAD DEL ROSARIO1307767788001                                                    X
  63984      GARCIA CEDEÑO RICHARD EDGAR     1307772762001                                                    X
  22268      CEVALLOS ROSADO CESAR ELOY      1307776870001                                                    X
  34444      VELEZ CRUZATTY JHONNY MANUEL 1307777183001                                                       X
 106028      VERDUGA BARRETO FERNANDO ANTONIO1307778421001                                                    X
  36194      REGALADO SEGOVIA OFELIA YESSENIA1307779841001                                                    X
No                 No registra
                                                                No                    No registra   No
                                                                         No. registra                       registra      No.    indicadores
                                                              registra                provincia, registra
Persona_id               NOMBRE                No. ID (RUC)                 calle                           número      registra de ventas,
                                                              apellido                 cantón y   primer
                                                                          principal                         de calle     origen activos y/o
                                                              paterno                 parroquia nombre
                                                                                                            principal             empleados

  41814      GUSQUI LLAMUCA EDGAR WALBERTO 1307780369001                                                       X
  40710      PALMA CEDEÑO MOISES DAVID        1307780591001                                                    X
 148115      DEMERA URETA GABRIEL PRIMITIVO 1307783082001                                                      X
  74831      VELEZ BERMELLO CARLOS HERNAN 1307784270001                                                        X
 146013      BARREIRO VELASQUEZ RODOLFO LEONARDO
                                              1307787752001                                                    X
 273368      VILLA CANTOS CECILIA VICTORIA    1307789386001                                                    X
  31778      LOPEZ NAVARRETE BIELKA VERONICA 1307790418001                                                     X
  69469      PEÑAFIEL GUTIERREZ MAURICIO GUILLERMO
                                              1307791358001                                                    X
  29641      PAREDES AVILA ANITA LUCIA        1307794238001                                                    X
  64023      INGENIERO ELECTRICO              1307795904001                                                    X
  20329      RENATO                           1307798155001                                                    X
 210169      ALARCON MONTESDEOCA RICARDO XAVIER
                                              1307799252001                                                    X
  36858      WALTER                           1307801397001                                                    X
  43566      QUINTEROS VARGAS PAUL GERMAN 1307802429001                                                        X
 143970      LOOR MACIAS JOSE LUIS            1307803831001                                                    X
  99911      GORTAIRE MARTINEZ JORGE EDUARDO  1307807600001                                                    X
  61097      VINCES NAVARRETE CESAR FERNADO 1307808798001                                                      X
  54761      GARCIA VINCES LINCOLN JAVIER     1307820058001                                                    X
 141034      ALAVA MENDOZA CARLOS CESAR       1307827541001                                                    X
  62637      DELGADO ALVIA JHONNY BARTOLOMES  1307835437001                                                    X
 170137      CRUZATTY RODRIGUEZ HEFNER ALEXANDRE
                                              1307838175001                                                    X
 154629      GUZMAN PONCE ROGER ADRIAN        1307838357001                                                    X
  34342      VELEZ ZAMBRANO TATIANA YASMINA 1307841021001                                                      X
  73823      MEJIA PARRAGA RAÚL STALIN        1307844108001                                                    X
  28373      CEDEÑO MEZA MILTON JAVIER        1307855534001                                                    X
 193756      ZAMBRANO MOREIRA JESUS JOEL      1307861631001                                                    X
  36903      MERO BOSADA JOSE MARLON          1307863009001                                                    X
 209297      ACEBO PINCAY MARIA AUXILIADORA 1307867711001                                                      X
  34533      BERMEO MERA JOSE ANGEL           1307873321001                                                    X
  22995      EDINSON                          1307876944001                                                    X
  12695      GARY MACIAS                      1307877108001                                                    X
No                 No registra
                                                               No                    No registra   No
                                                                        No. registra                       registra      No.    indicadores
                                                             registra                provincia, registra
Persona_id              NOMBRE                No. ID (RUC)                 calle                           número      registra de ventas,
                                                             apellido                 cantón y   primer
                                                                         principal                         de calle     origen activos y/o
                                                             paterno                 parroquia nombre
                                                                                                           principal             empleados

  26407      SALTOS BAILON GABRIEL RENE     1307882835001                                                     X
  26628      MUÑOZ MOREIRA FREDDY FERNANDO 1307883627001                                                      X
  95320      LOOR ACOSTA BEATRIZ ALFONCINA 1307887180001                                                      X
  69465      CHICA VINUEZA CARMEN AZUCENA   1307902385001                                                     X
  77563      LÓPEZ MENDOZA RICARDO IVAN     1307906378001                                                     X
  77713      MUÑOZ ALCÍVAR PAULO CÉSAR      1307906444001                                                     X
  74422      PICO NAVARRO JEOVERTY SERVANDO1307908846001                                                      X
  81172      CEVALLOS SALTOS DANIEL HERNÁN 1307912442001                                                      X
  74552      CEDEÑO MIRANDA ROSANA ISIDORA 1307914620001                                                      X
 115462      MONCAYO ROMAN KELVIN GEOVANNY 1307918126001                                                      X
 155188      FALCONES DELGADO WELLINGTON ISIDRO
                                            1307931251001                                                     X
 203262      ANDRADE ZAMBRANO MARIA VERONICA1307935765001                                                     X
 114445      PEÑAFIEL TOALA ELOY ANTONIO    1307948446001                                                     X
 274328      DELGADO PAZMIÑO WINTON ALFREDO1307951911001                                                      X
 256329      PALMA CABALLERO AMADO CARLOS 1307953644001                                                       X
 230053      CARDENAS CHAVEZ ROBERTO CARLOS 1307960185001                                                     X
 243452      GARCIA SILVA JESSICA ROCIO     1307968998001                                                     X
 171009      BAQUE TUAREZ CAROL GEOCONDA 1307972164001                                                        X
 248811      CEDEÑO ZAMBRANO AURA PAOLA     1307977916001                                                     X
 279007      CASANOVA CHAVEZ MARÍA VERÓNICA1307981793001                                                      X
 260740      GARCÍA LOOR LIMBER RAMÓN       1307987964001                                                     X
  22822      ZAMBRANO ANDRADE JOSE ITALO    1307989648001                                                     X
 145040      LOOR MACIAS LOURDES MARISOL    1307992030001                                                     X
 216375      AVILA DELGADO MARTHA CECILIA   1307996528001                                                     X
 134072      VELEZ PINARGOTE MARIA LETTY    1307999654001                                                     X
 157678      RODRIGUEZ VERA JUAN CARLOS     1308000635001                                                     X
  36038      SOLÓRZANO ZAMORA ANTONIO LENIN 1308001815001                                                     X
 126639      SANCÁN GONZABAY EDGAR ENRIQUE 1308002698001                                                      X
 179144      VELEZ SANTOS MEYURY FRANCISCA 1308003001001                                                      X
 101819      ZAMBRANO FERNANDEZ EDGAR JAVIER1308003118001                                                     X
 225074      BRAVO VELEZ MILTON DARWIN      1308003530001                                                     X
No                 No registra
                                                               No                    No registra   No
                                                                        No. registra                       registra      No.    indicadores
                                                             registra                provincia, registra
Persona_id               NOMBRE               No. ID (RUC)                 calle                           número      registra de ventas,
                                                             apellido                 cantón y   primer
                                                                         principal                         de calle     origen activos y/o
                                                             paterno                 parroquia nombre
                                                                                                           principal             empleados

 248223      MOREIRA GARCES MENDIS FRANCISCO 1308006962001                                                    X
 260394      LOPEZ LOOR SANDRA VERONICA      1308009818001                                                    X
 101788      VELAZQUES MEJIA CECILIO ANTONIO 1308011285001                                                    X
 165328      BALAREZO HIDALGO GLADIS MARIBEL 1308011624001                                                    X
  57786      MERO MACIAS ANGEL ALFONSO       1308013745001                                                    X
  50685       ERIX                           1308016417001                                                    X
  93829      ZAMBRANO BRAVO HEINE FRANCISCO 1308019312001                                                     X
  68335      SEGOVIA GUILLÉN CARLOS ALBERTO 1308019957001                                                     X
  16943      RADE LOOR JORGE TANUS           1308022969001                                                    X
 213793      GARCIA ANDRADE RUDDY FABIAN     1308027224001                                                    X
  60404      PALACIOS ZAMBRANO LUIS CARLOS 1308038411001                                                      X
  62820      PICO MACIAS LUZ MARIA           1308041951001                                                    X
 225099      LOOR MACIAS PETITA ELIZABETH    1308042215001                                                    X
 151458      DELGADO SOLORZANO CARLOS FABIAN 1308044286001                                                    X
 278039      INTRIAGO MENDOZA JULY JOHANNA 1308049715001                                                      X
 195138      MEDRANDA ZAMBRANO MARIA DE LOURDES
                                             1308049970001                                                    X
  18666      CALDERON CEDENO FRANKLIN OSWALDO1308051984001                                                    X
  74317      ALCIVAR TAPIA WINDY JOFFRE      1308056827001                                                    X
 133480      GRANOBLE CHANCAY PACO EGDON 1308057296001                                                        X
 190110      BRIONES RUBIO KARINA KATIUSCA   1308059417001                                                    X
 146407      PIN VELASZQUEZ ENRIQUE VIDAL    1308067006001                                                    X
  92414      PIN COBEÑA ALBERTH RODRIGO      1308067048001                                                    X
 143858      MUÑOZ AVELLAN EDWIN IGNACIO     1308067675001                                                    X
 266871      ANCHUNDIA RISCO BAIRON BOLIVAR 1308071180001                                                     X
  32837      ARTEAGA PALACIOS HUGO ALDO      1308074937001                                                    X
 239118      PARRAGA MUÑOZ CONNY FLOR        1308083482001                                                    X
 226137      PROAÑO BUENAÑO CARLOS EDUARDO1308086287001                                                       X
  90395      PALOMEQUE PALOMEQUE SERGIO LUIS 1308090255001                                                    X
 186660      MENDOZA DUEÑAS DARWIN ELIAS     1308094992001                                                    X
 205600      GRANDA ORDOÑEZ IVAN ARTURO      1308095262001                                                    X
  56812      BAILÓN DELGADO GEOVANNY RICHARD 1308095353001                                                    X
No                 No registra
                                                               No                    No registra   No
                                                                        No. registra                       registra      No.    indicadores
                                                             registra                provincia, registra
Persona_id               NOMBRE               No. ID (RUC)                 calle                           número      registra de ventas,
                                                             apellido                 cantón y   primer
                                                                         principal                         de calle     origen activos y/o
                                                             paterno                 parroquia nombre
                                                                                                           principal             empleados

 194421      ZAMBRANO LOOR RICARDO RAFAEL 1308096393001                                                       X
  84287      GUADAMUD ROMAN HORACIO RAFAEL 1308097110001                                                      X
  30156      ZAMBRANO DOMÍNGUEZ OTTY RAMÓN1308103207001                                                       X
 101321      DELGADO CHIMPANTIZA MALENA MATILDE
                                             1308111911001                                                    X
 160527      MEZA TORRES ALISON DAVID        1308112034001                                                    X
 148749      CEDEÑO CEVALLOS CARLOS ROBERTO  1308113370001                                                    X
 185470      CASTRO BAZURTO WASHINGTON STALIN1308118890001                                                    X
 271221      DOMINGUEZ REYES JULIO CESAR     1308121431001                                                    X
  28716      ORMAZA ARTEAGA EDUARDO PATRICIO 1308125242001                                                    X
  29886      CHÁVEZ CEDEÑO HÉCTOR ALFREDO 1308125549001                                                       X
 226695      MACIAS ANTON WASHINGTON JOSE LUIS
                                             1308126661001                                                    X
 128198      VELASQUEZ LUCAS FREDDY FERNANDO308126778001
                                             1                                                                X
  32900      BARREIRO MENDOZA JUAN CARLOS 1308128402001                                                       X
 113833      ANCHUNDIA FLORES JORGE ENRIQUE  1308129327001                                                    X
  79212      CEDEÑO ZAMBRANO JOES ITAMAR     1308139136001                                                    X
  69803      CARRANZA FARÍAS SANDY ARTURO 1308140159001                                                       X
  34789      FLORES PALACIOS FERNANDO DARWIN 1308140530001                                                    X
  27843      ORTIZ MACIAS LUIS EDUARDO       1308141710001                                                    X
  96507      ABRIL ARTEAGA GIANCARLO RUBEN 1308141736001                                                      X
  40644      MAYIA VELEZ WILLIAMS FELIPE     1308147162001                                                    X
  21768      GARCIA MEJIA MICHAEL JAVIER     1308147261001                                                    X
 207124      CEDEÑO GARCIA RAMON EDUARDO 1308151305001                                                        X
 189709      LOPEZ FIGUEROA VERONICA ISABEL 1308152832001                                                     X
  55090      MEZA PINARGOTE ANGEL STALIN     1308153954001                                                    X
  59887      VÉLEZ PITA WINTER RICARDO       1308154598001                                                    X
  31738      DELGADO INTRIAGO CHRISTIAN JAVIER
                                             1308156155001                                                    X
  28114      LOPEZ OREJUELA NANCCY OTILIA    1308158466001                                                    X
 167124      MERA MENDOZA NELLY DEL ROCIO    1308161437001                                                    X
  62467      GINES PALMA KENNER LORGIO       1308162674001                                                    X
 101333      CHICA ESPINOZA VICENTE FABIAN   1308165602001                                                    X
  41789      PEDRO                           1308165719001                                                    X
No                 No registra
                                                               No                    No registra   No
                                                                        No. registra                       registra      No.    indicadores
                                                             registra                provincia, registra
Persona_id               NOMBRE               No. ID (RUC)                 calle                           número      registra de ventas,
                                                             apellido                 cantón y   primer
                                                                         principal                         de calle     origen activos y/o
                                                             paterno                 parroquia nombre
                                                                                                           principal             empleados

 159758      ZAMBRANO MORENO JUAN ALBERTO 1308167863001                                                       X
  34026      MACIAS LOOR MARIO ECUADOR       1308168325001                                                    X
 168605      PAZ MERA MIGUEL EDUARDO         1308170271001                                                    X
 202514      FIALLOS LOOR IVONNE PATRICIA    1308176237001                                                    X
 103823      FLORES RIVADENEIRA BYRON GUSTAVO1308185113001                                                    X
  12359      DIOFRE LAURO BRAVO PALMO        1308189628001                                                    X
 217812      PUERTAS BENAVIDEZ CARLOS MAGNO1308190923001                                                      X
  50775      NAVARRETE SÁNCHEZ JOSÉ ANTONIO 1308200771001                                                     X
 210650      ZAMBRANO FARIAS LUCIA MAGDALENA 1308213113001                                                    X
 158270      VILLAMARIN SANDOVAL EDWIN RODRIGO
                                             1308216934001                                                    X
  35765      CESAR                           1308219995001                                                    X
 252888      FARIAS ZAMBRANO CARLOS AGUSTIN 1308222775001                                                     X
 191579      CEVALLOS BRAVO VOLTAIRE RAFAEL 1308224227001                                                     X
 211857      ROLDAN PAZMINO WILTHER ENRIQUE 1308225034001                                                     X
 155558      CEVALLOS LOOR GENA BEATRIZ      1308227931001                                                    X
 212690      VERA CEDEÑO MERCEDES KATIUSKA 1308229655001                                                      X
 248331      SANTOS VELEZ RAMON LEONARDO     1308229879001                                                    X
 100118      VELÁSQUEZ REYES MARIO FERNANDO1308230760001                                                      X
  37251      MIGUEL                          1308230851001                                                    X
  60009      MACIAS PINARGOTE EMIGDIO JULIO 1308231396001                                                     X
  29141      SANTISTEVAN VILLACRESES MIGUEL ANGEL
                                             1308233855001                                                    X
  75662      TOALA LEON FABIAN EDUARDO       1308239068001                                                    X
  46420      MORALES CARRILLO FRANCIS ELODIA 1308239225001                                                    X
  30555      MENENDEZ PRIAS JAMIL EDUARDO    1308242740001                                                    X
  35606      GUERRA MERA YESSENIA CECIBEL    1308243904001                                                    X
 103513      TOALA SANCHEZ ALEXANDER XAVIER 1308244274001                                                     X
  32621      FAULA ALCIVAR JAIME DANIEL      1308244613001                                                    X
  59862      FAULA ALCÍVAR MARÍA ISABEL      1308244621001                                                    X
  27606      LOPERA RODRIGUEZ MARJORIE JULISSA
                                             1308247889001                                                    X
  29229      LUIGI                           1308248002001                                                    X
 235557      EGUEZ ALCIVAR HUGO LEONARDO     1308248861001                                                    X
No                 No registra
                                                               No                    No registra   No
                                                                        No. registra                       registra      No.    indicadores
                                                             registra                provincia, registra
Persona_id               NOMBRE               No. ID (RUC)                 calle                           número      registra de ventas,
                                                             apellido                 cantón y   primer
                                                                         principal                         de calle     origen activos y/o
                                                             paterno                 parroquia nombre
                                                                                                           principal             empleados

 168434      ACOSTA CEDEÑO MILTON IGNACIO    1308250610001                                                    X
  88465      PEZO QUIROZ RAMON GONZALO       1308254448001                                                    X
  33301      PEREZ MERO LUIS ALBERTO         1308260676001                                                    X
  68256      PALMA PÉREZ JACINTO PAÚL        1308260684001                                                    X
 264153      PINCAY FRANCO GLADIS LEONOR     1308264637001                                                    X
  48134      GONZALEZ SOLANO WINSTON ELEODORO1308264702001                                                    X
 131111      HERNANDEZ SOLIS ADRIAN ADALBERTO1308265188001                                                    X
 181392      CAMPOS SÁNCHEZ VENUS SOFÍA      1308266137001                                                    X
  65276      PONCE MIELES FABIÁN EUCLIDES    1308266210001                                                    X
 256744      ANDRADE ANDRADE JOSE LUIS       1308268182001                                                    X
 209939      ANDRADE GOMEZ HENRRY JAVIER     1308268877001                                                    X
  52329      LEON CEDEÑO FREDDY FERNANDO     1308269958001                                                    X
  21306      CEDENO DOMINGUEZ BYRON VICENTE1308271756001                                                      X
 190338      SANTANDER ZAMBRANO CESAR AUGUSTO1308272374001                                                    X
  23054      GANCHOZO VILLAVICENCIO IVAN FERNANDO
                                             1308281318001                                                    X
  41230      MERCHÁN PAREDES YURI IVÁN       1308281607001                                                    X
 148046      DEMERA DOMO LUIS DANNY          1308283702001                                                    X
  68126      LOOR CEVALLOS DIXI MELISSA      1308284908001                                                    X
  61158      FARIAS SANCHEZ TATIANA MABEL    1308287117001                                                    X
  38233      VALDIVIEZO ROSADO HILTON LEODAN 1308289402001                                                    X
 125289      SÁNCHEZ PINOARGOTE GRIGORY RENÁN1308292356001                                                    X
 246535      DELGADO DELGADO MAGALI MONSERRATE
                                             1308295136001                                                    X
 144615      PONCE PONCE LENIN FABRIZIO      1308298411001                                                    X
  68779      COBEÑA DELGADO PATRICIO ARCANGEL1308302064001                                                    X
  37212      MORALES MUÑIZ JHINMY RAMÓN      1308302437001                                                    X
 219763      SUAREZ VELEZ MARIA JUDITH       1308305307001                                                    X
  57267      YANEZ ZAMBRANO EDGAR EDUARDO 1308307840001                                                       X
  67679      BRAVO CAICEDO EMELSON RAMIRO 1308307915001                                                       X
 109683      CHAVEZ ANCHUNDIA JIMMY GEOVANNY 1308308137001                                                    X
 208558      INTRIAGO PICO HOLGER JOSE       1308308830001                                                    X
 268937      MOREIRA BAZURTO DANNY XAVIER    1308308897001                                                    X
No                 No registra
                                                               No                    No registra   No
                                                                        No. registra                       registra      No.    indicadores
                                                             registra                provincia, registra
Persona_id              NOMBRE                No. ID (RUC)                 calle                           número      registra de ventas,
                                                             apellido                 cantón y   primer
                                                                         principal                         de calle     origen activos y/o
                                                             paterno                 parroquia nombre
                                                                                                           principal             empleados

 206148      PRIAS AVILA ANA LUCY           1308309168001                                                     X
  93693      PARRAGA MENDOZA ROBER MANUEL 1308309903001                                                       X
  11750      ING. RAFAEL TAMAYO TEJENA      1308311800001                                                     X
 262811      CALDERON BRAVO RICHAR ALBERTO 1308312006001                                                      X
  26140      ALARCON ARTEAGA MARLON ANTONIO1308312568001                                                      X
 219649      PILLIGUA MENDOZA JOSE ISIDORO  1308312790001                                                     X
  33751      VELEZ ZAMBRANO TEDY EUDORO     1308313087001                   X                                 X
  22174      ZAMBRANO QUIROZ MARCOS JULIO 1308313418001                                                       X
  48213      MEJÍA VÁSQUEZ JUAN MANUEL      1308314408001                                                     X
 126026      FERNANDEZ TAMAYO FABRICIO MARIANO
                                            1308314465001                                                     X
 157215      ALCIVAR PUERTAS YESENIA ALEXANDRA
                                            1308314754001                                                     X
   6927      AVINTRIAGO                     1308316734001                                                     X
  28828      ZAMBRANO FIGUEROA DARWIN ENRIQUE
                                            1308317997001                                                     X
 183766      PONCE FORTIS MARIA GABRIEL     1308319522001                                                     X
  72250      ORLANDO RATTI JUAN CARLO       1308320769001                                                     X
 141960      ALCIVAR CEDEÑO CARLOS HUMBERTO1308321023001                                                      X
  68247      MOREIRA ZAMBRANO AMANDA MONSERRATE
                                            1308321197001                                                     X
 242384      ZAMBRANO GUERRERO WILINTON RAMON
                                            1308322765001                                                     X
 117844      DELGADO TUAREZ GALO ANTONIO    1308322781001                                                     X
  32600      RAUL                           1308323920001                                                     X
 161663      COVEÑA DELGADO JOSE MARCELO    1308342995001                                                     X
 264221      BRAVO BRIONES ALEX MARCELO     1308344470001                                                     X
  53440      CHRISTIAN                      1308350436001                                                     X
 210768      MARZANO ORTEGA HENRY RAMON     1308351772001                                                     X
 238707      GILER ROMERO JANETH DEL CARMEN1308352234001                                                      X
  82185      NAVIA VERA ALEJANDRO FORTUNATO 1308354388001                                                     X
  19809      MOSQUERA CEVALLOS VICTOR HUGO 1308355203001                                                      X
  33731      MARRIOTT BRAVO MARIA MARICELA 1308361326001                                                      X
 122361      AVILA MORA MARIA ALEXANDRA     1308365806001                                                     X
  71947      CALDERON NUÑEZ MARIA MAGDALENA 1308365863001                                                     X
 162985      ORTÍZ CAPA MARLON VICENTE      1308372406001                                                     X
No                 No registra
                                                                No                    No registra   No
                                                                         No. registra                       registra      No.    indicadores
                                                              registra                provincia, registra
Persona_id               NOMBRE                No. ID (RUC)                 calle                           número      registra de ventas,
                                                              apellido                 cantón y   primer
                                                                          principal                         de calle     origen activos y/o
                                                              paterno                 parroquia nombre
                                                                                                            principal             empleados

  40539      SALTOS VELASQUEZ RILEY           1308384302001                                                    X
  23659      GARCIA SANTANA KENNY ALBERTO     1308384971001                                                    X
  56378      ZEVALLOS VILLAPRADO ANA CRISTINA 1308390010001                                                    X
 233574      MARQUEZ RODRIGUEZ JOSE RAFAEL 1308394087001                                                       X
 180905      SANTANA URETA JOSE RAFAEL        1308395068001                                                    X
  61202      SANTANA CEDEÑO RENE ALFREDO      1308398005001                                                    X
 146220      PALMA CABALLERO ELSY VANESSA     1308400348001                                                    X
  36150      ZAMBRANO MARTILLO ELIM MARIANELA 1308400637001                                                    X
  52721      QUIMIS GUERRERO MONICA FERNANDA  1308401676001                                                    X
 107141      MUÑOZ AVELLAN RAMON EDUARDO 1308401817001                                                         X
  72192      PLUA MARCILLO CESAR YIMMY        1308408002001                                                    X
  59623      MORAN TUMBACO BENIGNO SEGUNDO1308421898001                                                        X
  12452       ING. VICTOR SOLIS               1308424397001                                                    X
  23251      SIERRA CANTOS JUAN CARLOS        1308424991001                                                    X
 206010      RODRIGUEZ CEDEÑO FABRICIO VICENTE1308425014001                                                    X
 195269      CARRILLO MOREIRA GALO JOSE       1308425048001                                                    X
  18776      GARCIA GARCIA JOSE NOMBERTO      1308426301001                                                    X
 246953      RODRIGUEZ ZORRILLA GEOVANNY PATRICIO
                                              1308426970001                                                    X
  86957      CATAGUA MACIAS JOSE DARIO        1308430626001                                                    X
  86190      COBEÑA ALAVA OLVER NICACIO       1308430725001                                                    X
 269121      CHAVEZ MOREIRA MARITZA JACQUELINE1308430790001                                                    X
 257986      GARCIA CEDEÑO FRANCISCO RENAN 1308435021001                                                       X
  16584      ZAMBRANO PINCAY GEOMAR DUMAR 1308438900001                                                        X
  29839       MARJORIE                        1308462587001                                                    X
 193443      ZAMBRANO AYONG JOSE EDUARDO 1308467990001                                                         X
 157346      BERNARDY VELASQUEZ DELADIER      1308468949001                                                    X
  27770      BARBERAN FRANCO RAMÓN ALEJANDRO  1308470614001                                                    X
 118783      RAMOS LITARDO JAIME RAFAEL       1308477890001                                                    X
  89065      INTRIAGO ZAMBRANO RENAN ROBERTH308498920001
                                              1                                                                X
 167021      MOREIRA ALAVA RONNIE EFREN       1308501228001                                                    X
  28091      MEZA HERNANDEZ GREGORIO JOSELITO 1308507522001                                                    X
No                 No registra
                                                               No                    No registra   No
                                                                        No. registra                       registra      No.    indicadores
                                                             registra                provincia, registra
Persona_id               NOMBRE               No. ID (RUC)                 calle                           número      registra de ventas,
                                                             apellido                 cantón y   primer
                                                                         principal                         de calle     origen activos y/o
                                                             paterno                 parroquia nombre
                                                                                                           principal             empleados

 231974      PANEZO CHEME JAIME ALFONSO      1308512670001                                                    X
 111304      MOREIRA CARREÑO FANNY KATIUSKA 1308527652001                                                     X
  48028      DELGADO CHAVEZ VICENTE XAVIER 1308528791001                                                      X
 231967      MOREIRA RUIZ JOSÉ JOEL          1308531399001                                                    X
  46461      MERA BRIONES STALÍN ROLANDO     1308532983001                                                    X
  58954      VÁSQUEZ PICO GUIDO JAVIER       1308537727001                                                    X
 148767      MENDOZA MUÑOZ CHRISTIAN ROBERT1308537792001                                                      X
 263397      GINES ZAMBRANO CARLOS EDUARDO 1308548096001                                                      X
 231970      ZAMBRANO DELGADO MARIA TERESA 1308549383001                                                      X
 152577      PALACIOS MUÑOZ PABLO RAMON      1308559069001                                                    X
 213607      BARDELLINI MUÑOZ ROSA OLGA      1308568789001                                                    X
 176822      CEDENO ROMERO MIGUEL ANGEL      1308570611001                                                    X
  33891      LOOR SALMON CARLOS JULIO        1308571908001                                                    X
 150128      CASTRO ANDRADE GABRIEL ARTURO 1308572716001                                                      X
  83562      MACÍAS FUENTES ALBERTO FABRIZZIO1308576055001                                                    X
  40289      WILLIAM                         1308581485001                                                    X
 157385      VALLE ALCIVAR AURORA JAQUELINE 1308583770001                                                     X
 146088      RIVERA CAMPUZANO XAVIER OSWALDO 1308585445001                                                    X
 227425      QUIROZ AGUAYO JIMMY ORLANDO     1308589892001                                                    X
 163968      RODRIGUEZ ROMERO JOSE FRASELITO 1308590809001                                                    X
  54155      LOPERA RODRÍGEZ IVONNE MARIBEL 1308591104001                                                     X
 198910      RODRIGUEZ BARRETO DOUGLAS STALIN1308591666001                                                    X
  26530      CORRAL MENDOZA GUIDO LUIGGY     1308592862001                                                    X
 103183      CHICA PLAZA ANDRÉS ROBERTO      1308594561001                                                    X
 150811      LOOR MACIAS ESTHIEL EUCLIDES    1308595279001                                                    X
 215544      CHILAN SUAREZ MARIA ELIZABETH   1308595840001                                                    X
  67856      GILER ZAMBRANO ALICIA MERCEDES 1308597218001                                                     X
 245838      GUERRERO ALVAREZ JACINTO RAFAEL 1308597812001                                                    X
  70331      NAVARRETE ZAMBRANO GUSTAVO DAVID1308599404001                                                    X
  44456      MUÑÍZ SOLIS JULIO CÉSAR         1308599784001                                                    X
  27442      CARMEN                          1308599958001                                                    X
No                 No registra
                                                               No                    No registra   No
                                                                        No. registra                       registra      No.    indicadores
                                                             registra                provincia, registra
Persona_id               NOMBRE               No. ID (RUC)                 calle                           número      registra de ventas,
                                                             apellido                 cantón y   primer
                                                                         principal                         de calle     origen activos y/o
                                                             paterno                 parroquia nombre
                                                                                                           principal             empleados

 222230      MANZABA LEONES TANIA MARIELA    1308603230001                                                    X
  44059      LINO GARCIA FERMIN RAUL         1308611472001                                                    X
  48260      CEDEÑO PALMA DARWIN ORLEY       1308619046001                                                    X
  31310      ZAMBRANO PEREZ YORVIN ALEXANDER 1308624178001                                                    X
 114813      HORMAZA ZAMBRANO GRACIELA MERCEDES
                                             1308630373001                                                    X
 221404      SOLORZANO ARTEAGA HILDA MARIA 1308632783001                                                      X
 269391      LALANGUI CAMPOVERDE HERMEL DE JESUS
                                             1308633435001                                                    X
  12323       MARIA                          1308633872001                                                    X
  56726       ALEXI                          1308637105001                                                    X
  80806      BRIONES RIVERA LEANDRO JOSUE    1308637816001                                                    X
  27149      TAPIA GARCÍA HOLGER HONORIO     1308638145001                                                    X
 210597      LOPEZ PITA JORGE LUIS           1308638954001                                                    X
 219048      ZAMBRANO ZAMBRANO JUAN CARLOS 1308645157001                                                      X
 222057      PALACIOS PALMA LEYDIANA MONSERRATE
                                             1308651775001                                                    X
 274494      INTRIAGO VELASQUEZ ANGELA AURORA1308653029001                                                    X
  41498      PIN GUADAMUD ROBERT FRANCISCO 1308654506001                                                      X
 142060      REYES PICO LUIS ENRRIQUE        1308661428001                                                    X
  34041      ALCIVAR GARCIA VICENTE ANTONIO 1308671849001                                                     X
  81839      MARURI CANCHINGRE DANIEL IGNACIO1308673951001                                                    X
 202792      BELLETTINI VELA GABRIEL         1308679909001                                                    X
  24138      ROMERO ALCIVAR ANGEL JHINSON    1308680766001                                                    X
  21193      VELEZ ALAVA FABIAN ROLANDO      1308684768001                                                    X
  19934       MILTON                         1308685518001                                                    X
  22943       JOHNNY                         1308686110001                                                    X
 194432      SALAZAR CEVALLOS BILMAN CECILIA 1308695467001                                                    X
 121671      VELIZ PARRAGA JOSE FABIAN       1308703725001                                                    X
 210126      CHANCAY GUERRERO KLEBER HUGO 1308705829001                                                       X
  26095      SANTACRUZ MARQUEZ JULIO CESAR 1308707031001                                                      X
 196210      AVILES ALVARADO EFREN BOLIVAR   1308707924001                                                    X
 194060      VERA MACIAS JORGE LUIS          1308708377001                                                    X
 137134      PISCO PINCAY PEDRO ANTONIO      1308709334001                                                    X
No                 No registra
                                                                No                    No registra   No
                                                                         No. registra                       registra      No.    indicadores
                                                              registra                provincia, registra
Persona_id               NOMBRE                No. ID (RUC)                 calle                           número      registra de ventas,
                                                              apellido                 cantón y   primer
                                                                          principal                         de calle     origen activos y/o
                                                              paterno                 parroquia nombre
                                                                                                            principal             empleados

 192518      INTRIAGO PLAZA CRISTIAN BLADIMIR 1308711777001                                                    X
  26078      SOLIS CEDEÑO VICENTE FABRICIO    1308719432001                                                    X
  43970      VERA LOOR ROSA YESENIA           1308727872001                                                    X
  48268      DELGADO CASTRO CARLOS GEOVANNY308732229001
                                              1                                                                X
  48397      VILLAFUERTE MERCHÁN ROSA YESENIA308735792001
                                              1                                                                X
 197739      BURGOS SANCHEZ JOSÉ LUIS         1308736790001                                                    X
 188111      TORO ANDRADE VICTOR HUGO         1308737277001                                                    X
 120066      MACIAS CATAGUA OTTO WAGNER       1308737715001                                                    X
 125333      BURBANO LOOR MARÍA ESTUARDA      1308752102001                                                    X
 258321      IZA RODRIGUEZ JORGE STEFANY      1308754132001                                                    X
  22886      GARCIA PICO CRISTOBAL ARMANDO 1308762622001                                                       X
  16467      PARRAGA ZAMBRANO JOSE LUCIO      1308774759001                                                    X
  14664       MARYURI                         1308781226001                                                    X
 229653      ROBLES CENTENO JAIME CICERON     1308791027001                                                    X
  89434      CHAVEZ FIGUEROA ANTONIO SAMUEL 1308791456001                                                      X
 101979      MENDOZA PICO HENRY NEY           1308793635001                                                    X
  27487      GARCIA VÉLEZ JHAN DAVID          1308803558001                                                    X
 194036      ROMERO ALCIVAR KLEVER ANTONIO 1308803632001                                                       X
 260706      MORALES REYES JUANA DEL ROCIO 1308806783001                                                       X
  97909      AYON PONCE MARTHA PAOLA          1308814050001                                                    X
  22573      GENCON PARRALES JOSE MIGUEL      1308814183001                                                    X
  10169      GABRIEL ANDRES CHOEZ CEDEÑO      1308815453001                                                    X
  30730      FLORES PALACIOS JUAN JOSÉ        1308815925001                                                    X
 142619      VERA MORENO MONICA DEL JESUS     1308819745001                                                    X
  39031      PITA CASTILLO GABRIEL PATRICIO   1308823697001                                                    X
  52518      RICAURTE CASTRO REGIS REINERIO 1308828829001                                                      X
 262888      BARREIRO VEGA MARIA FERNANDA     1308834272001                                                    X
 230532      GOMEZ MORERIRA GINA CECILIA      1308836723001                                                    X
  43274      LAGOS PINARGOTE CARLOS JAVIER 1308846995001                                                       X
 236975      GUARANDA VILEMA JULIO CÉSAR      1308848991001                                                    X
 256814      FERRIN SORNOZA GABRIEL ALEXANDER 1308863628001                                                    X
No                 No registra
                                                                No                    No registra   No
                                                                         No. registra                       registra      No.    indicadores
                                                              registra                provincia, registra
Persona_id               NOMBRE                No. ID (RUC)                 calle                           número      registra de ventas,
                                                              apellido                 cantón y   primer
                                                                          principal                         de calle     origen activos y/o
                                                              paterno                 parroquia nombre
                                                                                                            principal             empleados

  31204      DEMERA MENDOZA MANUEL ANTONIO 1308864980001                                                       X
  65867      GARCIA GARCIA SANTIAGO ENRIQUE 1308865136001                                                      X
  35070      GARCIA INTRIAGO WILLIAMS JAVIER 1308868338001                                                     X
  32271      PISCO MANTUANO JORGE EDUARDO 1308869203001                                                        X
 256881      CEDEÑO GALARZA CRISTHIAN ANTONIO 1308869559001                                                    X
 203317      CEVALLOS ALCIVAR GLENDER ANTONIO 1308873767001                                                    X
  38781      SANTOS MOREIRA JUAN CARLOS       1308880283001                                                    X
 262378      FERNANDEZ BRAVO EDDY SHUBERT 1308880671001                                                        X
  30682      MAIQUEZ BAQUE RUDY RAMIRO        1308880812001                                                    X
  51550      GILER ZAMBRANO CESAR ENRIQUE     1308882057001                                                    X
  30653      ING. ELEC. LOOR CASTILLO GUILLERMO ANTONIO
                                              1308886090001                                                    X
  59734      MERA PONCE JAVIER MAURICIO       1308889805001                                                    X
  22947      MOREIRA SORNOZA JESSICA KATERINE 1308890076001                                                    X
 215034      MEZA SOLORZANO JENNY PATRICIA 1308892007001                                                       X
  35678      SÁNCHEZ VERA RONALD FABRICIO     1308893914001                                                    X
  34263      CHAVEZ MENDOZA LUIS FERNANDO 1308894920001                                                        X
 167843      QUINAPALLO BRAVO CEAR AUGUSTO 1308901154001                                                       X
 120432      VILLAMAR AVILA ALICIA TRINIDAD   1308907649001                                                    X
  97839      FRANCO ZAMBRANO CRUZ MARIA       1308909918001                                                    X
 220982      SOZA SORNOZA LUIS ANIBAL         1308915360001                                                    X
 196643      PINCAY DEMERA CARLOS GUILLERMO 1308916095001                                                      X
  25129      ARANGO MEDRANDA JUAN CARLOS 1308919362001                                                         X
  32878      CHANCAY MORA PEDRO ELOY          1308919404001                                                    X
  35213      ESPINEL GRANIZO CARLOS FRANCISCO 1308919461001                                                    X
  86464      PERERO ESPINOZA GALO ARTURO      1308919883001                                                    X
  38809      ANCHUNDIA CHAVEZ LUIS ALBERTO 1308921723001                                                       X
 103517      HERNANDEZ SANMCHEZ WILSON ALFREDO1308922796001                                                    X
  27822      RIVERA REYES JOSÉ LUÍS           1308922846001                                                    X
 195730      MACIAS BAZURTO WILHINTON ORLEY 1308927225001                                                      X
 174754      CARDENAS TOALA OSCAR RAMON       1308930146001                                                    X
  21934      MOREIRA MOREIRA CAUPOLICAN ERASMO1308932340001                                                    X
No                 No registra
                                                               No                    No registra   No
                                                                        No. registra                       registra      No.    indicadores
                                                             registra                provincia, registra
Persona_id               NOMBRE               No. ID (RUC)                 calle                           número      registra de ventas,
                                                             apellido                 cantón y   primer
                                                                         principal                         de calle     origen activos y/o
                                                             paterno                 parroquia nombre
                                                                                                           principal             empleados

 276467      ALAVA BARRETO JIMMY WASHINGTON 1308935319001                                                     X
  26657      SOLORZANO SOLORZANO BELFOR ALEJANDRO
                                             1308935905001                                                    X
  77701      SANCHEZ SORNOZA WILTHER MILTON 1308939980001                                                     X
 247539      MENDOZA PINARGOTE HUGO ENRIQUE  1308941564001                                                    X
 108461      SOLORZANO MOREIRA NANCY MARIBEL308942158001
                                             1                                                                X
  76806      VASQUEZ VIVERO EMILIO JOSE      1308942190001                                                    X
 161744      CHAVARRIA BRIONES YEFFERSON ALEXANDER
                                             1308942711001                                                    X
 268285      BUSTAMANTE DELGADO KLEVER ENRIQUE
                                             1308947793001                                                    X
 243060      ROMERO BRAVO CRISTIAM ALEXANDER 1308948551001                                                    X
 123501      PALMA FRANCO JONNY ROCENDO      1308959079001                                                    X
 264864      MORAN VELEZ ASDRUBAL ALBERTO 1308960788001                                                       X
  79845      PACHECO ARTEAGA MARCELO PATRICIO1308961646001                                                    X
  25937      ENCALADA ORTEGA GIANNA AGUSTINA 1308962354001                                                    X
 173906      LUQUE CUADRADO LUIS FERNANDO 1308963246001                                                       X
 219458      LINZAN PINARGOTE CARLOS FABRICIO1308964319001                                                    X
 167612      GILER INTRIAGO CRISTHIAN ANDRES 1308967023001                                                    X
  19469      NELSON                          1308982816001                                                    X
 160256      ZAMBRANO LOOR JIMMY ARTURO      1308987260001                                                    X
  44941      ROMERO SALTOS JAVIER BOANERGE 1308992799001                                                      X
  77931      BAQUE ZORRILLA CARLOS ADALBERTO 1308995529001                                                    X
 230416      CEDEÑO VERA NANCY RAQUEL        1308999885001                                                    X
  56813      MURILLO CHAVEZ JOSE RAFAEL      1309011383001                                                    X
  68495      MEJÍA ANTON MARVIN DANIEL       1309016283001                                                    X
  27752      GINA                            1309016416001                                                    X
 232037      DOMO GARCIA ELISA DOLORES       1309016473001                                                    X
  31610      ZAMBRANO ROBALINO VERONICA ALEXANDRA
                                             1309017695001                                                    X
  20355      GUERRA MOREIRA JUDITH YESENIA 1309017992001                                                      X
  21707      MENDOZA INTRIAGO SARA LILIANA   1309018255001                                                    X
  50068      CARRILLO CARRILLO DEISY JANETH 1309018438001                                                     X
  26364      ORDÓÑEZ VILLAVICENCIO MARCELA ARGENTINA
                                             1309020038001                                                    X
  24087      TOALA PIN ABEL ALEJANDRO        1309021192001                                                    X
No                 No registra
                                                               No                    No registra   No
                                                                        No. registra                       registra      No.    indicadores
                                                             registra                provincia, registra
Persona_id               NOMBRE               No. ID (RUC)                 calle                           número      registra de ventas,
                                                             apellido                 cantón y   primer
                                                                         principal                         de calle     origen activos y/o
                                                             paterno                 parroquia nombre
                                                                                                           principal             empleados

 179065      LUCAS VILLEGAS FABRIZIO DANIEL  1309026050001                                                    X
 138864      MOREIRA CHANCAY MIGUEL ANGEL    1309027611001                                                    X
 271699      SANCHEZ LOPEZ MONICA MARIA      1309027835001                                                    X
 142881      BURAU NAVARRETE LUIS FERNANDO 1309028601001                                                      X
  30303      GARCIA GARCIA GILBERTO GEOVANNY1309030284001                                                     X
  33213       SANDRA                         1309032728001                                                    X
 209652      FRANCO MERA KELVIN JOSE         1309032884001                                                    X
  38858      SORNOZA PROAÑO DANNY PAÚL       1309034047001                                                    X
 139850      PIHUAVE CEDEÑO CARLOS ANTONIO 1309035465001                                                      X
 237920      POZO HIDALGO EDISSON EDUARDO 1309035630001                                                       X
  21804      VERA FARFAN JESIE MARIA         1309035846001                                                    X
 190028      MENAY QUITO ERNESTO FRANK       1309039459001                                                    X
  61330                                      1309039590001                                                    X
 100829      VIDAL LOOR JUAN CARLOS          1309040432001                                                    X
 177364      BARVERAN LOPEZ WALTER DANILO 1309041331001                                                       X
 173387      MACAY GILER DARIO NICOLAS       1309048864001                                                    X
  46722      ZAMBRANO INTRIAGO FABIÁN ATILIO 1309050332001                                                    X
 112311      BAZURTO MURILLO JOSE LUIS       1309051710001                                                    X
 147612      TEJENA LOOR SILVIA PAOLA        1309052098001                                                    X
 147555      ANCHUNDIA ANCHUNDIA RAMON EDUARDO
                                             1309054250001                                                    X
 161626      MEJIA MORA JUAN DIEGO           1309054946001                                                    X
  63490      LOOR ALCIVAR EDGAR LEONARDO     1309055943001                                                    X
  71663      RODRIGUEZ ZAMBRANO CARLOS JAVIER1309057535001                                                    X
 146750      GARCIA MOREIRA FRANCISCO RAFAEL 1309060026001                                                    X
 206652      PARRAGA SANCHEZ CRISTIAN MARCELO1309063400001                                                    X
 250379      PIONCE MOREIRA BYRON DANIEL     1309063772001                                                    X
  38050      NAVARRETE MORA GASTON FABRICIO 1309063905001                                                     X
 229512      SOLORZANO NARVAEZ JIMMY RAFAEL 1309064499001                                                     X
  87046      INDACOCHEA QUIMIS MARIA ELENA   1309065389001                                                    X
  24511      TRIVIÑO PAZMIÑO JOSE GABRIEL    1309065660001                                                    X
  12953       MARYURI                        1309066593001                                                    X
No                 No registra
                                                                 No                    No registra   No
                                                                          No. registra                       registra      No.    indicadores
                                                               registra                provincia, registra
Persona_id               NOMBRE                 No. ID (RUC)                 calle                           número      registra de ventas,
                                                               apellido                 cantón y   primer
                                                                           principal                         de calle     origen activos y/o
                                                               paterno                 parroquia nombre
                                                                                                             principal             empleados

 158276      FERNANDEZ BOWEN MARIUXI MARIBELL  1309066932001                                                    X
 269928      PEÑA PONCE DIANA KATIUSKA         1309067856001                                                    X
  22690      ARIAS MERA CARLOS ADRIAN          1309068201001                                                    X
 206041      MEDRANDA CEVALLOS JORGE OSWALDO   1309069902001                                                    X
  16472      CELI MACIAS CARLOS RICARDO        1309071700001                                                    X
  29951      CARVAJAL MENDOZA RAMÓN ELI        1309089843001                                                    X
  40320      CARVAJAL MENDOZA JOSÉ LUIS        1309089850001                                                    X
 252410      MARCILLO BARREIRO HUGO LEONARDO   1309090940001                                                    X
  35037      PALACIOS SANTANA JESUS SALOMON 1309091971001                                                       X
 226971      PÁRRAGA ORTEGA JAIRON DAVID       1309091989001                                                    X
 116711      VILLAO VÉLEZ GINA MARÍA           1309092243001                                                    X
 125106      CASANOVA ZAMBRANO VICTOR GABRIEL  1309093472001                                                    X
  33687      PALOMEQUE PALOMEQUE JOSE EDUARDO  1309096103001                                                    X
  49269      PITA MACIAS CESAR JULIO           1309096251001                                                    X
  40622       JORGE                            1309097143001                                                    X
  35695      MARTILLO INTRIAGO CECILIA DOLORES 1309102075001                                                    X
  81932      INTRIAGO ZAMBRANO JUAN CARLO      1309104907001                                                    X
 274010      LOOR FERNANDEZ WILLIAM PAUL       1309104923001                                                    X
 237337      MOREIRA ALARCÓN ERWIN ALEJANDRO   1309105169001                                                    X
 173583      SALTOS UGALDE JOHNNY ALEXANDER1309105664001                                                        X
  11515       JORGE                            1309107793001                                                    X
 159203      COBENA LOOR JOSE HERACLITO        1309108981001                                                    X
  26367      VILLAVICENCIO LINZAN JOSÉ FILAMIL 1309110003001                                                    X
  37934      ORTIZ DUEÑAS CARLOS RODRIGO       1309122693001                                                    X
  60616      MERA BARCIA BRENDO GUILLERMO 1309125373001                                                         X
 254302      BARCIA ALCÍVAR GINA PATRICIA      1309127130001                                                    X
  10824       COMERCIAL HB                     1309129185001                                                    X
  87609      HOLGUIN GUTIÉRREZ NELSON ADRIAN1309129227001                                                       X
 238216      GALLARDO PACHECO ELIAS ENRIQUE 1309129417001                                                       X
 243498      ARAUJO LOOR DARWIN STALIN         1309133765001                                                    X
 233548      NEVAREZ VERA JUAN MANUEL          1309137386001                                                    X
No                 No registra
                                                               No                    No registra   No
                                                                        No. registra                       registra      No.    indicadores
                                                             registra                provincia, registra
Persona_id               NOMBRE               No. ID (RUC)                 calle                           número      registra de ventas,
                                                             apellido                 cantón y   primer
                                                                         principal                         de calle     origen activos y/o
                                                             paterno                 parroquia nombre
                                                                                                           principal             empleados

 223662      MEZA GARCIA FAVIO IGNACIO       1309142568001                                                    X
  58354      PALMA CENTENO ALEX PATRICIO     1309144697001                                                    X
  67636      VELEZ MACIAS DANIEL RIGOBERTO   1309145678001                                                    X
 229452      BARBERAN CEDEÑO LUIS RAMON      1309145835001                                                    X
  42830      MIELES SOLORZANO RONALD VINICIO1309147690001                                                     X
 146770      MURILLO CONFORME JOSE VICENTE 1309149688001                                                      X
 199232      UBILLUS CHANCAY ALEXIS JAVIER   1309165916001                                                    X
  39888      MEDRANDA VEGA ENA GEOVANNA      1309167045001                                                    X
  21464      ZAMBRANO MORAN JORGE LUIS       1309175220001                                                    X
 134400      VIDAL VERA LOOOR FRANCO JAVIER VICENTE
                                             1309177051001                                                    X
  54136       DARIO                          1309180881001                                                    X
 161788      ROMERO CASTRO VICENTE FRAY      1309181079001                                                    X
  68110      MERCHAN PAREDES GUIDO IVAN      1309181723001                                                    X
  85856      GONZALEZ ALCIVAR ANUAR ALEJANDRO1309182309001                                                    X
 264535      CEDEÑO VINCES JORGE ALBERTO     1309189379001                                                    X
 196738      QUIMIS MOREIRA STALIN ROBERTO   1309193561001                                                    X
 128142      LUCAS LUCAS CARLOS JAVIER       1309198354001                                                    X
 232114      AVILA CHAVEZ SONIA YADIRA       1309200002001                                                    X
  25296      VALAREZO MOLINA LUCIO ALFREDO 1309200515001                                                      X
  21810      SOLORZANO NARVAEZ FELIX ANTONIO1309201372001                                                     X
  14805      ING. WILLIAM MENDOZA            1309202057001                                                    X
 229515      ANCHUNDIA SABANDO DANIEL AGUSTIN1309202891001                                                    X
  48747      LOOR MACÍAS JOSÉ RAFAEL         1309203683001                                                    X
  36909      ZAMBRANO CARREÑO HUMBERTO ALEJANDRO
                                             1309222659001                                                    X
 210262      SILVA AVEIGA SANDRA PATRICIA    1309227385001                                                    X
 151798      PONCE CEDEÑO FABIAN IGNACIO     1309228664001                                                    X
 261158      ZAMBRANO ALBAN DENNYS VICENTE 1309230751001                                                      X
 243700      BAQUE BAQUE CARLOS VALENTIN     1309234621001                                                    X
 247931      SANTORUM MURILLO ZAIDA ALEXANDRA1309238572001                                                    X
 210814      SANTOS VELEZ MARCOS ANTONIO     1309250411001                                                    X
  43033      SANCHEZ VARELA DAVID IVAN       1309259024001                                                    X
No                 No registra
                                                               No                    No registra   No
                                                                        No. registra                       registra      No.    indicadores
                                                             registra                provincia, registra
Persona_id               NOMBRE               No. ID (RUC)                 calle                           número      registra de ventas,
                                                             apellido                 cantón y   primer
                                                                         principal                         de calle     origen activos y/o
                                                             paterno                 parroquia nombre
                                                                                                           principal             empleados

 103819      CEDEÑO BALLEN BANNER EDUARDO 1309260055001                                                       X
 156289      TUAREZ LOOR ROSA AGUEDITA       1309271904001                                                    X
  14761      ING. CESAR MACÍAS VALLE         1309274700001                                                    X
 257281      CHONG ALCIVAR CESAR RAMON       1309275111001                                                    X
 278396      ZAMBRANO MENDOZA ITALO ELIAS    1309279212001                                                    X
 233321      LOOR FRANCO SALOMON ALCIDES     1309279360001                                                    X
 178976      INTRIAGO SANCHEZ NORMA YOLANDA 1309283461001                                                     X
  75399      ACUNA AGUIRRE MAURICIO ALEJANDRO1309284253001                                                    X
 218617      VALAREZO PITA JULIO ERNESTO     1309284477001                                                    X
  22472      MENDOZA GARCÍA MARÍA AGUSTINA 1309288502001                                                      X
  93485      CHICA SOSA JAVIER EMILIO        1309300224001                                                    X
 239459      ZAMBRANO CARRERA JOSE ANTONIO 1309304085001                                                      X
 141250      SANCHEZ SUAREZ DANIEL DAVID     1309308243001                                                    X
  70436      SALTOS REZABALA HUGO LEONARDO 1309313508001                                                      X
  92419      GARCIA BASURTO GINA SOLIMAR     1309314381001                                                    X
  27880      LOOR ZAMBRANO JOHANA DELIA      1309318424001                                                    X
 207325      PEREZ PARRAGA JUAN CARLOS       1309328332001                                                    X
 268890      LITARDO VELASQUEZ CARLOS ALBERTO1309328969001                                                    X
  39343       OSWALDO                        1309329488001                                                    X
  47470      VELEZ LOPEZ CARLOS DANIEL       1309330338001                                                    X
 148014      PALMA CEDEÑO MARCO JEOVANNY     1309344776001                                                    X
 195883      MACIAS GARCIA KENIA DAYANARA    1309344826001                                                    X
  34815      ALVAREZ ALCÍVAR LIBARDO DANILO 1309347274001                                                     X
 215944      ALCIVAR CUADROS AMADO ALBERTO 1309358560001                                                      X
 245535      CARRANZA SOLORZANO JOSE ENRIQUE309361333001
                                             1                                                                X
 148975      SOLORZANO VELEZ ELENA MONSERRATE1309364824001                                                    X
  64042      GARCÍA MACÍAS JOSÉ WASHINGTON 1309369740001                                                      X
 251932      DELGADO VERA NOEMI ELIZABETH    1309377115001                                                    X
 150899      PALACIOS PALMA PATRICIA VANESSA 1309377313001                                                    X
 190559      ZEVALLOS LÓPEZ MARÍA GABRIELA   1309379244001                                                    X
 152975      DELGADO LOPEZ FREDDY SANTIAGO 1309382651001                                                      X
No                 No registra
                                                               No                    No registra   No
                                                                        No. registra                       registra      No.    indicadores
                                                             registra                provincia, registra
Persona_id               NOMBRE               No. ID (RUC)                 calle                           número      registra de ventas,
                                                             apellido                 cantón y   primer
                                                                         principal                         de calle     origen activos y/o
                                                             paterno                 parroquia nombre
                                                                                                           principal             empleados

  20391      SALTOS RIVAS WILTON RAFAEL      1309386744001                                                    X
  69310      CARVAJAL ALONZO DIEGO JAVIER    1309387569001                                                    X
 159312      MOLINEROS CASTILLO JULIO SANDINO1309390043001                                                    X
  44161      VERA INTRIAGO EDISSON JEOVANNY 1309401378001                                                     X
 262834      MOREIRA MERO NIXON DAVID        1309402988001                                                    X
  24645      INTRIAGO VILLAVICENCIO MAURA GABRIELA
                                             1309406229001                                                    X
  44146       KELVIN                         1309407706001                                                    X
 222805      CEVALLOS SÁNCHEZ DAVID DARIO    1309412854001                                                    X
 134225      CHIPANTIZA PARRALES GANELLA PAOLA
                                             1309416905001                                                    X
  21010      MEJIA LOOR DARIO JAVIER         1309426581001                                                    X
 138952      PACHECO MENDOZA TEDDY ALBERT 1309428546001                                                       X
 209368      ALARCON TOALA BYRON OMAR        1309429866001                                                    X
 180819      ZAMBRANO CEDEÑO KIRA PATRICIA 1309431631001                                                      X
 211891      CORNEJO GALLON ANA ISABEL       1309432928001                                                    X
 242701      BRAVO ALCIVAR JORGE GEOVANNY 1309435145001                                                       X
  20002      VÉLEZ GILCES MARTHA ALEXANDRA 1309445094001                                                      X
  54886      LOOR ZAMORA FATIMA ALEXANDRA 1309445250001                                                       X
 110906      CHILÁN SOTO EDISON VÍCTOR       1309445417001                                                    X
  66472      MACÍAS VÉLEZ JEFFERSON EMILIO   1309448114001                                                    X
  36390      SOSA ZAMBRANO ANGEL FERNANDO 1309449898001                                                       X
 196214      IBARRA PONCE DELFILIA ANNABELL 1309449922001                                                     X
  22541       MARJORIE                       1309452280001                                                    X
 195303      GUERRERO LOOR DANY VICENTE      1309459855001                                                    X
 278298      CEDEÑO MENDOZA MIGUEL ANGEL     1309460655001                                                    X
 226996      PEREZ SIERRA SILVIA AMNABEL     1309466017001                                                    X
 179795      MOSQUERA DELGADO TEDY ROLANDO1309467395001                                                       X
  92070      GARCIA CASANOVA JOSE ANDRES     1309469078001                                                    X
  29370       GEORGE                         1309478814001                                                    X
 219084      SOLEDISPA NEVAREZ JUANA SOCORRO 1309485900001                                                    X
 156704      MONSERRATE ROMERO YUDY OSMARA   1309486320001                                                    X
  81785      SANCHEZ MOREIRA LUZ YANEIDI     1309487450001                                                    X
No                 No registra
                                                               No                    No registra   No
                                                                        No. registra                       registra      No.    indicadores
                                                             registra                provincia, registra
Persona_id               NOMBRE               No. ID (RUC)                 calle                           número      registra de ventas,
                                                             apellido                 cantón y   primer
                                                                         principal                         de calle     origen activos y/o
                                                             paterno                 parroquia nombre
                                                                                                           principal             empleados

 169398      VILLAMIL ZAMORA GEORGE WASHINGTON
                                             1309495297001                                                    X
 199245      ZAMBRANO RIVAS FRANKLIN FELIPE 1309496402001                                                     X
 237334      CARVAJAL PALACIOS RODRIGO HUMBERTO
                                             1309499471001                                                    X
  12472      ING. CHRISTIAN PEÑAFIEL YEPEZ   1309500203001                                                    X
 248856      MEZA LUNA YANDRI ROLANDO        1309500583001                                                    X
  26132      EDISON                          1309508933001                                                    X
  26543      ARTEAGA MOREIRA FREDDY ROLANDO  1309509303001                                                    X
  24617      BAZURTO PICO GUSTAVO ALONSO     1309509998001                                                    X
  76170      QUIROZ TUAREZ DARWIN ALONSO     1309511655001                                                    X
  32170      ALAVA ESPINOZA MIGUEL ANGEL     1309514683001                                                    X
  21961      BARCIA FERNANDEZ MARIA GABRIELA 1309516308001                                                    X
  43256      BRAVO MARTINEZ ANGELA KATHERINE1309518635001                                                     X
 165678      MENDOZA ZAMBRANO JUAN CARLOS 1309524930001                                                       X
  29769      PERALTA CEDEÑO JUAN CARLOS      1309537403001                                                    X
 208927      MAESTRE VERA DUBER IVAN         1309537585001                                                    X
 203283      ALCIVAR ANDRADE VIVIANA PIERINA 1309539789001                                                    X
  56441      PALMA PEREZ YANDRY ADLER        1309540449001                                                    X
  48802      ANDRADE VINCES RAMON ELIAS      1309540894001                                                    X
  35416      ANDRADE VINCES BISMARCK DARIO 1309546602001                                                      X
 149340      ROCA CASTRO MARLIN FERMIN       1309547139001                                                    X
 245209      VERA VASQUEZ CARLOS SANTIAGO    1309553004001                                                    X
  41682      VERA VÁSQUEZ MELANIE ELIZABETH 1309553012001                                                     X
  96491      LUCAS CEDEÑO PEDRO JAVIER       1309553723001                                                    X
  26242      CORDOVA ALCIVAR JEAN CARLO      1309555520001                                                    X
 210141      GUILLEN HIDALGO HENRI           1309557864001                                                    X
  43131      MORALES ESPINOZA JHEFFERSON GUSTAVO
                                             1309559514001                                                    X
 130425      CANCHINGRE CEDEÑO DOLORES DEL CARMEN
                                             1309560462001                                                    X
  61653      HAPPE VILLA INGRID PAMELA       1309565362001                                                    X
 217515      SUAREZ VELEZ HENRY DARIO        1309569356001                                                    X
  28432      ZAMBRANO MEZA MARIA ISABEL      1309573010001                                                    X
 208522      MOREIRA FARIAS HECTOR JAVIER    1309577375001                                                    X
No                 No registra
                                                               No                    No registra   No
                                                                        No. registra                       registra      No.    indicadores
                                                             registra                provincia, registra
Persona_id               NOMBRE               No. ID (RUC)                 calle                           número      registra de ventas,
                                                             apellido                 cantón y   primer
                                                                         principal                         de calle     origen activos y/o
                                                             paterno                 parroquia nombre
                                                                                                           principal             empleados

 273342      CARRILLO DELGADO VICTOR ENRIQUE1309577680001                                                     X
  62077      VILLACÍS NAVARRETE CESAR FERNENDO
                                             1309583183001                                                    X
  22934      VINCES PINARGOTE YANDRIS EDUARDO1309589438001                                                    X
  35281      CARRANZA MUÑOZ JULIO CESAR      1309590394001                                                    X
  67146      MENDOZA CAMPAÑA BAGNER ARCADIO  1309593505001                                                    X
 146670      MEJIA MOREIRA ADELA DEL PILAR   1309594016001                                                    X
  58466      VERGARA DEMERA CHRISTIAN FRANCISCO
                                             1309597209001                                                    X
 153195      CEDEÑO VILLAMAR FRANKLIN EDUARDO1309597878001                                                    X
  50371      BAQUE LOOR FRANKLIN JAVIER      1309598926001                                                    X
  54389      SANTISTEVAN SOLIS DAVID FERNANDO1309599494001                                                    X
 241468      PARRALES GUILLEN LILIAN FABIOLA 1309599783001                                                    X
 163697      RIVAS MOREIRA HENRRY DANIEL     1309608196001                                                    X
  35867      ALAVA PINARGOTE JAIME ALBERTO   1309618039001                                                    X
  33245      MENENDEZ MERA MARIANA MABEL     1309618666001                                                    X
 175055      ZAMBRANO ALAVA NESTOR MIGUEL 1309637922001                                                       X
  55854      EMILIO                          1309641619001                                                    X
 243686      MORA PISCO LILIA LOURDES        1309645917001                                                    X
  46579      OBANDO LUCAS ANGEL JOBANNY      1309646451001                                                    X
  28027      ALCÍVAR CÓRDOVA BYRON EDUARDO 1309649240001                                                      X
  36420      PALACIOS NAVIA ERIK LEONARDO    1309651790001                                                    X
 208384      VELIZ MACIAS ENRIQUE ORLEY      1309652541001                                                    X
  49271      PACHECO VALENCIA ANDRES ALBERTO 1309653358001                                                    X
  58626      SOLÍS ROMERO MANUEL IGNACIO     1309654125001                                                    X
 190070      BARBERAN SOLORZANO KAROL MARIA  1309654307001                                                    X
 228893      GARCIA MORAN KLEBER PAUL        1309655569001                                                    X
 188165      MACIAS MACIAS NORIS SUSANA      1309656849001                                                    X
  33845      MENDOZA SALAZAR JAVIER FRANCISCO1309657466001                                                    X
 132210      MENDOZA SALAZAR JAIRO FRANCISCO1309657474001                                                     X
 223498      MACIAS CEDEÑO CARLOS ENRIQUE 1309657649001                                                       X
  21468      MACIAS MOREIRA LUIS DAMIAN      1309658381001                                                    X
 260695      HOLGUIN HOLGUIN LEONARDO ENRIQUE1309664801001                                                    X
No                 No registra
                                                               No                    No registra   No
                                                                        No. registra                       registra      No.    indicadores
                                                             registra                provincia, registra
Persona_id               NOMBRE               No. ID (RUC)                 calle                           número      registra de ventas,
                                                             apellido                 cantón y   primer
                                                                         principal                         de calle     origen activos y/o
                                                             paterno                 parroquia nombre
                                                                                                           principal             empleados

 142940      CHAVEZ POSLIGUA CARLOS ALBERTO 1309665550001                                                     X
  39437      CARLOS                          1309680146001                                                    X
 166236      ALVAREZ ACOSTA LUIS ALFREDO     1309681417001                                                    X
 227384      LOOR LOOR JESSENIA LIZETH       1309683371001                                                    X
  28920      MALDONADO MENDOZA JUAN CARLOS 1309684056001                                                      X
 249159      SABANDO BRAVO GABRIEL ADRIAN    1309690749001                                                    X
 231192      BRIONES BERMEO JOSE MIGUEL      1309695136001                                                    X
 154716      BARBERAN MOLINA KATERINE MELISSANDRA
                                             1309697736001                                                    X
  94400      BAUTISTA SAN ANDRES ELSY YESSENIA309711560001
                                             1                                                                X
 105031      MENENDEZ YAGUAL ESTEBAN JAVIER 1309714721001                                                     X
  36089      JIMMY                           1309716213001                                                    X
 226316      MERA VEGA JIMMY NICOMEDES       1309717708001                                                    X
  47913      PINCAY ZAVALA WILBER VICENTE    1309719266001                                                    X
  33645      CASTRO DELGADO ARNALDO SIGIFREDO1309720629001                                                    X
  88056      MOREIRA MOREIRA DAVID DARIO     1309726998001                                                    X
  36019      CALDERON AVILA NARCISA MARIUXI 1309731923001                                                     X
 238012      FLORES DELGADO FRANCISCO RAFAEL 1309735239001                                                    X
 222746      FERNANDEZ ALCIVAR CARLOS ENRIQUE1309735734001                                                    X
  33888      VELEZ MORRILLO JUANA ELIZABETH 1309736880001                                                     X
  36088      CASTRO NIETO PACO EDUARDO       1309737391001                                                    X
  39013      CARMEN                          1309737557001                                                    X
  10461      KAREN NAVARRETE ONATE           1309737672001                                                    X
 166818      GUILLÉN SÁNCHEZ GEOMARA VIVIANA 1309737888001                                                    X
  32080      ALCHUNDIA ZAMBRANO MIGUEL ALEJANDRO
                                             1309738761001                                                    X
  51977      BRAVO AVILA LENIN GEOVANNY      1309741559001                                                    X
  13997      LUIS                            1309744744001                                                    X
  61007      MACIAS DELGADO JOHANA MAGALY 1309750220001                                                       X
  75518      CHOEZ PLUA LEONARDO XAVIER      1309753638001                                                    X
  37508      CEVALLOS INTRIAGO LUISANA KATHERINE
                                             1309757571001                                                    X
  28189      RIVADENEIRA CEDEÑO JOSÉ GABRIEL 1309763363001                                                    X
  59852      PICO PICO ANGEL HILARIO         1309764874001                                                    X
No                 No registra
                                                                No                    No registra   No
                                                                         No. registra                       registra      No.    indicadores
                                                              registra                provincia, registra
Persona_id               NOMBRE                No. ID (RUC)                 calle                           número      registra de ventas,
                                                              apellido                 cantón y   primer
                                                                          principal                         de calle     origen activos y/o
                                                              paterno                 parroquia nombre
                                                                                                            principal             empleados

  63291      AVENDAÑO ALONZO JORGE LUIS       1309765004001                                                    X
 241322      NAVARRETE VERA MARIA ALEXANDRA 1309765244001                                                      X
  43783      MACÍAS OBANDO MAGALY MAGDALENA   1309767208001                                                    X
  66496      PICO SALTOS GEOVANNY XAVIER      1309767307001                                                    X
  53813      GARCIA ALAVA ROSA MARIA          1309789434001                                                    X
  57264      RUIZ MOLINA LUIS ALBERTO         1309792115001                                                    X
  28977      PLÚA PARRALES ANTONIO EDUARDO 1309792487001                                                       X
  86384      CEDEÑO GUTIÉRREZ SHEYLA TATIANA1309795902001                                                      X
 229490      LOOR PONCE CHRISTIAN GUSTAVO     1309796132001                                                    X
 224747      FARÍAS GUADAMUD MARÍA DEL CARMEN 1309799383001                                                    X
  24369      MARTINEZ VELEZ JORGE MARTINEZ 1309804027001                                                       X
  99775      PÁRRAGA PALMA LUIS EDUARDO       1309804266001                                                    X
  55715      ROLDAN VINCES OSCAR EDUARDO      1309804662001                                                    X
 126508      PONCE LINO JUAN DANIEL           1309805271001                                                    X
 211875      ALCIVAR SOLORZANO WILFRIDO ADALBERTO
                                              1309806253001                                                    X
  27905      MACÍAS FARIAS MAYRA ELIZABETH    1309806501001                                                    X
  66767      MEZA TORRES YANDRY ALFREDO       1309806535001                                                    X
  23986      MENDOZA MARTINEZ MARCOS ANTONIO  1309809802001                                                    X
 216202      VERA GARCIA YONI GERMAN          1309810107001                                                    X
 237382      MENENDEZ ALVARADO SANDRA ESPERANZA
                                              1309811618001                                                    X
 209754      MOLINA GILER JOSÉ LEONARDO       1309823654001                                                    X
  47301      NELSON                           1309830402001                                                    X
 169688      CEDEÑO MUÑOZ NEXAR RICARDO       1309832671001                                                    X
 255863      MENDOZA ZAMORA VICENTE DANIEL 1309833315001                                                       X
 258324      MACIAS CHILAN JORGE FABRICIO     1309833893001                                                    X
 141429      NAVARRETE NUELA XAVIER FERNANDO  1309846457001                                                    X
 103005      GONZALEZ QUIJIJE RICARDO JACINTO 1309853735001                                                    X
  66708      MERA QUIROZ JUAN JOSE            1309856381001                                                    X
 179932      GILER PINARGOTE DARWIN ANTERO 1309857249001                                                       X
  42099      CONFORME HIDALGO EDGAR JHON      1309857736001                                                    X
 120998      VÁSQUEZ ZEVALLOS RAMIRO IVÁN     1309870341001                                                    X
No                 No registra
                                                               No                    No registra   No
                                                                        No. registra                       registra      No.    indicadores
                                                             registra                provincia, registra
Persona_id               NOMBRE               No. ID (RUC)                 calle                           número      registra de ventas,
                                                             apellido                 cantón y   primer
                                                                         principal                         de calle     origen activos y/o
                                                             paterno                 parroquia nombre
                                                                                                           principal             empleados

 253509      YOZA PINCAY CARLOS JULIO        1309871745001                                                    X
 171775      MACIAS MACIAS ALEXANDER JUVENTINO
                                             1309872362001                                                    X
 247436      CANTOS ALCIVAR HÉCTOR JAVIER    1309875274001                                                    X
  55182      MIELES CEDEÑO GINA BEATRIZ      1309876900001                                                    X
  34857      SOLORZANO POLANCO MARIA JOSE 1309878708001                                                       X
  39399      SALCEDO DUEÑAS MERCEDES PATRICIA1309878757001                                                    X
 205967      ROSADO INTRIAGO SIMON GABRIEL 1309879110001                                                      X
 218486      MOREIRA GARCIA PEDRO FABRICIO 1309883039001                                                      X
  23871      QUIJIJE LOPEZ FRANCISCO EDUARDO 1309883989001                                                    X
 245480      LOOR VERA RAUL SILFRIDO         1309887402001                                                    X
 214067      MACIAS MACIAS VICTOR FERNANDO 1309888285001                                                      X
 263670      MENDOZA GARCIA YIMY PATRICIO    1309888426001                                                    X
 238512      PALACIOS SANTANA CESAR MOISES 1309888905001                                                      X
 266421      ALCIVAR OCHOA VICENTE ADALBERTO1309889101001                                                     X
  32874      CUMBA GARCIA JOSE ANTONIO       1309890000001                                                    X
  21146      CEVALLOS GILCES VIVIANA MONSERRATE
                                             1309891024001                                                    X
 159635      CASTRO DELGADO JESSENIA ALEXANDRA
                                             1309892246001                                                    X
 122141      PICO PARRAGA FREDDY RAMON       1309895264001                                                    X
 160048      LITARDO VELASQUEZ ROSA MARIUXI 1309896197001                                                     X
  68897      VINCES PINARGOTE XAVIER VICENTE 1309898771001                                                    X
 133555      VERGARA RUIZ EDILTRUDES NASAEL 1309899332001                                                     X
  49232      ING MIGUEL VELEZ                1309899423001                                                    X
 181348      SANTANA URETA BYRON JESUS       1309901922001                                                    X
 265011      REYES ARTEAGA DANIEL ISAAC      1309908240001                                                    X
 192775      DELGADO ZAMBRANO KEYLA CECILIA 1309909305001                                                     X
  37822      VERA PINCAY CARLOS VINICIO      1309909396001                                                    X
 232894      MONGE VERA MARYURI MARIELA      1309910261001                                                    X
 191237      GARCIA MOREIRA WILTHER EMIGDIO 1309910352001                                                     X
 145644      PALMA VEGA MIRIAN ALEXI         1309912846001                                                    X
 194250      MACIAS ZAMORA JOSE GUIDO        1309913273001                                                    X
  29449      GARCIA GARCI WAGNER ROGELIO     1309916193001                                                    X
No                 No registra
                                                               No                    No registra   No
                                                                        No. registra                       registra      No.    indicadores
                                                             registra                provincia, registra
Persona_id               NOMBRE               No. ID (RUC)                 calle                           número      registra de ventas,
                                                             apellido                 cantón y   primer
                                                                         principal                         de calle     origen activos y/o
                                                             paterno                 parroquia nombre
                                                                                                           principal             empleados

  12941       MOREIRA MOREIRA YESICA KARINA 1309920716001                                                     X
  49235      VELASQUEZ TIGUA MIGUEL ANGEL    1309928750001                                                    X
 232802      BRAVO CEDEÑO RENÁN ANDRÉS       1309935417001                                                    X
  44866      LOPEZ GILER JOSE BOLIVAR        1309938114001                                                    X
 119333      MACIAS SABANDO MARIA FERNANDA 1309940813001                                                      X
 202219      MEZA SALTOS LEONARDO AUGUSTO 1309944518001                                                       X
  21612      SÁNCHEZ MERO ANTONIO FABRICIO 1309946059001                                                      X
  48928      VEINTIMILLA MORALES JORGE EDUARDO
                                             1309948352001                                                    X
 238624      VALLEJOS RODRIGUEZ PABLO STEBAN1309959763001                                                     X
  49402       HENRY                          1309961280001                                                    X
  22491      MENDOZA MORALES RAUL RODRIGO 1309965240001                                                       X
  42246      VÉLEZ HERNANDEZ BYRON EFRÉN     1309967196001                                                    X
 113010      GARCIA FLORES DE VALGA LILIAN   1309967576001                                                    X
  57360      FERRIN FERRIN GUIDO ERNESTO     1309969093001                                                    X
 169370      BENAVIDES RAMIREZ JORGE GONZALO 1309972212001                                                    X
  75062      VELASQUEZ PANTA JUAN CARLOS     1309975892001                                                    X
 185832      INTRIAGO PAZMIÑO TANYA YADIRA   1309978227001                                                    X
  16959      QUIJANO MENDOZA JAVIER IGNACIO 1309979233001                                                     X
 273473      MENDOZA GONZÁLEZ ALDO EDUARDO 1309979241001                                                      X
  67141      SANTOS MOREIRA KLEVER DANIEL    1309982500001                                                    X
 239952      ALCIVAR LOOR DISNEY ALFREDO     1309982740001                                                    X
  49272      GARCIA GARCIA JOSÉ CLÍMACO      1309982781001                                                    X
  34727      GARCIA MEZA JOSE NEPTALI        1309982922001                                                    X
 273313      BORJA VELEZ FREDDY ADALBERTO    1309989851001                                                    X
 268202      VELEZ ANCHUNDIA JOSE JOVANNY    1309990180001                                                    X
 232435      PALACIOS AVILA CARMEN MARIELENA1309990602001                                                     X
 243643      PICO LÓPEZ KEVIN ARMANDIO       1309994109001                                                    X
 258012      NAVARRETE PARRAGA WILBER ALBERTO1309996104001                                                    X
 263753      FERNANDEZ BOWEN MARTHA JESSENIA309996500001
                                             1                              X            X                    X
 180750      DOMO FARFAN ROBERTO VINICIO     1310000425001                                                    X
  88556      BARRETO ZEVALLOS CRISTHIAN SANTIAGO
                                             1310005226001                                                    X
No                 No registra
                                                               No                    No registra   No
                                                                        No. registra                       registra      No.    indicadores
                                                             registra                provincia, registra
Persona_id               NOMBRE               No. ID (RUC)                 calle                           número      registra de ventas,
                                                             apellido                 cantón y   primer
                                                                         principal                         de calle     origen activos y/o
                                                             paterno                 parroquia nombre
                                                                                                           principal             empleados

 236132      CEDEÑO MERA RONALD STALIN       1310015654001                                                    X
 252760      HIDALGO SALTOS MARTHA KARINA    1310026180001                                                    X
 214465      ANDALUZ GRANDA EVELYN CRSITINA 1310028319001                                                     X
  32505       YESSENIA                       1310030232001                                                    X
 207511      DELGADO CANTOS KENYA KATIA      1310034861001                                                    X
 179463      LUCAS PILOZO ROBERT FABIAN      1310036643001                                                    X
 242369      ORTIZ VITE TRUMAN STALIN        1310040504001                                                    X
 161112      LOPEZ SABANDO ANGEL GABRIEL     1310045545001                                                    X
  56952      ANDRADE POSLIGUA FRANKLIN GEOVANNY
                                             1310050701001                                                    X
 229114      SERRANO CISNEROS PAOLA ANDREA 1310051345001                                                      X
  64267      CEDEÑO MACÍAS MAYRA ROSAURA     1310052939001                                                    X
  30805      MORA PEÑARRIETA MARCIA ELIZABETH1310055981001                                                    X
  41078      VERA ARTEAGA LUIS DANIEL        1310057227001                                                    X
  66269      ALAVA PAZMIÑO FRANKLIN JAVIER   1310057383001                                                    X
  46071      CEDEÑO LUNA RITHA MIREYA        1310059850001                                                    X
 216276      MERO ESPINALES WILLIAMS ROLANDO1310061500001                                                     X
  52852      FLORES MORÁN MARÍA JOHANA       1310062904001                                                    X
 128221      MACIAS INTRIAGO LUIS ANTONIO    1310062920001                                                    X
 120158      DELGADO ALVARADO HECTOR LUCIANO 1310064157001                                                    X
  31190      CABEZAS RIVADENEIRA PATRICIO XAVIER
                                             1310069032001                                                    X
 264028      CEVALLOS AGUAYO FÁTIMA CECILIA 1310070352001                                                     X
   8317       GABRIELA                       1310071228001                                                    X
 276050      BRIONES MENDOZA MARCOS ARMANDO310072424001
                                             1                                                                X
 154083      JALIL ZAMBRANO CARLA ROMINA     1310074115001                                                    X
 233740      GARCIA GARCIA MARIA EUGENIA     1310074461001                                                    X
 130202      PINARGOTE BUENAVENTURA WILBER ALBERTO
                                             1310077423001                                                    X
  86413      FERNÁNDEZ LOOR EDER             1310079411001                                                    X
 205476      MOLINA CERVANTES ERIT IVAN      1310079916001                                                    X
 184067      DUENAS ZAMBRANO GEOMARA GISSELA 1310080567001                                                    X
  35230      ORTIZ DUEÑAS JORGE IGNACIO      1310084155001                                                    X
  56854      CEVALLOS MERA CLOVIS FERNANDO 1310084429001                                                      X
No                 No registra
                                                               No                    No registra   No
                                                                        No. registra                       registra      No.    indicadores
                                                             registra                provincia, registra
Persona_id               NOMBRE               No. ID (RUC)                 calle                           número      registra de ventas,
                                                             apellido                 cantón y   primer
                                                                         principal                         de calle     origen activos y/o
                                                             paterno                 parroquia nombre
                                                                                                           principal             empleados

  59664      BLONDET SANCHEZ LEONARDO AGUSTIN1310084668001                                                    X
 139228      BARBA ZAMBRANO JOSE ALEJANDRO 1310089071001                                                      X
 177630      ALCIVAR BRIONES MAYRA ROSANJELA1310089485001                                                     X
 134633      ZAMBRANO MACIAS JEOVANNY ANTONIO1310091499001                                                    X
  64944      MACIAS MOREIRA KATIUSKA JESSENIA1310091572001                                                    X
  37975      CAMPOZANO PALMA OSCAR EDUARDO1310092018001                                                       X
  33473      ANCHUNDIA MERO EDISON ADRIAN 1310098858001                                                       X
  57949      CEDEÑO CARRANZA SUCCETY DEL CARMEN
                                             1310099831001                                                    X
 208066      MOREIRA VELEZ JOSE LUIS         1310103492001                                                    X
 259946      MERO LUCAS ROBERTO GERARDINO 1310103740001                                                       X
 122079      GARCIA ZAMBRANO LELIA ESTHER    1310111016001                                                    X
 250547      NIEVES VERA WASHINGTON XAVIER 1310119381001                                                      X
  29428      VELIZ RODRIGUEZ JUAN JACINTO    1310124415001                                                    X
 151954      MERA MOREIRA IRINA PAOLA        1310124472001                                                    X
  27243      VASQUEZ PARRALES ANGEL ERNESTO1310126345001                                                      X
 153855      VELEZ VELIZ JOSE LUIS           1310128747001                                                    X
 246951      FUENTES MASTERRENA FELIX EMILIO 1310139272001                                                    X
  28532      MOREIRA QUIROZ BRANLY FENELON 1310144256001                                                      X
 133549      VILLAMAR QUIMIS JHONNY RICARDO 1310144777001                                                     X
 146160      CORRALES GARCIA AUGUSTO ALEJANDRO
                                             1310146913001                                                    X
  78835      BRAVO ARTEAGA JOSE LUIS         1310148570001                                                    X
  28892      NAVIA INTRIAGO JOSÉ RICARDO     1310149818001                                                    X
 198080      GILCES CHUMO RITA GRACIELA      1310156342001                                                    X
 206600      GARCIA ROCA CESAR EDUARDO       1310174493001                                                    X
 104495      COBEÑA PÁRRAGA CRISTIAN LORENZO 1310174758001                                                    X
  29344      ROMERO VELEZ DANIEL ARTURO      1310174766001                                                    X
 143949      VELEZ MEJIA ANA CECILIA         1310176365001                                                    X
  44226      SOLÓRZANO BAZURTO JOSÉ RICARDO1310176738001                                                      X
  48675      CARRILLO ANCHUNDIA GISELLA MERCEDES
                                             1310179740001                                                    X
 110236      MERO SANTANA DANIEL RODRIGO     1310179799001                                                    X
 175139      JARAMILLO ZAMBRANO CARLOS ALEXANDER
                                             1310183593001                                                    X
No                 No registra
                                                               No                    No registra   No
                                                                        No. registra                       registra      No.    indicadores
                                                             registra                provincia, registra
Persona_id               NOMBRE               No. ID (RUC)                 calle                           número      registra de ventas,
                                                             apellido                 cantón y   primer
                                                                         principal                         de calle     origen activos y/o
                                                             paterno                 parroquia nombre
                                                                                                           principal             empleados

  40182      MENENDEZ PLUA WILLIAM ALFREDO 1310185523001                                                      X
 148375      ZAMBRANO GILER TITO ISRAEL      1310189822001                                                    X
  21732      CHAVEZ QUIMIZ STALIN LEONARDO   1310190630001                                                    X
  31809      MORENO PONCE LUIS ALFONSO       1310192818001                                                    X
 217548      FARFAN LOOR KARLA GEMA          1310192842001                                                    X
  16442      CANTOS LOOR JACQUELINE ELIZABETH1310192883001                                                    X
  21723      QUIROZ CEDEÑO XIMENA BEATRIZ    1310195019001                                                    X
 153720      MOREIRA GILCES SANDY DANIEL     1310196652001                                                    X
  33814      CEVALLOS CEVALLOS YAIRA NARCISA 1310196736001                                                    X
  33465      CABALLERO MENDOZA MARJORY ELIZABETH
                                             1310210644001                                                    X
 142945      MENDOZA MOREIRA JUAN NEPTALI    1310211394001                                                    X
  35198      SANGUCHO CEVALLOS ALEXIS DANILO1310213317001                                                     X
 113195      OCHOA ORTEGA ANGEL RAMON        1310213895001                                                    X
 255467      MENDOZA VASQUEZ JAIRO WILFRIDO 1310214695001                                                     X
 110836      NIETO CASTRO JOSÉ ALCIDES       1310215379001                                                    X
  26751      ALVAREZ MURILLO OSCAR RAFAEL    1310216450001                                                    X
  80159      BAQUE MARQUEZ JAVIER ARMANDO 1310220072001                                                       X
 268475      PALMA MENENDEZ JOHANNA MARIA 1310221153001                                                       X
 179473      MONTERO PALMA NESTOR ANTONIO 1310223787001                                                       X
  99465      QUIROZ MACIAS YURI FERNANDO     1310228620001                                                    X
  25953      BRIONES CHONILLO ALEX JAVIER    1310237084001                                                    X
 113803      ALCIVAR ALCIVAR MIGUEL ORLANDO 1310252661001                                                     X
 270616      FORTTY GARCIA NELSON ARMANDO 1310254022001                                                       X
 263457      ALCIVAR VINCES FRANCISCO JAVIER 1310255821001                                                    X
 176607      CEDEÑO ARTEAGA ANA MARIA        1310258049001                                                    X
 115683      GINES CORRAL RICHARD JONATHAN 1310275373001                                                      X
 241743      MIRANDA FIENCO JOSE DANIEL      1310277585001                                                    X
  57061      RODRÍGUEZ BAQUE ROBERT ROSENDO310277619001
                                             1                                                                X
 218753      INDACOCHEA MENDOZA JEAN CARLOS1310296692001                                                      X
 254562      FARIAS MEJIA LUIS MIGUEL        1310313190001                                                    X
  70245      PLUA MARCILLO LEONARDO ANTONIO 1310313422001                                                     X
No                 No registra
                                                               No                    No registra   No
                                                                        No. registra                       registra      No.    indicadores
                                                             registra                provincia, registra
Persona_id              NOMBRE                No. ID (RUC)                 calle                           número      registra de ventas,
                                                             apellido                 cantón y   primer
                                                                         principal                         de calle     origen activos y/o
                                                             paterno                 parroquia nombre
                                                                                                           principal             empleados

 260860      MESA MACIAS MARTHA MARIA       1310314222001                                                     X
  65758      LÓPEZ PAREDES PEDRO ARTURO     1310315179001                                                     X
 131354      RODRIGUEZ LOPEZ LEONARDO RAMON 1310327778001                                                     X
  33984      ZAMBRANO CEVALLOS ANGEL FREDDY 1310328453001                                                     X
 231813      CEDEÑO MENDOZA CAROLINA KATIUSCA
                                            1310332273001                                                     X
  54445      GONZENBACH MOREIRA CHRISTIAN RICARDO
                                            1310332281001                                                     X
 201970      BARCIA PESANTES WILTHER JAVIER 1310334907001                                                     X
 226623      ACEBO HEREDIA KENNY ANIBAL     1310337645001                                                     X
 131864      LUZON CAÑARTE MARIA FERNANDA 1310338726001                                                       X
 255575      PICO SUAREZ JONAS OCTAVIO      1310341720001                                                     X
  36718      OLMEDO JOSE CRISTIAN           1310347933001                                                     X
 219690      GARCIA SANTACRUZ DOUGLAS MACARTHUR
                                            1310348600001                                                     X
  69825      CEDEÑO CARREÑO JOSE LUIS       1310362148001                                                     X
  81268      CEVALLOS ROSS CINTHYA GUADALUPE1310362585001                                                     X
  23777      CEDEÑO MOREIRA JOSE AUGUSTO    1310362783001                                                     X
 176775      FARFAN MUENTES MARIA BELEN     1310369390001                                                     X
  35713      GARCIA CEDEÑO JUAN PABLO       1310369614001                                                     X
 209260      ZAMBRANO DUEÑAS CESAR HUMBERTO310373467001
                                            1                                                                 X
 243153      MERCHAN PLUA JORGE LUIS        1310374762001                                                     X
 232986      GARCIA SALDARRIAGA JORGE LUIS  1310376569001                                                     X
 147849      ZAMBRANO QUIROZ RAUL LIZANDRO 1310377849001                                                      X
  68704      MENDOZA MACIAS RONAL ALFONSO 1310378854001                                                       X
  34299       ALFREDO                       1310379217001                                                     X
  74740      MANTUANO DELGADO JANETH BEATRIZ1310382518001                                                     X
 215820      ARTEAGA MOREIRA AURA VIVIANA   1310385875001                                                     X
 203777      PADILLA DELGADO ROMMEL RAFAEL 1310387392001                                                      X
 216213      TORO LARGACHA LUIS JONATHAN    1310388333001                                                     X
 160999      ARIAS CANTOS ANTONIO ALBERTO   1310389455001                                                     X
  48180      LUZÓN CAÑARTE MARÍA ANGÉLICA   1310395007001                                                     X
 237620      INTRIAGO SOLÓRZANO PAUL ALEJANDRO
                                            1310398274001                                                     X
  81193      CEVALLOS CEVALLOS JUAN REMIGIO 1310403041001                                                     X
No                 No registra
                                                               No                    No registra   No
                                                                        No. registra                       registra      No.    indicadores
                                                             registra                provincia, registra
Persona_id               NOMBRE               No. ID (RUC)                 calle                           número      registra de ventas,
                                                             apellido                 cantón y   primer
                                                                         principal                         de calle     origen activos y/o
                                                             paterno                 parroquia nombre
                                                                                                           principal             empleados

 218063      AVILA BURGOS JUAN OCTAVIO       1310408800001                                                    X
  48979      ZAMBRANO PONCE JUAN CARLOS      1310423759001                                                    X
 104752      MENDOZA GARCIA KERLLY JOHANNA 1310425705001                                                      X
 143856      MACIAS LUCAS GUSTAVO ADOLFO     1310426927001                                                    X
 176542      GILER PINEDA ROXI ANNABEL       1310427560001                                                    X
 243490      ALCIVAR PAZMIÑO VINICIO VIDAL   1310434616001                                                    X
  75586      ZAMBRANO ANDRADE EVELIN LAURA 1310434780001                                                      X
 239092      MACIAS GARCIA ALBERTO ORLANDO 1310442288001                                                      X
 218538      PRADO PRADO JOSE VICENTE        1310447956001                                                    X
 264674      MIRANDA MOREIRA DOLORES CECILIA 1310448079001                                                    X
  22348      PALMA ZAMBRANO FERNANDO XAVIER1310449978001                                                      X
  85546      PERALTA GARCIA LADY ALEJANDRA 1310458680001                                                      X
  36787      VEGA MERA PEDRO PABLO           1310459597001                                                    X
 198410      CARRILLO DELGADO JHONNY DANIEL 1310459779001                                                     X
 239261      VELEZ CEDEÑO DARIO JAVIER       1310460421001                                                    X
 164608      NAVARRETE QUIJIJE DANIEL MACARIO1310460751001                                                    X
 258835      BRAVO ZAMBRANO JOSE RAMON       1310460769001                                                    X
 110501      SABANDO MENDOZA SOFIA ELENA     1310462526001                                                    X
 186327      PINCAY MERA YANDRY JAVIER       1310463201001                                                    X
  47714      SERRANO MOLINA EDISON HUGO      1310463334001                                                    X
 264208      ZAMBRANO VERA ANA PATRICIA      1310463342001                                                    X
 114206      TOALA SUAREZ MARCO JACINTO      1310464159001                                                    X
  32536      ZAMBRANO BAQUE KARLA JANETH     1310465297001                                                    X
  82969      SANCHEZ DELGADO DANIEL AUGUSTO  1310465602001                                                    X
  70761      LUCAS FARIAS JOSE OLMEDO        1310468788001                                                    X
  33589      RODRIGUEZ ACOSTA TYRONE PAUL 1310468838001                                                       X
 109258      ZAMBRANO TAFUR HENRY PAUL       1310477482001                                                    X
 235349      ZAMBRANO GUTIERREZ JEAN CARLOS 1310489131001                                                     X
 248325      ARCENTALES ESCOBAR JUAN CARLOS  1310489487001                                                    X
 268757      CHIRIBOGA AGUAYO JAIME JOSE     1310491566001                                                    X
  69056      BARBERAN CEDEÑO IGNACIO ALFONSO 1310491582001                                                    X
No                 No registra
                                                               No                    No registra   No
                                                                        No. registra                       registra      No.    indicadores
                                                             registra                provincia, registra
Persona_id               NOMBRE               No. ID (RUC)                 calle                           número      registra de ventas,
                                                             apellido                 cantón y   primer
                                                                         principal                         de calle     origen activos y/o
                                                             paterno                 parroquia nombre
                                                                                                           principal             empleados

  38822      DEMERA PINCAY GERMAM GERVACIO 1310501885001                                                      X
 267387      CEDENO ALAVA MAYRA ALEJANDRA 1310503832001                                                       X
 193739      BRIONES MACÍAS YULY CARMEN      1310505357001                                                    X
  58900      MENÉNDEZ PÍN YANDRI MANUEL      1310508765001                                                    X
 218159      VIVEROS PILOSO BAGNER EDUARDO 1310520596001                                                      X
 260093      ZAMBRANO ALAY CLEMENTE MIGUEL 1310521586001                                                      X
 229377      MUNIZAGA PÁRRAGA DAVID ARTURO 1310523889001                                                      X
  71277      MENDOZA MENDOZA MARIO JOEL      1310524473001                                                    X
 183157      INTRIAGO GUERRERO ANGELICA JULIANA
                                             1310529076001                                                    X
 140041      CALDERON ZAMBRANO ARNALDO LEONEL1310549090001                                                    X
  68223      SORNOZA PALACIOS MARIA ADRIANA 1310550213001                                                     X
  66087      DELGADO BAILON ISIDRO FABRICIO  1310550981001                                                    X
 187465      BERMELLO PLUA JANNER FERNANDO 1310551955001                                                      X
 182636      VERGARA RUIZ EDDY NIOVALDO      1310554413001                                                    X
  89589      VARGAS GUERRERO BYRON VICENTE 1310554470001                                                      X
  91987      LÓPEZ MACÍAS ADREAN MARCELO     1310558836001                                                    X
 260434      INTRIAGO RODRIGUEZ ANA KATIUSKA 1310565161001                                                    X
 262895      CORDOVA BERNAL JORGE LEONARDO 1310565476001                                                      X
 114059      MOREIRA CEVALLOS JAVIER ENRIQUE 1310585086001                                                    X
  69324      CHAVEZ VERA CESAR EDUARDO       1310587819001                                                    X
 277238      QUIJIJE LUCAS DIEGO HERNAN      1310588858001                                                    X
  61391      PIN QUIMIS JOHNNY ALBERTO       1310609472001                                                    X
  37811       JOSÉ                           1310612146001                                                    X
 219929      PONCE VINUEZA CARLOS ELIAS      1310616220001                                                    X
  50240      MACIAS CANTOS RAMON ARGENIS     1310616436001                                                    X
  72605      VELEZ LUCIO BYRON JAVIER        1310618473001                                                    X
 262501      ORTIZ ZAMBRANO JUAN DIEGO       1310621436001                                                    X
 198969      ZAMBRANO ALCIVAR PAOLA BEATRIZ 1310624349001                                                     X
 169738      ALCÍVAR RISCO KAREN ALEJANDRA   1310625494001                                                    X
 172703      CHIPANTASI CONFORME SILVIA VALERIA
                                             1310630452001                                                    X
 164548      MOLINA MOREIRA GILBERT MANUEL 1310643240001                                                      X
No                 No registra
                                                               No                    No registra   No
                                                                        No. registra                       registra      No.    indicadores
                                                             registra                provincia, registra
Persona_id               NOMBRE               No. ID (RUC)                 calle                           número      registra de ventas,
                                                             apellido                 cantón y   primer
                                                                         principal                         de calle     origen activos y/o
                                                             paterno                 parroquia nombre
                                                                                                           principal             empleados

 241505      SOLORZANO MENDOZA ERICK PATRICIO1310658164001                                                    X
  48757      PAZMIÑO VILLARROEL PATRICIA MONSERRATE
                                             1310659634001                                                    X
  47985      HUERTA VERA LIZANDRO MARCELO 1310660335001                                                       X
 270925      PINCAY DEMERA FREDDY STALIN     1310663610001                                                    X
 242696      CATUTO ZAMBRANO CRISTIAN ARMANDO1310667108001                                                    X
  31157      ZAMBRANO MONTESDEOCA CESAR ORLANDO
                                             1310668593001                                                    X
 237365      ZAMBRANO FARIAS CHRISTIAM FERNANDO
                                             1310676281001                                                    X
 251402      CEDEÑO MASTARRENO CARLOS ANTONIO1310681059001                                                    X
  48246      ING. ROBERTO MERA BURGOS        1310683311001                                                    X
 249664      MEZA ANTON WASHINGTON XAVIER 1310683493001                                                       X
 210521      MERO VERA JESSENIA MARYURI      1310689045001                                                    X
  85547      REYES CEDEÑO SERGIO DANIEL      1310704323001                                                    X
 124221      MACIAS MORAN JORGE RENE         1310711443001                                                    X
  29156      MACIAS VALENCIA FREDYS ALEXI    1310715089001                                                    X
  36808      ZAMBRANO CEDEÑO CARLOS XAVIER 1310715964001                                                      X
 273599      VELEZ INTRIAGO ERIKA MARGARITA 1310731219001                                                     X
  67427      VERA ACOSTA HAMILTON MARCELO 1310744667001                                                       X
  49458      ECHEVERRIA CEDEÑO DANNY RAFAEL 1310758956001                                                     X
 274813      QUIJIJE QUIMIS HELEN JAZMIN     1310779473001                                                    X
 172974      ZAMBRANO SALMERON JULIO ALFREDO 1310780638001                                                    X
 146644      CEDEÑO SARMIENTO CRISTHIAN FERNANDO
                                             1310782006001                                                    X
 250121      CORONEL PONCE FRANCISCO RAUL 1310794860001                                                       X
  15068       ANGELICA                       1310795776001                                                    X
  75657      VERA INTRIAGO MAYRA LOBEIDA     1310798432001                                                    X
 278757      MONTEHERMOSO LOPEZ DIEGO IGNACIO1310808371001                                                    X           X
 214135      ALCIVAR VILLAMAR ANDERSON REYNALDO
                                             1310819543001                                                    X
 191879      VELEZ LOPEZ ALBARO JACINTO      1310823115001                                                    X
 162586      MORERIA QUIJIJE FRANCISCO EDUARDO
                                             1310827280001                                                    X
  30744      ROMERO CARREÑO ALEX ALBERTO     1310833270001                                                    X
 150152      CANTOS ESTRADA BOLIVAR ANTONIO 1310839632001                                                     X
 251948      PILAY PILAY LUIS ANTONIO        1310842339001                                                    X
No                 No registra
                                                               No                    No registra   No
                                                                        No. registra                       registra      No.    indicadores
                                                             registra                provincia, registra
Persona_id               NOMBRE               No. ID (RUC)                 calle                           número      registra de ventas,
                                                             apellido                 cantón y   primer
                                                                         principal                         de calle     origen activos y/o
                                                             paterno                 parroquia nombre
                                                                                                           principal             empleados

 238368      MOREIRA BURGOS HECTOR ANDRES 1310854367001                                                       X
  20177      PALACIOS GARCIA JENNY LIDUVINA  1310857055001                                                    X
 139613      LOOR VELEZ CESAR ALFREDO        1310859499001                                                    X
  75000      CUZME CUSME MARÍA DOLORES       1310876782001                                                    X
 154491      ZAMBRANO CEVALLOS LEONARDO FABRICIO
                                             1310885528001                                                    X
  35301      HENRY                           1310902067001                                                    X           X
 176053      ZAMBRANO ZAMBRANO MARIO LUIS 1310904469001                                                       X
  49541      SOLORZANO BONE ANGELA CECILIA 1310907223001                                                      X
 174126      DELGADO LEON ERWIN EDUARDO      1310907546001                                                    X
  88682      CANTOS CENTENO PABEL ANTONIO 1310909922001                                                       X
 252417      MOREIRA MUNOZ MARIA DEL CARMEN 1310920762001                                                     X
 215372      VALENCIA DELGADO CARLOS JULIO 1310933104001                                                      X
  59981      FIGUEROA PINARGOTE JOSÉ ALEXANDRO
                                             1310933401001                                                    X
 152987      VILLANUEVA PINTO LUISA ANNABELL 1310936792001                                                    X
  25213      MORA SOLÓRZANO JOSÉ NAPOLEÓN 1310938962001                                                       X
 267103      BERMELLO PISCO KETTY ADELINA    1310939440001                  X            X                    X
 102902      ORTIZ HERNANDEZ EDUARDO HUMBERTO1310939739001                                                    X
 153908      BRAVO PINARGOTE ANGEL DARWIN 1310962517001                                                       X
 241784      SANCHEZ MERO CLAUDIO GEOVANNY1310966146001                                                       X
  30356      VALLE FARFAN CISNE PATRICIA     1310967342001                                                    X
  27602      ARGANDOÑA CHAVEZ ADOLFO ANTONIO 1311011090001                                                    X
 251141      MERA MOREIRA CARLOS IVAN        1311012262001                                                    X
 105071      MENDOZA MACÍAS JUAN PABLO       1311025017001                                                    X
 137483      ZAMBRANO MUÑOZ RICARDO MANUEL 1311045387001                                                      X
  31664      BARCIA MOREIRA MANUEL ALEJANDRO 1311049934001                                                    X
 134311      BALDA PACHECO MARCELO DANIEL    1311098725001                                                    X
 160577      PARDO MOREIRA FELIPE JAVIER     1311180267001                                                    X
 131386      SUÁREZ MURILLO CÉSAR DANIEL     1311180515001                                                    X
 247947      MERA MUÑOZ PEDRO PABLO          1311183477001                                                    X
  71976      NAVARRETE CHINGA HECTOR JAVIER 1311201634001                                                     X
 246832      AZÚA FERNÁNDEZ MILCIADES CRISTÓBAL
                                             1311202830001                                                    X
No                 No registra
                                                                No                    No registra   No
                                                                         No. registra                       registra      No.    indicadores
                                                              registra                provincia, registra
Persona_id               NOMBRE                No. ID (RUC)                 calle                           número      registra de ventas,
                                                              apellido                 cantón y   primer
                                                                          principal                         de calle     origen activos y/o
                                                              paterno                 parroquia nombre
                                                                                                            principal             empleados

  66642      ANCHUNDIA SOLORZANO CARLOS LUIS  1311202996001                                                    X
 274154      ARTEAGA VACA IBISS EDUARDO       1311204489001                                                    X
 210122      PEÑA ROMERO YANDRY JOSE          1311207003001                                                    X
 135907      MOREIRA RODRIGUEZ ANTONIO HERIBERTO
                                              1311216400001                                                    X
 145951      REYNA RONQUILLO RUBEN ELIAS      1311239899001                                                    X
 213419      CRUZ ANZULEZ BYRON PEDRO         1311250086001                                                    X
 234826      ALARCON LOOR JOSE RAMON          1311288201001                                                    X
 271934      PALACIOS CEDEÑO LUIS HUMBERTO 1311300337001                                                       X
 134050      ZAMBRANO MENDOZA MARITZA DOLORES 1311314494001                                                    X
 195457      MOREIRA MERA DANNY RENE          1311316150001                                                    X
  98243      BARAHONA BAQUE JESSENIA ROSARIO  1311320863001                                                    X
 184926      GARCIA SANCHEZ FADEL FERNANDO 1311333080001                                                       X
 201674      BARREIRO LOOR CESAR HUMBERTO 1311334401001                                                        X
  59255      CARREÑO VERA MARIELA RAQUEL      1311337545001                                                    X
  29442      ZAMBRANO PINOARGOTE WENDY XIOMARA1311339111001                                                    X
  98559      ROSAS CEVALLOS JUANA MONSERRATE  1311345191001                                                    X
 208427      ANDRADE CHANCAY RONALD JAIRON 1311362337001                                                       X
 275814      CARDENAS PILLASAGUA VERONICA JESSENIA
                                              1311372435001                                                    X
  44139      BAZURTO PINARGOTE CECILIA ELIZABETH
                                              1311377244001                                                    X
 263721      FORTIS VILLAVICENCIO KATIUSKA MERCEDES
                                              1311377798001                                                    X
  83326      MOREIRA CEVALLOS DIEGO RICARDO 1311378259001                                                      X
  51913      RODRIGUEZ MENDOZA JOSE FABIAN 1311390544001                                                       X
 223977      LOOR ZAMBRANO BYRON FERNANDO 1311399537001                                                        X
  98870      REYNA RODRIGUEZ RICHARD MIGUEL 1311400400001                                                      X
 126533      BRAVO CEDEÑO NATALIA ISABEL      1311405771001                                                    X
 226849      VERA GILER AURA MARICELA         1311412306001                                                    X
  33931      MOLINEROS SANTOS BYRON MARCELO   1311420259001                                                    X
  48769      MORENO RIVAS MARÍA ALEXANDRA     1311425522001                                                    X
  81102      VELEZ QUIROZ JOSE XAVIER         1311425688001                                                    X
  82209      FRANCO MOREIRA ANA LILIANA       1311426496001                                                    X
  49390      CEVALLOS PONCE LUIS ALFREDO      1311427312001                                                    X
No                 No registra
                                                               No                    No registra   No
                                                                        No. registra                       registra      No.    indicadores
                                                             registra                provincia, registra
Persona_id               NOMBRE               No. ID (RUC)                 calle                           número      registra de ventas,
                                                             apellido                 cantón y   primer
                                                                         principal                         de calle     origen activos y/o
                                                             paterno                 parroquia nombre
                                                                                                           principal             empleados

  43662       MARJORIE                       1311428328001                                                    X
 188093      PESANTES GARCIA MARIANA ALEJANDRA
                                             1311434227001                                                    X
 271956      VELEZ CEDEÑO MARIA REBECA       1311449415001                                                    X
 255327      ANDRADE CABO MIGUEL ANGEL       1311453573001                                                    X
 244901      GARCIA ALAVA JUAN GUSTAVO       1311460875001                                                    X
 256242      CARRILLO CARRILLO MARIA CARMEN 1311470973001                                                     X
 225414      CHAVEZ POSLIGUA FRANCISCO JAVIER1311474611001                                                    X
 209010      SAN ANDRÉS ZEVALLOS GINA ISABEL 1311475063001                                                    X
 237646      MONTESDEOCA ARAGUNDI NEY IVAN 1311476590001                                                      X
  34636      INTRIAGO FLORES JULIO BENITO    1311479438001                                                    X
  29675      LOOR REYES MARCIA KETHERINE     1311491177001                                                    X
  34344      MENDOZA RODRIGUEZ SHIRLEY JOHANA1311492381001                                                    X
 245104      GARZON VELEZ GONZALO RAFAEL     1311495756001                                                    X
 258328      BERMUDEZ CEDEÑO SANDRA MARIBEL1311496093001                                                      X
 264187      PICO MENDOZA ROBERTO GREGORIO 1311496374001                                                      X
 251688      MENENDEZ SORNOZA LETICIA VANESSA1311496382001                                                    X
 124874      MEDRANDA ALCIVAR MARTHA ELENA 1311497984001                                                      X
 234764      BARREZUETA VELEZ JOSE MIGUEL    1311498883001                                                    X
 165552      GANCHOZO ZAMBRANO MARÍA VICTORIA1311503377001                                                    X
 203463      ZAMBRANO CEVALLOS KAROL BEATRIZ 1311504409001                                                    X
 245562      SOSA ALVARADO FRANKLIN DENNY    1311506453001                                                    X
  79868      PONCE INTRIAO MARIA EDUVIGE     1311510661001                                                    X
 228125      DELGADO BELLO JAIME EDUARDO     1311511925001                                                    X
 105329      ANDRADE LOOR JORGE ARTURO       1311516726001                                                    X
 256308      CEVALLOS DE LA CRUZ JORGE ADRIAN1311528770001                                                    X
 169716      BERMUDEZ CEVALLOS WILTER ANTONIO1311534406001                                                    X
 266876      SANCHEZ MANTUANO CARLOS ISIDRO 1311540932001                                                     X
 231500      PARRALES SUAREZ MARIA LORENA    1311543274001                                                    X
  21580      DELGADO ZAVALA CARLOS GUILLERMO 1311552036001                                                    X
 251798      ZAMBRANO ZAMORA MANUEL ENRIQUE  1311553422001                                                    X
 241764      VINCES ALONZO FRANCISCO XAVIER 1311555286001                                                     X
No                 No registra
                                                              No                    No registra   No
                                                                       No. registra                       registra      No.    indicadores
                                                            registra                provincia, registra
Persona_id              NOMBRE               No. ID (RUC)                 calle                           número      registra de ventas,
                                                            apellido                 cantón y   primer
                                                                        principal                         de calle     origen activos y/o
                                                            paterno                 parroquia nombre
                                                                                                          principal             empleados

 195530      BALUARTE VELAZQUES MECIAS MARSILLO VICTOR MANUEL
                                             1311566739001                                                   X
 243220      ZAMBRANO LOOR FAUSTO MAURICIO 1311573560001                                                     X
 182931      GARCIA VINCES KAREN GISSELA     1311579146001                                                   X
 159991      ALCIVAR GUEVARA ENRIQUE ANTONIO1311583338001                                                    X
  55453      CARRION GUEVARA JESSICA ISABEL 1311584153001                                                    X
 245541      DUEÑAS FRANCO MIGUEL ANGEL      1311584690001                                                   X
  69448      ZAVALA GILER PATRICIO URBANO    1311585119001                                                   X
 241868      SINCHIRE CASTAÑEDA JORGE LUIS   1311612939001                                                   X
  29667      ZAMBRANO MONTESDEOCA LUIS JAVIER1311613002001                                                   X
 193711      LOOR CEDEÑO FABIAN ANDRES       1311617722001                                                   X
  98353      BALDERRAMO VELEZ HENRY FERNANDO 1311622235001                                                   X
 180448      TOALA FIGUEROA BYRON XAVIER     1311623662001                                                   X
 274834      VALLADOLID ZAMBRANO ELVIA MERCEDES
                                             1311625105001                                                   X
 133941      GARCIA VEGA EDER EMILIO         1311625840001                                                   X
  26715      CEVALLOS CEVALLOS VIVIANA ROCÍO 1311628083001                                                   X
 182468      ZAMBRANO ALCIVAR JAVIER REINALDO1311635963001                                                   X
 269607      MACIAS VINCES ELVIS BERNARDO    1311647174001                                                   X
  31995      ZAMBRANO ARTEAGA KATHYA MARYLIN 1311671257001                                                   X
 175019      VERA RIVADENEIRA ROQUE FABIAN   1311672578001                                                   X
  79120      GILER GARCIA CARLOS DAVID       1311679441001                                                   X
 263024      SIMBAÑA CEVALLOS JUAN CARLOS    1311686529001                                                   X
 248457      PEREZ INDIO JOSE GREGORIO       1311692006001                                                   X
 248212      ALCIVAR CEVALLOS JONATAN IVAN   1311693525001                                                   X
 265106      ZAMBRANO VELEZ TATIANA MONSERRATE
                                             1311693772001                                                   X
 235567      ALCIVAR PALMA VANESSA LILIANA   1311694572001                                                   X
 155334      INDACOCHEA MERCHAN JORGE LUIS 1311696346001                                                     X
 196108      PITA CASTILLO FABIAN FERNANDO   1311711756001                                                   X
 219269      MOREIRA PINARGOTE WALTER JEFFERSON
                                             1311722985001                                                   X
 177582      MERO SALTOS GEOVANNY GABRIEL 1311740631001                                                      X
 278999      ALAY MEZA CARLOS JAVIER         1311746000001                                                   X
 245583      SOLORZANO VERA OCTAVIO ENRIQUE 1311747263001                                                    X
No                 No registra
                                                               No                    No registra   No
                                                                        No. registra                       registra      No.    indicadores
                                                             registra                provincia, registra
Persona_id               NOMBRE               No. ID (RUC)                 calle                           número      registra de ventas,
                                                             apellido                 cantón y   primer
                                                                         principal                         de calle     origen activos y/o
                                                             paterno                 parroquia nombre
                                                                                                           principal             empleados

 245512      LOOR PICO SIFIA XIMENA          1311753733001                  X            X                    X
 217092      SUÁREZ VERA LUCIA EDITH         1311763039001                                                    X
 173324      OCHOA ORTEGA JORGE LUIS         1311764938001                                                    X
 228633      SALDARRIAGA VELASCO ERIKA DENNISSE
                                             1311777831001                                                    X
 188951      BASURTO MOLINA WINTER DANIEL    1311781791001                                                    X
 262915      CHAVEZ MERA JOSE JAVIER         1311782310001                                                    X
 240766      AMEN CARRILLO DOLORES ELINA     1311783078001                                                    X
 167927      NAVIA LOOR GUSTAVO EUDORO       1311785974001                                                    X
 156279      GARCIA HIDALGO LUIS ALBERTO     1311790982001                                                    X
 196160      LÓPEZ PÁRRAGA CINTYA PAMELA     1311812059001                                                    X
  92986      PERALTA BRAVO CARLOS DANIEL     1311835324001                                                    X
  65760      MORALES SALTOS JAHAIRA VANESSA 1311840019001                                                     X
  62881      PONCE PINCAY GUILLERMO FRANCISCO1311840845001                                                    X
 148660      ANCHUNDIA ANCHUNDIA JOSE LUIS   1311844482001                                                    X
 209850      FIGUEROA VERDUGA MARÍA JOSÉ     1311849424001                                                    X
 274697      TOALA SILVA JESSICA MABEL       1311853202001                                                    X
 219087      CEDEÑO CEDEÑO LILIANA MERCEDES 1311866493001                                                     X
 183320      ZAMBRANO ROSADO CESAR EDUARDO1311878399001                                                       X
 133930      ALVAREZ PICO MARIA GABRIELA     1311914269001                                                    X
 263020      PONCE MERO MAYRA ALEJANDRA      1311933533001                                                    X
 244830      SALINAS BRIONES CARMEN MARGARITA311942229001
                                             1                                                                X
 276471      TIGUA ANZULEZ OCTAVIO FELIPE    1311949398001                                                    X
 163134      VERA AVILA JUDITH NARCISA       1311952681001                                                    X
 133772      RODRIGUEZ NIEVES LUIS ALBERTO   1311961377001                                                    X
 252469      LEÓN PARRALES MARCOS FABRICIO 1311962250001                                                      X
 257860      RODRIGUEZ MACIAS DIEGO MARCELO 1311970766001                                                     X
 222313      DELGADO GARCIA AQUILES JAMILL   1311972697001                                                    X
 159626      BAZURTO ORDOÑEZ BLANCA MARIUXI 1311972853001                                                     X
 141494      ENDARA CEDEÑO CESAR ALFREDO     1311976680001                                                    X
 226968      LOOR CEDEÑO JONATHAN XAVIER     1311992315001                                                    X
  51404      GARCIA CEDEÑO CRISTHIAN RUBEN 1312002965001                                                      X
No                 No registra
                                                               No                    No registra   No
                                                                        No. registra                       registra      No.    indicadores
                                                             registra                provincia, registra
Persona_id               NOMBRE               No. ID (RUC)                 calle                           número      registra de ventas,
                                                             apellido                 cantón y   primer
                                                                         principal                         de calle     origen activos y/o
                                                             paterno                 parroquia nombre
                                                                                                           principal             empleados

 178708      VELEZ CEVALLOS FERNANDA VANESSA312015603001
                                             1                                                                X
 274583      MENDOZA TALLEDO OLGA LILIAN     1312016569001                                                    X
 272016      QUIROZ GARCIA ANDRES FABRICIO   1312038092001                                                    X
 182732      ARANEA ALAVA LUIS ALBERTO       1312084757001                                                    X
 122945      MOREIRA PALMA JULIO XAVIER      1312189390001                                                    X
 169283      VELEZ CEDEÑO RUBEN ERNESTO      1312216375001                                                    X
  67956      PARRALES ROSERO MARVIN SANTIAGO 1312235193001                                                    X
 180937      FERRIN ROSADO MARIA ALEXANDRA 1312237900001                                                      X
 227322      MERA MACIAS KAREN PATRICIA      1312246455001                                                    X
 235672      SALTOS ALCIVAR KAREN DANIELA    1312281635001                                                    X
 183210      VIVAR PONCE BORIS JAVIER        1312284936001                                                    X
 196317      PARRAGA VERA MIGUEL ALEJANDRO 1312299272001                                                      X
 218101      VERA LUCAS CARLOS MANUEL        1312315326001                                                    X
 264334      DELGADO MOREIRA VIVIANA KATIUSKA1312322546001                                                    X
 174334      PALMA QUIJIJE NANCY ELIANA      1312330960001                                                    X
 214257      VELEZ ALAVA ERNESTO FABIAN      1312331901001                                                    X
 188343      ORTOLA QUINTERO ANA MARIA       1312358045001                                                    X
  64362      TERAN GUERRERO JOHNNY EFRAIN 1312369893001                                                       X
  73142      VELIZ CHALARE VICTOR ALBERTO    1312391764001                                                    X
 204240      MERA ANCHUNDIA TERESA ELIZABETH1312489501001                                                     X
  92263      PONCE INDACOCHEA MARIA LORENA 1312510645001                                                      X
 219765      SALDARRIAGA BURBANO MARIA LUISA 1312516683001                                                    X                      X
 173166      PARRALES GÓMEZ JESSICA YESSENIA1312524877001                                                     X
 206938      PIN PICO JUDITH VERONICA        1312578618001                                                    X
 243514      VEGA QUIROZ FREDDY DAVID        1312590696001                                                    X
 206230      CERVANTES BAZURTO JORGE JEFFERSON
                                             1312604281001                                                    X
 261714      BRIONES LOOR KAREN BEATRIZ      1312616582001                  X            X                    X
 191610      AYALA PONCE HOOVER ALEX         1312848078001                                                    X
 200194      NAVARRETE LOOR DIANA CAROLINA 1312972142001                                                      X
 240749      DAVILA ZAMBRANO GALO DAMIAN     1312973306001                                                    X
 245717      ZAMBRANO ROBLES MARIA VICTORIA 1312993130001                                                     X
No                 No registra
                                                                  No                    No registra   No
                                                                           No. registra                       registra      No.    indicadores
                                                                registra                provincia, registra
Persona_id               NOMBRE                 No. ID (RUC)                  calle                           número      registra de ventas,
                                                                apellido                 cantón y   primer
                                                                            principal                         de calle     origen activos y/o
                                                                paterno                 parroquia nombre
                                                                                                              principal             empleados

 212089      MEDRANDA CONFORME LUIS DISNEY 1313050369001                                                         X
 141133      SANTANA ZAMBRANO JUAN JOSE         1313070839001                                                    X
 258722      ORTIZ CAICEDO JOSE JOHNNY          1313113159001                                                    X
 148635      DELGADO MIRANDA JORGE LUIS         1313147603001                                                    X
 202588      CRUZATTY QUIROZ GEMA CECILIA       1313195115001                                                    X
 229889      DELGADO PEÑA EDUARDO GILBERTO 1313209015001                                                         X
 258992      PINARGOTE RIVAS JANDRY ALBERTO 1313232512001                                                        X
 221429      PAZMIÑO MERA MARIA FERNANDA        1313287698001                                                    X
 151752      CEVALLOS LOPEZ HONORIO DAVID       1313304238001                                                    X
 220398      PISCO BERNAL ANDREA ESTEFANIA 1313403378001                                                         X
 234807      SALTOS HURTADO GEMA MONSERRATE     1313505354001                                                    X
  34528      CPM                                1360000120001                  X                                 X
  38711      MUNICIPIO PORTOVIEJO               1360000200001                  X                                 X                      X
  43633      GOBIERNO MUNICIPAL D               1360000470001                  X                                 X                      X
  56492      GOBIERNO DE PAJAN                  1360001280001                  X                                 X                      X
  37364      MUNICIPIO SANTA ANA                1360001440001                                                    X                      X
  47754      GOBIERNO MUNICIPAL                 1360003300001                               X                                           X
 248585      INIAP ESTACION EXPERIMENTAL PORTOVIEJO
                                                1360012210001                                                    X                      X
  42355      PATRONATO DE AMPARO SOCIAL DEL CANTON CHONE
                                                1360061850001                  X                                 X                      X
 116171      AUTOMOTORES MANABITAS CIA. LTDA.1390008429001                                                       X
 101265      ASOCIACIÓN DE ABASTECEDORES        1390009018001                                                    X
   5674      LA FABRIL S.A.                     1390012949001                                                    X
 102246      CAMARA DE INDUSTRIAS DE MANTA 1390013767001                                                         X
  44881      RAMACTRAN CÍA. LTDA.               1390028217001                                                    X
 146334      CONSTRUCTORA GLEMOZU               1390033237001                                                    X
 122980      CONSERVAS ISABEL ECUATORIANA S.A.  1390050352001                                                    X
  24229      EL DIARIIO EDIASA S.A.             1390057691001                                                    X
 165432      JOSE LUIS CEVALLOS E HIJOS C. LTDA 1390061184001                                                    X
  22443      ASESORES Y CONSULTORES DEL LITORAL CÍA. LTDA.
                                                1390064256001                                                    X
  84377      VIAJES Y TURISMO A&F DELGADO C LTDA1390066143001                                                    X
 199842      MANABITA DE REPUESTOS MANARECO1390068758001
                                                 CIA.LTDA.                                                       X
No                 No registra
                                                               No                    No registra   No
                                                                        No. registra                       registra      No.    indicadores
                                                             registra                provincia, registra
Persona_id               NOMBRE               No. ID (RUC)                 calle                           número      registra de ventas,
                                                             apellido                 cantón y   primer
                                                                         principal                         de calle     origen activos y/o
                                                             paterno                 parroquia nombre
                                                                                                           principal             empleados

   5173      CONSORCIO DE INGENIEROS NACIONALES1390073212001                                                  X
 156017      SINDICATO DE CHOFERES PROFESIONALES DE CALCETA
                                               1390081630001                                                  X
  16003      COMPANIA DE TRANSPORTE DE CARGA CIUDAD RODRIGO
                                               1390086861001                                                  X
  26838      MOVIMEINTOS DE TIERRA Y CONSTRUCCIONES MOTICONCI CIA. LTDA.
                                               1390093213001                                                  X
  43792      HORMAC: HORMIGONES MANABI CIA. LTDA.
                                               1390093558001                                                  X
  50364      MANAVISION S. A.                  1390095860001                                                  X
  14570      CONSDISENO CIALTDA                1390096832001                                                  X
  24622      VIAS, EDIFICIOS, PUENTES, AEROPUERTOS VEPACON S.A.
                                               1390096840001                                                  X
 253423      COOPERATIVA DE TRANSPORTE DE MATERIALES RIO DE ORO
                                               1390096980001                                                  X
 143847      COOPERATIVA TRANSPORTE MANABÍ 1390097227001                                                      X
 175612      SURCOMPI SA                       1390097340001                                                  X
  73139      COOP.TRANSP.DIDIMO ARTEAGA VERA1390100767001                                                     X
  24028      EQUIPOS PROGRAMAS Y SUMINISTROS DE OFICINA
                                               1390101615001                                                  X
  48761      PLAYA MAR Y SOL INMOBILIARIA INMOPLASOL CIA.LTDA.
                                               1390104096001                                                  X
  91965      PORTUR VIAJES Y TURISMO S. A.     1390105262001                                                  X
  96085      COARTESA COMERCIALIZACION DE ARTES S.A
                                               1390107400001                                                  X
  79574      CONSTRUCTORA E INMOBILIARIA VEMORPE S.A.
                                               1390117031001                                                  X
  81115      VOZ DE MANABI VODEMA S. A.        1390119115001                                                  X
  63955      CONSTRUCTORA NAVARRETE MORA NAMOR CIA. LTDA.
                                               1390119425001                                                  X
  43882      MARZAM CIA. LTDA                  1390140106001                                                  X
  41656      FUNDACION "YO TE AMO"             1390140882001                                                  X
 207301      DISTRIBUIDORA NACIONAL ARTE Y COMERCIO DIARTEX S.A.
                                               1390141102001                                                  X
  11763      PROYECTOS Y CONSTRUCCIONES        1390141595001                                                  X
  33009      DISTRIBUCIONES ISAAC VELEZ CALDERERO
                                               1390141897001                                                  X
 198047      INMOBILIARIA CONSTRUCTORA FERRIN SCHETTINI CÍA. LTDA.
                                               1390142036001                                                  X
 119941      COMISARIATOS VÉLEZ BONILLA S.A. 1390142346001                                                    X
 142585      LOPEZ DELGADO PEDRO VICSILVER 1390142389001                                                      X
  58952      RITUZAM CONSTRUCCIONES CIVILES CIA. LTDA.
                                               1390142486001                                                  X
  44428      CASA DISTRIBUIDORA ALIATIS        1390143563001                                                  X
 221868      CLINICA DE ESPECIALIDEDES MEDICAS1390143598001 CLIMEDICO C.A
                                                SAN GREGORIO                                                  X
 137489      PETROLIDER S.A                    1390143806001                                                  X
No                 No registra
                                                              No                    No registra   No
                                                                       No. registra                       registra      No.    indicadores
                                                            registra                provincia, registra
Persona_id              NOMBRE               No. ID (RUC)                 calle                           número      registra de ventas,
                                                            apellido                 cantón y   primer
                                                                        principal                         de calle     origen activos y/o
                                                            paterno                 parroquia nombre
                                                                                                          principal             empleados

 256174      PORTOVIEJO SEGURIDAD              1390143857001                                                 X
  60835      COMPAÑIA DE SEGURIDAD PUCORE CIA LTDA
                                               1390143873001                                                 X
  10794      CONSULTORA ESPIRAL CONTESPI CIA LTDA
                                               1390143903001                                                 X
  50967      EDIMANABI, EDITORA MANABITA S.A. 1390144489001                                                  X
 220716      VERA SANCHEZ CIA. LTDA.           1390144772001                                                 X
 189448      COMERCIALIZADORA DEL AGRO COAGRO  1390145655001                                                 X
  43851      MARITIMA DE COMERCIO              1390145809001                                                 X
 148372      CONSEJO CAFETALERO NACIONAL       1390146074001                                                 X
 136450      BIENES RAICES DEL LITORAL CIA LTDA1390146368001
                                               BIRALISA                                                      X
  41255      FUNPAD                            1390146538001         X                                       X
 110258      COOPERATIVA INTERPROVINCIAL DE PASAJEROS RUTAS PORTOVEJENSES
                                               1390146546001                                                 X
  68397      CORPORACION MULTIGAMMA S.A.       1390146643001                                                 X
 213129      NAUTICAL DEL ECUADOR S.A. NAUTECSA1390146678001                                                 X
 186260      BOSMART BOSQUE MARINO TOURS CIA. LTDA
                                               1390146716001                                                 X
  64981      DECOROFFICE D PLATON S.A.         1390146961001                                                 X
  31340      HOTELCABAÑAS BALANDRA             1390148905001                                                 X
  90096      JORGE ALFREDO MONGE ZAMBRANO 1390149022001                                                      X
  74547      MANADIALISIS S.A.                 1390149103001                                                 X
  52467      METACMA SA                        1390149146001                                                 X
 274402      GILER LOPEZ AUTOMOTRIZ GILAUTO CIA. LTDA
                                               1390149588001                                                 X
  25940      CONSORCIO CIVILES ASOCIADOS S.A. "COCIASA"
                                               1390149685001                                                 X
  76449      SERPITRICOS                       1390149693001                                                 X
 194241      AGROBIOCONSA S.A.                 1390149960001                                                 X
  57804      RADIOVISION S.A.                  1390150063001                                                 X
  10085      MR CIA CONSULTORES                1390150306001                                                 X
  89916      FUNDACION AGROFORESTAL            1391700024001                                                 X
  63178      ZURIDIST CIA.LTDA                 1391700822001                                                 X
  43934      TELEMOLINA                        1391700849001                                                 X
  61147      CONSTRUCPAC                       1391700954001                                                 X
  12212      EMULCONSA                         1391700970001                                                 X
  58575      SUMINISTROS ELECTRICOS JC SECEVER S.A.
                                               1391701098001                                                 X
No                 No registra
                                                              No                    No registra   No
                                                                       No. registra                       registra      No.    indicadores
                                                            registra                provincia, registra
Persona_id              NOMBRE               No. ID (RUC)                 calle                           número      registra de ventas,
                                                            apellido                 cantón y   primer
                                                                        principal                         de calle     origen activos y/o
                                                            paterno                 parroquia nombre
                                                                                                          principal             empleados

  36384      CONSORCIO MANAVIAL S.A.         1391701608001                                                   X
  66216      SEGURYSTAR CIA LTDA             1391701640001                                                   X
  30146      CONSTRUCTRAVEL S.A.             1391701799001                                                   X
 175751      TIERRASMANABITAS TIERNA         1391701837001                                                   X
  69712      HB CONSTRUCCIONES CONSTRUCBAR1391701888001
                                              S.A.                                                           X
 251411      MILJONH TRAVEL S.A.             1391702183001                                                   X
  37411      INQUI SA                        1391702213001                                                   X
  27142      HEREDIA GARCIA CONSTRUCCIONES CIA. LTDA.
                                             1391702299001                                                   X
  87796      SCG INGENIERIA CIA. LTDA.       1391702426001                                                   X
 257827      TRANSPORTE ESCOLAR E INSTITUCIONAL MANESTUR S.A.
                                             1391702523001                                                   X
  96042      AESLIT CIA LTDA                 1391702590001                                                   X
  85349      CONSTRUCTORA Y DISTRIBUIDORA PEDERNALES CONDISPE S.A.
                                             1391702647001                                                   X
  65824      JARRE INGENIERIA TOTAL JARREINGTOTAL CIA. LTDA.
                                             1391702973001                                                   X
  66943      LOMUCIA CIA. LTDA.              1391703031001                                                   X
  23967      RDH ASESORIA Y SISTEMAS         1391703066001                                                   X
  86283      NEGOCIO FAMILIAR S. A NEFASA    1391703120001                                                   X
  21735      MUNDODIGITAL                    1391703430001                                                   X
  11452      PROFISTEC                       1391703503001                                                   X
  24211      CONCRETO MANTA S. A.            1391703694001                                                   X
  23577      MAGIR CIA. LTDA.                1391703899001                                                   X
 152061      CAMARA DE COMERCIO ECUATORIANO AMERICANA
                                             1391707134001                                                   X
  78553      INSTITUTO ECUATORIANO DE ENFERMEDADES DIGESTIVAS Y PELVICAS
                                             1391707460001                                                   X
 202103      CORVER S.A.C.C.                 1391707533001                                                   X
 190342      GUERRON ZEVALLOS CIA. LTDA. AGENCIA ASESORA PRODUCTORA DE SEGUROS
                                             1391707800001                                                   X
 105777      CORPORACIÓN UNIVERSITARIA ESTUDIO Y TRABAJO "CUET"
                                             1391708645001                                                   X
  32598      FUNDACION DR. FAUSTO MORAN PARRALES
                                             1391709560001                                                   X
 216095      UNIVERSIDAD PARTICULAR SAN GREGORIO DE PORTOVIEJO
                                             1391709811001                                                   X
 162481      UNION OBRERA DE CHONE           1391712995001                                                   X
 224365      ASOCIACION DE VOLQUETEROS CIUDAD DE TOSAGUA
                                             1391713924001                                                   X
 225689      VIGCONTROL                      1391715285001                                                   X
 191839      OCEANOIL S.A.                   1391715463001                                                   X
No                 No registra
                                                              No                    No registra   No
                                                                       No. registra                       registra      No.    indicadores
                                                            registra                provincia, registra
Persona_id              NOMBRE               No. ID (RUC)                 calle                           número      registra de ventas,
                                                            apellido                 cantón y   primer
                                                                        principal                         de calle     origen activos y/o
                                                            paterno                 parroquia nombre
                                                                                                          principal             empleados

 239406      PETROCORP S.A.                    1391715471001                                                 X
 133571      UNION PROVINCIAL DE ORGANIZACIONES CAMPESINAS DE MANABI UPOCAM
                                               1391716117001                                                 X
  34786      LINEA CONSTRUCCION Y COMERCIO CONSTRUCMER S.A
                                               1391716125001                                                 X
 222502      FINCA INDUSTRIAL CAMARONER S.A 1391716354001                                                    X
 255860      TRANSPORTE ESCOLAR TURISTICO DE1391716419001
                                                MANABÍ                                                       X
  46757      COMUNIDAD FAMILIAR SEGURA COMFASEG CIA. LTDA.
                                               1391716567001                                                 X
  46832      INTERNATIONAL BISNESS COURIERS IBC S.A.
                                               1391716850001                                                 X
  93037      NAVIWAX S.A.                      1391716869001                                                 X
  21720      MOVINSA S.A.                      1391717016001                                                 X
  43720      GOMEZ Y MENDOZA S.A.              1391717687001                                                 X
 199432      VECTOMI S.A.                      1391717768001                                                 X
  88314      HYTSA ESTUDIOS Y PROYECTOS S.A. 1391718055001                                                   X
  42758      NEGOMET S.A.                      1391719590001                                                 X
  10433      FLOVEPA CONSTRUCTORES             1391719671001                                                 X
 266971      COMUNA MILAGRO                    1391720181001                                                 X
  33501      VICARIA DE EDUCACION              1391720874001                                                 X
 150504      ASOCIACIÒN MEDICA RENAL PORTOVIEJO ASMERP S. A.
                                               1391721447001                                                 X
   4808      ORGANIZACION DE SISTEMAS E INFORMATICA
                                               1391721552001                                                 X
  58998      COMPAÑIA PROVEEDORA CONSTRUCCIONES CIVILES Y ELECTRICAS S.A. ARTUZAM
                                               1391721722001                                                 X
  56073      PROVEEDORA DE CONSTRUCCIONES CIVILES Y ELECTRICAS
                                               1391721749001                                                 X
   9386      REPRESENTACIONES VELCED           1391722168001                                                 X
  50404      JR SECURITY CIA LTDA              1391722184001                                                 X
 190631      NATURIS CIA. LTDA.                1391722338001                                                 X
 131669      MEGAPACIF                         1391722710001                                                 X
  39690      FUNDACIÓN EL ROSTRO DE JESUS      1391722923001                                                 X
  27082      INMOBILIARIA Y CONSTRUCCIONES S.A. ICONS
                                               1391723040001                                                 X
  52224      DUVECE S.A                        1391723253001                                                 X
  83946      SERVICIOS TECNICOS DE TARJA S. A. 1391723407001                                                 X
  37658      DISTRIBUIDORA SAN GABRIEL S.A. SANGABRIELSA
                                               1391723431001                                                 X
 135237      COMPAÑIA DE RESPONSABILIDAD LIMITADA LOS BIZARROS
                                               1391723563001                                                 X
 247256      ASOCIACION DE REINAS Y EX REINAS DEL CANTON PORTOVIEJO
                                               1391724292001                                                 X
No                 No registra
                                                              No                    No registra   No
                                                                       No. registra                       registra      No.    indicadores
                                                            registra                provincia, registra
Persona_id              NOMBRE               No. ID (RUC)                 calle                           número      registra de ventas,
                                                            apellido                 cantón y   primer
                                                                        principal                         de calle     origen activos y/o
                                                            paterno                 parroquia nombre
                                                                                                          principal             empleados

  81357      COSTAMURCIELAGO                  1391724489001                                                  X
 195103      LOGISTICA INTEGRAL "GRAYHOUND" S.A
                                              1391724950001                                                  X
  66264      ROTEC-ECUA S. A.                 1391725434001                                                  X
 109942      HORMIGONES DEL PACIFICO          1391725469001                                                  X
 113079      SOCIEDAD DE HECHO MICROEMPRESA1391725493001
                                               DE GESTION AMBIENTAL CRUCITA                                  X
 264438      COMPAÑIA NARANJA & MIEL NAMIEL CIA. LTDA.
                                              1391725531001                                                  X
  92259      MENDOZA INTRIAGO DISEÑO Y ASESORIA CIA.LTDA MIDAS
                                              1391725868001                                                  X
  18693      TELECEV S.A                      1391726007001                                                  X
  89687      FARRAMAN                         1391726058001                                                  X
  61852      FUNDACION CENTRO DE PROMOCION SOCIAL RIO MANTA
                                              1391726236001                                                  X
 153939      SEGURIDAD PRIVADA LEGION ELITE CIA. LTDA.
                                              1391726252001                                                  X
  13899      SOFTWARE SOLUTION TECNOLOGY 1391726279001                                                       X
  61071      FUNDACION DE PREVENC             1391726309001                                                  X
  56707      FUNDACIÒN LUZ DE VIDA            1391726376001                                                  X
  41825      KOHLER S.A.                      1391726465001                                                  X
 109642      CONSORCIO DE INGENIEROS Y PROFESIONALES TECNICOS DE LA CONSTRUCCION
                                              1391726643001                                                  X
  74300      AMADEUS CIA. LTDA.               1391726651001                                                  X
  11775      SERVICIOS TECNICOS DE INGENIERIA 1391726767001                                                  X
  40043      CORECOMSA S.A.                   1391726996001                                                  X
  59836      SERINSA S.A.                     1391727011001                                                  X
  34840      PINTURAS EL MAESTRO CIA. LTDA.   1391727240001                                                  X
 170302      BEACHCAR S.A.                    1391727682001                                                  X
  50741      ALTIMA S A                       1391727852001                                                  X
 147151      PROJETEC PROYECTOS TECNICOS CIA. LTDA.
                                              1391728050001                                                  X
  31093      FUNDACION JARAMIJO               1391728123001                                                  X
  31301      FUNDACION DESARROLLO HUMANITARIO SOSTENIBLE
                                              1391728174001                                                  X
   8652      FUNDACION DE INVESTIGACION PARA EL DESARROLLO DE LA REGION FINDER
                                              1391728557001                                                  X
 100917      COMPAÑIA ADESEI CIA LTDA         1391729243001                                                  X
 102648      NAVIA RENTACAR CIA LTDA          1391730284001                                                  X
  68203      ISABA S.A.                       1391730403001                                                  X
  48116      MARCO MELO MARMELO S.A.          1391730446001                                                  X
No                 No registra
                                                               No                    No registra   No
                                                                        No. registra                       registra      No.    indicadores
                                                             registra                provincia, registra
Persona_id              NOMBRE                No. ID (RUC)                 calle                           número      registra de ventas,
                                                             apellido                 cantón y   primer
                                                                         principal                         de calle     origen activos y/o
                                                             paterno                 parroquia nombre
                                                                                                           principal             empleados

 127204      FASO                              1391730802001                                                  X
  34524      MACCEHZA CONSTRUCCIONES S.A.      1391731132001                                                  X
 240700      NUESTROS CAMPOS                   1391731205001                                                  X
  26952      IBEROAMERICANA DE CONSTRUCCIONES  1391731329001                                                  X
  51792      COMPAÑIA VERABUZAM SOCIEDAD ANONIMA
                                               1391731469001                                                  X
  68930      COMPAÑIA DE CONSULTORIA, CONSTRUCCIONES, WCH CIA. LTDA.
                                               1391731507001                                                  X
 187726      IMPORTADORA EXPORTADORA CEDEPA E HIJOS S.A.
                                               1391731973001                                                  X
 156826      CONSULTORIA & PROYECTOS CONPROYECT1391732082001                                                  X
 247512      VIAL CONSTRUCCIONES VIALCONSTRU S.A.
                                               1391732368001                                                  X
  33739      CONSTRUCTORA INTERMEDIO CONSTRUCMEDIO S.A.
                                               1391732775001                                                  X
 104004      ESTACIÓN DE SERVICIO AEROPUERTO1391732945001                                                     X
 188939      LUDAZAMCOR S.A.                   1391733046001                                                  X
 211850      SERVILAB S.A.                     1391734565001                                                  X
 100491      FUNDACION DE INGENIE              1391734611001                                                  X
 254861      SERVICIOS GENERALES S.A. CONSERGEN1391735936001                                                  X
  58208      AGRE S.A.                         1391736169001                                                  X
  17086      LUIS ORLANDO PINARGOTE MACIAS 1391736231001                                                      X
 165557      IMPORT-EXPORT M&M LEOSWAL CIA. LTDA
                                               1391736843001                                                  X
 274208      INSUCAMS S. A.                    1391736991001                                                  X
  27156       MAVEOR S.A                       1391737491001                                                  X
  61227      TECHSOLPLUS CIA. LTDA.            1391737572001                                                  X
 137788      INSTITUTO TÉCNICO SUPERIOR PARTICULAR PORTOVIEJO
                                               1391737777001                                                  X
  31351      FUNDACION DE INTEGRACION Y DESARROLLO HUMANO
                                               1391737912001                                                  X
  38584      JOALNAPI S.A                      1391738374001                                                  X
 229212      DELGADO GARCIA DELGAR CIA LTDA 1391738455001                                                     X
  78412      CONSTRUCTORA DE CASAS S.A.        1391738617001                                                  X
 103212      EDITORIAL RIDELA CIA. LTDA.       1391738854001                                                  X
 173482      JAMIL RAMIREZ DISTRIBUCIONES S.A. DIJARA
                                               1391739087001                                                  X
 203432      GESTION EFECTIVA S.A. GESTESA     1391739338001                                                  X
  52392      VISANCO S.A.                      1391739389001                                                  X
 137886      IMPRENTA Y GRAFICAS EL BOLIGRAFO1391739818001
                                                S. A.                                                         X
No                 No registra
                                                              No                    No registra   No
                                                                       No. registra                       registra      No.    indicadores
                                                            registra                provincia, registra
Persona_id              NOMBRE               No. ID (RUC)                 calle                           número      registra de ventas,
                                                            apellido                 cantón y   primer
                                                                        principal                         de calle     origen activos y/o
                                                            paterno                 parroquia nombre
                                                                                                          principal             empleados

  16486      SUPERPC                           1391740166001                                     X
  41490      CEDEFER MANTA INTERNACIONAL S.A.1391740514001                                       X
 157103      ROBRACONTRUC CIA. LTDA.           1391740662001                                     X
  39994      L Y L CONSTRUCCIONES S.A.         1391740719001                                     X
 190498      ASINPROYEC S.A                    1391740980001                                     X
  76254      ASOCIACIÓN DE PROPIETARIOS DE VOLQUETES, EQUIPOS PESADOS Y TRANSPORTE DE MATERIAL PETREOS DEL CANTÓN SUCRE
                                               1391741111001                                     X
 146197      CONSULTORIA TOTAL C.T. CIA. LTDA. 1391741634001                                     X
 227270      PROMOTORA INMOBILIARIA S.A. PROCORUÑA
                                               1391742487001                                     X
 226619      SISTEMAS INTEGRALES DE SEGURIDAD CIA LTDA SINSEG
                                               1391742665001                                     X
  36400      FUNDACIÓN SOCIAL                  1391743025001                                     X
 183831      FUNDACION JURIDICA LEX            1391743319001                                     X
  27507      CAMINOS DEL LITORAL S.A. CAMINOLIT1391743327001                                     X
 218920      FUNDACION SAN ANDRES              1391743408001                                     X
 178163      ASECOM S.A.                       1391743513001                                     X
  39386      TEOCALNO CIA.LTDA.                1391743610001                                     X
  41984      CONSTRUCCIONES CIVILES DEL VALLE1391743645001                                       X
  47267      SERVICIOS INTEGRALES PORTUARIOS 1391743726001
                                               Y PROFESIONALES S.A.                              X
  36748      NEOGRAFIK CIA. LTDA.              1391743742001                                     X
  83804      PORTMANT                          1391743807001                                     X
 269087      LEOSAMO S.A.                      1391743890001                                     X
  33479      CONSTRUCTORA CARIBE S.A.          1391743963001                                     X
  54920      INTERNET Y SOLUCIONES INFORMATICAS S.A.
                                               1391744153001                                     X
 142224      CHEYBE ECUADOR S.A.               1391744234001                                     X
 145807      PINTURAUTO S.A.                   1391744382001                                     X
 222550      CONSTRUCTORA CUCED                1391744773001                                     X
  31886      PARRAGA CONSTRUCTORA PARRAGACONS  1391745397001                                     X
  29087      CONSTRUCTORA MATEO CONSTRUMATH S.A.
                                               1391745990001                                     X
  54900      ELVENSA S.A.                      1391746075001                                     X
 198430      TIERRA PROMETIDA S.A.             1391746199001                                     X
  16460      COMPANIA SANTANDER                1391746318001                                     X                X
  19408      ARQUITECTURA CONTURCCIONES Y TELECOMUNICACIONES S.A. ARCONTELSA
                                               1391746512001                                     X
No                 No registra
                                                              No                    No registra   No
                                                                       No. registra                       registra      No.    indicadores
                                                            registra                provincia, registra
Persona_id              NOMBRE               No. ID (RUC)                 calle                           número      registra de ventas,
                                                            apellido                 cantón y   primer
                                                                        principal                         de calle     origen activos y/o
                                                            paterno                 parroquia nombre
                                                                                                          principal             empleados

 186120      CONSORCIO FACAYVI                1391746792001                                                  X
  72883      FORTALEZA DE LA IDENTIDAD MANABITA
                                              1391746806001                                                  X
  40624      DISCAD CIA. LTDA.                1391746962001                                                  X
 121232      RADIODIFUSORA MASCANDELA S.A     1391747039001                                                  X
  44024      CARLYCORP S.A.                   1391747063001                                                  X
  15064      RIVEART                          1391747233001             X                                    X
  27065      APRIK                            1391747578001                                                  X
  72252      ASOCIACION DE PROPIETARIOS DE VOLQUETES Y AFINES SAN IGNACIO
                                              1391747969001                                                  X
  47242      LOGONS CONSTRUCCIONE             1391748221001                                                  X
  41882      MEDICIONES ELECTRICAS MEDELECTRIC S. A
                                              1391748248001                                                  X
  46031      ASOCIACION DE MUJERES COMUNITARIAS DEL CANTON TOSAGUA
                                              1391748612001                                                  X
  57669      FERLEN S.A.                      1391748744001                                                  X
  83280      SERLIMRECLA CIA LTDA             1391748779001                                                  X
  33579      J.F. TORRES S.A.                 1391748868001                                                  X
 183776      ARENATOURS & EVENTOS S.A.        1391749007001                                                  X
  33393      ESTRUCTRAS Y VIAS S.A            1391749104001                                                  X
  39931      BRAGAR S.A. CONSTRUCTORA         1391749147001                                                  X
 129505      FUMILIEM S. A.                   1391749880001                                                  X
  54660      PROYECTOS CONSTRUCCIONES CIVILES DEOH
                                              1391750072001                                                  X
 270985      DISTRIBUCIONES HERRERA S.A. DISTHERRERA
                                              1391750293001                                                  X
  49631      TECNIAGRO S,A                    1391750358001                                                  X
 146435      CETUHOBA SA. CENTRO TURISTICO HOTELERO BARBASQUILLO
                                              1391750374001                                                  X
  20909      CONSTRUCTORA MANABITA COMAN SA   1391750587001                                                  X
  66072      TECNOBRACI S.A.                  1391750706001                                                  X
  25657      FUNDACIÓN ECUATORIANA PARA LA PROMOCIÓN CULTURAL Y SOCIAL FUNDACAV
                                              1391750749001                                                  X
 199673      TALLERES AUTOMOTRICES TALACSA S.A.
                                              1391750846001                                                  X
  34940      CONSTRUCTORA LUDOCOMPA CIA. LTDA.1391750951001                                                  X
  18158      ECUEDIF SA                       1391751192001                                                  X
  26632      CONDEPA S.A. CONSTRUYENDO DESARROLLO PARA EL PAIS
                                              1391751575001                                                  X
  40165      ATLANTICONSTRUC S.A.             1391751656001                                                  X
 117577      OCCONSA CONSTRUCCIONES S.A.      1391751699001                                                  X
No                 No registra
                                                                No                    No registra   No
                                                                         No. registra                       registra      No.    indicadores
                                                              registra                provincia, registra
Persona_id               NOMBRE                No. ID (RUC)                 calle                           número      registra de ventas,
                                                              apellido                 cantón y   primer
                                                                          principal                         de calle     origen activos y/o
                                                              paterno                 parroquia nombre
                                                                                                            principal             empleados

  68093      DIMARQ S.A.                       1391751729001                                                   X
 228212      ESTACION DE SERVICIOS ROJAS CIA.LTDA. SERVIROJAS
                                               1391751931001                                                   X
  47318      CONSTRUMUZAN S.A.                 1391752091001                                                   X
  47295      CONSTRUMARZA S.A.                 1391752105001                                                   X
  25864      CONSTRUCTORA GRANO DE ORO S.A. 1391752148001                                                      X
  25859      CONSTRUBOGA S.A.                  1391752199001                                                   X
  19536      FARMADISMO S.L.                   1391752210001                                                   X
 113000      CUENTAS EN PARTICIPACIÓN TODOCON  1391752237001                                                   X
 105032      PANAMA MARINE PRODUCT & SERVICES PMP S.A.
                                               1391752318001                                                   X
  49630      NEGOCIOS MUÑOZ Y ASOCIADOS S.A. 1391752407001                                                     X
  40651      VENTICONS S.A.                    1391752474001                                                   X
  29478      CONSCIMEEL CIA. LTDA.             1391752814001                                                   X
  39701      SOLTESA                           1391752911001                                                   X
  50276      JOMAICA S.A.                      1391753136001                                                   X
  38693      COMPAÑIA CONTRUCCIONES CIVILES S.A. FOCC
                                               1391753144001                                                   X
 147745      FARMACIA SANTAMARTHA S.A.         1391753195001                                                   X
 143455      CONSTRUCCIONES Y SERVICIOS PROFESIONALES
                                               1391753284001                                                   X
  45168       SERVICIOS DE INGENIERIA SERVINGER S. A.
                                               1391753500001                                                   X
  45190      TIS TECNOLOGIA INGENIERIA Y SERVICIOS S.A.
                                               1391753535001                                                   X
  46607      G & L CONSTRUCTORES S.A.          1391753543001                                                   X
  92210      GRAFICAS RAMIREZ S.A.             1391753748001                                                   X
  72946      COMERCIO EXTERIOR Y CONSTRUCCIONES1391753934001                                                   X
  59496      CONSTRUNAVIA S.A.                 1391754019001                                                   X
 115036      AIRPROYECT S. A.                  1391754213001                                                   X
  72859      CONSULPROYEC                      1391754221001                                                   X
  64504      EQVIMPORT S.A.                    1391754302001                                                   X
  76835      CONSTRUCTORA SAN RAFAEL S.A. CONSTRUCSANRA
                                               1391754337001                                                   X
  66549      CARVAJAL SERVICIO DE INGENIERIA S.A. INGECARV
                                               1391754434001                                                   X
  76879      CONSTRUCTORA CEMILESA S.A.        1391754647001                                                   X
  71378      SERFER CONSTRUCCIONE              1391754655001                                                   X
  78260      SERVICIOS DE INGENIERIA SERVISUAR1391754930001
                                                S.A.                                                           X
No                 No registra
                                                              No                    No registra   No
                                                                       No. registra                       registra      No.    indicadores
                                                            registra                provincia, registra
Persona_id              NOMBRE               No. ID (RUC)                 calle                           número      registra de ventas,
                                                            apellido                 cantón y   primer
                                                                        principal                         de calle     origen activos y/o
                                                            paterno                 parroquia nombre
                                                                                                          principal             empleados

  80246      MONAXA S.A.                     1391755015001                                                   X
 126261      LATARJA CIA LTDA.               1391755104001                                                   X
 111521      CONCEVI S.A.                    1391755120001                                                   X
 111313      PREMIUMSA S.A.                  1391755155001                                                   X
 108682      CONSORCIOE&CCONSTRUCTORES       1391755341001                                                   X
  90641      CAMACHO CARDONA MARIO           1391755643001                                                   X
 204132      MARINSAECUADOR S.A.             1391755880001                                                   X
 222449      DISEGLASS S.A                   1391756267001                                                   X
 156242      KAMIVIAS S. A.                  1391756461001                                                   X
 202830      CONSTRUCCIONES Y SERVICIOS BURGOS MENDOZA S.A.
                                             1391756682001                                                   X
 118193      DELGADO Y ASOCIADOS             1391757093001                                                   X
 269513      SEGURIBRAM                      1391757166001                                                   X
 110878      BIRACONSLG S.A.                 1391757174001                                                   X
 134951      MEROSANTANA CIA. LTDA.          1391757379001                                                   X
 113426      TURIGAMA S.A.                   1391757433001                                                   X
 123645      CANTERA SAN ISIDRO S.A.         1391757549001                                                   X
 162329      APART HOTEL LOSALMENDROS S.A. 1391757816001                                                     X
 161668      METALHIERRO S.A.                1391757824001                                                   X
 133477      VISIÓN INTEGRAL                 1391757999001                                                   X
 183610      SERVICIOS MEDICOS ANGIOMANABI CIA. LTDA.
                                             1391758014001                                                   X
 145354      CONSTRUCTORA CONSTRULAM S.A. 1391758030001                                                      X
 138762      FARMANDINAMERICA                1391758049001                                                   X
 147060      HILGAMSA.S.A                    1391758065001                                                   X
 155309      CONSTRUCTORA MANABITA S.A CONSTRUMANABI
                                             1391758103001                                                   X
 148746      ZAM´S PRODUCCIONES S.A          1391758251001                                                   X
 140104      CONSTRUVINAV S.A.               1391758324001                                                   X
 145254      CONSTRUCTORA RICE S.A           1391758405001                                                   X
 170695      IDEARTES                        1391758456001                                                   X
 203375      KWPUBLICIDAD LA COMPAÑIA DE COMUNICACION S.A.
                                             1391758529001                                                   X
 151777      SISTEMAS HIDRÁULICOS INTEGRADOS 1391758863001
                                              S.A. SIHINTEG                                                  X
 145054      COMPAÑÍA CONSTRUCTORA DEL NORTE 1391758871001                                                   X
No                 No registra
                                                               No                    No registra   No
                                                                        No. registra                       registra      No.    indicadores
                                                             registra                provincia, registra
Persona_id              NOMBRE                No. ID (RUC)                 calle                           número      registra de ventas,
                                                             apellido                 cantón y   primer
                                                                         principal                         de calle     origen activos y/o
                                                             paterno                 parroquia nombre
                                                                                                           principal             empleados

 152197      BIMAINTEG CIA. LTDA.            1391759274001                                                    X
 153433      LLANTAS Y SERVICIOS AUTOMORICES SALLY S.A.
                                             1391759711001                                                    X
 151592      PIRAMIDES DORADAS DE CONSTRUCCIONES S.A.
                                             1391760183001                                                    X
 145575      CONSTRUCTORA REALES TAMARINDOS  1391760906001                                                    X
 160794      CONSTRUCTORA PORTOVIEJO         1391762550001                                                    X
 153701      CONSTRUCTORA HORMIGASA S.A.     1391762895001                                                    X
 155285      CONSTRUCCIONES ICARCONS S.A.    1391762917001                                                    X
 156759      CONSTRUNAVSAN S.A.              1391762976001                                                    X
 169929      FUNDACION PARA LA INVESTIGACION Y DESARROLLO SOCIAL
                                             1391762992001                                                    X
 165030      CONSTRUCTORA JAVEBSA S.A.       1391763360001                                                    X
 175909      DAVOCONSTRUC S.A.               1391763409001                                                    X
 169725      VIACONSA S. A.                  1391763476001                                                    X
 232091      TURISMO ESMERALDA S.A. TURESMA 1391763581001                                                     X
 215424      INGENIERIA CIVIL                1391763743001                                                    X
 180140      EVOTEC .S.A.                    1391763778001                                                    X
 168019      CONSTRUCCIN S.A.                1391763786001                                                    X
 167998      CONSTRUCRESA S.A.               1391763794001                                                    X
 168777      PROINALING S.A.                 1391763808001                                                    X
 197717      FISPROVAL CIA. LTDA.            1391763840001                                                    X
 181632      PRODUCTORA INDUSTRIAL DE PUBLICIDAD Y CONFECCIONES S.A.
                                             1391763905001                                                    X
 175893      CESACONSTRUC CIA. LTDA.         1391764057001                                                    X
 250553      CONSULTORIA TECNICA TORRES & ORLANDO CTO. CIA. LTDA.
                                             1391764375001                                                    X
 180194      MANAOBRA S.A                    1391764537001                                                    X
 181295      CONSFERVIN S.A.                 1391764634001                                                    X
 242043      SUPER MERCADO DEL COLCHON SUPERCOLCHON S.A.
                                             1391764707001                                                    X
 188120      COSANGAR SA                     1391764758001                                                    X
 190463      CONSTRUCTORA MELROAP S.A.       1391764855001                                                    X
 222504      HOTEL CABAÑAS BALANDRA S.A.     1391764944001                                                    X
 197270      CONSTRUCTORA VERA LOOR S.A.     1391765002001                                                    X
 185843      CONSULTORA TERRASERGURA CIA. LTDA.
                                             1391765037001                                                    X
 195046      SAGARLLANTAS CIA.LTDA.          1391765274001                                                    X
No                 No registra
                                                               No                    No registra   No
                                                                        No. registra                       registra      No.    indicadores
                                                             registra                provincia, registra
Persona_id              NOMBRE                No. ID (RUC)                 calle                           número      registra de ventas,
                                                             apellido                 cantón y   primer
                                                                         principal                         de calle     origen activos y/o
                                                             paterno                 parroquia nombre
                                                                                                           principal             empleados

 198301      ECUACONSTRUCCION                1391765312001                                                    X
 218256      IMPORTADORA SEGURISOS S.A.      1391765665001                                                    X
 197678      CONSTRUCTORA ADRIMAPA S.A.      1391765762001                                                    X
 197220      CETOASA S.A.                    1391765819001                                                    X
 206068      CLINTEG SA CLIMA INTEGRAL       1391765908001                                                    X
 219901      CONSULTORA CONSULTNAC CÍA LTDA 1391766076001                                                     X
 219196      DARMACIO CIA LTDA               1391766203001                                                    X
 209465      INSTITUTO LAVISION S.A.         1391766416001                                                    X
 209634      CONSTRUCASHLEY S.A.             1391766513001                                                    X
 232699      PROSEGTO CIA. LTDA.             1391766610001                                                    X
 239532      CONSTRUSAENZ S.A.               1391766629001                                                    X
 210647      SEGILZA SOCIEDAD ANONIMA        1391766661001                                                    X
 235377      HGL&M CONSTRUCCIONES S.A.       1391766904001                                                    X
 214687      COMPAÑIA KAILN S.A              1391766955001                                                    X
 217523      DISTRIBUIDORA DE MEDICAMENTOS YSUMINISTROS MEDICOS S.A. DISTRISUMOS
                                             1391767021001                                                    X
 237210      GECOTEL S. A.                   1391767080001                                                    X
 215770      DISACONST                       1391767102001                                                    X
 217519      CONSERCIP S.A                   1391767226001                                                    X
 218103      ECO-GLOB COMPANY S.A            1391767331001                                                    X
 218183      CHOPAAL S. A.                   1391767609001                                                    X
 223432      CONSTRUZAMAHISA                 1391768036001                                                    X
 225022      CORPORACION DEL VALLE S. A. CORPOVALL
                                             1391768168001                                                    X
 226114      ASOCIACION MANABI               1391768192001                                                    X
 225065      CONSTRUCMING S.A.               1391768206001                                                    X
 229898      CAIRCONST CIA. LTDA.            1391768605001                                                    X
 236168      INSTALCONTRUC S.A.              1391769253001                                                    X
 264847      BUSICONS S.A.                   1391769385001                                                    X
 233352      TRANSPORTES Y SERVICIOS CITYCHONETRANS S.A.
                                             1391769415001                                                    X
 237076      JORGU S.A.                      1391770014001                                                    X
 250650      TRIPLEVISTA SOLUTIONS S.A.      1391770294001                                                    X
 242712      BELAGIOCONSTRUC S.A.            1391770367001                                                    X
No                 No registra
                                                              No                    No registra   No
                                                                       No. registra                       registra      No.    indicadores
                                                            registra                provincia, registra
Persona_id              NOMBRE               No. ID (RUC)                 calle                           número      registra de ventas,
                                                            apellido                 cantón y   primer
                                                                        principal                         de calle     origen activos y/o
                                                            paterno                 parroquia nombre
                                                                                                          principal             empleados

 240239      INMOKALSA S.A.                 1391770405001                                                    X
 251679      OVACIC S.A.                    1391771215001                                                    X
 250005      CUPROMCO S.A. CONSULTORA AMBIENTAL
                                            1391771649001                                                    X
 249994      CONSTRUCCION Y PLANIFICACION URBANA Y RURAL CONSTRUPLANUR CIA LTDA
                                            1391771738001                                                    X
 254246      COMPAÑIA ASESORES Y CONSULTORES DEL LITORAL ASCONDELIT S.A.
                                            1391771843001                                                    X
 252102      NUVEL S.A                      1391771991001                                                    X
 257198      CONSTRUCCIONES JUARMED SA      1391772181001                                                    X
 259729      CONSULTORIA CONARRIESGOS       1391772602001                                                    X
 269749      REPROEXMOSA                    1391772718001                                                    X
 258511      MAQUIPLAN S. A.                1391772726001                                                    X
 260535      KENDRUMAR S.A.                 1391772920001                                                    X
 262289      SERFOINT S.A.                  1391773145001                                                    X
 264466      CONSTRUVELESA S.A.             1391773390001                                                    X
 267228      PARIMASE S.A.                  1391773587001                                                    X
 267534      LUDAMARSA CONSTRUCTORA S.A.    1391773668001                                                    X
 268378      MEDICAL LOOR S.A.              1391773749001                                                    X
 271562      SIFERCONSTRUC S.A.             1391773854001                                                    X
 275050      CONSTRUCMAZAEL S.A             1391774362001                                                    X
 276149      DEYANEIRA SA                   1391774419001                                                    X
 278979      RAMIDELSA S.A.                 1391774648001                                                    X
 278078      CONENSACONSTRUCCIONES          1391774877001                                                    X
 278171      MELOCONSTRUC S.A.              1391774958001                                                    X
 170132      AGUAYO ZABALA CARLOTA          1400001093001                                                    X
 181582      MONTENEGRO NOGUERA ANGEL RAFAEL1400003701001                                                    X
 100825      RODRIGUEZ ROMO ANTONIO JOSE    1400006530001                                                    X
  96755      NAGUICHA SANCHICO JOSE         1400008684001                                                    X
 190114      CHACHA CHACHA CESAR OLMEDO     1400009971001                                                    X
 128565      CHICA COZAR ORLANDO MANFREDO 1400010714001                                                      X
 138768      RICAURTE DAVALOS WASHINGTON ALBERTO
                                            1400012355001                                                    X
 205107      JARAMILLO CARVAJAL SARA GUADALUPE
                                            1400013064001                                                    X
 165838      TORRES CALLE ZOILA ROSA        1400015234001                                                    X
No                 No registra
                                                               No                    No registra   No
                                                                        No. registra                       registra      No.    indicadores
                                                             registra                provincia, registra
Persona_id               NOMBRE               No. ID (RUC)                 calle                           número      registra de ventas,
                                                             apellido                 cantón y   primer
                                                                         principal                         de calle     origen activos y/o
                                                             paterno                 parroquia nombre
                                                                                                           principal             empleados

 165826      DELGADO ZUÑIGA RAUL ABELARDO    1400019558001                                                    X
 132874      ORELLANA VALLEJO LUIS ABEL      1400019749001                                                    X
  87245      CRESOI TRELLES MARIO MISAEL     1400020671001                                                    X
 159834      ORELLANA TOLEDO SILVIA MARINA   1400021083001                                                    X
 134207      ZUÑIGA CABRERA MARIO JOEL       1400021661001                                                    X
 107036      TORRES BERMEO VICTOR APOLINARIO1400023709001                                                     X
  94249      VELEZ RIERA MODESTO FROILAN     1400026041001                                                    X
 198771      GÓMEZ FERNÁNDEZ RAFAEL ARCESIO 1400026991001                                                     X
 136565      VIZUETE VILLAGOMEZ ALFREDO GILBERTO
                                             1400027122001                                                    X
 246043      NIETO NIETO ROSA LAURA          1400027577001                                                    X
 207240      FLOR DIAZ CARLOS EDUARDO        1400030043001                                                    X
 150003      MEDINA RODRIGUEZ LUIS OLMEDO    1400031199001                                                    X
  63238      KAYAP SANCHU ANGEL TELESFORO 1400031371001                                                       X
 179805      CARDENAS MARCO RUBEN            1400032866001                                                    X
 227335      PAATI WARMI ANGUASH PEDRO       1400041255001                                                    X
 202318      TUITZA MASUINGUIA JUAN DOMINGO 1400043665001                                                     X
 141318      AVILA ORDOÑEZ JORGE GILBERTO    1400051353001                                                    X
 153218      JACOME CALDERON FAUSTO ELICEO 1400054415001                                                      X
 118199      ALVAREZ ORDOÑEZ GERARDO LUIS 1400056980001                                                       X
  87326      CORREA AMAY CARLOS ANTONIO      1400059422001                                                    X
 183119      CHACON RUIZ JULIO OCTAVIO       1400061667001                                                    X
 237006      LOPEZ TAPIA LUIS AURELIO        1400061931001                                                    X
 144584      MOLINA PEREZ ALFONSO ROLANDO 1400062269001                                                       X
 181214      SERRANO CARDENAS LUISA AMERICA1400064182001                                                      X
 245036      MANCHENO NOGUERA GERMAN AQUILES 1400073951001                                                    X
 180412      CARDENAS DIAZ ELBA FANNI        1400075139001                                                    X
 252309      CHIRIAP ATSASU AGUSTIN MARCELO 1400077077001                                                     X
 214627      LOPEZ GUTIERREZ LAURO BOLIVAR 1400077432001                                                      X
 152151      REINOSO PELAEZ LAURO RODOLFO 1400077929001                                                       X
 155589      SALINAS CASTRO ISAAC AURELIO    1400077978001                                                    X
 173137      CANDO GORDILLO JULIA MARIA      1400078067001                                                    X
No                 No registra
                                                               No                    No registra   No
                                                                        No. registra                       registra      No.    indicadores
                                                             registra                provincia, registra
Persona_id               NOMBRE               No. ID (RUC)                 calle                           número      registra de ventas,
                                                             apellido                 cantón y   primer
                                                                         principal                         de calle     origen activos y/o
                                                             paterno                 parroquia nombre
                                                                                                           principal             empleados

 127116      SANCHIM CHIKIAMAI ALEJANDRO MARTIN
                                             1400082267001                                                    X
  78458      CARDENAS CARDENAS RAUL OLMEDO 1400082895001                                                      X
 228492      CHACHA CHACHA JESUS CASIMIRO 1400083471001                                                       X
 228811      MENESES PRADO MIGUEL ELICIO     1400083729001                                                    X
 106620      RODRIGUEZ CALLE ERNESTO RUBEN 1400084511001                                                      X
 101159      ORELLANA PALOMEQUE EDMUNDO ELIAS1400089262001                                                    X
 164981      MOSCOSO GRANDA VICTOR MIGUEL 1400090575001                                                       X
 145728      TSEREMP NUSINKIUR BOLIVAR EMILIANO
                                             1400091698001                                                    X
 127532      ROGERON MARIA OSWALDO MIGUEL 1400091813001                                                       X
 126843      TANKAMASH NUJINUA CAROLINA MARTINA
                                             1400091995001                                                    X
 168768      RIVADENEIRA ZABALA RAMON ABAD 1400092845001                                                      X
 151469      AMBAMA NAQUEMPI ANDRES MAYACHU  1400097349001                                                    X
 116470      TIVI MARIA ANTONIO CHIRIAPA     1400099667001                                                    X
 148607      UYUNGARA MASUINGUE ALFREDO WACHAPA
                                             1400100069001                                                    X
 241662      HERNANDEZ SANGURIMA DOLORES RAQUEL
                                             1400100523001                                                    X
 170916      SAMANIEGO MADERO LUPE ELISA     1400101349001                                                    X
 149321      VALVERDE VALVERDE ZOILA ILDAURA 1400101828001                                                    X
 167741      SANTIAGO TORRES JOSE GERMAN     1400102628001                                                    X
  26238      ELVIA                           1400103295001                                                    X
 126902      VILLACIS RIVADENEIRA ROBERTO FERNANDO
                                             1400104210001                                                    X
 227260      TORRES LUNA LUIS ANTONIO        1400106033001                                                    X
  56077      GUTIERREZ ROMAN GERMAN VITERVO1400106363001                                                      X
 172701      DELGADO MANCHENO BENJAMIN IBAN 1400106769001                                                     X
 240004      BERMEO AVILA ARTIDRO ANTONIO    1400108252001                                                    X
 227419      SHARUP ESPERANZA PEDRO JIMPIKIT 1400108963001                                                    X
  94257      VELEZ JARAMILLO JOAQUIN ADOLFO 1400110464001                                                     X
 114794      NAICHAP TIRIS ANGELICA JOSEFINA 1400111132001                                                    X
 122740      PETSAIN KARMINK JUANA NUNKAI    1400111520001                                                    X
 176751      COZAR VELIN ISIDRO ALBERTO      1400112429001                                                    X
 135095      NOGUERA MADERO JUANA FRANCISCA  1400113492001                                                    X
 119147      ORELLANA CALLE MARIA ILIANA     1400114201001                                                    X
No                 No registra
                                                               No                    No registra   No
                                                                        No. registra                       registra      No.    indicadores
                                                             registra                provincia, registra
Persona_id               NOMBRE               No. ID (RUC)                 calle                           número      registra de ventas,
                                                             apellido                 cantón y   primer
                                                                         principal                         de calle     origen activos y/o
                                                             paterno                 parroquia nombre
                                                                                                           principal             empleados

  95138      BACA DIAZ GINA MONSERRAT        1400116792001                                                    X
 255779      AMBAMA NAQUEMBI ENTZA FLORA     1400117287001                                                    X
 251343      JURADO ORELLANA ANGEL RODRIGO 1400117618001                                                      X
  30716      FAREZ MOSCOSO MARCELO ROLANDO1400117840001                                                       X
 118446      SANDU CHINGUIASU ISIDRO DOMINGO 1400119176001                                                    X
 157837      LOPEZ TAPIA BENIGNO AMADEO      1400119341001                                                    X
 235962      LOPEZ SOLIS ESTHELA             1400122089001                                                    X
 211856      PETSAIN MAYANCH LUIS PEDRO      1400124234001                                                    X
 235644      QUEZADA CAPA ANGEL LORENZO      1400125793001                                                    X
 168257      CASTILLO GUTIERREZ NERIS AUGUSTO1400126411001                                                    X
  93669      SANCHEZ JARAMILLO BERTA LIDIA   1400127690001                                                    X
 267173      SHACAY CHIAZU CRISTOBAL GABRIEL DOMINGO
                                             1400127898001                                                    X
 172704      MASHIANT CHAMIK HECTOR SILVIO   1400128201001                                                    X
 236415      ROMERO SALINAS ANGEL FROILAN    1400128979001                                                    X
  97196      TORRES ATIENCIA LUIS ALFONSO    1400131635001                                                    X
 120754      MOLINA CAMPOVERDE JOSE ELIAS    1400133136001                                                    X
 113786      ULLOA AREVALO MIGUEL DANILO     1400133466001                                                    X
 115079      TIWI KUJI ROSA MARIA            1400133581001                                                    X
 108693      VALLEJO GARAY WASHINTON         1400133847001                                                    X
 235292      ALVARADO CALI NINFA ISABEL      1400134134001                                                    X
 220607      LUCERO TAZA MARIA DOLORES       1400134217001                                                    X
 273253      DELGADO TORRES CESAR ANTONIO 1400135321001                                                       X
 223254      ROJAS CARDENAS MARIA AUXILIADORA1400136048001                                                    X
 262886      CALDERON CAMBISACA JUSTO ABEL 1400136980001                                                      X
 203641      TENECELA URGILES CARMEN LUCRECIA1400137459001                                                    X
 176155      BUENO LOJA MARIA ZOILA TARGELIA 1400142343001                                                    X
 241439      LOZADO LEON ROSA LETICIA        1400142566001                                                    X
 229931      BENAVIDES CÁRDENAS ROSARIO CLOTILDE
                                             1400143242001                                                    X
 179646      DUMANCELA SANCHEZ JOEL IGNACIO 1400143572001                                                     X
  93660      SHACAY CHIAZU ADRIANO TEODOCIO 1400143788001                                                     X
 128487      LEON PALOMEQUE LUIS BELISARIO 1400143887001                                                      X
No                 No registra
                                                               No                    No registra   No
                                                                        No. registra                       registra      No.    indicadores
                                                             registra                provincia, registra
Persona_id               NOMBRE               No. ID (RUC)                 calle                           número      registra de ventas,
                                                             apellido                 cantón y   primer
                                                                         principal                         de calle     origen activos y/o
                                                             paterno                 parroquia nombre
                                                                                                           principal             empleados

 178681      ORELLANA MOSCOSO CELSO EFRAIN 1400145841001                                                      X
 203245      SUAREZ RODRIGUEZ ABRAHAM DE JESUS
                                             1400146633001                                                    X
 171212      BERMEO VILLARREAL GERMAN ROBERTO1400147987001                                                    X
 138134      MARÍN BANDA CARLOS ANTONIO      1400149819001                                                    X
 186511      CARDENAS BERMEO MARIA LUISA     1400150643001                                                    X
 156244      MACAO ZHUNIO SEGUNDO MANUEL     1400150957001                                                    X
 189991      PESANTEZ CADMEN GLORIA CLEMENTINA
                                             1400151823001                                                    X
 147309      CABRERA LOPEZ JOSE BENJAMIN     1400152037001                                                    X
 175227      LEÓN LÓPEZ MNAUEL IGNACIO       1400152276001                                                    X
 184137      PIÑA REINOSO MANUEL ALEJANDRO 1400152862001                                                      X
 200118      JURADO ORELLANA LUIS ABELARDO 1400154009001                                                      X
 272334      UNGUMI PIRISHU CELESTINA LISA   1400155154001                                                    X
 199948      GUZMAN DELGADO MARIA LUZ MILA 1400155931001                                                      X
 241113      POGYO YANZA MANUEL EUSEBIO      1400156483001                                                    X
 133899      SALAS PIÑA JESUS ABEL           1400157275001                                                    X
 126173      ANKUASH CHIAS KUJA ESTEBAN      1400158158001                                                    X
  95674      RAMON CARDENAS SAUL RIGOBERTO 1400158349001                                                      X
 115507      KANIRAS TAISH FLORENTINA FILOMENA
                                             1400159701001                                                    X
 147511      TANCHIM JIMPIKIT UWIJINT SILVIO 1400160329001                                                    X
 124190      ATIENCIA ARIAS VICTOR RAFAEL    1400161442001                                                    X
 137448      FLORES CABRERA MARIO GILBERTO 1400162754001                                                      X
 246105      SAANT ANKUASH AGUSTIN MATEO     1400163414001                                                    X
 143130      GUALPA ULLAURI MARIA INES       1400163950001                                                    X
 141475      CABRERA LOZANO MARCOS EUCLIDES1400166177001                                                      X
 130194      DUCHI BRITO ROSA TARCILA        1400166417001                                                    X
 144716      BANEGAS RAMONES JAIME FORTUNATO 1400167894001                                                    X
 126024      EWEK TINCHI PEDRO ALFONSO       1400168082001                                                    X
 111399      PADILLA GONZALEZ LUISA ELVIRA   1400168108001                                                    X
 139366      CAJECA NUNCAYNY CARLOS PATRICIO 1400169114001                                                    X
 158471      CHACON RUIZ ANGEL RODOLFO       1400172084001                                                    X
 193746      OTACOMA MENDOZA LUIS OSWALDO 1400172829001                                                       X
No                 No registra
                                                               No                    No registra   No
                                                                        No. registra                       registra      No.    indicadores
                                                             registra                provincia, registra
Persona_id               NOMBRE               No. ID (RUC)                 calle                           número      registra de ventas,
                                                             apellido                 cantón y   primer
                                                                         principal                         de calle     origen activos y/o
                                                             paterno                 parroquia nombre
                                                                                                           principal             empleados

 184406      FREIRE MOREIRA JORGE FERNANDO 1400173413001                                                      X
 122627      WACHAPA ANTUN RAMON WAMPANKIT1400173744001                                                       X
 161763      CABRERA DELGADO MARIA CARMEN 1400173983001                                                       X
  43314      HEREDIA SANUNGA WILSON GUILLERMO1400174288001                                                    X
  34721      ENCALADA REYES PABLO MIGUEL     1400174478001                                                    X
 228237      TORRES TORRES MIGUEL BELISARIO 1400174684001                                                     X
 100839      VELEZ AREVALO MARLON LITAUNAN 1400174940001                                                      X
 183487      UNUP TUMINK LUIS                1400175442001                                                    X
 225826      TUITS CHUINT CARLOS VICENTE     1400175566001                                                    X
 142707      JIMENEZ CÁRDENAS JOSÉ REINALDO 1400176283001                                                     X
 180089      TORRES GARAY YOLANDA CUMANDA 1400176820001                                                       X
 145057      ZUÑIGA HERNANDEZ HUGO OSWALDO 1400177091001                                                      X
 143371      PARRA CASTRO CESAR ARIOSTO      1400177364001                                                    X
 227612      MOLINA ROLDAN PACO VICENTE      1400177414001                                                    X
  80501      SAMANIEGO OCHOA GLADIZ SARVELIA1400178040001                                                     X
 236257      UNKUCH TUKUP SEGUNDO ANGEL      1400178115001                                                    X
 145227      RUBIO TAPIA LIBIA AZUCENA       1400179626001                                                    X
 190865      SAANT CHINKIAS MIGUEL ANGEL     1400179907001                                                    X
  30589       PLUTARCO                       1400180392001                                                    X
 262159      JARA JARA CELIO MIGUEL          1400180822001                                                    X
 133117      MISACANGO GUTAMA LAUDALINA DE JESUS
                                             1400181002001                                                    X
  36002      DELGADO TORRES FREDDY ENRIQUE 1400181226001                                                      X
 220698      DUTAN PANI LAURO AMADEO         1400182166001                                                    X
 200448      CORDOVA VARGAS NAPOLEON         1400182455001                                                    X
 127695      JIMENEZ ASTUDILLO BOLIVAR ROGERIO
                                             1400182950001                                                    X
 114204      TORRES SOLIS HEDY R             1400184402001                                                    X
 127493      ARCE CORDERO CESAR ANTONIO      1400184618001                                                    X
 180427      DOMINGUEZ LEON MANUEL OSWALDO 1400185318001                                                      X
 179361      MADERO GOMEZ ALEX FREDY         1400185383001                                                    X
 178324      NAWECH WAJAI GONZALO CRISTOBAL1400185433001                                                      X
 249205      GALARZA GUZMÁN RÓMULO MAXIMILIANO
                                             1400186845001                                                    X
No                 No registra
                                                               No                    No registra   No
                                                                        No. registra                       registra      No.    indicadores
                                                             registra                provincia, registra
Persona_id              NOMBRE                No. ID (RUC)                 calle                           número      registra de ventas,
                                                             apellido                 cantón y   primer
                                                                         principal                         de calle     origen activos y/o
                                                             paterno                 parroquia nombre
                                                                                                           principal             empleados

  37938      ARTE MUBLE                      1400186852001                                                    X
  31524      ESPINOZA CARDENAS LEONIDAS EFRAIN
                                             1400187306001                                                    X
 201816      CHUMPI NAKAIMP SHIKI BLAS       1400188346001                                                    X
 220173      ESPINOZA GOMEZ MARCO IVAN       1400189443001                                                    X
 183467      BANEGAS CORDOVA CESAR ALEJANDRO 1400189732001                                                    X
 239264      CORONEL ALVAREZ ELVIA GUIRNALDA 1400190169001                                                    X
 177811      DELGADO MIRANDA SEGUNDO RENE 1400190300001                                                       X
 215619      ASTUDILLO VELASQUEZ MANUEL ALBERTO
                                             1400191332001                                                    X
  65412      MOLINA IZQUIERDO FABIÁN TRAJANO 1400193098001                                                    X
 224881      GALARZA TORRES HERNAN FRANCISCO 1400193536001                                                    X
 145493      ORTIZ VIZUETE VLADIMIRO         1400194104001                                                    X
  78572      RIVADENEIRA NORIEGA TARCILA MARIANA
                                             1400194641001                                                    X
  96608      OREJUELA GALEAS MARIA PATRICIA DE LOS ANGELES
                                             1400195143001                                                    X
 211808      JIMBICTI PANDAMA ILDA RAFAELA   1400195721001                                                    X
 134302      GUACHICHULLCA PEÑAFIEL RUTH CECILIA
                                             1400195853001                                                    X
 132602      ARIZAGA MAURAD MARIA ISOLINA    1400196281001                                                    X
 256381      WAMPASH CHUWI MARINA PAULINA 1400196729001                                                       X
 265818      LOPEZ CABRERA MARTHA LUCINDA    1400197453001                                                    X
  77656      LÓPEZ MORA CARLOS GILBERTO      1400197719001                                                    X
 214637      MONTENEGRO MEJIA MIGUEL OSWALDO 1400197859001                                                    X
 146795      CRIOLLO MONTENEGRO ALFONSO GERARDO
                                             1400197875001                                                    X
 265972      BRITO JARA OSWALDO BACILLO      1400198022001                                                    X
 240429      CAMBISACA LOJA HECTOR ALEJANDRO 1400198618001                                                    X
 177858      VILLALTA LOPEZ JORGE GERMAN     1400199566001                                                    X
 225325      CABRERA JARA ANA LUISA          1400199905001                                                    X
 202352      ZABALA JARAMILLO JUAN BOSCO     1400200935001                                                    X
 102783      GARZON CARDENAS FAUSTO EFRAIN 1400201164001                                                      X
 270981      CHIMBOLEMA CHACHA ANGEL WILFRIDO1400201222001                                                    X
 190864      AYUI NATSAIMPIR TUNTUAM ADAN    1400202519001                                                    X
 127641      MONTENEGRO VAZQUEZ JULIO ALFONSO1400204119001                                                    X
 270816      RODRIGUEZ ORTIZ ANGELITA ELIZABETH
                                             1400204523001                                                    X
No                 No registra
                                                               No                    No registra   No
                                                                        No. registra                       registra      No.    indicadores
                                                             registra                provincia, registra
Persona_id               NOMBRE               No. ID (RUC)                 calle                           número      registra de ventas,
                                                             apellido                 cantón y   primer
                                                                         principal                         de calle     origen activos y/o
                                                             paterno                 parroquia nombre
                                                                                                           principal             empleados

  92475      ERAZO MEDINA WILLIAN MARCELO    1400205132001                                                    X
 177930      MENDOZA ROJAS ABELARDO GUMERCINDO
                                             1400206254001                                                    X
 114400      GÓMEZ IÑIGUEZ ANGEL TARQUINO    1400206718001                                                    X
 141300      ORELLANA PIEDRA VICTOR BENIGNO 1400207096001                                                     X
 221740      SALAZAR CHIRIBOGA ANHEL ILDEGARDO
                                             1400207229001                                                    X
 134730      JUANK ANKUASH LUIS GONZALO      1400208797001                                                    X
 160212      CHACON SALAZAR RAUL CLEMENTE 1400208979001                                                       X
 144354      LITUMA CARVAJAL LUIS ANTONIO    1400209019001                                                    X
  99287      RODRIGUEZ ORTIZ PEDRO ROBERTO 1400209308001                                                      X
  29276      SAMANIEGO DUMAS ROQUE MARCELO1400210926001                                                       X
 161037      PACHECO ROJAS MACLOVIA EUFRACIA 1400212054001                                                    X
  82181      SEGOVIA CABRERA JORGE ABELARDO1400212278001                                                      X
 197013      BAUTISTA GUTIERREZ MILTON EDGARDO
                                             1400213326001                                                    X
 219385      VANEGAS PIÑA FAUSTO ALFONSO     1400215651001                                                    X
 222281      OCHOA ARAUJO VÍCTOR RÓMULO      1400221956001                                                    X
  61799      SANCHEZ ROMERO RAFAEL MARIA     1400222046001                                                    X
 140926      TRELLES PAUCAY OLGA CECILIA     1400223382001                                                    X
 132673      NAULA MOROCHO MANUEL VIRGILIO 1400223614001                                                      X
 185573      GUZMAN VALVERDE YOLANDA MARGARITA
                                             1400224042001                                                    X
 241541      PENARANDA GUZMAN FANNY GUADALUPE1400224067001                                                    X
 222134      LARREA GOMEZ MERI COLUMBA       1400224190001                                                    X
 108121      ZUÑIGA AVILES AURELIO EDUARDO   1400224760001                                                    X
 212041      BONETE LEMA LUIS RIGOBERTO      1400224877001                                                    X
 167031      REVELO CARVAJAL NANCY MARLENE 1400225221001                                                      X
 111922      RAMONES RAMONES LUIS VICENTE    1400225668001                                                    X
 200419      TORRES CAJISACA JULIO EDUARDO 1400226633001                                                      X
 135229      ZUNIGA TORRES ROMULO VICENTE 1400227946001                                                       X
 179960      RAMONES RAMONES JOSE VICTOR     1400228464001                                                    X
 122581      JUANK PAUCH IPIAK RAQUEL        1400228837001                                                    X
 194403      SANMARTIN ORELLANA MAURO JUVENTINO
                                             1400228860001                                                    X
 213620      UYAGUARI TOLEDO JOSE GABRIEL    1400228928001                                                    X
No                 No registra
                                                               No                    No registra   No
                                                                        No. registra                       registra      No.    indicadores
                                                             registra                provincia, registra
Persona_id               NOMBRE               No. ID (RUC)                 calle                           número      registra de ventas,
                                                             apellido                 cantón y   primer
                                                                         principal                         de calle     origen activos y/o
                                                             paterno                 parroquia nombre
                                                                                                           principal             empleados

 101837      ORELLANA BARBA LUIS ALFREDO     1400229330001                                                    X
 172068      NASE CHALCO ROBERTO IGNACIO     1400229702001                                                    X
  88911      MOLINA IZQUIERDO NESTOR PRESLEY1400231328001                                                     X
 217384      SIAVICHAY QUIZHPI JOSE HUMBERTO 1400231922001                                                    X
 152156      MORALES SOLIS GUIDO EDUARDO     1400232078001                                                    X
 147342      NAIKAT PAATI SHIMPIU LUIS       1400232144001                                                    X
 210443      TAIJINT KANKAMAI MARIA CRISTINA 1400232508001                                                    X
 213668      MOLINA CORDOVA MARIA ANGELES    1400232847001                                                    X
  77451      FERNANDEZ AVILES ZOILA ALICIA   1400234405001                                                    X
 118449      CÓZAR MUÑOZ FABIÁN OMERO        1400235949001                                                    X
 188460      CANGUA CABRERA LUIS GERMAN      1400236244001                                                    X
 226130      VILLACIS TORRES ELIZABETH       1400236327001                                                    X
 203653      CORDOVA VILLAVICENCIO SAMUEL MESIAS
                                             1400236509001                                                    X
 184379      VARGAS GUTIERREZ SEGUNDO AMABLE 1400237085001                                                    X
 101710      TORRES ATIENCIA CHARO           1400237234001                                                    X
 204514      ALARCÓN JARAMILLO DARÍO FAUSTO 1400238224001                                                     X
  95464      NUGRA MOSCOSO HUGO VALENTÍN     1400238513001                                                    X
  94380      TRELLES PAUCAY JORGE ROBERTO 1400239016001                                                       X
 150885      JIMÉNEZ JIMÉNEZ CARLOS AUGUSTO 1400239065001                                                     X
 122653      SANCHIM MASHU DOMINGO KATAN     1400239214001                                                    X
 135795      AUCAY SIGUENZA ROSA GEMELA      1400239669001                                                    X
 236416      LEON MOROCHO NESTOR OLMEDO      1400240048001                                                    X
 138763      CASTRO MARCA EDGAR GILBERT      1400242432001                                                    X
 165825      TAPIA MOLINA MARIA PURIFICACION 1400243141001                                                    X
 180314      NAYAP PUWAINCHIR DANIEL HILARIO 1400244149001                                                    X
 137608      PARRA HERMIDA ERNESTINA BETSABÉ1400245450001                                                     X
  52972      CHICA TORRES JONNY MANFRED      1400245880001                                                    X
  12440       CAMPORING                      1400246235001                                                    X
 175675      VÁSQUEZ PATRICIO                1400246367001                                                    X
  92450      JARA CABRERA EVA SABINA         1400246946001                                                    X
 176580      JARAMILLO GUTIERREZ GUIDO MARCONY
                                             1400248629001                                                    X
No                 No registra
                                                               No                    No registra   No
                                                                        No. registra                       registra      No.    indicadores
                                                             registra                provincia, registra
Persona_id               NOMBRE               No. ID (RUC)                 calle                           número      registra de ventas,
                                                             apellido                 cantón y   primer
                                                                         principal                         de calle     origen activos y/o
                                                             paterno                 parroquia nombre
                                                                                                           principal             empleados

  91324      LOPEZ CHOCHO CARLOS ARTURO      1400249189001                                                    X
 186734      KANKUA MAEKAT MARTIN ENRIQUE    1400250658001                                                    X
 223094      GUTIERREZ PARRA SENAIDA ELIZABETH
                                             1400251821001                                                    X
 237289      SAANT MASHUTAK SEMIRA MAGDALENA400252274001
                                             1                                                                X
 132732      SHICAY RIOS MARCELO SHOBANNY    1400252480001                                                    X
  91410      VILLAGOMEZ DELGADO MIGUEL ANGEL 1400253124001                                                    X
  97716      MASHIANT ATINIA KAYAP ANTONIO   1400254932001                                                    X
 180086      DIAZ CAMPOVERDE JORGE ENRIQUE 1400256804001                                                      X
  54451      RIOS RIVADENEIRA WILLIAM IVAN   1400256887001                                                    X
  40698      GARZON MALDONADO JOHN FREDY 1400258420001                                                        X
 125609      JUEP USHAP ANGELICA PAULINA     1400258875001                                                    X
 134260      TSUKANKA TAIJINT TECLA MERCEDES 1400259162001                                                    X
  33125       ROSA                           1400259287001                                                    X
 115705      AUQUILLA DELGADO RAUL EDUARDO 1400259402001                                                      X
 257727      NANDIPIA TUCUPI RAFAEL LEONARDO 1400259766001                                                    X
  85968      QUEZADA VILLAVICENCIO MÁXIMO EDGAR
                                             1400259790001                                                    X
  89346      LANDAZURI GALEAS FANNY ISABEL   1400260483001                                                    X
 183886      NOGUERA COZAR MARCO GILBER      1400260640001                                                    X
  89496      MONTENEGRO MEJIA SILVIO DAVID   1400260723001                                                    X
 126664      CORTES MADERO CARLOS LUIS       1400261168001                                                    X
 222022      NAULA CHACHA LUIS FERNANDO      1400262422001                                                    X
 124419      CHIRIAMACHI ZAMBRANO JORGE      1400262661001                                                    X
  40750      ARTEAGA CRUZ JULIO WASHINGTON 1400262711001                                                      X
  89415      JERVES LÓPEZ JOSÉ ELOY          1400262802001                                                    X
 247103      MERCHAN QUEZADA MARIA AZUCENA 1400262992001                                                      X
 229169      GONZALEZ JARA JOHNY EDUARDO     1400263099001                                                    X
  55067      JARA DELGADO ELSA ISRAELE       1400263495001                                                    X
 127133      CHUINT KUMPANAM KUASH MIGUEL 1400263974001                                                       X
 135022      COLALA PEÑARRETA EDUARDO EFRAIN 1400264196001                                                    X
 174508      MOSQUERA BARROS LUIS HERNAN     1400266159001                                                    X
  90569      SARMIENTO UYAGUARI IGNACIO LEOPOLDO
                                             1400266829001                                                    X
No                 No registra
                                                               No                    No registra   No
                                                                        No. registra                       registra      No.    indicadores
                                                             registra                provincia, registra
Persona_id               NOMBRE               No. ID (RUC)                 calle                           número      registra de ventas,
                                                             apellido                 cantón y   primer
                                                                         principal                         de calle     origen activos y/o
                                                             paterno                 parroquia nombre
                                                                                                           principal             empleados

 102008      PANDIGUANA PERALTA ANGELES GONZALO
                                             1400267041001                                                    X
 158954      SHARUP CHUMPI MARIA RITA        1400275150001                                                    X
  98449      ETSA CHUJI TIMIAS RAMON         1400275317001                                                    X
 176992      YANKUR NAYAP MARCELINO          1400275416001                                                    X
 129325      LOPEZ MONTENEGRO GLADIS YOLANDA400277016001
                                             1                                                                X
 161024      CASTRO ZUNIGA SERGIO ARTURO     1400277248001                                                    X
 251525      MOLINA ESPINOZA EDGAR ROLANDO 1400277289001                                                      X
 122872      CARDENAS RAMON LUZ MARIA        1400277347001                                                    X
 112962      MOLINA ESPINOZA GLADYS NINFA    1400277768001                                                    X
  45266      DOMINGUEZ CARDENAS LAURA ALEXANDRA
                                             1400277842001                                                    X
 188180      PELAEZ RODRIGUEZ ANA CATALINA 1400277891001                                                      X
  15310      ING. DARWIN MOLINA              1400278394001                                                    X
 121543      MARIN PEÑARANDA LILIAM CRISTINA 1400278402001                                                    X
  82318      SUAREZ GOMEZ MIGUEL ANGEL       1400278899001                                                    X
 183128      ROLDAN PAREDES JUDIT MARLENE    1400279004001                                                    X
 157613      MOLINA CABRERA FREDY GONZALO 1400279137001                                                       X
 195886      BUESTAN ZHININ MANUEL JESUS     1400279327001                                                    X
 231427      AGUANANCHI NUNGUY GUILLERMINA VIRGINIA
                                             1400280457001                                                    X
 126901      RIVERA PORTILLO LUIS OLMEDO     1400280994001                                                    X
 228924      CAMBIZACA LUPERCIO MARCELO WILSON
                                             1400281018001                                                    X
 220900      LLIVICURA LOJA GLORIA BEATRIZ   1400283063001                                                    X
 226198      MALDONADO GALARZA PEDRO VELISARIO
                                             1400284053001                                                    X
 236420      PEÑARANDA VALVERDE ARMANDO ROSENDO
                                             1400284335001                  X            X                    X
 144998      ANDRADE LITUMA MARY ELISABETH 1400285779001                                                      X
 210355      UYUNKAR AMPUSH MARCELINO CARLOS 1400285977001                                                    X
  37851       WALTER                         1400286991001                                                    X
 220188      PUENTE SAMANIEGO CARLOS ARTURRO 1400287171001                                                    X
 170860      TRUJILLO NECTA HILDA ANGELITA   1400287320001                                                    X
 258081      BUENO LOJA BLANCA YOLANDA       1400287700001                                                    X
 192973      SANDU YUMA ROSA SN              1400288435001                                                    X
 267025      CHIRIAPA SANDU SERGIO VICENTE   1400288468001                                                    X
No                 No registra
                                                               No                    No registra   No
                                                                        No. registra                       registra      No.    indicadores
                                                             registra                provincia, registra
Persona_id               NOMBRE               No. ID (RUC)                 calle                           número      registra de ventas,
                                                             apellido                 cantón y   primer
                                                                         principal                         de calle     origen activos y/o
                                                             paterno                 parroquia nombre
                                                                                                           principal             empleados

 199780      SANTIAGO ABARCA MAGDALENA DE LOURDES
                                             1400291447001                                                    X
 252626      ABARCA MAYAK TSAPAK MARITSA     1400291819001                                                    X
 265743      PUWAINCHIR AMPUSH MARCELINO PEDRO
                                             1400292379001                                                    X
 263058      SHARIAN ANKUASH MARCO ENRIQUE 1400293195001                                                      X
 170935      LOZA MORA CARMITA DEL ROCIO     1400295299001                                                    X
 150926      PIÑA CÁRDENAS LAURA JANNETTE    1400295695001                                                    X
 170957      VALLEJO REA CESAR AUGUSTO       1400296115001                                                    X
 185318      CAJAMARCA MARILES ROBERTO ABEL 1400297063001                                                     X
 270105      CHUCAY VINZA MARIA MERCEDES     1400297899001                                                    X
 161239      CHIRIBOGA BARRERA MANUEL        1400298004001                                                    X
 203146      HEREDIA FAREZ MIGUEL ANGEL      1400298509001                                                    X
 130199      JARAMILLO NOGUERA JHONNY OSWALDO1400299176001                                                    X
  35601      JARAMILLO RIVADENEIRA WIDERR GREGORI
                                             1400300701001                                                    X
 165708      JARAMILLO RIVADENEIRA MELANIA MARGARITA
                                             1400301014001                                                    X
 161447      TORRES RIVADENEIRA FRANCISCO MARCELO
                                             1400301519001                                                    X
 229516      CARDENAS VALVERDE JOSE BENJAMIN 1400301741001                                                    X
 126248      GUZMAN CABRERA LIA ENRIQUETA    1400301758001                                                    X
 218786      GUZMÁN CABRERA RUTH MARIANELA 1400301766001                                                      X
  37761      VEGA REYES KIRMAN MICHEL        1400301923001                                                    X
 179927      CHACON GARZON MANUEL ALFREDO 1400302285001                                                       X
 239227      CHUCAY VINZA ANGEL REMIGIO      1400302764001                                                    X
 130606      JERVES LÓPEZ ITALO REMIGIO      1400304521001                                                    X
 246882      TSAMAREINT TSEREMP ANTONIO BENJAMIN
                                             1400305114001                                                    X
 171255      DUCHI BRITO EDGAR PATRICIO      1400305742001                                                    X
 127426      TENEMAZA FAJARDO SUSANA MARIA 1400306542001                                                      X
 183162      GUZMAN PALACIOS MARIO AUGUSTO 1400306906001                                                      X
 190985      CUJI MARCA LUIS GUILLERMO       1400307300001                                                    X
  94468      NOGUERA RIVADENEIRA TANYA TAMARA1400307508001                                                    X
 177450      BRAVO TENECORA SEGUNDO DAVID 1400308324001                                                       X
 231498      RIVADENEIRA JUA GERMAN SANDRO 1400308837001                                                      X
 218596      MENDOZA MUNZON JOSE DARIO       1400309942001                                                    X
No                 No registra
                                                               No                    No registra   No
                                                                        No. registra                       registra      No.    indicadores
                                                             registra                provincia, registra
Persona_id               NOMBRE               No. ID (RUC)                 calle                           número      registra de ventas,
                                                             apellido                 cantón y   primer
                                                                         principal                         de calle     origen activos y/o
                                                             paterno                 parroquia nombre
                                                                                                           principal             empleados

  54090      RIVERA OTACOMA BLANCA MARLENE 1400310361001                                                      X
 173012      CORONEL CORONEL RUBEN DARIO     1400310718001                                                    X
 119690      CRESPO CEDILLO LUCIO MAGNOLO    1400311369001                                                    X
  90668      CHUVA PLUAS MANUEL JACINTO      1400312441001                                                    X
 167413      PUCHA CARCHIPULLA MILTÓN GUILLERMO
                                             1400313688001                                                    X
 202486      LOPEZ TAPIA VICTOR ERNESTO      1400317416001                                                    X
  25200      BUENO LOJA EDUARDO NICANOR      1400317531001                                                    X
 191999      RODRIGUEZ CHACON NELSON WILFRIDO1400317788001                                                    X
 238652      CASTRO ALI LUIS ALBERTO         1400318026001                                                    X
 195149      CORDOVA TAPIA NOE BENJAMIN      1400318851001                                                    X
 108264      ARIAS CARDENAS BOLIVAR MAURICIO 1400318935001                                                    X
 177932      OLEAS PARRA SEGUNDO MARCELO     1400319206001                                                    X
  87890      PUENTE PEÑARANDA FRANKLIN ELEUCADIO
                                             1400319438001                                                    X
 188548      LITUMA MOSQUERA CARLOS MAURICIO 1400319651001                                                    X
 185307      TORRES JARA EDWIN LEOPOLDO      1400320261001                                                    X
 254913      SAANT YAMAINCH SHIRAP GERMAN    1400320428001                                                    X
 107910      MOLINA SALAS JULIO SANTIAGO     1400321657001                                                    X
 245313      QUINTUÑA CACERES EDDIE ALONSO 1400322218001                                                      X
 185695      VALVERDE SERRANO SAUL TIVERIO 1400322788001                                                      X
 112108      SAÑAY GONZALEZ MARTHA CARMELINA 1400322879001                                                    X
  89313      MONTENEGRO MEJIA CLELIA ROCIO 1400323042001                                                      X
 168284      LUCERO ZABALA LUIS HERIBERTO    1400323927001                                                    X
  90762      PACHECO MALDONADO OLGA MERCEDES 1400324511001                                                    X
 179731      MARTINEZ MUÑOZ KLEBER RAFAEL    1400324842001                                                    X
 169620      YAKUM JUSE LUIS ANTONIO         1400326573001                                                    X
 170216      ORTEGA QUEZADA MARIA NIEVES     1400326680001                                                    X
 126350      BAUTISTA HEREDIA NELI OLIVA     1400326961001                                                    X
 172814      BARRERA CHICAIZA MIGUEL ANGEL   1400327894001                                                    X
 127172      SANCHIM TIINCH OLGA MARGARITA   1400328983001                                                    X
 191567      ALMACHI CASTILLO LUIS MARCELO   1400329627001                                                    X
 208490      CABRERA MENDEZ MONICA AVIGAIL 1400330476001                                                      X
No                 No registra
                                                                No                    No registra   No
                                                                         No. registra                       registra      No.    indicadores
                                                              registra                provincia, registra
Persona_id               NOMBRE                No. ID (RUC)                 calle                           número      registra de ventas,
                                                              apellido                 cantón y   primer
                                                                          principal                         de calle     origen activos y/o
                                                              paterno                 parroquia nombre
                                                                                                            principal             empleados

 152314      AVILA ORELLANA JUAN YEROVI       1400330781001                                                    X
 226413      PONCHERA ANKUASH CANDIDO PATRICIO1400332068001                                                    X
 132477      ZUÑIGA MIRANDA RONAL HERMEL      1400333884001                                                    X
 111321      GUAYARA SAPATANGA ANGEL GABRIEL  1400334551001                                                    X
 153341      AVEROS SALINAS FIDEL ANTONIO     1400335012001                                                    X
 120709      ZUÑAGA HERNANDEZ LINA ISABEL     1400335277001                                                    X
 100639      CORDOVA VILLAVICENCIO MANUEL SALVADOR
                                              1400337687001                                                    X
 225199      LOPEZ VILLAVICENCIO MARIBEL SUSANA
                                              1400337869001                                                    X
 194879      SHIKI YANKUR LEOPOLDO SIRO       1400340954001                                                    X
 199654      JARAMILLO ESTRELLA JUAN ROLANDO1400341747001                                                      X
 240437      CORAIZACA RIVADENEIRA JOSELITO JAVIER
                                              1400341804001                                                    X
  24748      ZÚÑIGA AVILEZ HOLGER RAÚL        1400342117001                                                    X
  34465      GOMEZJURADO SOLIS CARLOS ORLANDO 1400342653001                                                    X
  99714      PEREZ GUACHUN DELIA MARGARITA 1400342810001                                                       X
 131094      CALLE CALLE LAURO ELIDIO         1400344691001                                                    X
  98622      LÓPEZ VÁZQUEZ ELVIA CARMELA      1400345599001                                                    X
 202050      AUCAPINA RIVADENEIRA CRISTIAN PATRICIO
                                              1400345714001                                                    X
  66473      ZUÑIGA CAMBIZACA GRETA ALICIA    1400346118001                                                    X
 192757      LOPEZ VALVERDE CESAR ALFONSO 1400347256001                                                        X
 138286      AREVALO JARAMILLO FABIAN FERNANDO1400347322001                                                    X
 113094      SANTIAK TUNKI NUNKUI REGINA      1400347561001                                                    X
 115160      KAEKAT WAJARAI CUMANDA JAKELINE1400347918001                                                      X
  96931      JARA PESANTEZ TANIA CECILIA      1400349658001                                                    X
 142278      URGILÉS PESAÁNTEZ SAÚL ALBERTO 1400350292001                                                      X
 150425      CARRIÓN OCHOA MARIO JOSÉ         1400350904001                                                    X
 131611      CHACHA BARBA JOSE FAUSTO         1400351340001                                                    X
 112794      RODRIGUEZ MACERA ROSA MARIANELA400352439001
                                              1                                                                X
  96300      CABRERA RIVADENEIRA CARLOS ENRIQUE
                                              1400352454001                                                    X
 101674      GOMEZ ORELLANA BELLA CARMELA 1400354385001                                                        X
 193130      NOGUERA PESANTEZ LUIS THELMO     1400354419001                                                    X
 115777      CARINGAMA CAJECA RAMÓN ALFREDO1400354534001                                                       X
No                 No registra
                                                               No                    No registra   No
                                                                        No. registra                       registra      No.    indicadores
                                                             registra                provincia, registra
Persona_id               NOMBRE               No. ID (RUC)                 calle                           número      registra de ventas,
                                                             apellido                 cantón y   primer
                                                                         principal                         de calle     origen activos y/o
                                                             paterno                 parroquia nombre
                                                                                                           principal             empleados

 259145      PAREDES ANDRADE MANUEL JESUS 1400354815001                                                       X
 157732      SUQUI MOROCHO MARICA ALEJANDRINA1400354914001                                                    X
 166067      MOLINA PARRA DENIS GUADALUPE    1400355184001                                                    X
  98613      ZABALA GONZALEZ LIOVA MONICA    1400355325001                                                    X
 145138      LEÓN CARCHIPULLA CARLOS ARTURO 1400357214001                                                     X
 170057      HURTADO CARDENAS SEGUNDO GERARDO1400357248001                                                    X
 126632      HEREDIA RIVADENEIRA MARIBEL MERCIDA
                                             1400357529001                                                    X
  62671      NOGUERA PESÁNTEZ JULY JUANA     1400358287001                                                    X
 100627      GARZÓN SOLÍS MERCEDES JACQUELINE1400359913001                                                    X
 226151      CHACHA BARBA NELSON OSWALDO 1400361083001                                                        X
 178924      CHIRIAPA YACUMA RICARDO         1400363493001                                                    X
 166016      VEGA PALACIOS IVIS SILVANA      1400365282001                                                    X
 230529      SHARUPI CAYAPA WILSON RAMON     1400366397001                                                    X
 219856      GARAY ORTIZ VIOLETA ALEXANDRA 1400367098001                                                      X
 212763      WISUM WIAKACH FERNANDO IVAN     1400369078001                                                    X
 150565      OTAVALO URJILES MARIA GUADALUPE 1400369243001                                                    X
 106136      RODRIGUEZ DELGADO RUBEN OSWALDO 1400370134001                                                    X
 194927      SHIMPIUKAT TSUKANKA NAKAIMP ALICIA
                                             1400370407001                                                    X
  69966      LARREA CHICA VICTOR HUGO        1400371561001                                                    X
  22006      GUALLPA GUALLPA JUAN AMABLE     1400371710001                                                    X
 131475      CHUMBI ATZAZU BOSCO MARIANO     1400371827001                                                    X
 162351      ZUÑIGA MIRANDA JAIME MARCELO    1400371835001                                                    X
 135798      GARZÓN VERA ROMULO MARCELO      1400372684001                                                    X
 156361      SUAREZ CABRERA FRANCISCO BOLIVAR1400373179001                                                    X
 148939      CRESPO HEREDIA WILSON FERNANDO1400374334001                                                      X
  79128      CORONEL CORONEL DONA DARINDA 1400374680001                                                       X
 235195      PAUCAR GALLEGOS JORGE EDUARDO 1400376479001                                                      X
  68837      ORTEGA PEREZ ALIDA GERMANIA     1400376735001                                                    X
  20015      PELAEZ GONZALEZ JEFERSON STALIN 1400376875001                                                    X
 145041      SAANT NAJAMTAI JUWA PABLO       1400379820001                                                    X
 226689      SHARUP PIRUCH JUAN JOSE         1400380869001                                                    X
No                 No registra
                                                                 No                    No registra   No
                                                                          No. registra                       registra      No.    indicadores
                                                               registra                provincia, registra
Persona_id               NOMBRE                 No. ID (RUC)                 calle                           número      registra de ventas,
                                                               apellido                 cantón y   primer
                                                                           principal                         de calle     origen activos y/o
                                                               paterno                 parroquia nombre
                                                                                                             principal             empleados

 198991      CHUMPI WISUI NAIKAT OLGER         1400381248001                                                    X
  77971      CHUMAP MASHIANT WISUM ANTONIO 1400381651001                                                        X
 259776      TSENKUSH KANKUA CHAMIKIT BENITO 1400382691001                                                      X
 222017      REINOSO TORRES VICTOR HUGO        1400382873001                                                    X
  23246      BAUTISTA HEREDIA MÓNICA JACQUELINE1400384358001                                                    X
 129743      CABRERA RUIZ ANGEL MESIAS         1400384382001                                                    X
 263346      NANTIP WACHAPA GABRIELA NUNKUI 1400385108001                                                       X
 173227      ARAY PARRA CARLOS ALBERTO         1400385504001                                                    X
 174924      CESEN RIVADENEIRA AMANDA GLORIA1400385702001                                                       X
 182985      WAMPUTSRIK KATAN ANTICH EFREN 1400385785001                                                        X
 185380      GARZON DELGADO PABLO SANTIAGO 1400386510001                                                        X
 145209      ANDRADE LITUMA XHANINA LUCIA      1400387484001                                                    X
 239816      CALLE FAJARDO LILIA CARMITA       1400388524001                                                    X
 185594      POMAVILLA POMAVILLA ANIBAL        1400389761001                                                    X
 122783      CHUINDIA ANDICHA CARLOS EFREIN 1400390041001                                                       X
  30486      RODRIGUEZ DELGADO BOSCO PATRICIO  1400390538001                                                    X
  96663      MOROCHO ANGUISACA ELIZABETH       1400390652001                                                    X
 152009      BERMEO PENARANDA OLGA RAQUEL 1400392708001                                                         X
 247997      WACHAPA SUNUR METEKACH CECILIA 1400393623001                                                       X
 119347      MARIN REINOSO CARLIN OSWALDO      1400393979001                                                    X
 126653      SHIKI WAMPANKIT NAKAIMP MARIA     1400394886001                                                    X
 170846      TORRES GOMEZ CARLOS MOISES        1400395354001                                                    X
 125203      LOPEZ VILLAVICENCIO EDITH MIRELLY 1400395545001                                                    X
 137575      BUELE LLANOS MARIA JOSE           1400397475001                                                    X
 175677      BORJA MAURAT JUANA GUILLERMINA 1400399364001                                                       X
  89740      SUÁREZ ATIENCIA JOSÉ LUIS         1400401749001                                                    X
  82745      CÁRDENAS MATUTE JORGE CRISTIAN 1400402804001                                                       X
 161055      ORTIZ ORTIZ GERMAN ISAIAS         1400403901001                                                    X
 230415      SHIARMACHI CHARUPI LUIS BOSCO 1400405054001                                                        X
 164264      CAMPOVERDE DELGADO ROSA DOLORES   1400405211001                                                    X
  92876      ESPINOZA BRACHO MAURICIO ALEXANDER1400406367001                                                    X
No                 No registra
                                                               No                    No registra   No
                                                                        No. registra                       registra      No.    indicadores
                                                             registra                provincia, registra
Persona_id               NOMBRE               No. ID (RUC)                 calle                           número      registra de ventas,
                                                             apellido                 cantón y   primer
                                                                         principal                         de calle     origen activos y/o
                                                             paterno                 parroquia nombre
                                                                                                           principal             empleados

 184328      GUTIERREZ TORRES MAYRA JACQUELINE
                                             1400406961001                                                    X
 170199      ZUÑIGA HERNANDEZ CARLA ANGELICA1400406987001                                                     X
 277753      LANDY GUTIERRES LUZ AMADA       1400407480001                                                    X
 101635      MATUTE ORELLANA ELSA UVALDINA 1400411540001                                                      X
 204760      ANTUN YAPAKACH AWANANCH DOMINGO 1400412258001                                                    X
 172665      CRESPO VILLAVICENCIO MARCIA GIBONEY
                                             1400414098001                                                    X
 253251      RIERA CRESPO MARCELO ENRIQUE    1400415848001                                                    X
 144729      ARCOS MONTESDEOCA PAUL ANDRES 1400415863001                                                      X
 116478      CARVAJAL BASANTES ALDO MARCELO 1400416242001                                                     X
  82792      BRACHO GUEVARA JUAN FERNANDO 1400417307001                                                       X
 145524      CALLE CARMILEMA LUIS RODOLFO    1400417430001                                                    X
 230178      LÓPEZ JARA FLAVIO ORLANDO       1400417968001                                                    X
 267075      MOLINA CEVALLOS CARMEN MARIANILA1400418495001                                                    X
 148004      AUCAPIÑA RIVADENEIRA FRANKLIN ERNESTO
                                             1400420301001                                                    X
 226777      BARRIGA CASTILLO LUIS GONZALO   1400420913001                                                    X
 200011      SAMANIEGO SAMANIEGO MAIRA JISSELA
                                             1400421226001                                                    X
 139842      RIVADENEIRA JIMBO LUZ MARIA     1400421606001                                                    X
 212788      AUCAY PELÁEZ JHONNY FERNANDO 1400422414001                                                       X
 102901      MOLINA ESPINOZA MERCI MARLENE 1400422828001                                                      X
 257651      AMORES CALLE MIGUEL JAVIER      1400423511001                                                    X
 140938      TORRES SOLIS MARCO FERNANDO     1400424923001                                                    X
 201203      REMACHE MOROCHO OSCAR BOLIVAR1400424972001                                                       X
  95953      GALARZA GUZMAN CARLOS WILMER 1400425128001                                                       X
 142481      BRITO BRITO DARWIN JAVIER       1400427660001                                                    X
 261951      CALLE CRESPO CID                1400429740001                                                    X
  19524      BRITO TORRES BRODWIN GUILBERT 1400430060001                                                      X
 131538      ENTSAKUA CHUMPI PETSAIN ENRIQUE 1400430243001                                                    X
  76457      ZAMBRANO MATUTE NELA            1400430490001                                                    X
 119444      PICHAMA JEMBECTA MARITZA CARLA 1400431597001                                                     X
  78963      MONTENEGRO MEJIA NELLY CUMANDA1400432744001                                                      X
 148871      UNKUCH NAANCH WAJARAI RAMON 1400432991001                                                        X
No                 No registra
                                                                No                    No registra   No
                                                                         No. registra                       registra      No.    indicadores
                                                              registra                provincia, registra
Persona_id               NOMBRE                No. ID (RUC)                 calle                           número      registra de ventas,
                                                              apellido                 cantón y   primer
                                                                          principal                         de calle     origen activos y/o
                                                              paterno                 parroquia nombre
                                                                                                            principal             empleados

 209955      DURAN BALBUCA GIOVANNY GERARDO   1400433338001                                                    X
 183752      CARDENAS ULLOA MARCO VINICIO     1400433825001                                                    X
 230300      NAICHAP PITIUR TUNTIAK PEDRO     1400434112001                                                    X
 101744      BARRERA SEGARRA SEGUNDO PEDRO1400434740001                                                        X
 132363      MOSCOSO VALVERDE DANIEL MARCOS   1400435762001                                                    X
 185595      TAPIA CAMBIZACA MIRIAM JANETH    1400436174001                                                    X
 264319      BERZOSA CÁRDENAS HUGO RODRIGO 1400438030001                                                       X
 155408      HERAS LEÓN POLIVIO REINALDO      1400438337001                                                    X
 128294      BARROS FERNANDEZ JIMMY ANIBAL 1400440291001                                                       X
 193579      ZEAS GONZÁLEZ CARLA MARÍA        1400440358001                                                    X
 217624      ARICHABALA ORTIZ TERESITA DE JESUS
                                              1400440564001                                                    X
 133983      MARTINEZ ONA EDELIN JAZMIN       1400441760001                                                    X
 267967      TAPIA MOLINA ITALO PAUL          1400442370001                                                    X
 154907      VALLEJO BARAHONA OSWALDO LEONEL  1400442628001                                                    X
 114634      VICUÑA ZUNA ANGEL PATRICIO       1400443733001                                                    X
 213085      ASTUDILLO CALLE CHRISTIAN ADRIAN 1400443915001                                                    X
 212228      MEZA OREJUELA ELIAS SALOMON      1400444277001                                                    X
  84722      GUTIERREZ ORELLANA NAILA VIKY    1400444996001                                                    X
 230518      WAUMP METEKACH WAMPASH FERNANDO  1400445043001                                                    X
 194297      JAYA YUPANGUI LUIS RIGOBERTO     1400445654001                                                    X
  90945      ANTICH CARRILLO JUAN VICENTE     1400446488001                                                    X
 212343      CARDENAS BLANDIN DIEGO FERNANDO  1400447163001                                                    X
  51491      MEZA ORELLANA MARIO ANTONIO      1400447932001                                                    X
 107559      AVILA VASQUEZ VINICIO JHON       1400448393001                                                    X
 146117      RODRIGUEZ SANCHEZ LANDY IRINA    1400449318001                                                    X
 221405      ARICHABALA PACHECO CRISTIAN EDUARDO
                                              1400451975001                                                    X
 216413      URGILEZ VASQUEZ MAYRA ISMENE     1400452452001                                                    X
  83150      VICUÑA MOSCOSO LUZ DOLORES       1400452890001                                                    X
 199368      GUAMAN LOZANO EDGAR FERNANDO 1400453492001                                                        X
 172233      KATIP KAYAP TUNTUAM EFREN        1400453609001                                                    X
 128598      GUEVARA MENDOZA IVAN RAUL        1400454102001                                                    X
No                 No registra
                                                               No                    No registra   No
                                                                        No. registra                       registra      No.    indicadores
                                                             registra                provincia, registra
Persona_id               NOMBRE               No. ID (RUC)                 calle                           número      registra de ventas,
                                                             apellido                 cantón y   primer
                                                                         principal                         de calle     origen activos y/o
                                                             paterno                 parroquia nombre
                                                                                                           principal             empleados

 141645      CAMPOVERDE CAMPOVERDE LUIS VICENTE
                                             1400456719001                                                    X
 237623      GALLARDO SAMANIEGO FAUSTO RAUL1400457758001                                                      X
 251364      GALLARDO SAMANIEGO ORLANDO GERARDO
                                             1400458368001                                                    X
 120743      JARA GALARZA DARWIN FERNANDO 1400458608001                                                       X
 139402      JARAMILLO ORDOÑEZ CARLOS PATRICIO
                                             1400458954001                                                    X
  86348      VISCAINO CUZCO EDGAR EDISON     1400459176001                                                    X
 220019      RODRIGUEZ MONTENEGRO PATRICIA FERNANDA
                                             1400462378001                                                    X
  77911      RAMÓN RIVAS ENMA NATALIA        1400464960001                                                    X
 220059      CONTRERAS CABRERA CLAUDIA PATRICIA
                                             1400466023001                                                    X
 255794      PLAZA LOPEZ NELI VILMANIA       1400468045001                                                    X
 106619      CORONEL SAMANIEGO JUAN ALCIBAR 1400471692001                                                     X
 181936      BAUTISTA SOLIS CARLA NOHEMY     1400472559001                                                    X
 150280      MONTENEGRO QUEZADA DIANA CAROLINA
                                             1400472914001                                                    X
 263425      PESANTEZ GONZALES MARCO ANTONIO400473813001
                                             1                                                                X
 210076      TACURI ZHUNO CARMEN EULALIA     1400473821001                                                    X
 187926      MIRANDA MIRANDA MANUEL MARCELO1400474449001                                                      X
 135110      RODAS CARREÑO LILIA GUILLERMINA 1400475909001                                                    X
 199495      IDROVO SINCHE LIGIA MAGDALENA   1400477590001                                                    X
 247254      ZAGAL ZAGAL MARIA NANCY         1400479034001                                                    X
 167860      VÉLEZ BERMEO CARLOS ADOLFO      1400480925001                                                    X
 263991      PIEDRA PESANTEZ GLADYS MARLENE 1400482020001                                                     X
 196757      QUEZADA SAETEROS CARLOS AURELIO 1400482194001                                                    X
  40700       CRISTIAN                       1400482285001                                                    X
  96001      ORDOÑEZ PEÑARANDA ANDREA DEL ROCIO
                                             1400482806001                                                    X
 201229      RAMON MOROCHO WILBER RAMIRO 1400483432001                                                        X
 161011      MONTENEGRO RODRIGUEZ PAOLA ELIZABETH
                                             1400487284001                                                    X
 110867      DELGADO LEDESMA PEDRO ENRIQUE 1400491013001                                                      X
 118605      JUANKA VEGA TELMO ANTUASH       1400491138001                                                    X
 115805      ESCANDON SUCUZHAÑAY BETTY LEONOR1400492953001                                                    X
  79317      PEÑARANDA SARMIENTO BLANCA PATRICIA
                                             1400494447001                                                    X
 208135      ZUÑIGA TOLEDO FRANKLIN MAURICIO 1400494587001                                                    X
No                 No registra
                                                                No                    No registra   No
                                                                         No. registra                       registra      No.    indicadores
                                                              registra                provincia, registra
Persona_id               NOMBRE                No. ID (RUC)                 calle                           número      registra de ventas,
                                                              apellido                 cantón y   primer
                                                                          principal                         de calle     origen activos y/o
                                                              paterno                 parroquia nombre
                                                                                                            principal             empleados

 276327      WASHIKIAT WISUM JAIME            1400496897001                                                    X
 255271      SHAKAI TENTETS MARCO CHIARMACH 1400497408001                    X            X                    X
 106905      MINCHALA BUESTAN VIVIAN PATRICIA 1400497416001                                                    X
 216713      MINCHALA BUESTÁN MIGUEL IVÁN     1400497424001                                                    X
 106096      LAMILLA CARPIO SILVANA ELIZABETH 1400497473001                                                    X
 132652      SANCHIM WAMPUTSRIK MARCO CHUMBI  1400498638001                                                    X
 118408      JUWA ANTICH ROSA ROMELIA         1400499123001                                                    X
 169439      ARMIJOS SANMARTIN VICTOR IVAN    1400501225001                                                    X
 263634      REINOZO SALINAS EULER BERNARDO 1400502678001                                                      X
 235438      MERCHÁN MERCHÁN EDGAR OSWALDO    1400503924001                                                    X
 272194      HEREDIA FAREZ MARIA DOLORES      1400505440001                                                    X
 105697      JARAMILLO CHUQUI ANGEL PAUL      1400505531001                                                    X
 139022      UTITIAJ JUEP TSUNKI TARSICIO     1400506810001                                                    X
 120492      LOOR BRITO LEONARDO DANILO       1400507313001                                                    X
  97537      RIVADENEIRA ROLDAN DIEGO FERNANDO1400507651001                                                    X
  71004      SEGOVIA LEON JORGE MIGUEL        1400512305001                                                    X
 177036      ANDREDE SALINAS ISMENIA SOLEDAD 1400513279001                                                     X
 133689      GALLEGOS SILVA MONICA PATRICIA 1400514152001                                                      X
 257048      JINTIACH WISUM SHAUK INES        1400515928001                                                    X
 175290      GUAYARA SAPATANGA RUBEN ALFREDO  1400516587001                                                    X
 139913      RODRIGUEZ SICHA VINICIO ROLENDIO 1400518443001                                                    X
  70827      VELEZ JARA MARLON ADRIAN         1400519243001                                                    X
 271310      GUZMÁN SEGARRA GENRY ANÍBAL      1400519375001                                                    X
 265534      CARVAJAL BASANTES ALEX RAUL      1400520910001                                                    X
 207269      LITUMA MONTESDEOCA ALEX JAVIER 1400521728001                                                      X
 153880      ANANK WAMPUTSRIK VITO            1400522676001                                                    X
 181844      KARAKRAS SHARUP CESAR AUGUSTO 1400526651001                                                       X
 262867      WAJARAI SHARUP PUANCHIR MARTIN 1400529408001                                                      X
 116119      CASTILLO CORONEL VICTOR HUGO     1400535942001                                                    X
 222706      CHUQUI RIVADENEIRA PATRICIO ALEXANDER
                                              1400537765001                                                    X
 233733      LOPEZ MALDONADO JIOVANY HONORATO 1400537781001                                                    X
No                 No registra
                                                               No                    No registra   No
                                                                        No. registra                       registra      No.    indicadores
                                                             registra                provincia, registra
Persona_id               NOMBRE               No. ID (RUC)                 calle                           número      registra de ventas,
                                                             apellido                 cantón y   primer
                                                                         principal                         de calle     origen activos y/o
                                                             paterno                 parroquia nombre
                                                                                                           principal             empleados

 168125      YAMBISA PIDRU JULIO ALFREDO     1400539613001                                                    X
 175095      BORJA MARCA JORGE EDUARDO       1400540017001                                                    X
 159196      CABRERA AREVALO JORGE MAURICIO 1400540074001                                                     X
 145663      JARAMILLO TORRES SERGIO ANIBAL 1400542591001                                                     X
 124309      VEGA VEGA ALEXANDRA XIMENA      1400542831001                                                    X
 235636      NUGRA SANCHEZ MARTHA MARINA     1400545503001                                                    X
  52748      BARROS VEGA RUTH ALEXANDRA      1400545685001                                                    X
 184409      ANTUN ANTICH ROBERTO RAMON      1400546105001                                                    X
 187048      VISCAINO CUZCO MAYRA ALEXANDRA 1400546303001                                                     X
 229620      HURTADO GUZMAN FREDDY VINICIO 1400547467001                                                      X
 125867      CORDOVA MALDONADO DIANA ELIZABETH
                                             1400548028001                                                    X
 194058      BORJA MOLINA WILSON PATRICIO    1400549927001                                                    X
 271316      CHIRIAP TSENKUSH MARÍA HILARIA 1400552657001                                                     X
 109355      DUTAN RUMIPULLA FRANKLIN TEODORO1400553481001                                                    X
  97949      GUERRERO MORALES WALTER FERNANDO1400555221001                                                    X
 197532      SEVILLA MOLINA ALEX REYNEL      1400555627001                                                    X
 128253      SIBRE GALLARDO MARLENE CARMITA 1400557383001                                                     X
 212032      SAKE CHINKIAMAI FRANCISCO WALBERTO
                                             1400561138001                                                    X
  99879      ZUÑIGA TORRES LORENA EMPERATRIZ 1400561393001                                                    X
 141834      WAMPUTSRIK TAANT PICHAM GUILLERMO
                                             1400563241001                                                    X
 141188      RAMON SANCHEZ JOSE ANTONIO      1400566483001                                                    X
 216832      CASTILLO MOLINA ANTONIO         1400566632001                                                    X
 150251      FIGUEROA GOROTIZA CARLOS ARMANDO1400566921001                                                    X
 109058      LOPEZ CAMPOVERDE EDWIN PATRICIO 1400567200001                                                    X
 100454      ARÉVALO DELGADO JAZMINA MAYRENE 1400568307001                                                    X
 225948      CABRERA GUALLAZACA WILSON PATRICIO
                                             1400568968001                                                    X
 221414      ZHUMI ORTEGA PABLO VICENTE      1400569016001                                                    X
 170048      CABRERA GUZMAN SONIA ELIZABETH 1400569537001                                                     X
 198998      WISUM SHARUP WAIS KLEVER        1400570550001                                                    X
 182751      TUNKI JIMPIKIT KIRIK JULIO      1400570774001                                                    X
 225877      JUANK KUUNT JINTIACH FRANKLIN   1400571087001                                                    X
No                 No registra
                                                               No                    No registra   No
                                                                        No. registra                       registra      No.    indicadores
                                                             registra                provincia, registra
Persona_id               NOMBRE               No. ID (RUC)                 calle                           número      registra de ventas,
                                                             apellido                 cantón y   primer
                                                                         principal                         de calle     origen activos y/o
                                                             paterno                 parroquia nombre
                                                                                                           principal             empleados

 256886      CHUNGATA ZAGAL DIANA MARCELA 1400574180001                                                       X
 247352      LOJA CARDENAS JOSE MODESTO      1400574297001                                                    X
 229682      BARBA CASTRO JULIO BLADIMIR     1400574636001                                                    X
 207121      BUSTAMANTE RAMOS ERIK FRANCISCO 1400575153001                                                    X
 246037      TANCHIM TSAMARIN WISHU SAVIO    1400577290001                                                    X
 119496      CHUINDA JIMBIQUITE CESAR MARIANO1400580302001                                                    X
 145482      QUIROGA CHOCHO LEWIS FERNANDO 1400581029001                                                      X
 254534      YANKUR WARUSH TIWI IGNACIO      1400581599001                                                    X
 209609      AVILA YANZA BRAULIO GALILEO     1400582035001                                                    X
 120731      GUTIERREZ QUISPE SILVIA EDELINA 1400582365001                                                    X
  91470      LÓPEZ GUZMÁN JUAN MARCELO       1400583140001                                                    X
 182757      RAMON ORELLANA LUIS JAVIER      1400584213001                                                    X
 180656      VAZQUEZ PEÑAFIEL EDISON DAVID   1400584221001                                                    X
  24791      DELGADO MOLINA SANDRA MARCELA 1400584247001                                                      X
  30249      MURILLO ARCE FREDDY ORLANDO     1400584460001                                                    X
  29169      ORELLANA VÉLEZ FABIÁN BERNARDO 1400584833001                                                     X
 113506      DELGADO RIVADENEIRA FAUSTO XAVIER
                                             1400585160001                                                    X
 159687      CULALA LEMA SEGUNDO MELCHOR     1400588057001                                                    X
 172687      VEGA JUANK SANDRA MERCINA       1400588297001                                                    X
 170835      TRUJILLO NECTA MARIELA LORENA   1400590079001                                                    X
 235428      RIVERA LOJA LUIS OSWALDO        1400590905001                                                    X
 133148      JARA BOSQUEZ DARWIN VIRGILIO    1400591762001                                                    X
 187644      CABRERA CABRERA DIANA PATRICIA 1400592240001                                                     X
 111308      OTACOMA TOAPANTA EDWIN WLADIMIR400593966001
                                             1                                                                X
 264121      QUINTANA BERMEO JONH ALEX       1400594790001                                                    X
 219580      LEÓN ZHUNIO ANITA NORALMA       1400595714001                                                    X
 123865      HEREDIA CASTRO CLAUDIA ROCIO    1400596738001                                                    X
 172733      VINTIMILLA ROJAS PABLO EUGENIO  1400598312001                                                    X
 182520      AWANANCH SHIKI DELFINA REINALDA 1400599120001                                                    X
 245397      SOTOMAYOR RODRIGUEZ EVERLY LEONARDO
                                             1400600183001                                                    X
 183284      SOTOMAYOR RODRIGUEZ ANGELICA MARIA
                                             1400600878001                                                    X
No                 No registra
                                                               No                    No registra   No
                                                                        No. registra                       registra      No.    indicadores
                                                             registra                provincia, registra
Persona_id               NOMBRE               No. ID (RUC)                 calle                           número      registra de ventas,
                                                             apellido                 cantón y   primer
                                                                         principal                         de calle     origen activos y/o
                                                             paterno                 parroquia nombre
                                                                                                           principal             empleados

 149801      TAIJINT VINZA CHAARIP JACINTO   1400616783001                                                    X
 223868      GUTAMA MISICANGO WILIAN ORLANDO 1400618268001                                                    X
 251085      RIERA DURAN CESAR VINICIO       1400620678001                                                    X
 207860      CORDOVA PERALTA MARCELO JOSELITO1400620926001                                                    X
 228367      TORRES GUZMAN DIANA PAOLA       1400626030001                                                    X
 145764      TSEREMP SHAKAI SHAACH LUCIANO 1400626865001                                                      X
 269398      VISUMA TSEREMBO ANGEL BRUNO     1400628390001                                                    X
 195841      CARREÑO CONCHA FLOR IBELIA      1400628580001                                                    X
 102590      LOOR BRITO NERIS GERMAN         1400633044001                                                    X
 197765      LITUMA GRANDA LILIA MARIUXI     1400633549001                                                    X
 253637      CHUMPI WAAS ANGEL KLEVER        1400638233001                                                    X
 219842      CALLE CALLE DORIS EMERITA       1400638761001                                                    X
  98233      YUMA KAJEKAI JANKICHAK GRICELDA 1400642185001                                                    X
  98483      ETSA WAJARAI FEDERICO           1400643993001                                                    X
 149344      TENECORA TENECELA MIGUEL ANGEL 1400644991001                                                     X
 182848      RIVADENEIRA SAMANIEGO LUIS ANTONIO
                                             1400645444001                                                    X
 160808      ANTUNISH TUNKI PEDRO RAFAEL     1400645584001                                                    X
 163433      SARMIENTO VELEZ MARCO ARMANDO 1400647341001                                                      X
 125294      TSENTSAK MASHIANT JEMPE RAMON 1400647390001                                                      X
 235362      LLANGARI POMAQUIZA LUIS ALFONSO 1400647549001                                                    X
 141632      NIVELO PAUCAR JAIME DIONICIO    1400649685001                                                    X
 273834      VEGA SALAZAR WILMER SANTIAGO    1400662233001                                                    X
 116641      ZUÑA HURTADO GERMANIA YOLANDA 1400662985001                                                      X
 140586      PELAEZ PELAEZ DIANA LEONOR      1400674600001                                                    X
 268728      CATANI QUINTINUA DOMINGO SHIKI  1400678270001                                                    X
 243462      CABRERA CHACHA FRANKLIN PATRICIO1400683544001                                                    X
 216880      AVILA COELLO LUIS FELIPE        1400683932001                                                    X
 125569      PUWAINCHIR JUA MARCELA SONIA    1400692230001                                                    X
 236725      ORTIZ TENEMAZA RONNAL VINICIO   1400693162001                                                    X
 210078      LOZANO LOPEZ JUAN MANUEL        1400694996001                                                    X
 121607      BARBA CUJI WILLIAM FABIAN       1400696207001                                                    X
No                 No registra
                                                               No                    No registra   No
                                                                        No. registra                       registra      No.    indicadores
                                                             registra                provincia, registra
Persona_id               NOMBRE               No. ID (RUC)                 calle                           número      registra de ventas,
                                                             apellido                 cantón y   primer
                                                                         principal                         de calle     origen activos y/o
                                                             paterno                 parroquia nombre
                                                                                                           principal             empleados

 145028      BOJA MOLINA ROSA MARLENE        1400696504001                                                    X
 195002      GUZMAN ESPINOZA HECTOR VINICIO 1400697213001                                                     X
 101040      SALINAS MONTENEGRO DIEGO ISMAEL1400698302001                                                     X
 189752      PARRA HERAS SANDY YADIRA        1400700090001                                                    X
 236803      VALVERDE CABRERA ROSA IBELIA    1400701973001                  X            X                    X
 123189      TUNGUI YAMBIQUI GERMANIA DOMINGA1400708069001                                                    X
 262246      NOGUERA JARAMILLO CINDY MARIEL 1400708945001                                                     X
 214829      CABRERA TORRES JORGE EDUARDO 1400714836001                                                       X
 256753      SANTIAK MIIK ATAMAIK DIONISIO   1400718449001                                                    X
 114249      MOROCHO AHOÑA MARTHA ISABEL     1400722128001                                                    X
 159728      YANZA PINA JOSE MIGUEL          1400723332001                                                    X
 134685      AMPUSH MASHIANT ADRIANO RAMON 1400724652001                                                      X
 237173      AVILA GALLEGOS MIRIAM LEONELA   1400730519001                                                    X
 247190      FLORES VAZQUEZ MAYRA MARITZA    1400734859001                                                    X
 205303      ESPINOZA VAZQUEZ DIEGO FERNANDO 1400735484001                                                    X
 173305      MENDEZ CHIMBORAZO ANGEL EDUARDO 1400739619001                                                    X
 151540      ORTIZ GORDILLO RUTH MAGALY      1400749477001                                                    X
 161870      CHINKIUN TAANT TUNA JOB         1400767040001                                                    X
 218932      CHIMBORAZO PEÑAFIEL CARLOS ALFREDO
                                             1400771711001                                                    X
 141040      HEREDIA BENAVIDES CARLOS ISRAEL 1400785992001                                                    X
 229017      MOROCHO SISALIMA MILTON GEOVANY 1400793392001                                                    X
 118497      TSAMARAINT ATAMAINT IVAN CALIXTO1400797286001                                                    X
 218062      TIWIRAM SAANT KERUA MARLON      1400830806001                                                    X
 120947      KATAN ANANK RAUL MAURICIO       1400831929001                                                    X
 230776      LOPEZ SALINAS WILSON GEOVANNY 1400891931001                                                      X
 134248      HUAMBASHU WAJARAI JESSICA MARY 1400946776001                                                     X
 270385      ERAZO ARTEAGA LILIA BRICILDA    1400951388001                                                    X
 187835      PUANCHIR ANGUASHA LUCIO MAROK 1400957096001                                                      X
 270392      ESRAZO ARTEAGA MANUEL JESUS     1401221328001                                                    X
  43056      MUNICIPALIDAD DEL CANTON MORONA 1460000290001                  X                                 X                      X
  42439      GOBIERNO MUNICIPAL DE PALORA    1460000530001                  X                                 X
No                 No registra
                                                              No                    No registra   No
                                                                       No. registra                       registra      No.    indicadores
                                                            registra                provincia, registra
Persona_id              NOMBRE               No. ID (RUC)                 calle                           número      registra de ventas,
                                                            apellido                 cantón y   primer
                                                                        principal                         de calle     origen activos y/o
                                                            paterno                 parroquia nombre
                                                                                                          principal             empleados

  43606      ILUSTRE MUNICIPIO DEL CANTON LOGROÑO
                                              1460001770001             X                                    X                      X
  39223      PATRONATO DE ACCION              1460019550001                                                  X
 152346      SINDICATO PROVINCIAL DE CHOFERES1490000689001
                                               DE MORONA SANTIAGO                                            X
 165310      SINDICATO DE CHOFERES PROFESIONALES DEL CANTON SUCUA
                                              1490000700001                                                  X
 173339      COOPERATIVA DE TRANSPORTE MACAS LIMITADA
                                              1490004331001                                                  X
 129820      COOPERATIVA DE AHORRO Y CREDITO1490005737001
                                               DE LA PEQUEÑA EMPRESA DE PALORA                               X
 174988      ORGANIZACIONSHUARDEL ECUADOR 1490005893001                                                      X
 113051      CLUB SOCIAL Y DEPORTIVO MORONA 1490006008001                                                    X
 203806      RUTAS ORIENTALES ORIENTRUT S.A. 1490006636001                                                   X
 143053      CENTRO AGRICOLA CANTONAL DE SANTIAGO
                                              1490006644001                                                  X
  39913      COMERCIALIZADORA Y CONSTRUCTORA PAZAN MEDINA CIA. LTDA.
                                              1490020035001                                                  X
 106363      ESTACION DE SERVICIOS EL SOL ESTASOL CIA LTDA
                                              1490020116001                                                  X
 133804      COMISARIATO SOLIDARIO            1490800871001                                                  X
 210086      ASOCIACION PROVINCIAL DE IMPEDIDOS FISICOS DE MORONA SANTIAGO
                                              1490800995001                                                  X
 203278      COOPERATIVA DE TRANSPORTES 11 DE FEBRERO
                                              1490801053001                                                  X
 103644      COOPERATIVA DE TRANSPORTES DE CARGA EN VOLQUETES CACIQUE
                                              1490801134001                                                  X
  43258      FUNDACIÓN ECOLÓGICA FATIMA       1490801150001                                                  X
  36813      CONSTRUCTORA TAPIA RIVADENEIRA 1490801215001                                                    X
 252236      FUNDACIÓN SERVICIO FORESTAL AMAZÓNICO
                                              1490802254001                                                  X
 153715      JUNTA PROVINCIAL DE LA CRUZ ROJA DE MORONA SANTIAGO
                                              1490803021001                                                  X
  56410      TRANSPORTES VILLAVICENCIO ALARCON TRANSVIAL CIA LTDA
                                              1490803501001                                                  X
  42921      JAIME LITUMA CONSTRUCCIONES & COMERCIO CIA.LTDA
                                              1490803552001                                                  X
 101128      COMPAÑIA DE TRANSPORTES DE MATERIALES PESADOS Y DE CONSTRUCCIÓN RÍO ARAPICOS S.A.
                                              1490803862001                                                  X
  31717      CONSTRUCTORA SHAKAIM CIA.LTDA. 1490804125001                                                    X
 186801      FUNDACION NUEVA ESERANZA         1490804354001                                                  X
  24978      FUNDACION SERVICIO AEREO MISIONAL1490804842001                                                  X
 211829      TSUIRIM VIAJES CIA. LTDA.        1490805067001                                                  X
  45676      RANDIMPA EMPRESA CONSTRUCTORA1490805261001
                                               SA RABELTUCK                                                  X
  35021      CONSTRUCTORA MONTENEGRO SUAREZ S.A.
                                              1490805911001                                                  X
  68025      CONSTRUCTORA SANGAY G&G S.A      1490806640001                                                  X
  58026      DISALFRA CIA LTDA                1490806659001                                                  X
No                 No registra
                                                               No                    No registra   No
                                                                        No. registra                       registra      No.    indicadores
                                                             registra                provincia, registra
Persona_id              NOMBRE                No. ID (RUC)                 calle                           número      registra de ventas,
                                                             apellido                 cantón y   primer
                                                                         principal                         de calle     origen activos y/o
                                                             paterno                 parroquia nombre
                                                                                                           principal             empleados

  43715      CONSTRUCCIONES & COMERCIO TEODORO MOLINA CIA. LTDA.
                                              1490806748001                                                   X
  76944      MICROEMPRESA CHIGUINDA MATANGA   1490806837001                                                   X
  76968      MICROEMPRESAIDEALPRADERA         1490806845001                                                   X
  76986      ASOCIACION DE CONSERVACION VIAL LA
                                              1490806918001                                                   X
 252316      ASOCIACIÓN DE CONSERVACIÓN VIAL BRISAS DEL SANGAY
                                              1490807159001                                                   X
 243494      CONSTRUCTORA GUTAMA HERMANOS1490807280001
                                              CIA. LTDA                                                       X
 134706      ASOCIACIÓN DE CONSERVACIÓN VIAL VALLE DEL RIO
                                              1490808074001                                                   X
 170061      FUNDACION MEDICA SANTA LUCIA     1490808228001                                                   X
  22013      G.O. GRAFICANDO PUBLICIDAD Y MARKETING CIA. LTDA.
                                              1490808260001                                                   X
  87430      DISTRIBUCIONES Y REPRESENTACIONES VASQUEZ MEDINA VASMED CIA. LTDA.
                                              1490808287001                                                   X
  94458      CONSTRUCTORA BOROMAC             1490808376001                                                   X
  40704      CONSTRUCTORA Y PLANIFICACION MACAS MACASCORP S.A.
                                              1490808414001                                                   X
  83465      ROMANIAL Y COMPAÑIA              1490808538001                                                   X
 237154      TRANSPORTES HUAMBOYA CIA. LTDA. 1490808570001                                                    X
  99516      HORMIGONES Y CONSTRUCCIONES VILLAGÓMEZ HOCONVILL CIA.LTDA
                                              1490808732001                                                   X
 177051      CONSTRUCTORA E INMOBILIARIA KILAMO CÍA. LTDA.
                                              1490808759001                                                   X
 226365      INMOBILIARIA Y CONSTRUCTORA PANKERI CIA. LTDA.
                                              1490808791001                                                   X
 194480      AEROSANGAY SERVICIOS AEREOS DEL ORIENTE CIA. LTDA.
                                              1490808805001                                                   X
 176799      SHIRAMTRUCKS CIA LTDA            1490810028001                                                   X
 171434      AMIKIUR CIA LTDA                 1490810052001                                                   X
 205094      CONSTRUCTORA E INMOBILIARIA CHUPIENTZA CIA LIMITADA
                                              1490810095001                                                   X
 201632      MISIÓN SALESIANA DE ORIENTE      1490810117001                                                   X
 233967      ALTERMAQCO CIA.LTDA              1490810206001                                                   X
 216676      COMPAÑIA CONSTRUCTORA JEMPE CIA. LTDA.
                                              1490810265001                                                   X
 224386      CONSTRUCTORA VIAYCON CIA. LTDA. 1490810303001                                                    X
 228743      COMPAÑIA CONSTRUCTORA ISRAEL CIA.LTDA
                                              1490810362001                                                   X
 229340      CONSTRUCTORA VASH S.A.           1490810370001                                                   X
 241290      CHUNGATA SAGUAY S.A.             1490810389001                                                   X
 253744      CONSTRUCTORA Y SERVICIOS SARABIA Y LEDESMA CIA. LTDA.
                                              1490810494001                                                   X
 257356      ASOCIACION DE CONSERVACION VIAL LA ESPERANZA
                                              1490810524001                                                   X
 252284      TAICONS CIA. LTDA.               1490810532001                                                   X
No                 No registra
                                                               No                    No registra   No
                                                                        No. registra                       registra      No.    indicadores
                                                             registra                provincia, registra
Persona_id               NOMBRE               No. ID (RUC)                 calle                           número      registra de ventas,
                                                             apellido                 cantón y   primer
                                                                         principal                         de calle     origen activos y/o
                                                             paterno                 parroquia nombre
                                                                                                           principal             empleados

 254424      INGECONSUL CIA. LTDA.           1490810559001                                                    X
 263206      ASOCIACION DE CONSERVACION VIAL 21 DE MARZO
                                             1490810753001                                                    X
 266601      ANDI LICUY CESAR                1500001456001                  X            X                    X
 160165      MAMALLACTA ANDI AUGUSTO MARIANO 1500001530001                                                    X
 151136      RUEDA ARAUJO JORGE LEONIDAS     1500002371001                                                    X
 266092      RUEDA LOPEZ EFRAIN AUGUSTO      1500002504001                                                    X
 137118      RIVADENEYRA PAZMIÑO MAXIMO MANUEL
                                             1500005937001                                                    X
 223071      GREFA CERDA LUIS MIGUEL         1500007487001                                                    X
 208796      MUÑOZ HARO GALO EFRAIN          1500007537001                                                    X
 206749      LLORI SANMIGUEL ARMANDO ANOFRE 1500008774001                                                     X
 115984      LOPEZ CHONGO SONIA GUILLERMINA 1500020662001                                                     X
 250501      TAPUY CERDA BOLÍVAR FRANCISCO 1500024904001                                                      X
 251732      TANGUILA SHIGUANGO ALBERTO DIEGO1500030158001                                                    X
 246263      SALAZAR GREFA LUIS              1500038714001                                                    X
 141351      GREFA CHIMBO BARTOLO MIGUEL     1500044613001                                                    X
 179741      ALVARADO NARVAEZ CARLOS PASCUAL500046600001
                                             1                                                                X
 137090      FONSECA SALAZAR GALO JORGE      1500053341001                                                    X
 235267      PILATAXI QUILUMBA MARIA MAGDALENA
                                             1500060866001                                                    X
 127761      PALACIOS VARGAS CESAR ENRIQUE 1500064074001                                                      X
 140376      MACHOA ALVARADO MARÍA           1500068935001                                                    X
  87039      RUIZ TERÁN HERNÁN BOLÍVAR       1500073653001                                                    X
 154923      GREFA MAMALLACTA FRANCISCO MIGUEL
                                             1500078041001                                                    X
 199307      MANITIO MANCHENO GUSTAVO LEONIDAS
                                             1500083298001                                                    X
 216187      GREFA TAPUY SILVERIO SANTIAGO   1500083652001                                                    X
 172312      PINCHAO JOSE APOLINAR           1500084460001                                                    X
 104191      RIOFRIO GUEVARA CARLOS GUSTAVO  1500086747001                                                    X
 146098      CARRILLO LUZURIAGA PEDRO FRANCISCO
                                             1500092265001                                                    X
 128046      TANGUILA TAPUY CATALINA ROSARIO 1500095912001                                                    X
 134964      TANGUILA MARIA                  1500096209001                                                    X
 188769      ERAZO PUETATE NANCI IMELDA      1500097082001                                                    X
 191741      APOLO ANGEL BENIGNO             1500097355001                                                    X
No                 No registra
                                                               No                    No registra   No
                                                                        No. registra                       registra      No.    indicadores
                                                             registra                provincia, registra
Persona_id               NOMBRE               No. ID (RUC)                 calle                           número      registra de ventas,
                                                             apellido                 cantón y   primer
                                                                         principal                         de calle     origen activos y/o
                                                             paterno                 parroquia nombre
                                                                                                           principal             empleados

 149341      RIOFRIO GUEVARA NORMA YOLANDA 1500097777001                                                      X
 278083      CALAPUCHA CERDA VENTURA BARTOLO 1500100043001                                                    X
 166768      ANDY TAPUY GERARDO ALADINO      1500101124001                                                    X
 228592      PAREDES GUTIERRES MARTHA ZULLY 1500102296001                                                     X
 199576      SHIGUANGO TUNAY BERNA           1500104920001                                                    X
 209467      JIPA AJON GONZALO ACEVEDO       1500107261001                                                    X
 125631      VARGAS MUÑOS MARTHA LUSMILA     1500108095001                                                    X
 260204      TORRES CARRERA WALTER PATRICIO 1500110893001                                                     X
 137524      AVILEZ VEGAY MAMERTO ALFONSO    1500112923001                                                    X
  59803      VARGAS MUÑOZ JOSÉ SALOMÓN       1500114085001                                                    X
  25993      PEÑAFIEL RUIZ MILTON EDUARDO    1500116338001                                                    X
 225337      SHIGUANGO CERDA CRISTINA YOLANDA1500117229001                                                    X
 241771      HARO BAQUERO GUIDO EDMUNDO      1500123433001                                                    X
 267947      QUISAHUANO CAHUATIJO JOSE ERIBERTO
                                             1500124720001                                                    X
 105051      BUSTOS DIAZ ZOILA ROSA          1500125875001                                                    X
  16082      POZO CHECA CARLOS SERLEY        1500128127001                                                    X
 178442      SARMIENTO SARMIENTO BEETHOVEN ARTEMIO
                                             1500132384001                                                    X
 144790      ABARCA BUSTOS DENNY ALBERTO     1500132533001                                                    X
 137237      TUNI NOA MILTON                 1500134133001                                                    X
  76840      MITE MAZZINI ROSARIO BERNARDITA 1500134687001                                                    X
 118072      DAQUILEMA TACURI WASHINGTON     1500134752001                                                    X
 215067      BONILLA TEJADA MARIO EFRAIN     1500135379001                                                    X
 167050      MAMALLACTA CERDA HONORIO ROSALES1500136153001                                                    X
 269960      ALVARADO GREFA CARLOS MATIAS    1500137169001                                                    X
 130417      CHILIQUINGA QUISAGUANO GLADIS CUMANDA
                                             1500137367001                                                    X
 243425      JIMENEZ VEGA ABEL ISAIAS        1500138787001                                                    X
   7593      NOA PAPA HERMELINDA             1500139371001                                                    X
  47879      CABRERA MONCAYO OLYMPO HITALO 1500141161001                                                      X
  51948      PIYAHUAJE PAYAHUAJE ELIAS ROBERTO
                                             1500141310001                                                    X
 198562      TAPUY TAPUY ORISTILA            1500142219001                                                    X
 114600      ANDI GREFA RICARDO ERNESTO      1500142300001                                                    X
No                 No registra
                                                               No                    No registra   No
                                                                        No. registra                       registra      No.    indicadores
                                                             registra                provincia, registra
Persona_id               NOMBRE               No. ID (RUC)                 calle                           número      registra de ventas,
                                                             apellido                 cantón y   primer
                                                                         principal                         de calle     origen activos y/o
                                                             paterno                 parroquia nombre
                                                                                                           principal             empleados

  17220      MORENO REYES ANGEL MIGUEL       1500142334001                                                    X
 202427      FREIRE VILLAFUERTE JORGE ANIBAL 1500143019001                                                    X
 119689      QUEZADA RIERA DANIEL SALOMON    1500147309001                                                    X
 174797      CAMACHO JARRIN NANCY FABIOLA    1500149636001                                                    X
 274720      HEREDIA FIALLOS ELBA CUMANDA    1500152747001                                                    X
 144571      CABRERA VEGA HENRY NICOLAY      1500152978001                                                    X
 244422      CELIN ALQUINGA NELSON ANIBAL    1500154511001                                                    X
 230654      SHIGUANGO CHIMBO HILDA PIEDAD   1500154834001                                                    X
 141377      GONZALEZ ULLOA MARTHA IRENE     1500156888001                                                    X
 123955      CERDA LICUY ANTONIO ALBERTO     1500157555001                                                    X
 247201      ALOMIA ALVARADO VICTOR MANUEL 1500157605001                                                      X
 100428      CASTRO ALDAS MANUEL GUSTAVO     1500159130001                                                    X
 131758      CAYAMBE CHIMBORAZO LIZARDO      1500161599001                                                    X
 135598      PAPA SALAZAR MARIO SAMUEL       1500161763001                                                    X
 190256      SILVA OÑATE LUIS FRANCISCO      1500163736001                                                    X
 158498      TANGUILA TAPUY ESTER JACINTA    1500163991001                                                    X
  82131      SILVA RODAS RUTH EULALIA        1500164395001                                                    X
 251293      ANDY ALVARADO ELENA VICTORIA    1500166069001                                                    X
 124800      GREFA BERTILA                   1500168594001                                                    X
 267672      TENORIO ROSALES CARMEN ELENA 1500172000001                                                       X
 139036      SHIGUANGO GREFA MOISES CAMILO 1500172786001                                                      X
 215824      PADILLA MAMALLACTA ROSITA MARIA 1500172927001                                                    X
 261753      MANCHENO GUERRERO BOLIVAR HUMBERTO
                                             1500173529001                                                    X
  93142      GODOY PILATAXI LUIS ERNAN       1500174766001                                                    X
 157279      ANDY SHIGUANGO EMMA PIEDAD      1500175730001                                                    X
 192652      POLANCO NARVAEZ MYRIAM DEL CARMEN
                                             1500176472001                                                    X
 181028      VARGAS LICUY BARTOLO            1500177058001                                                    X
 137619      CERDA SHIGUANGO FILOMENA ERIS 1500177223001                                                      X
 152956      JIPA NOTENO PABLO NICANOR       1500178015001                                                    X
 209857      BUCHELI LLORI ALICIA LEONOR     1500178460001                                                    X
 152949      ALVARADO TAPUY IGNACIO OLMEDO 1500178734001                                                      X
No                 No registra
                                                               No                    No registra   No
                                                                        No. registra                       registra      No.    indicadores
                                                             registra                provincia, registra
Persona_id               NOMBRE               No. ID (RUC)                 calle                           número      registra de ventas,
                                                             apellido                 cantón y   primer
                                                                         principal                         de calle     origen activos y/o
                                                             paterno                 parroquia nombre
                                                                                                           principal             empleados

 107863      VARELA HERRERA EDITH EUGENIA 1500182256001                                                       X
 245660      ABARCA ALOMIA ORLANDO LAUREANO1500185010001                                                      X
  54188      RIVADENEYRA ALOMIA MANUEL CRISTOBAL
                                             1500185861001                                                    X
 167809      ALVARADO SHIGUANGO ORIENTE JOSE 1500188964001                                                    X
 133954      RIVADENEIRA CALAPUCHA JORGE MANUEL
                                             1500190382001                                                    X
  42313      SARMIENTO SARMIENTO CORNELIA DEL PILAR
                                             1500197270001                                                    X
 138264      DALGO UQUILLAS FIDEL RENATO     1500197544001                                                    X
 221784      RUIZ RIVADENEYRA CARLOS ANTONIO 1500197635001                                                    X
  76553      YUMBO SANDA LORENZO VENANCIO 1500199862001                                                       X
 137810      CHIMBO NOTENO LUIS FELIPE       1500200413001                                                    X
 161545      CERDA VARGAS CESAR DOMINGO      1500201213001                                                    X
 149293      ALVARADO GREFA RICARDO FRANCISCO1500201635001                                                    X
 232452      TAPUY TANGUILA ALONSO DIONICIO 1500202203001                                                     X
 208415      GAONA VICENTE JOSE BUENAVENTURA 1500203060001                                                    X
 128126      YANACALLO HARO MARIA VALENZUELA 1500204001001                                                    X
  31364      YEPEZ GRANIZO MILTON EDUARDO    1500205453001                                                    X
 262827      ANDY AGUINDA ELVIA MARGARITA    1500207111001                  X            X                    X
 100247      MONTEROS RODRIGUEZ JESSICA LUCIA500210552001
                                             1                                                                X
 140527      TAPUY PAUCHI LORENZO FRANCISCO 1500211618001                                                     X
  87924      VALLE BERMEO NICACIO HERÓN      1500212798001                                                    X
  45097      REYES RUEDA VICTOR ANIBAL       1500216963001                                                    X
 172570      GREFA HUATATOCA CARLOS VIRGILIO 1500220437001                                                    X
 202130      LEDESMA SASALIMA MARCO RUBEN 1500220999001                                                       X
  27265      CALAHORRANO VACA EDWIN RICARDO  1500221120001                                                    X
 115069      LOZA ARMAS ANGEL MILTON         1500221955001                                                    X
 190287      ALVARADO GREFA CESAR ALEJANDRO1500223191001                                                      X
 180022      UNDA BORJA MANUEL EDGAR         1500223738001                                                    X
 118179      RUEDA MIGUEL                    1500226442001                                                    X
 178553      PIZANGO TAPUY LUIS RICARDO      1500226657001                                                    X
 202665      POVEDA VALLE PEDRO PABLO        1500227127001                                                    X
 142627      AVILES ALVARADO CESAR           1500228406001                                                    X
No                 No registra
                                                               No                    No registra   No
                                                                        No. registra                       registra      No.    indicadores
                                                             registra                provincia, registra
Persona_id               NOMBRE               No. ID (RUC)                 calle                           número      registra de ventas,
                                                             apellido                 cantón y   primer
                                                                         principal                         de calle     origen activos y/o
                                                             paterno                 parroquia nombre
                                                                                                           principal             empleados

 137801      AJON COQUINCHE ROSA LILIANA     1500231715001                                                    X
 117666      GUANOLUISA MAISINCHO MARIA ELVIRA500233471001
                                             1                                                                X
 245927      BOLLO AGUINDA NELSON RAMIRO     1500238363001                                                    X
 196055      TAPUY ANDI FELIPE NICOLAS       1500238397001                                                    X
  62088      MAYGUA TOAPANTA EDISON MANUEL 1500238447001                                                      X
 194793      HIDALGO RUIZ MILTON RODRIGO     1500238892001                                                    X
 241044      SHIGUANGO TANGUILA BELISARIO SANTIS
                                             1500239593001                                                    X
 106835      GUEVARA NUÑEZ FRANKLIN FILOTEO 1500239718001                                                     X
 141270      ROSERO GUERRA HECTOR HERNANDO   1500239916001                                                    X
 203385      CARRILLO LUZURIAGA FERNANDO IVAN1500240930001                                                    X
 192772      AGUINDA YUMBO MATIAZ LEONARDO 1500241946001                                                      X
 240978      CHUQUIMARCA VINUEZA BLANCA CONSUELO
                                             1500243090001                                                    X
 103794      LARA ERAZO AGUSTIN GUSTAVO      1500244619001                                                    X
  25104      PULLUQUITIN COQUE VICENTE       1500244684001                                                    X
 114443      CABRERA LOPÉZ RIDER RANGER      1500247000001                                                    X
 137730      ANDI CANELO GRETY ANELIA        1500247679001                                                    X
 115809      CABEZAS CASTILLO LUIS ISAIAS    1500250947001                                                    X
 145253      CERDA SHIGUANGO LOURDES ELVIA 1500251093001                                                      X
 265714      CERDA ANDI MARIA ESTHER         1500252612001                                                    X
 135752      BOSQUEZ ARMIJO HOMERO SALOMON1500253354001                                                       X
 184575      UZHCA MERCHAN ROSA MERCEDES DEL TRANSITO
                                             1500254436001                                                    X
 101826      ALEMAN BRITO OTTO FRANKLIN      1500255458001                                                    X
  92127      ESTUPIÑAN JACOME LUIS RODOLFO 1500255524001                                                      X
 209880      MEDRANDA TENORIO JOSE MAXIMILIANO
                                             1500256084001                                                    X
 262297      ALVARADO CHAMORRO ENRIQUE JUVENTINO
                                             1500256480001                                                    X
 138853      GREFA SHIGUANGO LIVIO FAUSTO    1500256506001                                                    X
 127834      CHANCHAY OÑATE GRACE DEL CARMEN 1500257173001                                                    X
 260230      JIMENEZ JIMENEZ SEGUNDO ALBERTO1500258700001                                                     X
 270505      SHIGUANGO TANGUILA ANITA CAROLINA
                                             1500262314001                                                    X
 144395      ESPINOZA MENDEZ MIRIAM MARIA    1500262652001                                                    X
 222511      CHUQUIMARCA VINUEZA SEGUNDO PEDRO
                                             1500263775001                                                    X
No                 No registra
                                                               No                    No registra   No
                                                                        No. registra                       registra      No.    indicadores
                                                             registra                provincia, registra
Persona_id              NOMBRE                No. ID (RUC)                 calle                           número      registra de ventas,
                                                             apellido                 cantón y   primer
                                                                         principal                         de calle     origen activos y/o
                                                             paterno                 parroquia nombre
                                                                                                           principal             empleados

 225960      GUTIERREZ NOA VIDAL JUAN       1500266323001                                                     X
 233008      RAMOS ESCOBAR SANTOS MANUEL 1500268196001                                                        X
 182207      RIVAS PARRAGA ELADIO SIGIFREDO 1500268477001                                                     X
 247164      TANGUILA ALVARADO JUAN FRANCISCO
                                            1500271158001                                                     X
 218344      GREFA HUATATOCA CESAR VICENTE 1500271299001                                                      X
 138412      CUYANGUILLO CUYANGUILLO CELIA REGINA
                                            1500275639001                                                     X
 171780      REYES MIRANDA JOSE MARCELO     1500275712001                                                     X
 241839      MARTINEZ MIRANDA NESTOR ALCIDES1500275860001                                                     X
 169348      CERDA ANDI MERCEDES BLESILA    1500276389001                                                     X
 226939      RUEDA NEGRETE MARIA EUGENIA    1500276959001                                                     X
 260214      ROSALES CABRERA DARWIN MAXIMO 1500277163001                                                      X
 139858      MACAS SARANGO FATIMA ESTHELA 1500277569001                                                       X
 201877      ALVARADO HUATATOCA ROQUE FRANCISCO
                                            1500278096001                                                     X
 208463      FERNANDEZ COX INES AMANDA      1500278427001                                                     X
 266090      MORA MORA RIGOBERTO WILFRIDO 1500278765001                                                       X
 220570      CHIMBO TANGUILA JULIA MARUJA   1500279052001                                                     X
 230672      JIPA AJON EVA CLARITA          1500279540001                                                     X
  93184      CASTRO VÁSQUEZ CARMEN CECILIA 1500281231001                                                      X
 221321      HARO BAQUERIZO AMILCAR LENIN   1500282460001                                                     X
 171799      PAREDES IVAN FELIPE            1500282742001                                                     X
 130940      QUISHPE TAIPE MARIA TOMASA     1500283104001                                                     X
  50941      LLORI LLORI CARMEN GENITH      1500285943001                                                     X
 141819      GUALINGA MAYANCHI LINO JOSE    1500286438001                                                     X
 170484      VERA VERDUGA GARI DENIS        1500286982001                                                     X
 201487      VERA VERDUGA LIDER EUGENIO     1500288681001                                                     X
 146424      TENEDA JIMENEZ NANCY CECILIA   1500288848001                                                     X
 135905      MOREIRA CHICA JOSÉ OBER        1500289028001                                                     X
 137501      LUZON LANCHE LIDA ISABEL       1500289564001                                                     X
 238109      REINOSO CABRERA CLAUDIO GONZALO1500297716001                                                     X
  36818      HIDALGO DIAZ FRANCISCO JAVIER  1500297971001                                                     X
 123755      CASTRO CAMPOVERDE MANUEL LEONEL1500299316001                                                     X
No                 No registra
                                                               No                    No registra   No
                                                                        No. registra                       registra      No.    indicadores
                                                             registra                provincia, registra
Persona_id               NOMBRE               No. ID (RUC)                 calle                           número      registra de ventas,
                                                             apellido                 cantón y   primer
                                                                         principal                         de calle     origen activos y/o
                                                             paterno                 parroquia nombre
                                                                                                           principal             empleados

 223879      GREFA ANDI GRACIELA JOAQUINA    1500301526001                                                    X
 136248      CASTRO VASQUEZ MARICELA DEL ROCIO
                                             1500301831001                                                    X
   9630      BYG                             1500301849001                                                    X
 200307      FONSECA VELASTEGUI MARCO ABRAHAN1500302151001                                                    X
 104635      REYES GOMEZ ANTONIO WILFRIDO    1500303084001                                                    X
 175852      AGUINDA DAHUA SUSANA MARIA      1500303589001                                                    X
 193976      CORTEZ LAGUA CARLOS EDUARDO 1500304082001                                                        X
 202808      AGUINDA CALAPUCHA KLEVER RAFAEL1500304736001                                                     X
 160135      MONTAÑO MALDONADO MARCIA JUDIT1500304967001                                                      X
 204557      LUCERO GUERRERO DARWIN SALOMON  1500306426001                                                    X
 193950      SAMANIEGO CASTANEDA SEGUNDO PEDRO
                                             1500307382001                                                    X
 176688      CHIMBO NARVAEZ JUAN MIGUEL      1500307895001                                                    X
   8546      TALLER DON PEPE                 1500309495001                                                    X
 150458      ANDI AGUINDA FERNANDO TEODORO 1500309511001                                                      X
 234729      SHIGUANGO YUMBO EMILIA MARGARITA500310105001
                                             1                                                                X
 201999      CHANALUIZA QUISPE JOSE DAVID    1500311301001                                                    X
 101958      ORTIZ QUIÑONEZ JOSE PEPE        1500313000001                                                    X
 164169      GARCIA VELOZ CLARA EMPERATRIZ 1500315583001                                                      X
 263879      GREFA CHONGO SAÚL DAVID         1500316144001                                                    X
 200912      URGILES VASQUEZ RENE MARCELINO 1500316417001                                                     X
 108406      CERDA TAPUI ABEL DARIO          1500316664001                                                    X
 231218      PAREDES ESPINOSA GINA MAGALI    1500316706001                                                    X
 192212      TANGUILA SHIGUANGO JUAN PAULINO 1500317373001                                                    X
 111976      LOPEZ TAPUY EDWIN SILVERIO      1500318066001                                                    X
 115999      ACHINA ULCUANGO SEGUNDO JULIO 1500320583001                                                      X
  92415      BUSTOS GUERRON JOSE ANTONIO     1500321656001                                                    X
 165175      TAPUY ANDY JAUN MILTON          1500323108001                                                    X
 169096      ANDI CHIMBO JACOB MOISÉS        1500323355001                                                    X
 129344      CORREA CORDOVA JUAN CARLOS      1500325558001                                                    X
 204771      SANCHEZ PICHOGAGON SEGUNDO WILFRIDO
                                             1500326838001                                                    X
 197066      BALCAZAR CAMPOVERDE REINALDO SALOMON
                                             1500327232001                                                    X
No                 No registra
                                                               No                    No registra   No
                                                                        No. registra                       registra      No.    indicadores
                                                             registra                provincia, registra
Persona_id              NOMBRE                No. ID (RUC)                 calle                           número      registra de ventas,
                                                             apellido                 cantón y   primer
                                                                         principal                         de calle     origen activos y/o
                                                             paterno                 parroquia nombre
                                                                                                           principal             empleados

 128351      LEDESMA NAVEDA MARIO NICANOR   1500328081001                                                     X
 162435      VALLE BERMEO OTTO GILBERTO     1500328172001                                                     X
  93358      SILVA ALDAZ LUIS ANTONIO       1500328552001                                                     X
 245487      CERDA GREFA ZENEIDA PRISILA    1500329360001                                                     X
 123134      YEPEZ GRANIZO EDWIN FERNANDO 1500329469001                                                       X
  45914      CABRERA MONCAYO BYRON RENE     1500330301001                                                     X
 207512      ANDRADE GUERRERO JOHNNY JAVIER1500330616001                                                      X
 132651      ANDY AGUINDA ANIBAL MIGUEL     1500330913001                                                     X
  98886      GUZMAN SISALIMA FABIAN ANTONIO 1500330947001                                                     X
 124908      CAMBIZACA CHOCHO LUIS FREDI    1500331044001                                                     X
  47831      JAIME                          1500331317001                                                     X
 216863      CERDA SHIGUANGO VILLENA DELFIN 1500331697001                                                     X
 207928      ALVARADO TAPUY DOMINGO LUIS    1500332471001                                                     X
  92089      ANDRADE VASQUEZ ANA OLIMPIA    1500333115001                                                     X
 209041      SALINAS DIAZ EDIN GUSTAVO      1500333222001                                                     X
 245510      YEPEZ SARABIA SANDRA MARLENE   1500333339001                                                     X
 106034      CAHUATIJO CHACON MARCOS IVAN   1500333370001                                                     X
 243534      MACEIRA QUISPE SONIA MARIBEL   1500333610001                                                     X
 129161      FLORES IBARRA SERGIO SALOMON 1500334170001                                                       X
 190994      VELASCO ALULEMA GILDO MANUEL   1500334402001                                                     X
 114651      SANCHEZ ZAMBRANO ALFARO ODILON1500335417001                                                      X
 273920      ANDI TAPUY EDMUNDO ESTEBAN     1500335466001                                                     X
 250492      VASCO MIRANDA ERIKA FERNANDA   1500335888001                                                     X
 180439      HIDALGO MORENO JOSÉ ALFREDO    1500336837001                                                     X
 205322      VARGAS DUCHE ORLANDO PATRICIO 1500338007001                                                      X
 225696      PICO SANCHEZ LUIS MARCELO      1500338635001                                                     X
 241765      MOSQUERA ORTIZ FLAVIO ELIECER  1500340524001                                                     X
 102662      FLORES IBARRA ZOILA ISABEL     1500340961001                                                     X
 162478      POZO ROJAS GUSTAVO GONZALO     1500342538001                                                     X
  81945      MONTENEGRO TOSCANO BOLIVAR RAMIRO
                                            1500343312001                                                     X
 215139      VIVANCO POMA DUMANI MARLENE    1500343684001                                                     X
No                 No registra
                                                               No                    No registra   No
                                                                        No. registra                       registra      No.    indicadores
                                                             registra                provincia, registra
Persona_id               NOMBRE               No. ID (RUC)                 calle                           número      registra de ventas,
                                                             apellido                 cantón y   primer
                                                                         principal                         de calle     origen activos y/o
                                                             paterno                 parroquia nombre
                                                                                                           principal             empleados

 139704      MANTILLA BARRAGAN FAUSTO ROLANDO1500343874001                                                    X
  66835      HERRERA ESPIN YADIRA SIMONE     1500344617001                                                    X
 176642      SILVA BUCHELI FANNY ELIZABETH   1500345341001                                                    X
 233978      SALINAS CALVA ROSA DIGNA        1500345812001                                                    X
  92844      GUANOLUISA MAISINCHO HELMER DALMACIO
                                             1500346042001                                                    X
 186321      LLORI LLORI OFELIA SILVIA       1500347503001                                                    X
 220243      GUEVARA NUÑEZ MILTON HORLANDO 1500349814001                                                      X
 247568      SALCEDO ROJAS MAGDALENA DEL CARMEN
                                             1500350077001                                                    X
 108758      MORENO SAMANIEGO SIXTO ROSALINO 1500350978001                                                    X
 157795      BALCAZAR CAMPOVERDE ROSMEL FRANCISCO
                                             1500351273001                                                    X
 207535      GARCIA BASANTES CONSTANTINO FRANCISCO
                                             1500351422001                                                    X
  92904      PAREDES VILLEGAS ERMEL CARDED 1500351448001                                                      X
  68910      ESPINOZA GARCIA LUIS SANTIAGO   1500352404001                                                    X
 179104      RIVADENEIRA GAIBOR ANGELITA JANETH
                                             1500355027001                                                    X
  61022      ALCIVAR CANTOS JORGE COLON      1500355423001                                                    X
 167009      LEMA GUINGLA ANGELA ELIZABETH   1500355589001                                                    X
  62722      SUAREZ POGO ENID ESPERANZA      1500356264001                                                    X
  98649      OROSCO TORRES JANETH FRANCISCA1500356363001                                                      X
 104572      GARCIA FONCECA PABLO TARQUINO 1500356694001                                                      X
 171970      CAIMINAGUA NAGUA VICTOR ALCIVAR 1500357411001                                                    X
 124629      QUINTANILLA HERNANDEZ MERCEDES 1500358575001
                                             LEOLINDA                                                         X
  99255      VEGA JIMENEZ NANCY ISABEL       1500359326001                                                    X
  97763      LÓPEZ DÍAZ JOSÉ BENIGNO         1500362619001                                                    X
  77700      LIMA ESPINOZA IVAN GEREMIAS     1500363369001                                                    X
 247842      MONTA BENAVIDES JOSÉ ALONZO     1500364193001                                                    X
  85922      SANMARTIN SANMARTIN MAXIMO MANUEL
                                             1500364615001                                                    X
 252871      MORENO LAPO GLADIS ELISA        1500364821001                                                    X
 171045      JARA GUEVARA LAURA DOLORES      1500365869001                                                    X
   8471      LUIS GUILLERMO CASCO LESCANO    1500366016001                                                    X
 209579      PUZHI QUITUISACA JUAN JOSÉ      1500367709001                                                    X
 174344      CALAPUCHA LOPEZ DAVID VICENTE   1500367774001                                                    X
No                 No registra
                                                               No                    No registra   No
                                                                        No. registra                       registra      No.    indicadores
                                                             registra                provincia, registra
Persona_id              NOMBRE                No. ID (RUC)                 calle                           número      registra de ventas,
                                                             apellido                 cantón y   primer
                                                                         principal                         de calle     origen activos y/o
                                                             paterno                 parroquia nombre
                                                                                                           principal             empleados

 153089      SHIGUANGO TUNAY CARMEN YOLANDA 1500368897001                                                     X
   9371      ENCALADA VARGAS FRANCO BENITO 1500369572001                                                      X
 163864      LEGUISAMO ANDINO IDUBERTO RENEE1500370091001                                                     X
 194238      CARRERA RAMIREZ MAYRA LOES     1500370604001                                                     X
 193575      BERMEO SANTANA LILIANA LOURDES 1500371842001                                                     X
 157179      MOSQUERA GONZALES ROSA ELIZABETH
                                            1500372576001                                                     X
 110276      DALGO BAQUERO GUILLERMO OCTAVIO1500374317001                                                     X
 128045      LICUY TAPUY SALOMON PATRICIO   1500374598001                                                     X
 130502      CABRERA URENA CLEBER ERMEL     1500375165001                                                     X
 159618      COQUINCHE AJON OSCAR PABLO     1500375280001                                                     X
 130609      ANDY SHIGUANGO ANTONIA MARIA   1500375983001                                                     X
 234754      SHIGUANGO YUMBO MARILYN ESTHELA1500376908001                                                     X
 133350      ALVARADO GREFA CESAR JORGE     1500379985001                                                     X
 107889      QUISPE TAIPE ELSA PIEDAD       1500380538001                                                     X
 145143      MEDRANDA TENORIO CARMEN CECILIA1500381668001                                                     X
 104430      HIDROBO LASCANO RAUL RUBEN     1500382658001                                                     X
 150911      TAPUY AGUINDA JOSE BOLIVAR     1500382815001                                                     X
 262611      AGUINDA CHIMBO LEONARDO        1500382963001                                                     X
 275891      CHONGO TANGUILA GREGORIO JOSE 1500384019001                                                      X
 148680      CIFUENTES CHAPUNGAL LUIS ALBERTO
                                            1500384415001                                                     X
 131740      PARREÑO RAMIREZ MARGARITA MARGARITA
                                            1500385024001                                                     X
 152971      SIQUIHUA OTAVALO WASHINGTON SANDRO
                                            1500386972001                                                     X
 137366      SHIGUANGO SALAZAR RENAN FELIX 1500387004001                                                      X
 190329      SALAZAR DAGUA LUIS EDUARDO     1500387244001                                                     X
 146086      AYALA LAPO EDGAR ALFREDO       1500390123001                                                     X
 139633      SHIGUANGO ANDI DOMINGO ALFONSO1500391287001                                                      X
 154202      RODRIGUEZ SILVA FERNANDO LLOHUY1500391824001                                                     X
  60702      ALOMÍA ESTRELLA BOLÍVAR FERNANDO
                                            1500392715001                                                     X
  48392      CALLE LASTRA GISSELA LORENA    1500393127001                                                     X
  97237      AREVALO FREIRE NEIVA YOLANDA   1500394364001                                                     X
  57855      RON BUSTOS BRAULIO MIGUEL      1500395163001                                                     X
No                 No registra
                                                                  No                    No registra   No
                                                                           No. registra                       registra      No.    indicadores
                                                                registra                provincia, registra
Persona_id                NOMBRE                 No. ID (RUC)                 calle                           número      registra de ventas,
                                                                apellido                 cantón y   primer
                                                                            principal                         de calle     origen activos y/o
                                                                paterno                 parroquia nombre
                                                                                                              principal             empleados

 237721      MORENO SAHAVEDRA MARIA ANTONIETA   1500395478001                                                    X
 171338      PAPA SHIGUANGO MIGUEL SILVERIO 1500397839001                                                        X
 217078      GAROFALO VARGAS EDWIN ROLANDO 1500402795001                                                         X
 206810      CHANALUISA CHILIQUINGA CESILIA LILIAN
                                                1500403371001                                                    X
 246787      LEÓN REMACHE LUIS ALFREDO          1500405897001                                                    X
 240160      CHIMBO GREFA LIVIO RUBEN           1500408768001                                                    X
 211683      CERDA ANDI PEDRO MANUEL            1500409055001                                                    X
 216102      ALULEMA LAMIMIÑA BLANCA LUCIA      1500409386001                                                    X
 244622      AYALA CIFUENTES BYRON IBAN         1500412612001                                                    X
 191801      ZAMBRANO ESCOBAR JOSE LEANDRO 1500413396001                                                         X
  69541      ANDY GREFA CRISTOBAL SAMUEL PEDRO  1500414790001                                                    X
  91938      CAMBO ANGAMARCA SEGUNDO HÉCTOR     1500415037001                                                    X
 236944      CALI MACAS OLGA MARIA              1500416910001                                                    X
 186771      PINDO VIVAR HERMEL EFRAIN          1500419492001                                                    X
 146396      RUANO HERNADEZ GABRIEL FABIO       1500420672001                                                    X
 141580      ERAZO YANDUN NABAL WIGBERTO        1500420870001                                                    X
  18557      LLIVISUPA ARICHABALA LOLI JANETH 1500424880001                                                      X
 152167      CAMPOVERDE DIAZ OLTER GUIN         1500425002001                                                    X
 219271      PAREDES N AJERA HECTOR VINICIO 1500425093001                                                        X
  99043      MORA SANCHEZ CARLOS MANUEL         1500426067001                                                    X
 150711      RIVADENEYRA CASTRO JORGE LUIS 1500426075001                                                         X
 269786      YANGUEZ PAPA PAÚL MARCELO          1500426851001                                                    X
 230693      ANDI HUATATOCA FERNANDO FABIO 1500427016001                                                         X
  58878      DEA NOTENO ANDRÉS BENJAMIN         1500428626001                                                    X
 181652      VARGAS GREFA INES YOLANDA          1500429145001                                                    X
 210236      TAPUY NARVAEZ JAVIER ALBERTO       1500429491001                                                    X
 123392      GUAROCHICO MUÑOZ SEMIRA DEL ROCIO  1500430069001                                                    X
 192624      HEREDIA PAREDES FRANK MANUEL       1500431430001                                                    X
 141073      OCHOA AUCAY WILSON GENARO          1500431943001                                                    X
 159265      TRUJILLO ROMERO WILMER SALOMON1500432123001                                                         X
 148957      CHIRIBOGA ALVARADO OLGA BEATRIZ 1500433063001                                                       X
No                 No registra
                                                               No                    No registra   No
                                                                        No. registra                       registra      No.    indicadores
                                                             registra                provincia, registra
Persona_id               NOMBRE               No. ID (RUC)                 calle                           número      registra de ventas,
                                                             apellido                 cantón y   primer
                                                                         principal                         de calle     origen activos y/o
                                                             paterno                 parroquia nombre
                                                                                                           principal             empleados

 140266      ANDRADE HIDALGO MARIO FERNANDO1500433428001                                                      X
 107779      CERDA SHIGUANGO JUAN MOISES     1500434913001                                                    X
 218893      ALVARADO TANGUILA PEDRO JUAN    1500435324001                                                    X
 138421      CUEVA GARCIA MANUEL ALFREDO     1500436959001                                                    X
 262835      GARCES LLERENA CRISTINA OTILIA  1500440183001                                                    X
 173535      GORDON BERMELLO VICENTE EFRAIN 1500443625001                                                     X
 168275      MORENO ARAUJO OMAR DAMIAN       1500446487001                                                    X
 125670      YANEZ CASTILLO EDUARDO MESIAS 1500449176001                                                      X
 196569      CUÑAS QUISPE MARIA MAGDALENA    1500449762001                                                    X
 207735      CAYAMBE PADILLA LUIS VICENTE    1500450000001                                                    X
 270446      MOSCOSO CHILIQUINGA YADIRA ALEXANDRA
                                             1500450455001                                                    X
  94122      MOSCOSO CHILIQUINGA PAOLA ELIZABETH
                                             1500450463001                                                    X
 162210      TANGUILA ANDY MIRIAN MERCEDES 1500451446001                                                      X
 152968      GREFA MACANILLA ENRIQUE ANDRES 1500451669001                                                     X
 222084      AUCAY SIGUANZA EVA GIOCONDA     1500452584001                                                    X
  47021      YEPEZ JURADO MARCO VINICIO      1500453772001                                                    X
 246075      MOSCOSO CALLE OLGA YOLANDA      1500453889001                                                    X
 194249      UQUILLAS ESPINOSA BRYAN MARCEL 1500454713001                                                     X
 131783      IBARRA CORDOVILLA JUAN CARLOS 1500455850001                                                      X
 153972      CERDA MAMALLACTA MARIO GABRIEL 1500456510001                                                     X
 216641      GUEVARA RODRIGUEZ LAURIANO EUSEBIO
                                             1500457278001                                                    X
 173652      BOSQUEZ RODRIGUEZ ANGELA NOHEMI 1500457401001                                                    X
  93729      ZABALA PARRA EDISON WILFRIDO    1500457682001                                                    X
 253258      ESPINOZA MAZA MARTA PEREGRINA 1500458870001                                                      X
 175300      PEÑAFIEL MEZA ARNULFO VINICIO   1500460546001                                                    X
 217107      GREFA SALAZAR GLORIA ROSA       1500460702001                                                    X
 136471      CAMPOS ALVARADO OLMEDO JUAQUIN  1500462369001                                                    X
 137289      ORACO GUALINGA INOCENCIO        1500466063001                                                    X
 126237      SILVA BUCHELI NARDA ROSANA      1500466824001                                                    X
 111905      PEÑA VILLARROEL HUGO OLIMPO     1500468010001                                                    X
 124599      CERDA AGUINDA OLGA ELVIRA       1500469422001                                                    X
No                 No registra
                                                               No                    No registra   No
                                                                        No. registra                       registra      No.    indicadores
                                                             registra                provincia, registra
Persona_id               NOMBRE               No. ID (RUC)                 calle                           número      registra de ventas,
                                                             apellido                 cantón y   primer
                                                                         principal                         de calle     origen activos y/o
                                                             paterno                 parroquia nombre
                                                                                                           principal             empleados

  76859      YAGUANA VASQUEZ FERNANDO PATRICIO
                                             1500469745001                                                    X
  90252      HERRERA ESPIN VERONICA GERALDINE1500469778001                                                    X
 186073      SHIGUANGO VARGAS ASENCIO GERMAN 1500471535001                                                    X
 200324      AGUINDA COQUINCHE WILIAN DANIEL 1500472186001                                                    X
 227422      AYALA VACA JUAN LEONARDO        1500472251001                                                    X
 151163      GREFA AGUINDA JOSE HUMBERTO     1500473440001                                                    X
   9131      SHIGUANGO VARGAS EFRAIN PATRICIO1500473754001                                                    X
 256252      ALVARADO GREFA EFRAIN EUSEBIO 1500475114001                                                      X
 146204      BOSQUEZ LOMBEIDA DUVAL ADALBERTO1500475171001                                                    X
 132586      CHIMBO MAMALLACTA JUAN FELIPE 1500477169001                                                      X
 142002      ALBAN VALLEJO CARMEN SUSANA     1500478431001                                                    X
 249321      VILLAFUERTE JEANETH YOLANDA     1500479744001                                                    X
 208747      VASQUEZ VARELA LENY MARISOL     1500480189001                                                    X
 198587      SHIGUANGO VARGAS NELSON KLEVER  1500483043001                                                    X
 217263      CHONGO GREFA EFRAIN OCTAVIO     1500484025001                                                    X
 172772      GREFA TANGUILA LOURDES ESTHER 1500484074001                                                      X
 262135      LEDESMA TORRES JACKELINE ALEXANDRA
                                             1500484447001                                                    X
 215509      HUATATOCA TAPUY MARIO ALFONSO 1500485709001                                                      X
 122901      YUGCHA CALAPAQUI MARIO HERNAN 1500486269001                                                      X
 215748      AROCA SALTOS CARLOS HUMBERTO 1500486657001                                                       X
 160047      YUMBO CHONGO ALFREDO CESAR      1500486723001                                                    X
  75063      TROYA CHACON HUGO MANUEL        1500487291001                                                    X
 213999      ORTEGA CASTRO LUIS ERNAN        1500488117001                                                    X
 185128      TAIPE QUISPE JAIME WASHINGTON   1500488505001                                                    X
 181907      LARA CHERREZ DANIS MAYURI       1500488703001                                                    X
 182528      LICUY ANDI CARLOS GONZALO       1500489263001                                                    X
 189636      CHICAIZA TAPUY MARIA WILMA      1500489800001                                                    X
 264065      YANGUEZ PAPPA HUGO IBAN         1500491053001                                                    X
 202875      CARDONA RAMIREZ CELIA DEL ROCIO 1500491186001                                                    X
 150129      TAPIA FRAY WILLIAM VICENTE      1500491681001                                                    X
 130697      CUEVA VELEZ WILMAN FRANCISCO    1500491905001                                                    X
No                 No registra
                                                               No                    No registra   No
                                                                        No. registra                       registra      No.    indicadores
                                                             registra                provincia, registra
Persona_id               NOMBRE               No. ID (RUC)                 calle                           número      registra de ventas,
                                                             apellido                 cantón y   primer
                                                                         principal                         de calle     origen activos y/o
                                                             paterno                 parroquia nombre
                                                                                                           principal             empleados

 169583      GREFA TAPUY EDGAR UTILVINO      1500492556001                                                    X
 262226      FLORES SARANGO ROSA NANCY       1500494628001                                                    X
 223244      VACA RODRIGUEZ JOSE FERMIN      1500494875001                                                    X
 239293      ZURITA VACA JAVIER ALEZANDER    1500495641001                                                    X
  40412      MORENO ESPIN ISABEL GARDEÑA     1500496953001                                                    X
 199167      TANGUILA NARVAEZ GLADIZ GLORIA 1500497126001                                                     X
 250211      LICUY GREFA FELIPE PABLO        1500497738001                                                    X
 142104      MAMALLACTA SHIGUANGO FRANKLIN HUMBERTO
                                             1500498264001                                                    X
 136367      ANDI GREFA RAUL GEOVANNY        1500500846001                                                    X
 211956      ANDRADE AGUILAR NESTOR OSWALDO  1500501422001                                                    X
  85509      SALAZAR ARIAS ELMER STEVEN      1500501968001                                                    X
 112798      JARAMILLO CORTEZ LELY ALEXANDER 1500504285001                                                    X
  33383      CABRERA RIOS WILSO YOVANY       1500505118001                                                    X
  38532      GREFA ASHANGA WILMA TANIA       1500505159001                                                    X
 145650      CAMPOVERDE CABRERA CARLOS ALBERTO
                                             1500506744001                                                    X
 175853      PAREDES LUZON SONIA ELIZABETH   1500507601001                                                    X
  40297      VERA VELEZ BEATRIZ ELVIRA       1500507981001                                                    X
 132590      SALAZAR GREFA RAMIRO BENJAMIN 1500508799001                                                      X
 146476      CORTEZ GUAYLLAS JHON SHANTY     1500510217001                                                    X
 109006      UQUILLAS ALVAREZ ROBERTO CARLOS 1500510605001                                                    X
 144951      CAHUATIJO NESTOR FREDI          1500512965001                                                    X
 147036      VACA RODRIGUEZ MARCO LENIN      1500513278001                                                    X
  94350      PASTUÑA AGUILAR ABRAHAN DAVID 1500513344001                                                      X
  25009      QUEZADA SANMARTIN SONIA ELIZABETH
                                             1500513369001                                                    X
  97510      VITERI LUCIO TOBIAS MAXIMILIANO 1500514300001                                                    X
 181920      PILLASAGUA ZAVALA WILLIAM ALBERTO
                                             1500514318001                                                    X
  98558      GUADALUPE AGUILAR KLEVER ALEJANDRINO
                                             1500514482001                                                    X
 191375      BOHORQUEZ CUEVA GIOVANA LUCIA 1500514706001                                                      X
 227266      ANDY LICUY ZULAY MARIA          1500515588001                                                    X
 219957      FLORES ANDY JUAN MANUEL         1500515851001                                                    X
 240334      SHIGUANGO CERDA GUSTAVO ALEJANDRO
                                             1500516172001                                                    X
No                 No registra
                                                               No                    No registra   No
                                                                        No. registra                       registra      No.    indicadores
                                                             registra                provincia, registra
Persona_id               NOMBRE               No. ID (RUC)                 calle                           número      registra de ventas,
                                                             apellido                 cantón y   primer
                                                                         principal                         de calle     origen activos y/o
                                                             paterno                 parroquia nombre
                                                                                                           principal             empleados

 260822      GUACHAMIN AGUINDA LUIS ENRIQUE 1500516693001                                                     X
 190821      BUENAÑO JARRIN DIEGO FABIO      1500518269001                                                    X
 262196      QUILUMBA TIPAN RENAN OLMEDO     1500518335001                                                    X
 138854      TAPUY SHIGUANGO NELSON RAUL     1500519473001                                                    X
  97258      BUENAÑO CASTILLO MARCIA VIBIANA 1500519838001                                                    X
 177937      URBINA VÁSCONEZ HERMES FABIÁN 1500520158001                                                      X
 142757      TROYA CHACON ANTONIO MARCELO 1500520794001                                                       X
 193520      LEMA CHICAIZA JAIME EFRAIN      1500521347001                                                    X
  87893      MORALES VEGA PRISCILA MARGOTH 1500521974001                                                      X
 168635      VARGAS SANMARTIN JANETH ROSALIA1500522527001                                                     X
  26796      CONDE ENRRIQUEZ DARWIN ARQUIMIDEZ
                                             1500522881001                                                    X
 110137      GREFA TANGUILA LEONARDO RAMIRO1500524531001                                                      X
 203427      SALAZAR MORA LUIS ALFREDO       1500525496001                                                    X
 232943      GREFA TANGUILA MANUEL ABELARDO1500526049001                                                      X
 276112      GREFA FERNANDO MARCELO          1500526056001                                                    X
 264657      ALVARADO LICUY HERMELINDA ROCIO1500526221001                                                     X
 151005      CUICHAN CHASIPANTA VILO MESIAS 1500526932001                                                     X
  30585      TINIZARAY LEÓN DIEGO FABRICIO   1500527153001                                                    X
 248201      YEPEZ CABRERA EVELYN GUISELLA 1500527260001                                                      X
 217132      ALCIVAR GOMEZ MARIA FERNANDA    1500529506001                                                    X
 164942      ETSA TSUINK KLEVER DAVID        1500530173001                                                    X
 272386      GREFA DAHUA ANGEL ALEJANDRO     1500530488001                                                    X
 193677      AGUILAR GUADALUPE OLGUER FILIMON1500531346001                                                    X
  50535      CARPIO MORENO JUAN ANTONIO      1500532872001                                                    X
 156682      PAREDES RON WILSON ANIBAL       1500532898001                                                    X
 264645      GUERRERO MEDINA WILSON NAPOLEÓN 1500532906001                                                    X
 274599      ARELLANO PEUDMA EDWING MARCELO  1500533433001                                                    X
 217786      AGUINDA TAPUY ABELARDO WASHINGTON
                                             1500533771001                                                    X
 206009      CORTEZ PARDO CARLOS ALONSO      1500535610001                                                    X
 130984      RIVADENEYRA SALAZAR HECKEL AUGUSTO
                                             1500536410001                                                    X
 219775      TONATO MARALES LUIS GUILLERMO 1500536964001                                                      X
No                 No registra
                                                                No                    No registra   No
                                                                         No. registra                       registra      No.    indicadores
                                                              registra                provincia, registra
Persona_id               NOMBRE                No. ID (RUC)                 calle                           número      registra de ventas,
                                                              apellido                 cantón y   primer
                                                                          principal                         de calle     origen activos y/o
                                                              paterno                 parroquia nombre
                                                                                                            principal             empleados

 210945      PADILLA SILVA DARWIN MEDARDO     1500537327001                                                    X
  71587      PEREZ ALVAREZ PATRICIO XAVIER    1500537418001                                                    X
 198633      BONILLA REMACHE PABLO MAURICIO 1500538200001                                                      X
  92596      VERA VERDUGA DAVID ANTONIO       1500539117001                                                    X
 269415      VINUEZA WILSON JOVANNY           1500539513001                                                    X
 231056      TOINGA GASITUA FREDDY RUBEN      1500540214001                                                    X
 104295      LEON TOAPANTA FLAVIO ARTURO      1500541295001                                                    X
  63700      VELASCO HARO JAIME BLADIMIR      1500541329001                                                    X
 142659      CHAVEZ GUACHAMBOZA FAUSTO MISAEL 1500541667001                                                    X
 123672      LOZADA LARA CHRISTIAN DANIEL     1500541998001                                                    X
 207323      PAREDES SANCHEZ ANA RAQUEL       1500543325001                                                    X
 244873      GUZMAN GUZMAN WASHINGTON PATRICIO1500543416001                                                    X
 135573      AJON SANDIEGO IRMA LOURDES       1500543515001                                                    X
 110317      LLERENA GREFA MARTHA JANNETH 1500544356001                                                        X
 166662      GONZALEZ TIPAN MARIA LUISA ELIZABETH
                                              1500546807001                                                    X
  78070      HIDALGO PILATAXI MARCO ANTONIO 1500547235001                                                      X
  18817      VILLA QUINATOCTE MANUEL SERAFIN 1500548746001                                                     X
 132120      VEGA GAVILANES CARLOS ALBERTO 1500548837001                                                       X
  27809      GRIJALVA ALVARADO KAROL ERNESTO  1500550163001                                                    X
 106008      GREFA LOPEZ DIANA ANABELA        1500550247001                                                    X
 225744      PULLUQUITÍN TONATO HUGO DANILO 1500551856001                                                      X
  95084      CLAVIJO AGUILAR PAULINA FERNANDA1500551955001                                                     X
 102172      VEGA ABARCA MIGUEL ANGEL         1500552656001                                                    X
 175358      NEIRA LALANGUI BERTHA YOLANDA 1500552763001                                                       X
 132782      ANDI TORRES CARLOS EDGAR         1500553688001                                                    X
 111990      CHIMBO NARVAEZ KLEVER HUMBERTO1500554223001                                                       X
 270755      SALINAS TANDAZO NANCI MARISOL    1500554769001                                                    X
 215546      MANCHAY CASTILLO JOSE LEONIDAS 1500555766001                                                      X
 163844      ZAMBRANO MEDINA ROSA AMPARO      1500556665001                                                    X
 272909      PAUKER JARAMILLO MARGARITA JHASMIN
                                              1500557572001                                                    X
 212283      PAPA MAMALLACTA RUBEN RAMIRO 1500558596001                      X            X                    X
No                 No registra
                                                               No                    No registra   No
                                                                        No. registra                       registra      No.    indicadores
                                                             registra                provincia, registra
Persona_id              NOMBRE                No. ID (RUC)                 calle                           número      registra de ventas,
                                                             apellido                 cantón y   primer
                                                                         principal                         de calle     origen activos y/o
                                                             paterno                 parroquia nombre
                                                                                                           principal             empleados

 251674      CRUZ SANMARTIN ANGEL DANILO     1500559008001                                                    X
 247561      TROYA ALVAREZ JACINTO MANUEL    1500559032001                                                    X
  21517      MONTOYA VILLEGAS JIMENA MORAIMA 1500559651001                                                    X
  84291      CHAVEZ VEGA JULIO ERNESTO       1500559685001                                                    X
  97362      LOPEZ GREFA EDWIN PATRICIO      1500559842001                                                    X
 223169      CLARKE MACINTYRE NEVAREZ INES ISAURA
                                             1500559990001                                                    X
 181798      MENA ARELLANO NELSON ANIBAL     1500561517001                                                    X
  85938      YEPEZ SARABIA AMELIA CARMELINA 1500562424001                                                     X
 236701      YUMBO CABRERA WILMA GERMANIA 1500562523001                                                       X
 144612      LÓPEZ MOSCOSO GREGORIO ANTONIO  1500564255001                                                    X
 106729      SALAS ARELLANO SHERMAN ROLANDO1500564800001                                                      X
 251597      GREFA MAMALLACTA ABDON ALFONSO  1500565971001                                                    X
  96966      CALI SARMIENTO MARLENE ELIZABETH1500566607001                                                    X
 128813      VIVAS VILLARREAL ELVIS ADRIAN   1500567720001                                                    X
  94314      TROYA CHACÓN IMELDA NARCIZA     1500567977001                                                    X
  44142      FREIRE PUNGUIL CLAUDIO RODRIGO 1500569635001                                                     X
 123729      ALVARADO AJON FEDERICO ENRIQUE 1500570393001                                                     X
 128387      SATAMA BALLESTEROS JOHNNY ADEMIR1500574254001                                                    X
 121069      ACOSTA ALBAN JULIA ELIZABETH    1500574593001                                                    X
 231757      ORTEGA BUENANO JUAN PABLO       1500574866001                                                    X
 210602      ALVARADO TANGUILA CARLOS ANDRES 1500576119001                                                    X
  27395      RUEDA VASCO LEO ROBERTO RENÁN 1500576598001                                                      X
 230701      GREFA AGUINDA FRANCISCO FAUSTO 1500577349001                                                     X
 184285      BASTIDAS FREIRE EDUARDO JUAN    1500577703001                                                    X
  97208      CERDA MAMALLACTA SANDRO ENRIQUE 1500578081001                                                    X
 219667      BENAVIDES ROMERO CELESTE MARIBEL DEL CARMEN
                                             1500578974001                  X            X                    X
 225549      ARIAS AHONA AMADA GUADALUPE     1500579196001                                                    X
  50492      INSUASTI PEREZ SUSY MARILYN     1500579469001                                                    X
 219766      ANDI GREFA GLADYS LEONOR        1500579519001                                                    X
  71571      TOAPANTA CALERO BETTY MARISABEL1500579584001                                                     X
 206965      PEREZ NUÑEZ DYMAS FREDDY        1500580160001                                                    X
No                 No registra
                                                                No                    No registra   No
                                                                         No. registra                       registra      No.    indicadores
                                                              registra                provincia, registra
Persona_id               NOMBRE                No. ID (RUC)                 calle                           número      registra de ventas,
                                                              apellido                 cantón y   primer
                                                                          principal                         de calle     origen activos y/o
                                                              paterno                 parroquia nombre
                                                                                                            principal             empleados

 216654      GALLO DUCHE XIMENA ROSANA        1500580772001                                                    X
 125677      TAPUY MAMALLACTA ADRIANA NELY 1500581911001                                                       X
 207159      VACA RODRIGUEZ EUDES LEONEL      1500582638001                                                    X
 236667      SANMIGUEL RODRIGUEZ DIEGO FABRICIO
                                              1500583487001                                                    X
 263617      CACERES CHACEZ MYRIAN ELIZABETH1500583495001                                                      X
  93848      ORNA CORRAL DAYRA VIVIANA        1500585375001                                                    X
 154687      VILATUÑA VALLE KARINA LIZETH     1500586043001                                                    X
 251007      AHOÑA SEGOVIA FAUSTO MARCELO 1500586084001                                                        X
 105558      RUÍZ ROSADO VÍCTOR MANUEL        1500587694001                                                    X
 187501      COQUINCHE ALVARADO MIGUEL ANGEL 500588569001
                                              1                                                                X
  75872      PALACIOS ALVAREZ VERONICA MARIA 1500588692001                                                     X
 114391      CABRERA LUZON RAFAEL MARCELO 1500589955001                                                        X
 202158      UQUILLAS QUINTEROS RUBEN EDMUNDO 1500590805001                                                    X
 159659      LEDESMA NIETO DARGUIN VICENTE 1500591977001                                                       X
  76228      SISA LLUMITAXI ANGEL GONZALO     1500592322001                                                    X
 108740      FLORES IBARRA CARLOS GONZALO     1500593239001                                                    X
 179093      OÑA CIFUENTES CRISTIAN JAIR      1500594393001                                                    X
 144207      VALDIVIESO MONTESDEOCA GALO RODRIGO
                                              1500594518001                                                    X
 154094      FIALLOS BARROSO JORGE ANTONIO 1500595416001                                                       X
 259242      AIGAJE PARION WASHINGTON BENJAMIN1500595515001                                                    X
 156551      TAPUY TAPUY JUAN CARLOS          1500595838001                                                    X
 179312      VEGA TROYA ISABEL GUADALUPE      1500599020001                                                    X
 137834      SIQUIGUA ANDI MARCO ANTONIO      1500599053001                                                    X
 155482      PANTOJA VINUEZA MIRIAN ELIZABETH 1500599244001                                                    X
 250536      IBARRA LOOR VICENTE ALEJANDRO 1500599475001                                                       X
  88687      CORTEZ PARDO JOSE ALDRUBAL       1500601370001                                                    X
 183404      SHIGUANGO SALAZAR CLEVER FEDERICO1500603087001                                                    X
 240686      VARGAS GREFA HUGO FREDY          1500603525001                                                    X
 171594      BARAHONA NARVAEZ MIRIAN CATALINA 1500608417001                                                    X
 123063      TAPUY AGUINDA DAVID CRISTOBAL    1500609852001                                                    X
 238088      QUINDE ULLOA ANITA CLEMENCIA     1500609985001                                                    X
No                 No registra
                                                               No                    No registra   No
                                                                        No. registra                       registra      No.    indicadores
                                                             registra                provincia, registra
Persona_id               NOMBRE               No. ID (RUC)                 calle                           número      registra de ventas,
                                                             apellido                 cantón y   primer
                                                                         principal                         de calle     origen activos y/o
                                                             paterno                 parroquia nombre
                                                                                                           principal             empleados

  80727      CATOTA ALOMOTO WILFRIDO         1500614423001                                                    X
 169465      CHIMBO AGUINDA ENRIQUE JACOBO 1500618317001                                                      X
  33964      ACOSTA CAÑARTE PAUL RODRIGO     1500618705001                                                    X
 187398      ROMERO VALDEZ KEVIN ANDRÉS      1500618747001                                                    X
 225195      ROMERO VALDEZ BRIAN ANDRÉS      1500618754001                                                    X
  35658      POVEDA NOVOA ALEX MARCELO       1500618937001                                                    X
  78351      PAREDES BARROSO MARIA ROSALIA 1500619109001                                                      X
  21779      VILLAVICENCIO CHAVEZ RAFAEL ADOLFO
                                             1500620016001                                                    X
 253713      ALVAREZ ROBLES RAMIRO DANIEL    1500620610001                                                    X
 174632      CALAPUCHA YUMBO GABRIEL IDER    1500621394001                                                    X
 125706      SHIGUANGO ALVARADO PAOLA ROCIO1500624794001                                                      X
 122805      MORALES VILLARROEL MARIO ISAAC 1500624885001                                                     X
 158151      GONZÁLEZ CHÁVEZ NELLY ALEXANDRA 1500625007001                                                    X
 267993      ORTIZ CALAPUCHA CAMILO GIOVANNY 1500625882001                                                    X
 152944      PAPA ALVARADO LUIS LEONIDAS     1500628316001                                                    X
 141394      ANDY ALVARADO HECTOR SAMUEL     1500633118001                                                    X
 225429      MINGA PILATAXI JUAN MIGUEL      1500633159001                                                    X
 240611      VARGAS NOA EUCLIDES CLAUDIO     1500634421001                                                    X
 115039      LOPEZ MONTERO DARIO XAVIER      1500637135001                                                    X
 176920      SILVA GUZMÁN NARCIZA DE JESUS   1500638190001                                                    X
 211023      ROSALES GUZMAN DARWIN STEVE     1500640071001                                                    X
 230015      CERDA TAPUY EFREN RAMIGIO       1500641780001                                                    X
 158675      COQUINCHE SIQUIHUA CESAR ALBERTO1500641863001                                                    X
 252437      VERDEZOTO FIGEROA ROBERTO HERNAN1500642622001                                                    X
 274517      GUAMAN LLULLUNA JOSE ERMEL      1500645757001                                                    X
  77300      VELASQUE UNAUCHO SEGUNDO DANIEL 1500646714001                                                    X
 242802      AVILES FLORES MARIA DE LOS ANGELES
                                             1500648587001                                                    X
 145992      VERA MORENO CARLOS IVAN         1500648686001                                                    X
 198931      VEGA CORDOVILLA SERGIO ALFREDO 1500649775001                                                     X
 216745      ALVARADO TANGUILA GILBERTO EFRAIN
                                             1500652415001                                                    X
 258690      MORAN CAMPOS SANDRA LILIANA     1500652472001                                                    X
No                 No registra
                                                               No                    No registra   No
                                                                        No. registra                       registra      No.    indicadores
                                                             registra                provincia, registra
Persona_id               NOMBRE               No. ID (RUC)                 calle                           número      registra de ventas,
                                                             apellido                 cantón y   primer
                                                                         principal                         de calle     origen activos y/o
                                                             paterno                 parroquia nombre
                                                                                                           principal             empleados

 220340      MINA ANGULO DARWIN YERFFENSON 1500652761001                                                      X
 203911      JARA FRIAS EDWIN VICENTE        1500653561001                                                    X
  80214      BOHÓRQUEZ CUEVA JAVIER          1500655087001                                                    X
 129000      PINCAY RON FRANKLIN GUSTAVO     1500655392001                                                    X
 186633      GREFA TANGUILA EDISON TEOFILO   1500656168001                                                    X
 235774      YUMBO ANDI DELIA LUCILA         1500656309001                                                    X
 243463      ALVARADO ANDI JORGE MAURICIO    1500656648001                                                    X
 268366      TAPUY GREFA ANGEL RODRIGO       1500658040001                                                    X
 234328      ALVAREZ VASSEROT JOSE LUIS      1500658909001                                                    X
 148698      BONILLA ABRIL TELMO ANDRES      1500659188001                                                    X
 179489      GRANIZO TORRES ALEX RICARDO     1500660939001                                                    X
 265719      TOAPANTA ESTRADA JOHANA DEL ROCIO
                                             1500660996001                                                    X
 230329      GREFA SALAZAR DAVID ABRAHAN     1500662109001                                                    X
 247252      JURADO SEVILLA DALTON DANILO    1500662703001                                                    X
  27908      VEGA DUEÑAS GERSON WILFRIDO     1500665482001                                                    X
 155102      GUEVARA VALDEZ NADIA ESTHER     1500666928001                                                    X
 233480      ANDRADE VELASTEGUI EDISON LEONARDO
                                             1500667512001                                                    X
  92654      ANDRADE VASQUEZ HENRY GONZALO 1500667918001                                                      X
 136394      VÁSCONEZ OCHOA DÉNISE ADRIANA 1500668122001                                                      X
  39182      NIETO GOMEZ CLAUDIA ARACELY     1500669146001                                                    X
 175589      GREFA MAMALLACTA LEONIDAS GILBERTO
                                             1500669567001                                                    X
  48282      SISA LLUMITAXI MARIA JOSEFINA   1500670367001                                                    X
 221051      HERRERA RAMOS ANGEL VICENTE     1500670920001                                                    X
 258294      ALVARADO TAPUY MAXIMILIANO HORLANDO
                                             1500671076001                                                    X
 218425      ALVARADO TANGUILA RAUL WILBRIDO 1500671761001                                                    X
 192121      ROMERO PEREZ CARLOS LENIN       1500675614001                                                    X
 151104      PAREDES RON AIDA VIVIANA        1500675630001                                                    X
 187702      ROSALES RODRIGUEZ NIGGER JAVIER 1500676083001                                                    X
 275861      USHIÑA URAPARI REMIGIO ADRIAN   1500682354001                                                    X
  85028      ALVARADO GREFA SANDRA MARIBEL 1500683105001                                                      X
 255711      PEREZ CARRERA MERCEDES ALEXANDRA1500683113001                                                    X
No                 No registra
                                                               No                    No registra   No
                                                                        No. registra                       registra      No.    indicadores
                                                             registra                provincia, registra
Persona_id               NOMBRE               No. ID (RUC)                 calle                           número      registra de ventas,
                                                             apellido                 cantón y   primer
                                                                         principal                         de calle     origen activos y/o
                                                             paterno                 parroquia nombre
                                                                                                           principal             empleados

 237095      GREFA YUMBO SONIA LOURDES       1500683956001                                                    X
 220176      SHIGUANGO TANGUILA LASTENIA SENAIDA
                                             1500686439001                                                    X
 231544      RODRIGUEZ OCAMPO ANGEL RAMIRO 1500687189001                                                      X
 202500      GARZON LUCERO DARIO RENE        1500687288001                                                    X
 258947      GREFA SHIGUANGO JUAN CARLOS 1500687411001                                                        X
 187780      SHIGUANGO YUMBO SONIA MARGARITA 1500688732001                                                    X
 254808      TAPUY HUATATOCA MERY YULITZA    1500688948001                                                    X
  16758      MAMARANDI ZAMBRANO KARINA ALEXANDRA
                                             1500694789001                                                    X
 198446      GUALLI GUAMAN JUAN MOISES       1500698079001                                                    X
 208636      MACAS GARCIA JAIRON OSWALDO     1500704950001                                                    X
 267833      PARION PILCA JEANNETH LEONOR    1500705619001                                                    X
 251366      NOLE TELLO ELVIRA D             1500706419001                                                    X
 275100      CHASIPANTA VEGA LUIS FERNANDO 1500707003001                                                      X
 106212      ABAD ROJAS JOSE LEONIDAS        1500707771001                                                    X
 241423      NARVAEZ SHIGUANGO TELMO NIGER 1500708092001                                                      X
  83118      LEGUIZAMO UZHCA GUSTAVO JAVIER 1500710155001                                                     X
 245533      SARMIENTO LOJA JUAN MODESTO     1500710577001                                                    X
 167795      SHIGUANGO ALVARADO LIZANDRO LEANDRO
                                             1500712979001                                                    X
 180060      FREIRE MIRANDAA NELLY ALEXANDRA 1500716673001                                                    X
 188349      ANDI SHIGUANGO LUDWIN FERMIN    1500720899001                                                    X
 225944      GREFA ANDI SONIA NOHEMI         1500722960001                                                    X
 155080      TOAPANTA RAMIREZ LUIS FERNANDO 1500727001001                                                     X
 243777      LICUY TANGUILA DINORA SOLEDAD   1500735855001                                                    X
 170520      MONCAYO BASURTO CARMEN LEONOR   1500736978001                                                    X
 217730      GREFA SHIGUANGO CARLOS PATRICIO1500739097001                                                     X
 259113      MEDINA GUEVARA DORIS ISABEL     1500739139001                                                    X
 168625      ALVARADO ANDI FREDY LUIS        1500739303001                                                    X
 259383      ALVARADO HUATATOCA ANA BEATRIZ 1500739899001                                                     X
 191278      VEGA GUANOCHANGA HERNAN FRANKLIN1500740947001                                                    X
 137297      ROJAS ESCANDON JUAN DIIEGO      1500743727001                                                    X
 120506      CEVALLOS URBINA RUBI JAZMIN     1500748007001                                                    X
No                 No registra
                                                               No                    No registra   No
                                                                        No. registra                       registra      No.    indicadores
                                                             registra                provincia, registra
Persona_id               NOMBRE               No. ID (RUC)                 calle                           número      registra de ventas,
                                                             apellido                 cantón y   primer
                                                                         principal                         de calle     origen activos y/o
                                                             paterno                 parroquia nombre
                                                                                                           principal             empleados

 208597      HARO VANES FRANCISCO ALFONSO 1500751084001                                                       X
 173376      BAQUIS CASTILLO DEBORA VERONICA 1500752280001                                                    X
 114859      LLERENA SANMARTIN SHEYLA ALEXANDRA
                                             1500754484001                                                    X
 277738      TANGUILA VARGAS MARIA JACKELINE 1500756273001                                                    X
 275229      NAVEDA GOMEZ ORLANDO DANILO     1500756836001                                                    X
 217497      LICUY BALSECA NURI MARICELA     1500759897001                                                    X
 188335      MANTILLA PEREZ CARLA VANESSA    1500761976001                                                    X
 153941      ZURITA CEVALLOS GABRIELA ALEXANDRA
                                             1500762149001                                                    X
 128540      TIXI OJEDA GLORIA MARISELA      1500762651001                                                    X
 119671      ANDI TANGUILA ELISA DOROTEA     1500763394001                                                    X
 135544      PAPA HUALINGA ELSA MARIELA      1500772882001                                                    X
  91531      CASUAL ORDOÑEZ MARTHA MAGDALENA 1500776362001                                                    X
 267872      GREFA TUNAY RAFAEL CLEVER       1500778160001                                                    X
 241604      YUMBO GREFA JILMA ISABEL        1500779606001                                                    X
 210202      TAPUY GREFA DARWIN WALTER       1500779887001                                                    X
 192777      CASTILLO ALVAREZ FRANCISCO ANTONIO
                                             1500780257001                                                    X
 137380      AVILES NARVAEZ ROSA GENOVEVA    1500781743001                                                    X
 269411      OJEDA RAMOS VIVIANA LEONOR      1500782386001                                                    X
 243857      DOMINGUEZ ESPINOSA MARIO JIOVANNY
                                             1500782527001                                                    X
 173322      CAYAMBE VARGAS FAUSTO KLEVER 1500786031001                                                       X
 128735      BONILLA ABRIL EDITA CRISTINA    1500787120001                                                    X
 266559      VILLAGRAN ALVAREZ LEIDI CLARA   1500787559001                                                    X
 246033      MARTINEZ SANCHEZ LUIS CARLOS    1500789142001                                                    X
 272821      DIAZ IGLESIAS DIANA PATRICIA    1500794738001                                                    X
 230676      ASHANGA SHIGUANGO JANETH ALEJANDRINA
                                             1500799398001                                                    X
 247142      MENDOZA TOAPANTA MARIO RODRIGO1500800832001                                                      X
 170560      SHIGUANGO ANDY PEDRO SIMÓN      1500808991001                                                    X
 268490      TORRES BETANCOURT JONATHAN DANIEL
                                             1500812787001                                                    X
 190111      PAGUAY GAIBOR JUAN CARLOS       1500816549001                                                    X
 266109      YUMBO GREFA CELIA KARLA         1500819063001                                                    X
 139274      QUIDSAHUANO CUMBAL NELY ROSA 1500819634001                                                       X
No                 No registra
                                                               No                    No registra   No
                                                                        No. registra                       registra      No.    indicadores
                                                             registra                provincia, registra
Persona_id              NOMBRE                No. ID (RUC)                 calle                           número      registra de ventas,
                                                             apellido                 cantón y   primer
                                                                         principal                         de calle     origen activos y/o
                                                             paterno                 parroquia nombre
                                                                                                           principal             empleados

 200832      SHIGUANGO TANGUILA DINA JUDITH 1500821564001                                         X
 236023      CRIOLLO HIDALGO VICTOR HUGO     1500822232001                                        X
 256203      CERDA SHIGUANGO MARJORIE DALVA 1500832041001                                         X
 247586      MARTINEZ RIVADENEYRA KLEVER ROBERTO
                                             1500838881001                                        X
 139085      TANGUILA SHIGUANGO JAIME FERNANDO
                                             1500839350001                                        X
 230706      RIVADENEYRA ZURITA ERIKA MISHEL 1500840945001                                        X
 238637      VELASCO SARANGO CHRYSTIAN VELASCO
                                             1500844640001                                        X
 229839      JAIME VARVAJAL NORBERTO EDISON 1500847338001                                         X
 234758      URAPARI CALAPUCHA FREDY FIDEL   1500860901001                                        X
 149983      CHIMBO CHIMBO RICHAR BLADIMIR   1500865314001                                        X
  97635      LLANDA FIALLOS CESAR JAVIER     1500875321001                                        X
 140940      TANGUILA ANDI DARWIN EUSEBIO    1500875339001                                        X
 202172      ANDI GREFA JHONY PAUL           1500881303001                                        X
 199582      LICUY GREFA ANGEL BEJAMIN       1500886740001                                        X
 241461      IZA PILOSO CLAUDIA ELIZABETH    1500889504001                                        X
 142076      TAPUY MORETA SANDY NARCISA      1500891724001                                        X
 208907      CHIMBO CHIMBO HENRRY PATRICIO 1500898505001                                          X
 275921      YUMBO OCHOA EVELYN YAJAIRA      1500901143001                                        X
 204806      GALARZA LUNA LIGIA ELENA        1500928021001                                        X
 233278      CELIN YUMBO EDISON FERNANDO     1500929755001                                        X
 191849      GAONA SEVERINO ROCÍO CRISTINA   1500956071001                                        X
 277533      QUISAHUANO CUMBAL HENRY FABIAN 1500975519001                                         X
 216174      ESPIN NIETO GIOMARA AMPARO      1501043317001                                        X
  36599      MUNICIPIO DE TENA               1560000270001            X                           X                X
  26057      VICARIATO APOSTÓLICO DE NAPO MISIÓN JOSEFINA
                                             1590001089001                                        X
 193055      COOPERATIVA DE TRANSPORTE EN TAXI EN CAMIONETAS DOBLE CABINA Y/O AUTOMOVIL TIPO SEDANX
                                             1590003863001                                        AUCA LIBRE
 124969      CENTRO AGRICOLA DEL CANTON TENA 1590016175001                                        X
 198939      COOPERATIVA DE TRANSPORTE EN TAXI AUTOMOVILES TIPO SEDAN Y/O CAMIONETAS DOBLE CABINA X
                                             1590016922001                                        "JOYA DE LOS SACHAS"
 250798      FUNDACIÓN SALUD AMAZÓNICA       1590017392001                                        X
 273955      GRAN SUMACO S.A. TRANSPORTE INTERPROVINCIAL DE PASAJEROS EN RANCHERAS Y BUSES
                                             1590017821001                                        X
 120279      CENTRO AGRICOLA CANTONAL DE ORELLANA
                                             1590018461001                                        X
No                 No registra
                                                             No                    No registra   No
                                                                      No. registra                       registra      No.    indicadores
                                                           registra                provincia, registra
Persona_id              NOMBRE              No. ID (RUC)                 calle                           número      registra de ventas,
                                                           apellido                 cantón y   primer
                                                                       principal                         de calle     origen activos y/o
                                                           paterno                 parroquia nombre
                                                                                                         principal             empleados

  75729      COMPANIA DE CAMIONES CIUDAD DE TENA C.A.
                                             1591701424001                                    X
 271730      ASOPASH                         1591702668001                                    X
  64085      ARALUCE CALDERIUS JOEL DE JESUS 1591703001001                                    X
  61688      CONSTRUCCIONES, MAQUINARIAS Y SERVICIOS YANOUCH Y CIA "COMASEY Y CIA"
                                             1591703192001                                    X
 136097      COMUNIDAD KICHWA ÑUCANCHIK ALLPA DE KANAMBU
                                             1591703257001                                    X
  96418      MICRO EMPRESA VIAL ANTISANA     1591703834001                                    X
 221845      SORIA CARERA SERVISANITAS Y CIA 1591704318001                                    X
  39920      CONSTRUCTORA RHON & RHON Y CIA TECNICOS RECONSTRUCTORES DE EQUIPOS Y CONSTRUCCIONX CAMINOS TRECA Y CIA
                                             1591704415001                                    DE
  78969      ASOCIACIÓN DE CONSERVACIÓN VIAL EL CHACO
                                             1591704636001                                    X
  82039      ASOCIACIÓN DE CONSERVACIÓN VIAL LA VIRGEN DEL GUACAMAYO
                                             1591704644001                                    X
  78979      ASOCIACIÓN DE CONSERVACIÓN VIAL EL SALADO
                                             1591704652001                                    X
 187711      CENTROETNOAGROECOLOGICOTAMIAYURA1591704733001                                    X
  57469      COMPAÑIA PEREZ FLORES CONSTRUCTORA CIA. LTDA.
                                             1591705373001                                    X
 247161      PARRA GOMEZ MIGUEL EDUARDO      1591705934001                                    X
 153376      ASOCIACIONES DE DESARROLLO INTEGRAL JUNTA CAMPESINA DE NAPO
                                             1591706337001                                    X
 158416      CONSTRUCTORA AMAZONICA CIA & SERVICIOS
                                             1591706345001                                    X
 197634      COMPAÑIA DE TRANSPORTES KICHWAS DE NAPO CONTRAKIN S.A.
                                             1591706477001                                    X
 199047      COMUNIDAD KICHWA CAMPO COCHA 1591706523001                                       X
 214035      MARIO ANDRADE CONSTRUCCIONES CIA. LTDA.
                                             1591706566001                                    X
 207245      COMPAÑIA DE TRANSPORTE PESADO TRANS RUEDA VASCO Y VALLE Y COMPAÑIA
                                             1591706590001                                    X
 212410      SERVICIOS GENERALES EL CHACO SERVIELCHACO S.A.
                                             1591706604001                                    X
 237499      CABRERA CASTRO CRUZ Y COMPAÑIA 1591706876001                                     X
 275547      CONSTRUCCIONES CIVILES ANDRADE VEGA Y COMPAÑIA
                                             1591707244001                                    X
 275563      COMUNIDAD KICHWA SINCHI PURA    1591707252001                         X          X      X
 190325      LEON CAMPAÑA OLGA MARIA         1600003964001                                    X
 262489      GAIBOR LEDESMA GILBER ADOLFO    1600004780001                                    X
 211629      ULLOA PEREZ HERNANDO ADGILBERTO 1600004855001                                    X
  46862      MUNICIPIO DE SIGSIG             1600008600011             X                      X              X
 198046      ESPINOZA PUGA LUIS MARCELO      1600009680001                                    X
 161615      VIERA VELASCO GLORIA ESMERALDA 1600010647001                                     X
  27670      ZUNIGA GOMEZ SEGUNDO BOLIVAR 1600011868001                                       X
No                 No registra
                                                                No                    No registra   No
                                                                         No. registra                       registra      No.    indicadores
                                                              registra                provincia, registra
Persona_id               NOMBRE                No. ID (RUC)                 calle                           número      registra de ventas,
                                                              apellido                 cantón y   primer
                                                                          principal                         de calle     origen activos y/o
                                                              paterno                 parroquia nombre
                                                                                                            principal             empleados

  73477      UNIVERSIDADDECUENCA             1600012400011                                                     X
 107530      LEON VILLACIS HUMBERTO GUSTAVO 1600015083001                                                      X
 201890      LEON MORALES COSME HIPOLITO     1600015349001                                                     X
  28889       GLORIA                         1600015737001                                                     X
  29687      TOALA TOALA JONÁS EMILIANO      1600018491001                                                     X
  43416      FODI CNH                        1600019100011                   X                                 X                      X
  42154      MUNICIPIO DE EL PAN             1600020500011                   X                                 X                      X
  43938      PERE LARA MARIO AUGUSTO         1600022477001                                                     X
 105990      PEREZ NARANJO OSWALDO NESTOR 1600023848001                                                        X
 238234      PAREDES ESCOBAR GLORIA MARIA 1600025215001                                                        X
 113834      BRITO ROBLES CRISTOBAL TRAJANO 1600027740001                                                      X
  47115      MORANTE PAREDES VICTOR HUGO     1600028656001                                                     X
 200918      VACA ESPINOZA CARLOS HUMBERTO 1600029084001                                                       X
  73981      LUGO VILLACRES CLEOTILDE        1600031353001                                                     X
  42432      SARMIENTO CALLE CESAR AUGUSTO 1600032344001                                                       X
  98570      GUEVARA VILLARROEL CLAUDIO      1600033862001                                                     X
 196181      RIOFRIO NUÑEZ CARLOTA GLADIS    1600034803001                                                     X
  73268      GONZÁLEZ JARAMILLO LILIANA RAQUEL 600035552001
                                             1                                                                 X
 163307      GUILLEN HERRERA ARGELIA LETICIA 1600038390001                                                     X
 193725      ESPIN SILVA FAUSTO HERIBERTO    1600040644001                                                     X
  55322      MAYORGA PAREDES SENAIDA ANGELICA1600042434001                                                     X
 237340      VARGAS VILLALVA ROMULO          1600044323001                                                     X
 219701      VILCACUNDO TOAPANTA GLORIA BEATRIZ
                                             1600045924001                                                     X
  76086      RAMIREZ INMUNDA SEGUNDO HUDSON  1600047227001                                                     X
  80288      BARRAGAN TAPIA IBES MAXWEL      1600047433001                                                     X
 110294      NAVARRETE SANCHEZ LUIS ERNESTO 1600050619001                                                      X
 224158      ILLANES VARGAS CARLOS GABRIEL   1600054066001                                                     X
 189976      PICO MORENO HUMBERTO HELEODORO  1600061160001                                                     X
 153492      GARCES YANEZ GLADYS MAGDALENA 1600062242001                                                       X
 196516      HIDALGO BENAVIDES NESTOR GABRIEL1600063653001                                                     X
 103570      VACA VALLE SEGUNDO JOAQUIN ALONSO
                                             1600064057001                                                     X
No                 No registra
                                                               No                    No registra   No
                                                                        No. registra                       registra      No.    indicadores
                                                             registra                provincia, registra
Persona_id               NOMBRE               No. ID (RUC)                 calle                           número      registra de ventas,
                                                             apellido                 cantón y   primer
                                                                         principal                         de calle     origen activos y/o
                                                             paterno                 parroquia nombre
                                                                                                           principal             empleados

 251398      BARROS HIDALGO MARÍA ISABEL     1600064651001                                                    X
 225610      LARREA JORGE ENRIQUE            1600067225001                                                    X
 214866      SANTOS LEÓN MARCIA AZUCENA      1600067530001                                                    X
  40495      JOSÉ                            1600069114001                                                    X
  84137      TUSTON LOPEZ SIXTO BLADIMIRO    1600069866001                                                    X
  51733      BARRERA PAREDES LIDIA TERESA    1600071763001                                                    X
  96039      HERNANDEZ YUQUILEMA LUIS FELIPE 1600072852001                                                    X
 231518      CARDENAS CARDENAS JOSE MANUEL 1600073314001                                                      X
 221991      FREIRE FLORES SEGUNDO FRANCISCO 1600073777001                                                    X
  79329      PEREZ BONILLA JOSE              1600075095001                                                    X
 274039      SALAZAR GUATATUCA GLADIS        1600076218001                                                    X
 137485      HUATATOCA COQUINCHE ANTONIO FRANCISCO
                                             1600076374001                                                    X
 153995      AGUIRRE GUAMAN CHA KRABARTY     1600080574001                                                    X
 220764      LESCANO PEREZ LUZ MELIDA        1600081507001                                                    X
  32506      PITA PILAY GREGORIO HUMBERTO    1600081713001                                                    X
 220041      TAPUY VARGAS GONZALO GALO       1600082984001                                                    X
 169604      MIÑO MIÑO MARCELO MARCIAL       1600083156001                                                    X
  28005      TAMAYO AMORES GUIDMON EDMUNDO   1600083909001                                                    X
 155125      VILLACRESES SILVA JUAN BAUTISTA 1600086050001                                                    X
 119214      HERRERA ACES JOSE ANTONIO       1600086506001                                                    X
 122047      ROSERO ZURITA HERNAN VICENTE    1600086647001                                                    X
  39766      TAMAYO MEJIA MARCO VINICIO      1600086779001                                                    X
 180445      MOYON SANI ROSA DORILA          1600087355001                                                    X
  68769      ESPIN TERAN ZOILA INEZ          1600087389001                                                    X
 213602      HERRERA SÁNCHEZ PEDRO EDUARDO1600094500001                                                       X
 237358      MORALES SANCHEZ JOSE HERNAN     1600094831001                                                    X
  80052      CAMPOS JIMENES JOSE ANGELINO    1600095374001                                                    X
 270263      ESCOBAR VILLARROEL MERCEDES MARGOTH
                                             1600095572001                                                    X
  41175      ESCOBAR HIDALGO JESUS EMILIANO 1600095747001                                                     X
 119693      CASTRO VILLAGOMEZ PLUTARCO RODRIGO
                                             1600095804001                                                    X
  90205      PALACIOS FERNÁNDEZ LEONIDAS MARCELO
                                             1600096067001                                                    X
No                 No registra
                                                               No                    No registra   No
                                                                        No. registra                       registra      No.    indicadores
                                                             registra                provincia, registra
Persona_id               NOMBRE               No. ID (RUC)                 calle                           número      registra de ventas,
                                                             apellido                 cantón y   primer
                                                                         principal                         de calle     origen activos y/o
                                                             paterno                 parroquia nombre
                                                                                                           principal             empleados

  96812      AGUILAR CARRION JENNY DEL CARMEN1600097552001                                                    X
  11700      SEGUNDO                         1600097990001                                                    X
  39346      CÁRDENAS NAVAS RAÚL FRANCISCO 1600098055001                                                      X
 213300      YUCAILLA VILLARES NELSON TRAJANO1600099871001                                                    X
 209824      PANATA GAIBOR SEGUNDO GUSTAVO 1600100240001                                                      X
  31117      AGUIRRE BARRIGA MESIAS ALBERTO 1600100588001                                                     X
 120270      MANOSALVAS CASTILLO JAIME ENRIQUE
                                             1600100844001                                                    X
 103528      SOLIS ZUÑIGA NELLY REBECA       1600102253001                                                    X
  40663      VILCACUNDO YUCCHA LUIS ALBERTO 1600102444001                                                     X
  25492      MARTINEZ ARIZAGA JAIME TEODORO 1600102592001                                                     X
  85443      VELASCO BENAVIDES POLA FELICIDAD1600102782001                                                    X
 212215      POZO MEDINA NESTOR GUSTAVO      1600102980001                                                    X
 182661      QUEZADA NARANJO JAIME EDUARDO 1600106221001                                                      X
  51694      CAMPOS JIMENEZ LUIS GONZALO     1600107377001                                                    X
 175468      SAQUINGA CHICAIZA GABRIEL       1600107617001                                                    X
 181567      CRUZ CORDOVA AGEDIA LUZMILA     1600108094001                                                    X
  11771      AGUA PURIFICADA MANGAYACU       1600109753001                                                    X
 146677      MAYANSHIA ANDI JUAN JOSE        1600110421001                                                    X
 170219      CASTRO LOPEZ FIDEL WILFRIDO     1600110520001                                                    X
 248340      AGUINDA SANTI ZOILA VICTORIA    1600110959001                                                    X
  30564      MALIZA VASQUEZ CARLOS ALEJADRO 1600111858001                                                     X
 278976      DURAN HERRERA LIGIA LAURA       1600112153001                                                    X
 113211      NAVEDA CASTRO NELSON TARQUI     1600112609001                                                    X
  86002      GUSQUI INMUNDA AIDA CONSUELO    1600113243001                                                    X
 133602      FERNANDEZ COBO FERNANDEZ EDWIN  1600114183001                                                    X
  58041      BRAVO MORENO ELVIA CUMANDA      1600116808001                                                    X
  55602      TORRES MANZANO CARLOS ALFREDO   1600117202001                                                    X
 107320      TOBANDA MORA LUIS ALFREDO       1600117988001                                                    X
 122377      CARDENAS INCA TERESA DE JESUS 1600118291001                                                      X
 132656      BUENAÑO PICO LUIS GUSTAVO       1600118978001                                                    X
  34175      SOTOMAYOR ESTRELLA BLADIMIR EVERLY
                                             1600119232001                                                    X
No                 No registra
                                                               No                    No registra   No
                                                                        No. registra                       registra      No.    indicadores
                                                             registra                provincia, registra
Persona_id               NOMBRE               No. ID (RUC)                 calle                           número      registra de ventas,
                                                             apellido                 cantón y   primer
                                                                         principal                         de calle     origen activos y/o
                                                             paterno                 parroquia nombre
                                                                                                           principal             empleados

 135219      CAMACHO CUEVA BYRON EFRAIN      1600119943001                                                    X
 198856      MENA SANCHEZ LUIS RAMIRO        1600120735001                                                    X
 176668      COLOMA PARREÑO MARÍA TERESA     1600121105001                                                    X
  48504      CAICEDO RAMOS LIDIA CAROLINA    1600121741001                                                    X
  36589      GUEVARA LLERENA LUIS GONZALO    1600122129001                                                    X
  98707      HERNANDEZ YUQUILEMA GUILLERMO ALFREDO
                                             1600122178001                                                    X
 271020      QUEZADA NARANJO SERGIO OLMEDO 1600122913001                                                      X
  32601      WARUSHA ATSUTA CARLOS SANTIAGO  1600123549001                                                    X
  61252      MONTERO LLERENA NELLY DEL CARMEN1600124604001                                                    X
 273607      GUATATOCA VARGAS RUPERTO RODRIGO1600124653001                                                    X
  56316      TAMAYO ALVAREZ FABIAN GEOVANNI 1600127284001                                                     X
 218397      VALVERDE JESUS AMABLE           1600127359001                                                    X
  96651      MORENO CÁRDENAS FREDY HERIBERTO 1600128845001                                                    X
 126783      SANI INGA LUIS                  1600129280001                                                    X
 172263      LARA MATA RAUL RAMIRO           1600129918001                                                    X
 262703      MEZA ARCOS LUIS OLGER           1600131872001                                                    X
  48784      GUACHO CALDERON ROSA ELVIRA     1600132607001                                                    X
 154120      VARGAS VICENTE ANTONIO          1600132698001                                                    X
 222253      ILLANES ILLANES GREY GABRIEL    1600133118001                                                    X
 214907      ANDY SHIGUANGO JOEL FILIMON     1600134306001                                                    X
 188637      MACHADO CHAVEZ COSME DAMIAN     1600144933001                                                    X
 130745      SALAZAR GUATATUCA INES          1600145807001                                                    X
 220352      SÁNCHEZ FREIRE EULOGIA IBETH DEL1600146276001
                                              ROCÍO                                                           X
 208207      MENA CARDENAS JORGE GONZALO 1600146797001                                                        X
  21508      CHUQUIRIMA NARVAEZ SACRAMENTO FABIAN
                                             1600146946001                                                    X
 140347      AGUAYSA MARCALLA SEGUNDO EFRAIN600147076001
                                             1                                                                X
  45582      ESPIN SALINAS LUIS GONZALO      1600147159001                                                    X
 270258      ESCOBAR MEDINA WILLIAM NEPTALI 1600147381001                                                     X
 205998      PEREZ TIXE HOLGER FILADELFO     1600147480001                                                    X
  21471      GARCIA MANZANO EDWING PATRICIO 1600147563001                                                     X
  14731      ING. HECTOR CEDEÑO              1600147647001                                                    X
No                 No registra
                                                               No                    No registra   No
                                                                        No. registra                       registra      No.    indicadores
                                                             registra                provincia, registra
Persona_id               NOMBRE               No. ID (RUC)                 calle                           número      registra de ventas,
                                                             apellido                 cantón y   primer
                                                                         principal                         de calle     origen activos y/o
                                                             paterno                 parroquia nombre
                                                                                                           principal             empleados

  92035      CISNEROS RUIZ JUANA ELVIRA      1600148579001                                                    X
 172766      SILVA MERINO LIGIA ESTHELA      1600148710001                                                    X
 143632      PAZ BARRERA LIVINO NEPTALI      1600149437001                                                    X
 151908      BASTIDAS VARGAS NANCY PIEDAD    1600151193001                                                    X
 184144      TAMAYO MEJÍA MARLENE INÉS       1600151219001                                                    X
 182220      SOLIS ZUÑIGA CESAR GENARO       1600151540001                                                    X
 137734      GONZALEZ SANCHEZ FAUSTO ERNESTO 1600152514001                                                    X
 155980      VACA CANDO MARIA DEL CARMEN     1600152555001                                                    X
 162888      ROBALINO PAZ WALTER ULVIO       1600153140001                                                    X
  60432      VACA MELÉNDEZ WASHINGTON MANUEL 1600154718001                                                    X
  98545      CEVALLOS CEVALLOS LUIS RODRIGO 1600154726001                                                     X
  86140      PULLUPAXI TUTILLO HUGO DARIO    1600155129001                                                    X
  56979      FREIRE POZO CARMEN YOLANDA      1600155293001                                                    X
 146320      VIMOS PALA MARTHA BEATRIZ       1600155301001                                                    X
 249102      GRANDA PENA LINDA ALICIA        1600155343001                                                    X
 100824      HERAS LUNA HERNÁN ELEUTERIO     1600155566001                                                    X
  69196      VASCONEZ FLORES JORGE EDISON 1600155673001                                                       X
 263236      PAREDES GAVILANES JOSUE ENRIQUE1600155764001                                                     X
  18973      LEON CASTILLO EDUARDO GUSTAVO 1600156937001                                                      X
 233833      JARRIN FREIRE ELJE ROMULO       1600157224001                                                    X
 224154      ILLANES ILLANES JOSE ANTONIO    1600158347001                                                    X
 273544      VARGAS MAYORGA FABIAN ESTUARDO1600159436001                                                      X
  71604      TOAPANTA REYEZ CESAR TRAJANO 1600159816001                                                       X
 126204      MARIÑO MARIÑO OLGER EDWIN       1600161572001                                                    X
  51387       NANCY                          1600161770001                                                    X
 156109      RODRIGUEZ REMIGIO               1600162497001                                                    X
  85237      ZUÑIGA FLORES SEGUNDO HERVIN 1600162752001                                                       X
 221006      PEREZ CAMPAÑA ALISSON KRUSHENKA 1600164774001                                                    X
 202065      AZQUI GALORA MARIA ROSARIO NELA 1600167298001                                                    X
 187335      VILLAFUERTE BARRIONUEVO ALFONSO FERNANDO
                                             1600167348001                                                    X
 192202      LLERENA MAZON MARIA ELENA       1600167439001                                                    X
No                 No registra
                                                               No                    No registra   No
                                                                        No. registra                       registra      No.    indicadores
                                                             registra                provincia, registra
Persona_id               NOMBRE               No. ID (RUC)                 calle                           número      registra de ventas,
                                                             apellido                 cantón y   primer
                                                                         principal                         de calle     origen activos y/o
                                                             paterno                 parroquia nombre
                                                                                                           principal             empleados

 188021      RODRIGUEZ VILLAVICENCIO EDWIN MARCELO
                                             1600173999001                                                    X
 202735      CRUZ VILLEGAS MESIAS HUMBERTO 1600174005001                                                      X
  26370      ESPIN SALINAS FRANCISCO MARIO   1600174278001                                                    X
 137207      RIVERA SILVA EDISON JOSE        1600174328001                                                    X
 140127      QUISPE CARRANZA NELSON ANTONIO 1600174831001                                                     X
 114296      BARBA CHAVEZ NORMA YOLANDA      1600175317001                                                    X
 160723      LOZA LESCANO WILLAM NIC         1600175358001                                                    X
 104796      NUÑEZ PAZMIÑO FREDDY RICARDO    1600175572001                                                    X
  86158      GARCES BORJA WILFRIDO EDMUNDO 1600176166001                                                      X
 243307      GARCÉS ESTACIO JOSE RAMIRO      1600176497001                                                    X
  61659      CAYAMBE CUBIÑA LUIS ALBERTO     1600176810001                                                    X
 173848      FREIRE PAREDES ALFONSO PATRICIO 1600176935001                                                    X
 133593      VELASCO PAZMIÑO LUIS JONAS      1600178626001                                                    X
  22127      CAJAS ROBALINO RUBEN DARIO      1600182180001                                                    X
  86480      BONILLA SILVA JOSE RUBEN        1600182347001                                                    X
 103379      CHUGCHO VALVERDE MARIA MAGDALENA1600182941001                                                    X
  93903      ORTIZ RIERA ANGEL GERMAN        1600183303001                                                    X
 243187      PARRA SALGUERO BETZABE AMALIA 1600183972001                                                      X
  72689      GAONA JIMENEZ ELSA MARIA        1600184228001                                                    X
 233085      ARAGÓN ARANDA MAURO WILFRIDO 1600184764001                                                       X
 229685      SANTAMARIA SANTI ANGEL MIGUEL   1600185977001                                                    X
  95266      ALVARADO SHIGUANGO GONZALO LEONIDAS
                                             1600186082001                                                    X
  43194      METAL MECANICA CARRILLO         1600187379001                                                    X
 103685      SOLIS ZUÑIGA LILIAN ENRIQUETA   1600187916001                                                    X
 100381      CHANGO VALENZUELA WILLIAM ROLANDO
                                             1600188179001                                                    X
 133441      LEON CAMPAÑA EDWIN MARCELO      1600188484001                                                    X
 103667      ROMERO COELLO LUCIO ROBERTO     1600189136001                                                    X
 133552      AGUILAR GARCIA GRECIA AURORA    1600189250001                                                    X
  88285      GOMEZ LOPEZ OSWALDO PATRICIO 1600191363001                                                       X
 201889      MUÑOZ MORALES JUDITH MARGOTH 1600191629001                                                       X
 243553      RIVERA CASCO LUIS VICENTE       1600191694001                                                    X
No                 No registra
                                                               No                    No registra   No
                                                                        No. registra                       registra      No.    indicadores
                                                             registra                provincia, registra
Persona_id               NOMBRE               No. ID (RUC)                 calle                           número      registra de ventas,
                                                             apellido                 cantón y   primer
                                                                         principal                         de calle     origen activos y/o
                                                             paterno                 parroquia nombre
                                                                                                           principal             empleados

  14508      FERNANDO PROANO                 1600191736001                                                    X
 225736      BALSECA BARREROS ZOILA MARIA    1600191801001                                                    X
 147224      JIMENEZ ROBALINO LUCILA ISABEL  1600192106001                                                    X
 129076      VALENCIA FLORES GARDENIA ESPERANZA
                                             1600193161001                                                    X
 140295      MORETA PEÑA LUIS FABIAN         1600193443001                                                    X
  16064      MEDINA CASTILLO GALO IVAN       1600193658001                                                    X
 234082      FREIRE ESPINOZA RUTH MARGOTH    1600193989001                                                    X
 205907      ANDI SANTI EDWIN FIDEL          1600195364001                                                    X
  35127      MONTUFAR CAMACHO IBOR JAVIER    1600195612001                                                    X
  92050      PAGUAY QUISHPE JORGE WASHINGTON 1600195919001                                                    X
  87058      CARRILLO MAYORGA WILMA JANETH 1600198202001                                                      X
  18690      REAL NUNEZ EMITH ELIZABETH      1600198426001                                                    X
 141207      FACONDA SILVA HERNAN CRISOSTOMO 1600199184001                                                    X
  19482      GÓMEZ HUALPA EDWIN BAYARDO      1600199283001                                                    X
 176478      SEVILLA LARA GALO ALFREDO       1600199648001                                                    X
 192952      HERNANDEZ ERAZ BLANCA LIBELIA   1600199911001                                                    X
 111230      PEREZ FLOREZ RAUL ALBERTO       1600200511001                                                    X
 276564      GUAMAN GALARZA LUISA AMELIA     1600201402001                                                    X
  21937      ESPÍN SANTOS WALTER WELLINTHON 1600203192001                                                     X
 204618      CARRERA SANCHEZ CARLOS ALBERTO  1600204034001                                                    X
 111032      BONILLA CHONATA DANILO WILFRIDO 1600204315001                                                    X
  66289      PEREZ FLORES FLAVIO IVAN        1600204463001                                                    X
  27966      ZABALA ZABALA FREDY RAMON       1600204695001                                                    X
  16223       ANGEL                          1600204984001                                                    X
 144314      HIDALGO CASCO ANA RAQUEL        1600205734001                                                    X
 181744      VARGAS VARGAS ENRIQUE ARMANDO 1600205858001                                                      X
  95704      VELASCO PAZMIÑO MARÍA REGINA    1600208597001                                                    X
  58349      SARMIENTO FERNANDEZ ELIZABETH DE LA NUBE
                                             1600208829001                                                    X
 266786      PAREDES ORTIZ ARNULFO ESTUARDO 1600209207001                                                     X
  70250      LUNA HERRERA DIEGO TUNÍN        1600209975001                                                    X
 121336      ORTIZ PEREZ MARCIA MATILDE      1600210528001                                                    X
No                 No registra
                                                               No                    No registra   No
                                                                        No. registra                       registra      No.    indicadores
                                                             registra                provincia, registra
Persona_id               NOMBRE               No. ID (RUC)                 calle                           número      registra de ventas,
                                                             apellido                 cantón y   primer
                                                                         principal                         de calle     origen activos y/o
                                                             paterno                 parroquia nombre
                                                                                                           principal             empleados

  61370      PAREDES CHAVEZ JOSE ANTONIO     1600211153001                                                    X
 108574      MANCHAY IÑIGUEZ ENID ESPERANZA 1600211948001                                                     X
  20069      LOPEZ CANDO JORGE WASHINGTON 1600212482001                                                       X
 194938      FLORES HURTADO LUZ ANGELICA     1600214447001                                                    X
 180946      LOPEZ LOPEZ EDWIN RAMIRO        1600214652001                                                    X
  29570      ALBAN GUEVARA FRANCISCO DANILO 1600214934001                                                     X
 104264      LÓPEZ LÓPEZ FRANKLIN EDUARDO    1600215329001                                                    X
 174767      LEDESMA ZAMORA DARWIN GERMAN 1600216418001                                                       X
 108634      ESPINOZA GONZAGA MARIO FERNANDO 1600216822001                                                    X
  21047      ESPIN ALBAN LUIS ERNESTO        1600217143001                                                    X
 166152      CARREÑO GARZÓN SARA CATALINA 1600217614001                                                       X
  61948      ZUÑIGA FLORES DOLORES PATRICIA 1600218364001                                                     X
 248413      MOYA CUEVA SILVIA MARGOTH       1600218471001                                                    X
 169496      ZAMBRANO VASCO LUIS FERNANDO 1600218539001                                                       X
 136481      CHASI DEFAZ FRANKLIN WILLAN     1600219024001                                                    X
  35751      ESPINOZA VACA BLANCA JANNET     1600219420001                                                    X
 128346      BECERRA HIDALGO ELBA PIEDAD     1600219529001                                                    X
 200107      ARIAS PABLO ERNESTO             1600220303001                                                    X
  73887      LOPEZ MORALES WILLIAN BLADIMIR 1600221236001                                                     X
 256697      MENA CARDENAS ROBER LEONEL      1600221632001                                                    X
 137738      VILEMA VILLA SEGUNDO VICENTE    1600221665001                                                    X
 247013      PAREDES PINEDA SEGUNDO GABRIEL 1600222317001                   X            X                    X
 268914      GUEVARA ESCOBAR DAN EDIVALDO 1600222457001                                                       X
 196528      MORENO CARRANZA LILY ELAINE     1600223547001                                                    X
 222179      MORAN PAREDES MARIA ELENA       1600223562001                                                    X
  62691      VALENCIA MEDINA FANNY AMPARO    1600224016001                                                    X
  44757      EDGAR                           1600224321001                                                    X
 224949      FACONDA PERUGACHI ALICIA DEL CARMEN
                                             1600225708001                                                    X
  91968      RIVADENEIRA AGUAYO INELIDA RUTH 1600225872001                                                    X
 110754      CASTRO ALVAREZ LIGIA DORIS      1600226011001                                                    X
 154967      FIALLOS COBA GLADYS DEL PILAR   1600227704001                                                    X
No                 No registra
                                                               No                    No registra   No
                                                                        No. registra                       registra      No.    indicadores
                                                             registra                provincia, registra
Persona_id               NOMBRE               No. ID (RUC)                 calle                           número      registra de ventas,
                                                             apellido                 cantón y   primer
                                                                         principal                         de calle     origen activos y/o
                                                             paterno                 parroquia nombre
                                                                                                           principal             empleados

 225806      ZABALA GREFA FIDEL SEBASTIAN    1600228603001                                                    X
  29097      MERINO JARAMILLO ISRAEL TOBIAS 1600228736001                                                     X
 103421      CHUGCHO VALVERDE EDWIN GEOVANNI 1600229106001                                                    X
 120163      VARGAS SANTY MARIO PASCUAL      1600231136001                                                    X
 195954      MARTINEZ ROBALINO WASHINGTON WILFRIDO
                                             1600231169001                                                    X
 199820      SIGCHO GUALAN GLORIA NARCISA    1600231656001                                                    X
  87782      YEDRA MACHADO JULIO CESAR       1600232134001                                                    X
 151409      PEÑAFIEL ACOSTA IVAN HOMERO     1600232316001                                                    X
  52211      CARMEN                          1600232738001                                                    X
 263424      TORRES ALBAN CARLOS ANIBAL      1600233553001                                                    X
  38508      BARROSO GUAMAN MARCELO FERNANDO 1600234981001                                                    X
 195382      BALLESTEROS PAREDES FRANKLIN IVAN
                                             1600235418001                                                    X
 110373      CANDO PAZ ALEXANDRA VERONICA 1600235913001                                                       X
  53386      CARMEN                          1600237885001                                                    X
 115477      ANDI TAPUY CLEMENTE CESAR       1600237919001                                                    X
 227642      SUAREZ RODRIGUEZ UVALDO HUMBERTO1600238172001                                                    X
 265304      CAUJA GUSQUI EDGAR WILLAMS      1600238644001                                                    X
 127907      HERNANDEZ SANCHEZ LUIS EDUARDO1600238800001                                                      X
 115173      GARCES ESPINOZA CARLOS ALFONSO 1600238990001                                                     X
 121799      MOYA MONCAYO ENRIQUE RAUL       1600239618001                                                    X
 137743      ARAUJO VELASCO GLADYS MARIANELLY1600239832001                                                    X
 255877      MORALES CALLES YOLANDA MARIA    1600240640001                                                    X
 186691      RODRIGUEZ HERAS GLENDA LAURENTINA
                                             1600241002001                                                    X
 163365      CHUGCHO BARROZO NELSON RAÚL 1600241598001                                                        X
 139230      VARGAS CASTILLO WILSON ABDON    1600241796001                                                    X
 153743      RAMOS ROBALINO GUSTAVO YOBANI 1600242125001                                                      X
  49241      CASCO RODRIGUEZ ULICER GERMAN 1600242323001                                                      X
  89126      RODRIGUEZ MUÑOZ LUIS FERNANDO 1600242331001                                                      X
 181603      REGALADO RODRIGUEZ FERNANDO JAVIER
                                             1600242745001                                                    X
 183478      PISANGO VILLAVICENCIO NANCY JANNETH
                                             1600242992001                                                    X
 179816      NAPAMBA ZABALA RAFAEL           1600244469001                                                    X
No                 No registra
                                                               No                    No registra   No
                                                                        No. registra                       registra      No.    indicadores
                                                             registra                provincia, registra
Persona_id               NOMBRE               No. ID (RUC)                 calle                           número      registra de ventas,
                                                             apellido                 cantón y   primer
                                                                         principal                         de calle     origen activos y/o
                                                             paterno                 parroquia nombre
                                                                                                           principal             empleados

 119342      NARANJO VARGAS MARCO HECTOR 1600244774001                                                        X
 170343      HERNÁNDEZ VILLACRES CÉSAR EFRAÍN1600244907001                                                    X
 139292      ROMERO LUNA JULIO ANIBAL        1600246050001                                                    X
 191761      PAGUAY GUARCO EDGAR ELIAS       1600246332001                                                    X
  81523      RAMÍREZ BARRENO MARÍA MATILDE 1600246597001                                                      X
  52230      TORRES CARRION KLEVER MANOLO 1600247843001                                                       X
 226437      SEGURA MUÑOZ JUAN ALBERTO       1600247876001                                                    X
 138034      TAPUY LICUY FRANCISCO VENTURA 1600248056001                                                      X
 111719      RIVERA CASCO RODRIGO ALBERTO    1600248817001                                                    X
 132593      MOCHA GUALACIO ROSA             1600249351001                                                    X
 202928      BARROSO ORELLANA JOSE EUGENIO 1600250292001                                                      X
 221749      SILVA VILLALBA JOSE ANTONIO     1600250540001                                                    X
 116036      ILLICACHI MOROCHO LOURDES MARLENE
                                             1600251472001                                                    X
 145587      BONILLA BORJA JOSÉ FELIX        1600253932001                                                    X
 103668      FLOREZ TAMAYO MIGUEL            1600254120001                                                    X
  23005      TENEMAZA GUAMAN LUIS ALBERTO    1600254377001                                                    X
 102530      FONSECA DIAS WILSON GONZALO     1600254773001                                                    X
 247102      ALBAN TIPANTIZA MARIA MARUJA    1600256703001                                                    X
 278085      CRUZ LOPEZ WILLAN GONZALO       1600258592001                                                    X
  16322      TERAN SIERRA OSCAR LAURO        1600258808001                                                    X
 239377      CHICAIZA RODRIGUEZ ANGEL ALBERTO1600259095001                                                    X
 171969      LUGO GALARZA JAIME LEONARDO     1600259137001                                                    X
 103700      SOLIS ZUNIGA LINER ASUNCION     1600260374001                                                    X
 239066      KUNCHICUY CARRASCO PASCUAL MARCOS
                                             1600260697001                                                    X                      X
 230251      PARRA GUERRERO JOSE DAVID       1600261190001                  X            X                    X
 191285      GUEVARA PALACIOS BÉLGICA ELIZABETH
                                             1600261208001                                                    X
  51032      VILLACIS TUBON JOSE EDUARDO     1600261323001                                                    X
 211519      TUAPANTE LEMA ANGEL ANIBAL      1600262172001                                                    X
  16211       EDISON                         1600262966001                                                    X
 155411      POZO IZURIETA JORGE EFREN       1600263022001                                                    X
 264929      GARCES SANTI MARIO GERMANICO    1600264517001                                                    X
No                 No registra
                                                                No                    No registra   No
                                                                         No. registra                       registra      No.    indicadores
                                                              registra                provincia, registra
Persona_id               NOMBRE                No. ID (RUC)                 calle                           número      registra de ventas,
                                                              apellido                 cantón y   primer
                                                                          principal                         de calle     origen activos y/o
                                                              paterno                 parroquia nombre
                                                                                                            principal             empleados

  99716      AMÁN LOPEZ BYRON GUILLERMO       1600265266001                                                    X
 137008      MUÑOS FERNANDEZ SANDRA ELIZABETH 1600265837001                                                    X
 135682      ARMAS RIVERA JORGE ENRIQUE       1600266207001                                                    X
 183995      XXXXXXXX JARA CARLOS AMABLE      1600266249001                                                    X
 230918      CHICAIZA RUGEL JORGE EDUARDO     1600266694001                                                    X
  22479      ESCOBAR MEDINA EDWIN FERNANDO 1600266710001                                                       X
 103337      SAGBAY LITUMA KEHENDY KARINA     1600266819001                                                    X
 114780      GUEVARA PINEDA ALBERTO SIGIFREDO 1600266884001                                                    X
  71437      ORTEGA ALVAREZ EDGAR ALFONSO 1600267262001                                                        X
 218744      SARMIENTO LEDESMA CESAR GEOVANNY 1600268575001                                                    X
  46901      CUJI NANGO LUPE MARIANA          1600272973001                                                    X
 130707      TOBAR CRESPO HUGO MARCELO        1600273195001                                                    X
 157073      HERNANDEZ VILLACRES ALEX AGUSTIN 1600273930001                                                    X
  99925      SALAZAR LUNA DAYSY MYREYA        1600275919001                                                    X
  61055      CARTAGENA REINO CESAR AUGUSTO 1600276347001                                                       X
 207585      PAZMIÑO QUINTEROS EDWIN MIGUEL 1600277451001                                                      X
 136484      CALDERON GAVILANEZ EDWIN RICARDO 1600277691001                                                    X
  47381      GUZMAN VEGA JOSE MIGUEL          1600277790001                                                    X
  70345      REINOSO CHIPANTIZA BLADIMIR ALCIVAR
                                              1600278400001                                                    X
  96244      REAL LOPEZ JOHN AMILCAR          1600278574001                                                    X
 178369      GOMEZ PAZMIÑO MARCELA ELISABED 1600280687001                                                      X
 153170      HIDALGO PILCO EDISON ARQUIMIDES 1600280794001                                                     X
 179326      CASTILLO MONTOYA ISAAC IVAN      1600281214001                                                    X
  24169      ESPIN BARRERA FAUSTO VINICIO     1600281248001                                                    X
 269986      ESPIN CADENA FAUSTO FABIAN       1600281966001                                                    X
 216015      JACHERO ROBALINO CARLOS BENJAMIN 1600284366001                                                    X
  55356      MUÑOZ ROBALINO JACQUELINE MARITZA1600286767001                                                    X
  23365      BARROSO ZAVALA SILVIA MARITZA    1600286924001                                                    X
  48016       LUIS                            1600287112001                                                    X
 108189      ALVAREZ ESCOBAR JANNY MARIANELA1600287286001                                                      X
 116849      VARGAS VITERI YOLANDA MARICELA 1600287625001                                                      X
No                 No registra
                                                               No                    No registra   No
                                                                        No. registra                       registra      No.    indicadores
                                                             registra                provincia, registra
Persona_id               NOMBRE               No. ID (RUC)                 calle                           número      registra de ventas,
                                                             apellido                 cantón y   primer
                                                                         principal                         de calle     origen activos y/o
                                                             paterno                 parroquia nombre
                                                                                                           principal             empleados

 234475      PISANGO VILLAVICENCIO JENY MAGDALENA
                                             1600287898001                                                    X
 260083      CRESPO CORTEZ SASKIA YAJAIRA    1600288011001                                                    X
 152659      TACURI TACURI TRANCITO SALOME 1600289134001                                                      X
  45945      VERDESOTO YANEZ ALBA CRISTINA 1600289191001                                                      X
 245725      CARCELEN CASTILLO SEGUNDO BENITO1600291049001                                                    X
 172968      DAVALOS MEDINA DAVID FERNANDO 1600291254001                                                      X
  70216      LOPEZ PAREDES JESUS VINICIO     1600292260001                                                    X
 237430      CANELOS TANCHIMA FLAVIO VICENTE 1600292484001                                                    X
 118479      TOBANDA RAMOS GRIMA MARLENE     1600293284001                                                    X
 130800      UWITIAI CHUMPI JULIA JUANA      1600293870001                                                    X
 104861      ALVAREZ CARDENAS JOE OSWALDO 1600294795001                                                       X
  22528      TORRES TAMAYO JONATHAN RODOLFO  1600294852001                                                    X
  21980      MORA BRITO NORMAN ALBERTO       1600295966001                                                    X
  87073      CALDERÓN GAVILANES BYRON ROLANDO1600299729001                                                    X
  71814      VÉJAR CÁRDENAS JORGE EDUARDO 1600299976001                                                       X
  57428      JARAMILLO CASTILLO FRANKLIN HUGO1600300097001                                                    X
 253979      QUINGA SALGUERO FRANCISCO RAMIRO1600300253001                                                    X
 174935      ERAZO MORA HECTOR EDUARDO       1600300279001                                                    X
 130612      ARMIJOS LOZADA MARIA XIMENA     1600300675001                                                    X
  44900      ORTEGA ALVAREZ NORMA INÉS       1600301061001                                                    X
  64250      SARMIENTO LEÓN NUBE ALEXANDRA 1600301731001                                                      X
 273002      VALENCIA SALDARRIAGA ROSA ELVIRA1600302275001                                                    X
  23732      LÓPEZ CHÁVEZ WILLIAM IVÁN       1600303091001                                                    X
  99328      ARIAS MONTERO JOB DANILO        1600303489001                                                    X
 129411      VILLARUEL HIDALGO SEGUNDO ANIBAL1600305021001                                                    X
  24658      MORANTE GOMEZ IBEETH XIMENA     1600305427001                                                    X
 242523      MORANTE GÓMEZ PAULINA ELIZABETH1600305435001                                                     X
 229591      LARA MECIAS MARTHA CECILIA      1600305484001                                                    X
 229851      PUSAY PILCO JUAN ALBERTO        1600307225001                                                    X
 179913      VILLACIS DIAZ ELBA MARIA        1600307837001                                                    X
 212835      PACHECO ESPIN DANIEL EDUARDO    1600308058001                                                    X
No                 No registra
                                                                No                    No registra   No
                                                                         No. registra                       registra      No.    indicadores
                                                              registra                provincia, registra
Persona_id               NOMBRE                No. ID (RUC)                 calle                           número      registra de ventas,
                                                              apellido                 cantón y   primer
                                                                          principal                         de calle     origen activos y/o
                                                              paterno                 parroquia nombre
                                                                                                            principal             empleados

 205313      MAYORGA NUÑEZ LIVIA AMPARITO     1600308470001                                                    X
 258106      SANTI VARGAS ABSALON EDUARDO 1600308579001                                                        X
  28151      SANGOQUIZA JUCA CARLOS ALFONSO1600310351001                                                       X
 128107      TANQUINA PAZ JORGE ENRIQUE       1600311854001                                                    X
  12444       COMPUMAX                        1600312001001                                                    X
 144810      UBILLUZ FONSECA RAUL WILFRIDO    1600312258001                                                    X
 103454      BARROSO ZAVALA MILVIA SUSANA     1600313009001                                                    X
  36221       LUCILA                          1600313033001                                                    X
 157589      MONTENEGRO MERCHÁN JHON SANDRO   1600313108001                                                    X
 159289      CHIMBO CERDA BETTY BEATRIZ       1600314452001                                                    X
  58625      CHIMBORAZO BARRERA EDISSON MARCELO
                                              1600314536001                                                    X
 174882      ZUNIGA CUEVA TITO RAUL           1600316234001                                                    X
 104936      LLANGARÍ ASHQUI ELSA ZOILA       1600317133001                                                    X
  22506      JARAMILLO SANIPATIN ANGELITA PAULINA
                                              1600317281001                                                    X
 177897      FERRETERÍA INDUSTRIAL EL DORADO 1600317612001                                                     X
 214945      ESCOBAR HIDALGO JENNY MARGOHT 1600318438001                                                       X
  23171      TRÁVEZ VALENCIA GISELA KARINA    1600319089001                                                    X
 220470      CALAPUCHA ANDY DEVORA LEA        1600319139001                                                    X
 259532      BALCAZAR VITERI YESICA YADIRA    1600321952001                                                    X
 227406      CAJAS JACOME CLARA MARISOL       1600322406001                                                    X
 179727      CASTILLO BUSTAMANTE MARIO PETRONEO
                                              1600323966001                                                    X
 224902      CAICEDO BENAVIDES NELLY MELINA 1600324071001                                                      X
 105073      MONTAGUANO SILVA DAVID ISAG      1600324113001                                                    X
  42905      TOALOMBO PINTO ROBERTO NEPTALI 1600325540001                                                      X
 215183      ILLANES SANTI NECTALI ERGUIN     1600325615001                                                    X
  61696      YANCHALUIZA DIAZ MYRIAN DEL ROCIO1600325631001                                                    X
 151239      SALAZAR SANIPATIN TITO XAVIER    1600326373001                                                    X
 131293      ESTRELLA MOLINA ROSA ELENA       1600327041001                                                    X
 159779      GARCIA RUANO JUAN CARLOS         1600327546001                                                    X
 243350      CARDENAS JURADO NEY MARTIN       1600327991001                                                    X
 131837      TUSTON CARRAZCO SHADIRA MARIVEL  1600328593001                                                    X
No                 No registra
                                                                No                    No registra   No
                                                                         No. registra                       registra      No.    indicadores
                                                              registra                provincia, registra
Persona_id               NOMBRE                No. ID (RUC)                 calle                           número      registra de ventas,
                                                              apellido                 cantón y   primer
                                                                          principal                         de calle     origen activos y/o
                                                              paterno                 parroquia nombre
                                                                                                            principal             empleados

 178070      TAPUY AGUINDA VICTOR PASCUAL     1600329641001                                                    X
 198900      BOSQUEZ RODRIGUEZ ANGEL EDILBERTO1600331118001                                                    X
 101924      MEJIA GARCES MARIA NATIVIDAD     1600331738001                                                    X
  18498       MERI                            1600331902001                                                    X                      X
 196396      CUMBICOS CORONEL MAYRA LUCIA 1600332132001                                                        X
 131987      LLERENA GUANO DORYS ELIZABETH 1600332405001                                                       X
 246419      LOPEZ URENA ANA CECILIA          1600332900001                                                    X
 199436      ACAN USHCA JUAN MANUEL           1600334104001                                                    X
 120149      GUALINGA CHUJI JERVACIO SHARIANO1600334518001                                                     X
  83317      CARRANZA PERRAZO MARIA ELIZABETH600334583001
                                              1                                                                X
  14948       MILTON                          1600334807001                                                    X
  47587      CISNEROS RUIZ CESAR FABRICIO     1600335929001                                                    X
 273991      AGUILAR ESPIN FERNANDO PAUL      1600336398001                                                    X
 172764      GUAZHCO PACURUCU LUIS HERIBERTO600338030001
                                              1                                                                X
 166049      INMUNDA TAPUY DANIEL WILSON      1600338220001                                                    X
  79155      PILLAJO LEON PATRICIA MARGOTH    1600342644001                                                    X
  51046      ORDOÑEZ PAREDES EDWIN AGUSTO 1600343261001                                                        X
  87938      MAZORRA OLMEDO ERIK RAMIRO       1600343352001                                                    X
  36079      FLORES ITURRALDE JOSÉ LUIS       1600343493001                                                    X
 125855      LASSO PEREZ NANCY YOLANDA        1600344210001                                                    X
 218292      GARCIA GAHONA PACO KLINGER       1600345035001                                                    X
 239049      BARRERA HOYOS WILMER RODRIGO 1600345662001                                                        X
  17795      MARTINEZ PILCO TITO ISRAEL       1600345910001                                                    X
 267928      KUNCHIKIAI NUNINK ADRIANA CRISTINA
                                              1600346009001                                                    X
 227171      FONSECA LUNA WILMER IVAN         1600346785001                                                    X
 246304      HERNANDEZ PAREDES ELISA BRIGITTE1600347106001                                                     X
  79712      MARTINEZ PILCO FRANKLIN ANGEL    1600347718001                                                    X
  87810      YEDRA MACHADO MARGOTH VICTORIA1600348054001                                                       X
 197356      BONILLA CHANGO MARIO JORGE       1600348625001                                                    X
 183054      VALVERDE PAREDES IVONNE PAULINA1600348948001                                                      X
  56464      CARRASCO CARRASCO ZOILA ESTHER1600349847001                                                       X
No                 No registra
                                                               No                    No registra   No
                                                                        No. registra                       registra      No.    indicadores
                                                             registra                provincia, registra
Persona_id               NOMBRE               No. ID (RUC)                 calle                           número      registra de ventas,
                                                             apellido                 cantón y   primer
                                                                         principal                         de calle     origen activos y/o
                                                             paterno                 parroquia nombre
                                                                                                           principal             empleados

 155622      SANI MOYON LUIS ALFREDO         1600350118001                                                    X
 191100      ROBALINO JIMENEZ PABLO RENAN    1600350704001                                                    X
 140221      RODRIGUEZ BARROS FREDY VICENTE 1600351314001                                                     X
 255628      OLMEDO DIAZ DAYSI SORAYA        1600351462001                                                    X
  71164      GALARZA DÍAZ WILBER PATRICIO    1600352072001                                                    X
 187377      ROBALINO TRAVEZ BYRON FABIAN    1600352759001                                                    X
 166802      SÁNCHEZ HIDALGO CARLOS GONZALO1600353153001                                                      X
 166527      CASTILLO SARMIENTO WILSON OSWALDO
                                             1600353427001                                                    X
 214685      CANELOS VARGAS WALTER GALO      1600353492001                                                    X
 225381      LUNA GAMBOA HENRY PATRICIO      1600356032001                                                    X
 241686      SALAZAR MARTINEZ KARINA MARITZA 1600357303001                                                    X
 244747      MORALES CABRERA BYRON ANDRES 1600357485001                                                       X
 208154      ALBAN CASTRO FRANKLIN FABIAN    1600357840001                                                    X
  33921      PEREZ MACHADO CARLOS IVAN       1600358384001                                                    X
 229264      GUALLI SELA CESAR ENRIQUE       1600360331001                                                    X
 238598      CÁRDENAS ESPIN RAÚL GUILLERMO 1600361438001                                                      X
 169907      FUENTES BARRIONUEVO WUILIAM RODRIGO
                                             1600362337001                                                    X
 128311      VILCACUNDO LASSO JENNY DEL ROCIO1600364028001                                                    X
 267220      PAZMIÑO QUINTEROS MARIANA DE JESUS
                                             1600364275001                                                    X
  14769      PINTURAS ALDAZ                  1600364325001                                                    X
  41892      JORGE                           1600364994001                                                    X
  40692      ESTRUCTURAS MAYORGA             1600365009001                                                    X
 122493      SORIA BROCEL NELSON ALFREDO     1600367385001                                                    X
  97826      VASQUEZ GONZALES DINO WALDIR    1600367450001                                                    X
 218823      CALLE MARTINES DIANA JAQUELINE 1600367500001                                                     X
 203956      NAVEDA SILVA PATRICIO ALFREDO   1600367955001                                                    X
 232310      ZANABRIA VALENCIA GUSTAVO ADOLFO1600370389001                                                    X
  50190      KLEVER                          1600370694001                                                    X
 195327      UTITIAJA HUAMBACHI JOSE ANGEL   1600371783001                                                    X
 251824      MEJIA QUINTEROS PAOLA CAROLINA 1600376790001                                                     X
 112966      SANTAMARIA VARGAS LENIN SANTIAGO1600376824001                                                    X
No                 No registra
                                                                No                    No registra   No
                                                                         No. registra                       registra      No.    indicadores
                                                              registra                provincia, registra
Persona_id               NOMBRE                No. ID (RUC)                 calle                           número      registra de ventas,
                                                              apellido                 cantón y   primer
                                                                          principal                         de calle     origen activos y/o
                                                              paterno                 parroquia nombre
                                                                                                            principal             empleados

  57461      CAJECA ANDICHA WILLIAM MARIO     1600377095001                                                    X
  79183      CABEZAS LLAMUCA DANIEL PATRICIO 1600377129001                                                     X
  91353      CHÁVEZ JARAMILLO JONATHAN AUGUSTO1600378085001                                                    X
 247270      ESPIN SALINAS PATRICIA ELIZABETH 1600378499001                                                    X
  14982      MEJIA LOPEZ PAUL ALFREDO         1600378630001                                                    X
 255073      PIEDRA ARÉVALO DARWIN ROLANDO 1600380214001                                                       X
 171968      ESPIN ORTIZ CLIMACO GEOVANI      1600380966001                                                    X
 271960      TRELLES MENDEZ JHON PATRICIO     1600381063001                                                    X
  51742      ESPIN BARRERA JAIME EDUARDO      1600381592001                                                    X
 186253      BRAVO AILLON MARIVEL DEL ROCIO 1600381659001                                                      X
 203464      BARRIONUEVO JURADO CRISTIAN RODRIGO
                                              1600382129001                                                    X
 127013      ROMERO PEÑA MILTON FERNANDO      1600387516001                                                    X
 250148      AMORES MARTINEZ TERESA LINETH 1600388662001                                                       X
 178267      CHONATA PAREDES PATRICIA PAULINA 1600389579001                                                    X
 271633      SANTY VARGAS JUAN TEOFILO        1600390890001                                                    X
 137596      AYERVE DURAN EDWIN JAVIER        1600391435001                                                    X
   9484      MULTISERVICIOS AL INSTANTE FM    1600392532001                                                    X
 182145      BELTRÁN ALDÁS PAOLA JHOMARA      1600393589001                                                    X
 257082      CEVALLOS PUNGUIL TANIA CRISTINA 1600394140001                                                     X
 242186      MUÑOZ ROBALINO ANA LUCIA         1600394439001                                                    X
 107802      ARANDA CUJI MOISES YAURI         1600396335001                                                    X
 187406      MONTALVAN CASTILLO WILMER EUCLIDES
                                              1600396772001                                                    X
 111105      YEDRA MACHADO DAVID ALEJANDRO 1600396970001                                                       X
  44124      SOSA CASTRO ALVARO RENATO        1600397895001                                                    X
 111037      CASTRO NÚÑEZ JENNY VERÓNICA      1600398315001                                                    X
  70389      VARELA PINARGOTE MIGUEL ANGEL 1600399032001                                                       X
 152778      CHASIQUIZA RAMIREZ DANIEL FELIPE 1600399313001                                                    X
  25106      SILVA MANZANO FABIAN GUSTAVO     1600399800001                                                    X
 104363      CHAVEZ TORRES CHRISTIAN MARCELO  1600400236001                                                    X
  57223      ORTIZ PARRA ANGEL FABIAN         1600401085001                                                    X
 266485      LOPEZ SHIGUANGO ELISEO HIDER     1600401424001                                                    X
No                 No registra
                                                                No                    No registra   No
                                                                         No. registra                       registra      No.    indicadores
                                                              registra                provincia, registra
Persona_id               NOMBRE                No. ID (RUC)                 calle                           número      registra de ventas,
                                                              apellido                 cantón y   primer
                                                                          principal                         de calle     origen activos y/o
                                                              paterno                 parroquia nombre
                                                                                                            principal             empleados

 267852      BERMEO FREIRE MONICA JUDITH      1600404071001                                                    X
 131995      CAMACHO RUANO LUIS ALBERTO       1600405664001                                                    X
  55472      CASTRO GUAMANQUISPE EDGAR FERNANDO
                                              1600405979001                                                    X
 198278      NANGO CUJI GABRIEL GONZALO       1600406415001                                                    X
  14752      FLORES CARVAJAL CARLOS SANTIAGO1600406654001                                                      X
 231100      MERINO AYALA IVAN EDMUNDO        1600406860001                                                    X
 263208      TANCHIMA MAYANCHI SONIA ELENA 1600407322001                                                       X
 102944      BONILLA SILVA JAIME EDISON       1600408148001                                                    X
 241799      GASITUA SARABIA MANUEL LEONIDAS  1600408692001                                                    X
 227079      SORIA BROCEL ALBA MAGDALENA      1600409088001                                                    X
 213893      UBILLUZ SANCHEZ MARCELO FAVIAN 1600409930001                                                      X
  94030      GRANIZO GRANIZO RITTA ORFA       1600411530001                                                    X
 132628      GUEVARA TOSCANO RAFAELA YAJAIRA  1600412009001                                                    X
 180772      IDROVO MARTINEZ ALBERTO FROILAN 1600416299001                                                     X
 180927      FERNÁNDEZ SÁNCHEZ LINETH DEL ROCÍO
                                              1600416976001                                                    X
  50474      SALINAS SALINAS TANIA ELIZABETH 1600417263001                                                     X
  48727      MARTINEZ PILCO KLEVER EDUARDO 1600417875001                                                       X
 191731      ORTIZ ORTIZ BAYRON GERARDO       1600418261001                                                    X
 244253      CARCELEN INSUASTI GEIDI FERNANDA1600418303001                                                     X
 243316      FREIRE GARCÉS JUAN CARLOS        1600418899001                                                    X
 215056      VALDIVIEZO QUISPE CAROLINA ELIZABETH
                                              1600424129001                                                    X
  39589      PEÑAFIEL IDROVO CAMILO PATRICIO 1600428542001                                                     X
 232342      TAPUY GREFA VICTOR ISIDRO        1600430472001                                                    X
 232649      PÉREZ ALVAREZ WASHINGTON ANTONIO 1600435711001                                                    X
 246867      HERNANDEZ VELVA JENNIFER PAOLA 1600436610001                                                      X
 144429      ANDRADE GAVILANES JOSE MIGUEL 1600437154001                                                       X
  84435      SANTI AGUINDA TOMAS ENRIQUE      1600438715001                                                    X
 219395      SICHA MEJIA JENDRY JAVIER        1600439127001                                                    X
 202368      PÉREZ ZABALA DARWIN EDUARDO      1600439739001                                                    X
 123171      DUCHE CHULCO JUAN CARLOS         1600440950001                                                    X
 230823      SARABIA GUEVARA LIZARDO JAVIER 1600441081001                                                      X
No                 No registra
                                                                No                    No registra   No
                                                                         No. registra                       registra      No.    indicadores
                                                              registra                provincia, registra
Persona_id               NOMBRE                No. ID (RUC)                 calle                           número      registra de ventas,
                                                              apellido                 cantón y   primer
                                                                          principal                         de calle     origen activos y/o
                                                              paterno                 parroquia nombre
                                                                                                            principal             empleados

 254203      MEJIA QUINTEROS CARLOS FERNANDO  1600444010001                                                    X
 206021      TANGUILA CERDA MARIA ELENA       1600447070001                                                    X
 272850      SILVA UVIDIA LUIS ALBERTO        1600448060001                                                    X
 226885      PEÑA ROMERO LUIS ALBERTO         1600448326001                                                    X
  94935      RODRÍGUEZ MÉNDEZ EVA ELIZABETH 1600449548001                                                      X
 148187      VARGAS CERDA CECILIA LORENA      1600451361001                                                    X
  14229      CHEMKALITY PUYO                  1600451437001                                                    X
 153842      AGUIRRE VILLACRESES ROBERTO CARLOS
                                              1600451536001                                                    X
 198322      MARTINEZ SANCHEZ VERONICA MARLENE1600457228001                                                    X
  78453      PAGUAY GUARCO NELLY CECILIA      1600458507001                                                    X
 206231      VIRACUCHA SILVA LUPE ALEXANDRA 1600460297001                                                      X
 227186      QUISPE CAIZA MÓNICA PIEDAD       1600460362001                                                    X
 241153      IZURIETA RODRIGUEZ JESUS EDUARDO 1600462855001                                                    X
 194722      LOPEZ LOPEZ JENNY SUSANA         1600463226001                                                    X
  75748      AGUINDA PILLA CRISTIAN RIGOBERTO 1600465304001                                                    X
  62923      CONGACHA YANCHA DIEGO MESIAS 1600465569001                                                        X
 265659      AGUIRRE SOLIS DERLIS ALBERTO     1600467078001                                                    X
 186237      MIRANDA MONTAGUANO MAURO WILSON  1600467573001                                                    X
 247719      ALVAREZ GREFA LUIS ALONSO        1600468035001                                                    X
 197152      ARAQUE CACHIGUANGO JUAN PABLO 1600468050001                     X            X                    X
 232427      VILLAFUERTE GUACHO FERNANDO JOEL 1600468381001                                                    X
 141366      SORIA CHONATA CARMITA ALEXANDRA  1600476426001                                                    X
 199709      YANKUR MAYAK JOSE ROSENDO        1600483984001                                                    X
 254062      ESPÍN REAL DANNY FRANCISCO       1600484438001                                                    X
 100818      HERAS VELÍN TRERESA DE JESÚS     1600487522001                                                    X
 219778      OBANDO RAMOS FERNADO WILSON 1600497836001                                                         X
 203853      RIVERA GARCÍA JENNY MARLENE      1600499337001                                                    X
 279396      ORQUERA PADILLA BLANCA LAURA     1600500670001                                                    X
  23635      ALARCÓN YÉPEZ ANA MARÍA          1600502254001                                                    X
 241398      SANMARTIN TORRES MARIA EUGENIA 1600508236001                                                      X
 102994      VELASCO FIALLOS RUTH DALILA      1600508640001                                                    X
No                 No registra
                                                              No                    No registra   No
                                                                       No. registra                       registra      No.    indicadores
                                                            registra                provincia, registra
Persona_id              NOMBRE               No. ID (RUC)                 calle                           número      registra de ventas,
                                                            apellido                 cantón y   primer
                                                                        principal                         de calle     origen activos y/o
                                                            paterno                 parroquia nombre
                                                                                                          principal             empleados

 164916      ANDI ANDY JAIRO JAVIER           1600510109001                                     X
 259894      OJEDA CAIZA MARIANELA NATALY     1600519852001                                     X
 275486      LLANGANATE PUNINA JULIO ABEL     1600520215001                                     X
 152953      TAPUY PAPA WELLINTON WILFRIDO 1600522815001                                        X
 205214      HIDALGO GUERRERO JENNY ALEJANDRA 1600534539001                                     X
 247273      ALDAS CHERREZ MARITZA DE LAS MERCEDES
                                              1600535718001                                     X
 107395      NARANJO CABRERA JESSICA MAGALY 1600536971001                                       X
 249915      VALLE RAMÍREZ SEGUNDO BENEDICTO  1600538894001                                     X
 202126      MONTALVAN CASTILLO FLOR MARIA 1600544298001                                        X
 245658      LIZANO HERNANDEZ MAYRA LORENA 1600551160001                                        X
 112667      PEREZ VILLARROEL JESSICA PATRICIA1600551277001                                     X
 146272      NUÑEZ VIMOS NANCY ALEXANDRA      1600558967001                                     X
 137520      CALLE VEGA DIANA DE LA NUBE      1600566077001                                     X
 248113      MENESES BORJA MARÍA ELENA        1600576316001             X       X               X
 271194      VARGAS GUEVARA EDWIN IVAN        1600615965001                                     X
 277342      PULLA CAMPUZANO JUAN MANUEL      1600619314001                                     X
 209623      GONZÁLEZ FREIRE DANIEL ENRIQUE 1600693954001                                       X
 214628      INMUNDA NANGO SEVERO ATAHUALPA1600695041001                                        X
  46662      ILUSTRE MUNICIPIO DE SANTA CLARA 1660000680001             X                       X
  96711      COOPERATIVA DE TAXIS Y CAMIONETAS 12 DE MAYO
                                              1690007033001                                     X
 139102      COOPERATIVA DE AHORRO Y CREDITO1690012606001
                                               DE LA PEQUEÑA EMPRESA DE PASTAZA                 X
 115446      COOPERATIVA DE VOLQUETES RIO PASTAZA
                                              1690015133001                                     X
 233524      COMPAÑIA DE TRANSPORTE TRANSCURARAY LTDA.
                                              1690015508001                                     X
 106990      COOPERATIVA DE TAXIS LOS TAYOS 1690015567001                                       X
  87263      ASOCIACIÓN INTERPROFESIONAL DE CARPINEROS DE PASTAZA
                                              1690015958001                                     X
 156717      COOPERATIVA DE TRANSPORTE INTERPROVINCIAL DE PASAJEROS TOURIS SAN FRANCISCO ORIENTAL
                                              1690017268001                                     X
 202503      ASOCIACION PROVINCIAL DE IMPEDIDOS FISICOS DE PASTAZA
                                              1690017322001                                     X
 172770      HOSPITAL VOZANDES DEL ORIENTE 1691700034001                                        X
 127680      VIMAPRI COMPANIA EN COMANDITA SIMPLE
                                              1691700085001                                     X
 259706      ASOCIACION DE COMUNIDADES INDIGENAS DE ARAJUNO
                                              1691700107001                                     X
  27633      WILISELZU CIA. LTDA.             1691701723001                                     X
No                 No registra
                                                               No                    No registra   No
                                                                        No. registra                       registra      No.    indicadores
                                                             registra                provincia, registra
Persona_id               NOMBRE               No. ID (RUC)                 calle                           número      registra de ventas,
                                                             apellido                 cantón y   primer
                                                                         principal                         de calle     origen activos y/o
                                                             paterno                 parroquia nombre
                                                                                                           principal             empleados

 257243      COMITE DE DESARROLLO COMUNITARIO SUCRE RIO AZUL
                                               1691702193001                                        X
  32789      CONSTRUCTORA PEREZ DEL ORIENTE 1691702568001
                                               CIA.LTDA                                             X
  44193      MORA BRITO & MORA BRITO CONSTRUCTORA Y SERVICIOS CIA. LTDA.
                                               1691703491001                                        X
  38235      MARCO CARVAJAL CONSTRUCTORAY SERVICIOS CIA. LTDA.
                                               1691703572001                                        X
 161156      IGLESIA EVANGELICA ESPERANZA ETERNA
                                               1691703777001                                        X
  14856      TOGACONS CONSTRUCTORA Y SERVICIOS CIA LTDA
                                               1691704242001                                        X
  45843      VALENHARO CONSTRUCCI              1691704285001                                        X
  28180      ERAZO & ARAUZ CONSTRUCTORA Y SERVICIOS CIA. LTDA.
                                               1691704366001                                        X
 228286      ASOCIACION DE ACCION SOCIAL Y COMUNITARIA NUESTRA SEÑORA DE LOURDES
                                               1691704447001                                        X
 267830      LUAPEGES CONSTRUCTORA Y SERVICIOS C.A
                                               1691704595001                                        X
  36012      SERVIORIENTAL S.A.                1691704692001                                        X
  19105      GRADIENTE CONSTRUCTORES ASOCIADOS CIA. LTDA.
                                               1691704889001                                        X
  87425      FUNDACION AMAZONIA VERDE          1691704986001                                        X
  58064      MENA&ORTIZ CIA LTDA               1691705354001                                        X
 194124      ASOCIACION DE PRODUCTORES DE PAPA CHINA TENIENTE HUGO ORTIZ
                                               1691705907001                                        X
  78299      ASOCIACIÓN DE CONSERVACIÓN VIAL LUZ ADRIANA MORAL
                                               1691706318001                                        X
  15552      NAVCONST CIA LTDA                 1691706458001                                        X
 240263      SOSA LEON CONSTRUCTORA Y SERVICIOS CIA LTDA
                                               1691706776001                                        X
 246949      ASOCIACIÓN KICHWA AGRO PRODUCTORES SUMAK KAWSAY
                                               1691707020001                                        X
  42301      EMPRESA DE AUTOGESTIÓN DE SERVICIO AÉREO ACHUAR AEROTSENTSAK
                                               1691707578001                                        X
  44721      EMPRESA DE AUTOGESTION DE SERVICIO AEREO KICHWA DE PASTAZA
                                               1691707659001                                        X
  50578      VILLACIS PAREDES OBRAS CIVILES Y MAQUINARIA PESADA CIA. LTDA.
                                               1691707764001                                        X
  51905      CONSTRUCGAV S.A.                  1691707985001                                        X
  52017      CONSTRUARTOVA S.A.                1691707993001                                        X
 230131      CIA. PARRA MORALES                1691708175001                                        X
 270753      TRANSCHEVI CIA LTDA               1691708337001                                        X
  69626      ASOCIACION KICHUAS CHAGUAMANGO    1691708418001                                        X
  29460      CONSTRUCCIONES Y SERVICIOS TEROAZ CIA. LTDA.
                                               1691708698001                                        X
 269274      VOLQUEALPAY S.A.                  1691708973001                                        X
 119967      COMITÉ DE PADRES DE FAMILIA Y REPRESENTANTES DE PARTICIPACION DE NIÑOS, NIÑAS Y ADOLESCENTES DEL CANTON PASTAZA
                                               1691709112001                                        X
  93601      SASTRES ASOCIADOS RSA             1691709341001                                        X
No                 No registra
                                                               No                    No registra   No
                                                                        No. registra                       registra      No.    indicadores
                                                             registra                provincia, registra
Persona_id              NOMBRE                No. ID (RUC)                 calle                           número      registra de ventas,
                                                             apellido                 cantón y   primer
                                                                         principal                         de calle     origen activos y/o
                                                             paterno                 parroquia nombre
                                                                                                           principal             empleados

 211985      GRAVADONCU CÍA. LTDA.           1691709414001                                                    X
 184864      COMPAÑIA DE INGENIERIA Y CONSTRUCCIONES INGECONSCABLE & TRANSS CIA.LTDA
                                             1691709694001                                                    X
 184200      EQUILOTEC S.A.                  1691709945001                                                    X
 202974      CONSTRUCCIONES Y SERVICIOS CONESME CIA. LTDA.
                                             1691709953001                                                    X
 264853      AEROKASHURCO CIA. LTDA.         1691709961001                                                    X
 192399      AMAZONAS BUILDING AMAZONBUILD 1691710080001                                                      X
 217081      EMPRESA CONSTRUCTORA GANAN Y URIBE S. A.
                                             1691710099001                                                    X
 210665      GARMAC CONSTRUCTORA CIA LTDA 1691710110001                                                       X
 222620      CONSTRUCCION Y MANTENIMIENTO ELECTRICO
                                             1691710137001                                                    X
 209364      COMPAÑIA MUÑOZ MUÑOZ CONSTRUCCIONES S.A
                                             1691710226001                                                    X
 213899      COMPAÑIA SHARWASHENT CONSTRUCCIONES S.A.
                                             1691710250001                                                    X
 264126      FREIRE & CASTILLO CONSTRUCTORA Y SERVICIOS CIA LTDA
                                             1691710285001                                                    X
 268249      CLARA SELVA EMPRESA DE TRANSPORTE PESADO CLASEL TRANS S.A
                                             1691710455001                                                    X
 224795      P & C CIA LTDA                  1691710498001                                                    X
 230791      COPAZING-MORA ARQUITECTOS Y CONSTRUCTORES ASOCIADOS
                                             1691710579001                                                    X
 251902      REGACONS                        1691710617001                                                    X
 247054      FUNDACION DE DESARROLLO ECONOMICO Y SOCIAL PARA LA AMAZONIA
                                             1691710625001                                                    X
 248321      RURAKKUNA ALTME CIA. LTDA.      1691710765001                                                    X
 253180      DALUVAL PROYECTOS Y CONTRUCCIONES CIA.LTDA.
                                             1691710854001                                                    X
 260591      CONSTRUCTORA QUIROZ GRESAN CIA.LTDA.
                                             1691710978001                                                    X
 264224      CONSORCIO SERVIORIENTAL & ASOCIADOS
                                             1691711001001                                                    X
 268692      MECARCIV CIA. LTDA.             1691711044001                                                    X
 267350      CONSORCIO VÍAS PASTAZA          1691711060001                                                    X
 271314      CONSORCIO RURAKKUNA             1691711117001                                                    X
 273659      ING. ASOCIADOS                  1691711141001                                                    X
  39974      BAHAMONDE TIPAN FRANCISCO FRANCO1700026154001                                                    X
  62059      VELASQUEZ YANEZ LUIS ANIBAL     1700036633001                                                    X
 225209      RUIZ ARMAS ZOILA ANGELITA       1700067489001                                                    X
 110284      TAYUPANTA ZURITA AUGUSTO POLIVIO1700069329001                                                    X
 131980      GORDILLO SILVA HÉCTOR OSWALDO 1700113358001                                                      X
  14897      ARQUITECTO EDGAR PINTO SANDOVAL 1700132127001                                                    X
No                 No registra
                                                               No                    No registra   No
                                                                        No. registra                       registra      No.    indicadores
                                                             registra                provincia, registra
Persona_id               NOMBRE               No. ID (RUC)                 calle                           número      registra de ventas,
                                                             apellido                 cantón y   primer
                                                                         principal                         de calle     origen activos y/o
                                                             paterno                 parroquia nombre
                                                                                                           principal             empleados

 250632      FREIRE BAYAS HERMINIO LIVINO    1700133067001                                                    X
 139047      GUAMINGA ARELLANO AGUSTIN       1700157678001                                                    X
  30919      CÁRDENAS ORRICO MIGUEL ALCIVAR 1700165614001                                                     X
 119158      SANDOVAL CRUZ LUIS ENRIQUE      1700180175001                                                    X
 200729      SANTACRUZ FRANCISCO             1700185901001                                                    X
 272167      QUEVEDO TERÁN HERNÁN GONZALO 1700205790001                                  X
 167978      VERA HEREDIA MANUEL             1700234626001                                                    X
 161110      RIOS CRIOLLO OSCAR TORIVIO      1700236258001                                                    X
 132000      CEVALLOS IPIAL LUIS ERNESTO     1700236290001                                                    X
 199937      ONOFA PITO LUIS ALFONSO         1700334285001                                                    X
 218398      PILLAJO ASIMBAYA ANGEL VICTOR   1700363987001                                                    X
 178128      GAVILANES ORDOÑEZ JORGE ARTURO1700371907001                                                      X
 179362      CUEVA SAAVEDRA NESTOR HUGO      1700419904001                                                    X
 152150      GAVIÑO RODRIGUEZ DIMAS REIMUNDO 1700431255001                                                    X
  56635      YUMBLA LEON HECTOR ROLANDO      1700439357001                                                    X
 209378      CODENA TOPN MANUEL EDUARDO      1700474644001                                                    X
 200997      BENAVIDES BASTIDAS DEIDAN TEMISTOCLES
                                             1700487117001                                                    X
  27767      TELLO ARTEAGA VICTOR HUGO EDGAR 1700505835001                                                    X
  28364      ANAGUANO ANDRANGO JORGE NAPOLEÓN1700526153001                                                    X
  46996      PONCE CASTILLO LUIS GUILLERMO   1700547233001                                                    X
 203020      GONZÁLEZ GRANDA JORGE VICENTE 1700567850001                                                      X
 189035      CHIRIBOGA ACOSTA LUIS GUSTAVO 1700569682001                                                      X
 151433      JERIA CUEVA RAUL ALBERTO        1700573700001                                                    X
   9781       RAÚL NÚÑEZ                     1700617341001                                                    X
  37961      ROMAN BALSECA JUAN PATRICIO     1700625849001                                                    X
 272423      CAIZA REMACHE SEGUNDO MANUEL 1700633991001                                                       X
 244323      DELGADO SALAS JORGE RENE        1700643891001                                                    X
  41928      ANDINO OLMEDO ANGEL MARIA       1700658964001                                                    X
  79622      BAUTISTA QUISHPE CESAR AUGUSTO 1700664822001                                                     X
 119937      FLORES TUFIÑO JAIME ELICIO      1700667130001                                                    X
  55859      PERALTA HEREDIA LUIS ALFONSO    1700672668001                                                    X
No                 No registra
                                                                No                    No registra   No
                                                                         No. registra                       registra      No.    indicadores
                                                              registra                provincia, registra
Persona_id               NOMBRE                No. ID (RUC)                 calle                           número      registra de ventas,
                                                              apellido                 cantón y   primer
                                                                          principal                         de calle     origen activos y/o
                                                              paterno                 parroquia nombre
                                                                                                            principal             empleados

 218711      CALAPAQUI AGUAGUIÑA AUDBERTO ANTONIO
                                              1700680190001                                                    X
 155579      MONGE PENAHERRERA ANITA DE LAS MERCEDES
                                              1700680703001                                                    X
 106347      ESCOBAR ACURIO HOLGUER NEPTALI 1700689910001                                                      X
 135017      TOAPANTA SULQUI LUIS ALBERTO     1700690389001                                                    X
 192723      REINOZO DEFAZ HILDA ROGELIA      1700692229001                                                    X
 232053      ACEBO VILLACIS FRANCISCO HUMBERTO1700703224001                                                    X
  22685      ZAMBRANO ORMASA JORGE WASHINGTON 1700707522001                                                    X
 166373      PONCE MARIA FANNY                1700714049001                                                    X
  40685      PAZMIÑO SALTOS MARIO GUSTAVO     1700717380001                                                    X
  46123      DELGADO CASTRO WILSON EDUARDO 1700731225001                                                       X
 135012      PILATAXI CADENA ALFONSO HUGO     1700743048001                                                    X
 171029      VINTIMILLA CALLE LUIS CAMILO     1700758533001                                                    X
  41367      AGUILAR CAZAR MARCO GONZALO      1700774126001                                                    X
 159249      YANEZ GUERRERO JOSE VICENTE      1700789843001                                                    X
 242813      ROJAS PROAÑO HECTOR ENRIQUE      1700808734001                                                    X
 123775      TAPIA JARAMILLO EDGAR PATRICIO   1700816273001                                                    X
 265211      MARMOL JARRIN BORIS ALFREDO      1700817644001                                                    X
 140255      ALARCÓN LÓPEZ MÉLIDA VIOLETA     1700822628001                                                    X
 129638      SAMANIEGO ZHUNAULA SEGUNDO RAMON 1700854423001                                                    X
 162553      NOBOA CABRERA TELMO MESÍAS       1700883141001                                                    X
  63715      GONZÁLEZ TUFIÑO LUIS FIDEL       1700885385001                                                    X
 202958      SALAZAR SANGOLUIZA MARÍA ROSARIO 1700886318001                                                    X
  88946      ACOSTA ACOSTA JOSE MILTON VINICIO1701012484001                                                    X
  76217      SILVA ROMERO MARCO ANTONIO       1701032797001                                                    X
 230135      SHIGUANGO FLORES FAUSTO ENRIQUE  1701040485001                                                    X
  82900      ANDRADE SANTOS GALO HAMILTON 1701041269001                                                        X
  68269      BRAVO BURNEO FRANKLIN EDUARDO 1701070789001                                                       X
 206471      CARRERA COX CESAR ABDON          1701115410001                                                    X
 157023      FRANCO MORALES EDMUNDO GERMAN    1701177451001                                                    X
  37744      ROLDAN VELASCO RUPERTO BERNARDO  1701190694001                                                    X
 242032      MANTILLA ARIAS ESTHELA MARIA     1701194225001                                                    X
No                 No registra
                                                               No                    No registra   No
                                                                        No. registra                       registra      No.    indicadores
                                                             registra                provincia, registra
Persona_id               NOMBRE               No. ID (RUC)                 calle                           número      registra de ventas,
                                                             apellido                 cantón y   primer
                                                                         principal                         de calle     origen activos y/o
                                                             paterno                 parroquia nombre
                                                                                                           principal             empleados

 111355      TUFINO PARRA GOLLAD FLAVIO      1701196188001                                                    X
  14068      VALENCIA BORJA VICTOR HUGO      1701197293001                                                    X
  58107      SORIA TIPAN GONZALO             1701202002001                                                    X
 104180      YANCHAPAXI CHIGUANO JOSE LUIS   1701260901001                                                    X
 100269      AYALA RUIZ VICTOR JULIO         1701289553001                                                    X
 151327      JURADO ARCENTALES OSWALDO NAPOLEON
                                             1701290189001                                                    X
  52212      ORTIZ CEPEDA CARMEN ELISA       1701308718001                                                    X
 217973      BETANCOURT CARDENAS SEGUNDO IGNACIO
                                             1701315317001                                                    X
 181676      GOMEZ TACO JOSE LUIS            1701316638001                                                    X
  30483       JORGE                          1701317537001                                                    X
 189195      GUALOTO CHULCA SEGUNDO FRANCISCO1701318428001                                                    X
 245155      TORRES JUAN                     1701333187001                                                    X
 173029      CARRERA GALARZA LUCIANO EFREN 1701341941001                                                      X
 196739      CHERRES GONZALO POLIVIO         1701385195001                                                    X
  96094      REINOSO VICTOR HUGO             1701394411001                                                    X
 222306      ALQUINGA CONDOR JOSÉ RAFAEL     1701485508001                                                    X
 261174      GUALOTUÑA SUNTASIG CESAR        1701497685001                                                    X
 179409      RAMIREZ JOSE ANTONIO            1701499509001                                                    X
 134347      BARROS PROAÑO LUIS EDUARDO      1701511097001                                                    X
 241258      BALDEÓN CORREA SEGUNDO NARCISO  1701518282001                                                    X
 121906      SALAZAR TRUJILLO CARMEN EDELINA 1701519801001                                                    X
  67037      ZARATE BOLAÑOS SEGUNDO JOSE     1701525212001                                                    X
 118161      GARCIA ESPINOSA ENRIQUE EDUARDO 1701533794001                                                    X
 112531      NAVARRETE NAVARRETE JOSE RANULFO1701562702001                                                    X
 255481      IDROVO ESPINOZA PEDRO TEODORO 1701591891001                                                      X
 113428      CASTILLO ORDOÑEZ ELOY AMILCAR 1701594309001                                                      X
 118564      IZA REA MARIA EMPERATRIZ        1701596924001                                                    X
 136816      DIAZ VALLEJO FANNY ALICIA       1701603134001                                                    X
 231199      HIDALGO LOGACHO BLANCA GEORGINA701609396001
                                             1                                                                X
  14906      SALAS PATINO JORGE ESTUARDO     1701619551001                                                    X
 142788      ARAUJO DONOSO HERNÁN GUSTAVO 1701619676001                                                       X
No                 No registra
                                                               No                    No registra   No
                                                                        No. registra                       registra      No.    indicadores
                                                             registra                provincia, registra
Persona_id              NOMBRE                No. ID (RUC)                 calle                           número      registra de ventas,
                                                             apellido                 cantón y   primer
                                                                         principal                         de calle     origen activos y/o
                                                             paterno                 parroquia nombre
                                                                                                           principal             empleados

 246729      CADENA CADENA LUIS ALFREDO     1701692509001                                                     X
 165382      SANDOVAL BEDOYA JORGE ALFREDO 1701699538001                                                      X
 177943      PAREDES FLOR LENÍN EDUARDO     1701748061001                                                     X
 178241      MIÑO MONTALVO MARCO ERNESTO 1701763482001                                                        X
 165812      TORRES ARMIJOS OSWALDO ENRIQUE1701764407001                                                      X
 145341      PAREDES BRAZALES ERNESTO ALFREDO
                                            1701771816001                                                     X
 167318      CARRERA GUTIERREZ SEGUNDO LUIS 1701774893001                                                     X
  18390      MUNOZ LANDAZURI MARIO PATRICIO 1701785121001                                                     X
 114793      MOROCHO REMACHE CARLOS ALBERTO 1701815092001                                                     X
  78348      VELASTEGUI DOMINGUEZ ROMMEL VICIENTE
                                            1701825117001                                                     X
 137411      PILATAXI ASERO CARLOS ALBERTO  1701833509001                                                     X
 161781      CHICAIZA TONATO SEGUNDO        1701842591001                                                     X
 256762      MERA PALMA SEGUNDO AGUSTIN     1701845909001                                                     X
 248375      QUINQUIGUANO TONATO JOSE CARLOS701847947001
                                            1                                                                 X
  12055      SERAFIN                        1701863787001                   X            X                    X
 180577      GUERRA BARROS JOSE RAFAEL      1701863803001                                                     X
 140307      GOMEZ DE LA TORRE RUIZ TEODORO JOSE GABRIEL
                                            1701896100001                                                     X
  82617      MORENO LOPEZ ARTURO RIGOBERTO1701896548001                                                       X
 104087      BUENAÑO COBA GEORGINA JUDITH   1701900142001                                                     X
  21009      NOBOA OROZCO MIGUEL ANGEL ROBERTO
                                            1701918813001                                                     X
 273764      RIVERA GALLEGOS FERNANDO       1701925495001                                X                                X
  72423      CALLE CÁRDENAS JOAQUIN NICOLÁS 1701936294001                                                     X
 261279      VELASTEGUÍ ALVEAR CARLOS ENRIQUE701940395001
                                            1                                                                 X
  88667      FUENTES FLORES MARIA DEL CARMEN1701952069001                                                     X
  48871      CAMPUZANO ARGUELLO EDUARDO     1701979773001                                                     X
 119915      BALAREZO DUQUE PABLO RODRIGO 1701981027001                                                       X
 212963      PROAÑO ALMEIDA JORGE EDMUNDO 1701990101001                                                       X
  60600      DELGADO MURILLO MARCO ANTONIO 1701992172001                                                      X
 116939      QUISHPE MORALES JOSE MANUEL    1702000819001                                                     X
 120389      ROMERO VASCO RODRIGO CORNELIO 1702005610001                                                      X
 121713      MIÑO VACA BENJAMIN ANIBAL      1702006659001                                                     X
No                 No registra
                                                                No                    No registra   No
                                                                         No. registra                       registra      No.    indicadores
                                                              registra                provincia, registra
Persona_id               NOMBRE                No. ID (RUC)                 calle                           número      registra de ventas,
                                                              apellido                 cantón y   primer
                                                                          principal                         de calle     origen activos y/o
                                                              paterno                 parroquia nombre
                                                                                                            principal             empleados

 271583      PEREZ LOPEZ JUAN CARLOS          1702017003001                                                    X
 116650      MOREJON PONCE LUIS ALFREDO       1702028182001                                                    X
 167479      ZAMBRANO DELGADO LUIS ALFONSO 1702031319001                                                       X
  13260      CERRAJERIA Y CARPINTERIA REINALDO AYO
                                              1702074830001                                                    X
 193427      CABASCANGO CARRERA CARLOS        1702091164001                                                    X
  23572      JIMENEZ CISNEROS BORIS AMILCAR 1702113620001                                                      X
  83204      DELGADO BOLAÑOS GERMAN BAYARDO702167238001
                                              1                                                                X
 154007      JACHO OÑA NELSON                 1702203959001                                                    X
 119821      QUINGA GUAZUMBA JOSE JULIO       1702213990001                                                    X
 163940      MOROCHO OÑA SEGUNDO BARTOLO 1702244375001                                                         X
 167184      PREXL PAZMIÑO WALDEMAR WERNER 1702264621001                                                       X
 192494      CHUQUITARCO MAIQUIZA SEGUNDO VICTOR
                                              1702267632001                                                    X
 126411      ALVAREZ VERA PEDRO FERNANDO      1702278779001                                                    X
  97523      PAZMINO HERRERA BLANCA YOLANDA1702359033001                                                       X
 238636      IZA ARTURO                       1702361559001                                                    X
 104993      PINNELA ROMERO GUSTAVO           1702372382001                                                    X
 110508      ORTIZ AGUINDA RICARDO            1702376789001                                                    X
  72449      SEGOVIA MEJÍA LUIS ALBERTO       1702397660001                                                    X
 203811      AREVALO DELGADO FERNANDO MANUEL  1702399856001                                                    X
 202179      NIETO TERÁN TOMÁS AMABLE         1702473339001                                                    X
 221501      RODRIGUEZ AMAGUANA LUZ MARIA 1702480722001                                                        X
 128901      PEÑAHERRERA MUÑOZ JOSE OSWALDO   1702488840001                                                    X
 167662      GARCÍA GÓMEZ HUGO ERNESTO        1702489533001                                                    X
 148567      ASHCA CESAR                      1702497726001                                                    X
  69480      CORRAL LOPEZ BOLIVAR GENARO      1702543156001                                                    X
  82147      RIVERA AGUAS MARIO AUGUSTO       1702553171001                                                    X
  98080      MARTINEZ PAVON PACO EFRAIN       1702555994001                                                    X
  73350      FREIRE ZALDUMBIDE WILMA BOLIVIA 1702559590001                                                     X
  89392      PONCE ITURRIAGA PATRICIO BOLÍVAR 1702585751001                                                    X
  10664       VICTOR HUGO BURBANO A.          1702601350001                                                    X
  33967      JORGE VALENCIA SORIA             1702601616001                                                    X
No                 No registra
                                                               No                    No registra   No
                                                                        No. registra                       registra      No.    indicadores
                                                             registra                provincia, registra
Persona_id               NOMBRE               No. ID (RUC)                 calle                           número      registra de ventas,
                                                             apellido                 cantón y   primer
                                                                         principal                         de calle     origen activos y/o
                                                             paterno                 parroquia nombre
                                                                                                           principal             empleados

 162911      GONZÁLEZ SOLÓRZANO GRETY VIRGINIA
                                             1702604156001                                                    X
  50529      ESCOBAR CASTRO EDUARDO          1702614072001                                                    X
 110090      PAUKER GUTIERREZ JOSÉ ARTURO    1702618875001                                                    X
 144913      PALMA PROAÑO PEDRO PABLO        1702619253001                                                    X
 227702      CARRERA VILLAO JOSE ANTONIO     1702622588001                  X            X                    X
 136865      SALTOS SALTOS MANUEL ENRIQUE    1702642115001                                                    X
 171556      VELASCO LARRAGA LUIS ALFONSO    1702643535001                                                    X
  89439      JURADO NOBOA FERNANDO RODRIGO 1702645324001                                                      X
 193890      GANGOTENA GUARDERAS MARIA DEL CARMEN
                                             1702651504001                                                    X
  26325      MENA CARRERA WASHINGTON ARNULFO 1702655182001                                                    X
 118445      SIGCHA LEMA MARIANA DEL ROSARIO 1702699529001                                                    X
  88362      SILVA ARIAS PERICLES ABDON      1702733617001                                                    X
 177662      GALLARDO MORENO JORGE EDGAR 1702743509001                                                        X
  63852      MOLINA VALENCIA LEONARDO        1702762384001                                                    X
  31938      VASQUEZ RICAURTE LUIS MIGUEL    1702762863001                                                    X
 228332      BECDACH SANTOMARO FERNANDO PATRICIO
                                             1702767623001                                                    X
 139938      HERNÁNDEZ VÁSCONEZ DIEGO        1702774736001                                                    X
 173680      CADENA PEREZ MARTHA ELVIRA      1702788835001                                                    X
  27496      PICO ZEA MANUEL ALBERTO         1702788876001                                                    X
 209826      TITUAÑA NINACURI TOMAS ELIAS    1702792092001                                                    X
  57381      MONGE CASTRO VICTOR MANUEL      1702793009001                                                    X
  56097      VACA ROJAS MIGUEL ARMANDO       1702794361001                                                    X
  75608      GARCIA SOSA FABIAN AUGUSTO      1702796200001                                                    X
 175164      GUTIERREZ LOPEZ BLANCA MARICELA 1702798628001                                                    X
  33632      ROMERO CABRERA MILTON EDUARDO 1702800374001                                                      X
 168963      POZO VILLEGAS ROSA ISABEL       1702801240001                                                    X
 121310      RUIZ CANDO VICTOR HUGO          1702805050001                                                    X
 217013      RAMOS VERDESOTO GALO MANUEL 1702806231001                                                        X
 221099      SIMBAÑA SIMBAÑA MARIA TRANSITO 1702806447001                                                     X
 131263      RADA TORRES GUSTAVO AUGUSTO 1702822550001                                                        X
 111812      ESCUDERO CABEZAS FERNANDO RAFAEL1702824770001                                                    X
No                 No registra
                                                                No                    No registra   No
                                                                         No. registra                       registra      No.    indicadores
                                                              registra                provincia, registra
Persona_id               NOMBRE                No. ID (RUC)                 calle                           número      registra de ventas,
                                                              apellido                 cantón y   primer
                                                                          principal                         de calle     origen activos y/o
                                                              paterno                 parroquia nombre
                                                                                                            principal             empleados

 202921      CRIOLLO PILICITA MARIA HORTENCIA 1702830553001                                                    X
  81540      VELASQUEZ CEVALLOS LAURA JUDITH 1702833292001                                                     X
 131053      PAREDES PAVON FERNANDO RAMIRO 1702849462001                                                       X
 273950      VACA ANDRADE FRANCISCO BLADIMIRO702853761001
                                              1                                           X                                X
  71551      MIÑO GRIJALVA MARIANA CECILIA    1702868173001                                                    X
 177067      MONTALUISA LASLUISA SEGUNDO GONZALO
                                              1702868934001                                                    X
 160229      ALMACHE CHILUISA CESAR ABELARDO1702903186001                                                      X
 111129      BANDA HALLO GENARO               1702910181001                                                    X
 100219      VILLALBA ULLOA NÉSTOR AGUSTÍN    1702933308001                                                    X
 176835      HERRERA SUASNAVAS JULIO ENRIQUE1702946201001                                                      X
  60331      CARRION HERMIDA GONZALO          1702950708001                                                    X
 244115      TINAJERO MONTALVO MARIO RUBEN 1702958743001                                                       X
  62095      AYALA AYALA ROSA MARTHA          1702964717001                                                    X
 161433      PEREZ PABLO                      1702967371001                                                    X
 186703      TAPIA ARIAS CESAR TIBERIO        1702969708001                                                    X
  59762      ROJAS REGIS MANUEL RUBEN         1702971993001                                                    X
 139967      ACUÑA MEJÍA ANGEL PATRICIO       1702988526001                                                    X
  22582      GUERRA ALMEIDA GERMAN BOLIVAR 1702992643001                                                       X
 187822      MANTILLA JARAMILLO DIEGO DANILO 1702996990001                                                     X
 239201      ALMACHE LASTRA FLAVIO JOEL       1703014124001                                                    X
 166396      AGUIRRE AGUIRRE ANGEL BOLIVAR 1703015055001                                                       X
  53869      CASA HIDALGO FLORESMILO          1703016376001                                                    X
  37667      TERÁN PALLOROZA JOSÉ RAÚL        1703023026001                                                    X
  48318      PROAÑO ESTACIO RAFAEL MARIANO 1703026334001                                                       X
 141043      MUZO PULUPA ANDRES               1703026425001                                                    X
  30499      SALAZAR CROW NELSON RICARDO      1703032365001                                                    X
 140165      MORALES RODRIGUEZ RICARDO NEPTALI1703034833001                                                    X
  58338      IZA HERIBERTO                    1703041788001                                                    X
 133308      CATAGÑA VINUEZA MARIA JUANA      1703044766001                                                    X
 259289      SANTACRUZ FLORES GERARDO SAUL 1703053452001                                                       X
  70341      CESPEDES CARRILLO FANNY MARGOTH703055341001
                                              1                                                                X
No                 No registra
                                                               No                    No registra   No
                                                                        No. registra                       registra      No.    indicadores
                                                             registra                provincia, registra
Persona_id              NOMBRE                No. ID (RUC)                 calle                           número      registra de ventas,
                                                             apellido                 cantón y   primer
                                                                         principal                         de calle     origen activos y/o
                                                             paterno                 parroquia nombre
                                                                                                           principal             empleados

 158263      GODOY GODOY RAMÓN FERNANDO 1703059210001                                                         X
 102057      NACIMBA QUINGA JOSE HUMBERTO 1703059525001                                                       X
 102907      ULCO CARRERA ALFONSO           1703062446001                                                     X
  96817      DIAZ OBANDO MAURICIO VICENTE   1703062529001                   X            X                    X
 253827      LEON GOMEZ VICENTE JAVIER      1703069623001                                                     X
  90111      TUFIÑO GARZON OSWALDO DANIEL 1703070613001                                                       X
 237607      PENAHERRERA GUERRERO TERESA DE JEUS
                                            1703080745001                                                     X
 181330      VITERI GUALINGA ELVIA          1703080885001                                                     X
  41802      VALLEJO ZURITA FABIAN LORENZO  1703085041001                                                     X
  12062       ING. HERMEL FLORES MALDONADO 1703085975001                                                      X
 217722      MORALES PARRENO BLANCA NOEMI 1703108736001                                                       X
  85037      CEVALLOS MORAN OSWALDO PATRICIO1703120202001                                                     X
 170460      YAJAMIN LINCANGO GENARO HUGO 1703123875001                                                       X
  41624      NÁJERA CHIRIBOGA JUAN ELOY     1703128288001                                                     X
  79058      MORENO ANDRADE WALTER MESIAS 1703132272001                                                       X
 189741      ASTUDILLO LARREATEGUI CARMEN ROSA
                                            1703132496001                                                     X
 243421      GUACHAMIN ORTIZ JUAN JOSE      1703133338001                                                     X
  24695      JURADO GUERRERO JORGE EDUARDO1703143014001                                                       X
 213763      TONATO TOAPANTA MARIA VIRGINIA 1703145035001                                                     X
 243586      TORAL VILELA MANUEL IGNACIO    1703151934001                                                     X
 141614      HERRERA AGUIRRE VICTOR MANUEL 1703154847001                                                      X
  11104       MIGUEL                        1703158566001                                X
 160746      COVEÑA CEDEÑO AUGUSTO BERNARDO 1703172773001                                                     X
 274311      SOTO GARCIA DORA               1703173755001                                                     X
 119493      BRAVO MOYA BLANCA CECILIA      1703193522001                                                     X
  85812      SOLANO MONTERO FAUSTO ENRIQUE 1703212223001                                                      X
  75038      CRUZ RAMÍREZ FÉLIX OSWALDO     1703214997001                                                     X
 261012      JATIVA CABRERA AIDA VIOLETA    1703215069001                                                     X
 120442      GALLARDO GARCIA LUIS EFRAIN    1703218592001                                                     X
 144225      SELLÁN JURADO RICARDO          1703222206001                                                     X
  43373      CUENCA LUZON VICENTE JULIO     1703227007001                                                     X
No                 No registra
                                                                No                    No registra   No
                                                                         No. registra                       registra      No.    indicadores
                                                              registra                provincia, registra
Persona_id               NOMBRE                No. ID (RUC)                 calle                           número      registra de ventas,
                                                              apellido                 cantón y   primer
                                                                          principal                         de calle     origen activos y/o
                                                              paterno                 parroquia nombre
                                                                                                            principal             empleados

 163651      PAUCAR HERRERA JAIME RICARDO     1703237246001                                                    X
 200676      DIAZ MORAN GERARDO IVAN          1703244895001                                                    X
 160767      IZURIETA DILLON RAMIRO ANTONIO   1703279917001                                                    X
 156098      NIETO VELASQUEZ PEDRO PACO       1703284743001                                                    X
 100327      RUIZ CANDO AUGUSTO RENE          1703287225001                                                    X
 195100      MENA VIZUETE TERESA ESPERANZA 1703288371001                                                       X
 201451      UBILLUS CARRERA MACHINES PARTS 1703290666001                                                      X
 138618      PILLAJO BACULIMA MANUEL GENARO 1703291516001                                                      X
   9661       FREILE DARQUEA XAVIER           1703294916001                                                    X
 201129      ZAMBRANO MARICELA DE LOS ANGELES 1703299881001                                                    X
 192696      IZQUIERDO BARRAZUETA HUGO FRANCISCO
                                              1703310639001                                                    X
  73534      MORAN MIER JAIME VENANCIO        1703315315001                                                    X
  39125       GABRIEL                         1703317030001                                                    X
 255058      FLORES REA JUAN UBALDO           1703320216001                                                    X
  12662       MARIO                           1703322675001                                                    X
 126274      MENDOZA TIBANTA LEONARDO AMADO   1703336238001                                                    X
 197719      PAREDES REASCOS LUIS FERNANDO 1703349710001                                                       X
 172576      CHASIPANTA CATAGNA GUSTAVO       1703360915001                                                    X
  43966      MORA ESCOBAR MARIO FERNANDO      1703364990001                                                    X
 243466      UVILLUS GUTIERREZ SEGUNDO RAUL 1703372597001                                                      X
 213943      MORALES ALARCON CLOTILDE ELVIRA 1703372977001                   X            X                    X
 207977      ROBALINO LARREA MESIAS FABRICIO 1703399905001                   X            X                    X
  41837      MEDIAVILLA PAZMIÑO SERGIO ANIBAL 1703402816001                                                    X
  65796      GUAMAN MARCILLO JAIME GUSTAVO 1703411130001                                                       X
  26244       WILSON                          1703422707001                                                    X
 224691      BASTIDAS TORRES LIDA PAZ MATILDE1703427458001                                                     X
  20229      CALVACHE CALDERON ROLANDO EGBERTO1703435782001                                                    X
  37889      ARROYO BURBANO HERNANDO GONZALO  1703443968001                                                    X
   9453      INDUSTRIAS TECNOMUEBLE           1703444578001                                                    X
 242094      PEREZ YANEZ LUCIO RAMIRO         1703454551001                               X
  27597      GRANDA VACA FRANCISCO EDMUNDO 1703462851001                                                       X
No                 No registra
                                                               No                    No registra   No
                                                                        No. registra                       registra      No.    indicadores
                                                             registra                provincia, registra
Persona_id              NOMBRE                No. ID (RUC)                 calle                           número      registra de ventas,
                                                             apellido                 cantón y   primer
                                                                         principal                         de calle     origen activos y/o
                                                             paterno                 parroquia nombre
                                                                                                           principal             empleados

  29851      ROMERO GALARZA BOLIVAR EDELBERTO
                                            1703464345001                                                     X
 107780      BENÍTEZ BENÍTEZ MARCO RAMIRO   1703468791001                                                     X
 165579      MARQUEZ LOPEZ MILTON EFRAIN    1703472157001                                                     X
  65020      MENESES BOSMEDIANO MARIA AMPARO1703474286001                                                     X
 164404      ANDRANGO MUZO PEDRO PABLO      1703482081001                                                     X
  36910      DEL PINO ANDRADE EDGAR VICTOR 1703483691001                                                      X
  10700      ALMEC""                        1703488195001                                                     X
 143258      VELASQUEZ GUAMINGA WILSON ENRIQUE
                                            1703498764001                                                     X
  17234      ACOSTA JARA VICTOR MANUEL      1703518926001                                                     X
  70471      GALARZA PAREDES MARIO HERNAN 1703532729001                                                       X
  60609      RIVERA POZO JOSE OLMEDO        1703542397001                                                     X
 149416      HERRERA VILLACIS ENRIQUE FREDY 1703554681001                                                     X
 226301      OÑA ACOSTA MILTON WENSESLAO    1703561397001                                                     X
  89312      CARRERA RODRIGUEZ VICENTE ABELARDO
                                            1703569887001                                                     X
 182638      ANHALZER VALDIVIESO JORGE JUAN 1703579019001                                                     X
 210102      ALVARO RAMIREZ MIGUEL ANGEL    1703592541001                                                     X
 253692      LOPEZ PEREZ LENIN ALBERTO      1703595825001                                                     X
 115980      PARRA SANCHEZ JORGE VICENTE    1703598563001                                                     X
 143471      DUQUE HEREDIA GONZALO ALEJANDRO1703622827001                                                     X
 195315      VALLEJO ALBÁN JOSÉ GERMÁNICO   1703629426001                   X            X                    X
 120347      ZURITA BEJAR GABRIEL LONARDO   1703630846001                                                     X
 141680      BRAVO TORRES FRANCISCO NERI    1703635514001                                                     X
 231395      LOAYZA SOTOMAYOR ZONIA MAGDALENA
                                            1703638245001                                                     X
 245926      ALCOCER LARCO RIGOBERTO POLICARPIO
                                            1703641934001                                                     X
 121313      FIERRO SILVA HERNAN CASADO     1703651198001                                                     X
  85911      TOPON RAIMUNDO JUAN RAMON      1703666162001                                                     X
 163904      TAMAYO SILVA EDGAR ANIBAL      1703670024001                                                     X
 101874      ROMERO CHAN MAXIMO ENRIQUE     1703687820001                                                     X
 222409      GARCES STEIN LEANDRO           1703688190001                                                     X
 202740      YAMUNAQUE LOPEZ MIGUEL ANTONIO 1703692994001                                                     X
 199170      CARRERA CARRERA VÍCTOR MANUEL 1703694693001                                                      X
No                 No registra
                                                               No                    No registra   No
                                                                        No. registra                       registra      No.    indicadores
                                                             registra                provincia, registra
Persona_id               NOMBRE               No. ID (RUC)                 calle                           número      registra de ventas,
                                                             apellido                 cantón y   primer
                                                                         principal                         de calle     origen activos y/o
                                                             paterno                 parroquia nombre
                                                                                                           principal             empleados

 203163      CABEZAS PAEZ JORGE HUMBERTO     1703699007001                                                    X
 154164      REMACHE GUANOLUISA JOSE ANTONIO 1703704187001                                                    X
 179672      GOMEZ CHANGO ANGEL EDUARDO      1703708311001                                                    X
 196446      PEREZ ENDARA MANOLO             1703710457001                                                    X
 161859      LARCO SINAILIN SERAFIN          1703711349001                                                    X
 246565      CERVANTES SUÁREZ FABIÁN EDUARDO 1703712644001                                                    X
 239386      ANDRADE ECHEVERRÍA JUAN GABRIEL1703715787001                                                     X
 139244      GONZALEZ GARZON MARIANA DE JESUS1703718849001                                                    X
 190309      BASSANTES PONCE LEONARDO VINICIO1703720266001                                                    X
 206868      CHUQUIMARCA QUILACHAMÍN ADOLFO1703727063001
                                              ANGEL                                      X
   3813      BETANCOURT CONSTRUCTORES        1703738623001                                                    X
 249039      SAEZ SALINAS SEGUNDO ABELARDO 1703744803001                                                      X
 171693      GUTIERREZ FREIRE SEGUNDO RICARDO1703744902001                                                    X
 219798      RODRIGUEZ PAREDES ALEJANDRO ALBERTO
                                             1703755353001                                                    X
 155244      PALACIOS IZQUIERDO EDGAR LIZARDO1703763266001                                                    X
  48035      DURÁN ALMEIDA SILVERIO ANTONIO 1703763928001                                                     X
  93882      ALMEIDA VILLAMARÍN LUIS EDMUNDO 1703769909001                                                    X
 159760      NAVARRO NAVARRO ADRILA DEL CARMEN
                                             1703774222001                                                    X
 224887      SALVADOR CORDOVA CARLOS IVAN 1703774503001                                                       X
 243554      OSEJOS OSEJOS WALTER DELIO      1703780369001      X                                             X
 173595      PAEZ JURADO MARCO VINICIO       1703781227001                                                    X
 233899      MEDINA ANGULO JOSÉ HUMBERTO     1703784718001                                                    X
 264719      ALVAREZ WANDEMBERG CESAR ANTONIO1703795565001                  X            X                    X
 253578      ARROYO CRUZ JOSE IGNACIO        1703800027001                                                    X
  47243      MANOSALVAS LOPEZ CARLOS ANIBAL 1703802536001                                                     X
  89865      ANAGUANO SUQUILLO JOSÉ ALEJANDRO1703805794001                                                    X
 216577      YANEZ TUFIÑO LUIS HERNAN        1703821718001                                                    X
 197650      MOLINA TAPIA MARIA ETELVINA     1703822823001                                                    X
 188447      CORNEJO TAPIA JUAN JOSE         1703824050001                                                    X
  75031      BACA MONTENEGRO EBERTHON RENATO 1703827459001                                                    X
 140739      PINOARGOTTY MORA FRANCISCO ALEJANDRO
                                             1703828275001                                                    X
No                 No registra
                                                               No                    No registra   No
                                                                        No. registra                       registra      No.    indicadores
                                                             registra                provincia, registra
Persona_id               NOMBRE               No. ID (RUC)                 calle                           número      registra de ventas,
                                                             apellido                 cantón y   primer
                                                                         principal                         de calle     origen activos y/o
                                                             paterno                 parroquia nombre
                                                                                                           principal             empleados

 183461      DÍAZ PAREDES EDUARDO GILBERTO 1703837649001                                                      X
  97291      BRAVO NARVÁEZ WILSON RENÉ       1703844173001                                                    X
  22761      AVILES FERRI GONZALO XAVIER     1703848133001                                                    X
 133998      ALVAREZ PALACIO JOEGE ESTEBAN 1703849024001                                                      X
  39026      CARLOS                          1703849537001                                                    X
  36595      MEZA ESPINOZA BISMARCK GUILLERMO1703856557001                                                    X
  14859      ARQ. RENÉ RECALDE               1703861425001                                                    X
  13953      PLADICO                         1703865327001                                                    X
 165486      ALBORNOZ BUENDIA ANTONIO GUSTAVO1703869501001                                                    X
  43972      HARO ALBUJA FRANCISCO GABRIEL 1703881480001                                                      X
 220983      DILLON TORRES LEONIDAS ALBERTO 1703887305001                                                     X
 147117      ERAZO ARIAS JORGE LUIS          1703889954001                                                    X
  34396      SANTAMARÍA OSWALDO ERNESTO      1703892685001                                                    X
 277957      BARAHONA SAENZ JULIO ENRIQUE    1703900801001                               X                                X
  22499      GRIJALVA ORTIZ ELIAS MAURICIO   1703905552001                                                    X
 255636      CORRAL SALVADOR ROSA MARGARITA1703908515001                                                      X
  74985      QUIJIA ANAGUANO OLMEDO MISAEL 1703912103001                                                      X
  17875      RHON BALDEON JORGE ENRIQUE      1703919744001                                                    X
  39116      CARDENAS CAIZA JOSE EDUARDO     1703920429001                                                    X
  24460      HERRERA SANCHEZ EFRÉN GERONIMO  1703922250001                                                    X
 137338      LOOR SANCHEZ LEONIDAS ANTONIO 1703932168001                                                      X
 122990      LOZA ALMEIDA EDISON DANILO      1703934198001                                                    X
  65177      MEZA LANDETA LEOPOLDO REMBERTO  1703936938001                                                    X
 150073      LOZA FLORES MARIO HUGO          1703948719001                                                    X
 146909      BENAVIDES NARVAEZ HECTOR HUGO 1703955524001                                                      X
 127672      LLUMIQUINGA NIETO JAIME GONZALO 1703956159001                                                    X
  44087      VALLEJO AGUIRRE RAMIRO EDUARDO 1703957538001                                                     X
 248064      RIVADENEIRA MIÑOZ ALBERTO JOSE IGNACIO
                                             1703971257001                                                    X
 196997      GUERRERO CHAVES ALBERTO MAURICIO1703972685001                                                    X
 241848      TAPIA CASTRO JOSE MIGUEL        1703975324001                                                    X
 123760      MULLO TUTILLO MARIA PIEDAD      1703977353001                                                    X
No                 No registra
                                                               No                    No registra   No
                                                                        No. registra                       registra      No.    indicadores
                                                             registra                provincia, registra
Persona_id               NOMBRE               No. ID (RUC)                 calle                           número      registra de ventas,
                                                             apellido                 cantón y   primer
                                                                         principal                         de calle     origen activos y/o
                                                             paterno                 parroquia nombre
                                                                                                           principal             empleados

 122618      FLOR MANCHENO GRECIA MARIA ESMERALDA
                                             1703977700001                                                    X
 107056      CASTRO SANDOVAL MARTHA MARIANITA1703979250001                                                    X
 247491      AMALUISA FIALLOS MARTHA CECILIA 1703996668001                                                    X
 214227      LARCO CARRASCO JANETT ELIZABETH1704010147001                                                     X
 114166      CÓRDOVA BAYAS JAIME PATRICIO    1704018405001                                                    X
  73783      VALLEJO ULLAURI EDMUNDO         1704019742001                                                    X
  37551      STACEY MONCAYO DIEGO RAMIRO     1704020187001                                                    X
  59491      ESPAÑA SANCHEZ SIMON            1704021284001                                                    X
 105187      ZAPATA SALDARRIAGA ALFREDO XAVIER
                                             1704032059001                                                    X
 169904      ALBUJA MOLINA EDGAR GERMAN      1704034550001                                                    X
  52534      SAAVEDRA PEDRO                  1704041522001                                                    X
 169335      SÁNCHEZ CARLOS ENRIQUE          1704042009001                                                    X
 123419      GUTIERREZ MUÑOZ EUGENIO VICENTE1704043064001                                                     X
  92005      ENDARA SEVILLA MILTON PATRICIO  1704046273001                                                    X
 131290      ESPINOSA FIERRO MANUEL FERNANDO 1704049954001                                                    X
 149455      SCHOLIS CORREA RUBÉN FRANCISCO 1704058690001                                                     X
 137708      COLOMA ESCOBAR LUZ ELENA        1704060324001                               X
 190867      JUMBO ENRIQUEZ ANGEL ADELMO     1704062379001                                                    X
  77824      TUMBACO ZAMBRANO JANETH LILIANA1704065778001                                                     X
 260844      CUMBAJIN CACHAGO DARIO          1704068244001                                                    X
  79366      GAVELA GONZALEZ WILSON ANTONIO 1704082609001                                                     X
  34788       WILLER                         1704084811001                                                    X
  60446      FREIRE MORALES CARMEN CUMANDA1704086279001                                                       X
 160840      JÁCOME CERDA MILTON ESTUARDO 1704090172001                                                       X
 152770      NAULA UREÑA SEGUNDO GONZALO 1704091642001                                                        X
 150145      TORRES VIZCAINO JOSE PATRICIO   1704101748001                                                    X
 166978      REYES HERRERA MILTON ALFREDO    1704103421001                                                    X
 131780      CARRION GALARZA MARTHA FABIOLA 1704108875001                                                     X
 119436      BOLAÑOS LEON AIDA ELVIRA        1704108891001                                                    X
  20434       MARCO                          1704110087001                                                    X
 147395      ESTRELLA MALDONADO FÉLIX LAURO 1704111523001                                                     X
No                 No registra
                                                              No                    No registra   No
                                                                       No. registra                       registra      No.    indicadores
                                                            registra                provincia, registra
Persona_id              NOMBRE               No. ID (RUC)                 calle                           número      registra de ventas,
                                                            apellido                 cantón y   primer
                                                                        principal                         de calle     origen activos y/o
                                                            paterno                 parroquia nombre
                                                                                                          principal             empleados

 134137      UNDA GALARZA MARIANA NICOLASA 1704121241001                                                     X
 239090      ZURITA TREJO LUIS ALFREDO       1704129210001                                                   X
 220739      YÁNEZ CORREA MÓNICA XIMENA      1704131414001                                                   X
 271016      TORRES LASCANO CARLOS MIGUEL 1704136884001                                                      X
  20501      MONTES PAREDES MILTON MODESTO 1704145257001                                                     X
 121580      VEGA CATAÑA ANGEL LEONARDO      1704145919001                                                   X
 201711      PURUNCAJAS GUERRERO MARCELO ALFREDO
                                             1704148665001                                                   X
 271199      PERALTA NARVAEZ SOCORRO EULALIA 1704153608001                                                   X
  85980      TRUJILLO BASTIDAS TONY MARCELO 1704158433001                                                    X
  56208      ALARCÓN SALGADO CARLOS RODRIGO  1704167178001                                                   X
 197975      ORTEGA VASQUEZ LUIS BENJAMIN    1704168234001                                                   X
 172171      DIAZ JÁCOME OSCAR ANTONIO       1704177383001                                                   X
 137060      CALDERON FLORES JORGE GUIDO     1704184421001                                                   X
 251205      MOSCOSO SÁNCHEZ MARTHA SALOMÉ1704195997001                                                      X
 270957      VERGARA TIPAN FRANCISCO FERNANDO1704197043001                                                   X
 188455      XXXXXXXXXXXXX CARVAJAL JOSÉ JULIO
                                             1704206869001                                                   X
  84029      VALLEJO RAMOS LEONARDO FERNANDO 1704232279001                                                   X
 113541      MOROCHO NEIRA WALTER POLIVIO    1704242732001                                                   X
 228424      MENA GOMEZ LUIS GUSTAVO         1704245552001                                                   X
 198830      ARELLANO RAMIREZ JOSE ABDULLAH 1704246188001                                                    X
  39051      VILLAGOMEZ GUERRERO MANUEL ANTONIO
                                             1704246592001                                                   X
   9445      ANDRANGO QUIMBIULCO LUIS ALEJANDRO
                                             1704247467001                                                   X
  75735      MARMOL HERMOSA EDGAR MIGUEL 1704249539001                                                       X
 126470      ACOSTA PAREDES MARCO ANTONIO 1704255932001                                                      X
  13219      ASESORIA FINANCIERA LEVANTAMIENTO DE PROYECTOS
                                             1704278389001                                                   X
 220097      RIBADENEIRA TERAN SANTIAGO      1704281516001                                                   X
 278069      MASACHE OCAMPO IBOCED           1704281979001                                                   X
 220462      JARRIN DIAZ NANCY YOLANDA       1704284239001                                                   X
  91253      CAJAMARCA CONDOR MARIANA DE JESUS
                                             1704288131001                                                   X
 266475      ESPIN MOYA EDUARDO RUBEN        1704299443001                                                   X
 135809      SILVA RECALDE MEDARDO ANGEL     1704301298001                                                   X
No                 No registra
                                                               No                    No registra   No
                                                                        No. registra                       registra      No.    indicadores
                                                             registra                provincia, registra
Persona_id               NOMBRE               No. ID (RUC)                 calle                           número      registra de ventas,
                                                             apellido                 cantón y   primer
                                                                         principal                         de calle     origen activos y/o
                                                             paterno                 parroquia nombre
                                                                                                           principal             empleados

   3538      GAVILANES BUENANIO HERNAN DEIFILIO
                                             1704321031001                                                    X
 105423      GARCIA ANDRADE TEMISTOCLES NOVAS1704323219001                                                    X
 141988      TIGSE VEINTIMILLA LUIS GONZALO  1704323441001                                                    X
 120907      RUEDA YEPEZ JORGE OSWALDO       1704325164001                                                    X
 213113      ALDAZ LUIS ALCIDES              1704340445001                                                    X
 222127      GOMEZ GOMEZ VICTOR              1704341757001                                                    X
  55401      CACERES JAIME RAÚL              1704341864001                                                    X
 112393      LAPO CHUQUIMARCA JUAN ELIZANDRO 1704342581001                                                    X
 202201      MORENO CRUZ LUIS GERARDO        1704346350001                                                    X
 248057      CALUGULLIN PINANJOTA MANUEL EUGENIO
                                             1704350691001                                                    X
   2236      NOVILLO BARRENO RAUL            1704359882001                                                    X
 263041      CAMPOVERDE LARGO FRANKLIN HELIDES
                                             1704361268001                                                    X
 119426      COBO NARANJO GALO OSWALDO       1704364262001                                                    X
 196269      CAIZA CHAPACA LUIS HUMBERTO     1704366101001                                                    X
 170529      MENESES MASSUH FABIAN RICARDO 1704369469001                                                      X
 219189      CONEJO CACERS SEGUNDO           1704371291001                                                    X
 108752      PAZMIÑO GUERRERO CARLOS ROMEO1704384872001                                                       X
 198801      BENALCÁZAR MOLINA WILMAN DERWIN 1704385895001                                                    X
 112617      AGUIRRE ROBALINO SEGUNDO OSWALDO1704387867001                                                    X
 191071      LESCANO VILLACÍS FERNANDO OSWALDO
                                             1704388212001                                                    X
 139108      MORALES CHANATAXI LUIS GERARDO 1704395084001                                                     X
 102166      SILVA VILLARROEL GILBERTO NAPOLEON
                                             1704398526001                                                    X
  22185      CHAVEZ CAMACHO ALONSO           1704401239001                                                    X
 182613      CELY DAVILA ALFONSO HERNAN      1704403631001                                                    X
  82251      PILLAJO TOAPANTA JOSE VICENTE   1704414646001                                                    X
 173303      SILVA LUNA JUAN CARLOS          1704417136001                                                    X
  79850      TORRES AYALA FAUSTO FERNANDO 1704417581001                                                       X
 218068      FLORES LUIS ALFREDO             1704422292001                                                    X
 132029      FIERRO VITERI ROBERTO OMAR      1704428729001                                                    X
  33133      UNDA ORTÍZ ROBERT ALEJANDRO     1704428844001                                                    X
 272412      CHECA CAMACHO CARLOS EDUARDO 1704429867001                                                       X           X
No                 No registra
                                                               No                    No registra   No
                                                                        No. registra                       registra      No.    indicadores
                                                             registra                provincia, registra
Persona_id              NOMBRE                No. ID (RUC)                 calle                           número      registra de ventas,
                                                             apellido                 cantón y   primer
                                                                         principal                         de calle     origen activos y/o
                                                             paterno                 parroquia nombre
                                                                                                           principal             empleados

 166464      VALENCIA REYES GALO RODRIGO    1704433844001                                                     X
 126613      MUÑOZ NAVARRETE BOLÍVAR HERNÁN1704439098001                                                      X
 148747      CHORLANGO DIAZ SEGUNDO ELIECER 1704441052001                                                     X
 108540      SILVA VEGA JOSE IGNACIO        1704446390001                                                     X
 220653      CUSME VELEZ MANUEL MARIA       1704447216001                                                     X
 122154      POZO VARGAS IVAN OSWALDO       1704447760001                                                     X
 250782      ANDRADE ALMEIDA ALFONSO RODRIGO1704447968001                                                     X
 232719      TELLO LOPEZ NELSON RUBEN       1704450392001                                                     X
  46999      CARRILLO CHICO EDWIN JAVIER    1704450970001                                                     X
 206015      CHANGUAN LUIS VICENTE          1704452422001                                                     X
  31996      SANCHEZ BAÑO MARCOS ARTURO     1704452745001                                                     X
  34545      JARA VILLALTA GERMAN GUILLERMO 1704454055001                                                     X
 128720      JÁCOME MOYA CÉSAR HUMBERTO     1704460136001                                                     X
  37403      ESPINOZA TARAMBIS HECTOR RICARDO704461381001
                                            1                                                                 X
 150737      PAUKER GUTIERREZ HUGO NABOR    1704462785001                                                     X
  97340      LLAMATUMBI CONDE SEGUNDO ANIBAL1704465135001                                                     X
  35820      HERNÁNDEZ ROSALES LUIS GUSTAVO 1704468667001                                                     X
  67472      HUBENTHAL SCHMIDT REINER JOHANNES
                                            1704468816001                                                     X
  97060      CUESTA ANDRADE ANGEL GABRIEL 1704470853001                                                       X
 263270      RUIZ MOREANO BOLÍVAR FERNANDO 1704471679001                                 X
  31828      JIMENEZ MENA WILSON ULPIANO    1704474707001                                                     X
  48096      ACOSTA VALENCIA GUIDO ALBERTO 1704475340001                                                      X
  79656      LÓPEZ MORALES JOSÉ ADALBERTO 1704477601001                                  X
 233275      ENRIQUEZ SOLA PABLO VINICIO    1704478641001                                                     X
  41758      ALBAN BAQUERO NELSON ERNESTO 1704480456001                                                       X
  89841      MARIN FREIRE SEGUNDO FRANCISCO 1704481876001                                                     X
 252388      ENCALADA RAMIREZ GONZALO ELIAS 1704483369001                                                     X
 150164      MORENO QUIROLA MANUEL RODRIGO 1704484409001                                                      X
  86971      MELENDREZ SAMANIEGO JUAN ULPIANO
                                            1704485497001                                                     X
 118303      ROLDAN VELASCO ANGEL OVIDIO    1704485638001                                                     X
 242501      BEJARANO MORENO BYRON VINICIO 1704491362001                                                      X
No                 No registra
                                                                  No                    No registra   No
                                                                           No. registra                       registra      No.    indicadores
                                                                registra                provincia, registra
Persona_id                NOMBRE                 No. ID (RUC)                 calle                           número      registra de ventas,
                                                                apellido                 cantón y   primer
                                                                            principal                         de calle     origen activos y/o
                                                                paterno                 parroquia nombre
                                                                                                              principal             empleados

 186602      PILICITA ALDAZ JOSE VICENTE        1704492089001                                                    X
 131842      PIEDRA OCHOA JULIO ANTONIO         1704495793001                                                    X
 110033      AGUILAR ALMEIDA LIZARDO APARICIO 1704498466001                                                      X
  67546      SÁNCHEZ ROSERO CARLOS AUGUSTO1704498672001                                                          X
 242906      SALAZAR LUZ MELIDA                 1704500121001                                                    X
 179444      TITUAÑA QUISHPE SARA GUADALUPE 1704501483001                                                        X
 151731      CHINCHERO SALAZAR MARÍA MATILDE 1704504776001                                                       X
 232024      SAA GALLO RUTH MARLENE             1704504966001                                                    X
 193431      FLORES HERRERA AURA LUCIA DEL CARMEN
                                                1704507696001                                                    X
 227293      DUEÑAS CEDEÑO LILITA ESPAÑA        1704514775001                                                    X
 179020      ALMEIDA CHIRIBOGA ROSA ESTHER 1704533957001                                                         X
 175731      REINOSO MOLINA MARÍA CLEMENCIA 1704534427001                                                        X
 106679      CEVALLOS SUAREZ AURA VIOLETA       1704534880001                                                    X
 113883      GORDILLO TUFIÑO BLANCA ANAGELIA 1704535663001                                                       X
  41234      CARDENAS VALENZUELA MARIA ELENA1704536026001                                                        X
  29606      EGAS MAFFEO TANIA LORENA           1704538287001                                                    X
 231150      IZQUIERDO BIFARINI MARIA DE LA PAZ 1704584877001                                                    X
 104308      SUAREZ LOPEZ CARLOTA DE LOURDES    1704595329001                                                    X
  52494      MASSON ALBUJA EVA LESLIE           1704597085001                                                    X
 277457      VÁSCONEZ RODRÍGUEZ ALISON          1704600590001                  X            X                    X
 134949      ESTRELLA CUESTA SONIA GLAYS        1704607926001                                                    X
  92897      ECOBASES                           1704615721001                                                    X
 260839      RECALDE PACHECO BELGICA MARIANA    1704627692001                                                    X
  62054      BERMUDEZ CEDEÑO CARLOS CAYETANO    1704671013001                                                    X
 186776      NACATA LLUMIQUINGA JOSE JULIO      1704682739001                                                    X
  42217      SOLANO SOLANO JAIME AMADOR         1704684123001                                                    X
 261257      MONTOYA CUCALON GALO HENRY         1704687423001                                                    X
 114022      CEPEDA CAIZA SEGUNDO LUÍS          1704692530001                                                    X
 123035      FLORES HIDALGO JOSÉ BOLÍVAR        1704698289001                                                    X
 219534      VALENCIA CAMPOS HECTOR ILICH       1704699931001                                                    X
 238361      NEIRA MOSQUERA JORGE ALFONSO 1704700689001                                                          X
No                 No registra
                                                                No                    No registra   No
                                                                         No. registra                       registra      No.    indicadores
                                                              registra                provincia, registra
Persona_id               NOMBRE                No. ID (RUC)                 calle                           número      registra de ventas,
                                                              apellido                 cantón y   primer
                                                                          principal                         de calle     origen activos y/o
                                                              paterno                 parroquia nombre
                                                                                                            principal             empleados

  33815      VITERI SOSA FABIÁN ANÍBAL        1704707197001                                                    X
 147447      SOTO GUAMAN JAIME EDUARDO        1704709581001                                                    X
 162116      PILATUÑA LINCANGO SEGUNDO JAIME 1704714318001                                                     X
  59749      GUEVARA MENDOZA JORGE ANTONIO 1704717683001                                                       X
 130753      VÉLEZ RIVERA LUIS EMILIO         1704720299001                                                    X
  91462      MENA CRUZ ANÍBAL PATRICIO        1704720372001                                                    X
 121384      RUBIO CARLOS GENARO              1704725348001                                                    X
 158014      ORTIZ TAPIA LUIS GONZALO         1704727609001                                                    X
 112377      BENAVIDES CARDENAS MANUEL OLIVERIO
                                              1704730249001                                                    X
 273702      CAMPOVERDE AGUILAR ANTONIO LEOPOLDO
                                              1704737442001                               X                                X
 191371      NATO PAUCAR SERGIO GONZALO       1704739646001                                                    X
 164997      GRIJALVA JUINA CARLOS MARIA      1704742707001                                                    X
 193468      MENESES POLO RAUL BAYARDO        1704749637001                                                    X
  15470      GRAPHIC ENTERPRISES IMPRENTA     1704751294001                                                    X
  56351      RIVADENEIRA NUÑEZ VÍCTOR         1704753217001                                                    X
 237661      ROJAS HERRERA RODRIGO AUGUSTO MARCELO
                                              1704757317001                                                    X
 130359      LLANOS SAMANIEGO LUIS GUILLERMO 1704761830001                                                     X
  72933      OCHOA TERAN LUIS GONZALO         1704763893001                                                    X
 185816      MUÑOZ PILLAJO OSWALDO            1704767308001                                                    X
 159305      MORENO JARRIN FERNANDO RAMIRO 1704768140001                                                       X
 212618      CUCARDO CORDOBA PEDRO ANTONIO    1704768272001                                                    X
  58503      VITERI ARGUELLO OSCAR VINICIO    1704769734001                                                    X
 189420      SARANGO MASACHE JULIA ALEJANDRINA1704782091001                                                    X
 115615      FERNANDEZ MORALES LUZMILA        1704800042001                                                    X
 154321      RODRIGUEZ VELASTEGUI ANA ELOISA 1704813409001                                                     X
 114232      TORRES DE LA CRUZ CLELIA DEL PILAR
                                              1704822194001                                                    X
 253284      CAJAMARCA PARRA CARLOS AMABLE 1704863222001                                                       X
  19519      LOPEZ PAREDES MARCO ALEXIS       1704867256001                                                    X
 182481      GUALOTO IMBAQUINGA PEDRO ALFONSO 1704872041001                                                    X
 272534      MERIZALDE PROAÑO CARLOS WILSON 1704879301001                                 X                                X
 150185      ALMEIDA REYES LUIS UBALDO        1704884871001                                                    X
No                 No registra
                                                               No                    No registra   No
                                                                        No. registra                       registra      No.    indicadores
                                                             registra                provincia, registra
Persona_id               NOMBRE               No. ID (RUC)                 calle                           número      registra de ventas,
                                                             apellido                 cantón y   primer
                                                                         principal                         de calle     origen activos y/o
                                                             paterno                 parroquia nombre
                                                                                                           principal             empleados

  50032      JIJÓN SOLÓRZANO JOSÉ VLADIMIRO 1704894565001                                                     X
  78192      LASPINA ARELLANO CARLOS IVAN    1704899440001                                                    X
 244882      ANDRADE SUQUILLO EFRAIN MARCELO 1704912474001                  X            X                    X
 234896      CALERO ACOSTA IVÁN ENRIQUE      1704916160001                                                    X
  54366      CÓRDOVA AGUIRRE WILSON S        1704919065001                                                    X
 274702      BALSECA AVILA GONZALO FROILAN   1704923711001                                                    X
 259676      LANDETA ANGEL FELIPE            1704927324001                                                    X
 230849      RICAURTE MOREIRA RAUL REINERIO 1704927696001                                                     X
 252618      GUEVARA LINDO VICTOR MANUEL     1704928355001                                                    X
 204931      SANGOLUISA CHICAIZA CARLOS POMPILIO
                                             1704930781001                                                    X
 134861      LUZURIAGA JARAMILLO LUIS EDUARDO1704935848001                                                    X
 168644      CHÁVEZ CEVALLOS MIGUEL ENRIQUE 1704945250001                                                     X
  74404      MALATAXI MOPOSITA MARIA ANDREA 1704963246001                                                     X
  44043      REYES VELASCO ANITA CRISTINA    1704972361001                                                    X
  19571      BURGAENTZLE MONCAYO DIANE       1704999588001                                                    X
 185068      GUERRERO ARMAS MAURA LEONOR 1705002960001                                                        X
 120499      ANGUETA RIVADENEIRA SYLVIA LEONOR
                                             1705003133001                                                    X
 261137      PINO DINA MAGDALENA             1705012365001                                                    X
 146762      NARANJO ESPINOSA SUSANA PATRICIA1705013355001                                                    X
  88762      ALMEIDA DIAZ ELSA ANABELLE      1705033783001                  X                                 X
 107166      CASTRO TRUJILLO GLADYS ROSENDA 1705034765001                                                     X
 188914      VILLAGOMEZ ANDACHE CARLOS VICTORIANO
                                             1705040671001                                                    X
  62932      SALINAS CALERO CARLOS EFREN     1705041406001                                                    X
 166177      MARTINEZ GUEVARA JUAN DOENITZ 1705041646001                                                      X
 227895      AGUILAR AGUIRRE LUIS PATRICIO   1705045506001                                                    X
 163765      ARROBAS AGUILAR CELSO ISIDRO    1705049847001                                                    X
 271828      ANDRADE VELÁSQUEZ PATRICIO RIGOBERTO
                                             1705050308001                                                    X
 135727      MORA ENRIQUEZ MARIO EFREN       1705051140001                                                    X
 148804      ALAVA ALCIVAR JORGE AGUSTIN ARTURO NOE
                                             1705057931001                                                    X
 231922      BENALCAZAR ROMERO AQUILES FABIAN1705069449001                                                    X
 223602      MERIZALDE FABIAN SEBASTIAN      1705070371001                                                    X
No                 No registra
                                                                No                    No registra   No
                                                                         No. registra                       registra      No.    indicadores
                                                              registra                provincia, registra
Persona_id               NOMBRE                No. ID (RUC)                 calle                           número      registra de ventas,
                                                              apellido                 cantón y   primer
                                                                          principal                         de calle     origen activos y/o
                                                              paterno                 parroquia nombre
                                                                                                            principal             empleados

 240757      DIAZ TOSCANO ANGEL ERNESTO       1705072534001                                                    X
 246051      CAHUEÑAS BARBA SEGUNDO RAFAEL 1705077293001                                                       X
  56961      QUISPE ANALUISA GUSTAVO FERNANDO 1705077442001                                                    X
 173716      LOZADA LOZADA PABLO              1705080479001      X                                             X
 115220      MONTENEGRO FLORES HERNAN         1705082210001                                                    X
 137012      GUARACA DAQUILEMA JULIO CESAR 1705082384001                                                       X
 221349      ARMIJOS JARAMILLO JHYMER EDUARDO 1705083812001                                                    X
 210523      PILATUÑA SANGO LUIS EDUARDO      1705084026001                                                    X
  85136      PUGA RAYMUNDO CESAR AUGUSTO 1705085247001                                                         X
  81331      ALARCÓN SANTILLAN HUGO HERNAN 1705098919001                                                       X
  90027      AUMALA POZO JOSÉ GILBERTO        1705101010001                                                    X
 181136      PINOS RODRÍGUEZ EDGAR VICENTE 1705103891001                                                       X
 279677      CALAHORRANO ENRIQUEZ WASHINGTON ENRIQUE
                                              1705108445001                                                    X
  51686      VALLEJO PORTUGAL PACO ALCIDES 1705108817001                                                       X
  83770      PAEZ MORENO SERGIO ENRIQUE       1705115952001                                                    X
  19741      MUÑIZ QUIMIZ PASCUAL ADOLFO      1705120507001                                                    X
  41377      JOSE MILTON CELI VALENCIA        1705127643001                                                    X
 156259      CALDERON RAMIREZ JULIO DANIEL    1705129839001                                                    X
 106521      ESPINOZA REA ANGEL ARNULFO       1705131991001                                                    X
  10241       TORRES IMPORTACION Y DISTRIBUCION
                                              1705136370001                                                    X
  66131      RIVAS CARRION LUZ ESPERANZA      1705140091001                                                    X
  56179      BENITEZ DE LA CUEVA ANA LUCIA    1705158820001                                                    X
 201972      VACA MERINO LORGIA               1705169553001                                                    X
 239680      MORALES FREIRE NORMA DE LOURDES  1705186953001                                                    X
 214416      ERRAEZ JARAMILLO ELVIA MARINA    1705203527001                                                    X
 137081      ANGULO ESTRADA AMPARO DE GUADALUPE
                                              1705208419001                                                    X
 171791      SAMPEDRO SANGOQUIZA MARIA HORTENCIA
                                              1705223236001                                                    X
   5512      SPORTTEX                         1705228680001                                                    X
 194271      RUANO CANAS MARIA ELENA          1705236188001                                                    X
  64982      TORRES ALARCON CESAR OSWALDO 1705240271001                                                        X
 272873      BARRIONUEVO HINOJOSA AURELIO ELIAS
                                              1705242269001                                                    X
No                 No registra
                                                                No                    No registra   No
                                                                         No. registra                       registra      No.    indicadores
                                                              registra                provincia, registra
Persona_id               NOMBRE                No. ID (RUC)                 calle                           número      registra de ventas,
                                                              apellido                 cantón y   primer
                                                                          principal                         de calle     origen activos y/o
                                                              paterno                 parroquia nombre
                                                                                                            principal             empleados

  65754      MARRASQUIN QUIJIJE LUIS RAMON    1705244174001                                                    X
 115873      REINA SILVA RODRIGO GILBERTO     1705244356001                                                    X
  71689      CUEVA LOACHAMIN LUIS OSWALDO     1705245536001                                                    X
 104720      RIVADENEIRA VALLEJO PATRICIO FERNANDO
                                              1705251559001                                                    X
  33291      VIMOS REINOSO HOLGUER HERNÁN 1705251963001                                                        X
  12985       ECOTEC CONSTRUCCIONES           1705252607001                                                    X
 138913      BRBORICH DEFRANC ESTEBAN GERARDO 1705253084001                                                    X
 112937      MOREJÓN CIFUENTES JORGE FABIÁN 1705255568001                                                      X
 116933      QUISHPE OLIPA JOSE ALCIDES       1705256582001                                                    X
 259007      DARQUEA MOLINA JOSE ANTONIO      1705257937001                                                    X
 245667      PEREZ DUQUE ANGEL ALFONZO        1705258976001                                                    X
 264786      FLOR ORTIZ SANTOS ADOLFO         1705259743001                                                    X
  68370      PABON REVELO LUIS FERNANDO       1705260238001                                                    X
  90305      ALBUJA ARAUZ CESAR ALFREDO       1705273611001                                                    X
  86045      ALTAMIRANO MASAPANTA JORGE ALFREDO
                                              1705276275001                                                    X
  64264      GUALLICHICO ANTONIO FERNANDO 1705279337001                                                        X
 249826      ZUNIGA HIDALGO MARCO GUILLERMO 1705279568001                                                      X
 247674      MENDEZ SUAREZ JESUS ALFRESI      1705280376001                                                    X
  19377      YUGCHA ARMAS MARCOS ANTONIO      1705282513001                                                    X
  95814      HARO CACHAGO JOSE LEONIDAS       1705289823001                                                    X
 253836      ZAMBRANO LOOR SEGUNDO PACIFICO1705290342001                                                       X
  75876      LALAMA SALAS PATRICIO IVAN       1705297156001                                                    X
 275876      COBOS SALAZAR MARCELO FABIAN     1705303228001                                                    X
 201945      PEÑAFIEL FAJARDO SIXTO ALEJANDRO 1705304325001                                                    X
 278362      NIETO MEDINA HUGO FERNANDO       1705306866001                               X                                X
 217835      PROAÑO PAREDES EDUARDO HERNÁN1705311296001                                                        X
  41717      SALAZAR SALAZAR EDISON ROBERTO 1705315982001                                                      X
 247585      SALCEDO ROJAS JORGE ENRIQUE      1705316451001                                                    X
 221819      SALAS ESTRELLA FABIAN PATRICIO   1705318218001                                                    X
 136598      JUMBO GUAICHA JESUS ANTONIO      1705319083001                                                    X
  29505      SALVADOR TORRES EDWIN RAMIRO 1705320941001                                                        X
No                 No registra
                                                               No                    No registra   No
                                                                        No. registra                       registra      No.    indicadores
                                                             registra                provincia, registra
Persona_id               NOMBRE               No. ID (RUC)                 calle                           número      registra de ventas,
                                                             apellido                 cantón y   primer
                                                                         principal                         de calle     origen activos y/o
                                                             paterno                 parroquia nombre
                                                                                                           principal             empleados

  25923      MARCO                           1705328878001                                                    X
 138227      TAPIA ABRIL GALO MARCELO        1705333498001                                                    X
 232723      MARIÑO REYES ALICIA ELIZABETH   1705348025001                                                    X
 206730      CARRASCO RECALDE MARIA ESPERANZA1705357117001                                                    X
 230054      VARGAS GUEVARA MARIA LIDA       1705360830001                                                    X
 199982      MONTENEGRO CHICANGO ALICIA DEL CARMEN
                                             1705383329001                                                    X
 166148      AUZ GARZON EDDY EUGENIA         1705398715001                                                    X
 115265      ENRIQUEZ YOLANDA                1705400974001                                                    X
  63344      MAÑAY PAZMIÑO TERESITA DE JESUS 1705404711001                                                    X
 171078      ALTA PERUGACHI ROSA MARGARITA 1705423265001                                                      X
  81002      ARRROYO NICOLALDE LILIAN ENRIQUETA
                                             1705456349001                                                    X
  91771      TONATO CHILIQUINGA ELSA CARMELINA
                                             1705464202001                                                    X
 150266      CUEVA LUZ BERTILA               1705464624001                                                    X
  90542      REA TOAPANTA ROSARIO DEL CARMEN 1705478426001                                                    X
  15228      EDUARDO                         1705499463001                                                    X
 121700      CUEVA CÁRDENAS CESAR ALONSO     1705500831001                                                    X
  55500      TAPIA VIERA LUIS ALFONSO        1705503298001                                                    X
 127977      ROMERO DUEÑAS DIEGO ESTUARDO 1705504429001                                                       X
  69101      VARGAS LLANO ANDRES ROSALINO    1705505129001                                                    X
 252770      CALERO GOMEZ JOSE DIOCELINO     1705507745001                                                    X
  38708      TROYA SANCHO ALEX IVAN          1705509907001                                                    X
 237061      MORENO BUITRON LUIS PATRICIO    1705511051001                                                    X
  64782      KHALIFÉ MORAGA LUIS EDUARDO     1705513784001                               X
  54378      AVILA QUIJANO ROBERTO AVILA     1705517306001                                                    X
 175215      OÑA LUIS ALBERTO                1705520417001                                                    X
 234000      BURBANO SERRANO JORGE GONZALO1705521407001                                  X                    X
 235475      TORRES OJEDA LUIS OMERO         1705522207001                                                    X
  29871      ALTUNA VILLAMARIN WILSON PETRONIO
                                             1705522280001                                                    X
 166020      PIEDRA OCHOA DANIEL RUPERTO     1705522868001                                                    X
 106268      PANTOJA PUETATE WASHINTON       1705526174001                                                    X
 261305      CHINGUA CARLOS AURELIO          1705527081001                                                    X
No                 No registra
                                                               No                    No registra   No
                                                                        No. registra                       registra      No.    indicadores
                                                             registra                provincia, registra
Persona_id               NOMBRE               No. ID (RUC)                 calle                           número      registra de ventas,
                                                             apellido                 cantón y   primer
                                                                         principal                         de calle     origen activos y/o
                                                             paterno                 parroquia nombre
                                                                                                           principal             empleados

  86999      CARRERA NIETO JOSE LUIS EDMUNDO1705531828001                                                     X
 221515      CUASQUER RUANO MARIA CONSOLACIÓN1705543328001                                                    X
 112810      GALAN LARREA JORGE WASHINGTON 1705548038001                                                      X
 273404      JACHO MARTINEZ JOSE ANIBAL      1705559241001                               X                                X
 165408      ROMERO BENAVIDES JAIME OSWALDO  1705561593001                                                    X
 231790      REGALADO JORGE PATRICIO         1705563870001                                                    X
  46744      SEBASTIAN IRRIERA VICENTE       1705565578001                                                    X
 128671      LUJE AULESTIA LUIS ANIBAL       1705572384001                                                    X
  62908      CHICAIZA FIALLOS SEGUNDO GONZALO1705573564001                                                    X
 268481      DILLON DOMINGUEZ CARLOS PATRICIO1705576807001                                                    X
 205900      QUINATOA JOSÉ LEONARDO          1705577805001                                                    X
 205125      COELLO VERA ANGEL REGATO        1705582888001                                                    X
 226538      VERA SARANGO VALERIO DE JESUS 1705582946001                                                      X
 228573      BAEZ CARDENAS GALO EFREN        1705587101001                  X            X                    X
  48994      BAQUERO ESPINOSA MONTGOMERY STEVE
                                             1705593307001                                                    X
 274179      GONZALEZ VELIZ JULIO RAMON      1705604393001                                                    X
  41655      CHAVEZ AUSON WALTER RENE        1705608972001                                                    X
 259359      GUAMAN YEPEZ RODRIGO            1705615043001                                                    X
 144486      REYES MORA JORGE LUIS           1705622148001                                                    X
  89409      VALVERDE GUACAPIÑA LUIS         1705622619001                                                    X
 167152      VEGA HERRERA MILTON REYNEL      1705623542001                                                    X
 185920      RAMIREZ CHUQUITARCO NESTOR SEGUNDO
                                             1705624953001                                                    X
 169869      CARDENAS CEVALLOS HECTOR ANGEL1705626347001                                                      X
 236246      SALAZAR PILATAXI JORGE WASHINGTON
                                             1705629366001                                                    X
 226292      RIVADENEIRA VERGARA VICTOR HUGO1705630356001                                                     X
 102628      FLORES SUAREZ MARCO ANTONIO     1705632774001                                                    X
  15215       FERNANDO                       1705636221001                                                    X
 139735      RAMIREZ RIOFRIO JOSE RICARDO    1705636890001                                                    X
 258400      SAAVEDRA MORENO PEDRO VICENTE 1705642575001                                                      X
 253516      CEPEDA PROAÑO MARCOS RAMIRO 1705642849001                                                        X
  90713      TORNAY RENDÓN DANIEL EDUARDO 1705647624001                                                       X
No                 No registra
                                                               No                    No registra   No
                                                                        No. registra                       registra      No.    indicadores
                                                             registra                provincia, registra
Persona_id               NOMBRE               No. ID (RUC)                 calle                           número      registra de ventas,
                                                             apellido                 cantón y   primer
                                                                         principal                         de calle     origen activos y/o
                                                             paterno                 parroquia nombre
                                                                                                           principal             empleados

 153708      PATIÑO CARRIÓN PAQUITO MARCELO 1705649307001                                                     X
 108106      ORTIZ VICTOR JULIO              1705650032001                                                    X
 182022      TERAN CADENA EDWIN RICARDO      1705650164001                                                    X
 143417      ULLOA LOZADA ANTONIO PATRICIO   1705653721001                                                    X
  78423      TUZA PIZUÑA MANUEL              1705656039001                                                    X
  33140      VÉLEZ ALARCÓN JIMMY ANTONIO     1705659058001                                                    X
  20363      VACA NARANJO CARLOS ALBERTO     1705659074001                                                    X
  14462      LUBRI CENTER NORTE              1705661435001                                                    X
 173225      AREVALO BASTIDAS RUBIELA FIDELA 1705667416001                                                    X
 117806      ANDRADE MORALES JUAN FRANCISCO1705669099001                                                      X
 275220      YANEZ PILATAXI LUIS ALFONSO     1705672358001                                                    X
 274157      CÓNDOR PAILLACHO JOSÉ HERNÁN 1705676292001                                                       X
 179002      CORDOVA RAMIREZ SANTOS SEGUNDO  1705677217001                                                    X
 193245      VELARDE GAVILANES EDGAR BOLÍVAR1705677480001                                                     X
 161780      LEON PAZMIÑO FRANCISCO JAVIER   1705680203001                                                    X
  50843      THOALA SALCEDO ERNESTO NICOLAS 1705681292001                                                     X
 245125      CUMBA NARVAEZ CESAR AUGUSTO     1705683884001                                                    X
  16047      RUBIANES VILLOTA JUAN CARLOS    1705684320001                                                    X
 163304      PEÑA BASANTEZ SERGIO RIGOBERTO 1705686119001                                                     X
 242063      CRUZ BAROJA RUPERTINO           1705688347001                                                    X
  56639      CHÁVEZ PONCE LEO PATRICIO       1705691853001                                                    X
 172803      RODRIGUEZ VERA WILLIAM GUSTAVO 1705695029001                                                     X
 190087      VEGA ENCARNACION NERY FERMIN    1705695417001                                                    X
 173103      MONTESDEOCA MONTESDEOCA ROSA1705744033001
                                             TARCILA                                                          X
  43645      ORDOÑEZ RODRIGUEZ IMELDA ROSENDA1705754776001                                                    X
 207866      PATIÑO CHAVEZ MARIA ELENA       1705762662001                                                    X
 181787      PUEBLA MUÑOZ MARÍA LIDUVINA     1705789244001                                                    X
 217186      SOTOMAYOR MONTERO CARMEN ELENA  1705791158001                                                    X
 147314      RAMIREZ CANTOS YOLANDA GUILLERMINA
                                             1705799060001                                                    X
  61089      HERMIDA PALACIOS MARÍA AUGUSTA 1705811691001                                                     X
 129180      DAVILA CANO CARMEN VIRGINIA     1705818050001                                                    X
No                 No registra
                                                               No                    No registra   No
                                                                        No. registra                       registra      No.    indicadores
                                                             registra                provincia, registra
Persona_id               NOMBRE               No. ID (RUC)                 calle                           número      registra de ventas,
                                                             apellido                 cantón y   primer
                                                                         principal                         de calle     origen activos y/o
                                                             paterno                 parroquia nombre
                                                                                                           principal             empleados

  67230      CAIZA GUALOTUÑA FANNY SOLEDAD 1705826939001                                                      X
 157796      PINTO RODRIGUEZ MARIA ROSARIO 1705837761001                                                      X
 225500      GUERRA JARAMILLO IRMA DEL ROSARIO
                                             1705840211001                                                    X
  82794      PILATAXI QUISHPE REVECA         1705876124001                                                    X
 123149      CHIRIBOGA ARGAEZ MARIA ISABEL   1705877429001                                                    X
  22098      FUERTES CHEZA NELSON RODRIGO 1705896957001                                                       X
 277182      ANDINO MARIO                    1705896981001                                                    X
 184191      GONZALEZ CARVAJAL MARCO VINICIO1705904389001                                                     X
 232881      CADENA FLORESGUERRA PATRICIO EDUARDO
                                             1705911830001                                                    X
  77508      CAICEDO SANCHEZ JUAN JOSE       1705911947001                                                    X
  38870      REYES MONTENEGRO DAMIAN ALEJANDRO
                                             1705915112001                  X                                 X
 199943      CHACON CEVALLOS RAÚL CLEMENTE 1705917399001                                                      X
  73515      SALAZAR CÓRDOVA CARLOS FERNANDO 1705917738001                                                    X
  11795       ARQ. FABRICIO ATAPUMA PEREZ    1705918785001                                                    X
  90142      ROMO PORTILLA WILSON SANTIAGO 1705924593001                                                      X
 276834      GUDIÑO LANDETA LESTER PATRICIO 1705928487001                                                     X
  47449      GUERRA ROBAYO DIEGO MARCELO     1705930145001                                                    X
  90121      GUAMAN JOSE                     1705933149001                                                    X
 256504      CEVALLOS VARGAS LUIS ALFONSO    1705934089001                                                    X
  25527      BARROS FLORES MANUEL PATRICIO 1705934469001                                                      X
 209110      MENA ESCOBAR RUBEN HERIBERTO 1705939815001                                                       X
  71409      FLORES MATUTE CARLOS ANTONIO 1705944450001                                                       X
 141973      ARROYO SANCHEZ LUIS GALO        1705945473001                                                    X
 173016      ANDRADE BADILLO FAUSTO ROBERTO 1705946125001                                                     X
  30726      TROYA HERRERA JOSE RAFAEL       1705950382001                                                    X
  93625      CHACON GUISAMANA LUIS ALFREDO 1705950655001                                                      X
  36996      IZQUIERDO GAVILANES JIMMY LENIN 1705951653001                                                    X
 227896      NARVAEZ JERIA FREDDY ERNESTO    1705953972001                                                    X
  53108      ROJAS CASTILLO TONI JOSE        1705956371001                                                    X
 172952      GUALOTO NACIMBA MARCO PATRICIO 1705965570001                                                     X
 116693      TELOO VASCO JOSELL JOSELITO     1705966198001                                                    X
No                 No registra
                                                               No                    No registra   No
                                                                        No. registra                       registra      No.    indicadores
                                                             registra                provincia, registra
Persona_id               NOMBRE               No. ID (RUC)                 calle                           número      registra de ventas,
                                                             apellido                 cantón y   primer
                                                                         principal                         de calle     origen activos y/o
                                                             paterno                 parroquia nombre
                                                                                                           principal             empleados

  93221      BENAVIDES REALPE JOSE LEMOR     1705974366001                                                    X
 184921      CAIZA CATOTA SEGUNDO ABELARDO 1705992467001                                                      X
 141332      GALARZA CRUZ LUIS MILTON        1705992871001                                                    X
  83894      LUDWIG KATZ GERD HEINRIICH      1705994364001                                                    X
  77823      QUEVEDO BALACÁZAR BERNARDO GUZMÁN
                                             1705994919001                                                    X
 127547      SOTO GOMEZJURADO EDGAR ARTURO1705995056001                                                       X
 210881      NERO QUINCHE SEGUNDO JOSE       1705995239001                                                    X
  57017      CORRAL HARO PAQUITA DEL CONSUELO1706031711001                                                    X
 147439      VELEZ EGUEZ MARIA EUGENIA       1706073424001                                                    X
 185457      POSSO LUCERO MARIA SOLEDAD      1706080239001                                                    X
  38007      SORIA ARMAS MARIA CONSUELO      1706091368001                                                    X
  64780      PAZMINO LOPEZ IRLANDA ALEJANDRINA
                                             1706095872001                                                    X
 140822      ROMERO CABRERA FULVIO EFREN     1706110564001                                                    X
 219715      NAVARRETE JARAMILLO MARIA DE JESUS
                                             1706121256001                                                    X
  49886      OLMEDO ANDRADE RAMON ANIBAL     1706137377001                                                    X
 119612      GRIJALVA GUADAMUD RAMIRO RODOLFO1706138599001                                                    X
 127752      CISNEROS QUINTANILLA RENE GUSTAVO
                                             1706156393001                                                    X
 185632      CHAMBA LOAIZA SEGUNDO RODRIGO 1706158373001                                                      X
  88173      CHUM YOONG JORGE SANTIAGO       1706162326001                                                    X
 193144      PINEDA TORRES PIEDAD DEL CARMEN 1706177837001                                                    X
 120056      PEREZ MURILLO ADOLFO MANRIQUE 1706184197001                                                      X
 268108      VALLADOLID DANIEL TORIBIO       1706186341001                                                    X
 141142      CRIOLLO PEREZ EDISON RAFAEL     1706191192001                                                    X
 171596      JIMENEZ ALEMAN FILIBERTO FABIAN 1706212741001                                                    X
  75897      SALTOS GARCIA JAIME SEGUNDO     1706212907001                                                    X
  81625      PROAÑO PARRAGA ROQUE MARIANO 1706219647001                                                       X
 236489      QUIMIS MARCILLO AGUSTINA        1706232129001                                                    X
 197589      CEDEÑO ROMERO JOSE PATRICIO     1706237482001                                                    X
  29990      TOAPANTA CHUQUILLA EDGAR        1706239207001                                                    X
 238412      RAMOS HERRERA ANA LUCILA        1706240072001                                                    X
  47154      CHICA BAZURTO GEORGE SALUSTIO 1706243050001                                                      X
No                 No registra
                                                               No                    No registra   No
                                                                        No. registra                       registra      No.    indicadores
                                                             registra                provincia, registra
Persona_id               NOMBRE               No. ID (RUC)                 calle                           número      registra de ventas,
                                                             apellido                 cantón y   primer
                                                                         principal                         de calle     origen activos y/o
                                                             paterno                 parroquia nombre
                                                                                                           principal             empleados

 183550      LAPO MORENO ANGEL LEONIDAS      1706247002001                                                    X
 182072      MALES ANGO CARLOS ANIBAL        1706248018001                                                    X
 217999      HERMOZA SEGUNDO MIGUEL          1706251012001                                                    X
 121156      ALVAREZ ALBARRACÍN ENRIQUE MARCELO
                                             1706251137001                                                    X
 124499      OLALLA VELASQUEZ EDWIN GILBERTO1706254578001                                                     X
 114501      YÁNEZ LARCO WASHINGTON RUBÉN 1706255393001                                                       X
 199868      GUAÑA PUJOTA FRANCISCO          1706256425001                                                    X
 113202      RUBIO LOZADA HECTOR NAPOLEON 1706257373001                                                       X
  21981      HARO ALBUJA GUIDO FREIRE        1706257738001                                                    X
 189291      PAZMIÑO EDGAR EDISON            1706259502001                                                    X
 146058      RIZZO CRUZ PEDRO BARTOLO        1706259882001                                                    X
  40216      PILICITA ESCOBAR CARLOS MIGUEL 1706261581001                                                     X
 114707      LANDETA PAREDES RAMIRO ELIAS    1706264882001                                                    X
 150069      TIPÁN SUÁREZ JOSÉ CÉSAR         1706276811001                                                    X
 113994      SARABIA MARTINEZ GILBER RODRIGO 1706279815001                                                    X
 107139      BARROS CALDERON SAULO           1706282330001                                                    X
 127707      RENTERIA MILLAN JOSE LUIS       1706287743001                                                    X
 243544      CASTILLO RIVERA WILSON HERIBERTO1706291273001                                                    X
  21495      SIMBAÑA IZA LUIS CRISTOBAL      1706295886001                                                    X
 157574      SIMBAÑA SIMBAÑA SEGUNDO MANUEL1706295951001                                                      X
 158771      CISNEROS ANDINO ZOILA BEATRIZ   1706319801001                                                    X
 230891      ECHEVERRIA PAZMIÑO MYRIAM ROSARIO
                                             1706320783001                  X            X                    X
 186930      FARINANGO BURGA MARIA FLORA     1706339072001                                                    X
 239198      SERVIDIO RUBIO ARTURO ANTONINO 1706355532001                                                     X
  58072      SIMBA CHASIPANTA PEDRO CALIXTO 1706360052001                                                     X
 273408      TACURI GUANOCUNGA JESUS MESIAS 1706362322001                                                     X
 222156      SÁNCHEZ AVILES ENRIQUE ORLANDO 1706371844001                                                     X
 277965      EGUIGUREN EGUIGUREN RODRIGO E 1706375548001                                 X                    X
 215400      AVILA VACA SEGUNDO HECTOR       1706384854001                                                    X
  15129      COFER CONSTRUCCIONES            1706384896001                                                    X
 131818      CHACAGUASAY FLORES MILTON NELSON1706388582001                                                    X
No                 No registra
                                                               No                    No registra   No
                                                                        No. registra                       registra      No.    indicadores
                                                             registra                provincia, registra
Persona_id              NOMBRE                No. ID (RUC)                 calle                           número      registra de ventas,
                                                             apellido                 cantón y   primer
                                                                         principal                         de calle     origen activos y/o
                                                             paterno                 parroquia nombre
                                                                                                           principal             empleados

  46861      VERDUGO NOVOA PAUL ESTUARDO 1706390299001                                                        X
 130639      MALDONADO MALDOANDO SERGIO ENRIQUE
                                            1706391396001                                                     X
  63928      LOOR BRAVO CARLOS WINTER       1706396569001                                                     X
 161303      PEREZ CANO MIGUEL CELIIO       1706427943001                                                     X
 209053      ROSALES REALPE CARLOS ADRIANO 1706430079001                                                      X
 173654      URIBE VERA CARLOS ALFREDO      1706433776001                                                     X
 125409      SUÁREZ FLORES NELSON ARMANDO 1706447271001                                                       X
  98884      CASTRO MENDOZA BOSCO GEOVANNY1706452537001                                                       X
  79892      MALDONADO RIVADENEIRA JUAN CARLOS
                                            1706453477001                                                     X
 260165      PEÑA MUÑOZ JOSE RAFAEL         1706455969001                                                     X
 124188      GUAYASAMIN JATI DARIO ROBERTO 1706458641001                                                      X
  85352      NACIMBA JOSE CARLOS            1706460787001                                                     X
  47232      TORRES BURGOS LUIS MARIANO     1706468723001                                                     X
 131388      MONTALVO JARAMILLO OSWALDO GONZALO
                                            1706479159001                                                     X
  91545      TORRES TORRES YUNER EMILIANO   1706479662001                                                     X
  68069      VEGA MONAR JORGE MESIAS        1706483169001                                                     X
  96555      PAREJA MONTESINOS JUAN IGNACIO 1706483235001                                                     X
 274776      PORRAS VINUEZA CARLOS ANÍBAL   1706484688001                                                     X
  46634      QUEVEDO NARVAEZ JORGE FERNANDO 1706485560001                                                     X
 187233      VELA SOSA DIEGO FERNANDO       1706485990001                                                     X
 223063      OCHOA MUÑOZ ROBERTO DARIO      1706486477001                                                     X
 109533      SANCHEZ MINCHALO MANUEL ROMAN 1706487947001                                                      X
  19497      CARDENAS OLIPA SEGUNDO ELISEO 1706490602001                                                      X
 236049      MENA GAVIÑO ORLANDO PATRICIO   1706491378001                                                     X
 243656      MORALES SALAZAR WASHINGTON     1706491485001                                                     X
 131151      PINEDA CRUZ ALEX ORLANDO       1706494075001                                                     X
   7579      ARQ. HERNAN CHECA              1706494729001                                                     X
 233124      JÁCOME CONTRERAS CECIBEL HILDA 1706499942001                                                     X
 245389      FALCONI GARCÉS CECILIA         1706510938001                                                     X
 122973      STARTV CIA LTDA                1706517263001                                                     X
 108238      CEPEDA BASTIDAS DORIS IVETTE   1706527015001                                                     X
No                 No registra
                                                               No                    No registra   No
                                                                        No. registra                       registra      No.    indicadores
                                                             registra                provincia, registra
Persona_id               NOMBRE               No. ID (RUC)                 calle                           número      registra de ventas,
                                                             apellido                 cantón y   primer
                                                                         principal                         de calle     origen activos y/o
                                                             paterno                 parroquia nombre
                                                                                                           principal             empleados

 157644      MENA QUILLUPANGUI GLORIA YOLANDA706527072001
                                             1                                                                X
 112862      CADENA NOGUERA GLORIA ESPERANZA 1706527106001                                                    X
 148179      DE LA TORRE PÉREZ LUZ MARINA    1706527676001                                                    X
 197816      GUTIERREZ VALLEJO ALEXANDRA PATRICIA
                                             1706538426001                                                    X
 197011      DIAZ JURADO PABLO FABIAN        1706547534001                                                    X
  22629      LUCERO HEREDIA JOSE WASHINGTON1706548714001                                                      X
 213960      SANCHEZ ANDRADE JUAN MARCELO 1706549654001                                                       X
  91600      CRESPO AMPUDIA ANTONIO          1706550934001                                                    X
  17888      SUBIA CABEZAS FABIAN MAURICIO   1706555180001                                                    X
 116187      GUEVARA SANCHEZ ANGEL SEBERIANO 1706555891001                                                    X
 156134      CARDENAS BARRERA JOSE ARTURO 1706558341001                                                       X
 125319      VEGA PEREZ VICTOR MANUEL        1706558499001                                                    X
 200722      TAXI ACOSTA LUIS HUMBERTO       1706558796001                                                    X
 185301      CADENA PÉREZ MARCO WLADIMIR     1706559513001                                                    X
  29044      ARIAS INCA WALTER RENAN         1706564299001                                                    X
  71376      GUALLICHICOMIN GUALOTO JULIO CESAR
                                             1706566351001                                                    X
  21532      LOAIZA SANCHEZ CESAR ALBERTO    1706568894001                                                    X
  65965      SANTAMARÍA SALVADOR SANTIAGO JAVIER
                                             1706576293001                                                    X
  79545      TERÁN ALTAMIRANO GUILLERMO FELIPE
                                             1706576525001                                                    X
  71928      BAQUERO LATORRE GALO RAMIRO     1706578331001                                                    X
  89784      AGAMA CHILUISA JOAQUIN SALVADOR 1706578455001                                                    X
  78355      CARTAJENA CACERES REGULO OCTAVIO1706582754001                                                    X
 198736      ONOFRE INTRIAGO HECTOR ASISCLO 1706585013001                                                     X
  34351      SANDOYA MOSQUERA HIPOLITO REMIGIO
                                             1706590997001                                                    X
 267162      MAYORGA VILLALBA JAIME RAMIRO   1706591037001                                                    X
 135768      CHURUCHUMBE QUILO GUILLERMO     1706593488001                                                    X
 146821      FRIAS GRANJA JORGE RICARDO      1706595475001                                                    X
  68034      BUESTAN RAMOS SUSANA BEATRIZ    1706597968001                                                    X
  73340      CARRERA GONZÁLEZ MARIA DOLORES1706603964001
                                              DEL ROCÍO                                                       X
 226097      GUERRERO NAJERA MARTHA ELENA 1706604574001                                                       X
 113157      ARCENTALES BARRIGA SOL MARÍA    1706608732001                                                    X
No                 No registra
                                                               No                    No registra   No
                                                                        No. registra                       registra      No.    indicadores
                                                             registra                provincia, registra
Persona_id               NOMBRE               No. ID (RUC)                 calle                           número      registra de ventas,
                                                             apellido                 cantón y   primer
                                                                         principal                         de calle     origen activos y/o
                                                             paterno                 parroquia nombre
                                                                                                           principal             empleados

  27882      CARRIÓN RODRÍGUEZ MARÍA FERNANDA1706615257001                                                    X
 240820      CADENA MORALES SIXTA CECILIA    1706632401001                                                    X
 247459      CHILLAGANO OÑA MARIA MAGDALENA 1706632963001                                                     X
 207756      RIVADENEIRA TROYA NORA LEONOR 1706643184001                                                      X
  47448      VEGA SILVA JULIO ANIBAL         1706657838001                                                    X
 144527      TIPANLUISA LUCERO SEGUNDO RAFAEL1706667563001                                                    X
  58749      MATUTE ROBLES JORGE GALO        1706668249001                                                    X
 192458      HEREDIA VERA LUIS GUILLERMO     1706669015001                                                    X
  17857      VALENCIA FABIAN                 1706673652001                                                    X
   4321      SUNTAXI SEGUNDO                 1706675814001                                                    X
  88799      BENALCAZAR VINUEZA GONZALO ADRIAN
                                             1706677422001                                                    X
 127976      CRUZ ARMENDARIZ CARLOS ERNESTO1706678784001                                                      X
  78549      SALAZAR ARIAS SEGUNDO PATRICIO 1706686985001                                                     X
 218115      FLORES LINCANGO JORGE MANUEL 1706693411001                                                       X
 152342      GREFA GREFA RAUL PATRICIO       1706695200001                                                    X
 117847      LOOR ROMERO CRUZ TEODULO        1706697024001                                                    X
  94939      MORA ALVARADO CELSO WILLIAM     1706713920001                                                    X
 252312      DELEG CARCHE LUIS ANTONIO       1706715099001                                                    X
 214737      VELEZ MENDOZA SANTO BIENVENIDO 1706715164001                                                     X
 255989      GOMEZ SEDAMANOS SEGUNDO THUESMAN1706717020001                                                    X
  57304      PAEZ VALDIVIESO CARLOS BLADIMIR 1706723820001                                                    X
 161847      RUEDA ALBUJA DIEGO ANDRÉS       1706724265001                                                    X
  31267      VERA VERDUGA MILTON EULOGIO     1706725601001                                                    X
 121628      CARRERA PAZMIÑO LUIS GILBERTO   1706725643001                                                    X
  59732      TECNI MOTOR                     1706729959001                                                    X
 110974      CALLE SARAGURO GORKY WILLIAMS 1706731971001                                                      X
 231410      CHICAIZA GUAMAN JOSÉ CRUZ       1706732318001                                                    X
 232535      FREIRE YEPEZ CARLOS ALBERTO     1706732920001                                                    X
 166473      YUNGAN PAGALO MANUEL GERARDO 1706734280001                                                       X
 113926      SALAZAR GOMEZ JAIME EDUARDO     1706737077001                                                    X
 209311      VON LIPPKE BUCHELI SHADETS ERNEST
                                             1706737531001                                                    X
No                 No registra
                                                               No                    No registra   No
                                                                        No. registra                       registra      No.    indicadores
                                                             registra                provincia, registra
Persona_id               NOMBRE               No. ID (RUC)                 calle                           número      registra de ventas,
                                                             apellido                 cantón y   primer
                                                                         principal                         de calle     origen activos y/o
                                                             paterno                 parroquia nombre
                                                                                                           principal             empleados

 277925      RIVERA DAVILA JHON PATRICIO     1706738000001                                                    X
 244805      VITERI PÓLIT BYRON JAVIER       1706738752001                                                    X
  32076      VINUEZA LUNA FABIAN MIGUEL      1706740584001                                                    X
 198967      PARION AIGAJE HECTOR RAUL       1706740626001                                                    X
  50447      VISCARRA CHAVEZ FREDY VINICIO   1706742325001                                                    X
 140567      SANCHEZ SANCHEZ ROBERTO DE JESUS1706746649001                                                    X
 172207      MIRANDA VARGAS JULIO EDUARDO    1706748033001                                                    X
 134019      FRANCO ANCHUNDIA WASHINGTON GABRIEL
                                             1706753355001                                                    X
 204801      MERA REASCOS LUIS ALFREDO       1706755145001                                                    X
 177061      FLORES SÁNCHEZ MIGUEL ANGEL     1706757661001                                                    X
  76723      RAMOS QUISHPE LUIS ANIBAL       1706758412001                                                    X
 197885      CRUZ ESPINALEZ NELSON SAMUEL    1706764964001                                                    X
  75971      HIDALGO ZAMBRANO ERNESTO DANIEL 1706778832001                                                    X
 175560      HIDALGO PALLO LUIS GONZALO      1706780242001                                                    X
 155119      SALDAÑA LEON CESAR ANTONIO      1706781794001                                                    X
 225665      SALDARREAGA MOREIRA JOSÉ DAVID 1706783303001                                                     X
   8391      JUAN CARLOS OROZCO              1706787494001                                                    X
  43144      SANTANA BOLAÑOS SEGUNDO JAVIER 1706795422001                                                     X
 192544      CAIZA SUQUILLO MARIA INES       1706798210001                                                    X
 131811      DELGADO PARRA MONICA DE LOURDES 1706811278001                                                    X
 237188      VARELA MENDIETA FLOR MARIA      1706816152001                                                    X
  31593      MATA ARBOLEDA MARCIA ELIZABETH 1706821459001                                                     X
 180622      PORTILLA MARIA VALERIA          1706825856001                                                    X
 136183      AGUIRRE BENAVIDES ALBA RUTH     1706826011001                                                    X
 117814      SÁNCHEZ NUÑEZ MARIANITA ELIZABETH
                                             1706826706001                                                    X
 152396      ANGULO INTRIAGO CARMEN EDITH    1706832225001                                                    X
 146162      CHIGUANO QUISHPE MARIA SUSANA 1706841119001                                                      X
  27535      PONCE CEPEDA EDISON VICENTE     1706846647001                                                    X
 186934      PROAÑO CALDERÓN CARLOS RAMIRO 1706847322001                                                      X
 164368      CHAVEZ LOYO JUAN HOMERO         1706858394001                                                    X
  79742      BALLADARES BOLAÑOS JAIME ROBERTO1706862008001                                                    X
No                 No registra
                                                                No                    No registra   No
                                                                         No. registra                       registra      No.    indicadores
                                                              registra                provincia, registra
Persona_id               NOMBRE                No. ID (RUC)                 calle                           número      registra de ventas,
                                                              apellido                 cantón y   primer
                                                                          principal                         de calle     origen activos y/o
                                                              paterno                 parroquia nombre
                                                                                                            principal             empleados

 240150      CASTILLO SANCHEZ MANUEL          1706867049001                                                    X
  82478      MENDIZABAL BARZOLA JUAN CARLOS 1706867692001                                                      X
  94772      FIGUEROA CASTRO JACINTO CLARO 1706868815001                                                       X
 195422      MARTINEZ NUÑEZ SANTIAGO XAVIER 1706872635001                                                      X
 220073      LEE WANG LYNN                    1706880398001                                                    X
 161387      MORENO BERMEO VICTOR EUSTORGIO   1706887492001                                                    X
 181549      GUANIN CHECA VICTOR LUIS         1706889498001                                                    X
  69420      PÉREZ MARTINEZ NARCISA DE JESUS 1706913181001                                                     X
 144318      GUAYASAMIN NARVÁEZ ALLOSKA DE LOS ANGELES
                                              1706913710001                                                    X
 238976      QUISPE ANALUIZA GUADALUPE ROCIO 1706917133001                                                     X
 204207      ALBAN RICAURTE MARIA AMPARO      1706927678001                                                    X
 154333      VALDIVIEZO ZAPATA CATALINA DEL ROCIO
                                              1706939079001                                                    X
 269511      GUAYASAMÍN TIPANTA MARÍA ROSA 1706958376001                                                       X
 272995      EGUIGUREN EGUIGUREN MARÍA AMPARO 1706962881001                               X                                X
 206693      BRAVO MENDIETA ALFREDINA CONCEPCION
                                              1706968490001                                                    X
 183821      VASQUEZ SALGADO GUIMARAES MARIA GABRIELA
                                              1706971445001                                                    X
 249535      TORRES ZAMORA BRIGIDA ESTHER     1706980131001                                                    X
 123376      CARRERA NAVARRETE MARÍA NELLY 1706987573001                                                       X
 161981      CEDEÑO ALCIVAR NARCISA DEL JESUS1706989181001                                                     X
  14985      COMERCIAL BRAVO CHÁVEZ           1706993720001                                                    X
 154180      HERNANDEZ ESTEVES NORA ESPERANZA 1706993779001                                                    X
 151392      HEREDIA AMORES VICTOR HUGO       1706997697001                                                    X
  20385      SILVA ESPINOSA JAIME CESAR       1706998497001                                                    X
 205943      TAPIA ROMAN VICTOR PATRICIO      1706999321001                                                    X
 141149      PALACIOS MECIAS CHININ CORAZON 1707002281001                                                      X
  88735      ROCHA REISANCHO NELSON GERARDO   1707004923001                                                    X
 145170      NARVÁEZ ROBLES SEGUNDO ALCIDES 1707011365001                                                      X
 128984      AGUAYO SANTILLAN ROBERTO AUGUSTO 1707018766001                                                    X
  64600      PUGA CASTRO ROLANDO MARCELO 1707019798001                                                         X
 135335      BERMUDEZ MEDINA ULBIO ANTONIO 1707022123001                                                       X
 263085      NARVAEZ MORALES JOFFRE HERNAN 1707032064001                                                       X
No                 No registra
                                                               No                    No registra   No
                                                                        No. registra                       registra      No.    indicadores
                                                             registra                provincia, registra
Persona_id               NOMBRE               No. ID (RUC)                 calle                           número      registra de ventas,
                                                             apellido                 cantón y   primer
                                                                         principal                         de calle     origen activos y/o
                                                             paterno                 parroquia nombre
                                                                                                           principal             empleados

  74030      CRIOLLO PAUCAR LUIS OCTAVIO     1707033054001                                                    X
  66668      SANTAMARÍA RODRÍGUEZ MARCO ANTONIO
                                             1707035273001                                                    X
 112465      ORAMAS CARLOS GERARDO           1707038335001                                                    X
 163208      CADENA ESPINOSA JOSELITO        1707041347001                                                    X
 154048      TORRES SOLIS ANGEL ALONSO       1707045298001                                                    X
 108201      JARA ROMERO MARIA ROSA          1707062541001                                                    X
  21966      SALAZAR CARRION JAIME HERNAN    1707075550001                                                    X
 117090      PALACIOS PESANTEZ JAIME ROLANDO 1707076715001                                                    X
 189495      TIPAN SIGCHA HECTOR BOLIVAR     1707083067001                                                    X
  80669      TAPIA PAEZ JOFFRE MARYUDY       1707084669001                                                    X
 251116      SALAZAR AMORES PABLO VINICIO    1707086029001                                                    X
 188565      REASCOS HURTADO JOSE ULPIANO 1707086763001                                                       X
 252300      CUESTA HUERTA MARCOS ALI        1707102883001                               X
 268859      CABEZAS PINTO NESTOR FREDDY     1707132500001                                                    X
  26974      LARCO BORJA CARLOS ALBERTO      1707132856001                                                    X
  92464      HARO SIMBAÑA HUGO XXXXXXXX      1707140925001                                                    X
   761        OSCAR                          1707143226001                                                    X
  88287      MALQUI FLORES JUAN FERNADO      1707144364001                                                    X
  59306      CAMPUZANO VAN MUYDEN JUAN FRANCISCO
                                             1707144828001                                                    X
  60906      MESTANZA ZURITA CARLOS MAGNO 1707148613001                                                       X
 126721      BAQUERO VASQUEZ FEDERICO DIEGO 1707148936001                                                     X
 119052      ROMERO ENCALADA MANUEL DOMINGO  1707153399001                                                    X
 271906      BRAZZERO OÑA MARIO WLADIMIR     1707153910001                                                    X
 223119      ZAMBRANO DUEÑAS MARIA ANABEL 1707163596001                                                       X
 205421      FAICÁN GUERRA DENISSE CATALINA 1707165518001                                                     X
 244773      MALDONADO MARTINEZ ELVIA DOLORES1707180699001                                                    X
 149261      PILCA CUASCOTA MARIA MICAELA    1707183735001                                                    X
 227698      LANCHIMBA LANCHIMBA MARIANA     1707186027001                                                    X
 223692      CALDERON QUINALUISA NANCY DEL ROSARIO
                                             1707186787001                                                    X
 252118      VELASTEGUI MIRABA RÓMMEL NICOLÁS707190052001
                                             1                                                                X
  43204      LALAMA ALVAREZ JAIME EDUARDO    1707190227001                                                    X
No                 No registra
                                                                No                    No registra   No
                                                                         No. registra                       registra      No.    indicadores
                                                              registra                provincia, registra
Persona_id               NOMBRE                No. ID (RUC)                 calle                           número      registra de ventas,
                                                              apellido                 cantón y   primer
                                                                          principal                         de calle     origen activos y/o
                                                              paterno                 parroquia nombre
                                                                                                            principal             empleados

  84410      ZURITA BASANTES EDISON GERMAN 1707192793001                                                       X
 263757      TORRES SANCHEZ CARLOS            1707202709001                                                    X
  16962      PUNIN CASTILLO RENE ALFONSO      1707208003001                                                    X
 158268      JIMBO NARBAEZ JULIO CESAR        1707209753001                                                    X
 265851      ALBUJA VALVERDE FLAVIO WILFRIDO 1707210769001                                                     X
  93549      VILLACIS FLOR FAUSTO ANTONIO     1707214423001                                                    X
 263410      LOPEZ FAINI SEBASTIAN            1707214787001                                                    X
 110377      VERA ABAD MERCY MARLENE          1707226914001                                                    X
  49091      RIVERA POZO CARMEN GRACIELA JANETH
                                              1707241533001                                                    X
 140264      PROAÑO RODAS RUTH MARGARITA 1707243372001                                                         X
 256052      GUTIERREZ VILLACIS MÓNICA PATRICIA
                                              1707246920001                                                    X
  35826      GALEAS HINOJOSA JORGE TEOFILO 1707248546001                                                       X
 205074      JARAMILLO MONTERO ANGEL SALVADOR 1707249254001                                                    X
 258452      CHASIPANTA GUAMAN FABIAN         1707250260001                                                    X
 150244      DIAZ SIMBAÑA LUIS ANTONIO        1707250641001                                                    X
 188060      CHILLOGALLO CHIMBO JULIO JAVIER 1707254890001                                                     X
 188135      CHANGO SANCHEZ JORGE POMPEYO 1707255814001                                                        X
  95851      ALMEIDA JIMENEZ ROLANDO          1707261473001                                                    X
 179595      REZA HINOJOSA OSWALDO JOSELITO 1707262505001                                                      X
  32619      ALVARADO SANTÍN ANGEL MEDARDO 1707264717001                                                       X
  45868      HERRERA YÉPEZ IVÁN RODRIGO       1707273213001                                                    X
 115034      OLMEDO ANDRADE JOSE ORLEY        1707274138001                                                    X
 264918      LAMIÑA PILLAJO PATRICIO RUBEN    1707274823001                                                    X
 207923      ALMEIDA PASQUEL MIGUEL ANGEL     1707274963001                                                    X
  79889      BENALCÁZAR MORALES JEANINE DE LOS ANGELES
                                              1707303986001                                                    X
 104150      MAIGUA CAIZA SEGUNDO EUSEBIO     1707308746001                                                    X
  58455       FERNANDO                        1707310338001                                                    X
 145530      TACO GUERRERO MILTON HUGO        1707311849001                                                    X
 132479      VÉLEZ LEÓN ALBERTO FERNANDO      1707314306001                                                    X
 196150      VIRACUCHA LLUMIGUSIN JOSE ELIAS 1707316517001                                                     X
 116592      VALDEZ CEVALLOS RAMON EDUARDO 1707316533001                                                       X
No                 No registra
                                                               No                    No registra   No
                                                                        No. registra                       registra      No.    indicadores
                                                             registra                provincia, registra
Persona_id              NOMBRE                No. ID (RUC)                 calle                           número      registra de ventas,
                                                             apellido                 cantón y   primer
                                                                         principal                         de calle     origen activos y/o
                                                             paterno                 parroquia nombre
                                                                                                           principal             empleados

 131480      MORA FIGUEROA LUIS ANTONIO     1707318679001                                                     X
  32879      TIPAN BRITO CESAR ANIBAL       1707322390001                                                     X
 266329      TANDAZO AGUILA ROMULO ELADIO   1707322879001                                                     X
 243707      ROJAS SANTIN RAMON MANUEL      1707323554001                                                     X
 113406      SALAZAR TAMAYO LUIS EFRAIN     1707323869001                                                     X
 192998      QUISHPE YANCHA LUIS ANIBAL     1707325666001                                                     X
 104819      JACOME LOPEZ MILTON MARCELO    1707331490001                                                     X
 175623      PALACIO ARCOS CESAR MAURICIO   1707334262001                                                     X
  21259      CÁRDENAS POZO SONIA FABIOLA    1707342042001                                                     X
 186264      BRAVO ARIAS MARÍA JOSÉ         1707344758001                                                     X
 178398      NORRIS CRESPO LUCIA VERENICE   1707352587001                                                     X
 182344      SAGNAY VILLA LUIS ORLEANS      1707368732001                                                     X
 249360      SANTANA DELGADO RICHARD WIDMARK1707369417001                                                     X
 218946      SOLEDISPA ZAMBRANO ENRIQUE ADAN1707369847001                                                     X
 268634      PEREZ MUÑOZ CARLOS RAMIRO      1707371736001                                                     X
 185943      LÓPEZ AVILÉS VÍCTOR HUGO       1707374391001                                                     X
 109254      RUIZ PAUCAR ANGEL BENIGNO      1707375059001                                                     X
  38181      GUACHAMIN SUQUILLO CESAR AUGUSTO
                                            1707375299001                                                     X
  45033       MARCO                         1707375455001                                                     X
  35676      AGUIRRE MALDONADO HERNAN AUGUSTO
                                            1707389290001                                                     X
  68825      CORDERO GARCIA EFRAIN GALO     1707394860001                                                     X
 277723      JURADO ESPINOSA EDISON RODRIGO 1707396253001                                                     X
  26767      MEDINA CRESPO MARTHA CECILIA   1707398051001                                                     X
 220945      ALVARADO ROMERO ALBA ELENA     1707407589001                                                     X
 252385      RIVERA SIMBAÑA MARIA ELVIRA    1707415541001                                                     X
 136647      SARABIA TIRIRA MARÍA ROSARIO   1707426126001                                                     X
  82063      MONTOYA VARGAS LAURA MATILDE 1707426985001                                                       X
  32914      ESPINOSA CISNEROS LUIS RAMIRO  1707433049001                                                     X
  69143      VILLENAS MANOSALVAS ROBERTO FERNANDO
                                            1707437438001                                                     X
 219749      BURGOS BEDON SEGUNDO ELIAS     1707438139001                                                     X
  35642      QUIÑÓNEZ YÁNEZ JORGE ENRIQUE   1707439558001                                                     X
No                 No registra
                                                               No                    No registra   No
                                                                        No. registra                       registra      No.    indicadores
                                                             registra                provincia, registra
Persona_id               NOMBRE               No. ID (RUC)                 calle                           número      registra de ventas,
                                                             apellido                 cantón y   primer
                                                                         principal                         de calle     origen activos y/o
                                                             paterno                 parroquia nombre
                                                                                                           principal             empleados

 274669      RUEDA PAREDES JUAN CARLOS       1707439913001                                                    X
  78190      CAÑARTE CASTILLO MARCOS GASPAR 1707440028001                                                     X
 173374      MERLEN DELAVOYE GODFREY WILLIAM 1707444418001                                                    X
 231797      ANGO VILATUÑA VICTOR ALEJANDRO 1707452791001                                                     X
  32868      PROAÑO ROJAS LUIS ARMANDO       1707453369001                                                    X
  43293       ANGEL                          1707454342001                                                    X
 210835      CARVAJAL CARVAJAL LUZ MARIA     1707475107001                                                    X
  95765      PROAÑO TEJADA MARIA CARMEN      1707481477001                                                    X
 268806      VASQUEZ GRANDA ROSA AMADA       1707484299001                                                    X
  50586      CASTAÑEDA CARRERA ROCIO ELIZABETH
                                             1707486047001                                                    X
 279294      ROMAN MOSQUERA GONZALO FELIPE 1707491328001                                                      X
 150093      BRITO FLORES MARIO ENRIQUE      1707492870001                                                    X
  98482      LEUNG AU YUK MEN                1707500169001                                                    X
 119360      NAREA ROMERO JORGE LUIS         1707508261001                                                    X
 217536      ALDANA MENDEZ SEGINDO ANGEL     1707515167001                                                    X
  80513      GARCIA VITERI RUTH MARIANA      1707531701001                                                    X
 173023      COELLO BENAVIDES MARIANA        1707538136001                                                    X
 111284      MORALES RODAS LINA YOLANDA      1707548929001                                                    X
 155727      JIMENEZ ALEMAN LUCIA DE LOURDES 1707559793001                                                    X
 192368      JARAMILLO OJEDA ROSA ANTONIA    1707564181001                                                    X
 166546      ESTRELLA LARREA JANET HELENA    1707564207001                                                    X
  41817      BETANCOURT CRUZ RAFAEL VINICIO 1707580328001                                                     X
 206996      ULCO VELASCO SEGUNDO BENEDICTO1707582076001                                                      X
 222411      SANCHEZ SALGADO LUIS HUMBERTO 1707582159001                                                      X
  83940      RECALDE EDISON RODRIGO          1707583389001                                                    X
 196368      LOACHAMIN CAIZA RENE ALBERTO    1707585756001                                                    X
  37188      LA CIENCIA EN TUS MANOS         1707587166001                                                    X
 256354      PINTO PINTO SEGUNDO VICTORIANO 1707590129001                                                     X
 209513      CUMBAL AYALA JUAN OLMEDO        1707593313001                                                    X
 260152      CAÑADAS GERMAN ROMMEL GUSTAVO   1707593511001                                                    X
 135096      CHICAIZA MAIGUA EDWIN GONZALO 1707593651001                                                      X
No                 No registra
                                                               No                    No registra   No
                                                                        No. registra                       registra      No.    indicadores
                                                             registra                provincia, registra
Persona_id               NOMBRE               No. ID (RUC)                 calle                           número      registra de ventas,
                                                             apellido                 cantón y   primer
                                                                         principal                         de calle     origen activos y/o
                                                             paterno                 parroquia nombre
                                                                                                           principal             empleados

 214306      SEPULVEDA ESPINOZA JORGE EDGARDO1707593800001                                                    X
 104695      FLORES HIDALGO IVAN ALEXANDER 1707594394001                                                      X
 132083      GUAMANTICA ZAMBRANO EUCLIDES MARCO
                                             1707598759001                                                    X
  61292       IVAN                           1707599971001                                                    X
  27475       JAIME                          1707600043001                                                    X
  29854      TOHAQUIZA JACHO JORGE WASHINTONG1707604839001                                                    X
 210376      BOHORQUEZ ANDRADE ROBERTO XAVIER1707609358001                                                    X
 175797      PAUTA MINGA FULVIO RODRIGO      1707610943001                                                    X
 190254      PINTO ABRAHAM                   1707614036001                                                    X
  25024      NARANJO CEDEÑO LUIS EDUARDO     1707616767001                                                    X
   7003      CONSULTOR                       1707617302001                                                    X
 224414      OÑA ACOSTA JOSÉ EDMUNDO SANTIAGO1707622427001                                                    X
  53669      VIDAL GÓMEZ DALTON EDUARDO      1707623979001                                                    X
 193425      GALLEGOS BETANCOURT VICTOR ENRIQUE
                                             1707625354001                                                    X
  97416      AUMALA ZAMBRANO ANGEL LEONIDAS1707627509001                                                      X
 204556      PILAY OCHOA LUIS RAMON          1707630289001                                                    X
 276873      IZURIETA SEMANATE MARCO AUGUSTO 1707632731001                               X                                X
 275490      RIVADENEIRA MAILA CARLOS ANIBAL 1707633549001                               X                                X
 200895      BONIFAZ MASABANDA ANGEL         1707634398001                                                    X
 167639      MONTERO PASTRANA GLADYS YOLANDA 1707645402001                                                    X
  10144       ELBA MARINA OÑA DEFAZ          1707647846001                                                    X
 240312      ALAVA ZAMBRANO ESTRELLA DIVINA 1707648885001                                                     X
 102644      URRUTIA BUCHELI MARIA TERESA    1707670996001                               X
 113867      VALLEJO VALLEJO CRUZ YOLANDA    1707674097001                                                    X
 128908      ALARCON SILVA JOSE ENRIQUE      1707678080001                                                    X
 143016      RAMOS CARRIEL GREY RAFAELA      1707681241001                                                    X
 161321      AGUILAR FEIJOO PAULINO MARCELINO1707689533001                                                    X
  80596      ESPÍN ESPINOZA ANGEL GENARO     1707699961001                                                    X
  38982       NORMAN                         1707709950001                                                    X
 254193      AVILES DAVILA ANDRES MAURICIO   1707718373001                                                    X
 247971      CLAVIJO ESCUDERO MARCO ANTONIO 1707719793001                                                     X
No                 No registra
                                                               No                    No registra   No
                                                                        No. registra                       registra      No.    indicadores
                                                             registra                provincia, registra
Persona_id               NOMBRE               No. ID (RUC)                 calle                           número      registra de ventas,
                                                             apellido                 cantón y   primer
                                                                         principal                         de calle     origen activos y/o
                                                             paterno                 parroquia nombre
                                                                                                           principal             empleados

 109816      DIAZ SANCHEZ SANTIAGO RAMIRO    1707719884001                                                    X
 275717      SALCEDO RODRIGUEZ MARCELO ENRIQUE
                                             1707722516001                                                    X
  13126      INGENIERIA                      1707723308001                                                    X
 186707      YACELGA PAUCAR MARTHA CECILIA 1707732754001                                                      X
 245037      SANCHEZ ESTRELLA FILADELFO      1707758775001                                                    X
  80138      NARANJO ACOSTA JUAN BERNARDO 1707758999001                                                       X
 199139      PALACIOS MARCEL DANIEL          1707759781001                                                    X
  13466      TITOMOYA                        1707760243001                                                    X
 223595      GARCÍA RENJIFO GIOVANNY RAMIRO 1707761712001                   X            X                    X
 242614      CARVAJAL EGAS JOSE FERNANDO ELIBORIO
                                             1707765481001                                                    X
 144727      QUILO INGA JAVIER NICOLAS       1707767941001                                                    X
 130806      ESCOBAR SIMANCAS EFREN ALEJO    1707768279001                                                    X
 173865      FLORES FLORES SEGUNDO GONZALO 1707768352001                                                      X
  62589      VALENCIA BERNAL COLÓN GERAL     1707768428001                                                    X
 110045      GONZÁLEZ ASTUDILLO SANTIAGO XAVIER
                                             1707779268001                                                    X
  47572      SOTOMAYOR RAMOS SAMUEL AGUSTÍN  1707783674001                                                    X
  58358      RODRIGUEZ ACOSTA OSWALDO VINICIO707785000001
                                             1                                                                X
  50025      TORRES LASTRA JOHNY ALEXANDER 1707789192001                                                      X
   3707      CHIGUANO CANENCIA JOSE ENRIQUE 1707794739001                                                     X
 132252      BRAVO LANCHE FULTON ERACLEO     1707801898001                                                    X
 176612      ACEVEDO ANALUISA RAÚL FERNANDO 1707804975001                                                     X
 103201      PALLO DELGADO VICTOR ANTONIO    1707805048001                                                    X
 226595      YUQUILEMA BORJA JUAN GUILLERMO 1707807846001                                                     X
 119498      CAMPAÑA MEJIA JHON FERNANDO     1707808133001                                                    X
 149555      LOOR MOLINA MODESTO SALVADOR 1707808356001                                                       X
 175091      GALÁRRAGA SANTAMARÍA HECTOR EDUARDO
                                             1707809909001                                                    X
 215735      CUENCA JIMENEZ OVIDIO DE JESUS 1707810519001                                                     X
 138577      SANCHEZ NARANJO CARLOS GONZALO  1707811046001                                                    X
 258936      MAJI REMACHE SEBASTIAN          1707814883001                                                    X
 249310      VALVERDE GUASGUA MANUEL ELIAS 1707815963001                                                      X
 126656      CUENCA VILLALOBOS SEGUNDO PEDRO707815971001
                                             1                                                                X
No                 No registra
                                                                No                    No registra   No
                                                                         No. registra                       registra      No.    indicadores
                                                              registra                provincia, registra
Persona_id               NOMBRE                No. ID (RUC)                 calle                           número      registra de ventas,
                                                              apellido                 cantón y   primer
                                                                          principal                         de calle     origen activos y/o
                                                              paterno                 parroquia nombre
                                                                                                            principal             empleados

 181975      LOYA CHILUISA JORGE ROBERTO      1707825392001                                                    X
 168786      RODRIGUEZ CARRION LUIS TEODORO 1707828974001                                                      X
  11928       ERNESTO MIÑO                    1707831812001                                                    X
 221095      CALVOPIÑA POMBOZA SERAFIN        1707831911001                               X
 113913      RODRÍGUEZ MORA PABLO MARTÍN      1707833529001                                                    X
  35734      PEÑAFIEL RUIZ LUIS ARCENIO       1707834055001                                                    X
 197957      CALLE MOLINA ANTONIO LIZARDO     1707834394001                                                    X
 102205      SOLEDISPA MENDOZA ALFREDO ESPEMENIDES
                                              1707838122001                                                    X
 231872      CASTRO URQUIZO JUAN RAMIRO       1707838205001                                                    X
  80297      CASTRO RIVADENEIRA FRANCISCO XAVIER
                                              1707842181001                                                    X
 188156      JVG PUBLIMARKETING Y EVENTOS     1707843114001                                                    X
 158517      PARRA CARRIEL ELVIS JACINTO DAVID1707843197001                                                    X
  76827      ROSERO ROSERO EDUARDO ANTONIO1707843833001                                                        X
 174628      RODRIGUEZ AGILA LAURO NAPOLEON1707844047001                                                       X
 240734      ESTEVEZ SANTIANA JUAN EMILIO     1707844203001                                                    X
  79673      LIPIANINA NADEJDA                1707849889001                                                    X
 262355      RODRIGUEZ MUELA MARCO WILFRIDO 1707852891001                                                      X
 250399      CONGO GARCIA GUSTAVO             1707857049001                                                    X
 212072      SILVA GAIBOR ANGEL BOLIVAR       1707858526001                                                    X
 181017      TROYA CALVA HIPOLITO WILFRIDO    1707862312001                                                    X
 165888      BRAVO ZAMBRANO BLANCA LIDIA      1707868558001                                                    X
  84565      VISCARRA NARANJO TANIA MARGARITA 1707878003001                                                    X
  58493      ROMAN TERAN JANETH EUGENIA       1707880843001                                                    X
 255501      MALES MARIA ANGELITA             1707896880001                                                    X
 273692      ORTEGA MYRIAN XIMENA             1707905905001      X                        X                                X
 112423      SEVILLA RAMIREZ GENOVEVA IBETH 1707911507001                                                      X
 144978      VIDAL FIGUEROA SOVEIDA           1707922553001                                                    X
 205182      LOPEZ LASSO MARY CECILIA         1707933519001                                                    X
 212192      VARGAS BALCAZAR MARFA MARILU     1707939011001                                                    X
 179872      CALVA RECUENCO DOLORES MIRYAM 1707949895001                                                       X
 145411      BARRERA BURGOS NORMA LUCÍA       1707951685001                                                    X
No                 No registra
                                                               No                    No registra   No
                                                                        No. registra                       registra      No.    indicadores
                                                             registra                provincia, registra
Persona_id               NOMBRE               No. ID (RUC)                 calle                           número      registra de ventas,
                                                             apellido                 cantón y   primer
                                                                         principal                         de calle     origen activos y/o
                                                             paterno                 parroquia nombre
                                                                                                           principal             empleados

  21397      CAICEDO SALVADOR ELIZABETH SONIA1707958730001                                                    X
  10854      ACME                            1707968614001                                                    X
 214253      ROSARIO RIOS GLORIA NANCY       1707969307001                                                    X
 136587      MOYANO REINOSO ROBERT FRANCISCO 1707975502001                                                    X
 152752      HEREDIA SIRINAULA MANUEL VICENTE1707975551001                                                    X
 226393      CAIZALETIN ROSERO MARCELO GIOVANNI
                                             1707975668001                                                    X
 123762      LOPEZ VILLALBA JAVIER SANTIAGO  1707977938001                                                    X
 133752      SEVILLA BUSTOS EDISON ALFONSO   1707980957001                                                    X
  21968      VINUEZA GALÁRRAGA JAIME FERNANDO1707985014001                                                    X
 182061      GUERRA ESTRELLA DIEGO FABIAN    1707986715001                                                    X
  71304      BAROJA AYALA VICENTE PATRICIO   1707987952001                                                    X
 264938      VALENZUELA CEDEÑO MARCO ANTONIO 1707991574001                                                    X
 224282      GUAMAN LINCANGO CARLOS OSWALDO  1707992341001                                                    X
 172138      MOROCHO ALCOCER LUIS OSWALDO 1707997159001                                                       X
  94039      GUTIERREZ VILLAGOMEZ LUIS AUGUSTO
                                             1708004229001                                                    X
 191168      VEGA SALAZAR MIGUEL EDUARDO     1708005341001                                                    X
 169615      TUFIÑO ALMEIDA KLEVER HERNAN    1708005937001                                                    X
 113287      VILLARREAL SOLARTE OSCAR OMAR 1708006695001                                                      X
 205491      MARTINEZ BURBANO FELIZ RENE     1708012040001                                                    X
  18566      SORIA COBA MARCELO NAPOLEON     1708014749001                                                    X
  51716      HIDALGO OROZCO CARLOS ARTURO 1708019862001                                                       X
 184911      JATIVA CORONEL MIGUEL ANGEL     1708021751001                                                    X
 175255      GUEVARA GALLEGOS RUBEN NICOLAY1708032204001                                                      X
  19541      DARQUEA ARAUJO JAIME EDUARDO 1708034960001                                                       X
 214986      GOMEZ LEMA SEGUNDO CESAR        1708037039001                                                    X
 197201      BARRAGAN URGILÉS LENIN WLADIMIR 1708039886001                                                    X
 178554      MONTALVO OQUENDO EDWING EDUARDO 1708041866001                                                    X
  63317      CASAMEN SOCASI JORGE MILTON     1708041965001                                                    X
 192177      BAYAS LARA GONZALO MAURICIO     1708044050001                                                    X
 252022      TAPIA DAVALOS JUAN CARLOS       1708048556001                                                    X
 273504      MATUTE ECHEVERRI ESTEBAN ALEJANDRO
                                             1708051741001                  X            X                    X
No                 No registra
                                                                No                    No registra   No
                                                                         No. registra                       registra      No.    indicadores
                                                              registra                provincia, registra
Persona_id               NOMBRE                No. ID (RUC)                 calle                           número      registra de ventas,
                                                              apellido                 cantón y   primer
                                                                          principal                         de calle     origen activos y/o
                                                              paterno                 parroquia nombre
                                                                                                            principal             empleados

 268797      TORRES SALAZAR MARCO ANTONIO 1708059405001                                                        X
 209241      JATIVA BRAVO VICTOR BOLIVAR      1708061823001                                                    X
 163856      PAREDES JARAMA JUAN CARLOS       1708064017001                                                    X
 223794      STIMSON CARTER JENNIFER TEBBE 1708067127001                                                       X
  19164      SORIA SOTO DIEGO ENRIQUE         1708074438001                                                    X
 120266      ESPINOZA MORENO JOSE RAMIRO      1708074636001                                                    X
 208137      PINTO CORREDOR CLAUDIA SOLANGE 1708081151001                                                      X
 106825      JARAMILLO PARRALES CARMITA ANTONIA
                                              1708083900001                                                    X
 190951      MEDINA MUÑOZ INDIRA SYLVANNA     1708086911001                                                    X
 147025      SIERRA FREIRE BÁRBARA NATALIA    1708110216001                                                    X
 189755      YÁNEZ CEVALLOS NANCY DE LAS MERCEDES
                                              1708118961001                                                    X
 207090      DIAZ VERDEZOTO CLAUDINA          1708121544001                                                    X
  15509      MARINA REALPE                    1708124365001                                                    X
 130035      SUÁREZ CEPEDA JUDITH AMÉRICA     1708127863001                                                    X
  33681      CALDERÓN CÁRDENAS TERESA HAYDEE  1708136625001                                                    X
 211342      PACHACAMA TACO JUDITH ANGELICA 1708138993001                                                      X
 141931      GOMEZ DE LA TORRE FRANCO ELVA CELINA
                                              1708148125001                                                    X
 166853      TENORIO GONZALEZ MARIA GARDENIA1708148653001                                                      X
 220633      VALDIVIESO PEÑAFIEL SILVIA SORAYA1708150931001                                                    X
  77342      GONZÁLEZ HINOJOSA ELVA CAROLINA 1708157563001                                                     X
  43000      BARGAS CASTILLO FRANCO EDILIO    1708178197001                                                    X
 169902      SANCHEZ PASTOR JORGE VINICIO     1708183072001                                                    X
 224969      IGUAGO PERUGACHI MILTON IVAN     1708195720001                                                    X
  67213      MOROMENACHO COLLAGUAZO EDISÓN WILSÓN
                                              1708197056001                                                    X
 117892      ALBUJA MATEUS EDUARDO RENE       1708197205001                                                    X
 134169      GUERRERO MORAN OSWALDO SANTIAGO  1708197965001                                                    X
 264394      VILLALBA GERARDO                 1708199763001                                                    X
  69147      CAMPOVERDE SANMARTÍN KLEVER VICENTE
                                              1708200512001                                                    X
 101932      CERVANTES TOLEDO MARIO FEDERICO  1708201031001                                                    X
  45661      ORDOÑEZ TACURI JOSE SALVADOR 1708201247001                                                        X
  76804      ALMEIDA JIMÉNEZ ANGEL WASHINGTON708203326001
                                              1                                                                X
No                 No registra
                                                               No                    No registra   No
                                                                        No. registra                       registra      No.    indicadores
                                                             registra                provincia, registra
Persona_id               NOMBRE               No. ID (RUC)                 calle                           número      registra de ventas,
                                                             apellido                 cantón y   primer
                                                                         principal                         de calle     origen activos y/o
                                                             paterno                 parroquia nombre
                                                                                                           principal             empleados

 131275      DÍAZ CHÁVEZ SAULO FRANCISCO     1708204274001                                                    X
  14187      ALEX PROANO                     1708204605001                                                    X
 174827      IGLESIAS MEJÍA JOSÉ ANTONIO     1708205016001                                                    X
  16797      PINEDA SUAREZ JOHN EFREN        1708216849001                                                    X
 218591      MERIZALDE LOPEZ JORGE LUIS      1708218258001                                                    X
 110092      MOREIRA MERA FRANCISCO ANTONIO 1708223084001                                                     X
 258806      JIMENEZ LUNA BOLIVAR KENNEDY    1708225816001                                                    X
 201480      TELLO MARZO CARLOS ALBERTO      1708225840001                                                    X
  82491      MENA NAVARRETE MARCO EFRAIN     1708228257001                                                    X
 223873      PÉREZ TECA MIGUEL EDMUNDO       1708228612001                                                    X
 121919      YANCOVICH HIDALGO LUCRECIA      1708230873001                                                    X
  49902       SEGUNDO                        1708232929001                                                    X
  36183      HEREDIA GALARRAGA PABLO SANTIAGO1708236789001                                                    X
 232214      DUEÑAS MENDOZA IVAN EDUARDO EFRAIN
                                             1708239130001                                                    X
  89722      CACHIMUEL VINUEZA LUIS HUMBERTO 1708242035001                                                    X
  37698      AGUILAR BARRIGA DENNY MARCELO 1708243884001                                                      X
 183728      CHAMORRO JUANA                  1708244668001                                                    X
 103793      VASQUEZ ROJAS ROBERTO WAGNER 1708256944001                                                       X
 210727      CHUN LEE YOUNG OIL              1708258916001                                                    X
 204272      BORJA TAPIA CARLOS HUMBERTO     1708264641001                                                    X
 130059      BENALCAZAR CHAVARRIA LUIS ALFONSO
                                             1708268162001                                                    X
 140039      REYES CANTOS NAVARINO ECUADOR 1708269756001                                                      X
 119706      BOADA AGUAYO RUTH MARGARITA     1708279060001                                                    X
 106422      BENITEZ YAZBEK NARCISA MARIELA 1708304421001                                                     X
 149443      VALENCIA SORIA LIBIA PATRICIA   1708306863001                                                    X
 139330      LOPEZ SANDRA                    1708315096001                                                    X
 264213      GUERRERO VERA RENNER JESUS      1708316078001                                                    X
 245360      CHAZO GUAMAN GUIDO AURELIO      1708317472001                                                    X
 141921      MULLO CAVA PLACIDO              1708320674001                                                    X
 179117      CASTELLANOS FLORES LUIS ARNULFO1708322100001                                                     X
 184334      JACOME GUERRA EDGAR VINICIO     1708327356001                                                    X
No                 No registra
                                                               No                    No registra   No
                                                                        No. registra                       registra      No.    indicadores
                                                             registra                provincia, registra
Persona_id               NOMBRE               No. ID (RUC)                 calle                           número      registra de ventas,
                                                             apellido                 cantón y   primer
                                                                         principal                         de calle     origen activos y/o
                                                             paterno                 parroquia nombre
                                                                                                           principal             empleados

 136781      JARAMILLO PEÑAFIEL LUIS ENRIQUE 1708329972001                                                    X
 147635      ESCANDÓN ESPARZA ROCÍO DEL PILAR708342488001
                                             1                                                                X
 276292      QUELAL MERA GRACE YOLANDA       1708349624001                  X            X                    X
 159367      FONSECA CUEVA OLIVA PATRICIA    1708358120001                                                    X
 136736      ATAHUALPA CHUMAÑA LUIS RAMIRO 1708360167001                                                      X
 245180      MONTENEGRO MURILLO AMADA DEL ROCIO
                                             1708364086001                                                    X
 271814      ENCALADA GUERRERO EVER CORNELIO 1708368467001                               X                                X
  74998      GRIJALVA RIERA ANGEL ANDRES     1708369564001                                                    X
 162636      CABRERA VILLARREAL ALIRIO WASHINGTON
                                             1708370083001                                                    X
 227176      RIOFRIO SUAREZ MARIA BELEN      1708388143001                                                    X
 237537      ARMIJOS LOPEZ PERLA MARIA       1708393960001                                                    X
  86640      CARRASCO ALBAN OSWALDO JOSELITO 1708396088001                                                    X
 125804      SIDEL PACHECO MARCO ANTONIO     1708400831001                                                    X
  68428      SANTANA MASIAS LUIS LEONARDO    1708404957001                                                    X
 179944      CHAMBA LOAIZA KENNEDY DANIEL    1708405699001                                                    X
 122986      LOMBEYDA SEGURA MARIA INES      1708407984001                                                    X
 150243      CHASI CHUQUIMARCA EDGAR ARIOLFO 1708411077001                                                    X
 219028      FLORES LANDETA FREDDI RÓMULO    1708411853001                                                    X
 117183      PATIÑO CABRERA MARCELO DE JESUS1708421605001                                                     X
 149354      VASQUEZ MACIAS PLACIDO ORLANDO 1708425929001                                                     X
 170522      SAMANIEGO JARAMILLO MIGUEL ANGEL708427875001
                                             1                                                                X
 247118      ARMIJOS AREVALO SALVADOR FREDDY 1708430994001                                                    X
  33789      GUZMÁN ORDÓÑEZ FRANKLIN GENARO  1708432511001                                                    X
 254757      CHANG CONFORME JENIT PIEDAD     1708435258001                                                    X
 216292      CHAMORRO ALEJANDRO EZEQUIEL 1708435688001                                                        X
  48495      CASTILLO VELÁSQUEZ LUIS ALBERTO 1708439060001                                                    X
 268545      MOSQUERA VACA GORKY ANTONIO     1708440019001                                                    X
 239702      VARGAS CONZA OSCAR DOMINGO      1708440167001                                                    X
 164024      BRAVO SAMPEDRO CARLOS RUBEN 1708443005001                                                        X
  65776      CHUQUITARCO SIMBAÑA BYRON MARCELO
                                             1708448400001                                                    X
  83652      PADILLA PROAÑO DIEGO FERNANDO 1708450968001                                                      X
No                 No registra
                                                               No                    No registra   No
                                                                        No. registra                       registra      No.    indicadores
                                                             registra                provincia, registra
Persona_id               NOMBRE               No. ID (RUC)                 calle                           número      registra de ventas,
                                                             apellido                 cantón y   primer
                                                                         principal                         de calle     origen activos y/o
                                                             paterno                 parroquia nombre
                                                                                                           principal             empleados

  96745      LIANG OU YU FAN                 1708452311001                                                    X
 190470      GAHONA CARRION FLORENCIO        1708459555001                                                    X
 198017      DE LA ROCHE MARTÍNEZ JOSÉ ALEJANDRO
                                             1708460827001                                                    X
  38326      TITUANA QUEZADA WILDE CLOTARIO 1708462146001                                                     X
 226399      CHANOVE ZAVALA ROXANA MARITZA 1708464910001                                                      X
 245152      LAICA IPIALES JOSE RUBEN        1708465024001                                                    X
 245800      CALDERON MANTILLA FAUSTO FERNADO1708469851001                                                    X
  64955      BORJA MORALES EDISON ALBERTO    1708470594001                                                    X
 223186      PAZMINO ORELLANA FAUSTO JAVIER 1708473689001                                                     X
 105378      ANDRADE MOYA JAIME RUBEN        1708474612001                                                    X
   3010      MB PUBLICENTER                  1708488166001                                                    X
 167739      AGUILAR ARZA ROSA IRMAN         1708493141001                                                    X
 171796      SAMPEDRO SANGOQUIZA MARIANITA LUZMILA
                                             1708494149001                                                    X
 154689      MENA MENA NELSON ALEJANDRO      1708519762001                                                    X
  86281      COBEÑA CASANOVA RAMON ATINIO 1708522485001                                                       X
 243998      VALLEJO CEVALLOS DIEGO MAURICIO 1708532385001                                                    X
  71488      CORONEL JIMENEZ EDISON RICARDO 1708532690001                                                     X
 135551      MENA MENA HECTOR BOLIVAR        1708535636001                                                    X
  79042      PILLAJO PILLAJO HUGO RAÚL       1708539448001                                                    X
  78118      SANDOVAL MANRIQUE JORGE ANIBAL 1708542509001                                                     X
 235630      SANCHEZ CASTILLO ELIO ENRIQUE   1708553191001                                                    X
 202106      VALLE PAZMIÑO CRISTHIAN ANDRES 1708559776001                                                     X
 159041      RODRIGUEZ MORENO ARGEMIRO       1708560709001                                                    X
 113450      ANDRADE POVEDA VICTOR RAUL      1708562143001                                                    X
 154522      VEGA BRAVO BOLÍVAR              1708565211001                                                    X
  78988      BORJA FIALLOS GERARDO VICENTE 1708565658001                                                      X
 252261      ZURITA CHANGO BECQUER JAVIER    1708567860001                                                    X
 273448      ANGULO FIERRO MARIA GLADYS      1708567902001                                                    X
 263817      LOPEZ ROMERO MARITZA MIREYA     1708573298001                                                    X
 155218      COBEÑA MENENDEZ OSCAR FELICITO 1708574627001                                                     X
 184229      LOMAS VOZMEDIANO HOLGER ADRIAN1708575020001                                                      X
No                 No registra
                                                                No                    No registra   No
                                                                         No. registra                       registra      No.    indicadores
                                                              registra                provincia, registra
Persona_id               NOMBRE                No. ID (RUC)                 calle                           número      registra de ventas,
                                                              apellido                 cantón y   primer
                                                                          principal                         de calle     origen activos y/o
                                                              paterno                 parroquia nombre
                                                                                                            principal             empleados

  78460      ORTEGA BLACIO BERTHA ESPERANZA 1708580962001                                                      X
 144226      MENDOZA ANDRADE ARELIZA DEL QUINCHE
                                              1708583347001                                                    X
 252644      QUEZADA SOLANO VICTOR MANUEL 1708586977001                                                        X
  80932      VELASCO CAMACHO NUMAN JOSELITO1708592629001                                                       X
 111890      LARA SOLORZANO WALTER JAIME      1708593114001                                                    X
 252523      GARCÍA LOYAGA FABIÁN MOISÉS      1708594534001                                                    X
 223454      TOLEDO DELGADO ALBA MARLENE      1708615529001                                                    X
 183335      VALVERDE BELTRAN MONICA PATRICIA 1708620990001                                                    X
 185122      PEÑAFIEL HIDALGO LISENIA DEL CONSUELO
                                              1708630353001                                                    X
  19168      CANDO ZAMBRANO MIROSLAVA KATHYUSCA
                                              1708637978001                                                    X
 273319      ALVARO FLORES LUZ MARIA          1708638364001                                                    X
  92088      VENEGAS RAMÍREZ MARÍA EUGENIA 1708638794001                                                       X
  18934       JULIO                           1708646946001                                                    X
  27394      RAMÍREZ LINCANGO NELSON RODRIGO  1708649312001                                                    X
 213995      MARMOL MOLINA WILLIAM ALBERTO 1708656945001                                                       X
 161470      TULCANAZA FRANCO LUIS FERNANDO 1708660681001                                                      X
 152615      RIVERA ESPINOZA ANITA CECILIA    1708674617001                                                    X
 173920      MORA HOLGUIN WILFRIDO ANTONIO 1708686215001                                                       X
 181458      LOOR ANCHUNDIA GIRMA ITALIA      1708687031001                                                    X
 232679      VELIZ SEGURA PEDRO RAUL          1708687668001                                                    X
 259694      SÁNCHEZ DEL VALLE EDISSON GONZALO1708694276001                                                    X
 206880      TAPIA TAPIA EFREN ROSENDO        1708696842001                  X            X                    X
  98399      GRANDA RAMIREZ GLADYS RENE       1708698764001                                                    X
 193861      JIMENEZ ALEMAN MIRIAN NOEMI      1708699614001                                                    X
  18439      TIPAN VACA JESUS WILFRIDO        1708699846001                                                    X
  26339      HEREDIA CARDENAS EDMUNDO IVAN 1708710593001                                                       X
 135724      BENAVIDES GUILLÉN JAVIER FERNANDO1708719529001                                                    X
 261627      GARCIA BENITEZ JOSE ORLANDO      1708720816001                                                    X
 241840      ALEMAN COELLO JUAN SEBASTIAN     1708721962001                  X            X                    X
 267556      ROMERO ZUMÁRRAGA VICTOR RAFAEL   1708722416001                                                    X
 169663      GUALOTO CHUQUIMARCA LUIS ALFONSO 1708723240001                                                    X
No                 No registra
                                                               No                    No registra   No
                                                                        No. registra                       registra      No.    indicadores
                                                             registra                provincia, registra
Persona_id               NOMBRE               No. ID (RUC)                 calle                           número      registra de ventas,
                                                             apellido                 cantón y   primer
                                                                         principal                         de calle     origen activos y/o
                                                             paterno                 parroquia nombre
                                                                                                           principal             empleados

 264488      LANDÁZURI AVILÉS AMPARITO DE LOURDES
                                             1708727019001                                                    X
 203095      CASTILLO TORRES XIMENA ELIZABETH1708727449001                                                    X
 274726      AGUIRRE SALAS MARÍA ANTONIA     1708729767001                               X                                X
 200899      SUAREZ LOPEZ OLIVIA CRISTINA    1708742091001                                                    X
 222539      MENDOZA CEDEÑO ELENA DEL CONSUELO
                                             1708742224001                                                    X
 231785      CHIRIBOGA EGAS ANDRÉS PATRICIO 1708749781001                                                     X
 152306      ESPINOSA PELICITA EDY FRANCISCO 1708753155001                                                    X
  78259      YASELGA TERÁN WASHINGTÓN SENÓN  1708755697001                                                    X
  98072      VALLEJO GALLARDO NELSON VINICIO 1708759350001                                                    X
 250172      DÁVILA CORTEZ JHONNY RODRIGO    1708761257001                                                    X
 261406      GUASHPA CHAUCA SEGUNDO CARLOS1708762420001                                                       X
 237373      MUÑOZ SUBIA JOEL LEONARDO       1708763006001                                                    X
 190552      RIVADENEIRA ARIAS WILSON GUSTAVO1708764228001                                                    X
  82106      UTRERAS CRISTINA                1708765340001                                                    X
 247401      MARCIAL NATALIA                 1708767049001                                                    X
 206008      CASTILLO GUTIERREZ AMELIA ALEXANDRA
                                             1708768146001                                                    X
 145164      PULUPA TASINTUÑA GUSTAVO GERMAN708790215001
                                             1                                                                X
 100087      NUÑEZ BOLAÑOS IVAN ALBERTO      1708793037001                                                    X
  61366      RODRÍGUEZ FLORES VICENTE MOÍSES1708794316001                                                     X
  76696      MAMARANDI GUALICATA LUIS ANIBAL 1708800642001                                                    X
 137426      ALCIVAR OSTAIZA TACITO SEGUNDO 1708812738001                                                     X
 110745      PARRAGA RIVADENEIRA RAMON FRANCISCO
                                             1708813850001                                                    X
 157325      GARCIA SOLORZANO JOAQUIN EFRAIN1708817331001                                                     X
 218899      MORENO YANEZ JULIO OCTAVIO      1708820764001                                                    X
  73854      HERRERA CHICAIZA ZOILA ROSA     1708828783001                                                    X
 248546      PRADO BORJA HENRY LENIN         1708850464001                                                    X
 126245      JACOME CAIZA MARCO FRANCISCO    1708855190001                                                    X
  22981      CAMPOS BETANCOURT ADOLFO FILEMON1708858251001                                                    X
  82416      ZAMBRANO BRITO JOSÉ RAFAEL      1708858830001                                                    X
 264447      GUAMANTICA PAUCAR JACINTO KRONFLE
                                             1708863079001                                                    X
 105009      LARA TORRES MIGUEL ANTONIO      1708872179001                                                    X
No                 No registra
                                                               No                    No registra   No
                                                                        No. registra                       registra      No.    indicadores
                                                             registra                provincia, registra
Persona_id              NOMBRE                No. ID (RUC)                 calle                           número      registra de ventas,
                                                             apellido                 cantón y   primer
                                                                         principal                         de calle     origen activos y/o
                                                             paterno                 parroquia nombre
                                                                                                           principal             empleados

 235605      VASQUEZ GALETH RAFAEL          1708876402001                                                     X
 272445      MONCAYO ZARAMA JULIO JAVIER    1708879745001                                                     X
  66290      MARCILLO PARRALES KLÉBER GERMINIANO
                                            1708894439001                                                     X
 234285      YUNGAN PILATAXI FELIPE         1708895816001                                                     X
 140751      NINA GUAMAN JOAQUIN            1708897671001                                                     X
 159286      IZA CHINCHUÑA ALFREDO          1708901135001                                                     X
 176485      BALDEON CUEVA JORGE FRANCISCO 1708901630001                                                      X
  51478      LLULLUNA USHINIA JOSE ABRAHAN  1708902448001                                                     X
 143224      MEJIA PEREZ MARIA ELODIA       1708937337001                                                     X
 106061      TIBANLOMBO CORDOVA LUZMILA     1708945207001                                                     X
  15445      VERONICA CRESPO REPRESENTACIONES
                                            1708950892001                                                     X
 273453      DAVILA CANO ISABEL MARIA       1708953805001                                                     X
 200033      AMORES ABELLO EUGENIA VICTORIA 1708956394001                                                     X
 140274      MARIÑO OLEA MARIA IMELDA       1708957657001                                                     X
  23730      BURBANO MARIÑO TERESA VIVIANA 1708963945001                                                      X
 154565      CALAHORRANO MONTAÑO MARIO EDUARDO
                                            1708965486001                                                     X
 119595      COBOS COBOS DIOMEDES LEONIDAS 1708968381001                                                      X
 223488      PEÑAFIEL LARREA FREDDY         1708970353001                                                     X
  85500      VELOZ GALVEZ EDUARDO AGUSTIN   1708978786001                                                     X
 104466      ANDRADE MOREIRA ESTRELLA MARILU1708988348001                                                     X
  51882      CEVALLOS CHUEZ MONICA RUTIBERTY1708994338001                                                     X
 212767      DELGADO BENAVIDES WANNER GONZALO
                                            1708995483001                                                     X
 169911      PELAEZ TERAN CECILIA ALBERTINA 1709022378001                                                     X
 175686      CORREA VINUEZA ANTONIO CARLOS 1709025777001                                                      X
 250866      CÁCERES CEVALLOS MANUEL EDUARDO1709026114001                                                     X
 243475      GALLARDO ALVARADO JEAN PAUL    1709026510001                                                     X
 211703      MARMOL GUTIERREZ HENRY GABRIEL 1709033680001                                                     X
  46315      RAMOS ROBALINO ALBERTO PATRICIO1709034191001                                                     X
 138601      MENA VARGAS OSWALDO EDUARDO 1709036220001                                                        X
 113663      MIRANDA RUBIO VERÓNICA ALEXANDRA
                                            1709041204001                                                     X
  26135      RUALES CHUQUIMARCA LOURDES DEL1709045114001
                                             PILAR                                                            X
No                 No registra
                                                               No                    No registra   No
                                                                        No. registra                       registra      No.    indicadores
                                                             registra                provincia, registra
Persona_id               NOMBRE               No. ID (RUC)                 calle                           número      registra de ventas,
                                                             apellido                 cantón y   primer
                                                                         principal                         de calle     origen activos y/o
                                                             paterno                 parroquia nombre
                                                                                                           principal             empleados

  76068      GRANDA QUIMBAILA MONICA PATRICIA1709050239001                                                    X
  86491      BELTRAN MORALES MAIRA ELIZABETH 1709050593001                                                    X
 261290      PEREZ URQUIZO MARCELA VERENICE 1709053258001                                                     X
 122156      SOPA CHUNGANDRO LUIS RODRIGO 1709062812001                                                       X
  17904      PUEBLA VIZUETE MARCO RAMIRO     1709063067001                                                    X
 214749      KINGMAN PEÑAHERRERA NICOLAS     1709063620001                                                    X
 216473      SUQUI BELESACA LUIS DEIFILIO    1709065971001                                                    X
  44014      MALDONADO MICHILENA JOSÉ BENJAMIN
                                             1709070617001                                                    X
 155576      GOMEZ NAVARRETE JORGE FRANCISCO 1709070922001                                                    X
 152393      CONSTANTE BOHORQUEZ MARIO FERNANDO
                                             1709073132001                                                    X
 253439      CHUQUI TAYO JULIO RODRIGO       1709073264001                                                    X
 237114      AVILA VEINTIMILLA ANDRÉS DARÍO  1709077109001                                                    X
  74703      LEMA PAUCAR JORGE               1709080152001                                                    X
  76932      AYALA TOAPANTA MARIA CAROLINA 1709081747001                                                      X
 153303      CASANOVA VÉLEZ MARÍA DEL CARMEN1709084543001                                                     X
  57894      JARAMILLO CALAHORRANO LUZ MARIA1709085581001                                                     X
  47418      PEREZ SUASNAVAS VERONICA PATRICIA
                                             1709085649001                                                    X
 177480      HERRERA MARTINEZ ROSARIO HERMINIA
                                             1709088098001                                                    X
 158726      PILATAXI LECHON LAURA MARIA     1709095671001                                                    X
 241806      CRUZ LOPEZ MANUEL ENRIQUE       1709103749001                                                    X
 251925      PATRON PINARGOTE RAMON PRIMITIVO1709106478001                                                    X
 182318      SAGNAY VILLA JHON FRANKLIN      1709113631001                                                    X
 148001      GARCIA PARRA CARLOS AUGUSTO     1709115412001                                                    X
 232980      CALDERON GUILLEN ROMMEL ANTONIO 1709120909001                                                    X
  47084      TOAQUIZA YANCHAPAXI JOSÉ FABIÁN 1709121444001                                                    X
 260675      HERMOSA ARIAS CARLOS ORLANDO 1709122319001                                                       X
 276344      CASARES MIRANDA JOSE ALEJANDRO 1709125130001                                X                                X
 206179      CAGUA HARO ANTONIO GERMAN       1709125346001                                                    X
 163815      LANDETA TORRES MOISES SEGUNDO 1709127250001                                                      X
 248548      GUANO ALTAMIRANO MANUEL FERNANDO1709129405001                                                    X
 129283      BOSQUEZ GALARZA MENTOR GUMERCINDO
                                             1709129520001                                                    X
No                 No registra
                                                               No                    No registra   No
                                                                        No. registra                       registra      No.    indicadores
                                                             registra                provincia, registra
Persona_id               NOMBRE               No. ID (RUC)                 calle                           número      registra de ventas,
                                                             apellido                 cantón y   primer
                                                                         principal                         de calle     origen activos y/o
                                                             paterno                 parroquia nombre
                                                                                                           principal             empleados

 224089      MEJIA BARRAGAN LUIS ITALO       1709129652001                                                    X
 165804      ESTRELLA TORRES VÍCTOR HUGO     1709133712001                                                    X
  62571      VALENZUELA GÓMEZ IBAN NIKOLAY 1709135055001                                                      X
 250331      MARIN ACUESTAR LUIS GUILVER     1709135139001                                                    X
 234358      JURADO MONCAYO SONIA SILVANA    1709157000001                                                    X
 108362      RAMOS RAMOS AQUILES CORNELIO 1709162406001                                                       X
 246287      PEREZ MARTINEZ HERIBERTO JHOVANNY
                                             1709179202001                                                    X
 214167      GOMEZ SIGCHA JACQUELINE MARIA 1709181596001                                                      X
 279484      TAPIA HEREDIA FAUSTO ALFONSO    1709206369001                                                    X
   9889       CATERING INDUSTRIAL            1709225377001                                                    X
 125363      ROBLES GUATO SEGUNDO ROLANDO 1709226151001                                                       X
  42813      JARAMILLO GARCIA JAIME RUBEN    1709251712001                                                    X
 198734      NUÑEZ VILLACRES BYRON TELESFORO 1709254005001                                                    X
 164315      NN GUZMAN MARCO VINICIO         1709257669001                                                    X
  62177      ZAPATA ERAZO CARLOS ERNESTO     1709264541001                                                    X
 138021      CALAPAQUI CAYO MARY SELA GUADALUPE
                                             1709268765001                                                    X
 232682      ZUÑIGA OCHO JULIA VIRGINIA      1709277436001                                                    X
 198999      TIPÁN GUALOTO MIGUEL ANGEL      1709287658001                                                    X
 114055      MEJIA HERRERA WILLAN RODRIGO    1709295800001                                                    X
  79410      CABRERA DE LA VEGA HUGO LEONARDO1709299943001                                                    X
 187890      CHUQUIMARCA PACHACAMA EDGAR HUMBERTO
                                             1709302937001                                                    X
 272209      VALLEJO SANTACRUZ EDGAR ANIBAL 1709303141001                                                     X
 112814      ARMIJOS CONZA JOSÉ DARÍO        1709303281001                                                    X
 116232      VERA CARREÑO JOSÉ EDILBERTO     1709307134001                                                    X
 228995      VALVERDE TOPON MARIA YOLANDA 1709309742001                                                       X
 154874      LOPEZ PAZMIÑO CAROL LISETTE     1709324006001                                                    X
  41706      ACURIO ASTUDILLO ROLANDO GUSTAVO1709329153001                                                    X
  45704      SUNTAXI LLUMIQUINGA HUGO PATRICIO709343113001
                                             1                                                                X
 136021      GRANDA JAÉN CARLOS ANTONIO      1709348187001                                                    X
 263258      GUALOTUÑA CARHUA JOSE FRANCISCO709350431001
                                             1                                                                X
  50022      CEPEDA STOUDENNIKOVA ANDRÉS ALEJANDRO
                                             1709350969001                                                    X
No                 No registra
                                                             No                    No registra   No
                                                                      No. registra                       registra      No.    indicadores
                                                           registra                provincia, registra
Persona_id              NOMBRE              No. ID (RUC)                 calle                           número      registra de ventas,
                                                           apellido                 cantón y   primer
                                                                       principal                         de calle     origen activos y/o
                                                           paterno                 parroquia nombre
                                                                                                         principal             empleados

 178213      PAUTA AGUILAR ANGEL HUMBERTO 1709352023001                                                     X
  51715      MOREJON VILLAFUERTE EDIZON RAMIRO
                                             1709355885001                                                  X
 136488      CHUVA BUENO ROSA ELISENDA       1709367682001                                                  X
 216010      QUIJIA QUIJIA NARCISA MARLENE   1709373292001                                                  X
 177203      BERMELLO PALACIOS ANA ESTHELA 1709386013001                                                    X
 152036      PEREZ ATABALLO LUIS ARMANDO     1709391898001                                                  X
 102244      CAICEDO GOMEZ JORGE PATRICIO    1709392649001                                                  X
 174666      PAREDES ESTRELLA ANGEL FERNANDO 1709394215001                                                  X
 274584      BOADA MARQUEZ LUIS FERNANDO     1709395402001                             X                                X
 192208      VITERI PUYOL MARCELO EDUARDO    1709396905001                                                  X
 104813      ECHEVERRIA GUERRA GALO ANIBAL 1709397176001                                                    X
 120291      GALARZA MERA EDISON RAMIRO      1709404733001                                                  X
 105584      JARAMILLO CAZAÑAS JUAN GABRIEL 1709405524001                                                   X
  25258      CUITO PASQUEL MIRIAM CECILIA    1709412892001                                                  X
  96302      RECALDE ZABALA MONICA DE LAS MERCEDES
                                             1709413627001                                                  X
  20242      AGUILAR BOLAÑOS JOSEFINA DEL PILAR
                                             1709415085001                                                  X
 214139      GOMEZ ORDOÑEZ AURA ESTHELA      1709421232001                                                  X
 273392      PIEDRA PEREZ ALFREDO JAVIER     1709428252001                                                  X
 115661      VILATUÑA MALES SEGUNDO MANUEL 1709440620001                                                    X
 157564      GAVILANEZ CARRERA MAGALLY ALEXANDRA
                                             1709450157001                                                  X
   3611      ESPINOZA ROMERO AGUEDA ALBITA 1709450421001                                                    X
 254100      ROSERO VÁSCONEZ LEONOR PATRICIA709453524001
                                             1                                                              X
  93742      CAMPOVERDE MENDOZA LUCRECIA GUADALUPE
                                             1709456873001                                                  X
 163984      COBEÑA ALCIVAR TANIA ISABEL     1709464265001                                                  X
 173960      BAUMANN CHRISTOPH JOSEF         1709477069001                                                  X
 237298      AYLWIN EGUIGUREN EDUARDO ANTONIO1709477382001                                                  X
 234088      XXXXXXXXXXXXXXXXXXXXXX ENRIQUEZ AUDON AQUILINO
                                             1709483018001                                                  X
 114160      SOLA PAREDES JOHNNY RICARDO     1709492324001                                                  X
 183876      CARRIÓN CASTILLO JUAN TOBIAS    1709496622001                                                  X
 103856      GUAMAN ANDRADE FERNANDO JAVIER1709504565001                                                    X
  23370      MORA MORA ADRIANA GUADALUPE     1709519100001                                                  X
No                 No registra
                                                                No                    No registra   No
                                                                         No. registra                       registra      No.    indicadores
                                                              registra                provincia, registra
Persona_id               NOMBRE                No. ID (RUC)                 calle                           número      registra de ventas,
                                                              apellido                 cantón y   primer
                                                                          principal                         de calle     origen activos y/o
                                                              paterno                 parroquia nombre
                                                                                                            principal             empleados

  88355      TRUJILLO TRUJILLO CLARA ESTHER 1709520447001                                                      X
  13300      ING. LUIS FERNANDO BENITEZ       1709530784001                                                    X
  97187      OBANDO CEVALLOS SILVIA CUMANDA 1709532038001                                                      X
 145131      FRANCO ANDRADE JAIME AURELIO     1709533325001                                                    X
 126081      CAIZALUISA CRIOLLO CARLOS FABIAN 1709543555001                                                    X
 112226      REA CHIMBO SEGUNDO AURELIO       1709546814001                                                    X
 236329      BUITRÓN PONCE CARLOS FRANKLIN 1709553760001                                                       X
 217414      FREILE ORTIZ JUAN FERNANDO       1709554701001                                                    X
 175710      PILLAJO ANAGUANO JOSÉ JAIME      1709560393001                                                    X
   4100      CASCANTE MARCO                   1709561052001                                                    X
  60372      VALLADOLID CHUQUIRIMA LUISA MARLENE
                                              1709568933001                                                    X
  65826      TORRES SILVA CONSUELO BEATRIZ 1709571168001                                                       X
 214739      CANDO LUZMILA                    1709579435001                                                    X
 149589      TOAPANTA QUIÑA MARTHA CECILIA    1709586406001                                                    X
  39056      MORALES SHUGULI JIMENA LOURDES 1709602690001                    X            X                    X
 200855      CARDENAS CAJAS IVAN ARMANDO      1709608135001                                                    X
  81521      SEGUNDO CHICAIZA CHICAIZA        1709612079001                                                    X
 241135      GONZALEZ DIAZ JORGE AUGUSTO      1709613077001                                                    X
  49163      BARRENO VENERAS JORGE ALBERTO 1709615536001                                                       X
 146190      ARROBO RODRIGUEZ HERMEL RODRIGO  1709621609001                                                    X
 244751      HIDALGO FLORES EDISON FERNANDO 1709627325001                                                      X
  58222      JARAMILLO ARGANDOÑA JAVIER ENRIQUE
                                              1709635864001                                                    X
 132992      MINA BARAHONA ANGEL ANTONIO      1709639866001                                                    X
 114425      MOREJON CACAY BLADIMIR ALFREDO 1709641151001                                                      X
  94438      PESÁNTEZ DUCHICELA LUCI CATALINA1709642720001                                                     X
 167784      HERRERA PROAÑO JAIME RENAN       1709646275001                                                    X
 142765      INTRIAGO BASTIDAS LEONOR ELIZABETH
                                              1709664229001                                                    X
 170085      CABRERA ERAZO SILVIA YOLANDA     1709678583001                                                    X
 226978      DE LA TORRE GALARZA JOSE RODRIGO 1709686727001                                                    X
 221168      CUASCOTA FARINANGO JOSE ORLANDO  1709696619001                                                    X
  48947      SÁNCHEZ OBANDO TELMO NERY        1709699886001                                                    X
No                 No registra
                                                               No                    No registra   No
                                                                        No. registra                       registra      No.    indicadores
                                                             registra                provincia, registra
Persona_id               NOMBRE               No. ID (RUC)                 calle                           número      registra de ventas,
                                                             apellido                 cantón y   primer
                                                                         principal                         de calle     origen activos y/o
                                                             paterno                 parroquia nombre
                                                                                                           principal             empleados

 218699      YÁNEZ VILLAFUERTE ANITA SOFIA   1709718496001                                                    X
 108551      IZA LARRAGA ANGEL PATRICIO      1709723363001                                                    X
 182774      VERA ANDRADE LUIS EBANAN        1709728990001                                                    X
 154681      SIMBAÑA YANCHAPAXI WILMER HERNAN1709729998001                                                    X
 111770      BARBA POVEDA GIOVANNI XAVIER    1709733545001                                                    X
  97173      SALAS DIEHL FERNANDO RODRIGO    1709743668001                                                    X
 240458      QUINTEROS SAA EDISON MARCELO    1709761306001                                                    X
  90775      LUGUAÑA NASIMBA HUGO PATRICIO 1709761678001                                                      X
 143114      VINUEZA MONTENEGRO CARLOS JULIO 1709764920001                                                    X
 127184      YACELGA SANTACRUZ FRANKLIN VOLTAIRE
                                             1709765208001                                                    X
 193154      CASTILLO CASCO MAURICIO ALEXANDER
                                             1709774085001                  X            X                    X
 150801      CARRERA GONZALES PATRICIO VICENTE
                                             1709774770001                                                    X
 111183      MACIAS MACIAS VICENTE OSWALDO 1709778631001                                                      X
 138899      MIRANDA VARGAS MARIA EUGENIA    1709788473001                                                    X
  14087      CLAMA SPORT                     1709794323001                                                    X
 165006      GANGOTENA MARQUEZ FANNY MARLENE 1709796708001                                                    X
 110794      VACA ORMAZA ANA LUCIA           1709798308001                                                    X
  95799      GÓMEZ PAILLACHO IRMA SUSANA     1709798373001                                                    X
  18564      TERAN HURTADO ROSA DE LOS ANGELES
                                             1709804106001                                                    X
 183217      FLORES ULLOA WASHINGTON VLADIMIR709824518001
                                             1                                                                X
 220257      AGUILAR PILATAXI CARLOS LUIS    1709831927001                                                    X
 156901      PUMA AUCAPIÑA VICENTE ARIOSTO 1709849507001                                                      X
  73931      SILVA DÍAZ MARCO JAVIER         1709849606001                                                    X
 196488      QUIJOSACA MALAN SEGUNDO ESPIRITU1709850372001                                                    X
 213276      BESILLA SALTOS BOANERGES ALCIVIADES
                                             1709853970001                                                    X
 160033      PALTAN AYOLA SEGUNDO MARIO      1709854499001                                                    X
  37677      DUQUE ALVAREZ JHONNY WILIAM     1709854986001                                                    X
 266729      CHIMBA CHILUISA JOSE            1709855553001                                                    X
 221694      AIZAGA ACOSTA PABLO ANIBAL      1709857542001                                                    X
 221583      VILLOTA JARA ROBINSON EDUARDO 1709857641001                                                      X
 191806      RIVADENEIRA MUÑOZ MARIA MAGDALENA
                                             1709862278001                                                    X
No                 No registra
                                                                No                    No registra   No
                                                                         No. registra                       registra      No.    indicadores
                                                              registra                provincia, registra
Persona_id               NOMBRE                No. ID (RUC)                 calle                           número      registra de ventas,
                                                              apellido                 cantón y   primer
                                                                          principal                         de calle     origen activos y/o
                                                              paterno                 parroquia nombre
                                                                                                            principal             empleados

 133846      GALIANO BARAHONA MARIA LUISA     1709864928001                                                    X
 126048      GUAIGUA TATAYO BLANCA SILVIA     1709873127001                                                    X
 134142      ULLOA RODAS CECILIA MERCEDES     1709876302001                                                    X
 257661      DIAZ CABRERA GRACE MIREYA        1709877532001                                                    X
  74719      LLUMIQUINGA GARCIA CARLOS ALFREDO1709888802001                                                    X
 138334      CARRANZA SANCHEZ JUAN LLOVANY 1709889818001                                                       X
 137218      RUALES RIVADENEIRA MAURICIO FERNANDO
                                              1709891822001                                                    X
  15582       JUAN                            1709893109001                                                    X
 222382      MONTERO CARRERA EDISON MAURICIO  1709898785001                                                    X
 236223      PISUÑA SIMBAÑA SEGUNDO VENTURA 1709900128001                                                      X
 106520      FAICAN SEGOVIA PATRICIA ELIZABETH1709913154001                                                    X
  23532       GOLDY                           1709919268001                                                    X
 224749      ZAVALA EGAS ALVAROJ JACOBO       1709922437001                                                    X
 204170      ECHEVERRIA MURILLO JOSE OMAR     1709925711001                                                    X
 224049      PILLAJO CHANGOLUISA ANGEL JALID 1709926263001                                                     X
 105276      BARAHONA GUERRERO HENRY DOUGLAS  1709934259001                                                    X
 119328      NACASHA PACHACAMA MANUEL         1709936387001                                                    X
 108520      HERRERA SEVILLANO LUIS GABRIEL 1709936650001                                                      X
  61411      RAMOS IDROVO PEDRO ELICIO        1709938680001                                                    X
  78119      BARRETO ORTIZ MANUEL EDUARDO 1709942765001                                                        X
 242848      PULLA JULIO EDUARDO              1709943391001                                                    X
 266254      SUAREZ ALCIVAR ERNESTO ENRIQUE 1709948523001                                                      X
 182007      ROJAS CORDERO JUAN CARLOS        1709948846001                                                    X
 201107      BALSECA BALSECA EDWIN MARCELO 1709954877001                                                       X
  79267      GILER DELGADO JESÚS ALFREDO      1709954927001                                                    X
 250454      MANOBANDA LARA NELY GALUD        1709956583001                                                    X
 205689      FLORES ESPINOZA FRANCISCO ENRIQUE1709956831001                                                    X
 234435      ESPINOSA LOVATO XIOMARA ELIZABETH1709963563001                                                    X
 258150      TERÁN BEDOYA DORIS DE LOURDES 1709968612001                                                       X
 253788      ITAZ ORDOÑEZ GARDENIA DE LOS ANGELES
                                              1709980161001                                                    X
 245384      CLAVIJO JACOME JORGE MARCELO     1709992133001                                                    X
No                 No registra
                                                               No                    No registra   No
                                                                        No. registra                       registra      No.    indicadores
                                                             registra                provincia, registra
Persona_id               NOMBRE               No. ID (RUC)                 calle                           número      registra de ventas,
                                                             apellido                 cantón y   primer
                                                                         principal                         de calle     origen activos y/o
                                                             paterno                 parroquia nombre
                                                                                                           principal             empleados

 170640      AGUIRRE GRIJALVA CARLOS SANTIAGO1709996977001                                                    X
 224888      MENDOZA CORONEL NESTOR EDUARDO  1709998619001                                                    X
 149525      ARGUDO AUQUI GALO EDUARDO       1709999328001                                                    X
 122005      MARINO MONTALVO MAURO ROBERTO1710009224001                                                       X
 119755      MOLINA CÓRDOVA ANDRÉS RICARDO 1710012517001                                                      X
  55448      HIDALGO MALDONADO JAIME ERNESTO 1710015940001                                                    X
 207205      GARRIDO VILLAGOMEZ DIEGO MAURICIO
                                             1710017375001                                                    X
 259678      CHASIPANTA MORALES GALO PATRICIO1710019991001                                                    X
 109576      DIAZ GUARDERAS ROGELIO EUCLIDES 1710020213001                                                    X
 225556      CADENA ESPINOZA ROCIO DEL PILAR 1710026434001                                                    X
 225122      SIMBAÑA MALES GADYS TATIANA     1710029420001                                                    X
 114614      PROAÑO ANAGO ROSA ESMERALDA 1710033091001                                                        X
 163952      BOLAÑOS GONZÁLEZ CATALINA DE LOS ANGELES
                                             1710035625001                                                    X
  93730      GUTIERREZ AREQUIPA CARLOS HERNAN1710054378001                                                    X
 122412      RIVADENEIRA LUIS AGUSTIN        1710054634001                                                    X
 192503      VARGAS GARCIA HECTOR GERMAN     1710055441001                                                    X
 153869      QUISHPE AVILA WILSON RODRIGO    1710056092001                                                    X
 216035      CAMPOVERDE GUAJALA LUIS ANTONIO1710056233001                                                     X
 127073      MARTINEZ ALDAZ WASHINGTON AURELIO
                                             1710058908001                                                    X
 159223      ACURIO MIRANDA KLEBER DARIO     1710059047001                                                    X
  81409      ZAMBRANO CUACES ROSA ELENA      1710066745001                                                    X
 203363      TORRES OSORIO EDGAR MAURICIO 1710074335001                                                       X
 150281      GOMEZ SALAS JORGE ENRIQUE       1710075308001                                                    X
 209240      JARA ARIAS MARIA PATRICIA       1710099910001                                                    X
  81361      VINUEZA TALAVERA KATIA CHANEL   1710100205001                                                    X
  32862      BERMUDEZ DELGADO JOSE RAMON 1710101930001                                                        X
 116998      ORTEGA BASANTES CESAR CIRILO    1710110816001                                                    X
 251765      MEJIA SUAREZ EDISON DANILO      1710112374001                                                    X
 267667      VILLARROEL GALLEGOS CLAY GUALBERTO
                                             1710117753001                  X            X                    X
 130075      ALCÍVAR LÓPEZ NERY IVÁN         1710118231001                                                    X
 219553      SOJOS BUÑAY GLADYS SONORINA     1710121961001                                                    X
No                 No registra
                                                                No                    No registra   No
                                                                         No. registra                       registra      No.    indicadores
                                                              registra                provincia, registra
Persona_id               NOMBRE                No. ID (RUC)                 calle                           número      registra de ventas,
                                                              apellido                 cantón y   primer
                                                                          principal                         de calle     origen activos y/o
                                                              paterno                 parroquia nombre
                                                                                                            principal             empleados

 201930      ENCALADA VALAREZO MARÍA FERNANADA1710134865001                                                    X
 133051      SARANGO ERAS EDIS BERNARDA       1710142223001                                                    X
 165894      ANDRADE FRANCO MAXIMO ENRIQUE 1710143072001                                                       X
 169375      PITIUR JUWA SUNKA PEDRO          1710145598001                                                    X
 208855      CHÁVEZ VARGAS HOLGER ANTONIO 1710150259001                                                        X
 166886      ALMAGRO SALTOS CARMEN IRENE      1710160118001                                                    X
 121447      ZAMBRANO MOREIRA JOSE OSWALDO 1710160357001                                                       X
 128852      MERA ENCARNACIÓN MARÍA ELENA     1710160373001                                                    X
 187615      GUALLICHICO GUALOTUÑA PAULO MANUEL
                                              1710162825001                                                    X
 117616      BERRONES LOYOLA MAURO ORLANDO1710164011001                                                        X
 195415      RUIZ VELASTEGUI LINO ELADIO      1710169960001                                                    X
 251405      PROAÑO GAMBOA WILSON JAVIER      1710176130001                                                    X
  74360      MISE COFRE GLADYS SUSANA         1710183789001                                                    X
  91284      ARAY MEJIA KARIN GENITH          1710199165001                                                    X
  59543      GUAÑA AGUIRRE OSCAR RENE         1710202167001                                                    X
 155939      ERAZO ALMEIDA WINSTON GIOVANNI 1710203942001                                                      X
  74981      VELASTEGUI PÁEZ FAUSTO GIOVANNY1710205236001                                                      X
 122614      AREBALO AREBALO EDGAR PATRICIO 1710205509001                                                      X
 211582      PEÑAFIEL PILATAXI LUTGARDO       1710208289001                                                    X
 141526      CALVACHE BELTRAN ANA IVONNE      1710231638001                                                    X
 212526      RODRÍGUEZ LÓPEZ MARA PRISCILLA 1710233055001                                                      X
  89266      ARIAS JARAMILLO TAMARA ELIZABETH 1710235159001                                                    X
 150582      REGALADO ENRIQUEZ MILLERT FRANKLIN
                                              1710240159001                                                    X
 180931      CARRILLO LARREA VÍCTOR HUGO      1710243351001                                                    X
  85380      ALMEIDA JIMENEZ WILSON ALSIBIADES1710244011001                                                    X
 133838      CHAMORRO CHAVEZ GUIDO RICARDO 1710245836001                                                       X
  99696      CABEZAS YAGUARCOTA JORGE EDUARDO 1710255637001                                                    X
  81688      OLSSON STEWQUIST AKE BERTIL      1710276666001                                                    X
 147351      VIMOS ARELLANO RESURRECCION      1710302165001                                                    X
  93334      ARIAS CEVALLOS LUIS ANIBAL       1710306075001                  X            X                    X
 173514      LEON FALCONI MARTIN VINICIO      1710311661001                                                    X
No                 No registra
                                                               No                    No registra   No
                                                                        No. registra                       registra      No.    indicadores
                                                             registra                provincia, registra
Persona_id               NOMBRE               No. ID (RUC)                 calle                           número      registra de ventas,
                                                             apellido                 cantón y   primer
                                                                         principal                         de calle     origen activos y/o
                                                             paterno                 parroquia nombre
                                                                                                           principal             empleados

  44162      SILVA ARTEAGA MARIO PATRICIO    1710317031001                                                    X
 224640      PERUGACHI SALCEDO EDUARDO ABDON 1710317759001                                                    X
 131738      VILLAGOMEZ CARDENAS MARIA DOLORES
                                             1710320498001                                                    X
  47450      BRAVO RODRIGUEZ EDISON RENE     1710327071001                                                    X
 166859      PAZMIÑO MONTERO EDGAR FABRICIO 1710331164001                                                     X
 170867      CARRION AREVALO LUIS ALBERTO    1710332287001                                                    X
  22789      NOBOA MENESES LILIAN VERONICA   1710339282001                                                    X
 257338      DALGO MORA JOSE RODOLFO         1710339613001                                                    X
 259594      CEDEÑO FIGUEROA SEBASTIANA EMPERATRIZ
                                             1710340785001                                                    X
 178098       CAMPOVERDE MARTHA IRENE        1710342278001                                                    X
 262432      CHUQUITARCO CASA MARIA ESTHER 1710346303001                                                      X
 111979      CAHUATIJO CAHUATIJO ROSA ELENA 1710356997001                                                     X
  83102      MÁRMOL PAVÓN WALTER VICENTE     1710360270001                                                    X
 232997      IZURIETA MENA FAUSTO ENRIQUE    1710362557001                                                    X
 188662      OBANDO POZO VICENTE EFRAIN      1710367663001                                                    X
 186872      VELOZ MEJIA DOUGLAS RENE        1710367671001                                                    X
 181443      AGUIAR LOMBEIDA MIGUEL SILVANO 1710370162001                                                     X
 111081      RAMIREZ JAMA OSCAR ORACIO       1710381128001                                                    X
 101833      MENDOZA GARCIA LUIS VIRGILIO    1710384445001                                                    X
 200007      PAREDES RAMOS MANUEL FERNANDO1710388669001                                                       X
  74708      UNDA MORALES BENITO REINALDO 1710421536001                                                       X
 108183      BASURTO ARBOLEDA LEITON ELIAS   1710427475001                                                    X
 160408      GUERRA CASTRO TELMO ORLANDO 1710432400001                                                        X
 217634      VEGA TAPIA ALEXANDER ISAAC      1710434208001                  X            X                    X
 113439      PEDRAZA CUMBAJIN JOSE OSWALDO 1710448067001                                                      X
  85960      ESPINOZA SANCHEZ MAURICIO FABIAN1710450790001                                                    X
 162627      MOROCHO PILATAXI MIGUEL ANGEL 1710452655001                                                      X
  63876      GUALLICHICOMIN SOTALIN ANGEL RUBEN
                                             1710454933001                                                    X
 275099      BORJA BORJA FERNANDO MARCELO 1710455146001                                  X                                X
  79977      CERON ARMAS CELSO ERNESTO       1710455393001                                                    X
  92656      BASTIDAS MORENO LILIANA ALEXANDRA
                                             1710462175001                                                    X
No                 No registra
                                                               No                    No registra   No
                                                                        No. registra                       registra      No.    indicadores
                                                             registra                provincia, registra
Persona_id               NOMBRE               No. ID (RUC)                 calle                           número      registra de ventas,
                                                             apellido                 cantón y   primer
                                                                         principal                         de calle     origen activos y/o
                                                             paterno                 parroquia nombre
                                                                                                           principal             empleados

  66236      LEMA CRUZ ZOILA JANETH          1710468586001                                                    X
 223028      SIMBAÑA SIMBAÑA NANCI YHAQUELINE1710471507001                                                    X
 168278      DUEÑAS PINTO DOLORES MARGOTH 1710474899001                                                       X
 113571      TANDAZO SARANGO BEATRIZ         1710477413001                                                    X
 117404      BORJA MARCILLO AMPARO JAQUELINE710481688001
                                             1                                                                X
 114004      CEDEÑO PARRAGA ANDRES FROLIJIO 1710486844001                                                     X
 167179      VACA LUCANO CONSUELO DEL CARMEN 1710498799001                                                    X
 151663      MESTANZA GAIBOR CARMEN ELVIRA 1710504000001                                                      X
  30476      CAMPOVERDE CASTILLO BORIZ ROLMAN1710525427001                                                    X
 102777      AÑASCO TRAVEZ NELSON FABIAN     1710525633001                                                    X
  62109      RAMIREZ GANGOTENA CARLOS ALBERTO1710525922001                                                    X
 137544      CHALCO IDROVO KLEVER BELISARIO 1710526003001                                                     X
 114806      TEJADA GOMEZ FREDDY ROLANDO     1710529395001                                                    X
  20498      JIMENEZ AGUIRRE RUBEN DARIO     1710534874001                                                    X
 164474      AULIS TOGAN MARIO BAYARDO       1710542232001                                                    X
 183314      VASQUEZ MOLINA WILLIAN OLMEDO 1710542596001                                                      X
  46431      ARROYO AIZAGA WILSON RODRIGO 1710543271001                                                       X
  28209      AYALA AYALA NEIL MICHAEL        1710543446001                                                    X
 107650      GUAYTARILLA QUISHPE LUIS ABELARDO710546738001
                                             1                                                                X
 102404      QUISHPE IZA CARLOS HERNAN       1710554369001                                                    X
  76994      NARANJO MORETA RODRIGO CICERON  1710582352001                                                    X
 141113      PACAS ALBAN GERMAN EDUARDO      1710582535001                                                    X
 209660      SOSA OBANDO PEDRO ALDRIN        1710583962001                                                    X
 221532      DUQUE SANTILLÁN CARLOS ALBERTO 1710587138001                                                     X
  87665      SIMBAÑA GUALUTUNA LUIS ANTONIO 1710587732001                                                     X
 140287      FLORES CABEZAS ORLANDO ALONSO 1710589894001                                                      X
 125730      QUIROZ ZUÑIGA JOFRE HERMINDO    1710591700001                                                    X
 176961      PACHACAMA TACO GUILLERMO HECTOR 1710592740001                                                    X
 187679      CONSTANTE VALLADARES EDISON FERNANDO
                                             1710592799001                                                    X
  78072      ESPINOSA JARAMILLO LUIS GERMAN 1710595578001                                                     X
 129324      BARBA PROAÑO VICTOR             1710621044001                                                    X
No                 No registra
                                                                No                    No registra   No
                                                                         No. registra                       registra      No.    indicadores
                                                              registra                provincia, registra
Persona_id               NOMBRE                No. ID (RUC)                 calle                           número      registra de ventas,
                                                              apellido                 cantón y   primer
                                                                          principal                         de calle     origen activos y/o
                                                              paterno                 parroquia nombre
                                                                                                            principal             empleados

  80197      QUISAGUANO CUICHÁN GUIDO EFRÉN 1710622083001                                                      X
 125156      CARDENAS AGUIRRE DANIEL DAVID    1710624022001                                                    X
 122342      GAVILEMA VISTIN OLGA ANGELICA    1710642826001                                                    X
 136464      QUINGA QUINGA LUISA MARIELA      1710650613001                                                    X
 185657      SUNTAXI CRIOLLO MIRIAN GERTRUDES 1710653237001                                                    X
  67667      CALLERIS GONZÁLEZ ALBERTO JUAN 1710672484001                                                      X
 217452      UNDA BENAVIDES GUIDO FABRICIO    1710688050001                                                    X
 188440      ARELLANO VILLAFUERTE LIDIA MARIA 1710692987001                                                    X
  17519      AUTORIDAD PORTUARIA DE MANTA     1710710177001      X                                  X          X
 233998      GUAILLAS ALVARADO MIGUEL ANGEL 1710712512001                                                      X
  93323      SIN APELLIDO MEDINA MARCO PATRICIO
                                              1710724137001                                                    X
 185355      BOLAÑOS BAUTISTA ALVARO FABRICIO 1710726330001                                                    X
 111215      JÁTIVA ALVEAR MARQUEZ GEOVANNY 1710732379001                                                      X
 103544      ARIAS SOLANO ANA ELIZABETH       1710742352001                                                    X
 164536      SIMABAÑA CAIZA ISABEL CRISTINA   1710745298001                                                    X
 113502      LOGACHO PAUCAR MARIA DEL CARMEN  1710755693001                                                    X
 115521      NARANJO PINOS FANNY BEATRIZ      1710756956001                                                    X
 173052      GORDON CADENA GERMAN EDUARDO1710769959001                                                         X
 157595      SANCHEZ CELI VICTOR IVAN         1710778018001                                                    X
 159730      MOROCHO MARÍA BEATRIZ            1710797828001                                                    X
 257065      FRANCO FLORES FRANCISCO ALI      1710813948001                                                    X
 227750      MORALES DUQUE EDISON WILLIAN     1710815869001                                                    X
 194554      BARRERA SEGARRA JUAN JACINTO     1710819416001                                                    X
 112735      RONQUILLO ENRIQUEZ ELZA MARGOTH  1710833334001                                                    X
 114807      ZHAGÑAY JUNCAL MANUEL NARCISO 1710840974001                                                       X
 256489      PESANTEZ CARRERA EDISON OLMEDO   1710844695001                                                    X
 140500      CAMPOVERDE OCHOA PEDRO WILLIAN1710846609001                                                       X
 189070      FLORES CANSINO NÉSTOR RAMÓN      1710853191001                                                    X
 186732      CONSTANTE MOLINA FAUSTO RODRIGO  1710853282001                                                    X
 255325      SILVA CASARES FRANCISCO FERNANDO 1710867563001                                                    X
 243323      MIRANDA GANCINO ILICH WLADIMIR 1710871607001                                                      X
No                 No registra
                                                                No                    No registra   No
                                                                         No. registra                       registra      No.    indicadores
                                                              registra                provincia, registra
Persona_id               NOMBRE                No. ID (RUC)                 calle                           número      registra de ventas,
                                                              apellido                 cantón y   primer
                                                                          principal                         de calle     origen activos y/o
                                                              paterno                 parroquia nombre
                                                                                                            principal             empleados

 273828      GUAMÁN MUSO JUAN FABRICIO        1710873108001                  X            X                    X
 119499      LUGO BERNAL CARLOS RUBEN         1710879469001                                                    X
  52902      CARRERA RIQUETTI MARCELO RAMIRO  1710888593001                                                    X
  62693      LLERENA RAMIREZ MARCOS PATRICIO 1710891688001                                                     X
  15439      OSWALDO ALMEIDA                  1710892983001                                                    X
 186893      TUTILLO LUNA FUAD MUNIR          1710892991001                                                    X
  54015      GUERRERO DIAZ OSWALDO NIKOLAY 1710893601001                                                       X
 233068      BETAQNCOURT CHAVEZ DIEGO GUSTAVO 1710894179001                                                    X
 175028      VELOZ SANCHEZ FREDDY ENIN        1710906031001                                                    X
  39348      GUERRA GARCÍA DIEGO VICENTE      1710906064001                                                    X
 176233      ARAUJO TIPAN OSCAR KANEZEVIE     1710912088001                                                    X
 134257      HARO PACHACAMA LUIS ADOLFO       1710917889001                                                    X
  50413      JARAMILLO JARAMILLO MARIA UFELIA 1710921972001                                                    X
 132092      NAVARRETE BASTIDAS EVA GERMANIA1710925577001                                                      X
 252902      CRESP MAZA MARCIA MARUJA         1710938851001                                                    X
 225282      SALAZAR ANDRADE BELLA ESPERANZA  1710942879001                                                    X
 104090      MEDINA VILLACIS MIRIAN AURORA    1710946821001                                                    X
 205551      GRANDA SANMARTIN LIDA ELIZABETH 1710952068001                                                     X
 153999      VERA ZAMBRANO SATILIN ANTONIO    1710956259001                                                    X
  81393      TIPAN CRIOLLO MILTON ALFREDO     1710961499001                                                    X
 180636      SANTILLAN ANDRADE JOSE ANTONIO 1710966019001                                                      X
 193540      CARCELEN CASTILLO JOSE VICENTE 1710967306001                                                      X
 145093      IMBAQUINGO SÁNCHEZ JOSÉ RAFAEL 1710970847001                                                      X
 103797      ARAGUNDI LOZANO PEDRO LUCAS      1710972652001                                                    X
 141556      CASTRO RIVERA EMERITA SUSANA     1711005668001                                                    X
 100184      VACA REINOSO EDISON GEOVANNY 1711007979001                                                        X
  70931      NARANJO RIVADENEIRA CRISTIAN PAUL711009264001
                                              1                                                                X
 266308      NAVARRO AGUIRRE BYRON ROBINSON1711010171001                                                       X
 150793      NENGER MEJIA FERNANDO JAVIER     1711036135001                                                    X
 248909      CABASCANGO CHUQUIMARCA LUIS RAMIRO
                                              1711042810001                                                    X
 184164      PERALTA CHIGUANO LUIS EDISON     1711044246001                                                    X
No                 No registra
                                                               No                    No registra   No
                                                                        No. registra                       registra      No.    indicadores
                                                             registra                provincia, registra
Persona_id               NOMBRE               No. ID (RUC)                 calle                           número      registra de ventas,
                                                             apellido                 cantón y   primer
                                                                         principal                         de calle     origen activos y/o
                                                             paterno                 parroquia nombre
                                                                                                           principal             empleados

 214157      PAZMIÑO BARRIONUEVO GUILLERMO FRANCISCO
                                             1711045995001                                                    X
 269523      SINCHIGUANO GUALOTO ALEX RENE 1711046027001                                                      X
 102012      ORELLANA VASCO MARCELO ENRIQUE1711048510001                                                      X
 215450      CONGO LASTRA JORGE OSWALDO      1711054633001                                                    X
 263365      NARVAEZ MORALES MIGUEL BENJAMIN 1711054724001                                                    X
 207057      JURADO VARGAS ROMEL GUSTAVO     1711055325001                                                    X
   7458      ELECTROMECANICA RECORDS         1711058444001                  X                                 X                      X
 180781      BUITRON IBARRA CARMEN ALICIA    1711062982001                                                    X
 223720      BUCHELI MARUN JOSE EDUARDO      1711081883001                                                    X
  70666      CASTELLANOS SHUGULI VICTOR HUGO 1711082055001                                                    X
  71461      DEL POZO ORTEGA MAURICIO SEBASTIAN
                                             1711084655001                                                    X
 161486      ESPINOSA BUSTAMANTE JALIL ESPINOSA
                                             1711098226001                                                    X
 187408      MONCAYO AGUILA ANGEL JUNIOR     1711099331001                                                    X
  11695      EQUIPOS TACTICOS ATALAYA        1711103778001                                                    X
 118965      HURTADO ROSERO CESAR JULIO      1711124238001                                                    X
  78411      ANTIGUEZ KUASNICHENKO AQUILES ERNESTO
                                             1711129344001                                                    X
 135372      RAMIREZ ESTRELLA FABIAN OSWALDO1711143923001                                                     X
 190267      LAPO ALVARRACIN NESTOR LEONIDAS1711153849001                                                     X
  67155      ROJAS BELTRAN LUIS FERNANDO     1711156396001                                                    X
 180901      HOYOS BUCHELI LUIS GONZALO      1711156719001                                                    X
  77405      TITUANA CACHAGO CARLOS MANUEL 1711157535001                                                      X
 233481      PORRAS VELASCO ANGÉLICA XIMENA 1711160612001                                                     X
 138501      RODRIGUEZ VILLACIS VERONICA ARACELY
                                             1711161073001                                                    X
  70236      YANCHAPAXI TIPAN WILLANS MARCEL 1711189421001                                                    X
 143995      JARAMILLO CUEVA ANGEL JOAQUIN 1711193589001                                                      X
 106125      GRANJA LLUMIQUINGA AMPARITO ELISA711195790001
                                             1                                                                X
  31973      SEIS MENDOZA LUIS AMANDO        1711199974001                                                    X
 189627      CATAGUA CUENCA ROSA ANA         1711201556001                                                    X
 218628      PLUAS FERNANDEZ NARCIZA ELIZABETH
                                             1711202315001                                                    X
  95986      CEDEÑO SALDARRIAGA LUIS ALBERTO1711216232001                                                     X
  30173      RODRIGUEZ GUEVARA HILDA GERMANIA1711218105001                                                    X
No                 No registra
                                                               No                    No registra   No
                                                                        No. registra                       registra      No.    indicadores
                                                             registra                provincia, registra
Persona_id               NOMBRE               No. ID (RUC)                 calle                           número      registra de ventas,
                                                             apellido                 cantón y   primer
                                                                         principal                         de calle     origen activos y/o
                                                             paterno                 parroquia nombre
                                                                                                           principal             empleados

 120958      ZAMBRANO CASTRO HOLGER GERMAN1711218964001                                                       X
  45365      VALDIVIESO SEMPERTEGUI SHAMEL AMIRA
                                             1711239374001                                                    X
 219790      MONCAYO TRELLES LUIS BOLIVAR    1711241255001                                                    X
 235005      ANASI CAISATOA CESAR JULIO      1711250124001                                                    X
 237117      ESPINOSA SANCHEZ FREDDY SEBASTIAN
                                             1711256022001                                                    X
 162086      COBA MORALES JORGE RICHARD      1711256907001                                                    X
  99112      FLORES SIMBAÑA HÉCTOR FABIÁN    1711257251001                                                    X
  86050      RODRIGUEZ CUCHIPE LUIS DAVID    1711259455001                                                    X
 256914      GUERRERO NOBOA JENNY ROCIO      1711262806001                                                    X
 114946      VON LIPPKE MUÑOZ KARINA ZAMARCANDA
                                             1711264810001                                                    X
 110510      MARTHA LOREN ANDRANGO USHIÑA 1711265908001                                                       X
 208518      GALARZA PALAGUARAY LUIS PATRICIO1711278901001                                                    X
 223358      GOMEZ CACHAGO CESAR GUSTAVO 1711282903001                                                        X
 102748      SANDOVAL ASIMBAYA LUIS ENRIQUE 1711283240001                                                     X
 169343      CHECA SANDOVAL JEFFERSON JOSELITO
                                             1711288694001                                                    X
 261876      PAREDES MARTINEZ HUMBERTO ROBINSON
                                             1711294528001                                                    X
 228628      PROAÑO MERA XAVIER FERNANDO     1711301638001                                                    X
  49120      ROJAS ANDRANGO LUIS CORNELIO    1711301935001                                                    X
 165690      CHUCUMA CAJAS WALTER            1711302354001                                                    X
 182256      CALUGUILLIN CUASCOTA JOSÉ PIO   1711303139001                                                    X
 136390      FLORES FLORES JAIME PATRICIO    1711305860001                                                    X
 260546      GUANO HERRERA GERARDO RENE      1711310332001                                                    X
 162643      TUFIÑO HINOSTROZA JUAN CARLOS 1711310514001                                                      X
 115544      PINTO RODRÍGUEZ JOSÉ ELIECER    1711313328001                                                    X
  67457      CARLOSAMA GALLEGOS RAUL ALFONSO 1711322683001                                                    X
 276990      RODRIGUEZ DARWIN                1711327765001                                                    X
 151264      SANCHEZ VELASCO FLOR ANGELICA 1711339265001                                                      X
 124533      FRANCO ANGUETA JESÚS NORBERTO 1711345114001                                                      X
 261890      ANDRADE TACURI ANGEL VICENTE    1711348605001                                                    X
 244029      YANEZ BARRAGAN ANGEL WILMAN     1711354017001                                                    X
 223036      ORDOÑEZ OCHOA MARCO ANTONIO 1711358901001                                                        X
No                 No registra
                                                               No                    No registra   No
                                                                        No. registra                       registra      No.    indicadores
                                                             registra                provincia, registra
Persona_id               NOMBRE               No. ID (RUC)                 calle                           número      registra de ventas,
                                                             apellido                 cantón y   primer
                                                                         principal                         de calle     origen activos y/o
                                                             paterno                 parroquia nombre
                                                                                                           principal             empleados

 147146      AUQUI SIGUENCIA GUILLERMO PATRICIO
                                             1711364446001                                                    X
 121733      UNDA VEGA MARIA CLEOFE          1711375194001                                                    X
 129036      VILCACUNDO OÑA SHIRLEY BELINDA 1711378347001                                                     X
  82146      RIVERA VALENZUELA MARIO AUGUSTO1711382109001                                                     X
 232185      GARCIA GUEVARA ANGEL DANIELA    1711387520001                                                    X
  27287      RUIZ SÁNCHEZ PABLO XAVIER       1711405157001                                                    X
 150815      CALVACHE CARRASCO OSCAR EFREN 1711406965001                                                      X
  81212      GAIBOR VERDEZOTO MIRIAM EULALIA 1711408805001                                                    X
 144455      CHUNI MENDIETA LUPE HOSMARA     1711411239001                                                    X
  81376      CALDERON ALVAREZ MILTON SUIBERTO711412773001
                                             1                                                                X
  98114      BUENAÑO TACO PATRICIO ESTUARDO 1711418952001                                                     X
  64302      SIQUIGUA SIQUIGUA EDGAR EDWIN   1711429702001                                                    X
 258021      OBANDO AGUIRRE IVAN CARLOS      1711430478001                                                    X
 247032      REYES VARGAS MARÍA VICTORIA     1711438869001                                                    X
 250793      BETANCOURT ORTIZ JUAN DIEGO     1711445690001                                                    X
 257374      CEVALLOS ORJUELA ALEXANDRA YANETT
                                             1711447134001                                                    X
  71375      GUALOTUÑA OÑA MILTON FABIAN     1711451490001                                                    X
 141096      ERAS GUAMAN JUAN CARLOS         1711454064001                                                    X
  91756      TIGASI CAJIA JUAN PEDRO         1711462299001                                                    X
 130604      RAMIREZ HUALPA XIMENA DE LOS ANGELES
                                             1711466704001                                                    X
  96978      PINARGOTE MENDOZA EDGAR RODOLFO 1711472306001                                                    X
 229782      SANDOVAL ORTIZ ANGEL IGNACIO    1711473031001                                                    X
  28168      GOMEZ CORO JUAN ENRIQUE         1711473874001                                                    X
 242470      GUAIPATIN GARZON ALVIN RUBEN    1711476026001                                                    X
 119368      MALDONADO TOBAR PAOLA FERNANDA  1711477305001                                                    X
 219226      ARAUJO QUISHPE JORGE OSEALDO 1711478360001                                                       X
  45911      ARMAS BARBA MARIA LORENA        1711478402001                                                    X
 165926      CUSTODE PALADINES EDGAR ROBERTO711484756001
                                             1                                                                X
  66821      VEGA MONAR DIMAS RODRIGO        1711484996001                                                    X
 154854      AGUAYO LLUMIQUINGA MARIA DEL CARMEN
                                             1711491926001                                                    X
  63915      EDISON                          1711498715001                                                    X
No                 No registra
                                                               No                    No registra   No
                                                                        No. registra                       registra      No.    indicadores
                                                             registra                provincia, registra
Persona_id               NOMBRE               No. ID (RUC)                 calle                           número      registra de ventas,
                                                             apellido                 cantón y   primer
                                                                         principal                         de calle     origen activos y/o
                                                             paterno                 parroquia nombre
                                                                                                           principal             empleados

 116868      MORETA FREIRE LUIS JOSELITO     1711503597001                                                    X
 147043      PEREZ LOPEZ MARIA JANETH        1711537355001                                                    X
 115150      JUNTA CHANGO JORGE ISAIAS       1711537884001                                                    X
 274657      SIMABAÑA BENITEZ VICTOR RUBEN   1711538783001                                                    X
 127142      GUANOCHANGA OÑA TAÑA DIOCELINA1711540300001                                                      X
 188750      CHUQUILLA PILA EDISON RODRIGO   1711543361001                                                    X
 194789      VELOZ MENDOZA FLAVIO ARTURO     1711553543001                                                    X
 163112      PACHECO BARROS TITO FERNANDO 1711561462001                                                       X
 255902      DEIDAN LEONES CARLOS JAVIER     1711562155001                                                    X
 212789      SANCHEZ ANCHUNDIA JOSE VICENTE 1711563039001                                                     X
 190748      BELARDE GAVILANEZ RICHAR ALONSO1711568962001                                                     X
  18612      CUEVA ALMEIDA MARIO EDMUNDO     1711572840001                                                    X
 224114      ESPINOZA CARLOS EFRAIN          1711592673001                                                    X
 117508      BAJAÑA MENDOZA DUBER ALEJANDRO1711599884001                                                      X
 194580      OJEDA RODRIGUEZ MARTHA CECILIA 1711603231001                                                     X
 201014      CALDERON MUÑOZ SOFIA LORENA     1711603819001                                                    X
 107287      MAILA ANCHAPANTA SIMON GIOVANNI1711606424001                                                     X
  19494      PEREZ CARDENAS MARCO RAMIRO     1711619336001                                                    X
 185153      SEGOVIA MICHELENA SANTIAGO DAVID1711623353001                                                    X
 150804      FRANCO PALACIO FABIO LEON       1711633857001                                                    X
 113296      SANCHEZ ROTH ROBERTO ANTONIO 1711639474001                                                       X
  32325      MALATAXI AMAGUA LUIS ANIBAL     1711643278001                                                    X
 157475      HEREDIA QUINATOA FREDDY FERNANDO1711646610001                                                    X
 248559      RAMIREZ RAMIREZ ANGEL EDUARDO 1711648194001                                                      X
 152273      LLUMIQUINGA SUNTAXI JORGE WASHINGTON
                                             1711651925001                                                    X
 273897      CARDENAS MALDONADO JADIRA ALEJANDRA
                                             1711654143001                                                    X
 229536      QUEZADA LEÓN YOLANDA RICARDINA 1711665776001                                                     X
 184980      PAUCAR ATAHUALPA IVAN GONZALO 1711674505001                                                      X
 223002      RAZA PINTO CHRISTIAN EFRAIN     1711676310001                                                    X
 183500      CANDO CORO JOSE MANUEL          1711681179001                                                    X
 235178      HERRERA RUALES JORGE HERNAN     1711687267001                                                    X
No                 No registra
                                                               No                    No registra   No
                                                                        No. registra                       registra      No.    indicadores
                                                             registra                provincia, registra
Persona_id               NOMBRE               No. ID (RUC)                 calle                           número      registra de ventas,
                                                             apellido                 cantón y   primer
                                                                         principal                         de calle     origen activos y/o
                                                             paterno                 parroquia nombre
                                                                                                           principal             empleados

 111468      REINO LANDI CARLOS ARMANDO      1711693463001                                                    X
 193333      ARMIJOS LEÓN WASHINGTON GONZALO711693828001
                                             1                                                                X
 142036      VALENCIA HERRERA PABLO ANÍBAL   1711694008001                                                    X
 264499      LOPEZ GUERRERO JENNY MIREYA     1711698058001                                                    X
 169923      PERALVO RODRIGUEZ WALTER JAVIER1711704971001                                                     X
 251744      TUNAY LARREA CARLOS GUILLERMO 1711712719001                                                      X
  28305      MORILLO MORALES HUGO FERNANDO 1711715324001                                                      X
 218407      ZURITA GORDÓN ROMEL EDISON      1711717916001                                                    X
 242757      ULCO GARCÍA FRANKLIN FERNANDO 1711732154001                                                      X
  17579      SEGUNDO                         1711734598001                                                    X
  91045      RAMOS PAREDES TITO DARIO        1711735033001                                                    X
 198441      MENDOZA TUPIZA MODESTO ENRIQUE1711737518001                                                      X
 240779      ACHIG RIVADENEIRA FABRICIO RENATO
                                             1711742062001                                                    X
  57221      TIPAN CHANCUSIG EFRAIN EFRAIN   1711742070001                                                    X
  53178      MAYANCHA ILLANES NORMA ISABEL 1711744860001                                                      X
 246674      ARROYO SAN MARTÍN SONIA DE LOS ANGELES
                                             1711748267001                                                    X
 266647      PURUNCAJAS QUILLUPANGUI FANNY CECILIA
                                             1711754810001                                                    X
 247305      CORONEL JIMENEZ WASHINGTON JOSE 1711760387001                                                    X
  28367      TIPANTAXI CHATO JUAN ESTUARDO 1711761245001                                                      X
 273656      TOKUHAMA MCBRIDE TRACEY NOEL 1711766012001                                                       X
 166480      ENRIQUEZ LUCERO GEORGINA ELIZABETH
                                             1711766319001                                                    X
 191780      CASTILLO TORRES ALBA CARMITA    1711769099001                                                    X
 266652      SANTOS UMATAMBO ANA MARIA       1711774495001                                                    X
  63448      AYALA MONTOYA HENRY GEOVANNY 1711774586001                                                       X
  71970      GUAMANI ALAJO MARCO ANTONIO     1711789014001                                                    X
 225728      ZARAGOSIN CEVALLOS EDISON GABRIEL
                                             1711789972001                                                    X
 178445      LOMAS GORDILLO MANUEL POLIBIO 1711796738001                                                      X
 228474      MUENTES MORA EDISON FRANCISCO 1711814366001                                                      X
 116302      CAJAS FIALLOS DIEGO DANIEL      1711839652001                                                    X
  70681      MALDONADO AGUIRRE MÓNICA PAULINA1711846178001                                                    X
 137255      PAILLACHO CAYANCELA JORGE ROBERTO
                                             1711849065001                                                    X
No                 No registra
                                                               No                    No registra   No
                                                                        No. registra                       registra      No.    indicadores
                                                             registra                provincia, registra
Persona_id               NOMBRE               No. ID (RUC)                 calle                           número      registra de ventas,
                                                             apellido                 cantón y   primer
                                                                         principal                         de calle     origen activos y/o
                                                             paterno                 parroquia nombre
                                                                                                           principal             empleados

  33832      CÁRDENAS ROSERO MIGUEL ROBERTO  1711849230001                                                    X
 277313      ASTUDILLO ASTUDILLO JOSE RODRIGO1711849883001                               X                                X
 128507      PINCAY PONCE JOSE RAMON         1711851368001                                                    X
 211042      PASTUÑA MUSO JAIME RICARDO      1711858843001                                                    X
 113387      SUAREZ AGUILAR YOLANDA MARISOL 1711859866001                                                     X
 212728      PUENTE ALLAN EDGAR ANGEL        1711860641001                                                    X
 277604      MARÍA EUGENIA PROAÑO            1711860732001                               X                                           X
 241446      RECALDE SANCHEZ LUIS RENE       1711871994001                                                    X
 136278      HIDALGO SUMBA FRANKLIN JAVIER   1711875144001                                                    X
 109927      NARANJO SANTOS OSCAR            1711877181001                                                    X
 180102      ROMERO ROMERO EDWIN FABIAN      1711879401001                                                    X
 144138      LUCERO VASQUEZ PATRICIO JAVIER 1711893550001                                                     X
 173727      RIOS ARROBO NIXON FRANCISCO     1711895621001                                                    X
 252576      LARREA DÁVILA JULIÁN MARTÍN     1711900884001                                                    X
 147048      GUTIERREZ GILER JANINE RICHARD 1711922441001                                                     X
 159348      FONSECA CUEVA ALBA XIMENA       1711925410001                                                    X
 212809      DIAZ VASQUEZ DAVID ALVARO       1711931764001                                                    X
 186901      ROJAS PEREZ WILSON PACO         1711932846001                                                    X
 106305      ALAJO LLUMITÁSIG JOSÉ RAÚL      1711936565001                                                    X
 105690      ZAMBRANO MOREIRA CESAR HIGNACIO 1711938777001                                                    X
 211381      NOROÑA ZAMBRANO JAIME DAVID     1711972230001                                                    X
 242981      ALVAREZ SAMPEDRO TANIA FERNADA 1711972628001                                                     X
 270603      BURGER HARO GERHILD             1711975373001                               X
  23671      ANGULO DIAZ LENIN OMAR          1711976751001                                                    X
 109825      CASTRO MORALES OMAR VLADIMIR 1711977007001                                                       X
  79624      LOPEZ CARRANZA KERLY AURIBEL    1711982650001                                                    X
 115883      TORRES NAVARRETE SEGUNDO BOLIER711988855001
                                             1                                                                X
  25092      AMAGUAÑA CAIZA WILSON ROBERTO 1711993335001                                                      X
  77673      TORRES BÁEZ CARLOS SANTIAGO     1711994986001                                                    X
  26108      CASTRO TELLO JUAN ROSENDO       1712000726001                                                    X
 125082      JIMBO ZHININ MANUEL VICENTE     1712001344001                                                    X
No                 No registra
                                                               No                    No registra   No
                                                                        No. registra                       registra      No.    indicadores
                                                             registra                provincia, registra
Persona_id              NOMBRE                No. ID (RUC)                 calle                           número      registra de ventas,
                                                             apellido                 cantón y   primer
                                                                         principal                         de calle     origen activos y/o
                                                             paterno                 parroquia nombre
                                                                                                           principal             empleados

 235795      CEDENO LOOR TELMO ANTONIO      1712001690001                                                     X
  84094      BARRIONUEVO NUÑEZ JUAN CARLOS 1712003050001                                                      X
 154427      ORTEGA HERRERA JORGE ANDRES 1712003761001                                                        X
  78533      OJEDA MIKETTA MAXIMO PAUL      1712003811001                                                     X
 265949      CONDOR SIMBAÑA JORGE ERNESTO 1712011525001                                                       X
  30692      VACA MORALES ZULEMA ALEXANDRA 1712014990001                                                      X
 141319      GORDÓN MORALES MAURICIO GUILLERMO
                                            1712016672001                                                     X
 160496      PUENTE PANCHEZ JOSE ALFONSO    1712018496001                                                     X
 228812      REYES AYO VERONICA MARILEY     1712021193001                                                     X
 150641      PACHACAMA LLUMIQUINGA SEGUNDO MOISES
                                            1712024650001                                                     X
 232125      SIMBAÑA ALCOSER SEGUNDO CALIXTO1712024940001                                                     X
 157759      TEJADA GUZMAN ANGEL ALFONSO    1712038403001                                                     X
 165533      SANTILLAN GARAY MARCO ANTONIO 1712039237001                                                      X
 160129      VALENCIA MONTEINOS JUAN CARLOS 1712041720001                                                     X
 223456      CABRERA SANCHEZ GLORIA MARIBEL 1712044682001                                                     X
 217995      VILATUÑA CUICHAN MARCO IVAN    1712044922001                                                     X
 271053      CATUJAMBA RODRIGUEZ GIOVANNY RENE
                                            1712045853001                                                     X
  78403      PROAÑO ZARRIA HEBERTH GIOVANNI 1712047529001                                                     X
  20804      SEAZ ALCÍVAR MARITZA ELIZABETH 1712049285001                                                     X
   1888      PALLO MELO JENNY DEL ROCIO     1712052263001                                                     X
 128011      CONDE CHALAN RITA DEL CISNE    1712062544001                                                     X
 157297      CORDERO CORONEL PABLO MARCELO1712068889001                                                       X
  58045      CARRASCO COCA LUIS GALO        1712070950001                                                     X
  93967      DE LA CRUZ TIPANTIZA MARCELO   1712073400001                                                     X
 232147      AGUILAR MENA ZORNITZA          1712075702001                                                     X
 195296      HIDALGO CEVALLOS JOSE GABRIEL  1712084779001                   X            X                    X
 273539      ORTEGA MOSQUERA PAOLA GABRIELA1712086683001                                                      X
 140514      CAIZA GUAÑA DIEGO JAVIER       1712086873001                                                     X
  38309      PÁEZ MOSCOSO JUAN CARLOS       1712087608001                                                     X
 194681      LOPEZ ITURRALDE MARIA CRISTINA 1712088382001                                                     X
 210323      LOPEZ LOPEZ DIGNA EMERITA      1712091840001                                                     X
No                 No registra
                                                               No                    No registra   No
                                                                        No. registra                       registra      No.    indicadores
                                                             registra                provincia, registra
Persona_id               NOMBRE               No. ID (RUC)                 calle                           número      registra de ventas,
                                                             apellido                 cantón y   primer
                                                                         principal                         de calle     origen activos y/o
                                                             paterno                 parroquia nombre
                                                                                                           principal             empleados

 127568      GUAMBO BORJA LUIS ALBERTO       1712092335001                                                    X
 192252      CHANCAY GILER ESTUARDO SALVADOR 1712101581001                                                    X
 169873      FUENTES FONSECA FRANCISCO XAVIER1712103322001                                                    X
 267654      PACHECO PROAÑO SANDRA DOLORES1712105228001                                                       X
 106842      PAZ Y MIÑO RIERA KLEBER SEGUNDO 1712109881001                                                    X
 108268      INTRIAGO BENAVIDES YENNY ISABEL 1712115177001                                                    X
 143006      TISALEMA GUANUNA FABIAN         1712125317001                                                    X
 247089      GUAYAQUIL RENJIFO WALTER MARCELO1712146792001                                                    X
 233320      GRANDA MONSALVE ANA PATRICIA    1712153376001                               X
 271030      GALLO MONTERO ANDRÉS NICOLAY 1712154663001                                                       X
 204094      VARGAS ARMIJOS MARICELA ELISABETH
                                             1712155603001                                                    X
  63360      MONAR CAMACHO SERVULO ISAIAS 1712156973001                                                       X
 137382      CUEVA GARCIA WILMAN             1712159860001                                                    X
 132830      COELLO BONILLA ANDRES MIGUEL    1712170917001                                                    X
  43253      CLAUDIO VILLACÍS ALEX RAÚL      1712172418001                                                    X
 222710      RODRIGUEZ PASPUEL BYRON RENE 1712176781001                                  X
  73003      SUAREZ YELA VICENTE FERNANDO    1712181807001                                                    X
 121022      SARANGO LUNA MARCO ADARLICIO    1712184132001                                                    X
 143093      PARRA VILLAROEL LIVIA MARIBEL   1712186939001                                                    X
 255218      QUINTANA QUISPE GONZALO EDUARDO 1712197738001                                                    X
 182433      FUENTES CABEZAS FRANKLIN PAUL 1712202926001                                                      X
  20371      SOCASI GUALOTUÑA CARLOS AUGUSTO 1712212537001                                                    X
 176429      SALAZAR ANDRADE CARLOS ANDRES 1712213113001                                                      X
  93819      LAMIÑA LUGUAÑA PATRICIA MARGOTH1712213741001                                                     X
 232819      LÓPEZ MANTILLA MARÍA CECILIA    1712229754001                                                    X
  25017       WASHINGTON                     1712237641001                                                    X
 180640      INGA CANDO MARCO ALBERTO        1712245610001                                                    X
 240064      RIVERA VELETANGA FERNANDO EDUARDO
                                             1712254851001                                                    X
 140210      TORRES TITUAÑA JUAN RICARDO     1712257045001                                                    X
   9048      ING. PATRICIO ARIAS             1712258480001                                                    X
 111541      MORAN MONTOYA CRUZ MARIANELA 1712259470001                                                       X
No                 No registra
                                                               No                    No registra   No
                                                                        No. registra                       registra      No.    indicadores
                                                             registra                provincia, registra
Persona_id               NOMBRE               No. ID (RUC)                 calle                           número      registra de ventas,
                                                             apellido                 cantón y   primer
                                                                         principal                         de calle     origen activos y/o
                                                             paterno                 parroquia nombre
                                                                                                           principal             empleados

 181358      DIAZ LOPEZ JIMENA MARGARITA     1712266863001                                                    X
  69728      MANOSALVAS MARTÍNEZ CARLOS EDGARDO
                                             1712267770001                                                    X
  29870      ROSHKOVA ELENA ALEXANDROVNA 1712271939001                                                        X
 185092      PAREDES BURBANO HECTOR EDMUNDO  1712275278001                                                    X
 114409      CAMPOS LUCI FRANCISCO JAVIER    1712279056001                                                    X
  91458      PÉREZ JARA PABLO JAVIER         1712280526001                                                    X
 159795      VASQUEZ CUJI FANNY ELIZABETH    1712285343001                                                    X
 147990      RAMIREZ RIOFRIO MARITZA YANNETH 1712289030001                                                    X
 226488      JARRIN OSCULLO VERONICA ALEXANDRA
                                             1712295102001                                                    X
 121378      SANCHEZ REINOSO ANDRES JUSEELINO1712297629001                                                    X
 128010      IZA GARCIA MARIO FERNANDO       1712301983001                                                    X
 124247      CHUMO DELGADO RONAL VOLTER      1712303203001                                                    X
 173043      ALVAREZ PROAÑO RAFAEL PATRICIO 1712305232001                                                     X
  27617      HUIRACOCHA QUINTERO PATRICIA ALEXANDRA
                                             1712309895001                                                    X
 121546      QUIJIA GALARZA DIANA ELIZABETH  1712311875001                                                    X
 196241      SALAZAR CRUZ ANDRES MAURICIO    1712314150001                                                    X
 131108      CRIOLLO CUASPUD MARTIN ADELMO 1712321148001                                                      X
  66626      ANDRANGO VIRACOCHA RODRIGO MARCELO
                                             1712326527001                                                    X
  58906      CEVALLOS LOPEZ RONALD ROBERT 1712329364001                                                       X
 201612      MESA BURGOS MARCO ANTONIO       1712330222001                                                    X
 256073      RODRIGUEZ PARREÑO CHRISTIAN XAVIER
                                             1712333846001                                                    X
  24345      RAMON QUEZADA SILVIO JESUS      1712343290001                                                    X
 159273      CABRERA APOLO ANGEL IVAN        1712352234001                                                    X
 194912      JIMÉNEZ TORRES JEANETTE DEL ROSARIO
                                             1712354602001                  X            X                    X
 159950      CRUZ MACHAY WILSON RAMÓN        1712354958001                                                    X
 113213      MURILLO BUSTAMANTE DARWIN FROILAN
                                             1712359353001                                                    X
 180871      CURAY GUAMAN SONNIA LUCIA       1712370046001                                                    X
  61275      ELECTRICAL ENGINEERING CONSULTING
                                             1712371853001                                                    X
  97935      MOREIRA CALDERON POLO PLUTARCO1712373917001                                                      X
 129630      BERMEO MALDONADO ANGEL EDUARDO  1712375706001                                                    X
 229768      VILLAVICENCIO MAFLA ISAAC       1712386539001                                                    X
No                 No registra
                                                                No                    No registra   No
                                                                         No. registra                       registra      No.    indicadores
                                                              registra                provincia, registra
Persona_id               NOMBRE                No. ID (RUC)                 calle                           número      registra de ventas,
                                                              apellido                 cantón y   primer
                                                                          principal                         de calle     origen activos y/o
                                                              paterno                 parroquia nombre
                                                                                                            principal             empleados

 223860      ZAMBRANO VERA RONALD ARIOSTO 1712392578001                                                        X
 159861      PEREZ TUTISTAR JENNY CONSUELO 1712393790001                                                       X
 127694      PRADO VALLADOLID YIMI FABIAN     1712396686001                                                    X
 226765      CUENCA YEPEZ EDWIN VICENTE       1712399656001                                                    X
 278446      SEVILLA FARINANGO MARIA DEL PILAR1712402450001                                                    X
 171225      REMACHE BENVAIDES MARTHA CECILIA 1712402823001                                                    X
  90702      VELASCO COBOS EDGAR FRANCISCO 1712407343001                                                       X
  16111      CARVAJAL RUIZ ARMANDO EFREN      1712412434001                                                    X
  52493      MARTÍNEZ ESCOBAR KATTY DE LOS ANGELES
                                              1712416112001                                                    X
 149703      VILLAVICENCIO GONZÁLEZ MARÍA BELÉN
                                              1712436441001                                                    X
 138363      LARRAGA ALVEAR ANA MARCELA       1712445848001                                                    X
 206326      MERA MONTERO CECILIA ALEXANDRA 1712464906001                                                      X
 122943      ARIAS GUAJAN IVAN VLADIMIR       1712467305001                                                    X
  93594      QUINATOA PISUÑA JOSE             1712468709001                                                    X
 100671      JAGUACO QUISHPE HECTOR IVAN      1712482825001                                                    X
  63978      PILATUÑA GADVAY MONICA PATRICIA 1712497328001                                                     X
 253125      CADENA SANCHEZ SEBASTIAN         1712519717001                                                    X
 109123      ROBALINO BUSTILLOS VICTOR HOMERO712525169001
                                              1                                                                X
 218648      RAMOS LOOR JENNY MARGARITA       1712551363001                                                    X
 262222      ZAMBRANO REVILLA ROSARIO ALEXANDRA
                                              1712557162001                                                    X
  26958      FREIRE SILVA FREDY DANIEL        1712558673001                                                    X
  17583      POZO ARGUERO CRISTIAN ROBERTO 1712560653001                                                       X
 197258      GUERRERO PEREZ VICENTE ERNESTO1712565868001                                                       X
  72274      CABRERA QUEZADA JOSE VINICIO     1712567336001                                                    X
 207362      PESANTEZ MORALES LILIAN REBECA 1712579778001                                                      X
 234389      MALDONADO DÁVILA VERÓNICA DEL ROCÍO
                                              1712597713001                                                    X
 182230      MOYA SILVA JENDRY BLADIMIR       1712603875001                                                    X
 144183      GUALOTUÑA CHASIPANTA LUIS ORLANDO1712632189001                                                    X
 230703      ALVAREZ JARRIN ADRIANA VALERIA 1712634961001                                                      X
 121899      KRATOCHVILE MACIAS ALEJANDRO ANTONIO
                                              1712635927001                                                    X
  77640      BARRERA SUAREZ CRISTOBAL ENRIQUE 1712636727001                                                    X
No                 No registra
                                                               No                    No registra   No
                                                                        No. registra                       registra      No.    indicadores
                                                             registra                provincia, registra
Persona_id               NOMBRE               No. ID (RUC)                 calle                           número      registra de ventas,
                                                             apellido                 cantón y   primer
                                                                         principal                         de calle     origen activos y/o
                                                             paterno                 parroquia nombre
                                                                                                           principal             empleados

 146363      RUALES HIDALGO ANA ROSA         1712652831001                               X
 248362      MAYA PARDO GERMAN SANTIAGO      1712667748001                                                    X
 133857      CABRERA REYES MARÍA ELENA       1712670338001                                                    X
  41425      LUCIO RUIZ EDISON PATRICIO      1712681913001                                                    X
 248132      CÁRDENAS DÍAZ SHEYLA ILONKA     1712691409001                                                    X
  18376      MOLINA RUEDA YANKO OMAR         1712697463001                                                    X
 270537      TAMAYO GIRALDO MARCELA          1712701547001                                                    X
 144749      VELASQUEZ VELASQUEZ JOSE ALEJANDRO
                                             1712710506001                                                    X
  74378      GUAMÁN FÁREZ ANGEL GENARO       1712741816001                                                    X
 191865      PAREDES CASTRILLON MELISSA      1712758331001                                                    X
  87969      CHÁVEZ RENGEL JORGE DANILO      1712770880001                                                    X
 253527      RODRIGUEZ GUERRERO GEOVANNY FERNANDO
                                             1712776960001                                                    X
 152223      ALULEMA LAMIÑA MARIA ROSA       1712778578001                                                    X
 178913      GALARZA AIMAN EVELIO FELIPE     1712782927001                                                    X
 142358      MORALES GUALLICHICO WILLIAM HUMBERTO
                                             1712783339001                                                    X
  84963      MARIN MARIN FREDDY ADALBERTO 1712800554001                                                       X
 219872      JAYA MASA CARMEN JANETH         1712803129001                                                    X
 154122      SALTOS PINARGOTE NESTOR PASTOR 1712803400001                                                     X
 276519      HARO HARO CLAUDIO GERMAN        1712816055001                                                    X
 124208      FLORES VELALCAZAR NELSON ROBERTO1712816287001                                                    X
 175646      NARVAEZ CARRASCO JOHN MAURICIO 1712816709001                                                     X
 184008      MORALES MOLINA EDWIN GIOVANNI 1712817459001                                                      X
  70629      OSORIO ESPIN EFRAIN GONZALO     1712820966001                                                    X
 170444      LOPEZ SHIGUANGO ROLANDO MARIANO712828571001
                                             1                                                                X
 109208      MUÑOZ HINOJOSA ALEX GEOVANNY 1712828712001                                                       X
 111132      VALLEJO NOBOA MIROESLADA PILAR 1712840758001                                                     X
 163758      PINEDA SALCEDO VICTOR HUGO      1712846607001                                                    X
 256982      CAIZA TITUANA JORGE ANIBAL      1712848728001                                                    X
 236585      VELIZ BOSQUEZ AGUSTIN GEOVANNY 1712851268001                                                     X
 261037      CHANGO CASILLAS XIMENA PATRICIA 1712856226001                                                    X
 267201      MONTALVAN CALVA ELIDA ROSA      1712856598001                                                    X
No                 No registra
                                                                No                    No registra   No
                                                                         No. registra                       registra      No.    indicadores
                                                              registra                provincia, registra
Persona_id               NOMBRE                No. ID (RUC)                 calle                           número      registra de ventas,
                                                              apellido                 cantón y   primer
                                                                          principal                         de calle     origen activos y/o
                                                              paterno                 parroquia nombre
                                                                                                            principal             empleados

 265072      LEÓN LEÓN PATRICIO JAVIER        1712877685001                                                    X
 157896      GOMEZ VALDIVIEZO PATRICIO EDISON 1712881612001                                                    X
 171681      CALDERON JARAMILLO GINA SUSY     1712887916001                                                    X
 130548      ONTANEDA AGUAS ROBERTO CARLOS 1712904992001                                                       X
 182159      CISNEROS ALBUJA OMAR SANTIAGO 1712913530001                                                       X
  72960      TERAN TEJADA JUAN CARLOS         1712914413001                                                    X
  31919      ROMERO CALDERON CARLOS JAVIER 1712918315001                                                       X
 122927      ZAPATA IZA OLGA ISABEL           1712925112001                                                    X
 193878      ASTUDILLO CHICAIZA SEGUNDO VINICIO712941200001
                                              1                                                                X
 170551      PROAÑO FIERRO PRISCILA DEL ROCIO 1712946126001                                                    X
 144873      GRANJA CALVACHE FREDY ORLANDO 1712950052001                                                       X
 199003      CORONEL DELGADO DAVID SECUNDINO  1712952744001                                                    X
 154623      TACURI PINEIDA MARGARITA         1712959186001                                                    X
 244465      DAVILA ARREGUI CARLOS GUILLERMO1712960895001                                                      X
 148857      TUMIPAMBA MENCIAS PAULINA DEL ROCÍO
                                              1712969201001                                                    X
 212573      GUAYGUA FONSECA MARIA INES       1712969896001                                                    X
 146709      NUÑEZ CAMPOVERDE DEICY ALEXANDRA 1712970712001                                                    X
 171705      GUZMAN MAYA WILMER TOMAS         1712976602001                                                    X
 112062      ORMAZA PARRAGA EDY BOLIVAR       1712978301001                                                    X
 100304      MUÑOZ GUILLEN EDGAR VINICIO      1712979002001                                                    X
 197411      ZHINGRI ILLESCAS JORGE ROBALINO 1712997251001                                                     X
 234581      BRAVO ANAGUANO JUDITH ALEXANDRA713007787001
                                              1                                                                X
 178772      NAVARRETE DELGADO ERICA ALEXANDRA1713014577001                                                    X
  62296      JIMÉNEZ BENAVIDES JORGE WASHINGTON
                                              1713023321001                                                    X
  67554      CÁRDENAS MEJÍA GIOVANNI FERNANDO713023974001
                                              1                                                                X
 209039      GALARZA PADILLA FRANKLIN XAVIER 1713026456001                                                     X
 207018      ORTIZ PASUY JOSE PEDRO           1713031787001                                                    X
  50807      ESPINOZA SARANGO NORA EDITH      1713042768001                                                    X
 131596      VELASQUEZ FIGUEROA MARITZA ELIZABETH
                                              1713044459001                                                    X
 150591      DAVILA MERINO ROMEL JOSE         1713054193001                                                    X
  57935      SILVA NARVAEZ JOSE MECIAS        1713059481001                                                    X
No                 No registra
                                                               No                    No registra   No
                                                                        No. registra                       registra      No.    indicadores
                                                             registra                provincia, registra
Persona_id               NOMBRE               No. ID (RUC)                 calle                           número      registra de ventas,
                                                             apellido                 cantón y   primer
                                                                         principal                         de calle     origen activos y/o
                                                             paterno                 parroquia nombre
                                                                                                           principal             empleados

 271611      PEREZ CEVALLOS GALO FABIAN      1713060612001                               X                                X
 225302      TENE BETÚN LUIS ALFONSO         1713073441001                                                    X
 149670      BERMEO FATIMA                   1713084356001                                                    X
  57493      BALSECA DURKIN JOHN SEBASTIÁN   1713094819001                                                    X
 151145      CASAHUALPA CAIZA JOSE JULIO     1713100673001                                                    X
 179031      ARZA BERMUDEZ JACQUELINE ISABEL 1713106811001                                                    X
  52384      ESPINOZA VELEZ RODOLFO WILFRIDO 1713108064001                                                    X
 216774      CORRAL GAIBOR MARÍA PAULINA     1713108791001                                                    X
 229697      SALTOS PARRAGA INGRI MARIBEL    1713111886001                                                    X
 126626      GUAYTA AREQUIPA LUIS HERNAN     1713119384001                                                    X
  88732      MORENO HERMIDA PABLO FERNANDO 1713119483001                                                      X
 224051      VILLAGRAN POVEDA GERARDO FELIPE1713148227001                                                     X
 123118      SUNTAXI PACHACAMA KLEBER ROLANDO1713160560001                                                    X
 217962      ARIAS FLORES KARINA ELIZABETH   1713161915001                                                    X
 255152      JACOME MOSQUERA STALIN GONZALO1713163572001                                                      X
 260520      SUQUILLO MARCO                  1713172888001                                                    X
 265662      RUIZ CASTILLO DARWIN PATRICIO   1713176962001                                                    X
 157459      CAMACHO CUASPUD DARWIN ALFONSO  1713181392001                                                    X
 248007      ARGOTIZ CORDERO MARIELA         1713188785001                                                    X
 209892      PAEZ AVALOS JESSICA JANETH      1713198396001                                                    X
 115435      SANDOVAL LUNA ALEJANDRA DEL ROCÍO
                                             1713200440001                                                    X
 110810      LANDA CASTRO JOSE ARCADIO       1713202974001                                                    X
 152037      LASSO SANCHEZ CARLOS STARLING 1713215943001                                                      X
 217228      VACA REINOSO DARWIN MARCELO     1713216214001                                                    X
 103361      ANAGUANO ANAGUANO JUAN CARLOS 1713218855001                                                      X
 224340      OBANDO DAVID                    1713220737001                                                    X
  94774      IMBA LEMA ROSA MARGARITA        1713222030001                                                    X
 239369      SANDOVAL ENRIQUEZ FRANKLIN OMAR 1713241709001                                                    X
 226194      MUÑOZ ESPINEL SERGIO EDBERTO    1713254272001                                                    X
 226579      MOSQUERA POZO MARÍA DANIELA     1713255451001                                                    X
  27494      MORENO TORRES MANIX EDISON      1713261798001                                                    X
No                 No registra
                                                                No                    No registra   No
                                                                         No. registra                       registra      No.    indicadores
                                                              registra                provincia, registra
Persona_id               NOMBRE                No. ID (RUC)                 calle                           número      registra de ventas,
                                                              apellido                 cantón y   primer
                                                                          principal                         de calle     origen activos y/o
                                                              paterno                 parroquia nombre
                                                                                                            principal             empleados

 257379      QUISILEMA SHUGULI JORGE VINICIO 1713270062001                                                     X
 179380      MORQUECHO YADAICELA JUAN BAUTISTA1713274122001                                                    X
  28753      FIERRO NÚÑEZ LUIS JONATHAN       1713278701001                                                    X
 221073      VITERI PUYOL OSCAR REMIGIO       1713279907001                                                    X
 172058      ENRIQUEZ HERRERA JOSÉ ROMELIO 1713280038001                                                       X
 172167      MUÑOZ GÓMEZ LUIS ALFREDO         1713285821001                                                    X
 156085      QUISHPE SINAILIN PABLO DAVID     1713291936001                                                    X
 261044      RIERA SUAREZ JENNY ELIZABETH     1713300661001                                                    X
  91061      MEJIA MOREIRA WILIAN ODILQUE     1713310637001                                                    X
 111345      FAJARDO MENDEZ LUIS ARIOLFO      1713327268001                                                    X
 110206      SUÁREZ PILAGUANO MILTON FABIAN 1713328662001                                                      X
  54522      BARRIONUEVO COX HARLEY DAVIDSON  1713330593001                                                    X
  53082      QUIMBIAMBA GORDON WALTER PATRICIO1713333753001                                                    X
 235628      PUETATE HUERA LUIS ANIBAL        1713343372001                                                    X
  69969      VASCO SILVA DAVID WILLIAM        1713349569001                                                    X
 184441      PARRAGA PARRAGA JORGE JAVIER     1713357604001                                                    X
 234397      GRANDA CALVA APOLONIA BERTHA     1713362596001                                                    X
  71024      CARGUA YAUCAN JUAN CECILIO       1713365599001                                                    X
 202236      GANGOTENA GUZMAN VERONICA CATALINA
                                              1713373643001                                                    X
 178555      CARRILLO ANDRADE FABIAN HIPOLITO 1713375879001                                                    X
  13027      AVENTURA SPORT                   1713377172001                                                    X
 225528      BARRENO MORENO ISABEL NATALIA 1713395950001                                                       X
  92440      HERRERA ANDRADE WLADIMIR FRANKLIN1713402178001                                                    X
 196854      RAMIREZ TAFUR CARLOS ALBERTO     1713415584001                                                    X
 204098      AYALA MORALES ADRIANA DE JESUS 1713420725001                                                      X
 192398      NACIMBA PACHACAMA EVA JEANETH 1713427407001                                                       X
 173050      ALVARO ACERO ANGEL BENITO        1713436879001                                                    X
 105610      ARIAS ITURRALDE MYRIAM DEL PILAR 1713464632001                                                    X
 232835      COLLAGUAZO CHICAIZA LOURDES ELIZABETH
                                              1713469524001                                                    X
 107179      VELASQUEZ NARANJO CRYSTHIAN BLADIMIR
                                              1713482873001                                                    X
 275945      CUICHAN VELASCO MARCO VINICIO 1713496873001                                                       X
No                 No registra
                                                               No                    No registra   No
                                                                        No. registra                       registra      No.    indicadores
                                                             registra                provincia, registra
Persona_id               NOMBRE               No. ID (RUC)                 calle                           número      registra de ventas,
                                                             apellido                 cantón y   primer
                                                                         principal                         de calle     origen activos y/o
                                                             paterno                 parroquia nombre
                                                                                                           principal             empleados

 188912      CARDENAS FUENTES EDGAR PATRICIO 1713511606001                                                    X
 174035      MONTA ESPINOSA FRANKLIN JONNY 1713514337001                                                      X
 167830      SANCHEZ LIMA GONZALO EDUARDO 1713521878001                                                       X
 221656      QUIROZ MONTESDEOCA ANA ELIZABETH1713526703001                                                    X
 105189      ACHURRA ISLA VIVIANA DEL CARMEN 1713536603001                                                    X
 268106      RUIZ FLORES PATRICIO LEODAN     1713544649001                                                    X
 154948      VINUEZA CAÑAS SILVANA PATRICIA  1713550224001                                                    X
 209104      HINOJOSA RAZA JUAN CARLOS       1713553376001                  X            X                    X
 256267      CARVAJAL FLORES SANTIAGO ANDRES 1713554341001                                                    X
 116219      HINOJOSA SANCHEZ LEONARDO ANIBAL1713560728001                                                    X
 276258      OJEDA PAREDES ANA MARÍA         1713561130001                               X                                X
 155971      PINARCAJA CHISAGUANO LUIS OSWALDO
                                             1713564605001                                                    X
  31473      VARELA CHAMORRO SILVANA FABIOLA1713565818001                                                     X
 104281      CRUZ SALINAS EDWIN XAVIER       1713568754001                                                    X
  99293      YANEZ SAMBACHI EDISON WALTER    1713575643001                                                    X
 229253      ZAMORA VERGARA JEORGE DANNY 1713606265001                                                        X
 180770      ZAMBRANO SARZOSA IVAN DARWIN 1713606638001                                                       X
 216525      MOROCHO CUZCO MIGUEL ANGEL      1713615654001                                                    X
 116640      ORELLANA TORRES JHONY DANIEL    1713623039001                                                    X
 253862      PAZMIÑO CASPI FREDDY HUMBERTO 1713633947001                                                      X
 261205      ARCOS YARPAZ JOSE LUIS          1713639274001                                                    X
 141839      RADA GARCIA PABLO ANDRES        1713640090001                                                    X
 155935      SHIGUANGO CHIMBO RITA BERTILA   1713651014001                                                    X
 205704      LOPEZ JUAJINOY RENAN BLADIMIR   1713653986001                                                    X
 223762      CEDENO ZAMBRANO IGNACIO CEFERINO1713657797001                                                    X
 226753      VILLLAMARIN MANOSALVAS JUANA MARIBEL
                                             1713665295001                                                    X
 147922      AYALA PASQUEL MONICA            1713670147001                                                    X
 133430      QUISHPE ORTIZ MANUEL JESUS      1713679064001                                                    X
 261932      ROSALES BUITRON GABRIELA RAQUEL1713696134001                                                     X
 109132      CUVI LEMA MARTINA               1713698445001                                                    X
 184055      TUTILLO TUTILLO FABIAN ENRIQUE  1713706917001                                                    X
No                 No registra
                                                                No                    No registra   No
                                                                         No. registra                       registra      No.    indicadores
                                                              registra                provincia, registra
Persona_id               NOMBRE                No. ID (RUC)                 calle                           número      registra de ventas,
                                                              apellido                 cantón y   primer
                                                                          principal                         de calle     origen activos y/o
                                                              paterno                 parroquia nombre
                                                                                                            principal             empleados

 258799      TIRADO REA PEDRO RAMÓN           1713712444001                                                    X
 143612      SOTALIN DIAZ BYRON RENE          1713718896001                                                    X
  43255      ALEX                             1713719332001                                                    X
  67436      GAMMA                            1713720157001                                                    X
 154173      SALAZAR ZAPATA ALEJANDRO         1713720538001                                                    X
 248988      GUERRA JARAMILLO JENNY AMARILIS 1713729315001                                                     X
 197424      MORAN NORIEGA FAUSTO ALEXANDER1713730107001                                                       X
 266340      CARDENAS SOLORZANO MIGUEL EDGAR  1713736476001                                                    X
 220928      FERNANDEZ VILLARREAL EDWIN FABIAN1713746657001                                                    X
  86894      PIGUAVE YEPEZ MYRNA ELIZABETH    1713781654001                                                    X
 130224      HERRERA FLORES MAYRA ANGELICA 1713785358001                                                       X
  80965      SINCHE MAITTA DENNIS FABRICIO    1713790325001                                                    X
 146199      MERIZALDE CONZA ANGEL MANUEL     1713801494001                                                    X
 247591      CELI CELI XIMENA MARIELA         1713818951001                                                    X
  17582      CHIPANTASIG CHIPANTASHI WASHINGTON VINICIO
                                              1713826640001                                                    X
 129619      GUALA TRUJILLO VICTOR HUGO       1713832002001                                                    X
  79640      CHURUCHUMBI LECHÓN SEGUNDO VIRGILIO
                                              1713833273001                                                    X
 255382      PEREZ FIGUEROA ERWIN FERNANDO 1713846010001                                                       X
  36945      ALBARRACIN MANOTOA LUIS RENE     1713847109001                                                    X
  76189      BENAVIDES PATIÑO MAURICIO PAUL 1713847695001                                                      X
 163359      COLLAGUAZO SANGUÑA JOSÉ ROLANDO  1713852976001                                                    X
  56133      CAÑAR PALLO VICTOR HUGO          1713853107001                                                    X
 263783      BASTIDAS HIDROBO JOSÉ IGNACIO    1713853933001                                                    X
 157763      ESTÉVEZ FREIRE PATRICIO FABRIDZI 1713863734001                                                    X
 239535      GALLARDO VALLEJO GIMENA PATRICIA1713864823001                                                     X
 131849      LLUMIPANTA PIEDRAHITA JORGE ALFREDO
                                              1713871273001                                                    X
 210950      TENEMAZA SAMANIEGO LAURO GEOVANNY1713871828001                                                    X
 110197      NAVARRET PARRAGA FERMIN ANTONIO  1713874889001                                                    X
  74411      MONTENEGRO BARRAGÁN NELLY MARGOTH1713877361001                                                    X
  67785      MUÑOZ HINOJOSA DIEGO JOEL        1713885216001                                                    X
  91191      CARGUA VERGARA DIEGO OMAR        1713886404001                                                    X
No                 No registra
                                                                No                    No registra   No
                                                                         No. registra                       registra      No.    indicadores
                                                              registra                provincia, registra
Persona_id               NOMBRE                No. ID (RUC)                 calle                           número      registra de ventas,
                                                              apellido                 cantón y   primer
                                                                          principal                         de calle     origen activos y/o
                                                              paterno                 parroquia nombre
                                                                                                            principal             empleados

 278641      GARCIA NEGRETE GUSTAVO EDUARDO   1713893624001                                                    X
  99061      DIAZ FLORES PEDRO OLDEMAR        1713902482001                                                    X
 248807      MAQUILON AGUILAR CHHABI CRISTINA 1713903373001                                                    X
 126313      MALES TASIGUANO LUIS ORLANDO     1713904678001                                                    X
 262771      GUALOTUÑA LOYA HUGO FABRICIO     1713913927001                                                    X
  69377      ASIPUELA AMOGUIMBA GLADYS LUCILA 1713935243001                                                    X
 176657      PERENCEVICH CUEVAS JORGE         1713937751001                                                    X
 265651      PAEZ VASQUEZ MARIA ELENA         1713948360001                                                    X
 193744      YAGUACHI CUNAS JOSE RICARDO      1713955340001                                                    X
 144143      PONCE MIELES MARTHA ELIZABETH 1713958625001                                                       X
 262652      CALDERÓN SALINAS MARCELO FERNANDO1713978888001                                                    X
 187281      NARVÁEZ COLLAGUAZO VIVIANA MARGARITA
                                              1713984324001                                                    X
 134210      MOSQUERA FONSECA MAYRA VIVIANA1713995155001                                                       X
 163002      FACTOS IGLESIAS WILSON VICENTE 1713996054001                                                      X
  21370      VITERI BENITEZ FABRICIO ARTURO   1714004544001                                                    X
 240478      CUMBAL CACUENGO ANA MARÍA        1714008875001                                                    X
 212640      ESPINOZA AYALA ALVARO LENIN      1714008883001                                                    X
  48423      JIMENEZ PEÑARANDA MIGUEL EDUARDO 1714013305001                                                    X
 127219      TACURI UREÑA DANILO TACURI       1714013925001                                                    X
 246405      RODAS MENA RAUL ANTONIO          1714023742001                                                    X
 148583      FALCON COBA CARMEN ALEXANDRA 1714044706001                                                        X
 239588      ROJAS RODRIGUEZ MARÍA JOSÉ       1714062658001                                                    X
 200364      ANAGO TOAPANTA EDWIN FERNANDO 1714067814001                     X            X                    X
 155936      VILLEGAS VEGA BIOLFER PORFIRIO   1714070149001                                                    X
  95386      ZAMBRANO PEREIRA RICARDO XAVIER1714075155001                                                      X
 228727      ANGO ALQUINGA GERMAN MAURICIO 1714084389001                                                       X
 145556      VEINTIMILLA FIGUEROA ESTALIN MANUEL
                                              1714089172001                                                    X
 251810      BALAREZO TOAPANTA ANGEL RODRIGO  1714094396001                                                    X
  63009      ENMA ROCIO GARCIA MONTERO        1714101407001                                                    X
 253048      YANEZ RAMIREZ PABLO JAVIER       1714105663001                                                    X
 172002      MUÑOZ MINDO CINTYA MONSERRAT 1714111380001                                                        X
No                 No registra
                                                                  No                    No registra   No
                                                                           No. registra                       registra      No.    indicadores
                                                                registra                provincia, registra
Persona_id                NOMBRE                 No. ID (RUC)                 calle                           número      registra de ventas,
                                                                apellido                 cantón y   primer
                                                                            principal                         de calle     origen activos y/o
                                                                paterno                 parroquia nombre
                                                                                                              principal             empleados

 135089      TORO PAZMIÑO WASHINGTON IVAN       1714111661001                                                    X
 272433      LOPEZ SEGOVIA GEOVANNA             1714113311001                               X                                X
 193537      JIMBO VASQUEZ LUIS ANTONIO         1714122387001                                                    X
  79927      ROBALINO HEREDIA GISELLA IVONNE 1714128350001                                                       X
 166535      RUIZ SEGOVIA FABRICIO ESTUARDO 1714143367001                                                        X
 186848      VARGAS CASPI ROBERTO FRANK         1714158332001                                                    X
 114289      MORAN ALVARADO ANIBAL SANTIAGO 1714164702001                                                        X
 239656      AULIS TOGAN MILTON RENAN           1714189469001                                                    X
 257709      CALLE RAMIREZ FERNANDO VIRGILIO 1714192745001                                                       X
 170547      ESPIN MALDONADO WILLIAM SANTIAGO   1714193719001                                                    X
 252012      SANCHEZ ARCOS CARLOS ALBERTO 1714201611001                                                          X
 131860      MARKLEY VERGARA KARLA SUSANA 1714201850001                                                          X
 138318      MOYA ALULEMA NELSON STALIN         1714226352001                                                    X
 262928      RIVERA PAUL                        1714228473001                                                    X
 220064      NICOLALDE ECHEVERRÍA SILVANA ALEXANDRA
                                                1714231287001                                                    X
 100371      HERRERA CABASCANGO EIMY YORLAI 1714232640001                                                        X
  73284      CASTILLO CAMPOVERDE EVITA YANINA   1714242730001                                                    X
 120601      PLASENCIA CASTILLO JUAN CARLOS 1714247341001                                                        X
 149605      VERA MONTESDEOCA GEOVANNY ANDRONICO1714252291001                                                    X
 250362      DELGADO DELGADO MARCELO EVERALDI   1714258637001                                                    X
  46919      MÉNDEZ SIMBAÑA FLAVIO FRANKLIN 1714263421001                                                        X
 248380      LOPEZ CASTELLANO FABIOLA JEANETH   1714277173001                                                    X
 270696      ROJAS SALGUERO JORGE ANTONIO 1714343009001                                     X
  46056      GUALOTUÑA TIPAN BETTY ALEXANDRA1714401617001                                                        X
 136092      ASTUDILLO ERAZO ELOÍSA BELÉN       1714408141001                                                    X
 251959      SANCHEZ SANTOS JOSE LUIS           1714450606001                                                    X
 222622      CHASIPANTA CHUQUIMARCA LUIS PATRICIO
                                                1714459904001                                                    X
 127211      CARLOSAMA SANDOVAL LUIS EDISON     1714476163001                                                    X
  26037      BENSO PASQUEL ELI ALBERTO          1714488887001                                                    X
 224139      SANGUCHO MOLINA GONZALO ESTEBAN    1714494414001                                                    X
  21856      VILLACIS JARAMILLO CARLITA LETICIA 1714507280001                                                    X
No                 No registra
                                                                No                    No registra   No
                                                                         No. registra                       registra      No.    indicadores
                                                              registra                provincia, registra
Persona_id               NOMBRE                No. ID (RUC)                 calle                           número      registra de ventas,
                                                              apellido                 cantón y   primer
                                                                          principal                         de calle     origen activos y/o
                                                              paterno                 parroquia nombre
                                                                                                            principal             empleados

 214883      TUTILLO QUISHPE MILTON ROGELIO 1714511449001                                                      X
  41378      NEVÁREZ GAVIDIA RONEL JAVIER     1714524491001                                                    X
 268547      SEME OLVERA CARLOS ALFREDO       1714527452001                                                    X
 116196      BENAVIDES PAEZ RODRIGO ENGELBERTH1714528930001                                                    X
 234320      GUBIO BELENZACA FIDENCIO FRANKLIN1714549084001                                                    X
 172784      MENA AYALA VICTOR MANUEL         1714562343001                                                    X
 199565      TAPIA CARRILLO JUAN CARLOS       1714569587001                                                    X
 133446      HEREDIA HIDALGO MARCO ALFREDO 1714579586001                                                       X
 151053      TORRES GRANDA ENRIQUE EDUARDO 1714581459001                                                       X
 245286      ALFARO PAREDES GLADYS MARÍA      1714585138001                                                    X
 267296      ORTIZ GUERRA KARLA NATALIA       1714586078001                                                    X
 279114      CLAVIJO ASIMBAYA NANCY ALEXANDRA 1714593330001                                                    X
 102333      JUMBO QUICHIMBO NANCY AZUCENA 1714609243001                                                       X
 191523      PAUCAR DÁVILA KARINA ELIZABETH 1714622816001                                                      X
 214901      SANDOVAL ZAMBRANO CARLOS ARTURO  1714639414001                                                    X
 252645      ASTUDILLO SALVADOR JUAN PABLO 1714642269001                                                       X
 278467      USHIÑA GUALOTO ROCIO CARMEN      1714647276001                                                    X
 100610      GARCES PADILLA CARLOS ANDRES     1714648977001                                                    X
 227661      RIVADENEIRA PEÑAFIEL HILDA GABRIELA
                                              1714670690001                                                    X
 180887      TUFIÑO MIRANDA JAIME RAMON       1714674759001                                                    X
  91796      PEREZ FLORES AIDA MIREYA         1714682364001                                                    X
  11774       WATCH OUT RELOJES & ACCESORIOS1714690581001                                                      X
 271964      NAVARRETE NAVARRETE RAMON BENEDICTO
                                              1714706304001                                                    X
 214006      FRANCO FLORES LUIS VICENTE       1714715065001                                                    X
 238700      GUALOTUÑA GUALOTUÑA MARCO VINICIO1714723606001                                                    X
  54822      MORALES CAIZA PATRICIO DAVID     1714724463001                                                    X
 259387      MARCILLO HERNANDEZ CARLOS ANDRES 1714725502001                                                    X
  23950      MELO SANCHEZ JUAN VICTOR         1714734702001                                                    X
 105740      CEVALLOS VILLACIS RAFAEL ALVERTO1714743406001                                                     X
 226590      ARMIJOS JARAMILLO JIMMY PATRICIO 1714755251001                                                    X
 199327      SANTANDER BRITO HENRY PATRICIO 1714756796001                                                      X
No                 No registra
                                                               No                    No registra   No
                                                                        No. registra                       registra      No.    indicadores
                                                             registra                provincia, registra
Persona_id               NOMBRE               No. ID (RUC)                 calle                           número      registra de ventas,
                                                             apellido                 cantón y   primer
                                                                         principal                         de calle     origen activos y/o
                                                             paterno                 parroquia nombre
                                                                                                           principal             empleados

 208977      CALDERÓN AGUIRRE DAVID RICARDO 1714768361001                                                     X
  14793      TORRES MERINO HUGO FLORENCIO 1714771977001                                                       X
 150086      BUSTOS CAZA LUIS EDUARDO        1714784764001                                                    X
 242845      NARVAEZ CUAJIVOY JUAN CARLOS    1714791744001                                                    X
 231456      RIVERA BRAVO JOSE ALFONSO       1714794540001                                                    X
 179892      TORRES SERRANO WILLIAN MARCELO 1714798780001                                                     X
 278789      CATAGMAÑA JUAN                  1714800875001                                                    X
 260817      GUAMAN VARGAS MIGUEL ANGEL      1714818331001                                                    X
 269653      ULLOA CRUZ EVELYN DEL CARMEN    1714838156001                  X            X                    X
   4564      BALSECA MORENO DIEGO RIGOBERTO1714846159001                                                      X
 190037      NEIRA ASANZA MERCEDES MARILU    1714846423001                                                    X
 161690      ALTAMIRANO BARRE AGUSTIN BENITO 1714850003001                                                    X
 145971      SOTO CAJAS MARIA DE LOSANGELES 1714852280001                                                     X
 214508      MUY ORTIZ MIGUEL ALFREDO        1714861380001                                                    X
 188456      SÁNCHEZ PINANGO JOSÉ MEDARDO 1714868740001                                                       X
 261530      VELASTEGUÍ PÁEZ CAROLINA ELIZABETH
                                             1714913173001                                                    X
 272320      GOMEZ VILLALVA DIEGO RAMIRO     1714917109001                                                    X
  41769      CHILUISA SAMANIEGO MÓNICA PATRICIA
                                             1714957923001                                                    X
 165346      ANDRANGO ALVARO WELINTON HERIBERTO
                                             1714958509001                                                    X
 118678      POZO RODRÍGUEZ OSCAR DANILO     1714967765001                                                    X
 278585      MALDONADO VILLA HÉCTOR HUGO     1714967823001                                                    X
 258655      LLUMIQUINGA QUINGA HUGO FRANCISCO
                                             1714974225001                                                    X
 203583      NAVARRO RAMON DARIO RENE        1714984224001                                                    X
 225976      PERALTA TOASA DIANA ELIZABETH   1715000301001                                                    X
 197612      TOASA CARRERA JOSE AURELIO      1715011035001                                                    X
 144145      BARZALLO CASTILLO DARWIN GABRIEL1715014039001                                                    X
 276565      VITERI CARLOS IGNACIO           1715018139001                                                    X
 131866      CARPIO JAYA EDGAR PAUL          1715032627001                                                    X
 109617      MORALES MOLINA SANTIAGO ROLANDO 1715033955001                                                    X
 266590      YUGSI ENCALADA LUIS FERNANDO    1715041602001                                                    X
 108133      TUPIZA NAVARRETE FAUSTO ANDRES 1715041743001                                                     X
No                 No registra
                                                               No                    No registra   No
                                                                        No. registra                       registra      No.    indicadores
                                                             registra                provincia, registra
Persona_id               NOMBRE               No. ID (RUC)                 calle                           número      registra de ventas,
                                                             apellido                 cantón y   primer
                                                                         principal                         de calle     origen activos y/o
                                                             paterno                 parroquia nombre
                                                                                                           principal             empleados

  69950      CUAMACAS VEGA ROLANDO HUMBERTO  1715050926001                                                    X
 140554      YANÉZ ROMERO PABLO PATRICIO     1715062780001                                                    X
 263210      PAUCAR VALDIVIESO LUPE ISABEL   1715063093001                                                    X
 213375      AUZ GOMEZ JAHAIRA MARIA         1715064588001                                                    X
 215094      VARGAS RIVAS SEGUNDO SANTIAGO 1715076699001                                                      X
 232764      LOOR MAZAMBA CARLOS ALBERTO 1715080204001                                                        X
 121250      MUNOZ BARRIONUEVO PATRICIA ELIZABETH
                                             1715081160001                                                    X
 129657      PUGA SALAZAR MARCO ANTOÑO       1715100473001                                                    X
 248123      AYALA RODRIGUEZ JOSE ANTONIO    1715101844001                                                    X
 223756      FUENTES ABATA LUIS SANDRO       1715105530001                                                    X
 217287      MALDONADO YEPEZ DIEGO CHRISTIAN1715121644001                                                     X
 273821      VALAREZO LOPEZ WILIAN ALEJANDRO1715123962001                                X                    X           X
 258370      CATUCUAMBA NOVOA RENE ERNESTO1715126767001                                                       X
 264108      ALMEIDA COLLAGUAZO GALO GEOVANI 715133185001
                                             1                                                                X
 135014      VALENCIA RUEDA FREDDY FERNANDO 1715135057001                                                     X
 178547      PEÑA FLORES JUAN                1715150346001                                                    X
 252679      ABADIANO FARINANGO MARÍA DOLORES1715162382001                                                    X
 108063      GUEVARA INGA EDWIN LEONARDO     1715163257001                                                    X
 245211      CAMPAÑA ALMEIDA DANNY           1715173959001                                                    X
 179018      SANCHEZ GUZMAN CESAR EDUARDO 1715180095001                                                       X
 103138      MEJIA DIAZ TATIANA PAOLA        1715188890001                                                    X
  27638      NARVÁEZ AGUILAR ROBERTO CARLOS 1715195952001                                                     X
  13248      ING. JACOBO ROMERO              1715203327001                                                    X
 262883      CACERES VALIENTE CHRISTIAN ROMULO
                                             1715204531001                                                    X
 197340      GARCIA DELGADO GUSTAVO ALEJANDRO1715205983001                                                    X
 116787      GALLARDO HERNÁNDEZ MARÍA FERNANDA
                                             1715208938001                                                    X
 168771      DIAZ ALQUINGA FANNY MAGALY      1715214779001                                                    X
  56345      PEREZ PROAÑO WILMA JANETH       1715225270001                                                    X
 182277      VILLAFUERTE GARZON CRISTIAN MOISES
                                             1715237168001                                                    X
 261922      AGUIRRE DAMMER SANTIAGO PATRICIO1715241798001                                                    X
 188918      ARIAS CEDEÑO ERNESTO LEONARDO 1715243307001                                                      X
No                 No registra
                                                                No                    No registra   No
                                                                         No. registra                       registra      No.    indicadores
                                                              registra                provincia, registra
Persona_id               NOMBRE                No. ID (RUC)                 calle                           número      registra de ventas,
                                                              apellido                 cantón y   primer
                                                                          principal                         de calle     origen activos y/o
                                                              paterno                 parroquia nombre
                                                                                                            principal             empleados

  99748      TEJADA MOLINA MARIA DEL ROCIO    1715243414001                                                    X
  77201      MUEPAZ GUANGA NANCI SONIA        1715248371001                                                    X
 268197      AGREDO ROSERO HERNANDO           1715251623001                                                    X
  32770      ESPINOSA LOZANO ISABEL CRISTINA 1715251771001                                                     X
  83198      HERRERA VARGAS CARLOS JULIO      1715252563001                                                    X
  97112      REYES AYO RODOLFO ALEXANDER      1715262208001                                                    X
 105160      LLUMIQUINGA ANASI JOSEHP POLIBIO 1715270441001                                                    X
 223189      TORRES COLLAGUAZO JOSE LIZANDRO  1715277370001                  X            X                    X
 241498      ANAGUANO PILLAJO MARCELO HERMES715285670001
                                              1                              X            X                    X
 254625      VALVERDE GUERRERO JUAN VALVERDE  1715292916001                                                    X
 170135      BORJA ALVAREZ JUAN CARLOS        1715295703001                                                    X
 192700      ELIZALDE PALADINES MARGOTH ISABEL715312904001
                                              1                                                                X
  90852      ROMERO ENCARNACIÓN JOSÉ HIPÓLITO 1715321624001                                                    X
  27814      VARELA CAMPOS JAIME OSWALDO      1715331862001                                                    X
 156922      ARMIJOS SUAREZ JINNA BIRMANIA    1715339642001                                                    X
 261459      CRUZ MARTÍNEZ JOSÉ DAVID         1715349427001                                                    X
 169938      MECIAS MOREIRA JAVIER MARCELINO 1715365811001                                                     X
 100190      AGUILAR RODRÍGUEZ ANGÉLICA ZENAIDA
                                              1715373948001                                                    X
 248288      SAANT YANGORA ELVA SHAMICH       1715377733001                                                    X
  94764      LAZO GOMEZ JOSE RAFAEL           1715391361001                                                    X
  92745      OLALLA VALDIVIEZO VICENTE ROLANDO1715392047001                                                    X
 145860      LUNA AYALA LUIS LEONARDO         1715399505001                                                    X
 180621      CÓNDOR CHICAIZA PAÚL HERNÁN      1715415350001                                                    X
 151307      JARA MEDIAVILLA MARICELA ELIZABETH715441950001
                                              1                                                                X
 121441      TENORIO NAVIA LUIS FELIPE        1715454847001                                                    X
 247241      CLAVIJO JACOME LUIS EDUARDO      1715461248001                                                    X
 159395      PAZMIÑO SILVA DANIEL ANTONIO     1715475305001                                                    X
 192551      MARTÍNEZ ESCOBAR JORGE ESTEBAN 1715485643001                                                      X
 155157      GOYES COLOMA CHRISTIAN ALEXANDER 1715498307001                                                    X
 163801      ARAUZ ANAGO JENNY ELIZABETH      1715500177001                                                    X
 206876      CHICAIZA CHIQUITO VICTOR HUGO    1715515746001                  X            X                    X
No                 No registra
                                                               No                    No registra   No
                                                                        No. registra                       registra      No.    indicadores
                                                             registra                provincia, registra
Persona_id               NOMBRE               No. ID (RUC)                 calle                           número      registra de ventas,
                                                             apellido                 cantón y   primer
                                                                         principal                         de calle     origen activos y/o
                                                             paterno                 parroquia nombre
                                                                                                           principal             empleados

 146012      ARAY CEDEÑO WILMER JACOB        1715522510001                                                    X
 239405      CUADROS CEVALLOS DIOQUELA ARACELI
                                             1715532873001                                                    X
 148148      SALVADOR NOBOA JOSÉ MARIO       1715536171001                                                    X
 257814      AYALA HEREDIA MARCELO ANÍBAL    1715541890001                                                    X
 120390      LEIVA PEREZ AGUSTIN             1715555791001                                                    X
 150967      MALDONADO YEPEZ EDISON OMAR     1715562706001                                                    X
 247574      LLERENA MORALES HÉCTOR EFRAIN 1715567341001                                                      X
 211588      CORTEZ ROMERO FREDI RODRIGO     1715585459001                                                    X
  68291      VERGARA CAICEDO RAUL GILBERTO 1715588867001                                                      X
 228892      BENITEZ AMANCHE XAVIER EDUARDO 1715594048001                                                     X
 199161      RODRIGUEZ HERRERA FABIAN MAURICIO
                                             1715598346001                  X            X                    X
 220152      PUGA BRAZALES DIEGO PATRICIO    1715599807001                                                    X
  86656      RIVADENEIRA LOZANO BYRON JAVIER 1715617195001                                                    X
 153550      PAUCAR CHICAIZA ELIZABETH JACQUELINE
                                             1715620264001                                                    X
 178138      GUALOTUÑA CHINCHILEMA HECTOR GIOVANNY
                                             1715622799001                                                    X
 256223      SUNTAXI SUNTAXI EDITH GEANINE   1715629471001                                                    X
 187427      VALVERDE CULQUE ORLY CRISTIAN 1715639702001                                                      X
 230465      NICOLALDE MONTALVO ANA LUCIA    1715650832001                                                    X
 122950      LOPEZ MARLON PAUL               1715651640001                                                    X
 180476      ORTIZ ORTIZ HERMEL FROILAN      1715663645001                                                    X
  22041      GUAJAN ZAMBRANO RAFAEL GUAJAN 1715664437001                                                      X
 147346      PERALTA BARBA GUADALUPE         1715667984001                                                    X
 181837      ALVEAR PAZMIÑO CRISTIAN FERNANDO1715675771001                                                    X
 163190      CHIMARRO CUZCO CRISTIAN HERNÁN 1715686703001                                                     X
 209632      MORALES TROYA JORGE ADRIAN      1715699011001                                                    X
 167496      VASQUEZ LLANEZ GLADYS AMPARO 1715746978001                                                       X
 183386      GUARANDA PAUCAR EDWIN MANUEL 1715763619001                                                       X
 257602      LUCIO GAIBOR NERBO FERNANDO     1715765903001                                                    X
  95012      MARTINEZ GALLEGO JUAN VICENTE 1715774699001                                                      X
 150476      CEDEÑO CEDEÑO NEXAR HERLANDO 1715795116001                                                       X
 227818      MUENALA MORALES CARLOS          1715795827001                                                    X
No                 No registra
                                                               No                    No registra   No
                                                                        No. registra                       registra      No.    indicadores
                                                             registra                provincia, registra
Persona_id               NOMBRE               No. ID (RUC)                 calle                           número      registra de ventas,
                                                             apellido                 cantón y   primer
                                                                         principal                         de calle     origen activos y/o
                                                             paterno                 parroquia nombre
                                                                                                           principal             empleados

  21332      CARDENAS VERA MARCELO LEODAN 1715798169001                                                       X
 261433      MERA BUELE ALEX JOSE            1715806707001                                                    X
 197858      RAMIREZ AGUIRRE JORGE GUALBERTO 1715812192001                                                    X
 174293      POTOSÍ MOYA VERÓNICA JOHANNA 1715821813001                                                       X
 218578      UTRERAS GUERRA JUAN PABLO       1715846695001                                                    X
 214198      CAMPOVERDE LEÓN BYRON EDUARDO   1715848683001                                                    X
  43872      AGUILAR ROMERO MAYRA ALEXANDRA1715866958001                                                      X
 262349      CHUQUIMARCA CAIZA JORGE ANIBAL 1715869804001                                                     X
 158444      CARRERA PARRAGA ALVARO PATRICIO 1715870950001                                                    X
 139727      MAYA RODRIGUEZ BYRON ANTONIO 1715871321001                                                       X
 252357      SANMARTIN MONTEROS NATASHA SALOMÉ
                                             1715888846001                                                    X
 116566      RAMOS LEMA WASHINGTON GUILLERMO 1715895262001                                                    X
 269884      CABEZAS MEDRANDA GRACIELA MARCELA
                                             1715912893001                                                    X
 165067      LOPEZ PEREIRA DIEGO XAVIER      1715958771001                                                    X
 151270      VALDIVIESO MANCERO JOHANNA ALEXANDRA
                                             1715962021001                                                    X
 181430      CAMACHO JATIVA LORENA MARIBEL 1715963797001                                                      X
 202578      MONTESDEOCA ORDOÑEZ ROBERTO CARLOS
                                             1715968580001                                                    X
 110957      NARANJO QUINALUISA EDWIN JESUS 1715979975001                                                     X
 237428      VITERI GARZON GABRIELA ALEXANDRA1715984769001                                                    X
 114360      NIETO PINTO TANIA MARIBEL       1715990964001                                                    X
 253292      PALLMAY MACÍAS ANA SOPHÍA       1715991079001                                                    X
  94937      AGUIRRE BERRONES EDGAR          1715992838001                                                    X
 153152      MEJIA DEMERA MIYER MIGUEL       1715997951001                                                    X
 222193      SALAZAR OLMEDO ANA LUCIA        1716008022001                                                    X
 224940      VILLACRÉS CORREA MARTHA FERNANDA1716009053001                  X            X                    X
 266823      SALAZAR FERNANDEZ MILTON FREDY 1716020852001                                                     X
 159195      NARVAEZ LAGOS JAVIER ULBANER    1716024458001                                                    X
  99282      SILVA SANCHEZ BYRON GERMAN      1716118169001                                                    X
  93050      SOSA BARROS DANILO IVÁN         1716126972001                                                    X
 123839      PUEDMA AJILA NANCY JACQUELINE   1716141526001                                                    X
 233435      ZAMBRANO ZAMBRANO STALIN FERNANDO
                                             1716143175001                                                    X
No                 No registra
                                                                No                    No registra   No
                                                                         No. registra                       registra      No.    indicadores
                                                              registra                provincia, registra
Persona_id               NOMBRE                No. ID (RUC)                 calle                           número      registra de ventas,
                                                              apellido                 cantón y   primer
                                                                          principal                         de calle     origen activos y/o
                                                              paterno                 parroquia nombre
                                                                                                            principal             empleados

 236630      MATA IZA ESTUARDO MARCEL         1716154164001                                                    X
 228615      COLOMA MARTÍNEZ JUAN GABRIEL     1716164502001                                                    X
  37988      JORGE                            1716176118001                                                    X
 147435      CAISAGUANO ORTEGA JUAN           1716198849001                                                    X
 205406      FIGUEROA TOAPANTA ANGEL MARIA 1716204969001                                                       X
 201234      ROMERO ROMERO ADRIANA SHIRLEY 1716211998001                                                       X
  94847      DÁVALOS MEJÍA LUCIA MARGARITA    1716215635001                                                    X
 179715      AGUIRRE DIAZ MARIANA ELIZABETH 1716218910001                                                      X
 192983      DAVILA SALAZAR SABRINA DE LOS ANGELES
                                              1716265507001                                                    X
 108453      YUNDA MACHADO VERONICA PAULINA 1716268683001                                                      X
 261705      AVILA LOOR RAMON ALFREDO         1716270796001                                                    X
 252859      LEMA PALOMO FRANKLIN JAVIER      1716272685001                                                    X
  81871      MÉNDEZ MAIGUA PABLO DANILO       1716276389001                                                    X
  62529      DEL PINO PONCE ANA MARIA         1716278443001                                                    X
 140885      CORAL ROJAS EDGAR AFRANIO        1716293467001                                                    X
 246471      GUAMGA RAMOS LEONARDO ESTEBAN    1716296742001                                                    X
  31306      VALLEJO BRAVO PAMELA CECILIA     1716313554001                                                    X
 223459      PILLAJO BAHAMONTES TERESA MAGALI 1716345077001                                                    X
 264381      MENCÍAS IMBAQUINGO JAMES ANDRÉS  1716386956001                                                    X
 210725      LOPEZ JACOME JUAN CARLOS         1716389927001                                                    X
  49947      CAJIAO ARÍZAGA JARDIEL ESTEBAN   1716399553001                                                    X
 241416      SALOMÓN TALLONE MIGUEL ANGEL 1716401821001                                                        X
 125465      BOUQUILLON HOREL PHILIPPE EDUARD716408321001
                                              1                                                                X
  50411      QUEREJETA BARCELÓ ALEJANDRO      1716408388001                                                    X
 212726      ALAVA SANCHEZ TANIA VERONICA     1716441264001                                                    X
 153900      VIDAL ANDRADE KARINA ELIZABETH 1716441330001                                                      X
 217555      GALEAS GAVILANES HENRRY NELSON 1716449424001                                                      X
 211011      ACEVEDO DÁVILA ANDRES FABRICIO 1716450489001                                                      X
 127572      BACA CRESPO CÉSAR ROBERTO        1716473382001                                                    X
 170633      RIVERA VEGA VIVIANA ALEJANDRA    1716478548001                                                    X
 248164      SOTO OLIVES ERICK LEONARDO       1716488638001                                                    X
No                 No registra
                                                               No                    No registra   No
                                                                        No. registra                       registra      No.    indicadores
                                                             registra                provincia, registra
Persona_id               NOMBRE               No. ID (RUC)                 calle                           número      registra de ventas,
                                                             apellido                 cantón y   primer
                                                                         principal                         de calle     origen activos y/o
                                                             paterno                 parroquia nombre
                                                                                                           principal             empleados

 167056      CHUQUIMARCA CAIZA JOHANA JACQUELINE
                                             1716494131001                                                    X
 141517      MERCHAN BERREZUETA GERMAN FLORESMILO
                                             1716503766001                                                    X
  83635      GARCIA CARRERA LENDA LIZABTH    1716523913001                                                    X
 147476      RODRIGUEZ DELGADO HUGO IVAN     1716533110001                                                    X
 260261      PAREDES PAZMIÑO JUAN CARLOS     1716543408001                                                    X
 275550      LECHON BURBANO MÓNICA MAGDALENA 1716544232001                                                    X
 124272      NARVAEZ BURBANO LUIS ARTURO     1716547227001                                                    X
 275656      MERINO PADILLA LUIS RAUL        1716559594001                               X                    X           X
  30318      VINUEZA ENCALADA ROLANDO DANIEL1716564305001                                                     X
 226513      ARMAS PINTO MARIA JOSE          1716565757001                                                    X
 167897      QUIÑONES ALVARADO AURA ISABEL 1716575673001                                                      X
 180239      MORALES LOOR JOSE LUIS          1716577414001                                                    X
 271940      GUEVARA SANCHEZ LILIANA PAULINA 1716585334001                                                    X
 165437      CHUQUIN LEON MARCO RIGOBERTO 1716627615001                                                       X
 195349      PUNINA CHIMBORAZO OLGA ALICIA   1716640253001                                                    X
  93953      GUAÑA PAJUÑA JUAN JOSE          1716652753001                                                    X
 146583      MALDONADO VELASQUEZ LUIS FERNANDO
                                             1716684921001                                                    X
 153600      RODRÍGUEZ CARLOSAMA GRACIELA DEL PILAR
                                             1716688849001                                                    X
  86798      YAÑEZ SANTAMARIA RICARDO JAVIER 1716696420001                                                    X
 271635      QUINTEROS GONZALEZ MARIA BELEN 1716712938001                                X
 194459      PAZMIÑO TAMAYO ESTANISLAO MAURICIO
                                             1716749021001                                                    X
  66773      CISNEROS ORTIZ LORENA PAULINA   1716785306001                                                    X
 268395      JARA ZAMBRANO MARIA DOLORES     1716791809001                                                    X
 146465      LLERENA TORRES FAUSTO PATRICIO 1716792005001                                                     X
 153118      CACERES ORDOÑEZ EDISON RAUL     1716821044001                                                    X
  66038      SARABIA ROMERO GALO DANIEL      1716828429001                                                    X
 244111      CAIZA LOACHAMÍN OSCAR BLADIMIR 1716872831001                                                     X
 238746      MORENO CELY JOSE LUIS           1716882905001                                                    X
 134204      ZAMBRANO FALCONES NIMIA MARIA 1716884869001                                                      X
 134424      SOLANO FLORES MAURA VERONICA 1716885064001                                                       X
 116317      LEON ANDRANGO FREDDY DANILO     1716910060001                                                    X
No                 No registra
                                                                 No                    No registra   No
                                                                          No. registra                       registra      No.    indicadores
                                                               registra                provincia, registra
Persona_id               NOMBRE                 No. ID (RUC)                 calle                           número      registra de ventas,
                                                               apellido                 cantón y   primer
                                                                           principal                         de calle     origen activos y/o
                                                               paterno                 parroquia nombre
                                                                                                             principal             empleados

 133824      HEREDIA HIDALGO NORMA VERONICA 1716915424001                                                       X
 215863      CABEZAS ROBLES DIEGO FERNANDO 1716921893001                      X            X                    X
 213465      PEREZ CALPA ANDREA YAMILE         1716927734001                                                    X
 179918      CONTERON TOAPAXI LUIS OMAR        1716927940001                                                    X
  71966      CADENA CADENA MARÍA CECILIA       1716964927001                                                    X
 224995      MONTEROS REYES ROBERTH ESTEBAN    1716967292001                                                    X
 109754      GUTIERREZ CAMACHO MARGOTH MARIBEL 1716976103001                                                    X
 228287      JARAMILLO JARRÍN JUAN JOEL        1716994379001                                                    X
  60436      CHAVEZ MIRANDA MONICA ALEXANDRA   1717000374001                                                    X
 155399      DAVILA PURUNCAJAS VERONICA ALEXANDRA
                                               1717005589001                                                    X
  56689      MERA ROMERO DARWIN XAVIER         1717009102001                                                    X
 206889      GUANIN ALULEMA MARCOS GILBERTO 1717022212001                                                       X
 236756      CORNEJO GONZALEZ SHIRLEY ROXANA   1717024184001                                                    X
 142796      LUGOZ VARGAS LUIS ALEX            1717051963001                                                    X
 181586      BENAVIDES JIMENEZ GUSTAVO ERNESTO 1717057234001                                                    X
 234171      ZAPATA YÁNEZ BETTY MARIELA        1717062754001                                                    X
 197596      GONZALEZ CAMPAÑA LILIANA MARIBEL1717067647001                                                      X
 108289      DELGADO BASURTO SONIA MARGARITA   1717073074001                                                    X
 127132      BRAVO ZAMBRANO SONIA EDID         1717101057001                                                    X
 189769      VERA BRAVO MIRIAN RAQUEL          1717106502001                                                    X
 255383      MACIAS CABANILLA LEIVIS LIVIGSTON 1717152969001                                                    X
 241104      VEGA LEON JUAN PABLO              1717154494001                                                    X
 273942      COHN MICHAEL                      1717233876001                               X                                X
  87654      ESTEBAN CHICA ANGELA CECILIA      1717234080001                                                    X
  17119      RODRIGUEZ RICE LOUIS              1717239915001                  X                                 X
  76918      DIAZ MARTINEZ SUSANA OLIVA        1717252538001                                                    X
 227630      JEREZ VILLOTA FABIÁN ANTONIO      1717254872001                                                    X
 133335      CARRION CASTRO JOSE ROBERTO       1717264822001                                                    X
  55709      MORALES MARIÑO NATHALI ELIZABETH  1717264988001                                                    X
 251968      TAPIA NOBLECILLA ANGEL LEONARDO 1717292914001                                                      X
 166438      SUNTAXI GUALOTUNA ROBERTO CARLOS  1717293227001                                                    X
No                 No registra
                                                                No                    No registra   No
                                                                         No. registra                       registra      No.    indicadores
                                                              registra                provincia, registra
Persona_id               NOMBRE                No. ID (RUC)                 calle                           número      registra de ventas,
                                                              apellido                 cantón y   primer
                                                                          principal                         de calle     origen activos y/o
                                                              paterno                 parroquia nombre
                                                                                                            principal             empleados

 201216      AVALOS RAMOS DARWIN HERNAN       1717322380001                                                    X
 172829      CÓRDOVA DIEGO                    1717325920001                                                    X
 221082      CARRERA LLUMITASIG BLANCA ROCIO 1717359275001                                                     X
 220722      MENDOZA DARWIN                   1717373375001                                                    X
 135260      DE LA CRUZ NEGER LUIS SEBASTIAN 1717420275001                                                     X
 125695      CARRERA CARRERA KLEBER FIDENCIO  1717421166001                                                    X
 274310      SOSA ARIAS EDISON ROBERTO        1717472318001                                                    X
 213492      GARCIA TOAPANTA JUAN PEDRO       1717491854001                                                    X
  96693      RAMIREZ ARTEAGA ANGEL MESIAS     1717505919001                                                    X
 122257      ORTIZ INFANTES DIGNA YOLANDA     1717518383001                                                    X
 173696      RODRIGUEZ PEREZ CRISTIAN IVAN    1717525537001                                                    X
  94553      ALVARO LINCANGO DORIS ALEXANDRA  1717557548001                                                    X
 140084      CARDENAS MACAS MERCY DEL PILAR 1717572323001                                                      X
  86799      MARTINEZ SIGCHA DIANA NATHALI    1717645616001                                                    X
 221175      ALOMOTO CHICAIZA JUAN EDISON     1717679482001                                                    X
 166616      BRAVO ZAMBRANO LUIS ALBERTO      1717691677001                                                    X
 235138      VINUEZA VELASTEGUI ANITA SOFIA   1717708083001                                                    X
 200280      SANDOVAL CHICAIZA JENRY PATRICIO 1717751448001                                                    X
 260006      CORDOVA PAZMIÑO JORGE LEONARDO   1717753360001                                                    X
 220101      PERALTA PILLAJO EDWIN RAUL       1717763666001                                                    X
 138082      VITERI CEVALLOS JAIRO ERNESTO    1717768020001                                                    X
 175181      GARCIA VERA ELBA VIVIANA         1717773731001                                                    X
 240349      PAILACHO CHASIPANTA HUGO FERNANDO1717780322001                                                    X
  60955      DEDIAN LEONES CRISTHIAN ISRRAEL 1717802506001                                                     X
 176882      CEVALLOS BURGOS JESSENIA ELIZABETH
                                              1717805954001                                                    X
 115356      LOACHAMIN CHANO CHIRISTIAN RUBEN 1717824922001                                                    X
 113540      CORO PASQUEL JORGE ISRRAEL       1717865230001                                                    X
 113854      CASTRO VALENCIA DANIA            1717881039001                                                    X
 176484      CHU YEP SUSANA LIS               1717889511001                                                    X
  59909      SANCHEZ CHASI FATIMA ELIZABETH 1717916058001                                                      X
 159545      HEREDIA LARCO CARMEN DEL PILAR 1717926800001                                                      X
No                 No registra
                                                               No                    No registra   No
                                                                        No. registra                       registra      No.    indicadores
                                                             registra                provincia, registra
Persona_id               NOMBRE               No. ID (RUC)                 calle                           número      registra de ventas,
                                                             apellido                 cantón y   primer
                                                                         principal                         de calle     origen activos y/o
                                                             paterno                 parroquia nombre
                                                                                                           principal             empleados

 184301      IMBAQUINGO ABALCO JOSÉ WILLIANS 1717935827001                                                    X
  94934      INTRIAGO ZAMBRANO ANDREA SUSANA 1717954539001                                                    X
 220362      MUÑOZ PEDRAZA CRISTHIAN AUGUSTO 1717965659001                                                    X
 198662      SILVA GAIBOR MIGUEL ANGEL       1717974297001                                                    X
 198883      PLASENCIA ALAVA CARLOS ANDRES 1717990574001                                                      X
 269249      CAMPOVERDE DIAZ MARIA ELENA     1718020991001                                                    X
 166629      ANALUISA GUAÑUNA ANA PAOLA      1718021718001                                                    X
 206340      BARRAGAN BARRAGAN LIGIA ELENA 1718025305001                                                      X
 127877      VEINTIMILLA VERA JAIME JAVIER   1718060617001                                                    X
 272932      POZO MALDONADO EDISON IVÁN      1718076803001                                                    X
 234167      PACHACAMA CAIZA EDISON FERNANDO 1718097643001                                                    X
  93857      VILLAMARÍN GRANJA IBETH MARCELA 1718126202001                                                    X
 114595      CEDEÑO CHICA ALEXANDRA MERCEDES 1718145400001                                                    X
 190210      CHANGO TOAPANTA JAVIER GEOVANNY 1718159971001                                                    X
  67244      TERAN ESTRADA MARIO JAVIER      1718197138001                                                    X
 124568      CADENA RODRÍGUEZ BEATRIZ GERMANIA
                                             1718251935001                                                    X
 238670      CONZA JUMBO SILVIA PAULINA      1718259029001                                                    X
 127914      ROBLES CAMPOVERDE TANIA CRISTINA1718269648001                                                    X
 175427      SUÁREZ MONCAYO GABRIEL ANTONIO 1718274275001                                                     X
  38000      TROYA SORIA DARWIN ROLANDO      1718378845001                                                    X
 192650      LEMA CHICAIZA MARIA DEL CARMEN 1718395732001                                                     X
  70064      VILLAVICENCIO RAMOS MARÍA FERNANDA
                                             1718415944001                                                    X
 106280      GUNSHA YAGUARSHUNGO ANGELICA MARIA
                                             1718435827001                                                    X
 189199      BALSECA FUENTES FLAVIO ELIN     1718449075001                                                    X
 275687      MARTINEZ SALAZAR JUANA MARIA    1718465337001                                                    X
 208290      MOROCHO VELÁSQUEZ MARÍA JACKELINE
                                             1718468547001                                                    X
 269219      GUERRERO VARGAS IVAN ANDRES     1718469974001                                                    X
 171690      PILAMUNGA ALARCON NELLY PAULINA 1718472556001                                                    X
  53356      SANTACRUZ PONCE DAVID HUBERTO 1718477902001                                                      X
  12079       DYRMAQ                         1718515206001                                                    X
 272959      MEDIAVILLA RUIZ HÉCTOR RAMIRO   1718612912001                                                    X
No                 No registra
                                                                 No                    No registra   No
                                                                          No. registra                       registra      No.    indicadores
                                                               registra                provincia, registra
Persona_id               NOMBRE                 No. ID (RUC)                 calle                           número      registra de ventas,
                                                               apellido                 cantón y   primer
                                                                           principal                         de calle     origen activos y/o
                                                               paterno                 parroquia nombre
                                                                                                             principal             empleados

 205725      MOLINA PINEDA LUIS FERNANDO       1718629882001                                                    X
 168995      ARMIJOS ERAS FERNANDO JAVIER      1718664236001                                                    X
 141346      SEGURA MEJIA LUIS HERMEL          1718674235001                                                    X
 261766      TUNAY YUMBO MAYRA FILOMENA        1718698358001                                                    X
 262764      PALOMO CHILUISA NELLY PIEDAD      1718844994001                                                    X
 163944      VACA MONTALVO CONSUELO DE LOURDES 1718911967001                                                    X
 265480      SIMBAÑA SALAZAR CARLOS JULIO      1718970609001                                                    X
   7455      QUAST SOOBIK HEIKE                1719010561001                                                    X
  13263      BONOWI GMBH                       1719018473001                                                    X
 100474      TORRES POZO MAURO EDUARDO         1719050666001                                                    X                      X
 212984      ANCHUNDIA GONZALEZ WILLIAN JOSE 1719070540001                    X            X                    X
 173057                                        1719072306001                                                    X
 231059      GUERRERO VALLE SIXTO MAURICIO 1719106682001                                                        X
 232524      PULIAS SANUNGA EDISON PATRICIO 1719128405001                                                       X
 188977      LOPEZ SANCAN JOSE EUSEBIO         1719160168001                  X            X                    X
  97435      QUINATOA ULCO BLANCA MARIA        1719182121001                                                    X
 211036      CARDENAS MACAS ANGELICA CONSUELO  1719231142001                                                    X
 165070      CAÑIZARES REATEGUI MIRYAN ARACELY 1719296095001                                                    X
  97395      CARRAZCO VEGA CARLOS ROLANDO 1719305441001                                                         X
 195358      MOROCHO VASQUEZ IRENE ROSARIO 1719314070001                                                        X
 275182      MEDIAVILLA RUÍZ CRISTIAN PATRICIO 1719369249001                                                    X
  46346      CAMPAÑA ALVAREZ MARTHA ELIZABETH  1719384222001                                                    X
 194273      OROZCO VIVAS GONZALO              1719401968001                                                    X
 160432      BAUTISTA JIMÉNEZ JAVIER ENRIQUE 1719409797001                                                      X
 187497      BARZALLO SOLIZ RAMIRO ERNAIS      1719416875001                                                    X
 102366      CUMBAL CAHUTIJO LUIS HORLANDO 1719458935001                                                        X
 274050      MOSCOSO DAVID                     1719463612001                                                    X
 215195      CADENA ARIAS MIGUEL ESTEBAN       1719466367001                                                    X
 232351      SANGUÑA ANDRANGO WILSON OSWALDO   1719519207001                                                    X
 129616      GUERRERO NOBOA DIEGO JAVIER       1719521641001                                                    X
  88046      PONCE VARGAS ALEJANDRA            1719561415001                                                    X
No                 No registra
                                                                No                    No registra   No
                                                                         No. registra                       registra      No.    indicadores
                                                              registra                provincia, registra
Persona_id               NOMBRE                No. ID (RUC)                 calle                           número      registra de ventas,
                                                              apellido                 cantón y   primer
                                                                          principal                         de calle     origen activos y/o
                                                              paterno                 parroquia nombre
                                                                                                            principal             empleados

 150608      CALDERON CALDERON DIEGO FAVIAN 1719571133001                                                      X
 252831      ECHEVERRÍA JUMBO CARLA TATIANA 1719610998001                                                      X
 206333      MERA NUÑEZ NANCY ESMERALDAS      1719646612001                                                    X
 175413      PACHA TAMAQUIZA DELIA LUZMILA    1719748400001                                                    X
  96079      SUAREZ BARRE MAURO RAMON         1719786558001                                                    X
 173144      ZAMBRANO ZAMBRANO GLADYS VANESSA 1719825372001                                                    X
  98502      WEN LE LIANG                     1719847657001                                                    X
 202456      CRUZ SANMARTIN MIREYA ELIZABETH 1719963710001                                                     X
 216658      TARCO TARCO LUIS RODRIGO         1720014511001                                                    X
 278161      CALUPIÑA MENCÍAS KARLA ANDREA 1720083847001                                                       X
 236028      YANEZ BERRONES BLANCA NOHEMI 1720089216001                      X            X                    X
 114680      QUELAL VASCONEZ MARIBEL ALEXANDRA1720135399001                                                    X
 271908      GUTIERREZ VILLADA DIEGO DE JESÚS 1720153004001                                                    X
  91879      PORRAS GONZALEZ BLANCA MARGARITA 1720178779001                                                    X
 230666      HEREDIA HIDALGO GABRIELA GUADALUPE
                                              1720236163001                                                    X
  51493      TROYA VILLACIS MONICA PATRICIA   1720237492001                                                    X
 188126      GAIBOR TORRES DIANA SOFIA        1720241528001                                                    X
  44398      PALACIOS VILLAFUERTE DARÍO ARTURO1720249299001                                                    X
 263596      WANG SHOUCHANG                   1720267481001                                                    X
  84460      CUICHAN TORRES HECTOR ELIECER 1720362852001                                                       X
 146609      BENAVIDES CARRION EVELIA CECIBEL 1720392164001                                                    X
  36378      HENRY                            1720462199001                                                    X
 144459      CORTEZ LOTERO JUAN CARLOS        1720469129001                                                    X
 178937      GUAMÁN CASTRO GUSTAVO RICARDO 1720512639001                                                       X
 139920      MENDOZA MEZA WASHINGTON ABEL 1720566270001                                                        X
 272944      SOSA MORALES EDISON JAVIER       1720628526001                                                    X
 185998      HIDALGO SUQUILLO LUIS SANTIAGO 1720673902001                                                      X
 236828      SALAZAR SANZ ANIBAL ANTONIO      1720681517001                                                    X
 213154      FARFAN TORRES ANGEL ROSSI        1720687951001                                                    X
  91535      LEE JU HYUN                      1720688231001                                                    X
 250468      ZAMBRANO ZAMBRANO VALERIA ELIZABETH
                                              1720715356001                                                    X
No                 No registra
                                                               No                    No registra   No
                                                                        No. registra                       registra      No.    indicadores
                                                             registra                provincia, registra
Persona_id               NOMBRE               No. ID (RUC)                 calle                           número      registra de ventas,
                                                             apellido                 cantón y   primer
                                                                         principal                         de calle     origen activos y/o
                                                             paterno                 parroquia nombre
                                                                                                           principal             empleados

 273530      MOREIRA BARCIA NIEVE BEATRIZ    1720720638001                                                    X
 271647      LEIVA GAVILANES JOSE ANTONIO    1720771789001                                                    X
 181360      CABRERA BAQUERO GIOVANNY ISMAEL 720847472001
                                             1                                                                X
 106176      CARVAJAL VERDEZOTO LILIA MARCIA 1720855095001                                                    X
 166931      ORTIZ UVIDIA YADIRA TATIANA     1720918661001                                                    X
 247145      CALDERÓN RODRIGUEZ XAVIER DAVID1720993375001                   X            X                    X
 265367      LARREA ARIAS JULIÁN MATÍAS      1721015681001                                                    X
 101533      BARRONUEVO TALAVERA ELISA MARIBEL
                                             1721026811001                                                    X
 148102      HIDALGO CAMACHO VANESSA FERNANDA1721088506001                                                    X
  12651      INDUSTRIAS METALICAS CONTINENTAL721138467001
                                             1                                                                X
 216562      CEVALLOS DELGADO ALVARO RAFAEL  1721210258001                                                    X
 275932      ALMACHI CONDOR MIGUEL ANGEL     1721267605001                                                    X
 233708      BERMEO POVEDA FLORESMILO        1721274130001                                                    X
 266450      FLORES DÁVILA BYRON JOSÉ        1721280855001                                                    X
 228334      AGUIRRE SÁNCHEZ ANDREA CAROLINA 1721376968001                                                    X
 197186      LOMBEIDA VERDEZOTO PAUL ARTURO1721378584001                                                      X
 212555      BOCCALON ACOSTA LUIS ALBERTO    1721422853001                                                    X
 232087      COLCHA MORALES RAUL GIOVANI     1721430161001                                                    X
 178697      GALLARDO CEVALLOS CAROLINA ALEXANDRA
                                             1721458931001                                                    X
 253524      CONCEICAO DASILVA DIONIZIO      1721573358001                                                    X
  34189      ANTON SANCHEZ JHON HERLYN       1721574091001                                                    X
 228959      MORALES CAMPOVERDE CAROL LEONOR 1721640983001                                                    X
 240966      CEDEÑO QUINTERO JOEL DAVID      1721661708001                                                    X
 195615      PILATUÑA GÓMEZ DARWIN SANTIAGO 1721715900001                   X            X                    X
 209812      MEJIA GIRALDO FAUSTO GIOVANNY 1721913026001                                                      X
 258888      RONCHIN LUCA                    1721919247001                                                    X
  43701      TANIA                           1722086202001                                                    X
 140901      VACA MEJIA CRISTIAN ANDRES      1722144225001                                                    X
 200503      TITUAÑA TIPAN JUAN PABLO        1722149174001                                                    X
 270694      CARRION CARRION MERCEDES JOSEFINA
                                             1722271093001                                                    X
 265358      GUEVARA SAA ROCIO               1722321740001                                                    X
No                 No registra
                                                               No                    No registra   No
                                                                        No. registra                       registra      No.    indicadores
                                                             registra                provincia, registra
Persona_id               NOMBRE               No. ID (RUC)                 calle                           número      registra de ventas,
                                                             apellido                 cantón y   primer
                                                                         principal                         de calle     origen activos y/o
                                                             paterno                 parroquia nombre
                                                                                                           principal             empleados

 168273      OLARTE DIAZ JOSE ALEXANDER      1722324629001                                                    X
 194637      NARANJO RODRIGUEZ ACISCLO       1722328380001                                                    X
  26121      COLINA GUARENAS NORELIS MIYAGROS1722329370001                                                    X
 263198      BAEZ PALMA DANILO GABRIEL       1722447214001                                                    X
 203834      SANCHEZ PASQUEL SONIA BEATRIZ 1722533310001                                                      X
 226496      CANENCIA GONZALEZ LUIS GABRIEL 1722596259001                                                     X
 143789      OÑA GUAMANI EMILIA KATHERINE    1722754353001                                                    X
 115937      SILIO ACOSTA CRISTHIAN PATRICIO 1722981014001                                                    X
 122718      LOPEZ TORRES MARTHA CECILIA     1723013056001                                                    X
 182977      QUINCOCES MITJAVILA EDURNE      1723198188001                                                    X
   9250      FERNANDO BUGLIANI PEARD         1723198568001                                                    X
 194399      REQUELME GUANGA AURA ELISA      1723272025001                                                    X
 162984      CERVANTES RONDON JUAN CARLOS 1723494207001                                                       X
  91963      SANCHEZ SATIZABAL LIDA ALBENIS  1723494637001                                                    X
 153414      TEZ GETIAL HECTOR ALIRIO        1723936165001                                                    X
 181783      MAKEEV TIMUR                    1723936553001                                                    X
 152884      PASTOR LLORENS JOSE OSCAR       1723938336001                                                    X
 225306      PAZ HERMOZA MARÍA SOCORRO       1724285125001                                                    X
 196886      TUFIÑO ESPÍN PATTERSON PAÚL     1725045106001                                                    X
 274915      ORTIZ BAILON JHONNY JAVIER      1725113490001                                                    X
 213344      TASCÓN VELASQUEZ LEONARDO       1725230823001                               X
 248978      FORTIN DUBE JEAN                1725232340001                                                    X
 269359      CEVALLOS GUANO SAMANTHA CAROLINA1726372145001                                                    X
 247215      SERRATO PLAZAS CARLOS ALBERTO 1726995077001                                                      X
 230217      RIVERO RODRÍGUEZ KEYTIA         1727057513001                                                    X
 240979      CONTRALORIA GENERAL DEL ESTADO 1760002360001                                X                                           X
 208361      CORPORACION FINANCIERA NACIONAL1760003090001                                X                                X          X
 262638      UNIVERSIDAD CENTRAL DEL ECUADOR1760005540001                                X                    X                      X
  47127      ESCUELA POLITÉCNICA NACIONAL    1760005620001                               X
 137035      BRIGADA BLINDADA GALAPAGOS      1768000970001                                                    X                      X
  41376      ASTINAVE                        1768010420001                                                    X                      X
No                 No registra
                                                              No                    No registra   No
                                                                       No. registra                       registra      No.    indicadores
                                                            registra                provincia, registra
Persona_id              NOMBRE               No. ID (RUC)                 calle                           número      registra de ventas,
                                                            apellido                 cantón y   primer
                                                                        principal                         de calle     origen activos y/o
                                                            paterno                 parroquia nombre
                                                                                                          principal             empleados

 220478      SERVICIO DE DRAGAS               1768012040001                                                  X           X
  46093      INSTITUTO OCEANOGRAFICO DE LA ARMADA
                                              1768012470001                                                  X
  56887      COMISARIATOS FAE QUITO           1768015060001                                                  X
 149660      COMISARIATO FAE LATACUNGA        1768027740001                                                  X
 233835      HOSPITAL EUGENIO ESPEJO          1768033980001                       X                                                 X
 196573      ESPE SAN ANTONIO                 1768050640001                                                  X
 230059      CASA DE LA CULTURA ECUATORIANA BENJAMÍN CARRIÓN SANTO DOMINGO DE LOS TSÁCHILAS
                                              1768080120001                       X                                                 X
 262603      FACULTAD DE ARQUITECTURA UCE     1768091400001                                                  X                      X
  83110      FACULTAD DE CIENCIAS QUIMICAS DE LA UCE
                                              1768092050001                                                  X                      X
 268982      CASA DE LA CULTURA ECUATORIANA BENJAMIN CARRION NUCLEO DE EL ORO
                                              1768100410001                       X                          X
 139610      CENTRO DE TRANFERENCIA Y DESARROLLO TECNOLÓGICO ESPE-CECAI
                                              1768116410001                                                  X                      X
 110633      JUNTA PARROQUIAL DE PERUCHO      1768118620001                                                  X                      X
  31728      CENTRO DE TRANSFERENCIAS Y DESARROLLO DE TECNOLOGÍAS
                                              1768121090001                                                  X
 251017      FACULTAD DE INGENIERÍA QUÍMICA   1768152720001                                                  X
  24863      CABLES ELECTRICOS ECUATORIANOS 1790010740001
                                              CABLEC C.A.                                                    X
  51983      REXPLASTICS S.A                  1790016846001                                                  X
    321      CORPORACIÓN FAVORITA             1790016919001                                                  X           X
  14498      3M ECUADOR                       1790017478001                                                  X
 176515      ALIMENTOS SUPERIOR ALSUPERIOR S.A.
                                              1790022765001                                                  X
 146429      PARIS QUITO S.A.                 1790030121001                                                  X
   5278      SEAFMAN SOCIEDAD ECUATORIANA DE ALIMENTOS Y FRIGORIFICOS MANTA, C.A.
                                              1790034305001                                                  X
   8131      INDUSTRIAL DANEC. S. A.          1790040968001                                                  X
   6932      DELLTEX INDUSTRIAL S.A.          1790046621001                                                  X
   3695      LABORATORIO FARMACEUTICO LAMOSAN 1790085503001                                                  X
   5359      MOTRANSA C.A.                    1790099938001                                                  X
 136877      CONCHITEX CIA LTDA               1790100448001                                                  X
   9182      INGENIERIAY COMERCIO             1790102947001                                                  X
   7685      QUIMICOS ASOCIADOS QUIMASOC S.A.1790116999001                                                   X
 111188      VICARIATO APOSTOLICO DE AGUARICO 1790161692001                                                  X
  19414      VICARIATO APOSTOLICO DE MENDEZ - 1790171620001
                                              MISION SALESIANA DE ORIENTE                                    X
 261699      IMPORTADORA VEGA S.A.            1790183750001                                                  X
No                 No registra
                                                              No                    No registra   No
                                                                       No. registra                       registra      No.    indicadores
                                                            registra                provincia, registra
Persona_id              NOMBRE               No. ID (RUC)                 calle                           número      registra de ventas,
                                                            apellido                 cantón y   primer
                                                                        principal                         de calle     origen activos y/o
                                                            paterno                 parroquia nombre
                                                                                                          principal             empleados

  56761      INGENIERIA ANDINA BROMCO INA BROMCO CIA.LTDA.
                                              1790196437001                                                  X
  50060      TECNICENTRO EGUIGUREN S.A.       1790202321001                                                  X
 143190      AGRI-GENETIC S.A                 1790203409001                                                  X
   4714      SIEMENS SA                       1790219526001                                                  X
  41388      NOVARTIS ECUADOR S.A.            1790233332001                    X
   5371      CYEDE CIA. LTDA.                 1790236218001                                                  X
   4876      CHAIDE YCHAIDE S.A.              1790241483001                                                  X
  60356      COTELAR CIA.LTDA.                1790247872001                                                  X
   2935      TEXTIL SAN PEDRO                 1790249646001                                                  X
 186393      VENTA,PROVISIÓN E INSTALACIÓN DE ACABADOS
                                              1790253856001                                                  X
  78679      MAMUT ANDINO C.A.                1790266443001                                                  X
 245767      COMPAÑÌA TELEVISIÒN DEL PACÌFICO TELEDOS S.A
                                              1790272036001                    X
   7422      MARESA                           1790279901001                                                  X
   1320      ECUAEX                           1790313581001                                                  X
  76480      MOLDEC S.A.                      1790320219001                                                  X
   6916      BAGANT ECUATORIANA CIA. LTDA.    1790322491001                                                  X
  43556      COMPAÑIA ECUATORIANA TECNICA ALARCON CIA. LTDA.
                                              1790346463001                                                  X
 144844      INDUSTRIAS CLAVEC                1790347265001                                                  X
 183769      COOPERATIVA DE TRANSPORTES EN VOLQUETAS CIUDAD DEL COLORADO
                                              1790360474001                                                  X
 167793      CÁMARA DE LA CONSTRUCCIÓN DE QUITO
                                              1790369390001                                                  X
   9206      COMPAÑIA VERDU SOCIEDAD ANONIMA  1790370240001                                                  X
   5697      BLENASTOR C.A.                   1790378489001                                                  X
  20184      LAAR CIA. LTDA.                  1790403343001                                                  X
  41344      POSTES Y LINEAS ELECTRICAS POSTELEC C. LTDA.
                                              1790403556001                                                  X
  61094      CONSTRUCTOQUIMICA C. LTDA.       1790407667001                                                  X
  65139      CONCLINA C.A.                    1790412113001                                                  X
   5648      DURALLANTA S.A.                  1790425282001                                                  X
   5655      INGENIERIA DE INCENDIOS LEVO     1790435024001                                                  X
 247231      ASOCIACION ECUATORIANA DE INDUSTRIALES DE LA MADER
                                              1790458342001                                                  X
  23202      SURIMAX                          1790468674001                                                  X
  62427      SERVICIOS MANTENIMIENTO Y RECONSTRUCCION DE CARROCERÍAS SEMACAR CIA LTDA
                                              1790484009001                                                  X
No                 No registra
                                                              No                    No registra   No
                                                                       No. registra                       registra      No.    indicadores
                                                            registra                provincia, registra
Persona_id              NOMBRE               No. ID (RUC)                 calle                           número      registra de ventas,
                                                            apellido                 cantón y   primer
                                                                        principal                         de calle     origen activos y/o
                                                            paterno                 parroquia nombre
                                                                                                          principal             empleados

  75666      BDG                               1790508196001                                                 X
  94082      AYA ALARCON Y ALARCON CIA. LTDA. 1790517314001                                                  X
 183733      COOPERATIVA DE TRANSPORTES DE CARGA EN VOLQUETAS MINAS DEL TOACHI
                                               1790540375001                                                 X
   1564      GRUPOK                            1790665313001                                                 X
   2867      PRODUCTOS MECANICOS PROMECYF 1790705455001                                                      X
  33897      GLAXOSMITHKLINE ECUADOR S.A.      1790717658001                   X
 164450      CORPORACION DE PROMOCION UNIVERSITARIA
                                               1790736008001                                                 X
  62634      DREINCO CIA. LTDA.                1790748154001                                                 X
 148413      SIKA ECUATORIANA S.A              1790753573001                                                 X
  61457      ECUATORIANA DE SERVICIOS LORAVER CIA. LTDA.
                                               1790825019001                                                 X
   3566      TECNISTAMP GASESPOL CEM           1790849465001                                                 X
  65336      FABRIPOSTE C.A FAPOSCAN           1790877035001                                                 X
  20597      SOLO DEL ECUADOR, SECIAL CIA LTDA1790893065001                                                  X
 271656      HIDALPAN CIA. LTDA. PANIFICADORA PASTELERÍA
                                               1790894185001                                                 X
 154011      CAMARA DE COMERCIO DE QUITO       1790899780001                                                 X
 164028      SOCIEDAD DE MADRES SALESIANAS 1790941450001                                                     X
  68350      GRUPO EDITORIAL NORMA ECUADOR S.A.1790942708001             X                                   X                      X
 259927      FUNDACION MUNDO JUVENIL           1790947653001                                                 X
 226843      ASOCIACIÓN DE GANADEROS SANTO DOMINGO DE LOS COLORADOS
                                               1790953971001                                                 X
 115410      CICLOCOM S.A.                     1790982106001                                                 X
 206533      ASOCIACION DE DIRECTORES DE PERSONAL DE PICHINCHA ADPP
                                               1790998436001                                                 X
 251585      QUIMICOS ANDINOS QUIMANDI S.A     1791002156001                                                 X
 111195      FOMALGO FOMENTO ALGODONERO 1791045203001                                                        X
 195626      COOPERATIVA DE TRANSPORTES DE PASAJEROS EN BUSES LLANO GRANDE
                                               1791055683001                                                 X
  18433      CONSTRUCTORA AFLOCON              1791062434001                                                 X
  29958      COMPAÑIA ANDINA DE ALIMENTOS VINOS Y ESPIRITOSOS CAVES S.A. EMA
                                               1791137728001                                                 X
  46818      CONSTRUCIONES, SERVICIOS Y MONTAJES COSMOS S.C.
                                               1791143973001                                                 X
  57655      EDICENTRAL S.A.                   1791166582001                                                 X
 148272      VACAMENA QUIMICOS Y SERVICIOS CIA LTDA.
                                               1791167619001                                                 X
 176543      ALSAD                             1791169077001                                                 X
  61180      FUMIGADORA NACIONAL FUMINA C.LTDA.1791210123001                                                 X
No                 No registra
                                                              No                    No registra   No
                                                                       No. registra                       registra      No.    indicadores
                                                            registra                provincia, registra
Persona_id              NOMBRE               No. ID (RUC)                 calle                           número      registra de ventas,
                                                            apellido                 cantón y   primer
                                                                        principal                         de calle     origen activos y/o
                                                            paterno                 parroquia nombre
                                                                                                          principal             empleados

  45461      TRANSPORTES NOROCCIDENTAL CÍA. LTDA.
                                               1791237986001                                                 X
 185185      MAYA EDICIONES C. LTDA.           1791239237001                                                 X
  81608      FUNDACION BOTANICA DE LOS ANDES1791242343001                                                    X
  79499      CONSORCIO ECUATORIANO DE TELECOMUNICACIONES S.A. CONECEL
                                               1791251237001                                                 X
  13042      SISTEMAS AVANZADOS EN ELECTROMEDICINA
                                               1791252802001                                                 X
  41986      DISTRIBUIDORA MERCANTIL ORIENTAL1791254945001
                                                DIMERON CIA.LTDA.                                            X
   4247      DISTRIBUIDORA DIPROMEDICO         1791262972001                                                 X
  44317      INVESTIGACION, VIGILANCIA E INTRUCCION INVIN CIA. LTDA.
                                               1791268946001                                                 X
   8221      EQUIVIDA DE SEGUROS Y REASEGUROS  1791273486001                                                 X
 111028      FUNDACION DE AMPARO Y FORMACION INTANTIL PADRE JOSE KENTENICH
                                               1791273729001                                                 X
 272530      ORDEN HOSPITALARIA DE SAN JUAN DE DIOS EN EL ECUADOR
                                               1791274210001                                                 X
 172584      GUTIERREZ Y GUTIERREZ CONSULTING S.A.
                                               1791275543001                                                 X
  49516      NEUMATICOS Y CADENAS NEUMAC S.A. 791276760001
                                               1                                                             X
   7432      MONTGAR C.A.                      1791276779001                                                 X
    907      MECANOGRAFICA, MAQUINAS Y EQUIPOS DE COPIADO ALFANUMERICOS Y GRAFICOS
                                               1791279034001           X                                     X
 127488      LAARCOM COMUNICACIONES Y SEGURIDAD CÍA LTDA
                                               1791291182001                                                 X
  41692      ADQUISICION DE DATOS Y CONTROL D.A.&C. CIA. LTDA.
                                               1791291573001                                                 X
 212503      GRUCAREL CIA. LTDA.               1791292383001                                                 X
 172050      COMPANIA DE SERVICIOS GENERALES1791293878001
                                               SILVA RODAS                                                   X
 129543      ASOCIACION DE CANALES DE TELEVISION DEL ECUADOR
                                               1791294696001                                                 X
  41147      ECUATORIANA DE CONSTRUCCIONES S.A.1791307275001                                                 X
  82287      VETFARM CÍA LTDA                  1791309774001                                                 X
   9031      TABLELECTRIC                      1791310837001                                                 X
 278694      ESMERALDAS GAS OIL ESGAS OIL      1791311442001                                                 X
 110966      TREFILADOS DEL ECUADOR TREFILEC 1791320212001
                                               CIA. LTDA.                                                    X
 163247      SEGPROSER CIA. LTDA.              1791322169001                                                 X
 106907      AUDITORIA AMBIENTAL LTDA.         1791334302001                                                 X
 173669      UNIVERSIDAD INTERNACIONAL DEL ECUADOR
                                               1791339207001                                                 X
  29572      MAQUINARIAS COPIADORAS SUMINISTROS DE OFICINA MCCOPY CIA LTDA
                                               1791341732001                                                 X
 196205      DISTRIBUIDORA FAMILIAR S.C        1791343530001                                                 X
 210552      POWERSYS                          1791345266001                                                 X
No                 No registra
                                                              No                    No registra   No
                                                                       No. registra                       registra      No.    indicadores
                                                            registra                provincia, registra
Persona_id              NOMBRE               No. ID (RUC)                 calle                           número      registra de ventas,
                                                            apellido                 cantón y   primer
                                                                        principal                         de calle     origen activos y/o
                                                            paterno                 parroquia nombre
                                                                                                          principal             empleados

 260398      FUNDACION VIRGEN DE LA MERCED 1791347188001                                                     X
  25519      HERNANDO TRUJILLO DEL ECUADOR S.A.
                                              1791350847001                                                  X
  31128      JUSTICECOMPANY TECNICA INDUSTRIAL S.A.
                                              1791355512001                                                  X
  49953      TECNOQUIMICAS DEL ECUADOR S.A. 1791359372001                                                    X
  29267      TUBERIAS TORTUGA TUBERTOR CIA LTDA
                                              1791360478001                                                  X
 170308      SCANPACK                         1791360494001                                                  X
  10340      AUTOPLAZAPUSUQUI                 1791362004001                                                  X
 117556      COOPERATIVA DE AHORRO Y CREDITO1791367359001 LOS BANCOS
                                               SAN MIGUEL DE                                                 X
  37155      ASOCIACIÓN O CUENTAS EN PARTICIPACIÓN NUTRIVITAL
                                              1791372786001                                                  X
  54856      FUNDACION ACCION SOCIAL INTEGRAL MULTISECTORIAL
                                              1791380037001                                                  X
  63995      EL QUESO FRANCÈS S.A.            1791394836001                                                  X
 171676      PROVEXCAR CIA LTDA               1791396197001                                                  X
  74888      CENTRO DE ESPECIALIDADES MEDICAS S. A. CENESMED
                                              1791397142001                                                  X
 116491      TECWARE TECNOLOGÍAS              1791402340001                                                  X
   1370      METALECTRO S.A.                  1791403215001                                                  X
 133847      KORN FERRY INTERNACIONAL         1791404750001                                                  X
  33857      MERSEGURIDAD                     1791407776001                                                  X
   8848      MEQ SELECTIVE CIA. LTDA.         1791409329001                                                  X
 111936      ECUAROLLERS ECUATORIANA DE RODILLOS CIA. LTDA.
                                              1791411471001                                                  X
  86775      OILSERVICE S.A.                  1791412605001                                                  X
  65220      COMPAÑIA DE GENERACION TERMOELECTRICA PICHINCHA TERMOPICHINCHA S.A.
                                              1791412877001          X                                       X                      X
  75776      SCANNEREXPRESS SEGURIDAD INTEGRADA CIA. LTDA.
                                              1791412958001                                                  X
 218681      CONSTRUCTORA BRAVO CONSBRAVO 1791414047001
                                              CIA. LTDA.                                                     X
 174353      SOLAGREMSA SOLAGRO               1791414306001                                                  X
  62340      RECARMET CIA LTDA                1791415477001                                                  X
 180602      FAEMPROCA CIA. LTDA.             1791421655001                                                  X
 142638      ASOCIACION MERCANTIL PROCESADORA DE AGUA PROLAGO
                                              1791426509001                                                  X
  73984      ASOCIACIÓN ECUATORIANA DE SOFTWARE, AESOFT
                                              1791430700001                                                  X
 148570      ARTEAGRICOLA CIA.LTDA            1791431227001                                                  X
  46585      IMPORAGUASA                      1791432029001                                                  X
 260703      COMPAÑIA DE TRANSPORTES 2.000 S.A. TRANSDOSMIL
                                              1791436326001                                                  X
No                 No registra
                                                               No                    No registra   No
                                                                        No. registra                       registra      No.    indicadores
                                                             registra                provincia, registra
Persona_id              NOMBRE                No. ID (RUC)                 calle                           número      registra de ventas,
                                                             apellido                 cantón y   primer
                                                                         principal                         de calle     origen activos y/o
                                                             paterno                 parroquia nombre
                                                                                                           principal             empleados

 178140      FUNDACIÓN FILARMÓNICA CASA DE LA1791703200001
                                               MÚSICA                                                         X
  51246      COOPERATIVA DE CONSTRUCCIONES PARA EL PUEBLO VENCEREMOS
                                              1791703340001                                                   X
  44019      ANDICONSULT CONSULTORES ANDINOS CIA LTDA
                                              1791705793001                                                   X
  45950      COMITÉ PRODEFENSA DE LOS DERECHOS DE LOS NIÑOS DE ALOASÍ
                                              1791707206001                                                   X
  49882      CELLSYSTEM                       1791711122001                                                   X
 189461      TRUJILLO DUQUE E HIJOS CIA. LTDA 1791712374001                                                   X
  64854      CONSTRUIR FUTURO S.A.            1791713311001                                                   X
 242162      AMERIARTS S.A.                   1791714512001                                                   X
 184513      HIERBAS NATURALES Y MEDIICINALES 1791715594001
                                              DE PUSUQUI S.A.                                                 X
  27688      PROSOURCING CIA. LTDA.           1791728033001                                                   X
 254900      GARINMOPOINT                     1791739418001                                                   X
 178560      VOLECAM S.A.                     1791742907001                                                   X
  77101      CENTRO OFTALMOLOGICOS CONOFT CIA. LTDA.
                                              1791743091001                                                   X
  66898      BOLIVAR INTERNATIONAL SUPPLY BIS S.A.
                                              1791743164001                                                   X
  52169      INSTITUTO PERPETUO SOCORRO       1791744438001                                                   X
 179407      PROVINCIA SANTA CATALINA DE SIENA1791748654001
                                               ORDEN DE PREDICADORES EN EL ECUADOR                            X
 152517      FUNDACION SAN LEONARDO MURIALDO  1791750365001                                                   X
  60440      SUMINISTROS HIDRAULICOS S.A.     1791751655001                                                   X
  23321      COMPANIA DE SERVICIOS ELECTROMECANICOS PARA EL DESARROLLO
                                              1791752414001                                                   X
  81997      ALIMENTOS BALANCEADOS DEL ECUADOR ECUABIOMIX S.A.
                                              1791753216001                                                   X
  72935      PROMIGPART CIA. LTDA.            1791754271001                                                   X
  60971      MOELECTRICITY MANTENIMIENTO OPERACION Y MONTAJE
                                              1791754530001                                                   X
 237120      JUNIOR ACHIEVEMENT ECUADOR       1791763718001                                                   X
  61107      NICANOR LARREA & ASOCIADOS CIA.LTDA.
                                              1791766202001                                                   X
   719       MATELBRAS CIA. LTDA.             1791769147001                                                   X
 249574      VASQUEZ Y ASOCIADOS, ASIMCOM, CIA. LTDA.
                                              1791769740001                                                   X
 239301      EMULSIONES DEL ECUADOR EMULDEC1791773268001
                                               CIA. LTDA.                                                     X
  27683      SUARSISCOMP                      1791773896001                                                   X
 190980      ALTE FRANK HERKEN                1791789946001            X         X                            X
 146010      CORPORACIÓN COMUNITARIA DE SALUD HOSPITAL PEDRO VICENTE MALDONADO
                                              1791790537001                                                   X
  49383      SERIGRÚAS CÍA. LTDA.             1791795067001                                                   X
No                 No registra
                                                                No                    No registra   No
                                                                         No. registra                       registra      No.    indicadores
                                                              registra                provincia, registra
Persona_id               NOMBRE                No. ID (RUC)                 calle                           número      registra de ventas,
                                                              apellido                 cantón y   primer
                                                                          principal                         de calle     origen activos y/o
                                                              paterno                 parroquia nombre
                                                                                                            principal             empleados

 208681      PROYECTOS.COM                    1791796365001                                                    X
 138480      FUNDACIÓN ECUATORIANA PARA EL DESARROLLO MARÍTIMO FLUVIAL Y LACUSTRE
                                              1791798228001                                                    X
  45694      SERVICIOS FERRETEROS MITAD DEL MUNDO SERMIFER CIA LTDA
                                              1791801229001                                                    X
  43863      ECUATORIANA DE DISEÑO OCTACORP 1791801938001
                                              S.A.                                                             X
   5001      SERVICIOS TECNICOS INDUSTRIALES K-STI CIA LTDA
                                              1791804767001                                                    X
  42600      COMPAÑIA DE ALQUILER Y SUMINISTROS PETROLEROS R.S. ROTH S.A.
                                              1791805348001                                                    X
 130315      COMPAÑIA FILIAL DE TRANSPORTES PETROLEROS
                                              1791805372001                                                    X
 264839      ASOCIACION DE CAMPESINOS NUEVO AMANECER
                                              1791805461001                                                    X
   9314      ORIENTOIL                        1791808398001                                                    X
  47871      ECUAFARMACIAS $ ASOCIADOS S.A. 1791809092001                                                      X
 163642      SERVASAN                         1791810805001                                                    X
  42049      DIGITAL SERVICE SOLUCIONES TÉCNICAS PROFESIONALES CÍA. LTDA.X
                                              1791811046001                                                    X                      X
 173263      EMPRESA ECUATORIANA DE OPERACIONES AGROPECUARIAS ECOAGRO S.A.
                                              1791811232001                                                    X
 245729      LOGIFARM CIA. LTDA               1791812638001                                                    X
 103084      ANLUSEG CONLUSEG CIA. LTDA.      1791812727001                                                    X
  12561      AUTOBOXES CIA LTDA               1791812999001                                                    X
  56054      WIÑAR CURI CIA. LTDA.            1791814150001                                                    X
 100060      COMERCIAL ARWALIC S.A.           1791816471001                                                    X
 129306      DISTRIBUIDORA LA ESPERANZA S.A. 1791816501001                                                     X
 272851      TOURVANFRIEND CIA.LTDA           1791817745001                                                    X
  13430      TRANSGRUE                        1791818040001                                                    X
  67993      PRODUCCION BIOTECNOLOGIA GENTICA Y SERVICIOS AGROPECUARIOS
                                              1791818172001                                                    X
   5072      DSM NUTRITIONAL PRODUCTS ECUADOR S.A.
                                              1791820908001                                                    X
  90148      ITALTEL S.A.                     1791821424001                                                    X
  27656      COIMPREQ CIA LTDA                1791822471001                                                    X
 253143      FUNDACION CONSULTORIOS JURIDICOS GRATUITOS DE LA PUCE
                                              1791823931001                                                    X
  16929      CONSTRUCTORA CIMA                1791828941001                                                    X
  67848      TRADE & TRADE SERVICIOS DE TRADE 1791829727001
                                              MARKETING                                                        X
  79330      CONPAÑIA DE SEGURIDAD Y VIGILANCIA PRIVADA OSWALDO LOAYZA ICAZA OLY CIA LTDA.
                                              1791835689001                                                    X
  56973      UNIVERSIDAD SAN FRANCISCO DE QUITO- USFQ
                                              1791836154001                                                    X
 239279      INMOBILIARIA LARES S. A.         1791841409001                                                    X                      X
No                 No registra
                                                               No                    No registra   No
                                                                        No. registra                       registra      No.    indicadores
                                                             registra                provincia, registra
Persona_id              NOMBRE                No. ID (RUC)                 calle                           número      registra de ventas,
                                                             apellido                 cantón y   primer
                                                                         principal                         de calle     origen activos y/o
                                                             paterno                 parroquia nombre
                                                                                                           principal             empleados

   9486      MEDITERRANEO COMUNICACION         1791841565001                     X
 243663      MINDO CLOUDFOREST FOUNDATION 1791846931001                                                       X
 177643      CENTRO DE ANALISIS Y ADMINISTRACION DE RIESGOS
                                               1791851838001                                                  X
  55121      ABUELITOS DE LA CALLE             1791854403001                                                  X
  85021      GESTNOVA TECNIC SOCIEDAD ANONIMA LABORAL
                                               1791857399001                                                  X
 168099      CORECAFE S.A.                     1791861396001                                                  X
   6467      NOKIA SIEMENS NETWORKS ECUADOR1791862295001
                                                S.A.                                                          X
  45965      WOOD GROUP DE ECUADOR S.A.        1791866770001                                                  X
 127402      CENTRO SALESIANO DE ESPIRITUALIDAD "SAN PATRICIO"
                                               1791867912001                                                  X
  98471      EVALUACIÓN DE CALIDAD DE SERVICIOS AL PUBLICO
                                               1791868811001                                                  X
 154602      PECATRANS S.A.                    1791871596001                                                  X
 136268      GOANSA S.A.                       1791871774001                                                  X
 141086      FEDERACION NACIONAL DE CAMARAS DE AGRICULTURA DEL ECUADOR
                                               1791875605001                                                  X
 157237      H.G.A RAMPAS DEL ECUADOR S.A.     1791875915001                                                  X
  16363      CONSTRUCTORA CHIPANTASIG ASOCIADOS1791876245001                                                  X
 215876      DISTRILARK S.A.                   1791877063001                                                  X
 239259      EURO HOME S. A.                   1791877330001                                                  X
  41946      BAYLEY                            1791880897001                                                  X
 175328      VOLQUETRANS S.A.                  1791882164001                                                  X
 178366      SERVICIO GALARDIESEL CIA. LTDA.   1791883705001                                                  X
  27772      QUALITEST INTERNATIONAL INSPECTION SERVICES S.A
                                               1791883926001                                                  X
  21119      CONSTRUCTORA EXPLOTBUILD CIA LTDA 1791887247001                                                  X
   1120      PIRÁMIDE DIGITAL                  1791892267001                                                  X
 276136      MAQVIA CONSULTORES CIA. LTDA.     1791892496001                     X                            X           X
  52260      FIDEL VILLAVICENCIO PROVEDURIA Y SERVICIOS CIA. LTDA.
                                               1791898605001                                                  X
 146461      JORANT PETROLEUM SERVICES S.A. 1791900413001                                                     X
 113601      COSESUPA CIA LTDA                 1791900588001                                                  X
 112952      FUNDACION DE OBSTETRICES MADRE 1791900901001
                                               Y FAMILIA                                                      X
 168993      AG TRADING                        1791901398001                                                  X
  92230      SOLMAQUITRANS S.A.                1791904125001                                                  X
 187430      CENTRO DE COMERCIALIZACION DE TECNOLOGIAS INNOVADORAS CENTRIX CIA. LTD.
                                               1791905547001                                                  X
No                 No registra
                                                               No                    No registra   No
                                                                        No. registra                       registra      No.    indicadores
                                                             registra                provincia, registra
Persona_id               NOMBRE               No. ID (RUC)                 calle                           número      registra de ventas,
                                                             apellido                 cantón y   primer
                                                                         principal                         de calle     origen activos y/o
                                                             paterno                 parroquia nombre
                                                                                                           principal             empleados

  33606      CASFERMARC CONSTRUCTORES          1791907345001                                                  X
  48055      CORPORACION CFC                   1791913590001                                                  X
  95868      FORESTMARIANN REFORESTACIÒN Y REVEGETACIÒN CIA. LTDA.
                                               1791917766001                                                  X
 244628      GASOLINAS Y SERVICIOS PEREZ HINOJOSA CIA. LTDA
                                               1791918673001                                                  X
 122905      TV DIGITAL SA                     1791924940001                                                  X
 101616      BMI IGUALAS MÉDICAS DEL ECUADOR S.A.
                                               1791927559001                                                  X
   5909      PLASTICSACKS CIA.LTD              1791931750001                                                  X
 195786      CRIOLLO LIVIAPOMA JOSE ONIAS      1791932285001                                                  X
 165528      FERRETERIA S.T.I. S.C.            1791934458001                                                  X
  37067      SCM HIPERCOMISARIATOSBL           1791940318001                                                  X
 247848      OIL - TOOLS SUPPLY. (SUPLIDORES DE1791941225001 Y MATERIALES PETROLEROS)
                                               HERRAMIENTAS                                                   X
 147944      INTERPEÑA CIA. LTDA.              1791941632001                                                  X
  61769      CONSTRUCTORA HUGO Y CALDERON SA   1791942701001                                                  X
  28729      PLADELFIN PLASTICOS DEL FIN S.A.  1791943937001                                                  X
  64630      EKRON CONSTRUCCIONES S.A.         1791945395001                                                  X
 122948      ELITETV S.A.                      1791945573001                                                  X
 145013      CONSTRUCTORA VIVANCO GALLEGOS 1791948521001
                                               S.A                                                            X
  80367      QUINDE ARTE S.A.                  1791948580001                                                  X
  52572      GALARZA Y ASOCIADOS CONSULTORES791949021001
                                               1                                                              X
 232123      DISEÑOS, CONSTRUCCIONES, PROMOTORES DICOPROM CIA. LTDA.
                                               1791951662001                                                  X
 108656      COMPAÑIA INMOCARDAL CIA LTDA      1791953398001                                                  X
   5159      BIGBRANCH                         1791955528001                                                  X
  36562      FUNDACION SSB CAPACITATE          1791959248001                                                  X
  32072      FUNDACION REINA DE TANICUCHI      1791967003001                                                  X
  50811      CONCITRA COMPAÑIA LIMITADA        1791968867001                                                  X
   8314      PASONDGS ECUADOR S. A.            1791977084001                                                  X
  28683      HENNINGER JORG OTTO               1791977661001                                                  X
 219051      ASEFLEX ASESORIA Y VENTAS DE EMPAQUES FLEXIBLES CIA LTDA
                                               1791978145001                                                  X
 240423      S.C. COMERCIAL SAN JOSE           1791980220001                                                  X
 140095      SKYAIR CIA. LTDA.                 1791986784001                                                  X
  64787      INGEMASTER INGENIERIA Y REPRESENTACIONES S.A
                                               1791987780001                                                  X
No                 No registra
                                                              No                    No registra   No
                                                                       No. registra                       registra      No.    indicadores
                                                            registra                provincia, registra
Persona_id              NOMBRE               No. ID (RUC)                 calle                           número      registra de ventas,
                                                            apellido                 cantón y   primer
                                                                        principal                         de calle     origen activos y/o
                                                            paterno                 parroquia nombre
                                                                                                          principal             empleados

  86401      FUNDACION DE APOYO A LA EDUCACION CICERON
                                              1791992075001                                      X
 100702      PEC PROJECT ENGINEERING & CONSTRUCTION CÍA. LTDA.
                                              1791992571001                                      X
  57424      RENALCENTRO S.A.                 1791994965001                                      X
  67466      RUMILOMA LODGE                   1791995449001                                      X
  35934      VALORES EMPRESARIALES SUPPLIERS1792001463001
                                               S.A. SOLSUPPLY                                    X
 213739      MOVINGTRADE S.A.                 1792010500001                                      X
  43757      EGOLEX S.A                       1792011086001                                      X
    793      PROAÑO REPRESENTACIONES S.A.     1792013496001            X                         X
 140503      CORPORACION SISTEMA DE INVESTIGACIÓN SOBRE LA PROBLEMÁTICA AGRARIA EN EL ECUADOR
                                              1792015308001                                      X
 174656      MINDOCLOUD AVENTURA CONNECT 1792016339001                                           X
  80843      ZALDUMBIDE SOSA E HIJOS CIA LTDA 1792016967001                                      X
 257030      AUTOMOTORES DEL VALLE VALLEMOTORS S.A.
                                              1792022169001                                      X
 187523      VIDAL CONSTRUCCIONES CIA LTDA    1792022347001                                      X
   9440      CANTABRIA ENERGY COMPANY         1792026512001                                      X
 117567      PUBLICIDAD ACTIVA PUBACTIV       1792029953001                        X
  78320      UNIACERO CÍA. LTDA.              1792031109001                                      X
  41578      CENTRO DE TRANSFERENCIA Y DESARROLLO DE TECNOLOGIAS DE LA UNIVERSIDAD SAN FRANCISCO DE QUITO
                                              1792031915001                                      X
 202118      MICROEMPRESA ASOCIATIVA PARA LA 1792033845001
                                              REGION AMAZONICA ECUATORIANA                       X
 257185      COMERCIALIZACION DISTRIBUCION DE1792038162001
                                               MATERIAL PETREO CORDIMAPET.CIA.LTDA               X
  78649      CEMDEPOT CIA LTDA                1792042062001                                      X
 234168      TUSODI CIA LTDA                  1792043557001                                      X
  43546      MARTIN EMILIO MARTINE CIA LTDA   1792043921001                                      X
 151620      ALPAX ADVISORS CIA. LTDA.        1792044189001                                      X
  23313      HORMIGONERA ESMERALDAS           1792046068001                                      X
 223055      VYTPI S.A                        1792047277001                                      X
 188462      EMAGIC NEGOCIOS ELECTRONICOS S.A.1792049989001                                      X
 203495      EQUIMPORT                        1792051665001                                      X
 225552      MADERERA TORRES POZO CIA.LTDA 1792055970001                                         X
    795      SERVICIOS ASESORÍA Y VENTAS SAV HEMISFERIO
                                              1792059313001                                      X
  41596      MULTIFRIO S.C.C.                 1792060621001                        X             X
  55493      REPRESENTACIONES MEDICAS S.G. REMESIG S.A.
                                              1792060842001                                      X
No                 No registra
                                                               No                    No registra   No
                                                                        No. registra                       registra      No.    indicadores
                                                             registra                provincia, registra
Persona_id              NOMBRE                No. ID (RUC)                 calle                           número      registra de ventas,
                                                             apellido                 cantón y   primer
                                                                         principal                         de calle     origen activos y/o
                                                             paterno                 parroquia nombre
                                                                                                           principal             empleados

 121600      JOSE CARRERA VINUEZA E HIJOS CIA. LTDA.
                                               1792063515001                                                  X
 100624      INFASEC CIA LTDA                  1792064953001                                                  X
  62709      EQUITRAMCOR CIA. LTDA.            1792067111001                                                  X
  13097      COMERCIALIZADORA LEO KON KOREA 1792069513001                                                     X
  73465      ECOLUNBER ENERGY S.A.             1792069629001                                                  X
 107117      METALICOS Y CONSTRUCCIONES SORES CIA. LTDA.
                                               1792069688001                                                  X
 254084      SISTINPROPET S.A.                 1792072131001                                                  X
 247942      TRABAJOSA CIA LTDA                1792074053001                                                  X
  11122      JARAMILLO GOMEZ CONSTRUCTORES 1792074770001                                                      X
  98170      TECNOLOGIA EN PLANTAS TECNIPLANT S.A
                                               1792075645001                                                  X
 236659      FINANTRADE S.A.                   1792075998001                                                  X
  31945      WSGUERRA                          1792079624001                                                  X
 258010      ASOCIACION LIDERES DEL FUTURO     1792079659001                             X                                           X
 266634      LATINLISTS S.A.                   1792083400001                                                  X
 106437      NCE CONSTRUCCIONES S.A.           1792085128001                                                  X
  61749      GEOMETRAL CIA. LTAD.              1792085403001                                                  X
   3781      CASTER ECUADOR CASTECUADOR CIA1792085683001
                                                LTDA                                                          X
 181691      COMPAÑIA DE TRANSPORTE PESADO COFREI S.A.
                                               1792087422001                                                  X
   3015      ECOCONTROL SANEAMIENTO AMBIENTAL  1792088534001                                                  X
 169899      MINTEGUIAGA ANALIA MARA           1792091411001                                                  X
  91209      EL GUANDERAL                      1792092183001                                                  X
  88675      COMERCIALIZADORA INTERCONTINENTAL COMERINTER S.A.
                                               1792092582001                                                  X
  15944      BIOCENTRICSOL CIA LTDA            1792092809001                                                  X
 235723      TECNOHELP S.A.                    1792093988001                                                  X
 223699      INFORMATION TECHNOLOGIES ITWORKS CIA. LTDA.
                                               1792094119001                                                  X
 232646      COMPAÑIA DE TRANSPORTES TRANSBALCAZAR S.A
                                               1792096561001                                                  X
 208662      SOLUCIONES INDUSTRIALES DEL ECUADOR SOLINDUSA S.A.
                                               1792098467001                                                  X
  48266      MALETERIA CHIMBORAZO MALECHIM CIA. LTDA.
                                               1792098955001                                                  X
 154272      MEGAVEHICULOS S.A                 1792100828001                                                  X
 104606      MARTINEZ CHÁVEZ Y ASOCIADOS       1792102049001                                                  X
  22142      NAWESCORP                         1792102340001                                                  X
No                 No registra
                                                              No                    No registra   No
                                                                       No. registra                       registra      No.    indicadores
                                                            registra                provincia, registra
Persona_id              NOMBRE               No. ID (RUC)                 calle                           número      registra de ventas,
                                                            apellido                 cantón y   primer
                                                                        principal                         de calle     origen activos y/o
                                                            paterno                 parroquia nombre
                                                                                                          principal             empleados

 226223      KONCYSTE CONSTRUCCIONES         1792103290001                                                   X
  25072      CARDENAS CONSTRUCCIONES CIA. LTDA.
                                             1792104807001                                                   X
   804       SERVICIOS COMERCIALES, ADMINISTRATIVOS Y DE TRANSPORTE
                                             1792106753001                                                   X
  41683      HUAYRA CAUSAY                   1792106869001                                                   X
 104288      ORECONS CIA. LTDA.              1792107253001                                                   X
  46910      CLINICA UNIVERSITARI            1792110491001                                                   X
  14342      SELVA NORTE                     1792111668001                                                   X
  58957      PROOFCHEMICAL S.A.              1792112435001                                                   X
  82886      SIPACONSE CIA. LTDA.            1792112877001                                                   X
 117718      ARIHANT MEDICINES ECUADOR CIA.LTDA
                                             1792118654001                                                   X
 240680      CENTRO DE DESARROLLO COMUNITARIO BUEN PASTOR YARUQUI
                                             1792119162001                                                   X
  67051      ORDOÑEZ VACA                    1792125502001                                                   X
  69097      ALOAGAS CIA. LTDA.              1792128919001                                                   X
  48192      ASOCIACION DE CONSERVACION VIAL 27 DE FEBRERO
                                             1792129559001                                                   X
  44679      MICROEMPRESA ADOQUINERA COLINAS DEL NORTE
                                             1792134471001                                                   X
  18589      CONSFLO CONSTRUCTORA FLORES 1792135567001                                                       X
 217930      SOLVENTIA PUBLICIDAD S.A.       1792136938001                              X
  14270      INDUSTRIA CEDENO GUERRA CIA LTDA1792137942001                                                   X
  25185      ASOCIACION AUDITOR EXTERNO DIRE 1792138469001                                                   X
  65868      COMFRANKLIN CIA. LTDA           1792138841001                                                   X
  70116      CONSORCIO CARVAJAL ORTEGA       1792141052001                                                   X
  73067      ASOCIACION DE CONSERVACION VIAL SAN JACINTO DEL BUA
                                             1792141648001                                                   X
 224698      COMPANIA TROLEBUS QUITO SA      1792141923001                              X                    X           X          X
 240299      INTEGRITY SOLUTIONS INTSOLUTIONS1792143144001
                                              CIA. LTDA.                                X
 181219      EXPOPETROIL CIA. LTDA           1792143330001                                                   X
  34074      CONSORCIO AFLOCON & PALACIOS    1792143969001                                                   X
  54796      PRUEBAS NO DESTRUCTIVAS         1792144744001                                                   X
  37956      ASOCIACIÓN DE CONSERVACIÓN VIAL EL ESFUERZO
                                             1792147743001                                                   X
 149423      RESPONSABILIDAD SOCIAL EMPRESARIAL
                                             1792148952001                                                   X
  67866      GEORISK AVC                     1792148995001                                                   X
 149570      CENTRO INTERNACIONAL DE ARBITRAJE Y MEDIACION CIAM
                                             1792149215001                                                   X
No                 No registra
                                                               No                    No registra   No
                                                                        No. registra                       registra      No.    indicadores
                                                             registra                provincia, registra
Persona_id              NOMBRE                No. ID (RUC)                 calle                           número      registra de ventas,
                                                             apellido                 cantón y   primer
                                                                         principal                         de calle     origen activos y/o
                                                             paterno                 parroquia nombre
                                                                                                           principal             empleados

 178630      POWERPARTS S.A.                 1792149339001                                                    X
  78462      NEURAL SOLUTION NEURALSOLUT S.A.1792151546001                                                    X
  64984      UNNOCYCLES CIA. LTDA.           1792152127001                                                    X
 125339      JOSE CANO E HIJOS S.C.C.        1792153867001                                                    X
 185980      STRATEGOSEC.CIA.LTDA.           1792153891001                                                    X
 208567      SAEESCAPES ACCESORIOS Y SERVICIOS S.A.
                                             1792155363001                                                    X
 215495      VACUUMTRUCK SERVICE S.A.        1792157250001                                                    X
  58395      EXOTIC FLAVORS SERVICIOS DE CATERING
                                             1792157455001                                                    X
 228375      FIDEICOMISO SAN ANTONIO PRIMERA ETAPA
                                             1792158958001                                                    X                      X
 185994      NAJOCFASHION CIA LTDA           1792161630001                                                    X
  18155      CORPORACION NACIONAL DE TELECOMUNICACIONES CNT S.A
                                             1792162068001            X                                       X
 104971      FLAMBOYAN CATERING S.A.         1792163552001                                                    X
  79379      TOLEDO&PATIÑO CIA. LTDA.        1792165431001                                                    X
  86719      EVALPEOPLE CORP S.A.            1792165555001                                                    X
  97316      SATCONSTUC                      1792166330001                                                    X
  95705      JOB AVIATION & REPRESENTACIONES COMERCIALES CIA LTDA
                                             1792170753001            X          X                            X
 120060      ASOCIACION COMUNITARIA DE DESARROLLO FLORECIENDO LA NIÑEZ Y LA ADOLESCENCIA
                                             1792172772001                                                    X
 125886      BRAGAL ASOCIADOS                1792173833001                                                    X
 172816      OPTIMALEC CIA.LTDA              1792174627001                                                    X
 118987      CATERING ROUTFOOD S.A.          1792174732001                                                    X
 124854      FUNDACION POLIBIO MERINO        1792175305001                                                    X
 121676      LAMBDACOUSTIC LABORATORIES      1792177243001                                                    X
 236356      PETROBEIJIN ENERGY TECHNOLOGY S.A.
                                             1792177553001                                                    X
 158861      LOGICHEM SOLUTIONS SOCIEDAD ANONIMA
                                             1792177758001                                                    X
 142294      COOPERATIVA DE SERVICIOS MEDICOS ECUATORIANOS CORSEMED
                                             1792178096001                                                    X
 126913      CATAPULTA IMPULSO & DESARROLLO CATIMDE CIA LTDA
                                             1792178940001                                                    X
 135533      ATHWORLD CIA LTDA               1792179319001                                                    X
 207191      PROVEEDORA VILLAFUERTE DE ACEROS PROVIACEROS CIA. LTDA.
                                             1792180147001                                                    X
 144103      SMARTWAVE SISTEMAS DE TELECOMUNICACIONES S.A.
                                             1792180597001            X          X                            X
 160900      ASOCIACION DE REPORTEROS COMUNITARIOS DE PICHINCHA ARCOPI
                                             1792180880001                                                    X
 187957      PHAROSAUDITORES EXTERNOS CÍA.LTDA.
                                             1792180899001                                                    X
No                 No registra
                                                               No                    No registra   No
                                                                        No. registra                       registra      No.    indicadores
                                                             registra                provincia, registra
Persona_id               NOMBRE               No. ID (RUC)                 calle                           número      registra de ventas,
                                                             apellido                 cantón y   primer
                                                                         principal                         de calle     origen activos y/o
                                                             paterno                 parroquia nombre
                                                                                                           principal             empleados

 144152      HILONG OIL SERVICE               1792184010001                                                   X
 206279      MINICONS CIA. LTDA.              1792186579001                                                   X
 189006      ENERGIA TELECOMUNICACIONES FIBRA OPTICA ENTELFO CIA LTDA
                                              1792193672001                                                   X
 194225      SERVICIOS PROFESIONALES EN CONSULTORIA ARQUITECTÓNICA
                                              1792196191001                                                   X
 184235      ECUAHOTEL HOTELERA ECUATORIANA1792196396001
                                               S.A.                                                           X
 191302      SOLUCIONES INTEGRALES & BUSINESS SIB SA
                                              1792197619001                                                   X
 191696      MULTISERVICIOS MULTISERVTENAPO 1792198658001
                                              CIA LTDA                                                        X
 188490      OAMARUBA CIA. LTDA               1792199735001                                                   X
 269376      SS CONSTRUCCIONES CIA LTDA       1792200504001                                                   X
 202098      BAKER WOODS ECUADOR              1792203740001                                                   X
 228552      VAZGO CONSTRUCCIONES CIA LTDA 1792203910001                                                      X
 189923      SERVIVALENTIN                    1792204178001                                                   X
 193469      ASOCIACION DE TRANSPORTISTAS ESCOLARES E INSTITUCIONALES 16 DE JULIO
                                              1792208424001                                                   X
 203248      EQUIMEDCAPITAL EQUIPOS MÉDICOS CAPITAL S.A.
                                              1792209056001                                                   X
 222308      EXPORTCLASS S.A                  1792209129001                                                   X
 229572      AUDDAXBUSINESS S.A.              1792209145001                                                   X
 265463      BACKGROUNDSA SA                  1792209625001                                                   X
 229732      BANDOLA CONSTRUCTORES CIA LTDA 1792211263001                                                     X
 229565      APINSPECTIONS LATINOAMERICA S.A. 1792211425001                                                   X
 210761      SEROIL INSTRUMENTS               1792211476001                                                   X
 226156      RIVERJARDIN CIA. LTDA.           1792212502001                                                   X
 204852      CBEMI - CONSTRUTORA BRASILEIRA E 1792214408001LTDA
                                              MINERADORA                                                      X
 217907      CONSTRUCCIONES & AGREGADOS LAGOBRASS CIA. LTDA.
                                              1792215390001                                                   X
 210736      ASOCIACION INDETEC ICA TRANSVIAL 1792217865001                       X
 219907      CONSTRUCTORA VACA MONTALVAN CIA. LTDA.
                                              1792219701001                                                   X
 223863      CONSERPROFTSA                    1792219949001                                                   X
 218580      INGENIERIA DE PROYECTOS LOAIZA & GUANOCHANGA CIA. LTDA.
                                              1792221269001                                                   X
 226147      TECPE TECNOLOGÍA PETROLERA CIA. LTDA.
                                              1792221455001                                                   X
 220617      SUNLOA CIA. LTDA.                1792223253001                                                   X
 243378      PETROPLATINUM CIA. LTDA.         1792223873001                                                   X                      X
 245882      TECHNISINDA                      1792226066001                                                   X
No                 No registra
                                                            No                    No registra   No
                                                                     No. registra                       registra      No.    indicadores
                                                          registra                provincia, registra
Persona_id             NOMBRE              No. ID (RUC)                 calle                           número      registra de ventas,
                                                          apellido                 cantón y   primer
                                                                      principal                         de calle     origen activos y/o
                                                          paterno                 parroquia nombre
                                                                                                        principal             empleados

 232760      TUTAPHISCO CIA LTDA               1792227186001                                               X
 231572      CEVALLPI PIEDRAS NATURALES CIA. LTDA.
                                               1792227429001                                               X
 253934      SELECTRICOIL S.A. SERVICIOS LOGISTICOS
                                               1792227771001                                               X
 232844      LOOR RUIZ CONSTRUCTORA CIA LTDA 1792228123001                                                 X
 236386      REDES INGENIERIA Y COMUNICACIONES CTREDING CIA LTDA
                                               1792231396001                                               X
 266577      CORPORACION COLECTIVO DE ARTES 1792232457001
                                               CIENFUEGOS                                                  X
 277102      SALAMANDRASOFT CIA LTDA           1792232678001                                               X
 237789      INGENIERIA Y CONSTRUCCIONES       1792232724001                                               X
 275333      JARDINES TERRAGARDEN              1792235065001                                               X
 247368      CONTRUCTORA PABON MATAMOROS CONSTRUCCIONES PAMACONS CIA.LTDA
                                               1792236657001                                               X
 245588      JBUITRON CONSTRUCCIONES           1792237181001                                               X
 271780      CONSTRUCTORA LAS LOLAS CONSTRULOLAS S.A.
                                               1792238137001                                               X
 257596      MINGASERVICE S.A.                 1792240697001                                               X
 265154      ENTERPRISEXPERT CAPACITACION CIA LTDA
                                               1792243181001         X                X                    X
 256334      VMMTECHNOLOGY SOLUCIONES INTEGRALES CIA. LTDA.
                                               1792244285001                                               X
 267500      SERVICIOS AIRELECTRIC CIA. LTDA   1792244293001                                               X
 259824      CONSPRESAL CONSTRUCCIONES Y PREFABRICADOS SALGADO CIA. LTDA
                                               1792245133001                                               X
 263615      ORDOÑEZ ACOSTA JOSE FORTUNATO 1792247365001                                                   X
 264711      DLEITEEVENTOS                     1792249937001                                               X
 267364      ALBEDOAMBIENTE CIA. LTDA.         1792250072001                                               X
 270111      CUARZOSOLUTIONS SERVICIOS AMBIENTALES CIA. LTDA.
                                               1792250196001                                               X
 270628      BESTENERGY SERVICES S.A.          1792250951001                                               X
 274739      PROMODOR CIA. LTDA.               1792252423001                          X                                X
 274788      ASESORÍA EN CALIDAD FOOD SAFETY CÍA. LTDA
                                               1792253209001                                               X
 268823      MONTALVO-ZAMBRANO                 1792253675001         X                X                    X
 275059      INTEGRATEL GROUP SOCIEDAD CIVIL Y COMERCIAL
                                               1792256402001                                               X
 277167      VELCONSUL CIA. LTDA.              1792259509001                          X                                X
 129540      GAVILANEZ SANCHEZ LUIS GILBERTO 1800002824001                                                 X
 225722      CARRASCO LÓPEZ NESTOR             1800005306001                                               X
 116837      REYES PÉREZ VICENTE CENÓN         1800013037001                                               X
 161659      MAYORGA GORDON SEGUNDO ARSENIO    1800018127001                                               X
No                 No registra
                                                               No                    No registra   No
                                                                        No. registra                       registra      No.    indicadores
                                                             registra                provincia, registra
Persona_id               NOMBRE               No. ID (RUC)                 calle                           número      registra de ventas,
                                                             apellido                 cantón y   primer
                                                                         principal                         de calle     origen activos y/o
                                                             paterno                 parroquia nombre
                                                                                                           principal             empleados

 138224      JORGE ISAIAS CARRERA CARRERA    1800024265001                                                    X
  29430      MARCIAL NUÑEZ HOLGUER RODRIGO 1800027367001                                                      X
 135792      MAYORGA GUTIERREZ ANGEL ESTUARDO1800030429001                                                    X
 184521      CASTILLO CASTRO HERNAN ALONSO 1800031138001                                                      X
 122070      TAMAYO MARTINEZ SEGUNDO HERNAN  1800032284001                                                    X
 221019      PALACIOS ZURITA GALO ENRIQUE    1800035014001                                                    X
  20419      NARANJO RAMOS EDMUNDO ABEL      1800041301001                                                    X
  79687      LÓPEZ PAREDES NORBERTO FLORENCIO1800047563001                                                    X
 120185      VALLE ROSERO BOLIVAR ANTONIO    1800051797001                                                    X
 119039      CONSTANTE NAVAS LUIS ANTONIO    1800054544001                                                    X
 143277      BELTRAN ALMENDARIS BALTAZAR     1800060525001                                                    X
 256758      FREIRE CARRILLO HECTOR ASDRUBAL1800065391001                                                     X
  56910      VELASTEGUI GALARZA FAUSTO DAVID 1800070227001                                                    X
 149873      TAMAYO SANCHEZ JESUS            1800077537001                                                    X
 145232      MORETA CHICAIZA MIGUEL ANGEL    1800078386001                                                    X
 247608      LOPEZ PADILLA MANUEL MARÍA      1800141028001                                                    X
 188676      PAREDES YAGUAR CESAR OCTAVIO 1800155549001                                                       X
  26775      VELASTEGUI GALARZA ANTONIO GERARDO
                                             1800158964001                                                    X
 152536      VIERA SANCHEZ CARLOTA OLIVA     1800165126001                                                    X
  51375      HIDALGO MEJÍA FAUSTO ANTONIO    1800183905001                                                    X
  39508       NELSON                         1800191478001                                                    X
  80791      PEÑA PAZMIÑO RODRIGO ARMANDO 1800201202001                                                       X
 222582      TULMO IBARRA LUZ ALEJANDRINA    1800211243001                                                    X
 104858      JIMENEZ GRANDA LUIS RICARDO     1800211995001                                                    X
 138262      LOPEZ RODRIGO                   1800212928001                                                    X
 155388      BAUTISTA QUISPE PEDRO PABLO     1800231027001                                                    X
 233163      LOZADA RUIZ JOSE ALONSO         1800252379001                                                    X
 268478      LÓPEZ CABEZAS EDUARDO ISAIAS    1800254680001                                                    X
 150480      ZAMORA ARROBA EFRAIN GONZALO 1800258566001                                                       X
 125707      BAYAS NARANJO NELSON ANIBAL     1800262667001                                                    X
 127311      XXXX ARAUJO LEON AMABLE         1800270496001                                                    X
No                 No registra
                                                               No                    No registra   No
                                                                        No. registra                       registra      No.    indicadores
                                                             registra                provincia, registra
Persona_id               NOMBRE               No. ID (RUC)                 calle                           número      registra de ventas,
                                                             apellido                 cantón y   primer
                                                                         principal                         de calle     origen activos y/o
                                                             paterno                 parroquia nombre
                                                                                                           principal             empleados

  46669      QUINTEROS VILLAFUERTE ROMULO ARMANDO
                                             1800275834001                                                    X
 232803      ORTIZ ROBALINO GERARDO HERNAN 1800279026001                                                      X
 173637      REYES RODRIGUEZ LUIS ANGEL      1800292086001                                                    X
 134038      CLAVIJO ORTIZ MILTON RAMIRO     1800296681001                                                    X
  79035      COKA SORIA LUIS JOPRDAN         1800307306001                                                    X
 201758      TUSTON LOPEZ JORGE HOMERO       1800314450001                                                    X
 238951      ARAUJO PÉREZ JORGE ANIBAL       1800315382001                                                    X
 130944      TORRES ALVARADO ROSA RAQUEL     1800318063001                                                    X
  85254      GUERRÓN CHAMORRO LUIS ANIBAL 1800319251001                                                       X
 134292      VILLALBA ALBÁN ROSA ISABEL      1800323964001                                                    X
  80773      MARTINEZ CORDOVA DAVID EDMUNDO1800330464001                                                      X
 268461      DURÁN RESTREPO JORGE EMILIO     1800350652001                                                    X
 163245      BENAVIDES RAMOS LUCILA          1800351437001                                                    X
  73378      NUÑEZ ESCALANTE JUANA HERMINIA 1800359869001                                                     X
 225881      MORALES FREIRE PEDRO PABLO      1800365858001                                                    X
 126921      ESPINOZA AGUIRRE JORGE HUMBERTO 1800379727001                                                    X
 175688      BONILLA ORTIZ VICTORIA EVELINA  1800384826001                                                    X
 200473      CARDENAS HERRERA EDMUNDO REINALDO
                                             1800386011001                                                    X
 144403      NUÑEZ VELASTEGUI OLGA BALDRAMINA800391508001
                                             1                                                                X
 176343      MARÍN ORELLANA WILSON OVIDIO    1800404525001                                                    X
 175336      GOYES SILVA GALBERTO OSWALDO 1800404996001                                                       X
 113355      CUNACHI LIZANO HECTOR ABELARDO 1800408377001                                                     X
 100033      MARTINEZ SALINAS JOSE MARIA     1800431148001                                                    X
 135427      ACHATUNA PAZMIÑO JULIO AMBATO 1800431585001                                                      X
 149698      LOPEZ TINAJERO ELENA MARIANITA DE JESUS
                                             1800438531001                                                    X
 127317      GAVILANES VALLE MARIA OLGA      1800443515001                                                    X
 107689      FRUTOS CRUZ ROMULO JORDAN       1800444471001                                                    X
  30190      PICO SANCHEZ CESAR EUSEBIO      1800454223001                                                    X
 276069      BENALCÁZAR RAMOS CERLEY CELENSE800455154001
                                             1                                                                X
  97017      JACOME JACOME WILMAN ALCIVAR    1800458281001                                                    X
 107814      VARGAS BAYAS CIDERICO ALFREDO 1800458570001                                                      X
No                 No registra
                                                               No                    No registra   No
                                                                        No. registra                       registra      No.    indicadores
                                                             registra                provincia, registra
Persona_id               NOMBRE               No. ID (RUC)                 calle                           número      registra de ventas,
                                                             apellido                 cantón y   primer
                                                                         principal                         de calle     origen activos y/o
                                                             paterno                 parroquia nombre
                                                                                                           principal             empleados

 223086      JEREZ BOMBON JUAN SIMON         1800466912001                                                    X
 118181      SANCHEZ LOPEZ CARLOS HUGO       1800469106001                                                    X
 174671      FREIRE PAZMIÑO MARÍA ESTHELA    1800469536001                                                    X
 123245      MUQUINCHE ZUMBANA ALFREDO TEMISTOCLES
                                             1800471797001                                                    X
 186925      GOMEZ FONSECA FLOR MARIA        1800498337001                                                    X
 195858      GUEVARA LOPEZ HECTOR ALONSO     1800498774001                                                    X
 254076      RIOFRIO PRADO PEDRO ERNESTO     1800512681001                                                    X
 134105      SÁNCHEZ CANISARES LUIS GERALDO 1800527978001                                                     X
 110768      CHUCURI ROJANO SEGUNDO ANGEL MARIA
                                             1800529271001                                                    X
 239686      SALAZAR ANDRADE RITA CECILIA    1800548578001                                                    X
  32693      JARRIN LASCANO JAIME EDUARDO    1800556837001                                                    X
 215848      HERRERA SALAZAR EDY ERNESTO     1800560284001                                                    X
  64717      DARQUEA SEVILLA HÉCTOR HERNÁN 1800560722001                                                      X
  28162      MOLINA VARGAS RUBÉN DARÍO       1800560979001                                                    X
  80566      CHECA LARA GALO MARÍA           1800561639001                                                    X
 108144      ARANDA LOPEZ JULIO CESAR TARQUINO
                                             1800566877001                                                    X
  59698      CANDO CHIPANTIZA VICTOR EUCLIDES1800574616001                                                    X
 110918      AGUIRRE BARZALLO ALFONSO EDUARDO1800575134001                                                    X
 106503      ARROBA JOSE FRANCISCO           1800577320001                                                    X
  11480      CARROCERÍAS ECUABUSS            1800582650001                                                    X
 221423      CUZCO LOPEZ JUAN VICENTE        1800584276001                                                    X
 179789      TIRADO MUÑOZ JUAN               1800592865001                                                    X
 186995      URBINA NELSON HUMBERTO          1800597054001                                                    X
  82891      SOLIS SOLIS GRACIELA SOLEDAD    1800598995001                                                    X
 209474      BUCARAM NUNEZ MORCHED ELIAS     1800602193001                                                    X
 121591      SANCHEZ MARIO                   1800604868001                                                    X
 108225      JEREZ ALVAREZ DELFA LUZMILA     1800605758001                                                    X
 141473      CASTRO LOPEZ JAIME MARCELO      1800614370001                                                    X
  84993      FREIRE DEL SALTO MARIA FANNY    1800614800001                                                    X
 125314      BENAVIDES RAMOS MARIA DIOCELINA1800618231001                                                     X
  31294      ALMEIDA MUÑOZ GUILLERMO EFRAÍN 1800618876001                                                     X
No                 No registra
                                                               No                    No registra   No
                                                                        No. registra                       registra      No.    indicadores
                                                             registra                provincia, registra
Persona_id              NOMBRE                No. ID (RUC)                 calle                           número      registra de ventas,
                                                             apellido                 cantón y   primer
                                                                         principal                         de calle     origen activos y/o
                                                             paterno                 parroquia nombre
                                                                                                           principal             empleados

 139869      CABRERA RODRIGUEZ CARLOS REIMUNDO
                                            1800626432001                                                     X
  48863       G S V GALO SANCHEZ V CAMALES  1800643122001                                                     X
 136324      CASTELLANOS JIMÉNEZ EDGAR ENRIQUE
                                            1800649269001                                                     X
  52516      MEDINA RIVERA HERNAN WASHINGTON1800655985001                                                     X
 102371      NOBOA MORA SEGUNDO MARCELO     1800657627001                                                     X
  62181      LOPEZ PEREZ LUIS ENRIQUE       1800659847001                                                     X
  85308      VILLAMARÍN MONTOYA SAÚL HUMBERTO
                                            1800661413001                                                     X
 214523      NARANJO NUÑEZ LANDIVAR CELIANO 1800663393001                                                     X
 139546      ESCOBAR RODRIGUEZ LUIS ALBERTO 1800688408001                                                     X
 221335      LASCANO LOPEZ MARTHA C         1800697177001                                                     X
  82199      LOPEZ RUIZ FAUSTO GONZALO      1800721712001                                                     X
 244696      HERNANDEZ ROSERO DELFIN HELEODORO
                                            1800734350001                                                     X
 179309      GARCES PORTERO ELIECER ONOFRE 1800736546001                                                      X
 191265      PILAMUNGA TOALOMBO SEGUNDO JOSE1800759209001                                                     X
 187989      BASTIDAS CARRANZA ANA ANGELICA 1800764944001                                                     X
 172475      PORRAS VILLACIS LEONCIO RAFAEL 1800769729001                                                     X
 231837      SANTAMARIA SOLIS ERMINIA ROSA  1800779520001                                                     X
 118486      JARAMILLO VACA ANGEL HUGO      1800780692001                                                     X
  39265      OLIVO ZANIPATIN JOSE CAYETANO  1800784868001                                                     X
  20146      PEREZ SANCHEZ CARLOS HUMBERTO 1800789339001                                                      X
 108570      BUCHELI PATIÑO JOE FRANCE      1800789586001                                                     X
  47165      PETRUSKA LOZA ALFREDO LUCAS    1800794016001                                                     X
 111564      GUERRERO ZUMBANA MARCO TULIO 1800795369001                                                       X
 200790      LASCANO PÉREZ JORGE BYRON      1800796292001                                                     X
  80460      VILLEGAS TORRES VICTOR GUSTAVO 1800796474001                                                     X
 166751      CHILUIZA REMACHE JULIO CESAR   1800799213001                                                     X
 141949      RAMOS CHICAIZA MIGUEL EDUARDO 1800802199001                                                      X
 179073      TORRES MOYA JORGE ANIBAL       1800803361001                                                     X
 146175      VILLACRES HECTOR               1800804724001                                                     X
 233245      SOTO ALVAREZ MARIA MAGDALENA 1800807826001                                                       X
 225754      TIRADO ULLOA PEDRO ANTONIO     1800811711001                                                     X
No                 No registra
                                                               No                    No registra   No
                                                                        No. registra                       registra      No.    indicadores
                                                             registra                provincia, registra
Persona_id               NOMBRE               No. ID (RUC)                 calle                           número      registra de ventas,
                                                             apellido                 cantón y   primer
                                                                         principal                         de calle     origen activos y/o
                                                             paterno                 parroquia nombre
                                                                                                           principal             empleados

 203131      SALAZAR ANDRADE NORMA JUDITH    1800815837001                                                    X
 134972      VILLACRES RODRIGO ABDON         1800816678001                                                    X
 246141      PEREZ ESCALANTE AMALIA GUADALUPE1800816793001                                                    X
  12379      MUEBLES LEON                    1800822882001                                                    X
 218541      VEINTIMILLA ORELLANA CARMEN ELENA
                                             1800825133001                                                    X
 250330      COBA PUMA JOSE ANGEL            1800829051001                                                    X
 132621      RIVERA VALENCIA JORGE CRUZ      1800830885001                                                    X
 225679      CALLEJAS SEVILLA GERMÁN SANTIAGO1800839647001                  X            X                    X
 195346      ATIAJA JIMENEZ HUGO MESIAS      1800841429001                                                    X
 154404      PAREDES SIERRA IGNACIO RAUL     1800841759001                                                    X
 185770      VELA ROMERO LUIS ENRIQUE        1800843235001                                                    X
 114732      SEVILLA ACOSTA MIGUEL ANGEL     1800847483001                                                    X
 101005      MUÑOZ BECERRA ANGEL ENRIQUE     1800847681001                                                    X
 134808      MAISANCHE LLUNDO ANGEL POLIVIO 1800850313001                                                     X
 252397      ACOSTA ACOSTA MANUEL MARIA      1800851873001                                                    X
  75815      PILLISA FERNANDEZ JULIO SEGUNDO 1800853218001                                                    X
  32353      MAYORGA PAREDES TOMAS           1800853531001                                                    X
 191232      ESPIN CAMPAÑA JUSTO JOSÉ GERARDO1800854372001                                                    X
 120480      GARCIA BARRIGA BYRON HERNAN     1800859231001                                                    X
  40751      NUÑEZ VELASTEGUI OSWALDO GUSTAVO1800859744001                                                    X
  45018      MAYORGA BUENAÑO GONZALO RICARDO 1800860767001                                                    X
 138884      CHICAIZA CHILUIZA ROSALINO      1800862748001                                                    X
  64687      HIDALGO CABRERA MARTHA CECILIA 1800865998001                                                     X
 118143      VALVERDE MOYA JOSE GREGORIO     1800868000001                                                    X
 197373      GALARZA ALTAMIRANO CESAR GERMAN800869420001
                                             1                                                                X
 198222      CARRERA ORTIZ LUIS ANTONIO      1800873034001                                                    X
  81365      PAREDES PAREDES GRECIA MAGDALENA1800881029001                                                    X
 123879      SEVILLA QUIRÓZ MARÍA ANTONIETA 1800888362001                                                     X
 123336      VELASTEGUI GALARZA CLEOTILDE EDELINA
                                             1800889287001                                                    X
  21183      MERA VARGAS VICTOR ANIBAL       1800891093001                                                    X
 146495      PAREDES MOLINA CARLOS RAFAEL    1800896241001                                                    X
No                 No registra
                                                               No                    No registra   No
                                                                        No. registra                       registra      No.    indicadores
                                                             registra                provincia, registra
Persona_id              NOMBRE                No. ID (RUC)                 calle                           número      registra de ventas,
                                                             apellido                 cantón y   primer
                                                                         principal                         de calle     origen activos y/o
                                                             paterno                 parroquia nombre
                                                                                                           principal             empleados

 180276      ESPIN NUNEZ WILSON NOEL        1800900522001                                                     X
 161605      MORETA CHICAIZA SEGUNDO ALBERTO1800903054001                                                     X
 134708      GUACHI ORTEGA FELIX ELEUTERIO  1800914549001                                                     X
 227338      CALDERON NUÑEZ LUIS ALONSO     1800915967001                                                     X
 278964      SANCHEZ PEÑA NELVA EDELINA     1800917252001                                                     X
 170438      PAZMIÑO JÁCOME LUIS PARMENIDES 1800920272001                                                     X
 135293      FIALLOS BAYAS LUIS MERALDO     1800920801001                                                     X
  85650      BARRIONUEVO CARRILLO LAURA CECILIA
                                            1800922328001                                                     X
  50331       ESTRUCTURAS METALICAS CAVIMAR 1800922450001                                                     X
 147645      VELASTEGUI GLORIA              1800926071001                                                     X
 197520      CACERES ARCOS JOSE OSWALDO     1800932681001                                                     X
 194510      SARABIA HERRERA LUIS ANTONIO   1800933242001                                                     X
 151529      FRAY FRAY FANNY GLORIA         1800935254001                                                     X
 119263      MUZO LASLUISA LUIS ERNESTO     1800935585001                                                     X
 101090      ITURRALDE LASCANO LUIS OSWALDO 1800939769001                                                     X
 223932      MORALES MAYORGA CARLOS RAMIRO 1800943316001                                                      X
 104922      GUEVARA MARIÑO CARLOS TRAJANO 1800944595001                                                      X
  85162      TOALOMBO TICHE JUAN JOSE       1800947366001                                                     X
 107085      PAZMAY FREIRE GERMÁN ENRIQUE   1800949164001                                                     X
 210330      PROAÑO GAVILANES MARCO VINICIO 1800953166001                                                     X
 119251      VILLACRES ROBAYO LUIS ANTONIO  1800958686001                                                     X
 242379      REALPE BARBA SOLEDAD DEL ROCÍO 1800965376001                                                     X
  74204      VEGA MASABANDA BLANCA SEMIRA 1800965624001                                                       X
 133887      SORIA MONTERO ALVARO VICENTE   1800989061001                                                     X
  12493       CARROCERÍAS PATRICIO CEPEDA   1800994848001                                                     X
 237083      BARRIONUEVO SANCHEZ WILSON MIGUEL
                                            1800996009001                                                     X
 216814      VEGA BORJA WILSON GILBERTO     1801001106001                                                     X
 155713      LEMA LUIS ALFONSO              1801002765001                                                     X
  34775      CRUZ CHACHAPOYA OSWALDO        1801006691001                                                     X
 131707      PROAÑO URBINA OSWALDO EFRAIN 1801006717001                                                       X
 221968      BONILLA LOPEZ WALTER ROGER     1801009299001                                                     X
No                 No registra
                                                               No                    No registra   No
                                                                        No. registra                       registra      No.    indicadores
                                                             registra                provincia, registra
Persona_id              NOMBRE                No. ID (RUC)                 calle                           número      registra de ventas,
                                                             apellido                 cantón y   primer
                                                                         principal                         de calle     origen activos y/o
                                                             paterno                 parroquia nombre
                                                                                                           principal             empleados

 208455      DAVALOS GUERRERO MARÍA ENRIQUETA
                                            1801010768001                                                     X
 102143      NARANJO DAZA SONNIA BEATRIZ    1801012749001                                                     X
  87164      GARCES QUISPE VICTOR RAUL      1801013044001                                                     X
 163313      GARCES ESTRELLA CARLOS ALBERTO 1801016930001                                                     X
 151152      VILLACRES ULLOA EFRAIN ERNESTO 1801022623001                                                     X
 144748      PILAMUNGA AYSABUCHA ALFONSO    1801023811001                                                     X
 239818      REAL TOSCANO JUAN ENRIQUE      1801027028001                                                     X
  21005      PAUKER GUTIÉRREZ JORGE LEOPOLDO1801029230001                                                     X
 131577      SANCHEZ TOLEDO ARTURO FRANCISCO1801033877001                                                     X
 196362      GUAMAN LUIS                    1801045970001                                                     X
 119269      VELASTEGUI GALARZA ANGEL MARCELO
                                            1801047356001                                                     X
  66786      TORRES FREIRE JORGE LUIS       1801057264001                                                     X
 108068      NUÑEZ ABRIL MIGUEL ANGEL       1801057280001                                                     X
 163217      VALDEZ ANA                     1801061274001                                                     X
  57518      VILLENA CHAVEZ MARIO GERMAN    1801065655001                                                     X
  36363      PADILLA LOZADA MARIO WILFRIDO  1801073642001                                                     X
  53138      GUANOTUÑA VELOZ JORGE ERNESTO 1801074566001                                                      X
 229086      FALCON VENEGAS VICTOR ABELARDO 1801076462001                                                     X
 114527      LOPEZ LOZADA GALO ALEJANDRO    1801080498001                                                     X
 132772      AIME AZOGUEZ LUIS GONZALO      1801082676001                                                     X
 112512      PALMA GAVILANES MANUEL MESIAS 1801086776001                                                      X
  98064      SOLIZ ACOSTA MARCO ANTONIO     1801091875001                                                     X
 231686      LEÓN MANTILLA CARLOS JULIÁN    1801096833001                   X            X                    X
 230137      VELASCO VICTOR REINALDO        1801099548001                                                     X
 102232      CHIRIBOGA VÁSCONEZ MARIO GERMÁN1801099613001                                                     X
  44037      YAULI TELENCHANA LUIS HUMBERTO 1801100296001                                                     X
 133967      TOAPANTA TITUANA ANGEL MARÍA   1801101344001                                                     X
 192623      VILLAVA GRACIELA BALDRAMINA    1801102102001                                                     X
 222817      JEREZ LLAMUCA LUIS HUMBERTO    1801102235001                                                     X
 267901      NARANJO DUQUE ISIDRO SALOMON 1801107051001                                                       X
 152381      GUACHAMBOSA SAILEMA JUAN JOSE 1801116227001                                                      X
No                 No registra
                                                                No                    No registra   No
                                                                         No. registra                       registra      No.    indicadores
                                                              registra                provincia, registra
Persona_id               NOMBRE                No. ID (RUC)                 calle                           número      registra de ventas,
                                                              apellido                 cantón y   primer
                                                                          principal                         de calle     origen activos y/o
                                                              paterno                 parroquia nombre
                                                                                                            principal             empleados

 153275      PIMBO PIMBO OLGA PIEDAD          1801117514001                                                    X
 137806      SANIPATIN TITUAÑA MARIA CLEMENTINA
                                              1801121326001                                                    X
  30302       PABLO                           1801122506001                                                    X
 112194      NUÑEZ COCA LUIS ERNESTO          1801126457001                                                    X
 183565      BELTRAN JOSE JERSAN              1801128891001                                                    X
  48696      MIRANDA MOREJÓN JOSÉ DANILO      1801131051001                                                    X
 165461      MIRANDA REINO FLAVIO RODRIGO     1801132638001                                                    X
  63381      ROBAYO BARRIONUEVO MELQUICIDE MESIAS
                                              1801134022001                                                    X
 110690      ESTRELLA TACURI SAUL EDISON      1801136233001                                                    X
 155912      MESIAS GAVILANES MIGUEL HOMERO 1801136589001                                                      X
 238811      ZUÑIGA LOPEZ FELIX OLMEDO        1801136837001                                                    X
  27571      ACOSTA SALINAS FANNY BEATRIZ     1801140383001                                                    X
  78405      TIPAN MORA ESTEBAN BOLIVAR       1801142983001                                                    X
 209993      FLORES RIVADENEIRA HUMBERTO RANULFO
                                              1801147214001                                                    X
 229760      CARRASCO MOLINA JENNIE YOLANDA 1801149699001                                                      X
 135350      GUAMANQUISPE DIAZ ENRIQUE        1801150788001                                                    X
  73726      ESCOBAR NUÑEZ GRACIELA HIPATIA 1801157775001                                                      X
 115367      SANCHEZ TAPIA ANGEL VICTOR HUGO 1801163617001                                                     X
 130716      ABRIL LOPEZ JOSE ENRIQUE         1801163922001                                                    X
  96758      BASANTES CRUZ MARIA DIOSELINA    1801168343001                                                    X
  36619      FIALLOS SOLIS WASHINGTON JHONDER 1801171552001                                                    X
  63558      ULLOA GUEVARA FAUSTO LEONARDO 1801175405001                                                       X
 275598      SANCHEZ LUIS GONZALO             1801176627001                                                    X
  49411       FREDY                           1801182179001                                                    X
 161022      GUEVARA PARRA WILSON HERNAN      1801182443001                                                    X
  53327      MALDONADO SANDOVAL JORGE WENCESLAO
                                              1801184209001                                                    X
 243338      JARRIN FREIRE MARCIO MODESTO 1801185206001                                                        X
  30469      ORTIZ ROBALINO ANGEL MIGUEL      1801193333001                                                    X
 133646      TOALOMBO MANOBANDA BERNARDO 1801197953001                                                         X
 219148      MENA PROAÑO JORGE RODRIGO        1801199041001                                                    X
  46237      SALINAS VALENCIA NAHÚM IDELIS    1801203868001                                                    X
No                 No registra
                                                                No                    No registra   No
                                                                         No. registra                       registra      No.    indicadores
                                                              registra                provincia, registra
Persona_id               NOMBRE                No. ID (RUC)                 calle                           número      registra de ventas,
                                                              apellido                 cantón y   primer
                                                                          principal                         de calle     origen activos y/o
                                                              paterno                 parroquia nombre
                                                                                                            principal             empleados

  55349      NUÑEZ ALULEMA JUAN FRANCISCO     1801214279001                                                    X
  62844      LALALEO MASAQUIZA LUIS FERNANDO 1801217819001                                                     X
 153180      BONILLA FREIRE EMELA UBALDINA    1801218692001                                                    X
 170218      GUANGASIG GUANOPATIN PEDRO PABLO 1801221332001                                                    X
  51781      VILLACRÉS ULLOA SIGIFREDO        1801224278001                                                    X
 183989      CHILIQUINGA BUSTOS MELVIN ELIECER1801226059001                                                    X
  88639      SALAZAR MERA RODRIGO FRANCISCO 1801227313001                                                      X
  47097      ENDARA PRIETO FRANKLIN EDUARDO 1801227396001                                                      X
 194119      AGUILAR SALAZAR CÉSAR GERARDO 1801230044001                                                       X
 238600      NUÑEZ FIALLOS MANUEL ENRIQUE     1801230234001                                                    X
  50096      TITE PILLANA ROBERTO RODRIGO     1801230440001                                                    X
  97547      SALAZAR NARANJO MARIO RODRIGO 1801232115001                                                       X
  16717      MAYORGA PUERRES TELMO ANIBAL 1801235910001                                                        X
 165168      ANDRADE MERINO MARCELO FERNANDO  1801236322001                                                    X
 157402      ORTIZ MEJIA LUIS GUSTAVO         1801239615001                                                    X
 133464      MASABANDA TOALOMBO LORENZO       1801240373001                                                    X
  38192      GUTIERREZ PEREZ MIGUEL ANGEL     1801242700001                                                    X
 101531      ALULEMA TOSCANO RODRIGO MARCELO  1801247022001                                                    X
  95163      ARIAS LLUMIPANTA LIDIA SUSANA    1801247477001                                                    X
 186825      MIRANDA SANCHEZ ARNALDO RUBEN 1801249432001                                                       X
  18432      MONTESDEOCA ULLOA EDGAR LEAL 1801254184001                                                        X
 202811      DURÁN GARCÉS JUAN JOSÉ           1801254267001                                                    X
 120153      MEDINA SILVA MANUEL WILFRIDO     1801255652001                                                    X
  66313      BARROS BONILLA ERNESTO           1801256478001                                                    X
  59875      GANAN CANDO RAUL                 1801259068001                                                    X
 101578      CEVALLOS CABRERA WILSON GERMANICO1801259472001                                                    X
  67214      PAREDES ALMEIDA RODRIGO ESTUARDO 1801260066001                                                    X
 172318      MORALES OCAÑA LUIS TARQUINO      1801262724001                                                    X
 140187      NÚÑEZ MONTERO MARCO HERNAN       1801263565001                                                    X
  69042      SILVA GALARZA MARCELO VINICIO    1801265719001                                                    X
  62184      MAYORGA TORRES ROSA ELENA        1801266501001                                                    X
No                 No registra
                                                               No                    No registra   No
                                                                        No. registra                       registra      No.    indicadores
                                                             registra                provincia, registra
Persona_id               NOMBRE               No. ID (RUC)                 calle                           número      registra de ventas,
                                                             apellido                 cantón y   primer
                                                                         principal                         de calle     origen activos y/o
                                                             paterno                 parroquia nombre
                                                                                                           principal             empleados

  80478      MUÑOZ VILLAFUERTE PEDRO OSWALDO 1801267210001                                                    X
 228877      TENECOTA GALARZA NELSON ANIBAL 1801269174001                                                     X
  91301      RODRIGUEZ BARROSO MANUEL EDUARDO1801275049001                                                    X
 175843      NAVARRETE VASCONEZ ROSA ELENA 1801278050001                                                      X
 128415      TAPIA MANOTOA ANGEL GIOVANNI    1801280700001                                                    X
 191131      LLERENA CHAVEZ LIDIA GEORGINA   1801283399001                                                    X
 233250      CARRION YUNAPANTA ANGEL OSWALDO 1801284025001                                                    X
 183154      GARZON DALGO SAIDA ELVIRA       1801284967001                                                    X
  55537      ANDALUZ ALVARADO MIRIAN LUCIA   1801285527001                                                    X
  63584      MORALES VITERI EDWIN NOOL       1801285907001                                                    X
 247644      VILLAVICENCIO MATERNO BOLIVAR EFRAIN
                                             1801286087001                                                    X
 182070      ESCOBAR ORTIZ CESAR GENARO      1801290949001                                                    X
 206159      ESCOBAR ORTIZ PACO MARCELO      1801290998001                                                    X
 239881      LOPEZ ESPINOZA MARIA EUFEMIA    1801293109001                                                    X
  85031      CAMPAÑA BARRIGA GELIO AMILCAR 1801301274001                                                      X
 117300      TOAPANTA CHICAIZA LUIS ADOLFO   1801303759001                                                    X
  94633      SOLIS GOMEZ NELSON FERNANDO     1801308535001                                                    X
 140438      GOMEZ MANZANO LUIS ALFONSO      1801311554001                                                    X
  47633      ROBAYO ROBAYO LUIS FABIAN       1801313030001                                                    X
 217749      FREIRE ROMO JORGE HERNÁN        1801313741001                                                    X
  91798      MOYA VILLACIS GLADYS MATILDE    1801313972001                                                    X
  21138      SANCHEZ VALVERDE ANGEL RODRIGO1801318823001                                                      X
 213340      ESPIN GUANMANQUISPE JULIO ERNESTO
                                             1801323815001                                                    X
 145730      CHAVEZ SANCHEZ MARIO ALFONSO 1801326784001                                                       X
 121844      BARAHONA SAA FABIO MANUEL       1801329549001                                                    X
  82374      MAIZA COSQUILLO ANTONIO         1801333491001                                                    X
 199535      MASABANDA MESIAS SEGUNDO GUILLERMO
                                             1801338698001                                                    X
  71877      LOPEZ SANTANA GERMAN MAURICIO 1801338912001                                                      X
 188492      PACHAR PUGA MARTHA CECILIA      1801342468001                                                    X
 217933      CALDERON CARRILLO GUIDO FERNANDO1801342864001                                                    X
 208867      PAREDES CAMPAÑA LUIS EDUARDO 1801343953001                                                       X
No                 No registra
                                                               No                    No registra   No
                                                                        No. registra                       registra      No.    indicadores
                                                             registra                provincia, registra
Persona_id               NOMBRE               No. ID (RUC)                 calle                           número      registra de ventas,
                                                             apellido                 cantón y   primer
                                                                         principal                         de calle     origen activos y/o
                                                             paterno                 parroquia nombre
                                                                                                           principal             empleados

  20614      CORDOVILLA GAVILANES JUAN AMABLE1801344563001                                                    X
  16585       MIGUEL                         1801356633001                                                    X
 123776      ERAZO SANCHEZ JUAN JOSE         1801357987001                                                    X
 150001      MEJIA PAREDES JOSE ALBERTO      1801364694001                                                    X
  32099      CORTEZ GUEVARA HUGO N           1801366327001                                                    X
 104991      JARAMILLO RIVAS MARIO ANDRES    1801372242001                                                    X
 163990      NUÑEZ PILLAJO MARIA ESTHER      1801374115001                                                    X
 184917      MALQUI ANGEL                    1801374131001                                                    X
  32377       ROMULO                         1801376953001                                                    X
 212315      PEREZ CAICEDO GUIDO CESAR       1801379346001                                                    X
 189157      SILVA MEDINA MARIA              1801380179001                                                    X
 112503      VILLAVICENCIO CARRERA NANCY SUSANA
                                             1801382456001                                                    X
 107217      TOAPANTA TOAPANTA JUAN OLMEDO 1801382670001                                                      X
 224024      SUAREZ JARAMILLO PABLO JOSE     1801384841001                                                    X
  42822      ALDAS CAJAS CLEVER MANUEL       1801385665001                                                    X
  51928      PEREZ ALVAREZ JOSE EDGAR        1801387133001                                                    X
  85855      VILLEGAS LLERENA SEGUNDO VICTOR 1801389493001
                                             MANUEL                                                           X
 141619      TAMAYO AGUIRRE BADI WALTER      1801390822001                                                    X
  24888      CORDOVA ALDAS ERNESTO ARCADIO 1801393057001                                                      X
  42124      CISNEROS CADENA PABLO SANTIAGO 1801393420001                                                     X
 267818      PAZ Y MIÑO PAEZ GALO FERNANDO   1801396498001                                                    X
  88580      PALACIOS CABRERA NANCY SHOMAR 1801398775001                                                      X
 241612      VIZCAINO PEÑA DOLORES BEATRIZ   1801400613001                                                    X
  82027      MERA ALARCON MARIO HERNAN       1801401835001                                                    X
  63718      SANDOVAL CHASI JUAN FRANCISCO 1801403419001                                                      X
  68465      MAYORGA ARCOS JUAN FRANCISCO 1801405265001                                                       X
  79829      CORDERO GOMEZ JULIO ROBERTO     1801408350001                                                    X
 266327      VASQUEZ VELASCO FRANKLIN DANILO 1801408491001                                                    X
 107314      VELOZ SALAZAR CELSO HERMES      1801414242001                                                    X
  26935      NUÑEZ FLORES JORGE POLIVIO      1801427723001                                                    X
 101706      SEGOVIA ALVAREZ ELSA MATILDE    1801433663001                                                    X
No                 No registra
                                                               No                    No registra   No
                                                                        No. registra                       registra      No.    indicadores
                                                             registra                provincia, registra
Persona_id               NOMBRE               No. ID (RUC)                 calle                           número      registra de ventas,
                                                             apellido                 cantón y   primer
                                                                         principal                         de calle     origen activos y/o
                                                             paterno                 parroquia nombre
                                                                                                           principal             empleados

  65230      YUGCHA MACHADO JOSE MANUEL      1801436997001                                                    X
 173101      SANCHEZ GOMEZ TERESA DE JESUS 1801441583001                                                      X
  93252      ALAVA GARAY JAUN JOSE           1801451723001                                                    X
 204319      PAZMIÑO VALLE FAUSTO JOAQUIN    1801453976001                                                    X
  97019      ALDÁS ACOSTA MILTON RAMIRO      1801454891001                                                    X
  92196      GUACHI VILLAR JULIO ANTONIO     1801460484001                                                    X
 228619      GUEVARA VALDIVIEZO MARIA ELENA 1801463769001                                                     X
 108799      GUEVARA LLERENA ELBA JULIETA    1801468099001                                                    X
  44520      BARRIONUEVO CARRILLO MARCELO FAVIÁN
                                             1801469428001                                                    X
  89081      MEDINA GALLEGOS LUIS EIIAS      1801469782001                                                    X
 133494      LAGUA LAGUA DIONICIO            1801476068001                                                    X
 245038      ULLOA FLORES WAGNER HERNÁN      1801479146001                                                    X
  35306      POZO RIVERA MARIO FERNANDO      1801479880001                                                    X
  32039      REYES VAYAS VICTORIA MARIA      1801492032001                                                    X
 222387      SÁNCHEZ NAVARRETE MARGARITA MARLENE
                                             1801493253001                                                    X
 149934      NARANJO BELTRAN JOSE FERNANDO 1801500487001                                                      X
  46978      MARÍA                           1801502152001                                                    X
 183333      MOYA PIPPA MARIA DE LOURDES     1801506559001                                                    X
 279159      URRUTIA PAREDES VICENTE SERAFIN 1801506633001                                                    X
 241744      CALLEJAS NARANJO MARIA DOLORES 1801508167001                                                     X
  11889      ING. RUBEN ROBALINO             1801508332001                                                    X
  12666      CARROCERIAS MIRAL               1801509371001                                                    X
  24725      HARO JÁCOME RUBÉN FIDEL         1801510072001                                                    X
  48828      MASABANDA CHICAIZA SEGUNDO MARCELO
                                             1801511484001                                                    X
  52506      LUIS                            1801512557001                                                    X
 229570      LOPEZ VELASCO VICENTE RAMIRO    1801512581001                                                    X
  11888      ING. DAVID MONTALVO             1801513373001                                                    X
  36937      TOSCANO CADENA TELMO ALFONSO 1801513431001                                                       X
  58793      SÁNCHEZ MEDINA PABLO FERNANDO 1801515568001                                                      X
 180379      BARRIONUEVO HINOJOSA MARCO ANTONIO
                                             1801518018001                                                    X
  96269      VILLAMAR ROSERO HEBERT ALEJANDRO1801525518001                                                    X
No                 No registra
                                                               No                    No registra   No
                                                                        No. registra                       registra      No.    indicadores
                                                             registra                provincia, registra
Persona_id               NOMBRE               No. ID (RUC)                 calle                           número      registra de ventas,
                                                             apellido                 cantón y   primer
                                                                         principal                         de calle     origen activos y/o
                                                             paterno                 parroquia nombre
                                                                                                           principal             empleados

 210411      AGUAGUINA MARÍA OBDULIA GRIMANEZA
                                             1801526664001                                                    X
 181286      MANJARRES MEDINA HECTOR NEPTALI1801537646001                                                     X
  28183      ZUNIGA PAREDES CESAR AUGUSTO 1801540301001                                                       X
 182438      CAIZA PUNINA MARIA JUANA        1801543495001                                                    X
  95314      CRUZ SANTAMARIA JOSE LUIS REINALDO
                                             1801547082001                                                    X
 189658      MARTINEZ PEREZ JOSE AMABLE      1801550326001                                                    X
 120911      PUMA FLORES ANGEL ENRIQUE       1801554377001                                                    X
 106602      PORTERO PEREZ EDGAR NEPTALI     1801555101001                                                    X
  54419      SAQUINGA TENORIO SEGUNDO JUAN MANUEL
                                             1801556844001                                                    X
 100161      LOPEZ NUÑEZ ANGEL VINICIO       1801558675001                                                    X
 109308      SANTANA LOZADA LUIS ANIBAL      1801559475001                                                    X
  44560      GÓMEZ SALAZAR RODRIGO PATRICIO 1801564392001                                                     X
  83485      COUSIN VALLEJO BYRON IVAN       1801567494001                                                    X
 163456      MALQUI CHICAIZA MARIA MAGDALENA 1801570001001                                                    X
  65941      RODRÍGUEZ GARCÉS BYRON ESTUARDO 1801570225001                                                    X
 233468      TORRES CONSTANTE ABELARDO EMILIO1801571017001                                                    X
  46148      TORRES SANTAMARIA SIXTO ANIBAL 1801573922001                                                     X
  86546      SORIA LUIS GERMAN               1801575711001                                                    X
  89795      GARCES BARRENO MARCO ANTONIO 1801575893001                                                       X
  16305      MANZANO PEREZ PEDRO EDMUNDO 1801578137001                                                        X
 248178      MIRANDA SALINAS FRANCISCO LIBORIO
                                             1801578251001                                                    X
 178647      LASCANO YANEZ POLICARPIO        1801584655001                                                    X
 191821      CHILUIZA SANCHEZ JORGE ALBERTO 1801585231001                                                     X
  74887      MEDINA ZAMBRANO GUILLERMO ABSALON
                                             1801588110001                                                    X
 235805      CARRILLO NATIVIDAD              1801590298001                                                    X
 193482      HURTADO SAILEMA ALONSO          1801590728001                                                    X
  77930      TOALOMBO TIPAN JOSE AUGUSTO     1801592476001                                                    X
  53988      DOMÍNGUEZ HIDALGO EDWIN PLUTARCO1801593896001                                                    X
 109926      LOPEZ CABEZAS FANNY PETRONA     1801597285001                                                    X
 275463      BARRAGAN MARTINEZ DARIO JAVIER 1801597426001                                X                                X
  27237      SALINAS LEMUS VICENTE ANIBAL    1801599091001                                                    X
No                 No registra
                                                                No                    No registra   No
                                                                         No. registra                       registra      No.    indicadores
                                                              registra                provincia, registra
Persona_id               NOMBRE                No. ID (RUC)                 calle                           número      registra de ventas,
                                                              apellido                 cantón y   primer
                                                                          principal                         de calle     origen activos y/o
                                                              paterno                 parroquia nombre
                                                                                                            principal             empleados

 102660      QUEZADA MILLAN GINA JASMINA      1801602085001                                                    X
 233964      ESPIN PALACIOS EDY AMADA         1801606706001                                                    X
  41857      SANMIGUEL MANTILLA NILDA GISELA 1801610583001                                                     X
 232864      SANMIGUEL MANTILLA JACOBO ENRIQUE1801610591001                                                    X
 177005      FLORES SALINAS DELIA MARIA LUISA 1801611359001                                                    X
 101147      RAMOS PEREZ GUADALUPE DEL CONSUELO
                                              1801611631001                                                    X
  83478      MUQUINCHE LAURA CARLOS ALFONSO1801611813001                                                       X
 104729      DE LA CRUZ POAQUIZA SANTOS MELIDA801613496001
                                              1                                                                X
  20401      OCAMPO SANCHEZ MARCIA ESTELA 1801614379001                                                        X
 158798      MEDINA OCAÑA ROSITA DEL PILAR    1801615178001                                                    X
 186166      MOYOLEMA ACOSTA MARIA MERCEDES801615269001
                                              1                                                                X
  76829      CAMACHO MOLINA FRANKLIN ROLANDO  1801615566001                                                    X
 131448      LALAMA OCHOA MARÍA SOLEDAD       1801617158001                                                    X
  94963      GUAMAN SALAZAR GILDA JANET       1801619204001                                                    X
  21214      LLERENA VILLEGAS LUIS OCTAVIO    1801623784001                                                    X
  75771      APRAEZ GONZALEZ WILLIAMS DAVID 1801626100001                                                      X
 227625      GAMBOA OROSCO MARIA ELENITA SORAYA
                                              1801626597001                                                    X
 173748      ZABALA GUERRERO ANGEL HERIBERTO  1801628510001                                                    X
 145735      GUAIGUA NUÑEZ CARLOS GONZALO 1801629435001                                                        X
 104906      PORTERO VILLACIS WASHINGTON RODRIGO
                                              1801631514001                                                    X
  48205      HARO SORIA MARCO ANIBAL          1801632629001                                                    X
  76200      VACA ACOSTA VICTOR MANUEL        1801633031001                                                    X
 189005      CEVALLOS CALLE NELSON RODRIGO 1801633395001                                                       X
  52071      LLERENA MEDINA JOSE ALVARO       1801634708001                                                    X
  33226      CHERREZ PILLALAZA JORGE PATRICIO1801635812001                                                     X
 170989      PEREZ CASCO MARTIN JORGE         1801636034001                                                    X
  34927      LUIS ENRIQUE TIRADO LÓPEZ        1801637081001                                                    X
 141637      LOZADA LARA JINME PATRICIO       1801639061001                                                    X
  19573      SALAZAR RODRIGUEZ HÉCTOR GUILLERMO
                                              1801644046001                                                    X
 160996      MAROTO CARRASCO JORGE RODRIGO1801647817001                                                        X
 216493      MOPOSITA CHANGO LUIS ALFREDO     1801656024001                                                    X
No                 No registra
                                                                No                    No registra   No
                                                                         No. registra                       registra      No.    indicadores
                                                              registra                provincia, registra
Persona_id               NOMBRE                No. ID (RUC)                 calle                           número      registra de ventas,
                                                              apellido                 cantón y   primer
                                                                          principal                         de calle     origen activos y/o
                                                              paterno                 parroquia nombre
                                                                                                            principal             empleados

 154355      HINOJOSA SECAIRA MILTON PATRICIO 1801666510001                                                    X
  54041      GUTIÉRREZ GÓMEZ BYRON ALFONSO 1801666601001                                                       X
 208851      LOPEZ VARGAS MILTON EDUARDO      1801667807001                                                    X
  61946      CRUZ TOAZA DIEGO ROMAN           1801668458001                                                    X
  31804      LAGUA CESAR ENRIQUE              1801669498001                                                    X
  41267      PUNGUIL VILLALBA EDWIN WELINTON 1801676287001                                                     X
 270000      ALVAREZ RUIZ SYLVIA DEL ROCIO    1801676550001                                                    X
 267344      RAMOS CARLOS ALBERTO WASHINGTON  1801679927001                                                    X
 100831      NARANJO ACURIO MIRIAN CUMANDA 1801680669001                                                       X
 171094      LOZADA MAZAQUIZA LUIS ALBERTO    1801680693001                                                    X
  46439      ING. FERNANDO OQUENDO            1801680990001                                                    X
  26045      BERMUDEZ NÚÑEZ GUSTAVO BENANCIO  1801685015001                                                    X
 175823      BARONA NARANJO GLADYS ELSITA     1801686054001                                                    X
 117018      ORTIZ ROBALINO ANGEL GABRIEL     1801687847001                                                    X
 128875      ESPINOZA NAVAS FRANKLIN RIGOBERTO1801691195001                                                    X
 257936      DURAN ROJAS JUAN JOSE            1801693118001                                                    X
 185252      VILLAGOMEZ HOLGUÍN GALO GUILLERMO1801694595001                                                    X
  82673      RODRIGUEZ FREIRE FABIAN MIGUEL 1801694918001                                                      X
  28002      VALLE GALARZA BOLIVAR HARDANI    1801695386001                                                    X
  95307      MOREJON YANEZ BYRON SEGUNDO 1801695634001                                                         X
 243717      CORDOVA LIZANO JORGE OLIMPO      1801699511001                                                    X
 264229      ESPIN ACOSTA MARIO EDUARDO       1801703131001                                                    X
 140522      PILLAPA CHICAIZA LUIS IVAN       1801704410001                                                    X
 138456      MEDINA ALVAREZ SEGUNDO CELIO     1801705219001                                                    X
  50310      MOYA LÓPEZ NANCY CATALINA        1801706431001                                                    X
 190064      PALACIOS CHIMBOLEMA HECTOR GUSTAVO
                                              1801707033001                                                    X
  23601      NOBOA CABRERA IVAN FRANCISCO     1801707884001                                                    X
 144027      POALACIN CHACHIPANTA SEGUNDO GABRIEL
                                              1801707934001                                                    X
 102984      OJEDA SANCHEZ CARLOS HOMERO      1801709054001                                                    X
  88844      BASANTES PEREZ LUIS RODRIGO      1801709302001                                                    X
  34878      REYES RECALDE RAUL ROBERTO       1801709633001                                                    X
No                 No registra
                                                               No                    No registra   No
                                                                        No. registra                       registra      No.    indicadores
                                                             registra                provincia, registra
Persona_id               NOMBRE               No. ID (RUC)                 calle                           número      registra de ventas,
                                                             apellido                 cantón y   primer
                                                                         principal                         de calle     origen activos y/o
                                                             paterno                 parroquia nombre
                                                                                                           principal             empleados

 111981      ALDAS MEDINA DINA MÉRIDA        1801710128001                                                    X
 200217      ALVAREZ NUÑEZ FREDDY ROBERTO 1801710136001                                                       X
 187356      ROMO CUESTA IVAN GERARDO        1801710839001                                                    X
 110958      CUESTA CORTEZ LADISLAO VICENTE 1801711969001                                                     X
 136575      FONSECA BUSTOS JOSE PATRICIO    1801714690001                                                    X
 135221      SN YANZAPANTA MANUEL SN         1801719384001                                                    X
 218924      QUILAPANTA CAIZA JORGE HUMBERTO1801719491001                                                     X
 149939      PALMA GAVILANEZ ANGEL MIGUEL    1801722388001                                                    X
 150680      GUERRERO VILLACIS LIDA MARITZA 1801722461001                                                     X
  97866      OJEDA MANTILLA JESUS ANTONIO    1801725449001                                                    X
  42279      MOYA LUIS EMILE                 1801725688001                                                    X
 100092      MINIGUANO LOPEZ INES MARIA      1801730050001                                                    X
 187631      TAIPE ESTRADA MARCIA ELIZABETH 1801730357001                                                     X
 276226      MORETA MASAQUIZA MANUEL SANTOS1801731132001                                                      X
 148718      ALVAREZ REINOSO MARCO ANTONIO 1801734490001                                                      X
 210143      TACUAMAN JACOME TITO BOANERGES1801735349001                                                      X
  34736      SILVA CHIMBORAZO LAURA CORINA 1801735620001                                                      X
 102102      MORALES FLORES CARLOS TOMÁS     1801735646001                                                    X
 268499      HERNANDEZ ZURITA VICTOR MANUEL 1801737055001                                                     X
  38725      ULLOA ARROBA FRANKLIN ROBERTO 1801737477001                                                      X
 218817      VILLAVICENCIO NUÑEZ SANTAGO FERNANDO
                                             1801745892001                                                    X
 106880      GONZALEZ VILLAFUERTE MARY ISABEL1801747716001                                                    X
  94016      MARTÍNEZ GUERRERO RAÚL GUSTAVO1801752005001                                                      X
 151549      CAIBE ACURIO VICTOR MARCELO     1801762533001                                                    X
 108490      SANTANA JIMENEZ MARIA ELENA     1801762616001                                                    X
 102398      PEREZ HUMBERTO                  1801763010001                                                    X
 151340      CAICEDO HIDALGO BERTHA NELLY    1801763507001                                                    X
 244062      CASTRO LOPEZ GLADYS TERESA      1801764547001                                                    X
  93602      PARRA YANEZ DOLORES EUGENIA     1801765965001                                                    X
 100855      ANDALUZ VITERI GLORIA DEL CONSUELO
                                             1801766237001                                                    X
 130039      BENALCAZAR VINUEZA ORLANDO LUCIANO
                                             1801766468001                                                    X
No                 No registra
                                                               No                    No registra   No
                                                                        No. registra                       registra      No.    indicadores
                                                             registra                provincia, registra
Persona_id               NOMBRE               No. ID (RUC)                 calle                           número      registra de ventas,
                                                             apellido                 cantón y   primer
                                                                         principal                         de calle     origen activos y/o
                                                             paterno                 parroquia nombre
                                                                                                           principal             empleados

  47248      CASTILLO RAMOS DIMAS ADOLFO     1801766484001                                                    X
  33130      CHAVEZ CORONEL WASHINGTON ENRIQUE
                                             1801766674001                                                    X
 111111      DESCONOCIDO CRUZ CARLOS ANTONIO GONZALO
                                             1801767375001                                                    X
  16068      NAVAS ESPIN LUIS FERNANDO       1801769447001                                                    X
 101506      BURBANO NUÑEZ EDGAR RODRIGO     1801770783001                                                    X
 152612      AIMACANA CANDO EDWIN ESTEBEZ    1801770957001                                                    X
 134625      OÑATE CASTRO ALFONSO MARÍA DE LIGORIO
                                             1801772532001                                                    X
 252674      RIERA GONZALEZ MARIO GONZALO    1801775410001                                                    X
 175527      PULLUQUITIN LLUMIPANTA SEGUNDO HECTOR
                                             1801778323001                                                    X
 134790      ESPINOZA MORENO WILMAN ABSALON1801778661001                                                      X
  69235      MOLINA SANCHEZ EDMUNDO FILEMON1801782630001                                                      X
  75713      VALLE PAREDES OSCAR NAPOLEON 1801783380001                                                       X
 267363      CRESPO CORTEZ SANDRA YAZMINA 1801786243001                                                       X
 270148      CARRASCO VILLACRES MONICA DE LOURDES
                                             1801787076001                                                    X
 115389      DOMINGUEZ ARAQUE SANTIAGO GEOVANNY
                                             1801802594001                                                    X
  82365      ZAMBRANO MORALES JORGE ENRIQUE  1801802644001                                                    X
 179661      ESPIN MONTESDEOCA DAVID RAUL    1801803667001                                                    X
 176692      LANDA PAUCAR JOSE MELCHOR       1801806645001                                                    X
 106950      RAMIREZ JIMENEZ GLADYS YOLANDA 1801807411001                                                     X
  74035      CAINA ULPO EFRAÍN EDUARDO       1801808112001                                                    X
  46972      PEREZ SANTANA VICTOR EDUARDO 1801808591001                                                       X
 115078      BASANTES AMORES LEONARDO ANTONIO1801809276001                                                    X
 100093      MITES CEVALLOS EDGUIN RAMIRO    1801809441001                                                    X
 233214      CASTRO PAZMIÑO JULIO CESAR      1801814094001                                                    X
 104763      DOMINGUEZ CORONADO LUIS HERNAN1801814961001                                                      X
 160918      GUERRERO MERA WALTER MESIAS     1801816339001                                                    X
 122639      SILVA PAREDES JOSE ESTANISLAO   1801819010001                                                    X
  48252      JATIVA ARCOS LEDWIN NAPOLEON    1801819549001                                                    X
 182289      ACOSTA SANCHEZ CLARA ESPERANZA1801819788001                                                      X
  15258      ING. CARLOS RAFAEL LÓPEZ PARRA 1801820125001                                                     X
  92395      GUATO CHIFLA HOMERO ABSALON     1801829142001                                                    X
No                 No registra
                                                                No                    No registra   No
                                                                         No. registra                       registra      No.    indicadores
                                                              registra                provincia, registra
Persona_id               NOMBRE                No. ID (RUC)                 calle                           número      registra de ventas,
                                                              apellido                 cantón y   primer
                                                                          principal                         de calle     origen activos y/o
                                                              paterno                 parroquia nombre
                                                                                                            principal             empleados

 118730      PAREDES RAMOS WALTER ALFREDO 1801830090001                                                        X
  97058      VILLACIS PAZMIÑO LUIS GERARDO    1801832823001                                                    X
 101899      CAMANA REYES MARIO GALO          1801834969001                                                    X
  83136      ARCOS VACA LUIS RAUL             1801835040001                                                    X
 165459      SILVA MONTEROS CARLOS MARCELO 1801836360001                                                       X
  98386      TORRES LOPEZ BYRON TRAJANO       1801837608001                                                    X
 195163      NINACURI BAUTISTA LUIS ALBERTO   1801837947001                                                    X
 268679      CASTRO MEDINA SUSANA ELENA       1801844406001                                                    X
 202531      TOAPANTA MEJIA JUAN EDUARDO      1801848647001                                                    X
 180283      FREIRE CARRERA STALIN TARQUINO 1801849769001                                                      X
 148941      SAILEMA RAMIREZ SEGUNDO MANUEL 1801850411001                                                      X
 175569      MORALES ARANDA GLORIA ISABEL     1801851757001                                                    X
  20471       LEONARDO                        1801851906001                                                    X
 123482      JAYA SAQUINGA MILTON RUBEN       1801852425001                                                    X
 269079      NUÑEZ BARRERA JORGE OSWALDO 1801852441001                                                         X
  36932      JEREZ SALAN WILSON HERNAN        1801853373001                                                    X
 136295      ANICETO CHAQUINGA JOSÉ GEOVANNY  1801854298001                                                    X
  21579      CASTILLO CAMPOVERDE TITO OSWALDO 1801857440001                                                    X
  62933      PAREDES RUGEL JORGE EDUARDO      1801858398001                                                    X
 265603      VALENCIA MEDINA JACQUELINE MARGOT1801859396001                                                    X
 100496      ALVARADO OCAÑA HAYDEE GENOVEVA   1801860501001                                                    X
 176689      PILLAJO NUÑEZ WILSON ROBERTO     1801860931001                                                    X
 107000      VITERI BRIONES MARCO ANTONIO     1801861988001                                                    X
 184534      VILLACIS CARRASCO JULIO FIDEL    1801864909001                                                    X
 166193      PALACIOS FIERRO NORMA BEATRIZ    1801866045001                                                    X
 137761      VELASTEGUI ARIAS LILIAN MYLENNE 1801867431001                                                     X
  22991      REAL JURADO JAVIER ALEJANDRO     1801868892001                                                    X
 117586      POVEDA CACERES AIDA ENRIQUETA 1801871409001                                                       X
 100695      ROSERO VASCONEZ SIRLEY LORENA 1801877281001                                                       X
  29611      BAUTISTA VILLACIS EDGAR ERIBERTO 1801878438001                                                    X
  11620       CARROCERIAS JACOME              1801878701001                                                    X
No                 No registra
                                                                 No                    No registra   No
                                                                          No. registra                       registra      No.    indicadores
                                                               registra                provincia, registra
Persona_id               NOMBRE                 No. ID (RUC)                 calle                           número      registra de ventas,
                                                               apellido                 cantón y   primer
                                                                           principal                         de calle     origen activos y/o
                                                               paterno                 parroquia nombre
                                                                                                             principal             empleados

  52065      ROSERO CAJAS RICARDO GUSTAVO 1801878727001                                                         X
  59647      VENEGAS LOZADA ALEJANDRO RAMIRO   1801879386001                                                    X
 133944      TAMAYO MELO LUIS HERNÁN           1801879485001                                                    X
  26690      CONSTANTE LASCANO MARIO GONZALO   1801883768001                                                    X
 222909      CORTEX RODRIGUEZ LUIS MARCELO 1801884089001                                                        X
 175471      PASTRANO CORELLA LAURA ISABEL 1801887413001                                                        X
 101784      SALINAS MARFETAN VICENTE ANIBAL 1801888080001                                                      X
 109842      CALERO ALTAMIRANO LUIS ANIBAL     1801889658001                                                    X
 210952      QUILE NUÑEZ LUIS AUGUSTO          1801890441001                                                    X
  75903      NÚÑEZ NÚÑEZ GUILLERMO             1801891209001                                                    X
 181351      RIVERA RIVERA HERIBERTO           1801891753001                                                    X
 203567      ZABALA GARCIA ELVIA LUCIA VIOLETA 1801892827001                                                    X
 145763      MIRANDA LLERENA ELSA CARLOTA      1801896430001                                                    X
 226203      TOALOMBO YAGCHIREMA EDISON HERNAN 1801897156001                                                    X
 228711      LLERENA RICACHI SILVIO HORLAN     1801897420001                                                    X
  65181      CAICEDO MUÑOZ ALBA CLARA          1801899509001                                                    X
 151484      VELASTEGUI HERNANDEZ ELENA CECILIA1801902881001                                                    X
 179689      ZURITA ACOSTA LUIS FERNANDO       1801906817001                                                    X
 175128      GUEVARA CARRILLO JORGE LUIS       1801910678001                                                    X
  15556      ING. EDWIN MOSQUERA F.            1801910736001                                                    X
 191959      ALVAREZ GLADYS SUSANA             1801911882001                                                    X
 145437      CARRASCO JIMENEZ KLEBER VINICIO 1801914084001                                                      X
  73659      LOPEZ ALBAN ALEX JAVIER           1801914399001                                                    X
 142281      GRIJALVA CADENA ANGELICA MARIA 1801914464001                                                       X
 240790      CASTRO SANTIANA ANGEL OSWALDO 1801916329001                                                        X
 136964      BELTRAN SANCHEZ VICTOR HUGO       1801918820001                                                    X
 131870      SALAZAR GUEVARA HUGO MARCELO 1801923028001                                                         X
 185606      SANCHEZ CUEVA ULVIO ENRIQUE       1801924083001                                                    X
 166046      GAMBOA OROZCO LUIS ALBERTO        1801924802001                                                    X
 106380      SN ARELLANO RUTH ALICIA           1801926252001                                                    X
 205593      CUNALATA TORRES ELVIA NATCISA     1801926369001                                                    X
No                 No registra
                                                               No                    No registra   No
                                                                        No. registra                       registra      No.    indicadores
                                                             registra                provincia, registra
Persona_id               NOMBRE               No. ID (RUC)                 calle                           número      registra de ventas,
                                                             apellido                 cantón y   primer
                                                                         principal                         de calle     origen activos y/o
                                                             paterno                 parroquia nombre
                                                                                                           principal             empleados

 177703      LASCANO ACOSTA GLADYS LUCIA     1801927425001                                                    X
  51402      BARRERA RODRÍGUEZ HENRY PATRICIO1801928324001                                                    X
 244941      GARCES RUIZ GERMANIA SALOME     1801930908001                                                    X
 204828      TAPIA BELTRAN EDMUNDO ESTUARDO1801931690001                                                      X
 191167      ATIENCIA URDIALES JOHN EDISON   1801932755001                                                    X
 120097      CRIOLLO CARVAJAL MARIANA DE JESUS801934090001
                                             1                                                                X
 165535      JEREZ COCHA LUIS OSWALDO        1801936251001                                                    X
 243990      OOOOO MARTÍNEZ MARTHA DEL SAGRARIO
                                             1801936616001                                                    X
  55152      CÓRDOVA CHIPANTIZA MARCOS TRAJANO
                                             1801936723001                                                    X
 147355      DOMINGUEZ CORONADO BAYRON JOSE801939354001
                                             1                                                                X
  19071      ECHEVERRIA NICOLALDE NEPTALI GUILLERMO
                                             1801942747001                                                    X
 257249      ZUNIGA LOPEZ ABELARDO JHONNY    1801943745001                                                    X
  92116      GUAMANÍ ALAJO DAVID AVELINO     1801945344001                                                    X
 142669      CUNALATA DIAS SEGUNDO MATIAS    1801951615001                                                    X
 148643      MUQUINCHE LAURA JULIO ANTONIO 1801952191001                                                      X
 111279      SAILEMA CHANGO LUIS ALFONSO     1801953017001                                                    X
  99489      CALVACHE NARANJO BENITO FRANCISCO
                                             1801955061001                                                    X
 206559      GAVILANES CANSECO KLEVER MESIAS1801955798001                                                     X
 266291      CHANGO BONILLA GLADYS SUSANA    1801958099001                                                    X
  98424      VELÁSTEGUI MEJÍA FANNY MARITZA 1801958586001                                                     X
  39012      JÁCOME GALLO CARLOS SHERMILLER 1801960285001                                                     X
 174954      SILVA LOPEZ JORGE LEONIDAS      1801971340001                                                    X
  53134      BENITEZ LOZADA JOHNSON OLIVO    1801971613001                                                    X
 160204      GAVILANES MEJIA LAURITA DEL CARMEN
                                             1801971621001                                                    X
 159190      VELASTEGUÍ CORTEZ HÉCTOR DANIEL1801972728001                                                     X
  16599      BONILLA ZURITA HECTOR GERMAN    1801972876001                                                    X
 179911      HIDALGO CHINACHI JOHN WASHINGTON1801975366001                                                    X
 172012      PICO ACOSTA HERNÁN WILFRIDO     1801982099001                                                    X
  13469      RIOS PALACIOS ALFONSO HERNAN    1801982289001                                                    X
  94267      NUÑEZ NUÑEZ MERCEDES REGINA     1801986884001                                                    X
 146040      MASAQUIZA MASAQUIZA JOSE MANUEL 1801992056001                                                    X
No                 No registra
                                                                No                    No registra   No
                                                                         No. registra                       registra      No.    indicadores
                                                              registra                provincia, registra
Persona_id               NOMBRE                No. ID (RUC)                 calle                           número      registra de ventas,
                                                              apellido                 cantón y   primer
                                                                          principal                         de calle     origen activos y/o
                                                              paterno                 parroquia nombre
                                                                                                            principal             empleados

 267154      CAMACHO PINTO SEGUNDO ELIAS      1801994771001                                                    X
  46605      RIVERA LÓPEZ HÉCTOR ALBERTO      1801995455001                                                    X
 250738      TITE ORTEGA SEGUNDO CORNELIO     1801995828001                                                    X
 177979      LOPEZ RAZA RUBIO TOBIAS          1801996792001                                                    X
 192574      NARANJO DUQUE VICTOR ELIAS       1801999143001                                                    X
  78735      PEÑAFIEL BONILLA MARTHA MARGARITA1802001188001                                                    X
 207229      VASQUEZ DE LA BANDERA CHAVEZ EDWIN
                                              1802001642001                                                    X
 274090      VITERI OJEDA ROBERTO AMABLE      1802001865001                                                    X
 148625      SANCHEZ SOLIS LINCOL HOMERO      1802005304001                                                    X
  47251      JURADO ARROYO FREDDY DANILO      1802005619001                                                    X
 178742      MAYORGA AGUAS FABIÁN EDUARDO 1802006526001                                                        X
 203893      MENA PALACIOS ARMANDO IVAN       1802007318001                                                    X
  91569      PEREZ JORDAN DELIA MARIA         1802008548001                                                    X
 181805      YAULI TELENCHANA FAUSTO ANIBAL 1802010593001                                                      X
 140001      NARANJO QUINTEROS ANGEL BOLIVAR1802010973001                                                      X
 182879      VARGAS VILLACRÉS BORMAN RENÁN 1802013704001                                                       X
 185382      CUNALATA LASLUISA LIGUE JOE FRAN 1802014207001                                                    X
 167185      AMORES ULLOA MILTON GIOVANNY     1802014405001                                                    X
  92199      GALORA PULLUPAXI MARIA BLANCA 1802015584001                                                       X
  25927      LUISA ANDAGANA MILTON ISAC       1802015964001                                                    X
 149343      BRITO VILLACRES JORGE ANTONIO    1802016335001                                                    X
  89246      GAVILEMA JÁCOME LUIS ALBERTO     1802016715001                                                    X
 245415      EGAS XXXXXXXXXX MARIA ESMERALDAS 1802016822001                                                    X
 100746      BEDON BALLESTEROS WILLIAN DAVID 1802018984001                                                     X
 135968      BUSTILLOS MOLINA MARCO ANTONIO 1802019784001                                                      X
 252457      CAIZA TENECOTA ANGEL RAUL        1802022994001                                                    X
 178422      TIRADO GALLO INÉS GEORGINA       1802026037001                                                    X
  45620      COBO TINAJERO HÉCTOR AUGUSTO 1802026482001                                                        X
 108954      CHILUIZA CHANGO JULIO CESAR      1802027936001                                                    X
 145475      YANCHATIPAN HARO VICENTE DONALDO 1802029247001                                                    X
  87380      GAVILANES ALVAREZ EDGAR ARTURO 1802031235001                                                      X
No                 No registra
                                                               No                    No registra   No
                                                                        No. registra                       registra      No.    indicadores
                                                             registra                provincia, registra
Persona_id               NOMBRE               No. ID (RUC)                 calle                           número      registra de ventas,
                                                             apellido                 cantón y   primer
                                                                         principal                         de calle     origen activos y/o
                                                             paterno                 parroquia nombre
                                                                                                           principal             empleados

 161550      PINTO CHICO PATRICIA LEONOR     1802031698001                                                    X
  12175      GERARDO                         1802031987001                                                    X
  31036      TUBÓN LATA JUAN DIEGO           1802035533001                                                    X
 228316      NARANJO DURAN WILLAN EDUARDO 1802036200001                                                       X
 104432      DE LA CRUZ POAQUIZA GLORIA ROMANELI
                                             1802041606001                                                    X
 136620      HIDALGO BECERRA MARÍA SOLEDAD 1802041838001                                                      X
 110429      FALCON VENEGAS BLANCA NARCISA 1802043099001                                                      X
 132034      MORALES GOMEZ DELIA MARIEBL     1802043974001                                                    X
 243029      CUSTODE BALLESTEROS HERNANDO BYRON
                                             1802045037001                                                    X
  35783      ANGEL                           1802046241001                                                    X
  95695      MOREJON GARCIA LINA REBECA      1802047488001                                                    X
 138207      BAYAS VILLACRES MELIDA DEL CARMEN
                                             1802048239001                                                    X
  17645      GUASTI PAREDES EDISSON ANIBAL   1802048387001                                                    X
 115793      CRUZ LABRE CARLOS MARCELO       1802049583001                                                    X
 189443      ZÚIÑGA GARZÓN MIGUEL ANTONIO    1802051183001                                                    X
  51647      MORALES MIRANDA CARLOS RIGOBERTO1802057453001                                                    X
  71098      TRUJILLO MARIA TEREZA           1802065878001                                                    X
 259083      CRUZ BENÍTEZ ANGEL GASPAR       1802065886001                                                    X
  81941      ORTEGA MOREIRA ESTEBAN EDUARDO  1802068617001                                                    X
 124478      GUZMAN JACOME JANNETH DEL ROCIO 1802070613001                                                    X
  56067      CARRASCO MIRANDA INES MARINA    1802072510001                                                    X
 130711      TINTIN MEJIA SIMON BOLIVAR      1802073286001                                                    X
 176877      BOMBÓN ORELLANA NELSON DANILO 1802073609001                                                      X
 127340      FREIRE VILLEGAS LIDIA MAURA     1802077642001                                                    X
 146240      POVEDA VILLAMAR MARITZA ALEXANDRA
                                             1802078186001                                                    X
 159369      CHAVEZ CHINACHI ALBA DEL ROCIO 1802079473001                                                     X
 232566      CASTRO QUIROGA BOLIVAR LUCIANO 1802083186001                                                     X
 237764      GALARZA ABRIL DANILO ENRIQUE    1802084093001                                                    X
 212128      CHAGUAMANTE AGUAGUINA GLADYS MARIELA
                                             1802085488001                                                    X
 168307      MORALES PUNGUIL GUIDO ENRIQUE 1802086379001                                                      X
 180398      TUBON NUÑEZ VICTOR FIDEL        1802091916001                                                    X
No                 No registra
                                                                No                    No registra   No
                                                                         No. registra                       registra      No.    indicadores
                                                              registra                provincia, registra
Persona_id               NOMBRE                No. ID (RUC)                 calle                           número      registra de ventas,
                                                              apellido                 cantón y   primer
                                                                          principal                         de calle     origen activos y/o
                                                              paterno                 parroquia nombre
                                                                                                            principal             empleados

 236739      BAYAS RUIZ GLADIS ESTHELA        1802094431001                                                    X
 113938      SANCHEZ MORENO MARIA CORINA      1802094886001                                                    X
  69826      JUMBO GUAICHA JOSE NICOLAS       1802095354001                                                    X
  31564      VARGAS RIVERA ALEX AGUSTIN       1802096543001                                                    X
 139317      TENELEMA TOALOMBO JOSE MARIA 1802097277001                                                        X
  44218      HERRERA GUEVARA WASHINGTON HERNÁN1802098366001                                                    X
 172182      SANCHEZ MOLINA FANI MARLENE      1802100071001                                                    X
 260555      PUAGO MOPOSITA JOSE VICENTE      1802101434001                                                    X
 194827      PULLUTASIG TAMAY HUGO FERNANDO1802101517001                                                       X
 133528      CARRERA SÁNCHEZ LUIS ROLANDO 1802101731001                                                        X
 154361      PULLUQUITÍN TUTASIG WASHINGTON EFRAÍN
                                              1802105120001                                                    X
 268295      SANTAMARIA PEÑA LUIS ANIBAL      1802106854001                                                    X
 187013      SANCHEZ TOAPANTA MARIO GERMAN 1802108538001                                                       X
  45156      ARCOS ALTAMIRANO ROSA JOSEFA 1802108728001                                                        X
 130595      PERDOMO CHOCO MARIO ELIAS        1802110286001                                                    X
 181669      SÁNCHEZ SÁNCHEZ MARCO VINICIO 1802111342001                                                       X
 134145      CALVOPIÑA PILALUISA EDWIN PATRICIO
                                              1802111920001                                                    X
 158134      REAL LÓPEZ EDISSON SANTIAGO      1802115152001                                                    X
 111121      BARRIONUEVO ARAUJO JAIME ENRIQUE802115996001
                                              1                                                                X
 110577      TOALOMBO MANOBANDA FRANCISCO 1802118412001                                                        X
 147488      SUPE SAILEMA MARIA FABIOLA       1802124238001                                                    X
 155628      GUAMANI ALAJO LUIS FRANCISCO     1802126043001                                                    X
 186343      ARMAS COLCHA MARIA GRIMANESA 1802130607001                                                        X
 172461      BECERRA LOJA LUIS HUMBERTO       1802137263001                                                    X
  84442      ESPÍN PALACIOS MENTOR GUSTAVO 1802143402001                                                       X
  32152      BUITRON MELENDEZ GERMAN RODRIGO  1802146223001                                                    X
 155108      MESIS REINOSO ROSA BALVINA       1802146538001                                                    X
 147397      MEDINA ALVAREZ GLORIA MARGARITA 1802147981001                                                     X
 135822      CEPEDA CAICEDO GENARO GEOVANNY   1802148468001                                                    X
 185878      NUÑEZ ALIRIO                     1802152080001                                                    X
 167605      JADAN GUERRERO JANIO LINCON      1802152668001                                                    X
No                 No registra
                                                                No                    No registra   No
                                                                         No. registra                       registra      No.    indicadores
                                                              registra                provincia, registra
Persona_id               NOMBRE                No. ID (RUC)                 calle                           número      registra de ventas,
                                                              apellido                 cantón y   primer
                                                                          principal                         de calle     origen activos y/o
                                                              paterno                 parroquia nombre
                                                                                                            principal             empleados

 144640      IZA CHICAIZA AGUSTO MARCELO      1802153443001                                                    X
 106199      ORTIZ ROBALINO DANIEL VICENTE    1802153518001                                                    X
   9669       CARROCERIAS IBIMCO              1802156743001                                                    X
 130652      LLERENA PAREDES CARLOS GUSTAVO1802159259001                                                       X
  29100      ORTEGA TAMAYO HOLGER ALBERTO 1802159465001                                                        X
  99145      ALMEIDA GARZON VICTOR MANUEL     1802161099001                                                    X
 261275      CESAR GEOVANNY ANDRADE MEJIA 1802161495001                                                        X
  74605      DE LA TORRE VILLACRES EVITA MARIBEL
                                              1802164259001                                                    X
 142394      SANCHEZ COELLO ANITA DEL ROCIO 1802164390001                                                      X
  45242      JORDAN JORDAN JUAN JOSE          1802167229001                                                    X
 186756      GUANANGA TIVAN JOSE NICOLAS      1802168227001                                                    X
 143177      FLORES VALENCIA FERNANDO FRANCISCO
                                              1802169555001                                                    X
 254672      RODRIGUEZ RODRIGUEZ DARWIN LEONIDAS
                                              1802169761001                                                    X
  19903      TAMAYO GAMBOA JUAN NORBERTO 1802170843001                                                         X
 208578      GAVILANES MONTENEGRO HUGO RIGOBERTO
                                              1802176709001                                                    X
 162900      PAREDES LOPEZ EDISON MARCELO 1802178168001                                                        X
 199239      ACOSTA FREIRE MARCO RODRIGO      1802178598001                                                    X
  42018      GUERRERO MANOBANDA MARCO FABIÁN  1802181741001                                                    X
  35797      SALAZAR ACURIO CARLOS JAVIER     1802182699001                                                    X
 124153      GUEVARA PINEDA RAÚL ERNESTO      1802183853001                                                    X
 111484      MAIZA CHANGOLUISA MIGUEL ANGEL 1802184323001                                                      X
 222602      RIVAS CALDERON MARCO ANTONIO 1802184471001                                                        X
  18454      HERNANDEZ NUNEZ HERMEL MARCELO   1802185189001                                                    X
 254144      GÓMEZ GARCÍA CARLOS WASHINGTON   1802185809001                                                    X
  73244      SUMBANA CASHABAMBA SEGUNDO JUAN MANUEL
                                              1802185999001                                                    X
 228268      BARRERA RODRIGUEZ MAURO FERNANDO 1802186419001                                                    X
  32840      ROBALINO LASCANO GERMAN MARCELO  1802187201001                                                    X
  18282      LOPEZ VARGAS RICARDO GERMAN      1802193381001                                                    X
 125866      SILVA MOREJÓN HERNAN GEOVANNY 1802193530001                                                       X
 221721      CARVAJAL GARCES JUAN CARLOS      1802194223001                                                    X
 128826      GONZÁLEZ FÁREZ HUMBERTO GONZALO  1802195048001                                                    X
No                 No registra
                                                                 No                    No registra   No
                                                                          No. registra                       registra      No.    indicadores
                                                               registra                provincia, registra
Persona_id               NOMBRE                 No. ID (RUC)                 calle                           número      registra de ventas,
                                                               apellido                 cantón y   primer
                                                                           principal                         de calle     origen activos y/o
                                                               paterno                 parroquia nombre
                                                                                                             principal             empleados

 231109      FALCÓN RODRÍGUEZ LUIS BAYARDO 1802195618001                                                        X
 257071      LLIGALO MALIZA VERÓNICA LOURDES 1802196095001                                                      X
 120858      SOLIS SOLIS ANGEL ALFONSO         1802197168001                                                    X
 136071      JUMBO GONZALES DAISY TALIA        1802199792001                                                    X
  24495      PÉREZ SALINAS MIRIAM ROSARIO      1802203081001                                                    X
 238903      ROMO SANGUIL TERESA DE JESÚS      1802204873001                                                    X
 135807      MEDINA TORRES KARINA GEOVANNA 1802205037001                                                        X
 231718      CARRILLO VISCAINO SEGUNDO FAUSTO  1802205151001                                                    X
 253248      FREIRE LESCANO MELIDA ELENA       1802205581001                                                    X
  41941       JAIME RODRIGO LOZADA TACOAMAN 1802208973001                                                       X
 215744      GUTIERREZ PEREZ HOLGUER GEOVANY802209294001
                                               1                                                                X
 162142      SANCHEZ MIRANDA ANGEL TELMO       1802210714001                                                    X
 266035      VILLAVICENCIO ALDAZ LETICIA ROCIO 1802210797001                                                    X
  45794      BAYAS ORTIZ HOLGUER FRANCISCO 1802211340001                                                        X
 115382      COCA MORALES HECTOR PATRICIO      1802211423001                                                    X
 241531      CAMPOS VILLARROEL LAURA VELARMINA 1802214237001                                                    X
 184357      CONSTANTE RAMOS LUIS ENRIQUE 1802218105001                                                         X
  42294      TAMAYO CARRILLO GARY CHRISTIAN 1802225480001                                                       X
  54142      ING.GALO NUÑEZ ALDAS              1802229227001                                                    X
 107379      JACOME CARRILLO ROSA CARMELINA 1802235869001                                                       X
 184978      TELENCHANA PANDASHINA MARIA ELEVACION
                                               1802238756001                                                    X
 233995      GUERRERO VILLACRES ROBERTO GEOVANNY
                                               1802238962001                                                    X
 114743      CRIOLLO SANCHEZ MARIA ANGELICA 1802244242001                                                       X
 230155      ESPINOZA MOREANO GONZALO FABRICIO 1802244259001                                                    X
 131482      IBARRA NARANJO MARIO WILFRIDO     1802244911001                                                    X
 239050      GARCÉS JINÉZ HERNÁN EDALBERTO 1802245975001                                                        X
 239116      DÁVILA MOYA WAGNER                1802248292001                                                    X
 220089      SISA SISA JOSE ELICIO             1802248300001                                                    X
 205368      SÁNCHEZ SANTAMARÍA OSWALDO MARTÍN 1802249662001                                                    X
 250517      MORALES SÁNCHEZ MARCIA EULALIA 1802251213001                                                       X
 199350      TOAZA IZA ZARA PIEDAD             1802251353001                                                    X
No                 No registra
                                                                 No                    No registra   No
                                                                          No. registra                       registra      No.    indicadores
                                                               registra                provincia, registra
Persona_id               NOMBRE                 No. ID (RUC)                 calle                           número      registra de ventas,
                                                               apellido                 cantón y   primer
                                                                           principal                         de calle     origen activos y/o
                                                               paterno                 parroquia nombre
                                                                                                             principal             empleados

 188993      MORENO LOPEZ LUIS EMILIANO        1802257467001                                                    X
  96200      DIAZ GARCIA JORGE EDUARDO         1802258796001                                                    X
 206190      GONZÁLEZ FLORES DIEGO ANDRÉS 1802259620001                       X            X                    X
 182170      ALVARADO LASCANO JOHN FRANCISCO   1802259653001                                                    X
  92299      LEMA MUESES ANGEL MARIA           1802263606001                                                    X
 202311      VALLEJO ALCOCER DEISY NOEMI       1802265031001                                                    X
 136275      MASAQUIZA TOAINGA JOSÉ MANUEL 1802269132001                                                        X
 243021      ROCHE JACQUELINE DEL PILAR        1802276418001                                                    X
  56009      JARAMILLO JUAREZ ELENA DEL CARMEN 1802277572001                                                    X
 216173      MEDINA PAREDES MARIA NATIVIDAD 1802277820001                                                       X
  50717      NUÑEZ CACERES CECILIA DEL ROCIO 1802279354001                                                      X
 184135      PILCO INCA MIRIAN ROCIO           1802281343001                                                    X
 104346      MIRANDA COBO VCITOR HUGO          1802284263001                                                    X
  19188      LOPEZ PAZMINIO GUIDO ENRIQUE      1802284743001                                                    X
 128614      SIGCHO LANDA SEGUNDO MARIANO 1802285179001                                                         X
 243313      RIOS BONILLA JAVIER ANIBAL        1802285898001                                                    X
 224229      TIRADO ALVAREZ RODRIGO ROLANDO 1802287605001                                                       X
  76911      PACHECO PROAÑO CARLOS ALFREDO 1802288645001                                                        X
 263653      LOPEZ LIZANO JUAN PATRICIO        1802292589001                                                    X
  42110      SORIA VITERI RAMON FABIAN         1802293496001                                                    X
 106553      VARGAS PAZMIÑO HERNAN EFRAIN      1802294080001                                                    X
 166301      MEDINA LOPEZ WASHINGTON ROBERTO   1802295137001                                                    X
  22159      JIMÉNEZ BURBANO EDWIN MARIO       1802299949001                                                    X
 257466      FREIRE MIRANDA HECTOR FABIAN      1802300150001                                                    X
  72978      CORDOVA ROSERO JEANETH AZUCENA    1802300655001                                                    X
 100077      MOPOSITA CABRERA MARTHA CECILIA1802300937001                                                       X
 101971      VELASTEGUÍ VARGAS JOSÉ MIGUEL 1802303089001                                                        X
  99333      CAIZA MORETA LUZ MARIA            1802303832001                                                    X
 172751      CRUZ MORALES MENTHOR EUCLIDES 1802303964001                                                        X
 176620      VILLACIS BARRIGA FATIMA DEL ROCIO 1802313005001                                                    X
  16913      VILLACIS SALINAS EDWIN ANIBAL     1802317022001                                                    X
No                 No registra
                                                               No                    No registra   No
                                                                        No. registra                       registra      No.    indicadores
                                                             registra                provincia, registra
Persona_id               NOMBRE               No. ID (RUC)                 calle                           número      registra de ventas,
                                                             apellido                 cantón y   primer
                                                                         principal                         de calle     origen activos y/o
                                                             paterno                 parroquia nombre
                                                                                                           principal             empleados

  24851      MORALES FIALLOS FABIÁN RODRIGO 1802318152001                                                     X
 151204      JIMENEZ MORETA MARIA JULIA      1802320547001                                                    X
 265831      ORTIZ VACA EDGAR MEDARDO        1802320778001                                                    X
  40247      BAYAS BENITEZ FREDDY GEOVANNY 1802321388001                                                      X
 149310      YANEZ CHANGOLUISA MARIA TERESA 1802323343001                                                     X
 101257      TUBON SILVA MARIO RUPERTO       1802327781001                                                    X
 137168      CISNEROS FREIRE IRMA JANED      1802328045001                                                    X
  73282      ITURRALDE AYALA HÉCTOR AUGUSTO 1802329472001                                                     X
 161873      CORDOVA BEDOYA JUAN ERNESTO     1802330447001                                                    X
 270301      SALAZAR GOMEZ FREDIG ROBERT     1802331155001                                                    X
  97205      MOLINA SANCHEZ LUIS NAPOLEON    1802334431001                                                    X
 188427      QUILAPANTA QUISHPE MARIA ESTHER 1802335487001                                                    X
 265094      TOBAR CASTILLO FABIAN GABRIEL   1802337103001                                                    X
 140693      ARAUZ BONILLA CLAUDIO PATRICIO 1802337376001                                                     X
 273377      ORTIZ MORALES ALICIA GIOVANNA   1802340248001                                                    X
 275512      JAYA QUISHPE FABIOLA            1802342202001                               X                                X
  83124      PEREZ ALIAGA AÍDA NOEMI         1802342418001                                                    X
 246755      DAVILA MEJIA JORGE OLGUER       1802346898001                                                    X
 123985      QUINATOA CUNALATA SEGUNDO CESAR 1802347904001                                                    X
  59479      CARVAJAL CASTRO JULIO JOSELITO 1802351492001                                                     X
 143046      LOPEZ SANCHEZ CARLOS FABIAN     1802351781001                                                    X
 191311      CANSECO GURERRERO EDWIN GONZALO 1802355162001                                                    X
 100238      CALERO BAUTISTA CARLOS MARIA    1802356723001                                                    X
 129155      ESCOBAR VILLACIS JENNY ALEXANDRA1802359123001                                                    X
 269872      FUENTES TAMAYO LUIS TARQUINO    1802368348001                                                    X
 129228      ALVAREZ MORENO ANGEL ROLANDO 1802369007001                                                       X
 188236      RODRIGUEZ ALBAN FLAVIO SERAFIN 1802369064001                                                     X
 240986      GARCES LLERENA MARIO NOLBERTO 1802369205001                                                      X
 272001      VILLACRESES TONATO IVETTE MARIA 1802370609001                                                    X
 238865      BAYAS ORTÍZ NORMA MERCEDES      1802371052001                                                    X
 115192      VILLAFUERTE CAICEDO WILSON FABIÁN
                                             1802371573001                                                    X
No                 No registra
                                                               No                    No registra   No
                                                                        No. registra                       registra      No.    indicadores
                                                             registra                provincia, registra
Persona_id               NOMBRE               No. ID (RUC)                 calle                           número      registra de ventas,
                                                             apellido                 cantón y   primer
                                                                         principal                         de calle     origen activos y/o
                                                             paterno                 parroquia nombre
                                                                                                           principal             empleados

  96716      MORALES CHICO MARIANITA DE JESUS1802375509001                                                    X
 152174      URBINA RAMOS AMPARITO MERCEDES1802376028001                                                      X
 168975      OJEDA OJEDA JULIO CESAR         1802378198001                                                    X
 236763      ECHEVERRIA MUÑOZ MONICA MERCEDES1802379311001                                                    X
 261765      PAREDES VINUEZA MANUEL AUGUSTO1802381556001                                                      X
 247193      VILLARROEL TITO FABIÁN          1802382570001                                                    X
 123852      SALCEDO LUCIO ENRIQUE GEOVANNI 1802383529001                                                     X
  64067      HIDALGIO SANTAMARIA MARCELO RICARDO
                                             1802385672001                                                    X
 181753      CRIOLLO SAILEMA LUIS GENARO     1802385771001                                                    X
  45284      QUINATOA ESPIN DANILO PATRICIO  1802386902001                                                    X
 121347      NUÑEZ NARANJO MANUEL MESIAS     1802388551001                                                    X
  95634      DAVILA LANDAZURI DARWIN MAURICIO1802393197001                                                    X
 198449      RUBIO MERA KLEVER XAVIER        1802396026001                                                    X
  87685      VACA DORADO JUAN HONORATO       1802402626001                                                    X
 202073      ARANDI LOPEZ JOSÉ ZOLIM         1802402832001                                                    X
 211817      MORA DIAZ JACINTO ALBERTO       1802412880001                                                    X
  75765      MAYORGA BRITO RICHARD ARCENIO 1802413904001                                                      X
 237144      SALAZAR VARGAS MANUEL TOBIAS    1802414456001                                                    X
  36838      REYES GAMBOA ROY ALAN           1802415107001                                                    X
  23798      MORALES ZUÑIGA HUMBERTO RAMIRO1802416881001                                                      X
 138931      GARCIA TORRES SAULO DANILO      1802420834001                                                    X
 138211      POVEDA CACERES KLEVER GEOVANNY  1802420909001                                                    X
 159236      CEVALLOS CASTILLO PEDRO ALBERTO1802422129001                                                     X
 138897      GUERRERO LOPEZ JORGE RICARDO 1802423242001                                                       X
 102624      SALINAS PONCE RAMIRO MARCIAL    1802423622001                                                    X
  42033      LUIS                            1802425551001                                                    X
  87013      VITERI BARRERA EDWIN ROBERTO    1802426807001                                                    X
 131729      AMAN PILLA BYRON DANILO         1802427615001                                                    X
 205850      CHAUCA QUILPE JOSE MISAEL       1802429090001                                                    X
 223010      URBINA SANCHEZ LEONARDO DANIEL 1802429165001                                                     X
  72856      ROBAYO ARCOS MARCO ANTONIO      1802431146001                                                    X
No                 No registra
                                                               No                    No registra   No
                                                                        No. registra                       registra      No.    indicadores
                                                             registra                provincia, registra
Persona_id               NOMBRE               No. ID (RUC)                 calle                           número      registra de ventas,
                                                             apellido                 cantón y   primer
                                                                         principal                         de calle     origen activos y/o
                                                             paterno                 parroquia nombre
                                                                                                           principal             empleados

  87730      LOZADA HERNANDEZ LUIS XAVIER    1802432037001                                                    X
 152040      NÚÑEZ GRIJALVA JORGE VLADIMIR   1802432193001                                                    X
 171450      ROMO SANCHEZ PABLO FABIAN       1802434348001                                                    X
  53119       ROSARIO                        1802434827001                                                    X
 277708      ANDALUZ AGUAGUIÑA RODRIGO SEGUNDO
                                             1802437309001                  X            X                    X
 206644      ARCOS MENDOZA NESTOR ANGEL      1802437523001                                                    X
  61553      MAYANCHA SANTI FERMIN JUAN      1802439552001                                                    X
 240546      MUYOLEMA BAYAS CARLOS ALBERTO 1802440345001                                                      X
  91307      ARELLANO ARICHÁBALA ALEX ENRIQUE1802441517001                                                    X
 110483      PEÑALOZA MEDINA JOSE RODOLFO 1802443281001                                                       X
 154842      PALLO SANCHEZ FAUSTO RODRIGO 1802444388001                                                       X
 151632      TIMBELA HIDALGO MARIO ISIDRO    1802448231001                                                    X
 251053      TAMAYO ROSERO DANILO RAFAEL     1802451003001                                                    X
 100056      GUAYASAMIN TENELEMA CARMITA ROSARIO
                                             1802452399001                                                    X
  98481      MANOBANDA CHICAIZA CLEBER MARCELO
                                             1802452720001                                                    X
 161631      VALENCIA CACERES ANGEL EDUARDO 1802454064001                                                     X
  12503       CARROCERIAS PAREGO             1802455509001                                                    X
  54905       JENNY                          1802457893001                                                    X
 247298      VALLADARES NOBOA BHENEE ISMAEL 1802458172001                                                     X
 196596      CHICO CARRASCO LUIS PATRICIO    1802459832001                                                    X
  61287       VISEL                          1802459881001                                                    X
 104259      MESIAS PROAÑO WASHINGTON FERNANDO
                                             1802460228001                                                    X
 100160      GUILLEN GAIBOR JORGE OSWALDO 1802461150001                                                       X
 202745      CRUZ MORALES MARCO HERNAN       1802461556001                                                    X
 141167      PORTERO YANSAPANTA CARLOS TARQUINO
                                             1802461879001                                                    X
 247382      HERNANDEZ ALMEIDA IBETT DEL ROCIO
                                             1802463966001                                                    X
  78754      LLERENA GARZÓN MARCO PATRICIO 1802464733001                                                      X
 104277      IBARRA ALVAREZ WILSON MANUEL    1802468890001                                                    X
 168673      CRIOLLO CHOLOTA ALFONSO         1802470243001                                                    X
 186586      ESPÍN GAVILANES JEANETTE ENRIQUETA
                                             1802475499001                                                    X
 213741      ESCOBAR ESPINOZA EDWIN VLADIMIR 1802475960001                                                    X
No                 No registra
                                                               No                    No registra   No
                                                                        No. registra                       registra      No.    indicadores
                                                             registra                provincia, registra
Persona_id               NOMBRE               No. ID (RUC)                 calle                           número      registra de ventas,
                                                             apellido                 cantón y   primer
                                                                         principal                         de calle     origen activos y/o
                                                             paterno                 parroquia nombre
                                                                                                           principal             empleados

 124243      NUÑEZ SOLIS BYRON ROBERTO       1802477651001                                                    X
  65313      TOALOMBO MOPOSITA SEGUNDO BERNARDO
                                             1802478360001                                                    X
 176810      GORDON MARTINEZ ROMULO FIDEL 1802478402001                                                       X
 114678      CASTRO MARTINEZ HOLGUER GONZALO 1802480630001                                                    X
 142406      OJEDA AREVALO WALTER CRSITOVAL 1802480697001                                                     X
 102532      GUEVARA PAREDES MARIANA HERLINDA1802481398001                                                    X
 121860      ROVALINO SALAZAR DIANA ELIZABETH1802483121001                                                    X
  24603      ARMAS CABEZAS SANDRO PATRICIO 1802484079001                                                      X
 192037      SÁNCHEZ PILAMUNGA ARCENIO ERMENEGILDO
                                             1802487031001                                                    X
  10957      ALMACÉN DE REPUESTOS MARPINO 1802488583001                                                       X
 271725      GARCES MOSQUERA JOSE ERNESTO 1802491272001                                                       X
 262688      GALLEGOS GUAILLAGUAMAN GUIDO EDGARDO
                                             1802491470001                                                    X
 187582      CACERES PANIMBOZA MARIA EUGENIA1802491587001                                                     X
 140793      GUAMANQUISPE BELTRÁN SANDRA ELIZABETH
                                             1802494664001                                                    X
  34694      VILLAFUERTE VILLAFUERTE NELSON OSWALDO
                                             1802495091001                                                    X
 265621      LAURINI PICO TANIA              1802495810001                                                    X
 102457      VILLEGAS ZUÑIGA MARIO ANIBAL    1802496594001                                                    X
 183026      FIALLOS ORTIZ FREDDY MILTON     1802496651001                                                    X
 123724      REYES ESPIN SANTIAGO DAVID      1802497329001                                                    X
 228350      PUNINA QUIQUINTUÑA SEGUNDO JOSE1802499747001                                                     X
  35509      VELASTEGUI BAÑO ORLANDO JAVIER 1802500924001                                                     X
 278740      ORDOÑEZ OCAÑA NELSON AZTORIE 1802505444001                                                       X
 167115      PAREDES MAYORGA ALEXANDER VLADIMIR
                                             1802505584001                                                    X
  68158      FALCON RODRIGUEZ EDGAR ASDRUBAL 1802506319001                                                    X
 278074      GAVILANES BOSQUES GLADYS DEL CARMEN
                                             1802506590001                                                    X
 268727      SÁNCHEZ MORALES JENY HORTENCIA 1802508877001                                                     X
  96960      SANCHEZ BAUTISTA CARLOS GONZALO 1802509271001                                                    X
 131122      VALENCIA VALENCIA WILSON EDUARDO1802511178001                                                    X
 268101      AÑAZCO LALAMA DIEGO FERNANDO 1802511293001                                                       X
 115084      TAMAYO JACOME RENAN ERNESTO     1802511350001                                                    X
 261031      TASNA MOPOSITA JOAQUIN MARIANO 1802515112001                                                     X
No                 No registra
                                                                No                    No registra   No
                                                                         No. registra                       registra      No.    indicadores
                                                              registra                provincia, registra
Persona_id               NOMBRE                No. ID (RUC)                 calle                           número      registra de ventas,
                                                              apellido                 cantón y   primer
                                                                          principal                         de calle     origen activos y/o
                                                              paterno                 parroquia nombre
                                                                                                            principal             empleados

  37873      JORDAN SANTAMARIA MARCO GIOVANNY 1802516532001                                                    X
  89455      FONSECA DACTO BETTY MAGDALENA 1802517019001                                                       X
 132710      TOALOMBO POAQUIZA JOSÉ FERNANDO  1802517258001                                                    X
 276482      VELOZ GUERRA BYRON GERMANICO 1802517431001                                                        X
  55771      POZO VILLAFUERTE EDISON ROBERTO1802517688001                                                      X
 144863      RAMOS REAL JORGE DAMIAN          1802518702001                                                    X
  16304       GIOVANNA                        1802518827001                                                    X
 201165      LASLUIZA YANCHATIPAN RUBEN GUSTAVO
                                              1802521508001                                                    X
  72124      HERNANDEZ FREIRE ELEODORO ALCIVAR1802523512001                                                    X
 102501      GUAMAN PAREDES ANIBAL RODRIGO 1802525954001                                                       X
  55467      LASLUISA AIMACAÑA JEANETH DEL PILAR
                                              1802526879001                                                    X
 222973      GUILLEN NORIEGA DIANA CAROLINA 1802527117001                                                      X
 174655      VIERA CHILUIZA JOSÉ LUIS         1802528008001                                                    X
  36261      ANALUISA CHAZA HECTOR TARQUINO 1802528594001                                                      X
 146252      CUJANO MORALES BYRON WILFRIDO 1802530129001                                                       X
  98096      VILLALVA PAREDES JULIO CESAR     1802530988001                                                    X
  77160      FLORES PICO DELIA NARCISA        1802531036001                                                    X
 161097      MEDINA LOPEZ JACQUELINE MARIBEL 1802531762001                                                     X
 261501      CORTES RIVERA JORGE LENIN        1802533073001                                                    X
 102618      VILLACRES SANCHEZ PAUL GONZALO 1802533396001                                                      X
 110088      MIRANDA VILLACIS MÓNICA ALEXANDRA1802534808001                                                    X
  94281      TIPANTASI VERDESOTO LUIS FERNANDO1802535011001                                                    X
  44495      PEÑAFIEL ORTIZ JORGE RODRIGO     1802535896001                                                    X
 233673      QUISPE GUALPA EDWIN RAMIRO       1802536423001                                                    X
 183352      ALTUNA VASQUEZ JOSE LUIS         1802538056001                                                    X
 134562      CHUGCHO CHIFLA VICENTE MECIAS 1802538502001                                                       X
 119572      MAZON MORALES DELIA MERCEDES 1802540292001                                                        X
 118770      VILLALVA MÉNDEZ PATRICIA MARILÚ 1802542611001                                                     X
 123433      BAYAS VILLALVA ANGEL RILO        1802542694001                                                    X
 220989      LOPEZ LOPEZ MARIO IBAN           1802543494001                                                    X
 142500      LLAMUCA CARRILLO MARCO VINICIO 1802543940001                                                      X
No                 No registra
                                                               No                    No registra   No
                                                                        No. registra                       registra      No.    indicadores
                                                             registra                provincia, registra
Persona_id              NOMBRE                No. ID (RUC)                 calle                           número      registra de ventas,
                                                             apellido                 cantón y   primer
                                                                         principal                         de calle     origen activos y/o
                                                             paterno                 parroquia nombre
                                                                                                           principal             empleados

 181723      MORALES CRUZ SEGUNDO AGUSTIN 1802546182001                                                       X
 179106      MAYORGA ACURIO OSCAR DANIEL    1802546232001                                                     X
 223021      GAVILANES MANZANO VICTOR HUGO 1802552974001                                                      X
 134524      MORALES GUATO MARCO ANTONIO    1802553147001                                                     X
 205783      TAMAYO TORRES VÍCTOR VLADIMIR 1802560175001                                                      X
 101990      CANDO CULQUI HECTOR LEVI       1802561819001                                                     X
 120637      VIERA CORTES KATERINE MARITZA  1802565059001                                                     X
 185106      TORRES TUBON LUIS ANIBAL       1802569101001                                                     X
  79581      MACHADO MACHADO CIRO WILFRIDO 1802569374001                                                      X
 125682      GUANANGA TOALOMBO ELIECER MARCELO
                                            1802569648001                                                     X
 171731      CHAVEZ BAYAS VERONICA DEL CONSUELO
                                            1802571826001                                                     X
 136330      FABARA LÓPEZ CARLOS ALBERTO    1802573160001                                                     X
 138274      VACA VALLE CARLOS PATRICIO     1802576197001                                                     X
  36477      ALTAMIRANO MERA DIEGO XAVIER   1802576783001                                                     X
  46603      ESTRELLA ALDAZ RAQUEL EMERITA 1802578052001                                                      X
 210218      SANCHEZ PASTRANA ELSA INES     1802578953001                                                     X
 104359      RODRIGUEZ FREIRE JOHN EDWIN    1802580033001                                                     X
  66893      ZAMORA MEDINA EDWIN FABIAN     1802585719001                                                     X
  87686      NUÑEZ ACOSTA FRANKLIN PATRICIO 1802586139001                                                     X
  95456      SOLIS AUHING NELSON FERNANDO   1802592186001                                                     X
  59452      SANCHEZ ORTIZ LENIN RAMIRO     1802593713001                                                     X
 255156      HERRERA MOYA RAUL LEONARDO     1802594372001                                                     X
 114586      SALAZAR TRUJILLLO RAMÓN FRANCISCO
                                            1802597714001                                                     X
 192297      MORETA MUZO CARLOS ISAU        1802604593001                                                     X
  25735      ORTIZ ACUÑA JOFFRE EDUARDO     1802604627001                                                     X
 236117      CASTRO SOLÓRZANO FIDEL ALBERTO 1802604684001                                                     X
 176149      ANDRADE GOMEZ VICTOR ANTONIO 1802606580001                                                       X
 164788      YUGSIN SANCHEZ SEGUNDO GERMAN 1802607844001                                                      X
 260353      TORRES GUAMÁN IRMA VERÓNICA    1802610814001                                                     X
 160863      DURAN YAGUAR WILSON HERNAN     1802610954001                                                     X
 101767      YANEZ GREFA POLIVIO ANIBAL     1802612216001                                                     X
No                 No registra
                                                               No                    No registra   No
                                                                        No. registra                       registra      No.    indicadores
                                                             registra                provincia, registra
Persona_id               NOMBRE               No. ID (RUC)                 calle                           número      registra de ventas,
                                                             apellido                 cantón y   primer
                                                                         principal                         de calle     origen activos y/o
                                                             paterno                 parroquia nombre
                                                                                                           principal             empleados

 247844      BUENAÑO MORALES LUCIO BUENAÑO 1802612786001                                                      X
 272489      BAQUERO ZAMBRANO MYRIAN DEL PILAR
                                             1802620573001                                                    X
 134723      SOSA VALVERDE MARCO ANTONIO     1802622728001                                                    X
  35772      PINOS MONTENEGRO MARCO ANTONIO  1802623361001                                                    X
 220907      AMAN PILCO NELLY GRACIELA       1802624120001                                                    X
 237699      CEVALLOS JACOME EDWIN RODRIGO 1802624153001                                                      X
 220839      AGUALONGO QUIQUINTUÑA JOSE SEGUNDO
                                             1802626828001                                                    X
  65157      PAZMIÑO ESPIN JUAN PABLO        1802631778001                                                    X
 251323      SÁNCHEZ ROMO KARINA DEL ROCÍO 1802632115001                                                      X
  97078      GRANDA AMPUERO ERIKA ELIZABETH 1802632446001                                                     X
  33881      PERALVO MEJIA HENRY RODRIGO     1802634798001                                                    X
 171445      MANZANO SOLIS MARIBEL DEL CARMEN1802640332001                                                    X
  20196      COELLO LOPEZ GERMAN VINICIO     1802642593001                                                    X
 141091      TITE PEREZ ANGEL PATRICIO       1802644607001                                                    X
 133122      JEREZ SALAN CARLOS GUILLERMO    1802645166001                                                    X
  65061      DEFAZ VEGA GLORIA MERY          1802647048001                                                    X
  59665      ING. WILSON TISALEMA            1802649937001                                                    X
 139255      NAUÑAY PEREZ WASHINGTON OSWALDO 1802650216001                                                    X
  27628      MALIZA VERDESOTO ANTONIO BERLIN 1802653137001                                                    X
 124522      GAVILANES MOLINA JAIME WILBERTO 1802655322001                                                    X
  38883      BAYAS BAYAS ANGEL ALFREDO       1802660645001                                                    X
 124801      RIVERA GARCIA CHRISTIAN GEOVANNY1802661130001                                                    X
 261797      APONTE CIFUENTES JUAN PABLO     1802662229001                                                    X
  34313      QUISPE CANDO SEGUNDO TOMAS      1802665024001                                                    X
  40782      ING.BOLIVAR MORALES             1802666592001                                                    X
 105599      TIRADO LOZADA NORMA ISABEL      1802668788001                                                    X
 148164      TENICOTA TENICOTA LUIS PATRICIO 1802669166001                                                    X
 174407      FREIRE PEREZ CECILIA JANETH     1802670511001                                                    X
 269823      SOLIS PEÑA CARMEN ELIZABETH     1802671824001                                                    X
  43810       MARIO                          1802674885001                                                    X
 122507      GUAMAN HUILCAPI HECTOR FRANKLIN 1802676971001                                                    X
No                 No registra
                                                               No                    No registra   No
                                                                        No. registra                       registra      No.    indicadores
                                                             registra                provincia, registra
Persona_id               NOMBRE               No. ID (RUC)                 calle                           número      registra de ventas,
                                                             apellido                 cantón y   primer
                                                                         principal                         de calle     origen activos y/o
                                                             paterno                 parroquia nombre
                                                                                                           principal             empleados

  50045      SUAREZ MENDOZA WASHINGTON DAVID 1802677193001                                                    X
 133543      CARRERA SÁNCHEZ WILMER KLEBER 1802677706001                                                      X
 193693      PEREZ IZURIETA ARACELLY KARINA 1802679512001                                                     X
 204364      RIOFRIO GOMEZ ANGEL GEOVANI     1802680569001                                                    X
 166612      TENEMAZA BUENO SEGUNDO FRANCISCO1802682102001                                                    X
  37135      MERA BOZANO HERNAN SANTIAGO     1802682599001                                                    X
 129255      QUISPE RODRIGUEZ OLGUER FABIAN 1802686293001                                                     X
 188151      SIZA UGSHA WILIAM GEOVANI       1802687101001                                                    X
   3295      CONSTANTE FREIRE OSCAR OMAR     1802690774001                                                    X
  25445      REAL LOPEZ ALEXANDRA ARACELLY 1802694149001                                                      X
 227082      ESPINOZA GARRIDO PABLO RODRIGO 1802694990001                                                     X
 101158      NUÑEZ ANDRADE ELVA MAGDALENA 1802695278001                                                       X
  95770      PALACIOS SALINAS PIEDAD ADELITA 1802697134001                                                    X
 110167      ESCOBAR LASCANO GERMANIA ELIZABETH
                                             1802700250001                                                    X
  36518      MONTESDEOCA FREIRE MARCO EDUARDO1802701233001                                                    X
  61452      MOYA MAYORGA TITO AGUSTÍN       1802701407001                                                    X
 220849      TOAPANTA TITUAÑA JORGE AMABLE 1802701589001                                                      X
   9016      GT MEGA OFFICE                  1802702462001                                                    X
 272979      AGUILAR NARANJO LUIS ANTONIO    1802702751001                               X                                X
 237883      TUSTON CARRASCO HAIRON WILMER 1802705234001                                                      X
 111765      MARTÍNEZ ALTAMIRANO RUBÉN DANILO1802705424001                                                    X
  92735      RODRIGUEZ SAMANIEGO EDWIN GIOVANNI
                                             1802705507001                                                    X
 223827      PEREZ CASTILLO VICTOR FLORESMILO1802705788001                                                    X
  24241      MOYA SANCHEZ WILLIAM JOFFRE     1802707537001                                                    X
 270272      YÁNEZ CABRERA ELSA GISSELA      1802707552001                                                    X
 225092      TAMAYO RODRIGUEZ GALO XAVIER    1802710689001                                                    X
  55950      ACOSTA NUÑEZ ANA CONSUELO       1802711331001                                                    X
  97265      PEREZ SALINAS LUIS ALBERTO      1802714186001                                                    X
 153977      PEREZ AGUILAR RUBEN MILTON      1802715761001                                                    X
 207562      MOPOSITA SINCHE ANGEL SERAFIN   1802719664001                                                    X
 174037      SANCHEZ ALTAMIRANO GUADALUPE EMERITA
                                             1802723096001                                                    X
No                 No registra
                                                               No                    No registra   No
                                                                        No. registra                       registra      No.    indicadores
                                                             registra                provincia, registra
Persona_id               NOMBRE               No. ID (RUC)                 calle                           número      registra de ventas,
                                                             apellido                 cantón y   primer
                                                                         principal                         de calle     origen activos y/o
                                                             paterno                 parroquia nombre
                                                                                                           principal             empleados

  91766      ANDALUZ QUISPE MARTHA KATHERINE1802724425001                                                     X
 169395      PEREZ SALINAS RUTH NARCISA      1802726628001                                                    X
 211464      ASAS CAIZABANDA SEGUNDO DANIEL 1802727071001                                                     X
  75470      MORETA SILVA MARCO VINICIO      1802727352001                                                    X
 100485      PAREDES CRUZ SARA MARGOTH       1802728970001                                                    X
 139951      PAUCAR GAVILANEZ PIEDAD ROMELIA 1802733160001                                                    X
 195845                                      1802736122001                                                    X
 222913      GUANO ESPINOZA LETICIA AURORA 1802740215001                                                      X
 266806      MORILLO POVEDA DANIELA ELOISA   1802742856001                                                    X
 216511      ORTIZ VILLACIS IVÁN PATRICIO    1802743268001                                                    X
 237633      TIMBELA URCO GERMAN ADOLFO      1802748051001                                                    X
 121128      JUNTA CHANGO LUIS OSWALDO       1802752145001                                                    X
 129197      GARCES MAYORGA DIEGO VLADIMIR 1802752657001                                                      X
 158279      HERERA VASQUEZ CARLOTA PIEDAD 1802752863001                                                      X
 123512      CHACHA MOPOSITA JOSE BRAULIO    1802754802001                                                    X
 264113      QUINTUÑA SAQUINGA LUIS OSWALDO 1802756062001                                                     X
 263590      BARRIGA VINUEZA MARIA ALEXANDRA 1802756674001                                                    X
 108456      CHANGO HERRERA JOSE ANTONIO     1802757227001                                                    X
 106833      VASCONEZ GUERRERO CARMEN MAGDALENA
                                             1802763209001                                                    X
 265539      ELBAY LEMA KLEVER FABIAN        1802763902001                                                    X
  59843      BONIFAZ TOAPANTA JOHN VINICIO   1802772457001                                                    X
  99654      RAMOS REAL GINA XIMENA          1802774362001                                                    X
  72354      CHUNCHA SOGSO ANGEL MARÍA       1802775294001                                                    X
 148403      MALIZA GOMEZ JUAN JOSE          1802776904001                                                    X
 131187      VÁSCONEZ PEÑAFIEL JOSÉ HERIBERTO1802780344001                                                    X
 227523      TOAPANTA PUNINA NERIS NOLBERTO 1802780609001                                                     X
 266120      RIBALINO ILBAY ELSA BEATRIZ     1802781896001                                                    X
 153711      SALAZAR CARRILLO AMPARO DEL ROCIO
                                             1802784312001                                                    X
 230198      TENEPAGUAY SANGURIMA TRÁNSITO DOLORES
                                             1802784353001                                                    X
 142599      MARTINEZ LLERENA WALTER         1802785178001                                                    X
 134128      CHUGCHO CHIFLA LUIS ABEL        1802787190001                                                    X
No                 No registra
                                                               No                    No registra   No
                                                                        No. registra                       registra      No.    indicadores
                                                             registra                provincia, registra
Persona_id               NOMBRE               No. ID (RUC)                 calle                           número      registra de ventas,
                                                             apellido                 cantón y   primer
                                                                         principal                         de calle     origen activos y/o
                                                             paterno                 parroquia nombre
                                                                                                           principal             empleados

 216459      CORONEL MESIAS FREDY ALFONSO 1802789840001                                                       X
 170430      VELASTEGUI CORTEZ MENTOR RAUL 1802789857001                                                      X
 106715      LEMA MARTINEZ JUAN CARLOS       1802791572001                                                    X
 151873      SANTIN JIMENEZ MANUEL OLIVO     1802791663001                                                    X
 212734      TITE PILATUÑA FREDDY SEGUNDO    1802791861001                                                    X
  78612      PÉREZ ACOSTA MARCO VINICIO      1802800332001                                                    X
 209103      CONSTANTE FREIRE JAQUELINE ALEXANDRA
                                             1802801330001                                                    X
 266117      BARRERA PICO PABLO VINICIO      1802802528001                                                    X
 139289      IPIALES PALACIOS LUIS HUALBERTO 1802804482001                                                    X
  67461      MORETA ALAJO WALTER MANUEL      1802805901001                                                    X
 244096      CAGUANA CRIOLLO ANGELICA FLORINDA
                                             1802806701001                                                    X
 111035      ESPEJO ALMACHI JUAN ARTURO      1802807824001                                                    X
  36729      MERINO VIVAS LUIS EDUARDO       1802811735001                                                    X
 207666      PACHACAMA CHAFLA JUAN CARLOS 1802814028001                                                       X
  93879      TOALOMBO LLAMBO CARMELO         1802814861001                                                    X
 161798      ANILEMNA ZAMORA LUIS EMILIO     1802814945001                                                    X
 194423      TIGSI CEVALLOS LUIS ALBERTO     1802815223001                                                    X
 225113      TOALOMBO CAPUZ MARIA MAGDALENA  1802817344001                                                    X
 162415      RIOS HURTADO DANIELA ALEXANDRA 1802819282001                                                     X
 105245      BAYAS RUIZ GRICELDA CECIVEL     1802819480001                                                    X
 100717      MORETA SAILEMA MERCY GUADALUPE1802822229001                                                      X
 161671      SALVADOR ESPINOZA ALEX DAMIAN 1802828127001                                                      X
 146294      SAQUI CHANGO CARLOS HUMBERTO 1802829661001                                                       X
 277478      SISLEMA CHADAN PABLO CESAR      1802829745001                                                    X
 216359      HERNANDEZ PACHUCHO FREDY ROBERTO1802831642001                                                    X
  25597      GUEVARA ALDAZ FRANKLIN RUBÉN    1802835734001                                                    X
 241394      VAYAS MEDINA JEANNETTE ROCÍO    1802836369001                                                    X
 206496      RODRIGUEZ PAZMIÑO NORMA ROCIO 1802837144001                                                      X
 110697      CAICHO MELO PABLO ERNESTO       1802837383001                                                    X
 102059      MANZANO REAL ADRIANA PAULINA    1802837938001                                                    X
  38981      ZAMORA VILLACIS JORGE HUMBERTO 1802838076001                                                     X
No                 No registra
                                                               No                    No registra   No
                                                                        No. registra                       registra      No.    indicadores
                                                             registra                provincia, registra
Persona_id               NOMBRE               No. ID (RUC)                 calle                           número      registra de ventas,
                                                             apellido                 cantón y   primer
                                                                         principal                         de calle     origen activos y/o
                                                             paterno                 parroquia nombre
                                                                                                           principal             empleados

 271686      GARCES MOSQUERA CARLOS ENRIQUE  1802838241001                                                    X
 266990      TIBAN SAILEMA OLGA SUSANA       1802838407001                                                    X
  22410      CUZCO SILVA EDGAR GIOVANNY      1802840718001                                                    X
 138796      RAMIREZ NARANJO GLADYS LOURDES 1802840890001                                                     X
 188375      CORDOVA SUAREZ MANOLO ALEXANDER 1802842508001                                                    X
 156786      VILLENA CARRASCO CÉSAR AUGUSTO 1802843027001                                                     X
 226110      BARRERA ORELLANA ANGEL SANTIAGO 1802844421001                                                    X
 216083      ARANDA NUÑEZ JACQUELINE ALEXANDRA
                                             1802844496001                                                    X
  14104      N&S EJECUTIVOS                  1802846954001                                                    X
 263660      CHÁVEZ ROSERO LUIS RUPERTO      1802851061001                                                    X
 151803      ZAMORA GUERRERO JOSE VICENTE 1802852812001                                                       X
  91358      SUPE SUPE WASHINGTON MOISES     1802853489001                                                    X
 135876      CHANGO CHONATA FRANCISCA        1802857431001                                                    X
 106882      SANGUCHO TOAPANTA JORGE ABELARDO1802857704001                                                    X
 171226      IBARRA ACURIO EDWIN GIOVANNI    1802858215001                                                    X
 221341      LOPEZ LOPEZ MARIO VINICIO       1802861649001                                                    X
  16730      VASCO LOPEZ PATRICIO MARCELO    1802865202001                                                    X
 198440      JARA GOMEZ EDGAR FABIAN         1802870285001                                                    X
 197347      SEVILLA CANDO CESAR MARCELO     1802870640001                                                    X
 231407      BASTIDAS APUPALO JANETH MAGARITA1802873784001                                                    X
  52657      CAIZA LASCANO GONZALO MAURICIO 1802875417001                                                     X
 269914      MEDINA USHINA LAURA RENE        1802876118001                                                    X
  99555      PANTOJA REVELO JORGE MAURICIO 1802876894001                                                      X
 111610      VITERI CORDOVA FRANCISCO JAVIER 1802879096001                                                    X
   3383      PAREDES LOPEZ FRANKLIN GONZALO 1802880037001                   X                                 X
 211506      AGUAYO MOPOSITA CARLOS JAVIER 1802880615001                                                      X
 193701      ZURITA ZUÑIGA ALEX MAURICIO     1802884963001                                                    X
 216545      SANTANA NUÑEZ JOFRE EDUARDO     1802885671001                                                    X
 122953      MAYORGA MORETA MELINA DEL CARMEN1802886034001                                                    X
 108136      ROBALINO VILLENA GALO PATRICIO 1802886836001                                                     X
  84694      CAIZA LLUGSA PEDRO PABLO        1802888386001                                                    X
No                 No registra
                                                               No                    No registra   No
                                                                        No. registra                       registra      No.    indicadores
                                                             registra                provincia, registra
Persona_id               NOMBRE               No. ID (RUC)                 calle                           número      registra de ventas,
                                                             apellido                 cantón y   primer
                                                                         principal                         de calle     origen activos y/o
                                                             paterno                 parroquia nombre
                                                                                                           principal             empleados

 186813      LLUMIPANTA TIGSE MILTON         1802888998001                                                    X
  98787      GUERRA CARDENAS FABRICIO ALEXANDER
                                             1802890226001                                                    X
 211125      REAL REINOSO ITALO RUBEN        1802891521001                                                    X
 134582      CHUGCHO CHIFLA ANGEL ELICIEO    1802896462001                                                    X
  78888      MIRANDA GUEVARA RICHARD PAUL    1802901288001                                                    X
 198040      FLORES VELASCO DIANA CAROLINA 1802905479001                                                      X
 244490      HIDALGO VILLARREAL MARIA AUGUSTA1802910743001                                                    X
 226731      MUÑOZ LALALEO MAYRA SORAYA      1802912095001                                                    X
 171709      MERA LOPEZ FRANKLIN RAFAEL      1802915098001                                                    X
 102589      ALTAMIRANO RUIZ IBETH PATRICIA  1802916369001                                                    X
 156686      JAYA GERMAN KATTY CRISTINA      1802916575001                                                    X
 140967      VILLEGAS CISNEROS HENRY PATRICIO1802921104001                                                    X
 184986      TOAPANTA TOAPANTA SEGUNDO RAUL  1802922979001                                                    X
 258311      RAMOS REAL JUANA PATRICIA       1802925048001                                                    X
 261481      GUEVRA CHILIQUINGA MAGDALENA SOLEDAD
                                             1802926244001                                                    X
 208388      CRUZ TIRADO ANA EULALIA         1802928513001                                                    X
  28175      QUINATOA ESPÍN HENRY JAVIER     1802929198001                                                    X
  21027      PALACIOS CASTILLO GALO ANDRÉS 1802930808001                                                      X
 138634      NUÑEZ PEREZ FELIX HENRY         1802930915001                                                    X
  88997      PICO ZAMORA JOSÉ LEONARDO       1802931137001                                                    X
 125764      PALMA RAMOS ANA LUCIA           1802931442001                  X                                 X
 128764      PALATE DARIO                    1802932036001                                                    X
 149802      MORALES ZURITA GABRIEL NATAN    1802932267001                                                    X
 256935      PAREDES MARTÍNEZ ROBERT WILSON 1802932416001                                                     X
 220643      SALAZAR VELASCO ROLANDO XAVIER 1802934735001                                                     X
  31304      DELGADO JEREZ PATRICIO RENÁN    1802937423001                                                    X
 126276      ALDAZ TACO ROBERTO FABIAN       1802938314001                                                    X
  74455      MORALES TORRES ERNESTO ALEJANDRO1802938488001                                                    X
 227307      CHICAIZA CHICAIZA GALO WILFRIDO 1802942035001                                                    X
 140579      VARGAS VALENCIA LUIS STALIN     1802942746001                                                    X
 227086      ABRIL VILLALVA WILMER LADISLAO  1802942902001                                                    X
No                 No registra
                                                                No                    No registra   No
                                                                         No. registra                       registra      No.    indicadores
                                                              registra                provincia, registra
Persona_id               NOMBRE                No. ID (RUC)                 calle                           número      registra de ventas,
                                                              apellido                 cantón y   primer
                                                                          principal                         de calle     origen activos y/o
                                                              paterno                 parroquia nombre
                                                                                                            principal             empleados

 253036      GUAMANI GUAMANI LUIS GONZALO     1802943041001                                                    X
 161718      BARRAGÁN GARCÍA JOSÉ GABRIEL     1802944387001                                                    X
  42289       JIMMY                           1802947075001                                                    X
 160753      OJEDA MARIÑO NANCY PIEDAD        1802947976001                                                    X
  28397      CASTRO LOPEZ SILVIA PAULINA      1802948081001                                                    X
 208378      CONSTANTE MAYORGA FRANKLIN FERNANDO
                                              1802948958001                                                    X
 145175      MORALES SAILEMA MANUEL MESIAS 1802948982001                                                       X
 143915      GOMEZ ALVAREZ GUIDO ROBERTO      1802951762001                                                    X
 132129      FLORES GAVILANES LUIS AMABLE     1802962041001                                                    X
 238420      SALTOS SORIA MARIA DE LOURDES    1802965333001                                                    X
 249013      TOALOMBO BARRIONUEVO MIGUEL ANGEL1802967404001                                                    X
 123114      ACOSTA PEREZ WALTER MESIAS       1802967537001                                                    X
 170645      HERRERA VILLACIS EFRAIN ISAIAS   1802972651001                                                    X
  99545      GALLARDO PAREDES EDWIN MARCELO   1802976017001                                                    X
 186664      PUNINA UQUILLAS SEGUNDO MANUEL 1802977205001                                                      X
 156099      PALLO SANCHEZ JAIME ROBERTO      1802977239001                                                    X
 135521      QUIQUINTUÑA TOALOMBO JOSE PEDRO  1802977742001                                                    X
 259812      TOALOMBO TOALOMBO SEGUNDO ALONSO 1802979722001                                                    X
 230296      ARGUELLO SAQUI JAVIER MARCELO 1802980969001                                                       X
 253334      PAZMIÑO PAZMIÑO KARINA ELIZABETH1802981215001                                                     X
 157694      SALCEDO LEMA WILLAN ROBERTO      1802981314001                                                    X
 204847      NAVARRO NAVARRO ALFONSO MARCELO  1802986958001                                                    X
 231316      MORALES LLERENA EDGAR MARCELO 1802988079001                                                       X
 184717      QUISPILEMA VEITIMILLA FREDDY EFRAIN
                                              1802990935001                                                    X
 259009      SOLÍS MANTILLA HENRY RODRIGO     1802992345001                                                    X
  99417      REYES FREIRE WILSON SALVINO      1802993285001                                                    X
 217021      JACOME MEDINA BYRON XAVIER       1802993525001                                                    X
 154003      CARVAJAL CASTRO CARLOS FERNANDO  1802994408001                                                    X
 136286      ARAUJO VILLARRUEL LORY HAIDEE    1802995322001                                                    X
 137687      BANDERAS FERNANDEZ LUIS EDUARDO  1802996783001                                                    X
 102049      MARTINEZ MENDOZA JESUS IVAN      1802998052001                                                    X
No                 No registra
                                                               No                    No registra   No
                                                                        No. registra                       registra      No.    indicadores
                                                             registra                provincia, registra
Persona_id               NOMBRE               No. ID (RUC)                 calle                           número      registra de ventas,
                                                             apellido                 cantón y   primer
                                                                         principal                         de calle     origen activos y/o
                                                             paterno                 parroquia nombre
                                                                                                           principal             empleados

  10844      RECTIFICADORA NOBOA PICO        1803001971001                                                    X
 250427      CRIOLLO CHIMBORAZO VINICIO MANUEL
                                             1803002516001                                                    X
 226674      COELLO CADENA SANDRA PATRICIA 1803003233001                                                      X
 151816      VILLACRES YANEZ MELINA RAQUEL   1803004538001                                                    X
 228780      CARRASCO CISNEROS LIGIA VERONICA1803005980001                                                    X
 242066      GUEVARA PAREDES DEYSI LUCIA     1803007622001                                                    X
 205665      COBOS MASAQUIZA VICTOR HUGO     1803007937001                                                    X
 229531      ROMERO FONSECA LUIS ROBERTO     1803008695001                                                    X
  33978      PAREDES MONTERO SENAIDA ALEXANDRA
                                             1803010063001                                                    X
 215883      VILLACIS RUIZ SILVANA ALEXANDRA 1803010824001                                                    X
 266728      MATUTE CUJI NANCY LUCIA         1803013752001                                                    X
 254906      ORTEGA ORTIZ RICHARD LENIN      1803014370001                                                    X
 222994      LARA MORALES AIDA LUCRECIA      1803015252001                                                    X
  44774      NUÑEZ RODRIGUEZ DARWIN EDUARDO  1803015294001                                                    X
 117410      SANISACA PAÑORA JUAN CARLOS     1803018082001                                                    X
  74252      GUERRA GAMBOA RODRIGO AUGUSTO1803019676001                                                       X
  48523      TORO LOPEZ ZOILA ISABEL         1803019700001                                                    X
 146165      YUCAILLA BALTAZAR LUIS ALBERTO 1803023181001                                                     X
  21677      MAYORGA SANCHEZ MATILDE ELEVACIÓN
                                             1803024098001                                                    X
 263524      LÓPEZ GORDON JAIRO RAUL         1803024767001                                                    X
 158979      GORDILLO NARVAEZ DIEGO FERNANDO 1803024809001                                                    X
  99899      SANCHEZ PEREZ MANUEL ERNESTO 1803025715001                                                       X
 225795      NARVAEZ CAICEDO ANA PAULINA     1803025806001                                                    X
 104690      RAMOS JARRIN ALICIA PAULINA     1803026325001                                                    X
 126830      MENDIETA TORO LUIS DANIEL       1803029899001                                                    X
 111690      FUENTES BARONA FREDDY ANIBAL    1803031515001                                                    X
 102144      GUAMAN PAREDES EULALIA PATRICIA 1803031747001                                                    X
 100101      ROJANO GUACHI NELLY PIEDAD      1803032695001                                                    X
 199414      SILVA PAREDES EDISON GEOVANNY 1803032810001                                                      X
 118065      LEMA GARCES JUAN ERNESTO        1803033495001                                                    X
 182530      CHICAIZA CAJAHUISHCA BLANCA ZENAIDA
                                             1803034022001                                                    X
No                 No registra
                                                               No                    No registra   No
                                                                        No. registra                       registra      No.    indicadores
                                                             registra                provincia, registra
Persona_id               NOMBRE               No. ID (RUC)                 calle                           número      registra de ventas,
                                                             apellido                 cantón y   primer
                                                                         principal                         de calle     origen activos y/o
                                                             paterno                 parroquia nombre
                                                                                                           principal             empleados

 211118      ACOSTA PLAZA PAULO ESTEBAN      1803034451001                                                    X
   4422      GLOAPSA                         1803037041001                                                    X
  36855      ACOSTA CASTRO FREDDY GEOVANNY 1803039823001                                                      X
 138088      ROSERO VILLALVA CARLOS HOMERO 1803040433001                                                      X
 171506      RODRIGUEZ SANDOVAL PAULINA ALEJANDRA
                                             1803041746001                                                    X
 144940      GUAIGUA SANCHEZ EDWIN GEOVANNY1803042512001                                                      X
 100507      CESPEDES MARCIAL DARWIN ROBERTO 1803043700001                                                    X
  48604      MARCO                           1803046125001                                                    X
 166073      DE LA CRUZ PUNINA LUIS ANIBAL   1803050101001                                                    X
 132368      ELBAY GUAMAN WALBERTO FROILAN 1803053196001                                                      X
 193998      BONILLA MANJARRES MAYDA PAMELA 1803057205001                                                     X
 104127      CAIZA CHANGO VINICIO MARCELO    1803065620001                                                    X
 103109      MORALES DAVILA PAULINA GISSELA 1803065760001                                                     X
 124487      SANCHEZ SANCHEZ EDGAR BLADIMIR 1803066057001                                                     X
  54267      SUAREZ MANTILLA JOSE MIGUEL     1803066586001                                                    X
  88247      CABRERA PALACIOS ALCIRA BEATRIZ 1803067071001                                                    X
 271362      ACHACHI PIMBO POLIVIO RENEE     1803067345001                                                    X
 175582      MARTÍNEZ JURADO EVELIN PAOLA    1803067865001                                                    X
  80972      MONTALVO JARAMILLO SANTIAGO DANIEL
                                             1803068764001                                                    X
 150321      CHIMBO TELENCHANA LUCY ESTELA 1803069481001                                                      X
  28736      MORENO JIMENEZ LUIS ALFREDO     1803070893001                                                    X
 142476      CORTEZ ROMERO JORGE ANTONIO 1803072840001                                                        X
 279257      LOPEZ MEDINA BOLIVAR GERMAN     1803073228001                                                    X
  80036      GUZMAN JACOME WITMANI OVIDIO    1803073954001                                                    X
  53777      RAMOS CARRASCO EDWIN ROBERTO 1803076304001                                                       X
  50111      CRIOLLO MAYORGA SANDRA JACQUELINE
                                             1803078375001                                                    X
 222574      LESCANO ACOSTA MIRIAN ELIZABETH 1803078730001                                                    X
 171786      HARO TAMAYO ANGEL VIDEN         1803079506001                                                    X
 185356      SANCHEZ NUÑEZ SANDRA NATALY     1803080249001                                                    X
 115362      MOPOSITA VALDEZ OMAR ANIBAL     1803083672001                                                    X
  43644      MONTESDEOCA MATUTE JAIME WILFRIDO
                                             1803083904001                                                    X
No                 No registra
                                                               No                    No registra   No
                                                                        No. registra                       registra      No.    indicadores
                                                             registra                provincia, registra
Persona_id               NOMBRE               No. ID (RUC)                 calle                           número      registra de ventas,
                                                             apellido                 cantón y   primer
                                                                         principal                         de calle     origen activos y/o
                                                             paterno                 parroquia nombre
                                                                                                           principal             empleados

 206320      ENDARA CHINACHI HUGO RENDÓN     1803084860001                                                    X
  86052      ANDRADE MEJIA MARA ALEXANDRA    1803085578001                                                    X
 106428      MUYULEMA MOYOLEMA MERCY CECILIA803088234001
                                             1                                                                X
 273024      AMAN SILVA MAYRA ELIZABETH      1803092046001                                                    X
 258147      RECALDE CASTILLO MARCO FERNANDO 1803093556001                                                    X
 214238      PAREDES PONCE EDGAR FRANCISCO 1803095148001                                                      X
 209303      VASQUEZ GUERRERO ROMEL RENAN 1803095700001                                                       X
  50583      ALVAREZ LIZANO IVAN PATRICIO    1803097763001                                                    X
 151404      MENDIETA TORO MARIA BELÉN       1803100021001                                                    X
  31065      BUENAÑO SALME MONICA EMPERATRIZ 1803107521001                                                    X
 143112      ESPIN CRIOLLO ERNESTO RAMIRO    1803109287001                                                    X
  75181      GAVILÁNEZ VILLACIS MARCO JAVIER 1803112265001                                                    X
  62767      ABRIL SALTOS RICARDO VINICIO    1803113321001                                                    X
 279063      SÁNCHEZ GUERRERO MENTOR JAVIER1803114345001                                                      X
 266033      URBINA ARCOS JOSE LUIS          1803116704001                                                    X
 193686      TORRES ESTUPIÑAN JESSENIA GERTRUDIS
                                             1803121423001                                                    X
 163557      SALAZAR IBARRA DARWIN JEOVANNY 1803123320001                                                     X
 182527      PEREZ GALARZA KARINA ALEXANDRA 1803123742001                                                     X
  68986      SEGARRA CUSANGUA EDITH CRISTINA1803123791001                                                     X
 263063      MACHADO ALTAMIRANO OLIVIA ELIZABETH
                                             1803124690001                                                    X
 222929      PEREZ JORDAN RICARDO GENARO     1803125796001                                                    X
 174396      SOLIZ HIDALGO MARITZA CLEOPATRA 1803126356001                                                    X
 171566      ORTÍZ ORTÍZ JHONNY ELÍAS        1803126521001                                                    X
 202437      CHANGO SAILEMA WILSON GUSTAVO 1803126679001                                                      X
 222871      ESCOBAR ARCOS PAULINA GISSELA 1803130127001                                                      X
  35616      EDGAR JAVIER CASTELO PAREDES    1803130333001                                                    X
  89749      MORENO LÓPEZ OLGUER IVÁN        1803131968001                                                    X
 170879      REYES BEDOYA WILSON PATRICIO    1803135639001                                                    X
 225791      ARMENDÁRIZ CALUÑA BÉLGICA CONSUELO
                                             1803136785001                                                    X
 102184      MERA MOSQUERA PATRICIO FERNANDO 1803139961001                                                    X
 275601      VERDESOTO TISALEMA VICTOR HUGO 1803140795001                                                     X
No                 No registra
                                                                 No                    No registra   No
                                                                          No. registra                       registra      No.    indicadores
                                                               registra                provincia, registra
Persona_id               NOMBRE                 No. ID (RUC)                 calle                           número      registra de ventas,
                                                               apellido                 cantón y   primer
                                                                           principal                         de calle     origen activos y/o
                                                               paterno                 parroquia nombre
                                                                                                             principal             empleados

 115844      VELASCO GAMBOA KLEVER FABIAN 1803141702001                                                         X
 220314      LOPEZ MARIN LUIS ERNESTO          1803143344001                                                    X
 224433      CONDO VELASTEGUI PAULO CEASR 1803145356001                                                         X
 200511      ACOSTA ACOSTA FERNANDO MANUEL1803145745001                                                         X
 112757      TIPAN GUACHAMBOZA JAIME OLMEDO 1803151446001                                                       X
  63474      FREIRE CORTEZ ELSA ROCIO          1803152584001                                                    X
  76147      ROMO ROJAS MARIO GIOVANNI         1803156478001                                                    X
  58686      C&G                               1803158557001                                                    X
 103606      TOALOMBO QUISINTUÑA AMPARO DEL 1803158615001
                                               ROCIO                                                            X
  86896      TIPANTUÑA GUANGASI JUAN FRANCISCO 1803158805001                                                    X
  28942      GUZMÁN PÉREZ WILSON DARIO         1803162450001                                                    X
 102037      CEPEDA DURAN HOLGUER FERNANDO1803174901001                                                         X
 106024      CONDO RODRIGUEZ PAUL FERNANDO 1803177490001                                                        X
 103400      CRIOLLO AUCAPINA HUMBERTO ROMAN803186632001
                                               1                                                                X
 255646      TUSTON URRUTIA WILLIAN GILBERTO 1803189446001                                                      X
  71423      SUPE SAILEMA SEGUNDO MARCELO 1803190790001                                                         X
  63212       CARLOS                           1803192515001                                                    X
 173072      ANDAGANA GUANANGA CARLOS ALCIDES  1803195369001                                                    X
  62316      PINTO RUIZ CRISTINA ELIZABETH     1803199569001                                                    X
 112852      LÓPEZ PONLUISA ROSA LORENA        1803203643001                                                    X
 147538      MIÑO VILLACIS JORGE SAUL          1803205952001                                                    X
 167692      GUEVARA CAICEDO FERNANDO PATRICIO 1803206190001                                                    X
 126713      IZURIETA VILLACIS FABIAN NAPOLEON 1803208832001                                                    X
 119122      CALUÑA TIAGUARO JUAN ROSENDO 1803210978001                                                         X
 224403      CUJI TOAQUIZA EDISON GEOVANI      1803211695001                                                    X
 169875      ZURITA DUCHE GUIDO EDUARDO        1803213527001                                                    X
 225655      ALDAZ ARIAS ALBITA ALEXANDRA      1803214046001                                                    X
 276514      ORTIZ ORTIZ SILVIA EDITH          1803215399001                                                    X
 224912      SUPE SUPE WILSON SALVADOR         1803220605001                                                    X
 104443      AMAGUAÑA AMAGUAÑA LUZ IRENE       1803221165001                                                    X
 245364      CASTRO FLORES HENRY JOSELITO      1803222155001                                                    X
No                 No registra
                                                                No                    No registra   No
                                                                         No. registra                       registra      No.    indicadores
                                                              registra                provincia, registra
Persona_id               NOMBRE                No. ID (RUC)                 calle                           número      registra de ventas,
                                                              apellido                 cantón y   primer
                                                                          principal                         de calle     origen activos y/o
                                                              paterno                 parroquia nombre
                                                                                                            principal             empleados

 104615      PARRA SALINAS JUAN CARLOS        1803229515001                                                    X
 103521      MARINO ZUMBANA LIZ ARACELLY      1803231297001                                                    X
  88498      VILLEGAS MORALES CAROLINA DEL PILAR
                                              1803231313001                                                    X
  19349      LEÓN BURGOS CAROLINA ALEXANDRA1803231784001                                                       X
 127043      DURAN SANCHEZ GABRIELA SILVANA 1803232451001                                                      X
  56466      PUNINA RECALDE FREDY RAUL        1803234556001                                                    X
 134450      VAYAS RUIZ ELIZA CAROLINA        1803234945001                                                    X
  64901      SAILEMA CRIOLLO SANDRA PAULINA 1803235629001                                                      X
  73674      PALADINES NARANJO PAUL SANTIAGO 1803236668001                                                     X
  74541      LASCANO CARRERA JULIO RODOLFO 1803236759001                                                       X
  77388      AUCANSHALA ALLAICA MIGUEL ANGEL 1803238078001                                                     X
 154116      CEVALLOS MEJIA MONICA DEL ROCIO 1803238573001                                                     X
 222576      CARRASCO CARRASCO RIGOBERTO JAVIER
                                              1803240454001                                                    X
  68674      ZÚÑIGA ZAMORA LIBIO VLADIMIR     1803241007001                                                    X
 113917      MEDINA ROSERO JAIME MARCELO      1803241528001                                                    X
  32691      PEREZ CHICA ALEX IVAN            1803241866001                                                    X
 212667      GARCIA COELLO JORGE JAVIER       1803242625001                                                    X
 152113      GALLEGOS NARANJO FRANKLIN JAVIER 1803243326001                                                    X
 170954      URQUIZO VACA SANTIAGO RAFAEL     1803243599001                                                    X
 139497      BAUTISTA MACHUCA EDWIN RAMIRO 1803243755001                                                       X
  34009      TORRES GARCÉS DANNY ORLANDO 1803244142001                                                         X
  16293      CEPEDA PROANO DIANA PAULINA      1803247566001                                                    X
 269935      TOALOMBO PUNINA SEGUNDO ANGEL 1803249455001                                                       X
 100398      CRIOLLO AUCAPIÑA NATALIA PAULINA 1803250024001                                                    X
 226135      GUEVARA ROBALINO JORGE JAVIER 1803250503001                                                       X
 238931      PROAÑO ALULEMA JUAN MARCELO      1803250610001                                                    X
 149717      ACOSTA ACOSTA FRANKLIN MARCELO 1803250735001                                                      X
 108071      VILLACIS ROBALINO ELSA JANETH    1803255353001                                                    X
 255040      VASQUEZ DE LA BANDERA MAYORGA MAURO VINICIO
                                              1803260726001                                                    X
 236989      MANTILLA AGUILAR VICENTE FABIAN 1803263696001                                                     X
 106100      MEJIA BARROS MAYCO FABIAN        1803265196001                                                    X
No                 No registra
                                                               No                    No registra   No
                                                                        No. registra                       registra      No.    indicadores
                                                             registra                provincia, registra
Persona_id               NOMBRE               No. ID (RUC)                 calle                           número      registra de ventas,
                                                             apellido                 cantón y   primer
                                                                         principal                         de calle     origen activos y/o
                                                             paterno                 parroquia nombre
                                                                                                           principal             empleados

 133863      ROSALES ROSALES EDWIN GIOVANNY 1803266111001                                                     X
 248157      SILVA ACOSTA EDISON ROBERTO     1803266491001                                                    X
 233855      TIPAN YUGCHA JOSE GEOVANNY      1803267481001                                                    X
  54720      VILLACRES MOREJON KARINA FERNANDA
                                             1803268463001                                                    X
 223647      LOPEZ MAYORGA ELIZABETH JACQUELINE
                                             1803268539001                                                    X
 102734      MASABANDA PILAMUNGA MARIA       1803268919001                                                    X
 256057      CARTAGENA SEGURA ELENA ELEVACION1803272200001                                                    X
 130722      MEJIA PAUCAR JOSE LUIS          1803273034001                                                    X
  65334      VASCO LOPEZ LENIN FERNANDO      1803276383001                                                    X
  50730      VARGAS SÁNCHEZ DIEGO LEONARDO 1803281342001                                                      X
 219566      FAREZ SOLIS MANUEL ISAAC        1803288974001                                                    X
 240784      AMORES VACA ROSA MATILDE        1803289162001                                                    X
   1903      ROSA                            1803290152001                                                    X
 129058      NARVAEZ CAICEDO VERONICA DEL PILAR
                                             1803292547001                                                    X
 267559      MORALES ALBÁN JULIO ROBERTO     1803292877001                                                    X
 241856      PAREDES URQUIZO JAIRO EDUARDO 1803294485001                                                      X
 161704      MORALES MORALES EDGAR SANTIAGO  1803294972001                                                    X
 197904      POVEDA TIRADO EDWIN JAVIER      1803295086001                                                    X
 254331      COBO PAZ Y MIÑO JUAN PABLO      1803297280001                                                    X
 135169      CULQUI ARCOS JOHNNY ULISES      1803307071001                                                    X
  67822      DUARTE NAVARRETE JUAN CARLOS 1803315330001                                                       X
 116458      VILLALVA MEDINA CARLOS HERIBERTO1803317419001                                                    X
 167903      CABEZAS TORRES ITALO GUSTAVO    1803320264001                                                    X
 198663      TIRADO PLAZA LUIS               1803325388001                                                    X
 170785      GUATO BARROSO ROLANDO EDISON 1803326162001                                                       X
 203701      PROAÑO CORDOVA SARA ELIZABETH 1803327541001                                                      X
  55762      OÑA NAVARRETE CÉSAR MAURICIO    1803328085001                                                    X
 206276      VACA LARA DARWIN MARCELO        1803328465001                                                    X
 110142      VARGAS GUEVARA MAIRA ALEXANDRA1803330875001                                                      X
  34095      LEICA YANSAPANTA BYRON EDUARDO 1803332988001                                                     X
  52569      MEDINA LOPEZ MARTHA VERONICA    1803333143001                                                    X
No                 No registra
                                                               No                    No registra   No
                                                                        No. registra                       registra      No.    indicadores
                                                             registra                provincia, registra
Persona_id               NOMBRE               No. ID (RUC)                 calle                           número      registra de ventas,
                                                             apellido                 cantón y   primer
                                                                         principal                         de calle     origen activos y/o
                                                             paterno                 parroquia nombre
                                                                                                           principal             empleados

 111661      CALUÑA BARRENO ARACELLY ELIZABETH
                                             1803336930001                                                    X
 177767      LARA ESCOBAR PAUL ENRIQUE       1803339124001                                                    X
 238047      ALDÁS NÚÑEZ ROBERTH DARÍO       1803340510001                                                    X
 213509      TORRES ORTIZ BYRON DANIEL       1803341575001                                                    X
 119825      VILLACRESES MORA JUAN PABLO     1803342284001                                                    X
  28577      URBINA VELA ANGEL CRISTOBAL     1803364726001                                                    X
 262993      ALVAREZ FALCÓN FRANKLIN XAVIER 1803365053001                                                     X
 217831      GAVILANEZ SANCHEZ ROQUE GUSTAVO 1803367653001                                                    X
  30055      VILLALVA CACERES MARIO GUILLERMO1803367778001                                                    X
 208842      BARRERA CORDOVA JUAN PABLO      1803373453001                                                    X
 164458      MOPOSITA VALDEZ EDISON ENRIQUE 1803376670001                                                     X
 259768      MASABANDA TIBAN MILTON DANIEL   1803377694001                                                    X
 100372      GARCÍA ARGUELLO MARTHA JANETH 1803380805001                                                      X
 179827      CUJI TUASA OSWALDO              1803382025001                                                    X
  66091      LESCANO SANCHEZ LENIN PAUL      1803382629001                                                    X
 267891      LUDEÑA ABAD FERNANDA JACQUELINE 1803383106001                                                    X
 221651      SANTAMARIA MASAPUNCHO ALVARO HERNAN
                                             1803383726001                                                    X
 107850      SANCHEZ LOPEZ PATRICIA JACQUELINE803385804001
                                             1                                                                X
 177540      PICO FIALLOS TANYA ELIZABETH    1803386786001                                                    X
  73015      SÁNCHEZ PÉREZ LORENA ELIZABETH 1803389699001                                                     X
  71386      SANTAMARIA MORALES PABLO SANTIAGO
                                             1803392131001                                                    X
 151844      VILLACRES YANEZ RODRIGO NICANOR1803393378001                                                     X
 117542      PEREZ MARTINEZ IRMA ELIZABETH   1803394194001                                                    X
 156809      SANABRIA REINOSO ANGEL IVAN     1803396777001                                                    X
 186620      ESCOBAR LOPEZ DIANA MARCELA     1803397023001                                                    X
 125708      VEGA PEREZ JORGE PATRICIO       1803399482001                                                    X
 159310      TORRES VILLACIS MIGUEL ANGEL    1803404407001                                                    X
 266133      GALARZA MASABANDA NORMA SUSANA  1803404639001                                                    X
 102479      PEREZ REYES MARIELA AMPARITO    1803405503001                                                    X
 125780      QUILAPANTA QUISHPE HECTOR ENRIQUE
                                             1803406931001                                                    X
 249862      RAMOS BENAVIDES PABLO RENATO 1803411204001                                                       X
No                 No registra
                                                               No                    No registra   No
                                                                        No. registra                       registra      No.    indicadores
                                                             registra                provincia, registra
Persona_id               NOMBRE               No. ID (RUC)                 calle                           número      registra de ventas,
                                                             apellido                 cantón y   primer
                                                                         principal                         de calle     origen activos y/o
                                                             paterno                 parroquia nombre
                                                                                                           principal             empleados

 235364      MEZA LASCANO RODRIGO SANTIAGO 1803412046001                                                      X
  36870      PALATE MARTÍNEZ FREDDY GEOVANNY 1803413994001                                                    X
 170001      LEON TORRES RAUL ANIBAL         1803414455001                                                    X
  26073      MENDIETA ESPINOZA MIGUEL SANTIAGO
                                             1803416443001                                                    X
 222789      PAZMIÑO CUNALEMA JUAN CARLOS 1803420437001                                                       X
 265997      CEVALLOS CHIMBORAZO PAULO CESAR 1803422789001                                                    X
 217254      QUISINTUÑA SISA MARTHA ROSARIO 1803423050001                                                     X
 238642      NUÑEZ JEREZ MANUEL ENRIQUE      1803428653001                                                    X
 126891      MAZON FLORES WALTER WILFRIDO 1803439148001                                                       X
  93997      PAREDES CEVALLOS ALVARO JOSÉ    1803441888001                                                    X
 128652      CARRERA FIALLOS JOSE LUIS       1803441904001                                                    X
  26663      JULIO EDUARDO SANTAMARÍA PEÑA 1803442936001                                                      X
 222395      MORALES NUÑEZ AUGUSTO IVAN      1803448131001                                                    X
 172062      NARANJO REINO CRISTIAN ALBERTO 1803449105001                                                     X
 265963      AMANCHA TORRES MONICA NARCIZA 1803452158001                                                      X
 189669      ROSERO PALACIOS DIANA ALEXANDRA1803452455001                                                     X
 225558      CHAVEZ YANZA MEDARDO JAVIER     1803455896001                                                    X
 269487      MANJARRES FRIAS FERNANDA ELIZABETH
                                             1803457298001                                                    X
 154403      ACOSTA SOLIS RAMIRO EDUARDO     1803457926001                                                    X
 143145      GUZMAN CHACON INES MARIBEL      1803460110001                                                    X
  60817      PILCO DIAZ TERESA DEL ROCIO     1803460144001                                                    X
 147699      TUSTON VILLACRES GUSTAVO GEOVANNY
                                             1803460243001                                                    X
 266264      PANIMBOZA CHAMBA NANCY PAULINA 1803462595001                                                     X
  30319      ALDAS VILLACIS OSWALDO JAVIER   1803464294001                                                    X
 162880      GUANIN ORTEGA EDISON ARMANDO 1803464740001                                                       X
  27099      ZUÑIGA BALLADARES JUAN FERNANDO 1803465036001                                                    X
 266195      MARTINEZ TORRES IBETH ELISA     1803465671001                                                    X
 105817      QUISINTUÑA SISA MIRIAN IMELDA   1803466950001                                                    X
 239506      SÁNCHEZ PÉREZ CRISTHIAN OSWALDO 1803468675001                                                    X
  59964      CALUCHO SAILEMA KARINA ALEXANDRA803471018001
                                             1                                                                X
 101604      ONATE VILLEGAS RICARDO JESUS    1803472354001                                                    X
No                 No registra
                                                               No                    No registra   No
                                                                        No. registra                       registra      No.    indicadores
                                                             registra                provincia, registra
Persona_id               NOMBRE               No. ID (RUC)                 calle                           número      registra de ventas,
                                                             apellido                 cantón y   primer
                                                                         principal                         de calle     origen activos y/o
                                                             paterno                 parroquia nombre
                                                                                                           principal             empleados

 146195      VALLE ARROYO LEONARDO RIGOBERTO 1803473022001                                                    X
 245486      VELASCO ROSALES CARLOS FABIAN 1803484227001                                                      X
 241397      CEPEDA CAICEDO ANDREA CRISTINA 1803484888001                                                     X
 112633      PAREDES SUAREZ LILIAN MARGARITA 1803485984001                                                    X
 164058      MAIZA MOYA EDWIN ROLANDO        1803487188001                                                    X
 108080      GARCES ZAVALA VICENTA MARGARITA1803495223001                                                     X
 101643      YUGCHA JERÉZ JULIO CÉSAR        1803496296001                                                    X
 194520      MORA SÁNCHEZ CHRISTIAN ANDRÉS 1803498672001                                                      X
 197056      ROMERO CONSTANTE CRISTINA ANDREA1803498953001                                                    X
 183893      OCAMPOS ORTEGA GALO ALEJANDRO 1803508041001                                                      X
 277011      LESCANO ALMACHE LUIS HUMBERTO 1803516051001                                                      X
 177806      TUBON LAGUA GLADYS MARLENE      1803518578001                                                    X
 142245      BONILLA ALBAN BYRON MARCELO     1803522216001                                                    X
 219714      VASCONEZ YEPEZ ANA VANESSA      1803529328001                                                    X
 223031      CORTEZ VITERI CHRISTIAN DANIEL  1803531282001                                                    X
 211108      GUACHI CHILUIZA ALVARO JOSE     1803534989001                                                    X
 102363      SIZA MORALES SILVANA MONSERRATTE803535077001
                                             1                                                                X
 235317      SOTO QUIROLA MARCO RICARDO      1803536141001                                                    X
  99169      CHERREZ DOMINGUEZ ROBERTO PAUL 803537156001
                                             1                                                                X
 177346      ROSERO AREVALO RAMIRO CARLIN    1803537305001                                                    X
  51759      VILLACRÉS MOREJÓN XIMENA JEANETTE
                                             1803537875001                                                    X
 180517      VILLACIS GUEVARA ALEX MARCO     1803539319001                                                    X
 231320      YAGUARGOS CASTRO LENIN FERNANDO 1803539483001                                                    X
 267069      GUEVARA SUBIA PAUL ROMAN        1803542685001                                                    X
 105247      LLIGUIN JARRIN MARIO RAMIRO     1803546546001                                                    X
  19364      SEGURA RAMOS ISRAEL JAVIER      1803550613001                                                    X
 136407      SANTAMARIA BUSTOS MESIAS ROLANDO1803553229001                                                    X
 266048      MALIZA CHASI LUZ ANGELICA       1803558608001                                                    X
 225594      MIRANDA CHONATA CRISTINA ELIZABETTH
                                             1803560257001                                                    X
 270748      LLAMUCA BENALCÁZAR JESSICA MARITZA
                                             1803562204001                                                    X
 101517      ALDAS PAREDES PAULO CESAR       1803563129001                                                    X
No                 No registra
                                                               No                    No registra   No
                                                                        No. registra                       registra      No.    indicadores
                                                             registra                provincia, registra
Persona_id               NOMBRE               No. ID (RUC)                 calle                           número      registra de ventas,
                                                             apellido                 cantón y   primer
                                                                         principal                         de calle     origen activos y/o
                                                             paterno                 parroquia nombre
                                                                                                           principal             empleados

 262649      MARTINEZ PEREZ DAVID SALOMON    1803564481001                                                    X
 224190      GALLARDO MANJARRES JORGE DANIEL 1803564754001                                                    X
 126862      GUERRERO ESCOBAR PATRICIA ELIZABETH
                                             1803566742001                                                    X
  50885      GONZALEZ BAUTISTA EDWIN RODRIGO1803568235001                                                     X
 268793      OLOVACHA TOAPANTA INES VERONICA 1803568318001                                                    X
 106777      CORDOVA SALGUERO WILSON RAMIRO  1803573474001                                                    X
 190755      PARRA SALINAS ROCÍO ISABEL      1803576733001                                                    X
 132800      YAMBAY GUANO INES DOLORES       1803579513001                                                    X
 216928      MALISA TIL JOSE AMABLE          1803580065001                                                    X
 191378      CAIZA ALOMALISA MILTON GUSTAVO 1803581659001                                                     X
 132844      NARANJO CASTRO CARLOS ROGELIO 1803582566001                                                      X
 224799      CASTAÑEDA VILATUÑA ADRIAN PATRICIO
                                             1803582681001                                                    X
 163063      CRUZ VIVAS MARIA BELEN          1803584687001                                                    X
 135979      PONCE VALLE MARÍA GABRIELA      1803587904001                                                    X
  78931      PINDA GUANOLEMA BAYRON RAMIRO 1803590635001                                                      X
 194280      MAYORGA SOLÍS RAFAEL ANTONIO    1803591906001                                                    X
 212046      RIOS LARA SILVIA CATALINA       1803592862001                                                    X
 136025      CAIZA CHANGO FRANKLIN FERNANDO 1803593100001                                                     X
 102707      ACOSTA JORDAN VERONICA ALEXANDRA1803595832001                                                    X
 269373      GARCIA MINANGO MONICA VICTORIA 1803596947001                                                     X
  99201      PORTERO MONTERO LAURA ELIZABETH 1803597812001                                                    X
 179552      CHILUIZA VILLAMAR GUILLERMO FERNANDO
                                             1803601309001                                                    X
 176578      CONDO RODRIGUEZ MARIELA VERONICA1803603420001                                                    X
 223118      TAMAYO CAMPAÑA GRACE MARGARITA  1803607512001                                                    X
 100129      CAMINO DAVILA LUIS ALBERTO      1803607843001                                                    X
 235925      AILLON CARRASCO OSCAR IVAN      1803608965001                                                    X
 250816      SOLÍS ACOSTA EMÉRITA NATALIA    1803610235001                                                    X
 224894      JORDAN JORDAN ALBA ROCIO        1803612785001                                                    X
 243963      ARIAS GAVILANES VERONICA AMANDA 1803612991001                                                    X
 196526      GUANIN OLIVARES HERIBERTO NICOLAS
                                             1803613965001                                                    X
 138277      MORALES PILATAXI AUGUSTA ROSALIA1803613973001                                                    X
No                 No registra
                                                                No                    No registra   No
                                                                         No. registra                       registra      No.    indicadores
                                                              registra                provincia, registra
Persona_id               NOMBRE                No. ID (RUC)                 calle                           número      registra de ventas,
                                                              apellido                 cantón y   primer
                                                                          principal                         de calle     origen activos y/o
                                                              paterno                 parroquia nombre
                                                                                                            principal             empleados

  75945      CARRASCO LLERENA MARISOL ROMELIA 1803615085001                                                    X
 148282      REVELO VÁSQUEZ MARÍA FERNANDA 1803615614001                                                       X
  59736      LIZANO CALUCHO ELIZABETH MARIBEL1803617966001                                                     X
 251670      MAYORGA POVEDA DIEGO ABRAHAM 1803622180001                                                        X
 179492      LIZANO LESCANO EDUARDO ANDRES 1803622446001                                                       X
 218974      PAREDES BARRIONUEVO VERONICA SOLEDAD
                                              1803626298001                                                    X
 105936      BAUTISTA GAVILANES MAGALI PAULINA1803627163001                                                    X
 112568      CANDONGA MALDONADO JUAN CARLOS803627494001
                                              1                                                                X
 102338      MAZAQUIZA PAUCAR ALEX MAURICIO 1803628716001                                                      X
 265790      CASTRO LOPEZ PAOLA ESTEFANIA     1803629029001                                                    X
 204341      PAZMIÑO FIALLOS DIEGO PAUL       1803635430001                                                    X
 230715      HARO RODRIGUEZ FREDDY BENIGNO 1803649670001                                                       X
 177803      TORRES LASCANO VIVIANA CECILIA   1803651643001                                                    X
 121735      FLORES JURADO FRANKLIN ANIBAL    1803652518001                                                    X
 267714      SUÁREZ PAREDES JUAN PABLO        1803667292001                                                    X
 177395      VILLALVA LEON DANNY XAVIER       1803669058001                                                    X
 124991      PALMA RAMOS MARÍA VARÓNICA       1803671492001                                                    X
 256957      CALAPIÑA LANDA SUSANA MARIBEL    1803674561001                                                    X
 216305      MUÑOZ LALALEO BRAULIO ALEJANDRO  1803679800001                                                    X
  97443      CHIPANTIZA QUINATOA HERNAN PATRICIO
                                              1803681350001                                                    X
 167821      MIRANDA REYES DIANA MARITZA      1803690732001                                                    X
 101480      SULCA MALIZA DANNY ALEJANDRO     1803697612001                                                    X
 129853      CARRANZA MOLINA PABLO GONZALO 1803710639001                                                       X
 100156      LOPEZ VILLACIS JOHANA PAULINA    1803724143001                                                    X
 186212      ALBÁN NAVARRO ANDREA DANIELA     1803727070001                                                    X
 222203      CHOLOTA TORRES PATRICIA ELIZABETH1803731247001                                                    X
 265928      ROBALINO BARONA DANIELA VERONICA 1803733128001                                                    X
 269077      GARCES CASTRO LIGIA ELENA        1803734449001                                                    X
 223054      GUERRERO ESCOBAR JIMENA ALEJANDRA1803740198001                                                    X
 213946      ZAMORA CASTILLO DANIEL           1803741675001                                                    X
  75454      CONSTANTE SANCHEZ VERONICA FERNANDA
                                              1803743002001                                                    X
No                 No registra
                                                                 No                    No registra   No
                                                                          No. registra                       registra      No.    indicadores
                                                               registra                provincia, registra
Persona_id               NOMBRE                 No. ID (RUC)                 calle                           número      registra de ventas,
                                                               apellido                 cantón y   primer
                                                                           principal                         de calle     origen activos y/o
                                                               paterno                 parroquia nombre
                                                                                                             principal             empleados

 101102      ROJANO GUACHI LIVIA GUADALUPE     1803744091001                                                    X
 197248      MORALES GALLEGOS FERNANDO DANIEL  1803746047001                                                    X
 210481      IZA MANOBANDA DARWIN IVAN         1803749082001                                                    X
 266204      MEDINA MONCAYO ANDRES SEBASTIAN   1803754181001                                                    X
 252085      MORETA ALTAMIRANO JESUS PATRICIO  1803756095001                                                    X
 102302      GUAIGUA GUAIGUA TANIA ALEXANDRA1803765708001                                                       X
 102262      PAREDES GUIJARRO MARIA DEL CARMEN 1803766011001                                                    X
 187372      SANCHEZ SOLIS ALEX ISRAEL         1803777042001                                                    X
 202967      VELÁSQUEZ FREIRE ALEJANDRO JAVIER 1803793098001                                                    X
 254226      SOLIS ARCOS FREDDY MANUEL         1803795994001                                                    X
  70981      MEDINA JÍNEZ OMAR ERNESTO         1803799772001                                                    X
 258396      LUZARDO ROMERO ALEXANDRA MARICELA 1803801263001                                                    X
 172375      GUZMÁN MELÉNDEZ NÉSTOR JAIRH 1803809605001                                                         X
 265953      BUENAÑO OBANDO DIEGO JOSE         1803810009001                                                    X
 221057      MAYORGA NARANJO JUAN FRANSISCO1803814464001                                                        X
 142569      CASTILLO ARMENDARIZ FAVIO BOLIVAR 1803822103001                                                    X
 223200      PAREDES GALLO BOLIVAR DANIEL      1803824380001                                                    X
 263737      SÁNCHEZ CARRANZA CÉSAR JACOBO 1803833860001                                                        X
 117954      MOREJÓN LOZADA WILLIAM PAÚL       1803837556001                                                    X
 159888      YEPEZ LOPEZ BRUNO FABIAN          1803840139001                                                    X
 128926      ORTEGA RAMOS JAIME HECTOR         1803847308001                                                    X
  47723      CARRILLO TRUJILLO CRISTINA ELIZABETH
                                               1803854429001                                                    X
 221094      AVILA HERRERA DIEGO FERNANDO      1803859386001                                                    X
 172330      ENRIQUEZ FREIRE ANA LUCIA         1803859766001                                                    X
 242705      SANCHEZ FREIRE RAFAEL RIGOBERTO1803862083001                                                       X
 126509      DIAS MORALES VICTOR GERMAN        1803864519001                                                    X
 266919      CHUQUIMARCA CHUQUIMARCA MARÍA ANGÉLICA
                                               1803880812001                                                    X
 266889      SUAREZ LEMA DIANA PAOLA           1803881893001                                                    X
 103456      TIPANTACIG MOPOSITA LIGIA ALEXANDRA
                                               1803890431001                                                    X
  97638      SÁNCHEZ ESTRADA DIEGO VINICIO     1803900016001                                                    X
 207036      MEJIA LOPEZ EDGAR DANIEL          1803904075001                                                    X
No                 No registra
                                                               No                    No registra   No
                                                                        No. registra                       registra      No.    indicadores
                                                             registra                provincia, registra
Persona_id               NOMBRE               No. ID (RUC)                 calle                           número      registra de ventas,
                                                             apellido                 cantón y   primer
                                                                         principal                         de calle     origen activos y/o
                                                             paterno                 parroquia nombre
                                                                                                           principal             empleados

 131454      CHICAIZA CHIMBO CARLOS RODRIGO 1803906021001                                                     X
 163446      LACAZE DUTERTRE DIDIER MARCEL 1803907789001                                                      X
 239560      ROMERO MALIZA XAVIER ANTONIO    1803911757001                                                    X
 238507      CORDOVA SARANGO HILTER MANUEL 1803913076001                                                      X
 237309      VALLE BARONA CARMEN ELIZABETH 1803919727001                                                      X
 238891      PADILLA ESCOBAR ELENA GABRIELA 1803923091001                                                     X
 265995      MEDINA VASCONEZ DANIEL VASCONEZ1803934981001                                                     X
 266646      REDROBÁN ESCOBAR MAURICIO RAMIRO1803936564001                                                    X
 205757      SILVA YACCHIREMA LUIS TARQUINO 1803951746001                                                     X
 266758      VILLACIS CANDO DIEGO ALFREDO    1803955572001                                                    X
 218955      LEON SANCHEZ OSCAR MAURICIO     1803959368001                                                    X
  70857      ALDAZ SILVA VERONICA GENOVEVA 1803963915001                                                      X
 176553      RIVADENEIRA JARAMILLO MARCIA ROCIO
                                             1803975620001                                                    X
 194797      ILBAY VILLACÍS ROBERTO CARLOS   1803978616001                                                    X
 230301      MUQUINCHE CHACHA SAMUEL ROBERTO 1803989761001                                                    X
 203040      CÓRDOVA SUÁREZ JUAN CARLOS      1804006037001                                                    X
 112658      SIGCHA TUALOMBO GABRIELA ALEJANDRA
                                             1804014726001                                                    X
 128509      OLIVO ALVAREZ CLAUDIA MARISOL   1804017612001                                                    X
 269036      SALINAS BALLADARES IVONNE ROCIO 1804022638001                                                    X
 226159      TIPAN GUIJARRO DIANA CAROLINA   1804025227001                                                    X
 268939      FREIRE ESPINOZA DIEGO XAVIER    1804026159001                                                    X
  41641       ZOILA                          1804034914001                                                    X
 268572      ZUMBANA ANDAGANA DIOGENES ESTUARDO
                                             1804052189001                                                    X
 258323      MONTIEL NIETO DIANA BELEN       1804054243001                                                    X
 117635      VASCONEZ VACA GIOVANNI FABRICIO 1804083564001                                                    X
  87977      PULLUPAXI SIGUENSA DIEGO JAVIER 1804088548001                                                    X
 253187      VILLACIS VARGAS CARLOS ALBERTO 1804092979001                                                     X
 163145      ALTAMIRANO FALCON FANNY ROCIO 1804096210001                                                      X
 246568      MIRANDA LARA DANIEL FABIAN      1804110169001                                                    X
 136363      PILCO LOPEZ JENNY ELIZABETH     1804115804001                                                    X
 102379      DAVALOS ESPIN LORENA NARCIZA    1804124004001                                                    X
No                 No registra
                                                               No                    No registra   No
                                                                        No. registra                       registra      No.    indicadores
                                                             registra                provincia, registra
Persona_id               NOMBRE               No. ID (RUC)                 calle                           número      registra de ventas,
                                                             apellido                 cantón y   primer
                                                                         principal                         de calle     origen activos y/o
                                                             paterno                 parroquia nombre
                                                                                                           principal             empleados

  56759      VIVIANA                         1804125571001                                                    X
 266089      ULLOA CHIPANTIZA MONICA CECILIA 1804127239001                                                    X
 243095      MARTINEZ MORALES VERONICA MARIBEL
                                             1804155370001                                                    X
 222996      ORTEGA DÁVILA VANESA ESTEFANÍA 1804161147001                                                     X
 128271      VALENCIA JARA MARIA VERONICA    1804161808001                                                    X
 270882      GUERRERO VIVANCO LORENA EDITH 1804163101001                                                      X
 265931      LLERENA ORTÍZ ERIKA MAGDALENA 1804186573001                                                      X
 180895      LÓPEZ LÓPEZ RODRIGO ALEJANDRO 1804187555001                                                      X
 266870      GUEVARA BARRERA LIZBETH MADELAINE
                                             1804194171001                                                    X
 266005      MIRANDA CRUZ JUAN RAFAEL        1804209417001                                                    X
 166425      SIGCHA AZOGUE MEDARDO FRANCISCO 1804216768001                                                    X
 266487      FIALLOS REAL KATY ZORAYMA       1804226791001                                                    X
 266083      ALVAREZ GUERRERO ROGGER MARVIN  1804248464001                                                    X
 192193      GUINCHO MUNGABUSI PEDRO PATRICIO1804269759001                                                    X
 266509      VILLARROEL MAYORGA JAVIER JOAQUIN
                                             1804284915001                                                    X
 196200      PIMBOMAZA CHADAN ANA PAULINA    1804287116001                                                    X
 223037      CHIMBOLEMA CURAY SAMUEL ISRAEL 1804326385001                                                     X
 108560      TORRES CHAVEZ MARIA GABRIELA    1804335774001                                                    X
 115779      CARRASCO GARCES ELGI MAURO      1804349296001                                                    X
 214278      CALVACHE CRIOLLO MERY AZUCENA 1804351235001                                                      X
 172773      TISALEMA BRAVO EDISON FERMINN 1804358545001                                                      X
 266916      ALTAMIRANO ACOSTA MARY CRISTINA1804373312001                                                     X
 222862      NARANJO DE LA CRUZ DIANA MARICELA804417960001
                                             1                                                                X
  30167      BARONA GUERRERO FRANCISCO JAVIER1804439154001                                                    X
  57184      AMANCHA ORTIZ MAYRA ALEJANDRA 1804478483001                                                      X
 169881      ESCOBAR CARRION JESSICA PAMELA 1804488615001                                                     X
 111364      ZUÑIGA CASTRO MAYRA ALEXANDRA 1804508107001                                                      X
 232978      CAJAS LEMA PATRICIO HERNAN      1804515631001                                                    X
 261587      MOPOSITA PANDASHINA JOSE JAIME 1804544946001                                                     X
 216390      GAMBOA MAYORGA RODRIGO ISRAEL 1804555835001                                                      X
 140393      ACHACHI PIMBO WILLIAM ROBERTO 1804635314001                                                      X
No                 No registra
                                                              No                    No registra   No
                                                                       No. registra                       registra      No.    indicadores
                                                            registra                provincia, registra
Persona_id              NOMBRE               No. ID (RUC)                 calle                           número      registra de ventas,
                                                            apellido                 cantón y   primer
                                                                        principal                         de calle     origen activos y/o
                                                            paterno                 parroquia nombre
                                                                                                          principal             empleados

 266961      PEÑALOZA PEÑALOZA TANNIA ARACELY804777355001
                                              1                                                              X
 142588      CASTILLO ARMENDARIZ FRANKLIN EDUARDO
                                              1804843207001                                                  X
 232916      CUJI TOASA XIMENA ABIGAIL        1805013503001                                                  X
 267571      LASLUISA PACHA MAIDA FABIOLA     1805093125001                                                  X
 268565      PACHA TAMAQUIZA CELINDA TARGELIA 1805164710001                                                  X
 178081      UTA - UNIDAD DE PRESTASCION SE SERVICIOS
                                              1865027600001                                                  X
  29074      INDUSTRIAS LICORERAS ASOCIADAS S.A.
                                              1890001935001                                                  X
 137777      INDUSTRIAS CATEDRAL S.A.         1890007976001                                                  X
  34965      S.A. IMPORTADORA ANDINA S.A.I.A. 1890009766001                                                  X
 162966      COOPERATIVA DE TRANSPORTES Y TURISMO BAÑOS
                                              1890020085001                                                  X
 259577      FUNDACION CULTURAL Y EDUCATIVA AMBATO
                                              1890050863001                                                  X
 143025      ECUATORIANA DE CURTIDOS SALAZAR1890053056001
                                               S.A.                                                          X
  11519      PICOSA                           1890053919001                                                  X
  26395      FUNDIMEGA S.A.                   1890058597001                                                  X
   1009      ECUATRAN S.A                     1890061385001                                                  X
 117503      ACERIAS ROMANO S.A               1890073073001                                                  X
   5074      CURTIDURIA TUNGURAHUA S.A.       1890074703001                                                  X
 152816      TECNICOS AGROPECUARIOS DEL ECUADOR TADEC CIA.LTDA:
                                              1890087252001                                                  X
 262488      ALCIDES MOSQUERA E HIJOS ALMOGAS C LTDA
                                              1890091365001            X                X                    X
 167641      INDUSTRIA NACIONAL DE RETROVISORES Y CROMADOS
                                              1890100909001                                                  X
  86941      ECUATORIANA DE MOTORES MOTOREC CIA. LTDA.
                                              1890105919001                                                  X
  92712      FUNDACIÓN JÓVENES PARA EL FUTURO890139422001
                                              1                                                              X
   5421      HOLVIPLAS S. A.                  1890139481001                                                  X
 118714      SINDICATO CANTONAL DE CHOFERES PROFESIONALES DE PILLARO
                                              1890139651001                                                  X
 160030      SINDICATO DE CHOFERES BAÑOS DE AGUA SANTA
                                              1890139678001                                                  X
 164527      DISVETEL                         1890139716001                                                  X
 168122      ASOCIACION DE PERSONAS CON LIMITACIONES PLEJICAS DE TUNGURAHUA
                                              1890140358001                                                  X
  26420      ALVARADO ORTIZ CONSTRUCTORES CIA. LTDA.
                                              1890141281001                                                  X
 166243      FUNDACION ALLI CAUSAI            1890141362001                                                  X
 132486      SINDICATO DE CHOFERES PROFESIONALES DEL CANTON CEVALLOS
                                              1890141524001                                                  X
 100186      CENTRO DE SERVICIOS ALONSO GAVILANEZ GAVILANEZ CIA. LTDA.
                                              1890142245001                                                  X
No                 No registra
                                                              No                    No registra   No
                                                                       No. registra                       registra      No.    indicadores
                                                            registra                provincia, registra
Persona_id              NOMBRE               No. ID (RUC)                 calle                           número      registra de ventas,
                                                            apellido                 cantón y   primer
                                                                        principal                         de calle     origen activos y/o
                                                            paterno                 parroquia nombre
                                                                                                          principal             empleados

  11476      CARROCERIAS VARMA                1890142296001                                                  X
  38620      COMPAÑIA CAMINERA RAMOS Y ASOCIADOS S.A.
                                              1890148316001                                                  X
 241087      NUTRICION SALES Y MINERALES      1890148537001                                                  X
 133698      AMBANDINE S.A.                   1890148596001                                                  X
 119085      FUNDACIÓN PASTAZA                1890148642001                                                  X
  98772      PETROLCENTRO PETROLEOS DEL CENTRO C.A.
                                              1890148804001                                                  X
  81292      DARQUEA SEVILLA Y OTROS HECTOR HERNAN
                                              1890149142001                                                  X
 173405      CENTRO DE FUMIGACIONES DEL CENTRO FUMICEN CIA LTDA
                                              1890152755001                                                  X
  33097      GONZALEZ VEGA EL MOT             1890152917001                                                  X
 224177      CONSTRUCTORA RODSAL CIA. LTDA 1890153700001                                                     X
  84323      COMPAÑIA DE GENERACION SERVICIOS Y MATENIMIENTO GESEMA SA
                                              1890153751001                                                  X
  40420      UNION DE ORGANIZACIONES CAMPESINAS DEL NORTE DE TUNGURAHUA
                                              1891700446001                                                  X
  39752      FUNDACION MANOS UNIDAS CENTRO DE RECUPERACION INTEGRAL MI-CRU
                                              1891701086001                                                  X
  87112      ASOCIACIÓN DE TRABAJADORES AUTÓNOMOS ALLPA MAMA
                                              1891702481001                                                  X
 249497      CENTRO ARTESANAL HUAMBALO        1891704468001                                                  X
 196631      PROA                             1891705634001                                                  X
 156476      ANDINAMOTORS S.A.                1891706061001                                                  X
   8339      COMERCIALIZADORA AUTOLINE S.A. 1891706630001                                                    X
 266451      BIOALIMENTAR CIA. LTDA.          1891706967001                                                  X
  43020      CARRILLO & VILLACRES C&V INGENIERIA CIA. LTDA.
                                              1891707262001                                                  X
 210605      AUTOMOTORES DEL PACIFICO S.A. "AUTOLLEGASA"
                                              1891707874001                                                  X
 116344      PROMEPELL S.A.                   1891708862001                                                  X
  78709      ASOCIACIÓN DE CONSERVACIÓN VIAL PINGUILI
                                              1891709168001                                                  X
  78657      ASOCIACIÓN DE CONSERVACIÓN VIAL CEVALLOS
                                              1891709184001                                                  X
 120391      TALLERES AMBAMAZDA S.A           1891709214001                                                  X
 143443      CURTILAN S.C.                    1891709311001                                                  X
  49522      AUTOMOTORES CARLOS LARREA T. CIA. LTDA
                                              1891709478001                                                  X
 147013      ASOCIACION DE CONSERVACION VIAL SANTA CLARA
                                              1891709494001                                                  X
  78315      ASOCIACIÓN DE CONSERVACIÓN VIAL AVENTUREROS DE TUNGURAHUA
                                              1891709516001                                                  X
  86010      ASOCIACIÓN DE CONSERVACIÓN VIAL LOS ANDES DE PUENABATA
                                              1891709524001                                                  X
 113946      ASOCIACIÓN DE CONSERVACIÓN VIAL SAN ANTONIO DE COTALÓ
                                              1891709559001                                                  X
No                 No registra
                                                              No                    No registra   No
                                                                       No. registra                       registra      No.    indicadores
                                                            registra                provincia, registra
Persona_id              NOMBRE               No. ID (RUC)                 calle                           número      registra de ventas,
                                                            apellido                 cantón y   primer
                                                                        principal                         de calle     origen activos y/o
                                                            paterno                 parroquia nombre
                                                                                                          principal             empleados

  77580      MEGAKONS S.A.                   1891710182001                                                   X
 138231      ASOCIACIÓN DE CONSERVACIÓN VIAL VIRGEN DE AGUA SANTA
                                             1891710433001                                                   X
 156456      MADERVAS S.A.                   1891710468001                                                   X
 154918      ASOCIACIÓN DE TRABAJADORES AUTÓNOMOS ÑUKANCHIK ÑAN
                                             1891710670001                                                   X
  78684      ASOCIACIÓN DE CONSERVACIÓN VIAL NUESTRA SEÑORA DEL MONTE
                                             1891710719001                                                   X
 146336      ASOCIACIÓN DE TRABAJADORES AUTÓNOMOS SAN ANTONIO DE PASA
                                             1891711715001                                                   X
 115514      COMERCIAL CISNEROS IMPORTADORA1891711774001
                                              KUMHO CIA LTDA                                                 X
 190373      HOSPITAL MILLENNIUM             1891711820001                                                   X
 145804      ASOCIACION DE TRABAJADORES AUTONOMOS PASA AYLLU LLAKTAKUNA
                                             1891712010001                                                   X
  79310      ASOCIACION DE CONSERVACION VIAL SAN MIGUEL DE TISALEO
                                             1891712029001                                                   X
  73776      FUNDACION DE NIÑOS CON SINDROME1891712193001
                                              DE DOWN Y OTRAS DISCAPACIDADES CORAZON DE MARIA                X
 140156      TOYOTASERVICIOS S. A.           1891712215001                                                   X
  68752      LLANTASIERRA S.A.               1891712371001                                                   X
  87171      ASOCIACIÓN DE CONSERVACIÓN VIAL HUAMBALÓ
                                             1891712487001                                                   X
  86848      ASOCIACIÓN DE CONSERVACIÓN VIAL SAN FRANCISCO DE ILLUCHI
                                             1891712525001                                                   X
  82159      ASOCIACIÓN DE CONSERVACIÓN VIAL UNIÓN Y PROGRESO
                                             1891712754001                                                   X
  79271      ASOCIACION DE MECANICOS Y CARROCEROS PELILEO
                                             1891712975001                                                   X
 146446      ASOCIACION DE CONSERVACION VIAL IZAMBA
                                             1891713483001                                                   X
  82304      ASOCIACIÓN DE CONSERVACIÓN VIAL CAMINO DEL REY
                                             1891713491001                                                   X
  87103      ASOCIACIÓN DE CONSERVACIÓN VIAL ILUSIONES
                                             1891713548001                                                   X
  84152      ASOCIACIÓN DE CONSERVACIÓN VIAL SAHUATOA
                                             1891713661001                                                   X
  79495      ASOCIACION DE CONSERVACIONVIAL EL TRIUNFO
                                             1891713726001                                                   X
  57918      LASMADERAS CIA. LTDA.           1891713785001                                                   X
  86806      ASOCIACIÓN DE CONSERVACIÓN VIAL SAN JOSÉ DE LLANGAHUA
                                             1891713904001                                                   X
 147882      ASOCIACION DE TRABAJADORES AUTONOMOS ATILLO MOCHA
                                             1891714102001                                                   X
  45506      EQUITRANSSER CIA. LTDA          1891714277001                                                   X
 186831      ASOCIACIÓN DE TRABAJADORES AUTÓNOMOS SAN ANDRÉS POALÓ
                                             1891714390001                                                   X
 165435      SETEPROF SEGURIDAD TECNICA PROFESIONAL CIA. LTDA.
                                             1891715052001                                                   X
  81934      LLANTAMBATO S.A.                1891715362001                                                   X
 215015      CENTROLLANTA S.A                1891715516001                                                   X
 147802      ASOCIACIÒN DE TRABAJADORES AUTÓNOMOS SANTA ROSA ZONA ALTA
                                             1891715540001                                                   X
No                 No registra
                                                               No                    No registra   No
                                                                        No. registra                       registra      No.    indicadores
                                                             registra                provincia, registra
Persona_id               NOMBRE               No. ID (RUC)                 calle                           número      registra de ventas,
                                                             apellido                 cantón y   primer
                                                                         principal                         de calle     origen activos y/o
                                                             paterno                 parroquia nombre
                                                                                                           principal             empleados

  30258      AUTOMEKANO CIA LTDA              1891715664001                                                   X
  85862      MICROEMPRESA GUAILLA ÑAN         1891716040001                                                   X
  67475      INGENIERIA Y TECNOLOGIA DIGITAL CONSULTORES ASOCIADOS INTEGDIG CIA.LTDA
                                              1891716334001                                                   X
   5029      REENCAUCHADORA DE LA SIERRA, CAUCHOSIERRA S.A.
                                              1891716369001                                                   X
  13902      FAMPROJECT CIA. LTDA             1891716849001                                                   X
 159699      TRACEOILFIELD SERVICES & EQUIPMENT LIMITED ECUADOR CIA. LTDA.
                                              1891716989001                                                   X
  80168      ASOCIACION DE CONSERVACION VIAL LOS LLANGANATES
                                              1891718183001                                                   X
  83229      ASOCIACION EN PARTICIPACION MICROEMPRESARIAL PARMICEN
                                              1891718213001                                                   X
  84120      ASOCIACION EN PARTICIPACION MICROEMPRESARIAL PARMIVIAL
                                              1891718280001                                                   X
  92551      ASOCIACION EN PARTICIPACION MICROEMPRESARIAL PARMIQUIN
                                              1891718337001                                                   X
  82835      ASOCIACIÓN DE CONSERVACIÓN VIAL VIRGEN DEL GUÁPULO
                                              1891718604001                                                   X
  80149      ASOCIACION DE CONSERVACION VIAL QUISAPINCHA
                                              1891718698001                                                   X
  62115      CORPORACION DE SERVICIOS TECNICOS WINBLOCK CIA LTDA
                                              1891718809001                                                   X
 133604      INGENIERIA ELECTRONICA Y SISTEMAS INTEGRADOS INELECSIN CIA. LTDA.
                                              1891719007001                                                   X
 147386      ASOCIACION DE CONSERVACION VIAL LOS ANDES
                                              1891719082001                                                   X
  82336      ASOCIACIÓN DE CONSERVACIÓN VIAL LOS CAMINANTES
                                              1891719090001                                                   X
  85561      ASOCIACION DE CONSERVACION VIAL VIRGEN DE LASD MERCEDES
                                              1891719112001                                                   X
  86215      ASOCIACIÓN DE CONSERVACIÓN VIAL FLOR DEL CAMPO
                                              1891719252001                                                   X
  65451      SPEEDYCOM CIA LTDA               1891719279001                                                   X
 179047      PICO RODRIGUEZ S.A.              1891719643001                                                   X
 227188      MADERALT CIA LTDA                1891720072001                                                   X
  15820      DAVMOTOR CIA LTDA                1891720471001                                                   X
 183428      COMPAÑIA DE TRANSPORTE ESTUDIANTIL E INSTITUCIONAL ANDRADE LLERENA
                                              1891720501001                                                   X
  24002      CONSTRUCTORA MILLENNIUM PIK & PAL CÍA. LTDA.
                                              1891720919001                                                   X
 167426      LEMCIS PLUS CIA. LTDA.           1891721036001                                                   X
 171314      CAICEDO MAFFLA CONSUELO AGRIPINA891721338001
                                              1                                                               X
  88853      PLAGYLIMP CIA. LTDA              1891721532001                                                   X
 187777      LABORATORIOS OVALCOHOL CIA. LTDA.1891721648001                                                   X
 225257      JOFERCVOLQ S.A.                  1891721974001                                                   X
  66632      ESCOBAR HERRERA MIÑO CONSTRUCTORES CIA.LTDA
                                              1891721982001                                                   X
  91248      AUTOS CHINAACCPASS CIA LTDA      1891722326001                                                   X
No                 No registra
                                                                No                    No registra   No
                                                                         No. registra                       registra      No.    indicadores
                                                              registra                provincia, registra
Persona_id               NOMBRE                No. ID (RUC)                 calle                           número      registra de ventas,
                                                              apellido                 cantón y   primer
                                                                          principal                         de calle     origen activos y/o
                                                              paterno                 parroquia nombre
                                                                                                            principal             empleados

 202771      KONSTRURAPIDO S.A.               1891722407001                                                    X
  71648      WILLIAMS APRAEZ G. Y ASOCIADOS CIA. LTDA.
                                              1891722474001                                                    X
  66413      SEGMAEL CIA. LTDA.               1891722644001                                                    X
 104766      PROVEFOODS CIA. LTDA.            1891722954001                                                    X
  39440      ESTAZUL CIA. LTDA.               1891723357001                                                    X
 196794      ASOCIACIÓN DE TRABAJADORES AUTÓNOMOS AMBAVIAL
                                              1891723500001                                                    X
 101215      LA HERENCIA ECUATORIANA JOSE MEJIA CIA. LTDA.
                                              1891723608001                                                    X
 170452      ASOCIACION DE TRABAJADORES AUTONOMOS VIA TURISTICA AL TUNGURAHUA
                                              1891724078001                                                    X
 209150      ASOCIACIÓN DE TRABAJADORES AUTÓNOMOS SALASACA TUNGURAHUA
                                              1891724302001                                                    X
 228843      ASOCIACIÓN DE TRABAJADORES AUTÓNOMOS SAN PEDRO DE PELILEO
                                              1891724418001                                                    X
 203085      ASOCIACIÓN DE TRABAJADORES AUTÓNOMOS SAN MARTÍN DE CHIQUICHA
                                              1891724442001                                                    X
 189731      MI LANDS CÍA. LTDA.              1891724574001                                                    X
  80536      VEHICULOS Y CAMIONES CENTRO SIERRA S.A
                                              1891724612001                                                    X
  42261      MUEBLART CIA. LTDA.              1891724698001                                                    X
  11840      INGENIERIA CONSTRUCCION DISENO ELECTRICO ELTRONICO Y CIVIL
                                              1891725074001                                                    X
  98727      COMPLEJO DE FACILIDA             1891725309001                                                    X
 202824      ASOCIACIÓN DE PRODUCTORES DE PLANTAS NATIVAS
                                              1891725317001                                                    X
 104988      ASOCIACIÓN EN PARTICIPACIÓN MICROEMPRESARIAL JARDÍN DE FLORES
                                              1891725546001                                                    X
 104914      ASOCIACIÓN EN PARTICIPACIÓN MICROEMPRESARIAL VEITE Y SIETE DE FEBRERO
                                              1891725554001                                                    X
  72615      ASOCIACION DE CONSERVACION VIAL RAMO DE GIRASOLES
                                              1891725619001                                                    X
  73323      MICROEMPRESA DE TRAB             1891725627001                                                    X
 159524      ASOCIACION EN PARTICIPACION MICROEMPRESARIAL DOSIMERT
                                              1891725937001                                                    X
 156440      ASOCIACIÓN DE TRABAJADORES AUTÓNOMOS SAN JOSÉ
                                              1891726208001                                                    X
 168653      ASOCIACIÓN DE TRABAJADORES AUTÓNOMOS CHIQUICHA CENTRO
                                              1891726224001                                                    X
 153672      ASOCIACIÒN DE TRABAJADORES AUTÓNOMOS SAN FERNANDO
                                              1891726240001                                                    X
  96440      CORTELEC SERVICIOS ELECTRICOS 1891726410001                                                       X
  96670      ELECTROCORTE                     1891726437001                                                    X
 265930      ASOCIACION ARTESANAL TIERRA PRODUCTIVA
                                              1891726879001                        X                           X                      X
  85744      ECIAFSA                          1891727042001                                                    X
  77243      INDIQUIMICA                      1891727395001                                                    X
  85537      GIGACOMPNET                      1891727522001                                                    X
No                 No registra
                                                              No                    No registra   No
                                                                       No. registra                       registra      No.    indicadores
                                                            registra                provincia, registra
Persona_id              NOMBRE               No. ID (RUC)                 calle                           número      registra de ventas,
                                                            apellido                 cantón y   primer
                                                                        principal                         de calle     origen activos y/o
                                                            paterno                 parroquia nombre
                                                                                                          principal             empleados

 258738      ORG.CORONAVENCEDORES             1891727867001                                                  X
  95498      CONSTRUCTORA LOPEZ               1891728197001                                                  X
 211667      ASOCIACION DE DESARROLLO PRODUCTIVO LA DELICIA
                                              1891728251001                                                  X
 228839      ASOCIACIÓN DE TRABAJADORES AUTÓNOMOS VIRGEN DE GUADALUPE
                                              1891728731001                                                  X
 180507      GASJOYA COMERCIAL CIA LTDA       1891728863001                                                  X
 236796      CARROCERIAS IBIMCO               1891729347001                                                  X
 140137      ASOCIACION EN PARTICIPACION MICROEMPRESARIAL "ALTA ENERGIA"
                                              1891729835001                                                  X
 138395      ASOCIACION EN PARTICIPACION MICROEMPRESARIAL NUEVA GENERACION
                                              1891729843001                                                  X
 232644      DEPOHORMIGON CIA. LTDA.          1891730906001                                                  X
 190074      EQUIPO CAMINERO EQUICAM          1891731112001                                                  X
 253629      CORPORACION DE ORGANIZACIONES AGROPECUARIAS DEL CANTON MOCHA
                                              1891731147001                                                  X                      X
 166866      R&E ASOCIADOS                    1891732038001                                                  X
 204777      COMPAÑIA DE SEGURIDAD PRIVADA HAROSEG CIA LTDA.
                                              1891732046001                                                  X
 170872      STRUKTURA CONSULTORA PRIVADA S.A.1891732186001                                                  X
 174286      ASOCIACION DE CONSERVACION VIAL CHAUPI
                                              1891732194001                                                  X
 251041      SOCIEDAD OBRERA FEDERICO GONZALEZ SUAREZ
                                              1891732518001                                                  X
 189143      PROVEEDORA DE SERVICIOS PARA OBRAS DE ADOQUINAMIENTO Y DE LA CONSTRUCCION
                                              1891732631001                                                  X
 250446      MARCELO POSSO LOPEZ CIA. LTDA. 1891733468001                                                    X
 203783      MANTTORIENTE                     1891733549001                                                  X
 202652      RIO CRISTAL CONSTRUCTORES RIOCRISTAL CIA. LTDA.
                                              1891733638001                                                  X
 214689      ECOTUNGURAHUA CIA LTDA           1891734138001                                                  X
 219221      CORPORACIÓN DE ASOCIACIONES AGROPECUARIAS DE QUERO
                                              1891734162001                                                  X
 238997      ASOCIACION DE CONSERVACION VIAL SAN JACINTO
                                              1891735029001                                                  X
 236768      CEVALLOS & LOPEZ CIA. LTDA.      1891735169001                                                  X
 268201      INCOLEN CIA LTDA                 1891736769001                                                  X
  40084      OLMEDO BERRÚ JORGE ADALBERTO 1900001932001                                                      X
 185569      ESPARZA JOSE GABRIEL             1900008127001                                                  X
  61873      QUEZADA IGLESIAS JULVIO MIGUEL ANGEL
                                              1900010388001                                                  X
  40802      CABRERA VEGA ALCISAR ANTONIO     1900011105001                                                  X
 209537      CALDERON PINEDA PORFIRIO         1900022433001                                                  X
 101770      IZQUIERDO PACHECO LUIS HUMBERTO1900033968001                                                    X
No                 No registra
                                                               No                    No registra   No
                                                                        No. registra                       registra      No.    indicadores
                                                             registra                provincia, registra
Persona_id               NOMBRE               No. ID (RUC)                 calle                           número      registra de ventas,
                                                             apellido                 cantón y   primer
                                                                         principal                         de calle     origen activos y/o
                                                             paterno                 parroquia nombre
                                                                                                           principal             empleados

 123499      DELGADO TELLO LUIS HUMBERTO     1900036821001                                                    X
 164792      HERRERA GUEVARA LINO WASHINTONG 1900043280001                                                    X
 108776      LALANGUI GARCIA HOLGER ARMANDO 1900046580001                                                     X
 180840      ABARCA MUÑOZ JUAN ORLANDO       1900047497001                                                    X
 164785      RODRIGUEZ LALANGUI JOSÉ ROBERTO 1900048107001                                                    X
 245485      GOMEZ VALDEZ MIGUEL ROGELIO     1900048552001                                                    X
 144293      GOMEZ ABAD JOSE SALVADOR        1900049444001                                                    X
 144962      ROMERO AÑAZCO EMILIO MODESTO 1900052364001                                                       X
 266455      MOROCHO BELTRAN PAUL JESUS      1900058759001                                                    X
 173929      ORDOÑEZ REYES JOSE ANTONIO      1900058890001                                                    X
 167990      ROMERO MALDONADO JUSTO BENIGNO  1900061746001                                                    X
 148724      CABRERA QUEZADA MARIA DE LAS NIEVES
                                             1900062314001                                                    X
  63277      VACA GÓMEZ GUSTAVO ANTONIO      1900063197001                                                    X
 115808      SAMANIEGO ALDAZ ALEX OMAR       1900065812001                                                    X
  94263      ROMERO SANMARTIN ITALO JOSE     1900069590001                                                    X
 264614      QUISHPE MANUEL ASUNCION         1900070408001                                                    X
 166181      JIMENEZ SERGIO                  1900073055001                                                    X
 219099      TORRES ALVAREZ SERVILIO         1900073204001                                                    X
  91219      QUEZADA CABRERA ELSA AMÉRICA    1900075126001                                                    X
  65617      VALENCIA REGALADO GUILLERMO EDMUNDO
                                             1900076033001                                                    X
  59740      REYES MARQUEZ ABACUB            1900076140001                                                    X
  86112      ORTIZ YANGARI ANGEL SERAFIN     1900076652001                                                    X
 122517      JIMENEZ HIDALGO GLORIA CLEMENCIA1900081462001                                                    X
 253166      SOTO SANTOS MIGUEL ANGEL        1900083716001                                                    X
 171318      RIOS GUTIERREZ LUCIANO GUILLERNO1900083880001                                                    X
  37739      MARTÍNEZ MEJÍA MEDARDO GONZALO1900083914001                                                      X
 253000      ARIAS PEÑA LIGIA MARGARITA      1900083922001                                                    X
  90180      MALDONADO CORONEL HERMINIO RIGOBERTO
                                             1900091107001                                                    X
  73844      VELÁSQUEZ ROMERO EFRAÍN EVARISTO1900091248001                                                    X
 138488      SAAVEDRA GARCIA JOSE ERACLEO 1900092360001                                                       X
 201833      GUAYA VILLA NARCISAR HEGEL      1900100411001                                                    X
No                 No registra
                                                               No                    No registra   No
                                                                        No. registra                       registra      No.    indicadores
                                                             registra                provincia, registra
Persona_id               NOMBRE               No. ID (RUC)                 calle                           número      registra de ventas,
                                                             apellido                 cantón y   primer
                                                                         principal                         de calle     origen activos y/o
                                                             paterno                 parroquia nombre
                                                                                                           principal             empleados

 219706      LEÓN QUITUIZACA JULIO CESAR     1900100536001                                                    X
 262885      PUGLLA CABRERA NOEMI DEL CARMEN 1900100601001                                                    X
 170422      RIOS QUEZADA OSCAR ALFONSO      1900102615001                                                    X
 146695      ORDOÑEZ ARMIJOS GERMAN GUALBERTO1900104140001                                                    X
 110013      CASTRO AMAYA WILMAN ENRIQUE     1900105188001                                                    X
 257029      GONZÁLEZ ARMIJOS SEGUNDO NOLBERTO
                                             1900105303001                                                    X
 179829      ORTIZ ARMIJOS FELIPE JOSE       1900108851001                                                    X
  88452      ALVA JIMENEZ MARGARITA MARIA    1900108893001                                                    X
  23043      TAPIA ZÁRATE HÉCTOR IVÁN        1900110055001                                                    X
  69571      JAPÓN ALDAZ HIPÓLITO            1900110253001                                                    X
  32260      PEÑARRETA LEON HECTOR ANTONIO 1900110527001                                                      X
 206088      CANGO GONZALEZ LUIS GUILLERMO 1900115245001                                                      X
 148528      OCHOA ARAUJO RAUL AGUSTIN       1900115930001                                                    X
 259207      QUEZADA QUEZADA BLANCA LEONOR 1900117514001                                                      X
 129459      LEÓN BETANCOURTH ELICIA EUGENIA 1900119007001                                                    X
 253264      LLIVICHUZCA ROMERO CARLOS ALBERTO
                                             1900119668001                                                    X
 228045      GONZALEZ MARTINEZ SALVADOR      1900119833001                                                    X
 263861      ARMIJOS TENEZACA BOLIVAR        1900120690001                                                    X
 212025      MONTESDEOCA MARCA VICTOR ANTONIO1900121532001                                                    X
  74952      TINIZARAY ORTEGA ULVIA TERESA   1900124627001                                                    X
  80473      ASTUDILLO RIOS LUIS ALFREDO     1900126440001                                                    X
 228004      CHAMBA VEGA LUIS ALCIDES        1900128289001                                                    X
  22457      VALVERDE SALINAS ANGEL BOLIVAR 1900130202001                                                     X
 139090      ORDOÑEZ AGUIRRE PEDRO EVARISTO1900130400001                                                      X
 177602      BERRU CUEVA OLIVA DE JESUS      1900130715001                                                    X
 201850      QUEZADA RAMON LUZ HERMINIA      1900131770001                                                    X
 118516      MONTESDEOCA MARCA JUAN BAUTISTA900132679001
                                             1                                                                X
 225283      MALDONADO GALARZA FRANCO GOMARIO1900141118001                                                    X
 278468      DELGADO TELLO JULIA INEZ        1900141258001                                                    X
  45540      MASACHE ABAD LUIS JUAN          1900141316001                                                    X
 263521      TAIZHA GIMBICTI MARCELINO ALFONSO
                                             1900141845001                                                    X
No                 No registra
                                                               No                    No registra   No
                                                                        No. registra                       registra      No.    indicadores
                                                             registra                provincia, registra
Persona_id               NOMBRE               No. ID (RUC)                 calle                           número      registra de ventas,
                                                             apellido                 cantón y   primer
                                                                         principal                         de calle     origen activos y/o
                                                             paterno                 parroquia nombre
                                                                                                           principal             empleados

 228419      REYES CUEVA JINY GIOCONDA       1900143668001                                                    X
 168247      QUISHPE ALULIMA JOSE JAVIER     1900144344001                                                    X
 189508      TORRES MALDONADO ANGEL EDUARDO  1900147842001                                                    X
  32482      RODRIGUEZ TOLEDO MANUEL FELIPE 1900149467001                                                     X
 270235      SALINAS SARMIENTO LENONSO AMABLE1900149764001                                                    X
 177580      OJEDA ROJAS SERGIO MANUEL       1900150317001                                                    X
 121006      SARANGO JIMENEZ EFREN DAVID     1900150648001                                                    X
 206011      CEDILLO GUARTAN AGRIPINA        1900150671001                                                    X
 271942      DAVILA NAQUEMBI ESPERANZA EMILIANA
                                             1900150929001                                                    X
  96214      VILLAVICENCIO POMA BLANCA MARGARITA
                                             1900152024001                                                    X
  73852      PICOITA JUAREZ ALIPIO           1900154962001                                                    X
  35342      CALDERON OJEDA JAIME RAMIRO     1900155381001                                                    X
 109789      CALVA HIDALGO MARIA MARGARITA 1900156397001                                                      X
 127145      CHAMBA RODRIGUEZ JOSE DANIEL    1900156702001                                                    X
  91516      CAJAMARCA SUQUI JOSE ANTONIO    1900156769001                                                    X
 181999      MASACHE CUEVA EDGAR NAPOLEÓN 1900157148001                                                       X
 141495      MONTAÑO ESPINOZA JESÚS          1900164540001                                                    X
 162227      SOTO ESPINOZA KLEVER RENE       1900167972001                                                    X
 177149      TOCTO GUANUCHE EDGAR GONZALO 1900168061001                                                       X
 151089      CANDO PACHECO JUAN MANUEL       1900171560001                                                    X
 218712      ESPARZA GONSALEZ CARLOS GUILLERMO
                                             1900171685001                                                    X
 171930      CALLE ARGUDO MILTON ROLANDO     1900172089001                                                    X
  30552      CAMACHO QUEZADA JULIO CESAR     1900172428001                                                    X
  18504      MONTANO ARMIJOS GILBER GUSTAVO 1900172758001                                                     X
 110896      ALBA CABRERA LUIS SEBASTIAN     1900176486001                                                    X
 199744      AGREDA JIMENEZ FLAVIO ENRIQUE   1900179183001                                                    X
 134716      CABRERA SAMANIEGO JORGE AUGUSTO 1900179860001                                                    X
  64409      MICRO EMPRESA                   1900180199001                                                    X
 163648      JARAMILLO GONZALEZ MARTHA CECILIA
                                             1900181114001                                                    X
  65505      CALLE GUZMÁN ROMULO FERNAN      1900181890001                                                    X
  49696      CABRERA CHALCO EDUARDO ALONSO 1900182542001                                                      X
No                 No registra
                                                               No                    No registra   No
                                                                        No. registra                       registra      No.    indicadores
                                                             registra                provincia, registra
Persona_id              NOMBRE                No. ID (RUC)                 calle                           número      registra de ventas,
                                                             apellido                 cantón y   primer
                                                                         principal                         de calle     origen activos y/o
                                                             paterno                 parroquia nombre
                                                                                                           principal             empleados

 128512      CALDERÓN PINEDA JAIME PATRICIO 1900184217001                                                     X
 104902      LALVAY MOROCHO KLEVER OSWALDO1900185040001                                                       X
 235742      JACOME GALARZA SONIA MARLENE   1900185289001                                                     X
  57122      JUELAS GUARNIZO LEONARDO MIGUEL1900187681001                                                     X
 160337      CHAMBA RODRIGUEZ JUSTO MANUEL 1900187749001                                                      X
 128027      DELGADO VILLALTA OSWALDO JACINTO
                                            1900187830001                                                     X
 143816      ARMIJOS QUEZADA MARCO ISRAEL   1900188309001                                                     X
 121944      REGALADO IÑIGUEZ PABLO IVAN    1900188705001                                                     X
 142766      ARMIJOS CRIOLLO PEDRO JOAQUIN 1900188796001                                                      X
 145240      GUALAN MEDINA LUIS ANTONIO     1900188838001                                                     X
 173650      AWAK ZAMARENO MARIA PATRICIA   1900188903001                                                     X
  93209      ROMERO UCHUARI BOLIVAR VICENTE 1900190925001                                                     X
 122671      PÉREZ JIMENEZ GONZALO DE JESUS 1900191246001                                                     X
 118913      ALVERCA CASTILLO ANGEL MELECIO 1900191840001                                                     X
 116897      BRITO ASTUDILLO WASINGTON EDMUNDO
                                            1900191931001                                                     X
 204181      MEDINA ILLESCAS MARCO VINICIO  1900192061001                                                     X
 204542      BERRÚ CUEVA VICENTE SANTIAGO   1900192251001                                                     X
  45287      RODRIGUEZ FLORES EDIN OSWALDO 1900193010001                                                      X
 208024      REYES CUEVA NILO VLADIMIR      1900194554001                                                     X
 110793      ARMIJOS QUEZADA ANGEL MANUEL 1900194695001                                                       X
 145671      CALVA SANCHEZ OLGA ROSA        1900194869001                                                     X
 116383      ORDOÑEZ NAULA RAUL GILBERTO    1900198043001                                                     X
  30915      TAPIA FLORES JORGE             1900198506001                                                     X
  30090      RUBIO ANDRADE JOSE ANGEL       1900198753001                                                     X
 129861      CHAMBA CHAMBA ENMA CARMITA     1900199173001                                                     X
  88400      PEREZ PEREZ KIRBY ALEJANDRO    1900199603001                                                     X
 209344      QUINONEZ CUENCA DOLORES INES   1900200260001                                                     X
 228629      SARANGO LALANGUI JUDITH MIREYA 1900202019001                                                     X
 102276      ORTEGA PEÑARRETA ROSA MAGDALENA1900204312001                                                     X
 135811      ALBA GARCIA TEREZA DE JESUS    1900204320001                                                     X
 146632      BERMEO MARTINEZ HARMAN GEOVANNI1900204916001                                                     X
No                 No registra
                                                               No                    No registra   No
                                                                        No. registra                       registra      No.    indicadores
                                                             registra                provincia, registra
Persona_id               NOMBRE               No. ID (RUC)                 calle                           número      registra de ventas,
                                                             apellido                 cantón y   primer
                                                                         principal                         de calle     origen activos y/o
                                                             paterno                 parroquia nombre
                                                                                                           principal             empleados

 267521      ESPINOZA ALDAZ MANUEL ALBERTINO 1900205061001                                                    X
 266998      PILLAGA VALAREZO SEGUNDO ALBERTO1900205376001                                                    X
 176199      ABERCA COLALA RENE ECUADOR      1900205491001                                                    X
 247545      QUEZADA PALACIOS ANGEL RUFINO 1900205954001                                                      X
 201399      CANGO SIGCHO JUAN FRANCISCO     1900205962001                                                    X
 235737      URGILES ARMIJOS PILAR EUGENIA   1900206812001                                                    X
 229218      GONZALEZ GONZALEZ SONIA DEL PILAR900207208001
                                             1                                                                X
 108791      MOROCHO SANMARTIN ROSA AURELIA1900208701001                                                      X
  97622      FREIRE ARMIJOS WASHINGTON GENARO1900209204001                                                    X
 115386      CABRERA IÑIGUEZ RUTH PATRICIA   1900209410001                                                    X
 249209      REGALADO IÑIGUEZ SOLEDAD SURAHIA1900209444001                                                    X
 136375      GUAMAN CAJAS ISABEL CRISTINA    1900209485001                                                    X
 260747      ARMIJOS BUITRON EDGAR ANTONIO 1900211192001                                                      X
 169500      MEDINA MEDINA EDUARDO SEVERINO 1900211465001                                                     X
 251542      SARANGO YAGUANA AIDA ESPERANZA1900212547001                                                      X
 225349      ACARO MEDINA HÉCTOR ROBER       1900215524001                                                    X
 162649      QUEZADA VÁSQUEZ ANGEL FLORENCIO 1900215532001                                                    X
 148558      QUIZHPI GUARTATANGA RAFAEL MARIA1900215920001                                                    X
 111947      LLERENA BRITO RODRIGO GIOVANNI 1900217215001                                                     X
 166446      CARRION JIMENEZ CARLOS ALBERTO 1900217736001                                                     X
 119430      CABRERA MÁRQUEZ ALBERTO FREDY 1900218072001                                                      X
 108228      BUITRON SANCHEZ SERGIO RENE     1900218999001                                                    X
  18428      ALVARADO LOZANO XAVIER ALONSO 1900219104001                                                      X
  68346      RODRIGUEZ TOLEDO HUMBERTO ALIPIO1900221738001                                                    X
  15605      COMERCIAL TORRES                1900222280001                                                    X
 103777      JAYA LOAIZA MIRIAM YUSTIN       1900222314001                                                    X
 120370      SALAZAR FRANCISCO ANDRES        1900222587001                                                    X
 188667      CASTILLO ROMERO SANTOS ADOLFO 1900226265001                                                      X
 215347      LOPEZ SIVISACA JONNY IGOR       1900227529001                                                    X
  53180      CAMPOVERDE BECERRA ANGEL GUILLERMO
                                             1900230010001                                                    X
  67783      ORELLANA ROMERO JESUS SERAFIN 1900230705001                                                      X
No                 No registra
                                                               No                    No registra   No
                                                                        No. registra                       registra      No.    indicadores
                                                             registra                provincia, registra
Persona_id              NOMBRE                No. ID (RUC)                 calle                           número      registra de ventas,
                                                             apellido                 cantón y   primer
                                                                         principal                         de calle     origen activos y/o
                                                             paterno                 parroquia nombre
                                                                                                           principal             empleados

 227989      REMACHE PUCHA VICENTE ANCELMO 1900230903001                                                      X
  74931      GALINDO TELLO EULER JOSÉ       1900231638001                                                     X
  40012      BUSTAMANTE ALVARADO VICENTE ALBERTO
                                            1900231679001                                                     X
 107853      SAGBAY MEJIA MANUEL ISIDRO     1900233899001                                                     X
 177266      SANCHEZ PLACENCIA HUMBERTO MARIO
                                            1900234228001                                                     X
 215527      ORTEGA PEREZ FANNY SOLEDAD     1900234863001                                                     X
 189015      ZHINDON YASCARIBAY SARA FILOMENA
                                            1900234921001                                                     X
 156404      DUCHITANGA SANCHEZ CARMEN ELICIA900235308001
                                            1                                                                 X
 111601      ROMERO RIVERA MARISOL MARITZA 1900236215001                                                      X
 105782      SÁNCHEZ COELLO ROSA MATILDE    1900236488001                                                     X
 144190      TORRES CORONEL WILSON EFRAIN 1900237452001                                                       X
  34030      ORDOÑEZ REYES FREDI ORLANDO    1900238310001                                                     X
 153459      SAUCA LOZANO ANGEL ALBERTO     1900238732001                                                     X
 238656      OCHOA HERRERA OLGA BERNARDA 1900239177001                                                        X
 103769      KAINZ HIPPACHER ARNOLD         1900240399001                                                     X
 225559      POMA GONZALEZ JOSE FRANCISCO 1900241157001                                                       X
 162559      MALLA ORTEGA LUZ MARINA        1900242692001                                                     X
 163152      PALTIN LABANDA MARCO ANTONIO   1900245307001                                                     X
 234299      JIMENEZ SALAZAR JUAN VICENTE   1900245679001                                                     X
 273940      X CABRERA ANGEL BOLIVAR        1900245695001                                                     X
 235884      CHALAN JAPON MANUEL AURELIO    1900247188001                                                     X
 223526      OJEDA ROJAS ELSA YOLANDA       1900247402001                                                     X
 224427      APOLO SUQUILANDA LILIA DALIL   1900247683001                                                     X
 143488      GAONA PEÑA ESTHELA             1900249465001                                                     X
 258357      VERA CABRERA JORGE ENRIQUE     1900249903001                                                     X
 193761      MUIMA MUIMA ALVA ANGELICA      1900251578001                                                     X
 258086      LIMA MACAS SONIA PIEDAD        1900251875001                                                     X
 106010      JARAMILLO LEON TULIA           1900255116001                                                     X
 184209      PEÑA GONZAGA DOMITILA ANA      1900255538001                                                     X
 237310      RAMON DOTA JOSE DIONISIO       1900256098001                                                     X
 264661      VEGA SARANGO FELIX UMBERTO     1900257302001                                                     X
No                 No registra
                                                               No                    No registra   No
                                                                        No. registra                       registra      No.    indicadores
                                                             registra                provincia, registra
Persona_id               NOMBRE               No. ID (RUC)                 calle                           número      registra de ventas,
                                                             apellido                 cantón y   primer
                                                                         principal                         de calle     origen activos y/o
                                                             paterno                 parroquia nombre
                                                                                                           principal             empleados

 103548      MARTINEZ AVILA CARLA PAOLA      1900257419001                                                    X
 106981      ALULIMA MINGA JOSE POLIVIO      1900257518001                                                    X
 138128      GUZMAN REIBAN HERNAN EFREN      1900258391001                                                    X
 174622      VILLAGOMEZ CHUMAPI VICENTE RAMON1900263680001                                                    X
 234043      CARDENAS COLLAGUAZO MANUEL NARCISO
                                             1900264464001                                                    X
 148964      REYES CUEVA VIDAL RAMIRO        1900265065001                                                    X
 190100      CUENCA SANTOS PATRICIO ROMMEL 1900265529001                                                      X
  73161      TORRES TELLO NELSON ROLANDO     1900266527001                                                    X
 168719      MEDINA CHALAN CARLOS MANUEL     1900266634001                                                    X
 106148      OCAMPO MARQUEZ DANNI MIREYA     1900268549001                                                    X
 260437      SUIN PILLACELA JOSE CLODOMIRO   1900269224001                                                    X
 137154      AVILA PRADO WILMER JORGE        1900270222001                                                    X
 204447      TOLEDO CORREA JUAN MARCO        1900270537001                                                    X
 231449      ZHANAY BELTRAN VICENTE EDIBERTO 1900273176001                                                    X
 191109      CASTILLO ROMERO LUIS EDILTON    1900273747001                                                    X
 260935      MINGA OBELENCIO SEGUNDO JUVENTINO
                                             1900273762001                                                    X
 205657      REYES CUEVAS COLON MAURICIO     1900273945001                                                    X
 135908      TEJEDOR CABRERA ANGEL RODRIGO 1900273986001                                                      X
 186003      CUENCA CASTRO ROBERT EDWIN      1900274299001                                                    X
  38991      CAJAS SIVISACA ROSA ENITH       1900275049001                                                    X
 271670      ORTEGA GODOY WALTER VINICIO     1900275403001                                                    X
 141112      GUAYA CORREA NIXON              1900277193001                                                    X
 135438      HERRERA ROJAS VILMA YOLANDA     1900277581001                                                    X
 108819      COJITAMBO ZOZORANGA GUIDO FABIAN1900277722001                                                    X
 253625      ALBERCA ALVAREZ JHONSO LORETO 1900279488001                                                      X
  23041      CHIMBO PULLAGUARI BRAULIO ROBERTO
                                             1900281328001                                                    X
 193196      MOROCHO MOROCHO MARCELINO DE 1900282078001
                                             JESUS                                                            X
 253214      ESPINOSZA JAPA JORGE LEONARDO 1900282391001                                                      X
  60828      JUMBO ABAD MARIA CARMEN         1900282789001                                                    X
 109775      ANDRADE ZHUNAULA CARLOS MANUEL  1900283282001                                                    X
 207392      ALVERCA CHIMBO JOSE FREDY       1900285394001                                                    X
No                 No registra
                                                                No                    No registra   No
                                                                         No. registra                       registra      No.    indicadores
                                                              registra                provincia, registra
Persona_id               NOMBRE                No. ID (RUC)                 calle                           número      registra de ventas,
                                                              apellido                 cantón y   primer
                                                                          principal                         de calle     origen activos y/o
                                                              paterno                 parroquia nombre
                                                                                                            principal             empleados

 237277      CARPIO ORTEGA SONIA MARLENE      1900286145001                                                    X
 106818      PAQUI SACA MIGUEL ANGEL          1900286368001                                                    X
  43801      GUZMAN REIBAN EDWARD GERMAN 1900288174001                                                         X
 173093      SAMANIEGO CARRION JENNY          1900289461001                                                    X
 183807      ROMERO NARVÁEZ ORFA YOLANDA      1900289842001                                                    X
 244444      SANCHEZ SAMANIEGO MAURA VERONICA 1900290766001                                                    X
 105511      OCAMPO MÁRQUEZ JHOLI IRALDA      1900290808001                                                    X
 158283      RODRIGUEZ RODRIGUEZ VILMA MARISOL1900291301001                                                    X
 195795      QUEZADA ABAD WILSON ESTALIN      1900292374001                                                    X
 228894      SARMIENTO ORELLANA LILIAN FRESIA 1900294487001                                                    X
 247824      JIMÉNEZ JIMÉNEZ GUSTAVO ALEXANDER1900294768001                                                    X
 217869      ORTEGA MOROCHO OLGA LUCIA        1900295260001                                                    X
 176355      MACAS ESPARZA RAFAEL EFRE        1900295278001                                                    X
 208133      REYES CUEVA JOSE LEONIL          1900296151001                                                    X
  89691      ZHUNIO CRIOLLO ANGEL AMABLE      1900296615001                                                    X
 177404      GONZALEZ GONZALEZ WILLAN EDIXON1900297100001                                                      X
 227417      DELGADO GALINDO JULIA JHOANA     1900299122001                                                    X
 166822      SALINAS ORTEGA JESUS FLORENCIO 1900299361001                                                      X
 233830      CHIMBO FAICAN ENIHD MARGOOT      1900301332001                                                    X
 146390      PILLAGA VALAREZO TEREZA DE LA NUVE
                                              1900302298001                                                    X
 276218      RIVERA PACCHA NESTOR ORLANDO 1900303395001                                                        X
 133238      PATIÑO MOROCHO OSCAR ABRAHAM 1900305978001                                                        X
 258332      MENDIETA BACULIMA MANUEL MECIAS1900308089001                                                      X
 109527      ESPARZA LOPEZ WILSON ROLANDO 1900308451001                                                        X
 161623      CHIMBO QUITUISACA JOSE AVELINO 1900310507001                                                      X
 131098      SOTOMAYOR VILLAVICENCIO PAQUITA 1900310853001
                                              JUDITH                                                           X
 147959      REY CURAY DUBAL JOSE             1900311620001                                                    X
  24022       FRANZ                           1900311919001                                                    X
  85750      CASTILLO PINTO MILTON IVÁN       1900312487001                                                    X
 276436      GONZALEZ SARMIENTO NELSON RODRIGO1900312834001                                                    X
 214246      CORREA OCHOA MONICA JAQUELINE 1900313360001                                                       X
No                 No registra
                                                               No                    No registra   No
                                                                        No. registra                       registra      No.    indicadores
                                                             registra                provincia, registra
Persona_id               NOMBRE               No. ID (RUC)                 calle                           número      registra de ventas,
                                                             apellido                 cantón y   primer
                                                                         principal                         de calle     origen activos y/o
                                                             paterno                 parroquia nombre
                                                                                                           principal             empleados

 225400      LOOR VILLALTA JOSE GABRIEL      1900315142001                                                    X
  25615      TAPIA FLORES OSCAR ALDO         1900316637001                                                    X
  75640      SAMANIEGO SAMANIEGO ANGEL PATRICIO
                                             1900316843001                                                    X
 134877      GUARNIZO TORRES OLGA MARIA      1900318211001                                                    X
  81207      GUAILLAS PLASENCIA JACKSON EDWIN1900320555001                                                    X
 110209      LEON ALBA JULIO ISIDRO          1900322080001                                                    X
 269619      ORDOÑEZ RODRIGUEZ NORMA NELLY 1900322254001                                                      X
 115531      MERINO FLORES MARIA IRMA        1900325067001                                                    X
  94713      SILVA ROMERO MARIA              1900327766001                                                    X
  13945      ING. WALTER ORDONEZ MARQUEZ     1900328038001                                                    X
 124542      DELGADO CASTILLO JUAN CARLOS    1900329796001                                                    X
  87774      TOLEDO AMARI VID BAIRO          1900330653001                                                    X
  44117      SANTORUM PIEDRA EDGAR MAURICIO 1900331131001                                                     X
 165207      LEON PINEDA MARCO AGUSTO        1900331891001                                                    X
 160568      GUAMÁN CASTILLO JULIO ALONSO    1900332030001                                                    X
 261740      LUPERCIO SARANGO ANGEL FREDY 1900333699001                                                       X
 200818      REMACHE PUCHA JAIME ALFREDO     1900334408001                                                    X
 153438      ROMERO AJILA ANIBAL EUGENIO     1900334853001                                                    X
 192800      CHALCO COLLAGUAZO SEGUNDO RAMIRO1900335629001                                                    X
 207670      COBOS MALDONADO GEOVANNY SALOMON1900336288001                                                    X
  73401      MAZA GRANDA IRENE SABINA        1900336577001                                                    X
  69625      PUCHA PAUTA CHARLES IVAN        1900337260001                                                    X
 174959      CUEVA GUAMAN EDWIN ENRIQUE      1900337518001                                                    X
 130757      CHAMBA CHAMBA LUZ YOLANDA       1900338284001                                                    X
  52372      ALVERCA CALVA FABRICIO ENRIQUE 1900338367001                                                     X
 148720      CELI APOLO JAKO VLADIMIR        1900339068001                                                    X
  40566      ALVAREZ GAONA JUAN ALBERTO      1900339480001                                                    X
  70194      PALACIOS TOLEDO PAUL TULIO      1900341353001                                                    X
 192474      CUMBICOS GAONA ELVIA ALMIDA     1900342260001                                                    X
 120049      ALDAZ GUEVARA ELITA JANET       1900342500001                                                    X
  69533      CALVA JARAMILLO HÉCTOR MANUEL 1900342989001                                                      X
No                 No registra
                                                               No                    No registra   No
                                                                        No. registra                       registra      No.    indicadores
                                                             registra                provincia, registra
Persona_id               NOMBRE               No. ID (RUC)                 calle                           número      registra de ventas,
                                                             apellido                 cantón y   primer
                                                                         principal                         de calle     origen activos y/o
                                                             paterno                 parroquia nombre
                                                                                                           principal             empleados

 197107      QUIZHPE LOZANO FRANKLIN WILMER 1900345305001                                                     X
 107133      LLIVICHUZCA MASACHE CARLA KARINNE
                                             1900345784001                                                    X
  22516      MERINO GONZALEZ LUIS ALBERTO    1900347962001                                                    X
 256808      MERINO GONZALEZ CARLOS FELIPE 1900347970001                                                      X
  39447      PINEDA OCHOA SONIA MARLENE      1900351204001                                                    X
  45038       VÍCTOR                         1900351220001                                                    X
 237955      ESPINOZA ESPINOZA JANETH DEL CARMEN
                                             1900351402001                                                    X
 192552      SARANGO PAQUI LUIS FRANCISCO    1900352087001                                                    X
 260172      CUEVA SOTO FAUSTO MANUEL        1900353242001                                                    X
 203661      ROMERO ALVARADO ROBERT FRABRICIO1900355957001                                                    X
 242349      NUNINGA YANKUR JUAN ERNESTO     1900357185001                                                    X
  33271      LEON RODRIGUEZ XAVIER ANTONIO 1900357847001                                                      X
 252833      YASCARIBAY GONZALEZ ALBA YESENIA1900358332001                                                    X
 214260      CONDOLO GUAYA ANGEL BENIGNO     1900361435001                                                    X
 172394      ORELLANA ORDOÑEZ VERONICA YAJAIRA
                                             1900362029001                                                    X
 219426      SANTOS MARTINEZ EDIN GERARDO    1900364488001                                                    X
 276886      QUEZADA TORRES MANUEL ERMOJENES 1900365063001                                                    X
 232900      CARTUCHE SARANGO LINDER VICENTE 1900365931001                                                    X
 136406      ERREYES RAMIREZ NARCISA ZULEMA 1900366848001                                                     X
 151446      GUAMBAÑA AUCAY LUIS ISRAEL      1900367150001                                                    X
 197092      SILVA MARIN WILFRIDO MORIS      1900367788001                                                    X
 227089      SAMANIEGO CASTILLO ANGEL FRANCELIN
                                             1900369941001                                                    X
 167061      REYES SOLÍS OSWALDO BLADIMIR    1900371327001                                                    X
 240608      JUMBO NARVAEZ SANTOS MANUEL     1900371939001                                                    X
 249397      LUZURIAGA TOLEDO JAVIER ALEXANDER
                                             1900372853001                                                    X
 134971      ZHINGRE MACAS ANGEL PATRICIO    1900372929001                                                    X
 203133      ZUNIGA ERRAEZ JUNIOR FABIAN     1900375088001                                                    X
 175302      ROMERO TORRES FAVIOLA BEATRIZ 1900375815001                                                      X
  86446      ESPINOZA ORDOÑEZ BOLIVIA ESTHER1900377134001                                                     X
 224338      VERDESOTO PRIETO PATRICIA ALEXANDRA
                                             1900377316001                                                    X
  58143      ORDÓÑEZ CHALÁN OSCAR EUGENIO 1900377803001                                                       X
No                 No registra
                                                               No                    No registra   No
                                                                        No. registra                       registra      No.    indicadores
                                                             registra                provincia, registra
Persona_id               NOMBRE               No. ID (RUC)                 calle                           número      registra de ventas,
                                                             apellido                 cantón y   primer
                                                                         principal                         de calle     origen activos y/o
                                                             paterno                 parroquia nombre
                                                                                                           principal             empleados

 139922      GUARTATANGA GUARTATANGA MANUEL ARIOLFO
                                             1900383454001                                                    X
 161961      CARAGUAY MARTÍNEZ VERÓNICA MARIBEL
                                             1900385343001                                                    X
 268298      CELI DELGADO ELSA EUGENIA       1900386952001                                                    X
 131622      PESANTEZ DUCHITANGA JORGE MEDARDO
                                             1900387281001                                                    X
 106660      SOTO CUMBICOS ENID MARIANA      1900387539001                                                    X
  22324      RODRIGUEZ ERAZO KARLA VANESSA 1900388750001                                                      X
 113633      IÑIGUEZ GUERRERO JOFRE DAVID    1900389931001                                                    X
 155035      TAPIA AGUIRRE JUAN CARLOS       1900391895001                                                    X
 107271      SOTO ESPARZA EDGAR FERNANDO     1900392414001                                                    X
  77561      RODRIGUEZ CUEVA ANDREA JANNETH  1900392489001                                                    X
 251947      ROMERO MERA MARIUXI FERNANDA 1900393339001                                                       X
 278503      JARAMILLO HIDALGO ALONSO ULISES 1900393958001                                                    X
 193762      MORA SANDOVAL MANUEL SALUSTINO1900394204001                                                      X
 105290      ABAD REYES BRAULIO FERNANDO     1900396613001                                                    X
  70110      GONZAGA JIMENEZ ADAN            1900396639001                                                    X
 155440      SUQUILANDA MINGA CESAR VINICIO 1900397470001                                                     X
 142195      MORALES VEINTIMILLA RAUL MANUEL 1900398312001                                                    X
 109506      LUNA ALDEÁN MAURICIO XAVIER     1900398437001                                                    X
  65135      JUMBO IÑIGUEZ ANDRES MICHAEL    1900398601001                                                    X
  90233      PATIÑO SANMARTIN ELSY RUBIELA   1900398759001                                                    X
  26153      VILLALTA GUALÁN DALTON FABIÁN   1900400126001                                                    X
 208052      MORALES MARQUEZ FABRICIO DEIBY 1900400670001                                                     X
 102514      CAÑAR NANTIPA JOSE IVAN         1900401835001                                                    X
 215365      PALLAZHCO YUNGA CESAR BOLIVAR 1900401959001                                                      X
 238800      GUAILLAS MEDINA SEGUNDO HILARIO 1900406164001                                                    X
 136832      AVANANCHI ZAMAREÑO JOSE DARWIN1900408129001                                                      X
  37784      ORDOÑEZ JARAMILLO HENRRY ALEXANDER
                                             1900408897001                                                    X
  95540      ALDAZ GALVEZ VILMA ALEXANDRA    1900409176001                                                    X
 131525      QUEZADA AMAY ROBERTO ADEMAR 1900409358001                                                        X
 203098      RAMONES DUCHI DORIS YESENIA     1900409911001                                                    X
 251016      JUMBO MONTOYA MARIA ELENA       1900410059001                                                    X
No                 No registra
                                                                No                    No registra   No
                                                                         No. registra                       registra      No.    indicadores
                                                              registra                provincia, registra
Persona_id               NOMBRE                No. ID (RUC)                 calle                           número      registra de ventas,
                                                              apellido                 cantón y   primer
                                                                          principal                         de calle     origen activos y/o
                                                              paterno                 parroquia nombre
                                                                                                            principal             empleados

 121724      DELGADO TORRES FRANKLIN NAPOLEON 1900410273001                                                    X
  69458      VALLADARES CASTILLO CHRISTIAN FERNANDO
                                              1900412345001                                                    X
 105157      MALDONADO CAPA MIGUEL AUGUSTO 1900413137001                                                       X
 221571      MEDINA PARRA ALVARO PAUL         1900417906001                                                    X
 270167      SALINAS ORTEGA RODRIGO DARWIN 1900427772001                                                       X
 212800      OCAMPO QUIROLA ELSI MARIELA      1900430271001                                                    X
 208464      OCHOA SARANGO JUNIOR AMABLE      1900431469001                                                    X
 196063      SUQUILANDA GUAMÁN WILSÓN RODRIGO 1900432251001                                                    X
  88913      CALVA CAJILIMA DARWIN FABIAN     1900433069001                                                    X
 141048      QUEZADA CARCHI MILTON ROLANDO 1900434307001                                                       X
 183214      CASTILLO PINTO SANTIAGO BLADIMIR 1900435858001                                                    X
 196392      CANGO CUENCA BERONICA CACILIA 1900436179001                                                       X
 167470      QUILAMBAQUI ASTUDILLO FAUSTO OLMEDO
                                              1900438399001                                                    X
 225447      SACA TENE JOSE LUIS              1900441286001                                                    X
 263426      LLIVICHUZCA MASACHE LADY JANETH 1900442797001                                                     X
 181781      FERNANDEZ BRITO FREDI GUILLERMO 1900446657001                                                     X
  65127      ALDEÁN ARÉVALO JORGE ARTURO      1900447689001                                                    X
  48912      CALVA RIOFRIO DARWIN ANTONIO     1900449156001                                                    X
 273592      CUENCA CAJAMARCA JULIO CESAR     1900449958001                                                    X
 160760      ZUÑIGA VICENTE MAYRA LORENA      1900450170001                                                    X
  86729      SIVISAPA CARAGUAY JAIME OSWALDO1900450733001                                                      X
 262074      VILLALTA TORRES SILVIA ESTHER    1900453992001                                                    X
 216463      ARROBO GAONA JHULIANA MARLENE 1900456391001                                                       X
 245064      OLMEDO MOSQUERA BYRON JAVIER 1900457183001                                                        X
 204381      ZHONDO CONTENTO HARMAN ARMANDO   1900457340001                                                    X
 262876      LOJANO LOJANO RAUL JAVIER        1900460161001                                                    X
  69531      MALLA MUZHA ROMULO ANIBAL        1900460328001                                                    X
 187062      ALVAREZ ORDOÑEZ WALKER FROILAN 1900463280001                                                      X
  36878      VARGAS ULLOA FRANKLIN RAMIRO     1900465053001                                                    X
 230734      ARMIJOS CHALAN JULIO HERNAN      1900467877001                                                    X
 273150      TENE CHALAN JAIME ENRIQUE        1900467901001                                                    X
No                 No registra
                                                                No                    No registra   No
                                                                         No. registra                       registra      No.    indicadores
                                                              registra                provincia, registra
Persona_id               NOMBRE                No. ID (RUC)                 calle                           número      registra de ventas,
                                                              apellido                 cantón y   primer
                                                                          principal                         de calle     origen activos y/o
                                                              paterno                 parroquia nombre
                                                                                                            principal             empleados

 273280      VÉLEZ BERMELLO RENÉ XAVIER       1900468768001                                                    X
 225721      SARANGO VALLADARES YADIRA CARMEN 1900472182001                                                    X
  91225      SARANGO TINITANA TANIA ELIZABETH 1900476449001                                                    X
 213398      PAUTA RODRÍGUEZ ELIZABETH ALEXANDRA
                                              1900476753001                                                    X
 207250      MACAS CASTILLO MARTHA JUDITH     1900476860001                                                    X
 154006      GUEVARA ALBA DARWIN RENAN        1900486695001                                                    X
  71454      LOJAN HERRERA DIEGO PAOLO        1900487313001                                                    X
 259392      VIÑÁN PELÁEZ AGUSTO RODRIGO      1900492222001                                                    X
 268612      REINOSO QUIMIS JOHN FERNANDO     1900498260001                                                    X
  29763       AYDA                            1900504414001                                                    X
 208158      GUERRERO CASTILLO JOSE RENAN     1900507441001                                                    X
 216326      SARANGO SARANGO LUZ PATRICIA     1900510692001                                                    X
 224529      MEDINA MEDINA ROSA MERCEDES      1900516590001                                                    X
 261160      LEON RODRIGUEZ DANIEL RUPERTO 1900517564001                                                       X
 250839      GUAMAN VALAREZO ROBERTH WILMER   1900520352001                                                    X
 159717      IDROBO SILVA FLAVIO DARIO        1900520519001                                                    X
 150660      LOZANO CAMPOS JULIO RAMIRO       1900532647001                                                    X
 170999      LOZANO CAMPOS LUIS ANTONIO       1900532688001                                                    X
 115839      MINGA GUAMAN LUIS ALBERTO        1900537331001                                                    X
 193824      RIOFRIO QUITO MERCEDES CONCEPCION1900541853001                                                    X
 119600      BRITO ORELLANA ANGEL PORFIRIO    1900543461001                                                    X
 161216      VELASQUEZ CASTILLO VERONICA ROCIO1900545599001                                                    X
 123628      QUEZADA SARMIENTO GLENDA PAOLA1900560853001                                                       X
 115768      BRITO MOLINA MELITON TEODORO     1900570480001                                                    X
 100915      ARMIJOS SALINAS AURELIO JESUS    1900583228001                                                    X
 260383      CAJILIMA GUERRERO JOSE GERMAN 1900584283001                                                       X
 257803      SANCHEZ MOROCHO VICTOR HERIBERTO 1900585025001                                                    X
 255244      SARANGO FIERRO HYPATIA STELLA 1900587450001                                                       X
 147073      SARI SAETAMA CLEVER PATRICIO     1900594019001                                                    X
 235829      ABAD SOLANO MIREYA LILIANA       1900595529001                                                    X
 196749      MACHUCA MEDINA LIGIA ELENA       1900597871001                                                    X                      X
No                 No registra
                                                               No                    No registra   No
                                                                        No. registra                       registra      No.    indicadores
                                                             registra                provincia, registra
Persona_id              NOMBRE                No. ID (RUC)                 calle                           número      registra de ventas,
                                                             apellido                 cantón y   primer
                                                                         principal                         de calle     origen activos y/o
                                                             paterno                 parroquia nombre
                                                                                                           principal             empleados

 232547      GUAYA IRIARTE ADRIANA MARIBEL    1900619709001                                                   X
 276151      VERA JIMENEZ LEVI DARIO          1900621788001                                                   X
 245734      CORDERO JARAMILLO JULIA ESTHER 1900622083001                                                     X
 270436      GUAYLLAS MACAS FLORITZA MARIA 1900634773001                                                      X
 273895      ELECTRO GENERADORA DEL AUSTRO S.A.
                                              1901674530011                                                   X
 171521      ACUDIR                           1903014270011                                                   X
  44227      MUNICIPIO DE ZAMORA              1960000380001                 X                                 X
  46866      MUNICIPIO DE CHINCHIPE           1960000460001                 X                                 X
  45515      MUNICIPIO DE YACUAMBI            1960000540001                 X                                 X                      X
  44516      GOBIERNO MUNICIPAL DEL CANTON YANTZAZA
                                              1960000620001                 X                                 X
  43731      MUNICIPIO DE NANGARI             1960000700001                 X                                 X                      X
  45877      GOBIERNO MUNICIPAL DEL CANTON EL PANGUI
                                              1960001190001                 X                                 X
  44554      PATRONATO DE AMPARO SOCIAL MUNICIPAL DE YANZATZA
                                              1960140710001                 X                                 X
 191678      COMPAÑÍA INDUSTRIAL "EL ZAMORANO" S.A.
                                              1990904312001                                                   X
 145736      VOLJUMI                          1990904797001                                                   X
 250275      ASOCIACIÓN EL PORVENIR           1990905181001                                                   X
  77123      MICROEMPRESA DE CONSERVACION 1990905203001                                                       X
 256713      ASOCIACION DE TRABAJADORES AUTONOMOS REINA DEL CISNE
                                              1990905335001                                                   X
  80260      SUPERMERCADO DICAVI CIA. LTDA.   1990906285001                                                   X
 191560      MARSEFA CIA. LTDA.               1990906323001                                                   X
  84756      ASOCIACIÓN DE CONSERVACIÓN VIAL AMAZONAS
                                              1990906870001                                                   X
 236484      MULTISERVICIOS LOJANO CIA. LTDA. 1990907168001                                                   X
  55869      CONDOR KUSI CONSTRUCTORA S.A. 1990907338001                                                      X
 185587      GUZMAN RIVERA EDUARDO WILSON 1990907370001                                                       X
 159529      ASOCIACION DE CONSERVACION VIAL VALLE DE LAS LUCIERNAGAS
                                              1990908008001                                                   X
 159544      ASOCIACION DE CONSERVACION VIAL C. DEL CONDOR
                                              1990908024001                                                   X
 159475      ASOCIACION DE CONSERVACION VIAL ORQUIDEA DE LA AMAZONIA
                                              1990908121001                                                   X
 203062      CALDEMAR CONSTRUCTORA CIVIL CIA.1990908377001
                                               LTDA.                                                          X
 177422      CONSTRUCTORA HERRERA GONZALEZ CIA. LTDA.
                                              1990908423001                                                   X
 263917      CAMARA CANTONAL DE TURISMO CAPITULO YANTZAZA
                                              1990908431001                                                   X
 217450      COMPAÑIA CONSTRUCTORA SOLORZANO CIA.LTDA
                                              1990908598001                                                   X
No                 No registra
                                                               No                    No registra   No
                                                                        No. registra                       registra      No.    indicadores
                                                             registra                provincia, registra
Persona_id               NOMBRE               No. ID (RUC)                 calle                           número      registra de ventas,
                                                             apellido                 cantón y   primer
                                                                         principal                         de calle     origen activos y/o
                                                             paterno                 parroquia nombre
                                                                                                           principal             empleados

 216310      CONSTRUCTORA Y EXCAVACIONES BREG S.A.
                                             1990908652001                                                    X
 216227      COMPAÑIA CONSTRUCTORA JHORJ CIA. LTDA.
                                             1990908806001                                                    X
 227596      CONSTRUCTORA & CONSULTORA MEROBRATEC
                                             1990908938001                                                    X
 231646      CONSTRUCTORA BRAJAMIL CIA.LTDA. 1990908954001                                                    X
 242596      CONSTRUCTORA COYANTZA CIA LTDA 1990909063001                                                     X
 243281      CONSTRUCTORA ROGEL APONTE CIA. 1990909071001
                                             LTDA.                                                            X
 253965      COMPAÑIA GOZALEZ TENE           1990909179001                                                    X
 259815      CONSTRUCTORA MAWASA CIA. LTDA. 1990909292001                                                     X
 259122      CONSTRUCTORA GALEXA CIA. LTDA 1990909306001                                                      X
 267644      CONSTRUCTORA MERIGONZA CIA LTDA 1990909403001                                                    X
 274105      RENTEROB S.A.                   1990909438001                                                    X
 123958      SALINAS BORJA JOSE ERNESTO      2000000204001                                                    X
  83132      JOHNJONES PUENTES HOLGER MIGUEL000000295001
                                             2                                                                X
  68328      GALLARDO GALLARDO JOSE LUIS     2000001269001                                                    X
  53085      GALLARDO URRUTIA ANGEL MIGUEL 2000001293001                                                      X
 267244      SALGADO ORDOÑEZ LUIS ALFREDO 2000001525001                                                       X
 249366      CRIOLLO SAILEMA CARMEN AMELIA 2000002663001                                                      X
  86846      YAULI JEREZ LEONARDO CESAR      2000003158001                                                    X
  69837      VILEMA GUERRERO OSCAR MOISES 2000003232001                                                       X
 273273      PANCHANA MEDINA LORENZO SALOMON 2000004024001                                                    X
  29389      VALLEJO FARFAN ENRIQUE BENJAMIN 2000004974001                                                    X
 108948      MARTINEZ MARTINEZ WASHINGTON 2000009395001                                                       X
 121458      PANCHANA MEDINA ALEJANDRO ANTONIO
                                             2000009502001                                                    X
  99242      ANDRADE BALLESTEROS DANIEL HORACIO
                                             2000009718001                                                    X
 149031      RUMIPAMBA MARLENE CECILIA       2000010765001                                                    X
  55303      LARA LEON FAUSTO LUIS           2000010856001                                                    X
 169178      CRUZ BEDON LENIN EDMUNDO        2000011193001                                                    X
 226959      TIGSE TIRADO LUIS MARCELO       2000011771001                                                    X
  78250      JOHNJONES PUENTES EDUARDO ANTONIO
                                             2000012217001                                                    X
 228807      GALARZA RUIZ JOSE NARCISO       2000013959001                                                    X
 242916      MONTALVO ESPINEL NELSA BOLIVIA 2000014155001                                                     X
No                 No registra
                                                                No                    No registra   No
                                                                         No. registra                       registra      No.    indicadores
                                                              registra                provincia, registra
Persona_id               NOMBRE                No. ID (RUC)                 calle                           número      registra de ventas,
                                                              apellido                 cantón y   primer
                                                                          principal                         de calle     origen activos y/o
                                                              paterno                 parroquia nombre
                                                                                                            principal             empleados

  85024      B BURI SEGUNDO ALFREDO           2000014254001                                                    X
  95632      YEPEZ SANDOVAL IRENE EDELMIRA 2000014353001                                                       X
 216411      VÁZQUEZ LASSO KLEVER FABRIZIO    2000014551001                                                    X
 194203      ESCARABAY FREIRE MARCO ANTONIO 2000015699001                                                      X
 100113      YEPEZ SANDOVAL SIXTO RUPERTO     2000017646001                                                    X
 112324      TENELEMA MORAN SEGUNDO ANTONIO000017851001
                                              2                                                                X
  71029      JAIME GIL ARACELY                2000017943001                                                    X
 143650      VALLE CASTILLO MARTHA IRMALDA    2000018016001                                                    X
  63199      BALLESTEROS OLAYA MARCOS GASTON  2000018263001                                                    X
 251065      MORALES ZAVALA MARTHA ISOLINA 2000018552001                                                       X
 236959      FUENTES LINO JHONNI ALFREDO      2000019089001                                                    X
 168259      ESCARABAY FREIRE EDGAR IVAN      2000019873001                                                    X
 201913      TIPAN MEDINA SEGUNDO FILEMON PEDRO
                                              2000020194001                                                    X
  63127      ANDRADE ENDARA GABRIEL VINICIO 2000020574001                                                      X
  80449      LOPEZ DELGADO CARLOS ALBERTO 2000021531001                                                        X
 207507      URIBE LOPEZ VALENTIN             2000021606001                                                    X
 239384      BALLESTEROS SEVILLA ENRIQUE RIGOBERTO
                                              2000021879001                                                    X
 167757      PESANTES AGUIRRE MARIO ELIGIO    2000022257001                                                    X
  88721      FLOR GIL GARDENIA ELIZABETH      2000022679001                                                    X
 190580      LOYOLA REINOSO JHONI ARCECIO     2000023784001                                                    X
 112019      FREIRE JARAMILLO JOHN ROBERT     2000024170001                                                    X
  91400      TUPIZA GIL AMELIA INÉS           2000024436001                                                    X
 143835      NIETO SIGUENCIA JUAN EVANGELISTA 2000024956001                                                    X
  56775      COBOS CORDOVA DAGFIN EDISON      2000025698001                                                    X
  31657      ANDRADE ENDARA GINA MAGALI       2000025995001                                                    X
  69479      COBOS ZAVALA JUAN MANUEL         2000026381001                                                    X
  56515      GUERRERO ALDAS MAGALY MARIBEL 2000026738001                                                       X
 147665      GALLARDO HERRERA EDUARDO MIGUEL  2000027215001                                                    X
  96547      RAMOS CHALEN HUGO ENRIQUE        2000027702001                                                    X
 169493      CARDENAS HUANCA CARLOS GIOVANNI  2000028379001                                                    X
 193451      ZAVALA GIL RONNY ISIDRO          2000028668001                                                    X
No                 No registra
                                                               No                    No registra   No
                                                                        No. registra                       registra      No.    indicadores
                                                             registra                provincia, registra
Persona_id              NOMBRE                No. ID (RUC)                 calle                           número      registra de ventas,
                                                             apellido                 cantón y   primer
                                                                         principal                         de calle     origen activos y/o
                                                             paterno                 parroquia nombre
                                                                                                           principal             empleados

  81395      PALLO COSQUILLO JORGE ERNESTO 2000028890001                                                      X
 249361      BELTRAN CRIOLLO JAVIER MARIO   2000029997001                                                     X
 256145      HIDALGO MORA MAURICIO FABRICIO 2000030276001                                                     X
 182679      GIL JARAMILLO LUIS ROBERTO     2000030581001                                                     X
 262759      TORRES GUAYLLAGUAMAN MARLENE DE LOURDES
                                            2000030656001                                                     X
  97734      CRUZ BEDON SANDRA PIA MARILYN 2000031639001                                                      X
 105609      AGUILAR MORA LIBIA SORAYA      2000032033001                                                     X
 137195      GIL POMBOZA NANCY OLINDA       2000032900001                                                     X
  85407      BECERRA HERNANDEZ JUAN CARLOS 2000033502001                                                      X
 137293      GARCIA MARTINEZ INGRID VANESSA 2000033916001                                                     X
  58081      HERNANDEZ VARGAS DORIA ILDA    2000034732001                                                     X
 144705      JAYA PINCAY MIGUEL ANGEL       2000034880001                                                     X
  41661      ARIAS MONTALVO JHONSON MIGUEL 2000034971001                                                      X
 113750      MORALES MORALES MAURICIO FABIAN2000035143001                                                     X
 191389      PARRALES OLAYA ROLANDO EUGENIO2000035614001                                                      X
  71761      MEDINA DAVILA MILTON VINICIO   2000035721001                                                     X
  43877      COBOS COBOS DIANA XIMENA       2000036034001                                                     X
  32712      CAIZA CARRILLO HUGO ROLANDO    2000036042001                                                     X
  77282      INGA CADENA JULIO WILLIANS     2000036166001                                                     X
 116857      CEDEÑO BALLESTEROS AQUILES WELLINGTON
                                            2000036174001                                                     X
 239404      TERÁN PALLO JESSICA GIOCONDA   2000036471001                                                     X
 110931      SEVILLA CEDEÑO MARIBEL ALEXANDRA
                                            2000037149001                                                     X
  62270      SANCHEZ ANTAMBA CARLOS MAURICIO2000038980001                                                     X
 195266      JIMENEZ JHONJONES HARRY JAMES 2000041547001                                                      X
 256287      CEDEÑO SEGURA GUIDO ANTONIO    2000042263001                                                     X
 180680      GIL JARAMILLO SEGUNDO RAFAEL   2000042859001                                                     X
 196455      RODRIGUEZ OLAYA JULIO WALTER   2000043337001                                                     X
 236618      CHICAIZA CHANGO WILLIAMS CRISTOBAL
                                            2000043576001                                                     X
 155759      GIL GUAMANQUISHPE RUBEN GEOVANNY
                                            2000044038001                                                     X
 123980      CAMINO JAIME LARRY JHON        2000045548001                                                     X
  90192      SINCHE PAUTA HERMEN HUGO       2000045902001                                                     X
No                 No registra
                                                                No                    No registra   No
                                                                         No. registra                       registra      No.    indicadores
                                                              registra                provincia, registra
Persona_id               NOMBRE                No. ID (RUC)                 calle                           número      registra de ventas,
                                                              apellido                 cantón y   primer
                                                                          principal                         de calle     origen activos y/o
                                                              paterno                 parroquia nombre
                                                                                                            principal             empleados

 236270      AGUIRRE COBOS WILTON GERMAN      2000046389001                                                    X
 129205      PEÑAFIEL VILLAFUERTE JAIME BENITO2000047221001                                                    X
 273298      GIL GUAMANQUISHPE DIEGO TONINO 2000047973001                                                      X
  19246       DIEGO                           2000048146001                                                    X
 243792      CHANGOTASIG CAISA LIDIA DEL CONSUELO
                                              2000048625001                                                    X
 107901      GUERRA MARTILLO ELIZABETH DEL ROCÍO
                                              2000048641001                                                    X
  68874      YAULI GALLARDO LLAJAIRA VERONICA 2000048864001                                                    X
 189661      FLOR YEPEZ JULIO TILER           2000049326001                                                    X
 117728      RONQUILLO ALVARADO MARIA JANINA 2000049391001                                                     X
 259241      SUAREZ ROSERO NELSON EFRAIN      2000050365001                                                    X
 132168      LEÓN PALACIOS ROSA PAOLA         2000052346001                                                    X
 214016      CRIOLLO ESPANTOSO FELIX DANIEL 2000054805001                                                      X
 171299      TENELEMA TUPIZA LENIN ANTONIO    2000056073001                                                    X
 238171      URQUIZO OJEDA JASON LEONARDO 2000057246001                                                        X
 117141      CAIZA VALENCIA NESTOR IVAN       2000057832001                                                    X
 169563      JIMENEZ TORRES YAMER ONOFRE      2000058038001                                                    X
 262282      CHANGO CHANGO MARIO RODRIGO 2000059796001                                                         X
 256276      GAONA IMAICELA MARIOS ELEUTERIO 2000060844001                                                     X
 110021      SOTOMAYOR COBOS JORGE PATRICIO2000062139001                                                       X
 176074      CHISAGUANO PANATA PEDRO JAVIER 2000062170001                                                      X
 118614      BURI MOROCHO BOLIVAR ANTONIO     2000066759001                                                    X
 192201      OLAYA COELLO JUAN CLEMENTE       2000069209001                                                    X
 143394      FREIRE MOROCHO ARMANDO VINICIO 2000069738001                                                      X
  84088      BALLESTEROS COBOS MARCOS HENRY   2000072674001                                                    X
 171310      SANTANDER SANTANDER LUIS FERNANDO2000073128001                                                    X
  98519      ALDÁS ROMERO ERIK ANDRÉS         2000074001001                                                    X
  43573      GOBIERNO PROVINCIAL DE GALAPAGOS 2060000150001                  X                                 X                      X
  62535      PROVEEDORA INSULAR C. LTDA.      2090001593001                                                    X
  89300      FERRETERIA INSULAR FERROINSULAR 2090004401001
                                              S.A.                                                             X
 108852      PREFECTURA APOSTOLICA DE GALAPAGOS
                                              2090004487001                                                    X
 197832      SERVICIOS NAVIEROS DE GALAPAGOS2090006420001                                                      X
No                 No registra
                                                                No                    No registra   No
                                                                         No. registra                       registra      No.    indicadores
                                                              registra                provincia, registra
Persona_id               NOMBRE                No. ID (RUC)                 calle                           número      registra de ventas,
                                                              apellido                 cantón y   primer
                                                                          principal                         de calle     origen activos y/o
                                                              paterno                 parroquia nombre
                                                                                                            principal             empleados

  43890      GORGOMAR S.A.                    2091755915001                                                    X
 110286      OPERADORA TURÍSTICA CARGO S. A. OPEANSA
                                              2091756032001                                                    X
  74356      GALAPAGOS CONSTRUCCIONES SA 2091756253001                                                         X
  70758      SETURGAL S.A                     2091756334001                                                    X
  84746      ELECTRONAUTICA S.A.              2091756458001                                                    X
 253356      HELIGAL, HELICOPTERS GALAPAGOS S.A.
                                              2091757462001                                                    X
 254189      COBEÑA GALAPAGOS CONSTRUCCION2091757667001
                                               S.A.                                                            X
 254206      J.A.K. BRAN S.A.                 2091757675001                                                    X
 104953      JIMENEZ TORRES SILVIO ANTONIO    2100003082001                                                    X
 123292      ALARCON TORRES DARWIN ISIDRO     2100007000001                                                    X
  71788      ANDRADE VIVAR HITLER ARTURO      2100007513001                                                    X
  45189      PROAÑO TOLEDO WILMER LENIN       2100007828001                                                    X
 235714      TENORIO ESTUPINAN LANES YONELA 2100009287001                                                      X
 154638      CASTILLO CUMBICOS CARLOS ANTONIO 2100009964001                                                    X
 151366      AMAGUAY VASQUEZ MYRIAN NARCIZA 2100010202001                                                      X
 127268      VERGARA BORJA WUANERGES LENIN 2100012562001                                                       X
 179934      MESTANZA ALARCÓN JAVIER ALLEN 2100012968001                                                       X
 155553      VARGAS CAPA JOSE JAVIER          2100015482001                                                    X
 237266      IZQUIERDO HIDALGO NERIO ANTONIO 2100015771001                                                     X
 267692      ORTEGA ENRIQUEZ AMABLE DE JESUS  2100016449001                                                    X
 224135      VARGAS GREFA FAUSTO GUILLERMO 2100018668001                                                       X
 114002      SACA LUDEÑA RIDEN ROBER          2100022819001                                                    X
 257147      MORA DOMINGUEZ CESAR OSWALDO 2100024187001                                                        X
 159080      ASTUDILLO BUSTIS RICHARD PAUL    2100025747001                                                    X
 225946      QUEZADA TANDAZO YAQUELINE ELIZABETH
                                              2100031653001                                                    X
  85310      SEGURA PIZA GABRIEL BOLIVAR      2100032941001                                                    X
 215638      BALCAZAR CAMPOVERDE ANGEL FRANCISCO
                                              2100033451001                                                    X
 151282      GONZALEZ TRUJILLO CARMEN NOEMI 2100035225001                                                      X
 245861      PERLAZA SAN MARTÍN LIGIA ESTHER 2100035282001                                                     X
 227703      ROMERO BENAVIDES EDWIN FERNANDO  2100037502001                                                    X
  66465      OLIVES VALDEZ JOSE EDUARDO       2100037619001                                                    X
No                 No registra
                                                                No                    No registra   No
                                                                         No. registra                       registra      No.    indicadores
                                                              registra                provincia, registra
Persona_id               NOMBRE                No. ID (RUC)                 calle                           número      registra de ventas,
                                                              apellido                 cantón y   primer
                                                                          principal                         de calle     origen activos y/o
                                                              paterno                 parroquia nombre
                                                                                                            principal             empleados

 176581      ENCARNACION VERA MARIA DOTILA 2100037965001                                                       X
 161462      RIZZO FELIX JULY MARISOL         2100038146001                                                    X
 188123      NEGRON OCHOA JULIO JOVANY        2100040688001                                                    X
 244947      VEGA ESPIN FREDY ERNESTO         2100041116001                                                    X
  87683      CRUZ VILLALTA NELSON RAUL        2100041157001                                                    X
 255255      IBARRA BASURTO JOSE MARCEL       2100041199001                                                    X
 249990      ROMERO CADENA RAUL ADOLFO        2100044235001                                                    X
 262438      CAIMINAGUA SANDOVAL CARMEN MARÍA 2100046321001                                                    X
  50135      CORDOVA BUSTOS LUIS NEPTALI      2100046792001                                                    X
 172691      GALEAS MORALES VICENTE RAMIRO 2100048897001                                                       X
 202622      MANZANO NARANJO ANGEL POLIVIO 2100049200001                                                       X
 146625      PEREZ NAVEDA MARCO VINICIO       2100050075001                                                    X
 117939      GARCIA PARRAGA MAURICIO RAMON 2100053327001                                                       X
 267789      ESPINOZA APOLO JOFFRE RENE       2100054028001                                                    X
 155624      CAMPOVERDE BALCAZAR RENE OMAR    2100054937001                                                    X
 236767      CALUPIÑA MONTENEGRO FREDDY HERNÁN2100056478001                  X            X                    X
 155098      JIMBO RIOS SANDRA ISABEL         2100057492001                                                    X
 145998      ALEMAN VERA DAVID ALBERTO        2100059423001                                                    X
 262623      CASTILLO CORTEZ HIRINA ROCIO     2100060751001                                                    X
  72865      SANCHEZ LEONES EDWIN IVAN        2100061312001                                                    X
  69309      BELTRAN MORAN CARLOS ROLANDO 2100063359001                                                        X
  56525      MUÑOZ GUAMAN MIGUEL ANGEL        2100063938001                                                    X
 248074      NAVAS ARCINIEGAS ROSA ELENA      2100065628001                                                    X
 234579      NARVAEZ PILAMUNGA JOSE MARCELO2100065636001                                                       X
 265643      VILLACIS MARTINEZ WILMER VICENTE 2100066790001                                                    X
 204258      GARCIA SUEREZ ROSARIO ISABEL     2100066873001                                                    X
 248728      CEVALLOS AMAGUAY JHERRY FERNANDO 2100067640001                                                    X
 196256      MUÑOZ MAISINCHO JUDY ROSARIO     2100070198001                                                    X
  76739      SANCHEZ JAMA OSCAR GEOVANNY      2100070867001                                                    X
 260543      JIMENEZ VEGA NELSON JOHN         2100074398001                                                    X
  17492      RAMON TORRES IDALIO MARCELO      2100078381001                                                    X
No                 No registra
                                                               No                    No registra   No
                                                                        No. registra                       registra      No.    indicadores
                                                             registra                provincia, registra
Persona_id               NOMBRE               No. ID (RUC)                 calle                           número      registra de ventas,
                                                             apellido                 cantón y   primer
                                                                         principal                         de calle     origen activos y/o
                                                             paterno                 parroquia nombre
                                                                                                           principal             empleados

 265652      TRAVEZ IZA MONICA IBETH         2100080668001                                                    X
 233158      CARGUA CARRILLO HILDA MORAYMA 2100084140001                                                      X
  70673      MOYANO CALLE DARWIN HOLGER      2100085337001                                                    X
 161901      CABEZAS TOSCANO MARCO VINICIO 2100086228001                                                      X
 220676      ROSALES MENESES LUIS GENARO     2100088984001                                                    X
 164208      LEÓN YEPEZ OLGA JANETH          2100091541001                                                    X
 156118      BASTIDAS LOOR JOSÉ EMILIO       2100092564001                                                    X
 171487      ARROBO ESTRADA PEDRO BINICIO    2100093604001                                                    X
 174288      TELLO LOPEZ JAZZMIN VERONICA    2100093711001                                                    X
  17487      CAMBISACA CAMBISACA JOSE LEODAN2100094271001                                                     X
   7302      LOOR DELGADO JIMMY BENIGNO      2100094297001                                                    X
 232178      LOZADA GIRALDO LUIS BERNARDO    2100100128001                                                    X
  81309      PAREDES SANTANA MARCO IVAN      2100100136001                                                    X
 162406      ALVAREZ PORTILLA RAQUEL         2100100284001                                                    X
  55219      OTO TOPON LUIS FABIAN           2100100664001                                                    X
  52321      GALARZA COBOS ALBA MARLENE      2100101118001                                                    X
 175756      CISNEROS CAIZA JOSE LUIS        2100101563001                                                    X
 215881      BALARESO DE LA CRUZ PABLO LEPOLDO
                                             2100107032001                                                    X
 168397      CONTENTO BARSALLO OMAR RIGOBERTO2100107990001                                                    X
 192741      MUEPAS CHAMBA LUIS HERNAN       2100108766001                                                    X
 145021      CAMPOVERDE TORRES MIRIAM BEATRIZ2100109541001                                                    X
 146537      ESPINOZA APOLO FREDDY OSWALDO 2100115803001                                                      X
 165527      GARCIA CUEVA ROMEL DIONICIO     2100120001001                                                    X
 265641      CUENCA CUENCA JOSE PAQUITO      2100124037001                                                    X
 186242      JAYA JULIO MANUEL               2100124896001                                                    X
 187720      YANANGOMEZ GARZON ALBERTO ANASTACIO
                                             2100127113001                                                    X
 173750      ROMO ATIENCIA JHONNY VLADIMIR   2100128459001                                                    X
 230486      ORTIZ QUENAMA NICOLAS VICENTE 2100130588001                                                      X
 225088      ACOSTA JARAMILLO GLENDA SAYONARA2100132345001                                                    X
   8656      HUMBERTO CASTILLO               2100136577001                                                    X
 105102      AMAGUAY VASQUEZ LOURDES SUSANA  2100137039001                                                    X
No                 No registra
                                                                No                    No registra   No
                                                                         No. registra                       registra      No.    indicadores
                                                              registra                provincia, registra
Persona_id               NOMBRE                No. ID (RUC)                 calle                           número      registra de ventas,
                                                              apellido                 cantón y   primer
                                                                          principal                         de calle     origen activos y/o
                                                              paterno                 parroquia nombre
                                                                                                            principal             empleados

 160261      BARRERA ORELLANA CARMEN RAQUEL   2100137294001                                                    X
 209251      SANCHEZ TARIGUANA JAIME CARLOS 2100137328001                                                      X
 258329      BUSTOS CHILIQUINGA MARCO VINICIO 2100137641001                                                    X
 103539      CANDO ERAZO VICENTE GONZALO      2100140116001                                                    X
 162508      MEJIA CHANGO JESICA JENIFER      2100144472001                                                    X
   8553      CESAR MACHAY                     2100148358001                                                    X
 113668      CORTES WILSON                    2100148408001                                                    X
 114292      JIMENEZ TOAPANTA MARVIN ARTURO 2100148549001                                                      X
 226589      CAMBISACA CAMBISACA JENDRIS DENIS2100152764001                                                    X
 164400      VASQUEZ VARGAS TITO MIGUEL       2100153093001                                                    X
 162343      QUINATOA ROJAS EDWIN JAVIER      2100159967001                                                    X
 170149      MANCERO ENRÍQUEZ FRANKLIN ALEX 2100160726001                                                      X
 231623      VILLAPRADO MOREIRA CESAR MIGUEL2100161328001                                                      X
 105302      CALVA OJEDA DARWIN VINICIO       2100162094001                                                    X
 197002      LAPO MORENO DORIS MARITZA        2100163290001                                                    X
 175229      ROJAS CARCELEN IRAIDA VANESSA 2100164546001                                                       X
 233850      ESCUDERO ULLOA RICHARD GERARDO   2100165535001                                                    X
 115966      CAMPOVERDE JIMENEZ DARWIN NOE 2100165832001                                                       X
  70081      MESTANZA RAMÓN CARLOS            2100168273001                                                    X
 260104      ROBLES GAIBOR ANGEL ROBERTO      2100169461001                                                    X
 229842      CASTILLO FREIRE MAYRA ELIZABETH 2100173695001                                                     X
   8520      NEICER DANIEL CHANGO TRUJILLO    2100179361001                                                    X
 172016      ROSERO GUERRA CARLOS JULIO       2100182530001                                                    X
 257603      RIVAS IDALGO PEDRO NEL           2100183322001                                                    X
 177864      NAZATE MUEPAZ OMAR JAIRO         2100183389001                                                    X
  87225      MOROCHO CABRERA LUIS ALBERTO 2100184221001                                                        X
  81602      OLVERA SOLANO ORLY OSWALDO       2100184718001                                                    X
  87992      CARRIÓN LAPO FÉLIX GERMÁN        2100184783001                                                    X
   9102      YANEZ APOLO WILSON ANIBAL        2100185210001                                                    X
 217036      CEVALLOS PERALTA ANGEL LUIS      2100186218001                                                    X
 189225      MARTINEZ FUENTES WILSON FREDDY 2100187570001                                                      X
No                 No registra
                                                               No                    No registra   No
                                                                        No. registra                       registra      No.    indicadores
                                                             registra                provincia, registra
Persona_id               NOMBRE               No. ID (RUC)                 calle                           número      registra de ventas,
                                                             apellido                 cantón y   primer
                                                                         principal                         de calle     origen activos y/o
                                                             paterno                 parroquia nombre
                                                                                                           principal             empleados

 254699      RÍOS MERCHÁN LORENA PILAR       2100189410001                                                    X
 132576      GARZÓN YANANGOMEZ HUGO ANTONIO100190582001
                                             2                                                                X
 230275      ROMERO ORTEGA JOSE LUIS         2100191895001                                                    X
 225781      NUÑEZ AMANCHA CLARA LUPE        2100194675001                                                    X
 117807      BRUNES ROMERO BYRON JAVIER      2100199070001                                                    X
 266351      BALCAZAR CAMPOVERDE IVAN PATRICIO
                                             2100200381001                                                    X
  83821      GUANOTUNA CHICAIZA WALTER BLADIMIRO
                                             2100201686001                                                    X
 131893      BAQUERO JARAMILLO MARIA DEL CARMEN
                                             2100202627001                                                    X
 219584      BARRETO ARÉVALO VERÓNICA LILIANA2100202981001                                                    X
  86225      ALEJANDRO CEVALLOS ELIJIO GERMAN2100206495001                                                    X
 217051      PIEDRA AZANZA MARCO ANTONIO     2100206859001                                                    X
 166515      MATAILO BARRERA YOLANDA ELIZABETH
                                             2100207139001                                                    X
 172410      MEDINA SALAZAR NELSON IPTALO    2100213277001                                                    X
 129573      CHACHA COLCHA ALBINO RENE       2100215983001                                                    X
 122213      SILVA BUCHELI JOSE LUIS         2100217245001                                                    X
 249359      ORTEGA GUILLEN TANIA LOURDES    2100221916001                                                    X
 274187      FRANCO BALCAZAR ZANDRA ELIZABETH2100222799001                                                    X
 107302      N MESIAS LUIS MIGUEL            2100224035001                                                    X
 119304      PALADINEZ VERA MAXIMO FELIX     2100224118001                                                    X
 109295      MANCHAY CASTILLO EGIDIO EUGENIO 2100225958001                                                    X
 197733      GREFA PAPA EDISON ALFREDO       2100235536001                                                    X
 256443      MALLA CONDOY ADRIANA ANGELA     2100239538001                                                    X
 153125      GUAMAN GUAMBO CARLOS HERIBERTO  2100242839001                                                    X
 161259      NAPA PACHECO MAURICIO AQUILINO 2100243605001                                                     X
 212211      SANDOVAL MANZABA JAIRO GUILLERMO2100244066001                                                    X
 180347      CASANOVA SALAZAR CARLOS ALBERTO 2100248596001                                                    X
  30607      ASTUDILLO PAZMIÑO GALO MARIO    2100256896001                                                    X
 181336      NARANJO PEÑALOZA ANA CECILIA    2100261938001                                                    X
 141966      ANDI TANGUILA JAIRO SILVIO      2100269576001                                                    X
 225265      QUINTUNA IZA JOSE RAFAEL        2100276704001                                                    X
 235588      CASTANEDA GOMEZ JUVER JACINTO 2100278411001                                                      X
No                 No registra
                                                               No                    No registra   No
                                                                        No. registra                       registra      No.    indicadores
                                                             registra                provincia, registra
Persona_id               NOMBRE               No. ID (RUC)                 calle                           número      registra de ventas,
                                                             apellido                 cantón y   primer
                                                                         principal                         de calle     origen activos y/o
                                                             paterno                 parroquia nombre
                                                                                                           principal             empleados

 233622      NARVAEZ DANILO                  2100281738001                                                    X
 155036      FLORES PICO MAYRA MAGALI        2100286232001                                                    X
 275450      GARCIA NARANJO LICIDAS EDUARDO 2100287685001                                                     X
   7651      VIVERO PAREDES                  2100290317001                                                    X
 251258      GUZMAN MENDOZA TERESA EMMA      2100290812001                                                    X
 186497      JIMA CONDOLO FAUSTO ENRRIQUE    2100296306001                                                    X
 184444      ROBLES JUMBO ISMAEL OSWALDO     2100297486001                                                    X
  20364      PARCO HERRERA MAURO HESTUARDO2100302682001                                                       X
  90627      RAMIREZ TORRES FRANKLIN ALEX    2100305230001                                                    X
 179740      RAMIREZ SACA WILFRIDO ANTONIO   2100310503001                                                    X
 261892      CERDA CALAPUCHA REMIGIO FLORENTINO
                                             2100315320001                                                    X
 154691      MIÑO PEREZ JUAN SEGUNDO         2100317243001                                                    X
 264561      AREVALO BARRETO DANNY FERNANDO  2100323688001                                                    X
 154990      JIMBO RIOS ROCIO DEL CARMEN     2100325634001                                                    X
 220590      LUZURIAGA CACAY EUCLIDES MOISES 2100325949001                                                    X
 189380      GAROFALO PAREDES ALBERTO RODRIGO2100329172001                                                    X
 164446      BUENO COYAGO CESAR OSWALDO      2100331426001                                                    X
 178541      GUZMÁN CHILIQUINGA FREDY IVÁN   2100332143001                                                    X
 111701      CANDO YAMBAY HECTOR ROBERTO 2100343181001                                                        X
 109477      ZAMBRANO RAMIREZ MIDIER ALEXANDER
                                             2100346960001                                                    X
 137445      SISA ZURITA DORYS NATALIA       2100346978001                                                    X
 175356      VELARDE GUERRON EFREN DAVID     2100349857001                                                    X
 234949      MOCHA OLALLA RENE LENIN         2100350905001                                                    X
 189746      AREVALO SALAN LORENA CECILIA    2100355706001                                                    X
 270759      JAYA QUEZADA FELIX FELIPE       2100363726001                                                    X
 231551      YANCHAPAXI AYALA MARTHA ELIZABETH
                                             2100384698001                                                    X
 125669      RIERA BERMEO ALICIA MARISOL     2100384714001                                                    X
 259377      MONTES LAAZ JESUS ALBERTO       2100388657001                                                    X
 226841      CALLE CALDERÓN SANDRA ELSA      2100389093001                                                    X
 150126      LOZADA ZAMBRANO DOUGLAS GABRIEL100391917001
                                             2                                                                X
 152959      AVILES CHIMBO JUAN MANUEL       2100396577001                                                    X
No                 No registra
                                                                No                    No registra   No
                                                                         No. registra                       registra      No.    indicadores
                                                              registra                provincia, registra
Persona_id               NOMBRE                No. ID (RUC)                 calle                           número      registra de ventas,
                                                              apellido                 cantón y   primer
                                                                          principal                         de calle     origen activos y/o
                                                              paterno                 parroquia nombre
                                                                                                            principal             empleados

 163980      ORTEGA TORRES NELSON GUILLERMO2100396783001                                                       X
 178190      MENDUA VARGAS EDUARDO            2100396999001                                                    X
 195722      ROJAS BARRAGAN KLEVER DIOVIGILDO 2100409065001                                                    X
 187900      PANTOJA ANDRADE MILVIO ANTONIO 2100410303001                                                      X
 129690      CHALCUALÁN MIÑO LUIS EDUARDO     2100411020001                                                    X
 199373      FIGUEROA ROBLES ANA NOHEMI       2100413133001                                                    X
 221032      LAGOS TORRES MARICELA ELIZABETH2100414750001                                                      X
 232672      CHIMBORAZO LLORI LEISVY DALILA   2100416474001                                                    X
 195757      VAICILLA SUAREZ HERMEL MARCELO 2100426671001                                                      X
 197753      PAMBABAY ARTEAGA ANIBAL VICENTE2100429188001                                                      X
 247768      QUINATOA ROJAS OSCAR LEANDRO 2100431358001                                                        X
 189359      GAROFALO PAREDES WALTER GEOVANNY 2100438015001                                                    X
 172804      MARQUINEZ ARTEAGA DAVID DARIO 2100438718001                                                       X
  59451      SOLANO PADILLA FREDDY OMAR       2100440979001                                                    X
 183725      GUANANGA COLCHA ANA ROCIO        2100451067001                                                    X
 226871      ESPAÑA TELLO ISIDRO ALEXANDER    2100454731001                                                    X
   8498      MARISELA GOMEZ                   2100460985001                                                    X
 146871      MEDINA DE LA CRUZ MONICA PATRICIA2100462783001                                                    X
 194452      AGUILAR ARROYO ADRIANA ALEXANDRA 2100465356001                  X            X                    X
 135451      CARDENAS TAPUY CRISTIAN FRANCEL2100466198001                                                      X
 137259      PAILLACHO CALO LILIANA MARISOL   2100469010001                                                    X
 194770      GOMEZ GARCIA LIBIA ANGELICA      2100474481001                                                    X
 259935      ZUMBA PAREDES BERTHA CECILIA     2100481874001                                                    X
 132906      RAMIREZ RECALDE CARLOS LEONARDO  2100487848001                                                    X
 275473      OCAÑA VINUEZA MYRIAM GABRIELA 2100495064001                                                       X
  94159      NOLE ARMIJOS JIMMY DANIEL        2100525761001                                                    X
  30557      NOBOA MORALES MARIA CONSUELO 2100526991001                                                        X
 262864      NOBOA MORALES MAYRA PAULINA      2100543988001                                                    X
 189523      TAPIA CHAVEZ MESIAS ABEL         2100549258001                                                    X
 159324      GOMEZ LITUMA MARIANA VANESSA     2100557756001                                                    X
 180253      ANDI ALVARADO BEATRIZ MARIA      2100561527001                                                    X
No                 No registra
                                                              No                    No registra   No
                                                                       No. registra                       registra      No.    indicadores
                                                            registra                provincia, registra
Persona_id              NOMBRE               No. ID (RUC)                 calle                           número      registra de ventas,
                                                            apellido                 cantón y   primer
                                                                        principal                         de calle     origen activos y/o
                                                            paterno                 parroquia nombre
                                                                                                          principal             empleados

 233164      ROGEL ELIZALDE WILLIAM RODOLFO 2100562780001                                                    X
 270785      MATUTE CALLE WASHINGTON HERMOGENES
                                              2100574306001                                                  X
 249147      VALENZUELA MONGON JULIO CESAR 2100585245001                                                     X
 252898      INTRIAGO LOZANO INES MARICELA    2100590534001                                                  X
 265115      SANCHEZ LEONES JESSICA NOEMI     2100595301001                                                  X
 181064      CASTRO VARGAS ANGELICA EDITH     2100626502001                                                  X
 106095      CHUAPANTA CARPIO GONZALO FAUSTO100681226001
                                              2                                                              X
 262138      LUSITANDE PIAGUAJE ROLANDO EDWIN 2100927512001                                                  X
 250541      PATRONATO DE AMPARO SOCIAL DEL GOBIERNO MUNICIPAL DE SHUSHUFINDI
                                              2160061350001                             X                                           X
 237784      COOPERATIVA DE TRANSPORTES INTERPROVINCIAL PUTUMAYO
                                              2190000063001                                                  X
 249856      COOPERATIVA DE TRANSPORTE ORO NEGRO
                                              2190000845001                                                  X
  30814      OSPAVI SERVICIOS CIA. LTDA.      2190001000001                                                  X
 112047      COOPERATIVA DE TRANSPORTE DE CARGA PESADA SUCUMBIOS
                                              2190001272001                                                  X
  70478      FEDERACION DE MUJERES DE SUCUMBIOS
                                              2190002910001                                                  X
  47060      JOANGO CONSTRUCCIONES Y SERVICIOS CIA. LTDA.
                                              2190003801001                                                  X
  39582      QUIRESCON S.A.                   2190003860001                                                  X
 183529      UNON PROVINCIAL DE COOPERATIVAS2191701286001
                                               DE TRANSPORTES DE SUCUMBIOS                                   X
  72047      COMPAÑIA DE TRANSPORTE Y SERVICIOS TRANSTARAPOA S. A.
                                              2191701553001                                                  X
 186308      CONSELECTRIC SERVICIOS GENERALES 2191702533001                                                  X
  20637      DAVILA PAUKER CONSTRUCCIONES S.A 2191703033001                                                  X
 260100      GREMIO DE MAESTROS CONSTRUCTORES CIVILES 13 DE ABRIL
                                              2191703114001                                                  X
 239737      SERVICIOS PETROLEROS FRONTERIZOS SERPEFRON CIA LTDA
                                              2191707012001                                                  X
  97006      TRASPORTE ESTUDIANTIL E INSTITUCIONAL ORIENTAL
                                              2191707322001                                                  X
  84396      ASOCIACION DE CONSERVACION VIAL LA BONITA
                                              2191707721001                                                  X
  76162      ASOCIACION DE CONSERVACION VIAL FLOR DEL VALLE
                                              2191707748001                                                  X
  83452      ASOCIACION DE CONSERVACION VIAL SANTA BARBARA
                                              2191707764001                                                  X
  75238      ASOCIACIÓN DE CONSERVACIÓN VIAL RIVERAS DEL RÍO CHINGUAL
                                              2191707780001                                                  X
  54088      FAGO ELECTRODOMESTICOS CIA.LTDA. 2191708531001                                                  X
  87858      COMPANIA DE SERVICIOS PETROLEROS CANTAGALLO S.A.
                                              2191708914001                                                  X
 165666      CONSTRUCCIONES YASUNI CONYASU 2191709171001                                                     X
  25663      KC CONSTRUCTORA CIA. LTDA.       2191709244001                                                  X
No                 No registra
                                                               No                    No registra   No
                                                                        No. registra                       registra      No.    indicadores
                                                             registra                provincia, registra
Persona_id               NOMBRE               No. ID (RUC)                 calle                           número      registra de ventas,
                                                             apellido                 cantón y   primer
                                                                         principal                         de calle     origen activos y/o
                                                             paterno                 parroquia nombre
                                                                                                           principal             empleados

 179027      FUNDACION DEL DESARR             2191709457001                                                   X
  77432      BORHAPECONS CONSTRUCCIONES Y MONTAJES CIA. LTDA.
                                              2191710048001                                                   X
 219161      ASO,TERCERA EDAD JOSE ASTUDILLO 2191710080001
                                              CORONEL                                                         X
  30371      CELERSTION CIA LTDA              2191710293001                                                   X
  53227      ZOILA JARAMILLO MAQUINARIAS Y SERVICIOS CÍA. LTDA.
                                              2191710765001                                                   X
  62403      SHUARENTACAR S.A.                2191710935001                                                   X
  19037      CONEFACONST CÍA. LTDA.           2191711079001                                                   X
 191211      AMAYA SEDANO MIRNA ZORAYDA       2191711370001                                                   X
 239320      MECONSEMESIAS CONSTRUCCIONES Y SERVICIOS CIA. LTDA.
                                              2191711419001                                                   X
  56956      AMAZONOIL CONSTRUCTORA & SERVICE CIA LTDA
                                              2191711524001                                                   X
 242303      CONSTRUCCIONES ELECTRICAS Y CIVILES CABRERA HERNANDEZ CIA. LTDA.
                                              2191711702001                                                   X
 156648      TRANSPORT AND OIL SERVICES TRANSERVOIL CIA.LTDA.
                                              2191711729001                                                   X
 102282      TECSOLMONAF S.A. TECNICOS EN SOLDADURAS MONTAJES Y AFINES
                                              2191711842001                                                   X
 115372      CONSTRUCTORA SALAZAR CUICHAN S.A.2191712032001                                                   X
 233773      COMPAÑIA DE TRANSPORTE PESADO TRANSPROVIDEN CIA. LTDA
                                              2191712083001                                                   X
 150888      SECONPRA CIA. LTDA.              2191712202001                                                   X
 126255      CONSTRUCTORA D&A                 2191712296001                                                   X
 137927      POINTWARE CIA. LTDA.             2191712385001                                                   X
 179329      LAGORQUIDEAS CIA. LTDA.          2191712806001                                                   X
 162043      DILUSERVICIOS EMPRESARIALES S.A. 2191712814001                                                   X
 173286      CRUZ ORIENTE                     2191712946001                                                   X
 207845      ASOCIACION DE CONSERVACION VIAL EL REVENTADOR
                                              2191712954001                                                   X
 266356      COMUNA SEKOYA SIEKOYA REMOLINO2191713268001                                                      X
 198056      COPEMTSOSA COMPAÑÍA DE SERVICIOS, EQUIPOS Y MAQUINARIAS SOSA CIA. LTDA.
                                              2191713411001                                                   X
 197640      CONSTRUCTORA ALTERBUNG CIA. LTDA.2191713438001                                                   X
 201911      SERVIBRASS                       2191713454001                                                   X
 216356      COMPAÑIA DE CONSTRUCCIONES Y OBRAS CIVILES SILVAZAP CIA. LTDA.
                                              2191713462001                                                   X
 204232      SEBASDA CIA LTDA                 2191713527001                                                   X
 207974      CITYBROSS CONSTRUCCIONES Y SERVICIOS PARA LA INDUSTRIA PETROLERA CIA. LTDA.
                                              2191713578001                                                   X
 209608      SOL AMAZONICO SERVICIOS Y CONSTRUCCIONES SOLASERCO CIA. LTDA.
                                              2191713608001                                                   X
 206834      SERVICIO TECNICO DE CONSTRUCCION ROCA DURA HARDROCA CIA. LTDA.
                                              2191713659001                                                   X
No                 No registra
                                                               No                    No registra   No
                                                                        No. registra                       registra      No.    indicadores
                                                             registra                provincia, registra
Persona_id              NOMBRE                No. ID (RUC)                 calle                           número      registra de ventas,
                                                             apellido                 cantón y   primer
                                                                         principal                         de calle     origen activos y/o
                                                             paterno                 parroquia nombre
                                                                                                           principal             empleados

 212543      CONSTRUCCINES EN OBRAS CIVILES Y2191713667001 ENCALADADA
                                              MISCELANEOS                                                     X
 250843      NALECCI CIA. LTDA.              2191713799001                                                    X
 215179      HOLGUER BAYAS CONSTRUCCIONES CIA. LTDA.
                                             2191713829001                                                    X
 213025      CONSTRUCTORA DE SUCUMBIOS CONSTRUSUCUMBIOS
                                             2191713845001                                                    X
 220908      OSMAPINZ S.A.                   2191713942001                                                    X
 214196      ORIENTAL ROCRICHI CONSTRUCCIONES Y SERVICIOS CIA LTDA
                                             2191713969001                                                    X
 219904      JOLGC CONSTRUCCIONES CIA. LTDA. 2191714043001                                                    X
 218624      SERVICIOS ENPUSA CIA. LTDA.     2191714329001                                                    X
 229255      BERMEO JARAMILLO CIA. LTDA      2191714523001                                                    X
 227987      CARLOS J LOPEZ CONSTRUCCIONES Y2191714760001 LTDA
                                              SERVICIOS CIA                                                   X
 231126      CONSTRUCCIONES Y SERVICIOS ENCAVELA CIA. LTDA.
                                             2191714930001                                                    X
 257375      CONSTRUCTORA VLCN CIA LTDA.     2191714973001                                                    X
 242213      CONSTRUCCIONES Y SERVICIOS OYT CIA. LTDA.
                                             2191715058001                                                    X
 234818      CONSTRUCTORA GUZMAN REYES CIA LTDA
                                             2191715155001                                                    X
 239314      SERVICIOS Y PROVISIONES EL NORORIENTE SERVIPRONOR CIA. LTDA.
                                             2191715252001                                                    X
 252930      COMERCIO CONSTRUCCIONES Y SERVICIOS PROAÑO & MARIÑO CIA. LTDA.
                                             2191715341001                                                    X
 246930      CONSTRUCTORA CONSHUSHUFINDI CIA. LTDA
                                             2191715406001                                                    X
 249902      CAMACHO & CEVALLOS CIA. LTDA.   2191715732001                                                    X
 261591      AGUARICORIENTE CONSTRUCCIONES 2191715775001                                                      X
 251877      ANDERSON CONSTRUCCIONES CIA. LTDA.
                                             2191715805001                                                    X
 251849      CASANOVA SALAZAR CARLOS ALBERTO 2191715813001                                                    X
 257907      SUSEYCO S.A.                    2191715821001                                                    X
 253903      CONSTRUJIMENEZ CIA.LTDA         2191715880001                                                    X
 262745      OLIVEROS RODRIGUEZ FRAICENO     2191715902001                                                    X
 257845      QUIAL CIA.LTDA                  2191715929001                                                    X
 256781      CELI&CELI CIA LTDA              2191715945001                                                    X
 256817      CONSTRUCTORA CIVIL Y DE MONTAJES WILCOPET
                                             2191715961001                                                    X
 262626      ROLVECONS CIA-LTDA.             2191716097001                                                    X
 261842      CONSTRUCUBIKA                   2191716127001                                                    X
 264077      GRANADOS RAMIREZ LUZ ANGELA     2191716208001                                                    X
 267326      CAMPOLOZA CONSTRUCCIONES SERVICIOS Y MISCELANEOS CIA LTDA
                                             2191716240001                                                    X
No                 No registra
                                                              No                    No registra   No
                                                                       No. registra                       registra      No.    indicadores
                                                            registra                provincia, registra
Persona_id              NOMBRE               No. ID (RUC)                 calle                           número      registra de ventas,
                                                            apellido                 cantón y   primer
                                                                        principal                         de calle     origen activos y/o
                                                            paterno                 parroquia nombre
                                                                                                          principal             empleados

 266278      CONSTRUCCIONES CECIBEL MAYTE ROJAS S.A.
                                            2191716259001                                                    X
 266378      CONSTRUCCIONES & SERVICIOS ABAD2191716267001
                                             CALVA SA                                                        X
 267020      CONSTRUCCIONES Y SERVICIOS MILAGRO AMAZONICO CIA LTDA
                                            2191716364001                                                    X
 273633      CONSTRUCTORA NUEVO ORIENTE CNO CIA LTDA
                                            2191716674001                                                    X
 272123      CONSTRUCTORA SALAZAR ACOSTA CIA. LTDA.
                                            2191716690001                                                    X
 275290      DAMOPAC CONSTRUCCIONES CIA. LTDA.
                                            2191716798001                                                    X
 276852      CONSTRUCTORACHAVEZ             2191716828001                                                    X
 274277      CONSTRODORACAS CIA LTDA        2191716860001                                                    X
 275327      CONSTRUCTORA Y SERVICIOS LAGICO2191716887001
                                             JARAMILLO                                                       X
 276914      SERVISAKEN CÍA LTDA.           2191716968001                                                    X
 277028      CONSTRUTOREL                   2191717026001                                                    X
 277870      CONSTRUCTORA CESAR TAPIA CIA LTDA
                                            2191717069001                                                    X
 117781      LANCHI SARANGO EDISON FABIAN   2200001002001                                                    X
  63550      LOOR MERA FROWEN ANTONIO       2200003644001                                                    X
 118452      JARA LUZON HECTOR MIGUEL       2200006027001                                                    X
 196016      GÓMEZ MIRANDA JOSEFA MARÍA     2200012736001                                                    X
 234369      CHACHA CHATA MILTON RODRIGO    2200026066001                                                    X
 187482      GUERRERO CORDOVA TANIA GUERRERO2200026926001                                                    X
 275348      BUCHELI MAYUNGA TITO ROLANDO   2200028930001                                                    X
 207962      HERRERA JIMENEZ EDWIN ALONSO   2200034821001                                                    X
 149520      CEDEÑO REVELO HILDA MARIA      2200035166001                                                    X
 231554      VALLE CASTILLO ENMA EDITH      2200035281001                                                    X
 231546      GRANDA ROGEL CESAR AUGUSTO     2200035380001                                                    X
 158720      TAPUY PAPA IRENE CLEMENTINA    2200045041001                                                    X
 237185      HERRERA VELOZ VICTORIA NATALY 2200048318001                                                     X
 161008      SOLEDISPA BURGOS GENESIS MONSERRATE
                                            2200051106001                                                    X
 248658      CABRERA GUAMAN LORENA MARIA    2200058325001                                                    X
 106112      BAILON BRIONES IVAN FABRICIO   2200077309001                                                    X
 185065      OÑA SILVA MILTON RENE          2200079909001                                                    X
 264475      ONAMPARI TIWE RONY TAGARE      2200100804001                                                    X
 162829      MACHOA VEGAY CELESTINA ODILIA  2200116032001                                                    X
No                 No registra
                                                               No                    No registra   No
                                                                        No. registra                       registra      No.    indicadores
                                                             registra                provincia, registra
Persona_id              NOMBRE                No. ID (RUC)                 calle                           número      registra de ventas,
                                                             apellido                 cantón y   primer
                                                                         principal                         de calle     origen activos y/o
                                                             paterno                 parroquia nombre
                                                                                                           principal             empleados

 253082      INIAP EE CENTRA AMAZ            2260005260001                        X                           X                      X
  41503      PATRONATO MUN DE AMP            2260007040001             X                                      X                      X
 125331      REARCECIB CHIRUISLA             2260007390001                                                    X                      X
 237224      CONSTRUCTORA ORELLANA S.A. CONSTRUORELLANA
                                             2290200094001                                                    X
  53420      CONSTRAPE S.A CONSTRUCTORA, SERVICIOS Y TRANSPORTE PETROLERO
                                             2290311457001                                                    X
  36962      SACHABRATS S.A.                 2290312305001                                                    X
  59198      ASOCIACIÓN SAN CARLOS           2290312399001                                                    X
  56666      CONSTRUCTORA                    2290312941001                                                    X
  37950      MULTISERVICIOS ORIENTE          2290313034001                                                    X
  52354      COMPAÑÍA KICHUA DE SERVICIOS PETROLEROS HUATARACU CIA. LTDA.
                                             2290313522001                                                    X
 136997      COMPAÑIA DETRANSPORTES Y SERVICIOS PETROLEROS TRANSSEPET S. A.
                                             2290313557001                                                    X
 206778      CABRERA JARGIELLO C-J           2290313700001                                                    X
 260195      SAN FRANCISCO                   2290313735001                                                    X
 173550      COMPAÑIA DE TRANSPORTES CAIMAN 2290313794001 CIA. LTDA.
                                              TRANSCAIMAN                                                     X
 253754      TRANSPORTE PESADO               2290314545001                                                    X
  24760      CONSTRUCCIONES GUALCARA         2290315010001                                                    X
  93907      ASOCIACION DE CONSERVACION VIAL AMAZONICA
                                             2290315088001                                                    X
 208159      CIA DE TRANSPORTE Y SERVICIOS GENERALES SERVIGTRANS S.A
                                             2290315185001                                                    X
 218084      MACAS ENRIQUE CATERING SERVIS CIA. LTDA.
                                             2290315215001                                                    X
  43442      SERCONSNOR CIA. LTDA.           2290315428001                                                    X
  31369      TRANSPORTES Y SERVICIOS MANOSALVAS RON S.A.
                                             2290315517001                                                    X
 140450      ORIENTEBRAS S.A.                2290316262001                                                    X
  78211      DRS CONSTRUCTORA S.A            2290316475001                                                    X
 189058      UNION DE COOPERATIVAS DE TRANSPORTE EN TAXIS DE LA PROVINCIA DE ORELLANA
                                             2290316556001                                                    X
  95403      JENALVIDOBRAS S.A.              2290316580001                                                    X
 138642      COMPAÑIA MULTISERVICIOS ORIENTE ECUATORIANO MULTIORIENTE S. A.
                                             2290316602001                                                    X
 232840      SEGORIENTE S.A. SERVICIOS GENERALES DEL ORIENTE
                                             2290316645001                                                    X
 256204      TRANSPORTE Y SERVICIO           2290316718001                                                    X
 277366      TRANS TURISPETROL SA            2290316831001                                                    X
 107820      COMPANY P C A MANTENIMIENTO INDUSTRIAL S.A.
                                             2290316882001                                                    X
 199967      ASOCIACION DE TRANSPORTISTAS FLUVIAL RIO NAPO
                                             2290316890001                                                    X
No                 No registra
                                                               No                    No registra   No
                                                                        No. registra                       registra      No.    indicadores
                                                             registra                provincia, registra
Persona_id               NOMBRE               No. ID (RUC)                 calle                           número      registra de ventas,
                                                             apellido                 cantón y   primer
                                                                         principal                         de calle     origen activos y/o
                                                             paterno                 parroquia nombre
                                                                                                           principal             empleados

 134852      CONSTRUCTORA LLORI R            2290317064001                                         X
 212884      COMITE DE GESTION PARROQUIAL TIPUTINI
                                             2290317102001                                         X
 148037      CONSTRUCTORA ARGÜELLO FREIRE 2290317250001                                            X
 196261      TRANCONSERSA                    2290317560001                                         X
 189239      VELASQUEZ DAVES &ASOCIADOS CIA.LTDA
                                             2290317668001                                         X
 188376      ASOCIACION DE CONSERVACION VIAL EL ARBOLITO
                                             2290317684001                                         X
 188161      ASOCIACION DE CONSERVACION VIAL SAMARA
                                             2290317692001                                         X
 189510      CONSTRUCTORA FUERTES & FUERTES CIA. LTDA
                                             2290317714001                                         X
 206607      COMPAÑIA DE CONSTRUCCIONES Y COMERCIO COMPLUS CIA. LTDA.
                                             2290317919001                                         X
 210096      COMPAÑIA CONSTRUCTORA QUINASERVIS S.A
                                             2290317951001                                         X
 236078      CONSTRUCTORA BALCAZAR MERIZALDE S.A
                                             2290318125001                                         X
 244769      CONSTRUCTORA AB ABAD BRAVO CIA. 2290318133001
                                              LTDA.                                                X
 228853      MADEORELLANA CIA. LTDA.         2290318184001                                         X
 230730      CONSTRUCCIONES Y SERVICIOS AHANGASUYUNO CIA LTDA
                                             2290318222001                                         X
 245116      CONSTRUCTORA LORETOBRAS S.A. 2290318257001                                            X
 241875      COMPANIA DE SERVICIOS PETROLEROS EDGSAAV S.A.
                                             2290318427001                                         X
 243142      CONSTRUCTORA AUCABRAS SA        2290318486001                                         X
 257732      CONSTRUCTORA MANAOS CONSTRUMANAOS CIA. LTDA.
                                             2290318710001                                         X
 260096      CONSTRUCTORA VERA ORELLANA      2290318729001                                         X
 269286      SERVICE PETROLEUM               2290318745001                                         X
 270554      WELDERSACHA CIA LTDA            2290318966001                                         X
 269226      ASOCIACION DE CONSERVACION VIAL NUEVO PARAISO
                                             2290318982001                                         X
 273601      MANTENIMIENTO VIAL              2290319024001                                         X
 274000      COMPAÑIA COMUNITARIA DE SERVICIOS COMPLEMENTARIOS ECOSCOMDAYUMA.SA
                                             2290319067001                                         X
 237380      JARAMILLO ALCIVAR CINDY LISBETH 2300236458001                                         X
 148952      DISTRIBUIDORA FARMACEUTICA C&Y CIA LTDA
                                             2390000068001                                         X
 188209      WILERCONST CIA. LTDA.           2390000572001                                         X
 172738      MORAREC CONSTRUCCIONES CIA. LTDA2390001234001                                         X
 174281      SERVICIOS INTEGRADOS DE REDES SYSTEMNEWORK CIA. LTDA.
                                             2390001765001                                         X
 207267      LUBRITECNIC CIA LTDA            2390001862001                                         X
 177852      ASOCIACIION DE ARTISTAS PROFESIONALES DE LA PROVINCIA DE SANTO DOMINGO DE LOS TSACHILAS
                                             2390001870001                                         X
No                 No registra
                                                                No                    No registra   No
                                                                         No. registra                       registra      No.    indicadores
                                                              registra                provincia, registra
Persona_id               NOMBRE                No. ID (RUC)                 calle                           número      registra de ventas,
                                                              apellido                 cantón y   primer
                                                                          principal                         de calle     origen activos y/o
                                                              paterno                 parroquia nombre
                                                                                                            principal             empleados

 187599      YOTECAMPS CIA. LTDA             2390002087001                                            X
 174678      ASOCIACION DE PROTECCION INTEGRAL NIÑOS,NIÑAS,ADOLESCENTES Y LA FAMILIA(APINNA) ARCO IRIS DE ILUCIONES
                                             2490000030001                                            X
 174676      ASOCIACION DE PROTECCION INTEGRAL NIÑOS, NIÑAS, ADOLESCENTES, Y LA FAMILIA (APINNA) "ESTRELLAS DEL FUTURO"
                                             2490000049001                                            X
 174660      ASOCIACION DE PROTECCION INTEGRAL NIÑOS,,NIÑAS,ADOLESCENTES Y LA FAMILIA(APINNA) UNIDOS X
                                             2490000057001                                            POR LA NIÑEZ,SDOLESCENCIA Y LA FAMILIA
 214850      ASOCIACION DE PROTECCION INTEGRAL NIÑOS, NIÑAS, ADOLESCENTES Y LA FAMILIA APINNA UNIDOS X
                                             2490000065001                                            POR UNA SONRISA
 201847      ASOCIACION DE PROTECCION INTEGRAL DE NIÑOS, NIÑAS,ADOLESCENTE Y LA FAMILA (APINNA) CONSTRUYENDO EL FUTURO DEL MAÑANA
                                             2490000073001                                            X
 174323      ASOCIACION DE PROTECCION INTEGRAL NIÑAS, NIÑOS, ADOLESCENTES Y LA FAMILIA "22 DE SEPTIEMBRE"
                                             2490000103001                                            X
 223629      CLUB SOCIAL CULTURAL Y DEPORTIVO2490000529001
                                              BARCELONA SPORTING CLUB                                 X
 172494      CONSTRUCTORA CAMINERA CORREA CONTRERAS"CORRECONTRE" Y ASOCIADOS
                                             2490001495001                                            X
 242057      ORGANIZACIÓN DE MUJERES NARCISA2490001517001
                                              DE JESÚS                                                X
 174337      FUNDACION ECUATORIAN            2490001649001                                            X
 248939      LAFFORET S.A.                   2490002513001                                            X
 259117      CONSTRUCCIONES Y OBRAS PENINSULARES
                                             2490002718001                                            X
 242855      ASOCIACION DE COMUNICADORES POPULARES PARA EL DESARROLLO DE LA REGION SUR
                                                #¡VALOR!                                              X

Datos incompletos

  • 1.
    No No registra No No registra No No. registra registra No. indicadores registra provincia, registra Persona_id NOMBRE No. ID (RUC) calle número registra de ventas, apellido cantón y primer principal de calle origen activos y/o paterno parroquia nombre principal empleados 243603 ROSALES HEREDIA PABLO BLADIMIRO 0100000934001 X 199754 GUZMAN GALARZA JAIME OSWALDO 0100003938001 X 90970 UGALDE ESPINOSA LEONEL ROLANDO 0100007269001 X 170516 MORA BARROS ALFREDO JOSE 0100009844001 X 171247 CABRERA ROLDAN LIA MERCEDES 0100018589001 X 204698 LEON JARA GUSTAVO ROMULO 0100021898001 X X X 69209 VINTIMILLA BORRERO MARCELO AUGUSTO 0100023134001 X 171014 TORRES TORAL ANGEL POLIVIO 0100032887001 X 231013 IDROVO PESANTEZ RENE ARQUIMIDES0100033240001 X 183602 LIMA ASTUDILLO GUSTAVO FLORENCIO0100037225001 X 246309 PINOS ESPINOZA CESAR FROILAN 0100052604001 X 86744 MONTESDEOCA MORALES LUIS FERNANDO 0100052703001 X 277782 GUILLEN LEON FRANCO MEDARDO 0100053834001 X 138878 RIVERA OCHOA REMIGIO RIGOBERTO 0100054287001 X 146777 LOJANO VILLA JAIME ROGELIO 0100066232001 X 162133 MOSCOSO DURAN SILVIO SERAFIN 0100076371001 X 101023 ORDÓÑEZ JIMENEZ SEGUNDO ENERJITO0100081538001 X 104808 BRAVO BERNAL JORGE ELOY 0100087469001 X 195879 PALTAN CABRERA FLORENCIO ABELARDO 0100090174001 X 81821 DUCHI JIMENEZ GERMAN LEOPOLDO 0100091362001 X 53636 GERARDO GARCÍA 0100091750001 X 228656 CARMONA ALEMAN LUIS FERNANDO 0100109040001 X 124290 AUQUILLA BRAVO JULIO CESAR 0100110576001 X 182688 CELLERI TOLA JOSE EMILIO 0100125285001 X 116019 SINCHI CHIQUI CARLOS ANDRES 0100127265001 X 88315 NIEVES LOJA VICTOR PORFIRIO 0100157619001 X 200192 CRIOLLO GUAMAN ALFONSO CORNELIO 0100157957001 X 109669 VON LIPPKE AYAVACA HERRMANN EDISSON 0100164243001 X 86623 ILLESCAS MORALES JOSE GERARDO 0100165810001 X 88754 DOMINGUEZ RODAS MARIO OSWALDO 0100167931001 X 168039 HIDALGO CARRASCO GALO OLMEDO 0100173780001 X
  • 2.
    No No registra No No registra No No. registra registra No. indicadores registra provincia, registra Persona_id NOMBRE No. ID (RUC) calle número registra de ventas, apellido cantón y primer principal de calle origen activos y/o paterno parroquia nombre principal empleados 88627 SANCHEZ DELGADO LUIS GALO 0100174218001 X 75242 JIMBO TACURI MANUEL JESUS 0100174994001 X 64975 MÉNDEZ MOGROVEJO JULIO CÉSAR 0100198779001 X 261011 MORA JIMBO ROSA INES 0100211614001 X 116792 MORA VILLAGOMEZ JORGE ERNESTO0100231257001 X 148637 IÑIGUEZ DELGADO SERAPIO SERAFIN 0100253913001 X 121565 MORALES CAMPOVERDE JOSE MIGUEL0100260082001 X 95291 ZABALETA CASTRO CESAR AUGUSTO 0100268655001 X 76108 CORDERO ORDOÑEZ BENJAMIN 0100270925001 X 228994 BALAREZO HERNANDEZ JOSE ARCESIO 0100277110001 X 67528 VALLEJO VALLEJO VICTOR MANUEL 0100279777001 X 180077 GUAMBANA PULGARIN ALFONSO RICARDO 0100300151001 X 112352 ORDOÑEZ ASCARIBAY LUIS GERARDO 0100306356001 X 58970 JERVES IÑIGUEZ RUBEN ALEJANDRO 0100316348001 X 120949 CHACON ZHAPAN JUAN ARIOSTO 0100316538001 X 168669 CORDERO OCHOA DANIEL RODRIGO 0100318609001 X 223374 AGUILAR AGUILAR ENRIQUE BOLÍVAR 0100325877001 X 154105 MARTINEZ BUSTOS EFRAIN HUMBERTO 0100329432001 X 144025 BANEGAS PICON RAUL EFRAIN 0100329697001 X 107537 TENESACA VILLACIS FROILAN RODRIGO 0100329788001 X 56934 ARPI ALVAREZ JOSE MARIA 0100332212001 X 159291 MUÑOZ MOLINA GALO HIPOLITO 0100337385001 X 88075 VALDIVIESO CARRASCO ARNOLDO ALEJANDRO 0100346816001 X 240729 ARIAS PADILLA LIA CARMELINA 0100354588001 X 225625 ASTUDILLO NOVILLO ROSA CELIA 0100355965001 X 136341 QUEZADA PIEDRA JULIA ELVIRA 0100396142001 X 121093 MOROCHO GUANUCHI MARCELINA DE 0100399104001 JESUS X 152312 ONCE GUACHUN CARLOS VIRGILIO 0100405067001 X 145870 ZHICAY VERA LUIS SENEN 0100406651001 X 134652 ALVEAR BARZALLO MIGUEL EUGENIO 0100409176001 X 135241 CONDO ONCE ROSENDO 0100410851001 X
  • 3.
    No No registra No No registra No No. registra registra No. indicadores registra provincia, registra Persona_id NOMBRE No. ID (RUC) calle número registra de ventas, apellido cantón y primer principal de calle origen activos y/o paterno parroquia nombre principal empleados 256769 ANGUASHA MAYANCHI JUAN JOSÉ 0100431402001 X 260047 BALAREZO PIZCOCAMA CESAR HUMBERTO 0100431881001 X 61966 RODAS MOROCHO JUAN ALCIDES 0100466473001 X 86478 ORELLANA ORELLANA ANGEL POLIVIO 0100474188001 X 128023 GALLEGO DUMA ROSALINO 0100480797001 X 214579 AYALA GLORIA MARIA 0100491596001 X 114647 MACAO PELAEZ MANUEL JESÚS 0100498518001 X 43849 CUJI LEON LUIS GERARDO 0100502137001 X 146263 OCHOA ORDOÑEZ MIGUEL ARIOLFO 0100503606001 X 231174 IÑIGUEZ CORONEL LUIS ALFONSO 0100504760001 X 183690 MATUTE GUNCAY JAIME EFRAÍN 0100504943001 X 168356 LUCERO GONZALEZ SILVIA MARIA 0100508407001 X 128932 MAURAT BUSTOS ADOLFO MARIA 0100532993001 X 186078 VAZQUEZ GALARZA LUZ ELVIRA 0100543131001 X 128455 LEON LOJA MANUEL EDUARDO 0100549815001 X 139198 ASTUDILLO ORDOÑEZ SAMUEL WALTER100550201001 0 X 166463 CHAVEZ ORELLANA BLANCA PASTORA 0100551688001 X 46783 GOMEZ ERRAIS MARIA GRETA 0100576271001 X 86354 GODOY GODOY SEGUNDO NOE 0100578384001 X 76610 CARPIO MOGROVEJO JUAN PONCIANO0100578400001 X 140439 GUERRERO ALVAREZ GERARDINA ISABEL 0100578418001 X 186270 SÁNCHEZ MENDIETA GUSTAVO DE JESÚS 0100578707001 X 60607 ORTIZ BELTRAN MANUEL ANTONIO 0100578749001 X 174347 CHUMI CEDILLO MARIA ELENA 0100581511001 X 122145 MENDIETA GERARDO DE JESUS 0100586676001 X 172996 NEIRA AGUIRRE LAVIO RAUL 0100589852001 X 205098 ORELLANA JIMENEZ LEONIDAS GUILLERMO 0100609692001 X 179021 LLANOS IDROVO BELISARIO MARIA 0100620186001 X 245057 PULLA SAMANIEGO VICTOR MANUEL 0100630144001 X 193985 SUMBA SUMBA ALFONSO MARIA 0100649128001 X 161638 PONTON JARAMILLO EMERITA LUCIA 0100668490001 X
  • 4.
    No No registra No No registra No No. registra registra No. indicadores registra provincia, registra Persona_id NOMBRE No. ID (RUC) calle número registra de ventas, apellido cantón y primer principal de calle origen activos y/o paterno parroquia nombre principal empleados 80754 VALLADARES VALLADADRES CESAR SALVADOR 0100668706001 X 167410 JADAN BERMEO JUAN JOSE 0100676501001 X 101248 TORRES URGILEZ JOSE GUILLERMO 0100678580001 X X X 116097 SACAQUIRIN CAMPOVERDE LUZ ESPERANZA 0100692185001 X 50672 ROJAS ZAMORA JORGE ENRIQUE 0100692649001 X 84784 PESANTEZ BERMUDEZ GLORIA ARGENYINA 0100696707001 X 59592 CRESPO CRIOLLO EDUARDO VICENTE 0100698505001 X 271564 LOPEZ GARAY MANUEL GUILLERMO 0100704659001 X 208561 MERCHAN AUCAPIÑA JOSE FRANCISCO 0100716042001 X 147640 CEVALLOS BECERRA CLAUDIO HERMEL 0100720077001 X 28743 TAPIA OCHOA ROMÁN URBANO 0100720713001 X 111769 BERREZUETA BERREZUETA ROSA DELIA 0100722792001 X 228670 GORDILLO MENDEZ MARIO RUBEN 0100729698001 X 90272 ALVAREZ PATIÑO CARLOS HUMBERTO0100740786001 X 189175 GUILLEN CABRERA OLGA ISABEL 0100768472001 X 100631 PANAMA PAUTE ANGEL OCTAVIANO 0100769215001 X 93806 GARCÍA JARAMILLO VICENTE HERNÁN 0100769876001 X 156882 OCHOA AGUIRRE JAIME ENRIQUE 0100771781001 X 210311 MÉNDEZ ORTIZ ANGEL BERTULFO 0100780683001 X 222082 ONCE MARIA MARIA MAGDALENA 0100781079001 X 50416 VERA CARDENAS MIGUEL GUALBERTO 0100782630001 X 177770 SANCHEZ PILLCO MARIA ROSARIO 0100783000001 X 190656 ORDOÑEZ TAPIA CARMEN GUILLERMINA 0100783414001 X 103687 VANEGAS LEÓN HERNAN LAUTARO 0100787084001 X 101137 CALLE ORTEGA FELIX ANTONIO 0100796010001 X 68474 AGUIRRE FLORES IVÁN ARTURO 0100797083001 X 108239 MOROCHO CARDENAS GUSTAVO DANIEL 0100801067001 X 181894 OLEAS MORALES ANGEL BENEDICTO 0100805431001 X 116393 JARAMILLO NÚÑEZ DEL ARCO JAVIER FRANCISCO 0100809631001 X 64414 ALVAREZ MENDIETA MARCELO JOSE 0100812601001 X 79532 VALLEJO CALLE CARLOS LUCIANO 0100815018001 X
  • 5.
    No No registra No No registra No No. registra registra No. indicadores registra provincia, registra Persona_id NOMBRE No. ID (RUC) calle número registra de ventas, apellido cantón y primer principal de calle origen activos y/o paterno parroquia nombre principal empleados 59246 SALCEDO TORAL MANUEL ELOY 0100822030001 X 272325 QUEZADA RIERA LUZ GUADALUPE 0100823285001 X 223620 TAMAYO JARAMILLO HERNÁN GERARDO 0100823400001 X 86457 LOYOLA VINTIMILLA HERNAN PATRICIO0100825470001 X 127321 PEREZ ROCANO JUAN MARIA 0100828904001 X 144310 ASTUDILLO RIOFRIO VICENTA ORFELINA 0100832096001 X 151705 CASTRO PIEDRA JAIME ANTONIO 0100844356001 X 236890 SILVA SEGARRA JAIME ROLANDO 0100848159001 X 41618 TOSI MORENO EGIDIO ROBERTO 0100849686001 X 225069 OCHOA SOLANO MANUEL IGNACIO 0100851963001 X 142377 CORONEL VELEZ TRANCITO INES 0100854256001 X 174040 MEJÍA BARROS SEGUNDO GABRIEL 0100855691001 X 267921 HERNANDEZ CAMPOVERDE ALBERTO MARÍA 0100858380001 X 53249 ABRIL GUERRERO RAMIRO PATRICIO 0100863000001 X 196094 VILLA VILLA JUAN CARLOS 0100865799001 X 64679 BERMEO PESÁNTEZ JAIME ALFREDO 0100865930001 X 104445 ANDRADE HEREDIA EDGAR GABRIEL 0100869072001 X 192330 JUCA GOMEZ JULIO VICENTE 0100872399001 X 184150 LOPEZ GUARACA MARTHA DOLORES 0100882521001 X 209507 ILLESCAS VILLA JULIO CESAR 0100891951001 X 172123 SIGUENZA VERA ELOY ELEUTERIO 0100894393001 X 175758 CÁRDENAS SAQUICELA ULBIO EFRÉN 0100896208001 X 124607 GUZMÁN CRESPO JAIME ROLANDO 0100898949001 X 191660 CHIRIBOGA LOZADO MANUEL SALVADOR 0100901230001 X 101453 MOLINA ORELLANA SEGUNDO MANUEL0100906130001 X 140474 PEREZ RODAS JUAN HERIBERTO 0100909266001 X 206501 PESANTEZ PESANTEZ RAUL SN 0100912070001 X 182027 GALARZA LOPEZ NEPTALI SECUNDINO 0100912120001 X 179745 CABRERA LUNA LUIS MARCELO 0100914282001 X 155830 PERALTA MELGAREJO MARIANA DE LOURDES 0100914746001 X 165976 PATIÑO ALVAREZ SILVIO DIOGENES 0100924059001 X
  • 6.
    No No registra No No registra No No. registra registra No. indicadores registra provincia, registra Persona_id NOMBRE No. ID (RUC) calle número registra de ventas, apellido cantón y primer principal de calle origen activos y/o paterno parroquia nombre principal empleados 216862 NAULA UREÑA LUIS ANTONIO 0100925924001 X 184479 MUÑOZ SERRANO YOLANDA AZUCENA 0100935444001 X 174845 GUEVARA ORDOÑEZ LEOCARIO BENITO 0100937317001 X 162385 CURILLO NASQUI VICTOR MANUEL 0100937366001 X 148310 MORA SANMARTIN LUIS ALBERTO 0100942218001 X 48095 CARRASCO PEÑA PAUL CORNELIO 0100944008001 X 196223 BANEGAS SEGARRA JUAN 0100947951001 X 41420 MORALES SANMARTIN WILSON EDUARDO0100953082001 X 130886 AGUIRRE BARZALLO AURELIO PATRICIO 0100956242001 X 121612 MEJIA RIVERA JOSE GERARDO 0100956382001 X 33743 NIETO GÓMEZ MARIO BOLÍVAR 0100957505001 X 29728 GUACHUN ROCANO ROSA ELVIRA 0100963370001 X 174702 AMBROSI ARCE ELIAS EULOGIO 0100963826001 X 234150 PALACIOS MENDEZ CARLOS ABDON 0100967397001 X 198246 MALDONADO VALVERDE ROGELIO ELIDEO 0100969823001 X 169106 RAMÓN QUEZADA VILMA ESPERANZA 0100969989001 X 107383 ALVARADO AVILA MARCO RODRIGO 0100975408001 X 46386 INGA GUARTATANGA LUIS HERIBERTO 0100977065001 X 93519 TORRES MOROCHO ELVIA HUMBERTINA100987361001 0 X 148457 PAUTE GUZMÁN LAURA MARÍA 0100990977001 X 127042 IDROVO ABRIL MANUEL EMILIANO 0100994136001 X 109192 DELGADO GONZÁLEZ TARCICIO MIGUEL100995984001 0 X 65938 CORDERO OCHOA DANIEL VICENTE 0101000206001 X 273029 GUILLERMO CALLE LAUTARO BONELSE 0101001345001 X 80239 VAZQUEZ ZAMORA CARLOS ALBERTO 0101003028001 X 226493 CABRERA CABRERA RODRIGO MARIA 0101008563001 X 165277 MARIN MORA LUIS HUMBERTO 0101012169001 X 122071 URENA URENA JOVITA HERMOSINA 0101013233001 X 134695 VERA TORRES CARLOS VICENTE 0101016947001 X 47038 ANDRADE ANDRADE JULIO CESAR 0101018463001 X 215700 MELGAR QUITO MIGUEL ANGEL 0101028546001 X
  • 7.
    No No registra No No registra No No. registra registra No. indicadores registra provincia, registra Persona_id NOMBRE No. ID (RUC) calle número registra de ventas, apellido cantón y primer principal de calle origen activos y/o paterno parroquia nombre principal empleados 187797 LOJA ABEL CAMILO 0101029916001 X 15143 INGENIERIA CIVIL 0101031151001 X 229980 VANEGAS MALLA AIDA 0101033546001 X 183718 ORELLANA GALARZA MARIA ELENA 0101034064001 X 165674 CEDILLO NAULA MANUEL LEONIDAS 0101037497001 X 92011 GUZMAN VIDAL WILSON GILBERTO 0101038024001 X 242209 CREAMER NICOLALDE HUGO RICARDO0101038339001 X 101394 CISNEROS ESPINOZA FELIPE EDUARDO 0101045540001 X 170706 MOGROVEJO TAPIA MANUEL RODRIGO0101048528001 X 205092 CARPIO MARIN HUGO AUGUSTO 0101049484001 X 225365 VALDIVIESO ULLAURI FRANKIE FERNANDO 0101050334001 X 232446 RAMON GUACHICHULCA LUIS CRISTOBAL0101053346001 X 142186 GUAICHA SAGBAY LUIS GERMAN 0101053692001 X 141755 DOMÍNGUEZ MONTAÑO JESÚS MARÍA 0101053882001 X 192349 RIQUETTI VÉLEZ IVÁN EUGENIO 0101054278001 X 226690 GOMEZ CASTRO LUCIANO 0101054815001 X 77494 YUNGA VILLA ALFONSO MARIA 0101055762001 X 136542 GALÁN AMAYA JUAN FLORENCIO 0101059061001 X 93371 CRESPO MÁRQUEZ MARCELO ORLANDO 0101060408001 X 168196 CHOCHO PISCOCAMA WALTER OLMEDO101065696001 0 X 107232 ORELLANA MATUTE MIGUEL OCTAVIO 0101074912001 X 208605 OTAVALO CARDENAS LUIS FAUSTO 0101079200001 X 27959 VEGA PALACIOS ANTONIO RENE 0101079648001 X 167373 CHIRIBOGA PESANTEZ LIVIA CORINA 0101079812001 X 205018 MAZA ALVAREZ ROSA FLORINDA 0101081461001 X 252697 ESPAÑA TAPIA JORGE MANUEL 0101082923001 X 119127 COELLO FERNÁNDEZ CARMEN ELSA 0101085793001 X 160550 ILLESCAS ILLESCAS ELVIA EMPERATRIZ 101089522001 0 X 273470 DUFFAUT DEL PINO CLOTILDE ALICIA 0101094910001 X 82005 PINDO DUTA MANUEL HUMBERTO 0101095313001 X 132658 PELAEZ SAMANIEGO ROSA ERMELINDA 0101095842001 X
  • 8.
    No No registra No No registra No No. registra registra No. indicadores registra provincia, registra Persona_id NOMBRE No. ID (RUC) calle número registra de ventas, apellido cantón y primer principal de calle origen activos y/o paterno parroquia nombre principal empleados 193680 DELGADO VALVERDE CARLOS ANTONIO 0101098465001 X 103485 MATUTE ROSARIO AMADA 0101103034001 X 135851 COBOS SALAZAR JULIO 0101103349001 X 116109 OCHOA CARDENAS BOLIVAR ELIODORO 0101110047001 X 163085 GARCIA GUEVARA EDISON BOLIVAR 0101111144001 X 34591 SOLANO VERA JORGE MARCELO 0101111300001 X 188139 VIDAL MENDIETA CARLOS RONALD 0101114684001 X 145127 LAZO REINOSO MANUEL MARIA 0101115731001 X 231589 CHIRIBOGA QUITUISACA JOSE RICARDO101116226001 0 X 237022 TENEZACA CARDENAS JAIME 0101117422001 X 158536 MOROCHO MOROCHO SEGUNDO ROGERIO 0101118578001 X 174895 CUENCA LLIVIPUMA JULIO CÉSAR 0101118925001 X 77799 ESPINOZA LUNA JENNY 0101119113001 X 159201 MORA RIVERA ARTURO PATRICIO 0101122273001 X 178495 AVILES MUÑOZ ADELAIDA AZUCENA 0101124766001 X 198804 AVILA MOSQUERA JAIME PATRICIO 0101131944001 X 55835 LEDESMA VILLALTA MIGUEL 0101138071001 X 165004 GUZMAN ZHICAY LUIS AUGUSTO 0101139129001 X 14899 ING. GUILLERMO CANTOS S. 0101143642001 X 162411 GUTAMA MUEVECELA ISAIAS 0101146108001 X 219869 RAMÓN QUEZADA VICTOR ALEJANDRO0101146173001 X 263530 PEÑA ORDOÑEZ MARGARITA ROSA 0101146777001 X 91467 TENORIO FIGUEROA ISAURO MIGUEL 0101148542001 X 227245 CUEVA MALO RODRIGO 0101148609001 X 151319 PUCHA JARA CELSO REINALDO 0101149110001 X 26515 VASQUEZ RIVERA VICTOR MIGUEL 0101151157001 X 135920 ZHICAY YANZA LAURO 0101151678001 X 144760 PALACIOS ORDOÑEZ RAQUEL MARIA 0101159176001 X 135739 ALVARADO ALVARADO MARIA ANTONIETA 0101159713001 X 152823 PERALTA BRZOSA CARLOS RUBEN 0101162121001 X 101860 ZEAS ORELLANA MARCELO ARTURO 0101162204001 X
  • 9.
    No No registra No No registra No No. registra registra No. indicadores registra provincia, registra Persona_id NOMBRE No. ID (RUC) calle número registra de ventas, apellido cantón y primer principal de calle origen activos y/o paterno parroquia nombre principal empleados 92084 POGO LOYOLA WILMAN ANASTACIO 0101166916001 X 244768 FLORES PESANTEZ RODRIGO ANTONIO 0101169829001 X 192420 LAZO SAQUIQUÍN JAIME RODRIGO 0101170140001 X 174336 TUBA QUILLI JULIO MARIO 0101170637001 X 84037 CEDILLO TIGRE ROMEL EDUARDO 0101173664001 X 37075 PUMA MAYANCELA MIGUEL ANGEL 0101178333001 X 246087 TACURI GUNCAY LUIS ENRIQUE 0101181436001 X 224963 SANGURIMA TACURI VICTOR MANUEL 0101185643001 X 13227 CARROCERIAS CUENCA 0101189165001 X 100594 SANCHEZ QUEZADA JOSE ADOLFO 0101189744001 X 207887 ORTIZ ENCALADA SANTOS FLORESMILO101192821001 0 X 164232 CANDO RIOS NANCY EULALIA 0101193605001 X 108257 ORTIZ ALVAREZ WILSON GUSTAVO 0101194181001 X 204538 SANGURIMA LUPERCIO GONZALO 0101195295001 X 93700 GUZMAN AVILA BRAULIO ALEJANDRO 0101196160001 X 75068 GUERRERO NOVILLO MARIA TERESA 0101197416001 X 77519 LITUMA LUNA GABRIELA MARIANITA DE0101197838001 JESUS X 152596 FREIRE VICUÑA MANUEL OCTAVIO 0101200889001 X 102031 GONZALEZ LOPEZ MARIO HERNAN 0101202323001 X 255472 CABRERA AREVALO MIGUEL ANGEL 0101214831001 X 122060 CHUVA CHACHA LUIS GUILLERMO 0101216737001 X 127894 CHACON PICON JULIO LAURO 0101219210001 X 196114 LOMBAIDA ORELLANA SEGUNDO MESIAS 0101221042001 X 154314 JADAN VERIÑEZ MARY BEATRIZ 0101221356001 X 231428 CORDERO DÍAZ DIEGO EDUARDO 0101221513001 X 68635 RODAS MORALES LUIS MARIO 0101230811001 X 23082 BRAVO ASTUDILLO CARLOS IVAN 0101231959001 X 91409 HIDALGO CASTRO EDGAR PATRICIO 0101232205001 X 142723 ZHUNIO WASHIMA SEGUNDO TRINIDAD0101232825001 X 78611 QUEZADA QUEZADA RUBEN OSWALDO0101233419001 X 229102 ALBARRACIN BACULIMA JUAN JOSE 0101235414001 X
  • 10.
    No No registra No No registra No No. registra registra No. indicadores registra provincia, registra Persona_id NOMBRE No. ID (RUC) calle número registra de ventas, apellido cantón y primer principal de calle origen activos y/o paterno parroquia nombre principal empleados 71245 ORDÓÑEZ JARA MANUEL HERNÁN 0101236081001 X 102840 TAPIA VERA LUIS FERNANDO 0101236222001 X 242969 RAMON RAMON VICTOR DE JESÚS 0101241883001 X 253508 NIVELO MENDIETA MANUEL EUGENIO 0101243095001 X 129014 CHIMBO CAJAMARCA LAURO GONZALO 0101243319001 X 81013 PIZARRO PIZARRO JOSE FRANCISCO 0101244093001 X 65189 MENDEZ PALACIOS JAIME NASARIO 0101244432001 X 57666 ING. GUANANGA 0101245322001 X 124121 VAZQUEZ ARIZAGA JOSE SANTIAGO 0101246197001 X 139901 MOROCHO SUQUI JOSE ELICEO 0101247922001 X 53283 GUAMÁN RODRÍGUEZ SEGUNDO ABRAHAM 0101249985001 X 226681 QUITO VILLA LUIS ENRIQUE 0101255412001 X 158282 YANSAGUANO CORTE VICTOR MIGUEL 0101258457001 X 209758 CARRION OCHOA SEGUNDO SANTIAGO 0101261923001 X 189782 ZUÑIGA SUAREZ LUIS ARTURO 0101263465001 X X X 181461 GUTAMA GUTAMA SEGUNDO DANIEL 0101265718001 X 132049 SAGUAY YANZA VICTOR MIGUEL 0101266278001 X 13579 CARROCERIAS Y FURGONES FAICAN 0101266468001 X 101795 PESANTES BENAVIDES LIZARDO ANTONIO 0101269959001 X 254570 MARQUEZ SARMIENTO JOSE TEOFILO 0101270627001 X 239103 YARI MOROCHO DANIEL SALVADOR 0101270684001 X 232913 GUACHICHULLCA CARDENAS MIGUEL ANGEL 0101276400001 X 174587 ALVARADO CORDERO LUCIA DEL ROSARIO 0101279958001 X 145481 MORALES SANMARTIN HUGO MARCELO 0101280808001 X 132026 ORTEGA REINOSO LUIS ANTONIO 0101282721001 X 235876 VINTIMILLA GUZMAN GLADYS DEL ROSARIO 0101285633001 X 92573 ARÉVALO CHUCHUCA BIGVERTO 0101287167001 X 226634 YEPEZ CARRASCO HERNAN ARTURO 0101290104001 X 30017 CARPIO BENALCAZAR JAIME PATRICIO 0101291821001 X 232710 SÁNCHEZ GRANDA ANGEL HERNÁN 0101292290001 X 242512 PESANTEZ RIVERA WILLIAN GEOVANNY 0101292712001 X
  • 11.
    No No registra No No registra No No. registra registra No. indicadores registra provincia, registra Persona_id NOMBRE No. ID (RUC) calle número registra de ventas, apellido cantón y primer principal de calle origen activos y/o paterno parroquia nombre principal empleados 137082 ABAD ORDOÑEZ PRUDENCIO RIGOBERTO 0101293579001 X 118515 TIGRE GUAMAN VICTOR MANUEL 0101293934001 X 229104 GOMEZ PERALTA JOSE LUIS 0101294585001 X 240691 CABRERA REYES PETRONIO FRANCISCO 0101297133001 X 54412 TELMO 0101299766001 X 80020 VILLACIS OCHOA FERNANDO ALBERTO0101301810001 X 53716 ING. REMIGIO GUSTAVO PADRÓN MUÑOZ0101301836001 X 91213 NEIRA ALVARADO ALFONSO AUGUSTO0101301984001 X 130784 VINTIMILLA OCHOA SEGUNDO DIOGENES0101302222001 X 234515 SARMIENTO LOPEZ LUIS EDUARDO 0101302578001 X 137184 VACA CUEVA CLEMENCIA INES 0101305423001 X 226763 ARIAS MALDONADO IRMA CECILIA DE LOS DOLORES 0101306645001 X 132325 ESPINOZA ARTEAGA MARIA DE LOURDES0101307767001 X 118015 AMAYA ARCE TEODORO EMILIANO 0101310407001 X 175459 ULLOA COELLAR EDWIN LEONARDO 0101310423001 X 75421 CAPELO QUEZADA GILBER ALCIVAR 0101310803001 X 117885 LEON CORONEL JULIA MARTHA 0101311439001 X 246979 DIAS BARRERA JUANA PIEDAD 0101313179001 X 185333 ABRIL DURAN FRANCISCO GUSTAVO 0101313625001 X 230553 VALDIVIEZO NARANJO FRANKLIN EMILIANO 0101317212001 X 203830 PERALTA VILLAVICENCIO GERARDO ALFREDO 0101318244001 X 123745 CARRIÓN MALDINADO JUAN MARCELO 0101318848001 X 177505 QUEZADA NIVICELA GUILLERMO AMADOR0101319093001 X 267502 CASTAÑEDA SANCHEZ NELSON ENRIQUE 0101320257001 X 149029 MUÑOZ LUCERO CÉSAR VICENTE 0101320448001 X 245215 NN VELETANGA LUIS ANTONIO 0101325793001 X 38160 CLAVIJO RODRIGUEZ EDUARDO PATRICIO 0101326205001 X 26452 GARCÉS LEÓN FERNANDO PATRICIO 0101329522001 X 203407 ZAMBRANO ZAMBRANO WILSON SOLIMAN 0101335453001 X 152989 MATUTE ARSENTALES LUIS ARTURO 0101335511001 X 46668 BERMEO LOJA LUIS VICENTE 0101336543001 X
  • 12.
    No No registra No No registra No No. registra registra No. indicadores registra provincia, registra Persona_id NOMBRE No. ID (RUC) calle número registra de ventas, apellido cantón y primer principal de calle origen activos y/o paterno parroquia nombre principal empleados 64922 SARMIENTO BRAVO RENE MARCELO 0101344943001 X 222732 CHAPA MACAS WILFRIDO MARIO 0101345924001 X 233185 VEGA VEGA MARIA LOURDES 0101347441001 X 209714 CAJAS CAPA SAGRACINO ABEL 0101347680001 X 200467 BRAVO RUTH AMERICA 0101348951001 X 274557 RUBIO TAPIA FLORENCIA EMERITA 0101350650001 X 38994 PANAMÁ PALACIOS JOSE AURELIO 0101350700001 X 147044 TORAL GUERRERO ALICIA CUMANDA 0101357929001 X 176370 CALLE DELGADO RAQUEL OLIVA 0101361343001 X 30471 MOSCOSO GAVILANES PATRICIO EDMUNDO 0101364107001 X 213590 SÁNCHEZ ABAD CLERMO GERARDO 0101364172001 X 62777 SARMIENTO REGALADO BOLÍVAR LEONARDO 0101364198001 X 62086 GONZÁLEZ SOLÓRZANO EDWIN CRISTÓBAL 0101366300001 X 209206 CHUCHUCA ABRIL MARCO VINICIO 0101366458001 X 49634 RAMIRO DARÍO PADRÓN BRIONES 0101366573001 X 99108 FLORES LOZAY HUGO RENE 0101372290001 X 270448 IÑIGUEZ CABRERA GLADYS 0101374015001 X 171907 SASAGUAY LALVAY HUMBERTO RAFAEL101374049001 0 X 260111 VANEGAS ASTUDILLO ARTURO TEODORO0101374940001 X 117818 PACHECO SALDAÑA OLGA 0101376853001 X 170850 HEREDIA FIALLO DIEGO RODRIGO 0101378172001 X 227499 ORTIZ LARREA JUVENAL OCTAVIO 0101378776001 X 67759 PÉREZ IDROVO CARLOS FABIÁN 0101378784001 X 15468 ING. OSWALDO RODAS 0101379626001 X 132810 BRAVO PEÑAFIEL MANUEL BOLIVAR 0101380822001 X 89666 ASTUDILLO OCHOA ISIDRO FEDERICO 0101383495001 X 91164 BACULIMA BERNAL GALO RENE 0101384600001 X 129065 TORRES BORJA CESAR ALEJANDRO 0101384998001 X 178471 MUÑOZ PESANTEZ JORGE ALEJANDRO0101386886001 X 148880 ORDOÑEZ VINTIMILLA JOSE RIOCARDO0101387926001 X 217394 TINTIN PASATO EMILIANO TEODORO 0101389666001 X
  • 13.
    No No registra No No registra No No. registra registra No. indicadores registra provincia, registra Persona_id NOMBRE No. ID (RUC) calle número registra de ventas, apellido cantón y primer principal de calle origen activos y/o paterno parroquia nombre principal empleados 107462 FLORES SANCHEZ ALICIA BEATRIZ 0101392504001 X 185548 PALACIOS ALVAREZ FAUSTO CORNELIO 0101394062001 X 131209 VILLAVICENCIO ESCANDON MARIO HELIODORO 0101395697001 X 54846 MUNIVE ORELLANA FERNANDO PATRICIO0101397636001 X 187655 PATIÑO GUAMAN CARLOS MARIA 0101400224001 X 34073 SOLÓRZANO ANDRADE JACKSON PATRICIO 0101409514001 X 228437 ARÉVALO BARRERA CARMITA EUGENIA 0101410751001 X 39376 PICON SARMIENTO LUIS EDUARDO 0101410868001 X 89952 FANNY BETHI ABAD ROMERO 0101411692001 X 244370 PACHECO FARFAN RAFAEL EDUARDO 0101411700001 X 77418 LEON CHUMBI CARMEN MELCHORA 0101413755001 X 92616 VALDIVIESO NARANJO MILTON WILFRIDO 0101414548001 X 162245 QUEZADA JAIME MARCELO 0101416600001 X 179437 BUENO AGURTO MIGUEL ANGEL 0101416642001 X 243780 IÑAMAGUA IÑAMAGUA MANUEL KAISER0101417525001 X 188975 ZHUNO VALDIVIEZO PATRICIO ANTONIO0101417913001 X 81198 CARRION GUAMAN HERMOGENES MARCIANO 0101418317001 X 69978 MOGROVEJO VILLACIS FRANCISCO EULALIO 0101419364001 X 81225 SALINAS SALINAS HUMBERTO RODRIGO 0101420883001 X 131672 MOROCHO PACHAR MARIA GRICELDA 0101423358001 X 94530 ZHICAY QUILLAY MANUEL JESUS 0101425635001 X 122033 SILVA SANTACRUZ IVAN ARTURO 0101430700001 X 167916 DURAN JARRIN JORGE ALEJANDRO 0101434397001 X 167589 VELEZ FAICAN GUILLERMO BELISARIO 0101436764001 X 173302 ALVAREZ ALVAREZ BLANCA CRISTINA 0101440816001 X 139111 FLORES SANCHEZ SAVINA ANATOLIA 0101442721001 X 151332 CAPELO QUEZADA SILVIO ARMANDO 0101445278001 X 158779 CRESPO MUÑOZ PATRICIO HUMBERTO0101445930001 X 205123 PALACIOS ARGUDO CARLOS ALFREDO0101446177001 X 224039 CHALCO PEÑA PEDRO FABIAN 0101448603001 X 208610 COELLO PALACIOS JAIME ROBERTO 0101452134001 X
  • 14.
    No No registra No No registra No No. registra registra No. indicadores registra provincia, registra Persona_id NOMBRE No. ID (RUC) calle número registra de ventas, apellido cantón y primer principal de calle origen activos y/o paterno parroquia nombre principal empleados 175203 VANEGAS MANZANO PAUL FERNANDO 0101456259001 X 210302 CABRERA VASQUEZ LAURA BEATRIZ 0101459253001 X X 168842 AUQUILLA PACURUCO IVÁN VINICIO 0101460277001 X 146819 MOROCHO MANUEL JESUS 0101461002001 X 218125 JIMENEZ ULLOA SEGUNDO CARLOS 0101464295001 X 153311 LLORET ZAMORA PABLO FERNANDO 0101464907001 X X 99634 YUNGASACA ARMIJOS LUZ MARINA 0101465177001 X 103395 SERRANO CABRERA LUIS EDUARDO 0101469740001 X 256375 PEÑA ARPI JOSE ANTONIO 0101472728001 X 20235 IÑAMAGUA AVEROS CARLOS ANTONIO 0101474757001 X 149666 JARA LOPEZ SEGUNDO JOSE 0101477719001 X 174651 OCHOA MALDONADO ANTONIO ESTUARDO 0101479996001 X 29142 GIÑIN GUALLPA MARÍA GERARDINA 0101482156001 X 154411 MOROCHO SUÑA ALEJANDRO DE JESÚS 0101483329001 X 244452 SANCHEZ DELGADO SERGIO OSWALDO 0101485456001 X 117758 ROLDAN NEIRA LUISA BEATRIZ 0101487536001 X 23189 PALACIOS DURÁN EDGAR ARNULFO 0101488591001 X 248158 RIOS POZO FABIAN OCTAVIO 0101491322001 X 178147 PUIN LAZO ANGEL CRISTOBAL 0101493872001 X 213083 SAQUICELA SAMANIEGO JORGE MARCELO 0101500015001 X 203761 TIBILLIN ESPINOZA MARIA FELICIDAD 0101500676001 X 250915 SANCHEZ ALVARRACIN LUIS FERNANDO101501393001 0 X 94798 MARIN CARDENAS LUIS UBALDO 0101503316001 X 239057 SALINAS CASTRO JOSE RAFAEL 0101506228001 X 146444 PATIÑO ORDOÑEZ LUIS GONZALO 0101506574001 X 228638 LEDESMA VILLALTA REBECA MARIA 0101511590001 X 23709 BRAVO ASTUDILLO ANA NOEMI 0101512655001 X 80283 DELGADO AVILA EDGAR POLIBIO 0101513703001 X 78092 VINTIMILLA BARSALLO EDGAR NAPOLEON0101518017001 X 117197 GODOY GODOY DIGNA LEILA 0101518439001 X 114762 LAZO SINCHI FERNANDO FRANCISCO 0101521391001 X
  • 15.
    No No registra No No registra No No. registra registra No. indicadores registra provincia, registra Persona_id NOMBRE No. ID (RUC) calle número registra de ventas, apellido cantón y primer principal de calle origen activos y/o paterno parroquia nombre principal empleados 123610 ORTIZ MALDONADO ROSA ELENA 0101521524001 X 162993 VIRI LANDI ELVIA MARGARITA 0101531937001 X 90598 VELEZ ALEMAN MARIA EUGENIA 0101532513001 X 174107 NN LAZO JULIO AURELIO 0101536761001 X 232176 MANCHENO JIMENEZ EDISON PATRICIO 0101536852001 X 121230 VELASQUEZ CABRERA EUGENIO MARCELO 0101540698001 X 172413 MOSCOSO PACHECO VICTOR TARQUINO0101541266001 X 90405 SEGARRA TAPIA MIGUEL LUCIANO 0101541993001 X 123431 SANGURIMA QUISHPI ROSA AMELIA 0101542546001 X 139393 ABAD SARMIENTO DIEGO VINICIO 0101547966001 X 264825 ORTIZ BRAVO RUBEN SALVADOR 0101548113001 X 179321 TAPIA MACHUCA DIGNA SANTOS 0101549632001 X 242390 GAIBOR ANGUMBA RENÉ PATRICIO 0101554327001 X 29025 SACOTO GARCIA ANA LUCIA 0101557213001 X 178322 TOGRA TOGRA MANUEL GUILLERMO 0101560498001 X 259672 SAMANIEGO MARIA NOEMI 0101567394001 X 192313 SAMANIEGO ZUMBA ROSA FELICIA 0101576353001 X 275880 ORELLANA GARCIA MARIO FERNANDO 0101576700001 X 244432 NARVÁEZ AVILES RAÚL EMILIANO 0101580124001 X 141213 OCHOA ZAMORA HANS MARCEL 0101581148001 X 118416 BELEZACA FERNANDEZ SEGUNDO ANGEL 0101581163001 X 249173 ORELLANA SERRANO TARQUINO ALBERTO 0101583425001 X 146745 AVENDAÑO DURAN ELVIA NUVE 0101585420001 X 97071 FAICAN CABRERA PABLO EDUARDO 0101586998001 X 171620 ESCANDON PACHECO GUILLERMO 0101588390001 X 114149 PEREZ ROLDAN ANA MARIA 0101588911001 X 198477 PIZARRO PIZARRO LUIS GONZALO 0101589786001 X 212605 PAIDA BAUTISTA ANGEL OLMEDO 0101590214001 X 81208 CRESPO VEGA JOSE LUIS 0101593051001 X 145430 ABAD ORELLANA CARLOS GUILLERMO 0101593879001 X 242904 UGALDE NORITZ MARCIA EULALIA 0101598217001 X
  • 16.
    No No registra No No registra No No. registra registra No. indicadores registra provincia, registra Persona_id NOMBRE No. ID (RUC) calle número registra de ventas, apellido cantón y primer principal de calle origen activos y/o paterno parroquia nombre principal empleados 98863 SÁNCHEZ ROMERO JOSÉ EDMUNDO 0101599967001 X 66868 ALVAREZ CARRION ORLANDO JOSE 0101600237001 X 111632 MONTALVÁN PINTADO VICENTE MARCELO 0101600674001 X 19888 PONCE PRIETO OSWALDO PATRICIO 0101601060001 X 105963 CASTRO RIERA GLADYS NOEMI 0101601227001 X 270591 ANGUISACA PACHECO MANOLO JESÚS0101603629001 X 47299 TAPIA CALLE GLADIS PIEDAD 0101604908001 X 104643 N MONCAYO MANUEL MILTON 0101605962001 X 174403 FLORES MOLINA MARIA NATALIA 0101606721001 X 125254 LEÓN GUILLEN HUGO PATRICIO 0101607877001 X 134404 SALDAÑA CARMONA BLANCA AZUCENA 0101608784001 X 258233 NARANJO TORRES LUIS BOLIVAR HUMBERTO 0101611937001 X 153114 CALDERON GUZMAN FABIAN GERARDO 0101615094001 X 110274 ORDOÑEZ MONTERO ROBERTO ANDRES 0101621688001 X 149234 MEJÍA REINOSO JAIME EDMUNDO 0101631281001 X 223939 TOLEDO BARROS FLAVIO RODRIGO 0101631497001 X 194680 CARDENAS CARDENAS JUAN CORNELIO0101634780001 X 215170 PEÑARANDA GUERRERO MARIA EUGENIA 0101635043001 X 182980 PULLA PACHECO SUSANA CUMANDA 0101635480001 X 59079 VÁSQUEZ GALARZA JUAN CÉSAR 0101638591001 X 92458 BARROS VELEZ ARTURO RENE 0101638823001 X 133879 CORDERO DÍAZ PAÚL CORNELIO 0101638849001 X 273149 ORDÓÑEZ GONZÁLEZ MAURO TARSICIO0101643559001 X 110579 GUILLERMO RIOS VICTOR HUGO 0101643807001 X 12133 CARRION MALDONADO RUBEN HOMERO 0101644003001 X 139354 VASQUEZ PADILLA JUAN BAUTISTA 0101651859001 X 143271 TOLEDO CORAISACA YOLANDA JOSEFINA 0101654374001 X 165918 ESCANDON CALLE HERNAN HOMERO 0101655025001 X 74201 MALDONADO VELEZ MARCO GUILLERMO0101657302001 X 176973 ARGUDO VICUNA LAURA ISABEL 0101660066001 X 243429 GUAMÁN CAJAS EDGAR BOLÍVAR 0101662492001 X
  • 17.
    No No registra No No registra No No. registra registra No. indicadores registra provincia, registra Persona_id NOMBRE No. ID (RUC) calle número registra de ventas, apellido cantón y primer principal de calle origen activos y/o paterno parroquia nombre principal empleados 204205 SARMIENTO PACHECO SEGUNDO FRANCISCO 0101664928001 X 100386 CHIRIBOGA PESANTES RUFO HERMEL 0101665503001 X 170076 JARRIN OCHOA RUTH BARBARITA 0101667426001 X 116632 OCHOA CARDENAS LUIS ALBERTHO 0101667475001 X 119268 CHUCHUCA CURZ VICTOR ANTONIO 0101669521001 X 50955 CONTRERAS CALDERÓN MARCO GILBERTO 0101669596001 X 153399 JERVES ULLLAURI CARLOS ALFONSO 0101673705001 X 146452 COYAGO TOLEDO LUIS GUSTAVO 0101677243001 X 262263 CUMBE LAUTARO JULIO LAUTARO 0101678514001 X 182486 CORDOVA FIGUEROA MANUEL MESIAS0101678746001 X 233698 ORELLANA REINO GALO ROLANDO 0101679124001 X 27564 ZEA VALDANO ROBERTO PATRICIO 0101679512001 X 206077 URUCHIMA RAMOS RAFAEL MARÍA 0101680239001 X 111088 ORTEGA ANDRADE MAX FERNANDO 0101680874001 X 28993 ASTUDILLO ASTUDILLO SALVADOR REMIGIO 0101683159001 X 116185 ORELLANA AREVALO MARCO TULIO 0101684199001 X 185269 LOJA RAMON LUZ AMADA 0101684900001 X 79537 ORTIZ VERDUGO OSWALDO 0101685535001 X 200819 TINTIN ORDOÑEZ OLMEDO JUSTINIANO0101685691001 X 40033 ASTUDILLO NOVILLO WILSON IVAN 0101686038001 X 148246 PINTADO PERALTA ROMEO OSWALDO 0101686996001 X 69263 ROSAS ESCADÓN MARCELO PATRICIO 0101688752001 X 204038 ASTUDILLO ROMERO MARCELO FABIAN 0101689685001 X 93684 SIGCHI TUCTO LUIS ANGEL 0101689826001 X 56819 PAREDES SANTOS VICENTE DE JESUS 0101694701001 X 21028 NIVELO CABRERA WILSON IVÁN 0101695443001 X 32522 HIDALGO CARRASCO CÉSAR PAUL 0101695500001 X 95132 CARDOSO VASQUEZ CARLOS DANIEL 0101696979001 X 95795 ZHINDÓN ARGOTI DIEGO RAUL 0101697241001 X 145969 INIGUEZ MEJIA WILSON LEONARDO 0101697845001 X 17674 CORDERO GARATE MILTON ALFONSO 0101697910001 X
  • 18.
    No No registra No No registra No No. registra registra No. indicadores registra provincia, registra Persona_id NOMBRE No. ID (RUC) calle número registra de ventas, apellido cantón y primer principal de calle origen activos y/o paterno parroquia nombre principal empleados 97534 ULLOA RODRÍGUEZ MANUEL ALEJANDRO0101698058001 X 202577 DOMINGUEZ CAMBISACA JORGE ENRIQUE 0101698884001 X 70806 CARVALLO UGALDE RODRIGO HUMBERTO0101699304001 X 11647 ARTURO ACOSTA R 0101699676001 X 46545 MARTÍNEZ ANDRADE RAMÓN DE LA CRUZ 0101700003001 X 267731 QUEZADA ALVAREZ RAUL NECTARIO 0101702959001 X 115252 RAMON QUEZADA RICARDO 0101703254001 X 179853 DELGADO HURTADO JOSE ABELARDO 0101704708001 X 136402 SARI CAJAMARCA JORGE FELIPE 0101706000001 X 31432 RAFAEL 0101706927001 X 269331 SUÁREZ GARCÍA DIEGO FERNANDO 0101707966001 X 113055 TERREROS LEON FAUSTO ENRIQUE 0101716454001 X 111373 PAREDES LOJA PATRICIA DOLORES 0101717395001 X 250474 BARROS LOPEZ MELANEA MACLOVIA 0101718617001 X 243143 TORRES RODAS CARLOS HUGO 0101722536001 X 158997 ZARUMEÑO ILLEZCAS MARIA TERESA DE JESUS 0101722544001 X 123325 PINOS SOLIS MARCO ANTONIO 0101725711001 X 103704 ULLOA GUILLEN NORMA YOLANDA 0101729382001 X 135301 BELTRAN NOVILLO SAMUEL NN 0101730729001 X 183663 VASQUEZ SANCHEZ MARIO HUMBERTO 0101731040001 X 92516 SEGARRA TENORIO JORGE ROMAN 0101731123001 X 33958 LÓPEZ ULLAURI ESTUARDO RICARDO 0101731867001 X 127462 LASSO CRESPO DEVORA LEONOR 0101734515001 X 158106 RIVERA CONTRERAS FELIX ANTONIO 0101736791001 X 55650 MORA LALVAY JOSE ROLENDIO 0101736882001 X 202618 FLORES IBARRA MANUEL BALTAZAR 0101736965001 X 178464 SAMANIEGO QUIZHPE JAIME OSWALDO 0101739431001 X 134830 VALVERDE PERALTA LUISA FAUSTINA 0101741494001 X 248385 LUCERO YANZA MANUEL JESUS 0101742062001 X 73701 PEÑA CORDERO MARIO TEODORO 0101746857001 X 70357 PESANTEZ TOLEDO MARCO ANTONIO 0101747210001 X
  • 19.
    No No registra No No registra No No. registra registra No. indicadores registra provincia, registra Persona_id NOMBRE No. ID (RUC) calle número registra de ventas, apellido cantón y primer principal de calle origen activos y/o paterno parroquia nombre principal empleados 16173 MILTON 0101754117001 X 196984 SUMBA MARCA LUIS RUBEN 0101758092001 X 122778 OCHOA PARRA EMMA LUCIA 0101758803001 X 266310 SANCHEZ SANCHEZ CLARA MARIANA 0101762094001 X 149229 CEVALLOS VÁSQUEZ DIANA DE LOURDES 0101764066001 X 136317 NEIRA PONCE MARTHA LITAMAR 0101765527001 X 261821 VIDAL VALENCIA MARCO TULIO 0101766426001 X 215310 CARRION OREGA JORGE OSWALDO 0101766616001 X 182423 GUTAMA GUTAMA FELIX MODESTO 0101767614001 X 55942 JOEL 0101768513001 X 216268 DELGADO RIOS SONIA MARLENE 0101769156001 X 137542 TEPAN QUITO LUIS ALBERTO 0101772986001 X 121725 ORELLANA RODAS ALEJANDRO DE JESUS 0101773349001 X 277052 TORAL SUQUINAGUA NANCY FABIOLA 0101773364001 X 115863 GONZALES FLORES WILSON ROBERTO0101773539001 X 275872 PESÁNTEZ CÓRDOVA FREDDY GUILLERMO 0101776417001 X 88242 ULLOA ARIZAGA VICTOR ROLANDO 0101776649001 X 183322 BERNAL TORRES DIEGO FERNANDO 0101785657001 X 163267 SARMIENTO SAMANIEGO CRUZ GUADALUPE 0101786523001 X 234564 PEREZ MARIA DEL ROCIO 0101787471001 X 276063 SUAREZ ABAD LUIS ENRIQUE 0101788024001 X 174823 LEÓN VILLA FAUSTO EDUARDO 0101793925001 X 70535 ROBLES PILLCO JAIME 0101795201001 X 96076 MOLINA PESANTEZ JOSE GENARO 0101795458001 X 168231 MOROCHO MOROCHO LUIS 0101795599001 X 186225 CORONEL RODRIGUEZ RAFAEL ALEJANDRO 0101795789001 X 256312 SANMARTIN MOROCHO LUIS GONZALO0101798254001 X 144768 NN MARIN LUIS UBALDO 0101799245001 X 120978 ESCOBAR ULLAURI FRANCISCO MIGUEL101801314001 0 X 151097 CRESPO MOSCOSO JOSE BERNARDO 0101801496001 X 234777 CORDERO MOSCOSO RODRIGO ANDRÉS 0101801686001 X
  • 20.
    No No registra No No registra No No. registra registra No. indicadores registra provincia, registra Persona_id NOMBRE No. ID (RUC) calle número registra de ventas, apellido cantón y primer principal de calle origen activos y/o paterno parroquia nombre principal empleados 207314 MIZQUERO YUNGA LUIS JACINTO 0101804557001 X 190222 MORA NOVILLO LUIS ALBERTO 0101805604001 X 46405 MARCHÁN GUERRERO PABLO EUGENIO 0101807493001 X 210469 CULCAY CRUZ RUFFO LEONARDO 0101807576001 X 40790 JAIME 0101809531001 X 204090 SERRANO SAQUICELA FABIÁN PATRICIO101812584001 0 X 201892 SOTOMAYOR FERNÁNDEZ MARCELO FELIPE AGUSTÍN 0101812683001 X 168731 MALDONADO BUSTOS CELIA ROSARIO 0101813988001 X 97022 ANDRADE RODAS JORGE EDUARDO 0101814648001 X 110611 PERALTA CORNEJO CARLOS MANUEL 0101814895001 X 173495 RAMON MENDIA AMADO SALOMON 0101816213001 X 211006 OCHOA MENDEZ RAFAEL ANTONIO 0101816478001 X 243202 PINTADO VELECELA ANA DIONISIA 0101816882001 X 150830 IDROVO MURILLO MEDARDO ENRIQUE 0101821379001 X 147879 PALOMEQUE RODAS FANNY MARGARITA 0101822088001 X 197084 VASQUEZ GUAMAN JOSE PATRICIO 0101822757001 X 140490 TAMARIZ VASQUEZ RENSO ABELARDO 0101825222001 X 104928 MORALES PALACIOS ROSA ELVIRA 0101827251001 X 209518 GUARACA CUJI OLGER PATRICIO 0101827525001 X 173582 TOLA GALAN RENE BOLIVAR 0101827798001 X 31627 ROSAS CASTRO CARLOS ROMAN 0101829372001 X 74592 BELTRAN CUESTA MERI JACQUELINE 0101832228001 X 142907 VINTIMILLA GARATE JUAN FELIPE 0101833218001 X 181865 SARMIENTO SAMANIEGO PLUTARCO LEONARDO 0101839637001 X 147427 CARPIO TAPIA NANCY CATALINA 0101839884001 X 112548 TORRES PESANTEZ ANA LUISA 0101841351001 X 142628 PEÑALOZA ROLDAN LEON IGINIO 0101842771001 X 146840 QUEZADA CARDENAS GERARDO BOLIVAR0101844934001 X 172477 MENDOZA ORTEGA GLADYS ESPERANZA 0101852010001 X 190122 GUILLERMO GUAMANCELA FAUSTO ALEJANDRO 0101853604001 X 69755 WAZHIMA ZHUNIO VICTORIA EUGENIA 0101854925001 X
  • 21.
    No No registra No No registra No No. registra registra No. indicadores registra provincia, registra Persona_id NOMBRE No. ID (RUC) calle número registra de ventas, apellido cantón y primer principal de calle origen activos y/o paterno parroquia nombre principal empleados 239840 ASTUDILLO CHACON RUTH CECILIA 0101862456001 X 211731 CORONEL CRESPO WALTER ANTONIO 0101864569001 X 228933 LIMA MACHUCA EDGAR TEODORO 0101865483001 X 228328 FAICAN ARAUJO ZOILA NARCISA 0101866028001 X 167706 ORDOÑEZ PAREDES LUZ GETRUDES 0101871135001 X 275000 QUEZADA ZUMBA ZOILA ELVIRA 0101871218001 X 36334 NUGRA SANCHEZ FELIX ANTONIO 0101871440001 X 84888 CHICA SEGOVIA FRANCISCO MARCELO0101872448001 X 164109 CHIRIBOGA PESANTEZ LAURA MARINA 0101873610001 X 57182 PACHECO JOSÉ VICENTE 0101874840001 X 143796 ARICHAVALA RIOS WILSON PETRONIO 0101876381001 X 93701 QUITUISACA LOZADA JOSE ADOLFO 0101878064001 X 115298 ORDOÑEZ ALVAREZ TEODORO 0101880532001 X 135777 SAULA SANANGO CESAR ALEJANDRO 0101880904001 X 259725 LEDESMA MERCHAN YOLANDA BEATRIZ 101881985001 0 X 121743 ESTRELLA CHACON LUIS ADOLFO 0101884070001 X 215705 AUQUILLA FAREZ PEDRO IGNACIO 0101884286001 X 146280 RODAS PACHECO LIGIA VIOLETA 0101887867001 X 232060 RODRIGUEZ PEDRO GIOVANI 0101895217001 X 263039 JADAN BUENO ANGEL REINALDO 0101895613001 X 60558 SERGIO 0101898146001 X 108636 PEÑA VÁSQUEZ CARLOS ENRIQUE 0101900421001 X 188036 AVILA DURAN VILMA NOEMI 0101901007001 X 109445 MUÑOZ HEREDIA MANUEL IGNACIO 0101904266001 X 102865 CHAVEZ RODRIGUEZ CARLOS VICENTE 0101924140001 X 70712 SERVICIOS REGULARES DE TRANSPORTES DE PASAJEROS EN AUTOBUSES 0101926129001 X 264963 MERCHÁN PESÁNTEZ MARIO ROLANDO 0101942399001 X 15769 MARTINEZ ANDRADE RUBEN DARIO 0101942902001 X 62199 MALDONADO ZHUNIO ROSA CATALINA 0101944726001 X 81269 ORDÓÑEZ MOLILNA FRANKLIN MIGUEL 0101945004001 X 70033 LOPEZ BERMEO ROMULO SALVADOR 0101949659001 X
  • 22.
    No No registra No No registra No No. registra registra No. indicadores registra provincia, registra Persona_id NOMBRE No. ID (RUC) calle número registra de ventas, apellido cantón y primer principal de calle origen activos y/o paterno parroquia nombre principal empleados 137889 ORTIZ YADAICELA JOSE LUIS 0101952356001 X 81072 MÉNDEZ MORA CECILIA DEL CARMEN 0101952810001 X 56782 ASTUDILLO CUESTA LUIS RICARDO 0101957082001 X 23890 ORELLANA ESPINOZA MANUEL OSWALDO0101957348001 X 41102 ZHUNIO MAITA HUMBERTO ANTOLIANO0101960318001 X 193297 CHUCHUCA GIA VICTOR ENRIQUE 0101961076001 X 183759 GUERRERO GALARZA ELSA CECILIA 0101962744001 X 196552 CHUQUIRA TOGRA LUIS RICARDO 0101964500001 X 73684 ARMIJOS MENDIETA DANIEL SALVADOR0101967453001 X 217836 GARCÍA ALVEAR JAIME ENRIQUE 0101967594001 X 241619 TAPIA ABRIL ROSA ESPERANZA 0101970077001 X 37590 CORDERO CUEVA PAULA MILENA 0101970945001 X 148524 GUZMAN BRITO MARIA ESPERANZA 0101977395001 X 198300 JIMENEZ ORELLANA VICTOR ANTONIO 0101979474001 X 96909 CORDERO FARÍAS IVÁN VICENTE 0101981231001 X 83571 BELTRAN CUESTA LINA VETTY 0101985158001 X 257391 MARTINEZ ANDRADE LUIS GUSTAVO 0101985422001 X 61145 CARPIO SEGARRA NANCY YOLANDA 0101986248001 X 211518 FERNANDEZ LOJANO LUIS ALEJANDRO0101986982001 X 51585 MEDINA LAZO NANCY SOLEDAD 0101989317001 X 238594 QUEZADA JARA TERESA DEL PILAR 0101989358001 X 174659 ROLDÁN MONSALVE VIRGINIA JANNETH0101989630001 X 151817 CARCHIPULLA CAJAMARCA MIGUEL HUMBERTO 0101990414001 X 146258 MATUTE CONTRERAS DIEGO HERNAN 0101995256001 X 258928 VELEZ ESPINOZA MARCOS FABRICIO 0101996932001 X 83681 LOPÉZ VASQUÉZ ANGEL GUIDO 0101997369001 X 100493 VILLA RAIBAN OLGA ROSARIO 0101997971001 X 184423 ZHININ PINTADO JOSE SEGUNDO 0101998565001 X 107675 GUILLEN TORRES IMELDA GUILLERMINA102001088001 0 X 144715 QUICHIMBO ZUMBA ARMANDO MIGUEL0102001286001 X 45280 SEMPÉRTEGUI DÁVILA MARCELO ARMANDO 0102001765001 X
  • 23.
    No No registra No No registra No No. registra registra No. indicadores registra provincia, registra Persona_id NOMBRE No. ID (RUC) calle número registra de ventas, apellido cantón y primer principal de calle origen activos y/o paterno parroquia nombre principal empleados 27019 WILLAN 0102003100001 X 38931 VALENCIA GUARICELA NELSON PATRICIO 0102005295001 X 217400 VILLAVICENCIO ALVARADO MARLON ANTONIO 0102005972001 X 216494 PEREZ YANZA CARLOS TEODORO 0102007101001 X 170003 MEJIA QUITO CARLOS ALBERTO 0102008091001 X 64007 VILLA PAUTE LUIS RIGOBERTO 0102008471001 X 169575 MATUTE PEÑA MILTON ALFONSO 0102019569001 X 228971 PORTILLA MENDOZA JOSÉ ROMÁN 0102023926001 X 110626 BERNAL VELEZ LUIS ALFREDO 0102031242001 X 186499 RUBIO MOLINA JAIME JOSE 0102032299001 X 177974 ULLOA RODAS MAURICIO ENRIQUE 0102033446001 X 210352 JERVES PALACIOS NORMA CATALINA 0102035862001 X 99751 LLIVIGAÑAY YANZA MANUEL HERMENEGILDO 0102037181001 X 55780 OJEDA SIGUENZA LUIS REMIGIO 0102037728001 X 122851 ORELLANA SACA JULIA VALVINA 0102043379001 X 117340 JIMBO JULIO CESAR 0102043494001 X 211383 CORDERO DOMINGUEZ LUIS EUGENIO 0102043957001 X 90654 QUITO MERCHAN MANUEL VICENTE 0102044237001 X 135754 RODAS TIRADO ANGEL RODOLFO 0102044286001 X 22435 ARIAS ATIENCIA JOSÉ VICENTE 0102046950001 X 151988 ABAD SOLIZ PAULO MAURICIO 0102049491001 X 59044 BRITO GALARZA CESAR FERNANDO 0102050283001 X 160309 ORTIZ PINO ANA EULALIA 0102053147001 X 205636 OROZCO BAUTISTA TARCILA DEL ROCIO 0102057528001 X 219339 VASQUEZ VILLAVICENCIO CARLOS ALFONSO 0102061314001 X 138633 PACHECO SALTOS ELIODORO 0102061561001 X 151878 FAJARDO CALDERÓN PABLO RAMIRO 0102066966001 X 55963 RIVAS CARRIÓN MARIO EDUARDO 0102067188001 X 124474 OCHOA SOLORZANO IMELDA RUTH 0102067477001 X 64665 LÓPEZ SEMINARIO KLÉVER ALEJANDRO0102069028001 X 219166 SOLANO OCHOA OLGA LEONOR 0102069598001 X
  • 24.
    No No registra No No registra No No. registra registra No. indicadores registra provincia, registra Persona_id NOMBRE No. ID (RUC) calle número registra de ventas, apellido cantón y primer principal de calle origen activos y/o paterno parroquia nombre principal empleados 80153 SARMIENTO JARRÍN MARLENE ELISABETH 0102070711001 X 167949 VASQUEZ QUEZADA JUAN ALFREDO 0102072030001 X 228467 ALVAREZ ORTEGA MANUEL RENE 0102073053001 X 53972 ILLESCAS PEÑA MARCO GEOVANY 0102075710001 X 108897 SALAZAR DAVILA MARCIA KAREN 0102076312001 X 204339 UGALDE ARELLANO EDGAR FABIAN 0102079738001 X 106625 MORALES ALVARADO PABLO RICARDO 0102080819001 X 178154 GUACHUN TENECORA LUIS ALBERTO 0102083854001 X 33029 SORIA NOVOA CESAR HUMBERTO 0102084084001 X 137535 YUNGA VILLA DOLORES FANNY 0102085891001 X 71521 BARBA CARDENAS GIOVANNI VICENTE 0102086733001 X 223574 AREVALO AREVALO EMILIANO EFRAIN 0102086808001 X 104095 LLERENA ROMAN MILTON ARTURO 0102086865001 X 244500 MONTALVAN CALDERON LUIS GERARDO 0102089554001 X 176529 CARRION LEON ROGMI DAVID 0102093622001 X 137645 MORA MOLINA MERITA NOEMI 0102093895001 X 201581 SISALIMA SONGOR CARLOS MOISES 0102095049001 X 193593 VILLA RAIBAN HUGO LEONARDO 0102096088001 X 145444 LLIVISACA SANISACA CARLOS HUMBERTO 0102101516001 X 168111 LAZO LAZO MARTIN ARTURO 0102104130001 X 98572 VILLAVICENCIO CONTRERAS PATRICIA 0102107257001 DE JESUS X 65684 MONGE BARROS ALCIBAR MICHEL 0102109626001 X 255841 ROMAN PEREZ DIEGO FERNANDO 0102109766001 X 47868 BOJORQUE BOJORQUE JAIME EDUARDO 0102110293001 X 121830 SAMANIEGO PINEDA JOHN WALTER 0102110582001 X 90890 POZO VIDAL KLEVER RAFAEL 0102112349001 X 179349 MOSQUERA CARDENAS JANETH EULALIA 0102112679001 X 87087 CARDENAS CARDENAS LIGIA VICTORIA0102113172001 X 67779 VÁSCONEZ VÁSQUEZ HUGO FRANCISCO 0102114642001 X 143916 CARRASCO VINTIMILLA JOSE ANDRES 0102115508001 X 187781 CORDERO CABRERA FRED PATRICIO 0102116993001 X
  • 25.
    No No registra No No registra No No. registra registra No. indicadores registra provincia, registra Persona_id NOMBRE No. ID (RUC) calle número registra de ventas, apellido cantón y primer principal de calle origen activos y/o paterno parroquia nombre principal empleados 59024 CALLE CEVALLOS JHON FERNANDO 0102117421001 X 70836 CARPIO VÁZQUEZ FABIÁN RAMIRO 0102117454001 X 245054 ALVAREZ DELGADO RUBEN RAFAEL 0102117777001 X 86371 CALLE SIGUENCIA JOHN IGNACIO 0102118213001 X 82339 CORDERO LÓPEZ JUAN FRANCISCO 0102118247001 X 135669 FERNANDEZ DE CORDOVA RUBIO GERMAN LENIN 0102119039001 X 136343 ALVAREZ ALVAREZ LUIS EFRAIN 0102120573001 X 167420 VASQUEZ ALVARRACIN CARLOS RIGOBERTO 0102121340001 X 126976 PADILLA LUZURIAGA GUSTAVO DAMIAN 0102122058001 X 111126 ORDÓÑEZ SEGOVIA DIEGO FERNANDO0102123163001 X 52849 BRAVO REINOSO JORGE FERNANDO 0102124922001 X 30970 SEGOVIA ALVARADO RUTH PATRICIA 0102125184001 X 120493 MATUTE CONTRERAS AIDA NATALIA 0102125531001 X 189367 CARRION VILLA SANTIAGO ROBERTO 0102128972001 X 160288 TRONCOSO MINCHALA FELIX HUGOLINO 0102131208001 X 183627 QUIZHPILEMA PAGUAY MANUEL JESUS0102131380001 X 130807 CABRERA MOLINA ELSA BEATRIZ 0102131661001 X 176427 MEJIA SANCHEZ MIRIAM ELENA 0102131836001 X 186932 ZAMBRANO CARRIÓN MARTÍN JAVIER 0102134632001 X 265268 SALINAS SAGBAY ROSA MERCEDES 0102134665001 X 42090 ING. CIVIL BORIS MEJÍA R. 0102137510001 X 104656 AREVALO VEGA BOLIVAR FERNANDO 0102137627001 X 20788 CRIOLLO PLAZA MARTHA CECILIA 0102138823001 X 163511 MERCHÁN MARTÍNEZ FANNY MARGOT 0102142700001 X 123033 ERAS SOTO CARMEN NARCISA 0102142999001 X 157343 PUMAYUGRA VANEGAS ELVA CARMITA0102143757001 X 150516 HERAS ROBLES LIBIA MARLENE 0102145851001 X 87778 JARAMILLO VINTIMILLA CARLOS JULIO 0102147261001 X 99590 JARAMIILLO VINTIMILLA XAVIER NAPOLEÓN 0102147279001 X 65601 ESCOBEDO VASQUEZ RICARDO XAVIER 0102147519001 X 239969 PACURUCU TORRES WALTER ANTONIO 0102148657001 X
  • 26.
    No No registra No No registra No No. registra registra No. indicadores registra provincia, registra Persona_id NOMBRE No. ID (RUC) calle número registra de ventas, apellido cantón y primer principal de calle origen activos y/o paterno parroquia nombre principal empleados 195236 ALBARRACIN CALLE JESSICA CECILIA 0102148772001 X 230399 MUÑOZ UCHO WILSON GEOVANNY 0102149838001 X 17516 PABLO 0102151685001 X 247540 REINOSO BRITO FABIAN FERNANDO 0102152386001 X 24921 CALLE IDROVO JOSE FERNANDO 0102153103001 X 146693 URGILES CABRERA MARIO TRAJANO 0102153350001 X 219284 MENA TRUJILLO ERNESTO JAVIER 0102153574001 X 79664 ALVARADO ALUMA REYNEL ALBERTO 0102154622001 X 43943 ORDOÑEZ GALVEZ CARLOS FABIAN 0102156023001 X 180066 FLORES SANCHEZ GUSTAVO GEOVANNI 0102157161001 X 165512 LUPERCIO NOVILLO FAUSTO ROBERTO 0102157245001 X 180940 DIAZ HEREDIA GABRIEL FELIPE 0102160926001 X 227860 CAMPOS AGUIRRE HERMEL EMMANUEL 0102161387001 X 172314 TORAL MACHUCA JUAN FERNANDO 0102161478001 X 88907 IDROVO CASTRO RICHARD BOLIVAR 0102162880001 X 57986 MARTINEZ ANDRADE FAUSTO RODRIGO 0102164282001 X 51771 ANDRADE GONZALEZ LUIS ALBERTO 0102164431001 X 79909 NN ALVEAR LUIS HUMBERTO 0102166006001 X 111691 TRELLES MENDEZ ARTURO HOMERO 0102166717001 X 111139 PINOS CANTOS GIOVANNY JENARO 0102167244001 X 199468 BRAVO CALLE LUIS ANTONIO 0102168119001 X 125595 RODAS RODAS BLANCA NOEMY DE JESUS0102168895001 X 52618 YANEZ MOLINA RUBEN GONZALO 0102171709001 X 66132 SALCEDO ALVEAR GABRIELA ESPERANZA0102177243001 X 66030 OCHOA SOLORZANO SILVIO DANIEL 0102178274001 X 160870 PROAÑO ESACANDÓN CARLOS ANIBAL0102181534001 X 174246 RODRIGUEZ PEÑAFIEL FELIX EFREN 0102182318001 X 213970 CANDO CANDO MARIA GUADALUPE 0102182565001 X 38428 DURÁN PERALTA PABLO VICENTE 0102183225001 X 227929 TINOCO ALVEAR MONICA LUCIA 0102184330001 X 70402 REA PARRA MODESTO ELICEO 0102185329001 X
  • 27.
    No No registra No No registra No No. registra registra No. indicadores registra provincia, registra Persona_id NOMBRE No. ID (RUC) calle número registra de ventas, apellido cantón y primer principal de calle origen activos y/o paterno parroquia nombre principal empleados 101834 CLAVIJO CAMPOS MIRIAM SANDRA 0102185865001 X 207677 BURBANO PESANTEZ FANNY MERCEDES 0102185899001 X 166052 VIMOS ASTUDILLO NANCY CARMITA 0102186715001 X 251391 AGUILAR SEGUNDO 0102187119001 X 248161 VAZQUEZ NEIRA JAVIER ENRQUE 0102187689001 X 67877 SANTÍN AVILA CÉSAR GASTÓN 0102190121001 X 19181 SALTO CUBILLOS WILSON FERNANDO 0102192655001 X 189484 LEÓN OCHOA JOSÉ AUGUSTO 0102192770001 X 58280 CORREA LOPEZ WILMAN PATRICIO 0102193505001 X 64792 AGUIRRE ORELLANA ADRIANO PATRICIO0102197399001 X 14844 NEW OFFICE 0102197654001 X 254641 HERMIDA JERVES IVAN EDUARDO 0102197902001 X 231568 GUAZHAMBO JARA NESTOR OLMEDO 0102198280001 X 138858 PANAMÁ VALDIVIEZO PABLO AMADOR 0102200839001 X 211780 GONZALEZ CARDENAS PATRICIO 0102204484001 X 53017 FALCONI VINTIMILLA MIGUEL FRANCISCO 0102209665001 X 191112 ASTUDILLO SALDAÑA NANCY CLAUDINA 0102209749001 X 257069 BERMEO MALDONADO RUPERTO MARCELO 0102210408001 X 71835 ROJAS ULLAURI WILSON FERNANDO 0102216736001 X 77301 ROJAS ULLAURI MANUEL FELIPE 0102216744001 X 214822 SUCUZHAÑAY MENDEZ MANUEL LORENZO 0102218229001 X X X 239827 PEÑA GARCIA LUIS ALBERTO 0102220399001 X 60770 ROMÁN PÉREZ CÉSAR PATRICIO 0102226289001 X 96325 RENGEL VIZHÑAY DIEGO ARTURO 0102227121001 X 115560 GUAMAN CALLE ANGEL OCTAVIO 0102229010001 X 151372 SEGOVIA LUNA MARÍA VICTORIA 0102230976001 X 275237 CORDOVA CARDENAS MANUEL AUGUSTO 0102231362001 X 266603 ORDONEZ ALVARADO SEGUNDO ALEJANDRO 0102232410001 X 213291 SACAQUIRIN ZHUNIO DANNY HERNAN 0102232691001 X 75155 TAPIA SAAVEDRA RAUL BOLIVAR 0102235785001 X 222813 ALTAMIRANO PACHECO MARIA FELICIA0102240223001 X
  • 28.
    No No registra No No registra No No. registra registra No. indicadores registra provincia, registra Persona_id NOMBRE No. ID (RUC) calle número registra de ventas, apellido cantón y primer principal de calle origen activos y/o paterno parroquia nombre principal empleados 236529 GUAILLAS YASCARIBAY LUIS AURELIO 0102244381001 X 114769 PACHECO MORENO ESTEBAN MAURICIO 0102245750001 X 79066 LLORET VALDIVIESO ALVARO SANTIAGO0102246295001 X 147586 SERPA LARREA FRANS IVAN 0102246410001 X 37912 JUAN 0102246980001 X 208249 MARÍN VÁSQUEZ PABLO FABIAN 0102247004001 X 209938 JARA REYES CARLOS SANTIAGO 0102249455001 X 152448 LARA LEON DIEGO FELIPE 0102249463001 X 72134 MORALES IGLESIAS XAVIER FABRICIO 0102249554001 X 263120 VILLAVICENCIO NARVÁEZ LORENA ANA0102252996001 X 239286 HOYOS TAPIA GABRIEL FRANCISCO 0102253168001 X 81799 MERCHAN VALDEZ MONICA MARGARITA102254943001 0 X 202784 VILLAZHAÑAY BARBECHO HENRY PIETRO0102258084001 X 97699 BARRIGA GUIRACOCHA RUBÉN BOLÍVAR 0102258589001 X 41807 LUZURIAGA LARRIVA JOSÉ LUIS 0102258738001 X 81254 MATUTE BARROS ROSA ELVIRA 0102258910001 X 126272 BELTRAN MACHADO JOHNNY FERNANDO 0102259033001 X 233134 DURAZNO SILVA CÉSAR GEOVANNY 0102259181001 X 59941 PEÑAHERRERA WILCHES AGUSTIN 0102260882001 X 86406 SARMIENTO GOMEZ FABIOLA MONSERRATH 0102263852001 X 66815 SEGARRA SEGARRA GLORIA MARÍA 0102264066001 X 79567 PEREZ PULLA PAULINO AMADEO 0102266541001 X 221820 TORRES GOERCKE LIAN ROSA 0102268281001 X 84098 AVILA LUNA CARLOS RODRIGO 0102268380001 X 130812 AGUILAR SANCHEZ VICENTE CLAUDILIO0102270022001 X 160866 ORDOÑEZ SUCULANDA CARLOS ALEJANDRO 0102270451001 X 206763 TACURI MOROCHO ALMAGRO DE JESUS102271327001 0 X 70019 PAUTA ORTIZ JUAN CARLOS 0102271533001 X 73094 TORRES ASTUDILLO FABIOLA ISAURA 0102272218001 X 200804 ILLESCAS BUESTÁN CATALINA DEL ROCÍO 0102272366001 X 127027 CHICAIZA ORTIZ MARCIA JANNETH 0102272564001 X
  • 29.
    No No registra No No registra No No. registra registra No. indicadores registra provincia, registra Persona_id NOMBRE No. ID (RUC) calle número registra de ventas, apellido cantón y primer principal de calle origen activos y/o paterno parroquia nombre principal empleados 224398 NIVELO DELGADO FABIAN BOLÍVAR 0102276631001 X 194864 SARMIENTO RODRÍGUEZ EDWIN MARCELO 0102278496001 X 172149 LEON CHUMBI MERCEDES MARIA ASUNCION 0102278942001 X 186978 JACOME GUZMAN MARCO VINICIO 0102279247001 X 141003 ALVARRACIN SALAMEA BLANCA REBECA 0102281219001 X 220503 ZHICAY ZHICAY DAMIAN SEGUNDO 0102281557001 X X 84652 ORELLANA ALMACHE JORGE JEFFERSON 0102283603001 X 218938 PALACIOS GOMEZ PABLO JAVIER 0102283637001 X 147710 CORDOVA GARZON ANTONIO 0102284759001 X 54917 LEÓN ARMIJOS WILLAM ROBERTO 0102287133001 X 24104 MOSCOSO LOAIZA LUIS ALBERTO 0102287158001 X 127087 APOLO VELEZ OSCAR ENRIQUE 0102287877001 X 80654 ROJAS ESCANDÓN BLANCA ALEGRIA 0102289402001 X 205804 GARCÍA MOSCOSO CARLOS PATRICIO 0102289451001 X 46801 DELGADO ORELLANA MIGUEL LEOPOLDO 0102292471001 X 199511 PIZARRO INGA CLEVER OSWALDO 0102293602001 X 135650 LUNA CALLE MARIA DE LOURDES 0102295110001 X 134426 IDROVO ARIZAGA MARIA INES 0102295714001 X 35074 CORNEJO GUAMÁN HERNÁN MARCELO0102298171001 X 123534 VELE CALLE LUIS GUILLERMO 0102298403001 X 242357 ORDONEZ FAJARDO JUAN PABLO 0102298635001 X 182232 GELLIBERT TORAL FRANCISCO FERNANDO 0102300357001 X 259510 PESÁNTEZ CALLE NIDYA ANTONIETA 0102302338001 X 204428 LLIVICHUZHCA BALAREZO ROSA CARMELA 0102303385001 X 247434 MERCHAN PEÑAFIEL MARÍA ELENA 0102304870001 X 95175 TENEZACA ZHUNIO BERTHA LEONOR 0102307014001 X 252987 JARA CUMBE YOLANDA PATRICIA 0102308251001 X 265870 TACURI PINTADO MANUEL ESTEBAN 0102309093001 X 182641 PIEDRA BELTRÁN GEOVANNY FRANCISCO 0102309135001 X 26520 CARCHI ILDA MARINA 0102310901001 X 34451 QUEZADA QUEZADA KARLA CRISTINA 0102310984001 X
  • 30.
    No No registra No No registra No No. registra registra No. indicadores registra provincia, registra Persona_id NOMBRE No. ID (RUC) calle número registra de ventas, apellido cantón y primer principal de calle origen activos y/o paterno parroquia nombre principal empleados 94884 PALACIO CARRION ANA MARIA 0102311347001 X 193104 RECALDE ANGULO MARCELO 0102311628001 X 104929 GUTIERREZ CARMONA HERNAN ISAIAS0102312774001 X 107404 ABRIL REINOSO LOURDES PATRICIA 0102314523001 X 185111 ENCALADA ORDOÑEZ MARCIO FERNANDO0102315686001 X 142059 MENDIETA CHACON XAVIER ROLANDO 0102315819001 X 192317 PULGARIN PALACIOS XAVIER ESTEBAN0102315850001 X 221627 PARRA TENEMPAGUAY FAUSTO LIZARDO0102319159001 X 246466 AYAVACA MOGROVEJO GERARDO MIGEUL0102319647001 X 171701 RAMON ESPINOZA LUIS RAFAEL 0102323607001 X 253727 CRIOLLO MOROCHO SANDRA DE LOURDES 0102324043001 X 26441 ANDRADE PALACIOS CESAR VINICIO 0102326915001 X 239605 PARRA PARRA LORGIA BRUMILDA 0102327269001 X 239445 ZAMORA ORELLANA JAVIER PATRICIO 0102327491001 X 160404 PIEDRA LANDIVAR MANUEL REMIGIO 0102330628001 X 120996 RUIZ JARA GALO LEONCIO 0102333010001 X 221212 CORDERO CONTRERAS SEGUNDO JHON 0102335932001 X 240706 PERALTA DELGADO FREDDY BOLIVAR 0102337961001 X 177105 ARIAS VASQUEZ JOSE ANTONIO 0102338951001 X 163931 SALTO QUITO ANGEL BENITO 0102340015001 X 113928 PAREDES MELENA CARLOS PATRICIO 0102342508001 X 34644 VERDUGO BUSTAMANTE SEGUNDO MARCELO 0102343290001 X 183300 GUAMAN SAETEROS JOSE LEONARDO 0102345139001 X 161148 LOPEZ VILLALTA LUIS GERARDO 0102345667001 X 39557 SANCHEZ GALARZA JANNETH ALEXANDRA 0102347549001 X 69638 GUAMAN GUEVARA JAIME RODRIGO 0102349669001 X 146168 PIEDRA CORNEJO LUIS TOMAS 0102350121001 X 167460 SAMANIEGO MARIA HERMOSINA 0102350329001 X 85985 PALACIOS OCHOA JORGE FABIAN 0102351434001 X 252259 SANMARTIN RODRIGUEZ MARIA EUGENIA 0102351699001 X 88078 PULLA LLANOS MIRIAN LEONOR 0102353083001 X
  • 31.
    No No registra No No registra No No. registra registra No. indicadores registra provincia, registra Persona_id NOMBRE No. ID (RUC) calle número registra de ventas, apellido cantón y primer principal de calle origen activos y/o paterno parroquia nombre principal empleados 196786 SARMIENTO JARA NUBE CARLOTA 0102353398001 X 50283 MARTÍNEZ GAVILANEZ ANA KARINA 0102355815001 X 155463 SANCHEZ PLAZA LORENA DEL ROCIO 0102356128001 X 26992 JORGE 0102358074001 X 218675 ESPINOZA ABRIL MARY ISABEL 0102358330001 X 43319 CÁRDENAS SALAMEA JORGE ESTID 0102358579001 X 101999 RIERA MENDEZ FELIX ANTONIO 0102360245001 X 98331 GORDILLO PONCE ROSA FRANCISCA 0102361094001 X 155849 OCHOA MOLINA LUIS GERARDO 0102367943001 X 138556 MARTÍNEZ LOAIZA JORGE ALBERTO 0102370103001 X 227568 VÁSQUEZ BRAVO NARCISA SOLEDAD 0102374154001 X 74379 ZAMORA CARVALLO JUAN FRANCISCO 0102378031001 X 60017 MUÑOZ GRANDA FREDY GUSTAVO 0102380383001 X 141980 NIETO AVILA ALFONSO LEONARDO 0102382074001 X 32665 VÉLEZ CARRASCO MIGUEL AUGUSTO 0102386166001 X 167649 JAYA GODOY ANGEL GALO 0102387727001 X 112189 MOLINA ASTUDILLO MARIA LOURDES 0102388261001 X 209225 SARI CAJAMARCA JUAN TADEO 0102388303001 X 30582 IÑIGUEZ CÁRDENAS ALFREDO TEODORO0102389087001 X 237534 LUCERO ILLESCAS JACINTO BERNABE 0102394202001 X 159932 PESANTEZ CUESTA LUISA YOLANDA 0102394897001 X 31826 VINTIMILLA BUSTAMANTE EFRAÍN EDMUNDO 0102395175001 X 109207 AGUIRRE MENDOZA LAUTARO NICOLAY 0102395191001 X 20212 RENDON ESCANDON RENE VINICIO 0102395282001 X 176724 CORONEL BARRERA SEGUNDO IDALGO 0102395530001 X 153648 ORELLANA BARROS MANUEL IGNACIO 0102401304001 X 241679 LOZANO ANGULO MARIA ANGELITA 0102404514001 X 135419 CRIOLLO PINTA ALBA JACQUELINE 0102404902001 X 134291 BERZOSA CÁRDENAS MARCOS ENRIQUE 0102405610001 X 156990 CRIOLLO QUIZHPE MANUEL LEONIDAS 0102406865001 X 136033 LEDESMA SANCHEZ CRISTIAN DAMIAN 0102407293001 X
  • 32.
    No No registra No No registra No No. registra registra No. indicadores registra provincia, registra Persona_id NOMBRE No. ID (RUC) calle número registra de ventas, apellido cantón y primer principal de calle origen activos y/o paterno parroquia nombre principal empleados 100994 MOLINARI TORAL JAVIER EDUARDO 0102407350001 X 231232 VERA REINO JOSE LEONARDO 0102407525001 X 151886 VEGA MALO JUAN CARLOS 0102407533001 X 213006 SANCHEZ ESPINOZA CHRISTIAN ALEJANDRO 0102408291001 X 228967 GUAMAN SALTOS MANUEL EUGENIO 0102411006001 X 139760 RAMON GUACHICHULCA TERESA DE JESUS 0102413622001 X 217949 JIMENEZ ULLOA JOSE GILBERTO 0102414851001 X 228951 PESANTEZ PESANTEZ BLANCA DEL ROCIO 0102415502001 X 171306 PILLAJO ROCANO CESAR IVAN 0102418142001 X 194092 QUEZADA DUMAS NESTOR ARIOLFO 0102420627001 X 36322 JERVES IÑIGUEZ FABIAN EDMUNDO 0102421989001 X 41360 ATIENCIA HOYOS EDISON GIOVANNY 0102422714001 X 209101 ORELLANA ALVEAR ESTEBAN MARCELO 0102424439001 X 123148 QUINTERO QUINTERO CHRISTIAN DAVID 0102424454001 X 245808 DARQUEA CÓRDOVA JUAN BERNARDO0102424694001 X 215298 TIGRE TORRES DIGNA EUDOCIA 0102427416001 X 29666 WILSON 0102429289001 X 67782 BURGOS MORÁN RICARDO ERNESTO 0102431335001 X 54282 FIGUEROA CONDO MIGUEL ANGEL 0102433489001 X 186531 SERRANO PESANTEZ MARCO LEONARDO 0102435997001 X 134448 GARCIA SEMPERTEGUI EDGAR GILBERTO 0102437738001 X 128134 REMACHE SUMBA MARÍA ROSA ELVIRA 0102440856001 X 197978 MOROCHO PULLA ANGEL HERIBERTO 0102444403001 X 146990 ILLAISACA QUINDE ANIBAL MACARIO 0102450095001 X 70832 IÑIGUEZ SÁNCHEZ JORGE EDUARDO 0102451317001 X 138009 MÉNDEZ MÉNDEZ FREDDY RUBÉN 0102451564001 X 163421 BACULIMA QUINDE ANGEL PATRICIO 0102453032001 X 273571 CRIOLLO PLAZA XIMENA DEL ROCÍO 0102456118001 X 34706 CÁRDENAS ZÚÑIGA RÓMULO VICENTE 0102459039001 X 236025 GALARZA GALARZA MARIO XAVIER 0102459765001 X 121291 ORTEGA MARIA LEONOR 0102459989001 X
  • 33.
    No No registra No No registra No No. registra registra No. indicadores registra provincia, registra Persona_id NOMBRE No. ID (RUC) calle número registra de ventas, apellido cantón y primer principal de calle origen activos y/o paterno parroquia nombre principal empleados 262505 URUCHIMA PILLCO EVA MARLENE 0102460417001 X 214947 BERNAL JARA LUIS EDUARDO 0102460540001 X 124779 DURAN QUINTEROS LUPE MONSERRATH 0102460995001 X 101038 ORELLANA REVILLA SONIA ISAVEL 0102462009001 X 80898 YUNGA JADAN CARMEN CECILIA 0102462942001 X 1441 SAQUICELA LUPERCIO JAIME RUBÉN 0102462991001 X 199628 MOLINA TORRES MANUEL GONZALO 0102464310001 X 142958 BACUILIMA CHIMBO WILMER FAUSTO 0102467636001 X 52850 ULLOA MORA XAVIER ROLANDO 0102468857001 X 76002 CABRERA SANCHEZ JOSE ALFREDO 0102470135001 X 135065 MORA GUZHÑAY ROSANA EMERITA 0102470622001 X 191748 LITUMA ORELLANA MANUEL AGUSTIN 0102477692001 X 73668 GARCIA MACIAS MARIA CRISTINA 0102478229001 X 33581 MEJIA LEON JULIO MEDARDO 0102480258001 X 203034 VERDUGO ROMERO DAVID REMIGIO 0102480415001 X 35651 OCHOA AVILES JUAN PABLO 0102481405001 X 31262 NARANJO SAITEROS GUIDO GEOVANNY 0102481413001 X 141467 HERNANDEZ ZUMBA FLAVIO VICENTE 0102481470001 X 71252 SOLANO JARA PEDRO ROLANDO 0102483567001 X 43139 WALTER 0102485224001 X 158957 SAN MARTÍN GARCIA BRIGIDA XIMENA0102485356001 X 141918 IDROVO PUGA FRANKLIN GEOVANNY 0102487402001 X 84330 CAMPOVERDE AMBROSI BORIS SANDRO 0102488764001 X 169990 MEJIA CORONEL LUIS FERNANDO 0102489697001 X 73431 AYALA CRUZ ROMEL VINICIO 0102489853001 X 55260 MORALES CAMPOVERDE MARTÍN LEONARDO 0102490141001 X 167011 PESANTEZ BRITO JOSE FERNANDO 0102490224001 X 156607 MANOSALVAS SACTA DIEGO FELIPE 0102490943001 X 115430 AVILES TAPIA EDWIN PATRICIO 0102491628001 X 172259 TORRES ORELLANA CARLOS OSWALDO 0102493533001 X 220551 MATUTE DÍAZ LUIS ANTONIO 0102494200001 X
  • 34.
    No No registra No No registra No No. registra registra No. indicadores registra provincia, registra Persona_id NOMBRE No. ID (RUC) calle número registra de ventas, apellido cantón y primer principal de calle origen activos y/o paterno parroquia nombre principal empleados 238857 BARROS CORDOVA DIEGO ANDRES 0102494952001 X 245839 GARCIA CARCHI ROBERTO DARIO 0102495033001 X 211890 PINOS VÁZQUEZ CÉSAR LAUTARO 0102495132001 X 200236 REA REA CHRISTIAN PAÚL 0102495652001 X 153558 CRESPO PESANTEZ JUAN ESTEBAN 0102495744001 X 247093 CORDERO PALACIOS PABLO ESTEBAN 0102496767001 X 232058 VELEZ TELLO HENRY LAUTARO 0102496932001 X 88579 PÉREZ PÉREZ EDISON GIOVANNY 0102497625001 X 106712 CLAVIJO PAREDES JORGE JOSELITO 0102497849001 X 60727 PILLAGA GUAYAS JORGE GIOVANNY 0102498854001 X 66476 MEDINA MENDEZ JULIO FABIAN 0102505872001 X 137829 MOLINA CAPON JULIA CLORINDA 0102506003001 X 50134 OMAR 0102512092001 X 15536 ING. JORGE RODAS L. 0102517745001 X 146913 CHERREZ SOLANO WILSON ARTURO 0102519055001 X 77744 ALBAN CRESPO BOLIVAR RAFAEL 0102520525001 X 19858 RIOS GUAMAN ELIANA ESTHER 0102523172001 X 243838 VIZUETE TOAPANTA MARCELO VINICIO0102524402001 X 153870 ZAMORA CARRION MARCO GEOVANY 0102525508001 X 147842 ALVAREZ ZHINDON CARMITA XIMENA 0102527553001 X 173659 PATIÑO RAMON FANNY ANTONIETA 0102532181001 X 17824 FAUSTO 0102532694001 X 148589 NIVELO CABRERA ANA ELIZABETH 0102534070001 X 198955 QUEZADA ORTEGA VICENTE PATRICIO 0102534625001 X 238908 PEÑALOZA BUSTAMANTE CARLOS AUGUSTO 0102535465001 X 139700 VASQUEZ BUESTAN WILSON GEOVANNY 0102535861001 X 192345 RIQUETTI MORALES JUAN PABLO 0102537198001 X 152487 ZARATE FAICAN NORMA CECILIA 0102538121001 X 49349 CORDOVA SEGARRA JAIME ESTEBAN 0102538139001 X 108006 LLANGARI MEJIA JUAN MARCELINO 0102538576001 X 69068 CALDAS GUANUQUIZA LUIS ENRIQUE 0102539129001 X
  • 35.
    No No registra No No registra No No. registra registra No. indicadores registra provincia, registra Persona_id NOMBRE No. ID (RUC) calle número registra de ventas, apellido cantón y primer principal de calle origen activos y/o paterno parroquia nombre principal empleados 159388 CALDERON CONDO FAUSTO RUFINO 0102540556001 X 203548 SARMIENTO SARMIENTO SANDRA EULALIA0102540598001 X 210872 SARMIENTO SARMIENTO JUAN CARLOS 0102540606001 X 70995 LEON BUSTAMANTE GUILLERMINA 0102545217001 X 205432 SISALIMA SAQUICILI FABIAN GUSTAVO 0102546017001 X 78958 IÑIGUEZ ARTEAGA LEONARDO 0102547130001 X 61272 TOGRA AGUILAR EDISON RENÉ 0102549235001 X 197110 ZHINGRI TEPAN MIGUEL ANGEL 0102550050001 X 138539 LANDIVAR VILLAGOMEZ BORIS XAVIER 0102550076001 X 171464 MOROCHO MOROCHO MANUEL AGUSTIN 0102558335001 X 83055 BERMEO GUARTAMBEL WASHINGTON 0102559739001 LENIN X 276714 PEÑAFIEL CALLE EUGENIO RAMIRO 0102560414001 X 223636 ORELLANA SINCHE JORGE EFRAIN 0102562071001 X 181838 VALLEJO MOSCOSO 0102562162001 X 141285 ALVAREZ TENECORA WILLIAM FERNANDO 0102566080001 X 118423 BANEGAS ANGEL PORFILIO 0102566171001 X 255280 CABRERA LANCHE WALTER ENRIQUE 0102567864001 X 117514 CAJAMARCA CARDENAS ANA DEL TRANCITO 0102569217001 X 139470 ORELLANA CRIOLLO LUIS GILBERTO 0102571064001 X 169353 ANDRADE TORRES RICHAR 0102571460001 X 256289 ULLOA MERCHAN FREDDY EDUARDO 0102572575001 X 38559 VALLEJO CEDILLO MAURICIO ESTEBAN 0102572674001 X 67792 LARREA MANCHENO DAVID JOHANN 0102572781001 X 109450 IDROVO BORJA MACARIO CLEMENTE 0102579349001 X 81630 LEON BRITO HUGO VALENTIN 0102579547001 X 252993 VANEGAS QUIZHPI DIEGO FRANCISCO 0102581469001 X 227431 GRANDA VICUÑA EDGAR RAFAEL 0102582012001 X 131739 CAJAMARCA CARDENAS WILSON BOLIVAR 0102584208001 X 44804 BARRETO CANTOS DANIEL ROBERTO 0102584265001 X 84671 NARANJO PEÑAFIEL JUAN ALBERTO 0102586807001 X 262418 CAJAMARCA VELETANGA ANGEL ROGELIO 0102587516001 X
  • 36.
    No No registra No No registra No No. registra registra No. indicadores registra provincia, registra Persona_id NOMBRE No. ID (RUC) calle número registra de ventas, apellido cantón y primer principal de calle origen activos y/o paterno parroquia nombre principal empleados 185363 LOJA LOJA TRANCITO GUADALUPE 0102591179001 X 136553 FERNANDEZ MACHUCA RUTH MATILDE0102593126001 X 193546 CABRERA CORREA WILSON BOLIVAR 0102594660001 X 49687 PESANTEZ OCHOA JUAN PABLO 0102595535001 X 263450 MORALES ZHINGRI JUAN DIEGO 0102595691001 X 141388 AVILA LOPEZ HECTOR FRANCISCO 0102595840001 X 274072 GUILLÉN LÓPEZ DANIEL MAURICIO 0102596772001 X 98485 LEÓN MACHUCA WALTER FABIÁN 0102597887001 X 221433 GUANUCHE ANDRADE WILMAN MARLENE 0102598059001 X 237287 PARRA ZHAÑAY XAVIER SAUL 0102599909001 X 209205 MORALES SÁNCHEZ MARÍA ROSA 0102605466001 X 101314 PEÑAFIEL TENORIO MARÍA EULALIA 0102608197001 X 232246 JARA TORRES PABLO PATRICIO 0102608700001 X 59008 ALVARRACIN SAQUIPAY LUIS MANUEL 0102609021001 X 137812 QUEZADA ALVARADO CHRISTIAN CORNELIO 0102610904001 X 259980 CHERRES FREIRE JUAN ESTEBAN 0102612736001 X 60518 SOLÁ QUINTUÑA JUAN MEDARDO 0102613148001 X 215535 CORDERO PALACIOS SANTIAGO EFRAIN102613510001 0 X X 137491 ESPINOZA VINTIMILLA CLARA LUZ 0102615416001 X 264541 MOGROVEJO LAZO ALBERTO ESTEBAN0102616406001 X 135797 CORRAL CORRAL ANDRÉS NICANOR 0102616612001 X 47255 ING. JOEL CAIVINAGUA 0102617438001 X 249907 ORELLANA GUARTATANGA MANUEL SANTIAGO 0102620341001 X 47152 MORALES POLO JUAN PABLO 0102621489001 X 111382 VASQUEZ BUESTAN LUIS XAVIER 0102622487001 X 152304 VASQUEZ BUESTAN JHONSO FERNANDO 0102623188001 X 149688 GAVILANEZ CUEVA MONICA MERCEDES 0102625803001 X 125445 CABRERA ORDOÑEZ ROMULO MAURO 0102626959001 X 199884 TOLEDO GARCIA MARTIN EULALIO 0102627536001 X 216470 CARRASCO VINTIMILLA PETER PAUL 0102628922001 X 233002 MORA QUEZADA GENNY PATRICIA 0102629979001 X
  • 37.
    No No registra No No registra No No. registra registra No. indicadores registra provincia, registra Persona_id NOMBRE No. ID (RUC) calle número registra de ventas, apellido cantón y primer principal de calle origen activos y/o paterno parroquia nombre principal empleados 249588 SANGACHA ORTIZ JUAN CARLOS 0102631603001 X 59794 GALARZA GRANDA EDGAR DIOGENES 0102631892001 X 257206 RIERA SIGUENZA CARLOS LEONIDAS 0102634342001 X 90606 URGILÉS RAMOS ERICA MARCELA 0102636982001 X 26980 EDGAR 0102637733001 X 131499 LEÓN ALVAREZ FREDDY EDMUNDO 0102637766001 X 153309 QUINDE MAZA JOSE PATRICIO 0102638053001 X 134290 CASTILLO MUÑOZ MARIA ELENA 0102640737001 X 21115 VÍCTOR 0102641099001 X 276041 ORELLANA ULLAURI MARTHA DOLORES 0102641743001 X 178118 CHUNIR GUTAMA HOMERO CRISTOBAL 0102641958001 X 207925 MOLINA MESÍAS MARÍA XIMENA 0102643566001 X 145024 BACUILIMA GUAMÁN JUAN CARLOS 0102645546001 X 63056 GARCIA GARCIA CARLOS ALBERTO 0102647906001 X 111476 PEÑA RODAS JUAN BERNARDO 0102648029001 X 267707 VAZQUEZ ESPINOZA PAUL ESTEBAN 0102648144001 X 211615 CEVALLOS SERRANO JORGE EDUARDO 0102648284001 X 226953 GUAMÁN LOJA CLAUDIO ARIOLFO 0102651445001 X 136496 PAZMIÑO SERRANO BYRON MAURICIO 0102652294001 X 203808 CABRERA MALDONADO PABLO GILBERTO0102653797001 X 87226 QUINTUÑA TENE HERNÁN EUCLIDES 0102654555001 X 59051 ESPINOZA ESPINOZA GALO ARMANDO 0102660644001 X 136277 BARRETO ROBLES BLANCA REBECA 0102661832001 X 58145 NEIRA GARCÍA JORGE DAVID 0102664067001 X 152521 LEON CARDOSO ELIANA DOLORES 0102664653001 X 250670 SAQUICELA CHILLOGALLO LUIS ALEJANDRO 0102667375001 X 238812 BOJORQUE PAZMIÑO MIRIAN ELIANA 0102672516001 X 263987 RIVERA SUAREZ SHOVANI WAHINTON 0102674041001 X 82094 PÉREZ LOZADO MANUEL ANTONIO 0102676772001 X 239511 PETROVA PETROVA LATINA 0102678463001 X 31849 BARRIGA URVANO MONICA TERESA 0102678737001 X
  • 38.
    No No registra No No registra No No. registra registra No. indicadores registra provincia, registra Persona_id NOMBRE No. ID (RUC) calle número registra de ventas, apellido cantón y primer principal de calle origen activos y/o paterno parroquia nombre principal empleados 56882 FÁREZ MATUTE MARGARITA EUGENIA 0102678794001 X 259651 NEIRA MALO ANDRES MARTIN 0102679776001 X 34219 BARRERA TELLO DINO MANUEL 0102681376001 X 209256 TIGRE GUAMAN WILSON FERNANDO 0102682150001 X 131311 MORA HUIRACOCHA NORMA ANGELICA 0102684024001 X 110898 VILLARREAL ARCENTALES CARLOS KALIMAN MANUEL 0102690674001 X 115524 QUIZHPE QUIRIDUMBAY ANTONIO GERMÁN0102698560001 X 48148 CÁRDENAS CÁRDENAS CARLOS GUSTAVO 0102698867001 X 228948 OCHOA CABRERA OSWALDO FILUJER 0102699212001 X 238968 ESQUIVEL ARIAS OLGA EULALIA 0102703154001 X 50084 PACHECO VILLAVICENCIO SILVANA MONSERRATH 0102703600001 X 123229 LUZURIAGA VASCONEZ WASHINGTON GERMAN 0102708815001 X 235560 OROSCO CABRERA JOSE HUMBERTO 0102711991001 X 115278 BUSTAMANTE PINTADO MAGALY JACQUELINE 0102713328001 X 47310 LOPEZ LOPEZ MARCOS MISAEL 0102714185001 X 99270 LETA NIVICELA PEDRO PABLO 0102714862001 X 227145 DUMAS NARVAEZ EDUARDO XAVIER 0102715471001 X 248786 SORIA NOBOA PEDRO ELOY 0102716057001 X 149586 PANAMA BARROS LUIS LEONARDO 0102716727001 X 211981 CÁRDENAS SALAMEA DANIEL BOLÍVAR 0102720430001 X 214741 YUMLA AREVALO KATYA CELINA 0102721032001 X 163137 MENDOZA CASTRO FREDI EUCLIDES 0102725645001 X 95091 PIZARRO CHICAIZA SOILA LUZ 0102726338001 X 122815 MOLINA CALLE ANA ROSALIA 0102728565001 X 148194 MURILLO VEGA BRAULIO BENJAMIN 0102729597001 X 187380 GONZÁLEZ TAPIA PEDRO VICENTE 0102733755001 X 215887 VELEZ ANDRADE AGUSTIN RENE 0102734878001 X 161783 VELASQUEZ IDROVO SAUL VICENTE 0102734936001 X 39240 VILLAVICENCIO QUIZHPI DIANA XIMENA0102739521001 X 84800 DOMINGUEZ NIEVES LUIS ALFONSO 0102740289001 X 261090 GARCÍA CANDO MICHAEL ISRAEL 0102740420001 X
  • 39.
    No No registra No No registra No No. registra registra No. indicadores registra provincia, registra Persona_id NOMBRE No. ID (RUC) calle número registra de ventas, apellido cantón y primer principal de calle origen activos y/o paterno parroquia nombre principal empleados 201066 LOJA MORA MANUEL MARCELO 0102742228001 X 115923 GOMEZ MARIA ROSA 0102743887001 X 160202 PERALTA TORRES PATRICIA TARCILA 0102748373001 X 261691 TORRES RIVERA KLEVER ALFREDO 0102750247001 X 136735 VALVERDE VANEGAS DOLORES RAQUEL 0102752193001 X 218179 LOZANO QUIZHPI VICTOR HUGO 0102752359001 X 169975 SAQUICELA PELAEZ FAUSTO VICENTE0102754017001 X X X 101806 RIVERA MARQUEZ MILTON LEONEL 0102759040001 X 33011 RICHARD 0102773561001 X 149160 FAJARDO SANCHEZ WILSON GUILLERMO0102775277001 X 29812 CHERREZ BERNAL RICHARD FELIPE 0102777117001 X 56175 LARRIVA GARCÍA VERÓNICA FABIOLA 0102777778001 X 116145 MÉNDEZ ESPINOZA FÉLIX ANTONIO 0102779121001 X 133845 VALENCIA CELI JHONSON PATRICIO 0102779303001 X 158590 CONDO RIVERA JANETH MERCEDES 0102780962001 X 65950 CRUZ BAJAÑA MARCO ALEJANDRO 0102781556001 X 172684 CHICAIZA MACANCELA FERNANDO RAMIRO 0102783636001 X 214776 FAJARDO JUELA MARIA JESUS 0102788536001 X 185192 ORELLANA CALDERON ESTHER MARGARITA 0102797248001 X 70509 CALVACHE RODAS CARLOS LUIS 0102797966001 X 200820 BRAVO BRAVO MIGUEL LEONARDO 0102800844001 X 13919 ING. FREDY CARRION LEON 0102801040001 X 94310 VIDAL VIDAL NATALIA DE JESUS 0102801222001 X 260411 MATAILO PILLACELA ROLDAN OLIVEROS102801628001 0 X 142272 ABRIL CORDERO GUILLERMO IVAN 0102802154001 X 196467 MOLINA LOJANO SONIA ALEXANDRA 0102806973001 X 274797 VILLA GUZMÁN IVAN PATRICIO 0102808193001 X 166436 ENRIQUEZ MOROCHO ABRAHAN CLEVER 0102810959001 X 175484 FAJARDO PULGARIN ELSA ROSARIO 0102811189001 X 203023 MONGE BARROS TITO ESTEBAN 0102811429001 X 143085 BACUILILMA GUAMÁN FREDY LEONARDO0102811460001 X
  • 40.
    No No registra No No registra No No. registra registra No. indicadores registra provincia, registra Persona_id NOMBRE No. ID (RUC) calle número registra de ventas, apellido cantón y primer principal de calle origen activos y/o paterno parroquia nombre principal empleados 24662 REIBAN JHONNY 0102813318001 X 248905 SERRANO PEREZ ELSA CRISTINA 0102814373001 X 151057 MUÑOZ CONDO WUASHINTON RIGOBERTO0102816303001 X 111424 PINTADO BECERRA WILSON FABIAN 0102816436001 X 245382 CORONEL AREVALO DIEGO GEOVANNY 0102817855001 X 202279 CAPELO MEJIA LUIS SANTIAGO 0102818747001 X 151769 SERRANO SAQUICELA CARLOS ESTUARDO 0102820529001 X 148930 CÁRDENAS CORONEL JOSÉ GERARDO 0102821212001 X 86335 NIEVES PAUTE FABIÁN PATRICIO 0102822731001 X 228962 MORALES TORRES SEGUNDO ALFONSO 0102822939001 X 63021 MORAN GEOVANNY RENE 0102823598001 X 61177 RODAS LEÓN LENIN MAURICIO 0102824893001 X 222016 CRIOLLO QUIZHPI MARCOS MEDARDO 0102825536001 X 100688 CORDERO PEÑA CARLOS ENRIQUE 0102825668001 X 249763 SOLANO VALDIVIEZO FRANKLIN LEONARDO 0102825866001 X 28587 LARRIVA GONZALEZ EDWIN FRANCISCO0102828654001 X 196511 MOGROVEJO ROLDÁN DORIAN ENRIQUE 0102830775001 X 82796 SILVA RIVERA JAIME ABDON 0102834777001 X 118937 ABRIL ALVAREZ EDGAR RAMIRO 0102835170001 X 152089 PANGOL TOLA ANDRES PATRICIO 0102836343001 X 273109 CAMPOVERDE SARMIENTO ANA FERNANDA 0102838786001 X 146937 SUQUI MOROCHO ALFONSO EDUARDO0102842051001 X 39940 RODRÍGUEZ CHIMBO CARMITA YOLANDA0102843398001 X 132688 VINTIMILLA GUANANGA FAUSTO MARCELO 0102849130001 X 137984 CURILLO LANDY LUIS SEBASTIAN 0102853389001 X 197867 AUQUILLA AUQUILLA ANGEL EDUARDO 0102853652001 X 163696 BERMEO ROSA 0102855335001 X 80943 LALVAY ORTEGA WILSON ALFREDO 0102858990001 X 112440 MERCHÁN MORA DANIEL 0102861986001 X 118035 ORDÓÑEZ REMACHE OLGA BEATRIZ 0102862885001 X 197239 SEGARRA CORONEL CARLOS ANDRES 0102864030001 X
  • 41.
    No No registra No No registra No No. registra registra No. indicadores registra provincia, registra Persona_id NOMBRE No. ID (RUC) calle número registra de ventas, apellido cantón y primer principal de calle origen activos y/o paterno parroquia nombre principal empleados 258464 LEON CRIOLLO JAIME PATRICIO 0102865201001 X 147993 JIMBO SARMIENTO FABIAN OSWALDO 0102869690001 X 101070 UTRERAS BERMEO JOSE ANTONIO 0102869922001 X 185579 BLANDIN COELLAR ROMAN EDMUNDO 0102870557001 X 191695 FLOR CALLE MARGOTH ELIZA 0102871910001 X 157914 CHUÑIR ARÉVALO LUIS EUDORO 0102872140001 X 195731 DOMINGUEZ PAUTA MANUEL CRUZ 0102873387001 X 172918 TORAL MACHUCA JAIME ANTONIO 0102877503001 X 36199 MARÍN ARÉVALO GONZALO JOSELITO 0102881091001 X 228598 BALAREZO ORTIZ JOSE SANTIAGO 0102881166001 X 208292 SACAQUIRIN ROJAS DIEGO RAFAEL 0102884426001 X 131667 UGUÑA BARZALLO JOB ADALBERTO 0102884608001 X 149597 LEON NIETO MILTON ELOY 0102889078001 X 32775 RENÉ 0102892148001 X 198420 QUEZADA MOROCHO SILVIA ROSARIO 0102894367001 X 197414 MATUTE QUINTEROS DAMIÁN ANDRÉS0102897519001 X 59014 MONTENEGRO REINOSO DANNY JAVIER0102897956001 X 118502 BARROS TORAL LUIS ANGEL 0102898053001 X 202752 NN VASQUEZ ROSA INES 0102904034001 X 258820 LUCERO AUQUILLA SONIA AMALIA 0102906682001 X 119570 CARCHI FERNANDEZ LUIS FELIPE 0102908712001 X 116675 GODOY CRUZ JOSE DEL CARMEN 0102908936001 X 176470 FERNANDEZ CARRION NANCY ANGELITA 0102909470001 X 105120 DELGADO VERA LUISA DOLORES 0102911146001 X 44926 URGILEZ SOLORZANO JENNY LUCIA 0102916954001 X 119587 FIGUEROA CONGO SAMUEL ERNESTO 0102918737001 X 161359 MEJIA FERNANDEZ MAURO VINICIO 0102923927001 X 200100 SUQUI CARCHIPULLA ZENEN ABDON 0102926490001 X 198838 LOPEZ JARRO NARCISA CARMITA 0102930344001 X 246689 ESTRELLA MARÍN FAVIO 0102931367001 X 70427 TRELLES TORRES POMERIO EDUARDO0102933850001 X
  • 42.
    No No registra No No registra No No. registra registra No. indicadores registra provincia, registra Persona_id NOMBRE No. ID (RUC) calle número registra de ventas, apellido cantón y primer principal de calle origen activos y/o paterno parroquia nombre principal empleados 172381 TRELLES TORRES EDWIN ROMEO 0102933876001 X 146955 VALVERDE BERMEO MIRIAM ROCÍO 0102933983001 X 198926 ORELLAMA RODAS JUAN CARLOS 0102934437001 X 64433 RODAS BARROS SANTIAGO NAPOLEON 0102935517001 X 181381 GUTIÉRREZ VÉLEZ FREDY EFRÉN 0102938651001 X 24633 VERA CABRERA NILSA ELVIA 0102939360001 X 141634 ENRRIQUEZ TOCTO GEOVANNY HUMBERTO 0102942646001 X 68323 FLORES TORRES JAVIER MAURICIO 0102944212001 X 149062 LEON GUACHUN CARLOS RODRIGO 0102945425001 X 40193 ALVARADO CALLE CHRISTIAN XAVIER 0102947033001 X 155699 ZAMBRANO CAMPOVERDE CARMEN PATRICIA 0102948510001 X 120722 LOPEZ PACHECO SONIA EULALIA 0102951357001 X 141469 PULLA QUITO VICTORIA ELIZABETH 0102952124001 X 221634 SANGURIMA MEZA VICTOR HUGO 0102959756001 X 99920 BRAVO OCHOA PAUL VICENTE 0102961661001 X 124146 VILLA RAIBÁN DIEGO OSWALDO 0102961778001 X 197305 MORA QUEZADA HUGO GEOVANY 0102962032001 X 89810 JARA ALVEAR JOSE ESTUARDO 0102963451001 X 197751 GALARZA GARCÍA CÉSAR AQUILES 0102963527001 X 173897 CARRION QUEZADA HERMES GABRIEL 0102964368001 X 115864 ORTEGA ORELLANA DIANA ELIZABETH 0102964897001 X 205980 VÉLEZ BERMEO GUILLERMO MATEO 0102965043001 X 125555 VALLADARES MUÑOZ LIVIA SUSANA 0102965837001 X 259507 LEÓN REYES ROBINSON ROMÁN 0102966009001 X 97488 AVILA PLASENCIA ARTURO VINICIO 0102967130001 X 218724 AZCARIBAY ANDRADE SONIA LEONOR 0102967155001 X 118627 ATANCURI GORDILLO MANUEL ARMANDO0102971140001 X 156032 SANGURIMA SANGURIMA OLGA CELINA 0102972221001 X 209149 LUCANO ILLESCAS LUIS ROGELIO 0102973799001 X 135789 PINEDA MOROCHO MANUEL CESAR 0102975398001 X 252619 RODAS CARPIO ERMES RAMIRO 0102979424001 X
  • 43.
    No No registra No No registra No No. registra registra No. indicadores registra provincia, registra Persona_id NOMBRE No. ID (RUC) calle número registra de ventas, apellido cantón y primer principal de calle origen activos y/o paterno parroquia nombre principal empleados 154596 GUAYACONDO PASTUZO JOHN GUAYACONDO 0102979606001 X 199015 MOLINA LITUMA LUIS ALFONSO 0102984341001 X 135181 MOROCHO GUAMAN ELMA MARLENE 0102985280001 X 157762 BUESTAN SINCHI TERESA MARIA 0102988433001 X 78093 GUEVARA QUIZHPI RENE OSWALDO 0102990660001 X 270802 LEON AZAÑA CARMEN YOLANDA 0102992146001 X 229045 CHIRIBOGA VILLALTA JOHANA GRACIELA 0102993391001 X 176552 PEÑAFIEL TAPIA VILLMAN ROSARIO 0102994183001 X 130483 MOROCHO WAZHIMA DIEGO AURELIO 0102998218001 X 55404 TACURI CHALCO LORENA VIVIANA 0102999083001 X 94808 RODAS LEÓN ROSARIO DE LA NUBE 0103001285001 X 178542 AMAYA CASTILLO CARLOS RAFAEL 0103011276001 X 29989 PIEDRA TORRES OMAR ANDRES 0103012696001 X 206053 CHICA ULLAURI HOLMER SCHUBERT 0103013892001 X 100725 RODAS ULLOA HIPOLITO SANDRO 0103016556001 X 206669 MONTES ABARCA JORGE EFRAIN 0103017711001 X 250522 ALMACHE HERAS MONICA PRISCILA 0103025151001 X 261219 AREVALO ILLESCAS DORILA 0103025805001 X 262536 UGUÑA BARZALLO JESUS MARCELO 0103030433001 X 162801 GUERRERO LLIVICHUZCA CARMEN ANGELICA 0103030656001 X 226865 VINTIMILLA MENDEZ TANIA AUGUSTA 0103031860001 X 91541 GUACHICHULCA CARDENAS ZHOBANY 0103036984001 ANTONIO X 254360 HERRERA FIGUEROA WILMAN LADISLAO0103040200001 X 229261 CARRIÓN MATUTE FABIÁN HERNANDO 0103040952001 X 105847 GUZMAN RICO GINA FERNANDA 0103046496001 X 266017 ORELLANA CHUNCHI LUIS SANTIAGO 0103050126001 X 123094 FAJARDO TENECORA WALTER HORACIO 0103051082001 X 80404 SINCHI JIMBO DORIS MARISOL 0103052395001 X 191655 LOPEZ VILLALBA FERNANDA ELIZABETH 0103054136001 X 107010 RAMOS LINARES CÉSAR EDUARDO 0103054284001 X 93354 VEGA SOTO JORGE ENRIQUE 0103054292001 X
  • 44.
    No No registra No No registra No No. registra registra No. indicadores registra provincia, registra Persona_id NOMBRE No. ID (RUC) calle número registra de ventas, apellido cantón y primer principal de calle origen activos y/o paterno parroquia nombre principal empleados 157800 HERAS ABRIL MARCELO JAVIER 0103055620001 X 130957 PACHECO NIVICELA DORIS PRICILA 0103058020001 X 190502 MATUTE VINTIMILLA MILTON EUGENIO 0103059770001 X 77271 GALAN ALVARADO CARLOS SANTIAGO 0103062188001 X 135900 AMON BARRERA JUAN MANUEL 0103074647001 X 46007 PINEDA UZHCA GABRIEL RIGOBERTO 0103076139001 X 203546 PENA ULLAGUARI MARIA TRANSITO 0103077426001 X 223296 ARMIJOS RAMON MILTON FERNANDO 0103080271001 X 184415 ARCENTALES CHIRIBOGA PIETRO DOMINGO 0103082038001 X 171616 MEJIA ROLDAN JOSE ORLANDO 0103083622001 X 101094 ALVAREZ ALVAREZ MAURO ALFREDO 0103083788001 X 148012 DELGADO MENA MANUEL CARLOS 0103085015001 X 63149 RODAS MÁRQUEZ WILSON SANTIAGO 0103087144001 X 107403 GUZMAN CALLE TERESA CRISTINA 0103088274001 X 97012 CRESPO VICUÑA WILSON SANTIAGO 0103088803001 X 67652 CAJAMARCA PIÑA LUIS VICENTE 0103089884001 X 152392 TIMBI ULLOA MARTHA ELIZABETH 0103091716001 X 64747 CÁRDENAS MORENO IRENE LUCILA 0103092201001 X 273294 ALVAREZ BERMEO MARÍA GABRIELA 0103093019001 X 141540 MENDIETA SINCHE MARCO ANTONIO 0103093860001 X X X 244388 PARRA SILVA JUAN PABLO 0103095147001 X 112847 CHALCO QUIZPE RUBEN DE JESUS 0103096111001 X 174595 RODAS LITUMA JORGE MAURICIO 0103096137001 X 91420 VASQUEZ COBOS MARIA EUGENIA 0103096533001 X 205727 MONTALEZA SAGUAY VIRGILIO OSWALDO0103097770001 X 216467 FAICÁN MATUTE FRANKLIN AUGUSTO 0103101853001 X 185293 SERRANO PESANTEZ WILSON GALO 0103103479001 X 259717 DIAZ ENRIQUEZ XIMENA DE LOS ANGELES 0103103594001 X 192879 ALVAREZ OCHOA JUAN PABLO 0103105441001 X 228861 PEÑAFIEL CARRASCO VÍCTOR ERNESTO 0103106688001 X 132730 MEDINA NARANJO ELVIS GENARO 0103110789001 X
  • 45.
    No No registra No No registra No No. registra registra No. indicadores registra provincia, registra Persona_id NOMBRE No. ID (RUC) calle número registra de ventas, apellido cantón y primer principal de calle origen activos y/o paterno parroquia nombre principal empleados 209926 PANAMA VALDIVIEZO MAGDALENA ROSARIO 0103110821001 X 273515 ZENTENO BARRETO MARCO ANTONIO 0103111993001 X 106783 YARI MALLA GERMAN ROLANDO 0103118279001 X 230989 TELLO LOJANO FIDEL RENE 0103126405001 X 93968 OCHOA SANCHEZ ELVIA SABINA 0103128492001 X 277327 CARCHI PATIÑO MANUEL EDUARDO 0103129466001 X 168921 BRAVO MOSQUERA NIDYA MAGALI 0103129755001 X 90900 MENDEZ JAIGUA ALEX PAÚL 0103130589001 X 200593 YUNGA TACURI MARCO FABIAN 0103132965001 X 100526 GUANGA RAMON JUAN GUILLERMO 0103133567001 X 139126 PANAMA ZHUNO EFREN VINICIO 0103136578001 X 159069 MOROCHO MOROCHO NANCY SARBELIA 0103141834001 X 181604 PEÑAFIEL CAMPOVERDE MIGUEL ANGEL 0103142071001 X 161068 VILLALTA MARTÍNEZ ALDER XAVIER 0103146916001 X 73457 LARRIVA FLORES CLAUTIO JONAS 0103148185001 X 74086 LARRIVA FLORES JAIRO SAUL 0103148193001 X 146827 ORTIZ BANEGAS PABLO JAVIER 0103151841001 X 56735 DOMINGUEZ VILLA MANUEL MECIAS 0103151924001 X 271803 CAPELO BARREIROS HELEN MARIELA 0103152146001 X 20702 TELLO AREVALO JOSE GENDRI 0103155339001 X 246247 MOSCOSO RAMIREZ MARTIN ALBERTO0103156485001 X 134402 PAREDES OCHOA GERMAN PATRICIO 0103162269001 X 245848 ALVAREZ QUIZHPI CRISTHIAN ALONSO 0103163465001 X 268457 VEGA LOAIZA IVAN JESUS 0103166831001 X 151772 QUIZHPI MEJIA JUAN ALFREDO 0103169876001 X 159343 PACHECO SAGUAY LUIS EDUARDO 0103170551001 X 183937 DOMINGUEZ CARDENAS FANY VICTORIA 0103173423001 X 83329 NIEVES NIEVES VICTOR JUAN 0103174017001 X 160345 SINCHI LEON ANDRES GABRIEL 0103180949001 X 265218 ALVARADO PEÑA MODESTA DELICIA 0103181939001 X 246944 MOGROVEJO CASTRO LUIS EFREN 0103182242001 X
  • 46.
    No No registra No No registra No No. registra registra No. indicadores registra provincia, registra Persona_id NOMBRE No. ID (RUC) calle número registra de ventas, apellido cantón y primer principal de calle origen activos y/o paterno parroquia nombre principal empleados 176068 RODAS AUQUILLA JOSE HERNESTO 0103187712001 X 192525 OCHOA GUEVARA ISABEL ANDREA 0103188090001 X X X 243212 MORALES VALDIVIESO FAUSTO IVAN 0103188777001 X 228269 JARA MORALES IRENE FELICIA 0103188785001 X 263021 OTAVALO ORDOÑEZ LORENA ELISABETH0103192662001 X 237407 DURAN DURAN JACINTO EMILIANO 0103194510001 X 196988 NARVAEZ MENDEZ EDGAR FABIAN 0103201273001 X 227522 DURAN JARRIN ISRAEL ARCECIO 0103202404001 X 110910 CÁRDENAS PACHECO CECILIA 0103203709001 X 229399 ORELLANA SANGURIMA LUZMILA BEATRIZ 0103207056001 X 149798 PANAMA JADAN MAGALY ALEXANDRA 0103208252001 X 199583 SANCHEZ LOJA LUIS HUMBERTO 0103209045001 X 155921 BUSTOS ORELLANA GRACIELA INES 0103212668001 X 101115 PELAEZ VAZQUEZ ADRIAN FLORENCIO 0103214136001 X 116241 QUIRIDUMBAY JETON MANUEL EDUARDO0103215786001 X 255225 RIVAS MURILLO JUAN CARLOS 0103215901001 X 73433 SÁNCHEZ FÁREZ BENITO PAUL 0103218079001 X 40434 ASTUDILLO MONTERO RICARDO MARTIN0103220901001 X 109115 GUZMAN CALLE MARIA AUGUSTA 0103221537001 X 272839 ARMIJOS RODRIGUEZ OLGER OMRI 0103226999001 X 99800 JIMENEZ SASAGUAY IVAN PATRICIO 0103227005001 X 274273 PEÑALOZA PUIN FLAVIO NOLVERTO 0103228482001 X 122591 AVELLAN SANCHEZ MIGUEL DEMARIO 0103238598001 X 248422 MOYANO TOBAR CHRISTIAN MARCELO0103245676001 X 157382 PASATO CADME ERNESTO JULIAN 0103247862001 X 95677 REYES CORDOVA CAYO FRANCISCO 0103253126001 X 244888 QUEZADA ULLAURI HOLGER LENIN 0103253761001 X 159835 MIRANDA PIEDRA MAGALI MERCEDES 0103255493001 X 166517 ROMAN LOPEZ HERNAN GUILLERMO 0103255865001 X 195517 VAZQUEZ SOLIZ LIBIA NATIVIDAD 0103258679001 X 197290 PINDO PINDO SERVIO ENRIQUE 0103260758001 X
  • 47.
    No No registra No No registra No No. registra registra No. indicadores registra provincia, registra Persona_id NOMBRE No. ID (RUC) calle número registra de ventas, apellido cantón y primer principal de calle origen activos y/o paterno parroquia nombre principal empleados 232946 CONTRERAS CONTRERAS RUBEN EDGAR 0103263505001 X 219861 GARZON TAPIA ALBA ROGELIA 0103264099001 X 90801 NARVAEZ DURAN JULIO 0103265948001 X 226369 RODRIGUEZ ULLOA REGINA ADELINA 0103289492001 X 135174 ASTUDILLO DUMAS WILSON PATRICIO0103294575001 X 160841 UGUÑA DURÁN PEDRO ENRIQUE 0103297420001 X 222251 FAICAN GOMEZ MERY CECILIA 0103298337001 X 220379 MONTESINOS CARRASCO BONNIE XIMENA 0103299855001 X 215399 ALEMAN GRANJA VICTOR MANUEL 0103301032001 X 108330 TORRES FAJARDO MONICA JANETH 0103303921001 X 268399 MALDONADO ABRIL WILLIAM PATRICIO0103311155001 X 102574 MARTINEZ AVILA RAUL FRANCISCO 0103311858001 X 244457 BARRERA ESPEJO JAIME OSWALDO 0103316014001 X 62641 ENCALADA BRAVO PABLO DAVID 0103317962001 X 277669 CAJAMARCA MOROCHO WILSON ANANIAS0103318507001 X 149860 LOJA SAENZ REINALDO EULOGIO 0103326252001 X 142355 RODAS LEON SANDRO AQUILES 0103329884001 X 233771 GUTIÉRREZ JARA DAVID ALBERTO 0103330577001 X 167852 VELEZ BRAVO ANDREA CRISTINA 0103330890001 X 36185 AVILA PRADO MANOLO NATHANIEL 0103334959001 X 223011 FAREZ CHUMBI LUCAS HERMEGENILDO 0103336749001 X 145383 MATUTE FARFAN CARLOS GEOVANNY 0103338844001 X 183809 OCHOA DURAN OSWALDO RENE 0103344560001 X 160301 ORBE ASTUDILLO MARCOS HUMBERTO 0103345054001 X 263680 JARA NIEVES JUAN GEOVANNY 0103346821001 X 230563 PACHO MEJÍA JOSÉ FRANCISCO 0103347118001 X 273935 NIETO ALLIERI MARIO SANTIAGO 0103352639001 X 135917 VALDIVIEZO BELTRAN EDWIN ROMEO 0103353561001 X 120099 BACUILIMA NIVICELA JUAN CARLOS 0103354767001 X 136585 JARA URGILES MARIA NARCISA 0103354866001 X 39844 AUCAY CABRERA JOSE PATRICIO 0103357646001 X
  • 48.
    No No registra No No registra No No. registra registra No. indicadores registra provincia, registra Persona_id NOMBRE No. ID (RUC) calle número registra de ventas, apellido cantón y primer principal de calle origen activos y/o paterno parroquia nombre principal empleados 112445 MAURAD LUCERO ROSA TARGELIA 0103361655001 X 152525 ONCE VERA RUBEN ALCIVIADES 0103362364001 X 179427 NUGRA MOROCHO RODRIGO IVAN 0103365615001 X 107259 GUEVARA LUPERCIO JHONNY BENITO 0103377149001 X 208200 ILLESCAS DOMÍNGUEZ FAUSTO LEONIDAS 0103380416001 X 107553 CAMPOVERDE CORONEL WALTER RICARDO 0103381620001 X 242667 REYES VEGA PEDRO RICARDO 0103383360001 X 123255 MEJÍA QUIZHPI DIMAS SIMON 0103392031001 X 78616 BARBECHO QUIZHPI ALFONSO MARÍA 0103400594001 X 131125 NANKAMAI SHAKAI CIRO BOSCO 0103400685001 X 139545 CALLE JARA FREDDY EDUARDO 0103403234001 X 112055 LEDESMA DELGADO HENRY MIGUEL 0103404950001 X 108292 QUITO MATUTE ADRIANA PATRICIA 0103405114001 X 57356 ANDRADE ARCE JUAN PABLO 0103409405001 X 48794 URGILES AVILA CARLOS EFREN 0103411187001 X 88536 ORDOÑEZ MOROCHO HERMENEGILDO 0103411674001 DE JESÚS X 215571 GUAILLAS OCHOA OLGER JUVENTINO 0103414678001 X 270539 IDROVO CASTAÑEDA XAVIER IDROVO 0103418174001 X 88821 GUAYLLAZACA FERNANDEZ ROSA CARMELINA 0103418620001 X 155667 QUITO MOSCOSO RUBÉN FERNANDO 0103420303001 X 151523 LAZO VELEZ CRISTIAN ESTEBAN 0103420915001 X 34161 ALVEAR CASTRO PABLO HERNAN 0103421046001 X 240813 MOROCHO TENECELA ZOILA MERCEDES0103422002001 X 155956 CARDENAS PACHECO IRMA PATRICIA 0103425302001 X 266854 MORENO ORDOÑEZ GUIDO BENJAMIN 0103429056001 X 188585 CUESTA OCHOA AGUSTIN ESTEBAN 0103429486001 X 30453 MOLINA MOLINA JORGE HERNAN 0103431706001 X 156480 ABRIL GUZMÁN MAYRA ALEXANDRA 0103433835001 X 138447 MENDEZ ERRAEZ MARIA SARBELIA 0103438768001 X 221863 ULLOA ULLAURI CARLOS FERNANDO 0103439634001 X 227429 CASTRO VALVERDE GALO IVAN 0103440392001 X
  • 49.
    No No registra No No registra No No. registra registra No. indicadores registra provincia, registra Persona_id NOMBRE No. ID (RUC) calle número registra de ventas, apellido cantón y primer principal de calle origen activos y/o paterno parroquia nombre principal empleados 172038 NUGRA SALAZAR FREDY IVAN 0103440632001 X 127031 VINTIMILLA JOSE 0103442521001 X 138848 SISALIMA SEGARRA BYRON GEOVANNY 0103443438001 X 213104 SUIN MALLA ROMAN MESIAS 0103444568001 X 221873 CABRERA PAREDES MARIA JOSE 0103445425001 X 222061 LEON AUCAPIÑA JULIO RENE 0103452157001 X 80706 CARRION NARANJO PABLO FAVIAN 0103454401001 X 180891 ILLARES MUÑOZ NORMA LUCRECIA 0103470753001 X 106106 QUIROZ ORTIZ XAVIER RENATO 0103471231001 X 250198 GUANGA CESAR RODRIGO 0103473005001 X 190489 PENARANDA CAMBIZACA MANUEL ELOY103474193001 0 X 149638 PARRA MENDOZA NESTOR ALEJANDRO 0103475414001 X 232376 PACHO VELECELA VICTOR OSWALDO 0103479093001 X 126295 CAJAMARCA TORRES BLANCA ROCIO 0103492054001 X 235079 BUENO LEON ANGEL OSWALDO 0103492633001 X 222510 OCHOA CABRERA HERNAN ROBER 0103494720001 X 154760 ORELLANA ARICHABALA JUAN BAUTISTA 0103496816001 X 202292 SERRANO PESANTEZ CRISTIAN PAUL 0103500831001 X 135978 INGA JARA WILLIAN PATRICIO 0103506689001 X 173862 ARIAS CRIOLLO DOLORES MARIUXI 0103506788001 X 251577 RODAS CARRIÓN FRANCISCO HERNÁN0103507489001 X 259205 QUEZADA IBARRA PAULO CÉSAR 0103524229001 X 169131 PATIÑO PATIÑO ZOILA MAXIMINA 0103525432001 X 191701 NAULA CAYAMBE SUSY ESMERALDA 0103525499001 X 210681 ULLAURI VASQUEZ JAIME MARCELO 0103527313001 X 195487 BRITO FLORES MARIA EULALIA 0103528063001 X 67373 JIMENEZ AREVALO RICHAR SECUNDINO0103528196001 X 119544 PANE PIEDRA ROSA ESPERANZA 0103532149001 X 140346 QUEZADA PATIÑO CARLOS JAVIER 0103532263001 X 200034 ZALAMEA PESANTEZ RENATO XAVIER 0103537668001 X 101903 CASTRO SARMIENTO ARMANDO GUILLERMO 0103542858001 X
  • 50.
    No No registra No No registra No No. registra registra No. indicadores registra provincia, registra Persona_id NOMBRE No. ID (RUC) calle número registra de ventas, apellido cantón y primer principal de calle origen activos y/o paterno parroquia nombre principal empleados 276435 BERREZUETA PARRA EUGENIA PATRICIA 0103546628001 X 209132 PIEDRA VEINTIMILLA RENATO ALFONSO 0103547022001 X 132819 FERNÁNDEZ PILLAGA JOSÉ LUIS 0103547386001 X 70012 AVILA VILLAVICENCIO DIEGO PATRICIO0103547717001 X 228943 PALACIOS GUERRERO DIEGO ANDRES 0103555884001 X 241545 CRIOLLO BACULIMA JOSE ALBERTO 0103559878001 X 39278 CARPIO PADILLA JUAN GABRIEL 0103559936001 X 101810 VERDUGO TAPIA DAVID TEODORO 0103561577001 X 196686 BARRETO VINTIMILLA JORGE GONZALO 0103562633001 X 174171 GUAYAS ULLAURI ANDRÉS PAULO 0103563169001 X 90483 MENDEZ BRAVO ROMELL LEONARDO 0103564373001 X 111095 ASTUDILLO CONTRERAS ROSA VERONICA 0103564449001 X 177781 AMAYA ORTEGA ANDRES PATRICIO 0103567111001 X 33749 AGUIRRE VARGAS HUGO XAVIER 0103567228001 X 48177 VIDAL ASTUDILLO BORIS ESTEBAN 0103567384001 X 230211 VALDIVIESO GUZMÁN PABLO EDUARDO 0103567434001 X 257808 SÁNCHEZ MOLINARI ROSALBA CATERINA 0103568259001 X 109140 GUERRERO LOJANO CARMEN ROCIO 0103574935001 X 233569 ORDOÑEZ ORDOÑEZ FLOR MARIA 0103575668001 X 156692 AVILA YUGA VICTOR GERARDO 0103576021001 X 20581 BALAREZO GUTIÉRREZ CARLOS ALBERTO 0103576252001 X 203083 SUAREZ AVILA GERZON ALFONSO 0103578944001 X 54562 VIVAR YUNGA GLENDA ELIZABETH 0103581427001 X 149244 IDROVO LEÓN ZAIDA MELINA 0103583191001 X 138943 BORJA NARANJO FABIOLA JANNETH 0103586715001 X 265588 DOMINGUEZ ESCANDON LILIA SUSANA0103587754001 X 142251 CRIOLLO CHICA SONIA BEATRIZ 0103588232001 X 169443 RIERA GARAY EDGAR JACINTO 0103588281001 X 63318 ARACELI 0103594537001 X 128286 CASTILLO CABRERA LAURA LORENA 0103597944001 X 89794 TAPIA PAREDES ALFONSO BOLIVAR 0103597977001 X
  • 51.
    No No registra No No registra No No. registra registra No. indicadores registra provincia, registra Persona_id NOMBRE No. ID (RUC) calle número registra de ventas, apellido cantón y primer principal de calle origen activos y/o paterno parroquia nombre principal empleados 177238 MERCHAN FAJARDO ALVA MARITZA 0103599262001 X 112486 VERA LOPEZ LUIS GUILLERMO 0103601811001 X 117310 CHIMBO JADAN JOHNY MAURICIO 0103603619001 X 114827 OCHOA GUTIERREZ PAUL SANTIAGO 0103605606001 X 150678 SIAVICHAY PERALTA MARTHA SUSANA0103613048001 X 245632 MOGROVEJO ILLESCAS OLMEDO TEODORO 0103620449001 X 269248 BUESTÁN GUERRERO WILSON GEOVANNY0103622874001 X 198364 BRAVO QUIZHPE MARTHA CATALINA 0103623211001 X 34140 VERDUGO RIVERA KATERINE 0103623732001 X 163186 NARVAEZ ANDRADE RAUL SANTIAGO 0103624920001 X 159316 CONDO BAU JENNY LOURDES 0103628889001 X 17775 COBOS TORRES DARIO HUMBERTO 0103631826001 X 229038 BARRERA CARRION CESAR RIGOBERTO 0103634721001 X 121792 PALAGUACHI JARAMA MARIA DOLORES 0103636809001 X 108915 FEIJOO ONCE JHONATAN SANTIAGO 0103641684001 X 28224 ANDREA 0103642187001 X 191286 CAGUANA CORDERO LUIS SANTIAGO 0103646006001 X 140887 DAVILA VALLEJO JORGE OSWALDO 0103648507001 X 122020 QUEZADA QUEZADA JOSE FLORENCIO 0103649042001 X 120265 DELGADO MENDOZA JUAN CARLOS 0103649364001 X 107041 VELECELA ESPINOZA OLGA MERCEDES 0103650453001 X 233042 ZUMBA TIBILLIN LUIS ARIOLFO 0103650602001 X 217963 VILLA ALVAREZ MARCOS ANIBAL 0103651410001 X 140768 PANAMÁ PARAPI MARÍA DOLORES 0103653358001 X 155241 ANTUNISH KUJA MILTON ALBERTO 0103654505001 X 44039 QUILAMBAQUI REINOSO ADRIAN XAVIER103654828001 0 X 239000 AGUIRRE RIVADENEIRA SANTIAGO ISRAEL 0103656096001 X 19653 VINICIO 0103656732001 X 119695 PROAÑO ESCANDÓN DIEGO JAVIER 0103656898001 X 48902 CUADRADO ORDOÑEZ CESAR ALFREDO 0103657177001 X 110191 QUICHIMBO MIGUITAMA FREDI GERARDO 0103659348001 X
  • 52.
    No No registra No No registra No No. registra registra No. indicadores registra provincia, registra Persona_id NOMBRE No. ID (RUC) calle número registra de ventas, apellido cantón y primer principal de calle origen activos y/o paterno parroquia nombre principal empleados 195300 CAMPOVERDE PEÑA MANUEL TRINIDAD 0103662540001 X 197139 PALLAZHCO YUNGA LUIS JUVENTINO 0103662615001 X 204770 MALDONADO FAJARDO HERNÁN SANTIAGO0103663142001 X 49853 CEDILLO ILLESCAS MARCO MANOLO 0103664447001 X 128777 LUZURIAGA LARRIVA SANTIAGO FELIPE0103666350001 X 105903 PULLA QUITO JORGE ROSENDO 0103666483001 X 251784 GARCIA ORTIZ SHASKYA MILDRED 0103667747001 X 201417 CAMPOVERDE CASTRO LILIANA DEL CARMEN 0103668067001 X 80711 COYAGO SÁNCHEZ JULIO GUSTAVO 0103668752001 X 19885 NUGRA SANCHEZ JOSE POMPILIO 0103668760001 X 235534 GUICHAY PARRA ZOILA TRANCITO 0103669081001 X 195589 ARCE JÁCOME FRANKLIN ADRIAN 0103673653001 X 144823 JIMENEZ JIMENEZ NUBE MARLENE 0103675443001 X 133234 GUZMAN TAPIA MILTON GEOVANNY 0103678363001 X 270599 PALLAZHCO CHILLOGALLI CARLOS AMBROCIO 0103679221001 X 101424 SANCHEZ MATUTE LAURA IRENE 0103683256001 X 187672 PACURUCU PERALTA EDISSON MIGUEL103684189001 0 X 240145 CALLE VERA JOHANA DE LOS ANGELES 0103687729001 X 176765 CONTRERAS GUEVARA IVAN PATRICIO0103689451001 X 161059 CABRERA ERRAEZ LUDY VALERIA 0103691796001 X 138431 BAJAÑA ORELLANA WALTER FERNANDO 0103691911001 X 103171 PESANTEZ CALLE EULALIA PATRICIA 0103693859001 X 141939 GONZALEZ ROSALES VINICIO ANTONIO0103694642001 X 199882 AUCAPINA BUENO GUIDO MARCELO 0103695177001 X 156659 LOPEZ BORJA DIANA BEATRIZ 0103696878001 X 251535 LALVAY MAYAGUARI MAGNO ADOLFO 0103701983001 X 133364 PIEDRA ZAMBRANO HUGO TEODORO 0103708376001 X 118825 GODOY JARAMILLO JOFFRE VINICIO 0103710596001 X 145618 RIVERA YANZA PABLO ROGERIO 0103716403001 X 214878 LOPEX VILLALTA MARCO ENRIQUE 0103722724001 X 47842 TAPIA VERA JESUS LEODAN 0103735973001 X
  • 53.
    No No registra No No registra No No. registra registra No. indicadores registra provincia, registra Persona_id NOMBRE No. ID (RUC) calle número registra de ventas, apellido cantón y primer principal de calle origen activos y/o paterno parroquia nombre principal empleados 195285 COBOS SUSCAL SEGUNDO CESILIO 0103739694001 X 266004 GUACHUN SUMBA MARIA DE LOURDES 0103743662001 X 147610 LOPEZ JARRO SAUL IVAN 0103743670001 X 74168 LUCERO LICERO PABLO IVAN 0103745436001 X 270044 FREIRE CARRERA JUAN FERNANDO 0103747499001 X 202358 JAMI GUITIERREZ NELSON EDUARDO 0103748018001 X 203081 IDROVO ALVAREZ DIEGO EFRAIN 0103757951001 X 159630 BAUTISTA CARLOS SANTIAGO 0103760716001 X 248805 VELEZ DAVILA SANTIAGO ROBERTO 0103761243001 X 141721 ROJAS VILLA FREDDY JOSE 0103764817001 X 233038 CHUNIR PEÑALOZA JUAN MANUEL 0103765061001 X 18668 YUMBLA SALINAS JOSE HERNAN 0103765970001 X 29321 SANMARTÍN ESPINOZA MARÍA LUISA 0103766622001 X 144555 LLERENA GOMEZ FRANCISCO XAVIER 0103767059001 X 261949 VILLALTA MARTINEZ LUIS NELSON 0103770087001 X 176699 BERREZUETA BANEGAS MICHEL ANDRÉS 0103771564001 X 224316 PAUTA ORELLANA ELVIS IVAN 0103773305001 X 103121 ENCALADA RIOS EDISON HERNAN 0103775482001 X 127642 MOSQUERA MATUTE CORNELIO EFRAIN0103779443001 X 152307 BERNAL JARA WILSON PAULINO 0103779682001 X 193932 PAÑEGA GUAMAN JUAN CARLOS 0103782512001 X 139825 VELEZ MORA BORIS XAVIER 0103783262001 X 196036 LUZURIAGA RODAS MARTHA CESILIA 0103784799001 X 105950 NARANJO NARANJO EDGAR DARIO 0103786760001 X 237378 CHAPA GUANGA WILSON LEANDRO 0103786844001 X 211994 CHIQUI SINCHI MARIA BALTAZARA 0103789202001 X 250639 OCHOA CRESPO HANS ANDRES 0103796108001 X 166632 AVILA PATIÑO ALBA PATRICIA 0103796223001 X 141462 DAVILA AVILA PAOLA FERNANDA 0103797023001 X 144181 MENDIETA VIDAL ROMULO CIRILO 0103800652001 X 256665 PORTILLA VÉLEZ ALEX RUBÉN 0103803904001 X
  • 54.
    No No registra No No registra No No. registra registra No. indicadores registra provincia, registra Persona_id NOMBRE No. ID (RUC) calle número registra de ventas, apellido cantón y primer principal de calle origen activos y/o paterno parroquia nombre principal empleados 239950 GENOVEZ SOLANO PAULO XAVIER 0103804241001 X 127123 HIGALGO LOJA MARIA EUGENIA 0103805131001 X 216993 ORTEGA MOROCHO TEMISTOCLES ISMAEL0103807558001 X 157308 SANCHEZ ZHIMINAYCELA MARIA DOLORES 0103808382001 X 195199 SERRANO PESANTEZ JUAN DIEGO 0103810941001 X 221214 GUERRERO DOMINGUEZ LORENA JANETH 0103811360001 X 165061 MOLINA BARAHONA EDGAR SANTIAGO 0103811402001 X 2923 0103812327001 X 126284 PALTA VALLADARES CARMEN BEATRIZ0103814240001 X 148363 CARPIO ALEMAN MARCO ALEXANDER 0103815338001 X 84621 MINCHALA VELECELA MARÍA LOURDES0103820478001 X 175060 ORTIZ MOSQUERA PACO FABIAN 0103823084001 X 127646 PALOMEQUE MACIAS DAVID LENIN 0103823159001 X 207844 BERREZUETA HERAS LUIS ABDÓN 0103830444001 X 238177 ORDÓÑEZ AMOROSO JHONATAN ADRIAN 0103831970001 X 265615 JIMENEZ JIMENEZ ANGEL ARIOLFO 0103841888001 X 249962 MOROCHO MOROCHO LUIS PABLO 0103842811001 X 172294 AGUIRRE RAMON MARCIA FERNANDA 0103844585001 X 39322 ALVAREZ ESCOBAR MARLON MANUEL 0103846788001 X 158368 CHACON CAMPOVERDE NANCY MARIBEL 0103849980001 X 142530 URGILES CHILLOGALLI MONICA DEL ROSIO 0103858668001 X 270820 MEJIA LEON LUZ MARGARITA 0103865184001 X 242400 IDROVO VELEZ MONICA ROCIO 0103870077001 X 121162 AZAÑA LOZADA RENE FABIAN 0103875704001 X 101642 ALVARADO MALDONADO MARIA VERONICA0103879219001 X 142745 GUTAMA GUAILLAS KLEBER BOLIVAR 0103880498001 X 244200 CABRERA LEMACHE WILSON XAVIER 0103881280001 X 105809 LEON ULLAURI OMAR ESTEBAN 0103885414001 X 230634 CARCHI NAULA KLEBER PORFIRIO 0103886958001 X 39151 AUCAPIÑA AREVALO FABIAN FELIPE 0103891206001 X 270608 ASTUDILLO KLEVER 0103893640001 X
  • 55.
    No No registra No No registra No No. registra registra No. indicadores registra provincia, registra Persona_id NOMBRE No. ID (RUC) calle número registra de ventas, apellido cantón y primer principal de calle origen activos y/o paterno parroquia nombre principal empleados 262217 NIEVES NIEVES PATRICIO ROMUALDO 0103893798001 X 242525 VIZUETE LOPEZ MARCOS MESIAS 0103898748001 X 130229 BUSTAMANTE PAREDES DIEGO PAÚL 0103899175001 X 262842 VEGA MEDINA ISMAEL JOSUÉ 0103899274001 X 147678 CALLE PACHECO SANTIAGO PATRICIO 0103899506001 X 112970 GARCIA CARCHI EDISSON GERARDO 0103901641001 X 222214 ARMIJOS RODRIGUEZ JOSE ANTONIO 0103902342001 X 160413 AYALA PÉREZ BOLÍVAR ISRAEL 0103909925001 X 259663 NARVAEZ TIGRE BLANCA EULALIA 0103910931001 X 173004 PEREZ MATUTE DIANA PEREZ 0103911855001 X 266127 TACURI TORAL JAVIER MAURICIO 0103912234001 X 163351 VANEGAS AVECILLAS BOLÍVAR GONZALO 0103912838001 X 156228 NEIRA PATIÑO CESAR OSWALDO 0103914792001 X 107293 ORELLANA ULLOA PABLO ALEJANDRO 0103915484001 X 244990 CABRERA MALDONADO GLORIA ISABEL 0103918223001 X 236045 ONCE CÁRDENAS FREDDY ALEXANDER 0103919114001 X 128885 PESANTEZ MANZANO JOSE LUIS 0103922225001 X 107301 RAMOS PESANTEZ ERIKA FRANCISCA 0103923900001 X 170065 ALVAREZ ASTUDILLO JENRY FABIAN 0103924544001 X 128109 ZUÑIGA PACHECO DANNY ROBERTO 0103927497001 X 222266 BALAREZO SARMIENTO DIEGO XAVIER 0103930202001 X 215900 IDROVO VINTIMILLA FAUSTO PAÚL 0103930939001 X 189758 BRAVO DIAZ ANDREA ELIZABETH 0103931382001 X 26436 RIQUETTI PERALTA CARLOS ENRIQUE 0103931598001 X 199424 CARPIO PADILLA MARTÍN SANTIAGO 0103932497001 X 178601 AREVALO GUZMAN OSCAR GEOVANNY0103933321001 X 124166 MEDINA MEDINA ROSA DOLORES 0103935524001 X 171275 VEGA LARGO NELLY MARIBEL 0103936365001 X 236848 VIZNAY DURAN ADRIANA LUCIA 0103937686001 X 150713 MIRANDA VELETANGA MERCY CUMANDA 0103939294001 X 122179 RAMON QUEZADA GILDA LILIANA 0103939989001 X
  • 56.
    No No registra No No registra No No. registra registra No. indicadores registra provincia, registra Persona_id NOMBRE No. ID (RUC) calle número registra de ventas, apellido cantón y primer principal de calle origen activos y/o paterno parroquia nombre principal empleados 127051 MOROCHO GODOY MARCOS NOE 0103940128001 X 171997 NAULA MOROCHO MARCO ANTONIO 0103940326001 X 153856 QUEZADA MINGA CARLA MARIA 0103940334001 X 80222 TAPIA CUESTA JANETH GERMANIA 0103944443001 X 128399 NIEVES NIEVES CARLOS JULIO 0103952305001 X 77927 AVILA ORDOÑEZ SUSY MELINA 0103952586001 X 146889 ORELLANA ZAMBRANO AMPARO ISAYANA0103956165001 X 195639 RIOS GARZON WILMER FRANKLIN 0103959813001 X X X 215683 ANDRADE ROJAS FRANCISCO XAVIER 0103960316001 X 141685 PEÑALOZA CABRERA FERMIN ZHOVANI0103968053001 X 224542 URGILES BERMEO EDISON XAVIER 0103969036001 X 225394 RODAS ULLOA JOAQUIN ISRAEL 0103976072001 X 106862 FAJARDO RODRIGUEZ ELOISA DE JESUS 0103980199001 X 223569 DELGADO RODRÍGUEZ MARCO PATRICIO0103980264001 X 139767 PICON ALVAREZ SANDRA ELIZABETH 0103984639001 X 174723 ORDOÑEZ MAITA DIANA ELIZABETH 0103989711001 X 220973 ORELLANA GUAMBAÑA SANDRA ELIZABETH 0103990107001 X 152934 LÓPEZ VERA MARÍA ISABEL 0103990248001 X 253102 CAJAMARCA SUPLIGUICHA OSCAR GEOVANY 0103990677001 X 247630 ARIZAGA BALBUCA FREDI ARMANDO 0103992442001 X 101326 MEJÍA BARROS WILMER SANTIAGO 0103996443001 X 132046 MOROCHO JARA ANA LUCÍA 0103999041001 X 180542 AMBROSI MOSQUERA PETRONEO OLMEDO0103999413001 X 45757 RAMON LOPEZ FABIAN EUGENIO 0104010897001 X 216223 PEREZ ORTIZ JUAN PABLO 0104016589001 X 161169 LUNA HURTADO JOHANA BEATRIZ 0104017314001 X 142538 COBOS GUILLEN CRISTIAN GEOVANNY0104018395001 X 163321 SUCUZHAÑAY CUMBE SANDRA ELIZABETH 0104018635001 X 102001 GUERRERO PRADO LUISA MERCEDES 0104022215001 X 107822 PEREZ AVILA LORENA XIMENA 0104023031001 X 172962 DURÁN PALACIOS MARÍA BELÉN 0104029301001 X
  • 57.
    No No registra No No registra No No. registra registra No. indicadores registra provincia, registra Persona_id NOMBRE No. ID (RUC) calle número registra de ventas, apellido cantón y primer principal de calle origen activos y/o paterno parroquia nombre principal empleados 240457 TELLO CRESPO DIEGO FERNANDO 0104030523001 X 156467 NAULA CAYAMBE VALERIA ELISABETH 0104035720001 X 213259 CHINCHILIMA PESANTEZ JAIME CORNELIO 0104036520001 X 243242 HIDALGO CORDERO JUAN FERNANDO 0104040431001 X 195357 CARRILLO SERRANO VERÓNICA MARGARITA 0104040480001 X 207671 CHILLOGALLO REMACHI ANA EULALIA 0104043880001 X 83963 LOPEZ ABAD PABLO JOAQUIN 0104045729001 X 127636 AVILES LEON JOSE LUIS 0104046107001 X 157200 QUEZADA QUEZADA MAYRA KATERINE0104046297001 X 272395 QUITO FAICAN ANA LORENA 0104047667001 X 265883 ENRRIQUEZ TOCTO MARCELO RENE 0104049739001 X 142672 AYABACA CHALACO JULIO DAVID 0104050273001 X 226741 ORDOÑEZ GALVEZ JUAN PABLO 0104052451001 X 156582 PELAEZ JARA ANIBAL LIZARDO 0104053418001 X 125473 SINCHI MEJIA JOSÉ DANIEL 0104054291001 X 129870 BUENO CRUZADO JOSE VICENTE 0104056551001 X 137051 CASTRO TORRES SANTIAGO FERNANDO 0104056940001 X 190868 CHACA REINO WALTER BENITO 0104059209001 X 42945 CASTILLO ARIAS JORGE ESTUARDO 0104060355001 X 150162 SUSCAL MACHUCA DIGNA NIEVES 0104061296001 X 115640 MALDONADO CAJAS GEOVANNY MAURICIO 0104062294001 X 134429 PALLAZHCO JAYA PACO NOE 0104066857001 X 158605 RIVERA TORRES MABEL MARIANELA 0104069638001 X 67305 CALLE ARIZAGA MARCO ANTONIO 0104072376001 X 176926 CANDO BERMEO ANGEL RAFAEL 0104079694001 X 163954 MERCHAN ALVAREZ GLORIA INES 0104082284001 X 225048 PONCE ZAMBRANO MARÍA CRISTINA 0104089404001 X 105712 GUERRERO MERCHÁN MANUEL ANTONIO 0104091533001 X 218813 FAWCETT SAURIN JACQUELINE MARIA 0104105010001 X 178084 VIZHNAY DOMINGUEZ MANUEL SANTIAGO 0104106141001 X 111469 PIZARRO ORELLANA DAVID GUSTAVO 0104107560001 X
  • 58.
    No No registra No No registra No No. registra registra No. indicadores registra provincia, registra Persona_id NOMBRE No. ID (RUC) calle número registra de ventas, apellido cantón y primer principal de calle origen activos y/o paterno parroquia nombre principal empleados 168476 HEREDIA LEON CARLOS ROBERTO 0104117866001 X 155860 SANGURIMA GUNCAY WILSON NICOLAS 0104119771001 X 183381 PILLACELA GUANUQUIZA NARCISA DE JESUS 0104120688001 X 176944 FLORES MOLINA JOSE LUIS 0104124029001 X 204989 UGUÑA SARI ANA LUCÍA 0104124615001 X 249556 MATUTE TENEMAZA FRANKLIN GUSTAVO0104125281001 X 165936 ROCANO VALLADARES REINA ISABEL 0104129838001 X 126451 ANGUISACA ALVARES GLADYS TARGELIA 0104129846001 X 112564 ARIAS PULLA JUANA ELIZABETH 0104132998001 X 104803 ARIZAGA BERMEO JENDRY EDUARDO 0104134317001 X 49763 VITERI AGUILAR JORGE LUIS 0104135264001 X 51528 RODAS VÁSQUEZ ALFREDO GEOVANNY 0104138631001 X 178360 AGUIRRE DELGADO TARQUINO ROLANDO0104141189001 X 240844 CABRERA CAMPOVERDE ANDRES FERNANDO 0104146337001 X 235374 BUSTAMANTE NOBOA ANDRÉS SEBASTIÁN 0104152004001 X 186224 GUERRERO CALLE MARIA BERNARDA 0104155122001 X 204965 URGILÉS ALVAREZ MIGUEL PATRICIO 0104156450001 X 141651 QUINDI PICHASACA RUMIÑAHUI 0104157276001 X 228773 ORTIZ VERA VERONICA MARCELA 0104158902001 X 222196 GARCIA ARMIJOS ITALO ADRIAN 0104158928001 X 191297 VANEGAS MAURAD GLADYS MARGARITA 0104159967001 X 254766 PESANTEZ CHUQUI MARTHA CECILIA 0104165683001 X 166385 ALVAREZ RODAS FRANCISCO MOISES 0104167226001 X 212435 MATUTE MATUTE JUAN CARLOS 0104168885001 X 146981 PERALTA CARDENAS MARIA FERNANDA 0104172267001 X 222460 MENA AVILA CHRISTIAN GUSTAVO 0104172853001 X 186267 GUACHICHULCA ARIAS CHRISTIAN REINALDO 0104173794001 X 276267 GUAZHIMA PILLACELA NORMA ESPERANZA 0104175104001 X 110451 CEDILLO PAUTE IRENE ISABEL 0104176615001 X 234727 ORTEGA CARCHIPULLA JUAN CARLOS 0104185897001 X 270271 PAREDES QUINDE WILMER EDUARDO 0104187521001 X
  • 59.
    No No registra No No registra No No. registra registra No. indicadores registra provincia, registra Persona_id NOMBRE No. ID (RUC) calle número registra de ventas, apellido cantón y primer principal de calle origen activos y/o paterno parroquia nombre principal empleados 108488 TORRES FAJARDO MARIA VERONICA 0104197280001 X 210204 CANTOS ORTIZ OSCAR HUMBERTO 0104200266001 X 135719 RUIZ SANMARTÍN ANDRÉS FELIPE 0104200712001 X 142248 VÁSQUEZ BUSTOS JOSÉ LUIS 0104203369001 X 179115 CHIMBO CAMPOVERDE CARLOS ADRIAN104205000001 0 X 56853 LEÓN BRAVO CLARITA VERÓNICA 0104207444001 X 215673 ACURIO TORRES GABRIELA CAROLINA0104207840001 X 227383 VILLA CHUCHUCA CLAUDIO FERNANDO 0104209846001 X 158363 TENESACA TEPAN EZEQUIEL GONZALO 0104224290001 X 158132 PILLACELA IÑAMAGUA JAVIER BENIGNO 0104225016001 X 128651 ASTUDILLO LOOR ANDRES PATRICIO 0104230610001 X 257152 PATIÑO QUEZADA ANGEL MARCELO 0104233473001 X 223612 TACURI BUENO JOSE MANUEL 0104235429001 X 66741 VELEZ DIAZ KATHERINE JUDITH 0104235981001 X 177071 PESÁNTEZ CALLE MONICA ALEXANDRA 0104239546001 X 63973 MARCIA 0104240148001 X 167290 REINO PERALTA JOHN LIZARDO 0104241013001 X 212776 VINTIMILLA LOPEZ GALO ALFONSO 0104242896001 X 140604 TENESACA MOROCHO SEGUNDO AGUSTÍN0104244785001 X 212319 ORDONEZ LOPEZ SERVIO ABDON 0104249768001 X 161243 CABRERA CARDENAS MIRIAM MAGALI 0104251202001 X 229917 SAAVEDRA MACHUCA NORMAN ISRAEL 104251574001 0 X 40992 MARCELO 0104253059001 X 144010 CÁCERES BARRERA LUIS OLMEDO 0104254420001 X 215370 SERRANO CABRERA JOHANNA MARLENE 0104261094001 X 222272 PIZARRO ATARIGUANA NANCY ELIZABETH 0104271325001 X 103588 MOROCHO BERMEO JAIME PATRICIO 0104271432001 X 51243 JOHANNA 0104274808001 X 140981 COBOS VILLA BLANCA SUSANA 0104275136001 X 106566 GALÁN GALÁN JORGE ESTEBAN 0104278312001 X 22320 TENECOTA NIEVES SANDRA GABRIELA0104279120001 X
  • 60.
    No No registra No No registra No No. registra registra No. indicadores registra provincia, registra Persona_id NOMBRE No. ID (RUC) calle número registra de ventas, apellido cantón y primer principal de calle origen activos y/o paterno parroquia nombre principal empleados 57866 BLANCA 0104283064001 X 262717 CÁRDENAS PETROV KALOYAN PABLO 0104284484001 X 178306 ORELLANA FLORES DANIEL DAVID 0104285028001 X 181812 FLORES PADILLA CRISTIAN ERNESTO 0104288592001 X 198498 RAMON QUEZADA ERWIN PETER 0104288964001 X 58958 CARDENAS ORELLANA ANIBAL VICENTE0104290093001 X 97001 ZHICAY CARDENAZ ELIANA PRISCILA 0104293808001 X 181457 CALLE BARROS MARLENE ELIZABETH 0104294392001 X 156270 TOLEDO ZEAS ADRIANA ELIZABETH 0104295340001 X 158225 GALARZA MUÑOZ PRISCILA LORENA 0104295431001 X 253610 LIGER LUZURIAGA JUAN PABLO 0104295720001 X 159900 MURILLO VEGA JOSE ALFREDO 0104297452001 X 189667 ARÉVALO UGUÑA FREDDY ROLANDO 0104299110001 X 144725 ZHAGUI TENESACA JORGUE GIAVANY 0104303805001 X 184086 SUQUI SUQUI NELI CONCEPCÍÓN 0104304126001 X 86448 LÓPEZ SANTANDER WALTER ADRIAN 0104306451001 X 105344 JARA LLANOS MONICA MARICELA 0104320809001 X 124905 JIMENEZ TORAL JUAN PABLO 0104323217001 X 136659 CALLE ROMERO LUIS OLGER 0104339015001 X 71550 BACUILIMA ALVARRACÍN NARDO GABRIEL 0104339916001 X 174105 OCHOA QUEZADA MARIA ISABEL 0104348867001 X 217257 ORTEGA ORDOÑEZ CLAUDIA MARGARITA0104349022001 X 211622 LOPEZ AVECILLAS JUAN CARLOS 0104351754001 X 66372 TACURI PATIÑO FREDDY ROLENDIO 0104357025001 X 153387 AVILES AVILES MARCO FABIAN 0104361746001 X 229111 AGUILAR VELEZ VICTOR HUGO 0104367644001 X 181858 VEGA ALTAMIRANO CHRISTIAN VEGA 0104368246001 X 211996 TORRES BERMEO PEDRO ADRIAN 0104368584001 X 150007 BUESTÁN GUERRERO MILTON PABLO 0104369699001 X 111115 PAUCAR FLORES VERONICA PATRICIA 0104389184001 X 164423 GUERRERO BACUILIMA DIANA ELIZABETH 0104393152001 X
  • 61.
    No No registra No No registra No No. registra registra No. indicadores registra provincia, registra Persona_id NOMBRE No. ID (RUC) calle número registra de ventas, apellido cantón y primer principal de calle origen activos y/o paterno parroquia nombre principal empleados 112071 ROCANO CURILLO MELIDA NOEMI 0104399423001 X 132837 DELGADO ABAD JUAN CARLOS 0104406624001 X 125441 PERALTA FLORES DIEGO BINICIO 0104409446001 X 162886 NARVAEZ BRAVO MARIA CECILIA 0104419684001 X 132649 UYAGUARI YARI NANCY RAQUEL 0104420674001 X 148092 YANZA LEON PAUL SANTIAGO 0104421185001 X 262647 CAMPOS AMAYA KARLA VALERIA 0104426457001 X 211767 COBOS COBOS JHON FERNANDO 0104433438001 X 52720 CEDILLO CHICA MANUEL ROGERIO 0104434733001 X 180943 INGA GONZALEZ WILSON FERNANDO 0104439278001 X 248973 VELE LOPEZ OSWALDO RUBEN 0104442942001 X 172681 ABAD HUNTER GINA MARIA 0104443270001 X 273563 RODRIGUEZ PERALTA MIGUEL CESAR 0104447206001 X 192691 MOROCHO CHICAIZA WALTER GEOVANNY0104448725001 X 169094 LITUMA LLIVICURA SONIA JANETH 0104448956001 X 179558 TENESACA VERA DIEGO ALEJANDRO 0104456132001 X 191156 ARCOS ARMIJOS ELVIA PAULINA 0104461470001 X 236590 HURTADO CABRERA TANIA CRISTINA 0104461629001 X 202700 ERRAEZ TENESACA EDILMA NOEMI 0104472550001 X 208720 PANGOL ILLESCAS ALFONSO GEOVANNY0104482039001 X 112883 SUQUI PESANTEZ WASHINGTON OSWALDO 0104486634001 X 109553 MONTALEZA OCHOA MARÍA JOSÉ 0104486964001 X 119450 ONCE ONCE DAVID JOEL 0104493614001 X 181788 AGUIRRE CASTRO PAMELA JULIANA 0104497094001 X 201392 CÁRDENAS INGA MARÍA DEL CARMEN 0104504824001 X 207875 CARCHIPULLA ZHUNIO NOÉ ALBERTO 0104507751001 X 108097 TACURI LLIVICURA JORGE ISAAC 0104513197001 X 268472 FIGUEROA ULLAURI PATRICIO FERNANDO 0104515051001 X 161658 CARCHIPULLA TENECOTA MANUEL JESUS 0104527528001 X 227856 PENAFIEL MOSCOSO FRANKLIN MANUEL0104532627001 X 174397 HURTADO FAJARDO ERMEN WILFRIDO0104538731001 X
  • 62.
    No No registra No No registra No No. registra registra No. indicadores registra provincia, registra Persona_id NOMBRE No. ID (RUC) calle número registra de ventas, apellido cantón y primer principal de calle origen activos y/o paterno parroquia nombre principal empleados 258456 GUZMAN CHACON LILIANA MARIBEL 0104542873001 X 222692 PALACIOS ORDOÑEZ JOHANNA PRISCILA0104559448001 X 204175 GUACHUN GUACHUN WILSON ANDRES0104566492001 X 171575 LLIVICURA TIGRE SERGIO MARTIN 0104569918001 X 233877 GUAMAN MAXI LUZ MARIA 0104570791001 X 142382 GARCÍA TOLEDO VERÓNICA GABRIELA0104574355001 X 243096 GUARANGO FAJARDO ELIZABETH VERONICA 0104576566001 X 24987 UNKUCH GONZALEZ DIEGO FERNANDO 0104576673001 X 164410 LOZADA QUITO MARIA GRICELDA 0104577812001 X 105925 AVILA CASTRO CRISTHIAN RAFAEL 0104594676001 X 236224 UCHUPAILLE ZAMBRANO ANZHELA FERNANDITA 0104601745001 X 136445 PESANTEZ PESANTEZ FRANKLIN LEONEL0104604590001 X 243383 GUTAMA MISACANGO WILIAN IDALSO 0104606439001 X 264491 CABRERA LEON FRANKLIN PAUL 0104611769001 X 145911 LANDY CABRERA MIRIAM PATRICIA 0104611777001 X 165420 SOLA TENEPAGUAY EDISON CHRISTIAN 0104612908001 X 211512 PALTÍN MALDONADO GILBERT LEONARDO0104620737001 X 212894 GUASHA AGUIRRE JAIME ORLANDO 0104621495001 X 171829 OTAVALO CORAISACA JAIME MODESTO 0104622105001 X 135268 LAZO CASTRO PEDRO VICENTE 0104625306001 X 122400 CHIMBORAZO GUAMAN JUAN CARLOS 0104625900001 X 168697 PEÑARANDA LUCERO MILTON EDUARDO 0104629662001 X 145543 SEMPERTEGUI CÁRDENAS MARÍA CRISTINA 0104634613001 X 244263 PADILLA PLACENCIA JESSICA DANIELA0104640305001 X 146022 MALO LARREA DANIELA 0104647391001 X 141192 DAVILA AVILA LESLIE TATIANA 0104647912001 X 209197 SOTOMAYOR RODRIGUEZ ANA MARIA 0104649678001 X 96485 SEGARRA PACHECO PABLO SEGUNDO0104652078001 X 147971 MOROCHO CORREA CESAR MARCELO 0104652136001 X 149159 PACHAR MOROCHO MARÍA ANGELITA 0104654017001 X 268650 MEJIA MOROCHO FAUSTO ARMANDO 0104655097001 X
  • 63.
    No No registra No No registra No No. registra registra No. indicadores registra provincia, registra Persona_id NOMBRE No. ID (RUC) calle número registra de ventas, apellido cantón y primer principal de calle origen activos y/o paterno parroquia nombre principal empleados 104529 YUNGA PINTADO JORGE LUIS 0104659305001 X 226878 JIMBO SINCHI TANIA CAROLINA 0104663810001 X 239179 BONETE VALLADARES JUAN CARLOS 0104665526001 X 113116 GUAPISACA JUCA MIRIAM LEONOR 0104667951001 X 219916 FLORES FLORES ROTMAN YASMANI 0104679543001 X 265926 ALTAMIRANO CALLLE BLANCA CECILA 0104695119001 X 271755 LOJA QUITO LUCIO ALEJANDRO 0104701586001 X 227671 SARMIENTO PLAZA ISMAEL ANTONIO 0104702543001 X 231851 SOLIS CONTRERAS EDGAR PATRICIO 0104702626001 X 278982 AVILA MURILLO EDISSON MAURICIO 0104708086001 X 150300 TENECORA SUQUITANA JOSÉ MIGUEL 0104714217001 X 173762 TUQUIÑAGUI TACURI MARTHA LEONOR 0104717129001 X 106063 GUTIERREZ GONZALEZ WASHINGTON SANTIAGO 0104718168001 X 264243 ROJAS TENEMPAGUAY RUTH NOEMI 0104718978001 X 154377 LOPEZ ZUÑIGA ADRIANA MARICELA 0104722673001 X 56830 IDEART 0104735535001 X 151879 ESPANA BARAHONA CARLOS ALBERTO0104756820001 X 221763 GARCÍA ARMIJOS HERNÁN VINICIO 0104761069001 X 179626 YACILA CHORRES JULLISA MARISELA 0104761853001 X 265582 BERMEO FABIAN 0104766191001 X 113077 RIVERA GRANDA PAUL JAVIER 0104766498001 X 254880 GODOY RODAS DEIVI OSWALDO 0104769328001 X 106376 IDROVO CORONEL JENNY ROCIO 0104774583001 X 56849 PELAEZ CAMBIZACA MILTON MARCELO0104775135001 X 205552 ANDRADE VASQUEZ MANUEL RAUL 0104781166001 X 257074 PRIETO ALVAREZ TANIA PAMELA 0104783139001 X 241144 TACURI FAJARDO LUIS ALBERTO 0104785167001 X 184576 CORNEJO NARVAEZ FABIAN GEOVANNY104786272001 0 X 148794 HERAS CEDILLO MARÍA AUGUSTA 0104792395001 X 112110 CAGUANA ORELLANA RUTH PATRICIA 0104793518001 X 112149 GUAMAN SALAN MARTHA LIZETH 0104801063001 X
  • 64.
    No No registra No No registra No No. registra registra No. indicadores registra provincia, registra Persona_id NOMBRE No. ID (RUC) calle número registra de ventas, apellido cantón y primer principal de calle origen activos y/o paterno parroquia nombre principal empleados 15583 HERRAMIENTAS PARA CARROS 0104801873001 X 200382 SÁNCHEZ YUMBO BYRON OLMEDO 0104822705001 X 146802 VINTIMILLA LOPEZ JORGE LUIS 0104831060001 X 207784 FAREZ CHALCO DELIA MARGARITA 0104833447001 X 114435 REINO VIVANCO ANDRES AGUSTIN 0104843677001 X 107124 NARANJO VACA MARIA EUGENIA 0104846860001 X 140752 GONZÁLEZ AVILA DIEGO FERNANDO 0104850516001 X 236913 PINA PINA CLAUDIA VANESSA 0104853528001 X 132122 SANCHEZ ZAMORA MARIA GABRIELA 0104853726001 X 106351 GARCIA CANTOS GUISELLE FERNANDA0104855077001 X 121081 CORREA BARAHONA ALICIA BEATRIZ 0104857610001 X 106556 GUAMÁN SALÁN MARIBEL EMPERATRIZ0104859046001 X 243779 TORRES ABAD SANDRA MAGALI 0104863071001 X 152496 PARRA CORONEL BRYAND DARIO 0104863097001 X 132464 LOJA LOJA MARIA DOLORES 0104867445001 X 198320 BALAREZO TIGRE MIGUEL ANTONIO 0104869177001 X 256281 ORDONEZ PALOMEQUE PAOLA JACKELINE0104879002001 X 203372 SOLANO RAMON HERNAN MAURICIO 0104898804001 X 163889 MARQUEZ MERCHAN FRANKLIN IVAN 0104924618001 X 205747 LLIVICHUZHCA UYAGUARI MARIA CECILIA 0104941141001 X 247556 SEGOVIA GRANDA CARLOS ISRAEL 0104944665001 X 140675 MACANCELA URDIALES WILSON GEOVANNY 0104950894001 X 226001 QUEZADA PACHAR JESSICA SARA 0104953369001 X 48546 PLAZA MOROCHO CRISTIAN JHONNY 0104957857001 X 143307 CRIOLLO NIVELO JORGE RODRIGO 0104968318001 X 130333 CAJAMARCA ZHICAY MELIDA JUDITH 0104969803001 X 209395 ASTUDILLO GUILLEN DIEGO BOLIVAR 0104971106001 X 265730 TORRES ARÉVALO JACQUELINE ANDREA 0104972765001 X 241633 ASTUDILLO CAMBI VERONICA VANESSA 0104981303001 X 148281 LLIVISUPA CUSCO ADRIANA MARINA 0104994553001 X 223312 CACERES YUPANGUI PEDRO FERNANDO 0105006860001 X
  • 65.
    No No registra No No registra No No. registra registra No. indicadores registra provincia, registra Persona_id NOMBRE No. ID (RUC) calle número registra de ventas, apellido cantón y primer principal de calle origen activos y/o paterno parroquia nombre principal empleados 106350 RODRIGUEZ CARCHIPULLA JOHANNA NATALIA 0105012660001 X 106675 DELEG GUAZHA NANCY ROSARIO 0105013973001 X 175402 PIEDRA MINGA ADELAIDA JULIETA 0105017826001 X 235188 MOROCHO PIEDRA MAYRA CUMANDA 0105018139001 X 141841 FAJARDO SALTO WILMER FELIPE 0105024350001 X 264329 QUICHIMBO MIGUITAMA IVÁN MARCELO 0105031967001 X 106567 SUMBA VEGA ANGEL ISRAEL 0105034755001 X 133542 ORTIZ SEGARRA REYNA ISABEL 0105037550001 X 276035 PEÑALOZA TERREROS JENNY PATRICIA 0105041008001 X 147400 PATIÑO CABRERA MERCY ELISABETH 0105061212001 X 226704 SOSORANGA MOROCHO NEIL ALEXANDER 0105072730001 X 148133 QUEZADA OCHOA LEANDRO DAMIAN 0105073175001 X 227904 ARIAS MOSCOSO JUAN DIEGO 0105073803001 X 262390 RIVERA FLORES ANGEL FLORENCIO 0105077937001 X 56213 LLIVISACA AYALA DIEGO FERNANDO 0105082994001 X 166982 JADÁN JUELA WILSON LUCIANO 0105092514001 X 161309 GRANDA AVILA MARCELO FABIÁN 0105094866001 X 268743 GALVIS BAILÓN MARÍA VERÓNICA 0105100978001 X 259129 CAPELO QUIROLA PEDRO FERNANDO 0105106330001 X 237997 MEJIA MORALES MARIA CRISTINA 0105109219001 X 109469 CAJAMARCA CUJI JULIO EDUARDO 0105121271001 X 217587 GUAMAN GARNICA JUAN PABLO 0105126916001 X 123787 QUINDE PANJON SILVIA SUSANA 0105148308001 X 123399 ZHIÑIN QUIZHPI DIANA ALEXANDRA 0105151062001 X 272496 MALO LARREA JUAN ALBERTO 0105163059001 X 258135 ZALAMEA PESANTEZ PAUL ANDRES 0105167571001 X 215835 PAÑI ROJAS RUTH ALEXANDRA 0105170054001 X 103152 FIGUEROA BRAVO STALIN DAVID 0105189070001 X 216252 MUEVECELA GALARZA MARIO RODOLFO0105190789001 X 259666 LANDY VERDUGO XAVIER PATRICIO 0105192801001 X 158199 ENRIQUEZ PATIÑO MARCIA JANETH 0105208045001 X
  • 66.
    No No registra No No registra No No. registra registra No. indicadores registra provincia, registra Persona_id NOMBRE No. ID (RUC) calle número registra de ventas, apellido cantón y primer principal de calle origen activos y/o paterno parroquia nombre principal empleados 163986 PARRA BUESTAN JOSE FERNANDO 0105208771001 X 142519 GOMEZ MORALES DIANA ELIZABETH 0105212948001 X 220284 ORTEGA MARCA ELIANA MARCELA 0105233571001 X 194743 MOSCOSO HURTADO ROBERTO CARLOS 0105253546001 X 130367 ALBARRACÍN MÉNDEZ JENNY PILAR 0105259998001 X 174729 MOLINA AVENDAÑO VICTOR EDUARDO0105260772001 X 126550 ULLAURI HERNANDEZ DIANA EULALIA 0105263446001 X 169448 SANMARTIN QUEZADA DORA ELIZABETH0105280846001 X 235289 ESTRADA CEVALLOS BOLIVAR XAVIER 0105284665001 X 198447 FAJARDO CARPIO RUBEN MAURICIO 0105286512001 X 198492 FAJARDO CARPIO JANETH MARITZA 0105286520001 X 262424 YUPANGUI ABAD GALO XAVIER 0105287064001 X 198982 GUERRERO SANMARTIN WILMER ALEJANDRO 0105324354001 X 212489 DELEG CAJAS MARCO ESTEVAN 0105324990001 X 204601 GUANUCHE CAPA ROSA ELIZABETH 0105325096001 X 143099 LAZO ORELLANA JORGE MECIAS 0105333744001 X 233631 LEON MOLINA CARLOS ALEJANDRO 0105423032001 X 185039 QUIZHPI LOJA MAYRA LIZETH 0105426209001 X 265645 CALLE FLORES JUAN GABRIEL 0105472922001 X 223383 COYAGO SUCUSHAÑAY RONALD LUCIANO0105474407001 X 159444 JIMENEZ CARPIO BENITO EUGENIO 0105486435001 X 111042 BONILLA TORRES SANDRO MANUEL 0105490379001 X 168593 SANMARTIN CAPON ROSA SOLEDAD 0105505929001 X 200783 ORTEGA ORTEGA VERONICA FERNANDA 0105547079001 X 220664 IDROVO CASTRO JORGE LUIS 0105547319001 X 127151 VERA ATARIGUANA HEYDY ELIZABETH 0105552111001 X 217296 MOROCHO ORDOÑEZ PEDRO FERNANDO 0105590111001 X 156422 CORONEL ESPINOSA JESSICA CATALINA 0105605182001 X 262391 GARCIA AVILA CARMEN ISABEL 0105615959001 X 268339 JARA AVILA PEDRO XAVIER 0105622179001 X 199018 URGILES CLAVIJO JUAN SEBASTIAN 0105627111001 X
  • 67.
    No No registra No No registra No No. registra registra No. indicadores registra provincia, registra Persona_id NOMBRE No. ID (RUC) calle número registra de ventas, apellido cantón y primer principal de calle origen activos y/o paterno parroquia nombre principal empleados 57550 MENDEZ MENDEZ BAYRON RAUL 0105634356001 X 196385 MONTAÑO PESANTES RONALD DANNY 0105636708001 X 151283 MENDOZA PUMA MARIA AUGUSTA 0105686349001 X 263193 SANTOS QUEZADA LUIS GUSTAVO 0105690820001 X 162607 RAMÓN RAMÓN MERCY JANNETH 0105695449001 X 147318 PAUCAR ARMIJOS JAVIER AGUSTÍN 0105695753001 X 106483 ILLESCAS SANMARTIN DIGNA ISABEL 0105730790001 X 263588 NAULA BARRERA DAVID VICENTE 0105773436001 X 234046 HERNANDEZ JAUREGUI MARCELA 0105778682001 X 219668 MOSCOSO ZUÑIGA DIEGO ENRIQUE 0105798680001 X 112081 ENRIQUEZ LOJA JUAN CARLOS 0105839211001 X 41713 CERVANTES MELENDEZ EMERSON ANTONIO 0105864029001 X 118059 MENDIETA SICHIQUE LILIANA MARISOL0105889463001 X 142140 CARCHI LOJA VICTOR ALCIDES 0105930861001 X 142563 ZHINGRI LALVAY CARLOS ALBERTO 0105931315001 X 178037 EMRI 0106000093000 X 279422 TUAPANTE MOROCHO MARIA EUGENIA 0106031198001 X 139912 PÉREZ AYORA OSCAR JOSELITO 0106045941001 X 215072 VALDEZ JIMBO WILSON PATRICIO 0106048515001 X 237519 NIVICELA VILLA TANIA MAGALY 0106063050001 X 240676 ORDOÑEZ AVILES MARIA CRISTINA 0106066293001 X 39494 COCKER ANDREW EDWARD 0106275381001 X 143228 FERNANDEZ AREVALO JENNY MARIBEL0106351596001 X 239443 MOYA MARTINEZ NELSON GABRIEL 0106396880001 X 133126 ZHUNIO ORTEGA FANY PATRICIA 0106482227001 X 161190 MORA IÑAGUAZO BOLÍVAR ALEXANDER 0106506355001 X 232821 FAICAN ARAUJO JAZMIN PRISCILA 0106614712001 X 174854 CHALCO LARGO DANILO LEONARDO 0106676737001 X 220286 CARCHI PUNÍN LILIAN NARCISA 0106712102001 X 183044 TORRES MARTINEZ ISMAEL 0106751654001 X 260364 VIZHÑAY BARRERA DIANA MARIELA 0107125783001 X
  • 68.
    No No registra No No registra No No. registra registra No. indicadores registra provincia, registra Persona_id NOMBRE No. ID (RUC) calle número registra de ventas, apellido cantón y primer principal de calle origen activos y/o paterno parroquia nombre principal empleados 222030 DE SANTIS PIRAS ANDREA 0107261067001 X 35028 UNIVERSIDAD TECNICA PARTICULAR DE LOJA 0119006872900 X 49047 MUNICIPIO DE BABAHOYO 0126000022000 X 226995 UNIVERSIDAD TÉCNICA 0136000209000 X 177367 PATRONATO PROVINCIAL DE SERVICIO0146002404000 SOCIAL DEL GOBIERNO DE MORONA SANTIAGO X 38126 GOBIERNO MUNICIPAL ARCHIDONA 0156000043000 X 210693 ING. LUIS CAJAMARCA E. 0160040500300 X 77443 PETROCOMERCIAL 0176803770000 X 125403 FACULTAD DE CIENCIAS ECONOMICAS 0176809183000 CENTRAL ECUADOR UNIVERSIDAD X 211617 BALNEARIOS DURAN S A 0190001237001 X 92602 CERAMICA ANDINA C. A. 0190002071001 X 51055 CUENCA BOTTLING COMPANY C.A. 0190003647001 X 6455 TUBERIA GALVANIZADA ECUATORIANA0190004643001 S. A. X 6475 FABRICA DE RESORTES VANDERBILT S. A. 0190004678001 X 2329 COMPAÑIA ECUATORIANA DEL CAUCHO SA 0190005070001 X 161035 CLINICA DE ESPECIALIDADES MEDICAS0190006808001 SANTA INÉS S.A. X 87249 EL TIEMPO CIA. LTDA. 0190007049001 X 6127 ALMACENES JUAN ELJURI CIA. LTDA. 0190007510001 X 121364 UNIVERSIDAD CATOLICA DE CUENCA 0190032981001 X 972 PLASTICOS RIVAL CIA. LTDA. 0190050033001 X 104064 CONSTRUCTORA DE CAMINOS S.A. 0190054314001 X 15260 TECNICENTRO DEL AUSTRO 0190061884001 X 38220 C.E.M AUSTROGAS 0190070301001 X X X 59936 GERARDO ORTIZ E HIJOS CIA. LTDA. 0190072002001 X 89180 COOPERATIVA DE CONSUMO UNIVERSIDAD DE CUENCA 0190080994001 X 46010 HORMIGPOSTEC CIA. LTDA. 0190084205001 X 80316 CONSULCENTRO CIA LTDA 0190084558001 X 73792 CUENCAORO HOTELERA CUENCA S.A. 0190085376001 X 59436 EL CARRUSEL CIA.LTDA 0190085503001 X 191242 CONSTRUCTORA MEJIA CIA. LTDA. 0190089371001 X 207635 CYMCIALTDA 0190094065001 X
  • 69.
    No No registra No No registra No No. registra registra No. indicadores registra provincia, registra Persona_id NOMBRE No. ID (RUC) calle número registra de ventas, apellido cantón y primer principal de calle origen activos y/o paterno parroquia nombre principal empleados 84225 PLASTIAZUAY S.A. 0190096343001 X 245689 ROLANDO RIOS CIA. LTDA. 0190097781001 X 181243 PROKLINER COMPAÑIA PROFESIONAL DE LIMPIEZA 0190101452001 X 103142 COMERCIAL AVILA OCHOA CIA. LTDA. 0190101576001 X 46497 HIDROINSTALACIONES Y SERVICIOS AFINES HIDROSA S.A. 0190103110001 X 116378 HORMIGONES Y PISOS CIA. LTDA. 0190103536001 X 77658 ZIONSEGUROS CIA. LTDA. 0190108996001 X 27451 ALMACEN FABIAN CARVALLO CIA. LTDA0190109127001 X 172571 COOPERATIVA DE CONSUMO DE ARTICULOS DE PRIMERA NECESIDAD UNE DEL AZUAY 0190109844001 X 145668 LAS FRAGANCIAS CIA. LTDA. 0190111881001 X 135630 CAMARA DE LA CONSTRUCCION DE CUENCA 0190117693001 X 88266 CONFERENCIA SAN VICENTE DE PAUL 0190118312001 X 205741 FUNDACION PAUL RIVET 0190118894001 X 6351 GRAIMAN CIA. LTDA. 0190122271001 X 193523 COLEGIO DE INGENIEROS ELECTRICOS Y ELECTRONICOS DEL AZUAY 0190124266001 X 7026 SINTECUERO S.A. 0190133346001 X 21589 CONSTRUARIAS CIA LTDA 0190133753001 X 61568 CONSTRUARIAS CIA LTDA 0190133753001 X X X 144291 FUNDACION HUMANITARIA PABLO JARAMILLO CRESPO 0190136094001 X 107209 IMPORTADORA MERCANOVA CIA LTDA 0190141411001 X 10968 DISTRIBUIDORA JOSE VERDEZOTO CIA0190146596001 LTDA X 11735 ALVAREZ LARREA EQUIPOS MEDICOS 0190146677001 X 61914 ORTIZ & JACOME DE COMERCIO CIA. LTDA 0190147398001 X 82397 GENEROS ECUATORIANOS ECUAGENERA CIA LTDA 0190147983001 X 98864 SOCIEDAD ECUATORIANA DE CALIDAD 0190148416001 Y PRODUCTIVIDAD X 261572 ASOCIACION DE TOQUILLEROS MARIA AUXILIADORA 0190148718001 X 221048 OFTALMOLASER DIAGNOSTICO Y TRATAMIENTO OFTALMOLOGICO CIA. LTDA. 0190149048001 X 31967 INDUSTRIAS GRAFICAS 0190149285001 X 268685 FORCONT FORMAS Y CONTRASTES CIA. LTDA. 0190150070001 X 238190 AUTOMOTORES DE COMERCIO TRINIDAD-TRINITY CIA. LTDA. 0190150119001 X 69997 CENTRO DE DESARROLLO E INVESTIGACION RURAL 0190150801001 X
  • 70.
    No No registra No No registra No No. registra registra No. indicadores registra provincia, registra Persona_id NOMBRE No. ID (RUC) calle número registra de ventas, apellido cantón y primer principal de calle origen activos y/o paterno parroquia nombre principal empleados 155337 COMERCIAL Y COMISARIATO ECONOMICO 0190151867001 X 89947 EMPRESA AZUAYA DE READIODIFUSION Y TELEVISION EMART CIA. LTDA. 0190152006001 X 123527 CENTRO INTERANDINO DE DESARROLLO 0190152030001 X 58252 ADAPAUSTRO S.A. 0190152197001 X 202651 SINDICATO DE CHOFERES PROFESIONALES DEL CANTON GUALACEO 0190153355001 X 33935 FUNDACIÓN DEL DEPORTE 0190153487001 X 86709 DISTRIBUIDORA DE TABLEROS DEL AUSTRO S.A 0190153711001 X 30684 UNIÓN REGIONAL DE ORGANIZACIONES CAMPESINAS DEL LITORAL 0190153797001 X 41308 DURAPLAST S.A. 0190153827001 X 8021 TRACTOCOMERCIO CIA. LTDA. 0190154696001 X 149241 FUNDACIÓN AYUDA MUTUA 0190155277001 X 24178 COOPERATIVA DE TRASNPORTE PESADO COLA DE SAN PABLO 0190155641001 X 268644 JORGE EDUARDO ARPI Y ASOCIADOS CIA.LTDA. 0190156354001 X 84957 ISOLLANTA CIA. LTDA. 0190156389001 X X X 100393 COMERCIAL ASTUCOR SA 0190156702001 X 48614 SUMINISTRO PRODUCTOS 0190156877001 X 42535 AUSTROCOPY S. A. 0190157598001 X 89959 RADIOACTIVA FM 88 CIA. LTDA 0190157849001 X 109991 COMPAÑIA MINERA ROOKAAZUL CIA LTDA. 0190158616001 X 271036 COMERCIAL PALACIOS REYES CIA. LTDA. 0190158802001 X 40441 COMPUTADORAS Y FACILIDADES CIA. LTDA. 0190159205001 X 106047 INDUSTRIA MECANICA AVILA GARCIA CIA. LTDA. 0190159329001 X 65739 ASETRONIX CIA.LTDA. 0190159337001 X 172356 COMERCIALIZADORA JUAN CARLOS ESPINOSA VINTIMILLA CIA. LTDA. 0190159663001 X 42979 FUNDACIÓN JATUN KAWSAY 0190160386001 X 218258 CARRASCO Y CARRASCO C Y C CIA. LTDA. 0190166813001 X 81024 HERRERA Y ASOCIADOS ALLCHOG H&A CIA. LTDA 0190166856001 X 102279 PARTACCESORIOS PARTES Y ACCESORIOS0190167364001 X 211060 PIGGIS EMBUTIDOS PIGEM CIA. LTDA. 0190167976001 X 9614 SENALX 0190168417001 X 205680 CONSTRUCTORA JARAMILLO Y JARAMILLO CIA LTDA. 0190168751001 X
  • 71.
    No No registra No No registra No No. registra registra No. indicadores registra provincia, registra Persona_id NOMBRE No. ID (RUC) calle número registra de ventas, apellido cantón y primer principal de calle origen activos y/o paterno parroquia nombre principal empleados 104618 COMERCIAL LUNA PAZMIÑO CIA LTDA 0190168824001 X 141570 AUSTROCARGA CIA. LTDA. 0190169669001 X 47731 ELECTROCEREQU 0190169782001 X 188392 AGROCARRASCO 0190170292001 X 90833 AGROTA CIA. LTDA. 0190170322001 X 138445 FUNDACIÓN CORAZONES FRATERNOS 0190300218001 CORFRA X 163857 COOPERATIVA DE TRANSPORTES EN TAXIS EL SOL 0190301567001 X 153626 ESCUELA ESPECIAL SAN JOSÉ DE CALASANZ 0190302008001 X 109971 CAMARA DE COMERCIO ECUATORIANO-AMERICANA 0190303705001 X 153984 ASOCIACION DE PRODUCCION MANOS 0190304825001 UNIDAS X 179131 ASOCIACION UNION Y PROGRESO LA ASUNCION 0190304868001 X 249069 FUNDACION SER 0190306887001 X 71579 INMOBILIARIA Y COMERCIAL MODASA S.A. INCOMODASA 0190307859001 X 31414 QUIMICALZEN CIA. LTD 0190307883001 X 81836 NEGOCIOS AUTOMOTRICES NEOHYUNDAI S.A. 0190310647001 X 114747 COMERCIALIZADORA ECOVIHGA CIA. LTDA. 0190310981001 X 40677 CONSTRUCCIONES RODAS ROMAN CIA. LTDA. 0190312585001 X 85571 SERVICIOS Y COMERCIO 0190312801001 X 74227 CRESPO VEGA JOSE LUIS 0190313115001 X 103591 PEMALU CIA. LTDA. 0190314375001 X 179421 VIDRIOS DEL AUSTRO 0190315045001 X 170246 MUSIC AND PROGRAMS 3 CIA. LTDA 0190316033001 X 111462 EDLATEX CIA. LTDA. 0190316521001 X 169511 HOSPITAL DEL RIO HOSPIRIO S.A. 0190316564001 X 99732 VITRINAS SUPERNORDICOS CORONA MANRIQUE E HIJOS CIA LTDA 0190317161001 X 135734 SOCIEDAD DE HECHO MINAS HUASCACHACA 0190318044001 X 148042 CREIAD SOCIEDAD DE HECHO Y CUENTAS EN PARTICIPACION 0190318486001 X 108306 VICARÍA PASTORAL DEL SUR 0190318524001 X 32526 ALHIEDSUR CIA. LTDA 0190318613001 X 213685 INTELLITEAM CIA LTDA 0190318656001 X 264340 MUEBLES CLASSIC COLLECTION KARPINTESA CÍA. LTDA. 0190318664001 X
  • 72.
    No No registra No No registra No No. registra registra No. indicadores registra provincia, registra Persona_id NOMBRE No. ID (RUC) calle número registra de ventas, apellido cantón y primer principal de calle origen activos y/o paterno parroquia nombre principal empleados 156088 VENTA DE PLANTAS FORESTALES 0190320480001 X 132587 TRANSPORTE NARIGUINA 0190320618001 X 21195 SERVICIO DE SEGURIDAD Y VIGILANCIA SERSEIVI CIA. LTDA. 0190320839001 X 148048 ASOCIACION DE PRODUCCION UNION Y TRABAJO GUEL 0190321827001 X 143893 ALIANZA Y PROGRESO 0190321940001 X 230335 PEJOJA CIA. LTDA 0190322068001 X 72101 NAPOLEON QUEZADA E HIJOS 0190322173001 X 123111 VOLGUAL CIA. LTDA. 0190322203001 X 153243 ASOCIACION DE PRODUCCION SININCAY0190322319001 X 118462 REPRESENTACIONES DISTEIMPORT CIA. LTDA. 0190322408001 X 154614 ASOCIACION DE PRODUCCION LA ESPERANZA 0190322416001 X 177547 MULTIFAMILIARES TRES DE NOVIEMBRE BLOQUE 8-9 0190322556001 X 228425 COOPERA LTDA 0190322637001 X 56362 ROMEL URGILES CONSTRUCTORES CIA LTDA 0190322874001 X 143463 NUEVO AMANECER 0190323145001 X 95519 ELECTRONICA Y TELECOMUNICACIONES ELYTFECOMP CIA. LTDA. 0190324125001 X 67674 COMERCIAL PALACIOS PALACIO 0190324737001 X 147331 DISTRIBUCIONES Y COMERCIO OCHOA0190324907001 AVILA CIA.LTDA X 204442 CORPORACION PARA EL DESARROLLO0190325792001 LA MICRO Y PEQUEÑA EMPRESA DEL ECUADOR CODEMYPE SOSTENIBLE DE X 244047 ARQUITECTURA IMAGEN Y PRODUCCION ARQUIPROD CIA. LTDA. 0190325903001 X 163631 COMBUSDER CIA. LTDA. 0190326071001 X 35253 ZAMORA CARVALLO JUAN FRANCISCO 0190326624001 X 30953 MUEBLES BIENSTAR CORONEL CONTRERAS MUBINSCORCON CIA. LTDA. 0190326764001 X 70469 CORPORACION INCUBADORA DE EMPRESAS DEL AUSTRO 0190326969001 X 199563 CENTRO DE DIAGNOSTICO POR IMAGENES 0190327809001 X 166355 TAPIA SAAVEDRA CIA. LTDA. 0190328058001 X 59428 SOLUCIONES INTEGRALES DE GERENCIA DE RIESGOS C.A SOINGER 0190328171001 X 212476 CREHABIT 0190328570001 X 118771 EDITORIAL GRULLAMERLUC CIA. LTDA.0190328724001 X 27335 HOLIDATSERV CIA. LTDA. 0190329119001 X 60834 CASTVISE CIA. LTDA. 0190329461001 X
  • 73.
    No No registra No No registra No No. registra registra No. indicadores registra provincia, registra Persona_id NOMBRE No. ID (RUC) calle número registra de ventas, apellido cantón y primer principal de calle origen activos y/o paterno parroquia nombre principal empleados 186185 CONSTRUCTORA Y MAQUINARIAS CHACON CIA. LTDA. 0190330222001 X 185476 GRANISTONE 0190331660001 X 198624 LOGISTALMADEC CIA. LTDA. 0190333329001 X 114994 GLOCALIZACION & TECNOLOGIAS EXTREM CIA LTDA 0190333485001 X 166470 R & R CONSTRUCCIONES 0190333523001 X 233083 HORMIGONES DEL AZUAY CIA. LTDA. 0190333825001 X 248512 MOTORALMOR CIA. LTDA 0190333973001 X 92891 EMPRESA VIAL DEL AZUAY EMVIAL S.A.0190333981001 X 270892 PROYECTOHABIT CIA. LTDA. 0190334651001 X 42008 FUNDACION COMPROMISO Y BIENESTAR 0190334716001 X 114384 SANILSA DISTRIBUIDORA DE ALIMENTOS CIA LTDA 0190335194001 X 141317 EQUIPAMIENTOS ARQUITECTONICOS Y URBANOS ARQURB CIA LTDA 0190335399001 X 103693 OLAVE VARGAS TATIANA 0190335488001 X 86857 JARQUIFAR COMPAÑIA LIMITADA 0190336298001 X 153494 RESS(RESTAURANTES, ENTRETENIMIENTO Y SERVICIOS 0190336646001 X 88795 ASOCIACION DE CONSERVACION VIAL GUALACEO LA VIRGEN 0190336751001 X 228347 SERVICIO AUTOMOTRIZ MAORGO CIA. LTDA. 0190337391001 X 50603 COMPANIA DE CONSTRUCCION DE OBRAS CIVILES Y ALQUILER DE MAQUINARIA PINOS VERDUGO CONSTRUCTORES C.A. 0190337669001 X 154768 SOLINAG CIA LTDA 0190337898001 X 83605 SAGITTA 0190338185001 X 144826 BPHARMALATAM 0190339165001 X 145494 ASOCIACION DE PRODUCCION LA LIBERTAD 0190339408001 X 144032 COMERCIO Y DISTRIBUCIONES DEL SUR (CODISUR CIA LTDA) 0190339505001 X 22226 INDUSTRIAS TECNOLOGICAS ALVAREZ0190341003001 CIA. LTDA. X 241741 MAQUINARIA Y COMERCIO ORDOÑEZ PATIÑO MCO CIA. LTDA. 0190341135001 X 37800 NEOAUTO S.A. 0190341526001 X 84197 PUNTOEVENT CADENA DE ALIMENTOS 0190342166001 S.A. X 64296 COMPAÑIA ANONIMA DE TRANSPORTE 0190342255001 DEL AUXILIO TRANSRELIO PESADO REINA X 46354 CONSTRUCTORA DE SOLUCIONES HABITACIONALES 0190342433001 X 118301 SPACEGROUP S.A. 0190342441001 X 167932 ASOCIACION DE CONSERVACION VIAL SANTA ISABEL 0190342581001 X
  • 74.
    No No registra No No registra No No. registra registra No. indicadores registra provincia, registra Persona_id NOMBRE No. ID (RUC) calle número registra de ventas, apellido cantón y primer principal de calle origen activos y/o paterno parroquia nombre principal empleados 77113 CORPMOSA CIA. LTDA. 0190342689001 X 32187 HDH CONSTRUCCIONES 0190342697001 X 116929 BURGUÉS CÍA. LTDA. 0190342824001 X 77235 ASOCIACIÓN DE CONSERVACIÓN VIAL LÉNTAG 0190342972001 X 178911 MICROEMPRESA ASOCIATIVA JUNTOS PODEMOS 0190343316001 X 208865 ANDEANTRACTOR 0190343553001 X 144471 ESTACION DE SERVICIO VAZGAS S.A. 0190343588001 X 148687 CIRKO ENGINEERING FLUIDOCONTROL CIRKOENG CIA LTDA 0190344231001 X 202005 ALUMBRA IMPORT S.A. 0190345440001 X 121824 MEGASYSTEL INC. CIA. LTDA. 0190345807001 X 214174 TRANSHARRIS CIA LTDA 0190346064001 X 173053 CONSTRUCTORA ARGUDO CIA. LTDA. 0190347206001 X 216287 IMPORTADORA ARGUDO CIA.LTDA. 0190347222001 X 199690 CARROCERIAS ESPECIALES FAICAN 0190347303001 X 175831 TRANSPORTE Y SERVICIO DE MATERIALES PETREOS TRANSTAPIA SA 0190347567001 X 181283 MICROEMPRESA ASOCIATIVA VIALIDAD0190347591001 Y PROGRESO X 181319 MICROEMPRESA ASOCIATIVA PAUTE 0190347613001 X 180850 MICROEMPRESA ASOCIATIVA ESPERANZA Y FUTURO 0190347893001 X 158630 MICROEMPRESA ASOCIATIVA NUEVOS 0190347931001 SENDEROS X 173676 MICROEMPRESA ASOCIATIVA CAMINOS DEL FUTURO 0190347958001 X 161087 MICROEMPRESA ASOCIATIVA SAN VICENTE DE PAÚL 0190347966001 X 145751 MICROEMPRESA ASOCIATIVA TURI PROGRESISTA 0190348008001 X 147728 DISTRIBUIDORA VASQUEZ ORDOÑEZ DISTRIVASOR CIA LTDA 0190348016001 X 158739 MICROEMPRESA ASOCIATIVA GRANDA 0190348083001 CENTENO X 170010 MICROEMPRESA ASOCIATIVA SAN ANDRES DE CHECA 0190348091001 X 145711 MICROEMPRESA ASOCIATIVA VIRGEN DEL ROSARIO 0190348318001 X 194691 DADA CIA. LTDA. 0190348601001 X 19265 COAMBIAUSTRO CÍA. LTDA. 0190348865001 X 211324 CORPORACION CAMPESINA MAZAR JATARISHUM PADRE RAFAEL GONZALEZ SOLORZANO 0190348954001 X 63497 SWISSANDESTEL 0190349160001 X 87079 TRANSCOTABE S.A. 0190349837001 X
  • 75.
    No No registra No No registra No No. registra registra No. indicadores registra provincia, registra Persona_id NOMBRE No. ID (RUC) calle número registra de ventas, apellido cantón y primer principal de calle origen activos y/o paterno parroquia nombre principal empleados 107476 ALTERNATIVAS AL DESARROLLO PARA0190350266001 EL AZUAY X 67821 LIMA PEREZ MANUEL 0190350282001 X 91426 DISEÑO Y CONSULTORIA DE TECNOLOGIA DE LA INFORMACION 0190350339001 X 248464 CONSTRUSANMAR 0190350347001 X 82591 ARTEAGA SARMIENTO MARIA DOLORES 0190350878001 X 112697 ROCANOS ASOCIADOS 0190351130001 X 93276 GEOIDE CIA. LTDA. 0190351270001 X 89012 CONSORCIO MORONA 0190352390001 X 233871 AGRICOLAS PARA EL CAMPO Y VETERINARIA AGRICAV CIA LTDA 0190352455001 X 133445 JAIME ORTEGA PAZMIÑO JOP INGENIERIA ELECTRICA CIA LTDA 0190352757001 X 180492 EJECUCIÓN DE ESTUDIOS DE DIAGNÓSTICO POR IMAGEN 0190352765001 X 150689 MICROEMPRESA ASOCIATIVA BAÑOS 0190352900001 X 151160 CONSULTORA AMBIENTAL AYSANA CIA. LTDA. 0190352978001 X 269366 AIRCUENCA S.A. 0190353222001 X 134494 CONSTRUCTORA DIEMAR CÍA. LTDA. 0190353664001 X 185561 CRISTALES DEL AUSTRO S.A 0190353761001 X 237510 ELTELYCON CIA. LTDA. 0190356639001 X 154975 ASOCIACION DE CONSERVACION VIAL LUZ DEL SUR 0190357163001 X 155997 ASOSIACION DE CONSERVACION VIAL CAMINO AL PROGRESO 0190357317001 X 204136 MARIA ANGELA FLORES E HIJOS CIA.LTDA. 0190357384001 X 190216 ASOCIACION DE TRUCHICULTORES DE0190357554001 SHAGLLI X 194767 GASOLINERA BELTRAN E HIJOS CIA LTDA 0190357759001 X 176390 CONSULNEIRA CIA. LTDA. 0190358380001 X 244139 TOJARICIALTDA 0190358526001 X 183815 ESPERANZAS DEL FUTURO 0190358925001 X 277049 VTOURS CIA LTDA 0190359050001 X 187350 MAQUITRAC CIA LTDA 0190359115001 X 219364 AGROAUSTRO CIA LTDA 0190359123001 X 187568 ASOCIACION DE CONSERVACION VIAL RIO NEGRO 0190359158001 X 211018 FUNDACION DE DESARROLLO INTEGRAL PARA EL SER HUMANO SENDERO DE LUNA 0190359905001 X 249940 FUNDACION ESCUELAS LIBRES DE INVESTIGACION CIENTIFICA PARA NIÑOS ELIC 0190360520001 X
  • 76.
    No No registra No No registra No No. registra registra No. indicadores registra provincia, registra Persona_id NOMBRE No. ID (RUC) calle número registra de ventas, apellido cantón y primer principal de calle origen activos y/o paterno parroquia nombre principal empleados 228910 NIÑO DIVINO DE BELEN S.A ASOBELEN 0190360628001 X 251043 CONSTRUOFERTAS CIA. LTDA. 0190360873001 X 232930 ZIMA TRAVEL CIA LTDA 0190360903001 X 219483 MICRO EMPRESA ASOCIATIVA RÍO LEÓN190360946001 0 X 222151 ASOCIACION DE CONSERVACION VIAL SARAYUNGA 0190360997001 X 227099 CONSTRUCCIONES Y COMERCIO WASAGA CIA.LTDA. 0190361608001 X 241759 BESTPOINT CIA. LTDA. 0190362086001 X 238736 CONSTRUCTORA CUENCA RIO DEL JUBONES OC CIA LTDA 0190362507001 X 238726 CONSTRUCTORA CHORDELEG OCHOA 0190362515001LTDA CARRION CIA X 245989 ACMIECU S:A: 0190362582001 X 253183 AMATEUR SPORTS AND EVENTS 0190362590001 X 257259 CONSTRUCCIONES VIALES, ESTRUCTURALES Y SANITARIAS CONVIALES CÍA. LTDA. 0190363767001 X 252658 CONSORCIO DELGADO BARRERA 0190364089001 X 258546 TAURUSTECH CIA. LTDA. 0190364143001 X 263915 ELECTRICIDAD &TELEFONIA MERCHAN0190364380001 CIA LTDA X 263864 CONSORCIO ELECTRICO 0190365050001 X 264220 CONSORCIO ELECTRICO PARA GIRON 0190365069001 X 269715 SERCOBACO CIA LTDA 0190365492001 X 269582 CONSORCIO JARAMILLO-CALLE 0190365662001 X 273523 CONSORCIO FABIS ASOCIADOS 0190365964001 X 273584 CONSORCIO FAJUAN ASOCIADOS 0190365972001 X 278965 OBRAS CIVILES DEL AUSTRO 0190366553001 X 129818 SAA ALBAN GLADYS MARIA 0200003564001 X 174167 GARCIA ZAPATA MISAEL NOLBERTO 0200003713001 X 182646 PURCACHI CHIGUANO CARLOS ENRIQUE 0200005296001 X 115427 POVEDA PAZMIÑO GIL ENRIQUE 0200013050001 X 180804 VACA CALERO MARIA SOLEDAD 0200019578001 X 225009 DIAZ SERRANO ROBERTO GERARDO 0200026045001 X 67947 SORIA SALVADOR 0200035889001 X 101498 COELLO VIZUETE SOFIA ISABEL 0200036689001 X 136714 BAZANTE RODRIGUEZ WILSON ROMELO200042968001 0 X
  • 77.
    No No registra No No registra No No. registra registra No. indicadores registra provincia, registra Persona_id NOMBRE No. ID (RUC) calle número registra de ventas, apellido cantón y primer principal de calle origen activos y/o paterno parroquia nombre principal empleados 135805 GARCIA CAMINO MARIA YOLANDA 0200047124001 X 260748 BONILLA MALDONADO RAUL IGNACIO 0200049815001 X 122078 BORJA VILLACRES ALBERTO GERARDO 0200052835001 X 89431 AGUILA VICTOR MANUEL 0200053627001 X 130838 GAVILANEZ ROLDAN RAUL ERNESTO 0200054393001 X 31462 MEZA PAZMIÑO RAÚL ENRIQUE 0200055044001 X 107516 AGUAGUINA MURILLO ANGEL MARIA 0200060556001 X 272611 CUENCA BONIFAZ MELCHOR 0200063618001 X 156402 GUERRA ARAGON ANA JUDITH 0200075224001 X 192258 MARQUEZ POZO MIGUEL ANGEL 0200077006001 X 207338 CHAVES ULLOA ANGEL POLIVIO 0200078327001 X 138574 FIERRO TACO SARA AMERICA 0200078814001 X 132070 JARRÍN DURANGO MARINA DEL PILAR 0200085363001 X 53007 BRITO ANDRADE AUGUSTO RUPERTO 0200093425001 X 16015 CAMBIADO 0200102408001 X 120282 VELOZ QUINCHA JULIO CESAR 0200117612001 X 143338 CAÑAS JOSE BOLIVAR 0200139418001 X 249429 AROCA MORETA POLICARPA NOEMA 0200140655001 X 182908 JARRIN SANCHEZ ELIAS OLMEDO 0200150399001 X 114783 GAIBOR MOREIRA LUZ ELVIRA 0200152379001 X 244373 GALLEGOS MORALES FAUSTO DUBERLI 0200158202001 X 62659 JOSÉ 0200159440001 X 149485 MUÑOZ LUIS ODINO 0200160034001 X 192328 GUTIERREZ CORDERO EDUARDO EFRAIN0200161172001 X 149315 CARVAJAL ANGEL CELIO 0200174928001 X 244527 DAVILA CAMACHO AUGUSTO GUILLERMO0200216489001 X 8804 DAVO DAVO DAVO DAVO 0200230035001 X 150053 TENELEMA AREVALO RAMON 0200267433001 X 236032 PURCACHI ATACUSHI SEGUNDO GERARDO 0200270742001 X 112436 BONILLA MALDONADO TERESA AMERICA0200272318001 X 139723 VARGAS GARCIA PROCULO AUSTRIACO 0200275394001 X
  • 78.
    No No registra No No registra No No. registra registra No. indicadores registra provincia, registra Persona_id NOMBRE No. ID (RUC) calle número registra de ventas, apellido cantón y primer principal de calle origen activos y/o paterno parroquia nombre principal empleados 125117 POVEDA ANDRADE JORGE 0200289957001 X 216543 LARA OLALLA LUZ NATIVIDAD 0200292860001 X 267145 ROMAN VASCONEZ LUIS HERNAN 0200327625001 X 250776 DURAN BORJA MANUEL DE JESUS 0200333078001 X 225534 CAMACHO VALENCIA JOSE MANUEL 0200336360001 X 76503 SALAS GAVILANES RAUL SALOMON 0200339604001 X 150378 PINOS MANZANO NEICER FILADELFO 0200353837001 X 157571 LEDESMA CASTRO NELSON FEDERICO0200355469001 X 261176 QUINTANA GAIBOR JOSE ANTONIO 0200355824001 X 79669 CHACON SANTACRUZ ANA ESPERANZA 0200371375001 X 183308 GUEVARA GARCIA BERTHA PRUDENCIA0200391621001 X 190054 QUILLE PILAMUNGA GABRIEL 0200392876001 X 274301 TRONCOSO CAJAS JUAN JOSE 0200394047001 X 115791 BORJA LINARES LICIO ANIBAL 0200403384001 X 198070 MERA VILLACRES JOSE ANIBAL 0200405355001 X 185381 ARMIJO BOSQUEZ SEVERO HUMBERTO 0200406551001 X 59606 JIMENEZ ANDRADE JORGE OSWALDO 0200408649001 X 100065 CORTES PEREZ JORGE EFRAIN 0200409258001 X 102080 GARCÍA VILLARES LUIS LUPERCIO 0200416303001 X 128313 PAZOS RAMOS ANGEL HOMERO 0200416592001 X 193477 CHAVEZ SANCHEZ GUIDO GONZALO 0200419240001 X 199163 AVILES CHIMBO SEGUNDO SIMON 0200420347001 X 19927 GUILLERMO 0200420735001 X 156153 VARGAS MORALES MOISES ARNULFO 0200421048001 X 254210 ARGUELLO LOPEZ CESAR HIPOLITO 0200422269001 X 130614 MULLO TOALOMBO MARTIN 0200430932001 X 240634 GUAMAN VARGAS ANGEL ALBERTO 0200433233001 X 181591 GUAMÁN HINOJOSA GONZALO EFRAÍN 0200436079001 X 41300 MARTINEZ PAREDES NELSON AUGUSTO0200436194001 X 116616 MORA DOMINGUEZ CESAR AUGUSTO 0200438018001 X 88123 ROMERO VARGAS LUIS ENRIQUE 0200440527001 X
  • 79.
    No No registra No No registra No No. registra registra No. indicadores registra provincia, registra Persona_id NOMBRE No. ID (RUC) calle número registra de ventas, apellido cantón y primer principal de calle origen activos y/o paterno parroquia nombre principal empleados 142367 GAVILANES GUTIERRES GERMÁN OSWALDO 0200446011001 X 19449 GORDILLO MARIÑO ALBERTO GUIULLERMO 0200449478001 X 209915 POMA TAMAMI CARLOS DEIFILIO 0200460061001 X 168353 GAIBOR CHANGO MARÍA DEL LOURDES0200465219001 X 176011 BAÑOS GAVILANES ANIBAL ESTUARDO0200467967001 X 173418 GAVILANEZ FLORES CARLOS ALBERTO0200473627001 X 114378 BOSQUEZ RODRIGUEZ ANGEL GERARDO0200479335001 X 103605 WONSANG GAVILANES MARIANA CECILIA 0200482149001 X 206309 ALBAN SANCHEZ JOSE OSWALDO 0200483576001 X 138385 MOYANO ABSALON JESÚS 0200485258001 X 264568 ESCOBAR QUINGATUÑA FANNY OFELIA0200491280001 X 131256 TARAGUAY ANALUIZA PABLO HUMBERTO 0200491561001 X 124031 AGUILAR GAIBOR FELIX ROQUE 0200493195001 X 206881 CARVAJAL SILVA HUGO WELINGTON 0200493450001 X 229998 GAVILANEZ RODRIGUEZ GILBERTO MESIAS 0200496008001 X 132551 RUIZ MATEO RAFAEL GUILLERMO 0200497170001 X 222405 CARVAJAL GONZÁLEZ JORGE WASHINGTON 0200497725001 X 208873 GARCÍA CAMACHO LEONOR NARCISA 0200498103001 X 162231 ARGUELLO CAUTULLIN MANUEL GEREMIAS 0200498913001 X 252248 RIVERA GUERRA JANETH DEL ROCIO 0200500551001 X 146894 RUMIGUANO MANOBANDA RAUL ESTUARDO 0200510246001 X 274143 BENAVIDES ANGULO MONICA VICTORIA 0200510360001 X 95500 ROJAS SALVADOR SANTIAGO ORLANDO0200512101001 X 246736 CEVALLOS MOREJON LUVER ESTUARDO0200512705001 X 105444 CULQUI GATIA FIDEL NICANOR 0200512812001 X 242290 PAREDES GALLEGOS LIBANO RAUL 0200513398001 X 68421 VILLACREZ NARANJO LAUTARO 0200513729001 X 165490 POVEDA VILLENA MILTON EMERIO 0200515385001 X 104627 DELGADO MORA LUIS GILBERTO 0200521789001 X 236287 GUERRERO TORRES MAURO GUERRERO 0200523827001 X 141110 MELENDEZ MELENDEZ CARLOS HOMERO0200529584001 X
  • 80.
    No No registra No No registra No No. registra registra No. indicadores registra provincia, registra Persona_id NOMBRE No. ID (RUC) calle número registra de ventas, apellido cantón y primer principal de calle origen activos y/o paterno parroquia nombre principal empleados 174953 HUILCA COBOS OSWALDO ATAHUALPA0200533008001 X 82029 GARCÍA VILLACÍS JULIO CÉSAR 0200534246001 X 210205 POMA CANDO LUZ OLGA 0200535045001 X 23873 CARVAJAL CAMACHO HERMERSON XAVIER0200535250001 X 142501 AVILES CHACAN VICTOR 0200542777001 X 104712 SANABRIA BÓSQUEZ CECILIA BEATRIZ 0200543650001 X 216016 JIMRNEZ PAREDES OLMES ANIBAL 0200544625001 X 111931 MORA VELOZ OSWALDO FERNANDO 0200551927001 X 132549 MANOBANDA GOMEZ SEGUNDO AGUSTIN 0200554640001 X 153726 ALEGRIA CALERO JORGE RAMIRO 0200559029001 X 258380 ALDAZ DEL SALTO CARLOS NAPOLEON0200559706001 X 258905 CHACHA CHACHA SEGUNDO DOMINGO0200561645001 X 157456 NOBOA VILLALTA JOSÉ ALFREDO 0200564334001 X 143779 YANEZ SANCHEZ SEGUNDA CELINDA 0200568855001 X 113721 VELARDE CABEZAS ANGEL ALFREDO 0200570786001 X 13137 DAVILA AROCA GABRIEL FERNANDO 0200586709001 X 116561 FREIRE FREIRE NILO JESUS 0200587582001 X 243369 SALTOS GUAMAN JORGE ENRIQUE 0200590404001 X 73834 ESPÍN SALTOS ENRIQUE ELICEO 0200594943001 X 139097 TOAPANTA TOAPANTA NÉSTOR MANUEL 0200598654001 X 62516 GUEVARA ERAZO MARCO ANTONIO 0200600823001 X 105713 MANOBANDA ZURITA DIONEL 0200604221001 X 117534 PILAMUNGA CAYAMBE LAURA BEATRIZ0200608735001 X 85437 AUMALA POZO ROSA FABIOLA 0200614196001 X 164917 LLANOS VARGAS ISMAEL ELIECER 0200614584001 X 205455 CANDO GUAMAN MOISES HOMERO 0200617074001 X 210172 ESPIN GAVILANEZ BERTHA ELISA 0200631463001 X 189903 RAMIREZ GUANANGA GERMAN RODOLFO 0200633279001 X 114771 RODRIGUEZ VEGA ANGELA BERATRIZ 0200633923001 X 260276 ALBAN VERDESOTO JOSE VICENTE 0200635746001 X 262402 CAIZA PILCO ROBERTO AGNELIDO 0200636363001 X
  • 81.
    No No registra No No registra No No. registra registra No. indicadores registra provincia, registra Persona_id NOMBRE No. ID (RUC) calle número registra de ventas, apellido cantón y primer principal de calle origen activos y/o paterno parroquia nombre principal empleados 176202 GARCIA RODRIGUEZ VICTOR ELIAS 0200637270001 X 145225 DURAN BORJA JOSÉ ALFONSO 0200637999001 X 155888 ROMERO TRUJILLO RAMIRO AURELIO 0200638310001 X 145723 GARCIA NARANJO AURELIO MOISES 0200645661001 X 123103 ORDOÑEZ SANCHEZ WASHINGTON MARCELO 0200648012001 X 258186 CHELA AREVALO MANUEL SEGUNDO 0200651016001 X 111465 ARELLANO REA MARIA IGNACIA 0200653129001 X 199042 SALTOS MONCAYO JAVIER ARTURO 0200656999001 X 115291 GAIBOR DE LA PARED NUMA MARCIAL 0200658763001 X 88780 XXXXXX CAIZA CAMILO RODRIGO 0200675536001 X 112021 NARANJO ARGUELLO CARMEN AIDA 0200683944001 X 198220 CHIMBORAZO TALAHUA JUAN CESAR 0200691434001 X 256247 BUENAÑO ANGULO SEGUNDO MARTINIANO 0200704005001 X 205527 RIERA WILSON 0200704419001 X 179706 TARIS LLUMIGUANO MANUEL 0200704690001 X 227487 LOPEZ NARANJO GALUD CLARA 0200705093001 X 88305 CHAVEZ FIERRO OLGA PIEDAD 0200711158001 X 52832 MILTON 0200711257001 X 13893 ARQUITECTO RODRIGO GOYES NOBOA 0200711265001 X 172942 CHIMBO CHELA CARLOS MARCOS 0200712610001 X 91872 VISTÍN MENA GORQUI ELISALDE 0200719243001 X 102039 BUÑAY GUARANGA CESAR AUGUSTO 0200719946001 X 19815 NOBOA FLORES GINO ALONSO GUILLERMO 0200720142001 X 199156 SANGACHA MORA LIDA MARUJA 0200720464001 X 210031 LARA FLORES EDWIN ALBERTO 0200721553001 X 56798 GAVILANEZ BARRAGAN SELSO PACO 0200722510001 X 182428 PAZMIÑO ESTRADA DAVID GILBERTO 0200723146001 X 150874 TAMAMI AREVALO PEDRO 0200728905001 X 168465 BOSQUEZ OROZCO PASTOR NAPOLEON200731842001 0 X 202409 CHAVEZ CHAVEZ LUIS FERNANDO 0200732360001 X 83530 GARCIA CAMINO MIGUEL LIZARDO 0200734515001 X
  • 82.
    No No registra No No registra No No. registra registra No. indicadores registra provincia, registra Persona_id NOMBRE No. ID (RUC) calle número registra de ventas, apellido cantón y primer principal de calle origen activos y/o paterno parroquia nombre principal empleados 60124 GAVILANEZ CAMACHO GUIORGENES TUNIN 0200734713001 X 110211 MUYULEMA YAZACA MARIA INES 0200750016001 X 220227 MINAYA TORRES RICHARD WILHEIN 0200755809001 X 86123 CAMACHO VELOZ EMMA DE JESUS 0200782332001 X 70738 BUSTOS VEINTIMILLA ANGEL ROBERTO 0200796381001 X 95920 MIRALLAS VELOZ FAUSTO DANIEL 0200798940001 X 133614 CARVAJAL CAMACHO MARCO VINICIO 0200799625001 X 209913 GAVILANEZ GUTIERREZ DOLORES DEL 0200800266001 CARMEN X 226864 HIDALGO ARAGON GUILLERMO SERGIO 0200804789001 X 269608 ULLOA MELENDRES GLADYS LUZMILA 0200804805001 X 193500 CRUZ LARA LADY ROSANA 0200806925001 X 197933 LARA MOREJON SONIA EULOGIA 0200809622001 X 130673 MIARANDA PINOS EDILIA NARCIZA 0200819217001 X 166997 MOYANO ARTEAGA MIGUEL ANGEL 0200822971001 X 238497 BAZANTES SANTAMARIA KLEVER IVAN0200826014001 X 262639 CAPUZ TOALOMBO DANIEL FRANCISCO 0200828184001 X 166601 GARCIA BARRAGAN BOLIVAR HERNAN 0200832590001 X 25819 CARLOS 0200837128001 X 114498 VERA CEDEÑO LEONARDO RAMON 0200841914001 X 181230 DOMINGUEZ AGUIAR BENITO GERMÁN 0200844785001 X 149152 FLORES COLOMA JHONNY DARIO 0200847119001 X 107260 GARCIA GARCIA LIDIA MARIANA 0200847713001 X 86715 CASTILLO MEZA JAIME EDUARDO 0200850006001 X 159582 LUCIO GONZALEZ JOSE VICENTE 0200853174001 X 272360 GAVILAN REA SEGUNDO JOSE 0200853323001 X 125388 ROMAN CALVACHE ARQUIMIDES ROGELIO0200856284001 X 120253 VERDEZOTO GAIBOR NELLI BEATRIZ 0200856920001 X 249790 BRAVO VEGA VICTOR ARNULFO 0200857597001 X 68596 GARCIA MONTERO HECTOR LANDIVAR0200857761001 X 12231 DADAD 0200858736001 X X 152029 TRUJILLO RODRIGUEZ TERESITA DE JESUS 0200859247001 X
  • 83.
    No No registra No No registra No No. registra registra No. indicadores registra provincia, registra Persona_id NOMBRE No. ID (RUC) calle número registra de ventas, apellido cantón y primer principal de calle origen activos y/o paterno parroquia nombre principal empleados 118073 SILVA LOMBEYDA GASTON ALEXANDER 0200861359001 X 228349 ANILEMA GARCIA BOLIVAR BENITO 0200866663001 X 90935 CHIDA QUINALOA SEGUNDO TOMAS 0200866812001 X 37061 PALIZ BAYAS ROBERT GENDER 0200870731001 X 133749 GUALPA YANCHATUÑA SEGUNDO FRANCISCO 0200874345001 X 212576 GARCIA VERDEZOTO OSWALDO BAYARDO 0200881274001 X 78090 TOAPANTA TOAPANTA NANCY MARINA0200882371001 X 114705 GARCIA VELASTEGUI EDWIN GARCIA 0200882967001 X 132019 SAMANIEGO CHAMORRO BELGICA GRIMANEZA 0200885879001 X 250566 GALLMEIER JARAMILLO MAXIMILIANO SEBASTIAN 0200887016001 X 16427 BORJA VILLACRES ELIECER BACILIO 0200890523001 X 243969 VÁSQUEZ YÁNEZ CÉSAR BALTAZAR 0200890879001 X X X 19979 RAMIREZ GUANIPATIN CESAR EDUARDO 0200891422001 X 153084 BOSQUEZ RODRIGUEZ GABRIEL ALCIDES0200893089001 X 239021 IZA GUASHPA AUGUSTO ARMANDO 0200897163001 X 193210 GARCIA VEGA GALO VINICIO 0200900009001 X 176490 RODRIGUEZ CHILUISA AGUSTIN OSWALDO 0200901072001 X 158184 LLANOS YANEZ JOHN EDILBERTO 0200901429001 X 153097 GUILLIN SAGNAI JOSE OSWALDO 0200901833001 X 117315 URBANO URBANO LUIS GUSTAVO 0200909299001 X 51568 CHANGOLUIZA GAVILANEZ JOSE MIGUEL0200910552001 X 239155 VELOZ MANOBANDA VICTOR LEON 0200916476001 X 206345 BARRAGAN NARANJO MARIA EFIGENIA 0200917482001 X 144783 ZAPATA JIMENEZ NEICER ROBERTO 0200920783001 X 130512 RAMOS CHAMORO JUDITH CECILIA 0200923050001 X 224883 AGUAGUIÑA ARGUELLO MERCEDES GUADALUPE 0200925634001 X 91651 ARMIJOS MONCAYO CECILIA DE LOS ANGELES 0200932721001 X 163603 LARA BARRAGAN PEDRO ALSIDES 0200934677001 X 219407 CAMACHO BARRIGAS RAUL OSWALDO 0200936185001 X 236069 RAMOS CHIMBO EDUARDO GUSTAVO 0200937332001 X 196083 JIMENEZ VEGA ZOILA ROSA 0200938975001 X
  • 84.
    No No registra No No registra No No. registra registra No. indicadores registra provincia, registra Persona_id NOMBRE No. ID (RUC) calle número registra de ventas, apellido cantón y primer principal de calle origen activos y/o paterno parroquia nombre principal empleados 207486 CHAVEZ IVÁN MARCELO 0200940724001 X 92716 TOAPANTA TOAPANTA LUIS ARMANDO 0200942498001 X 135494 CAMACHO GAROFALO AMADO WALBERTO 0200943660001 X 265112 MORETA ESPINOZA WILMER RAFAEL 0200944908001 X 203624 FIERRO BARRAGAN FRANKLIN FROILAN0200948065001 X 82421 ARGUELLO ARGUELLO ANGEL OSWALDO 0200950202001 X 117619 VASCONEZ SEGURA BOLIVAR GENRRY0200950590001 X 239811 BARRAGAN CARVAJAL LUIS BENJAMIN 0200950723001 X 86352 TUQUERES GALLO ANGEL ORLANDO 0200952067001 X 112328 CUELLAR CASTILLO MARIA DANNIS 0200952760001 X 156697 MORA GAVILANEZ IVAN ARTURO 0200955623001 X 130900 LLIGUISUPA PASTOR RODRIGO PATRICIO 0200967354001 X 259260 GARCIA PONCE ANA FABIOLA 0200967412001 X 217236 VERDEZOTO MILTON JAVIER 0200972818001 X 110857 ARELLANO REA SEGUNDA AURORA 0200974236001 X 93640 NUÑEZ BAÑOS JAIME RODRIGO 0200974517001 X 278736 AGUALONGO YALLICO PASCUAL 0200978534001 X 69847 VISCARRA CARRILLO WILSON LUIS 0200980605001 X 99240 CHAVEZ ESTRELLA MARIA MELIDA 0200982213001 X 166720 CHILLO RAMIREZ PEPA HILDA 0200982569001 X 136006 PATIN PATIN FELICIANO 0200984581001 X 134602 ARGUELLO VASQUEZ BOLIVAR RODRIGO0200988145001 X 187113 NARANJO SARMIENTO MARGOTH ANGELICA 0200991750001 X 189654 RUIZ GUERRERO MANUEL EDUARDO 0200992063001 X 191228 HERRERA CEVALLOS JOSE ALCIVAR 0200995173001 X 225423 GARCIA RAMOS MEDARDO ABSALON 0201001286001 X 134490 CHACHA CHATA ALBERTO NAPO 0201004298001 X 266076 CHIMBO REA MARÍA NATIVIDAD 0201010865001 X 202051 ZURITA BARRAGAN JOSE ENRIQUE 0201015252001 X 111164 JÁTIVA ALVEAR JANNET SUSANA 0201017183001 X 91036 VEGA ANGEL AUGUSTO 0201018322001 X
  • 85.
    No No registra No No registra No No. registra registra No. indicadores registra provincia, registra Persona_id NOMBRE No. ID (RUC) calle número registra de ventas, apellido cantón y primer principal de calle origen activos y/o paterno parroquia nombre principal empleados 242173 CHICO RUIZ VICENTE RIVERSON 0201020690001 X 110195 CANDO SILVA ROSA TERESA 0201021672001 X 22859 BELTRAN AVILES EDISON JAVIER 0201026101001 X 196514 BECERRA GARCIA FRANKLIN OSWALDO 0201026168001 X 50689 ESCUDERO VASCONEZ FABIAN OCTAVIO 0201027216001 X 212563 CHACAN CARDENAS CARLOS GONZALO 0201032257001 X 200269 IBARRA IBARRA GALO GILBERTO 0201032836001 X 112680 JARRIN CARVAJAL OLMEDO GERMAN 0201037272001 X 147373 VILLARROEL SILVA ANIBAL VLADIMIR 0201038924001 X 116419 SANTACRUZ SANTACRUZ MERCEDES ANGELICA 0201044245001 X 102565 NARANJO COLOMA HAROLD OMAR 0201044849001 X 115455 YANEZ RONQUILLO EDGAR OSWALDO 0201047131001 X 143008 CASTILLO VELOZ WUILLAN AVELINO 0201047479001 X 238551 REA AGUALONGO AGUSTIN 0201050275001 X 200792 IBARRA ERAZO ANGEL EDUBERTO 0201053311001 X 177342 ALBÁN ARGUELLO CÉSAR ANIBAL 0201053477001 X 167971 CORDOVA ARIAS BLANCA NORMITA 0201055563001 X 182391 ESPIN MANUEL EVANGELIO 0201055845001 X 114123 CAMPANA VASQUEZ GUSTAVO VINICIO0201058153001 X 255868 VERGARA ESTRADA MANUEL MECIAS 0201058187001 X 184447 DE LA CRUZ GAVILÁNEZ LUIS OCTAVIO0201058401001 X 258219 ALOMÍA BALAREZO JENY JACQUELIN 0201059854001 X 264471 LUIS FAUSTO ALMENDARIZ ORTIZ 0201060662001 X 173769 VEGA LLANOS NESTOR FRANCISCO 0201063088001 X 132207 CHIMBOLEMA TELENCHANO JOSÉ TOMAS 0201063468001 X 160276 QUINALOA CHOQUICONDOR ANGEL HOMERO 0201066180001 X 95103 MASABANDA CADENA SEGUNDO ISALAO 0201072899001 X 136684 QUIROZ GARCIA MERY URSULINA 0201080371001 X 40257 VÁSCONEZ CHÁVEZ ALEX FABIÁN 0201082690001 X 194353 GUANO ANDAGANA SEGUNDO JULIAN 0201083243001 X 44471 QUINTANA ARMIJO JORGE RAUL 0201086568001 X
  • 86.
    No No registra No No registra No No. registra registra No. indicadores registra provincia, registra Persona_id NOMBRE No. ID (RUC) calle número registra de ventas, apellido cantón y primer principal de calle origen activos y/o paterno parroquia nombre principal empleados 43895 AGUILAR IBARRA PEDRO MANUEL 0201087285001 X 130505 GARCÍA GARCÍA STALIN VINICIO 0201088200001 X 207272 TORRES JIMENEZ GALO ROLANDO 0201089620001 X 218474 TRUJILLO POZO LUZ MARIA 0201091501001 X 277958 MONAR PAREDES PATRICIO OSWALDO0201092350001 X 107247 GUEVARA GAIBOR HEDILBERTO MIGUEL 0201094554001 X 89738 CALERO NAVAS GUIDO NAPOLEON 0201095783001 X 71308 SOLORZANO HERRERA MILTON ESTUARDO 0201106168001 X 263380 AVALOS ALARCON FLOR ELISA 0201108941001 X 168704 CALERO MONCAYO VICTOR HUGO 0201109840001 X 69675 BENAVIDES BENITEZ GUDBER ALSUBER 0201110160001 X 232075 QUINTANA AVILES MARLON ENRIQUE 0201110814001 X 255572 CHIMBO HINOJOZA SEGUNDO MANUEL0201111408001 X 115073 AVILES TARIS SEGUNDO PEDRO 0201112083001 X 191225 HERRERA GRANIZO ANGEL RODRIGO 0201121902001 X 239614 SINMALEZA ARTEAGA GASPAR ABEL 0201123320001 X 79806 MANZANO JAVIER MARTÍN 0201127974001 X 194179 LEON ARTEAGA MIGUEL ANGEL 0201129541001 X 202894 ARIAS PALACIOS MANUEL VITERBO 0201135639001 X 193467 SISA MANCERO ABRAHAM MOISES 0201146883001 X 81890 SILVA NUÑEZ ROMEO FERNANDO 0201149168001 X 117144 CHIMBO MAZABANDA ANGEL PEDRO 0201149838001 X 230916 CAMACHO QUINTANILLA LAURA SALUSTIA 0201155447001 X 105894 GARCIA POVEDA CARMEN CANDELARIA0201158649001 X 127383 NUÑEZ BAÑOS NINFA MARIA 0201161031001 X 170474 AGUILAR ESCOBAR ANGEL RAUL 0201162922001 X 246082 BARRAGAN GAROFALO ALBERTO LEON 0201164332001 X 91515 ARELLANO MORAN ASPRIN ROBERTO 0201165735001 X 214673 PULLAS TORO SANDRA MARIANITA 0201165842001 X 119523 TENELEMA MULLO JOSE 0201166196001 X 227213 GARCIA CAMACHO ROBERT ANIBAL 0201168655001 X
  • 87.
    No No registra No No registra No No. registra registra No. indicadores registra provincia, registra Persona_id NOMBRE No. ID (RUC) calle número registra de ventas, apellido cantón y primer principal de calle origen activos y/o paterno parroquia nombre principal empleados 96845 MONTERO MEZA LEONEL DOMENGHINI0201168887001 X 192239 RAMOS CAMACHO LORENA MAGALI 0201171147001 X 140351 BONILLA PÉREZ GONZALO HENÁN 0201171477001 X 145689 PINOS GARCIA MARIO EDISON 0201172079001 X 151862 VILLACIS ESPIN CRISTINA LISSETTE 0201173192001 X 61360 NAVARRETE CAÑAR LUIS FRANS 0201173952001 X 246767 PRADO QUISPE VICENTE HERNAN 0201174117001 X 107193 ARGUELLO PAZMINO JORGE NAPOLEON201174802001 0 X 171816 GARCIA CACERES GONZALO CALIXTO 0201175957001 X 114938 GARCIA PEÑALOZA EDISON GUALBERTO 0201176542001 X 47672 BENAVIDES BENITEZ LEBINZON REMIGIO 0201177342001 X 111671 RIVADENEIRA GONZALO VINICIO 0201178183001 X 102568 TUALA PASTOR HOLGER VINICIO 0201178951001 X 173671 GUAMBUGUETE AGUALONGO AGUSTIN SEGUNDO 0201182797001 X 210567 URBANO URBANO GONZALO VINICIO 0201186632001 X 55792 FLORES PAZMIÑO SONIA DE LOS ANGELES 0201191160001 X 128006 ESPÍN SALTOS GONZALO XAVIER 0201195468001 X 227634 GONZALEZ SEGURA KLEVER GUSTAVO0201198678001 X 236578 RAMIREZ ROMERO ANDRES LINO 0201201399001 X 112421 GUAMAN AGUAGUIÑA LUIS ALBERTO 0201204146001 X 114830 PUNINA POAQUIZA CARLOS BENIGNO 0201205093001 X 260410 REA AGUALONGO LEANDRO 0201206034001 X 21181 ZAPATA CHAFLA LEONARDO MISAEL 0201210853001 X 172841 ROMERO PAZMIÑO STANLEY TELEMACO 0201210952001 X 148545 CHÁVEZ LARREA LUIS ESTEBAN 0201212214001 X 248179 AGUAY PAREDES MERCEDES ANITA 0201212834001 X 186340 ESCOBAR PEREZ KLERY GEOVANY 0201220787001 X 194487 REA MINCHALO CARMEN BEATRIZ 0201224359001 X 269170 REMACHE LOPEZ PATRICIO MARCELO 0201229481001 X 245999 CORTEZ PEREZ OLGA AZUCENA 0201234440001 X 141352 CAIZA LEMA EDUARDO MARCELO 0201235785001 X
  • 88.
    No No registra No No registra No No. registra registra No. indicadores registra provincia, registra Persona_id NOMBRE No. ID (RUC) calle número registra de ventas, apellido cantón y primer principal de calle origen activos y/o paterno parroquia nombre principal empleados 156069 PEÑA CASTRO MARCO ANTONIO 0201238631001 X 148942 GUTIERREZ JARRIN JAIME PATRICIO 0201238748001 X 188383 ZURITA MANOSALVAS MARIA DEL PILAR 0201243136001 X 193702 GUANO JOGACHO EFRAIN EDUARDO 0201244464001 X 258860 MONAR SANCHEZ EUGENIA CELESTE 0201245636001 X 139667 CHAVEZ MARTINEZ CARMEN DELICIA 0201252731001 X 103922 ROMERO ANGULO GRACE MRISOL 0201262565001 X 156345 RAMIREZ RAMIREZ JUAN RODRIGO 0201262664001 X 245280 LEDESMA POZO MARCOS OSWALDO 0201263092001 X 185616 AGUILAR SALTOS IVAN ANTONIO 0201263613001 X 204495 GUERRERO ULLOA MARTHA CONSEPCIO 0201265188001 X 139178 GOMEZ GOMEZ OSCAR LAUTARO 0201265345001 X 198671 SANCHEZ BARAHONA SILVIA EUGENIA 0201267333001 X 182506 QUINATOA PACHALA CESAR ALBERTO 0201273240001 X 103031 CALERO CHAVEZ OSWALDO OLMEDO 0201275260001 X 178505 BORJA BORJA GLADYS EDITH 0201276136001 X 270723 CHIMBO CUTIUPALA MANUEL 0201280492001 X 114095 CHIMBO BAYAS PEDRO SEGUNDO 0201280856001 X 140431 BOSQUEZ MOREJÓN GILMA JOSEFINA 0201284866001 X 135167 RUIZ AYALA SEGUNDO FRANCISCO 0201287471001 X 126519 SINMALEZA SANCHEZ CARLOS NAPOLEON 0201288305001 X 64743 QUISHPE PUNINA LUIS HUMBERTO 0201288800001 X 264368 LEDESMA LEDESMA BLANCA ESMERALDA0201290913001 X 112652 ALLAN ALARCON JHONSON FERNANDO 0201295227001 X 102938 CARVAJAL VASCONEZ ALEXANDRA PAQUITA 0201295417001 X 235080 VALVERDE VALVERDE WASHINGTON GUSTAVO 0201298353001 X 244372 ORDOÑEZ SANCHEZ MARIA DE LAS MERCEDES 0201300845001 X 70731 BANITEZ AMANCHE AMANCHE ALEXANDRA 0201306198001 X 210675 CHIMBOLEMA CHIMBOLEMA LUIS MEDARDO 0201309770001 X 93496 BALAREZO CALERO JESUSITA RUBI 0201313400001 X 113779 CASTRO CARVAJAL MILTON ENRIQUE 0201318292001 X
  • 89.
    No No registra No No registra No No. registra registra No. indicadores registra provincia, registra Persona_id NOMBRE No. ID (RUC) calle número registra de ventas, apellido cantón y primer principal de calle origen activos y/o paterno parroquia nombre principal empleados 92441 ARGUELLO PAREDES MARIA DE LOURDES 0201319902001 X 178636 GAROFALO CORONEL WILPER ANIBAL0201325164001 X 203837 YANEZ YANEZ MARIANA DE LOURDES 0201332673001 X 131931 RUMIGUANO VILLACIS EVA INES 0201335981001 X 205579 AGUALONGO OROSCO HENRY ANIBAL 0201338316001 X 177305 VELOZ CHAVEZ AMPARO ELIZABETH 0201342227001 X 223672 LARA SALAS ANGEL ISRAEL 0201345246001 X 196934 VILLEGAS BAZANTES OSCAR RAMIRO 0201346442001 X 218997 CARVAJAL LUNA EDISON BOANERGES 0201346491001 X 19994 NUÑEZ SOLIZ MANUEL RODRIGO 0201347267001 X 151253 CHIMBO CHIMBO SEGUNDO REIMUNDO 0201353588001 X 130480 ORTIZ SANCHEZ LIA OLIVANA 0201353851001 X 191319 CELI ESPINOZA TANIA GIOMAR 0201355252001 X 113297 RAMOS MONTERO ANTONIO GONZALO0201356755001 X 18720 CAMACHO ANGULO ADOLFO RODRIGO0201357993001 X 274314 LINARES PILAMUNGA JANETH CARMITA0201358447001 X 208621 CARVAJAL ESPINOZA ANGEL FLAVIO 0201360112001 X 116576 ROCHINA SISA SEGUNDO FRANCISCO 0201360401001 X 167765 GUAMÁN ZAPATA CARMEN LUZ 0201368073001 X 140795 GALEAS BUNAY IRMA MARGARITA 0201368552001 X 253064 ALBÁN RAMOS EDISON PATRICIO 0201376373001 X 50743 ESTRADA POVEDA ANGEL EDUARDO 0201376589001 X 189837 GONZALEZ COLOMA MILTON GUILLERMO0201377058001 X 188054 GAIBOR VINUEZA MARCELO NAPOLEÓN 0201380581001 X 168581 RUEDA RAMOS RICHARD ALBERTO 0201386794001 X 115155 PILCO ATACUSHI WASHINGTON REMIGIO 0201392164001 X 255640 BONILLA SANTANA ROSA GALUD 0201393469001 X 78766 GUERRERO CEPEDA VICENTE JAVIER 0201395753001 X 57005 ORDOÑEZ ESCOBAR NORNA JAKELINE0201395787001 X 114991 PINOS GUILLEN IVAN MARCELO 0201397148001 X 108159 TARQUI FREIRE WILLIAM DANIEL 0201397650001 X
  • 90.
    No No registra No No registra No No. registra registra No. indicadores registra provincia, registra Persona_id NOMBRE No. ID (RUC) calle número registra de ventas, apellido cantón y primer principal de calle origen activos y/o paterno parroquia nombre principal empleados 141606 TOALOMBO QUISHPE EDWIN ISRAEL 0201400827001 X 224784 BARCENES RUMIGUANO RENE GERMAN 0201401833001 X 167109 CHIMBORAZO CANDO ZOILA MARINA 0201407921001 X 232393 CHASIQUIZA CHILENO CARLOS GONZALO 0201409703001 X 167511 CASTILLO VELASCO CARLOS ALBERTO0201410016001 X 205384 CARRILLO FREIRE RAUL FERNANDO 0201413556001 X 187386 VELOZ DEL POZO CARLOS AUGUSTO 0201415668001 X 165158 MANOSALVAS ORTIZ PACO ALEXANDER0201417789001 X 182278 GAIBOR CAMACHO JORGE FELIPE 0201418274001 X 64979 ESCUDERO CAMACHO LEO EDUARDO 0201419454001 X 218645 VARGAS ARMIJO HERMEL RIGOBERTO 0201420874001 X 69407 GARCÍA MONTERO WILFER WALPER 0201422425001 X 263271 PINOS ROBALINO ROBERTO VICENTE 0201422946001 X X X 205561 GUANO GUANO LUIS OSWALDO 0201424462001 X 172981 PEÑA PATRICIA MORAIMA 0201427572001 X 173856 REA LOPEZ SANDRO RIQUELME 0201428067001 X 205034 QUILLE GUERRERO GALO CISERON 0201428166001 X 265407 CARRASCO LEMA EDWIN GONZALO 0201428190001 X 75306 FIERRO MONTERO BORIS DILON 0201428539001 X 181839 VELOZ NARANJO OLGA FIDELINA 0201429289001 X 265521 MORETA ESPINOZA MARCOS ENRIQUE 0201429560001 X 194613 ARMIJO SANABRIA ROBINSON SEVERO0201434297001 X 150047 GARCIA RIERA MARCYA ESTERFILA 0201435211001 X 160480 BAÑO PEÑA BETTY ARACELY 0201436730001 X 167675 QUINATOA CHELA MIGUEL ANGEL 0201438793001 X 101500 HINOJOZA SERRANO STALIN JAVIER 0201438850001 X 252885 ANDRADE PABON ALLEM DAVID 0201439205001 X 128884 SIMALEZA MONAR ATILIO ROMAN 0201440385001 X 43224 BORJA ULLOA LUIS AUGUSTO 0201444643001 X 226826 ZAPATA NINA JOSÉ VENANCIO 0201445731001 X X 46361 HINOJOZA CALUÑA CARLOS HOMERO 0201446010001 X
  • 91.
    No No registra No No registra No No. registra registra No. indicadores registra provincia, registra Persona_id NOMBRE No. ID (RUC) calle número registra de ventas, apellido cantón y primer principal de calle origen activos y/o paterno parroquia nombre principal empleados 218655 LLUMITAXI AROCA JORGE RAUL 0201453917001 X 194663 BENAVIDES BENAVIDES MARCELO PAUL 0201455003001 X 118356 ACOSTA MELENDEZ KLEVER PATRICIO0201459914001 X 211151 CARVAJAL VASCONEZ JEOCONDA ANJELITA 0201461399001 X 101009 PEÑALOZA MELENDREZ EDISON JOSE 0201461829001 X 226503 GUEVARA GARCIA MIGUEL DECIDERIO 0201462439001 X 94245 CULQUI BONILLA DIANA PATRICIA 0201462611001 X 204704 MANCERO MONTEROS JOSÉ LUIS 0201463791001 X 209280 ARIAS BRAVO MARÍA ESTEFANÍA 0201463981001 X 128355 CARVAJAL GAIBOR JORGE HUGO 0201473154001 X 166434 MORA SANCHEZ MENTOR MANUEL 0201474129001 X 264248 GUZMÁN CÁCERES MARCIA JANETH 0201476330001 X 257129 PAVON URIARTE ANTONIO CUSTODIO 0201479698001 X 158046 SOLIS VELASCO NANCY PATRICIA 0201480894001 X 227000 PIÑALOZA QUINATOA JORGE EFRAIN 0201481603001 X 191271 GARCIA VERDEZOTO ENIN WILFRIDO 0201482155001 X 259433 ROBALINO VILLACIS WILFRIDO ALONSO0201482866001 X 269078 GARCIA NUÑEZ GLADIS CIELO 0201490448001 X 200628 VISCARRA VEGA MIRIAM PAQUITA 0201490778001 X 220827 ESPINOZA HEREDIA JUANITO STTYD 0201491743001 X 243337 FOGACHO CHIMBORAZO ANGEL AURELIO 0201494044001 X 206445 BALAREZO CALERO ELENITA DEL ROCIO0201497120001 X 271621 CHAVEZ CARRERA FREDDY OSWALDO0201497799001 X X 111758 REA CHIMBO LUIS RAUL 0201499662001 X 125239 QUICALIQUIN SISA WILLIAM ADOLFO 0201508587001 X 64418 AVEIGA GUAMAN RAUL ARMANDO 0201508934001 X 151394 BORJA DURAN EDGAR VINICIO 0201511961001 X 202268 PEÑA CARLOS OSWALDO 0201512209001 X 149483 BARRAGAN BARRAGAN TANIA PATRICIA 0201513017001 X 161078 GARCIA ARGUELLO ROSA GUADALUPE0201514346001 X 137424 BENAVIDES CORREA EDISON GIOVANNY 0201521176001 X
  • 92.
    No No registra No No registra No No. registra registra No. indicadores registra provincia, registra Persona_id NOMBRE No. ID (RUC) calle número registra de ventas, apellido cantón y primer principal de calle origen activos y/o paterno parroquia nombre principal empleados 250398 QUILLE AGUALONGO CLAUDIO WILFRIDO0201526340001 X 133114 TOALOMBO QUISHPE JAVIER ALONSO 0201527231001 X 99378 LEDESMA SALTOS MARIA CECILIA 0201527397001 X 170467 GOMEZ GUAMAN ANGEL ENRIQUE 0201528379001 X 218579 RIOS ENCALADA JORGE ALFREDO 0201534252001 X 79333 BARRAGÁN AROCA GREY IRENE 0201535549001 X 148264 MALATAY LEMA ISIDRO FERNANDO 0201538576001 X 212400 GUAMÁN AGUAGUIÑA LAURA MARIA 0201545076001 X 234263 MIRALLAS VELOZ GUADALUPE DEL CONSUELO 0201549292001 X 224806 HIDALGO AGUILAR JOHN IVAN 0201552221001 X 121886 LARA VEGA EDISON RODRIGO 0201552544001 X 25390 REA HINOJOSA LUIS FERNANDO 0201552841001 X 33537 MORALES ANGULO JANINA MAGALY 0201562774001 X 237877 SIMALIZA CHELA MARÍA ZOILA 0201564523001 X 204466 PILCO ATACUSHI EDISON DAVID 0201565900001 X 114628 LEMA CANDO ANGEL WILFRIDO 0201566809001 X 244308 SOLIZ BRAVO JUAN CARLOS 0201568854001 X 199591 ESPINOZA JIMENEZ CARLOS RAUL 0201571080001 X 210242 JIMENEZ NUÑEZ PAUL ROBERTO 0201576584001 X 188534 GAIBOR MONAR SILVANA ESTEFANIA 0201579141001 X 91702 GALARZA LUNA DAVID GUILLERMO 0201580008001 X 146090 RAMIREZ CAMBO SEGUNDO LEONIDAS0201598257001 X 207346 YANEZ CASALOMBO FAUSTO GILBERTO 0201601291001 X 79015 GAVILANEZ SORIA YESSENIA AMELIA 0201602828001 X 227990 CHELA CHELA MESIAS SAUL 0201603842001 X 171717 GAVILANES AYALA MARIA SUSANA 0201604584001 X 245856 PAZOS PASTO LIBIA ROSANITA 0201606589001 X 120497 SANCHEZ HUILCA FREDDY ROLANDO 0201608197001 X 252910 GARCIA CAMACHO JAIME IVAN 0201608585001 X 162873 VILLACIS PACAJI GIOVANNY LORENZO 0201611043001 X 220699 GAIBOR JURADO MARIA PAOLA 0201621364001 X
  • 93.
    No No registra No No registra No No. registra registra No. indicadores registra provincia, registra Persona_id NOMBRE No. ID (RUC) calle número registra de ventas, apellido cantón y primer principal de calle origen activos y/o paterno parroquia nombre principal empleados 157549 QUINATOA CHELA ANGEL AURELIO 0201623592001 X 83030 BORJA ULLOA EMMA MARLENE 0201626447001 X 260896 TIBANLOMBO TIBANLOMBO LUIS WILFRIDO 0201627445001 X 116060 SEGURA TACLE MARIA ALEXANDRA 0201629821001 X 265631 TOAPANTA URBANO EDGAR GEOVANNY201630464001 0 X 264680 CEVALLOS CEVALLOS LUIS ALFREDO 0201631942001 X 109975 CAMPI OCAMPO RONALD HAMILTON 0201633153001 X 254504 BORJA JIMENEZ DARWIN FABIAN 0201633922001 X 198815 YANEZ GAYBOR CARLOS ISIDRO 0201641651001 X 245633 MULLO PILAMUNGA NELSON GEOVANNY 0201642097001 X 185819 ARMIJO SANABRIA ROSA ELENA 0201643111001 X 275837 ALDAZ GONZALES CRISTHIAN DANILO 0201656048001 X 249567 TENEZACA JOSÉ 0201656055001 X 231197 GUALUNTUÑA BRONCANO REISY KARINA0201660628001 X 189614 GRANIZO CUJI RAUL MEDARDO 0201662848001 X 223223 RODAS ALBÁN NATHALIE MARGOTH 0201663275001 X 73309 CASTRO GUILLEN TYRONE ALEXIS 0201666641001 X 191274 ILLACHUMA NINABANDA HERNAN EDUARDO 0201675865001 X 136879 GUANANGA TERRANOVA GIINA PETITA0201677051001 X 227476 VERDEZOTO MONTERO MARIA EUGENIA201680402001 0 X 111130 AVILES GUERRA DIEGO FERNANDO 0201690328001 X 235233 ULLOA ULLOA LOURDES ANITA 0201693173001 X 82015 PACHALA LLUMIGUANO KLEVER EFRAIN0201698982001 X 192708 LUCIO JUAN MARCELO 0201699444001 X 107345 LIZANO MUÑOZ VINICIO EFRAIN 0201702347001 X 165379 CAMBO CAMBO VILMA BEATRIZ 0201708609001 X 85977 ARMIJOS MONAR ANGELA GABRIELA 0201712841001 X 167356 SILVA BAÑO CRISTIAN GILBERTO 0201714375001 X 241863 PILAMUNGA AGUALONGO EDWIN ANIBAL0201716693001 X 177810 QUINLLÍN MORETA MIGUEL ANGEL 0201717899001 X 197465 BASTIDAS CALERO FREDDY NEY 0201719150001 X
  • 94.
    No No registra No No registra No No. registra registra No. indicadores registra provincia, registra Persona_id NOMBRE No. ID (RUC) calle número registra de ventas, apellido cantón y primer principal de calle origen activos y/o paterno parroquia nombre principal empleados 152847 GUAMAN PUNGAÑA LUIS RODOLFO 0201723947001 X 109001 CÁCERES CASTRO ALEXANDRA PAOLA0201724317001 X 78875 PILAMUNGA LLUMIGUANO GUSTAVO XAVIER 0201726650001 X 132922 CHARIGUAMAN QUISHPE JUAN CARLOS 0201733482001 X 274761 CHARIGUAMAN QUISHPE MARIA NAECISA0201733490001 X X X 227474 CHAVEZ LOMBEIDA ERCILIA CANDELARIA 0201739083001 X 186542 TUAREZ MERCHAN EDUARDO ARNALDO 0201748365001 X 269288 BAYES CHACHA NARCISA BEATRIZ 0201753738001 X 115088 SANCHEZ CEDEÑO ANGEL GEOVANNY 0201759016001 X 228018 BOSQUEZ GAIBOR JHON RICHARD 0201762887001 X 167713 AREVALO CHIMBO ANGEL GIDO 0201763992001 X 217200 GUANO PACHALA ESTHELA 0201765864001 X 118775 AMANGANDI AREVALO VENANCIO 0201771623001 X 182415 ARELLANO QUINATOA GALO MEDARDO0201776937001 X 249935 CIMBOLEMA TOALOMBO BOLIVAR JAVIER0201779790001 X 88467 PALACIOS BAYAS JOSE MIGUEL 0201780046001 X 242835 PIMBOSA AGUILAR RAUL VINICIO 0201784063001 X 258945 TUALOMBO TAMAMI AMERICA MARTHA0201789997001 X 266628 SANCHEZ VASCONES JUAN CARLOS 0201791076001 X 145087 YALLICO YUMBAY BLANCA ELIZABETH 0201795804001 X 128042 RODRIGUEZ FREIRE DAVID ALEXANDER 0201798907001 X 223193 GUERRERO MORETA MARCO ANTONIO0201801156001 X 106460 MELENDREZ BARRAGAN WILMO ARCENIO 0201801347001 X 181427 AGUIRRE QUINTANILLA ELIAS ALFREDO0201802063001 X 137493 CAMACHO VEGA ROSA EDITH 0201812856001 X 91533 ULLOA MIRANDA LAURA ELENA 0201813722001 X 140089 PUNGAÑA ZARUMA SERGIO WASHINGTON 0201814993001 X 196250 ESTRADA ESTRADA JORGE XAVIER 0201816758001 X 219712 BOSQUEZ BARCENES VICTOR ALEJANDRO0201819570001 X 63446 NUÑEZ PASTO MARIETA EUGENIA 0201831179001 X 276531 NAJERA SOSA JOSE ISRAEL 0201843547001 X
  • 95.
    No No registra No No registra No No. registra registra No. indicadores registra provincia, registra Persona_id NOMBRE No. ID (RUC) calle número registra de ventas, apellido cantón y primer principal de calle origen activos y/o paterno parroquia nombre principal empleados 163042 SERRANO CASTRO ANITA KARINA 0201849445001 X 202634 FIERRO PAZMIÑO DIANA ELIZABETH 0201851466001 X 109360 REAL NAVARRETE LUIS EDUARDO 0201854403001 X 84554 GARCIA VALENCIA BLANCA CORINA 0201871464001 X 237427 CHASI NUÑEZ FRANKLIN MARCELO 0201873726001 X 246552 ALBINO GUACHO MARITZA ELIZBETH 0201874963001 X 211623 TORRES QUINATOA CARLOS OVIVIO 0201880465001 X 114659 BORJA POZO ANITA MARIA 0201884103001 X 172984 CHAMORRO LUIZANA 0201893609001 X 186958 QUICALIQUIN CHASI GUIDO ORLANDO 0201894623001 X 145983 CABEZAS PAZMIÑO MIGUEL ANGEL 0201896735001 X 222969 VASQUEZ FONSECA GEOVANY ISRAEL 0201898350001 X 264727 ALVARADO DAVILA ANTHONY VICENTE0201901352001 X 107766 VILLAREAL ACURIA DENNIS MARIELA 0201902277001 X 89704 PUCHA LEMA EDWIN MANUEL 0201924024001 X 144148 AVEROS MORA REMIGIO GERMAN 0201926342001 X 155031 ARGUELLO HOLGUIN CHRISTIAN GARDEL 0201972221001 X 124393 MANOBANDA REA CRISTIAN JESUS 0201988110001 X 231140 JIMÉNEZ RAMOS JYNA ELIZABETH 0201996360001 X 263950 LUCINTUÑA AGUAGALLO ANA ELOISA 0201996444001 X 224183 GARCÍA NÚÑEZ ALEXANDER JAVIER 0202005633001 X 258953 COLOMA SANTOS EDGAR ROLANDO 0202028247001 X 225512 GARCIA MUÑOZ IVAN FRANCISCO 0202029047001 X 249373 CHARIGUAMAN QUISHPE LUIS ALFREDO0202060331001 X 273040 CHISAG CHISAG ANA MARÍA 0202100483001 X 212547 COOPERATIVA DE TRANSPORTE DE MATERIALES DE CONSTRUCCION CAMINO REAL 0290039649001 X 142564 DIOCESIS DE GUARANDA 0290044812001 X 91337 FUNDACION GRUPO JUVENIL SALINAS 0290044863001 X 33481 FUNDACION RUNACUNAPAC YACHANA0291500382001 X 167549 PANERATI ZORZI ALBERTO 0291500609001 X 266756 COOPERATIVA DE TRANSPORTE MIXTO EN CAMIONETAS DOBLE CABINA UNION BOLIVARENSE 0291500943001 X
  • 96.
    No No registra No No registra No No. registra registra No. indicadores registra provincia, registra Persona_id NOMBRE No. ID (RUC) calle número registra de ventas, apellido cantón y primer principal de calle origen activos y/o paterno parroquia nombre principal empleados 130788 ASOCIACION INTERPROFESIONAL DE MAESTROS Y OPERARIOS 22 DE ABRIL 0291501478001 X 15149 FUNDACION FAMILIA SALESIANA SALINAS 0291501583001 X 251021 COOPERATIVA DE PRODUCCIÓN ARTESANAL "5 DE NOVIEMBRE" 0291501885001 X 25289 ATTREZZO CONSTRUCTORES CIA. LTDA.0291503535001 X 145325 SAN MIGUEL DISTRIBUCION Y VENTA SAMIDISV S.A 0291504736001 X 77140 ASOCIACIÓN DE CONSERVACIÓN VIAL EMANUEL 0291505031001 X 268030 COOPERATIVA DE PRODUCCION INDUSTRIAL TAMBAN ECUADOR 0291506720001 X 148979 ASOCIACION LOS PINOS 0291508804001 X 197240 IGAREP COMPANIA LIMITADA 0291509185001 X 198128 CONSTRUCTORA LAYMICER S. A. 0291509223001 X 275930 ASOCIACION DE DESARROLLO COMUNITARIO SAN FRANCISCO DE BOLA DE ORO 0291509908001 X 216726 MATA REGALADO FANNY RAQUEL 0300005386001 X 163675 ESPINOZA CORDOVA LUIS ROBERTO 0300016011001 X 155499 ROMERO ACERO CARLOS ANTONIO 0300019759001 X 119102 GONZALEZ VINTIMILLA GERMAN GERMAN0300027364001 X 132678 MOROCHO PALOMEQUE JULIA LUCRECIA 0300030574001 X 107851 REINOSO CARDENAS ARIOSTO ARMANDO 0300033255001 X 177026 ZUMBA TORRES ANGEL BENIGNO 0300040490001 X 166198 ROMERO GUAMAN NOLBERTO 0300055464001 X 171380 FAJARDO ARCENTALES REINALDO ISAAC0300057809001 X 138387 ROSAS PIÑA SEGUNDO POLIDORO 0300058609001 X 111506 AREVALO AREVALO JOSE ALBERTO 0300067089001 X 226720 ORTIZ GUARACA LUIS HUMBERTO 0300070620001 X 200198 CABRERA LUIS ABELARDO 0300071719001 X 94382 GARCES GARCES GUILLERMO JOSE 0300075876001 X 278330 RIVAS ARCE VICENTE SERAFIN 0300088168001 X 181104 IDROVO ESPINOZA MARTHA LIVERIA 0300091998001 X 108611 ORBE VÁSQUEZ JOSÉ GUALBERTO 0300097383001 X 163646 URGILEZ NEIRA MANUEL JESUS 0300105293001 X 164295 ORTIZ PADILLA JOSE ANTONIO 0300108685001 X 107823 PALAGUACHI CUENCA JOSE MARIA 0300120094001 X
  • 97.
    No No registra No No registra No No. registra registra No. indicadores registra provincia, registra Persona_id NOMBRE No. ID (RUC) calle número registra de ventas, apellido cantón y primer principal de calle origen activos y/o paterno parroquia nombre principal empleados 162129 ANDRADE ASTUDILLO ANGEL JOEL 0300130994001 X 135481 CASTILLO GUILLEN DANIEL HOMERO 0300136702001 X 156981 BUESTÁN ACERO MANUEL IGNACIO 0300143468001 X 256986 PEÑAFIEL MARIN TARGELIA DE JESÚS 0300154770001 X 107274 MORENO BARRERA JULIO RICARDO 0300156957001 X 107925 ABAD PALACIOS FRANCISCO JOSE 0300164464001 X 104027 MOREJON SIGUENCIA MANUEL MARIA 0300174760001 X 172374 MOREJON SIGUENCIA MARÍA CELESTINA0300174778001 X 108073 VAZQUEZ BRUNO AURELIO ANTONIO 0300183035001 X 148596 GUILLEN CASTILLO MANUEL JESUS 0300185121001 X 164197 RODRIGUEZ GONZALEZ LEONCIO FELICIANO 0300193166001 X 100085 NAULA TORRES CARLOS IVAN 0300209863001 X 174977 ANDRADE VASQUEZ LUIS ALBERTO 0300211570001 X 92046 PERALTA PERALTA JUAN BAUTISTA 0300221959001 X 189791 VASQUEZ URGILEZ CARLOS HERIBERTO 0300236320001 X 211794 GARCIA MORA VICTOR ELICEO 0300241429001 X 57902 CORREA PADRON DANIEL ANTONIO 0300251600001 X 45760 ZAMORA ZEA HERNAN FEDERICO 0300275054001 X 36784 MATUTE MOLINA HUGO HOMERO 0300278603001 X 259059 MATA CALLE CARLOS DANIEL 0300326352001 X 124732 RUBIO GERARDO GONZALO 0300328754001 X 110320 LUZURIAGA VILLACIS CARLOS EFRAIN 0300340429001 X 147826 TOLEDO AGUILAR BLANCA ELOISA 0300342508001 X 96130 MENDIETA MENDEZ MARCELO RODRIGO 0300349271001 X 64696 REDROVÁN GONZÁLEZ EDGAR RENÉ 0300352093001 X 123142 LEÓN SARMIENTO NELSON HOMERO 0300369485001 X 167424 GANZHI BERMEJO MANUEL MATIA 0300375219001 X 214213 BRITO PENARANDA ANGEL SALVADOR 0300375920001 X 184028 TENEZACA MACANCELA MIGUEL ANGEL 300389244001 0 X 179263 FERNANDEZ GARZON JOSE FRANCISCO 0300390069001 X 108916 CORREA ESPINOZA JAIME RODRIGO 0300391133001 X
  • 98.
    No No registra No No registra No No. registra registra No. indicadores registra provincia, registra Persona_id NOMBRE No. ID (RUC) calle número registra de ventas, apellido cantón y primer principal de calle origen activos y/o paterno parroquia nombre principal empleados 177649 TENEZACA BARRERA JULIO CESAR 0300398898001 X 79754 CALLE PEREZ MIGUEL HUGO 0300399839001 X 155896 GUALLPA GUALLPA FROILAN RODRIGO0300409596001 X 222241 CEDILLO FEIJOO TEODORO EDUARDO 0300410693001 X 4204 PALACIOS WAGNER 0300417862001 X 181024 PADILLA PADILLA JOSE 0300418829001 X 212717 SARMIENTO MERCHÁN JOSÉ EDUARDO 0300419405001 X 50576 MINCHALA NAULA LUIS FROILÁN 0300420304001 X 165943 ANDRADE MINCHALA MIGUEL 0300423183001 X 228444 PIEDRA PIEDRA BOLIVAR JACINTO 0300427937001 X 67414 LOYOLA SALAZAR ADOLFO DARIO 0300432176001 X 208538 SANCHEZ LOPEZ VICTOR MANUEL 0300437142001 X 163806 YUMBLA JACHERO SEGUNDO ALFONSO 0300437837001 X 30591 ALOMÍA VAZQUEZ MARCO GARIBALDI 0300439643001 X 258975 GUAMAN MACANCELA FAUSTO EZEQUIEL 0300439791001 X 142891 GONZÁLEZ ARGUDO JOSÉ EDGAR 0300439957001 X 163182 CAMPOVERDE QUIZHPI MANUEL ISIDORO 0300443397001 X 161245 BUSTAMANTE BRAVO FLAVIO TARQUINO 0300443546001 X 108997 RODRIGUEZ SARMIENTO ALBERTO ENRIQUE 0300444056001 X 71083 PEÑAFIEL GONZÁLEZ BOLÍVAR IVÁN 0300444395001 X 273459 ANDRADE AMOROSO MARCO RICARDO0300446978001 X 150890 CASTILLO GUILLEN EFRAIN 0300456688001 X 209945 RODRIGUEZ TAPIA ANGEL GABRIEL 0300457157001 X 136218 PADILLA BERMEJO ANIBAL 0300460797001 X 75077 ANDINO ESPINOZA JOHN ALEXANDER 0300469954001 X 176609 TOBAR IGLESIAS POLIVIO RAMIRO 0300477197001 X 276835 LATACELA MINCHALA JOSE RICARDO 0300477361001 X 26706 SÁNCHEZ CÁRDENAS NUBE GRACIELA 0300479953001 X 105895 LATACELA MINCHALA LUIS ANTONIO 0300481801001 X 223951 CARMILEMA SANCHEZ MIGUEL ANGEL 0300482833001 X 152782 SUQUITANA LUIS ALBERTO 0300483286001 X
  • 99.
    No No registra No No registra No No. registra registra No. indicadores registra provincia, registra Persona_id NOMBRE No. ID (RUC) calle número registra de ventas, apellido cantón y primer principal de calle origen activos y/o paterno parroquia nombre principal empleados 81697 SOLÓRZANO CORONEL CELSO ALFREDO 0300486040001 X 162806 TAPIA VAZQUEZ JUAN MARIA 0300486859001 X 133037 PERALTA OCHOA JOSE FRANCISCO 0300487097001 X 126650 ECHEVERRIA PRIETO MARIA TRANSITO0300488707001 X 106866 CORONEL FLORES TALITA GUADALUPE 0300489077001 X 61465 SALDAÑA MENDIETA EDGAR FERNANDO300489879001 0 X 163160 POMAQUIZA ZAMORA FRANCISCO 0300495215001 X 179884 BERNAL MOLINA CESAR AUGUSTO 0300496379001 X 140413 PERUGACHI MARTINEZ LUIS ISAAC 0300510336001 X 239432 GARCIA MENDIETA JUAN NICOLAS 0300512662001 X 216757 MATUTE CORDERO RIGOBERTO SEGUNDO0300520137001 X 106734 FLORES SOLANO JULIO CESAR 0300520830001 X 182165 GARCIA SACOTO CARLOS OSWALDO 0300526852001 X 165253 BARAHONA GARATE HERNAN DARIO 0300528080001 X 150172 SANTANDER GUILLEN SILVIO LEONARDO 0300528783001 X 163206 MUÑOZ SEGUNDO JUAN 0300530763001 X 148697 TORRES REYES PATRICIO TEODORO 0300532132001 X 56641 ROMO LOYOLA SAUL PATRICIO 0300533700001 X 228441 LEÓN CÁCERES GUILLERMO ALFONSO0300542818001 X 139989 CHIMA NARVAEZ RICARDO 0300544939001 X 213638 CLAVIJO NIETO OSWALDO EDILBERTO 0300556388001 X 97301 PAUTA CALLE JAIME OSWALDO 0300558467001 X 107192 CABRERA YUMBLA NAPOLEON 0300558897001 X 272729 QUINTUÑA PIÑA FERNANDO ARCESIO 0300561602001 X 248854 LUNA MATUTE SEGUNDO ADOLFO 0300563665001 X 146080 LEMA BERMEO MANUEL MARIA 0300563707001 X 189368 DELGADO LALA SEGUNDO FRANCISCO0300565470001 X 181747 FERNANDEZ ORTIZ JUAN ALBERTO 0300565520001 X 60107 MONCAYO ANDRADE ROMEO LUIS 0300568367001 X 191010 CARANGUI ANDRADE CÉSAR FERNANDO 0300572245001 X 200129 FERNANDEZ IDROVO BERTHA XIMENA 0300573607001 X
  • 100.
    No No registra No No registra No No. registra registra No. indicadores registra provincia, registra Persona_id NOMBRE No. ID (RUC) calle número registra de ventas, apellido cantón y primer principal de calle origen activos y/o paterno parroquia nombre principal empleados 132116 LOYOLA VINTIMILLA MANUEL IGNACIO 0300575198001 X 108291 CARANGUI ANDRADE CARMEN BEATRIZ 0300577624001 X 150931 CASTILLO GUILLEN SEGUNDO FRANCISCO 0300578374001 X 255573 MUÑOZ CUNGACHI ALEJANDRO 0300583531001 X 82444 VERGARA LUIS ENRIQUE 0300594033001 X 111213 CUENCA GUAMAN JOSE MIGUEL 0300595584001 X 125816 CORONEL ANDRADE GILBERT MARCELO 0300597614001 X 139473 SANCHEZ ARTEAGA JOSE LEONARDO 0300604584001 X 144921 GUILLEN ORTIZ CARLOS ALONSO 0300606985001 X 198704 GONZALEZ CORONEL EDUARDO VICENTE 0300607827001 X 157046 MOROCHO GONZALEZ MARIA TRANSITO ROSARIO 0300608114001 X 31308 VERDUGO CRESPO DIEGO LIZANDRO 0300608817001 X 100898 MONTERO ZAMBRANO JOSÉ ALFONSO0300610672001 X 121704 VARGAS CÁRDENAS LIANA MARÍA 0300618998001 X 223651 CHUYA GUAMAN MARIANA DE JESUS 0300625613001 X 138307 OJEDA BERNAL EGMA DOLORES 0300625977001 X 77710 MOROCHO QUINTEROS MIGUEL PATRICIO0300641065001 X 250857 MINCHALA MATUTE ROSENDO 0300646692001 X 196308 ZUÑA GUAMAN LUIS ANTONIO 0300648037001 X 174408 SANTANDER SANTANDER FRANCISCO 0300649480001 X 123697 CARDENAS MATUTE ADELA MARIANA 0300650066001 X 134379 NARVAEZ ORDOÑEZ JOSE SERAFIN 0300651593001 X 24693 CABRERA VAZQUEZ JOSE LUIS 0300656246001 X 66782 CARDENAS ORDOÑEZ JORGE ROSENDO 0300661923001 X 203588 NOVILLO RIVERA MIGUEL HERNAN 0300665247001 X 55243 PADILLA JIMENEZ LUIS RAMIRO 0300671617001 X 249870 MOROCHO GUAMAN JOSE MIGUEL 0300672086001 X 161232 BUSTMANTE BRAVO CARMITA DE JESUS 0300672219001 X 79397 CORONEL BUSTOS GLADYS ALICIA 0300672227001 X 252104 RAMIREZ CORDERO MARCO ALFREDO 0300681624001 X 260745 MONTERO OCHOA ANTONIO ISAIAS 0300681756001 X
  • 101.
    No No registra No No registra No No. registra registra No. indicadores registra provincia, registra Persona_id NOMBRE No. ID (RUC) calle número registra de ventas, apellido cantón y primer principal de calle origen activos y/o paterno parroquia nombre principal empleados 163821 ROSAS PADILLA SEGUNDO GABRIEL 0300685070001 X 182538 CHAUCA CHUQUI MANUEL JESUS 0300687027001 X 176197 SOTAMBA LUNA JUAN JOSE 0300688702001 X 201966 NEIRA PALOMEQUE LOURDES SUSANA0300691060001 X 58507 BARRERA PINOS WILLER EDMUNDO 0300695046001 X 139088 CALLE ARGUDO LUISA MARIANA 0300701380001 X 38597 OCTAVIO 0300701802001 X 52670 JARA PALOMEQUE CESAR RODRIGO 0300701810001 X 180273 VICUNA CARPIO GALO MIGUEL 0300702214001 X 156491 ALVAREZ LARREA LUIS ELOY 0300705779001 X 201820 OLIVEROS MENDIETA JORGE OSWALDO 0300707064001 X 172928 VILLAVICENCIO VILLAVICENCIO MANUEL LEOPOLDO 0300709144001 X 131022 CONTRERAS LEON GERMAN EDIBERTO 0300709326001 X 248631 SANANGO URGILEZ ANA MARIA 0300709847001 X 175919 CHUCHUCA ABRIL JOHN SILVERIO 0300718319001 X 163141 PINGUIL PICHAZACA ASENCIO MARIA 0300721289001 X 163310 QUITO PEREZ MANUEL EUDORO 0300723780001 X 187091 PAUCAY SARABIA JOSE ELOY 0300726213001 X 143943 VINTIMILLA MALDONADO JOSE EDUARDO0300735412001 X 113743 MONTOYA NARVAEZ OLGER ROLANDO0300739604001 X 127330 SIGUENZA ROJAS WILSON EUGENIO 0300739992001 X 114177 MORA BUESTAN SEGUNDO MIGUEL 0300742558001 X 139235 JARAMILLO CASTILLO GERARDO 0300745932001 X 210111 VAZQUES PACHECO MARIA ELENA 0300746740001 X 74696 AVILA GAVILANEZ VICTOR OSWALDO 0300750221001 X 59551 PALOMEQUE CANTOS REMIGIO EFRAÍN 0300751260001 X 140388 BARRERA MARTINEZ CESAR PAULINO 0300751385001 X 272281 CALLE ROMERO GENARO 0300751864001 X 71462 REYES SACOTO PABLO ESTEBAN 0300755279001 X 137561 GARCIA SIGUENZA RUBEN DARIO 0300757226001 X 159485 PATIÑO JIMENEZ CLAUDIO RAUL 0300768132001 X
  • 102.
    No No registra No No registra No No. registra registra No. indicadores registra provincia, registra Persona_id NOMBRE No. ID (RUC) calle número registra de ventas, apellido cantón y primer principal de calle origen activos y/o paterno parroquia nombre principal empleados 235427 RIVERA HEREDIA LUIS HUMBERTO 0300768835001 X 90655 BARRETO AREVALO FRANCISCO BOSCO 0300769528001 X 150902 GUILLEN ORTIZ LUIS EDGAR 0300772795001 X 159910 CASTRO GONZALEZ SEGUNDO ROBERTO 0300776952001 X 78646 ANDRADE SIGUENCIA JULIO CÉSAR 0300776960001 X 111741 BENAVIDES TENEZACA RUBEN DARIO 0300778545001 X 53934 ASITIMBAY TENEZACA CARLOS MARCELO 0300780004001 X 163135 ZAMORA ZAMORA ESTEBAN 0300784725001 X 136013 AVILA GAVILANEZ MARCO ANTONIO 0300790037001 X 226083 GUAMAN LOJA LUIS ANTONIO 0300792397001 X 59223 CALDERON AVILA MARIA CECILIA DE LA NUBE 0300795812001 X 111663 MOLINA SUAREZ ANGEL EUCLIDES 0300796562001 X 209954 BAUTISTA BAUTISTA EUCEBIO DANIEL 0300804663001 X 160078 TITO NAULA LUIS GERARDO 0300806361001 X 250373 OCHOA MOLINA WILSON PATRCIO 0300808672001 X 89010 PARRA SEGOVIA MARCELO TEODORO 0300810629001 X 30067 GARCÍA CADENA VOLTAIRE VALENTIN 0300816568001 X 152175 CAMPOVERDE PALLAROSO ROBLISON 0300822723001 IVAN X 185468 AVILA CLAVIJO VICTOR MANUEL 0300830171001 X 205700 VAZQUEZ MERCHAN JANETH KZHAQUELINE0300831260001 X 78180 AVILA SACOTO LUIS ROBERTO 0300831716001 X 31025 VELECELA SERRANO MARCO VINICIO 0300831955001 X 205177 RODRIGUEZ SACOTO LEONOR CECILIA0300832532001 X 199361 EZQUIBEL SARMIENTO JORGE ENRIQUE300833811001 0 X 145996 RODRIGUEZ CASTILLO FREIRE HERIBERTO 0300835899001 X 243228 FRANCO CALLE MONICA ELIZABETH 0300836798001 X 113576 SALAMEA ARGUDO JOSÉ ANTONIO 0300838539001 X 194015 NARANJO PALLAROSO ANA LUCIA 0300851409001 X 220474 MALDONADO SIGUENCIA JORGE ALBERTO 0300859345001 X 236811 CALLE HERAS RAMIRO 0300859881001 X 33401 MALDONADO VILLAVICENCIO JHON PATRICIO 0300862687001 X
  • 103.
    No No registra No No registra No No. registra registra No. indicadores registra provincia, registra Persona_id NOMBRE No. ID (RUC) calle número registra de ventas, apellido cantón y primer principal de calle origen activos y/o paterno parroquia nombre principal empleados 119133 RODRIGUEZ ESCANDON JAVIER ABRAHAM 0300870292001 X 277476 PALACIOS CORONEL ESTEBAN GUILLERMO 0300874930001 X 210094 SERRANO ORTIZ JAKELINE DE LA NUBE 0300875689001 X 51575 JHONY 0300879111001 X 42527 VERGARA CALLE CARLOS PATRICIO 0300880796001 X 218560 LUZURIAGA SAQUICELA JOSE ROLANDO300886025001 0 X 151206 MIRANDA URGILES WILSON ANTONIO 0300889250001 X 198810 ORDOÑEZ ALVAREZ CARLOS GUSTAVO 0300890142001 X 164329 ORTIZ ENCALADA JOSE RAMIRO 0300895349001 X 65138 SALAZAR PALAGUACHI MILTON TEODORO 0300903481001 X 49586 WILSON 0300910981001 X 179878 CRESPO AMOROSO MARLENE JESUS 0300915584001 X 82818 SERRANO VINTIMILLA OSCAR NAPOLEÓN 0300918372001 X 141953 ESQUIVEL SARMIENTO CESAR EUGENIO300925633001 0 X 146708 MACANCELA HERRERA ANGEL WILFRIDO0300926185001 X 163591 BERNAL CASTILLO HOLGER OTILIO 0300928181001 X 243446 CLAVIJO PINOS WILSON REMIGIO 0300928611001 X 109384 ESPINOZA GUSMAN JAVIER GUILLERMO0300928975001 X 54845 PIEDRA ARGUDO SAMUEL HERIBERTO 0300929619001 X 199345 AVILA SARMIENTO BERTHA PATRICIA 0300930195001 X 207022 CARANGUI FERNANDEZ JOSE MARCELO 0300930229001 X 196588 LARA OCHOA JUAN CARLOS 0300933710001 X 80616 GONZALEZ BUSTAMANTE REMIGIO ELISEO 0300934809001 X 148774 PINGUIL ZARUMA MARÍA JULIANA 0300938826001 X 133287 GONZALEZ GONZALEZ MARTHA LUZMILA0300944584001 X 232160 IÑAMAGUA GUAMAN MANUEL MARIA 0300944691001 X 220129 YUMBLA PINEDA MANUEL JESUS 0300951738001 X 260349 VARGAS QUEVEDO JUANA GUILFRIDA 0300951910001 X 133969 DEFAZ PADILLA CESAR ANTONIO 0300953965001 X 239572 MERA ANDRADE CARLOS ALBERTO 0300955630001 X 214393 ROMERO AVECILLAS ANTONIO NEPTALI0300955945001 X
  • 104.
    No No registra No No registra No No. registra registra No. indicadores registra provincia, registra Persona_id NOMBRE No. ID (RUC) calle número registra de ventas, apellido cantón y primer principal de calle origen activos y/o paterno parroquia nombre principal empleados 44673 ROJAS LUNA HJALMAR FABIAN 0300956018001 X 69440 CANTOS ORMAZA WILSON JACINTO 0300957933001 X 105567 ALVAREZ AUQUI MAURO ABDON 0300959012001 X 138029 PACHARI PACHARI JOSE RENE 0300960135001 X 226832 CASTRO GONZALEZ XAVIER HOMERO 0300963089001 X 217743 LEON VAZQUEZ JUAN REMIGIO 0300964012001 X 200483 ABAD CHACHA RÓMULO RIGOBERTO 0300966520001 X 112612 ORTIZ ALVARADO LUIS ROBERTO 0300968518001 X 49672 CASTRO CALLE ANGEL EDUARDO 0300970142001 X 266510 GUALLPA GUALLPA RENE MANUEL 0300973104001 X 262096 PAREDES PEÑAFIEL LUIS RANULFO 0300974276001 X 84710 CALLE PERALTA ONDINA DE LOURDES 0300975174001 X 110526 JARA MILTON 0300977360001 X 226175 LUCERO MUÑOZ JOSÉ ALBERTO 0300986650001 X 205864 LOPEZ NARANJO REINA PIEDAD 0300988516001 X 158645 DOMINGUEZ GALLEGOS GLORIA ESTELA0300989852001 X 216157 CURILLO HUMALA FAUSTO RODRIGO 0300991585001 X 149857 JARAMILLO ORTIZ FLAVIO OSWALDO 0300992146001 X 247323 LÓPEZ QUEVEDO FRANKLIN GEOVANNY301001806001 0 X 128394 JEREZ FAJARDO JORGE ISIDRO 0301006102001 X 23779 CARDENAS ROJAS JORGE OSWALDO 0301011847001 X X 220523 CHOGLLO ZAMBRANO JOSE BOLIVAR 0301014577001 X 234887 ZUMBA LEMA MARCO AUGUSTO 0301014734001 X 142147 VAZQUEZ ALVAREZ BENJAMIN DEMETRIO 0301015103001 X 69622 SIGUENCIA AGUILAR CARMEN ELISA 0301024600001 X 163166 ORDOÑEZ ORDOÑEZ JULIO BENJAMIN 0301025672001 X 182174 AVILA IDROVO JHON GUILLERMO 0301026118001 X 116867 SALINAS CORDOVA DIANA PAOLA 0301029898001 X 179822 DEFAZ ANDRADE HENRY HUMBERTO 0301031035001 X 117881 ZHINDON ESPINOZA MIGUEL ANGEL 0301034732001 X 192429 BARRERA SÁNCHEZ LORENA GENOVEVA 0301040069001 X
  • 105.
    No No registra No No registra No No. registra registra No. indicadores registra provincia, registra Persona_id NOMBRE No. ID (RUC) calle número registra de ventas, apellido cantón y primer principal de calle origen activos y/o paterno parroquia nombre principal empleados 245719 ULLOA BARAHONA WILSON ABRAHAN 0301041224001 X 175648 DUTÁN RAÚL 0301043683001 X 41659 VERDUGO CRESPO JOSÉ MANUEL 0301045126001 X 80272 GUAMAN SACTA SANDRA DEL ROCIO 0301046868001 X 192934 DUCHI ZARUMA RAFAEL MARIA 0301048195001 X 174849 CASTRO SALAZAR GLORIA CUMANDÁ 0301048443001 X 142606 CASTILLLO REMACHE EFRAIN ANIBAL 0301053187001 X 59888 CALLE CORDERO SEGUNDO FERNADO0301053856001 X 273689 PALCHIZACA ANGAMARCA SEGUNDO MANUEL 0301054649001 X 214868 LEON MÉNDEZ CRUZ ROMELIA 0301055851001 X 191029 REINOSO PEÑAFIEL HERNAN RAUL 0301056909001 X 20331 MOROCHO OCHOA LUIS EMILIO 0301057014001 X 108412 ORTIZ ALVARADO MIGUEL TEODORO 0301059218001 X 140010 ANGAMARCA CALDERON MARCO FERNANDO0301060737001 X 184654 SERPA TOLEDO ELSA NOEMI 0301062139001 X 246974 MOREJON ENCALADA SEVERO HUMBERTO 0301064739001 X 189346 PERALTA LUNA EDGAR PATRICIO 0301066577001 X 165994 ORTIZ ANDRADE MANUEL 0301067807001 X 86923 JARA AREVALO FLORENCIO MAURICIO 0301069944001 X 108407 PAREDES OCHOA WILSON MANUEL 0301070272001 X 125273 VARGAS RAMIREZ ROBERT PAUL 0301077657001 X 250334 PERALTA SAETEROS ZOILA MARÍA 0301079851001 X 23763 LUCERO AVILA EDUARDO TEODORO 0301081360001 X 151188 GUAMAN CACERES JORGE FERNANDO0301085569001 X 177521 PALACIOS VALDIVIEZO FRANCISCO JAVIER 0301088274001 X 222802 PEREZ REINOSO FREDDY GEOVANNY 0301095741001 X 165409 CANTOS ORMAZA WILMAN JACOBO 0301098398001 X 274639 BUSTAMANTE PAREDES ENA PILAR 0301110706001 X 196770 CALLE MAZAPANTA JOSE RENE 0301110987001 X 71186 HARRIS VASQUEZ VICTOR OSWALDO 0301112777001 X 136668 ZHINDON YASCARIBAY PABLO IVAN 0301113429001 X
  • 106.
    No No registra No No registra No No. registra registra No. indicadores registra provincia, registra Persona_id NOMBRE No. ID (RUC) calle número registra de ventas, apellido cantón y primer principal de calle origen activos y/o paterno parroquia nombre principal empleados 216638 TAMAY QUICHIMBO FERNANDO 0301115473001 X 184589 FERNANDEZ VAZQUEZ FREDY ESTUARDO0301115648001 X 181792 VÁZQUEZ QUEZADA CARLOS GUSTAVO 0301116752001 X 160504 CAJAS GONZALEZ VICTOR ORLANDO 0301118543001 X 128865 ABAD PALACIOS FRANCISCO ALEJANDRO 0301121810001 X 226985 GUAILLAS AGUAIZA SEGUNDO JULIO 0301123600001 X 115743 PICHASACA GUAMAN MARIANO 0301125290001 X 226394 PIÑA REINOZO CARLOS ROMÁN 0301126280001 X 151041 GAONA MOROCHO GLADYS RAQUEL 0301128104001 X 149651 MENDOZA BERMEO JIMMY JAVIER 0301138608001 X 251488 PUCHUELA ZEA GENARO DE JESÚS 0301142840001 X 229553 ANGUISACA PRADO OLGER VICENTE 0301144978001 X 108055 MUÑOZ GONZALEZ JUAN CARLOS 0301147492001 X 185275 ROJAS CUMBE OLGER ELIZALDE 0301153045001 X 211441 LEON ANDRADE MONICA PIEDAD 0301155545001 X 234725 CHAUCA ALBARRACÍN VICTOR MIGUEL0301156113001 X 227453 PADILLA VERDUGO ANÍBAL MEDARDO 0301158473001 X 248060 PADILLA PIÑA EDGAR EFRAIN 0301159075001 X 163633 ORTIZ MARTINEZ PEDRO ALEJANDRO 0301161816001 X 67621 ROMERO PALOMEQUE XAVIER EUGENIO 0301162012001 X 35295 CHRISTIAN 0301162145001 X 212582 BERMEO PEREZ JOSE RICARDO 0301170403001 X 104068 GALLEGOS CONTRERAS EDISON EDUARDO 0301172961001 X 110027 BONETE SACOTO WALTER ALFONSO 0301173639001 X 164279 MARTINEZ AVECILLAS JOSE MARCELO 0301178042001 X 85940 JARA BRAVO MARIA ALEJANDRINA 0301181459001 X 28723 TERÁN PALACIOS CARLOS OSWALDO 0301190229001 X 225063 LARGO GUAMAN LUIS ERNESTO 0301203626001 X 272858 VAZQUEZ JUAN ALEJANDRO 0301206769001 X 163121 ORTIZ PIÑA GUILLERMO 0301209144001 X 272098 TENEMAZA LEON JHON PATRICIO 0301211066001 X
  • 107.
    No No registra No No registra No No. registra registra No. indicadores registra provincia, registra Persona_id NOMBRE No. ID (RUC) calle número registra de ventas, apellido cantón y primer principal de calle origen activos y/o paterno parroquia nombre principal empleados 21514 CÁRDENAS VERDUGO PABLO XAVIER 0301211595001 X 142069 URGILES ALVARADO ROMEL ERNESTO0301211942001 X 231855 ARIZAGA LEMA HONORIO 0301218459001 X 221261 MENDIETA MUÑOZ LUIS RODRIGO 0301218855001 X 162749 REDROVAN VINTIMILLA JOSE JACOB 0301219358001 X 155693 GONZÁLEZ LÓPEZ LUIS TRAJANO 0301221313001 X 142412 MAINATO SANTOS JOSE GILBERTO 0301222998001 X 34963 VINTIMILLA GONZALEZ LUIS ALBERTO 0301223467001 X 142113 MAINATO GUAMÁN DAVID 0301225728001 X 219190 FERNANDEZ CRUZ JIMMY LAUDELINO 0301226858001 X 31581 GUARACA GONZALEZ JORGE EDUARDO 0301227377001 X 195403 BERNAL VERDUGO MERCEDES REGINA 0301230348001 X 163414 RODRIGUEZ HERAS HECTOR ANTONIO0301230785001 X 108879 CÁRDENAS VERDUGO FANNY MARISOL 0301233086001 X 81511 NIETO LUIS ROBERTO 0301236246001 X 44911 SEGUNDO 0301237855001 X 253616 CALLE HERAS DARWIN MILTON 0301239315001 X 163458 ANDRADE SIGUENCIA VICENTE 0301239901001 X 266975 TIXI PEÑALOZA CRISTIAN ALBERTO 0301248191001 X 186903 NAULA ROJAS LUISA BEATRIZ 0301249306001 X 202626 TERAN IDROVO XAVIER EDMUNDO 0301252466001 X 63535 CAYAMCELA MOROCHO ANGEL REMIGIO 0301256046001 X 52156 JUAN 0301257093001 X 88724 CAMPOVERDE PAREDES NELY CUMANDA 0301274536001 X 65802 SERPA PALLAROSO CATALINA CONSUELO0301279352001 X 63385 RIVAS ALVARADO LENIN ISRAEL 0301281150001 X 252366 TENEZACA QUIZHPI JOSE VICENTE 0301284378001 X 177532 PASTUIZACA ASITIMBAY JOSEMARIA DE JESUS 0301284634001 X 57396 GUAMAN HURTADO CONSUELO DE LA NUBE 0301285342001 X 35404 BERNAL ORDÓNEZ MILTON EMILIANO 0301285375001 X 201301 VARGAS CASTILLO CLÉBER FRANCISCO 0301290896001 X
  • 108.
    No No registra No No registra No No. registra registra No. indicadores registra provincia, registra Persona_id NOMBRE No. ID (RUC) calle número registra de ventas, apellido cantón y primer principal de calle origen activos y/o paterno parroquia nombre principal empleados 112641 LOYOLA SIGUENCIA CARLOS ALEJANDRO 0301294104001 X 46435 URUCHIMA CACERES FRANCISCO JAVIER 0301304481001 X 110617 TENEZACA BRAVO TELMO ABSALÓN 0301305132001 X 104465 VIDAL SOLÓRZANO JAIME EZEQUIEL 0301305256001 X 82693 BUSTAMANTE CALDERÓN FAVIAN PATRICIO 0301312393001 X 163581 FERNANDEZ VASQUEZ JUAN CARLOS 0301312583001 X 123393 VAZQUEZ SALAZAR EDWIN EFRAIN 0301314308001 X 64094 ROMERO GONZALEZ CARLOS OSWALDO 0301319000001 X 233906 SANTANDER SIGUENCIA SONIA DE JESUS 0301322145001 X 140424 CORONEL SACOTO CARLOS ALFONSO 0301339081001 X 271281 GUACHAMIN MINCHALA LUCY DEL CARMEN 0301339123001 X 191541 BARRETO ENCALADA FRANCISCO DANILO 0301340444001 X 275594 TACURI PALAGUACHI JAIME GUSTAVO 0301342069001 X 245537 GUAMAN CACERES MARIA EUGENIA 0301366514001 X 234864 ORBE PERALTA OLGER ISAIAS 0301370409001 X 140012 AMENDAÑO JUCA CARLOS ENRIQUE 0301374823001 X 265998 CARANGUI QUEVEDO WILMER STALIN 0301376935001 X 183820 CARRASCO PINOS MARIANA DE JESUS0301382438001 X 223658 ORDOÑEZ TIXI JORGE GIOVANNY 0301382487001 X 142230 ZUMBA NAULA MANUEL JACINTO 0301387791001 X 218866 GUILLEN OJEDA LUIS JOFRE 0301389805001 X 153451 ESPINOZA CALLE JUAN PABLO 0301390795001 X 98085 CARDENAS ANDRADE CESAR ALFREDO 0301391876001 X 83134 ESPINOZA PAIDA FRANKLIN EDUARDO 0301395463001 X 61372 FLORES CLAVIJO JANNETH LORENA 0301397535001 X 40189 VEDUGO SILVA MANUEL FRANCISCO 0301397576001 X 96873 CALLE PADILLA MARTHA ASUCENA 0301398954001 X 26561 DIEGO 0301400982001 X 74694 TAMAY ALLAICO MAYRA VICTORIA 0301410460001 X 223441 PALLAROSO BENAVIDES ROSA ALEJANDRA 0301410593001 X 123047 MATUTE MACANCELA MOISES VALENTIN0301412011001 X
  • 109.
    No No registra No No registra No No. registra registra No. indicadores registra provincia, registra Persona_id NOMBRE No. ID (RUC) calle número registra de ventas, apellido cantón y primer principal de calle origen activos y/o paterno parroquia nombre principal empleados 109211 ZUNIGA GONZALEZ MIRIAM EUGENIA 0301415964001 X 208724 LEMA TAMAY PABLO FERNANDO 0301417812001 X 162103 CALLE NEIRA JOSE IGNACIO 0301420931001 X 116877 IZQUIERDO CASTANIER RENE MAURICIO 0301422705001 X 191236 CHUYA LUNA CLAUDIO CESAR 0301422762001 X 107686 VÁZQUEZ BELTRÁN VÍCTOR PATRICIO 0301428108001 X 206558 ROMERO CÓRDOVA FABIÁN VICENTE 0301430849001 X 121805 YUMBLA NAVAS JOHNY EDISON 0301432050001 X 143151 ALVAREZ GOMEZ DIEGO FERNANDO 0301437604001 X 222259 YUBI CACERES NUBE DEL ROCIO 0301437752001 X 100730 CADMILEMA PÉREZ CLAUDIA LUCÍA 0301438651001 X 63629 MORENO ORTIZ FRANCISCO JAVIER 0301442968001 X 144348 LIMA PINOS CRISTIAN MAURICIO 0301443099001 X 126027 PACHECO NARVAEZ SILVIO ENRIQUE 0301450631001 X 274018 CALLE CEVALLOS CRISTIAN OSWALDO0301451860001 X 146916 CÁRDENAS YASCARIBAY SOLEDAD DE 0301456687001 LOS ANGELES X 133222 CABRERA GOMEZ EDGAR KLEBER 0301459921001 X 195819 VÁZQUEZ RODAS FELIPE ESTUARDO 0301463600001 X 204487 ROJAS AVENDAÑO JENNY PATRICIA 0301464715001 X 139820 BURI MACANCELA NANCY JACQUELINE0301466710001 X 174033 GONZALEZ PIÑA WILFRIDO JAVIER 0301470811001 X 194244 CHIMA BUÑAY ELSA SORAIDA 0301471306001 X 190795 BERNAL NAULA JONAS PATRICIO 0301474854001 X 53952 SARMIENTO ORTIZ LUIS HERNAN 0301476016001 X 213180 ABAD SAGAL ANGEL RODOLFO 0301479556001 X 225403 REYES CASTILLO VLADIMIR STALIN 0301485611001 X 124875 ZAMBRANO ABAD JULIO CÉSAR 0301489696001 X 40999 BUÑAY REINOSO ANDRES STALIN 0301490074001 X 144343 URGILES ALVARADO EDISON GEOVANNY0301490108001 X 103205 AMOROSO MATUTE JUAN CARLOS 0301492450001 X 176933 PRIETO ROJAS ELOY ANTONIO 0301492740001 X
  • 110.
    No No registra No No registra No No. registra registra No. indicadores registra provincia, registra Persona_id NOMBRE No. ID (RUC) calle número registra de ventas, apellido cantón y primer principal de calle origen activos y/o paterno parroquia nombre principal empleados 165320 HUERTA SINCHIRI JOSÉ LUIS 0301494985001 X 257280 LEON MOROCHO CRISTIAN FERNANDO0301495867001 X 140198 ROMERO GUARQUILA GEOVANNY LEONARDO 0301497269001 X 17515 CARLOS 0301498523001 X 257707 LUNA ALTAMIRANO BLANCA MELANIA 0301499042001 X 36624 PADILLA GARCIA WALTER ANIBAL 0301499190001 X 258673 LUZURIAGA CALLE MIGUEL ANGEL 0301499927001 X 145315 OJEDA GUAMAN MARIANA DE JESUS 0301500872001 X 104589 ARIAS ORTIZ CRISTIAN POMPEYO 0301503611001 X 164751 LEÓN CALLE NATALIA FABIOLA 0301504213001 X 212035 MOLINA SIGUENZA NUBE EUGENIA 0301504544001 X 66959 TORRES RODAS MARLON TIBERIO 0301504643001 X 30599 ERNESTO 0301506085001 X 22408 CORREA CALLE MARTHA MARICELA 0301508198001 X 80293 ANDRADE CARANGUI CESAR AUGUSTO 0301508495001 X 88232 ANDRADE MOLINA PABLO CESAR 0301510079001 X 235028 HERAS PINO CARLOS GONZALO 0301512711001 X 145423 CON SER VEG SERVICIOS CONSTRUCTIVOS VEGA 0301514618001 X 211928 CURILLO MERCHAN VICTOR EDUARDO0301525267001 X 43577 ORMAZA CABRERA AMANDA GABRIELA0301526265001 X 133052 VASQUEZ VINTIMILLA JORGE MARCELO0301526901001 X 266502 VELEZACA TANDAZO NUBE CECILIA 0301528097001 X 187071 VICUÑA BERMEO VICTORIA BERNARDA0301529145001 X 265465 GONZALEZ SANMARTIN LUIS PATRICIO0301529962001 X 231216 CRESPO ROMERO JOSE LUIS 0301531596001 X 270134 ORMAZA CABRERA ALEJANDRO VINICIO0301533220001 X 270208 TAPIA QUINTEROS FAUSTO DANIEL 0301533527001 X 53604 TAMARA 0301534251001 X 147062 REINOSO GAGUANCELA ALFONSO PATRICIO 0301536280001 X 164372 VASQUEZ GARCIA MIGUEL RIGOBERTO0301536835001 X 163623 YUPA LEON JOSE ANTONIO 0301540282001 X
  • 111.
    No No registra No No registra No No. registra registra No. indicadores registra provincia, registra Persona_id NOMBRE No. ID (RUC) calle número registra de ventas, apellido cantón y primer principal de calle origen activos y/o paterno parroquia nombre principal empleados 232140 MOINA ZURITA JAVIER EDUARDO 0301547386001 X 44151 SIGUENCIA GONZALEZ CRISTIAN SANTIAGO 0301550729001 X 175865 JIMENEZ NARVAEZ LUIS MANUEL 0301551412001 X 266084 TRELLES BAYAS KARINA NUBE 0301553889001 X 176132 GODOY CHACHA JUAN DIEGO 0301561577001 X 149489 TIXI PEÑALOZA ROSA ESTEFANIA 0301572152001 X 272664 VASQUEZ ROMERO LUIS ALFREDO 0301573028001 X 23657 WILSON 0301584058001 X 128605 SANTANDER SIGUENCIA GABRIELA DE 0301584629001 LA NUBE X 157474 GUAMAN GUALLPA MIRIAM ELIZABETH 0301588786001 X 191201 TAPIA IDROVO DIEGO ESTEBAN 0301589172001 X 208847 VERDUGO ORDOÑEZ LUIS ROBERTO 0301589446001 X 149324 CASANOVA PADILLA JOSE ANTONIO 0301593463001 X 207299 CANTOS NEIRA ESTEBAN 0301593950001 X 189342 DELGADO YUPA SEGUNDO PEDRO 0301595419001 X 119053 CÓRDOVA CUANCA MIGUEL ALFREDO 0301609517001 X 215239 SANTANDER ZARUMA NELSON WILFRIDO0301611562001 X 163620 ORDOÑEZ ESPINOZA CARLOS ALBERTO 0301626693001 X 261106 ALVARADO ORBE JOSE EDUARDO 0301630513001 X 258569 ARCE MACERA CRISTIAN RENE 0301630711001 X 66877 ZAMBRANO CORONEL CRISTIAN OSWALDO 0301638805001 X 84620 ZHINDÓN PAIDA LUIS REMIGIO 0301639100001 X 107445 QUITO LEMA MONICA ADRIANA 0301642211001 X 183483 CABRERA VÉLEZ MARÍA EUGENIA 0301642351001 X 250591 CABRERA VÉLEZ SONIA LUCÍA 0301642369001 X 276787 PEÑAFIEL ENCALADA ESTEBAN GASTÓN0301642401001 X 136454 RODIRIGUEZ QUINTEROS DANIEL RICHER 0301644399001 X 109256 CALLE GONZALEZ JUAN PABLO 0301644985001 X 37306 LOZADO DIEZ DANIEL VICENTE 0301648150001 X 163664 POMAQUIZA POMAQUIZA LUIS OCTAVIO0301649943001 X 229366 ESPINOZA PINEDA MARIA CISNE 0301649984001 X
  • 112.
    No No registra No No registra No No. registra registra No. indicadores registra provincia, registra Persona_id NOMBRE No. ID (RUC) calle número registra de ventas, apellido cantón y primer principal de calle origen activos y/o paterno parroquia nombre principal empleados 70972 VERGARA URGILES RUTH ALEXANDRA 0301655262001 X 245206 ROMERO TORRES MARIA GABRIELA 0301657482001 X 177286 BALLADARES MONTERO MAURICIO JOSE 0301661500001 X 266085 TRELLES BAYAS JORGE LUIS 0301671764001 X 275093 ENCALADA NARVAEZ EDISON PATRICIO 0301676490001 X 189051 PINEDA MACAO DENNIS VYRON 0301679270001 X 144179 YUPA MOROCHO FRANCISCO SEGUNDO 0301683785001 X 163929 CELLERI GENOVEZ CARLOS MANUEL 0301686994001 X 157317 KATTANI SACOTO OSCAR EUGENIO 0301687810001 X 155349 BANEGAS AVILA HENRY ESTITH 0301689071001 X 209123 BUSTAMANTE CRIOLLO MAURICIO MARCELO 0301689642001 X 134300 ORTIZ ORTIZ ORTIZ GOMEZ ILDA MAGDALENA 0301690251001 X 265401 PESANTEZ NARVAEZ PATRICIO ISRAEL0301692273001 X 48648 CORREA BARAHONA DIEGO ESTUARDO 0301695300001 X 261719 SUMBA MUYUDUMBAY SAUL ROBERTO0301696969001 X 129329 CÁRDENAS GÁRATE GINA PIEDAD 0301698635001 X 103743 ROMERO GONZÁLEZ JORGE ABDÓN 0301703567001 X 164666 JARA SACOTO DIANA LUCIA 0301714390001 X 111245 TENEMAZA VAZQUEZ DIEGO FRANCISCO 0301716858001 X 199523 PAGUAY VERDUGO LILIA VERÓNICA 0301717757001 X 130758 ORTEGA TORRE ANA LUCIA 0301724134001 X 154500 RODRIGUEZ RODRIGUEZ DIANA PAULINA0301726709001 X 156593 GONZALEZ SANCHEZ ANA LUCIA 0301731097001 X 45290 OCHOA MUÑOZ CECILIA PAZ 0301750766001 X 103632 ROMO MEJIA ANGELICA 0301750857001 X 62097 SIGUENCIA MONTERO BRISA ADRIANA0301750980001 X 256692 SARMIENTO HEREDIA FERNANDA ELIZABETH 0301756698001 X 143423 CABRERA PADRON LUIS VICENTE 0301765590001 X 121238 CASTRO CASTRO MARIA ANTONIETA 0301772372001 X 168355 QUEZADA MINGA JUAN PABLO 0301789202001 X 210339 PRADO SANCHEZ MIREYA ELIZABETH 0301793774001 X
  • 113.
    No No registra No No registra No No. registra registra No. indicadores registra provincia, registra Persona_id NOMBRE No. ID (RUC) calle número registra de ventas, apellido cantón y primer principal de calle origen activos y/o paterno parroquia nombre principal empleados 136399 PADILLA GUARNIZO ELIZABETH DEL CISNE 0301832457001 X 273414 TENEZACA LOZADO JUAN CARLOS 0301843439001 X 276617 SANTANDER ZARUMA RENE REMIGIO 0301848743001 X 120453 CRUZ CANTOS NELLY CARMITA 0301849600001 X 67987 CONTRERAS MOLINA CARMEN ELIZABETH0301850764001 X 67525 GÁRATE CONDO ISABEL DEL ROCÍO 0301851259001 X 212642 CAYAMCELA MOROCHO DIANA CARMEN 0301853586001 X 222324 HUMALA CUENCA GRACIELA MARGARITA 0301854899001 X 137137 SAQUICUYA AMENDAÑO DIEGO PATRICIO0301855011001 X 257460 BARAHONA ORTIZ MARIA CECILIA 0301864450001 X 222256 ARÉVALO CALLE JOHANNA MARILIN 0301911061001 X 231992 POMAQUIZA PIÑA LAURO FERNANDO 0301914180001 X 150554 SIGUENCIA GONZALEZ FANNY ALEXANDRA 0301915419001 X 206031 ECHARRI LÓPEZ JUAN LUÍS 0301916466001 X 191284 BANEGAS ANGAMARCA GLADYS BEATRIZ 0301922720001 X 113159 TELLO ORTEGA CARLOS OSWALDO 0301929931001 X 266066 ACERO MONTERO FREDY PATRICIO 0301933925001 X 74754 URGIÉS ESQUIVEL DIANA ROSITA 0301937207001 X 238343 MORALES VILLACRES CARLOS DAMIAN0301939468001 X 265837 MUYULEMA GUARACDA MARCO VINICIO 0301939815001 X 252986 LEON CALLE EDISON JHOVANNY 0301942256001 X 148599 GUILLEN GARCIA DAVID JESUS 0301944088001 X 187657 SEGARRA SEGARRA WALTER 0301948915001 X 165110 CALLE ANDRADE MILTON JAVIER 0301966685001 X 112463 ULLOA RODAS DARIO RICARDO 0301970109001 X 234436 CRESPO GONZÁLEZ PATRICIO MARCELO 0301978219001 X 71146 LÓPEZ CHIMBAI CARLOS HUMBERTO 0301989307001 X 177070 CABRERA SUMBA MARTHA KARINA 0301990008001 X 195082 CALLE ROMERO CRISTIAN GONZALO 0301993291001 X 76776 NAVAS MUÑOZ MARÍA DE LOURDES 0301994471001 X 77889 CASTILLO CASTILLO DEISY CAROLINA 0301998423001 X
  • 114.
    No No registra No No registra No No. registra registra No. indicadores registra provincia, registra Persona_id NOMBRE No. ID (RUC) calle número registra de ventas, apellido cantón y primer principal de calle origen activos y/o paterno parroquia nombre principal empleados 140971 VELEZ REDROVAN MARIA PRISCILA 0301999801001 X 135996 ROMERO BRAVO JULIA ETELVINA 0302014303001 X 119630 ZHUZHINGO QUINDE NOEMI DEL ROCIO0302018841001 X 179238 CAJAMARCA SARMIENTO FERNANDO ISMAEL 0302024476001 X 141566 CASTRO CAJAMARCA CARMEN ISABEL 0302049325001 X 171978 LEMA POMAQUIZA MERCY VERONICA 0302077748001 X 236649 PULLA MOROCHO ROSARIO DELCARMEN 0302084983001 X 141725 REINOSO RODRIGUEZ ROSA UBALDINA0302102447001 X 142557 ALVARADO VERDUGO CESAR OSWALDO 0302118989001 X 172053 CARPIO ORTIZ LEONIDAS EDMUNDO 0302140785001 X 265994 NAVAS AMOROSO EDMUNDO PATRICIO 0302159264001 X 262796 ZHIRVI ORDOÑEZ CRISTIAN MANUEL 0302165956001 X 204691 CALLE MORALES MARCOS VINICIO 0302169511001 X 117214 TAPIA SOTAMBA OSCAR FERNANDO 0302183066001 X 220564 ARAUJO MEZA IVÁN FERNANDO 0302203039001 X 265983 PESANTEZ QUEVEDO PAUL FERNANDO 0302222757001 X 195604 SIGUENCIA ABAD FREDDY GIOVANNI 0302336532001 X 256053 REMACHE MARQUEZ CARMEN PIEDAD 0302414115001 X 255226 ESTACION EXPERIMENTAL DEL AUSTRO360015930001 0 X 45831 PATRONATO PROVINCIAL DE DESARROLLO SOCIAL 0360020420001 X X 130427 COMPAÑIA INDUSTRIAS GUAPAN S.A. 0390001398001 X 23836 RADIO LA VOZ DE INGAPIRCA 0390014686001 X 249683 FUNDACION CAÑARI CARLOS PEREZ PERASSO 0390023812001 X 48226 ASOCIACIÓN SAN GABRIEL 0390023871001 X 148898 ASILO DE ANCIANOS "R 0390023928001 X 131766 RADIODIFUSORASANTAMARIA 0390023936001 X 51091 ASOCIACION DE AGRONOMOS INDIGENAS DEL CANTON CAÑAR 0390029284001 X 142029 HOTELPARAISO S.A 0390037007001 X 32901 CORPORACION MUJER, SOCIEDAD Y DESARROLLO 0391001979001 X 147782 COMPLEJO TURISTICO CUNA DEL SOL HUASISOL CIA.LTDA. 0391003041001 X 41398 SAGUAY ARMIJOS CIA. LTDA. 0391004684001 X
  • 115.
    No No registra No No registra No No. registra registra No. indicadores registra provincia, registra Persona_id NOMBRE No. ID (RUC) calle número registra de ventas, apellido cantón y primer principal de calle origen activos y/o paterno parroquia nombre principal empleados 174142 TRANSJATARI C.A. 0391004838001 X 58305 FUNDACION PARA EL DESARROLLO HUMANO 0391005087001 X 81738 SER VIG SEG TRAV 0391005125001 X 169273 TRANSPORTE DE CARGA PESADA TRANS CORTIALVA S.A. 0391005494001 X 179762 UNION PARROQUIAL DE COMUNIDADES INDIGENAS Y CAMPESINAS DE JUNCAL 0391005729001 X 141162 SERVIMOTORS 0391005834001 X 278207 AGROEMPRESA COMUNITARIA DE PRODUCCION Y COMERCIALIZACION CHUYA MIKUNA 0391005885001 X 76435 ASOCIACION DE CONSERVACION VIAL PRIMAVERA 0391006261001 X 76606 ASOCIACION DE CONSERVACION VIAL COCHANCAY 0391006288001 X 126853 SEGAZ CIA LTDA 0391007578001 X 233323 JOSE ORBE & VASQUEZ CIA, LTDA. 0391007594001 X 141211 ALCAYA CONSTRUC CIA. LTDA 0391007802001 X 154721 ASOCIACION DE CONSERVACION VIAL JAVIN 0391009295001 X 243046 MICROEMPRESA ASOCIATIVA MATAPIN0391010595001 X 258747 CONSTRUCTORA DEL AUSTRO CODELAUSTRO CIA.LTDA. 0391010870001 X 251983 SALAZAR BURBANO LEONILA 0400030748001 X 187332 SUAREZ JIMENEZ CARLOS EMILIO 0400045233001 X 224223 BURBANO BENAVIDES JOSE OLMEDO 0400045779001 X 63631 ROSERO BENITEZ LUDGARDO RAUL 0400053278001 X 68267 XXX NAZATE SEGUNDO LUIS 0400056016001 X 228205 MONTENEGRO FUEL LUIS GERMAN 0400057337001 X X X 258259 TOBAR ESTRADA LUIS EDUARDO 0400062048001 X 46337 TARAPUEZ CHUGA TITO FELIX 0400063392001 X 62295 REVELO BUSTOS AURELIO COLON 0400063582001 X 193312 AUZ VINUEZA AGAPIO EFREN 0400104659001 X 94626 GARCIA POZO HUGO GERMAN 0400107033001 X 112270 CAPELO BAEZ GUILLERMO ALFONSO 0400123824001 X 186249 RAMIREZ FLORES NEURIO EUTIMIO 0400142006001 X 92720 CHAMORRO ANGULO EFREN ORLANDO 0400145421001 X 277351 CHULDE REVELO CARLOS ANIBAL 0400157129001 X 138314 CALDERON DE LA CRUZ LUIS ALFREDO0400179081001 X
  • 116.
    No No registra No No registra No No. registra registra No. indicadores registra provincia, registra Persona_id NOMBRE No. ID (RUC) calle número registra de ventas, apellido cantón y primer principal de calle origen activos y/o paterno parroquia nombre principal empleados 118518 CORDOVA BERTHA JOSEFINA 0400185500001 X 222648 VERGARA GARRIDO MAGDALENA RUBI0400215737001 X 119583 LEMA HERRERA MIGUEL ANGEL 0400253001001 X 269198 MONTERO ONOFRE RAÚL ERNESTO 0400271524001 X 64065 O LUNA JORGE BOLIVAR 0400277711001 X 223941 OBANDO ARTEAGA EDGAR RAUL 0400293494001 X 239215 PEREZ DIAZ MARIA ESTHER 0400299681001 X 70611 BURBANO DELGADO CARLOS ANTONIO 0400310421001 X 58238 MEJIA ARCOS BLANCA ERNESTINA 0400311676001 X 88867 GUERRERO MORA SEGUNDO ALFONSO 0400320370001 X 43232 ARCOS PEÑAFIEL MANUEL BOLIVAR 0400322566001 X 42752 AGUIRRE BENAVIDES ROMULO GERARDO0400324430001 X 79107 NOBOA PALACIOS JULIO CESAR 0400328860001 X 81514 MARTINEZ JORGE GALO 0400329769001 X 105061 QUENGUAN CEVALLOS MARÍA DEL CARMEN 0400333050001 X 120071 CHAMORRO ROMO GERMAN 0400340527001 X 271124 URRESTA ROSERO LENIN WILFRIDO 0400346201001 X 112396 GUERRÓN MORILLO MARCO ANTONIO 0400354866001 X 235786 BURBANO REGALDO JAIRO ARMANDO 0400366522001 X 156471 CASTILLO HUERA EDMUNDO SECUNDINO0400367694001 X 121684 OSEJO CASTILLO VÍCTOR MANUEL LORENZO 0400373890001 X 183575 REVELO GLORIA LUCILA 0400375085001 X 176778 CERON JIMENEZ CARMEN ELOISA 0400376752001 X 199977 QUIROZ QUIROZ SEGUNDO ISIDRO 0400378949001 X 178009 MUÑOZ AGUDELO ROQUE 0400379178001 X 229888 NOVOA MERA OCTAVIO AQUILES 0400380457001 X 182706 TORRES FOLLECO LEONSO ABSIMARO0400388864001 X 163566 BENAVIDES GALVIZ ALFREDO EDUARDO400398939001 0 X 260436 CADENA CHAFUEL ELENA ERLINDA 0400408332001 X 115283 GARCIA LOPEZ VICTOR ALONSO 0400415212001 X 206152 ORTEGA CADENA SEGUNDO CARLOS 0400424024001 X
  • 117.
    No No registra No No registra No No. registra registra No. indicadores registra provincia, registra Persona_id NOMBRE No. ID (RUC) calle número registra de ventas, apellido cantón y primer principal de calle origen activos y/o paterno parroquia nombre principal empleados 71480 QUIROZ AYALA TOBÍAS RODRIGO 0400425047001 X 99994 CIFUENTES BETANCOURT LUIS ALFONSO 0400429080001 X 213421 TATICUAN FUENTES ANTONIO RICARDO0400430518001 X 15207 MOBILIARIO ESCOLAR YANCA 0400433371001 X 176840 MAYANQUER TORRES FRANCISCO GERMAN 0400434858001 X 254392 MORAN XXXXXX SEGUNDO BOLIVAR 0400434882001 X X 203681 CÓRDOVA CHANGUAN AIDA TERESA 0400441606001 X 27781 FRANCO ERAZO JAIME HUMBERTO 0400443255001 X 130207 PORTILLA ENRIQUEZ MARCO MARIANO0400444519001 X 184298 ROMÁN VÁSQUEZ SEGUNDO FRANCISCO 0400447017001 X 233679 GARCIA JOSE DANIEL 0400448445001 X X 139712 ROSERO MAYANQUER JOSE ELIAS 0400462651001 X 117997 CASTILLO LUIS GILBERTO 0400465613001 X 134493 TANICUCHI MALDONADO ALONSO VITELIO 0400466058001 X 170046 MOLINA CALDERON GLORIA TERESA 0400466769001 X 137791 RUANO CHULDE HERNANDO 0400467379001 X 30910 MARTÍNEZ REVELO LUIS ARMANDO 0400468120001 X 48610 ARELLANO CARRANCO LUIS RAMIRO 0400470563001 X 65679 CUVA ARIAS PATRICIO IVAN 0400470910001 X 227994 GUERRON ALMEIDA JHONNY DARWIN 0400474482001 X 14429 ARELLANO CARRANCO CARLOS GUSTAVO0400479663001 X 69004 CUMBA VALENCIA VICTOR MANUEL 0400481016001 X 216339 MUESES MUESES LUIS ANTONIO 0400486163001 X X 40388 ALMEIDA VALLEJO RICARDO POLIVIO 0400489076001 X 202332 CHICANGO PERGUEZA CARLOS ALBERTO0400491536001 X 160169 ROSERO GARZON GUILLERMO ANGEL MARIA 0400499752001 X 201689 TERAN RUIZ GUILLERMO GUSTAVO 0400501227001 X 112037 VILLARREAL ARGOTI GUSTAVO ERNESTO 0400502068001 X 215235 ERAZO RIGOBERTO 0400503231001 X 127454 ARAGON ARAGON ANGEL GUILLERMO 0400503603001 X 64385 NAVISOY REYES COLÓN GUSTAVO 0400503892001 X
  • 118.
    No No registra No No registra No No. registra registra No. indicadores registra provincia, registra Persona_id NOMBRE No. ID (RUC) calle número registra de ventas, apellido cantón y primer principal de calle origen activos y/o paterno parroquia nombre principal empleados 91478 CAICEDO ROSERO GUSTAVO ERNESTO 0400506903001 X 252151 HIDALGO MARTINEZ ANGEL MARIA 0400507315001 X 89197 LORA ROBLES LUIS ALFREDO 0400508925001 X 64967 ALQUINGA MAFLA MARCO VINICIO 0400511226001 X 55010 REVELO VILLARREAL JULIO 0400513370001 X 51583 CALERO VELA EDGAR FABIÁN 0400513610001 X 119926 JARAMILLO GALO VINICIO 0400514196001 X 248175 ALARCÓN DÍAZ ROSA ELISA 0400521043001 X 135901 FUEL TULCÁN ARTURO RAUL 0400521324001 X 150381 CHUNCHIR OSWALDO 0400521571001 X 162542 CARVAJAL MARIA GUADALUPE 0400524740001 X 36472 PEÑAFIEL AYALA PASTORA NOEMÍ 0400524930001 X 53618 MEDINA MEJIA HERIBERTO NAPOLEON0400527297001 X 71238 NARVAEZ ROSERO CARLOS ALBERTO 0400527453001 X 210527 VALLEJO LUIS ALBERTO 0400528204001 X 23464 TAPIA GUERRERO WILSON BAYARDO 0400530234001 X 139782 ALVEAR VALENCIA EDISON AMILCAR 0400530275001 X 14430 ARQ. SONIA CAICEDO ROSERO 0400531398001 X 156796 JIMENEZ DOMINGUEZ MARIANITA PILAR 0400536397001 X 135980 TRUJILLO TUPE MANOLO ALFONSO 0400536876001 X 199750 VILLOTA CARLOSAMA SEGUNDO GUILLERMO 0400543930001 X 192053 SANDOVAL PANTOJA JOSÉ LUIS 0400545265001 X 42243 REVELO GUERRERO PEDRO ANIBAL 0400547139001 X 136772 BASTIDAS DE JANON MARIA DE LOS ANGLES 0400550703001 X 103868 NAZAMUES ECHE MILTON POLIVIO 0400561155001 X 92076 ORTEGA CADENA MIGUEL ANGEL 0400563235001 X 120893 ACOSTA ZOILA GUADALUPE 0400565271001 X 175497 CADENA ERAZO EDGAR RAMIRO 0400567228001 X 45181 MONGE FLORES DE VALGAS MARIA DOLORES 0400567913001 X 176715 QUINTERO CHAMORRO JOSE LUIS 0400569414001 X 70133 BURBANO RAMIREZ NELSON GUILLERMO0400572038001 X
  • 119.
    No No registra No No registra No No. registra registra No. indicadores registra provincia, registra Persona_id NOMBRE No. ID (RUC) calle número registra de ventas, apellido cantón y primer principal de calle origen activos y/o paterno parroquia nombre principal empleados 269080 FLORES SALAZAR JULIO ESTUARDO 0400572590001 X 84929 ORTIZ VINUEZA ROMULO ARMANDO 0400576757001 X 11283 JORGE 0400577466001 X 216947 ARELLANO CASTRO HECTRO RAFAEL 0400582433001 X 148357 BATALLAS LOMAS ORLANDO GERMAN 0400586137001 X 162262 GONZALEZ VILLARREAL SEGUNDO MARCELO 0400588406001 X 232340 SANCHEZ JACOME JORGE ELIECER 0400590790001 X 121924 ORBE GUZMAN EDUARDO RAMIRO 0400593398001 X 54194 RODRIGUEZ HUERTAS JULIO HOMERO 0400593430001 X 195637 ROSERO JOSE ANTONIO 0400594404001 X 207549 VALENCIA BORJA MARCELO DEMETRIO 0400594545001 X 53031 HUERA HURTADO CARLOS GUSTAVO 0400594685001 X 80503 VERA MARTINEZ MARIA LUCILA 0400600599001 X 96167 MORILLO PUEDMAG OSWALDO ERNESTO 0400602777001 X 83493 NO TENGO JIMENEZ LUIS FERNANDO 0400605101001 X X 155999 NARVAEZ LOPEZ WILSON FEDERICO 0400608329001 X 92219 POZO ENRÍQUEZ MARCO REMIGIO 0400612065001 X 82924 VILLAREAL VILLACIS LUIS ALFREDO 0400612503001 X 186798 ENRIQUEZ NARVAEZ LUIS ANIBAL 0400614731001 X 58822 ERAZO BURBANO OSCAR EDWIN 0400615571001 X 79981 POZO GUAMÁ JORGE ROBERTO 0400615654001 X 223511 ALMEIDA BENAVIDES LUIS GONZALO 0400619540001 X 196986 SANTAFE POZO WILSON RUBEN 0400620225001 X 88719 MUECES ENRIQUEZ ANIBAL RAMIRO 0400622148001 X 90022 BURBANO CORAL CARLOS NELSON 0400622593001 X 219094 LUIS RAMIRO MORA MUÑOZ 0400627980001 X 216170 HERRERA IMBAQUINGO SERGIO MANUEL0400629366001 X 36701 MEJIA HERRERA MIGUEL ANGEL 0400630638001 X 60746 ROBLES ERNESTO RAMIRO 0400630976001 X 57112 VENEGAS RECALDE EDWIN ULISES 0400631164001 X 24689 BURBANO GUBE ARNO ALEXANDER 0400631255001 X
  • 120.
    No No registra No No registra No No. registra registra No. indicadores registra provincia, registra Persona_id NOMBRE No. ID (RUC) calle número registra de ventas, apellido cantón y primer principal de calle origen activos y/o paterno parroquia nombre principal empleados 91628 GOYES PUETATE CLEMENTE BAYARDO 0400631685001 X 166795 REASCOS MORÁN GALO FERNANDO 0400631974001 X 41253 REGALADO ROSERO JAIME EDUARDO 0400632758001 X 37779 CHUGA ENRIQUEZ JORGE BAYARDO 0400634630001 X 12876 INGENIERO CIVIL 0400636643001 X 218250 FLORES CUASES VICTOR HUGO 0400639969001 X 61757 CARDENAS CAICEDO MAURO RAMIRO 0400639985001 X 7249 GUAMIALAMA VASQUEZ JORGE BINICIO0400641262001 X 249304 SANCHEZ LOPEZ HUGO REINALDO 0400645263001 X 145536 GUERRERO MIGUEL 0400653986001 X 76783 MEJIA YANDUN GANDY PATRICIO 0400655551001 X 135059 GARRIDO MERA SEGUNDO WASHINGTON 0400660122001 X 192096 REINA LLORENTE SEGUNDO FABIAN 0400661088001 X 163680 MEJÍA HERNÁNDEZ ARNULFO HORACIO 0400663597001 X 152943 CABRERA GUERRERO ANTONIO ESTEVAN0400663993001 X 184572 ARMAS MARTINEZ SANDRA LORENA JAZMINA 0400669024001 X 73110 CASTILLO CEVALLOS TELESFORO ALFREDO 0400669545001 X 210561 PAREDES MERA CARLOS EDWIN 0400672044001 X 94226 RAMIREZ RAMIREZ JOSE GILBERTO 0400673356001 X X 118316 HERNANDEZ AGUIRRE SILVIO RODRIGO0400673570001 X 84675 GUERRON PAZOS LAURA MATILDE 0400677308001 X 75353 ROSERO POZO TERESA CECILIA 0400679742001 X 12993 NARVAEZ CHIRIBOGA EDISON FERNANDO 0400682993001 X 159065 HIGUERA CHAMORRO LUIS ALFREDO 0400683702001 X 166966 LOPEZ PAREDES ROSA MARÍA 0400684551001 X 68913 PORTILLA YÉPEZ ROMEL IVÁN 0400688552001 X 205032 ROSERO RODRIGUEZ LUIS ALFREDO 0400688586001 X 147591 PEÑAFIEL RUANO LUIS ELIMIO 0400691903001 X 64725 TAPIA AYALA INES ESPERANZA 0400693313001 X 71349 ALMEIDA BENALCAZAR FAUSTO ERNESTO 0400696696001 X 61379 BENAVIDES NARVAÉZ VILMA NARCÍZA 0400697165001 X
  • 121.
    No No registra No No registra No No. registra registra No. indicadores registra provincia, registra Persona_id NOMBRE No. ID (RUC) calle número registra de ventas, apellido cantón y primer principal de calle origen activos y/o paterno parroquia nombre principal empleados 267995 HUERA VICTOR GUILLERMO EFREN 0400697710001 X 188137 REVELO VILLARREAL EDDIC WILSON 0400698023001 X 269239 ROMO AYALA MAGALI MONSERRAT 0400699617001 X 188917 POLO HERNANDEZ CARLOS EDUARDO 0400699914001 X 265076 ARCOS ESTRADA PEDRO FABIAN 0400701322001 X 166760 RUEDA ROSAS MARÍA MERCEDES 0400703021001 X 207538 VALENCIA HERNÁNDEZ OLIVIA MARLENE 0400703393001 X 232268 JURADO CASTILLO JORGE HIPOLITO 0400703609001 X 73156 BETANCOURT GERMAN HERALDO 0400706743001 X 168424 YANDUN ARELLANO MARCO TULIO 0400707626001 X 190722 GUERRÓN ENRIQUEZ MARCO ANIBAL 0400710497001 X 251005 SALAZAR AGUAS LUIS ENRIQUE 0400710661001 X 68978 RUEDA CANGAS SEGUNDO GONZALO 0400713962001 X 19828 ERAZO ARGOTI WILSON ARMANDO 0400714028001 X 124430 C CARDENAS JOHN HERNAN 0400717161001 X X 49492 LLUMIQUINGA PALACIOS LUIS CARLOS0400717690001 X 100230 URRESTA CHAVEZ GALO FABIAN 0400720199001 X 25733 CARRERA LÓPEZ ANDRÉS EDUARDO 0400720306001 X 212171 NARVAEZ GUERRERO ROMEL HENRY 0400721908001 X 135496 NAVARRETE PEREZ JAKELINE DE LOURDES 0400723797001 X 75455 TOBAR VALLEJO FABIAN ERNESTO 0400723920001 X 170136 RODRIGUEZ CANTICUZ ROMULO 0400724431001 X 48053 ALMEIDA HURTADO ARMANDO MAURICIO0400725172001 X 215486 DIAZ DIAZ GEMAN SELIN 0400727756001 X 75757 ROSERO MALES JORGE ALBERTO 0400729661001 X 59640 TAPIA FUERTES MARIELA DE JESUS 0400730644001 X 222660 SÁNCHEZ LEÓN SANDRA JOVANNY 0400731667001 X 121630 REVELO ORTEGA GLORIA ISABEL 0400734018001 X 88886 CASTRO CASTILLO LUIS FERNANDO 0400735254001 X 174262 YEPEZ LIMA GABRIEL ANTONIO 0400735296001 X 89328 MEJIA ESCOBAR LUZ ELENA 0400735585001 X
  • 122.
    No No registra No No registra No No. registra registra No. indicadores registra provincia, registra Persona_id NOMBRE No. ID (RUC) calle número registra de ventas, apellido cantón y primer principal de calle origen activos y/o paterno parroquia nombre principal empleados 168971 OBANDO JIMENEZ NANCY ERNESTINA 0400735783001 X 256798 HERNANDEZ FLORES FAUSTO RODRIGO 0400739090001 X 250893 MAFLA CADENA JUAN BAUTISTA 0400740627001 X 217668 JARAMILLO MORAN LUZ NARCIZA 0400741104001 X 160742 MORENO ORTEGA LUIS CLEMENTE 0400741609001 X 197217 BENALCAZAR CANACUAN SEGUNDO GERMAN 0400749990001 X 250320 PASPUEL PUETATE LUIS MEDARDO 0400750089001 X 118458 VALLEJO MENDOZA JOSE JAVIER 0400750584001 X 79256 POZO GARCIA BYRON ALBERTO 0400753026001 X 112018 DOMINGUEZ NARVAEZ WILSON JOSE 0400755039001 X 67685 AYALA GUERRERO ALFONSO HERNÁN 0400757019001 X 26111 BENAVIDES LEITON LAERCIO MILTON 0400761367001 X 157182 NAZATE FLORES LUIS ANTONIO 0400763637001 X 194325 REASCOS MORAN WASHINGTON ALFREDO0400765848001 X 86977 CALÁN NARVÁEZ FERNANDO VLADIMIR0400768255001 X 208985 CISNEROS GARCIA LUIS ALBERTO 0400772661001 X 63753 FUENTES AYALA WILLIAM FEDERICO 0400773784001 X 228065 OVIEDO PANTOJA MARCELO ROVINSON 0400774550001 X 105552 CUASAPAZ VICTOR HUGO 0400775508001 X 68369 LOMAS LOMAS EDWIN FABIAN 0400779450001 X 118006 ALMEIDA AYALA DARWIN IVAN 0400781266001 X 137302 CHANGUAN ERAZO JORGE ALFREDO 0400782496001 X 277370 VEGA ERAZO MIRYAM SUSANA 0400782553001 X 210556 YAPUD LARA SEGUNDO BRISENIO 0400783627001 X 36407 ENRÍQUEZ CHICANGO JAIME JEAN 0400791166001 X 225953 ISIZAN TANAI FERNANDO PALFREI 0400792537001 X 258385 MUEPAS CHAMBA SEGUNDO MAXIMINO 0400794012001 X 53252 WILSON 0400794277001 X 245789 YEPEZ CHINGAL MARIA EDILMA 0400799557001 X 204336 ESCOBAR RODRIGUEZ GIOVANNY RAUL400802120001 0 X 213892 NAZATE OLIVO RAUL GIOVANY 0400803581001 X
  • 123.
    No No registra No No registra No No. registra registra No. indicadores registra provincia, registra Persona_id NOMBRE No. ID (RUC) calle número registra de ventas, apellido cantón y primer principal de calle origen activos y/o paterno parroquia nombre principal empleados 70238 GAONA BASTIDAS JOSE FERNANDO 0400803847001 X 179484 OBANDO GUERRERO EDWIN NELSON 0400804571001 X 250401 CARCELEN CHALA JOSE GERMAN 0400808200001 X 55997 TROTSKY 0400808887001 X 263777 LUIS ALFREDO FEULLET IMUES 0400809562001 X 37731 MANUEL 0400810263001 X 94211 ALVAREZ ALVAREZ CARLOS ANIVAL 0400813564001 X 255953 EGAS CHACÓN FANI ROCÍO 0400814232001 X 115649 RUIZ PULE ARNULFO JOSELITO 0400820700001 X 195180 LANDETA VILLARREAL XIMENA DEL PILAR 0400822854001 X 155358 LANDAZURI CORDOVA IVAN OSWALDO0400823886001 X 38920 BAYARDO 0400824074001 X 12312 MARCO TULCAN ENRIQUEZ 0400824124001 X 62775 ARTEAGA JONATHAN AGUSTIN 0400825816001 X 154901 FIERRO GARCIA RICARDO GABRIEL 0400829644001 X 58226 SARMIENTO PAREDES JUAN ERNESTO 0400829651001 X 115281 PALACIOS GUERRÓN CAMPO ELÍAS 0400833273001 X 243418 CHULDE TIPAZ TARCISO RAMIRO 0400834305001 X 95200 MORA QUILISMAL SEGUNDO RAMIRO 0400834727001 X 167838 REVELO GARCIA HUGO FERNANDO 0400839023001 X 210101 CHALACAN CALDERON LUIS ALFREDO 0400844411001 X 209717 ROJAS JARAMILLO HUGO GERARDO 0400852208001 X 225073 CHINGAL DE LA CRUZ EDISON GERMAN 0400855300001 X 216441 NARVÁEZ GUERRA NORMA CECILIA 0400856407001 X 199772 ROSAS GONZALEZ JUAN ELIAS 0400856456001 X 131710 BOTINA JIMENEZ JULIO CESAR 0400858023001 X 255396 PASPUEL MORA VICTOR ANTONIO 0400860979001 X 164346 BAUTISTA YACELGA JOSE SEGUNDO 0400862025001 X 7001 ASESORIA FORESTAL 0400868261001 X 153945 VINUEZA ITAZ GERMÁN ERNESTO 0400869871001 X 64110 SARAUZ VASQUEZ DORIS LUCILA 0400871984001 X
  • 124.
    No No registra No No registra No No. registra registra No. indicadores registra provincia, registra Persona_id NOMBRE No. ID (RUC) calle número registra de ventas, apellido cantón y primer principal de calle origen activos y/o paterno parroquia nombre principal empleados 117991 PAILLACHO DELGADO ERNESTO ARMANDO 0400872727001 X 179274 LÓPEZ DE LA CRUZ LEILA TANIA 0400881447001 X 217925 PASTAZ PUETATE JOSE FABIAN 0400884284001 X 257640 FUEL LÓPEZ AMILCAR RICARDO 0400897419001 X 180027 LEON FUENTES JOSÉ ALFREDO 0400898342001 X 197460 TARUPI REASCOS MILTON OSWALDO 0400898417001 X 131070 QUITACAN BRACHO AURORA ESTEFY 0400898680001 X 219507 YÉPEZ GUERRA MANOLA MERCEDES 0400898987001 X 107392 GUAMIALAMA VILLARREAL NELSON RODRIGO 0400900064001 X 262260 VINUEZA TAPIA EDWIN OLIMPO 0400900122001 X 207759 RODRIGUEZ VILLARREAL NANCY MARGARITA 0400901930001 X 36269 CALDERÓN AYALA JUAN MARTÍN 0400902516001 X 201197 CACHIGUANGO SANTILLAN LUIS CESAR 0400902698001 X 34657 ROMERO JIMENEZ MARCO VINICIO 0400904215001 X 216921 MENDEZ BENAVIDES JUAN DE DIOS 0400908398001 X 150682 LIMA MEJÍA PEDRO IVÁN 0400909198001 X 198485 NARVAEZ ARTEAGA ORLANDO LORENZO0400917571001 X 166550 MONTENEGRO SALAZAR MARCIA JACQUELINE 0400917720001 X 16613 ALMEIDA TERAN OSCAR IVAN 0400919809001 X 33161 DORADO UBIDIA PATRICIO RUBEN 0400921490001 X 216948 NARVAEZ HURTADO VICENTE EFRAIN 0400932711001 X 137430 CASTRO LAGUNA WALDIR TOBIAS 0400936498001 X 92324 NARVÁEZ MONTENEGRO JAIRO ANIBAL0400936597001 X 224363 CUAICAL PUENAYAN JOSE LUIS 0400938569001 X 196532 PONCE BENAVIDES ENMA LUCIA 0400939278001 X 247706 LOPEZ VEGA OLAVO MARCELO 0400943510001 X 12368 ING. 0400945341001 X 23904 PORTILLO CORDOVA JUAN CARLOS 0400946505001 X 57891 CARLOS 0400952511001 X 180987 QUELAL MEJIA JOSE ANTONIO 0400952537001 X 70212 GAONA BASTIDAS MARCO VINICIO 0400955050001 X
  • 125.
    No No registra No No registra No No. registra registra No. indicadores registra provincia, registra Persona_id NOMBRE No. ID (RUC) calle número registra de ventas, apellido cantón y primer principal de calle origen activos y/o paterno parroquia nombre principal empleados 245803 ARMAS POZO TERESA EPIFEMIA 0400957247001 X 78926 CAICEDO ALVAREZ EDGAR MAURO 0400957775001 X 60335 BOLAÑOS TOBAR DENNYS ANDRÉS 0400959870001 X 10361 VELASCO ENRIQUEZ CARLOS ALBERTO0400959979001 X 88842 LOPEZ NARVAEZ JAMES FABRICIO 0400962874001 X 136253 GAON YEPEZ GERMAN HUMBERTO 0400963013001 X 224334 ESCOBAR CUESTA LUIS IGNACIO 0400964359001 X 199642 HUACA VILLARREAL RAMIRO EDMUNDO 0400967071001 X 62450 JANNETH 0400969507001 X 85269 CEVALLOS LEITON STALIN GUSTAVO 0400971693001 X 256359 ROMO AYALA JOSE AGAPITO 0400974234001 X 164401 BOLAÑOS MARTINEZ FERNANDO TRAJANO 0400974994001 X 264013 MERA ALV AREZ KATHY MARITZA 0400983961001 X 75665 BENAVIDES ROSALES HERNÁN RIGOBERTO 0400985248001 X 80876 JACOME ROBLES ADRIAN MAURICIO 0400985883001 X 172760 BENITEZ PEREIRA ANTONIO MARCELO 0400987707001 X 180012 QUISHPE TUPIZA MAURICIO ALEJANDRO 0400993291001 X 87687 FOLLECO GUERRERO MIGUEL PATRICIO400995528001 0 X 105491 POZO ESPAÑA JOSE AMABLE 0400996518001 X 99784 MARTINEZ PEREZ YACO MARLON 0400996559001 X 93944 OBANDO RODRIGUEZ OLGER HOMERO0400997367001 X 242090 RECALDE BENITEZ ZOILA LEONOR 0401000633001 X 209382 TOBAR HUERTAS RAMIRO VLADIMIR 0401000641001 X 190959 BENAVIDES VALLEJO SEGUNDO DANIEL 401002183001 0 X 197909 PATIÑO POZO NELSON BOLIVAR 0401007588001 X 250238 IMBAQUINGO ALBAN VICENTE 0401012190001 X 230778 TAPIA SALAZAR NORMA LUCIA 0401013891001 X 272857 PEREZ PUETATE JOSE HUMBERTO 0401017496001 X 66099 CHAMORRO ALVAREZ EDWIN MARCELO 0401017926001 X 268133 ROBLES MORILLO MARCO RENÁN 0401024047001 X 132618 LANDAZURI USINA JUAN PABLO 0401024674001 X
  • 126.
    No No registra No No registra No No. registra registra No. indicadores registra provincia, registra Persona_id NOMBRE No. ID (RUC) calle número registra de ventas, apellido cantón y primer principal de calle origen activos y/o paterno parroquia nombre principal empleados 229693 FRAGA JÁCOME VÍCTOR DARWIN 0401026000001 X 189925 ROMERO OBANDO MARLENE ADRIANA 0401027628001 X 251172 PASTAZ CHAMORRO SILVER OMAR 0401028154001 X 225777 TITACUAN CARDENAS CARLOS VLADIMIR0401028667001 X 174469 CHAMORRO REYES OMAR WILFRIDO 0401029376001 X 57287 ROSERO BUSTOS WILFRIDO GIOVANNY 0401029756001 X 63983 ALMEIDA BURBANO DIEGO GUILLERMO0401031281001 X 103665 SALAS FRANCO GABRIELA NATALY 0401031851001 X 213533 TATAMUES ARTEAGA EDISON FERNANDO 0401033147001 X 119631 NAZATE OLIVO LUIS ANIBAL 0401035027001 X 262039 VERA VELASCO NILO BENITO 0401036256001 X 246463 TENGANÁN TISALEMA EDISON PATRICIO0401036348001 X 181149 CHUNES CHANGUAN GERARDO VICENTE 0401036629001 X 191145 LAGUNA PÉREZ MARGOTH ALEXANDRA 0401037650001 X 195153 CORAL ROSERO EDISON ANDRES 0401046594001 X 95645 ROMO LANDAZURI MARIA JOSE 0401050505001 X 113043 JIMENEZ TIRIRA DELIA ELIZABETH 0401054077001 X 166501 QUIROZ CARLOSAMA SILVIA JANNETH 0401058151001 X 91561 JACOME BRAVO EDWIN RAMIRO 0401062674001 X 269409 ORTEGA CHANDI PABLO EDISON 0401063573001 X 265977 MIRANDA QUITIAQUEZ SILVIA XIMENA 0401065206001 X 184398 TERMAL YAR LEDY BARBARITA 0401065545001 X 141860 RIVAS RAMIREZ KAROL ANDREA 0401065917001 X 67568 LUNA LOPEZ BERTHA ISABEL 0401069125001 X 53399 ALVARO 0401073168001 X 174716 FUELTALA CUASPUD NELSON RAMIRO 0401078035001 X 213647 CASTRO ARCOS MERCY LEONOR 0401079736001 X 148419 CABRERA VALENCIA JORGE IGNACIO 0401080742001 X 223255 CAICEDO ALVAREZ JAIME ESTUARDO 0401087523001 X 213479 ACOSTA VILLOTA JUAN PABLO 0401089206001 X 132947 MORILLO MEJIA FELIX ALBERTO 0401093521001 X
  • 127.
    No No registra No No registra No No. registra registra No. indicadores registra provincia, registra Persona_id NOMBRE No. ID (RUC) calle número registra de ventas, apellido cantón y primer principal de calle origen activos y/o paterno parroquia nombre principal empleados 273815 TULCAN ARTEAGA PEDRO FRANCISCO0401097761001 X 175121 PASPUEL MENESES WIILMER FISHER 0401102231001 X 243961 RODRIGUEZ ROSERO NARCIZA GERMANIA 0401107206001 X 72683 DURÁN VIZCAINO CARMEN AMELIA 0401107362001 X 230785 TAPIA SALAZAR MARLENE ARACELY 0401109384001 X 256688 MONTENEGRO LAGOS DARWIN JESUS 0401111075001 X 278422 CARAPAZ ANDRADE WILMER IVAN 0401111927001 X 246203 SALCEDO ALDAS HECTOR DANIEL 0401112354001 X 194737 ROSERO CHACON OMAIRA DEL ROCIO 0401117890001 X 159597 BENAVIDES GUERRERO OSCAR ORLANDO0401117908001 X 144128 MORA MORA JOSE ALIRIO 0401121124001 X 245651 JURADO MORILLO SEGUNDO JAVIER 0401125919001 X 127662 PANTOJA CARPIO JHON WLADIMIR 0401128715001 X 189996 ESPAÑA CHAMPUTIZ MYRIAM ROCIO 0401128897001 X 195660 CHAVISNAN FLORES EDWIN PATRICIO 0401130679001 X 265380 VINUEZA MIÑO WILLAM JAVIER 0401133970001 X 236748 MEJIA PUEDMAG PATRICIO FERNANDO0401136874001 X 43987 GUERRA TREJO VINICIO ARNOL 0401139704001 X 26089 TERÁN PÉREZ MARY LUZ 0401140975001 X 266135 LESCANO SANCHEZ LUCIA KARINA 0401143078001 X 87501 POZO BURGOS MAURICIO ALFONSO 0401144605001 X 239158 CARVAJAL FUEL ALEX JAVIER 0401150768001 X 258594 PINEDA IMBAQUIBNGO LUIS ANDRES 0401153044001 X 181888 ORTIZ TARAMUEL HENRY RAMIRO 0401156096001 X 173056 RUANO PALACIOS BYRON ANDRES 0401167622001 X 230817 ORTEGA GAONA ANDRES VICENTE 0401172309001 X 226675 GARCIA CANDO BYRON EFREN 0401175997001 X 206040 LÓPEZ HUERA LADY MARIANA 0401180229001 X 171809 TATAMUÉS VOSMEDIANO OSCAR EDMUNDO 0401187489001 X 93472 CHAMORRO ERAZO GLORIA J JIMENA 0401189261001 X 214063 MARTINEZ SANTILLAN ANDREA YANIRA0401190020001 X
  • 128.
    No No registra No No registra No No. registra registra No. indicadores registra provincia, registra Persona_id NOMBRE No. ID (RUC) calle número registra de ventas, apellido cantón y primer principal de calle origen activos y/o paterno parroquia nombre principal empleados 276512 RUANO RUANO JUAN CARLOS 0401192042001 X 111779 MORILLO BOLAÑOS JIMMY ALEXANDER 0401193313001 X 64710 TAPIA FUERTES ANA LIDIA 0401194600001 X 209088 CARRERA BENALCAZAR CARLOS ALBERTO 0401196670001 X 112228 VILLARREAL SALAZAR FERNANDO JAVIER 0401200241001 X 231389 CUASAPAZ TIRIRA BLANCA MARISOL 0401201280001 X 269124 GARCIA PATIÑO JESSICA VIVIANA 0401208046001 X 220137 CHAMORRO CHAMORRO MAURA MARLENE 0401209879001 X 175199 YARPAZ TIRACA GALO FERNANDO 0401210356001 X 273327 BOLAÑOS CADENA ANDREA DEL CARMEN0401218300001 X 210587 MONENEGRO HERNANDEZ CARLOS FERNANDO 0401226014001 X 200770 HEREMBÁS GARCÍA ALICIA GERMANIA 0401234158001 X 168661 VILLARREAL MORÁN BYRON ORLANDO0401236872001 X 261369 PONCE BOLAÑOS ROSA ISABEL 0401237482001 X 258322 JACOME ARELLANO YAMILE VIVIANA 0401243647001 X 31040 PASPUEL DIAZ JUAN EDILBERTO 0401254909001 X 8161 PASPUEL DIAZ NANCY ARACELY 0401254925001 X 181242 RIVERA POZO MARIA FERNANDA 0401256458001 X 86786 BENAVIDES HARO ROSA KARINA 0401259692001 X 210120 CADENA JIMENEZ JUAN CARLOS 0401266986001 X 177116 POZO AGUIRRE MARIA MARIANA 0401270103001 X 199298 GONZÁLEZ VIVEROS CLAUDIA PATRICIA 0401273594001 X 204464 BURBANO PULLES IVÁN ANÍBAL 0401276928001 X 131170 ERAZO USIÑA EDISON MARCELO 0401280250001 X 262795 LOMAS MORILLO EDISSON OMAR 0401281357001 X 276842 OBANDO AYALA AMANDA JANETH 0401281860001 X 178833 ANDRADE JIMENEZ EFREN EUGENIO 0401282314001 X 132310 ANDRADE JIMENEZ LILIAN MARGOTH 0401282322001 X 177826 MONTENEGRO FUEL JOSE LUIS 0401288089001 X 268892 VALLEJO GARCIA EDGAR DAVID 0401290465001 X 150881 FUENTES ANDRÉS 0401300157001 X
  • 129.
    No No registra No No registra No No. registra registra No. indicadores registra provincia, registra Persona_id NOMBRE No. ID (RUC) calle número registra de ventas, apellido cantón y primer principal de calle origen activos y/o paterno parroquia nombre principal empleados 179046 ANDRADE JIMENEZ FRANKLIN ANDRES 0401300595001 X 206588 ENRIQUEZ ROSERO MARIA LUISA 0401301932001 X 119699 ERAZO MONCAYO DIEGO JAVIER 0401302732001 X 153109 PINCHAO CUASPUD HECTOR LIDIO 0401304456001 X 223513 CUAMACAS MONTENEGRO DANIELA IRENE 0401307053001 X 99580 CARRILLO MAYANQUER FREDY ROLANDO0401308648001 X 108788 TUCANÉS VELASCO NUBIA LENNY 0401315619001 X 271818 FUERTES SOTELO ALEXANDER MIGUEL 0401318274001 X 218941 CHINDE PEREIRA ROBERTO FERNANDO 0401337274001 X 250757 BOLAÑOS BAEZ PABLO GUILLERMO 0401355623001 X 125740 GONZALEZ IBARRA DIEGO FABIAN 0401359534001 X 172697 SALAZAR MERA DIEGO EDUARDO 0401373220001 X 249100 ROSERO RODERO MARCIA GABRIELA 0401374970001 X 221053 LUZON PUSDA RUTH MYREYA 0401376702001 X 242436 CHAMBA RUANO ALVARO FERNANDO 0401383195001 X 235662 SANTAFÉ RUEDA CHRISTIAN ABELARDO0401389499001 X 164962 CANDO HUERTAS JHONNY IVAN 0401391347001 X 99814 MORA CHINGUA MARITZA MARGARITA 0401396031001 X 206155 RIASCOS ORTEGA WILLIAM RENE 0401400700001 X 54838 GUEVARA ROSERO JAIRO MAURICIO 0401400940001 X 253896 CHULDE FRAGA SEGUNDO MOISES 0401401203001 X 202387 OSORIO HERRERA JUAN CARLOS 0401402615001 X 93563 HERRERA RAMÍREZ CARLOS DAVID 0401419783001 X 162662 POZO AYALA JOSE LUIS 0401432539001 X 152653 ACOSTA CHICANGO MARCIA KATERINE0401436670001 X 244027 ROSERO DELGADO ERNESTO ALONSO0401438155001 X 97791 ALMEIDA BENÍTEZ VERÓNICA MARLENE0401440045001 X 79959 PANTOJA PUETATE SANDRA VERONICA 0401452156001 X 264180 GUILLEN PISCO FRANCISCO ANDDRES 0401454160001 X 195826 VILLA PILCO CRISTIAN FERNANDO 0401454954001 X 193784 GUACALES TENGANAN JAIME ALIRIO 0401456025001 X
  • 130.
    No No registra No No registra No No. registra registra No. indicadores registra provincia, registra Persona_id NOMBRE No. ID (RUC) calle número registra de ventas, apellido cantón y primer principal de calle origen activos y/o paterno parroquia nombre principal empleados 254300 DE LA CRUZ PANTOJA DIEGO FERNANDO0401461603001 X 249063 DELGADO CAMPAÑA WILMAR ALBERTO 0401467329001 X 218762 BURGOS PASPUEL LILIANA TAMARA 0401468541001 X 269019 REVELO PUETATE EDWIN WLADIMIR 0401474846001 X 168420 MORA CHUQUER EDWIN JONATHAN 0401495262001 X 266773 BRAVO VILLARREAL EDUARDO JHONATAN0401542212001 X 234108 RUALES MORÁN JUAN CARLOS 0401545991001 X 132872 ROSERO MANCERO SANDRA MILENA 0401556584001 X 234893 CALDERON PATIÑO ALVARO ROLANDO0401559547001 X 195365 MEDICIS BERNAL VICENTE EDILBERTO 0401568597001 X 267056 FIGUEROA VALENZUELA ERIKA VIVIANA0401584933001 X 211112 REALPE RODRIGUEZ JHONATAN DIEGO 0401587985001 X 182063 LOMAS TAPIA LUIS ALFONSO 0401594890001 X 102599 LUCERO ALPALA LUIS ANTONIO 0401630249001 X 173071 PUETATE CANTINCUZ CRISTIAN PATRICIO 0401659966001 X 250973 CANTICUZ RIVERA AGUSTO CLAUDIO 0401697545001 X 151578 CORDOBA CORDOBA CRISTIAN ANDRES401816426001 0 X 37174 GOBIERNO MUNICIPAL MIRA 0460000560001 X X 256412 TRANSAPORTES VELOTAX NORTE S.A.0490013644001 X 211425 IMPORTACION Y EXPORTACION PARA EL AGRO "INTERANDESA S.A." 0490040285001 X 192807 BOLIVARIANA DE TRANSPORTES DE CARGA TRANSBOLIVARIANA C.A. 0490041826001 X 157408 COOPERATIVA DE CAMIONETAS 10 DE 0490041893001 MARZO CARCHENSE X 189036 CLINICA DE ESPECIALIDADES MEDICAS0490042091001 X 202524 FUNDACION ASILO DE ANCIANOS SARA ESPINDOLA DE BURBANO 0490042903001 X 205081 CAMPO FERTIL 0491500611001 X 118551 CINE CABLE TV 0491500972001 X 47133 ASOCIACION EDUCACION Y PROGRESO 0491501928001 X 168404 VIZCAINO ANDRADE ELIZABETH LUCIA 0491502053001 X 255888 CORPORACIÓN PROVINCIAL DE ORGANIZACIONES CAMPESINAS DEL CARCHI 0491503025001 X X 242230 ASOCIACION DE CONSERVACION VIAL "NUEVA ESPERANZA" 0491505613001 X 244695 ASOCIACION DE CONSERVACION VIAL CAMINO HACIA EL FUTURO 0491505621001 X
  • 131.
    No No registra No No registra No No. registra registra No. indicadores registra provincia, registra Persona_id NOMBRE No. ID (RUC) calle número registra de ventas, apellido cantón y primer principal de calle origen activos y/o paterno parroquia nombre principal empleados 71095 ASOCIACIÓN DE CONSERVACIÓN VIAL FRONTERA DEL PROGRESO 0491506652001 X 55727 ASOCIACION DE CONSERVACION VIAL 1 DE ABRIL 0491506660001 X 71080 ASOCIACIÓN DE CONSERVACIÓN VIAL TRABAJADORES DEL NORTE 0491506679001 X 71135 ASOCIACIÓN DE CONSERVACIÓN VIAL PORVENIR DEL PARAISO 0491506687001 X 185554 DELISERTRANS S.A. 0491506997001 X 71183 ASOCIACIÓN DE CONSERVACIÓN VIAL MIRA 0491507551001 X 71158 ASOCIACIÓN DE CONSERVACIÓN VIAL NUEVO AMANECER 0491507578001 X 152319 TRANSDORAMALD S.A. 0491507764001 X 105995 LEDERGERBER MARIA VERENA 0491508051001 X 256047 CORPORACIÓN CODESTAAE 0491508280001 X 160552 TULCANCOFERINT CIA. LTDA: 0491508507001 X 224945 CORPORACION AGROPECUARIA SEMBRANDO EL FUTURO 0491509058001 X 262016 GUERRERO GUERRERO JULIO 0491509139001 X 239167 ASOCIACION DE CONSERVACION VIAL PRIMERO DE MAYO 0491509406001 X 275427 ALMACENES O PUNTOS DE VENTA CARCHI PRODUCTIVO 0491509856001 X 46582 ESPIN MORENO MANUEL ESTUARDO 0500000617001 X 274841 ESPIN CONDOR MANUEL MARIA 0500012307001 X 253504 TRUJILLO GARCÍA SIMÓN SELUCIDES 0500015805001 X 120658 CHICAIZA MORENO MARIA PIEDAD 0500047600001 X 161396 DURÁN SALGADO MARIANA TERESA DE JESÚS 0500050182001 X 181374 KAROLYS RIVADENEIRA MANUEL ESTUARDO 0500051305001 X 266621 TOVAR ACURIO CARLOS VICENTE 0500055512001 X 240128 TAPIA TAPIA CÉSAR ALFREDO 0500057062001 X 203749 AMORES CASTELLANO LUIS ANIBAL 0500059217001 X 86332 BENITEZ CATOTA CARLOS ALBERTO 0500072798001 X 42990 CHILIQUINGA LLANGANATE ANGEL POLIVIO 0500077177001 X 246534 ESPINOSA MOLINA SEGUNDO HELEODORO 0500079868001 X 136255 RAMON VIZCAINO CLARA ESTELA 0500089370001 X 253735 ARROYO VALLAROEL MANUEL EDUARDO 0500095336001 X 201541 SILVA FIALLOS GRACIANO ANTONIO 0500096730001 X 159514 VILLAFUERTE FERNANDEZ MAGDA JUDITH 0500111216001 X
  • 132.
    No No registra No No registra No No. registra registra No. indicadores registra provincia, registra Persona_id NOMBRE No. ID (RUC) calle número registra de ventas, apellido cantón y primer principal de calle origen activos y/o paterno parroquia nombre principal empleados 54086 FRAYNE 0500114616001 X 206611 JACOME CEPEDA CRISTOBAL HOMERO0500118641001 X 56701 DEFAZ DEFAZ MANUEL 0500129358001 X 177955 ESPIN VELOZ FAUSTO LEOVIGILDO 0500158217001 X 55315 MORENO MENA JAIME ARTURO 0500172325001 X 75940 ORDONEZ MURILLO LUIS MARCELO 0500176466001 X 40400 TOBAR PAREDES GUSTAVO EDUARDO 0500176664001 X 108588 MOLINA VELA OSWALDO WASHINGTON 0500177779001 X 118182 CRIOLLO VELA SEGUNDO MOISES GONZALO 0500184155001 X 95539 ARROYO ALVEAR LUIS GONZALO GAERARDO 0500198841001 X 169004 CHANCUSIG CHANCUSIG JAIME GONZALO 0500205406001 X 190467 MERIZALDE LARA JOSE AUGUSTO 0500207022001 X 50174 LEON TIGSE SEGUNDO RAFAEL 0500212634001 X 264474 POZO MOREJON CARLOS ISIDRO 0500215009001 X 51137 SORIA LOPEZ REISNER RANULFO 0500233267001 X 198311 PILA PILA JOSE MARIA 0500247283001 X 129510 MENDEZ VEGA ISABEL DEL ROSARIO 0500256714001 X 157779 TOAQUIZA TOAPANTA SEGUNDO RICARDO 0500260864001 X 126670 TAPIA TAPIA JORGE ALBERTO 0500266648001 X 258362 DE LA CRUZ AIMACAÑA ROSA ELVIRA 0500272182001 X 259313 MORENO VERA LUIS ALBERTO 0500276407001 X 191323 TINAJERO ESPINEL VICENTE MARCELO0500292941001 X 133059 COELLO VERA FLORENCIO NICANOR 0500302013001 X 139669 ARIAS ESPINEL ANGEL OSWALDO 0500354568001 X 178048 REINOSO ALARCON MARGARITA TERESA0500355722001 X 134682 CHASI RIVERA LUIS ENRIQUE 0500408463001 X 92061 CASTELLANO NIETO SEGUNDO FRANCISCO 0500413455001 X 120368 IZA OÑA PEDRO PABLO 0500422571001 X 241608 CHANCUSIG CHUQUILLA SEGUNDO ANICETO 0500439732001 X 93382 BUSTOS DUQUE MIGUEL ANTONIO 0500443239001 X 173207 SANCHEZ TIPANTUÑA JOAQUIN 0500451760001 X
  • 133.
    No No registra No No registra No No. registra registra No. indicadores registra provincia, registra Persona_id NOMBRE No. ID (RUC) calle número registra de ventas, apellido cantón y primer principal de calle origen activos y/o paterno parroquia nombre principal empleados 142798 PROCEL REINALDO JACOBO 0500455118001 X 153425 BUNCES GARCÍA IDER GILBERTO 0500455894001 X 34746 JIMENEZ SALAZAR ANTONIO JOSE 0500482690001 X 213488 MOLINA HERRERA FAUSTO GERMAN 0500484209001 X 213198 TUTILLO OÑA VICTORIANO 0500487004001 X 30191 SAILEMA VACA SEGUNDO NICASIO 0500490511001 X 242260 BRASALES VILLAROEL MIGUEL ANGEL 0500504063001 X 81753 ALVAREZ VIERA GALO ANIBAL 0500507603001 X 206175 ESPINEL GORDILLO EDGAR FERNANDO 0500508247001 X 171177 TINAJERO ABAD GERMÁN EDUARDO 0500509427001 X 115826 PACHECO PACHECO HUGO VICENTE 0500511027001 X 118547 NARANJO SANTANDER FREDDY OSWALDO0500514880001 X 165938 ARIAS JIMENEZ LUIS HERNAN 0500524376001 X 138937 CAIZAGUANO UNAPUCHA JOSE 0500524517001 X 33529 METAL MECANICA RIVADENEIRA 0500536891001 X 94931 ALVAREZ CARRILLO NELSON ANIBAL 0500537238001 X 183596 MOROCHO CHARIGUAMAN RAUL CESAR500558242001 0 X 49017 OLALLA MORALES ARTURO OLALLA 0500569777001 X 77487 NARANJO SANTANDER CARLOS ALBERTO0500587233001 X 273472 RIERA RIERA BEATRIZ ENCARNACION 0500601620001 X 221183 RODRIGUEZ QUIMBITA CESAR GONZALO0500606967001 X 160367 LOPEZ CARRILLO EDISON GERMANICO0500610563001 X 149888 COBO CARRILLO HITLER GUILLERMO 0500634811001 X 179121 MENA MENA ABSALON ARMANDO 0500634845001 X 132700 GRANDES ROBAYO CARMEN TERESA 0500638259001 X 271988 GUTIERREZ SOLIS SEGUNDO DAVID 0500640594001 X 215330 CHANALATA IZA MARIA ELVIRA 0500646740001 X 214575 SERRANO AIMACAÑA MARIA ANA 0500652102001 X 139640 VEGA CARRILLO RENE RODRIGO 0500666870001 X 195410 REINOSO ARAQUE LUIS OSCAR 0500667001001 X 229510 RIERA MOLINA POLIVIO BALERIANO 0500668256001 X
  • 134.
    No No registra No No registra No No. registra registra No. indicadores registra provincia, registra Persona_id NOMBRE No. ID (RUC) calle número registra de ventas, apellido cantón y primer principal de calle origen activos y/o paterno parroquia nombre principal empleados 20435 BAÑO FLORES GONZALO ISAIAS 0500673413001 X 15920 HUGO 0500673579001 X 220136 TERAN SIERRA MANUEL RODRIGO 0500676598001 X 163188 QUIMBITA PANCHI CESAR HERIBERTO 0500679071001 X 248869 VITERI HERNANDEZ BOLIVAR ANTONIO0500680434001 X 53876 JARRÍN TOVAR LUÍS FERNANDO 0500685003001 X 139654 ESPINOSA ESPINOSA SEGUNDO REINALDO 0500690607001 X 145522 GAVILANEZ CUZCO JORGE 0500694559001 X 122807 NUÑEZ RIVERA EMMA TERESA 0500721832001 X 253539 VENEGAS CORREA HUMBERTO LAUTARO 0500740899001 X 71165 FONSECA ACOSTA NELSON TRAJANO 0500744388001 X 184226 CAISACHAMA MORALES SEGUNDO GONZALO 0500744446001 X 90765 SANTO CELA CELIA MARIA 0500744750001 X 62640 MULLO AIMACAÑA HUGO MARCELO 0500748702001 X 171462 TULLMO TIPANTUÑA SEGUNDO FEDERICO 0500749577001 X 110427 CABALLEROS CAMINO MARGARITA LUCINDA 0500756564001 X 202832 QUEVEDO GRANDES STIVETH FLAVIO 0500759980001 X 144712 AVILES OROSCO NESTOR RUBEN 0500766621001 X 270378 CONSTANTE NUÑEZ SEGUNDO ANTONIO 0500767041001 X 73491 VILLAGOMEZ PAEZ SEGUNDO RAFAEL 0500768296001 X 185516 CHANALUISA QUISHPE JOSE LEONIDAS0500769328001 X 167687 CHIULUISA NARANJO VICTOR EDUARDO0500789508001 X 140942 CARRERA PRUNA GALO EFRAIN 0500798277001 X 57351 JEREZ GARZON VICTOR REINALDO 0500799812001 X 168543 ESPINEL GORDILLO NELSON BAYARDO0500807300001 X 224201 VITERI REINOSO NELSON SAUL 0500807474001 X 137830 PÁRAMO MEDINA LUIS ALFREDO 0500816566001 X 93575 SANGOQUIZA SANGOQUIZA VICTOR MANUEL 0500816814001 X 276496 RAMIREZ DELGADO SEGUNDO NEPTARIO0500819727001 X 15572 GUERRERO RIERA CARLOS SEGUNDO0500824420001 X 145129 AIMACAÑA TARCO JOSE RODRIGO 0500826300001 X
  • 135.
    No No registra No No registra No No. registra registra No. indicadores registra provincia, registra Persona_id NOMBRE No. ID (RUC) calle número registra de ventas, apellido cantón y primer principal de calle origen activos y/o paterno parroquia nombre principal empleados 57811 ZAMBONINO BALAREZO FRANCISCO ALBERTO 0500826821001 X 11563 CARLOS 0500827977001 X 204243 PORRAS CORTEZ HECTOR GUSTAVO 0500831177001 X 180394 CÁCERES GARZÓN MARÍA REYNA 0500841119001 X 119590 ZAMBONINO ORDÓÑEZ ROBERTO EFRÉN 0500851225001 X 256557 GARAY BANO RAFAEL ESTUARDO 0500853585001 X 88707 ALPÚSIG TACO JUAN SEGUNDO 0500857677001 X 268591 PAZMILO DOMINGA SUSANA 0500862560001 X 244201 VILLACIS VELA MARCELO GERARDO 0500863634001 X 258388 CANGUI LUZMILA 0500867262001 X 66578 NAVAS GUERRERO SERGIO ELADIO 0500874771001 X 30583 TAIPE QUINALUISA JUAN MANUEL 0500886718001 X 238093 UCHUPANTA BUNSHI SEGUNDO FEDERICO 0500889092001 X 116803 PULLUQUITIN COQUE SALVADOR 0500889670001 X 266200 VILLACIS JACOME MANUEL NEPTALI 0500898564001 X 121159 SORIA CASILLAS MARIA DOLORES 0500900311001 X 149127 CAJAS SEGOVIA JAIME GERARDO ALFONSO 0500900741001 X 108187 NARANJO RAMON EUSTORGIO JULIAN 0500904396001 X 127548 PURUNCAJAS EVA AMERICA 0500908264001 X 99309 BUSTILLOS AMAYA PABLO MAURICIO 0500908843001 X 124613 RIVERA MORENO CAMILO ENRIQUE 0500909775001 X 93815 VILLACIS TENEDA KLEVER ALEJANDRO0500911557001 X 134572 MORENO MENA HUGO FERNANDO 0500915459001 X 165924 MONCAYO SORIA WILMO GILBERTO 0500922687001 X 86551 CAÑA SANGUCHO GERARDO MANUEL 0500925334001 X 265443 TIPANTUÑA LEMA PEDRO PABLO 0500927439001 X 179896 CHANATÁSIG MULLO SEGUNDO ANGEL0500930458001 X 109008 GUANOPATIN ATI MIGUEL ANGEL 0500930466001 X 216300 ALMACHI TACO JOSE LEONIDAS 0500934542001 X 202642 ALVAREZ CRUZ ENRIQUE ESTUARDO 0500946868001 X 183701 CORRALES MENA FANNY 0500956792001 X
  • 136.
    No No registra No No registra No No. registra registra No. indicadores registra provincia, registra Persona_id NOMBRE No. ID (RUC) calle número registra de ventas, apellido cantón y primer principal de calle origen activos y/o paterno parroquia nombre principal empleados 101010 MORENO RAMIREZ JORGE ELOY 0500963699001 X 103230 SANTAMARIA CUITO ARQUIVALDO GUSTAVO 0500964465001 X 162674 QUINGATUÑA ACOSTA PATRICIO 0500977277001 X 154422 PANOLUISA PANCHI JOSÉ FLORESMILO 0500984232001 X 73947 LESCANO SANTANA ANGEL ALFREDO 0500989272001 X 162733 COCHA GUATO SONIA GUILLERMINA 0500993001001 X 263790 VALLADARES GUERRA GONZALO RODRIGO0500994561001 X 116065 TOVAR VILLACIS FREDDY NELSON 0501000723001 X 130835 ZAPATA PORRAS JUAN ABELARDO 0501004139001 X 148029 PILATASIG IZA JUAN NN 0501011183001 X 228079 CHIQUITO CASTELLANO LILIA AMÉRICA0501040711001 X 49207 X ESCOBAR IVAN GERMANICO 0501040729001 X 157021 VENEGAS MERA MARIA ELENA 0501041081001 X 234381 QUEVEDO MANOTOA JAIME HORACIO 0501043772001 X 114003 CAICEDO ALVAREZ FREDY FRANCISCO0501047906001 X 235077 CUYACHAMIN CHILIQUINGA JOSE ROBERTO 0501049415001 X 30409 CÓRDOVA RAMÓN JOSÉ ESTUARDO 0501051528001 X 94228 CASNANZUELA DE LA CRUZ ISIDRO 0501057228001 X 109098 CANDO ROJAS MARIO RODRIGO 0501057905001 X 118844 JIMENEZ HERRERA ROBERTO EFRAIN 0501061451001 X 155512 VILLAVICENCIO FABARA LUIS FERNANDO 0501062731001 X 50029 CAJIAO CÓRDOVA JORGE HERNANDO 0501062822001 X 80859 VACA SANCHEZ MARCO RUBEN 0501069736001 X 36665 PROAÑO LÓPEZ WILLAMS FREDY 0501073845001 X 109237 IZA TOAPANTA JORGE ANIBAL 0501076160001 X 168343 ALVAREZ ALVAREZ AMPARO DEL ROCIO 0501077473001 X 88688 ANDRADE HIDALGO IVAN FERNANDO 0501079222001 X 36710 PEÑAHERRERA VACA JAIME ENRIQUE 0501080808001 X 271077 MEJIA MANTILLA MARIA MAGDALENA 0501088827001 X 195994 TORO VASCO GREGORIO PATRICIO 0501092704001 X 79396 BUSTILLOS AMAYA JOSÉ DAVID 0501093199001 X
  • 137.
    No No registra No No registra No No. registra registra No. indicadores registra provincia, registra Persona_id NOMBRE No. ID (RUC) calle número registra de ventas, apellido cantón y primer principal de calle origen activos y/o paterno parroquia nombre principal empleados 184974 CRUZ GUANOLUISA CÉSAR OSWALDO 0501096994001 X 225121 FONSECA GARCIA BOLIVAR GERMAN 0501097182001 X 214071 OCHOA TINAJERO PATRICIO FABIAN 0501100028001 X 220226 PROAÑO AMORES OSWALDO WASHINGTON0501102305001 X 99218 QUILUMBA QUINAPALLO SEGUNDO FRANCISCO 0501102578001 X 121431 OÑA GONZALEZ JULIO PATRICIO 0501105613001 X 198234 VELOZ CORRAL SEGUNDO EDWIN 0501106710001 X 268655 CHANTASIG ALCOCER NELSON WILLIANS 0501108062001 X 127550 TIGSE ALOMOTO LUIS JOSE ALFREDO 0501109938001 X 53967 PLAZA BAUTISTA PEDRO ALEJANDRO 0501115562001 X 227969 CAMPAÑA ESPIN MANUEL ALONSO 0501122543001 X 127405 CARRILLO JARAMILLO DELIA LADI 0501124143001 X 194821 CHICAIZA CAMPOS GLORIA PIEDAD 0501125744001 X 186123 CHILIQUINGA TAIPE MARIA TOMASA 0501126916001 X 138080 TUTASIG GUANOLUISA JORGE ENRIQUE501134498001 0 X 136500 MALLITASIG CAIZA CESAR GONZALO 0501140693001 X 200872 OSORIO ALVAREZ ANA FABIOLA 0501141659001 X 135707 SORIA ESPINOZA RAÚL RODRIGO 0501142996001 X 117895 TOAPANTA CAGUANA MEDARDO ULPIANO0501145700001 X 189862 TONATO PLASENCIA CESAR SERAFIN 0501146609001 X 47011 TIPANGUANO BAÑO JOSE AUGUSTO 0501148126001 X 34040 SANTOS TOAPANTA SEGUNDO FAUSTO 0501150445001 X 109682 PULLOTASIG TIPANLUISA EFRAIN NN 0501152243001 X 127398 VITERI PAZMIÑO MANUEL AUGUSTO 0501153860001 X 210502 BUSTAMANTE SANTOS JORGE WASHINGTON 0501155493001 X 167632 AVILA ROSERO GALO RAUL 0501156061001 X 277494 AGUILERA BARAHONA JORGE ENRIQUE 0501161392001 X 117509 VARGAS MORA JUAN FRANCISCO 0501162416001 X 109062 PICHUCHO CHICAIZA CESAR FERNANDO0501163711001 X 107529 CRSPO JIMENEZ OCTAVIO MARCELO 0501163778001 X 184930 NAVAS PADILLA MARÍA DE LOURDES 0501164552001 X
  • 138.
    No No registra No No registra No No. registra registra No. indicadores registra provincia, registra Persona_id NOMBRE No. ID (RUC) calle número registra de ventas, apellido cantón y primer principal de calle origen activos y/o paterno parroquia nombre principal empleados 244282 MALDONADO CACPATA LUIS MARCELO0501166169001 X 271185 BENITEZ TOAPANTA BLANCA MARGARITA 0501185920001 X 94768 CHANGO CAIZA JOSE RAFAEL 0501193676001 X 35645 JEREZ GARZON JOSE MARCELO 0501194385001 X 136771 AYALA ROSERO NAPOLEON 0501198808001 X 100324 ACOSTA GUTIERREZ JOSE ELOY 0501199541001 X 118240 LAGLA TIPAN SEGUNDO MARCELO 0501205058001 X 137152 BENAVIDES CAÑAVERAL SEGUNDO ABEL0501211130001 X 248091 BASSANTES ALARCÓN BYRON HORFAYT 0501214456001 X 169863 ESQUIVEL AYALA EDGAR PATRICIO 0501214803001 X 165755 CABRERA ULLCO JUAN LUIS 0501215164001 X 139881 SALAZAR ALBAN ANGEL NEPTALI 0501223234001 X 240374 LUSPA CHITO JUAN JOSE 0501224802001 X 138629 HOYOS GANCINO JULIO ALFONSO 0501227318001 X 138580 TIGSE VILLACRES FRANCISCO RUBEN 0501231781001 X 33450 MORA PRIAS LUIS ALBERTO 0501240709001 X 106755 SARAGOSIN SEGUNDO PLACIDO 0501242408001 X 154059 VARGAS CHICAIZA ENRIQUE 0501245526001 X 89730 GUALOTUÑA CHICAIZA CARLOS MEDARDO 0501251078001 X 110046 MATUTE VILLAVICENCIO SEGUNDO RAFAEL 0501251607001 X 180368 JACOME FREIRE GUSTAVO ALEXIS 0501253033001 X 117441 GUANGAJE PILATASIG LUIS 0501254965001 X 21048 AMORES MATUTE LUIS ERNESTO 0501258313001 X 95492 COMASISIN PILATASIG LUIS SERGIO 0501264998001 X 229837 VILLACIS RENJIFO JOSE CARLOS 0501273510001 X 152688 ESPIN JACOME GERARDO OSWALDO 0501274914001 X 62558 USHCO MOSQUERA SEGUNDO MANUEL 0501275424001 X 166002 GUANOTUÑA CHICAIZA ELSA MERIDA 0501278402001 X 162380 CHULCO USHCO JUAN JOSE 0501278576001 X 112131 COCHA TRIVIÑO HÉCTOR PATRICIO 0501282925001 X 148763 GALLO LIGER JORGE OMERO 0501284947001 X
  • 139.
    No No registra No No registra No No. registra registra No. indicadores registra provincia, registra Persona_id NOMBRE No. ID (RUC) calle número registra de ventas, apellido cantón y primer principal de calle origen activos y/o paterno parroquia nombre principal empleados 104842 CALVOPINA LEON RAUL GERMAN 0501294979001 X 166758 CALALA CASA GUIDO RAMIRO 0501295448001 X 233894 TAIPE TAIPE LUIS ALFREDO 0501305684001 X 37242 ACHOTE ESTRELLA CARLOS GONZALO 0501307995001 X 217790 NUÑEZ COCA VITERVO RAUL 0501315691001 X 126358 GONZALEZ CAJIAO LIA PAULINA 0501318455001 X 155496 JACOME SILVA LUIS EDUARDO 0501318810001 X 213328 FALCONI GALARZA MARY CONCEPCION 0501323430001 X 91953 PILA ALMACHI JOSE MARCELO 0501324180001 X 147797 GARAY BAÑO MODESTO WIDIBILSON 0501324362001 X 154238 TORRES PAZMIÑO LUIS ROBERTO 0501325773001 X 67470 MARTÍNEZ VEGA PABLO ARTURO 0501328694001 X 58387 MAIGUA BRONCANO FAUSTO JOSE 0501330765001 X 175140 LAGLA TIPÁN JUAN JOSÉ 0501332217001 X 230503 ALVAREZ SALAZAR ALICIA MATGOTH 0501337893001 X 40975 SALAZAR CORRALES NELSON GERARDO 0501339030001 X 208777 BANDA BUSTILLOS MARCO FERNANDO0501344212001 X 176846 TAIPE TONATO MARIA ERMELINDA 0501351167001 X 47622 GUAMAN GUANOPATIN SEGUNDO OSWALDO 0501354096001 X 111433 GARCIA MIGUEL ANTONIO 0501355796001 X 162431 ALVEAR VILLACIS LIDIA VIRGINIA 0501360689001 X 32013 SALAZAR TELLO RAÚL ALBERTO 0501368450001 X 146555 OSORIO HERRERA LUIS ALEJANDRINO 0501376529001 X 141454 YANCHAPAXI CAYO FRANCISCO RAMIRO0501381974001 X 36258 DISFOB 0501384622001 X 207317 BEDÓN CHICAIZA EDGAR LEONIDAS 0501385553001 X 228675 CAYO CUYO JUAN 0501387922001 X 154320 VILCA TOAPANTA SEGUNDO FRANKLIN0501391262001 X 107419 JAMI JAMI MARÍA ISABEL 0501397921001 X 94171 MEDINA ACOSTA HOLGUER MARCELO 0501400188001 X 217238 PACHECO FABARA GERARDO IVAN 0501404016001 X
  • 140.
    No No registra No No registra No No. registra registra No. indicadores registra provincia, registra Persona_id NOMBRE No. ID (RUC) calle número registra de ventas, apellido cantón y primer principal de calle origen activos y/o paterno parroquia nombre principal empleados 225142 CHOLOQUINGA MARCELO 0501406912001 X 22419 RIVAS ALEMAN RUBEN RODRIGO 0501408157001 X 155158 MEDINA MATUTE MARÍA TERESA 0501409130001 X 157721 NEGRETE TOAPANTA ABELARDO 0501410955001 X 102986 CAISA ANGEL MARIA 0501411144001 X 102582 ZAPATA DIAZ SEGUNDO GUSTAVO 0501412456001 X 56412 BONILLA CANDELEJO SANDRA ELÍZABETH 0501412738001 X 18936 EDMUNDO ALONSO CALERO HIDALGO 0501416440001 X 166543 ARAUJO ROBAYO MILTON 0501418487001 X 162124 RODRIGUEZ RUBIO EDISON GERMANICO0501421721001 X 129612 CAJAMARCA TACO FAUSTO RODRIGO 0501422513001 X 168241 CHICAIZA SEGUNDO JOSE MARIA 0501429070001 X 178578 ERAZO LAVERDE WASHINGTON GERMÁN 0501432637001 X 115637 GUALPA TAPIA JORGE RAMIRO 0501436893001 X 44500 MONTALUISA PANCHI EDWIN PATRICIO0501443816001 X 32259 RAUL 0501448633001 X 152243 TOSCANO CHICAIZA CESAR MARTIN 0501454052001 X 259762 CARRERA GUIDO IVAN 0501460547001 X 149249 GERMAN MASABANDA JOSE AUGUSTO0501461891001 X 161645 ESQUIVEL ESQUIVEL GLADIS ZUZANA 0501465579001 X 176729 IZA DEFAZ MANUEL MARIA 0501469969001 X 145049 PALMA GUERRA MARIA TERESA 0501470280001 X 98189 MENA CHANGOLUISA MILTON ARTURO0501472484001 X 257930 ESPÍN ALVEAR ALEXANDRA SABINA 0501477236001 X 174392 TIPAN SUNTASIG ELSA MARINA 0501477343001 X 81982 CHACON CLAUDIO MELIDA BETSABE 0501483788001 X 254710 TOAQUIZA CHITUPANTA SERAFIN 0501485668001 X 213260 VIRACOCHA MENDOZA LUIS ANTONIO 0501490643001 X 187450 CARRERA VITERI WASHINGTON RAMIRO0501499271001 X 174310 CAIZA ALANUCA ROSA MARÍA 0501506968001 X 124813 YANCHATIPAN ALANUCA JOSE FRANCISCO 0501508220001 X
  • 141.
    No No registra No No registra No No. registra registra No. indicadores registra provincia, registra Persona_id NOMBRE No. ID (RUC) calle número registra de ventas, apellido cantón y primer principal de calle origen activos y/o paterno parroquia nombre principal empleados 205838 VARGAS TERAN MARINA BEATRIZ 0501509251001 X 259947 LEMA PALLO JORGE OSWALDO 0501509491001 X 238496 CHASIPANTA QUIMBITA CÉSAR RÓMULO0501512826001 X 103119 ALMEIDA BATALLAS CONSUELO 0501515506001 X 169525 QUISHPE VELANA SEGUNDO 0501516330001 X 167657 ACOSTA NÚÑEZ JULIO FRANCISCO 0501519490001 X 100274 CHUQUI VACA JUAN MANUEL 0501519995001 X 71341 PILA DAMACELA MANUEL MARTIN 0501522627001 X 115232 LEÓN RODRÍGUEZ IVAN XAVIER 0501524367001 X 201393 BENITEZ CAICEDO MARIO JAVIER 0501526727001 X 163594 CHILUISA HERRERA MARCO DAVID 0501527881001 X 202290 SALAZAR QUINAUCHO ARTURO ABSALON0501530869001 X 43777 MONTALUISA ESCOBAR HUGO PATRICIO0501532618001 X 278108 CAMPAÑA CAICEDO FABIAN PATRICIO 0501544852001 X X X 154581 NARANJO VASQUEZ FRANCIS ESTEBAN 0501544928001 X 103964 LOGROÑO AVILEZ JOSE VICENTE 0501547186001 X 160050 CARDENAS ACUÑA CARLOS ALBDERTO 0501551709001 X 165524 VASCO TAIPE HUGO MARCELO 0501552145001 X 101880 BELTRAN RAMIREZ SANDRA PATRICIA 0501553044001 X 47827 PACHECO ZAPATA GLORIA PIEDAD 0501560700001 X 244984 OÑA CHILIQUINGA JOSÉ MANUEL 0501560874001 X 247569 PALMA CORRALES EDWIN GIOVANNY 0501562193001 X 121745 TOSCANO TILINCHANA JOSE HERNANDO0501565667001 X 169839 GARZON HUERTAS MARCELA JUDITH 0501569735001 X 73795 BONIFAZ LISINTUÑA ENRIQUE ANGEL 0501571749001 X 36076 AVILÉS LUCERO PATRICIO FERNANDO 0501573992001 X 138554 ILLESCAS CERDA GLINYS JANETH 0501576482001 X 143080 PESANTEZ ERAZO CARLOS MAGUITO 0501576581001 X 254141 PALOMO MULLO FLOR ANGELICA 0501576771001 X 51512 ESPINOSA GALLRADO EDISON GONZALO0501577910001 X 143932 VELASTEGUI NAVAS RICARDO AUGUSTO0501580690001 X
  • 142.
    No No registra No No registra No No. registra registra No. indicadores registra provincia, registra Persona_id NOMBRE No. ID (RUC) calle número registra de ventas, apellido cantón y primer principal de calle origen activos y/o paterno parroquia nombre principal empleados 262650 CAICEDO VENEGAS PATRICIA DEL PILAR 0501584189001 X 119357 VIERA CARRERA GIL FRANCISCO 0501585558001 X 113732 VITERI TAPIA ANA MARIA 0501597470001 X 105961 RIOS SHUNTA WILSON RODRIGO 0501598007001 X 95882 MOREANO MOREANO RUBEN DARIO 0501605778001 X 159617 SILVA TENORIO SEGUNDO ANGEL 0501612410001 X 149929 CHARIGUAMAN CHANALUISA JUAN MANUEL 0501615983001 X 162188 GAVILANEZ VILLAMARIN KETTY DEL ROSARIO 0501617674001 X 31171 HERRERA CORREDORES MIGUEL ORLANDO0501621320001 X 184697 VEGA TIGASI JOSE FLORENCIO 0501623086001 X 167673 MISE AREQUIPA SEGUNDO RAUL 0501628093001 X 233389 BALSECA TOAPANTA CARLOS FERNANDO 0501630917001 X 72042 MENA MENA CESAR FREDY 0501637326001 X 161852 BONILLA HARO NELSON HIPOLITO 0501639561001 X 87915 MALDONADO ANDINO PATRICIO FABIAN501640817001 0 X 33548 ALAJO GUILCAMAIGUA MILTON HERNAN 0501652036001 X 222146 JÁCOME SALAZAR JÉSSICA MARÍA 0501653281001 X 155610 ALVAREZ ROMERO DIEGO FRANCISCO 0501653919001 X 164838 ALTAMIRANO BAUTISTA SILVIA HORTENCIA 0501655575001 X 95515 ARROYO CAICEDO PATRICIO GIOVANNI 501657209001 0 X 31450 MOGRO CEPEDA YENSON VINICIO 0501657514001 X 29537 EDISON 0501662035001 X 212876 TOAQUIZA LUTUALA LUIS GABRIEL 0501667471001 X 168057 TAPIA SÁNCHEZ ESTHER ORFELINA 0501670228001 X 88144 VARGAS JACOME LUIS GEOVANNY 0501671960001 X 170726 TERCERO QUISPE SEGUNDO SALVADOR 0501672844001 X 145922 PUMASHUNTA CAIZA SEGUNDO HIPOLITO0501677215001 X 175448 CAISA RONQUILLO CARLOS HUMBERTO 0501677462001 X 169033 UNAPUCHA BLANCA SUSANA 0501677736001 X 205014 MORENO PAZUÑA CARLOS ESTUARDO0501677835001 X 70053 SUNTASIG QUISHPE MARIO RAÚL 0501682975001 X
  • 143.
    No No registra No No registra No No. registra registra No. indicadores registra provincia, registra Persona_id NOMBRE No. ID (RUC) calle número registra de ventas, apellido cantón y primer principal de calle origen activos y/o paterno parroquia nombre principal empleados 239704 PARREÑO HERRERA CARLOS ALBERTO 0501686380001 X 224297 TONATO LEMA SEGUNDO RODRIGO 0501686489001 X 84987 CHINCHUÑA IZA CELIO GONZALO 0501687149001 X 227198 DELGADO GALLARDO INDIRA DE MONSERRATTE 0501689608001 X 66799 PERALVO QUISHPE ELVIA MARINA 0501700058001 X 240777 HERRERA BONILLA FLAVIO ENRIQUE 0501700876001 X 263609 UNAPANTA BAUTISTA HERNAN VINICIO0501701460001 X 272092 HINOJOSA CALLE CESAR AUGUSTO 0501702658001 X 124811 CORDOVA ALTAMIRANO JOSE LEODAN0501710156001 X 261059 ULLOA ORTIZ YOLANDA ELIZABETH 0501712350001 X 201209 ANDRADE FLORES GUILLERMO NERVIN 0501715486001 X 228094 HERRERA HERRERA WILLIAN DAVID 0501717581001 X 268516 MORALES LASCANO CARMENCITA AMALIA 0501721799001 X 257115 TOVAR ROMAN DIEGO 0501722581001 X 156947 CAZARES GUALPA GERARDO JIMMY 0501736268001 X 258376 ZUMBA VEINTIMILLA EDWIN EDUARDO 0501736300001 X 263741 ESTRELLA CARMEN 0501742605001 X 216327 MOLINA HURTADO RODRIGO 0501750392001 X 133021 VEGA CHUSIN SEGUNDO RAFAEL 0501753248001 X 277195 NAVAS VENEGAS MONICA DEL CARMEN 0501757694001 X 122058 TOAPANTA ALMACHE JOSÉ VICENTE 0501762421001 X 186191 ORTIZ MOYA SANDRA ELIZABETH 0501765614001 X 151888 DAVALOS ARELLANO EDUARDO ENRIQUE0501765721001 X 29109 VELASTEGUI MOLINA SANTIAGO RUBEN0501777304001 X 91263 XXXXXXX TONATO LUIS ALFONSO 0501777619001 X 98840 VASQUEZ ACOSTA JANETH SERAFIN 0501779011001 X 124093 ACOSTA CORTEZ WILLAN FERNANDO 0501779029001 X 215181 FLORES CEVALLOS ROSA ALBA 0501783682001 X 151162 CASA REA LUIS ALFONSO 0501784268001 X 187606 ANALUISA ANGUETA CARMEN SALVADORA 0501785034001 X 106730 MUZO CHASIPANTA SEGUNDO LORENZO 0501785182001 X
  • 144.
    No No registra No No registra No No. registra registra No. indicadores registra provincia, registra Persona_id NOMBRE No. ID (RUC) calle número registra de ventas, apellido cantón y primer principal de calle origen activos y/o paterno parroquia nombre principal empleados 23685 PEREZ VILLAMARIN MARIBEL PATRICIA0501785992001 X 19895 CHANGOLUISA YANEZ CAMILO ESTUARDO0501787642001 X 19363 JIMÉNEZ FERNÁNDEZ EDWIN ISRAEL 0501790661001 X 132432 CASTELLANO ARIAS HECTOR RAUL 0501795132001 X 82880 CHACON CLAUDIO SEGUNDO GUILLERMO 0501804975001 X 265397 PASTUÑA FLORES IRMA JIMENA 0501808901001 X 229528 GAVILANEZ CAMPANA LINA PATRICIA 0501809628001 X 178075 QUISHPE MARTINEZ SEGUNDO GUIVALDO0501816938001 X 230612 CARRERA CEPEDA CESAR OSWALDO 0501818744001 X 154771 LLUMITASIG ALAJO JOSE ACENCIO 0501823819001 X 273186 ROJAS CHICAIZA MIGUEL ANGEL 0501827133001 X 148324 DOICELA TOAPANTA MARIA MERCEDES 0501831168001 X 179804 CEPEDA RIVADENEIRA DARWIN FERNANDO 0501831663001 X 226977 CHUQUI SÁNCHEZ MANUEL MARÍA 0501836134001 X 209314 CRUZ MOLINA WILMA SUSANA 0501838932001 X 259046 SANDOVAL LAICA GALO 0501840011001 X 233365 LLASAG FERNÁNDEZ MILTON GALO 0501843247001 X 101752 LEMA VACA JUAN JOSE 0501848279001 X X X 168008 VACA CAILLAGUA EMMA LILIANA 0501851414001 X 178885 MOLINA ARMAS PAUL ERNESTO 0501855209001 X 35503 PEREZ CLAUDIO CARLOS AURELIO 0501858898001 X 264246 MASAPANTA GUILCAMAIGUA EDWIN PATRICIO 0501859011001 X 188007 MORA RIVADENEIRA PABLO FERNANDO 0501859144001 X 167899 MALDONADO CAMACHO NARCISA ALEXANDRA 0501860902001 X 138535 RUALES BURBANO ROSAURA MARIANA0501862346001 X 95164 RODRIGUEZ PANCHI WILLIAN IVAN 0501872048001 X 24652 SANCHO AGUILERA SANTIAGO 0501872220001 X 21762 MAIGUA CAÑA MARÍA ELBA 0501877179001 X 15130 ING. GUILLERMO MOLINA CACERES 0501881569001 X 42133 QUINATOA TOAPANTA MANUEL GUILLERMO 0501884209001 X 236310 SACA SACA NESTOR GONZALO 0501884910001 X
  • 145.
    No No registra No No registra No No. registra registra No. indicadores registra provincia, registra Persona_id NOMBRE No. ID (RUC) calle número registra de ventas, apellido cantón y primer principal de calle origen activos y/o paterno parroquia nombre principal empleados 138833 CABRERA ARAQUE LIBIA CATERINE 0501890008001 X 239444 MUÑOZ VILLEGAS LUIS ALFONSO 0501890016001 X 47989 BURBANO MONTALVO BYRON HERNÁN0501890248001 X 180941 VELASCO MALLITASIG MIGUEL ANGEL 0501894810001 X 172561 VILLAMARIN VILLAMARIN DANIEL ALONSO 0501897714001 X 204033 CHICAIZA TIPANQUIZA MANUEL MESIAS0501897813001 X 142620 MENDOZA CHANALATA LUIS CARLOS 0501906440001 X 33181 OLALLA VALENCIA ZOILA ANGÉLICA 0501907067001 X 91610 OLALLA VALENCIA TATIANA ELIZABETH0501907075001 X 218024 CASA CENTENO MANUEL EDGAR 0501909253001 X 254023 TAIPE QUISHPE GLORIA MARISOL 0501910350001 X 261746 PARREÑO VELASQUEZ LENIN RAMIRO 0501911234001 X 125490 ENRÍQUEZ CENTENO ROSA MARIELA 0501912828001 X 39912 TIPANQUIZA ESCOBAR WILLIAN AURELIO 0501918361001 X 94702 VIERA RECALDE MARIO 0501923841001 X 166282 MARTINEZ PURUNCAJAS RUTH ISABEL 0501925101001 X 182248 VELASCO GUANOLUISA MARIO GUSTAVO 0501928568001 X 155133 FLORES SOSA WILMER EDUARDO 0501939185001 X 192614 MARTINEZ MEZA EDISON DANIEL 0501941751001 X 35710 TORRES LÓPEZ FANNY 0501946172001 X 265580 CHUQUITARCO TRAVEZ MATILDE LUCRECIA 0501946404001 X 118978 SANCHEZ CUYO JULIO 0501951271001 X 261321 OTTO YANQUI MANUEL 0501954069001 X 242309 SEGOVIA ALBARRACÍN HUGO FERNANDO 0501955660001 X 170985 TOAQUIZA LLANO LUIS MARCELO 0501957583001 X 64651 VEINTIMILLA FLORES VERÓNICA ELIZABETH 0501963367001 X 173348 VEINTIMILLA FLORES PABLO GEOVANNY0501963623001 X 41638 ORDOÑEZ CEVALLOS ALINE ROXANA 0501972780001 X 271025 TUCUMBI CHUGCHILAN SUSANA 0501973267001 X 172774 MOYA PACHECO LOLIA GIOCONDA 0501975130001 X 186870 RIOFRIO AVILA SELENE DEL CARMEN 0501975262001 X
  • 146.
    No No registra No No registra No No. registra registra No. indicadores registra provincia, registra Persona_id NOMBRE No. ID (RUC) calle número registra de ventas, apellido cantón y primer principal de calle origen activos y/o paterno parroquia nombre principal empleados 186421 PANCHI YANCHAGUANO LUIS PATRICIO 0501976153001 X 116598 ARMAS SANDOVAL GLADYS MARISOL 0501978274001 X 153487 VILLEGAS MATRINEZ PABLO ANGEL 0501984801001 X 192717 CARRILLO GAVILANEZ WILSON PATRICIO 0501988570001 X 69943 VELASCO PILATASIG SEGUNDO EDUARDO0501988927001 X 225329 GUAMANGALLO CABEZAS MIGUEL ANTONIO 0501991012001 X 34747 SANTAMARIA TIPANTASI LUIS ENRIQUE0502000243001 X 200753 CHILE BUSTILLOS MARCO ORLANDO 0502002876001 X 114067 TAPIA MOLINA MARCIA BEATRIZ 0502004955001 X 164778 BAUTISTA TONATO JUAN REMIGIO 0502005036001 X 159670 SEGOVIA MATUTE EDUARDO SANTIAGO 0502006331001 X 158688 CABRERA MARTINEZ XAVIER BENITO 0502006729001 X 71414 ULLOA ROJAS ARMANDO VINICIO 0502007073001 X 23670 CHUQUITARCO CHILUISA LUIS ALFREDO502016660001 0 X 203841 TIPAN PASTUSA JUAN MANUEL 0502021231001 X 236050 SAILEMA MAIGUA KLEBER RAMIRO 0502023419001 X 137191 ALARCON ESPIN SEGUNDO DANIEL 0502024169001 X 190804 FLORES SILVA MARTHA ELIZABETH 0502027113001 X 94700 MORENO VEINTIMILLA JORGE EDUARDO 0502029556001 X 193133 UNAPUCHA MOROCHO LUIS RODRIGO 0502032063001 X 57298 GALLO SANTACRUZ GALO DANIEL 0502037096001 X 130525 PACHECO PROAÑO JOFRE HOMERO 0502037351001 X 222198 LEON SEGOVIA MANUEL ANGEL 0502041353001 X 83896 TERAN HERRERA EDWIN FABIAN 0502047285001 X 227893 ARCOS NOGALES CARLA FLORIANA 0502048796001 X 77740 PANCHI VEGA EDISON GERMANICO 0502049422001 X 133763 LAICA LAICA SEGUNDO HERNAN 0502056682001 X 137695 VALENZUELA MENDOZA ANÍBAL VALENZUELA 0502056708001 X 205764 GUAMANI TOAPANTA MONICA 0502058258001 X 170933 BALSECA CHACON VICENTE SALVADOR 0502058894001 X 147596 LLAMUCA MONTALUISA SEGUNDO ATAHUALPA 0502059108001 X
  • 147.
    No No registra No No registra No No. registra registra No. indicadores registra provincia, registra Persona_id NOMBRE No. ID (RUC) calle número registra de ventas, apellido cantón y primer principal de calle origen activos y/o paterno parroquia nombre principal empleados 115060 BASSANTE ALVARADO JAIME VINICIO 0502059488001 X 181144 LEON MEJIA EDMUNDO FRANCISCO 0502063803001 X 146054 PILLAPAXI ALMACHE JOSÉ DOMINGO 0502066012001 X 228161 BARRETO MURILLO ANDREA MARISOL 0502074735001 X 107172 LEMA JAYA CARLOS EFRAIN 0502087851001 X 67731 PALANGO SORIA FANNY ELENA 0502089410001 X 207805 CHIGUE CUNUHAY HUGO MEDARDO 0502094352001 X 130104 BOMBON QUISHPE MARIA MARTHA 0502096365001 X 23839 PAREDES SANDOVAL LUIS ALBERTO 0502102478001 X 50094 BARRAGAN CHANGO EDISON JAVIER 0502107733001 X 197906 QUINTANA MOLINA DIANA ROCIO 0502109309001 X 224860 TOAPANTA TRÁVEZ LUIS ALFREDO 0502114887001 X 125071 CHUQUILLA MONCAYO LUIS ANIBAL 0502118086001 X 221526 CASA CENTENO LUIS EFRAIN 0502126782001 X 140183 VILLAVICENCIO ILLESCAS DIEGO OSWALDO 0502129646001 X 167672 AREQUIPA PANTUSIN DIEGO STALIN 0502135411001 X 213383 CAJAS VIERA TANNIA ELIZABETH 0502140296001 X 164862 VIZUETE MORENO DENCY YOLANDA 0502142888001 X 242823 LEMA PLASENCIA LUIS ENRIQUE 0502145337001 X 70441 TOAPANTA GAVILANEZ ANGEL RAMIRO 0502147994001 X 176990 MARTINEZ CHANATASIG JORGE WASHINGTON 0502160989001 X 86703 CALAPAQUI ZAMBRANO HECTOR ENRIQUE 0502161730001 X 182614 ROMAN CAÑIZARES MILTON NEPTALI 0502163447001 X 184111 JIMENEZ ROMAN GEOVANNY MILTON 0502168099001 X 276856 YANCHAGUANO AREQUIPA MARIA ISABEL 0502168990001 X 271783 QUILO UNAPUCHA LUIS FERNANDO 0502171176001 X 46130 CULQUI TACO LUIS FERNANDO 0502175714001 X 178439 MULLO PANCHI VICTOR EDUARDO 0502177538001 X 157201 VELASTEGUI MOLINA FRANCISCO JAVIER 0502178759001 X 120487 TENORIO VASCO SONNIA JIMELDA 0502180458001 X 250350 CADENA COCHA LUIS FELIPE 0502185523001 X
  • 148.
    No No registra No No registra No No. registra registra No. indicadores registra provincia, registra Persona_id NOMBRE No. ID (RUC) calle número registra de ventas, apellido cantón y primer principal de calle origen activos y/o paterno parroquia nombre principal empleados 56643 PILATASIG PILA LUIS ALFREDO 0502186216001 X 250894 VEGA VEGA FABIAN 0502186695001 X 151639 PILATASIG QUINGATUÑA SANDRA MARGARITA 0502187255001 X 141753 ENRIQUEZ TOVAR CRISTIAN FERNANDO 0502198443001 X 9698 INGENIERIA TECNICA & CONSTRUCCIONES 0502201460001 X 221718 SORIA PERALVO DIEGO RODOLFO 0502201478001 X 235346 DURAN SALINAS CARLOS EDUARDO 0502204134001 X 258196 LEMA LEMA AÍDA ISABEL 0502212384001 X 158340 CHANGO CASTRO CARMEN DEL PILAR 0502220213001 X 33258 PÁUL 0502226681001 X 268006 ARCOS CHACÓN NORMA XIMENA 0502229941001 X 209238 LATACUNGA PILATASIG MARIO 0502232747001 X 46498 ILAQUICHE LICTA FAUSTO HERNAN 0502233570001 X 141089 MARTINEZ FRANKLIN 0502238678001 X 178544 CHASI OÑATE FAUSTO FABIAN 0502249204001 X 133281 RUBIO TORRES JUAN PABLO 0502251341001 X 138606 VILLAGOMEZ CUZCO JOSE TOMAS 0502257694001 X 52767 CAISAGUANO COCHA JOSE AMABLE 0502262462001 X 276099 NAVARRO ORTEGA NORMA CECILIA 0502269202001 X 151386 CAISALUISA PANCHI CLEVER 0502269822001 X 167530 LOZADA LESCANO PAOLA DE LAS MERCEDES 0502272149001 X 146952 TAPIA GARCIA LUIS FERNANDO 0502275076001 X 63675 TOAQUIZA CEDEÑO LUIS JAVIER 0502275670001 X 200951 CALVACHI CEVALLOS GONZALO EFRAIN 0502276090001 X 136410 ANTE ALTMIRNO MARIA LIDA 0502282387001 X 230792 ESPINEL BARTHELOTTI JOSE FERNANDO0502283054001 X 257486 LEON TORO JENNY MARICELA 0502283112001 X 138646 MENA COLLANTES JORGE HERNAN 0502284680001 X 182104 CHACHA MARTINEZ NARCISA DEL PILAR0502289531001 X 161803 GUANOTASIG ARAQUE FRANKLIN WLADIMIR 0502292196001 X 180657 BELANO PALOMO JOSE ROBERTO 0502294622001 X
  • 149.
    No No registra No No registra No No. registra registra No. indicadores registra provincia, registra Persona_id NOMBRE No. ID (RUC) calle número registra de ventas, apellido cantón y primer principal de calle origen activos y/o paterno parroquia nombre principal empleados 20686 CHANGO CASTRO FERNANDO PATRICIO 0502298086001 X 184669 AVELLAN HERRERA NILDA ALEXANDRA0502301476001 X 275332 BONILLA JIMÉNEZ DORIS MARLENE 0502303324001 X X 40949 ANDRADE SANGUCHO MIRIAN ROCIO 0502308562001 X 20076 CHALUISA CHALUISA RAUL 0502309024001 X 206556 TACURI TUCUMBI ANA MARIA 0502311418001 X 266809 SERRANO PARRA VICTOR HUGO 0502311715001 X 176459 QUIROZ ERAZO JOSÉ LIZANDRO 0502312796001 X 48697 VELOZ JACOME DARIO JAVIER 0502314339001 X 274391 ANTE VARELA OSWALDO 0502317639001 X 134998 GUISCASO PAEZ MANUEL ADAN 0502318595001 X 216486 SEGOVIA SOLORZANO GINO PATRICIO 0502319924001 X 208382 VELOZ RAMIREZ CESAR HUMBERTO 0502325962001 X 105461 JEREZ CAICEDO VICTOR HUGO 0502331226001 X 218279 GALARZA CHACÓN MAIRA JANETH 0502334063001 X 267403 MORA ATIAGA JOSE GERMAN 0502338932001 X 105430 ALVAREZ VASCO ELENA PATRICIA 0502346927001 X 203004 CALERO BONILLA LUIS GERMANICO 0502347081001 X 135874 GARCIA ARMAS GALO XAVIER 0502351232001 X 192987 MALLITASIG PANCHI OSCAR GONZALO 0502351778001 X 269806 TOBAR VELASCO ROSA XIMENA 0502356314001 X 128091 CELLERI ESCOBAR DIEGO MANUEL 0502357700001 X 96881 LÓPEZ ANDRANGO SEGUNDO MANUEL0502358641001 X 194200 MULLO CASILLAS JOSE LUIS 0502365869001 X 177565 TIGASI VEGA EDGAR ROBERTO 0502366040001 X 228749 PURUNCAJA BERRONES NELLY ROSARIO0502366347001 X 71455 HIDALGO ARIAS MARTHA CECILIA 0502366354001 X 220279 ALULEMA GASPATA NESTOR ANIBAL 0502373822001 X 184947 AVILES JIMENEZ ELSA LILIANA 0502379050001 X 169242 MEJIA VARGAS LOURDES MARIBEL 0502393192001 X 150502 ANDRADE VARGAS ANA ROSA 0502393598001 X
  • 150.
    No No registra No No registra No No. registra registra No. indicadores registra provincia, registra Persona_id NOMBRE No. ID (RUC) calle número registra de ventas, apellido cantón y primer principal de calle origen activos y/o paterno parroquia nombre principal empleados 221306 QUINDIL COCHA JOSE FRANCISCO 0502401847001 X 139592 FALCÓN SORIA SILVIA JANETH 0502409170001 X 195048 YUPANGUI TACURI EDWIN RUBÉN 0502411242001 X 146401 TAPIA MOLINA MARINA GABRIELA 0502414386001 X 142296 PAREDES RAMIREZ GALO ALEJANDRO 0502436637001 X 270784 CANDO ARMAS PAULINA ELIZABETH 0502443831001 X 198319 ALVAREZ CHILUIZA DIEGO PATRICIO 0502444946001 X 220356 SUATUNCE TOAQUIZA VICTOR JONNY 0502457500001 X 231177 QUINTANA VARGAS BOLIVAR OCTAVIO0502458821001 X 155963 GARCIA SARCOS ALEX FERNANDO 0502467731001 X 3733 ITURRALDE VACA MARIA FERNANDA 0502476666001 X 175822 ALMENDARIZ TERAN VICTORIA CAROLINA 0502478001001 X 106415 SEGOVIA TOAPANTA KLEVER LEONIDAS502491244001 0 X 20777 MULLO TENORIO MARCO VINICIO 0502493430001 X 188915 QUIROZ ERAZO LEONIDAS ANTONIO 0502509995001 X 59979 CALVOPIÑA CASTELLANO VICTOR HUGO0502526015001 X 168444 CHICAIZA CHILIQUINGA SEGUNDO RAMON 0502537681001 X 198915 CASA CENTENO HUGO RAMIRO 0502538978001 X 191988 ESPARZA ILLANES JESSY VERONICA 0502544893001 X 102210 CHISAGUANO FLORES OLGA MARISOL 0502563216001 X 231901 CARRILLO CAZAÑAS JOSE LUIS 0502571987001 X 265959 TOPA SORIA JENNY MARGOTH 0502572712001 X 249163 ARMAS CALVOPIÑA YESEÑA MARIBEL 0502573835001 X 271939 RUIZ MOROCHO LASTENIA AMELIA 0502576135001 X 264423 QUEVEDO NOBOA MANUEL MESIAS 0502582893001 X 236183 SALGUERO ESPINOSA FANNY PAOLA 0502594872001 X 153918 TAIPE UNAUCHO SILVIA ANGELICA 0502597628001 X 264570 PORRAS ATIAGA HECTOR RUBEN 0502598220001 X 134748 GUANOLUISA GUANOLUISA CESAR AUGUSTO 0502603863001 X 64558 MORA RIVADENEIRA YOLANDA MARGARITA 0502610355001 X 208448 MENA QUINTANILLA PABLO EFREN 0502610884001 X
  • 151.
    No No registra No No registra No No. registra registra No. indicadores registra provincia, registra Persona_id NOMBRE No. ID (RUC) calle número registra de ventas, apellido cantón y primer principal de calle origen activos y/o paterno parroquia nombre principal empleados 77359 GARCÍA RUIZ NATHALIA PAMELA 0502623432001 X 87188 HERRERA MARTINEZ BETTY JUDITH 0502623960001 X 113531 NAVARRO ORTEGA MARÍA ANA 0502628365001 X 224669 ESTRELLA TAPIA PATRICIA ALEJANDRA0502633142001 X 211725 ORTEGA AMORES MYRIAN GUADALUPE 0502634405001 X 275991 TORRES SUAREZ WILMA NOEMI 0502635873001 X 148963 ARROYO JURADO YAHAIRA GUADALUPE 0502636293001 X 232382 CHACON BELTRAN WILMA VERONICA 0502638257001 X 39831 FERNÁNDEZ BAUTISTA HIPATIA MORAYMA 0502644479001 X 258339 IZA IZA JORGE MEDARDO 0502649726001 X 250098 MORENO SANTOS DIEGO ALEX 0502656713001 X 172830 CALAPAQUI VALIENTE DIANA ESTEFANIA 0502657067001 X 47434 SALGUERO CRUZ DAYSI MARIBEL 0502658644001 X 263882 ARIAS ESPIN WILLIAN DANILO 0502664170001 X 161679 FALCONI HIDALGO CRISTIAN MARCELO0502666662001 X 41725 GALARZA ESPÍN MARCO VINICIO 0502666829001 X 213831 VEGA CORTEZ DIEGO ARMANDO 0502669310001 X 48715 PILATASIG LASLUISA JAIME VINICIO 0502679285001 X 225055 JÁCOME VILLAGOMEZ JOSEPH JONATHAN0502681448001 X 275989 CALVACHE ATIAJA MONICA DEL PILAR 0502683105001 X 115713 RIERA SÚAREZ WILSON IVÁN 0502687213001 X 56670 VIRACOCHA IZA JOSE SANTOS 0502689581001 X 100252 HINOJOSA SEGOVIA JULIO CESAR 0502693682001 X 109656 ANDRADE VILLALVA CARLOS ANDRES 0502694532001 X 226745 BURGOS OLALLA ALAMIRO LIBORIO 0502695422001 X 255865 MARCA BARAJA JOSE ANTONIO 0502697279001 X 140609 ALARCON CHILLAGANA MARTHA CECILIA0502699366001 X 164221 PACHECO TACO DIANA PATRICIA 0502726136001 X 162728 LAICA LAICA IVAN PAUL 0502752017001 X 229410 HINOJOSA CALVOPIÑA DANILO 0502753445001 X 245637 ARIAS VITE OLGA PAULINA 0502755093001 X
  • 152.
    No No registra No No registra No No. registra registra No. indicadores registra provincia, registra Persona_id NOMBRE No. ID (RUC) calle número registra de ventas, apellido cantón y primer principal de calle origen activos y/o paterno parroquia nombre principal empleados 54615 CLAUDIO TRUJILLO BLANCA JIMENA 0502758675001 X 135616 CHUQUI RONQUILLO PABLO RENÁN 0502758709001 X 278403 CHOLONQUINGA NINASUNTA PEDRO SEGUNDO 0502768351001 X 206174 ERAZO RODAS MAYRA JOHANNA 0502771314001 X 40858 TANIA 0502778343001 X 86005 MOLINA PROAÑO FAUSTO ANTONIO 0502784218001 X 203594 AYMACAÑA MASAPANTA WALTER ROLANDO0502785751001 X 231315 SOLIS LOPEZ JENNY ALEXANDRA 0502786031001 X 110512 VILLALVA VALLEJO WALTER VINICIO 0502817505001 X 242268 BRASALES BORJA JOSE MIGUEL 0502817687001 X 266091 PADILLA MEDINA CRISTIAN ALFREDO 0502818818001 X 51909 RICAURTE VINUEZA GALO SANTIAGO 0502829161001 X 260870 EGAS VACA JESSY MARIANELA 0502833106001 X 262507 SINGAUCHO ANCHATUÑA JOSE GERMANICO 0502834252001 X 102198 NARANJO JARAMILLO GERMANICO AUGUSTO 0502841976001 X 190490 CALO SANGUCHO MARIA LOURDES 0502842123001 X 237968 MAIGUA GUANOLUISA ALICIA YOLANDA0502869308001 X 160611 SIMBA TACO NANCY DEL ROCIO 0502873698001 X 100391 LOZANO TAPIA MAYRA PAULINA 0502873771001 X 55984 CHILIQUINGA LLANGANATE EDWIN DANIEL 0502877202001 X 210782 ESPINOSA LLUMITASIG JAIME EDUARDO502879083001 0 X 187585 QUIMBITA QUIMBITA MARCELO JESUS 0502898265001 X 203038 TENORIO VILLAMAR DIANA CAROLINA 0502923188001 X 94493 RUIZ SIGCHA CÉSAR ARTURO 0502939465001 X 219992 CAJAS VILLEGAS YESSENIA ELIZABETH0502947112001 X 85160 PILA CHICAIZA CELIA JANETH 0502954167001 X 198920 PEÑAFIEL JURADO ANA MARÍA 0502967490001 X 162962 CUNALATA RAMOS WILLAN EFRAIN 0502968183001 X 24127 TUITISE CHANATASIG MAYRA ELIZABETH 0502972599001 X 186619 MASAPANTA GUILCAMAIGUA JORGE ROLANDO 0502975030001 X 157982 ESTRELLA TONATO AIDA MARICELA 0502981566001 X
  • 153.
    No No registra No No registra No No. registra registra No. indicadores registra provincia, registra Persona_id NOMBRE No. ID (RUC) calle número registra de ventas, apellido cantón y primer principal de calle origen activos y/o paterno parroquia nombre principal empleados 162644 MISAL CHIMBA JUAN MANUEL 0502983968001 X 207595 BERMEO MARCALLA LENIN EDUARDO 0503013674001 X 260049 BARROS CAMPUZANO EUGENIO ROBERTO 0503025181001 X 178346 FUERTES LOPEZ JHON HAROL 0503036501001 X 143024 VERA ZAMORA ROXANA BETHSABET 0503042749001 X 263643 ATIAJA MOLLOCANA FRANCISCO ISRAEL0503046823001 X 202774 LOPEZ ILLESCAS IBETH CAROLINA 0503047029001 X 230348 MONTAGUANO MONTAGUANO OMAR PAUL 0503059206001 X 174847 MORENO ALBAN VERONICA ALEJANDRA503063919001 0 X 138512 CAIZA TIPANLUISA MARIO FERNANDO 0503119109001 X 230357 TOCTAGUANO VIRACUCHA MARCIA ALEXANDRA 0503123945001 X 194563 MORALES SUÁREZ WILLIAM BOLÍVAR 0503147464001 X 171610 CHANALUISA CHANALUISA LUIS NELSON0503175101001 X 273788 ILAQUICHE LATACUNGA ALONSO 0503215584001 X 240838 CHACON CHACON MARIANA BEATRIZ 0503221426001 X 256890 HERRERA QUIROLA LUIS GABRIEL 0503253817001 X 266616 CASA GUALPA CARMEN MARIBEL 0503256836001 X 149787 CASTILLO ESCUDERO LILIANA NATALI 0503293854001 X 152613 MORALES CUNUHAY JOHANNA MIREYA0503364150001 X 279351 REVELO DIANA 0503383986001 X 276598 GALARZA PÉREZ LILIANA ALEXANDRA 0503400335001 X 140056 AGLOMERADOS COTOPAXI S.A. 0590028665001 X 6379 CHOVA DEL ECUADOR S.A. 0590031399001 X 153378 SINDICATO DE CHOFERES PROFESIONALES DEL CANTON SAQUISILI 0590052116001 X 90159 FUENTES SAN FELIPE S.A. 0590055328001 X 75322 PILONES LA VICTORIA S.A 0590060895001 X 47857 INDUACERO INDUSTRIA DE ACERO DEL ECUADOR CIA. LTDA. 0590060933001 X 234441 COOPERATIVA DE AHORRO Y CREDITO0590061123001 FUTURO LAMANENSE X 251795 ESTACION DE SERVICIOS GASOLINERA0591700448001 LOS MOLLES X 172812 SUSTRATOS POALO S.A. 0591702335001 X 183328 COMUNA GUANTOPOLO 0591703013001 X
  • 154.
    No No registra No No registra No No. registra registra No. indicadores registra provincia, registra Persona_id NOMBRE No. ID (RUC) calle número registra de ventas, apellido cantón y primer principal de calle origen activos y/o paterno parroquia nombre principal empleados 168089 COMUNA COLLANTES CHUCUTISI 0591703099001 X 109344 UNION DE ORGANIZACIONES CAMPESINAS DEL NORTE DE COTOPAXI 0591703498001 X 122756 SAIT SAMANIEGO ITURRALDE S.A. 0591705466001 X 155371 FERRETOL CIA LTDA 0591705555001 X 230935 COMPAÑIA DE TRANSPORTE PESADO RUTAS SALCEDENSES S.A 0591705938001 X 263964 TRANSPORTES ESTUDIANTILES DEL COTOPAXI 0591706381001 X 62276 MULTIMPORTACIONES 0591707175001 X 166772 ESTACION DE SERVICIOS CORPORACION CHICAIZA 0591708422001 X 217808 FUNDACIÓN INDIGENA DE DESARROLLO INTEGRAL COTOPAXI FINDICO ÑUCALLACTA 0591708759001 X 154995 PANELES Y CONSTRUCCIONES PANECONS S.A. 0591709224001 X 94919 FLORETS S.C. 0591710303001 X 35914 COMITE PRO-DEFENSA DE LOS INTERESES DE LOS INDIGENAS Y CAMPESINOS DE ZUMBAHUA 0591710893001 X 124357 NARCIS SUPERMERCADOS SA. 0591711784001 X 258160 COMERCIAL YUCAILLA CÍA. LTDA. 0591713221001 X 159559 DISTRIBUIDOR AL POR MAYOR Y MENOR DE PRODUCTOS AGRICOLAS 0591713957001 X 197642 CEPEDA FASSLER CRISTOBAL ALEJANDRO 0591715976001 X 148778 MARTINEZ HERMANOS 0591717278001 X 159962 PUPO LABRADA MARIZOL 0591717383001 X 267198 IS&MAS SEGURIDAD CIA. LTDA. 0591719025001 X 249130 CUYERA NACIONLA CUY CUNA CIA. LTDA. 0591719106001 X 265315 CONSORCIO ELECTRICO TENA 0591719939001 X 271573 CORPORACION PARIBUS 0591720201001 X 40199 TORRES PEÑAFIEL JOSE ANTONIO 0600003420001 X 49999 LOPEZ BUENAÑO JOSE WILFRIDO 0600019319001 X 138238 LOGROÑO VACA FREY EDISON 0600020044001 X 277259 AGUIRRE PAUCAR DELFINA ALBA 0600024327001 X X 168796 CALERO RIVADENEIRA JOSE VICENTE 0600041024001 X 171158 PADILLA YAMBAY RAFAEL 0600048607001 X 28026 LLANGA CHAFLA JORGE OSWALDO 0600086292001 X 200571 TOASA JANETA JULIO CESAR 0600092159001 X 224263 HEREDIA MOLINA MARIA REBECA 0600093652001 X
  • 155.
    No No registra No No registra No No. registra registra No. indicadores registra provincia, registra Persona_id NOMBRE No. ID (RUC) calle número registra de ventas, apellido cantón y primer principal de calle origen activos y/o paterno parroquia nombre principal empleados 259587 MENA GARCIA GERARDO TEMISTOCLES600095004001 0 X 32529 REINOSO YAMBAY LUIS EFRAIN 0600108419001 X 37073 ARIAS JUAN ABDÓN 0600123467001 X 177034 ROJAS CHAGNAY VICENTE 0600127450001 X 154282 LEMA CARRASCO ROGELIO ELICEO 0600146690001 X 264257 CARGUACUNDO TIGXE SEGUNDO CAMILO0600153589001 X 124369 BARRIGA OLMEDO GABRIEL CORAZON 0600171813001 X 175102 VELASTEGUI BENALCAZAR RAUL AURELIO 0600174650001 X 181504 RODRIGUEZ CHAVEZ ELVA PIEDAD 0600187041001 X 253223 SAMANIEGO VITERI CARLOS ANTONIO 0600230585001 X 197635 GAVILANES INFANTE MARÍA BALBINA 0600231237001 X 76799 AREVALO GUALOTO ANGEL EDUARDO 0600231534001 X 11924 FMC INGENIEROS Y ARQUITECTOS 0600232540001 X 32578 YEPEZ MERINO CESAR MARCELO 0600232557001 X 79990 LOZA PAREDES HUGO VINICIO 0600232599001 X 148603 SANCHO HERDOIZA LILIAN GEOMAR 0600241665001 X 128475 GUANGA MERINO JOSE MANUEL 0600242796001 X 51722 LÓPEZ ESPINOZA JORGE ANIBAL 0600261259001 X 149409 GUTIERREZ MORA GALO EFRAIN 0600269955001 X 167737 MENDOZA YUICELA SIMON 0600281323001 X 110922 SILVA ENDERICA SILVIO BOLIVAR 0600282271001 X 115632 BRITO BAUZ JULIO CESAR 0600282776001 X 258156 CORDOVA AREVALO LUIS ALFREDO 0600288732001 X 195658 GARCIA ELBA 0600306310001 X 144785 CARRILLO ABARCA CLARA LUZ 0600351746001 X 57911 ROLDAN ORTIZ MANUEL RICARDO 0600392856001 X 202839 GRANIZO GRANIZO ELIECER BENIGNO 0600417422001 X 104320 HEREDIA VIQUE GEORGINA PASTORIZA0600428718001 X 169309 CAMAÑERO GONZALEZ JULIO CESAR 0600433361001 X 255133 ROMERO ROMERO VICTOR FABIAN 0600443857001 X 232619 RIVAS TERÁN JORGE ALBERTO 0600466536001 X
  • 156.
    No No registra No No registra No No. registra registra No. indicadores registra provincia, registra Persona_id NOMBRE No. ID (RUC) calle número registra de ventas, apellido cantón y primer principal de calle origen activos y/o paterno parroquia nombre principal empleados 251562 CARRASCO GUSQUI SEGUNDO SANTOS 0600486435001 X 159148 FREIRE BAYAS ANGEL EDMUNDO 0600493498001 X 42508 BASTIDAS ARELLANO MARIANA DE JESUS 0600499370001 X 97820 BALLESTEROS GONZÁLEZ INÉS MARGARITA 0600501944001 X 169086 PAREDES FRANCISCO EDUARDO 0600545669001 X 200020 ARELLANO ABEDRABBO MARCO ANTONIO0600556344001 X 26373 SALAZAR ALBAN JOSE LUIS 0600585541001 X 154909 SANCHEZ VACACELA ANTONIO 0600653034001 X 102623 INCHIGLEMA CATAGNA JUSTO 0600669337001 X 183592 RICAURTE RICAURTE BOLIVAR 0600672406001 X 236696 CANTOS HERNANDEZ LUCRECIA MARIA600693311001 0 X 166574 NOBOA CABRERA CARLOS MILTON 0600724470001 X 139996 AMAGUAYA GUEVARA LAURA GERARDINA0600728091001 X 263301 DONOSO QUIROZ JUAN CARLOS 0600728745001 X 115369 MONTES PARRA SEGUNDO PEDRO 0600744965001 X 41649 FABRICA "LA ITALICA" 0600745459001 X X X 244952 BACA SUAREZ GERMAN YAAKOV 0600746655001 X 183932 DIAZ ULLOA SEGUNDO MIGUEL 0600781553001 X 129046 REA GUALOTO JOSE IGNACIO 0600795439001 X 242224 GUERRA BADILLO MARIA CARMEN 0600805394001 X 215025 HARO GUANGA LUZ MACLOVIA 0600808109001 X 130929 GUALAN CABA MANUEL 0600819296001 X 173868 VELARDE VALDIVIEZO MARIA ALICIA 0600823371001 X 82967 ARMAS PEREZ VIRGILIO RODOLFO 0600831069001 X 212629 LONDOÑO LÓPEZ JENNY DEL PILAR 0600849871001 X 131192 CARVAJAL AYALA LUIS ANTONIO 0600859342001 X 238269 GRANIZO CORREA OSWALDO 0600862957001 X 132476 CALLE ZEGARRA JORGE HERNAN 0600863567001 X 221410 PAZ RAMOS MIGUEL ANGEL 0600866982001 X 234291 OÑATE GUERRA POLIBIO CESAR 0600867170001 X 275929 MULLO TENESACA SEGUNDO MANUEL 0600867915001 X
  • 157.
    No No registra No No registra No No. registra registra No. indicadores registra provincia, registra Persona_id NOMBRE No. ID (RUC) calle número registra de ventas, apellido cantón y primer principal de calle origen activos y/o paterno parroquia nombre principal empleados 147909 ANAGUARQUI GUAMAN BALERIANA 0600873848001 X 268888 MAJI CHACHA SEGUNDO JUAN 0600887566001 X 94568 OCHOA HARO HENRY AURELIO 0600889745001 X 99585 AGUAYO CHAFLA JUAN 0600890958001 X 50093 NAULA CAMPOVERDE ADOLFO MISENO 0600892103001 X 46399 OSWALDO 0600894893001 X 139139 MACHADO ANDRADE GUILLERMO 0600902811001 X 215818 REINO YASACA SEGUNDO TORIBIO 0600920037001 X 47363 SIGCHO VELOZ ROBERTO WASHINGTON 0600923486001 X 16385 VIZUETE MEJIA HECTOR VLADIMIR 0600935647001 X 93630 MOROCHO TARCO JOSE SEFERINO 0600938823001 X 190026 AGUIRRE BONIFAZ CARMEN AMELIA 0600940696001 X 120329 LEON CALDERON ROSA MARIANA 0600975924001 X 242029 LIMA TENEMASA SEGUNDO FRANCISCO 0600977615001 X 150158 YUMISACA YUPANGUI JOSE MARIA 0600997241001 X 268513 RIVERA MAZON ANGEL AUSTO 0601006505001 X 125325 RIVERA CORONEL FRAN RODRIGO 0601008246001 X 267490 ABARCA TRUJILLO SANTIAGO HERIBERTO 0601008535001 X 21613 LEOPOLDO 0601013303001 X 269005 LOPEZ CARLOS DESIDERIO 0601017387001 X 180679 MELENA COLCHA JUAN MANUEL 0601018963001 X 87016 CÁCERES VELASCO MARIA DE LOURDES 0601020084001 X 159893 VELASTEGUI GALLEGOS MARIA DEL ROSARIO 0601021405001 X 32475 RAMOS GONZALEZ ROMULO CORNELIO 0601023823001 X 101779 BARRETO PALACIOS ALEJANDRO 0601035041001 X 161625 VALDIVIESO VALDIVIESO JOSE AGUSTIN 0601043136001 X X 209835 DAQUILEMA VILLA JUAN JOSE 0601048168001 X 135640 AGUALSACA MAJÍN MARTÍN 0601055478001 X 208435 SATIAN QUISHPI CARLOS HUMBERTO 0601064660001 X 172955 CASTELO CASTRO SEGUNDO DANILO 0601073059001 X 154711 RODRIGUEZ HUILCAPI JOSE EDMUNDO 0601077696001 X
  • 158.
    No No registra No No registra No No. registra registra No. indicadores registra provincia, registra Persona_id NOMBRE No. ID (RUC) calle número registra de ventas, apellido cantón y primer principal de calle origen activos y/o paterno parroquia nombre principal empleados 143133 SANCHO HERDOIZA CESAR EDMUNDO 0601079023001 X 159353 OCHOA ORTEGA CESAR AUGUSTO 0601094196001 X 221154 SALGADO BERRONES MANUEL IGNACIO 0601095763001 X 154970 MEYTHALER CAMPOS TELMO GUSTAVO DE LA PAZ 0601098635001 X 244587 VILLACRES TAPIA BLANCA GRIMANEZA0601102585001 X 183273 GUTIERREZ MOREIRA JULIO CESAR 0601103096001 X 266298 CANDO ROBALINO IVAN GUILLERMO 0601107238001 X X X 203047 MIÑO ORBE ANA ROSARIO 0601108111001 X 96667 APUGLLON MARINO JOSE MANUEL 0601111503001 X 28854 PÁSTOR RODAS MARIO EDMUNDO 0601112204001 X 55968 MORENO CADENA GUSTAVO ALONSO 0601119043001 X 3472 JUNES VALLADARES JORGE GUALBERTO0601125529001 X 250029 CASCO PILCO PEDRO PABLO 0601127186001 X 244371 FREIRE LOPEZ LORGIO ALBERTO 0601130065001 X 211926 FIALLOS INFANTE JORGE ESTUARDO 0601130412001 X 116274 PUMAGUALLE NOBOA LUIS ALBERTO 0601131014001 X 45894 CHOTO INCHIGLEMA LUIS ALBERTO 0601134026001 X 177491 PUERTAS VILLACRES MARCO ANTONIO 0601140106001 X 163945 VIÑAN LEMA MARIA 0601140155001 X 195911 LLAGSHA SHAGÑAY JORGE 0601141575001 X 187421 CUZCO AGUALSACA FRANCISCO 0601143332001 X 138450 GAVILANEZ DUQUE JACINTO EDUARDO 0601146194001 X 63068 CHÁVEZ ZUMBA ANGEL HUMBERTO 0601150824001 X 202459 DAVALOS FREIRE MARIA ELIZA 0601156722001 X 111250 LLERENA INCA SEGUNDO ANGEL 0601159213001 X 96779 CHAVEZ BASTIDAS FREDY ALONSO 0601160476001 X 150610 PAZMINO CAYAMBE JOSE LUIS 0601164163001 X 176215 VELASCO BAYAS OTTO OSWALDO 0601177090001 X 184614 SARABIA CISNEROS MANUEL ALEJANDRO 0601185358001 X 99518 LLERENA GERARDO VICENTE 0601188246001 X 106247 GUFFANTI RAMOS RODRIGO ALFONSO0601193238001 X
  • 159.
    No No registra No No registra No No. registra registra No. indicadores registra provincia, registra Persona_id NOMBRE No. ID (RUC) calle número registra de ventas, apellido cantón y primer principal de calle origen activos y/o paterno parroquia nombre principal empleados 154808 PIEDRA OROZCO RUTH CECILIA 0601196066001 X 140317 RODRIGUEZ ARELLANO NANCY GEORGINA 0601199516001 X 256873 CARDENAS CASCANTE ELENA LEONOR 0601201049001 X 265674 MEJIA LLIVI CARLOS ENRIQUE 0601214323001 X 8168 MARIANA ROMERO DE ALVAREZ 0601242001001 X 198885 MARCATOMA EVAS PEDRO BALERIO 0601242480001 X 222840 NONO JOSE 0601244924001 X 275204 GUAMAN CAIZAGUANO FRANCISCO 0601261142001 X 62291 ZUMBA POAQUIZA CARLOS BOLIVAR 0601275969001 X 153586 SILVA CORONEL EDGAR EDMUNDO 0601276587001 X 217318 MALAN CURICHUMBI RECCION 0601286958001 X 240915 LEON SANCHEZ MANUEL 0601292667001 X 231768 VALLEJO CHATO SEGUNDO MANUEL 0601294580001 X 245785 MOROCHO VILLAGOMEZ JORGE WASHINGTON 0601294622001 X 249678 GANAN ACAN MANUEL APOLINARIO 0601304496001 X 269647 ALLAUCA VARGAS LUIS HUMRETO 0601308737001 X 84932 IBARRA RIVERA LORENZO MATIAS 0601313927001 X 129103 ORTIZ CUEVAS ANGEL 0601325848001 X 18157 BASTIDAS FIERRO GUSTAVO XAVIER 0601339781001 X 273987 REA LEON SEBASTIAN 0601343353001 X X X 45874 VILLAGOMEZ BOZMEDIANO GLADYS NIRMA 0601346265001 X 265145 MANGUIA ROBALINO HILARIO 0601351992001 X 118223 PIÑA LOPEZ DANIEL 0601361504001 X 256284 TIERRA CAUJA CARLOS HOMERO 0601363005001 X 176640 PUNIN GUZMÁN WILLAM HERNÁN 0601365778001 X 202210 GALARRAGA BRITO ANGEL GERARDO 0601366230001 X 274052 ROBALINO CHIRIBOGA MYRIAM PATRICIA 0601376585001 X 192183 LLUILEMA TIXI SEGUNDO ALFONSO 0601379365001 X 173833 YAMBAY GUAMÁN LUIS ENRIQUE 0601392871001 X 125153 GAVILANEZ HEREDIA CARLOTA ISABEL0601400781001 X 277488 ZAMORA PENAFIEL FRANCISCO RAMIRO601412158001 0 X
  • 160.
    No No registra No No registra No No. registra registra No. indicadores registra provincia, registra Persona_id NOMBRE No. ID (RUC) calle número registra de ventas, apellido cantón y primer principal de calle origen activos y/o paterno parroquia nombre principal empleados 79919 FERNANDEZ VINUEZA MANUEL IVAN 0601415581001 X 187561 YANZA ALBAN MARIA ELENA 0601419336001 X 104598 GUSQUI GUAÑO BOLIVAR GONZALO 0601444755001 X 175744 FAJARDO GUAMAN FLOR MARIA 0601447691001 X 93226 CANDO CANDO VICENTE NEPTALI 0601450786001 X 106360 CALLE QUEZADA FAUSTO LEONARDO 0601458763001 X 231506 GUAMAN CHAUCA SEGUNDO DOMINGO 0601462724001 X 216521 GUAMAN YUPANQUI GILBERTO 0601465834001 X 28644 BENITEZ ESPINOZA EDINSON OLMEDO 0601466295001 X 139070 ASTO CANTOS TERESA GEORGINA 0601467285001 X 31107 GUALOTO GUALOTO SEGUNDO PEDRO0601467335001 X 85234 CHAVEZ NAJERA ROBERTO MANOLO 0601470164001 X 236382 MOREANO BEJARANO MELADIA CUMANDA0601473804001 X 229749 UGSIÑA VELOZ MANUEL MESÍAS 0601477474001 X 205761 LLANGARI CUVI ELINA 0601481492001 X 106551 TAYUPANDA CUVI SEGUNDO JUAN 0601482714001 X 158650 GUEVARA GARÓFALO JORGE OSWALDO 0601493646001 X 231781 MURILLO ROSERO GABRIEL ALEJANDRO0601494206001 X 261086 TENELEMA JANETA SEGUNDO MIGUEL 0601503824001 X X X 199617 HUMALA GUAMAN MANUEL ESPIRITU 0601507866001 X 36325 QUEZADA CLAVIJO JAIME EDUARDO 0601508450001 X 89635 YUMISACA MOROCHO LUIS GERARDO 0601510324001 X 236451 PAUCAR CAMAS JULIO NORBERTO 0601510548001 X X X 162066 PARCO CANTUÑA MANUEL ANTONIO 0601513773001 X 158467 MOREIRA VINTIMILLA MARCO ANTONIO0601521669001 X 94349 CRUZ RUIZ ELSA CECILIA 0601523558001 X 119521 MORALES DAQUILEMA SEGUNDO ENRIQUE 0601528045001 X 118588 COLCHA AREVALO LIZARDO ENRIQUE 0601534514001 X 123520 GALLEGOS LEON JORGE FABRICIO 0601536618001 X 57152 CAZORLA GARCÍA JORGE MANUEL 0601539786001 X 243115 VALDIVIEZO CAMACHO SEGUNDO NAPOLEON 0601540651001 X
  • 161.
    No No registra No No registra No No. registra registra No. indicadores registra provincia, registra Persona_id NOMBRE No. ID (RUC) calle número registra de ventas, apellido cantón y primer principal de calle origen activos y/o paterno parroquia nombre principal empleados 74358 PULGAR VINUEZA ROMULO EFRAIN 0601541204001 X 19468 YAMBAY PILLAJO LUIS HUMBERTO 0601542160001 X 95426 TRUJILLO QUEZADA EDMUNDO JAVIER 0601546443001 X 74413 GUALOTO QUINCHUELA LUIS ALFONSO0601547656001 X 91281 LADINO LLONGO MARCELO VICENTE 0601551179001 X 164931 MOREANO CARLOS ROBERTO 0601563497001 X 195058 ZABALA ARELLANO CARLOS HERNAN 0601568041001 X 190922 URGILES DIAZ SEGUNDO RUBEN 0601570260001 X 98849 MOROCHO JANETA LUIS ALFREDO 0601582935001 X 113933 DE LA CRUZ ARCE GLORIA MAAGDALENA 0601602121001 X 93465 CHARIGUAMAN YAUCAN MARIA EDELINA0601609969001 X 55655 LEON VALENCIA PATRICIO OSWALDO 0601612609001 X 196836 MONTESDEOCA JÁCOME MARTHA CECILIA 0601613938001 X 82062 JARA PEÑAFIEL GALO VINICIO 0601616576001 X 227813 SEPA LOPEZ JUAN ESTUARDO 0601621113001 X 154831 ARRIETA ACEVEDO EDINSON BOLIVAR 0601628191001 X 190901 TOAPANTA LEMACHE ROMMEL HERNAN 0601632243001 X 212467 ARMIJO LUCIO IRMA HERMINIA 0601632763001 X 273912 VINTIMILLA HURTADO MARIANA DEL ROCIO 0601637333001 X 146131 GUACHILEMA VELARDE ANGEL FERNANDO 0601637366001 X 220300 CHAVEZ GUARACA WILSON ERNESTO 0601637390001 X 160043 PAUCAR GUILCAPI ANGEL MARCELO 0601641194001 X 201885 GODOY GOMEZ ELIZABETH FLOR 0601651060001 X 183459 SHILQUIGUA CANDO SEGUNDO ISAIAS 0601652076001 X 173061 ANGAMARCA YUPA BLANCA AZUCENA 0601653561001 X 273483 CUTIOPALA PALTAN SALVADOR 0601654221001 X 129567 GUAMAN MANSANO VICTOR MANUEL 0601654429001 X 114135 ORTÍZ ORTEGA DARIO GEOVANNY 0601668841001 X 37631 LOGRONO RIOFRIO LILIAN DOLORES 0601678576001 X 215925 LEMA LEMA FRANCISCO 0601681489001 X 252580 OCHOG GUILCAPI SEGUNDO MELCHOR 0601686280001 X
  • 162.
    No No registra No No registra No No. registra registra No. indicadores registra provincia, registra Persona_id NOMBRE No. ID (RUC) calle número registra de ventas, apellido cantón y primer principal de calle origen activos y/o paterno parroquia nombre principal empleados 160060 SARMIENTO BELTRAN LUCIO ENRIQUE0601690068001 X 191640 FLORES FRANCO SUSANA GENOVEVA 0601690662001 X 38856 CRUZ TOLEDO EDWIN GEOVANNI 0601691363001 X 195942 GADVAY MACAS LIDIA NORMITA 0601692320001 X 197009 TADAY YUQUILEMA JOSE MIGUEL 0601706773001 X 180045 CHITO GUACHO JOSE 0601710320001 X 191348 YUPA CUENCA FELIX 0601713449001 X 67959 ROMERO ROMERO FAUSTO ULPIANO 0601723661001 X 158138 BERRONES ROMERO NELLY CECILIA 0601738453001 X 204425 PINEDA ZARUMA MANUEL MARIA 0601740780001 X 138973 YAGUACHI LEMA GUSTAVO LUIS 0601764095001 X 143081 OROZCO CANTOS RAUL GERARDO 0601771405001 X 167068 CHAVARRERA MUNOZ JENNY ALICIA 0601774151001 X 168562 PEREZ BALSECA WILSON GONZALO 0601775760001 X 159008 GANAN JARA VICTOR MANUEL 0601779341001 X 86106 ILLAPA CONDO ANGEL NOLBERTO 0601786775001 X 69315 HEREDIA CABRERA CARLOS LEONARDO601788144001 0 X 101246 HERNÁNDEZ FLORES JOSÉ MIGUEL 0601801400001 X 66897 GUAPULEMA SANIPATIN ANGEL WASHINGTON 0601806128001 X 197653 UVIDIA GARCÉS LAURA GRIMANESA 0601807993001 X 194870 RAMOS JORGE RODRIGO 0601809460001 X 18318 JARAMILLO GONZALEZ ALBERTO NICOLAS 0601809627001 X 76967 ALVAREZ ROMERO MARIA PAULINA 0601810021001 X 187620 LEÓN CEVALLOS VÍCTOR HUGO 0601811615001 X 80558 ARGUELLO ALBAN ALEX RAUL 0601812019001 X 122979 LLERENA CORTEZ EDGAR GONZALO 0601815046001 X 130472 CONDO VIMOS MARIO HERNAN 0601821499001 X 151527 ORNA OCAÑA MANUEL VINICIO 0601823388001 X 200394 ORDOÑEZ SAN MARTIN KLEVER ROSALINO 0601824055001 X 146247 CHICAIZA NAULA JOSE MANUEL 0601826910001 X 108092 QUISHPI MOINA ALEJANDRO 0601831001001 X
  • 163.
    No No registra No No registra No No. registra registra No. indicadores registra provincia, registra Persona_id NOMBRE No. ID (RUC) calle número registra de ventas, apellido cantón y primer principal de calle origen activos y/o paterno parroquia nombre principal empleados 137547 ULLOA MOROCHO MARIA ULLOA 0601831860001 X 207545 CORDERO CORDERO CLAUDIA JAQUELINE 0601836349001 X 100632 PUMAGUALLE LEMA JUAN PATRICIO 0601837453001 X 91080 VARGAS SANCHEZ JUAN MANUEL 0601848716001 X 213090 CHAVEZ MEDINA MANUEL MESIAS 0601851678001 X 74819 CABAY CONCHA GUIDO VICENTE 0601852015001 X 47189 JOSE GALLEGOS 0601856578001 X 140878 OÑATE GAVIDIA MANUEL EFREN 0601866734001 X 92833 MARTINEZ ERAZO RODRIGO MARCELO0601868532001 X 41010 MORENO YANEZ MAURO PATRICIO 0601879398001 X 153609 JARAMILLO DIAZ ROBERTO ALEX 0601879620001 X 105468 PAREDES LUCAS SACRAMENTO 0601882137001 X 61665 CARRASCO CANO JAIME RODRIGO 0601883432001 X 74700 DIAZ PEREZ HECTOR IVAN 0601888803001 X 198406 MORA ESPINOZA WASHINGTON JOSUE0601890197001 X 29386 BAYAS ZAPATA BOLIVAR IVAN 0601891393001 X 61043 VILLARROEL PÉREZ CESAR HERNÁN 0601893647001 X 248819 LLANGARI CHAFLA PEDRO VICENTE 0601896194001 X 16630 GUEVARA DAQUI FAUSTO FERNANDO 0601896954001 X 98560 ESTRADA TOALOMBO MARIO JUAN 0601900152001 X 34654 CHÁVEZ VALLEJO SILVIA MARÍA 0601908007001 X 207339 LOPEZ VILEMA MARIA LAURA 0601908767001 X 17299 HEREDIA HEREDIA WILSON TELMO 0601915978001 X 190734 NARVÁEZ ORTEGA LUIS ANÍBAL 0601916414001 X 101793 COSTALES VITERI CESAR MARCELO 0601916570001 X 91674 FLORES RAMOS JOSE ERMIT 0601916703001 X 36829 SANIPATIN CUVI RAUL ALFREDO 0601918410001 X 188796 MURILLO FIERRO MARCO ANTONIO 0601919178001 X 194794 MOROCHO TARCO JOSE MANUEL 0601936057001 X 120000 LEMA CHIMBOLEMA LORENZA 0601939085001 X 168977 CORTEZ ROSARIO NANCY LORENA 0601940513001 X
  • 164.
    No No registra No No registra No No. registra registra No. indicadores registra provincia, registra Persona_id NOMBRE No. ID (RUC) calle número registra de ventas, apellido cantón y primer principal de calle origen activos y/o paterno parroquia nombre principal empleados 149143 YAURIPOMA LEÓN MANUEL 0601942113001 X 98390 SANCHEZ CORTE SEGUNDO LUIS 0601945892001 X 256282 VILLAGRAN VIVAR EDISON ALONSO 0601948102001 X 184407 MERA ZEA NELSON VICTOR 0601954563001 X 207565 FUENTES RAMOS SILVIA MARITZA 0601958440001 X 98070 RAMOS RAMOS LEONCIO RAMON 0601964885001 X 67226 COSTALES RUIZ WILSON PATRICIO 0601968886001 X 249301 NUÑEZ RAMOS JENNY ELIZABETH 0601974785001 X 110384 ARIAS GARIA FANNY JULIETA 0601985021001 X 266169 CUJI GUAMBA ANGEL ENRIQUE 0601987894001 X 184168 CUENCA LOPEZ SEGUNDO JOSE 0601993140001 X 52124 ALVAREZ OVIEDO NELLY JOSEFINA 0601997240001 X 211434 CHIRO GUAMINGA FRANCISCO 0601998982001 X 181497 OVIEDO FREIRE FABIAN ERNESTO 0602003519001 X 76256 SALAZAR ALMEIDA LENIN FABIAN 0602005019001 X 99997 SERRANO SAETEROS WILLIAN ANTONIO602007940001 0 X 139941 GUZMAN NARANJO BLANQUITA 0602008740001 X 191377 GAIBOR LEÓN DINA MENCIA 0602012916001 X 80270 PASTOR GUEVARA ERNESTO ALEJANDRO0602013542001 X 171772 CARRASCO BASTIDAS JOSE MANUEL 0602016909001 X 83145 MEJIA FLORES MILTON FABIÁN 0602018517001 X 94672 PACA SHUCAD JUAN CRUZ 0602021925001 X 112089 VILEMA PADILLA BLANCA ALICIA 0602023517001 X 252250 GUAMÁN ÑAUÑAY SEGUNDO MANUEL 0602026742001 X 66843 OCAÑA MIRANDA ANGEL ERNESTO 0602028466001 X 143827 LLIGUILEMA LLIGUILEMA SEGUNDO JOSE 0602032179001 X 30511 ESCALANTE YÉPEZ DALTON MANOLO 0602032674001 X 241440 YAURIPOMA YAURIPOMA PETRONA 0602034498001 X 44499 NAULA YUQUILEMA BALTAZAR 0602035115001 X 176794 ORTIZ BORJA IVÁN MARCELO 0602036626001 X 55491 GRANIZO CAMINOS MARCOS JAVIER 0602037160001 X
  • 165.
    No No registra No No registra No No. registra registra No. indicadores registra provincia, registra Persona_id NOMBRE No. ID (RUC) calle número registra de ventas, apellido cantón y primer principal de calle origen activos y/o paterno parroquia nombre principal empleados 168410 CALI OROZCO MARIA CLEMENTINA 0602039539001 X 143990 CABEZAS MOREANO RICARDO MARCELO 0602042087001 X 259218 OLEAS SANTILLÁN STALIN FERNANDO 0602042137001 X 218683 MONCAYO ZAVALA LUIS VITERBO 0602042954001 X 32484 CARRION SAMANIEGO FABIAN GUSTAVO 0602045791001 X 124670 YANEZ CARGUACHI CORINA AURORA 0602051112001 X 198762 CASTILLO CASTILLO CARMEN DEL PILAR 0602052847001 X 239529 SANI SATAN SEGUNDO ELIO 0602060568001 X 88128 NARANJO AYALA WILSON GUILLERMO 0602063067001 X 225947 LLIQUIN VALLEJO SEGUNDO FRANCISCO0602064404001 X 146775 GUAMBO GALARZA GILBERTO GUSTAVO 0602065310001 X 264356 CARRASCO GAVILANES JUAN SANTIAGO 0602070427001 X 211186 LEMA MONCAYO GLORIA AZUCENA 0602070484001 X 191230 GARCIA PEREZ SEGUNDO JULIAN 0602074056001 X 40462 TORRES GUANANGA EDGAR FABIAN 0602077836001 X 246310 TENECELA ARISAGA JOSE HUMBERTO 0602081689001 X 207649 PAREDES ASTUDILLO LUIS DEONISIO 0602082828001 X 233602 LOPEZ RAMIREZ ROCIO DEL PILAR 0602083941001 X 96017 UQUILLAS MUNIZAGA BORIS ANTONIO 0602086324001 X 50676 CORNELIO 0602086639001 X 180731 QUISHPI PAGUAY JOSE GILBERTO 0602090417001 X 86956 ALVAREZ MANCERO MANUEL MESIAS 0602091498001 X 134068 BADILLO BERNAL DAVID HERNÁN 0602091571001 X 163635 LEON LARA GUSTAVO ROBERTO 0602093080001 X 107698 ZAVALA SECAIRA NELSON ADOLFO 0602093569001 X 157443 CABEZAS CHILIQUINGA JOSELITO GEOVANNY 0602094666001 X 182209 ROA PALADINES CROSWEL OSWALDO 0602094880001 X 236939 LLIGUILEMA TENELEMA HECTOR EUDORO0602096067001 X 75367 GUACHILEMA YANTALEMA SEGUNDO GABRIEL 0602098378001 X 150320 YAMBAY LUCERO CARMEN 0602098758001 X 73031 CALI GUSQUI CARLOS VICENTE 0602098857001 X
  • 166.
    No No registra No No registra No No. registra registra No. indicadores registra provincia, registra Persona_id NOMBRE No. ID (RUC) calle número registra de ventas, apellido cantón y primer principal de calle origen activos y/o paterno parroquia nombre principal empleados 132369 ECHEVERRÍA ROSERO JORGE EDMUNDO 0602106338001 X 143452 ARRIETA YANES FRANKLIN RODRIGO 0602106890001 X 202968 APUGLLÓN GAVIN MARÍA TERESA 0602112021001 X 142440 ORTEGA OCAÑA ANGEL FERNANDO 0602116352001 X 275818 YAULEMA OCAÑA NELSON IVAN 0602117574001 X 57586 LOGROÑO AMOROSO MARIANA EDITH 0602124059001 X 158329 GADVAY GUACHO LAURA JAQUELINE 0602124505001 X 226397 AREVALO ORTIZ FILIBERTO FILEMON 0602130023001 X X X 164909 OROZCO FLORES GUALBERTO EDISON 0602132011001 X 257033 MONTOYA LLALAO HUGO LINO 0602132250001 X 127012 MERINO GUILLÉN MIGUEL IGNACIO 0602134942001 X 263671 PADILLA PADILLA LUIS ANIBAL 0602136160001 X 277464 VELASTEGUI VACA GUSTAVO ALFREDO 0602137671001 X 146248 GUAMBO YUQUILEMA MANUEL VICTOR0602145088001 X 183674 ALVARADO AMBI BERTHA CENOVIA 0602146342001 X 252753 TORRES ZAVALA ANGEL LEONARDO 0602148819001 X 233670 BRITO BORJA MAYRA LORENA 0602152431001 X 262622 HERRERA HENRI WILLIAM 0602155475001 X 84134 OROZCO ASHQUI MARIA MARGARITA 0602157133001 X 136455 ALLAUCA LLAMUCA MARIA PIEDAD 0602158289001 X 257456 GUILCAPI MOSQUERA SEGUNDO FAUSTO0602158610001 X 232421 GUZMAN RECALDE MARÍA LUCRECIA 0602162380001 X 240348 CAZCO BARRIGA FAUSTO RAMIRO 0602165656001 X 215831 HARNISTH RIVADENEIRA TANYA XIOMARA 0602169211001 X 113613 SOLANO ALTAMIRANO CARMITA MERLINA 0602174757001 X 218671 PÁSTOR ACOSTA ISAAC 0602177917001 X 114875 CHOCA RODRIGUEZ JUAN ALBERTO 0602178824001 X 252409 FIALLOS VALDIVIESO MIGUEL ANGEL 0602180184001 X 123553 ZAVALA MENDOZA EDWIN PACO 0602184491001 X 143512 PONCE COSTALES ISAAC 0602184723001 X 253669 ALTAMIRANO BALSECA LUIS ALFONSO 0602185860001 X
  • 167.
    No No registra No No registra No No. registra registra No. indicadores registra provincia, registra Persona_id NOMBRE No. ID (RUC) calle número registra de ventas, apellido cantón y primer principal de calle origen activos y/o paterno parroquia nombre principal empleados 42992 NELSON 0602198152001 X 128179 CABEZAS GRANIZO DIEGO MAURICIO 0602201253001 X 110447 SHAIGUA AREVALO MARIANA 0602201964001 X 233230 OROZCO POMA ROBERT DANILO 0602202475001 X 217261 QUISHPI CHULLI LUIS JACINTO 0602214249001 X 222852 NARANJO QUITO JOSE EVARISTO 0602226623001 X 252688 MITA QUINZO JUAN MANUEL 0602227183001 X 151223 OCHOA TITO INÉS VICTORIA 0602234049001 X 24043 VALENCIA HARO JUAN ESTEBAN 0602239642001 X 32753 CARRIÓN SAMANIEGO PAÚL FERNANDO 0602243255001 X 52157 SALTOS FLORES JUAN CARLOS 0602244055001 X 185879 MINARCAJA TACURI SILVERIO 0602253189001 X 228463 LOPEZ LLUAY BEATRIZ FABIOLA 0602269342001 X 169921 HARO FIALLOS ALFREDO GUSTAVO 0602271744001 X 207734 ZAVALA MENDOZA WILLIAM EMILIO 0602275331001 X 143746 BORJA CEVALLOS MERCEDES NOEMÍ 0602277972001 X 142190 VELOZ AVENDAÑO GILBERTO EZEQUIEL602280190001 0 X 6647 LUIS GONZALO LEON CEVALLOS 0602283228001 X 146300 YAULEMA ORNA LUIS ENRIQUE 0602283277001 X 240419 SANGOLQUIZA CALI PEDRO PABLO 0602283533001 X 237029 YUMICEBA TIERRA WILSON HERNÁN 0602287740001 X 176078 TADAY TENEGUZNAY JOSE 0602288557001 X 121723 MERIZALDE PEREZ TANIA MARISOL 0602289480001 X 225832 OCANA SALAZAR ETELVINA ELINA 0602290520001 X 37475 ASQUI LLANGARI VIRGILIO MARCIAL 0602293474001 X 172435 VELOZ VARGAS MARLO ENRIQUE 0602306565001 X 152209 ARRRIETA YANES ANGEL ARIOSTO 0602313058001 X 128669 HUILCA GUEVARA GALO FERNANDO 0602316481001 X 250845 YASACA GUARACA JUAN EDUARDO 0602320863001 X 33580 BONILLA RUIZ HAUCEMBERGHT ARFAZADD 0602323891001 X 256254 CARRASCO QUISNIA JOSE ANTONIO 0602328544001 X
  • 168.
    No No registra No No registra No No. registra registra No. indicadores registra provincia, registra Persona_id NOMBRE No. ID (RUC) calle número registra de ventas, apellido cantón y primer principal de calle origen activos y/o paterno parroquia nombre principal empleados 220814 PUCHA INGA JOSÉ GERARDO 0602335861001 X 197783 YEPEZ ORTIZ JESUS RAMIRO 0602336547001 X 147316 VACACELA TAPAY SEGUNDO IGNACIO 0602350910001 X 156812 SILVA FAUSTO EDUARDO 0602353914001 X 151451 MOROMENACHO CHILIQUINGA JOSE RAMIRO 0602355372001 X 165933 LEON ANDRADE JUAN JOSE 0602360661001 X 248180 PILCO JULIO CESAR 0602362360001 X 115143 PACA SISA ANTONIO 0602362543001 X 133331 GUAYTACARA SUAREZ JHONNY REANTO 0602363079001 X 97361 GUILCAPI OCAÑA VICTOR HERNAN 0602367914001 X 115022 GARCIA ROMERO MAURO SALVADOR 0602368540001 X 202458 CRUZ VALDIVIEZO CÉSAR SALOMÓN 0602371635001 X 273067 DUCHI CHUCHO SEGUNDO MARIANO 0602372450001 X 226119 MARROQUIN MUÑOZ EDUARDO UFREDO 0602377277001 X 53037 ORTEGA YAMASCA PEDRO 0602377731001 X 134642 ADRIANO VILLA CARMEN AMELIA 0602380602001 X 275183 MANZANO MEJIA LUIS ALFREDO 0602384265001 X 73436 BALSECA SANCHEZ ARNALDO OCTAVIO 0602389728001 X 20362 LUIS 0602392706001 X 173934 HERRERA CABEZAS JORGE EDUARDO 0602395014001 X X 175940 QUINCHUELA CUJILEMA ANA GRACIELA0602401457001 X 254378 AVILÉS MANCERO PATRICIA ALEXANDRA 0602403503001 X 153202 MERCHAN ARIAS RODRIGO ADALBERTO 0602406159001 X 163158 CUVI ZAMBRANO GALO CRISTOBAL 0602406381001 X 88273 OROZCO BASTIDAS MILTON BOLIVAR 0602409930001 X 106997 CHIMBO CORO JOSÉ LEÓN 0602410102001 X 167297 YAMBAY DÍAZ FANNY PATRICIA 0602411720001 X 216030 PUCUPALA VILLA HELIODORO 0602416125001 X 259051 LEON USCA MARCIA EULOGIA 0602416638001 X 263402 CACOANGO REA JULIO DANIEL 0602421463001 X 267992 VILLA QUIZHI MANUEL 0602422859001 X
  • 169.
    No No registra No No registra No No. registra registra No. indicadores registra provincia, registra Persona_id NOMBRE No. ID (RUC) calle número registra de ventas, apellido cantón y primer principal de calle origen activos y/o paterno parroquia nombre principal empleados 114404 LEON ANDRADE BLANCA JACQUELINE 0602433021001 X 108981 ECHEVERRIA ESCOBAR ANGEL ROBERTO 0602454688001 X 126037 CHAUCA YANEZ JESUS RAMIRO 0602460065001 X 243427 ASQUI GONZALEZ JOSÉ ARSENIO 0602461840001 X 43490 SEGUNDO 0602463838001 X 248883 QUIGUIRI CAYAMBE ANGEL GUALBERTO602466948001 0 X 163543 SANIPATIN CUVI FERNANDO LUIS 0602474942001 X 21699 ZABALA BARRAGÁN JORGE RODOLFO 0602477572001 X 111291 TIXI CUJILEMA SEGUNDO ALFREDO 0602479123001 X 181941 ORNA VILEMA GEOCONDA AMADA 0602479131001 X 234211 TAPIA HERMIDA PAUL FERNANDO 0602479388001 X 243598 RAMOS VALENCIA CESAR GUILLERMO 0602480071001 X 93586 LEMA QUINGUE JOSE PEDRO 0602481897001 X 277255 OÑATE MIRANDA NANCY ESTELA 0602490922001 X 161809 PILAMUNGA LLUILEMA SEGUNDO JULIAN 0602491243001 X 162494 NAULA ANGAMARCA ANGEL LUIS 0602503922001 X 120594 SINALUISA AUQUILLA NICOLAS 0602505588001 X 98071 MANZANO CONDO LUIS EDUARDO 0602510323001 X 153519 YUPA TENEMASA SEGUNDO AGUSTIN 0602513632001 X 166143 APO PAZ MARCIA PATRICIA 0602514697001 X 187660 PULGAR MONTERO RAMIRO FABRICIO 0602525958001 X 125313 ZAVALA SALAZAR NARCISA OLINDA 0602534166001 X 161048 BONILLA VALAREZO ALEX EDUARDO 0602534497001 X 33795 JORGE 0602534612001 X 194538 VACA MOREANO GUIDO MUNIR 0602535049001 X 28116 CAJAMARCA DACTO MARCO VINICIO 0602546400001 X 19909 YÉPEZ VILLAVICENCIO CRISTIAN LUIS 0602551327001 X 47253 ROBALINO PEREZ GLORIA RENÉ 0602555617001 X 233450 ROMERO ROMERO EDGAR FRANCISCO 0602557043001 X 111127 PARCO PAUCAR JOSEFA 0602557571001 X 263857 OCAÑA MIRANDA SEGUNDO ASISCLO 0602564205001 X
  • 170.
    No No registra No No registra No No. registra registra No. indicadores registra provincia, registra Persona_id NOMBRE No. ID (RUC) calle número registra de ventas, apellido cantón y primer principal de calle origen activos y/o paterno parroquia nombre principal empleados 58506 BRAVO POZO GLADYS LORENA 0602566879001 X 131652 REA CUJILEMA JOSE 0602572430001 X 73537 HIDALGO CARRARA CHRISTIAN HERNAN602575425001 0 X 97946 CADENA RODRIGEZ YURI FABRICIO 0602576183001 X 259311 PADILLA SAMANIEGO WILTER KLEVER 0602576407001 X 53452 PILCO AMANCHA LUIS GERARDO 0602578981001 X 184735 SEGARRA CHAVEZ JORGE GONZALO 0602584062001 X 166155 CHIMBORAZO ALVAREZ LUIS TELMO 0602584377001 X 150276 CHACASAGUAY VACACELA MARCELO SEGUNDO 0602584716001 X 130948 CARRION TORRES MARCO VINICIO 0602584963001 X 77952 CHAMBA MUÑOZ ANA JACQUELINE 0602587008001 X 60353 CABEZAS CARCHI JUAN CARLOS 0602587883001 X 151448 FILA MOROCHO PEDRO 0602591885001 X 181651 LARA LARA JOSÉ MANUEL 0602597346001 X 253772 PACA ACAN MANUEL SEGUNDO 0602603581001 X 268471 BRITO DEL PINO DAVID EFRAYN 0602605248001 X 172272 BUENAÑO ALLUCA LUIS ANTONIO 0602607723001 X 161827 CARANQUI ALDAZ JORGE MARCELO 0602612566001 X 137651 CHAUCA ZANDOVAL EDUARDO RAMON0602615916001 X 219153 PACA CAPITO JUAN DE DIOS 0602617698001 X 93001 TIXI PILAMUNGA ANGEL MIGUEL 0602620163001 X 129429 LEMA CURICHUMBI RICARDO ROBERTO 0602622938001 X 195361 VARGAS NUÑEZ ANGEL ERNESTO 0602626970001 X 263360 QUIROZ MONTERO EDUARDO ROMELIO 0602630212001 X 185574 AVENDAÑO GUAMAN MARIA HILDA 0602636102001 X 237385 FIERRO BEJARANO MARIA DE LAS MERCEDES 0602643835001 X 210938 GUAMAN QUIJOSACA JOSE ALFREDO 0602646572001 X 271748 PULIG YANEZ VICTOR HUGO 0602647539001 X 190247 CHUQUISALA RIVERA ALBA REGINA 0602655730001 X 224479 NOBOA CORTEZ TERESITA DEL ROCIO 0602667586001 X 156693 ASHQUI ASHQUI JOSE 0602671273001 X
  • 171.
    No No registra No No registra No No. registra registra No. indicadores registra provincia, registra Persona_id NOMBRE No. ID (RUC) calle número registra de ventas, apellido cantón y primer principal de calle origen activos y/o paterno parroquia nombre principal empleados 226170 AULLA ERAZO WASHINTON JOEL 0602671364001 X 30206 BARROS CASTRO DANIEL ALONSO 0602671539001 X 221669 FILA CAGUANA SEGUNDO AGUSTIN 0602673576001 X 100128 LOPEZ CHAVEZ JOHNNY 0602681058001 X 95309 GUINAN NAULA JULIO ANDRES 0602682445001 X 116830 ROBLES SALGUERO EDISON BOLIVAR 0602684821001 X 237307 JARAMILLO ORDOÑEZ AZUCENA ROCIO0602685083001 X 249057 CEVALLOS VIQUE RAMIRO OVIDIO 0602686578001 X 158902 GUEVARA RODRÍGUEZ FAUSTO DAVID 0602687519001 X 106937 BENÍTEZ CHÁVEZ ROBERT MANUEL 0602696171001 X 147622 TACO QUINCHE JOSE GERARDO 0602705212001 X 260711 ASHQUI ASHQUI JAIME RODRIGO 0602705444001 X 266970 VAQUILEMA ATUPAÑA ALEJANDRO 0602705709001 X 31052 SHAGÑAY ILLAPA LUIS ALFREDO 0602706004001 X 121145 GUZÑAY PINTA LAURA MARIS 0602708455001 X 185592 GUADALUPE BONILLA JORGE IVAN 0602710915001 X 133097 OLMEDO GRANIZO ROMULO BOLIVAR 0602710923001 X 185364 BARRETO MONTERO ANGEL DECIDERIO0602711186001 X 79851 MEZA MERINO RAUL RAFAEL 0602718744001 X 180109 LLANGARI GANAN JOSE ARCESIO 0602724791001 X 193422 QUISHPI ILLICACHI MAXIMILIANO 0602726556001 X 147748 MATA OROZCO SEGUNDO ABEL 0602727075001 X 115906 NO ANDRADE JOSE EDUARDO 0602736662001 X 75979 RODAS ROSERO PABLO FREDDY 0602752180001 X 123938 BERNAL BARZALLO PAUL FERNANDO 0602752339001 X 70883 BRAVO NOBOA SANDRA MARITZA 0602753832001 X 230686 LARA SILVA EDISON RENAN 0602757882001 X 269254 TUAZA CASTRO LUIS ALBERTO 0602761736001 X 212996 AVALOS ARIAS DIEGO AQUILES 0602763054001 X 216129 SANCHEZ REVELO XAVIER EDUARDO 0602763591001 X 110521 SAMANIEGO LÓPEZ ARTURO VINICIO 0602764672001 X
  • 172.
    No No registra No No registra No No. registra registra No. indicadores registra provincia, registra Persona_id NOMBRE No. ID (RUC) calle número registra de ventas, apellido cantón y primer principal de calle origen activos y/o paterno parroquia nombre principal empleados 37697 VALLEJO RODRÍGUEZ VÍCTOR XAVIER 0602766750001 X 183027 PUCUPALA GUAMÁN SEGUNDO 0602767410001 X 110820 ESTRELLA RIOS ANGEL ANIBAL 0602768665001 X 59528 CRESPO OCHOA PATRICIO JOSE 0602775843001 X 148005 ESTRADA VARGAS MIGUEL ANGEL 0602782500001 X 89411 MURILLO CASTRO DARIO FERNANDO 0602784621001 X 143135 HERRERA CRUZ SARA RAQUEL 0602797003001 X 37100 APUGLLON BUÑAY JOSE 0602810350001 X 123730 GAVILANES CUZCO YOLANDA VICTORIA0602812133001 X 161734 OCHOA FAJARDO ANGELICA CRISTINA 0602812471001 X 152093 SILVA ROBALINO MONICA PATRICIA 0602818783001 X 267999 VILLA SUCUY LUIS FRANKLIN 0602821795001 X 259887 YASACA YASACA SEGUNDO HUMBERTO 0602842213001 X 277483 PADILLA PACA GONZALO RAMON 0602842726001 X 228078 BRAVO ANASICHA SEGUNDO ANDRES 0602844953001 X 150742 PEÑA PADILLA SEGUNDO EZEQUIEL 0602845190001 X 235186 TIPAN AUCANZHALA SEGUNDO GUILLERMO 0602845281001 X 102022 PINGOS TACURI LUIS ARTURO 0602863334001 X 34655 CABA LEMA MOISES 0602872061001 X 177068 ILBAY LLANGARI ISAAC ABDON 0602882193001 X 159866 SALGUERO SALGUERO NARCIZA DE JESUS 0602888356001 X 143941 QUISHPI GUZMAN LUIS ALFONSO 0602891905001 X 236729 HUACHO ÑAUÑAY TELMO RODRIGO 0602894131001 X 116147 ROMERO URREA HERNAN CRISTOBAL 0602897084001 X 144041 CABEZAS MOREANO FRANKLIN RAMIRO 0602899668001 X 231644 URQUIZO CHAVEZ PAUL MIGUEL 0602902140001 X 153260 LLIQUIN VILLA ANGEL RODRIGO 0602902496001 X 271212 PALTAN CAIZA JOSE JOAQUIN 0602903056001 X 60395 CAIZA NIAMA VALERIA BELÉN 0602903544001 X 251738 NAVARRETE QUISNANCELA ALEX GONZALO 0602906968001 X 86874 ORELLANA GUINGLA LUIS ALFONSO 0602909913001 X
  • 173.
    No No registra No No registra No No. registra registra No. indicadores registra provincia, registra Persona_id NOMBRE No. ID (RUC) calle número registra de ventas, apellido cantón y primer principal de calle origen activos y/o paterno parroquia nombre principal empleados 264736 BONIFAZ BONIFAZ JOSÉ ENRIQUE 0602912156001 X X X 29928 PÁEZ PINO WALTER RICARDO 0602914590001 X 146330 CEPEDA VALLA JOSE ALFREDO 0602916140001 X 270475 FALCONI CARDENAS JUAN CARLOS 0602920936001 X 206580 BECERRA VALLEJO DIEGO ARMANDO 0602921561001 X 205010 CAJAMARCA DACTO HUGO HERNAN 0602922940001 X 203504 HERNÁNDEZ VACA ALEX PATRICIO 0602927550001 X 250512 OROZCO BASTIDAS LUIS IVAN 0602929390001 X 35727 GUARANGA ALLAUCA EDGAR PATRICIO 0602929721001 X 162867 MAJIN MALCA PEDRO VIRGILIO 0602932295001 X 77795 TOAPANTA TACURI ROSA ELENA 0602932527001 X 210030 VARGAS NOLIVOS HERNÁN PATRICIO 0602932808001 X 241004 MANCHENO BALSECA RAMIRO MARCELO 0602939043001 X 261229 GARCIA MANCERO VINICIO FABIAN 0602943623001 X 148928 CACERES NOVILLO CRISTHIAN SALOMON 0602945560001 X 66007 ROLDÁN TENESACA JOAQUIN 0602955361001 X 146700 LLIVI MARCATOMA CECILIO 0602980583001 X 158794 LLANO YASACA JOSE MANUEL 0602984197001 X 135574 QUINLLI MOROCHO NELSON ANIBAL 0602986440001 X 196626 VILLAVICENCIO SOLEDISPA HERNAN ANTONIO 0602987968001 X 45032 ASTUDILLO MAMARANDI ALFREDDO MAURICIO 0602987976001 X 221456 GOMEZ ZURITA SUSY NATALIA 0602988099001 X 155674 RIVERA HERNANDEZ GERMAN LEONIDAS0602999146001 X 86346 BARAHONA IBARRA JAVIER GONZALO 0603003658001 X 251632 ALTAMIRANO CASCANTE HUGO FERNANDO 0603004045001 X 204400 FLORES SIGUENZA CRISTIAN ANTONIO0603004524001 X 179210 AUCANCELA ESTRADA MARTHA PIEDAD 0603007378001 X 139672 CAISAGUANO TUQUINGA LUIS EDMUNDO0603012899001 X 232480 CHOTO QUISHPI BLANCA LOURDES 0603014077001 X 243134 LLERENA HIDALGO JORGE FABIAN 0603019076001 X 273492 CARRILLO PILCO SUSANA DEL ROCÍO 0603020777001 X
  • 174.
    No No registra No No registra No No. registra registra No. indicadores registra provincia, registra Persona_id NOMBRE No. ID (RUC) calle número registra de ventas, apellido cantón y primer principal de calle origen activos y/o paterno parroquia nombre principal empleados 168787 LEMA ESCOBAR JUAN CARLOS 0603021627001 X 110915 TERREROS SALAS RENE MAURICIO 0603021635001 X 261990 ESTRELLA ARIAS XAVIER OSWALDO 0603022930001 X 41381 AJITIMBAY MUÑOZ MARCO VINICIO 0603023391001 X 189681 TAPIA GUEVARA DEYSI ANA 0603023839001 X 104378 ZABALA HIDALGO SANTIAGO PATRICIO0603032111001 X 48874 AVALOS AVALOS CARLOS LUIS 0603033184001 X 257423 GUEVARA BALLADARES GONZALO IVAN 0603039231001 X 49498 GUILLÉN HERRERA LEONARDO DAVID 0603041781001 X 150178 VILLA UVIDIA RUFFO NEPTALI 0603044108001 X 264320 CEVALLOS PALACIOS ELSY CUMANDA 0603044538001 X 147731 RUIZ RUIZ MAYRA LASTENIA 0603047226001 X 228540 ALARCÓN BECERRA JUAN GABRIEL 0603055294001 X X X 259934 VALLEJO TAPIA BEATRIZ HORTENCIA 0603060054001 X 123109 ORTEGA TAMAYO JORGE LUIS 0603063215001 X 270058 HIDALGO HIDALGO NORMA ELISA 0603072174001 X 271938 CHAFLA ORTIZ WILMER OSWALDO 0603076589001 X 257102 CABEZAS SAMANIEGO MARCO VINICIO 0603081514001 X 104347 MOROCHO VALLEJO MARIA GEHOMAR 0603093220001 X 243027 ANDINO NÁJERA CARMEN ELENA 0603099623001 X 259932 ERAZO ROMAN CARLOS FELICIANO 0603104076001 X 40813 ROLDÁN DAQUILEMA MARÍA ANA 0603108796001 X 95921 ROLDAN GUAMAN JOSE ANTONIO 0603110750001 X 244142 VIZUETE NEGRETE VICTOR ELOY 0603112384001 X 219056 COELLO LLERENA JORGE AUGUSTO 0603115510001 X 268334 GUERRERO LARA EDWIN PAUL 0603119058001 X 242366 VALLEJO GUAMAN LUIS RODRIGO 0603123837001 X 246781 MANZANO HERDOIZA XAVIER PATRICIO0603128125001 X 127591 MERINO SAMANIEGO EDGAR ENRIQUE 0603136706001 X 199807 JARAMILLO ALVERCA ALEXANDRA MARIBEL 0603138462001 X 173928 BALSECA SANTILLÁN VÍCTOR IVÁN 0603143082001 X
  • 175.
    No No registra No No registra No No. registra registra No. indicadores registra provincia, registra Persona_id NOMBRE No. ID (RUC) calle número registra de ventas, apellido cantón y primer principal de calle origen activos y/o paterno parroquia nombre principal empleados 150993 VILLA SAMANIEGO FREDDY HERNAN 0603149030001 X 91431 MORENO CABEZAS JENNY MARICEL 0603153768001 X 97893 RODRIGUEZ MOROCHO TAYLOR WALDIMIR 0603154709001 X 209363 AYME NAULA LUIS SEGUNDO 0603158429001 X 66487 MOYANO PEÑAFIEL NORMA FABIOLA 0603159930001 X 233646 ROJAS MEZA PERCY FABIAN 0603161126001 X 123699 TEANGA ZURITA VERÓNICA DEL ROCÍO0603178005001 X 73945 GRANIZO SAMANIEGO VICTOR HUGO 0603184557001 X 267111 LEMACHE ARMAS SEGUNDO HECTOR 0603188087001 X 143617 HIDALGO SOLORZANO SANDRA ELIZABETH 0603208844001 X 241960 BONILLA LAZO FRRANKLIN ESTUARDO 0603213281001 X 188469 MIRANDA RODRIGUEZ MAYRA PATRICIA0603230855001 X 272160 JANETA JANETA SEGUNDO JOSE 0603231093001 X 254361 AVILÉS MANCERO GLENDA DEL CARMEN0603243981001 X 248836 CABEZAS RODAS FREDDY VALENTIN 0603249863001 X 181726 LEON CALLES HUGO GERMAN 0603252578001 X 96524 CONCHA GUAYLLA HECTOR IVAN 0603261900001 X 163659 MARCATOMA TAMAY LUIS ALBERTO 0603266032001 X 275429 BARRENO GUIJARRO SANDRA ISABEL 0603272048001 X 152069 GUAMAN VILLA SEGUNDO GUAMAN 0603275181001 X 225615 ALVARADO GALLARDO DIEGO FABIÁN 0603275298001 X 214429 ROJAS MEZA CÉSAR DARIO 0603276650001 X 225499 MUYOLEMA BAYAS SEGUNDO HERNAN0603289091001 X 127167 LLUNDO AZAS WILSON JAVIER 0603289521001 X 228451 MAJIN RUMANCELA CECILIA MARIA 0603294687001 X 42641 LARA SUAREZ MAYRA LILIANA 0603307331001 X 91440 MACAS HIDALGO JUAN BERNARDO 0603317157001 X 203357 ZABALA MENDOZA UBALDO 0603324849001 X 239352 GUANGA TACURI WILSON FERNANDO 0603329228001 X 153598 NARANJO RIVERA ANA REGINA 0603331794001 X 166300 RUIZ PEÑAFIEL SEGUNDO JUAN 0603332891001 X
  • 176.
    No No registra No No registra No No. registra registra No. indicadores registra provincia, registra Persona_id NOMBRE No. ID (RUC) calle número registra de ventas, apellido cantón y primer principal de calle origen activos y/o paterno parroquia nombre principal empleados 217067 NARANJO MORENO JOSÉ LUIS 0603336090001 X 98391 VÁSQUEZ VILLACRÉS DAMIÁN RAFAEL 0603338260001 X 195368 GUAMAN MITA ANGEL RAMIRO 0603344185001 X 46265 MUÑOZ FLORES AIDA PATRICIA 0603351701001 X 251924 BONIFAZ PALACIOS CRISTIAN MARCELO0603351719001 X 42330 QUIGUIRI LOPEZ JOSE FAUSO 0603355405001 X 245683 CARRILLO AYALA HECTOR PAUL 0603365941001 X 144055 COELLO MARROQUIN EDWIN OSWALDO 0603370735001 X 160131 MURILLO CHICA VERONICA DEL CARMEN0603374760001 X 190707 VALLEJO SUAREZ OSCAR IVAN 0603375098001 X 164631 JIMÉNEZ JAIME 0603376328001 X 252296 MERINO NARANJO MARIO ADRIAN 0603378076001 X 250135 GUAMÁN CAUJA MARIA DEL PILAR 0603383779001 X 160696 GUAIÑA REMACHE JORGE LUIS 0603386715001 X 122693 TACURI TENE SEGUNDO PASCUAL 0603389487001 X 79690 SALCAN AGUAGALLO VERONICA ALEXANDRA 0603394578001 X 114203 DIAZ MARTINEZ ROMMEL FRANCISCO 0603404138001 X 53733 OCAÑA COELLO ELVIS MAURICIO 0603407180001 X 258038 GUINGLA FACONDA BLADIMIRO ISAIAS 0603408527001 X 255919 NAULA QUISHPE JOSE MANUEL 0603420225001 X 206082 MOROCHO VELASCO PAOLA JACQUELINE 0603426594001 X 145868 QUITO YUNGA VICENTE 0603444753001 X 157390 GUILCAPI SANTAMARIA VERONICA DEL0603453820001 PILAR X 97885 RAMOS DIAZ MARIA FERNANDA 0603471491001 X 190637 LEAL GUILCAPI JUAN CARLOS 0603474222001 X 111881 SANCHEZ MERINO RICARDO DANIEL 0603476581001 X 124160 BARROS BERRONES JULIO CESAR 0603496332001 X 140196 POLO CABEZAS MARIA AGUSTA 0603499013001 X 135189 MURILLO HERNANDEZ ANA PIEDAD 0603501834001 X 68854 SALAS PROAÑO XAVIER ENRIQUE 0603507120001 X 279475 GUACHO VILLA ANA LUCIA 0603529389001 X
  • 177.
    No No registra No No registra No No. registra registra No. indicadores registra provincia, registra Persona_id NOMBRE No. ID (RUC) calle número registra de ventas, apellido cantón y primer principal de calle origen activos y/o paterno parroquia nombre principal empleados 233992 PARRA DOMINGUEZ JUAN ENRIQUE 0603561465001 X 253615 QUISPILLO PARRA JUAN CARLOS 0603597428001 X 65151 NSIM DISEÑOS 0603605767001 X 273291 XIMENEZ VILLALVA DIANA MARIELA 0603609710001 X 141228 ARELLANO MANGUIS AIDEE ILEANA 0603610973001 X 256386 PAGALO GUAMAN EDWIN RODOLFO 0603612003001 X 50125 CHARIGUAMAN RODRIGUEZ JOSE LUIS0603617234001 X 192558 COELLO RIVERA EDDY FRANKLIN 0603658717001 X 220449 SANTILLAN MATUTE LAURA YOLANDA 0603667338001 X 160258 CALI VARGAS CARMEN DEL PILAR 0603685090001 X 279595 MIRANDA GUAPI JOSE ALONSO 0603711524001 X 150572 YASACA CHUQUIMARCA JOSE 0603740135001 X 95738 SOLDADO GUAMAN ANGEL GUSTAVO 0603744376001 X 173839 PUSAY LLAMUCA ABRAHAN IPOLITO 0603746843001 X 142001 PALTAN PEREZ MARIA OLGA 0603748567001 X 112121 POMAQUERO YUNGAN MARIA JANETH 0603751306001 X 182872 GUAYLLA GADBAY JOSE MANUEL 0603760406001 X 131788 AULLA SALAMEH CARLOS OCTAVIO 0603782897001 X 183208 GALLEGOS ROBALINO DENNYS ROLANDO 0603805268001 X 218877 QUISHPE ORTEGA LUIS EDUARDO 0603810136001 X 97723 MOSCOSO BALDEON ANGEL WILFRIDO0603830936001 X 188357 YANZA ERAZO ERIKA MARIBEL 0603875782001 X 229191 QUISAY MOROCHO SEGUNDO RENAN 0603878596001 X 259788 FLORES CAMAS DIEGO GUSTAVO 0603887258001 X 189205 RUIZ SALGADO MARCO ALEJANDRO 0603922493001 X 171297 BALSECA BARREROS DANNY RODRIGO 0603943952001 X 128704 PILCO AUQUI RUBEN ALFREDO 0603948167001 X 251652 ANDINO NUÑEZ DANIEL ALEJANDRO 0603955899001 X 105730 AUQUILLA MONAR ANITA DEL ROCÍO 0603961046001 X 123470 GUAIÑA MOROCHO JULIO EDUARDO 0603967431001 X 161368 ZAVALA ECHEVERRIA HILDA 0603994831001 X
  • 178.
    No No registra No No registra No No. registra registra No. indicadores registra provincia, registra Persona_id NOMBRE No. ID (RUC) calle número registra de ventas, apellido cantón y primer principal de calle origen activos y/o paterno parroquia nombre principal empleados 233648 CARRASCO TOAPANTA JULIO CESAR 0604011692001 X 111425 PUCULPALA CHOTO SEGUNDO ESTUARDO 0604017574001 X 166770 CABRERA SIBAMBE HECTOR RAMIRO 0604026625001 X 244954 GARCES CASTRO ARTURO FELIX 0604063586001 X 82636 SINALUISA TOPA CESAR GEOVANNY 0604069393001 X 193698 CAIZA FALCONI JAVIER ALFONSO 0604077008001 X 208996 PAUCAR GUALANCAÑAY GLADYS ADELAIDA 0604125153001 X 234910 MALDONADO NÚÑEZ ALBA ISABEL 0604136358001 X 244840 GUAIÑA REMACHE TOMAS ELIAS 0604140699001 X 148793 SAMANIEGO HURTADO MARIA MARIBEL 0604193649001 X 195261 QUISHPE MOROCHO FREDY XAVIER 0604196246001 X 205465 CAMAS QUIZHPE ROBERTO CARLOS 0604200667001 X 143680 GRANIZO ATUPAÑA LUIS ALFREDO 0604203422001 X 155381 QUISHPE ORTIZ MYRIAM PATRICIA 0604229591001 X 128411 MENDOZA TAPAY MARCO VINICIO 0604293936001 X 216505 GUAMAN GUSÑAY LUIS ALFONSO 0604381152001 X 207358 GUEVARA HERNANDEZ MONICA ELIZABETH 0604470971001 X 119586 RODRIGUEZ GUEVARA ADRIANA NATALI 0604522151001 X 99584 RUMIPAMBA CARANQUI NELSON BALERIO0604524405001 X 112163 FLORES CHUNATA NELLY FERNANDA 0604540500001 X 246667 SERRANO BRITO DARWIN FERNANDO 0604569806001 X 90939 ALTAMIRANO NAJERA CARLOS VICENTE604572016001 0 X 95153 RAMOS BERMEO JORGE WALTER 0604764985001 X 108215 DAGA UVIDIA MARÍA FERNANDA 0604802272001 X 251533 CUJILEMA YUNDA JUAN JOSE 0605213859001 X 34223 MUNICIPIO DE RIOBAMBA 0660000360001 X X 34322 MUNICIPIO DE COLTA 0660000520001 X 133790 UNIVERSIDAD NACIONAL DE CHIMBORAZO 0660001840001 X X 45972 DIRECCION PROVINCIAL DE EDUCACION INTERCULTURAL BILINGUE DE CHIMBORAZO 0660810520001 X X X 65163 CENTRO DE SERVICIOS TÉCNICOS Y TRASFERENCIA TECNOLÓGICA AMBIENTAL 0660830200001 X 42155 PATRONATO SERVICIO A LA NIÑEZ APOYO A LA MUJER Y TERCERA EDAD DEL GOBIERNO DE LA PROVINCIA DE CHIMBORAZO 0660831360001 X X
  • 179.
    No No registra No No registra No No. registra registra No. indicadores registra provincia, registra Persona_id NOMBRE No. ID (RUC) calle número registra de ventas, apellido cantón y primer principal de calle origen activos y/o paterno parroquia nombre principal empleados 39853 CENTRO DE TRANSFERENCIA TECNOLOGICA SERVICIOS TECNOLOGICOS INTEGRALES SETEIN ESPOCH 0660832920001 X 177677 CENTRO DE TRANSFERENCIA TECNOLOGICA DESARROLLO LOCAL PARA EL BIENESTAR HUMANO 0660833570001 X 169672 PRODUCTOS LACTEOS CHIMBORAZO SOCIEDAD DE ECONOMIA MIXTA "PROLAC" S.E.M. 0690004887001 X 64963 SINDICATO DE CHOFERES LOS ANDES 0690019124001 X 217371 SINDICATO UNICO CHOFERES DE CHIMBORAZO 0690021617001 X 56202 INPAPEL PATRIA CIA. LTDA. 0690033143001 X 270911 COOPERATIVA DE TRANSPORTES ALIANZA SAN JUAN 0690043645001 X 15991 CONSTRUCTORA OVIEDO PALACIOS COVIPAL CIA LTDA 0690050587001 X 77609 ELABORADOS DE HORMIGON C. LTDA 0690054604001 X 138803 ALBERGUE TURISTICO ABRASPUNGO CIA. LTDA 0690073005001 X 135332 UNIÓN DE ORGANIZACIONES POPULARES INCA ATAHUALPA 0690074168001 X 34714 FUNDACION MANO AMIGA 0690074206001 X 34928 CORPORACION DE ORGANIZACIONES CAMPESINAS DE LICTO 0690075571001 X 165515 CONFEDERACION DE PUEBLOS ORGANIZACIONES INDIGENAS EVANGELICAS DE CHIMBORAZO 0690076586001 X 265568 CANTERA SHOBOL CENTRAL 0691703126001 X 23586 DE HOWITT ENRIQUEZ CIA LTDA 0691710211001 X 52007 BCS OKO GARANTIE CIA. LTDA. 0691710726001 X 4764 ECUANUTRIONIMEX S.A. 0691710807001 X 214985 COMUNIDAD SAN FRANSISCO DE BUSHCUD 0691713032001 X 241977 CORPORACION DE ORGANIZACIONES E INSTITUCIONES DE DESARROLLO SOCIAL LOS ANDES 0691713113001 X 173646 SANSERVICIOS CIA. LTDA. 0691713377001 X 112982 ASOCIAION DE CONSERVACION VIAL PATRONO SAN JUAN 0691715817001 X 253866 ASOCIACIÓN DE CONSERVACIÓN VIAL 0691715930001 X 26795 UNIÓN DE COMITES BARRIALES DEL SUR UCOBASUR 0691716244001 X 40463 CONSTRUCTORA TORRES SALAZAR CONSTOSA CIA LTDA 0691717062001 X 45177 MOCEPROSA S.A. 0691717577001 X 135606 HOSTERIA EL TROJE HOSTROJE CIA. LTDA. 0691717674001 X 195714 CORPORACION DE PRODUCCION Y COMERCIALIZACION AGROPECUARIA PALLATANGA 0691717682001 X 111561 ESTACION DE SERVICIO "GASYARUQUIES" CIA. LTDA. 0691718832001 X 32441 ASOCIACION DE CONSERVACION VIAL NUEVO AMANECER 0691720829001 X 88863 RECTIFICADORA AUTOBAMBA CIA. LTDA. 0691721396001 X
  • 180.
    No No registra No No registra No No. registra registra No. indicadores registra provincia, registra Persona_id NOMBRE No. ID (RUC) calle número registra de ventas, apellido cantón y primer principal de calle origen activos y/o paterno parroquia nombre principal empleados 38028 JOSAFERCO CONSTRUCTORA CIA. LTDA. 0691721507001 X 145814 HOSTERIA LA ANDALUZA 0691722406001 X 271598 ASOCIACION DE SERVICIOS COMUNITARIOS DR. JAIMR ROLDOS AGUILERA 0691722821001 X 107352 ASOCIACION EN PARTICIPACION MICROEMPRESARIAL ASST 0691723062001 X 201662 CULTIVO Y VENTA DE FREJOL 0691724069001 X 193268 MAGIC MOUNTAINS 0691726894001 X 205202 NUVINAT S.A. 0691728005001 X 230101 BULLCANDLE COMPANY 0691728641001 X X X 240780 CORPORACION TECNICA EMPRESARIAL COTESA S C 0691729079001 X 259483 ASOCIACIÓN DE CONSERVACIÓN VIAL CHAZASAL 0691729885001 X 171574 HEREDIA AYALA ROSSITER URBANO 0700004542001 X 219523 SOTOMAYOR CARLOS GUILLERMO 0700007354001 X 189029 VARGAS VICTOR EMILIO 0700008345001 X X 224072 TORRES LOPEZ CELSO HONORATO 0700010705001 X 230276 ASTUDILLO NIEMES LUCIO ODILON 0700021769001 X 79788 SOLANO ESPINOZA JUAN SIXTO 0700022510001 X 93045 JIMÉNEZ RIVERA LUIS ANGEL 0700033301001 X 188368 CRUZ PARRALES LUCIO RICARDO 0700040546001 X 154779 SANGURIMA CRESPO JOSE LUIS 0700047202001 X 99965 SANCHEZ JOSE ALBERTO 0700058928001 X 278464 PESANTES CASTILLO ALEJANDRO ERNESTO 0700068463001 X 191216 SALCEDO PARRALES CESAR DIONISIO 0700078413001 X 206509 GARCES PEREZ JUAN HUMBERTO 0700081730001 X 168779 GRANDA FELIX EUTILIO 0700090848001 X 247081 ORELLANA ORELLANA NORMAN OSWALDO0700097793001 X 69560 AJILA AJILA EMIGDIO ALCIDES 0700102577001 X 241547 ORELLANA JIMENEZ ANGEL GABRIEL 0700115710001 X 86102 PORRAS QUINTANILLA MAXIMILIANO ALBERTO 0700117997001 X 199123 VASQUEZ GUAMAN VICTOR MANUEL 0700118029001 X 138929 AGUIRRE OCHOA LUIS VICENTE 0700118300001 X 200641 LOAIZA SERGIO ENRIQUE 0700127459001 X
  • 181.
    No No registra No No registra No No. registra registra No. indicadores registra provincia, registra Persona_id NOMBRE No. ID (RUC) calle número registra de ventas, apellido cantón y primer principal de calle origen activos y/o paterno parroquia nombre principal empleados 99362 JORDAN CHAVEZ MARTHA MARIA 0700127574001 X 135800 ORTIZ PEREZ ANTONIO HOLGER 0700129752001 X 234359 PACHECO ESPINOSA MANUEL TRINIDAD700145659001 0 X 155376 RIOFRIO OJEDA JUAN ALEJANDRO 0700153471001 X 66369 AMBROSI AMBROSI ROMULO ELIAS 0700154925001 X 216110 LOAYZA JARAMILLO HUGO VICENTE 0700178015001 X 158420 ROMERO LOAYZA MIGUEL ANGEL 0700179542001 X 274178 MOROCHO CORDOVA MARIA ESTHER 0700201544001 X X X 85256 JUMBO QUITO HORACIO 0700212335001 X 145724 CABRERA DURAN VICTOR MIGUEL 0700240435001 X 147335 MORALES GALLARDO JOSE ANTONIO 0700253859001 X 229624 MATAILO CUEVA SANTOS FRANCISCO 0700273220001 X 142267 PIZARRO POMA LUIS FERNANDO 0700292758001 X 141746 SERRANO ZAMBRANO VICENTE ANTONIO0700296999001 X 82970 REYES ROMERO NORMAN EFREN 0700301765001 X 132667 ARMIJOS TORRES ELENA BEATRIZ 0700312143001 X 109545 GUAYCHA RIVERA CARLOS ALBERTO 0700323173001 X 139671 GRANDA ALULIMA JOSE EFREAIN 0700323595001 X 151024 ULLOA ULLOA CARLOS ORLANDO 0700345614001 X X 119289 PARRALES ACOSTA JOSE VICTOR 0700345671001 X 223517 MORENO RIOS VICENTE AURELIO 0700349103001 X 132337 CHANGO CHANGOTASIG LEONIDAS 0700349996001 X 23180 BORJA RAMIREZ WALTER STALIN 0700366636001 X 227623 VEINTEMILLA MUÑOZ MARIANA AGRIPINA 0700368525001 X 140339 RAMIREZ AGUILAR ORLANDO ENRIQUE0700370448001 X 208423 JARA ARMIJOS JOSE MANUEL 0700393150001 X 139730 RAMIREZ CASTRO ENRIQUE GILBERTO0700394372001 X 215418 ROMERO ASANZA ANGEL BENIGNO 0700402530001 X 96532 GALLARDO GALARZA SERGIO MARIA 0700417728001 X 186628 AYALA VILLAMAR AQUILES MANUEL 0700420433001 X 207360 REBOLLEDO YANGE JOSE ENRIQUE 0700422959001 X
  • 182.
    No No registra No No registra No No. registra registra No. indicadores registra provincia, registra Persona_id NOMBRE No. ID (RUC) calle número registra de ventas, apellido cantón y primer principal de calle origen activos y/o paterno parroquia nombre principal empleados 127908 TORRES CARRION MANUEL IGNACIO 0700431406001 X 92780 MONCAYO MOLESTINA NELSON FELIPE 0700440886001 X 91790 PEREZ ARCENTALES NORMA CRUZ 0700483431001 X 258921 PINEDA IZQUIERDO RODRIGO HUMBERTO 0700484603001 X 113162 CORELLA VERDUGA CARLOS 0700494065001 X 226064 VALLADAREZ CUENCA JUAN JOSE 0700522089001 X 82807 CUEVA VICENTE TEODULO 0700543309001 X 133886 BARRAGAN BUSTOS GALO HUMBERTO0700570500001 X 139590 AGUILAR AGUILAR JOSE TOBIAS 0700570815001 X 89155 ZAMBRANO MARCO TULIO 0700572340001 X 178815 ASTUDILLO FEIJOO OSWALDO ARTURO 0700581002001 X 135867 SERRANO JACOME GUILLERMO DANILO 0700581275001 X 130433 PIEDRA RUBIO SABINO DELFIN 0700584352001 X 263623 CONDE JIMENEZ CARMEN LUCRECIA 0700592082001 X 96390 MURILLO CORDOVA LUZ ELENA 0700595531001 X 232877 CORDOVA BUSTAMANTE ALFREDO ALEX 0700596976001 X 134313 JARAMILLO CARRIÓN PEDRO ANTONIO0700599418001 X 225510 LUNA AREVALO MERCEDES ALPAQUITA 0700609969001 X 86887 MONTALVO SERRANO JULIO HENRY 0700637739001 X 149377 LUPU SANTOS SOTERO 0700639925001 X 121548 MUÑOZ CALDERON CARLOS ALFREDO 0700640683001 X 38868 MORA HIDALGO JORGE ENRIQUE 0700656143001 X 112058 GALARZA IZURIETA CESAR ANTONIO 0700665573001 X 188231 CUEVA GALLARDO SAMUEL MARIA 0700691397001 X 83321 MORA SERRANO JOSE ABELINO 0700696180001 X 140394 URBINA RAMIREZ LORENZO 0700700776001 X 57040 JROMERO MATAMOROS JORGE ERNESTO 0700703242001 X 245398 VALDIVIEZO VEGA SAMUEL EDILBERTO0700705197001 X 221205 CUNALATA NARANJO CESAR ALIPIO 0700706039001 X 135232 ALBAN VALAREZO AMADO ALBERTO 0700707029001 X 275853 AYALA FLORESMILO 0700707185001 X X
  • 183.
    No No registra No No registra No No. registra registra No. indicadores registra provincia, registra Persona_id NOMBRE No. ID (RUC) calle número registra de ventas, apellido cantón y primer principal de calle origen activos y/o paterno parroquia nombre principal empleados 264408 REYES ORELLANA ROMULO EFREN 0700712862001 X 172353 FEIJOO SANCHEZ JORGE WILMAN 0700715550001 X 138550 ORDONEZ PERPETUA 0700719289001 X 131171 AGUILAR CASTILLO NORA ESPERANZA 0700720030001 X 97658 CHIRIBOGA VERGARA TERESA 0700723174001 X 21377 QUEZADA MOSQUERA JOSE GILBERTO0700726060001 X 21439 DAVILA AGUILERA IVAN ENRIQUE 0700729320001 X 271267 ELIZALDE GRANDA JOSE AGUSTIN 0700730898001 X X X 215505 PEÑAFIEL VALDIVIEZO TEREZA ANGELICA 0700732191001 X 267361 MARIN GOMEZ SEGUDO ANGEL 0700736366001 X 219554 RÍOS BUSTAMANTE FRANCISCO BOLÍVAR0700737018001 X 81317 RAMIREZ RAMIREZ MIGUEL ANTONIO 0700737042001 X 217886 AGUILAR CARRION GERTRUDIS ESPERANZA 0700740491001 X 134976 VÉLEZ TORRES ULBIO ANGEL 0700743990001 X 258087 RIOS VELEPUCHA EULOGIO 0700746134001 X 145179 PINDO ATARIGUANA MARIA ZOILA 0700746902001 X 166647 BEDOYA MOROCHO BLANCA AMERICA 0700749617001 X 143515 BERMEO CABEZAS MARGARITA DE LA CRUZ 0700763295001 X 148453 BARAGAN RAMIREZ JULIO CESAR 0700766470001 X 244211 RENDÓN VERA FREDDY EDMUNDO 0700771157001 X 63042 JARAMILLO SARITAMA TELMO 0700771363001 X 195119 ALVARADO VALLADARES JOSE SEGUNDO 0700773211001 X 107801 AGUIRRE SANCHEZ ROBERTO ALFONSO 0700775000001 X 183312 GUANUCHE FLORES LUPERTO IVAN 0700778293001 X 83610 ROMERO APOLO EVA CARMITA 0700783434001 X 67191 GARCIA PINEDA REBECA 0700784838001 X 140075 TORRES RUIZ ANGEL ROLANDO 0700792880001 X 67385 ZALDUMBIDE PEÑARRETA MILTON EDUARDO 0700794795001 X 77313 SANCHEZ ESPINOZA LUIS ALFREDO 0700795818001 X 49583 AUCAPEÑA MEDINA FRANCISCO RAFAEL 0700799281001 X 175610 TITUANA RAMON BOLIVAR IDELFONSO 0700805542001 X
  • 184.
    No No registra No No registra No No. registra registra No. indicadores registra provincia, registra Persona_id NOMBRE No. ID (RUC) calle número registra de ventas, apellido cantón y primer principal de calle origen activos y/o paterno parroquia nombre principal empleados 3426 ARAGONES VASQUEZ GRACE DEL PILAR0700806185001 X 114414 SANCHEZ PINEDA BENIGNO LAUTARO 0700810336001 X 97847 ORTEGA VALDIVIEZO LUIS ANTONIO 0700819972001 X 104675 FEIJÓO FEIJÓO JUAN MANUEL 0700834468001 X 178922 MONTALVO VITERI ROOSEVELT MARCO 0700837255001 X 33234 ORELLANA SABAY JULIO HUMBERTO 0700846694001 X 91717 TANDAZO GALO HERMEL 0700847932001 X 202484 CASTILLO GUARNIZO FRANCISCO 0700853633001 X 109003 ARCAYE PRIETO CIRO SATURDINO 0700854086001 X 20383 CRUZ MARCIAL ELOY GUILLERMO 0700854409001 X 175757 RODRIGUEZ PEÑAHERRERA RAFAEL ALBERTO 0700854599001 X 166130 ALVARADO SANTISTEVAN EDGAR GUILLERMO 0700856164001 X 135286 ROMERO LOAYZA FULVIO MANUEL 0700864150001 X 256007 MALDONADO JARA SILVIO ROSENDO 0700865553001 X 188129 CASTRO GUMERCINDO 0700871684001 X 154089 HONORES HONORES JOSE ELEUTERIO0700874779001 X 138344 APOLO IZQUIERDO ANGELINO ANGELES700883788001 0 X 143868 CABRERA SIMON ENRIQUE 0700884323001 X 265878 VALAREZO TORO OSWALDO ALFREDO 0700885890001 X 209070 JARAMILLO AGUIRRE ULVIA LIDIA 0700887979001 X 18047 SEGARRA PACHECO JHONNY FERNANDO 0700889199001 X 65229 VALAREZO ROMERO HUGO MANFREDY0700890577001 X 53025 CABRERA APOLO JUAN MANUEL 0700891997001 X 215137 GALLARDO MARIA ALBA 0700892268001 X 254097 APOLO APOLO MIGUEL ANGEL 0700892839001 X 84997 LÓPEZ CACAY GILBER HONORATO 0700898752001 X 139594 ROMERO MANUEL JACINTO 0700901499001 X 97214 CASTILLO AZADOVAY ARSENIO VICENTE 0700906324001 X 111971 ESTRELLA CARRION LUIS EMETERIO 0700906373001 X 234745 ZEAS PROCEL MARCO ORLANDO 0700907413001 X 244835 RAMIREZ GALARZA JOSE VICENTE 0700908833001 X
  • 185.
    No No registra No No registra No No. registra registra No. indicadores registra provincia, registra Persona_id NOMBRE No. ID (RUC) calle número registra de ventas, apellido cantón y primer principal de calle origen activos y/o paterno parroquia nombre principal empleados 112886 JIMENEZ BRITO LUIS CESARIO 0700910284001 X 119317 PRIETO PRIETO ROSA ISABEL 0700919509001 X 158446 RAMIREZ ENCARNACION SANTOS MARCELINO 0700920291001 X 174968 ROMERO LOAYZA SEGUNDO AMABLE 0700920531001 X 214283 MENDEZ ARMIJOS EDGAR GONZALO 0700925324001 X 151630 MOROCHO COELLO LORGIA LUZ 0700925753001 X 94147 GUAYCHA ESPINOZA GUILLERMO WILMER 0700929631001 X 203313 GUAILLAS ROMERO JOSE MOISES 0700932296001 X 150799 SALVATIERRA MENDOZA LUIS GUSTAVO700933542001 0 X 140466 GODOY LUNA ANGEL IVAN 0700935620001 X 255377 SAÑAY ASANZA HOLGER SULPICIO 0700939499001 X 215873 CUMBICOS VERA JOSE SERVILIO 0700942717001 X 272940 CHILLOGALLO LOJA MANUEL ROLANDO 0700942980001 X 22966 AGUILAR MOSQUERA LUIS ARNALDO 0700952294001 X 99586 CAMPOVERDE HIDALGO MAGNA DEL ROSARIO 0700953151001 X 237248 PINEDA ZHIGUE MANUEL ELIAZAR 0700955040001 X 175516 AGUILAR PINEDA ANGEL POLIVIO 0700956642001 X 112822 MOCHAS ARCE EMILIANO ALFONSO 0700957160001 X 230750 ROMERO GOMEZ CECILIA DE LOS ANGELES 0700961840001 X 87439 TENICELA GONZALEZ SIMON BOLIVAR 0700962707001 X 242210 SANCHEZ MARIN ANGEL POLIVIO 0700963036001 X 173529 ZAPUTT ORELLANA ABEL MOISES 0700963093001 X 275999 RAMBAY MEDINA MIRNA IRLANDA 0700965510001 X 85381 GONZALEZ ANAZCO FELIX GUILLERMO 0700965643001 X 91982 LOAYZA SANCHEZ SERVIO MANUEL 0700965890001 X 103790 BUELE MAZA ESMAR ADOLFO 0700968662001 X 25705 ORELLANA PINEDA ARNALDO DE JESUS0700971443001 X 204674 VERA INTRIAGO DIOMEDES EDILBERTO0700977762001 X 196811 DE LA ROSA ARIAS NORMA CALLETANA0700978091001 X 60434 RAMÍREZ RAMÍREZ CONSTANTE DE JESÚS 0700983364001 X 143204 ANDRADE CARRION RODRIGO 0700988256001 X
  • 186.
    No No registra No No registra No No. registra registra No. indicadores registra provincia, registra Persona_id NOMBRE No. ID (RUC) calle número registra de ventas, apellido cantón y primer principal de calle origen activos y/o paterno parroquia nombre principal empleados 176181 SANCHEZ MONTALVAN GOVER MARINO 0700991490001 X 31397 VELEPUCHA VELEPUCHA RENE RODRIGO0700992704001 X 176586 ROMERO CISNEROS CARLOS ALBERTO 0700993207001 X 62836 FREIRE PONTÓN ROQUE ERMEL 0700999576001 X 71093 JARRIN ROMERO GEOVANNA CECILIA 0701002230001 X 259834 QUEZADA SANGURIMA LUIS ALEJANDRO0701007726001 X 188249 HIDALGO SANCHEZ GUSTAVO SALVADOR0701008609001 X 206095 CRUZ MENDIETA ANGEL ROQUE 0701012148001 X 156852 PEÑA QUICHIMBO OCTAVIO DE LA CRUZ701012197001 0 X 182255 GONZALEZ ABAD HUGO DEMETRIO 0701018509001 X 97516 FERNANDEZ RIOFRIO WALTER EDUARDO0701019184001 X 267309 PERALTA CARLOS VICENTE 0701022071001 X 39087 AVILÉS AGUILAR GERARDO RIGOBERTO0701023061001 X 147422 AJILA CUENCA CANDIDO GONZALO 0701031478001 X 196310 AVILA BENITEZ LINDA EUGENIA 0701032179001 X 267781 ARMIJOS ARMIJOS ARECIO BERNABE 0701032732001 X 221215 PENA AGUILAR ENRIQUETA DEL CARMEN 0701033862001 X 164228 MOROCHO PEREZ ESTRELLA NOEMÍ 0701034068001 X 23356 JARAMILLO ESPINOZA PEDRO ALONSO0701034563001 X 60253 DELGADO TENEZACA STALIN HUMBERTO0701041907001 X 112722 SILVA GONZALO ENRIQUE 0701048167001 X 184710 CASTRO PATIÑO RAMON BOLIVAR 0701048530001 X 251164 VIVIAN CARDENAS MARIA TERESA 0701056038001 X 215029 DIAZ SARANGO NATALIA 0701060105001 X 127854 TORO CELI SERVIO AUGUSTO 0701062572001 X 178771 SANCHEZ PINEDA EDGAR EDUARDO 0701063547001 X 154653 ALVAREZ HEREDIA DULCE MARIA 0701068132001 X 211183 MORENO CASTILLO CARMEN ADELA 0701072530001 X 149014 BUSTAMANTE RIOFRIO LUZ MARIA 0701076325001 X 21987 LUIS 0701077786001 X 13756 QUEZADA ROMERO LUIS ALBERTO 0701079121001 X
  • 187.
    No No registra No No registra No No. registra registra No. indicadores registra provincia, registra Persona_id NOMBRE No. ID (RUC) calle número registra de ventas, apellido cantón y primer principal de calle origen activos y/o paterno parroquia nombre principal empleados 104014 CAMPOVERDE AGUILAR MARÍA ELENA 0701080699001 X 122994 FEIJOO CRUZ ROOSELVET EMILIO 0701081143001 X 190679 ROJAS BUSTAMANTE JULIO CESAR 0701081341001 X 37422 CARLOS 0701086282001 X 178382 CASTRO LUCERO TERESA DE JESUS 0701092645001 X 176216 LOAYZA AGUILAR ARTURO JOEL 0701092785001 X 57309 CHAMAIDAN SOLANO ENRIQUE XAVIER0701093296001 X 276887 ALVARADO GUICHAY HECTOR VIRGILIO0701096364001 X 107532 CALVA VALLADOLID FRANCISCO BOLIVAR 0701100091001 X 63513 ORTEGA MORALES LIVIO MARCELO 0701100802001 X 161264 MURILLO UGARTE ADA PILAR 0701100885001 X 180561 OSORIO MARCA EDUARDO FELIPE 0701100935001 X 18547 ALVARADO QUEZADA MANUEL WILFRIDO0701102337001 X 138111 CHAMBA TORO JORGE ALBERTO 0701105355001 X 47535 FERNANDO 0701106858001 X 225525 CAÑAR CHUQUIMARCA DIGNA EMERITA701114548001 0 X 135068 MONCADA SOLANO FRANCISCO ISIDRO 0701114738001 X 160606 RIOS PEÑARANDA SERGIO GONZALO 0701115305001 X 153397 JIMENEZ CASTILLO ZOILA LUZ 0701115537001 X 166269 QUIMI BUSTAMANTE EDGAR YOVANI 0701116253001 X 29616 BRITO AVILA MIGUEL VICENTE 0701118341001 X 66265 PEDREROS SANCHEZ FERNANDO HERNAN0701119323001 X 163387 AGUILAR ORTEGA MARIA OTILIA 0701126179001 X 105456 ORTIZ BRICEÑO NELSON OLIVIO 0701127284001 X 265771 CHÁVEZ ALVARADO JULIO ANDRÉS 0701131773001 X 126196 PERALTA CAMPOVERDE JAIME NECTARIO 0701133167001 X 198912 PANEZO VILELA SECUNDINO 0701137804001 X 192272 CHANGO CAJAS JORGE MESIAS 0701138356001 X 225647 TINIZARAY RIVAS LUZ DEL CARMEN 0701140642001 X 92945 SOTO PINEDA SILVIA JUDITH 0701140964001 X 92984 DE LA CRUZ CRUZ JACINTA CLEOPE 0701141053001 X
  • 188.
    No No registra No No registra No No. registra registra No. indicadores registra provincia, registra Persona_id NOMBRE No. ID (RUC) calle número registra de ventas, apellido cantón y primer principal de calle origen activos y/o paterno parroquia nombre principal empleados 173333 OLAYA ACARO CARLOS FERNANDO 0701143208001 X 150432 TOLEDO GONZAGA KLEBER ANIBAL 0701143539001 X 228942 DURÁN CORREA LUIS ALFREDO 0701144586001 X 158415 SALVATIERRA SALAZAR ANGEL LUCIANO 0701144875001 X 66418 CARRION OJEDA ROLANDO VICENTE 0701146573001 X 91303 CHAMBA HERRERA MARTHA MARGARITA 0701147167001 X 18749 LUZURIAGA OROZCO EULER EGBERTO0701149239001 X 91043 ROJAS PALACIOS MARIO HERMANY 0701149809001 X 258531 VALLADOLID LUZ GLANES 0701150005001 X 176063 NIOLA ARIAS JOSE MANUEL 0701154478001 X 88176 APOLO ROMERO LUIS FERNANDO 0701160863001 X 154315 RAMIREZ VILLALTA MARIA JANETH 0701162729001 X 150957 ARMIJOS CONDOY TOMASA AMELIA 0701166985001 X 98363 TORO ARMIJOS ABEL SEGUNDO 0701167603001 X 118734 ELIZALDE YUPANGUI LUIS ALBERTO 0701172207001 X 222225 CAMPOVERDE QUEZADA ANGEL ALCIBAR0701175275001 X 212714 SOLANO ARMIJOS LUIS DE LOS ANGELES 0701176539001 X 13459 CABRERA MURILLO MARCELO RAMIRO0701181109001 X 25011 PARDO CARRIÓN CARLOS OVIDIO 0701182834001 X 43723 ULLAURI SOLANO PATRICIO ALBERTO 0701188831001 X 213657 DESCONOSIDO SARANGO JOSE FELIX 0701195224001 X 100267 PEÑALOZA AGUILAR NIMIA ELVIRA 0701204026001 X 101897 BRAVO CAMACHO ALCIVAR SIGIFREDO0701207003001 X 199484 NARVAEZ QUIZHPE WILVER SALOMON 0701215402001 X 87850 CARRILLO HEGAS PABLO MIGUEL 0701217861001 X 187292 CUJILEMA YUMISEVA JUAN 0701220949001 X 8631 COMERCIAL EL ROCIO 0701223794001 X 40028 CHANGOTASIG QUISATASIG LUIS ALFREDO 0701227043001 X 13533 PRODISA 0701228587001 X 207816 GONZALEZ GUERRERO HUGO HERIBERTO0701231763001 X 121241 TORRES TORRES JOSÉ GUSTAVO 0701241440001 X
  • 189.
    No No registra No No registra No No. registra registra No. indicadores registra provincia, registra Persona_id NOMBRE No. ID (RUC) calle número registra de ventas, apellido cantón y primer principal de calle origen activos y/o paterno parroquia nombre principal empleados 104870 SALAZAR CASTRO ABRAHAN DANILO 0701247256001 X 19799 PIZARRO FERNÁNDEZ OSWALDO ARMANDO0701250870001 X 258320 MAYAGUARE REMACHE SEGUNDO MARCIAL0701260341001 X 82168 CABRERA ASTUDILLO LUIS EMILIO 0701264814001 X 141078 PINEDA POMA BREMEN ALEJANDRINA 0701265357001 X 122788 VALAREZO AGUILAR MARIE ELIZABETH0701268849001 X 125912 AGUIRRE PIEDRA RUTH CARMITA 0701271850001 X 144209 VEINTIMILLA AVILA MAGDALENA DEL CISNE 0701275398001 X 227294 MOLINA MATUTE EDUARDO MARINO 0701277634001 X 140710 ESPINOSA ANGUIZACA JOSE MANUEL 0701280208001 X 119633 VEINTEMILLA LOZANO GINA AGRIPINA 0701281081001 X 61974 MORA NAULA GERARDO LEONIDAS 0701281263001 X 89714 BELTRAN ORELLANA TARQUINO RAMIRO 0701281875001 X 25842 MARTINEZ BRICEÑO SEGUNDO ALEJANDRO 0701283871001 X 257767 TORO AGUILAR JOSE HONORIO 0701292278001 X 248500 FRANCO TORRES ARMANGEL RICARDO 0701293847001 X 73122 TERREROS PRIETO JAIME ARTURO 0701304198001 X 116674 ZUMBA SUING JORGE ALFREDO 0701308280001 X 141008 CAPELO ERRAEZ MANUEL REMIGIO 0701311946001 X 214169 RIOFRIO SUAREZ JULIA DEL CARMEN 0701312068001 X 235242 SAMANIEGO AGUILAR AIDEE LUZ 0701314114001 X 214518 SILVA PULLAGUARI LUZ RAQUEL 0701315004001 X 44912 VILELA SILVA JULIO ENRIQUE 0701317778001 X 62479 JUAN 0701320079001 X 23818 LUIS 0701321846001 X 176424 GONZALEZ SOLORZANO LUIS AUGUSTO 0701329195001 X 92727 RAMIREZ AGUILAR JORGE NATIVIDAD 0701335630001 X 264421 ENRIQUEZ SALAZAR MERCEDES GUADALUPE 0701343154001 X 147356 LOAYZA TOLEDO BEATRIZ MELANIA 0701353245001 X 219910 GUANUCHE SANMARTIN SEGUNDO AMADEO0701356578001 X 115315 IÑAGUAZO HECTOR POLADIRIO 0701356958001 X
  • 190.
    No No registra No No registra No No. registra registra No. indicadores registra provincia, registra Persona_id NOMBRE No. ID (RUC) calle número registra de ventas, apellido cantón y primer principal de calle origen activos y/o paterno parroquia nombre principal empleados 140681 AREVALO PEÑALOZA SERVILIO GILBERTO 0701361321001 X 211010 GARCES VALDIVIEZO HUMBERTO NELSON 0701364358001 X 127114 PINARGOTE GUILLEM MIGUEL ANTONIO0701367062001 X 63112 CARLOS 0701370629001 X 266982 QUIROLA ANZOATEGUI FERNANDO JAVIER DEL CONSUELO 0701375438001 X 21350 CABRERA ARMIJOS JORGE DELVIN 0701376121001 X 112305 REYES MORA JUAN ALBERTO 0701384059001 X 67260 JUMBO CASTILLO ANGEL GABRIEL 0701385395001 X 117282 BELDUMA CANDIDO UBERTO 0701386690001 X 21285 CLAUDIO 0701387441001 X 181393 MOCHA NOVILLO JORGE EDUARDO 0701392664001 X 116359 AGUULAR RAMÍREZ JOSÉ EUDALDO 0701394660001 X 86526 AGUIRRE VALAREZO BENITO GERMANICO 0701397564001 X 117459 ROMERO MOROCHO MANUEL MECIAS 0701399107001 X 85550 CHICA ROSILLO PEDRO PATRICIO 0701399222001 X 143728 MONTENEGRO GONZAGA ESCILDA MARIA ISABEL 0701401879001 X 197387 POGO PENALOZA NELLY GERMANIA 0701403438001 X 167604 ZAPATA GUERRERO JORGE ADALBERTO 0701403750001 X 132088 GÓMEZ GONZÁLEZ CELSO EMILIO 0701416794001 X 199202 PEREIRA RAMBAY REBECA NANCY 0701418907001 X 178300 REYES DAVILA CARLOS MANUEL 0701423626001 X 156313 YUNGA TIGRE JUAN MIGUEL 0701428559001 X 222830 PATIÑO MONTALVAN JOSE EUGENIO 0701428682001 X 86164 LEON VERGARA FANNY DEL CARMEN 0701431272001 X 182590 FEIJOO JARAMILLO MAXIMO ALFREDO 0701433112001 X 134282 QUEZADA MAZA HECTOR GABINO 0701442360001 X 214262 VALLADOLID VICTOR ALCIDES 0701445579001 X 196438 QUEZADA ARIAS JAIME ROMAN 0701449217001 X 162933 OCHOA ORDOÑEZ JOHN GILBERTO 0701458317001 X 246184 CRUZ ZAMBRANO JOSE FERNANDO 0701464802001 X 75576 ZHINDON ALMEIDA MERCEDES RAQUEL 0701471575001 X
  • 191.
    No No registra No No registra No No. registra registra No. indicadores registra provincia, registra Persona_id NOMBRE No. ID (RUC) calle número registra de ventas, apellido cantón y primer principal de calle origen activos y/o paterno parroquia nombre principal empleados 138043 RUIZ MANZANARES ODILA MARIA 0701473084001 X 116276 QUILUMBA AQUINO ANGEL LUCIANO 0701473605001 X 142863 RUIZ CAMACHO ALVINA ESPERANZA 0701474470001 X 182555 GONZALEZ RAMIREZ CARLOS RUPERTO 0701475592001 X 91626 BORJA CRUZ NICOLAY NASSER 0701477184001 X 99975 ORDOÑEZ ORDOÑEZ ANGEL POLIBIO 0701478836001 X 162535 MONGE PLAZA EURO ALEXANDER 0701480170001 X 213518 SOTOMAYOR DIAZ CESAR NAPOLEON 0701490328001 X 108234 COYAGO PACHAR EFRAIN GERARDO 0701490716001 X 270536 SERRANO SOLÍS JAIME GUSTAVO 0701492050001 X 193683 YAGUAL SALCEDO JORGE EFREN 0701492258001 X 206203 TORRES RUILOVA MANUEL LEONARDO0701495244001 X 36681 JARAMILLO FREIRE JULIO MAXIMO 0701495434001 X 93504 PINEDA SEGUNDO RAMON 0701496804001 X 162790 MURILLO LEON ENRIQUE WILFRIDO 0701497802001 X 162831 CUEVA DIAZ JOSE MANUEL 0701497844001 X 153473 VALAREZO VALDIVIEZO ROGELIO VICENTE 0701499279001 X 61520 GALARZA CAMPUZANO ANDRES FRANCISCO 0701499444001 X 116347 CABRERA CEVALLOS JOSE LUCIANO 0701501025001 X 84290 OJEDA QUEZADA JAIME KENNEDY 0701502379001 X 179245 JAÉN VEGA HÉCTOR GONZALO 0701502973001 X 219927 NIETO ESPINOZA NORA LORENA 0701503369001 X 77178 PIZARRO BARREZUETA EITHEL GUSTAVO 0701503377001 X 94102 MOSCOSO OCHOA FAUSTO ALEJANDRO701506370001 0 X 81301 SOLANO BLACIO WIMPER VICENTE 0701508566001 X 180885 REYES ROMERO MARCO ANTONIO 0701511123001 X 89221 JIMÉNEZ RÍOS ANDREA ESPERANZA 0701514234001 X 203615 YANEZ GUZMAN ROSA EDELMIRA 0701515256001 X 232124 REDROVAN MATUTE TOMAS JOEL 0701515751001 X 18535 CEDILLO FERNANDEZ FRANKLIN DAVID0701517294001 X 224020 LOSSA ACOSTA JORGE ENRIQUE 0701520876001 X
  • 192.
    No No registra No No registra No No. registra registra No. indicadores registra provincia, registra Persona_id NOMBRE No. ID (RUC) calle número registra de ventas, apellido cantón y primer principal de calle origen activos y/o paterno parroquia nombre principal empleados 243426 AGUILAR GONZALEZ RUBEN MEDARDO0701521007001 X 114313 LEON SARANGO RAMIRO ONOFRE 0701523557001 X 210843 OSORIO MARCA WALTER ARTURO 0701528150001 X 237841 LUNA RUEDA HIGEY HERNAN 0701531824001 X 134813 GRANDA TORRES AURELIA EMPERATRIZ0701535247001 X 122510 LOAIZA MARGARITA YAZMITH 0701543456001 X 98162 RAMON MEDINA JAVIER 0701545907001 X 75394 CASTILLO HIDALGO CARMEN YOLANDA0701547473001 X 80574 PINEDA GÓMEZ TITO ORLANDO 0701547960001 X 39247 EGAS NOBLECILLA FERNANDO BELISARIO 0701548257001 X 208600 QUILLE ORTEGA CARLOS HUMBERTO 0701548497001 X 182288 PUMA PORRAS JOSE LUIS 0701549321001 X 133663 GUAICHA OBACO EUSTORGIO MANUEL0701556367001 X 36092 ALVAREZ CÉSAR ARIOSTO 0701570285001 X 41212 PINEDA SUÁREZ BOANERGES ALFREDO 0701576019001 X 57807 CARLOS 0701576027001 X 56610 VILLARREAL VILLACIS MARIO OSWALDO 0701578775001 X 92758 YAGUACHI AGILA FAUSTINO JUVENAL 0701581316001 X 215760 ERAS SANCHEZ SEGUNDO EUCLIDES 0701587453001 X 85023 GALVEZ ZAMBRANO SEGUNDO ROGELIO 0701589095001 X 203547 CABRERA TINOCO HIRALDA VICTORIA 0701592016001 X 101063 SANCHEZ CHAVEZ DANIEL ALBERTO 0701594749001 X 55730 SANCEN CELI HENRY DIONICIO 0701598757001 X 277898 PEREIRA ANGEL RODRIGO 0701600249001 X 127674 MANZANARES RUIZ HOLMES FREDDY 0701600900001 X 75804 CAMPOVERDE BURGOS EDGAR URBANO 0701601411001 X 89130 SALAZAR SANCHEZ VICTOR MANUEL 0701601593001 X 245193 MALDONADO ROMERO SERVIO JERINELDO 0701601817001 X 45711 BALCAZAR ROMERO GENRY ALFREDO 0701602799001 X 195788 GUERRERO ORELLANA DANIEL SALVADOR 0701603128001 X 269936 DOMINGUEZ QUIMI FELIX AGUSTIN 0701607459001 X
  • 193.
    No No registra No No registra No No. registra registra No. indicadores registra provincia, registra Persona_id NOMBRE No. ID (RUC) calle número registra de ventas, apellido cantón y primer principal de calle origen activos y/o paterno parroquia nombre principal empleados 80015 GONZAGA ROMERO FRANCISCO GERMAN 0701608325001 X 203255 PONCE ROSARIOS DELVOS LUIS 0701608721001 X 219399 VASQUEZ SANCHEZ FIDEL ANTONIO 0701610305001 X 101937 FIERRO SILVA WASHINGTON MANUEL 0701612020001 X 11714 PARDO VELEZ MANUEL ANTONIO 0701612558001 X 71693 FARIAS CAMACHO SEGUNDO BOLIVAR 0701612863001 X 112072 QUISHPI ALCOCER INES MARIA 0701613937001 X 115040 GONZALEZ CAPELO VICTOR HUGO 0701614026001 X 142686 VERDUGA ZAMORA FABIO STALIN 0701621898001 X 112510 GRANDA JUMBO FLOR ENIDT 0701627507001 X 86916 FARFAN APONTE SANTOS JORGE 0701638520001 X 93188 CARPIO GOMEZ TERESA DE JESUS 0701639155001 X 193992 MENDIETA GUERRERO RUFINO SEGUNDO 0701640534001 X 177830 N MORA FRANCISCO ANTONIO 0701640864001 X X 83974 VALDEZ ELIZALDE SANTOS APOLINARIO0701641839001 X 215808 REY TORRES MERCEDES MARÍA 0701648818001 X X X 150416 POLO ARMIJOS ADRIANO PORFIRIO 0701653974001 X 19450 CABRERA LOAIZA DENIS EFREN 0701655235001 X 82004 PAREDES VILELA WASHINGTON RICARDO0701655458001 X 254028 ECHEVERRIA ORTIZ LIDIA EMPERATRIZ0701660938001 X 14865 INGENIERO CIVIL 0701663486001 X 97013 TINOCO MATAMOROS ANGEL GERMÁN0701664245001 X 162734 FEIJOO CABRERA CALIXTO RENE 0701664609001 X 164465 POGO PEÑALOZA KLEVER ALFONSO 0701666232001 X 37043 CHAPA CUEVA ENRIQUE WALTER 0701667958001 X 179664 LEON SERGIO HUMBERTO 0701667982001 X 48024 PATRICIA 0701670325001 X 115504 MASACHE SARANGO HUGO JOSELITO 0701671125001 X 13960 JAIME 0701673121001 X 37195 PORRAS ESCOBAR JULIO CESAR 0701673634001 X 135126 JARA AGUILAR EFRAÍN ALBERTO 0701673642001 X
  • 194.
    No No registra No No registra No No. registra registra No. indicadores registra provincia, registra Persona_id NOMBRE No. ID (RUC) calle número registra de ventas, apellido cantón y primer principal de calle origen activos y/o paterno parroquia nombre principal empleados 32654 FAREZ ORDOÑEZ DIMAS JOSELITO 0701677916001 X 146961 RAMON VALLADOLID LUIS BOLIVAR 0701684714001 X 251763 LOPEZ SALDARRIAGA LUIS ALBERTO 0701685711001 X 205985 MORA PRADO JORGE ENRIQUE 0701692642001 X 94646 VALAREZO SARANGO LUIS ALFREDO 0701696445001 X 224174 PALTA HONORES JAIME FRANKLIN 0701706574001 X 72743 CELI GOMEZ LUZ AMERICA 0701707978001 X 14540 RICHARD CABANILLA AGUIRRE 0701712291001 X 162249 ORDOÑEZ BENITEZ JORGE ENRIQUE 0701714057001 X 39771 COBOS ZERDA JEORGE BAUDILIO 0701715104001 X 141024 ESPINOSA ANGUISACA ANGEL OCTAVIO 0701715617001 X 136229 GUANUCHI SEGUNDO JUAN 0701718298001 X 72000 ROMERO ORELLANA WILMAN JOSE 0701728768001 X 86735 GOROTIZA VALAREZO HUMBERTO 0701730392001 X 34097 FEIJÓO AGUILAR JORGE MAURICIO 0701731309001 X 237381 OLLAGUE VALAREZO JOSE KENNEDY 0701735284001 X 215002 TORRES CORONEL WILSON FABIAN 0701735425001 X 254355 SANCHEZ SANCHEZ MAGNOLO EDUARDO A 0701737512001 X 130244 GALLARDO RAMIA CARLOS ENRIQUE 0701741258001 X 83552 SALAZAR FRANCO MARIA MAGDALENA0701744906001 X 132433 DELGADO SUAREZ RUTH ELIZABETH 0701746828001 X 243222 ROMERO MOROCHO JOSE MARÍA 0701757791001 X 92086 OYOLA SANCHEZ TERESA YOLANDA 0701758500001 X 93153 VILLALTA OROSCO DORA NOEMI 0701760720001 X 238362 ROMERO ROMERO SILVIO LUCIANO 0701761470001 X 62139 JARRE ABAD MAURICIO RAFAEL 0701765620001 X 51191 CHAVEZ VALAREZO HERNAN AUGUSTO 0701768236001 X 92813 RIOFRIO OCHOA LUIS ALCIVAR 0701772758001 X 130082 CAMPOS VASQUEZ FRANCISCO OLIVEROS 0701773756001 X 161774 TENESACA DELGADO HECTOR ROSENDO0701779423001 X 207179 AGUILAR RAMIREZ TOMÁS GUILLERMO0701782138001 X
  • 195.
    No No registra No No registra No No. registra registra No. indicadores registra provincia, registra Persona_id NOMBRE No. ID (RUC) calle número registra de ventas, apellido cantón y primer principal de calle origen activos y/o paterno parroquia nombre principal empleados 91465 ROMERO EDWIN ALEJANDRO 0701782724001 X 19310 ELIZABETH 0701783045001 X 14451 INGENIERO CIVIL CONTRATISTA/CONSULTOR 0701787897001 X 196647 ARANDA ORDOÑEZ DUYAR ALFREDO 0701791196001 X 161866 PONTON IÑIGUEZ MARIA ERNESTINA DE LOS ANGELES 0701791220001 X 207226 CUESTA AQUIN ALEXANDRA ELVIRA 0701793036001 X 12683 INGENIERO CIVIL 0701793390001 X 210507 LOPEZ HERAS ROSA ISABEL 0701793721001 X 135035 MATAILO TORRES LORGIO FRANCISCO0701794661001 X 57809 AMAYA MOGOLLÓN FRANKLIN IVÁN 0701795148001 X 17409 CARLOS 0701795247001 X 43170 ORELLANA ESPEJO SEGUNDO EUGENIO 0701798225001 X 265386 CORREA MUÑOZ LUCIO BISMARK 0701798373001 X 178783 MALDONADO MENDOZA BERTHA OTILIA701798746001 0 X 199070 VIDAL PEÑARANDA ZOILO SILVERIO 0701799967001 X 40649 VELASQUEZ ROMERO ANTONIO ROLANDO 0701806465001 X 264287 TINOCO TINOCO ESTRELLA MARIA NARCISA 0701806663001 X 238518 RIOFRIO ORTIZ EDUARDO DE JESUS 0701808917001 X 153172 SARMIENTO AVILA DANIEL SALUSTINO 0701811671001 X 266564 DE LA CRUZ CEVALLOS VOLTAIRE ABRAHAN 0701813180001 X 98735 VEINTEMILLA LOZANO EDGAR ASTOLFO 0701815912001 X 159808 CARRION ARMIJOS MANUEL ANTONIO 0701818361001 X 225695 AREVALO GUZMAN MARLON ERNESTO 0701819583001 X 20980 CHANGOTACI QUISATACI LUIS ARMANDO0701823650001 X 190933 CARRION ROMAN ANGEL BENITO 0701826521001 X 43948 FERNANDO 0701828287001 X 273972 ARMIJOS COCHERES JOSE ORLANDO 0701828600001 X 267816 SANCHEZ ISABEL ORFITA 0701831091001 X 71590 RAMIREZ ESPINOZA FAUSTO ROLANDO 0701832248001 X 21268 GUARTATANGA JACOME ANA MARIA 0701834210001 X 197233 ZHUNIO RENTERIA MIGUEL FRANCISCO 0701836504001 X
  • 196.
    No No registra No No registra No No. registra registra No. indicadores registra provincia, registra Persona_id NOMBRE No. ID (RUC) calle número registra de ventas, apellido cantón y primer principal de calle origen activos y/o paterno parroquia nombre principal empleados 147737 BERREZUETA DELGADO SEGUNDO NICANOR 0701838740001 X 33678 OSCAR RAMIRO FLORES TIBANTA 0701840068001 X 111699 YANGE SANCHEZ JOSE FREDDY 0701840415001 X 181306 FAREZ LUCERO MARCO VINICIO 0701842270001 X 15763 CARLITOS 0701843286001 X 93140 CARCHIPUYA ARMIJOS BLANCA ROSA 0701843575001 X 197480 VARGAS OCHOA LUIS NIVALDO 0701844169001 X 267960 SALCEDO ROMERO ELSY MARIA 0701844581001 X 54523 CORREA ILLESCAS FULTON KENY 0701846651001 X 32308 PALADINES ACOSTA WILSON ALFREDO701850869001 0 X 97969 JARAMILLO ESPINOSA JORGE OSWALDO 0701851909001 X 138158 RUILOVA GARCIA JOSE GERARDO 0701858920001 X 222700 ROMERO OJEDA SEGUNDO DANIEL 0701862278001 X 122567 AJILA TORRES GALO ELIGIO 0701865750001 X 88349 ZÚÑIGA BONIFAZ FERNANDO ARTURO 0701870248001 X 268517 CARCHIPULLA GRANDA WILLIAM ALFREDO 0701874505001 X 218408 TORRES JOSE CRESENCIO 0701874893001 X 145457 CASTILLO SA MOISES ANTONIO 0701875080001 X 93528 CAMACHO VALDIVIEZO NELSON GONZALO 0701876336001 X 182739 MATUTE GUANOLIQUE HERNAN ROBERTO 0701876401001 X 169596 GIRON PORRAS ELIBERTO CONFESOR 0701877417001 X 128688 LUNA JARAMILLO DOLORES ALEXANDRA 0701882177001 X 107665 HURTADO HERNANDEZ HUMBERTO IBAR0701888919001 X 204367 RIOFRIO RAMIREZ GUIDO ALBERTO 0701891897001 X 112562 OCHOA ARIAS LUIS FERNANDO 0701893059001 X 168317 PORTILLA OCHOA AURORA DEL CARMEN 0701895310001 X 207406 AGUILAR MORA OMAR FRANCISCO 0701898637001 X 27339 VALVERDE ROMÁN JORGE ENRIQUE 0701898819001 X 25001 ROMÁN BARZOLA NARCISA DE JESUS 0701903981001 X 104855 HIDALGO SANTOS AMABLE 0701904641001 X 199886 CRESPIN SALINAS TOMAS ANIBAL 0701907578001 X
  • 197.
    No No registra No No registra No No. registra registra No. indicadores registra provincia, registra Persona_id NOMBRE No. ID (RUC) calle número registra de ventas, apellido cantón y primer principal de calle origen activos y/o paterno parroquia nombre principal empleados 190215 ALBARRACIN ENCALADA ANITA VICTORIA 0701912826001 X 91874 CASTRO VERA JORGE RENE 0701914087001 X 186952 MORALES FEIJOO MANUEL IVAN 0701916082001 X 16711 ARMIJOS BLANCO PEDRO TEL MO 0701916371001 X 82653 GRANDA CORREA WILLIAN SIMON 0701916439001 X 141674 TOBAR PAZMIÑO CARLOS JULIO 0701916785001 X 207611 AGUILAR MORA PABLO GERMAN 0701917114001 X 13944 INGENIERIA CIVIL 0701918377001 X 155068 PARDO ORELLANA JOSE HUMBERTO 0701918740001 X 199098 CORTEZ SANCHEZ ROSA ESTHER 0701920159001 X 29452 CABRERA PRIETO HERNAN RAMIRO 0701923179001 X 115979 VALDIVIESO LOJAN WILFRIDO SUPERMAN 0701923401001 X 165871 ROMERO ESPINOZA VICTOR FRANCISCO0701924953001 X 189218 HERNANDEZ AGUILAR HERGMANN HERNAN 0701927287001 X 43135 VEGA CAMPUZANO ROMULO RODRIGO0701927915001 X 251723 ORTIZ MORA MARLOMBRANDO COLON0701928152001 X 236833 APOLO RAMIREZ BLANCA FLOR 0701934804001 X 213359 PEÑA SOTOMAYOR HUGO LISTON KLAY 0701937039001 X 215529 TANDAZO TANDAZO FELIX GONZALO 0701938144001 X 23045 REYES NEIRA MIGUEL ALFREDO 0701941122001 X 13918 ING. ANGEL GUSTAVO ROMERO 0701950313001 X 137807 SANCHEZ PAREDES WALTER HORACIO0701951303001 X 202250 PAREDES SAGAL NASSER NARVAEZ 0701955932001 X 214634 QUIZHPE ZHUNAULA CLOTARIO SEGUNDO 0701957078001 X 63931 GALARZA RAMIREZ WILSON PATRICIO 0701964439001 X 150125 JARAMILLO OCHOA WILMAN SAULI 0701964553001 X 149132 VILLÓN VELEZ LUIS ANTONIO 0701969503001 X 58184 ARIAS LOPÉZ GABRIEL GEOVANY 0701976490001 X 154669 VILELA PINCAY WILSON EXSON 0701979692001 X 141100 LOOR ROBLES DELCITO RAMON 0701982811001 X 200842 BRAVO RIOFRFIO JAIME DANIEL 0701986754001 X
  • 198.
    No No registra No No registra No No. registra registra No. indicadores registra provincia, registra Persona_id NOMBRE No. ID (RUC) calle número registra de ventas, apellido cantón y primer principal de calle origen activos y/o paterno parroquia nombre principal empleados 152116 MENDIETA GARZON JUAN STALIN 0701987786001 X 173490 GUAYCHA VALAREZO JORGE EDUARDO 0701989915001 X 131809 GOMEZ MONTALVAN ALFONSO ELIGORIO 0701990681001 X 178932 VASQUEZ AGUILAR JORGE KLEVER 0701994873001 X 111274 ARMIJOS SERRANO ABDON BELISARIO0701997710001 X 266276 RAMIREZ JARAMILLO FLOR MIREYA 0702003740001 X 214476 MATUTE CASTRO LUIS GUSTAVO 0702004318001 X 11532 INGENIERO CIVIL CONSTRUCTOR/CONSULTOR 0702005679001 X 210929 REY TORRES GINA ELIZABETH 0702006255001 X X X 128053 CARVAJAL ALBAN HERNAN EDUARDO 0702009572001 X 148864 SARMIENTO MACHUCA MEDARDO AUGUSTO0702010372001 X 180071 PACHECO ARMIJOS FLOR DEL CARMEN 0702012048001 X 264667 PROCEL LUNA JOHNNY DANIEL 0702014218001 X 182504 GARRIDO FLORES MIGUEL EDISON 0702015470001 X 92317 SHIGUANGO ABAD CORINA DE LOS ANGELES 0702016882001 X 241877 MOCHA ELIZALDE FREDDY DARIO 0702017898001 X 16526 ERWIN 0702019738001 X 101941 SANCHEZ SANCHEZ MILTA RUMALDA 0702021163001 X 12522 SONIA PINDO 0702022138001 X 187754 RIVAS GALARZA WINSTON EFREN 0702027475001 X 4568 INGENIERO CIVIL 0702030198001 X 215568 VILLACIS ARELLANO FILANDIA OLANDA0702033143001 X 32360 QUEZADA BUSTAMANTE NANCY EMERITA 0702036385001 X 134321 AGILA DIAZ FREDDY VICENTE 0702038407001 X 218315 ESCANDON JARA FERNANDO ENRIQUE0702041849001 X 70739 MURILLO LEON ANGEL ANTONIO 0702042425001 X 142214 SANCHEZ NOBLECILLA DIMAS OSWALDO 0702043001001 X 197075 JIMENEZ MAZA JENNY MARELA 0702046012001 X 269622 AGUIRRE ORDOÑEZ VICTOR MANUEL 0702046483001 X 85272 MERINO MORENO CARLOS HUMBERTO0702048281001 X 118107 GALARZA GALLARDO ANDRES FERNANDO 0702052424001 X
  • 199.
    No No registra No No registra No No. registra registra No. indicadores registra provincia, registra Persona_id NOMBRE No. ID (RUC) calle número registra de ventas, apellido cantón y primer principal de calle origen activos y/o paterno parroquia nombre principal empleados 142407 CABEZAS MURILLO JUAN NIVALDO 0702052531001 X 86795 AUCAY MURILLO ESTHER CARMELINA 0702054941001 X 83365 CHUICO KLEVER IVAN 0702057829001 X 175201 BARRETO BERREZUETA JORGE AQUILES0702058181001 X 149594 GUICHAY FLOR MARIA 0702064486001 X 138895 JAIME RAMIREZ FAULER JIMY 0702067471001 X 225476 PATIÑO BRITO SEGUNDO GILBERTO 0702067620001 X 176183 SUAREZ GAONA JOSE GUILLERMO 0702070707001 X 208897 PINEDA ZHIGUE GERARDO OSWALDO 0702071648001 X 91773 ORTEGA MANUEL 0702072281001 X 79206 XXX SALAZAR LUIS ENRIQUE 0702073313001 X 160103 ORTEGA ESPINOZA JORGE EDMUNDO 0702078700001 X 33630 APOLO APOLO VILMAN OVIDEO 0702079443001 X 112924 AULESTIA ROJAS JOSE GERMAN 0702081563001 X 250685 ARMIJOS GALLEGOS JOSE LUIS 0702082587001 X 118483 GIA CUENCA REBECA 0702083569001 X 252049 CAMPOVERDE ASTUDILLO GLADYS MARIA 0702083916001 X 218215 ECHEVERRIA ORTIZ DANIEL ALFONSO 0702084468001 X 14490 ING. ROBER AGUILAR 0702098609001 X 134916 VALENCIA VALDEZ JOSE MIGUEL 0702099284001 X 181699 PINCAY CASTRO PETRA MARIA 0702100934001 X 155984 LALANGUI CUENCA INÉS MARIETA 0702108952001 X 234875 AGUILAR SILVA KLEBER ORLANDO 0702110347001 X 93215 ORDINOLA CORDOVA ANA FIDELIA 0702111451001 X 15888 ING ANGEL SOCOLA 0702113374001 X 174356 VERA CEDILLO ANA MAGDALENA 0702116252001 X 85251 HERRERA DIAZ JOSE GODYRON 0702118654001 X 84160 SUAREZ GARCES NEY MARITZA 0702121781001 X 115273 PERALTA PIURI OSCAR EUSEBIO 0702122086001 X 50928 POZO VELASCO FERNANDO PATRICIO 0702124777001 X 98628 CHAVEZ DAVILA TANIA YICELA 0702127416001 X
  • 200.
    No No registra No No registra No No. registra registra No. indicadores registra provincia, registra Persona_id NOMBRE No. ID (RUC) calle número registra de ventas, apellido cantón y primer principal de calle origen activos y/o paterno parroquia nombre principal empleados 11246 CONSTRUCTORA HNOS. LOPEZ 0702129867001 X 178744 BENITEZ PEREZ ESTHELA MARGARITA 0702130212001 X 259622 ROMAN MORA ROLANDO OMAR 0702130733001 X 105260 LOJA QUICHIMBO CARMITA LUCIA 0702131608001 X 166722 SANCHEZ ROMERO PATRICIA SOLEDAD 0702131921001 X 116062 BLACIO ESPINOZA GEORGE BENJAMIN0702136540001 X 173440 FLORES HUGO ADALBERTO 0702136946001 X 177169 MACAS YAGUANA JOSE ANTONIO 0702138900001 X 193798 ASENCIO CRUZ GUILLERMO WILFRIDO 0702139031001 X 82948 CAMPOVERDE PALACIOS JOHN JESUS 0702139932001 X 176023 CAMPOVERDE RAMIREZ FABIAN ALFREDO 0702140088001 X 68983 FARIAS GONZALEZ ISABEL MARISOL 0702140708001 X 195631 REYES VERA ANGEL BACILIO 0702141813001 X 232922 LAPO MANCHAY SERVIO 0702142639001 X 173476 PEREIRA TINOCO KEPTI LENIN 0702144833001 X 3583 MACIAS PARRA MERCEDES DEL ROCIO0702147927001 X 182272 AGREDA AGREDA LUIS JOSELITO 0702153180001 X 108905 AVENDAÑO CARRION CARLOS FRANCISCO 0702153818001 X 146410 QUZADA RUEDA SEGUNDO AGUSTIN 0702156464001 X 143473 REYES AGUILAR PEDRO JOSÉ 0702156704001 X 109378 GADVAY YAMBAY MARTHA FABIOLA 0702159476001 X 40672 EDUARDO MODESTO AREVALO 0702159740001 X 192135 RUIZ TORO CARLOS JOSELITO 0702166356001 X 30384 VALAREZO ESPINOZA WASHINGTON HONORIO 0702169616001 X 57451 JORGE 0702174319001 X 17952 ROGER 0702179110001 X 237524 AGUILAR MOROCHO SARITA MARIA 0702179425001 X 45529 VERA MORA JOHNNY ELFRIE 0702179433001 X 237397 RAMIREZ MAURO ALFREDO 0702181314001 X 116457 BUSTAMANTE ELIZALDE SARITA CONSUELO 0702181405001 X 207046 VALAREZO OCHOA CECILIA MARGARITA0702184904001 X
  • 201.
    No No registra No No registra No No. registra registra No. indicadores registra provincia, registra Persona_id NOMBRE No. ID (RUC) calle número registra de ventas, apellido cantón y primer principal de calle origen activos y/o paterno parroquia nombre principal empleados 79488 BERMEO GAONA GUAREDERAS JIMENEZ JONATHAN LEONARDO 0702185315001 X 143660 DELGADO HERRERA ELIZABETH MERCEDES 0702185919001 X 146887 YAGUANA CARRION OLFER BOLIVAR 0702186313001 X 173975 ROMERO JARAMILLO GUIDO ALFREDO 0702188590001 X 168192 XX ESPINOZA RENE DE JESUS 0702188673001 X 217976 CAMACHO VALDIVIESO GLADIS MARIA 0702190570001 X 140749 ROMERO PAUCAR LUIS FERNANDO 0702197096001 X 35123 SAMUEL 0702198565001 X 193596 PRADO SALAZAR ELVIS PAÚL 0702199373001 X 21463 CRUZ PRECIADO MARIA DEL ROCIO 0702203126001 X 141936 AMAYA CAMPOVERDE EMERITA ESPERANZA 0702203233001 X 78389 MATAMOROS SANCHEZ MARITZA DEL CARMEN 0702209693001 X 138869 SANTORUN JIMENEZ MIRIAN ELIZABETH 0702212028001 X 58960 PAZMAY GALARZA BOLIVAR ENRIQUE 0702217605001 X 211595 DAUL URDIALES LUZ DEL PILAR 0702217720001 X 107286 TACURI RIVAS MARCO ANTONIO 0702217944001 X 276107 ELIZALDE OLGA MARINA 0702222142001 X 198166 PEREZ MOSCOSO IVONNE MARIA 0702223280001 X 28740 PINDO MACAS MARLENE ESPERANZA 0702223512001 X 228054 RAMIREZ ROMERO EDDI GABINO 0702227190001 X 228635 AGUILAR RAMIREZ ROSA ALEJANDRINA0702228032001 X 243934 ORELLANA CABRERA RICHARD HERNAN702233412001 0 X 18485 FADUL BELTRAN CESAR YAMIL 0702233834001 X 13722 ELSI ROMERO 0702237280001 X 242811 MERY MARIETA CUENCA CHAMBA 0702243320001 X 194043 MALACATOA CALDERON LUIS ALBERTO 0702246174001 X 251628 GONZALEZ YUMBLA TANYA MARTHA 0702250440001 X 146276 QUITO CORDOVA IRMA MARISOL 0702250481001 X 42032 ESCANDON JARA JIMMY JOEL 0702257999001 X 163880 VERA CAJAMARCA RUTH MAGALY 0702271826001 X 149775 PANTALEON AGUILAR LUIS HERNAN 0702273772001 X
  • 202.
    No No registra No No registra No No. registra registra No. indicadores registra provincia, registra Persona_id NOMBRE No. ID (RUC) calle número registra de ventas, apellido cantón y primer principal de calle origen activos y/o paterno parroquia nombre principal empleados 165858 ERAS ABAD SABINA MARISOL 0702275884001 X 150587 CABRERA MOROCHO ENMA ROSA 0702277310001 X 103775 OLLAGUE ASTUDILLO BISMARK ITALO 0702277971001 X 247065 ORDOÑEZ RIOS LEONOR ISABEL 0702278730001 X 18291 MALDONADO AGUILAR ANGEL RENEE 0702281031001 X 210341 OLMEDO VALAREZO NAPOLEON ALEXANDER 0702281338001 X 115194 ALVAREZ SIVISAPA PODALIRIO MIGUEL0702283318001 X 180799 PESANTEZ JIMENEZ RENE ANTONIO 0702285198001 X 111020 RAMIREZ ROMERO ROGGER GUSTAVO0702286543001 X 39814 ASENCIO VERA MANUEL EDUARDO 0702292517001 X 145571 PALACIOS MARQUEZ JENNY ELIZABETH 0702294448001 X 147147 ZAMBRANO TORRES FREDY FRANCISCO 0702296179001 X 147135 AGUILAR BELTRAN CESAR HUMBERTO 0702299231001 X 76152 0702299298001 X 165181 MERIZALDE POVEDA JHON FREDDY 0702307943001 X 132901 GONZALEZ MALDONADO VICTOR AMARILDO 0702308099001 X 94170 LUIS PORFIRIO RODRIGUEZ CONTENTO 0702312273001 X 210533 GUZMAN GUZMAN JHON ROLANDO 0702314667001 X 34416 RIOS HERRERA NANCY EUGENIA 0702316720001 X 167638 PAZMIÑO RODRIGUEZ CARLOS ALBERTO 0702317280001 X 270705 OROZCO SOLANO THUESMAN HORTENCIO 0702322017001 X 34225 BALCAZAR ARMIJOS NARCISA DE JESUS0702324377001 X 50257 PORRAS ARAÚJO NÉSTOR VOLTAIRE 0702324781001 X 168334 ALDAS CAIZ LOURDES ADELA 0702325929001 X 190677 VEGA CESAR AUGUSTO 0702326984001 X 105192 RODRIGUEZ GUAMAN CARLOS FERNANDO 0702335480001 X 245560 CHACHA PESANTES LUIS BOLIVAR 0702348442001 X 206817 ALDAZ SIGCHO FREDDY EDUARDO 0702352899001 X 158662 CEVALLOS SUÁREZ JHON MARCOS 0702352998001 X 83494 CAMINOS CUEVA ORFELINA DEL CARMEN0702353871001 X 138116 MALDONADO SALAZAR LUIS ENRIQUE 0702361551001 X
  • 203.
    No No registra No No registra No No. registra registra No. indicadores registra provincia, registra Persona_id NOMBRE No. ID (RUC) calle número registra de ventas, apellido cantón y primer principal de calle origen activos y/o paterno parroquia nombre principal empleados 22595 VITONERA GASTIABUR MARYURI DEL ROSARIO 0702365842001 X 99330 SANCHEZ SUAREZ CESAR FERNANDO 0702366618001 X 194099 OLMEDO GIRON ARMANDO LENIN 0702368341001 X 134909 GONZALEZ AGUILAR ELICIA DEL CARMEN 0702368846001 X 163735 GAVILANES TENESACA JAVIER OTON 0702370347001 X 93060 NARVAEZ CASTILLO SANTOS MERCI 0702381138001 X 130421 CONDOY BLACIO ROBERTH MONFILIO 0702384876001 X 103730 NIEBLA CEVALLOS LILA GERMANIA 0702385758001 X 27599 ALVAREZ MOLINA EDGAR VLADIMIR 0702388588001 X 125601 GALVEZ LLANLLAN MARIA ELENA 0702389180001 X 167415 PEREIRA TINOCO YURI BORIS 0702393430001 X 113670 GRANDA AGUILAR GERMANIA MERCEDES0702395864001 X 166013 JUMBO SANCHEZ FULTON FRANCISCO0702399684001 X 19920 ZUMBA BRITO MARCO GEOVANNY 0702401159001 X 204804 ORDOÑEZ BRITO YOLANDA GABRIELA 0702401985001 X 143644 VARGAS JACOME ISAIAS FERNANDO 0702403742001 X 162112 MOROCHO MOLINA WILMER VICENTE 0702406851001 X 241974 SAMANIEGO ARELLANO FRANKLIN HUMBERTO 0702407693001 X 223917 LOAYZA RAMIREZ FREDDY MANUEL 0702408238001 X 94183 CORREA AGUILERA SORAYA JACKELINE702410341001 0 X 268900 ARMIJOS RIOS JOSE LUIS 0702411505001 X 231436 NIEBLA ALVAREZ CARLOS ALBERTO 0702412248001 X 98120 SARAGURO MONTERO LUZ EULALIA 0702413808001 X 245540 GALVEZ SANCHEZ YONI RAQUEL 0702415563001 X 16987 ESPINOSA ESPINOSA MARIO ELIAS 0702417346001 X 162242 ESPARZA TOALONGO MANUEL JACINTO 0702418013001 X 54426 PAZMIÑO RODRIGUEZ RUBÉN ALFONSO 0702418294001 X 43648 SERVILIO 0702418625001 X 267938 BLACIO TORRES JOSE LUIS 0702418781001 X 210889 RAMON QUEZADA MANUEL AGUSTIN 0702418922001 X 165839 VACACELA GIA FROILAN ANTONIO 0702419458001 X
  • 204.
    No No registra No No registra No No. registra registra No. indicadores registra provincia, registra Persona_id NOMBRE No. ID (RUC) calle número registra de ventas, apellido cantón y primer principal de calle origen activos y/o paterno parroquia nombre principal empleados 11882 CEDILLO RUIZ JORGE LUIS 0702419961001 X 114408 CASTRO BUSTAMANTE XAVIER ALEXANDER 0702420985001 X 14930 ANGELA CELI SILVA 0702423740001 X 249442 RAMIREZ SOTO MARIA ELIZABETH 0702424219001 X 229009 ESPINOSA SUÁREZ MARCO PATRICIO 0702424441001 X 177077 PALMA VARGAS ALCIDES GONZALO 0702426784001 X 46650 ESPINOZA PÉREZ SANDRA OLIVA 0702428632001 X 47779 CUEVA VEGA GERMAN RIGOBERTO 0702430638001 X 26584 NIEBLA GONZALEZ LUIS FELIPE 0702432568001 X 178088 AVILA CARVAJAL ASISCLO ALFONSO 0702436270001 X 57080 MARIO 0702436585001 X 167023 HIDALGO BARZOLA PATRICIA DEL ROCIO 0702437054001 X 94163 CAIMINAGUA NAGUA MIRIAM NARCISA 0702445362001 X 185308 ORTIZ ZHUMI EDISON VICTOR 0702447103001 X 131130 VARGAS JARAMILLO PATRICIO EDUARDO 0702448788001 X 50795 CARLOS 0702450677001 X 51074 VALDIVIEZO AGUIRRE JOSÉ RAFAEL 0702451899001 X 259403 SUCO QUITO VICENTE GENARO 0702453952001 X 183143 ANAZCO ROMERO LUIS ALBERTO 0702454653001 X 61140 LOAYZA SALAZAR WILLIAN NEIL 0702459264001 X 76635 CORREA MARIN ANGEL STALIN 0702462581001 X 158799 CHAMORRO VIVEROS JESUS HUMBERTO 0702467556001 X 144307 LOAIZA CUENCA CARLOS OSWALDO 0702469354001 X 267380 MALDONADO ORDOÑEZ ROSA ELICIA 0702470204001 X 177857 CONCHA ILLESCAS MAURICIO ALCIDES0702473612001 X 195298 FAREZ REINOSO ROSA ANGELITA 0702474172001 X 195134 VARGAS MOTOCHE ALFREDO ALEJANDRO0702477951001 X 136430 OLAYA SALVATIERRA ANGEL ESTEBAN0702485004001 X 261822 MERCEDES GUIÑA MERCEDES HERLINDA0702495375001 X 183520 MARTINEZ LOAYZA LUIS ALEJANDRO 0702499286001 X 82735 ZAMBRANO LOAYZA YENNY MAGYURI 0702500083001 X
  • 205.
    No No registra No No registra No No. registra registra No. indicadores registra provincia, registra Persona_id NOMBRE No. ID (RUC) calle número registra de ventas, apellido cantón y primer principal de calle origen activos y/o paterno parroquia nombre principal empleados 88025 AYALA RODRIGO 0702505132001 X 98726 LEÓN AGUIRRE PABLO GEOVANNY 0702506817001 X 165809 MACAS PACHECO JOSELITO ENRIQUE 0702514035001 X 103858 APOLO LOZA MARÍA TERESA 0702514704001 X 155129 DAVILA FEIJOO FAUSTO CELESTINO 0702517160001 X 160434 MURILLO GUAJALA NUMA EFREN 0702517202001 X 189350 ESPINOZA ENCARNACIÓN SEGUNDO RODRIGO 0702517673001 X 149428 SANMARTIN ROBLES EDILME ABILIO 0702518358001 X 257768 AÑAZCO ROBLES EDI MARCELO 0702518747001 X 150540 AÑAZCO VALAREZO LUIS UFREDO 0702518895001 X 221425 SANDOVAL MALDONADO JOSE MIGUEL0702523820001 X 206867 RAMIREZ CAMPOVERDE NESTOR IVAN 0702526633001 X 168894 YANEZ YANEZ MANUEL SUCRE 0702537044001 X 204375 LOAYZA CALERO WALTER SANTOS 0702537069001 X 192283 CORDOVA NARVAEZ ANA OFELIA 0702541509001 X 136323 AGUILAR LOAYZA ROSA ELENA 0702542192001 X 58492 LUNA FLORES ELICEO EZEQUIEL 0702544461001 X 248298 VALAREZO SUSCAL GINA CLEMENCIA 0702547019001 X 161953 ALVAREZ GUARNIZO RAMON 0702547407001 X 181010 GALVEZ NAGUA MARTHA YOMAR 0702548884001 X 77736 MATAMOROS VALAREZO ARTURO MANUEL 0702549726001 X 223785 QUIMI TORO FREDDY ALITTETH 0702549940001 X 102365 SEGARRA TIGRE JOSE ABEL 0702551953001 X 213980 OSORIO GRANDA HILDA LUPE 0702552050001 X 228871 TENEZACA ROMERO CLAIDER XIMENA 0702555236001 X 144549 CADENA SOLORZANO SANDRA CECILIA0702555657001 X 152901 SANCHEZ SARMIENTO LORGIO GUILLERMO 0702555673001 X 276439 CAMPOZANO RAMIREZ TAMARA JAKELL0702556556001 X 58482 MÁRQUEZ CAJAMARCA LUIS WILSON 0702558388001 X 256463 MURILLO LEON NESTOR BALDEMAR 0702559329001 X 178519 MEDINA ZHUNE ESTHER JUANITA 0702559931001 X
  • 206.
    No No registra No No registra No No. registra registra No. indicadores registra provincia, registra Persona_id NOMBRE No. ID (RUC) calle número registra de ventas, apellido cantón y primer principal de calle origen activos y/o paterno parroquia nombre principal empleados 147814 GONZALEZ MALDONADO EDGAR MIGUEL 0702561333001 X 238335 ECHEVERRIA BRAVO SEGUNDO HERIBERTO 0702562695001 X 101210 MORENO ARMIJOS HERIBERTO 0702568387001 X 98918 HIDALGO CHICA BERTHA MARIA 0702570995001 X 261063 DEL ROSARIO CUJILÁN MANUEL ENRIQUE 0702573734001 X 176875 MACAS ROMERO GLENDA PAMELA 0702583675001 X 126537 AYALA LAPO JOHNSON FERNANDO 0702584996001 X 273641 SANCHEZ MARQUEZ VICENTE GEOVANNY0702585985001 X 213014 PEÑALOZA LOPEZ SERGIO ORLANDO 0702587312001 X 37741 UNUZUNGO PRECIADO OSWALDO LENIN 0702590514001 X 83848 MALDONADO GUERRERO FRANKLIN HIPOLITO 0702593179001 X 272296 YANEZ CABRERA JUAN JOSE 0702594581001 X 204831 ROMERO HIDALGO OSCAR MAURICIO 0702603747001 X 112750 TENELEMA CHANGO WILLIAM GIOVANNI0702604505001 X 49204 PENAFIEL FLORES CARLOS JULIO 0702607128001 X 187394 CAMPOVERDE ARCE JORGE EDUARDO0702609157001 X 269648 DELGADO DELGADO EDID MARCELO 0702610643001 X 92538 AGUILAR MOROCHO TROZKY GEORGE0702615733001 X 267478 KAM BUSTOS CARLOS EDUARDO 0702619990001 X 241772 FAREZ CHILLOGALLI FELIX ANTONIO 0702622697001 X 242027 AJILA CHAMAIDAN NECKER OSWALDO 0702623513001 X 143608 MACAS GUZMAN SAIDA DEL CARMEN 0702631037001 X 90376 MANCHAY CAPA CARMEN NANCY 0702638909001 X 227885 SANCHEZ GUERRERO FEDERICO LAURO 0702642729001 X 218969 TORRES GONZÁLEZ GINA MARIANA 0702643628001 X 120623 FEIJOÓ QUEZADA MALENA DEL CISNE 0702643875001 X 192383 ARIAS BRITO ALFONSO MANUEL 0702644360001 X 165322 QUEZADA ESPINOZA MANUEL SAUL 0702644915001 X 252076 RIVAS ROMERO ROBERTO ANTONIO 0702645342001 X 55335 MALDONADO ALBARRACIN HELEN ALEXANDRA 0702650359001 X 87590 BARRERA ULLAURI MILDRED CECILIA 0702658204001 X
  • 207.
    No No registra No No registra No No. registra registra No. indicadores registra provincia, registra Persona_id NOMBRE No. ID (RUC) calle número registra de ventas, apellido cantón y primer principal de calle origen activos y/o paterno parroquia nombre principal empleados 142768 PINEDA ARMIJOS WELLINGTON EDGARDO 0702663063001 X 15595 FERROBLOK 0702665944001 X 10575 RUIZ VEINTIMILLA JOSE AGUSTIN 0702666355001 X 135045 MAZA IÑIGUEZ JOSE VICENTE 0702673583001 X 48091 CAMPOVERDE AYMAR EDWIN FRANKLIN702674136001 0 X 161684 AGILA PINZON GALO VIDAL 0702677485001 X 24013 GORDILLO GONZALEZ JORGE MARCELO702678509001 0 X 51253 HERRERA PALADINEZ GEORGINA PIEDAD 0702680224001 X 168864 BORBOR ALDAZ HAMLLER VICENTE 0702680604001 X 193577 RODAS VERA BAYRON STALIN 0702681446001 X 112127 BERREZUETA DURAN JORGE BOLIVAR 0702682345001 X 168246 CARRILLO PADILLA BALTAZARA 0702683079001 X 136474 SANCHEZ VILLALTA JENNY MARÍA 0702684903001 X 214021 LOYOLA CHONG BORIS VLADIMIR 0702686353001 X 159082 BERMEO CHAVEZ FLORA ANGELINA 0702695891001 X 57605 JARAMILLO CASTILLO CARLOS TELMO 0702699448001 X 117168 VILLEGAS AGUIRRE CARMEN GRICELDA0702702499001 X 126793 VIVANCO VALAREZO CLEMENTE ROGELIO 0702704073001 X 190274 CARRENO TANDAZO RUBISKI LESTHERSON 0702706938001 X 268404 MALDONADO GODOY MANUEL GONZALO 0702708892001 X 112691 ALVARADO HURTADO SEGUNDO HERNAN 0702710104001 X 130647 GUERRERO PINZON WALTER EFRAÍN 0702711326001 X 119876 PESANTES SAMANIEGO ABEL ARTURO 0702712639001 X 54648 ZAMBRANO GALLARDO FLOR MARIA 0702716069001 X 258488 RAMIREZ SALAZAR GUILLERMO GUSTAVO 0702717299001 X 254343 SANMARTIN VASQUEZ EDIN REMIGIO 0702719881001 X 167174 PATIÑO NAULA JOSE RUPERTO 0702721796001 X 118906 MACAS PEÑARRETA JORGE ENRIQUE 0702723834001 X 151299 CAMACHO CAMACHO MANUEL ALVARO0702726233001 X 183298 RODRIGUEZ CARRION LUIS EFREN 0702733833001 X 253821 RAMIREZ LOAIZA LUIS ENRIQUE 0702734039001 X
  • 208.
    No No registra No No registra No No. registra registra No. indicadores registra provincia, registra Persona_id NOMBRE No. ID (RUC) calle número registra de ventas, apellido cantón y primer principal de calle origen activos y/o paterno parroquia nombre principal empleados 166676 MONTAÑO TORRES FELIX LAUTARO 0702736034001 X 134310 VALDEZ SANCHEZ YURI MARILU 0702745019001 X 177200 FEIJOO TINOCO GERARDO MAXWELL 0702746595001 X 149401 TORRES VARGAS WALTER JACINTO 0702753187001 X 27825 BUSTAMANTE MENA XAVIER VICENTE 0702766791001 X 69094 AREVALO ORTIZ FRANKLIN ADALBERTO0702767203001 X 118725 RIVERA CARTAGENA JIMMY DARWIN 0702768979001 X 119832 ULLOA CABRERA EMIL RODRIGO 0702769175001 X 138509 APOLO ISQUIERDO CERVILIO OCTAVIO0702770108001 X 65655 RIOS CEVALLOS EDWARD MARTIN 0702772690001 X 102593 AREVALO FAJARDO PETITA JUDITH 0702772872001 X 259883 ZAMBRANO SALAZAR VERÓNICA MARICELA 0702774563001 X 266515 MEJIA OCHOA MARIANA DE JESUS 0702776196001 X 201147 RODRIGUEZ JARAMILLO JOHN FERNANDO 0702778101001 X 107800 ORTEGA ROMERO EDDIE FERNANDO 0702778127001 X 149632 ORELLANA ROMERO DARWIN ENRIQUE 0702778135001 X 168983 ROMERO VALAREZO MAYDE DEL CISNE 0702778374001 X 23727 MORAN RAMIREZ MARIO MANUEL 0702780941001 X 96274 CARVAJAL ROMERO CLAUDIA DEL PILAR 0702784372001 X 205564 MARTINEZ CORONEL EINSTEN ECUADOR0702786815001 X 38658 RIOFRÍO AGUILAR LUIS EDUARDO 0702787912001 X 213684 SANCHEZ SANCHEZ VICTOR ARNALDO0702794116001 X 251265 SORIANO BERMUDES RAUL BENEDICTO 0702795436001 X 275042 CUENCA ORDOÑEZ MARY ISABEL 0702797630001 X 121178 PILLACELA YUNGA SEGUNDO RODRIGO 0702798224001 X 48622 LEON AGUIRRE HENRY FABIAN 0702800152001 X 122867 MALES ARMIJOS MADALIA IRLANDIA 0702801820001 X 162364 LOAYZA VALAREZO JOSE ANTONIO 0702802422001 X 173064 JARA ROMERO JHONNY RAFAEL 0702802737001 X 4304 MARCOS 0702802885001 X 106962 QUEZADA IÑAMAGUA JACINTO BLADIMIR 0702804584001 X
  • 209.
    No No registra No No registra No No. registra registra No. indicadores registra provincia, registra Persona_id NOMBRE No. ID (RUC) calle número registra de ventas, apellido cantón y primer principal de calle origen activos y/o paterno parroquia nombre principal empleados 271273 CEDILLO CALLE CARLOS ARTURO 0702806068001 X 200575 CAPELO SILVA JOSEPH LEANDRO 0702808494001 X 181324 GOMEZ SUAREZ CARLOS JOHN 0702811464001 X 52889 CALVA ARMIJOS JHONNY HENRY 0702824384001 X 151028 NOBLECILLA SOTOMAYOR WALTER EDUARDO 0702824657001 X 220758 PEREZ APOLO RANDOL EDINZON 0702830977001 X 114624 AUCAY AUCAY WILLIAN DIMAS 0702834219001 X 150207 VALENCIA ZAMBRANO JAVIER MANUEL0702836156001 X 148551 AGUILAR CAMPOVERDE MARIANA DE JESUS 0702848748001 X 83522 PEZO QUINCHE GRISELDA ISABEL 0702849746001 X 79312 TORO TORO BAUDILIO EVERALDO 0702852138001 X 222112 HUIRACOCHA COELLO KLEVER ANTONIO0702852690001 X 134340 DAVILA CARRION SILVIA ESPERANZA 0702865189001 X 140791 DAVILA GONZALEZ PABLO FERNANDO 0702875840001 X 12364 JCAVILAJARAM 0702877432001 X 219406 OJEDA VALLE KLEWIN MANUEL 0702877903001 X 110420 BUSTAMANTE RUEDA EDINSON BORIS 0702878505001 X 192638 MARIN ORTEGA HUGO RAMIRO 0702880956001 X 174122 ROMERO ESPINOZA LENIN EFRAÍN 0702889015001 X 169683 MOROCHO CALLE JOSE EUSEBIO 0702890880001 X 101977 VARGAS MOTOCHE GILBERTO SALOMON 0702893710001 X 12518 LUNA TENESACA VILMA JANETH 0702896218001 X 170203 MEDINA ZAPATANGA PEDRO JAVIER 0702898651001 X 275589 VIVANCO AGUIAR DANNY ALEXANDER 0702903204001 X 178038 UREÑA UREÑA ZOILA ROSA 0702910035001 X 255632 VALLE ESPINOSA KARINA PATRICIA 0702910316001 X 79748 LOPEZ ITURRALDE NERY ELVIRA 0702916107001 X 218697 SOTOMAYOR FLORES HEELENN HENNESY0702917071001 X 222899 POGO VILELA LUIS BERNARDO 0702926338001 X 255744 LAINES MORAN WILLIAN JHONSON 0702928284001 X 212391 RIVERA TORRES FRANCISCA ELIZABETH 0702932146001 X
  • 210.
    No No registra No No registra No No. registra registra No. indicadores registra provincia, registra Persona_id NOMBRE No. ID (RUC) calle número registra de ventas, apellido cantón y primer principal de calle origen activos y/o paterno parroquia nombre principal empleados 148536 QUEZADA CASTILLO WILSON ENRIQUE 0702933672001 X 93257 LEON VARGAS JACKELINE LETICIA 0702935453001 X 178290 ROMERO ROMERO WINSTON POLIBIO 0702937590001 X 43740 CARPIO ORBES EUCLIDES HONORIO 0702938960001 X 120021 ANDRADE ORDOÑEZ ROSITA ELENA 0702940016001 X 221265 CALVA CHUQUIMARCA JOFRE ANTONIANO0702940529001 X 179644 CEDILLO ROMERO SEGUNDO SALVADOR 0702942335001 X 264117 ASTUDILLO AÑAZCO JORGE ARTURO 0702945262001 X 90105 CAMPOVERDE VARGAS KENNETH SANTIAGO 0702947128001 X 221552 JARAMILLO CENTENO JIMY STALIN 0702952730001 X 138270 MACAS ESPINOZA FIDEL AMNELIO 0702953548001 X 90726 APONTE SOCOLA SEGUNDO GABINO 0702961574001 X 108575 MACHUCA VIVANCO CARLOS DAVID 0702962291001 X 125827 SANMARTIN QUEZADA WALTER IPOLIO0702970120001 X 257952 MACAS LABANDA ANGEL PATRICIO 0702981952001 X 103357 CEDILLO RIVAS FELIX ALI 0702986076001 X 246276 VALAREZO LEON OSWALDO DE JESUS 0702987991001 X 107945 NARAMJO VELECELA FRANCISCO LIBORIO 0702995721001 X 58281 HECTOR 0702998790001 X 36764 DELGADO JAIME SEGUNDO 0703000406001 X 141733 ZAMBRANO ZAMBRANO FREDDY ENRIQUE 0703003665001 X 188347 CUENCA RODRIGUEZ FLORESMILO GERISELDO 0703005421001 X 149844 NOBLECILLA VELEZ MAURICIO EFRAIN 0703006288001 X 211013 RIOFRIO LOAYZA DARWIN ALFONSO 0703014423001 X 65084 DAVILA CASTRO ROBERTH ENRIQUE 0703021576001 X 144581 MALDONADO CHALÁN RICARDO EDUARDO 0703022202001 X 214088 RAMBAY SALINAS DARWIN WASHINGTON 0703022723001 X 38971 OCHOA NAVARRO CARLOS ALBERTO 0703031799001 X 208419 SARANGO ARIAS NIXON GEOVANNY 0703038307001 X 206828 APOLO LOZA FRANKLLIN 0703042226001 X 226624 FLORES MENDEZ MERCEDES HONORINA 0703043067001 X
  • 211.
    No No registra No No registra No No. registra registra No. indicadores registra provincia, registra Persona_id NOMBRE No. ID (RUC) calle número registra de ventas, apellido cantón y primer principal de calle origen activos y/o paterno parroquia nombre principal empleados 165673 ZAPATA COBOS GUILLERMO EFRAÍN 0703049593001 X 109143 ARÉVALO APOLO KLEBER ANTONIO 0703067660001 X 219020 NIETO ROMERO MAYRA KARINA 0703070086001 X 191439 GIA CUENCA DILMO GONZALO 0703072074001 X 96698 QUEZADA SOTO MARTHA PATRICIA 0703073346001 X 244037 AVILA GALLEGOS CECILIA ELIZABETH 0703074211001 X 110888 ALVAREZ SUAREZ MARTHA GISELA 0703076695001 X 112470 MATUTE ESPINOZA YOCONDA DEL CISNE0703079301001 X 154963 RUIZ CARRION MONICA DEL CARMEN 0703080887001 X 114559 ROMERO FREIRE SEGUNDO ENRIQUE 0703081836001 X 102099 GALARZA FREIRE JOSE HUMBERTO 0703094516001 X 198877 CASTILLO JIMENEZ ALBA MAGDALENA 0703098491001 X 235410 GUILLEN PINOS CARLOS MARCELO 0703106567001 X 218980 MENDEZ BRAVO ANGEL DAVID 0703111203001 X 137888 DUARTE ELIZALDE MELVANIA JACQUELINE 0703114264001 X 228550 FERNADEZ VILELA YESENIA ELIZABETH0703116715001 X 37853 JUMBO YAMUCA FRANCO EDUARDO 0703118349001 X 260119 ORELLANA MOCHA EDISON DANIEL 0703118810001 X 163443 QUIMI ESPINOZA MARYURI EUFEMIA 0703119057001 X 68121 GALVEZ FEIJOO HUGO RAFAEL 0703127985001 X 165768 ARMIJOS GUAMAN EDGAR MANUEL 0703137885001 X 261615 OCAMPO RAMIREZ LUIS SALVADOR 0703146498001 X 140045 AGUILAR AGUILAR JUAN CARLOS 0703148882001 X 143749 GOMEZ QUIÑONEZ JULIO ANTONIO 0703154583001 X 23396 FERNANDEZ MALDONADO WIILIAM JEAN PAUL 0703159632001 X 21938 BUSTAMANTE ABAD OSWALDO FERNANDO 0703162016001 X 258076 VARGAS FEIJOO JORGE FABIAN 0703162438001 X 109487 PELAEZ ROMERO MARCOS ANTONIO 0703167015001 X 93372 LUNA HERVIN 0703170506001 X 17081 JORGE 0703170555001 X 175456 VIVANCO CASTRO JEFFERSON FERNANDO0703170647001 X
  • 212.
    No No registra No No registra No No. registra registra No. indicadores registra provincia, registra Persona_id NOMBRE No. ID (RUC) calle número registra de ventas, apellido cantón y primer principal de calle origen activos y/o paterno parroquia nombre principal empleados 265330 QUEVEDO MOLINA JHON HENRRY 0703172478001 X 214386 RAMIREZ RUILOVA LINDER JONATAN 0703176628001 X 107778 LEON JORDAN RICHARD EMILIO 0703177493001 X 226080 VILLACIS GONZALEZ ROSA ELISA 0703179549001 X 138178 FAREZ GALARZA DARWIN PATRICIO 0703182600001 X 68097 CASTRO BLACIO VIVIANA ELIZABETH 0703182881001 X 236921 AGUILAR HERRERA DENISE FAVIOLA 0703187807001 X 133276 SANCHEZ IDROVO CELINA CAROLA 0703190066001 X 86339 IÑIGUEZ LEON GLORIA NATIVIDAD 0703197236001 X 136986 SIVISAPA CARAGUAY DENISSE ELIZABETH 0703198846001 X 58484 CORPORACION DE PROMOCION ECONOMICA CONQUITO 0703201012001 X 182886 ROMERO RIVERA JESSENIA DE LA NUBE703216184001 0 X 161841 CAPELO PONTON WILLIAM PATRICIO 0703221663001 X 19948 DENNIS 0703225292001 X 97067 PULGARIN VALDIVIEZO JHONNY JOSE 0703227173001 X 22436 MOROCHO MATUTE DESSY JOHAN 0703228080001 X 130167 VITE CEVALLOS HARRY ALEXANDER 0703231043001 X 199431 MALDONADO GUZMAN SARA DEL ROCIO703234120001 0 X 180481 MUÑOZ TORRES JAVIER ROBERTO 0703236026001 X 144377 PALADINES SALDAÑA LEONARDO HUMBERTO 0703238469001 X 171222 ZÚÑIGA CASTRO NÉSTOR ANTONIO 0703239772001 X 30434 RAMIREZ RAMIREZ ANGEL FABIAN 0703241372001 X 261576 CASTRO CHUNGATA MARITZA ALEXANDRA0703249425001 X 85487 VEGA GUILLIN JAISER GUSTAVO 0703251603001 X 101828 REYES GALLARDO BYRON DARWIN 0703255067001 X 274637 FIALLOS PAREDES JOSE FRANCISCO 0703260646001 X X 71343 AGUILAR AGUILAR JUAN CARLOS 0703265017001 X 3991 CARRION MORA MERY YESSENIA 0703266304001 X 108395 AQUINO PALOMEQUE OSCAR FIDEL 0703269308001 X 186821 JUMBO PAZ JOSE RAMIRO 0703270363001 X 108409 ZURITA OQUENDO ROLANDO JAVIER 0703272732001 X
  • 213.
    No No registra No No registra No No. registra registra No. indicadores registra provincia, registra Persona_id NOMBRE No. ID (RUC) calle número registra de ventas, apellido cantón y primer principal de calle origen activos y/o paterno parroquia nombre principal empleados 213040 ROSALES MENESES ELVIA JUSTINA 0703272930001 X 116778 QUIMI HERNANDEZ LUIS TONE 0703283010001 X 27276 LINDO GUATO EDWIN EDISON 0703285890001 X 39117 GOMEZ MOGROVEJO JAIME ESTUARDO 0703286971001 X 193109 SANDOVAL MALDONADO MANUEL ARTURO0703289397001 X 243908 GUALPA RAMIREZ EDDIE GERMAN 0703290544001 X 93174 ORDINOLA CORDOVA CLARA ESPERANZA0703298364001 X 220801 PEÑA TORO PABLO ANDRÉS 0703309971001 X 117271 LOPEZ MURILLO FAUSTO SAMUEL 0703310722001 X 235412 CHURO CORDOVA VLADIMIR XAVIER 0703325068001 X 214887 CALLE LEON LUZ BELLA 0703325175001 X 209440 CAJAMARCA CHUNCHO JOSE EMILIANO 0703325670001 X 105905 SICHIQUE PINTADO MARIA ESTHER 0703329060001 X 151882 GUAILLAS GUAILLAS LUIS ANTONIO 0703330506001 X 53638 ALVAREZ HURTADO CHRISTHIAN OSCAR0703332007001 X 73206 AJILA CAMACHO CESAR AUGUSTO 0703335521001 X 170538 DAVIS CASTRO MANUEL EUGENIO 0703335695001 X 196692 ROMERO ZERDA FRANCISCO XAVIER 0703338046001 X 90731 SARMIENTO ZUÑIGA MILTON RUPERTO0703339275001 X 16394 AMBULUDI ALVAREZ VINICIO DARIO 0703340307001 X 15623 REINOSO ZUNIGA JORGE JIMMY 0703360404001 X 179038 ROGEL MALDONADO JIMMY PATRICIO 0703360594001 X 179410 CUENCA CUENCA MATIAS FERNANDO 0703361808001 X 86530 CARAGUAY CARAAGUAY FULTON BENEDICTO 0703367391001 X 110929 CAMACHO SANCHEZ ANA ISABEL 0703368696001 X 120967 CORREA CASTRO LEONARDO ANTONIO 0703376426001 X 224265 JIMENEZ CAÑAR GERMANIA HERMANDINA 0703378802001 X 131705 SERRANO RAMON MABEL ANALIA 0703383323001 X 156880 CAÑAR MAZA MARIA ROSARIO 0703383869001 X 235371 RODRIGUEZ CORREA MIRIAN ELIZABETYH 0703386904001 X 139242 AGUILAR COLLAGUASO LEONARDO MIGUEL 0703392571001 X
  • 214.
    No No registra No No registra No No. registra registra No. indicadores registra provincia, registra Persona_id NOMBRE No. ID (RUC) calle número registra de ventas, apellido cantón y primer principal de calle origen activos y/o paterno parroquia nombre principal empleados 16812 QUIROLA VILELA DAMIAN MARCELO 0703395723001 X 111240 ARMIJOS TOALONGO MARICELA ISABEL0703399253001 X 183099 PARRA CACERES ORLANDO JAVIER 0703399824001 X 222462 CHAMBA BELTRAN MANUEL AUGUSTO 0703405068001 X 158755 ROMERO GALARZA MARIELA DEL ROCIO0703410167001 X 160299 ORDOÑEZ AGUILAR YINSON OVIDIO 0703411660001 X 267114 COOFFRE PINZON MARIA LORENA 0703418608001 X 253341 SARMAS FREIRE ARMANDO EFREN 0703419853001 X 166074 QUINDE RENDON RICHARD EFRAIN 0703420794001 X 20422 ORTEGA ESPINOZA MABEL IBETH 0703422154001 X 98297 IÑIGUEZ LOAIZA LUIS ALBERTO 0703429027001 X 124187 CARRION LEIVA WILMAN FERNANDO 0703432799001 X 97871 ORTEGA RAMON JHASMIN SOLEDAD 0703440321001 X 200656 FLORES SANCHEZ XIOMARA ISABEL 0703442418001 X 185524 RIVERA CAMPOS SANTOS LUPERCIO 0703442657001 X 129824 QUITO CHAMBA XAVIER SALVADOR 0703443945001 X 150050 GRANDA SANCHEZ PATRICIA DEL CARMEN 0703445197001 X 248789 PUGLLA MOSQUERA RODRIGO MARCELO 0703450668001 X 266614 PEÑA QUEVEDO JUAN CARLOS 0703477885001 X 123705 JIMÉNEZ JARAMILLO SEBASTIAN ESTUARDO 0703477984001 X 140968 SALINAS CAMACHO ALBERTO 0703479139001 X 211640 CARRIEL RAMIREZ EDISON JAVIER 0703487660001 X 217171 CAVERO PALMA HILARIO RUPERTO 0703487850001 X 129676 CABRERA CRIOLLO TERESITA DE LAS NIEVES 0703489278001 X 92517 PALACIOS TACURI VERÓNICA ALEXANDRA 0703497271001 X 122791 ROMERO YAMUNAQUE YADIRA LORENA 0703499772001 X 260801 MEDINA GARCÉS OSCAR MARCEL 0703522193001 X 241551 I URGILES LORGIO MAURITO 0703524199001 X X 174506 RODRIGUEZ SISALIMA GRIMALDA NATIVIDAD 0703524249001 X 100227 CHICA CHUCHUCA YULY KAREN 0703527671001 X 111855 BARZALLO MOSCOSO JULIO ANDRES 0703528869001 X
  • 215.
    No No registra No No registra No No. registra registra No. indicadores registra provincia, registra Persona_id NOMBRE No. ID (RUC) calle número registra de ventas, apellido cantón y primer principal de calle origen activos y/o paterno parroquia nombre principal empleados 277497 VARGAS ESPINOZA MARCO EDUARDO 0703534784001 X X 173392 JUMBO SANCHEZ CARLOS EDUARDO 0703549931001 X 122621 BENALCAZAR COTERA ANGEL GABRIEL 0703550541001 X 197778 MONTALVAN RAMIREZ MIGUEL ANGEL 0703561951001 X 85402 JARAMILLO GUERRA CARLOS GUILLERMO0703563841001 X 170410 VERA ORTIZ GONZALO NAPOLEON 0703573139001 X 190579 RAMÓN GUANUCHI MERCEDES MARÍA 0703584649001 X 97116 SANDOVAL CANAR LEODAN STALIN 0703585554001 X 237730 RAMIREZ BRAVO HERMINIA DELFINA 0703585737001 X 130888 MARQUEZ SAGAL MARCIA YADIRA 0703586933001 X 207579 ROJAS VIVANCO ESTALIN EDUARDO 0703590455001 X 199751 PAVON OCHOA HECTOR RAMIRO 0703596239001 X 175568 SUNCION INFANTE FLORCI DEL ROCIO 0703599746001 X 167215 BERMEO ZUÑIGA JAIME LUCIO 0703601971001 X 178994 VEGA FERNANDEZ JESSENIA MARICELA 0703604876001 X 195115 RODRIGUEZ YANDUN MARCO ANTONIO 0703608190001 X 183062 ARMIJOS AGUILAR JOSE FERNANDO 0703615252001 X 197363 RUIZ TINIZARAY JOHANNA MARYURI 0703618652001 X 154077 PALADINES CARRERA WALTER GEOVANNY0703624551001 X 12618 JOSE 0703625004001 X 68811 ECHEVERRIA VASQUEZ ANDREA CECILIA0703625913001 X 149579 JARAMILLO NIOLA MARIUXI NATALI 0703635250001 X 241160 CARCHI BENITEZ JUAN CARLOS 0703642280001 X 63820 MEDINA PUGO SANTIAGO MANUEL 0703653097001 X 25650 TEMISTICO 0703653840001 X 244312 SALAZAR FLORES PATRICIO LEONEL 0703659953001 X 266248 ZAMBRANO BALSECA CARLOS MIGUEL0703664037001 X 224142 ORDOÑEZ TELLO LUIS 0703665042001 X 214360 MASACHE BARRERA DARWIN HONORIO 0703668418001 X 258361 TELLO ZAPATA JESSENIA JUDITH 0703669739001 X 220130 CELI VIVANCO SANTOS MILTON 0703673046001 X
  • 216.
    No No registra No No registra No No. registra registra No. indicadores registra provincia, registra Persona_id NOMBRE No. ID (RUC) calle número registra de ventas, apellido cantón y primer principal de calle origen activos y/o paterno parroquia nombre principal empleados 129597 ORDOÑEZ SÁNCHEZ MANUEL ISMAEL 0703688283001 X 270094 LUZARDO QUEZADA MARCO DAVID 0703689232001 X 264578 CAHUANA PALMA KLEBER ANTONIO 0703689570001 X 245095 BRAVO BRAVO VERONICA PATRICIA 0703690123001 X 171793 JARAMILLO GODOY PABLO EDER 0703691873001 X 91686 AGUIRRE RODRÍGUEZ JOSÉ EDUARDO0703692442001 X 271995 PLACENCIO LOAYZA MAURICIO RODRIGO 0703693218001 X 263421 LOYOLA CASTRO RUDID ORLANDO 0703697466001 X 210924 OROSCO CASTILLO DALTON RODRIGO 0703702308001 X 149937 LEON TORO MARIA DEL CARMEN 0703708917001 X 221953 GALLARDO ORELLANA ALEXANDER PATRICIO 0703709485001 X 104218 RAMIREZ CAMPOVERDE AGUSTO CELIN 0703721613001 X 200253 QUIÑONES QUIÑONES EDWIN HUMBERTO0703723718001 X 173181 RECLDE JIMBO MARITZA VIVIANA 0703728428001 X 251586 HERRERA PINZÓN MONICA 0703729947001 X 83471 ELIZALDE CARPIO MERCY MAGALI 0703730200001 X 17470 FEIJOO CARRION DARWIN ROLANDO 0703732479001 X 156221 OÑA ROMERO CRISTIAN ALEXANDER 0703738567001 X 257537 ARROBO ARCOS BETY VANESA 0703739086001 X 92451 CASTILLO TROYA LUCRECIA ERNESTINA 0703741009001 X 138381 AGUILAR PENALOZA JUAN DIEGO 0703745794001 X 162575 BRITO PELAEZ RICARDO GABRIEL 0703750349001 X 221117 RUGEL VALLE ROBERT FERNANDO 0703751677001 X 244092 ROMERO HOLGUIN LENIN JOSE 0703752089001 X 265191 RIVERA MORENO PAULO CESAR 0703753251001 X 117897 MARQUEZ CHICAIZA JESSICA VANESA 0703756494001 X 119672 AGUIRRE VEINTEMILLA KARLO WILLMAR 0703757351001 X 161627 BELDUMA CUENCA JORGE INDALECIO 0703780072001 X 90166 SINCHE ALBAN ALEX MAURICIO 0703780445001 X 263820 MENENDEZ PRADO HENRY FABRICIO 0703783209001 X 108990 JIMENEZ SUQUILANDA JORGE PATRICIO703792754001 0 X
  • 217.
    No No registra No No registra No No. registra registra No. indicadores registra provincia, registra Persona_id NOMBRE No. ID (RUC) calle número registra de ventas, apellido cantón y primer principal de calle origen activos y/o paterno parroquia nombre principal empleados 140194 CEVALLOS VIVAS DIEGO FERNANDO 0703797274001 X 229819 PERALTA CASTILLO DIEGO MARCELO 0703804872001 X 90446 RAMÍREZ RAMÍREZ JUAN DANIEL 0703809111001 X 185619 GUAMO PINTADO MANUEL GILBERTO 0703810614001 X 138560 COBOS PESANTEZ ROMEL ALIPIO 0703812537001 X 93129 PINZA PINZA MAURA DE JESUS 0703817304001 X 144842 ZALDÚA MORÁN MIGUEL ANGEL 0703825497001 X 246173 BUENAÑO LAPO SHIRLEY KATERINE 0703827832001 X 224300 VERA CALDERON FERNANDO PATRICIO 0703831867001 X 112369 BALSECA SOZORANGA ROBETH WASHINGTON 0703832634001 X 147283 CRUZ RAMIREZ FRANKLIN ASTHOLFO0703839357001 X 123236 NIETO SOJOS PILAR ESILDA 0703840454001 X 244936 GONZALEZ NOBLECILLA DALTON RICARDO 0703864538001 X 225573 RAMOS COCA VERONICA PAMELA 0703871061001 X 179102 ELIZALDE CARPIO MARITZA ELIZABETH0703875633001 X 22922 GUAZHA PALADINES JULIO DAVID 0703882373001 X 199372 AÑAZCO ROMERO DIEGO GERARDO 0703888933001 X 261046 PEÑA CARLIN JANNINE DEL CARMEN 0703891200001 X 82007 ORELLANA CALVA JAVIER WIMTER 0703898296001 X 213819 MOSQUERA VELEPUCHA MAYRA GRACIELA0703898445001 X 173151 MERA SALAZAR JOSE DANIEL 0703900092001 X 70314 ORDOÑEZ GUILLEN LOURDES ROCIO 0703902296001 X 232618 NOVILLO REYES KARINA PAOLA 0703906099001 X 113619 GALLEGOS MENDIETA MONICA MAGALY 0703911701001 X 142021 LOPEZ GARCIA FREDDY FERNANDO 0703916098001 X 202091 MOTOCHE MOTOYA WILSON ANTONIO 0703922740001 X 44614 APOLO LOAYZA RICHARD ALBERTO 0703926246001 X 250671 JARA SANMARTIN DARWIN ORLANDO 0703932194001 X 256715 PORRAS CORDOVA DOLORES RAQUEL0703934182001 X 225358 AYALA CALDERON LUIS ALBERTO 0703935130001 X 26435 SIGUENZA TOLEDO JORGE LUIS 0703937847001 X
  • 218.
    No No registra No No registra No No. registra registra No. indicadores registra provincia, registra Persona_id NOMBRE No. ID (RUC) calle número registra de ventas, apellido cantón y primer principal de calle origen activos y/o paterno parroquia nombre principal empleados 163823 RIOFRIO CANO MARCO VINICIO 0703938043001 X 13875 ROBER 0703939322001 X 90951 CAPOZANO STALIN 0703955898001 X 163878 TINOCO CAMPOVERDE MARIA ALEXANDRA 0703955971001 X 34861 CUEVA VEGA MERY GERMANIA 0703962506001 X 198499 ZUÑIGA OQUENDO ANGEL FRANCISCO0703968248001 X 267474 RAMIREZ VIVANCO JOHANA DEL CISNE703969444001 0 X 97512 QUIROLA CRUZ SHIRLEY ALEXANDRA 0703970517001 X 169231 GUIÑA VIVIÁN VERONICA ELIZABETH 0703973628001 X 37894 ALMEIDA RUGEL IRLANDA JOSETTE 0703985952001 X 163893 CARDENAS TINOCO JORGE EFRAIN 0703994178001 X 216261 ERRAEZ CANTOS GINHADASHA MARIA 0703998864001 X 106703 FIERRO VALAREZO LUIS ALBERTO 0704004498001 X 241190 GUANOLUISA MOROCHO SEGUNDO ROBERTO0704016260001 X 214218 BRICENO CAMPOVERDE OLMEDO SALVADOR0704028919001 X 109135 CORDOVA COELLO JULIO CESAR 0704050160001 X 100567 BENAVIDES RAMIREZ MARITZA FERNANDA0704052265001 X 202309 SÁNCHEZ CALLE VÍCTOR JOSEPH 0704058759001 X 221383 GONZALEZ LUDEÑA DIANA MARGOT 0704065812001 X 276431 NIVICELA LOJA NURY JOHANNA 0704066042001 X 243231 SIN APELLIDO MENDOZA JOSE VINICIO 0704072214001 X 210885 GOMEZ ZAMBRANO DANIELA ANALIA 0704073212001 X 258988 LOAYZA CHUCHUCA ELVIS CHRISTIAM 0704073584001 X 223533 MENDOZA CASTRO RONALD FABRICIO 0704079177001 X 76291 REGALADO LOJA EDWIN ANTONIO 0704082601001 X 140712 AGUILAR PEÑALOZA EDIN FABIAN 0704083211001 X 234465 SANMARTIN JIMENEZ JOHANNA ESPERANZA 0704117274001 X 144906 TOLEDO ARTEAGA MARGURI ANGELICA 0704123280001 X 273331 ASANZA BRAVO ELMER VICENTE 0704125871001 X 276155 FARES ARIAS JOHANNA MARISOL 0704127638001 X 178848 VARGAS ORTIZ CARLOS JULIO 0704136050001 X
  • 219.
    No No registra No No registra No No. registra registra No. indicadores registra provincia, registra Persona_id NOMBRE No. ID (RUC) calle número registra de ventas, apellido cantón y primer principal de calle origen activos y/o paterno parroquia nombre principal empleados 136687 AVILA CRUZ JAVIER ASDRUBAL 0704142926001 X 89157 JUMBO GRANDA CARLOS GABRIEL 0704143551001 X 150436 BENAVIDES ESPEJO MONICA SABINA 0704145739001 X 222441 BENAVIDES ESPEJO YOLANDA PRISCILA704145747001 0 X 74226 LOAYZA GALLARDO EDUARDO FABRICIO0704147842001 X 265807 BACULIMA GUACHICHULCA WILLIAM ENRIQUE 0704150374001 X 208590 TOLEDO SANCHEZ DIEGO ARMANDO 0704150861001 X 32381 CUENCA CHUCHUCA JOSE GIOVANNI 0704165216001 X 150071 CAMPOVERDE CAMACHO VICENTE RAFAEL 0704167881001 X 104848 MEDINA PLASENCIA CAROL ISABELA 0704175280001 X 152657 MOROCHO TACURI EDISON ARMANDO 0704177310001 X 195280 AGURTO JIMÉNEZ RAMIRO FABIÁN 0704221829001 X 115523 INAGUAZO INAGUAZO CARLOS JULIO 0704228105001 X 222262 VASQUEZ SARANGO YENNY KATHERINE704234970001 0 X 61519 JORGE 0704253319001 X 210514 JORDAN MAZA NILO CRISTHIAM 0704253855001 X 245338 SANCHEZ RIOS GERMANIA ELIZABETH 0704281518001 X 154857 SOLORZANO PORTILLA MAYRA VERONICA 0704300169001 X 254175 ROMAN LOAYZA JIMMY ALEXANDER 0704316835001 X 264787 GALARZA CRUZ NINO JAIRO 0704324953001 X 239993 AGUIRRE VILLA GLADYS PATRICIA 0704336791001 X 138377 ARMIJOS TITUANA NIBALDO MILTON 0704352830001 X 139636 RAMIREZ DIAZ FELIX SALOMON 0704354810001 X 138418 CAMPOS RAMON DIEGO JESUS 0704356971001 X 190947 CHAPIN BORJA MARIA ISABEL 0704360205001 X 194426 0704360478001 X 181088 CABRERA ROMAN BEATRIZ YESSENIA 0704366095001 X 171209 MEDINA CORDERO DARWIN RODOLFO 0704367754001 X 199970 VELEZ ROMERO RONAL ANGELITO 0704372986001 X 23829 MALDONADO DELGADO CINTHIA DENISSE 0704376649001 X 151189 REYES MIRANDA ROGER RUBEN 0704426840001 X
  • 220.
    No No registra No No registra No No. registra registra No. indicadores registra provincia, registra Persona_id NOMBRE No. ID (RUC) calle número registra de ventas, apellido cantón y primer principal de calle origen activos y/o paterno parroquia nombre principal empleados 248169 YAGUANA YAGUANA MARCO ANTONIO 0704488311001 X 175335 TITUANA VALAREZO DENNIS BOLIVAR 0704488691001 X 257041 LLANOS RODRIGUEZ DANIEL ALEXANDER0704502293001 X 155542 MENDIA MALLA LADY PATRICIA 0704533967001 X 206874 VALENCIA CHICA CARLOS STALIN 0704534858001 X 31918 ESPINOSA LUNA CHRISTIAN IVAN 0704572643001 X 256075 BALAREZO OCHOA MANUEL IGNACIO 0704578152001 X 197502 ESPINOZA ROJAS MARIA BELEN 0704581099001 X 68940 TENESACA LUNA LUIS FERNANDO 0704585413001 X 123024 ROMAN AGUILAR MARIA MAGDALENA 0704586312001 X 265656 GONZÁLEZ VALLADARES CINTHIA ELIZABETH 0704592187001 X 151604 MENDOZA MACAS CARLOS PAUL 0704603521001 X 123752 YAGUACHI VARGAS CESAR RENE 0704608116001 X 203571 PALADINES JIMENEZ CRISTHIAN ALEXANDER 0704610013001 X 172732 ASANZA ORDOÑEZ MARIA CLEMENCIA 0704614023001 X 140110 GONZA TANDAZO JOSE NICANOR 0704626977001 X 235706 OCAMPO DUARTE GRACE DIANA 0704668615001 X 244663 CORDOVA MONAR NIDIA KARINA 0704721497001 X 258983 FEIJOO TORRES CRISTIAN MANUEL 0704727460001 X 70462 LOPEZ RONQUILLO JULIA ELENA 0704759224001 X 215489 ESCOBEDO QUEZADA LENIN ALEJANDRO 0704772144001 X 154493 MONTESINOS ROMAN JOSE OSWALDO0704783554001 X 270085 AGUILAR MÉNDEZ DENISSE LORETH 0704786003001 X 90418 MACIAS FALCONEZ ERIKA PILAR 0704811355001 X 261577 GONZALEZ ESPINOSA SORAYA VIVIANA 0704821693001 X 262403 MIRANDA MOREIRA HENRRY XAVIER 0704826494001 X 156492 AGUILAR SOSORANGA DANNY GERARDO 0704842681001 X 129848 LUDEÑA TINOCO NANCY PIEDAD 0704842947001 X 143846 VASQUEZ VARGAS JAIRO DAVID 0704848753001 X 155028 CHUICO PARDO JACQUELINE PATRICIA0704864628001 X 92982 CONDOY RIOFRIO JOSELITO OMAR 0704870856001 X
  • 221.
    No No registra No No registra No No. registra registra No. indicadores registra provincia, registra Persona_id NOMBRE No. ID (RUC) calle número registra de ventas, apellido cantón y primer principal de calle origen activos y/o paterno parroquia nombre principal empleados 184272 LOAYZA RAMIREZ ALEX ANTONIO 0704887488001 X 231018 CABRERA PACHECO FRANKLIN WILFRIDO0704888858001 X 195074 AGURTO JIMENEZ DIEGO PATRICIO 0704893858001 X 151563 OJEDA JORDAN MARYURI MARCELA 0704895911001 X 168739 MOLINA ZHIGUE VALERIA ESTEFANIA 0704916832001 X 203291 JIMÉNEZ GALLARDO ANIBAL PABLO 0704944990001 X 239878 VELASQUEZ LAZ ALEX AGUSTIN 0704948827001 X 241162 SANCHEZ CHACHA GLENDA MAGDALENA 0704976489001 X 239523 MURILLO QUICHIMBO GIOVANNI VINICIO 0704993880001 X 258082 TORRES GOMEZ ROMMEL ROLANDO 0705004224001 X 175233 SUSCAL AREVALO JUAN PABLO 0705027951001 X 138458 SEGARRA TITUANA ROBERTO CARLOS0705037810001 X 166668 PUGO PADILLA EDGAR GONZALO 0705041663001 X 206113 MOROCHO SILVA JORGE LUIS 0705045003001 X 258643 VIVANCO VIVANCO DARWIN HERNAN 0705068096001 X 229523 TORO CURIPOMA ABEL ENRIQUE 0705086726001 X 268002 JIMENEZ AGUILAR KLEBER FABIAN 0705090041001 X 108360 FREIRE JIMBO HENRY RENE 0705151389001 X 253053 CABRERA FLORES KATHERINE LISBETH 0705187029001 X 196992 TENESACA JIMÉNEZ KAREN LIZBETH 0705198927001 X 170047 NAGUA DUMAS LEONARDO DAVID 0705221257001 X 222150 VEINTIMILLA VEGA LISSETH MAROLA 0705223196001 X 233289 GUAMAN BENALCAZAR ANDREA ESTEFANIA 0705257384001 X 269790 PROCEL RIVERA BELLA FLOR 0705296762001 X 236261 GUAMAN CARCHIPULLA JORGE ALCIDES 0705318368001 X 187729 DIOSES PALADINES KELLY NATALI 0705492411001 X 158302 AGUILAR RAMIREZ JORGE ENRIQUE 0705635118001 X 153245 SINDICATO CANTONAL DE CHIFERES PROFESIONALES DE SANTA ROSA 0790050673001 X 75411 SINDICATO CANTONAL DE CHOFERES PROF DE PINAS 0790051580001 X 189777 ESTACION DE SERVICIO MAROD C. LTDA. 0790067223001 X 198652 CONST HERNANDEZ 0790067274001 X
  • 222.
    No No registra No No registra No No. registra registra No. indicadores registra provincia, registra Persona_id NOMBRE No. ID (RUC) calle número registra de ventas, apellido cantón y primer principal de calle origen activos y/o paterno parroquia nombre principal empleados 167803 COOPERATIVA DE PRODUCCION MATERIALES DE CONSTRUCCION 23 DE AGOSTO LTDA 0790080424001 X 69307 TELEVISION Y EDITORA 0790084209001 X 126675 SINDICATO CANTONAL DE CHOFERES 0790089375001 PROFESIONALES DE EL GUABO X 39807 TRANSPORTES TRANSTAX S.A. 0790091507001 X 143355 GASOLINERA MARITIMA GASOMAR S.A.0790092007001 X 21880 CONSTRUCTORA PATRIDASA S.A. 0790093844001 X 10963 CULMORO 0790096290001 X 176227 NEMALAB S.A. 0790097521001 X 244505 COOPERATIVA DE TRANSPORTE DE PASAJEROS EN TAXI URSEZA 0790098676001 X 35153 PROVEEEDORA Y CONSTRUCTORA PROVEYCON CÍA.LTDA. 0790099087001 X 29527 OBRECO CIA. LTDA. 0790099389001 X 209927 ASOCIACION DE CAÑICULTORES SITIO 0790099516001 ATAHUALPA BONO CANTON X 47666 TREO S.A. 0790100867001 X 71695 AMERICANA DE VIAJES AMEVIA S.A. 0790101057001 X 163058 SERVICIOS E IMPORTACIONES.SA 0790101294001 X 251588 JULIO PESANTEZ C. LTDA. 0790150945001 X 80438 COMPAÑÍA DISTRIBUIDORA FEIJOO Y PÁSTOR F.P. S.A. 0790151739001 X 110281 SINDICATO DE CHOFERES PROFESIONALES DE ARENILLAS 0791701775001 X 41081 ELCIV CIA LTDA 0791702305001 X 178662 FARIÑO NOBOA FARINOA Y COMPAÑIA 0791704901001 X 31862 ASESORIA TECNICA E INGENIERIA ASTEINGSA S.A. 0791706696001 X 73868 FUNDACIÓN QUIMERA 0791707838001 X 157097 FÁBRICA DE VINOS ECHEVERRIA S.A. 0791707889001 X 31721 COELSA CIA LTDA 0791708184001 X 264770 TRANSPORTES FRONTERIZOS DEL SUR TRANSFROSUR CIA LTDA 0791709563001 X 150968 CORPORACION AGROEMPRESARIAL ARENILLAS "COAGRO" 0791710472001 X 54138 ECUACONDUCTOS C. LTDA. 0791711274001 X 179957 TALLERES AUTOCAM CIA.LTDA. 0791712300001 X 13620 BZ CONSTRUCCIONES 0791713129001 X 54546 JAFZ SOCIEDAD CIVIL 0791713234001 X 23468 CONSTRUCTORA, FISCALIZACIONES Y 0791713269001 CONSTRUCCIONES FISYCON CIA. LTDA. X
  • 223.
    No No registra No No registra No No. registra registra No. indicadores registra provincia, registra Persona_id NOMBRE No. ID (RUC) calle número registra de ventas, apellido cantón y primer principal de calle origen activos y/o paterno parroquia nombre principal empleados 70139 RUTHY CIA LTDA 0791713293001 X 72374 CONSTRUCTORA DAV ROM C LTDA 0791713412001 X 180529 RENTAFLASH 0791714168001 X 38791 PERSONALSERVICE S.A 0791715091001 X 38841 CONSTRUCSURSA S.A. 0791715164001 X 142558 PALMAR PASAJE CIA. LTDA. 0791715431001 X 33702 FUNDACION MANOS JUNTAS 0791716780001 X 179802 MULTIROSE S.A. 0791716837001 X 93503 COCETEL SA 0791717035001 X X 186589 CELPLUS SA 0791717345001 X 256632 RUIZ DIAZ ALONSO 0791717477001 X 190611 COMPUTERQUALITY 0791718805001 X 39458 FUNDACION KOINONIA 0791719186001 X 181261 INMOBILIARIA PALKOW S.A. 0791720125001 X 184267 DECORCERAMICA CIA. LTDA. 0791720419001 X 258203 FERRETERIA VIOLETA MARQUEZ CIA. LTDA. 0791721253001 X 41776 DISTRIBUIDORA SAENZ TORRES CIA. LTDA. 0791721407001 X 265799 ECOSIMAS S A 0791722357001 X 116217 FNC MEDICAL PRODUCTS CIA LTDA 0791722543001 X 166284 DISTRIBUIDORA DEL NORTE S.A. DISTRANORTSA 0791723698001 X 80486 MICROEMPRESA VIAL TORATA 0791723701001 X 117886 MICROEMPRESA DE CONSERVACIÓN VIAL PORTOVELO 0791723752001 X 165225 MAGNER L.AGUIRRE CIA.LTDA. 0791723833001 X 148178 GONZALEZ MALDONADO CONSTRUCCIONES 0791724309001 X 164682 IMPROACERO IMPORTADORA DE PRODUCTOS DE ACERO C. LTDA. 0791725038001 X 57344 OBRAS Y MAQUINARIAS OBRYMAQ S.A.0791725240001 X 254199 ASOCIACIÓN MONTUBIA EL CASTILLO 0791725585001 X 37805 INTELNEXO S.A. 0791725658001 X 70718 INVENCONSELEC S.A. 0791726301001 X 111566 MACHALACONSTRUC 0791726557001 X 35973 AJICEL COMPAÑIA LIMITADA 0791727707001 X
  • 224.
    No No registra No No registra No No. registra registra No. indicadores registra provincia, registra Persona_id NOMBRE No. ID (RUC) calle número registra de ventas, apellido cantón y primer principal de calle origen activos y/o paterno parroquia nombre principal empleados 38871 ELETRICA VALVERDE CIA. LTDA. 0791728134001 X 257482 ASOCIACION UNICA DE PERSONAS CON DISCAPACIDAD DEL CANTON ATAHUALPA 0791729076001 X 105240 ELECTRICORO C. LTDA. 0791729122001 X 68253 ELECTRICPOWER S.A. 0791729173001 X 142604 SERVIAUTOMOTRIZ CIA LTDA 0791729459001 X 88257 SAGOELEC CIA. LTDA 0791730554001 X 159221 PROCESADORA DE MATERIALES PETREOS Y AGRICOLAS PROMAPET 0791731569001 X 39464 OCIELM CIA. LTDA. 0791731798001 X 119482 FUNDACION DE DESARROLLO AGROECOLOGICO Y PECUARIO 0791731801001 X 218883 ASOCIACION FEMENINA "23 DE FEBRERO" 0791731895001 X 14386 CONSTRUCTORA OPS CIA LTDA 0791732093001 X 130842 SOCIEDAD UNION OBRERA PINASIENSE 0791733022001 X 59341 ZF CONSULTORES CIA. LTDA. 0791733588001 X 68064 INMOBILIARIA PAULITAS S.A. 0791733804001 X 163356 SOCIEDAD CIVILL CIP CAPACITACION INTEGRAL Y PROFESIONAL 0791734266001 X 156039 CONSTRUCTORA TINORA CIA.LTDA. 0791734290001 X 203402 MARIA CARMITA PASTOR CIA. LTDA 0791736641001 X 171927 CONCTRUCIONES CIVILES LUNA CONCILU CIA LTDA 0791738407001 X 186226 CONSTRUCTORA M&C CIA LTDA 0791738776001 X 245524 INNOVISUAL & ASOCIADOS S.A. 0791739594001 X 210074 NACHIBAL INGENIEROS CONSULTORES Y ASOCIADOS CIA. LTDA. 0791739829001 X 203333 ANMAR Y COMPAÑIA 0791739837001 X 242119 CONSTRUCTORA E INMOBILIARIA VALAREZO RUIZ C LTDA COINVARU 0791740061001 X 230114 FARMAMIA CIA. LTDA. 0791740150001 X 246800 POLISPORT S.A. 0791740215001 X 255307 EDUCATRONIC CIA. LTDA. 0791740533001 X 236084 OBRAS Y SERVICIOS DEL ECUADOR S.0791741084001 A. X 245554 ASOCIACIÓN DE DICAPACITADOS CANTON PASAJE 0791741890001 X 249392 DISCONJOFA CIA LTDA 0791742048001 X 248335 CONSTRUCTORA BUSTAMANTE PELAEZ791742064001 0 X 252984 CORPPRIECONSTRUC CIA LTADA 0791742412001 X
  • 225.
    No No registra No No registra No No. registra registra No. indicadores registra provincia, registra Persona_id NOMBRE No. ID (RUC) calle número registra de ventas, apellido cantón y primer principal de calle origen activos y/o paterno parroquia nombre principal empleados 262015 CONSORCIO INTEGRAL 0791742781001 X 272365 ASOCIACIÓN DE INTERPROFESIONALES ARTESANOS EN EL AREA DEL BUEN VESTIR Y AFINES (MODISTAS, MAESTRAS ARTESANAS EN CORTE Y CON 0791743044001 X 275468 INGEDUARE CONSTRUCCIONES C. LTDA. 0791743591001 X 150503 AVILA CRUZ JULIO OSWALDO 0800000440001 X 60045 CALVOPIÑA GONZALEZ GUSTAVO DANIEL 0800011355001 X 132236 SIMISTERRA GODOY CESAR ENRIQUE 0800013062001 X 103637 MINA MANCILLA HERLOS 0800023442001 X 202507 ROBLES IÑAMAGUA TARQUINO ARTURO 0800026080001 X 210871 TORRES ROCHE BENJAMIN ARTURO 0800026882001 X 150928 TREJO CARLOS VICTOR 0800033896001 X 87106 JEREZ BOMBOM SEGUNDO FRANCISCO 0800034126001 X 216196 ZAMBRANORO RODRIGUEZ PEDRO EFRAIN 0800040016001 X 72637 MONTAÑO ALBAN TITO OLIVIRIO 0800040487001 X 173415 PEREZ ZORRILLA VICTOR HUGO 0800046286001 X 134013 RAMIREZ CULTER GUSTAVO ALONSO 0800046906001 X 96562 PEREA LARA STONE DE LOS ANGELES 0800047482001 X 235291 CONTRERAS CONSTANTE SEGUBDO BENICIO 0800050874001 X 93349 ANGULO BECERRA JOSE CRISTOBAL 0800060972001 X 40360 CARVACHE VERA ANGEL MARCELINO 0800072530001 X 116630 CADENA CARVAJAL JORGE RENE 0800085888001 X 100504 TRUJILLO ESTUPIÑAN LUIS ENRIQUE 0800087835001 X 125099 ROBINZON ARCE GUTEMBERG 0800104374001 X 84186 MORAN VACA JORGE ADOLFO 0800106882001 X 216206 TOLEDO BASS LUIS ERNESTO 0800130015001 X 107004 NAZARENO RAMIREZ NELSON BOLIVAR 0800137671001 X 275388 CUELLAR VALVERDE BENTURA TOMACITO 0800139503001 X 226396 CASELLA PONCE JOSUE ANIBAL 0800143356001 X 89693 ARBOLEDA LARA JOSÉ ALEJANDRO 0800163081001 X 178655 PINTO BENITEZ LUIS GALO 0800170227001 X 140704 ROBALINO CARTAGENA GUILLERMO MESIAS 0800195208001 X 197827 ESTRADA MENDEZ JULIO NO 0800198608001 X
  • 226.
    No No registra No No registra No No. registra registra No. indicadores registra provincia, registra Persona_id NOMBRE No. ID (RUC) calle número registra de ventas, apellido cantón y primer principal de calle origen activos y/o paterno parroquia nombre principal empleados 137694 ZERNA GALARZA JOHNNY ALVINO 0800200347001 X 126209 ARROYO BENAVIDES MANUEL ALBERTANO 0800202723001 X 25678 TRIFILO 0800204133001 X 105947 CORREA CUELLAR MARIA RAQUEL 0800204778001 X 114805 LUJANO SANTOS MILTON ANTONIO 0800206237001 X 53565 QUINONEZ PERLAZA VILLAUL 0800216723001 X 109582 LOPEZ MUENTES AROLDO MARTIN 0800222267001 X 197219 CUSME CIFUENTES TEODORO ENRIQUE800225658001 0 X 212839 BERMEO CORTEZ ANDRES ARMANDO 0800229304001 X 55136 PORTOCARRERO ALEGRIA TITO APOLINARIO 0800232068001 X 86054 DELGADO CLAVIJO RAUL HUMBERTO 0800238024001 X 257942 MARQUEZ BALTÁN CRUZ MAFALDO 0800239543001 X 228860 VILLEGAS MEZA MARCO OSWALDO 0800242174001 X 113937 QUINTERO ORTIZ SEGUNDO TEOFILO 0800250383001 X 184907 MONTALVAN SANTOS FELIX ANIBAL 0800251100001 X 84158 MINA CAICEDO ARTUNIO 0800262636001 X 196193 RODRIGUERZ SALMERON CAYETANO JACOBO 0800268237001 X 211968 SOSA TREJO JOSE CHAMBERLAIN 0800268971001 X 240798 TENORIO QUINTERO MARIA EUGENIA 0800270704001 X 30464 CARVACHE ULLOA YONNY ROBERTO 0800279796001 X 136774 OLARTE BOLANOS RUTH BEGNER 0800287047001 X 110050 PACHITO VALENCIA CERGIO 0800294506001 X 67104 VIDAL PERLAZA CESAR 0800296212001 X 144869 VALENCIA VELIZ CARLOS ALBERTO 0800299356001 X 159197 GUEVARA OCHOA ANA DEL CARMEN 0800305369001 X 167709 JAMA NAVIA CLIMACO EMIL 0800309957001 X 59646 MOJARRANGO BATIOJA BENANCIO ABRIL 0800317026001 X 104759 MENDOZA SALAZAR CLIMACO PASCUAL 800320657001 0 X 55520 CASTILLO RUANO GUSTAVO ROBERTO0800323479001 X 184152 NARANJO UQUILLAS MILTON RODRIGO0800326985001 X 78514 CASTILLO SOSA WILSON KELO 0800333403001 X
  • 227.
    No No registra No No registra No No. registra registra No. indicadores registra provincia, registra Persona_id NOMBRE No. ID (RUC) calle número registra de ventas, apellido cantón y primer principal de calle origen activos y/o paterno parroquia nombre principal empleados 74399 ESTUPINAN AQUILES 0800340481001 X 211820 LARA NAZARENO WHILTON RUDY 0800342198001 X 140276 DEMERA HERNANDEZ ROSA RAMONA 0800343840001 X 208580 JARAMILLO CEVALLOS JOSE MANUEL 0800345977001 X 108090 ESTRADA ARROYO TEOFILO JACINTO 0800350480001 X 199130 ESPAÑA ORTIZ MIGUEL FERNANDO 0800354870001 X 202327 HURTADO ALARCON FELIX SATURNO 0800360042001 X 204708 GONZALEZ ARROYO JESUS ASENCION 0800363566001 X 29923 BARCO BONE NELSON ALFREDO 0800368508001 X 192843 BETANCOURT QUINONEZ FANNY AMALIA0800375719001 X 48182 LUZÓN PICO ANGEL BENJAMÍN 0800377996001 X 206649 MEDINA MURILLO RITA ANTONIA 0800380818001 X 81703 OBANDO MEDINA MILTON ANTONIO 0800386666001 X 117600 PEREA VALVERDE AMELIS 0800387995001 X 128357 PEZO ORTIZ DOLORES MARGARITA 0800391013001 X 192366 QUIÑONEZ PERLAZA MARIA ROSELINA 0800393829001 X 235637 PALOMINO COLOBON ALBERTO JAIME 0800395808001 X 192647 PEREA BALLESTERO GUILLERMO ELEODORO 0800396400001 X 73250 ROJAS PINCAY ESTUARDO JULIAN 0800399982001 X 106481 CABEZA LARA LINCOLN ROBERTO 0800407520001 X 113597 ESTUPIÑAN ERAZO HECTOR EDILBERTO0800425449001 X 75371 PLAZA ANDRADE DORIAN ANIBAL 0800425969001 X 236693 SANTANDER ESTUPIÑAN TEODORA 0800430597001 X 144317 BARCIA PALACIOS JAIME ALEJANDRO 0800431892001 X 98095 CORTES PEREA MIGUEL ANGEL 0800432593001 X 106476 CASANOVA LOOR GREGORIO EULOGIO0800433914001 X 99501 DOMINGUEZ PROAÑO DAVID ANTONIO 0800437758001 X 127004 RAMIREZ QUIJIJE RAÚL POMPELLO 0800439036001 X 115077 QUINTERO VERNAZA KAMARALS CAMAN 0800441727001 X 253013 PEREA BALLESTEROS CARLOS WALBERTO 0800444184001 X 183417 VELEZ TUAREZ JULIO CESAR 0800449365001 X
  • 228.
    No No registra No No registra No No. registra registra No. indicadores registra provincia, registra Persona_id NOMBRE No. ID (RUC) calle número registra de ventas, apellido cantón y primer principal de calle origen activos y/o paterno parroquia nombre principal empleados 146356 PALACIOS MOREIRA CIRIO ANDRES 0800452468001 X 254652 CALDERON RAMIREZ GONZALO 0800454779001 X 174117 ESCOBEDO VALENCIA JULIO RAMIRO 0800458226001 X 33435 VALENCIA AYOVI MARTIRES FELIX 0800459513001 X 258892 ROSERO RODRIGUEZ VICENTE 0800460354001 X 123640 QUIÑONEZ LANDAZURI LUIS EISENHOWER 0800463465001 X 226457 SERRANO GUERRERO SOCRATES FRNACISCO 0800463879001 X 273172 MARINY QUIÑONEZ GARI EDGAR 0800466427001 X 102925 ARBOLEDA LARA GUALBERTO RICHARD 0800472920001 X 66303 ROMERO BENITEZ OMAR 0800478463001 X 157828 CABEZAS DEL CASTILLO NORMAN YOJANER 0800481186001 X 53659 NAZARENO CAICEDO MELANIO 0800492852001 X 223921 BECERRA QUINTERO WILLIAN HUMBERTOI 0800493587001 X 126062 BERNAL ACOSTA CEVERO LEOPOLDO 0800495582001 X 14198 HOLGER HOLGUIN LARA 0800496952001 X 106821 DROUET TUTIVÉN JAIME LUIS 0800497794001 X 121187 MERA BENAVIDES GUSTAVO IGNACIO 0800501090001 X 277970 DELGADO VELEZ RODYS EFRAIN 0800503278001 X 13928 ING. ALFREDO AYOVI AYOVI 0800514150001 X 164421 GARCIA GARCIA NEPTALI ESTUARDO 0800520165001 X 138300 BANGUERA SANTANDER BETTY 0800520652001 X 54269 MORAN CHICA MARIA PETITA 0800521270001 X 88708 MERA OLIVES SEGUNDO ANTERO 0800527327001 X 104780 MARCHAN RUMBEA SIRIA ELENA 0800529463001 X 39178 QUIÑONEZ ROJAS CIPRIANO 0800532590001 X 108675 RECALDE ENDARA ARTURO EDISON 0800534950001 X 174050 EGAS SEGOVIA GUILLERMO EDUARDO 0800546814001 X 79553 ROJAS BONE NARCISO 0800548810001 X 24575 LUNA QUIÑONEZ WALDIR RENE 0800564056001 X 183572 VELIZ INTRIAGO EUFEMIA ARICELA 0800565152001 X 114645 TENORIO GARCIA DANIEL JACINTO 0800567257001 X
  • 229.
    No No registra No No registra No No. registra registra No. indicadores registra provincia, registra Persona_id NOMBRE No. ID (RUC) calle número registra de ventas, apellido cantón y primer principal de calle origen activos y/o paterno parroquia nombre principal empleados 82419 GUERRERO JACOME ZOILA LUCRECIA 0800570525001 X 62866 MENDOZA HEREDIA HORACIO ERNESTO 0800572653001 X 103262 GUACHAMIN CORDOVA PATRICIO ERNESTO 0800574535001 X 220342 TIGASI LEON FRIDSON ISIDRO 0800579443001 X 228276 GRACIA GAMEZ ESTRELLA DE GUADALUPE 0800581266001 X 142794 VELASCO CAICEDO NAPOLEON ALEJANDRO 0800582082001 X 195931 NAJERA RUIZ BOLIVAR RAFAEL 0800582116001 X 41097 GUERRERO ALVARADO CARLOS ALBERTO 0800587677001 X 91163 CANO ROSAS ENRRICO DE LA CRUZ 0800587701001 X 254605 AYOVI INTRIAGO ROQUE MIGUEL 0800588519001 X 259822 CEVALLOS QUINTERO SACOTO 0800589376001 X 104377 MARTINEZ JURADO MARIA ESTHER 0800592883001 X 191663 TACO LEMA LUIS GUSTAVO 0800594368001 X 95856 MORLAS WILLIAMS FERNANDO LEOPOLDO0800597080001 X 121112 TENORIO RANGEL LUIS VIVIANO 0800605990001 X 90188 TOSCANO RAMIREZ WILSON MARCO 0800609703001 X 272006 BECERRA QUIÑONEZ WALTER VICTOR 0800609786001 X 122642 CASTILLO CABEZA MARTIRES JUSTINO0800613218001 X 106337 VERNAZA CASSTILLO LUCÍA MARUJA 0800618126001 X 29685 DIX 0800625527001 X 128444 REASCO GUEVARA AGUSTIN 0800629651001 X 255391 CAICEDO OROVIO EBER ELADIO 0800630196001 X 174096 CORTEZ MONTENEGRO CARLOS JULIO0800637118001 X 69313 ESTUPIÑAN AVILA DORIAN BETHXEIDA 0800638637001 X 144646 ESTUPIÑAN MENA RUBEN DARIO 0800638744001 X 192309 MOREIRA ROLDAN FROILAN EDUARDO0800640203001 X 23757 REALPE CAICEDO LEILA MARIELA 0800647471001 X 33240 ROMO ALTAMIRANO DERINSON SIGFRIDO0800648024001 X 208344 VERA PANTA CARLOS ENRIQUE 0800648792001 X 234353 PRECIADO RUIZ ALCIDES WIBALDO 0800650814001 X 137836 MEZA MOSQUERA CESIL PATRICIO 0800652265001 X
  • 230.
    No No registra No No registra No No. registra registra No. indicadores registra provincia, registra Persona_id NOMBRE No. ID (RUC) calle número registra de ventas, apellido cantón y primer principal de calle origen activos y/o paterno parroquia nombre principal empleados 105612 ALIAGA SANDOVAL ANASTACIO FERMIN0800652737001 X 30617 YEPEZ FIGUEROA MILTON RIGOBERTO0800657264001 X 39976 AGUILAR OLMEDO KLEBER IVAN 0800663445001 X 135627 BALLESTEROS CEDEÑO LUIS ALFREDO800663932001 0 X 162327 BARRERA MINA WILSON ALBERTO 0800673113001 X 145183 CUENCA SARANGO AMADOR 0800673576001 X 104947 SALAZAR MACIAS GRICELDA MARCELA0800678534001 X 106558 VELASCO MONTAÑO STALIN ALFREDO 0800682361001 X 96207 CUERO RAMIREZ DOMONGO EFREN 0800684409001 X 168808 VACA VERDEZOTO MARIANA TRINIDAD0800688186001 X 99111 GARCIA OVIEDO YOLNADA 0800688624001 X 213342 MARTINEZ VALVERDE MARIANA DE JESUS 0800693335001 X 259897 CUERO PERALTA JUAN ELVIS 0800695736001 X 218603 HEREDIA GRESELY JHONNY ERNESTO 0800696932001 X 124327 GALLARDO GALLARDO HECTOR RAMIRO 0800698268001 X 155703 RIVAS VALLEJO FLOR MARIA 0800708117001 X 183087 COROZO AYOVI TRIFILO DOMINGO 0800713422001 X 139392 CORELLA ORTIZ DANNER 0800721474001 X 213158 LARGACHA ALARCON EUGENIO ROBERTO0800729055001 X 213520 VASQUEZ MORQUECHO JAIME OSWALDO 0800729071001 X 252766 RODRIGUEZ TENORIO COLON 0800735540001 X 51853 ORTIZ GRACIA LINO BELTRAN 0800747644001 X 89033 ANGULO ERAZO LENIN FIDEL 0800753063001 X 85222 KLINGER CAMPAS LUIS HERMOGENES 0800754673001 X 129532 PLAZA CASTILLO LENIN 0800756371001 X 115766 RODRIGUEZ SALMERON MANUEL SALVADOR 0800756819001 X 104764 WATTS QUIÑONEZ CONSTANTINO ALFONSO 0800757171001 X 125727 BENAVIDES ITURRE FELIPE JULIO 0800761314001 X 130535 ORTEGA LOPEZ NESTOR ARMANDO 0800764128001 X 134308 BECERRA TENORIO CESAR FLORENCIO 0800768558001 X 146137 MARTÍNEZ PATIÑO WALTER VICENTE 0800778375001 X
  • 231.
    No No registra No No registra No No. registra registra No. indicadores registra provincia, registra Persona_id NOMBRE No. ID (RUC) calle número registra de ventas, apellido cantón y primer principal de calle origen activos y/o paterno parroquia nombre principal empleados 81599 CORTEZ RAMIREZ IGNACIO 0800780793001 X 115782 ARCE MANTILLA BEYRU 0800781585001 X 138222 CEVALLOS QUIÑONEZ ANITALINA 0800785479001 X 32479 RIVAS MESIAS FREDDY RICARDO 0800787368001 X 105655 SIMBAÑA NAVAS MERCEDES ESMERALDAS0800792475001 X 14250 MARLIN FUENTES 0800792715001 X 164442 MUENTES MORA FRANKLIN TAOS 0800793051001 X 107332 CORTES CHILLAMBO EDWIN ERNESTO0800798035001 X 179833 AREBALO ARIZALA DIONICIO 0800799371001 X 102665 CASTRO PEÑA CARMEN CENEIDA 0800799538001 X 235400 MAFFARES VERA EDGAR ENRYS 0800802423001 X 102450 ACUÑA BONE GARYS PEDRO 0800803066001 X 159413 MEZA MOSQUERA ROBERTO ANIBAL 0800806879001 X 175849 ESTACIO CRUEL CARLOS MARCELINO 0800821043001 X 275216 QUIÑONEZ ESPAÑA DOMITILA BOLIVIA 0800821548001 X 44479 PORTOCARRERO MONSERRATE KIKO EDUARDO 0800821951001 X 149469 TONATO YANEZ MARIO OSWALDO 0800824344001 X 246887 CABEZAS CUELLAR LORENZO 0800826547001 X 272134 VALLEJO BERMEO JOSE ANTONIO 0800827107001 X 217153 REDIN SUAREZ MIRNA MILENA 0800827339001 X 64639 VASQUEZ MORENO GIOVANI LEONARDO 0800827636001 X 236076 ORTIZ ROMERO LINO JHONNY 0800828923001 X 278379 ALCIVAR RIBADENEIRA HUGO ARIEL 0800835324001 X 90313 SANTI RODRIGEZ ANGEL WELINTONG 0800836280001 X 140303 BERNAL BERNAL RODOLFO ABRAHAN 0800841801001 X 205400 CASTANEDA MURILLO VICTOR GILUMBERTO 0800845497001 X 240642 VELEZ ZAMBRANO CARLOS EDGAR 0800856056001 X 167403 AGUAS ARISMENDI WALTER SALOMON0800859969001 X 58995 VIVAR QUINTERO JORGE PATRICIO 0800866444001 X 154568 VALAREZO VALCAZAR EDUAR GREGORIO 0800868234001 X 68999 GARCIA MACIAS WALTER 0800868739001 X
  • 232.
    No No registra No No registra No No. registra registra No. indicadores registra provincia, registra Persona_id NOMBRE No. ID (RUC) calle número registra de ventas, apellido cantón y primer principal de calle origen activos y/o paterno parroquia nombre principal empleados 62390 PACHECO ALCIVAR JHON ROBINZON 0800898082001 X 52886 NAZARENO CAICEDO WASHINGTON 0800910192001 X 53614 MEJIA GONZALES TARGELIO MARTIRE 0800914954001 X 61069 BRANDA BANGUERA NISON ARCELIO 0800915209001 X 249695 HERNÁNDEZ IBARRA FRANCISCO JAVIER 0800924797001 X 69990 CORTEZ PORTOCARRERO JOHNNY ALEJANDRO 0800944654001 X 179111 VERDEZOTO GAIBOR GLORIA NORMA HAIDEE 0800953614001 X 77317 CHAVEZ SOLIS FILIBERTO 0800955056001 X 206104 CAICEDO BONILLA PATRICIO SAUL 0800958597001 X 46267 JAVI 0800960056001 X 101906 SOLORZANO PLAZA PEDRO ELI 0800963555001 X 155596 CANGA GARCIA VITA GEISY 0800963951001 X 28210 SEVILLA GALLO SANDRO ANTONIO 0800965147001 X 260359 PROAÑO CORTEZ GABRIEL 0800970303001 X 170687 SAEN BERMEO SEGUNDO ISRRAEL 0800974396001 X 148976 ZAMBRANO STOPPER ESLINDA DEL JESUS 0800976797001 X 135492 QUIÑONEZ RODRIGUEZ CONSTANZO 0800987422001 X 179989 CASTILLO MONTENEGRO SERAPIO GUMERCINDO 0800999013001 X 174650 REZABALA ZAMBRANO VICTOR GABRIEL0801008889001 X 237521 SIMISTERRA ANGULO MERCEDES IVONN0801010919001 X 166498 TERAN PINO JORGE MANUEL 0801011198001 X 171543 BRAVO PONCE KIIRE CECILIO 0801020447001 X 199402 LOOR ARRIAGA NEURO BENITO 0801020538001 X 209258 MOSQUERA CABEZA MIGUEL ENRIQUE0801026006001 X 180475 MAYORGA QUIÑONEZ WILLIAN 0801028549001 X 19826 VALENCIA MINA LUIS ALBERTO 0801048968001 X 95588 GARCIA MORA LENIN EUDORO 0801060930001 X 200179 GARCÍA HIDALGO JOSÉ UBALDO 0801065988001 X 153927 BONE LASSO JOSÉ RODRIGO 0801066531001 X 227953 MONTAÑO TORRES LEONEL ALCIVAR 0801095167001 X 111120 TORRES MORALES KATHY LEONOR 0801095175001 X
  • 233.
    No No registra No No registra No No. registra registra No. indicadores registra provincia, registra Persona_id NOMBRE No. ID (RUC) calle número registra de ventas, apellido cantón y primer principal de calle origen activos y/o paterno parroquia nombre principal empleados 77181 DELGADO PACHECO HUMBERTOI ABEL0801098401001 X 114346 BRAVO WILFRIDO BERMUZ 0801103755001 X 142819 PALOMINO BECERRA BELLA HORTENCIA 0801107731001 X 276371 BIOJO QUIÑONEZ SEGUNDO SANTIAGO0801123027001 X 134252 ORTIZ QUIÑONEZ GILGER 0801129057001 X 44078 ORTÍZ ARAUJO TOMAS DEAQUINO 0801148834001 X 249344 BERNAL GARCIA JOSE JHONATHAN 0801162843001 X 194967 SEGURA SEGURA ALBERTO ALCIVAR 0801165572001 X 106164 GUERRERO DELGADO ANA TERESA 0801169228001 X 184291 VALENCIA RAMIREZ GULNARA RAQUEL0801179565001 X 229397 ESPINAL SANTANA ANGEL 0801183831001 X 145585 CUERO LEYES FELIPE 0801185190001 X 85972 DELGADO CLAVIJO WALTER EUSBERTO0801187709001 X 176719 CALDERON VEGA LIVIO ECUADOR 0801192121001 X 86060 GORDILLO FLORES JHON FERNANDO 0801197765001 X 83661 PADILLA ORLANDO MIGUEL ANGEL 0801202052001 X 161414 AYOVI SOLIS ESTALINZON 0801202508001 X 31491 JOSE 0801203811001 X 16958 ENDARA SANTOS MABEL SIBILA 0801208604001 X 119679 MÁRQUEZ RAMÍREZ ROSA ISABEL 0801209552001 X 174962 ARBOLEDA TORRES MARJORI PATRICIA 0801211087001 X 101144 DEL CASTILLO LUGO DEYANIRA JOHANA 0801211673001 X 229862 GARCES ROMERO MABEL 0801215815001 X 210415 0801233347001 X 131731 CEVALLOS ROLDAN SANDRA EDELMIRA0801238866001 X 230526 GONZALEZ JARA LORENA ROCIO 0801239385001 X 242426 CAMACHO MINA LEOCADI LEOCADI 0801242181001 X 141403 BANGUERA SANTANDER LUISA ANTONIETA 0801243395001 X 216372 ZAMBRANO LARA LAURENCE 0801243635001 X 268480 SÁNCHEZ PLATA ANA CRISTINA 0801245697001 X 141409 ROMERO GUARNIZO MARIANA DE JESUS 0801246695001 X
  • 234.
    No No registra No No registra No No. registra registra No. indicadores registra provincia, registra Persona_id NOMBRE No. ID (RUC) calle número registra de ventas, apellido cantón y primer principal de calle origen activos y/o paterno parroquia nombre principal empleados 80258 CASTILLO CORTEZ MILTON YOVANNY 0801250317001 X 70805 ESTUPIÑAN CORDOVA WINSTON 0801251307001 X 135145 COX SANTILLÁN FELIX JESUS 0801251554001 X 115203 BAZURTO ESTACIO EVERSON WALDEMAR0801253246001 X 159767 SANCHEZ ORDOÑEZ JOSE VICENTE 0801254251001 X 135038 AGURTO AGURTO HILBRANDO JAVIER 0801255563001 X 192370 QUIÑONEZ RAMOS RODDY ALFREDO 0801259789001 X 60120 GRACIA PLAZA ANGEL MIGUEL 0801269234001 X 28626 SANCHEZ CASTRO ERWIN FRANCISCO0801272485001 X 52884 MERLIN QUINTERO VALENTIN ORLEN 0801273210001 X 259455 HERRERA RAMIREZ IVAN MARCELO 0801273574001 X 77792 FIGUEROA PITA VICENTE BERNABE 0801276635001 X 82179 INTRIAGO PINARGOTE HECTOR ELIAS 0801297680001 X 219357 FLORES CONZA FLORESMILA 0801300427001 X 84347 FERRER MOSQUERA WILSON VICENTE0801314071001 X 86970 ALVARADO VELEZ FABRICIO ANNELIO 0801316498001 X 129835 ZUÑIGA CASTAÑEDA AMELIA 0801318072001 X 80180 HURTADO QUIÑONEZ JIMMY ANDRES 0801321142001 X 106215 ZAMORA MACIAS MARIA MAGDALENA 0801335928001 X 14494 CONSTRUCTOR 0801338617001 X 66248 MONTAÑO ESTACIO CELSO FERNANDO 0801340795001 X 213578 MEZA MUÑOZ GONZALO TIMOTEO 0801346313001 X 133340 SAVINOVICH MEJÍA KAROL GEOVANNA 0801348871001 X 117494 ARDILA LOZANO EDNA PATRICIA 0801355611001 X 91002 GONZALES CAICEDO JOSE LUIS 0801357450001 X 78497 URGILEZ IDROVO BELLA NUVE 0801381393001 X 113284 TAMA VASQUEZ NIGNSON ESTALIN 0801404377001 X 153921 CAICEDO NAZARENO JOSE ALDRIN 0801407891001 X 104653 CORTEZ CHARCOPA EDIT BERONICA 0801410572001 X 100756 TRIVIÑO ESTUPIÑAN GIOCONDA GARDENIA 0801411398001 X 248245 BURBANO BONE XIMENA 0801418039001 X
  • 235.
    No No registra No No registra No No. registra registra No. indicadores registra provincia, registra Persona_id NOMBRE No. ID (RUC) calle número registra de ventas, apellido cantón y primer principal de calle origen activos y/o paterno parroquia nombre principal empleados 268045 MORA DROUET ANDREA MONSERRATE0801422197001 X 21659 MARIDUEÑA KARLA 0801429994001 X 183767 BRIONES COLLANTES PATRICIA PILAR 0801430406001 X 95338 VELÁSQUEZ CASTILLO MANUELA ZORAYA0801434002001 X 80674 ORTIZ ANGULO TERESA DE JESUS 0801434572001 X 207054 ZUÑIGA VALENCIA JOSE WILMER 0801437419001 X 98859 PULLAS TORREA PETER STALIN 0801438870001 X 235800 BONE OYARVIDE GORKY RENE 0801447517001 X 89845 MURILLO CAGUA LINA BERONICA 0801452095001 X 248489 HEREDIA TELLO KLEBER OSWALDO 0801452145001 X 95723 PLATA CABEZAS CARLOS VICENTE 0801455338001 X 82974 BONE SEGURA BARBARA ISABEL 0801458662001 X 262229 MORENO GARZON CESIL JACOBO 0801460379001 X 106197 CORTEZ CASIERRA DILSON ABSALON 0801467200001 X 192734 MARQUEZ PERLAZA JHOANNA ELISA 0801468398001 X 106078 LEMOS MINA FRANCISCA 0801471087001 X 237476 CAÑIZARES BANGUERA HENRY FRANKLIN0801477985001 X 238188 BARBERAN SANCHEZ LETTY ANABEL 0801485616001 X 67575 HURTADO REASCO SERGIO JACINTO 0801491960001 X 139711 HURTADO BETANCOURT KLEBER 0801495227001 X 95562 JAMA SOSA YONIZ ESTALIN 0801502774001 X 105173 HURTADO TORAL ROMÁN FRANCISCO 0801511122001 X 149189 MONTESDEOCA SALDARRIAGA NILO JOSÉ0801517129001 X 175689 ESTRADA GRACIA LILIAN SOBEIDY 0801520586001 X 161541 LUCAS MEDINA JOSE ANTONIO 0801522137001 X 234517 MAZO VEIRA ERIKA 0801527425001 X 196964 LOAIZA ITURRE CRISTIAN CLODOBEO 0801527458001 X 67997 QUENDAMBU BARAHONA JOSÉ 0801539511001 X 260397 JAEN BENALCAZAR GUILLERMO LIVIO 0801539669001 X 240815 PLAZA CEDEÑO EUGENIO DAVID 0801539743001 X 104132 BALLESTEROS GASPAR JUAN ALBERTO 0801540303001 X
  • 236.
    No No registra No No registra No No. registra registra No. indicadores registra provincia, registra Persona_id NOMBRE No. ID (RUC) calle número registra de ventas, apellido cantón y primer principal de calle origen activos y/o paterno parroquia nombre principal empleados 175327 TAMAYO QUIROZ PABLO AUGUSTO 0801544842001 X 57266 TAFUR BONE YAXON DOUGLAS 0801545724001 X 235778 CORTEZ ESPAÑA JAIRO JAMINHTON 0801552464001 X 123647 ORDONEZ CORDOVA LUIS ALBERTO 0801554155001 X 131469 OJEDA MORAN VINICIO 0801554692001 X 57793 MENDOZA GARCÍA JOSÉ EDUARDO 0801561408001 X 37098 BONIFAZ BONE FRANCISCO JOSE 0801566613001 X 257616 CAICEDO ORTIZ FANNY MARLENE 0801570581001 X 59368 CECILIA 0801574864001 X 105885 VALVERDE PERLAZA JENNY FRANCISCA801578097001 0 X 206805 NIEVES ESPAÑA ORLIN ERNESTO 0801584046001 X 274735 ALMEIDA VIVAS EDUARDO ENRIQUE 0801584806001 X 185997 JAEN CAICEDO RUMALDO 0801586645001 X 26672 WAGNER BINDER TILMAN SAX 0801587932001 X 196179 OCHOA ALARCON GRECIA SUSANA 0801587981001 X 230115 VACA GOMEZ GORKY ARTURO 0801589573001 X 78233 PINILLO CASTILLO LUIS ALFREDO 0801606336001 X 217217 HERNANDEZ ZALAZAR DAVID ARTURO 0801609355001 X 211005 BALLESTEROS ESPAÑA COLON ALBERTO 0801615840001 X 48346 RODRIGUEZ SANTACRUZ RONAL GEHOVANNY 0801617010001 X 95531 DECKER AYALA IRMA EDITH 0801620881001 X 175608 OBANDO QUIÑONEZ FLAVIO FERNANDO0801626268001 X 213644 TREJO VALENCIA ERICSON ALFREDO 0801627894001 X 174321 SOLIS BAGUI SEGUNDO LEONARDO 0801635871001 X 171794 FIGUEROA CEDEÑO JAIRO LENIN 0801637000001 X 207239 VERA FERRIN JACINTO GASTHON 0801637927001 X 251266 DURAN JARAMILLO NELSON ARTURO 0801639808001 X 77345 CASIERRA ESCOBAR JASSON REINALDO 0801640061001 X 151106 PACHO CORTEZ JEFFERSON 0801640624001 X 253513 PEREA SOLIS CRUZ MARIA 0801645631001 X 84945 YEPEZ ALCIVAR ENRIQUE DAGOBERTO0801648536001 X
  • 237.
    No No registra No No registra No No. registra registra No. indicadores registra provincia, registra Persona_id NOMBRE No. ID (RUC) calle número registra de ventas, apellido cantón y primer principal de calle origen activos y/o paterno parroquia nombre principal empleados 170724 CHINGA ZAMBRANO MAURILIO 0801653890001 X 238750 SALDARRIAGA VALENCIA BARON BOLTAIRE 0801655671001 X 147477 CRUEL ANGULO MARIA JACQUELINE 0801658436001 X 163872 CAICEDO CHASING LIZANDRA VERONICA 0801663089001 X 121711 BANGUERA ROJAS IVAN BYRON 0801663576001 X 30328 CARRION MENDEZ OSWALDO LENIN 0801665845001 X 211159 RIVADENEIRA MEDINA JULIO ERNESTO0801667288001 X 177998 MONTAÑO PEÑA JORGE 0801668823001 X 276002 VELASCO GASPAR ANGEL STALYN 0801681065001 X 126020 LANDIVAR GUERRERO VIVIANA MAURIXI 0801682873001 X 199859 CUSME MACIAS TEDY DARWIN 0801685876001 X 207181 YÉPEZ MIÑO GRACE TOMASA 0801689027001 X 208444 RODRIGUEZ HERNANDEZ MOISES RAMSES 0801695859001 X 198832 SALAZAR GARCES JORGE LUIS 0801711763001 X 259892 SEGURA RODRIGUEZ LENIS HERNAN 0801718115001 X 262473 MINDA BUENO BOLIVAR ALEJANDRO 0801721374001 X 153422 BARCIA HIDALGO NELSON ENRIQUE 0801721432001 X 106362 TRUJILLO DELGADO ISABEL SUSANA 0801725813001 X 33012 GAMEZ TORRES ROBERTO MAURICIO 0801727777001 X 39986 FIGUEROA GARCÍA TOMAS ALFREDO 0801731092001 X 32393 SANTANA PLAZA BYRON RENE 0801737677001 X 103430 PAZ BARCIA BYRON FAVIO 0801738022001 X 185711 GARCIA QUIÑONEZ WENDY DEL ROCIO0801745035001 X 251851 TAPIA LOPEZ TERESA DE JESUS 0801747007001 X 261908 CASQUETE SOL MILENY EDITH 0801752635001 X 108376 NOBOA SANTANDER CARLOS DANIEL 0801755885001 X 60829 LUNA QUIÑONEZ SALVADOR ISAAC 0801758855001 X 23036 ESPAÑA CORTEZ OCTAVIO STALIN 0801776360001 X 95158 CASTILLO CASIERRA BETO ORLANDO 0801784653001 X 218209 ESTRADA GALIANO VICENTE JAVIER 0801786278001 X 202434 BOYA ARBOLEDA DERCY 0801789124001 X
  • 238.
    No No registra No No registra No No. registra registra No. indicadores registra provincia, registra Persona_id NOMBRE No. ID (RUC) calle número registra de ventas, apellido cantón y primer principal de calle origen activos y/o paterno parroquia nombre principal empleados 14118 ING. BLADIMIR PRADO 0801789348001 X 16973 VALVERDE RIASCOS HECTOR FABIO 0801802240001 X 209457 GRANADOS CUERO JANIO EFREN 0801802547001 X 212851 SANABRIA GARCIA GERMAN ARQUIMIDES0801804881001 X 39209 VALENCIA ZAMORA LUZ ESTRELLA 0801806134001 X 259912 MENDEZ VITERI FRANCISCO DAVID 0801806613001 X 132262 GIL BARRE JAVIER RAFAEL 0801816406001 X 94880 BAUTISTA PINCAY JENNYS MARTHA 0801818329001 X 98007 MURILLO LOOR EDUARDO EDMUNDO 0801818501001 X 99553 SEGURA RODRIGUEZ ANA DEL CARMEN 0801819913001 X 99249 PARRAGA ALCIVAR JAVIER RICAURTE 0801829946001 X 50938 ORTIZ CAICEDO FRANCISCO LUIS 0801830365001 X 256743 PILLASAGUA ALMEIDA JAIME ADRIANO 0801835620001 X 141806 VALENCIA QUIÑONEZ ENQUI FRANKLIN0801839341001 X 124876 ZAMBRANO ZAMBRANO MAURICIO ENRIQUE 0801842279001 X 146025 MIDERO VASQUEZ BIENBENIDO GUTEMBER 0801843475001 X 136826 CEVALLOS CEDEÑO VERONICA MAGDALENNA 0801843798001 X 139507 CASTRO VARGAS XAVIER VINICIO 0801856279001 X 148371 PERLAZA ESTACIO DIANA LORENA 0801861717001 X 38596 VINUEZA MOPOSITA DIEGO FRANCISCO 0801861808001 X 264956 QUIÑONEZ TAFUR LEONARDO WILSON0801862442001 X 261895 GOMEZ SANCHEZ RENE PATRICIO 0801865429001 X 236086 HERNANDEZ CHILA HEIDEN HAHIDEE 0801866591001 X 107370 QUIÑONEZ ANGULO ELVER BOLIVAR 0801875659001 X 115218 ROBINZON CHEME VICTOR HUGO 0801878612001 X 28487 PADILLA SANTILLAN JUAN CARLOS 0801879784001 X 216229 KLINGER QUINTERO LUIS TICIANO 0801884669001 X 75400 CARVACHE SEGURA DELINDER ANTONIO 0801892704001 X 62407 MERO MOSQUERA FABRICIO FORTUNATO 0801895186001 X 128473 CASTILLO BARBOZA ISMENIA ELEODORA0801895400001 X 75237 HURTADO ALOMIA EDISON ALEJANDRO 0801900689001 X
  • 239.
    No No registra No No registra No No. registra registra No. indicadores registra provincia, registra Persona_id NOMBRE No. ID (RUC) calle número registra de ventas, apellido cantón y primer principal de calle origen activos y/o paterno parroquia nombre principal empleados 273396 MONTAÑO QUIÑONEZ RICAUTER ALEJANDRO 0801903816001 X X X 182579 QUIÑÓNEZ QUIÑÓNEZ JULIO CÉSAR 0801905134001 X 228589 RIVERO REYNA JAVIER ANTONIO 0801907635001 X 113583 JAMA NAZARENO BELKYS FERNANDA 0801910183001 X 143708 CABANILLA MINA HECTOR JAVIER 0801910407001 X 113740 FERRIN ACEVEDO KATIA MARIBEL 0801916487001 X 98747 GARCIA MENDOZA EDWIN LEONARDO 0801924002001 X 127566 GUAMANI BUSTOS DARWIN PATRICIO 0801925132001 X 106661 RENDON QUIÑONEZ CARMEN IDALINA 0801929969001 X 67669 SILVA CEPEDA ROBERTO ADOLFO 0801933482001 X 91456 ARROBO OLIVES JOSE BENEDICTO 0801935982001 X 215100 TOAPANTA REINA FRANCISCA LUCIA 0801944620001 X 148418 PACHO ORTIZ LENIN JOSE 0801965880001 X 211158 FERNANDEZ CEDEÑO MARIUXI RAQUEL 0801972811001 X 93659 ENDARA DEMERA JOHANNA ELIZABETH 0801981838001 X 208043 CASTILLO BETANCOURT MARLON ESTHALIN 0801984998001 X 100116 QUINATOA HERNANDEZ JOSE LUIS 0801985854001 X 230345 SAMANIEGO MARINES JENNIFER PAOLA0801998055001 X 221167 LERMA CAICEDO PEDRO MARCELO 0802008847001 X 243759 MINA ARROYO AURELIO 0802012815001 X 155748 AVELLAN MOREIRA BAYRON FERNANDO802021030001 0 X 104420 RUALES ARCOS ALEX PAUL 0802031278001 X 153476 VELASCO QUIÑONEZ NIEVE PATRICIA 0802032623001 X 157789 PIMENTEL PONCE ROBERTO CARLOS 0802037085001 X 230226 CASTILLO BASTIDAS SEGUNDO ALEJANDRO 0802039966001 X 127868 CHILLAMBO LANDAZURI WISTON FRANCISCO 0802068254001 X 109874 ZAMBRANO ZAMORA JUANA DEL ROCÍO 0802076406001 X 31238 CARLOS 0802092932001 X 51267 ESTACIO DIAZ JIMMY RAUL 0802099101001 X 32275 VALENCIA DIAZ JORGE LUIS 0802099762001 X 207044 MIELES INTRIAGO JUAN VLADIMIR 0802106872001 X
  • 240.
    No No registra No No registra No No. registra registra No. indicadores registra provincia, registra Persona_id NOMBRE No. ID (RUC) calle número registra de ventas, apellido cantón y primer principal de calle origen activos y/o paterno parroquia nombre principal empleados 116094 ENDARA DEMERA JUAN ALBERTO 0802110122001 X 246727 ZAMBRANO SALDARRIAGA HUGO SILVERIO 0802110387001 X 278255 PALLO GUAITA ALBA LUCIA 0802111211001 X 182048 MENDOZA MENDIETA MARIELA MAGDALENA 0802114926001 X 67930 ALARCON MONTAÑO XAVIER ANTONIO0802116566001 X 247223 BONE LEMOS LENIN STALIN 0802117911001 X 42566 FABIAN 0802123794001 X 127011 CHANOLUISA MARTINEZ XAVIER GERARDO 0802126615001 X 165191 INTRIAGO CRESPO DAVID ALFREDO 0802133967001 X 29251 VITE ROSALES MARCO ANTONIO 0802140517001 X 254826 ORTIZ FRANCIS EDGAR HERMOGENES0802140780001 X 174998 INTRIAGO MENDOZA OSCAR ANTONIO 0802142430001 X 230327 RODRIGUEZ MAFLA JERRY DANNER 0802145524001 X 132713 ROMERO SABANDO RAMON ANTONIO 0802153072001 X 241475 ROBLES CHARCOPA ALBERTO PABLO 0802155309001 X 271701 COX CUELLAR JOSE ANTONIO 0802155507001 X 48050 GUAGUA SUAREZ SAMUEL ENRIQUE 0802167148001 X 33087 GARZON CHARCOPA VICENTE ANTONIO 0802174631001 X 160809 KLINGER ORTIZ NAILA DOLORES 0802175737001 X 92775 LOAYZA PEÑAFIEL CHRISTIAN ALFREDO 0802177931001 X 99640 OCHOA GAVILANES JUAN JOSE 0802180380001 X 188201 ALVARADO PORTOCARRERO WALTER ENRIQUE 0802224253001 X 124281 QUILA MOREIRA MAYRA ELIZABETH 0802236588001 X 134132 ARBOLEDA SANCHEZ KARLA PAOLA 0802244988001 X 127858 VERA RIVERO FRANCISCO EZEQUIEL 0802246850001 X 182267 MENDEZ CHICHANDE JOSE NERGY 0802249383001 X 60421 CORTEZ ZAMORA HAIRO XAVIER 0802262923001 X 233318 DELGADO HERRERA AMPARO LILIANA 0802266536001 X 121595 ALCIVAR SORIA EVELYN EUGENIA 0802266858001 X 143387 OLAYA HUILA LEONIDAS LIBERMAN 0802271965001 X 195651 MEDINA VALENCIA LEADER ENNER 0802278911001 X
  • 241.
    No No registra No No registra No No. registra registra No. indicadores registra provincia, registra Persona_id NOMBRE No. ID (RUC) calle número registra de ventas, apellido cantón y primer principal de calle origen activos y/o paterno parroquia nombre principal empleados 217970 GARRIDO RAMIREZ CARLOS ALBERTO 0802281469001 X 259616 ARROYO BAQUERIZO MARTHA TOMASA 0802283598001 X 208011 MANCILLA CAMPAZ A OMAR 0802283887001 X 221339 PINCAY MINA JUAN LUIS 0802291146001 X 243950 VALENCIA TORRES WASHINGTON GEOVANNY 0802297093001 X 268713 MONTAÑO CAICEDO JOSE LUIS 0802297804001 X 46084 ROSERO ESPIN ROLY RAMIRO 0802300624001 X 116092 GRUEZO LUNA DIANA MELANIA 0802305599001 X 259235 DUEÑAS LÓPEZ VÁSQUEZ OSWALDO PATRICIO 0802306274001 X 68072 CAICEDO COLOBON VICTORIA PAOLA 0802318360001 X 201024 MERA TANDAZO FERNANDO JAVIER 0802326819001 X 187480 MORENO SNACHEZ MARIA ESTELA 0802329615001 X 275397 CHINGA QUINONEZ JUAN FRANKLIN 0802337527001 X 226577 CASTILLO CAICEDO AURA MAJHOGANNY0802343566001 X 177586 ZAMORA MACIAS CARLOS JAVIER 0802356196001 X 118763 SANTANA VERA VENUS LETICIA 0802359117001 X 208962 CEVALLOS MENDOZA MARIA FERNANDA802360560001 0 X 84811 RIVERA MEJIA JORGE ENRIQUE 0802366559001 X 93314 GONZALES VERNANZA MARJORIE JESSENIA 0802372128001 X 272953 VALENCIA VERNAZA DAGLER BOLIVAR 0802380063001 X 181163 VALENCIA DELGADO ESTELA MARIA 0802406777001 X 135080 ARGUELLO BARAHONA ROCIO DEL PILAR 0802408120001 X 104980 ROMERO ROMERO JIMMY DANIEL 0802436261001 X 113285 SALAZAR IBARRA WILFRIDO ROBERTO 0802438788001 X 114260 RAMIREZ SALTOS DANNY MAGALY 0802438838001 X 118606 NEVAREZ PIN NURIS NEREIDA 0802460758001 X 182870 PEREA OLMEDO PATRICIO FLORIAN 0802468744001 X 264852 QUIÑONEZ AYOVI WALBER 0802471847001 X 252483 PEÑAFIEL SANCHEZ MARCOS ANTONIO 0802475764001 X 68023 MORENO CEDEÑO DIANA MERCEDES 0802489245001 X 69758 CASTILLO PANTOJA JEAN CARLOS 0802502146001 X
  • 242.
    No No registra No No registra No No. registra registra No. indicadores registra provincia, registra Persona_id NOMBRE No. ID (RUC) calle número registra de ventas, apellido cantón y primer principal de calle origen activos y/o paterno parroquia nombre principal empleados 222725 CIFUENTES ORTIZ SOCRATES DAVID 0802506923001 X 59019 ARCE NAZARENO PATRICIO 0802507160001 X 236209 COROZO QUIÑONEZ MARYURI BANEZA 0802527762001 X 198874 PAZMIÑO FIGUEROA JOHANNA YIMABEL802528141001 0 X 66722 FERRIN MARTINEZ OSCAR ALFREDO 0802528414001 X 116737 REALPE BURBANO MARIA FERNANDA 0802535716001 X 217952 FLORES GARCIA JUAN CARLOS 0802539031001 X 94319 ROSALES BALLADARES SUSANA STEPHANIA 0802539916001 X 251879 MASAQUIZA LAICA PAUL FERNANDO 0802548941001 X 133833 ANGULO LASTRA NEY TERESA 0802553776001 X 80410 ESTUPINAN QUINONEZ MARIUXI YANETH0802563544001 X 262548 ORAMAS SANTANDER MARJORIE VERONICA 0802576017001 X 243634 QUINTERO CAMPOS CRISTHIAN FERNANDO 0802590273001 X 33410 PEREA ORTIZ RUBEN DARIO 0802590661001 X 138052 TENORIO BONE FRIXON GUSTAVO 0802637033001 X 139579 TENORIO BONE OSCAR ALFREDO 0802637223001 X 207012 PATIÑO SATIZÁBAL JAVIER ALEJANDRO0802641704001 X 271070 MARTINEZ CHEME ANDREA EMERITA 0802648774001 X 54827 DÍAZ SOLIS ANDY RICARDO 0802652149001 X 276978 PERLAZA QUIÑONEZ JORGE LUIS 0802660225001 X 250209 LASTRA ALEGRÍA ABRAHAM ALTEMAR 0802690172001 X 172176 CHICAIZA QUINATOA MAURICIO RIGOBERTO 0802726836001 X 131814 PEREA OLMEDO BERNARDO MANUEL 0802745323001 X 126190 RENTERIA CAMACHO CRISTHIAN FERNANDO 0802758813001 X 232592 DELVICIER CAMPOS YULY GENOVEVA 0802774992001 X 93946 GONZALEZ MARQUEZ SEGUNDO JORGE802782862001 0 X 82275 GRACIA CHEME PEDRO WLADIMIR 0802817163001 X 54349 NESTOR 0802818567001 X 97246 CAJAS ESTRADA LEONELA VANESSA 0802824326001 X 103493 COLOBON CORTEZ PAOLA JESSENIA 0802833442001 X 214289 VALDEZ DEMERA JOSE JOAQUIN 0802838623001 X
  • 243.
    No No registra No No registra No No. registra registra No. indicadores registra provincia, registra Persona_id NOMBRE No. ID (RUC) calle número registra de ventas, apellido cantón y primer principal de calle origen activos y/o paterno parroquia nombre principal empleados 200875 PONCE REASCO KAREN ELIZABETH 0802853580001 X 173861 VERA LOOR OSCAR ANTONIO 0802855304001 X 179087 BRAVO QUIÑONEZ GLORIA JACKELINE 0802869446001 X 209541 PARRAGA GARCIA GUIDO GASTON 0802899518001 X 43392 GIRON SANCHEZ MONICA ADELAIDA 0802914283001 X 95434 BAZURTO PONCE CONSUELO BEATRIZ0802934711001 X 219771 CEVALLOS CAÑOLA JHOANNA ROXANA0802940387001 X 115123 MOREIRA POZO DAVID ALEJANDRO 0802949750001 X 61101 OREJUELA ORTIZ JACKSON LEONID 0802953398001 X 110303 ORTIZ CAICEDO VERONICA ELIZABETH 0802977116001 X 196981 ZAMBRANO LOOR VERONICA ALEXANDRA 0803044817001 X 207397 AREVALO SANCHEZ JIMENA ALEXANDRA 0803095520001 X 235769 GONZALEZ GARCIA CARMEN ROSA 0803115724001 X 246018 JAÉN REASCOS ALEX EDUARDO 0803165109001 X 249121 RODRTIGUEZ BURVANO MELVA KARINA 0803236439001 X 260305 MERA PAREDES MIGUEL ANGEL 0803242627001 X 261808 ALVAREZ BATIOJA MARIA FERNANDA 0803298165001 X 104389 BLANDON GUAGUA FERNANDO DANILO 0803439686001 X 269105 LARA CAMACHO BORIS ALEXANDER 0803514017001 X 186749 QUIÑONEZ PERLAZA ORLANDO DAVID 0803560077001 X 30267 JUNTA PARROQUIAL DE TONSUPA 0860013300001 X 239209 BATALLON DE INFANTERIA MOTORIZADO 13 ESMERALDAS 0860040030001 X X 131723 VICARIATO APOSTOLICO DE ESMERALDAS 0890012183001 X 102383 SINDICATO DE CHOFERES PROFESIONALES DEL CANTON QUININDE 0890033318001 X 96686 EDITORES ESMERALDEÑOS EDIESA S.A.0890044719001 X 99498 SERVICIOS MARÍTIMOS Y LOGÍSTICOS 0890044816001 X 82452 FORO DE DESARROLLO INTEGRAL DE LA MUJER Y LA FAMILIA 0890045715001 X 116072 TELEVISION ESMERALDEÑA COMPAÑIA DE ECONOMIA MIXTA 0890048242001 X 59053 JORGE VIVAR SERVICIOS DE INGENIERIA MECANICA CIA LTDA 0890051421001 X 227066 PORTOKEROS CIA. LTDA. 0891700105001 X 251300 PONTIFICIA UNIVERSIDAD CATOLICA DEL ECUADOR SEDE ESMERALDAS 0891702744001 X
  • 244.
    No No registra No No registra No No. registra registra No. indicadores registra provincia, registra Persona_id NOMBRE No. ID (RUC) calle número registra de ventas, apellido cantón y primer principal de calle origen activos y/o paterno parroquia nombre principal empleados 84182 COOPERATIVA DE SERVICIO DE MANTENIMIENTO NAVAL ESMERALDAS 0891703171001 X 34442 COMITE PROMEJORAS 20 DE NOVIEMBRE DE LA ISLA LUIS VARGAS TORRES 0891704259001 X 260826 ASOCIACION FORO DE MUJERES DE QUININDE 0891704771001 X 216967 ASOCIACION DE PARTICIPACION SOCIAL NUCLEO AUTOGESTIONARIO DE ASISTENCIA TECNICA DE ESMERALDAS 0891705433001 X 44613 ASOCIACION DE PARTICIPACION SOCIAL BIENESTAR DE LOS NIÑOS 0891706383001 X 44627 FUNDACION TOLITA ESMERALDA 0891706839001 X 116718 RADIO GAVIOTA F.M. DE ESMERALDAS 0891707061001 GAVIESMERALDAS CIA. LTDA. X 90515 MICROEMPRESA DE CONSERVACIÓN VIAL UNIDOS TRABAJANDO POR EL FUTURO 0891707258001 X 269597 MICROEMPRESA DE CONSERVACION VIAL ESTERO ANCHO 0891707355001 X 36708 SAN FRANCISCO DE LOS MILAGROS 0891709366001 X 163789 ASOCIACION DE PARTICIPACION SOCIAL SATA FE DE LAS AMERICAS 0891710321001 X 110467 OLUVA CIA.LTDA 0891712723001 X 37066 FUNDACION TAVE TRABAJO AMOR VIDA Y ESPERANZA 0891712820001 X 30834 FUNDACION DE DESARROLLO SOCIAL, 0891712936001 CULTURAL, EDUCATIVA Y ECONOMICA DE LOS SECTORES MARGINALES DEL ECUADOR X 212305 SERVICIOS INDUSTRIALES CASTILLO CIA. LTDA 0891713010001 X 140297 BIENES Y SERVICIOS CASTILLO S-A- 0891713029001 X 184763 CONSTRUCCIONES BENAL S.A. 0891713231001 X 210715 ASOCIACION PARA EL DESARROLLO AFROCULTURAL, SOCIAL Y ARTESANAL "BAMBUCO" 0891714890001 X 15370 UNIÓN PROVINCIAL 0891715927001 X 191770 PATRIA NUEVA 0891716001001 X 32153 DIVINA ESPERANZA 0891716540001 X 34519 COMITE PROMEJORAS VIVIR CON DIGNIDAD 0891716664001 X 34581 FUNDACION JUAN ISAAC QUIÑONEZ ANGULO 0891716796001 X 30877 FUNDACION PARA EL DESARROLLO INTEGRAL DE LOS NIÑOS MADRES Y ANCIANOS POBRES DE ESMERALDAS 0891717024001 X 12485 PROCOMATEL S A 0891717946001 X 182019 SISCONTEL S.A. 0891717970001 X 30772 FUNDACION UNIDOS PARA EL CAMBIO LA AMISTAD Y EL PROGRESO DEL ECUIADOR 0891718543001 X 268260 ASOCIACION DE CONSERVACION VIAL ALTO TAMBO 0891718748001 X 181474 TERESCORP S.A 0891719132001 X 202826 MANTENIMIENTO & SERVICIOS GENERALES STAPU S.A 0891719140001 X 158708 COMPAÑIA SUBMARINO CONTRASUB 0891719477001 X
  • 245.
    No No registra No No registra No No. registra registra No. indicadores registra provincia, registra Persona_id NOMBRE No. ID (RUC) calle número registra de ventas, apellido cantón y primer principal de calle origen activos y/o paterno parroquia nombre principal empleados 270453 ASOCIACION DE CONSERVACION VIAL DURANGO 0891719671001 X 134869 MOREIRA ALVARADO CIA. LTDA. 0891719701001 X 157583 DISEÑO PROYECTOS Y CONSTRUCCIONES DISEPROCONS S.A. 0891719841001 X 95806 ANBEC S.A. 0891720041001 X 29613 LAYPRE S.A. 0891720149001 X 72017 SERVICIOSBONREQUI 0891720157001 X 256032 CONSTRUCCIONES DE SISTEMAS ELECTRICOS Y OBRAS CIVILES CONSISTELOC CIA. LTDA 0891720270001 X 127999 ASOCIACION DE CAMPESINOS AUTONOMOS FUERZAS UNIDAS DEL RECINTO 5 DE AGOSTO 0891720831001 X X 57342 RIGACE S.A. 0891722524001 X 87458 GEORGIA SERVICIOS TECNICOS INDUSTRIALES S.A. 0891722540001 X 126502 CONSTRUCCIONES CARALFBAL S.A. 0891723601001 X 259794 ASOCIACION DE PROFESIONALES Y AFINES AFROS PARA EL DESARROLLO 0891723660001 X 137298 CONSTRUCTORA JARUCHAS 0891723768001 X 144300 CONSTRUCTORA CUBONSA S.A. 0891724020001 X 181531 CONSTRUCTORA COPCINM S.A. 0891725744001 X 275241 COMITE BARRIAL 15 DE OCTUBRE PIANGUAPI ISLA LUIS VARGAS TORRES 0891726678001 X 223243 CASTILLO PRECIADO JAIME 0891727119001 X 233621 ASOCIACION DE TRABAJADORES QUE REALIZAN LA LIMPIEZA DE DESECHOS DE MARISCOS Y AREAS VERDES DEL PUERTO PESQUERO DEL CANTON 0891727577001 X 255237 COMERCIALIZADORA MORENO JIMENEZ CIA.LTDA 0891728662001 X 259125 SOLIMIKA S.A. CONSTRUCTORA 0891728867001 X 273046 CONSTRUCTORA QUINRADDY S.A. 0891729146001 X 276618 CONSTRUCCION Y MANTENIMIENTO KATRICKAL S.A 0891729197001 X 276386 SERVICIOS Y MANTENIMIENTO INDUSTRIAL BAJUCHELCA S.A 0891729200001 X 276306 CONSORCIO PROCOMATEL ROMSERR 0891729448001 X 142591 RODRIGUEZ JORGE 0900017245001 X 232291 CABRERA CHICA FAUSTO ENRIQUE 0900054222001 X 151225 GONZALEZ VILLACIS ROBERTO JOSE 0900094376001 X 145570 ROMERO VASQUEZ RAFAEL ALBERTO 0900154139001 X 267884 CORNEJO CRESPO WALTER GUSTAVO0900176462001 X 113298 TOLEDO VALENCIA BOLIVAR TOLEDO 0900180720001 X 228975 SANCHEZ SERRANO LEON ARTURO 0900182288001 X
  • 246.
    No No registra No No registra No No. registra registra No. indicadores registra provincia, registra Persona_id NOMBRE No. ID (RUC) calle número registra de ventas, apellido cantón y primer principal de calle origen activos y/o paterno parroquia nombre principal empleados 44033 CHAVEZ MESIAS MARCIA CECILIA 0900184136001 X 204028 SUAREZ PAZ JACINTO EDUARDO 0900188632001 X 261211 MACIAS ALVARADO RAMON CLOTARIO 0900190406001 X 166120 FERREIRA BRAVO GUILLERMO 0900190448001 X 149276 TOALA VILLACRECES HEDILBERTO GREGORIO 0900223819001 X 190702 ESPINOZA COLOMA MILTON ELADIO 0900231390001 X 111554 SERRANO AGUILAR LISIMACO ENRIQUE0900244252001 X 153107 MONCADA VILLAMAR MANUEL DE JESUS0900299314001 X 256621 BARBERAN HERNANDEZ CARLOS ALFREDO 0900315854001 X 147290 ANDRADE CAAMAÑO BOLIVAR MARIANO 0900332024001 X 59713 GUERRERO GIL ABDÓN EUGENIO 0900332297001 X 103279 CARVACHE FLORES PEDRO SATURNINO900337676001 0 X 232035 MOREIRA VILLEGAS NELSON DEMOFILO0900468919001 X 177786 MARTINEZ ENRIQUEZ FLERIDA BEYRUT0900516576001 X 208627 PEREZ PEREZ DOMINGO REINALDO 0900528829001 X 203640 ARREAGA HUACON JOSE ALEJANDRO 0900572660001 X 202950 CASTRO RIVADENEIRA SERGIO AGUSTIN 0900590647001 X 186962 NUÑEZ BALAREZO FERNANDO AMADO 0900666710001 X 140269 MURRIETA CALERO WALTER EDUARDO 0900693722001 X 97087 CHAVEZ BAIRD MARIO FERNANDO 0900730391001 X 72324 LEON NAVAS VICTOR MANUEL 0900730714001 X 179403 MARTINEZ HERRERA LUIS REYES 0900743402001 X 259626 FRIEND ZAMBRANO DAVID SALOMON 0900802836001 X 250610 ZEA ALVARADO VICTOR MIGUEL 0900813072001 X 27873 BERNAL LANGE CARLOS ALBERTO 0900818196001 X 26319 VIEJO ALVARADO MIGUEL ANTONIO 0900887803001 X 41707 VELASQUEZ VELEZ ROBERTO ARTURO0900907825001 X 246470 VALVERDE CUERO LUIS SEGUNDO 0900919093001 X 43624 GARCÍA MENENDEZ LINCOLN EDISON 0900928508001 X 261662 GALLARDO ROSERO LUIS ALBERTO 0900963430001 X 180953 OCHOA VEINTIMILLA LORENZO AQUILES900966102001 0 X
  • 247.
    No No registra No No registra No No. registra registra No. indicadores registra provincia, registra Persona_id NOMBRE No. ID (RUC) calle número registra de ventas, apellido cantón y primer principal de calle origen activos y/o paterno parroquia nombre principal empleados 42438 POZO CORDERO CARLOS HERMOGENES 0900989591001 X 180269 TORRES CUENCA ABSALON SIGIFRIDO0901019463001 X 76821 LAMAN LA MOTA JOSE JOAQUIN 0901020263001 X 129364 SALVADOR GONZALEZ JOSE VICENTE 0901027359001 X 143787 OYOLA MURILLO LUIS ALBERTO 0901029694001 X 190955 CUEVA PARDO JUANA MARIA 0901032128001 X 109459 GELLIBERT LARRETA WALTER RICARDO 0901047571001 X 178644 REYES GUILLEN CARLOS ENRRIQUE 0901052332001 X 166003 MOROCHO PALMA CARLOS GENARO 0901053595001 X 248032 FIGUEROA MEJILLON JESUS ECUADOR0901053785001 X 67298 CAIZAPANTA GUTIERREZ ANGEL RAFAEL 0901058503001 X 129397 MORENO SANCHEZ GLADYS JULIA 0901070136001 X 106184 DEL PEZO ORRALA PASCUALA PETRONILA0901077529001 X 199030 MOSQUERA DE LA ESE WASHIGTON MARTIN 0901107524001 X 236607 VILLAVICENCIO ESCOBAR LUIS FELIPE 0901128173001 X 168638 MURRIETA VILLAMAR SILVIO PASTOR 0901132159001 X 66833 IDROVO MATERNO JOSE MIGUEL 0901141317001 X 137863 JACOME CONTRERAS SONIA ESTHER 0901169839001 X 167117 HERRERA FLORENCIA MARGARITA DOLORES 0901192856001 X 207378 CEDEÑO CHILA GUNTHER ELEODORO 0901192955001 X 217557 COBO MOLINEROS RICARDO ALBERTO0901194712001 X 154155 REYES MATIAS MIGUEL ROLANDO 0901212225001 X 100722 PILAY EUGENIO SEGUNDO EUGENIO 0901234815001 X 153201 SANTOS SUÁREZ HUGO WALTER 0901246983001 X 180700 PRECIADO REINOSO GABRIEL ANIBAL 0901259648001 X 214385 PEREZ CORNEJO ESTEBAN ANTENOR 0901259853001 X 67631 GRANIZO SEGARRA VICTOR HUGO 0901266460001 X 162779 RAMOS RICARDO NERIS ARMANDO 0901285692001 X 69647 VILLAO PACHECO OSCAR OSWALDO 0901286377001 X 247643 PILALO CASTRO LUIS ENRIQUE 0901294967001 X 129113 ARRIAGA OLVERA RITA FELIPA 0901301598001 X
  • 248.
    No No registra No No registra No No. registra registra No. indicadores registra provincia, registra Persona_id NOMBRE No. ID (RUC) calle número registra de ventas, apellido cantón y primer principal de calle origen activos y/o paterno parroquia nombre principal empleados 252556 LOPEZ CORNEJO ENRIQUE JULIO 0901302661001 X X X 144077 SUDARIO BARZOLA ELIECER GUALBERTO 0901304998001 X 3371 SOLANO MORALES NORMA ALICIA 0901314328001 X 108042 BARRERA CAMPOS AMBROCIO CARLOS 0901335497001 X 142841 RUIZ SEGURA KLEBER VIRGILIO 0901351957001 X 190701 ANDRADE MARQUEZ CESAR NEPTALI 0901390054001 X 162447 PEÑA VARGAS JULIETA MARGOT 0901446823001 X 125593 GASTIABURO CANTOS CARLOS ALBERTO0901481861001 X 104379 FLORES ORTEGA MARIA ANGELA 0901485102001 X 214692 OROZCO ZAMBRANO LASTENIA MARIA0901512004001 X 86641 VALERO PEÑAFIEL MAXIMO EZEQUIEL 0901550301001 X 189220 PANCHANA RODRIGUEZ GUILLERMO GILBERTO 0901647214001 X 230232 MUÑOZ DOMINGUEZ ADOLFO AMABLE 0901669788001 X 183689 MOSQUERA SANTANA JOSE SIMON 0901728261001 X 269382 MARTINEZ MACIAS ZOILA MERCEDES 0901728790001 X 262004 LOVATO PALACIOS BAKUNIN 0901753194001 X 196559 BURGOS CABRERA VICTORIANO ELISEO901773119001 0 X 207864 RODRIGUEZ VÉLEZ JOSÉ ENRIQUE 0901778878001 X 198799 ALAVA GONZALEZ PATRICIO RAMIRO 0901787606001 X 104096 DUMAN GARCÍA JOSÉ DOMINGO 0901813592001 X 249120 ZAMBRANO FARÍAS HUMBOLDT DEL JESÚS 0901833558001 X 244832 LOJA SUCONOTA MANUEL DE JESUS 0901853903001 X 38494 DELGADO MONCAYO CRUZ MARIA 0901854695001 X 217177 SAMANIEGO SANTILLAN ROMULO JORGE0901855460001 X 155039 MEJILLONES VERA JUAN ADOLFO 0901882654001 X 151823 SUAREZ ORRALA GUILLERMO SAMUEL 0901885327001 X 3499 LARROSA SAA ANA FELICITA 0901912675001 X 244332 ANDRADE MENDOZA BETTY MARIA 0901921502001 X 148407 IBARRA VERA JUSTO ALBERTO 0901930867001 X 241211 CHICA CARMONA DARIO ERNESTO 0901952176001 X 249719 SUAREZ HERRERA ANDRES GERMAN 0901971184001 X
  • 249.
    No No registra No No registra No No. registra registra No. indicadores registra provincia, registra Persona_id NOMBRE No. ID (RUC) calle número registra de ventas, apellido cantón y primer principal de calle origen activos y/o paterno parroquia nombre principal empleados 77536 GARCIA LEMA CARLOS ENRIQUE 0901986661001 X 21560 VALENCIA PEREZ VICENTE VITELIO 0902032556001 X 145278 CAMBALA MONTECE CARLOS ALBERTO 0902071117001 X 10819 CARLOS MONTOYA SOTOMAYOR 0902072164001 X 178812 ROBLES POVEDA FAUSTO ALVINO 0902093921001 X 87067 BERMÚDEZ SALAZAR MARÍA VERÓNICA 0902109131001 X 196068 ASPIAZU GARCIA VIOLETA AZUCENA 0902181387001 X 15855 SERGIO 0902183482001 X 21447 ING.CARLOS MOROCHO 0902183557001 X 12894 JULIO MATAMOROS 0902186147001 X 26072 AGUIRRE ROMERO HENRY JACINTO 0902225044001 X 163831 CENTENO CENTENO LUIS OCTAVIO 0902233683001 X 66691 ASTUDILLO VELASCO LEOPOLDO ENRIQUE 0902256254001 X 146527 RAMIREZ GONZALEZ LERIDA 0902267459001 X 220805 MORANTE ROMERO MANUEL DE JESUS 0902276302001 X 129697 RIVERA MIRANDA ERNESTO OSWALDO0902302611001 X 37886 MORA SUÁREZ DELIA DE LAS MERCEDES 0902341593001 X 54003 GALLARDO CABRERA JOSE EDUARDO 0902376110001 X 151692 MONROY MIRANDA LUIS ENRIQUE 0902441633001 X 79214 LA MOTA BRAVO CARLOS RAFAEL 0902470707001 X 152926 SOTOMAYOR ROSALES EDMUNDO 0902515659001 X 207669 SALAZAR ESPINOZA NORMA ARACELIA0902519321001 X 3824 FERAUD CRESPO ROBERTO FRANCISCO 0902527480001 X 146213 CEDENO MURILLO RAMON DARIO 0902541515001 X 75682 CASTRO LEON CRUZ DEL CARMEN 0902544840001 X 79880 GARNICA GARNICA MANUEL RODRIGO 0902545086001 X 120670 CAAMAÑO QUINTONG WILSON RIGOBERTO 0902582022001 X 7434 GONZALEZ PINOS GLORIA DEL ROSARIO 0902603463001 X 213752 MARTINEZ LEON LUIS ALBERTO 0902611680001 X 64851 SOLÍS CABEZAS JOSÉ LOMBARDO 0902621671001 X 47903 AMBROSSI BANCHON JUAN VICENTE 0902674555001 X
  • 250.
    No No registra No No registra No No. registra registra No. indicadores registra provincia, registra Persona_id NOMBRE No. ID (RUC) calle número registra de ventas, apellido cantón y primer principal de calle origen activos y/o paterno parroquia nombre principal empleados 35334 CORTEZ OLVERA VICTOR EFREN 0902676436001 X 161692 SUAREZ URUETA CESAR AUGUSTO 0902679547001 X 143392 YANEZ JORGE ENRIQUE 0902695329001 X 3505 ROMERO BAJANA ELSA DEL CARMEN 0902703271001 X 215539 SANDOVAL ROSERO FRANCISCO ANGEL 0902753664001 X 220826 MONROY VERA LUIS ALBERTO 0902755966001 X 234191 ANCHUNDIA BERNARDA 0902794486001 X X X 179730 BATALLAS BERNAL BAUDILLO 0902796200001 X 195078 SAMANIEGO SAMANIEGO VICTOR RADOY 0902848381001 X 60363 CORTEZ LAPO FRANCISCO MIGUEL 0902898329001 X 85606 GRANJA GILER DOUGLAS ALBERTO 0902898865001 X 168266 SARMIENTO ORELLANA CARLOS AMABLE 0902923747001 X 92174 MARTINEZ UNAMUNO JOSE VICTOR 0902950310001 X 148629 QUIMI MURILLO SEGUNDO FRANCISCO0903000669001 X 162251 AVECILLAS JORGE CORNELIO 0903011534001 X 137938 CALDERON GUZMAN SEGUNDO LUIS 0903052728001 X 175683 RUIZ FREIRE CARLOS ALBERTO 0903150431001 X 143527 RUIZ ALVARADO MARIANO WASHINGTON 0903153575001 X 182487 CHANG ALAVA MANUEL ROBERTO 0903186484001 X 237887 MERINO PLAZA JOSE APARICIO 0903225928001 X 108518 MORA JAIME DAVID 0903241693001 X 3407 MIRANDA YEPEZ BELGICA ISABEL 0903255263001 X 72286 BALLADARES MAGALLANES OSWALDO 0903283869001 SUCRE X 215311 BATALLA VEGA MANUEL WELLINGTON 0903288074001 X 100963 IDROVO FEIJÓO MARTA PIEDAD 0903334563001 X 88480 VERNAZA TRUJILLO ERNESTO 0903338440001 X 3718 JARRIN PLUAS JENNY ARACELY 0903345395001 X 205995 MERA VILLARREAL CRISTOBAL ELPIDIO0903366599001 X 260337 ALVEAR MACÍAS JORGE GUILLERMO 0903393155001 X 104417 RUIZ RUIZ JULIO CLARO 0903394526001 X 32907 REYES MATIAS JULIO DSNIEL 0903423903001 X
  • 251.
    No No registra No No registra No No. registra registra No. indicadores registra provincia, registra Persona_id NOMBRE No. ID (RUC) calle número registra de ventas, apellido cantón y primer principal de calle origen activos y/o paterno parroquia nombre principal empleados 21340 MERCHAN ALIAGA WILLIAN ROBERTO 0903426013001 X 193841 COELLO MANZANARES CARLOS SEGUNDO 0903437531001 X 170838 CORDERO MATUTE JAIME HUMBERTO 0903447746001 X 161166 ESTEVEZ FIERRO ZOILA ESPERANZA 0903453298001 X 31354 VILLAO BORBOR LUIS EDUARDO 0903456200001 X 254407 ALMEIDA VERA ISMAEL ISMAEL 0903459329001 X X X 74084 SANCHEZ FALCONES ARACELI ELENA 0903470649001 X 249064 CASANOVA XXXXXXX ALEJANDRO AUGUSTO 0903485845001 X 140547 ORRALA GONZABAY CRISTOBAL NEPTALI0903501013001 X 234107 PIZARRO RODRIGUEZ PLACIDO JUSTINO0903510063001 X 99945 RAMIREZ CARLOS HUMBERTO 0903521656001 X 42876 FLORES ARROBA ALFREDO ELÍAS 0903543346001 X 217561 CAJAS RIZZO ESTHELA FLOR 0903560472001 X 118034 TUTIVEN ALVARADO NELSON AQUILES0903571008001 X 140036 CONCHA LECARO VICENTE FRANCISCO 0903575165001 X 190319 AGUILAR JOSE PEDRO 0903576288001 X 53940 PROAÑO ORTÍZ JUAN ANTONIO 0903582336001 X 130025 OROZCO OROZCO GUILLERMO WASHINGTON 0903583318001 X 250692 TELLO AVILA TERESA DEL NIÑO JESUS0903583912001 X 214539 VELOZ LEMARIE ROSA KETTY 0903589943001 X 31172 HELGUERO OBANDO CARLOS VICENTE0903594158001 X 141356 FAJARDO GARCIA CARLOS ALFONSO 0903624245001 X 85064 TUTIVEN HERRERA CELSO COLON 0903634269001 X 213222 VASQUEZ RONQUILLO LUIS EUSEBIO 0903664373001 X 172827 MENDOZA CORONEL WILLIANS EZEQUIEL0903670776001 X 3456 MANRIQUE SANCHEZ ROSA ISABEL 0903762698001 X 276919 LOPEZ ALVAREZ OLGA IRENE 0903771020001 X 90190 AGUIRRE BONOSO NELLY IRENE 0903799377001 X 218329 CALDERON CHOEZ JUAN BAUTISTA 0903826899001 X 160520 BAQUE PALMA NATIVIDAD ESTEBAN 0903845592001 X 205852 PAZMIÑO BARRENO YOANDA EUGENIA0903860534001 X
  • 252.
    No No registra No No registra No No. registra registra No. indicadores registra provincia, registra Persona_id NOMBRE No. ID (RUC) calle número registra de ventas, apellido cantón y primer principal de calle origen activos y/o paterno parroquia nombre principal empleados 231049 JACOME INOQUIO TOMAS AQUILINO 0903873560001 X 136403 ESCALANTE QUINDE CARLOS JACINTO0903874394001 X 235268 CANARTE TERAN PAUL EMILIO 0903895860001 X 123617 GRIET RENDON RICARDO WASHINGTON903908366001 0 X 248120 MENDEZ VILLARROEL JULIO TEODORO0903911543001 X 106322 MOREIRA DUQUE MARINO ALVARO 0903917391001 X 143517 ZAMBRANO IZQUIERDO FROWEN XAVIER0903924686001 X 240756 VALAREZO MEJÍA CARMEN MARÍA 0903941367001 X 160719 PALOMEQUE HERRERA CARLOS GUILLERMO 0903966083001 X 133764 MARQUEZ VILLACRES HUGO OSWALDO 0903977122001 X 1235 HENRY 0903987600001 X 20402 NATALIA 0903990794001 X 8493 FUMIGATIONS & SERVICES 0903995736001 X 184660 RIBAS VERA JUAN ALFREDO 0903998086001 X 30326 PAREDES LÓPEZ HÉCTOR ANIBAL 0904032992001 X 195769 GONZALEZ PARRA PEDRO MANUEL 0904050374001 X 219348 VALLE PLUAS NAPOLEON MANUEL 0904076684001 X 42676 VASQUEZ ROJAS JUSTO ABRAHAN 0904090628001 X 210663 ESTRADA VELASQUEZ RAFAEL LEONIDAS 0904104429001 X 65983 CARCHI PAREDES CARLOS LUIS 0904108859001 X 67892 JIJÓN GUERRERO MILTON OMAR 0904109394001 X 264601 RUIZ CAMPOSANO LUIS ARNOLDO 0904123353001 X 112672 CHAVEZ MENDOZA JACINTO GONZALO0904125770001 X 252846 CASTILLO MACIAS JACINTO AROL 0904127115001 X 237594 GUEVARA VASQUEZ TOMAS ROSSBELT 0904135019001 X 230647 ALEJANDRO JAIME VICENTE EVARISTO0904135175001 X 181635 GOMEZ SIERRA MARCOS ANTONIO 0904173671001 X 115432 PARRALES SILVA CARLOS ENRIQUE 0904176351001 X 37206 AGUIRRE ABAD LUIS ANTONIO 0904180205001 X 267468 BETANCOURT NEIRA TOMAS ALBERTO 0904218468001 X 221384 MOLINA PENA CARLOS ALFONSO 0904242237001 X
  • 253.
    No No registra No No registra No No. registra registra No. indicadores registra provincia, registra Persona_id NOMBRE No. ID (RUC) calle número registra de ventas, apellido cantón y primer principal de calle origen activos y/o paterno parroquia nombre principal empleados 185489 LOOR BUENO TERESA DE JESUS 0904318870001 X 109652 WONSANG AMEN JOSE SIGIFREDO 0904320744001 X 206150 VIVAR MONTERO GONZALO EDMUNDO0904325842001 X 240000 VERA CRIOLLO VICTOR HUGO 0904330495001 X 25032 ARCE BURGOS LUIS XAVIER 0904333366001 X 152882 BAEZ VELASTEGUI GUADALUPE DEL PILAR 0904353034001 X 3525 PALMA SANDE ROSA MATILDE 0904354040001 X 131634 BORJA POMBO CESAR EDUARDO 0904367141001 X 82135 MARTINEZ GARCIA WALTER MORGAN 0904417094001 X 180585 DE LA CRUZ RODRÍGUEZ FLORENCIO ANASTACIO 0904460938001 X 265111 BARCIA VILLACIS OMAR MAXIMILIANO 0904480985001 X 220302 CEPEDA JACOME GLADYS YOLANDA 0904505492001 X 52730 FIGUEROA GUARANDA BEATRIZ FABIANA0904520210001 X 148459 GUEVARA ORTIZ JAIME VICENTE 0904521077001 X 260906 PALOMEQUE ALVARADO LUIS ALBERTO 0904528262001 X 205054 FRANCO FALQUEZ MARIA MAGDALENA0904528999001 X 141200 SOLANO LAINEZ PROSPERO RUBEN 0904542255001 X 192930 MACIAS RAMOS CARLOS EDUARDO 0904554201001 X 61718 GAMBOA VILLAVICENCIO CARLOS RAFAEL 0904592565001 X 13112 MORENO MANCHENO PATRICIO 0904596632001 X 41196 ESTRELLA PARRA CAROLA PETRONILA0904628930001 X 220374 SANTISTEVAN VILLAO MARIA JESUS 0904632486001 X 72332 HOLGUIN PILAY GLADYS 0904674900001 X 146997 BURGOS VILLACÍS JOEL 0904679370001 X 187964 BONILLA GARCES ELBA GEORGINA 0904714854001 X 63484 CARRERA CALDERON FABIAN ANTONIO 0904718616001 X 9507 IMPRENTA SAN FRANCISCO 0904742723001 X 196928 DUQUE JIMENEZ MARIA GRACIELA 0904749389001 X 209683 CHAVEZ ARCE MARIO FERNANDO 0904766284001 X 109085 PIÑA MUÑOZ VICTOR MANUEL 0904769742001 X 131118 VILCHE COELLO RAMON ENRIQUE 0904774189001 X
  • 254.
    No No registra No No registra No No. registra registra No. indicadores registra provincia, registra Persona_id NOMBRE No. ID (RUC) calle número registra de ventas, apellido cantón y primer principal de calle origen activos y/o paterno parroquia nombre principal empleados 211410 POZO LÓPEZ CARLOS CALIXTO 0904778628001 X 3617 CRUZ BORBOR LILIA ALBA 0904781887001 X 133674 POZO BORBOR LUIS 0904783776001 X 241483 URGILES FLORES NEPTALI ALBINO 0904811684001 X 171559 MAQUILON VERA CESAR AUGUSTO 0904819703001 X 33994 PORTILLA BOTTO HÉCTOR LOLO 0904821790001 X 211576 TORRES ARAUJO VÍCTOR EMILIO 0904828290001 X 152072 PALACIOS CABRERA PABLO CESAR 0904864089001 X 227360 SEVERINO MORAN BERNARDO EDUARDO 0904866407001 X 51838 SANCHEZ ALVARADO EDDY DAVID 0904880150001 X 154561 DEL HIERRO CAICEDO AUGUSTO EMILIO904893419001 0 X 251869 FALQUEZ LAMULLER LUZ MERCEDES 0904896883001 X 199767 CRIOLLO CONSUEGRA VICENTE EPIFANIO 0904901329001 X 33289 FERRER TRIVIÑO LEONCIO ARISTOTELES 0904915287001 X 53917 JARAMILLO POVEDA JOSÉ ABELARDO 0904926615001 X 73366 CEDEÑO AYONG JORGE LUIS 0904935855001 X 20640 EGAS PEÑA HUGO ERNESTO 0904949195001 X 201060 VÉLEZ CEDEÑO JORGE HUGO 0904953197001 X 232108 OSEJO GONZALEZ ELSA FABIOLA 0904971967001 X 265152 RODRIGUEZ LEON GUADALUPE DE LOS ANGELES 0904975463001 X 105851 RUBIRA GOMEZ GILDA GRACIELA 0904978079001 X 189181 SALTOS CRESPIN MANUEL MAURO 0904982782001 X 81594 ROMERO ESPINOZA OLGA EMPERATRIZ 0905000477001 X 179033 CARVAJAL CANCIO CESAR ERNESTO 0905017612001 X 89617 ALVAREZ RIVAS PABLO ALVERTO 0905023404001 X 128825 GARCIA MENDOZA EUGENIO ERIBERTO 0905025771001 X 221838 PINCAY FLORES ROSA TOMASA 0905050225001 X 53624 PESANTES MANRIQUE ALFONSO JAVIER905050910001 0 X 120600 CEDEÑO PINCAY LILIA AZUCENA 0905057360001 X 199840 TOMALA POZO CARMELO 0905077459001 X 134833 VELIZ MEZA CAMILO FRANCISCO 0905083986001 X
  • 255.
    No No registra No No registra No No. registra registra No. indicadores registra provincia, registra Persona_id NOMBRE No. ID (RUC) calle número registra de ventas, apellido cantón y primer principal de calle origen activos y/o paterno parroquia nombre principal empleados 252820 LAZ VERA DANIEL WILSON 0905089918001 X 3587 CANTOS MORA ROSALIA MARGARITA 0905091005001 X 225247 PONCE PONCE BRAULIO ANTONIO 0905095519001 X 155390 CHAVEZ PALACIOS JOSE VICENTE 0905103537001 X 75419 BARRERA MALDONADO JOSÉ WILSON 0905134169001 X 85983 ORTEGA VALVERDE GUSTAVO DAVID 0905140216001 X 119419 PARRAGA MERCHAN CESAR ANDRES 0905148425001 X 88308 RODRÍGUEZ ALEJANDRO JUAN HOLGER 0905166476001 X 263804 PANCHANA ANASTACIO VICTOR ROLANDO0905167482001 X 151941 ROMAN ALBURQUEQUE NOLBERTO 0905170460001 X 137089 ALBAN CASTRO BOLIVAR EDUARDO 0905171476001 X 51946 SIGCHO GRANDA VICENTE MINOS 0905175873001 X 84538 CARRILLO UBIDIA VICTOR HUGO 0905176327001 X 74881 OLIVARES ARELLANO MARIA LUISA 0905180832001 X 72663 CASTRO CERCADO ANDRES CASTULO 0905193611001 X 68682 PORTOCARRERO MÁRQUEZ MARCOS ENRIQUE 0905195517001 X 254676 RECALDE ARREAGA MARIANO EUGENIO 0905204426001 X 3555 ROSALES CHAVEZ GLORIA ANGELICA 0905204608001 X 196295 BAYAS TORRES OLIVA 0905213666001 X 175553 LEON ALVARADO WILMIRTON MANUEL 0905239984001 X 92819 PERERO MEDINA LUIS WILLIAM 0905271847001 X 218558 AGUIRRE COSTA MARIA GRACIELA 0905282182001 X 138886 MUÑOZ MONCAYO FERNANDO ALFREDO 0905286407001 X 3404 PONCE MARINKOVIC PATRICIA PONCE 0905288254001 X 241895 VAN ISSCHOT DE LA PEÑA LUCIA MARIA 0905294229001 X 36159 ANDRADE LEDESMA CARLOS IVÁN 0905294773001 X 57340 ILLINGWORTH CABANILLA GUSTAVO FRANCISCO 0905305926001 X 34643 ASENCIO RAMIREZ ELOY EFRAIN 0905307492001 X 18215 LAZO REGATO PASTOR ENRIQUE 0905316519001 X 42107 BLANCA 0905317251001 X 29173 CRUZ CHANG OSCAR ALFREDO 0905328977001 X
  • 256.
    No No registra No No registra No No. registra registra No. indicadores registra provincia, registra Persona_id NOMBRE No. ID (RUC) calle número registra de ventas, apellido cantón y primer principal de calle origen activos y/o paterno parroquia nombre principal empleados 21896 RODOLFO 0905329348001 X 127421 PARRALES VALVERDE JAIME EFRAIN 0905342333001 X 61825 ORTEGA RAMIREZ PABLO ENRIQUE 0905346136001 X 146749 GUEVARA NUÑEZ RAFAEL IGNACIO 0905361283001 X 167868 HARMSEN GONZÁLEZ DEL RIEGO ALFREDO EDUARDO 0905362216001 X 66191 SANCHEZ RUEDA MARTHA JANETT 0905362224001 X 123249 RODAS PANCHANA TELMO FRANCISCO0905370615001 X 90563 POWHING VARGAS EDGAR FERNANDO0905372231001 X 71643 PÉREZ VÁSCONEZ LEONARDO VICENTE 0905387254001 X 59814 GUEVARA PEREZ JOSE ANTONIO 0905394334001 X X 175545 HURTADO ARMIJOS YOVANA DE JESUS0905409660001 X 182568 OCHOA RAMIREZ CARMEN MARIA 0905415774001 X 278283 PERALTA ZEAS MARIA LUZ 0905432308001 X 83171 PEÑA HERRERA OCTAVIO RODRIGO 0905433272001 X 146065 LOZADA MIRABA LUIS EMILIO 0905436374001 X 18568 JALIL SALMON EDUARDO RAFAEL 0905446712001 X 94635 NUÑEZ FIALLOS ROSA LEONOR 0905447264001 X 127337 RAMOS HEREDERO ISIDRO EVELIO 0905459384001 X 100540 CHIQUITO GARCÍA SANTOS DIONISIO 0905483491001 X 94500 GONZAGA MONTALVAN AMADO CLEVER 0905502928001 X 137560 BARROS LABORDA ADOLFO ROMÁN 0905514832001 X 200027 CASANOVA AGUAYO GABRIEL GUSTAVO 0905526950001 X 272329 QUIMI CHALEN ANGEL AUGUSTO 0905540878001 X X 222053 VERGARA HECTOR 0905547980001 X 144140 GONZALEZ ALVIA FREDDY EDUARDO 0905573846001 X 172802 MORA GARCIA JOSE PROCOPIO 0905578951001 X 277226 VARGAS LLAMUCA HUGO PONCIANO 0905589982001 X 198398 CEVALLOS LUQUE ALFONSO GASPAR 0905597860001 X 37748 SOLANO ALVAREZ ROBERTO AMADEO 0905600318001 X 124625 JIMENEZ CRUZ BRAULIO MAXIMO 0905615464001 X 3411 HIDALGO ROMERO VERALEE 0905623401001 X
  • 257.
    No No registra No No registra No No. registra registra No. indicadores registra provincia, registra Persona_id NOMBRE No. ID (RUC) calle número registra de ventas, apellido cantón y primer principal de calle origen activos y/o paterno parroquia nombre principal empleados 211557 ONOFRE ARBOLEDA WALTER RAUL 0905624078001 X 85668 PINCAY RODRIGUEZ RUIZ WENCESLAO0905631677001 X 156590 TOMALA TOMALA HIPOLITO JUAN 0905639274001 X 173094 ANDRADE CALDERON PEDRO MARTIN 0905653234001 X 176032 REYES CARLOS 0905680492001 X 141561 GUAMAN SALINAS MIGUEL ANGEL 0905683215001 X 196796 CRESPO ECHEVERRIA GUILLERMO ADALBERTO 0905685327001 X 51986 ALOMIA QUEVEDO ANDRES 0905706057001 X 3807 SALAS JARAMILLO LEOPOLDO ENRIQUE 0905710661001 X 263988 JIMENEZ AVILEZ ROBERTO RODOLFO 0905722716001 X 29306 PIZARRO ARIAS CLAUDIO JAVIER 0905739330001 X 56951 GUERRERO GARCÍA MARCOS VINICIO 0905745014001 X 52780 TOBAR AGUIRRE TELMO PATRICIO 0905771366001 X 18623 ROJAS CASTRO CARLOS FERNANDO 0905779708001 X 187073 COELLO LUNA ENRIQUE NERY 0905782033001 X 76377 ZARAMA SERRANO MIGUEL ANGEL 0905787933001 X 198228 CRUZ ANCHUNDIA MILTON BIENVENIDO 0905798195001 X 219116 BAQUERIZO CARVAJAL ENA FRANCISCA905817342001 0 X 195066 GUEVARA ALARCON BEATRIZ FATIMA 0905835005001 X 243862 GARCES ROSADO MARCOS AUGUSTO 0905838967001 X 252453 MARQUINO JACOME MARTHA JANET 0905841219001 X 219729 SALINAS GONZALEZ VICENTA 0905855045001 X 219740 SALINAS GONZALEZ MARIA INES 0905855102001 X 246491 ANDRADE ERAZO MARCO BOLIVAR 0905862470001 X 218772 YAMBAY VALDIVIEZO WASHINGTON GERMAN 0905863676001 X 274468 CLAVIJO BARRERA LUIS 0905883666001 X 210199 ALVARADO COTO IRENE MARGARITA 0905904637001 X 164793 BARRAGAN MELENDRES JACINTO ENRIQUE 0905908695001 X 50319 ANDA MONCAYO CARLOS ALBERTO 0905925251001 X 142144 PAUCAR ROBLES MARIA JESUS 0905925541001 X 184345 BARRENO HINOJOSA ROLAND AUGUSTO0905929568001 X
  • 258.
    No No registra No No registra No No. registra registra No. indicadores registra provincia, registra Persona_id NOMBRE No. ID (RUC) calle número registra de ventas, apellido cantón y primer principal de calle origen activos y/o paterno parroquia nombre principal empleados 180672 ABAD LOPEZ ANIBAL BENIGNO 0905941894001 X 259904 NUÑEZ ALVAREZ NELLY CARMELA 0905947255001 X 43048 HERNANDEZ ROLDAN WILSON WILFRIDO0905954301001 X 186626 CUENCA SANMARTIN LUIS ALFREDO 0905971990001 X 146741 RONQUILLO MURILLO MARIA AUXILIADORA 0905996898001 X 60909 JORDAN BOHORQUEZ PEDRO JULIO 0906017884001 X 63549 ALDAS PLUAS BOLIVAR EUGENIO 0906022041001 X 103198 CASTRO SEGURA CARMEN AMANDA 0906033196001 X 141650 CARRION PACHECO CLARA MARCELA 0906042270001 X 3570 SEME RIVERA MARTHA ISABEL 0906048756001 X 118513 VINTIMILLA FIGUEROA CARLOS ARTURO906053095001 0 X 45744 SUMARRAGA BAJAÑA MANUEL ANTONIO 0906072061001 X 248292 MALTA MORAN FANNY HAIDEE 0906082862001 X 47191 ESTRELLA REY EDGAR EDUARDO 0906084538001 X 106341 INFANTE ARAUJO LUCIO BALTAZAR 0906085782001 X 260617 ROBINSON MIRANDA GLENDA GIOCONDA0906087093001 X 215788 AVILES FERNANDEZ ROBERTO BENEDICTO 0906096508001 X 225367 GONZÁLEZ VÁSQUEZ LAURA MARÍA 0906097274001 X 60648 PINOARGOTE VELOZ CESAR IVAN 0906122494001 X 98199 CHIQUITO TUMBACO EULALIO DIONICIO 0906140942001 X 259157 FLORES SOSA MIGUEL SAMUEL 0906143334001 X 65850 AVILES RODRIGUEZ RODOLFO NICOLAS906146246001 0 X 267619 MORENO PINOS FRANCISCO ENRIQUE 0906146451001 X 86584 GARCES CANDELL CESAR ARMANDO 0906148465001 X 194085 ROBALINO FREIRE DAYCE ROSARIO 0906170949001 X 74407 CHOEZ VELIZ LUIS ALFREDO 0906230321001 X 94836 DELGADO ALAVA EDMUNDO HERNAN 0906236682001 X 63797 PIETRO CORREA LUIS COLON 0906243167001 X 41567 PEREZ SANTANA OTTO RODRIGO 0906245451001 X 168484 VERA MARTINEZ MIGUEL ANGEL 0906248216001 X 86167 ALAVA OCHOA FREDDY OSWALDO 0906255757001 X
  • 259.
    No No registra No No registra No No. registra registra No. indicadores registra provincia, registra Persona_id NOMBRE No. ID (RUC) calle número registra de ventas, apellido cantón y primer principal de calle origen activos y/o paterno parroquia nombre principal empleados 3545 IZQUIERDO CEVALLOS FLOR AZUCENA0906264015001 X 150341 MONTENEGRO TRONCOZO PEDRO JUVENCIO 0906267117001 X 23263 SANCHEZ CORREA ALBERTO XAVIER 0906280128001 X 236691 CHILA JARAMILLO ADOLFO STALIN 0906286042001 X 30889 MORALES MERA KLEBER NAPOLEÓN 0906286216001 X 255545 LOPEZ MENDOZA MARIELA JANETH 0906287305001 X 3612 JACOME ALVAREZ MARIANA DE JESUS 0906302575001 X 108754 ALARCON FRANCO JOSÉ RAIMUNDO 0906303904001 X 123296 ALVEAR ACURIO SEGUNDO VICTOR 0906314398001 X 153913 TOMALÁ QUEVEDO HOLGUER ESTEBAN 0906335633001 X 202874 MITE LARROCHELLE MANUEL DE JESUS0906345004001 X 94341 PEÑA SORIANO ROBERTO ELOY 0906358775001 X 65193 VASQUEZ MORAN CARLOS ALBERTO 0906374657001 X 168891 ORRALA MITE JULIO SILVINO 0906375431001 X 66701 SALINAS ALVAREZ ALFREDO JAMES 0906382163001 X 238348 PUMA VALENTE JOSÉ MARTÍN 0906406632001 X 163737 AGUIRRE TORRES WALTER ALBERTO 0906408836001 X 147874 PAZMIÑO MARISCAL EDISON HOMERO 0906416599001 X 12527 ARQ. SEGUNDO DUENAS 0906426929001 X 11311 ITURRALDE ANDRADE GRETA JACINTA0906443585001 X 152749 LINDAO ALAVA RICARDO JACINTO 0906451786001 X 241817 CARRERA BUSTOS RICARDO HUMBERTO 0906456462001 X 100723 BOLAÑOS TORRES VIRGILIO OSWALDO 0906462072001 X 3414 ZAMORA RAMOS MARTHA DEL CARMEN 0906471925001 X 230860 CADENA SANCHEZ LUIS ARTURO 0906530779001 X 232556 PEREZ ROMERO FRANKLIN ENRIQUE 0906549191001 X 276572 ORTIZ COX CAROLINA DEL ROSARIO 0906558861001 X 114472 RODRÍGUEZ ORRALA RICARDO JULIAN0906578703001 X 255376 CABRERA FRANCO LEONEL RAUL 0906587472001 X 191666 RODRIGUEZ MARTINEZ MARIO ERNESTO0906593470001 X 226602 LARA CABRERA EDWIN ORLANDO 0906596374001 X
  • 260.
    No No registra No No registra No No. registra registra No. indicadores registra provincia, registra Persona_id NOMBRE No. ID (RUC) calle número registra de ventas, apellido cantón y primer principal de calle origen activos y/o paterno parroquia nombre principal empleados 110322 OROZCO VILLEGAS JORGE BENITO 0906599402001 X 178600 REYES POZO FREDDY ARNOLFO 0906611181001 X 276553 LANDINES LANDAZURI GLADYS MAGDALENA 0906623814001 X 263279 ACOSTA MARTINEZ PETITA MERCY 0906639711001 X 174118 FRUTO MURILLO PRUDENCIO 0906644893001 X 97862 SANCHEZ REINOSO CARMEN ALICIA 0906661756001 X 108793 GUERRA CABRERA NELSON GUILLERMO 0906686555001 X 208746 CANDADO MURILLO PEDRO MANUEL 0906690227001 X 165417 MACIAS MIELES NUGUET 0906706619001 X 106232 SALDAÑA SALDAÑA FELIX ROSENDO 0906736129001 X 98269 MEDINA MERA RAMONA DEL PILAR 0906759246001 X 164531 ZAVALA DEL CASTILLO LUIS ENRIQUE 0906771647001 X 83331 PACHAY MORA PEDRO PABLO 0906835087001 X 182795 GUERRA TORRES ALEX ENRIQUE 0906841390001 X 267499 RECALDE CARLOS NESTOR ADMIRAL 0906851332001 X 31504 CORTEZ URETA FAUSTO GUSTAVO 0906851662001 X 199524 MIRABA GONZALEZ MIGUEL CATALINO 0906877261001 X 193655 VILLAFUERTE MACIAS MANUEL HERACLIDES 0906877386001 X 196251 PICO EGUEZ ELSA ALICIA 0906887310001 X 99401 SUMAT TELLO ADRIANO AUGUSTO 0906889068001 X 145632 CARREÑO VERA JUANA EDITH 0906901673001 X 203535 ROCAFUERTE CALVACHE AMADA NARCISA0906903042001 X 10704 FABIAN VELASQUEZ CENTENO 0906921754001 X 185699 SOLIS CAMACHO EDILMA PERPETUA 0906941083001 X 191003 CAIVINAGUA PULLA JULIO BARTOLOME0907002711001 X 252603 MARTINEZ AGUIRRE ROBERTO ECUADOR 0907003560001 X 199394 RODRIGUEZ MIRABA EFREN FELIX 0907007090001 X 196010 MERCADO COROZO PASTOR ERLIN 0907023840001 X 70128 RODRIGUEZ MERCHAN FREDDY RAMOS 0907035463001 X 196503 PANCHANA VERA CARLOS ALBERTO 0907054100001 X 192978 VALDIVIEZO LOZANO JUAN ALBERTO 0907054704001 X
  • 261.
    No No registra No No registra No No. registra registra No. indicadores registra provincia, registra Persona_id NOMBRE No. ID (RUC) calle número registra de ventas, apellido cantón y primer principal de calle origen activos y/o paterno parroquia nombre principal empleados 111243 LLANOS GARCIA PEDRO SIMON 0907055966001 X 125434 ALVARO PAEZ VILMA LUCIA 0907060651001 X 70172 QUINTEROS AVILA TEODORO RODRIGO 0907066179001 X 186611 SANCHEZ SANTOS FRANKLIN ELICEO 0907066856001 X 238804 YAGUAL VILLALTA GALO VINICIO 0907077051001 X 184925 ESPINOZA GOYA JOSE FELICIANO 0907087043001 X 225990 ANDALUZ JACOME MANUEL UBALDO 0907090583001 X 96250 BERNABE GONZALEZ JORGE WITHER 0907091318001 X 87001 MARTÍNEZ ALVARADO FREDY ROBERTO 0907096549001 X 198594 POVEDA RICAURTE WILLIAM ENRIQUE 0907097406001 X 114713 LAJE CARRIEL VICENTE GONZALO 0907100499001 X 119003 MAZZINI LINDAO WASHINGTON ANTONIO 0907112221001 X 105070 MACIAS MARURI HERMES FLORENTINO 0907112866001 X 278891 PINOARGOTE PEÑAFIEL DARIO ROLANDO 0907122204001 X 182311 SUAREZ RIVAS ASICLO FLAVIO 0907122253001 X 165963 GIL PARRA BEATRIZ PAULINA 0907128623001 X 88093 ROMERO VILLAGOMEZ ANGEL JOFFRE0907138762001 X 104477 ELIAS CABRERA ANGELA MARIA 0907145742001 X 95399 ZEA ZEA ANIBAL ROBERTO 0907150387001 X 72225 LINO TOMALA MILTON ELIAS 0907163711001 X 255738 MORALES TOBAR FREDDY FERNANDO0907165914001 X 40188 TORRES TELLO MODESTO DAVID 0907170369001 X 210371 RODRIGUEZ LUZURIAGA JAIME ROLANDO 0907178339001 X 162864 ORDOÑEZ LEGARDA MARÍA ELENA 0907183487001 X 13716 JCVINGENIERIA 0907184055001 X 147861 MOLINA MARIN MARGOTH 0907194518001 X 51094 GELLIBERT SALAS ANGELA JULIA 0907214415001 X 146354 PANCHANA GAVINO ALEJANDRO 0907232227001 X 272691 VILLAMAR GUERRERO ELIZABETH EMMMA 0907250542001 X 270788 YTURRALDE TAGLE WALTER ERNESTO0907253157001 X 248699 BUNCES GARCIA TERESA ANGELITA 0907255657001 X
  • 262.
    No No registra No No registra No No. registra registra No. indicadores registra provincia, registra Persona_id NOMBRE No. ID (RUC) calle número registra de ventas, apellido cantón y primer principal de calle origen activos y/o paterno parroquia nombre principal empleados 109883 SANCHEZ MONTIEL WIMPER 0907271985001 X 166873 MORENO ALAVA JUAN DE DIOS 0907272785001 X 37911 CARLOS 0907287304001 X 29976 MEDINA ULLOA JULIO FERNANDO 0907292783001 X 133547 FLORES MORAN JOHN FREDDY 0907300677001 X 31236 BUSTAMANTE BUSTAMANTE CESAR GERARDO 0907301600001 X 52440 ANDRADE QUICHIMBO WALTER ALFREDO0907330260001 X 66623 ACUÑA COBOS ALEJANDRO AGUSTIN 0907334924001 X 157879 GUZHÑAY JAIME LUIS FERNANDO 0907339261001 X 69705 BARRAGAN VERA VICENTE RENELMO 0907363949001 X 273255 VILLACIS GUARANDA ENRIQUE EDUARDO 0907373666001 X X 210221 CHAVEZ VELEZ ROBERTO ALEJANDRO 0907381438001 X 161842 ALBARRACIN BAJAÑA SERGIO ADRIAN 0907382873001 X 166753 PINTO DELGADO CARLOS ZENÓN 0907391742001 X 19187 GARCIA QUINTO RINA AGUSTINA 0907393300001 X 268335 ACOSTA PIÑA MÓNICA HERMELINDA 0907410039001 X 161810 DOMINGUEZ RODRIGUEZ LUIS CLEMENTE 0907417059001 X 268725 TRAVEZ MONTESDEOCA WALTER JULIO 0907419485001 X 110412 GONZAGA SARMIENTO LUIS EDUARDO0907426407001 X 267973 DELGADO FRANCOA ANGELA UBALDINA 0907427041001 X 247923 NAVARRETE CASTILLO XAVIER GONZALO 0907432843001 X 174159 LOPEZ MENDOZA ROBERTO RAFAEL 0907438345001 X 103709 PERALTA AVILA ALFONSO ROLANDO 0907443485001 X 141610 BARZOLA RONQILLO HUGO FRANCISCO TEODORO 0907452494001 X 225802 VERA SANCAN CARMEN ELVIRA 0907455158001 X 107603 CARGUA YAUCAN PASCACIO 0907456693001 X 232523 CRUZ CRESPIN LUIS ALBERTO 0907458905001 X 55346 CALDERON QUIMIS HICER ALBERTO 0907463814001 X 158656 MACIAS TORRES MARIO BARTOLO 0907465553001 X 116020 INTRIAGO ZAMBRANO WISTON RICHARD0907465918001 X 17861 COSTA SISALIMA HECTOR ALCIVAR 0907489603001 X
  • 263.
    No No registra No No registra No No. registra registra No. indicadores registra provincia, registra Persona_id NOMBRE No. ID (RUC) calle número registra de ventas, apellido cantón y primer principal de calle origen activos y/o paterno parroquia nombre principal empleados 136378 ALCIVAR ZAMBRANO ESTUARDO JOSE0907505168001 X 182673 DUQUE SAULA YURI PATRICIO 0907509244001 X 123993 PERDOMO FRANCO MARIO IVAN 0907511612001 X 252702 QUIMI BAQUERIZO JORGE RODOLFO 0907517908001 X 196743 SANCHEZ MUTRE MAXIMO VIDAL 0907519599001 X 126211 SANCHEZ VALENCIA LORENZO PASTOR 0907527535001 X 40078 SALAZAR LEDESMA FIDEL MAURICIO 0907537716001 X 110365 SEMINARIO DÁVILA MARIO LUIS 0907543524001 X 79924 CHAVEZ PILAY EDGAR GONZALO 0907584197001 X 114393 DE LA CRUZ LAINEZ LUIS ENRIQUE 0907589022001 X 49279 ICAZA ANDINO FAUSTO FRANCISCO 0907589113001 X 251838 SIVISAPA TORRES JUAN GONZALO 0907589303001 X 254038 MOREIRA VILLALBA MAXIMO IGNACIO 0907606198001 X 150506 BONILLA RIVERA MOISES OSWALDO 0907613186001 X 75341 RONQUILLO VELIZ AGUSTIN RAMON 0907614358001 X 249338 RIZZO BAJAÑA JULIO ENRIQUE 0907616320001 X 264493 HERRERA LOQUI WILFRIDO AURELIO 0907617666001 X 112719 MARQUEZ OBREGON RIGOBERTO MIGUEL0907621221001 X 202273 MUZZIO MOLINA BOLIVAR ALBERTO 0907623631001 X 263472 ARMIJOS RODRIGUEZ EUGENIO GIOVANNY 0907635825001 X 142381 PLAZA ANDRADE RAFAEL IGNACIO 0907636872001 X 92817 DE LA PUERTA TORRES VICTOR FREDDY 0907653919001 X 157915 BRITO ULLOA SEGUNDO SALVADOR 0907657027001 X 123267 CEVALLOS ALVAREZ JHON IVAN 0907657936001 X 140063 RUSSO CHAUVIN GUIDO GEOVANNI 0907663587001 X 196948 JARRIN BELTRAN RICARDO JAVIER 0907683650001 X 64379 SANCHEZ PILLA MARIA ESTELILIA 0907687677001 X 218776 BONILLA TOMALA JUVENCIO GUSTAVO0907702518001 X 251793 MENDOZA MENDOZA HENRRY PERFECTO 0907711295001 X 163027 MASSON SANCHEZ MAXWELL NELSON 0907711436001 X 211285 MUÑOZ PIÑANCELA HENRY EDUARDO 0907724389001 X
  • 264.
    No No registra No No registra No No. registra registra No. indicadores registra provincia, registra Persona_id NOMBRE No. ID (RUC) calle número registra de ventas, apellido cantón y primer principal de calle origen activos y/o paterno parroquia nombre principal empleados 261743 MORA MORA MIGUEL ANTONIO 0907724801001 X 270367 VALAREZO AGUIRRE NELSON OSWALDO0907727846001 X 196002 HIGUERA VILLAMAR ERNESTO JULIO 0907729727001 X 117878 CARCHI ALAVA CAROLINA TOMASA 0907734701001 X 204877 LOOR PALOMINO MARIA OLIVIA 0907737761001 X 148677 ORTIZ AVILES ROCIO DEL PILAR 0907744973001 X 185271 GARCÍA MARTÍNEZ VICTOR MANUEL 0907745475001 X 105520 MOYA MORALES GERARDO MELITON 0907757942001 X 47480 JULIO 0907759583001 X 44181 FREDDY 0907771232001 X 207438 FIGUEROA FLORES YOLANDA DEL ROCIO 0907771315001 X 164705 NAVARRO NAVARRO PASTOR INDALECIO 0907777510001 X 231377 RODRIGUEZ FREIRE HUGO ENRIQUE 0907792006001 X 3950 NEIRA CARBACHE CONSUELO HERLINDA 0907792550001 X 138335 FRANCO COELLO CLARA LUZ 0907796767001 X 61255 NO BARRIONUEVO DAVID MESIAS 0907807853001 X 234375 SANCHEZ CABRITONGO MANUEL RENE0907834709001 X 29754 DOMÍNGUEZ SANDOVAL VICTORIA DOLORES 0907835003001 X 273099 GUERRERO LARA WASHINGTON ALFREDO 0907847107001 X X 34431 VARGAS BURGOS JUAN ANTONIO 0907850820001 X 211790 LITUMA ARGUDO ALVARO GEOVANNI 0907867253001 X 243799 SARMIENTO LEON RENE ALBERTO 0907871396001 X 19739 ZAMBRANO ASENCIO CARMEN ESTELA 0907879969001 X 147750 CARRERA MENDOZA JOSE VICENTE 0907892277001 X 89248 VÉLEZ PIÑA HUGO SEGUNDO 0907894612001 X 98145 GOMEZ GAONA FRANCO WILMAN 0907908040001 X 78966 ZURITA BAYAS EDWYN GONZALO 0907910285001 X 221834 ANGULO BONE LEBSON YINIO 0907919328001 X 139765 LINDAO ALEJANDRO ANDRES GILBERTO 0907920334001 X 86644 ROMERO SUAREZ CARLOS EPIFANIO 0907945596001 X 190967 MENDEZ TOMALA SECUNDINO ROMULO 0907955215001 X
  • 265.
    No No registra No No registra No No. registra registra No. indicadores registra provincia, registra Persona_id NOMBRE No. ID (RUC) calle número registra de ventas, apellido cantón y primer principal de calle origen activos y/o paterno parroquia nombre principal empleados 193881 VALVERDE JARRIN ENA PATRICIA 0907961395001 X 136921 LOPEZ ALMEA JIMMY ALBERTO 0907962310001 X 242978 BARRERA PAREDES CARLOS ALBERTO 0907969513001 X 177640 ARREAGA DUARTE JUAN FRANCISCO 0907970073001 X 65728 RUIZ GUADALUPE JOSE VICENTE 0907982946001 X 136760 SILVA BLUM CARLOS ALFREDO 0907984728001 X 145318 SALVADOR FABRE ALDO CLEMENTE 0907985493001 X 258480 YAGUAL LINDAO LUIS ALBERTO 0907989453001 X 12405 INGENIERO CIVIL 0907991285001 X 198460 CABRERA OLVERA WILSON PASCUAL 0908001597001 X 166331 MOLINA GUZMAN NESTOR ORLANDO 0908005002001 X 230140 ARCE FAJARDO ABEL GILBERTO 0908009251001 X 222114 MARIÑO VICTOR ELIAS 0908031578001 X 267541 NARANJO ROVALINO IVONNE MARIA 0908038664001 X 231176 PLAZA RAMIREZ HOLDEMAR ANTONIO 0908044688001 X 187873 ALVAREZ VERGARA SERGIA AURELIA 0908045297001 X 53215 PAREDES DUMES CAMILO EMILIO 0908048952001 X 61624 CHALEN ANGEL GLORIA AZUCENA 0908060593001 X 175603 PITA TORRES NELSON OSWALDO 0908066053001 X 52386 ISABEL 0908082944001 X 130004 SANTOS RODRIGUEZ SANTIAGO JUAN 0908091663001 X 2395 ORDOÑEZ CERVANTES WELLINGTON 0908102791001 X 157108 ORTIZ YAGUAL ROSA ELENA 0908112592001 X 85292 DEL PEZO DE LA CRUZ OTTO GABRIEL 0908114200001 X 212113 AGUILAR BRAVO ROBERTO JUAN 0908141146001 X 215965 PARRAGA JESUS ANTONIO 0908141831001 X 171789 ROMERO SUAREZ EDUARDO DE JESUS0908153364001 X 268700 FRANCO TORRES FREDDY MANUEL 0908157084001 X 162181 ARTEAGA BRAVO JUAN JOSE 0908169295001 X 110662 CEDEÑO DOMO CARMEN DOLORES 0908171960001 X 251742 MENDIZABAL LAGASCA JOSE ALBERTO0908178601001 X
  • 266.
    No No registra No No registra No No. registra registra No. indicadores registra provincia, registra Persona_id NOMBRE No. ID (RUC) calle número registra de ventas, apellido cantón y primer principal de calle origen activos y/o paterno parroquia nombre principal empleados 3735 BANCHON PERALTA ANGEL FRANCISCO 0908179492001 X 91449 MINDA ROSALES NILDA DINORA 0908188113001 X 121868 VIZUETA TAPIA JOSE TEOBALDO 0908195209001 X 42557 YAGUAL FIGUEROA MERCY ENMA 0908213432001 X 219710 PERERO CERCADO JACINTO RODOLFO0908213721001 X 177696 HERRERA CASTILLO AURELIO AGUSTIN0908215726001 X 68500 HARO TIGRERO ALEXANDRA DEL PILAR0908215882001 X 259055 SUAREZ VICENTE ANASTACIO 0908229412001 X 179894 JIMENEZ BONE FREDY VIDAL 0908232226001 X 273794 VILLAMAR WILLIAM 0908266398001 X 222472 LOZANO BARZOLA GILBERTO ROBERTO 0908277452001 X 259250 ALVARADO SANDOVAL PEDRO EMILIO 0908284250001 X 58938 BRITO MARTINEZ TELMO RODRIGO 0908285356001 X 243523 SEGOVIA PERALTA MARÍA DEL CARMEN0908307598001 X 167520 HERNANDEZ MANOSALVAS DARWIN ARMANDO 0908308836001 X 139784 DE LA ROSA CRUZ GILBERTO 0908312721001 X 94202 NARANJO MARTINEZ CRISTINA GENOVEVA 0908325202001 X 248390 ALARCÓN HERNÁNDEZ WARNER RAMÓN 0908343775001 X 275205 ARGUDO RODRIGUEZ JAIME FERNANDO908377229001 0 X 35116 MADERA MOLINA MAURO 0908398902001 X 117572 CASTILLO MARTINEZ JULIO BALDEMAR0908406937001 X 210299 MIRANDA LEON FRANCISCO ABDON 0908414485001 X 249898 MONCADA VARAS DIOMEDES HUGO 0908442270001 X 200191 ORDÓÑEZ NAVAS EDUARDO IVÁN 0908442734001 X 58841 BERREZUETA ASTUDILLO ALFONSO FERNANDO 0908444995001 X 70596 SOTOMAYOR ALVEAR HECTOR HUGO 0908447402001 X 60504 ALTAMIRANO MONTESINOS IVÁN DANILO 0908457740001 X 236449 SUAREZ RIVERA RIGOBERTO EFRAIN 0908482482001 X 204203 ANASTACIO MITE ISMAEL MARCELINO 0908493935001 X 194258 VILLAGRAN CEPEDA LEONIDAS HUMBERTO 0908512932001 X 74482 NEIRA NARVAEZ VICTOR ADRIANO 0908517451001 X X
  • 267.
    No No registra No No registra No No. registra registra No. indicadores registra provincia, registra Persona_id NOMBRE No. ID (RUC) calle número registra de ventas, apellido cantón y primer principal de calle origen activos y/o paterno parroquia nombre principal empleados 194025 SAN LUCAS MONCADA HOLBER MIGUEL 0908518103001 X 112963 SOLORZANO JARAMILLO LUIS ALBERTO0908535180001 X 237213 CANO VERA VOLTAIRE ASTOLFO 0908546369001 X 237717 POZO PONCE JOSE DIONICIO 0908563612001 X 207454 GILER PONCE OLINDA BERNARDITA 0908569684001 X 43062 ANCHUNDIA GARCIA GONZALO EVARISTO 0908571417001 X 28798 PINTO AGUILERA WALTER MIGUEL 0908571755001 X 232171 ANDRADE ITURRALDE CARLOS XAVIER0908578990001 X 259409 MATIAS PANCHANA PEDRO PABLO 0908579568001 X 138960 COCHEA MUÑOZ TEOFILO EUGENIO 0908590383001 X 276322 CHAGUAY PEÑAFIEL ZOILA ROSA 0908594708001 X 44917 PANCHANA BAIDAL GRACIELA MARJORIE 0908598469001 X 250979 MONAR SORIA LAURA LEONOR 0908631948001 X 192893 VERA VERA FREDY GONZALO 0908651631001 X 208835 SUAREZ FLORES MARJORIE DEL CONSUELO 0908663495001 X 171416 ULLAURI VELA KLEBER MANUEL 0908663982001 X 158845 BUENANO GUEVARA SEGUNDO LEONARDO0908669674001 X 203928 JURADO AURIA STALIN AUGUSTO 0908670276001 X 34153 DELGADO CARAVEDO ROBERT MANUEL908670722001 0 X 245681 BARBOZA PROAÑO FERNANDO VINICIO0908681695001 X 231983 SORIANO SORIANO ECUADOR ABSALÓN908682206001 0 X 99179 SUAREZ TIGRERO JHONNY DAVID 0908691108001 X 259263 BETANCOURT ESPINOZA HERNAN ALONSO 0908709579001 X 125618 ESPINOZA DALGO JOFFRE FABRIZIO 0908731268001 X 219961 SANCHEZ ORTEGA SONNY ALBERTO 0908737398001 X 58494 VINUEZA FREIRE LUIS EUGENIO 0908742695001 X 118213 VILLEGAS FAJARDO ALICIA 0908743925001 X 169952 LARROSA BENITEZ MANUEL RICARDO 0908765688001 X 51356 RODRIGUEZ ORRALA ELLEN PATRICIA 0908782360001 X 136815 AGUILAR ANDRADE MERCY MARILU 0908834419001 X 67272 MONROY ESCOBAR DIANA DEL ROCIO 0908842651001 X
  • 268.
    No No registra No No registra No No. registra registra No. indicadores registra provincia, registra Persona_id NOMBRE No. ID (RUC) calle número registra de ventas, apellido cantón y primer principal de calle origen activos y/o paterno parroquia nombre principal empleados 3544 TORRES CANALES MARTHA MARLENE 0908844327001 X 234149 SOLIS PINCAY JUAN ENRIQUE 0908852767001 X 263244 HERNANDEZ MORAN LETICIA CECIBEL 0908864655001 X 64045 ORELLANA GUERRERO MARTHA ANNABELLE 0908872096001 X 87989 AVILA MUÑOZ JOFFRE ORLANDO 0908912249001 X 244286 ULLOA PALACIO NICOLÁS ANTONIO 0908945694001 X 110390 URGILÉS MORÁN NUBE ROCIO 0908946569001 X 207800 SORNOZA DELGADO SONNY ALFREDO 0908955156001 X 124677 GUTIERREZ OCHOA MARITZA ESPERANZA 0908959406001 X 87769 LOOSE BARBOZA ANA MARÍA 0908959422001 X 21203 MOSCOSO RIERA KLEBER ALBERTO 0908960628001 X 194495 CHALEN CRESPIN JULIO ELIAS 0908961220001 X 136337 GARCIA VELIZ ANA SUSSY 0908967144001 X 145497 ALVARADO BARDI PLUTARCO ANTONIO 0908972615001 X 38799 DELGADO JIMENEZ CARLOTA NARCISA0908995442001 X 220715 REYES ORRALA RITA JACQUELINE DEL0908996762001 ROCIO X 259440 MOSQUERA VELIZ GINA NARCISA 0909001281001 X 86615 ORMEÑO SALAZAR ALEXANDRA ARACELY0909008138001 X 154726 REYES RODRIGUEZ JHON FREDDY 0909008179001 X 102926 ROMERO LENIS MARIO CRISTOBAL 0909014227001 X 143687 IGLESIAS INTRIAGO FEDERICO EDUARDO 0909016669001 X 145874 MACIAS GOMEZ JAVIER GEOVANNY 0909038994001 X 78277 FLORES BERMEO MARIO FRANCISCO 0909044372001 X 216906 JIMENEZ CHANG MARCOS OLMEDO 0909046013001 X 191542 GOMEZ MORAN CARMEN PRICILA 0909059610001 X 251058 YAGUAL NAVARRETE LUIS ALBERTO 0909069494001 X 158946 PINARGOTE DURANGO JANER WILTON0909070534001 X 137344 SANCHEZ URIETA JORGE DARWIN 0909072167001 X 209948 DURAN PEREZ MARCO ANTONIO 0909072589001 X 257387 PLAZA GILER ANDREA PATRICIA 0909091035001 X 235834 MEDINA SUAREZ MEDARDO 0909098071001 X
  • 269.
    No No registra No No registra No No. registra registra No. indicadores registra provincia, registra Persona_id NOMBRE No. ID (RUC) calle número registra de ventas, apellido cantón y primer principal de calle origen activos y/o paterno parroquia nombre principal empleados 239129 ELIZALDE PAZMIÑO MANUEL EDUARDO0909105371001 X 147781 ANDRADE PESÁNTEZ NARCISA CARMEN909116808001 0 X 226819 PEREDO PACHECO MARIO ALEJANDRO 0909136970001 X 116949 QUIMI ASENCIO MARIO MARINO 0909138182001 X 191725 LARA PLUAS ISIDRO AGUSTIN 0909141236001 X 245479 SAEZ AGREDA EUGENIA INES 0909159113001 X 96018 ORTEGA MANJARREZ VERONICA ALEXANDRA 0909161895001 X 147772 NUÑEZ BAJAÑA WILMER VICENTE 0909164535001 X 177901 GRANADOS MITE MIXI YELTA 0909167645001 X 63384 PACHECO MAYEZA CESAR DIOGENES 0909184657001 X 196892 PORTILLA ORELLANA CARMITA MARLENE 0909211641001 X 106843 POZO ROMERO ROQUE JACINTO 0909217226001 X 86169 CONTRERAS ESTUPIÑAN PABLO ERNESTO 0909224149001 X 28849 ESPINOSA GALVEZ GUILLERMO OSVALDO 0909224644001 X 240647 CERVANTES HEREDERO EDGAR ELIECER0909228199001 X 210441 TOMALA OSIO WILLIAM GUILLERMO 0909239881001 X 225680 CHÁVEZ CAMONES GUADALUPE IDALINDA 0909256877001 X 64671 ROSALES MERA LUIS FERNANDO 0909259228001 X 117882 REYES MERCHAN HEBERT AUBERTO 0909271694001 X 239371 ESPINOZA GARCIA MARIO JOSE 0909280810001 X 214559 VILLAMAR VERA TITO EUGENIO 0909289720001 X 237650 PEÑALOZA BONILLA MILTON FREDAULTER 0909309064001 X 68606 COBOS BARRETO JOSE ALEJANDRO 0909324170001 X 140248 MORALES DIAZ JULIO ORLANDO 0909328262001 X 80412 SOLÍS MONTALVO CARMEN MARILÚ 0909329807001 X 240572 PHILLIPS VELASCO JULIAN ENRIQUE 0909331860001 X 210557 PEREZ LOPEZ VICTOR ZACARIAS 0909333338001 X 10127 SALAZAR BORJA CARLOS EDUARDO 0909346660001 X 64676 AGUIRRE CANO WILLIAM HERNAN 0909363053001 X 158521 RIVADENEIRA PAZMIÑO CELIA RUTH 0909375545001 X 217208 SALAVATIERRA ERRAZURIS FRANKLIN FORTUNATO 0909378333001 X
  • 270.
    No No registra No No registra No No. registra registra No. indicadores registra provincia, registra Persona_id NOMBRE No. ID (RUC) calle número registra de ventas, apellido cantón y primer principal de calle origen activos y/o paterno parroquia nombre principal empleados 201127 VELOZ ARREAGA FATIMA MARCELA 0909383937001 X 26590 ALVAREZ CARVAJAL MARCIO GERARDO 0909391054001 X 73555 ORTIZ HERBENER ANDRÉS EMILIO 0909393654001 X 126792 VINTIMILLA FIGUEROA GINA MARGARITA 0909427122001 X 100524 FALCONI DELGADO JESSICA MARIA 0909440166001 X 89284 SANCHEZ FAJARDO JOHN WENCESLAO 0909448946001 X 125230 ALMEIDA MURILLO CARLOS ALBERTO 0909449324001 X 98098 ZAMBRANO AGUAYO PABLA LIOLUBINA0909455099001 X 270895 VASQUEZ MENDOZA ELVIA RIQUELDA 0909481665001 X 196586 TOMALA QUINDE FRANCISCO ANGEL 0909495533001 X 143539 RIVAS MONSERRATE ALFREDO NICOLAS 0909495574001 X 193214 LUCIN SUAREZ ROSA AZUCENA 0909497513001 X 200165 REYES MORENO FRANCISCO ALFREDO 0909503138001 X 242587 BRAVO DUQUE RAÚL GEOVANNY 0909503740001 X 212127 FRANCO MARTINEZ JUANA ISABEL 0909505679001 X 229362 DONOSO RIVERA GUILLERMO COLON 0909509820001 X 213232 TUTIVEN MONTALVO SAMUEL FEDERICO 0909513319001 X 200014 SANTISTEVAN MOSQUERA XAVIER ENRIQUE 0909526915001 X 87628 BURGOS HERNANDEZ VIRGINIA RUTH 0909575334001 X 245715 MOLINA FONSECA ALEXANDER IVÁN 0909582470001 X 84523 BUSTAMANTE BAJAÑA GEORGE GREGORIO0909611923001 X 180761 MORCILLO QUIÑONEZ JOSE WASHINGTON0909649287001 X 157076 REINADO ARELLANO ESMERILDO ANTONIO 0909663106001 X 225490 DELGADO FALCONES PATRICIO LEONARDO 0909667479001 X 65984 VARGAS JIMÉNEZ JULIO ALBERTO 0909674491001 X 268422 AGUIRRE PARKER MARIA TERESA 0909676207001 X 249523 CARRILLO VERA RODRIGO JAVIER 0909680670001 X 191831 RAMIREZ PICO JUAN ALFREDO 0909688863001 X 134499 PARRA MARTINEZ INES NARCISA 0909689028001 X 144718 LARA BAQUERIZO ROLANDO ALBERTO 0909689200001 X 272818 RAMOS CHALEN ANGEL MISAEL 0909712556001 X
  • 271.
    No No registra No No registra No No. registra registra No. indicadores registra provincia, registra Persona_id NOMBRE No. ID (RUC) calle número registra de ventas, apellido cantón y primer principal de calle origen activos y/o paterno parroquia nombre principal empleados 52080 ALVAREZ PALOMEQUE FERNANDO SILVINO 0909712622001 X 52335 PALACIOS REYES LUISA MARGOT 0909713455001 X 112375 GUTIERREZ VELEZ MARITZA RAQUEL 0909723439001 X 71563 ARGUELLO MEJILLON WILPER JOHN 0909733099001 X 177140 GONZALEZ ANDRADE MARIA EUGENIA 0909742926001 X 37011 MORALES MERELO FRANCISCO WALTER 0909746224001 X 71478 VILCAHUANO MORA CESAR MANUEL 0909751737001 X 163598 SABANDO CEDEÑO SILVIA LILIANA 0909773319001 X 123516 VELEZ PALOMINO ROMULO NAPOLEON0909776221001 X 6197 CECIBELL ESTRADA MOLINA 0909777658001 X 213060 CARRASCO VERA SAMUEL FROILAN 0909781619001 X 167652 TUTIVEN MACIAS GERARDO ISAAC 0909785438001 X 96769 TUTIVEN MOSQUERA PAUL GUERING 0909794430001 X 239953 SUAREZ SUAREZ JUSTO OTTO 0909810830001 X 232494 BRUNO FLORES JORGE HUMBERTO 0909813149001 X 246206 BURGOS ZAMBRANO PETTER JOHN 0909815177001 X 238312 VILLALTA VEGA MANUEL EDUARDO 0909823262001 X 216009 MORAN ALMEIDA WILLIAM ELADIO 0909829640001 X 103011 DELGADO FABIANI JENNY ELIZABETH 0909846396001 X 263377 SANTACRUZ MUÑOZ LEONOR GISSELLA909852345001 0 X 240294 PORTILLA LARRETA CESAR APOLONIO 0909862294001 X 225661 ZAVALA CEVALLOS PLÁCIDO MANUEL 0909864159001 X 61860 ROJAS HARB PEDRO MANUEL 0909880700001 X 19925 TROYA FORTUN HIPOLITO WILBERTO 0909881328001 X 210960 BARROSO CRUZ JULIO ARMANDO 0909894347001 X 276920 BARZOLA VACA SONIA DOLORES 0909900946001 X 122789 BURGOS PLATON JOSE NAZARIO 0909910606001 X 119625 MARTILLO GRAVE JOSE LUIS 0909912388001 X 276450 COFRE VARGAS FREDDY IVAN 0909916900001 X 247122 CAICEDO NARVAEZ JULIO CESAR 0909936411001 X 111404 ARMIJOS PINEDA JOSÉ EMILIO 0909976896001 X
  • 272.
    No No registra No No registra No No. registra registra No. indicadores registra provincia, registra Persona_id NOMBRE No. ID (RUC) calle número registra de ventas, apellido cantón y primer principal de calle origen activos y/o paterno parroquia nombre principal empleados 247860 ERAZO CARVAJAL PEDRO YURSES 0910011105001 X 189406 TIGRERO SILVESTRE JUAN AURELIANO0910026707001 X 182053 RODRIGUEZ LAINEZ VICENTE ARMANDO0910027366001 X 83385 RODRIGUEZ RODRIGUEZ LUIS GUSTAVO0910032036001 X 117994 GONZALEZ PAREDES ALEX IVAN 0910043496001 X 3877 CEDENO LEON JULIO DOMINGO 0910047539001 X 191491 MUÑOZ TOMALA JOSE VICENTE 0910080027001 X 179596 ARCE CARRERA JOSE IXSON 0910102797001 X 132232 BORBOR COCHEA ORLANDO WILLIANS0910108729001 X 93610 SANCHEZ MUNIZ JENNY JANETH 0910108752001 X 67500 ESCOBAR VILLACRES HUGO ALONSO 0910121813001 X 79755 QUINTO OCHOA JORGE ANDRES 0910128453001 X 162594 CARBO PALACIOS CARLOS WILBER 0910165687001 X 142531 VILLEGAS CHANCAY EULALIA DORALIZA 0910178714001 X 64638 PRECIADO PEZO LUIS ALBERTO 0910183318001 X 265162 DELGADO CABRERA JOSE VICENTE 0910184696001 X 157615 FREIRE BENALCAZAR XAVIER HUMBERTO 0910191527001 X 243886 BAJANA VILLAMAR VICTOR WILBERTO 0910197730001 X 103681 VERA VILLON JOHNNY JAVIER 0910215748001 X 63345 ZAMORA NORIEGA JORGE ALBERTO 0910222678001 X 258568 BRIONES GOMEZ LUIS ALBERTO 0910226620001 X 232583 RODRIGUEZ COX JUAN FERNANDO 0910228626001 X 97318 SALAZAR POZO LETTY MANUELA 0910229772001 X 213691 MORAN VELOX WELLINGTON ALEIS 0910233261001 X 16456 JARAMILLO MOREANO NORA ELENA 0910238849001 X 154719 PORTILLA URBANO NELSON ROBERTO0910242452001 X 214297 MARTINEZ MORAN DELIA ESPERANZA 0910245406001 X 273899 SALAZAR POZO JULIO ROBERTO 0910250604001 X 171040 MENDOZA VERA ELVIS MODESTO 0910270222001 X 107776 BRIONES SÁNCHEZ EULOGIO GREGORIO0910278209001 X 198165 PEZO QUINDE PEDRO JAHSON 0910285303001 X X X
  • 273.
    No No registra No No registra No No. registra registra No. indicadores registra provincia, registra Persona_id NOMBRE No. ID (RUC) calle número registra de ventas, apellido cantón y primer principal de calle origen activos y/o paterno parroquia nombre principal empleados 250346 LEÓN CEDEÑO MANUEL LEINZ 0910291426001 X 103505 PALADINES FIGUEROA FRANKLIN BENJAMIN 0910322510001 X 11182 LUDENA DIAZ JACQUELINE CRISTINA 0910336841001 X 275946 VELEZ WECHSLER ROSMARIE 0910344126001 X X 225998 RIOS MORENO JUAN ABEL 0910370535001 X 270239 ROJAS SALCEDO JUAN FERNANDO 0910371541001 X 76308 PAZ RIVERA ROQUE JACINTO 0910388024001 X 96423 LUZURIAGA MOLINA ELVIS LINDON 0910404987001 X 134857 MAZZINI MITE NESTOR RUBEN 0910405760001 X 174625 GOMEZ MARQUEZ GLADYS JUDITH 0910405901001 X 75309 FARÍAS MEJÍA MARÍA AUXILIADORA 0910429067001 X 40069 ORRALA CASTILLO FELIX SANTIAGO 0910435361001 X 273787 SALVATIERRA CONSTANTINE DARWIN BOLIVAR 0910436104001 X X 275083 ZAMBRANO MORENO JOSE IVAN 0910437201001 X 246670 ALCIVAR MORAN JACINTO ESTEBAN 0910441732001 X 151455 WILLIAMS ACOSTA MARTHA CECILIA 0910451434001 X 211896 ARREAGA PISCO YIMMI IVAN 0910458223001 X 171485 FALQUEZ KITTYLE JOSE GLAUCO 0910495266001 X 169841 ZURITA COLOMA STEVENT PAUL 0910502095001 X 243407 GONZÁLEZ FRANCO SEGUNDO RAFAEL 0910515683001 X 248735 ERAZO MARIN GERMAN ARMANDO 0910516103001 X 31261 CALVACHE SOSA DARÍO GONZALO 0910518836001 X 217040 MOLINA PALACIOS EDWIN JAVIER 0910544014001 X 223481 CASTRO BERIO TANIA ALEXANDRA 0910574193001 X 192901 UNDA ROMERO GRACE ELIZABETH 0910593169001 X 83906 VILLEGAS NAVARRETE CLARA LAURA 0910614072001 X 63130 OSORIO JIMENEZ ELVI WILLIAM 0910620624001 X 87607 ROBLES FERNANDEZ JOHN HAROLT 0910621838001 X 209996 ZAPATA GALLEGOS XAVIER BENJAMIN 0910627058001 X 158157 ROBLES VALERO PATRICIA ALEXANDRA0910638147001 X 256179 SUAREZ RODRIGUEZ MILTON JAVIER 0910655646001 X
  • 274.
    No No registra No No registra No No. registra registra No. indicadores registra provincia, registra Persona_id NOMBRE No. ID (RUC) calle número registra de ventas, apellido cantón y primer principal de calle origen activos y/o paterno parroquia nombre principal empleados 147307 TUMBACO ALVARADO EDWIN MARLON 0910664101001 X 211379 LITUMA VILLAMAR NEY MICHEL 0910682764001 X 80186 ACOSTA ALAVA ERNESTO VALENTIN 0910696723001 X 106848 GUERRA HOLGUIN RAUL ANIBAL 0910698596001 X 146132 ALCIVAR PINOS MARIA ELENA 0910704865001 X 225489 LABORDA FAJARDO NORMA LUCILA 0910708841001 X 181667 PALOMINO ZAMBRANO JAVIER ANDRES 0910719871001 X 112790 MACIAS PETTAO RAMON KLEVER 0910743285001 X 221617 ROMERO RUIZ RUTH ELIZABETH 0910745355001 X 263739 CHANG CORDOBA CARLOS LUIS 0910755883001 X 253886 RAMIREZ AVILA CARLOS EUSEBIO 0910757558001 X 238955 GONZABAY BARCIA ILIANA DEL ROCIO 0910779669001 X 248662 FIGUEROA CONTRERAS CLEMENTE SAMUEL 0910801018001 X 165342 ESTRADA SÁNCHEZ RICHARD EMILIO 0910801554001 X 156213 NAVARRETE RUGEL PATRICIA ESPERANZA 0910812916001 X 189405 VILLAMAR MUNOZ RODOLFO ENRIQUE 0910821362001 X 137850 MERA BARREZUETA ANGELA ELENA 0910828052001 X 58436 MACIAS BUENAÑO ANDRES DAVID 0910836154001 X 111998 CEDEÑO JAEN JACQUELINE CECILIA 0910867837001 X 193253 JAIME RODRIGUEZ SONNIA ESPERANZA 0910871847001 X 267367 ROSALES MOROCHO ANA GRACIELA 0910895549001 X 83746 RAFFO MEJIA PABLO DAVID 0910908524001 X 172779 MORALES HOLGUIN RODOLFO ANTENOR 0910913987001 X 213888 RUIZ ASCENCIO TOMAS FRANCISCO 0910931914001 X 249936 BRIONES DIAZ HECTOR FERNANDO 0910934215001 X 81600 ALAVA BOZA IVAN XAVIER 0910948579001 X 66051 RENTERIA ZAMBRANO VICTOR ANTONIO 0910950963001 X 219958 ALEJANDRO MENDOZA JOSE RAFAEL 0910954049001 X 176125 MARQUEZ FRANCO XAVIER BENITO 0910973874001 X 70302 VERA SUÁREZ MANUEL IVO 0910977073001 X 52514 BUENO LOZANO ELI JOSELITO 0910979590001 X
  • 275.
    No No registra No No registra No No. registra registra No. indicadores registra provincia, registra Persona_id NOMBRE No. ID (RUC) calle número registra de ventas, apellido cantón y primer principal de calle origen activos y/o paterno parroquia nombre principal empleados 263048 OBANDO ESTRELLA SANDRA VERONICA0911002293001 X 25093 LÓPEZ REYES ERICK XAVIER 0911020790001 X 150314 BENITES TORRES EDUARDO ANTONIO 0911030005001 X 140085 SOLIS PIN FERMIN HORACIO 0911032019001 X 196614 ZEAS SANCHEZ LUIS LEONIDAS 0911048569001 X 170758 HERNANDEZ ARREAGA JULIO GEOVANNY 0911068294001 X 183824 LLAGUNO RAMOS NORA MANUELA 0911075935001 X 124734 SEMINARIO LITARDO KAFFA ROSA 0911078335001 X 171660 MORALES PONCE IVONNE ALEXANDRA0911082378001 X 105210 ULLAURI JIMENEZ MEDARDO ECUADOR0911085074001 X 152165 HERMENEJILDO LIMONES FREDDY ALBERTO 0911085561001 X 211391 RAMIREZ GONZALEZ ORLY EDISON 0911114734001 X 148151 ROMAN LAINEZ FABIAN RIGOBERTO 0911132462001 X 83319 VIVANCO NELLY 0911143873001 X 116780 AGUILERA SALAZAR OMAR 0911168680001 X 18447 MORENO RAMIREZ ALVARO LEOPOLDO 0911215044001 X 269463 MARTINEZ VANEGAS SEGUNDO JOSE 0911217008001 X 131644 IZURIETA TOLEDO SEGUNDO XAVIER 0911217966001 X 152071 TOAL MORALES JOHANA CARIDAD 0911234441001 X 157197 CASTRO RENDON PEDRO OSWALDO 0911244929001 X 241647 NEIRA LOOR EDITH JUDITH 0911251817001 X 160096 PACHAY CAMPUZANO LUIS ALBERTO 0911259273001 X 224481 PILAY JARAMILLO LUIS ANTONIO 0911264885001 X 148666 GALVEZ RODRIGUEZ WILMER ALFREDO0911275543001 X 1944 MENDOZA MACIAS JOHN RONALD 0911279263001 X 144987 FAREZ REINOSO LUIS FLORENCIO 0911284529001 X 108686 LOOR APRAEZ GLENDA DAXI 0911288363001 X 262786 CELI CECILIA DEL CISNE 0911288520001 X 50226 MALAGON RIVAS ERIKA CECILIA 0911291383001 X 27286 CARDOSO TERRELONGE EDWIN EDILBERTO 0911299402001 X 213238 ORTEGA ZAMORA WILSON EDUARDO 0911300341001 X
  • 276.
    No No registra No No registra No No. registra registra No. indicadores registra provincia, registra Persona_id NOMBRE No. ID (RUC) calle número registra de ventas, apellido cantón y primer principal de calle origen activos y/o paterno parroquia nombre principal empleados 201807 RONQUILLO CASTRO JOSE BOLIVAR 0911319713001 X 110318 GOMEZ PANCHANA JOSÉ GUILLERMO 0911336592001 X 4153 FERNANDEZ BADITH 0911351575001 X 235692 LINDAO BERNABÉ ROSA MARÍA 0911371938001 X 193382 REYES LAINEZ SEIMOY VELKIS 0911374361001 X 202441 CENTENO MERCHAN NERCIZA ELENA 0911375855001 X 26832 GINEZ BUSTAMANTE MARÍA RUTH 0911376184001 X 206423 TORO CRUZ VICENTE YOVANI 0911386639001 X 100642 IZURIETA LAINEZ NORMAN ISAAC 0911387314001 X 40098 GUZHÑAY MOSQUERA ROBERT RICHARD 0911390433001 X 275061 PARRAGA ZAMBRANO RENE DAVID 0911390854001 X 63105 MARQUEZ GALLEGOS EDUARDO RAFAEL 0911409134001 X 233769 VINCES CEVALLOS ALISON ESTALIN 0911409829001 X 177772 MAGALLANES SILVA LEONEL EDIGNO 0911436004001 X 184574 RAMÍREZ TOMALÁ JOHN VICENTE 0911450765001 X 78714 JARA ALVARADO JOSE EDUARDO 0911453645001 X 144582 PARRALES GUERRERO NARCISA CLEOPATRA 0911459725001 X 262565 WONG AGUIRRE JORGE ALBERTO 0911476182001 X 5211 FIBRADOR 0911481687001 X 1112 ALVARADO ORTEGA JUAN AURELIO 0911488831001 X 246501 MONTENEGRO JIMENEZ JOFFRE LEONARDO 0911492387001 X 66775 HUAMAN MARCILLO WASHINGTON EDUARDO 0911516870001 X 19186 LAVAYEN MONTALVAN JULIO CESAR 0911523264001 X 228596 PEREZ CHILA MARCOS JULIAN 0911528115001 X 277223 GOMEZ VILLAO AMILCAR LUPERCIO DE0911529196001 JESUS X 85406 MUÑOZ MENOSCAL BOLÍVAR COLON 0911561785001 X 231993 CATAGUA CERVANTES RODOLFO VALENTINO 0911564888001 X 254517 VERA CHERE VICTOR HUGO 0911564961001 X 221309 APOLINARIO POZO ANGEL RAMON 0911586634001 X 264628 ALAVA ZAMBRANO GLADYS LENNY 0911606382001 X 188219 VASQUEZ CASTRO CARLOS ANTONIO 0911610723001 X
  • 277.
    No No registra No No registra No No. registra registra No. indicadores registra provincia, registra Persona_id NOMBRE No. ID (RUC) calle número registra de ventas, apellido cantón y primer principal de calle origen activos y/o paterno parroquia nombre principal empleados 208874 CAMPO VERDE CARDENAS JULIO CESAR0911611606001 X 209405 RIOFRIO LOPEZ MIGUEL ALEJANDRO 0911641496001 X 210414 POZO RODRÍGUEZ JUAN CARLOS 0911644359001 X 212572 SOLORZANO ZAMBRANO ORLEY IBAL 0911649671001 X 179249 RUANO ARAUZ CARLOS ALBERTO 0911650018001 X 221400 POZO TOMALA PABLO ELOY 0911668879001 X 170533 MUÑOZ CAJAS WALBERTO JACINTO 0911688935001 X 174875 GARCIA ESPINOZA JAEL TEODORA 0911693018001 X 181030 MORAN CASTRO WILLIAM FERNANDO 0911708675001 X 130510 MOREIRA CHIRIGUAYA HILMA MARITZA0911730430001 X 59817 PÉREZ CARRIEL LUIS RAFAEL 0911743136001 X 100433 ELIECER GARCIA JORGE 0911746436001 X 132933 TUBAY TORRES TITO ERNESTO 0911747426001 X 225475 ORTIZ QUIMI MIRIAN MERCEDES 0911770485001 X 160889 PINCAY JACOME RAUL RONNY 0911829125001 X 165955 NAVIA CEDEÑO ULBIO ALINTOHON 0911867646001 X 225379 ORRALA SUAREZ JULIO CESAR 0911881340001 X 3389 REYES TIGSE ANGELA DEL ROCIO 0911894954001 X 180262 CALDERON TOALA JOSE FIDEL 0911913143001 X 147278 HERNANDEZ RIVERA HEIDY RAQUEL 0911955565001 X 229659 TRIANA MOSCOSO JOSE VICENTE 0911963445001 X 194886 CARREÑO LANIZ BYRON MOISES 0911996775001 X 62997 MOSQUERA BURNHAN PRISCILA YULIANA 0912000866001 X X X 263325 BUSTAMANTE MARTINEZ FELIPA CATALINA 0912023454001 X 266896 ULLOA MARIDUEÑA DORA NATALIA 0912028545001 X 67858 BALLADARES HERRERA MARIA ELENA 0912065943001 X 242002 CORRAL SEGURA MAURICIO FERNANDO912076346001 0 X 41554 BAIRON 0912100237001 X 259735 MOLINA SANCHEZ ANGELLO JOSE 0912105103001 X 202593 PEREZ QUIZHPI MARIA DOLORES 0912118056001 X 256652 LUNA CARBO JUAN CARLOS 0912129095001 X
  • 278.
    No No registra No No registra No No. registra registra No. indicadores registra provincia, registra Persona_id NOMBRE No. ID (RUC) calle número registra de ventas, apellido cantón y primer principal de calle origen activos y/o paterno parroquia nombre principal empleados 29057 HARO PINCAY JORGE WASHINGTON 0912144433001 X 259945 MARTILLO VERA MILTON ENRIQUE 0912160132001 X 168032 JIJON FIALLOS JAVIER ERNESTO 0912165826001 X 72514 VINTIMILLA FIGUEROA JOSE IGNACIO 0912169190001 X 29214 LOPEZ ASPIAZU VICTOR JOHNNY 0912169901001 X 1026 GUERRERO PACHECO DAVID SEGUNDO 0912181120001 X X 275903 ZAMBRANO CARRIEL ANGELA FLERIDA0912206422001 X X 140598 BURGOS BRIONES RICARDO ARMANDO 0912217890001 X 134331 BAEZ MEZA MARCELO RAFAEL 0912240082001 X 41774 JUNCO SALGUERO NAPOLEON ANIBAL 0912273547001 X 174804 MARCIAL RAMOS GENARO NEPTALY 0912275831001 X 178516 VERA CAICHA LUCAS PALERMO 0912276482001 X 246030 ZAMBRANO CAICEDO INES PATRICIA 0912280294001 X 277505 SOLIS ZUÑIGA ELBIA MAGDALENA 0912282712001 X X 44634 GONZALEZ GONZABAY CARLOS ENRIQUE 0912299377001 X 119512 IZA BALLIN BLANCA AZUCENA 0912320728001 X 196595 ZAMBRANO SAN LUCAS NEIL ARNOLDO 0912322898001 X 66614 PEÑAFIEL NARANJO JOSE PAUL 0912329315001 X 32655 ALAVA LEON FELIX ENRIQUE 0912343605001 X 77207 IBARRA MENDOZA JULIO JACINTO 0912344579001 X 154573 DE LA A TORRES PEDRO ANTONIO 0912349909001 X 227309 PALMA FLORES BYRON LEON 0912370640001 X 72726 ANDRADE VÁSCONEZ CÉSAR ENRIQUE0912376753001 X 235733 BRIONES MORAN FRANCISCO ENRIQUE 0912395373001 X 108370 LOOR RODRIGUEZ CARLOS VICTORIANO 0912396090001 X 215917 TOBAR MIRANDA MARÍA MAGDALENA 0912431608001 X 152180 VILLAMAR POSLIGUA NELLY JAQUELINE0912489002001 X 75296 PAZ RIVERA FATIMA DEL ROCIO 0912489697001 X 266233 ARRIAGA HOLGUIN SHIRLEY AGUSTINA0912503463001 X 143937 ESCOBAR HARO GUSTAVO ALFREDO 0912513389001 X 208389 SALVATIERRA ALVAREZ AGUSTINA DE LOS ANGELES 0912526688001 X
  • 279.
    No No registra No No registra No No. registra registra No. indicadores registra provincia, registra Persona_id NOMBRE No. ID (RUC) calle número registra de ventas, apellido cantón y primer principal de calle origen activos y/o paterno parroquia nombre principal empleados 231442 LAINEZ CHECA NELSON EDUARDO 0912572344001 X 226854 MASCOTE ESPINOZA CARLOS AMERICO0912592722001 X 80001 HOLGUIN PEÑAFIEL LUIS ROBERTO 0912595485001 X 50748 RIVADENEIRA SANCHEZ SANDRO HUMBERTO 0912599388001 X 39566 ARBAIZA PLUAS PATRICIO HOMERO 0912603255001 X 185420 RAMIREZ TOMALS HECTOR ANIBAL 0912606217001 X 142827 TORRES LUNA EDGAR JAVIER 0912606613001 X 105604 BARRETO BAQUE AMPARO AZUCENA 0912624947001 X 249646 CAMPOVERDE SOLIS VICTOR HOMAR 0912635760001 X 155192 YAGUAL REYES SEGUNDO GABRIEL 0912681343001 X 73747 SORNOZA CENTENO JENS CARLOS 0912704921001 X 205259 MUÑIZ SANCHEZ MIGUEL LEUNER 0912743382001 X 98421 ROLANDO ANGAMARA IRENE ROXANA 0912757614001 X 181029 ZAMBRANO GARCIA FRANCISCO JESUS0912771144001 X 238380 PITA MORALES VICOR HUGO 0912853835001 X 201031 SARAGURO ASTUDILLO HERMAN BOLIVAR 0912856457001 X 212658 CHALEN RODRIGUEZ LUIS CESAR 0912872603001 X 92255 CHUNGA SUAREZ ALEXANDRA EMMA 0912886157001 X 37708 GOMERO ESPINEL LOURDES REGINA 0912894565001 X 3536 GUTIERREZ CRUZ SILVIA ESTHER 0912896974001 X 121699 AURIA SANTIBANEZ JAIME ALBERTO 0912903713001 X 173054 GARCIA MORAN GIANINA PAOLA 0912925567001 X 242276 TOLEDO MORAN BELLA KARINA 0912926276001 X 107234 REYES LAINEZ ANGELA MARIA 0912926342001 X 147741 ARROBA SORIA GABRIEL VICENTE 0912934643001 X 88353 TOLEDO MORAN JOHNNY FABRICIO 0912936952001 X 250189 VELA ANDRADE NELSON DANIEL 0912939899001 X 94002 LUNA MURILLO RICARDO AUGUSTO 0912969227001 X 51373 CASTRO MORENO KAREN ELIZABETH 0912972353001 X 100808 ROCHA SANDOYA JACQUELINE MIREYA912979580001 0 X 107623 QUEVEDO ZAMBRANO EDISON JHONNY 0912986510001 X
  • 280.
    No No registra No No registra No No. registra registra No. indicadores registra provincia, registra Persona_id NOMBRE No. ID (RUC) calle número registra de ventas, apellido cantón y primer principal de calle origen activos y/o paterno parroquia nombre principal empleados 185882 NOLES VASQUEZ BAIRON EDUARDO 0912986536001 X 259267 CHUNGA LOPEZ DOLORES BETSABE 0913026043001 X 118900 GÓMEZ TUMBACO GUIDO BERNARDO 0913031803001 X 199765 CUSME VERA CARLOS JOHNNY 0913033254001 X 238192 CHIMBO VALLADOLID JORGE SAUL 0913038063001 X 64897 TANUS CAMACHO NAHON MANUEL 0913039756001 X 215402 YEPEZ VACA HECTOR MAURICIO 0913053286001 X 277219 MERCHAN CATUTO EVER WASHINGTON 0913053344001 X 158929 ANDRADE MOSQUERA MIGUEL ORLY 0913059150001 X 152547 ZAMBRANO PARRAGA HECTOR ALFREDO 0913070553001 X 98555 MENDOZA TARABÓ ARNALDO EFRÉN 0913073615001 X 258431 RAMOS VALDEZ JUAN JOSE 0913075347001 X 251683 VERA JIMENEZ EDISON ANTONIO 0913091161001 X 252895 BASURTO OLVERA FRANCISCA ESPERANZA 0913104246001 X 126180 CEVALLOS LUDEÑA REMIGIO CARLOS 0913129565001 X 103675 LOPEZ VALENCIA SILVANA MARIUXI 0913136693001 X 116004 GARCÉS VARGAS JUAN FRANCISCO 0913140216001 X 36941 COELLO CHANG NINO RICKY 0913140422001 X 170053 SUAREZ ORRALA FRANCISCO VICENTE0913140745001 X 266766 ANGEL YAGUAL ALFONSO ENRIQUE 0913141198001 X 108615 LINO DE LA CRUZ GILBERT JOFFRE 0913141677001 X 226435 MENDEZ DOMINGUEZ GLENDA ALEXANDRA0913152724001 X 217109 VELEZ BARROS MARCOS ANTONIO 0913175675001 X 72898 RIVERA DE LA CRUZ EUSEBIO EDISON 0913179263001 X 211220 FLORES SUÁREZ JORGE 0913179313001 X 238309 FLORES SOLORZANO MERCEDES ELENA 0913221602001 X 276610 MENDIETA OLEAS BELARMINO HERMILTON 0913232369001 X 220065 GUEVARA COELLO PAMELA DEL ROCIO 0913241410001 X 207697 ECHEVERRIA MEJIA CHRISTIAN ARMANDO 0913263158001 X 128088 BUCHELI MIELES FRANCIS JHONNY 0913264149001 X 198078 ROSALES SANTISTEVAN HUGO ALBERTO 0913270955001 X
  • 281.
    No No registra No No registra No No. registra registra No. indicadores registra provincia, registra Persona_id NOMBRE No. ID (RUC) calle número registra de ventas, apellido cantón y primer principal de calle origen activos y/o paterno parroquia nombre principal empleados 36249 SORIANO PANCHANA JOSÉ DANIEL 0913271011001 X 119549 MOREIRA MENDOZA CARLOS ANTENOR 0913276564001 X 111703 ZAMBRANO BARCOS CIRO LUDOVICO 0913278917001 X 104322 NEIRA MATIAS JULIO ANTONIO 0913280665001 X 232119 HURTADO NARANJO SEGUNDO RICARDO 0913286266001 X 152280 ALARCON ALAVA GONZALO ARTURO 0913287595001 X 119817 RODRIGUEZ FRANCO OSWALDO MANUEL 0913289336001 X 147786 BOMBON TRIVIÑO GUILLERMO EFRAIN 0913289518001 X 173826 OCHOA PUIN BLANCA LEONOR 0913304549001 X 192630 COROZO AYOVI ANTONIO ADOLFO 0913311023001 X 1687 ROCHA MEDINA HENRY FERNANDO 0913311411001 X 61988 PUMARES FRANCO EDUARDO ANIBAL 0913315941001 X 176086 DIAZ LEMACHE ALINA ISABEL 0913324471001 X 76005 MENDOZA PALMA MARJORIE PATRICIA 0913327227001 X 246303 MORENO LEON WILFRIDO OSWALDO 0913351599001 X 137077 MORENO SANCHEZ COLON JUNIOR 0913352050001 X 239307 SANCHEZ PAREDEZ LUIS ALBERTO 0913354569001 X 275793 VALERO PEÑAFIEL IRMA ALEXANDRA 0913361721001 X 159097 MACIAS CORTEZ OSCAR ARQUIMIDES 0913379178001 X 95052 GALAN CALEÑO JOSE ADRIAN 0913390159001 X 11305 SALINAS RODRIGUEZ GLENDA JEANNET0913400156001 X 198378 REYES LAINEZ ANGELA MARIA 0913401014001 X 162423 MONZON QUEZADA GRACIELA CELINDA 0913402533001 X 109548 GELLIBERT MORA JEANNINA ANNABELLE 0913408738001 X 200982 PARRALES CHAVEZ JAVIER BENIGNO 0913411997001 X 199492 BAQUE TOALA BERNI ROLANDO 0913414108001 X 248536 BENITES TORRES JOSE MARIA 0913439071001 X 215394 ROMERO VERA GLENDA MARISOL 0913443438001 X 256352 CALDERON JACOME CECILIA 0913465571001 X 165499 SANTOS MANUEL ANTONIO 0913496816001 X 223178 ROMOLEROUX PAZMIÑO LIDA MARIELA0913517579001 X
  • 282.
    No No registra No No registra No No. registra registra No. indicadores registra provincia, registra Persona_id NOMBRE No. ID (RUC) calle número registra de ventas, apellido cantón y primer principal de calle origen activos y/o paterno parroquia nombre principal empleados 147131 MURILLO ALTAMIRANO OLIVIA LIDIA 0913575577001 X 188329 MANOTOA MOYA LLORDY GEOVANY 0913629804001 X 156552 DUEÑAS CABEZAS LUIS ADOLFO 0913647095001 X 210654 CHILAN BAYAS SEGUNDO SIXTO 0913654729001 X 263624 LOOR CUJILAN BLANCA VERONICA 0913676920001 X 171637 AGUIRRE MORALE VICENTE LEONARDO 0913694287001 X 176331 CHAVEZ CORONADO HOLGER FERNANDO 0913695938001 X 3580 MORA REYES MARIA EUGENIA 0913730727001 X 206716 MACIAS VITERI JOSE LUIS 0913766705001 X 118907 DUNKLEY TOMALA MARIANA ISABEL 0913777348001 X 99552 CAMPOVERDE RUMAZO WASHINGTON 0913801452001 ROBERTO X 211826 LITUMA RAMIREZ NORMAN 0913801775001 X 140879 VALENZUELA VASCONEZ BETSY ELIZABETH 0913809216001 X 208520 BUENO NIETO RONALD GEOVANNY 0913812194001 X 96787 MURILLO BARCOS HAROLD ARQUIMIDES0913815791001 X 168161 LARRETA FAJARDO MARCOS ANTONIO0913826269001 X 195678 DROUET LEON CARLOS HUGO 0913826814001 X 62221 PLAZA CASTRO ROSA ISABEL 0913831145001 X 258034 CARREÑO CHAMBA SORAYDA DEL CISNE0913844411001 X 263696 FREIRE FREIRE MERY DEL ROCIO 0913874327001 X 51499 ALMEIDA MORALES OASIS FRANCISCO0913884193001 X 178917 ESCALANTE TOMALA CARLOS LUIS 0913903795001 X 165861 LAINEZ REYES CESAR EDUARDO 0913923371001 X 141595 LOPEZ PINOS BEYRRUT YANINA 0913946117001 X 74977 FIGUEROA BRIONES RICHARD ANTONIO0913951315001 X 165684 RODRIGUEZ ORRALA CARLOS ARISTIDES 0913974655001 X 176087 MONTERO HINOJOSA ORLANDO ENRIQUE0913976148001 X 155540 PEÑAFIEL SALGUERO CARLOS ALBERTO0913977385001 X 147891 VALDEZ CABEZA MARIA DOMIRA 0913981932001 X 231654 YANEZ MORENO GLADYS ELIZABETH 0913984324001 X X 77447 MENOSCAL CASTILLO ROGGER DANIEL 0913988077001 X
  • 283.
    No No registra No No registra No No. registra registra No. indicadores registra provincia, registra Persona_id NOMBRE No. ID (RUC) calle número registra de ventas, apellido cantón y primer principal de calle origen activos y/o paterno parroquia nombre principal empleados 41207 MENOSCAL CASTILLO HARRY ALBERTO 0913988085001 X 187755 PLAZA ZAMBRANO ELOY JOSE 0913991568001 X 156519 BECERRA ORTIZ LEONARDO ALBERTO 0914042353001 X 229850 MARTINEZ TOMALA WIMPER ROVI 0914051594001 X 249448 JARA TANDAZO SERGIO ANIBAL 0914061296001 X 242254 CHAVEZ MUÑOZ GALO XAVIER 0914077300001 X 13392 ARQ.YOLANDA ZUÑIGA 0914081401001 X 11821 ARQ DOMENICO BAEZ 0914092283001 X 82747 MURILLO ALTAMIRANO MARIBEL OLIVIA0914104708001 X 206364 CORDERO LEON MILTON PAUL 0914113931001 X 192365 PEÑAFIEL YULAN NIXI MAENA 0914180997001 X 203310 ZAVALA MENDOZA FREDI RAMON 0914193917001 X 213848 YAGUAL CHANCAY JORGE WILMER 0914196068001 X 181629 GARCIA CASTAÑEDA LUIS ENRIQUE 0914196258001 X 103950 ORTIZ CAMACHO DELFINA JASMIN 0914241724001 X X X 68044 CENTENO MARÍN FABIO LEONARDO 0914256623001 X 236668 RUGEL MEJIA LUIS ANTONIO 0914278924001 X 13911 GEOLINERS 0914292586001 X 101956 ESPINOZA BARROSO WENDY KATIUSKA 0914309307001 X 170763 FREIRE SÁNCHEZ JORGE ADALBERTO 0914315544001 X 176528 MACIAS JARAMILLO DELIA PIEDAD 0914323217001 X 86733 SOLORZANO SOLORZANO LUIS ALBERTO 0914333646001 X 193281 LAINEZ PINCAY JOHN CARLOS 0914356704001 X 273568 MEJIA PIÑA MARIA NARCISA 0914370226001 X X 198825 RUIZ BARRAGAN GINA MAGALI 0914375704001 X 75174 ANDRADE ARELLANO PAOLA FERNANDA 0914378930001 X 273929 PEÑAHERRERA GARZÓN MARÍA PAOLA0914395330001 X 186307 AVECILLAS RIVERA MARIBEL ALEXANDRA 0914396858001 X 147787 ORRALA SORIANO AMARILIS SOVEIDA 0914398250001 X 237551 RIVERA ZAMBRANO MARIO ROLANDO 0914415401001 X 95745 RUGEL CAICEDO HILIANA MARGARITA 0914441233001 X
  • 284.
    No No registra No No registra No No. registra registra No. indicadores registra provincia, registra Persona_id NOMBRE No. ID (RUC) calle número registra de ventas, apellido cantón y primer principal de calle origen activos y/o paterno parroquia nombre principal empleados 115951 GRANADOS RIVAS YANILA ESTHER 0914464110001 X 185446 QUIMIS ZAMBRANO GERTRUDIS JANETH914466156001 0 X 151260 ALVARADO MEJIA WLADIMIR ALEJANDRO 0914510789001 X 192604 PILLIGUA PONCE YUNER EDUARDO 0914515572001 X 46952 PALIZ BAYAS LUIS ENRIQUE 0914537014001 X 211039 CEVALLOS BRAVO MERTIRE BENITO 0914538772001 X 115393 FREIRE KNUTH ANDREA CRISTINA 0914544291001 X 198205 ANASTACIO CHAMAIDAN GREGORIO GABRIEL 0914550918001 X 193818 RUIZ ALVEAR JESUS MARTIN 0914554746001 X 149011 RAMIREZ RAMOS DAVID FRANCISCO 0914559521001 X 247892 CHOEZ PEÑAFIEL RUFINO HONORIO 0914568720001 X 247035 COBOS LOPEZ OSCAR ENRIQUE 0914579594001 X 13582 DISTRIBUIDORA SURMEDIC 0914581228001 X 132540 GONZALEZ CERCADO EDGAR MICHEL 0914583497001 X 237826 ALMEIDA SALAS FRANCISCO JAVIER 0914607403001 X 142864 SUAREZ OCHOA CESAR RULLY 0914608971001 X 247105 GORDILLO PINOS CARLOS HUMBERTO 0914621719001 X 202097 CRUZ ANCHUNDIA KELLY MARIELA 0914626874001 X 37125 SORROZA FLORES DENISSE LIZETTE 0914629910001 X 181022 ALVARADO MERCHAN BOANERGUES GIOVANNY 0914633995001 X 168919 OROZCO CUNA JUAN 0914638853001 X 112379 ZAMORA LOZANO JAIRO FERNANDO 0914640438001 X 173409 MUÑOZ CATUTO JOFFRE MIGUEL 0914646666001 X 94641 PALMA HOLGUIN IMELDA MARIANELLA0914652805001 X 248743 ALULEMA ZAPATA NORMAN ENRIQUE 0914662317001 X 175176 MORA MORA MANUEL APOLINARIO 0914672357001 X 175979 MANTUANO VELEZ PEDRO FERNANDO 0914681549001 X 220529 ROSALES LOPEZ DARWIN FRANCISCO 0914711437001 X 165710 VALLADOLI URGILES NATHALIA MONSERRATE 0914715032001 X 4175 ARMIJOS EDUARDO 0914740832001 X 222290 RAMON EDGAR 0914745005001 X
  • 285.
    No No registra No No registra No No. registra registra No. indicadores registra provincia, registra Persona_id NOMBRE No. ID (RUC) calle número registra de ventas, apellido cantón y primer principal de calle origen activos y/o paterno parroquia nombre principal empleados 146807 ZARAUZ ANGARITA JUAN CARLOS 0914754429001 X 185889 MARIN PENAFIEL DANIEL EFREN 0914796909001 X 239948 GOMEZ VERA ALEXANDRA 0914808878001 X 143578 AVILES PLUAS SERGIO FELIPE 0914857651001 X 157631 CAYAMBE PAZMIÑO VICTOR MANUEL 0914880158001 X 145700 JACOME CABRERA PEDRO MIGUEL 0914891718001 X 125229 DE LA ESE RUIZ PEDRO AUGUSTO 0914899380001 X 153358 MUÑOZ MORANTE MIRO RAFAEL 0914927926001 X 210937 CEDEÑO ANGULO EUDALDO BENJAMIN0914962451001 X 49005 FLORES PEREZ REINALDO ABEL 0914962733001 X 145496 SANCHEZ RUIZ VICENTE ANTONIO 0914968847001 X 143086 CEDILLO LOPEZ LUIS ALBINO 0914973318001 X 141535 ROCA VELEZ XAVIER FERNANDO 0914976030001 X 198313 NUPIA MACIAS JOFFRE ALFREDO 0914990213001 X 194944 GONZALEZ ESPINOZA WILME BOLIVAR 0915006142001 X 51084 JARRIN CRUZ XAVIER ANTONIO 0915007264001 X 39076 ROMMEL 0915018337001 X 127177 MONTIEL LANDIVAR ANDRES RAUL 0915053730001 X 222154 ROSALES BALLADARES ANGEL FERNANDO0915090260001 X X X 188268 SANCHEZ LUIS ALBERTO 0915110068001 X 186760 AREVALO GARCIA HERMINIA DEL RCIO 0915124572001 X 275886 PRADO RIOS MERY MAGALY 0915129712001 X X X 224003 MORÁN BENALCÁZAR HUGO ALFREDO 0915154967001 X 135859 LOPEZ ROSADO JULIO JOSE 0915166490001 X 215731 BUENAÑO LLANOS SEGUNDO ANIBAL 0915167308001 X 196034 RODRIGUEZ SEPULVEDA MONICA 0915201156001 X 119383 IZA BALLIN MARIA LAURA 0915204069001 X 107773 IZURIETA PINARGOTE BORIS COLON 0915206247001 X 220948 BARBA NOBOA MARCO VINICIO 0915214118001 X 257609 MENDOZA MOREIRA MARIA MARCELA 0915220354001 X 255910 BARCIA TOALA MARIA GISELA 0915227136001 X
  • 286.
    No No registra No No registra No No. registra registra No. indicadores registra provincia, registra Persona_id NOMBRE No. ID (RUC) calle número registra de ventas, apellido cantón y primer principal de calle origen activos y/o paterno parroquia nombre principal empleados 101167 SILVA MERA DAVID ALEXANDER 0915235246001 X 84582 VELIZ MACIAS CARMEN IRLEY 0915251219001 X 262805 CLEMENTE GONZALEZ HECTOR WILFRIDO 0915261507001 X 3486 RIVADENEIRA MANRIQUE GERMAN HERMOGENES 0915279418001 X 206332 PONCE FLORES RUTH ELIZABETH 0915285118001 X 197677 GARCIA GARCIA RICHAR GARDEL 0915308506001 X 238795 GONZALEZ GONZALEZ LUIS GERSON 0915345193001 X 262264 CHUNGATA PELÁEZ JOSÉ WILMER 0915356406001 X 185771 MORALES REYES JOSE VICENTE 0915357156001 X 258314 VALLEJO COSTALES FERNANDO ALBERTO 0915414262001 X 232239 CASTRO ZAMBRANO JAVIER ENRIQUE 0915414270001 X 189852 PILAY PINCAY HERIBERTO LORENZO 0915450621001 X 148463 TOALA SUAREZ ANGELA LUCIA 0915483374001 X 126822 BENALCAZAR CRUZ JOSE ENRIQUE 0915499131001 X 179088 ALAVA ESPINOZA ADRIANA VIOLETA 0915512719001 X 222188 TERAN GARCIA FEDERICO GUSTAVO 0915514582001 X 28948 ORTEGA CORONEL JULIO ANTONIO 0915521330001 X 130137 MACIAS LOPEZ ESTHER ADELAIDA 0915521520001 X 219154 GONZABAY REYES LEONARDO BERNABE 0915576946001 X 73951 GONZALEZ RAMIREZ HECTOR MANUEL0915593008001 X 96611 HIDALGO RODRIGUEZ LESLY FERNANDO0915595078001 X 169770 MURILLO SANTILLAN JUAN CAMILO 0915595359001 X 232018 LOPEZ MANCERO CARLOS ENRIQUE 0915599914001 X 3584 BUENO ESPINOZA MARJORIE LUCIA 0915605901001 X 6369 CASBER 0915628804001 X 267823 MENDEZ ARAUJO JOHN WILLIAM 0915631170001 X 84206 MAZÓN POZO OMAR FABIAN 0915641310001 X 266095 PAZ NARVAEZ NANCY ALEXANDRA 0915649396001 X 270774 MORANTE VERA TOMAS MARCELINO 0915670368001 X 211224 SANTANA QUIMIS SILVERIO MARIANO 0915692396001 X 216617 ROSALES POZO MARCOS EDUARDO 0915703896001 X
  • 287.
    No No registra No No registra No No. registra registra No. indicadores registra provincia, registra Persona_id NOMBRE No. ID (RUC) calle número registra de ventas, apellido cantón y primer principal de calle origen activos y/o paterno parroquia nombre principal empleados 235021 TENELEMA RODRIGUEZ MARCO MARCELO 0915705065001 X 261457 BURGOS TAPIA BOLIVAR PEDRO 0915731962001 X 263536 YEPEZ ARICHAVALA DARWIN WILMER 0915774756001 X 45248 PERERO CERCADO OSWALDO YUBANY 0915792048001 X 196283 CARCHI CARPIO GALO JOSE 0915799274001 X 126710 AREVALO CELI HERNAN ALBERTO 0915807242001 X 90917 LEON CASTRO PAULINA SOLEDAD 0915808638001 X 157161 RIERA CEVALLOS WILLIAM GEOVANNY 0915809537001 X 178515 MONTESDEOCA SALAZAR JULIO EDUARDO0915826804001 X 117016 SINCHI BASTIDAS JULIO AGUSTIN 0915834154001 X 52810 JEIMY 0915861280001 X 203660 MARIN PEREZ CARLOS ANDRES 0915861504001 X 11286 ANTONIO 0915863237001 X 201863 LOPEZ CARRILLO EDDY RUBEN 0915882138001 X 266739 PERERO GONZALEZ PABLO XAVIER 0915885370001 X 43893 PARRALES TIGRERO WILMER SANDRO0915889505001 X 258437 GONZALES ANZULES VICTOR HUGO 0915902084001 X 211311 RODRIGUEZ GONZALEZ CARLOS ABSALON0915915706001 X 263010 SUAREZ MEJILLONES MARIUXI ELIZABETH 0915918999001 X 203592 PIGUAVE CAICHE JOSE ALBERTO 0915919757001 X 131149 ZAMBRANO DELGADO BELQUIS DORAINA 0915940027001 X 166656 DE LA A ANASTACIO JORGE LEONARDO 0915948194001 X 205617 ESPINOZA LOOR CARMEN HAIDEE 0915960348001 X 215604 MONSERRATE CONSTANTINE JOSE DANIEL 0915962468001 X 208910 TOMALA AYALA DELIA MARIBEL 0915968663001 X 179904 NARANJO ROSALES WILLIAMS RUBEN 0915968929001 X 139069 MONTIEL TIRAPE MARIA MAGDALENA 0915972780001 X 241414 ASUNCION RUIZ FRANCISCA DEL ROCIO0915988224001 X 227981 COLOMA HUREL JOSE IVAN 0915992762001 X 248280 VÉLEZ CÓRDOVA JULIO CÉSAR 0916007164001 X 82493 MARINEZ GONZALEZ ITALO MAURICIO 0916032923001 X
  • 288.
    No No registra No No registra No No. registra registra No. indicadores registra provincia, registra Persona_id NOMBRE No. ID (RUC) calle número registra de ventas, apellido cantón y primer principal de calle origen activos y/o paterno parroquia nombre principal empleados 262055 BALON YES ROCIO ALEXANDRA 0916034416001 X 108153 SUAREZ ROCA EVELYN ROSAURA 0916035777001 X 204667 FIALLOS QUINSO NANCY NATALIA 0916124886001 X 118640 GELLIBERT VILLAO JORGE WALTER 0916150873001 X 255856 TAGLE QUIMI GABINO RODOLFO 0916154123001 X 253086 PONCE QUINDE CARLOS ALBERTO 0916172364001 X 100978 PINO NAVAS JAVIER EDUARDO 0916203979001 X 174487 BANCHON FIGUEROA ESTEBAN JAVIER0916207889001 X 150577 JAIME AUQUI HUGO 0916216666001 X 13393 ARQ.JORGE ALBAN 0916224488001 X 99017 CAICEDO YAGUAL BRAULIO ALFREDO 0916255383001 X 225427 CAJÍAS DELGADO MARIA DEL CARMEN 0916256654001 X 270389 CEDEÑO JAEN ANA BEATRIZ 0916259419001 X 139788 RAMIREZ TORRES HUMBERTO CARLOS 0916268949001 X 28937 ORELLANA MANCHENO YAHAIRA GABRIELA 0916275787001 X 275614 MUNOZ MORA ANIBAL LEONCIO 0916292717001 X 64453 CAMPUZANO YAMBO JOSE LUIS 0916304561001 X 230623 VERA LOOR MARIO BOLIVAR 0916310584001 X X X 121246 ZAMBRANO CEDEÑO HECTOR AQUILES 0916315732001 X 214546 GUERRERO ALARCÓN LEODAN ARLINE0916330970001 X 200404 ORTIZ GARCIA CHRISTIAN LEONEL 0916343999001 X 176591 PAZMIÑO BOLAÑOS JIMMY ELIAS 0916347701001 X 113350 GOMEZ ZAMORA ERNESTO XAVIER 0916358997001 X 19528 DIAZ CHABARRIA GEORGE RAFAEL 0916366065001 X 233797 DROUET CANDELL ANDRES ENRRIQUE0916373731001 X 143907 ZAMBRANO GONZABAY WILSON JORGE 0916404338001 X 249793 HERRERA BLANCO MAURICIO ARGELI 0916441652001 X 11552 NAREA 0916442676001 X 251166 PEREZ BRAVO OSCAR ALBERTO 0916445430001 X 186547 POZO PILAY JORGE 0916447964001 X 99649 CEVALLOS SUÁREZ IRMA FELICIA 0916476021001 X
  • 289.
    No No registra No No registra No No. registra registra No. indicadores registra provincia, registra Persona_id NOMBRE No. ID (RUC) calle número registra de ventas, apellido cantón y primer principal de calle origen activos y/o paterno parroquia nombre principal empleados 277181 CRESPO EISER ENRIQUE JOSE 0916505670001 X X 227650 OSORIO BAJAÑA GLADYS ELOISA 0916524374001 X 133970 VERDUGA PINARGOTE MARIA CARLINA0916535974001 X 190698 LANDIVAR SUAREZ PEDRO CHRISTIAN 0916544778001 X X X 248462 VEGA MONTESDEOCA NEY LUIS 0916545981001 X 114855 CAMBA MORA MARIO LENIN 0916548167001 X 142433 ANCHUNDIA CARRANZA JINNA ARGENTINA 0916570161001 X 158840 YUNGAN ROLDAN LOURDES ALICIA 0916577257001 X 79290 OBANDO VIZUETA JONNY PATRICIO 0916577935001 X 82429 AVILES REINOSO ANTONIO RAUL 0916632870001 X 82418 REINOSO MORA OMAR JONATHAN 0916638745001 X 70285 SANCHEZ MARIDUEÑA HUGO ALFREDO 0916649890001 X 71779 QUINONEZ ARROYO ANGEL GERMAN 0916651235001 X 254802 YAGUAL LUNA JOSE CRISTOBAL 0916653710001 X 174807 ESCOBAR BARZOLA ROSA ESTHER 0916669708001 X 168498 SARABIA VERA WILDEN WLADIMIR 0916693849001 X 216882 ROBALINO ARGUELLO MAGNO CESAR 0916698558001 X 56148 ALEXANDER 0916707821001 X 204894 GUALE CASTILLO GUILLERMO GUSTAVO916721996001 0 X 21434 DEU GUARINO WALTER 0916723448001 X 151080 VERNAZA CAICEDO ROCELI NATIVIDAD0916755473001 X 85048 TUTIVEN RODRIGUEZ EDGAR COLON 0916758899001 X 228355 ZAMORA PEREZ WALTER IVAN 0916763105001 X 226406 TOMALA SUAREZ WILSON ENRIQUE 0916776719001 X 155446 SANCHEZ VARGAS WILSON REINALDO0916782394001 X 171613 GUTIÉRREZ ARTEAGA LUIS EDUARDO 0916782832001 X 183016 CEDEÑO ALCIVAR JOSE DORLY 0916792260001 X 205343 ALVARADO MERCHÁN EDIXON ROLANDO 0916814429001 X 187028 PENAFIEL MARTILLO CARLOS ALBERTO0916844202001 X 223893 BACILIO PONCE LENIIN ABEL 0916849185001 X 249349 PULLEY ORTIZ VERONICA MARIA 0916881089001 X
  • 290.
    No No registra No No registra No No. registra registra No. indicadores registra provincia, registra Persona_id NOMBRE No. ID (RUC) calle número registra de ventas, apellido cantón y primer principal de calle origen activos y/o paterno parroquia nombre principal empleados 183331 SARMIENTO VITE NATHALLY MARIELA 0916889132001 X 118612 VARGAS MACIAS MANUEL OSWALDO 0916895345001 X 105065 LOPEZ RODRIGUEZ GUILLERMO JAVIER 0916901267001 X 170637 BRAVO TERAN HEIDEE MARCELA 0916907116001 X 112942 GONZALEZ TIGRERO OLGA MARÍA 0916910862001 X 257455 URINA CABRERA JOHNNY DANIEL 0916915812001 X 99464 RICARDO TOMALA WILSON ALEJANDRO 0916922917001 X 213923 LOPEZ MORALES NELLY MARGARITA 0916929920001 X 135309 PINARGOTE LUNA YADIRA ISABEL 0916932080001 X 266176 MORANTE CANTOS GREGORY AUGUSTO 0916957434001 X 244871 VERA SERIZ IGNACIO PATRICIO 0916971427001 X X X 165770 IZURIETA LANDIVAR MARIA GABRIELA 0916982481001 X 191747 PARRALES HENRIQUEZ MARCO ANTONIO 0917012965001 X 115821 LOOR SALVATIERRA ALBERTO JACINTO 0917049454001 X 144485 ALCIVAR GUERRERO CRISTHIAN RAFAEL0917056491001 X 252950 PINARGOTE LOOR CARLOS GIOVANNY 0917067167001 X 277013 MALAVE MARIN JORGE XAVIER 0917080301001 X 89881 VARGAS GARCIA ALEXANDRA ELIZABETH0917101420001 X 217974 BRIONES SOLORZANO BETINA ESMERALDA 0917110421001 X 223345 ULLOA YEPEZ OTTO ALEXANDER 0917138976001 X 253382 RODRIGUEZ ESPINOZA HILDA KARINA 0917180580001 X 190977 ARIAS AROCA TATIANA IVETTE 0917188534001 X 268712 CRESPIN RIVERA FRANCISCO JAVIER 0917189037001 X 274139 ZUNA ALVAREZ MARIA LASTENIA 0917195075001 X 252838 FIGUEROA MUÑOZ KATTY MARIA 0917218299001 X 153919 ROBALINO MUÑIZ GUSTAVO DAVID 0917223430001 X 278272 LITARDO GARCIA GALO MANUEL 0917232746001 X 252920 YUGCHA CORRALES DÁMARIS NATALY0917255556001 X 86065 MENESES CUCALON LUIS AGUSTIN 0917273377001 X 3354 GUEVARA ARIAS VERONICA ISABEL 0917282535001 X 264792 VICUÑA SANCHEZ VICTOR FIDEL 0917282907001 X
  • 291.
    No No registra No No registra No No. registra registra No. indicadores registra provincia, registra Persona_id NOMBRE No. ID (RUC) calle número registra de ventas, apellido cantón y primer principal de calle origen activos y/o paterno parroquia nombre principal empleados 201350 BURBANO PALMA JORGE LUIS 0917322885001 X 141795 MACIAS VERA JESSICA LORENA 0917330094001 X 250570 SALAZAR UGARTE RONALD ALEXIS 0917341794001 X 46927 NAVARRO MERELO JESUS INDALECIO 0917387326001 X 209133 YUNDA LASTRE YESENIA MARÍA 0917400053001 X 181910 SORNOZA YAGUAL LUIS ELVIS 0917404147001 X 99560 PONCE SALTOS JOSE FACUNDO 0917411100001 X 231248 SANCHEZ VARGAS MARTHA KARINA 0917417735001 X 142734 ARELLANO AGUILERA JORGE WASHINGTÓN 0917423683001 X 278134 FRANCO AGUAYO JESUS MANUEL 0917493215001 X 88976 ALEJANDRO PALMA ROSA MARIA 0917497026001 X 207189 RODRIGUEZ RODRIGUEZ JOSE AGUSTIN0917510232001 X 188448 RODRÍGUEZ MIRABÁ EFRAÍN RAÚL 0917510257001 X 244744 SUAREZ CAICHE JORGE ALBERTO 0917514689001 X 140400 TORO GONZABAY MARIA DEL CARMEN 0917515983001 X 106737 SUAREZ TOMALA JOSE LUIS 0917518474001 X 214200 GAVILANES FABIANI RAFAEL ROLANDO0917535437001 X 144851 GORTAIRE ROMERO HENRRY ALFREDO 0917565970001 X 229483 MEDINA ALCOSER DANIEL ALISTER 0917568859001 X 133882 RUA ESTACIO LUIS GIN 0917575391001 X 112479 MORÁN ELÍAS ADRIANA MARÍA 0917601387001 X 133780 CACERES HURTADO CLEI MAXIMILIANO0917619710001 X 242858 MERCHÁN PANCHANA MARIELISA FERNANDA 0917642761001 X 176017 MAGALLANES DARWIN 0917656290001 X 171688 LUQUE MIRANDA LUIS EDUARDO 0917672800001 X 180854 BANCHON TOMALA SANTIAGO MICHEL 0917687808001 X 239708 RIVERA IDROVO CARLOS FERNANDO 0917712267001 X 162859 PINOS TACLE MONICA ALEXANDRA 0917713620001 X 253070 VALLE TORRES IVAN SEGUNDO 0917717563001 X 244382 GUIJARRO RIVERO BELLA MARÍA 0917718603001 X 185094 TOMALA BAJAÑA VINICIO DAVID 0917718835001 X
  • 292.
    No No registra No No registra No No. registra registra No. indicadores registra provincia, registra Persona_id NOMBRE No. ID (RUC) calle número registra de ventas, apellido cantón y primer principal de calle origen activos y/o paterno parroquia nombre principal empleados 236139 CEDEÑO MERA WILMER EDUARDO 0917734014001 X 204009 ASAQUIBAY YUMISEVA PEDRO 0917734444001 X 200934 BAJAÑA BAJAÑA ANDRES FREDDY 0917751364001 X 214735 AVELINO RODRIGUEZ CESAR HUMBERTO0917762726001 X 270042 SANTOS MARIN GLADYS YRENE 0917798985001 X 206932 CARRANZA GOMEZ FERNANDO JACINTO 0917801367001 X 199677 SILVA GUIRACOCHA WLADIMIR EDUARDO 0917803629001 X 206767 GUERRERO MERCHAN ANA NARCISA 0917809246001 X 225172 REYES TOMALA VICTOR ANGEL 0917866923001 X 116593 GUARACA GUARACA SEGUNDO GABRIEL 0917888737001 X 203426 YAGUAL CRUZ JOSE ALFREDO 0917890980001 X 53478 OJEDA ORDOÑEZ PATRICIA NOEMI 0917921223001 X 37595 CAMPOVERDE CHICA SYLVANA LUCIA 0917967036001 X 24926 ESPINOSA QUIJIJE EUNICE VALERIA 0917978769001 X 216927 FLORES LOPEZ GERMAN RAUL 0917988057001 X 216876 CHOEZ PILAY MILTON CRECENSIO 0917997678001 X 60084 MORENO GARCIA ISAAC BUENAVENTURA0918021197001 X 256416 YAGUAL GONZÁLEZ ROSARIO MARITZA0918024092001 X 107970 ASENCIO SUÁREZ JUAN ALFREDO 0918024928001 X 263285 CHAVEZ RIVERA FLOR MARLENE 0918031253001 X 254126 LEON OBANDO SUSANA EDELMIRA 0918067182001 X 257726 LAGE MORALES LUIS ALBERTO 0918118803001 X 249293 YAGUAL BORBOR JUAN CARLOS 0918170879001 X 149755 CORTEZ BORBOR MARIA MAGDALENA 0918171513001 X 3615 CRUZ TORRES MONICA ARELICE 0918175357001 X 259323 MOLINA MATEO TOMAS ELIAS 0918178468001 X 103481 MACIAS MORAN VICTOR ALFREDO 0918188541001 X 244278 GUAMÁN SUMBA FRANKLIN PAÚL 0918221466001 X 262789 RUIZ BURGOS IMELDA YADIRA 0918244286001 X 224911 LINDAO VERA GRISELDA LUCIA 0918264888001 X 60316 QUINDE RODRIGUEZ VILMA HERLINDA 0918265208001 X
  • 293.
    No No registra No No registra No No. registra registra No. indicadores registra provincia, registra Persona_id NOMBRE No. ID (RUC) calle número registra de ventas, apellido cantón y primer principal de calle origen activos y/o paterno parroquia nombre principal empleados 87594 ESPINOZA BURGOS NIXON RUBEN 0918427725001 X 31985 GOYES VALAREZO CHRISTIAN DOMINIQUE 0918443003001 X 250975 CEDEÑO COBEÑA LUIS ALBERTO 0918473307001 X 263695 RODRIGUEZ RAMOS VICTOR ANGEL 0918483769001 X 206173 GOMEZ ALEJANDRO JOHN GABRIEL 0918505280001 X 81813 VASQUEZ MORALES JAZMANI OCTAVIO0918505975001 X 105580 MONTALVÁN TOALA FRANCISCO JAVIER918533415001 0 X 201845 BARZOLA BURGOS PEDRO VINICIO 0918554759001 X 263167 CABRERA NIVELO GLADYS PATRICIA 0918577651001 X 92278 BALDEON VARGAS VICTORIA ELIZABETH0918585209001 X 187280 RIVERA HERRERA SANDRA PATRICIA 0918586611001 X 159355 ROMERO VILLACIS MILTON LIENEY 0918615402001 X 263108 TORRES PRIETO LILIANA PATRICIA 0918633819001 X 184148 MENDOZA DEL VALLE MARIA AUXLILIADORA 0918668997001 X 275301 ORRALA PALACIOS OMAR ORLANDO 0918670548001 X X X 160156 VÉLEZ ESPINOZA JEAN PIERRE 0918671595001 X 276952 MENDOZA CEDEÑO JUAN CARLOS 0918730342001 X X X 222503 CHICA VELEZ WILSON EDUARDO 0918746009001 X 45115 SPANDRE ZELAYA LEONARDO RENE 0918763186001 X 120613 FLORES CEVALLOS JOHANNA GLENDALY 0918797952001 X 227502 RICCIO ANASTACIO FRANCISCO 0918833658001 X 275474 TANDAZO LAINEZ CARLOS ALFREDO 0918841818001 X 47886 QUIMÍ PLÚA CARLOS ALBERTO 0918848854001 X 174161 LOPEZ GONZALEZ JOSE RODOLFO 0918880287001 X 225412 TOMALA MALAVE NELSON EDUARDO 0918889239001 X 272007 FIGUEROA PEÑAHERRERA JONNY ALFREDO 0918941832001 X X 195188 MORENO PEREZ MILTON JOSE 0918946419001 X 192534 SOLIS NEGRETE ELVIS DAVID 0918968553001 X 196783 MURILLO TRIVIÑO FELIX ANTONIO 0918981259001 X 132496 CEDEÑO ARISTEGA ANDRES ABSALON0918986829001 X 147704 JURADO TORRES JAVIER ARTURO 0919087460001 X
  • 294.
    No No registra No No registra No No. registra registra No. indicadores registra provincia, registra Persona_id NOMBRE No. ID (RUC) calle número registra de ventas, apellido cantón y primer principal de calle origen activos y/o paterno parroquia nombre principal empleados 45658 PEÑA BAQUE EDGAR FERNANDO 0919097410001 X 166474 JIMENEZ MAYA FRANCISCO JAVIER 0919162859001 X 213007 SALINAS SANCHEZ RICHARD MAURICIO0919209163001 X 218496 URETA MERA CARLOS FABRISIO 0919229989001 X 79921 CEDEÑO QUIROZ GABRIEL AUGUSTO 0919316455001 X 189189 GONZALEZ PARRAGA IVAN ANDRES 0919328161001 X 237978 LOOR MATAILO CESAR IVAN 0919384768001 X 48118 ORTEGA CAMACHO DAVID ALBERTO 0919400697001 X 205543 MEJIA MERCHAN LILIANA KARINA 0919414201001 X 92854 AREVALO VIDAL LENIN ALBERTO 0919453340001 X 152858 BORBOR NEIRA ALBERTO FREDERIS 0919472522001 X 207813 SUAREZ REYES EDUARDO JAVIER 0919477257001 X 162823 MORAN TRIANA PEDRO JAVIER 0919498154001 X 120979 CARABAJO MORALES ORLANDO MANUEL 0919498782001 X 115237 GUERRERO ASENCIO CHRISTIAN STALIN 0919583559001 X 171319 SALAZAR GREFA RAMON ADOLFO 0919587618001 X 269602 MORA LEON WILSON OMAR 0919623603001 X 195538 RAMIREZ CEDEÑO CRISTIAN OMAR 0919640326001 X 267904 RODRIGUEZ SOLANO CINTHYA MERCEDES 0919656728001 X 164477 RODRIGUEZ DEL PEZO DENNISE ANGELICA 0919714063001 X 67741 BALON BALON LUCY ALEXANDRA 0919715888001 X 139123 RAMOS PEREZ EDUARDO NESTOR 0919770388001 X 99756 OROZCO LARA SONIA AMPARO 0919791624001 X 155468 SUAREZ MEJILLON MARIO ALBERTO 0919792168001 X 206921 ALEJANDRO VALLEJO SULLY MABELL 0919793315001 X 190039 SALTOS ALAVA RENZO FABIAN 0919796185001 X 227984 GOYES ANDRADE LEYDI DEL ROSARIO0919810473001 X 193526 VELEZ TIGRERO MIGUEL ANDRES 0919821157001 X 197113 ECHEVERRIA SALGADO JAEL FERNANDO0919842286001 X 273630 SANCAN QUIMIS ALEXI ROSANNY 0919845479001 X X 59931 RODRÍGUEZ VERA CARLOS VICENTE 0919868562001 X
  • 295.
    No No registra No No registra No No. registra registra No. indicadores registra provincia, registra Persona_id NOMBRE No. ID (RUC) calle número registra de ventas, apellido cantón y primer principal de calle origen activos y/o paterno parroquia nombre principal empleados 230584 CERON GONZALEZ FAUSTO FRANCISCO919869867001 0 X 255387 TIERRA GAVILANES ANA DEL ROCIO 0919874412001 X 250271 MEDINA SALINAS HUMBERTO ALDRING0919921585001 X 257191 RODRIGUEZ POZO JULIO MERQUIADES0919961813001 X 96408 FERNANDEZ SANCHEZ ANGELA ELIZABETH 0919982181001 X 66788 MAGALLANES MAGALLANEZ ARCENIA ARICELA 0920067964001 X 236121 BORBOR SUAREZ JHONNY JAVIER 0920070539001 X X X 205873 CONSTANTE ROSALES RAQUEL MIRTHA920074234001 0 X 72141 ALCIVAR TORRES LUIS ALBERTO 0920104742001 X 115259 PONCE ANZULES OMAR ARTURO 0920117801001 X 155734 BARBOSA ORALLENA JUAN CARLOS 0920147600001 X 173345 CHIQUITO PÉREZ JORGE LUIS 0920199510001 X 204307 POMA CORONEL DOLORES ELIZABETH0920214913001 X 173260 MONTENEGRO BEJEGUEN VALERIA JULIANA 0920217338001 X 259655 SALCEDO GUTIERREZ NORMA JULISSA0920239464001 X 162581 VASCONEZ BENITES CARLOS ADRIAN 0920270501001 X 197121 GONZÁLEZ TOMALÁ JORGE RODOLFO 0920275252001 X 142849 LOPEZ TAPIA JOSE EDUARDO 0920295292001 X 152826 PEÑAHERRERA VELEZ CINDY DEL CARMEN 0920298205001 X 56493 GOMEZ CEDEÑO LUIS ALBERTO 0920299617001 X 264154 ORTIZ ORDOÑEZ EDWARD DAVID 0920336278001 X 198904 PANEZO CHEME MIGUEL ANGEL 0920342672001 X 276006 QUEZADA MENOSCAL SANDY DEL PILAR920356177001 0 X 89363 SIZALEMA MEDINA HENRY YASMANI 0920510005001 X 13670 REPRESENTACIONES MFG 0920554466001 X 271677 JACOME ROSADO PEDRO JESUS 0920568912001 X 157716 VASCO PAGUAY JIMMY LEONARDO 0920576501001 X 194850 PLAZA MOREIRA AMERICA ZORAYDA 0920581816001 X 89355 MALDONADO FUENTES JOHANNA PATRICIA 0920646692001 X 113956 CASCANTE VELÁSQUEZ MARTHA JANETH 0920732278001 X 145141 LOOR VELASQUEZ ALFREDO VICENTE 0920737079001 X
  • 296.
    No No registra No No registra No No. registra registra No. indicadores registra provincia, registra Persona_id NOMBRE No. ID (RUC) calle número registra de ventas, apellido cantón y primer principal de calle origen activos y/o paterno parroquia nombre principal empleados 146965 GONZABAY SORIANO JHONNY GERARDO 0920781473001 X 245231 ZHAPAN QUITEÑO JOSE MIGUEL 0920793981001 X 220946 CEVALLOS PILLIGUA WILMAN ENRIQUE0920806296001 X 149498 RIVAS LEON ELVIS RUBEN 0920845930001 X 167111 DICAO PÉREZ LILIANA ELIZABETH 0920911005001 X 187642 LAINEZ VERA CHRISTIAN WILFRIDO 0920930377001 X 220384 ORRALA RODRIGUEZ JANETH CLEOTILDE 0920936754001 X 116637 GUARANDA QUINTO FREDDY MAURICIO 0920980851001 X 212911 GRANIZO VIVANCO VICTOR HUGO 0921031969001 X 221846 CELA MEZA WILSON HUMBERTO 0921040580001 X 254838 MANZABA RODRIGUEZ NARCISA MAGDALENA 0921064432001 X 157301 ZAMBRANO ZAMBRANO JOSE FABRICIO 0921065140001 X 206531 GARCIA ANDRIUOLI HAMILTON GEOVANNY 0921142790001 X 177889 ERRÁEZ RÁMÓN JUAN CARLOS 0921180964001 X 53491 ESPINOZA MURILLO MARTHA CECILIA 0921203857001 X 85306 CONSTANTE SANTOS HUMBERTO CONSTANTE 0921224663001 X 166308 ALMAGRO MALAVÉ WALTER MARCELO0921243788001 X 190228 ORTEGA MALDONADO LOURDES HILDA0921264701001 X 146118 GÓMEZ VILLÓN EVELYN JANETH 0921264859001 X 204792 SANCHEZ VELOZ MARCOS ALEJANDRO0921339255001 X 279555 MEDINA TOVAR GABRIELA MARIANELA 0921381794001 X 186173 GOMES ORTIZ DIXON MANUEL 0921387650001 X 212065 OLVERA OCHOA JORGE NEY 0921393872001 X 214414 TRIVIÑO ROMERO SOLANGE NATALI 0921414850001 X 145376 RONQUILLO HOLGUIN FRANKLIN HERME921426045001 0 X 73032 ROSERO SALVATIERRA PAUL GIUSSEPPE 0921434619001 X 140131 MORALES MACIAS EDISON ROGELIO 0921459376001 X 180736 MORA ZAMBRANO LORENA PATRICIA 0921463212001 X 218023 BAQUERIZO QUIRUMBAY HUGO FERNANDO 0921522652001 X 257446 VINUEZA FRANCO LORENA LUCIA 0921525804001 X 177126 LÓPEZ PILALÓ HENRY PAUL 0921537684001 X
  • 297.
    No No registra No No registra No No. registra registra No. indicadores registra provincia, registra Persona_id NOMBRE No. ID (RUC) calle número registra de ventas, apellido cantón y primer principal de calle origen activos y/o paterno parroquia nombre principal empleados 128199 TORRES ROMERO STALIN FERNANDO 0921578407001 X 171936 ORTUÑO MARTINEZ MERCEDES MARIA0921594610001 X 222980 PERREROS ALMENDARIZ KARINA DE LOURDES 0921632063001 X 263295 CONTRERAS PEÑAFIEL DIANA ISABEL 0921639258001 X 267351 PALACIOS LOOR LARRY ORLANDO 0921640520001 X 235824 PEREZ NUÑEZ EVELYN FABIOLA 0921676722001 X 99387 ZAMBRANO GARCIA JOSE ROLANDO 0921691275001 X 139352 HOLGUIN BRIONES JEFFERSON ARTURO0921696647001 X 146630 MIRANDA GARCIA EPIFANIO REYMUNDO0921788386001 X 52581 RIVERA TOALA ESTEFANIA TAMARA 0921828026001 X X X 253576 RODRIGUEZ RODRIGUEZ JEFFERSON MANUEL 0921830386001 X 226161 BRIONES RODRIGUEZ ISRAEL DARIO 0921833034001 X 89546 TINOCO MARTÍNEZ RUTH ELIZABETH 0921890497001 X 132099 MALDONADO PALACIOS ERICA JULIANA0921917746001 X 218236 PADILLA HOLGUIN HECTOR FABRICIO 0921935078001 X 157336 RENDON MOREIRA NIMIA JANINA 0922097431001 X 130186 MUÑOZ ZAMORA CRISTIAN GONZALO 0922128368001 X 38034 VALERO ALVAREZ MARIA AUXILIADORA0922158084001 X 99155 JIMENEZ FLOR DANIEL ENRIQUE 0922228044001 X 118986 MOLINA SANCHEZ LUIS ALBERTO 0922282793001 X 161168 WIDMER BRANDLE BETTINA MARIA 0922288188001 X 128025 CAJAS ARRIAGA VICTOR TOMAS 0922338710001 X 152722 VILLAGOMEZ ABELINO ALVARO ALEXIS0922415674001 X 235875 DELGADO MEDINA FÁTIMA DEL ROCÍO 0922446943001 X 278717 CHAVEZ MITE DENNIS EFRAIN 0922463419001 X X 94518 ASENCIO GONZABAY WILMER SANTIAGO0922474424001 X 195260 RUBIO NARVAEZ ANDREA JOHANNA 0922508254001 X 86229 MIELES FIGUEROA WENDY CRISTINA 0922517107001 X 201788 BARRIZOLA MORAN KLEBER EDUARDO0922517990001 X 147925 SALGADO CASTRO RONALD IVAN 0922548581001 X 253554 BUSTAMANTE ARMIJOS ANA LUCIA 0922567847001 X
  • 298.
    No No registra No No registra No No. registra registra No. indicadores registra provincia, registra Persona_id NOMBRE No. ID (RUC) calle número registra de ventas, apellido cantón y primer principal de calle origen activos y/o paterno parroquia nombre principal empleados 200795 FAGGIONI MERA CRISTINA MERCEDES 0922584545001 X 207259 MAXI BASILIO CARMEN TATIANA 0922622634001 X 49656 CASTRO LOOR WALTER GABRIEL 0922629654001 X 273375 DROUET MORÁN DENNIS ALFREDO 0922635537001 X X 173532 CARRIEL CEREZO VANESSA MIREYA 0922639463001 X 195766 ANCHUNDIA QUINONEZ MARIA PAOLA 0922668041001 X 158960 RODRIGUEZ JARAMILLO ELSA KARINA 0922693593001 X 180578 NAVI HURTADO RUT JEMIMA 0922821939001 X 219512 TAPIA SOLORZANO MILTON GONZALO 0922828769001 X 265203 SANCHEZ OLAYA MARIA AUXILIADORA 0922836564001 X 176874 SANCHEZ ARCOS MIRIAN ELIZA 0922850417001 X 257170 LOPEZ DELGADO CLEMENTE EFRAIN 0922902481001 X 56244 TANDAZO ORTEGA EDDIE RUBEN 0923013346001 X 128903 DUTÁN MEJÍA MARCELA DESIREEE 0923040943001 X 254352 SALVADOR VELASCO JIMMY DAVID 0923045132001 X 174213 MEDINA JARA JUAN FERNANDO 0923097067001 X 235569 TUMBACO CABANILLA NANCY GABRIELA923130363001 0 X 190233 VILLACRES MATIAS JULIO CESAR 0923138044001 X 277747 DAVID MARIDUEÑA MARIO ISMAEL 0923176531001 X 248560 DUMES OSORIO NESTOR STANLEY 0923249916001 X 201085 MORALES ALVAREZ EDGAR VICENTE 0923274229001 X X X 101349 MENDEZ RENDON GEOVANNY FRANCISCO0923279715001 X 237881 LOPEZ LOPEZ GUSTAVO HUMBERTO 0923286439001 X 40369 AREVALO RODRIGUEZ JOHNNY AREVALO0923310957001 X 168908 QUINTERO MURILLO MAYRA PAMELA 0923315162001 X 223334 LOPEZ TUBAY JENNIFER JANINA 0923342455001 X 162857 TUNJA SALAZAR PETER PAUL 0923364129001 X 251173 PEÑAFIEL SUAREZ JEFFERSON STALIN0923423602001 X 234837 GUZMAN PLUAS CARLOS ALBERTO 0923426654001 X 207310 RAMIREZ GONZABAY VICTOR JAVIER 0923560197001 X 177394 PARRA PALACIOS MARCO GABRIEL 0923606156001 X
  • 299.
    No No registra No No registra No No. registra registra No. indicadores registra provincia, registra Persona_id NOMBRE No. ID (RUC) calle número registra de ventas, apellido cantón y primer principal de calle origen activos y/o paterno parroquia nombre principal empleados 258796 MORA ROSSI KARLA ANDREA 0923676001001 X 197972 LANCHE REYES JOHN MICHAEL 0923676290001 X 275923 ROMERO SIGUENZA KAREN LAURA 0923708663001 X 199045 FLORES HUARACHI ABRAHAN 0923733877001 X 272102 ROMERO ISAZA LENIN WALBERTO 0923761902001 X 268291 ROMERO SALAZAR GUSTAVO BOLIVAR0923920789001 X 230699 SÁNCHEZ PEÑAFIEL JESSENIA AMADA 0923944532001 X 213516 TAPIA GUARTATANGA FREDDY JAVIER 0924082340001 X 247975 GOMEZ CARPIO LUIS MANUEL 0924110968001 X 96989 RAMIREZ MARTILLO HUGO ANTONIO 0924222532001 X 238935 CRUZ SANABRIA GEOVANNY ELIZABETH924243926001 0 X 146953 SALINAS ALCIVAR GARDENIA CRISTINA0924271786001 X 191600 MORETA FREIRE BRAULIO ISAIAS 0924307820001 X 186538 CHOEZ ALAVA GRACE MARILU 0924355704001 X 141802 DURÁN LIMA DANIEL ELÍAS 0924383953001 X 220822 BACUSOY CHOEZ EDISON ORLANDO 0924438385001 X 274609 SUAREZ MOLINA MARCOS RAUL 0924488588001 X 237299 AVILA ANCHUNDIA JUAN PABLO 0924540396001 X 255276 NARANJO ALMEIDA JORGE LUIS 0924551690001 X 146096 ALAVA VELEZ ANGELA MERCEDES 0924602154001 X 48160 MARIA 0924605157001 X 225840 BAZURTO FLOR CARMEN ELENA 0924678493001 X 246723 FLORES ALDAS MONICA DEL ROCIO 0924681273001 X 104857 ORTIZ MUÑOZ ROSSY CAROL 0924687163001 X 180716 MOLINA RODRIGUEZ CHRISTIAN ROGELIO 0924687239001 X 128603 BAUTISTA TANDAZO ELADIO JAVIER 0924701311001 X 125759 MORENO CHAVEZ ANGELA GABRIELA 0924945892001 X 223431 BARCO ESPINOZA JORGE GREGORIO 0924970239001 X 143965 CALDERON PONCE HERME ENRIQUE 0924990823001 X 257680 DIAZ CEDILLO JONATHAN LENIN 0925006785001 X 273121 RODRIGUEZ NUÑEZ DANNY VLADIMIR 0925028185001 X
  • 300.
    No No registra No No registra No No. registra registra No. indicadores registra provincia, registra Persona_id NOMBRE No. ID (RUC) calle número registra de ventas, apellido cantón y primer principal de calle origen activos y/o paterno parroquia nombre principal empleados 141604 CUENCA CARCHI LUIS FABRICIO 0925085300001 X 57536 SORIA MIRANDA NADIA LIZETT 0925220071001 X 103370 GARCIA MORENO CARLOS LEONARDO 0925254682001 X 251610 AROCA PALADINES WELLINGTON FABIAN 0925371155001 X 182321 NAVARRETE MORENO DIANA GRACIELA 0925396293001 X 247406 SÁNCHEZ HERNÁNDEZ NEIDYS 0925397861001 X 108975 HOLGUIN SACÁN SERGIO ALEJANDRO 0925503799001 X 138197 BONE TENORIO JOSE ISRRAEL 0925574923001 X 248754 OCHOA CASTILLO ANGEL ALBERTO 0925650657001 X 267912 CARDENAS ARTEAGA CARLOS LUIS 0925676116001 X 167450 ARDILA BARLIS JENNY FRANCINET 0925701948001 X 259868 AQUINO MERCHAN MARIA DEL CARMEN 0925723090001 X 137495 GOMEZ MATIAS ELVIS DAVID 0925729360001 X 246916 DELGADO MUGUERZA TATIANA LILIBETH 0925847840001 X 196053 ZAPATA ORTIZ CARLOS ENRIQUE 0925858516001 X 250155 ARZUBE PALMA STALIN XAVIER 0925858623001 X 263323 ASTUDILLO SANCHEZ JORGE ISRAEL 0925962185001 X 206636 ZAMBRANO ZAMBRANO JAVIER ORLANDO0926016072001 X 71439 ASENCIO ZAVALA ADALBERTO HUMBERTO 0926032418001 X 197879 PISCO GUEVARA MARCO ANTONIO 0926052531001 X 263299 CHUNGA ALEJANDRO CARLOS ALBERTO 0926093576001 X 191141 GALVEZ CALLE MARIA PAULINA 0926237371001 X 194113 REYES PARRALES MARIA FERNANDA 0926369018001 X 269586 LOPEZ PITA MARIA ANTONIA 0926412214001 X 248643 TAPIA SOLORZANO EULISES LEONEL 0926494196001 X 145713 ANCHUNDIA SUAREZ ABIGAIL ALEXANDRA 0926494626001 X 120810 INCA ARELLANO MARÍA LEONOR 0926651555001 X 88831 DONG HUA 0926682683001 X 120344 CABRERA ESPINOZA LUIS ROSENDO 0926739723001 X 244476 BRIONES ESPINOZA WILTER ANTONIO 0926885161001 X 182828 GOMEZ RUBIO HARRY DANIEL 0926928797001 X
  • 301.
    No No registra No No registra No No. registra registra No. indicadores registra provincia, registra Persona_id NOMBRE No. ID (RUC) calle número registra de ventas, apellido cantón y primer principal de calle origen activos y/o paterno parroquia nombre principal empleados 216415 MUNOZ ASUNCION TOMAS ANGEL 0927029025001 X 232884 MATIAS VEGA LILIANA ESTEFANIA 0927088617001 X 234376 MOREIRA FRANCO LIBER SMITH 0927094730001 X 275526 SOTO GONZALEZ DIANA LORENA 0927357178001 X 219117 BAQUE GUALE BYRON ARNALDO 0927834366001 X 206305 SHALEV ABRAMOWICZ ARIE 0927854588001 X 237937 CEDEÑO FUENTES DANIELA BEATRIZ 0928345693001 X 275129 BALLESTER CALDERON MARIA STEFANY 0928419506001 X 251865 VILLON ADALBERTO 0928616127001 X 261781 VALAREZO NAVAS ALEJANDRO ANDRES 0930003637001 X 187502 TOALA LUCAS ANGEL MIGUEL 0930057120001 X 273583 SARMIENTO RONQUILLO ROSA VIRGINIA 0930181623001 X X X 251484 VERA GALARZA KAREN GIANELLA 0931194609001 X 171049 VILLA FOLLECO JORGE ENRIQUE 0940738727001 X 259269 URUETA AREVALO STEVE 0940876212001 X 36948 MUNICIPIO DE MILAGRO PROVEEDOR 0960000730001 X X 45845 MUNICIPIO DE SALINAS 0960001380001 X X X 112307 UG-OFIC DE PROYECTOS 0960002510001 X 112334 DIPA-2 0960002510001 X X 135175 UNIDAD DE PROYECTOS DE VINCULACION CON LA COLECTIVIDAD 0960002510001 X X 130328 AREA DE SALUD N. 22 NARANJAL 0968504330001 X X 102934 INSTITUTO NACIONAL DE PESCA 0968518040001 X X 176173 COLEGIO FISCAL TECNICO INDUSTRIAL JOSE PERALTA 0968524790001 X X 215243 COLEGIO FISCAL TECNICO INDUSTRIAL LA ALBORADA 0968529830001 X 44843 JUNTA PARROQUIAL MAN 0968538230001 X X X 81626 INIAP ESTACION EXPERIMENTAL BOLICHE 0968539470001 X X 219898 JUNTA ADMINISTRADORA DEL SISTEMA DE AGUA POTABLE REGIONAL VALDIVIA 0968576400001 X 250510 HIDROESPOL E.P. 0968585580001 X X 1651 LABORATORIOS TOFIS S A 0990000360001 X 5582 INSTITUTO FARMACO BIOLOGICO 0990000603001 X 172382 PLASTICOS DEL LITORAL PLASTLIT S.A. 990001626001 0 X
  • 302.
    No No registra No No registra No No. registra registra No. indicadores registra provincia, registra Persona_id NOMBRE No. ID (RUC) calle número registra de ventas, apellido cantón y primer principal de calle origen activos y/o paterno parroquia nombre principal empleados 5130 OSRAM DEL ECUADOR S.A. 0990001820001 X 5672 AMANCO PLASTIGAMA S.A. 0990003769001 X 5059 BRENNTAG ECUADOR S.A. 0990005087001 X 5470 FRENOSEGURO CIA LTDA 0990006059001 X 52249 CAN-VER C. LTDA. 0990006695001 X 163894 NEGOCIOS INDUSTRIALES REAL NIRSA0990007020001 S.A X 5518 DELTA -DELFINI & CIA. S.A. 0990007721001 X 6327 PRODUCTOS METALURGICOS S.A. "PROMESA" 0990008167001 X 7907 CIAGRALDECOMERCIOYMANDATOSA 0990009732001 X 8767 MAQUINARIAS HENRIQUES C.A. 0990010870001 X 14740 IIASA 0990011109001 X 16323 TALLERES PARA MAQUINARIA INDUSTRIAL AGRICOLA SA 0990011117001 X 7542 DISTRIBUIDORA DE MADERAS COMPAÑIA LIMITADA DISMA C. TDA. 0990011532001 X 14349 INDUAUTO 0990014094001 X 6248 INDUSTRIAS REUNIDAS CIA. LTDA. INDUNIDAD LABORATORIOS INDUNIDAS 0990014450001 X 6470 ECUADOR OVERSEAS AGENCIES C.A. 0990015325001 X 189053 PROCOMA ELECTRICO CIA. LTDA 0990015341001 X 6016 INTACO ECUADOR S.A. 0990015449001 X 173585 COMPAÑIA AGROQUIMICA INDUSTRIAL 0990015643001 S.A. X 892 CONAUTO CIA ANONIMA AUTOMOTRIZ 0990018685001 X 4660 ECUAQUIMICA ECUATORIANA DE PRODUCTOS QUIMICOS 0990018707001 X 18861 EL UNIVERSO 0990019657001 X 27105 INPROEL 0990020264001 X 7090 FEBRES CORDERO CIA. DE COMERCIO 0990023654001 S.A. X 58432 VALLEJO ARAUJO S.A. 0990023859001 X 5208 PLASTICOS PANAMERICANOS PLAPASA S.A. 0990028044001 X 5472 PINTURAS ECUATORIANAS S. A. PINTEC0990034958001 X 7088 LABORATORIOS CHEFAR S.A. 0990036349001 X 186374 INDUSTRIAS LACTEAS S.A. "INDULAC" 0990045577001 X 121276 LAVANDERIA SECOMATICO S.A. 0990058229001 X 5105 PLASTICOS GUAYAQUIL S.A. 0990059594001 X
  • 303.
    No No registra No No registra No No. registra registra No. indicadores registra provincia, registra Persona_id NOMBRE No. ID (RUC) calle número registra de ventas, apellido cantón y primer principal de calle origen activos y/o paterno parroquia nombre principal empleados 2205 SEGUROS SUCRE 0990064474001 X 62615 GENERALI ECUADOR COMPAÑÍA DE SEGUROS S.A. 0990064733001 X 14860 BOLIVAR COMPAÑIA DE 0990093490001 X 5121 SCHLUMBERGER SURENCO 0990101094001 X 56245 NAVIPAC S.A. 0990102163001 X 4655 CORPORACION ECUATORIANA DE TELEVISION 0990126135001 X 6957 HIVIMAR S.A. 0990129185001 X 2978 OFFSET ABAD CIA LTDA 0990129363001 X 164828 ITE INGENIERÍA CÍA LTDA. 0990131791001 X 76538 ECUATORIANA DE RADIADORES S.A. 0990136866001 X 155231 AERO CLUB DEL ECUADOR 0990140421001 X 210259 UNIVERSIDAD CATÓLICA DE SANTIAGO0990149054001 DE GUAYAQUIL X 1208 POLIGRAFICA C.A. 0990158436001 X 81032 INDUSTRIA ECUATORIANA METAL MECANICA INEM C.A. 0990159998001 X 10934 GRUNENTHAL ECUATORIANA 0990160422001 X 34798 ENVASADORA ECUATORIANA S.A. 0990161755001 X 26648 INDUSTRIA ANDINA DE TRANSFORMADORES S.A. 0990169640001 X 27833 QUIMICAMP DEL ECUADOR S.A. 0990177805001 X 42455 PROVENCO CIA. LTDA 0990178364001 X 6891 PAPELESA CIA LTDA 0990179085001 X 65291 VOPAK ECUADOR S.A. 0990218994001 X 7336 MACASA, MÁQUINAS Y CAMIONES S.A. 0990225923001 X 15497 VEPAMIL 0990270236001 X 37285 CENTRO ELECTROMECANICO C.A. 0990281300001 X 6279 HOLCIM ECUADOR S.A. 0990293244001 X 157930 COOPERATIVA DE TRANSPORTE VILLAMIL0990296820001 X 54548 HORMIGONERA GUAYAQUIL 0990303169001 X 49441 AUTO IMPORTADORA GALARZA S.A 0990303789001 X 193597 INDUSTRIAS MOTORIZADAS INDUMOT S.A. 0990304211001 X 245755 RADIODIFUSORA DEL PACIFICO S.A. RAPASA 0990316961001 X 7365 IVAN BOHMAN C. A. 0990320810001 X
  • 304.
    No No registra No No registra No No. registra registra No. indicadores registra provincia, registra Persona_id NOMBRE No. ID (RUC) calle número registra de ventas, apellido cantón y primer principal de calle origen activos y/o paterno parroquia nombre principal empleados 5219 INDURA ECUADOR SA 0990340900001 X 5548 PROQUIMSA S.A 0990344760001 X 65488 PROQUIMSA S.A. 0990344760001 X X 32776 CONSTRUMERCADO S.A. 0990347476001 X 4335 KRONOS LABORATORIOS 0990347654001 X 85657 DISTRIBUCION Y SERIVICIOS PETROCAL SA 0990352054001 X 151897 COMERCIAL ORGU S.A. 0990358885001 X 81200 TALLERES METALURGICOS 21TALME S.A. 0990360545001 X 59098 ECUANAVE C.A. 0990360995001 X 4296 ELECTRODATUM INDUSTRIAL Y COMERCIAL 0990373930001 X 55050 SEMAMSA S.A. 0990374201001 X 69521 EMTURISA S.A. 0990376719001 X 6240 POLIMALLA S. A. 0990377170001 X 1825 PLASTIGOMEZ 0990381011001 X 93240 LA GALERIA CLEYDIA S.A. 0990387745001 X 35275 INGECONSA S.A. 0990389578001 X 13438 CONSTRUCTORA JH SORICANV 0990475903001 X 5393 MAFRICO S.A. 0990481490001 X 140782 AGUA CRISTAL ACRISTAL C.A. 0990495432001 X 23510 MATERIALES DE VIVIENDAS MAVISA S.A. 0990497672001 X 108938 SERVIAIRE CIA LTDA 0990532281001 X 26487 TROPIDATOS S.A. 0990543143001 X 4493 LICOSA 0990547580001 X 179882 MEDIAK S.A. 0990553270001 X 6306 ELECTROCABLES C.A. 0990553742001 X 79517 LAMIGAL, LAMINADOS DEL ECUADOR C. LTDA. INDUSTRIA DE PERFILES 0990559635001 X 1667 INDUSTRIA ECUATORIANA DE CABLES 0990562091001 X 91917 AUDIO PROFESIONAL CI 0990565872001 X 8450 PERFILSA C. A. 0990577986001 X 121500 CABLEVISIÓN S.A. 0990581827001 X 60680 TRANSFUEL C.A. 0990596158001 X
  • 305.
    No No registra No No registra No No. registra registra No. indicadores registra provincia, registra Persona_id NOMBRE No. ID (RUC) calle número registra de ventas, apellido cantón y primer principal de calle origen activos y/o paterno parroquia nombre principal empleados 2092 MAYRESA 0990598401001 X 146032 INMOBILIARIA INMOPACIF S.A. 0990614016001 X 5715 FEHIERRO 0990626014001 X 90856 ESPARDISA 0990626022001 X 2096 INESA 0990632286001 X 6531 EXPALSA EXPORTADORA DE ALIMENTOS S.A. 0990637679001 X 5146 INDUSTRIAL DEL TROPICO INDELTRO S. A. 0990648972001 X 838 CHEMLOK DEL ECUADOR, S.A. 0990658749001 X 73541 CONSTRUCTORA GAPSA S.A. 0990660107001 X 2115 SOCIEDAD INDUSTRIAL Y COMERCIAL EICA 0990670218001 X 6430 INDUSUR INDUSTRIAL DEL SUR S.A. 0990681708001 X 69149 ATLAS COMPAÑIA DE SEGUROS S.A. 0990697000001 X 234322 ESBIN S.A. 0990707790001 X 8853 DIVERSEY WYANDOTTE DEL ECUADOR0990744793001 S.A. X 31998 SOCIEDAD DE CONSTRUCCIONES METALICAS S.A. SOCOMETAL 0990745536001 X 9423 MAQUINAS Y SUMINISTROS MAQSUM 0990751528001 X 267338 AIFA S.A. 0990774404001 X 274603 ECO-CASA CASAS ECONIMICAS S.A, 0990774668001 X X X 7534 TERFOR S. A. 0990776911001 X 6654 E.O.A. SERVICIO S.A. 0990777454001 X 254400 OXIMED ECUADOR S.A. 0990779090001 X 256623 PROYECTOS ELETRO MECANICOS MEPROSA 0990784272001 X 92098 MANTENIMIENTOS MYS C. LTDA. 0990787891001 X 237842 DIPOR S.A. 0990789061001 X 7085 MERCANTIL DISMAYOR S.A. 0990792801001 X 56981 CONSTRUCTORA ALECONS S.A. 0990802734001 X 78579 DISULTRA 0990803714001 X 88691 COOPERATIVA DE TRANSPORTE LIBERTAD PENINSULAR 0990803749001 X 198111 DISTRIAZUL DISTRIBUIDORA DE COMBUSTIBLES P. AZUL CIA. LTDA. 0990818231001 X 4623 NUTEC REPRESENTACIONES S.A 0990833648001 X 235622 COOPERATIVA DE AHORRO Y CREDITO0990858527001 SALITRE LTDA X X
  • 306.
    No No registra No No registra No No. registra registra No. indicadores registra provincia, registra Persona_id NOMBRE No. ID (RUC) calle número registra de ventas, apellido cantón y primer principal de calle origen activos y/o paterno parroquia nombre principal empleados 140473 CONSTRUCCIONES Y EQUIPOS SA 0990867097001 X 69152 ASENABRA S.A. 0990877750001 X 554 INDUTORRES S.A 0990881561001 X 34260 INDUSTRIAL KATON 0990892555001 X 23477 CALDERESA SA 0990893071001 X 216911 NASARE S.A. 0990913412001 X 2949 PROELECTRICA 0990935254001 X 71950 AVECAN CONSTRUCCIONES CIVILES C.0990935297001 LTDA. X 375 ECUACOTTON S.A. 0990941017001 X 8055 ECUAFLEX S.A. 0990943494001 X 37343 IMPORTADORA INVALMIR S.A. 0990948976001 X 47726 CONSTRUCTORA REQUIVIAL S.A. 0990952345001 X 8352 SUMELEC S A 0990963045001 X 141744 CORPORACIÓN BOLSA NACIONAL DE PRODUCTOS AGROPECUARIOS 0990964785001 X 171216 CAMARA ECUATORIANO AMERICANA DE COMERCIO,GUAYAQUIL 0990968004001 X 221806 CAMARA DE COMERCIO DE GUAYAQUIL 0990971986001 X 152744 REUSE ECUADOR S.A. 0990980896001 X 6235 INDUSTRIA DE BELLEZA Y SALUD B.A.S.S.A. C. LTDA. 0990987874001 X 246397 DOUCAS S.A. 0991027025001 X 4498 INTEROC S.A. 0991028544001 X 5244 INDUSTRIAS PLÁSTICAS JOSA CÍA. LTDA. 0991039295001 X 146704 OTELO & FABELL S.A. 0991047808001 X 44891 ELOT, CONSTRUCCIONES Y SERVICIOS C. LTDA. 0991054952001 X 4649 SACOS DURAN REYSAC 0991058761001 X 81204 VETORE S.A. 0991082735001 X 47619 GLOBAL CONSULT GLOC C. LTDA. 0991085424001 X 246168 SURREY S.A. 0991095020001 X 160670 VIKINGOTEC S.A. 0991097201001 X 9217 IMPORTADORA INDUSTRIAL AGRICOLA0991098127001 INMONTE DEL MONTE SA X 67261 LA LINEA MODERNA LINEMOD 0991099573001 X 212230 SOLDADURAS PARA MANTENIMIENTO SPRAM S.A. 0991099816001 X
  • 307.
    No No registra No No registra No No. registra registra No. indicadores registra provincia, registra Persona_id NOMBRE No. ID (RUC) calle número registra de ventas, apellido cantón y primer principal de calle origen activos y/o paterno parroquia nombre principal empleados 116361 OCITEL S.A. 0991121781001 X 71898 CORPOCOMP S.A. 0991133593001 X 253521 GALAPAGOS SUB AQUA TURISMO CIA. LTDA. 0991136258001 X 61573 PASTELO S.A. 0991141553001 X 6384 EXPLAST, EXTRUSIONES PLASTICAS S.A.0991152792001 X 128950 AGENCIA NAVIERA AGNAMAR S.A. 0991181717001 X 1447 ENERLUZ S.A. 0991193332001 X 101373 UNIDADES Y REPUESTOS S.A. 0991199853001 X 4824 PLASTIEMPAQUES S.A. 0991208291001 X 209341 TULIPANESA S.A. 0991222235001 X 6140 PLASTICOS MUÑOZ S.A. 0991223630001 X 15217 SERVICIOS DE SEGURIDAD INTEGRAL 0991225692001 X 271200 LINEA AEREA Y SERVICIOS S.A. LINASERSA 0991227601001 X 56878 TECNOLOGIA Y SISTEMAS INDUSTRIALES CONTRA INCENDIO TECSIND CIA. LTDA. 0991241027001 X 16281 FORMAS YACCESORIOS FORMAC S A 0991243453001 X 7418 CHEM TECH S.A. 0991244085001 X 220923 FARMEL FARMACOS Y MEDICAMENTOS 0991244506001 X 24780 ODORISIO S.A. 0991250883001 X 107487 FUNDACION CRECER PARA EL DESARROLLO DEL MENOR 0991251928001 X 64331 SOCIEDAD ANONIMA EMETEBE 0991253394001 X 5920 INDEUREC 0991254374001 X 39638 EMETASA, ELABORADOS METALURGICOS Y AFINES S.A. 0991256121001 X 49183 CONSULTORA ANDINA COA CÍA. LTDA. 0991256237001 X 33486 CONSTRUCTORA GOMERO CONGOME 0991256342001 S.A. X 72995 RECUBRITEK S.A. 0991258310001 X 130808 PERONE S.A. 0991259600001 X 140034 FUNDACION CARIÑO 0991262970001 X 174751 AVILES & VELEZ "AVVE" LABORATORIOS DE ANALISIS DE ALIMENTOS S.A. 0991265465001 X 216673 INPROFARM COMPAÑÍA ECUATORIANA0991266461001 FARMACÉUTICOS S.A. DE PRODUCTOS X 175872 REMAKEN,RESONANCIA MAGNETICA KENNEDY S.A. 0991269002001 X 54673 AMERICAVISION S.A 0991271961001 X
  • 308.
    No No registra No No registra No No. registra registra No. indicadores registra provincia, registra Persona_id NOMBRE No. ID (RUC) calle número registra de ventas, apellido cantón y primer principal de calle origen activos y/o paterno parroquia nombre principal empleados 251459 GODDARD CATERING GROUP GUAYAQUIL S.A. 0991273085001 X 110008 CONSTRUCCIONES REGIONALES CIVILES E INDUSTRIALES CONSRECI CIA. LTDA. 0991275150001 X X 105916 GALAUTO GRUPO AUTOMOTRIZ GALARZA HNOS. 0991275592001 X 44607 SEGURIDAD Y PROTECCION SEGPRO CIA LTDA 0991278192001 X 78587 CALIFICADORA DE RIESGOS HUMPHREYS 0991278648001 X 39734 HEROSA S.A. 0991279334001 X 178125 CAMARA NACIONAL DE ACUACULTURA0991279539001 X 269701 ESTRELLACORP S.A. 0991280235001 X 106687 SISTEMA DE TELEVISION UHF S.A 0991280553001 X 5415 DITECA S. A. 0991284214001 X 87476 CORPORACION INTERNACIONAL CORINT S.A 0991284850001 X 1813 SERVIENTREGA ECUADOR 0991285679001 X 245911 OXIGENOS DEL GUAYAS OXIGUAYAS S.A. 0991285938001 X 5704 INCOPLAST S.A. 0991286454001 X 7219 REFRESCOS SIN GAS S.A. 0991288449001 X 49044 ALFAREDES S.A. 0991288872001 X 268242 DERMIGON, DERIVADOS DE HORMIGON S.A. 0991292691001 X 138752 TRALISANSA S.A. 0991294333001 X 5709 GISIS S.A. 0991295437001 X 268236 TUBOS DE HIERRO S.A. 0991295976001 X 52030 ANDIVISION S.A. 0991296425001 X 88262 TELEVISION INDEPENDIENTE INDETEL 0991296433001 X 43066 HOLCIM AGREGADOS S.A. 0991296778001 X 72122 CONSORCIO VACHAGNON 0991300031001 X 126181 RADIO EXCELSIOR ESTUDIO 11.90 S.A. 0991302611001 X 32424 TECFARONI S.A. 0991304282001 X 201680 MAGNETOCORP 0991306080001 X 190239 GASOMAXI 0991306633001 X 23785 LATINA VIDA 0991311645001 X X X 72443 CONSTRUCTORA E INMOBILIARIA TORRE SAN S.A. 0991311858001 X 1757 EFICIENCIA ENERGÉTICA Y AMBIENTAL0991313168001CONSULTORA CÍA LTDA EFFICÁCITAS X
  • 309.
    No No registra No No registra No No. registra registra No. indicadores registra provincia, registra Persona_id NOMBRE No. ID (RUC) calle número registra de ventas, apellido cantón y primer principal de calle origen activos y/o paterno parroquia nombre principal empleados 161764 BURGJA INC S.A. 0991314156001 X 29092 COMPUHELP S.A. 0991315063001 X 1340 GRUPO QUIMICO MARCOS 0991315314001 X 7548 PRIME LABORATORIO PRILAB S.A. 0991316043001 X 244706 MABE ECUADOR S.A. 0991321020001 X 5234 TAINMESA 0991321217001 X 190478 PRODUCARGO S.A. PRODUCTORA DE ALCOHOLES 0991323058001 X 67009 TECNOAPLICA S.A. TECNOLOGÍA Y APLICACIONES PARA LA CONSTRUCCIÓN 0991323503001 X 101414 PUERTO TRINITARIA TRINIPUERTO S.A.0991323724001 X 84600 IMPORBARSA S.A. 0991327630001 X 79266 CONSTRUCTORA PALOSA S.A. 0991328076001 X 231825 ATIMASA S.A. 0991331859001 X 134508 ARCO VILLA TRES ARVITRES S.A. 0991332413001 X 18806 INDUSTRIA METALMECANICA CONSTRUCTORA IMETECO 0991336648001 X 74519 SIEMBRAMAR S.A. 0991336672001 X 88573 FABRILANA S.A. 0991337814001 X 107451 CÍA GAOLINERA MONFAVESA S.A. 0991339825001 X 252707 FUNDACION DE AYUDA A LA EDUCACION MEDIA 0991341889001 X 183108 BISMARK S.A. 0991343784001 X 1190 COMERCIAL Y DISTRIBUIDORA OFERTISIMAS S.A. 0991346716001 X 36338 COECHAN S.A. 0991348182001 X 98203 EDICIONES DIGITALES EDICTAL S.A. 0991350950001 X 19339 DROCARAS INDUSTRIA Y REPRESENTACIONES S.A. 0991351264001 X 5717 FERTISA 0991352937001 X 14783 PUBLISTIK 0991353569001 X 194264 AHCORP ECUADOR CIA LTDA 0991355316001 X 88490 RADIODIFUSORA AYAX DEL ECUADOR S.A. 0991357300001 X 89004 RADIODIFUSORA TRAFALGAR DEL ECUADOR S.A. 0991357327001 X 89975 RADIODIFUSORA KASHMIR 0991357335001 X 223115 MATERIALES GRAFICOS 0991358935001 X X X 18750 TICURE 0991360409001 X
  • 310.
    No No registra No No registra No No. registra registra No. indicadores registra provincia, registra Persona_id NOMBRE No. ID (RUC) calle número registra de ventas, apellido cantón y primer principal de calle origen activos y/o paterno parroquia nombre principal empleados 118653 SERVICIOS TÈCNICOS INDEPENDIENTES S.A. 0991361170001 X 6375 EXPOMEDIOS S.A. 0991361502001 X 171757 CONSORCIO NAVIERO EQUINOCCIAL CONAVEQSA S.A. 0991363505001 X 119299 SEGUPEN CIA. LTDA. 0991366954001 X 155577 IMI DEL ECUADOR S.A. 0991369686001 X 72130 INSTITUTO ECUATORIANO DE DIALISIS 0991374485001 Y TRASPLANTES, IEDYT S.A. X 60624 COMPAÑIA PRIVADA DE SEGURIDDA ESPECIAL CÍA. LTDA. C.O.P.S.E 0991377433001 X 31746 SERVAMAIN S.A. 0991380922001 X 8596 ACSEREL ASESORIA COM 0991383336001 X 9578 COMPANIA DE AUTOMATIZACION Y CONTROL GENESYS SA 0991384987001 X 273221 METALMECANICA AGROINDUSTRIAL METAGRO S.A. 0991389024001 X X X 80907 POLIDORO S.A. 0991389342001 X 5427 FIDEICOMISO MERCANTIL GRASAS UNICOL 0991393013001 X 264566 JATARIG COMPAÑIA LIMITADA 0991394028001 X 244470 CORPORACION PARA PROMOCION DE EXPORTACIONES E INVERSIONES 0991397396001 X 118013 COMPAÑIA DE CONSTRUCCIONES JCL 0991407790001 S.A X 40378 FRONTESA S.A. 0991410686001 X 594 SOLNET S.A. 0991412425001 X 7700 CODIBAL S.A. 0991413332001 X 135912 SURTAX S.A. 0991414649001 X 26722 INDUSTRIAL Y COMERCIAL DOCAST CIA LTDA 0991419373001 X 45320 PITUNIX 0991419632001 X 105476 RIOLANGO S.A. 0991421297001 X 33638 CONSULTORA E.R.D. CIA. LTDA. 0991421718001 X 51132 FESTATI S.A. 0991422137001 X 26416 CORPORACION JORVAZ S.A. 0991425454001 X 157368 CORPORATION INTERNATIONAL SERVICE S.A. 0991429328001 X 190237 SOSVOS S.A. 0991432167001 X 32202 COECHIR S.A. 0991432795001 X 33405 ASOCIACION DE VOLUNTARIADO INNFA DE SANTA ELENA 0991435441001 X 66564 FIGURETTI S.A. 0991440429001 X
  • 311.
    No No registra No No registra No No. registra registra No. indicadores registra provincia, registra Persona_id NOMBRE No. ID (RUC) calle número registra de ventas, apellido cantón y primer principal de calle origen activos y/o paterno parroquia nombre principal empleados 622 DEFA NEGOCIOS CIA . LTDA. 0991442014001 X 98238 BORINQUECORP S. A. 0991442359001 X 109376 EXPONOVA S.A. 0991443312001 X 24628 DIEMPEC C. LTDA. DISTRIBUIDORA FARMACEUTICA 0991445242001 X 201226 TASMENCORP.S.A. 0991446680001 X 14264 ADAMUZ 0991449124001 X 140672 RELLENOR S.A. 0991449191001 X 57301 LESOTHO S.A. 0991454233001 X 6283 BVTRADING S. A. 0991454519001 X 1555 EQUIPOS INDUSTRIALES MANABI 0991456937001 X 5734 GRUPO PROVI 0991459804001 X 217984 COMPAÑIA NAVIERA J. MARTINEZ S.A. 0991462937001 X 100321 ASOCIACION DE VOLUNTARIAS DEL INNFA DE MILAGRO 0991463224001 X 43386 FECORSA INDUSTRIAL Y COMERCIAL S.A. 0991466436001 X 29217 SADINSA S.A. 0991467343001 X 175693 PARIS CHIQUITO PARICHIC S.A. 0991471065001 X 75415 TOFILI S.A 0991472622001 X 262174 ATLASCAPITAL S. A. 0991472746001 X 261730 MARCESA S.A. 0991473211001 X 217184 SERVICIOS HOSPITALARIOS S.A. ALBOTEOTON 0991475214001 X 36687 LUBTECHNOLOGY CIA LTDA 0991477624001 X 90454 CONSULEGIS S.A. 0991495495001 X 10444 AMERICAN CALL CENTER 0991506241001 X 53298 SENETEL 0991508600001 X 180495 AGRICOLA GANADERA REYSAHIWAL AGR S.A. 0991509836001 X 20618 TELEBAK S.A. 0991511687001 X 88213 MADOPAL S.A. 0991513736001 X 151789 TECPLUS S.A. 0991515984001 X 14661 EQUIPOS MEDICOS HURTBAN S A 0991516409001 X 58380 ECUALABOR S.A. 0991516808001 X 921 FALCONI & LEON CONSULTORES C. LTDA. 0991517146001 X
  • 312.
    No No registra No No registra No No. registra registra No. indicadores registra provincia, registra Persona_id NOMBRE No. ID (RUC) calle número registra de ventas, apellido cantón y primer principal de calle origen activos y/o paterno parroquia nombre principal empleados 101622 ZITEK S.A. 0991518800001 X 106130 PURIFICADORA DE AGUA NATURAL "NATURLIQUID CÍA. LTDA." 0991521135001 X 5895 UNADES S.A. 0991522158001 X 203667 FUNDACION YERBABUENA 0992000163001 X X 104748 SISTELESA S.A. 0992105453001 X 64404 MEGAPRODUCTOS S.A. 0992105623001 X X 255475 PILOGALSA S.A. 0992105941001 X 144233 CORPORACION OLYMPIC ECUADOR 0992106107001 X 9118 COMPUMILLENIUM S.A. 0992106301001 X 132296 MULMERCONST S.A. 0992108185001 X 71402 MEDIOS INTERACTIVOS MIWEBWORKS0992108347001 S.A. X 134990 EDITODO S.A. 0992109378001 X 209879 CORRICHECSA CORRUGADOS CHILENOS ECUATORIANOS S.A. 0992109386001 X 104700 ALONE S.A. 0992109793001 X 87871 CRILARSA 0992110945001 X 11650 CARROCERIAS BUSCARS KARINA BUSKARINA 0992112611001 X 93981 CORPORACIÓN DE ASESORÍA Y DESARROLLO MICROEMPRESARIAL "ALBERTO VELA" 0992115289001 X 62733 COMPAÑIA DE SERVICIOS ALIMENTICIOS COSERAL 0992117397001 X 70505 AGROINDUSTRIAS DAJAHU S.A. 0992119748001 X 7770 ECUANOBEL S.A. 0992121858001 X 65386 GERDELL S. A. 0992122366001 X 222184 ECUDOS S.A. 0992123117001 X X 86731 JNG DEL ECUADOR S.A. 0992124377001 X 84138 FZ CONSTRUCCIONES S.A. 0992124938001 X 55133 LIPROTEN S.A 0992125144001 X 82873 KITTON S.A. 0992125691001 X 25708 TELERADIO S.A. 0992125705001 X 101186 ODUSA S.A. 0992126175001 X 206540 PCJ & ASOCIADOS CIA. LTDA. 0992128070001 X 152373 ANDRES PERDOMO E HIJOS S.A. 0992128097001 X 36498 COINDOS S.A. 0992130830001 X
  • 313.
    No No registra No No registra No No. registra registra No. indicadores registra provincia, registra Persona_id NOMBRE No. ID (RUC) calle número registra de ventas, apellido cantón y primer principal de calle origen activos y/o paterno parroquia nombre principal empleados 68955 UNIDAD ONCOLOGICA CANTONAL SOLCA DE SANTA ELENA 0992134593001 X 66359 EXPODELTA S.A. 0992135077001 X 34760 TRANSFERDATOS S. A. 0992136502001 X 270120 AGENCIA NAVIERA NAVELAT S.A. 0992139943001 X 22380 COMPU MARKET S.A. MARKETCOMPU 0992142103001 X 30981 ALEXSOFT S.A. 0992142960001 X 30350 GASEC 0992143576001 X 7411 PUNTO VERDE S.A. PUNVERSA 0992144904001 X 9906 AFGASA SA 0992147164001 X 61943 ORTEGAFTER S.A. 0992151692001 X 79173 YONALSA S.A. 0992153725001 X 5289 SERVICIOS TECNOLOGICOS PARA LA ACUACULTURA 0992154063001 X 9079 COMERGUR S.A. 0992154985001 X 5113 GRANOTEC ECUADOR S.A. GRANOTECUA 0992155663001 X 12269 PORCOHESA S A 0992155892001 X 85398 IMPORTADORA CHRIS SANTELLI S.A. 0992156252001 X 82462 MARYI S.A 0992160063001 X 219658 FUNDACION MINISTERIO INTERNACIONAL DE SERVICIOS COMUNITARIOS-SECCION ECUADOR-MMI 0992160969001 X 83835 INDUCOM IMPORTADORA INDUSTRIAL Y COMERCIAL 0992162767001 X 175630 ASOCIACION ECUATORIANA DE INGENIERIA SANITARIA Y AMBIENTAL 0992164301001 X 258828 INMOBILIARIA CISNEROS ESPINOZA S.A. 0992165456001 X 115472 DISTRIBUCION Y REPRESENTACION YOMAR S.A. 0992166002001 X 89203 FELBUR S. A. 0992166568001 X 233096 SONFRI 0992166789001 X 19746 DERLAN S.A. 0992166967001 X 75780 TRAVIS S.A. 0992167467001 X 31284 AEROMILITEC PARTS S. A. 0992167505001 X 169032 PERYES S.A. 0992167882001 X 55646 COMPAÑIA SIELE S.A. 0992168943001 X 163480 AUTOLUBRICADORA G-3 S.A. 0992169702001 X 5514 CENTRO ACERO S.A. 0992169982001 X
  • 314.
    No No registra No No registra No No. registra registra No. indicadores registra provincia, registra Persona_id NOMBRE No. ID (RUC) calle número registra de ventas, apellido cantón y primer principal de calle origen activos y/o paterno parroquia nombre principal empleados 175443 FUNDACION PARA CIEGOS ESPERANZA 0992170719001 X 255321 FUNDACIÓN EDUCAR EN CRISTO 0992171677001 X 87241 ASOCIACIÓN DE GRADUADOS DE LA ESCUELA DE AGRICULTURA DE LA REGIÓN TROPICAL HÚMEDA ECUADOR 0992176652001 X 38186 COELIT S.A. COMPAÑIA ELECTRICA DEL LITORAL 0992176865001 X 84546 REA MENDOZA JORGE HUMBERTO 0992176938001 X 161906 WONG Y WONG, CONSULTORES ASOCIADOS, CIA. LTDA. 0992177632001 X 7724 APRACOM S.A. 0992179155001 X 52279 AUTORIDAD AEROPORTUARIA DE GUAYAQUIL FUNDACION DE LA M.I MUNICIPALIDAD DE GUAYAQUIL X 0992179619001 X X 80589 STRESS PRODUCCIONES Y EVENTOS STRESSPRO S.A. 0992181672001 X X X 62530 CONSTRUCTORA CONSPIBERSA S. A. 0992182431001 X 96461 JUEZA S.A. "JUEZASA" 0992182571001 X 265541 OPEVIAL S.A. 0992182997001 X 20885 KMOTOR SA 0992183934001 X X 198437 TERMINAVES AGENCIA MARITIMA S.A. 0992184728001 X 4121 MEDICINAS Y SUMINISTROS MEDICOS MESUME 0992187301001 X 178720 PARROQUIA ECLESIASTICA DE LA SANTISIMA TRINIDAD DE LA LIBERTAD 0992198346001 X 198249 CENTRO DE TRANSFERENCIA Y DESARROLLO DE TECNOLOGÍAS DE LA UNIVERSIDAD DE GUAYAQUIL CTT-UG 0992198893001 X 91903 CANCESA S.A. 0992199970001 X 28052 CERAMICAS Y MATERIALES LA ECONOMIA PENINSULAR S.A. CERMAPENSA 0992202793001 X 195862 CATILOK S.A. 0992204044001 X 69487 CENTRO DE EDUCACIÓN INTEGRAL 0992206896001 X 39990 JERILEX S.A. 0992209321001 X 26669 VIRGETSY S.A. 0992209933001 X 47806 JORDISA S.A. 0992213264001 X 54714 ACRUXZA C.A. 0992213647001 X 7603 FAVETEX S.A. 0992216298001 X 91830 INFOPRONT S.A. 0992219726001 X 132348 UNCANI S.A. 0992220074001 X 81004 ECUAYUTONG S.A. 0992221593001 X X 19634 LINSATA 0992224355001 X 53289 CORPUSLAB 0992224533001 X
  • 315.
    No No registra No No registra No No. registra registra No. indicadores registra provincia, registra Persona_id NOMBRE No. ID (RUC) calle número registra de ventas, apellido cantón y primer principal de calle origen activos y/o paterno parroquia nombre principal empleados 86616 FERRETERIA IVAN Y CELSO SOLIS S.A. 0992228504001 X 35258 INMOBILIARIA UNICORNIO S.A. 0992228784001 X 41153 CONSTRUCTORA CORONEL PARRA HNOS. S.A. 0992228814001 X 88613 CONSTRUCTORA JACKOS S.A. 0992229020001 X 39789 ESTUDIOS Y CONSTRUCCIONES S.A. CONSTRUSTUDIOS 0992229446001 X 18688 EVOLUX 0992229721001 X 51644 CENTRO DE ARCHIVOS INFORMÁTICOS CENTRALFILE S.A. 0992231041001 X 70095 DEVIES CORP S.A. 0992231092001 X 821 VOICORP S.A. 0992231270001 X 10132 ALDEBERAN CIA LTDA 0992234121001 X 115943 NEGOCIOS GRÁFICOS GRAFINPREN S.A. 0992235950001 X 113180 INTERNATIONAL SECURITY SERVICE "INSERSER C.LTDA" 0992236442001 X 239289 CEIBO CAPITAL LIMITED CEIBCAPITAL S.A. 0992236582001 X X 138797 SOCIEDAD DE LUCHA CONTRA EL CANCER DEL ECUADOR SOLCA 0992238208001 X 160859 CONSULTORES INTERNACIONALES ASOCIADOS C. LTDA 0992238372001 X 3601 GENSYSTEMS 0992238402001 X 248098 FUNDACIÓN PARA EL DESARROLLO ALTERNATIVO RESPONSABLE DE GALÁPAGOS 0992239107001 X 30126 PLAZA VILLAVICENCIO CONSULTORES 0992239115001 CÍA. LTDA. X 246224 ASOCIACION DE SALVAVIDAS 0992240644001 X 6213 DISTRIBUIDORA DE VEHICULOS S.A. DIVESA 0992240776001 X 72142 DISTRIBUIDORA DE VEHICULOS S.A. DIVESA 0992240776001 X X X 39456 ARTEOFI S. A. 0992246472001 X 120578 LA ESTACION S.A. 0992247401001 X 198898 COMAQ S.A. 0992249609001 X 33784 CONSTRUCTORA DEL RÍO S.A. CONDERSA 0992251514001 X 8999 PEUCRO SA 0992252146001 X 85696 ECLIPSOFT S.A. 0992253428001 X 68517 DEFEN CIA LTDA 0992253495001 X 197936 PROMOLOGICS S. A. 0992257156001 X 81750 MARCANZA S.A. 0992257350001 X 98477 SETMABAS S.A. 0992257504001 X
  • 316.
    No No registra No No registra No No. registra registra No. indicadores registra provincia, registra Persona_id NOMBRE No. ID (RUC) calle número registra de ventas, apellido cantón y primer principal de calle origen activos y/o paterno parroquia nombre principal empleados 77079 ECUASERVIGLOBAL S.A. 0992257946001 X 109356 FUNDACION PRO-AMBIENTE 0992258268001 X 120532 AGRIPOWER S. A. 0992258667001 X 42215 CONSMOR S.A. 0992263555001 X 114663 CONSTRUFACIL S.A. 0992263806001 X 132820 CLUB NAVAL GUAYAQUIL 0992264810001 X 165089 CENTRO AUTOMOTRIZ HNOS TUAREZ S.A. 0992272295001 X 189302 DEFARANA S.A. 0992273151001 X 77456 CEGASERVICES S.A. 0992273399001 X 95400 ERLYVE S.A. 0992275685001 X 10135 STECH 0992279311001 X 149576 ALOMAGSA S.A. 0992280026001 X 178313 LIDERCOMPANY S.A. 0992280778001 X 7022 AGENCIA ALEMANA DEL ECUADOR S.A.0992281545001 AAE X 167143 SERVIECSA S.A. 0992283912001 X 164817 CONSORCIO ECUATORIANO PARA EL DESARROLLO DEL INTERNET AVANZADO 0992284269001 X 9018 IMPRESICORP S. A. 0992286121001 X 221241 COMUNIWAY S.A. 0992286296001 X 178006 FOLICY S.A. 0992288574001 X 42582 GADERE S.A. 0992294272001 X 2035 COMARSA 0992294361001 X 241048 BRIOCOMPANY S.A. 0992298383001 X 205859 KAVIESTAR S.A. 0992298391001 X 195688 VICRESI 0992300531001 X 111074 CONSEJO EMPRESARIAL PARA EL DESARROLLO SOSTENIBLE DEL ECUADOR 0992300574001 X 51233 CONSTRUCTORA GALAPAGOS COMPANY 0992302305001 X 56891 CONSORCIO IMPRESICORP 0992302356001 X 192033 CRASH CAR S.A. 0992303476001 X 185033 DISGLOBAL S.A. 0992303867001 X 212248 TERRALINDA 0992304022001 X 12857 ANDINAGESTION 0992304731001 X
  • 317.
    No No registra No No registra No No. registra registra No. indicadores registra provincia, registra Persona_id NOMBRE No. ID (RUC) calle número registra de ventas, apellido cantón y primer principal de calle origen activos y/o paterno parroquia nombre principal empleados 72345 CORPORACION PARA EL DESARROLLO0992306920001 CALIDAD ECUADOR Y TECNOLOGIA X 13713 CORPORACION EMPRESARIAL DE PROYECTOS COREMPRO SA 0992308737001 X 90983 VENSERMAX S.A. 0992308893001 X 52414 MEGACOMUNICATIONS S.A. 0992314079001 X 54894 ORGELCORP 0992314168001 X 67883 CONSTRUCCIONESGMP S.A. 0992317965001 X 228288 GUZETI S.A. 0992319216001 X 58018 MIGLIAMOTOR S.A. 0992320036001 X 199203 MALCA S.A. 0992320389001 X 7265 CIOGAMUL S.A. 0992321563001 X 97386 ERODATA S. A. 0992324236001 X 93138 SLEM SA 0992328029001 X 272638 CARNES Y FRIGORIFICOS CARFIG S. A.0992328665001 X 26776 FIDEICOMISO FIADHOT 0992328711001 X 33908 CASTEK S.A. 0992329432001 X 9082 SEGURIDAD Y SUPERVIVENCIA EN EL MAR AMSUMAR ECUADOR S. A. 0992331461001 X 210504 FRIDMANY S.A. 0992331755001 X 279480 PERSONAL VIP S.A. 0992332697001 X 35921 DARENY S.A. 0992335912001 X 56615 FERRETERIA CENTRAL GALAPAGOS C.A. 0992336234001 X 171465 MEGAQUIN S.A. 0992336633001 X 7229 THEMAL DEL ECUADOR S.A. THERMECUADOR 0992338245001 X 258279 CONSTRUCCIONES CIVILES DEL ECUADOR S.A. CONCIESA 0992338644001 X 28016 BACPETROL S.A. 0992338903001 X 85867 GALAPAGOS OCEANDIESEL S.A. 0992340940001 X 15703 ZAZAPRINT SA 0992342587001 X 231113 KOMSA S.A 0992342803001 X 172912 MFRA S.A. 0992343192001 X 46437 CONSTRUCTURA COHESCASA S.A 0992343281001 X 49601 INTERNATIONAL SOLUTIONS VINAIRE S. A. 0992345748001 X 13962 INMOYA S A 0992345888001 X
  • 318.
    No No registra No No registra No No. registra registra No. indicadores registra provincia, registra Persona_id NOMBRE No. ID (RUC) calle número registra de ventas, apellido cantón y primer principal de calle origen activos y/o paterno parroquia nombre principal empleados 60202 CONSULTORIA & APOYO JASORHIN CIA. LTDA. 0992346299001 X 164678 FIDEICOMISO LANDUNI 0992346817001 X 215222 MAXINVEST S.A 0992347945001 X 224892 ECOELECTRIC S.A. 0992350091001 X 59177 RADIO AMERICA STEREO S.A. RADAMETSA 0992351454001 X 146519 CONGREGACION DE LAS RELIGIOSAS DE LA ASUNCION DEL ECUADOR 0992354097001 X 224452 INSTITUTO SUPERIOR TECNOLOGICO DE ARTES DEL ECUADOR "ITAE" 0992355395001 X 227849 ECONOCORP S.A 0992356642001 X 6951 AMEIDY 0992357762001 X 92867 PRIMERUS S.A. 0992360097001 X 194858 INDUCTROC S.A. 0992360399001 X 7396 ROOFTEC ECUADOR S.A. 0992362316001 X 63120 UTIMPOR S.A. 0992362537001 X 16153 DITELME 0992364327001 X 182644 POLINDUSTRIA S.A. 0992366257001 X 613 CLIMAPARTES S.A. 0992367938001 X 126456 AYPA S.A. 0992370351001 X 58299 CONSORCIO ILM-LAS IGUANAS 0992372613001 X 195120 SALUDINC S.A. 0992372729001 X 1242 PUBLISA S.A. 0992373105001 X 34540 PROENERGY S.A. 0992373563001 X 60729 COMPAÑIA DE SERVICIOS CLEMENCIA BRAVO MENDOZA CLEMENLIGHT S.A. 0992375213001 X 115745 GEOSERVICIOS S.A. 0992375787001 X 215359 MERLUZA (MERZA) S.A 0992376058001 X 153553 PICUDO (FITOP) S.A. 0992376066001 X 24416 IMPORTADORA Y DISTRIBUIDORA COMERCIAL INDUCOMICC S.A. 0992376538001 X 169541 COREYPOL S.A. COMPAÑIA EL REY DEL POLLO S.A. 0992377127001 X 16270 TARNOSKY SA 0992378565001 X 215199 VISOLANTI S.A. 0992378840001 X 157093 OIL BUSINESS S.A. 0992380357001 X 277801 CORPSOTSA S.A. 0992380578001 X
  • 319.
    No No registra No No registra No No. registra registra No. indicadores registra provincia, registra Persona_id NOMBRE No. ID (RUC) calle número registra de ventas, apellido cantón y primer principal de calle origen activos y/o paterno parroquia nombre principal empleados 125002 ECUAVERDAD 0992381272001 X 21402 GRAFICAS JALON ENAJA 0992381426001 X 107673 TELEFICAZ S.A. 0992383291001 X 45638 AQUAGAMEX SA 0992384638001 X 19344 INGENIERIA DE OBRAS S.A. INOBRASA 0992385324001 X 111901 TELTOTALCORP SA 0992390751001 X 258268 FASECORP S.A. 0992392169001 X 176534 VALVERDE & VALVERDE ABOGADOS C.0992392991001 LTDA. X 54996 URBANVERDE S.A. 0992393807001 X 14040 ENSAMBLAJE PUERTAS METALICAS Y ESTRUCTURAS SA LS 0992394390001 X 161818 ACEDIA 0992394951001 X 79216 DESIGCORP 0992396180001 X 170972 HACEB DEL ECUADOR S.A. 0992396849001 X 161719 DROMAYOR S.A. 0992398442001 X 28925 OBRAVENTS S. A. 0992399279001 X 135192 DUNESKY S.A. 0992399295001 X 114674 CONSTRUCTORA NACIONAL SA CONSTRUCNACIONAL 0992402342001 X 264189 GRANDMAR-CORP. S.A. 0992402598001 X 272721 COLINA NAVAS REPRESENTACIONES, SERVICIOS Y ASESORÍAS S.A. 0992403217001 X 84050 COTRASCON S.A. 0992403853001 X 157557 R&R CONSTRUCCIONES 0992404361001 X 160068 JARDINTE S.A. 0992407190001 X 12592 TECNOLOGIA QUIMICA S A QUIMITECNOLOSA 0992413050001 X 241017 PRODUXPEND S.A. 0992414146001 X 9893 ACERUM 0992415045001 X 103634 BARLOQUIL CIA. LTDA. 0992415215001 X 115715 FUNDACION DE ASISTENCIA SOCIAL Y ATENCION INTEGRAL A DISCAPACITADOS CISNE II 0992417765001 X 98591 ADVANCED TECHNOLOGIES SOLUTIONS992418931001 0 X 130958 DAVIMESA COMERCIAL IMPORT S.A. 0992420928001 X 259939 COMERCIALIZADORA ELECTRICA S.A. COMELEC. 0992421150001 X 23565 SEÑATAP S.A. SEÑALIZACIONES TAPCO S.A. 0992422629001 X
  • 320.
    No No registra No No registra No No. registra registra No. indicadores registra provincia, registra Persona_id NOMBRE No. ID (RUC) calle número registra de ventas, apellido cantón y primer principal de calle origen activos y/o paterno parroquia nombre principal empleados 72964 TECNI CONSTRU S.A. 0992424699001 X 58486 COMPAÑIA DISTRIBUIDORA PRIMATERIALES S.A. 0992425873001 X 175380 FIDEICOMISO TITULARIZACION OMNIHOSPITAL 0992426187001 X 68176 RICOPRO S.A. 0992427019001 X 19108 GOLDYMAX S.A. 0992427272001 X 177198 CIATRANSFAE S.A. 0992428090001 X 88474 CESARSA S.A. 0992429232001 X 92126 MULTISERDIG CIA LTDA 0992430958001 X 180669 INSTITUTO TECNOLOGICO SUPERIOR DE FORMACION PROFESIONAL ADMINISTRATIVA Y COMERCIAL 0992434090001 X 107324 SERVICIOS PORTUARIOS S. A. 0992434821001 X 1076 INTELLITY CONSULTING 0992434856001 X 178166 ECONOTRANS ECUADOR S.A. 0992434996001 X 8151 COMPAÑIA DE MAQUINARIAS PESADAS0992437952001 MIGLIAMOTORSHEAVY INDUSTRIES S.A. X 253960 ECUACAMINOS S.A. 0992440139001 X 166088 CITIKOLD S. A. 0992441534001 X 39649 CONSTRUCTORA DE OBRAS CIVILES Y 0992442409001 VIALES S.A. X 52303 WORKCITY SA 0992442751001 X 16155 DARIMCORP 0992443219001 X 77904 HIDROESPOL 0992443537001 X 112634 TRANSPACXIFIC S.A. 0992446048001 X 8197 PORKAGRO S.A. 0992449306001 X 160283 C & T ASOCIADOS CIA. LTDA. 0992449535001 X 249199 GRUPENSY S.A. 0992450770001 X 105379 SEGARTE S.A. 0992450983001 X 88368 LIBITRACORP S. A. 0992451645001 X 63283 BM TOURS SA BMTOURS 0992452692001 X 66826 DUTXEL 0992453125001 X 13856 STYLES TECHNOLOGY SA 0992453427001 X 171495 TECFORMATIC 0992453524001 X 5307 TUBYTEK S. A. 0992455586001 X 72582 PREMCOCAL S.A. 0992456949001 X
  • 321.
    No No registra No No registra No No. registra registra No. indicadores registra provincia, registra Persona_id NOMBRE No. ID (RUC) calle número registra de ventas, apellido cantón y primer principal de calle origen activos y/o paterno parroquia nombre principal empleados 100499 MEGYLCORP S.A. 0992461489001 X 141202 PLAYERA NETWORKS S. A. PLAYNET 0992461675001 X 242285 SUMINISTROS TOPOGRAFICOS S.A. 0992464143001 X 101372 MICROEMPRESA DE CONSERVACIÓN VIAL DATA DE VILLAMIL 0992466170001 X 145771 TARGET COMPANY S.A. 0992466812001 X 23526 SUPERTECNIC S.A 0992467061001 X 34479 INDUMARKETING S. A. 0992467533001 X 273959 PASFREI S.A. 0992468335001 X 101361 KLIMDOZ SA 0992469110001 X 132506 RUMARLENSES S.A. 0992470143001 X 69272 CONSTRUENERGY S.A 0992470534001 X 50463 YISAMAX S.A. 0992471751001 X 277242 URBAFIX S.A. 0992472324001 X X X 4390 PLASTICHIME 0992475587001 X 83462 CONSTRUCCIONES ANMAVER S.A. 0992476796001 X X X 15981 MIDASSA 0992477237001 X 274448 MONTUFAR TORRES CIA LTDA 0992477903001 X 94175 CONSTRUPERSON S.A. 0992481013001 X 78919 PROVIMEDIC S.A. 0992481501001 X 37566 STARDIGITAL 0992482796001 X 257994 FUZIONLLANTAS S.A. 0992482893001 X 171908 SOLUCIONES CONTABLES Y TRIBUTARIAS 0992483814001 X 118682 SOCIEDAD COMERCIAL RADIO NOTICIA0992485280001 X 251465 FIDEICOMISO MERCANTIL DURÁN OUTLET 0992485825001 X 167247 DIAMOND CLUB S.A. 0992487240001 X 78353 INSTITUTO SUPERIOR TECNOLÓGICO "DE DESARROLLO INTEGRAL DE LA PERSONA" 0992488107001 X 27591 UNIVERSIDAD TECNOLOGICA ECOTEC 0992489812001 X 191949 LIOMZER S.A 0992490209001 X 104806 SIRCUS S.A. 0992492538001 X 162009 FUNDACION MICROEMPRESARIAL SIN LIMITES 0992492813001 X 88178 UTYCSA S.A 0992493437001 X
  • 322.
    No No registra No No registra No No. registra registra No. indicadores registra provincia, registra Persona_id NOMBRE No. ID (RUC) calle número registra de ventas, apellido cantón y primer principal de calle origen activos y/o paterno parroquia nombre principal empleados 162016 PROYECTO5 S.A. PROYE5 0992493828001 X 219666 DANTOKA S.A. 0992494085001 X 59575 ENGOROY TOUR S.A 0992494433001 X 1410 OFISTORE S.A. 0992495146001 X 26965 MILOVAN 0992496541001 X 58591 PLATINUM TRAVEL AGENCIES 0992497955001 X 135009 MARKETAGTE PLUS S.A. 0992498080001 X 72602 TRANSJIRAV S.A 0992499206001 X 269044 COMPAÑÍA DE SERVICIOS AUTONOMOS PRIVADO Y PÚBLICO 10 DE AGOSTO S.A. 0992499451001 X 141135 CREATISERVICE S.A. 0992500719001 X 8186 EZONE 0992502649001 X 126453 JUNTA CANTONAL DE MILAGRO DE LA CRUZ ROJA ECUATORIANA 0992505850001 X 28201 GALAPAGOS RADIANTE 0992506709001 X 18814 BOLINGAR SA 0992507675001 X 10115 INMOBILIARIA MONTOYA SA 0992507799001 X 130729 SOLSERVICE S.A 0992508442001 X 213038 MARKFISH S.A 0992510935001 X 222282 TURNER S.A. 0992511915001 X 199105 GASPYCONT S. A 0992512067001 X 42798 SOLUCIONES INTEGRALES INDUSTRIALES DILMECSA S.A 0992512652001 X 238742 BOLTYMAR IMPORTACION 0992514469001 X 59048 KM ILUMINACION S.A. MEGASHOW 0992515821001 X 198540 CLINICA SAN VICENTE CLINSAVIC SA 0992516569001 X 177100 CENTRO DE TRANSFERENCIAS Y DESARROLLO DE TECNOLOGIAS 0992517484001 X 251886 SERINTU S.A. 0992519215001 X 63209 SONOCARE S.A. 0992519738001 X 94654 DESTENTI 0992522011001 X X 181423 CONSTRUCTORA MALUSIN CIA. LTDA. 0992522224001 X 31980 IMPORMILLON S.A. 0992522852001 X 271887 LECSAPRON S.A. 0992522976001 X 130404 GUAYSERVICE S. A. 0992523484001 X
  • 323.
    No No registra No No registra No No. registra registra No. indicadores registra provincia, registra Persona_id NOMBRE No. ID (RUC) calle número registra de ventas, apellido cantón y primer principal de calle origen activos y/o paterno parroquia nombre principal empleados 55708 DISEÑOS Y CONSTRUCCION 0992523824001 X 230113 ASOCONSULTORES C. LTDA. 0992524375001 X 184600 MOLDOVIA S.A. 0992525126001 X 66586 GERENCIA DEL PODER 0992525355001 X 203875 MUNTARI S.A. 0992527196001 X 114974 AISLAPOL S.A. AISLANTES POLITERMICOS 0992528400001 X 72029 AQUATIC TECHNOLOGY S.A. 0992528435001 X 698 ACCEQUIP DEL ECUADOR S. A. 0992528974001 X 42843 UIPPSI,UNIDAD INTERNACIONAL DE PROTECCIÓN PERSONAL Y SERVICIOS DE INFORMACIÓN S.A. 0992529245001 X 13810 AHORASERVI 0992529725001 X 269799 PROMOTORA DE BIENES INMUEBLES PRODEBIEN S.A. 0992530243001 X 153992 PROCISA ECUADOR S.A. 0992530448001 X 196818 MALICE S.A. 0992531010001 X X X 192679 COPAGRIN 0992531649001 X 10902 VELASCO QUINTERO OBRAS Y PROYECTOS0992532564001 X 94710 ECUAMENUS S.A. 0992533080001 X 70740 VIGIACORP 0992533463001 X 56944 INMOMAXI S.A. 0992533749001 X 140908 DUTY PAID S.A. DUPASA 0992535091001 X 71532 DIMENSION VERDE S.A. DIMENVERSA 0992536748001 X 93414 CADERAUTO 0992536810001 X 119885 COMERCIAL MOLINA PROAÑO S.A. CMP 0992538716001 X 32763 LIAISON S.A 0992539674001 X 119731 EDME S.A. 0992541555001 X 168235 CORPSTRANGER S.A. 0992542497001 X 8330 EXPERTSERVI 0992542721001 X 125337 RITUSER S. A. 0992542896001 X 119196 SOBALCORP S.A. 0992543019001 X 46179 CONSORCIO PUENTES, MUELLES Y PUERTOS, PMP 0992544058001 X 16885 ODENSE 0992544899001 X X 79897 TRADENEGO S.A. 0992545070001 X
  • 324.
    No No registra No No registra No No. registra registra No. indicadores registra provincia, registra Persona_id NOMBRE No. ID (RUC) calle número registra de ventas, apellido cantón y primer principal de calle origen activos y/o paterno parroquia nombre principal empleados 16922 DUMIAN 0992545216001 X 83108 SYSTEMDIGITAL S.A 0992545550001 X 76907 SERVICEMANIA 0992546069001 X 76938 TECNISOLIDA 0992552271001 X 133797 DICOMSPROC 0992552417001 X 206799 FAYRUZ SA 0992553847001 X 273136 LIBRIGUAYAS S.A. 0992554134001 X 17129 IMPESO S.A. 0992555653001 X 87401 ASOCIACION SAN VICENTE 0992555904001 X 225883 ARNEBUK S.A. 0992555998001 X 252855 CIMERCONSA S.A 0992556080001 X X X 163752 CONSTRUCCIONES CIVILES 0992556269001 X 19444 COASTMAN ECUADOR CONSULTORA CIA LTDA. 0992556447001 X 97714 MUNDANUS ECUADOR S.A 0992556889001 X 196369 TELENLACES SISTEMAS Y TELECOMUNICACIONES S.A. 0992558601001 X 37489 VERIAMTI SA 0992559195001 X 54395 ASOCIACION DE CONSERVACION VIAL SAN ISIDRO 0992560215001 X 71524 IPSOMARY S.A. 0992560665001 X 16180 OVCONS 0992561599001 X 171214 ASOCIACION DE SOLDADORES ASME Y0992563842001 ANEXO A.S.A.Y.A. X 243390 COMERCIALIZADORA NARANJAL S.A. EPU 0992564202001 X 186595 BIOANDINA S.A 0992564385001 X 245048 ECO RECICLA S.A. 0992565691001 X 125059 LEXNIMEX S.A. 0992566272001 X 52301 VOYPACK S.A. 0992569409001 X 56253 NEGYGAME S.A. 0992570644001 X 231120 ORLANDO & NIETO CONSTRUCCIONES 0992571470001 S.A. ORNICONSA X 56322 STOREBIAN S.A. 0992571543001 X 55717 ASOGLOBAL S.A. 0992571764001 X 69645 WOQUI S.A. 0992572833001 X 93612 AMERICAN TECHNICAL SOLUTIONS DEL ECUADOR S.A. 0992573880001 X
  • 325.
    No No registra No No registra No No. registra registra No. indicadores registra provincia, registra Persona_id NOMBRE No. ID (RUC) calle número registra de ventas, apellido cantón y primer principal de calle origen activos y/o paterno parroquia nombre principal empleados 70715 ZEOLEXPORT S.A. 0992575050001 X 43195 ICORCORP S.A. 0992577142001 X 133985 CALANS DEL ECUADOR S 0992578262001 X 33716 SERINMEC S.A. 0992579404001 X 131900 EMSERCOM 0992581514001 X 254484 VITAMINAH S.A. 0992582413001 X 238790 PROSECURITY CIA.LTDA. 0992582642001 X 177296 STRUCSACORP S.A. 0992582715001 X 131028 MAXIMA COMPANY SA 0992583401001 X 179035 PAINTECUADOR S.A. 0992584025001 X 137385 MECIND 0992585404001 X 222348 ENGITECH S.A. 0992586044001 X 68946 FONMAXSA S.A. 0992588179001 X 158626 AFITGER S.A. 0992589078001 X 132087 INSTALASA TECNOFIRE S.A (INSTECNO) 0992589256001 X 74529 INDICO S.A 0992590084001 X 93582 MEDICALPLUS S.A. 0992591323001 X 83068 POLISERVITEC S.A. 0992591471001 X 228394 FIDEICOMISO CIUDAD VALENCIA 0992591994001 X 107582 ZAZALED S.A. 0992592362001 X 204788 DESARROLLO INMOBILIARIO & CONSTRUCCIONES DEICONSA S.A. 0992592850001 X 84371 J.CORP S.A. 0992592915001 X 90271 EQUIPOS Y RENTAS, EQUIRENT S.A. 0992594020001 X 220386 CEVARSA S.A. 0992594624001 X 249178 DATA DISPATCH SYSTEMS S.A. DDS 0992595523001 X 106873 GYOCART S.A. 0992598360001 X 136194 CNELSANTAELENA 0992598468001 X 229665 ELADREP S.A. 0992598743001 X 111148 FACTOR VERDE VERFACTOR CIA LTDA 0992599235001 X 115162 CONSTRUCTORA Y CONSULTORA SERRANO AMAYA CONSSERAMA S.A. 0992600101001 X 125075 SERVICIOS PROFESIONALES ELECTRICOS S.A. 0992600500001 X
  • 326.
    No No registra No No registra No No. registra registra No. indicadores registra provincia, registra Persona_id NOMBRE No. ID (RUC) calle número registra de ventas, apellido cantón y primer principal de calle origen activos y/o paterno parroquia nombre principal empleados 155581 CONSTRUCTORA Q3 S.A. 0992603992001 X 187991 SELUMIEL S.A. 0992606061001 X 147761 FUNDACION GRATITUD A LA VIDA 0992606592001 X 246236 MIRANOVIC S.A. 0992614102001 X 214318 ENCALEGA S.A. 0992614420001 X 236198 CIA. CEDEMASA 0992614714001 X 180499 COMERCIAL LOS PEPILLOS S.A. 0992616180001 X 245597 SISMEING SISTEMAS MECANICOS E INGENIERIA S.A. 0992616881001 X 171080 RIQUEZACORP 0992616962001 X 164212 ELECTCONSTRU 0992617365001 X 210195 CONCRECASA S.A. 0992618574001 X 169836 POLICONSTRUC S.A. 0992620609001 X 264794 SCHWENKE INCORPORATED S.A. 0992625775001 X 199297 GALAQUIM S.A. 0992626461001 X 247655 TRACTOLITORAL CIA. LTDA. 0992627778001 X 200053 ENVIRONMENTAL PRODUCTS & ADVICE S.A. 0992628170001 X 230191 PLASTIELECTRIC S.A. 0992630620001 X 235579 ECUADOR HOLISTICO ECUAHOLIS SA 0992631090001 X 204194 QLIMPIO S.A. 0992631848001 X 274994 VALLE COMPAÑIA AGRICOLA S.A. VALLECOMSA 0992633468001 X 213790 CONSTRUFUSION S.A. 0992633603001 X 206618 SEOBCI S.A. 0992634162001 X 214090 DELTAPOWER S.A. 0992634197001 X 207602 BLACKBOXMEDIA S.A. 0992634723001 X 210402 TRINERGYTECH 0992635193001 X 216901 RISOFLIN S.A. 0992635509001 X 208485 CONSORCIO EQUIRENT-OSS 0992636165001 X 217795 NEXUSCOMPANY 0992636238001 X 210367 CONCREFUTURO S.A. 0992636661001 X 220276 HEMARU S.A. 0992637692001 X 225255 CIDIMER COMPAÑÍA DSITRIBUIDORA Y 0992637846001 COMERCIALIZADORA MERCANTIL S.A. X
  • 327.
    No No registra No No registra No No. registra registra No. indicadores registra provincia, registra Persona_id NOMBRE No. ID (RUC) calle número registra de ventas, apellido cantón y primer principal de calle origen activos y/o paterno parroquia nombre principal empleados 217982 RDM REPRESENTACIONES Y DISTRIBUCIONES MILENIO S.A 0992639083001 X 216406 INFOSISTEMAS S.A. 0992639121001 X 221744 J Y M CONSULTORIAS Y SERVICIOS C.A. (JYMCA) 0992640251001 X 223716 RIBAS CONSULTING CIA. LTDA. 0992641002001 X 226524 FUNDACION PARA EL DESARROLLO INTEGRAL GRAN CLAN 0992642351001 X 240258 LEGAL ECUATORIANA DE AUDITORÍA-NEGOCIOS, AUDITORÍA LEGAL S.A. AUDILEGAL 0992642882001 X 227943 ASOCIACION ALLMIGHTY LATIN KING QUEEN NATION ECUADOR 0992644559001 X 233532 CONTROL TOTAL S.A. CONTROTALSA 0992646764001 X 266682 CEPRIVAP S. A. 0992647043001 X 252823 CARGOLOGIC, CARGA LOGISTICA S.A. 0992647205001 X 242741 BRONJE SA 0992650028001 X 242427 MACHINESCORP S.A. 0992651881001 X 247920 LUINESA 0992655224001 X 258199 PROVEEDOR MUNDIAL, PROMUNDI S.A. 992655925001 0 X 253152 PIÑOLE S.A. 0992657006001 X 257064 CONSORCIO AVECAN-COG 0992657367001 X 264311 OSTEOAMERICA HEALTH SOLUTIONS, OSTEOAMERICA 0992658029001 X 256520 DARSA S.A. 0992659017001 X 260219 G8 CONSTRUCCIÓN, MONTAJE & LOGISTICA DE LINEAS PETROLERAS CIA.LTDA 0992660090001 X 272307 AGUA TOTAL S.A. AGUTALSA 0992663146001 X 277777 COMPANY CLEANING SERVICE S.A. COMCLESERVICE 0992665319001 X 272701 ASOCIACION DE PRODUCTORES AGROPECUARIOS LA NUEVA FORTUNA 0992665882001 X 274925 MCFLY MCSA S.A. 0992665971001 X 275009 CONGRAINS S.A. 0992667540001 X 270461 CONSORCIO BELFI - CIPORT 0992667702001 X 274728 CEPADOR S.A. 0992669594001 X 252176 SANTOS CARCELEN SEGUNDO GERMAN000061430001 1 X 135090 BEDON AGUIRRE JOSE AURELIO 1000069581001 X 201871 TORRES CLAVIJO SEGUNDO MANUEL ENRIQUE 1000079028001 X 267523 LOPEZ RIOS MARIA HORTERNCIA 1000087880001 X 162072 ROMO BURGOS SEGUNDO JAIME 1000088425001 X
  • 328.
    No No registra No No registra No No. registra registra No. indicadores registra provincia, registra Persona_id NOMBRE No. ID (RUC) calle número registra de ventas, apellido cantón y primer principal de calle origen activos y/o paterno parroquia nombre principal empleados 72319 GUERRA ARMAS WILSON ANIBAL 1000093540001 X 50129 IZA CHILIQUINGA ALFREDO 1000100683001 X 20379 VILLARRUEL BURBANO JOSE RAUL 1000100899001 X 164876 SALAZAR GUERRERO LUIS GILBERTO 1000112191001 X 118263 MORA MEDIAVILLA CESAR RAUL 1000113272001 X 121361 CARRILLO VARGAS MARIO ALFREDO 1000117786001 X 227228 MOSCOSO CAÑADAS HERNAN RAMIRO1000127926001 X 142079 PONCE TAPIA JORGE ENRIQUE 1000128833001 X 260649 FARINANGO LEMA JOSE 1000129419001 X 147108 BORJA PAREDES JORGE HERIBERTO 1000220457001 X 155543 RUIZ DAVILA CESAR ANTONIO 1000221760001 X 165331 RUEDA BURBANO GUILLERMO ALBERTO000250413001 1 X 90585 CUPUERAN GONZALO EFRAIN 1000321768001 X 58706 BONILLA BÁEZ MIGUEL ANGEL 1000327161001 X 133065 CHECA FARINANGO JOSE ELIAS 1000386589001 X 179413 ACELDO SALCEDO JOSE MGUEL 1000388775001 X 152616 VILLOTA RUALES LUIS ALFONSO 1000431500001 X 206733 CEPEDA UNIGARRO LUIS GILBERTO 1000441152001 X 274003 SÁNCHEZ SALTOS LUIS FABIÁN 1000498566001 X 144306 NINGUNO BURBANO ANTONIO MANUEL1000515260001 X 240229 PULLOPAXI BRONCANO MANUEL MARIA1000548048001 X 234775 BUCHELI OÑATE HUMBERTO ANIBAL 1000557502001 X 206168 CHALA CRUZ VICTOR HUGO 1000558062001 X 130885 ORTIZ RIVADENEIRA JOSE RAFAEL 1000561447001 X 145105 YASELGA ANDRADE LUIS OSWALDO 1000563260001 X 252181 DELGADO CRIBAN NORBERTO 1000584647001 X 120122 INGA PASTAZ CLARA ELISA 1000607331001 X 101921 MARANON LOOR JUAN AMABLE 1000610632001 X 71477 AGUILAR POZO RAMIRO VICENTE 1000611960001 X 144150 LARA ALBA JUAN DE DIOS 1000662534001 X 243874 TORRES PASTILLO JOSE MIGUEL 1000666915001 X
  • 329.
    No No registra No No registra No No. registra registra No. indicadores registra provincia, registra Persona_id NOMBRE No. ID (RUC) calle número registra de ventas, apellido cantón y primer principal de calle origen activos y/o paterno parroquia nombre principal empleados 259653 VENEGAS RIVERA MARÍA MAGDALENA 1000667608001 X 93722 BOLAÑOS FLORES JUAN 1000695799001 X 136959 SATAMA JIMBO OLGA VICTORIA 1000701829001 X 85743 LOPEZ MONTESDEOCA OLGA LIDIA 1000703387001 X 242373 CONGO GARCIA SEGUNDO LEONARDO1000726388001 X 112205 LEON MARIA MARIETA 1000739274001 X 250416 POZO CHAMORRO SEGUNDO EMILIO 1000746584001 X 34504 RODRÍGUEZ UBIDIA FAUSTO GONZALO1000762516001 X 278384 QUITO QUILCA BLANCA MARIA MAGDALENA 1000765006001 X 118707 ERAZO ESTEVEZ MARTHA MAGDALENA 1000776540001 X 244745 LEMA AYALA MARCO RODRIGO 1000776946001 X 95232 PIJAL TOCAGON LUIS ENRIQUE 1000780583001 X 271648 ANDRADE ESCOLA CAMILO OSWALDO 1000782969001 X X X X 78484 SIMBA PORTILLA JULIO CESAR 1000783603001 X 161750 REYES TERAN NELSON GUILLERMO 1000789022001 X 122903 PUMA CUASQUI LUIS ALFONSO 1000794337001 X 123092 URBANO CASTILLO JAIME ARMANDO 1000796316001 X 205914 MAFLA PORTILLA LUIS GALVE 1000797371001 X 196930 QUILUMBA GUAJAN JOSE ANDRES 1000798247001 X 241946 BRITO ARIAS ANA ROCIO DE LOS ANGELES 1000798536001 X 51297 DE LA TORRE AMAGUAÑA LUIS ALBERTO1000803039001 X 261215 NARVAEZ GONZALEZ CAMPO ELIAS 1000805984001 X 197873 CARRERA SIMBAÑA ZOILA MATILDE 1000815066001 X 252024 RIVERA ROMERO HECTOR ANGEL 1000824076001 X 141168 CEVALLOS SEVILLA LUIS ERNESTO 1000838258001 X 160592 POSSO ANDRADE MARCO PATRICIO 1000841393001 X 193159 FLORES VARELA MANUEL ALFREDO 1000853141001 X 32507 TAFUR JARAMILLO GERMAN ALFONSO 1000862290001 X 58814 GUERRERO SUÁREZ JAIME BOLÍVAR 1000871739001 X 258142 MORALES GUZMAN JOSE ELIAS 1000872166001 X 112302 CARDENAS FUENTES SEGUNDO ESTEBAN 1000876241001 X
  • 330.
    No No registra No No registra No No. registra registra No. indicadores registra provincia, registra Persona_id NOMBRE No. ID (RUC) calle número registra de ventas, apellido cantón y primer principal de calle origen activos y/o paterno parroquia nombre principal empleados 268419 CAMPUES TOCAGON VICTOR MANUEL 1000881001001 X 201534 CACHIGUANGO FICHAMBA JOSE LUIS ALFONSO 1000884088001 X 24075 POSSO LOPEZ RUTH CECILIA 1000887040001 X 112969 PÉREZ ALBUJA LUIS PATRICIO 1000907681001 X 66570 ANDRADE RAMIREZ JULIO ALFONSO 1000918639001 X 45205 NARANJO LÓPEZ MARÍA CRISTINA 1000929941001 X 52087 CHICAIZA CHIRIBOGA CESAR ENRIQUE1000930261001 X 174884 GUERRA GUDIÑO LUIS ALFONSO 1000931376001 X 89235 GUANOLUISA FARFAN MILTON 1000932648001 X 231425 CIFUENTES CIFUENTES LUIS HONORIO1000935898001 X 135613 YÉPEZ GARCIA CARMEN YOLANDA 1000949071001 X 118339 CARDENAS BLANCA ESPERANZA 1000961266001 X 228579 VILLAREAL CADENA PASTORA NOEMI 1000964450001 X 112891 PERUGACHI GRANADA MARIA PASTORA 1000969285001 X 22325 TERAN MORALES CESAR ROLANDO 1000972842001 X 63271 FUENTES RIVERA JUAN FRANCISCO 1000981314001 X 144080 ALMEIDA JIMENEZ DARWIN HERNAN 1000985612001 X 144643 CARRION ALBUJA EDWIN AGUSTIN 1000985802001 X 40046 YÉPEZ ROSERO EDISON PATRICIO 1000999464001 X 134216 BARRERA ALMEIDA LUIS EDUARDO 1001001286001 X 255791 BETANCOURT PERUGACHI VITELMA ANGELITA 1001001708001 X 76546 GUEVARA MONTALVO SEGUNDO GERMAN 1001002177001 X 254283 REVELO CHAMORRO LUIS EDELBERTO1001011715001 X 154747 MERA PLACENCIA JUDITH RAQUEL 1001012374001 X 99012 PUMA GUERRERO JUAN CRISTOBAL 1001013331001 X 48627 GERMÁN 1001017910001 X 50729 NELSON 1001038346001 X 167186 BENAVIDES MORA MARCO VINICIO 1001044344001 X 229337 GRIJALVA TAMAYO CESAR ANTONIO 1001047446001 X 144432 FERNANDEZ SANCHEZ JOSE MARIA 1001057338001 X 187473 GUERRERO FUENTES JOSÉ ELÍAS 1001058336001 X
  • 331.
    No No registra No No registra No No. registra registra No. indicadores registra provincia, registra Persona_id NOMBRE No. ID (RUC) calle número registra de ventas, apellido cantón y primer principal de calle origen activos y/o paterno parroquia nombre principal empleados 50994 CARDENAS EGAS MANUEL CERVANDO 1001061769001 X 115881 CHEZA TARAPUEZ SEGUNDO ARTEMIO1001062031001 X 198275 SUAREZ BERNARDO SEGUNDO DEOMEDES1001064797001 X 255445 ROSERO HURTADO SEGUNDO ROSALINO 1001070737001 X 76474 CADENA VILATUNA LUIS CRISTOBAL 1001076734001 X 257148 EGAS ANANGONO CRUZ ELIAS 1001079357001 X 91929 YASELGA YASELGA GUSTAVO 1001087889001 X 235845 TAPIA URBINA ARTURO FABIAN 1001090438001 X 70325 SUBIA SUBIA PABLO MARCELO 1001097383001 X 272786 GUERRON MUÑOZ GANDHY LOMBARDO 1001101250001 X 165732 ESPINOZA BURBANO MARCO VINICIO 1001101326001 X 138125 AYALA QUILCA EDGAR PATRICIO 1001112067001 X 166529 PANTOJA TECA OLGA PIEDAD 1001115748001 X 111868 TORRES CLAVIJO SILVIO ROSENDO 1001121431001 X 224721 HUERA CUACES ROSA IMELDA 1001164225001 X 115344 TERAN JATIVA JOSEFINA MAGDALENA 1001165644001 X 120244 PAVON TRUJILLO JULIO CESAR 1001167822001 X 87194 LOPEZ ANDRADE LUIS FERNANDO 1001185790001 X 109592 CALDERON MARTINEZ JOSE LEVI 1001187176001 X 264663 LARA MARTINEZ CARMEN MAGDALENA1001187424001 X 117224 MORAN ALMEIDA EDGAR HIPOLOTO 1001188349001 X 132592 MORENO HARO JORGE ADRIANO 1001188604001 X 138639 RUIZ GALLEGOS JOSÉ IGNACIO 1001189917001 X 112252 QUILUMBAQUI GUANDINAGO MESIAS MANUEL 1001193869001 X 93092 CHAVEZ LUIS RUPERTO 1001199742001 X 242364 DELGADO PABON LIDIA MARIA 1001202769001 X 268719 CASA PONCE TERESA JUDITH 1001205556001 X 256376 PERUGACHI QUILUMBAGO NARCISO 1001206554001 X 66109 HARO NARVAEZ SILVIO OLMEDO 1001218427001 X 120363 MONTALVO PAREDES JUAN ESTEWER 1001219029001 X 220998 ALARCÓN CALDERÓN MANUEL EDUARDO 1001220613001 X
  • 332.
    No No registra No No registra No No. registra registra No. indicadores registra provincia, registra Persona_id NOMBRE No. ID (RUC) calle número registra de ventas, apellido cantón y primer principal de calle origen activos y/o paterno parroquia nombre principal empleados 248676 ZAMBRANO CISNEROS LUIS ALEJANDRO 1001224672001 X 64077 KRALJEVIC PINTO SHTEFKO MARIO 1001225539001 X 33492 JACINTO 1001230752001 X 250824 URCUANGO ESCOLA RAUL VICENTE 1001233178001 X 221591 LEON NOVOA AURELIO 1001233517001 X 85735 CHUQUÍN YÉPEZ OSWALDO RODROGO1001236981001 X 71655 SUGULI CABASCANGO JOSE RAFAEL 1001240215001 X 105539 TUQUERREZ MAIGUA JOSÉ MARÍA 1001242260001 X 150499 BAEZ ESPINOSA LUIS PATRICIO 1001245370001 X 140508 MENDEZ CEVALLOS WILSON ABDON 1001249026001 X 54946 MOSQUERA LOPEZ MARCELO PATRICIO1001250446001 X 155874 SUQUILLO CAIZA JUAN JOSE 1001252277001 X 226445 JATIVA LUNA GLADYS MARGARITA 1001258779001 X 211705 TORRES SIERRA VICENTE MARCELO 1001273158001 X 109359 GOMEZ TORRES LEONIDAS ISAAC 1001280393001 X 178427 TAPIA GONZALEZ JOSE ELIAS 1001281755001 X 57901 PUPIALES ANGAMARCA LUIS ALBERTO1001285178001 X 73299 PINEDA PALACIOS JOSÉ GUILLERMO 1001294584001 X 223758 YUCATO CHULDE LUIS ANIBAL 1001295599001 X 172379 ANDRADE NARVAEZ JESUS AMILCAR 1001297223001 X 239966 DAZA TREJO GERMANICO ALEJANDRO 1001302619001 X 257394 CORREA RODRIGUEZ ALVARO SANTIAGO 1001307154001 X 38739 NAVARRO ANTAMBA WASHINGTON FABIÁN 1001307402001 X 168531 CAYAMBE CAYAMBE JOSÉ CAMILO 1001313673001 X 214373 HIDALGO AMAGUAÑA LAURA MARINA 1001335692001 X 96921 AYALA PAZMINIO ROSA ELENA 1001337953001 X 50498 GARRIDO ALMEIDA RENÁN OSWALDO 1001345196001 X 117165 TIRIRA TIRIRA BERNARDITA 1001348166001 X 131160 CALDERON VALLEJOS JUAN FRANCISCO 1001349917001 X 113391 SARANSIG PAREDES NESTOR FABIAN 1001351954001 X 275672 CORDOVA PINEDA ERNESTO 1001353448001 X
  • 333.
    No No registra No No registra No No. registra registra No. indicadores registra provincia, registra Persona_id NOMBRE No. ID (RUC) calle número registra de ventas, apellido cantón y primer principal de calle origen activos y/o paterno parroquia nombre principal empleados 36778 BENALCAZAR TERÁN HUGO AMILCAR 1001354974001 X 227834 RUBIO DE LA CRUZ DANIEL OLMEDO 1001355278001 X 27020 AYALA MEJÍA JUAN FERNANDO 1001359411001 X 129977 NAVARRETE NAVARRETE CESAR RICARDO1001360807001 X 218755 CHAVEZ ANDRADE CARLOS JAVIER 1001367174001 X 196341 CABRERA ROSERO VICENTE PLACIDO 1001392198001 X 16172 VITERI LLERENA MARCELO EUGENIO 1001395365001 X 278406 PAVON MEJIA GUSTAVO ADOLFO 1001395654001 X X 232687 DELGADO BATALLAS WILSON HUMBERTO 1001401916001 X 6829 HECTOR 1001403839001 X 33635 CISNEROS VALLEJOS VICTOR HUGO 1001406717001 X 65656 HERRERA DÁVILA NEPTALÍ 1001416393001 X 208993 MANOSALVAS VILLARREAL LUISA MERCEDES 1001416765001 X 33507 HERRERA MONTENEGRO GANDHI FIDEL001417193001 1 X 96699 GUARANGUAY GUARNGUAY HECTOR SALOMON 1001418142001 X 165908 DELGADO TROYA SEGUNDO HECTOR 1001418811001 X 230808 YEPEZ MUÑOZ ANGEL ROLAN 1001419264001 X 192590 MORILLO PUEDMAG MARCELO SEGUNDO 1001420064001 X 204811 GUDIÑO MEJIA SULIE ANTONIETA 1001429131001 X 125219 LOPEZ TORRES LUIS ROQUE 1001439569001 X 238879 SANTAFÉ POZO JORGE WASHINGTON 1001441383001 X 47595 ARIAS TERAN ROSA MATILDE 1001444213001 X 155837 MINA MINDA JOSELITO ARMANDO 1001447919001 X 84136 MIÑO VALENCIA CARMEN PATRICIA 1001449196001 X 159613 NO TIENE PASTRANA LUIS ARNULFO REMIGIO 1001449980001 X 141180 TORRES ALMEIDA OSCAR MARCELO 1001450640001 X 197808 MARTÍNEZ CARRERA DOLORES 1001451499001 X 182865 NARANJO MORILLO MANUEL MESÍAS 1001452547001 X 234410 ALMEIDA CHICANGO HÉCTOR MARCELO 1001465341001 X 80292 ORTIZ OVIEDO IVAN PATRICIO 1001474889001 X 25674 JIMÉNEZ SANAFRIA JAKKELINE DEL ROSARIO 1001479391001 X
  • 334.
    No No registra No No registra No No. registra registra No. indicadores registra provincia, registra Persona_id NOMBRE No. ID (RUC) calle número registra de ventas, apellido cantón y primer principal de calle origen activos y/o paterno parroquia nombre principal empleados 100771 MORA SALAS LAURA JACQUELINE 1001484862001 X 277215 MUENALA PINEDA LUIS I 1001486933001 X X 249706 POTOSÍ MONTALVO MARIA ISABEL 1001487428001 X 120230 RUIZ MOROCHO AGAPITO 1001493566001 X 204860 ZUMÁRRAGA AGUINAGA JOSÉ PONTONY 1001502879001 X 134690 ANRANGO CORDOVA SEGUNDO 1001507779001 X 250293 TAYA TAYA MARIA AMABLE 1001518578001 X X 183150 TORRES CALDERON HUGO RIGOBERTO 1001519402001 X 90355 JÁTIVA CEVALLOS LUCIANO RODRIGO 1001519808001 X 87071 PUMA CARLOSAMA SEGUNDO FABIAN 1001520244001 X 141735 HERNANDEZ POZO MARIA MAGDALENA 1001520871001 X 95173 O VALENCIA MILTON PATRICIO 1001525730001 X X 148849 NOBOA REVELO LUIS ALBERTO 1001528312001 X 84024 VASQUEZ RIVERA WILSON MANUEL 1001533213001 X 127234 PEÑAFIEL CARLOS MARCELO 1001534641001 X 4419 ING. HÉCTOR ANTAMBA A. 1001538014001 X 232134 PROAÑO AYALA WILSON ARMANDO 1001541851001 X 101592 PADILLA REASCOS JORGE ADRIANO 1001543121001 X 54028 ROSERO LEON MARCO VINICIO 1001545506001 X 59695 AYALA BRITO SAMMYR PATRICIO 1001545886001 X 106979 URCUANGO ESCOLA JAIME 1001549664001 X 62650 MENDEZ FARINANGO JOSE ANTONIO 1001553989001 X 156350 ESTEVEZ FUENTES MARCO ERNESTO 1001555653001 X 172320 CORRALES VASQUEZ GUADALUPE MERCEDES 1001556008001 X 127157 CACHIPUENDO PERUGACHI JOSÉ 1001556388001 X 190658 TAFUR VASCONEZ COSME RAUL 1001558251001 X 89095 NÓQUEZ ANRANGO JOSÉ RAMIRO 1001562485001 X 88837 PUPIALES GÓMEZ FAUSTO RAMIRO 1001563442001 X 72523 LOPEZ BENAVIDES DORIS LUCIA 1001568748001 X 136149 PIÑÁN CHÁVEZ LUIS ISIDRO 1001573326001 X 145286 ROSALES RUIZ LEISLEY XIOMARA 1001579703001 X
  • 335.
    No No registra No No registra No No. registra registra No. indicadores registra provincia, registra Persona_id NOMBRE No. ID (RUC) calle número registra de ventas, apellido cantón y primer principal de calle origen activos y/o paterno parroquia nombre principal empleados 225746 LOPEZ ANDRADE MARCO IBAN 1001579760001 X 181228 RUIZ CACUANGO MARTHA ELIZA 1001584265001 X 270312 GUASGUA MONTENEGRO PABLO GABRIEL 1001586971001 X 157558 ECHEVERRIA BARRERA MARCO LAUREANO1001588050001 X 262106 FREIRE QUIÑA ERIKA LORENA 1001591211001 X 272304 VALENZUELA DIAZ VICTORIA DEL PILAR 1001593647001 X 215587 CAZARES FIGUEROA LUIS CAZARES 1001594413001 X 111834 TORRES CLAVIJO LUIS EDUARDO 1001597739001 X 85891 SUASTI VELASCO RICARDO MAURICIO 1001599875001 X 204844 VACA REALPE MANUEL MESIAS 1001601911001 X 229946 PROAÑO DAZA ROSA LUCINDA 1001604931001 X 195559 TORRES VACA WILLAM MARCEL 1001618543001 X 4418 SYSTEM BOARD TEGNOLOGIA AVANZADA 1001620408001 X 100295 MAYORGA NARVAEZ JOSÉ LUIS 1001630720001 X 180473 CALVACHE CARRASCO MARCELO RENE 1001637220001 X 176452 VILLACÍS MERLO JORGE HUMBERTO 1001647724001 X 157959 VARELA FLORES GLADYS EDILMA 1001655248001 X 76493 BELTRAN LOPEZ IVAN ROMEL 1001656899001 X 273378 VINUEZA LOPEZ MILTON BAYARDO 1001659703001 X 183014 COCA MERTINEZ LILIAN ESTELITA 1001659968001 X X X 102091 FLORES HARO MONICA ARACELLY 1001664026001 X 261145 ROCHA CUNAS PEDRO JESUS 1001669397001 X 237390 CONGO SANTOS NEILON ALCIDES 1001669777001 X 202465 BAEZ VILLA ALVARO FERNANDO 1001670510001 X 90120 BRBORICH GARCIA JUAN CARLOS 1001670668001 X 97044 QUILCA MORETA MARCO OSWALDO 1001675154001 X 224281 MORENO GONZALEZ GUILLERMO ARMANDO1001677945001 X 112765 RUIZ FLORES ADELA MARGARITA 1001679065001 X 43257 EDWIN 1001682259001 X 143710 JACOME GUERRERO PATRICIO SANTIAGO1001689791001 X 154221 AJALA MALES LUIS ENRIQUE 1001693728001 X
  • 336.
    No No registra No No registra No No. registra registra No. indicadores registra provincia, registra Persona_id NOMBRE No. ID (RUC) calle número registra de ventas, apellido cantón y primer principal de calle origen activos y/o paterno parroquia nombre principal empleados 257959 CIFUENTES AGUIRRE PABLO RODOLFO 1001695483001 X 151674 MOREJON CEVALLOS OSCAR HERNAN 1001696606001 X 265990 PUPILAES PUPIALES JOSÉ ALFONSO 1001708195001 X 178033 MENA PÁEZ CARLOS EDUARDO 1001708286001 X 265461 ESPARZA TERAN EDWIN GILBERTO 1001714094001 X 74879 ENDARA VASQUEZ MARCELO JACINTO 1001720711001 X 149055 GÓMEZ ROBLES SEGUNDO TEODOMIRO001726510001 1 X 4323 ERNESTO 1001730124001 X 119691 HERNANDEZ PANTOJA MIGUEL ANTONIO1001731999001 X 251691 PANTOJA MENDEZ ROCIO DE LOS ANGELES 1001737830001 X 179784 SALAZAR FUENTES EDISON PATRICIO 1001738564001 X 114689 ALVAREZ VACA MILTON PATRICIO 1001738978001 X 155865 NAVARRETE VALLEJOS WASHINGTON OSWALDO 1001740404001 X 117228 FARINANGO ZULETA ROCIO DEL CARMEN 1001741857001 X 202648 LUZURIAGA AGUINAGA JOHN ROBERT 1001742855001 X 108445 DEFAZ ANDRANGO RICARDO ADRIANO1001745445001 X 266277 REASCOS HURTADO SEGUNDO AGAPITO 1001747722001 X 252180 DELGADO VASQUEZ LUIS ANTONIO 1001750791001 X 242375 SANTOS CHALA BOLIVIO IBEN 1001750825001 X 249239 QUILCA RAMOS JUAN ELIAS 1001751971001 X 265322 BERMEO RODAS MARIA EUGENIA 1001755618001 X 278713 PALACIOS JARAMILLO FANNY ANABELA1001755642001 X 250850 REYES TERÁN LUIS ALBERTO 1001755683001 X 253171 PITA CEVALLOS LEONARDO BLADIMIR 1001756244001 X 237395 CONGO GARCIA HOMAR ALCIBAR 1001761962001 X 59090 RIVERA QUINTEROS ORACIO AUGUSTO 1001762309001 X 90016 GUERRERO SUÁREZ FAUSTO MARCELO 1001765864001 X 118086 ACOSTA ORTIZ JULIO CESAR 1001770047001 X 114947 VALLEJO PAZ REINALDO RAFAEL 1001773223001 X 209792 PUERRES VERA DIEGO MIGUEL 1001778982001 X 161986 ANDRADE ENDARA MARIO PATRICIO 1001779519001 X
  • 337.
    No No registra No No registra No No. registra registra No. indicadores registra provincia, registra Persona_id NOMBRE No. ID (RUC) calle número registra de ventas, apellido cantón y primer principal de calle origen activos y/o paterno parroquia nombre principal empleados 262627 CARAGULLA DIAZ PEDRO MANUEL 1001780962001 X 181789 MORALES ANGAMARCA LUIS ALFREDO1001786456001 X 166381 TORRES MORILLO DIEGO RENAN 1001786613001 X 266581 VINUEZA OCHOA MARIA GERMANIA 1001787942001 X 222334 DELGADO MARCIA 1001791076001 X 241307 HIDROBO VELEZ EDISSON HUMBERTO 1001791688001 X 185533 CHACON ORTEGA EDWIN HUMBERTO 1001798899001 X 252649 SAMANIEGO SEVILLA EDGAR ALEJANDRO 1001817277001 X 85192 CHASIGUANO TUQUERREZ VICTOR MANUEL 1001818358001 X 191147 ACOSTA JARRIN MONICA ELIZABETH 1001822392001 X 145352 SIZA MONTALVO MARÍA MERCEDES 1001829470001 X 260193 JÁCOME TERÁN HUGO JAVIER 1001832961001 X 225460 GUZMÁN RAMÍREZ LUIS ERNESTO 1001834389001 X 252182 SANTOS CONGO JOSE MARCELO 1001847795001 X 153828 LEMA VISUETE BYRON MARCELO 1001847977001 X 219353 RUIZ RUIZ FAUSTO GERMANICO 1001852803001 X 136502 DE LA TORRE BISARREA FRANKLIN ROLANDO 1001857893001 X 175951 MERA LÓPEZ JUAN CARLOS 1001862125001 X 42913 BILBAO CHALPU BLANCA ETELVINA 1001862398001 X 68130 FLORES ESPINOSA NORMA CECILIA 1001864709001 X 246503 PERUGACHI LIMAICO LIZANDRO MANUEL 1001868262001 X 183369 VILLALVA PIEDRA FREDY ALONSO RENE001868379001 1 X 182368 LOPEZ LUIS FERNANDO 1001872488001 X 120345 SANDOVAL SANDOVAL SEGUNDO PATRICIO 1001880184001 X 140600 FARINANGO SANDOVAL RAÚL OSWALDO 1001882149001 X 224823 PINEDA ORTIZ DANNY ROBERTO 1001893310001 X X X 123939 PULLAS BENALCAZAR LUPE FLORA 1001895893001 X 184461 MORETA QUILCA GUSTAVO 1001897451001 X 183494 TITO LARA MELIDA EDITH 1001899754001 X 103105 ERAZO ALVAREZ EDWIN FAUSTO 1001902368001 X 131369 ORTEGA CORAL WILLIAN ORLANDO 1001904513001 X
  • 338.
    No No registra No No registra No No. registra registra No. indicadores registra provincia, registra Persona_id NOMBRE No. ID (RUC) calle número registra de ventas, apellido cantón y primer principal de calle origen activos y/o paterno parroquia nombre principal empleados 159689 GUERRERO ANDRADE MILTON RAMIRO1001918406001 X 183280 RAMOS ESCANTA LUIS ROGELIO 1001923158001 X 70686 ARTEAGA HUERTAS JORGE ARTURO 1001928322001 X 200683 LOPEZ VASQUEZ ROSA DEL PILAR 1001933298001 X 79901 GRIJALVA CEVALLOS ROCIO DEL CARMEN1001934593001 X 252183 CONGO YEPEZ POLIVIO 1001945300001 X 146068 FARINANGO CARLOSAMA LUIS CESAR 1001945334001 X 159953 GUZMÁN MORENO NILKA PATRICIA 1001968450001 X 51779 QUINONES QUINTERO WALTER OMAR 1001969789001 X 171259 INUCA PIJAL MARIA IMELDA 1001970670001 X 222453 HERNANDEZ LOPEZ JOSE ANTONIO 1001973070001 X 177739 PEÑAFIEL PLAZAS JORGE MARCELO 1001976362001 X 142275 IBUJÉS BRAVO RAMIRO FABIÁN 1001976917001 X 158693 RAMIREZ GALARZA AUGUSTO EDUARDO 1001981479001 X 263109 BENAVIDES QUESPAZ LUIS ALFREDO 1001983756001 X 60643 RAMIREZ BAEZ EDWARD JESUS 1001984622001 X 263251 HURTADO CHACON MIRIAN ELISABET 1001985470001 X 250396 SANTOS PALACIOS PEDRO VICENTE 1001986346001 X 92382 FUERES TORRES LUIS HUMBERTO 1001991064001 X 172686 BASANTES USIÑA LILIÁN JANETH 1001991155001 X 186427 YAR CUASPA EUGENIO GABRIEL 1001991890001 X 126577 TERAN BURBANO JOEL ALBINO 1002002440001 X 70489 VILCA FUENTES LUIS WILMER 1002002697001 X 263171 PEREIRA CASTRO MAURICIO FERNANDO 1002002960001 X 141486 GARCES FLORES JIMMY ROLANDO 1002005294001 X 240874 SANDOVAL JOSE MIGUEL 1002007258001 X 139146 BOLAÑOS PITA LEANDRO RODRIGO 1002008603001 X 235491 CABRERA RECALDE CARLOS FERNANDO 1002011037001 X 243311 DE LA CRUZ DE LA CRUZ BEATRIZ DE LAS MERCEDES 1002016358001 X 260540 TAMBACO MORALES ANGEL RAUL 1002018032001 X 159891 CACHIMUEL GUALAPURO SEGUNDO SANTIAGO 1002021580001 X
  • 339.
    No No registra No No registra No No. registra registra No. indicadores registra provincia, registra Persona_id NOMBRE No. ID (RUC) calle número registra de ventas, apellido cantón y primer principal de calle origen activos y/o paterno parroquia nombre principal empleados 173238 VINUEZA ESCOBAR MIGUEL SANTIAGO1002021663001 X 150921 BORJA MANTILLA JORGE RICHARD 1002022125001 X 237405 GARCIA SANTOS ELLY DAMIAN 1002026332001 X 49844 ARIAS CARVAJAL MARÍA SOLEDAD 1002026670001 X 72470 CARLOSAMA ICHAU LUIS HERNAN 1002030797001 X 103603 BONILLA FLORES ANÍBAL FERNANDO 1002037404001 X 41691 HIDROBO FLORES ALEX OMAR 1002038915001 X 26027 GARRIDO QUIROLA EDISON FABIAN 1002047254001 X 127479 AMUY CALDERON MARIA DORA 1002051637001 X 195838 PEREZ POZO CHONCLI ORLANDO 1002062808001 X 145682 SANCHEZ HERNANDEZ SERGIO ARMANDO 1002076543001 X 138054 CASTRO ONOFRE JAIME OSWALDO 1002081840001 X 178320 GOMEZ VENEGAS CARLOS RAFAEL 1002083119001 X 73769 ANDRADE BONILLA LUIS ADALBERTO 1002088464001 X 133450 CAMPO FLORES RAFAEL 1002091864001 X 173327 ARAGON ARAGON VICENTE NELSON 1002095402001 X 139461 RODRIGUEZ AGUIRRE JUAN CARLOS 1002096707001 X 171148 POZO DÍAZ REINALDO RAMIRO 1002097630001 X 278481 LARA SUBIA OSCAR PATRICIO 1002104501001 X X 233123 GAIBOR VILLOTA JANETH GAIBOR 1002104600001 X 70684 QUIGUANGO ANRANGO JOSE MIGUEL 1002106225001 X 140316 LEMA RUÍZ EDWIN ARMANDO 1002110219001 X 152263 ESPINOSA HURTADO JAVIER DAVID 1002110656001 X 185482 ANRANGO ANTAMBA JOSE MARIO 1002115374001 X 277269 MUENALA MORALES AMAHURY TONATYU1002121794001 X 259919 POZO QUELAL WILFRIDO AUGUSTO 1002122719001 X 73902 FLORES FLORES ADRIANA PATRICIA 1002123436001 X 105195 ESCOBAR TERÁN SANDRA JANNET 1002129367001 X 165891 PAVÓN ANRANGO REMBERTO ANÍBAL 1002130639001 X 92672 CAMPO GUAJAN LUZ MARIA 1002143111001 X 138800 SALTOS FERNANDEZ MARINA MARIBEL1002158564001 X
  • 340.
    No No registra No No registra No No. registra registra No. indicadores registra provincia, registra Persona_id NOMBRE No. ID (RUC) calle número registra de ventas, apellido cantón y primer principal de calle origen activos y/o paterno parroquia nombre principal empleados 94996 TATAMUES NARVAEZ SEGUNDO HERIBERTO 1002161519001 X 55338 CASTAÑEDA VELÁSQUEZ MARÍA ERCILIA 1002165528001 X 150882 PUEDMAG TULCÁN NELLY SORAIDA 1002170015001 X 34266 CASTILLO NARVAEZ LUIS FERNANDO 1002173829001 X 69931 LEYTON RUANO NAPOLEON DILON 1002176434001 X 248135 MUENALA MORETA ADELA GRACIELA 1002178695001 X 92303 RAMÍREZ GALARZA HERNÁN PATRICIO 1002179677001 X 270368 PIÑAN IBADANGO EDGAR FABIAN 1002182341001 X 129148 BEDON HUACA MAURICIO ANDRES 1002212577001 X 232652 PROAÑO MENDEZ MARTHA CECILIA 1002213658001 X 270353 DELGADO CAMPOS LUIS JOHVANI 1002214391001 X 165170 FERNANDEZ FARINANGO PEDRO 1002214631001 X 271849 EWOLDT ESCUDERO WILFRIED ALEJANDRO 1002216008001 X 252187 CERVANTES CONGO DARWIN PATRICIO 1002218434001 X 160469 RAMOS ESPIN CLAUDIO GERARDO 1002219986001 X 252051 GARRIDO GARCES FRANKLIN EDUARDO 1002226783001 X 127336 PAREDES VEGA FREDDY JOAQUIN 1002237350001 X 276872 CHILUISA CHANGO WILSON RUBEN 1002239315001 X 253244 PINEDA CARLOSAMA LUIS HERNAN 1002246195001 X 64886 BEJARANO GUBIO MARCIA ELIZABETH 1002249579001 X 229961 CEVALLOS PINEDA SILVIA LORENA 1002254777001 X 183803 OÑA ESPARZA IRMA ALEXANDRA 1002258356001 X 143104 FERNANDEZ VARGAS NORMA NARCIZA1002264875001 DE JESUS X 154547 OTAVALO TUQUERRES MARIA ELENA 1002276606001 X 263541 RUANO MUÑOZ JANNETH MARIVEL 1002276952001 X 264697 MARTÍNEZ OBANDO OMAR FERNANDO 1002278461001 X 201348 ECHEVERRIA MARTINEZ SANDRA MARCELA 1002281994001 X 38250 LECHON SANDOVAL JUAN DELFIN 1002286811001 X 206955 CARDENAS ALDAS EDILMA PATRICIA 1002292264001 X 257158 RUIZ PEREZ ANA PAULINA 1002317392001 X 140798 TERAN ECHEVERRIA MILTON MARCELO 1002323911001 X
  • 341.
    No No registra No No registra No No. registra registra No. indicadores registra provincia, registra Persona_id NOMBRE No. ID (RUC) calle número registra de ventas, apellido cantón y primer principal de calle origen activos y/o paterno parroquia nombre principal empleados 258826 ARCE MORALES LUIS GEOVANNY 1002332573001 X 198452 POTOSI LARA SONIA MARLENE 1002335360001 X 114038 TORRES CALVA TANIA 1002345005001 X 273350 GARCIA PASQUEL JOAQUIN ANDRES 1002348025001 X X X 225240 CUASCOTA CABASCANGO WASHINGTON FALVIO 1002353348001 X 205427 CARDENAS CARVAJAL WILLIAM VICENTE1002356036001 X 192163 ORTEGA NOBOA ROMEL GONZALO 1002359071001 X 176220 BURGA AGUILAR MARIANO 1002361747001 X 221381 FUENTES BORJA GONZALO ROBERTO 1002362406001 X 219717 CHUQUIN CRUZ GALO HERIBERTO 1002370540001 X 148300 NAZATE NAZATE CECILIA DE LAS MERCEDES 1002390621001 X 254982 PAREDES YÉPEZ FRANCISCO JAVIER 1002393047001 X 203676 SILVA RUIZ SILVIA DEL CARMEN 1002395356001 X 88644 GUZMAN BRAVO JUAN FERNANDO 1002397600001 X 65822 DAVILA DE LA TORRE MONICA FERNANDA 1002403044001 X 148329 MALDONADO CÓRDOVA LUZ MARÍA 1002403291001 X 84726 CANACUAN CANGAS LUIS ALVARO 1002415204001 X 187851 MENDEZ ORTEGA MARITZA GENOVEVA1002416244001 X 233923 FUENTES PITA MIGUEL ANGEL 1002418273001 X 248254 QUILLIGANA POZO LUISA ELIZABETH 1002427167001 X 126374 GARCIA RUIZ ANGEL RICARDO 1002427365001 X 79957 VEGA BOLAÑOS BOLÍVAR MARCELO 1002428405001 X 148882 LARA TELLO MARIA SOLEDAD 1002433199001 X 199957 MORILLO HURTADO JOSE ADRIAN 1002443289001 X 195851 LIMAICO IBADANGO NELSON ROBERTO1002445896001 X 170673 DUQUE BUITRON EDISON MARQUEZ 1002450086001 X 156045 ANGULO MAIGUA BYRON ANDRES 1002453346001 X 149002 LÓPEZ BUITRÓN SEGUNDO GALLARDO1002459772001 X 157841 TORRES RODRIGUEZ ALEXANDRA 1002466231001 X 161632 ORTIZ SAMPEDRO RUTH ELENA 1002473526001 X 141179 MERA ROSERO CARMEN PATRICIA 1002477303001 X
  • 342.
    No No registra No No registra No No. registra registra No. indicadores registra provincia, registra Persona_id NOMBRE No. ID (RUC) calle número registra de ventas, apellido cantón y primer principal de calle origen activos y/o paterno parroquia nombre principal empleados 32182 DIEGO 1002482923001 X 206170 DELGADO DELGADO GALO MARTIN 1002483970001 X 240122 ENRIQUEZ ECHEVERRIA DIEGO EFRAIN1002492856001 X 220857 COLIMBA CHALACAN SEGUNDO ELIAS 1002497681001 X 223708 AYALA ACOSTA WILLIAM VINICIO 1002514980001 X 181422 CANGAS GONZALEZ ROMMEL VINICIO 1002516837001 X 255962 LARA LOYO JUAN CARLOS 1002519666001 X 183126 FARINANGO PABÓN LUIS ERNESTO 1002525754001 X 248868 SANTACRUZ RUANO MELBA EVELYN 1002534996001 X 252174 PABON CHALA EDWARD LENIN 1002540050001 X 267998 ANANGONO ALMEIDA GINA FERNANDA 1002547410001 X 230000 TINOCO LEIVA KARLA DIOCELINA 1002570800001 X 272004 CABAL GUTIERREZ NIDIA 1002577755001 X X X 60373 CARLOZAMA ALMEIDA DELFIN LAUREANO 1002588646001 X 271258 CADENA LOPEZ ROSARIO DEL CARMEN 1002592218001 X 97818 CUASQUI QUIMBIA CRUZ ELIAS 1002593281001 X 152550 YÉPEZ PLACENCIA CRUZ ELIAS 1002596755001 X 276010 IPIALES GUATEMAL DANY ANDRES 1002607172001 X 269135 QUILUMBAQUIN DE LA CRUZ IRMA JANNETH 1002610564001 X 211265 BUSTOS PANTOJA BYRON XAVIER 1002615126001 X 187145 CERVANTES PÉREZ GIOVANNY PATRICIO 1002615811001 X 206884 TOVAR FLORES LUIS FERNANDO 1002622940001 X 248134 YASELGA ROMERO GALO VINICIO 1002626966001 X 64603 FORD MATTHEW 1002633947001 X 63920 GUERRERO NARVÁEZ JUAN CARLOS 1002640736001 X 259337 GUNCHA IRUA JUAN JOSÉ 1002642344001 X 102489 HIDROBO RUEDA ANITA TERESA 1002650107001 X 187808 RIVERA GUERRERO JOSÉ ELÍAS 1002656989001 X 240995 WUIZ ESTRADA JOSE ANTONIO 1002660569001 X 237624 POSSO VARGAS IVÁN PATRICIO 1002660932001 X 277843 PACHECO REQUENE JOSE VLADIMIR 1002661567001 X X
  • 343.
    No No registra No No registra No No. registra registra No. indicadores registra provincia, registra Persona_id NOMBRE No. ID (RUC) calle número registra de ventas, apellido cantón y primer principal de calle origen activos y/o paterno parroquia nombre principal empleados 240329 GOMEZ GORDILLO CARMEN SORAYA 1002667648001 X 270993 VARGAS CHASIPANTA XIMENA MARIBEL 002674156001 1 X X 257215 VÁSQUEZ ARROYO ANA LUCÍA 1002689667001 X 34125 BLANCA 1002690533001 X 192342 GUAMÁN CARLOSAMA ANA MARÍA 1002698247001 X 272409 ENRIQUEZ CUPUERAN NEY ALFREDO 1002715199001 X X 248127 POZO QUIROZ MANUEL MESIAS 1002720785001 X 67608 POTOSI CHUQUIN GLADYS LILIANA 1002734505001 X 143010 FRAGA PORTILLA YOLANDA MIROSLAVA002735056001 1 X 238426 YASELGA ANTAMBA KLEVER SANTIAGO 1002743878001 X 245434 DE LA CRUZ CHICAIZA MARIA IRENE 1002784922001 X 126730 MARTINEZ TORRES ANA GABRIELA 1002790242001 X 183762 URBINA MUÑOZ MARÍA ELIZABETH 1002790424001 X 119758 LOMAS ARIAS LUIS JAVIER 1002791463001 X 211472 CAZARES RAMIREZ WILFRIDO HORACIO1002800769001 X 114137 DE LA TORRE MONTALVO CESAR JOSE1002801288001 X 213274 VACA MORALES CLAUDIO BAYARDO 1002802831001 X 149019 PASCAL NASTACUAS ROBERTO 1002808036001 X 244206 TERÁN JÁTIVA GEOVANNA MARGARITA1002815130001 X 231181 DE LA TORRE ALTAMIRANO MARINA SOLEDAD 1002817185001 X 120502 ESPINOSA ARCE JOSÉ RAFAEL 1002823647001 X 241194 SUAREZ SERRANO LEONARDO JAVIER1002826269001 X 260873 MONTALVO BURGOS KLEBER IVAN 1002827036001 X 263087 CACHIMUEL BURGA CRISTINA 1002833836001 X 234122 QUILCA SIMBAÑA LUIS ALBERTO 1002838199001 X 272581 CEVALLOS JARAMILLO CRISTIAN ALFONSO 1002838363001 X 226323 GRANIZO VARGAS PAUL EDUARDO 1002849691001 X 172869 TITUAÑA SOLANO JAIME SANTIAGO 1002854048001 X 118814 ARMAS MUGMAL CHRISTIAN EDUARDO1002868147001 X 154866 QUILLIGANA POZO PUBLIO SIMON 1002872750001 X 250895 YANEZ ALVAREZ MARTHA BEATRIZ 1002874947001 X
  • 344.
    No No registra No No registra No No. registra registra No. indicadores registra provincia, registra Persona_id NOMBRE No. ID (RUC) calle número registra de ventas, apellido cantón y primer principal de calle origen activos y/o paterno parroquia nombre principal empleados 159764 CHAVEZ ROMAN CARLOS OSWALDO 1002883047001 X 137948 PERUGACHI PERUGACHI EDUARDO 1002913141001 X 145214 MARTINEZ ACOSTA ADRIAN ISRAEL 1002931788001 X 178129 CORDOVA YAMBERLA LUIS FABIAN 1002946471001 X 255641 ERAZO ANDRADE SANTIAGO MAURICIO 1002948840001 X 127950 URRESTA ESPAÑA ERNESTINA MARIBEL002949913001 1 X 179136 REYES TERAN MARIA GABRIELA 1002981635001 X 160457 CUARAN ROSERO PIEDAD DEL ROCIO 1002982112001 X 231607 CARRASCAL MORAN BLANCA ELENA 1002986287001 X 228075 BURBANO IMBAQUINGO ELISA MAGALI 1002998878001 X 133018 OVIEDO MORALES JORGE SANTIAGO 1003001185001 X 189883 CAMPO GUAJAN MARIA MATILDE 1003032248001 X 267981 CHANDI FUERTES HILDA MAGDALENA 1003033915001 X 80202 VALVERDE GOMEZ JUAN ELIAS 1003042528001 X 228881 ALBA CAMPUES SEGUNDO FEDERICO 1003042684001 X 123037 FLORES PUPIALES OSCAR MAURICIO 1003082565001 X X X 227483 MARTÍNEZ ACOSTA EDISSON ABEL 1003084645001 X 162176 MOROCHO PERUGACHI OSWALDO 1003122460001 X 175598 TUQUERRES ICHAU ELVIS BOLIVAR 1003127071001 X 159518 VALENZUELA SANCHEZ SEGUNDO RODRIGO 1003175476001 X 178494 GORDILLO TORRES VERONICA JAQUELIN 1003204409001 X 262296 CHANDI MUESES LUIS EDMUNDO 1003211032001 X 183007 VALENCIA MORALES JUAN FERNANDO 1003213129001 X 261967 VACA BONILLA JHONNY WALTER 1003218060001 X 233368 REVELO GUARAMAG ROMEL ROMAN 1003250287001 X 136794 ARAYA FLORES FROILAN ALEJANDRO 1003259882001 X 244190 ENRIQUEZ BUITRON HECTOR JAIR 1003276662001 X 216211 CORDOVA YAMBERLA CESAR ENRIQUE1003287586001 X 49409 ESPINOZA MENDEZ PABLO JAVIER 1003332283001 X 125423 TAPIA GARCIA VICTOR HUGO 1003440615001 X 204779 LÓPEZ YAGUAPAZ TATIANA ELIZABETH1003480843001 X
  • 345.
    No No registra No No registra No No. registra registra No. indicadores registra provincia, registra Persona_id NOMBRE No. ID (RUC) calle número registra de ventas, apellido cantón y primer principal de calle origen activos y/o paterno parroquia nombre principal empleados 265912 JUMA BUITRÓN JORGE ALBERTO 1003577242001 X 59977 DAZA RODRIGUEZ LUIS ALFONSO 1003586987001 X 275504 QUISHPE IMBA PABLO RODRIGO 1003666227001 X 182820 ROBALINO DOMINGUEZ DARIO CRISTOBAL 1003672043001 X 244174 VITERI SALAS AGUSTIN ISRAEL 1003672480001 X 132715 PANTOJA PANTOJA JAIRO ELEUTERIO 1003708284001 X 146973 VALENZUELA CHUQUIN DARIO PATRICIO1003732649001 X 165526 CHANCOSA GÓMEZ ALEXANDRA MARIBEL 1003965652001 X 120076 TAMBI CRIOLLO SAMANTHA MARLENE 1004113195001 X 36705 ATENCION INFANTIL 1060000690001 X X X 84348 UNIVERSIDAD TÉCNICA DEL NORTE 1060001070001 X X 235771 PATRONATO MUNICIPAL SANTA ANA DE COTACACHI 1060003520001 X 121115 PATRONATO MUNICIPAL DE AMPARO SOCIAL 1060024280001 X 253490 CENTRO DE TRANSFERENCIA Y DESARROLLO TECNOLOGICO DE LA FACULTAD DEX 1060030250001 INGENIERIA EN CIENCIAS APLICADAS CTT-FICA 256685 EMPRESAS PINTO S.A. 1090033944001 X 236258 HOSTERIA CHORLAVI 1090054100001 X 6173 INDECAUCHO CIA. LTDA. 1090077887001 X 171303 ZULETA Y ANEXAS CÍA.LTDA. 1090078166001 X 147572 GASOLINERA COTACHACHI 1090083143001 X 178061 EMPRESA DE SERVICIOS AGRICOLAS DE IMBABURA 1090107581001 X 35975 ASOCIACION SIEMPRE UNIDOS SEGUIREMOS ADELANTE 1091701924001 X 227718 INYECCION AUTOMOTRIZ A DIESEL 1091702017001 X 179650 INSTITUTO TECNOLOGICO SUPERIOR LICEO ADUANERO 1091705156001 X 112648 PONTIFICIA UNIVERSIDAD CATÓLICA DEL ECUADOR SEDE IBARRA 1091705172001 X 2137 AUTOMOTORES HIDROBO ESTRADA AUTHESA SA 1091707663001 X 131327 ASOCIACION DE CONSERVACION VIAL INTIRAYMI 1091708635001 X 230514 ASOCIACION MICROEMPRESARIAL DE MANTENIMIENTO VIAL Y RUTINARIO LOS CHASQUIS 1091708732001 X 219388 CLIMODER S.A. 1091708937001 X 138910 ASOCIACION DE CONSERVACION VIAL UNION Y PROGRESO PATAQUI 1091709674001 X 241813 ASOCIACION DE DESARROLLO SOCIAL 1091710052001 SEMILLA FERTIL X 148023 UNIVERSIDAD DE OTAVALO 1091710265001 X
  • 346.
    No No registra No No registra No No. registra registra No. indicadores registra provincia, registra Persona_id NOMBRE No. ID (RUC) calle número registra de ventas, apellido cantón y primer principal de calle origen activos y/o paterno parroquia nombre principal empleados 91681 ASOCIACION DE CONSERVACION VIAL CAMINO AL ANDAR 1091710311001 X 170766 SERVICIOS Y COMERCIO PEREZ HINOJOSA SERCOPH CIA. LTDA 1091712020001 X 189550 ASOCIACION AGROARTESANAL DE CAMPESINOS AGROECOLOGICOS DE INTAG 1091712438001 X 33385 CORPORACION DE COMUNIDADES INDIGENAS ANTONIO ANTE 1091713000001 X 187795 AGENCIA DE VIAJES OPERADORA INTERNACIONAL YURIBARRA CIA. LTDA. 1091716719001 X 45114 FUNDACION 4 DE JULIO 1091718347001 X X X 125142 COMERCIO Y AFINES DEL NORTE COYANOR S.A. 1091720821001 X 233537 UNIDAD EJECUTORA DEL PROYECTO DE DESARROLLO ECONÓMICO RURAL PIMAMPIRO PODER-P 1091721240001 X 156124 CORPORACION GALAXSYSTEMS S.A. 1091721852001 X 152082 ASOCIACION DE CONSERVACION VIAL CAMINO AL ORIENTE 1091722794001 X 196451 FUNDACION SALUD INTEGRAL Y DESARROLLO COMUNITARIO 1091722840001 X X X 20727 FUNDACION BIODIVERSIDAD INVESTIGACION Y ORGANIZACION SOCIAL BIOS 1091723944001 X 89850 CONSULTORA HIDROSOFT CIA LTDA 1091725637001 X 107222 ASOCIACION DE MULTISERVICIOS "22 DE MARZO" 1091725963001 X 159902 ASOCIACION DE CONSERVACION VIAL CAMINO A LA CORDILLERA 1091727249001 X 163155 ASOCIACION DE CONSERVACION VIAL RUTA ANTEÑA 1091727575001 X 250582 1091728318001 1091728318001 X 277519 ASOCIACION AGROPECUARIA SANTA MARTHA DE CHALGUAYACU 1091731459001 X 79351 SILVA GUAMAN CARLOS EDUARDO 1100001682001 X 210148 ABENDAÑO BRICEÑO AUGUSTO EMILIANO 1100008331001 X 99014 BUSTAMANTE QUEZADA MARCO ANTONIO 1100012754001 X 174841 BERMEO PUERTAS SUSANA BEATRIZ 1100014032001 X 131026 SANCHEZ BERMEO VICTOR MANUEL 1100014602001 X 107764 SILVA GONZALEZ SEGUNDO ALFREDO 1100015948001 X 90488 JACOME ARIAS HECTOR LEONARDO 1100019114001 X 189522 SOLANO PINZON DIOMEDES NINGUNO1100020724001 X 236981 IÑIGUEZ SARMIENTO HUGO SALVADOR1100033230001 X 111439 CONTENTO CORREA ARTURO AGUSTO1100037082001 X 135347 SANTIN CALVA OLIBERTO 1100044641001 X 102610 ALVARADO BAILON JORGE ARTURO 1100053261001 X 203746 BARBA CARREÑO CAYETANO VICENTE1100056207001 X
  • 347.
    No No registra No No registra No No. registra registra No. indicadores registra provincia, registra Persona_id NOMBRE No. ID (RUC) calle número registra de ventas, apellido cantón y primer principal de calle origen activos y/o paterno parroquia nombre principal empleados 269938 DELGADO HECTOR BOLIVAR 1100067816001 X 59738 ESPINOSA VEINTIMILLA VICTOR 1100069663001 X 84616 CORDOVA ORDOÑEZ CARLOS ANTONIO100082161001 1 X 211636 CUEVA EDWIN 1100086204001 X X 238661 RODRIGUEZ PALACIOS MARCELO ALFREDO 1100092996001 X 234456 CABRERA ALULIMA MÁXIMO MAURO 1100093200001 X 198271 JARAMILLO GALVAN JOSE RODRIGO 1100095007001 X 127928 MOROCHO MOROCHO VICTOR HIPOLITO1100109154001 X 141460 VIÑAN JIMÉNEZ CRISTÓBAL 1100116597001 X 116546 REYES CUEVA MERCEDES CUMANDA 1100120938001 X 177050 TAMBO SACA KLEVER ULICES 1100123189001 X 194333 VELEZ GRANDA MAYDA ROSA 1100123791001 X 231258 PUCHA SINCHE JUAN VICENTE 1100124468001 X 262161 TELLO ESPINOZA VICTOR ORLANDO 1100127826001 X 83437 GONZÁLEZ SILVA ISABEL MARÍA 1100162674001 X 81706 ESTRELLA CABRERA CARLOS ALONSO1100171931001 X 138658 GRANDA SALAS MARIA CONCEPCION 1100187911001 X 117305 CUEVA AGUIRRE MELIDA VIOLETA 1100191533001 X 61865 RODRIGUEZ MORENO ISAURO MODESTO1100191814001 X 67599 ARMIJOS MEDINA JORGE SERAFIN 1100197183001 X 223284 FLORES LOJÁN ANGEL AMABLE 1100207073001 X X X 66155 SAMANIEGO LEÓN CELIA MARÍA 1100214335001 X 136957 CAMPOVERDE CAPA VICTOR JUVENTINO 1100238417001 X X X X 136975 CAMPOVERDE CAPA VICTOR JUVENTINO 1100238417001 X X 119027 ACOSTA MONTESDEOCA JOSE NEPTALI1100243839001 X 138424 OJEDA NORIEGA GUILLERMO EFRAIN 1100261542001 X 188630 PAUTA MINGA CERSAR FLORESMILO 1100265154001 X 189129 LIMA AVILA LUCRECIA 1100272309001 X 94214 MORALES GRACIELA ENITH 1100276771001 X 274137 GONZÁLEZ PARRA LUISA FLOR 1100277266001 X X 131971 ERAZO ABARCA JORGE ULPIANO 1100277985001 X
  • 348.
    No No registra No No registra No No. registra registra No. indicadores registra provincia, registra Persona_id NOMBRE No. ID (RUC) calle número registra de ventas, apellido cantón y primer principal de calle origen activos y/o paterno parroquia nombre principal empleados 26157 LEON QUIROLA CELSO ALONSO 1100279197001 X 164662 OJEDA RODRIGUEZ EDUARDO VICENTE 1100280005001 X 213858 SERAQUIVE BAO MARIA EUFEMIA 1100286689001 X 117854 MONTALVAN DIAZ ANTONIO CESAR 1100287653001 X 92887 CALVA CASTILLO CARLOS GONZALO 1100290889001 X 21419 ROMERO CELI PABLO 1100294634001 X 68484 ALVARADO ESPINOSA SERGIO OSWALDO 1100299864001 X 55227 REGALADO POLO JOEL ANTONIO 1100310513001 X 17104 TORRES BUSTOS JUAN CORNELIO 1100314085001 X 51970 GALAN CUEVA ELVIO VICENTE 1100318011001 X 134688 ERAZO CONTENTO LASTENIA MARIA OLIVIA 1100320082001 X 237943 MOLINA MALDONADO MARIA VIOLETA 1100330909001 X 267465 ASANZA APOLO LUIS OSWALDO 1100345444001 X 94397 PALACIOS MASACHE JUAN MARCOS 1100372307001 X 57097 QUEZADA CONDOLO JOSE RICARDO 1100391646001 X 205012 ROJAS TORRES DIGNA EMERITA 1100438678001 X 225516 MALLA UZHO LUIS HUMBERTO 1100441383001 X 255774 AGUILAR JARAMILLO JUAN VICENTE 1100442704001 X 133347 GUAMÁN GUAMBAÑA LUIS ALFREDO 1100443751001 X 120898 ROMÁN SARMAS DIDIO ANGEL 1100445814001 X 161572 SUAREZ MOGRO JOSE MANUEL 1100453248001 X 38944 HIDALGO TORRES SILVIO RAMIRO 1100456548001 X 241959 SARAGURO MARTÍNEZ FRNANDO GONZALO 1100458874001 X 199798 RIOS SALINAS ELVIA MARIANA DE JESUS 1100462835001 X 38648 RUIZ VALAREZO CARLOS HUMBERTO 1100463098001 X 116843 CABRERA MENA ANGEL JAVIER 1100478542001 X 175672 CUEVA QUEZADA MARUJA IBELIA 1100479458001 X 142403 SOTO LIMA CARLOS 1100491859001 X 175633 CARRERA NARANJO JOSE VICENTE 1100492360001 X 153254 ALVERCA GIRON MANUEL FIDEL 1100495470001 X 274298 JIMÉNEZ JAIME WILSON 1100499605001 X X
  • 349.
    No No registra No No registra No No. registra registra No. indicadores registra provincia, registra Persona_id NOMBRE No. ID (RUC) calle número registra de ventas, apellido cantón y primer principal de calle origen activos y/o paterno parroquia nombre principal empleados 186300 CASTILLO VILLALTA ENMA VICTORIA 1100546538001 X 198050 ABAD JIMENEZ SEGUNDO TEODOMIRO1100560604001 X 178265 ABRIGO AYABACA JULIA INES 1100565926001 X 175158 BOADA ABARCA FAUSTO RAMIRO 1100568466001 X 108009 RIOS SALINAS PABLO ANGEL 1100569076001 X 229306 RUIZ MAITA VICTOR MANUEL 1100575735001 X 148117 CHAMBA ALULIMA CARMEN JULIA 1100575990001 X 56746 PEÑARRETA MORALES LENIN VLADIMIR 1100578499001 X 17851 ONTANEDA JIMENEZ VICTOR EMILIO 1100579844001 X 23774 FERRETERIA ARGUE 1100583358001 X 21876 CASTRO ARMIJOS RAFAEL ALFONSO 1100589975001 X 13222 MENACNICA ALVARADO E HIJOS 1100590049001 X 185016 SILVA ZUÑIGA ELSA BEATRIZ 1100591203001 X 171554 N GONZAGA RENE ABRAHAN 1100592490001 X 53075 CUENCA RIOFRÍO MANUEL AUGUSTO 1100595436001 X 140650 ASTUDILLO RIVERA ROSA AURORA 1100595535001 X 231379 SAMANIEGO CASTILLO VICTOR HUGO 1100607843001 X 200454 CONTENTO AMAY MANUEL AGUSTIN 1100609286001 X 254979 CUEVA CUEVA EDWIN ERMEL 1100611076001 X 133798 GORDILLO CASTRO ANGEL MODESTO 1100612587001 X 258318 LOJA MEDINA MIGUEL ANGEL 1100614153001 X 215130 ARMIJOS RUIZ SAUL 1100615796001 X 110567 MACAS ZAQUINAULA MARIA PRESENTACION 1100619269001 X 52987 MAHAUAD ORTEGA DANIEL ENRIQUE 1100621174001 X 114879 GALARZA ORTEGA JOE HERNAN 1100623006001 X 176538 AGURTO GRANDA MANUEL AGUSTIN 1100630589001 X 33919 CORONEL PINTA SEGUNDO MANUEL 1100630696001 X 239332 QUEZADA CABRERA PEDRO VICENTE 1100631488001 X 160814 PLACENCIA VILLAVICENCIO LIDER MESIAS 1100634110001 X 221888 HIDALGO LUDEÑA RODRIGO GUSTAVO1100634540001 X X X 86324 PINTADO ARÉVALO MARCO ANTONIO 1100648581001 X
  • 350.
    No No registra No No registra No No. registra registra No. indicadores registra provincia, registra Persona_id NOMBRE No. ID (RUC) calle número registra de ventas, apellido cantón y primer principal de calle origen activos y/o paterno parroquia nombre principal empleados 35822 KAISER 1100649274001 X 222705 TORRES RUIZ MILLAN MOISES 1100657053001 X 241477 PUGLLA PATIÑO LUCIANO 1100659760001 X 177875 ESPINOZA JARAMILLO RICARDO MOISES 1100673324001 X 120140 PINOS ORELLANA MANUEL JESUS 1100697273001 X 217527 GARCIA MORA GALO BOLIVAR 1100710779001 X 180821 ROGEL MARCELO VICENTE 1100711587001 X 205397 QUEZADA CALDERON ANGEL EDUARDO 1100712270001 X 199879 CORDOVA APOLO JULIO PRESVITERO 1100713799001 X 165102 TORRES QUEZADA JORGE DUMAN 1100754363001 X 277626 GUAMAN TANDAZO VICTOR CERVILIO 1100785995001 X 41687 LUNA AGILA GALO VICENTE 1100829702001 X 14356 CRUZ SARANGO VICTOR ANTONIO 1100838976001 X 171658 QUEZADA QUEZADA ELVIA MARIETA 1101028379001 X 116523 TORRES SANCHEZ MANUEL MARIA 1101028866001 X 189169 MOROCHO ZAPATA HILDA FABIOLA 1101046470001 X 173456 ESTRADA BENITEZ ANGEL RUPERTO 1101047460001 X 83181 LLACXAGUANGA CARRILLO JOSE SEFERINO 1101047882001 X 34661 ZHININ CARRION WILSON 1101048955001 X 95596 PEÑA ORTIZ LUCIA MERCEDES 1101051363001 X 126660 CARRION HERNAN GONZALO 1101051454001 X 35736 SILVA JARAMILLO WALTER WILSON 1101053286001 X 90467 VIVANCO VILLAVICENCIO JAIME LIZARDO 1101053377001 X 47770 MACAS CORREA JOSE ANTONIO 1101055737001 X 10155 CORDOVA MATAMOROS MILTON ROOSVEL 1101057352001 X 257506 ARMIJOS ARMIJOS MANUEL DE JESUS 1101059549001 X 122324 GAHONA PACHECO JORGE ENRIQUE 1101061172001 X 250115 BURNEO CASTILLO OMAR VINICIO 1101063095001 X 13870 QUIZHPE CORDOVA MANUEL EDUARDO 1101063319001 X 115418 CEVALLOS MACAS JORGE ALONZO 1101065959001 X 158787 ENCALADA SALAZAR SEGUNDO FRANCISCO1101067534001 X
  • 351.
    No No registra No No registra No No. registra registra No. indicadores registra provincia, registra Persona_id NOMBRE No. ID (RUC) calle número registra de ventas, apellido cantón y primer principal de calle origen activos y/o paterno parroquia nombre principal empleados 37656 ING. J. BENJAMIN PUCHA L. 1101067815001 X 249545 CARRION PALADINES MARCO VINICIO 1101079877001 X 266086 CARRIÓN PIEDRA EDUARDO CLAUFIRIO1101082848001 X 24557 HERRERA ROJAS JULIO FRANKLIN 1101085619001 X 107916 LUDEÑA MONTERO LUIS FRANKLIN FADY 1101091823001 X 109294 NO TIENE CUENCA ADOLFO HOMERO 1101092102001 X 197775 JARAMILLO IDROBO LUIS SALVADOR 1101092508001 X 91269 RIVERA RIVERA MARIELA ROSENDA 1101092862001 X 36229 RIVAS RIOFRIO EDGAR AGUSTIN 1101093308001 X 197076 QUIZHPE RIVAS ROLANDO 1101094090001 X 66352 CUEVA FILEMON ADRIANO 1101095527001 X 173082 LUDEÑA TOMIN ELIO LUIS 1101106910001 X 88789 SARI CALLE JOSE GUILLERMO 1101169595001 X 155021 GRANDA SANTIN ROBERTO 1101172243001 X 136466 JIMENEZ ALVAREZ JOSE ULPIANO 1101195707001 X 222443 ARMIJOS PINEDA ISIDRO DE JESÚS 1101264438001 X 159576 LEÓN GUAMAN FRANCISCO HUGO 1101303848001 X 61787 CARRIÓN GORDILLO FRANCISCO VICENTE 1101340071001 X 121897 RIOS JIMENEZ JOSE RAFAEL 1101349056001 X 164923 GUAMAN YAGUANA MARCOS NICANOR1101351953001 X 197573 CELI LOAIZA CLEMENTE ADOLFO GUSTAVO 1101354924001 X X X 51763 PIEDRA GARCIA AMABLE ALFONSO 1101362612001 X 155353 ARELLANO MEJIA MARIO ANTONIO 1101366969001 X 263604 CARTUCHE QUIZHPE JOSE MANUEL 1101367918001 X 189298 RAMON TORRES HUGO HERNAN 1101370029001 X 271388 LOJA EDUARDO VICENTE 1101374021001 X 21155 ERREIS FLORES ROBERTH AUGUSTO 1101374534001 X 146266 LUIS ALFREDO OCHOA BRAVO 1101375069001 X 140410 PALACIO VILLAMAGUA RAQUEL 1101395646001 X 222519 ARMIJOS ARMIJOS CARLOS ELIBERTO 1101397378001 X 83169 LEON MAZA ESPERANZA DE JESUS 1101401337001 X
  • 352.
    No No registra No No registra No No. registra registra No. indicadores registra provincia, registra Persona_id NOMBRE No. ID (RUC) calle número registra de ventas, apellido cantón y primer principal de calle origen activos y/o paterno parroquia nombre principal empleados 239146 UCHUARI QUINCHE MIGUEL ANGEL 1101403143001 X 153139 HERRERA REYES ROSA AMELIA 1101407573001 X 123920 OVIEDO MALLA SEGUNDO PEDRO 1101408829001 X 157117 SONGOR ESPARZA JOSÉ GABRIEL 1101409942001 X 25148 ESPEJO JARAMILLO LUIS MARCELO 1101410148001 X 200689 JAPON SUQUILANDA ANGEL BACILIO 1101410999001 X 107170 ORDOÑEZ ARIAS SEGUNDO ROBERTO1101411732001 X 207909 OCHOA IÑIGUEZ SUSANA DEL ROCIO 1101419008001 X X X 102805 GALVEZ CORREA LUIS ALFREDO 1101420337001 X 246404 JARAMILLO VERSOSA ORLANDO MARCELO 1101424198001 X 96603 BURNEO VALDIVIESO ROBERTO VICENTE 1101424263001 X 137555 POZO MONTERO LUIS BOLIVAR 1101424925001 X 201596 GUALAN PALADINES LUIS DOMINGO 1101427464001 X 95276 MENDIETA BETANCOURT EDISON BRANLY 1101427829001 X 137609 JUMBO SERRANO MILTON EFREN 1101428389001 X 108831 AGUILAR APOLO JORGE LUIS 1101430138001 X 36606 ZUÑIGA GONZALEZ JORGE 1101431078001 X 61808 LEÓN CABRERA ALFONSO LUÍS 1101432431001 X 58652 AGUILAR OCHOA LUIS ALBERTO 1101436127001 X 207231 PALADINES BALCAZAR JULIO HONORATO 1101436218001 X 22413 POMA VALVERDE FRANCO VICENTE 1101438305001 X 269897 ROJAS CUENCA OTILIO MARIANO 1101439089001 X 14306 PELAEZ ABAD GONZALO VICENTE 1101440442001 X 154266 VARGAS GONZALES OLIVERIO NAPOLEON 1101446894001 X 225456 RODRIGUEZ VILLAVICENCIO CARLOS RODRIGO 1101447165001 X 269695 SANDOVAL LUIS ANTONIO 1101447702001 X 32166 ARROBO NARVÁEZ GABRIEL EFREN 1101451084001 X 169771 TUSA TUSA MANUEL LIZARDO 1101451597001 X 227108 HERRERA ROJAS DINA MARIA 1101453353001 X 31014 ASTUDILLO NUÑEZ GONZALO LEONARDO1101453981001 X 28025 GUIDO 1101458618001 X
  • 353.
    No No registra No No registra No No. registra registra No. indicadores registra provincia, registra Persona_id NOMBRE No. ID (RUC) calle número registra de ventas, apellido cantón y primer principal de calle origen activos y/o paterno parroquia nombre principal empleados 204384 JARAMILLO GONZALEZ LUZ EMERITA 1101461976001 X 33052 CUENCA CUENCA MANUEL BENJAMIN 1101462594001 X 172309 ALVAREZ CELI GUILLERMO HERNAN 1101465381001 X 40538 ALDEAN AYALA MIGUEL EUDORO 1101465704001 X 144060 ARMIJOS BENITEZ VICTOR HUGO 1101472239001 X 174119 CASTILLO HUGO FRANGILU 1101482824001 X 107882 TENE ANGAMARCA LUIS 1101483780001 X 258951 CUESTA JIMÉNEZ ALBERTO 1101484978001 X 210093 GUTIERREZ GORDILLO HUMBERTO 1101492369001 X 224456 ALBAN AMAYA ISMAEL EDGAR 1101492781001 X 192080 JARAMILLLO JIMENEZ WILSON EDUARDO 1101495743001 X 12686 REFORESTADOR 1101497426001 X 57292 ARMIJOS ARMIJOS ARCANGEL RODRIGO1101498879001 X 134566 NN AGUIRRE CLOTILDE NN 1101500518001 X 178899 ZUÑIGA OCHOA ENCARNACION AURELIA1101543740001 X 13216 FRANCO GONZALO HERRERA CASTILLO 1101548251001 X 178624 ABRIGO MONTAÑO ZOILA LIDA 1101564951001 X 152494 MONTAÑO ROMERO MÁXIMO EMILIANO1101599460001 X 103549 AGUIRRE CASTILLO JORGE EFREN 1101615316001 X 147498 QUITO YAGUANA GERMAN FILIBERTO 1101627519001 X 158889 HERRERA HERRERA MAXIMO GUSTAVO 1101630190001 X 203379 GRANDA ALBERTO 1101633319001 X 132126 LEON ESPINOZA MARIA GEORGINA 1101633665001 X 123437 CUMBICUS JIMENEZ GENARO MELECIO1101635256001 X 137835 VELASQUEZ APOLO EUDOLINA MARGARITA 1101648564001 X 193642 BUSTAMANTE CHIRIBOGA JOSE RODRIGO 1101659587001 X 275661 SARANGO CALDERON VICTOR WASHINGTON 1101666665001 X X 140635 CASTILLO ROSELA 1101669784001 X 177707 VILLEGAS IÑIGUEZ JORGE GUSTAVO 1101703179001 X 10566 NERI TOLEDO MOROCHO 1101703344001 X 42448 PICOITA ROJAS MANUEL JESUS 1101703955001 X
  • 354.
    No No registra No No registra No No. registra registra No. indicadores registra provincia, registra Persona_id NOMBRE No. ID (RUC) calle número registra de ventas, apellido cantón y primer principal de calle origen activos y/o paterno parroquia nombre principal empleados 87348 GODOY OCAMPO ROSA ANTONIA 1101707006001 X 209380 OCAMPO CASTILLO GONZALO MIGUEL 1101709192001 X 150192 CARRION QUIZHPE HUGO WALBERTO 1101710448001 X 166384 VILLAVICENCIO AGUILAR MIRYAN GERMANIA 1101712204001 X 214225 CAMACHO SUAREZ FLORESMILO VIDAL 1101721932001 X 234004 JUMBO SARANGO MAGNO ANTONIO 1101736716001 X 20408 JUCA RUIZ CESAR REINALDO 1101739678001 X 192006 CARRION TORRES BERNARDO ONOFRE 1101742714001 X 80538 OCAMPO MERINO OSCAR IVAN 1101749602001 X 259791 SILVA GUALPA CARLOS MANUEL 1101751095001 X 138294 ARMIJOS ESPINOZA RAUL 1101754370001 X 99537 QUEVEDO RENGEL JOSE MIGUEL 1101756466001 X 47712 ALVARADO PATIÑO JULIO CESAR 1101757704001 X 124239 ACARO JAIME ANGELO 1101770590001 X 249187 TABARA GALLO LUIS ALFREDO 1101771424001 X 115761 RIOFRIO OSCAR ERMEL 1101778429001 X 107911 ESPINOSA AGUIRRE MARIA EUGENIA 1101780730001 X 245539 BENITEZ CABRERA LUIS ALFREDO 1101781571001 X 19906 ERAZO MALDONADO ULPIANO SALVADOR1101784716001 X 37747 HUMBERTO 1101787784001 X 232576 CARRION ALVARADO ANGEL BENIGNO 1101789327001 X 206838 CUENCA REMACHE HUGO EFREN 1101791596001 X 168649 ROMERO GARRIDO SERGIO RENE 1101797031001 X 128959 ALULIMA GRANDA ALBERTO 1101799110001 X 85118 SALAS CALVA JUAN DE DIOS 1101805883001 X 147530 ESPINOSA GONZALEZ VICTOR HUGO 1101806402001 X 147493 JUMBO TANDAZO COSME EFRAIN 1101808473001 X 181577 SARANGO RUEDA ANGEL MODESTO 1101809364001 X 260500 VIVANCO HERRERA OSWALDO VIDAL 1101809554001 X 130010 MENA TANDAZO LIBER ALBARITO 1101810461001 X 217154 ALULIMA GOMEZ PUBLIO ENRIQUE 1101810511001 X
  • 355.
    No No registra No No registra No No. registra registra No. indicadores registra provincia, registra Persona_id NOMBRE No. ID (RUC) calle número registra de ventas, apellido cantón y primer principal de calle origen activos y/o paterno parroquia nombre principal empleados 122785 CABRERA SARANGO REMIGIO DE JESÚS 1101811725001 X 140890 LOAIZA ALVAREZ DANIEL ALFONSO 1101817177001 X 139374 ROMERO MICHAY JUAN ANGELITO 1101825931001 X 44943 LOPEZ FEIJO VICTOR 1101830469001 X 65096 BURNEO VALAREZO LUIS AURELIO 1101835559001 X 180965 ALVAREZ BENAVIDES ALEXANDRA CATERINE 1101835864001 X 144167 VIVANCO VIVANCO JORGE BOLIVAR 1101837688001 X 63193 JIMENEZ SOTOMAYOR FERNANDO ENRIQUE 1101840930001 X 113348 CUEVA CASANOVA ALVARO SANTIAGO1101844155001 X 68364 GONZÁLEZ GONZÁLEZ ANÍBAL EDUARDO 1101845863001 X 40268 LEON CELI DARWIN ROLANDO 1101846838001 X 143119 ARMIJOS SERRANO MARIANO JUVENTINO 1101851291001 X 233194 SILVA GODOY CARLOS GONZALO 1101857751001 X 157053 HERRERA AGREDA LUIS AURELIO 1101866356001 X 98910 SOTO CUEVA RIDDEAN ARCANGEL 1101866778001 X 80968 JAPON QUIZHPE BLANCA LIVIA 1101868063001 X 230498 HERRERA CUEVA JULIO CESAR 1101869418001 X 237541 ROSALES CRUZ FABIÁN PATRICIO 1101872453001 X 214408 PINEDA ZUÑIGA SEGUNDO RAFAEL 1101877023001 X 132614 TORRES ORDOÑEZ BOISSER PATRICIO1101878484001 X 74155 TOLEDO PONCE HUMBERTO VINICIO 1101892725001 X 57758 JIMENEZ VICTOR HUGO 1101893178001 X 23419 MALO MONTOYA HUGO MAURICIO 1101893202001 X 19989 BRAVO LUDEÑA ALONSO VINICIO 1101895876001 X 210598 QUNTUÑA CHIRIBOGA CARLOS ALBERTO 1101895942001 X X X 91123 MONTERO ONTANEDA DOLRES CECILIA1101897732001 X 60472 QUITO VILLA JOSE ANTONIO 1101899845001 X 204790 JARAMILLO ROSILLO EDITH FLORESBINDA 1101906566001 X 241400 ZUMBA PINOS GONZALO FRANCO 1101907796001 X 31600 NN PEREZ GUSTAVO NN 1101911889001 X 94376 GARNICA CUEVA MANUEL GILBERT 1101912069001 X
  • 356.
    No No registra No No registra No No. registra registra No. indicadores registra provincia, registra Persona_id NOMBRE No. ID (RUC) calle número registra de ventas, apellido cantón y primer principal de calle origen activos y/o paterno parroquia nombre principal empleados 135399 FERNANDEZ QUEZADA FLOR MARIA 1101915419001 X 11169 ING.CARLOS EFRAIN MACAS PILLAJO 1101920278001 X 148539 CARDENAS DAVILA CESAR LEOPOLDO 1101925715001 X 119644 SARMIENTO BRAVO JULIA BERNARDINA 1101926002001 X 27542 RUIZ BURNEO LUIS FERNANDO 1101927919001 X 111136 BETANCOURT LUZURIAGA MATEO 1101928404001 X 177027 CUESTA SILVERIO ERGUIN GONZALO 1101929915001 X 133054 HERAS HERAS LUIS ORFELINO 1101934238001 X 255728 DIAZ AGILA MIGUEL SEBASTIAN 1101936175001 X 162818 LUNA CRIOLLO WISTON HONORATO 1101941365001 X 132660 POMA JAVIER 1101946224001 X 229834 CALVA CONDOLO ANGEL DANIEL 1101947446001 X 196029 REYES GONZALEZ JORGE ENRIQUE 1101951638001 X 181898 VIVANCO HERRERA NELSON YOLANDO1101951745001 X 165087 CASTILLO AGURTO LUIS EDUARDO 1101954764001 X 115859 GUAMAN GONZALEZ RAUL REINERIO 1101957338001 X 62707 FIGUEROA CANO EUDOCIA 1101958369001 X 138511 CHALCO VASQUEZ LUIS GONZALO 1101958385001 X 59148 POMA CURIMILMA CARLOS HERNÁN 1101958617001 X 73698 ROJAS YAGUANA ALCIVAR MANUEL 1101959128001 X 171803 PALACIO TAPIA ROOSEVELT AGUSTO 1101965604001 X 60647 ROBLEZ YAGUACHI GERMAN VICENTE 1101968277001 X 67573 PADRON VASQUEZ HUMBERTO ANTONIO 1101969200001 X 53370 SALAS CALVA WALTER RAUL 1101975298001 X 50841 ENCALADA PAUTA WILFRIDO GABRIEL 1101977781001 X 240570 BERMEO GRANDA NARCISA DEL CARMEN 1101982484001 X 34126 JARAMILLO VIVANCO VÍCTOR SALVADOR1101987152001 X 17378 OCHOA ROJAS CARLOS SALVADOR 1101991055001 X 140432 PERALTA PERALTA LUIS MANUEL 1101991261001 X 70035 CRIOLLO YUNGA DANIEL OSWALDO 1101991592001 X 144634 GUACHIZACA EDGAR 1101993697001 X
  • 357.
    No No registra No No registra No No. registra registra No. indicadores registra provincia, registra Persona_id NOMBRE No. ID (RUC) calle número registra de ventas, apellido cantón y primer principal de calle origen activos y/o paterno parroquia nombre principal empleados 21261 TENORIO GONZÁLEZ NORMAN FRANCISCO1101994554001 X 38086 VÁSQUEZ MENA KLÉVER OSWALDO 1101994687001 X 275233 MONTERO LOAIZA BORIS RAMIRO 1102001227001 X 180024 AGUIRRE SUÁREZ DIEGO FABIÁN 1102004361001 X 265033 SARANGO CASTILLO SANTOS EDUVIJES102004387001 1 X 127809 TORRES LUIS GILEBAR 1102005434001 X 57242 MINGA SHINGRE EDGAR ALONSO 1102006663001 X 138821 JIMENEZ CASTILLO MINOS ANTOLIANO1102007554001 X 241562 CASTILLO LUDEÑA MARIA YOLANDA 1102007646001 X 98577 TORRES RODRIGUEZ LILIANA DEL CARMEN 1102011143001 X 60596 SILVA MORALES ENA MARGOT 1102017967001 X 178112 NEIRA HINOSTROZA MANUEL FERNANDO 1102020094001 X 218713 MARTINEZ JARAMILLO LIDIA BEATRIZ 1102020631001 X X X 28742 NELSON 1102025911001 X 145292 PACHAR ORDONEZ HEVER MONFILIO 1102029582001 X 156872 ORTEGA VICENTE FABIAN 1102032800001 X 169736 MONTALBAN CASTILLO FRANCISCO ELIGIO 1102038831001 X 254111 SANCHEZ TORRES NELSON RODRIGO 1102045968001 X 130821 CHURO CASTILLO JAIME RAMIRO 1102049408001 X 21692 BRICEÑO PASACA CARLOS ALBERTO 1102049424001 X 79119 GALVEZ MORENO JORGE EDUARDO 1102049465001 X 214396 SOTOMAYOR BASTIDAS EDDY PATRICIO 1102050075001 X 32327 SAMANIEGO IDROVO DIEGO FRANCISCO 1102050216001 X 208711 ALVERCA TROYA SEGUNDO MILLAN 1102053053001 X 105685 DIAZ ROSA MARIA 1102057583001 X 133564 ELIZALDE PRADO LUIS ANTONIO 1102059738001 X 23093 ESPINOSA AGUIRRE WILLIAN ARTURO 1102061189001 X 11831 CELI MENDEZ GUILLERMO ATAHUALPA 1102061445001 X 68329 ZHUNAULA PAQUI PEDRO MANUEL 1102062351001 X 140605 YAURE SARAGURO VICENTE RAFAEL 1102066352001 X 237885 CUENCA GUAMÁN JULIO CESAR 1102069356001 X
  • 358.
    No No registra No No registra No No. registra registra No. indicadores registra provincia, registra Persona_id NOMBRE No. ID (RUC) calle número registra de ventas, apellido cantón y primer principal de calle origen activos y/o paterno parroquia nombre principal empleados 154862 GOMEZ PEÑAFIEL MANUEL BENSESLAO 1102069380001 X 34850 PACHECO JIMENEZ ALVARO ARMANDO1102069703001 X 37972 ORTEGA MATAILO JUSTO ANTONIO 1102073077001 X 127469 JARAMILLO LUIS AMABLE 1102074042001 X 149700 CELI ASTUDILLO LORENA JANET DEL CARMEN 1102076062001 X 37303 BRAVO JARAMILLO ANGEL MEDARDO 1102076690001 X 108435 JARAMILLO JARAMILLO ALEX RENE 1102077318001 X 38599 ARMIJOS GUILLÉN FRANKLIN OSWALDO 1102078308001 X 62880 TORRES CORNEJO LUIS ALFONZO 1102079538001 X 229127 ABENDAÑO HERRERA JULIO PABLO 1102081500001 X 48405 CASTILLO TORRES SEGUNDO EDUARDO 1102082193001 X 123246 TORRES VALDIVIEZO ROBER EFREN 1102086186001 X 80192 MALDONADO CASTILLO ANA PAULINA 1102088026001 X 216013 SANMARTIN SIMON BOLIVAR 1102088844001 X 100395 TELLO CANO LEONIDAS ALBERTO 1102089545001 X 153213 MEDINA LAFEBRE MANUEL DE JESUS 1102093521001 X 117640 CALVA MARTIN FRANCISCO RAFAEL 1102093596001 X 270407 ORTIZ PANGAY VICTOR HUGO 1102096847001 X 259631 JIMENEZ LOAIZA JAIME FERNANDO 1102101290001 X 124020 SEMPERTEGUI ARPI GUSTAVO RAMIRO 1102102793001 X 107732 SILVA MORALES ULISES FERNANDO 1102104351001 X 200710 QUISHPE SARANGO MARIA ASUNCION 1102104914001 X 229668 AYALA JARAMILLO JENI PIEDAD 1102105101001 X 127661 ERAZO JARA MARIA FRANCISCA 1102105820001 X 108077 MEDINA SARMIENTO MARCO LEOPOLDO 1102107990001 X 97628 MAZA MACAS MANUEL AGUSTIN 1102109814001 X 204051 ROSAS ORDOÑEZ JORGE LUIS 1102110978001 X X X 215717 SERAQUIVE BAO FRANCISCO VINICIO 1102112099001 X 152338 FAJARDO ARMIJOS EDWIN GERMANICO ANTONIO 1102112396001 X 204089 ARMIJOS SARANGO LEONILDO GUSTAVO 1102113089001 X 162500 TRUJILLO CARAGUAY PEDRO ELICIO 1102113972001 X
  • 359.
    No No registra No No registra No No. registra registra No. indicadores registra provincia, registra Persona_id NOMBRE No. ID (RUC) calle número registra de ventas, apellido cantón y primer principal de calle origen activos y/o paterno parroquia nombre principal empleados 121493 CASTILLO JUMBO JOSE DOMINGO 1102114384001 X 111929 SOTOMAYOR BASTIDAS MARLON FABIAN 1102115878001 X 31222 VIÑAN BASTIDAS NÉSTOR MAURICIO 1102116363001 X 28820 LEON HERRERA FRANCEL DARWIN 1102116421001 X 133569 BARRAZUETA NAULA ENRRY OSWALDO 1102117718001 X 191218 ARMIJOS VEINTIMILLA FREDY PATRICIO 1102121405001 X 153824 JARAMILLO CORONEL CESAR NICOLAS1102126545001 X 53976 CAMACHO CARRASCO ANIBAL ALONSO 1102127675001 X 42125 COBOS GALARZA MAX ROMAN 1102131974001 X 220774 VIRE SALINAS NANCY LILIAN 1102133293001 X 43354 PEÑA TOLEDO FABIAN ALFREDO 1102137187001 X 67278 RODRIGUEZ OJEDA MARCELO PATRICIO102137773001 1 X 204951 VEGA FRANCO DE JESUS 1102143045001 X 171023 POGO CUENCA WILMER ALBERTO 1102143128001 X 196580 POGO CUENCA FANNY MAGDALENA 1102143151001 X 255301 JARAMILLO AMARI WILSON GUBOR 1102145198001 X 233701 YAGUANA BRAVO SIMON BOLIVAR 1102153515001 X 162219 TANDAZO LALANGUI SERVIO VELASCO 1102164603001 X 231400 GUELEDEL PUCHAICELA SANTA TEREZA102168695001 1 X 59567 CABRERA CABRERA ANGEL RENE 1102172622001 X 181264 CANGO ANGEL SALVADOR 1102176227001 X 204117 BURNEO CASTILLO EDUARDO FABIAN 1102182266001 X 198036 CARRION CAMPOVERDE FROILAN DE JESUS 1102183876001 X 55313 LOPEZ AMBULUDI LUIS CORNELIO 1102185061001 X 130501 PINTADO HERRERA EDGAR RODRIGO 1102185327001 X 217264 CAMPOVERDE CHAMBA FRANCISCO PLUTARCO 1102185343001 X 46563 GUERRERO CARRIÓN YURI GERMAN 1102186465001 X 36143 QUEZADA QUEZADA EDGAR PATRICIO 1102186697001 X 265892 CARRION JOSE ANTONIO 1102188602001 X 277139 CUEVA CUEVA HEKLIN MARCELO 1102190624001 X 142311 BENÍTEZ CANO GALO PATRICIO 1102190749001 X
  • 360.
    No No registra No No registra No No. registra registra No. indicadores registra provincia, registra Persona_id NOMBRE No. ID (RUC) calle número registra de ventas, apellido cantón y primer principal de calle origen activos y/o paterno parroquia nombre principal empleados 161997 TAMBO ESPINOZA KLEVER IVAN 1102191721001 X 114593 AÑAZCO BALCAZAR TELESFORO ANTONIO 1102193669001 X 218299 GANCHOZA VALDIVIESO ALBERTO LUIS1102205661001 X 120274 ROGEL JIMENEZ JUAN DE LA CRUZ 1102205679001 X 237228 CORDOVA LEIVA MARCO VICENTE 1102206776001 X 216936 BUSTAMANTE CALDERON LEONARDO 1102207428001 VICENTE X 64633 MORENO SAAVEDRA ROSA LUCIA 1102212469001 X 98267 LUZURIAGA CARMEN MARIA DEL CISNE1102213749001 X 22149 GONZÁLEZ MONCAYO JORGE HUGO 1102223490001 X 26586 VALAREZO GARCÍA PATRICIO 1102225107001 X 25253 ROSALES NAMICELA SEGUNDO RAFAEL 102226840001 1 X 163871 TORRES BUSTAMANTE FRANCISCO BERARDO 1102235528001 X 18626 MEDINA SARMIENTO JULIA PILAR 1102236666001 X 38836 CONDE SHINGRE VICTOR HUGO 1102238431001 X 71057 SALINAS SALINAS RICHAR AUGUSTO 1102241054001 X 120530 HIDALGO ONTANEDA MANUEL LIVIO 1102242748001 X 245135 MENDEZ MAITA YENNY DEL CARMEN 1102244579001 X 119353 LUDEÑA MONTERO GINO LEONARDO 1102254347001 X 134559 JUMBO QUEZADA MARIA DIOCELINA 1102263454001 X 187142 SARANGO CASTILLO ENEVA DE JESUS 1102264460001 X 40525 SÁNCHEZ CHAMBA RAMÓN VICENTE 1102265202001 X 114020 CELI GUERRERO FRANCISCO NOLBERTO1102273974001 X 132533 QUIZHPE CARTUCHE MANUEL MELECIO 1102280961001 X 153878 ALDAZ LEON ROMEN 1102287248001 X 145691 CELI FLORES CARLOS FERNANDO 1102288436001 X 58161 CUEVA MORENO GUSTAVO ADOLFO 1102289673001 X 197562 ARMIJOS ROBLES ANA MARIA 1102289855001 X 12309 BILMER 1102291380001 X 20963 RAMON DUCHE VICTOR ALBERTO 1102291422001 X 10250 MEDINA VALLE FRANKLIN ERNESTO 1102292123001 X 109946 JARAMILLO HILL MARCELO 1102294806001 X
  • 361.
    No No registra No No registra No No. registra registra No. indicadores registra provincia, registra Persona_id NOMBRE No. ID (RUC) calle número registra de ventas, apellido cantón y primer principal de calle origen activos y/o paterno parroquia nombre principal empleados 50430 SN MAZA BOLIVAR HERNAN 1102295761001 X 221639 MEJIA JARAMILLO LUIS EDUARDO 1102308473001 X 172825 CABRERA JUAREZ SENAIDA 1102313556001 X 29704 FABIAN 1102320585001 X 81891 MACAS JULIA HONORINA 1102321393001 X 21930 PRIETO NAULA FRANKLIN EDUARDO 1102323936001 X 191750 CELI CHAVEZ MARLON ARMANDO 1102325824001 X 155786 ARMIJOS RAMON ANGEL GUSTAVO 1102326012001 X 101817 GRANDA SALAS LUIS MEDARDO 1102327119001 X 36348 TORRES FLORES MARCO ALONSO 1102327820001 X 138636 CAMACHO CAMACHO ASENCION ERIBERTO 1102328208001 X 206578 CRUZ CORDOVA JOSE FELIX 1102328588001 X X X 18849 RAFAEL 1102329511001 X 259992 FERNANDEZ ORDOÑEZ FERNANDO ENRIQUE 1102331624001 X 144332 PATIÑO GUERRERO SANTOS NARCISO1102331970001 X 104706 VASQUEZ SERRANO ROSA JUDITH 1102352687001 X 114951 ROSALES REYES JORGE POLIVIO 1102354063001 X 207182 DURAN PALADINES GRETA ELIZABETH 1102356878001 X 135658 PUGA PULLAGUARI ROSA ISABEL 1102358791001 X 177337 TOORES TORRES MIRIAN DEL PILAR 1102361035001 X 119237 ESPARZA ALVARADO JORGE RODRIGO1102361647001 X 139145 VILLAVICENCIO OJEDA FANY ISABEL 1102364419001 X 50237 RAMÓN HURTADO MANUEL ROMEL 1102367248001 X 69228 ROGEL JARA CESAR VALENTIN 1102370655001 X 163652 GARCIA POMA CARLOS OMAR 1102372776001 X 36190 NARANJO GUAMÁN FRANCISCO ANÍBAL 1102375357001 X 81231 DIAZ VITERI LUIS AMABLE 1102375621001 X 236307 MORA ARMIJOS ELVIA DE JESUS 1102380662001 X 193413 SALAZAR MANUEL EDILBER 1102383088001 X 200555 SÁNCHEZ ORDÓNEZ IVÁN ALFREDO 1102390133001 X 186837 REGALADO JARAMILLO JAMES DAVID 1102390596001 X
  • 362.
    No No registra No No registra No No. registra registra No. indicadores registra provincia, registra Persona_id NOMBRE No. ID (RUC) calle número registra de ventas, apellido cantón y primer principal de calle origen activos y/o paterno parroquia nombre principal empleados 172392 RIVERA BAO ANGEL AUGUSTO 1102394903001 X 21417 ING. EDGAR PÍO CAÑAR VEGA 1102401716001 X 16619 FAJARDO GONZALEZ FRANKLIN EDUARDO 1102405378001 X 110084 JARAMILLO JARAMILLO MAX YONER 1102408448001 X 222407 PESANTES SIGCHO HECTOR FLORESMILO 1102411350001 X 119166 BERMEO ABRAHAM ROSARIO DE LOURDES 1102413737001 X 22510 ORDÓÑEZ VIVANCO JULIO MAXIMILIANO 1102417159001 X 43304 SOTOMAYOR MENA FRANCISCO ALBERTO1102417670001 X 150672 GORDILLO RIOS JUAN MARIA 1102418462001 X 220481 ALVAREZ JUMBO JOSE HERNAN 1102426192001 X 139527 PÉREZ YUPANGUI JOSÉ VICENTE 1102427000001 X 242663 MUÑOZ MATA MARCO VINICIO 1102427976001 X 69708 ARMIJOS SANMARTIN MIGUEL ANTONIO1102430459001 X 155876 JUMBO ESTRADA ANTONIO FRANCELIN1102433198001 X 84854 CUEVA CORONEL RICHARD VICENTE 1102433834001 X 182345 LARREATEGUI CARRASCO VERONICA FERNANDA 1102434378001 X 109385 ROMAN VALDIVIESO MAURICIO FERNANDO 1102437413001 X 50544 CISNEROS ABAD MONICA JACQUELINE1102439237001 X 225952 VIRE SALINAS DIEGO FABIAN 1102445028001 X 91740 AGUILAR AGUILAR LEONARDO ERIX 1102446117001 X 148675 OJEDA OJEDA JOSE EUGENIO 1102447115001 X 161950 POMA SALCEDO ALEXANDER MAURICIO 1102449624001 X 180838 CORDOVA ROMERO LUIS FERNANDO 1102455290001 X 178039 ZAMBRANO OCHOA YUNNI NORMA NOEMI1102456249001 X 167677 AREVALO VASQUEZ BLANCA JOSEFINA1102456322001 X 85065 COELLO FERNANDEZ JANEHT GRACIELA1102457742001 X 132434 MOROCHO JIRON ELSA ANTOÑETA 1102459193001 X 172232 TORRES SIGCHO VICTOR OSWALDO 1102461454001 X 111804 CARTUCHE ORTEGA SONIA VICTORIA 1102464334001 X 42871 FEBRES ALVARADO PATRICIO ENRIQUE1102464607001 X 29125 SILVA CALLE JOFFRE ANIBAL 1102467410001 X
  • 363.
    No No registra No No registra No No. registra registra No. indicadores registra provincia, registra Persona_id NOMBRE No. ID (RUC) calle número registra de ventas, apellido cantón y primer principal de calle origen activos y/o paterno parroquia nombre principal empleados 255966 ULISES LEONARDO SILVA CALLE 1102467436001 X 196998 QUIZHPE PALACIOS CESAR MANUEL 1102469721001 X 14836 IVAN PERALTA 1102471198001 X 277817 AJILA TULIO BOLIVAR 1102472535001 X 65798 AVILA MONCAYO ANGEL VINICIO 1102473020001 X 46564 ZHININ LITUMA JOSE VICENTE 1102473897001 X 188580 TAPIA MUÑOZ NERY ENITH 1102481742001 X 238198 SARANGO ELIZALDE HILTER ALBERTO 1102484167001 X 101177 JARAMILLO MALDONADO ORLANDO HOMERO 1102485289001 X 184943 ENCALADA GUERRERO ENSO DE JESUS102489398001 1 X 219756 PALACIOS PALOMINO FRANK AUGUSTO 1102490339001 X 160548 QUIZHPE CORONEL LUZ PIEDAD 1102504105001 X 171022 HERRERA ROJAS PAULO PATRICIO 1102508585001 X 222803 RUIZ CASTILLO LILIANA ALBERTINA 1102509054001 X 4928 ARQ. JORGE A. RODRIGUEZ LEON 1102510888001 X 39587 GRANDA PALADINES YANDRY EMILIO 1102512355001 X 32344 ING. RUTH LÓPEZ DELGADO 1102513023001 X 223199 SIN APELLIDO PATERNO CHAMBA CARLOS GONZALO 1102514229001 X 186280 CASTILLO ALVERCA JULIO BALTAZAR 1102522636001 X 138770 CANART MALDONADO LUIS EMIGDIO 1102524616001 X 148381 CARRION CARRION MAURO HERNAN 1102528203001 X 15637 ING. JOSÉ L. PIZARRO VÁSQUEZ 1102530126001 X 186905 CASTILLO OLMEDO RICHAR ALBERTO 1102531942001 X 228428 JARAMILLO MORILLO ORFA ALVITA 1102532932001 X 237308 JIMENEZ ROJAS MARCO ANTONIO 1102533138001 X 71073 CASTILLO GONZAGA NOVARINO 1102534318001 X 118753 TORRES MORENO LUPE MARLENE 1102534516001 X 57916 SOTOMAYOR MENA GARY PATRICIO 1102540646001 X X 63107 ESPINOSA COBOS LORENA IVANOVA 1102541602001 X 56359 VILLAVICENCIO CUEVA GLENDA MIREYA102541768001 1 X 259757 TELLO CANO JULIO CÉSAR 1102542543001 X
  • 364.
    No No registra No No registra No No. registra registra No. indicadores registra provincia, registra Persona_id NOMBRE No. ID (RUC) calle número registra de ventas, apellido cantón y primer principal de calle origen activos y/o paterno parroquia nombre principal empleados 56002 DANS 1102545066001 X 188304 1102545439001 X 116375 ORDOÑEZ BELTRAN FULVIO GONZALO 1102545546001 X 155832 JARAMILLO VALDIVIESO MERCY JAQUELINE 1102545645001 X 20240 LEON HERRERA MARIELA LORENA 1102547138001 X 225180 BETANCOURT GUAMÁN RUBER VICENTE 1102549019001 X 240082 CASTILLO ABAD JORGE MELQUI 1102550074001 X 40639 AGUILERA NARVAEZ EDUARDO DANIEL1102551718001 X 131656 FLORES VALLE VICTOR ANTONIO 1102551759001 X 224803 MAYGUA ROBLES WILMAN ANTONIO 1102553052001 X 40766 CHAMBA ACARO HOLGER FREDDY 1102554852001 X 197498 DAVILA TORRES MARIA FERNANDA 1102554985001 X 198130 SILVA PONCE YORYI FRANCO 1102555248001 X 159439 GUAMAN SANCHEZ MARIA BEATRIZ 1102555446001 X 57818 MICROTECH 1102560669001 X 94693 MOROCHO FAJARDO MARIO VINICIO 1102561055001 X 108391 SILVA MORALES STALIN ALFREDO 1102562434001 X 148301 CALDERON GALLEGOS LINDON BAYARDO1102562871001 X 74872 MASACHE ARMIJOS HECTOR OSWALDO 1102565031001 X 200661 SANCHEZ ARIAS LUIS VICENTE 1102566088001 X 28372 GONZALEZ CUEVA RICHARD OSWALDO 1102566468001 X 156769 CARRION CARLOS 1102569579001 X 137509 SANCHEZ CABRERA ROMEL PATRICIO 1102572078001 X 83790 CASTRO ZAPATA FAUSTO HIPOLITO 1102573936001 X 11125 GALO RODRIGO CURIPOMA SINCHE 1102574314001 X 152070 ACARO SARANGO JOSE LUIS 1102575659001 X 142695 ENCARNACION ALVARADO MELVA DEL 1102577416001 CISNE X 56574 ALVARADO ROMAN ELSI ARACELY 1102579412001 X 165762 REY URENA AMILCAR ERASMO 1102580014001 X 267419 GONZALEZ MARTHA MARLENY 1102584404001 X 274297 SIGCHO SACA ROSA ALEGRIA 1102584453001 X
  • 365.
    No No registra No No registra No No. registra registra No. indicadores registra provincia, registra Persona_id NOMBRE No. ID (RUC) calle número registra de ventas, apellido cantón y primer principal de calle origen activos y/o paterno parroquia nombre principal empleados 96847 LEON GRANDA HITLER ALBERTO 1102587183001 X 274020 LOZANO SACA FRANCISCO 1102587357001 X 257738 NARVAEZ LOAIZA MARIA DEL CARMEN 1102592068001 X 168925 PUCHA PUCHA CARLOS MARIA 1102596812001 X 259656 TELLO CANO LEONIDAS ALBERTO 1102602222001 X 182102 SARANGO MASACHE MARIA ERMELINDA102602537001 1 X 116336 MORENO ORDÓÑEZ GERMÁN FABRICIO 1102602859001 X 26296 ANGEL 1102603782001 X 49310 PEÑARANDA REQUELME NELSON MANUEL 1102605464001 X 127124 CORREA RIOS IBETY MARIBEL 1102606322001 X 231566 ABAD JIMENEZ JUAN GILBERTO 1102609458001 X 151887 CHECA HERRERA LINDON AUGUSTO 1102610514001 X 11668 ING. NEY MONTAÑO 1102611223001 X 143940 BECERRA CUENCA GEOVANI ERNAN 1102614755001 X 172452 TINOCO VEGA SANDRA MIREYA 1102614789001 X 248459 MASACHE CUEVA MARÍA DE LOURDES 1102614870001 X 230314 VEGA RAMIREZ JUAN JOSE 1102615646001 X 193864 GUILLEN GONZALEZ PATRICIA ISOLINA1102616164001 X 84953 ALEJANDRO MATAMOROS JOSE RODRIGO 1102616594001 X 22034 CARRIÓN JUMBO RONNY YONES 1102616974001 X 162396 ERAZO MORENO CARLOS EFREN 1102619317001 X 136932 JARAMILLO SOTO CARLOS 1102622170001 X 153792 ABAD JIMENEZ ANGEL MANUEL 1102623269001 X 120774 ARMIJOS HIDALGO GEOVANI PAUL 1102623764001 X 178411 QUEZADA SUQUILANDA JORGE VICENTE 1102628383001 X 121375 VARGAS JIMENEZ SEGUNDO SANTIAGO 1102633128001 X 209992 VINUEZA CORONEL FRANKLIN EDUARDO 1102633441001 X 254859 CASTILLO SANCHEZ JUAN ANTONIO 1102633607001 X 195321 ZAPATA BUSTAMANTE LASDI MARIA 1102635206001 X 117121 YAGUANA CUMBICUS MANUEL FILIMON1102637061001 X 177575 YUNGA QUEZADA NARCISA ELIZABETH1102643374001 X
  • 366.
    No No registra No No registra No No. registra registra No. indicadores registra provincia, registra Persona_id NOMBRE No. ID (RUC) calle número registra de ventas, apellido cantón y primer principal de calle origen activos y/o paterno parroquia nombre principal empleados 46756 ALEX CARRERA PALACIOS 1102644380001 X 147049 GONZALEZ MONCAYO ANTONIO VICENTE 1102646690001 X 223218 VIVANCO COBOS WALTER AMADEO 1102650239001 X 110430 TOALONGO GONZALEZ PATRICIO OSWALDO 1102653183001 X 78544 SANCHEZ LOZANO EDUARDO MARCELO 1102656491001 X 228280 LUDEÑA MISQUERO NUVIA EYLEEN 1102657630001 X 192695 JIMENEZ ROMERO LEON RAMIRO 1102659149001 X 244691 LOYOLA MACHUCA ANGEL ALFONSO 1102661483001 X 155174 CARRION VEGA JUAN ELISEO 1102663349001 X 138841 CELI CARRION VICTOR HUGO 1102663810001 X 224789 ORTIZ IRMA PIEDAD 1102665070001 X 221497 AGUINSACA SATAMA JOSE FRANCISCO 1102665880001 X 62125 LOAIZA MONTERO MAX DIEGO 1102666367001 X 40693 CÁRDENAS CHAMBA HUGO HERNAN 1102668181001 X 179138 ORTIZ GRANDA ALCIDES 1102669965001 X 225212 MALLA CHALAN JOSE REINERIO 1102682331001 X 258254 RAMOS CORREA NANCY CECILIA 1102695861001 X 112873 ERAZO ERAZO BRIGIDA ELVIRA 1102699814001 X 183086 QUEZADA CABRERA HELMER HERNAN1102702543001 X 129420 TORRES CORREA FRANKLIN AGUSTIN 1102703798001 X 126002 SOTOMAYOR VILLALBA VIVIANA ELIZABEH 1102706916001 X 101765 ERAS VALAREZO JORGE LENIN 1102711635001 X 148007 VEGA ANGEL 1102712559001 X 167327 ARMIJOS SALINAS LUIS CLAUDIO 1102719364001 X 220855 GUALAN JAYGUA SEGUNDO MELCHOR 1102728035001 X 188415 JARAMILLO CAPA CARLOS MARIA DE JESUS 1102730353001 X 57998 ESTRELLA MOGROVEJO FABRICIO ALFREDO 1102735501001 X 46525 VELEPUCHA GUZMAN HOMERO ALCIVAR 1102736251001 X 247331 ARMIJOS ARMIJOS HUGO FRANCISCO 1102738075001 X 123842 PAREDES ABAD LEONARDO RENE 1102738760001 X 105301 PUGLLA BENITEZ ANGEL REINALDO 1102744743001 X
  • 367.
    No No registra No No registra No No. registra registra No. indicadores registra provincia, registra Persona_id NOMBRE No. ID (RUC) calle número registra de ventas, apellido cantón y primer principal de calle origen activos y/o paterno parroquia nombre principal empleados 42541 GODOY MEDINA CARLOS JIMMY 1102748173001 X 249673 NERO JAIME VINICIO 1102748926001 X 132421 RUILOVA MERIZALDE EDDY BENJAMIN 1102749916001 X 123478 SILVA SANMARTIN BOLIVAR ARMANDO 1102752340001 X 148773 MONTOYA PONCE ANGEL MENÉS 1102753041001 X 164868 LARGO CRIOLLO SANDRA GEORGINA 1102753660001 X 163775 BENITEZ CABRERA DARWIN HERNÁN 1102760822001 X 148812 ENRIQUEZ CAMPOVEDE PATRICIO VICENTE 1102761465001 X 91256 SILVA CÁRDENAS SONIA ALEXANDRA 1102761549001 X 169458 GRANDA ESPARZA EDGAR AUGUSTO 1102763297001 X 92634 PACCHA FAICÁN ANGEL RODRIGO 1102767496001 X 36794 MOROCHO TAMBO VICTOR FRAYNUMAN102768445001 1 X 274765 HIDALGO TORRES LILIANA SOLEDAD 1102768627001 X 240753 GRANDA DAVILA JOHNSON ERROLL 1102775630001 X 24463 VILLAVICENCIO FREIRE JAIME FABIAN 1102776554001 X 138252 AGUILAR JARAMILLO FREDDY AUGUSTO102781612001 1 X 194542 SOTO CARAGUAY WALTER FILEMON 1102783568001 X 100581 CUENCA CASTRO EDGAR FABIAN 1102785316001 X 148081 TANDAZO CABRERA FREDI MANRIQUE 1102791330001 X 16501 LOAIZA CAMPOVERDE HOMER ARMANDO 1102792858001 X 119658 CEVALLOS LUDEÑA DULCE MARIA 1102794193001 X 262422 MACAS LOZANO MANUEL ANTONIO 1102795166001 X 217194 GUTIERREZ CURIPOMA MARIA ISABEL 1102795943001 X 228651 PEÑA ONTANEDA ELIO GERMÁN 1102799374001 X 232115 MONTERO DIAZ SEGUNDO VICTOR MANUEL1102800719001 X 227628 PARRA GUAYLLAS SEGUNDO VICENTE 1102803044001 X 132409 PONCE BENITEZ MARIA DE LOURDES 1102805171001 X 65199 CORONEL PUCHAICELA ANGEL MEDARDO 1102815386001 X 234898 JARAMILLO LUZURIAGA JIMMY LEONARDO1102818109001 X 61763 FIERRO JIMENEZ ANA LUCIA 1102820170001 X 155310 ORTEGA CARRIÓN ALEX RAMIRO 1102822580001 X
  • 368.
    No No registra No No registra No No. registra registra No. indicadores registra provincia, registra Persona_id NOMBRE No. ID (RUC) calle número registra de ventas, apellido cantón y primer principal de calle origen activos y/o paterno parroquia nombre principal empleados 149836 PARDO ORTÍZ SIMON BOLIVAR 1102826813001 X 110257 SARANGO RODRIGUEZ MARIA BEATRIZ 1102833033001 X 178835 NEIRA CUEVA FANNY MERCEDES 1102836176001 X 38237 ING. FREDDY S. ERAZO BUSTAMANTE 1102836218001 X 150961 ESTRADA FREDY VICENTE 1102836721001 X 260776 JIMENEZ RAMIREZ LUIS RODRIGO 1102845979001 X 11977 ING-CIVIL. ALVARO MOISES VIVANCO CORDOVA 1102847868001 X 183117 OJEDA MOSQUERA RITA MARIA 1102848866001 X 41516 ALDEAN ANDRADE MIGUEL ANGEL 1102854278001 X 109096 CUENCA CHAMBA RUBEN ANTONIO 1102855648001 X 109403 CUENCA CHAMBA HOMERO FABRICIO 1102855663001 X 266350 JARAMILLO MONTAÑO DENNIS OMAR 1102856158001 X 251826 DUARTE VERA NILO SANTIAGO 1102857115001 X 274770 GUALAN CONTENTO ELÍAS BENIGNO 1102858618001 X 34705 ELIZALDE MORA FLOR MARÍA 1102859756001 X 165128 AGUILAR SANMARTIN MARGARITA 1102861372001 X 237465 ORDOÑEZ ORDOÑEZ ANIBAL LEONIDAS 1102863204001 X 59854 PEÑA TOLEDO RAMIRO VINICIO 1102867395001 X 189588 SALINAS RAMON MELECIO EDUARDO 1102868013001 X 49680 CAMPOVERDE ANDRADE PAÚL ENRIQUE 1102871215001 X 145012 VIVANCO GALLEGOS MARIA PIEDAD 1102871520001 X 167781 MERINO JIMENEZ YENY ESTHELITA 1102881560001 X 170167 AGUINSACA MEDINA JOSE VICENTE 1102882428001 X 226717 CORDOVA ROJAS PABLO RENE 1102888839001 X 266989 SALINAS MERINO DARWIN NAPOLEON 1102891163001 X 22520 SOLANO QUEZADA JORGE MIGUEL 1102893474001 X 199706 MOLINA CHUQUIMARCA SEGUNDO KLIMER 1102896402001 X 187262 AGUIRRE ESPARZA FRANCISCO LEONARDO1102897624001 X 201076 MONTALVAN AREVALO DIEGO FERNANDO 1102900030001 X 47426 COLLAHUAZO DURAZNO JUAN FERANNDO 1102901368001 X 23683 MANUEL 1102901996001 X
  • 369.
    No No registra No No registra No No. registra registra No. indicadores registra provincia, registra Persona_id NOMBRE No. ID (RUC) calle número registra de ventas, apellido cantón y primer principal de calle origen activos y/o paterno parroquia nombre principal empleados 36396 TROYA CHAMBA ANGEL LEONARDO 1102902150001 X 34931 ANGEL 1102903265001 X 127993 GONZÁLEZ ESTRELLA JULIO CESAR 1102910997001 X 36834 REYES CORONEL PABLO MANUEL 1102913892001 X 141175 ERAZO MOGROVEJO XAVIER ALEJANDRO 1102916309001 X 174830 TORRES VALDIVIESO JANETH MARGARITA 1102916903001 X 21818 MARCO 1102918495001 X 164598 CUEVA VILLAGOMEZ CLAUDIO VICENTE 1102918511001 X 37900 QUEZADA ROMERO ELIAS RODRIGO 1102920079001 X 217782 PINEDA MALDONADO WILLAN REMIGIO1102922000001 X 236221 CAMPOVERDE BUSTAMANTE WILSON MANUEL 1102924832001 X 226622 ROJAS JIMENEZ JOSE ANGEL 1102926159001 X 218229 LÓPEZ MONTAÑO MAYRA TATIANA 1102929831001 X 38879 HIDALGO BARRAZUETA JACK LEONARDO 1102931118001 X 178915 PADILLA NERO JOSÉ GONZALO 1102934401001 X 20168 GUAMAN ARMIJOS JULIO FERNANDO 1102935937001 X 162770 BARBA AREVALO FANNY MERCEDES 1102940465001 X 269629 YANANGOMEZ BECERRA VICTOR HUGO 1102942016001 X 129719 ESPINOZA VINCES MARCO ALEXANDER 1102943774001 X 147110 TORRES SALAZAR LUIS ALFREDO 1102944806001 X 156322 VILLAMAGUA ARMIJOS GALO EFREN 1102947866001 X 81808 SANCHEZ FARFAN JUAN CARLOS 1102948823001 X 108620 SONGOR ESPARZA NELSO AUGUSTO 1102949789001 X 125917 ZHIGUI PAQUI MARCO ANTONIO 1102952650001 X 137808 MAZA GUAMAN LEONARDO PATRICIO 1102958731001 X 125074 FLORES ALEJO MODESTO ANTONIO 1102964887001 X 174316 PALADINES MACAS JOHN LENNIO 1102965777001 X 187260 GUAILLAS GUAILLAS MANUEL ASUNCIÓN1102966908001 X 144425 RAMON ARMIJOS ANGEL PATRICIO 1102970801001 X 180923 BELTRÁN PINEDA NAHÍN RENÉ 1102971734001 X 83983 SALINAS VILLAVICENCIO ROSENDA ISABEL 1102974399001 X
  • 370.
    No No registra No No registra No No. registra registra No. indicadores registra provincia, registra Persona_id NOMBRE No. ID (RUC) calle número registra de ventas, apellido cantón y primer principal de calle origen activos y/o paterno parroquia nombre principal empleados 11599 ING. HECTOR ENRIQUE OCHOA GARCIA102975362001 1 X 159188 SARANGO GAONA JAVIER ALBERTO 1102978630001 X 14116 DENNYS 1102979646001 X 139713 ASTUDILLO GALLEGOS BAYRON DANILO 1102981840001 X 130936 ORELLANA SISALIMA GALO ENRIQUE 1102984281001 X 159614 TENESACA ESPINOZA MARCO LENIN 1102985791001 X 163541 CHALACO CHALACO MILADY NARDELITA102990627001 1 X 108962 CUEVA CALDERON EUDES GERMAN 1102996723001 X 122373 TILLAGUANGO ROSILLO WUILMAN FRANCISCO 1103001192001 X 33334 VILLAVICENCIO LALANGUI BOLÍVAR MANUEL 1103002174001 X 136538 RIOFRIO CARRION GILBERTO MANUEL 1103002604001 X 170155 GONZALEZ CORONEL JUAN CARLOS 1103004378001 X 226345 GUACHIZACA GUACHIZACA NORMA LUCÍA1103005532001 X 253819 TITUANA TITUANA ANGEL ELADIO 1103007090001 X 148314 SANCHEZ RAMOS RUTH SILVANA 1103007496001 X 121857 JIMENEZ LOYOLA CESAR PATRICIO 1103009989001 X 272138 JARAMILLO VIVANCO JULIO SANTIAGO 1103012009001 X 158875 JIMENEZ CORDERO GLORIA MARUJA 1103013486001 X 251966 SARANGO GONZALEZ LUIS GUDELIO 1103016034001 X 34176 MARTINEZ CHAMBA FRANZ ALBERTO 1103016729001 X 248894 ORDOÑEZ CONDOY VINICIO GEOVANNY 1103018022001 X 103713 ORDOÑEZ AÑAZCO CESAR FABRICIO 1103019897001 X 80837 SANCHEZ ARIAS VICTOR ANTONIO 1103022941001 X 236151 TROYA ABAD JUAN MODESTO 1103023840001 X 167408 VELEZ TAPIA FERNANDO RAFAEL 1103026082001 X 164618 SALINAS PACHECO AUGUSTO ARMANDO 1103027361001 X 141636 AUQUILLA YANGARI PATRICIO FERNANDO 1103029847001 X 34337 PAZMIÑO TOLEDO RICARDO GABRIEL 1103034540001 X 223548 UCHUARI GRANDA ALBA NATIVIDAD 1103036545001 X 29564 PAUTA LABANDA JANNYNE NOHEMI 1103037485001 X 256674 ANGAMARCA CURIPOMA FAUSTO FERNANDO 1103037659001 X
  • 371.
    No No registra No No registra No No. registra registra No. indicadores registra provincia, registra Persona_id NOMBRE No. ID (RUC) calle número registra de ventas, apellido cantón y primer principal de calle origen activos y/o paterno parroquia nombre principal empleados 153547 BECERRA LEONARDO RAMIREZ 1103040331001 X 60460 CABRERA IÑIGUEZ WILMAN ERNESTO 1103040661001 X 120114 HERRERA HERRERA PEDRO GUAZMIN 1103040711001 X 211827 OBELENCIO CUENCA LUIS ALBERTO 1103041024001 X 109536 LAPO CASTILLO ANGELA ALEMANIA 1103041222001 X 228653 GONZÁLEZ CUEVA CARLOS ANTONIO 1103043145001 X 208593 SALINAS ORDOÑEZ LEONARDO ENRIQUE1103043699001 X 127556 SARAGURO RAMIREZ ROQUE ARNULFO 1103050579001 X 109149 JARAMILLO MOREJON ANA LUISA DEL CISNE 1103052807001 X 149821 CHIRIBOGA SALAZAR LORENA ALEXANDRA 1103053698001 X 100439 CAMPOVERDE LOPEZ RICHAR DANILO 1103058804001 X 150282 RODRIGUEZ CARRION DIEGO ISRAEL 1103061584001 X 51670 CAMACHO QUITO ANTOLIN MECIAS 1103062012001 X 214748 VALAREZO PIEDRA FERNANDO 1103063523001 X 172957 ORDONEZ CUENCA ANGEL BENITO 1103063713001 X 19696 LUIS 1103063788001 X 270287 LOZANO CARPIO ELSA NIDIA 1103064273001 X 176187 BUSTOS RIOFRIO EULER MARCELO 1103064281001 X 194288 ORTEGA CRIOLLO GALO WLADIMIR 1103067060001 X 139434 LANCHE GUAMAN LUIS ANTONIO 1103067722001 X 221026 MOROCHO PESANTEZ LUIS GALINDO 1103068936001 X 175761 MEDINA LARGO MERCEDES ROSARIO 1103072573001 X 28653 CAÑAR REYES TEODORO 1103078406001 X 150264 AGURTO JIMENEZ MAXIMO JEFFERSON 1103079552001 X 93102 ABRAHAN CUEVA CLORINDA YUZABETH 1103086912001 X 208443 SANCHEZ ALBAN JOHN VINICIO 1103089056001 X 35515 GRANDA QUEVEDO CRISTOBAL EDUARDO1103090476001 X 191018 MALDONADO DIAZ MILTON LIZARDO 1103090690001 X 229911 TAMBO CARAGUAY VÍCTOR RAÚL 1103091177001 X 132645 BUSTOS VERA CARLOS FABIAN 1103094312001 X 227854 REYES SUING RICHARD HUMBERTO 1103100275001 X
  • 372.
    No No registra No No registra No No. registra registra No. indicadores registra provincia, registra Persona_id NOMBRE No. ID (RUC) calle número registra de ventas, apellido cantón y primer principal de calle origen activos y/o paterno parroquia nombre principal empleados 115146 DELGADO CASTILLO SILVIA PIEDAD 1103106652001 X 124927 JUMBO BURBANO DARWIN GEOVANY 1103114557001 X 177887 CORDOVA ROMERO SONIA MARILU 1103120265001 X 257982 CALDERON BUSTAMANTE CARLOS FABIAN 1103120745001 X 275097 GONZÁLEZ MARTINEZ CARLOS LEONARDO 1103123269001 X X X 17877 CUENCA GUAILLAS ERNESTO RAUL 1103127112001 X 12775 LUIS 1103128938001 X 48454 GÓMEZ ACHUPALLAS ANGEL MAURICIO1103132591001 X 23628 INGENIERO CIVIL 1103137699001 X 271600 MALLA GUALAN SEGUNDA JUANA 1103138747001 X 96196 PUGLLA SUQUILANDA ROBERT MARCELO 1103140172001 X 278184 PEÑAHERRERA AGUILERA MARCO ANTONIO 1103140396001 X 245493 OJEDA MENDIETA XIOMARA PAULINA 1103142988001 X 56120 OCHOA CARRIÓN DULIA NOEMI 1103145494001 X 54414 ORTIZ CARDENAS MILTON FABRICIO 1103146401001 X 210737 HERRERA SALCEDO CARLOS RODRIGO 1103146716001 X 164592 BENAVIDES CALVA ENRIQUE RUFINO 1103146799001 X 119771 ARTEAGA VERA CESAR AUGUSTO 1103147698001 X 181813 REYES SUING JAIME OLMEDO 1103148555001 X 207017 GUZMAN GIRON LUIS ANIBAL 1103149876001 X 168809 SARANGO SOTO MARLENE DEL ROCIO1103150304001 X 70628 OCAMPO SALAZAR OSKAR MICHEL 1103151153001 X 144764 OJEDA MATAMOROS LEONARDO PATRICIO 1103151880001 X 195668 TENE TENE LUIS GEOVANNY 1103153035001 X 191123 GUAYLUPO GALVEZ AUREA ESTHELA 1103156699001 X 240209 GUAYAS PAMBI NELZON EFRAIN 1103157267001 X 221570 ARIAS CALI BLANCA TEREZA 1103162473001 X 227768 VALAREZO TOLEDO GERARDO FRANCISCO 1103164057001 X 171309 BALCAZAR CUEVA MARCO ADARCILIO 1103165187001 X 237294 RIOFRIO BERMEO NORMA DEL CARMEN1103165963001 X 141705 ENCARNACION ENCARNACION OLGA MARINELA 1103167142001 X
  • 373.
    No No registra No No registra No No. registra registra No. indicadores registra provincia, registra Persona_id NOMBRE No. ID (RUC) calle número registra de ventas, apellido cantón y primer principal de calle origen activos y/o paterno parroquia nombre principal empleados 9748 ING. JAVIER RUIZ VÉLEZ 1103167779001 X 78386 ELIZALDE JIMENEZ GUILLERMO ESTALIN 1103167928001 X 190298 VASQUEZ ROFRÍO SILVANA MARIANELA 1103175384001 X 150821 CRIOLLO NIVELO HECTOR RUBEN 1103175665001 X 175898 RAMIREZ CUEVA JOSE PATRICIO 1103176523001 X 131778 HIDALGO HIDALGO KLEVER IVAN 1103179329001 X 126602 DÍAZ GUAMÁN GEOVANNY FRANCO 1103188007001 X 188778 MONTOYA PONCE JOSÉ FERNANDO 1103194906001 X 205058 JARAMILLO AYALA EDISON PAUL 1103204861001 X 157761 VARGAS VARGAS WALTER BOLIVAR 1103211916001 X 125236 SALINAS CALVA LUIS FERNANDO 1103213706001 X 193325 MOROCHO CHAMBA BEATRIZ LUCIA 1103215818001 X 11494 GUILLEN TITUANA OSCAR FIDENCIO 1103216410001 X 153973 VALAREZO AGUILAR MARLON FRANCISCO1103217129001 X 144185 PINEDA ORDONEZ KARINA XIMENA 1103218135001 X 38539 TOLEDO CUEVA ALEX EDUARDO 1103218218001 X 176218 PARRA CHALAN FLOR MARIA 1103218283001 X 138240 VILLAVICENCIO FREIRE VLADIMIR ALEJANDRO 1103220149001 X 46377 CUADRADO TORRES EDGAR OSWALDO 1103221345001 X 144796 UCHUARI LIMA NANCY YOLANDA 1103221808001 X 35782 PAREDES HERRERA JORGE ENRIQUE 1103222525001 X 128235 TORRES VEINTIMILLA GUSTAVO ALFREDO 1103222533001 X 75090 SARAGURO OJEDA AUGUSTO RAMIRO 1103222541001 X 200018 CUESTA SILVERIO DIEGO FERNANDO 1103222871001 X 137256 ENCARNACION MOCHA JAKELYNE ROSIO 1103225866001 X 255262 TROYA TAMAYO WILLAN FRANCISCO 1103234397001 X 174813 YAGUACHE BECERRA LUIS ANTONIO 1103235873001 X 86861 CHAMBA VELEZ PIEDAD MARISOL 1103237838001 X 198013 YAGUACHI ALVEAR FRANKLIN VICENTE1103249734001 X 195398 PALACIOS JUAREZ JUAN CARLOS 1103251862001 X 75687 CALVA CALVA JOSE MELVIN 1103252407001 X
  • 374.
    No No registra No No registra No No. registra registra No. indicadores registra provincia, registra Persona_id NOMBRE No. ID (RUC) calle número registra de ventas, apellido cantón y primer principal de calle origen activos y/o paterno parroquia nombre principal empleados 55126 PALADINES SEAS MARIA YAQUELINE 1103256812001 X 234273 NN ALVEAR DARVIN FERNANDO 1103259337001 X 237206 MINGA AMBULUDÍ CARLOS ALBERTO 1103268064001 X 219425 SILVA LOJAN LUIS FERNANDO 1103269096001 X 123974 CASTILLO REQUENA LUCIA AMPARITO 1103272645001 X 164989 CORREA PEREIRA JOSE JARMATH 1103280580001 X 226925 COOREA ALDEAN JORGE BENJAMIN 1103282347001 X 135653 QUEZADA ALVAREZ MARISOL PATRICIA 1103284202001 X 151598 CARRION MARIA 1103288948001 X 66576 JADÁN MAZA ANGEL OSWALDO 1103298061001 X 205644 CUENCA ORTIZ GENARO 1103298228001 X 85818 CHILLOGALLO GRANDA CARLOS ALBERTO1103298541001 X 156367 GUARACA SUNCIÓN ANGEL PATRICIO 1103299119001 X 263581 TORRES REY HYEFERSON FERNANADO 1103299820001 X 77269 SALINAS GAONA MANUEL JESUS 1103301550001 X 168720 MAZA LAVANDA ANTONIO FERNANDO 1103302533001 X 131968 QUITUIZACA QUIZHPE LUIS GUILLERMO1103305247001 X 236910 PAZ LUCIA MAGDALENA 1103310940001 X 278188 SALAS PAUCAR LORENA DEL CISNE 1103316194001 X 84443 BENITEZ UCHUARI ROCIO ELIZABETH 1103316954001 X 86066 ILLESCAS ARMIJOS PABLO GEOVANNY1103321350001 X 84019 ARMIJOS JARAMILLO FLAVIO ALEXANDER 1103322093001 X 122250 MEDINA ALVARADO FRANCISCO JAVIER 1103322135001 X 257167 FREIRE HIDALGO MYRIAM PATRICIA 1103322408001 X 72427 PELAEZ PIEDRA DIEGO GONZALO 1103323034001 X 165807 OCHOA GORDILLO DIEGO OSWALDO 1103325625001 X 14379 ING. DARWIN JIMÉNEZ C 1103326482001 X 155930 JIMENEZ ABAD JOSE LUIS 1103331201001 X 98739 AGUIRRE CARRIÓN TERESA DE JESUS 1103338495001 X 33363 SÁNCHEZ GUTIÉRREZ TELMO PATRICIO 1103338883001 X 17314 ING. CRISTIAM GUERRERO 1103339725001 X
  • 375.
    No No registra No No registra No No. registra registra No. indicadores registra provincia, registra Persona_id NOMBRE No. ID (RUC) calle número registra de ventas, apellido cantón y primer principal de calle origen activos y/o paterno parroquia nombre principal empleados 30466 TORRES JUMBO GUIDO VICENTE 1103339881001 X 14134 LEÓN COMPUTERS 1103343362001 X 171512 ORDOÑEZ SALCEDO JAIME LEONIDAS 1103348403001 X 157619 SARANGO CORREA GUIDO RENAN 1103357347001 X 223621 BERMEO CASTILLO CARLOS DARWIN 1103363196001 X 240949 GRANDA NIXON ARLIG 1103366009001 X 238933 RAMON PRADO MAURICIO VICENTE 1103373393001 X 180820 CORDOVA ELIZALDE HENRY RENAN 1103373997001 X 262310 PALACIOS ANDRADE LUIS OCTAVIO 1103374268001 X 242494 VILLA SILVA DIEGO LEONARDO 1103375257001 X 114751 JIMENEZ MERINO GLORIA ESPERANZA 1103378012001 X 265648 ORDOÑEZ GUAMAN LUIS ARMANDO 1103380992001 X 143599 ARIAS CÓRDOVA EDGAR ANTONIO 1103381248001 X 156323 ORDOÑEZ MOROCHO ANGEL BOLIVAR 1103382931001 X 79953 GONZALEZ PONCE WUILLAN PORFIRIO 1103383103001 X 67484 CHIMBO CELI CARLOS MANUEL 1103383459001 X 104878 MOROCHO MOROCHO PAOLA 1103385538001 X 216210 JIMENEZ CAMPOVERDE NIVALDO GENINHO 1103386387001 X 146512 PANGAY CHAMBA JAVIER FERNANDO 1103387823001 X 219885 HERRERA OCHOA JEOVANNY GUILLERMO1103388706001 X 134001 CUEVA CARRION MARIA GERMANIA 1103390249001 X 101003 TROKHIMTCHOUK TROKHIMTCHOUK TATIANA ANATOLYVNA 1103390645001 X 17521 ORDONEZ GUTIERREZ OSCAR RODRIGO 1103390843001 X 273511 PUCHA SINCHE LENYN FREDY 1103391270001 X 96995 ORTEGA ARMIJOS POLIVIO GUILLERMO1103396782001 X 199561 RODRIGUEZ CORREA VICTOR PATRICIO1103398283001 X 263028 PELÁEZ CHIMBO DIEGO FERNANDO 1103398358001 X 175441 MALDONADO GONZÁLEZ FABIÁN MARCELO 1103402358001 X 189422 SOZORANGA MOROCHO NELSON RODRIGO1103403281001 X 57073 ZAMBRANO MONCADA MIRIAN MAGALI 1103404412001 X 194970 ZHIGUI PAQUI JOSE JAVIER 1103405138001 X
  • 376.
    No No registra No No registra No No. registra registra No. indicadores registra provincia, registra Persona_id NOMBRE No. ID (RUC) calle número registra de ventas, apellido cantón y primer principal de calle origen activos y/o paterno parroquia nombre principal empleados 28275 PINTA PINTA VICTOR MANUEL 1103406383001 X 100775 ZÚÑIGA TINIZARAY VANESSA ALEXANDRA 1103406599001 X 45485 CEVALLOS ORBE RAMIRO FERNANDO 1103411193001 X 144911 ABENDAÑO QUEZADA BRANLY LEONARDO1103411359001 X 240918 GUAMAN QUIZHPE CARLOS VINICIO 1103412647001 X 160926 CUENCA TORRES ERWIN MARCELO 1103413579001 X 48597 JIMENEZ PERALTA ANGEL RAMIRO 1103414304001 X 196694 AGUILAR JARAMILLO JOSELITO 1103415400001 X 13078 LOZANO ALVARADO LAURA LIVIA 1103418214001 X 101907 MEDINA VALLE CARLOS ALBERTO 1103418826001 X 260080 NÚÑEZ ABARCA JULIO FABRICIO 1103420004001 X 242112 PINEDA PINEDA MANUEL ALBERTO 1103420160001 X 110367 MEDINA ARMIJOS RITA FABIOLA 1103420525001 X 209423 MONTOYA PONCE MARCOS EFRAIN 1103423800001 X 148320 LOZANO SARANGO SEGUNDO ABEL 1103424402001 X 113829 HERRERA HERRERA PEDRO VICENTE 1103425201001 X 152891 RAMIREZ PINEDA MAXIMO ALBERTO 1103427785001 X 22312 ROMERO GUZMAN ADRIANO ENRIQUE 1103428197001 X 216512 RODRÍGUEZ ROSARIO JESÚS PATRICIO1103428783001 X 148382 CAMPOVERDE VIVANCO CELIA BEATRIZ1103429708001 X 265755 MEDINA TACURI DOLORES VIRGINIA 1103432488001 X 196386 SOLORZANO CASTILLO BYRON AGUSTIN1103432637001 X 22851 FABIÁN 1103434716001 X 21211 RENÁN 1103439863001 X 122730 LLACXAGUANGA RAMÍREZ YADIRA DEL1103440622001 CISNE X 269820 BENAVIDES CORDOVA COSME FERNANDO1103450977001 X 232410 MENA MORA LUZ MARINA 1103455414001 X 142200 SOTO SARANGO ANGEL FERNANDO 1103455802001 X 68117 ARMIJOS SANTOS DUNIA SALOME 1103461917001 X 169129 CARRION JIMA JOSE MARCELO 1103462915001 X 222096 SAUCA CHUQUI FAUSTO MECIAS 1103468961001 X
  • 377.
    No No registra No No registra No No. registra registra No. indicadores registra provincia, registra Persona_id NOMBRE No. ID (RUC) calle número registra de ventas, apellido cantón y primer principal de calle origen activos y/o paterno parroquia nombre principal empleados 117529 ROMERO CHIMBO DIANA LORENA 1103468979001 X 36956 PANAMITO BUSTAMANTE JHONY DARWIN1103471098001 X 182418 SAMANIEGO OCHOA WALTER LEONARDO 1103477913001 X 52237 PRADO GUAYCHA GUIDO SEBASTIÁN 1103479794001 X 140966 PACHAR FIGUEROA FRANKLIN NILO 1103483887001 X 170983 MACAS SILVA WILSON UFREDO 1103484216001 X 155650 ATARIHUANA CABRERA NANCY MARLENE1103485684001 X 137020 SALINAS GONZALEZ LENIN VICENTE 1103489595001 X 48473 RUIZ TORRES GINA SORAYA 1103492490001 X 244884 CUENCA CUENCA SEVIO LEONICIO 1103499461001 X 242249 MASACHE NARVAEZ JOSE ANTONIO 1103500102001 X 119164 ALEJANDRO CAPA EDGAR BENIGNO 1103501142001 X 35623 PAUTA LAVANDA JOSE EDUARDO 1103502660001 X 74963 OCHOA CUEVA SANTIAGO FERNANDO 1103503270001 X 254937 ESTRELLA PIEDRA ANGEL VICENTE 1103504484001 X 230764 PACHECO PIEDRA DIEGO FERNANDO 1103504880001 X X 78845 SALINAS RÍOS ROMMEL RAÚL 1103504906001 X 240853 RAMÓN JARAMILLO CARLOS ALBERTO 1103507065001 X 154765 LUDEÑA YUNGA VICENTE GEOVANNY 1103509566001 X 201241 JIMENEZ ONTANEDA MIGUEL ANGEL 1103510010001 X 19156 CUMBICUS CASTILLO KETTY SOLEDAD 1103515472001 X 151460 JARAMILLO VALAREZO MARCO ANTONIO1103515688001 X 230289 YAGUANA HERRERA TANIA GUADALUPE103515902001 1 X 158737 BALCAZAR VARGAS SEGUNDA URSULINA1103517064001 X 209139 VIDAL SARANGO WILLAN STALIN 1103517528001 X 59975 COCIOS MONTESDEOCA VICTORIA SOLEDAD 1103518435001 X 265776 ESCUDERO YAGUANA CELENIA YADIRA 1103519755001 X 110327 ORDÓÑEZ GONZÁLEZ DARWIN DANILO1103524698001 X 191767 REYES SARANGO NICIA DEL PILAR 1103525372001 X 37891 WILMAN 1103528814001 X 245936 CUEVA RODRÍGUEZ MÁXIMO 1103530091001 X
  • 378.
    No No registra No No registra No No. registra registra No. indicadores registra provincia, registra Persona_id NOMBRE No. ID (RUC) calle número registra de ventas, apellido cantón y primer principal de calle origen activos y/o paterno parroquia nombre principal empleados 230218 REYES CÁRDENAS LENIN OSWALDO 1103531628001 X 96834 SARANGO LOJÁN SUGEY PAOLA 1103533806001 X 230819 VILLAMAGUA CONZA ALBA MARITZA 1103541015001 X 26766 QUEZADA POMA EDWIN GEOVANNY 1103543011001 X 239996 TORRES GUAMAN CESAR AUGUSTO 1103544191001 X 224737 CORONEL RODRIGUEZ LUIS PATRICIO 1103546345001 X 105646 LITUMA TORRES VANEZA EVELINA 1103546683001 X 241285 ANICETO CUEVA JUAN JOSE 1103547723001 X 109803 MONTALVAN YAGUANA SEGUNDO RAMIRO 1103548937001 X 187681 UCHUARI CUENCA ANGEL MANUEL 1103549513001 X 225758 PAUCAR ENDARA DIEGO FERNANDO 1103562730001 X 204908 ERAZO CELI GONZALO FERNANDO 1103563894001 X 279164 GONZAGA VALLEJO GALO RODRIGO 1103570394001 X 191180 RUIZ YAGUANA BERTHA ELIZABETH 1103573208001 X 274283 CHAMBA QUIROLA MIRIAM LUCIA 1103573877001 X X X X 202349 GALLO SANCHEZ LUPE MARIANELA 1103579908001 X 239498 PAREDES CUEVA ANA LUCIA 1103582134001 X 263785 DUCHE MAITA ANDREA JHOANA 1103583066001 X 222525 JIMÉNEZ VEGA RAMIRO HERNÁN 1103587653001 X 244117 GUTIERREZ MONTESINOS ANDRES FELIPE 1103587935001 X 236143 VIVANCO AGUILAR GINA ELIZABETH 1103588990001 X 266937 SARMIENTO ANDRADE YOREDY BETHZABÉ1103591770001 X 235994 SANCHEZ BANEGAS RENE PATRICIO 1103594337001 X 206140 PESANTEZ CÓRDOVA MARCO ANTONIO 1103596191001 X 201355 ARMIJOS MATERNO MICHAEL ROLANDO 1103596563001 X 140876 SIGCHA TORRES MARIA ISABEL 1103600548001 X 165241 ALTAMIRANO VILLAVICENCIO JUAN ALEJANDRO 1103601082001 X 118910 ALVERCA CASTILLO LILIA MARISEL 1103603526001 X 212787 MAZA PINZA JULIO GEOVANNY 1103607154001 X 179864 MORQUECHO GONZAGA MARTHA MARIBEL 1103609283001 X 276147 JAPON QUIZHPE DARWIN FELIPE 1103611826001 X X X
  • 379.
    No No registra No No registra No No. registra registra No. indicadores registra provincia, registra Persona_id NOMBRE No. ID (RUC) calle número registra de ventas, apellido cantón y primer principal de calle origen activos y/o paterno parroquia nombre principal empleados 117390 TORRES FLORES RUSBEL JACINTO 1103615801001 X 215476 MUNOZ SILVA ANDRÉS FERNANDO 1103616437001 X 255834 LÓPEZ CELI YESENIA DISNEY 1103617427001 X 150292 CASTILLO SANTORUN LIDA MARIA 1103617880001 X 275610 GUZMAN GARCIA XIMENA ALICIA 1103622070001 X 242007 SALAZAR CONDOY JOHNNY LOURDES 1103623292001 X 182080 SARANGO LOPES NARCISA DE JESUS 1103627368001 X 92350 GRANDA BRICEÑO LORENA ALEXANDRA103628606001 1 X 228005 AMAYA POGO RICARDO FERNANDO 1103630768001 X 68848 LEÓN LEÓN EDISON JAVIER 1103635205001 X 26300 GONZALEZ LANDI JUAN CARLOS 1103636302001 X 262586 RODRIGUEZ BONILLA WILMAN ORLANDO1103637284001 X 222215 TORRES CAMACHO ALBERTO NICOLAY1103644223001 X 198858 ARMIJOS QUEZADA MARCELO ALEXADER1103651244001 X 131994 PEÑA CARLOS JOSE 1103656110001 X 28688 MARLENE 1103666135001 X 93843 CASTILLO VALAREZO JANNETH LUCIA 1103666580001 X 134103 MATUTE BEJARANO PAOLO LEONARDO 1103669295001 X 3334 PUCHA MEDINA BORIS EDUARDO 1103670608001 X 122882 DUCHISELA MAURAD STALIN MANUEL 1103674600001 X 195829 JARAMILLO NÚÑEZ ALBA CECILIA 1103680292001 X 180358 JIMENEZ ABAD LAURO JOSELITO 1103681688001 X 150188 TAMAYO JARAMILLO NORA FRANCISCA1103684401001 X 33396 PALACIO LUDEÑA VANESSA MERCEDES 1103688626001 X 173467 PINEDA SALINAS MYRIAN NOEMI 1103690192001 X 196508 JIMENEZ ERAS LUIS EFREN 1103690952001 X 264396 GARCIA BACUILIMA JORGE LUIS 1103692107001 X 36846 CORREA OROSCO FABIAN ALBERTO 1103701346001 X 240206 VARGAS PINEDA BYRON RODRIGO 1103702831001 X 134660 RODRIGUEZ CHAMBA RUBEN 1103704910001 X 125407 ROMAN ORDOÑEZ JIMY WAGNER 1103706501001 X
  • 380.
    No No registra No No registra No No. registra registra No. indicadores registra provincia, registra Persona_id NOMBRE No. ID (RUC) calle número registra de ventas, apellido cantón y primer principal de calle origen activos y/o paterno parroquia nombre principal empleados 19239 CONDOY FERNÁNDEZ GUIDO GONZALO 1103707913001 X 206960 ASTUDILLO JARAMILLO ALEXANDRA GUADALUPE 1103719512001 X 194659 PALADINEZ CELI RICHARD PAÚL 1103727887001 X 149808 CUEVA VILLAGÓMEZ OMAR MAURICIO 1103733505001 X 189520 ZAPATA MORENO YORKY PATRICIO 1103736649001 X 214697 VILLAVICENCIO SOZORANGA ANGEL LEONARDO 1103736847001 X 150268 TORRES SUAREZ FRANCISCA ISABEL 1103739023001 X 229436 GONZÁLEZ PONCE SANDRA BEATRIZ 1103747349001 X 258466 ROJAS CAZAR WALTER EMILIO 1103752034001 X 270884 CALDERON QUIZHPE ANGELA PAULINA1103756803001 X 145327 UREÑA CABRERA JINSOM FABIAN 1103757587001 X 231538 SOTO FIERRO MARTIN ALEJANDRO 1103760102001 X X X 129237 GAONA ABAD ERNESTOR FRANCISCO 1103762942001 X 133483 MAHURAT CHAMBA CARLOS VICENTE 1103763114001 X 54853 CARMITA 1103763247001 X 103053 LEÓN SUQUILANDA LIDA MARGARITA 1103771984001 X 199556 ORTEGA LIMA EDWIN VICENTE 1103781884001 X 184085 GONZALEZ CASTILLO DIANA CELESTE 1103783351001 X 196712 MINGA SOLANO WALTER GONZALO 1103786297001 X 248829 BUSTAN ORDOÑEZ RICHARD HERALDO1103788376001 X 261592 SARANGO JUNGAL LORENA CECILIA 1103795637001 X 95898 GUAMÁN PALADINES MANUEL EUGENIO 1103799191001 X 168735 JARAMILLO GUIACHA FREDDY NORBERTO 1103803175001 X 44854 CUEVA TROYA CHRISTHIAN ARNOLDO 1103804066001 X 122248 SARANGO GAONA LUCIA JUDITH 1103807739001 X 49593 TORRES CASTILLO ROLANDO MARCEL 1103812416001 X 160791 CANGO QUITO MARIO GONZALO 1103812572001 X 99347 LOZANO CALI HERNAN RODRIGO 1103819288001 X 81163 CEVALLOS ORTEGA JUAN GABRIEL 1103820419001 X 112304 CASTILLO ALVERCA SAYDA 1103822357001 X 266041 GUAMAN GUAMAN BETTY OFELIA 1103823264001 X
  • 381.
    No No registra No No registra No No. registra registra No. indicadores registra provincia, registra Persona_id NOMBRE No. ID (RUC) calle número registra de ventas, apellido cantón y primer principal de calle origen activos y/o paterno parroquia nombre principal empleados 271045 SÁNCHEZ ESPINOZA MAURICIO EXEQUIEL 1103825525001 X 123785 VELEZ JIMENEZ JUAN ARMANDO 1103827240001 X 175221 OJEDA GUERRERO DIANA ELIZABETH 1103828537001 X 174596 CARRIÓN CORONEL EDUARDO FERNANDO 1103830236001 X 50899 MERINO MENDEZ FRANCISCO LEONARDO 1103833834001 X 223642 GUALAN MOROCHO LAURO VICENTE 1103839369001 X 57299 BRAVO MEDINA JORGE MEDARDO 1103846877001 X 35081 VARGAS CELI SUZANA ELICIA 1103853675001 X 166894 SALAS ALEJANDRO SANDRA BETTY 1103854178001 X 100558 CALVA ROJAS LILO JAVIER 1103856587001 X 226936 ARMIJOS RAMON ALVARO JASMANY 1103861173001 X 204912 RAMON LANCHI PILAR ANTONIA 1103863278001 X 272238 SANTANA IÑAHUAZO ADRIANA JACQUELINE 1103863930001 X 90875 POMA SOTO JUDITH ESPERANZA 1103864904001 X 84074 SALAS SANCHEZ CARLOS ALEJANDRO 1103866263001 X 33094 PEÑA YAGUACHE ERNESTO VLADIMIR 1103870174001 X 37875 MARTINEZ CARRANZA MEDARDO ALEXANDER 1103872030001 X 33044 YASMANY DAMIÁN GARCÍA RAMÍREZ 1103873384001 X 203994 SERMAQ 1103873392001 X 195807 RIOFRIO GUAMAN KARINA ELIZABETH 1103874796001 X 199577 ONTANEDA AREVALO SORAYA ELIZABETH1103876502001 X 177519 LABANDA PIEDRA LUCIA ELIZABETH 1103878557001 X 21631 ORDONEZ GUTIERREZ VILMA MARIA 1103879696001 X 27146 PALACIOS PALACIOS MAIRA VICTORIA 1103881072001 X 243728 CUEVA OVIEDO SANTIAGO AUGUSTO 1103892202001 X 155774 SOTO JIMÉNEZ LUIS ANTONIO 1103895171001 X 149869 JIMENEZ RODRIGUEZ LADY MIREYA 1103899157001 X 249487 ORDOÑEZ QUEVEDO MARCO STALIN 1103901334001 X 261650 JARAMILLO MENA JORGE HUMBERTO 1103914402001 X 36879 OCHOA ROBLEZ JOSÉ LUIS 1103915722001 X 94662 GARNICA TORRES JOSSIE MABEL 1103917785001 X
  • 382.
    No No registra No No registra No No. registra registra No. indicadores registra provincia, registra Persona_id NOMBRE No. ID (RUC) calle número registra de ventas, apellido cantón y primer principal de calle origen activos y/o paterno parroquia nombre principal empleados 109634 ROSALES TACURY JORGE ARMANDO 1103924559001 X 236620 CAPA CHAPA MARCO ANTONIO 1103937106001 X 194054 CASTRO GOMEZ LENIN MEDARDO 1103938286001 X 134042 SARANGO CALVA MARCO ANTONIO 1103943476001 X 148211 PARDO DANILO 1103944540001 X 182090 GRANDA AGUILAR LUIS FERNANDO 1103947758001 X 239041 DIAZ HURTADO MAYRA JANETH 1103957328001 X 265693 LANDI PALACIOS DIEGO PAÚL 1103957401001 X 74209 GONZALES SANCHEZ MANUEL BENJAMIN1103972426001 X 164143 CHAMBA DIAZ GONZALO RODRIGO 1103972848001 X 79382 GAVELA GUAMAN DIEGO PAUL 1103978407001 X 95987 SAMANIEGO TORRES CARMEN LAURA 1103982268001 X 91156 BRICEÑO JIMENEZ FRANCO ALEXANDER1103985154001 X 200594 GUAILLAS GUAILLAS JAIME BENIGNO 1103987127001 X 110979 MINGA BELTRAN KARLA DE LA NUBE 1103991863001 X 238178 CUENCA QUINDE DARWIN RIGOBERTO1103994685001 X 185614 CASTILLO CARPIO LUIS FRANCISCO 1103995997001 X 150273 CARRION CUEVA KATY LUCRECIA 1104010325001 X 164633 JIMÉNEZ QUEZADA GABRIEL ANIBAL 1104011844001 X 176035 PALACIOS JIMÉNEZ VÍCTOR MANUEL 1104014061001 X 165010 ESPARZA HURTADO DIEGO ARMANDO 1104014236001 X 125812 PAUTA LABANDA MARIA YADIRA 1104014467001 X 65993 ARMIJOS GALLARDO JEFERSON VICENTE 1104015779001 X 25265 CARAGUAY CUENCA WALTER IVÁN 1104016348001 X 180421 FREIRE HIDALGO DIANA XIMENA 1104016579001 X 126898 ABRIL ABENDAÑO SARA ELIZABETH 1104017544001 X 200541 PIEDRA CAMPOVERDE MARIA LUISA 1104023286001 X 228119 VARGAS PINEDA CECIBEL DEL CARMEN1104024771001 X 67117 HERRERA GONZALEZ JAIRO BLADIMIR1104026008001 X 98636 CÓRDOVA ALVARADO ANDREA ELIZABETH 1104028392001 X 62122 GOMEZ GUERRERO MARIELLA DEL SOCORRO 1104031800001 X
  • 383.
    No No registra No No registra No No. registra registra No. indicadores registra provincia, registra Persona_id NOMBRE No. ID (RUC) calle número registra de ventas, apellido cantón y primer principal de calle origen activos y/o paterno parroquia nombre principal empleados 175670 MEDINA VACACELA JOSÉ LUIS 1104033384001 X 138280 VILLAMAGUA SANCHEZ DANNY JOSE 1104034556001 X 169083 CAMACHO RUEDA VICTOR DANILO 1104035892001 X 53407 LOJA SANCHEZ BOLIVAR OSWALDO 1104037849001 X 121468 SARANGO HERRERA PABLO VINICIO 1104038474001 X 112247 CASTILLO ALVERCA DAYSY LUCILA 1104045610001 X 119375 CARRION JIMA JUAN AGUSTIN 1104051444001 X 141350 OCHOA MATAILO VERONICA ELIZABETH 1104052822001 X 145484 CALVA SARANGO JAIRON LENIN 1104054604001 X 183782 RIOS GUAYLLAS MIRIAM ALEXANDRA 1104054687001 X 235322 ESPINOSA PACHAR XAVIER HERNANDO 1104055817001 X 245675 OJEDA POMA JUANA PAOLA 1104060411001 X 246784 CASTILLO QUITO ABDON BELARMINO 1104068703001 X 234338 VIVANCO VILLAVICENCIO PABLO JAVIER 1104071061001 X 151501 CHAMBA TRONCOS ALEXANDRA MARIBEL 1104074032001 X 173788 HURTADO HURTADO JOSÉ CRISTÓBAL1104074073001 X 272957 COLLAHUAZO PALADINES YESENIA MARIANELA 1104077605001 X X 143109 JARAMILLO CABRERA LUIS OMAR 1104078587001 X 259088 POMA TORRES ROSA IBELIA 1104078918001 X 234034 ROJAS ROJAS MARIBEL KARINA 1104082811001 X 165757 SANCHEZ GOMEZ JACKSON PAUL 1104083082001 X 248044 SANMARTIN CUENCA ELEUTERIO FERNANDO 1104084668001 X 118733 CEVALLOS VILLAVICENCIO GALO ANTONIO 1104088172001 X 227682 RIVERA GUAMÁN GILBERT RENE 1104088719001 X 112834 RIVAS SOLORZANO VERONICA MARIA 1104095243001 X 266326 LANCHI LEÓN DIANA CECILIA 1104097009001 X 260522 ASTUDILLO RODRÍGUEZ FREDY PAÚL 1104109796001 X 275199 POMA GOMEZ CARLOS SEGUNDO 1104111263001 X X X 221454 SÁNCHEZ BUSTAMANTE DIEGO PATRICIO1104112352001 X 130096 PUCHAICELA VELIZ FANNY PATRICIA 1104131782001 X 215451 BUSTAMANTE SILVA CLAUDIA ALEJANDRA 1104135924001 X
  • 384.
    No No registra No No registra No No. registra registra No. indicadores registra provincia, registra Persona_id NOMBRE No. ID (RUC) calle número registra de ventas, apellido cantón y primer principal de calle origen activos y/o paterno parroquia nombre principal empleados 149792 SARANGO SOLANO EDISON FABIAN 1104139850001 X 277281 TORRES COLLAGUAZO MAYRA ELIZABETH 1104153596001 X X X 212019 ARMIJOS MENDOZA BOLIVAR ESTALIN1104161086001 X 72858 CORONEL COELLO FLOR MARIA 1104165020001 X 125187 GONZALEZ GONZALEZ ANGEL VINICIO 1104167703001 X 134161 AGILA AGILA LEANDRO HAMILTON 1104172406001 X 216286 RODRIGUEZ PEÑARRETA JOSE LUIS 1104178692001 X 238347 ROMERO TINOCA JACKSON ALFONSO 1104190242001 X 136801 LANCHI LEÓN FABRICIO ALEXANDER 1104191109001 X 268089 MACAS QUITUISACA BYRON GUSTAVO 1104196207001 X 255821 JUMBO AMBULUDI FABIAN ALBERTO 1104202864001 X 149831 VALLADARES VALLADARES JOSE ALEXANDER 1104213960001 X 42853 CECILIA 1104221005001 X 143548 GAONA CASTILLO NANCY MARISOL 1104223399001 X 262972 ORDOÑEZ ERREYES RICHAR ROLANDO 1104231509001 X 150531 RAMON CABRERA GEOMARA DEL CISNE104231665001 1 X 262579 GRANDA ROJAS SONIA GABRIELA 1104261027001 X 260778 GRANDA ROJAS JHONSON DANIEL 1104261035001 X 203006 PARDO PARDO DORIAN IVÁN 1104266661001 X X X 32456 PANAMITO BUSTAMANTE FRANCO EULISER 1104266828001 X 160036 NAMCELA CANGO CLAUDIA MERCEDES 1104269731001 X 265586 JAYA SANMARTIN FANY MARICELA 1104278583001 X 275467 CHAMBA POGO WILLAN GEOVANNI 1104282569001 X X 149865 AJILA JIMÉNEZ ANGEL VICENTE 1104284029001 X 166459 CABRERA ROMERO JUAN CARLOS 1104287196001 X 230924 CHUNCHO CHAPA FRANKLIN MAURICIO 1104293202001 X 265546 LABANDA PATIÑO ADRIANO RODRIGO 1104297757001 X 207993 SOLANO SOLANO MERCEDES DE JESUS104305055001 1 X 142469 BUELE CHAMBA CARMEN VERONICA 1104305493001 X 130924 VÁSQUEZ GUERRERO JORGE LUIS 1104313596001 X 147198 CHAVEZ CHINCHILIMA MANUEL EFRAIN1104330632001 X
  • 385.
    No No registra No No registra No No. registra registra No. indicadores registra provincia, registra Persona_id NOMBRE No. ID (RUC) calle número registra de ventas, apellido cantón y primer principal de calle origen activos y/o paterno parroquia nombre principal empleados 161794 MORAN SUING NELSON JAVIER 1104371479001 X 253133 JIMÉNEZ JIMÉNEZ SONIA MARÍA 1104399280001 X 149786 SARANGO CARLOS 1104402936001 X 150302 LOAIZA TACURI JUAN PABLO 1104409667001 X 175573 HERRERA AGUIRRE EDUARDO CAMILO1104460850001 X 232029 VEGA ORELLANA LUIS HERNAN 1104476427001 X 254679 CELI LOAIZA JAVIER ALEXANDER 1104476914001 X 239515 MORA ESPINOZA JOSÉ LUIS 1104495609001 X 149874 CUEVA RIVERA MERCEDES HORTENCIA 1104502768001 X 260016 ANDY RIVADENEYRA DIANA KATIA 1104509953001 X 170554 CALVA SERRANO PEDRO JOSE 1104519572001 X 260587 ANGAMARCA CURIPOMA CARLOS ENRIQUE 1104519994001 X 259609 GUALAN CONTENTO VICTOR ANTONIO 1104539349001 X 149803 CALVA ALVERCA GABRIELA VERÓNICA 1104554421001 X 149885 JIMENEZ ROJAS DARWIN JOSE 1104560048001 X 178455 IMAICELA BRAVO CRISTHIAN 1104599962001 X 126178 TORRES REYES LISSETH DEL CISNE 1104654098001 X 244009 BETANCOURT BRAVO JORGE LUIS 1104670680001 X 244227 ROJAS CUMBICUS JULISSA DEL CARMEN 1104691058001 X 248475 ROJAS SACA JAIRO SANTIAGO 1104711021001 X 261283 CABRERA FERNANDEZ CARLOS OSWALDO1104712920001 X 156445 GUAYANAY CHINCHAY MANUEL CARMELINO 1104727266001 X 69786 TIGRE ORELLANA ROMMEL SAUL 1104732522001 X 124091 MEDINA LOZANO LUZ YOLANDA 1104750698001 X 183885 ULLAGUARI PIURI GALO EFREN 1104786403001 X 253494 COLALA CUEVA MAYRA GABRIELA 1104915069001 X 233944 PALTIN PALTIN PABLO MIGUEL 1105051286001 X 224757 ROJAS ROJAS TYRON FABRICIO 1105105207001 X 107928 TORRES BREFFE ORLYS ERNESTO 1105195620001 X 44231 MUNICIPIO DE CATAMAY 1160000400001 X X X 40776 MUNICIPIO DE PUYANGO 1160001050001 X X X
  • 386.
    No No registra No No registra No No. registra registra No. indicadores registra provincia, registra Persona_id NOMBRE No. ID (RUC) calle número registra de ventas, apellido cantón y primer principal de calle origen activos y/o paterno parroquia nombre principal empleados 174890 UNIVERSIDAD NACIONAL DE LOJA 1160001720001 X X 234037 INSTITUTO ECUATORIANO DE SEGURIDAD SOCIAL DIRECCIÓN GENERAL LOJA 1160020350001 X X 179734 JUNTA PARROQUIAL DE CANGONAMA 1160025230001 X X 178520 JUNTA PARROQUIAL EL INGENIO 1160025580001 X X 257304 JUNTA PARROQUIAL 1160026040001 X X 233121 JUNTA PARROQUIAL DE BELLAVISTA 1160026470001 X X 213381 JUNTA PARROQUIAL DE LIMONES 1160028920001 X X 208870 JUNTA PARROQUIAL NUEVA FATIMA 1160029300001 X X X 227556 JUNTA PARROQUIAL FUNDOCHAMBA 1160029570001 X X 223015 JUNTA PARROQUIAL EL PARAISO DE CELEN 1160031550001 X X 41660 PATRONATO DE AMPARO SOCIAL ZAPOTILLO 1160032440001 X X 235547 JUNTA PARROQUIAL CASANGA 1160032600001 X X 230092 JUNTA PARROQUIAL DE 1160033680001 X X 205418 JUNTA PARROQUIAL DE CAZADEROS 1160034220001 X X 77880 CONSTRUCTORA Y COMERCIALIZADORA ORDOÑEZ UREÑA CIA. LTDA 1190010089001 X 13309 CONSTRUCTORA SARMIENTO 1190042320001 X 108383 ABENDAÑO BRICEÑO CIA. LTDA. 1190051435001 X 47209 COMPAÑIA DE ECONOMIA MIXTA LOJAGAS 1190067927001 X 37670 CONSTRUCTORA ABAD VALLE S.A 1190078953001 X 120969 MORA HIDALGO CIA LTDA 1190080524001 X 134734 ASOCIACION CRISTIANA DE INDIGENAS SARAGUROS 1190080559001 X 57154 VEGA PALACIOS Y CIA 1190081105001 X 60872 IMPORTADORA ORTEGA 1190081210001 X 127553 JUAN MEDINA CONSTRUCCIONES Y COMERCIO CIA. LTDA. 1190082047001 X 177186 COMPAÑIA MINAEXPLO LOJA S.A. 1190082306001 X 133507 COOPERATIVA DE AHORRO Y CREDITO1190083213001 TRES DICIEMBRE X 46772 CONSTRUCTORA Y COMERCIALIZADORA INGA, INGACONSTRUCTORES CIA. LTDA. 1190083868001 X 29810 CONSTRUCTORA AUSTRORIEGO CIA. LTDA. 1190084244001 X 160338 INGEAZIMUT CIA. LTDA 1190090155001 X 28968 EMPRESA ARTESANAL DE CERÁMICA DECORTEJA CIA. LTDA. 1190091100001 X 75010 FUNDACION DE INVESTIGACION Y CAPACITACION PARA EL DESARROLLO INTEGRAL PANEL 1191702316001 X
  • 387.
    No No registra No No registra No No. registra registra No. indicadores registra provincia, registra Persona_id NOMBRE No. ID (RUC) calle número registra de ventas, apellido cantón y primer principal de calle origen activos y/o paterno parroquia nombre principal empleados 164038 ESTACION DE SERVICIO PLAZA GAS 1191703991001 X 107874 SOCIEDAD DE HECHO NUEVO PORVENIR 1191706419001 X 123129 VILLAVICENCIO LOAIZA Y CIA 1191707040001 X 267932 COLMENARCONSTRUC S.A. 1191707121001 X 118544 AGROINDUSTRIA SABSEN CIA. LTDA. 1191707709001 X 142182 SOLCA NUCLEO DE LOJA 1191707970001 X 179964 COMPAÑIA EN NOMBRE COLECTIVO CONSTRUCTORA CARRIÓN CORONEL Y COMPAÑIA 1191707997001 X 67827 CONSTRUCTORA NELSON QUEZADA CIA LTDA 1191708586001 X 264132 CONSTRUCTORA CÓRDOVA LIMA CÍA. LTDA. 1191710866001 X 179547 HOTEL HOWARD JOHNSON 1191711307001 X 122034 MOBERSA 1191712060001 X 55814 SEVISA CÍA LTDA. 1191712478001 X 160601 HORMICONSTRUCCIONES CIA. LTDA. 1191712893001 X 246508 BOMBUSCARO RENT A CAR CIIA. LTDA.1191712923001 X 51862 EMBOTELLADORA LOJA S.A. 1191713636001 X 195881 ENRIQUE ULLAURI MATERIALES DE CONSTRUCCION CIA. LTDA. 1191714098001 X 21819 ADEPLAN AMBIENTE DESARROLLO Y PLANIFICACION CIA. LTDA. 1191714373001 X 184108 CONSTRUCTORA CMASH CIA. LTDA. 1191714810001 X 125127 HOOVER BERMEO E HIJOS CIA. LTDA. 1191714977001 X 39328 WEBSAES CIA. LTDA. 1191715701001 X 127546 HIPERMERCADOS DEL VALLE CIA. LTDA1191717038001 X 79391 CONSTFACIL CIA. LTDA. 1191717763001 X 54320 C Y C CORREA CARPIO CONSTRUCCIONES CIA. LTDA. 1191717887001 X 83148 ASOCIACION MULLUNAMA 1191718255001 X 85599 ASOCIACION SABIANGO 1191718298001 X 88152 ASOCIACION DE CONSERVACION VIAL VIRGEN DE LOS REMEDIOS 1191718328001 X 174972 PROYECONSUL 1191718581001 X 16419 CONSTRUCTORA 1191718611001 X 78063 FUNDACION PARA EL DESARROLLO SOCIAAL INTEGRAL JATARI 1191719200001 X 270541 CONSTRUCTORA JAVERYS CIA. LTDA. 1191719294001 X 9121 TEVICOR Y CIA 1191719774001 X
  • 388.
    No No registra No No registra No No. registra registra No. indicadores registra provincia, registra Persona_id NOMBRE No. ID (RUC) calle número registra de ventas, apellido cantón y primer principal de calle origen activos y/o paterno parroquia nombre principal empleados 44304 ARTE ADOKIN CIA. LTDA. 1191719782001 X 189000 LOJALAC CIA LTDA 1191720365001 X 174947 TOPCONSURVEY SERVICIOS TOPOGRAFICOS CIA. LTDA. 1191720543001 X 253218 ASOCIACION PRO-DEFENSA DEL ANCIANO DE VILCABAMBA 1191720616001 X 104266 SILM OGAS CÍA LTDA 1191720993001 X 84895 ASOCIACION DE CONSERVBACION VIAL VALLE DE CATAMAYO 1191721000001 X 85581 SOCIACION DE CONSERVACION VIAL LA RAMA 1191721035001 X 83454 SOCIACION DE CONSEFVACION VIAL DIVINO NIÑO 1191721051001 X 83758 ASOCIACION DE CONSERVACION VIAL LOS PALTENCES 1191721108001 X 49354 CONSTRUCTORA A&Q 1191721825001 X 205502 CODESAM COMPAÑIA DE DESARROLLO AMAZONICO CIA. LTDA. 1191722058001 X 121449 GEMESEG CÍA. LTDA. 1191722643001 X 171945 SCAPE ALQUILER CIA. LTDA. 1191723208001 X 82829 ASOCIACION SAN JUAN DE POZUL 1191723437001 X 83431 ASOCIACION SEÑOR DEL CAUTIVO 1191723453001 X 84881 ASOCIACION LOS TIGRES DEL CAMINO1191723496001 X 84969 ASOCIACION LAS PALMERAS DE ZAPOTILLO 1191723518001 X 58856 CONSET CONSTRUCTORA ELECTRICA 1191723860001 CIA. LTDA. Y TELEFONICA X 43348 CONSULTORA CONASTIAM CIA. LTDA 1191723992001 X 178170 COOPERATIVA DE AHORRO Y CREDITO DE LA CAMARA DE COMERCIO DE PALANDA 1191724530001 X 35964 ISOTROPIC NETWORKS S.A. 1191724549001 X 128528 ASOCIACIÓN DE CONSERVACIÓN VIAL LOS ANDES 1191724883001 X 84927 ASOCIACION DE CONSERVACION VIAL SAN ROQUE 1191724964001 X 25063 PROYAMCIS CIA LTDA 1191724972001 X 190495 KATSERVIS CIA LTDA 1191725014001 X 170111 ASOCIACIÓN DE PRODUCTORES AGROARTESANALES DE PUYANGO APAAP 1191725057001 X 182474 EQUIPSA S.A. 1191725677001 X 72617 V&V Y COMPAÑIA 1191725839001 X 59625 COMPAÑIA DE TRANSPORTE DE CARGA PESADA Y COMBUSTIBLE GONZALEZ CIA. LTDA. 1191726436001 X 77398 IMPORTADORA LAVACOR CIA LTDA 1191726738001 X 204746 OPTIMIZA TECH CIA. LTDA. 1191728692001 X
  • 389.
    No No registra No No registra No No. registra registra No. indicadores registra provincia, registra Persona_id NOMBRE No. ID (RUC) calle número registra de ventas, apellido cantón y primer principal de calle origen activos y/o paterno parroquia nombre principal empleados 137189 COBUSAM CONSTRUCTORA CIA LTDA 1191728994001 X 142990 CONSULTINGCONSTRUCTIONS ESCONFISPRO CIA.LTDA 1191729583001 X 187885 REDEMPRENDE CIA LTDA 1191731855001 X 181695 ECO NEGOCIOS CIA. LTDA. 1191731952001 X 175764 PLANIFICACIÓN Y CONSTRUCCIÓN DE OBRAS ARQUITECTÓNICAS Y CIVILES EN GENERAL 1191732061001 X 220044 CONSTRUCTORA CAMACHO & LUNA CIA. LTDA. 1191732258001 X 179576 FERROCONSTRCCIONES COMPAÑÍA LIMITADA 1191732312001 X 184088 GESTOR AMBIENTAL CONSULTORE CIA. LTDA. 1191732398001 X 192611 IOMOTORS S.A. 1191732568001 X 187226 IARTSTUDIO CIA. LTDA 1191732576001 X 193352 FRATZOCONSULTING CIA. LTDA. 1191732630001 X 210655 GODLIVES CIA. LTDA. 1191732649001 X 210247 REFAYOL CIA. LTDA. 1191732657001 X 192913 MIQUEAS CIA. LTDA. 1191732665001 X 236609 TELECAUSTRONET CIA LTDA 1191733173001 X 224884 ADINCONS CIA. LTDA. 1191733807001 X 229844 ROLLINGROAD CIA. LTDA. 1191734005001 X 249482 CONSTRUCTORAAGUSTOESCUDEROEHIJO.CIA.LTD 1191734188001 X 234672 CONSTRUCTORA E & M CIA. LTDA. 1191734250001 X 248075 FUNDACION COSMOVISION 1191734323001 X 250460 EVALUACION DE IMPACTOS AMBIENTALES, SISTEMA DE GESTION AMBIENTAL, EDUCACION Y CAPACITACION AMBIENTAL, CONTAMINACION, SANEAM 1191735257001 X 258866 ESCUDERO LOYOLA CONSTRUCTORES & CONSULTORES CIA.LTDA 1191735427001 X 259679 GELINCO CONSTRUCTORES CÍA. LTDA.1191735761001 X 264872 ESTACION DE SERVICIO ORTEGA FRELMAC CIA. LTDA. 1191735931001 X X X 267892 SERVICIOS DE INGENIERÍA Y CONSULTORIA ELECTRITELECOM CIA LTDA 1191735982001 X 268103 SAQYLUP CONSTRUCTORA CIA. LTDA. 1191736180001 X 274465 IOCSA CONSTRUCCIONES CIA. LTDA. 1191736474001 X 160196 RUIZ ROJAS NESTOR JUAN 1200000832001 X 190970 LEAL FIGUEROA TELMO BOLÍVAR 1200020350001 X 269924 VARGAS MACHUCA JULIO CLOVIS 1200021143001 X 82279 SOLANO VASQUEZ LUTGARDA ILDAURA 1200024428001 X
  • 390.
    No No registra No No registra No No. registra registra No. indicadores registra provincia, registra Persona_id NOMBRE No. ID (RUC) calle número registra de ventas, apellido cantón y primer principal de calle origen activos y/o paterno parroquia nombre principal empleados 210174 ULLOA GUZMAN JAIME 1200025987001 X 62840 CERCADO DIAZ RAMON IGNACIO 1200037743001 X 92215 CASTRO RENDON PEDRO ABRAN 1200038402001 X 202541 PEREZ SANCHEZ MIGUEL ANGEL 1200051504001 X 223319 CENTENO MOSQUERA IRMA IRENE 1200059648001 X 251626 GONZALES MORA WILSON JESUS 1200067773001 X 193977 GUIRACOCHA CUZCO LUIS CESARIO 1200070934001 X 162810 HERNANDEZ VERA LUIS ARMANDO 1200076303001 X 234011 SÁNCHEZ SOBENIS FRANKLIN FERNANDO 1200078853001 X 270502 ICAZA CAMPOS JUANA MERCEDES 1200123444001 X X X 246988 CARRIEL SALAZAR WALTER ADARDIO 1200156790001 X 193517 ZAPATA QUINALUISA SEGUNDO ALFONSO 1200157103001 X X X 191710 CAMPUSANO GALARZA ANGEL GREGORIO 1200157392001 X 135537 MORALES ESTUARDO JACOBINO 1200161246001 X 246011 BORJA HERNANDEZ ROSARIO MERCEDES 1200164125001 X 257122 TIGRERO SUAREZ LORENZO 1200169116001 X 143089 MONSERRATE CARRERA SEGUNDO VALERIANO 1200197604001 X 101026 MUÑOZ MAYORGA ALBERTO BENIGNO 1200216065001 X 110254 YANEZ CHANCAY RAMON CALIXTO 1200218053001 X 120491 MOSQUERA RODRIGUEZ GERARDO DE1200225215001 LOS ANGELEZ X 88487 HARO TORRES JOEL ALFONSO 1200238952001 X 107715 CHIMBAY QUINTUÑA JUAN EZEQUIEL 1200250304001 X 114054 NAVARRETE NAVARRETE JOSE DIDIMO1200256178001 GASTON X 104599 PAZ Y MIÑO DE MORA MARIO ISAEL 1200301362001 X 248003 CHEVEZ CORNEJO DANIEL ALFREDO 1200320701001 X 209604 PIZA SILVERA PEDRO LONDRES 1200343455001 X 213036 ARBOLEDA MANUEL MESIAS 1200347118001 X 162414 ROSADO BAJAÑA EMMA NORMANDA 1200366977001 X 213118 ASTUDILLO CARRIEL MARLENE AZUCENA 1200372397001 X 143248 CORONEL FRANCO ELSA ANDREA 1200374484001 X 155276 ALMEIDA GERARDO 1200385902001 X
  • 391.
    No No registra No No registra No No. registra registra No. indicadores registra provincia, registra Persona_id NOMBRE No. ID (RUC) calle número registra de ventas, apellido cantón y primer principal de calle origen activos y/o paterno parroquia nombre principal empleados 90652 ACOSTA SANDOYA SARA CLOTILDE 1200402624001 X 235857 MORAN AGUIRRE JULIO HUGO 1200405098001 X 201359 MENDOZA OCHOA LUISA JACINTA 1200411005001 X 152567 ARRICIAGA COELLO ROSENDO BASILIO1200414892001 X 178216 BUSTAMANTE TRIVIÑO JOSE ANGEL 1200414926001 X 179624 CONGRAINS PEÑA RUPERTO MARCELO 1200415311001 X 75498 TREJO ALVAREZ MANUEL NICOLÁS 1200415790001 X 100367 SALAZAR COELLO ALICIA STELLA 1200419958001 X 132969 ALVAREZ BRAVO ISMAEL CLESENCIO 1200420238001 X 277439 TERAN MANJARES FANESIS RUFINO 1200420675001 X 204603 VASCONEZ COELLO HARRY WASHINGTON1200424248001 X 256168 CARBALLO LUCIO ABEL LEONARDO 1200447124001 X 216325 TUTILLO OÑA MANUEL MARIA 1200450359001 X 152638 ZAMBRANO TRUJILLO SABINO EPIFANIO 1200468062001 X 211263 PICO MIRANDA MARÍA ANGELICA 1200472312001 X 74988 LAMULLE FIGUEROA JOSEFINA REBECA1200474557001 X 70691 VILLALBA MARISCAL NORMA ARACELLI1200484622001 X 74979 MURILLO MORAN ROSA MATILDE 1200489597001 X 186095 BRAVO CAREGUA LUIS VIDAL 1200490165001 X 108878 TOVAR TOVAR ELEUTERIO GALDINO 1200492682001 X 135886 ANCHUNDIA CABEZAS ALEJANDRO GUSTAVO 1200501383001 X 207826 ORTIZ SEGUNDO EUCLIDES 1200508974001 X 177335 GUZMAN CARRILLO ESPERANZA HONORINA 1200518544001 X 156116 COELLO VALVERDE GEORGE LIZARDO 1200536868001 X 19985 RAMON 1200542908001 X 199996 GOMEZ VILCHE ERNESTO CRUZ 1200557179001 X 98198 ESPADAS HIDALGO JOSE DOMINGO 1200561585001 X 98889 NUÑEZ ANGULO ANGEL RUPERTO 1200567541001 X 263549 MORA VILLAFUERTE CARLOS ANDRES 1200570727001 X 275882 RECILLO DIAZ PEDRO FIDEL 1200571949001 X 106528 FILIAN HURTADO JUAN ENRIQUE 1200588216001 X
  • 392.
    No No registra No No registra No No. registra registra No. indicadores registra provincia, registra Persona_id NOMBRE No. ID (RUC) calle número registra de ventas, apellido cantón y primer principal de calle origen activos y/o paterno parroquia nombre principal empleados 213873 SUAREZ BUSTAMANTE DIONISIO ALEJANDRO 1200588364001 X 109398 ORELLANA PADILLA PEDRO ENRIQUE 1200589255001 X 86301 CABRERA CABRERA MARIO ANTONIO 1200595575001 X 274120 HURTADO TERAN JAIME GABRIEL 1200596334001 X 201728 SARAGUAYO CASTRO PABLO SEBASTIAN1200598272001 X 100366 GUERRERO FREIRE AMABLE UBALDO 1200612636001 X 240396 DIAZ VASQUEZ JOSÉ LUIS 1200620738001 X 117013 VERA ANDRADE GALO LEOCADIO 1200626339001 X 183600 CEVALLOS VACA ANTONIO ULPIANO 1200627535001 X 117452 LEDESMA CASTRO OSWALDO GONZALO200629549001 1 X 264600 JIMÁNEZ VERGARA EDWIN GUALBERTO 1200634341001 X 96866 CABRERA VERDESOTO CESAR ALBERTO 1200640199001 X 205024 FIGUEROA CAMPOS ROBIN MARCELO 1200648432001 X 208335 LEDESMA LARA DIBA DOLORES 1200649232001 X 145610 CRUZ MORALES LUIS ANTONIO 1200650701001 X 266622 MONTES CEDEÑO ELVIRA FRANCISCA 1200659017001 X 101570 SANCHEZ SUAREZ NELLY PRIMITIVA 1200674677001 X 270073 ROBELLI DONCAN MERCEDES BOLIVIA 1200675492001 X X X 227657 DICADO ALBAN MARIANA ANGELITA 1200675799001 X 162981 JORGGE GONZALEZ VILMA MARIA 1200684684001 X 42626 RODRIGUEZ VARGAS PEDRO JOSE 1200686747001 X 86393 DELGADO MACIAS ROBERTO LESTER 1200694154001 X 154715 CADENA HURTADO LUIS ALBERTO 1200698858001 X 248675 CARRIEL FUENTES CARLOS A 1200700712001 X 165227 TERAN ESCOBAR ALBERTO ARCADIO 1200706503001 X 99352 BURBANO MONTECÉ WILLIAMS DANIEL1200718417001 X 170503 ROSADO PEÑA TEODORO FLORENCIO 1200731964001 X 230109 LOPEZ FLORES BLANCA LIDIA 1200738860001 X 151245 LEON SANCHEZ ENRIQUE SAMUEL 1200739264001 X 168878 NOBOA SALAZAR ELBA MARIANA 1200745477001 X 54770 ROCA PONCE VICENTE ENCARNACION 1200755716001 X
  • 393.
    No No registra No No registra No No. registra registra No. indicadores registra provincia, registra Persona_id NOMBRE No. ID (RUC) calle número registra de ventas, apellido cantón y primer principal de calle origen activos y/o paterno parroquia nombre principal empleados 109919 GUERRERO RENDON FAUSTO ARLINE 1200768099001 X 257703 VILLACIS HIDALGO CESAR AUGUSTO 1200776464001 X 200806 OVALLE TOVAR MELVA ZOBEIDA 1200788568001 X 99086 PAREDES HERNANDEZ MARIANA CONSUELO 1200797650001 X 163016 BAJAÑA ALVARADO JACINTO MARTIN 1200800900001 X 43901 POSLIGUA SALAZAR JOSE CIRILO 1200803896001 X 95322 LOZANO CUADRO ZOILA JUVENCIA 1200806634001 X 207327 CARVAJAL MONAR EVENCIO SEGUNDO1200814513001 X 66171 GUERRERO MELENDEZ EVARISTO FLORENTINO 1200816088001 X 51111 NAGUA RODRIGUEZ MANUEL ANTONIO1200816567001 X 85163 AGUIRRE FIERRO CARLOS RAMIRO 1200820262001 X 153763 LOZANO BRIONES SEGUNDO PORFIRIO 1200831277001 X 239134 SANTILLAN FANDA ALBERTO GALICIO 1200832291001 X 165281 RODRIGUEZ ABELDANO JOSE FRANCISCO 1200835864001 X 83841 PISCO MAYORGA VICTOR FRANCISCO 1200847331001 X 134232 CHUQUIAN ATIENCIA MARGARITA ARMINDA 1200850186001 X 151617 VERA ARECHUA WALTER VIDAL 1200856373001 X 259391 ZURITA SANTOS WASHINGTON ALBERTO1200857785001 X 257237 MENDOZA GAIBOR VICTOR ARMANDO 1200860235001 X 198528 FRANCO MORA MARTIN NORBERTO 1200861043001 X 57848 CARDENAS GUERRERO JORGE SENEFELDER 1200867529001 X 236300 SANCHEZ MOYA LUIS AMABLE 1200870044001 X 258917 MOSQUERA CORONEL SERGIO RICARDO 1200872842001 X 153079 MENDOZA CORONEL AZUCENA BETTY 1200876280001 X 79714 ROLDAN ALCIVAR LEOMBORDO ANTONIO1200877320001 X 222268 RAMIREZ ARTIAGA VICTOR UGARTE 1200893673001 X 212819 FABRE CARRASCO SUSANA AURORA 1200893913001 X 143641 ARIAS AMAYA PABLO LUDIVINO 1200899266001 X 96115 LOPEZ PITA MELIDA URANIA 1200912770001 X 80937 ANDRADE JIMENEZ MIGUEL ANGEL 1200927059001 X 265688 ZAMORA TORRES PLUTARCO OLIMPO 1200930756001 X
  • 394.
    No No registra No No registra No No. registra registra No. indicadores registra provincia, registra Persona_id NOMBRE No. ID (RUC) calle número registra de ventas, apellido cantón y primer principal de calle origen activos y/o paterno parroquia nombre principal empleados 19383 WALTER 1200932406001 X 224185 BRIONES JACOME ELISA DOLORES 1200935367001 X X X 107790 SELLAN CAMPOS JOSÉ FELIX 1200937520001 X 244318 GARCES CORNEJO PEDRO LEOPOLDO 1200938114001 X 215841 ZAMORA MONTOYA JUAN ABAD 1200940656001 X 64350 HERVAS ZAMBRANO BETTY BRIGIDA 1200961736001 X 233593 SALAZAR MAYORGA SEGUNDO FILIBERTO 1200969580001 X 41263 SARMIENTO TENESACA WILSON ALBERTO 1200970000001 X 182409 MEJIA DE LUCA LINA NOEMI 1200971883001 X 32936 ALARCÓN ROMERO ELEODORO PRIMITIVO 1200981239001 X 229974 ASPIAZU GUERRERO JOSE NICOLAS 1200989315001 X 199529 JÁCOME LARA GEORGINA ANDALIRA 1200992699001 X 207345 MAQUILÓN YÉPEZ PEDRO ANTONIO 1200995734001 X 217151 LUNA MOYANO ADOLFO DAMIAN 1200996922001 X 180145 VALENZUELA GUERRERO WILSON BACILO 1200997557001 X 251530 RENDON LEDESMA VICTORIA DE JESUS1201005798001 X 144982 NAGUA RODRIGUEZ RUBEN DARIO 1201009329001 X 176169 ZAPATA OLVERA CARLOS HIPOLITO 1201017900001 X 2057 LAJE SANCHEZ CIPRIANA NARCISA 1201018098001 X 219975 JACOME BURBANO WILSON ANSELMO 1201026349001 X 274772 ESTRADA TRONCOZO ERASMA LETICIA 1201029087001 X 113099 ZAMBRANO DE SANTIS NELSON TEODOMIRO 1201039771001 X 199833 BURGOS VALENZUELA SAMUEL FULGENCIO 1201042841001 X 142925 HANZE YEPEZ EULALIA PILAR 1201042965001 X 137782 OCHOA RECALDE LEONOR 1201045125001 X 139838 YAGUAL CAMPI JAIME GERARDO 1201046388001 X 197207 ESTRADA RODRIGUEZ MARIA BRIGIDA 1201046503001 X 243588 PINARGOTE SANCHEZ ALISVA MARILIN1201053012001 X 116413 LOPEZ AYON MIRIAM CRISTINA 1201057427001 X 93062 AVILES PERALTA ALFONSO ANGEL 1201057716001 X 248710 FAGINSON GAMARRA GILBERTO JORGE 1201063607001 X
  • 395.
    No No registra No No registra No No. registra registra No. indicadores registra provincia, registra Persona_id NOMBRE No. ID (RUC) calle número registra de ventas, apellido cantón y primer principal de calle origen activos y/o paterno parroquia nombre principal empleados 125420 AGUILAR LIMONES MIRIAN SHIRLEY 1201064142001 X 150701 BRIONES VERA JUAN JOSÉ 1201064993001 X 150095 GAVILANEZ CASTRO VICTORIA ARACELY1201067947001 X 239758 MENDOZA NIVELA FÉLIX WILLIAM 1201076963001 X 179477 MAYORGA CARDOSO ADELA YADIRA 1201080973001 X 199168 ARROBA GUAMAN HOLGER GLAISEL 1201095211001 X 258183 SOLIS MUÑOZ LUIS ALBERTO 1201098207001 X 158207 VERGARA RIVADENEIRA ELIO GENARO1201098215001 X 219436 SUAREZ ESPINOZA LUIS ZACARIAS 1201112024001 X 176905 AVILES MORA MIGUEL ANGEL 1201127709001 X 224702 VERA ALVAREZ HUGO DIONISIO 1201131305001 X 35392 SALAZAR DEL POZO MARIA ELENA 1201135785001 X 236103 BURGOS FREIRE MARICRUZ MIROSLAVA 1201135934001 X 134131 MORAN BAJAÑA JOBA AMELIA 1201137377001 X 165465 MOSQUERA MORAN FELIX MIGUEL 1201140835001 X 203569 CAMPOS CARRIEL CARMEN PIEDAD 1201145628001 X 3670 BARROS MORANTE MERCY NICOLAZA 1201152400001 X 143840 VERGARA MELENDES ERNESTO ALEJANDRO 1201175278001 X 264281 MUÑOZ BURGOS SILVIO ANTONIO 1201176276001 X 84737 CARBO GONZALES PEDRO JACINTO 1201178835001 X 233067 PALACIOS MORENO FERNANDO HUMBERTO1201184692001 X 130860 BENAVIDES BARRIGA VILMA MAGDALENA1201187075001 X 137438 ESTRADA TROYA HERMOGENES REINALDO1201188529001 X 263157 TORRES VERA CRISTIAN VINICIO 1201189386001 X 109172 AGURTO ESPINOZA FRANCISCO DE JESUS 1201194139001 X 120779 LIBERIO DESIDERIO PEDRO EVARISTO 1201196670001 X 22563 QUINTANA VERA MARCOS ROBERTO 1201208780001 X 17476 LEON YEPEZ NINFA VICTORIA 1201212246001 X 54724 EDWIN 1201222575001 X 174916 CAMPUZANO PALOMINO FRANCISCO EDUARDO 1201224597001 X 214633 CABALLERO FRANCO EDGAR 1201239041001 X
  • 396.
    No No registra No No registra No No. registra registra No. indicadores registra provincia, registra Persona_id NOMBRE No. ID (RUC) calle número registra de ventas, apellido cantón y primer principal de calle origen activos y/o paterno parroquia nombre principal empleados 271987 GUERRERO GALLEGOS JUAN DANIEL 1201251707001 X 268512 FIGUEROA LEON ENRIQUE RICARDO 1201258025001 X 265718 JACOME VEGA JUAN JOSE 1201260492001 X 263558 GIL TROYA JOSE IVAN 1201261714001 X 3510 VEAS VELIZ FELICITA DE JESUS 1201261920001 X 42638 ZAPATA GAVILANEZ VICTOR OSWALDO1201266911001 X 134620 ARRIAGA NAVARRETE CARLOS ADOLFO 1201267679001 X 275542 OLAYA VERA AMADA DOLORES 1201269071001 X 80735 NAVARRETE GOMEZ JUAN ORLANDO 1201269485001 X 66914 BURGOS VERA VICTOR VICENTE 1201269535001 X 86481 BUSTAMANTE VERA JORGE ARTURO 1201269543001 X 136579 VITE CARPIO MANUEL INOCENCIO 1201271416001 X 274251 VERDEZOTO MORALES ELVA MAGDALENA 1201271580001 X X X 103364 VILLALTA FREIRE RAFAEL ANTONIO 1201274097001 X 178675 SOLIS ALARCON LUIS EUSEBIO 1201274691001 X 223201 SANCHEZ ASPIAZU CARLOS YAMIR 1201275615001 X 112859 ZAPATA INFANTE FREDDY JEOVANI 1201284054001 X 106264 VILLAVICENCIO GARCIA MIGUEL JOFFRE 1201285010001 X 208781 MOREIRA RAMIREZ EDUARDO GALO 1201285663001 X 42152 JACOME NAJERA ABDON PRESLEY 1201296967001 X 217310 TARIRA TOAZA BLANCA FELICIANA 1201308309001 X 195435 MONTERO ANTONIO 1201316120001 X 156563 GOMEZ DE LA TORRE FRANCO CIELITO1201332796001 TERESA X 201281 OCHOA ORDOÑEZ HUGO ALBERTO 1201340666001 X 242021 CARRASCO ECHEVERRIA WILLIAN MANUEL 1201346226001 X 80751 CABANILLA VERA JORGE ROMULO 1201353495001 X 116813 COELLO LEON LUCIANA VITALINA 1201356696001 X 33760 VERA CORNEJO LUIS BENJAMIN 1201363874001 X 271901 POZO CHANG ANTONIO ARMANDO 1201369145001 X 204150 GOYES JERVIS JOSÉ ERNESTO 1201371406001 X 33111 ROMERO ROMAN SILVIA ZORAIDA 1201380043001 X
  • 397.
    No No registra No No registra No No. registra registra No. indicadores registra provincia, registra Persona_id NOMBRE No. ID (RUC) calle número registra de ventas, apellido cantón y primer principal de calle origen activos y/o paterno parroquia nombre principal empleados 74514 SANCHEZ QUINTANILLA MARTHA JESUS 1201383260001 X 213887 VALERO RUIZ WALTER SEGUNDO 1201384334001 X 56965 GUZMAN CAMACHO VICTOR EUGENIO 1201389960001 X 241624 ALVARADO CASTRO JOSE ELIAS 1201390166001 X 143935 SANDOYA UBILLA PIERINNE CLEMENCIA201391065001 1 X 89499 PIEDRA PALMA OTÓN AMADO 1201391081001 X 68214 MOYA ALCHUNDIA MARGGY ZENEIDA 1201396007001 X 216258 ROMERO ANGULO MARIA NARCISA 1201399183001 X 204016 COELLO SANCHEZ MARIA MAGDALENA1201403662001 X 243909 ZUNIGA LOMBEIDA SEGUNDO ABRAHAN 1201409636001 X 69367 CHAVEZ NAJERA LUIS ARCENIO 1201416441001 X 64009 LEON JIMENEZ EDUARDO ALBERTO 1201419510001 X 59562 AGUIRRE FIERRO NESTOR VINICIO 1201421193001 X 179118 CAICEDO RAFFO PABLO RAUL 1201422738001 X 67459 RAMOS MARTINEZ CARMEN NARCISA 1201423033001 X 40648 LEÓN SUÁREZ SONNIA YOLANDA 1201423173001 X 212817 FABRE CARRASCO PATRICIA DEL CARMEN 1201423223001 X 188309 GARCIA MORA MANUEL AURELIO 1201426739001 X 273740 GUERRERO BUSTAMANTE HUMBERTO 1201450259001 VALENTIN X X X 141390 VILLA MOREIRA LUIS ALBERTO 1201451299001 X 82205 CARRIEL VILCHE NARCISA IRENE 1201452933001 X 126940 PAZMIÑO CAMACHO COLUMBA AMÉRICA 1201457130001 X 268689 ARAY VARELA JUAN ANGIMIRO 1201462627001 X 194854 MANSSUR QUIÑONEZ KARIM ALI 1201477815001 X 212719 BRICIO AQUINO VICENTE NOLBERTO 1201481544001 X 52788 JULIO 1201486279001 X 167770 CARBO VELIZ ALFREDO JAVIER 1201497045001 X 214545 SANCHEZ CASTAÑEDA WALTER ELEU 1201497771001 X 226086 MIRANDA ERNESTO 1201501986001 X 168077 ONOFRE YEPEZ MERCEDES LUCIA 1201506266001 X 214498 FUENTES VILLANUEVA PRIMITIVO UBALDO 1201515937001 X
  • 398.
    No No registra No No registra No No. registra registra No. indicadores registra provincia, registra Persona_id NOMBRE No. ID (RUC) calle número registra de ventas, apellido cantón y primer principal de calle origen activos y/o paterno parroquia nombre principal empleados 160272 RIVERA SILVA MIGUEL ADRIANO 1201524111001 X 209855 PORTILLA CABALLERO ANGEL EDISON 1201529482001 X 276357 MOYANO BARROS REYNALDO FRANCISCO1201530126001 X 238660 SILVA FLORES LUIS HERMOGENES 1201572177001 X 212636 ALVAREZ JIMENEZ GUILLERMO NICOLAS 1201604038001 X 25604 MACIAS SANCHEZ MILTON MAGNO 1201610829001 X 206897 CEDEÑO PIZA GERMÁN DOUGLAS 1201633193001 X 253609 TROYA GARCIA MANUEL IGNACIO 1201633888001 X 253811 VILLACRES CASTRO LUIS MANUEL 1201634423001 X 210028 SALINAS ERAZO ALEX MANUEL 1201655816001 X 164298 TORRES MORA WELLINTON ORLANDO 1201656749001 X 161010 GALARZA ACOSTA MARIVEL RUTH 1201657424001 X 120607 SANGOQUISA SAQUINGA JUAN ELIAS 1201665559001 X 239866 CAICEDO SANCHJEZ FRANCISCO JAVIER 1201667746001 X 195264 LUA CASTILLO JOSE SEGUNDO 1201671532001 X 59123 VALVERDE AGUILAR MIGUEL ANTONIO 1201684709001 X 112899 SANCHEZ PEREZ OSWALDO ENRIQUE 1201690250001 X 210840 SALCEDO CANTOS CARMEN SANDRA 1201695804001 X 203382 TORRES ABAD JULIO ELOY 1201704572001 X 257001 LUA FRANCISCO 1201706809001 X 186370 COELLO FIGUEROA NARCISA PIEDAD 1201730924001 X 174320 AYALA PULECIO CARLOS ALBERTO 1201733282001 X 221785 MACIAS VERA FRANCISCO ENRIQUE 1201739644001 X 76252 RIZZO YANEZ VICENTE KARYL 1201741392001 X 207282 CHING CRUZ ALEX XAVIER 1201749718001 X 175167 TOSCANO CAJAS CARLOS JUVENAL 1201751219001 X 104636 HERRERA ULLON LEONCIO VICENTE 1201753439001 X 74940 MACIAS RENGIFO HOLGER ANTONIO 1201757612001 X 250831 SANTILLAN CARRASCO YONNY ROLANDO1201763628001 X 80453 MIRANDA ULLON FELIX EDILTRUDIS 1201764063001 X 232757 TORRES FIENCO SEGUNDO BENITO 1201766621001 X
  • 399.
    No No registra No No registra No No. registra registra No. indicadores registra provincia, registra Persona_id NOMBRE No. ID (RUC) calle número registra de ventas, apellido cantón y primer principal de calle origen activos y/o paterno parroquia nombre principal empleados 172257 VILLACRECES TARIRA RICARDO ANTONIO 1201766670001 X 231846 CARRILLO ERAZO GREGORIO ANTONIO1201784632001 X 256579 HIDALGO FAITONG FREDDY SANTIAGO1201788591001 X 35674 HURTADO ASTUDILLO MARGARITA ALEXANDRA 1201796719001 X 123252 ALBIÑO MIGUEZ VICTOR NAPOLEON 1201805460001 X 99928 QUINTANA GARCIA MILTON OSWALDO 1201807219001 X 196655 ALVAREZ MARMOL MARIA PILAR 1201807730001 X 132491 ORTIZ ESCOBAR LORENZO OSWALDO 1201811823001 X 224026 ESPAÑA MENDOZA CLARA EUSEBIA 1201812086001 X 105943 PAZMIÑO VILLEGAS ANGEL WELLINGTON 1201823703001 X 99209 BASTIDAS LOZANO ALFREDO XAVIER 1201826078001 X 192357 BARQUET MARUN JUAN JOSÉ 1201853346001 X 135889 CHONG CRUZ MANUEL LIBORIO 1201857651001 X 205533 ZABALA PAZMINO ELI MARCELO 1201876214001 X 221754 CARBO MORA RIGOBERTO WASHINGTON1201899869001 X 148112 SOLIS BRAVO OLGA LETTI 1201901921001 X 181609 ZAPATA ARGUELLO NARCISA DEL CARMEN 1201902028001 X 98684 RODRIGUEZ ANGULO DOMINGA ERNESTINA 1201906565001 X 211613 SANCHEZ SANDOYA EDUARDO EMERSON1201908363001 X 78545 FRUTUOSO PEREZ LUIS ALBERTO 1201915632001 X 178041 SALCEDO ALVAREZ TANYA IVON 1201916861001 X 218764 VILLAMAR QUINTO WILSON LEONARDO1201917588001 X 141449 SUAREZ PARRA CARMEN 1201919501001 X 122696 MORENO BAJAÑA LAURA MARIANA 1201922117001 X 141623 ACOSTA AMAIQUEMA ALBERTO IVAN 1201922372001 X 228180 MENDEZ ZAMBRANO MANUEL ANTONIO 1201923487001 X 235840 VERSOSA LOOR MARCELINO DANNY 1201925763001 X 213701 MERA HUERTA MANUEL AUGUSTO 1201926662001 X 247597 FUENTES SOTOMAYOR OLGA JANETH DE LOURDES 1201928692001 X 166871 VITERI MACIAS JOSE JAVIER 1201929583001 X 264632 SALAVARRIA ARAGUNDI PEDRO 1201930664001 X
  • 400.
    No No registra No No registra No No. registra registra No. indicadores registra provincia, registra Persona_id NOMBRE No. ID (RUC) calle número registra de ventas, apellido cantón y primer principal de calle origen activos y/o paterno parroquia nombre principal empleados 227493 CAICEDO CRUZ MANUEL DE JESUS 1201931266001 X 135236 VILLACRES CASTRO LUIS SANTIAGO 1201932207001 X 220145 ASPUAZU MURILLO MARITZA DEL CARMEN 1201942834001 X 202675 MOREIRA BORJA EDUARDO ARTURO 1201958160001 X 178501 CARDENAS ARINDIA JUAN MANUEL 1201958939001 X 143742 VÉLIZ VÉLIZ FELIPE MARTÍN 1201960695001 X 78593 VELOZ VILLACIS LUIS ALFREDO 1201963335001 X 189912 ROMERO SALVATIERRA REINALDO NAPOLEÓN 1201965678001 X 201645 BELTRAN CEDEÑO LUIS BERNARDO 1201982681001 X 266978 ESPINOZA CEBALLOS BLANCA LASTENIA 1202003685001 X 257896 ROSS SUAREZ JULIO WILSON 1202014948001 X 135287 CEJIDO CENTENO FERNANDO EMETERIO1202016125001 X 58154 LEÓN BAZÁN ELMO VICENTE 1202019368001 X 119398 MUÑOZ MORANTE NELSON CRISTOBAL1202020895001 X 236048 VERA SEME MARCIAL OSTANO 1202028484001 X 252080 VACACELA LOOR JOSE ADALBERTO 1202048821001 X 99389 BRIONES CHILAN ERASMO LIDER 1202050108001 X 62044 PAZ Y MIÑO BACILIO MARIO FERNANDO 1202062699001 X 126501 FAJARDO MALAGON HUGO ANGEL 1202064257001 X 49433 MORALES ALARCON HUMBERTO MANUEL 1202067755001 X 242226 MARTINEZ ANDALUZ BELGICA ARMENIA1202075840001 X 187580 VELEZ CAMACHO FREDDY DENNIS 1202093033001 X 198573 VITERI JESUS 1202093546001 X 216711 RAMOS MARTINEZ HUGO GENARO 1202103832001 X 137395 CERCADO ESPINOZA ROSENDO EUGENIO1202112429001 X 9025 ILYPA 1202122683001 X 190476 GUERRA DUQUE GUILLERMO GENARO 1202125066001 X 179742 GOMEZ LEON IRMA ISABEL 1202130066001 X 103345 ESPARZA HUERTA PATSI HELLEN 1202130116001 X 179146 DIER ALDAS FABIOLA YOLANDA 1202130660001 X 28638 SALTOS INTRIAGO MARIA CAROLINA 1202135032001 X
  • 401.
    No No registra No No registra No No. registra registra No. indicadores registra provincia, registra Persona_id NOMBRE No. ID (RUC) calle número registra de ventas, apellido cantón y primer principal de calle origen activos y/o paterno parroquia nombre principal empleados 138529 GUTIERREZ VARGAS PABLO HILARIO 1202136790001 X 210424 GUTIERREZ VARGAS GERARDO LIBERATO 1202136808001 X 250428 BONILLA VISCARRA RAUL ARMANDO 1202140982001 X 261225 FLORES RAMIREZ JORGE RODOLFO 1202148662001 X 229539 VERA CASTRO ROSA MERCEDES 1202153852001 X 173036 MARQUEZ CRISTOBAL 1202160337001 X 257480 PEÑA ARTEAGA ARNULFO ROMANET 1202166367001 X 222535 CAMPOS SALINAS JOAQUIN ANTONIO 1202181242001 X 182393 OCAMPO PAREDES HENRY RANULFO 1202186167001 X 164958 AGUILA VARGAS TULA ROSARIO 1202210470001 X 15781 FILIAN ORTEGA CARLOS JULIO 1202210744001 X 193626 MORENO LEYTON WASHINGTON ERNESTO1202217905001 X 202251 MACKENSEN MACIAS TEOLINDA EMILIA1202226955001 X 66871 MAYORGA DOMINGUEZ ALFONSO MIGUEL1202237796001 X 261094 BARCOS ARIAS NIXON CEFERINO 1202237903001 X 273133 LEON GUTIERREZ VICENTE ISMAEL 1202238216001 X 75330 CEREZO CARRIEL BERNABE LUDGARDO 1202238315001 X 264546 RUIZ ANDRADE WINSTONG GIOVANNY 1202238901001 X 70877 SUAREZ AYALA JOFFRE ALAMIRO 1202259758001 X 269214 BARRERA GARCES ELVIA AMERICA 1202260947001 X 87689 ANDRADE GALARZA PEDRO GIOVANI 1202268064001 X 178521 MORANTE VILLALVA ABNER JOSELO 1202275572001 X 175210 MACIAS MERA CIRO BUENAVENTURA 1202276315001 X 214452 REYES ANDRADE JUAN EULOGIO 1202298657001 X 107647 REYES ALMEIDA AMADA EULOGIA 1202298863001 X 244261 SANCHEZ CABRERA ROMELIA AMERICA 1202312540001 X 219093 MOYANO MORA WALTHER ANTONIO 1202330815001 X 213963 VARGAS ANDRADE ALFONSO JACINTO 1202331078001 X 35265 CROSAC 1202334957001 X 271302 GARCIA GRANJA EUCEBIO EGGAR 1202338982001 X 154259 YANCE HUESQUEL ELISEO EUSTAQUIO1202339923001 X
  • 402.
    No No registra No No registra No No. registra registra No. indicadores registra provincia, registra Persona_id NOMBRE No. ID (RUC) calle número registra de ventas, apellido cantón y primer principal de calle origen activos y/o paterno parroquia nombre principal empleados 194910 CAMPOSANO GARCÍA FÉLIX ADOLFO 1202340376001 X 217531 PARRAGA LEON FELIX GUILLERMO 1202341259001 X 221489 MURILLO MORA MARIA ISABEL 1202343313001 X 193845 MUÑOZ GREGORIO 1202343370001 X 175902 CASTILLO RAMIREZ LUIS ALFONSO 1202344113001 X 110542 FERNANDEZ BONILLA HECTOR CESAR 1202347207001 X 274984 LITARDO RAMÍREZ JACINTO RENÉ 1202356729001 X 238405 AGUIRRE ESTRADA ANGEL TOMAS 1202363436001 X 138460 GAVILANEZ CUEVA CARLOS WILLIAN 1202365076001 X 275037 FLOR GARCIA JOHN ROOSEVELT 1202367486001 X 160216 RUIZ YANEZ NESTOR EDUARDO 1202373617001 X 272707 OCHOA DUARTE ISIDRO MANUEL 1202385983001 X 216915 RIVERA CHERNES PABLO ANTONIO 1202386528001 X 195824 CALERO ZAPATA NELSO AURELIO 1202386833001 X 226631 URIBE ESTRADA LUIS ALBINO 1202387963001 X 173952 JIMENEZ LOOR WAGNER JHONNY 1202391817001 X 234018 GODOY ARCE OLIMPI JOSE 1202393284001 X 205386 TUMBACO MONTES PAULO OLIVER 1202408157001 X 264767 VILLARREAL CASTRO TIMOTEO MARIO1202418156001 X 104530 SANTANA CHICHANDA JACINTO IBAN 1202425441001 X 80413 SANDOYA SANCHEZ MARILYN CARLOTA 1202429856001 X 190286 MOYOTA CAYO JORGE ESTUARDO 1202430110001 X 221890 BARRIGA MACIAS ROBERT OLMEDO 1202430698001 X 220796 PAZMIÑO SANTAMARIA IVAN WILMAN 1202432843001 X 239668 CASTRO BERIO WILSON EDUARDO 1202438774001 X 214079 LEDESMA JIMENEZ CESAR MIGUEL 1202460687001 X 256399 ZERNA MORAN MARIA DEL CARMEN 1202466429001 X 263980 NARANJO AVILES LUIS PALERMO 1202466999001 X 247752 BURGOS SANCHEZ JOSE RUSBELL 1202469241001 X 70677 BAILON GARCIA NARCIZA ELIZABETH 1202473623001 X 199331 MONAR PAREDES CESAR PEDRO 1202480115001 X
  • 403.
    No No registra No No registra No No. registra registra No. indicadores registra provincia, registra Persona_id NOMBRE No. ID (RUC) calle número registra de ventas, apellido cantón y primer principal de calle origen activos y/o paterno parroquia nombre principal empleados 232328 MENDOZA OCHOA VICENTE ROLANDO 1202495675001 X 167001 CORONEL ORELLANA JAUN ANTONIO 1202503122001 X 144944 MIRANDA COBOS ELIECER ELIAS 1202512099001 X 186781 BRITO MIRANDA ROSARIO DEL CARMEN1202513741001 X 247247 CRUZ SOTOMAYOR JAINZINHO DAVID 1202530505001 X 167285 AVILES ALVARIO MANUEL ERNESTO 1202538532001 X 26471 PAREDES ORBEA HUGO ALBERTO 1202539589001 X 208592 HINOJOZA AGUILAR JOHNNY SANTOS 1202547921001 X 167615 VARGAS ONATE TERESA DEL ROCIO 1202549547001 X 276393 LOPEZ MENA EDIZA CUMANDA 1202555734001 X 185440 COELLO VERA ADALBERTO ANTONIO 1202558266001 X 137145 ALBAN CHAVEZ JAIME FERNANDO 1202565014001 X 197222 MAYORGA REYES WILMER IVAN 1202571947001 X 127564 ARTEAGA MACIAS LUIS FERNANDO 1202576177001 X 151759 VEGA JIMENEZ GLADYS VIVIANA 1202584999001 X 127185 PROAÑO MOYA WILLIAN IVAN 1202588263001 X 149896 RABASCO ZAMORA MARIA ANGELICA 1202591721001 X 265045 VERA CAÑAR FLAVIO TEODORO 1202594550001 X 164225 URGILES IDROVO LUIS WASHINGTON 1202595029001 X 211090 OLAYA VERGARA JUAN FRANCISCO 1202597272001 X 221247 ZAMBRANO WONG ROSARIO DE JESÚS1202603377001 X 82414 VERA SOLARTE EPIFANIO DANIEL 1202613897001 X 11862 RAFAEL JACOME 1202615421001 X 203148 YEPEZ PERALTA RUBEN ENRIQUE 1202624894001 X 219971 CASTRO SANTILLAN MONICA DEL PILAR 1202634950001 X 217545 ARROYO VERGARA CARMEN CONCEPCION1202636666001 X 196051 VELEZ ZAMBRANO NEISER ROY 1202638191001 X 149355 FRANCO AVILES VICTOR MANUEL 1202638662001 X 124888 ROMERO JACOME FREDDY ANTONIO 1202639330001 X 229429 QUEVEDO PINOS ADELA ROSALVA 1202644819001 X 110519 ALVAREZ GUITIERREZ OSCAR OMAR 1202645618001 X
  • 404.
    No No registra No No registra No No. registra registra No. indicadores registra provincia, registra Persona_id NOMBRE No. ID (RUC) calle número registra de ventas, apellido cantón y primer principal de calle origen activos y/o paterno parroquia nombre principal empleados 244844 RIVERA RIVAS ELENA CONSUELO 1202649339001 X 153226 IZQUIERDO CARRIEL HECTOR JOVANNY202649602001 1 X 55711 VERA CARRIEL FRANCISCO ANDRÉS 1202661870001 X 189947 CUADRO GASTESI WILLIAM ARMANDO 1202708358001 X 141305 VILLAGOMEZ TROYA ESTUARDO BOLIVAR 1202709844001 X 187567 COELLO PONCE GEOMAR LEONOR 1202717128001 X 163671 GOYES CABEZAS WASHINGTON GEOVANNY 1202725501001 X 134452 VILELA LOOR FRANCISCO FLORENTINO1202731186001 X 256897 BURGOS VERGARA DABID ANTONIO 1202733034001 X 137523 CEPEDA DELGADO ORLANDO JOSE 1202735153001 X 226760 OÑA ALCIVAR SANTO JIORGE 1202743033001 X 137684 CONTRERAS GAMARRA NOLBERTO DAVID1202743629001 X 98717 GUEVARA VALLEJO JAVIER ALFONSO 1202750194001 X 174413 COZZARELLI CABEZAS GIOVANNI VICENTE 1202750756001 X 20821 JACOME NAJERA JIMMY ALEXANDER 1202750848001 X 215967 VELASQUEZ MORA GIOMAR CLIFTON 1202753321001 X 170499 CASANOVA VELEZ JOSE FERNANDO 1202756852001 X 257292 MONTERO RUIZ WELLINTONG GEOVANNY1202759021001 X 162897 HERNANDEZ CEVALLOS GUSTAVO ABEL 1202766067001 X 233961 DIAZ CHICA SAR BELLA 1202770499001 X 159915 PALLASCO RONQUILLO WASHINGTON GERARDO 1202779623001 X 88956 VILLACRES ROSADO NORTA IVON 1202779813001 X 202666 MURILLO MOYANO FORTUNATO FERNANDO 1202780738001 X 205367 VALVERDE MONTERO MANUEL DAVID 1202792097001 X 126426 TOALA PIHUAVE COSME LIGVINO 1202798698001 X 267539 BARROSO PANIZO EDUARDO JULIO 1202804132001 X 164875 ACOSTA CRUZ MAGDALENA ALEXANDRA DE LOURDES 1202804207001 X 219934 CARRASCO ESLAO MARTHA CONSUELO 1202815559001 X 168384 ALVAREZ GOYA LORENZO NICOLAS 1202823488001 X 190770 SOLORZANO FIERRO MARCOS LAUTARO 1202825483001 X 118246 PAZMIÑO ARETAGA ANGEL ADALBERTO 1202828859001 X
  • 405.
    No No registra No No registra No No. registra registra No. indicadores registra provincia, registra Persona_id NOMBRE No. ID (RUC) calle número registra de ventas, apellido cantón y primer principal de calle origen activos y/o paterno parroquia nombre principal empleados 206790 MEZA ESTRADA JOHN KEBY 1202829931001 X 189381 LONGO SALAZAR DENNIS JAVIER 1202830426001 X 227291 CARPIO MINO RUBY DOMINGO 1202831309001 X 113828 BARZOLA ZAMBRANO WELINGTON MAGNO1202833164001 X 215423 COSME IDROVO LUIS EDUARDO 1202835177001 X 158847 GONZALES CHONG PABLO ROBERTO 1202838551001 X 257636 BEJARANO PALMA ALBERTO ANTONIO 1202839831001 X 220809 POSLIGUA MIRIAN 1202848964001 X 97597 MORENO MOREIRA RENEE GUSTAVO 1202868798001 X 257563 RIVERA DIAZ CARLOS BOLIVAR 1202874218001 X 200784 CARRIEL MUÑOZ MARIO ARMANDO 1202880884001 X 228452 ALCIVAR TOALA TANYA MARIBEL 1202901961001 X 217219 PIEDRAHITA BUENO VICENTE ALFREDO1202912208001 X 30983 CHICO SILVA LENIN ALBERT 1202912323001 X 234438 TOLEDO MIRANDA DANILO ALFREDO 1202920060001 X 209834 MUÑOZ LOOR ALEX OMAR 1202920722001 X 259187 YEPEZ CONTRERAS EDRIN ERASMO 1202922769001 X 226290 ARTEAGA VASQUEZ LUBEL MANUEL 1202924310001 X 116228 MAYORGA CHONG NALDA ROSALIA 1202926265001 X 148144 VASQUEZ MORÁN VICENTE FRANCISCO 1202926893001 X 258181 ALAVA VALENCIA ALBERTO CAYETANO1202930218001 X 243942 CHIRIGUAYA PLACENCIO WILLIAM RICHARD 1202936777001 X 255091 BARRAGAN ALVAREZ ALEXI DANIEL 1202943724001 X 109213 VEGA JIMENEZ VERONICA VANESSA 1202952881001 X 148285 SAMANIEGO CARRASCO VICTOR HUGO 1202964753001 X 210349 JIMENEZ MENDOZA MANUEL DE JESUS1202969778001 X 140130 YANCE SANDOYA MERCEDES MARIA 1202980999001 X 119984 MARIQUE MEDRANO JUAN EDISON 1202982110001 X 154627 PACHECO MONTES ALEXANDRA LUPE202982235001 1 X 202959 HINOJOSA TERAN MARCO FABRICIO 1202983415001 X 179541 MONAR VALLE NELSON ALBERTO 1202983639001 X
  • 406.
    No No registra No No registra No No. registra registra No. indicadores registra provincia, registra Persona_id NOMBRE No. ID (RUC) calle número registra de ventas, apellido cantón y primer principal de calle origen activos y/o paterno parroquia nombre principal empleados 245167 SAAC ROSADO JOSE MARCELO 1202985691001 X 217517 FUENTES MORENO ALEX RODOLFO 1202990303001 X 140118 MACIAS GAVILANEZ CESAR LEONARDO1202990451001 X 257294 ARIAS VERA MANUEL FRANCISCO 1202995179001 X 61600 FORTTY ZAMBRANO ANGEL SEGUNDO 1202996649001 X 140397 VACA TOMALA GEORGE ALEJANDRO 1203013378001 X 101135 GUANUCHI MARIÑO SILVIA TERESA 1203021843001 X 216735 CARPIO BURGOS OBDULIA NIEVE 1203022114001 X 217680 AGUIRRE MACIAS SANDY RUVINCA 1203027824001 X 213811 ARREAGA ALBAN CARLOS ENRIQUE 1203030281001 X 163701 REMACHE NARANJO GIGGY RAQUEL 1203031636001 X 191095 MUÑOZ JIMENEZ GENARO ANTONIO 1203036742001 X 99073 VERGARA SANCHEZ MACARIO GUALBERTO 1203036999001 X 264936 PENAHERRERA VALVERDE FERNANDO 1203048184001 JESUS X 104470 GUEVARA SANTANA FREDDY JAVIER 1203049273001 X 194994 CARPIO RODRIGUEZ ANA DEL ROCIO 1203055858001 X 229987 ASTUDILLO SALAZAR OLMEDO ELOY 1203056377001 X 211132 ARMIJOS REYES DUSTIN LENIN 1203058951001 X 190861 SOLIS PEREZ LUIS ALFREDO 1203062466001 X 216306 LEON CANTOS LINDON GOVER 1203063506001 X 143565 QUIÑONEZ FERNANDEZ ANA ETELVINA1203067713001 X 212584 GRANADOS VACA CARLOS ALBERTO 1203070899001 X 162506 GARCIA MENA BOLIVAR ROBERTO 1203073554001 X 124563 ROBI VITE WALTER EMILIO 1203077233001 X 230280 CORNEJO MONTERO IVONNE ALEXANDRA 1203080872001 X 39078 MOISES 1203081672001 X 166186 PEREZ MUÑOZ FELIX ABEL 1203082712001 X 73058 GAMBOA BRAVO MIRIAN MAGALY 1203090178001 X 196000 LALALEO VERA SEGUNDO ANGEL 1203092646001 X 150868 IZA BARAHONA JIMMY NICOLAS 1203096308001 X 198329 GUAMAN SAMANIEGO LUZ MARIA 1203101587001 X
  • 407.
    No No registra No No registra No No. registra registra No. indicadores registra provincia, registra Persona_id NOMBRE No. ID (RUC) calle número registra de ventas, apellido cantón y primer principal de calle origen activos y/o paterno parroquia nombre principal empleados 198516 ALVAREZ ANA 1203102312001 X 220971 TORRES MORA CARLOS RAFAEL 1203110620001 X 112154 MUÑOZ VERA VICTOR HUGO 1203127012001 X 204204 CONTRERAS VASQUEZ SIXTO RAFAEL 1203127459001 X 219442 HERRERA ESPINOZA GLORIA OMEIDA 1203130131001 X 195690 BONE REYES CRISTOBAL ALBERTO 1203136369001 X 157470 VERA RODRÍGUEZ EMERSON GEOVANNY 1203136823001 X 259092 TRONCOSO CEDEÑO RODOLFO SANTIAGO1203137953001 X 111873 JACOME ALDAS GONZALO JAVIER 1203139942001 X 148123 FLORES MORAN DALIA NARCISA 1203140999001 X 207526 CASTAÑEDA LEON FREDDY ISIDRO 1203144298001 X 169334 MOREIRA NAVARRETE ESAÚ MALAQUÍAS1203144801001 X 186889 LOMBEYDA SUAREZ CARMEN FLORA 1203146335001 X 261276 AGUIRRE ESTRADA MERCEDES PASTORA1203151749001 X 138007 FLORES DIAZ LILIANA ISABEL 1203158207001 X 210935 ZAMBRANO BONILLA JUANA DEL CARMEN 1203158884001 X 114982 DORADO MANTILLA WALTER VINICIO 1203164973001 X 135951 SAAVEDRA ESCOBAR JORGE LUIS 1203166051001 X 210453 RIZZO VERA SAUL AUGUSTO 1203175458001 X 211992 MILÁN PAUCAR TEODORO 1203189822001 X 215340 CARRASCO TITO JUAN MANUEL 1203192537001 X 37267 QUINTANA GAVILANEZ ELVIA ESTHER 1203203433001 X 204643 VERA VITE ALINA ALEXANDRA 1203220601001 X 269109 NICOLA MORAN ALDRIN VICENTE 1203221971001 X 150461 ZAVALA ORTIZ MIOSOTO MIRELLA 1203238769001 X 90010 MONTIEL BRITO NARCISA MAGALY 1203243736001 X 257253 SOLORZANO CARRIEL JOSE VICENTE 1203254709001 X 239765 ESCOBAR TORRES EDWIN GEOVANNI 1203256134001 X 85636 MACIAS GUERRA MARIA MAGDALENA 1203260136001 X 147595 ALVAREZ FIGUEROA ALEJANDRO ALFREDO 1203264302001 X 190593 GOYA VILLA BETTY EDIT 1203271398001 X
  • 408.
    No No registra No No registra No No. registra registra No. indicadores registra provincia, registra Persona_id NOMBRE No. ID (RUC) calle número registra de ventas, apellido cantón y primer principal de calle origen activos y/o paterno parroquia nombre principal empleados 188278 ARIAS FLORES MARCOS ANTONIO 1203289416001 X 216675 MEJIA CERNA SUNNER ALFREDO 1203289432001 X 228570 GRIN CARRIEL CARLOS ORESTE 1203289515001 X 99589 ORELLANA ECHEVERRIA MARIA PILAR 1203289812001 X 78834 ZURITA GAIBOR JAVIER ANTONIO 1203291149001 X 218453 MONCERRATE PERALTA LINA AMERICA1203292881001 X 89556 PAZ LARA SILVERIO VICENTE 1203296155001 X 244170 VELIZ GARCIA MARJORY ANTONIETA 1203297344001 X 238845 CEDEÑO FIERRO RILLY MODESTO 1203298631001 X 234087 ZAMORA PEREZ MERCY ROSALBA 1203300759001 X 146228 FLORES ALVAREZ RICARDO INOCENTE1203309024001 X 224629 LEÓN MENA ALEXIS JAVIER 1203312697001 X X X 152667 CEREZO CARRIEL MARIA DEL PILAR 1203317019001 X 229711 MONTECE SANCHEZ HILARIO LORENZO 1203319205001 X 207638 ZURITA EDGAR 1203326580001 X 87678 BORJA BENAVIDES NIEVES ERNESTINA1203329949001 X 237328 MACIAS MUÑOZ MACARIO VALENTIN 1203352735001 X 237393 VERDESOTO SANTILLAN WILSON JAVIER 1203353279001 X 240227 MORAN AVEZ NELSON VIVIANO 1203360217001 X 233687 MORA MONTALVO CONNIE CRISTINA 1203369382001 X 206538 ZURITA LUZARRAGA ELOY BLADIMIRO 1203372642001 X 166669 HIDALGO REYES REINA DEL ROCIO 1203395643001 X 169584 LIBERIO GOYA JUAN ANTONIO 1203396922001 X 191468 GONZABAY QUISINTUNA ANGEL ALBINO1203399165001 X 275318 QUINONEZ ANASTACIO PABLO GEOVANNY 1203399652001 X 196329 DEL SALTO DAVID 1203402027001 X 189340 BURGOS BAJAÑA ROLANDO BUENAVENTURA 1203405673001 X 222221 TRUJILLO CARLOS BIRON 1203409170001 X 109688 ARIAS PULECIO SILVIA CRISTINA 1203411408001 X 32761 SILVA PÁRRALES JUAN JOSÉ 1203416357001 X 168133 SOLORZANO ROMERO GLENDA GICELA 1203419682001 X
  • 409.
    No No registra No No registra No No. registra registra No. indicadores registra provincia, registra Persona_id NOMBRE No. ID (RUC) calle número registra de ventas, apellido cantón y primer principal de calle origen activos y/o paterno parroquia nombre principal empleados 187901 OCHOA SOLORZANO ENA MARIBEL 1203429699001 X 129336 VELIZ DIAZ HUGO PRIMITIVO 1203434533001 X 147046 MORA MONTENEGRO JULIO CESAR 1203436900001 X 96669 PLUA PANTA KARINA ALEXANDRA 1203445380001 X 158493 BALLESTEROS BALLESTEROS ERIKA YESSENIA 1203446040001 X 93986 VERA ROMERO YANDRI BERNABE 1203447311001 X 225673 PADILLA ROMERO FERNANDO ANTONIO 1203468762001 X 100827 MENA GUZMAN MARIA ELENA 1203472152001 X 211215 HOLGUIN MILLAN CARLOS JUAN 1203473168001 X 217218 GOMEZ ALMEIDA EDI EZEQUIEL 1203479587001 X 82711 PULECIO VILLALVA ALEJANDRO DARIO 1203482128001 X 241415 BARDALES NAVARRETE CARLOS JULIO1203486640001 X 213764 MENDOZA BAJANA JORGE LUIS 1203488588001 X 199453 GOMEZ MOREIRA DAVID ANTONIO 1203492226001 X 265309 BALAREZO VISCARRA SARA LUCILA 1203497811001 X 260067 ALVARADO GAVILANEZ FLOR MARIA 1203503782001 X 41631 PRIETO LAINA JAVIER ELIAS 1203504384001 X 62417 MALTA GARCIA SILVIA ELIZABETH 1203506991001 X 216178 MONTOYA NARANJO GRIMANESA JACQUELINE 1203520976001 X 237610 HIDALGO FARRO MARIANA AZUCENA 1203524598001 X 182750 CERCADO MURILLO CRISTIAN EDUARDO 1203540370001 X 146107 MORALES VEINTIMILLA MAFALDA ESPERANZA 1203545197001 X 217909 CEDEÑO CAICEDO PEDRO GABRIEL 1203546963001 X 139382 LEON ALBAN YANCO PATRICIO 1203553894001 X 277792 GUAMBUGUETE CANDO DELFINA AMADA 1203555402001 X 274223 ARMIJO VERDEZOTO IVÁN RODRIGO 1203560949001 X 86711 PALLO ALBARRACIN MARINA FABIOLA 1203563356001 X 65672 CAMINO CAMPUZANO MARTHA YOLANDA 1203572639001 X 105983 ERAZO CARVAJAL HECTOR AGUSTIN 1203578164001 X 222477 COLOMA REGALADO WILSON JAVIER 1203579394001 X 207582 ERAZO ALMEIDA LUIS FERNANDO 1203584311001 X
  • 410.
    No No registra No No registra No No. registra registra No. indicadores registra provincia, registra Persona_id NOMBRE No. ID (RUC) calle número registra de ventas, apellido cantón y primer principal de calle origen activos y/o paterno parroquia nombre principal empleados 193700 CAICEDO FUENTES SOFIA ALEXANDRA1203586886001 X 118758 GUERRERO ZAMORA FRANCISCA GIOCONDA 1203587553001 X 131436 CADENA MONCADA CARLOS ALBERTO 1203591043001 X 140770 ARANA CEREZO FELIX ESTUARDO 1203592181001 X 142222 RODRIGUEZ MORAN MILTON ROLANDO1203598378001 X 220933 CONTRERAS MENDEZ MAURO ANTONIO 1203613458001 X 57367 ALVARADO ALVAREZ HUGO JAVIER 1203625247001 X 126483 CABEZAS TORO FREDDY OSWALDO 1203630932001 X 191595 ROJAS LEON MARIA MERCEDES 1203631245001 X 91760 CARRANZA GARCIA BETSY MARGARITA1203636939001 X 257193 GONZALEZ VASQUEZ LEONCIO LEONARDO 1203638562001 X 123415 QUEVEDO QUINCHE KETTY ELIZABETH1203645310001 X 228141 VELOSZ VELASCO LEONARDO JINSOP 1203653272001 X 165122 LANDIVAR GUALPA LUIS ALBERTO 1203654817001 X 175490 RODRIGUEZ PALMA ANTONIA ANGELA 1203671829001 X 142683 BOZA CRUZ CARLOS ALFREDO 1203679699001 X 184970 YEPEZ RAMOS DALILA ELIZABETH 1203687841001 X 35053 SANCHEZ MORAN JORGE LUIS 1203690860001 X 141766 PINCAY IBARRA SOFIA GISELLA 1203707672001 X 197193 OYAGUE FONSECA DOUGLAS WILLAMS 1203708175001 X 278622 AGUIRRE PEREZ GIOJAN RICARDO 1203719974001 X 193869 MACHADO ZERNA GONZALO DUBERLIN 1203720303001 X 152462 CORNEJO MAYORGA ANA DEL ROCÍO 1203728850001 X 225112 ALDAZ VERA DARWIN EDMUNDO 1203734130001 X 237078 CEREZO ESPAÑA RONAL ENRIQUE 1203737364001 X 15070 ING. FERNANDO GONZALEZ 1203737513001 X 205312 JARA PINCAY LEONARDO ADOLFO 1203752256001 X 227327 MONTECE SANCHEZ LUIS ELEUTERIO 1203753049001 X 218176 MONTECE MORANTE MANUEL RICHARD 1203756539001 X 130019 ESPINOZA MERA MARY DEL CARMEN 1203757941001 X 248659 ZAMBRANO RODRIGUEZ JIMMY TEODORO 1203765522001 X
  • 411.
    No No registra No No registra No No. registra registra No. indicadores registra provincia, registra Persona_id NOMBRE No. ID (RUC) calle número registra de ventas, apellido cantón y primer principal de calle origen activos y/o paterno parroquia nombre principal empleados 276047 LIZONDO MORA MIRIAN DEL ROSARIO 1203768195001 X 18071 CHILE MOLINA WILMER FABIAN 1203782113001 X 134191 BARROS RIVERA EVA FERNANDA 1203789035001 X 268617 ESPINOZA INTRIAGO SILVIA IRENE 1203790470001 X 217466 GAIBOR MESTANZA RENZO STALIN 1203793813001 X 195168 ESPIN BAYAS CARMEN PRISCILA 1203795925001 X 6093 OSCAR JAVIER GONZALEZ JUSTILLO 1203803190001 X 78541 GRANADOS ROMERO JAVIER FRANCISCO 1203805963001 X 206454 LASCANO RIVERA HAMILTON JOFFRE 1203808801001 X 240532 MORALES PAREDES PATRICIA JANETH 1203811425001 X 157489 NARANJO GORDON ROSA ELINA 1203812563001 X 211174 CAISACHANA LEON JULIA EDITH 1203812639001 X 211941 CISNEROS MERELO DANILO RARAEL 1203812811001 X 168150 FAJARDO CASTILO GLADYS MARIA 1203815426001 X 147580 VERA RODRIGUEZ MIGUEL GABRIEL 1203817174001 X 213117 NARANJO ORTEGA ROBINSON ENRIQUE203818008001 1 X 250060 GARCIA CEDEÑO JULIO DAVID 1203822588001 X 142337 ZAMBRANO ESPINOZA NICASIO GERMAN 1203822901001 X 52399 BAJAÑA ZAMBRANO NOE FERNANDO 1203831902001 X 261017 RIERA RAMIREZ MATILDE LUCRECIA 1203840549001 X 148659 MAYORGA SANDOYA WINSTON EUFRACIO 1203842909001 X 127936 SÁNCHEZ MOSQUERA DOUGLAS JASMANY 1203847692001 X 111384 SILVA OLAVARRIA NATALIA FRANCISCA1203853575001 X 80539 MOREIRA MEJIA MARIELA PILAR 1203858384001 X 198031 MEDINA CUEVA HECTOR WILFRIDO 1203861156001 X 82907 CHAVEZ ARIZALA NOE DAVID 1203863228001 X 227774 SARABIA BARROS JAIRO EMILIO 1203883572001 X X X 104605 LUGOZ RIVAS LUIS FERDINAND 1203884505001 X 204025 SANTILLAN LOOR JAQUELINE LEOVIGILDA 1203888118001 X 226884 CUENCA ZAMBRANO FRANKLIN ODILON203890528001 1 X 81908 CASTRO GARCÍA JORGE STALIN 1203895543001 X
  • 412.
    No No registra No No registra No No. registra registra No. indicadores registra provincia, registra Persona_id NOMBRE No. ID (RUC) calle número registra de ventas, apellido cantón y primer principal de calle origen activos y/o paterno parroquia nombre principal empleados 104312 TORRES MOSQUERA JAVIER 1203901531001 X 227676 BOZA ALBAN CARLOS MICHAEL 1203905045001 X 93484 MONTALVAN CEREZO JUAN ALFONSO 1203911241001 X 249451 SILVA CEDEÑO MARIA EUGENIA 1203911845001 X 234324 MORAN VERGARA JORGE WILSON 1203911969001 X 174019 RIZZO TOMALA CARLOS ARMANDO 1203916430001 X 240168 SMITH ALVARADO CARLOS ARTURO 1203918501001 X 168681 FIGUEROA PAREDES JAIRO PAUL 1203924509001 X 96157 ANDALUZ VILLALVA JOHN PABLO 1203926728001 X 86872 RAMOS LEDESMA RODOLFO RAMIRO 1203927056001 X 227243 SARANGO FIERRO EINSTEIN ANTONIO 1203930142001 X 90697 FUENTES VALDIVIEZO VERONICA MERCEDES 1203931504001 X 208003 RIZZO VERA DEXI MARIELA 1203933674001 X 179342 ERAZO GUANOLUISA YOCONDA DEL ROCIO 1203938897001 X 224450 FIERRO SANCHEZ ALEX EDUARDO 1203963440001 X 228118 ROMERO LASCANO CARLOS VICENTE 1203966732001 X 197229 VERA SERRANO JUANA HERMELINDA 1203978828001 X 237179 BARCO VELASCO SEGUNDO REISNER 1203978869001 X 63489 RIOFRIO RUIZ LUIS ALBERTO 1203984040001 X 263698 LYNCH BECILLA KEVIN MARCOS 1203984461001 X 234022 BAJAÑA GONZALEZ ANGEL ROBERTO 1203989601001 X 129124 ABRIL NEIRA ANA MARIUXI 1203994999001 X 190115 BRIONES CRUZ ANDRES FRANCISCO 1204003378001 X 253106 GOMEZ MURILLO IVONNE DEL PILAR 1204009094001 X 234600 LOOR VINUEZA CARLOS CEFERINO 1204019861001 X 92053 MUÑOZ MEDRANO ENRIQUE MANUEL 1204025736001 X 268756 VINZA SUBIA FERNANDO JAVIER 1204026502001 X 235126 MATAMOROS BURGOS DARWIN HERNANDO1204027716001 X 196590 PELAEZ MENDOZA JOSE CARLOS 1204048605001 X 254272 MORAN DIAZ GISSELA ROCIO 1204049074001 X 240163 VERA VILLALBA VICENTE HONORATO 1204049819001 X
  • 413.
    No No registra No No registra No No. registra registra No. indicadores registra provincia, registra Persona_id NOMBRE No. ID (RUC) calle número registra de ventas, apellido cantón y primer principal de calle origen activos y/o paterno parroquia nombre principal empleados 258118 MONCAYO CASTRO JULIO CÉSAR 1204052862001 X 237903 VALVERDE VELIZ GUILLERMO FRANCISCO 1204065773001 X 250701 PONCE GOMEZ TOMAS OVIDIO 1204070781001 X 96061 ZAMBRANO CRUZ VIOLETA MARIA 1204085953001 X 205508 SANTANA CARRIEL PABLO GABRIEL 1204093346001 X 147282 ACOSTA JIMENEZ EVA CLAUDIA 1204095879001 X 204155 TIGRERO MUÑOZ ZENOBIA MARILU 1204097354001 X 167499 JAMA PAZOS HUGO ALBERTO 1204100067001 X 228398 PESANTES SELLAN MANUEL ANTONIO 1204101271001 X 249599 HERRERA COLIMBA MILTON JAVIER 1204115545001 X 113483 GUANIN FAJARDO JORGE HUMBERTO 1204117715001 X 126155 QUIJIJE MACIAS GLADYS GRIMANEZA 1204121766001 X 198761 VALENZUELA LUNA JAVIER ARMANDO 1204122772001 X 121326 MACIAS FERNANDEZ PEDRO ALBERTO 1204124414001 X 152793 ALVARADO ESPINOZA ARTURO FERNANDO 1204127821001 X 192150 CAMACHO PALACIOS JOSE ALFREDO 1204128589001 X 215989 GUTIERREZ MIRANDA DANNY ALBERTO 1204129975001 X 185873 ESTRADA CHAVEZ AMADA MORAIMA 1204135873001 X 66752 MUÑOZ RONQUILLO FRESIA ZENAIDA 1204139545001 X 266630 CARVAJAL SOLIZ DAYSI CRISTINA 1204142739001 X 154703 CARRILLO GAYBOR DIEGO MAURICIO 1204151284001 X 84083 VERA RUIZ BERTILDA VIRGINIA 1204157943001 X 260631 CAICEDO CORONEL EDUARDO DANILO1204159196001 X 228716 BASCONES PALMA ELIAS EDUARDO 1204161267001 X 254615 BAJAÑA SANTOS FRANCISCO JAVIER 1204172579001 X 224793 GUAMAN VACA MIRYAN JANETH 1204182545001 X 202070 RIVERA MUÑOZ AIDA MERCEDES 1204186256001 X 266236 ARTIEGA GOMEZ FABIAN PEDRO 1204197899001 X 225965 CONTRERAS LITARDO ORLANDO JAVIER1204201410001 X 183346 NARANJO SARMIENTO RAQUEL MARICELA 1204210114001 X 101037 AGUIRRE PÉREZ MARGOTH DE LAS MERCEDES 1204213522001 X
  • 414.
    No No registra No No registra No No. registra registra No. indicadores registra provincia, registra Persona_id NOMBRE No. ID (RUC) calle número registra de ventas, apellido cantón y primer principal de calle origen activos y/o paterno parroquia nombre principal empleados 252496 CHAMBA ESPINOZA LUBINA MARIA 1204214421001 X 116581 CONTRERAS RIVADENEIRA LILIANA ELIZABETH 1204217309001 X 236672 LOMBEIDA LUIS ANIBAL 1204220303001 X 246338 MORALES VARAS OLGA KERLY 1204232894001 X 275344 BURGOS ESPINOZA EMA ESTHER 1204233355001 X 103160 HONORES ALVAREZ JAIR ROBERTO 1204242190001 X 259253 LEON BARZOLA BEXI JOHANA 1204251324001 X 120232 ARREAGA ALVAREZ JESUS JACKELINE 1204254856001 X 93590 ULLON SEGOVIA RODOLFO MANUEL 1204274243001 X 190727 VELIZ FERNANDEZ NICOLAS VICENTE 1204278376001 X 219259 TORRES PEREIRA JOHANNA ELIZABETH 1204288672001 X 138269 ESPINOZA ZAMBRANO HUGO MANUEL 1204309841001 X 212855 GUAPULEMA MACIAS LUIS NAPOLEON 1204318768001 X 216452 RIVERA PENAFIEL RENE MARINO 1204319428001 X 200317 BARBOTO COELLO VICENTE CRISTOBAL 1204319873001 X 154485 VASQUEZ VERA VICTOR VICENTE 1204321556001 X 53388 GLORIA 1204327900001 X 246365 PEREZ ZUMBA CESAR DAVID 1204345191001 X 211053 LOZANO ORTIZ CARLOS JOSE 1204345670001 X 194260 PAREDES JENNY 1204347858001 X 39231 COZZARELLI MORA FRANCISCO JAVIER 1204351710001 X 113611 REYNA PALACIOS EVELYN LEONELA 1204352700001 X 132745 MORA SECAIRA JANETH INÉS 1204360356001 X 247033 BASTIDAS ARBELAEZ TANIA ZOBEIDA 1204364903001 X 107410 CAICEDO MOREIRA FRANCISCO JAVIER 1204377871001 X 145976 TIRADO RIOS NORMANDI ROCIO 1204386468001 X 225970 CONTRERAS LITARDO EDDY MARTIN 1204393670001 X 104965 GARCIA FRANCO RICARDO HERNAN 1204402273001 X 127333 ZAMBRANO MOLINA MARIA ELIZA 1204408262001 X 81721 TRONCOSO ASIS MARJORY JULIANA 1204414468001 X 203507 TREJO FUENTES LESTER STAFFORD 1204419186001 X
  • 415.
    No No registra No No registra No No. registra registra No. indicadores registra provincia, registra Persona_id NOMBRE No. ID (RUC) calle número registra de ventas, apellido cantón y primer principal de calle origen activos y/o paterno parroquia nombre principal empleados 203530 CALERO ALONSO RICARDO RAFAEL 1204426629001 X 258334 ZAVALA ARTEAGA LEYDA JOHANNA 1204453334001 X 224998 LOOR TUBAY JUAN JOSE 1204454118001 X 244477 FLOR HERRERA JOEL ARCADIO 1204461139001 X 142567 SANCHEZ VELARDE GEOMAR ALEXANDRA1204475006001 X 277015 ALCIVAR ALVAREZ DUNIA MARGARITA 1204488595001 X X 277217 MANZABA TRIVIÑO WALTHER WILLIAMS1204495319001 X 78018 CEDEÑO LOJA PEDRO EMILIO 1204502056001 X 155137 CALDERON GONZABAY SAMUEL ESTEBAN1204505935001 X 238720 BUITRON FERNANDEZ JOSE LUIS 1204513723001 X 275525 FIGUEROA PERALTA CRISTHIAN JOSE 1204514101001 X 125405 ROMERO BURGOS FANNY JACQUELINE 1204526543001 X 166578 ALAVA AYON EDISON JAVIER 1204542540001 X 268760 PINCAY PONCE DANIEL VICENTE 1204542698001 X 185924 CALIXTO MEDINA DOLORES GRISELDA 1204549115001 X 249945 CAMACHO VILLOTA WASHINGTON ALFREDO 1204556532001 X 250305 GUERRERO JACOME ANA LISSETE 1204572539001 X 72159 CALDERÓN PONGUILLO JESSICA MARGARITA 1204575094001 X 103416 SALTOS SIMALEZA MARITZA CECIBEL 1204576761001 X 29969 SALAS ARAGÓN ELOY ALBERTO 1204582637001 X 241788 COLOMA ZURITA TANIA SOFIA 1204591307001 X 72351 RODRIGUEZ BLACIO FERNANDO ARNULFO 1204593329001 X 216247 DE LUCA FIGUEROA ROSA ANA 1204596843001 X 216238 ESPINOZA PISCO HECTOR ANDRES 1204602757001 X 243734 GARCIA AGUIRRE JOFFRE NOLBERTP 1204604811001 X 127089 ALCIVAR ALVAREZ ADOLFO ANDRES 1204609307001 X 270657 MORAN SUAREZ JUAN GEOVANNY 1204619272001 X 105132 FRANCO CASTRO SARA ALEXANDRA 1204644213001 X 107494 BURBANO CADENA VICTOR HUGO 1204648537001 X 42603 RODRIGUEZ GOMEZ PEDRO JOSE 1204657512001 X 250036 MORA ANDRADE HERNANDO PAUL 1204661787001 X
  • 416.
    No No registra No No registra No No. registra registra No. indicadores registra provincia, registra Persona_id NOMBRE No. ID (RUC) calle número registra de ventas, apellido cantón y primer principal de calle origen activos y/o paterno parroquia nombre principal empleados 277179 AGUILAR ORTIZ KAREN PAULINA 1204682726001 X 252077 ORELLANA POLO MIGUEL ANGEL 1204700163001 X 101606 AGUIRRE SANTILLAN CESAR ARTURO 1204702615001 X 155301 CUESTA MORENO JORGE ENRIQUE 1204705048001 X 129405 BERMUDEZ LOPEZ JESUS CARMEN 1204718181001 X 102243 MONSERRATE CONSTANTINE MAYRA MERCEDES 1204727711001 X 127956 BAJAÑA PUMA BRUNO RICARDO 1204728420001 X 190077 REINA REMACHE SEGUNDO OMAR 1204729808001 X 53378 MONTIEL MENDOZA GIDKRIA AURORA 1204734923001 X 264127 GOMEZ LARA JOSEPT WLADIMIR 1204735722001 X 179350 MALTA GARCIA YESENIA IVONNE 1204742405001 X 205089 CASTRO MUÑOZ SELENE MARIA 1204746802001 X 252184 NARVAEZ ZAMORA CARLOS DAVID 1204758534001 X 136799 AREVALO MACIAS VERONICA DEL ROCIO 1204760779001 X 213911 MONSERRATE RIVERA FAUSTO FELIX 1204763872001 X 267861 HERMIDA HERMIDA LIA ANA 1204766024001 X 271582 QUIJOSACA RODRIGUEZ MARLO WILIAM1204771891001 X 142855 SANCHEZ RUBIO WALTER OMAR 1204801219001 X 159396 CAMACHO LOZANO JULIO CESAR 1204803538001 X 132791 PLACENCIA LOJA ANGEL RODOLFO 1204809311001 X 218833 VON LIPPKE ANDINO JACKELINE GRACE 1204825184001 X 227208 GAIBOR COLOMA ALEXANDRA PATRICIA204833147001 1 X 179906 1204842064001 X 83978 MENDOZA SANTANA HERNAN RODOLFO 1204843690001 X 202621 BAJAÑA RIVAS NEIDA ARACELY 1204850208001 X 267846 DELGADO VARGAS JENNYFFER MARGARITA 1204865453001 X 232836 SANDOYA QUILA ROLANDO JOSE 1204870693001 X 275528 SANTANA LOPEZ PEDRO VICENTE 1204877623001 X 171774 FAJARDO PARRAGA ANGELICA MARIA 1204885956001 X 214552 GARCÍA CABRERA VIVIANA ANABEL 1204924045001 X 256812 ALVARADO PAREDES ALAN EDUARDO 1204968901001 X
  • 417.
    No No registra No No registra No No. registra registra No. indicadores registra provincia, registra Persona_id NOMBRE No. ID (RUC) calle número registra de ventas, apellido cantón y primer principal de calle origen activos y/o paterno parroquia nombre principal empleados 269245 VELOZ GALARZA LIVINSTON FRANKLIN 1204982001001 X 108266 ROJAS CRIOLLO FREDDY JOFFRE 1205001850001 X 237150 CARRILLO MUÑOZ JHON ALEX 1205024084001 X 193140 CEVALLOS ORTEGA JERRY JOSE 1205032277001 X 183049 BUSTAMANTE MORA FREDDY FERNANDO 1205066580001 X 249883 ARTEAGA RAMOS EDWIN JAVIER 1205088253001 X 77196 VILLAMAR ROSADO MARIA OLEGARIA 1205090960001 X 139868 SAMANIEGO MONTENEGRO MARCO ANTONIO 1205115767001 X 130903 LOPEZ ALVARADO JOHANNA PATRICIA 1205149485001 X 181123 FAJARDO LLERENA CASILDA CECILIA 1205164211001 X 182384 NUÑEZ PIN WILTON ANIBAL 1205185158001 X 240476 ALVAREZ RIERA FRED STALIN 1205221995001 X 145569 ARDILA CHINGA ROBERTO CARLOS 1205235722001 X 68767 LOPEZ PUENTE CARLOS IVAN 1205256538001 X 201627 ROSERO PIZA ELOISA JOHANA 1205274473001 X 231438 ZAPATA OLVERA DAVID GUILLERMO 1205298605001 X 251008 ARROBA VITE IVAN RODOLFO 1205322637001 X 151202 MORALES SANCHEZ MIGUEL ANGEL 1205387382001 X 203731 MONTOYA PROANO JORGE JAVIER 1205401134001 X 244627 GOMEZ LEON FELIX FRANCISCO 1205495425001 X 192364 GARCIA RUIZ DAVID ANTONIO 1205514639001 X X X 122599 MATUTE MATUTE ALEXIS FERNANDO 1205548645001 X 197929 LOZADA PARRA EDWIN EMILIO 1205557372001 X 257173 GAROFALO VARGAS JAVIER JOHNNY 1205566993001 X 96319 GOMEZ VALLE JULIO ALBERTO 1205583550001 X 53715 HUACON VILLEGAS VICTOR MANUEL 1205615709001 X 235290 MORAN MORAN JOFFRE GILBERTO 1205630039001 X 262195 RAMÍREZ RIERA LEANDRO WILFRIDO 1205644949001 X 205721 PEREZ ELIZONDO CINTHYA ROSANNA 1205653007001 X 256608 YANCHAPAXI PEREZ LUIS EDUARDO 1205660101001 X 102073 HERRERA TIGRERO DOMENICA DIANA 1205681867001 X
  • 418.
    No No registra No No registra No No. registra registra No. indicadores registra provincia, registra Persona_id NOMBRE No. ID (RUC) calle número registra de ventas, apellido cantón y primer principal de calle origen activos y/o paterno parroquia nombre principal empleados 104576 BARRAGAN LOAYZA GRACE ELIZABETH 1205683947001 X 181659 GONZALES FREIRE JIXU OLGA 1205690728001 X 218366 LEÓN MORÁN JORGE ENRIQUE 1205699513001 X 273808 ZAMORA SANCAN RICHARD DARWIN 1205719295001 X 253008 LLANOS CALERO CRISTHIAN HOMERO 1205789199001 X 180617 COELLO MARQUEZ RONALD REINALDO1205868365001 X 201462 CORNEJO DURAN HANDEL NIKOLAI 1205902909001 X 116377 REYNA MURILLO MIGUEL CRUZ 1205909094001 X 250079 BARROS NICOLA OSCAR RAMON 1205926015001 X 157490 MUÑOZ CONTRERAS JUAN CARLOS 1205930991001 X 265804 VARELA VERA JACINTO ALFREDO 1205945999001 X 276339 FLORES LÓPEZ PEDRO HONORATO 1205978891001 X 212592 DAVID MARIDUENA ELIDA AZUCENA 1206009548001 X 230371 SOTO ALBAN MARTIN ALFONSO 1206013680001 X 74675 SEMPERTEGUI CHERNEZ JAIRON ANTONIO 1206058156001 X 266230 MORALES CADENA XAVIER IVAN 1206070789001 X 268865 HIDALGO LOPEZ EVELINA GABRIELA 1206080762001 X 251440 VERA LITARDO ALEXANDER FRANCISCO206138925001 1 X 265276 FREIRE BAQUERIZO EDDYN PATRICIO 1206149062001 X 179459 GOMEZ VERA DOINA JACQUELINE 1206151472001 X 255449 BRIONES CADENA GINGER ADRIANA 1206152025001 X 258599 SEGURA VASCONEZ WASHINGTON ISRAEL 1206190744001 X 276854 ALMEIDA GARCÍA CARLOS ALFREDO 1206248237001 X 86477 ZORRILLA ROMERO RAFAEL 1206282814001 X 150632 ARIAS CARPIO WENDY TATIANA 1206324731001 X 219265 YEPEZ MONTERO ALFREDO JOSE 1206340109001 X 243025 ZURITA AVILA CESAR JAVIER 1206383950001 X 276831 VILELA FRANCO FRANCISCO VLADIMIR1206391359001 X 180604 GOMEZ BLUM MICHELLE MARIA 1206407965001 X 235310 MELENDRES PARRAGA VICTOR HUGO 1206455212001 X 168524 LUCAS ARELLANO WILSON ANDRES 1206484345001 X
  • 419.
    No No registra No No registra No No. registra registra No. indicadores registra provincia, registra Persona_id NOMBRE No. ID (RUC) calle número registra de ventas, apellido cantón y primer principal de calle origen activos y/o paterno parroquia nombre principal empleados 109557 MONAR GAMARRA JAIRO DAVID 1206487975001 X 244164 DAVILA ESPIN WILSON WLADIMIR 1206542522001 X 195152 MANSSUR FERNANDEZ VICENTE KARIM 1206656413001 X 271797 ZAMBRANO MURILLO IVANNA MARIA 1206688754001 X 220234 ACOSTA LAMILLA JONATHAN ENRIQUE1206755330001 X 274887 ZAMORA SUAREZ JOSE MANUEL 1207548486001 X 68451 ESTACION EXPERIMENTAL TROPICAL PICHILINGUE 1260007660001 X 36940 PATRONATO MUNICIPAL 1260033820001 X 207711 SINDICATO CANTONAL DE CHOFERES PROFESIONALES DE VALENCIA 1290042492001 X 98327 ECUAVEGETAL S.A. 1290050320001 X 240801 COOPERATIVA DE TRANSPORTES DE PASAJEROS 7 DE SEPTIEMBRE 1290057791001 X 79894 COMERCIAL VIZUETE ERAZO 1290066790001 X 77522 INDUHORST CIA. LTDA. 1290067223001 X 16360 CARTOUBASA 1290067762001 X 49588 MAVARYSA 1290071719001 X 41402 MILLENNIUM RIOS S.A. MILLENRIOS 1290072030001 X 123196 AGROLAYA S.A. 1291700647001 X 125398 AGUAS NATURALES DE QUEVEDO S.A. 1291701112001 X 135248 COMITE FRENTE DE ACCION COMUNITARIA BUENA FE 1291707781001 X 84100 CONSTRUCTORA MORA SA 1291709237001 X 7634 ORIENTAL INDUSTRIA ALIMENTICIA O.I.A. CIA. LTDA. 1291710359001 X 33696 PATRONATO DE AYUDA SOCIAL 1291711185001 X X 15772 CONSTRUCTORA TOAPANTA SANTA MARIA SA TOASAN 1291711681001 X 101640 ASOCIACION DE SERVICIO DE LIMPIEZA PUBLICA LUZ DE VIDA 1291711819001 X 161885 COMITE DE LA UNIDAD DE HEMODIALISIS DE LOS RIOS 1291712203001 X 231773 COMITE DE DESARROLLO COMUNITARIO LUZ Y VIDA 1291719372001 X 64807 MICROEMPRESA DE CONSERVACION VIAL PATRONO MONTALVO 1291721512001 X 63305 MICROEMPRESA DE CONSERVACION VIAL PATRONO VENTANAS 1291721539001 X 79570 MICROEMPRESA DE CONSERVACION VIAL PATRONO BABAHOYO 1291721547001 X 128483 MICROEMPRESA DE CONSERVACION VIAL EL PITAL 1291721598001 X 38495 CONSTRUCTORA MEYLIN S.A. 1291722888001 X
  • 420.
    No No registra No No registra No No. registra registra No. indicadores registra provincia, registra Persona_id NOMBRE No. ID (RUC) calle número registra de ventas, apellido cantón y primer principal de calle origen activos y/o paterno parroquia nombre principal empleados 75111 MICROEMPRESAS DE CONSERVACION 1291723892001 VIAL SAL LORENZO DE VINCES X 165151 ASOCIACION PALENQUE PUEBLO SOLIDARIO 1291724384001 X 230959 CIA. DE TRANSPORTE MATA DE CACAO1291725216001 TRANSMACACAO S.A. X 240786 FUNDACION MAGRASA 1291725623001 X 253197 COMITE DE DESARROLLO AMOR Y PAZ1291726190001 DE SANTA LUCIA X 109387 TURBONET S.A 1291727081001 X 82165 ASOCIACION DE VIVERISTAS Y PRODUCTORES AGROFORESTALES "SEMBRANDO FUTURO" 1291727499001 X 99446 FUNDACION PARA EL DESARROLLO LOS RIOS FUNDERIOS 1291727731001 X 218064 ASOCIACION CAMPESINA SOLEDAD 1291728436001 X 179591 COMPAÑIA AGROINDUSTRIAL UBIX S.A.1291730155001 X 233232 CIA. DE TRANSPORTE 27 DE MAYO S.A.1291730368001 X 264563 ECOLOGIA DIESEL EN MOVIMIENTO "GUEVARA & PORTILLA" S.A. 1291730783001 X 218241 ASOCIACION PROV.COLECTIVO SOCIAL CORAZONES VALIENTES 1291731356001 X 213181 COOPERATIVA DE AHORRO Y CREDITO1291731518001LTDA LA NUESTRA X 235526 ASOCIACION DE MAESTROS ALBAÑILES "6 DE ABRIL" 1291731755001 X 214439 INDURELESA 1291731844001 X 219530 ASOCIACION DE PRODUCTORES Y PRODUCTORAS EN VARIOS SERVICIOS DE CONSUMO POPULAR MONSEÑOR OSCAR ROMERO 1291732131001 X 236962 OPERADORES DE COMPUTACION FERNALEG S.A 1291733790001 X 249742 AZARIAS S.A. 1291734320001 X 248069 CONSTRUCCIONES CALE S.A 1291734576001 X 265173 MEGAPRIORITY 1291734827001 X 273106 NEXUSCONSTRU 1291735890001 X 36865 CEDEÑO MOREIRA ROBERTO OMAR 1300003058001 X 66225 GUILLEM ZAMBRANO COLON ELOY 1300008610001 X 85151 VILLAMAR CARTAGENA LUIS ANTONIO1300010533001 X 149056 CHILAN CONFORME ELIAS 1300017488001 X 243739 CEVALLOS CEDENO LEONEL 1300018486001 X 199206 FRANCO PALACIOS FRANKLIN FEDERICO 1300018866001 X 93995 VERA CANTOS JACINTO AGUSTIN 1300019013001 X 33149 CEVALLOS MARTINEZ NESTOR AQUILES300023023001 1 X 102187 SOLIS VÁSQUEZ JORGE ISAAC 1300027636001 X
  • 421.
    No No registra No No registra No No. registra registra No. indicadores registra provincia, registra Persona_id NOMBRE No. ID (RUC) calle número registra de ventas, apellido cantón y primer principal de calle origen activos y/o paterno parroquia nombre principal empleados 141814 ALCIVAR DELGADO HECTOR PERDOMO 1300044888001 X 90712 BENITEZ POVEDA JOSE ANTONIO 1300047188001 X 197655 GUERRERO GUERRERO MARCIA MARILU 1300048897001 X 137550 MENESES FARFAN EGDA GLADYS 1300052295001 X 275719 ALVARADO TRIVIÑO RAMON IDO 1300053228001 X X 157100 MENDOZA ZAMBRANO JOSE WINSTON 1300057161001 ALFREDO X 20057 CARLOS 1300057237001 X 75414 ORMAZA MALDONADO MIGUEL ANGEL 1300065057001 X 159964 MACIAS LUCAS COLON CRISTOBAL 1300084900001 X 152298 GARCÍA ROMERO FREDDY CINAR 1300120910001 X 213568 FRANCO CEDEÑO JORGE WALTER 1300125943001 X 197487 PEÑARRIETA VELEZ LIDER FEDERICO 1300138730001 X 151785 MUÑOZ MENDOZA KLEBER AMADOR 1300145685001 X 76150 MENDOZA PARRAGA HORACIO HUMBERTO1300149539001 X 60538 CABRERA SUAREZ RAUL ALFREDO 1300150313001 X 18257 VINCES MENDOZA CESAR HIPOLITO 1300150347001 X 83278 GUIM GONZALEZ SIMON WAR 1300161880001 X 121686 BURGOS HOMERO 1300162490001 X 147623 GONZALEZ ALARCON WINSTON ELEODORO 1300171061001 X 118374 CORRAL MARRIOTT JOSE VICENTE 1300172333001 X 141442 BAQUE PARRALES OTON ELIODORO 1300176169001 X 142240 ALAVA ZAMORA GUIDO BOANERGE 1300201827001 X 226377 CARBO RAMON BARTOLOME 1300209077001 X 173841 REYES ANDRES DIONICIO 1300210000001 X 83259 GUILLEN SALTOS SECUNDINO EMETERIO 1300219050001 X 41278 ALAVA SAN PEDRO VICENTE RIGOBERTO 1300231048001 X 109370 DELGADO CEDEÑO NENIA MARGARITA1300232244001 X 228281 SUAREZ VERA HORLLY WLADIMIR 1300235767001 X 135258 ANTÓN LOOR AZUCENA ALBERTINA 1300236351001 X 262352 LLAGUNO CHICA GINE ARLES 1300238233001 X 165474 CARRILLO SANTANA PIO ANTONIO 1300264262001 X
  • 422.
    No No registra No No registra No No. registra registra No. indicadores registra provincia, registra Persona_id NOMBRE No. ID (RUC) calle número registra de ventas, apellido cantón y primer principal de calle origen activos y/o paterno parroquia nombre principal empleados 210192 ALAY VILLAFUERTE AGRICIO MELQUIADES 1300274220001 X 279434 CALLE DELGADO VICTOR HUGO 1300294558001 X 148709 GARCIA MACIAS MARCOS TEODATO 1300298161001 X 149900 GOROZABEL CARRILLO JORGE WALTER300303508001 1 X 174893 DELGADO PACHAY JUAN MANUEL 1300304308001 X 117007 QUIÑONEZ HIDALGO CENIA ANGELINA 1300320783001 X 170279 GILER ALAVA CARMEN ROSA 1300321229001 X 197844 ZAMBRANO BASURTO CARLINA GENITH300323456001 1 X 114909 ERAZO LIMONGI FRANCISCO SEBASTIAN 1300329461001 X 143511 RODRIGUEZ FALCONI RAUL RODRIGO 1300330154001 X 143122 RODRIGUEZ COLL EDISON EDUARDO 1300338512001 X 224772 MOREIRA TOALA CARLOS ALEJANDRO 1300341920001 X 154439 TOAPANTA CHILIQUINGA GLORIA ESPERANZA 1300346093001 X 119954 SOLORZANO JARAMILLO KARTUN ATILO1300371612001 X 40879 CEVALLOS CEDEÑO GABINO MARCELO1300372099001 X 138780 CARRILLO SANTANA GALO AGUSTIN 1300375811001 X 82405 MENDOZA PINARGOTE OLINDA ESPERANZA 1300378203001 X 100468 MENDOZA INTRIAGO JOSE ROBERTO ELIAS 1300379532001 X 111205 CEDEÑO PAZ HUGO VICENTE 1300380258001 X 20187 BARBERAN RODRIGUEZ KLEBER JUVENAL 1300390851001 X 193605 ALARCON SOLIS VICTOR HUGO 1300391529001 X 17212 MOREIRA CEDENO HUMBOLTD LEONEL 1300401997001 X 21363 MEJIA SALDARRIAGA RIMBERT GILBERT300407879001 1 X 256505 REGALADO GUTIERREZ GILBERT EPIFANIO 1300429261001 X 26199 BOWEN BRIONES JOSÉ EUTIMIO 1300452230001 X 21472 MEJIA CHANCAY WILSON HERNAN 1300515200001 X 219375 MEJIA BAZURTO JOSE RAMON 1300517636001 X 109586 SANTANA VINCES ALBERTO RAMÓN 1300521646001 X 64811 BRAVO ZAMBRANO TITO ORLANDO 1300537196001 X 125769 VITE CAGUA ISIDRO BOLIVAR 1300545678001 X 96918 CASTILLO ORMAZA RAMÓN ALFREDO 1300571914001 X
  • 423.
    No No registra No No registra No No. registra registra No. indicadores registra provincia, registra Persona_id NOMBRE No. ID (RUC) calle número registra de ventas, apellido cantón y primer principal de calle origen activos y/o paterno parroquia nombre principal empleados 104272 VARGAS RODRIGUEZ JUAN JOSE 1300580873001 X 116934 CARDENAS DELGADO MIGUEL EDGAR 1300586862001 X 264337 MOREIRA SALDARRIAGA PABLO BIENVENIDO 1300587530001 X 231067 INTRIAGO SALDARRIAGA JOSE BERCELIO 1300595343001 X 163678 ARAUZ FERNANDEZ GUILLERMO VICENTE 1300604343001 X 144676 FERNANDEZ BAILON RUBEN DARIO 1300611637001 X 33531 GUILLEN VELEZ JOSE ENRIQUE 1300611686001 X 223554 PENAHERRERA MENDOZA JOSE ELIAS 1300612346001 X 160790 GALARZA GOMEZ RAUL ENRIQUE 1300612452001 X 218978 OÑA NACATO SEGUNDO ALFONSO 1300620984001 X 68900 ZAMBRANO ALAVA ARQUIMEDES ANTONIO 1300624564001 X 180478 GONZALEZ CABAL JORGE EDUARDO RAMON 1300646906001 X 164658 OZAETA CEDEÑO MARIANA AUXILIADORA 1300656921001 X 21292 FALCONÍ YÉPEZ JOSÉ RAMÓN 1300680897001 X 192449 HERNANDEZ BRIONES SEGUNDO EUSTAQUIO 1300684436001 X 150333 CHOEZ JULIO VIRGILIO 1300690342001 X 74470 SANTANA ZAMBRANO GRICEIDA DEL CARMEN 1300700406001 X 163261 LOOR PARRAGA ANGEL ERNESTO 1300710033001 X 64571 ZAMBRANO BRAVO COSME SAUL 1300711767001 X 175642 GANCHOZO ZAMBRANO WALTER HUMBERTO 1300711841001 X 18702 FERRIN VILLEGAS RAMON ROBERTO 1300742549001 X 81762 FARIAS LOOR ABEL MARIANO 1300742952001 X 220610 ANDRADE BOWEN RENÉ OLIVA ANTONIO 1300745435001 X 138059 VERA ARTEAGA NIDIA CRUZ 1300755616001 X 37919 MANTUANO MARTINEZ GILBERTO FELIPE 1300863352001 X 144809 PLUA PONCE JACINTO JOAQUIN 1300867775001 X 190570 MOGROVEJO PALMA MATIAS GABRIEL 1300867783001 X 99989 TORRES VERA CESAR TULIO 1300887757001 X 174440 FIGUEROA PARRALES RAMONA YOLANDA 1300903745001 X 119195 CHELE GUTIERREZ AIDA EVELIA 1300908470001 X 179109 ACOSTA ALARCON EDGAR TEOBALDO 1300917901001 X
  • 424.
    No No registra No No registra No No. registra registra No. indicadores registra provincia, registra Persona_id NOMBRE No. ID (RUC) calle número registra de ventas, apellido cantón y primer principal de calle origen activos y/o paterno parroquia nombre principal empleados 201761 MOREIRA PICO MANUEL VICENTE 1300929138001 X 81557 MENDOZA SOLORZANO MARIANA DE JESUS 1300945035001 X 133413 PARRAGA MARCILLO ANA ELIDA 1300957121001 X 183277 DELGADO GUILLEN JOSE ANTONIO 1301004444001 X 104546 PEÑARRIETA MERA JOSÉ LEONARDO 1301015622001 X 31821 ZAMBRANO GANCHOZO MASCIMO LIDER 1301028989001 X 111760 ALVARADO ARTURO ANGEL MARIA 1301037410001 X 213456 CASTILLO VILLAMAR ARTURO FRANKLIN301045157001 1 X 62425 CEDEÑO VERA RAMON EDUARDO 1301047542001 X 86465 SANTANA CEDEÑO RAMON IGNACIO 1301062269001 X 135999 CORDOVA GUAIGUA HILDA ERNESTINA1301080253001 X 202300 ALVARADO GIRALDO JORGE ANTONIO 1301084719001 X 152642 QUINTERO MACIAS IDER ANTONIO 1301086649001 X 26829 VERA MONTESDEOCA JACINTO ALMAGRO1301094445001 X 98737 ZAMBRANO ZAMBRANO RAMÓN ARTURO 1301095087001 X 34348 BRAVO RIVERO RAMÓN MAXIMINO 1301097810001 X 111137 LAINE FRANCO MIGUEL ANTONIO 1301103055001 X 1945 IGLESIAS MATA MARIO ALEX 1301106462001 X 211405 TAPIA CARPIO HUGO ENRIQUE 1301107387001 X 272889 JAIME BAQUE PLUTARCO GERMAN 1301108351001 X 131146 CHILIQUINGA OÑA EDGAR WILLIAMS 1301110902001 X 173173 OCHOA OCHOA ANGEL RAMON 1301111991001 X 226956 ORTEGA MENDOZA CECILIA DEL CARMEN 1301112627001 X 32027 MIELES GUTIERREZ JOSÉ HERIBERTO 1301112858001 X 121084 BRAVO BRAVO SUCRE SAFADI 1301113112001 X 114613 LOOR GARCIA ROLANDO ELIAS 1301114318001 X 152020 MUÑOZ INTRIAGO ARTEMIO NEPTALÍ 1301123392001 X 120913 ALVAREZ GOMEZ ZOILA TALITA 1301126254001 X 93895 MEZA MOREIRA CARMEN MARÍA 1301153159001 X 163950 GUILLÉN MOLINA PULIDO FRANCISCO 1301176176001 X 203302 MENDOZA RENDON FRANCISCO EUGENIO1301182182001 X
  • 425.
    No No registra No No registra No No. registra registra No. indicadores registra provincia, registra Persona_id NOMBRE No. ID (RUC) calle número registra de ventas, apellido cantón y primer principal de calle origen activos y/o paterno parroquia nombre principal empleados 55774 MENDOZA MOREIRA MERCEDEZ BEATRIZ1301198915001 X 37465 PALACIOS SANTANA IVÁN FERNANDO 1301199681001 X 32615 BLONDET SALDARRIAGA VICENTE ELÍAS301206312001 1 X 128907 HIDALGO BENAVIDES MAXIMO CLOTARIO 1301211312001 X 176898 MOREIRA CEDEÑO JOSE ANDRES 1301214688001 X 147736 VERA TOALA CRUZ ALINA 1301218036001 X 131941 MOLINA CHICA PUBLIO SIN NOMBRE 1301218317001 X 168656 ARCENTALES ALCÍVAR NOEL ENRIQUE1301218663001 X 25319 ANCHUNDIA FARIAS NESTOR MAURILIO1301243653001 X 27239 MUÑOZ MOREIRA RAMON BENEDICTO 1301249411001 X 38710 CEDEÑO PARRAGA JOSE ERNESTO 1301260632001 X 56856 VERA MOGRO ARTURO ANDRES 1301263016001 X 108335 MENDOZA RODRIGUEZ CARLOS GUSTAVO1301266043001 X 137936 REGALADO SUAREZ WILTHON FRANCISCO 1301266969001 X 196991 SOSA ZAMBRANO DIOGENES 1301269831001 X 23258 FRANCISCO 1301274369001 X 86705 MOLINA VERA SULLI INES 1301278592001 X 120653 MACIAS LEON LUIS TYRONE 1301278824001 X 125976 PARRALES TOALA FRANCISCO VICENTE1301281505001 X 25652 CENTENO GARCIA RAMON SIGIFREDO 1301282388001 X 135893 CASTRO TIGUA SIMON BOLIVAR 1301284491001 X 41993 JOSÉ 1301287338001 X 152933 ROJAS CEVALLOS EDISON BOLIVAR 1301291900001 X 103347 PERDOMO HIDALGO VÍCTOR GALINDO 1301297139001 X 127173 MOLINA VINCES JOSE FILIBERTO 1301300685001 X 196009 ZAMBRANO SANCHEZ BENITO FILIMON1301301543001 X 89536 DELGADO ANCHUNDIA LUCCIOLA DELGADO 1301301592001 X 127067 MENDOZA INTRIAGO JOSE ABIGAIL 1301306617001 X 46656 CASTRO GONZÁLEZ JOSÉ VICENTE 1301310957001 X 174991 LOPEZ VASQUEZ CARLOTA LEITHER 1301313225001 X 195028 BAQUE SOLEDISPA CAMILO ALEJO 1301314041001 X
  • 426.
    No No registra No No registra No No. registra registra No. indicadores registra provincia, registra Persona_id NOMBRE No. ID (RUC) calle número registra de ventas, apellido cantón y primer principal de calle origen activos y/o paterno parroquia nombre principal empleados 44990 QUIMIS PIN JUAN DE DIOS 1301314850001 X 128056 BAQUE PINCAY FÉLIX ALBERTO 1301316186001 X 173293 LOOR PINARGOTE DANITA LOURDES 1301318885001 X 41913 COBOS CASTILLO HUGO VICENTE 1301319628001 X 48793 CEDEÑO UGALDE EDISON AUGUSTO MARIO 1301325666001 X 142959 TIGUA YOZA ANGEL AMANCIO 1301326722001 X 40470 JULIO 1301327530001 X 10277 ALFONSO ALCIVAR 1301336002001 X 201869 MOREIRA CEDEÑO ARTURO LINARES 1301340525001 X 177167 FIGUEROA RODRIGUEZ JOSE IGNACIO 1301344741001 X 183869 CHUEZ HIDALGO ANGEL DIOMENES 1301347256001 X 176382 CAÑARTE BRIONES NESTOR DIEGO 1301356042001 X 168671 PINOARGOTTY MORA CARMEN ALICIA 1301356521001 X 86256 MORAN NARVAEZ EDISON ABSALON 1301357859001 X 60820 CHAMBA ARSECIO 1301375182001 X 17871 DOUGLAS 1301379127001 X 113624 MENENDEZ MORAN MILDRE AZUCENA 1301410294001 X 29653 PAREDES MERA CESAR HUMBERTO 1301420244001 X 231088 CHON LONG MACIAS MANUEL RAMON DEL JESUS 1301421168001 X 220351 MOREIRA DE LA CRUZ PEDRO JOSE 1301431621001 X 186314 PEREZ GARCIA MARIA ROBERTINA 1301436935001 X 40681 CHIRIBOGA OLTON MARIANA DEL JESÚS 1301450134001 X 164863 SANCHEZ ALCIVAR FREDDY FRANCISCO301450837001 1 X 73968 CHILAN INDACOCHEA GONZALO TEODORO 1301456941001 X 22059 JOEL 1301458053001 X 81553 CORDOVA BARCIA BETTY AUDELIS 1301459754001 X 171683 ZAMBRANO VERA VÍCTOR HUGO 1301470348001 X 26020 CEVALLOS DUEÑAS ARMANDO HERIBERTO 1301474704001 X 41430 VERA LOOR LUIS SANTIAGO 1301476311001 X 37767 1301477194001 X 250689 BERMUDEZ ANGEL SANTISTEBAN 1301477467001 X
  • 427.
    No No registra No No registra No No. registra registra No. indicadores registra provincia, registra Persona_id NOMBRE No. ID (RUC) calle número registra de ventas, apellido cantón y primer principal de calle origen activos y/o paterno parroquia nombre principal empleados 143056 ARTEAGA GARCIA SEGUNDO FREDIS 1301480636001 X 99848 MURILLO MACIAS MILTON OVIDIO 1301481170001 X 80182 CHINGA MERO LUIS MODESTO 1301494462001 X 29358 PAVON AVELLAN WALTER ALFREDO 1301500318001 X 48731 GARCIA LOOR JUAN BOSCO 1301508303001 X 149675 VERA RIVERO SIMON EDUARDO 1301509442001 X 197493 CRUZATTY MECIAS LUZ MARGARITA 1301513394001 X 160322 DEJO VELEZ JOSE ENRIQUE 1301514962001 X 38718 VELASQUEZ VELASQUEZ RAUL MARIANO 1301521413001 X 165288 ALAVA ACOSTA ANGEL ARTURO 1301521975001 X 102821 PARRAGA GARCIA LUIS MARIO 1301525182001 X 141567 MACIAS CASANOVA RAMON MARTIN 1301532220001 X 128030 BRAVO VELEZ ROSA YOLANDA 1301532865001 X 116825 INTRIAGO SÁNCHEZ JUAN JESÚS 1301532931001 X 147751 PEÑAFIEL PILOSO ANGEL BENIGNO 1301537542001 X 162881 MACIAS PARRALES CARLOS JOSE 1301539704001 X 29014 FLOR HIDALGO FELIX ARMANDO 1301546253001 X 238433 BRAVO ARTEAGA ROGERIO RENE 1301546337001 X 85441 ZAMBRANO BERMUDEZ PEDRO ANTONIO1301550677001 X 39135 GARCÍA ZAMBRANO HILDA TERESA 1301550909001 X 222948 ANDRADE SANTANDER JOSÉ VICENTE 1301553747001 X 248246 CEDENO CAICEDO ANGELA ARACELY 1301561500001 X 53948 PARRALES CANTOS DIOMEDES FERNANDO 1301571467001 X 37473 VÁSQUEZ FLORES VICENTE ADALBERTO 1301574776001 X 87562 VÁSQUEZ GONZÁLEZ LEANDRO MANUEL1301577191001 X 46529 MACÍAS PÉREZ ELMO LIONEL 1301589618001 X 77473 MOREIRA MALDONADO NEY RODOLFO 1301591424001 X 64737 ANDRADE QUINONES LUIS ARGEMIRO 1301594592001 X 173217 MONTERO MUNOZ JORGE DANIEL 1301596217001 X 195727 VARGAS RODRIGUEZ GLADYS ERNESTINA 1301596787001 X 64410 ANDRADE VÉLEZ PAUL DANILO 1301596829001 X
  • 428.
    No No registra No No registra No No. registra registra No. indicadores registra provincia, registra Persona_id NOMBRE No. ID (RUC) calle número registra de ventas, apellido cantón y primer principal de calle origen activos y/o paterno parroquia nombre principal empleados 61067 LEON ZAMBRANO JAIME FRANCISCO 1301597629001 X 244437 VERA CUECA SEGUNDO ELEAZAR 1301598403001 X 132677 MERA MENDOZA CLARA LEOPOLDINA 1301598908001 X 168154 CUSME SOLORZANO JOSE HORLANDO 1301616486001 X 170186 BAZURTO LOOR ROQUE MONSERRATE1301624225001 X 114521 RIVAS UBILLUS RAMON VIRGILIO 1301628135001 X 50071 ROBINZ CEDEÑO FRANCISCO IRENE 1301630495001 X 58425 MONCAYO VELEZ ELADIO FRANCISCO 1301630610001 X 27512 INTRIAGO PAZMIÑO ANGELA REBECA 1301632830001 X 232542 MEZA RODRIGUEZ JULIO ANDRES 1301642128001 X 60994 DONOSO GILER EDGAR HERNÁN 1301656359001 X 182950 ZAMBRANO MUÑOZ CARMEN MARIA 1301656755001 X 15543 RAMIRO RIVADENEIRA 1301656805001 X 50435 VELEZ PINARGOTE GALO ENRIQUE 1301658843001 X 220013 ZAMBRANO ALVARADO FREDDY ELI 1301659635001 X 34438 LÓPEZ TOMALÁ JUAN EVANGELISTA 1301672075001 X 122235 CUSME CEVALLOS EDA MERCEDES 1301692073001 X 194698 ANCHUNDIA SANCHEZ JOSE CECILIO 1301702682001 X 41468 PARREÑO ALCÍVAR JORGE OSWALDO 1301709752001 X 190428 GUADAMUD PITA TERESA MONSERRATE 1301711311001 X 80098 PALADINES VERA PEDRO PABLO 1301711782001 X 129893 BARCIA BARCIA JOSE ARTURO 1301712723001 X 52864 LUÍS 1301714034001 X 82606 TUMBACO SOLEDISPA CECILIO AGUSTÍN 1301718894001 X 21267 VINCES RIVAS JOSE ALVARO 1301719124001 X 223596 RODRIGUEZ MUÑOZ PATRICIA GENOVEVA 1301721948001 X 40316 VERDUGA RODRÍGUEZ LUIS HUMBERTO 1301723050001 X 161372 MACIAS PINARGOTE CARLOS ALBERTO 1301723951001 X 119674 VINCES MENDOZA ULBIO FRANCISCO 1301724926001 X 89295 RIVERO MENÉNDEZ CARLOS JACINTO 1301725923001 X 238377 MENÉNDEZ VÉLEZ ZOILA AZUCENA 1301726764001 X
  • 429.
    No No registra No No registra No No. registra registra No. indicadores registra provincia, registra Persona_id NOMBRE No. ID (RUC) calle número registra de ventas, apellido cantón y primer principal de calle origen activos y/o paterno parroquia nombre principal empleados 89549 GARCIA VELEZ MARIA JACINTA 1301732663001 X 10806 ING. TITO BALDA 1301736771001 X 258671 DELGADO CEDENO MARIA ANGELICA 1301738165001 X 117280 REGALADO ESPINOZA ENMA LIBERTAD1301741136001 X 28446 MEZA INTRIAGO CRUZ MARIA AUXILIADORA 1301742670001 X 86492 ZAMBRANO CEDEÑO RAMÓN HIGINIO 1301743728001 X 171261 MOREIRA MOREIRA CARLOS AGUSTIN 1301750905001 X 75013 ALVARADO GIRALDO JULIO RAMON 1301754162001 X 13398 WASHINGTON 1301754253001 X 35214 CANTOS MACIAS HECTOR STALIN 1301760912001 X 44260 CAÑARTE BELLO CARLOS JULIO 1301762587001 X 161228 PONCE ARTEAGA CESAR ALBERTO 1301764344001 X 161144 ALCIVAR RODRIGUEZ KLEVER MAURO 1301767149001 X 256139 PIN ZAMBRANO MAXIMO ERNESTO 1301767321001 X 10258 ING. GABRIEL ZAMBRANO A. 1301767453001 X 22902 BRIONES ROBLES LUIS HUMBERTO 1301768261001 X 247510 ANCHUNDIA VELASQUEZ SEBASTIAN SIMON 1301768378001 X 214009 MACIAS ALAVA JOSE CIPRIANO 1301770044001 X 106178 MERA VINUEZA CRUZ HERMENEGILDO 1301770226001 X 33636 MACÍAS RENGIFO LESME ANTONIO 1301772057001 X 4424 PABLO 1301772180001 X 43749 LOOR PONCE CARLOS ELÍAS 1301774335001 X 106909 ALVARADO CASTRO JORGE WASHINGTON 1301774434001 X 213539 BRIONES VILLAVICENCIO ARTURO 1301774830001 X 38644 MONTESDEOCA BAIRD JOSE LEONARDO 1301777957001 X 178711 MOREIRA BERMELLO MARIA ENA 1301778724001 X 160046 PINCAY BAQUE VICTOR ABAD 1301782502001 X 133353 CASTRO GONZALEZ JORGE WASHINGTON 1301782676001 X 199138 SANTANA MACHUCA VICTOR RAUL 1301786164001 X 174132 MENDOZA MACIAS HUMBERTO ERASMO 1301786891001 X 121946 ALARCÓN AVILA LUIS ANTONIO 1301787709001 X
  • 430.
    No No registra No No registra No No. registra registra No. indicadores registra provincia, registra Persona_id NOMBRE No. ID (RUC) calle número registra de ventas, apellido cantón y primer principal de calle origen activos y/o paterno parroquia nombre principal empleados 93957 CEDEÑO MERA PEDRO PABLO 1301787881001 X 22091 MENDOZA MENDOZA JOSE ALBERTO 1301787956001 X 52704 CEDEÑO ANTON JESUS VICTORIANO 1301788970001 X 18949 DELGADO VÉLEZ LUCIANO 1301791230001 X 116707 TORO DELGADO LUIS MARIO 1301799498001 X 136231 LOOR LOPEZ ROSA BERTINA 1301807390001 X 94760 ZAMBRANO ZAMBRANO WILMER VICENTE 1301810063001 X 236024 TRIVIÑO QUIROZ SIMON BOLIVAR 1301811475001 X 57214 LUCAS AVELLAN MANUEL AGUSTIN 1301812150001 X 27806 FIENCO SÁNCHEZ MIGUEL ALFREDO 1301823074001 X 83116 ALCÍVAR INTRIAGO WILFRIDO 1301835086001 X 131963 VERA RODRIGUEZ YENNY EDITH 1301836100001 X 148502 MOREIRA ALVARADO JORGE CECILIO 1301837306001 X 122742 BRIONES CEVALLOS JOSE REDULPIANO 1301841811001 X 47652 MIRANDA HERNÁNDEZ EDDISON BENIGNO 1301847131001 X 47996 VALDIVIEZO MENDOZA MONSERRATE ARACELY 1301848527001 X 75516 QUIJIJE TELLO MARCO ANTONIO 1301851935001 X 47650 CHANCAY PERÉZ GONZALO VICTOR 1301862932001 X 41331 VERA CEDEÑO ANGELA FELICITA 1301863526001 X 147408 SANTANA MACIAS ANGEL LAURENTINO1301864136001 X 234959 VERA SALTOS JOSE FRANKLIN 1301865141001 X 21441 FIENCO SÁNCHEZ BETSY ELIZABETH 1301867931001 X 27236 VÉLEZ ORTIZ JIMMY MARCELO 1301868335001 X 97041 QUIMIZ BAQUE CARLOS JOSE 1301871388001 X 51105 ZAMBRANO LOOR GONZALO EDUARDO1301873996001 X 275271 PERALTA LOPEZ FLOR MARIA 1301875249001 X 98049 GARCIA SORNOZA ANGEL RAFAEL 1301876064001 X 222533 FIGUEROA PEREZ ANDRES ALEJANDRO1301876288001 X 141140 VILLACIS DELGADO OTHO MAXIMO 1301876767001 X 23931 DIOCLE 1301880421001 X 119318 MARTINEZ QUIJIJE DORYS GRACE 1301880694001 X
  • 431.
    No No registra No No registra No No. registra registra No. indicadores registra provincia, registra Persona_id NOMBRE No. ID (RUC) calle número registra de ventas, apellido cantón y primer principal de calle origen activos y/o paterno parroquia nombre principal empleados 26143 ZAMBRANO INTRIAGO GUIDO LEOPOLDO1301883680001 X 192130 MACIAS CHAVEZ RODOLFO ALCIDES 1301888663001 X 150401 ANCHUNDIA ALVIA RAMON ARCENIO 1301897763001 X 168323 PARRALES PACHAY FELIX BERNABE 1301898530001 X 227898 FRANCO CHAVEZ MILTON LORENZO 1301899843001 X 69606 BAQUE MENDOZA FERNANDO MAURICIO 1301901680001 X 91147 CHAVEZ CEVALLOS MARIANO DEL JESUS 1301906564001 X 179674 LINO PENA ELEOCADIO ADALBERTO 1301909717001 X 48080 GONZÁLEZ ZEDEÑO IVAN RICARDO 1301910129001 X 200517 BASURTO YENCHONG MERCY CECILIA 1301910749001 X 216587 LASSO CAÑARTE MANUEL SALVADOR 1301914865001 X 58034 DIAZ DE LA TORRE CIRO IGNACIO 1301917082001 X 63583 SANTANA ZAMNRANO VICTOR MIGUEL 1301917967001 X 52840 PARRAGA INTRIAGO CARLOS REMBERTO1301927313001 X 77775 MIRANDA CEDEÑO JANETH OFELIA 1301928402001 X 236558 ZAMBRANO INTRIAGO FRANKLIN EVANAN 1301931224001 X 71641 SIERRA ESPINALES JOSÉ LUIS 1301931661001 X 47398 GILER GARCIA EUDORO ARQUIMIDES 1301939557001 X 16112 DORIGO AMEN LUCIANO 1301941751001 X 105482 CEVALLOS VALDIVIEZO WILMER JOSE 1301945943001 X 171545 CEVALLOS MACIAS JORGE JOSE 1301957914001 X 22334 ZAMBRANO DUENAS ITALO FERNANDO1301961429001 X 129691 MOREIRA ZAMBRANO JAVIER ORESTE 1301963235001 X 131957 ANDRADE MEDINA FLORENCIO ANTONIO1301966626001 X 175401 MERO MERO SEGUNDO NICOLÁS 1301967558001 X 237026 TOALA ARTEAGA WASHINGTON DANIEL 1301970818001 X 43676 GALO 1301971436001 X 86098 LÓPEZ ESPINOZA HERLIN MARCOS 1301972053001 X 22811 HERMIDA MACIAS JORGE ENRIQUE 1301984157001 X 142847 PARRAGA INTRIAGO JACINTO GILDARDO 1301984538001 X 24613 GARCIA CEDENO JORGE ALFREDO 1301988992001 X
  • 432.
    No No registra No No registra No No. registra registra No. indicadores registra provincia, registra Persona_id NOMBRE No. ID (RUC) calle número registra de ventas, apellido cantón y primer principal de calle origen activos y/o paterno parroquia nombre principal empleados 243162 MENDOZA CHAVEZ CARLOS LUIS 1301989099001 X 27399 ALONZO CEDEÑO CÉSAR AUGUSTO 1301992655001 X 2843 MENDOZA INTRIAGO VICENTE JESUS 1301999106001 X 103222 ANDRADE CEDEÑO ENMA FIDELINA 1301999148001 X 24616 GINO 1301999171001 X 20343 JARRE VINCES RICARDO GONZALO 1301999189001 X 62879 JARRE CEDEÑO CÉSAR ALFREDO 1301999197001 X 207659 FRANCO GARCIA ROSA ELENA 1301999205001 X 270082 ZAMORA ALCIVAR EUTIMIO EVARISTO 1301999270001 X 32630 CARPIO ZAMBRANO FABIAN IGNACIO 1301999536001 X 35862 BARON 1302000169001 X 33412 HIDALGO VINCES LUIS ALBERTO 1302004963001 X 65171 PONCE BAQUE MARCOS ELOY 1302005259001 X 179522 AGUILAR GARCIA JORGE LEOPOLDO 1302005440001 X 76287 CEDENO CEDENO LEONERI SAHAGUN 1302007552001 X 112056 FAUBLA PARRAGA JOSÉ PEDRO 1302016025001 X 45016 CHÁVEZ ANDRADE WINTER PEDRO 1302016884001 X 269587 CEVALLOS ZAMBRANO ANA ROSA 1302017130001 X 142577 CASTILLO CASTRO JULIO SALVADOR 1302019615001 X 38852 ARTEAGA LOOR DIDIMO EDUARDO 1302020480001 X 30867 MACIAS LOOR WILSON ANTONIO 1302021447001 X 114460 SABANDO DE LA CRUZ FELIX ENRIQUE 1302021603001 X 29102 SANTANA GARCIA LUIS ALBERTO 1302022700001 X 31861 RAÚL 1302036114001 X 34781 FERRIN BARBERAN MARIO EDUARDO 1302038912001 X 101022 MENÉNDEZ MENÉNDEZ EDGAR ANTONIO 1302040983001 X 209455 VERA LOOR RAUL GARY 1302041783001 X 184079 GARCIA VELEZ VITERBO ALBERTO 1302042914001 X 242343 LOOR MAYA POLICARPA MARY 1302043490001 X 27943 VINCES SOLÓRZANO MANUEL GREGORIO 1302045420001 X 42688 ZAMBRANO ANDRADE JOSE GONZAGA 1302045974001 X
  • 433.
    No No registra No No registra No No. registra registra No. indicadores registra provincia, registra Persona_id NOMBRE No. ID (RUC) calle número registra de ventas, apellido cantón y primer principal de calle origen activos y/o paterno parroquia nombre principal empleados 58039 MENDOZA BAILON TEOFILO APOLINAR 1302051741001 X 152705 GILER ALAVA ROSA CARMEN 1302052020001 X 129627 MENDOZA MENDOZA DAVID ANIBAL 1302054240001 X 271763 SOLORZANO CARVAJAL JORGE ENRIQUE1302056328001 X X 132471 RUIZ PARDO ROSA MERCEDES 1302058142001 X 136770 INDACOCHEA DOMINGUEZ RAUL ALFREDO 1302061054001 X 84840 ROBLES VALAREZO ROSA AGUSTINA 1302064504001 X 22731 ZEVALLOS SANTANA PEDRO PASTOR 1302069511001 X 54553 YANEZ CONFORME LUIS ENRIQUE 1302073364001 X 82631 PINCAY ARTEAGA MAURO EFREN 1302074917001 X 161918 CORRAL MOREIRA STALIN GUILLERMO1302074974001 X 153933 MACIAS VELEZ CRISTOBAL EDUARDO 1302084494001 X 219786 BRAVO PALMA LETICIA 1302087281001 X 178775 GALARZA PINARGOTE GLADIS BENEDICTA 1302088396001 X 77266 MENDOZA ROMERO MARIA MAGDALENA302089840001 1 X 133837 VALAREZO RIVADENEIRA ANGELICA MARIA 1302090301001 X 218837 QUIROZ LOOR LORGIO ALBERTO 1302095938001 X 89489 ZAMBRANO CHAVEZ NENCIS MARIA TERESA 1302103252001 X 143595 BERNARDI ZAMBRANO EUDOSIA REGINA1302104110001 X 188013 ZAMBRANO MACIAS DOLORES CLEMENCIA 1302104474001 X 165028 PONCE BAQUE ERNESTO ELEUTERIO 1302105273001 X 28258 SANTANA PÁRRALES GLORIA MONSERRATE 1302106743001 X 120717 QUIJIJE PINARGOTE RAUL OLIVIO 1302106768001 X 35755 GARCÍA MENEDEZ RICHARD LEOPOLDO 1302107543001 X 276585 ALARCÓN ZAMBRANO MARCOS SEGUNDO 1302110539001 X 24595 CHUNG MENDOZA WINTER RUBEN 1302111107001 X 32570 GARCIA MENDOZA VICENTE ARTURO 1302111354001 X 26221 ANDRADE ARTEAGA MARCOS ANTONIO 1302112857001 X 77453 GARCIA MACIAS ROBERTO FEDERICO1302114184001 X 236679 CORDERO SIERRA DOLORES HORTENCIA1302115538001 X 56271 MACÍAS SORNOZA MANUEL HUMBERTO 1302119514001 X
  • 434.
    No No registra No No registra No No. registra registra No. indicadores registra provincia, registra Persona_id NOMBRE No. ID (RUC) calle número registra de ventas, apellido cantón y primer principal de calle origen activos y/o paterno parroquia nombre principal empleados 222887 CASTILLO PICO ENRY MAXIMINIO 1302120991001 X 120808 VERA ALCIVAR FRANCISCA ANA LUISA1302123508001 X 120286 ARAGUNDI CUADRO LUIS GUILLERMO 1302128259001 X 75022 LEÓN DELGADO WASHINGTON AUGUSTO 1302128499001 X 192546 1302130362001 X 257220 ROSADO DELGADO WILSON RICARDO 1302157480001 X 194545 SOLORZANO RODRIGUEZ JOSE ALFREDO1302159601001 X 17306 FELIPE 1302162001001 X 182466 ANDRADE NIEVE ALEXANDRA 1302172000001 X 152666 VILLACIS DELGADO LUIS ALFONSO 1302172190001 X 24422 SÁNCHEZ KELAL CARLOS YERRI 1302173511001 X 28410 CEDEÑO PINARGOTE MILTON OLMEDO1302176175001 X 33853 PABLO 1302177678001 X 198903 MOREIRA ROCA JAVIER ENRIQUE 1302178577001 X 163626 PARRALES MUÑIZ WASHINGTON MANABI1302179344001 X 74199 RODRÍGUEZ NÚÑEZ RODRIGO ELOY 1302180201001 X 35122 JARA LOOR JAIME BOLÍVAR 1302180565001 X 19771 CHILÁN QUIMIS HOLGER ABRAHAN 1302184674001 X 256492 VILEMA VILEMA CARMEN TARGELIA 1302185085001 X 206289 PUERTAS DIAZ MODESTO FERNANDO 1302186968001 X 30260 ANDRADE VÉLEZ GERMÁN ALFREDO 1302187016001 X 95251 CAMACHO ALARCON FRANCISCO RAFAEL1302188055001 X 58676 ANTONIO 1302188758001 X 36933 MERA BRAVO ALBERTO GREGORIO 1302189228001 X 34877 ORLANDO LUCIO DIOMEDES AUGUSTO1302189319001 X 210983 WILLIANS RODRIGUEZ WILFRIDO ERMOGENES 1302190036001 X 25049 CHANCAY ARROYO MARIA ADELAIDA 1302191679001 X 170033 POSLIGUA ACOSTA AQUILES ATANACIO1302192123001 X 21816 PINARGOTE INTRIAGO HUGO DANIEL 1302194012001 X 217855 GAYBORT BETANCOURT BEATRIZ DEL PILAR SN 1302195472001 X 67677 DELGADO BASURTO MANUEL BIENVENIDO 1302195993001 X
  • 435.
    No No registra No No registra No No. registra registra No. indicadores registra provincia, registra Persona_id NOMBRE No. ID (RUC) calle número registra de ventas, apellido cantón y primer principal de calle origen activos y/o paterno parroquia nombre principal empleados 133223 INTRIAGO QUIROZ JOSE ARISTIDES 1302202823001 X 59764 PICO ESPINOZA CARLOS ARMANDO 1302211444001 X 166561 SOLIS CEVALLO NICANOR 1302219900001 X 32517 MORENO VERA LUIS ALFONSO 1302222672001 X 62453 HERNANDEZ QUINONEZ MARGARITA ROSA 1302229230001 X 269989 ZAVALA ARELLANO FELIX OSWALDO 1302229354001 X 200024 CHONLONG ZAMBRANO RENATO 1302234800001 X 92655 CAÑARTE CÓRDOVA YOLANDA ESTHER 1302235146001 X 165035 UQUILLAS BERMEO IVO ALBERTO 1302236409001 X 133090 MERA INTRIAGO LIMBERG RICARDO 1302237365001 X 239598 CASTRO PONCE MIGUEL MODESTO 1302239353001 X 142964 ZAMORA PARRAGA RAMON OVIDIO 1302242050001 X 56388 MOREIRA QUEVEDO MARIA ELIZABETH1302243652001 X 58230 ZAMBRANO SALTOS JOSE ADALBERTO1302249394001 X 276902 BRIONES VERA CRISTOBAL OPILIO 1302257934001 X 107317 BRIONES BRIONES FLAVIO EFREN 1302258502001 X 31570 BAILON FRANCO ANGEL ROBERTO 1302258593001 X 184535 ALAVA CLAVIJO JOSE GUZMAN 1302259567001 X 176082 CHOEZ GARCIA FRANKILN OSWALDO 1302261928001 X 168435 ALIATIS MONTESDEOCA ROMOLO CELESTINO 1302288186001 X 109812 ARAGUNDY ARAGUNDY JUANA MARÍA 1302291370001 X 44278 LINZÁN MORA ALFONSO ELÍAS 1302300130001 X 75055 VILLAMARIN CEDEÑO MANUEL VICENTE1302300338001 X 132703 MORAN BORJA SEGUNDO EISENHOWER302301542001 1 X 50224 DIAZ ALVIA JORGE ALEJO 1302309479001 X 104444 SANTANA ZAMBRANO SEGUNDO PASTOR 1302312127001 X 182741 AMEN ANDRADE RAMON EDUARDO 1302313174001 X 165803 SORNOZA CASTRO JORGE MIGUEL 1302313984001 X 26371 MONTESDEOCA ZAMBRANO BARON ABELARDO 1302316730001 X 92113 BRIONES PALMA ALEJANDRO ALCIVIADES 1302316896001 X 26022 ZAMBRANO PICO LUIS FERNANDO 1302324551001 X
  • 436.
    No No registra No No registra No No. registra registra No. indicadores registra provincia, registra Persona_id NOMBRE No. ID (RUC) calle número registra de ventas, apellido cantón y primer principal de calle origen activos y/o paterno parroquia nombre principal empleados 221199 BRAVO ZAMBRANO MARIA TERESA 1302325319001 X 232321 DELGADO INTRIAGO ANGEL CLEMENTE 1302328495001 X 44474 SANTIANA MORALES GILBERTO ANTONIO1302328537001 X 44403 PARRALES REYES DARIO ESTEBAN 1302333222001 X 163740 PINOARGOTTY MORA RAMON GREGORIO 1302334998001 X 215663 VELEZ AVILA GALO EDUARDO 1302341860001 X 49554 SALAZAR VÉLEZ JOSÉ VICENTE 1302341944001 X 60997 ARTEAGA MENDOZA FRANCISCO COLOMBO1302348857001 X 145212 MACIAS CEDEÑO NESTOR RAUL 1302363922001 X 262873 VILLAVICENCIO ARCENTALES OSWALDO NARCIZO 1302372071001 X 43009 MERA MARTINEZ JORGE NELSON 1302377633001 X 94966 CHOEZ MOREIRA JOSE GERARDO 1302380637001 X 93650 GARCIA MURILLO MARISOL 1302381858001 X 159130 GARCIA ALVAREZ JORGE GUILLERMO 1302386410001 X 105602 ARTEAGA ROMERO WALTER DAVID 1302387210001 X 226003 MOLINA FABIAN ALFREDO 1302387897001 X 73069 DUEÑAS MONTEDEOCA MARCOS AGUSTIN 1302393937001 X 120562 BRAVO SANTOS MANUEL ALFONSO 1302394521001 X 245475 VERA SOLORZANO VICENTE ISIDRO 1302395395001 X 71025 BELLETTINI ANDRADE GUIDO RAMON 1302397821001 X 113120 MEDINA INTRIAGO CARLOS VICENTE 1302397854001 X 150727 CEVALLOS RAUL CLEMENTE 1302399546001 X 66541 VÁSQUEZ QUINTANA JORGE RAMIRO 1302400294001 X 206160 PAZ CHAVEZ AGUSTIN HUMBERTO 1302402076001 X 51490 MORALES PACHAY RAMON MODESTO 1302402530001 X 109895 GILER PINARGOTE RUBEN IGNACIO 1302402928001 X 56063 LANDAVEREA PICO JIMMY ABEL 1302403348001 X 80507 BASURTO FERRÍN JOSÉ WELLINGTON 1302403579001 X 84207 INTRIAGO MACIAS CARLOS DAMASO 1302406812001 X 28029 INTRIAGO ALCIVAR WILFRIDO SILVANO1302406952001 X 26278 MERCHAN CARREÑO EUCLIDES ANTONIO 1302410160001 X
  • 437.
    No No registra No No registra No No. registra registra No. indicadores registra provincia, registra Persona_id NOMBRE No. ID (RUC) calle número registra de ventas, apellido cantón y primer principal de calle origen activos y/o paterno parroquia nombre principal empleados 135136 ZAMBRANO CHICA RAMON MARCIAL 1302420474001 X 276410 ZAMBRANO PAZMIÑO JOSE TIFEY 1302421407001 X 128438 CARRILLO CARRILLO HILARION GILBERTH 1302428014001 X 49421 CASTRO MENDOZA EDISON SEVERIANO 1302435696001 X 123987 ZAMBRANO VERA GUIDO ROBERTO 1302435761001 X 156170 RODRIGUEZ RIOS ELVIRA BERNARDITA1302447808001 X 32884 CEBALLOS NUÑEZ VASCO FERNANDO 1302449341001 X 157867 VERGARA RODRÍGUEZ KLÉVER AMABLE302452659001 1 X 256630 AVILA REYES ENRIQUE RENEE 1302452857001 X 160821 VERA ALCÍVAR JESÚS GALO 1302455348001 X 259782 MORLAS SION THALY ISABEL 1302459241001 X X X 14953 TEÓFANES 1302464431001 X 44694 AGUI VERA SERGIO VICENTE 1302475379001 X 232772 SUAREZ PEREZ FAUSTO ALFREDO 1302475627001 X 119562 FARFÁN VÉLEZ JOSÉ LUÍS 1302483209001 X 144000 JARAMILLO VELEZ SUSANA BEATRIZ 1302488356001 X 183070 VELEZ ULLAURI JUAN ARQUIMIDES 1302501331001 X 147706 PALOMEQUE DELGADO MANUEL JOAQUÍN 1302503162001 X 94510 VERA GRANJA VITALINA ENEYRA 1302504012001 X 117470 CHANCAY ARTEAGA BOGAR ALBERT 1302505035001 X 229918 MENDOZA LOOR VICTOR ELIAS 1302506454001 X 116134 MARCILLO PLAZA JACINTO AUGUSTO 1302508443001 X 50856 PRIAS ROMERO JORGE ENRIQUE 1302520323001 X 25155 VALLEJO SAN ANDRES JIMMY FABIAN 1302522287001 X 143899 DE LA TORRE ANDRADE EUCLIDES FILIMON 1302527138001 X 180538 MEZA CAICEDO FRANCISCO ALCIVIADES1302529688001 X 211009 SOSA MACIAS KLVER FLORENTINO 1302529720001 X 139686 FRANCO LOPEZ GLORIA LIDIA 1302531072001 X 151925 ORMAZA CUADROS LUIS ABEL 1302533862001 X 246550 QUIJANO GUERRERO JHONNY REYNALDO 1302535412001 X 10579 VILLAVICENCIO PINARGOTE REMIGIO ABRAHAM 1302535636001 X
  • 438.
    No No registra No No registra No No. registra registra No. indicadores registra provincia, registra Persona_id NOMBRE No. ID (RUC) calle número registra de ventas, apellido cantón y primer principal de calle origen activos y/o paterno parroquia nombre principal empleados 67454 GUTIERREZ SOTO JORGE ABDON 1302537533001 X 141818 SAN ANDRES AMEN ANIBAL SIGIFREDO1302538135001 X 77724 SALTOS MOREIRA JAVIER ALEJANDRO 1302542582001 X 252972 RISCO RODRIGUEZ OSCAR DIOMEDES 1302549314001 X 157651 ALAVA SALTOS RAMONA EULALIA 1302550189001 X 139372 FLORES PLAZA JOSE ROBERTO 1302550528001 X 74938 LUCAS LOOR CARLOS NICANOR 1302551039001 X 180787 MERA GALARZA ROBERTO MIGUEL 1302551120001 X 128806 GARCÍA MONGE RUTH MARÍA 1302551187001 X 229062 PINARGOTE MERA FELICITA EMERITA 1302554322001 X 223683 ACOSTA MOREIRA FERNANDO TOBIAS1302556053001 X 79530 AGUILAR MERA WILSON EDUARDO 1302558224001 X 72885 DELGADO PONCE RUBEN ALFREDO 1302558398001 X 134521 GARCIA NAVIA CAMILO RAFAEL 1302559180001 X 36421 MENDOZA MENDOZA MAXIMO SIMON 1302560808001 X 80290 ESTRADA BONILLA CARLOS ROMAN 1302561665001 X 29575 MENDOZA CEDEÑO GREGORIO ISOLDO 1302562499001 X 36225 VERA VELEZ EDUARDO 1302563679001 X 27605 VILLAVICENCIO LOOR PEDRO ENRIQUE1302567530001 X 219242 MACIAS CEVALLOS TITO ARQUIMIDES 1302567662001 X 206737 FRANCO POSLIGUA MANUEL DE LOS SANTOS 1302569338001 X 108840 ARTEAGA BRIONES LUIS ALFREDO 1302569866001 X 37904 MARTINEZ HOLGUIN ROSA NARCISA 1302571144001 X 31121 PARRAGA MEJIA HARVEY ALVARO 1302571995001 X 63626 CARRILLO ANCHUNDIA AROL EFREN 1302573876001 X 40995 TOALA INTRIAGO RAMON EDISON 1302575418001 X 131886 CASTRO MORAN MAURICIO GUILLERMO 1302575798001 X 221155 BORJA CESAR CAMILO 1302576648001 X 59524 CAÑARTE GUTIERREZ FRANCISCO MACARTHUR 1302578446001 X 237792 FALCONEZ VELEZ PABLO VICENTE 1302578503001 X 240712 LEON BAILON JOSE PEDRO 1302580343001 X
  • 439.
    No No registra No No registra No No. registra registra No. indicadores registra provincia, registra Persona_id NOMBRE No. ID (RUC) calle número registra de ventas, apellido cantón y primer principal de calle origen activos y/o paterno parroquia nombre principal empleados 45048 GOMEZ SALVATIERRA JULIA MARIA 1302581101001 X 29036 BRIONES IBARRA DOLORES MARIA 1302592009001 X 101074 CASTRO ZAMORA VICTOR ARQUIMIDES 1302596760001 X 96141 CEDEÑO CEDEÑO LOURDES AUXILIADORA 1302602022001 X 51907 BARRETO AVEIGA JOSE HUMBERTO 1302610843001 X 175374 BAQUE TOALA JORGE WASHINGTON 1302620982001 X 135788 HIDALGO CASTILLO JOSE ALEJANDRO 1302625387001 X 225130 PICO ISAURO VICENTE 1302631393001 X 271680 CHOEZ SUAREZ EULOGIO SEBASTIAN 1302635402001 X 88246 MENDOZA GARCÍA GUIDO NAHON 1302636905001 X 176727 PONCE CAÑARTE GINA PATRICIA 1302637044001 X 213809 BRAVO PINO VICTOR JAVIER 1302644578001 X 79199 BARBERAN ARBOLEDA LINDBERGH STEVE 1302646920001 X 98374 INTRIAGO MENDOZA FREDDY GARIBALDI 1302649510001 X 182693 SOLEDISPA PLUA VICTOR EDGAR 1302649551001 X 85439 ZAMBRANO BERMUDEZ JAIME OMAR 1302653074001 X 94944 CEDEÑO GRACIA CARMEN MARILYN 1302653934001 X 95460 VERA ESPINOZA DELIA MARIA 1302658354001 X 143992 MERO CEDEÑO VICTOR JOEL 1302659352001 X 171328 CHAVEZ ANDRADE ZOILA FATIMA 1302669450001 X 147616 DUEÑAS CEDEÑO FREDY LEOPOLDO 1302673635001 X 115006 BAZURTO ROLDAN RAÚL ARÍSTIDES 1302675218001 X 146614 CHICA CRUZ SANTA CIRA 1302681703001 X 173130 PINTO BERMUDEZ JOSE DE LOS ANGELES 1302683238001 X 91092 ANCHUNDIA LÓPEZ ARTURO FERNANDO 1302684186001 X 133116 QUIMIZ MUÑIZ JUAN DE DIOS 1302686686001 X 86579 ZAMORA CEDEÑO RAMONA TRINIDAD 1302688971001 X 172204 MONTESDEOCA MACIAS OLGER IVAN 1302690217001 X 239788 SABANDO PARRAGA FREDDY ISMAEL 1302690407001 X 54054 ORMAZA SABANDO GIL HUMBERTO 1302698061001 X 131725 PONCE MACÍAS TORIBIA ERNESTINA 1302700644001 X
  • 440.
    No No registra No No registra No No. registra registra No. indicadores registra provincia, registra Persona_id NOMBRE No. ID (RUC) calle número registra de ventas, apellido cantón y primer principal de calle origen activos y/o paterno parroquia nombre principal empleados 101057 REYNA REYNA TERESA ESPERANZA 1302702921001 X 152274 MANTUANO MANTUANO ANGEL VIDAL 1302713787001 X 90593 VILLAFUERTE PEÑAFIEL BACILIO EMILIO 1302714256001 X 28930 BARREIRO ALCIVAR GIL HUMBERTO 1302714991001 X 204853 PEÑARRIETA INTRIAGO JORGE ALEJANDRO 1302716897001 X 98755 BRIONES DE LA CRUZ NANCY AMERICA1302717499001 X 93954 GARCIA MENDOZA JOSE AMADO 1302726128001 X 44399 ZAMBRANO VELÁSQUEZ PIEDAD SUSANA 1302735277001 X 21809 MONCAYO GÓMEZ MARÓN MILLEMBERG 1302739584001 X 239955 PARRAGA ZAMBRANO CARLOS ENRIQUE 1302749054001 X 73035 CEDEÑO AYONG CARLOS ALFREDO 1302778368001 X 119440 RONQUILLO GARCÍA DOLORES CALIXTA 1302780091001 X 254098 DELGADO ANCHUNDIA JOSE ANGEL 1302782121001 X 137518 CUENCA RAMIREZ ERFIDA ESTELIA 1302855596001 X 119776 TUBAY PINCAY LILA ESMERALDA 1302885247001 X 195027 QUIJIJE MUÑIZ ANTONIA AGRIPINA 1302911316001 X 118484 SANCHEZ MERA MANUEL ASUNCION 1302915283001 X 49531 INTRIAGO LICOA JAIME ENRIQUE 1302921976001 X 132600 VERA VALENCIA IGNACIO IGSOLIANO 1302923808001 X 154599 CEDEÑO MUÑOZ GABRIEL DOLORES 1302924418001 X 32955 CEVALLOS TOALA JOSE MIGUEL 1302925449001 X 56673 LUCA TRIBIÑO PEDRO PABLO 1302926066001 X 25606 REZABALA FARÍAS ANGEL RAFAEL 1302926207001 X 40934 MEDRANDA BRAVO SIXTO JOEL 1302926793001 X 130022 SOLÓRZANO MUÑOZ CARLOS MAGNO 1302931470001 X 35346 BENAVIDES BENAVIDES BAYRON WILFRIDO 1302937238001 X 41203 CARDENAS MACIAS OSCAR ALBERTO 1302940158001 X 31706 LOOR CUENCA VICENTE AMADOR 1302940513001 X 185582 LINO CHANCAY CRISTOBAL COLON 1302954753001 X 193797 ROSERO VILLARREAL SEGUNDA ROSA 1303066086001 X 145172 CHELE DOMINGUEZ LENIN FREDY 1303069924001 X
  • 441.
    No No registra No No registra No No. registra registra No. indicadores registra provincia, registra Persona_id NOMBRE No. ID (RUC) calle número registra de ventas, apellido cantón y primer principal de calle origen activos y/o paterno parroquia nombre principal empleados 178517 MENENDEZ PARRALES ANGEL SEGUNDO 1303070724001 X 143142 PARRAGA VERA MILCIADES CICERON 1303072639001 X 238214 CANTOS MARCILLO LETTY MAGDALENA 1303072662001 X 85741 ALCIVAR CEVALLOS GLORIA BETTY 1303083172001 X 121295 CEDEÑO CANCHINGRE DOLORES ALFADIA1303085722001 X 24379 BENAVIDES ZAMBRANO IVAN OCTAVIO1303087447001 X 149471 DELGADO COVEÑA SANTO GLOBYS 1303090664001 X 276859 LOOR PONCE JOSE IGNACIO 1303096620001 X X 275714 REYES LOPEZ MARIANO SANTIAGO 1303099574001 X X 77802 VERA LOOR MARÍA MAGDALENA 1303100521001 X 65659 GARCIA CHILAN OLIMPO 1303101834001 X 47865 TITO 1303104069001 X 97198 LOOR ZAMBRANO JOSÉ MONSERRATE1303107070001 X 87672 VELEZ MACIAS LUIS ALFREDO 1303113649001 X 81424 MACIAS PEDRO MIGUEL 1303115016001 X 89384 GALARZA PINARGOTE JAIME ANTONIO 1303117046001 X 67286 CARRILLO PALACIOS ERVIS UNIVERSI 1303121584001 X 77648 GARCIA CAICEDO JOSE RAMON 1303124612001 X 250241 LOOR LOOR ROSA MARGARITA 1303128506001 X 32363 GALARZA ZAMBRANO EDDIE EGBERTO1303128514001 X 170120 MENDOZA MENENDEZ JOSE HERMENEGILDO 1303129314001 X 142356 CAÑARTE TUAREZ CARLOS ERNESTO 1303130791001 X 36636 CARREÑO GILER VICENTE NARCISO 1303132656001 X 24109 MONICA 1303135824001 X 26034 VERA VELEZ GUILLERMO PATRICIO 1303136061001 X 201876 MENDOZA MENENDEZ OSCAR VICENTE 1303137507001 X 213957 PROANO MACIAS JOEL OSWALDO 1303137994001 X 247321 RODRIGUEZ DELGADO LUIS MANUEL 1303140287001 X 81942 MENDOZA GARCIA LETTY ANNABELLE 1303140626001 X 19197 SALTOS MENDOZA MILTON ROQUE 1303140709001 X 277722 VERA VELEZ TEMISTOCLES LEONARDO 1303140725001 X
  • 442.
    No No registra No No registra No No. registra registra No. indicadores registra provincia, registra Persona_id NOMBRE No. ID (RUC) calle número registra de ventas, apellido cantón y primer principal de calle origen activos y/o paterno parroquia nombre principal empleados 33221 DELGADO TOALA CARLOS JULIO 1303141178001 X 115343 HOLGUIN BARBERAN JOSE OLMEDO AGAPITO 1303142333001 X 24583 ALCIVAR ARTEAGA EDDIE OCTAVIO 1303143596001 X 211119 TORO DELGADO MODESTO CRISTOBAL 1303144883001 X 33189 RAMÓN 1303145161001 X 111900 MERO CEDEÑO RICARDO GUZMÁN 1303147506001 X 218888 URDANIGO PICO MERLY AZUCENA 1303147530001 X 49555 ACOSTA FARFÁN TERESA ETELVINA 1303151540001 X 226608 LOOR MUÑOZ SANTIAGO ISMAEL 1303151847001 X 46424 VERA RODRIGUEZ GUSTAVO LEONARDO 1303151920001 X 168517 LUCAS HOLGUIN GREGORIO BENICIO 1303156036001 X 132306 RAMIREZ GARCES GARY EDGAR 1303157281001 X 19665 TOALA ARCENTALES GALVIN ANTONIO1303161309001 X 25920 CALLE DELGADO PATRICIO EDUARDO 1303162521001 X 23402 GERARDO 1303162539001 X 154056 CEDEÑO GUERRERO OSWALDO LAUTARO 1303164394001 X 154850 TUÁREZ TUÁREZ RAMÓN EDUARDO 1303170995001 X 185176 LÓPEZ MONTERO CARLOS FREDY 1303175051001 X 210644 MACIAS ZAMBRANO FERNANDO CALVO 1303175507001 X 218280 MENDOZA ROLDAN OSCAR ANTONIO 1303183378001 X 76537 SABANDO RIVADENEIRA JORGE ELÍAS 1303191587001 X 135622 LOPEZ ANDRADE ALBERTO VIVER 1303191801001 X 82851 CEVALLOS BRITO AMADO HONORIO 1303194409001 X 205187 PONCE CEVALLOS JOSÉ ALMAGRO 1303196982001 X 223322 SOLEDISPA TOALA JORGE ENRIQUE 1303198848001 X 50031 ANDRADE ANDRADE PABLO ANEL 1303199028001 X 95293 ROJAS MERA ULBIO RICARDO 1303200735001 X 137466 CANTOS PEREZ JUANA MONSERRATE 1303202715001 X 204176 MENDOZA HOLGUIN HECTOR ORLANDO 1303205726001 X 135887 SANCHEZ VELEZ GREGORIA FRANCISCA1303207557001 X 21921 MIRANDA ESTUPIÑAN ALFREDO GONZALO 1303210650001 X
  • 443.
    No No registra No No registra No No. registra registra No. indicadores registra provincia, registra Persona_id NOMBRE No. ID (RUC) calle número registra de ventas, apellido cantón y primer principal de calle origen activos y/o paterno parroquia nombre principal empleados 44247 ZAMBRANO ZAMBRANO PATRICIO ANTONIO 1303212300001 X 262125 PONCE VELEZ MARIA CANDELARIA 1303214587001 X 150396 VILLAVICENCIO ARCENTALES WALTER RAFAEL 1303220972001 X 62525 MENENDEZ ZAMORA WASHINGTON BIENVENIDO 1303222408001 X 21534 MENDOZA VELÍZ JORGE WALTER 1303224032001 X 26330 PALMA VERA HERMOGENES BIENVENIDO1303226169001 X 227343 LEONES PESANTES YOLDI JUDITH 1303229056001 X 71789 CIFUENTES SÁNCHEZ WALTER HÉCTOR303235376001 1 X 84821 PAZMIÑO ESPAÑA WILMER ANTONIO 1303235665001 X 217463 PALACIOS GALARZA LINCOLN STALIN 1303241150001 X 12925 FARMA REPRESENTACIONES 1303244139001 X 63442 VELIZ MOREIRA CARLOS ESAU 1303244410001 X 185820 ANDRADE GOMEZ WILMER EUGENIO 1303250565001 X 136339 GALARZA TAPIA RAUL ARNALDO 1303252330001 X 43294 PLÚA PINARGOTE FELIPE SANTIAGO MIGUEL 1303252785001 X 29751 LOOR INTRIAGO JOSÉ SIGIFREDO 1303260267001 X 219772 BERMEO EDITH 1303264558001 X 112141 MORAN GUERRA ANIBAL TEODORO 1303267312001 X 183597 CASTRO FLORES ANGEL EUGENIO 1303273963001 X 73266 PAEZ MALDONADO VICTOR MANUEL 1303276636001 X 221115 MARQUEZ LLORENTI LUIS ALFREDO 1303277097001 X 44528 LOOR MEJÍA FREDY ALEJANDRO 1303277642001 X 162229 DELGADO PALMA CICERON ELEAZAR 1303286965001 X 72984 PALMA GUILLÉN EDGAR PATRICIO 1303289514001 X 135603 MORALES INTRIAGO JULIO CESAR 1303292013001 X 50103 GANCHOZO CAICEDO FREDY GEOVANNY 1303293649001 X 110106 MENDOZA VEINTIMILLA CARLOS ALBERTO 1303299158001 X 31429 GOROZABEL LUCAS ANGEL HONORIO 1303299919001 X 115004 CEDEÑO CARRANZA GIL ANTONIO 1303305351001 X 178178 LOOR PONCE LORGIA IDILIA 1303309296001 X 276014 MATAMOROS MOLINA DAVID AUGUSTIN 1303314304001 X
  • 444.
    No No registra No No registra No No. registra registra No. indicadores registra provincia, registra Persona_id NOMBRE No. ID (RUC) calle número registra de ventas, apellido cantón y primer principal de calle origen activos y/o paterno parroquia nombre principal empleados 57339 MORA ALAY WILBER FRANKLIN 1303317968001 X 56294 SABANDO GARCIA AMABLE ELIAS 1303318701001 X 49457 PISCO FRANCO FRANCISCO ALEJANDRO1303320665001 X 211221 ANDRADE ALVAREZ RENE RAUL 1303327025001 X 164428 CEDEÑO ZAMBRANO SERVIO NEPTALY1303334658001 X 205844 ZAMBRANO SALVATIERRA JOSE MODESTO 1303338550001 X 91282 MENDOZA SEGOVIA WILTON ALIVEN 1303339467001 X 180429 ARAGUNDI ZAMBRANO ANITA DOLORES 1303344541001 X 25426 MERA PINARGOTE JOSE ROBERTO 1303345019001 X 34821 PALACIOS GARCIA JOSÉ FERNANDO 1303346819001 X 34986 MENDOZA GARCIA JORGE EDISON 1303350167001 X 173624 RODRIGUEZ BAILON CARLOS RENE 1303351629001 X 273999 SALAZAR CHANCAY MARIA ELENA 1303352650001 X 247453 ALCIVAR MARIN DOMINGO SIGIFREDO 1303353161001 X 250044 SANTOS SALDARRIAGA PAULA MONSERRATE 1303359234001 X 265577 SANCHEZ COVEÑA EDISON DAVID 1303364580001 X 42116 AYÓN VILLAO NARCISO FERNANDO AUGUSTO 1303366395001 X 220784 MACIAS INTRIAGO RAMON JOSE 1303369084001 X 114603 ALAVA NAVIA RAUL CARMELO 1303371080001 X 96351 ALAVA CEDEÑO CARLOS KLEBER 1303374019001 X X X 224685 MERA RIVADENEIRA EDGAR ENRIQUE 1303374688001 X 190616 ZAMBRANO DELGADO ANGEL HOLIVER1303381931001 X 223971 ALONSO PICO ORLANDA MIRELLA 1303382715001 X 138154 CASTRO GONZALES JOSEFA AZUCENA1303384406001 X 31374 PALMA GUILLEN JACQUELINE JANETH 1303384729001 X 125355 DELGADO CEDEÑO PEDRO CRISTOBAL1303385494001 X 243124 HAPPE FREDERIKA 1303392888001 X 279178 CALERO MOREIRA ALFONSO MARCIANO 1303393258001 X 140519 BALLADARES BALLADARES JOSE FERNANDO 1303393902001 X 20850 CORRALES VELOZ JUAN GERMANICO 1303394033001 X 107197 MORÁN GONZÁLEZ JOSÉ MIGUEL 1303395139001 X
  • 445.
    No No registra No No registra No No. registra registra No. indicadores registra provincia, registra Persona_id NOMBRE No. ID (RUC) calle número registra de ventas, apellido cantón y primer principal de calle origen activos y/o paterno parroquia nombre principal empleados 98750 MORA MOREIRA FRANCISCO ORLANDO 1303395154001 X 224693 VÉLEZ ALARCÓN CARLOS AUGUSTO 1303396608001 X 18998 ACEBO SANCHEZ OTTO ANTONIO 1303398646001 X 130410 CASTILLO HIDALGO FATIMA LILIANA 1303401150001 X 107920 MANTUANO MARTINEZ JORGE ALFREDO 1303406720001 X 26316 VÁSQUEZ GONZÁLEZ JOSÉ EMERENCIANO 1303406860001 X 190152 RIVADENEIRA LOOR HAROL HUMBERTO 1303407462001 X 26405 CEDEÑO REZABALA LUIS LIZARDO 1303408403001 X 165205 MACÍAS CRUZATY MARÍA AUXILIADORA1303408551001 X 22032 MARIA MARGARITA SOLORZANO 1303408650001 X 11642 JOSE 1303413635001 X 33989 REYES DELGADO JOSÉ TEODORO 1303421604001 X 20604 MERO ZAMORA NEURIO ALBERTO 1303422586001 X 20543 VELEZ LOOR SIXTO ROMULO 1303423154001 X 24630 MONTESDEOCA PALOMEQUE RAMIRO RICARDO 1303423162001 X 10569 VILLAVICENCIO PINARGOTE ENRIQUE 1303428914001 ALEJANDRO X 47885 VERA VERA PATRICIO NEPTALÍ 1303441586001 X 220719 LOPEZ ACOSTAQ CARLOS ISIDRO 1303442139001 X 141527 BENITEZ MERA ANGEL HERMOGENES 1303443178001 X 28473 GARCÍA CEDEÑO DELSITO GONZALO 1303445850001 X 51830 SALDARRIAGA CORRAL SANTA MARIBEL1303446304001 X 189707 BRAVO CHAVEZ NELLY AUXILIADORA 1303449753001 X 142973 PINCAY WASHINGTON ANTONIO 1303454381001 X 199219 MACIAS CARRENO JORGE EDDER 1303456741001 X 226594 MENENDEZ VELEZ REINALDO ALFONSO 1303483927001 X 35861 GUSTAVO 1303490252001 X 148926 PEÑARRIETA BERMELLO JORGE BELISARIO 1303490609001 X 91242 GILCES BASURTO JOSÉ ENRIQUE 1303492985001 X 164771 CEDENO REYES PEDRO HUMBERTO 1303509804001 X 38990 COLLANTES PONCE CAROLINA TEOTISTA 1303514184001 X 214171 CHANCAY ANGEL RAMON 1303515231001 X
  • 446.
    No No registra No No registra No No. registra registra No. indicadores registra provincia, registra Persona_id NOMBRE No. ID (RUC) calle número registra de ventas, apellido cantón y primer principal de calle origen activos y/o paterno parroquia nombre principal empleados 46850 SANTANA ANCHUNDIA VÍCTOR ANCHUNDIA 1303520116001 X 211262 DAVILA VERA GALO ALFREDO 1303523441001 X 259786 GUTIERREZ LUCAS ANDRES MERCEDES303524902001 1 X 241370 PARRALES BAQUE TEOFILO ANTONIO 1303538951001 X 26226 CRUZ 1303539926001 X 110041 MARCILLO CHANCAY DIONISIO VICENTE1303543415001 X 101403 BONILLA CEVALLOS CATALINA ISABEL 1303549347001 X 269601 MACIAS GANCHOZO AUREA MODESTA 1303550022001 X 230683 LOOR DELGADO VENUS ARACELY 1303550493001 X 254836 LOOR SALAVARRIA ANTON DE JESUS 1303551434001 X 68415 FRANCO ANCHUNDIA MARIA SOLEDEMA303551988001 1 X 218846 LUCAS DELGADO CARLOS MODESTO 1303553810001 X 9865 ALCIVAR 1303565277001 X 53074 MIELES TARABÓ TITO HARDANY 1303566465001 X 121021 SAN ANDRES PLÚA XAVIER ENRIQUE 1303566697001 X 95458 PROAÑO VINCES OSCAR HENRY 1303568552001 X 135985 VERA ZEVALLOS MANUEL ISAAC 1303572547001 X 219841 QUIMIZ GUITIERREZ MARCOS ANTONIO 1303572604001 X 233640 VILLACRESES MACIAS MERCEDES NARCISA 1303572687001 X 53657 MANTUANO ESPINALES JESUS GEANNETTE 1303575847001 X 13653 DENNY 1303577108001 X 162471 ALBAN GONZALEZ SANTA MARIANA 1303578254001 X 151175 VERA PAULO MAURO 1303580110001 X 133387 VERA LLORENTE ROBERT AUGUSTO 1303580730001 X 129078 MIELES MORA ROGERIO LEONEL 1303581159001 X 60240 ZEVALLOS BRAVO VICTOR HUGO 1303581696001 X 124226 ALAVA PAZMIÑO CRUZ LIDICE 1303583197001 X 123660 AVELLAN BRAVO BETTY LORENA 1303593311001 X 75294 ORMAZA MALDONADO ANDRES ALEJANDRO1303596348001 X 247314 PACHAY PACHAY MANUEL VICENTE 1303596819001 X 213837 PARRELES VILLAFUERTE JOHNNY ABAD 1303603748001 X
  • 447.
    No No registra No No registra No No. registra registra No. indicadores registra provincia, registra Persona_id NOMBRE No. ID (RUC) calle número registra de ventas, apellido cantón y primer principal de calle origen activos y/o paterno parroquia nombre principal empleados 87807 PEREZ BRAVO JOSE VICENTE 1303606717001 X 34233 INTRIAGO ALCIVAR JULIO CESAR 1303609190001 X 30593 MARIA 1303609976001 X 92300 SABANDO CENTENO VICENTE PIO 1303614018001 X 217499 SANTANA LOOR JHONNY MIGUEL 1303616724001 X 68394 ALMEIDA DELGADO IVAN ARTURO 1303619645001 X 33109 RODRIGUEZ QUIROGA AURA DUNIA 1303620007001 X 263130 SANTANA PARRALES FREDY ALCIVIADES 1303620403001 X 41475 MENDOZA ZAMBRANO ANGEL CESAR XAVIER 1303629800001 X 55695 ZAMBRANO MURILLO HERNESTINA ISABEL 1303630246001 X 278812 MOREIRA SORNOZA ROSA ALEJANDRINA1303632366001 X 135019 SOLÍS SANCÁN JUAN LÁZARO 1303636847001 X 252863 MACIAS MENDOZA VICENTE EVARISTO1303638959001 X 10925 ING. GUSTAVO ZAMBRANO 1303645228001 X 24448 SOLORZANO SOLORZANO WASHINGTON AQUILES 1303650202001 X 30790 PINARGOTE PICO GLADYS ELIZABETH 1303651168001 X 194097 ALAVA AVILA MERCY MORAYMA JAZMINE 1303652547001 X 256548 ZAMBRANO ZAMBRANO FRANCISCO ARISTIDES 1303654105001 X 198769 BERMUDEZ HIDALGO DIOGENES ROBERTO 1303657611001 X 37077 ALVIA VERA BELKIS FEDORA 1303662843001 X 224626 FARIAS MACIAS VIRGINIA MONSERRATE303662934001 1 X 62994 ALCÍVAR MERA GIAMPAHOLO 1303663684001 X 171231 MADRID CARDENAS JIMMY EGBERTO 1303666836001 X 23491 MEJIA CHANCAY JONLEE RODRIGO 1303668576001 X 139132 SALTOS ZAMBRANO NELVA ELIZABETH1303670259001 X 141235 CAZAR GOMEZ ROSA ELENA 1303670465001 X 28612 LADY 1303671984001 X 266395 MENDOZA RODRIGUEZ SEGUNDO RUPERTO 1303672578001 X X 102837 SANCÁN MORÁN JOSÉ TOMÁS 1303672602001 X 25631 LENIN 1303677569001 X 131312 MERA BRIONES TAYRON MANUEL 1303679177001 X
  • 448.
    No No registra No No registra No No. registra registra No. indicadores registra provincia, registra Persona_id NOMBRE No. ID (RUC) calle número registra de ventas, apellido cantón y primer principal de calle origen activos y/o paterno parroquia nombre principal empleados 36850 VILLAVICENCIO ARCENTALES JIMY YAMIL 1303684334001 X 172437 PONCE ZAMBRANO JOSE ANTONIO 1303685893001 X 218188 CEDENO ZAMBRANO HECTOR GONZALO 1303692105001 X 187310 ESPINALES VELEZ JAVIER ANTONIO 1303692980001 X 98537 MERA CHINGA LUIS ENRIQUE 1303693871001 X 29465 VÍCTOR 1303697302001 X 44080 FUENTES URRUNAGA TITO MELCHOR 1303699340001 X 80362 GARCIA CASANOVA ANGEL FREDY 1303700619001 X 178074 PINCAY CASTRO NELSON JAVIER 1303709636001 X 230417 GUTIERREZ PACHECO ANDRES 1303722043001 X 241846 SOLÓRZANO LÓPEZ NELZON ORLANDO 1303724791001 X 218708 VILLACIS VASQUEZ ISABEL CRISTINA 1303747446001 X 148103 LOOR ZAMBRANO SIMÓN BOLIVAR 1303750432001 X 129934 CHAVEZ CEVALLOS TAIRON VICENTE 1303753584001 X 56857 FRANCO CASTRO ANGEL CONSUELO 1303755092001 X 63546 MOLINA CEDEÑO JOSE MANUEL 1303756215001 X 175353 PALACIOS MERO ALEXANDER WLADIMIR 1303756363001 X 144563 TOMALA PINTO RAUL EDISON 1303756595001 X 218794 FERRIN INTRIAGO MARIA FERNANDA 1303756678001 X 135103 ANDRADE CEDEÑO GLENDA MARIA 1303757502001 X 262320 DUEÑAS VERA WINTER ENRIQUE 1303758641001 X 86717 BERMÚDEZ VILLAFUERTE HUGO EDISON 1303765745001 X 155051 RUIZ RUIZ ANGEL ULBIO 1303773301001 X 238713 BACUSOY MANTUANO CESAR EUDORO1303775728001 X 82863 ZAMBRANO PINTO DANIEL ALFREDO 1303780538001 X 224914 VELEZ TEJENA EDUARDO BIENVENIDO 1303782898001 X 140536 QUIÑONEZ ZAMBRANO RUFINO ANTONIO 1303784548001 X 57174 LOOR GARCIA DANIEL MACARIO 1303785305001 X 49972 FALCONES PITA MANUEL ANGEL 1303785636001 X 17181 ESPINOZA ESPINOZA GALO AGUSTIN 1303788804001 X 15742 OBANDO NARANJO CRISTOBAL COLON1303796096001 X
  • 449.
    No No registra No No registra No No. registra registra No. indicadores registra provincia, registra Persona_id NOMBRE No. ID (RUC) calle número registra de ventas, apellido cantón y primer principal de calle origen activos y/o paterno parroquia nombre principal empleados 218710 FERRIN BARBERAN JOSE RUBEN 1303796864001 X 141286 LINO TUMBACO CRISTOBAL FIDEL 1303797029001 X 264797 OCAÑA ESCOBAR EDWIN ENRIQUE 1303799868001 X 218763 VELEZ CARRANZA GERARDO BENITO 1303802522001 X 142515 ALCÍVAR LAZ JORGE JOSÉ 1303831976001 X 136439 VALENCIA FIGUEROA ANGEL EMILIO 1303835100001 X 127359 ANCHUNDIA PACHECO FULTON EDULFO303839698001 1 X 168871 CEDEÑO FRANCO JOSE UBALDO 1303841991001 X 207065 QUIJIJE MARCILLO GUIDO EMMANUEL 1303842007001 X 136423 MANTILLA GILER FRANCISCO ALFONSO 1303844094001 X 192195 GONZALEZ PINARGOTE JAIME 1303848806001 X 132557 CHICA FALCONES HERMITA LIBERATA 1303857799001 X 107745 SANTOS CEDEÑO HOLGER LIDER 1303858417001 X 251802 MENDOZA VERA GILMER MANUEL 1303859175001 X 89109 MACIAS PICO LONGINO AMABLE 1303860371001 X 194236 BAQUE SALVATIERRA ALEJANDRO LEON 1303863904001 X 199593 DELGADO DELGADO JOSE ATAHUALPA1303868242001 X 40447 GARCIA MENDOZA YURI ADOLFO 1303876427001 X 160699 ROSADO VERA NIXON ROBINSON 1303888208001 X 268879 AGUAYO CHIRIBOGA CESAR EMILIO 1303889768001 X 31349 CEDEÑO BARBERAN MOISES AURELIO 1303903726001 X 183306 VERA VERA FERMIN CRUZ 1303905077001 X 180813 VERA HIDROVO NEXAR GEOVANNI 1303905333001 X 175076 BARREZUETA MENDOZA JOSE WASHINGTON 1303908162001 X 118558 ZAMBRANO ALCIVAR ELIO EDUARDO 1303910499001 X 98417 FRANCO PIN JUAN AQUILINO 1303915902001 X 239262 CRESPO MERA HERMAN MANUEL 1303918930001 X 25224 INTRIAGO PÁRRAGA CARLOS ANDRÉS 1303924326001 X 121147 BERMUDEZ BERMUDEZ RUPERTO GENARO 1303938128001 X 55496 PICO CORDOVA SOFIA RUTH 1303942674001 X 183986 VERA HIDROVO BENITO WILLIAN IGNACIO 1303943623001 X
  • 450.
    No No registra No No registra No No. registra registra No. indicadores registra provincia, registra Persona_id NOMBRE No. ID (RUC) calle número registra de ventas, apellido cantón y primer principal de calle origen activos y/o paterno parroquia nombre principal empleados 126433 BRAVO CEDEÑO PEDRO MARCO 1303947459001 X 185931 PERALTA VINCES ROBERTO ELPIDIO 1303949554001 X 273838 CONFORME VALERIANO BOLIVAR SANTIAGO 1303951675001 X 195922 CEDEÑO GARCIA HOLGER JESUS 1303953101001 X 47638 SANCHEZ CEDEÑO RAMON VICENTE 1303959330001 X 53427 ALFREDO 1303960155001 X 50827 MOREIRA CEVALLOS MÓNICA PATRICIA 1303960635001 X 132151 MONCAYO MENDOZA NEXAR NAON 1303960833001 X 51249 MUÑOZ GILCES ANTONIO EDDIE 1303965626001 X 124780 GILCES BASURTO ROBERTO ANTONIO 1303968984001 X 274744 MONTALBAN MENDOZA AMADO ALFREDO 1303969065001 X 59870 MACÍAS JALKH JANER JACINTO 1303976573001 X 259336 VILLAVICENCIO KUFFO LUIS ERNESTO 1303979452001 X 43678 VÉLEZ INTRIAGO PEDRO OSWALDO 1303979825001 X 132365 RUIZ PARDO BLANCA ELIZABETH 1303980674001 X 41182 LOOR CARVAJAL YIMMY AUGUSTO 1303982878001 X 176683 MERA BAILON ANTONIO JOHN 1303989253001 X 188656 BASURTO LOOR LUIS ANTONIO 1303990285001 X 179724 CHÁVEZ VÉLEZ MARÍA LEONOR 1303990376001 X 205715 INTRIAGO VERGARA JENNY CLIDELLY 1304003179001 X 205063 ESPAÑA CHILAN JOSE GUSTERBEN 1304007691001 X 202717 VEGA BRAVO RAMON HORACIO 1304008764001 X 23678 PARRALES QUIMIS LUIS AUGUSTO 1304012410001 X 101150 LOOR ZAMBRANO LENIN 1304012485001 X 126931 VERA LOPEZ ENOY ELIZABETH 1304013038001 X 248810 MIELES BARBERAN JORGE DIEGO 1304014093001 X 38741 CEVALLOS CEVALLOS JORGE OSWALDO 1304014432001 X 274701 SANTILLÁN CEDEÑO CARLOS HUMBERTO 1304015660001 X 15165 JUAN 1304015744001 X 75129 GUILLEN MORALES FREDDY HUMBERTO SEBASTIAN 1304016239001 X 57058 MELVIN 1304022112001 X
  • 451.
    No No registra No No registra No No. registra registra No. indicadores registra provincia, registra Persona_id NOMBRE No. ID (RUC) calle número registra de ventas, apellido cantón y primer principal de calle origen activos y/o paterno parroquia nombre principal empleados 134205 ZAMBRANO BAZURTO DOLORES ISABEL 1304023680001 X 40468 CASTRO RAMON MONSERRATE 1304030347001 X 23160 LOPEZ VELEZ ROXANA ISABEL 1304031188001 X 239044 SAETEROS LOPEZ LEONARDO FABRICIO1304031246001 X 147321 AVENDAÑO VÉLEZ WLTHER ANTONIO 1304032731001 X 170083 REYES ANCHUNDIA WALTER REINALDO 1304033648001 X 220448 MENDOZA MACIAS ANTONIO JOSELITO1304034455001 X 267668 SANTANA PERALTA PEDRO FRANKLIN 1304036997001 X 38744 VELEZ MENDOZA DIEGO VICENTE 1304037961001 X 196611 GARCIA MATUTE LUIS MARCELO 1304048075001 X 114357 MONTEVERDE VELIZ MARTIN ELIAS DEL CONSUELO 1304048612001 X 163790 MACIAS ALAVA MOISES ABRAHAM 1304049032001 X 69065 MONTESDEOCA PALOMEQUE ROBERTO MARCELO 1304052143001 X 33384 GUILLÉN GUILLÉN GEOVANNY MARCEL1304054396001 X 161616 VILLACRESES BRIONES REINALDO BERLINDI 1304058421001 X 181001 ZAMBRANO MOREIRA DAVID REMIGIO 1304061680001 X 159054 GOMEZ PINCAY SEGUNDO ILDEFONSO1304063280001 X 26945 HEREDIA GARCIA CESAR MARLON 1304065285001 X 18130 ZAMBRANO POGGI JULIO ZAMBRANO 1304067661001 X 61724 CHARA MORÁN FEISSAR JAVIER 1304070723001 X 24874 GARCÍA CEVALLOS JHOONY ESTEBAN 1304073818001 X 104647 LUCAS LUZARDO INDELIRA VICTORIA 1304075607001 X 125990 MARIN MARCILLO LORENZO JAVIER 1304077660001 X 174766 VERA LOOR CRISTO DEL CONSUELO 1304077678001 X 30426 FRANKLIN 1304079997001 X 269256 PINCAY SANCHEZ FREDRIC VICENTE 1304081092001 X 168895 VELEZ CARREÑO EUCLIDES EVARISTO1304089590001 X 208325 GUILLEN GARZON MARIA CARMEN 1304089855001 X 18274 SIMON 1304091471001 X 25305 ALVARADO CEDEÑO COLON OSWALDO1304091497001 X 156177 GILER MOREIRA GIL MARIA 1304094160001 X
  • 452.
    No No registra No No registra No No. registra registra No. indicadores registra provincia, registra Persona_id NOMBRE No. ID (RUC) calle número registra de ventas, apellido cantón y primer principal de calle origen activos y/o paterno parroquia nombre principal empleados 95724 LINO TUMBACO CRÚZ VICENTE 1304095597001 X 17856 MELGAR CORDOVA JOSE JAVIER 1304096744001 X 240313 RUIZ VELEZ CARMITA MONSERRATE 1304097676001 X 235274 ESTRADA TORAL ENRIQUE ALEXANDER304099433001 1 X 152143 LÓPEZ MERO MILTÓN VICENTE 1304104027001 X 168655 SANTANA RIVERA ANA NEREIDA 1304104712001 X 94277 IBARRA ESPINOZA DIOSELINA MARGARITA 1304104910001 X 78110 ARIAS TRIVIÑO ANTONIO ALBERTO 1304106782001 X 178509 NAVIA GALLARDO JOSÉ FERNANDO 1304107830001 X 23015 HENRY 1304110016001 X 193947 VELASQUEZ CALDERON ANGEL BELISARIO 1304111428001 X 252598 CORDERO SANTANA CESAR AURELIO 1304115825001 X 68455 ANCHUNDIA SANTANA LAURO RIGOBERTO 1304118365001 X 138215 BERMELLO BAZURTO GEOVANNY BOLIVAR 1304119546001 X 25315 FALCONÍ BRAVO CARLOS ALBERTO 1304122516001 X 58520 MIRANDA VÉLEZ LUIS ALBERTO 1304126855001 X 140349 ZAMBRANO BARRETO JOSE ANIBAL 1304127754001 X 57705 ORLANDO LOPEZ RODRIGO ALFREDO 1304130485001 X 40702 NAVIA CEDEÑO RICARDO PAÚL 1304132358001 X 38691 MOLINA GRIJALVA JOSÉ RAFAEL 1304132374001 X 77143 SORNOZA ARAUZ FRANKLIN SATURDINO1304132465001 X 35856 JAIME 1304133471001 X 142561 VIZUETE PINCAY ROLANDO VINICIO 1304137936001 X 138357 ALBAN NO EXISTE RUBEN MARIANO 1304141292001 X 2034 JOHNNY 1304144494001 X 269269 MACIAS BARRE DIOGENES OLMEDO 1304144775001 X 219634 SANCHEZ RIVERA SIMON JORGE LUIS 1304146937001 X 33191 RIVAS VALLE LIDER RENEE 1304146945001 X 145115 CASTILLO CHICA JOSE FERNANDO 1304150442001 X 16206 PINARGOTE MACIAS LUIS ORLANDO 1304150715001 X 43385 MORENO GARCIA WILLIAMS EDISON 1304153461001 X
  • 453.
    No No registra No No registra No No. registra registra No. indicadores registra provincia, registra Persona_id NOMBRE No. ID (RUC) calle número registra de ventas, apellido cantón y primer principal de calle origen activos y/o paterno parroquia nombre principal empleados 272855 CEDEÑO CASTRO NARCISA DE JESUS 1304155326001 X 139936 MOREIRA LOOR JOSE RONEY 1304156803001 X 149759 MONTESDEOCA VELEZ FABRICIO XAVIER1304169251001 X 56560 LARGACHA CORDOVA RAUL EDUARDO1304170192001 X 32497 CHICA LUCA ROBERTO ANTONIO 1304179953001 X 21205 PEDRO 1304183195001 X 73014 MOREIRA MENDOZA WILSON GONZALO 1304194515001 X 141536 MONTES ALCIVAR EDILIA PURIFICACION 1304199019001 X 200212 CARRASCO DELGADO MARÍA PILAR 1304200288001 X 76959 SALTOS MARCILLO FREDDY HUMBERTO 1304201088001 X 163813 MOREIRA MOREIRA WAGNER HERNAN 1304202375001 X 161155 FRANCO LOPEZ LINTON ITER 1304204082001 X 136177 MOREIRA MANZABA EDITA SOFIA 1304209768001 X 213920 JIMENEZ DELGADO RAFAEL ERNESTO 1304211012001 X 121218 MOREIRA RODRIGUEZ OSCAR WILLIAM1304211491001 X 257820 ZAMBRANO NAPA MERCEDES NAVIDAD 1304216532001 X 223718 NAVIA CEDEÑO DEMETRIO ANTONIO 1304216789001 X 94107 ZAMBRANO LOOR MILTON ENRIQUE 1304216953001 X 29787 MENENDEZ VINCES HOLGER OSWALDO304217233001 1 X 122749 BARBERAN INTRIAGO FREDDY EUDALDO 1304219817001 X 209988 LOOR VERA ANGEL LEONARDO 1304219957001 X 132385 QUIMIZ TOALA SANTA ANNABELLE 1304220799001 X 150856 BONILLA MUÑOZ MARIO PATRICIO 1304223108001 X 166801 CEDEÑO CEDEÑO RAMON EDULFO 1304224189001 X 18982 LOPEZ CASTRO ERVI YURIS 1304226721001 X 219792 SANTANA PARRAGA ANGEL OLMEDO 1304231739001 X 179224 MOREIRA MOREIRA MARIA BERNARDITA304233917001 1 X 38101 BOWEN GARCIA YEANNY IRINA 1304236241001 X 72640 ZAMORA CUSME HÉCTOR LUIS 1304241449001 X 86852 DUEÑAS VELEZ GALO DARIO 1304242512001 X 132665 MOREIRA ROMERO RENAN ISRAEL 1304243775001 X
  • 454.
    No No registra No No registra No No. registra registra No. indicadores registra provincia, registra Persona_id NOMBRE No. ID (RUC) calle número registra de ventas, apellido cantón y primer principal de calle origen activos y/o paterno parroquia nombre principal empleados 19947 MERA ARTEAGA XAVIER OVIDIO 1304243866001 X 38492 RICARDO 1304246273001 X 54843 PINARGOTE MERA CARLOS ALFREDO 1304253642001 X 140899 MACÍAS BARREZUETA MARTHA FLORICELDA 1304253691001 X 78813 MENDOZA MENDOZA JENNY LOURDES 1304254954001 X 165133 RIVADENEIRA RODRIGUEZ LORENZO LIZARDO 1304255365001 X 139127 DELGADO MOREIRA SOLANDA ELIZABETH 1304257874001 X 216628 MENDOZA GUILLEM MARÍA YOKASTA 1304259904001 X 47076 VELEZ MORA LAURA SORAYA 1304265224001 X 201272 GONZALEZ GUTIERREZ ALEX ARTURO1304265257001 X 60586 LUCAS BAQUE CONSUELO DEL ROCIO 1304268574001 X 95576 LÓPEZ VILLARREAL JOSÉ PASCUAL 1304270836001 X 208838 ALVAREZ CEDEÑO LUIS ALBERTO 1304271081001 X 225353 ORMAZA SABANDO BAYRON MAURICIO1304280116001 X 95419 ARTEAGA GARCIA ROBERT WILLIAN 1304284076001 X 248824 ZORRILLA ZORRILLA FRANCISCO BENITO 1304287368001 X 210549 QUIJIJE SORNOZA ROQUE ANTONIO 1304289505001 X 219875 MERO PINARGOTE MARGARITA 1304290735001 X 209529 BRAVO GUERRERO ROQUE ANTONIO 1304290859001 X 268075 SALTOS ARÁUZ FRANKLIN OSWALDO 1304291758001 X 123833 IBARRA MUÑOZ SANTIAGO SEGUNDO 1304293002001 X 45005 LOPEZ VELEZ ERIC VICENTE 1304294711001 X 261584 GUILLÉN LÓPEZ MARÍA IVONNE 1304297862001 X 237671 PARRAGA FALTONES MANUEL JACINTO 1304298852001 X 219414 ZAMBRANO ROBLES JOSE CRISTO DEL1304299322001 CONSUELO X 50922 MENDOZA SOLORZANO GRACIELA JAQUELINE 1304300211001 X 151231 VERDUGA VERDUGA SIGNEY WINGNER 1304305954001 X 151025 MACIAS GARCIA FREDDY AGAPITO 1304320870001 X 66947 CANDELA VERA YIMMY NEISSER 1304327792001 X 178779 CALDERON VERA RAMON DIONISIO 1304329780001 X 141182 BAIRD MONTALVO ANGELICA MARIA 1304332453001 X
  • 455.
    No No registra No No registra No No. registra registra No. indicadores registra provincia, registra Persona_id NOMBRE No. ID (RUC) calle número registra de ventas, apellido cantón y primer principal de calle origen activos y/o paterno parroquia nombre principal empleados 201307 CHAVEZ MONTERO NASHIRA 1304333683001 X 148083 PAREDES MACIAS MANUEL UBALDO 1304341041001 X 181193 VELEZ PONCE CARLOS WALTER 1304341223001 X 46444 SANDOVAL AVEIGA JOSE GUIDO 1304350810001 X 113250 NIETO MARQUEZ JUAN CARLO 1304352188001 X 92417 MONTES ARTEAGA LUIS ALBERTO 1304352642001 X 11730 ING. GERARDO FLORES 1304352915001 X 88961 ORELLANA MACÍAS HÉCTOR EDISON 1304354457001 X 96729 FLOR HIDALGO MARIA MERCEDES 1304355652001 X 49663 PONCE NAVARRETE JOSE ARTURO 1304360652001 X 24280 GARCIA VELEZ ROSA JULIA 1304368341001 X 57828 ALCÍVAR GILER ELVIS GABRIEL 1304369182001 X 75527 CHILA ZAMBRANO ENRIQUE FAVIAN 1304373689001 X 137161 PULIDO ROMERO GEAN RAMON 1304377599001 X 118709 CARRILLO ANCHUNDIA JACINTO CRUZ 1304379660001 X 92995 PACHECO JARA WILLIAN JAVIER 1304390022001 X 24155 ALVAREZ SUAREZ JUNIOR EUDORO 1304392929001 X 30853 SANTISTEVAN CEVALLOS ECUADOR 1304395559001 X 259283 FIGUEROA BAQUE GREGORIO CATALINO1304396110001 X 147994 ALBAN DAVID MARCELO 1304397183001 X 121544 POVEDA CEVALLOS ELICIO ELOY 1304398439001 X 198591 MACIAS ARTEAGA WILLIANS FRANCISCO 1304401480001 X 166082 INTRIAGO MOREIRA ROSA ASUNCION 1304406331001 X 125417 BAQUE CHIQUITO DOMINGO FLORENTINO 1304407032001 X 90703 ZAMBRANO LOOR RAFAEL ALFREDO 1304416595001 X 145474 INTRIAGO SALAZAR JESUS ANNABEL 1304425018001 X 104364 SANTANA CARRILLO RAMON ANIBAL 1304425190001 X 17669 VERA GARCIA FRANKLIN PATRICIO 1304425570001 X 139857 MERO DELGADO FRANCISCO MANUEL1304426867001 X 63396 MERINO CONFORME JAIME DAVID 1304429812001 X 205734 MOROCHO CHILAN CECILIA DEL JESUS1304429960001 X
  • 456.
    No No registra No No registra No No. registra registra No. indicadores registra provincia, registra Persona_id NOMBRE No. ID (RUC) calle número registra de ventas, apellido cantón y primer principal de calle origen activos y/o paterno parroquia nombre principal empleados 122468 REZABALA CEVALLOS YURI RAUL 1304431693001 X 173836 VEGA ZAMBRANO MANUEL ANGEL 1304434705001 X 14848 CRISTINA VELEZ 1304455957001 X X 21003 MOREIRA MENDOZA DIMAS ANTONIO 1304456542001 X 20226 VARGAS CEDEÑO HECTOR HUGO 1304458365001 X 24190 MORALES MUÑIZ FRANCISCO ENRIQUE 1304461807001 X 179051 PIN LOOR JUSTINO ANTONIO 1304464967001 X 18262 GARCIA ARTEAGA EDGAR MIGUEL 1304468133001 X 218180 RIVAS FRANCO JAVIER ALFONSO 1304476458001 X 95890 ALVARADO GUTIERREZ IVAN GUILLERMO 1304479874001 X 203056 FERNANDEZ MENDOZA NARCISA DE JESUS 1304482977001 X 225866 ZAMBRANO PARRAGA ESPERANZA 1304485160001 X 115724 VELASQUEZ GALO AGUSTIN 1304488933001 X 117632 MEZA BERMELLO RAMON ULISES 1304489881001 X 223479 ZAMBRANO CARRANZA JORGE FERNANDO1304491416001 X 26335 TATIANA 1304513821001 X 227024 PICO CORDOVA AUDY MIJAIL 1304515990001 X 22487 PICHUCHO MIELES DOUGLAS XAVIER 1304518788001 X 18919 PAEZ TRUJILLO PATRICIO FERNANDO 1304524315001 X 147743 ALCIVAR SALAZAR GINA EMPERATRIZ 1304526427001 X 250756 ZAMBRANO BERMUDEZ PERVIS NOE 1304528381001 X 182325 SANTANA ANTON YOHNNY RUIZDAEL 1304533969001 X 252887 M M JOSE LUIS 1304534694001 X 124782 AVILA BRAVO JOSE RODOLFO 1304538125001 X 201460 CEVALLOS MOREIRA KETY ALFARINA 1304538695001 X 259785 LANGE LOOR RICARDO 1304541715001 X 34699 VERGARA CEVALLOS LUIS LEOPOLDO 1304544776001 X 103815 SANTA MARIA ZAPATA MARTHA CECILIA 1304549841001 X 147661 ZAMBRANO DOMINGUEZ ANCELMO ITALQUITO 1304552829001 X 50680 ACOSTA ZAMBRANO MILTON ANTONIO 1304554007001 X 243881 LINO TUBAY HOLGER JOSELITO 1304559899001 X
  • 457.
    No No registra No No registra No No. registra registra No. indicadores registra provincia, registra Persona_id NOMBRE No. ID (RUC) calle número registra de ventas, apellido cantón y primer principal de calle origen activos y/o paterno parroquia nombre principal empleados 22095 ZEVALLOS LOOR NELSON ROLANDO 1304560798001 X 213978 CEVALLOS ROBLES JOAQUIN IVAN 1304560921001 X 99790 CEVALLOS ANDRADE JHON GONZALO 1304577123001 X 242143 VIVERO ZAMBRANO JORGE FRANKLIN 1304580010001 X 271384 MENDOZA HOLGUIN TOMIDES BERNABE304592270001 1 X 217506 CABALLERO ORTEGA DALINDA ASUNCION 1304595240001 X 217701 VERA MURILLO RUBINO MARCIAL 1304597931001 X 263742 ANDRADE ANDRADE MANUEL ISAURO 1304602764001 X 26437 ZAMBRANO HIDALGO LUIS FERNANDO 1304604554001 X 230648 LOPEZ GARCIA DANIEL ENRIQUE 1304611914001 X 79925 SEGOVIA ZAMBRANO VICTOR LENIN 1304614868001 X 163243 MENDOZA GILER JIMMY ORLEY 1304624651001 X 122632 ZAMBRANO BUENAVENTURA HUGO FERNANDO 1304628793001 X 198700 MOREIRA MUÑOZ MARIANA DE JESUS 1304632142001 X 33437 EDISON 1304634262001 X 130642 HERNANDEZ MENDOZA ANA BEATRIZ 1304636283001 X 182864 FALCONES MERA FERNANDO SEGUNDO 1304637430001 X 198221 VIVERO PICO EDGAR ANTONIO 1304639618001 X 25965 MUÑOZ MEZA CESAR AGUSTO 1304644808001 X 164798 LOPEZ ZAMBRANO YESTER MARLLORY1304646324001 X 111326 INTRIAGO CEBALLOS LUIS AGUSTIN 1304649906001 X 168792 MOREIRA ZAMBRANO REYNA JOVITA 1304650680001 X 169586 CARREÑO PONCE JORGE LUIS 1304651068001 X 78798 RODRIGUEZ ZAMBRANO TANYA BEATRIZ 1304653445001 X 81285 CONTRERA CHAVEZ ANGEL AUGUSTO 1304661620001 X 69281 ESPINEL GARCIA GUSTAVO ALBERTO 1304661869001 X 16495 COBO VERA MANUEL JOSE 1304663428001 X 212326 VASQUEZ GARCIA GUSTAVO JAVIER 1304664236001 X 87835 MOREIRA MENDOZA ALFREDO DE JESÚS 1304664269001 X 202443 MARIN VELEZ RAMON BENITO 1304664483001 X 91030 INTRIAGO CHICA MARIA VEGONIA 1304668278001 X
  • 458.
    No No registra No No registra No No. registra registra No. indicadores registra provincia, registra Persona_id NOMBRE No. ID (RUC) calle número registra de ventas, apellido cantón y primer principal de calle origen activos y/o paterno parroquia nombre principal empleados 208291 VERA ALMEIDA JAVIER ALEXANDER 1304669250001 X 174867 MACÍAS MANRIQUE MIRELLA JACQUELINE1304675372001 X 272830 MENDOZA GARCIA MARIA NATALIA 1304676685001 X 133444 VELÁSQUEZ VERA TOMIDES NEPTALÍ 1304677725001 X 161822 RIVERA RENDON ROSANNI ANTONIA ARACELY 1304679283001 X 21519 FLORES ORTIZ MIGUEL RIDER 1304679754001 X 201050 PARRALES MARRASQUIN ISIDRO MAURO 1304686197001 X 26099 VELEZ SOLEDISPA JHON WILLIAMS 1304690751001 X 24239 ZAMBRANO ZAMBRANO DARWIN JAVIER304692310001 1 X 217713 CHAVEZ CHAVEZ MARIANO ANTONIO 1304696691001 X 174266 MENDOZA MACÍAS ISIDRO MACARIO 1304697277001 X 53335 ALCIVAR LAZ WILLIAM GALDINO 1304698226001 X 135786 PINCAY CUSME LINDEMBER ANTONIO 1304703141001 X 165153 GILER SOLORZANO YEN FREDY 1304704198001 X 94538 VILLAO SOLEDISPA MARIA GRICELDA 1304721077001 X 150919 SABANDO GARCIA FREDY MIGUEL 1304721234001 X 42409 DELGADO BELLO VICENTE OSWALDO 1304721416001 X 263044 CRUZATTY ARTEAGA JORGE LUIS 1304721812001 X 83138 SANTOS SALDARRIAGA MAGALI TERESA304723610001 1 X 268440 GARCÍA MEDRANDA JOSÉ ALFREDO 1304724196001 X 114837 DELVALLE QUIMIS CARLOS TÍTO 1304727991001 X 163300 NAVARRETE INTRIAGO DENNY PAOLO 1304729393001 X 43848 MOLINA MOLINA TONY RAMÓN 1304736679001 X 143402 SANTANA ANCHUNDIA ELEUTERIO LOUBER1304736828001 X 50930 FAUBLA LECTONG EDUARDO ANTONIO1304738816001 X 25163 PONCE BRIONES FRANKLIN ROLANDO 1304742651001 X 42743 GOMEZ MIELES JUAN CARLOS 1304742735001 X 267978 CANTOS CASTRO RENE ANGEL 1304742859001 X 191919 VILLAVICENCIO VELEZ JULIO ANTONIO 1304743519001 X 84634 FRANCO MARQUEZ LUIS BARÓN 1304745258001 X 89843 ZAMBRANO MOREIRA ANGELO FELIPE 1304745928001 X
  • 459.
    No No registra No No registra No No. registra registra No. indicadores registra provincia, registra Persona_id NOMBRE No. ID (RUC) calle número registra de ventas, apellido cantón y primer principal de calle origen activos y/o paterno parroquia nombre principal empleados 168069 FERNANDEZ DELGADO EDGAR WILIAM 1304746637001 X 171557 MADRID CARDENAS MARCO IGNACIO 1304746736001 X 134814 CEDEÑO SORNOZA GEOVANNY RAFAEL 304747379001 1 X 168855 BRAVO MACÍAS MIRIAM MONSERRATE 1304759333001 X 161345 CHILA ZAMBRANO ANGEL BENITO 1304759713001 X 190897 ESPINALES VELEZ DENNYS PABLO 1304761420001 X 109434 LOOR PALMA LIDER LIZANDRO 1304763202001 X 38308 MACIAS MENDOZA LIMBERG ALFONSO 1304766585001 X 191972 ENRIQUEZ CEVALLOS ROMEL ENRIQUEZ1304774241001 X 211864 QUIJIJE GARCIA MANUEL RODNE DELVERT 1304777798001 X 122408 CEDEÑO LOOR ESPERANZA ALEJANDRINA 1304787102001 X 145303 VERA ESPINOZA YANELA PILAR 1304797929001 X 240216 VELIZ DELGADO OSCAR FRANCISCO 1304803347001 X 21034 SALTOS BURY MARTHA MIRIAM 1304804550001 X 75607 CAÑARTE BAQUE JACINTO GUILLERMO1304805177001 X 143808 ZAMBRANO REYNA JOSE ALEJANDRO 1304805631001 X 105287 PINCAY PARRALES JULIO CESAR 1304807488001 X 160357 LUCIO FIGUEROA MERCEDES VICTORIA1304807876001 X 54265 JACINTO 1304810664001 X 237913 PAREDES MACIAS JOSE ARTURO 1304823394001 X 81483 BRIONES PARRAGA CARLOS STALIN 1304824962001 X 161686 ALCIVAR NEIRA REINALDO AGUSTIN 1304828583001 X 67236 PÁRRAGA MENDOZA ROBERT BALDEMAR 1304829102001 X 64951 MOREIRA SALTOS RUTH MARIA 1304833971001 X 217357 CAMPOZANO JOATEAUX GIMA DEL ROCÍO 1304840828001 X 211122 BRIONES BERMEO DELIA DE LOURDES1304845280001 X 218845 COVENA ROMAN MARIA CONCEPCION 1304845785001 X 174805 TORO DELGADO JHON FRANCISCO 1304847591001 X 69356 PARRAGA MACIAS JOHNNY ANTONIO 1304849480001 X 139272 CAMPOS CEDEÑO CARLOS ALFREDO 1304850777001 X 41546 CEDEÑO CEDEÑO LEONOR MONSERRATE 1304851486001 X
  • 460.
    No No registra No No registra No No. registra registra No. indicadores registra provincia, registra Persona_id NOMBRE No. ID (RUC) calle número registra de ventas, apellido cantón y primer principal de calle origen activos y/o paterno parroquia nombre principal empleados 222066 ZAMBRANO FERNANDEZ ROLANDO RAFAEL 1304857608001 X 204102 SALTOS EGUEZ MARCOS ANTONIO 1304857673001 X 31187 VERA ARCENTALES FREDY ORLEY 1304859554001 X 16295 ZAMBRANO VERA FREDDY EDBERTO 1304861295001 X 236336 VERA LAZ JUAN MANUEL 1304865619001 X 199090 CEDEÑO BALLADARES DANIEL VICENTE1304871708001 X 159698 MOREIRA LOPEZ ROQUE CRISTOBAL JACINTO 1304873555001 X 140776 MIELES GARCIA JAVIER ANTONIO 1304873936001 X 23353 TOALA VERA JOSÉ RAMÓN 1304874389001 X 84556 ROBLES VALAREZO CRISTO ARMANDO1304879289001 X 142082 VELEZ DELGADO SANTA MARLENE 1304880089001 X 209331 QUIJIJE MACIAS MIGUEL ANGEL 1304881525001 X 199205 MACIAS GONZALEZ LUIS ALBERTO 1304881707001 X 185222 SOLORZANO CEDEÑO ANDRES MARCELINO 1304882572001 X 18755 SOLIS CEVALLOS VICTOR XAVIER 1304882754001 X 251060 QUIROZ MENDOZA ALBERTINA GUADALUPE 1304883380001 X 55370 VERA SANTANA MONICA DE JESUS 1304884768001 X 29702 CEVALLOS CEDEÑO JACINTO BOLIVAR 1304887050001 X 83900 FLORES ANCHUNDIA MARIO JOSE 1304887530001 X 59160 DAVILA CEDEÑO ROBERTO JAVIER 1304895418001 X 279365 CHINGA ROBLES MAIRA EDITH 1304897182001 X 24752 ALAVA SAN PEDRO IRENE ELIZABETH 1304899279001 X 164802 CEDEÑO ARAGUNDI NIVALDO LAURENTINO 1304900747001 X 209173 CEDEÑO LOOR RAMON ANTONIO 1304906991001 X 37265 PICO CORDOVA ELVIS VICTOR 1304912874001 X 28872 PICO NAVARRO MARÍA ELENA 1304932617001 X 31475 FRANKLIN 1304934928001 X 150293 VARGAS INTRIAGO RICHARD GEOVANNY1304941204001 X 22984 ROMERO COBEÑA CRISTINA BEATRIZ 1304942087001 X 123208 RAMIREZ MEZA ENNITA NARCISA 1304942533001 X 25346 REYES CEDEÑO PEDRO GERARDO 1304950064001 X
  • 461.
    No No registra No No registra No No. registra registra No. indicadores registra provincia, registra Persona_id NOMBRE No. ID (RUC) calle número registra de ventas, apellido cantón y primer principal de calle origen activos y/o paterno parroquia nombre principal empleados 34163 MOREIRA ALVAREZ RICARDO RAUL 1304951542001 X 24895 RIVAS PINCAY GUSTAVO JHON 1304953829001 X 14993 TALLEDO BARRETO LUIS JAVIER 1304958067001 X 133240 INTRIAGO ALCIVAR LUCY LADY 1304965385001 X 161418 FALCONEZ PARRAGA LILI MARIA 1304967977001 X 96800 ZAMBRANO ANDRADE ROLANDO FABIAN 1304968454001 X 196555 LAAZ MOREIRA JOSE ALBERTO 1304981093001 X 72234 MIELES DELGADO RAMON AGUSTIN 1304986365001 X 32489 MOLINA MOLINA RAMÓN EUGENIO 1304988718001 X 126438 BAILÓN PITA HENRY OLMEDO 1304999871001 X 20129 GARCÍA PINARGOTE VICTOR MANUEL 1305002980001 X 159899 GUERRIDO SOLEDISPA JOSÉ MÁXIMO 1305005207001 X 250336 FRANCO ANCHUNDIA FERNANDO ARTURO 1305012476001 X 131649 AGUILAR ALAVA KLEVER HERMENEGILDO1305015818001 X 49169 ANCHUNDIA REYES MARY MIRIAN 1305016089001 X 149136 TUBAY REYES MIGUEL EDUARDO 1305023820001 X 157359 VALDIVIESO SOLÓRZANO DANIEL YOFFRE 1305026898001 X 168629 SANTANA RIVERA PUBLIO ALFONSO 1305028555001 X 187064 ZAMBRANO SOLORZANO NORMA ARACELY 1305045286001 X 71567 BAZURTO MANTUANO NILO MANUEL 1305048579001 X 246872 CHILIQUINGA OÑA JORGE ENRIQUE 1305048959001 X 235546 DOMINGUEZ LICOA SANTOS WILTON 1305053363001 X 24039 ROMERO MONTANERO YOHN YIMMY 1305054395001 X 187731 MANRIQUE TOALA CARLOS JAVIER 1305055541001 X 127248 TUAREZ INTRIAGO CESAR EDUARDO 1305056986001 X 260891 MACIAS MENOSCAL MANUELA MARITZA 1305059519001 X 163068 VILLAFUERTE CHILAN YADIRA DEL PILAR 1305062737001 X 31410 JOSE ANTONIO BAZURTO ROLDAN 1305063958001 X 81127 MUÑOZ BAILÓN JUAN CARLOS 1305069823001 X 241481 BRIONES BRIONES WILTER MARCELO 1305092064001 X 261241 ANDRADE GUILLEN JOSÉ RAFAEL 1305095513001 X
  • 462.
    No No registra No No registra No No. registra registra No. indicadores registra provincia, registra Persona_id NOMBRE No. ID (RUC) calle número registra de ventas, apellido cantón y primer principal de calle origen activos y/o paterno parroquia nombre principal empleados 160376 CASTRO PIGUABE EULOGIO RAFAEL 1305105957001 X 102690 ALCIVAR VINCES RODIS ANTONIO 1305107292001 X 160511 CEDEÑO PINCAY ALBARO STALIN 1305115741001 X 148885 PALACIOS SANTANA MARY ELIZABETH 1305116467001 X 199979 LEONES CAGUA LUIS ANIBAL 1305121509001 X 271696 RIVERA MACIAS MARGARITA LEONILA 1305122515001 X 44362 ANCHUNDIA MACIAS WILLIAN LEONEL 1305122887001 X 74893 MERA CEDEÑO GUSTAVO ANTONIO 1305130401001 X 74900 MERA CEDEÑO JUAN CARLOS 1305130419001 X 73045 CEDEÑO AYONG MARIO EDUARDO 1305132696001 X 72126 VERDUGA PINO ALEXANDRA MARIA 1305135004001 X 126303 ESPINALES PATIÑO JOHAN DINAMO 1305142463001 X 220345 CHILA ZAMBRANO FREDDY HUMBERTO1305142570001 X 179767 ARTEAGA ALCIVAR RENE CALLETANO 1305153924001 X 100258 ANDRADE ANDRADE AMBROCIO DEL JESUS 1305156505001 X 135374 GARCIA GUILLEN HOLGER GEOVANNY1305160648001 X 115195 GARCIA MERA RENE LEONCIO 1305164152001 X 133144 ALBAN BRAVO LUIS ALBERTO 1305166371001 X 21825 MOSQUERA FERNANDEZ GABRIEL ELPIDIO 1305168161001 X 26902 ZAVALA MORA EDUARDO DE JESÚS 1305173088001 X 20961 PALMA BASURTO ANDRES RENET 1305178343001 X 201724 SUÁREZ PONCE BLANCA FLOR 1305182428001 X 38616 ACOSTA VITE TEODULO FRANCISCO 1305193920001 X 210419 DELVALLE GARCIA JUAN ISAIAS 1305194035001 X 106886 GARCIA DOMINGUEZ JACINTO ALBERTO1305196683001 X 10421 ING. LUIS VEGA 1305198093001 X 225797 RUIZ DUEÑAS JORGE AUGUSTO 1305198424001 X 28844 CARREÑO MENDOZA DUVAL JEFAV 1305201319001 X 188033 CHANG MONSERRATE JOSE ANTONIO 1305205203001 X 21646 QUIROZ ALCIVAR DENNY ARTURO 1305209718001 X 86611 ZAMBRANO DELGADO BIENVENIDO ANTONIO 1305235036001 X
  • 463.
    No No registra No No registra No No. registra registra No. indicadores registra provincia, registra Persona_id NOMBRE No. ID (RUC) calle número registra de ventas, apellido cantón y primer principal de calle origen activos y/o paterno parroquia nombre principal empleados 237422 VILLACIS ZAMBRANO WALTER OCTAVIO 1305235986001 X 184920 VELIZ ZAMORA VICENTE BIENVENDO 1305236638001 X 100719 BERGMAN NAPA CARLOS ALFREDO 1305236885001 X 124920 CEDEÑO MACÍAS JENNY VIOLETA 1305237495001 X 152121 PARRAGA PARRAGA CARLOS NEVARDO 1305239590001 X 59572 OVIEDO CEVALLOS MARIA ISABEL 1305241554001 X 255394 VERA VALDIVIEZO ALEX VINICIO 1305247775001 X 124903 MACIAS GUERRERO SANDRA MARIA 1305254847001 X 62771 PESANTES DELGADO RENAN ALEX 1305260281001 X 81893 COBEÑA LOOR WALTER DAVID 1305267195001 X 261252 TELLO RIVAS HARRY LEONEL 1305267732001 X 224219 CEVALLOS CEDEÑO AMANTILIA MONSERRATE 1305272187001 X 100441 VELASQUEZ GARCÍA DIONICIO GUSTAVO1305274845001 X 220872 CAÑARTE TOALA LUIS FERNANDO 1305275636001 X 83521 PRADO MOREIRA GILBERTO JHONNY 1305279414001 X 189327 PINARGOTE BARCIA JORGE AMANDO 1305281386001 X 172846 ALAVA ALAVA DIANA ELIZABETH 1305286450001 X 238540 LOOR LOOR FELIX SEBASTIAN 1305291575001 X 136517 ZAMBRANO ALCIVAR ITALO ALFREDO1305293423001 X 114518 ALCIVAR ROSS ANA ALEXANDRA 1305296798001 X 79440 DE LA FUENTE LETTIERI RICARDO ALFREDO 1305302976001 X 24474 DUEÑAS LUCAS CARLOS ALBERTO 1305306001001 X 27899 MERA ZAMBRANO ULBIO RENE 1305307611001 X 93281 LUCAS REYES LESTER WILMER 1305313486001 X 151684 ALCIVAR DEMERA LENNY JANET 1305323352001 X 230129 VERA CEDEÑO JOSELO APOLONEO 1305324400001 X 41600 PAZMIÑO GUILLEM LUIS ALFONSO 1305325738001 X 27824 MOREIRA IDROVO MELIDA CELINDA 1305326074001 X 201385 ZAMBRANO GILER LAURA ARACELY 1305327940001 X 33427 ARTEAGA DELGADO JOAQUIN EDUARDO 1305336586001 X 88883 QUITO INTRIAGO MAXIMILIANO TOBIAS1305337881001 X
  • 464.
    No No registra No No registra No No. registra registra No. indicadores registra provincia, registra Persona_id NOMBRE No. ID (RUC) calle número registra de ventas, apellido cantón y primer principal de calle origen activos y/o paterno parroquia nombre principal empleados 46812 FUENTES FIGUEROA TOMÁS ROBERT 1305338913001 X 124644 GENDER AVILA MARIANA ANABEL 1305341107001 X 38540 COVENA ROMAN AURA RAQUEL 1305341404001 X 182589 NAVARRETE BURGOS ANGEL HENRRY 1305342428001 X 75963 ALVAREZ REYES JUAN ANDRES 1305348367001 X 80076 TUBAY LOPEZ FRANCISCO RAFAEL 1305348730001 X 157639 PERALTA VINCES RICARDO ALBERTO 1305362822001 X 28962 MARCILLO PARRALES HOLGER ARMANDO 1305368670001 X 95239 QUEVEDO INTRIAGO JOEL ANTONIO 1305368753001 X 18315 JIMMY 1305368860001 X 16380 BAQUE DEL VALLE NAHIN 1305368886001 X 84693 QUIMIS QUIMIS JUANA DE LOURDES 1305369710001 X 24610 ORMEÑO BAZURTO LUIS ALFREDO 1305369777001 X 24802 ROBERTH 1305373811001 X 178502 INTRIAGO GARCIA ERNESTO REIMUNDO305374132001 1 X 173738 CABAL BURGOS DOLORES GENERALDO 1305374330001 X 168522 PIONCE PIGUAVE MIGUEL JULIO 1305374348001 X 55911 AZÚA SOLEDISPA GERMÁN ALFREDO 1305377788001 X 52753 PINOS ALAY CARLOS RICHARD 1305403352001 X 198534 CEDEÑO MERO DIOMEDES EVARISTO 1305416438001 X 203714 ZAMBRANO ALAVA DOUDLAS VICENTE 1305416941001 X 101163 AVILA ZAMBRANO PABLO ALFONSO 1305421263001 X 19089 GINMA 1305432542001 X 182413 MORERIA HIDALGO WASHINGTON ANTONIO 1305440131001 X 275218 BARCIA LOPEZ WALTER EDILBERTO 1305441915001 X 72706 ARGUELLO VALDIVIESO VICTOR EUDORO 1305444299001 X 23186 CEDEÑO BUSTAMANTE JUAN BOSCO 1305444554001 X 245405 ALAVA LENIN 1305445056001 X 248522 RIVERA MENENDEZ RICHAR RUBEN 1305445650001 X 21218 RUIZ CEVALLOS RAMON CIMITRIO 1305452904001 X 197337 PÉREZ VÉLIZ JONNY VICENTE 1305457705001 X
  • 465.
    No No registra No No registra No No. registra registra No. indicadores registra provincia, registra Persona_id NOMBRE No. ID (RUC) calle número registra de ventas, apellido cantón y primer principal de calle origen activos y/o paterno parroquia nombre principal empleados 141306 TAPIA DELGADO CONNIE MELVA 1305465542001 X 122476 VELASQUEZ TORO FABIAN YOVANY 1305471888001 X 174824 VERA CEDEÑO ENDRICKSON RAMON 1305472852001 X 241795 ZAMBRANO ACOSTA JIMMY MANUEL 1305472860001 X 124277 INTRIAGO VARELA AMADO JOSÉ 1305473868001 X 220979 CEVALLOS MOREIRA VICENTE SILVANO1305480343001 X 164147 MENDOZA CEDEÑO JOSELITO BOLÍVAR1305492967001 X 52785 TOALA BAQUE MIGUEL MARTINIANO 1305494575001 X 206522 BRIONES GALARZA VICTOR MARIO 1305494641001 X 23672 ZAMBRANO FERNANDEZ PATRICIA ALEXANDRA 1305495192001 X 108893 MERA MENDOZA RUBEN DARIO 1305502492001 X 91782 MENDOZA MACIAS RICARDO RODOLFO1305510198001 X 208869 MENDOZA MEJIA ROSA JACQUELINE 1305512509001 X 58858 CEDEÑO LINZAN ALEX XAVIER 1305513226001 X 92162 DELGADO GUAITA WILLIAM EDISON 1305517862001 X 209970 MACIAS ALAVA RAMONA EDUVIJE 1305521476001 X 39371 ZAVALA VASQUEZ CARLOS JOSÉ 1305528679001 X 226563 ZAMBRANO ANDRADE LUIS ANTONIO 1305534255001 X 121452 SUÁREZ BERMÚDEZ GILBERT PACÍFICO1305540138001 X 223061 GILER MOREIRA BERYS NARCISO 1305543462001 X 159709 ZAMBRANO LOOR HECTOR FERNANDO1305545269001 X 149187 MEDINA RIVADENEIRA MERCEDES LEONOR 1305548768001 X 30830 ZAMBRANO CEDEÑO EVEN ECUADOR 1305551721001 X 57362 CEVALLOS MENDOZA FREDDY ARTURO 1305552828001 X 27534 OROZCO MERO JUAN CARLOS 1305558502001 X 97582 INTRIAGO MACIAS LUCIA CONCEPCION305566950001 1 X 138908 CEDEÑO VELEZ PEDRO PABLO 1305567818001 X 95514 PÁRRAGA MUÑOZ TWIGGY MADELINE 1305584888001 X 166295 LOPEZ MONTESDEOCA DOLORES ESPERANZA 1305586420001 X 26898 MUNOZ DELGADO EDDER RAFAEL 1305587113001 X 225030 CHEME GAMES GREY EDITA 1305591875001 X
  • 466.
    No No registra No No registra No No. registra registra No. indicadores registra provincia, registra Persona_id NOMBRE No. ID (RUC) calle número registra de ventas, apellido cantón y primer principal de calle origen activos y/o paterno parroquia nombre principal empleados 180725 MONCAYO GÓMEZ JENNY JACQUELINE1305596130001 X 140177 MONCAYO FALCONES LEONEL LEONARDO1305597492001 X 35035 CEVALLOS MOLINA TERESA JACQUELINE 1305599753001 X 57465 GUILLEN MORALES SEBASTIAN FERNANDO 1305602011001 X 78654 ZAVALA MENDOZA LAURO EMILIANO 1305602086001 X 195587 ORTEGA MENDOZA MARIA ELAINE 1305604637001 X 57189 MANZANO ZAMBRANO CESAR LEVID 1305606566001 X 18179 ALCIVAR VITERI PEDRO FABRICIO 1305607176001 X 59141 SIMÓN 1305608885001 X 151896 ZAMBRANO LOOR LUIS ENRIQUE 1305610030001 X 115296 VELEZ GILER SEBASTIAN SIMON 1305612408001 X 117688 VELEZ ZAMBRANO SILVIO VICENTE 1305612697001 X 138522 ALVAREZ MERO EDWIN AGUSTIN 1305612960001 X 266100 ALCIVAR INTRIAGO ALFREDO ENRIQUE1305615815001 X 181126 SALTOS LOPEZ JOSE ANTONIO 1305616300001 X 246880 BRIONES FRANCO WILTER RAMON 1305619171001 X 103393 USCOCOVICH CHICA NORMA ELIZABETH1305620179001 X 154379 ZAMBRANO FAJARDO CARLOS NEXAR 1305622316001 X 24786 GUSTAVO 1305623439001 X 252797 LAINE MENDOZA MIGUEL ANTONIO 1305628982001 X 234779 ZAMBRANO ORTIZ GLENNY NARCISA 1305630400001 X 221595 MONTESDEOCA VERA IVAN ANTONIO 1305634238001 X 120262 MOREIRA ENDERICA MARTA MARIA 1305645127001 X 113019 ZAMBRANO SABANDO WALTER RAMON 1305647404001 X 23711 JARA CARBO JUAN ALBERTO 1305654152001 X 174477 CEDEÑO PARRALES LUIS ALFREDO 1305661611001 X 172433 QUIROZ LOOR ROQUE PATRICIO 1305663377001 X 121052 ALONZO CHAVEZ JOFFRE ALEJANDRO1305663500001 X 32032 MENDOZA HERNANDEZ ANGEL GABRIEL 1305664847001 X 159275 CEVALLOS MENDOZA JOSE WASHINGTON1305665497001 X 55015 CEDEÑO CHAVEZ LUIS EDUARDO 1305667295001 X
  • 467.
    No No registra No No registra No No. registra registra No. indicadores registra provincia, registra Persona_id NOMBRE No. ID (RUC) calle número registra de ventas, apellido cantón y primer principal de calle origen activos y/o paterno parroquia nombre principal empleados 205449 ZAMBRANO ROMERO JOHN ROGER 1305669481001 X 81320 MOREIRA CABRERA HEVER DAVID 1305685362001 X 33933 JIMENEZ INSUSTI JONNY LEONARDO 1305686162001 X 227590 LOOR CASTRO EURISPIDE CLEMIDIO 1305686543001 X 69898 PALMA CHANCAY OTTO ARMANDO 1305688531001 X 26287 INTRIAGO INTRIAGO MARIA MAGALY 1305689075001 X 156931 GUILLÉN TRAVERSO BORIS RENATO 1305689273001 X 276038 REYES ZAVALA CARLOS EDUARDO 1305689802001 X 84916 CEDENO VERA JHONNY EDGAR 1305691972001 X 252772 CHOEZ ALMENDARIZ GREGORIO MANUEL 1305701359001 X 18975 PÉREZ CEBALLOS LEONARDO IVAN 1305701607001 X 180984 MENENDEZ ROLDAN JOSE ORLANDO 1305705277001 X 212575 OJEDA VEINTIMILLA GLENDA LAURA 1305717157001 X 145624 ESTRADA MACIAS OLGA LORENA 1305721027001 X 195228 ALONZO CHAVEZ GEORGE ANTONIO 1305722736001 X 162758 GARCIA MOREIRA HENRY LUIS 1305728402001 X 183470 CHOEZ CHOEZ RODY ALFREDO 1305731166001 X 189451 VALENCIA GARCIA PAQUITA ALEXANDRA1305732545001 X 151326 ANGULO JARA FELIPE ABRAHAM 1305733337001 X 118235 SOLEDISPA CASTILLO PEDRO ASISCLO1305735258001 X 101915 VILLACRESES AVILA EDWIN MITCHELL 1305738393001 X 214115 GARCES ALVAREZ LUIS BOLIVAR 1305749184001 X 57168 MANZANO ZAMBRANO GABRIEL BIENVENIDO 1305751651001 X 63416 VILLACRESES VITERI FREDDY RUBEN 1305755447001 X 161286 MACIAS MACIAS ROSA MERCEDES 1305760843001 X 172837 BARREIRO NAVARRETE JHON TEDY 1305761940001 X 152918 OTERO LIMONGI PEDRO EDUARDO 1305762591001 X 50551 VILLAMAR CEVALLOS ENA ANICIA 1305768358001 X 40270 BAZURTO VINCES JANDRE XAVIER 1305768648001 X 167292 MERCHAN AZUA FABIAN NICOLAE 1305772673001 X 133560 CHIQUITO TUMBACO JENNY CRISTINA 1305773515001 X
  • 468.
    No No registra No No registra No No. registra registra No. indicadores registra provincia, registra Persona_id NOMBRE No. ID (RUC) calle número registra de ventas, apellido cantón y primer principal de calle origen activos y/o paterno parroquia nombre principal empleados 110515 ARTEAGA PIN JUAN ELIFONSO 1305774133001 X 143669 LINO CHANCAY ILDEFONSO CEFERINO 1305774869001 X 202133 PLAZA SANCHEZ ANDERSON ASDRUBAL 1305779538001 X 212782 SANTANA MORALES RUBEN ANTONIO 1305780544001 X 59871 ZAMBRANO MENDOZA CRUZ MARIANA 1305782516001 X 19632 MIRANDA VÉLEZ CARLOS ALBERTO 1305794271001 X 272146 ZAMBRANO HIDALGO CARLOS DANIEL 1305799445001 X 65259 NAVARRETE ZAMBRANO EDUAR ENRIQUE1305800235001 X 58016 SARMIENTO GARZON LENIN ROLANDO 1305808758001 X 52696 VERA GUERRERO EDDI WALQUER 1305810606001 X 170260 SOTO CALDERON WILMER GONZALO 1305824177001 X 197691 BERMUDEZ MORALES CLEOFE EBERGITO1305836361001 X 106069 LOOR BAILON ARQUIMEDES IVAN 1305844787001 X 58678 MACIAS ROMERO MIRIAM ESTELLA 1305849711001 X 158928 VERA VELEZ PABLO DOMINGO 1305850198001 X 3932 ROSADO VELEZ SONIA MARILU 1305856948001 X 110914 CONFORME ELEUTERIO PEDRO 1305857748001 X 51050 GUTIERREZ PALLO JAVIER ENRIQUE 1305859249001 X 174235 TOMALA TOMALA JOSE DARLIN 1305868901001 X 73680 MASTARRENO CEDEÑO JOSE ALBERTO 1305877977001 X 39072 DELGADO VERA ROBERT NELSON 1305886879001 X 211825 DELGADO CORREA ANGEL PORFIRIO 1305890475001 X 145306 BAZURTO ROLDAN JAVIER FERNANDO 1305899138001 X 161999 BRAVO BURGOS YIME FERNAN 1305911297001 X 95265 SALVATIERRA BRAVO NIEVES GRISELDA 1305912873001 X 227340 SALVATIERRA MARQUEZ STALIN AGUSTIN 1305920652001 X 174148 GARCIA RESABALA TONY ROLANDO 1305922823001 X 83324 MENDOZA FERNANDEZ CARLOS ANTONIO1305924407001 X 20387 MANRIQUE SÁNCHEZ WALTER EDUARDO 1305928465001 X 35956 MENDOZA ZAMBRANO DANNY LEONARDO 1305928663001 X 7660 INTRIAGO PIN CARLOS RAFAEL 1305929091001 X
  • 469.
    No No registra No No registra No No. registra registra No. indicadores registra provincia, registra Persona_id NOMBRE No. ID (RUC) calle número registra de ventas, apellido cantón y primer principal de calle origen activos y/o paterno parroquia nombre principal empleados 166273 PALACIOS PINARGOTE MARCOS VINICIO1305929703001 X 211810 PEREZ BARCIA WILLIAN ALBERTO 1305930362001 X 258499 RODRIGUEZ ROMERO VIVIANA DOLORES 1305939389001 X 260101 ZAMBRANO ALCIVAR WELINTONG FREMIOT 1305953380001 X 233048 SALAZAR NAPA RAMON FABIAN 1305954396001 X 226507 CÁCERES FRANCO ESTEFANÍA VANESSA 1305955724001 X 210254 CEDEÑO CEDEÑO TELMO MEDARDO 1305963892001 X 143406 RODRIGUEZ MEJIA LUIS EDGARDO 1305965954001 X 62487 FRANCO ALONSO LUIGIN ROBERT 1305971259001 X 154642 MORA PINARGOTE RENE EFIGENIO 1305978049001 X 29982 ALCÍVAR MOREIRA NANCY ALEXANDRA1305981837001 X 166467 VELEZ ALVIA EDGAR XAVIER 1305989764001 X 41732 VASQUEZ PONTE GILBERTO GALDIMIDES1305992511001 X 139298 SANTANA GONZALEZ HUGO ENRIQUE 1306012020001 X 28543 ZAMBRANO VERA HUGO ILARION 1306015122001 X 120689 MARCILLO VELEZ RAMON ADOLFO 1306020510001 X 20583 PONCE REYES FRANCISCO SEGUNDO 1306023050001 X 171182 GARCIA MOREIRA LADY MARIBEL 1306024801001 X 84242 ALAVA VELEZ OLAYA MONSERRATE 1306027655001 X 159003 MEZA ZAMBRANO ANTONIO ADALBERTO 1306028869001 X 38009 RONALD 1306029719001 X 192608 SANTANA BERMÚDEZ FABIÁN NICANOR 1306037605001 X 272000 SANTANA DELGADO ISIDRO DEMETRIO1306042738001 X 174604 ORMAZA BASURTO GIORGE MARCELO 1306043645001 X 81509 CEVALLOS VILLACRESES STALIN ELIAS1306044155001 X 240016 CUEVA DUME JOSE VICENTE 1306046440001 X 138992 CEDEÑO LÓPEZ BYRON VICTORIANO 1306047273001 X 68004 BAQUE PILAY VIRGILIO SECUNDINO 1306047596001 X 120343 SOLORZANO VELEZ ENA FLORICELDA 1306051473001 X 52208 LUQUE INTRIAGO MARCELO DANIEL 1306054394001 X 201704 MACIAS ANDRADE CRUZ ASIDALIA 1306066380001 X
  • 470.
    No No registra No No registra No No. registra registra No. indicadores registra provincia, registra Persona_id NOMBRE No. ID (RUC) calle número registra de ventas, apellido cantón y primer principal de calle origen activos y/o paterno parroquia nombre principal empleados 211484 VERA VELASQUEZ RODY NOLASCO 1306067131001 X 219337 FERNANDEZ ZAMBRANO JOSE LUIS 1306074384001 X 42597 LOOR TOBAR CARLOS ROGELIO 1306074921001 X 23691 MERA VELEZ MANUEL ALEXANDER 1306076710001 X 193943 ZAMBRANO MERA LIDER ALFONSO 1306083526001 X 73227 BAQUE SOLEDISPA PEDRO ERNESTO 1306088533001 X 276679 GARCIA CEDEÑO EDWIN HENRRY 1306095884001 X 273868 VERA GARCIA ROSI DEL ROCIO 1306097484001 X 117080 ZAMBRANO MENDOZA NOEL ALCIVIADES1306100718001 X 62704 GARCÍA CAICEDO JOSÉ VICENTE 1306101617001 X 105262 MENDOZA QUIROZ DARWIN ALEXANDER 1306105394001 X 40694 RODY 1306109016001 X X 200472 SABANDO VERA MARIA NANCI 1306111228001 X 72466 CEDEÑO ZAMBRANO PERLY ROCIO 1306111566001 X 83445 ENRIQUEZ CEDENO LORENA JOSEFINA1306112184001 X 22421 MOREIRA VERA MANUEL EMIGDIO 1306113794001 X 67626 ZAMBRANO ZAMBRANO JACQUELINE ALEXANDRA 1306115690001 X 93886 GUILLEN BASURTO ALINA ALEXANDRA 1306116334001 X 199715 PINARGOTE GILER ANTONIO YOVANNY1306121847001 X 259748 YEPEZ CEDENO SONNIA PATRICIA 1306125988001 X 81430 GILCES GARCIA CARLOS WALTHER 1306127034001 X 202983 LUCAS VELEZ DANIKA SULAY 1306128552001 X 122316 QUIROZ PAREDES DAVID ANSELMO 1306133313001 X 50133 LAGOS PAZMIÑO JUAN CARLOS 1306134105001 X 217308 VALENCIA MACIAS RICHARD WILLIANS1306135839001 X 172887 LOOR ALCIVAR JOSE IVAN 1306136654001 X 270269 CALDERON INTRIAGO MARIO PATRICIO1306142488001 X 256774 VERA MUÑOZ DIGNER JOSE 1306146687001 X 166018 CANTOS VÉLEZ GLORIA ISABEL 1306156470001 X 40722 ANGEL 1306165372001 X 135581 MERO FRANCO JHONNY EVERALDO 1306167402001 X
  • 471.
    No No registra No No registra No No. registra registra No. indicadores registra provincia, registra Persona_id NOMBRE No. ID (RUC) calle número registra de ventas, apellido cantón y primer principal de calle origen activos y/o paterno parroquia nombre principal empleados 112488 RIVADENEIRA INTRIAGO CESAR EMILIO1306172386001 X 28887 GARCÍA CANTOS VICTOR EMILIO 1306176825001 X 216118 SUAREZ LOPEZ MARIA LUISA 1306178102001 X 225449 GUERRERO GRACIA DOLORES VERONICA 1306188689001 X 225025 GUERRERO GRACIA EDITA ELVIRA 1306188697001 X 100170 BARRE ZAMBRANO HEXON GABRIEL 1306195692001 X 162146 CEVALLOS CHAVEZ ANTONIO SEBASTIAN1306205541001 X 34600 VELEZ MOREIRA WILSON GEOVANNY 1306205640001 X 118187 HIDALGO ANDRADE JORGE ALFONSO 1306207836001 X 143069 TENELEMA QUISATASIG HOLGER ROBERTO 1306213438001 X 23786 CENTENO MOREIRA RAUL GERARDO 1306213487001 X 31933 DEMERA VÉLEZ JEAN PAUL 1306213495001 X 60114 ALONZO MERA GENNY STELLA 1306214709001 X 139584 PARRAGA CALDERON NARCISA ALEXANDRA 1306222462001 X 181709 INTRIAGO GARCÍA WILLIAMS RENÉ 1306223890001 X 109325 TRAVEZ MENDOZA CARLOS EUGENIO 1306228659001 X 115823 MOREIRA GARCIA FROWEN BOSCO 1306231117001 X 167905 CEDEÑO CEDEÑO MANUEL ISIDRO 1306231232001 X 40744 RENGIFO DE LA CRUZ GEORGI EDILBERTO 1306231885001 X 88631 ZAMBRANO CHÓEZ DIÓMEDES ENRIQUE 1306233774001 X 134199 FIGUEROA MOREIRA JOSE IGNACIO 1306235159001 X 59413 MARCILLO MERINO JUAN EDGAR 1306235472001 X 137185 GONZÁLEZ MILLER FREDDY HONORIO 1306236025001 X 260358 DELGADO LUCIO STALIN JAVIER 1306236553001 X 92443 RODRÍGUEZ AYÓN FANNY CLEOPATRA1306239946001 X 252227 MENDOZA HIDALGO MAURO ENRIQUE 1306248491001 X 46700 MENDOZA CAÑARTE LAURA MARICELA1306260603001 X 195936 VELASCO BERNARDY GRENNY MARIA 1306263052001 X 266759 LINO MACIAS OSCAR RODOLFO 1306263102001 X 52548 MENDOZA VÉLEZ RAMIRO JASBINDER 1306269323001 X 268088 PONCE VELEZ JORGE AGUSTIN 1306269448001 X
  • 472.
    No No registra No No registra No No. registra registra No. indicadores registra provincia, registra Persona_id NOMBRE No. ID (RUC) calle número registra de ventas, apellido cantón y primer principal de calle origen activos y/o paterno parroquia nombre principal empleados 238351 MUÑOZ MENENDEZ ANGEL LOBERTY 1306280585001 X 81092 ALVARADO ADÚM HÉCTOR JOSÉ 1306281286001 X 218827 BARCIA CARRILLO JOHNSON HIGINIO 1306282763001 X 163257 ROCA BARCIA JULIO ANTONIO 1306283118001 X 74039 GONZALEZ COBOS OLGA MARIA 1306286053001 X 189851 LOPEZ VERA ARMANDO RUBEN 1306296508001 X 109010 AVILA PONCE EDMUNDO ALFREDO 1306305317001 X 153234 BURGOS MONTANERO WILMER ADALBERTO1306306547001 X 97144 PINTO MENOSCAL JUAN DOMINGO 1306312289001 X 144751 MENENDEZ QUIJIJE BEATRIZ ARMINDA 1306321488001 X 223212 ZAMBRANO FRANCO JESSICA LORENA 1306322742001 X 49048 JOSE 1306323237001 X 36914 LOOR MANTUANO XAVIER FERNANDO 1306325497001 X 53923 CONFORME PICO MARCOS DANIEL 1306326669001 X 40669 MERO CHIRIBOGA EDISON FABRICIO 1306342328001 X 136186 DELGADO NAVIA ANA TEOLINDA 1306342955001 X 61615 MURILLO CHAVEZ GLADYS ELIZABTEH 1306343037001 X 31529 CEDENO CEDENO WILSON JOSÉ 1306343698001 X 43518 LOOR BRAVO WELINTON ANTONIO 1306344076001 X 96854 CORNEJO ORDOÑEZ CARMEN ELVIRA1306347376001 X 33990 CEDEÑO CEDEÑO ANGEL GONZALO 1306351261001 X 44588 SABANDO MERA GENNY MONSERRATE1306352350001 X 134955 VALLEJOS RODRIGUEZ ANA MARIA 1306353135001 X 172874 MENDOZA VELEZ MARIA ELENA 1306353895001 X 240290 LOOR ROJAS MARIA YOLANDA 1306355577001 X 194557 VILLA CANTOS CLARA ISABEL 1306355700001 X 122277 CASANOVA CEVALLOS COLON RICARDO306357532001 1 X 219493 CAMACHO MARCILLO CANDI PAOLA 1306360031001 X 264482 QUIMIS FRANCO VICENTE CRISTOBAL 1306360122001 X 128699 ZAMBRANO CEVALLOS RICARTE DANIEL 1306365121001 X 30212 CUZME REZABALA VERONICA DEL ROSARIO 1306366046001 X
  • 473.
    No No registra No No registra No No. registra registra No. indicadores registra provincia, registra Persona_id NOMBRE No. ID (RUC) calle número registra de ventas, apellido cantón y primer principal de calle origen activos y/o paterno parroquia nombre principal empleados 195876 JIMÉNEZ REALPE WALTER LUIS 1306373174001 X 203540 VERDESOTO ZAMBRANO JAIME BELISARIO 1306373653001 X 14614 COMPU @PTIVA 1306375013001 X 178615 ANDRADE ARTEAGA HENRY DEL JESUS 1306375641001 X 133368 PALMA MENDOZA DOLORES MONSERRATE1306376664001 X 27539 MACÍAS CEDEÑO NIXON EDILBERTO 1306378231001 X 66736 ALVAREZ BAZURTO HENRY FRANCISCO 1306381250001 X 30134 CUVI CABRERA ALDRIN DAVID 1306386465001 X 166207 MENDOZA RODRIGUEZ MARIA MARIBEL 1306391366001 X 253346 MUÑOZ TUMA NELSON MILED 1306391531001 X 20452 RICARDO 1306391614001 X 114151 ZAMBRANO MARQUEZ JOSE MILCIADES306401512001 1 X 38908 BARCIA MENDOZA JOHNNY WASHINGTON1306403914001 X 189740 ALCIVAR RODRIGUEZ RONAL RAMON 1306404326001 X 21296 GARCIA VINCES CARLOS AGUSTIN 1306407949001 X 136909 VENTURA MALDONADO CRISTOBAL LEONARDO 1306411370001 X 171186 CRUZ MENDOZA JUAN CARLOS 1306411610001 X 140357 RAMIREZ DELGADO JOSE LUIS 1306416361001 X 202660 BRIONES MENDOZA FRANCISCO PATRICIO 1306418078001 X 232866 DELGADO DELGADO ELVIRA JACQUELINE 1306428697001 X 10697 ING JOSE ZHINGRE 1306435387001 X 141511 MENDOZA TOALA FIDEL ANTONIO 1306435882001 X 33513 CEDEÑO QUIROZ EUCLIDES FABIAN 1306437110001 X 262808 PIN OCHOA RICARDO RUFINO 1306437912001 X 170523 DELGADO PARRALES ROQUE ALBERTO 1306440163001 X 133386 INTRIAGO MOREIRA MIRIAN LILIANA 1306463975001 X 218123 BRAVO VELEZ LUCY MARIA 1306465236001 X 218851 GARCIA PERERO IVAN VIRGILIO 1306467554001 X 125785 BURGOS MOREIRA MIGUEL ANGEL 1306471960001 X 182492 VALDIVIESO SANTOS GINA MERCEDES 1306474352001 X 129337 ZAMBRANO ROBLES JESUS JIMMY 1306476928001 X
  • 474.
    No No registra No No registra No No. registra registra No. indicadores registra provincia, registra Persona_id NOMBRE No. ID (RUC) calle número registra de ventas, apellido cantón y primer principal de calle origen activos y/o paterno parroquia nombre principal empleados 237642 BASURTO VILLAVICENCIO JORGE LUIS 1306485085001 X 167847 BAQUE BAQUE VICENTE CRISTOBAL 1306490481001 X 45406 VERA TUMBACO BIENVENIDO MAXIMO 1306490713001 X 110528 VILLACRESES THOMPSON MAGDALENA TERESA 1306490911001 X 163569 ALCIVAR ALCIVAR RUBER ARNALDO 1306503903001 X 97495 ALCIVAR ZAMBRANO YINYER YUDIGNA 1306503929001 X 128982 VINCES CEDEÑO CARLOS EMILIO 1306508845001 X 83413 VELEZ MENDOZA AUGUSTA LILIANA 1306509652001 X 172117 ZAMBRANO GILER YOSI GARY 1306517309001 X 89726 ANDRADE ARTEAGA LORENA DEL ROCIO 1306528108001 X 46499 PARRALES CHOEZ WASHINGTON RAFAEL 1306533793001 X 47198 MENDOZA MACÍAS NANCY ELIZABETH 1306537190001 X 164220 MORAN TUMBACO RUBEN DARIO 1306539352001 X 48337 VILLAVICENCIO CHAVEZ JULIO CESAR 1306544766001 X 134006 CEDEÑO BARCIA LETTY MARYCRUZ 1306545946001 X 236930 MONGE FLORES DE VALGAS GUILLERMO ELIAS 1306548346001 X X X 137482 PONCE REYES AULBERTO ISRAEL 1306548874001 X 213035 ALVARADO CHAVEZ PASTOR MANUEL 1306551548001 X 227770 QUIJIJE SANCHEZ MARTIN RAMON 1306557628001 X 58414 LOOR INTRIAGO JOSÉ ELOY 1306569862001 X 27694 TORRES PÁRRALES JOSÉ FABIAN 1306574045001 X 275174 MOREIRA VALENCIA SANDRA JAQUELINA1306576701001 X 94288 LOOR ACOSTA FRANCISCO DIMAS 1306579952001 X 20370 FRANCO RODRIGUEZ JOSE LUIS 1306580349001 X 166210 CENTENO SUAREZ JORGE NEPTALI 1306580810001 X 57278 TERÁN GARCÍA MIGUEL PERFECTO 1306580877001 X 50336 NN MOREIRA ANGEL OSWALDO 1306580992001 X 24965 SALTOS QUIROZ GERMAN NEVALDO 1306583442001 X 28829 ALCIVAR RECALDE MONICA ROSANA 1306592195001 X 94924 SOLORZANO ZAMBRANO ARACELY ALEJANDRA 1306592633001 X 126620 SANCÁN GONZABAY PABLA SERVILIA 1306592823001 X
  • 475.
    No No registra No No registra No No. registra registra No. indicadores registra provincia, registra Persona_id NOMBRE No. ID (RUC) calle número registra de ventas, apellido cantón y primer principal de calle origen activos y/o paterno parroquia nombre principal empleados 22116 VECHEREL CHAVEZ FABIAN ALBERTO 1306593250001 X 149291 LÓPEZ CEVALLOS RAMÓN JAVIER 1306593888001 X 22518 CADENA VELEZ IVAN ALEJANDRO 1306594043001 X 56749 VÉLEZ MOREIRA GLENDA BEATRIZ 1306594126001 X 184829 GUERRÓN ZEVALLOS LAUTARO SANDINO1306594753001 X 81797 GARCIA ESPINOZA GREY MARIA 1306595842001 X 32787 RENGIFO FLORES ROGELIO FERNANDO 1306597178001 X 25997 ESPINALES CEDEÑO FABIAN RODRIGO1306597657001 X 40264 LUCAS MANZABA ELDER ALEXANDER 1306598564001 X 226839 ALAVA PAREDES WILLIAN JAVIER 1306600337001 X 25259 DURAN PICO WILLIAMS HARVIN 1306603794001 X 54027 MACÍAS VÉLEZ ROLANDO DANILEL 1306610997001 X 148219 MONROY REZABALA RAMON ENRIQUE 1306620608001 X 212643 SANTANA CASTRO JOSÉ RAÚL 1306621044001 X 274759 GOMEZ LOOR MARIA VICTORIA 1306625540001 X 136704 SANTOS VILLEGAS JORGE ATILIO 1306638964001 X 128062 NUÑEZ PALMA FRANKLIN JAVIER 1306644731001 X 195849 MOREIRA ROSERO ELIECER IVÁN 1306647288001 X 156554 SANCHEZ CEDEÑO LUIS OCTAVIO 1306650068001 X 190790 MARTINEZ PLAZA ZOILA HORTENCIA 1306665868001 X 82489 MACIAS BRIONES JAIRO DUVAL 1306668714001 X 38926 PINARGOTE BRAVO JOHNNY JOSE 1306669787001 X 33208 SALDARRIAGA CHICA JOSÉ STALIN 1306670108001 X 274106 FERRIN QUIROZ VICENTE RICHARD 1306670843001 X 261208 ARTEAGA ALAVA KARINA DOLORES 1306672351001 X 133499 VILLAFUERTE SOTO TERESA PAULINA 1306673334001 X 59877 MOLINA ORMAZA CARLOS IGNACIO 1306680388001 X 97519 GUTIERREZ CHANCAY ESPERANZA BEATRIZ 1306684208001 X 229106 VERA GOYES RUDI RUBEN 1306684653001 X 95185 SOLORZANO ZAMBRANO DANIEL ALEJANDRO 1306688209001 X 266479 BRAVO LOOR JOSE LEONEL 1306689561001 X
  • 476.
    No No registra No No registra No No. registra registra No. indicadores registra provincia, registra Persona_id NOMBRE No. ID (RUC) calle número registra de ventas, apellido cantón y primer principal de calle origen activos y/o paterno parroquia nombre principal empleados 103957 BRAVO CHAVEZ LIDER ANTONIO 1306698018001 X 45563 LINO MIRANDA JESUS MANUEL 1306699024001 X 94487 MEJÍA RAMOS ALFONSO FABRICIO 1306704972001 X 58796 MERA ORDOÑEZ ISIDRO JACOBO 1306705615001 X 274162 ZAMBRANO CHOEZ RODOLFO WILIAN 1306706233001 X X 186341 PARRAGA MENENDEZ PUBLIO GEOVANNY 1306707017001 X 25848 FLOR ALCIVAR ARMANDO IGNACIO 1306708015001 X 30649 ARTEAGA PALACIOS RICHARD PEDRO 1306709534001 X 32465 SALTOS CHANCAY FREDDY HUMBERTO 1306713080001 X 67498 ASTUDILLO ABRIL ELIZABETH DOLORES1306715580001 X 207679 MACIAS MOREIRA TERESA NEREIDA 1306718014001 X 154412 BASURTO DEMERA IBERT BERNARDO 1306718311001 X 20366 JORGE 1306719327001 X 269312 PALACIOS VELEZ ENNIS MAYRU 1306721927001 X 244182 OÑA TOAQUIZA HUGO RENE 1306726454001 X 237388 VERA TOALA CARLOS ALBERTO 1306727759001 X 144220 MUÑOZ MONTES NANCY MONSERRATE 1306735117001 X 243644 GARCÍA BRAVO BYRON FROWEN 1306738889001 X 26566 WALTHER 1306747336001 X 122152 JAIME SALVATIERRA GRISCA ANABEL 1306747898001 X 84786 MORAN ACUÑA EDISON GREGORIO ANTONIO 1306748441001 X 234700 ANDRADE SACÓN HOMERO IGNACIO 1306757210001 X 263767 LLAGUNO MERO FRANCISCO JAVIER 1306758341001 X 159279 INDDARTE PENAFIEL ARNOLD ANTONIO 1306760750001 X 225810 SORNOZA RIVERA LAURA EMPERATRIZ1306763416001 X 75088 FARÍAS VALDIVIESO MILEYDIS VANESSA306764208001 1 X 143296 BAZURTO PÉREZ CÉSAR EDUARDO 1306764844001 X 37778 PANTA CHAVEZ XAVIER ALEJANDRO 1306767599001 X 166925 MOLINA MURILLO MARIO JOSE 1306768902001 X 91086 ZAMBRANO CEDEÑO DARWIN MANUEL1306771161001 X 14522 DIAZ RODRIGUEZ VLADIMIR LADISLAO 1306777531001 X
  • 477.
    No No registra No No registra No No. registra registra No. indicadores registra provincia, registra Persona_id NOMBRE No. ID (RUC) calle número registra de ventas, apellido cantón y primer principal de calle origen activos y/o paterno parroquia nombre principal empleados 258968 LOOR DUENAS NELSON EDWIN 1306778224001 X 192382 ZAMORA PICO RAMON MIGUEL 1306783489001 X 47282 IVONNE KARINA AVILA RIVERA 1306794338001 X 175639 DURAN PICO COLON STEWAR 1306809516001 X 167362 ROMERO GARCIA PEDRO ANTONIO 1306809763001 X 184133 DE LA CRUZ ZAMBRANO CRISTINA AMERICA 1306811942001 X 260229 PAREDES LOOR CARLOS XAVIER 1306829415001 X 213879 ZAMBRANO ZAMBRANO JORGE GUILLERMO1306847888001 X 43806 ORTEGA REYES IVÁN EDUARDO 1306853035001 X 109798 GONZALEZ ANDRADE ERIKA TATIANA 1306860048001 X 955 ANDRADE ALVAREZ IVAN RAFAEL 1306860147001 X 187189 BASURTO CEEÑO JUAN JOSE 1306861277001 X 145346 PALMA GARCIA YURY VLADIMIR 1306866425001 X 221367 MENÉNDEZ GARCÍA DYNARYN BERNARDITA 1306871672001 X 160531 ALCIVAR ARTEAGA TITO JAVIER 1306878008001 X 50826 ANCHUNDIA CAMPOZANO BECKER WLADIMIR 1306883065001 X 162879 VELIZ MENDOZA WALTER RICARDO 1306883263001 X 24128 ROMERO ALCIVAR IDELFRIDO VILIULFO1306887157001 X 71127 MENDOZA MIELES MARIA ARACELY 1306891423001 X 48857 ZAMBRANO ESPAÑA RAMÓN DONATO 1306893726001 X 176225 FARIAS DELGADO MARIA VERONICA 1306900174001 X 78486 VALVERDE LUCIO WILLIAM ADOLFO 1306901719001 X 160364 BRIONES LEON DIANA GISELLA 1306903210001 X 262021 MACIAS ZAMBRANO FANNY ESPERANZA306910926001 1 X 46324 CEDEÑO CEDEÑO HUGO RAUL 1306912047001 X 151821 QUIROZ MENDOZA TITO OSWALDO 1306914159001 X 101303 ZAMBRANO ZAMBRANO EDWIN ANIBAL1306916865001 X 46488 FLORES TOALA YOVANNY IVÁN 1306917103001 X 81527 VALLADARES SOLORZANO KLEBER PATRICIO 1306917707001 X 240188 QUIMIS AVILA HUGO ALFREDO 1306918291001 X 117287 PONCE BAQUE DAVID GEOVANNY 1306919612001 X
  • 478.
    No No registra No No registra No No. registra registra No. indicadores registra provincia, registra Persona_id NOMBRE No. ID (RUC) calle número registra de ventas, apellido cantón y primer principal de calle origen activos y/o paterno parroquia nombre principal empleados 227353 CADENA ALVAREZ PATRICIA ELIZABETH 1306920768001 X 160406 RODRIGUEZ VÉLEZ FRANCISCO REGUSTINO 1306920792001 X 245607 DELGADO SANTANA JULIO CESAR 1306922392001 X 155788 CEDEÑO FERNANDEZ SANDRA REGINA1306925445001 X 220781 VÁSQUEZ ARÁUZ ALDO BISMARCK 1306931005001 X 213730 MANTUANO PONCE FERNANDO SERMIN 1306934082001 X 146302 PAZ MERA JORGE RAFAEL 1306937291001 X 40964 INTRIAGO PIN CÉSAR RAÚL 1306937341001 X 107067 ESPINOZA BAQUE FERNANDO ALBERTO 1306938091001 X 274058 BRAVO INTRIAGO MARIA DEL CARMEN 1306938638001 X 268905 ANCHUNDIA LOOR ANDRES MIGUEL 1306938745001 X 109074 SANTANA INTRIAGO SANDRO LEONARDO1306939388001 X 205603 GARCIA GARCIA JORGE JHON 1306941129001 X 213535 ROMERO CEDEÑO AÑGEL RAFAEL 1306942846001 X 81122 VINUEZA SANTANA SUSANA PATRICIA 1306943455001 X 230008 ALCIVAR MOREIRA LUIS MAURICIO 1306948959001 X 139321 ZAMBRANO GARCÍA CARLOS ALBERTO1306951417001 X 21676 PARRAGA MOREIRA KELO AURO 1306954262001 X 38804 VINCES NAVARRETE LOURDES KIMBERLY 1306954387001 X 228917 ALAVA MACIAS ANGEL ROBERTO 1306954726001 X 143616 ANCHUNDIA GANCHOZO YIMI WANERGE306959071001 1 X 243744 VACA GUILLEM COLON LENIN 1306959147001 X 186591 RAMÍREZ VERA WALTER ARTURO 1306960079001 X 278532 VILLA PIN JOSE FERNANDO 1306960137001 X 56155 BRAVO GUERRERO NERY ANTONIO 1306964238001 X 126541 BRAVO CEDEÑO NURY BERTIRENE 1306966647001 X 62070 VERA ZAMBRANO RENELMO JUNIOR 1306967363001 X 256737 ORTIZ CAICEDO PEDRO LUIS 1306969138001 X 33937 CEDEÑO DELGADO CESAR STALIN 1306970383001 X 184169 ARIAS ZAMBRANO IVAN PERICLES 1306971373001 X 208393 INTRIAGO DELGADO SONIA AUXILIADORA 1306971977001 X
  • 479.
    No No registra No No registra No No. registra registra No. indicadores registra provincia, registra Persona_id NOMBRE No. ID (RUC) calle número registra de ventas, apellido cantón y primer principal de calle origen activos y/o paterno parroquia nombre principal empleados 53428 RIVERA CEVALLOS PAULO CESAR 1306972991001 X 30715 ARTEAGA BRIONES MIGUEL ANGEL 1306973049001 X 30850 SANCÁN SOLÓRZANO WILLIANS JORGE 1306976992001 X 19601 BELTRAN FLORES NAPOLEON OVIDIO 1306977248001 X 29569 CEDEÑO RIVAS ORLANDO FABIAN 1306980473001 X 209702 SÁNCHEZ TUÁREZ JOSÉ SALOMÓN 1306982941001 X 198232 PINARGOTE PALACIOS XIMENA DEL ROCIO 1306986702001 X 271085 GARCIA VERA ULBIO MONCERRATE 1306986785001 X 201793 PALMA ZAMBRANO WILLIANS PATRICIO 1306988377001 X 133704 SANTILLAN ACEBO STALIN OLMEDO 1306989839001 X 28900 JINMY 1306989847001 X 25060 CEDEÑO TUÁREZ ELÍ FABRICIO 1306990183001 X 248767 TOALA RIVAS JOSE AUGUSTO 1306993062001 X 147670 VINCES CENTENO MARCOS CARLOS 1306997477001 X 29402 DELGADO SORNOZA MARIO AMILKAR 1307000347001 X 13629 INGENIERO CIVIL MARCOS TULIO VERA1307001105001 ANDRADE X 161635 CAMPUZANO BARCIA CESAR GUSTAVO1307007615001 X 91395 PICO DELGADO JOSE FABRICIO 1307010783001 X 94204 GARCIA TUAREZ MARIA DE LOURDES 1307014405001 X 26792 CHINGA ANDRADE DOVER ANTONIO 1307016079001 X 261195 GUARANDA VILEMA EDUARDO TYRONE 1307016111001 X 132016 BOWEN GARCIA ENRIQUE FEDERICO 1307020386001 X 58112 ZAMBRANO MALDONADO JEISON ALEJANDRO 1307021624001 X 146038 ALCIVAR PARRALES NIXON FRED 1307025708001 X 91176 GUILLEN MENDOZA MARIA ISABEL 1307027399001 X 187782 MERO GARCIA WILMER RAUL 1307031557001 X 241614 GUTIÉRREZ SALAZAR PAULO ANDRES 1307036812001 X 142307 LINO SOLORZANO JOSE AGUSTIN 1307039006001 X 33637 MENDOZA BRAVO YISELA PATRICIA 1307043339001 X 157120 GOMEZ ARROBA SANDRO ALBERTO 1307050813001 X 184005 PONCE SILVA JOSE RAMIRO 1307051597001 X
  • 480.
    No No registra No No registra No No. registra registra No. indicadores registra provincia, registra Persona_id NOMBRE No. ID (RUC) calle número registra de ventas, apellido cantón y primer principal de calle origen activos y/o paterno parroquia nombre principal empleados 57131 LEONARDO 1307060887001 X 54756 TUÁREZ DELGADO JOSÉ FRANCISCO 1307061281001 X 160366 MOREIRA LOPEZ FABRICIO FABIAN 1307063089001 X 262454 CEDEÑO CHONLONG JORGE MARCELO1307063113001 X 129326 ALVAREZ PINARGOTE EDDY GEOVANNY307087864001 1 X 82274 MENDOZA MENDOZA MARIA EUDOCIA 1307094027001 X 140972 VÉLEZ MOREIRA MARTHA ELIZABETH 1307095545001 X 44819 SOLORZANO MERO JAVIER LEONEL 1307101129001 X 103760 ERAZO GARCÍA NUVIA ANGÉLICA 1307103133001 X 275501 VERA VERA NERY HORLEY 1307107506001 X 41098 DELGADO PALMA IVES MICHAEL 1307107597001 X 41397 LOPERA RODRÍGUEZ JOSUE OTONIEL 1307109270001 X 78408 ZURITA YANEZ JOSE MARCELO 1307109957001 X 152075 SANTOS LOOR CARLOS HUMBERTO 1307114502001 X 247528 MACIAS MUÑIZ WALTER STALIN 1307114734001 X 212160 PAREDES AVILA VICTORIANO ANTONIO1307120178001 X 146202 LITARDO CEDEÑO RAMON STERLING 1307123487001 X 147304 MACIAS GARCIA JAIME REMIGIO 1307123677001 X 187016 VARELA RIVAS FRANCISCO MONCERRATE 1307126969001 X 197160 MONTESDEOCA VERA MERCEDES ISABEL1307130482001 X 26553 LOOR ZAMORA GEORGI ENRY 1307131100001 X 101883 SALTOS GILER MANUEL RICARDO 1307139426001 X 30242 JOSE 1307144624001 X 172877 ZAMBRANO ZAMBRANO ANGELICA MARIA1307146843001 X 52004 CEDEÑO SOLORZANO JIME TEDDY 1307147684001 X 154408 SOLEDISPA LOPEZ PABLO ELEUTERIO 1307148153001 X 189590 MEDRANDA ALCIVAR WISTER YORGEN1307150027001 X 75383 SALDERRIAGA CORRAL AMPARO HIPATIA 1307156123001 X 51825 SALDARRIAGA CORRAL YINSON FERNANDO 1307156131001 X 40866 LOOR VALDIVIEZO GINA ISABEL 1307159275001 X 94543 LUCAS MACÍAS NANCY MIRELLA 1307159416001 X
  • 481.
    No No registra No No registra No No. registra registra No. indicadores registra provincia, registra Persona_id NOMBRE No. ID (RUC) calle número registra de ventas, apellido cantón y primer principal de calle origen activos y/o paterno parroquia nombre principal empleados 199260 MACÍAS BAZURTO JOEL ANTONIO 1307160075001 X 27579 GARCIA CEDEÑO SANDY ELIECER 1307166718001 X 209532 SANTANA RODRIGUEZ RUDOLF ISAAC 1307169787001 X 18848 CESAR 1307170298001 X X 278755 ZAMBRANO CEDEÑO SANDRA ELIZABETH 1307175586001 X X 33455 PEDRO 1307176329001 X 51076 CAÑARTE BAQUE GEORGE ALFREDO 1307180131001 X 169380 SALAZAR MENÉNDEZ RODOLFO ANTONIO 1307180941001 X 245073 MONTERO ZAMBRANO RONNY DEL JESUS 1307181402001 X 92143 ANDRADE MENENDEZ HUGO ALFREDO1307182830001 X 140291 FIENCO VILLACRESES AGUSTIN DAVID 1307184349001 X 40944 VILLACRESES PARRALES MAURICIO VICENTE 1307184521001 X 257637 MOREIRA IDROVO HECTOR AQUILES 1307186419001 X 75121 CEDEÑO DE LA CRUZ TELMO ALBERTO1307188829001 X 39983 ARAY ANDRADE CARLOS ALBERTO 1307189991001 X 164882 GILER VERA JESÚS EGBERTO 1307191377001 X 128195 ARTEAGA LOPEZ ANGEL RAFAEL 1307201150001 X 102146 CRUZ GONZALEZ JORGE ENRIQUE 1307203768001 X 33239 MUGUERZA AREVALO MARCOS RAUL 1307205532001 X 27311 PINARGOTE MENDOZA DARWIN ANTONIO 1307207322001 X 263992 ZAMORA REYES CARLOS RAMON 1307208270001 X 192992 VASQUEZ SANCAN WASHINGTON OLMEDO 1307208437001 X 21756 ANCHUNDIA REYES JOFFRE MANUEL 1307209435001 X 89185 INTRIAGO ZAMBRANO YANINA FABIOLA1307210482001 X 199486 PILLIGUA SALTOS JIMMY ALEXANDER 1307211316001 X 261360 MENDOZA DAZA CRISTHIAN ALEXANDER 1307211431001 X 195821 MENDOZA DAZA JUAN CARLOS 1307211449001 X 243528 PAZMIÑO CEDEÑO ERICK MARLOT 1307213452001 X 41204 SOLANO SALAZAR JORGE ANTONIO 1307214914001 X 19413 DENNY FRID 1307219657001 X 106343 ESTRELLA ALONSO JHON ANIVAL 1307228575001 X
  • 482.
    No No registra No No registra No No. registra registra No. indicadores registra provincia, registra Persona_id NOMBRE No. ID (RUC) calle número registra de ventas, apellido cantón y primer principal de calle origen activos y/o paterno parroquia nombre principal empleados 114251 DE LA CRUZ VELEZ JESUS RAMON 1307229060001 X 263262 MENENDEZ VELEZ KATHERINE PATRICIA 1307231496001 X 95780 TUMBACO PONCE MARISIDRA PILAR 1307231686001 X 220026 LOPEZ CASTRO ITALO GUSTAVO 1307232767001 X 264909 FORTY CARRIEL MERCEDES ALEXANDRA 1307239663001 X 183998 DEL MÓNACO REYES ALBERTO FERNANDO 1307240687001 X 246878 DELGADO DELGADO DARWIN ALBERTO 1307242675001 X 25459 PINO ALAY SONIA MARIBEL 1307243194001 X 193300 MIRABA ANDRADE FLOR MARIA 1307247328001 X 250600 RODRIGUEZ VELEZ JONNY ANTONIO 1307261113001 X 164626 GOMEZ RONQUILLO JOSE PLUTARCO 1307262699001 X 177300 CEDEÑO BRAVO JESUS NAZARENO 1307268589001 X 265307 SANCHEZ SABANDO LUIS JAVIER 1307272425001 X X X 179685 CEVALLOS CHILAN JOSE JOSELITO 1307274439001 X 244048 SILVA CHIQUITO JOHNNY DARIO 1307275790001 X 265591 ZAMBRANO MACIAS KELVIN SALVADOR1307276889001 X 22532 ALCIVAR MEZA MARA SHAKIRA 1307278497001 X 192316 LOOR VALDIVIESO RICHARD ORLANDO1307290492001 X 260532 FERNANDEZ VELEZ PEDRO ANIBAL 1307291722001 X 193706 BASURTO VIDAL MANUEL ALFREDO 1307292753001 X 160403 MADRID CASTRO ROSA KARINA 1307294296001 X 255951 GOROZABEL PALMA DUMAR RAMON 1307295871001 X 77474 BARCIA MENDOZA JOSE ANIBAL 1307297646001 X 16238 LOOR SORNOZA LUZBEIDA FLORIXA 1307297729001 X 177040 GONZALEZ FLORES ALIXON PETITA 1307297968001 X 225491 VELEZ CEDEÑO JUANA CLEMENTINA 1307298214001 X 28505 PARRAGA MEJIA YANDRY STANLEY 1307299162001 X 248224 GOMEZ GONZALEZ GRACIELA ESMERALDA 1307299725001 X 216952 LUCAS DELGADO MARTHA BEATRIZ 1307300853001 X 200389 LOOR PLUA HENRY MAURICIO 1307308930001 X 220447 SOLORZANO MOREIRA ANTONIA AGUEDITA 1307309771001 X
  • 483.
    No No registra No No registra No No. registra registra No. indicadores registra provincia, registra Persona_id NOMBRE No. ID (RUC) calle número registra de ventas, apellido cantón y primer principal de calle origen activos y/o paterno parroquia nombre principal empleados 47698 CAMPOSANO EGUEZ ANGEL ARISTOBAL 1307310092001 X 136982 ARTEAGA SANTANA JORGE DANIEL 1307310316001 X 51384 ROBERT 1307320083001 X 243506 CHEVEZ VERA COLON ALBERTO 1307320299001 X 42181 CARRANZA ZAMBRANO SILBIA ELIZABTEH 1307323368001 X 40263 GUERRA MERA JUAN CARLOS 1307324093001 X 136045 INTRIAGO MOREIRA KELVIN DOCITEO 1307328888001 X 152599 GARCIA GARCIA PEDRO PABLO 1307331379001 X 40634 MERA DELGADO GONZALO MANUEL 1307336659001 X 61559 ESPINOZA BRAVO JOSÉ LUIS 1307339182001 X 224482 MALDONADO SANTANA WILLIAMS ROBERTH 1307341659001 X 32504 LOPEZ NAVARRETE YVONNE NARCISA 1307351880001 X 35248 CEDEÑO GARCIA HONORATO VINICIO 1307357663001 X 254544 ALAVA LAZ JULIO JORGY 1307359305001 X 100144 PÁRRAGA VALLE JOSÉ EDUARDO 1307359982001 X 46549 VELEZ MENDOZA ANGEL NEPTALI 1307375343001 X 232544 ZAMBRANO ROMERO LUIS ALFREDO 1307385383001 X 25056 CHICA PILLIGUA RAMON RUMALDO 1307385789001 X 256855 ROMERO LOOR ISIDRO ALADINO 1307386803001 X 74526 ZAMBRANO MOREIRA RAMON GUSTAVO 1307392389001 X 13191 ANGELITA 1307394328001 X 18089 XAVIER 1307414886001 X 24513 CHAVEZ MACÍAS JHONNY XAVIER 1307415511001 X 275786 CHIQUITO PEDRO 1307416501001 X 28086 MORALES CARRILLO JOSÉ NURVI 1307419521001 X 169415 GARCIA GONZALEZ RUDY LOBERTY 1307419869001 X 98279 MERA VELEZ RICHARD ANTONIO 1307420941001 X 25796 ANRANGO PABON FELIX PATRICIO 1307425429001 X 182297 MERA VELIZ GUSTAVO JAVIER 1307427276001 X 183124 CRUZ VENTURA JIMMY HERNAN 1307430387001 X 189456 BAQUE SOLEDISPA EDDY RAMON 1307435410001 X
  • 484.
    No No registra No No registra No No. registra registra No. indicadores registra provincia, registra Persona_id NOMBRE No. ID (RUC) calle número registra de ventas, apellido cantón y primer principal de calle origen activos y/o paterno parroquia nombre principal empleados 223673 BRIONES FRANCO LENNI MARIA 1307443455001 X 195582 VÉLEZ GUERRERO CÉSAR RENÉ 1307444180001 X 138933 REYES BAQUE NEYLL ALEXANDER 1307451102001 X 268152 CORNEJO INTRIAGO JUDITH DEL CARMEN 1307456705001 X 114513 CAICEDO AREVALO OLINDA ELIZABETH1307456846001 X 70187 CASTRO GARCÍA WESNER OLIVER 1307459881001 X 203337 NAPA ZAMBRANO AFRANIO EVERALDO1307460277001 X 24959 ARTEAGA ESPINOZA MONICA YISELA 1307466324001 X 202982 JARRE BARCIA RAFAEL DANNY 1307467272001 X 245492 LEON LEON HECTOR MAGIN 1307469773001 X 224161 VEGA SORNOZA JUVENAL JOSUE 1307471902001 X 59461 CHINGA POSLIGUA CECILIA ANNABEL 1307474765001 X 214543 GONZÁLEZ LUCAS JOHN NIXON 1307476034001 X 162764 MACIAS CASTRO LUIS ENRIQUE 1307481737001 X 201617 MUÑOZ SANCHEZ CARLOS NIXON 1307489219001 X 110825 MENDOZA CASTRO WILSON HERNAN 1307490597001 X 267577 GOMEZ PIONCE JOSE MAXIMILIANO 1307491090001 X 87951 VELEZ RIVERA JUAN SISIFREDO 1307491843001 X 44060 ZAMBRANO ESPINOZA VASCO ENRIQUE 1307492254001 X 166691 DAVALOS MOREIRA JOSE VICENTE 1307492510001 X 18135 MORAN ZAVALA NELLY LEONOR 1307492957001 X 52631 PICO MENDOZA NEWTON ALEXANDER 1307494342001 X 23695 SOLEDISPA VALERIANO LEINER FELIPE1307495612001 X 133550 COBEÑA PARRAGA EDISSON ALFREDO1307496487001 X 182060 CRUZATTY ARTEAGA JOSE ROBERTO 1307498004001 X 112251 HIDALGO PALACIOS ALEX JAVIER 1307504256001 X 219143 BRAVO SOLEDISPA JOSE ERIBERTO 1307508182001 X 193941 ALVARADO GARCIA JOAN NABOR 1307508992001 X 25098 PONCE PALMA CARLOS OSWALDO 1307509297001 X 263089 LOOR SANCHEZ HAYDEE RAQUEL 1307510295001 X 118321 PEREZ TOALA MARIA XIMENA 1307510584001 X
  • 485.
    No No registra No No registra No No. registra registra No. indicadores registra provincia, registra Persona_id NOMBRE No. ID (RUC) calle número registra de ventas, apellido cantón y primer principal de calle origen activos y/o paterno parroquia nombre principal empleados 43914 MONTES GILCES MAYRA ALEXANDRA 1307512887001 X 3853 PIERRE 1307514776001 X 150866 ANDRADE ZAMBRANO MARIUXI ELIZABETH 1307516391001 X 174792 PICO ALCIVAR GEOCONDA BEASLEY 1307517209001 X 34345 LOPEZ BARCIA MARLON VICENTE 1307518165001 X 6486 @VACA.COM 1307521888001 X 36852 ALVARADO MEDRANDA JULIO JAVIER 1307524148001 X 81506 VELEZ GILER LIDER EFREN 1307528693001 X 66460 ZAMBRANO MACIAS MARTHA CECILIA 1307533909001 X 143610 GARCIA DELGADO BILLY ESTUARDO 1307534709001 X 53933 CHAVEZ PEREZ LUIS ANIBAL 1307535227001 X 94227 PACHAY DELGADO KATERINE GRIMANECI 1307535292001 X 77043 PICO LOOR CEILI MARGARITA 1307537058001 X 51895 SUÁREZ PONCE YADIRA LILIANA 1307537074001 X 262892 FARIAS PINARGOTE TANYA ANNABEL 1307538163001 X 56335 MOREIRA VITERI ROSA GEOCONDA 1307539567001 X 201029 ALVAREZ PEÑARRIETA CARMEN TERESA1307540441001 X 262845 MOREIRA MERO HILARIO CELESTINO 1307540763001 X 138117 CHICA MERO CARMEN DEL ROCIO 1307541464001 X 66832 PALMA PALMA KELVIN IVAN 1307542777001 X 164741 ANDRADE RODRIGUEZ TANIA ALEXANDRA 1307544526001 X 66399 MOREIRA HUGO 1307545804001 X 21509 TOALA BENAVIDES YESENIA LILIANA 1307546497001 X 244100 VALLE LOOR DAVID GEOVANNY 1307548725001 X 232086 CERVANTE BAQUE JULIO CESAR 1307550010001 X 22469 GALARZA ORTEGA WILSON JOSÉ 1307553162001 X 25146 FLOR CHAVEZ GINO FERNANDO 1307554145001 X 118694 FLOR CHÁVEZ MARÍA JULIA 1307554152001 X 26565 RICHARD 1307554202001 X 263094 BRIONES PALACIOS CINTYA VERONICA1307555647001 X 37226 CATAGUA CATAGUA CHARITO DEL ROSARIO 1307555688001 X
  • 486.
    No No registra No No registra No No. registra registra No. indicadores registra provincia, registra Persona_id NOMBRE No. ID (RUC) calle número registra de ventas, apellido cantón y primer principal de calle origen activos y/o paterno parroquia nombre principal empleados 183841 ALCIVAR MONTES JORGE LUIS 1307557551001 X 145904 FRANCO FRANCO JANDRY HERNALDO 1307558146001 X 62272 DELGADO MUÑOZ RAFAEL DARIO 1307561520001 X 30292 CARRERA UQUILLA MARCO VINICIO 1307565331001 X 4357 MARCO 1307572048001 X 71129 BARRERA CABRERA KARLA FERNANDA 1307572840001 X 167628 PAZMINO CHEME NATACHA IRINA 1307582120001 X 260002 ANDRADE INDIO DIANA MARLENE 1307583177001 X 92951 YANCHPAXI FLORES CARLOS OTHON 1307583912001 X 175234 MERO ACEBO KARLINA VANESSA 1307585701001 X 64829 GARCIA BAREBRAN JOHON FERNANDO1307590230001 X 60271 SALDARREAGA ZAMBRANO WILMER ARTURO 1307601573001 X 24005 MEZA VERA JAIME BENITO 1307605285001 X 230793 PALMA MENDOZA MERCEDES JENNIFER307605558001 1 X 82903 SANTANA MARÍN ANIBAL REINERIO 1307608057001 X 149478 TORRES MOREIRA BYRON ROLAN 1307609295001 X 119636 CHONILLO MACÍAS DARWIN EDUARDO 1307610905001 X 231037 CHAVEZ ALVARADO JOSE FELIX 1307612273001 X 218968 MIELES REYES KELVIN RAFAEL 1307614063001 X 262826 PALMA VERA PATRICIO ALBERTO 1307620359001 X 242469 NAVARRETE BAILON HEVERT EDISON 1307626356001 X 153468 MORA SALTOS MARÍA INES 1307627495001 X 202439 CHIQUITO PALMA VICTOR JESUS 1307628071001 X 190949 MURILLO CEDEÑO LODANNY IDUARTE 1307638476001 X 124228 PITA RAMIREZ NEWTONG STALIN 1307640605001 X 208763 INTRIAGO PICO JONNY GASPAR 1307644730001 X 214092 ZAMBRANO YURI 1307648004001 X 110270 QUIROZ MACIAS GLENDA MARIBEL 1307653780001 X 90855 ZAMBRANO CEDEÑO MARYURI IRLEINE1307655850001 X 157691 ALVAREZ PINCAY DARWIN ALBERTO 1307656254001 X 177527 SALDARRIAGA CORRAL KARINA JACQUELINE 1307657492001 X
  • 487.
    No No registra No No registra No No. registra registra No. indicadores registra provincia, registra Persona_id NOMBRE No. ID (RUC) calle número registra de ventas, apellido cantón y primer principal de calle origen activos y/o paterno parroquia nombre principal empleados 202911 PINO PINARGOTE CARLOS ALBERTO 1307673812001 X 37376 MACHUCA AVALOS MIKE PAOLO 1307673911001 X 65003 ZAMBRANO SANTOS LEWIS MANUEL 1307687465001 X 189871 GARCIA ZAMBRANO CARLOS EMILIO 1307687895001 X 103849 INTRIAGO MERA FABIAN REMBERTO 1307688984001 X 51059 BLONDET MOLINA VIANNY VICENTE 1307690170001 X 28408 GEOCONDA 1307694271001 X 165942 ROSERO FLORES JOSÉ IGNACIO 1307705713001 X 80148 SALTOS BAQUE ALBERTO CASELY 1307714046001 X 151624 SANCHEZ PADILLA IVAN MAURICIO 1307714285001 X 96971 PICO MACIAS EDGAR HERMELINDO 1307724268001 X 64243 LOOR VELEZ JOSE ALFREDO 1307724565001 X 68734 SÁNCHEZ CEPEDA JORGE RAMIRO 1307726768001 X 145370 BARREIRO NAVIA ULBIO BENJAMIN 1307733319001 X 36943 MALLA VALDIVEZO CESAR ENRIQUE 1307734630001 X 245572 AYÓN SALVATIERRA JHONY NAHÍN 1307736981001 X 103900 CHOEZ MACIAS PEDRO JAVIER 1307736999001 X 77017 ZAVALA GUTIERREZ INES MARIA 1307742013001 X 259139 CASANOVA VELEZ REINALDO AMADEO307746337001 1 X 142800 PARRALES GUANALUISA JORGE GEOVANNY 1307749851001 X 136885 ZAMBRANO PAZMIÑO ROSARIO ELIZABEL 1307750792001 X 168937 JUAN CARLOS ZAMBRANO LAZ 1307753226001 X 21530 REYES ALAVA EDWARD JAVIER 1307762003001 X 125455 PEÑAFIEL LINO JUAN ALBERTO 1307763472001 X 54126 LOOR VILLAGOMEZ JORGE LUIS 1307763589001 X 101651 MIELES CEDEÑO PIEDAD DEL ROSARIO1307767788001 X 63984 GARCIA CEDEÑO RICHARD EDGAR 1307772762001 X 22268 CEVALLOS ROSADO CESAR ELOY 1307776870001 X 34444 VELEZ CRUZATTY JHONNY MANUEL 1307777183001 X 106028 VERDUGA BARRETO FERNANDO ANTONIO1307778421001 X 36194 REGALADO SEGOVIA OFELIA YESSENIA1307779841001 X
  • 488.
    No No registra No No registra No No. registra registra No. indicadores registra provincia, registra Persona_id NOMBRE No. ID (RUC) calle número registra de ventas, apellido cantón y primer principal de calle origen activos y/o paterno parroquia nombre principal empleados 41814 GUSQUI LLAMUCA EDGAR WALBERTO 1307780369001 X 40710 PALMA CEDEÑO MOISES DAVID 1307780591001 X 148115 DEMERA URETA GABRIEL PRIMITIVO 1307783082001 X 74831 VELEZ BERMELLO CARLOS HERNAN 1307784270001 X 146013 BARREIRO VELASQUEZ RODOLFO LEONARDO 1307787752001 X 273368 VILLA CANTOS CECILIA VICTORIA 1307789386001 X 31778 LOPEZ NAVARRETE BIELKA VERONICA 1307790418001 X 69469 PEÑAFIEL GUTIERREZ MAURICIO GUILLERMO 1307791358001 X 29641 PAREDES AVILA ANITA LUCIA 1307794238001 X 64023 INGENIERO ELECTRICO 1307795904001 X 20329 RENATO 1307798155001 X 210169 ALARCON MONTESDEOCA RICARDO XAVIER 1307799252001 X 36858 WALTER 1307801397001 X 43566 QUINTEROS VARGAS PAUL GERMAN 1307802429001 X 143970 LOOR MACIAS JOSE LUIS 1307803831001 X 99911 GORTAIRE MARTINEZ JORGE EDUARDO 1307807600001 X 61097 VINCES NAVARRETE CESAR FERNADO 1307808798001 X 54761 GARCIA VINCES LINCOLN JAVIER 1307820058001 X 141034 ALAVA MENDOZA CARLOS CESAR 1307827541001 X 62637 DELGADO ALVIA JHONNY BARTOLOMES 1307835437001 X 170137 CRUZATTY RODRIGUEZ HEFNER ALEXANDRE 1307838175001 X 154629 GUZMAN PONCE ROGER ADRIAN 1307838357001 X 34342 VELEZ ZAMBRANO TATIANA YASMINA 1307841021001 X 73823 MEJIA PARRAGA RAÚL STALIN 1307844108001 X 28373 CEDEÑO MEZA MILTON JAVIER 1307855534001 X 193756 ZAMBRANO MOREIRA JESUS JOEL 1307861631001 X 36903 MERO BOSADA JOSE MARLON 1307863009001 X 209297 ACEBO PINCAY MARIA AUXILIADORA 1307867711001 X 34533 BERMEO MERA JOSE ANGEL 1307873321001 X 22995 EDINSON 1307876944001 X 12695 GARY MACIAS 1307877108001 X
  • 489.
    No No registra No No registra No No. registra registra No. indicadores registra provincia, registra Persona_id NOMBRE No. ID (RUC) calle número registra de ventas, apellido cantón y primer principal de calle origen activos y/o paterno parroquia nombre principal empleados 26407 SALTOS BAILON GABRIEL RENE 1307882835001 X 26628 MUÑOZ MOREIRA FREDDY FERNANDO 1307883627001 X 95320 LOOR ACOSTA BEATRIZ ALFONCINA 1307887180001 X 69465 CHICA VINUEZA CARMEN AZUCENA 1307902385001 X 77563 LÓPEZ MENDOZA RICARDO IVAN 1307906378001 X 77713 MUÑOZ ALCÍVAR PAULO CÉSAR 1307906444001 X 74422 PICO NAVARRO JEOVERTY SERVANDO1307908846001 X 81172 CEVALLOS SALTOS DANIEL HERNÁN 1307912442001 X 74552 CEDEÑO MIRANDA ROSANA ISIDORA 1307914620001 X 115462 MONCAYO ROMAN KELVIN GEOVANNY 1307918126001 X 155188 FALCONES DELGADO WELLINGTON ISIDRO 1307931251001 X 203262 ANDRADE ZAMBRANO MARIA VERONICA1307935765001 X 114445 PEÑAFIEL TOALA ELOY ANTONIO 1307948446001 X 274328 DELGADO PAZMIÑO WINTON ALFREDO1307951911001 X 256329 PALMA CABALLERO AMADO CARLOS 1307953644001 X 230053 CARDENAS CHAVEZ ROBERTO CARLOS 1307960185001 X 243452 GARCIA SILVA JESSICA ROCIO 1307968998001 X 171009 BAQUE TUAREZ CAROL GEOCONDA 1307972164001 X 248811 CEDEÑO ZAMBRANO AURA PAOLA 1307977916001 X 279007 CASANOVA CHAVEZ MARÍA VERÓNICA1307981793001 X 260740 GARCÍA LOOR LIMBER RAMÓN 1307987964001 X 22822 ZAMBRANO ANDRADE JOSE ITALO 1307989648001 X 145040 LOOR MACIAS LOURDES MARISOL 1307992030001 X 216375 AVILA DELGADO MARTHA CECILIA 1307996528001 X 134072 VELEZ PINARGOTE MARIA LETTY 1307999654001 X 157678 RODRIGUEZ VERA JUAN CARLOS 1308000635001 X 36038 SOLÓRZANO ZAMORA ANTONIO LENIN 1308001815001 X 126639 SANCÁN GONZABAY EDGAR ENRIQUE 1308002698001 X 179144 VELEZ SANTOS MEYURY FRANCISCA 1308003001001 X 101819 ZAMBRANO FERNANDEZ EDGAR JAVIER1308003118001 X 225074 BRAVO VELEZ MILTON DARWIN 1308003530001 X
  • 490.
    No No registra No No registra No No. registra registra No. indicadores registra provincia, registra Persona_id NOMBRE No. ID (RUC) calle número registra de ventas, apellido cantón y primer principal de calle origen activos y/o paterno parroquia nombre principal empleados 248223 MOREIRA GARCES MENDIS FRANCISCO 1308006962001 X 260394 LOPEZ LOOR SANDRA VERONICA 1308009818001 X 101788 VELAZQUES MEJIA CECILIO ANTONIO 1308011285001 X 165328 BALAREZO HIDALGO GLADIS MARIBEL 1308011624001 X 57786 MERO MACIAS ANGEL ALFONSO 1308013745001 X 50685 ERIX 1308016417001 X 93829 ZAMBRANO BRAVO HEINE FRANCISCO 1308019312001 X 68335 SEGOVIA GUILLÉN CARLOS ALBERTO 1308019957001 X 16943 RADE LOOR JORGE TANUS 1308022969001 X 213793 GARCIA ANDRADE RUDDY FABIAN 1308027224001 X 60404 PALACIOS ZAMBRANO LUIS CARLOS 1308038411001 X 62820 PICO MACIAS LUZ MARIA 1308041951001 X 225099 LOOR MACIAS PETITA ELIZABETH 1308042215001 X 151458 DELGADO SOLORZANO CARLOS FABIAN 1308044286001 X 278039 INTRIAGO MENDOZA JULY JOHANNA 1308049715001 X 195138 MEDRANDA ZAMBRANO MARIA DE LOURDES 1308049970001 X 18666 CALDERON CEDENO FRANKLIN OSWALDO1308051984001 X 74317 ALCIVAR TAPIA WINDY JOFFRE 1308056827001 X 133480 GRANOBLE CHANCAY PACO EGDON 1308057296001 X 190110 BRIONES RUBIO KARINA KATIUSCA 1308059417001 X 146407 PIN VELASZQUEZ ENRIQUE VIDAL 1308067006001 X 92414 PIN COBEÑA ALBERTH RODRIGO 1308067048001 X 143858 MUÑOZ AVELLAN EDWIN IGNACIO 1308067675001 X 266871 ANCHUNDIA RISCO BAIRON BOLIVAR 1308071180001 X 32837 ARTEAGA PALACIOS HUGO ALDO 1308074937001 X 239118 PARRAGA MUÑOZ CONNY FLOR 1308083482001 X 226137 PROAÑO BUENAÑO CARLOS EDUARDO1308086287001 X 90395 PALOMEQUE PALOMEQUE SERGIO LUIS 1308090255001 X 186660 MENDOZA DUEÑAS DARWIN ELIAS 1308094992001 X 205600 GRANDA ORDOÑEZ IVAN ARTURO 1308095262001 X 56812 BAILÓN DELGADO GEOVANNY RICHARD 1308095353001 X
  • 491.
    No No registra No No registra No No. registra registra No. indicadores registra provincia, registra Persona_id NOMBRE No. ID (RUC) calle número registra de ventas, apellido cantón y primer principal de calle origen activos y/o paterno parroquia nombre principal empleados 194421 ZAMBRANO LOOR RICARDO RAFAEL 1308096393001 X 84287 GUADAMUD ROMAN HORACIO RAFAEL 1308097110001 X 30156 ZAMBRANO DOMÍNGUEZ OTTY RAMÓN1308103207001 X 101321 DELGADO CHIMPANTIZA MALENA MATILDE 1308111911001 X 160527 MEZA TORRES ALISON DAVID 1308112034001 X 148749 CEDEÑO CEVALLOS CARLOS ROBERTO 1308113370001 X 185470 CASTRO BAZURTO WASHINGTON STALIN1308118890001 X 271221 DOMINGUEZ REYES JULIO CESAR 1308121431001 X 28716 ORMAZA ARTEAGA EDUARDO PATRICIO 1308125242001 X 29886 CHÁVEZ CEDEÑO HÉCTOR ALFREDO 1308125549001 X 226695 MACIAS ANTON WASHINGTON JOSE LUIS 1308126661001 X 128198 VELASQUEZ LUCAS FREDDY FERNANDO308126778001 1 X 32900 BARREIRO MENDOZA JUAN CARLOS 1308128402001 X 113833 ANCHUNDIA FLORES JORGE ENRIQUE 1308129327001 X 79212 CEDEÑO ZAMBRANO JOES ITAMAR 1308139136001 X 69803 CARRANZA FARÍAS SANDY ARTURO 1308140159001 X 34789 FLORES PALACIOS FERNANDO DARWIN 1308140530001 X 27843 ORTIZ MACIAS LUIS EDUARDO 1308141710001 X 96507 ABRIL ARTEAGA GIANCARLO RUBEN 1308141736001 X 40644 MAYIA VELEZ WILLIAMS FELIPE 1308147162001 X 21768 GARCIA MEJIA MICHAEL JAVIER 1308147261001 X 207124 CEDEÑO GARCIA RAMON EDUARDO 1308151305001 X 189709 LOPEZ FIGUEROA VERONICA ISABEL 1308152832001 X 55090 MEZA PINARGOTE ANGEL STALIN 1308153954001 X 59887 VÉLEZ PITA WINTER RICARDO 1308154598001 X 31738 DELGADO INTRIAGO CHRISTIAN JAVIER 1308156155001 X 28114 LOPEZ OREJUELA NANCCY OTILIA 1308158466001 X 167124 MERA MENDOZA NELLY DEL ROCIO 1308161437001 X 62467 GINES PALMA KENNER LORGIO 1308162674001 X 101333 CHICA ESPINOZA VICENTE FABIAN 1308165602001 X 41789 PEDRO 1308165719001 X
  • 492.
    No No registra No No registra No No. registra registra No. indicadores registra provincia, registra Persona_id NOMBRE No. ID (RUC) calle número registra de ventas, apellido cantón y primer principal de calle origen activos y/o paterno parroquia nombre principal empleados 159758 ZAMBRANO MORENO JUAN ALBERTO 1308167863001 X 34026 MACIAS LOOR MARIO ECUADOR 1308168325001 X 168605 PAZ MERA MIGUEL EDUARDO 1308170271001 X 202514 FIALLOS LOOR IVONNE PATRICIA 1308176237001 X 103823 FLORES RIVADENEIRA BYRON GUSTAVO1308185113001 X 12359 DIOFRE LAURO BRAVO PALMO 1308189628001 X 217812 PUERTAS BENAVIDEZ CARLOS MAGNO1308190923001 X 50775 NAVARRETE SÁNCHEZ JOSÉ ANTONIO 1308200771001 X 210650 ZAMBRANO FARIAS LUCIA MAGDALENA 1308213113001 X 158270 VILLAMARIN SANDOVAL EDWIN RODRIGO 1308216934001 X 35765 CESAR 1308219995001 X 252888 FARIAS ZAMBRANO CARLOS AGUSTIN 1308222775001 X 191579 CEVALLOS BRAVO VOLTAIRE RAFAEL 1308224227001 X 211857 ROLDAN PAZMINO WILTHER ENRIQUE 1308225034001 X 155558 CEVALLOS LOOR GENA BEATRIZ 1308227931001 X 212690 VERA CEDEÑO MERCEDES KATIUSKA 1308229655001 X 248331 SANTOS VELEZ RAMON LEONARDO 1308229879001 X 100118 VELÁSQUEZ REYES MARIO FERNANDO1308230760001 X 37251 MIGUEL 1308230851001 X 60009 MACIAS PINARGOTE EMIGDIO JULIO 1308231396001 X 29141 SANTISTEVAN VILLACRESES MIGUEL ANGEL 1308233855001 X 75662 TOALA LEON FABIAN EDUARDO 1308239068001 X 46420 MORALES CARRILLO FRANCIS ELODIA 1308239225001 X 30555 MENENDEZ PRIAS JAMIL EDUARDO 1308242740001 X 35606 GUERRA MERA YESSENIA CECIBEL 1308243904001 X 103513 TOALA SANCHEZ ALEXANDER XAVIER 1308244274001 X 32621 FAULA ALCIVAR JAIME DANIEL 1308244613001 X 59862 FAULA ALCÍVAR MARÍA ISABEL 1308244621001 X 27606 LOPERA RODRIGUEZ MARJORIE JULISSA 1308247889001 X 29229 LUIGI 1308248002001 X 235557 EGUEZ ALCIVAR HUGO LEONARDO 1308248861001 X
  • 493.
    No No registra No No registra No No. registra registra No. indicadores registra provincia, registra Persona_id NOMBRE No. ID (RUC) calle número registra de ventas, apellido cantón y primer principal de calle origen activos y/o paterno parroquia nombre principal empleados 168434 ACOSTA CEDEÑO MILTON IGNACIO 1308250610001 X 88465 PEZO QUIROZ RAMON GONZALO 1308254448001 X 33301 PEREZ MERO LUIS ALBERTO 1308260676001 X 68256 PALMA PÉREZ JACINTO PAÚL 1308260684001 X 264153 PINCAY FRANCO GLADIS LEONOR 1308264637001 X 48134 GONZALEZ SOLANO WINSTON ELEODORO1308264702001 X 131111 HERNANDEZ SOLIS ADRIAN ADALBERTO1308265188001 X 181392 CAMPOS SÁNCHEZ VENUS SOFÍA 1308266137001 X 65276 PONCE MIELES FABIÁN EUCLIDES 1308266210001 X 256744 ANDRADE ANDRADE JOSE LUIS 1308268182001 X 209939 ANDRADE GOMEZ HENRRY JAVIER 1308268877001 X 52329 LEON CEDEÑO FREDDY FERNANDO 1308269958001 X 21306 CEDENO DOMINGUEZ BYRON VICENTE1308271756001 X 190338 SANTANDER ZAMBRANO CESAR AUGUSTO1308272374001 X 23054 GANCHOZO VILLAVICENCIO IVAN FERNANDO 1308281318001 X 41230 MERCHÁN PAREDES YURI IVÁN 1308281607001 X 148046 DEMERA DOMO LUIS DANNY 1308283702001 X 68126 LOOR CEVALLOS DIXI MELISSA 1308284908001 X 61158 FARIAS SANCHEZ TATIANA MABEL 1308287117001 X 38233 VALDIVIEZO ROSADO HILTON LEODAN 1308289402001 X 125289 SÁNCHEZ PINOARGOTE GRIGORY RENÁN1308292356001 X 246535 DELGADO DELGADO MAGALI MONSERRATE 1308295136001 X 144615 PONCE PONCE LENIN FABRIZIO 1308298411001 X 68779 COBEÑA DELGADO PATRICIO ARCANGEL1308302064001 X 37212 MORALES MUÑIZ JHINMY RAMÓN 1308302437001 X 219763 SUAREZ VELEZ MARIA JUDITH 1308305307001 X 57267 YANEZ ZAMBRANO EDGAR EDUARDO 1308307840001 X 67679 BRAVO CAICEDO EMELSON RAMIRO 1308307915001 X 109683 CHAVEZ ANCHUNDIA JIMMY GEOVANNY 1308308137001 X 208558 INTRIAGO PICO HOLGER JOSE 1308308830001 X 268937 MOREIRA BAZURTO DANNY XAVIER 1308308897001 X
  • 494.
    No No registra No No registra No No. registra registra No. indicadores registra provincia, registra Persona_id NOMBRE No. ID (RUC) calle número registra de ventas, apellido cantón y primer principal de calle origen activos y/o paterno parroquia nombre principal empleados 206148 PRIAS AVILA ANA LUCY 1308309168001 X 93693 PARRAGA MENDOZA ROBER MANUEL 1308309903001 X 11750 ING. RAFAEL TAMAYO TEJENA 1308311800001 X 262811 CALDERON BRAVO RICHAR ALBERTO 1308312006001 X 26140 ALARCON ARTEAGA MARLON ANTONIO1308312568001 X 219649 PILLIGUA MENDOZA JOSE ISIDORO 1308312790001 X 33751 VELEZ ZAMBRANO TEDY EUDORO 1308313087001 X X 22174 ZAMBRANO QUIROZ MARCOS JULIO 1308313418001 X 48213 MEJÍA VÁSQUEZ JUAN MANUEL 1308314408001 X 126026 FERNANDEZ TAMAYO FABRICIO MARIANO 1308314465001 X 157215 ALCIVAR PUERTAS YESENIA ALEXANDRA 1308314754001 X 6927 AVINTRIAGO 1308316734001 X 28828 ZAMBRANO FIGUEROA DARWIN ENRIQUE 1308317997001 X 183766 PONCE FORTIS MARIA GABRIEL 1308319522001 X 72250 ORLANDO RATTI JUAN CARLO 1308320769001 X 141960 ALCIVAR CEDEÑO CARLOS HUMBERTO1308321023001 X 68247 MOREIRA ZAMBRANO AMANDA MONSERRATE 1308321197001 X 242384 ZAMBRANO GUERRERO WILINTON RAMON 1308322765001 X 117844 DELGADO TUAREZ GALO ANTONIO 1308322781001 X 32600 RAUL 1308323920001 X 161663 COVEÑA DELGADO JOSE MARCELO 1308342995001 X 264221 BRAVO BRIONES ALEX MARCELO 1308344470001 X 53440 CHRISTIAN 1308350436001 X 210768 MARZANO ORTEGA HENRY RAMON 1308351772001 X 238707 GILER ROMERO JANETH DEL CARMEN1308352234001 X 82185 NAVIA VERA ALEJANDRO FORTUNATO 1308354388001 X 19809 MOSQUERA CEVALLOS VICTOR HUGO 1308355203001 X 33731 MARRIOTT BRAVO MARIA MARICELA 1308361326001 X 122361 AVILA MORA MARIA ALEXANDRA 1308365806001 X 71947 CALDERON NUÑEZ MARIA MAGDALENA 1308365863001 X 162985 ORTÍZ CAPA MARLON VICENTE 1308372406001 X
  • 495.
    No No registra No No registra No No. registra registra No. indicadores registra provincia, registra Persona_id NOMBRE No. ID (RUC) calle número registra de ventas, apellido cantón y primer principal de calle origen activos y/o paterno parroquia nombre principal empleados 40539 SALTOS VELASQUEZ RILEY 1308384302001 X 23659 GARCIA SANTANA KENNY ALBERTO 1308384971001 X 56378 ZEVALLOS VILLAPRADO ANA CRISTINA 1308390010001 X 233574 MARQUEZ RODRIGUEZ JOSE RAFAEL 1308394087001 X 180905 SANTANA URETA JOSE RAFAEL 1308395068001 X 61202 SANTANA CEDEÑO RENE ALFREDO 1308398005001 X 146220 PALMA CABALLERO ELSY VANESSA 1308400348001 X 36150 ZAMBRANO MARTILLO ELIM MARIANELA 1308400637001 X 52721 QUIMIS GUERRERO MONICA FERNANDA 1308401676001 X 107141 MUÑOZ AVELLAN RAMON EDUARDO 1308401817001 X 72192 PLUA MARCILLO CESAR YIMMY 1308408002001 X 59623 MORAN TUMBACO BENIGNO SEGUNDO1308421898001 X 12452 ING. VICTOR SOLIS 1308424397001 X 23251 SIERRA CANTOS JUAN CARLOS 1308424991001 X 206010 RODRIGUEZ CEDEÑO FABRICIO VICENTE1308425014001 X 195269 CARRILLO MOREIRA GALO JOSE 1308425048001 X 18776 GARCIA GARCIA JOSE NOMBERTO 1308426301001 X 246953 RODRIGUEZ ZORRILLA GEOVANNY PATRICIO 1308426970001 X 86957 CATAGUA MACIAS JOSE DARIO 1308430626001 X 86190 COBEÑA ALAVA OLVER NICACIO 1308430725001 X 269121 CHAVEZ MOREIRA MARITZA JACQUELINE1308430790001 X 257986 GARCIA CEDEÑO FRANCISCO RENAN 1308435021001 X 16584 ZAMBRANO PINCAY GEOMAR DUMAR 1308438900001 X 29839 MARJORIE 1308462587001 X 193443 ZAMBRANO AYONG JOSE EDUARDO 1308467990001 X 157346 BERNARDY VELASQUEZ DELADIER 1308468949001 X 27770 BARBERAN FRANCO RAMÓN ALEJANDRO 1308470614001 X 118783 RAMOS LITARDO JAIME RAFAEL 1308477890001 X 89065 INTRIAGO ZAMBRANO RENAN ROBERTH308498920001 1 X 167021 MOREIRA ALAVA RONNIE EFREN 1308501228001 X 28091 MEZA HERNANDEZ GREGORIO JOSELITO 1308507522001 X
  • 496.
    No No registra No No registra No No. registra registra No. indicadores registra provincia, registra Persona_id NOMBRE No. ID (RUC) calle número registra de ventas, apellido cantón y primer principal de calle origen activos y/o paterno parroquia nombre principal empleados 231974 PANEZO CHEME JAIME ALFONSO 1308512670001 X 111304 MOREIRA CARREÑO FANNY KATIUSKA 1308527652001 X 48028 DELGADO CHAVEZ VICENTE XAVIER 1308528791001 X 231967 MOREIRA RUIZ JOSÉ JOEL 1308531399001 X 46461 MERA BRIONES STALÍN ROLANDO 1308532983001 X 58954 VÁSQUEZ PICO GUIDO JAVIER 1308537727001 X 148767 MENDOZA MUÑOZ CHRISTIAN ROBERT1308537792001 X 263397 GINES ZAMBRANO CARLOS EDUARDO 1308548096001 X 231970 ZAMBRANO DELGADO MARIA TERESA 1308549383001 X 152577 PALACIOS MUÑOZ PABLO RAMON 1308559069001 X 213607 BARDELLINI MUÑOZ ROSA OLGA 1308568789001 X 176822 CEDENO ROMERO MIGUEL ANGEL 1308570611001 X 33891 LOOR SALMON CARLOS JULIO 1308571908001 X 150128 CASTRO ANDRADE GABRIEL ARTURO 1308572716001 X 83562 MACÍAS FUENTES ALBERTO FABRIZZIO1308576055001 X 40289 WILLIAM 1308581485001 X 157385 VALLE ALCIVAR AURORA JAQUELINE 1308583770001 X 146088 RIVERA CAMPUZANO XAVIER OSWALDO 1308585445001 X 227425 QUIROZ AGUAYO JIMMY ORLANDO 1308589892001 X 163968 RODRIGUEZ ROMERO JOSE FRASELITO 1308590809001 X 54155 LOPERA RODRÍGEZ IVONNE MARIBEL 1308591104001 X 198910 RODRIGUEZ BARRETO DOUGLAS STALIN1308591666001 X 26530 CORRAL MENDOZA GUIDO LUIGGY 1308592862001 X 103183 CHICA PLAZA ANDRÉS ROBERTO 1308594561001 X 150811 LOOR MACIAS ESTHIEL EUCLIDES 1308595279001 X 215544 CHILAN SUAREZ MARIA ELIZABETH 1308595840001 X 67856 GILER ZAMBRANO ALICIA MERCEDES 1308597218001 X 245838 GUERRERO ALVAREZ JACINTO RAFAEL 1308597812001 X 70331 NAVARRETE ZAMBRANO GUSTAVO DAVID1308599404001 X 44456 MUÑÍZ SOLIS JULIO CÉSAR 1308599784001 X 27442 CARMEN 1308599958001 X
  • 497.
    No No registra No No registra No No. registra registra No. indicadores registra provincia, registra Persona_id NOMBRE No. ID (RUC) calle número registra de ventas, apellido cantón y primer principal de calle origen activos y/o paterno parroquia nombre principal empleados 222230 MANZABA LEONES TANIA MARIELA 1308603230001 X 44059 LINO GARCIA FERMIN RAUL 1308611472001 X 48260 CEDEÑO PALMA DARWIN ORLEY 1308619046001 X 31310 ZAMBRANO PEREZ YORVIN ALEXANDER 1308624178001 X 114813 HORMAZA ZAMBRANO GRACIELA MERCEDES 1308630373001 X 221404 SOLORZANO ARTEAGA HILDA MARIA 1308632783001 X 269391 LALANGUI CAMPOVERDE HERMEL DE JESUS 1308633435001 X 12323 MARIA 1308633872001 X 56726 ALEXI 1308637105001 X 80806 BRIONES RIVERA LEANDRO JOSUE 1308637816001 X 27149 TAPIA GARCÍA HOLGER HONORIO 1308638145001 X 210597 LOPEZ PITA JORGE LUIS 1308638954001 X 219048 ZAMBRANO ZAMBRANO JUAN CARLOS 1308645157001 X 222057 PALACIOS PALMA LEYDIANA MONSERRATE 1308651775001 X 274494 INTRIAGO VELASQUEZ ANGELA AURORA1308653029001 X 41498 PIN GUADAMUD ROBERT FRANCISCO 1308654506001 X 142060 REYES PICO LUIS ENRRIQUE 1308661428001 X 34041 ALCIVAR GARCIA VICENTE ANTONIO 1308671849001 X 81839 MARURI CANCHINGRE DANIEL IGNACIO1308673951001 X 202792 BELLETTINI VELA GABRIEL 1308679909001 X 24138 ROMERO ALCIVAR ANGEL JHINSON 1308680766001 X 21193 VELEZ ALAVA FABIAN ROLANDO 1308684768001 X 19934 MILTON 1308685518001 X 22943 JOHNNY 1308686110001 X 194432 SALAZAR CEVALLOS BILMAN CECILIA 1308695467001 X 121671 VELIZ PARRAGA JOSE FABIAN 1308703725001 X 210126 CHANCAY GUERRERO KLEBER HUGO 1308705829001 X 26095 SANTACRUZ MARQUEZ JULIO CESAR 1308707031001 X 196210 AVILES ALVARADO EFREN BOLIVAR 1308707924001 X 194060 VERA MACIAS JORGE LUIS 1308708377001 X 137134 PISCO PINCAY PEDRO ANTONIO 1308709334001 X
  • 498.
    No No registra No No registra No No. registra registra No. indicadores registra provincia, registra Persona_id NOMBRE No. ID (RUC) calle número registra de ventas, apellido cantón y primer principal de calle origen activos y/o paterno parroquia nombre principal empleados 192518 INTRIAGO PLAZA CRISTIAN BLADIMIR 1308711777001 X 26078 SOLIS CEDEÑO VICENTE FABRICIO 1308719432001 X 43970 VERA LOOR ROSA YESENIA 1308727872001 X 48268 DELGADO CASTRO CARLOS GEOVANNY308732229001 1 X 48397 VILLAFUERTE MERCHÁN ROSA YESENIA308735792001 1 X 197739 BURGOS SANCHEZ JOSÉ LUIS 1308736790001 X 188111 TORO ANDRADE VICTOR HUGO 1308737277001 X 120066 MACIAS CATAGUA OTTO WAGNER 1308737715001 X 125333 BURBANO LOOR MARÍA ESTUARDA 1308752102001 X 258321 IZA RODRIGUEZ JORGE STEFANY 1308754132001 X 22886 GARCIA PICO CRISTOBAL ARMANDO 1308762622001 X 16467 PARRAGA ZAMBRANO JOSE LUCIO 1308774759001 X 14664 MARYURI 1308781226001 X 229653 ROBLES CENTENO JAIME CICERON 1308791027001 X 89434 CHAVEZ FIGUEROA ANTONIO SAMUEL 1308791456001 X 101979 MENDOZA PICO HENRY NEY 1308793635001 X 27487 GARCIA VÉLEZ JHAN DAVID 1308803558001 X 194036 ROMERO ALCIVAR KLEVER ANTONIO 1308803632001 X 260706 MORALES REYES JUANA DEL ROCIO 1308806783001 X 97909 AYON PONCE MARTHA PAOLA 1308814050001 X 22573 GENCON PARRALES JOSE MIGUEL 1308814183001 X 10169 GABRIEL ANDRES CHOEZ CEDEÑO 1308815453001 X 30730 FLORES PALACIOS JUAN JOSÉ 1308815925001 X 142619 VERA MORENO MONICA DEL JESUS 1308819745001 X 39031 PITA CASTILLO GABRIEL PATRICIO 1308823697001 X 52518 RICAURTE CASTRO REGIS REINERIO 1308828829001 X 262888 BARREIRO VEGA MARIA FERNANDA 1308834272001 X 230532 GOMEZ MORERIRA GINA CECILIA 1308836723001 X 43274 LAGOS PINARGOTE CARLOS JAVIER 1308846995001 X 236975 GUARANDA VILEMA JULIO CÉSAR 1308848991001 X 256814 FERRIN SORNOZA GABRIEL ALEXANDER 1308863628001 X
  • 499.
    No No registra No No registra No No. registra registra No. indicadores registra provincia, registra Persona_id NOMBRE No. ID (RUC) calle número registra de ventas, apellido cantón y primer principal de calle origen activos y/o paterno parroquia nombre principal empleados 31204 DEMERA MENDOZA MANUEL ANTONIO 1308864980001 X 65867 GARCIA GARCIA SANTIAGO ENRIQUE 1308865136001 X 35070 GARCIA INTRIAGO WILLIAMS JAVIER 1308868338001 X 32271 PISCO MANTUANO JORGE EDUARDO 1308869203001 X 256881 CEDEÑO GALARZA CRISTHIAN ANTONIO 1308869559001 X 203317 CEVALLOS ALCIVAR GLENDER ANTONIO 1308873767001 X 38781 SANTOS MOREIRA JUAN CARLOS 1308880283001 X 262378 FERNANDEZ BRAVO EDDY SHUBERT 1308880671001 X 30682 MAIQUEZ BAQUE RUDY RAMIRO 1308880812001 X 51550 GILER ZAMBRANO CESAR ENRIQUE 1308882057001 X 30653 ING. ELEC. LOOR CASTILLO GUILLERMO ANTONIO 1308886090001 X 59734 MERA PONCE JAVIER MAURICIO 1308889805001 X 22947 MOREIRA SORNOZA JESSICA KATERINE 1308890076001 X 215034 MEZA SOLORZANO JENNY PATRICIA 1308892007001 X 35678 SÁNCHEZ VERA RONALD FABRICIO 1308893914001 X 34263 CHAVEZ MENDOZA LUIS FERNANDO 1308894920001 X 167843 QUINAPALLO BRAVO CEAR AUGUSTO 1308901154001 X 120432 VILLAMAR AVILA ALICIA TRINIDAD 1308907649001 X 97839 FRANCO ZAMBRANO CRUZ MARIA 1308909918001 X 220982 SOZA SORNOZA LUIS ANIBAL 1308915360001 X 196643 PINCAY DEMERA CARLOS GUILLERMO 1308916095001 X 25129 ARANGO MEDRANDA JUAN CARLOS 1308919362001 X 32878 CHANCAY MORA PEDRO ELOY 1308919404001 X 35213 ESPINEL GRANIZO CARLOS FRANCISCO 1308919461001 X 86464 PERERO ESPINOZA GALO ARTURO 1308919883001 X 38809 ANCHUNDIA CHAVEZ LUIS ALBERTO 1308921723001 X 103517 HERNANDEZ SANMCHEZ WILSON ALFREDO1308922796001 X 27822 RIVERA REYES JOSÉ LUÍS 1308922846001 X 195730 MACIAS BAZURTO WILHINTON ORLEY 1308927225001 X 174754 CARDENAS TOALA OSCAR RAMON 1308930146001 X 21934 MOREIRA MOREIRA CAUPOLICAN ERASMO1308932340001 X
  • 500.
    No No registra No No registra No No. registra registra No. indicadores registra provincia, registra Persona_id NOMBRE No. ID (RUC) calle número registra de ventas, apellido cantón y primer principal de calle origen activos y/o paterno parroquia nombre principal empleados 276467 ALAVA BARRETO JIMMY WASHINGTON 1308935319001 X 26657 SOLORZANO SOLORZANO BELFOR ALEJANDRO 1308935905001 X 77701 SANCHEZ SORNOZA WILTHER MILTON 1308939980001 X 247539 MENDOZA PINARGOTE HUGO ENRIQUE 1308941564001 X 108461 SOLORZANO MOREIRA NANCY MARIBEL308942158001 1 X 76806 VASQUEZ VIVERO EMILIO JOSE 1308942190001 X 161744 CHAVARRIA BRIONES YEFFERSON ALEXANDER 1308942711001 X 268285 BUSTAMANTE DELGADO KLEVER ENRIQUE 1308947793001 X 243060 ROMERO BRAVO CRISTIAM ALEXANDER 1308948551001 X 123501 PALMA FRANCO JONNY ROCENDO 1308959079001 X 264864 MORAN VELEZ ASDRUBAL ALBERTO 1308960788001 X 79845 PACHECO ARTEAGA MARCELO PATRICIO1308961646001 X 25937 ENCALADA ORTEGA GIANNA AGUSTINA 1308962354001 X 173906 LUQUE CUADRADO LUIS FERNANDO 1308963246001 X 219458 LINZAN PINARGOTE CARLOS FABRICIO1308964319001 X 167612 GILER INTRIAGO CRISTHIAN ANDRES 1308967023001 X 19469 NELSON 1308982816001 X 160256 ZAMBRANO LOOR JIMMY ARTURO 1308987260001 X 44941 ROMERO SALTOS JAVIER BOANERGE 1308992799001 X 77931 BAQUE ZORRILLA CARLOS ADALBERTO 1308995529001 X 230416 CEDEÑO VERA NANCY RAQUEL 1308999885001 X 56813 MURILLO CHAVEZ JOSE RAFAEL 1309011383001 X 68495 MEJÍA ANTON MARVIN DANIEL 1309016283001 X 27752 GINA 1309016416001 X 232037 DOMO GARCIA ELISA DOLORES 1309016473001 X 31610 ZAMBRANO ROBALINO VERONICA ALEXANDRA 1309017695001 X 20355 GUERRA MOREIRA JUDITH YESENIA 1309017992001 X 21707 MENDOZA INTRIAGO SARA LILIANA 1309018255001 X 50068 CARRILLO CARRILLO DEISY JANETH 1309018438001 X 26364 ORDÓÑEZ VILLAVICENCIO MARCELA ARGENTINA 1309020038001 X 24087 TOALA PIN ABEL ALEJANDRO 1309021192001 X
  • 501.
    No No registra No No registra No No. registra registra No. indicadores registra provincia, registra Persona_id NOMBRE No. ID (RUC) calle número registra de ventas, apellido cantón y primer principal de calle origen activos y/o paterno parroquia nombre principal empleados 179065 LUCAS VILLEGAS FABRIZIO DANIEL 1309026050001 X 138864 MOREIRA CHANCAY MIGUEL ANGEL 1309027611001 X 271699 SANCHEZ LOPEZ MONICA MARIA 1309027835001 X 142881 BURAU NAVARRETE LUIS FERNANDO 1309028601001 X 30303 GARCIA GARCIA GILBERTO GEOVANNY1309030284001 X 33213 SANDRA 1309032728001 X 209652 FRANCO MERA KELVIN JOSE 1309032884001 X 38858 SORNOZA PROAÑO DANNY PAÚL 1309034047001 X 139850 PIHUAVE CEDEÑO CARLOS ANTONIO 1309035465001 X 237920 POZO HIDALGO EDISSON EDUARDO 1309035630001 X 21804 VERA FARFAN JESIE MARIA 1309035846001 X 190028 MENAY QUITO ERNESTO FRANK 1309039459001 X 61330 1309039590001 X 100829 VIDAL LOOR JUAN CARLOS 1309040432001 X 177364 BARVERAN LOPEZ WALTER DANILO 1309041331001 X 173387 MACAY GILER DARIO NICOLAS 1309048864001 X 46722 ZAMBRANO INTRIAGO FABIÁN ATILIO 1309050332001 X 112311 BAZURTO MURILLO JOSE LUIS 1309051710001 X 147612 TEJENA LOOR SILVIA PAOLA 1309052098001 X 147555 ANCHUNDIA ANCHUNDIA RAMON EDUARDO 1309054250001 X 161626 MEJIA MORA JUAN DIEGO 1309054946001 X 63490 LOOR ALCIVAR EDGAR LEONARDO 1309055943001 X 71663 RODRIGUEZ ZAMBRANO CARLOS JAVIER1309057535001 X 146750 GARCIA MOREIRA FRANCISCO RAFAEL 1309060026001 X 206652 PARRAGA SANCHEZ CRISTIAN MARCELO1309063400001 X 250379 PIONCE MOREIRA BYRON DANIEL 1309063772001 X 38050 NAVARRETE MORA GASTON FABRICIO 1309063905001 X 229512 SOLORZANO NARVAEZ JIMMY RAFAEL 1309064499001 X 87046 INDACOCHEA QUIMIS MARIA ELENA 1309065389001 X 24511 TRIVIÑO PAZMIÑO JOSE GABRIEL 1309065660001 X 12953 MARYURI 1309066593001 X
  • 502.
    No No registra No No registra No No. registra registra No. indicadores registra provincia, registra Persona_id NOMBRE No. ID (RUC) calle número registra de ventas, apellido cantón y primer principal de calle origen activos y/o paterno parroquia nombre principal empleados 158276 FERNANDEZ BOWEN MARIUXI MARIBELL 1309066932001 X 269928 PEÑA PONCE DIANA KATIUSKA 1309067856001 X 22690 ARIAS MERA CARLOS ADRIAN 1309068201001 X 206041 MEDRANDA CEVALLOS JORGE OSWALDO 1309069902001 X 16472 CELI MACIAS CARLOS RICARDO 1309071700001 X 29951 CARVAJAL MENDOZA RAMÓN ELI 1309089843001 X 40320 CARVAJAL MENDOZA JOSÉ LUIS 1309089850001 X 252410 MARCILLO BARREIRO HUGO LEONARDO 1309090940001 X 35037 PALACIOS SANTANA JESUS SALOMON 1309091971001 X 226971 PÁRRAGA ORTEGA JAIRON DAVID 1309091989001 X 116711 VILLAO VÉLEZ GINA MARÍA 1309092243001 X 125106 CASANOVA ZAMBRANO VICTOR GABRIEL 1309093472001 X 33687 PALOMEQUE PALOMEQUE JOSE EDUARDO 1309096103001 X 49269 PITA MACIAS CESAR JULIO 1309096251001 X 40622 JORGE 1309097143001 X 35695 MARTILLO INTRIAGO CECILIA DOLORES 1309102075001 X 81932 INTRIAGO ZAMBRANO JUAN CARLO 1309104907001 X 274010 LOOR FERNANDEZ WILLIAM PAUL 1309104923001 X 237337 MOREIRA ALARCÓN ERWIN ALEJANDRO 1309105169001 X 173583 SALTOS UGALDE JOHNNY ALEXANDER1309105664001 X 11515 JORGE 1309107793001 X 159203 COBENA LOOR JOSE HERACLITO 1309108981001 X 26367 VILLAVICENCIO LINZAN JOSÉ FILAMIL 1309110003001 X 37934 ORTIZ DUEÑAS CARLOS RODRIGO 1309122693001 X 60616 MERA BARCIA BRENDO GUILLERMO 1309125373001 X 254302 BARCIA ALCÍVAR GINA PATRICIA 1309127130001 X 10824 COMERCIAL HB 1309129185001 X 87609 HOLGUIN GUTIÉRREZ NELSON ADRIAN1309129227001 X 238216 GALLARDO PACHECO ELIAS ENRIQUE 1309129417001 X 243498 ARAUJO LOOR DARWIN STALIN 1309133765001 X 233548 NEVAREZ VERA JUAN MANUEL 1309137386001 X
  • 503.
    No No registra No No registra No No. registra registra No. indicadores registra provincia, registra Persona_id NOMBRE No. ID (RUC) calle número registra de ventas, apellido cantón y primer principal de calle origen activos y/o paterno parroquia nombre principal empleados 223662 MEZA GARCIA FAVIO IGNACIO 1309142568001 X 58354 PALMA CENTENO ALEX PATRICIO 1309144697001 X 67636 VELEZ MACIAS DANIEL RIGOBERTO 1309145678001 X 229452 BARBERAN CEDEÑO LUIS RAMON 1309145835001 X 42830 MIELES SOLORZANO RONALD VINICIO1309147690001 X 146770 MURILLO CONFORME JOSE VICENTE 1309149688001 X 199232 UBILLUS CHANCAY ALEXIS JAVIER 1309165916001 X 39888 MEDRANDA VEGA ENA GEOVANNA 1309167045001 X 21464 ZAMBRANO MORAN JORGE LUIS 1309175220001 X 134400 VIDAL VERA LOOOR FRANCO JAVIER VICENTE 1309177051001 X 54136 DARIO 1309180881001 X 161788 ROMERO CASTRO VICENTE FRAY 1309181079001 X 68110 MERCHAN PAREDES GUIDO IVAN 1309181723001 X 85856 GONZALEZ ALCIVAR ANUAR ALEJANDRO1309182309001 X 264535 CEDEÑO VINCES JORGE ALBERTO 1309189379001 X 196738 QUIMIS MOREIRA STALIN ROBERTO 1309193561001 X 128142 LUCAS LUCAS CARLOS JAVIER 1309198354001 X 232114 AVILA CHAVEZ SONIA YADIRA 1309200002001 X 25296 VALAREZO MOLINA LUCIO ALFREDO 1309200515001 X 21810 SOLORZANO NARVAEZ FELIX ANTONIO1309201372001 X 14805 ING. WILLIAM MENDOZA 1309202057001 X 229515 ANCHUNDIA SABANDO DANIEL AGUSTIN1309202891001 X 48747 LOOR MACÍAS JOSÉ RAFAEL 1309203683001 X 36909 ZAMBRANO CARREÑO HUMBERTO ALEJANDRO 1309222659001 X 210262 SILVA AVEIGA SANDRA PATRICIA 1309227385001 X 151798 PONCE CEDEÑO FABIAN IGNACIO 1309228664001 X 261158 ZAMBRANO ALBAN DENNYS VICENTE 1309230751001 X 243700 BAQUE BAQUE CARLOS VALENTIN 1309234621001 X 247931 SANTORUM MURILLO ZAIDA ALEXANDRA1309238572001 X 210814 SANTOS VELEZ MARCOS ANTONIO 1309250411001 X 43033 SANCHEZ VARELA DAVID IVAN 1309259024001 X
  • 504.
    No No registra No No registra No No. registra registra No. indicadores registra provincia, registra Persona_id NOMBRE No. ID (RUC) calle número registra de ventas, apellido cantón y primer principal de calle origen activos y/o paterno parroquia nombre principal empleados 103819 CEDEÑO BALLEN BANNER EDUARDO 1309260055001 X 156289 TUAREZ LOOR ROSA AGUEDITA 1309271904001 X 14761 ING. CESAR MACÍAS VALLE 1309274700001 X 257281 CHONG ALCIVAR CESAR RAMON 1309275111001 X 278396 ZAMBRANO MENDOZA ITALO ELIAS 1309279212001 X 233321 LOOR FRANCO SALOMON ALCIDES 1309279360001 X 178976 INTRIAGO SANCHEZ NORMA YOLANDA 1309283461001 X 75399 ACUNA AGUIRRE MAURICIO ALEJANDRO1309284253001 X 218617 VALAREZO PITA JULIO ERNESTO 1309284477001 X 22472 MENDOZA GARCÍA MARÍA AGUSTINA 1309288502001 X 93485 CHICA SOSA JAVIER EMILIO 1309300224001 X 239459 ZAMBRANO CARRERA JOSE ANTONIO 1309304085001 X 141250 SANCHEZ SUAREZ DANIEL DAVID 1309308243001 X 70436 SALTOS REZABALA HUGO LEONARDO 1309313508001 X 92419 GARCIA BASURTO GINA SOLIMAR 1309314381001 X 27880 LOOR ZAMBRANO JOHANA DELIA 1309318424001 X 207325 PEREZ PARRAGA JUAN CARLOS 1309328332001 X 268890 LITARDO VELASQUEZ CARLOS ALBERTO1309328969001 X 39343 OSWALDO 1309329488001 X 47470 VELEZ LOPEZ CARLOS DANIEL 1309330338001 X 148014 PALMA CEDEÑO MARCO JEOVANNY 1309344776001 X 195883 MACIAS GARCIA KENIA DAYANARA 1309344826001 X 34815 ALVAREZ ALCÍVAR LIBARDO DANILO 1309347274001 X 215944 ALCIVAR CUADROS AMADO ALBERTO 1309358560001 X 245535 CARRANZA SOLORZANO JOSE ENRIQUE309361333001 1 X 148975 SOLORZANO VELEZ ELENA MONSERRATE1309364824001 X 64042 GARCÍA MACÍAS JOSÉ WASHINGTON 1309369740001 X 251932 DELGADO VERA NOEMI ELIZABETH 1309377115001 X 150899 PALACIOS PALMA PATRICIA VANESSA 1309377313001 X 190559 ZEVALLOS LÓPEZ MARÍA GABRIELA 1309379244001 X 152975 DELGADO LOPEZ FREDDY SANTIAGO 1309382651001 X
  • 505.
    No No registra No No registra No No. registra registra No. indicadores registra provincia, registra Persona_id NOMBRE No. ID (RUC) calle número registra de ventas, apellido cantón y primer principal de calle origen activos y/o paterno parroquia nombre principal empleados 20391 SALTOS RIVAS WILTON RAFAEL 1309386744001 X 69310 CARVAJAL ALONZO DIEGO JAVIER 1309387569001 X 159312 MOLINEROS CASTILLO JULIO SANDINO1309390043001 X 44161 VERA INTRIAGO EDISSON JEOVANNY 1309401378001 X 262834 MOREIRA MERO NIXON DAVID 1309402988001 X 24645 INTRIAGO VILLAVICENCIO MAURA GABRIELA 1309406229001 X 44146 KELVIN 1309407706001 X 222805 CEVALLOS SÁNCHEZ DAVID DARIO 1309412854001 X 134225 CHIPANTIZA PARRALES GANELLA PAOLA 1309416905001 X 21010 MEJIA LOOR DARIO JAVIER 1309426581001 X 138952 PACHECO MENDOZA TEDDY ALBERT 1309428546001 X 209368 ALARCON TOALA BYRON OMAR 1309429866001 X 180819 ZAMBRANO CEDEÑO KIRA PATRICIA 1309431631001 X 211891 CORNEJO GALLON ANA ISABEL 1309432928001 X 242701 BRAVO ALCIVAR JORGE GEOVANNY 1309435145001 X 20002 VÉLEZ GILCES MARTHA ALEXANDRA 1309445094001 X 54886 LOOR ZAMORA FATIMA ALEXANDRA 1309445250001 X 110906 CHILÁN SOTO EDISON VÍCTOR 1309445417001 X 66472 MACÍAS VÉLEZ JEFFERSON EMILIO 1309448114001 X 36390 SOSA ZAMBRANO ANGEL FERNANDO 1309449898001 X 196214 IBARRA PONCE DELFILIA ANNABELL 1309449922001 X 22541 MARJORIE 1309452280001 X 195303 GUERRERO LOOR DANY VICENTE 1309459855001 X 278298 CEDEÑO MENDOZA MIGUEL ANGEL 1309460655001 X 226996 PEREZ SIERRA SILVIA AMNABEL 1309466017001 X 179795 MOSQUERA DELGADO TEDY ROLANDO1309467395001 X 92070 GARCIA CASANOVA JOSE ANDRES 1309469078001 X 29370 GEORGE 1309478814001 X 219084 SOLEDISPA NEVAREZ JUANA SOCORRO 1309485900001 X 156704 MONSERRATE ROMERO YUDY OSMARA 1309486320001 X 81785 SANCHEZ MOREIRA LUZ YANEIDI 1309487450001 X
  • 506.
    No No registra No No registra No No. registra registra No. indicadores registra provincia, registra Persona_id NOMBRE No. ID (RUC) calle número registra de ventas, apellido cantón y primer principal de calle origen activos y/o paterno parroquia nombre principal empleados 169398 VILLAMIL ZAMORA GEORGE WASHINGTON 1309495297001 X 199245 ZAMBRANO RIVAS FRANKLIN FELIPE 1309496402001 X 237334 CARVAJAL PALACIOS RODRIGO HUMBERTO 1309499471001 X 12472 ING. CHRISTIAN PEÑAFIEL YEPEZ 1309500203001 X 248856 MEZA LUNA YANDRI ROLANDO 1309500583001 X 26132 EDISON 1309508933001 X 26543 ARTEAGA MOREIRA FREDDY ROLANDO 1309509303001 X 24617 BAZURTO PICO GUSTAVO ALONSO 1309509998001 X 76170 QUIROZ TUAREZ DARWIN ALONSO 1309511655001 X 32170 ALAVA ESPINOZA MIGUEL ANGEL 1309514683001 X 21961 BARCIA FERNANDEZ MARIA GABRIELA 1309516308001 X 43256 BRAVO MARTINEZ ANGELA KATHERINE1309518635001 X 165678 MENDOZA ZAMBRANO JUAN CARLOS 1309524930001 X 29769 PERALTA CEDEÑO JUAN CARLOS 1309537403001 X 208927 MAESTRE VERA DUBER IVAN 1309537585001 X 203283 ALCIVAR ANDRADE VIVIANA PIERINA 1309539789001 X 56441 PALMA PEREZ YANDRY ADLER 1309540449001 X 48802 ANDRADE VINCES RAMON ELIAS 1309540894001 X 35416 ANDRADE VINCES BISMARCK DARIO 1309546602001 X 149340 ROCA CASTRO MARLIN FERMIN 1309547139001 X 245209 VERA VASQUEZ CARLOS SANTIAGO 1309553004001 X 41682 VERA VÁSQUEZ MELANIE ELIZABETH 1309553012001 X 96491 LUCAS CEDEÑO PEDRO JAVIER 1309553723001 X 26242 CORDOVA ALCIVAR JEAN CARLO 1309555520001 X 210141 GUILLEN HIDALGO HENRI 1309557864001 X 43131 MORALES ESPINOZA JHEFFERSON GUSTAVO 1309559514001 X 130425 CANCHINGRE CEDEÑO DOLORES DEL CARMEN 1309560462001 X 61653 HAPPE VILLA INGRID PAMELA 1309565362001 X 217515 SUAREZ VELEZ HENRY DARIO 1309569356001 X 28432 ZAMBRANO MEZA MARIA ISABEL 1309573010001 X 208522 MOREIRA FARIAS HECTOR JAVIER 1309577375001 X
  • 507.
    No No registra No No registra No No. registra registra No. indicadores registra provincia, registra Persona_id NOMBRE No. ID (RUC) calle número registra de ventas, apellido cantón y primer principal de calle origen activos y/o paterno parroquia nombre principal empleados 273342 CARRILLO DELGADO VICTOR ENRIQUE1309577680001 X 62077 VILLACÍS NAVARRETE CESAR FERNENDO 1309583183001 X 22934 VINCES PINARGOTE YANDRIS EDUARDO1309589438001 X 35281 CARRANZA MUÑOZ JULIO CESAR 1309590394001 X 67146 MENDOZA CAMPAÑA BAGNER ARCADIO 1309593505001 X 146670 MEJIA MOREIRA ADELA DEL PILAR 1309594016001 X 58466 VERGARA DEMERA CHRISTIAN FRANCISCO 1309597209001 X 153195 CEDEÑO VILLAMAR FRANKLIN EDUARDO1309597878001 X 50371 BAQUE LOOR FRANKLIN JAVIER 1309598926001 X 54389 SANTISTEVAN SOLIS DAVID FERNANDO1309599494001 X 241468 PARRALES GUILLEN LILIAN FABIOLA 1309599783001 X 163697 RIVAS MOREIRA HENRRY DANIEL 1309608196001 X 35867 ALAVA PINARGOTE JAIME ALBERTO 1309618039001 X 33245 MENENDEZ MERA MARIANA MABEL 1309618666001 X 175055 ZAMBRANO ALAVA NESTOR MIGUEL 1309637922001 X 55854 EMILIO 1309641619001 X 243686 MORA PISCO LILIA LOURDES 1309645917001 X 46579 OBANDO LUCAS ANGEL JOBANNY 1309646451001 X 28027 ALCÍVAR CÓRDOVA BYRON EDUARDO 1309649240001 X 36420 PALACIOS NAVIA ERIK LEONARDO 1309651790001 X 208384 VELIZ MACIAS ENRIQUE ORLEY 1309652541001 X 49271 PACHECO VALENCIA ANDRES ALBERTO 1309653358001 X 58626 SOLÍS ROMERO MANUEL IGNACIO 1309654125001 X 190070 BARBERAN SOLORZANO KAROL MARIA 1309654307001 X 228893 GARCIA MORAN KLEBER PAUL 1309655569001 X 188165 MACIAS MACIAS NORIS SUSANA 1309656849001 X 33845 MENDOZA SALAZAR JAVIER FRANCISCO1309657466001 X 132210 MENDOZA SALAZAR JAIRO FRANCISCO1309657474001 X 223498 MACIAS CEDEÑO CARLOS ENRIQUE 1309657649001 X 21468 MACIAS MOREIRA LUIS DAMIAN 1309658381001 X 260695 HOLGUIN HOLGUIN LEONARDO ENRIQUE1309664801001 X
  • 508.
    No No registra No No registra No No. registra registra No. indicadores registra provincia, registra Persona_id NOMBRE No. ID (RUC) calle número registra de ventas, apellido cantón y primer principal de calle origen activos y/o paterno parroquia nombre principal empleados 142940 CHAVEZ POSLIGUA CARLOS ALBERTO 1309665550001 X 39437 CARLOS 1309680146001 X 166236 ALVAREZ ACOSTA LUIS ALFREDO 1309681417001 X 227384 LOOR LOOR JESSENIA LIZETH 1309683371001 X 28920 MALDONADO MENDOZA JUAN CARLOS 1309684056001 X 249159 SABANDO BRAVO GABRIEL ADRIAN 1309690749001 X 231192 BRIONES BERMEO JOSE MIGUEL 1309695136001 X 154716 BARBERAN MOLINA KATERINE MELISSANDRA 1309697736001 X 94400 BAUTISTA SAN ANDRES ELSY YESSENIA309711560001 1 X 105031 MENENDEZ YAGUAL ESTEBAN JAVIER 1309714721001 X 36089 JIMMY 1309716213001 X 226316 MERA VEGA JIMMY NICOMEDES 1309717708001 X 47913 PINCAY ZAVALA WILBER VICENTE 1309719266001 X 33645 CASTRO DELGADO ARNALDO SIGIFREDO1309720629001 X 88056 MOREIRA MOREIRA DAVID DARIO 1309726998001 X 36019 CALDERON AVILA NARCISA MARIUXI 1309731923001 X 238012 FLORES DELGADO FRANCISCO RAFAEL 1309735239001 X 222746 FERNANDEZ ALCIVAR CARLOS ENRIQUE1309735734001 X 33888 VELEZ MORRILLO JUANA ELIZABETH 1309736880001 X 36088 CASTRO NIETO PACO EDUARDO 1309737391001 X 39013 CARMEN 1309737557001 X 10461 KAREN NAVARRETE ONATE 1309737672001 X 166818 GUILLÉN SÁNCHEZ GEOMARA VIVIANA 1309737888001 X 32080 ALCHUNDIA ZAMBRANO MIGUEL ALEJANDRO 1309738761001 X 51977 BRAVO AVILA LENIN GEOVANNY 1309741559001 X 13997 LUIS 1309744744001 X 61007 MACIAS DELGADO JOHANA MAGALY 1309750220001 X 75518 CHOEZ PLUA LEONARDO XAVIER 1309753638001 X 37508 CEVALLOS INTRIAGO LUISANA KATHERINE 1309757571001 X 28189 RIVADENEIRA CEDEÑO JOSÉ GABRIEL 1309763363001 X 59852 PICO PICO ANGEL HILARIO 1309764874001 X
  • 509.
    No No registra No No registra No No. registra registra No. indicadores registra provincia, registra Persona_id NOMBRE No. ID (RUC) calle número registra de ventas, apellido cantón y primer principal de calle origen activos y/o paterno parroquia nombre principal empleados 63291 AVENDAÑO ALONZO JORGE LUIS 1309765004001 X 241322 NAVARRETE VERA MARIA ALEXANDRA 1309765244001 X 43783 MACÍAS OBANDO MAGALY MAGDALENA 1309767208001 X 66496 PICO SALTOS GEOVANNY XAVIER 1309767307001 X 53813 GARCIA ALAVA ROSA MARIA 1309789434001 X 57264 RUIZ MOLINA LUIS ALBERTO 1309792115001 X 28977 PLÚA PARRALES ANTONIO EDUARDO 1309792487001 X 86384 CEDEÑO GUTIÉRREZ SHEYLA TATIANA1309795902001 X 229490 LOOR PONCE CHRISTIAN GUSTAVO 1309796132001 X 224747 FARÍAS GUADAMUD MARÍA DEL CARMEN 1309799383001 X 24369 MARTINEZ VELEZ JORGE MARTINEZ 1309804027001 X 99775 PÁRRAGA PALMA LUIS EDUARDO 1309804266001 X 55715 ROLDAN VINCES OSCAR EDUARDO 1309804662001 X 126508 PONCE LINO JUAN DANIEL 1309805271001 X 211875 ALCIVAR SOLORZANO WILFRIDO ADALBERTO 1309806253001 X 27905 MACÍAS FARIAS MAYRA ELIZABETH 1309806501001 X 66767 MEZA TORRES YANDRY ALFREDO 1309806535001 X 23986 MENDOZA MARTINEZ MARCOS ANTONIO 1309809802001 X 216202 VERA GARCIA YONI GERMAN 1309810107001 X 237382 MENENDEZ ALVARADO SANDRA ESPERANZA 1309811618001 X 209754 MOLINA GILER JOSÉ LEONARDO 1309823654001 X 47301 NELSON 1309830402001 X 169688 CEDEÑO MUÑOZ NEXAR RICARDO 1309832671001 X 255863 MENDOZA ZAMORA VICENTE DANIEL 1309833315001 X 258324 MACIAS CHILAN JORGE FABRICIO 1309833893001 X 141429 NAVARRETE NUELA XAVIER FERNANDO 1309846457001 X 103005 GONZALEZ QUIJIJE RICARDO JACINTO 1309853735001 X 66708 MERA QUIROZ JUAN JOSE 1309856381001 X 179932 GILER PINARGOTE DARWIN ANTERO 1309857249001 X 42099 CONFORME HIDALGO EDGAR JHON 1309857736001 X 120998 VÁSQUEZ ZEVALLOS RAMIRO IVÁN 1309870341001 X
  • 510.
    No No registra No No registra No No. registra registra No. indicadores registra provincia, registra Persona_id NOMBRE No. ID (RUC) calle número registra de ventas, apellido cantón y primer principal de calle origen activos y/o paterno parroquia nombre principal empleados 253509 YOZA PINCAY CARLOS JULIO 1309871745001 X 171775 MACIAS MACIAS ALEXANDER JUVENTINO 1309872362001 X 247436 CANTOS ALCIVAR HÉCTOR JAVIER 1309875274001 X 55182 MIELES CEDEÑO GINA BEATRIZ 1309876900001 X 34857 SOLORZANO POLANCO MARIA JOSE 1309878708001 X 39399 SALCEDO DUEÑAS MERCEDES PATRICIA1309878757001 X 205967 ROSADO INTRIAGO SIMON GABRIEL 1309879110001 X 218486 MOREIRA GARCIA PEDRO FABRICIO 1309883039001 X 23871 QUIJIJE LOPEZ FRANCISCO EDUARDO 1309883989001 X 245480 LOOR VERA RAUL SILFRIDO 1309887402001 X 214067 MACIAS MACIAS VICTOR FERNANDO 1309888285001 X 263670 MENDOZA GARCIA YIMY PATRICIO 1309888426001 X 238512 PALACIOS SANTANA CESAR MOISES 1309888905001 X 266421 ALCIVAR OCHOA VICENTE ADALBERTO1309889101001 X 32874 CUMBA GARCIA JOSE ANTONIO 1309890000001 X 21146 CEVALLOS GILCES VIVIANA MONSERRATE 1309891024001 X 159635 CASTRO DELGADO JESSENIA ALEXANDRA 1309892246001 X 122141 PICO PARRAGA FREDDY RAMON 1309895264001 X 160048 LITARDO VELASQUEZ ROSA MARIUXI 1309896197001 X 68897 VINCES PINARGOTE XAVIER VICENTE 1309898771001 X 133555 VERGARA RUIZ EDILTRUDES NASAEL 1309899332001 X 49232 ING MIGUEL VELEZ 1309899423001 X 181348 SANTANA URETA BYRON JESUS 1309901922001 X 265011 REYES ARTEAGA DANIEL ISAAC 1309908240001 X 192775 DELGADO ZAMBRANO KEYLA CECILIA 1309909305001 X 37822 VERA PINCAY CARLOS VINICIO 1309909396001 X 232894 MONGE VERA MARYURI MARIELA 1309910261001 X 191237 GARCIA MOREIRA WILTHER EMIGDIO 1309910352001 X 145644 PALMA VEGA MIRIAN ALEXI 1309912846001 X 194250 MACIAS ZAMORA JOSE GUIDO 1309913273001 X 29449 GARCIA GARCI WAGNER ROGELIO 1309916193001 X
  • 511.
    No No registra No No registra No No. registra registra No. indicadores registra provincia, registra Persona_id NOMBRE No. ID (RUC) calle número registra de ventas, apellido cantón y primer principal de calle origen activos y/o paterno parroquia nombre principal empleados 12941 MOREIRA MOREIRA YESICA KARINA 1309920716001 X 49235 VELASQUEZ TIGUA MIGUEL ANGEL 1309928750001 X 232802 BRAVO CEDEÑO RENÁN ANDRÉS 1309935417001 X 44866 LOPEZ GILER JOSE BOLIVAR 1309938114001 X 119333 MACIAS SABANDO MARIA FERNANDA 1309940813001 X 202219 MEZA SALTOS LEONARDO AUGUSTO 1309944518001 X 21612 SÁNCHEZ MERO ANTONIO FABRICIO 1309946059001 X 48928 VEINTIMILLA MORALES JORGE EDUARDO 1309948352001 X 238624 VALLEJOS RODRIGUEZ PABLO STEBAN1309959763001 X 49402 HENRY 1309961280001 X 22491 MENDOZA MORALES RAUL RODRIGO 1309965240001 X 42246 VÉLEZ HERNANDEZ BYRON EFRÉN 1309967196001 X 113010 GARCIA FLORES DE VALGA LILIAN 1309967576001 X 57360 FERRIN FERRIN GUIDO ERNESTO 1309969093001 X 169370 BENAVIDES RAMIREZ JORGE GONZALO 1309972212001 X 75062 VELASQUEZ PANTA JUAN CARLOS 1309975892001 X 185832 INTRIAGO PAZMIÑO TANYA YADIRA 1309978227001 X 16959 QUIJANO MENDOZA JAVIER IGNACIO 1309979233001 X 273473 MENDOZA GONZÁLEZ ALDO EDUARDO 1309979241001 X 67141 SANTOS MOREIRA KLEVER DANIEL 1309982500001 X 239952 ALCIVAR LOOR DISNEY ALFREDO 1309982740001 X 49272 GARCIA GARCIA JOSÉ CLÍMACO 1309982781001 X 34727 GARCIA MEZA JOSE NEPTALI 1309982922001 X 273313 BORJA VELEZ FREDDY ADALBERTO 1309989851001 X 268202 VELEZ ANCHUNDIA JOSE JOVANNY 1309990180001 X 232435 PALACIOS AVILA CARMEN MARIELENA1309990602001 X 243643 PICO LÓPEZ KEVIN ARMANDIO 1309994109001 X 258012 NAVARRETE PARRAGA WILBER ALBERTO1309996104001 X 263753 FERNANDEZ BOWEN MARTHA JESSENIA309996500001 1 X X X 180750 DOMO FARFAN ROBERTO VINICIO 1310000425001 X 88556 BARRETO ZEVALLOS CRISTHIAN SANTIAGO 1310005226001 X
  • 512.
    No No registra No No registra No No. registra registra No. indicadores registra provincia, registra Persona_id NOMBRE No. ID (RUC) calle número registra de ventas, apellido cantón y primer principal de calle origen activos y/o paterno parroquia nombre principal empleados 236132 CEDEÑO MERA RONALD STALIN 1310015654001 X 252760 HIDALGO SALTOS MARTHA KARINA 1310026180001 X 214465 ANDALUZ GRANDA EVELYN CRSITINA 1310028319001 X 32505 YESSENIA 1310030232001 X 207511 DELGADO CANTOS KENYA KATIA 1310034861001 X 179463 LUCAS PILOZO ROBERT FABIAN 1310036643001 X 242369 ORTIZ VITE TRUMAN STALIN 1310040504001 X 161112 LOPEZ SABANDO ANGEL GABRIEL 1310045545001 X 56952 ANDRADE POSLIGUA FRANKLIN GEOVANNY 1310050701001 X 229114 SERRANO CISNEROS PAOLA ANDREA 1310051345001 X 64267 CEDEÑO MACÍAS MAYRA ROSAURA 1310052939001 X 30805 MORA PEÑARRIETA MARCIA ELIZABETH1310055981001 X 41078 VERA ARTEAGA LUIS DANIEL 1310057227001 X 66269 ALAVA PAZMIÑO FRANKLIN JAVIER 1310057383001 X 46071 CEDEÑO LUNA RITHA MIREYA 1310059850001 X 216276 MERO ESPINALES WILLIAMS ROLANDO1310061500001 X 52852 FLORES MORÁN MARÍA JOHANA 1310062904001 X 128221 MACIAS INTRIAGO LUIS ANTONIO 1310062920001 X 120158 DELGADO ALVARADO HECTOR LUCIANO 1310064157001 X 31190 CABEZAS RIVADENEIRA PATRICIO XAVIER 1310069032001 X 264028 CEVALLOS AGUAYO FÁTIMA CECILIA 1310070352001 X 8317 GABRIELA 1310071228001 X 276050 BRIONES MENDOZA MARCOS ARMANDO310072424001 1 X 154083 JALIL ZAMBRANO CARLA ROMINA 1310074115001 X 233740 GARCIA GARCIA MARIA EUGENIA 1310074461001 X 130202 PINARGOTE BUENAVENTURA WILBER ALBERTO 1310077423001 X 86413 FERNÁNDEZ LOOR EDER 1310079411001 X 205476 MOLINA CERVANTES ERIT IVAN 1310079916001 X 184067 DUENAS ZAMBRANO GEOMARA GISSELA 1310080567001 X 35230 ORTIZ DUEÑAS JORGE IGNACIO 1310084155001 X 56854 CEVALLOS MERA CLOVIS FERNANDO 1310084429001 X
  • 513.
    No No registra No No registra No No. registra registra No. indicadores registra provincia, registra Persona_id NOMBRE No. ID (RUC) calle número registra de ventas, apellido cantón y primer principal de calle origen activos y/o paterno parroquia nombre principal empleados 59664 BLONDET SANCHEZ LEONARDO AGUSTIN1310084668001 X 139228 BARBA ZAMBRANO JOSE ALEJANDRO 1310089071001 X 177630 ALCIVAR BRIONES MAYRA ROSANJELA1310089485001 X 134633 ZAMBRANO MACIAS JEOVANNY ANTONIO1310091499001 X 64944 MACIAS MOREIRA KATIUSKA JESSENIA1310091572001 X 37975 CAMPOZANO PALMA OSCAR EDUARDO1310092018001 X 33473 ANCHUNDIA MERO EDISON ADRIAN 1310098858001 X 57949 CEDEÑO CARRANZA SUCCETY DEL CARMEN 1310099831001 X 208066 MOREIRA VELEZ JOSE LUIS 1310103492001 X 259946 MERO LUCAS ROBERTO GERARDINO 1310103740001 X 122079 GARCIA ZAMBRANO LELIA ESTHER 1310111016001 X 250547 NIEVES VERA WASHINGTON XAVIER 1310119381001 X 29428 VELIZ RODRIGUEZ JUAN JACINTO 1310124415001 X 151954 MERA MOREIRA IRINA PAOLA 1310124472001 X 27243 VASQUEZ PARRALES ANGEL ERNESTO1310126345001 X 153855 VELEZ VELIZ JOSE LUIS 1310128747001 X 246951 FUENTES MASTERRENA FELIX EMILIO 1310139272001 X 28532 MOREIRA QUIROZ BRANLY FENELON 1310144256001 X 133549 VILLAMAR QUIMIS JHONNY RICARDO 1310144777001 X 146160 CORRALES GARCIA AUGUSTO ALEJANDRO 1310146913001 X 78835 BRAVO ARTEAGA JOSE LUIS 1310148570001 X 28892 NAVIA INTRIAGO JOSÉ RICARDO 1310149818001 X 198080 GILCES CHUMO RITA GRACIELA 1310156342001 X 206600 GARCIA ROCA CESAR EDUARDO 1310174493001 X 104495 COBEÑA PÁRRAGA CRISTIAN LORENZO 1310174758001 X 29344 ROMERO VELEZ DANIEL ARTURO 1310174766001 X 143949 VELEZ MEJIA ANA CECILIA 1310176365001 X 44226 SOLÓRZANO BAZURTO JOSÉ RICARDO1310176738001 X 48675 CARRILLO ANCHUNDIA GISELLA MERCEDES 1310179740001 X 110236 MERO SANTANA DANIEL RODRIGO 1310179799001 X 175139 JARAMILLO ZAMBRANO CARLOS ALEXANDER 1310183593001 X
  • 514.
    No No registra No No registra No No. registra registra No. indicadores registra provincia, registra Persona_id NOMBRE No. ID (RUC) calle número registra de ventas, apellido cantón y primer principal de calle origen activos y/o paterno parroquia nombre principal empleados 40182 MENENDEZ PLUA WILLIAM ALFREDO 1310185523001 X 148375 ZAMBRANO GILER TITO ISRAEL 1310189822001 X 21732 CHAVEZ QUIMIZ STALIN LEONARDO 1310190630001 X 31809 MORENO PONCE LUIS ALFONSO 1310192818001 X 217548 FARFAN LOOR KARLA GEMA 1310192842001 X 16442 CANTOS LOOR JACQUELINE ELIZABETH1310192883001 X 21723 QUIROZ CEDEÑO XIMENA BEATRIZ 1310195019001 X 153720 MOREIRA GILCES SANDY DANIEL 1310196652001 X 33814 CEVALLOS CEVALLOS YAIRA NARCISA 1310196736001 X 33465 CABALLERO MENDOZA MARJORY ELIZABETH 1310210644001 X 142945 MENDOZA MOREIRA JUAN NEPTALI 1310211394001 X 35198 SANGUCHO CEVALLOS ALEXIS DANILO1310213317001 X 113195 OCHOA ORTEGA ANGEL RAMON 1310213895001 X 255467 MENDOZA VASQUEZ JAIRO WILFRIDO 1310214695001 X 110836 NIETO CASTRO JOSÉ ALCIDES 1310215379001 X 26751 ALVAREZ MURILLO OSCAR RAFAEL 1310216450001 X 80159 BAQUE MARQUEZ JAVIER ARMANDO 1310220072001 X 268475 PALMA MENENDEZ JOHANNA MARIA 1310221153001 X 179473 MONTERO PALMA NESTOR ANTONIO 1310223787001 X 99465 QUIROZ MACIAS YURI FERNANDO 1310228620001 X 25953 BRIONES CHONILLO ALEX JAVIER 1310237084001 X 113803 ALCIVAR ALCIVAR MIGUEL ORLANDO 1310252661001 X 270616 FORTTY GARCIA NELSON ARMANDO 1310254022001 X 263457 ALCIVAR VINCES FRANCISCO JAVIER 1310255821001 X 176607 CEDEÑO ARTEAGA ANA MARIA 1310258049001 X 115683 GINES CORRAL RICHARD JONATHAN 1310275373001 X 241743 MIRANDA FIENCO JOSE DANIEL 1310277585001 X 57061 RODRÍGUEZ BAQUE ROBERT ROSENDO310277619001 1 X 218753 INDACOCHEA MENDOZA JEAN CARLOS1310296692001 X 254562 FARIAS MEJIA LUIS MIGUEL 1310313190001 X 70245 PLUA MARCILLO LEONARDO ANTONIO 1310313422001 X
  • 515.
    No No registra No No registra No No. registra registra No. indicadores registra provincia, registra Persona_id NOMBRE No. ID (RUC) calle número registra de ventas, apellido cantón y primer principal de calle origen activos y/o paterno parroquia nombre principal empleados 260860 MESA MACIAS MARTHA MARIA 1310314222001 X 65758 LÓPEZ PAREDES PEDRO ARTURO 1310315179001 X 131354 RODRIGUEZ LOPEZ LEONARDO RAMON 1310327778001 X 33984 ZAMBRANO CEVALLOS ANGEL FREDDY 1310328453001 X 231813 CEDEÑO MENDOZA CAROLINA KATIUSCA 1310332273001 X 54445 GONZENBACH MOREIRA CHRISTIAN RICARDO 1310332281001 X 201970 BARCIA PESANTES WILTHER JAVIER 1310334907001 X 226623 ACEBO HEREDIA KENNY ANIBAL 1310337645001 X 131864 LUZON CAÑARTE MARIA FERNANDA 1310338726001 X 255575 PICO SUAREZ JONAS OCTAVIO 1310341720001 X 36718 OLMEDO JOSE CRISTIAN 1310347933001 X 219690 GARCIA SANTACRUZ DOUGLAS MACARTHUR 1310348600001 X 69825 CEDEÑO CARREÑO JOSE LUIS 1310362148001 X 81268 CEVALLOS ROSS CINTHYA GUADALUPE1310362585001 X 23777 CEDEÑO MOREIRA JOSE AUGUSTO 1310362783001 X 176775 FARFAN MUENTES MARIA BELEN 1310369390001 X 35713 GARCIA CEDEÑO JUAN PABLO 1310369614001 X 209260 ZAMBRANO DUEÑAS CESAR HUMBERTO310373467001 1 X 243153 MERCHAN PLUA JORGE LUIS 1310374762001 X 232986 GARCIA SALDARRIAGA JORGE LUIS 1310376569001 X 147849 ZAMBRANO QUIROZ RAUL LIZANDRO 1310377849001 X 68704 MENDOZA MACIAS RONAL ALFONSO 1310378854001 X 34299 ALFREDO 1310379217001 X 74740 MANTUANO DELGADO JANETH BEATRIZ1310382518001 X 215820 ARTEAGA MOREIRA AURA VIVIANA 1310385875001 X 203777 PADILLA DELGADO ROMMEL RAFAEL 1310387392001 X 216213 TORO LARGACHA LUIS JONATHAN 1310388333001 X 160999 ARIAS CANTOS ANTONIO ALBERTO 1310389455001 X 48180 LUZÓN CAÑARTE MARÍA ANGÉLICA 1310395007001 X 237620 INTRIAGO SOLÓRZANO PAUL ALEJANDRO 1310398274001 X 81193 CEVALLOS CEVALLOS JUAN REMIGIO 1310403041001 X
  • 516.
    No No registra No No registra No No. registra registra No. indicadores registra provincia, registra Persona_id NOMBRE No. ID (RUC) calle número registra de ventas, apellido cantón y primer principal de calle origen activos y/o paterno parroquia nombre principal empleados 218063 AVILA BURGOS JUAN OCTAVIO 1310408800001 X 48979 ZAMBRANO PONCE JUAN CARLOS 1310423759001 X 104752 MENDOZA GARCIA KERLLY JOHANNA 1310425705001 X 143856 MACIAS LUCAS GUSTAVO ADOLFO 1310426927001 X 176542 GILER PINEDA ROXI ANNABEL 1310427560001 X 243490 ALCIVAR PAZMIÑO VINICIO VIDAL 1310434616001 X 75586 ZAMBRANO ANDRADE EVELIN LAURA 1310434780001 X 239092 MACIAS GARCIA ALBERTO ORLANDO 1310442288001 X 218538 PRADO PRADO JOSE VICENTE 1310447956001 X 264674 MIRANDA MOREIRA DOLORES CECILIA 1310448079001 X 22348 PALMA ZAMBRANO FERNANDO XAVIER1310449978001 X 85546 PERALTA GARCIA LADY ALEJANDRA 1310458680001 X 36787 VEGA MERA PEDRO PABLO 1310459597001 X 198410 CARRILLO DELGADO JHONNY DANIEL 1310459779001 X 239261 VELEZ CEDEÑO DARIO JAVIER 1310460421001 X 164608 NAVARRETE QUIJIJE DANIEL MACARIO1310460751001 X 258835 BRAVO ZAMBRANO JOSE RAMON 1310460769001 X 110501 SABANDO MENDOZA SOFIA ELENA 1310462526001 X 186327 PINCAY MERA YANDRY JAVIER 1310463201001 X 47714 SERRANO MOLINA EDISON HUGO 1310463334001 X 264208 ZAMBRANO VERA ANA PATRICIA 1310463342001 X 114206 TOALA SUAREZ MARCO JACINTO 1310464159001 X 32536 ZAMBRANO BAQUE KARLA JANETH 1310465297001 X 82969 SANCHEZ DELGADO DANIEL AUGUSTO 1310465602001 X 70761 LUCAS FARIAS JOSE OLMEDO 1310468788001 X 33589 RODRIGUEZ ACOSTA TYRONE PAUL 1310468838001 X 109258 ZAMBRANO TAFUR HENRY PAUL 1310477482001 X 235349 ZAMBRANO GUTIERREZ JEAN CARLOS 1310489131001 X 248325 ARCENTALES ESCOBAR JUAN CARLOS 1310489487001 X 268757 CHIRIBOGA AGUAYO JAIME JOSE 1310491566001 X 69056 BARBERAN CEDEÑO IGNACIO ALFONSO 1310491582001 X
  • 517.
    No No registra No No registra No No. registra registra No. indicadores registra provincia, registra Persona_id NOMBRE No. ID (RUC) calle número registra de ventas, apellido cantón y primer principal de calle origen activos y/o paterno parroquia nombre principal empleados 38822 DEMERA PINCAY GERMAM GERVACIO 1310501885001 X 267387 CEDENO ALAVA MAYRA ALEJANDRA 1310503832001 X 193739 BRIONES MACÍAS YULY CARMEN 1310505357001 X 58900 MENÉNDEZ PÍN YANDRI MANUEL 1310508765001 X 218159 VIVEROS PILOSO BAGNER EDUARDO 1310520596001 X 260093 ZAMBRANO ALAY CLEMENTE MIGUEL 1310521586001 X 229377 MUNIZAGA PÁRRAGA DAVID ARTURO 1310523889001 X 71277 MENDOZA MENDOZA MARIO JOEL 1310524473001 X 183157 INTRIAGO GUERRERO ANGELICA JULIANA 1310529076001 X 140041 CALDERON ZAMBRANO ARNALDO LEONEL1310549090001 X 68223 SORNOZA PALACIOS MARIA ADRIANA 1310550213001 X 66087 DELGADO BAILON ISIDRO FABRICIO 1310550981001 X 187465 BERMELLO PLUA JANNER FERNANDO 1310551955001 X 182636 VERGARA RUIZ EDDY NIOVALDO 1310554413001 X 89589 VARGAS GUERRERO BYRON VICENTE 1310554470001 X 91987 LÓPEZ MACÍAS ADREAN MARCELO 1310558836001 X 260434 INTRIAGO RODRIGUEZ ANA KATIUSKA 1310565161001 X 262895 CORDOVA BERNAL JORGE LEONARDO 1310565476001 X 114059 MOREIRA CEVALLOS JAVIER ENRIQUE 1310585086001 X 69324 CHAVEZ VERA CESAR EDUARDO 1310587819001 X 277238 QUIJIJE LUCAS DIEGO HERNAN 1310588858001 X 61391 PIN QUIMIS JOHNNY ALBERTO 1310609472001 X 37811 JOSÉ 1310612146001 X 219929 PONCE VINUEZA CARLOS ELIAS 1310616220001 X 50240 MACIAS CANTOS RAMON ARGENIS 1310616436001 X 72605 VELEZ LUCIO BYRON JAVIER 1310618473001 X 262501 ORTIZ ZAMBRANO JUAN DIEGO 1310621436001 X 198969 ZAMBRANO ALCIVAR PAOLA BEATRIZ 1310624349001 X 169738 ALCÍVAR RISCO KAREN ALEJANDRA 1310625494001 X 172703 CHIPANTASI CONFORME SILVIA VALERIA 1310630452001 X 164548 MOLINA MOREIRA GILBERT MANUEL 1310643240001 X
  • 518.
    No No registra No No registra No No. registra registra No. indicadores registra provincia, registra Persona_id NOMBRE No. ID (RUC) calle número registra de ventas, apellido cantón y primer principal de calle origen activos y/o paterno parroquia nombre principal empleados 241505 SOLORZANO MENDOZA ERICK PATRICIO1310658164001 X 48757 PAZMIÑO VILLARROEL PATRICIA MONSERRATE 1310659634001 X 47985 HUERTA VERA LIZANDRO MARCELO 1310660335001 X 270925 PINCAY DEMERA FREDDY STALIN 1310663610001 X 242696 CATUTO ZAMBRANO CRISTIAN ARMANDO1310667108001 X 31157 ZAMBRANO MONTESDEOCA CESAR ORLANDO 1310668593001 X 237365 ZAMBRANO FARIAS CHRISTIAM FERNANDO 1310676281001 X 251402 CEDEÑO MASTARRENO CARLOS ANTONIO1310681059001 X 48246 ING. ROBERTO MERA BURGOS 1310683311001 X 249664 MEZA ANTON WASHINGTON XAVIER 1310683493001 X 210521 MERO VERA JESSENIA MARYURI 1310689045001 X 85547 REYES CEDEÑO SERGIO DANIEL 1310704323001 X 124221 MACIAS MORAN JORGE RENE 1310711443001 X 29156 MACIAS VALENCIA FREDYS ALEXI 1310715089001 X 36808 ZAMBRANO CEDEÑO CARLOS XAVIER 1310715964001 X 273599 VELEZ INTRIAGO ERIKA MARGARITA 1310731219001 X 67427 VERA ACOSTA HAMILTON MARCELO 1310744667001 X 49458 ECHEVERRIA CEDEÑO DANNY RAFAEL 1310758956001 X 274813 QUIJIJE QUIMIS HELEN JAZMIN 1310779473001 X 172974 ZAMBRANO SALMERON JULIO ALFREDO 1310780638001 X 146644 CEDEÑO SARMIENTO CRISTHIAN FERNANDO 1310782006001 X 250121 CORONEL PONCE FRANCISCO RAUL 1310794860001 X 15068 ANGELICA 1310795776001 X 75657 VERA INTRIAGO MAYRA LOBEIDA 1310798432001 X 278757 MONTEHERMOSO LOPEZ DIEGO IGNACIO1310808371001 X X 214135 ALCIVAR VILLAMAR ANDERSON REYNALDO 1310819543001 X 191879 VELEZ LOPEZ ALBARO JACINTO 1310823115001 X 162586 MORERIA QUIJIJE FRANCISCO EDUARDO 1310827280001 X 30744 ROMERO CARREÑO ALEX ALBERTO 1310833270001 X 150152 CANTOS ESTRADA BOLIVAR ANTONIO 1310839632001 X 251948 PILAY PILAY LUIS ANTONIO 1310842339001 X
  • 519.
    No No registra No No registra No No. registra registra No. indicadores registra provincia, registra Persona_id NOMBRE No. ID (RUC) calle número registra de ventas, apellido cantón y primer principal de calle origen activos y/o paterno parroquia nombre principal empleados 238368 MOREIRA BURGOS HECTOR ANDRES 1310854367001 X 20177 PALACIOS GARCIA JENNY LIDUVINA 1310857055001 X 139613 LOOR VELEZ CESAR ALFREDO 1310859499001 X 75000 CUZME CUSME MARÍA DOLORES 1310876782001 X 154491 ZAMBRANO CEVALLOS LEONARDO FABRICIO 1310885528001 X 35301 HENRY 1310902067001 X X 176053 ZAMBRANO ZAMBRANO MARIO LUIS 1310904469001 X 49541 SOLORZANO BONE ANGELA CECILIA 1310907223001 X 174126 DELGADO LEON ERWIN EDUARDO 1310907546001 X 88682 CANTOS CENTENO PABEL ANTONIO 1310909922001 X 252417 MOREIRA MUNOZ MARIA DEL CARMEN 1310920762001 X 215372 VALENCIA DELGADO CARLOS JULIO 1310933104001 X 59981 FIGUEROA PINARGOTE JOSÉ ALEXANDRO 1310933401001 X 152987 VILLANUEVA PINTO LUISA ANNABELL 1310936792001 X 25213 MORA SOLÓRZANO JOSÉ NAPOLEÓN 1310938962001 X 267103 BERMELLO PISCO KETTY ADELINA 1310939440001 X X X 102902 ORTIZ HERNANDEZ EDUARDO HUMBERTO1310939739001 X 153908 BRAVO PINARGOTE ANGEL DARWIN 1310962517001 X 241784 SANCHEZ MERO CLAUDIO GEOVANNY1310966146001 X 30356 VALLE FARFAN CISNE PATRICIA 1310967342001 X 27602 ARGANDOÑA CHAVEZ ADOLFO ANTONIO 1311011090001 X 251141 MERA MOREIRA CARLOS IVAN 1311012262001 X 105071 MENDOZA MACÍAS JUAN PABLO 1311025017001 X 137483 ZAMBRANO MUÑOZ RICARDO MANUEL 1311045387001 X 31664 BARCIA MOREIRA MANUEL ALEJANDRO 1311049934001 X 134311 BALDA PACHECO MARCELO DANIEL 1311098725001 X 160577 PARDO MOREIRA FELIPE JAVIER 1311180267001 X 131386 SUÁREZ MURILLO CÉSAR DANIEL 1311180515001 X 247947 MERA MUÑOZ PEDRO PABLO 1311183477001 X 71976 NAVARRETE CHINGA HECTOR JAVIER 1311201634001 X 246832 AZÚA FERNÁNDEZ MILCIADES CRISTÓBAL 1311202830001 X
  • 520.
    No No registra No No registra No No. registra registra No. indicadores registra provincia, registra Persona_id NOMBRE No. ID (RUC) calle número registra de ventas, apellido cantón y primer principal de calle origen activos y/o paterno parroquia nombre principal empleados 66642 ANCHUNDIA SOLORZANO CARLOS LUIS 1311202996001 X 274154 ARTEAGA VACA IBISS EDUARDO 1311204489001 X 210122 PEÑA ROMERO YANDRY JOSE 1311207003001 X 135907 MOREIRA RODRIGUEZ ANTONIO HERIBERTO 1311216400001 X 145951 REYNA RONQUILLO RUBEN ELIAS 1311239899001 X 213419 CRUZ ANZULEZ BYRON PEDRO 1311250086001 X 234826 ALARCON LOOR JOSE RAMON 1311288201001 X 271934 PALACIOS CEDEÑO LUIS HUMBERTO 1311300337001 X 134050 ZAMBRANO MENDOZA MARITZA DOLORES 1311314494001 X 195457 MOREIRA MERA DANNY RENE 1311316150001 X 98243 BARAHONA BAQUE JESSENIA ROSARIO 1311320863001 X 184926 GARCIA SANCHEZ FADEL FERNANDO 1311333080001 X 201674 BARREIRO LOOR CESAR HUMBERTO 1311334401001 X 59255 CARREÑO VERA MARIELA RAQUEL 1311337545001 X 29442 ZAMBRANO PINOARGOTE WENDY XIOMARA1311339111001 X 98559 ROSAS CEVALLOS JUANA MONSERRATE 1311345191001 X 208427 ANDRADE CHANCAY RONALD JAIRON 1311362337001 X 275814 CARDENAS PILLASAGUA VERONICA JESSENIA 1311372435001 X 44139 BAZURTO PINARGOTE CECILIA ELIZABETH 1311377244001 X 263721 FORTIS VILLAVICENCIO KATIUSKA MERCEDES 1311377798001 X 83326 MOREIRA CEVALLOS DIEGO RICARDO 1311378259001 X 51913 RODRIGUEZ MENDOZA JOSE FABIAN 1311390544001 X 223977 LOOR ZAMBRANO BYRON FERNANDO 1311399537001 X 98870 REYNA RODRIGUEZ RICHARD MIGUEL 1311400400001 X 126533 BRAVO CEDEÑO NATALIA ISABEL 1311405771001 X 226849 VERA GILER AURA MARICELA 1311412306001 X 33931 MOLINEROS SANTOS BYRON MARCELO 1311420259001 X 48769 MORENO RIVAS MARÍA ALEXANDRA 1311425522001 X 81102 VELEZ QUIROZ JOSE XAVIER 1311425688001 X 82209 FRANCO MOREIRA ANA LILIANA 1311426496001 X 49390 CEVALLOS PONCE LUIS ALFREDO 1311427312001 X
  • 521.
    No No registra No No registra No No. registra registra No. indicadores registra provincia, registra Persona_id NOMBRE No. ID (RUC) calle número registra de ventas, apellido cantón y primer principal de calle origen activos y/o paterno parroquia nombre principal empleados 43662 MARJORIE 1311428328001 X 188093 PESANTES GARCIA MARIANA ALEJANDRA 1311434227001 X 271956 VELEZ CEDEÑO MARIA REBECA 1311449415001 X 255327 ANDRADE CABO MIGUEL ANGEL 1311453573001 X 244901 GARCIA ALAVA JUAN GUSTAVO 1311460875001 X 256242 CARRILLO CARRILLO MARIA CARMEN 1311470973001 X 225414 CHAVEZ POSLIGUA FRANCISCO JAVIER1311474611001 X 209010 SAN ANDRÉS ZEVALLOS GINA ISABEL 1311475063001 X 237646 MONTESDEOCA ARAGUNDI NEY IVAN 1311476590001 X 34636 INTRIAGO FLORES JULIO BENITO 1311479438001 X 29675 LOOR REYES MARCIA KETHERINE 1311491177001 X 34344 MENDOZA RODRIGUEZ SHIRLEY JOHANA1311492381001 X 245104 GARZON VELEZ GONZALO RAFAEL 1311495756001 X 258328 BERMUDEZ CEDEÑO SANDRA MARIBEL1311496093001 X 264187 PICO MENDOZA ROBERTO GREGORIO 1311496374001 X 251688 MENENDEZ SORNOZA LETICIA VANESSA1311496382001 X 124874 MEDRANDA ALCIVAR MARTHA ELENA 1311497984001 X 234764 BARREZUETA VELEZ JOSE MIGUEL 1311498883001 X 165552 GANCHOZO ZAMBRANO MARÍA VICTORIA1311503377001 X 203463 ZAMBRANO CEVALLOS KAROL BEATRIZ 1311504409001 X 245562 SOSA ALVARADO FRANKLIN DENNY 1311506453001 X 79868 PONCE INTRIAO MARIA EDUVIGE 1311510661001 X 228125 DELGADO BELLO JAIME EDUARDO 1311511925001 X 105329 ANDRADE LOOR JORGE ARTURO 1311516726001 X 256308 CEVALLOS DE LA CRUZ JORGE ADRIAN1311528770001 X 169716 BERMUDEZ CEVALLOS WILTER ANTONIO1311534406001 X 266876 SANCHEZ MANTUANO CARLOS ISIDRO 1311540932001 X 231500 PARRALES SUAREZ MARIA LORENA 1311543274001 X 21580 DELGADO ZAVALA CARLOS GUILLERMO 1311552036001 X 251798 ZAMBRANO ZAMORA MANUEL ENRIQUE 1311553422001 X 241764 VINCES ALONZO FRANCISCO XAVIER 1311555286001 X
  • 522.
    No No registra No No registra No No. registra registra No. indicadores registra provincia, registra Persona_id NOMBRE No. ID (RUC) calle número registra de ventas, apellido cantón y primer principal de calle origen activos y/o paterno parroquia nombre principal empleados 195530 BALUARTE VELAZQUES MECIAS MARSILLO VICTOR MANUEL 1311566739001 X 243220 ZAMBRANO LOOR FAUSTO MAURICIO 1311573560001 X 182931 GARCIA VINCES KAREN GISSELA 1311579146001 X 159991 ALCIVAR GUEVARA ENRIQUE ANTONIO1311583338001 X 55453 CARRION GUEVARA JESSICA ISABEL 1311584153001 X 245541 DUEÑAS FRANCO MIGUEL ANGEL 1311584690001 X 69448 ZAVALA GILER PATRICIO URBANO 1311585119001 X 241868 SINCHIRE CASTAÑEDA JORGE LUIS 1311612939001 X 29667 ZAMBRANO MONTESDEOCA LUIS JAVIER1311613002001 X 193711 LOOR CEDEÑO FABIAN ANDRES 1311617722001 X 98353 BALDERRAMO VELEZ HENRY FERNANDO 1311622235001 X 180448 TOALA FIGUEROA BYRON XAVIER 1311623662001 X 274834 VALLADOLID ZAMBRANO ELVIA MERCEDES 1311625105001 X 133941 GARCIA VEGA EDER EMILIO 1311625840001 X 26715 CEVALLOS CEVALLOS VIVIANA ROCÍO 1311628083001 X 182468 ZAMBRANO ALCIVAR JAVIER REINALDO1311635963001 X 269607 MACIAS VINCES ELVIS BERNARDO 1311647174001 X 31995 ZAMBRANO ARTEAGA KATHYA MARYLIN 1311671257001 X 175019 VERA RIVADENEIRA ROQUE FABIAN 1311672578001 X 79120 GILER GARCIA CARLOS DAVID 1311679441001 X 263024 SIMBAÑA CEVALLOS JUAN CARLOS 1311686529001 X 248457 PEREZ INDIO JOSE GREGORIO 1311692006001 X 248212 ALCIVAR CEVALLOS JONATAN IVAN 1311693525001 X 265106 ZAMBRANO VELEZ TATIANA MONSERRATE 1311693772001 X 235567 ALCIVAR PALMA VANESSA LILIANA 1311694572001 X 155334 INDACOCHEA MERCHAN JORGE LUIS 1311696346001 X 196108 PITA CASTILLO FABIAN FERNANDO 1311711756001 X 219269 MOREIRA PINARGOTE WALTER JEFFERSON 1311722985001 X 177582 MERO SALTOS GEOVANNY GABRIEL 1311740631001 X 278999 ALAY MEZA CARLOS JAVIER 1311746000001 X 245583 SOLORZANO VERA OCTAVIO ENRIQUE 1311747263001 X
  • 523.
    No No registra No No registra No No. registra registra No. indicadores registra provincia, registra Persona_id NOMBRE No. ID (RUC) calle número registra de ventas, apellido cantón y primer principal de calle origen activos y/o paterno parroquia nombre principal empleados 245512 LOOR PICO SIFIA XIMENA 1311753733001 X X X 217092 SUÁREZ VERA LUCIA EDITH 1311763039001 X 173324 OCHOA ORTEGA JORGE LUIS 1311764938001 X 228633 SALDARRIAGA VELASCO ERIKA DENNISSE 1311777831001 X 188951 BASURTO MOLINA WINTER DANIEL 1311781791001 X 262915 CHAVEZ MERA JOSE JAVIER 1311782310001 X 240766 AMEN CARRILLO DOLORES ELINA 1311783078001 X 167927 NAVIA LOOR GUSTAVO EUDORO 1311785974001 X 156279 GARCIA HIDALGO LUIS ALBERTO 1311790982001 X 196160 LÓPEZ PÁRRAGA CINTYA PAMELA 1311812059001 X 92986 PERALTA BRAVO CARLOS DANIEL 1311835324001 X 65760 MORALES SALTOS JAHAIRA VANESSA 1311840019001 X 62881 PONCE PINCAY GUILLERMO FRANCISCO1311840845001 X 148660 ANCHUNDIA ANCHUNDIA JOSE LUIS 1311844482001 X 209850 FIGUEROA VERDUGA MARÍA JOSÉ 1311849424001 X 274697 TOALA SILVA JESSICA MABEL 1311853202001 X 219087 CEDEÑO CEDEÑO LILIANA MERCEDES 1311866493001 X 183320 ZAMBRANO ROSADO CESAR EDUARDO1311878399001 X 133930 ALVAREZ PICO MARIA GABRIELA 1311914269001 X 263020 PONCE MERO MAYRA ALEJANDRA 1311933533001 X 244830 SALINAS BRIONES CARMEN MARGARITA311942229001 1 X 276471 TIGUA ANZULEZ OCTAVIO FELIPE 1311949398001 X 163134 VERA AVILA JUDITH NARCISA 1311952681001 X 133772 RODRIGUEZ NIEVES LUIS ALBERTO 1311961377001 X 252469 LEÓN PARRALES MARCOS FABRICIO 1311962250001 X 257860 RODRIGUEZ MACIAS DIEGO MARCELO 1311970766001 X 222313 DELGADO GARCIA AQUILES JAMILL 1311972697001 X 159626 BAZURTO ORDOÑEZ BLANCA MARIUXI 1311972853001 X 141494 ENDARA CEDEÑO CESAR ALFREDO 1311976680001 X 226968 LOOR CEDEÑO JONATHAN XAVIER 1311992315001 X 51404 GARCIA CEDEÑO CRISTHIAN RUBEN 1312002965001 X
  • 524.
    No No registra No No registra No No. registra registra No. indicadores registra provincia, registra Persona_id NOMBRE No. ID (RUC) calle número registra de ventas, apellido cantón y primer principal de calle origen activos y/o paterno parroquia nombre principal empleados 178708 VELEZ CEVALLOS FERNANDA VANESSA312015603001 1 X 274583 MENDOZA TALLEDO OLGA LILIAN 1312016569001 X 272016 QUIROZ GARCIA ANDRES FABRICIO 1312038092001 X 182732 ARANEA ALAVA LUIS ALBERTO 1312084757001 X 122945 MOREIRA PALMA JULIO XAVIER 1312189390001 X 169283 VELEZ CEDEÑO RUBEN ERNESTO 1312216375001 X 67956 PARRALES ROSERO MARVIN SANTIAGO 1312235193001 X 180937 FERRIN ROSADO MARIA ALEXANDRA 1312237900001 X 227322 MERA MACIAS KAREN PATRICIA 1312246455001 X 235672 SALTOS ALCIVAR KAREN DANIELA 1312281635001 X 183210 VIVAR PONCE BORIS JAVIER 1312284936001 X 196317 PARRAGA VERA MIGUEL ALEJANDRO 1312299272001 X 218101 VERA LUCAS CARLOS MANUEL 1312315326001 X 264334 DELGADO MOREIRA VIVIANA KATIUSKA1312322546001 X 174334 PALMA QUIJIJE NANCY ELIANA 1312330960001 X 214257 VELEZ ALAVA ERNESTO FABIAN 1312331901001 X 188343 ORTOLA QUINTERO ANA MARIA 1312358045001 X 64362 TERAN GUERRERO JOHNNY EFRAIN 1312369893001 X 73142 VELIZ CHALARE VICTOR ALBERTO 1312391764001 X 204240 MERA ANCHUNDIA TERESA ELIZABETH1312489501001 X 92263 PONCE INDACOCHEA MARIA LORENA 1312510645001 X 219765 SALDARRIAGA BURBANO MARIA LUISA 1312516683001 X X 173166 PARRALES GÓMEZ JESSICA YESSENIA1312524877001 X 206938 PIN PICO JUDITH VERONICA 1312578618001 X 243514 VEGA QUIROZ FREDDY DAVID 1312590696001 X 206230 CERVANTES BAZURTO JORGE JEFFERSON 1312604281001 X 261714 BRIONES LOOR KAREN BEATRIZ 1312616582001 X X X 191610 AYALA PONCE HOOVER ALEX 1312848078001 X 200194 NAVARRETE LOOR DIANA CAROLINA 1312972142001 X 240749 DAVILA ZAMBRANO GALO DAMIAN 1312973306001 X 245717 ZAMBRANO ROBLES MARIA VICTORIA 1312993130001 X
  • 525.
    No No registra No No registra No No. registra registra No. indicadores registra provincia, registra Persona_id NOMBRE No. ID (RUC) calle número registra de ventas, apellido cantón y primer principal de calle origen activos y/o paterno parroquia nombre principal empleados 212089 MEDRANDA CONFORME LUIS DISNEY 1313050369001 X 141133 SANTANA ZAMBRANO JUAN JOSE 1313070839001 X 258722 ORTIZ CAICEDO JOSE JOHNNY 1313113159001 X 148635 DELGADO MIRANDA JORGE LUIS 1313147603001 X 202588 CRUZATTY QUIROZ GEMA CECILIA 1313195115001 X 229889 DELGADO PEÑA EDUARDO GILBERTO 1313209015001 X 258992 PINARGOTE RIVAS JANDRY ALBERTO 1313232512001 X 221429 PAZMIÑO MERA MARIA FERNANDA 1313287698001 X 151752 CEVALLOS LOPEZ HONORIO DAVID 1313304238001 X 220398 PISCO BERNAL ANDREA ESTEFANIA 1313403378001 X 234807 SALTOS HURTADO GEMA MONSERRATE 1313505354001 X 34528 CPM 1360000120001 X X 38711 MUNICIPIO PORTOVIEJO 1360000200001 X X X 43633 GOBIERNO MUNICIPAL D 1360000470001 X X X 56492 GOBIERNO DE PAJAN 1360001280001 X X X 37364 MUNICIPIO SANTA ANA 1360001440001 X X 47754 GOBIERNO MUNICIPAL 1360003300001 X X 248585 INIAP ESTACION EXPERIMENTAL PORTOVIEJO 1360012210001 X X 42355 PATRONATO DE AMPARO SOCIAL DEL CANTON CHONE 1360061850001 X X X 116171 AUTOMOTORES MANABITAS CIA. LTDA.1390008429001 X 101265 ASOCIACIÓN DE ABASTECEDORES 1390009018001 X 5674 LA FABRIL S.A. 1390012949001 X 102246 CAMARA DE INDUSTRIAS DE MANTA 1390013767001 X 44881 RAMACTRAN CÍA. LTDA. 1390028217001 X 146334 CONSTRUCTORA GLEMOZU 1390033237001 X 122980 CONSERVAS ISABEL ECUATORIANA S.A. 1390050352001 X 24229 EL DIARIIO EDIASA S.A. 1390057691001 X 165432 JOSE LUIS CEVALLOS E HIJOS C. LTDA 1390061184001 X 22443 ASESORES Y CONSULTORES DEL LITORAL CÍA. LTDA. 1390064256001 X 84377 VIAJES Y TURISMO A&F DELGADO C LTDA1390066143001 X 199842 MANABITA DE REPUESTOS MANARECO1390068758001 CIA.LTDA. X
  • 526.
    No No registra No No registra No No. registra registra No. indicadores registra provincia, registra Persona_id NOMBRE No. ID (RUC) calle número registra de ventas, apellido cantón y primer principal de calle origen activos y/o paterno parroquia nombre principal empleados 5173 CONSORCIO DE INGENIEROS NACIONALES1390073212001 X 156017 SINDICATO DE CHOFERES PROFESIONALES DE CALCETA 1390081630001 X 16003 COMPANIA DE TRANSPORTE DE CARGA CIUDAD RODRIGO 1390086861001 X 26838 MOVIMEINTOS DE TIERRA Y CONSTRUCCIONES MOTICONCI CIA. LTDA. 1390093213001 X 43792 HORMAC: HORMIGONES MANABI CIA. LTDA. 1390093558001 X 50364 MANAVISION S. A. 1390095860001 X 14570 CONSDISENO CIALTDA 1390096832001 X 24622 VIAS, EDIFICIOS, PUENTES, AEROPUERTOS VEPACON S.A. 1390096840001 X 253423 COOPERATIVA DE TRANSPORTE DE MATERIALES RIO DE ORO 1390096980001 X 143847 COOPERATIVA TRANSPORTE MANABÍ 1390097227001 X 175612 SURCOMPI SA 1390097340001 X 73139 COOP.TRANSP.DIDIMO ARTEAGA VERA1390100767001 X 24028 EQUIPOS PROGRAMAS Y SUMINISTROS DE OFICINA 1390101615001 X 48761 PLAYA MAR Y SOL INMOBILIARIA INMOPLASOL CIA.LTDA. 1390104096001 X 91965 PORTUR VIAJES Y TURISMO S. A. 1390105262001 X 96085 COARTESA COMERCIALIZACION DE ARTES S.A 1390107400001 X 79574 CONSTRUCTORA E INMOBILIARIA VEMORPE S.A. 1390117031001 X 81115 VOZ DE MANABI VODEMA S. A. 1390119115001 X 63955 CONSTRUCTORA NAVARRETE MORA NAMOR CIA. LTDA. 1390119425001 X 43882 MARZAM CIA. LTDA 1390140106001 X 41656 FUNDACION "YO TE AMO" 1390140882001 X 207301 DISTRIBUIDORA NACIONAL ARTE Y COMERCIO DIARTEX S.A. 1390141102001 X 11763 PROYECTOS Y CONSTRUCCIONES 1390141595001 X 33009 DISTRIBUCIONES ISAAC VELEZ CALDERERO 1390141897001 X 198047 INMOBILIARIA CONSTRUCTORA FERRIN SCHETTINI CÍA. LTDA. 1390142036001 X 119941 COMISARIATOS VÉLEZ BONILLA S.A. 1390142346001 X 142585 LOPEZ DELGADO PEDRO VICSILVER 1390142389001 X 58952 RITUZAM CONSTRUCCIONES CIVILES CIA. LTDA. 1390142486001 X 44428 CASA DISTRIBUIDORA ALIATIS 1390143563001 X 221868 CLINICA DE ESPECIALIDEDES MEDICAS1390143598001 CLIMEDICO C.A SAN GREGORIO X 137489 PETROLIDER S.A 1390143806001 X
  • 527.
    No No registra No No registra No No. registra registra No. indicadores registra provincia, registra Persona_id NOMBRE No. ID (RUC) calle número registra de ventas, apellido cantón y primer principal de calle origen activos y/o paterno parroquia nombre principal empleados 256174 PORTOVIEJO SEGURIDAD 1390143857001 X 60835 COMPAÑIA DE SEGURIDAD PUCORE CIA LTDA 1390143873001 X 10794 CONSULTORA ESPIRAL CONTESPI CIA LTDA 1390143903001 X 50967 EDIMANABI, EDITORA MANABITA S.A. 1390144489001 X 220716 VERA SANCHEZ CIA. LTDA. 1390144772001 X 189448 COMERCIALIZADORA DEL AGRO COAGRO 1390145655001 X 43851 MARITIMA DE COMERCIO 1390145809001 X 148372 CONSEJO CAFETALERO NACIONAL 1390146074001 X 136450 BIENES RAICES DEL LITORAL CIA LTDA1390146368001 BIRALISA X 41255 FUNPAD 1390146538001 X X 110258 COOPERATIVA INTERPROVINCIAL DE PASAJEROS RUTAS PORTOVEJENSES 1390146546001 X 68397 CORPORACION MULTIGAMMA S.A. 1390146643001 X 213129 NAUTICAL DEL ECUADOR S.A. NAUTECSA1390146678001 X 186260 BOSMART BOSQUE MARINO TOURS CIA. LTDA 1390146716001 X 64981 DECOROFFICE D PLATON S.A. 1390146961001 X 31340 HOTELCABAÑAS BALANDRA 1390148905001 X 90096 JORGE ALFREDO MONGE ZAMBRANO 1390149022001 X 74547 MANADIALISIS S.A. 1390149103001 X 52467 METACMA SA 1390149146001 X 274402 GILER LOPEZ AUTOMOTRIZ GILAUTO CIA. LTDA 1390149588001 X 25940 CONSORCIO CIVILES ASOCIADOS S.A. "COCIASA" 1390149685001 X 76449 SERPITRICOS 1390149693001 X 194241 AGROBIOCONSA S.A. 1390149960001 X 57804 RADIOVISION S.A. 1390150063001 X 10085 MR CIA CONSULTORES 1390150306001 X 89916 FUNDACION AGROFORESTAL 1391700024001 X 63178 ZURIDIST CIA.LTDA 1391700822001 X 43934 TELEMOLINA 1391700849001 X 61147 CONSTRUCPAC 1391700954001 X 12212 EMULCONSA 1391700970001 X 58575 SUMINISTROS ELECTRICOS JC SECEVER S.A. 1391701098001 X
  • 528.
    No No registra No No registra No No. registra registra No. indicadores registra provincia, registra Persona_id NOMBRE No. ID (RUC) calle número registra de ventas, apellido cantón y primer principal de calle origen activos y/o paterno parroquia nombre principal empleados 36384 CONSORCIO MANAVIAL S.A. 1391701608001 X 66216 SEGURYSTAR CIA LTDA 1391701640001 X 30146 CONSTRUCTRAVEL S.A. 1391701799001 X 175751 TIERRASMANABITAS TIERNA 1391701837001 X 69712 HB CONSTRUCCIONES CONSTRUCBAR1391701888001 S.A. X 251411 MILJONH TRAVEL S.A. 1391702183001 X 37411 INQUI SA 1391702213001 X 27142 HEREDIA GARCIA CONSTRUCCIONES CIA. LTDA. 1391702299001 X 87796 SCG INGENIERIA CIA. LTDA. 1391702426001 X 257827 TRANSPORTE ESCOLAR E INSTITUCIONAL MANESTUR S.A. 1391702523001 X 96042 AESLIT CIA LTDA 1391702590001 X 85349 CONSTRUCTORA Y DISTRIBUIDORA PEDERNALES CONDISPE S.A. 1391702647001 X 65824 JARRE INGENIERIA TOTAL JARREINGTOTAL CIA. LTDA. 1391702973001 X 66943 LOMUCIA CIA. LTDA. 1391703031001 X 23967 RDH ASESORIA Y SISTEMAS 1391703066001 X 86283 NEGOCIO FAMILIAR S. A NEFASA 1391703120001 X 21735 MUNDODIGITAL 1391703430001 X 11452 PROFISTEC 1391703503001 X 24211 CONCRETO MANTA S. A. 1391703694001 X 23577 MAGIR CIA. LTDA. 1391703899001 X 152061 CAMARA DE COMERCIO ECUATORIANO AMERICANA 1391707134001 X 78553 INSTITUTO ECUATORIANO DE ENFERMEDADES DIGESTIVAS Y PELVICAS 1391707460001 X 202103 CORVER S.A.C.C. 1391707533001 X 190342 GUERRON ZEVALLOS CIA. LTDA. AGENCIA ASESORA PRODUCTORA DE SEGUROS 1391707800001 X 105777 CORPORACIÓN UNIVERSITARIA ESTUDIO Y TRABAJO "CUET" 1391708645001 X 32598 FUNDACION DR. FAUSTO MORAN PARRALES 1391709560001 X 216095 UNIVERSIDAD PARTICULAR SAN GREGORIO DE PORTOVIEJO 1391709811001 X 162481 UNION OBRERA DE CHONE 1391712995001 X 224365 ASOCIACION DE VOLQUETEROS CIUDAD DE TOSAGUA 1391713924001 X 225689 VIGCONTROL 1391715285001 X 191839 OCEANOIL S.A. 1391715463001 X
  • 529.
    No No registra No No registra No No. registra registra No. indicadores registra provincia, registra Persona_id NOMBRE No. ID (RUC) calle número registra de ventas, apellido cantón y primer principal de calle origen activos y/o paterno parroquia nombre principal empleados 239406 PETROCORP S.A. 1391715471001 X 133571 UNION PROVINCIAL DE ORGANIZACIONES CAMPESINAS DE MANABI UPOCAM 1391716117001 X 34786 LINEA CONSTRUCCION Y COMERCIO CONSTRUCMER S.A 1391716125001 X 222502 FINCA INDUSTRIAL CAMARONER S.A 1391716354001 X 255860 TRANSPORTE ESCOLAR TURISTICO DE1391716419001 MANABÍ X 46757 COMUNIDAD FAMILIAR SEGURA COMFASEG CIA. LTDA. 1391716567001 X 46832 INTERNATIONAL BISNESS COURIERS IBC S.A. 1391716850001 X 93037 NAVIWAX S.A. 1391716869001 X 21720 MOVINSA S.A. 1391717016001 X 43720 GOMEZ Y MENDOZA S.A. 1391717687001 X 199432 VECTOMI S.A. 1391717768001 X 88314 HYTSA ESTUDIOS Y PROYECTOS S.A. 1391718055001 X 42758 NEGOMET S.A. 1391719590001 X 10433 FLOVEPA CONSTRUCTORES 1391719671001 X 266971 COMUNA MILAGRO 1391720181001 X 33501 VICARIA DE EDUCACION 1391720874001 X 150504 ASOCIACIÒN MEDICA RENAL PORTOVIEJO ASMERP S. A. 1391721447001 X 4808 ORGANIZACION DE SISTEMAS E INFORMATICA 1391721552001 X 58998 COMPAÑIA PROVEEDORA CONSTRUCCIONES CIVILES Y ELECTRICAS S.A. ARTUZAM 1391721722001 X 56073 PROVEEDORA DE CONSTRUCCIONES CIVILES Y ELECTRICAS 1391721749001 X 9386 REPRESENTACIONES VELCED 1391722168001 X 50404 JR SECURITY CIA LTDA 1391722184001 X 190631 NATURIS CIA. LTDA. 1391722338001 X 131669 MEGAPACIF 1391722710001 X 39690 FUNDACIÓN EL ROSTRO DE JESUS 1391722923001 X 27082 INMOBILIARIA Y CONSTRUCCIONES S.A. ICONS 1391723040001 X 52224 DUVECE S.A 1391723253001 X 83946 SERVICIOS TECNICOS DE TARJA S. A. 1391723407001 X 37658 DISTRIBUIDORA SAN GABRIEL S.A. SANGABRIELSA 1391723431001 X 135237 COMPAÑIA DE RESPONSABILIDAD LIMITADA LOS BIZARROS 1391723563001 X 247256 ASOCIACION DE REINAS Y EX REINAS DEL CANTON PORTOVIEJO 1391724292001 X
  • 530.
    No No registra No No registra No No. registra registra No. indicadores registra provincia, registra Persona_id NOMBRE No. ID (RUC) calle número registra de ventas, apellido cantón y primer principal de calle origen activos y/o paterno parroquia nombre principal empleados 81357 COSTAMURCIELAGO 1391724489001 X 195103 LOGISTICA INTEGRAL "GRAYHOUND" S.A 1391724950001 X 66264 ROTEC-ECUA S. A. 1391725434001 X 109942 HORMIGONES DEL PACIFICO 1391725469001 X 113079 SOCIEDAD DE HECHO MICROEMPRESA1391725493001 DE GESTION AMBIENTAL CRUCITA X 264438 COMPAÑIA NARANJA & MIEL NAMIEL CIA. LTDA. 1391725531001 X 92259 MENDOZA INTRIAGO DISEÑO Y ASESORIA CIA.LTDA MIDAS 1391725868001 X 18693 TELECEV S.A 1391726007001 X 89687 FARRAMAN 1391726058001 X 61852 FUNDACION CENTRO DE PROMOCION SOCIAL RIO MANTA 1391726236001 X 153939 SEGURIDAD PRIVADA LEGION ELITE CIA. LTDA. 1391726252001 X 13899 SOFTWARE SOLUTION TECNOLOGY 1391726279001 X 61071 FUNDACION DE PREVENC 1391726309001 X 56707 FUNDACIÒN LUZ DE VIDA 1391726376001 X 41825 KOHLER S.A. 1391726465001 X 109642 CONSORCIO DE INGENIEROS Y PROFESIONALES TECNICOS DE LA CONSTRUCCION 1391726643001 X 74300 AMADEUS CIA. LTDA. 1391726651001 X 11775 SERVICIOS TECNICOS DE INGENIERIA 1391726767001 X 40043 CORECOMSA S.A. 1391726996001 X 59836 SERINSA S.A. 1391727011001 X 34840 PINTURAS EL MAESTRO CIA. LTDA. 1391727240001 X 170302 BEACHCAR S.A. 1391727682001 X 50741 ALTIMA S A 1391727852001 X 147151 PROJETEC PROYECTOS TECNICOS CIA. LTDA. 1391728050001 X 31093 FUNDACION JARAMIJO 1391728123001 X 31301 FUNDACION DESARROLLO HUMANITARIO SOSTENIBLE 1391728174001 X 8652 FUNDACION DE INVESTIGACION PARA EL DESARROLLO DE LA REGION FINDER 1391728557001 X 100917 COMPAÑIA ADESEI CIA LTDA 1391729243001 X 102648 NAVIA RENTACAR CIA LTDA 1391730284001 X 68203 ISABA S.A. 1391730403001 X 48116 MARCO MELO MARMELO S.A. 1391730446001 X
  • 531.
    No No registra No No registra No No. registra registra No. indicadores registra provincia, registra Persona_id NOMBRE No. ID (RUC) calle número registra de ventas, apellido cantón y primer principal de calle origen activos y/o paterno parroquia nombre principal empleados 127204 FASO 1391730802001 X 34524 MACCEHZA CONSTRUCCIONES S.A. 1391731132001 X 240700 NUESTROS CAMPOS 1391731205001 X 26952 IBEROAMERICANA DE CONSTRUCCIONES 1391731329001 X 51792 COMPAÑIA VERABUZAM SOCIEDAD ANONIMA 1391731469001 X 68930 COMPAÑIA DE CONSULTORIA, CONSTRUCCIONES, WCH CIA. LTDA. 1391731507001 X 187726 IMPORTADORA EXPORTADORA CEDEPA E HIJOS S.A. 1391731973001 X 156826 CONSULTORIA & PROYECTOS CONPROYECT1391732082001 X 247512 VIAL CONSTRUCCIONES VIALCONSTRU S.A. 1391732368001 X 33739 CONSTRUCTORA INTERMEDIO CONSTRUCMEDIO S.A. 1391732775001 X 104004 ESTACIÓN DE SERVICIO AEROPUERTO1391732945001 X 188939 LUDAZAMCOR S.A. 1391733046001 X 211850 SERVILAB S.A. 1391734565001 X 100491 FUNDACION DE INGENIE 1391734611001 X 254861 SERVICIOS GENERALES S.A. CONSERGEN1391735936001 X 58208 AGRE S.A. 1391736169001 X 17086 LUIS ORLANDO PINARGOTE MACIAS 1391736231001 X 165557 IMPORT-EXPORT M&M LEOSWAL CIA. LTDA 1391736843001 X 274208 INSUCAMS S. A. 1391736991001 X 27156 MAVEOR S.A 1391737491001 X 61227 TECHSOLPLUS CIA. LTDA. 1391737572001 X 137788 INSTITUTO TÉCNICO SUPERIOR PARTICULAR PORTOVIEJO 1391737777001 X 31351 FUNDACION DE INTEGRACION Y DESARROLLO HUMANO 1391737912001 X 38584 JOALNAPI S.A 1391738374001 X 229212 DELGADO GARCIA DELGAR CIA LTDA 1391738455001 X 78412 CONSTRUCTORA DE CASAS S.A. 1391738617001 X 103212 EDITORIAL RIDELA CIA. LTDA. 1391738854001 X 173482 JAMIL RAMIREZ DISTRIBUCIONES S.A. DIJARA 1391739087001 X 203432 GESTION EFECTIVA S.A. GESTESA 1391739338001 X 52392 VISANCO S.A. 1391739389001 X 137886 IMPRENTA Y GRAFICAS EL BOLIGRAFO1391739818001 S. A. X
  • 532.
    No No registra No No registra No No. registra registra No. indicadores registra provincia, registra Persona_id NOMBRE No. ID (RUC) calle número registra de ventas, apellido cantón y primer principal de calle origen activos y/o paterno parroquia nombre principal empleados 16486 SUPERPC 1391740166001 X 41490 CEDEFER MANTA INTERNACIONAL S.A.1391740514001 X 157103 ROBRACONTRUC CIA. LTDA. 1391740662001 X 39994 L Y L CONSTRUCCIONES S.A. 1391740719001 X 190498 ASINPROYEC S.A 1391740980001 X 76254 ASOCIACIÓN DE PROPIETARIOS DE VOLQUETES, EQUIPOS PESADOS Y TRANSPORTE DE MATERIAL PETREOS DEL CANTÓN SUCRE 1391741111001 X 146197 CONSULTORIA TOTAL C.T. CIA. LTDA. 1391741634001 X 227270 PROMOTORA INMOBILIARIA S.A. PROCORUÑA 1391742487001 X 226619 SISTEMAS INTEGRALES DE SEGURIDAD CIA LTDA SINSEG 1391742665001 X 36400 FUNDACIÓN SOCIAL 1391743025001 X 183831 FUNDACION JURIDICA LEX 1391743319001 X 27507 CAMINOS DEL LITORAL S.A. CAMINOLIT1391743327001 X 218920 FUNDACION SAN ANDRES 1391743408001 X 178163 ASECOM S.A. 1391743513001 X 39386 TEOCALNO CIA.LTDA. 1391743610001 X 41984 CONSTRUCCIONES CIVILES DEL VALLE1391743645001 X 47267 SERVICIOS INTEGRALES PORTUARIOS 1391743726001 Y PROFESIONALES S.A. X 36748 NEOGRAFIK CIA. LTDA. 1391743742001 X 83804 PORTMANT 1391743807001 X 269087 LEOSAMO S.A. 1391743890001 X 33479 CONSTRUCTORA CARIBE S.A. 1391743963001 X 54920 INTERNET Y SOLUCIONES INFORMATICAS S.A. 1391744153001 X 142224 CHEYBE ECUADOR S.A. 1391744234001 X 145807 PINTURAUTO S.A. 1391744382001 X 222550 CONSTRUCTORA CUCED 1391744773001 X 31886 PARRAGA CONSTRUCTORA PARRAGACONS 1391745397001 X 29087 CONSTRUCTORA MATEO CONSTRUMATH S.A. 1391745990001 X 54900 ELVENSA S.A. 1391746075001 X 198430 TIERRA PROMETIDA S.A. 1391746199001 X 16460 COMPANIA SANTANDER 1391746318001 X X 19408 ARQUITECTURA CONTURCCIONES Y TELECOMUNICACIONES S.A. ARCONTELSA 1391746512001 X
  • 533.
    No No registra No No registra No No. registra registra No. indicadores registra provincia, registra Persona_id NOMBRE No. ID (RUC) calle número registra de ventas, apellido cantón y primer principal de calle origen activos y/o paterno parroquia nombre principal empleados 186120 CONSORCIO FACAYVI 1391746792001 X 72883 FORTALEZA DE LA IDENTIDAD MANABITA 1391746806001 X 40624 DISCAD CIA. LTDA. 1391746962001 X 121232 RADIODIFUSORA MASCANDELA S.A 1391747039001 X 44024 CARLYCORP S.A. 1391747063001 X 15064 RIVEART 1391747233001 X X 27065 APRIK 1391747578001 X 72252 ASOCIACION DE PROPIETARIOS DE VOLQUETES Y AFINES SAN IGNACIO 1391747969001 X 47242 LOGONS CONSTRUCCIONE 1391748221001 X 41882 MEDICIONES ELECTRICAS MEDELECTRIC S. A 1391748248001 X 46031 ASOCIACION DE MUJERES COMUNITARIAS DEL CANTON TOSAGUA 1391748612001 X 57669 FERLEN S.A. 1391748744001 X 83280 SERLIMRECLA CIA LTDA 1391748779001 X 33579 J.F. TORRES S.A. 1391748868001 X 183776 ARENATOURS & EVENTOS S.A. 1391749007001 X 33393 ESTRUCTRAS Y VIAS S.A 1391749104001 X 39931 BRAGAR S.A. CONSTRUCTORA 1391749147001 X 129505 FUMILIEM S. A. 1391749880001 X 54660 PROYECTOS CONSTRUCCIONES CIVILES DEOH 1391750072001 X 270985 DISTRIBUCIONES HERRERA S.A. DISTHERRERA 1391750293001 X 49631 TECNIAGRO S,A 1391750358001 X 146435 CETUHOBA SA. CENTRO TURISTICO HOTELERO BARBASQUILLO 1391750374001 X 20909 CONSTRUCTORA MANABITA COMAN SA 1391750587001 X 66072 TECNOBRACI S.A. 1391750706001 X 25657 FUNDACIÓN ECUATORIANA PARA LA PROMOCIÓN CULTURAL Y SOCIAL FUNDACAV 1391750749001 X 199673 TALLERES AUTOMOTRICES TALACSA S.A. 1391750846001 X 34940 CONSTRUCTORA LUDOCOMPA CIA. LTDA.1391750951001 X 18158 ECUEDIF SA 1391751192001 X 26632 CONDEPA S.A. CONSTRUYENDO DESARROLLO PARA EL PAIS 1391751575001 X 40165 ATLANTICONSTRUC S.A. 1391751656001 X 117577 OCCONSA CONSTRUCCIONES S.A. 1391751699001 X
  • 534.
    No No registra No No registra No No. registra registra No. indicadores registra provincia, registra Persona_id NOMBRE No. ID (RUC) calle número registra de ventas, apellido cantón y primer principal de calle origen activos y/o paterno parroquia nombre principal empleados 68093 DIMARQ S.A. 1391751729001 X 228212 ESTACION DE SERVICIOS ROJAS CIA.LTDA. SERVIROJAS 1391751931001 X 47318 CONSTRUMUZAN S.A. 1391752091001 X 47295 CONSTRUMARZA S.A. 1391752105001 X 25864 CONSTRUCTORA GRANO DE ORO S.A. 1391752148001 X 25859 CONSTRUBOGA S.A. 1391752199001 X 19536 FARMADISMO S.L. 1391752210001 X 113000 CUENTAS EN PARTICIPACIÓN TODOCON 1391752237001 X 105032 PANAMA MARINE PRODUCT & SERVICES PMP S.A. 1391752318001 X 49630 NEGOCIOS MUÑOZ Y ASOCIADOS S.A. 1391752407001 X 40651 VENTICONS S.A. 1391752474001 X 29478 CONSCIMEEL CIA. LTDA. 1391752814001 X 39701 SOLTESA 1391752911001 X 50276 JOMAICA S.A. 1391753136001 X 38693 COMPAÑIA CONTRUCCIONES CIVILES S.A. FOCC 1391753144001 X 147745 FARMACIA SANTAMARTHA S.A. 1391753195001 X 143455 CONSTRUCCIONES Y SERVICIOS PROFESIONALES 1391753284001 X 45168 SERVICIOS DE INGENIERIA SERVINGER S. A. 1391753500001 X 45190 TIS TECNOLOGIA INGENIERIA Y SERVICIOS S.A. 1391753535001 X 46607 G & L CONSTRUCTORES S.A. 1391753543001 X 92210 GRAFICAS RAMIREZ S.A. 1391753748001 X 72946 COMERCIO EXTERIOR Y CONSTRUCCIONES1391753934001 X 59496 CONSTRUNAVIA S.A. 1391754019001 X 115036 AIRPROYECT S. A. 1391754213001 X 72859 CONSULPROYEC 1391754221001 X 64504 EQVIMPORT S.A. 1391754302001 X 76835 CONSTRUCTORA SAN RAFAEL S.A. CONSTRUCSANRA 1391754337001 X 66549 CARVAJAL SERVICIO DE INGENIERIA S.A. INGECARV 1391754434001 X 76879 CONSTRUCTORA CEMILESA S.A. 1391754647001 X 71378 SERFER CONSTRUCCIONE 1391754655001 X 78260 SERVICIOS DE INGENIERIA SERVISUAR1391754930001 S.A. X
  • 535.
    No No registra No No registra No No. registra registra No. indicadores registra provincia, registra Persona_id NOMBRE No. ID (RUC) calle número registra de ventas, apellido cantón y primer principal de calle origen activos y/o paterno parroquia nombre principal empleados 80246 MONAXA S.A. 1391755015001 X 126261 LATARJA CIA LTDA. 1391755104001 X 111521 CONCEVI S.A. 1391755120001 X 111313 PREMIUMSA S.A. 1391755155001 X 108682 CONSORCIOE&CCONSTRUCTORES 1391755341001 X 90641 CAMACHO CARDONA MARIO 1391755643001 X 204132 MARINSAECUADOR S.A. 1391755880001 X 222449 DISEGLASS S.A 1391756267001 X 156242 KAMIVIAS S. A. 1391756461001 X 202830 CONSTRUCCIONES Y SERVICIOS BURGOS MENDOZA S.A. 1391756682001 X 118193 DELGADO Y ASOCIADOS 1391757093001 X 269513 SEGURIBRAM 1391757166001 X 110878 BIRACONSLG S.A. 1391757174001 X 134951 MEROSANTANA CIA. LTDA. 1391757379001 X 113426 TURIGAMA S.A. 1391757433001 X 123645 CANTERA SAN ISIDRO S.A. 1391757549001 X 162329 APART HOTEL LOSALMENDROS S.A. 1391757816001 X 161668 METALHIERRO S.A. 1391757824001 X 133477 VISIÓN INTEGRAL 1391757999001 X 183610 SERVICIOS MEDICOS ANGIOMANABI CIA. LTDA. 1391758014001 X 145354 CONSTRUCTORA CONSTRULAM S.A. 1391758030001 X 138762 FARMANDINAMERICA 1391758049001 X 147060 HILGAMSA.S.A 1391758065001 X 155309 CONSTRUCTORA MANABITA S.A CONSTRUMANABI 1391758103001 X 148746 ZAM´S PRODUCCIONES S.A 1391758251001 X 140104 CONSTRUVINAV S.A. 1391758324001 X 145254 CONSTRUCTORA RICE S.A 1391758405001 X 170695 IDEARTES 1391758456001 X 203375 KWPUBLICIDAD LA COMPAÑIA DE COMUNICACION S.A. 1391758529001 X 151777 SISTEMAS HIDRÁULICOS INTEGRADOS 1391758863001 S.A. SIHINTEG X 145054 COMPAÑÍA CONSTRUCTORA DEL NORTE 1391758871001 X
  • 536.
    No No registra No No registra No No. registra registra No. indicadores registra provincia, registra Persona_id NOMBRE No. ID (RUC) calle número registra de ventas, apellido cantón y primer principal de calle origen activos y/o paterno parroquia nombre principal empleados 152197 BIMAINTEG CIA. LTDA. 1391759274001 X 153433 LLANTAS Y SERVICIOS AUTOMORICES SALLY S.A. 1391759711001 X 151592 PIRAMIDES DORADAS DE CONSTRUCCIONES S.A. 1391760183001 X 145575 CONSTRUCTORA REALES TAMARINDOS 1391760906001 X 160794 CONSTRUCTORA PORTOVIEJO 1391762550001 X 153701 CONSTRUCTORA HORMIGASA S.A. 1391762895001 X 155285 CONSTRUCCIONES ICARCONS S.A. 1391762917001 X 156759 CONSTRUNAVSAN S.A. 1391762976001 X 169929 FUNDACION PARA LA INVESTIGACION Y DESARROLLO SOCIAL 1391762992001 X 165030 CONSTRUCTORA JAVEBSA S.A. 1391763360001 X 175909 DAVOCONSTRUC S.A. 1391763409001 X 169725 VIACONSA S. A. 1391763476001 X 232091 TURISMO ESMERALDA S.A. TURESMA 1391763581001 X 215424 INGENIERIA CIVIL 1391763743001 X 180140 EVOTEC .S.A. 1391763778001 X 168019 CONSTRUCCIN S.A. 1391763786001 X 167998 CONSTRUCRESA S.A. 1391763794001 X 168777 PROINALING S.A. 1391763808001 X 197717 FISPROVAL CIA. LTDA. 1391763840001 X 181632 PRODUCTORA INDUSTRIAL DE PUBLICIDAD Y CONFECCIONES S.A. 1391763905001 X 175893 CESACONSTRUC CIA. LTDA. 1391764057001 X 250553 CONSULTORIA TECNICA TORRES & ORLANDO CTO. CIA. LTDA. 1391764375001 X 180194 MANAOBRA S.A 1391764537001 X 181295 CONSFERVIN S.A. 1391764634001 X 242043 SUPER MERCADO DEL COLCHON SUPERCOLCHON S.A. 1391764707001 X 188120 COSANGAR SA 1391764758001 X 190463 CONSTRUCTORA MELROAP S.A. 1391764855001 X 222504 HOTEL CABAÑAS BALANDRA S.A. 1391764944001 X 197270 CONSTRUCTORA VERA LOOR S.A. 1391765002001 X 185843 CONSULTORA TERRASERGURA CIA. LTDA. 1391765037001 X 195046 SAGARLLANTAS CIA.LTDA. 1391765274001 X
  • 537.
    No No registra No No registra No No. registra registra No. indicadores registra provincia, registra Persona_id NOMBRE No. ID (RUC) calle número registra de ventas, apellido cantón y primer principal de calle origen activos y/o paterno parroquia nombre principal empleados 198301 ECUACONSTRUCCION 1391765312001 X 218256 IMPORTADORA SEGURISOS S.A. 1391765665001 X 197678 CONSTRUCTORA ADRIMAPA S.A. 1391765762001 X 197220 CETOASA S.A. 1391765819001 X 206068 CLINTEG SA CLIMA INTEGRAL 1391765908001 X 219901 CONSULTORA CONSULTNAC CÍA LTDA 1391766076001 X 219196 DARMACIO CIA LTDA 1391766203001 X 209465 INSTITUTO LAVISION S.A. 1391766416001 X 209634 CONSTRUCASHLEY S.A. 1391766513001 X 232699 PROSEGTO CIA. LTDA. 1391766610001 X 239532 CONSTRUSAENZ S.A. 1391766629001 X 210647 SEGILZA SOCIEDAD ANONIMA 1391766661001 X 235377 HGL&M CONSTRUCCIONES S.A. 1391766904001 X 214687 COMPAÑIA KAILN S.A 1391766955001 X 217523 DISTRIBUIDORA DE MEDICAMENTOS YSUMINISTROS MEDICOS S.A. DISTRISUMOS 1391767021001 X 237210 GECOTEL S. A. 1391767080001 X 215770 DISACONST 1391767102001 X 217519 CONSERCIP S.A 1391767226001 X 218103 ECO-GLOB COMPANY S.A 1391767331001 X 218183 CHOPAAL S. A. 1391767609001 X 223432 CONSTRUZAMAHISA 1391768036001 X 225022 CORPORACION DEL VALLE S. A. CORPOVALL 1391768168001 X 226114 ASOCIACION MANABI 1391768192001 X 225065 CONSTRUCMING S.A. 1391768206001 X 229898 CAIRCONST CIA. LTDA. 1391768605001 X 236168 INSTALCONTRUC S.A. 1391769253001 X 264847 BUSICONS S.A. 1391769385001 X 233352 TRANSPORTES Y SERVICIOS CITYCHONETRANS S.A. 1391769415001 X 237076 JORGU S.A. 1391770014001 X 250650 TRIPLEVISTA SOLUTIONS S.A. 1391770294001 X 242712 BELAGIOCONSTRUC S.A. 1391770367001 X
  • 538.
    No No registra No No registra No No. registra registra No. indicadores registra provincia, registra Persona_id NOMBRE No. ID (RUC) calle número registra de ventas, apellido cantón y primer principal de calle origen activos y/o paterno parroquia nombre principal empleados 240239 INMOKALSA S.A. 1391770405001 X 251679 OVACIC S.A. 1391771215001 X 250005 CUPROMCO S.A. CONSULTORA AMBIENTAL 1391771649001 X 249994 CONSTRUCCION Y PLANIFICACION URBANA Y RURAL CONSTRUPLANUR CIA LTDA 1391771738001 X 254246 COMPAÑIA ASESORES Y CONSULTORES DEL LITORAL ASCONDELIT S.A. 1391771843001 X 252102 NUVEL S.A 1391771991001 X 257198 CONSTRUCCIONES JUARMED SA 1391772181001 X 259729 CONSULTORIA CONARRIESGOS 1391772602001 X 269749 REPROEXMOSA 1391772718001 X 258511 MAQUIPLAN S. A. 1391772726001 X 260535 KENDRUMAR S.A. 1391772920001 X 262289 SERFOINT S.A. 1391773145001 X 264466 CONSTRUVELESA S.A. 1391773390001 X 267228 PARIMASE S.A. 1391773587001 X 267534 LUDAMARSA CONSTRUCTORA S.A. 1391773668001 X 268378 MEDICAL LOOR S.A. 1391773749001 X 271562 SIFERCONSTRUC S.A. 1391773854001 X 275050 CONSTRUCMAZAEL S.A 1391774362001 X 276149 DEYANEIRA SA 1391774419001 X 278979 RAMIDELSA S.A. 1391774648001 X 278078 CONENSACONSTRUCCIONES 1391774877001 X 278171 MELOCONSTRUC S.A. 1391774958001 X 170132 AGUAYO ZABALA CARLOTA 1400001093001 X 181582 MONTENEGRO NOGUERA ANGEL RAFAEL1400003701001 X 100825 RODRIGUEZ ROMO ANTONIO JOSE 1400006530001 X 96755 NAGUICHA SANCHICO JOSE 1400008684001 X 190114 CHACHA CHACHA CESAR OLMEDO 1400009971001 X 128565 CHICA COZAR ORLANDO MANFREDO 1400010714001 X 138768 RICAURTE DAVALOS WASHINGTON ALBERTO 1400012355001 X 205107 JARAMILLO CARVAJAL SARA GUADALUPE 1400013064001 X 165838 TORRES CALLE ZOILA ROSA 1400015234001 X
  • 539.
    No No registra No No registra No No. registra registra No. indicadores registra provincia, registra Persona_id NOMBRE No. ID (RUC) calle número registra de ventas, apellido cantón y primer principal de calle origen activos y/o paterno parroquia nombre principal empleados 165826 DELGADO ZUÑIGA RAUL ABELARDO 1400019558001 X 132874 ORELLANA VALLEJO LUIS ABEL 1400019749001 X 87245 CRESOI TRELLES MARIO MISAEL 1400020671001 X 159834 ORELLANA TOLEDO SILVIA MARINA 1400021083001 X 134207 ZUÑIGA CABRERA MARIO JOEL 1400021661001 X 107036 TORRES BERMEO VICTOR APOLINARIO1400023709001 X 94249 VELEZ RIERA MODESTO FROILAN 1400026041001 X 198771 GÓMEZ FERNÁNDEZ RAFAEL ARCESIO 1400026991001 X 136565 VIZUETE VILLAGOMEZ ALFREDO GILBERTO 1400027122001 X 246043 NIETO NIETO ROSA LAURA 1400027577001 X 207240 FLOR DIAZ CARLOS EDUARDO 1400030043001 X 150003 MEDINA RODRIGUEZ LUIS OLMEDO 1400031199001 X 63238 KAYAP SANCHU ANGEL TELESFORO 1400031371001 X 179805 CARDENAS MARCO RUBEN 1400032866001 X 227335 PAATI WARMI ANGUASH PEDRO 1400041255001 X 202318 TUITZA MASUINGUIA JUAN DOMINGO 1400043665001 X 141318 AVILA ORDOÑEZ JORGE GILBERTO 1400051353001 X 153218 JACOME CALDERON FAUSTO ELICEO 1400054415001 X 118199 ALVAREZ ORDOÑEZ GERARDO LUIS 1400056980001 X 87326 CORREA AMAY CARLOS ANTONIO 1400059422001 X 183119 CHACON RUIZ JULIO OCTAVIO 1400061667001 X 237006 LOPEZ TAPIA LUIS AURELIO 1400061931001 X 144584 MOLINA PEREZ ALFONSO ROLANDO 1400062269001 X 181214 SERRANO CARDENAS LUISA AMERICA1400064182001 X 245036 MANCHENO NOGUERA GERMAN AQUILES 1400073951001 X 180412 CARDENAS DIAZ ELBA FANNI 1400075139001 X 252309 CHIRIAP ATSASU AGUSTIN MARCELO 1400077077001 X 214627 LOPEZ GUTIERREZ LAURO BOLIVAR 1400077432001 X 152151 REINOSO PELAEZ LAURO RODOLFO 1400077929001 X 155589 SALINAS CASTRO ISAAC AURELIO 1400077978001 X 173137 CANDO GORDILLO JULIA MARIA 1400078067001 X
  • 540.
    No No registra No No registra No No. registra registra No. indicadores registra provincia, registra Persona_id NOMBRE No. ID (RUC) calle número registra de ventas, apellido cantón y primer principal de calle origen activos y/o paterno parroquia nombre principal empleados 127116 SANCHIM CHIKIAMAI ALEJANDRO MARTIN 1400082267001 X 78458 CARDENAS CARDENAS RAUL OLMEDO 1400082895001 X 228492 CHACHA CHACHA JESUS CASIMIRO 1400083471001 X 228811 MENESES PRADO MIGUEL ELICIO 1400083729001 X 106620 RODRIGUEZ CALLE ERNESTO RUBEN 1400084511001 X 101159 ORELLANA PALOMEQUE EDMUNDO ELIAS1400089262001 X 164981 MOSCOSO GRANDA VICTOR MIGUEL 1400090575001 X 145728 TSEREMP NUSINKIUR BOLIVAR EMILIANO 1400091698001 X 127532 ROGERON MARIA OSWALDO MIGUEL 1400091813001 X 126843 TANKAMASH NUJINUA CAROLINA MARTINA 1400091995001 X 168768 RIVADENEIRA ZABALA RAMON ABAD 1400092845001 X 151469 AMBAMA NAQUEMPI ANDRES MAYACHU 1400097349001 X 116470 TIVI MARIA ANTONIO CHIRIAPA 1400099667001 X 148607 UYUNGARA MASUINGUE ALFREDO WACHAPA 1400100069001 X 241662 HERNANDEZ SANGURIMA DOLORES RAQUEL 1400100523001 X 170916 SAMANIEGO MADERO LUPE ELISA 1400101349001 X 149321 VALVERDE VALVERDE ZOILA ILDAURA 1400101828001 X 167741 SANTIAGO TORRES JOSE GERMAN 1400102628001 X 26238 ELVIA 1400103295001 X 126902 VILLACIS RIVADENEIRA ROBERTO FERNANDO 1400104210001 X 227260 TORRES LUNA LUIS ANTONIO 1400106033001 X 56077 GUTIERREZ ROMAN GERMAN VITERVO1400106363001 X 172701 DELGADO MANCHENO BENJAMIN IBAN 1400106769001 X 240004 BERMEO AVILA ARTIDRO ANTONIO 1400108252001 X 227419 SHARUP ESPERANZA PEDRO JIMPIKIT 1400108963001 X 94257 VELEZ JARAMILLO JOAQUIN ADOLFO 1400110464001 X 114794 NAICHAP TIRIS ANGELICA JOSEFINA 1400111132001 X 122740 PETSAIN KARMINK JUANA NUNKAI 1400111520001 X 176751 COZAR VELIN ISIDRO ALBERTO 1400112429001 X 135095 NOGUERA MADERO JUANA FRANCISCA 1400113492001 X 119147 ORELLANA CALLE MARIA ILIANA 1400114201001 X
  • 541.
    No No registra No No registra No No. registra registra No. indicadores registra provincia, registra Persona_id NOMBRE No. ID (RUC) calle número registra de ventas, apellido cantón y primer principal de calle origen activos y/o paterno parroquia nombre principal empleados 95138 BACA DIAZ GINA MONSERRAT 1400116792001 X 255779 AMBAMA NAQUEMBI ENTZA FLORA 1400117287001 X 251343 JURADO ORELLANA ANGEL RODRIGO 1400117618001 X 30716 FAREZ MOSCOSO MARCELO ROLANDO1400117840001 X 118446 SANDU CHINGUIASU ISIDRO DOMINGO 1400119176001 X 157837 LOPEZ TAPIA BENIGNO AMADEO 1400119341001 X 235962 LOPEZ SOLIS ESTHELA 1400122089001 X 211856 PETSAIN MAYANCH LUIS PEDRO 1400124234001 X 235644 QUEZADA CAPA ANGEL LORENZO 1400125793001 X 168257 CASTILLO GUTIERREZ NERIS AUGUSTO1400126411001 X 93669 SANCHEZ JARAMILLO BERTA LIDIA 1400127690001 X 267173 SHACAY CHIAZU CRISTOBAL GABRIEL DOMINGO 1400127898001 X 172704 MASHIANT CHAMIK HECTOR SILVIO 1400128201001 X 236415 ROMERO SALINAS ANGEL FROILAN 1400128979001 X 97196 TORRES ATIENCIA LUIS ALFONSO 1400131635001 X 120754 MOLINA CAMPOVERDE JOSE ELIAS 1400133136001 X 113786 ULLOA AREVALO MIGUEL DANILO 1400133466001 X 115079 TIWI KUJI ROSA MARIA 1400133581001 X 108693 VALLEJO GARAY WASHINTON 1400133847001 X 235292 ALVARADO CALI NINFA ISABEL 1400134134001 X 220607 LUCERO TAZA MARIA DOLORES 1400134217001 X 273253 DELGADO TORRES CESAR ANTONIO 1400135321001 X 223254 ROJAS CARDENAS MARIA AUXILIADORA1400136048001 X 262886 CALDERON CAMBISACA JUSTO ABEL 1400136980001 X 203641 TENECELA URGILES CARMEN LUCRECIA1400137459001 X 176155 BUENO LOJA MARIA ZOILA TARGELIA 1400142343001 X 241439 LOZADO LEON ROSA LETICIA 1400142566001 X 229931 BENAVIDES CÁRDENAS ROSARIO CLOTILDE 1400143242001 X 179646 DUMANCELA SANCHEZ JOEL IGNACIO 1400143572001 X 93660 SHACAY CHIAZU ADRIANO TEODOCIO 1400143788001 X 128487 LEON PALOMEQUE LUIS BELISARIO 1400143887001 X
  • 542.
    No No registra No No registra No No. registra registra No. indicadores registra provincia, registra Persona_id NOMBRE No. ID (RUC) calle número registra de ventas, apellido cantón y primer principal de calle origen activos y/o paterno parroquia nombre principal empleados 178681 ORELLANA MOSCOSO CELSO EFRAIN 1400145841001 X 203245 SUAREZ RODRIGUEZ ABRAHAM DE JESUS 1400146633001 X 171212 BERMEO VILLARREAL GERMAN ROBERTO1400147987001 X 138134 MARÍN BANDA CARLOS ANTONIO 1400149819001 X 186511 CARDENAS BERMEO MARIA LUISA 1400150643001 X 156244 MACAO ZHUNIO SEGUNDO MANUEL 1400150957001 X 189991 PESANTEZ CADMEN GLORIA CLEMENTINA 1400151823001 X 147309 CABRERA LOPEZ JOSE BENJAMIN 1400152037001 X 175227 LEÓN LÓPEZ MNAUEL IGNACIO 1400152276001 X 184137 PIÑA REINOSO MANUEL ALEJANDRO 1400152862001 X 200118 JURADO ORELLANA LUIS ABELARDO 1400154009001 X 272334 UNGUMI PIRISHU CELESTINA LISA 1400155154001 X 199948 GUZMAN DELGADO MARIA LUZ MILA 1400155931001 X 241113 POGYO YANZA MANUEL EUSEBIO 1400156483001 X 133899 SALAS PIÑA JESUS ABEL 1400157275001 X 126173 ANKUASH CHIAS KUJA ESTEBAN 1400158158001 X 95674 RAMON CARDENAS SAUL RIGOBERTO 1400158349001 X 115507 KANIRAS TAISH FLORENTINA FILOMENA 1400159701001 X 147511 TANCHIM JIMPIKIT UWIJINT SILVIO 1400160329001 X 124190 ATIENCIA ARIAS VICTOR RAFAEL 1400161442001 X 137448 FLORES CABRERA MARIO GILBERTO 1400162754001 X 246105 SAANT ANKUASH AGUSTIN MATEO 1400163414001 X 143130 GUALPA ULLAURI MARIA INES 1400163950001 X 141475 CABRERA LOZANO MARCOS EUCLIDES1400166177001 X 130194 DUCHI BRITO ROSA TARCILA 1400166417001 X 144716 BANEGAS RAMONES JAIME FORTUNATO 1400167894001 X 126024 EWEK TINCHI PEDRO ALFONSO 1400168082001 X 111399 PADILLA GONZALEZ LUISA ELVIRA 1400168108001 X 139366 CAJECA NUNCAYNY CARLOS PATRICIO 1400169114001 X 158471 CHACON RUIZ ANGEL RODOLFO 1400172084001 X 193746 OTACOMA MENDOZA LUIS OSWALDO 1400172829001 X
  • 543.
    No No registra No No registra No No. registra registra No. indicadores registra provincia, registra Persona_id NOMBRE No. ID (RUC) calle número registra de ventas, apellido cantón y primer principal de calle origen activos y/o paterno parroquia nombre principal empleados 184406 FREIRE MOREIRA JORGE FERNANDO 1400173413001 X 122627 WACHAPA ANTUN RAMON WAMPANKIT1400173744001 X 161763 CABRERA DELGADO MARIA CARMEN 1400173983001 X 43314 HEREDIA SANUNGA WILSON GUILLERMO1400174288001 X 34721 ENCALADA REYES PABLO MIGUEL 1400174478001 X 228237 TORRES TORRES MIGUEL BELISARIO 1400174684001 X 100839 VELEZ AREVALO MARLON LITAUNAN 1400174940001 X 183487 UNUP TUMINK LUIS 1400175442001 X 225826 TUITS CHUINT CARLOS VICENTE 1400175566001 X 142707 JIMENEZ CÁRDENAS JOSÉ REINALDO 1400176283001 X 180089 TORRES GARAY YOLANDA CUMANDA 1400176820001 X 145057 ZUÑIGA HERNANDEZ HUGO OSWALDO 1400177091001 X 143371 PARRA CASTRO CESAR ARIOSTO 1400177364001 X 227612 MOLINA ROLDAN PACO VICENTE 1400177414001 X 80501 SAMANIEGO OCHOA GLADIZ SARVELIA1400178040001 X 236257 UNKUCH TUKUP SEGUNDO ANGEL 1400178115001 X 145227 RUBIO TAPIA LIBIA AZUCENA 1400179626001 X 190865 SAANT CHINKIAS MIGUEL ANGEL 1400179907001 X 30589 PLUTARCO 1400180392001 X 262159 JARA JARA CELIO MIGUEL 1400180822001 X 133117 MISACANGO GUTAMA LAUDALINA DE JESUS 1400181002001 X 36002 DELGADO TORRES FREDDY ENRIQUE 1400181226001 X 220698 DUTAN PANI LAURO AMADEO 1400182166001 X 200448 CORDOVA VARGAS NAPOLEON 1400182455001 X 127695 JIMENEZ ASTUDILLO BOLIVAR ROGERIO 1400182950001 X 114204 TORRES SOLIS HEDY R 1400184402001 X 127493 ARCE CORDERO CESAR ANTONIO 1400184618001 X 180427 DOMINGUEZ LEON MANUEL OSWALDO 1400185318001 X 179361 MADERO GOMEZ ALEX FREDY 1400185383001 X 178324 NAWECH WAJAI GONZALO CRISTOBAL1400185433001 X 249205 GALARZA GUZMÁN RÓMULO MAXIMILIANO 1400186845001 X
  • 544.
    No No registra No No registra No No. registra registra No. indicadores registra provincia, registra Persona_id NOMBRE No. ID (RUC) calle número registra de ventas, apellido cantón y primer principal de calle origen activos y/o paterno parroquia nombre principal empleados 37938 ARTE MUBLE 1400186852001 X 31524 ESPINOZA CARDENAS LEONIDAS EFRAIN 1400187306001 X 201816 CHUMPI NAKAIMP SHIKI BLAS 1400188346001 X 220173 ESPINOZA GOMEZ MARCO IVAN 1400189443001 X 183467 BANEGAS CORDOVA CESAR ALEJANDRO 1400189732001 X 239264 CORONEL ALVAREZ ELVIA GUIRNALDA 1400190169001 X 177811 DELGADO MIRANDA SEGUNDO RENE 1400190300001 X 215619 ASTUDILLO VELASQUEZ MANUEL ALBERTO 1400191332001 X 65412 MOLINA IZQUIERDO FABIÁN TRAJANO 1400193098001 X 224881 GALARZA TORRES HERNAN FRANCISCO 1400193536001 X 145493 ORTIZ VIZUETE VLADIMIRO 1400194104001 X 78572 RIVADENEIRA NORIEGA TARCILA MARIANA 1400194641001 X 96608 OREJUELA GALEAS MARIA PATRICIA DE LOS ANGELES 1400195143001 X 211808 JIMBICTI PANDAMA ILDA RAFAELA 1400195721001 X 134302 GUACHICHULLCA PEÑAFIEL RUTH CECILIA 1400195853001 X 132602 ARIZAGA MAURAD MARIA ISOLINA 1400196281001 X 256381 WAMPASH CHUWI MARINA PAULINA 1400196729001 X 265818 LOPEZ CABRERA MARTHA LUCINDA 1400197453001 X 77656 LÓPEZ MORA CARLOS GILBERTO 1400197719001 X 214637 MONTENEGRO MEJIA MIGUEL OSWALDO 1400197859001 X 146795 CRIOLLO MONTENEGRO ALFONSO GERARDO 1400197875001 X 265972 BRITO JARA OSWALDO BACILLO 1400198022001 X 240429 CAMBISACA LOJA HECTOR ALEJANDRO 1400198618001 X 177858 VILLALTA LOPEZ JORGE GERMAN 1400199566001 X 225325 CABRERA JARA ANA LUISA 1400199905001 X 202352 ZABALA JARAMILLO JUAN BOSCO 1400200935001 X 102783 GARZON CARDENAS FAUSTO EFRAIN 1400201164001 X 270981 CHIMBOLEMA CHACHA ANGEL WILFRIDO1400201222001 X 190864 AYUI NATSAIMPIR TUNTUAM ADAN 1400202519001 X 127641 MONTENEGRO VAZQUEZ JULIO ALFONSO1400204119001 X 270816 RODRIGUEZ ORTIZ ANGELITA ELIZABETH 1400204523001 X
  • 545.
    No No registra No No registra No No. registra registra No. indicadores registra provincia, registra Persona_id NOMBRE No. ID (RUC) calle número registra de ventas, apellido cantón y primer principal de calle origen activos y/o paterno parroquia nombre principal empleados 92475 ERAZO MEDINA WILLIAN MARCELO 1400205132001 X 177930 MENDOZA ROJAS ABELARDO GUMERCINDO 1400206254001 X 114400 GÓMEZ IÑIGUEZ ANGEL TARQUINO 1400206718001 X 141300 ORELLANA PIEDRA VICTOR BENIGNO 1400207096001 X 221740 SALAZAR CHIRIBOGA ANHEL ILDEGARDO 1400207229001 X 134730 JUANK ANKUASH LUIS GONZALO 1400208797001 X 160212 CHACON SALAZAR RAUL CLEMENTE 1400208979001 X 144354 LITUMA CARVAJAL LUIS ANTONIO 1400209019001 X 99287 RODRIGUEZ ORTIZ PEDRO ROBERTO 1400209308001 X 29276 SAMANIEGO DUMAS ROQUE MARCELO1400210926001 X 161037 PACHECO ROJAS MACLOVIA EUFRACIA 1400212054001 X 82181 SEGOVIA CABRERA JORGE ABELARDO1400212278001 X 197013 BAUTISTA GUTIERREZ MILTON EDGARDO 1400213326001 X 219385 VANEGAS PIÑA FAUSTO ALFONSO 1400215651001 X 222281 OCHOA ARAUJO VÍCTOR RÓMULO 1400221956001 X 61799 SANCHEZ ROMERO RAFAEL MARIA 1400222046001 X 140926 TRELLES PAUCAY OLGA CECILIA 1400223382001 X 132673 NAULA MOROCHO MANUEL VIRGILIO 1400223614001 X 185573 GUZMAN VALVERDE YOLANDA MARGARITA 1400224042001 X 241541 PENARANDA GUZMAN FANNY GUADALUPE1400224067001 X 222134 LARREA GOMEZ MERI COLUMBA 1400224190001 X 108121 ZUÑIGA AVILES AURELIO EDUARDO 1400224760001 X 212041 BONETE LEMA LUIS RIGOBERTO 1400224877001 X 167031 REVELO CARVAJAL NANCY MARLENE 1400225221001 X 111922 RAMONES RAMONES LUIS VICENTE 1400225668001 X 200419 TORRES CAJISACA JULIO EDUARDO 1400226633001 X 135229 ZUNIGA TORRES ROMULO VICENTE 1400227946001 X 179960 RAMONES RAMONES JOSE VICTOR 1400228464001 X 122581 JUANK PAUCH IPIAK RAQUEL 1400228837001 X 194403 SANMARTIN ORELLANA MAURO JUVENTINO 1400228860001 X 213620 UYAGUARI TOLEDO JOSE GABRIEL 1400228928001 X
  • 546.
    No No registra No No registra No No. registra registra No. indicadores registra provincia, registra Persona_id NOMBRE No. ID (RUC) calle número registra de ventas, apellido cantón y primer principal de calle origen activos y/o paterno parroquia nombre principal empleados 101837 ORELLANA BARBA LUIS ALFREDO 1400229330001 X 172068 NASE CHALCO ROBERTO IGNACIO 1400229702001 X 88911 MOLINA IZQUIERDO NESTOR PRESLEY1400231328001 X 217384 SIAVICHAY QUIZHPI JOSE HUMBERTO 1400231922001 X 152156 MORALES SOLIS GUIDO EDUARDO 1400232078001 X 147342 NAIKAT PAATI SHIMPIU LUIS 1400232144001 X 210443 TAIJINT KANKAMAI MARIA CRISTINA 1400232508001 X 213668 MOLINA CORDOVA MARIA ANGELES 1400232847001 X 77451 FERNANDEZ AVILES ZOILA ALICIA 1400234405001 X 118449 CÓZAR MUÑOZ FABIÁN OMERO 1400235949001 X 188460 CANGUA CABRERA LUIS GERMAN 1400236244001 X 226130 VILLACIS TORRES ELIZABETH 1400236327001 X 203653 CORDOVA VILLAVICENCIO SAMUEL MESIAS 1400236509001 X 184379 VARGAS GUTIERREZ SEGUNDO AMABLE 1400237085001 X 101710 TORRES ATIENCIA CHARO 1400237234001 X 204514 ALARCÓN JARAMILLO DARÍO FAUSTO 1400238224001 X 95464 NUGRA MOSCOSO HUGO VALENTÍN 1400238513001 X 94380 TRELLES PAUCAY JORGE ROBERTO 1400239016001 X 150885 JIMÉNEZ JIMÉNEZ CARLOS AUGUSTO 1400239065001 X 122653 SANCHIM MASHU DOMINGO KATAN 1400239214001 X 135795 AUCAY SIGUENZA ROSA GEMELA 1400239669001 X 236416 LEON MOROCHO NESTOR OLMEDO 1400240048001 X 138763 CASTRO MARCA EDGAR GILBERT 1400242432001 X 165825 TAPIA MOLINA MARIA PURIFICACION 1400243141001 X 180314 NAYAP PUWAINCHIR DANIEL HILARIO 1400244149001 X 137608 PARRA HERMIDA ERNESTINA BETSABÉ1400245450001 X 52972 CHICA TORRES JONNY MANFRED 1400245880001 X 12440 CAMPORING 1400246235001 X 175675 VÁSQUEZ PATRICIO 1400246367001 X 92450 JARA CABRERA EVA SABINA 1400246946001 X 176580 JARAMILLO GUTIERREZ GUIDO MARCONY 1400248629001 X
  • 547.
    No No registra No No registra No No. registra registra No. indicadores registra provincia, registra Persona_id NOMBRE No. ID (RUC) calle número registra de ventas, apellido cantón y primer principal de calle origen activos y/o paterno parroquia nombre principal empleados 91324 LOPEZ CHOCHO CARLOS ARTURO 1400249189001 X 186734 KANKUA MAEKAT MARTIN ENRIQUE 1400250658001 X 223094 GUTIERREZ PARRA SENAIDA ELIZABETH 1400251821001 X 237289 SAANT MASHUTAK SEMIRA MAGDALENA400252274001 1 X 132732 SHICAY RIOS MARCELO SHOBANNY 1400252480001 X 91410 VILLAGOMEZ DELGADO MIGUEL ANGEL 1400253124001 X 97716 MASHIANT ATINIA KAYAP ANTONIO 1400254932001 X 180086 DIAZ CAMPOVERDE JORGE ENRIQUE 1400256804001 X 54451 RIOS RIVADENEIRA WILLIAM IVAN 1400256887001 X 40698 GARZON MALDONADO JOHN FREDY 1400258420001 X 125609 JUEP USHAP ANGELICA PAULINA 1400258875001 X 134260 TSUKANKA TAIJINT TECLA MERCEDES 1400259162001 X 33125 ROSA 1400259287001 X 115705 AUQUILLA DELGADO RAUL EDUARDO 1400259402001 X 257727 NANDIPIA TUCUPI RAFAEL LEONARDO 1400259766001 X 85968 QUEZADA VILLAVICENCIO MÁXIMO EDGAR 1400259790001 X 89346 LANDAZURI GALEAS FANNY ISABEL 1400260483001 X 183886 NOGUERA COZAR MARCO GILBER 1400260640001 X 89496 MONTENEGRO MEJIA SILVIO DAVID 1400260723001 X 126664 CORTES MADERO CARLOS LUIS 1400261168001 X 222022 NAULA CHACHA LUIS FERNANDO 1400262422001 X 124419 CHIRIAMACHI ZAMBRANO JORGE 1400262661001 X 40750 ARTEAGA CRUZ JULIO WASHINGTON 1400262711001 X 89415 JERVES LÓPEZ JOSÉ ELOY 1400262802001 X 247103 MERCHAN QUEZADA MARIA AZUCENA 1400262992001 X 229169 GONZALEZ JARA JOHNY EDUARDO 1400263099001 X 55067 JARA DELGADO ELSA ISRAELE 1400263495001 X 127133 CHUINT KUMPANAM KUASH MIGUEL 1400263974001 X 135022 COLALA PEÑARRETA EDUARDO EFRAIN 1400264196001 X 174508 MOSQUERA BARROS LUIS HERNAN 1400266159001 X 90569 SARMIENTO UYAGUARI IGNACIO LEOPOLDO 1400266829001 X
  • 548.
    No No registra No No registra No No. registra registra No. indicadores registra provincia, registra Persona_id NOMBRE No. ID (RUC) calle número registra de ventas, apellido cantón y primer principal de calle origen activos y/o paterno parroquia nombre principal empleados 102008 PANDIGUANA PERALTA ANGELES GONZALO 1400267041001 X 158954 SHARUP CHUMPI MARIA RITA 1400275150001 X 98449 ETSA CHUJI TIMIAS RAMON 1400275317001 X 176992 YANKUR NAYAP MARCELINO 1400275416001 X 129325 LOPEZ MONTENEGRO GLADIS YOLANDA400277016001 1 X 161024 CASTRO ZUNIGA SERGIO ARTURO 1400277248001 X 251525 MOLINA ESPINOZA EDGAR ROLANDO 1400277289001 X 122872 CARDENAS RAMON LUZ MARIA 1400277347001 X 112962 MOLINA ESPINOZA GLADYS NINFA 1400277768001 X 45266 DOMINGUEZ CARDENAS LAURA ALEXANDRA 1400277842001 X 188180 PELAEZ RODRIGUEZ ANA CATALINA 1400277891001 X 15310 ING. DARWIN MOLINA 1400278394001 X 121543 MARIN PEÑARANDA LILIAM CRISTINA 1400278402001 X 82318 SUAREZ GOMEZ MIGUEL ANGEL 1400278899001 X 183128 ROLDAN PAREDES JUDIT MARLENE 1400279004001 X 157613 MOLINA CABRERA FREDY GONZALO 1400279137001 X 195886 BUESTAN ZHININ MANUEL JESUS 1400279327001 X 231427 AGUANANCHI NUNGUY GUILLERMINA VIRGINIA 1400280457001 X 126901 RIVERA PORTILLO LUIS OLMEDO 1400280994001 X 228924 CAMBIZACA LUPERCIO MARCELO WILSON 1400281018001 X 220900 LLIVICURA LOJA GLORIA BEATRIZ 1400283063001 X 226198 MALDONADO GALARZA PEDRO VELISARIO 1400284053001 X 236420 PEÑARANDA VALVERDE ARMANDO ROSENDO 1400284335001 X X X 144998 ANDRADE LITUMA MARY ELISABETH 1400285779001 X 210355 UYUNKAR AMPUSH MARCELINO CARLOS 1400285977001 X 37851 WALTER 1400286991001 X 220188 PUENTE SAMANIEGO CARLOS ARTURRO 1400287171001 X 170860 TRUJILLO NECTA HILDA ANGELITA 1400287320001 X 258081 BUENO LOJA BLANCA YOLANDA 1400287700001 X 192973 SANDU YUMA ROSA SN 1400288435001 X 267025 CHIRIAPA SANDU SERGIO VICENTE 1400288468001 X
  • 549.
    No No registra No No registra No No. registra registra No. indicadores registra provincia, registra Persona_id NOMBRE No. ID (RUC) calle número registra de ventas, apellido cantón y primer principal de calle origen activos y/o paterno parroquia nombre principal empleados 199780 SANTIAGO ABARCA MAGDALENA DE LOURDES 1400291447001 X 252626 ABARCA MAYAK TSAPAK MARITSA 1400291819001 X 265743 PUWAINCHIR AMPUSH MARCELINO PEDRO 1400292379001 X 263058 SHARIAN ANKUASH MARCO ENRIQUE 1400293195001 X 170935 LOZA MORA CARMITA DEL ROCIO 1400295299001 X 150926 PIÑA CÁRDENAS LAURA JANNETTE 1400295695001 X 170957 VALLEJO REA CESAR AUGUSTO 1400296115001 X 185318 CAJAMARCA MARILES ROBERTO ABEL 1400297063001 X 270105 CHUCAY VINZA MARIA MERCEDES 1400297899001 X 161239 CHIRIBOGA BARRERA MANUEL 1400298004001 X 203146 HEREDIA FAREZ MIGUEL ANGEL 1400298509001 X 130199 JARAMILLO NOGUERA JHONNY OSWALDO1400299176001 X 35601 JARAMILLO RIVADENEIRA WIDERR GREGORI 1400300701001 X 165708 JARAMILLO RIVADENEIRA MELANIA MARGARITA 1400301014001 X 161447 TORRES RIVADENEIRA FRANCISCO MARCELO 1400301519001 X 229516 CARDENAS VALVERDE JOSE BENJAMIN 1400301741001 X 126248 GUZMAN CABRERA LIA ENRIQUETA 1400301758001 X 218786 GUZMÁN CABRERA RUTH MARIANELA 1400301766001 X 37761 VEGA REYES KIRMAN MICHEL 1400301923001 X 179927 CHACON GARZON MANUEL ALFREDO 1400302285001 X 239227 CHUCAY VINZA ANGEL REMIGIO 1400302764001 X 130606 JERVES LÓPEZ ITALO REMIGIO 1400304521001 X 246882 TSAMAREINT TSEREMP ANTONIO BENJAMIN 1400305114001 X 171255 DUCHI BRITO EDGAR PATRICIO 1400305742001 X 127426 TENEMAZA FAJARDO SUSANA MARIA 1400306542001 X 183162 GUZMAN PALACIOS MARIO AUGUSTO 1400306906001 X 190985 CUJI MARCA LUIS GUILLERMO 1400307300001 X 94468 NOGUERA RIVADENEIRA TANYA TAMARA1400307508001 X 177450 BRAVO TENECORA SEGUNDO DAVID 1400308324001 X 231498 RIVADENEIRA JUA GERMAN SANDRO 1400308837001 X 218596 MENDOZA MUNZON JOSE DARIO 1400309942001 X
  • 550.
    No No registra No No registra No No. registra registra No. indicadores registra provincia, registra Persona_id NOMBRE No. ID (RUC) calle número registra de ventas, apellido cantón y primer principal de calle origen activos y/o paterno parroquia nombre principal empleados 54090 RIVERA OTACOMA BLANCA MARLENE 1400310361001 X 173012 CORONEL CORONEL RUBEN DARIO 1400310718001 X 119690 CRESPO CEDILLO LUCIO MAGNOLO 1400311369001 X 90668 CHUVA PLUAS MANUEL JACINTO 1400312441001 X 167413 PUCHA CARCHIPULLA MILTÓN GUILLERMO 1400313688001 X 202486 LOPEZ TAPIA VICTOR ERNESTO 1400317416001 X 25200 BUENO LOJA EDUARDO NICANOR 1400317531001 X 191999 RODRIGUEZ CHACON NELSON WILFRIDO1400317788001 X 238652 CASTRO ALI LUIS ALBERTO 1400318026001 X 195149 CORDOVA TAPIA NOE BENJAMIN 1400318851001 X 108264 ARIAS CARDENAS BOLIVAR MAURICIO 1400318935001 X 177932 OLEAS PARRA SEGUNDO MARCELO 1400319206001 X 87890 PUENTE PEÑARANDA FRANKLIN ELEUCADIO 1400319438001 X 188548 LITUMA MOSQUERA CARLOS MAURICIO 1400319651001 X 185307 TORRES JARA EDWIN LEOPOLDO 1400320261001 X 254913 SAANT YAMAINCH SHIRAP GERMAN 1400320428001 X 107910 MOLINA SALAS JULIO SANTIAGO 1400321657001 X 245313 QUINTUÑA CACERES EDDIE ALONSO 1400322218001 X 185695 VALVERDE SERRANO SAUL TIVERIO 1400322788001 X 112108 SAÑAY GONZALEZ MARTHA CARMELINA 1400322879001 X 89313 MONTENEGRO MEJIA CLELIA ROCIO 1400323042001 X 168284 LUCERO ZABALA LUIS HERIBERTO 1400323927001 X 90762 PACHECO MALDONADO OLGA MERCEDES 1400324511001 X 179731 MARTINEZ MUÑOZ KLEBER RAFAEL 1400324842001 X 169620 YAKUM JUSE LUIS ANTONIO 1400326573001 X 170216 ORTEGA QUEZADA MARIA NIEVES 1400326680001 X 126350 BAUTISTA HEREDIA NELI OLIVA 1400326961001 X 172814 BARRERA CHICAIZA MIGUEL ANGEL 1400327894001 X 127172 SANCHIM TIINCH OLGA MARGARITA 1400328983001 X 191567 ALMACHI CASTILLO LUIS MARCELO 1400329627001 X 208490 CABRERA MENDEZ MONICA AVIGAIL 1400330476001 X
  • 551.
    No No registra No No registra No No. registra registra No. indicadores registra provincia, registra Persona_id NOMBRE No. ID (RUC) calle número registra de ventas, apellido cantón y primer principal de calle origen activos y/o paterno parroquia nombre principal empleados 152314 AVILA ORELLANA JUAN YEROVI 1400330781001 X 226413 PONCHERA ANKUASH CANDIDO PATRICIO1400332068001 X 132477 ZUÑIGA MIRANDA RONAL HERMEL 1400333884001 X 111321 GUAYARA SAPATANGA ANGEL GABRIEL 1400334551001 X 153341 AVEROS SALINAS FIDEL ANTONIO 1400335012001 X 120709 ZUÑAGA HERNANDEZ LINA ISABEL 1400335277001 X 100639 CORDOVA VILLAVICENCIO MANUEL SALVADOR 1400337687001 X 225199 LOPEZ VILLAVICENCIO MARIBEL SUSANA 1400337869001 X 194879 SHIKI YANKUR LEOPOLDO SIRO 1400340954001 X 199654 JARAMILLO ESTRELLA JUAN ROLANDO1400341747001 X 240437 CORAIZACA RIVADENEIRA JOSELITO JAVIER 1400341804001 X 24748 ZÚÑIGA AVILEZ HOLGER RAÚL 1400342117001 X 34465 GOMEZJURADO SOLIS CARLOS ORLANDO 1400342653001 X 99714 PEREZ GUACHUN DELIA MARGARITA 1400342810001 X 131094 CALLE CALLE LAURO ELIDIO 1400344691001 X 98622 LÓPEZ VÁZQUEZ ELVIA CARMELA 1400345599001 X 202050 AUCAPINA RIVADENEIRA CRISTIAN PATRICIO 1400345714001 X 66473 ZUÑIGA CAMBIZACA GRETA ALICIA 1400346118001 X 192757 LOPEZ VALVERDE CESAR ALFONSO 1400347256001 X 138286 AREVALO JARAMILLO FABIAN FERNANDO1400347322001 X 113094 SANTIAK TUNKI NUNKUI REGINA 1400347561001 X 115160 KAEKAT WAJARAI CUMANDA JAKELINE1400347918001 X 96931 JARA PESANTEZ TANIA CECILIA 1400349658001 X 142278 URGILÉS PESAÁNTEZ SAÚL ALBERTO 1400350292001 X 150425 CARRIÓN OCHOA MARIO JOSÉ 1400350904001 X 131611 CHACHA BARBA JOSE FAUSTO 1400351340001 X 112794 RODRIGUEZ MACERA ROSA MARIANELA400352439001 1 X 96300 CABRERA RIVADENEIRA CARLOS ENRIQUE 1400352454001 X 101674 GOMEZ ORELLANA BELLA CARMELA 1400354385001 X 193130 NOGUERA PESANTEZ LUIS THELMO 1400354419001 X 115777 CARINGAMA CAJECA RAMÓN ALFREDO1400354534001 X
  • 552.
    No No registra No No registra No No. registra registra No. indicadores registra provincia, registra Persona_id NOMBRE No. ID (RUC) calle número registra de ventas, apellido cantón y primer principal de calle origen activos y/o paterno parroquia nombre principal empleados 259145 PAREDES ANDRADE MANUEL JESUS 1400354815001 X 157732 SUQUI MOROCHO MARICA ALEJANDRINA1400354914001 X 166067 MOLINA PARRA DENIS GUADALUPE 1400355184001 X 98613 ZABALA GONZALEZ LIOVA MONICA 1400355325001 X 145138 LEÓN CARCHIPULLA CARLOS ARTURO 1400357214001 X 170057 HURTADO CARDENAS SEGUNDO GERARDO1400357248001 X 126632 HEREDIA RIVADENEIRA MARIBEL MERCIDA 1400357529001 X 62671 NOGUERA PESÁNTEZ JULY JUANA 1400358287001 X 100627 GARZÓN SOLÍS MERCEDES JACQUELINE1400359913001 X 226151 CHACHA BARBA NELSON OSWALDO 1400361083001 X 178924 CHIRIAPA YACUMA RICARDO 1400363493001 X 166016 VEGA PALACIOS IVIS SILVANA 1400365282001 X 230529 SHARUPI CAYAPA WILSON RAMON 1400366397001 X 219856 GARAY ORTIZ VIOLETA ALEXANDRA 1400367098001 X 212763 WISUM WIAKACH FERNANDO IVAN 1400369078001 X 150565 OTAVALO URJILES MARIA GUADALUPE 1400369243001 X 106136 RODRIGUEZ DELGADO RUBEN OSWALDO 1400370134001 X 194927 SHIMPIUKAT TSUKANKA NAKAIMP ALICIA 1400370407001 X 69966 LARREA CHICA VICTOR HUGO 1400371561001 X 22006 GUALLPA GUALLPA JUAN AMABLE 1400371710001 X 131475 CHUMBI ATZAZU BOSCO MARIANO 1400371827001 X 162351 ZUÑIGA MIRANDA JAIME MARCELO 1400371835001 X 135798 GARZÓN VERA ROMULO MARCELO 1400372684001 X 156361 SUAREZ CABRERA FRANCISCO BOLIVAR1400373179001 X 148939 CRESPO HEREDIA WILSON FERNANDO1400374334001 X 79128 CORONEL CORONEL DONA DARINDA 1400374680001 X 235195 PAUCAR GALLEGOS JORGE EDUARDO 1400376479001 X 68837 ORTEGA PEREZ ALIDA GERMANIA 1400376735001 X 20015 PELAEZ GONZALEZ JEFERSON STALIN 1400376875001 X 145041 SAANT NAJAMTAI JUWA PABLO 1400379820001 X 226689 SHARUP PIRUCH JUAN JOSE 1400380869001 X
  • 553.
    No No registra No No registra No No. registra registra No. indicadores registra provincia, registra Persona_id NOMBRE No. ID (RUC) calle número registra de ventas, apellido cantón y primer principal de calle origen activos y/o paterno parroquia nombre principal empleados 198991 CHUMPI WISUI NAIKAT OLGER 1400381248001 X 77971 CHUMAP MASHIANT WISUM ANTONIO 1400381651001 X 259776 TSENKUSH KANKUA CHAMIKIT BENITO 1400382691001 X 222017 REINOSO TORRES VICTOR HUGO 1400382873001 X 23246 BAUTISTA HEREDIA MÓNICA JACQUELINE1400384358001 X 129743 CABRERA RUIZ ANGEL MESIAS 1400384382001 X 263346 NANTIP WACHAPA GABRIELA NUNKUI 1400385108001 X 173227 ARAY PARRA CARLOS ALBERTO 1400385504001 X 174924 CESEN RIVADENEIRA AMANDA GLORIA1400385702001 X 182985 WAMPUTSRIK KATAN ANTICH EFREN 1400385785001 X 185380 GARZON DELGADO PABLO SANTIAGO 1400386510001 X 145209 ANDRADE LITUMA XHANINA LUCIA 1400387484001 X 239816 CALLE FAJARDO LILIA CARMITA 1400388524001 X 185594 POMAVILLA POMAVILLA ANIBAL 1400389761001 X 122783 CHUINDIA ANDICHA CARLOS EFREIN 1400390041001 X 30486 RODRIGUEZ DELGADO BOSCO PATRICIO 1400390538001 X 96663 MOROCHO ANGUISACA ELIZABETH 1400390652001 X 152009 BERMEO PENARANDA OLGA RAQUEL 1400392708001 X 247997 WACHAPA SUNUR METEKACH CECILIA 1400393623001 X 119347 MARIN REINOSO CARLIN OSWALDO 1400393979001 X 126653 SHIKI WAMPANKIT NAKAIMP MARIA 1400394886001 X 170846 TORRES GOMEZ CARLOS MOISES 1400395354001 X 125203 LOPEZ VILLAVICENCIO EDITH MIRELLY 1400395545001 X 137575 BUELE LLANOS MARIA JOSE 1400397475001 X 175677 BORJA MAURAT JUANA GUILLERMINA 1400399364001 X 89740 SUÁREZ ATIENCIA JOSÉ LUIS 1400401749001 X 82745 CÁRDENAS MATUTE JORGE CRISTIAN 1400402804001 X 161055 ORTIZ ORTIZ GERMAN ISAIAS 1400403901001 X 230415 SHIARMACHI CHARUPI LUIS BOSCO 1400405054001 X 164264 CAMPOVERDE DELGADO ROSA DOLORES 1400405211001 X 92876 ESPINOZA BRACHO MAURICIO ALEXANDER1400406367001 X
  • 554.
    No No registra No No registra No No. registra registra No. indicadores registra provincia, registra Persona_id NOMBRE No. ID (RUC) calle número registra de ventas, apellido cantón y primer principal de calle origen activos y/o paterno parroquia nombre principal empleados 184328 GUTIERREZ TORRES MAYRA JACQUELINE 1400406961001 X 170199 ZUÑIGA HERNANDEZ CARLA ANGELICA1400406987001 X 277753 LANDY GUTIERRES LUZ AMADA 1400407480001 X 101635 MATUTE ORELLANA ELSA UVALDINA 1400411540001 X 204760 ANTUN YAPAKACH AWANANCH DOMINGO 1400412258001 X 172665 CRESPO VILLAVICENCIO MARCIA GIBONEY 1400414098001 X 253251 RIERA CRESPO MARCELO ENRIQUE 1400415848001 X 144729 ARCOS MONTESDEOCA PAUL ANDRES 1400415863001 X 116478 CARVAJAL BASANTES ALDO MARCELO 1400416242001 X 82792 BRACHO GUEVARA JUAN FERNANDO 1400417307001 X 145524 CALLE CARMILEMA LUIS RODOLFO 1400417430001 X 230178 LÓPEZ JARA FLAVIO ORLANDO 1400417968001 X 267075 MOLINA CEVALLOS CARMEN MARIANILA1400418495001 X 148004 AUCAPIÑA RIVADENEIRA FRANKLIN ERNESTO 1400420301001 X 226777 BARRIGA CASTILLO LUIS GONZALO 1400420913001 X 200011 SAMANIEGO SAMANIEGO MAIRA JISSELA 1400421226001 X 139842 RIVADENEIRA JIMBO LUZ MARIA 1400421606001 X 212788 AUCAY PELÁEZ JHONNY FERNANDO 1400422414001 X 102901 MOLINA ESPINOZA MERCI MARLENE 1400422828001 X 257651 AMORES CALLE MIGUEL JAVIER 1400423511001 X 140938 TORRES SOLIS MARCO FERNANDO 1400424923001 X 201203 REMACHE MOROCHO OSCAR BOLIVAR1400424972001 X 95953 GALARZA GUZMAN CARLOS WILMER 1400425128001 X 142481 BRITO BRITO DARWIN JAVIER 1400427660001 X 261951 CALLE CRESPO CID 1400429740001 X 19524 BRITO TORRES BRODWIN GUILBERT 1400430060001 X 131538 ENTSAKUA CHUMPI PETSAIN ENRIQUE 1400430243001 X 76457 ZAMBRANO MATUTE NELA 1400430490001 X 119444 PICHAMA JEMBECTA MARITZA CARLA 1400431597001 X 78963 MONTENEGRO MEJIA NELLY CUMANDA1400432744001 X 148871 UNKUCH NAANCH WAJARAI RAMON 1400432991001 X
  • 555.
    No No registra No No registra No No. registra registra No. indicadores registra provincia, registra Persona_id NOMBRE No. ID (RUC) calle número registra de ventas, apellido cantón y primer principal de calle origen activos y/o paterno parroquia nombre principal empleados 209955 DURAN BALBUCA GIOVANNY GERARDO 1400433338001 X 183752 CARDENAS ULLOA MARCO VINICIO 1400433825001 X 230300 NAICHAP PITIUR TUNTIAK PEDRO 1400434112001 X 101744 BARRERA SEGARRA SEGUNDO PEDRO1400434740001 X 132363 MOSCOSO VALVERDE DANIEL MARCOS 1400435762001 X 185595 TAPIA CAMBIZACA MIRIAM JANETH 1400436174001 X 264319 BERZOSA CÁRDENAS HUGO RODRIGO 1400438030001 X 155408 HERAS LEÓN POLIVIO REINALDO 1400438337001 X 128294 BARROS FERNANDEZ JIMMY ANIBAL 1400440291001 X 193579 ZEAS GONZÁLEZ CARLA MARÍA 1400440358001 X 217624 ARICHABALA ORTIZ TERESITA DE JESUS 1400440564001 X 133983 MARTINEZ ONA EDELIN JAZMIN 1400441760001 X 267967 TAPIA MOLINA ITALO PAUL 1400442370001 X 154907 VALLEJO BARAHONA OSWALDO LEONEL 1400442628001 X 114634 VICUÑA ZUNA ANGEL PATRICIO 1400443733001 X 213085 ASTUDILLO CALLE CHRISTIAN ADRIAN 1400443915001 X 212228 MEZA OREJUELA ELIAS SALOMON 1400444277001 X 84722 GUTIERREZ ORELLANA NAILA VIKY 1400444996001 X 230518 WAUMP METEKACH WAMPASH FERNANDO 1400445043001 X 194297 JAYA YUPANGUI LUIS RIGOBERTO 1400445654001 X 90945 ANTICH CARRILLO JUAN VICENTE 1400446488001 X 212343 CARDENAS BLANDIN DIEGO FERNANDO 1400447163001 X 51491 MEZA ORELLANA MARIO ANTONIO 1400447932001 X 107559 AVILA VASQUEZ VINICIO JHON 1400448393001 X 146117 RODRIGUEZ SANCHEZ LANDY IRINA 1400449318001 X 221405 ARICHABALA PACHECO CRISTIAN EDUARDO 1400451975001 X 216413 URGILEZ VASQUEZ MAYRA ISMENE 1400452452001 X 83150 VICUÑA MOSCOSO LUZ DOLORES 1400452890001 X 199368 GUAMAN LOZANO EDGAR FERNANDO 1400453492001 X 172233 KATIP KAYAP TUNTUAM EFREN 1400453609001 X 128598 GUEVARA MENDOZA IVAN RAUL 1400454102001 X
  • 556.
    No No registra No No registra No No. registra registra No. indicadores registra provincia, registra Persona_id NOMBRE No. ID (RUC) calle número registra de ventas, apellido cantón y primer principal de calle origen activos y/o paterno parroquia nombre principal empleados 141645 CAMPOVERDE CAMPOVERDE LUIS VICENTE 1400456719001 X 237623 GALLARDO SAMANIEGO FAUSTO RAUL1400457758001 X 251364 GALLARDO SAMANIEGO ORLANDO GERARDO 1400458368001 X 120743 JARA GALARZA DARWIN FERNANDO 1400458608001 X 139402 JARAMILLO ORDOÑEZ CARLOS PATRICIO 1400458954001 X 86348 VISCAINO CUZCO EDGAR EDISON 1400459176001 X 220019 RODRIGUEZ MONTENEGRO PATRICIA FERNANDA 1400462378001 X 77911 RAMÓN RIVAS ENMA NATALIA 1400464960001 X 220059 CONTRERAS CABRERA CLAUDIA PATRICIA 1400466023001 X 255794 PLAZA LOPEZ NELI VILMANIA 1400468045001 X 106619 CORONEL SAMANIEGO JUAN ALCIBAR 1400471692001 X 181936 BAUTISTA SOLIS CARLA NOHEMY 1400472559001 X 150280 MONTENEGRO QUEZADA DIANA CAROLINA 1400472914001 X 263425 PESANTEZ GONZALES MARCO ANTONIO400473813001 1 X 210076 TACURI ZHUNO CARMEN EULALIA 1400473821001 X 187926 MIRANDA MIRANDA MANUEL MARCELO1400474449001 X 135110 RODAS CARREÑO LILIA GUILLERMINA 1400475909001 X 199495 IDROVO SINCHE LIGIA MAGDALENA 1400477590001 X 247254 ZAGAL ZAGAL MARIA NANCY 1400479034001 X 167860 VÉLEZ BERMEO CARLOS ADOLFO 1400480925001 X 263991 PIEDRA PESANTEZ GLADYS MARLENE 1400482020001 X 196757 QUEZADA SAETEROS CARLOS AURELIO 1400482194001 X 40700 CRISTIAN 1400482285001 X 96001 ORDOÑEZ PEÑARANDA ANDREA DEL ROCIO 1400482806001 X 201229 RAMON MOROCHO WILBER RAMIRO 1400483432001 X 161011 MONTENEGRO RODRIGUEZ PAOLA ELIZABETH 1400487284001 X 110867 DELGADO LEDESMA PEDRO ENRIQUE 1400491013001 X 118605 JUANKA VEGA TELMO ANTUASH 1400491138001 X 115805 ESCANDON SUCUZHAÑAY BETTY LEONOR1400492953001 X 79317 PEÑARANDA SARMIENTO BLANCA PATRICIA 1400494447001 X 208135 ZUÑIGA TOLEDO FRANKLIN MAURICIO 1400494587001 X
  • 557.
    No No registra No No registra No No. registra registra No. indicadores registra provincia, registra Persona_id NOMBRE No. ID (RUC) calle número registra de ventas, apellido cantón y primer principal de calle origen activos y/o paterno parroquia nombre principal empleados 276327 WASHIKIAT WISUM JAIME 1400496897001 X 255271 SHAKAI TENTETS MARCO CHIARMACH 1400497408001 X X X 106905 MINCHALA BUESTAN VIVIAN PATRICIA 1400497416001 X 216713 MINCHALA BUESTÁN MIGUEL IVÁN 1400497424001 X 106096 LAMILLA CARPIO SILVANA ELIZABETH 1400497473001 X 132652 SANCHIM WAMPUTSRIK MARCO CHUMBI 1400498638001 X 118408 JUWA ANTICH ROSA ROMELIA 1400499123001 X 169439 ARMIJOS SANMARTIN VICTOR IVAN 1400501225001 X 263634 REINOZO SALINAS EULER BERNARDO 1400502678001 X 235438 MERCHÁN MERCHÁN EDGAR OSWALDO 1400503924001 X 272194 HEREDIA FAREZ MARIA DOLORES 1400505440001 X 105697 JARAMILLO CHUQUI ANGEL PAUL 1400505531001 X 139022 UTITIAJ JUEP TSUNKI TARSICIO 1400506810001 X 120492 LOOR BRITO LEONARDO DANILO 1400507313001 X 97537 RIVADENEIRA ROLDAN DIEGO FERNANDO1400507651001 X 71004 SEGOVIA LEON JORGE MIGUEL 1400512305001 X 177036 ANDREDE SALINAS ISMENIA SOLEDAD 1400513279001 X 133689 GALLEGOS SILVA MONICA PATRICIA 1400514152001 X 257048 JINTIACH WISUM SHAUK INES 1400515928001 X 175290 GUAYARA SAPATANGA RUBEN ALFREDO 1400516587001 X 139913 RODRIGUEZ SICHA VINICIO ROLENDIO 1400518443001 X 70827 VELEZ JARA MARLON ADRIAN 1400519243001 X 271310 GUZMÁN SEGARRA GENRY ANÍBAL 1400519375001 X 265534 CARVAJAL BASANTES ALEX RAUL 1400520910001 X 207269 LITUMA MONTESDEOCA ALEX JAVIER 1400521728001 X 153880 ANANK WAMPUTSRIK VITO 1400522676001 X 181844 KARAKRAS SHARUP CESAR AUGUSTO 1400526651001 X 262867 WAJARAI SHARUP PUANCHIR MARTIN 1400529408001 X 116119 CASTILLO CORONEL VICTOR HUGO 1400535942001 X 222706 CHUQUI RIVADENEIRA PATRICIO ALEXANDER 1400537765001 X 233733 LOPEZ MALDONADO JIOVANY HONORATO 1400537781001 X
  • 558.
    No No registra No No registra No No. registra registra No. indicadores registra provincia, registra Persona_id NOMBRE No. ID (RUC) calle número registra de ventas, apellido cantón y primer principal de calle origen activos y/o paterno parroquia nombre principal empleados 168125 YAMBISA PIDRU JULIO ALFREDO 1400539613001 X 175095 BORJA MARCA JORGE EDUARDO 1400540017001 X 159196 CABRERA AREVALO JORGE MAURICIO 1400540074001 X 145663 JARAMILLO TORRES SERGIO ANIBAL 1400542591001 X 124309 VEGA VEGA ALEXANDRA XIMENA 1400542831001 X 235636 NUGRA SANCHEZ MARTHA MARINA 1400545503001 X 52748 BARROS VEGA RUTH ALEXANDRA 1400545685001 X 184409 ANTUN ANTICH ROBERTO RAMON 1400546105001 X 187048 VISCAINO CUZCO MAYRA ALEXANDRA 1400546303001 X 229620 HURTADO GUZMAN FREDDY VINICIO 1400547467001 X 125867 CORDOVA MALDONADO DIANA ELIZABETH 1400548028001 X 194058 BORJA MOLINA WILSON PATRICIO 1400549927001 X 271316 CHIRIAP TSENKUSH MARÍA HILARIA 1400552657001 X 109355 DUTAN RUMIPULLA FRANKLIN TEODORO1400553481001 X 97949 GUERRERO MORALES WALTER FERNANDO1400555221001 X 197532 SEVILLA MOLINA ALEX REYNEL 1400555627001 X 128253 SIBRE GALLARDO MARLENE CARMITA 1400557383001 X 212032 SAKE CHINKIAMAI FRANCISCO WALBERTO 1400561138001 X 99879 ZUÑIGA TORRES LORENA EMPERATRIZ 1400561393001 X 141834 WAMPUTSRIK TAANT PICHAM GUILLERMO 1400563241001 X 141188 RAMON SANCHEZ JOSE ANTONIO 1400566483001 X 216832 CASTILLO MOLINA ANTONIO 1400566632001 X 150251 FIGUEROA GOROTIZA CARLOS ARMANDO1400566921001 X 109058 LOPEZ CAMPOVERDE EDWIN PATRICIO 1400567200001 X 100454 ARÉVALO DELGADO JAZMINA MAYRENE 1400568307001 X 225948 CABRERA GUALLAZACA WILSON PATRICIO 1400568968001 X 221414 ZHUMI ORTEGA PABLO VICENTE 1400569016001 X 170048 CABRERA GUZMAN SONIA ELIZABETH 1400569537001 X 198998 WISUM SHARUP WAIS KLEVER 1400570550001 X 182751 TUNKI JIMPIKIT KIRIK JULIO 1400570774001 X 225877 JUANK KUUNT JINTIACH FRANKLIN 1400571087001 X
  • 559.
    No No registra No No registra No No. registra registra No. indicadores registra provincia, registra Persona_id NOMBRE No. ID (RUC) calle número registra de ventas, apellido cantón y primer principal de calle origen activos y/o paterno parroquia nombre principal empleados 256886 CHUNGATA ZAGAL DIANA MARCELA 1400574180001 X 247352 LOJA CARDENAS JOSE MODESTO 1400574297001 X 229682 BARBA CASTRO JULIO BLADIMIR 1400574636001 X 207121 BUSTAMANTE RAMOS ERIK FRANCISCO 1400575153001 X 246037 TANCHIM TSAMARIN WISHU SAVIO 1400577290001 X 119496 CHUINDA JIMBIQUITE CESAR MARIANO1400580302001 X 145482 QUIROGA CHOCHO LEWIS FERNANDO 1400581029001 X 254534 YANKUR WARUSH TIWI IGNACIO 1400581599001 X 209609 AVILA YANZA BRAULIO GALILEO 1400582035001 X 120731 GUTIERREZ QUISPE SILVIA EDELINA 1400582365001 X 91470 LÓPEZ GUZMÁN JUAN MARCELO 1400583140001 X 182757 RAMON ORELLANA LUIS JAVIER 1400584213001 X 180656 VAZQUEZ PEÑAFIEL EDISON DAVID 1400584221001 X 24791 DELGADO MOLINA SANDRA MARCELA 1400584247001 X 30249 MURILLO ARCE FREDDY ORLANDO 1400584460001 X 29169 ORELLANA VÉLEZ FABIÁN BERNARDO 1400584833001 X 113506 DELGADO RIVADENEIRA FAUSTO XAVIER 1400585160001 X 159687 CULALA LEMA SEGUNDO MELCHOR 1400588057001 X 172687 VEGA JUANK SANDRA MERCINA 1400588297001 X 170835 TRUJILLO NECTA MARIELA LORENA 1400590079001 X 235428 RIVERA LOJA LUIS OSWALDO 1400590905001 X 133148 JARA BOSQUEZ DARWIN VIRGILIO 1400591762001 X 187644 CABRERA CABRERA DIANA PATRICIA 1400592240001 X 111308 OTACOMA TOAPANTA EDWIN WLADIMIR400593966001 1 X 264121 QUINTANA BERMEO JONH ALEX 1400594790001 X 219580 LEÓN ZHUNIO ANITA NORALMA 1400595714001 X 123865 HEREDIA CASTRO CLAUDIA ROCIO 1400596738001 X 172733 VINTIMILLA ROJAS PABLO EUGENIO 1400598312001 X 182520 AWANANCH SHIKI DELFINA REINALDA 1400599120001 X 245397 SOTOMAYOR RODRIGUEZ EVERLY LEONARDO 1400600183001 X 183284 SOTOMAYOR RODRIGUEZ ANGELICA MARIA 1400600878001 X
  • 560.
    No No registra No No registra No No. registra registra No. indicadores registra provincia, registra Persona_id NOMBRE No. ID (RUC) calle número registra de ventas, apellido cantón y primer principal de calle origen activos y/o paterno parroquia nombre principal empleados 149801 TAIJINT VINZA CHAARIP JACINTO 1400616783001 X 223868 GUTAMA MISICANGO WILIAN ORLANDO 1400618268001 X 251085 RIERA DURAN CESAR VINICIO 1400620678001 X 207860 CORDOVA PERALTA MARCELO JOSELITO1400620926001 X 228367 TORRES GUZMAN DIANA PAOLA 1400626030001 X 145764 TSEREMP SHAKAI SHAACH LUCIANO 1400626865001 X 269398 VISUMA TSEREMBO ANGEL BRUNO 1400628390001 X 195841 CARREÑO CONCHA FLOR IBELIA 1400628580001 X 102590 LOOR BRITO NERIS GERMAN 1400633044001 X 197765 LITUMA GRANDA LILIA MARIUXI 1400633549001 X 253637 CHUMPI WAAS ANGEL KLEVER 1400638233001 X 219842 CALLE CALLE DORIS EMERITA 1400638761001 X 98233 YUMA KAJEKAI JANKICHAK GRICELDA 1400642185001 X 98483 ETSA WAJARAI FEDERICO 1400643993001 X 149344 TENECORA TENECELA MIGUEL ANGEL 1400644991001 X 182848 RIVADENEIRA SAMANIEGO LUIS ANTONIO 1400645444001 X 160808 ANTUNISH TUNKI PEDRO RAFAEL 1400645584001 X 163433 SARMIENTO VELEZ MARCO ARMANDO 1400647341001 X 125294 TSENTSAK MASHIANT JEMPE RAMON 1400647390001 X 235362 LLANGARI POMAQUIZA LUIS ALFONSO 1400647549001 X 141632 NIVELO PAUCAR JAIME DIONICIO 1400649685001 X 273834 VEGA SALAZAR WILMER SANTIAGO 1400662233001 X 116641 ZUÑA HURTADO GERMANIA YOLANDA 1400662985001 X 140586 PELAEZ PELAEZ DIANA LEONOR 1400674600001 X 268728 CATANI QUINTINUA DOMINGO SHIKI 1400678270001 X 243462 CABRERA CHACHA FRANKLIN PATRICIO1400683544001 X 216880 AVILA COELLO LUIS FELIPE 1400683932001 X 125569 PUWAINCHIR JUA MARCELA SONIA 1400692230001 X 236725 ORTIZ TENEMAZA RONNAL VINICIO 1400693162001 X 210078 LOZANO LOPEZ JUAN MANUEL 1400694996001 X 121607 BARBA CUJI WILLIAM FABIAN 1400696207001 X
  • 561.
    No No registra No No registra No No. registra registra No. indicadores registra provincia, registra Persona_id NOMBRE No. ID (RUC) calle número registra de ventas, apellido cantón y primer principal de calle origen activos y/o paterno parroquia nombre principal empleados 145028 BOJA MOLINA ROSA MARLENE 1400696504001 X 195002 GUZMAN ESPINOZA HECTOR VINICIO 1400697213001 X 101040 SALINAS MONTENEGRO DIEGO ISMAEL1400698302001 X 189752 PARRA HERAS SANDY YADIRA 1400700090001 X 236803 VALVERDE CABRERA ROSA IBELIA 1400701973001 X X X 123189 TUNGUI YAMBIQUI GERMANIA DOMINGA1400708069001 X 262246 NOGUERA JARAMILLO CINDY MARIEL 1400708945001 X 214829 CABRERA TORRES JORGE EDUARDO 1400714836001 X 256753 SANTIAK MIIK ATAMAIK DIONISIO 1400718449001 X 114249 MOROCHO AHOÑA MARTHA ISABEL 1400722128001 X 159728 YANZA PINA JOSE MIGUEL 1400723332001 X 134685 AMPUSH MASHIANT ADRIANO RAMON 1400724652001 X 237173 AVILA GALLEGOS MIRIAM LEONELA 1400730519001 X 247190 FLORES VAZQUEZ MAYRA MARITZA 1400734859001 X 205303 ESPINOZA VAZQUEZ DIEGO FERNANDO 1400735484001 X 173305 MENDEZ CHIMBORAZO ANGEL EDUARDO 1400739619001 X 151540 ORTIZ GORDILLO RUTH MAGALY 1400749477001 X 161870 CHINKIUN TAANT TUNA JOB 1400767040001 X 218932 CHIMBORAZO PEÑAFIEL CARLOS ALFREDO 1400771711001 X 141040 HEREDIA BENAVIDES CARLOS ISRAEL 1400785992001 X 229017 MOROCHO SISALIMA MILTON GEOVANY 1400793392001 X 118497 TSAMARAINT ATAMAINT IVAN CALIXTO1400797286001 X 218062 TIWIRAM SAANT KERUA MARLON 1400830806001 X 120947 KATAN ANANK RAUL MAURICIO 1400831929001 X 230776 LOPEZ SALINAS WILSON GEOVANNY 1400891931001 X 134248 HUAMBASHU WAJARAI JESSICA MARY 1400946776001 X 270385 ERAZO ARTEAGA LILIA BRICILDA 1400951388001 X 187835 PUANCHIR ANGUASHA LUCIO MAROK 1400957096001 X 270392 ESRAZO ARTEAGA MANUEL JESUS 1401221328001 X 43056 MUNICIPALIDAD DEL CANTON MORONA 1460000290001 X X X 42439 GOBIERNO MUNICIPAL DE PALORA 1460000530001 X X
  • 562.
    No No registra No No registra No No. registra registra No. indicadores registra provincia, registra Persona_id NOMBRE No. ID (RUC) calle número registra de ventas, apellido cantón y primer principal de calle origen activos y/o paterno parroquia nombre principal empleados 43606 ILUSTRE MUNICIPIO DEL CANTON LOGROÑO 1460001770001 X X X 39223 PATRONATO DE ACCION 1460019550001 X 152346 SINDICATO PROVINCIAL DE CHOFERES1490000689001 DE MORONA SANTIAGO X 165310 SINDICATO DE CHOFERES PROFESIONALES DEL CANTON SUCUA 1490000700001 X 173339 COOPERATIVA DE TRANSPORTE MACAS LIMITADA 1490004331001 X 129820 COOPERATIVA DE AHORRO Y CREDITO1490005737001 DE LA PEQUEÑA EMPRESA DE PALORA X 174988 ORGANIZACIONSHUARDEL ECUADOR 1490005893001 X 113051 CLUB SOCIAL Y DEPORTIVO MORONA 1490006008001 X 203806 RUTAS ORIENTALES ORIENTRUT S.A. 1490006636001 X 143053 CENTRO AGRICOLA CANTONAL DE SANTIAGO 1490006644001 X 39913 COMERCIALIZADORA Y CONSTRUCTORA PAZAN MEDINA CIA. LTDA. 1490020035001 X 106363 ESTACION DE SERVICIOS EL SOL ESTASOL CIA LTDA 1490020116001 X 133804 COMISARIATO SOLIDARIO 1490800871001 X 210086 ASOCIACION PROVINCIAL DE IMPEDIDOS FISICOS DE MORONA SANTIAGO 1490800995001 X 203278 COOPERATIVA DE TRANSPORTES 11 DE FEBRERO 1490801053001 X 103644 COOPERATIVA DE TRANSPORTES DE CARGA EN VOLQUETES CACIQUE 1490801134001 X 43258 FUNDACIÓN ECOLÓGICA FATIMA 1490801150001 X 36813 CONSTRUCTORA TAPIA RIVADENEIRA 1490801215001 X 252236 FUNDACIÓN SERVICIO FORESTAL AMAZÓNICO 1490802254001 X 153715 JUNTA PROVINCIAL DE LA CRUZ ROJA DE MORONA SANTIAGO 1490803021001 X 56410 TRANSPORTES VILLAVICENCIO ALARCON TRANSVIAL CIA LTDA 1490803501001 X 42921 JAIME LITUMA CONSTRUCCIONES & COMERCIO CIA.LTDA 1490803552001 X 101128 COMPAÑIA DE TRANSPORTES DE MATERIALES PESADOS Y DE CONSTRUCCIÓN RÍO ARAPICOS S.A. 1490803862001 X 31717 CONSTRUCTORA SHAKAIM CIA.LTDA. 1490804125001 X 186801 FUNDACION NUEVA ESERANZA 1490804354001 X 24978 FUNDACION SERVICIO AEREO MISIONAL1490804842001 X 211829 TSUIRIM VIAJES CIA. LTDA. 1490805067001 X 45676 RANDIMPA EMPRESA CONSTRUCTORA1490805261001 SA RABELTUCK X 35021 CONSTRUCTORA MONTENEGRO SUAREZ S.A. 1490805911001 X 68025 CONSTRUCTORA SANGAY G&G S.A 1490806640001 X 58026 DISALFRA CIA LTDA 1490806659001 X
  • 563.
    No No registra No No registra No No. registra registra No. indicadores registra provincia, registra Persona_id NOMBRE No. ID (RUC) calle número registra de ventas, apellido cantón y primer principal de calle origen activos y/o paterno parroquia nombre principal empleados 43715 CONSTRUCCIONES & COMERCIO TEODORO MOLINA CIA. LTDA. 1490806748001 X 76944 MICROEMPRESA CHIGUINDA MATANGA 1490806837001 X 76968 MICROEMPRESAIDEALPRADERA 1490806845001 X 76986 ASOCIACION DE CONSERVACION VIAL LA 1490806918001 X 252316 ASOCIACIÓN DE CONSERVACIÓN VIAL BRISAS DEL SANGAY 1490807159001 X 243494 CONSTRUCTORA GUTAMA HERMANOS1490807280001 CIA. LTDA X 134706 ASOCIACIÓN DE CONSERVACIÓN VIAL VALLE DEL RIO 1490808074001 X 170061 FUNDACION MEDICA SANTA LUCIA 1490808228001 X 22013 G.O. GRAFICANDO PUBLICIDAD Y MARKETING CIA. LTDA. 1490808260001 X 87430 DISTRIBUCIONES Y REPRESENTACIONES VASQUEZ MEDINA VASMED CIA. LTDA. 1490808287001 X 94458 CONSTRUCTORA BOROMAC 1490808376001 X 40704 CONSTRUCTORA Y PLANIFICACION MACAS MACASCORP S.A. 1490808414001 X 83465 ROMANIAL Y COMPAÑIA 1490808538001 X 237154 TRANSPORTES HUAMBOYA CIA. LTDA. 1490808570001 X 99516 HORMIGONES Y CONSTRUCCIONES VILLAGÓMEZ HOCONVILL CIA.LTDA 1490808732001 X 177051 CONSTRUCTORA E INMOBILIARIA KILAMO CÍA. LTDA. 1490808759001 X 226365 INMOBILIARIA Y CONSTRUCTORA PANKERI CIA. LTDA. 1490808791001 X 194480 AEROSANGAY SERVICIOS AEREOS DEL ORIENTE CIA. LTDA. 1490808805001 X 176799 SHIRAMTRUCKS CIA LTDA 1490810028001 X 171434 AMIKIUR CIA LTDA 1490810052001 X 205094 CONSTRUCTORA E INMOBILIARIA CHUPIENTZA CIA LIMITADA 1490810095001 X 201632 MISIÓN SALESIANA DE ORIENTE 1490810117001 X 233967 ALTERMAQCO CIA.LTDA 1490810206001 X 216676 COMPAÑIA CONSTRUCTORA JEMPE CIA. LTDA. 1490810265001 X 224386 CONSTRUCTORA VIAYCON CIA. LTDA. 1490810303001 X 228743 COMPAÑIA CONSTRUCTORA ISRAEL CIA.LTDA 1490810362001 X 229340 CONSTRUCTORA VASH S.A. 1490810370001 X 241290 CHUNGATA SAGUAY S.A. 1490810389001 X 253744 CONSTRUCTORA Y SERVICIOS SARABIA Y LEDESMA CIA. LTDA. 1490810494001 X 257356 ASOCIACION DE CONSERVACION VIAL LA ESPERANZA 1490810524001 X 252284 TAICONS CIA. LTDA. 1490810532001 X
  • 564.
    No No registra No No registra No No. registra registra No. indicadores registra provincia, registra Persona_id NOMBRE No. ID (RUC) calle número registra de ventas, apellido cantón y primer principal de calle origen activos y/o paterno parroquia nombre principal empleados 254424 INGECONSUL CIA. LTDA. 1490810559001 X 263206 ASOCIACION DE CONSERVACION VIAL 21 DE MARZO 1490810753001 X 266601 ANDI LICUY CESAR 1500001456001 X X X 160165 MAMALLACTA ANDI AUGUSTO MARIANO 1500001530001 X 151136 RUEDA ARAUJO JORGE LEONIDAS 1500002371001 X 266092 RUEDA LOPEZ EFRAIN AUGUSTO 1500002504001 X 137118 RIVADENEYRA PAZMIÑO MAXIMO MANUEL 1500005937001 X 223071 GREFA CERDA LUIS MIGUEL 1500007487001 X 208796 MUÑOZ HARO GALO EFRAIN 1500007537001 X 206749 LLORI SANMIGUEL ARMANDO ANOFRE 1500008774001 X 115984 LOPEZ CHONGO SONIA GUILLERMINA 1500020662001 X 250501 TAPUY CERDA BOLÍVAR FRANCISCO 1500024904001 X 251732 TANGUILA SHIGUANGO ALBERTO DIEGO1500030158001 X 246263 SALAZAR GREFA LUIS 1500038714001 X 141351 GREFA CHIMBO BARTOLO MIGUEL 1500044613001 X 179741 ALVARADO NARVAEZ CARLOS PASCUAL500046600001 1 X 137090 FONSECA SALAZAR GALO JORGE 1500053341001 X 235267 PILATAXI QUILUMBA MARIA MAGDALENA 1500060866001 X 127761 PALACIOS VARGAS CESAR ENRIQUE 1500064074001 X 140376 MACHOA ALVARADO MARÍA 1500068935001 X 87039 RUIZ TERÁN HERNÁN BOLÍVAR 1500073653001 X 154923 GREFA MAMALLACTA FRANCISCO MIGUEL 1500078041001 X 199307 MANITIO MANCHENO GUSTAVO LEONIDAS 1500083298001 X 216187 GREFA TAPUY SILVERIO SANTIAGO 1500083652001 X 172312 PINCHAO JOSE APOLINAR 1500084460001 X 104191 RIOFRIO GUEVARA CARLOS GUSTAVO 1500086747001 X 146098 CARRILLO LUZURIAGA PEDRO FRANCISCO 1500092265001 X 128046 TANGUILA TAPUY CATALINA ROSARIO 1500095912001 X 134964 TANGUILA MARIA 1500096209001 X 188769 ERAZO PUETATE NANCI IMELDA 1500097082001 X 191741 APOLO ANGEL BENIGNO 1500097355001 X
  • 565.
    No No registra No No registra No No. registra registra No. indicadores registra provincia, registra Persona_id NOMBRE No. ID (RUC) calle número registra de ventas, apellido cantón y primer principal de calle origen activos y/o paterno parroquia nombre principal empleados 149341 RIOFRIO GUEVARA NORMA YOLANDA 1500097777001 X 278083 CALAPUCHA CERDA VENTURA BARTOLO 1500100043001 X 166768 ANDY TAPUY GERARDO ALADINO 1500101124001 X 228592 PAREDES GUTIERRES MARTHA ZULLY 1500102296001 X 199576 SHIGUANGO TUNAY BERNA 1500104920001 X 209467 JIPA AJON GONZALO ACEVEDO 1500107261001 X 125631 VARGAS MUÑOS MARTHA LUSMILA 1500108095001 X 260204 TORRES CARRERA WALTER PATRICIO 1500110893001 X 137524 AVILEZ VEGAY MAMERTO ALFONSO 1500112923001 X 59803 VARGAS MUÑOZ JOSÉ SALOMÓN 1500114085001 X 25993 PEÑAFIEL RUIZ MILTON EDUARDO 1500116338001 X 225337 SHIGUANGO CERDA CRISTINA YOLANDA1500117229001 X 241771 HARO BAQUERO GUIDO EDMUNDO 1500123433001 X 267947 QUISAHUANO CAHUATIJO JOSE ERIBERTO 1500124720001 X 105051 BUSTOS DIAZ ZOILA ROSA 1500125875001 X 16082 POZO CHECA CARLOS SERLEY 1500128127001 X 178442 SARMIENTO SARMIENTO BEETHOVEN ARTEMIO 1500132384001 X 144790 ABARCA BUSTOS DENNY ALBERTO 1500132533001 X 137237 TUNI NOA MILTON 1500134133001 X 76840 MITE MAZZINI ROSARIO BERNARDITA 1500134687001 X 118072 DAQUILEMA TACURI WASHINGTON 1500134752001 X 215067 BONILLA TEJADA MARIO EFRAIN 1500135379001 X 167050 MAMALLACTA CERDA HONORIO ROSALES1500136153001 X 269960 ALVARADO GREFA CARLOS MATIAS 1500137169001 X 130417 CHILIQUINGA QUISAGUANO GLADIS CUMANDA 1500137367001 X 243425 JIMENEZ VEGA ABEL ISAIAS 1500138787001 X 7593 NOA PAPA HERMELINDA 1500139371001 X 47879 CABRERA MONCAYO OLYMPO HITALO 1500141161001 X 51948 PIYAHUAJE PAYAHUAJE ELIAS ROBERTO 1500141310001 X 198562 TAPUY TAPUY ORISTILA 1500142219001 X 114600 ANDI GREFA RICARDO ERNESTO 1500142300001 X
  • 566.
    No No registra No No registra No No. registra registra No. indicadores registra provincia, registra Persona_id NOMBRE No. ID (RUC) calle número registra de ventas, apellido cantón y primer principal de calle origen activos y/o paterno parroquia nombre principal empleados 17220 MORENO REYES ANGEL MIGUEL 1500142334001 X 202427 FREIRE VILLAFUERTE JORGE ANIBAL 1500143019001 X 119689 QUEZADA RIERA DANIEL SALOMON 1500147309001 X 174797 CAMACHO JARRIN NANCY FABIOLA 1500149636001 X 274720 HEREDIA FIALLOS ELBA CUMANDA 1500152747001 X 144571 CABRERA VEGA HENRY NICOLAY 1500152978001 X 244422 CELIN ALQUINGA NELSON ANIBAL 1500154511001 X 230654 SHIGUANGO CHIMBO HILDA PIEDAD 1500154834001 X 141377 GONZALEZ ULLOA MARTHA IRENE 1500156888001 X 123955 CERDA LICUY ANTONIO ALBERTO 1500157555001 X 247201 ALOMIA ALVARADO VICTOR MANUEL 1500157605001 X 100428 CASTRO ALDAS MANUEL GUSTAVO 1500159130001 X 131758 CAYAMBE CHIMBORAZO LIZARDO 1500161599001 X 135598 PAPA SALAZAR MARIO SAMUEL 1500161763001 X 190256 SILVA OÑATE LUIS FRANCISCO 1500163736001 X 158498 TANGUILA TAPUY ESTER JACINTA 1500163991001 X 82131 SILVA RODAS RUTH EULALIA 1500164395001 X 251293 ANDY ALVARADO ELENA VICTORIA 1500166069001 X 124800 GREFA BERTILA 1500168594001 X 267672 TENORIO ROSALES CARMEN ELENA 1500172000001 X 139036 SHIGUANGO GREFA MOISES CAMILO 1500172786001 X 215824 PADILLA MAMALLACTA ROSITA MARIA 1500172927001 X 261753 MANCHENO GUERRERO BOLIVAR HUMBERTO 1500173529001 X 93142 GODOY PILATAXI LUIS ERNAN 1500174766001 X 157279 ANDY SHIGUANGO EMMA PIEDAD 1500175730001 X 192652 POLANCO NARVAEZ MYRIAM DEL CARMEN 1500176472001 X 181028 VARGAS LICUY BARTOLO 1500177058001 X 137619 CERDA SHIGUANGO FILOMENA ERIS 1500177223001 X 152956 JIPA NOTENO PABLO NICANOR 1500178015001 X 209857 BUCHELI LLORI ALICIA LEONOR 1500178460001 X 152949 ALVARADO TAPUY IGNACIO OLMEDO 1500178734001 X
  • 567.
    No No registra No No registra No No. registra registra No. indicadores registra provincia, registra Persona_id NOMBRE No. ID (RUC) calle número registra de ventas, apellido cantón y primer principal de calle origen activos y/o paterno parroquia nombre principal empleados 107863 VARELA HERRERA EDITH EUGENIA 1500182256001 X 245660 ABARCA ALOMIA ORLANDO LAUREANO1500185010001 X 54188 RIVADENEYRA ALOMIA MANUEL CRISTOBAL 1500185861001 X 167809 ALVARADO SHIGUANGO ORIENTE JOSE 1500188964001 X 133954 RIVADENEIRA CALAPUCHA JORGE MANUEL 1500190382001 X 42313 SARMIENTO SARMIENTO CORNELIA DEL PILAR 1500197270001 X 138264 DALGO UQUILLAS FIDEL RENATO 1500197544001 X 221784 RUIZ RIVADENEYRA CARLOS ANTONIO 1500197635001 X 76553 YUMBO SANDA LORENZO VENANCIO 1500199862001 X 137810 CHIMBO NOTENO LUIS FELIPE 1500200413001 X 161545 CERDA VARGAS CESAR DOMINGO 1500201213001 X 149293 ALVARADO GREFA RICARDO FRANCISCO1500201635001 X 232452 TAPUY TANGUILA ALONSO DIONICIO 1500202203001 X 208415 GAONA VICENTE JOSE BUENAVENTURA 1500203060001 X 128126 YANACALLO HARO MARIA VALENZUELA 1500204001001 X 31364 YEPEZ GRANIZO MILTON EDUARDO 1500205453001 X 262827 ANDY AGUINDA ELVIA MARGARITA 1500207111001 X X X 100247 MONTEROS RODRIGUEZ JESSICA LUCIA500210552001 1 X 140527 TAPUY PAUCHI LORENZO FRANCISCO 1500211618001 X 87924 VALLE BERMEO NICACIO HERÓN 1500212798001 X 45097 REYES RUEDA VICTOR ANIBAL 1500216963001 X 172570 GREFA HUATATOCA CARLOS VIRGILIO 1500220437001 X 202130 LEDESMA SASALIMA MARCO RUBEN 1500220999001 X 27265 CALAHORRANO VACA EDWIN RICARDO 1500221120001 X 115069 LOZA ARMAS ANGEL MILTON 1500221955001 X 190287 ALVARADO GREFA CESAR ALEJANDRO1500223191001 X 180022 UNDA BORJA MANUEL EDGAR 1500223738001 X 118179 RUEDA MIGUEL 1500226442001 X 178553 PIZANGO TAPUY LUIS RICARDO 1500226657001 X 202665 POVEDA VALLE PEDRO PABLO 1500227127001 X 142627 AVILES ALVARADO CESAR 1500228406001 X
  • 568.
    No No registra No No registra No No. registra registra No. indicadores registra provincia, registra Persona_id NOMBRE No. ID (RUC) calle número registra de ventas, apellido cantón y primer principal de calle origen activos y/o paterno parroquia nombre principal empleados 137801 AJON COQUINCHE ROSA LILIANA 1500231715001 X 117666 GUANOLUISA MAISINCHO MARIA ELVIRA500233471001 1 X 245927 BOLLO AGUINDA NELSON RAMIRO 1500238363001 X 196055 TAPUY ANDI FELIPE NICOLAS 1500238397001 X 62088 MAYGUA TOAPANTA EDISON MANUEL 1500238447001 X 194793 HIDALGO RUIZ MILTON RODRIGO 1500238892001 X 241044 SHIGUANGO TANGUILA BELISARIO SANTIS 1500239593001 X 106835 GUEVARA NUÑEZ FRANKLIN FILOTEO 1500239718001 X 141270 ROSERO GUERRA HECTOR HERNANDO 1500239916001 X 203385 CARRILLO LUZURIAGA FERNANDO IVAN1500240930001 X 192772 AGUINDA YUMBO MATIAZ LEONARDO 1500241946001 X 240978 CHUQUIMARCA VINUEZA BLANCA CONSUELO 1500243090001 X 103794 LARA ERAZO AGUSTIN GUSTAVO 1500244619001 X 25104 PULLUQUITIN COQUE VICENTE 1500244684001 X 114443 CABRERA LOPÉZ RIDER RANGER 1500247000001 X 137730 ANDI CANELO GRETY ANELIA 1500247679001 X 115809 CABEZAS CASTILLO LUIS ISAIAS 1500250947001 X 145253 CERDA SHIGUANGO LOURDES ELVIA 1500251093001 X 265714 CERDA ANDI MARIA ESTHER 1500252612001 X 135752 BOSQUEZ ARMIJO HOMERO SALOMON1500253354001 X 184575 UZHCA MERCHAN ROSA MERCEDES DEL TRANSITO 1500254436001 X 101826 ALEMAN BRITO OTTO FRANKLIN 1500255458001 X 92127 ESTUPIÑAN JACOME LUIS RODOLFO 1500255524001 X 209880 MEDRANDA TENORIO JOSE MAXIMILIANO 1500256084001 X 262297 ALVARADO CHAMORRO ENRIQUE JUVENTINO 1500256480001 X 138853 GREFA SHIGUANGO LIVIO FAUSTO 1500256506001 X 127834 CHANCHAY OÑATE GRACE DEL CARMEN 1500257173001 X 260230 JIMENEZ JIMENEZ SEGUNDO ALBERTO1500258700001 X 270505 SHIGUANGO TANGUILA ANITA CAROLINA 1500262314001 X 144395 ESPINOZA MENDEZ MIRIAM MARIA 1500262652001 X 222511 CHUQUIMARCA VINUEZA SEGUNDO PEDRO 1500263775001 X
  • 569.
    No No registra No No registra No No. registra registra No. indicadores registra provincia, registra Persona_id NOMBRE No. ID (RUC) calle número registra de ventas, apellido cantón y primer principal de calle origen activos y/o paterno parroquia nombre principal empleados 225960 GUTIERREZ NOA VIDAL JUAN 1500266323001 X 233008 RAMOS ESCOBAR SANTOS MANUEL 1500268196001 X 182207 RIVAS PARRAGA ELADIO SIGIFREDO 1500268477001 X 247164 TANGUILA ALVARADO JUAN FRANCISCO 1500271158001 X 218344 GREFA HUATATOCA CESAR VICENTE 1500271299001 X 138412 CUYANGUILLO CUYANGUILLO CELIA REGINA 1500275639001 X 171780 REYES MIRANDA JOSE MARCELO 1500275712001 X 241839 MARTINEZ MIRANDA NESTOR ALCIDES1500275860001 X 169348 CERDA ANDI MERCEDES BLESILA 1500276389001 X 226939 RUEDA NEGRETE MARIA EUGENIA 1500276959001 X 260214 ROSALES CABRERA DARWIN MAXIMO 1500277163001 X 139858 MACAS SARANGO FATIMA ESTHELA 1500277569001 X 201877 ALVARADO HUATATOCA ROQUE FRANCISCO 1500278096001 X 208463 FERNANDEZ COX INES AMANDA 1500278427001 X 266090 MORA MORA RIGOBERTO WILFRIDO 1500278765001 X 220570 CHIMBO TANGUILA JULIA MARUJA 1500279052001 X 230672 JIPA AJON EVA CLARITA 1500279540001 X 93184 CASTRO VÁSQUEZ CARMEN CECILIA 1500281231001 X 221321 HARO BAQUERIZO AMILCAR LENIN 1500282460001 X 171799 PAREDES IVAN FELIPE 1500282742001 X 130940 QUISHPE TAIPE MARIA TOMASA 1500283104001 X 50941 LLORI LLORI CARMEN GENITH 1500285943001 X 141819 GUALINGA MAYANCHI LINO JOSE 1500286438001 X 170484 VERA VERDUGA GARI DENIS 1500286982001 X 201487 VERA VERDUGA LIDER EUGENIO 1500288681001 X 146424 TENEDA JIMENEZ NANCY CECILIA 1500288848001 X 135905 MOREIRA CHICA JOSÉ OBER 1500289028001 X 137501 LUZON LANCHE LIDA ISABEL 1500289564001 X 238109 REINOSO CABRERA CLAUDIO GONZALO1500297716001 X 36818 HIDALGO DIAZ FRANCISCO JAVIER 1500297971001 X 123755 CASTRO CAMPOVERDE MANUEL LEONEL1500299316001 X
  • 570.
    No No registra No No registra No No. registra registra No. indicadores registra provincia, registra Persona_id NOMBRE No. ID (RUC) calle número registra de ventas, apellido cantón y primer principal de calle origen activos y/o paterno parroquia nombre principal empleados 223879 GREFA ANDI GRACIELA JOAQUINA 1500301526001 X 136248 CASTRO VASQUEZ MARICELA DEL ROCIO 1500301831001 X 9630 BYG 1500301849001 X 200307 FONSECA VELASTEGUI MARCO ABRAHAN1500302151001 X 104635 REYES GOMEZ ANTONIO WILFRIDO 1500303084001 X 175852 AGUINDA DAHUA SUSANA MARIA 1500303589001 X 193976 CORTEZ LAGUA CARLOS EDUARDO 1500304082001 X 202808 AGUINDA CALAPUCHA KLEVER RAFAEL1500304736001 X 160135 MONTAÑO MALDONADO MARCIA JUDIT1500304967001 X 204557 LUCERO GUERRERO DARWIN SALOMON 1500306426001 X 193950 SAMANIEGO CASTANEDA SEGUNDO PEDRO 1500307382001 X 176688 CHIMBO NARVAEZ JUAN MIGUEL 1500307895001 X 8546 TALLER DON PEPE 1500309495001 X 150458 ANDI AGUINDA FERNANDO TEODORO 1500309511001 X 234729 SHIGUANGO YUMBO EMILIA MARGARITA500310105001 1 X 201999 CHANALUIZA QUISPE JOSE DAVID 1500311301001 X 101958 ORTIZ QUIÑONEZ JOSE PEPE 1500313000001 X 164169 GARCIA VELOZ CLARA EMPERATRIZ 1500315583001 X 263879 GREFA CHONGO SAÚL DAVID 1500316144001 X 200912 URGILES VASQUEZ RENE MARCELINO 1500316417001 X 108406 CERDA TAPUI ABEL DARIO 1500316664001 X 231218 PAREDES ESPINOSA GINA MAGALI 1500316706001 X 192212 TANGUILA SHIGUANGO JUAN PAULINO 1500317373001 X 111976 LOPEZ TAPUY EDWIN SILVERIO 1500318066001 X 115999 ACHINA ULCUANGO SEGUNDO JULIO 1500320583001 X 92415 BUSTOS GUERRON JOSE ANTONIO 1500321656001 X 165175 TAPUY ANDY JAUN MILTON 1500323108001 X 169096 ANDI CHIMBO JACOB MOISÉS 1500323355001 X 129344 CORREA CORDOVA JUAN CARLOS 1500325558001 X 204771 SANCHEZ PICHOGAGON SEGUNDO WILFRIDO 1500326838001 X 197066 BALCAZAR CAMPOVERDE REINALDO SALOMON 1500327232001 X
  • 571.
    No No registra No No registra No No. registra registra No. indicadores registra provincia, registra Persona_id NOMBRE No. ID (RUC) calle número registra de ventas, apellido cantón y primer principal de calle origen activos y/o paterno parroquia nombre principal empleados 128351 LEDESMA NAVEDA MARIO NICANOR 1500328081001 X 162435 VALLE BERMEO OTTO GILBERTO 1500328172001 X 93358 SILVA ALDAZ LUIS ANTONIO 1500328552001 X 245487 CERDA GREFA ZENEIDA PRISILA 1500329360001 X 123134 YEPEZ GRANIZO EDWIN FERNANDO 1500329469001 X 45914 CABRERA MONCAYO BYRON RENE 1500330301001 X 207512 ANDRADE GUERRERO JOHNNY JAVIER1500330616001 X 132651 ANDY AGUINDA ANIBAL MIGUEL 1500330913001 X 98886 GUZMAN SISALIMA FABIAN ANTONIO 1500330947001 X 124908 CAMBIZACA CHOCHO LUIS FREDI 1500331044001 X 47831 JAIME 1500331317001 X 216863 CERDA SHIGUANGO VILLENA DELFIN 1500331697001 X 207928 ALVARADO TAPUY DOMINGO LUIS 1500332471001 X 92089 ANDRADE VASQUEZ ANA OLIMPIA 1500333115001 X 209041 SALINAS DIAZ EDIN GUSTAVO 1500333222001 X 245510 YEPEZ SARABIA SANDRA MARLENE 1500333339001 X 106034 CAHUATIJO CHACON MARCOS IVAN 1500333370001 X 243534 MACEIRA QUISPE SONIA MARIBEL 1500333610001 X 129161 FLORES IBARRA SERGIO SALOMON 1500334170001 X 190994 VELASCO ALULEMA GILDO MANUEL 1500334402001 X 114651 SANCHEZ ZAMBRANO ALFARO ODILON1500335417001 X 273920 ANDI TAPUY EDMUNDO ESTEBAN 1500335466001 X 250492 VASCO MIRANDA ERIKA FERNANDA 1500335888001 X 180439 HIDALGO MORENO JOSÉ ALFREDO 1500336837001 X 205322 VARGAS DUCHE ORLANDO PATRICIO 1500338007001 X 225696 PICO SANCHEZ LUIS MARCELO 1500338635001 X 241765 MOSQUERA ORTIZ FLAVIO ELIECER 1500340524001 X 102662 FLORES IBARRA ZOILA ISABEL 1500340961001 X 162478 POZO ROJAS GUSTAVO GONZALO 1500342538001 X 81945 MONTENEGRO TOSCANO BOLIVAR RAMIRO 1500343312001 X 215139 VIVANCO POMA DUMANI MARLENE 1500343684001 X
  • 572.
    No No registra No No registra No No. registra registra No. indicadores registra provincia, registra Persona_id NOMBRE No. ID (RUC) calle número registra de ventas, apellido cantón y primer principal de calle origen activos y/o paterno parroquia nombre principal empleados 139704 MANTILLA BARRAGAN FAUSTO ROLANDO1500343874001 X 66835 HERRERA ESPIN YADIRA SIMONE 1500344617001 X 176642 SILVA BUCHELI FANNY ELIZABETH 1500345341001 X 233978 SALINAS CALVA ROSA DIGNA 1500345812001 X 92844 GUANOLUISA MAISINCHO HELMER DALMACIO 1500346042001 X 186321 LLORI LLORI OFELIA SILVIA 1500347503001 X 220243 GUEVARA NUÑEZ MILTON HORLANDO 1500349814001 X 247568 SALCEDO ROJAS MAGDALENA DEL CARMEN 1500350077001 X 108758 MORENO SAMANIEGO SIXTO ROSALINO 1500350978001 X 157795 BALCAZAR CAMPOVERDE ROSMEL FRANCISCO 1500351273001 X 207535 GARCIA BASANTES CONSTANTINO FRANCISCO 1500351422001 X 92904 PAREDES VILLEGAS ERMEL CARDED 1500351448001 X 68910 ESPINOZA GARCIA LUIS SANTIAGO 1500352404001 X 179104 RIVADENEIRA GAIBOR ANGELITA JANETH 1500355027001 X 61022 ALCIVAR CANTOS JORGE COLON 1500355423001 X 167009 LEMA GUINGLA ANGELA ELIZABETH 1500355589001 X 62722 SUAREZ POGO ENID ESPERANZA 1500356264001 X 98649 OROSCO TORRES JANETH FRANCISCA1500356363001 X 104572 GARCIA FONCECA PABLO TARQUINO 1500356694001 X 171970 CAIMINAGUA NAGUA VICTOR ALCIVAR 1500357411001 X 124629 QUINTANILLA HERNANDEZ MERCEDES 1500358575001 LEOLINDA X 99255 VEGA JIMENEZ NANCY ISABEL 1500359326001 X 97763 LÓPEZ DÍAZ JOSÉ BENIGNO 1500362619001 X 77700 LIMA ESPINOZA IVAN GEREMIAS 1500363369001 X 247842 MONTA BENAVIDES JOSÉ ALONZO 1500364193001 X 85922 SANMARTIN SANMARTIN MAXIMO MANUEL 1500364615001 X 252871 MORENO LAPO GLADIS ELISA 1500364821001 X 171045 JARA GUEVARA LAURA DOLORES 1500365869001 X 8471 LUIS GUILLERMO CASCO LESCANO 1500366016001 X 209579 PUZHI QUITUISACA JUAN JOSÉ 1500367709001 X 174344 CALAPUCHA LOPEZ DAVID VICENTE 1500367774001 X
  • 573.
    No No registra No No registra No No. registra registra No. indicadores registra provincia, registra Persona_id NOMBRE No. ID (RUC) calle número registra de ventas, apellido cantón y primer principal de calle origen activos y/o paterno parroquia nombre principal empleados 153089 SHIGUANGO TUNAY CARMEN YOLANDA 1500368897001 X 9371 ENCALADA VARGAS FRANCO BENITO 1500369572001 X 163864 LEGUISAMO ANDINO IDUBERTO RENEE1500370091001 X 194238 CARRERA RAMIREZ MAYRA LOES 1500370604001 X 193575 BERMEO SANTANA LILIANA LOURDES 1500371842001 X 157179 MOSQUERA GONZALES ROSA ELIZABETH 1500372576001 X 110276 DALGO BAQUERO GUILLERMO OCTAVIO1500374317001 X 128045 LICUY TAPUY SALOMON PATRICIO 1500374598001 X 130502 CABRERA URENA CLEBER ERMEL 1500375165001 X 159618 COQUINCHE AJON OSCAR PABLO 1500375280001 X 130609 ANDY SHIGUANGO ANTONIA MARIA 1500375983001 X 234754 SHIGUANGO YUMBO MARILYN ESTHELA1500376908001 X 133350 ALVARADO GREFA CESAR JORGE 1500379985001 X 107889 QUISPE TAIPE ELSA PIEDAD 1500380538001 X 145143 MEDRANDA TENORIO CARMEN CECILIA1500381668001 X 104430 HIDROBO LASCANO RAUL RUBEN 1500382658001 X 150911 TAPUY AGUINDA JOSE BOLIVAR 1500382815001 X 262611 AGUINDA CHIMBO LEONARDO 1500382963001 X 275891 CHONGO TANGUILA GREGORIO JOSE 1500384019001 X 148680 CIFUENTES CHAPUNGAL LUIS ALBERTO 1500384415001 X 131740 PARREÑO RAMIREZ MARGARITA MARGARITA 1500385024001 X 152971 SIQUIHUA OTAVALO WASHINGTON SANDRO 1500386972001 X 137366 SHIGUANGO SALAZAR RENAN FELIX 1500387004001 X 190329 SALAZAR DAGUA LUIS EDUARDO 1500387244001 X 146086 AYALA LAPO EDGAR ALFREDO 1500390123001 X 139633 SHIGUANGO ANDI DOMINGO ALFONSO1500391287001 X 154202 RODRIGUEZ SILVA FERNANDO LLOHUY1500391824001 X 60702 ALOMÍA ESTRELLA BOLÍVAR FERNANDO 1500392715001 X 48392 CALLE LASTRA GISSELA LORENA 1500393127001 X 97237 AREVALO FREIRE NEIVA YOLANDA 1500394364001 X 57855 RON BUSTOS BRAULIO MIGUEL 1500395163001 X
  • 574.
    No No registra No No registra No No. registra registra No. indicadores registra provincia, registra Persona_id NOMBRE No. ID (RUC) calle número registra de ventas, apellido cantón y primer principal de calle origen activos y/o paterno parroquia nombre principal empleados 237721 MORENO SAHAVEDRA MARIA ANTONIETA 1500395478001 X 171338 PAPA SHIGUANGO MIGUEL SILVERIO 1500397839001 X 217078 GAROFALO VARGAS EDWIN ROLANDO 1500402795001 X 206810 CHANALUISA CHILIQUINGA CESILIA LILIAN 1500403371001 X 246787 LEÓN REMACHE LUIS ALFREDO 1500405897001 X 240160 CHIMBO GREFA LIVIO RUBEN 1500408768001 X 211683 CERDA ANDI PEDRO MANUEL 1500409055001 X 216102 ALULEMA LAMIMIÑA BLANCA LUCIA 1500409386001 X 244622 AYALA CIFUENTES BYRON IBAN 1500412612001 X 191801 ZAMBRANO ESCOBAR JOSE LEANDRO 1500413396001 X 69541 ANDY GREFA CRISTOBAL SAMUEL PEDRO 1500414790001 X 91938 CAMBO ANGAMARCA SEGUNDO HÉCTOR 1500415037001 X 236944 CALI MACAS OLGA MARIA 1500416910001 X 186771 PINDO VIVAR HERMEL EFRAIN 1500419492001 X 146396 RUANO HERNADEZ GABRIEL FABIO 1500420672001 X 141580 ERAZO YANDUN NABAL WIGBERTO 1500420870001 X 18557 LLIVISUPA ARICHABALA LOLI JANETH 1500424880001 X 152167 CAMPOVERDE DIAZ OLTER GUIN 1500425002001 X 219271 PAREDES N AJERA HECTOR VINICIO 1500425093001 X 99043 MORA SANCHEZ CARLOS MANUEL 1500426067001 X 150711 RIVADENEYRA CASTRO JORGE LUIS 1500426075001 X 269786 YANGUEZ PAPA PAÚL MARCELO 1500426851001 X 230693 ANDI HUATATOCA FERNANDO FABIO 1500427016001 X 58878 DEA NOTENO ANDRÉS BENJAMIN 1500428626001 X 181652 VARGAS GREFA INES YOLANDA 1500429145001 X 210236 TAPUY NARVAEZ JAVIER ALBERTO 1500429491001 X 123392 GUAROCHICO MUÑOZ SEMIRA DEL ROCIO 1500430069001 X 192624 HEREDIA PAREDES FRANK MANUEL 1500431430001 X 141073 OCHOA AUCAY WILSON GENARO 1500431943001 X 159265 TRUJILLO ROMERO WILMER SALOMON1500432123001 X 148957 CHIRIBOGA ALVARADO OLGA BEATRIZ 1500433063001 X
  • 575.
    No No registra No No registra No No. registra registra No. indicadores registra provincia, registra Persona_id NOMBRE No. ID (RUC) calle número registra de ventas, apellido cantón y primer principal de calle origen activos y/o paterno parroquia nombre principal empleados 140266 ANDRADE HIDALGO MARIO FERNANDO1500433428001 X 107779 CERDA SHIGUANGO JUAN MOISES 1500434913001 X 218893 ALVARADO TANGUILA PEDRO JUAN 1500435324001 X 138421 CUEVA GARCIA MANUEL ALFREDO 1500436959001 X 262835 GARCES LLERENA CRISTINA OTILIA 1500440183001 X 173535 GORDON BERMELLO VICENTE EFRAIN 1500443625001 X 168275 MORENO ARAUJO OMAR DAMIAN 1500446487001 X 125670 YANEZ CASTILLO EDUARDO MESIAS 1500449176001 X 196569 CUÑAS QUISPE MARIA MAGDALENA 1500449762001 X 207735 CAYAMBE PADILLA LUIS VICENTE 1500450000001 X 270446 MOSCOSO CHILIQUINGA YADIRA ALEXANDRA 1500450455001 X 94122 MOSCOSO CHILIQUINGA PAOLA ELIZABETH 1500450463001 X 162210 TANGUILA ANDY MIRIAN MERCEDES 1500451446001 X 152968 GREFA MACANILLA ENRIQUE ANDRES 1500451669001 X 222084 AUCAY SIGUANZA EVA GIOCONDA 1500452584001 X 47021 YEPEZ JURADO MARCO VINICIO 1500453772001 X 246075 MOSCOSO CALLE OLGA YOLANDA 1500453889001 X 194249 UQUILLAS ESPINOSA BRYAN MARCEL 1500454713001 X 131783 IBARRA CORDOVILLA JUAN CARLOS 1500455850001 X 153972 CERDA MAMALLACTA MARIO GABRIEL 1500456510001 X 216641 GUEVARA RODRIGUEZ LAURIANO EUSEBIO 1500457278001 X 173652 BOSQUEZ RODRIGUEZ ANGELA NOHEMI 1500457401001 X 93729 ZABALA PARRA EDISON WILFRIDO 1500457682001 X 253258 ESPINOZA MAZA MARTA PEREGRINA 1500458870001 X 175300 PEÑAFIEL MEZA ARNULFO VINICIO 1500460546001 X 217107 GREFA SALAZAR GLORIA ROSA 1500460702001 X 136471 CAMPOS ALVARADO OLMEDO JUAQUIN 1500462369001 X 137289 ORACO GUALINGA INOCENCIO 1500466063001 X 126237 SILVA BUCHELI NARDA ROSANA 1500466824001 X 111905 PEÑA VILLARROEL HUGO OLIMPO 1500468010001 X 124599 CERDA AGUINDA OLGA ELVIRA 1500469422001 X
  • 576.
    No No registra No No registra No No. registra registra No. indicadores registra provincia, registra Persona_id NOMBRE No. ID (RUC) calle número registra de ventas, apellido cantón y primer principal de calle origen activos y/o paterno parroquia nombre principal empleados 76859 YAGUANA VASQUEZ FERNANDO PATRICIO 1500469745001 X 90252 HERRERA ESPIN VERONICA GERALDINE1500469778001 X 186073 SHIGUANGO VARGAS ASENCIO GERMAN 1500471535001 X 200324 AGUINDA COQUINCHE WILIAN DANIEL 1500472186001 X 227422 AYALA VACA JUAN LEONARDO 1500472251001 X 151163 GREFA AGUINDA JOSE HUMBERTO 1500473440001 X 9131 SHIGUANGO VARGAS EFRAIN PATRICIO1500473754001 X 256252 ALVARADO GREFA EFRAIN EUSEBIO 1500475114001 X 146204 BOSQUEZ LOMBEIDA DUVAL ADALBERTO1500475171001 X 132586 CHIMBO MAMALLACTA JUAN FELIPE 1500477169001 X 142002 ALBAN VALLEJO CARMEN SUSANA 1500478431001 X 249321 VILLAFUERTE JEANETH YOLANDA 1500479744001 X 208747 VASQUEZ VARELA LENY MARISOL 1500480189001 X 198587 SHIGUANGO VARGAS NELSON KLEVER 1500483043001 X 217263 CHONGO GREFA EFRAIN OCTAVIO 1500484025001 X 172772 GREFA TANGUILA LOURDES ESTHER 1500484074001 X 262135 LEDESMA TORRES JACKELINE ALEXANDRA 1500484447001 X 215509 HUATATOCA TAPUY MARIO ALFONSO 1500485709001 X 122901 YUGCHA CALAPAQUI MARIO HERNAN 1500486269001 X 215748 AROCA SALTOS CARLOS HUMBERTO 1500486657001 X 160047 YUMBO CHONGO ALFREDO CESAR 1500486723001 X 75063 TROYA CHACON HUGO MANUEL 1500487291001 X 213999 ORTEGA CASTRO LUIS ERNAN 1500488117001 X 185128 TAIPE QUISPE JAIME WASHINGTON 1500488505001 X 181907 LARA CHERREZ DANIS MAYURI 1500488703001 X 182528 LICUY ANDI CARLOS GONZALO 1500489263001 X 189636 CHICAIZA TAPUY MARIA WILMA 1500489800001 X 264065 YANGUEZ PAPPA HUGO IBAN 1500491053001 X 202875 CARDONA RAMIREZ CELIA DEL ROCIO 1500491186001 X 150129 TAPIA FRAY WILLIAM VICENTE 1500491681001 X 130697 CUEVA VELEZ WILMAN FRANCISCO 1500491905001 X
  • 577.
    No No registra No No registra No No. registra registra No. indicadores registra provincia, registra Persona_id NOMBRE No. ID (RUC) calle número registra de ventas, apellido cantón y primer principal de calle origen activos y/o paterno parroquia nombre principal empleados 169583 GREFA TAPUY EDGAR UTILVINO 1500492556001 X 262226 FLORES SARANGO ROSA NANCY 1500494628001 X 223244 VACA RODRIGUEZ JOSE FERMIN 1500494875001 X 239293 ZURITA VACA JAVIER ALEZANDER 1500495641001 X 40412 MORENO ESPIN ISABEL GARDEÑA 1500496953001 X 199167 TANGUILA NARVAEZ GLADIZ GLORIA 1500497126001 X 250211 LICUY GREFA FELIPE PABLO 1500497738001 X 142104 MAMALLACTA SHIGUANGO FRANKLIN HUMBERTO 1500498264001 X 136367 ANDI GREFA RAUL GEOVANNY 1500500846001 X 211956 ANDRADE AGUILAR NESTOR OSWALDO 1500501422001 X 85509 SALAZAR ARIAS ELMER STEVEN 1500501968001 X 112798 JARAMILLO CORTEZ LELY ALEXANDER 1500504285001 X 33383 CABRERA RIOS WILSO YOVANY 1500505118001 X 38532 GREFA ASHANGA WILMA TANIA 1500505159001 X 145650 CAMPOVERDE CABRERA CARLOS ALBERTO 1500506744001 X 175853 PAREDES LUZON SONIA ELIZABETH 1500507601001 X 40297 VERA VELEZ BEATRIZ ELVIRA 1500507981001 X 132590 SALAZAR GREFA RAMIRO BENJAMIN 1500508799001 X 146476 CORTEZ GUAYLLAS JHON SHANTY 1500510217001 X 109006 UQUILLAS ALVAREZ ROBERTO CARLOS 1500510605001 X 144951 CAHUATIJO NESTOR FREDI 1500512965001 X 147036 VACA RODRIGUEZ MARCO LENIN 1500513278001 X 94350 PASTUÑA AGUILAR ABRAHAN DAVID 1500513344001 X 25009 QUEZADA SANMARTIN SONIA ELIZABETH 1500513369001 X 97510 VITERI LUCIO TOBIAS MAXIMILIANO 1500514300001 X 181920 PILLASAGUA ZAVALA WILLIAM ALBERTO 1500514318001 X 98558 GUADALUPE AGUILAR KLEVER ALEJANDRINO 1500514482001 X 191375 BOHORQUEZ CUEVA GIOVANA LUCIA 1500514706001 X 227266 ANDY LICUY ZULAY MARIA 1500515588001 X 219957 FLORES ANDY JUAN MANUEL 1500515851001 X 240334 SHIGUANGO CERDA GUSTAVO ALEJANDRO 1500516172001 X
  • 578.
    No No registra No No registra No No. registra registra No. indicadores registra provincia, registra Persona_id NOMBRE No. ID (RUC) calle número registra de ventas, apellido cantón y primer principal de calle origen activos y/o paterno parroquia nombre principal empleados 260822 GUACHAMIN AGUINDA LUIS ENRIQUE 1500516693001 X 190821 BUENAÑO JARRIN DIEGO FABIO 1500518269001 X 262196 QUILUMBA TIPAN RENAN OLMEDO 1500518335001 X 138854 TAPUY SHIGUANGO NELSON RAUL 1500519473001 X 97258 BUENAÑO CASTILLO MARCIA VIBIANA 1500519838001 X 177937 URBINA VÁSCONEZ HERMES FABIÁN 1500520158001 X 142757 TROYA CHACON ANTONIO MARCELO 1500520794001 X 193520 LEMA CHICAIZA JAIME EFRAIN 1500521347001 X 87893 MORALES VEGA PRISCILA MARGOTH 1500521974001 X 168635 VARGAS SANMARTIN JANETH ROSALIA1500522527001 X 26796 CONDE ENRRIQUEZ DARWIN ARQUIMIDEZ 1500522881001 X 110137 GREFA TANGUILA LEONARDO RAMIRO1500524531001 X 203427 SALAZAR MORA LUIS ALFREDO 1500525496001 X 232943 GREFA TANGUILA MANUEL ABELARDO1500526049001 X 276112 GREFA FERNANDO MARCELO 1500526056001 X 264657 ALVARADO LICUY HERMELINDA ROCIO1500526221001 X 151005 CUICHAN CHASIPANTA VILO MESIAS 1500526932001 X 30585 TINIZARAY LEÓN DIEGO FABRICIO 1500527153001 X 248201 YEPEZ CABRERA EVELYN GUISELLA 1500527260001 X 217132 ALCIVAR GOMEZ MARIA FERNANDA 1500529506001 X 164942 ETSA TSUINK KLEVER DAVID 1500530173001 X 272386 GREFA DAHUA ANGEL ALEJANDRO 1500530488001 X 193677 AGUILAR GUADALUPE OLGUER FILIMON1500531346001 X 50535 CARPIO MORENO JUAN ANTONIO 1500532872001 X 156682 PAREDES RON WILSON ANIBAL 1500532898001 X 264645 GUERRERO MEDINA WILSON NAPOLEÓN 1500532906001 X 274599 ARELLANO PEUDMA EDWING MARCELO 1500533433001 X 217786 AGUINDA TAPUY ABELARDO WASHINGTON 1500533771001 X 206009 CORTEZ PARDO CARLOS ALONSO 1500535610001 X 130984 RIVADENEYRA SALAZAR HECKEL AUGUSTO 1500536410001 X 219775 TONATO MARALES LUIS GUILLERMO 1500536964001 X
  • 579.
    No No registra No No registra No No. registra registra No. indicadores registra provincia, registra Persona_id NOMBRE No. ID (RUC) calle número registra de ventas, apellido cantón y primer principal de calle origen activos y/o paterno parroquia nombre principal empleados 210945 PADILLA SILVA DARWIN MEDARDO 1500537327001 X 71587 PEREZ ALVAREZ PATRICIO XAVIER 1500537418001 X 198633 BONILLA REMACHE PABLO MAURICIO 1500538200001 X 92596 VERA VERDUGA DAVID ANTONIO 1500539117001 X 269415 VINUEZA WILSON JOVANNY 1500539513001 X 231056 TOINGA GASITUA FREDDY RUBEN 1500540214001 X 104295 LEON TOAPANTA FLAVIO ARTURO 1500541295001 X 63700 VELASCO HARO JAIME BLADIMIR 1500541329001 X 142659 CHAVEZ GUACHAMBOZA FAUSTO MISAEL 1500541667001 X 123672 LOZADA LARA CHRISTIAN DANIEL 1500541998001 X 207323 PAREDES SANCHEZ ANA RAQUEL 1500543325001 X 244873 GUZMAN GUZMAN WASHINGTON PATRICIO1500543416001 X 135573 AJON SANDIEGO IRMA LOURDES 1500543515001 X 110317 LLERENA GREFA MARTHA JANNETH 1500544356001 X 166662 GONZALEZ TIPAN MARIA LUISA ELIZABETH 1500546807001 X 78070 HIDALGO PILATAXI MARCO ANTONIO 1500547235001 X 18817 VILLA QUINATOCTE MANUEL SERAFIN 1500548746001 X 132120 VEGA GAVILANES CARLOS ALBERTO 1500548837001 X 27809 GRIJALVA ALVARADO KAROL ERNESTO 1500550163001 X 106008 GREFA LOPEZ DIANA ANABELA 1500550247001 X 225744 PULLUQUITÍN TONATO HUGO DANILO 1500551856001 X 95084 CLAVIJO AGUILAR PAULINA FERNANDA1500551955001 X 102172 VEGA ABARCA MIGUEL ANGEL 1500552656001 X 175358 NEIRA LALANGUI BERTHA YOLANDA 1500552763001 X 132782 ANDI TORRES CARLOS EDGAR 1500553688001 X 111990 CHIMBO NARVAEZ KLEVER HUMBERTO1500554223001 X 270755 SALINAS TANDAZO NANCI MARISOL 1500554769001 X 215546 MANCHAY CASTILLO JOSE LEONIDAS 1500555766001 X 163844 ZAMBRANO MEDINA ROSA AMPARO 1500556665001 X 272909 PAUKER JARAMILLO MARGARITA JHASMIN 1500557572001 X 212283 PAPA MAMALLACTA RUBEN RAMIRO 1500558596001 X X X
  • 580.
    No No registra No No registra No No. registra registra No. indicadores registra provincia, registra Persona_id NOMBRE No. ID (RUC) calle número registra de ventas, apellido cantón y primer principal de calle origen activos y/o paterno parroquia nombre principal empleados 251674 CRUZ SANMARTIN ANGEL DANILO 1500559008001 X 247561 TROYA ALVAREZ JACINTO MANUEL 1500559032001 X 21517 MONTOYA VILLEGAS JIMENA MORAIMA 1500559651001 X 84291 CHAVEZ VEGA JULIO ERNESTO 1500559685001 X 97362 LOPEZ GREFA EDWIN PATRICIO 1500559842001 X 223169 CLARKE MACINTYRE NEVAREZ INES ISAURA 1500559990001 X 181798 MENA ARELLANO NELSON ANIBAL 1500561517001 X 85938 YEPEZ SARABIA AMELIA CARMELINA 1500562424001 X 236701 YUMBO CABRERA WILMA GERMANIA 1500562523001 X 144612 LÓPEZ MOSCOSO GREGORIO ANTONIO 1500564255001 X 106729 SALAS ARELLANO SHERMAN ROLANDO1500564800001 X 251597 GREFA MAMALLACTA ABDON ALFONSO 1500565971001 X 96966 CALI SARMIENTO MARLENE ELIZABETH1500566607001 X 128813 VIVAS VILLARREAL ELVIS ADRIAN 1500567720001 X 94314 TROYA CHACÓN IMELDA NARCIZA 1500567977001 X 44142 FREIRE PUNGUIL CLAUDIO RODRIGO 1500569635001 X 123729 ALVARADO AJON FEDERICO ENRIQUE 1500570393001 X 128387 SATAMA BALLESTEROS JOHNNY ADEMIR1500574254001 X 121069 ACOSTA ALBAN JULIA ELIZABETH 1500574593001 X 231757 ORTEGA BUENANO JUAN PABLO 1500574866001 X 210602 ALVARADO TANGUILA CARLOS ANDRES 1500576119001 X 27395 RUEDA VASCO LEO ROBERTO RENÁN 1500576598001 X 230701 GREFA AGUINDA FRANCISCO FAUSTO 1500577349001 X 184285 BASTIDAS FREIRE EDUARDO JUAN 1500577703001 X 97208 CERDA MAMALLACTA SANDRO ENRIQUE 1500578081001 X 219667 BENAVIDES ROMERO CELESTE MARIBEL DEL CARMEN 1500578974001 X X X 225549 ARIAS AHONA AMADA GUADALUPE 1500579196001 X 50492 INSUASTI PEREZ SUSY MARILYN 1500579469001 X 219766 ANDI GREFA GLADYS LEONOR 1500579519001 X 71571 TOAPANTA CALERO BETTY MARISABEL1500579584001 X 206965 PEREZ NUÑEZ DYMAS FREDDY 1500580160001 X
  • 581.
    No No registra No No registra No No. registra registra No. indicadores registra provincia, registra Persona_id NOMBRE No. ID (RUC) calle número registra de ventas, apellido cantón y primer principal de calle origen activos y/o paterno parroquia nombre principal empleados 216654 GALLO DUCHE XIMENA ROSANA 1500580772001 X 125677 TAPUY MAMALLACTA ADRIANA NELY 1500581911001 X 207159 VACA RODRIGUEZ EUDES LEONEL 1500582638001 X 236667 SANMIGUEL RODRIGUEZ DIEGO FABRICIO 1500583487001 X 263617 CACERES CHACEZ MYRIAN ELIZABETH1500583495001 X 93848 ORNA CORRAL DAYRA VIVIANA 1500585375001 X 154687 VILATUÑA VALLE KARINA LIZETH 1500586043001 X 251007 AHOÑA SEGOVIA FAUSTO MARCELO 1500586084001 X 105558 RUÍZ ROSADO VÍCTOR MANUEL 1500587694001 X 187501 COQUINCHE ALVARADO MIGUEL ANGEL 500588569001 1 X 75872 PALACIOS ALVAREZ VERONICA MARIA 1500588692001 X 114391 CABRERA LUZON RAFAEL MARCELO 1500589955001 X 202158 UQUILLAS QUINTEROS RUBEN EDMUNDO 1500590805001 X 159659 LEDESMA NIETO DARGUIN VICENTE 1500591977001 X 76228 SISA LLUMITAXI ANGEL GONZALO 1500592322001 X 108740 FLORES IBARRA CARLOS GONZALO 1500593239001 X 179093 OÑA CIFUENTES CRISTIAN JAIR 1500594393001 X 144207 VALDIVIESO MONTESDEOCA GALO RODRIGO 1500594518001 X 154094 FIALLOS BARROSO JORGE ANTONIO 1500595416001 X 259242 AIGAJE PARION WASHINGTON BENJAMIN1500595515001 X 156551 TAPUY TAPUY JUAN CARLOS 1500595838001 X 179312 VEGA TROYA ISABEL GUADALUPE 1500599020001 X 137834 SIQUIGUA ANDI MARCO ANTONIO 1500599053001 X 155482 PANTOJA VINUEZA MIRIAN ELIZABETH 1500599244001 X 250536 IBARRA LOOR VICENTE ALEJANDRO 1500599475001 X 88687 CORTEZ PARDO JOSE ALDRUBAL 1500601370001 X 183404 SHIGUANGO SALAZAR CLEVER FEDERICO1500603087001 X 240686 VARGAS GREFA HUGO FREDY 1500603525001 X 171594 BARAHONA NARVAEZ MIRIAN CATALINA 1500608417001 X 123063 TAPUY AGUINDA DAVID CRISTOBAL 1500609852001 X 238088 QUINDE ULLOA ANITA CLEMENCIA 1500609985001 X
  • 582.
    No No registra No No registra No No. registra registra No. indicadores registra provincia, registra Persona_id NOMBRE No. ID (RUC) calle número registra de ventas, apellido cantón y primer principal de calle origen activos y/o paterno parroquia nombre principal empleados 80727 CATOTA ALOMOTO WILFRIDO 1500614423001 X 169465 CHIMBO AGUINDA ENRIQUE JACOBO 1500618317001 X 33964 ACOSTA CAÑARTE PAUL RODRIGO 1500618705001 X 187398 ROMERO VALDEZ KEVIN ANDRÉS 1500618747001 X 225195 ROMERO VALDEZ BRIAN ANDRÉS 1500618754001 X 35658 POVEDA NOVOA ALEX MARCELO 1500618937001 X 78351 PAREDES BARROSO MARIA ROSALIA 1500619109001 X 21779 VILLAVICENCIO CHAVEZ RAFAEL ADOLFO 1500620016001 X 253713 ALVAREZ ROBLES RAMIRO DANIEL 1500620610001 X 174632 CALAPUCHA YUMBO GABRIEL IDER 1500621394001 X 125706 SHIGUANGO ALVARADO PAOLA ROCIO1500624794001 X 122805 MORALES VILLARROEL MARIO ISAAC 1500624885001 X 158151 GONZÁLEZ CHÁVEZ NELLY ALEXANDRA 1500625007001 X 267993 ORTIZ CALAPUCHA CAMILO GIOVANNY 1500625882001 X 152944 PAPA ALVARADO LUIS LEONIDAS 1500628316001 X 141394 ANDY ALVARADO HECTOR SAMUEL 1500633118001 X 225429 MINGA PILATAXI JUAN MIGUEL 1500633159001 X 240611 VARGAS NOA EUCLIDES CLAUDIO 1500634421001 X 115039 LOPEZ MONTERO DARIO XAVIER 1500637135001 X 176920 SILVA GUZMÁN NARCIZA DE JESUS 1500638190001 X 211023 ROSALES GUZMAN DARWIN STEVE 1500640071001 X 230015 CERDA TAPUY EFREN RAMIGIO 1500641780001 X 158675 COQUINCHE SIQUIHUA CESAR ALBERTO1500641863001 X 252437 VERDEZOTO FIGEROA ROBERTO HERNAN1500642622001 X 274517 GUAMAN LLULLUNA JOSE ERMEL 1500645757001 X 77300 VELASQUE UNAUCHO SEGUNDO DANIEL 1500646714001 X 242802 AVILES FLORES MARIA DE LOS ANGELES 1500648587001 X 145992 VERA MORENO CARLOS IVAN 1500648686001 X 198931 VEGA CORDOVILLA SERGIO ALFREDO 1500649775001 X 216745 ALVARADO TANGUILA GILBERTO EFRAIN 1500652415001 X 258690 MORAN CAMPOS SANDRA LILIANA 1500652472001 X
  • 583.
    No No registra No No registra No No. registra registra No. indicadores registra provincia, registra Persona_id NOMBRE No. ID (RUC) calle número registra de ventas, apellido cantón y primer principal de calle origen activos y/o paterno parroquia nombre principal empleados 220340 MINA ANGULO DARWIN YERFFENSON 1500652761001 X 203911 JARA FRIAS EDWIN VICENTE 1500653561001 X 80214 BOHÓRQUEZ CUEVA JAVIER 1500655087001 X 129000 PINCAY RON FRANKLIN GUSTAVO 1500655392001 X 186633 GREFA TANGUILA EDISON TEOFILO 1500656168001 X 235774 YUMBO ANDI DELIA LUCILA 1500656309001 X 243463 ALVARADO ANDI JORGE MAURICIO 1500656648001 X 268366 TAPUY GREFA ANGEL RODRIGO 1500658040001 X 234328 ALVAREZ VASSEROT JOSE LUIS 1500658909001 X 148698 BONILLA ABRIL TELMO ANDRES 1500659188001 X 179489 GRANIZO TORRES ALEX RICARDO 1500660939001 X 265719 TOAPANTA ESTRADA JOHANA DEL ROCIO 1500660996001 X 230329 GREFA SALAZAR DAVID ABRAHAN 1500662109001 X 247252 JURADO SEVILLA DALTON DANILO 1500662703001 X 27908 VEGA DUEÑAS GERSON WILFRIDO 1500665482001 X 155102 GUEVARA VALDEZ NADIA ESTHER 1500666928001 X 233480 ANDRADE VELASTEGUI EDISON LEONARDO 1500667512001 X 92654 ANDRADE VASQUEZ HENRY GONZALO 1500667918001 X 136394 VÁSCONEZ OCHOA DÉNISE ADRIANA 1500668122001 X 39182 NIETO GOMEZ CLAUDIA ARACELY 1500669146001 X 175589 GREFA MAMALLACTA LEONIDAS GILBERTO 1500669567001 X 48282 SISA LLUMITAXI MARIA JOSEFINA 1500670367001 X 221051 HERRERA RAMOS ANGEL VICENTE 1500670920001 X 258294 ALVARADO TAPUY MAXIMILIANO HORLANDO 1500671076001 X 218425 ALVARADO TANGUILA RAUL WILBRIDO 1500671761001 X 192121 ROMERO PEREZ CARLOS LENIN 1500675614001 X 151104 PAREDES RON AIDA VIVIANA 1500675630001 X 187702 ROSALES RODRIGUEZ NIGGER JAVIER 1500676083001 X 275861 USHIÑA URAPARI REMIGIO ADRIAN 1500682354001 X 85028 ALVARADO GREFA SANDRA MARIBEL 1500683105001 X 255711 PEREZ CARRERA MERCEDES ALEXANDRA1500683113001 X
  • 584.
    No No registra No No registra No No. registra registra No. indicadores registra provincia, registra Persona_id NOMBRE No. ID (RUC) calle número registra de ventas, apellido cantón y primer principal de calle origen activos y/o paterno parroquia nombre principal empleados 237095 GREFA YUMBO SONIA LOURDES 1500683956001 X 220176 SHIGUANGO TANGUILA LASTENIA SENAIDA 1500686439001 X 231544 RODRIGUEZ OCAMPO ANGEL RAMIRO 1500687189001 X 202500 GARZON LUCERO DARIO RENE 1500687288001 X 258947 GREFA SHIGUANGO JUAN CARLOS 1500687411001 X 187780 SHIGUANGO YUMBO SONIA MARGARITA 1500688732001 X 254808 TAPUY HUATATOCA MERY YULITZA 1500688948001 X 16758 MAMARANDI ZAMBRANO KARINA ALEXANDRA 1500694789001 X 198446 GUALLI GUAMAN JUAN MOISES 1500698079001 X 208636 MACAS GARCIA JAIRON OSWALDO 1500704950001 X 267833 PARION PILCA JEANNETH LEONOR 1500705619001 X 251366 NOLE TELLO ELVIRA D 1500706419001 X 275100 CHASIPANTA VEGA LUIS FERNANDO 1500707003001 X 106212 ABAD ROJAS JOSE LEONIDAS 1500707771001 X 241423 NARVAEZ SHIGUANGO TELMO NIGER 1500708092001 X 83118 LEGUIZAMO UZHCA GUSTAVO JAVIER 1500710155001 X 245533 SARMIENTO LOJA JUAN MODESTO 1500710577001 X 167795 SHIGUANGO ALVARADO LIZANDRO LEANDRO 1500712979001 X 180060 FREIRE MIRANDAA NELLY ALEXANDRA 1500716673001 X 188349 ANDI SHIGUANGO LUDWIN FERMIN 1500720899001 X 225944 GREFA ANDI SONIA NOHEMI 1500722960001 X 155080 TOAPANTA RAMIREZ LUIS FERNANDO 1500727001001 X 243777 LICUY TANGUILA DINORA SOLEDAD 1500735855001 X 170520 MONCAYO BASURTO CARMEN LEONOR 1500736978001 X 217730 GREFA SHIGUANGO CARLOS PATRICIO1500739097001 X 259113 MEDINA GUEVARA DORIS ISABEL 1500739139001 X 168625 ALVARADO ANDI FREDY LUIS 1500739303001 X 259383 ALVARADO HUATATOCA ANA BEATRIZ 1500739899001 X 191278 VEGA GUANOCHANGA HERNAN FRANKLIN1500740947001 X 137297 ROJAS ESCANDON JUAN DIIEGO 1500743727001 X 120506 CEVALLOS URBINA RUBI JAZMIN 1500748007001 X
  • 585.
    No No registra No No registra No No. registra registra No. indicadores registra provincia, registra Persona_id NOMBRE No. ID (RUC) calle número registra de ventas, apellido cantón y primer principal de calle origen activos y/o paterno parroquia nombre principal empleados 208597 HARO VANES FRANCISCO ALFONSO 1500751084001 X 173376 BAQUIS CASTILLO DEBORA VERONICA 1500752280001 X 114859 LLERENA SANMARTIN SHEYLA ALEXANDRA 1500754484001 X 277738 TANGUILA VARGAS MARIA JACKELINE 1500756273001 X 275229 NAVEDA GOMEZ ORLANDO DANILO 1500756836001 X 217497 LICUY BALSECA NURI MARICELA 1500759897001 X 188335 MANTILLA PEREZ CARLA VANESSA 1500761976001 X 153941 ZURITA CEVALLOS GABRIELA ALEXANDRA 1500762149001 X 128540 TIXI OJEDA GLORIA MARISELA 1500762651001 X 119671 ANDI TANGUILA ELISA DOROTEA 1500763394001 X 135544 PAPA HUALINGA ELSA MARIELA 1500772882001 X 91531 CASUAL ORDOÑEZ MARTHA MAGDALENA 1500776362001 X 267872 GREFA TUNAY RAFAEL CLEVER 1500778160001 X 241604 YUMBO GREFA JILMA ISABEL 1500779606001 X 210202 TAPUY GREFA DARWIN WALTER 1500779887001 X 192777 CASTILLO ALVAREZ FRANCISCO ANTONIO 1500780257001 X 137380 AVILES NARVAEZ ROSA GENOVEVA 1500781743001 X 269411 OJEDA RAMOS VIVIANA LEONOR 1500782386001 X 243857 DOMINGUEZ ESPINOSA MARIO JIOVANNY 1500782527001 X 173322 CAYAMBE VARGAS FAUSTO KLEVER 1500786031001 X 128735 BONILLA ABRIL EDITA CRISTINA 1500787120001 X 266559 VILLAGRAN ALVAREZ LEIDI CLARA 1500787559001 X 246033 MARTINEZ SANCHEZ LUIS CARLOS 1500789142001 X 272821 DIAZ IGLESIAS DIANA PATRICIA 1500794738001 X 230676 ASHANGA SHIGUANGO JANETH ALEJANDRINA 1500799398001 X 247142 MENDOZA TOAPANTA MARIO RODRIGO1500800832001 X 170560 SHIGUANGO ANDY PEDRO SIMÓN 1500808991001 X 268490 TORRES BETANCOURT JONATHAN DANIEL 1500812787001 X 190111 PAGUAY GAIBOR JUAN CARLOS 1500816549001 X 266109 YUMBO GREFA CELIA KARLA 1500819063001 X 139274 QUIDSAHUANO CUMBAL NELY ROSA 1500819634001 X
  • 586.
    No No registra No No registra No No. registra registra No. indicadores registra provincia, registra Persona_id NOMBRE No. ID (RUC) calle número registra de ventas, apellido cantón y primer principal de calle origen activos y/o paterno parroquia nombre principal empleados 200832 SHIGUANGO TANGUILA DINA JUDITH 1500821564001 X 236023 CRIOLLO HIDALGO VICTOR HUGO 1500822232001 X 256203 CERDA SHIGUANGO MARJORIE DALVA 1500832041001 X 247586 MARTINEZ RIVADENEYRA KLEVER ROBERTO 1500838881001 X 139085 TANGUILA SHIGUANGO JAIME FERNANDO 1500839350001 X 230706 RIVADENEYRA ZURITA ERIKA MISHEL 1500840945001 X 238637 VELASCO SARANGO CHRYSTIAN VELASCO 1500844640001 X 229839 JAIME VARVAJAL NORBERTO EDISON 1500847338001 X 234758 URAPARI CALAPUCHA FREDY FIDEL 1500860901001 X 149983 CHIMBO CHIMBO RICHAR BLADIMIR 1500865314001 X 97635 LLANDA FIALLOS CESAR JAVIER 1500875321001 X 140940 TANGUILA ANDI DARWIN EUSEBIO 1500875339001 X 202172 ANDI GREFA JHONY PAUL 1500881303001 X 199582 LICUY GREFA ANGEL BEJAMIN 1500886740001 X 241461 IZA PILOSO CLAUDIA ELIZABETH 1500889504001 X 142076 TAPUY MORETA SANDY NARCISA 1500891724001 X 208907 CHIMBO CHIMBO HENRRY PATRICIO 1500898505001 X 275921 YUMBO OCHOA EVELYN YAJAIRA 1500901143001 X 204806 GALARZA LUNA LIGIA ELENA 1500928021001 X 233278 CELIN YUMBO EDISON FERNANDO 1500929755001 X 191849 GAONA SEVERINO ROCÍO CRISTINA 1500956071001 X 277533 QUISAHUANO CUMBAL HENRY FABIAN 1500975519001 X 216174 ESPIN NIETO GIOMARA AMPARO 1501043317001 X 36599 MUNICIPIO DE TENA 1560000270001 X X X 26057 VICARIATO APOSTÓLICO DE NAPO MISIÓN JOSEFINA 1590001089001 X 193055 COOPERATIVA DE TRANSPORTE EN TAXI EN CAMIONETAS DOBLE CABINA Y/O AUTOMOVIL TIPO SEDANX 1590003863001 AUCA LIBRE 124969 CENTRO AGRICOLA DEL CANTON TENA 1590016175001 X 198939 COOPERATIVA DE TRANSPORTE EN TAXI AUTOMOVILES TIPO SEDAN Y/O CAMIONETAS DOBLE CABINA X 1590016922001 "JOYA DE LOS SACHAS" 250798 FUNDACIÓN SALUD AMAZÓNICA 1590017392001 X 273955 GRAN SUMACO S.A. TRANSPORTE INTERPROVINCIAL DE PASAJEROS EN RANCHERAS Y BUSES 1590017821001 X 120279 CENTRO AGRICOLA CANTONAL DE ORELLANA 1590018461001 X
  • 587.
    No No registra No No registra No No. registra registra No. indicadores registra provincia, registra Persona_id NOMBRE No. ID (RUC) calle número registra de ventas, apellido cantón y primer principal de calle origen activos y/o paterno parroquia nombre principal empleados 75729 COMPANIA DE CAMIONES CIUDAD DE TENA C.A. 1591701424001 X 271730 ASOPASH 1591702668001 X 64085 ARALUCE CALDERIUS JOEL DE JESUS 1591703001001 X 61688 CONSTRUCCIONES, MAQUINARIAS Y SERVICIOS YANOUCH Y CIA "COMASEY Y CIA" 1591703192001 X 136097 COMUNIDAD KICHWA ÑUCANCHIK ALLPA DE KANAMBU 1591703257001 X 96418 MICRO EMPRESA VIAL ANTISANA 1591703834001 X 221845 SORIA CARERA SERVISANITAS Y CIA 1591704318001 X 39920 CONSTRUCTORA RHON & RHON Y CIA TECNICOS RECONSTRUCTORES DE EQUIPOS Y CONSTRUCCIONX CAMINOS TRECA Y CIA 1591704415001 DE 78969 ASOCIACIÓN DE CONSERVACIÓN VIAL EL CHACO 1591704636001 X 82039 ASOCIACIÓN DE CONSERVACIÓN VIAL LA VIRGEN DEL GUACAMAYO 1591704644001 X 78979 ASOCIACIÓN DE CONSERVACIÓN VIAL EL SALADO 1591704652001 X 187711 CENTROETNOAGROECOLOGICOTAMIAYURA1591704733001 X 57469 COMPAÑIA PEREZ FLORES CONSTRUCTORA CIA. LTDA. 1591705373001 X 247161 PARRA GOMEZ MIGUEL EDUARDO 1591705934001 X 153376 ASOCIACIONES DE DESARROLLO INTEGRAL JUNTA CAMPESINA DE NAPO 1591706337001 X 158416 CONSTRUCTORA AMAZONICA CIA & SERVICIOS 1591706345001 X 197634 COMPAÑIA DE TRANSPORTES KICHWAS DE NAPO CONTRAKIN S.A. 1591706477001 X 199047 COMUNIDAD KICHWA CAMPO COCHA 1591706523001 X 214035 MARIO ANDRADE CONSTRUCCIONES CIA. LTDA. 1591706566001 X 207245 COMPAÑIA DE TRANSPORTE PESADO TRANS RUEDA VASCO Y VALLE Y COMPAÑIA 1591706590001 X 212410 SERVICIOS GENERALES EL CHACO SERVIELCHACO S.A. 1591706604001 X 237499 CABRERA CASTRO CRUZ Y COMPAÑIA 1591706876001 X 275547 CONSTRUCCIONES CIVILES ANDRADE VEGA Y COMPAÑIA 1591707244001 X 275563 COMUNIDAD KICHWA SINCHI PURA 1591707252001 X X X 190325 LEON CAMPAÑA OLGA MARIA 1600003964001 X 262489 GAIBOR LEDESMA GILBER ADOLFO 1600004780001 X 211629 ULLOA PEREZ HERNANDO ADGILBERTO 1600004855001 X 46862 MUNICIPIO DE SIGSIG 1600008600011 X X X 198046 ESPINOZA PUGA LUIS MARCELO 1600009680001 X 161615 VIERA VELASCO GLORIA ESMERALDA 1600010647001 X 27670 ZUNIGA GOMEZ SEGUNDO BOLIVAR 1600011868001 X
  • 588.
    No No registra No No registra No No. registra registra No. indicadores registra provincia, registra Persona_id NOMBRE No. ID (RUC) calle número registra de ventas, apellido cantón y primer principal de calle origen activos y/o paterno parroquia nombre principal empleados 73477 UNIVERSIDADDECUENCA 1600012400011 X 107530 LEON VILLACIS HUMBERTO GUSTAVO 1600015083001 X 201890 LEON MORALES COSME HIPOLITO 1600015349001 X 28889 GLORIA 1600015737001 X 29687 TOALA TOALA JONÁS EMILIANO 1600018491001 X 43416 FODI CNH 1600019100011 X X X 42154 MUNICIPIO DE EL PAN 1600020500011 X X X 43938 PERE LARA MARIO AUGUSTO 1600022477001 X 105990 PEREZ NARANJO OSWALDO NESTOR 1600023848001 X 238234 PAREDES ESCOBAR GLORIA MARIA 1600025215001 X 113834 BRITO ROBLES CRISTOBAL TRAJANO 1600027740001 X 47115 MORANTE PAREDES VICTOR HUGO 1600028656001 X 200918 VACA ESPINOZA CARLOS HUMBERTO 1600029084001 X 73981 LUGO VILLACRES CLEOTILDE 1600031353001 X 42432 SARMIENTO CALLE CESAR AUGUSTO 1600032344001 X 98570 GUEVARA VILLARROEL CLAUDIO 1600033862001 X 196181 RIOFRIO NUÑEZ CARLOTA GLADIS 1600034803001 X 73268 GONZÁLEZ JARAMILLO LILIANA RAQUEL 600035552001 1 X 163307 GUILLEN HERRERA ARGELIA LETICIA 1600038390001 X 193725 ESPIN SILVA FAUSTO HERIBERTO 1600040644001 X 55322 MAYORGA PAREDES SENAIDA ANGELICA1600042434001 X 237340 VARGAS VILLALVA ROMULO 1600044323001 X 219701 VILCACUNDO TOAPANTA GLORIA BEATRIZ 1600045924001 X 76086 RAMIREZ INMUNDA SEGUNDO HUDSON 1600047227001 X 80288 BARRAGAN TAPIA IBES MAXWEL 1600047433001 X 110294 NAVARRETE SANCHEZ LUIS ERNESTO 1600050619001 X 224158 ILLANES VARGAS CARLOS GABRIEL 1600054066001 X 189976 PICO MORENO HUMBERTO HELEODORO 1600061160001 X 153492 GARCES YANEZ GLADYS MAGDALENA 1600062242001 X 196516 HIDALGO BENAVIDES NESTOR GABRIEL1600063653001 X 103570 VACA VALLE SEGUNDO JOAQUIN ALONSO 1600064057001 X
  • 589.
    No No registra No No registra No No. registra registra No. indicadores registra provincia, registra Persona_id NOMBRE No. ID (RUC) calle número registra de ventas, apellido cantón y primer principal de calle origen activos y/o paterno parroquia nombre principal empleados 251398 BARROS HIDALGO MARÍA ISABEL 1600064651001 X 225610 LARREA JORGE ENRIQUE 1600067225001 X 214866 SANTOS LEÓN MARCIA AZUCENA 1600067530001 X 40495 JOSÉ 1600069114001 X 84137 TUSTON LOPEZ SIXTO BLADIMIRO 1600069866001 X 51733 BARRERA PAREDES LIDIA TERESA 1600071763001 X 96039 HERNANDEZ YUQUILEMA LUIS FELIPE 1600072852001 X 231518 CARDENAS CARDENAS JOSE MANUEL 1600073314001 X 221991 FREIRE FLORES SEGUNDO FRANCISCO 1600073777001 X 79329 PEREZ BONILLA JOSE 1600075095001 X 274039 SALAZAR GUATATUCA GLADIS 1600076218001 X 137485 HUATATOCA COQUINCHE ANTONIO FRANCISCO 1600076374001 X 153995 AGUIRRE GUAMAN CHA KRABARTY 1600080574001 X 220764 LESCANO PEREZ LUZ MELIDA 1600081507001 X 32506 PITA PILAY GREGORIO HUMBERTO 1600081713001 X 220041 TAPUY VARGAS GONZALO GALO 1600082984001 X 169604 MIÑO MIÑO MARCELO MARCIAL 1600083156001 X 28005 TAMAYO AMORES GUIDMON EDMUNDO 1600083909001 X 155125 VILLACRESES SILVA JUAN BAUTISTA 1600086050001 X 119214 HERRERA ACES JOSE ANTONIO 1600086506001 X 122047 ROSERO ZURITA HERNAN VICENTE 1600086647001 X 39766 TAMAYO MEJIA MARCO VINICIO 1600086779001 X 180445 MOYON SANI ROSA DORILA 1600087355001 X 68769 ESPIN TERAN ZOILA INEZ 1600087389001 X 213602 HERRERA SÁNCHEZ PEDRO EDUARDO1600094500001 X 237358 MORALES SANCHEZ JOSE HERNAN 1600094831001 X 80052 CAMPOS JIMENES JOSE ANGELINO 1600095374001 X 270263 ESCOBAR VILLARROEL MERCEDES MARGOTH 1600095572001 X 41175 ESCOBAR HIDALGO JESUS EMILIANO 1600095747001 X 119693 CASTRO VILLAGOMEZ PLUTARCO RODRIGO 1600095804001 X 90205 PALACIOS FERNÁNDEZ LEONIDAS MARCELO 1600096067001 X
  • 590.
    No No registra No No registra No No. registra registra No. indicadores registra provincia, registra Persona_id NOMBRE No. ID (RUC) calle número registra de ventas, apellido cantón y primer principal de calle origen activos y/o paterno parroquia nombre principal empleados 96812 AGUILAR CARRION JENNY DEL CARMEN1600097552001 X 11700 SEGUNDO 1600097990001 X 39346 CÁRDENAS NAVAS RAÚL FRANCISCO 1600098055001 X 213300 YUCAILLA VILLARES NELSON TRAJANO1600099871001 X 209824 PANATA GAIBOR SEGUNDO GUSTAVO 1600100240001 X 31117 AGUIRRE BARRIGA MESIAS ALBERTO 1600100588001 X 120270 MANOSALVAS CASTILLO JAIME ENRIQUE 1600100844001 X 103528 SOLIS ZUÑIGA NELLY REBECA 1600102253001 X 40663 VILCACUNDO YUCCHA LUIS ALBERTO 1600102444001 X 25492 MARTINEZ ARIZAGA JAIME TEODORO 1600102592001 X 85443 VELASCO BENAVIDES POLA FELICIDAD1600102782001 X 212215 POZO MEDINA NESTOR GUSTAVO 1600102980001 X 182661 QUEZADA NARANJO JAIME EDUARDO 1600106221001 X 51694 CAMPOS JIMENEZ LUIS GONZALO 1600107377001 X 175468 SAQUINGA CHICAIZA GABRIEL 1600107617001 X 181567 CRUZ CORDOVA AGEDIA LUZMILA 1600108094001 X 11771 AGUA PURIFICADA MANGAYACU 1600109753001 X 146677 MAYANSHIA ANDI JUAN JOSE 1600110421001 X 170219 CASTRO LOPEZ FIDEL WILFRIDO 1600110520001 X 248340 AGUINDA SANTI ZOILA VICTORIA 1600110959001 X 30564 MALIZA VASQUEZ CARLOS ALEJADRO 1600111858001 X 278976 DURAN HERRERA LIGIA LAURA 1600112153001 X 113211 NAVEDA CASTRO NELSON TARQUI 1600112609001 X 86002 GUSQUI INMUNDA AIDA CONSUELO 1600113243001 X 133602 FERNANDEZ COBO FERNANDEZ EDWIN 1600114183001 X 58041 BRAVO MORENO ELVIA CUMANDA 1600116808001 X 55602 TORRES MANZANO CARLOS ALFREDO 1600117202001 X 107320 TOBANDA MORA LUIS ALFREDO 1600117988001 X 122377 CARDENAS INCA TERESA DE JESUS 1600118291001 X 132656 BUENAÑO PICO LUIS GUSTAVO 1600118978001 X 34175 SOTOMAYOR ESTRELLA BLADIMIR EVERLY 1600119232001 X
  • 591.
    No No registra No No registra No No. registra registra No. indicadores registra provincia, registra Persona_id NOMBRE No. ID (RUC) calle número registra de ventas, apellido cantón y primer principal de calle origen activos y/o paterno parroquia nombre principal empleados 135219 CAMACHO CUEVA BYRON EFRAIN 1600119943001 X 198856 MENA SANCHEZ LUIS RAMIRO 1600120735001 X 176668 COLOMA PARREÑO MARÍA TERESA 1600121105001 X 48504 CAICEDO RAMOS LIDIA CAROLINA 1600121741001 X 36589 GUEVARA LLERENA LUIS GONZALO 1600122129001 X 98707 HERNANDEZ YUQUILEMA GUILLERMO ALFREDO 1600122178001 X 271020 QUEZADA NARANJO SERGIO OLMEDO 1600122913001 X 32601 WARUSHA ATSUTA CARLOS SANTIAGO 1600123549001 X 61252 MONTERO LLERENA NELLY DEL CARMEN1600124604001 X 273607 GUATATOCA VARGAS RUPERTO RODRIGO1600124653001 X 56316 TAMAYO ALVAREZ FABIAN GEOVANNI 1600127284001 X 218397 VALVERDE JESUS AMABLE 1600127359001 X 96651 MORENO CÁRDENAS FREDY HERIBERTO 1600128845001 X 126783 SANI INGA LUIS 1600129280001 X 172263 LARA MATA RAUL RAMIRO 1600129918001 X 262703 MEZA ARCOS LUIS OLGER 1600131872001 X 48784 GUACHO CALDERON ROSA ELVIRA 1600132607001 X 154120 VARGAS VICENTE ANTONIO 1600132698001 X 222253 ILLANES ILLANES GREY GABRIEL 1600133118001 X 214907 ANDY SHIGUANGO JOEL FILIMON 1600134306001 X 188637 MACHADO CHAVEZ COSME DAMIAN 1600144933001 X 130745 SALAZAR GUATATUCA INES 1600145807001 X 220352 SÁNCHEZ FREIRE EULOGIA IBETH DEL1600146276001 ROCÍO X 208207 MENA CARDENAS JORGE GONZALO 1600146797001 X 21508 CHUQUIRIMA NARVAEZ SACRAMENTO FABIAN 1600146946001 X 140347 AGUAYSA MARCALLA SEGUNDO EFRAIN600147076001 1 X 45582 ESPIN SALINAS LUIS GONZALO 1600147159001 X 270258 ESCOBAR MEDINA WILLIAM NEPTALI 1600147381001 X 205998 PEREZ TIXE HOLGER FILADELFO 1600147480001 X 21471 GARCIA MANZANO EDWING PATRICIO 1600147563001 X 14731 ING. HECTOR CEDEÑO 1600147647001 X
  • 592.
    No No registra No No registra No No. registra registra No. indicadores registra provincia, registra Persona_id NOMBRE No. ID (RUC) calle número registra de ventas, apellido cantón y primer principal de calle origen activos y/o paterno parroquia nombre principal empleados 92035 CISNEROS RUIZ JUANA ELVIRA 1600148579001 X 172766 SILVA MERINO LIGIA ESTHELA 1600148710001 X 143632 PAZ BARRERA LIVINO NEPTALI 1600149437001 X 151908 BASTIDAS VARGAS NANCY PIEDAD 1600151193001 X 184144 TAMAYO MEJÍA MARLENE INÉS 1600151219001 X 182220 SOLIS ZUÑIGA CESAR GENARO 1600151540001 X 137734 GONZALEZ SANCHEZ FAUSTO ERNESTO 1600152514001 X 155980 VACA CANDO MARIA DEL CARMEN 1600152555001 X 162888 ROBALINO PAZ WALTER ULVIO 1600153140001 X 60432 VACA MELÉNDEZ WASHINGTON MANUEL 1600154718001 X 98545 CEVALLOS CEVALLOS LUIS RODRIGO 1600154726001 X 86140 PULLUPAXI TUTILLO HUGO DARIO 1600155129001 X 56979 FREIRE POZO CARMEN YOLANDA 1600155293001 X 146320 VIMOS PALA MARTHA BEATRIZ 1600155301001 X 249102 GRANDA PENA LINDA ALICIA 1600155343001 X 100824 HERAS LUNA HERNÁN ELEUTERIO 1600155566001 X 69196 VASCONEZ FLORES JORGE EDISON 1600155673001 X 263236 PAREDES GAVILANES JOSUE ENRIQUE1600155764001 X 18973 LEON CASTILLO EDUARDO GUSTAVO 1600156937001 X 233833 JARRIN FREIRE ELJE ROMULO 1600157224001 X 224154 ILLANES ILLANES JOSE ANTONIO 1600158347001 X 273544 VARGAS MAYORGA FABIAN ESTUARDO1600159436001 X 71604 TOAPANTA REYEZ CESAR TRAJANO 1600159816001 X 126204 MARIÑO MARIÑO OLGER EDWIN 1600161572001 X 51387 NANCY 1600161770001 X 156109 RODRIGUEZ REMIGIO 1600162497001 X 85237 ZUÑIGA FLORES SEGUNDO HERVIN 1600162752001 X 221006 PEREZ CAMPAÑA ALISSON KRUSHENKA 1600164774001 X 202065 AZQUI GALORA MARIA ROSARIO NELA 1600167298001 X 187335 VILLAFUERTE BARRIONUEVO ALFONSO FERNANDO 1600167348001 X 192202 LLERENA MAZON MARIA ELENA 1600167439001 X
  • 593.
    No No registra No No registra No No. registra registra No. indicadores registra provincia, registra Persona_id NOMBRE No. ID (RUC) calle número registra de ventas, apellido cantón y primer principal de calle origen activos y/o paterno parroquia nombre principal empleados 188021 RODRIGUEZ VILLAVICENCIO EDWIN MARCELO 1600173999001 X 202735 CRUZ VILLEGAS MESIAS HUMBERTO 1600174005001 X 26370 ESPIN SALINAS FRANCISCO MARIO 1600174278001 X 137207 RIVERA SILVA EDISON JOSE 1600174328001 X 140127 QUISPE CARRANZA NELSON ANTONIO 1600174831001 X 114296 BARBA CHAVEZ NORMA YOLANDA 1600175317001 X 160723 LOZA LESCANO WILLAM NIC 1600175358001 X 104796 NUÑEZ PAZMIÑO FREDDY RICARDO 1600175572001 X 86158 GARCES BORJA WILFRIDO EDMUNDO 1600176166001 X 243307 GARCÉS ESTACIO JOSE RAMIRO 1600176497001 X 61659 CAYAMBE CUBIÑA LUIS ALBERTO 1600176810001 X 173848 FREIRE PAREDES ALFONSO PATRICIO 1600176935001 X 133593 VELASCO PAZMIÑO LUIS JONAS 1600178626001 X 22127 CAJAS ROBALINO RUBEN DARIO 1600182180001 X 86480 BONILLA SILVA JOSE RUBEN 1600182347001 X 103379 CHUGCHO VALVERDE MARIA MAGDALENA1600182941001 X 93903 ORTIZ RIERA ANGEL GERMAN 1600183303001 X 243187 PARRA SALGUERO BETZABE AMALIA 1600183972001 X 72689 GAONA JIMENEZ ELSA MARIA 1600184228001 X 233085 ARAGÓN ARANDA MAURO WILFRIDO 1600184764001 X 229685 SANTAMARIA SANTI ANGEL MIGUEL 1600185977001 X 95266 ALVARADO SHIGUANGO GONZALO LEONIDAS 1600186082001 X 43194 METAL MECANICA CARRILLO 1600187379001 X 103685 SOLIS ZUÑIGA LILIAN ENRIQUETA 1600187916001 X 100381 CHANGO VALENZUELA WILLIAM ROLANDO 1600188179001 X 133441 LEON CAMPAÑA EDWIN MARCELO 1600188484001 X 103667 ROMERO COELLO LUCIO ROBERTO 1600189136001 X 133552 AGUILAR GARCIA GRECIA AURORA 1600189250001 X 88285 GOMEZ LOPEZ OSWALDO PATRICIO 1600191363001 X 201889 MUÑOZ MORALES JUDITH MARGOTH 1600191629001 X 243553 RIVERA CASCO LUIS VICENTE 1600191694001 X
  • 594.
    No No registra No No registra No No. registra registra No. indicadores registra provincia, registra Persona_id NOMBRE No. ID (RUC) calle número registra de ventas, apellido cantón y primer principal de calle origen activos y/o paterno parroquia nombre principal empleados 14508 FERNANDO PROANO 1600191736001 X 225736 BALSECA BARREROS ZOILA MARIA 1600191801001 X 147224 JIMENEZ ROBALINO LUCILA ISABEL 1600192106001 X 129076 VALENCIA FLORES GARDENIA ESPERANZA 1600193161001 X 140295 MORETA PEÑA LUIS FABIAN 1600193443001 X 16064 MEDINA CASTILLO GALO IVAN 1600193658001 X 234082 FREIRE ESPINOZA RUTH MARGOTH 1600193989001 X 205907 ANDI SANTI EDWIN FIDEL 1600195364001 X 35127 MONTUFAR CAMACHO IBOR JAVIER 1600195612001 X 92050 PAGUAY QUISHPE JORGE WASHINGTON 1600195919001 X 87058 CARRILLO MAYORGA WILMA JANETH 1600198202001 X 18690 REAL NUNEZ EMITH ELIZABETH 1600198426001 X 141207 FACONDA SILVA HERNAN CRISOSTOMO 1600199184001 X 19482 GÓMEZ HUALPA EDWIN BAYARDO 1600199283001 X 176478 SEVILLA LARA GALO ALFREDO 1600199648001 X 192952 HERNANDEZ ERAZ BLANCA LIBELIA 1600199911001 X 111230 PEREZ FLOREZ RAUL ALBERTO 1600200511001 X 276564 GUAMAN GALARZA LUISA AMELIA 1600201402001 X 21937 ESPÍN SANTOS WALTER WELLINTHON 1600203192001 X 204618 CARRERA SANCHEZ CARLOS ALBERTO 1600204034001 X 111032 BONILLA CHONATA DANILO WILFRIDO 1600204315001 X 66289 PEREZ FLORES FLAVIO IVAN 1600204463001 X 27966 ZABALA ZABALA FREDY RAMON 1600204695001 X 16223 ANGEL 1600204984001 X 144314 HIDALGO CASCO ANA RAQUEL 1600205734001 X 181744 VARGAS VARGAS ENRIQUE ARMANDO 1600205858001 X 95704 VELASCO PAZMIÑO MARÍA REGINA 1600208597001 X 58349 SARMIENTO FERNANDEZ ELIZABETH DE LA NUBE 1600208829001 X 266786 PAREDES ORTIZ ARNULFO ESTUARDO 1600209207001 X 70250 LUNA HERRERA DIEGO TUNÍN 1600209975001 X 121336 ORTIZ PEREZ MARCIA MATILDE 1600210528001 X
  • 595.
    No No registra No No registra No No. registra registra No. indicadores registra provincia, registra Persona_id NOMBRE No. ID (RUC) calle número registra de ventas, apellido cantón y primer principal de calle origen activos y/o paterno parroquia nombre principal empleados 61370 PAREDES CHAVEZ JOSE ANTONIO 1600211153001 X 108574 MANCHAY IÑIGUEZ ENID ESPERANZA 1600211948001 X 20069 LOPEZ CANDO JORGE WASHINGTON 1600212482001 X 194938 FLORES HURTADO LUZ ANGELICA 1600214447001 X 180946 LOPEZ LOPEZ EDWIN RAMIRO 1600214652001 X 29570 ALBAN GUEVARA FRANCISCO DANILO 1600214934001 X 104264 LÓPEZ LÓPEZ FRANKLIN EDUARDO 1600215329001 X 174767 LEDESMA ZAMORA DARWIN GERMAN 1600216418001 X 108634 ESPINOZA GONZAGA MARIO FERNANDO 1600216822001 X 21047 ESPIN ALBAN LUIS ERNESTO 1600217143001 X 166152 CARREÑO GARZÓN SARA CATALINA 1600217614001 X 61948 ZUÑIGA FLORES DOLORES PATRICIA 1600218364001 X 248413 MOYA CUEVA SILVIA MARGOTH 1600218471001 X 169496 ZAMBRANO VASCO LUIS FERNANDO 1600218539001 X 136481 CHASI DEFAZ FRANKLIN WILLAN 1600219024001 X 35751 ESPINOZA VACA BLANCA JANNET 1600219420001 X 128346 BECERRA HIDALGO ELBA PIEDAD 1600219529001 X 200107 ARIAS PABLO ERNESTO 1600220303001 X 73887 LOPEZ MORALES WILLIAN BLADIMIR 1600221236001 X 256697 MENA CARDENAS ROBER LEONEL 1600221632001 X 137738 VILEMA VILLA SEGUNDO VICENTE 1600221665001 X 247013 PAREDES PINEDA SEGUNDO GABRIEL 1600222317001 X X X 268914 GUEVARA ESCOBAR DAN EDIVALDO 1600222457001 X 196528 MORENO CARRANZA LILY ELAINE 1600223547001 X 222179 MORAN PAREDES MARIA ELENA 1600223562001 X 62691 VALENCIA MEDINA FANNY AMPARO 1600224016001 X 44757 EDGAR 1600224321001 X 224949 FACONDA PERUGACHI ALICIA DEL CARMEN 1600225708001 X 91968 RIVADENEIRA AGUAYO INELIDA RUTH 1600225872001 X 110754 CASTRO ALVAREZ LIGIA DORIS 1600226011001 X 154967 FIALLOS COBA GLADYS DEL PILAR 1600227704001 X
  • 596.
    No No registra No No registra No No. registra registra No. indicadores registra provincia, registra Persona_id NOMBRE No. ID (RUC) calle número registra de ventas, apellido cantón y primer principal de calle origen activos y/o paterno parroquia nombre principal empleados 225806 ZABALA GREFA FIDEL SEBASTIAN 1600228603001 X 29097 MERINO JARAMILLO ISRAEL TOBIAS 1600228736001 X 103421 CHUGCHO VALVERDE EDWIN GEOVANNI 1600229106001 X 120163 VARGAS SANTY MARIO PASCUAL 1600231136001 X 195954 MARTINEZ ROBALINO WASHINGTON WILFRIDO 1600231169001 X 199820 SIGCHO GUALAN GLORIA NARCISA 1600231656001 X 87782 YEDRA MACHADO JULIO CESAR 1600232134001 X 151409 PEÑAFIEL ACOSTA IVAN HOMERO 1600232316001 X 52211 CARMEN 1600232738001 X 263424 TORRES ALBAN CARLOS ANIBAL 1600233553001 X 38508 BARROSO GUAMAN MARCELO FERNANDO 1600234981001 X 195382 BALLESTEROS PAREDES FRANKLIN IVAN 1600235418001 X 110373 CANDO PAZ ALEXANDRA VERONICA 1600235913001 X 53386 CARMEN 1600237885001 X 115477 ANDI TAPUY CLEMENTE CESAR 1600237919001 X 227642 SUAREZ RODRIGUEZ UVALDO HUMBERTO1600238172001 X 265304 CAUJA GUSQUI EDGAR WILLAMS 1600238644001 X 127907 HERNANDEZ SANCHEZ LUIS EDUARDO1600238800001 X 115173 GARCES ESPINOZA CARLOS ALFONSO 1600238990001 X 121799 MOYA MONCAYO ENRIQUE RAUL 1600239618001 X 137743 ARAUJO VELASCO GLADYS MARIANELLY1600239832001 X 255877 MORALES CALLES YOLANDA MARIA 1600240640001 X 186691 RODRIGUEZ HERAS GLENDA LAURENTINA 1600241002001 X 163365 CHUGCHO BARROZO NELSON RAÚL 1600241598001 X 139230 VARGAS CASTILLO WILSON ABDON 1600241796001 X 153743 RAMOS ROBALINO GUSTAVO YOBANI 1600242125001 X 49241 CASCO RODRIGUEZ ULICER GERMAN 1600242323001 X 89126 RODRIGUEZ MUÑOZ LUIS FERNANDO 1600242331001 X 181603 REGALADO RODRIGUEZ FERNANDO JAVIER 1600242745001 X 183478 PISANGO VILLAVICENCIO NANCY JANNETH 1600242992001 X 179816 NAPAMBA ZABALA RAFAEL 1600244469001 X
  • 597.
    No No registra No No registra No No. registra registra No. indicadores registra provincia, registra Persona_id NOMBRE No. ID (RUC) calle número registra de ventas, apellido cantón y primer principal de calle origen activos y/o paterno parroquia nombre principal empleados 119342 NARANJO VARGAS MARCO HECTOR 1600244774001 X 170343 HERNÁNDEZ VILLACRES CÉSAR EFRAÍN1600244907001 X 139292 ROMERO LUNA JULIO ANIBAL 1600246050001 X 191761 PAGUAY GUARCO EDGAR ELIAS 1600246332001 X 81523 RAMÍREZ BARRENO MARÍA MATILDE 1600246597001 X 52230 TORRES CARRION KLEVER MANOLO 1600247843001 X 226437 SEGURA MUÑOZ JUAN ALBERTO 1600247876001 X 138034 TAPUY LICUY FRANCISCO VENTURA 1600248056001 X 111719 RIVERA CASCO RODRIGO ALBERTO 1600248817001 X 132593 MOCHA GUALACIO ROSA 1600249351001 X 202928 BARROSO ORELLANA JOSE EUGENIO 1600250292001 X 221749 SILVA VILLALBA JOSE ANTONIO 1600250540001 X 116036 ILLICACHI MOROCHO LOURDES MARLENE 1600251472001 X 145587 BONILLA BORJA JOSÉ FELIX 1600253932001 X 103668 FLOREZ TAMAYO MIGUEL 1600254120001 X 23005 TENEMAZA GUAMAN LUIS ALBERTO 1600254377001 X 102530 FONSECA DIAS WILSON GONZALO 1600254773001 X 247102 ALBAN TIPANTIZA MARIA MARUJA 1600256703001 X 278085 CRUZ LOPEZ WILLAN GONZALO 1600258592001 X 16322 TERAN SIERRA OSCAR LAURO 1600258808001 X 239377 CHICAIZA RODRIGUEZ ANGEL ALBERTO1600259095001 X 171969 LUGO GALARZA JAIME LEONARDO 1600259137001 X 103700 SOLIS ZUNIGA LINER ASUNCION 1600260374001 X 239066 KUNCHICUY CARRASCO PASCUAL MARCOS 1600260697001 X X 230251 PARRA GUERRERO JOSE DAVID 1600261190001 X X X 191285 GUEVARA PALACIOS BÉLGICA ELIZABETH 1600261208001 X 51032 VILLACIS TUBON JOSE EDUARDO 1600261323001 X 211519 TUAPANTE LEMA ANGEL ANIBAL 1600262172001 X 16211 EDISON 1600262966001 X 155411 POZO IZURIETA JORGE EFREN 1600263022001 X 264929 GARCES SANTI MARIO GERMANICO 1600264517001 X
  • 598.
    No No registra No No registra No No. registra registra No. indicadores registra provincia, registra Persona_id NOMBRE No. ID (RUC) calle número registra de ventas, apellido cantón y primer principal de calle origen activos y/o paterno parroquia nombre principal empleados 99716 AMÁN LOPEZ BYRON GUILLERMO 1600265266001 X 137008 MUÑOS FERNANDEZ SANDRA ELIZABETH 1600265837001 X 135682 ARMAS RIVERA JORGE ENRIQUE 1600266207001 X 183995 XXXXXXXX JARA CARLOS AMABLE 1600266249001 X 230918 CHICAIZA RUGEL JORGE EDUARDO 1600266694001 X 22479 ESCOBAR MEDINA EDWIN FERNANDO 1600266710001 X 103337 SAGBAY LITUMA KEHENDY KARINA 1600266819001 X 114780 GUEVARA PINEDA ALBERTO SIGIFREDO 1600266884001 X 71437 ORTEGA ALVAREZ EDGAR ALFONSO 1600267262001 X 218744 SARMIENTO LEDESMA CESAR GEOVANNY 1600268575001 X 46901 CUJI NANGO LUPE MARIANA 1600272973001 X 130707 TOBAR CRESPO HUGO MARCELO 1600273195001 X 157073 HERNANDEZ VILLACRES ALEX AGUSTIN 1600273930001 X 99925 SALAZAR LUNA DAYSY MYREYA 1600275919001 X 61055 CARTAGENA REINO CESAR AUGUSTO 1600276347001 X 207585 PAZMIÑO QUINTEROS EDWIN MIGUEL 1600277451001 X 136484 CALDERON GAVILANEZ EDWIN RICARDO 1600277691001 X 47381 GUZMAN VEGA JOSE MIGUEL 1600277790001 X 70345 REINOSO CHIPANTIZA BLADIMIR ALCIVAR 1600278400001 X 96244 REAL LOPEZ JOHN AMILCAR 1600278574001 X 178369 GOMEZ PAZMIÑO MARCELA ELISABED 1600280687001 X 153170 HIDALGO PILCO EDISON ARQUIMIDES 1600280794001 X 179326 CASTILLO MONTOYA ISAAC IVAN 1600281214001 X 24169 ESPIN BARRERA FAUSTO VINICIO 1600281248001 X 269986 ESPIN CADENA FAUSTO FABIAN 1600281966001 X 216015 JACHERO ROBALINO CARLOS BENJAMIN 1600284366001 X 55356 MUÑOZ ROBALINO JACQUELINE MARITZA1600286767001 X 23365 BARROSO ZAVALA SILVIA MARITZA 1600286924001 X 48016 LUIS 1600287112001 X 108189 ALVAREZ ESCOBAR JANNY MARIANELA1600287286001 X 116849 VARGAS VITERI YOLANDA MARICELA 1600287625001 X
  • 599.
    No No registra No No registra No No. registra registra No. indicadores registra provincia, registra Persona_id NOMBRE No. ID (RUC) calle número registra de ventas, apellido cantón y primer principal de calle origen activos y/o paterno parroquia nombre principal empleados 234475 PISANGO VILLAVICENCIO JENY MAGDALENA 1600287898001 X 260083 CRESPO CORTEZ SASKIA YAJAIRA 1600288011001 X 152659 TACURI TACURI TRANCITO SALOME 1600289134001 X 45945 VERDESOTO YANEZ ALBA CRISTINA 1600289191001 X 245725 CARCELEN CASTILLO SEGUNDO BENITO1600291049001 X 172968 DAVALOS MEDINA DAVID FERNANDO 1600291254001 X 70216 LOPEZ PAREDES JESUS VINICIO 1600292260001 X 237430 CANELOS TANCHIMA FLAVIO VICENTE 1600292484001 X 118479 TOBANDA RAMOS GRIMA MARLENE 1600293284001 X 130800 UWITIAI CHUMPI JULIA JUANA 1600293870001 X 104861 ALVAREZ CARDENAS JOE OSWALDO 1600294795001 X 22528 TORRES TAMAYO JONATHAN RODOLFO 1600294852001 X 21980 MORA BRITO NORMAN ALBERTO 1600295966001 X 87073 CALDERÓN GAVILANES BYRON ROLANDO1600299729001 X 71814 VÉJAR CÁRDENAS JORGE EDUARDO 1600299976001 X 57428 JARAMILLO CASTILLO FRANKLIN HUGO1600300097001 X 253979 QUINGA SALGUERO FRANCISCO RAMIRO1600300253001 X 174935 ERAZO MORA HECTOR EDUARDO 1600300279001 X 130612 ARMIJOS LOZADA MARIA XIMENA 1600300675001 X 44900 ORTEGA ALVAREZ NORMA INÉS 1600301061001 X 64250 SARMIENTO LEÓN NUBE ALEXANDRA 1600301731001 X 273002 VALENCIA SALDARRIAGA ROSA ELVIRA1600302275001 X 23732 LÓPEZ CHÁVEZ WILLIAM IVÁN 1600303091001 X 99328 ARIAS MONTERO JOB DANILO 1600303489001 X 129411 VILLARUEL HIDALGO SEGUNDO ANIBAL1600305021001 X 24658 MORANTE GOMEZ IBEETH XIMENA 1600305427001 X 242523 MORANTE GÓMEZ PAULINA ELIZABETH1600305435001 X 229591 LARA MECIAS MARTHA CECILIA 1600305484001 X 229851 PUSAY PILCO JUAN ALBERTO 1600307225001 X 179913 VILLACIS DIAZ ELBA MARIA 1600307837001 X 212835 PACHECO ESPIN DANIEL EDUARDO 1600308058001 X
  • 600.
    No No registra No No registra No No. registra registra No. indicadores registra provincia, registra Persona_id NOMBRE No. ID (RUC) calle número registra de ventas, apellido cantón y primer principal de calle origen activos y/o paterno parroquia nombre principal empleados 205313 MAYORGA NUÑEZ LIVIA AMPARITO 1600308470001 X 258106 SANTI VARGAS ABSALON EDUARDO 1600308579001 X 28151 SANGOQUIZA JUCA CARLOS ALFONSO1600310351001 X 128107 TANQUINA PAZ JORGE ENRIQUE 1600311854001 X 12444 COMPUMAX 1600312001001 X 144810 UBILLUZ FONSECA RAUL WILFRIDO 1600312258001 X 103454 BARROSO ZAVALA MILVIA SUSANA 1600313009001 X 36221 LUCILA 1600313033001 X 157589 MONTENEGRO MERCHÁN JHON SANDRO 1600313108001 X 159289 CHIMBO CERDA BETTY BEATRIZ 1600314452001 X 58625 CHIMBORAZO BARRERA EDISSON MARCELO 1600314536001 X 174882 ZUNIGA CUEVA TITO RAUL 1600316234001 X 104936 LLANGARÍ ASHQUI ELSA ZOILA 1600317133001 X 22506 JARAMILLO SANIPATIN ANGELITA PAULINA 1600317281001 X 177897 FERRETERÍA INDUSTRIAL EL DORADO 1600317612001 X 214945 ESCOBAR HIDALGO JENNY MARGOHT 1600318438001 X 23171 TRÁVEZ VALENCIA GISELA KARINA 1600319089001 X 220470 CALAPUCHA ANDY DEVORA LEA 1600319139001 X 259532 BALCAZAR VITERI YESICA YADIRA 1600321952001 X 227406 CAJAS JACOME CLARA MARISOL 1600322406001 X 179727 CASTILLO BUSTAMANTE MARIO PETRONEO 1600323966001 X 224902 CAICEDO BENAVIDES NELLY MELINA 1600324071001 X 105073 MONTAGUANO SILVA DAVID ISAG 1600324113001 X 42905 TOALOMBO PINTO ROBERTO NEPTALI 1600325540001 X 215183 ILLANES SANTI NECTALI ERGUIN 1600325615001 X 61696 YANCHALUIZA DIAZ MYRIAN DEL ROCIO1600325631001 X 151239 SALAZAR SANIPATIN TITO XAVIER 1600326373001 X 131293 ESTRELLA MOLINA ROSA ELENA 1600327041001 X 159779 GARCIA RUANO JUAN CARLOS 1600327546001 X 243350 CARDENAS JURADO NEY MARTIN 1600327991001 X 131837 TUSTON CARRAZCO SHADIRA MARIVEL 1600328593001 X
  • 601.
    No No registra No No registra No No. registra registra No. indicadores registra provincia, registra Persona_id NOMBRE No. ID (RUC) calle número registra de ventas, apellido cantón y primer principal de calle origen activos y/o paterno parroquia nombre principal empleados 178070 TAPUY AGUINDA VICTOR PASCUAL 1600329641001 X 198900 BOSQUEZ RODRIGUEZ ANGEL EDILBERTO1600331118001 X 101924 MEJIA GARCES MARIA NATIVIDAD 1600331738001 X 18498 MERI 1600331902001 X X 196396 CUMBICOS CORONEL MAYRA LUCIA 1600332132001 X 131987 LLERENA GUANO DORYS ELIZABETH 1600332405001 X 246419 LOPEZ URENA ANA CECILIA 1600332900001 X 199436 ACAN USHCA JUAN MANUEL 1600334104001 X 120149 GUALINGA CHUJI JERVACIO SHARIANO1600334518001 X 83317 CARRANZA PERRAZO MARIA ELIZABETH600334583001 1 X 14948 MILTON 1600334807001 X 47587 CISNEROS RUIZ CESAR FABRICIO 1600335929001 X 273991 AGUILAR ESPIN FERNANDO PAUL 1600336398001 X 172764 GUAZHCO PACURUCU LUIS HERIBERTO600338030001 1 X 166049 INMUNDA TAPUY DANIEL WILSON 1600338220001 X 79155 PILLAJO LEON PATRICIA MARGOTH 1600342644001 X 51046 ORDOÑEZ PAREDES EDWIN AGUSTO 1600343261001 X 87938 MAZORRA OLMEDO ERIK RAMIRO 1600343352001 X 36079 FLORES ITURRALDE JOSÉ LUIS 1600343493001 X 125855 LASSO PEREZ NANCY YOLANDA 1600344210001 X 218292 GARCIA GAHONA PACO KLINGER 1600345035001 X 239049 BARRERA HOYOS WILMER RODRIGO 1600345662001 X 17795 MARTINEZ PILCO TITO ISRAEL 1600345910001 X 267928 KUNCHIKIAI NUNINK ADRIANA CRISTINA 1600346009001 X 227171 FONSECA LUNA WILMER IVAN 1600346785001 X 246304 HERNANDEZ PAREDES ELISA BRIGITTE1600347106001 X 79712 MARTINEZ PILCO FRANKLIN ANGEL 1600347718001 X 87810 YEDRA MACHADO MARGOTH VICTORIA1600348054001 X 197356 BONILLA CHANGO MARIO JORGE 1600348625001 X 183054 VALVERDE PAREDES IVONNE PAULINA1600348948001 X 56464 CARRASCO CARRASCO ZOILA ESTHER1600349847001 X
  • 602.
    No No registra No No registra No No. registra registra No. indicadores registra provincia, registra Persona_id NOMBRE No. ID (RUC) calle número registra de ventas, apellido cantón y primer principal de calle origen activos y/o paterno parroquia nombre principal empleados 155622 SANI MOYON LUIS ALFREDO 1600350118001 X 191100 ROBALINO JIMENEZ PABLO RENAN 1600350704001 X 140221 RODRIGUEZ BARROS FREDY VICENTE 1600351314001 X 255628 OLMEDO DIAZ DAYSI SORAYA 1600351462001 X 71164 GALARZA DÍAZ WILBER PATRICIO 1600352072001 X 187377 ROBALINO TRAVEZ BYRON FABIAN 1600352759001 X 166802 SÁNCHEZ HIDALGO CARLOS GONZALO1600353153001 X 166527 CASTILLO SARMIENTO WILSON OSWALDO 1600353427001 X 214685 CANELOS VARGAS WALTER GALO 1600353492001 X 225381 LUNA GAMBOA HENRY PATRICIO 1600356032001 X 241686 SALAZAR MARTINEZ KARINA MARITZA 1600357303001 X 244747 MORALES CABRERA BYRON ANDRES 1600357485001 X 208154 ALBAN CASTRO FRANKLIN FABIAN 1600357840001 X 33921 PEREZ MACHADO CARLOS IVAN 1600358384001 X 229264 GUALLI SELA CESAR ENRIQUE 1600360331001 X 238598 CÁRDENAS ESPIN RAÚL GUILLERMO 1600361438001 X 169907 FUENTES BARRIONUEVO WUILIAM RODRIGO 1600362337001 X 128311 VILCACUNDO LASSO JENNY DEL ROCIO1600364028001 X 267220 PAZMIÑO QUINTEROS MARIANA DE JESUS 1600364275001 X 14769 PINTURAS ALDAZ 1600364325001 X 41892 JORGE 1600364994001 X 40692 ESTRUCTURAS MAYORGA 1600365009001 X 122493 SORIA BROCEL NELSON ALFREDO 1600367385001 X 97826 VASQUEZ GONZALES DINO WALDIR 1600367450001 X 218823 CALLE MARTINES DIANA JAQUELINE 1600367500001 X 203956 NAVEDA SILVA PATRICIO ALFREDO 1600367955001 X 232310 ZANABRIA VALENCIA GUSTAVO ADOLFO1600370389001 X 50190 KLEVER 1600370694001 X 195327 UTITIAJA HUAMBACHI JOSE ANGEL 1600371783001 X 251824 MEJIA QUINTEROS PAOLA CAROLINA 1600376790001 X 112966 SANTAMARIA VARGAS LENIN SANTIAGO1600376824001 X
  • 603.
    No No registra No No registra No No. registra registra No. indicadores registra provincia, registra Persona_id NOMBRE No. ID (RUC) calle número registra de ventas, apellido cantón y primer principal de calle origen activos y/o paterno parroquia nombre principal empleados 57461 CAJECA ANDICHA WILLIAM MARIO 1600377095001 X 79183 CABEZAS LLAMUCA DANIEL PATRICIO 1600377129001 X 91353 CHÁVEZ JARAMILLO JONATHAN AUGUSTO1600378085001 X 247270 ESPIN SALINAS PATRICIA ELIZABETH 1600378499001 X 14982 MEJIA LOPEZ PAUL ALFREDO 1600378630001 X 255073 PIEDRA ARÉVALO DARWIN ROLANDO 1600380214001 X 171968 ESPIN ORTIZ CLIMACO GEOVANI 1600380966001 X 271960 TRELLES MENDEZ JHON PATRICIO 1600381063001 X 51742 ESPIN BARRERA JAIME EDUARDO 1600381592001 X 186253 BRAVO AILLON MARIVEL DEL ROCIO 1600381659001 X 203464 BARRIONUEVO JURADO CRISTIAN RODRIGO 1600382129001 X 127013 ROMERO PEÑA MILTON FERNANDO 1600387516001 X 250148 AMORES MARTINEZ TERESA LINETH 1600388662001 X 178267 CHONATA PAREDES PATRICIA PAULINA 1600389579001 X 271633 SANTY VARGAS JUAN TEOFILO 1600390890001 X 137596 AYERVE DURAN EDWIN JAVIER 1600391435001 X 9484 MULTISERVICIOS AL INSTANTE FM 1600392532001 X 182145 BELTRÁN ALDÁS PAOLA JHOMARA 1600393589001 X 257082 CEVALLOS PUNGUIL TANIA CRISTINA 1600394140001 X 242186 MUÑOZ ROBALINO ANA LUCIA 1600394439001 X 107802 ARANDA CUJI MOISES YAURI 1600396335001 X 187406 MONTALVAN CASTILLO WILMER EUCLIDES 1600396772001 X 111105 YEDRA MACHADO DAVID ALEJANDRO 1600396970001 X 44124 SOSA CASTRO ALVARO RENATO 1600397895001 X 111037 CASTRO NÚÑEZ JENNY VERÓNICA 1600398315001 X 70389 VARELA PINARGOTE MIGUEL ANGEL 1600399032001 X 152778 CHASIQUIZA RAMIREZ DANIEL FELIPE 1600399313001 X 25106 SILVA MANZANO FABIAN GUSTAVO 1600399800001 X 104363 CHAVEZ TORRES CHRISTIAN MARCELO 1600400236001 X 57223 ORTIZ PARRA ANGEL FABIAN 1600401085001 X 266485 LOPEZ SHIGUANGO ELISEO HIDER 1600401424001 X
  • 604.
    No No registra No No registra No No. registra registra No. indicadores registra provincia, registra Persona_id NOMBRE No. ID (RUC) calle número registra de ventas, apellido cantón y primer principal de calle origen activos y/o paterno parroquia nombre principal empleados 267852 BERMEO FREIRE MONICA JUDITH 1600404071001 X 131995 CAMACHO RUANO LUIS ALBERTO 1600405664001 X 55472 CASTRO GUAMANQUISPE EDGAR FERNANDO 1600405979001 X 198278 NANGO CUJI GABRIEL GONZALO 1600406415001 X 14752 FLORES CARVAJAL CARLOS SANTIAGO1600406654001 X 231100 MERINO AYALA IVAN EDMUNDO 1600406860001 X 263208 TANCHIMA MAYANCHI SONIA ELENA 1600407322001 X 102944 BONILLA SILVA JAIME EDISON 1600408148001 X 241799 GASITUA SARABIA MANUEL LEONIDAS 1600408692001 X 227079 SORIA BROCEL ALBA MAGDALENA 1600409088001 X 213893 UBILLUZ SANCHEZ MARCELO FAVIAN 1600409930001 X 94030 GRANIZO GRANIZO RITTA ORFA 1600411530001 X 132628 GUEVARA TOSCANO RAFAELA YAJAIRA 1600412009001 X 180772 IDROVO MARTINEZ ALBERTO FROILAN 1600416299001 X 180927 FERNÁNDEZ SÁNCHEZ LINETH DEL ROCÍO 1600416976001 X 50474 SALINAS SALINAS TANIA ELIZABETH 1600417263001 X 48727 MARTINEZ PILCO KLEVER EDUARDO 1600417875001 X 191731 ORTIZ ORTIZ BAYRON GERARDO 1600418261001 X 244253 CARCELEN INSUASTI GEIDI FERNANDA1600418303001 X 243316 FREIRE GARCÉS JUAN CARLOS 1600418899001 X 215056 VALDIVIEZO QUISPE CAROLINA ELIZABETH 1600424129001 X 39589 PEÑAFIEL IDROVO CAMILO PATRICIO 1600428542001 X 232342 TAPUY GREFA VICTOR ISIDRO 1600430472001 X 232649 PÉREZ ALVAREZ WASHINGTON ANTONIO 1600435711001 X 246867 HERNANDEZ VELVA JENNIFER PAOLA 1600436610001 X 144429 ANDRADE GAVILANES JOSE MIGUEL 1600437154001 X 84435 SANTI AGUINDA TOMAS ENRIQUE 1600438715001 X 219395 SICHA MEJIA JENDRY JAVIER 1600439127001 X 202368 PÉREZ ZABALA DARWIN EDUARDO 1600439739001 X 123171 DUCHE CHULCO JUAN CARLOS 1600440950001 X 230823 SARABIA GUEVARA LIZARDO JAVIER 1600441081001 X
  • 605.
    No No registra No No registra No No. registra registra No. indicadores registra provincia, registra Persona_id NOMBRE No. ID (RUC) calle número registra de ventas, apellido cantón y primer principal de calle origen activos y/o paterno parroquia nombre principal empleados 254203 MEJIA QUINTEROS CARLOS FERNANDO 1600444010001 X 206021 TANGUILA CERDA MARIA ELENA 1600447070001 X 272850 SILVA UVIDIA LUIS ALBERTO 1600448060001 X 226885 PEÑA ROMERO LUIS ALBERTO 1600448326001 X 94935 RODRÍGUEZ MÉNDEZ EVA ELIZABETH 1600449548001 X 148187 VARGAS CERDA CECILIA LORENA 1600451361001 X 14229 CHEMKALITY PUYO 1600451437001 X 153842 AGUIRRE VILLACRESES ROBERTO CARLOS 1600451536001 X 198322 MARTINEZ SANCHEZ VERONICA MARLENE1600457228001 X 78453 PAGUAY GUARCO NELLY CECILIA 1600458507001 X 206231 VIRACUCHA SILVA LUPE ALEXANDRA 1600460297001 X 227186 QUISPE CAIZA MÓNICA PIEDAD 1600460362001 X 241153 IZURIETA RODRIGUEZ JESUS EDUARDO 1600462855001 X 194722 LOPEZ LOPEZ JENNY SUSANA 1600463226001 X 75748 AGUINDA PILLA CRISTIAN RIGOBERTO 1600465304001 X 62923 CONGACHA YANCHA DIEGO MESIAS 1600465569001 X 265659 AGUIRRE SOLIS DERLIS ALBERTO 1600467078001 X 186237 MIRANDA MONTAGUANO MAURO WILSON 1600467573001 X 247719 ALVAREZ GREFA LUIS ALONSO 1600468035001 X 197152 ARAQUE CACHIGUANGO JUAN PABLO 1600468050001 X X X 232427 VILLAFUERTE GUACHO FERNANDO JOEL 1600468381001 X 141366 SORIA CHONATA CARMITA ALEXANDRA 1600476426001 X 199709 YANKUR MAYAK JOSE ROSENDO 1600483984001 X 254062 ESPÍN REAL DANNY FRANCISCO 1600484438001 X 100818 HERAS VELÍN TRERESA DE JESÚS 1600487522001 X 219778 OBANDO RAMOS FERNADO WILSON 1600497836001 X 203853 RIVERA GARCÍA JENNY MARLENE 1600499337001 X 279396 ORQUERA PADILLA BLANCA LAURA 1600500670001 X 23635 ALARCÓN YÉPEZ ANA MARÍA 1600502254001 X 241398 SANMARTIN TORRES MARIA EUGENIA 1600508236001 X 102994 VELASCO FIALLOS RUTH DALILA 1600508640001 X
  • 606.
    No No registra No No registra No No. registra registra No. indicadores registra provincia, registra Persona_id NOMBRE No. ID (RUC) calle número registra de ventas, apellido cantón y primer principal de calle origen activos y/o paterno parroquia nombre principal empleados 164916 ANDI ANDY JAIRO JAVIER 1600510109001 X 259894 OJEDA CAIZA MARIANELA NATALY 1600519852001 X 275486 LLANGANATE PUNINA JULIO ABEL 1600520215001 X 152953 TAPUY PAPA WELLINTON WILFRIDO 1600522815001 X 205214 HIDALGO GUERRERO JENNY ALEJANDRA 1600534539001 X 247273 ALDAS CHERREZ MARITZA DE LAS MERCEDES 1600535718001 X 107395 NARANJO CABRERA JESSICA MAGALY 1600536971001 X 249915 VALLE RAMÍREZ SEGUNDO BENEDICTO 1600538894001 X 202126 MONTALVAN CASTILLO FLOR MARIA 1600544298001 X 245658 LIZANO HERNANDEZ MAYRA LORENA 1600551160001 X 112667 PEREZ VILLARROEL JESSICA PATRICIA1600551277001 X 146272 NUÑEZ VIMOS NANCY ALEXANDRA 1600558967001 X 137520 CALLE VEGA DIANA DE LA NUBE 1600566077001 X 248113 MENESES BORJA MARÍA ELENA 1600576316001 X X X 271194 VARGAS GUEVARA EDWIN IVAN 1600615965001 X 277342 PULLA CAMPUZANO JUAN MANUEL 1600619314001 X 209623 GONZÁLEZ FREIRE DANIEL ENRIQUE 1600693954001 X 214628 INMUNDA NANGO SEVERO ATAHUALPA1600695041001 X 46662 ILUSTRE MUNICIPIO DE SANTA CLARA 1660000680001 X X 96711 COOPERATIVA DE TAXIS Y CAMIONETAS 12 DE MAYO 1690007033001 X 139102 COOPERATIVA DE AHORRO Y CREDITO1690012606001 DE LA PEQUEÑA EMPRESA DE PASTAZA X 115446 COOPERATIVA DE VOLQUETES RIO PASTAZA 1690015133001 X 233524 COMPAÑIA DE TRANSPORTE TRANSCURARAY LTDA. 1690015508001 X 106990 COOPERATIVA DE TAXIS LOS TAYOS 1690015567001 X 87263 ASOCIACIÓN INTERPROFESIONAL DE CARPINEROS DE PASTAZA 1690015958001 X 156717 COOPERATIVA DE TRANSPORTE INTERPROVINCIAL DE PASAJEROS TOURIS SAN FRANCISCO ORIENTAL 1690017268001 X 202503 ASOCIACION PROVINCIAL DE IMPEDIDOS FISICOS DE PASTAZA 1690017322001 X 172770 HOSPITAL VOZANDES DEL ORIENTE 1691700034001 X 127680 VIMAPRI COMPANIA EN COMANDITA SIMPLE 1691700085001 X 259706 ASOCIACION DE COMUNIDADES INDIGENAS DE ARAJUNO 1691700107001 X 27633 WILISELZU CIA. LTDA. 1691701723001 X
  • 607.
    No No registra No No registra No No. registra registra No. indicadores registra provincia, registra Persona_id NOMBRE No. ID (RUC) calle número registra de ventas, apellido cantón y primer principal de calle origen activos y/o paterno parroquia nombre principal empleados 257243 COMITE DE DESARROLLO COMUNITARIO SUCRE RIO AZUL 1691702193001 X 32789 CONSTRUCTORA PEREZ DEL ORIENTE 1691702568001 CIA.LTDA X 44193 MORA BRITO & MORA BRITO CONSTRUCTORA Y SERVICIOS CIA. LTDA. 1691703491001 X 38235 MARCO CARVAJAL CONSTRUCTORAY SERVICIOS CIA. LTDA. 1691703572001 X 161156 IGLESIA EVANGELICA ESPERANZA ETERNA 1691703777001 X 14856 TOGACONS CONSTRUCTORA Y SERVICIOS CIA LTDA 1691704242001 X 45843 VALENHARO CONSTRUCCI 1691704285001 X 28180 ERAZO & ARAUZ CONSTRUCTORA Y SERVICIOS CIA. LTDA. 1691704366001 X 228286 ASOCIACION DE ACCION SOCIAL Y COMUNITARIA NUESTRA SEÑORA DE LOURDES 1691704447001 X 267830 LUAPEGES CONSTRUCTORA Y SERVICIOS C.A 1691704595001 X 36012 SERVIORIENTAL S.A. 1691704692001 X 19105 GRADIENTE CONSTRUCTORES ASOCIADOS CIA. LTDA. 1691704889001 X 87425 FUNDACION AMAZONIA VERDE 1691704986001 X 58064 MENA&ORTIZ CIA LTDA 1691705354001 X 194124 ASOCIACION DE PRODUCTORES DE PAPA CHINA TENIENTE HUGO ORTIZ 1691705907001 X 78299 ASOCIACIÓN DE CONSERVACIÓN VIAL LUZ ADRIANA MORAL 1691706318001 X 15552 NAVCONST CIA LTDA 1691706458001 X 240263 SOSA LEON CONSTRUCTORA Y SERVICIOS CIA LTDA 1691706776001 X 246949 ASOCIACIÓN KICHWA AGRO PRODUCTORES SUMAK KAWSAY 1691707020001 X 42301 EMPRESA DE AUTOGESTIÓN DE SERVICIO AÉREO ACHUAR AEROTSENTSAK 1691707578001 X 44721 EMPRESA DE AUTOGESTION DE SERVICIO AEREO KICHWA DE PASTAZA 1691707659001 X 50578 VILLACIS PAREDES OBRAS CIVILES Y MAQUINARIA PESADA CIA. LTDA. 1691707764001 X 51905 CONSTRUCGAV S.A. 1691707985001 X 52017 CONSTRUARTOVA S.A. 1691707993001 X 230131 CIA. PARRA MORALES 1691708175001 X 270753 TRANSCHEVI CIA LTDA 1691708337001 X 69626 ASOCIACION KICHUAS CHAGUAMANGO 1691708418001 X 29460 CONSTRUCCIONES Y SERVICIOS TEROAZ CIA. LTDA. 1691708698001 X 269274 VOLQUEALPAY S.A. 1691708973001 X 119967 COMITÉ DE PADRES DE FAMILIA Y REPRESENTANTES DE PARTICIPACION DE NIÑOS, NIÑAS Y ADOLESCENTES DEL CANTON PASTAZA 1691709112001 X 93601 SASTRES ASOCIADOS RSA 1691709341001 X
  • 608.
    No No registra No No registra No No. registra registra No. indicadores registra provincia, registra Persona_id NOMBRE No. ID (RUC) calle número registra de ventas, apellido cantón y primer principal de calle origen activos y/o paterno parroquia nombre principal empleados 211985 GRAVADONCU CÍA. LTDA. 1691709414001 X 184864 COMPAÑIA DE INGENIERIA Y CONSTRUCCIONES INGECONSCABLE & TRANSS CIA.LTDA 1691709694001 X 184200 EQUILOTEC S.A. 1691709945001 X 202974 CONSTRUCCIONES Y SERVICIOS CONESME CIA. LTDA. 1691709953001 X 264853 AEROKASHURCO CIA. LTDA. 1691709961001 X 192399 AMAZONAS BUILDING AMAZONBUILD 1691710080001 X 217081 EMPRESA CONSTRUCTORA GANAN Y URIBE S. A. 1691710099001 X 210665 GARMAC CONSTRUCTORA CIA LTDA 1691710110001 X 222620 CONSTRUCCION Y MANTENIMIENTO ELECTRICO 1691710137001 X 209364 COMPAÑIA MUÑOZ MUÑOZ CONSTRUCCIONES S.A 1691710226001 X 213899 COMPAÑIA SHARWASHENT CONSTRUCCIONES S.A. 1691710250001 X 264126 FREIRE & CASTILLO CONSTRUCTORA Y SERVICIOS CIA LTDA 1691710285001 X 268249 CLARA SELVA EMPRESA DE TRANSPORTE PESADO CLASEL TRANS S.A 1691710455001 X 224795 P & C CIA LTDA 1691710498001 X 230791 COPAZING-MORA ARQUITECTOS Y CONSTRUCTORES ASOCIADOS 1691710579001 X 251902 REGACONS 1691710617001 X 247054 FUNDACION DE DESARROLLO ECONOMICO Y SOCIAL PARA LA AMAZONIA 1691710625001 X 248321 RURAKKUNA ALTME CIA. LTDA. 1691710765001 X 253180 DALUVAL PROYECTOS Y CONTRUCCIONES CIA.LTDA. 1691710854001 X 260591 CONSTRUCTORA QUIROZ GRESAN CIA.LTDA. 1691710978001 X 264224 CONSORCIO SERVIORIENTAL & ASOCIADOS 1691711001001 X 268692 MECARCIV CIA. LTDA. 1691711044001 X 267350 CONSORCIO VÍAS PASTAZA 1691711060001 X 271314 CONSORCIO RURAKKUNA 1691711117001 X 273659 ING. ASOCIADOS 1691711141001 X 39974 BAHAMONDE TIPAN FRANCISCO FRANCO1700026154001 X 62059 VELASQUEZ YANEZ LUIS ANIBAL 1700036633001 X 225209 RUIZ ARMAS ZOILA ANGELITA 1700067489001 X 110284 TAYUPANTA ZURITA AUGUSTO POLIVIO1700069329001 X 131980 GORDILLO SILVA HÉCTOR OSWALDO 1700113358001 X 14897 ARQUITECTO EDGAR PINTO SANDOVAL 1700132127001 X
  • 609.
    No No registra No No registra No No. registra registra No. indicadores registra provincia, registra Persona_id NOMBRE No. ID (RUC) calle número registra de ventas, apellido cantón y primer principal de calle origen activos y/o paterno parroquia nombre principal empleados 250632 FREIRE BAYAS HERMINIO LIVINO 1700133067001 X 139047 GUAMINGA ARELLANO AGUSTIN 1700157678001 X 30919 CÁRDENAS ORRICO MIGUEL ALCIVAR 1700165614001 X 119158 SANDOVAL CRUZ LUIS ENRIQUE 1700180175001 X 200729 SANTACRUZ FRANCISCO 1700185901001 X 272167 QUEVEDO TERÁN HERNÁN GONZALO 1700205790001 X 167978 VERA HEREDIA MANUEL 1700234626001 X 161110 RIOS CRIOLLO OSCAR TORIVIO 1700236258001 X 132000 CEVALLOS IPIAL LUIS ERNESTO 1700236290001 X 199937 ONOFA PITO LUIS ALFONSO 1700334285001 X 218398 PILLAJO ASIMBAYA ANGEL VICTOR 1700363987001 X 178128 GAVILANES ORDOÑEZ JORGE ARTURO1700371907001 X 179362 CUEVA SAAVEDRA NESTOR HUGO 1700419904001 X 152150 GAVIÑO RODRIGUEZ DIMAS REIMUNDO 1700431255001 X 56635 YUMBLA LEON HECTOR ROLANDO 1700439357001 X 209378 CODENA TOPN MANUEL EDUARDO 1700474644001 X 200997 BENAVIDES BASTIDAS DEIDAN TEMISTOCLES 1700487117001 X 27767 TELLO ARTEAGA VICTOR HUGO EDGAR 1700505835001 X 28364 ANAGUANO ANDRANGO JORGE NAPOLEÓN1700526153001 X 46996 PONCE CASTILLO LUIS GUILLERMO 1700547233001 X 203020 GONZÁLEZ GRANDA JORGE VICENTE 1700567850001 X 189035 CHIRIBOGA ACOSTA LUIS GUSTAVO 1700569682001 X 151433 JERIA CUEVA RAUL ALBERTO 1700573700001 X 9781 RAÚL NÚÑEZ 1700617341001 X 37961 ROMAN BALSECA JUAN PATRICIO 1700625849001 X 272423 CAIZA REMACHE SEGUNDO MANUEL 1700633991001 X 244323 DELGADO SALAS JORGE RENE 1700643891001 X 41928 ANDINO OLMEDO ANGEL MARIA 1700658964001 X 79622 BAUTISTA QUISHPE CESAR AUGUSTO 1700664822001 X 119937 FLORES TUFIÑO JAIME ELICIO 1700667130001 X 55859 PERALTA HEREDIA LUIS ALFONSO 1700672668001 X
  • 610.
    No No registra No No registra No No. registra registra No. indicadores registra provincia, registra Persona_id NOMBRE No. ID (RUC) calle número registra de ventas, apellido cantón y primer principal de calle origen activos y/o paterno parroquia nombre principal empleados 218711 CALAPAQUI AGUAGUIÑA AUDBERTO ANTONIO 1700680190001 X 155579 MONGE PENAHERRERA ANITA DE LAS MERCEDES 1700680703001 X 106347 ESCOBAR ACURIO HOLGUER NEPTALI 1700689910001 X 135017 TOAPANTA SULQUI LUIS ALBERTO 1700690389001 X 192723 REINOZO DEFAZ HILDA ROGELIA 1700692229001 X 232053 ACEBO VILLACIS FRANCISCO HUMBERTO1700703224001 X 22685 ZAMBRANO ORMASA JORGE WASHINGTON 1700707522001 X 166373 PONCE MARIA FANNY 1700714049001 X 40685 PAZMIÑO SALTOS MARIO GUSTAVO 1700717380001 X 46123 DELGADO CASTRO WILSON EDUARDO 1700731225001 X 135012 PILATAXI CADENA ALFONSO HUGO 1700743048001 X 171029 VINTIMILLA CALLE LUIS CAMILO 1700758533001 X 41367 AGUILAR CAZAR MARCO GONZALO 1700774126001 X 159249 YANEZ GUERRERO JOSE VICENTE 1700789843001 X 242813 ROJAS PROAÑO HECTOR ENRIQUE 1700808734001 X 123775 TAPIA JARAMILLO EDGAR PATRICIO 1700816273001 X 265211 MARMOL JARRIN BORIS ALFREDO 1700817644001 X 140255 ALARCÓN LÓPEZ MÉLIDA VIOLETA 1700822628001 X 129638 SAMANIEGO ZHUNAULA SEGUNDO RAMON 1700854423001 X 162553 NOBOA CABRERA TELMO MESÍAS 1700883141001 X 63715 GONZÁLEZ TUFIÑO LUIS FIDEL 1700885385001 X 202958 SALAZAR SANGOLUIZA MARÍA ROSARIO 1700886318001 X 88946 ACOSTA ACOSTA JOSE MILTON VINICIO1701012484001 X 76217 SILVA ROMERO MARCO ANTONIO 1701032797001 X 230135 SHIGUANGO FLORES FAUSTO ENRIQUE 1701040485001 X 82900 ANDRADE SANTOS GALO HAMILTON 1701041269001 X 68269 BRAVO BURNEO FRANKLIN EDUARDO 1701070789001 X 206471 CARRERA COX CESAR ABDON 1701115410001 X 157023 FRANCO MORALES EDMUNDO GERMAN 1701177451001 X 37744 ROLDAN VELASCO RUPERTO BERNARDO 1701190694001 X 242032 MANTILLA ARIAS ESTHELA MARIA 1701194225001 X
  • 611.
    No No registra No No registra No No. registra registra No. indicadores registra provincia, registra Persona_id NOMBRE No. ID (RUC) calle número registra de ventas, apellido cantón y primer principal de calle origen activos y/o paterno parroquia nombre principal empleados 111355 TUFINO PARRA GOLLAD FLAVIO 1701196188001 X 14068 VALENCIA BORJA VICTOR HUGO 1701197293001 X 58107 SORIA TIPAN GONZALO 1701202002001 X 104180 YANCHAPAXI CHIGUANO JOSE LUIS 1701260901001 X 100269 AYALA RUIZ VICTOR JULIO 1701289553001 X 151327 JURADO ARCENTALES OSWALDO NAPOLEON 1701290189001 X 52212 ORTIZ CEPEDA CARMEN ELISA 1701308718001 X 217973 BETANCOURT CARDENAS SEGUNDO IGNACIO 1701315317001 X 181676 GOMEZ TACO JOSE LUIS 1701316638001 X 30483 JORGE 1701317537001 X 189195 GUALOTO CHULCA SEGUNDO FRANCISCO1701318428001 X 245155 TORRES JUAN 1701333187001 X 173029 CARRERA GALARZA LUCIANO EFREN 1701341941001 X 196739 CHERRES GONZALO POLIVIO 1701385195001 X 96094 REINOSO VICTOR HUGO 1701394411001 X 222306 ALQUINGA CONDOR JOSÉ RAFAEL 1701485508001 X 261174 GUALOTUÑA SUNTASIG CESAR 1701497685001 X 179409 RAMIREZ JOSE ANTONIO 1701499509001 X 134347 BARROS PROAÑO LUIS EDUARDO 1701511097001 X 241258 BALDEÓN CORREA SEGUNDO NARCISO 1701518282001 X 121906 SALAZAR TRUJILLO CARMEN EDELINA 1701519801001 X 67037 ZARATE BOLAÑOS SEGUNDO JOSE 1701525212001 X 118161 GARCIA ESPINOSA ENRIQUE EDUARDO 1701533794001 X 112531 NAVARRETE NAVARRETE JOSE RANULFO1701562702001 X 255481 IDROVO ESPINOZA PEDRO TEODORO 1701591891001 X 113428 CASTILLO ORDOÑEZ ELOY AMILCAR 1701594309001 X 118564 IZA REA MARIA EMPERATRIZ 1701596924001 X 136816 DIAZ VALLEJO FANNY ALICIA 1701603134001 X 231199 HIDALGO LOGACHO BLANCA GEORGINA701609396001 1 X 14906 SALAS PATINO JORGE ESTUARDO 1701619551001 X 142788 ARAUJO DONOSO HERNÁN GUSTAVO 1701619676001 X
  • 612.
    No No registra No No registra No No. registra registra No. indicadores registra provincia, registra Persona_id NOMBRE No. ID (RUC) calle número registra de ventas, apellido cantón y primer principal de calle origen activos y/o paterno parroquia nombre principal empleados 246729 CADENA CADENA LUIS ALFREDO 1701692509001 X 165382 SANDOVAL BEDOYA JORGE ALFREDO 1701699538001 X 177943 PAREDES FLOR LENÍN EDUARDO 1701748061001 X 178241 MIÑO MONTALVO MARCO ERNESTO 1701763482001 X 165812 TORRES ARMIJOS OSWALDO ENRIQUE1701764407001 X 145341 PAREDES BRAZALES ERNESTO ALFREDO 1701771816001 X 167318 CARRERA GUTIERREZ SEGUNDO LUIS 1701774893001 X 18390 MUNOZ LANDAZURI MARIO PATRICIO 1701785121001 X 114793 MOROCHO REMACHE CARLOS ALBERTO 1701815092001 X 78348 VELASTEGUI DOMINGUEZ ROMMEL VICIENTE 1701825117001 X 137411 PILATAXI ASERO CARLOS ALBERTO 1701833509001 X 161781 CHICAIZA TONATO SEGUNDO 1701842591001 X 256762 MERA PALMA SEGUNDO AGUSTIN 1701845909001 X 248375 QUINQUIGUANO TONATO JOSE CARLOS701847947001 1 X 12055 SERAFIN 1701863787001 X X X 180577 GUERRA BARROS JOSE RAFAEL 1701863803001 X 140307 GOMEZ DE LA TORRE RUIZ TEODORO JOSE GABRIEL 1701896100001 X 82617 MORENO LOPEZ ARTURO RIGOBERTO1701896548001 X 104087 BUENAÑO COBA GEORGINA JUDITH 1701900142001 X 21009 NOBOA OROZCO MIGUEL ANGEL ROBERTO 1701918813001 X 273764 RIVERA GALLEGOS FERNANDO 1701925495001 X X 72423 CALLE CÁRDENAS JOAQUIN NICOLÁS 1701936294001 X 261279 VELASTEGUÍ ALVEAR CARLOS ENRIQUE701940395001 1 X 88667 FUENTES FLORES MARIA DEL CARMEN1701952069001 X 48871 CAMPUZANO ARGUELLO EDUARDO 1701979773001 X 119915 BALAREZO DUQUE PABLO RODRIGO 1701981027001 X 212963 PROAÑO ALMEIDA JORGE EDMUNDO 1701990101001 X 60600 DELGADO MURILLO MARCO ANTONIO 1701992172001 X 116939 QUISHPE MORALES JOSE MANUEL 1702000819001 X 120389 ROMERO VASCO RODRIGO CORNELIO 1702005610001 X 121713 MIÑO VACA BENJAMIN ANIBAL 1702006659001 X
  • 613.
    No No registra No No registra No No. registra registra No. indicadores registra provincia, registra Persona_id NOMBRE No. ID (RUC) calle número registra de ventas, apellido cantón y primer principal de calle origen activos y/o paterno parroquia nombre principal empleados 271583 PEREZ LOPEZ JUAN CARLOS 1702017003001 X 116650 MOREJON PONCE LUIS ALFREDO 1702028182001 X 167479 ZAMBRANO DELGADO LUIS ALFONSO 1702031319001 X 13260 CERRAJERIA Y CARPINTERIA REINALDO AYO 1702074830001 X 193427 CABASCANGO CARRERA CARLOS 1702091164001 X 23572 JIMENEZ CISNEROS BORIS AMILCAR 1702113620001 X 83204 DELGADO BOLAÑOS GERMAN BAYARDO702167238001 1 X 154007 JACHO OÑA NELSON 1702203959001 X 119821 QUINGA GUAZUMBA JOSE JULIO 1702213990001 X 163940 MOROCHO OÑA SEGUNDO BARTOLO 1702244375001 X 167184 PREXL PAZMIÑO WALDEMAR WERNER 1702264621001 X 192494 CHUQUITARCO MAIQUIZA SEGUNDO VICTOR 1702267632001 X 126411 ALVAREZ VERA PEDRO FERNANDO 1702278779001 X 97523 PAZMINO HERRERA BLANCA YOLANDA1702359033001 X 238636 IZA ARTURO 1702361559001 X 104993 PINNELA ROMERO GUSTAVO 1702372382001 X 110508 ORTIZ AGUINDA RICARDO 1702376789001 X 72449 SEGOVIA MEJÍA LUIS ALBERTO 1702397660001 X 203811 AREVALO DELGADO FERNANDO MANUEL 1702399856001 X 202179 NIETO TERÁN TOMÁS AMABLE 1702473339001 X 221501 RODRIGUEZ AMAGUANA LUZ MARIA 1702480722001 X 128901 PEÑAHERRERA MUÑOZ JOSE OSWALDO 1702488840001 X 167662 GARCÍA GÓMEZ HUGO ERNESTO 1702489533001 X 148567 ASHCA CESAR 1702497726001 X 69480 CORRAL LOPEZ BOLIVAR GENARO 1702543156001 X 82147 RIVERA AGUAS MARIO AUGUSTO 1702553171001 X 98080 MARTINEZ PAVON PACO EFRAIN 1702555994001 X 73350 FREIRE ZALDUMBIDE WILMA BOLIVIA 1702559590001 X 89392 PONCE ITURRIAGA PATRICIO BOLÍVAR 1702585751001 X 10664 VICTOR HUGO BURBANO A. 1702601350001 X 33967 JORGE VALENCIA SORIA 1702601616001 X
  • 614.
    No No registra No No registra No No. registra registra No. indicadores registra provincia, registra Persona_id NOMBRE No. ID (RUC) calle número registra de ventas, apellido cantón y primer principal de calle origen activos y/o paterno parroquia nombre principal empleados 162911 GONZÁLEZ SOLÓRZANO GRETY VIRGINIA 1702604156001 X 50529 ESCOBAR CASTRO EDUARDO 1702614072001 X 110090 PAUKER GUTIERREZ JOSÉ ARTURO 1702618875001 X 144913 PALMA PROAÑO PEDRO PABLO 1702619253001 X 227702 CARRERA VILLAO JOSE ANTONIO 1702622588001 X X X 136865 SALTOS SALTOS MANUEL ENRIQUE 1702642115001 X 171556 VELASCO LARRAGA LUIS ALFONSO 1702643535001 X 89439 JURADO NOBOA FERNANDO RODRIGO 1702645324001 X 193890 GANGOTENA GUARDERAS MARIA DEL CARMEN 1702651504001 X 26325 MENA CARRERA WASHINGTON ARNULFO 1702655182001 X 118445 SIGCHA LEMA MARIANA DEL ROSARIO 1702699529001 X 88362 SILVA ARIAS PERICLES ABDON 1702733617001 X 177662 GALLARDO MORENO JORGE EDGAR 1702743509001 X 63852 MOLINA VALENCIA LEONARDO 1702762384001 X 31938 VASQUEZ RICAURTE LUIS MIGUEL 1702762863001 X 228332 BECDACH SANTOMARO FERNANDO PATRICIO 1702767623001 X 139938 HERNÁNDEZ VÁSCONEZ DIEGO 1702774736001 X 173680 CADENA PEREZ MARTHA ELVIRA 1702788835001 X 27496 PICO ZEA MANUEL ALBERTO 1702788876001 X 209826 TITUAÑA NINACURI TOMAS ELIAS 1702792092001 X 57381 MONGE CASTRO VICTOR MANUEL 1702793009001 X 56097 VACA ROJAS MIGUEL ARMANDO 1702794361001 X 75608 GARCIA SOSA FABIAN AUGUSTO 1702796200001 X 175164 GUTIERREZ LOPEZ BLANCA MARICELA 1702798628001 X 33632 ROMERO CABRERA MILTON EDUARDO 1702800374001 X 168963 POZO VILLEGAS ROSA ISABEL 1702801240001 X 121310 RUIZ CANDO VICTOR HUGO 1702805050001 X 217013 RAMOS VERDESOTO GALO MANUEL 1702806231001 X 221099 SIMBAÑA SIMBAÑA MARIA TRANSITO 1702806447001 X 131263 RADA TORRES GUSTAVO AUGUSTO 1702822550001 X 111812 ESCUDERO CABEZAS FERNANDO RAFAEL1702824770001 X
  • 615.
    No No registra No No registra No No. registra registra No. indicadores registra provincia, registra Persona_id NOMBRE No. ID (RUC) calle número registra de ventas, apellido cantón y primer principal de calle origen activos y/o paterno parroquia nombre principal empleados 202921 CRIOLLO PILICITA MARIA HORTENCIA 1702830553001 X 81540 VELASQUEZ CEVALLOS LAURA JUDITH 1702833292001 X 131053 PAREDES PAVON FERNANDO RAMIRO 1702849462001 X 273950 VACA ANDRADE FRANCISCO BLADIMIRO702853761001 1 X X 71551 MIÑO GRIJALVA MARIANA CECILIA 1702868173001 X 177067 MONTALUISA LASLUISA SEGUNDO GONZALO 1702868934001 X 160229 ALMACHE CHILUISA CESAR ABELARDO1702903186001 X 111129 BANDA HALLO GENARO 1702910181001 X 100219 VILLALBA ULLOA NÉSTOR AGUSTÍN 1702933308001 X 176835 HERRERA SUASNAVAS JULIO ENRIQUE1702946201001 X 60331 CARRION HERMIDA GONZALO 1702950708001 X 244115 TINAJERO MONTALVO MARIO RUBEN 1702958743001 X 62095 AYALA AYALA ROSA MARTHA 1702964717001 X 161433 PEREZ PABLO 1702967371001 X 186703 TAPIA ARIAS CESAR TIBERIO 1702969708001 X 59762 ROJAS REGIS MANUEL RUBEN 1702971993001 X 139967 ACUÑA MEJÍA ANGEL PATRICIO 1702988526001 X 22582 GUERRA ALMEIDA GERMAN BOLIVAR 1702992643001 X 187822 MANTILLA JARAMILLO DIEGO DANILO 1702996990001 X 239201 ALMACHE LASTRA FLAVIO JOEL 1703014124001 X 166396 AGUIRRE AGUIRRE ANGEL BOLIVAR 1703015055001 X 53869 CASA HIDALGO FLORESMILO 1703016376001 X 37667 TERÁN PALLOROZA JOSÉ RAÚL 1703023026001 X 48318 PROAÑO ESTACIO RAFAEL MARIANO 1703026334001 X 141043 MUZO PULUPA ANDRES 1703026425001 X 30499 SALAZAR CROW NELSON RICARDO 1703032365001 X 140165 MORALES RODRIGUEZ RICARDO NEPTALI1703034833001 X 58338 IZA HERIBERTO 1703041788001 X 133308 CATAGÑA VINUEZA MARIA JUANA 1703044766001 X 259289 SANTACRUZ FLORES GERARDO SAUL 1703053452001 X 70341 CESPEDES CARRILLO FANNY MARGOTH703055341001 1 X
  • 616.
    No No registra No No registra No No. registra registra No. indicadores registra provincia, registra Persona_id NOMBRE No. ID (RUC) calle número registra de ventas, apellido cantón y primer principal de calle origen activos y/o paterno parroquia nombre principal empleados 158263 GODOY GODOY RAMÓN FERNANDO 1703059210001 X 102057 NACIMBA QUINGA JOSE HUMBERTO 1703059525001 X 102907 ULCO CARRERA ALFONSO 1703062446001 X 96817 DIAZ OBANDO MAURICIO VICENTE 1703062529001 X X X 253827 LEON GOMEZ VICENTE JAVIER 1703069623001 X 90111 TUFIÑO GARZON OSWALDO DANIEL 1703070613001 X 237607 PENAHERRERA GUERRERO TERESA DE JEUS 1703080745001 X 181330 VITERI GUALINGA ELVIA 1703080885001 X 41802 VALLEJO ZURITA FABIAN LORENZO 1703085041001 X 12062 ING. HERMEL FLORES MALDONADO 1703085975001 X 217722 MORALES PARRENO BLANCA NOEMI 1703108736001 X 85037 CEVALLOS MORAN OSWALDO PATRICIO1703120202001 X 170460 YAJAMIN LINCANGO GENARO HUGO 1703123875001 X 41624 NÁJERA CHIRIBOGA JUAN ELOY 1703128288001 X 79058 MORENO ANDRADE WALTER MESIAS 1703132272001 X 189741 ASTUDILLO LARREATEGUI CARMEN ROSA 1703132496001 X 243421 GUACHAMIN ORTIZ JUAN JOSE 1703133338001 X 24695 JURADO GUERRERO JORGE EDUARDO1703143014001 X 213763 TONATO TOAPANTA MARIA VIRGINIA 1703145035001 X 243586 TORAL VILELA MANUEL IGNACIO 1703151934001 X 141614 HERRERA AGUIRRE VICTOR MANUEL 1703154847001 X 11104 MIGUEL 1703158566001 X 160746 COVEÑA CEDEÑO AUGUSTO BERNARDO 1703172773001 X 274311 SOTO GARCIA DORA 1703173755001 X 119493 BRAVO MOYA BLANCA CECILIA 1703193522001 X 85812 SOLANO MONTERO FAUSTO ENRIQUE 1703212223001 X 75038 CRUZ RAMÍREZ FÉLIX OSWALDO 1703214997001 X 261012 JATIVA CABRERA AIDA VIOLETA 1703215069001 X 120442 GALLARDO GARCIA LUIS EFRAIN 1703218592001 X 144225 SELLÁN JURADO RICARDO 1703222206001 X 43373 CUENCA LUZON VICENTE JULIO 1703227007001 X
  • 617.
    No No registra No No registra No No. registra registra No. indicadores registra provincia, registra Persona_id NOMBRE No. ID (RUC) calle número registra de ventas, apellido cantón y primer principal de calle origen activos y/o paterno parroquia nombre principal empleados 163651 PAUCAR HERRERA JAIME RICARDO 1703237246001 X 200676 DIAZ MORAN GERARDO IVAN 1703244895001 X 160767 IZURIETA DILLON RAMIRO ANTONIO 1703279917001 X 156098 NIETO VELASQUEZ PEDRO PACO 1703284743001 X 100327 RUIZ CANDO AUGUSTO RENE 1703287225001 X 195100 MENA VIZUETE TERESA ESPERANZA 1703288371001 X 201451 UBILLUS CARRERA MACHINES PARTS 1703290666001 X 138618 PILLAJO BACULIMA MANUEL GENARO 1703291516001 X 9661 FREILE DARQUEA XAVIER 1703294916001 X 201129 ZAMBRANO MARICELA DE LOS ANGELES 1703299881001 X 192696 IZQUIERDO BARRAZUETA HUGO FRANCISCO 1703310639001 X 73534 MORAN MIER JAIME VENANCIO 1703315315001 X 39125 GABRIEL 1703317030001 X 255058 FLORES REA JUAN UBALDO 1703320216001 X 12662 MARIO 1703322675001 X 126274 MENDOZA TIBANTA LEONARDO AMADO 1703336238001 X 197719 PAREDES REASCOS LUIS FERNANDO 1703349710001 X 172576 CHASIPANTA CATAGNA GUSTAVO 1703360915001 X 43966 MORA ESCOBAR MARIO FERNANDO 1703364990001 X 243466 UVILLUS GUTIERREZ SEGUNDO RAUL 1703372597001 X 213943 MORALES ALARCON CLOTILDE ELVIRA 1703372977001 X X X 207977 ROBALINO LARREA MESIAS FABRICIO 1703399905001 X X X 41837 MEDIAVILLA PAZMIÑO SERGIO ANIBAL 1703402816001 X 65796 GUAMAN MARCILLO JAIME GUSTAVO 1703411130001 X 26244 WILSON 1703422707001 X 224691 BASTIDAS TORRES LIDA PAZ MATILDE1703427458001 X 20229 CALVACHE CALDERON ROLANDO EGBERTO1703435782001 X 37889 ARROYO BURBANO HERNANDO GONZALO 1703443968001 X 9453 INDUSTRIAS TECNOMUEBLE 1703444578001 X 242094 PEREZ YANEZ LUCIO RAMIRO 1703454551001 X 27597 GRANDA VACA FRANCISCO EDMUNDO 1703462851001 X
  • 618.
    No No registra No No registra No No. registra registra No. indicadores registra provincia, registra Persona_id NOMBRE No. ID (RUC) calle número registra de ventas, apellido cantón y primer principal de calle origen activos y/o paterno parroquia nombre principal empleados 29851 ROMERO GALARZA BOLIVAR EDELBERTO 1703464345001 X 107780 BENÍTEZ BENÍTEZ MARCO RAMIRO 1703468791001 X 165579 MARQUEZ LOPEZ MILTON EFRAIN 1703472157001 X 65020 MENESES BOSMEDIANO MARIA AMPARO1703474286001 X 164404 ANDRANGO MUZO PEDRO PABLO 1703482081001 X 36910 DEL PINO ANDRADE EDGAR VICTOR 1703483691001 X 10700 ALMEC"" 1703488195001 X 143258 VELASQUEZ GUAMINGA WILSON ENRIQUE 1703498764001 X 17234 ACOSTA JARA VICTOR MANUEL 1703518926001 X 70471 GALARZA PAREDES MARIO HERNAN 1703532729001 X 60609 RIVERA POZO JOSE OLMEDO 1703542397001 X 149416 HERRERA VILLACIS ENRIQUE FREDY 1703554681001 X 226301 OÑA ACOSTA MILTON WENSESLAO 1703561397001 X 89312 CARRERA RODRIGUEZ VICENTE ABELARDO 1703569887001 X 182638 ANHALZER VALDIVIESO JORGE JUAN 1703579019001 X 210102 ALVARO RAMIREZ MIGUEL ANGEL 1703592541001 X 253692 LOPEZ PEREZ LENIN ALBERTO 1703595825001 X 115980 PARRA SANCHEZ JORGE VICENTE 1703598563001 X 143471 DUQUE HEREDIA GONZALO ALEJANDRO1703622827001 X 195315 VALLEJO ALBÁN JOSÉ GERMÁNICO 1703629426001 X X X 120347 ZURITA BEJAR GABRIEL LONARDO 1703630846001 X 141680 BRAVO TORRES FRANCISCO NERI 1703635514001 X 231395 LOAYZA SOTOMAYOR ZONIA MAGDALENA 1703638245001 X 245926 ALCOCER LARCO RIGOBERTO POLICARPIO 1703641934001 X 121313 FIERRO SILVA HERNAN CASADO 1703651198001 X 85911 TOPON RAIMUNDO JUAN RAMON 1703666162001 X 163904 TAMAYO SILVA EDGAR ANIBAL 1703670024001 X 101874 ROMERO CHAN MAXIMO ENRIQUE 1703687820001 X 222409 GARCES STEIN LEANDRO 1703688190001 X 202740 YAMUNAQUE LOPEZ MIGUEL ANTONIO 1703692994001 X 199170 CARRERA CARRERA VÍCTOR MANUEL 1703694693001 X
  • 619.
    No No registra No No registra No No. registra registra No. indicadores registra provincia, registra Persona_id NOMBRE No. ID (RUC) calle número registra de ventas, apellido cantón y primer principal de calle origen activos y/o paterno parroquia nombre principal empleados 203163 CABEZAS PAEZ JORGE HUMBERTO 1703699007001 X 154164 REMACHE GUANOLUISA JOSE ANTONIO 1703704187001 X 179672 GOMEZ CHANGO ANGEL EDUARDO 1703708311001 X 196446 PEREZ ENDARA MANOLO 1703710457001 X 161859 LARCO SINAILIN SERAFIN 1703711349001 X 246565 CERVANTES SUÁREZ FABIÁN EDUARDO 1703712644001 X 239386 ANDRADE ECHEVERRÍA JUAN GABRIEL1703715787001 X 139244 GONZALEZ GARZON MARIANA DE JESUS1703718849001 X 190309 BASSANTES PONCE LEONARDO VINICIO1703720266001 X 206868 CHUQUIMARCA QUILACHAMÍN ADOLFO1703727063001 ANGEL X 3813 BETANCOURT CONSTRUCTORES 1703738623001 X 249039 SAEZ SALINAS SEGUNDO ABELARDO 1703744803001 X 171693 GUTIERREZ FREIRE SEGUNDO RICARDO1703744902001 X 219798 RODRIGUEZ PAREDES ALEJANDRO ALBERTO 1703755353001 X 155244 PALACIOS IZQUIERDO EDGAR LIZARDO1703763266001 X 48035 DURÁN ALMEIDA SILVERIO ANTONIO 1703763928001 X 93882 ALMEIDA VILLAMARÍN LUIS EDMUNDO 1703769909001 X 159760 NAVARRO NAVARRO ADRILA DEL CARMEN 1703774222001 X 224887 SALVADOR CORDOVA CARLOS IVAN 1703774503001 X 243554 OSEJOS OSEJOS WALTER DELIO 1703780369001 X X 173595 PAEZ JURADO MARCO VINICIO 1703781227001 X 233899 MEDINA ANGULO JOSÉ HUMBERTO 1703784718001 X 264719 ALVAREZ WANDEMBERG CESAR ANTONIO1703795565001 X X X 253578 ARROYO CRUZ JOSE IGNACIO 1703800027001 X 47243 MANOSALVAS LOPEZ CARLOS ANIBAL 1703802536001 X 89865 ANAGUANO SUQUILLO JOSÉ ALEJANDRO1703805794001 X 216577 YANEZ TUFIÑO LUIS HERNAN 1703821718001 X 197650 MOLINA TAPIA MARIA ETELVINA 1703822823001 X 188447 CORNEJO TAPIA JUAN JOSE 1703824050001 X 75031 BACA MONTENEGRO EBERTHON RENATO 1703827459001 X 140739 PINOARGOTTY MORA FRANCISCO ALEJANDRO 1703828275001 X
  • 620.
    No No registra No No registra No No. registra registra No. indicadores registra provincia, registra Persona_id NOMBRE No. ID (RUC) calle número registra de ventas, apellido cantón y primer principal de calle origen activos y/o paterno parroquia nombre principal empleados 183461 DÍAZ PAREDES EDUARDO GILBERTO 1703837649001 X 97291 BRAVO NARVÁEZ WILSON RENÉ 1703844173001 X 22761 AVILES FERRI GONZALO XAVIER 1703848133001 X 133998 ALVAREZ PALACIO JOEGE ESTEBAN 1703849024001 X 39026 CARLOS 1703849537001 X 36595 MEZA ESPINOZA BISMARCK GUILLERMO1703856557001 X 14859 ARQ. RENÉ RECALDE 1703861425001 X 13953 PLADICO 1703865327001 X 165486 ALBORNOZ BUENDIA ANTONIO GUSTAVO1703869501001 X 43972 HARO ALBUJA FRANCISCO GABRIEL 1703881480001 X 220983 DILLON TORRES LEONIDAS ALBERTO 1703887305001 X 147117 ERAZO ARIAS JORGE LUIS 1703889954001 X 34396 SANTAMARÍA OSWALDO ERNESTO 1703892685001 X 277957 BARAHONA SAENZ JULIO ENRIQUE 1703900801001 X X 22499 GRIJALVA ORTIZ ELIAS MAURICIO 1703905552001 X 255636 CORRAL SALVADOR ROSA MARGARITA1703908515001 X 74985 QUIJIA ANAGUANO OLMEDO MISAEL 1703912103001 X 17875 RHON BALDEON JORGE ENRIQUE 1703919744001 X 39116 CARDENAS CAIZA JOSE EDUARDO 1703920429001 X 24460 HERRERA SANCHEZ EFRÉN GERONIMO 1703922250001 X 137338 LOOR SANCHEZ LEONIDAS ANTONIO 1703932168001 X 122990 LOZA ALMEIDA EDISON DANILO 1703934198001 X 65177 MEZA LANDETA LEOPOLDO REMBERTO 1703936938001 X 150073 LOZA FLORES MARIO HUGO 1703948719001 X 146909 BENAVIDES NARVAEZ HECTOR HUGO 1703955524001 X 127672 LLUMIQUINGA NIETO JAIME GONZALO 1703956159001 X 44087 VALLEJO AGUIRRE RAMIRO EDUARDO 1703957538001 X 248064 RIVADENEIRA MIÑOZ ALBERTO JOSE IGNACIO 1703971257001 X 196997 GUERRERO CHAVES ALBERTO MAURICIO1703972685001 X 241848 TAPIA CASTRO JOSE MIGUEL 1703975324001 X 123760 MULLO TUTILLO MARIA PIEDAD 1703977353001 X
  • 621.
    No No registra No No registra No No. registra registra No. indicadores registra provincia, registra Persona_id NOMBRE No. ID (RUC) calle número registra de ventas, apellido cantón y primer principal de calle origen activos y/o paterno parroquia nombre principal empleados 122618 FLOR MANCHENO GRECIA MARIA ESMERALDA 1703977700001 X 107056 CASTRO SANDOVAL MARTHA MARIANITA1703979250001 X 247491 AMALUISA FIALLOS MARTHA CECILIA 1703996668001 X 214227 LARCO CARRASCO JANETT ELIZABETH1704010147001 X 114166 CÓRDOVA BAYAS JAIME PATRICIO 1704018405001 X 73783 VALLEJO ULLAURI EDMUNDO 1704019742001 X 37551 STACEY MONCAYO DIEGO RAMIRO 1704020187001 X 59491 ESPAÑA SANCHEZ SIMON 1704021284001 X 105187 ZAPATA SALDARRIAGA ALFREDO XAVIER 1704032059001 X 169904 ALBUJA MOLINA EDGAR GERMAN 1704034550001 X 52534 SAAVEDRA PEDRO 1704041522001 X 169335 SÁNCHEZ CARLOS ENRIQUE 1704042009001 X 123419 GUTIERREZ MUÑOZ EUGENIO VICENTE1704043064001 X 92005 ENDARA SEVILLA MILTON PATRICIO 1704046273001 X 131290 ESPINOSA FIERRO MANUEL FERNANDO 1704049954001 X 149455 SCHOLIS CORREA RUBÉN FRANCISCO 1704058690001 X 137708 COLOMA ESCOBAR LUZ ELENA 1704060324001 X 190867 JUMBO ENRIQUEZ ANGEL ADELMO 1704062379001 X 77824 TUMBACO ZAMBRANO JANETH LILIANA1704065778001 X 260844 CUMBAJIN CACHAGO DARIO 1704068244001 X 79366 GAVELA GONZALEZ WILSON ANTONIO 1704082609001 X 34788 WILLER 1704084811001 X 60446 FREIRE MORALES CARMEN CUMANDA1704086279001 X 160840 JÁCOME CERDA MILTON ESTUARDO 1704090172001 X 152770 NAULA UREÑA SEGUNDO GONZALO 1704091642001 X 150145 TORRES VIZCAINO JOSE PATRICIO 1704101748001 X 166978 REYES HERRERA MILTON ALFREDO 1704103421001 X 131780 CARRION GALARZA MARTHA FABIOLA 1704108875001 X 119436 BOLAÑOS LEON AIDA ELVIRA 1704108891001 X 20434 MARCO 1704110087001 X 147395 ESTRELLA MALDONADO FÉLIX LAURO 1704111523001 X
  • 622.
    No No registra No No registra No No. registra registra No. indicadores registra provincia, registra Persona_id NOMBRE No. ID (RUC) calle número registra de ventas, apellido cantón y primer principal de calle origen activos y/o paterno parroquia nombre principal empleados 134137 UNDA GALARZA MARIANA NICOLASA 1704121241001 X 239090 ZURITA TREJO LUIS ALFREDO 1704129210001 X 220739 YÁNEZ CORREA MÓNICA XIMENA 1704131414001 X 271016 TORRES LASCANO CARLOS MIGUEL 1704136884001 X 20501 MONTES PAREDES MILTON MODESTO 1704145257001 X 121580 VEGA CATAÑA ANGEL LEONARDO 1704145919001 X 201711 PURUNCAJAS GUERRERO MARCELO ALFREDO 1704148665001 X 271199 PERALTA NARVAEZ SOCORRO EULALIA 1704153608001 X 85980 TRUJILLO BASTIDAS TONY MARCELO 1704158433001 X 56208 ALARCÓN SALGADO CARLOS RODRIGO 1704167178001 X 197975 ORTEGA VASQUEZ LUIS BENJAMIN 1704168234001 X 172171 DIAZ JÁCOME OSCAR ANTONIO 1704177383001 X 137060 CALDERON FLORES JORGE GUIDO 1704184421001 X 251205 MOSCOSO SÁNCHEZ MARTHA SALOMÉ1704195997001 X 270957 VERGARA TIPAN FRANCISCO FERNANDO1704197043001 X 188455 XXXXXXXXXXXXX CARVAJAL JOSÉ JULIO 1704206869001 X 84029 VALLEJO RAMOS LEONARDO FERNANDO 1704232279001 X 113541 MOROCHO NEIRA WALTER POLIVIO 1704242732001 X 228424 MENA GOMEZ LUIS GUSTAVO 1704245552001 X 198830 ARELLANO RAMIREZ JOSE ABDULLAH 1704246188001 X 39051 VILLAGOMEZ GUERRERO MANUEL ANTONIO 1704246592001 X 9445 ANDRANGO QUIMBIULCO LUIS ALEJANDRO 1704247467001 X 75735 MARMOL HERMOSA EDGAR MIGUEL 1704249539001 X 126470 ACOSTA PAREDES MARCO ANTONIO 1704255932001 X 13219 ASESORIA FINANCIERA LEVANTAMIENTO DE PROYECTOS 1704278389001 X 220097 RIBADENEIRA TERAN SANTIAGO 1704281516001 X 278069 MASACHE OCAMPO IBOCED 1704281979001 X 220462 JARRIN DIAZ NANCY YOLANDA 1704284239001 X 91253 CAJAMARCA CONDOR MARIANA DE JESUS 1704288131001 X 266475 ESPIN MOYA EDUARDO RUBEN 1704299443001 X 135809 SILVA RECALDE MEDARDO ANGEL 1704301298001 X
  • 623.
    No No registra No No registra No No. registra registra No. indicadores registra provincia, registra Persona_id NOMBRE No. ID (RUC) calle número registra de ventas, apellido cantón y primer principal de calle origen activos y/o paterno parroquia nombre principal empleados 3538 GAVILANES BUENANIO HERNAN DEIFILIO 1704321031001 X 105423 GARCIA ANDRADE TEMISTOCLES NOVAS1704323219001 X 141988 TIGSE VEINTIMILLA LUIS GONZALO 1704323441001 X 120907 RUEDA YEPEZ JORGE OSWALDO 1704325164001 X 213113 ALDAZ LUIS ALCIDES 1704340445001 X 222127 GOMEZ GOMEZ VICTOR 1704341757001 X 55401 CACERES JAIME RAÚL 1704341864001 X 112393 LAPO CHUQUIMARCA JUAN ELIZANDRO 1704342581001 X 202201 MORENO CRUZ LUIS GERARDO 1704346350001 X 248057 CALUGULLIN PINANJOTA MANUEL EUGENIO 1704350691001 X 2236 NOVILLO BARRENO RAUL 1704359882001 X 263041 CAMPOVERDE LARGO FRANKLIN HELIDES 1704361268001 X 119426 COBO NARANJO GALO OSWALDO 1704364262001 X 196269 CAIZA CHAPACA LUIS HUMBERTO 1704366101001 X 170529 MENESES MASSUH FABIAN RICARDO 1704369469001 X 219189 CONEJO CACERS SEGUNDO 1704371291001 X 108752 PAZMIÑO GUERRERO CARLOS ROMEO1704384872001 X 198801 BENALCÁZAR MOLINA WILMAN DERWIN 1704385895001 X 112617 AGUIRRE ROBALINO SEGUNDO OSWALDO1704387867001 X 191071 LESCANO VILLACÍS FERNANDO OSWALDO 1704388212001 X 139108 MORALES CHANATAXI LUIS GERARDO 1704395084001 X 102166 SILVA VILLARROEL GILBERTO NAPOLEON 1704398526001 X 22185 CHAVEZ CAMACHO ALONSO 1704401239001 X 182613 CELY DAVILA ALFONSO HERNAN 1704403631001 X 82251 PILLAJO TOAPANTA JOSE VICENTE 1704414646001 X 173303 SILVA LUNA JUAN CARLOS 1704417136001 X 79850 TORRES AYALA FAUSTO FERNANDO 1704417581001 X 218068 FLORES LUIS ALFREDO 1704422292001 X 132029 FIERRO VITERI ROBERTO OMAR 1704428729001 X 33133 UNDA ORTÍZ ROBERT ALEJANDRO 1704428844001 X 272412 CHECA CAMACHO CARLOS EDUARDO 1704429867001 X X
  • 624.
    No No registra No No registra No No. registra registra No. indicadores registra provincia, registra Persona_id NOMBRE No. ID (RUC) calle número registra de ventas, apellido cantón y primer principal de calle origen activos y/o paterno parroquia nombre principal empleados 166464 VALENCIA REYES GALO RODRIGO 1704433844001 X 126613 MUÑOZ NAVARRETE BOLÍVAR HERNÁN1704439098001 X 148747 CHORLANGO DIAZ SEGUNDO ELIECER 1704441052001 X 108540 SILVA VEGA JOSE IGNACIO 1704446390001 X 220653 CUSME VELEZ MANUEL MARIA 1704447216001 X 122154 POZO VARGAS IVAN OSWALDO 1704447760001 X 250782 ANDRADE ALMEIDA ALFONSO RODRIGO1704447968001 X 232719 TELLO LOPEZ NELSON RUBEN 1704450392001 X 46999 CARRILLO CHICO EDWIN JAVIER 1704450970001 X 206015 CHANGUAN LUIS VICENTE 1704452422001 X 31996 SANCHEZ BAÑO MARCOS ARTURO 1704452745001 X 34545 JARA VILLALTA GERMAN GUILLERMO 1704454055001 X 128720 JÁCOME MOYA CÉSAR HUMBERTO 1704460136001 X 37403 ESPINOZA TARAMBIS HECTOR RICARDO704461381001 1 X 150737 PAUKER GUTIERREZ HUGO NABOR 1704462785001 X 97340 LLAMATUMBI CONDE SEGUNDO ANIBAL1704465135001 X 35820 HERNÁNDEZ ROSALES LUIS GUSTAVO 1704468667001 X 67472 HUBENTHAL SCHMIDT REINER JOHANNES 1704468816001 X 97060 CUESTA ANDRADE ANGEL GABRIEL 1704470853001 X 263270 RUIZ MOREANO BOLÍVAR FERNANDO 1704471679001 X 31828 JIMENEZ MENA WILSON ULPIANO 1704474707001 X 48096 ACOSTA VALENCIA GUIDO ALBERTO 1704475340001 X 79656 LÓPEZ MORALES JOSÉ ADALBERTO 1704477601001 X 233275 ENRIQUEZ SOLA PABLO VINICIO 1704478641001 X 41758 ALBAN BAQUERO NELSON ERNESTO 1704480456001 X 89841 MARIN FREIRE SEGUNDO FRANCISCO 1704481876001 X 252388 ENCALADA RAMIREZ GONZALO ELIAS 1704483369001 X 150164 MORENO QUIROLA MANUEL RODRIGO 1704484409001 X 86971 MELENDREZ SAMANIEGO JUAN ULPIANO 1704485497001 X 118303 ROLDAN VELASCO ANGEL OVIDIO 1704485638001 X 242501 BEJARANO MORENO BYRON VINICIO 1704491362001 X
  • 625.
    No No registra No No registra No No. registra registra No. indicadores registra provincia, registra Persona_id NOMBRE No. ID (RUC) calle número registra de ventas, apellido cantón y primer principal de calle origen activos y/o paterno parroquia nombre principal empleados 186602 PILICITA ALDAZ JOSE VICENTE 1704492089001 X 131842 PIEDRA OCHOA JULIO ANTONIO 1704495793001 X 110033 AGUILAR ALMEIDA LIZARDO APARICIO 1704498466001 X 67546 SÁNCHEZ ROSERO CARLOS AUGUSTO1704498672001 X 242906 SALAZAR LUZ MELIDA 1704500121001 X 179444 TITUAÑA QUISHPE SARA GUADALUPE 1704501483001 X 151731 CHINCHERO SALAZAR MARÍA MATILDE 1704504776001 X 232024 SAA GALLO RUTH MARLENE 1704504966001 X 193431 FLORES HERRERA AURA LUCIA DEL CARMEN 1704507696001 X 227293 DUEÑAS CEDEÑO LILITA ESPAÑA 1704514775001 X 179020 ALMEIDA CHIRIBOGA ROSA ESTHER 1704533957001 X 175731 REINOSO MOLINA MARÍA CLEMENCIA 1704534427001 X 106679 CEVALLOS SUAREZ AURA VIOLETA 1704534880001 X 113883 GORDILLO TUFIÑO BLANCA ANAGELIA 1704535663001 X 41234 CARDENAS VALENZUELA MARIA ELENA1704536026001 X 29606 EGAS MAFFEO TANIA LORENA 1704538287001 X 231150 IZQUIERDO BIFARINI MARIA DE LA PAZ 1704584877001 X 104308 SUAREZ LOPEZ CARLOTA DE LOURDES 1704595329001 X 52494 MASSON ALBUJA EVA LESLIE 1704597085001 X 277457 VÁSCONEZ RODRÍGUEZ ALISON 1704600590001 X X X 134949 ESTRELLA CUESTA SONIA GLAYS 1704607926001 X 92897 ECOBASES 1704615721001 X 260839 RECALDE PACHECO BELGICA MARIANA 1704627692001 X 62054 BERMUDEZ CEDEÑO CARLOS CAYETANO 1704671013001 X 186776 NACATA LLUMIQUINGA JOSE JULIO 1704682739001 X 42217 SOLANO SOLANO JAIME AMADOR 1704684123001 X 261257 MONTOYA CUCALON GALO HENRY 1704687423001 X 114022 CEPEDA CAIZA SEGUNDO LUÍS 1704692530001 X 123035 FLORES HIDALGO JOSÉ BOLÍVAR 1704698289001 X 219534 VALENCIA CAMPOS HECTOR ILICH 1704699931001 X 238361 NEIRA MOSQUERA JORGE ALFONSO 1704700689001 X
  • 626.
    No No registra No No registra No No. registra registra No. indicadores registra provincia, registra Persona_id NOMBRE No. ID (RUC) calle número registra de ventas, apellido cantón y primer principal de calle origen activos y/o paterno parroquia nombre principal empleados 33815 VITERI SOSA FABIÁN ANÍBAL 1704707197001 X 147447 SOTO GUAMAN JAIME EDUARDO 1704709581001 X 162116 PILATUÑA LINCANGO SEGUNDO JAIME 1704714318001 X 59749 GUEVARA MENDOZA JORGE ANTONIO 1704717683001 X 130753 VÉLEZ RIVERA LUIS EMILIO 1704720299001 X 91462 MENA CRUZ ANÍBAL PATRICIO 1704720372001 X 121384 RUBIO CARLOS GENARO 1704725348001 X 158014 ORTIZ TAPIA LUIS GONZALO 1704727609001 X 112377 BENAVIDES CARDENAS MANUEL OLIVERIO 1704730249001 X 273702 CAMPOVERDE AGUILAR ANTONIO LEOPOLDO 1704737442001 X X 191371 NATO PAUCAR SERGIO GONZALO 1704739646001 X 164997 GRIJALVA JUINA CARLOS MARIA 1704742707001 X 193468 MENESES POLO RAUL BAYARDO 1704749637001 X 15470 GRAPHIC ENTERPRISES IMPRENTA 1704751294001 X 56351 RIVADENEIRA NUÑEZ VÍCTOR 1704753217001 X 237661 ROJAS HERRERA RODRIGO AUGUSTO MARCELO 1704757317001 X 130359 LLANOS SAMANIEGO LUIS GUILLERMO 1704761830001 X 72933 OCHOA TERAN LUIS GONZALO 1704763893001 X 185816 MUÑOZ PILLAJO OSWALDO 1704767308001 X 159305 MORENO JARRIN FERNANDO RAMIRO 1704768140001 X 212618 CUCARDO CORDOBA PEDRO ANTONIO 1704768272001 X 58503 VITERI ARGUELLO OSCAR VINICIO 1704769734001 X 189420 SARANGO MASACHE JULIA ALEJANDRINA1704782091001 X 115615 FERNANDEZ MORALES LUZMILA 1704800042001 X 154321 RODRIGUEZ VELASTEGUI ANA ELOISA 1704813409001 X 114232 TORRES DE LA CRUZ CLELIA DEL PILAR 1704822194001 X 253284 CAJAMARCA PARRA CARLOS AMABLE 1704863222001 X 19519 LOPEZ PAREDES MARCO ALEXIS 1704867256001 X 182481 GUALOTO IMBAQUINGA PEDRO ALFONSO 1704872041001 X 272534 MERIZALDE PROAÑO CARLOS WILSON 1704879301001 X X 150185 ALMEIDA REYES LUIS UBALDO 1704884871001 X
  • 627.
    No No registra No No registra No No. registra registra No. indicadores registra provincia, registra Persona_id NOMBRE No. ID (RUC) calle número registra de ventas, apellido cantón y primer principal de calle origen activos y/o paterno parroquia nombre principal empleados 50032 JIJÓN SOLÓRZANO JOSÉ VLADIMIRO 1704894565001 X 78192 LASPINA ARELLANO CARLOS IVAN 1704899440001 X 244882 ANDRADE SUQUILLO EFRAIN MARCELO 1704912474001 X X X 234896 CALERO ACOSTA IVÁN ENRIQUE 1704916160001 X 54366 CÓRDOVA AGUIRRE WILSON S 1704919065001 X 274702 BALSECA AVILA GONZALO FROILAN 1704923711001 X 259676 LANDETA ANGEL FELIPE 1704927324001 X 230849 RICAURTE MOREIRA RAUL REINERIO 1704927696001 X 252618 GUEVARA LINDO VICTOR MANUEL 1704928355001 X 204931 SANGOLUISA CHICAIZA CARLOS POMPILIO 1704930781001 X 134861 LUZURIAGA JARAMILLO LUIS EDUARDO1704935848001 X 168644 CHÁVEZ CEVALLOS MIGUEL ENRIQUE 1704945250001 X 74404 MALATAXI MOPOSITA MARIA ANDREA 1704963246001 X 44043 REYES VELASCO ANITA CRISTINA 1704972361001 X 19571 BURGAENTZLE MONCAYO DIANE 1704999588001 X 185068 GUERRERO ARMAS MAURA LEONOR 1705002960001 X 120499 ANGUETA RIVADENEIRA SYLVIA LEONOR 1705003133001 X 261137 PINO DINA MAGDALENA 1705012365001 X 146762 NARANJO ESPINOSA SUSANA PATRICIA1705013355001 X 88762 ALMEIDA DIAZ ELSA ANABELLE 1705033783001 X X 107166 CASTRO TRUJILLO GLADYS ROSENDA 1705034765001 X 188914 VILLAGOMEZ ANDACHE CARLOS VICTORIANO 1705040671001 X 62932 SALINAS CALERO CARLOS EFREN 1705041406001 X 166177 MARTINEZ GUEVARA JUAN DOENITZ 1705041646001 X 227895 AGUILAR AGUIRRE LUIS PATRICIO 1705045506001 X 163765 ARROBAS AGUILAR CELSO ISIDRO 1705049847001 X 271828 ANDRADE VELÁSQUEZ PATRICIO RIGOBERTO 1705050308001 X 135727 MORA ENRIQUEZ MARIO EFREN 1705051140001 X 148804 ALAVA ALCIVAR JORGE AGUSTIN ARTURO NOE 1705057931001 X 231922 BENALCAZAR ROMERO AQUILES FABIAN1705069449001 X 223602 MERIZALDE FABIAN SEBASTIAN 1705070371001 X
  • 628.
    No No registra No No registra No No. registra registra No. indicadores registra provincia, registra Persona_id NOMBRE No. ID (RUC) calle número registra de ventas, apellido cantón y primer principal de calle origen activos y/o paterno parroquia nombre principal empleados 240757 DIAZ TOSCANO ANGEL ERNESTO 1705072534001 X 246051 CAHUEÑAS BARBA SEGUNDO RAFAEL 1705077293001 X 56961 QUISPE ANALUISA GUSTAVO FERNANDO 1705077442001 X 173716 LOZADA LOZADA PABLO 1705080479001 X X 115220 MONTENEGRO FLORES HERNAN 1705082210001 X 137012 GUARACA DAQUILEMA JULIO CESAR 1705082384001 X 221349 ARMIJOS JARAMILLO JHYMER EDUARDO 1705083812001 X 210523 PILATUÑA SANGO LUIS EDUARDO 1705084026001 X 85136 PUGA RAYMUNDO CESAR AUGUSTO 1705085247001 X 81331 ALARCÓN SANTILLAN HUGO HERNAN 1705098919001 X 90027 AUMALA POZO JOSÉ GILBERTO 1705101010001 X 181136 PINOS RODRÍGUEZ EDGAR VICENTE 1705103891001 X 279677 CALAHORRANO ENRIQUEZ WASHINGTON ENRIQUE 1705108445001 X 51686 VALLEJO PORTUGAL PACO ALCIDES 1705108817001 X 83770 PAEZ MORENO SERGIO ENRIQUE 1705115952001 X 19741 MUÑIZ QUIMIZ PASCUAL ADOLFO 1705120507001 X 41377 JOSE MILTON CELI VALENCIA 1705127643001 X 156259 CALDERON RAMIREZ JULIO DANIEL 1705129839001 X 106521 ESPINOZA REA ANGEL ARNULFO 1705131991001 X 10241 TORRES IMPORTACION Y DISTRIBUCION 1705136370001 X 66131 RIVAS CARRION LUZ ESPERANZA 1705140091001 X 56179 BENITEZ DE LA CUEVA ANA LUCIA 1705158820001 X 201972 VACA MERINO LORGIA 1705169553001 X 239680 MORALES FREIRE NORMA DE LOURDES 1705186953001 X 214416 ERRAEZ JARAMILLO ELVIA MARINA 1705203527001 X 137081 ANGULO ESTRADA AMPARO DE GUADALUPE 1705208419001 X 171791 SAMPEDRO SANGOQUIZA MARIA HORTENCIA 1705223236001 X 5512 SPORTTEX 1705228680001 X 194271 RUANO CANAS MARIA ELENA 1705236188001 X 64982 TORRES ALARCON CESAR OSWALDO 1705240271001 X 272873 BARRIONUEVO HINOJOSA AURELIO ELIAS 1705242269001 X
  • 629.
    No No registra No No registra No No. registra registra No. indicadores registra provincia, registra Persona_id NOMBRE No. ID (RUC) calle número registra de ventas, apellido cantón y primer principal de calle origen activos y/o paterno parroquia nombre principal empleados 65754 MARRASQUIN QUIJIJE LUIS RAMON 1705244174001 X 115873 REINA SILVA RODRIGO GILBERTO 1705244356001 X 71689 CUEVA LOACHAMIN LUIS OSWALDO 1705245536001 X 104720 RIVADENEIRA VALLEJO PATRICIO FERNANDO 1705251559001 X 33291 VIMOS REINOSO HOLGUER HERNÁN 1705251963001 X 12985 ECOTEC CONSTRUCCIONES 1705252607001 X 138913 BRBORICH DEFRANC ESTEBAN GERARDO 1705253084001 X 112937 MOREJÓN CIFUENTES JORGE FABIÁN 1705255568001 X 116933 QUISHPE OLIPA JOSE ALCIDES 1705256582001 X 259007 DARQUEA MOLINA JOSE ANTONIO 1705257937001 X 245667 PEREZ DUQUE ANGEL ALFONZO 1705258976001 X 264786 FLOR ORTIZ SANTOS ADOLFO 1705259743001 X 68370 PABON REVELO LUIS FERNANDO 1705260238001 X 90305 ALBUJA ARAUZ CESAR ALFREDO 1705273611001 X 86045 ALTAMIRANO MASAPANTA JORGE ALFREDO 1705276275001 X 64264 GUALLICHICO ANTONIO FERNANDO 1705279337001 X 249826 ZUNIGA HIDALGO MARCO GUILLERMO 1705279568001 X 247674 MENDEZ SUAREZ JESUS ALFRESI 1705280376001 X 19377 YUGCHA ARMAS MARCOS ANTONIO 1705282513001 X 95814 HARO CACHAGO JOSE LEONIDAS 1705289823001 X 253836 ZAMBRANO LOOR SEGUNDO PACIFICO1705290342001 X 75876 LALAMA SALAS PATRICIO IVAN 1705297156001 X 275876 COBOS SALAZAR MARCELO FABIAN 1705303228001 X 201945 PEÑAFIEL FAJARDO SIXTO ALEJANDRO 1705304325001 X 278362 NIETO MEDINA HUGO FERNANDO 1705306866001 X X 217835 PROAÑO PAREDES EDUARDO HERNÁN1705311296001 X 41717 SALAZAR SALAZAR EDISON ROBERTO 1705315982001 X 247585 SALCEDO ROJAS JORGE ENRIQUE 1705316451001 X 221819 SALAS ESTRELLA FABIAN PATRICIO 1705318218001 X 136598 JUMBO GUAICHA JESUS ANTONIO 1705319083001 X 29505 SALVADOR TORRES EDWIN RAMIRO 1705320941001 X
  • 630.
    No No registra No No registra No No. registra registra No. indicadores registra provincia, registra Persona_id NOMBRE No. ID (RUC) calle número registra de ventas, apellido cantón y primer principal de calle origen activos y/o paterno parroquia nombre principal empleados 25923 MARCO 1705328878001 X 138227 TAPIA ABRIL GALO MARCELO 1705333498001 X 232723 MARIÑO REYES ALICIA ELIZABETH 1705348025001 X 206730 CARRASCO RECALDE MARIA ESPERANZA1705357117001 X 230054 VARGAS GUEVARA MARIA LIDA 1705360830001 X 199982 MONTENEGRO CHICANGO ALICIA DEL CARMEN 1705383329001 X 166148 AUZ GARZON EDDY EUGENIA 1705398715001 X 115265 ENRIQUEZ YOLANDA 1705400974001 X 63344 MAÑAY PAZMIÑO TERESITA DE JESUS 1705404711001 X 171078 ALTA PERUGACHI ROSA MARGARITA 1705423265001 X 81002 ARRROYO NICOLALDE LILIAN ENRIQUETA 1705456349001 X 91771 TONATO CHILIQUINGA ELSA CARMELINA 1705464202001 X 150266 CUEVA LUZ BERTILA 1705464624001 X 90542 REA TOAPANTA ROSARIO DEL CARMEN 1705478426001 X 15228 EDUARDO 1705499463001 X 121700 CUEVA CÁRDENAS CESAR ALONSO 1705500831001 X 55500 TAPIA VIERA LUIS ALFONSO 1705503298001 X 127977 ROMERO DUEÑAS DIEGO ESTUARDO 1705504429001 X 69101 VARGAS LLANO ANDRES ROSALINO 1705505129001 X 252770 CALERO GOMEZ JOSE DIOCELINO 1705507745001 X 38708 TROYA SANCHO ALEX IVAN 1705509907001 X 237061 MORENO BUITRON LUIS PATRICIO 1705511051001 X 64782 KHALIFÉ MORAGA LUIS EDUARDO 1705513784001 X 54378 AVILA QUIJANO ROBERTO AVILA 1705517306001 X 175215 OÑA LUIS ALBERTO 1705520417001 X 234000 BURBANO SERRANO JORGE GONZALO1705521407001 X X 235475 TORRES OJEDA LUIS OMERO 1705522207001 X 29871 ALTUNA VILLAMARIN WILSON PETRONIO 1705522280001 X 166020 PIEDRA OCHOA DANIEL RUPERTO 1705522868001 X 106268 PANTOJA PUETATE WASHINTON 1705526174001 X 261305 CHINGUA CARLOS AURELIO 1705527081001 X
  • 631.
    No No registra No No registra No No. registra registra No. indicadores registra provincia, registra Persona_id NOMBRE No. ID (RUC) calle número registra de ventas, apellido cantón y primer principal de calle origen activos y/o paterno parroquia nombre principal empleados 86999 CARRERA NIETO JOSE LUIS EDMUNDO1705531828001 X 221515 CUASQUER RUANO MARIA CONSOLACIÓN1705543328001 X 112810 GALAN LARREA JORGE WASHINGTON 1705548038001 X 273404 JACHO MARTINEZ JOSE ANIBAL 1705559241001 X X 165408 ROMERO BENAVIDES JAIME OSWALDO 1705561593001 X 231790 REGALADO JORGE PATRICIO 1705563870001 X 46744 SEBASTIAN IRRIERA VICENTE 1705565578001 X 128671 LUJE AULESTIA LUIS ANIBAL 1705572384001 X 62908 CHICAIZA FIALLOS SEGUNDO GONZALO1705573564001 X 268481 DILLON DOMINGUEZ CARLOS PATRICIO1705576807001 X 205900 QUINATOA JOSÉ LEONARDO 1705577805001 X 205125 COELLO VERA ANGEL REGATO 1705582888001 X 226538 VERA SARANGO VALERIO DE JESUS 1705582946001 X 228573 BAEZ CARDENAS GALO EFREN 1705587101001 X X X 48994 BAQUERO ESPINOSA MONTGOMERY STEVE 1705593307001 X 274179 GONZALEZ VELIZ JULIO RAMON 1705604393001 X 41655 CHAVEZ AUSON WALTER RENE 1705608972001 X 259359 GUAMAN YEPEZ RODRIGO 1705615043001 X 144486 REYES MORA JORGE LUIS 1705622148001 X 89409 VALVERDE GUACAPIÑA LUIS 1705622619001 X 167152 VEGA HERRERA MILTON REYNEL 1705623542001 X 185920 RAMIREZ CHUQUITARCO NESTOR SEGUNDO 1705624953001 X 169869 CARDENAS CEVALLOS HECTOR ANGEL1705626347001 X 236246 SALAZAR PILATAXI JORGE WASHINGTON 1705629366001 X 226292 RIVADENEIRA VERGARA VICTOR HUGO1705630356001 X 102628 FLORES SUAREZ MARCO ANTONIO 1705632774001 X 15215 FERNANDO 1705636221001 X 139735 RAMIREZ RIOFRIO JOSE RICARDO 1705636890001 X 258400 SAAVEDRA MORENO PEDRO VICENTE 1705642575001 X 253516 CEPEDA PROAÑO MARCOS RAMIRO 1705642849001 X 90713 TORNAY RENDÓN DANIEL EDUARDO 1705647624001 X
  • 632.
    No No registra No No registra No No. registra registra No. indicadores registra provincia, registra Persona_id NOMBRE No. ID (RUC) calle número registra de ventas, apellido cantón y primer principal de calle origen activos y/o paterno parroquia nombre principal empleados 153708 PATIÑO CARRIÓN PAQUITO MARCELO 1705649307001 X 108106 ORTIZ VICTOR JULIO 1705650032001 X 182022 TERAN CADENA EDWIN RICARDO 1705650164001 X 143417 ULLOA LOZADA ANTONIO PATRICIO 1705653721001 X 78423 TUZA PIZUÑA MANUEL 1705656039001 X 33140 VÉLEZ ALARCÓN JIMMY ANTONIO 1705659058001 X 20363 VACA NARANJO CARLOS ALBERTO 1705659074001 X 14462 LUBRI CENTER NORTE 1705661435001 X 173225 AREVALO BASTIDAS RUBIELA FIDELA 1705667416001 X 117806 ANDRADE MORALES JUAN FRANCISCO1705669099001 X 275220 YANEZ PILATAXI LUIS ALFONSO 1705672358001 X 274157 CÓNDOR PAILLACHO JOSÉ HERNÁN 1705676292001 X 179002 CORDOVA RAMIREZ SANTOS SEGUNDO 1705677217001 X 193245 VELARDE GAVILANES EDGAR BOLÍVAR1705677480001 X 161780 LEON PAZMIÑO FRANCISCO JAVIER 1705680203001 X 50843 THOALA SALCEDO ERNESTO NICOLAS 1705681292001 X 245125 CUMBA NARVAEZ CESAR AUGUSTO 1705683884001 X 16047 RUBIANES VILLOTA JUAN CARLOS 1705684320001 X 163304 PEÑA BASANTEZ SERGIO RIGOBERTO 1705686119001 X 242063 CRUZ BAROJA RUPERTINO 1705688347001 X 56639 CHÁVEZ PONCE LEO PATRICIO 1705691853001 X 172803 RODRIGUEZ VERA WILLIAM GUSTAVO 1705695029001 X 190087 VEGA ENCARNACION NERY FERMIN 1705695417001 X 173103 MONTESDEOCA MONTESDEOCA ROSA1705744033001 TARCILA X 43645 ORDOÑEZ RODRIGUEZ IMELDA ROSENDA1705754776001 X 207866 PATIÑO CHAVEZ MARIA ELENA 1705762662001 X 181787 PUEBLA MUÑOZ MARÍA LIDUVINA 1705789244001 X 217186 SOTOMAYOR MONTERO CARMEN ELENA 1705791158001 X 147314 RAMIREZ CANTOS YOLANDA GUILLERMINA 1705799060001 X 61089 HERMIDA PALACIOS MARÍA AUGUSTA 1705811691001 X 129180 DAVILA CANO CARMEN VIRGINIA 1705818050001 X
  • 633.
    No No registra No No registra No No. registra registra No. indicadores registra provincia, registra Persona_id NOMBRE No. ID (RUC) calle número registra de ventas, apellido cantón y primer principal de calle origen activos y/o paterno parroquia nombre principal empleados 67230 CAIZA GUALOTUÑA FANNY SOLEDAD 1705826939001 X 157796 PINTO RODRIGUEZ MARIA ROSARIO 1705837761001 X 225500 GUERRA JARAMILLO IRMA DEL ROSARIO 1705840211001 X 82794 PILATAXI QUISHPE REVECA 1705876124001 X 123149 CHIRIBOGA ARGAEZ MARIA ISABEL 1705877429001 X 22098 FUERTES CHEZA NELSON RODRIGO 1705896957001 X 277182 ANDINO MARIO 1705896981001 X 184191 GONZALEZ CARVAJAL MARCO VINICIO1705904389001 X 232881 CADENA FLORESGUERRA PATRICIO EDUARDO 1705911830001 X 77508 CAICEDO SANCHEZ JUAN JOSE 1705911947001 X 38870 REYES MONTENEGRO DAMIAN ALEJANDRO 1705915112001 X X 199943 CHACON CEVALLOS RAÚL CLEMENTE 1705917399001 X 73515 SALAZAR CÓRDOVA CARLOS FERNANDO 1705917738001 X 11795 ARQ. FABRICIO ATAPUMA PEREZ 1705918785001 X 90142 ROMO PORTILLA WILSON SANTIAGO 1705924593001 X 276834 GUDIÑO LANDETA LESTER PATRICIO 1705928487001 X 47449 GUERRA ROBAYO DIEGO MARCELO 1705930145001 X 90121 GUAMAN JOSE 1705933149001 X 256504 CEVALLOS VARGAS LUIS ALFONSO 1705934089001 X 25527 BARROS FLORES MANUEL PATRICIO 1705934469001 X 209110 MENA ESCOBAR RUBEN HERIBERTO 1705939815001 X 71409 FLORES MATUTE CARLOS ANTONIO 1705944450001 X 141973 ARROYO SANCHEZ LUIS GALO 1705945473001 X 173016 ANDRADE BADILLO FAUSTO ROBERTO 1705946125001 X 30726 TROYA HERRERA JOSE RAFAEL 1705950382001 X 93625 CHACON GUISAMANA LUIS ALFREDO 1705950655001 X 36996 IZQUIERDO GAVILANES JIMMY LENIN 1705951653001 X 227896 NARVAEZ JERIA FREDDY ERNESTO 1705953972001 X 53108 ROJAS CASTILLO TONI JOSE 1705956371001 X 172952 GUALOTO NACIMBA MARCO PATRICIO 1705965570001 X 116693 TELOO VASCO JOSELL JOSELITO 1705966198001 X
  • 634.
    No No registra No No registra No No. registra registra No. indicadores registra provincia, registra Persona_id NOMBRE No. ID (RUC) calle número registra de ventas, apellido cantón y primer principal de calle origen activos y/o paterno parroquia nombre principal empleados 93221 BENAVIDES REALPE JOSE LEMOR 1705974366001 X 184921 CAIZA CATOTA SEGUNDO ABELARDO 1705992467001 X 141332 GALARZA CRUZ LUIS MILTON 1705992871001 X 83894 LUDWIG KATZ GERD HEINRIICH 1705994364001 X 77823 QUEVEDO BALACÁZAR BERNARDO GUZMÁN 1705994919001 X 127547 SOTO GOMEZJURADO EDGAR ARTURO1705995056001 X 210881 NERO QUINCHE SEGUNDO JOSE 1705995239001 X 57017 CORRAL HARO PAQUITA DEL CONSUELO1706031711001 X 147439 VELEZ EGUEZ MARIA EUGENIA 1706073424001 X 185457 POSSO LUCERO MARIA SOLEDAD 1706080239001 X 38007 SORIA ARMAS MARIA CONSUELO 1706091368001 X 64780 PAZMINO LOPEZ IRLANDA ALEJANDRINA 1706095872001 X 140822 ROMERO CABRERA FULVIO EFREN 1706110564001 X 219715 NAVARRETE JARAMILLO MARIA DE JESUS 1706121256001 X 49886 OLMEDO ANDRADE RAMON ANIBAL 1706137377001 X 119612 GRIJALVA GUADAMUD RAMIRO RODOLFO1706138599001 X 127752 CISNEROS QUINTANILLA RENE GUSTAVO 1706156393001 X 185632 CHAMBA LOAIZA SEGUNDO RODRIGO 1706158373001 X 88173 CHUM YOONG JORGE SANTIAGO 1706162326001 X 193144 PINEDA TORRES PIEDAD DEL CARMEN 1706177837001 X 120056 PEREZ MURILLO ADOLFO MANRIQUE 1706184197001 X 268108 VALLADOLID DANIEL TORIBIO 1706186341001 X 141142 CRIOLLO PEREZ EDISON RAFAEL 1706191192001 X 171596 JIMENEZ ALEMAN FILIBERTO FABIAN 1706212741001 X 75897 SALTOS GARCIA JAIME SEGUNDO 1706212907001 X 81625 PROAÑO PARRAGA ROQUE MARIANO 1706219647001 X 236489 QUIMIS MARCILLO AGUSTINA 1706232129001 X 197589 CEDEÑO ROMERO JOSE PATRICIO 1706237482001 X 29990 TOAPANTA CHUQUILLA EDGAR 1706239207001 X 238412 RAMOS HERRERA ANA LUCILA 1706240072001 X 47154 CHICA BAZURTO GEORGE SALUSTIO 1706243050001 X
  • 635.
    No No registra No No registra No No. registra registra No. indicadores registra provincia, registra Persona_id NOMBRE No. ID (RUC) calle número registra de ventas, apellido cantón y primer principal de calle origen activos y/o paterno parroquia nombre principal empleados 183550 LAPO MORENO ANGEL LEONIDAS 1706247002001 X 182072 MALES ANGO CARLOS ANIBAL 1706248018001 X 217999 HERMOZA SEGUNDO MIGUEL 1706251012001 X 121156 ALVAREZ ALBARRACÍN ENRIQUE MARCELO 1706251137001 X 124499 OLALLA VELASQUEZ EDWIN GILBERTO1706254578001 X 114501 YÁNEZ LARCO WASHINGTON RUBÉN 1706255393001 X 199868 GUAÑA PUJOTA FRANCISCO 1706256425001 X 113202 RUBIO LOZADA HECTOR NAPOLEON 1706257373001 X 21981 HARO ALBUJA GUIDO FREIRE 1706257738001 X 189291 PAZMIÑO EDGAR EDISON 1706259502001 X 146058 RIZZO CRUZ PEDRO BARTOLO 1706259882001 X 40216 PILICITA ESCOBAR CARLOS MIGUEL 1706261581001 X 114707 LANDETA PAREDES RAMIRO ELIAS 1706264882001 X 150069 TIPÁN SUÁREZ JOSÉ CÉSAR 1706276811001 X 113994 SARABIA MARTINEZ GILBER RODRIGO 1706279815001 X 107139 BARROS CALDERON SAULO 1706282330001 X 127707 RENTERIA MILLAN JOSE LUIS 1706287743001 X 243544 CASTILLO RIVERA WILSON HERIBERTO1706291273001 X 21495 SIMBAÑA IZA LUIS CRISTOBAL 1706295886001 X 157574 SIMBAÑA SIMBAÑA SEGUNDO MANUEL1706295951001 X 158771 CISNEROS ANDINO ZOILA BEATRIZ 1706319801001 X 230891 ECHEVERRIA PAZMIÑO MYRIAM ROSARIO 1706320783001 X X X 186930 FARINANGO BURGA MARIA FLORA 1706339072001 X 239198 SERVIDIO RUBIO ARTURO ANTONINO 1706355532001 X 58072 SIMBA CHASIPANTA PEDRO CALIXTO 1706360052001 X 273408 TACURI GUANOCUNGA JESUS MESIAS 1706362322001 X 222156 SÁNCHEZ AVILES ENRIQUE ORLANDO 1706371844001 X 277965 EGUIGUREN EGUIGUREN RODRIGO E 1706375548001 X X 215400 AVILA VACA SEGUNDO HECTOR 1706384854001 X 15129 COFER CONSTRUCCIONES 1706384896001 X 131818 CHACAGUASAY FLORES MILTON NELSON1706388582001 X
  • 636.
    No No registra No No registra No No. registra registra No. indicadores registra provincia, registra Persona_id NOMBRE No. ID (RUC) calle número registra de ventas, apellido cantón y primer principal de calle origen activos y/o paterno parroquia nombre principal empleados 46861 VERDUGO NOVOA PAUL ESTUARDO 1706390299001 X 130639 MALDONADO MALDOANDO SERGIO ENRIQUE 1706391396001 X 63928 LOOR BRAVO CARLOS WINTER 1706396569001 X 161303 PEREZ CANO MIGUEL CELIIO 1706427943001 X 209053 ROSALES REALPE CARLOS ADRIANO 1706430079001 X 173654 URIBE VERA CARLOS ALFREDO 1706433776001 X 125409 SUÁREZ FLORES NELSON ARMANDO 1706447271001 X 98884 CASTRO MENDOZA BOSCO GEOVANNY1706452537001 X 79892 MALDONADO RIVADENEIRA JUAN CARLOS 1706453477001 X 260165 PEÑA MUÑOZ JOSE RAFAEL 1706455969001 X 124188 GUAYASAMIN JATI DARIO ROBERTO 1706458641001 X 85352 NACIMBA JOSE CARLOS 1706460787001 X 47232 TORRES BURGOS LUIS MARIANO 1706468723001 X 131388 MONTALVO JARAMILLO OSWALDO GONZALO 1706479159001 X 91545 TORRES TORRES YUNER EMILIANO 1706479662001 X 68069 VEGA MONAR JORGE MESIAS 1706483169001 X 96555 PAREJA MONTESINOS JUAN IGNACIO 1706483235001 X 274776 PORRAS VINUEZA CARLOS ANÍBAL 1706484688001 X 46634 QUEVEDO NARVAEZ JORGE FERNANDO 1706485560001 X 187233 VELA SOSA DIEGO FERNANDO 1706485990001 X 223063 OCHOA MUÑOZ ROBERTO DARIO 1706486477001 X 109533 SANCHEZ MINCHALO MANUEL ROMAN 1706487947001 X 19497 CARDENAS OLIPA SEGUNDO ELISEO 1706490602001 X 236049 MENA GAVIÑO ORLANDO PATRICIO 1706491378001 X 243656 MORALES SALAZAR WASHINGTON 1706491485001 X 131151 PINEDA CRUZ ALEX ORLANDO 1706494075001 X 7579 ARQ. HERNAN CHECA 1706494729001 X 233124 JÁCOME CONTRERAS CECIBEL HILDA 1706499942001 X 245389 FALCONI GARCÉS CECILIA 1706510938001 X 122973 STARTV CIA LTDA 1706517263001 X 108238 CEPEDA BASTIDAS DORIS IVETTE 1706527015001 X
  • 637.
    No No registra No No registra No No. registra registra No. indicadores registra provincia, registra Persona_id NOMBRE No. ID (RUC) calle número registra de ventas, apellido cantón y primer principal de calle origen activos y/o paterno parroquia nombre principal empleados 157644 MENA QUILLUPANGUI GLORIA YOLANDA706527072001 1 X 112862 CADENA NOGUERA GLORIA ESPERANZA 1706527106001 X 148179 DE LA TORRE PÉREZ LUZ MARINA 1706527676001 X 197816 GUTIERREZ VALLEJO ALEXANDRA PATRICIA 1706538426001 X 197011 DIAZ JURADO PABLO FABIAN 1706547534001 X 22629 LUCERO HEREDIA JOSE WASHINGTON1706548714001 X 213960 SANCHEZ ANDRADE JUAN MARCELO 1706549654001 X 91600 CRESPO AMPUDIA ANTONIO 1706550934001 X 17888 SUBIA CABEZAS FABIAN MAURICIO 1706555180001 X 116187 GUEVARA SANCHEZ ANGEL SEBERIANO 1706555891001 X 156134 CARDENAS BARRERA JOSE ARTURO 1706558341001 X 125319 VEGA PEREZ VICTOR MANUEL 1706558499001 X 200722 TAXI ACOSTA LUIS HUMBERTO 1706558796001 X 185301 CADENA PÉREZ MARCO WLADIMIR 1706559513001 X 29044 ARIAS INCA WALTER RENAN 1706564299001 X 71376 GUALLICHICOMIN GUALOTO JULIO CESAR 1706566351001 X 21532 LOAIZA SANCHEZ CESAR ALBERTO 1706568894001 X 65965 SANTAMARÍA SALVADOR SANTIAGO JAVIER 1706576293001 X 79545 TERÁN ALTAMIRANO GUILLERMO FELIPE 1706576525001 X 71928 BAQUERO LATORRE GALO RAMIRO 1706578331001 X 89784 AGAMA CHILUISA JOAQUIN SALVADOR 1706578455001 X 78355 CARTAJENA CACERES REGULO OCTAVIO1706582754001 X 198736 ONOFRE INTRIAGO HECTOR ASISCLO 1706585013001 X 34351 SANDOYA MOSQUERA HIPOLITO REMIGIO 1706590997001 X 267162 MAYORGA VILLALBA JAIME RAMIRO 1706591037001 X 135768 CHURUCHUMBE QUILO GUILLERMO 1706593488001 X 146821 FRIAS GRANJA JORGE RICARDO 1706595475001 X 68034 BUESTAN RAMOS SUSANA BEATRIZ 1706597968001 X 73340 CARRERA GONZÁLEZ MARIA DOLORES1706603964001 DEL ROCÍO X 226097 GUERRERO NAJERA MARTHA ELENA 1706604574001 X 113157 ARCENTALES BARRIGA SOL MARÍA 1706608732001 X
  • 638.
    No No registra No No registra No No. registra registra No. indicadores registra provincia, registra Persona_id NOMBRE No. ID (RUC) calle número registra de ventas, apellido cantón y primer principal de calle origen activos y/o paterno parroquia nombre principal empleados 27882 CARRIÓN RODRÍGUEZ MARÍA FERNANDA1706615257001 X 240820 CADENA MORALES SIXTA CECILIA 1706632401001 X 247459 CHILLAGANO OÑA MARIA MAGDALENA 1706632963001 X 207756 RIVADENEIRA TROYA NORA LEONOR 1706643184001 X 47448 VEGA SILVA JULIO ANIBAL 1706657838001 X 144527 TIPANLUISA LUCERO SEGUNDO RAFAEL1706667563001 X 58749 MATUTE ROBLES JORGE GALO 1706668249001 X 192458 HEREDIA VERA LUIS GUILLERMO 1706669015001 X 17857 VALENCIA FABIAN 1706673652001 X 4321 SUNTAXI SEGUNDO 1706675814001 X 88799 BENALCAZAR VINUEZA GONZALO ADRIAN 1706677422001 X 127976 CRUZ ARMENDARIZ CARLOS ERNESTO1706678784001 X 78549 SALAZAR ARIAS SEGUNDO PATRICIO 1706686985001 X 218115 FLORES LINCANGO JORGE MANUEL 1706693411001 X 152342 GREFA GREFA RAUL PATRICIO 1706695200001 X 117847 LOOR ROMERO CRUZ TEODULO 1706697024001 X 94939 MORA ALVARADO CELSO WILLIAM 1706713920001 X 252312 DELEG CARCHE LUIS ANTONIO 1706715099001 X 214737 VELEZ MENDOZA SANTO BIENVENIDO 1706715164001 X 255989 GOMEZ SEDAMANOS SEGUNDO THUESMAN1706717020001 X 57304 PAEZ VALDIVIESO CARLOS BLADIMIR 1706723820001 X 161847 RUEDA ALBUJA DIEGO ANDRÉS 1706724265001 X 31267 VERA VERDUGA MILTON EULOGIO 1706725601001 X 121628 CARRERA PAZMIÑO LUIS GILBERTO 1706725643001 X 59732 TECNI MOTOR 1706729959001 X 110974 CALLE SARAGURO GORKY WILLIAMS 1706731971001 X 231410 CHICAIZA GUAMAN JOSÉ CRUZ 1706732318001 X 232535 FREIRE YEPEZ CARLOS ALBERTO 1706732920001 X 166473 YUNGAN PAGALO MANUEL GERARDO 1706734280001 X 113926 SALAZAR GOMEZ JAIME EDUARDO 1706737077001 X 209311 VON LIPPKE BUCHELI SHADETS ERNEST 1706737531001 X
  • 639.
    No No registra No No registra No No. registra registra No. indicadores registra provincia, registra Persona_id NOMBRE No. ID (RUC) calle número registra de ventas, apellido cantón y primer principal de calle origen activos y/o paterno parroquia nombre principal empleados 277925 RIVERA DAVILA JHON PATRICIO 1706738000001 X 244805 VITERI PÓLIT BYRON JAVIER 1706738752001 X 32076 VINUEZA LUNA FABIAN MIGUEL 1706740584001 X 198967 PARION AIGAJE HECTOR RAUL 1706740626001 X 50447 VISCARRA CHAVEZ FREDY VINICIO 1706742325001 X 140567 SANCHEZ SANCHEZ ROBERTO DE JESUS1706746649001 X 172207 MIRANDA VARGAS JULIO EDUARDO 1706748033001 X 134019 FRANCO ANCHUNDIA WASHINGTON GABRIEL 1706753355001 X 204801 MERA REASCOS LUIS ALFREDO 1706755145001 X 177061 FLORES SÁNCHEZ MIGUEL ANGEL 1706757661001 X 76723 RAMOS QUISHPE LUIS ANIBAL 1706758412001 X 197885 CRUZ ESPINALEZ NELSON SAMUEL 1706764964001 X 75971 HIDALGO ZAMBRANO ERNESTO DANIEL 1706778832001 X 175560 HIDALGO PALLO LUIS GONZALO 1706780242001 X 155119 SALDAÑA LEON CESAR ANTONIO 1706781794001 X 225665 SALDARREAGA MOREIRA JOSÉ DAVID 1706783303001 X 8391 JUAN CARLOS OROZCO 1706787494001 X 43144 SANTANA BOLAÑOS SEGUNDO JAVIER 1706795422001 X 192544 CAIZA SUQUILLO MARIA INES 1706798210001 X 131811 DELGADO PARRA MONICA DE LOURDES 1706811278001 X 237188 VARELA MENDIETA FLOR MARIA 1706816152001 X 31593 MATA ARBOLEDA MARCIA ELIZABETH 1706821459001 X 180622 PORTILLA MARIA VALERIA 1706825856001 X 136183 AGUIRRE BENAVIDES ALBA RUTH 1706826011001 X 117814 SÁNCHEZ NUÑEZ MARIANITA ELIZABETH 1706826706001 X 152396 ANGULO INTRIAGO CARMEN EDITH 1706832225001 X 146162 CHIGUANO QUISHPE MARIA SUSANA 1706841119001 X 27535 PONCE CEPEDA EDISON VICENTE 1706846647001 X 186934 PROAÑO CALDERÓN CARLOS RAMIRO 1706847322001 X 164368 CHAVEZ LOYO JUAN HOMERO 1706858394001 X 79742 BALLADARES BOLAÑOS JAIME ROBERTO1706862008001 X
  • 640.
    No No registra No No registra No No. registra registra No. indicadores registra provincia, registra Persona_id NOMBRE No. ID (RUC) calle número registra de ventas, apellido cantón y primer principal de calle origen activos y/o paterno parroquia nombre principal empleados 240150 CASTILLO SANCHEZ MANUEL 1706867049001 X 82478 MENDIZABAL BARZOLA JUAN CARLOS 1706867692001 X 94772 FIGUEROA CASTRO JACINTO CLARO 1706868815001 X 195422 MARTINEZ NUÑEZ SANTIAGO XAVIER 1706872635001 X 220073 LEE WANG LYNN 1706880398001 X 161387 MORENO BERMEO VICTOR EUSTORGIO 1706887492001 X 181549 GUANIN CHECA VICTOR LUIS 1706889498001 X 69420 PÉREZ MARTINEZ NARCISA DE JESUS 1706913181001 X 144318 GUAYASAMIN NARVÁEZ ALLOSKA DE LOS ANGELES 1706913710001 X 238976 QUISPE ANALUIZA GUADALUPE ROCIO 1706917133001 X 204207 ALBAN RICAURTE MARIA AMPARO 1706927678001 X 154333 VALDIVIEZO ZAPATA CATALINA DEL ROCIO 1706939079001 X 269511 GUAYASAMÍN TIPANTA MARÍA ROSA 1706958376001 X 272995 EGUIGUREN EGUIGUREN MARÍA AMPARO 1706962881001 X X 206693 BRAVO MENDIETA ALFREDINA CONCEPCION 1706968490001 X 183821 VASQUEZ SALGADO GUIMARAES MARIA GABRIELA 1706971445001 X 249535 TORRES ZAMORA BRIGIDA ESTHER 1706980131001 X 123376 CARRERA NAVARRETE MARÍA NELLY 1706987573001 X 161981 CEDEÑO ALCIVAR NARCISA DEL JESUS1706989181001 X 14985 COMERCIAL BRAVO CHÁVEZ 1706993720001 X 154180 HERNANDEZ ESTEVES NORA ESPERANZA 1706993779001 X 151392 HEREDIA AMORES VICTOR HUGO 1706997697001 X 20385 SILVA ESPINOSA JAIME CESAR 1706998497001 X 205943 TAPIA ROMAN VICTOR PATRICIO 1706999321001 X 141149 PALACIOS MECIAS CHININ CORAZON 1707002281001 X 88735 ROCHA REISANCHO NELSON GERARDO 1707004923001 X 145170 NARVÁEZ ROBLES SEGUNDO ALCIDES 1707011365001 X 128984 AGUAYO SANTILLAN ROBERTO AUGUSTO 1707018766001 X 64600 PUGA CASTRO ROLANDO MARCELO 1707019798001 X 135335 BERMUDEZ MEDINA ULBIO ANTONIO 1707022123001 X 263085 NARVAEZ MORALES JOFFRE HERNAN 1707032064001 X
  • 641.
    No No registra No No registra No No. registra registra No. indicadores registra provincia, registra Persona_id NOMBRE No. ID (RUC) calle número registra de ventas, apellido cantón y primer principal de calle origen activos y/o paterno parroquia nombre principal empleados 74030 CRIOLLO PAUCAR LUIS OCTAVIO 1707033054001 X 66668 SANTAMARÍA RODRÍGUEZ MARCO ANTONIO 1707035273001 X 112465 ORAMAS CARLOS GERARDO 1707038335001 X 163208 CADENA ESPINOSA JOSELITO 1707041347001 X 154048 TORRES SOLIS ANGEL ALONSO 1707045298001 X 108201 JARA ROMERO MARIA ROSA 1707062541001 X 21966 SALAZAR CARRION JAIME HERNAN 1707075550001 X 117090 PALACIOS PESANTEZ JAIME ROLANDO 1707076715001 X 189495 TIPAN SIGCHA HECTOR BOLIVAR 1707083067001 X 80669 TAPIA PAEZ JOFFRE MARYUDY 1707084669001 X 251116 SALAZAR AMORES PABLO VINICIO 1707086029001 X 188565 REASCOS HURTADO JOSE ULPIANO 1707086763001 X 252300 CUESTA HUERTA MARCOS ALI 1707102883001 X 268859 CABEZAS PINTO NESTOR FREDDY 1707132500001 X 26974 LARCO BORJA CARLOS ALBERTO 1707132856001 X 92464 HARO SIMBAÑA HUGO XXXXXXXX 1707140925001 X 761 OSCAR 1707143226001 X 88287 MALQUI FLORES JUAN FERNADO 1707144364001 X 59306 CAMPUZANO VAN MUYDEN JUAN FRANCISCO 1707144828001 X 60906 MESTANZA ZURITA CARLOS MAGNO 1707148613001 X 126721 BAQUERO VASQUEZ FEDERICO DIEGO 1707148936001 X 119052 ROMERO ENCALADA MANUEL DOMINGO 1707153399001 X 271906 BRAZZERO OÑA MARIO WLADIMIR 1707153910001 X 223119 ZAMBRANO DUEÑAS MARIA ANABEL 1707163596001 X 205421 FAICÁN GUERRA DENISSE CATALINA 1707165518001 X 244773 MALDONADO MARTINEZ ELVIA DOLORES1707180699001 X 149261 PILCA CUASCOTA MARIA MICAELA 1707183735001 X 227698 LANCHIMBA LANCHIMBA MARIANA 1707186027001 X 223692 CALDERON QUINALUISA NANCY DEL ROSARIO 1707186787001 X 252118 VELASTEGUI MIRABA RÓMMEL NICOLÁS707190052001 1 X 43204 LALAMA ALVAREZ JAIME EDUARDO 1707190227001 X
  • 642.
    No No registra No No registra No No. registra registra No. indicadores registra provincia, registra Persona_id NOMBRE No. ID (RUC) calle número registra de ventas, apellido cantón y primer principal de calle origen activos y/o paterno parroquia nombre principal empleados 84410 ZURITA BASANTES EDISON GERMAN 1707192793001 X 263757 TORRES SANCHEZ CARLOS 1707202709001 X 16962 PUNIN CASTILLO RENE ALFONSO 1707208003001 X 158268 JIMBO NARBAEZ JULIO CESAR 1707209753001 X 265851 ALBUJA VALVERDE FLAVIO WILFRIDO 1707210769001 X 93549 VILLACIS FLOR FAUSTO ANTONIO 1707214423001 X 263410 LOPEZ FAINI SEBASTIAN 1707214787001 X 110377 VERA ABAD MERCY MARLENE 1707226914001 X 49091 RIVERA POZO CARMEN GRACIELA JANETH 1707241533001 X 140264 PROAÑO RODAS RUTH MARGARITA 1707243372001 X 256052 GUTIERREZ VILLACIS MÓNICA PATRICIA 1707246920001 X 35826 GALEAS HINOJOSA JORGE TEOFILO 1707248546001 X 205074 JARAMILLO MONTERO ANGEL SALVADOR 1707249254001 X 258452 CHASIPANTA GUAMAN FABIAN 1707250260001 X 150244 DIAZ SIMBAÑA LUIS ANTONIO 1707250641001 X 188060 CHILLOGALLO CHIMBO JULIO JAVIER 1707254890001 X 188135 CHANGO SANCHEZ JORGE POMPEYO 1707255814001 X 95851 ALMEIDA JIMENEZ ROLANDO 1707261473001 X 179595 REZA HINOJOSA OSWALDO JOSELITO 1707262505001 X 32619 ALVARADO SANTÍN ANGEL MEDARDO 1707264717001 X 45868 HERRERA YÉPEZ IVÁN RODRIGO 1707273213001 X 115034 OLMEDO ANDRADE JOSE ORLEY 1707274138001 X 264918 LAMIÑA PILLAJO PATRICIO RUBEN 1707274823001 X 207923 ALMEIDA PASQUEL MIGUEL ANGEL 1707274963001 X 79889 BENALCÁZAR MORALES JEANINE DE LOS ANGELES 1707303986001 X 104150 MAIGUA CAIZA SEGUNDO EUSEBIO 1707308746001 X 58455 FERNANDO 1707310338001 X 145530 TACO GUERRERO MILTON HUGO 1707311849001 X 132479 VÉLEZ LEÓN ALBERTO FERNANDO 1707314306001 X 196150 VIRACUCHA LLUMIGUSIN JOSE ELIAS 1707316517001 X 116592 VALDEZ CEVALLOS RAMON EDUARDO 1707316533001 X
  • 643.
    No No registra No No registra No No. registra registra No. indicadores registra provincia, registra Persona_id NOMBRE No. ID (RUC) calle número registra de ventas, apellido cantón y primer principal de calle origen activos y/o paterno parroquia nombre principal empleados 131480 MORA FIGUEROA LUIS ANTONIO 1707318679001 X 32879 TIPAN BRITO CESAR ANIBAL 1707322390001 X 266329 TANDAZO AGUILA ROMULO ELADIO 1707322879001 X 243707 ROJAS SANTIN RAMON MANUEL 1707323554001 X 113406 SALAZAR TAMAYO LUIS EFRAIN 1707323869001 X 192998 QUISHPE YANCHA LUIS ANIBAL 1707325666001 X 104819 JACOME LOPEZ MILTON MARCELO 1707331490001 X 175623 PALACIO ARCOS CESAR MAURICIO 1707334262001 X 21259 CÁRDENAS POZO SONIA FABIOLA 1707342042001 X 186264 BRAVO ARIAS MARÍA JOSÉ 1707344758001 X 178398 NORRIS CRESPO LUCIA VERENICE 1707352587001 X 182344 SAGNAY VILLA LUIS ORLEANS 1707368732001 X 249360 SANTANA DELGADO RICHARD WIDMARK1707369417001 X 218946 SOLEDISPA ZAMBRANO ENRIQUE ADAN1707369847001 X 268634 PEREZ MUÑOZ CARLOS RAMIRO 1707371736001 X 185943 LÓPEZ AVILÉS VÍCTOR HUGO 1707374391001 X 109254 RUIZ PAUCAR ANGEL BENIGNO 1707375059001 X 38181 GUACHAMIN SUQUILLO CESAR AUGUSTO 1707375299001 X 45033 MARCO 1707375455001 X 35676 AGUIRRE MALDONADO HERNAN AUGUSTO 1707389290001 X 68825 CORDERO GARCIA EFRAIN GALO 1707394860001 X 277723 JURADO ESPINOSA EDISON RODRIGO 1707396253001 X 26767 MEDINA CRESPO MARTHA CECILIA 1707398051001 X 220945 ALVARADO ROMERO ALBA ELENA 1707407589001 X 252385 RIVERA SIMBAÑA MARIA ELVIRA 1707415541001 X 136647 SARABIA TIRIRA MARÍA ROSARIO 1707426126001 X 82063 MONTOYA VARGAS LAURA MATILDE 1707426985001 X 32914 ESPINOSA CISNEROS LUIS RAMIRO 1707433049001 X 69143 VILLENAS MANOSALVAS ROBERTO FERNANDO 1707437438001 X 219749 BURGOS BEDON SEGUNDO ELIAS 1707438139001 X 35642 QUIÑÓNEZ YÁNEZ JORGE ENRIQUE 1707439558001 X
  • 644.
    No No registra No No registra No No. registra registra No. indicadores registra provincia, registra Persona_id NOMBRE No. ID (RUC) calle número registra de ventas, apellido cantón y primer principal de calle origen activos y/o paterno parroquia nombre principal empleados 274669 RUEDA PAREDES JUAN CARLOS 1707439913001 X 78190 CAÑARTE CASTILLO MARCOS GASPAR 1707440028001 X 173374 MERLEN DELAVOYE GODFREY WILLIAM 1707444418001 X 231797 ANGO VILATUÑA VICTOR ALEJANDRO 1707452791001 X 32868 PROAÑO ROJAS LUIS ARMANDO 1707453369001 X 43293 ANGEL 1707454342001 X 210835 CARVAJAL CARVAJAL LUZ MARIA 1707475107001 X 95765 PROAÑO TEJADA MARIA CARMEN 1707481477001 X 268806 VASQUEZ GRANDA ROSA AMADA 1707484299001 X 50586 CASTAÑEDA CARRERA ROCIO ELIZABETH 1707486047001 X 279294 ROMAN MOSQUERA GONZALO FELIPE 1707491328001 X 150093 BRITO FLORES MARIO ENRIQUE 1707492870001 X 98482 LEUNG AU YUK MEN 1707500169001 X 119360 NAREA ROMERO JORGE LUIS 1707508261001 X 217536 ALDANA MENDEZ SEGINDO ANGEL 1707515167001 X 80513 GARCIA VITERI RUTH MARIANA 1707531701001 X 173023 COELLO BENAVIDES MARIANA 1707538136001 X 111284 MORALES RODAS LINA YOLANDA 1707548929001 X 155727 JIMENEZ ALEMAN LUCIA DE LOURDES 1707559793001 X 192368 JARAMILLO OJEDA ROSA ANTONIA 1707564181001 X 166546 ESTRELLA LARREA JANET HELENA 1707564207001 X 41817 BETANCOURT CRUZ RAFAEL VINICIO 1707580328001 X 206996 ULCO VELASCO SEGUNDO BENEDICTO1707582076001 X 222411 SANCHEZ SALGADO LUIS HUMBERTO 1707582159001 X 83940 RECALDE EDISON RODRIGO 1707583389001 X 196368 LOACHAMIN CAIZA RENE ALBERTO 1707585756001 X 37188 LA CIENCIA EN TUS MANOS 1707587166001 X 256354 PINTO PINTO SEGUNDO VICTORIANO 1707590129001 X 209513 CUMBAL AYALA JUAN OLMEDO 1707593313001 X 260152 CAÑADAS GERMAN ROMMEL GUSTAVO 1707593511001 X 135096 CHICAIZA MAIGUA EDWIN GONZALO 1707593651001 X
  • 645.
    No No registra No No registra No No. registra registra No. indicadores registra provincia, registra Persona_id NOMBRE No. ID (RUC) calle número registra de ventas, apellido cantón y primer principal de calle origen activos y/o paterno parroquia nombre principal empleados 214306 SEPULVEDA ESPINOZA JORGE EDGARDO1707593800001 X 104695 FLORES HIDALGO IVAN ALEXANDER 1707594394001 X 132083 GUAMANTICA ZAMBRANO EUCLIDES MARCO 1707598759001 X 61292 IVAN 1707599971001 X 27475 JAIME 1707600043001 X 29854 TOHAQUIZA JACHO JORGE WASHINTONG1707604839001 X 210376 BOHORQUEZ ANDRADE ROBERTO XAVIER1707609358001 X 175797 PAUTA MINGA FULVIO RODRIGO 1707610943001 X 190254 PINTO ABRAHAM 1707614036001 X 25024 NARANJO CEDEÑO LUIS EDUARDO 1707616767001 X 7003 CONSULTOR 1707617302001 X 224414 OÑA ACOSTA JOSÉ EDMUNDO SANTIAGO1707622427001 X 53669 VIDAL GÓMEZ DALTON EDUARDO 1707623979001 X 193425 GALLEGOS BETANCOURT VICTOR ENRIQUE 1707625354001 X 97416 AUMALA ZAMBRANO ANGEL LEONIDAS1707627509001 X 204556 PILAY OCHOA LUIS RAMON 1707630289001 X 276873 IZURIETA SEMANATE MARCO AUGUSTO 1707632731001 X X 275490 RIVADENEIRA MAILA CARLOS ANIBAL 1707633549001 X X 200895 BONIFAZ MASABANDA ANGEL 1707634398001 X 167639 MONTERO PASTRANA GLADYS YOLANDA 1707645402001 X 10144 ELBA MARINA OÑA DEFAZ 1707647846001 X 240312 ALAVA ZAMBRANO ESTRELLA DIVINA 1707648885001 X 102644 URRUTIA BUCHELI MARIA TERESA 1707670996001 X 113867 VALLEJO VALLEJO CRUZ YOLANDA 1707674097001 X 128908 ALARCON SILVA JOSE ENRIQUE 1707678080001 X 143016 RAMOS CARRIEL GREY RAFAELA 1707681241001 X 161321 AGUILAR FEIJOO PAULINO MARCELINO1707689533001 X 80596 ESPÍN ESPINOZA ANGEL GENARO 1707699961001 X 38982 NORMAN 1707709950001 X 254193 AVILES DAVILA ANDRES MAURICIO 1707718373001 X 247971 CLAVIJO ESCUDERO MARCO ANTONIO 1707719793001 X
  • 646.
    No No registra No No registra No No. registra registra No. indicadores registra provincia, registra Persona_id NOMBRE No. ID (RUC) calle número registra de ventas, apellido cantón y primer principal de calle origen activos y/o paterno parroquia nombre principal empleados 109816 DIAZ SANCHEZ SANTIAGO RAMIRO 1707719884001 X 275717 SALCEDO RODRIGUEZ MARCELO ENRIQUE 1707722516001 X 13126 INGENIERIA 1707723308001 X 186707 YACELGA PAUCAR MARTHA CECILIA 1707732754001 X 245037 SANCHEZ ESTRELLA FILADELFO 1707758775001 X 80138 NARANJO ACOSTA JUAN BERNARDO 1707758999001 X 199139 PALACIOS MARCEL DANIEL 1707759781001 X 13466 TITOMOYA 1707760243001 X 223595 GARCÍA RENJIFO GIOVANNY RAMIRO 1707761712001 X X X 242614 CARVAJAL EGAS JOSE FERNANDO ELIBORIO 1707765481001 X 144727 QUILO INGA JAVIER NICOLAS 1707767941001 X 130806 ESCOBAR SIMANCAS EFREN ALEJO 1707768279001 X 173865 FLORES FLORES SEGUNDO GONZALO 1707768352001 X 62589 VALENCIA BERNAL COLÓN GERAL 1707768428001 X 110045 GONZÁLEZ ASTUDILLO SANTIAGO XAVIER 1707779268001 X 47572 SOTOMAYOR RAMOS SAMUEL AGUSTÍN 1707783674001 X 58358 RODRIGUEZ ACOSTA OSWALDO VINICIO707785000001 1 X 50025 TORRES LASTRA JOHNY ALEXANDER 1707789192001 X 3707 CHIGUANO CANENCIA JOSE ENRIQUE 1707794739001 X 132252 BRAVO LANCHE FULTON ERACLEO 1707801898001 X 176612 ACEVEDO ANALUISA RAÚL FERNANDO 1707804975001 X 103201 PALLO DELGADO VICTOR ANTONIO 1707805048001 X 226595 YUQUILEMA BORJA JUAN GUILLERMO 1707807846001 X 119498 CAMPAÑA MEJIA JHON FERNANDO 1707808133001 X 149555 LOOR MOLINA MODESTO SALVADOR 1707808356001 X 175091 GALÁRRAGA SANTAMARÍA HECTOR EDUARDO 1707809909001 X 215735 CUENCA JIMENEZ OVIDIO DE JESUS 1707810519001 X 138577 SANCHEZ NARANJO CARLOS GONZALO 1707811046001 X 258936 MAJI REMACHE SEBASTIAN 1707814883001 X 249310 VALVERDE GUASGUA MANUEL ELIAS 1707815963001 X 126656 CUENCA VILLALOBOS SEGUNDO PEDRO707815971001 1 X
  • 647.
    No No registra No No registra No No. registra registra No. indicadores registra provincia, registra Persona_id NOMBRE No. ID (RUC) calle número registra de ventas, apellido cantón y primer principal de calle origen activos y/o paterno parroquia nombre principal empleados 181975 LOYA CHILUISA JORGE ROBERTO 1707825392001 X 168786 RODRIGUEZ CARRION LUIS TEODORO 1707828974001 X 11928 ERNESTO MIÑO 1707831812001 X 221095 CALVOPIÑA POMBOZA SERAFIN 1707831911001 X 113913 RODRÍGUEZ MORA PABLO MARTÍN 1707833529001 X 35734 PEÑAFIEL RUIZ LUIS ARCENIO 1707834055001 X 197957 CALLE MOLINA ANTONIO LIZARDO 1707834394001 X 102205 SOLEDISPA MENDOZA ALFREDO ESPEMENIDES 1707838122001 X 231872 CASTRO URQUIZO JUAN RAMIRO 1707838205001 X 80297 CASTRO RIVADENEIRA FRANCISCO XAVIER 1707842181001 X 188156 JVG PUBLIMARKETING Y EVENTOS 1707843114001 X 158517 PARRA CARRIEL ELVIS JACINTO DAVID1707843197001 X 76827 ROSERO ROSERO EDUARDO ANTONIO1707843833001 X 174628 RODRIGUEZ AGILA LAURO NAPOLEON1707844047001 X 240734 ESTEVEZ SANTIANA JUAN EMILIO 1707844203001 X 79673 LIPIANINA NADEJDA 1707849889001 X 262355 RODRIGUEZ MUELA MARCO WILFRIDO 1707852891001 X 250399 CONGO GARCIA GUSTAVO 1707857049001 X 212072 SILVA GAIBOR ANGEL BOLIVAR 1707858526001 X 181017 TROYA CALVA HIPOLITO WILFRIDO 1707862312001 X 165888 BRAVO ZAMBRANO BLANCA LIDIA 1707868558001 X 84565 VISCARRA NARANJO TANIA MARGARITA 1707878003001 X 58493 ROMAN TERAN JANETH EUGENIA 1707880843001 X 255501 MALES MARIA ANGELITA 1707896880001 X 273692 ORTEGA MYRIAN XIMENA 1707905905001 X X X 112423 SEVILLA RAMIREZ GENOVEVA IBETH 1707911507001 X 144978 VIDAL FIGUEROA SOVEIDA 1707922553001 X 205182 LOPEZ LASSO MARY CECILIA 1707933519001 X 212192 VARGAS BALCAZAR MARFA MARILU 1707939011001 X 179872 CALVA RECUENCO DOLORES MIRYAM 1707949895001 X 145411 BARRERA BURGOS NORMA LUCÍA 1707951685001 X
  • 648.
    No No registra No No registra No No. registra registra No. indicadores registra provincia, registra Persona_id NOMBRE No. ID (RUC) calle número registra de ventas, apellido cantón y primer principal de calle origen activos y/o paterno parroquia nombre principal empleados 21397 CAICEDO SALVADOR ELIZABETH SONIA1707958730001 X 10854 ACME 1707968614001 X 214253 ROSARIO RIOS GLORIA NANCY 1707969307001 X 136587 MOYANO REINOSO ROBERT FRANCISCO 1707975502001 X 152752 HEREDIA SIRINAULA MANUEL VICENTE1707975551001 X 226393 CAIZALETIN ROSERO MARCELO GIOVANNI 1707975668001 X 123762 LOPEZ VILLALBA JAVIER SANTIAGO 1707977938001 X 133752 SEVILLA BUSTOS EDISON ALFONSO 1707980957001 X 21968 VINUEZA GALÁRRAGA JAIME FERNANDO1707985014001 X 182061 GUERRA ESTRELLA DIEGO FABIAN 1707986715001 X 71304 BAROJA AYALA VICENTE PATRICIO 1707987952001 X 264938 VALENZUELA CEDEÑO MARCO ANTONIO 1707991574001 X 224282 GUAMAN LINCANGO CARLOS OSWALDO 1707992341001 X 172138 MOROCHO ALCOCER LUIS OSWALDO 1707997159001 X 94039 GUTIERREZ VILLAGOMEZ LUIS AUGUSTO 1708004229001 X 191168 VEGA SALAZAR MIGUEL EDUARDO 1708005341001 X 169615 TUFIÑO ALMEIDA KLEVER HERNAN 1708005937001 X 113287 VILLARREAL SOLARTE OSCAR OMAR 1708006695001 X 205491 MARTINEZ BURBANO FELIZ RENE 1708012040001 X 18566 SORIA COBA MARCELO NAPOLEON 1708014749001 X 51716 HIDALGO OROZCO CARLOS ARTURO 1708019862001 X 184911 JATIVA CORONEL MIGUEL ANGEL 1708021751001 X 175255 GUEVARA GALLEGOS RUBEN NICOLAY1708032204001 X 19541 DARQUEA ARAUJO JAIME EDUARDO 1708034960001 X 214986 GOMEZ LEMA SEGUNDO CESAR 1708037039001 X 197201 BARRAGAN URGILÉS LENIN WLADIMIR 1708039886001 X 178554 MONTALVO OQUENDO EDWING EDUARDO 1708041866001 X 63317 CASAMEN SOCASI JORGE MILTON 1708041965001 X 192177 BAYAS LARA GONZALO MAURICIO 1708044050001 X 252022 TAPIA DAVALOS JUAN CARLOS 1708048556001 X 273504 MATUTE ECHEVERRI ESTEBAN ALEJANDRO 1708051741001 X X X
  • 649.
    No No registra No No registra No No. registra registra No. indicadores registra provincia, registra Persona_id NOMBRE No. ID (RUC) calle número registra de ventas, apellido cantón y primer principal de calle origen activos y/o paterno parroquia nombre principal empleados 268797 TORRES SALAZAR MARCO ANTONIO 1708059405001 X 209241 JATIVA BRAVO VICTOR BOLIVAR 1708061823001 X 163856 PAREDES JARAMA JUAN CARLOS 1708064017001 X 223794 STIMSON CARTER JENNIFER TEBBE 1708067127001 X 19164 SORIA SOTO DIEGO ENRIQUE 1708074438001 X 120266 ESPINOZA MORENO JOSE RAMIRO 1708074636001 X 208137 PINTO CORREDOR CLAUDIA SOLANGE 1708081151001 X 106825 JARAMILLO PARRALES CARMITA ANTONIA 1708083900001 X 190951 MEDINA MUÑOZ INDIRA SYLVANNA 1708086911001 X 147025 SIERRA FREIRE BÁRBARA NATALIA 1708110216001 X 189755 YÁNEZ CEVALLOS NANCY DE LAS MERCEDES 1708118961001 X 207090 DIAZ VERDEZOTO CLAUDINA 1708121544001 X 15509 MARINA REALPE 1708124365001 X 130035 SUÁREZ CEPEDA JUDITH AMÉRICA 1708127863001 X 33681 CALDERÓN CÁRDENAS TERESA HAYDEE 1708136625001 X 211342 PACHACAMA TACO JUDITH ANGELICA 1708138993001 X 141931 GOMEZ DE LA TORRE FRANCO ELVA CELINA 1708148125001 X 166853 TENORIO GONZALEZ MARIA GARDENIA1708148653001 X 220633 VALDIVIESO PEÑAFIEL SILVIA SORAYA1708150931001 X 77342 GONZÁLEZ HINOJOSA ELVA CAROLINA 1708157563001 X 43000 BARGAS CASTILLO FRANCO EDILIO 1708178197001 X 169902 SANCHEZ PASTOR JORGE VINICIO 1708183072001 X 224969 IGUAGO PERUGACHI MILTON IVAN 1708195720001 X 67213 MOROMENACHO COLLAGUAZO EDISÓN WILSÓN 1708197056001 X 117892 ALBUJA MATEUS EDUARDO RENE 1708197205001 X 134169 GUERRERO MORAN OSWALDO SANTIAGO 1708197965001 X 264394 VILLALBA GERARDO 1708199763001 X 69147 CAMPOVERDE SANMARTÍN KLEVER VICENTE 1708200512001 X 101932 CERVANTES TOLEDO MARIO FEDERICO 1708201031001 X 45661 ORDOÑEZ TACURI JOSE SALVADOR 1708201247001 X 76804 ALMEIDA JIMÉNEZ ANGEL WASHINGTON708203326001 1 X
  • 650.
    No No registra No No registra No No. registra registra No. indicadores registra provincia, registra Persona_id NOMBRE No. ID (RUC) calle número registra de ventas, apellido cantón y primer principal de calle origen activos y/o paterno parroquia nombre principal empleados 131275 DÍAZ CHÁVEZ SAULO FRANCISCO 1708204274001 X 14187 ALEX PROANO 1708204605001 X 174827 IGLESIAS MEJÍA JOSÉ ANTONIO 1708205016001 X 16797 PINEDA SUAREZ JOHN EFREN 1708216849001 X 218591 MERIZALDE LOPEZ JORGE LUIS 1708218258001 X 110092 MOREIRA MERA FRANCISCO ANTONIO 1708223084001 X 258806 JIMENEZ LUNA BOLIVAR KENNEDY 1708225816001 X 201480 TELLO MARZO CARLOS ALBERTO 1708225840001 X 82491 MENA NAVARRETE MARCO EFRAIN 1708228257001 X 223873 PÉREZ TECA MIGUEL EDMUNDO 1708228612001 X 121919 YANCOVICH HIDALGO LUCRECIA 1708230873001 X 49902 SEGUNDO 1708232929001 X 36183 HEREDIA GALARRAGA PABLO SANTIAGO1708236789001 X 232214 DUEÑAS MENDOZA IVAN EDUARDO EFRAIN 1708239130001 X 89722 CACHIMUEL VINUEZA LUIS HUMBERTO 1708242035001 X 37698 AGUILAR BARRIGA DENNY MARCELO 1708243884001 X 183728 CHAMORRO JUANA 1708244668001 X 103793 VASQUEZ ROJAS ROBERTO WAGNER 1708256944001 X 210727 CHUN LEE YOUNG OIL 1708258916001 X 204272 BORJA TAPIA CARLOS HUMBERTO 1708264641001 X 130059 BENALCAZAR CHAVARRIA LUIS ALFONSO 1708268162001 X 140039 REYES CANTOS NAVARINO ECUADOR 1708269756001 X 119706 BOADA AGUAYO RUTH MARGARITA 1708279060001 X 106422 BENITEZ YAZBEK NARCISA MARIELA 1708304421001 X 149443 VALENCIA SORIA LIBIA PATRICIA 1708306863001 X 139330 LOPEZ SANDRA 1708315096001 X 264213 GUERRERO VERA RENNER JESUS 1708316078001 X 245360 CHAZO GUAMAN GUIDO AURELIO 1708317472001 X 141921 MULLO CAVA PLACIDO 1708320674001 X 179117 CASTELLANOS FLORES LUIS ARNULFO1708322100001 X 184334 JACOME GUERRA EDGAR VINICIO 1708327356001 X
  • 651.
    No No registra No No registra No No. registra registra No. indicadores registra provincia, registra Persona_id NOMBRE No. ID (RUC) calle número registra de ventas, apellido cantón y primer principal de calle origen activos y/o paterno parroquia nombre principal empleados 136781 JARAMILLO PEÑAFIEL LUIS ENRIQUE 1708329972001 X 147635 ESCANDÓN ESPARZA ROCÍO DEL PILAR708342488001 1 X 276292 QUELAL MERA GRACE YOLANDA 1708349624001 X X X 159367 FONSECA CUEVA OLIVA PATRICIA 1708358120001 X 136736 ATAHUALPA CHUMAÑA LUIS RAMIRO 1708360167001 X 245180 MONTENEGRO MURILLO AMADA DEL ROCIO 1708364086001 X 271814 ENCALADA GUERRERO EVER CORNELIO 1708368467001 X X 74998 GRIJALVA RIERA ANGEL ANDRES 1708369564001 X 162636 CABRERA VILLARREAL ALIRIO WASHINGTON 1708370083001 X 227176 RIOFRIO SUAREZ MARIA BELEN 1708388143001 X 237537 ARMIJOS LOPEZ PERLA MARIA 1708393960001 X 86640 CARRASCO ALBAN OSWALDO JOSELITO 1708396088001 X 125804 SIDEL PACHECO MARCO ANTONIO 1708400831001 X 68428 SANTANA MASIAS LUIS LEONARDO 1708404957001 X 179944 CHAMBA LOAIZA KENNEDY DANIEL 1708405699001 X 122986 LOMBEYDA SEGURA MARIA INES 1708407984001 X 150243 CHASI CHUQUIMARCA EDGAR ARIOLFO 1708411077001 X 219028 FLORES LANDETA FREDDI RÓMULO 1708411853001 X 117183 PATIÑO CABRERA MARCELO DE JESUS1708421605001 X 149354 VASQUEZ MACIAS PLACIDO ORLANDO 1708425929001 X 170522 SAMANIEGO JARAMILLO MIGUEL ANGEL708427875001 1 X 247118 ARMIJOS AREVALO SALVADOR FREDDY 1708430994001 X 33789 GUZMÁN ORDÓÑEZ FRANKLIN GENARO 1708432511001 X 254757 CHANG CONFORME JENIT PIEDAD 1708435258001 X 216292 CHAMORRO ALEJANDRO EZEQUIEL 1708435688001 X 48495 CASTILLO VELÁSQUEZ LUIS ALBERTO 1708439060001 X 268545 MOSQUERA VACA GORKY ANTONIO 1708440019001 X 239702 VARGAS CONZA OSCAR DOMINGO 1708440167001 X 164024 BRAVO SAMPEDRO CARLOS RUBEN 1708443005001 X 65776 CHUQUITARCO SIMBAÑA BYRON MARCELO 1708448400001 X 83652 PADILLA PROAÑO DIEGO FERNANDO 1708450968001 X
  • 652.
    No No registra No No registra No No. registra registra No. indicadores registra provincia, registra Persona_id NOMBRE No. ID (RUC) calle número registra de ventas, apellido cantón y primer principal de calle origen activos y/o paterno parroquia nombre principal empleados 96745 LIANG OU YU FAN 1708452311001 X 190470 GAHONA CARRION FLORENCIO 1708459555001 X 198017 DE LA ROCHE MARTÍNEZ JOSÉ ALEJANDRO 1708460827001 X 38326 TITUANA QUEZADA WILDE CLOTARIO 1708462146001 X 226399 CHANOVE ZAVALA ROXANA MARITZA 1708464910001 X 245152 LAICA IPIALES JOSE RUBEN 1708465024001 X 245800 CALDERON MANTILLA FAUSTO FERNADO1708469851001 X 64955 BORJA MORALES EDISON ALBERTO 1708470594001 X 223186 PAZMINO ORELLANA FAUSTO JAVIER 1708473689001 X 105378 ANDRADE MOYA JAIME RUBEN 1708474612001 X 3010 MB PUBLICENTER 1708488166001 X 167739 AGUILAR ARZA ROSA IRMAN 1708493141001 X 171796 SAMPEDRO SANGOQUIZA MARIANITA LUZMILA 1708494149001 X 154689 MENA MENA NELSON ALEJANDRO 1708519762001 X 86281 COBEÑA CASANOVA RAMON ATINIO 1708522485001 X 243998 VALLEJO CEVALLOS DIEGO MAURICIO 1708532385001 X 71488 CORONEL JIMENEZ EDISON RICARDO 1708532690001 X 135551 MENA MENA HECTOR BOLIVAR 1708535636001 X 79042 PILLAJO PILLAJO HUGO RAÚL 1708539448001 X 78118 SANDOVAL MANRIQUE JORGE ANIBAL 1708542509001 X 235630 SANCHEZ CASTILLO ELIO ENRIQUE 1708553191001 X 202106 VALLE PAZMIÑO CRISTHIAN ANDRES 1708559776001 X 159041 RODRIGUEZ MORENO ARGEMIRO 1708560709001 X 113450 ANDRADE POVEDA VICTOR RAUL 1708562143001 X 154522 VEGA BRAVO BOLÍVAR 1708565211001 X 78988 BORJA FIALLOS GERARDO VICENTE 1708565658001 X 252261 ZURITA CHANGO BECQUER JAVIER 1708567860001 X 273448 ANGULO FIERRO MARIA GLADYS 1708567902001 X 263817 LOPEZ ROMERO MARITZA MIREYA 1708573298001 X 155218 COBEÑA MENENDEZ OSCAR FELICITO 1708574627001 X 184229 LOMAS VOZMEDIANO HOLGER ADRIAN1708575020001 X
  • 653.
    No No registra No No registra No No. registra registra No. indicadores registra provincia, registra Persona_id NOMBRE No. ID (RUC) calle número registra de ventas, apellido cantón y primer principal de calle origen activos y/o paterno parroquia nombre principal empleados 78460 ORTEGA BLACIO BERTHA ESPERANZA 1708580962001 X 144226 MENDOZA ANDRADE ARELIZA DEL QUINCHE 1708583347001 X 252644 QUEZADA SOLANO VICTOR MANUEL 1708586977001 X 80932 VELASCO CAMACHO NUMAN JOSELITO1708592629001 X 111890 LARA SOLORZANO WALTER JAIME 1708593114001 X 252523 GARCÍA LOYAGA FABIÁN MOISÉS 1708594534001 X 223454 TOLEDO DELGADO ALBA MARLENE 1708615529001 X 183335 VALVERDE BELTRAN MONICA PATRICIA 1708620990001 X 185122 PEÑAFIEL HIDALGO LISENIA DEL CONSUELO 1708630353001 X 19168 CANDO ZAMBRANO MIROSLAVA KATHYUSCA 1708637978001 X 273319 ALVARO FLORES LUZ MARIA 1708638364001 X 92088 VENEGAS RAMÍREZ MARÍA EUGENIA 1708638794001 X 18934 JULIO 1708646946001 X 27394 RAMÍREZ LINCANGO NELSON RODRIGO 1708649312001 X 213995 MARMOL MOLINA WILLIAM ALBERTO 1708656945001 X 161470 TULCANAZA FRANCO LUIS FERNANDO 1708660681001 X 152615 RIVERA ESPINOZA ANITA CECILIA 1708674617001 X 173920 MORA HOLGUIN WILFRIDO ANTONIO 1708686215001 X 181458 LOOR ANCHUNDIA GIRMA ITALIA 1708687031001 X 232679 VELIZ SEGURA PEDRO RAUL 1708687668001 X 259694 SÁNCHEZ DEL VALLE EDISSON GONZALO1708694276001 X 206880 TAPIA TAPIA EFREN ROSENDO 1708696842001 X X X 98399 GRANDA RAMIREZ GLADYS RENE 1708698764001 X 193861 JIMENEZ ALEMAN MIRIAN NOEMI 1708699614001 X 18439 TIPAN VACA JESUS WILFRIDO 1708699846001 X 26339 HEREDIA CARDENAS EDMUNDO IVAN 1708710593001 X 135724 BENAVIDES GUILLÉN JAVIER FERNANDO1708719529001 X 261627 GARCIA BENITEZ JOSE ORLANDO 1708720816001 X 241840 ALEMAN COELLO JUAN SEBASTIAN 1708721962001 X X X 267556 ROMERO ZUMÁRRAGA VICTOR RAFAEL 1708722416001 X 169663 GUALOTO CHUQUIMARCA LUIS ALFONSO 1708723240001 X
  • 654.
    No No registra No No registra No No. registra registra No. indicadores registra provincia, registra Persona_id NOMBRE No. ID (RUC) calle número registra de ventas, apellido cantón y primer principal de calle origen activos y/o paterno parroquia nombre principal empleados 264488 LANDÁZURI AVILÉS AMPARITO DE LOURDES 1708727019001 X 203095 CASTILLO TORRES XIMENA ELIZABETH1708727449001 X 274726 AGUIRRE SALAS MARÍA ANTONIA 1708729767001 X X 200899 SUAREZ LOPEZ OLIVIA CRISTINA 1708742091001 X 222539 MENDOZA CEDEÑO ELENA DEL CONSUELO 1708742224001 X 231785 CHIRIBOGA EGAS ANDRÉS PATRICIO 1708749781001 X 152306 ESPINOSA PELICITA EDY FRANCISCO 1708753155001 X 78259 YASELGA TERÁN WASHINGTÓN SENÓN 1708755697001 X 98072 VALLEJO GALLARDO NELSON VINICIO 1708759350001 X 250172 DÁVILA CORTEZ JHONNY RODRIGO 1708761257001 X 261406 GUASHPA CHAUCA SEGUNDO CARLOS1708762420001 X 237373 MUÑOZ SUBIA JOEL LEONARDO 1708763006001 X 190552 RIVADENEIRA ARIAS WILSON GUSTAVO1708764228001 X 82106 UTRERAS CRISTINA 1708765340001 X 247401 MARCIAL NATALIA 1708767049001 X 206008 CASTILLO GUTIERREZ AMELIA ALEXANDRA 1708768146001 X 145164 PULUPA TASINTUÑA GUSTAVO GERMAN708790215001 1 X 100087 NUÑEZ BOLAÑOS IVAN ALBERTO 1708793037001 X 61366 RODRÍGUEZ FLORES VICENTE MOÍSES1708794316001 X 76696 MAMARANDI GUALICATA LUIS ANIBAL 1708800642001 X 137426 ALCIVAR OSTAIZA TACITO SEGUNDO 1708812738001 X 110745 PARRAGA RIVADENEIRA RAMON FRANCISCO 1708813850001 X 157325 GARCIA SOLORZANO JOAQUIN EFRAIN1708817331001 X 218899 MORENO YANEZ JULIO OCTAVIO 1708820764001 X 73854 HERRERA CHICAIZA ZOILA ROSA 1708828783001 X 248546 PRADO BORJA HENRY LENIN 1708850464001 X 126245 JACOME CAIZA MARCO FRANCISCO 1708855190001 X 22981 CAMPOS BETANCOURT ADOLFO FILEMON1708858251001 X 82416 ZAMBRANO BRITO JOSÉ RAFAEL 1708858830001 X 264447 GUAMANTICA PAUCAR JACINTO KRONFLE 1708863079001 X 105009 LARA TORRES MIGUEL ANTONIO 1708872179001 X
  • 655.
    No No registra No No registra No No. registra registra No. indicadores registra provincia, registra Persona_id NOMBRE No. ID (RUC) calle número registra de ventas, apellido cantón y primer principal de calle origen activos y/o paterno parroquia nombre principal empleados 235605 VASQUEZ GALETH RAFAEL 1708876402001 X 272445 MONCAYO ZARAMA JULIO JAVIER 1708879745001 X 66290 MARCILLO PARRALES KLÉBER GERMINIANO 1708894439001 X 234285 YUNGAN PILATAXI FELIPE 1708895816001 X 140751 NINA GUAMAN JOAQUIN 1708897671001 X 159286 IZA CHINCHUÑA ALFREDO 1708901135001 X 176485 BALDEON CUEVA JORGE FRANCISCO 1708901630001 X 51478 LLULLUNA USHINIA JOSE ABRAHAN 1708902448001 X 143224 MEJIA PEREZ MARIA ELODIA 1708937337001 X 106061 TIBANLOMBO CORDOVA LUZMILA 1708945207001 X 15445 VERONICA CRESPO REPRESENTACIONES 1708950892001 X 273453 DAVILA CANO ISABEL MARIA 1708953805001 X 200033 AMORES ABELLO EUGENIA VICTORIA 1708956394001 X 140274 MARIÑO OLEA MARIA IMELDA 1708957657001 X 23730 BURBANO MARIÑO TERESA VIVIANA 1708963945001 X 154565 CALAHORRANO MONTAÑO MARIO EDUARDO 1708965486001 X 119595 COBOS COBOS DIOMEDES LEONIDAS 1708968381001 X 223488 PEÑAFIEL LARREA FREDDY 1708970353001 X 85500 VELOZ GALVEZ EDUARDO AGUSTIN 1708978786001 X 104466 ANDRADE MOREIRA ESTRELLA MARILU1708988348001 X 51882 CEVALLOS CHUEZ MONICA RUTIBERTY1708994338001 X 212767 DELGADO BENAVIDES WANNER GONZALO 1708995483001 X 169911 PELAEZ TERAN CECILIA ALBERTINA 1709022378001 X 175686 CORREA VINUEZA ANTONIO CARLOS 1709025777001 X 250866 CÁCERES CEVALLOS MANUEL EDUARDO1709026114001 X 243475 GALLARDO ALVARADO JEAN PAUL 1709026510001 X 211703 MARMOL GUTIERREZ HENRY GABRIEL 1709033680001 X 46315 RAMOS ROBALINO ALBERTO PATRICIO1709034191001 X 138601 MENA VARGAS OSWALDO EDUARDO 1709036220001 X 113663 MIRANDA RUBIO VERÓNICA ALEXANDRA 1709041204001 X 26135 RUALES CHUQUIMARCA LOURDES DEL1709045114001 PILAR X
  • 656.
    No No registra No No registra No No. registra registra No. indicadores registra provincia, registra Persona_id NOMBRE No. ID (RUC) calle número registra de ventas, apellido cantón y primer principal de calle origen activos y/o paterno parroquia nombre principal empleados 76068 GRANDA QUIMBAILA MONICA PATRICIA1709050239001 X 86491 BELTRAN MORALES MAIRA ELIZABETH 1709050593001 X 261290 PEREZ URQUIZO MARCELA VERENICE 1709053258001 X 122156 SOPA CHUNGANDRO LUIS RODRIGO 1709062812001 X 17904 PUEBLA VIZUETE MARCO RAMIRO 1709063067001 X 214749 KINGMAN PEÑAHERRERA NICOLAS 1709063620001 X 216473 SUQUI BELESACA LUIS DEIFILIO 1709065971001 X 44014 MALDONADO MICHILENA JOSÉ BENJAMIN 1709070617001 X 155576 GOMEZ NAVARRETE JORGE FRANCISCO 1709070922001 X 152393 CONSTANTE BOHORQUEZ MARIO FERNANDO 1709073132001 X 253439 CHUQUI TAYO JULIO RODRIGO 1709073264001 X 237114 AVILA VEINTIMILLA ANDRÉS DARÍO 1709077109001 X 74703 LEMA PAUCAR JORGE 1709080152001 X 76932 AYALA TOAPANTA MARIA CAROLINA 1709081747001 X 153303 CASANOVA VÉLEZ MARÍA DEL CARMEN1709084543001 X 57894 JARAMILLO CALAHORRANO LUZ MARIA1709085581001 X 47418 PEREZ SUASNAVAS VERONICA PATRICIA 1709085649001 X 177480 HERRERA MARTINEZ ROSARIO HERMINIA 1709088098001 X 158726 PILATAXI LECHON LAURA MARIA 1709095671001 X 241806 CRUZ LOPEZ MANUEL ENRIQUE 1709103749001 X 251925 PATRON PINARGOTE RAMON PRIMITIVO1709106478001 X 182318 SAGNAY VILLA JHON FRANKLIN 1709113631001 X 148001 GARCIA PARRA CARLOS AUGUSTO 1709115412001 X 232980 CALDERON GUILLEN ROMMEL ANTONIO 1709120909001 X 47084 TOAQUIZA YANCHAPAXI JOSÉ FABIÁN 1709121444001 X 260675 HERMOSA ARIAS CARLOS ORLANDO 1709122319001 X 276344 CASARES MIRANDA JOSE ALEJANDRO 1709125130001 X X 206179 CAGUA HARO ANTONIO GERMAN 1709125346001 X 163815 LANDETA TORRES MOISES SEGUNDO 1709127250001 X 248548 GUANO ALTAMIRANO MANUEL FERNANDO1709129405001 X 129283 BOSQUEZ GALARZA MENTOR GUMERCINDO 1709129520001 X
  • 657.
    No No registra No No registra No No. registra registra No. indicadores registra provincia, registra Persona_id NOMBRE No. ID (RUC) calle número registra de ventas, apellido cantón y primer principal de calle origen activos y/o paterno parroquia nombre principal empleados 224089 MEJIA BARRAGAN LUIS ITALO 1709129652001 X 165804 ESTRELLA TORRES VÍCTOR HUGO 1709133712001 X 62571 VALENZUELA GÓMEZ IBAN NIKOLAY 1709135055001 X 250331 MARIN ACUESTAR LUIS GUILVER 1709135139001 X 234358 JURADO MONCAYO SONIA SILVANA 1709157000001 X 108362 RAMOS RAMOS AQUILES CORNELIO 1709162406001 X 246287 PEREZ MARTINEZ HERIBERTO JHOVANNY 1709179202001 X 214167 GOMEZ SIGCHA JACQUELINE MARIA 1709181596001 X 279484 TAPIA HEREDIA FAUSTO ALFONSO 1709206369001 X 9889 CATERING INDUSTRIAL 1709225377001 X 125363 ROBLES GUATO SEGUNDO ROLANDO 1709226151001 X 42813 JARAMILLO GARCIA JAIME RUBEN 1709251712001 X 198734 NUÑEZ VILLACRES BYRON TELESFORO 1709254005001 X 164315 NN GUZMAN MARCO VINICIO 1709257669001 X 62177 ZAPATA ERAZO CARLOS ERNESTO 1709264541001 X 138021 CALAPAQUI CAYO MARY SELA GUADALUPE 1709268765001 X 232682 ZUÑIGA OCHO JULIA VIRGINIA 1709277436001 X 198999 TIPÁN GUALOTO MIGUEL ANGEL 1709287658001 X 114055 MEJIA HERRERA WILLAN RODRIGO 1709295800001 X 79410 CABRERA DE LA VEGA HUGO LEONARDO1709299943001 X 187890 CHUQUIMARCA PACHACAMA EDGAR HUMBERTO 1709302937001 X 272209 VALLEJO SANTACRUZ EDGAR ANIBAL 1709303141001 X 112814 ARMIJOS CONZA JOSÉ DARÍO 1709303281001 X 116232 VERA CARREÑO JOSÉ EDILBERTO 1709307134001 X 228995 VALVERDE TOPON MARIA YOLANDA 1709309742001 X 154874 LOPEZ PAZMIÑO CAROL LISETTE 1709324006001 X 41706 ACURIO ASTUDILLO ROLANDO GUSTAVO1709329153001 X 45704 SUNTAXI LLUMIQUINGA HUGO PATRICIO709343113001 1 X 136021 GRANDA JAÉN CARLOS ANTONIO 1709348187001 X 263258 GUALOTUÑA CARHUA JOSE FRANCISCO709350431001 1 X 50022 CEPEDA STOUDENNIKOVA ANDRÉS ALEJANDRO 1709350969001 X
  • 658.
    No No registra No No registra No No. registra registra No. indicadores registra provincia, registra Persona_id NOMBRE No. ID (RUC) calle número registra de ventas, apellido cantón y primer principal de calle origen activos y/o paterno parroquia nombre principal empleados 178213 PAUTA AGUILAR ANGEL HUMBERTO 1709352023001 X 51715 MOREJON VILLAFUERTE EDIZON RAMIRO 1709355885001 X 136488 CHUVA BUENO ROSA ELISENDA 1709367682001 X 216010 QUIJIA QUIJIA NARCISA MARLENE 1709373292001 X 177203 BERMELLO PALACIOS ANA ESTHELA 1709386013001 X 152036 PEREZ ATABALLO LUIS ARMANDO 1709391898001 X 102244 CAICEDO GOMEZ JORGE PATRICIO 1709392649001 X 174666 PAREDES ESTRELLA ANGEL FERNANDO 1709394215001 X 274584 BOADA MARQUEZ LUIS FERNANDO 1709395402001 X X 192208 VITERI PUYOL MARCELO EDUARDO 1709396905001 X 104813 ECHEVERRIA GUERRA GALO ANIBAL 1709397176001 X 120291 GALARZA MERA EDISON RAMIRO 1709404733001 X 105584 JARAMILLO CAZAÑAS JUAN GABRIEL 1709405524001 X 25258 CUITO PASQUEL MIRIAM CECILIA 1709412892001 X 96302 RECALDE ZABALA MONICA DE LAS MERCEDES 1709413627001 X 20242 AGUILAR BOLAÑOS JOSEFINA DEL PILAR 1709415085001 X 214139 GOMEZ ORDOÑEZ AURA ESTHELA 1709421232001 X 273392 PIEDRA PEREZ ALFREDO JAVIER 1709428252001 X 115661 VILATUÑA MALES SEGUNDO MANUEL 1709440620001 X 157564 GAVILANEZ CARRERA MAGALLY ALEXANDRA 1709450157001 X 3611 ESPINOZA ROMERO AGUEDA ALBITA 1709450421001 X 254100 ROSERO VÁSCONEZ LEONOR PATRICIA709453524001 1 X 93742 CAMPOVERDE MENDOZA LUCRECIA GUADALUPE 1709456873001 X 163984 COBEÑA ALCIVAR TANIA ISABEL 1709464265001 X 173960 BAUMANN CHRISTOPH JOSEF 1709477069001 X 237298 AYLWIN EGUIGUREN EDUARDO ANTONIO1709477382001 X 234088 XXXXXXXXXXXXXXXXXXXXXX ENRIQUEZ AUDON AQUILINO 1709483018001 X 114160 SOLA PAREDES JOHNNY RICARDO 1709492324001 X 183876 CARRIÓN CASTILLO JUAN TOBIAS 1709496622001 X 103856 GUAMAN ANDRADE FERNANDO JAVIER1709504565001 X 23370 MORA MORA ADRIANA GUADALUPE 1709519100001 X
  • 659.
    No No registra No No registra No No. registra registra No. indicadores registra provincia, registra Persona_id NOMBRE No. ID (RUC) calle número registra de ventas, apellido cantón y primer principal de calle origen activos y/o paterno parroquia nombre principal empleados 88355 TRUJILLO TRUJILLO CLARA ESTHER 1709520447001 X 13300 ING. LUIS FERNANDO BENITEZ 1709530784001 X 97187 OBANDO CEVALLOS SILVIA CUMANDA 1709532038001 X 145131 FRANCO ANDRADE JAIME AURELIO 1709533325001 X 126081 CAIZALUISA CRIOLLO CARLOS FABIAN 1709543555001 X 112226 REA CHIMBO SEGUNDO AURELIO 1709546814001 X 236329 BUITRÓN PONCE CARLOS FRANKLIN 1709553760001 X 217414 FREILE ORTIZ JUAN FERNANDO 1709554701001 X 175710 PILLAJO ANAGUANO JOSÉ JAIME 1709560393001 X 4100 CASCANTE MARCO 1709561052001 X 60372 VALLADOLID CHUQUIRIMA LUISA MARLENE 1709568933001 X 65826 TORRES SILVA CONSUELO BEATRIZ 1709571168001 X 214739 CANDO LUZMILA 1709579435001 X 149589 TOAPANTA QUIÑA MARTHA CECILIA 1709586406001 X 39056 MORALES SHUGULI JIMENA LOURDES 1709602690001 X X X 200855 CARDENAS CAJAS IVAN ARMANDO 1709608135001 X 81521 SEGUNDO CHICAIZA CHICAIZA 1709612079001 X 241135 GONZALEZ DIAZ JORGE AUGUSTO 1709613077001 X 49163 BARRENO VENERAS JORGE ALBERTO 1709615536001 X 146190 ARROBO RODRIGUEZ HERMEL RODRIGO 1709621609001 X 244751 HIDALGO FLORES EDISON FERNANDO 1709627325001 X 58222 JARAMILLO ARGANDOÑA JAVIER ENRIQUE 1709635864001 X 132992 MINA BARAHONA ANGEL ANTONIO 1709639866001 X 114425 MOREJON CACAY BLADIMIR ALFREDO 1709641151001 X 94438 PESÁNTEZ DUCHICELA LUCI CATALINA1709642720001 X 167784 HERRERA PROAÑO JAIME RENAN 1709646275001 X 142765 INTRIAGO BASTIDAS LEONOR ELIZABETH 1709664229001 X 170085 CABRERA ERAZO SILVIA YOLANDA 1709678583001 X 226978 DE LA TORRE GALARZA JOSE RODRIGO 1709686727001 X 221168 CUASCOTA FARINANGO JOSE ORLANDO 1709696619001 X 48947 SÁNCHEZ OBANDO TELMO NERY 1709699886001 X
  • 660.
    No No registra No No registra No No. registra registra No. indicadores registra provincia, registra Persona_id NOMBRE No. ID (RUC) calle número registra de ventas, apellido cantón y primer principal de calle origen activos y/o paterno parroquia nombre principal empleados 218699 YÁNEZ VILLAFUERTE ANITA SOFIA 1709718496001 X 108551 IZA LARRAGA ANGEL PATRICIO 1709723363001 X 182774 VERA ANDRADE LUIS EBANAN 1709728990001 X 154681 SIMBAÑA YANCHAPAXI WILMER HERNAN1709729998001 X 111770 BARBA POVEDA GIOVANNI XAVIER 1709733545001 X 97173 SALAS DIEHL FERNANDO RODRIGO 1709743668001 X 240458 QUINTEROS SAA EDISON MARCELO 1709761306001 X 90775 LUGUAÑA NASIMBA HUGO PATRICIO 1709761678001 X 143114 VINUEZA MONTENEGRO CARLOS JULIO 1709764920001 X 127184 YACELGA SANTACRUZ FRANKLIN VOLTAIRE 1709765208001 X 193154 CASTILLO CASCO MAURICIO ALEXANDER 1709774085001 X X X 150801 CARRERA GONZALES PATRICIO VICENTE 1709774770001 X 111183 MACIAS MACIAS VICENTE OSWALDO 1709778631001 X 138899 MIRANDA VARGAS MARIA EUGENIA 1709788473001 X 14087 CLAMA SPORT 1709794323001 X 165006 GANGOTENA MARQUEZ FANNY MARLENE 1709796708001 X 110794 VACA ORMAZA ANA LUCIA 1709798308001 X 95799 GÓMEZ PAILLACHO IRMA SUSANA 1709798373001 X 18564 TERAN HURTADO ROSA DE LOS ANGELES 1709804106001 X 183217 FLORES ULLOA WASHINGTON VLADIMIR709824518001 1 X 220257 AGUILAR PILATAXI CARLOS LUIS 1709831927001 X 156901 PUMA AUCAPIÑA VICENTE ARIOSTO 1709849507001 X 73931 SILVA DÍAZ MARCO JAVIER 1709849606001 X 196488 QUIJOSACA MALAN SEGUNDO ESPIRITU1709850372001 X 213276 BESILLA SALTOS BOANERGES ALCIVIADES 1709853970001 X 160033 PALTAN AYOLA SEGUNDO MARIO 1709854499001 X 37677 DUQUE ALVAREZ JHONNY WILIAM 1709854986001 X 266729 CHIMBA CHILUISA JOSE 1709855553001 X 221694 AIZAGA ACOSTA PABLO ANIBAL 1709857542001 X 221583 VILLOTA JARA ROBINSON EDUARDO 1709857641001 X 191806 RIVADENEIRA MUÑOZ MARIA MAGDALENA 1709862278001 X
  • 661.
    No No registra No No registra No No. registra registra No. indicadores registra provincia, registra Persona_id NOMBRE No. ID (RUC) calle número registra de ventas, apellido cantón y primer principal de calle origen activos y/o paterno parroquia nombre principal empleados 133846 GALIANO BARAHONA MARIA LUISA 1709864928001 X 126048 GUAIGUA TATAYO BLANCA SILVIA 1709873127001 X 134142 ULLOA RODAS CECILIA MERCEDES 1709876302001 X 257661 DIAZ CABRERA GRACE MIREYA 1709877532001 X 74719 LLUMIQUINGA GARCIA CARLOS ALFREDO1709888802001 X 138334 CARRANZA SANCHEZ JUAN LLOVANY 1709889818001 X 137218 RUALES RIVADENEIRA MAURICIO FERNANDO 1709891822001 X 15582 JUAN 1709893109001 X 222382 MONTERO CARRERA EDISON MAURICIO 1709898785001 X 236223 PISUÑA SIMBAÑA SEGUNDO VENTURA 1709900128001 X 106520 FAICAN SEGOVIA PATRICIA ELIZABETH1709913154001 X 23532 GOLDY 1709919268001 X 224749 ZAVALA EGAS ALVAROJ JACOBO 1709922437001 X 204170 ECHEVERRIA MURILLO JOSE OMAR 1709925711001 X 224049 PILLAJO CHANGOLUISA ANGEL JALID 1709926263001 X 105276 BARAHONA GUERRERO HENRY DOUGLAS 1709934259001 X 119328 NACASHA PACHACAMA MANUEL 1709936387001 X 108520 HERRERA SEVILLANO LUIS GABRIEL 1709936650001 X 61411 RAMOS IDROVO PEDRO ELICIO 1709938680001 X 78119 BARRETO ORTIZ MANUEL EDUARDO 1709942765001 X 242848 PULLA JULIO EDUARDO 1709943391001 X 266254 SUAREZ ALCIVAR ERNESTO ENRIQUE 1709948523001 X 182007 ROJAS CORDERO JUAN CARLOS 1709948846001 X 201107 BALSECA BALSECA EDWIN MARCELO 1709954877001 X 79267 GILER DELGADO JESÚS ALFREDO 1709954927001 X 250454 MANOBANDA LARA NELY GALUD 1709956583001 X 205689 FLORES ESPINOZA FRANCISCO ENRIQUE1709956831001 X 234435 ESPINOSA LOVATO XIOMARA ELIZABETH1709963563001 X 258150 TERÁN BEDOYA DORIS DE LOURDES 1709968612001 X 253788 ITAZ ORDOÑEZ GARDENIA DE LOS ANGELES 1709980161001 X 245384 CLAVIJO JACOME JORGE MARCELO 1709992133001 X
  • 662.
    No No registra No No registra No No. registra registra No. indicadores registra provincia, registra Persona_id NOMBRE No. ID (RUC) calle número registra de ventas, apellido cantón y primer principal de calle origen activos y/o paterno parroquia nombre principal empleados 170640 AGUIRRE GRIJALVA CARLOS SANTIAGO1709996977001 X 224888 MENDOZA CORONEL NESTOR EDUARDO 1709998619001 X 149525 ARGUDO AUQUI GALO EDUARDO 1709999328001 X 122005 MARINO MONTALVO MAURO ROBERTO1710009224001 X 119755 MOLINA CÓRDOVA ANDRÉS RICARDO 1710012517001 X 55448 HIDALGO MALDONADO JAIME ERNESTO 1710015940001 X 207205 GARRIDO VILLAGOMEZ DIEGO MAURICIO 1710017375001 X 259678 CHASIPANTA MORALES GALO PATRICIO1710019991001 X 109576 DIAZ GUARDERAS ROGELIO EUCLIDES 1710020213001 X 225556 CADENA ESPINOZA ROCIO DEL PILAR 1710026434001 X 225122 SIMBAÑA MALES GADYS TATIANA 1710029420001 X 114614 PROAÑO ANAGO ROSA ESMERALDA 1710033091001 X 163952 BOLAÑOS GONZÁLEZ CATALINA DE LOS ANGELES 1710035625001 X 93730 GUTIERREZ AREQUIPA CARLOS HERNAN1710054378001 X 122412 RIVADENEIRA LUIS AGUSTIN 1710054634001 X 192503 VARGAS GARCIA HECTOR GERMAN 1710055441001 X 153869 QUISHPE AVILA WILSON RODRIGO 1710056092001 X 216035 CAMPOVERDE GUAJALA LUIS ANTONIO1710056233001 X 127073 MARTINEZ ALDAZ WASHINGTON AURELIO 1710058908001 X 159223 ACURIO MIRANDA KLEBER DARIO 1710059047001 X 81409 ZAMBRANO CUACES ROSA ELENA 1710066745001 X 203363 TORRES OSORIO EDGAR MAURICIO 1710074335001 X 150281 GOMEZ SALAS JORGE ENRIQUE 1710075308001 X 209240 JARA ARIAS MARIA PATRICIA 1710099910001 X 81361 VINUEZA TALAVERA KATIA CHANEL 1710100205001 X 32862 BERMUDEZ DELGADO JOSE RAMON 1710101930001 X 116998 ORTEGA BASANTES CESAR CIRILO 1710110816001 X 251765 MEJIA SUAREZ EDISON DANILO 1710112374001 X 267667 VILLARROEL GALLEGOS CLAY GUALBERTO 1710117753001 X X X 130075 ALCÍVAR LÓPEZ NERY IVÁN 1710118231001 X 219553 SOJOS BUÑAY GLADYS SONORINA 1710121961001 X
  • 663.
    No No registra No No registra No No. registra registra No. indicadores registra provincia, registra Persona_id NOMBRE No. ID (RUC) calle número registra de ventas, apellido cantón y primer principal de calle origen activos y/o paterno parroquia nombre principal empleados 201930 ENCALADA VALAREZO MARÍA FERNANADA1710134865001 X 133051 SARANGO ERAS EDIS BERNARDA 1710142223001 X 165894 ANDRADE FRANCO MAXIMO ENRIQUE 1710143072001 X 169375 PITIUR JUWA SUNKA PEDRO 1710145598001 X 208855 CHÁVEZ VARGAS HOLGER ANTONIO 1710150259001 X 166886 ALMAGRO SALTOS CARMEN IRENE 1710160118001 X 121447 ZAMBRANO MOREIRA JOSE OSWALDO 1710160357001 X 128852 MERA ENCARNACIÓN MARÍA ELENA 1710160373001 X 187615 GUALLICHICO GUALOTUÑA PAULO MANUEL 1710162825001 X 117616 BERRONES LOYOLA MAURO ORLANDO1710164011001 X 195415 RUIZ VELASTEGUI LINO ELADIO 1710169960001 X 251405 PROAÑO GAMBOA WILSON JAVIER 1710176130001 X 74360 MISE COFRE GLADYS SUSANA 1710183789001 X 91284 ARAY MEJIA KARIN GENITH 1710199165001 X 59543 GUAÑA AGUIRRE OSCAR RENE 1710202167001 X 155939 ERAZO ALMEIDA WINSTON GIOVANNI 1710203942001 X 74981 VELASTEGUI PÁEZ FAUSTO GIOVANNY1710205236001 X 122614 AREBALO AREBALO EDGAR PATRICIO 1710205509001 X 211582 PEÑAFIEL PILATAXI LUTGARDO 1710208289001 X 141526 CALVACHE BELTRAN ANA IVONNE 1710231638001 X 212526 RODRÍGUEZ LÓPEZ MARA PRISCILLA 1710233055001 X 89266 ARIAS JARAMILLO TAMARA ELIZABETH 1710235159001 X 150582 REGALADO ENRIQUEZ MILLERT FRANKLIN 1710240159001 X 180931 CARRILLO LARREA VÍCTOR HUGO 1710243351001 X 85380 ALMEIDA JIMENEZ WILSON ALSIBIADES1710244011001 X 133838 CHAMORRO CHAVEZ GUIDO RICARDO 1710245836001 X 99696 CABEZAS YAGUARCOTA JORGE EDUARDO 1710255637001 X 81688 OLSSON STEWQUIST AKE BERTIL 1710276666001 X 147351 VIMOS ARELLANO RESURRECCION 1710302165001 X 93334 ARIAS CEVALLOS LUIS ANIBAL 1710306075001 X X X 173514 LEON FALCONI MARTIN VINICIO 1710311661001 X
  • 664.
    No No registra No No registra No No. registra registra No. indicadores registra provincia, registra Persona_id NOMBRE No. ID (RUC) calle número registra de ventas, apellido cantón y primer principal de calle origen activos y/o paterno parroquia nombre principal empleados 44162 SILVA ARTEAGA MARIO PATRICIO 1710317031001 X 224640 PERUGACHI SALCEDO EDUARDO ABDON 1710317759001 X 131738 VILLAGOMEZ CARDENAS MARIA DOLORES 1710320498001 X 47450 BRAVO RODRIGUEZ EDISON RENE 1710327071001 X 166859 PAZMIÑO MONTERO EDGAR FABRICIO 1710331164001 X 170867 CARRION AREVALO LUIS ALBERTO 1710332287001 X 22789 NOBOA MENESES LILIAN VERONICA 1710339282001 X 257338 DALGO MORA JOSE RODOLFO 1710339613001 X 259594 CEDEÑO FIGUEROA SEBASTIANA EMPERATRIZ 1710340785001 X 178098 CAMPOVERDE MARTHA IRENE 1710342278001 X 262432 CHUQUITARCO CASA MARIA ESTHER 1710346303001 X 111979 CAHUATIJO CAHUATIJO ROSA ELENA 1710356997001 X 83102 MÁRMOL PAVÓN WALTER VICENTE 1710360270001 X 232997 IZURIETA MENA FAUSTO ENRIQUE 1710362557001 X 188662 OBANDO POZO VICENTE EFRAIN 1710367663001 X 186872 VELOZ MEJIA DOUGLAS RENE 1710367671001 X 181443 AGUIAR LOMBEIDA MIGUEL SILVANO 1710370162001 X 111081 RAMIREZ JAMA OSCAR ORACIO 1710381128001 X 101833 MENDOZA GARCIA LUIS VIRGILIO 1710384445001 X 200007 PAREDES RAMOS MANUEL FERNANDO1710388669001 X 74708 UNDA MORALES BENITO REINALDO 1710421536001 X 108183 BASURTO ARBOLEDA LEITON ELIAS 1710427475001 X 160408 GUERRA CASTRO TELMO ORLANDO 1710432400001 X 217634 VEGA TAPIA ALEXANDER ISAAC 1710434208001 X X X 113439 PEDRAZA CUMBAJIN JOSE OSWALDO 1710448067001 X 85960 ESPINOZA SANCHEZ MAURICIO FABIAN1710450790001 X 162627 MOROCHO PILATAXI MIGUEL ANGEL 1710452655001 X 63876 GUALLICHICOMIN SOTALIN ANGEL RUBEN 1710454933001 X 275099 BORJA BORJA FERNANDO MARCELO 1710455146001 X X 79977 CERON ARMAS CELSO ERNESTO 1710455393001 X 92656 BASTIDAS MORENO LILIANA ALEXANDRA 1710462175001 X
  • 665.
    No No registra No No registra No No. registra registra No. indicadores registra provincia, registra Persona_id NOMBRE No. ID (RUC) calle número registra de ventas, apellido cantón y primer principal de calle origen activos y/o paterno parroquia nombre principal empleados 66236 LEMA CRUZ ZOILA JANETH 1710468586001 X 223028 SIMBAÑA SIMBAÑA NANCI YHAQUELINE1710471507001 X 168278 DUEÑAS PINTO DOLORES MARGOTH 1710474899001 X 113571 TANDAZO SARANGO BEATRIZ 1710477413001 X 117404 BORJA MARCILLO AMPARO JAQUELINE710481688001 1 X 114004 CEDEÑO PARRAGA ANDRES FROLIJIO 1710486844001 X 167179 VACA LUCANO CONSUELO DEL CARMEN 1710498799001 X 151663 MESTANZA GAIBOR CARMEN ELVIRA 1710504000001 X 30476 CAMPOVERDE CASTILLO BORIZ ROLMAN1710525427001 X 102777 AÑASCO TRAVEZ NELSON FABIAN 1710525633001 X 62109 RAMIREZ GANGOTENA CARLOS ALBERTO1710525922001 X 137544 CHALCO IDROVO KLEVER BELISARIO 1710526003001 X 114806 TEJADA GOMEZ FREDDY ROLANDO 1710529395001 X 20498 JIMENEZ AGUIRRE RUBEN DARIO 1710534874001 X 164474 AULIS TOGAN MARIO BAYARDO 1710542232001 X 183314 VASQUEZ MOLINA WILLIAN OLMEDO 1710542596001 X 46431 ARROYO AIZAGA WILSON RODRIGO 1710543271001 X 28209 AYALA AYALA NEIL MICHAEL 1710543446001 X 107650 GUAYTARILLA QUISHPE LUIS ABELARDO710546738001 1 X 102404 QUISHPE IZA CARLOS HERNAN 1710554369001 X 76994 NARANJO MORETA RODRIGO CICERON 1710582352001 X 141113 PACAS ALBAN GERMAN EDUARDO 1710582535001 X 209660 SOSA OBANDO PEDRO ALDRIN 1710583962001 X 221532 DUQUE SANTILLÁN CARLOS ALBERTO 1710587138001 X 87665 SIMBAÑA GUALUTUNA LUIS ANTONIO 1710587732001 X 140287 FLORES CABEZAS ORLANDO ALONSO 1710589894001 X 125730 QUIROZ ZUÑIGA JOFRE HERMINDO 1710591700001 X 176961 PACHACAMA TACO GUILLERMO HECTOR 1710592740001 X 187679 CONSTANTE VALLADARES EDISON FERNANDO 1710592799001 X 78072 ESPINOSA JARAMILLO LUIS GERMAN 1710595578001 X 129324 BARBA PROAÑO VICTOR 1710621044001 X
  • 666.
    No No registra No No registra No No. registra registra No. indicadores registra provincia, registra Persona_id NOMBRE No. ID (RUC) calle número registra de ventas, apellido cantón y primer principal de calle origen activos y/o paterno parroquia nombre principal empleados 80197 QUISAGUANO CUICHÁN GUIDO EFRÉN 1710622083001 X 125156 CARDENAS AGUIRRE DANIEL DAVID 1710624022001 X 122342 GAVILEMA VISTIN OLGA ANGELICA 1710642826001 X 136464 QUINGA QUINGA LUISA MARIELA 1710650613001 X 185657 SUNTAXI CRIOLLO MIRIAN GERTRUDES 1710653237001 X 67667 CALLERIS GONZÁLEZ ALBERTO JUAN 1710672484001 X 217452 UNDA BENAVIDES GUIDO FABRICIO 1710688050001 X 188440 ARELLANO VILLAFUERTE LIDIA MARIA 1710692987001 X 17519 AUTORIDAD PORTUARIA DE MANTA 1710710177001 X X X 233998 GUAILLAS ALVARADO MIGUEL ANGEL 1710712512001 X 93323 SIN APELLIDO MEDINA MARCO PATRICIO 1710724137001 X 185355 BOLAÑOS BAUTISTA ALVARO FABRICIO 1710726330001 X 111215 JÁTIVA ALVEAR MARQUEZ GEOVANNY 1710732379001 X 103544 ARIAS SOLANO ANA ELIZABETH 1710742352001 X 164536 SIMABAÑA CAIZA ISABEL CRISTINA 1710745298001 X 113502 LOGACHO PAUCAR MARIA DEL CARMEN 1710755693001 X 115521 NARANJO PINOS FANNY BEATRIZ 1710756956001 X 173052 GORDON CADENA GERMAN EDUARDO1710769959001 X 157595 SANCHEZ CELI VICTOR IVAN 1710778018001 X 159730 MOROCHO MARÍA BEATRIZ 1710797828001 X 257065 FRANCO FLORES FRANCISCO ALI 1710813948001 X 227750 MORALES DUQUE EDISON WILLIAN 1710815869001 X 194554 BARRERA SEGARRA JUAN JACINTO 1710819416001 X 112735 RONQUILLO ENRIQUEZ ELZA MARGOTH 1710833334001 X 114807 ZHAGÑAY JUNCAL MANUEL NARCISO 1710840974001 X 256489 PESANTEZ CARRERA EDISON OLMEDO 1710844695001 X 140500 CAMPOVERDE OCHOA PEDRO WILLIAN1710846609001 X 189070 FLORES CANSINO NÉSTOR RAMÓN 1710853191001 X 186732 CONSTANTE MOLINA FAUSTO RODRIGO 1710853282001 X 255325 SILVA CASARES FRANCISCO FERNANDO 1710867563001 X 243323 MIRANDA GANCINO ILICH WLADIMIR 1710871607001 X
  • 667.
    No No registra No No registra No No. registra registra No. indicadores registra provincia, registra Persona_id NOMBRE No. ID (RUC) calle número registra de ventas, apellido cantón y primer principal de calle origen activos y/o paterno parroquia nombre principal empleados 273828 GUAMÁN MUSO JUAN FABRICIO 1710873108001 X X X 119499 LUGO BERNAL CARLOS RUBEN 1710879469001 X 52902 CARRERA RIQUETTI MARCELO RAMIRO 1710888593001 X 62693 LLERENA RAMIREZ MARCOS PATRICIO 1710891688001 X 15439 OSWALDO ALMEIDA 1710892983001 X 186893 TUTILLO LUNA FUAD MUNIR 1710892991001 X 54015 GUERRERO DIAZ OSWALDO NIKOLAY 1710893601001 X 233068 BETAQNCOURT CHAVEZ DIEGO GUSTAVO 1710894179001 X 175028 VELOZ SANCHEZ FREDDY ENIN 1710906031001 X 39348 GUERRA GARCÍA DIEGO VICENTE 1710906064001 X 176233 ARAUJO TIPAN OSCAR KANEZEVIE 1710912088001 X 134257 HARO PACHACAMA LUIS ADOLFO 1710917889001 X 50413 JARAMILLO JARAMILLO MARIA UFELIA 1710921972001 X 132092 NAVARRETE BASTIDAS EVA GERMANIA1710925577001 X 252902 CRESP MAZA MARCIA MARUJA 1710938851001 X 225282 SALAZAR ANDRADE BELLA ESPERANZA 1710942879001 X 104090 MEDINA VILLACIS MIRIAN AURORA 1710946821001 X 205551 GRANDA SANMARTIN LIDA ELIZABETH 1710952068001 X 153999 VERA ZAMBRANO SATILIN ANTONIO 1710956259001 X 81393 TIPAN CRIOLLO MILTON ALFREDO 1710961499001 X 180636 SANTILLAN ANDRADE JOSE ANTONIO 1710966019001 X 193540 CARCELEN CASTILLO JOSE VICENTE 1710967306001 X 145093 IMBAQUINGO SÁNCHEZ JOSÉ RAFAEL 1710970847001 X 103797 ARAGUNDI LOZANO PEDRO LUCAS 1710972652001 X 141556 CASTRO RIVERA EMERITA SUSANA 1711005668001 X 100184 VACA REINOSO EDISON GEOVANNY 1711007979001 X 70931 NARANJO RIVADENEIRA CRISTIAN PAUL711009264001 1 X 266308 NAVARRO AGUIRRE BYRON ROBINSON1711010171001 X 150793 NENGER MEJIA FERNANDO JAVIER 1711036135001 X 248909 CABASCANGO CHUQUIMARCA LUIS RAMIRO 1711042810001 X 184164 PERALTA CHIGUANO LUIS EDISON 1711044246001 X
  • 668.
    No No registra No No registra No No. registra registra No. indicadores registra provincia, registra Persona_id NOMBRE No. ID (RUC) calle número registra de ventas, apellido cantón y primer principal de calle origen activos y/o paterno parroquia nombre principal empleados 214157 PAZMIÑO BARRIONUEVO GUILLERMO FRANCISCO 1711045995001 X 269523 SINCHIGUANO GUALOTO ALEX RENE 1711046027001 X 102012 ORELLANA VASCO MARCELO ENRIQUE1711048510001 X 215450 CONGO LASTRA JORGE OSWALDO 1711054633001 X 263365 NARVAEZ MORALES MIGUEL BENJAMIN 1711054724001 X 207057 JURADO VARGAS ROMEL GUSTAVO 1711055325001 X 7458 ELECTROMECANICA RECORDS 1711058444001 X X X 180781 BUITRON IBARRA CARMEN ALICIA 1711062982001 X 223720 BUCHELI MARUN JOSE EDUARDO 1711081883001 X 70666 CASTELLANOS SHUGULI VICTOR HUGO 1711082055001 X 71461 DEL POZO ORTEGA MAURICIO SEBASTIAN 1711084655001 X 161486 ESPINOSA BUSTAMANTE JALIL ESPINOSA 1711098226001 X 187408 MONCAYO AGUILA ANGEL JUNIOR 1711099331001 X 11695 EQUIPOS TACTICOS ATALAYA 1711103778001 X 118965 HURTADO ROSERO CESAR JULIO 1711124238001 X 78411 ANTIGUEZ KUASNICHENKO AQUILES ERNESTO 1711129344001 X 135372 RAMIREZ ESTRELLA FABIAN OSWALDO1711143923001 X 190267 LAPO ALVARRACIN NESTOR LEONIDAS1711153849001 X 67155 ROJAS BELTRAN LUIS FERNANDO 1711156396001 X 180901 HOYOS BUCHELI LUIS GONZALO 1711156719001 X 77405 TITUANA CACHAGO CARLOS MANUEL 1711157535001 X 233481 PORRAS VELASCO ANGÉLICA XIMENA 1711160612001 X 138501 RODRIGUEZ VILLACIS VERONICA ARACELY 1711161073001 X 70236 YANCHAPAXI TIPAN WILLANS MARCEL 1711189421001 X 143995 JARAMILLO CUEVA ANGEL JOAQUIN 1711193589001 X 106125 GRANJA LLUMIQUINGA AMPARITO ELISA711195790001 1 X 31973 SEIS MENDOZA LUIS AMANDO 1711199974001 X 189627 CATAGUA CUENCA ROSA ANA 1711201556001 X 218628 PLUAS FERNANDEZ NARCIZA ELIZABETH 1711202315001 X 95986 CEDEÑO SALDARRIAGA LUIS ALBERTO1711216232001 X 30173 RODRIGUEZ GUEVARA HILDA GERMANIA1711218105001 X
  • 669.
    No No registra No No registra No No. registra registra No. indicadores registra provincia, registra Persona_id NOMBRE No. ID (RUC) calle número registra de ventas, apellido cantón y primer principal de calle origen activos y/o paterno parroquia nombre principal empleados 120958 ZAMBRANO CASTRO HOLGER GERMAN1711218964001 X 45365 VALDIVIESO SEMPERTEGUI SHAMEL AMIRA 1711239374001 X 219790 MONCAYO TRELLES LUIS BOLIVAR 1711241255001 X 235005 ANASI CAISATOA CESAR JULIO 1711250124001 X 237117 ESPINOSA SANCHEZ FREDDY SEBASTIAN 1711256022001 X 162086 COBA MORALES JORGE RICHARD 1711256907001 X 99112 FLORES SIMBAÑA HÉCTOR FABIÁN 1711257251001 X 86050 RODRIGUEZ CUCHIPE LUIS DAVID 1711259455001 X 256914 GUERRERO NOBOA JENNY ROCIO 1711262806001 X 114946 VON LIPPKE MUÑOZ KARINA ZAMARCANDA 1711264810001 X 110510 MARTHA LOREN ANDRANGO USHIÑA 1711265908001 X 208518 GALARZA PALAGUARAY LUIS PATRICIO1711278901001 X 223358 GOMEZ CACHAGO CESAR GUSTAVO 1711282903001 X 102748 SANDOVAL ASIMBAYA LUIS ENRIQUE 1711283240001 X 169343 CHECA SANDOVAL JEFFERSON JOSELITO 1711288694001 X 261876 PAREDES MARTINEZ HUMBERTO ROBINSON 1711294528001 X 228628 PROAÑO MERA XAVIER FERNANDO 1711301638001 X 49120 ROJAS ANDRANGO LUIS CORNELIO 1711301935001 X 165690 CHUCUMA CAJAS WALTER 1711302354001 X 182256 CALUGUILLIN CUASCOTA JOSÉ PIO 1711303139001 X 136390 FLORES FLORES JAIME PATRICIO 1711305860001 X 260546 GUANO HERRERA GERARDO RENE 1711310332001 X 162643 TUFIÑO HINOSTROZA JUAN CARLOS 1711310514001 X 115544 PINTO RODRÍGUEZ JOSÉ ELIECER 1711313328001 X 67457 CARLOSAMA GALLEGOS RAUL ALFONSO 1711322683001 X 276990 RODRIGUEZ DARWIN 1711327765001 X 151264 SANCHEZ VELASCO FLOR ANGELICA 1711339265001 X 124533 FRANCO ANGUETA JESÚS NORBERTO 1711345114001 X 261890 ANDRADE TACURI ANGEL VICENTE 1711348605001 X 244029 YANEZ BARRAGAN ANGEL WILMAN 1711354017001 X 223036 ORDOÑEZ OCHOA MARCO ANTONIO 1711358901001 X
  • 670.
    No No registra No No registra No No. registra registra No. indicadores registra provincia, registra Persona_id NOMBRE No. ID (RUC) calle número registra de ventas, apellido cantón y primer principal de calle origen activos y/o paterno parroquia nombre principal empleados 147146 AUQUI SIGUENCIA GUILLERMO PATRICIO 1711364446001 X 121733 UNDA VEGA MARIA CLEOFE 1711375194001 X 129036 VILCACUNDO OÑA SHIRLEY BELINDA 1711378347001 X 82146 RIVERA VALENZUELA MARIO AUGUSTO1711382109001 X 232185 GARCIA GUEVARA ANGEL DANIELA 1711387520001 X 27287 RUIZ SÁNCHEZ PABLO XAVIER 1711405157001 X 150815 CALVACHE CARRASCO OSCAR EFREN 1711406965001 X 81212 GAIBOR VERDEZOTO MIRIAM EULALIA 1711408805001 X 144455 CHUNI MENDIETA LUPE HOSMARA 1711411239001 X 81376 CALDERON ALVAREZ MILTON SUIBERTO711412773001 1 X 98114 BUENAÑO TACO PATRICIO ESTUARDO 1711418952001 X 64302 SIQUIGUA SIQUIGUA EDGAR EDWIN 1711429702001 X 258021 OBANDO AGUIRRE IVAN CARLOS 1711430478001 X 247032 REYES VARGAS MARÍA VICTORIA 1711438869001 X 250793 BETANCOURT ORTIZ JUAN DIEGO 1711445690001 X 257374 CEVALLOS ORJUELA ALEXANDRA YANETT 1711447134001 X 71375 GUALOTUÑA OÑA MILTON FABIAN 1711451490001 X 141096 ERAS GUAMAN JUAN CARLOS 1711454064001 X 91756 TIGASI CAJIA JUAN PEDRO 1711462299001 X 130604 RAMIREZ HUALPA XIMENA DE LOS ANGELES 1711466704001 X 96978 PINARGOTE MENDOZA EDGAR RODOLFO 1711472306001 X 229782 SANDOVAL ORTIZ ANGEL IGNACIO 1711473031001 X 28168 GOMEZ CORO JUAN ENRIQUE 1711473874001 X 242470 GUAIPATIN GARZON ALVIN RUBEN 1711476026001 X 119368 MALDONADO TOBAR PAOLA FERNANDA 1711477305001 X 219226 ARAUJO QUISHPE JORGE OSEALDO 1711478360001 X 45911 ARMAS BARBA MARIA LORENA 1711478402001 X 165926 CUSTODE PALADINES EDGAR ROBERTO711484756001 1 X 66821 VEGA MONAR DIMAS RODRIGO 1711484996001 X 154854 AGUAYO LLUMIQUINGA MARIA DEL CARMEN 1711491926001 X 63915 EDISON 1711498715001 X
  • 671.
    No No registra No No registra No No. registra registra No. indicadores registra provincia, registra Persona_id NOMBRE No. ID (RUC) calle número registra de ventas, apellido cantón y primer principal de calle origen activos y/o paterno parroquia nombre principal empleados 116868 MORETA FREIRE LUIS JOSELITO 1711503597001 X 147043 PEREZ LOPEZ MARIA JANETH 1711537355001 X 115150 JUNTA CHANGO JORGE ISAIAS 1711537884001 X 274657 SIMABAÑA BENITEZ VICTOR RUBEN 1711538783001 X 127142 GUANOCHANGA OÑA TAÑA DIOCELINA1711540300001 X 188750 CHUQUILLA PILA EDISON RODRIGO 1711543361001 X 194789 VELOZ MENDOZA FLAVIO ARTURO 1711553543001 X 163112 PACHECO BARROS TITO FERNANDO 1711561462001 X 255902 DEIDAN LEONES CARLOS JAVIER 1711562155001 X 212789 SANCHEZ ANCHUNDIA JOSE VICENTE 1711563039001 X 190748 BELARDE GAVILANEZ RICHAR ALONSO1711568962001 X 18612 CUEVA ALMEIDA MARIO EDMUNDO 1711572840001 X 224114 ESPINOZA CARLOS EFRAIN 1711592673001 X 117508 BAJAÑA MENDOZA DUBER ALEJANDRO1711599884001 X 194580 OJEDA RODRIGUEZ MARTHA CECILIA 1711603231001 X 201014 CALDERON MUÑOZ SOFIA LORENA 1711603819001 X 107287 MAILA ANCHAPANTA SIMON GIOVANNI1711606424001 X 19494 PEREZ CARDENAS MARCO RAMIRO 1711619336001 X 185153 SEGOVIA MICHELENA SANTIAGO DAVID1711623353001 X 150804 FRANCO PALACIO FABIO LEON 1711633857001 X 113296 SANCHEZ ROTH ROBERTO ANTONIO 1711639474001 X 32325 MALATAXI AMAGUA LUIS ANIBAL 1711643278001 X 157475 HEREDIA QUINATOA FREDDY FERNANDO1711646610001 X 248559 RAMIREZ RAMIREZ ANGEL EDUARDO 1711648194001 X 152273 LLUMIQUINGA SUNTAXI JORGE WASHINGTON 1711651925001 X 273897 CARDENAS MALDONADO JADIRA ALEJANDRA 1711654143001 X 229536 QUEZADA LEÓN YOLANDA RICARDINA 1711665776001 X 184980 PAUCAR ATAHUALPA IVAN GONZALO 1711674505001 X 223002 RAZA PINTO CHRISTIAN EFRAIN 1711676310001 X 183500 CANDO CORO JOSE MANUEL 1711681179001 X 235178 HERRERA RUALES JORGE HERNAN 1711687267001 X
  • 672.
    No No registra No No registra No No. registra registra No. indicadores registra provincia, registra Persona_id NOMBRE No. ID (RUC) calle número registra de ventas, apellido cantón y primer principal de calle origen activos y/o paterno parroquia nombre principal empleados 111468 REINO LANDI CARLOS ARMANDO 1711693463001 X 193333 ARMIJOS LEÓN WASHINGTON GONZALO711693828001 1 X 142036 VALENCIA HERRERA PABLO ANÍBAL 1711694008001 X 264499 LOPEZ GUERRERO JENNY MIREYA 1711698058001 X 169923 PERALVO RODRIGUEZ WALTER JAVIER1711704971001 X 251744 TUNAY LARREA CARLOS GUILLERMO 1711712719001 X 28305 MORILLO MORALES HUGO FERNANDO 1711715324001 X 218407 ZURITA GORDÓN ROMEL EDISON 1711717916001 X 242757 ULCO GARCÍA FRANKLIN FERNANDO 1711732154001 X 17579 SEGUNDO 1711734598001 X 91045 RAMOS PAREDES TITO DARIO 1711735033001 X 198441 MENDOZA TUPIZA MODESTO ENRIQUE1711737518001 X 240779 ACHIG RIVADENEIRA FABRICIO RENATO 1711742062001 X 57221 TIPAN CHANCUSIG EFRAIN EFRAIN 1711742070001 X 53178 MAYANCHA ILLANES NORMA ISABEL 1711744860001 X 246674 ARROYO SAN MARTÍN SONIA DE LOS ANGELES 1711748267001 X 266647 PURUNCAJAS QUILLUPANGUI FANNY CECILIA 1711754810001 X 247305 CORONEL JIMENEZ WASHINGTON JOSE 1711760387001 X 28367 TIPANTAXI CHATO JUAN ESTUARDO 1711761245001 X 273656 TOKUHAMA MCBRIDE TRACEY NOEL 1711766012001 X 166480 ENRIQUEZ LUCERO GEORGINA ELIZABETH 1711766319001 X 191780 CASTILLO TORRES ALBA CARMITA 1711769099001 X 266652 SANTOS UMATAMBO ANA MARIA 1711774495001 X 63448 AYALA MONTOYA HENRY GEOVANNY 1711774586001 X 71970 GUAMANI ALAJO MARCO ANTONIO 1711789014001 X 225728 ZARAGOSIN CEVALLOS EDISON GABRIEL 1711789972001 X 178445 LOMAS GORDILLO MANUEL POLIBIO 1711796738001 X 228474 MUENTES MORA EDISON FRANCISCO 1711814366001 X 116302 CAJAS FIALLOS DIEGO DANIEL 1711839652001 X 70681 MALDONADO AGUIRRE MÓNICA PAULINA1711846178001 X 137255 PAILLACHO CAYANCELA JORGE ROBERTO 1711849065001 X
  • 673.
    No No registra No No registra No No. registra registra No. indicadores registra provincia, registra Persona_id NOMBRE No. ID (RUC) calle número registra de ventas, apellido cantón y primer principal de calle origen activos y/o paterno parroquia nombre principal empleados 33832 CÁRDENAS ROSERO MIGUEL ROBERTO 1711849230001 X 277313 ASTUDILLO ASTUDILLO JOSE RODRIGO1711849883001 X X 128507 PINCAY PONCE JOSE RAMON 1711851368001 X 211042 PASTUÑA MUSO JAIME RICARDO 1711858843001 X 113387 SUAREZ AGUILAR YOLANDA MARISOL 1711859866001 X 212728 PUENTE ALLAN EDGAR ANGEL 1711860641001 X 277604 MARÍA EUGENIA PROAÑO 1711860732001 X X 241446 RECALDE SANCHEZ LUIS RENE 1711871994001 X 136278 HIDALGO SUMBA FRANKLIN JAVIER 1711875144001 X 109927 NARANJO SANTOS OSCAR 1711877181001 X 180102 ROMERO ROMERO EDWIN FABIAN 1711879401001 X 144138 LUCERO VASQUEZ PATRICIO JAVIER 1711893550001 X 173727 RIOS ARROBO NIXON FRANCISCO 1711895621001 X 252576 LARREA DÁVILA JULIÁN MARTÍN 1711900884001 X 147048 GUTIERREZ GILER JANINE RICHARD 1711922441001 X 159348 FONSECA CUEVA ALBA XIMENA 1711925410001 X 212809 DIAZ VASQUEZ DAVID ALVARO 1711931764001 X 186901 ROJAS PEREZ WILSON PACO 1711932846001 X 106305 ALAJO LLUMITÁSIG JOSÉ RAÚL 1711936565001 X 105690 ZAMBRANO MOREIRA CESAR HIGNACIO 1711938777001 X 211381 NOROÑA ZAMBRANO JAIME DAVID 1711972230001 X 242981 ALVAREZ SAMPEDRO TANIA FERNADA 1711972628001 X 270603 BURGER HARO GERHILD 1711975373001 X 23671 ANGULO DIAZ LENIN OMAR 1711976751001 X 109825 CASTRO MORALES OMAR VLADIMIR 1711977007001 X 79624 LOPEZ CARRANZA KERLY AURIBEL 1711982650001 X 115883 TORRES NAVARRETE SEGUNDO BOLIER711988855001 1 X 25092 AMAGUAÑA CAIZA WILSON ROBERTO 1711993335001 X 77673 TORRES BÁEZ CARLOS SANTIAGO 1711994986001 X 26108 CASTRO TELLO JUAN ROSENDO 1712000726001 X 125082 JIMBO ZHININ MANUEL VICENTE 1712001344001 X
  • 674.
    No No registra No No registra No No. registra registra No. indicadores registra provincia, registra Persona_id NOMBRE No. ID (RUC) calle número registra de ventas, apellido cantón y primer principal de calle origen activos y/o paterno parroquia nombre principal empleados 235795 CEDENO LOOR TELMO ANTONIO 1712001690001 X 84094 BARRIONUEVO NUÑEZ JUAN CARLOS 1712003050001 X 154427 ORTEGA HERRERA JORGE ANDRES 1712003761001 X 78533 OJEDA MIKETTA MAXIMO PAUL 1712003811001 X 265949 CONDOR SIMBAÑA JORGE ERNESTO 1712011525001 X 30692 VACA MORALES ZULEMA ALEXANDRA 1712014990001 X 141319 GORDÓN MORALES MAURICIO GUILLERMO 1712016672001 X 160496 PUENTE PANCHEZ JOSE ALFONSO 1712018496001 X 228812 REYES AYO VERONICA MARILEY 1712021193001 X 150641 PACHACAMA LLUMIQUINGA SEGUNDO MOISES 1712024650001 X 232125 SIMBAÑA ALCOSER SEGUNDO CALIXTO1712024940001 X 157759 TEJADA GUZMAN ANGEL ALFONSO 1712038403001 X 165533 SANTILLAN GARAY MARCO ANTONIO 1712039237001 X 160129 VALENCIA MONTEINOS JUAN CARLOS 1712041720001 X 223456 CABRERA SANCHEZ GLORIA MARIBEL 1712044682001 X 217995 VILATUÑA CUICHAN MARCO IVAN 1712044922001 X 271053 CATUJAMBA RODRIGUEZ GIOVANNY RENE 1712045853001 X 78403 PROAÑO ZARRIA HEBERTH GIOVANNI 1712047529001 X 20804 SEAZ ALCÍVAR MARITZA ELIZABETH 1712049285001 X 1888 PALLO MELO JENNY DEL ROCIO 1712052263001 X 128011 CONDE CHALAN RITA DEL CISNE 1712062544001 X 157297 CORDERO CORONEL PABLO MARCELO1712068889001 X 58045 CARRASCO COCA LUIS GALO 1712070950001 X 93967 DE LA CRUZ TIPANTIZA MARCELO 1712073400001 X 232147 AGUILAR MENA ZORNITZA 1712075702001 X 195296 HIDALGO CEVALLOS JOSE GABRIEL 1712084779001 X X X 273539 ORTEGA MOSQUERA PAOLA GABRIELA1712086683001 X 140514 CAIZA GUAÑA DIEGO JAVIER 1712086873001 X 38309 PÁEZ MOSCOSO JUAN CARLOS 1712087608001 X 194681 LOPEZ ITURRALDE MARIA CRISTINA 1712088382001 X 210323 LOPEZ LOPEZ DIGNA EMERITA 1712091840001 X
  • 675.
    No No registra No No registra No No. registra registra No. indicadores registra provincia, registra Persona_id NOMBRE No. ID (RUC) calle número registra de ventas, apellido cantón y primer principal de calle origen activos y/o paterno parroquia nombre principal empleados 127568 GUAMBO BORJA LUIS ALBERTO 1712092335001 X 192252 CHANCAY GILER ESTUARDO SALVADOR 1712101581001 X 169873 FUENTES FONSECA FRANCISCO XAVIER1712103322001 X 267654 PACHECO PROAÑO SANDRA DOLORES1712105228001 X 106842 PAZ Y MIÑO RIERA KLEBER SEGUNDO 1712109881001 X 108268 INTRIAGO BENAVIDES YENNY ISABEL 1712115177001 X 143006 TISALEMA GUANUNA FABIAN 1712125317001 X 247089 GUAYAQUIL RENJIFO WALTER MARCELO1712146792001 X 233320 GRANDA MONSALVE ANA PATRICIA 1712153376001 X 271030 GALLO MONTERO ANDRÉS NICOLAY 1712154663001 X 204094 VARGAS ARMIJOS MARICELA ELISABETH 1712155603001 X 63360 MONAR CAMACHO SERVULO ISAIAS 1712156973001 X 137382 CUEVA GARCIA WILMAN 1712159860001 X 132830 COELLO BONILLA ANDRES MIGUEL 1712170917001 X 43253 CLAUDIO VILLACÍS ALEX RAÚL 1712172418001 X 222710 RODRIGUEZ PASPUEL BYRON RENE 1712176781001 X 73003 SUAREZ YELA VICENTE FERNANDO 1712181807001 X 121022 SARANGO LUNA MARCO ADARLICIO 1712184132001 X 143093 PARRA VILLAROEL LIVIA MARIBEL 1712186939001 X 255218 QUINTANA QUISPE GONZALO EDUARDO 1712197738001 X 182433 FUENTES CABEZAS FRANKLIN PAUL 1712202926001 X 20371 SOCASI GUALOTUÑA CARLOS AUGUSTO 1712212537001 X 176429 SALAZAR ANDRADE CARLOS ANDRES 1712213113001 X 93819 LAMIÑA LUGUAÑA PATRICIA MARGOTH1712213741001 X 232819 LÓPEZ MANTILLA MARÍA CECILIA 1712229754001 X 25017 WASHINGTON 1712237641001 X 180640 INGA CANDO MARCO ALBERTO 1712245610001 X 240064 RIVERA VELETANGA FERNANDO EDUARDO 1712254851001 X 140210 TORRES TITUAÑA JUAN RICARDO 1712257045001 X 9048 ING. PATRICIO ARIAS 1712258480001 X 111541 MORAN MONTOYA CRUZ MARIANELA 1712259470001 X
  • 676.
    No No registra No No registra No No. registra registra No. indicadores registra provincia, registra Persona_id NOMBRE No. ID (RUC) calle número registra de ventas, apellido cantón y primer principal de calle origen activos y/o paterno parroquia nombre principal empleados 181358 DIAZ LOPEZ JIMENA MARGARITA 1712266863001 X 69728 MANOSALVAS MARTÍNEZ CARLOS EDGARDO 1712267770001 X 29870 ROSHKOVA ELENA ALEXANDROVNA 1712271939001 X 185092 PAREDES BURBANO HECTOR EDMUNDO 1712275278001 X 114409 CAMPOS LUCI FRANCISCO JAVIER 1712279056001 X 91458 PÉREZ JARA PABLO JAVIER 1712280526001 X 159795 VASQUEZ CUJI FANNY ELIZABETH 1712285343001 X 147990 RAMIREZ RIOFRIO MARITZA YANNETH 1712289030001 X 226488 JARRIN OSCULLO VERONICA ALEXANDRA 1712295102001 X 121378 SANCHEZ REINOSO ANDRES JUSEELINO1712297629001 X 128010 IZA GARCIA MARIO FERNANDO 1712301983001 X 124247 CHUMO DELGADO RONAL VOLTER 1712303203001 X 173043 ALVAREZ PROAÑO RAFAEL PATRICIO 1712305232001 X 27617 HUIRACOCHA QUINTERO PATRICIA ALEXANDRA 1712309895001 X 121546 QUIJIA GALARZA DIANA ELIZABETH 1712311875001 X 196241 SALAZAR CRUZ ANDRES MAURICIO 1712314150001 X 131108 CRIOLLO CUASPUD MARTIN ADELMO 1712321148001 X 66626 ANDRANGO VIRACOCHA RODRIGO MARCELO 1712326527001 X 58906 CEVALLOS LOPEZ RONALD ROBERT 1712329364001 X 201612 MESA BURGOS MARCO ANTONIO 1712330222001 X 256073 RODRIGUEZ PARREÑO CHRISTIAN XAVIER 1712333846001 X 24345 RAMON QUEZADA SILVIO JESUS 1712343290001 X 159273 CABRERA APOLO ANGEL IVAN 1712352234001 X 194912 JIMÉNEZ TORRES JEANETTE DEL ROSARIO 1712354602001 X X X 159950 CRUZ MACHAY WILSON RAMÓN 1712354958001 X 113213 MURILLO BUSTAMANTE DARWIN FROILAN 1712359353001 X 180871 CURAY GUAMAN SONNIA LUCIA 1712370046001 X 61275 ELECTRICAL ENGINEERING CONSULTING 1712371853001 X 97935 MOREIRA CALDERON POLO PLUTARCO1712373917001 X 129630 BERMEO MALDONADO ANGEL EDUARDO 1712375706001 X 229768 VILLAVICENCIO MAFLA ISAAC 1712386539001 X
  • 677.
    No No registra No No registra No No. registra registra No. indicadores registra provincia, registra Persona_id NOMBRE No. ID (RUC) calle número registra de ventas, apellido cantón y primer principal de calle origen activos y/o paterno parroquia nombre principal empleados 223860 ZAMBRANO VERA RONALD ARIOSTO 1712392578001 X 159861 PEREZ TUTISTAR JENNY CONSUELO 1712393790001 X 127694 PRADO VALLADOLID YIMI FABIAN 1712396686001 X 226765 CUENCA YEPEZ EDWIN VICENTE 1712399656001 X 278446 SEVILLA FARINANGO MARIA DEL PILAR1712402450001 X 171225 REMACHE BENVAIDES MARTHA CECILIA 1712402823001 X 90702 VELASCO COBOS EDGAR FRANCISCO 1712407343001 X 16111 CARVAJAL RUIZ ARMANDO EFREN 1712412434001 X 52493 MARTÍNEZ ESCOBAR KATTY DE LOS ANGELES 1712416112001 X 149703 VILLAVICENCIO GONZÁLEZ MARÍA BELÉN 1712436441001 X 138363 LARRAGA ALVEAR ANA MARCELA 1712445848001 X 206326 MERA MONTERO CECILIA ALEXANDRA 1712464906001 X 122943 ARIAS GUAJAN IVAN VLADIMIR 1712467305001 X 93594 QUINATOA PISUÑA JOSE 1712468709001 X 100671 JAGUACO QUISHPE HECTOR IVAN 1712482825001 X 63978 PILATUÑA GADVAY MONICA PATRICIA 1712497328001 X 253125 CADENA SANCHEZ SEBASTIAN 1712519717001 X 109123 ROBALINO BUSTILLOS VICTOR HOMERO712525169001 1 X 218648 RAMOS LOOR JENNY MARGARITA 1712551363001 X 262222 ZAMBRANO REVILLA ROSARIO ALEXANDRA 1712557162001 X 26958 FREIRE SILVA FREDY DANIEL 1712558673001 X 17583 POZO ARGUERO CRISTIAN ROBERTO 1712560653001 X 197258 GUERRERO PEREZ VICENTE ERNESTO1712565868001 X 72274 CABRERA QUEZADA JOSE VINICIO 1712567336001 X 207362 PESANTEZ MORALES LILIAN REBECA 1712579778001 X 234389 MALDONADO DÁVILA VERÓNICA DEL ROCÍO 1712597713001 X 182230 MOYA SILVA JENDRY BLADIMIR 1712603875001 X 144183 GUALOTUÑA CHASIPANTA LUIS ORLANDO1712632189001 X 230703 ALVAREZ JARRIN ADRIANA VALERIA 1712634961001 X 121899 KRATOCHVILE MACIAS ALEJANDRO ANTONIO 1712635927001 X 77640 BARRERA SUAREZ CRISTOBAL ENRIQUE 1712636727001 X
  • 678.
    No No registra No No registra No No. registra registra No. indicadores registra provincia, registra Persona_id NOMBRE No. ID (RUC) calle número registra de ventas, apellido cantón y primer principal de calle origen activos y/o paterno parroquia nombre principal empleados 146363 RUALES HIDALGO ANA ROSA 1712652831001 X 248362 MAYA PARDO GERMAN SANTIAGO 1712667748001 X 133857 CABRERA REYES MARÍA ELENA 1712670338001 X 41425 LUCIO RUIZ EDISON PATRICIO 1712681913001 X 248132 CÁRDENAS DÍAZ SHEYLA ILONKA 1712691409001 X 18376 MOLINA RUEDA YANKO OMAR 1712697463001 X 270537 TAMAYO GIRALDO MARCELA 1712701547001 X 144749 VELASQUEZ VELASQUEZ JOSE ALEJANDRO 1712710506001 X 74378 GUAMÁN FÁREZ ANGEL GENARO 1712741816001 X 191865 PAREDES CASTRILLON MELISSA 1712758331001 X 87969 CHÁVEZ RENGEL JORGE DANILO 1712770880001 X 253527 RODRIGUEZ GUERRERO GEOVANNY FERNANDO 1712776960001 X 152223 ALULEMA LAMIÑA MARIA ROSA 1712778578001 X 178913 GALARZA AIMAN EVELIO FELIPE 1712782927001 X 142358 MORALES GUALLICHICO WILLIAM HUMBERTO 1712783339001 X 84963 MARIN MARIN FREDDY ADALBERTO 1712800554001 X 219872 JAYA MASA CARMEN JANETH 1712803129001 X 154122 SALTOS PINARGOTE NESTOR PASTOR 1712803400001 X 276519 HARO HARO CLAUDIO GERMAN 1712816055001 X 124208 FLORES VELALCAZAR NELSON ROBERTO1712816287001 X 175646 NARVAEZ CARRASCO JOHN MAURICIO 1712816709001 X 184008 MORALES MOLINA EDWIN GIOVANNI 1712817459001 X 70629 OSORIO ESPIN EFRAIN GONZALO 1712820966001 X 170444 LOPEZ SHIGUANGO ROLANDO MARIANO712828571001 1 X 109208 MUÑOZ HINOJOSA ALEX GEOVANNY 1712828712001 X 111132 VALLEJO NOBOA MIROESLADA PILAR 1712840758001 X 163758 PINEDA SALCEDO VICTOR HUGO 1712846607001 X 256982 CAIZA TITUANA JORGE ANIBAL 1712848728001 X 236585 VELIZ BOSQUEZ AGUSTIN GEOVANNY 1712851268001 X 261037 CHANGO CASILLAS XIMENA PATRICIA 1712856226001 X 267201 MONTALVAN CALVA ELIDA ROSA 1712856598001 X
  • 679.
    No No registra No No registra No No. registra registra No. indicadores registra provincia, registra Persona_id NOMBRE No. ID (RUC) calle número registra de ventas, apellido cantón y primer principal de calle origen activos y/o paterno parroquia nombre principal empleados 265072 LEÓN LEÓN PATRICIO JAVIER 1712877685001 X 157896 GOMEZ VALDIVIEZO PATRICIO EDISON 1712881612001 X 171681 CALDERON JARAMILLO GINA SUSY 1712887916001 X 130548 ONTANEDA AGUAS ROBERTO CARLOS 1712904992001 X 182159 CISNEROS ALBUJA OMAR SANTIAGO 1712913530001 X 72960 TERAN TEJADA JUAN CARLOS 1712914413001 X 31919 ROMERO CALDERON CARLOS JAVIER 1712918315001 X 122927 ZAPATA IZA OLGA ISABEL 1712925112001 X 193878 ASTUDILLO CHICAIZA SEGUNDO VINICIO712941200001 1 X 170551 PROAÑO FIERRO PRISCILA DEL ROCIO 1712946126001 X 144873 GRANJA CALVACHE FREDY ORLANDO 1712950052001 X 199003 CORONEL DELGADO DAVID SECUNDINO 1712952744001 X 154623 TACURI PINEIDA MARGARITA 1712959186001 X 244465 DAVILA ARREGUI CARLOS GUILLERMO1712960895001 X 148857 TUMIPAMBA MENCIAS PAULINA DEL ROCÍO 1712969201001 X 212573 GUAYGUA FONSECA MARIA INES 1712969896001 X 146709 NUÑEZ CAMPOVERDE DEICY ALEXANDRA 1712970712001 X 171705 GUZMAN MAYA WILMER TOMAS 1712976602001 X 112062 ORMAZA PARRAGA EDY BOLIVAR 1712978301001 X 100304 MUÑOZ GUILLEN EDGAR VINICIO 1712979002001 X 197411 ZHINGRI ILLESCAS JORGE ROBALINO 1712997251001 X 234581 BRAVO ANAGUANO JUDITH ALEXANDRA713007787001 1 X 178772 NAVARRETE DELGADO ERICA ALEXANDRA1713014577001 X 62296 JIMÉNEZ BENAVIDES JORGE WASHINGTON 1713023321001 X 67554 CÁRDENAS MEJÍA GIOVANNI FERNANDO713023974001 1 X 209039 GALARZA PADILLA FRANKLIN XAVIER 1713026456001 X 207018 ORTIZ PASUY JOSE PEDRO 1713031787001 X 50807 ESPINOZA SARANGO NORA EDITH 1713042768001 X 131596 VELASQUEZ FIGUEROA MARITZA ELIZABETH 1713044459001 X 150591 DAVILA MERINO ROMEL JOSE 1713054193001 X 57935 SILVA NARVAEZ JOSE MECIAS 1713059481001 X
  • 680.
    No No registra No No registra No No. registra registra No. indicadores registra provincia, registra Persona_id NOMBRE No. ID (RUC) calle número registra de ventas, apellido cantón y primer principal de calle origen activos y/o paterno parroquia nombre principal empleados 271611 PEREZ CEVALLOS GALO FABIAN 1713060612001 X X 225302 TENE BETÚN LUIS ALFONSO 1713073441001 X 149670 BERMEO FATIMA 1713084356001 X 57493 BALSECA DURKIN JOHN SEBASTIÁN 1713094819001 X 151145 CASAHUALPA CAIZA JOSE JULIO 1713100673001 X 179031 ARZA BERMUDEZ JACQUELINE ISABEL 1713106811001 X 52384 ESPINOZA VELEZ RODOLFO WILFRIDO 1713108064001 X 216774 CORRAL GAIBOR MARÍA PAULINA 1713108791001 X 229697 SALTOS PARRAGA INGRI MARIBEL 1713111886001 X 126626 GUAYTA AREQUIPA LUIS HERNAN 1713119384001 X 88732 MORENO HERMIDA PABLO FERNANDO 1713119483001 X 224051 VILLAGRAN POVEDA GERARDO FELIPE1713148227001 X 123118 SUNTAXI PACHACAMA KLEBER ROLANDO1713160560001 X 217962 ARIAS FLORES KARINA ELIZABETH 1713161915001 X 255152 JACOME MOSQUERA STALIN GONZALO1713163572001 X 260520 SUQUILLO MARCO 1713172888001 X 265662 RUIZ CASTILLO DARWIN PATRICIO 1713176962001 X 157459 CAMACHO CUASPUD DARWIN ALFONSO 1713181392001 X 248007 ARGOTIZ CORDERO MARIELA 1713188785001 X 209892 PAEZ AVALOS JESSICA JANETH 1713198396001 X 115435 SANDOVAL LUNA ALEJANDRA DEL ROCÍO 1713200440001 X 110810 LANDA CASTRO JOSE ARCADIO 1713202974001 X 152037 LASSO SANCHEZ CARLOS STARLING 1713215943001 X 217228 VACA REINOSO DARWIN MARCELO 1713216214001 X 103361 ANAGUANO ANAGUANO JUAN CARLOS 1713218855001 X 224340 OBANDO DAVID 1713220737001 X 94774 IMBA LEMA ROSA MARGARITA 1713222030001 X 239369 SANDOVAL ENRIQUEZ FRANKLIN OMAR 1713241709001 X 226194 MUÑOZ ESPINEL SERGIO EDBERTO 1713254272001 X 226579 MOSQUERA POZO MARÍA DANIELA 1713255451001 X 27494 MORENO TORRES MANIX EDISON 1713261798001 X
  • 681.
    No No registra No No registra No No. registra registra No. indicadores registra provincia, registra Persona_id NOMBRE No. ID (RUC) calle número registra de ventas, apellido cantón y primer principal de calle origen activos y/o paterno parroquia nombre principal empleados 257379 QUISILEMA SHUGULI JORGE VINICIO 1713270062001 X 179380 MORQUECHO YADAICELA JUAN BAUTISTA1713274122001 X 28753 FIERRO NÚÑEZ LUIS JONATHAN 1713278701001 X 221073 VITERI PUYOL OSCAR REMIGIO 1713279907001 X 172058 ENRIQUEZ HERRERA JOSÉ ROMELIO 1713280038001 X 172167 MUÑOZ GÓMEZ LUIS ALFREDO 1713285821001 X 156085 QUISHPE SINAILIN PABLO DAVID 1713291936001 X 261044 RIERA SUAREZ JENNY ELIZABETH 1713300661001 X 91061 MEJIA MOREIRA WILIAN ODILQUE 1713310637001 X 111345 FAJARDO MENDEZ LUIS ARIOLFO 1713327268001 X 110206 SUÁREZ PILAGUANO MILTON FABIAN 1713328662001 X 54522 BARRIONUEVO COX HARLEY DAVIDSON 1713330593001 X 53082 QUIMBIAMBA GORDON WALTER PATRICIO1713333753001 X 235628 PUETATE HUERA LUIS ANIBAL 1713343372001 X 69969 VASCO SILVA DAVID WILLIAM 1713349569001 X 184441 PARRAGA PARRAGA JORGE JAVIER 1713357604001 X 234397 GRANDA CALVA APOLONIA BERTHA 1713362596001 X 71024 CARGUA YAUCAN JUAN CECILIO 1713365599001 X 202236 GANGOTENA GUZMAN VERONICA CATALINA 1713373643001 X 178555 CARRILLO ANDRADE FABIAN HIPOLITO 1713375879001 X 13027 AVENTURA SPORT 1713377172001 X 225528 BARRENO MORENO ISABEL NATALIA 1713395950001 X 92440 HERRERA ANDRADE WLADIMIR FRANKLIN1713402178001 X 196854 RAMIREZ TAFUR CARLOS ALBERTO 1713415584001 X 204098 AYALA MORALES ADRIANA DE JESUS 1713420725001 X 192398 NACIMBA PACHACAMA EVA JEANETH 1713427407001 X 173050 ALVARO ACERO ANGEL BENITO 1713436879001 X 105610 ARIAS ITURRALDE MYRIAM DEL PILAR 1713464632001 X 232835 COLLAGUAZO CHICAIZA LOURDES ELIZABETH 1713469524001 X 107179 VELASQUEZ NARANJO CRYSTHIAN BLADIMIR 1713482873001 X 275945 CUICHAN VELASCO MARCO VINICIO 1713496873001 X
  • 682.
    No No registra No No registra No No. registra registra No. indicadores registra provincia, registra Persona_id NOMBRE No. ID (RUC) calle número registra de ventas, apellido cantón y primer principal de calle origen activos y/o paterno parroquia nombre principal empleados 188912 CARDENAS FUENTES EDGAR PATRICIO 1713511606001 X 174035 MONTA ESPINOSA FRANKLIN JONNY 1713514337001 X 167830 SANCHEZ LIMA GONZALO EDUARDO 1713521878001 X 221656 QUIROZ MONTESDEOCA ANA ELIZABETH1713526703001 X 105189 ACHURRA ISLA VIVIANA DEL CARMEN 1713536603001 X 268106 RUIZ FLORES PATRICIO LEODAN 1713544649001 X 154948 VINUEZA CAÑAS SILVANA PATRICIA 1713550224001 X 209104 HINOJOSA RAZA JUAN CARLOS 1713553376001 X X X 256267 CARVAJAL FLORES SANTIAGO ANDRES 1713554341001 X 116219 HINOJOSA SANCHEZ LEONARDO ANIBAL1713560728001 X 276258 OJEDA PAREDES ANA MARÍA 1713561130001 X X 155971 PINARCAJA CHISAGUANO LUIS OSWALDO 1713564605001 X 31473 VARELA CHAMORRO SILVANA FABIOLA1713565818001 X 104281 CRUZ SALINAS EDWIN XAVIER 1713568754001 X 99293 YANEZ SAMBACHI EDISON WALTER 1713575643001 X 229253 ZAMORA VERGARA JEORGE DANNY 1713606265001 X 180770 ZAMBRANO SARZOSA IVAN DARWIN 1713606638001 X 216525 MOROCHO CUZCO MIGUEL ANGEL 1713615654001 X 116640 ORELLANA TORRES JHONY DANIEL 1713623039001 X 253862 PAZMIÑO CASPI FREDDY HUMBERTO 1713633947001 X 261205 ARCOS YARPAZ JOSE LUIS 1713639274001 X 141839 RADA GARCIA PABLO ANDRES 1713640090001 X 155935 SHIGUANGO CHIMBO RITA BERTILA 1713651014001 X 205704 LOPEZ JUAJINOY RENAN BLADIMIR 1713653986001 X 223762 CEDENO ZAMBRANO IGNACIO CEFERINO1713657797001 X 226753 VILLLAMARIN MANOSALVAS JUANA MARIBEL 1713665295001 X 147922 AYALA PASQUEL MONICA 1713670147001 X 133430 QUISHPE ORTIZ MANUEL JESUS 1713679064001 X 261932 ROSALES BUITRON GABRIELA RAQUEL1713696134001 X 109132 CUVI LEMA MARTINA 1713698445001 X 184055 TUTILLO TUTILLO FABIAN ENRIQUE 1713706917001 X
  • 683.
    No No registra No No registra No No. registra registra No. indicadores registra provincia, registra Persona_id NOMBRE No. ID (RUC) calle número registra de ventas, apellido cantón y primer principal de calle origen activos y/o paterno parroquia nombre principal empleados 258799 TIRADO REA PEDRO RAMÓN 1713712444001 X 143612 SOTALIN DIAZ BYRON RENE 1713718896001 X 43255 ALEX 1713719332001 X 67436 GAMMA 1713720157001 X 154173 SALAZAR ZAPATA ALEJANDRO 1713720538001 X 248988 GUERRA JARAMILLO JENNY AMARILIS 1713729315001 X 197424 MORAN NORIEGA FAUSTO ALEXANDER1713730107001 X 266340 CARDENAS SOLORZANO MIGUEL EDGAR 1713736476001 X 220928 FERNANDEZ VILLARREAL EDWIN FABIAN1713746657001 X 86894 PIGUAVE YEPEZ MYRNA ELIZABETH 1713781654001 X 130224 HERRERA FLORES MAYRA ANGELICA 1713785358001 X 80965 SINCHE MAITTA DENNIS FABRICIO 1713790325001 X 146199 MERIZALDE CONZA ANGEL MANUEL 1713801494001 X 247591 CELI CELI XIMENA MARIELA 1713818951001 X 17582 CHIPANTASIG CHIPANTASHI WASHINGTON VINICIO 1713826640001 X 129619 GUALA TRUJILLO VICTOR HUGO 1713832002001 X 79640 CHURUCHUMBI LECHÓN SEGUNDO VIRGILIO 1713833273001 X 255382 PEREZ FIGUEROA ERWIN FERNANDO 1713846010001 X 36945 ALBARRACIN MANOTOA LUIS RENE 1713847109001 X 76189 BENAVIDES PATIÑO MAURICIO PAUL 1713847695001 X 163359 COLLAGUAZO SANGUÑA JOSÉ ROLANDO 1713852976001 X 56133 CAÑAR PALLO VICTOR HUGO 1713853107001 X 263783 BASTIDAS HIDROBO JOSÉ IGNACIO 1713853933001 X 157763 ESTÉVEZ FREIRE PATRICIO FABRIDZI 1713863734001 X 239535 GALLARDO VALLEJO GIMENA PATRICIA1713864823001 X 131849 LLUMIPANTA PIEDRAHITA JORGE ALFREDO 1713871273001 X 210950 TENEMAZA SAMANIEGO LAURO GEOVANNY1713871828001 X 110197 NAVARRET PARRAGA FERMIN ANTONIO 1713874889001 X 74411 MONTENEGRO BARRAGÁN NELLY MARGOTH1713877361001 X 67785 MUÑOZ HINOJOSA DIEGO JOEL 1713885216001 X 91191 CARGUA VERGARA DIEGO OMAR 1713886404001 X
  • 684.
    No No registra No No registra No No. registra registra No. indicadores registra provincia, registra Persona_id NOMBRE No. ID (RUC) calle número registra de ventas, apellido cantón y primer principal de calle origen activos y/o paterno parroquia nombre principal empleados 278641 GARCIA NEGRETE GUSTAVO EDUARDO 1713893624001 X 99061 DIAZ FLORES PEDRO OLDEMAR 1713902482001 X 248807 MAQUILON AGUILAR CHHABI CRISTINA 1713903373001 X 126313 MALES TASIGUANO LUIS ORLANDO 1713904678001 X 262771 GUALOTUÑA LOYA HUGO FABRICIO 1713913927001 X 69377 ASIPUELA AMOGUIMBA GLADYS LUCILA 1713935243001 X 176657 PERENCEVICH CUEVAS JORGE 1713937751001 X 265651 PAEZ VASQUEZ MARIA ELENA 1713948360001 X 193744 YAGUACHI CUNAS JOSE RICARDO 1713955340001 X 144143 PONCE MIELES MARTHA ELIZABETH 1713958625001 X 262652 CALDERÓN SALINAS MARCELO FERNANDO1713978888001 X 187281 NARVÁEZ COLLAGUAZO VIVIANA MARGARITA 1713984324001 X 134210 MOSQUERA FONSECA MAYRA VIVIANA1713995155001 X 163002 FACTOS IGLESIAS WILSON VICENTE 1713996054001 X 21370 VITERI BENITEZ FABRICIO ARTURO 1714004544001 X 240478 CUMBAL CACUENGO ANA MARÍA 1714008875001 X 212640 ESPINOZA AYALA ALVARO LENIN 1714008883001 X 48423 JIMENEZ PEÑARANDA MIGUEL EDUARDO 1714013305001 X 127219 TACURI UREÑA DANILO TACURI 1714013925001 X 246405 RODAS MENA RAUL ANTONIO 1714023742001 X 148583 FALCON COBA CARMEN ALEXANDRA 1714044706001 X 239588 ROJAS RODRIGUEZ MARÍA JOSÉ 1714062658001 X 200364 ANAGO TOAPANTA EDWIN FERNANDO 1714067814001 X X X 155936 VILLEGAS VEGA BIOLFER PORFIRIO 1714070149001 X 95386 ZAMBRANO PEREIRA RICARDO XAVIER1714075155001 X 228727 ANGO ALQUINGA GERMAN MAURICIO 1714084389001 X 145556 VEINTIMILLA FIGUEROA ESTALIN MANUEL 1714089172001 X 251810 BALAREZO TOAPANTA ANGEL RODRIGO 1714094396001 X 63009 ENMA ROCIO GARCIA MONTERO 1714101407001 X 253048 YANEZ RAMIREZ PABLO JAVIER 1714105663001 X 172002 MUÑOZ MINDO CINTYA MONSERRAT 1714111380001 X
  • 685.
    No No registra No No registra No No. registra registra No. indicadores registra provincia, registra Persona_id NOMBRE No. ID (RUC) calle número registra de ventas, apellido cantón y primer principal de calle origen activos y/o paterno parroquia nombre principal empleados 135089 TORO PAZMIÑO WASHINGTON IVAN 1714111661001 X 272433 LOPEZ SEGOVIA GEOVANNA 1714113311001 X X 193537 JIMBO VASQUEZ LUIS ANTONIO 1714122387001 X 79927 ROBALINO HEREDIA GISELLA IVONNE 1714128350001 X 166535 RUIZ SEGOVIA FABRICIO ESTUARDO 1714143367001 X 186848 VARGAS CASPI ROBERTO FRANK 1714158332001 X 114289 MORAN ALVARADO ANIBAL SANTIAGO 1714164702001 X 239656 AULIS TOGAN MILTON RENAN 1714189469001 X 257709 CALLE RAMIREZ FERNANDO VIRGILIO 1714192745001 X 170547 ESPIN MALDONADO WILLIAM SANTIAGO 1714193719001 X 252012 SANCHEZ ARCOS CARLOS ALBERTO 1714201611001 X 131860 MARKLEY VERGARA KARLA SUSANA 1714201850001 X 138318 MOYA ALULEMA NELSON STALIN 1714226352001 X 262928 RIVERA PAUL 1714228473001 X 220064 NICOLALDE ECHEVERRÍA SILVANA ALEXANDRA 1714231287001 X 100371 HERRERA CABASCANGO EIMY YORLAI 1714232640001 X 73284 CASTILLO CAMPOVERDE EVITA YANINA 1714242730001 X 120601 PLASENCIA CASTILLO JUAN CARLOS 1714247341001 X 149605 VERA MONTESDEOCA GEOVANNY ANDRONICO1714252291001 X 250362 DELGADO DELGADO MARCELO EVERALDI 1714258637001 X 46919 MÉNDEZ SIMBAÑA FLAVIO FRANKLIN 1714263421001 X 248380 LOPEZ CASTELLANO FABIOLA JEANETH 1714277173001 X 270696 ROJAS SALGUERO JORGE ANTONIO 1714343009001 X 46056 GUALOTUÑA TIPAN BETTY ALEXANDRA1714401617001 X 136092 ASTUDILLO ERAZO ELOÍSA BELÉN 1714408141001 X 251959 SANCHEZ SANTOS JOSE LUIS 1714450606001 X 222622 CHASIPANTA CHUQUIMARCA LUIS PATRICIO 1714459904001 X 127211 CARLOSAMA SANDOVAL LUIS EDISON 1714476163001 X 26037 BENSO PASQUEL ELI ALBERTO 1714488887001 X 224139 SANGUCHO MOLINA GONZALO ESTEBAN 1714494414001 X 21856 VILLACIS JARAMILLO CARLITA LETICIA 1714507280001 X
  • 686.
    No No registra No No registra No No. registra registra No. indicadores registra provincia, registra Persona_id NOMBRE No. ID (RUC) calle número registra de ventas, apellido cantón y primer principal de calle origen activos y/o paterno parroquia nombre principal empleados 214883 TUTILLO QUISHPE MILTON ROGELIO 1714511449001 X 41378 NEVÁREZ GAVIDIA RONEL JAVIER 1714524491001 X 268547 SEME OLVERA CARLOS ALFREDO 1714527452001 X 116196 BENAVIDES PAEZ RODRIGO ENGELBERTH1714528930001 X 234320 GUBIO BELENZACA FIDENCIO FRANKLIN1714549084001 X 172784 MENA AYALA VICTOR MANUEL 1714562343001 X 199565 TAPIA CARRILLO JUAN CARLOS 1714569587001 X 133446 HEREDIA HIDALGO MARCO ALFREDO 1714579586001 X 151053 TORRES GRANDA ENRIQUE EDUARDO 1714581459001 X 245286 ALFARO PAREDES GLADYS MARÍA 1714585138001 X 267296 ORTIZ GUERRA KARLA NATALIA 1714586078001 X 279114 CLAVIJO ASIMBAYA NANCY ALEXANDRA 1714593330001 X 102333 JUMBO QUICHIMBO NANCY AZUCENA 1714609243001 X 191523 PAUCAR DÁVILA KARINA ELIZABETH 1714622816001 X 214901 SANDOVAL ZAMBRANO CARLOS ARTURO 1714639414001 X 252645 ASTUDILLO SALVADOR JUAN PABLO 1714642269001 X 278467 USHIÑA GUALOTO ROCIO CARMEN 1714647276001 X 100610 GARCES PADILLA CARLOS ANDRES 1714648977001 X 227661 RIVADENEIRA PEÑAFIEL HILDA GABRIELA 1714670690001 X 180887 TUFIÑO MIRANDA JAIME RAMON 1714674759001 X 91796 PEREZ FLORES AIDA MIREYA 1714682364001 X 11774 WATCH OUT RELOJES & ACCESORIOS1714690581001 X 271964 NAVARRETE NAVARRETE RAMON BENEDICTO 1714706304001 X 214006 FRANCO FLORES LUIS VICENTE 1714715065001 X 238700 GUALOTUÑA GUALOTUÑA MARCO VINICIO1714723606001 X 54822 MORALES CAIZA PATRICIO DAVID 1714724463001 X 259387 MARCILLO HERNANDEZ CARLOS ANDRES 1714725502001 X 23950 MELO SANCHEZ JUAN VICTOR 1714734702001 X 105740 CEVALLOS VILLACIS RAFAEL ALVERTO1714743406001 X 226590 ARMIJOS JARAMILLO JIMMY PATRICIO 1714755251001 X 199327 SANTANDER BRITO HENRY PATRICIO 1714756796001 X
  • 687.
    No No registra No No registra No No. registra registra No. indicadores registra provincia, registra Persona_id NOMBRE No. ID (RUC) calle número registra de ventas, apellido cantón y primer principal de calle origen activos y/o paterno parroquia nombre principal empleados 208977 CALDERÓN AGUIRRE DAVID RICARDO 1714768361001 X 14793 TORRES MERINO HUGO FLORENCIO 1714771977001 X 150086 BUSTOS CAZA LUIS EDUARDO 1714784764001 X 242845 NARVAEZ CUAJIVOY JUAN CARLOS 1714791744001 X 231456 RIVERA BRAVO JOSE ALFONSO 1714794540001 X 179892 TORRES SERRANO WILLIAN MARCELO 1714798780001 X 278789 CATAGMAÑA JUAN 1714800875001 X 260817 GUAMAN VARGAS MIGUEL ANGEL 1714818331001 X 269653 ULLOA CRUZ EVELYN DEL CARMEN 1714838156001 X X X 4564 BALSECA MORENO DIEGO RIGOBERTO1714846159001 X 190037 NEIRA ASANZA MERCEDES MARILU 1714846423001 X 161690 ALTAMIRANO BARRE AGUSTIN BENITO 1714850003001 X 145971 SOTO CAJAS MARIA DE LOSANGELES 1714852280001 X 214508 MUY ORTIZ MIGUEL ALFREDO 1714861380001 X 188456 SÁNCHEZ PINANGO JOSÉ MEDARDO 1714868740001 X 261530 VELASTEGUÍ PÁEZ CAROLINA ELIZABETH 1714913173001 X 272320 GOMEZ VILLALVA DIEGO RAMIRO 1714917109001 X 41769 CHILUISA SAMANIEGO MÓNICA PATRICIA 1714957923001 X 165346 ANDRANGO ALVARO WELINTON HERIBERTO 1714958509001 X 118678 POZO RODRÍGUEZ OSCAR DANILO 1714967765001 X 278585 MALDONADO VILLA HÉCTOR HUGO 1714967823001 X 258655 LLUMIQUINGA QUINGA HUGO FRANCISCO 1714974225001 X 203583 NAVARRO RAMON DARIO RENE 1714984224001 X 225976 PERALTA TOASA DIANA ELIZABETH 1715000301001 X 197612 TOASA CARRERA JOSE AURELIO 1715011035001 X 144145 BARZALLO CASTILLO DARWIN GABRIEL1715014039001 X 276565 VITERI CARLOS IGNACIO 1715018139001 X 131866 CARPIO JAYA EDGAR PAUL 1715032627001 X 109617 MORALES MOLINA SANTIAGO ROLANDO 1715033955001 X 266590 YUGSI ENCALADA LUIS FERNANDO 1715041602001 X 108133 TUPIZA NAVARRETE FAUSTO ANDRES 1715041743001 X
  • 688.
    No No registra No No registra No No. registra registra No. indicadores registra provincia, registra Persona_id NOMBRE No. ID (RUC) calle número registra de ventas, apellido cantón y primer principal de calle origen activos y/o paterno parroquia nombre principal empleados 69950 CUAMACAS VEGA ROLANDO HUMBERTO 1715050926001 X 140554 YANÉZ ROMERO PABLO PATRICIO 1715062780001 X 263210 PAUCAR VALDIVIESO LUPE ISABEL 1715063093001 X 213375 AUZ GOMEZ JAHAIRA MARIA 1715064588001 X 215094 VARGAS RIVAS SEGUNDO SANTIAGO 1715076699001 X 232764 LOOR MAZAMBA CARLOS ALBERTO 1715080204001 X 121250 MUNOZ BARRIONUEVO PATRICIA ELIZABETH 1715081160001 X 129657 PUGA SALAZAR MARCO ANTOÑO 1715100473001 X 248123 AYALA RODRIGUEZ JOSE ANTONIO 1715101844001 X 223756 FUENTES ABATA LUIS SANDRO 1715105530001 X 217287 MALDONADO YEPEZ DIEGO CHRISTIAN1715121644001 X 273821 VALAREZO LOPEZ WILIAN ALEJANDRO1715123962001 X X X 258370 CATUCUAMBA NOVOA RENE ERNESTO1715126767001 X 264108 ALMEIDA COLLAGUAZO GALO GEOVANI 715133185001 1 X 135014 VALENCIA RUEDA FREDDY FERNANDO 1715135057001 X 178547 PEÑA FLORES JUAN 1715150346001 X 252679 ABADIANO FARINANGO MARÍA DOLORES1715162382001 X 108063 GUEVARA INGA EDWIN LEONARDO 1715163257001 X 245211 CAMPAÑA ALMEIDA DANNY 1715173959001 X 179018 SANCHEZ GUZMAN CESAR EDUARDO 1715180095001 X 103138 MEJIA DIAZ TATIANA PAOLA 1715188890001 X 27638 NARVÁEZ AGUILAR ROBERTO CARLOS 1715195952001 X 13248 ING. JACOBO ROMERO 1715203327001 X 262883 CACERES VALIENTE CHRISTIAN ROMULO 1715204531001 X 197340 GARCIA DELGADO GUSTAVO ALEJANDRO1715205983001 X 116787 GALLARDO HERNÁNDEZ MARÍA FERNANDA 1715208938001 X 168771 DIAZ ALQUINGA FANNY MAGALY 1715214779001 X 56345 PEREZ PROAÑO WILMA JANETH 1715225270001 X 182277 VILLAFUERTE GARZON CRISTIAN MOISES 1715237168001 X 261922 AGUIRRE DAMMER SANTIAGO PATRICIO1715241798001 X 188918 ARIAS CEDEÑO ERNESTO LEONARDO 1715243307001 X
  • 689.
    No No registra No No registra No No. registra registra No. indicadores registra provincia, registra Persona_id NOMBRE No. ID (RUC) calle número registra de ventas, apellido cantón y primer principal de calle origen activos y/o paterno parroquia nombre principal empleados 99748 TEJADA MOLINA MARIA DEL ROCIO 1715243414001 X 77201 MUEPAZ GUANGA NANCI SONIA 1715248371001 X 268197 AGREDO ROSERO HERNANDO 1715251623001 X 32770 ESPINOSA LOZANO ISABEL CRISTINA 1715251771001 X 83198 HERRERA VARGAS CARLOS JULIO 1715252563001 X 97112 REYES AYO RODOLFO ALEXANDER 1715262208001 X 105160 LLUMIQUINGA ANASI JOSEHP POLIBIO 1715270441001 X 223189 TORRES COLLAGUAZO JOSE LIZANDRO 1715277370001 X X X 241498 ANAGUANO PILLAJO MARCELO HERMES715285670001 1 X X X 254625 VALVERDE GUERRERO JUAN VALVERDE 1715292916001 X 170135 BORJA ALVAREZ JUAN CARLOS 1715295703001 X 192700 ELIZALDE PALADINES MARGOTH ISABEL715312904001 1 X 90852 ROMERO ENCARNACIÓN JOSÉ HIPÓLITO 1715321624001 X 27814 VARELA CAMPOS JAIME OSWALDO 1715331862001 X 156922 ARMIJOS SUAREZ JINNA BIRMANIA 1715339642001 X 261459 CRUZ MARTÍNEZ JOSÉ DAVID 1715349427001 X 169938 MECIAS MOREIRA JAVIER MARCELINO 1715365811001 X 100190 AGUILAR RODRÍGUEZ ANGÉLICA ZENAIDA 1715373948001 X 248288 SAANT YANGORA ELVA SHAMICH 1715377733001 X 94764 LAZO GOMEZ JOSE RAFAEL 1715391361001 X 92745 OLALLA VALDIVIEZO VICENTE ROLANDO1715392047001 X 145860 LUNA AYALA LUIS LEONARDO 1715399505001 X 180621 CÓNDOR CHICAIZA PAÚL HERNÁN 1715415350001 X 151307 JARA MEDIAVILLA MARICELA ELIZABETH715441950001 1 X 121441 TENORIO NAVIA LUIS FELIPE 1715454847001 X 247241 CLAVIJO JACOME LUIS EDUARDO 1715461248001 X 159395 PAZMIÑO SILVA DANIEL ANTONIO 1715475305001 X 192551 MARTÍNEZ ESCOBAR JORGE ESTEBAN 1715485643001 X 155157 GOYES COLOMA CHRISTIAN ALEXANDER 1715498307001 X 163801 ARAUZ ANAGO JENNY ELIZABETH 1715500177001 X 206876 CHICAIZA CHIQUITO VICTOR HUGO 1715515746001 X X X
  • 690.
    No No registra No No registra No No. registra registra No. indicadores registra provincia, registra Persona_id NOMBRE No. ID (RUC) calle número registra de ventas, apellido cantón y primer principal de calle origen activos y/o paterno parroquia nombre principal empleados 146012 ARAY CEDEÑO WILMER JACOB 1715522510001 X 239405 CUADROS CEVALLOS DIOQUELA ARACELI 1715532873001 X 148148 SALVADOR NOBOA JOSÉ MARIO 1715536171001 X 257814 AYALA HEREDIA MARCELO ANÍBAL 1715541890001 X 120390 LEIVA PEREZ AGUSTIN 1715555791001 X 150967 MALDONADO YEPEZ EDISON OMAR 1715562706001 X 247574 LLERENA MORALES HÉCTOR EFRAIN 1715567341001 X 211588 CORTEZ ROMERO FREDI RODRIGO 1715585459001 X 68291 VERGARA CAICEDO RAUL GILBERTO 1715588867001 X 228892 BENITEZ AMANCHE XAVIER EDUARDO 1715594048001 X 199161 RODRIGUEZ HERRERA FABIAN MAURICIO 1715598346001 X X X 220152 PUGA BRAZALES DIEGO PATRICIO 1715599807001 X 86656 RIVADENEIRA LOZANO BYRON JAVIER 1715617195001 X 153550 PAUCAR CHICAIZA ELIZABETH JACQUELINE 1715620264001 X 178138 GUALOTUÑA CHINCHILEMA HECTOR GIOVANNY 1715622799001 X 256223 SUNTAXI SUNTAXI EDITH GEANINE 1715629471001 X 187427 VALVERDE CULQUE ORLY CRISTIAN 1715639702001 X 230465 NICOLALDE MONTALVO ANA LUCIA 1715650832001 X 122950 LOPEZ MARLON PAUL 1715651640001 X 180476 ORTIZ ORTIZ HERMEL FROILAN 1715663645001 X 22041 GUAJAN ZAMBRANO RAFAEL GUAJAN 1715664437001 X 147346 PERALTA BARBA GUADALUPE 1715667984001 X 181837 ALVEAR PAZMIÑO CRISTIAN FERNANDO1715675771001 X 163190 CHIMARRO CUZCO CRISTIAN HERNÁN 1715686703001 X 209632 MORALES TROYA JORGE ADRIAN 1715699011001 X 167496 VASQUEZ LLANEZ GLADYS AMPARO 1715746978001 X 183386 GUARANDA PAUCAR EDWIN MANUEL 1715763619001 X 257602 LUCIO GAIBOR NERBO FERNANDO 1715765903001 X 95012 MARTINEZ GALLEGO JUAN VICENTE 1715774699001 X 150476 CEDEÑO CEDEÑO NEXAR HERLANDO 1715795116001 X 227818 MUENALA MORALES CARLOS 1715795827001 X
  • 691.
    No No registra No No registra No No. registra registra No. indicadores registra provincia, registra Persona_id NOMBRE No. ID (RUC) calle número registra de ventas, apellido cantón y primer principal de calle origen activos y/o paterno parroquia nombre principal empleados 21332 CARDENAS VERA MARCELO LEODAN 1715798169001 X 261433 MERA BUELE ALEX JOSE 1715806707001 X 197858 RAMIREZ AGUIRRE JORGE GUALBERTO 1715812192001 X 174293 POTOSÍ MOYA VERÓNICA JOHANNA 1715821813001 X 218578 UTRERAS GUERRA JUAN PABLO 1715846695001 X 214198 CAMPOVERDE LEÓN BYRON EDUARDO 1715848683001 X 43872 AGUILAR ROMERO MAYRA ALEXANDRA1715866958001 X 262349 CHUQUIMARCA CAIZA JORGE ANIBAL 1715869804001 X 158444 CARRERA PARRAGA ALVARO PATRICIO 1715870950001 X 139727 MAYA RODRIGUEZ BYRON ANTONIO 1715871321001 X 252357 SANMARTIN MONTEROS NATASHA SALOMÉ 1715888846001 X 116566 RAMOS LEMA WASHINGTON GUILLERMO 1715895262001 X 269884 CABEZAS MEDRANDA GRACIELA MARCELA 1715912893001 X 165067 LOPEZ PEREIRA DIEGO XAVIER 1715958771001 X 151270 VALDIVIESO MANCERO JOHANNA ALEXANDRA 1715962021001 X 181430 CAMACHO JATIVA LORENA MARIBEL 1715963797001 X 202578 MONTESDEOCA ORDOÑEZ ROBERTO CARLOS 1715968580001 X 110957 NARANJO QUINALUISA EDWIN JESUS 1715979975001 X 237428 VITERI GARZON GABRIELA ALEXANDRA1715984769001 X 114360 NIETO PINTO TANIA MARIBEL 1715990964001 X 253292 PALLMAY MACÍAS ANA SOPHÍA 1715991079001 X 94937 AGUIRRE BERRONES EDGAR 1715992838001 X 153152 MEJIA DEMERA MIYER MIGUEL 1715997951001 X 222193 SALAZAR OLMEDO ANA LUCIA 1716008022001 X 224940 VILLACRÉS CORREA MARTHA FERNANDA1716009053001 X X X 266823 SALAZAR FERNANDEZ MILTON FREDY 1716020852001 X 159195 NARVAEZ LAGOS JAVIER ULBANER 1716024458001 X 99282 SILVA SANCHEZ BYRON GERMAN 1716118169001 X 93050 SOSA BARROS DANILO IVÁN 1716126972001 X 123839 PUEDMA AJILA NANCY JACQUELINE 1716141526001 X 233435 ZAMBRANO ZAMBRANO STALIN FERNANDO 1716143175001 X
  • 692.
    No No registra No No registra No No. registra registra No. indicadores registra provincia, registra Persona_id NOMBRE No. ID (RUC) calle número registra de ventas, apellido cantón y primer principal de calle origen activos y/o paterno parroquia nombre principal empleados 236630 MATA IZA ESTUARDO MARCEL 1716154164001 X 228615 COLOMA MARTÍNEZ JUAN GABRIEL 1716164502001 X 37988 JORGE 1716176118001 X 147435 CAISAGUANO ORTEGA JUAN 1716198849001 X 205406 FIGUEROA TOAPANTA ANGEL MARIA 1716204969001 X 201234 ROMERO ROMERO ADRIANA SHIRLEY 1716211998001 X 94847 DÁVALOS MEJÍA LUCIA MARGARITA 1716215635001 X 179715 AGUIRRE DIAZ MARIANA ELIZABETH 1716218910001 X 192983 DAVILA SALAZAR SABRINA DE LOS ANGELES 1716265507001 X 108453 YUNDA MACHADO VERONICA PAULINA 1716268683001 X 261705 AVILA LOOR RAMON ALFREDO 1716270796001 X 252859 LEMA PALOMO FRANKLIN JAVIER 1716272685001 X 81871 MÉNDEZ MAIGUA PABLO DANILO 1716276389001 X 62529 DEL PINO PONCE ANA MARIA 1716278443001 X 140885 CORAL ROJAS EDGAR AFRANIO 1716293467001 X 246471 GUAMGA RAMOS LEONARDO ESTEBAN 1716296742001 X 31306 VALLEJO BRAVO PAMELA CECILIA 1716313554001 X 223459 PILLAJO BAHAMONTES TERESA MAGALI 1716345077001 X 264381 MENCÍAS IMBAQUINGO JAMES ANDRÉS 1716386956001 X 210725 LOPEZ JACOME JUAN CARLOS 1716389927001 X 49947 CAJIAO ARÍZAGA JARDIEL ESTEBAN 1716399553001 X 241416 SALOMÓN TALLONE MIGUEL ANGEL 1716401821001 X 125465 BOUQUILLON HOREL PHILIPPE EDUARD716408321001 1 X 50411 QUEREJETA BARCELÓ ALEJANDRO 1716408388001 X 212726 ALAVA SANCHEZ TANIA VERONICA 1716441264001 X 153900 VIDAL ANDRADE KARINA ELIZABETH 1716441330001 X 217555 GALEAS GAVILANES HENRRY NELSON 1716449424001 X 211011 ACEVEDO DÁVILA ANDRES FABRICIO 1716450489001 X 127572 BACA CRESPO CÉSAR ROBERTO 1716473382001 X 170633 RIVERA VEGA VIVIANA ALEJANDRA 1716478548001 X 248164 SOTO OLIVES ERICK LEONARDO 1716488638001 X
  • 693.
    No No registra No No registra No No. registra registra No. indicadores registra provincia, registra Persona_id NOMBRE No. ID (RUC) calle número registra de ventas, apellido cantón y primer principal de calle origen activos y/o paterno parroquia nombre principal empleados 167056 CHUQUIMARCA CAIZA JOHANA JACQUELINE 1716494131001 X 141517 MERCHAN BERREZUETA GERMAN FLORESMILO 1716503766001 X 83635 GARCIA CARRERA LENDA LIZABTH 1716523913001 X 147476 RODRIGUEZ DELGADO HUGO IVAN 1716533110001 X 260261 PAREDES PAZMIÑO JUAN CARLOS 1716543408001 X 275550 LECHON BURBANO MÓNICA MAGDALENA 1716544232001 X 124272 NARVAEZ BURBANO LUIS ARTURO 1716547227001 X 275656 MERINO PADILLA LUIS RAUL 1716559594001 X X X 30318 VINUEZA ENCALADA ROLANDO DANIEL1716564305001 X 226513 ARMAS PINTO MARIA JOSE 1716565757001 X 167897 QUIÑONES ALVARADO AURA ISABEL 1716575673001 X 180239 MORALES LOOR JOSE LUIS 1716577414001 X 271940 GUEVARA SANCHEZ LILIANA PAULINA 1716585334001 X 165437 CHUQUIN LEON MARCO RIGOBERTO 1716627615001 X 195349 PUNINA CHIMBORAZO OLGA ALICIA 1716640253001 X 93953 GUAÑA PAJUÑA JUAN JOSE 1716652753001 X 146583 MALDONADO VELASQUEZ LUIS FERNANDO 1716684921001 X 153600 RODRÍGUEZ CARLOSAMA GRACIELA DEL PILAR 1716688849001 X 86798 YAÑEZ SANTAMARIA RICARDO JAVIER 1716696420001 X 271635 QUINTEROS GONZALEZ MARIA BELEN 1716712938001 X 194459 PAZMIÑO TAMAYO ESTANISLAO MAURICIO 1716749021001 X 66773 CISNEROS ORTIZ LORENA PAULINA 1716785306001 X 268395 JARA ZAMBRANO MARIA DOLORES 1716791809001 X 146465 LLERENA TORRES FAUSTO PATRICIO 1716792005001 X 153118 CACERES ORDOÑEZ EDISON RAUL 1716821044001 X 66038 SARABIA ROMERO GALO DANIEL 1716828429001 X 244111 CAIZA LOACHAMÍN OSCAR BLADIMIR 1716872831001 X 238746 MORENO CELY JOSE LUIS 1716882905001 X 134204 ZAMBRANO FALCONES NIMIA MARIA 1716884869001 X 134424 SOLANO FLORES MAURA VERONICA 1716885064001 X 116317 LEON ANDRANGO FREDDY DANILO 1716910060001 X
  • 694.
    No No registra No No registra No No. registra registra No. indicadores registra provincia, registra Persona_id NOMBRE No. ID (RUC) calle número registra de ventas, apellido cantón y primer principal de calle origen activos y/o paterno parroquia nombre principal empleados 133824 HEREDIA HIDALGO NORMA VERONICA 1716915424001 X 215863 CABEZAS ROBLES DIEGO FERNANDO 1716921893001 X X X 213465 PEREZ CALPA ANDREA YAMILE 1716927734001 X 179918 CONTERON TOAPAXI LUIS OMAR 1716927940001 X 71966 CADENA CADENA MARÍA CECILIA 1716964927001 X 224995 MONTEROS REYES ROBERTH ESTEBAN 1716967292001 X 109754 GUTIERREZ CAMACHO MARGOTH MARIBEL 1716976103001 X 228287 JARAMILLO JARRÍN JUAN JOEL 1716994379001 X 60436 CHAVEZ MIRANDA MONICA ALEXANDRA 1717000374001 X 155399 DAVILA PURUNCAJAS VERONICA ALEXANDRA 1717005589001 X 56689 MERA ROMERO DARWIN XAVIER 1717009102001 X 206889 GUANIN ALULEMA MARCOS GILBERTO 1717022212001 X 236756 CORNEJO GONZALEZ SHIRLEY ROXANA 1717024184001 X 142796 LUGOZ VARGAS LUIS ALEX 1717051963001 X 181586 BENAVIDES JIMENEZ GUSTAVO ERNESTO 1717057234001 X 234171 ZAPATA YÁNEZ BETTY MARIELA 1717062754001 X 197596 GONZALEZ CAMPAÑA LILIANA MARIBEL1717067647001 X 108289 DELGADO BASURTO SONIA MARGARITA 1717073074001 X 127132 BRAVO ZAMBRANO SONIA EDID 1717101057001 X 189769 VERA BRAVO MIRIAN RAQUEL 1717106502001 X 255383 MACIAS CABANILLA LEIVIS LIVIGSTON 1717152969001 X 241104 VEGA LEON JUAN PABLO 1717154494001 X 273942 COHN MICHAEL 1717233876001 X X 87654 ESTEBAN CHICA ANGELA CECILIA 1717234080001 X 17119 RODRIGUEZ RICE LOUIS 1717239915001 X X 76918 DIAZ MARTINEZ SUSANA OLIVA 1717252538001 X 227630 JEREZ VILLOTA FABIÁN ANTONIO 1717254872001 X 133335 CARRION CASTRO JOSE ROBERTO 1717264822001 X 55709 MORALES MARIÑO NATHALI ELIZABETH 1717264988001 X 251968 TAPIA NOBLECILLA ANGEL LEONARDO 1717292914001 X 166438 SUNTAXI GUALOTUNA ROBERTO CARLOS 1717293227001 X
  • 695.
    No No registra No No registra No No. registra registra No. indicadores registra provincia, registra Persona_id NOMBRE No. ID (RUC) calle número registra de ventas, apellido cantón y primer principal de calle origen activos y/o paterno parroquia nombre principal empleados 201216 AVALOS RAMOS DARWIN HERNAN 1717322380001 X 172829 CÓRDOVA DIEGO 1717325920001 X 221082 CARRERA LLUMITASIG BLANCA ROCIO 1717359275001 X 220722 MENDOZA DARWIN 1717373375001 X 135260 DE LA CRUZ NEGER LUIS SEBASTIAN 1717420275001 X 125695 CARRERA CARRERA KLEBER FIDENCIO 1717421166001 X 274310 SOSA ARIAS EDISON ROBERTO 1717472318001 X 213492 GARCIA TOAPANTA JUAN PEDRO 1717491854001 X 96693 RAMIREZ ARTEAGA ANGEL MESIAS 1717505919001 X 122257 ORTIZ INFANTES DIGNA YOLANDA 1717518383001 X 173696 RODRIGUEZ PEREZ CRISTIAN IVAN 1717525537001 X 94553 ALVARO LINCANGO DORIS ALEXANDRA 1717557548001 X 140084 CARDENAS MACAS MERCY DEL PILAR 1717572323001 X 86799 MARTINEZ SIGCHA DIANA NATHALI 1717645616001 X 221175 ALOMOTO CHICAIZA JUAN EDISON 1717679482001 X 166616 BRAVO ZAMBRANO LUIS ALBERTO 1717691677001 X 235138 VINUEZA VELASTEGUI ANITA SOFIA 1717708083001 X 200280 SANDOVAL CHICAIZA JENRY PATRICIO 1717751448001 X 260006 CORDOVA PAZMIÑO JORGE LEONARDO 1717753360001 X 220101 PERALTA PILLAJO EDWIN RAUL 1717763666001 X 138082 VITERI CEVALLOS JAIRO ERNESTO 1717768020001 X 175181 GARCIA VERA ELBA VIVIANA 1717773731001 X 240349 PAILACHO CHASIPANTA HUGO FERNANDO1717780322001 X 60955 DEDIAN LEONES CRISTHIAN ISRRAEL 1717802506001 X 176882 CEVALLOS BURGOS JESSENIA ELIZABETH 1717805954001 X 115356 LOACHAMIN CHANO CHIRISTIAN RUBEN 1717824922001 X 113540 CORO PASQUEL JORGE ISRRAEL 1717865230001 X 113854 CASTRO VALENCIA DANIA 1717881039001 X 176484 CHU YEP SUSANA LIS 1717889511001 X 59909 SANCHEZ CHASI FATIMA ELIZABETH 1717916058001 X 159545 HEREDIA LARCO CARMEN DEL PILAR 1717926800001 X
  • 696.
    No No registra No No registra No No. registra registra No. indicadores registra provincia, registra Persona_id NOMBRE No. ID (RUC) calle número registra de ventas, apellido cantón y primer principal de calle origen activos y/o paterno parroquia nombre principal empleados 184301 IMBAQUINGO ABALCO JOSÉ WILLIANS 1717935827001 X 94934 INTRIAGO ZAMBRANO ANDREA SUSANA 1717954539001 X 220362 MUÑOZ PEDRAZA CRISTHIAN AUGUSTO 1717965659001 X 198662 SILVA GAIBOR MIGUEL ANGEL 1717974297001 X 198883 PLASENCIA ALAVA CARLOS ANDRES 1717990574001 X 269249 CAMPOVERDE DIAZ MARIA ELENA 1718020991001 X 166629 ANALUISA GUAÑUNA ANA PAOLA 1718021718001 X 206340 BARRAGAN BARRAGAN LIGIA ELENA 1718025305001 X 127877 VEINTIMILLA VERA JAIME JAVIER 1718060617001 X 272932 POZO MALDONADO EDISON IVÁN 1718076803001 X 234167 PACHACAMA CAIZA EDISON FERNANDO 1718097643001 X 93857 VILLAMARÍN GRANJA IBETH MARCELA 1718126202001 X 114595 CEDEÑO CHICA ALEXANDRA MERCEDES 1718145400001 X 190210 CHANGO TOAPANTA JAVIER GEOVANNY 1718159971001 X 67244 TERAN ESTRADA MARIO JAVIER 1718197138001 X 124568 CADENA RODRÍGUEZ BEATRIZ GERMANIA 1718251935001 X 238670 CONZA JUMBO SILVIA PAULINA 1718259029001 X 127914 ROBLES CAMPOVERDE TANIA CRISTINA1718269648001 X 175427 SUÁREZ MONCAYO GABRIEL ANTONIO 1718274275001 X 38000 TROYA SORIA DARWIN ROLANDO 1718378845001 X 192650 LEMA CHICAIZA MARIA DEL CARMEN 1718395732001 X 70064 VILLAVICENCIO RAMOS MARÍA FERNANDA 1718415944001 X 106280 GUNSHA YAGUARSHUNGO ANGELICA MARIA 1718435827001 X 189199 BALSECA FUENTES FLAVIO ELIN 1718449075001 X 275687 MARTINEZ SALAZAR JUANA MARIA 1718465337001 X 208290 MOROCHO VELÁSQUEZ MARÍA JACKELINE 1718468547001 X 269219 GUERRERO VARGAS IVAN ANDRES 1718469974001 X 171690 PILAMUNGA ALARCON NELLY PAULINA 1718472556001 X 53356 SANTACRUZ PONCE DAVID HUBERTO 1718477902001 X 12079 DYRMAQ 1718515206001 X 272959 MEDIAVILLA RUIZ HÉCTOR RAMIRO 1718612912001 X
  • 697.
    No No registra No No registra No No. registra registra No. indicadores registra provincia, registra Persona_id NOMBRE No. ID (RUC) calle número registra de ventas, apellido cantón y primer principal de calle origen activos y/o paterno parroquia nombre principal empleados 205725 MOLINA PINEDA LUIS FERNANDO 1718629882001 X 168995 ARMIJOS ERAS FERNANDO JAVIER 1718664236001 X 141346 SEGURA MEJIA LUIS HERMEL 1718674235001 X 261766 TUNAY YUMBO MAYRA FILOMENA 1718698358001 X 262764 PALOMO CHILUISA NELLY PIEDAD 1718844994001 X 163944 VACA MONTALVO CONSUELO DE LOURDES 1718911967001 X 265480 SIMBAÑA SALAZAR CARLOS JULIO 1718970609001 X 7455 QUAST SOOBIK HEIKE 1719010561001 X 13263 BONOWI GMBH 1719018473001 X 100474 TORRES POZO MAURO EDUARDO 1719050666001 X X 212984 ANCHUNDIA GONZALEZ WILLIAN JOSE 1719070540001 X X X 173057 1719072306001 X 231059 GUERRERO VALLE SIXTO MAURICIO 1719106682001 X 232524 PULIAS SANUNGA EDISON PATRICIO 1719128405001 X 188977 LOPEZ SANCAN JOSE EUSEBIO 1719160168001 X X X 97435 QUINATOA ULCO BLANCA MARIA 1719182121001 X 211036 CARDENAS MACAS ANGELICA CONSUELO 1719231142001 X 165070 CAÑIZARES REATEGUI MIRYAN ARACELY 1719296095001 X 97395 CARRAZCO VEGA CARLOS ROLANDO 1719305441001 X 195358 MOROCHO VASQUEZ IRENE ROSARIO 1719314070001 X 275182 MEDIAVILLA RUÍZ CRISTIAN PATRICIO 1719369249001 X 46346 CAMPAÑA ALVAREZ MARTHA ELIZABETH 1719384222001 X 194273 OROZCO VIVAS GONZALO 1719401968001 X 160432 BAUTISTA JIMÉNEZ JAVIER ENRIQUE 1719409797001 X 187497 BARZALLO SOLIZ RAMIRO ERNAIS 1719416875001 X 102366 CUMBAL CAHUTIJO LUIS HORLANDO 1719458935001 X 274050 MOSCOSO DAVID 1719463612001 X 215195 CADENA ARIAS MIGUEL ESTEBAN 1719466367001 X 232351 SANGUÑA ANDRANGO WILSON OSWALDO 1719519207001 X 129616 GUERRERO NOBOA DIEGO JAVIER 1719521641001 X 88046 PONCE VARGAS ALEJANDRA 1719561415001 X
  • 698.
    No No registra No No registra No No. registra registra No. indicadores registra provincia, registra Persona_id NOMBRE No. ID (RUC) calle número registra de ventas, apellido cantón y primer principal de calle origen activos y/o paterno parroquia nombre principal empleados 150608 CALDERON CALDERON DIEGO FAVIAN 1719571133001 X 252831 ECHEVERRÍA JUMBO CARLA TATIANA 1719610998001 X 206333 MERA NUÑEZ NANCY ESMERALDAS 1719646612001 X 175413 PACHA TAMAQUIZA DELIA LUZMILA 1719748400001 X 96079 SUAREZ BARRE MAURO RAMON 1719786558001 X 173144 ZAMBRANO ZAMBRANO GLADYS VANESSA 1719825372001 X 98502 WEN LE LIANG 1719847657001 X 202456 CRUZ SANMARTIN MIREYA ELIZABETH 1719963710001 X 216658 TARCO TARCO LUIS RODRIGO 1720014511001 X 278161 CALUPIÑA MENCÍAS KARLA ANDREA 1720083847001 X 236028 YANEZ BERRONES BLANCA NOHEMI 1720089216001 X X X 114680 QUELAL VASCONEZ MARIBEL ALEXANDRA1720135399001 X 271908 GUTIERREZ VILLADA DIEGO DE JESÚS 1720153004001 X 91879 PORRAS GONZALEZ BLANCA MARGARITA 1720178779001 X 230666 HEREDIA HIDALGO GABRIELA GUADALUPE 1720236163001 X 51493 TROYA VILLACIS MONICA PATRICIA 1720237492001 X 188126 GAIBOR TORRES DIANA SOFIA 1720241528001 X 44398 PALACIOS VILLAFUERTE DARÍO ARTURO1720249299001 X 263596 WANG SHOUCHANG 1720267481001 X 84460 CUICHAN TORRES HECTOR ELIECER 1720362852001 X 146609 BENAVIDES CARRION EVELIA CECIBEL 1720392164001 X 36378 HENRY 1720462199001 X 144459 CORTEZ LOTERO JUAN CARLOS 1720469129001 X 178937 GUAMÁN CASTRO GUSTAVO RICARDO 1720512639001 X 139920 MENDOZA MEZA WASHINGTON ABEL 1720566270001 X 272944 SOSA MORALES EDISON JAVIER 1720628526001 X 185998 HIDALGO SUQUILLO LUIS SANTIAGO 1720673902001 X 236828 SALAZAR SANZ ANIBAL ANTONIO 1720681517001 X 213154 FARFAN TORRES ANGEL ROSSI 1720687951001 X 91535 LEE JU HYUN 1720688231001 X 250468 ZAMBRANO ZAMBRANO VALERIA ELIZABETH 1720715356001 X
  • 699.
    No No registra No No registra No No. registra registra No. indicadores registra provincia, registra Persona_id NOMBRE No. ID (RUC) calle número registra de ventas, apellido cantón y primer principal de calle origen activos y/o paterno parroquia nombre principal empleados 273530 MOREIRA BARCIA NIEVE BEATRIZ 1720720638001 X 271647 LEIVA GAVILANES JOSE ANTONIO 1720771789001 X 181360 CABRERA BAQUERO GIOVANNY ISMAEL 720847472001 1 X 106176 CARVAJAL VERDEZOTO LILIA MARCIA 1720855095001 X 166931 ORTIZ UVIDIA YADIRA TATIANA 1720918661001 X 247145 CALDERÓN RODRIGUEZ XAVIER DAVID1720993375001 X X X 265367 LARREA ARIAS JULIÁN MATÍAS 1721015681001 X 101533 BARRONUEVO TALAVERA ELISA MARIBEL 1721026811001 X 148102 HIDALGO CAMACHO VANESSA FERNANDA1721088506001 X 12651 INDUSTRIAS METALICAS CONTINENTAL721138467001 1 X 216562 CEVALLOS DELGADO ALVARO RAFAEL 1721210258001 X 275932 ALMACHI CONDOR MIGUEL ANGEL 1721267605001 X 233708 BERMEO POVEDA FLORESMILO 1721274130001 X 266450 FLORES DÁVILA BYRON JOSÉ 1721280855001 X 228334 AGUIRRE SÁNCHEZ ANDREA CAROLINA 1721376968001 X 197186 LOMBEIDA VERDEZOTO PAUL ARTURO1721378584001 X 212555 BOCCALON ACOSTA LUIS ALBERTO 1721422853001 X 232087 COLCHA MORALES RAUL GIOVANI 1721430161001 X 178697 GALLARDO CEVALLOS CAROLINA ALEXANDRA 1721458931001 X 253524 CONCEICAO DASILVA DIONIZIO 1721573358001 X 34189 ANTON SANCHEZ JHON HERLYN 1721574091001 X 228959 MORALES CAMPOVERDE CAROL LEONOR 1721640983001 X 240966 CEDEÑO QUINTERO JOEL DAVID 1721661708001 X 195615 PILATUÑA GÓMEZ DARWIN SANTIAGO 1721715900001 X X X 209812 MEJIA GIRALDO FAUSTO GIOVANNY 1721913026001 X 258888 RONCHIN LUCA 1721919247001 X 43701 TANIA 1722086202001 X 140901 VACA MEJIA CRISTIAN ANDRES 1722144225001 X 200503 TITUAÑA TIPAN JUAN PABLO 1722149174001 X 270694 CARRION CARRION MERCEDES JOSEFINA 1722271093001 X 265358 GUEVARA SAA ROCIO 1722321740001 X
  • 700.
    No No registra No No registra No No. registra registra No. indicadores registra provincia, registra Persona_id NOMBRE No. ID (RUC) calle número registra de ventas, apellido cantón y primer principal de calle origen activos y/o paterno parroquia nombre principal empleados 168273 OLARTE DIAZ JOSE ALEXANDER 1722324629001 X 194637 NARANJO RODRIGUEZ ACISCLO 1722328380001 X 26121 COLINA GUARENAS NORELIS MIYAGROS1722329370001 X 263198 BAEZ PALMA DANILO GABRIEL 1722447214001 X 203834 SANCHEZ PASQUEL SONIA BEATRIZ 1722533310001 X 226496 CANENCIA GONZALEZ LUIS GABRIEL 1722596259001 X 143789 OÑA GUAMANI EMILIA KATHERINE 1722754353001 X 115937 SILIO ACOSTA CRISTHIAN PATRICIO 1722981014001 X 122718 LOPEZ TORRES MARTHA CECILIA 1723013056001 X 182977 QUINCOCES MITJAVILA EDURNE 1723198188001 X 9250 FERNANDO BUGLIANI PEARD 1723198568001 X 194399 REQUELME GUANGA AURA ELISA 1723272025001 X 162984 CERVANTES RONDON JUAN CARLOS 1723494207001 X 91963 SANCHEZ SATIZABAL LIDA ALBENIS 1723494637001 X 153414 TEZ GETIAL HECTOR ALIRIO 1723936165001 X 181783 MAKEEV TIMUR 1723936553001 X 152884 PASTOR LLORENS JOSE OSCAR 1723938336001 X 225306 PAZ HERMOZA MARÍA SOCORRO 1724285125001 X 196886 TUFIÑO ESPÍN PATTERSON PAÚL 1725045106001 X 274915 ORTIZ BAILON JHONNY JAVIER 1725113490001 X 213344 TASCÓN VELASQUEZ LEONARDO 1725230823001 X 248978 FORTIN DUBE JEAN 1725232340001 X 269359 CEVALLOS GUANO SAMANTHA CAROLINA1726372145001 X 247215 SERRATO PLAZAS CARLOS ALBERTO 1726995077001 X 230217 RIVERO RODRÍGUEZ KEYTIA 1727057513001 X 240979 CONTRALORIA GENERAL DEL ESTADO 1760002360001 X X 208361 CORPORACION FINANCIERA NACIONAL1760003090001 X X X 262638 UNIVERSIDAD CENTRAL DEL ECUADOR1760005540001 X X X 47127 ESCUELA POLITÉCNICA NACIONAL 1760005620001 X 137035 BRIGADA BLINDADA GALAPAGOS 1768000970001 X X 41376 ASTINAVE 1768010420001 X X
  • 701.
    No No registra No No registra No No. registra registra No. indicadores registra provincia, registra Persona_id NOMBRE No. ID (RUC) calle número registra de ventas, apellido cantón y primer principal de calle origen activos y/o paterno parroquia nombre principal empleados 220478 SERVICIO DE DRAGAS 1768012040001 X X 46093 INSTITUTO OCEANOGRAFICO DE LA ARMADA 1768012470001 X 56887 COMISARIATOS FAE QUITO 1768015060001 X 149660 COMISARIATO FAE LATACUNGA 1768027740001 X 233835 HOSPITAL EUGENIO ESPEJO 1768033980001 X X 196573 ESPE SAN ANTONIO 1768050640001 X 230059 CASA DE LA CULTURA ECUATORIANA BENJAMÍN CARRIÓN SANTO DOMINGO DE LOS TSÁCHILAS 1768080120001 X X 262603 FACULTAD DE ARQUITECTURA UCE 1768091400001 X X 83110 FACULTAD DE CIENCIAS QUIMICAS DE LA UCE 1768092050001 X X 268982 CASA DE LA CULTURA ECUATORIANA BENJAMIN CARRION NUCLEO DE EL ORO 1768100410001 X X 139610 CENTRO DE TRANFERENCIA Y DESARROLLO TECNOLÓGICO ESPE-CECAI 1768116410001 X X 110633 JUNTA PARROQUIAL DE PERUCHO 1768118620001 X X 31728 CENTRO DE TRANSFERENCIAS Y DESARROLLO DE TECNOLOGÍAS 1768121090001 X 251017 FACULTAD DE INGENIERÍA QUÍMICA 1768152720001 X 24863 CABLES ELECTRICOS ECUATORIANOS 1790010740001 CABLEC C.A. X 51983 REXPLASTICS S.A 1790016846001 X 321 CORPORACIÓN FAVORITA 1790016919001 X X 14498 3M ECUADOR 1790017478001 X 176515 ALIMENTOS SUPERIOR ALSUPERIOR S.A. 1790022765001 X 146429 PARIS QUITO S.A. 1790030121001 X 5278 SEAFMAN SOCIEDAD ECUATORIANA DE ALIMENTOS Y FRIGORIFICOS MANTA, C.A. 1790034305001 X 8131 INDUSTRIAL DANEC. S. A. 1790040968001 X 6932 DELLTEX INDUSTRIAL S.A. 1790046621001 X 3695 LABORATORIO FARMACEUTICO LAMOSAN 1790085503001 X 5359 MOTRANSA C.A. 1790099938001 X 136877 CONCHITEX CIA LTDA 1790100448001 X 9182 INGENIERIAY COMERCIO 1790102947001 X 7685 QUIMICOS ASOCIADOS QUIMASOC S.A.1790116999001 X 111188 VICARIATO APOSTOLICO DE AGUARICO 1790161692001 X 19414 VICARIATO APOSTOLICO DE MENDEZ - 1790171620001 MISION SALESIANA DE ORIENTE X 261699 IMPORTADORA VEGA S.A. 1790183750001 X
  • 702.
    No No registra No No registra No No. registra registra No. indicadores registra provincia, registra Persona_id NOMBRE No. ID (RUC) calle número registra de ventas, apellido cantón y primer principal de calle origen activos y/o paterno parroquia nombre principal empleados 56761 INGENIERIA ANDINA BROMCO INA BROMCO CIA.LTDA. 1790196437001 X 50060 TECNICENTRO EGUIGUREN S.A. 1790202321001 X 143190 AGRI-GENETIC S.A 1790203409001 X 4714 SIEMENS SA 1790219526001 X 41388 NOVARTIS ECUADOR S.A. 1790233332001 X 5371 CYEDE CIA. LTDA. 1790236218001 X 4876 CHAIDE YCHAIDE S.A. 1790241483001 X 60356 COTELAR CIA.LTDA. 1790247872001 X 2935 TEXTIL SAN PEDRO 1790249646001 X 186393 VENTA,PROVISIÓN E INSTALACIÓN DE ACABADOS 1790253856001 X 78679 MAMUT ANDINO C.A. 1790266443001 X 245767 COMPAÑÌA TELEVISIÒN DEL PACÌFICO TELEDOS S.A 1790272036001 X 7422 MARESA 1790279901001 X 1320 ECUAEX 1790313581001 X 76480 MOLDEC S.A. 1790320219001 X 6916 BAGANT ECUATORIANA CIA. LTDA. 1790322491001 X 43556 COMPAÑIA ECUATORIANA TECNICA ALARCON CIA. LTDA. 1790346463001 X 144844 INDUSTRIAS CLAVEC 1790347265001 X 183769 COOPERATIVA DE TRANSPORTES EN VOLQUETAS CIUDAD DEL COLORADO 1790360474001 X 167793 CÁMARA DE LA CONSTRUCCIÓN DE QUITO 1790369390001 X 9206 COMPAÑIA VERDU SOCIEDAD ANONIMA 1790370240001 X 5697 BLENASTOR C.A. 1790378489001 X 20184 LAAR CIA. LTDA. 1790403343001 X 41344 POSTES Y LINEAS ELECTRICAS POSTELEC C. LTDA. 1790403556001 X 61094 CONSTRUCTOQUIMICA C. LTDA. 1790407667001 X 65139 CONCLINA C.A. 1790412113001 X 5648 DURALLANTA S.A. 1790425282001 X 5655 INGENIERIA DE INCENDIOS LEVO 1790435024001 X 247231 ASOCIACION ECUATORIANA DE INDUSTRIALES DE LA MADER 1790458342001 X 23202 SURIMAX 1790468674001 X 62427 SERVICIOS MANTENIMIENTO Y RECONSTRUCCION DE CARROCERÍAS SEMACAR CIA LTDA 1790484009001 X
  • 703.
    No No registra No No registra No No. registra registra No. indicadores registra provincia, registra Persona_id NOMBRE No. ID (RUC) calle número registra de ventas, apellido cantón y primer principal de calle origen activos y/o paterno parroquia nombre principal empleados 75666 BDG 1790508196001 X 94082 AYA ALARCON Y ALARCON CIA. LTDA. 1790517314001 X 183733 COOPERATIVA DE TRANSPORTES DE CARGA EN VOLQUETAS MINAS DEL TOACHI 1790540375001 X 1564 GRUPOK 1790665313001 X 2867 PRODUCTOS MECANICOS PROMECYF 1790705455001 X 33897 GLAXOSMITHKLINE ECUADOR S.A. 1790717658001 X 164450 CORPORACION DE PROMOCION UNIVERSITARIA 1790736008001 X 62634 DREINCO CIA. LTDA. 1790748154001 X 148413 SIKA ECUATORIANA S.A 1790753573001 X 61457 ECUATORIANA DE SERVICIOS LORAVER CIA. LTDA. 1790825019001 X 3566 TECNISTAMP GASESPOL CEM 1790849465001 X 65336 FABRIPOSTE C.A FAPOSCAN 1790877035001 X 20597 SOLO DEL ECUADOR, SECIAL CIA LTDA1790893065001 X 271656 HIDALPAN CIA. LTDA. PANIFICADORA PASTELERÍA 1790894185001 X 154011 CAMARA DE COMERCIO DE QUITO 1790899780001 X 164028 SOCIEDAD DE MADRES SALESIANAS 1790941450001 X 68350 GRUPO EDITORIAL NORMA ECUADOR S.A.1790942708001 X X X 259927 FUNDACION MUNDO JUVENIL 1790947653001 X 226843 ASOCIACIÓN DE GANADEROS SANTO DOMINGO DE LOS COLORADOS 1790953971001 X 115410 CICLOCOM S.A. 1790982106001 X 206533 ASOCIACION DE DIRECTORES DE PERSONAL DE PICHINCHA ADPP 1790998436001 X 251585 QUIMICOS ANDINOS QUIMANDI S.A 1791002156001 X 111195 FOMALGO FOMENTO ALGODONERO 1791045203001 X 195626 COOPERATIVA DE TRANSPORTES DE PASAJEROS EN BUSES LLANO GRANDE 1791055683001 X 18433 CONSTRUCTORA AFLOCON 1791062434001 X 29958 COMPAÑIA ANDINA DE ALIMENTOS VINOS Y ESPIRITOSOS CAVES S.A. EMA 1791137728001 X 46818 CONSTRUCIONES, SERVICIOS Y MONTAJES COSMOS S.C. 1791143973001 X 57655 EDICENTRAL S.A. 1791166582001 X 148272 VACAMENA QUIMICOS Y SERVICIOS CIA LTDA. 1791167619001 X 176543 ALSAD 1791169077001 X 61180 FUMIGADORA NACIONAL FUMINA C.LTDA.1791210123001 X
  • 704.
    No No registra No No registra No No. registra registra No. indicadores registra provincia, registra Persona_id NOMBRE No. ID (RUC) calle número registra de ventas, apellido cantón y primer principal de calle origen activos y/o paterno parroquia nombre principal empleados 45461 TRANSPORTES NOROCCIDENTAL CÍA. LTDA. 1791237986001 X 185185 MAYA EDICIONES C. LTDA. 1791239237001 X 81608 FUNDACION BOTANICA DE LOS ANDES1791242343001 X 79499 CONSORCIO ECUATORIANO DE TELECOMUNICACIONES S.A. CONECEL 1791251237001 X 13042 SISTEMAS AVANZADOS EN ELECTROMEDICINA 1791252802001 X 41986 DISTRIBUIDORA MERCANTIL ORIENTAL1791254945001 DIMERON CIA.LTDA. X 4247 DISTRIBUIDORA DIPROMEDICO 1791262972001 X 44317 INVESTIGACION, VIGILANCIA E INTRUCCION INVIN CIA. LTDA. 1791268946001 X 8221 EQUIVIDA DE SEGUROS Y REASEGUROS 1791273486001 X 111028 FUNDACION DE AMPARO Y FORMACION INTANTIL PADRE JOSE KENTENICH 1791273729001 X 272530 ORDEN HOSPITALARIA DE SAN JUAN DE DIOS EN EL ECUADOR 1791274210001 X 172584 GUTIERREZ Y GUTIERREZ CONSULTING S.A. 1791275543001 X 49516 NEUMATICOS Y CADENAS NEUMAC S.A. 791276760001 1 X 7432 MONTGAR C.A. 1791276779001 X 907 MECANOGRAFICA, MAQUINAS Y EQUIPOS DE COPIADO ALFANUMERICOS Y GRAFICOS 1791279034001 X X 127488 LAARCOM COMUNICACIONES Y SEGURIDAD CÍA LTDA 1791291182001 X 41692 ADQUISICION DE DATOS Y CONTROL D.A.&C. CIA. LTDA. 1791291573001 X 212503 GRUCAREL CIA. LTDA. 1791292383001 X 172050 COMPANIA DE SERVICIOS GENERALES1791293878001 SILVA RODAS X 129543 ASOCIACION DE CANALES DE TELEVISION DEL ECUADOR 1791294696001 X 41147 ECUATORIANA DE CONSTRUCCIONES S.A.1791307275001 X 82287 VETFARM CÍA LTDA 1791309774001 X 9031 TABLELECTRIC 1791310837001 X 278694 ESMERALDAS GAS OIL ESGAS OIL 1791311442001 X 110966 TREFILADOS DEL ECUADOR TREFILEC 1791320212001 CIA. LTDA. X 163247 SEGPROSER CIA. LTDA. 1791322169001 X 106907 AUDITORIA AMBIENTAL LTDA. 1791334302001 X 173669 UNIVERSIDAD INTERNACIONAL DEL ECUADOR 1791339207001 X 29572 MAQUINARIAS COPIADORAS SUMINISTROS DE OFICINA MCCOPY CIA LTDA 1791341732001 X 196205 DISTRIBUIDORA FAMILIAR S.C 1791343530001 X 210552 POWERSYS 1791345266001 X
  • 705.
    No No registra No No registra No No. registra registra No. indicadores registra provincia, registra Persona_id NOMBRE No. ID (RUC) calle número registra de ventas, apellido cantón y primer principal de calle origen activos y/o paterno parroquia nombre principal empleados 260398 FUNDACION VIRGEN DE LA MERCED 1791347188001 X 25519 HERNANDO TRUJILLO DEL ECUADOR S.A. 1791350847001 X 31128 JUSTICECOMPANY TECNICA INDUSTRIAL S.A. 1791355512001 X 49953 TECNOQUIMICAS DEL ECUADOR S.A. 1791359372001 X 29267 TUBERIAS TORTUGA TUBERTOR CIA LTDA 1791360478001 X 170308 SCANPACK 1791360494001 X 10340 AUTOPLAZAPUSUQUI 1791362004001 X 117556 COOPERATIVA DE AHORRO Y CREDITO1791367359001 LOS BANCOS SAN MIGUEL DE X 37155 ASOCIACIÓN O CUENTAS EN PARTICIPACIÓN NUTRIVITAL 1791372786001 X 54856 FUNDACION ACCION SOCIAL INTEGRAL MULTISECTORIAL 1791380037001 X 63995 EL QUESO FRANCÈS S.A. 1791394836001 X 171676 PROVEXCAR CIA LTDA 1791396197001 X 74888 CENTRO DE ESPECIALIDADES MEDICAS S. A. CENESMED 1791397142001 X 116491 TECWARE TECNOLOGÍAS 1791402340001 X 1370 METALECTRO S.A. 1791403215001 X 133847 KORN FERRY INTERNACIONAL 1791404750001 X 33857 MERSEGURIDAD 1791407776001 X 8848 MEQ SELECTIVE CIA. LTDA. 1791409329001 X 111936 ECUAROLLERS ECUATORIANA DE RODILLOS CIA. LTDA. 1791411471001 X 86775 OILSERVICE S.A. 1791412605001 X 65220 COMPAÑIA DE GENERACION TERMOELECTRICA PICHINCHA TERMOPICHINCHA S.A. 1791412877001 X X X 75776 SCANNEREXPRESS SEGURIDAD INTEGRADA CIA. LTDA. 1791412958001 X 218681 CONSTRUCTORA BRAVO CONSBRAVO 1791414047001 CIA. LTDA. X 174353 SOLAGREMSA SOLAGRO 1791414306001 X 62340 RECARMET CIA LTDA 1791415477001 X 180602 FAEMPROCA CIA. LTDA. 1791421655001 X 142638 ASOCIACION MERCANTIL PROCESADORA DE AGUA PROLAGO 1791426509001 X 73984 ASOCIACIÓN ECUATORIANA DE SOFTWARE, AESOFT 1791430700001 X 148570 ARTEAGRICOLA CIA.LTDA 1791431227001 X 46585 IMPORAGUASA 1791432029001 X 260703 COMPAÑIA DE TRANSPORTES 2.000 S.A. TRANSDOSMIL 1791436326001 X
  • 706.
    No No registra No No registra No No. registra registra No. indicadores registra provincia, registra Persona_id NOMBRE No. ID (RUC) calle número registra de ventas, apellido cantón y primer principal de calle origen activos y/o paterno parroquia nombre principal empleados 178140 FUNDACIÓN FILARMÓNICA CASA DE LA1791703200001 MÚSICA X 51246 COOPERATIVA DE CONSTRUCCIONES PARA EL PUEBLO VENCEREMOS 1791703340001 X 44019 ANDICONSULT CONSULTORES ANDINOS CIA LTDA 1791705793001 X 45950 COMITÉ PRODEFENSA DE LOS DERECHOS DE LOS NIÑOS DE ALOASÍ 1791707206001 X 49882 CELLSYSTEM 1791711122001 X 189461 TRUJILLO DUQUE E HIJOS CIA. LTDA 1791712374001 X 64854 CONSTRUIR FUTURO S.A. 1791713311001 X 242162 AMERIARTS S.A. 1791714512001 X 184513 HIERBAS NATURALES Y MEDIICINALES 1791715594001 DE PUSUQUI S.A. X 27688 PROSOURCING CIA. LTDA. 1791728033001 X 254900 GARINMOPOINT 1791739418001 X 178560 VOLECAM S.A. 1791742907001 X 77101 CENTRO OFTALMOLOGICOS CONOFT CIA. LTDA. 1791743091001 X 66898 BOLIVAR INTERNATIONAL SUPPLY BIS S.A. 1791743164001 X 52169 INSTITUTO PERPETUO SOCORRO 1791744438001 X 179407 PROVINCIA SANTA CATALINA DE SIENA1791748654001 ORDEN DE PREDICADORES EN EL ECUADOR X 152517 FUNDACION SAN LEONARDO MURIALDO 1791750365001 X 60440 SUMINISTROS HIDRAULICOS S.A. 1791751655001 X 23321 COMPANIA DE SERVICIOS ELECTROMECANICOS PARA EL DESARROLLO 1791752414001 X 81997 ALIMENTOS BALANCEADOS DEL ECUADOR ECUABIOMIX S.A. 1791753216001 X 72935 PROMIGPART CIA. LTDA. 1791754271001 X 60971 MOELECTRICITY MANTENIMIENTO OPERACION Y MONTAJE 1791754530001 X 237120 JUNIOR ACHIEVEMENT ECUADOR 1791763718001 X 61107 NICANOR LARREA & ASOCIADOS CIA.LTDA. 1791766202001 X 719 MATELBRAS CIA. LTDA. 1791769147001 X 249574 VASQUEZ Y ASOCIADOS, ASIMCOM, CIA. LTDA. 1791769740001 X 239301 EMULSIONES DEL ECUADOR EMULDEC1791773268001 CIA. LTDA. X 27683 SUARSISCOMP 1791773896001 X 190980 ALTE FRANK HERKEN 1791789946001 X X X 146010 CORPORACIÓN COMUNITARIA DE SALUD HOSPITAL PEDRO VICENTE MALDONADO 1791790537001 X 49383 SERIGRÚAS CÍA. LTDA. 1791795067001 X
  • 707.
    No No registra No No registra No No. registra registra No. indicadores registra provincia, registra Persona_id NOMBRE No. ID (RUC) calle número registra de ventas, apellido cantón y primer principal de calle origen activos y/o paterno parroquia nombre principal empleados 208681 PROYECTOS.COM 1791796365001 X 138480 FUNDACIÓN ECUATORIANA PARA EL DESARROLLO MARÍTIMO FLUVIAL Y LACUSTRE 1791798228001 X 45694 SERVICIOS FERRETEROS MITAD DEL MUNDO SERMIFER CIA LTDA 1791801229001 X 43863 ECUATORIANA DE DISEÑO OCTACORP 1791801938001 S.A. X 5001 SERVICIOS TECNICOS INDUSTRIALES K-STI CIA LTDA 1791804767001 X 42600 COMPAÑIA DE ALQUILER Y SUMINISTROS PETROLEROS R.S. ROTH S.A. 1791805348001 X 130315 COMPAÑIA FILIAL DE TRANSPORTES PETROLEROS 1791805372001 X 264839 ASOCIACION DE CAMPESINOS NUEVO AMANECER 1791805461001 X 9314 ORIENTOIL 1791808398001 X 47871 ECUAFARMACIAS $ ASOCIADOS S.A. 1791809092001 X 163642 SERVASAN 1791810805001 X 42049 DIGITAL SERVICE SOLUCIONES TÉCNICAS PROFESIONALES CÍA. LTDA.X 1791811046001 X X 173263 EMPRESA ECUATORIANA DE OPERACIONES AGROPECUARIAS ECOAGRO S.A. 1791811232001 X 245729 LOGIFARM CIA. LTDA 1791812638001 X 103084 ANLUSEG CONLUSEG CIA. LTDA. 1791812727001 X 12561 AUTOBOXES CIA LTDA 1791812999001 X 56054 WIÑAR CURI CIA. LTDA. 1791814150001 X 100060 COMERCIAL ARWALIC S.A. 1791816471001 X 129306 DISTRIBUIDORA LA ESPERANZA S.A. 1791816501001 X 272851 TOURVANFRIEND CIA.LTDA 1791817745001 X 13430 TRANSGRUE 1791818040001 X 67993 PRODUCCION BIOTECNOLOGIA GENTICA Y SERVICIOS AGROPECUARIOS 1791818172001 X 5072 DSM NUTRITIONAL PRODUCTS ECUADOR S.A. 1791820908001 X 90148 ITALTEL S.A. 1791821424001 X 27656 COIMPREQ CIA LTDA 1791822471001 X 253143 FUNDACION CONSULTORIOS JURIDICOS GRATUITOS DE LA PUCE 1791823931001 X 16929 CONSTRUCTORA CIMA 1791828941001 X 67848 TRADE & TRADE SERVICIOS DE TRADE 1791829727001 MARKETING X 79330 CONPAÑIA DE SEGURIDAD Y VIGILANCIA PRIVADA OSWALDO LOAYZA ICAZA OLY CIA LTDA. 1791835689001 X 56973 UNIVERSIDAD SAN FRANCISCO DE QUITO- USFQ 1791836154001 X 239279 INMOBILIARIA LARES S. A. 1791841409001 X X
  • 708.
    No No registra No No registra No No. registra registra No. indicadores registra provincia, registra Persona_id NOMBRE No. ID (RUC) calle número registra de ventas, apellido cantón y primer principal de calle origen activos y/o paterno parroquia nombre principal empleados 9486 MEDITERRANEO COMUNICACION 1791841565001 X 243663 MINDO CLOUDFOREST FOUNDATION 1791846931001 X 177643 CENTRO DE ANALISIS Y ADMINISTRACION DE RIESGOS 1791851838001 X 55121 ABUELITOS DE LA CALLE 1791854403001 X 85021 GESTNOVA TECNIC SOCIEDAD ANONIMA LABORAL 1791857399001 X 168099 CORECAFE S.A. 1791861396001 X 6467 NOKIA SIEMENS NETWORKS ECUADOR1791862295001 S.A. X 45965 WOOD GROUP DE ECUADOR S.A. 1791866770001 X 127402 CENTRO SALESIANO DE ESPIRITUALIDAD "SAN PATRICIO" 1791867912001 X 98471 EVALUACIÓN DE CALIDAD DE SERVICIOS AL PUBLICO 1791868811001 X 154602 PECATRANS S.A. 1791871596001 X 136268 GOANSA S.A. 1791871774001 X 141086 FEDERACION NACIONAL DE CAMARAS DE AGRICULTURA DEL ECUADOR 1791875605001 X 157237 H.G.A RAMPAS DEL ECUADOR S.A. 1791875915001 X 16363 CONSTRUCTORA CHIPANTASIG ASOCIADOS1791876245001 X 215876 DISTRILARK S.A. 1791877063001 X 239259 EURO HOME S. A. 1791877330001 X 41946 BAYLEY 1791880897001 X 175328 VOLQUETRANS S.A. 1791882164001 X 178366 SERVICIO GALARDIESEL CIA. LTDA. 1791883705001 X 27772 QUALITEST INTERNATIONAL INSPECTION SERVICES S.A 1791883926001 X 21119 CONSTRUCTORA EXPLOTBUILD CIA LTDA 1791887247001 X 1120 PIRÁMIDE DIGITAL 1791892267001 X 276136 MAQVIA CONSULTORES CIA. LTDA. 1791892496001 X X X 52260 FIDEL VILLAVICENCIO PROVEDURIA Y SERVICIOS CIA. LTDA. 1791898605001 X 146461 JORANT PETROLEUM SERVICES S.A. 1791900413001 X 113601 COSESUPA CIA LTDA 1791900588001 X 112952 FUNDACION DE OBSTETRICES MADRE 1791900901001 Y FAMILIA X 168993 AG TRADING 1791901398001 X 92230 SOLMAQUITRANS S.A. 1791904125001 X 187430 CENTRO DE COMERCIALIZACION DE TECNOLOGIAS INNOVADORAS CENTRIX CIA. LTD. 1791905547001 X
  • 709.
    No No registra No No registra No No. registra registra No. indicadores registra provincia, registra Persona_id NOMBRE No. ID (RUC) calle número registra de ventas, apellido cantón y primer principal de calle origen activos y/o paterno parroquia nombre principal empleados 33606 CASFERMARC CONSTRUCTORES 1791907345001 X 48055 CORPORACION CFC 1791913590001 X 95868 FORESTMARIANN REFORESTACIÒN Y REVEGETACIÒN CIA. LTDA. 1791917766001 X 244628 GASOLINAS Y SERVICIOS PEREZ HINOJOSA CIA. LTDA 1791918673001 X 122905 TV DIGITAL SA 1791924940001 X 101616 BMI IGUALAS MÉDICAS DEL ECUADOR S.A. 1791927559001 X 5909 PLASTICSACKS CIA.LTD 1791931750001 X 195786 CRIOLLO LIVIAPOMA JOSE ONIAS 1791932285001 X 165528 FERRETERIA S.T.I. S.C. 1791934458001 X 37067 SCM HIPERCOMISARIATOSBL 1791940318001 X 247848 OIL - TOOLS SUPPLY. (SUPLIDORES DE1791941225001 Y MATERIALES PETROLEROS) HERRAMIENTAS X 147944 INTERPEÑA CIA. LTDA. 1791941632001 X 61769 CONSTRUCTORA HUGO Y CALDERON SA 1791942701001 X 28729 PLADELFIN PLASTICOS DEL FIN S.A. 1791943937001 X 64630 EKRON CONSTRUCCIONES S.A. 1791945395001 X 122948 ELITETV S.A. 1791945573001 X 145013 CONSTRUCTORA VIVANCO GALLEGOS 1791948521001 S.A X 80367 QUINDE ARTE S.A. 1791948580001 X 52572 GALARZA Y ASOCIADOS CONSULTORES791949021001 1 X 232123 DISEÑOS, CONSTRUCCIONES, PROMOTORES DICOPROM CIA. LTDA. 1791951662001 X 108656 COMPAÑIA INMOCARDAL CIA LTDA 1791953398001 X 5159 BIGBRANCH 1791955528001 X 36562 FUNDACION SSB CAPACITATE 1791959248001 X 32072 FUNDACION REINA DE TANICUCHI 1791967003001 X 50811 CONCITRA COMPAÑIA LIMITADA 1791968867001 X 8314 PASONDGS ECUADOR S. A. 1791977084001 X 28683 HENNINGER JORG OTTO 1791977661001 X 219051 ASEFLEX ASESORIA Y VENTAS DE EMPAQUES FLEXIBLES CIA LTDA 1791978145001 X 240423 S.C. COMERCIAL SAN JOSE 1791980220001 X 140095 SKYAIR CIA. LTDA. 1791986784001 X 64787 INGEMASTER INGENIERIA Y REPRESENTACIONES S.A 1791987780001 X
  • 710.
    No No registra No No registra No No. registra registra No. indicadores registra provincia, registra Persona_id NOMBRE No. ID (RUC) calle número registra de ventas, apellido cantón y primer principal de calle origen activos y/o paterno parroquia nombre principal empleados 86401 FUNDACION DE APOYO A LA EDUCACION CICERON 1791992075001 X 100702 PEC PROJECT ENGINEERING & CONSTRUCTION CÍA. LTDA. 1791992571001 X 57424 RENALCENTRO S.A. 1791994965001 X 67466 RUMILOMA LODGE 1791995449001 X 35934 VALORES EMPRESARIALES SUPPLIERS1792001463001 S.A. SOLSUPPLY X 213739 MOVINGTRADE S.A. 1792010500001 X 43757 EGOLEX S.A 1792011086001 X 793 PROAÑO REPRESENTACIONES S.A. 1792013496001 X X 140503 CORPORACION SISTEMA DE INVESTIGACIÓN SOBRE LA PROBLEMÁTICA AGRARIA EN EL ECUADOR 1792015308001 X 174656 MINDOCLOUD AVENTURA CONNECT 1792016339001 X 80843 ZALDUMBIDE SOSA E HIJOS CIA LTDA 1792016967001 X 257030 AUTOMOTORES DEL VALLE VALLEMOTORS S.A. 1792022169001 X 187523 VIDAL CONSTRUCCIONES CIA LTDA 1792022347001 X 9440 CANTABRIA ENERGY COMPANY 1792026512001 X 117567 PUBLICIDAD ACTIVA PUBACTIV 1792029953001 X 78320 UNIACERO CÍA. LTDA. 1792031109001 X 41578 CENTRO DE TRANSFERENCIA Y DESARROLLO DE TECNOLOGIAS DE LA UNIVERSIDAD SAN FRANCISCO DE QUITO 1792031915001 X 202118 MICROEMPRESA ASOCIATIVA PARA LA 1792033845001 REGION AMAZONICA ECUATORIANA X 257185 COMERCIALIZACION DISTRIBUCION DE1792038162001 MATERIAL PETREO CORDIMAPET.CIA.LTDA X 78649 CEMDEPOT CIA LTDA 1792042062001 X 234168 TUSODI CIA LTDA 1792043557001 X 43546 MARTIN EMILIO MARTINE CIA LTDA 1792043921001 X 151620 ALPAX ADVISORS CIA. LTDA. 1792044189001 X 23313 HORMIGONERA ESMERALDAS 1792046068001 X 223055 VYTPI S.A 1792047277001 X 188462 EMAGIC NEGOCIOS ELECTRONICOS S.A.1792049989001 X 203495 EQUIMPORT 1792051665001 X 225552 MADERERA TORRES POZO CIA.LTDA 1792055970001 X 795 SERVICIOS ASESORÍA Y VENTAS SAV HEMISFERIO 1792059313001 X 41596 MULTIFRIO S.C.C. 1792060621001 X X 55493 REPRESENTACIONES MEDICAS S.G. REMESIG S.A. 1792060842001 X
  • 711.
    No No registra No No registra No No. registra registra No. indicadores registra provincia, registra Persona_id NOMBRE No. ID (RUC) calle número registra de ventas, apellido cantón y primer principal de calle origen activos y/o paterno parroquia nombre principal empleados 121600 JOSE CARRERA VINUEZA E HIJOS CIA. LTDA. 1792063515001 X 100624 INFASEC CIA LTDA 1792064953001 X 62709 EQUITRAMCOR CIA. LTDA. 1792067111001 X 13097 COMERCIALIZADORA LEO KON KOREA 1792069513001 X 73465 ECOLUNBER ENERGY S.A. 1792069629001 X 107117 METALICOS Y CONSTRUCCIONES SORES CIA. LTDA. 1792069688001 X 254084 SISTINPROPET S.A. 1792072131001 X 247942 TRABAJOSA CIA LTDA 1792074053001 X 11122 JARAMILLO GOMEZ CONSTRUCTORES 1792074770001 X 98170 TECNOLOGIA EN PLANTAS TECNIPLANT S.A 1792075645001 X 236659 FINANTRADE S.A. 1792075998001 X 31945 WSGUERRA 1792079624001 X 258010 ASOCIACION LIDERES DEL FUTURO 1792079659001 X X 266634 LATINLISTS S.A. 1792083400001 X 106437 NCE CONSTRUCCIONES S.A. 1792085128001 X 61749 GEOMETRAL CIA. LTAD. 1792085403001 X 3781 CASTER ECUADOR CASTECUADOR CIA1792085683001 LTDA X 181691 COMPAÑIA DE TRANSPORTE PESADO COFREI S.A. 1792087422001 X 3015 ECOCONTROL SANEAMIENTO AMBIENTAL 1792088534001 X 169899 MINTEGUIAGA ANALIA MARA 1792091411001 X 91209 EL GUANDERAL 1792092183001 X 88675 COMERCIALIZADORA INTERCONTINENTAL COMERINTER S.A. 1792092582001 X 15944 BIOCENTRICSOL CIA LTDA 1792092809001 X 235723 TECNOHELP S.A. 1792093988001 X 223699 INFORMATION TECHNOLOGIES ITWORKS CIA. LTDA. 1792094119001 X 232646 COMPAÑIA DE TRANSPORTES TRANSBALCAZAR S.A 1792096561001 X 208662 SOLUCIONES INDUSTRIALES DEL ECUADOR SOLINDUSA S.A. 1792098467001 X 48266 MALETERIA CHIMBORAZO MALECHIM CIA. LTDA. 1792098955001 X 154272 MEGAVEHICULOS S.A 1792100828001 X 104606 MARTINEZ CHÁVEZ Y ASOCIADOS 1792102049001 X 22142 NAWESCORP 1792102340001 X
  • 712.
    No No registra No No registra No No. registra registra No. indicadores registra provincia, registra Persona_id NOMBRE No. ID (RUC) calle número registra de ventas, apellido cantón y primer principal de calle origen activos y/o paterno parroquia nombre principal empleados 226223 KONCYSTE CONSTRUCCIONES 1792103290001 X 25072 CARDENAS CONSTRUCCIONES CIA. LTDA. 1792104807001 X 804 SERVICIOS COMERCIALES, ADMINISTRATIVOS Y DE TRANSPORTE 1792106753001 X 41683 HUAYRA CAUSAY 1792106869001 X 104288 ORECONS CIA. LTDA. 1792107253001 X 46910 CLINICA UNIVERSITARI 1792110491001 X 14342 SELVA NORTE 1792111668001 X 58957 PROOFCHEMICAL S.A. 1792112435001 X 82886 SIPACONSE CIA. LTDA. 1792112877001 X 117718 ARIHANT MEDICINES ECUADOR CIA.LTDA 1792118654001 X 240680 CENTRO DE DESARROLLO COMUNITARIO BUEN PASTOR YARUQUI 1792119162001 X 67051 ORDOÑEZ VACA 1792125502001 X 69097 ALOAGAS CIA. LTDA. 1792128919001 X 48192 ASOCIACION DE CONSERVACION VIAL 27 DE FEBRERO 1792129559001 X 44679 MICROEMPRESA ADOQUINERA COLINAS DEL NORTE 1792134471001 X 18589 CONSFLO CONSTRUCTORA FLORES 1792135567001 X 217930 SOLVENTIA PUBLICIDAD S.A. 1792136938001 X 14270 INDUSTRIA CEDENO GUERRA CIA LTDA1792137942001 X 25185 ASOCIACION AUDITOR EXTERNO DIRE 1792138469001 X 65868 COMFRANKLIN CIA. LTDA 1792138841001 X 70116 CONSORCIO CARVAJAL ORTEGA 1792141052001 X 73067 ASOCIACION DE CONSERVACION VIAL SAN JACINTO DEL BUA 1792141648001 X 224698 COMPANIA TROLEBUS QUITO SA 1792141923001 X X X X 240299 INTEGRITY SOLUTIONS INTSOLUTIONS1792143144001 CIA. LTDA. X 181219 EXPOPETROIL CIA. LTDA 1792143330001 X 34074 CONSORCIO AFLOCON & PALACIOS 1792143969001 X 54796 PRUEBAS NO DESTRUCTIVAS 1792144744001 X 37956 ASOCIACIÓN DE CONSERVACIÓN VIAL EL ESFUERZO 1792147743001 X 149423 RESPONSABILIDAD SOCIAL EMPRESARIAL 1792148952001 X 67866 GEORISK AVC 1792148995001 X 149570 CENTRO INTERNACIONAL DE ARBITRAJE Y MEDIACION CIAM 1792149215001 X
  • 713.
    No No registra No No registra No No. registra registra No. indicadores registra provincia, registra Persona_id NOMBRE No. ID (RUC) calle número registra de ventas, apellido cantón y primer principal de calle origen activos y/o paterno parroquia nombre principal empleados 178630 POWERPARTS S.A. 1792149339001 X 78462 NEURAL SOLUTION NEURALSOLUT S.A.1792151546001 X 64984 UNNOCYCLES CIA. LTDA. 1792152127001 X 125339 JOSE CANO E HIJOS S.C.C. 1792153867001 X 185980 STRATEGOSEC.CIA.LTDA. 1792153891001 X 208567 SAEESCAPES ACCESORIOS Y SERVICIOS S.A. 1792155363001 X 215495 VACUUMTRUCK SERVICE S.A. 1792157250001 X 58395 EXOTIC FLAVORS SERVICIOS DE CATERING 1792157455001 X 228375 FIDEICOMISO SAN ANTONIO PRIMERA ETAPA 1792158958001 X X 185994 NAJOCFASHION CIA LTDA 1792161630001 X 18155 CORPORACION NACIONAL DE TELECOMUNICACIONES CNT S.A 1792162068001 X X 104971 FLAMBOYAN CATERING S.A. 1792163552001 X 79379 TOLEDO&PATIÑO CIA. LTDA. 1792165431001 X 86719 EVALPEOPLE CORP S.A. 1792165555001 X 97316 SATCONSTUC 1792166330001 X 95705 JOB AVIATION & REPRESENTACIONES COMERCIALES CIA LTDA 1792170753001 X X X 120060 ASOCIACION COMUNITARIA DE DESARROLLO FLORECIENDO LA NIÑEZ Y LA ADOLESCENCIA 1792172772001 X 125886 BRAGAL ASOCIADOS 1792173833001 X 172816 OPTIMALEC CIA.LTDA 1792174627001 X 118987 CATERING ROUTFOOD S.A. 1792174732001 X 124854 FUNDACION POLIBIO MERINO 1792175305001 X 121676 LAMBDACOUSTIC LABORATORIES 1792177243001 X 236356 PETROBEIJIN ENERGY TECHNOLOGY S.A. 1792177553001 X 158861 LOGICHEM SOLUTIONS SOCIEDAD ANONIMA 1792177758001 X 142294 COOPERATIVA DE SERVICIOS MEDICOS ECUATORIANOS CORSEMED 1792178096001 X 126913 CATAPULTA IMPULSO & DESARROLLO CATIMDE CIA LTDA 1792178940001 X 135533 ATHWORLD CIA LTDA 1792179319001 X 207191 PROVEEDORA VILLAFUERTE DE ACEROS PROVIACEROS CIA. LTDA. 1792180147001 X 144103 SMARTWAVE SISTEMAS DE TELECOMUNICACIONES S.A. 1792180597001 X X X 160900 ASOCIACION DE REPORTEROS COMUNITARIOS DE PICHINCHA ARCOPI 1792180880001 X 187957 PHAROSAUDITORES EXTERNOS CÍA.LTDA. 1792180899001 X
  • 714.
    No No registra No No registra No No. registra registra No. indicadores registra provincia, registra Persona_id NOMBRE No. ID (RUC) calle número registra de ventas, apellido cantón y primer principal de calle origen activos y/o paterno parroquia nombre principal empleados 144152 HILONG OIL SERVICE 1792184010001 X 206279 MINICONS CIA. LTDA. 1792186579001 X 189006 ENERGIA TELECOMUNICACIONES FIBRA OPTICA ENTELFO CIA LTDA 1792193672001 X 194225 SERVICIOS PROFESIONALES EN CONSULTORIA ARQUITECTÓNICA 1792196191001 X 184235 ECUAHOTEL HOTELERA ECUATORIANA1792196396001 S.A. X 191302 SOLUCIONES INTEGRALES & BUSINESS SIB SA 1792197619001 X 191696 MULTISERVICIOS MULTISERVTENAPO 1792198658001 CIA LTDA X 188490 OAMARUBA CIA. LTDA 1792199735001 X 269376 SS CONSTRUCCIONES CIA LTDA 1792200504001 X 202098 BAKER WOODS ECUADOR 1792203740001 X 228552 VAZGO CONSTRUCCIONES CIA LTDA 1792203910001 X 189923 SERVIVALENTIN 1792204178001 X 193469 ASOCIACION DE TRANSPORTISTAS ESCOLARES E INSTITUCIONALES 16 DE JULIO 1792208424001 X 203248 EQUIMEDCAPITAL EQUIPOS MÉDICOS CAPITAL S.A. 1792209056001 X 222308 EXPORTCLASS S.A 1792209129001 X 229572 AUDDAXBUSINESS S.A. 1792209145001 X 265463 BACKGROUNDSA SA 1792209625001 X 229732 BANDOLA CONSTRUCTORES CIA LTDA 1792211263001 X 229565 APINSPECTIONS LATINOAMERICA S.A. 1792211425001 X 210761 SEROIL INSTRUMENTS 1792211476001 X 226156 RIVERJARDIN CIA. LTDA. 1792212502001 X 204852 CBEMI - CONSTRUTORA BRASILEIRA E 1792214408001LTDA MINERADORA X 217907 CONSTRUCCIONES & AGREGADOS LAGOBRASS CIA. LTDA. 1792215390001 X 210736 ASOCIACION INDETEC ICA TRANSVIAL 1792217865001 X 219907 CONSTRUCTORA VACA MONTALVAN CIA. LTDA. 1792219701001 X 223863 CONSERPROFTSA 1792219949001 X 218580 INGENIERIA DE PROYECTOS LOAIZA & GUANOCHANGA CIA. LTDA. 1792221269001 X 226147 TECPE TECNOLOGÍA PETROLERA CIA. LTDA. 1792221455001 X 220617 SUNLOA CIA. LTDA. 1792223253001 X 243378 PETROPLATINUM CIA. LTDA. 1792223873001 X X 245882 TECHNISINDA 1792226066001 X
  • 715.
    No No registra No No registra No No. registra registra No. indicadores registra provincia, registra Persona_id NOMBRE No. ID (RUC) calle número registra de ventas, apellido cantón y primer principal de calle origen activos y/o paterno parroquia nombre principal empleados 232760 TUTAPHISCO CIA LTDA 1792227186001 X 231572 CEVALLPI PIEDRAS NATURALES CIA. LTDA. 1792227429001 X 253934 SELECTRICOIL S.A. SERVICIOS LOGISTICOS 1792227771001 X 232844 LOOR RUIZ CONSTRUCTORA CIA LTDA 1792228123001 X 236386 REDES INGENIERIA Y COMUNICACIONES CTREDING CIA LTDA 1792231396001 X 266577 CORPORACION COLECTIVO DE ARTES 1792232457001 CIENFUEGOS X 277102 SALAMANDRASOFT CIA LTDA 1792232678001 X 237789 INGENIERIA Y CONSTRUCCIONES 1792232724001 X 275333 JARDINES TERRAGARDEN 1792235065001 X 247368 CONTRUCTORA PABON MATAMOROS CONSTRUCCIONES PAMACONS CIA.LTDA 1792236657001 X 245588 JBUITRON CONSTRUCCIONES 1792237181001 X 271780 CONSTRUCTORA LAS LOLAS CONSTRULOLAS S.A. 1792238137001 X 257596 MINGASERVICE S.A. 1792240697001 X 265154 ENTERPRISEXPERT CAPACITACION CIA LTDA 1792243181001 X X X 256334 VMMTECHNOLOGY SOLUCIONES INTEGRALES CIA. LTDA. 1792244285001 X 267500 SERVICIOS AIRELECTRIC CIA. LTDA 1792244293001 X 259824 CONSPRESAL CONSTRUCCIONES Y PREFABRICADOS SALGADO CIA. LTDA 1792245133001 X 263615 ORDOÑEZ ACOSTA JOSE FORTUNATO 1792247365001 X 264711 DLEITEEVENTOS 1792249937001 X 267364 ALBEDOAMBIENTE CIA. LTDA. 1792250072001 X 270111 CUARZOSOLUTIONS SERVICIOS AMBIENTALES CIA. LTDA. 1792250196001 X 270628 BESTENERGY SERVICES S.A. 1792250951001 X 274739 PROMODOR CIA. LTDA. 1792252423001 X X 274788 ASESORÍA EN CALIDAD FOOD SAFETY CÍA. LTDA 1792253209001 X 268823 MONTALVO-ZAMBRANO 1792253675001 X X X 275059 INTEGRATEL GROUP SOCIEDAD CIVIL Y COMERCIAL 1792256402001 X 277167 VELCONSUL CIA. LTDA. 1792259509001 X X 129540 GAVILANEZ SANCHEZ LUIS GILBERTO 1800002824001 X 225722 CARRASCO LÓPEZ NESTOR 1800005306001 X 116837 REYES PÉREZ VICENTE CENÓN 1800013037001 X 161659 MAYORGA GORDON SEGUNDO ARSENIO 1800018127001 X
  • 716.
    No No registra No No registra No No. registra registra No. indicadores registra provincia, registra Persona_id NOMBRE No. ID (RUC) calle número registra de ventas, apellido cantón y primer principal de calle origen activos y/o paterno parroquia nombre principal empleados 138224 JORGE ISAIAS CARRERA CARRERA 1800024265001 X 29430 MARCIAL NUÑEZ HOLGUER RODRIGO 1800027367001 X 135792 MAYORGA GUTIERREZ ANGEL ESTUARDO1800030429001 X 184521 CASTILLO CASTRO HERNAN ALONSO 1800031138001 X 122070 TAMAYO MARTINEZ SEGUNDO HERNAN 1800032284001 X 221019 PALACIOS ZURITA GALO ENRIQUE 1800035014001 X 20419 NARANJO RAMOS EDMUNDO ABEL 1800041301001 X 79687 LÓPEZ PAREDES NORBERTO FLORENCIO1800047563001 X 120185 VALLE ROSERO BOLIVAR ANTONIO 1800051797001 X 119039 CONSTANTE NAVAS LUIS ANTONIO 1800054544001 X 143277 BELTRAN ALMENDARIS BALTAZAR 1800060525001 X 256758 FREIRE CARRILLO HECTOR ASDRUBAL1800065391001 X 56910 VELASTEGUI GALARZA FAUSTO DAVID 1800070227001 X 149873 TAMAYO SANCHEZ JESUS 1800077537001 X 145232 MORETA CHICAIZA MIGUEL ANGEL 1800078386001 X 247608 LOPEZ PADILLA MANUEL MARÍA 1800141028001 X 188676 PAREDES YAGUAR CESAR OCTAVIO 1800155549001 X 26775 VELASTEGUI GALARZA ANTONIO GERARDO 1800158964001 X 152536 VIERA SANCHEZ CARLOTA OLIVA 1800165126001 X 51375 HIDALGO MEJÍA FAUSTO ANTONIO 1800183905001 X 39508 NELSON 1800191478001 X 80791 PEÑA PAZMIÑO RODRIGO ARMANDO 1800201202001 X 222582 TULMO IBARRA LUZ ALEJANDRINA 1800211243001 X 104858 JIMENEZ GRANDA LUIS RICARDO 1800211995001 X 138262 LOPEZ RODRIGO 1800212928001 X 155388 BAUTISTA QUISPE PEDRO PABLO 1800231027001 X 233163 LOZADA RUIZ JOSE ALONSO 1800252379001 X 268478 LÓPEZ CABEZAS EDUARDO ISAIAS 1800254680001 X 150480 ZAMORA ARROBA EFRAIN GONZALO 1800258566001 X 125707 BAYAS NARANJO NELSON ANIBAL 1800262667001 X 127311 XXXX ARAUJO LEON AMABLE 1800270496001 X
  • 717.
    No No registra No No registra No No. registra registra No. indicadores registra provincia, registra Persona_id NOMBRE No. ID (RUC) calle número registra de ventas, apellido cantón y primer principal de calle origen activos y/o paterno parroquia nombre principal empleados 46669 QUINTEROS VILLAFUERTE ROMULO ARMANDO 1800275834001 X 232803 ORTIZ ROBALINO GERARDO HERNAN 1800279026001 X 173637 REYES RODRIGUEZ LUIS ANGEL 1800292086001 X 134038 CLAVIJO ORTIZ MILTON RAMIRO 1800296681001 X 79035 COKA SORIA LUIS JOPRDAN 1800307306001 X 201758 TUSTON LOPEZ JORGE HOMERO 1800314450001 X 238951 ARAUJO PÉREZ JORGE ANIBAL 1800315382001 X 130944 TORRES ALVARADO ROSA RAQUEL 1800318063001 X 85254 GUERRÓN CHAMORRO LUIS ANIBAL 1800319251001 X 134292 VILLALBA ALBÁN ROSA ISABEL 1800323964001 X 80773 MARTINEZ CORDOVA DAVID EDMUNDO1800330464001 X 268461 DURÁN RESTREPO JORGE EMILIO 1800350652001 X 163245 BENAVIDES RAMOS LUCILA 1800351437001 X 73378 NUÑEZ ESCALANTE JUANA HERMINIA 1800359869001 X 225881 MORALES FREIRE PEDRO PABLO 1800365858001 X 126921 ESPINOZA AGUIRRE JORGE HUMBERTO 1800379727001 X 175688 BONILLA ORTIZ VICTORIA EVELINA 1800384826001 X 200473 CARDENAS HERRERA EDMUNDO REINALDO 1800386011001 X 144403 NUÑEZ VELASTEGUI OLGA BALDRAMINA800391508001 1 X 176343 MARÍN ORELLANA WILSON OVIDIO 1800404525001 X 175336 GOYES SILVA GALBERTO OSWALDO 1800404996001 X 113355 CUNACHI LIZANO HECTOR ABELARDO 1800408377001 X 100033 MARTINEZ SALINAS JOSE MARIA 1800431148001 X 135427 ACHATUNA PAZMIÑO JULIO AMBATO 1800431585001 X 149698 LOPEZ TINAJERO ELENA MARIANITA DE JESUS 1800438531001 X 127317 GAVILANES VALLE MARIA OLGA 1800443515001 X 107689 FRUTOS CRUZ ROMULO JORDAN 1800444471001 X 30190 PICO SANCHEZ CESAR EUSEBIO 1800454223001 X 276069 BENALCÁZAR RAMOS CERLEY CELENSE800455154001 1 X 97017 JACOME JACOME WILMAN ALCIVAR 1800458281001 X 107814 VARGAS BAYAS CIDERICO ALFREDO 1800458570001 X
  • 718.
    No No registra No No registra No No. registra registra No. indicadores registra provincia, registra Persona_id NOMBRE No. ID (RUC) calle número registra de ventas, apellido cantón y primer principal de calle origen activos y/o paterno parroquia nombre principal empleados 223086 JEREZ BOMBON JUAN SIMON 1800466912001 X 118181 SANCHEZ LOPEZ CARLOS HUGO 1800469106001 X 174671 FREIRE PAZMIÑO MARÍA ESTHELA 1800469536001 X 123245 MUQUINCHE ZUMBANA ALFREDO TEMISTOCLES 1800471797001 X 186925 GOMEZ FONSECA FLOR MARIA 1800498337001 X 195858 GUEVARA LOPEZ HECTOR ALONSO 1800498774001 X 254076 RIOFRIO PRADO PEDRO ERNESTO 1800512681001 X 134105 SÁNCHEZ CANISARES LUIS GERALDO 1800527978001 X 110768 CHUCURI ROJANO SEGUNDO ANGEL MARIA 1800529271001 X 239686 SALAZAR ANDRADE RITA CECILIA 1800548578001 X 32693 JARRIN LASCANO JAIME EDUARDO 1800556837001 X 215848 HERRERA SALAZAR EDY ERNESTO 1800560284001 X 64717 DARQUEA SEVILLA HÉCTOR HERNÁN 1800560722001 X 28162 MOLINA VARGAS RUBÉN DARÍO 1800560979001 X 80566 CHECA LARA GALO MARÍA 1800561639001 X 108144 ARANDA LOPEZ JULIO CESAR TARQUINO 1800566877001 X 59698 CANDO CHIPANTIZA VICTOR EUCLIDES1800574616001 X 110918 AGUIRRE BARZALLO ALFONSO EDUARDO1800575134001 X 106503 ARROBA JOSE FRANCISCO 1800577320001 X 11480 CARROCERÍAS ECUABUSS 1800582650001 X 221423 CUZCO LOPEZ JUAN VICENTE 1800584276001 X 179789 TIRADO MUÑOZ JUAN 1800592865001 X 186995 URBINA NELSON HUMBERTO 1800597054001 X 82891 SOLIS SOLIS GRACIELA SOLEDAD 1800598995001 X 209474 BUCARAM NUNEZ MORCHED ELIAS 1800602193001 X 121591 SANCHEZ MARIO 1800604868001 X 108225 JEREZ ALVAREZ DELFA LUZMILA 1800605758001 X 141473 CASTRO LOPEZ JAIME MARCELO 1800614370001 X 84993 FREIRE DEL SALTO MARIA FANNY 1800614800001 X 125314 BENAVIDES RAMOS MARIA DIOCELINA1800618231001 X 31294 ALMEIDA MUÑOZ GUILLERMO EFRAÍN 1800618876001 X
  • 719.
    No No registra No No registra No No. registra registra No. indicadores registra provincia, registra Persona_id NOMBRE No. ID (RUC) calle número registra de ventas, apellido cantón y primer principal de calle origen activos y/o paterno parroquia nombre principal empleados 139869 CABRERA RODRIGUEZ CARLOS REIMUNDO 1800626432001 X 48863 G S V GALO SANCHEZ V CAMALES 1800643122001 X 136324 CASTELLANOS JIMÉNEZ EDGAR ENRIQUE 1800649269001 X 52516 MEDINA RIVERA HERNAN WASHINGTON1800655985001 X 102371 NOBOA MORA SEGUNDO MARCELO 1800657627001 X 62181 LOPEZ PEREZ LUIS ENRIQUE 1800659847001 X 85308 VILLAMARÍN MONTOYA SAÚL HUMBERTO 1800661413001 X 214523 NARANJO NUÑEZ LANDIVAR CELIANO 1800663393001 X 139546 ESCOBAR RODRIGUEZ LUIS ALBERTO 1800688408001 X 221335 LASCANO LOPEZ MARTHA C 1800697177001 X 82199 LOPEZ RUIZ FAUSTO GONZALO 1800721712001 X 244696 HERNANDEZ ROSERO DELFIN HELEODORO 1800734350001 X 179309 GARCES PORTERO ELIECER ONOFRE 1800736546001 X 191265 PILAMUNGA TOALOMBO SEGUNDO JOSE1800759209001 X 187989 BASTIDAS CARRANZA ANA ANGELICA 1800764944001 X 172475 PORRAS VILLACIS LEONCIO RAFAEL 1800769729001 X 231837 SANTAMARIA SOLIS ERMINIA ROSA 1800779520001 X 118486 JARAMILLO VACA ANGEL HUGO 1800780692001 X 39265 OLIVO ZANIPATIN JOSE CAYETANO 1800784868001 X 20146 PEREZ SANCHEZ CARLOS HUMBERTO 1800789339001 X 108570 BUCHELI PATIÑO JOE FRANCE 1800789586001 X 47165 PETRUSKA LOZA ALFREDO LUCAS 1800794016001 X 111564 GUERRERO ZUMBANA MARCO TULIO 1800795369001 X 200790 LASCANO PÉREZ JORGE BYRON 1800796292001 X 80460 VILLEGAS TORRES VICTOR GUSTAVO 1800796474001 X 166751 CHILUIZA REMACHE JULIO CESAR 1800799213001 X 141949 RAMOS CHICAIZA MIGUEL EDUARDO 1800802199001 X 179073 TORRES MOYA JORGE ANIBAL 1800803361001 X 146175 VILLACRES HECTOR 1800804724001 X 233245 SOTO ALVAREZ MARIA MAGDALENA 1800807826001 X 225754 TIRADO ULLOA PEDRO ANTONIO 1800811711001 X
  • 720.
    No No registra No No registra No No. registra registra No. indicadores registra provincia, registra Persona_id NOMBRE No. ID (RUC) calle número registra de ventas, apellido cantón y primer principal de calle origen activos y/o paterno parroquia nombre principal empleados 203131 SALAZAR ANDRADE NORMA JUDITH 1800815837001 X 134972 VILLACRES RODRIGO ABDON 1800816678001 X 246141 PEREZ ESCALANTE AMALIA GUADALUPE1800816793001 X 12379 MUEBLES LEON 1800822882001 X 218541 VEINTIMILLA ORELLANA CARMEN ELENA 1800825133001 X 250330 COBA PUMA JOSE ANGEL 1800829051001 X 132621 RIVERA VALENCIA JORGE CRUZ 1800830885001 X 225679 CALLEJAS SEVILLA GERMÁN SANTIAGO1800839647001 X X X 195346 ATIAJA JIMENEZ HUGO MESIAS 1800841429001 X 154404 PAREDES SIERRA IGNACIO RAUL 1800841759001 X 185770 VELA ROMERO LUIS ENRIQUE 1800843235001 X 114732 SEVILLA ACOSTA MIGUEL ANGEL 1800847483001 X 101005 MUÑOZ BECERRA ANGEL ENRIQUE 1800847681001 X 134808 MAISANCHE LLUNDO ANGEL POLIVIO 1800850313001 X 252397 ACOSTA ACOSTA MANUEL MARIA 1800851873001 X 75815 PILLISA FERNANDEZ JULIO SEGUNDO 1800853218001 X 32353 MAYORGA PAREDES TOMAS 1800853531001 X 191232 ESPIN CAMPAÑA JUSTO JOSÉ GERARDO1800854372001 X 120480 GARCIA BARRIGA BYRON HERNAN 1800859231001 X 40751 NUÑEZ VELASTEGUI OSWALDO GUSTAVO1800859744001 X 45018 MAYORGA BUENAÑO GONZALO RICARDO 1800860767001 X 138884 CHICAIZA CHILUIZA ROSALINO 1800862748001 X 64687 HIDALGO CABRERA MARTHA CECILIA 1800865998001 X 118143 VALVERDE MOYA JOSE GREGORIO 1800868000001 X 197373 GALARZA ALTAMIRANO CESAR GERMAN800869420001 1 X 198222 CARRERA ORTIZ LUIS ANTONIO 1800873034001 X 81365 PAREDES PAREDES GRECIA MAGDALENA1800881029001 X 123879 SEVILLA QUIRÓZ MARÍA ANTONIETA 1800888362001 X 123336 VELASTEGUI GALARZA CLEOTILDE EDELINA 1800889287001 X 21183 MERA VARGAS VICTOR ANIBAL 1800891093001 X 146495 PAREDES MOLINA CARLOS RAFAEL 1800896241001 X
  • 721.
    No No registra No No registra No No. registra registra No. indicadores registra provincia, registra Persona_id NOMBRE No. ID (RUC) calle número registra de ventas, apellido cantón y primer principal de calle origen activos y/o paterno parroquia nombre principal empleados 180276 ESPIN NUNEZ WILSON NOEL 1800900522001 X 161605 MORETA CHICAIZA SEGUNDO ALBERTO1800903054001 X 134708 GUACHI ORTEGA FELIX ELEUTERIO 1800914549001 X 227338 CALDERON NUÑEZ LUIS ALONSO 1800915967001 X 278964 SANCHEZ PEÑA NELVA EDELINA 1800917252001 X 170438 PAZMIÑO JÁCOME LUIS PARMENIDES 1800920272001 X 135293 FIALLOS BAYAS LUIS MERALDO 1800920801001 X 85650 BARRIONUEVO CARRILLO LAURA CECILIA 1800922328001 X 50331 ESTRUCTURAS METALICAS CAVIMAR 1800922450001 X 147645 VELASTEGUI GLORIA 1800926071001 X 197520 CACERES ARCOS JOSE OSWALDO 1800932681001 X 194510 SARABIA HERRERA LUIS ANTONIO 1800933242001 X 151529 FRAY FRAY FANNY GLORIA 1800935254001 X 119263 MUZO LASLUISA LUIS ERNESTO 1800935585001 X 101090 ITURRALDE LASCANO LUIS OSWALDO 1800939769001 X 223932 MORALES MAYORGA CARLOS RAMIRO 1800943316001 X 104922 GUEVARA MARIÑO CARLOS TRAJANO 1800944595001 X 85162 TOALOMBO TICHE JUAN JOSE 1800947366001 X 107085 PAZMAY FREIRE GERMÁN ENRIQUE 1800949164001 X 210330 PROAÑO GAVILANES MARCO VINICIO 1800953166001 X 119251 VILLACRES ROBAYO LUIS ANTONIO 1800958686001 X 242379 REALPE BARBA SOLEDAD DEL ROCÍO 1800965376001 X 74204 VEGA MASABANDA BLANCA SEMIRA 1800965624001 X 133887 SORIA MONTERO ALVARO VICENTE 1800989061001 X 12493 CARROCERÍAS PATRICIO CEPEDA 1800994848001 X 237083 BARRIONUEVO SANCHEZ WILSON MIGUEL 1800996009001 X 216814 VEGA BORJA WILSON GILBERTO 1801001106001 X 155713 LEMA LUIS ALFONSO 1801002765001 X 34775 CRUZ CHACHAPOYA OSWALDO 1801006691001 X 131707 PROAÑO URBINA OSWALDO EFRAIN 1801006717001 X 221968 BONILLA LOPEZ WALTER ROGER 1801009299001 X
  • 722.
    No No registra No No registra No No. registra registra No. indicadores registra provincia, registra Persona_id NOMBRE No. ID (RUC) calle número registra de ventas, apellido cantón y primer principal de calle origen activos y/o paterno parroquia nombre principal empleados 208455 DAVALOS GUERRERO MARÍA ENRIQUETA 1801010768001 X 102143 NARANJO DAZA SONNIA BEATRIZ 1801012749001 X 87164 GARCES QUISPE VICTOR RAUL 1801013044001 X 163313 GARCES ESTRELLA CARLOS ALBERTO 1801016930001 X 151152 VILLACRES ULLOA EFRAIN ERNESTO 1801022623001 X 144748 PILAMUNGA AYSABUCHA ALFONSO 1801023811001 X 239818 REAL TOSCANO JUAN ENRIQUE 1801027028001 X 21005 PAUKER GUTIÉRREZ JORGE LEOPOLDO1801029230001 X 131577 SANCHEZ TOLEDO ARTURO FRANCISCO1801033877001 X 196362 GUAMAN LUIS 1801045970001 X 119269 VELASTEGUI GALARZA ANGEL MARCELO 1801047356001 X 66786 TORRES FREIRE JORGE LUIS 1801057264001 X 108068 NUÑEZ ABRIL MIGUEL ANGEL 1801057280001 X 163217 VALDEZ ANA 1801061274001 X 57518 VILLENA CHAVEZ MARIO GERMAN 1801065655001 X 36363 PADILLA LOZADA MARIO WILFRIDO 1801073642001 X 53138 GUANOTUÑA VELOZ JORGE ERNESTO 1801074566001 X 229086 FALCON VENEGAS VICTOR ABELARDO 1801076462001 X 114527 LOPEZ LOZADA GALO ALEJANDRO 1801080498001 X 132772 AIME AZOGUEZ LUIS GONZALO 1801082676001 X 112512 PALMA GAVILANES MANUEL MESIAS 1801086776001 X 98064 SOLIZ ACOSTA MARCO ANTONIO 1801091875001 X 231686 LEÓN MANTILLA CARLOS JULIÁN 1801096833001 X X X 230137 VELASCO VICTOR REINALDO 1801099548001 X 102232 CHIRIBOGA VÁSCONEZ MARIO GERMÁN1801099613001 X 44037 YAULI TELENCHANA LUIS HUMBERTO 1801100296001 X 133967 TOAPANTA TITUANA ANGEL MARÍA 1801101344001 X 192623 VILLAVA GRACIELA BALDRAMINA 1801102102001 X 222817 JEREZ LLAMUCA LUIS HUMBERTO 1801102235001 X 267901 NARANJO DUQUE ISIDRO SALOMON 1801107051001 X 152381 GUACHAMBOSA SAILEMA JUAN JOSE 1801116227001 X
  • 723.
    No No registra No No registra No No. registra registra No. indicadores registra provincia, registra Persona_id NOMBRE No. ID (RUC) calle número registra de ventas, apellido cantón y primer principal de calle origen activos y/o paterno parroquia nombre principal empleados 153275 PIMBO PIMBO OLGA PIEDAD 1801117514001 X 137806 SANIPATIN TITUAÑA MARIA CLEMENTINA 1801121326001 X 30302 PABLO 1801122506001 X 112194 NUÑEZ COCA LUIS ERNESTO 1801126457001 X 183565 BELTRAN JOSE JERSAN 1801128891001 X 48696 MIRANDA MOREJÓN JOSÉ DANILO 1801131051001 X 165461 MIRANDA REINO FLAVIO RODRIGO 1801132638001 X 63381 ROBAYO BARRIONUEVO MELQUICIDE MESIAS 1801134022001 X 110690 ESTRELLA TACURI SAUL EDISON 1801136233001 X 155912 MESIAS GAVILANES MIGUEL HOMERO 1801136589001 X 238811 ZUÑIGA LOPEZ FELIX OLMEDO 1801136837001 X 27571 ACOSTA SALINAS FANNY BEATRIZ 1801140383001 X 78405 TIPAN MORA ESTEBAN BOLIVAR 1801142983001 X 209993 FLORES RIVADENEIRA HUMBERTO RANULFO 1801147214001 X 229760 CARRASCO MOLINA JENNIE YOLANDA 1801149699001 X 135350 GUAMANQUISPE DIAZ ENRIQUE 1801150788001 X 73726 ESCOBAR NUÑEZ GRACIELA HIPATIA 1801157775001 X 115367 SANCHEZ TAPIA ANGEL VICTOR HUGO 1801163617001 X 130716 ABRIL LOPEZ JOSE ENRIQUE 1801163922001 X 96758 BASANTES CRUZ MARIA DIOSELINA 1801168343001 X 36619 FIALLOS SOLIS WASHINGTON JHONDER 1801171552001 X 63558 ULLOA GUEVARA FAUSTO LEONARDO 1801175405001 X 275598 SANCHEZ LUIS GONZALO 1801176627001 X 49411 FREDY 1801182179001 X 161022 GUEVARA PARRA WILSON HERNAN 1801182443001 X 53327 MALDONADO SANDOVAL JORGE WENCESLAO 1801184209001 X 243338 JARRIN FREIRE MARCIO MODESTO 1801185206001 X 30469 ORTIZ ROBALINO ANGEL MIGUEL 1801193333001 X 133646 TOALOMBO MANOBANDA BERNARDO 1801197953001 X 219148 MENA PROAÑO JORGE RODRIGO 1801199041001 X 46237 SALINAS VALENCIA NAHÚM IDELIS 1801203868001 X
  • 724.
    No No registra No No registra No No. registra registra No. indicadores registra provincia, registra Persona_id NOMBRE No. ID (RUC) calle número registra de ventas, apellido cantón y primer principal de calle origen activos y/o paterno parroquia nombre principal empleados 55349 NUÑEZ ALULEMA JUAN FRANCISCO 1801214279001 X 62844 LALALEO MASAQUIZA LUIS FERNANDO 1801217819001 X 153180 BONILLA FREIRE EMELA UBALDINA 1801218692001 X 170218 GUANGASIG GUANOPATIN PEDRO PABLO 1801221332001 X 51781 VILLACRÉS ULLOA SIGIFREDO 1801224278001 X 183989 CHILIQUINGA BUSTOS MELVIN ELIECER1801226059001 X 88639 SALAZAR MERA RODRIGO FRANCISCO 1801227313001 X 47097 ENDARA PRIETO FRANKLIN EDUARDO 1801227396001 X 194119 AGUILAR SALAZAR CÉSAR GERARDO 1801230044001 X 238600 NUÑEZ FIALLOS MANUEL ENRIQUE 1801230234001 X 50096 TITE PILLANA ROBERTO RODRIGO 1801230440001 X 97547 SALAZAR NARANJO MARIO RODRIGO 1801232115001 X 16717 MAYORGA PUERRES TELMO ANIBAL 1801235910001 X 165168 ANDRADE MERINO MARCELO FERNANDO 1801236322001 X 157402 ORTIZ MEJIA LUIS GUSTAVO 1801239615001 X 133464 MASABANDA TOALOMBO LORENZO 1801240373001 X 38192 GUTIERREZ PEREZ MIGUEL ANGEL 1801242700001 X 101531 ALULEMA TOSCANO RODRIGO MARCELO 1801247022001 X 95163 ARIAS LLUMIPANTA LIDIA SUSANA 1801247477001 X 186825 MIRANDA SANCHEZ ARNALDO RUBEN 1801249432001 X 18432 MONTESDEOCA ULLOA EDGAR LEAL 1801254184001 X 202811 DURÁN GARCÉS JUAN JOSÉ 1801254267001 X 120153 MEDINA SILVA MANUEL WILFRIDO 1801255652001 X 66313 BARROS BONILLA ERNESTO 1801256478001 X 59875 GANAN CANDO RAUL 1801259068001 X 101578 CEVALLOS CABRERA WILSON GERMANICO1801259472001 X 67214 PAREDES ALMEIDA RODRIGO ESTUARDO 1801260066001 X 172318 MORALES OCAÑA LUIS TARQUINO 1801262724001 X 140187 NÚÑEZ MONTERO MARCO HERNAN 1801263565001 X 69042 SILVA GALARZA MARCELO VINICIO 1801265719001 X 62184 MAYORGA TORRES ROSA ELENA 1801266501001 X
  • 725.
    No No registra No No registra No No. registra registra No. indicadores registra provincia, registra Persona_id NOMBRE No. ID (RUC) calle número registra de ventas, apellido cantón y primer principal de calle origen activos y/o paterno parroquia nombre principal empleados 80478 MUÑOZ VILLAFUERTE PEDRO OSWALDO 1801267210001 X 228877 TENECOTA GALARZA NELSON ANIBAL 1801269174001 X 91301 RODRIGUEZ BARROSO MANUEL EDUARDO1801275049001 X 175843 NAVARRETE VASCONEZ ROSA ELENA 1801278050001 X 128415 TAPIA MANOTOA ANGEL GIOVANNI 1801280700001 X 191131 LLERENA CHAVEZ LIDIA GEORGINA 1801283399001 X 233250 CARRION YUNAPANTA ANGEL OSWALDO 1801284025001 X 183154 GARZON DALGO SAIDA ELVIRA 1801284967001 X 55537 ANDALUZ ALVARADO MIRIAN LUCIA 1801285527001 X 63584 MORALES VITERI EDWIN NOOL 1801285907001 X 247644 VILLAVICENCIO MATERNO BOLIVAR EFRAIN 1801286087001 X 182070 ESCOBAR ORTIZ CESAR GENARO 1801290949001 X 206159 ESCOBAR ORTIZ PACO MARCELO 1801290998001 X 239881 LOPEZ ESPINOZA MARIA EUFEMIA 1801293109001 X 85031 CAMPAÑA BARRIGA GELIO AMILCAR 1801301274001 X 117300 TOAPANTA CHICAIZA LUIS ADOLFO 1801303759001 X 94633 SOLIS GOMEZ NELSON FERNANDO 1801308535001 X 140438 GOMEZ MANZANO LUIS ALFONSO 1801311554001 X 47633 ROBAYO ROBAYO LUIS FABIAN 1801313030001 X 217749 FREIRE ROMO JORGE HERNÁN 1801313741001 X 91798 MOYA VILLACIS GLADYS MATILDE 1801313972001 X 21138 SANCHEZ VALVERDE ANGEL RODRIGO1801318823001 X 213340 ESPIN GUANMANQUISPE JULIO ERNESTO 1801323815001 X 145730 CHAVEZ SANCHEZ MARIO ALFONSO 1801326784001 X 121844 BARAHONA SAA FABIO MANUEL 1801329549001 X 82374 MAIZA COSQUILLO ANTONIO 1801333491001 X 199535 MASABANDA MESIAS SEGUNDO GUILLERMO 1801338698001 X 71877 LOPEZ SANTANA GERMAN MAURICIO 1801338912001 X 188492 PACHAR PUGA MARTHA CECILIA 1801342468001 X 217933 CALDERON CARRILLO GUIDO FERNANDO1801342864001 X 208867 PAREDES CAMPAÑA LUIS EDUARDO 1801343953001 X
  • 726.
    No No registra No No registra No No. registra registra No. indicadores registra provincia, registra Persona_id NOMBRE No. ID (RUC) calle número registra de ventas, apellido cantón y primer principal de calle origen activos y/o paterno parroquia nombre principal empleados 20614 CORDOVILLA GAVILANES JUAN AMABLE1801344563001 X 16585 MIGUEL 1801356633001 X 123776 ERAZO SANCHEZ JUAN JOSE 1801357987001 X 150001 MEJIA PAREDES JOSE ALBERTO 1801364694001 X 32099 CORTEZ GUEVARA HUGO N 1801366327001 X 104991 JARAMILLO RIVAS MARIO ANDRES 1801372242001 X 163990 NUÑEZ PILLAJO MARIA ESTHER 1801374115001 X 184917 MALQUI ANGEL 1801374131001 X 32377 ROMULO 1801376953001 X 212315 PEREZ CAICEDO GUIDO CESAR 1801379346001 X 189157 SILVA MEDINA MARIA 1801380179001 X 112503 VILLAVICENCIO CARRERA NANCY SUSANA 1801382456001 X 107217 TOAPANTA TOAPANTA JUAN OLMEDO 1801382670001 X 224024 SUAREZ JARAMILLO PABLO JOSE 1801384841001 X 42822 ALDAS CAJAS CLEVER MANUEL 1801385665001 X 51928 PEREZ ALVAREZ JOSE EDGAR 1801387133001 X 85855 VILLEGAS LLERENA SEGUNDO VICTOR 1801389493001 MANUEL X 141619 TAMAYO AGUIRRE BADI WALTER 1801390822001 X 24888 CORDOVA ALDAS ERNESTO ARCADIO 1801393057001 X 42124 CISNEROS CADENA PABLO SANTIAGO 1801393420001 X 267818 PAZ Y MIÑO PAEZ GALO FERNANDO 1801396498001 X 88580 PALACIOS CABRERA NANCY SHOMAR 1801398775001 X 241612 VIZCAINO PEÑA DOLORES BEATRIZ 1801400613001 X 82027 MERA ALARCON MARIO HERNAN 1801401835001 X 63718 SANDOVAL CHASI JUAN FRANCISCO 1801403419001 X 68465 MAYORGA ARCOS JUAN FRANCISCO 1801405265001 X 79829 CORDERO GOMEZ JULIO ROBERTO 1801408350001 X 266327 VASQUEZ VELASCO FRANKLIN DANILO 1801408491001 X 107314 VELOZ SALAZAR CELSO HERMES 1801414242001 X 26935 NUÑEZ FLORES JORGE POLIVIO 1801427723001 X 101706 SEGOVIA ALVAREZ ELSA MATILDE 1801433663001 X
  • 727.
    No No registra No No registra No No. registra registra No. indicadores registra provincia, registra Persona_id NOMBRE No. ID (RUC) calle número registra de ventas, apellido cantón y primer principal de calle origen activos y/o paterno parroquia nombre principal empleados 65230 YUGCHA MACHADO JOSE MANUEL 1801436997001 X 173101 SANCHEZ GOMEZ TERESA DE JESUS 1801441583001 X 93252 ALAVA GARAY JAUN JOSE 1801451723001 X 204319 PAZMIÑO VALLE FAUSTO JOAQUIN 1801453976001 X 97019 ALDÁS ACOSTA MILTON RAMIRO 1801454891001 X 92196 GUACHI VILLAR JULIO ANTONIO 1801460484001 X 228619 GUEVARA VALDIVIEZO MARIA ELENA 1801463769001 X 108799 GUEVARA LLERENA ELBA JULIETA 1801468099001 X 44520 BARRIONUEVO CARRILLO MARCELO FAVIÁN 1801469428001 X 89081 MEDINA GALLEGOS LUIS EIIAS 1801469782001 X 133494 LAGUA LAGUA DIONICIO 1801476068001 X 245038 ULLOA FLORES WAGNER HERNÁN 1801479146001 X 35306 POZO RIVERA MARIO FERNANDO 1801479880001 X 32039 REYES VAYAS VICTORIA MARIA 1801492032001 X 222387 SÁNCHEZ NAVARRETE MARGARITA MARLENE 1801493253001 X 149934 NARANJO BELTRAN JOSE FERNANDO 1801500487001 X 46978 MARÍA 1801502152001 X 183333 MOYA PIPPA MARIA DE LOURDES 1801506559001 X 279159 URRUTIA PAREDES VICENTE SERAFIN 1801506633001 X 241744 CALLEJAS NARANJO MARIA DOLORES 1801508167001 X 11889 ING. RUBEN ROBALINO 1801508332001 X 12666 CARROCERIAS MIRAL 1801509371001 X 24725 HARO JÁCOME RUBÉN FIDEL 1801510072001 X 48828 MASABANDA CHICAIZA SEGUNDO MARCELO 1801511484001 X 52506 LUIS 1801512557001 X 229570 LOPEZ VELASCO VICENTE RAMIRO 1801512581001 X 11888 ING. DAVID MONTALVO 1801513373001 X 36937 TOSCANO CADENA TELMO ALFONSO 1801513431001 X 58793 SÁNCHEZ MEDINA PABLO FERNANDO 1801515568001 X 180379 BARRIONUEVO HINOJOSA MARCO ANTONIO 1801518018001 X 96269 VILLAMAR ROSERO HEBERT ALEJANDRO1801525518001 X
  • 728.
    No No registra No No registra No No. registra registra No. indicadores registra provincia, registra Persona_id NOMBRE No. ID (RUC) calle número registra de ventas, apellido cantón y primer principal de calle origen activos y/o paterno parroquia nombre principal empleados 210411 AGUAGUINA MARÍA OBDULIA GRIMANEZA 1801526664001 X 181286 MANJARRES MEDINA HECTOR NEPTALI1801537646001 X 28183 ZUNIGA PAREDES CESAR AUGUSTO 1801540301001 X 182438 CAIZA PUNINA MARIA JUANA 1801543495001 X 95314 CRUZ SANTAMARIA JOSE LUIS REINALDO 1801547082001 X 189658 MARTINEZ PEREZ JOSE AMABLE 1801550326001 X 120911 PUMA FLORES ANGEL ENRIQUE 1801554377001 X 106602 PORTERO PEREZ EDGAR NEPTALI 1801555101001 X 54419 SAQUINGA TENORIO SEGUNDO JUAN MANUEL 1801556844001 X 100161 LOPEZ NUÑEZ ANGEL VINICIO 1801558675001 X 109308 SANTANA LOZADA LUIS ANIBAL 1801559475001 X 44560 GÓMEZ SALAZAR RODRIGO PATRICIO 1801564392001 X 83485 COUSIN VALLEJO BYRON IVAN 1801567494001 X 163456 MALQUI CHICAIZA MARIA MAGDALENA 1801570001001 X 65941 RODRÍGUEZ GARCÉS BYRON ESTUARDO 1801570225001 X 233468 TORRES CONSTANTE ABELARDO EMILIO1801571017001 X 46148 TORRES SANTAMARIA SIXTO ANIBAL 1801573922001 X 86546 SORIA LUIS GERMAN 1801575711001 X 89795 GARCES BARRENO MARCO ANTONIO 1801575893001 X 16305 MANZANO PEREZ PEDRO EDMUNDO 1801578137001 X 248178 MIRANDA SALINAS FRANCISCO LIBORIO 1801578251001 X 178647 LASCANO YANEZ POLICARPIO 1801584655001 X 191821 CHILUIZA SANCHEZ JORGE ALBERTO 1801585231001 X 74887 MEDINA ZAMBRANO GUILLERMO ABSALON 1801588110001 X 235805 CARRILLO NATIVIDAD 1801590298001 X 193482 HURTADO SAILEMA ALONSO 1801590728001 X 77930 TOALOMBO TIPAN JOSE AUGUSTO 1801592476001 X 53988 DOMÍNGUEZ HIDALGO EDWIN PLUTARCO1801593896001 X 109926 LOPEZ CABEZAS FANNY PETRONA 1801597285001 X 275463 BARRAGAN MARTINEZ DARIO JAVIER 1801597426001 X X 27237 SALINAS LEMUS VICENTE ANIBAL 1801599091001 X
  • 729.
    No No registra No No registra No No. registra registra No. indicadores registra provincia, registra Persona_id NOMBRE No. ID (RUC) calle número registra de ventas, apellido cantón y primer principal de calle origen activos y/o paterno parroquia nombre principal empleados 102660 QUEZADA MILLAN GINA JASMINA 1801602085001 X 233964 ESPIN PALACIOS EDY AMADA 1801606706001 X 41857 SANMIGUEL MANTILLA NILDA GISELA 1801610583001 X 232864 SANMIGUEL MANTILLA JACOBO ENRIQUE1801610591001 X 177005 FLORES SALINAS DELIA MARIA LUISA 1801611359001 X 101147 RAMOS PEREZ GUADALUPE DEL CONSUELO 1801611631001 X 83478 MUQUINCHE LAURA CARLOS ALFONSO1801611813001 X 104729 DE LA CRUZ POAQUIZA SANTOS MELIDA801613496001 1 X 20401 OCAMPO SANCHEZ MARCIA ESTELA 1801614379001 X 158798 MEDINA OCAÑA ROSITA DEL PILAR 1801615178001 X 186166 MOYOLEMA ACOSTA MARIA MERCEDES801615269001 1 X 76829 CAMACHO MOLINA FRANKLIN ROLANDO 1801615566001 X 131448 LALAMA OCHOA MARÍA SOLEDAD 1801617158001 X 94963 GUAMAN SALAZAR GILDA JANET 1801619204001 X 21214 LLERENA VILLEGAS LUIS OCTAVIO 1801623784001 X 75771 APRAEZ GONZALEZ WILLIAMS DAVID 1801626100001 X 227625 GAMBOA OROSCO MARIA ELENITA SORAYA 1801626597001 X 173748 ZABALA GUERRERO ANGEL HERIBERTO 1801628510001 X 145735 GUAIGUA NUÑEZ CARLOS GONZALO 1801629435001 X 104906 PORTERO VILLACIS WASHINGTON RODRIGO 1801631514001 X 48205 HARO SORIA MARCO ANIBAL 1801632629001 X 76200 VACA ACOSTA VICTOR MANUEL 1801633031001 X 189005 CEVALLOS CALLE NELSON RODRIGO 1801633395001 X 52071 LLERENA MEDINA JOSE ALVARO 1801634708001 X 33226 CHERREZ PILLALAZA JORGE PATRICIO1801635812001 X 170989 PEREZ CASCO MARTIN JORGE 1801636034001 X 34927 LUIS ENRIQUE TIRADO LÓPEZ 1801637081001 X 141637 LOZADA LARA JINME PATRICIO 1801639061001 X 19573 SALAZAR RODRIGUEZ HÉCTOR GUILLERMO 1801644046001 X 160996 MAROTO CARRASCO JORGE RODRIGO1801647817001 X 216493 MOPOSITA CHANGO LUIS ALFREDO 1801656024001 X
  • 730.
    No No registra No No registra No No. registra registra No. indicadores registra provincia, registra Persona_id NOMBRE No. ID (RUC) calle número registra de ventas, apellido cantón y primer principal de calle origen activos y/o paterno parroquia nombre principal empleados 154355 HINOJOSA SECAIRA MILTON PATRICIO 1801666510001 X 54041 GUTIÉRREZ GÓMEZ BYRON ALFONSO 1801666601001 X 208851 LOPEZ VARGAS MILTON EDUARDO 1801667807001 X 61946 CRUZ TOAZA DIEGO ROMAN 1801668458001 X 31804 LAGUA CESAR ENRIQUE 1801669498001 X 41267 PUNGUIL VILLALBA EDWIN WELINTON 1801676287001 X 270000 ALVAREZ RUIZ SYLVIA DEL ROCIO 1801676550001 X 267344 RAMOS CARLOS ALBERTO WASHINGTON 1801679927001 X 100831 NARANJO ACURIO MIRIAN CUMANDA 1801680669001 X 171094 LOZADA MAZAQUIZA LUIS ALBERTO 1801680693001 X 46439 ING. FERNANDO OQUENDO 1801680990001 X 26045 BERMUDEZ NÚÑEZ GUSTAVO BENANCIO 1801685015001 X 175823 BARONA NARANJO GLADYS ELSITA 1801686054001 X 117018 ORTIZ ROBALINO ANGEL GABRIEL 1801687847001 X 128875 ESPINOZA NAVAS FRANKLIN RIGOBERTO1801691195001 X 257936 DURAN ROJAS JUAN JOSE 1801693118001 X 185252 VILLAGOMEZ HOLGUÍN GALO GUILLERMO1801694595001 X 82673 RODRIGUEZ FREIRE FABIAN MIGUEL 1801694918001 X 28002 VALLE GALARZA BOLIVAR HARDANI 1801695386001 X 95307 MOREJON YANEZ BYRON SEGUNDO 1801695634001 X 243717 CORDOVA LIZANO JORGE OLIMPO 1801699511001 X 264229 ESPIN ACOSTA MARIO EDUARDO 1801703131001 X 140522 PILLAPA CHICAIZA LUIS IVAN 1801704410001 X 138456 MEDINA ALVAREZ SEGUNDO CELIO 1801705219001 X 50310 MOYA LÓPEZ NANCY CATALINA 1801706431001 X 190064 PALACIOS CHIMBOLEMA HECTOR GUSTAVO 1801707033001 X 23601 NOBOA CABRERA IVAN FRANCISCO 1801707884001 X 144027 POALACIN CHACHIPANTA SEGUNDO GABRIEL 1801707934001 X 102984 OJEDA SANCHEZ CARLOS HOMERO 1801709054001 X 88844 BASANTES PEREZ LUIS RODRIGO 1801709302001 X 34878 REYES RECALDE RAUL ROBERTO 1801709633001 X
  • 731.
    No No registra No No registra No No. registra registra No. indicadores registra provincia, registra Persona_id NOMBRE No. ID (RUC) calle número registra de ventas, apellido cantón y primer principal de calle origen activos y/o paterno parroquia nombre principal empleados 111981 ALDAS MEDINA DINA MÉRIDA 1801710128001 X 200217 ALVAREZ NUÑEZ FREDDY ROBERTO 1801710136001 X 187356 ROMO CUESTA IVAN GERARDO 1801710839001 X 110958 CUESTA CORTEZ LADISLAO VICENTE 1801711969001 X 136575 FONSECA BUSTOS JOSE PATRICIO 1801714690001 X 135221 SN YANZAPANTA MANUEL SN 1801719384001 X 218924 QUILAPANTA CAIZA JORGE HUMBERTO1801719491001 X 149939 PALMA GAVILANEZ ANGEL MIGUEL 1801722388001 X 150680 GUERRERO VILLACIS LIDA MARITZA 1801722461001 X 97866 OJEDA MANTILLA JESUS ANTONIO 1801725449001 X 42279 MOYA LUIS EMILE 1801725688001 X 100092 MINIGUANO LOPEZ INES MARIA 1801730050001 X 187631 TAIPE ESTRADA MARCIA ELIZABETH 1801730357001 X 276226 MORETA MASAQUIZA MANUEL SANTOS1801731132001 X 148718 ALVAREZ REINOSO MARCO ANTONIO 1801734490001 X 210143 TACUAMAN JACOME TITO BOANERGES1801735349001 X 34736 SILVA CHIMBORAZO LAURA CORINA 1801735620001 X 102102 MORALES FLORES CARLOS TOMÁS 1801735646001 X 268499 HERNANDEZ ZURITA VICTOR MANUEL 1801737055001 X 38725 ULLOA ARROBA FRANKLIN ROBERTO 1801737477001 X 218817 VILLAVICENCIO NUÑEZ SANTAGO FERNANDO 1801745892001 X 106880 GONZALEZ VILLAFUERTE MARY ISABEL1801747716001 X 94016 MARTÍNEZ GUERRERO RAÚL GUSTAVO1801752005001 X 151549 CAIBE ACURIO VICTOR MARCELO 1801762533001 X 108490 SANTANA JIMENEZ MARIA ELENA 1801762616001 X 102398 PEREZ HUMBERTO 1801763010001 X 151340 CAICEDO HIDALGO BERTHA NELLY 1801763507001 X 244062 CASTRO LOPEZ GLADYS TERESA 1801764547001 X 93602 PARRA YANEZ DOLORES EUGENIA 1801765965001 X 100855 ANDALUZ VITERI GLORIA DEL CONSUELO 1801766237001 X 130039 BENALCAZAR VINUEZA ORLANDO LUCIANO 1801766468001 X
  • 732.
    No No registra No No registra No No. registra registra No. indicadores registra provincia, registra Persona_id NOMBRE No. ID (RUC) calle número registra de ventas, apellido cantón y primer principal de calle origen activos y/o paterno parroquia nombre principal empleados 47248 CASTILLO RAMOS DIMAS ADOLFO 1801766484001 X 33130 CHAVEZ CORONEL WASHINGTON ENRIQUE 1801766674001 X 111111 DESCONOCIDO CRUZ CARLOS ANTONIO GONZALO 1801767375001 X 16068 NAVAS ESPIN LUIS FERNANDO 1801769447001 X 101506 BURBANO NUÑEZ EDGAR RODRIGO 1801770783001 X 152612 AIMACANA CANDO EDWIN ESTEBEZ 1801770957001 X 134625 OÑATE CASTRO ALFONSO MARÍA DE LIGORIO 1801772532001 X 252674 RIERA GONZALEZ MARIO GONZALO 1801775410001 X 175527 PULLUQUITIN LLUMIPANTA SEGUNDO HECTOR 1801778323001 X 134790 ESPINOZA MORENO WILMAN ABSALON1801778661001 X 69235 MOLINA SANCHEZ EDMUNDO FILEMON1801782630001 X 75713 VALLE PAREDES OSCAR NAPOLEON 1801783380001 X 267363 CRESPO CORTEZ SANDRA YAZMINA 1801786243001 X 270148 CARRASCO VILLACRES MONICA DE LOURDES 1801787076001 X 115389 DOMINGUEZ ARAQUE SANTIAGO GEOVANNY 1801802594001 X 82365 ZAMBRANO MORALES JORGE ENRIQUE 1801802644001 X 179661 ESPIN MONTESDEOCA DAVID RAUL 1801803667001 X 176692 LANDA PAUCAR JOSE MELCHOR 1801806645001 X 106950 RAMIREZ JIMENEZ GLADYS YOLANDA 1801807411001 X 74035 CAINA ULPO EFRAÍN EDUARDO 1801808112001 X 46972 PEREZ SANTANA VICTOR EDUARDO 1801808591001 X 115078 BASANTES AMORES LEONARDO ANTONIO1801809276001 X 100093 MITES CEVALLOS EDGUIN RAMIRO 1801809441001 X 233214 CASTRO PAZMIÑO JULIO CESAR 1801814094001 X 104763 DOMINGUEZ CORONADO LUIS HERNAN1801814961001 X 160918 GUERRERO MERA WALTER MESIAS 1801816339001 X 122639 SILVA PAREDES JOSE ESTANISLAO 1801819010001 X 48252 JATIVA ARCOS LEDWIN NAPOLEON 1801819549001 X 182289 ACOSTA SANCHEZ CLARA ESPERANZA1801819788001 X 15258 ING. CARLOS RAFAEL LÓPEZ PARRA 1801820125001 X 92395 GUATO CHIFLA HOMERO ABSALON 1801829142001 X
  • 733.
    No No registra No No registra No No. registra registra No. indicadores registra provincia, registra Persona_id NOMBRE No. ID (RUC) calle número registra de ventas, apellido cantón y primer principal de calle origen activos y/o paterno parroquia nombre principal empleados 118730 PAREDES RAMOS WALTER ALFREDO 1801830090001 X 97058 VILLACIS PAZMIÑO LUIS GERARDO 1801832823001 X 101899 CAMANA REYES MARIO GALO 1801834969001 X 83136 ARCOS VACA LUIS RAUL 1801835040001 X 165459 SILVA MONTEROS CARLOS MARCELO 1801836360001 X 98386 TORRES LOPEZ BYRON TRAJANO 1801837608001 X 195163 NINACURI BAUTISTA LUIS ALBERTO 1801837947001 X 268679 CASTRO MEDINA SUSANA ELENA 1801844406001 X 202531 TOAPANTA MEJIA JUAN EDUARDO 1801848647001 X 180283 FREIRE CARRERA STALIN TARQUINO 1801849769001 X 148941 SAILEMA RAMIREZ SEGUNDO MANUEL 1801850411001 X 175569 MORALES ARANDA GLORIA ISABEL 1801851757001 X 20471 LEONARDO 1801851906001 X 123482 JAYA SAQUINGA MILTON RUBEN 1801852425001 X 269079 NUÑEZ BARRERA JORGE OSWALDO 1801852441001 X 36932 JEREZ SALAN WILSON HERNAN 1801853373001 X 136295 ANICETO CHAQUINGA JOSÉ GEOVANNY 1801854298001 X 21579 CASTILLO CAMPOVERDE TITO OSWALDO 1801857440001 X 62933 PAREDES RUGEL JORGE EDUARDO 1801858398001 X 265603 VALENCIA MEDINA JACQUELINE MARGOT1801859396001 X 100496 ALVARADO OCAÑA HAYDEE GENOVEVA 1801860501001 X 176689 PILLAJO NUÑEZ WILSON ROBERTO 1801860931001 X 107000 VITERI BRIONES MARCO ANTONIO 1801861988001 X 184534 VILLACIS CARRASCO JULIO FIDEL 1801864909001 X 166193 PALACIOS FIERRO NORMA BEATRIZ 1801866045001 X 137761 VELASTEGUI ARIAS LILIAN MYLENNE 1801867431001 X 22991 REAL JURADO JAVIER ALEJANDRO 1801868892001 X 117586 POVEDA CACERES AIDA ENRIQUETA 1801871409001 X 100695 ROSERO VASCONEZ SIRLEY LORENA 1801877281001 X 29611 BAUTISTA VILLACIS EDGAR ERIBERTO 1801878438001 X 11620 CARROCERIAS JACOME 1801878701001 X
  • 734.
    No No registra No No registra No No. registra registra No. indicadores registra provincia, registra Persona_id NOMBRE No. ID (RUC) calle número registra de ventas, apellido cantón y primer principal de calle origen activos y/o paterno parroquia nombre principal empleados 52065 ROSERO CAJAS RICARDO GUSTAVO 1801878727001 X 59647 VENEGAS LOZADA ALEJANDRO RAMIRO 1801879386001 X 133944 TAMAYO MELO LUIS HERNÁN 1801879485001 X 26690 CONSTANTE LASCANO MARIO GONZALO 1801883768001 X 222909 CORTEX RODRIGUEZ LUIS MARCELO 1801884089001 X 175471 PASTRANO CORELLA LAURA ISABEL 1801887413001 X 101784 SALINAS MARFETAN VICENTE ANIBAL 1801888080001 X 109842 CALERO ALTAMIRANO LUIS ANIBAL 1801889658001 X 210952 QUILE NUÑEZ LUIS AUGUSTO 1801890441001 X 75903 NÚÑEZ NÚÑEZ GUILLERMO 1801891209001 X 181351 RIVERA RIVERA HERIBERTO 1801891753001 X 203567 ZABALA GARCIA ELVIA LUCIA VIOLETA 1801892827001 X 145763 MIRANDA LLERENA ELSA CARLOTA 1801896430001 X 226203 TOALOMBO YAGCHIREMA EDISON HERNAN 1801897156001 X 228711 LLERENA RICACHI SILVIO HORLAN 1801897420001 X 65181 CAICEDO MUÑOZ ALBA CLARA 1801899509001 X 151484 VELASTEGUI HERNANDEZ ELENA CECILIA1801902881001 X 179689 ZURITA ACOSTA LUIS FERNANDO 1801906817001 X 175128 GUEVARA CARRILLO JORGE LUIS 1801910678001 X 15556 ING. EDWIN MOSQUERA F. 1801910736001 X 191959 ALVAREZ GLADYS SUSANA 1801911882001 X 145437 CARRASCO JIMENEZ KLEBER VINICIO 1801914084001 X 73659 LOPEZ ALBAN ALEX JAVIER 1801914399001 X 142281 GRIJALVA CADENA ANGELICA MARIA 1801914464001 X 240790 CASTRO SANTIANA ANGEL OSWALDO 1801916329001 X 136964 BELTRAN SANCHEZ VICTOR HUGO 1801918820001 X 131870 SALAZAR GUEVARA HUGO MARCELO 1801923028001 X 185606 SANCHEZ CUEVA ULVIO ENRIQUE 1801924083001 X 166046 GAMBOA OROZCO LUIS ALBERTO 1801924802001 X 106380 SN ARELLANO RUTH ALICIA 1801926252001 X 205593 CUNALATA TORRES ELVIA NATCISA 1801926369001 X
  • 735.
    No No registra No No registra No No. registra registra No. indicadores registra provincia, registra Persona_id NOMBRE No. ID (RUC) calle número registra de ventas, apellido cantón y primer principal de calle origen activos y/o paterno parroquia nombre principal empleados 177703 LASCANO ACOSTA GLADYS LUCIA 1801927425001 X 51402 BARRERA RODRÍGUEZ HENRY PATRICIO1801928324001 X 244941 GARCES RUIZ GERMANIA SALOME 1801930908001 X 204828 TAPIA BELTRAN EDMUNDO ESTUARDO1801931690001 X 191167 ATIENCIA URDIALES JOHN EDISON 1801932755001 X 120097 CRIOLLO CARVAJAL MARIANA DE JESUS801934090001 1 X 165535 JEREZ COCHA LUIS OSWALDO 1801936251001 X 243990 OOOOO MARTÍNEZ MARTHA DEL SAGRARIO 1801936616001 X 55152 CÓRDOVA CHIPANTIZA MARCOS TRAJANO 1801936723001 X 147355 DOMINGUEZ CORONADO BAYRON JOSE801939354001 1 X 19071 ECHEVERRIA NICOLALDE NEPTALI GUILLERMO 1801942747001 X 257249 ZUNIGA LOPEZ ABELARDO JHONNY 1801943745001 X 92116 GUAMANÍ ALAJO DAVID AVELINO 1801945344001 X 142669 CUNALATA DIAS SEGUNDO MATIAS 1801951615001 X 148643 MUQUINCHE LAURA JULIO ANTONIO 1801952191001 X 111279 SAILEMA CHANGO LUIS ALFONSO 1801953017001 X 99489 CALVACHE NARANJO BENITO FRANCISCO 1801955061001 X 206559 GAVILANES CANSECO KLEVER MESIAS1801955798001 X 266291 CHANGO BONILLA GLADYS SUSANA 1801958099001 X 98424 VELÁSTEGUI MEJÍA FANNY MARITZA 1801958586001 X 39012 JÁCOME GALLO CARLOS SHERMILLER 1801960285001 X 174954 SILVA LOPEZ JORGE LEONIDAS 1801971340001 X 53134 BENITEZ LOZADA JOHNSON OLIVO 1801971613001 X 160204 GAVILANES MEJIA LAURITA DEL CARMEN 1801971621001 X 159190 VELASTEGUÍ CORTEZ HÉCTOR DANIEL1801972728001 X 16599 BONILLA ZURITA HECTOR GERMAN 1801972876001 X 179911 HIDALGO CHINACHI JOHN WASHINGTON1801975366001 X 172012 PICO ACOSTA HERNÁN WILFRIDO 1801982099001 X 13469 RIOS PALACIOS ALFONSO HERNAN 1801982289001 X 94267 NUÑEZ NUÑEZ MERCEDES REGINA 1801986884001 X 146040 MASAQUIZA MASAQUIZA JOSE MANUEL 1801992056001 X
  • 736.
    No No registra No No registra No No. registra registra No. indicadores registra provincia, registra Persona_id NOMBRE No. ID (RUC) calle número registra de ventas, apellido cantón y primer principal de calle origen activos y/o paterno parroquia nombre principal empleados 267154 CAMACHO PINTO SEGUNDO ELIAS 1801994771001 X 46605 RIVERA LÓPEZ HÉCTOR ALBERTO 1801995455001 X 250738 TITE ORTEGA SEGUNDO CORNELIO 1801995828001 X 177979 LOPEZ RAZA RUBIO TOBIAS 1801996792001 X 192574 NARANJO DUQUE VICTOR ELIAS 1801999143001 X 78735 PEÑAFIEL BONILLA MARTHA MARGARITA1802001188001 X 207229 VASQUEZ DE LA BANDERA CHAVEZ EDWIN 1802001642001 X 274090 VITERI OJEDA ROBERTO AMABLE 1802001865001 X 148625 SANCHEZ SOLIS LINCOL HOMERO 1802005304001 X 47251 JURADO ARROYO FREDDY DANILO 1802005619001 X 178742 MAYORGA AGUAS FABIÁN EDUARDO 1802006526001 X 203893 MENA PALACIOS ARMANDO IVAN 1802007318001 X 91569 PEREZ JORDAN DELIA MARIA 1802008548001 X 181805 YAULI TELENCHANA FAUSTO ANIBAL 1802010593001 X 140001 NARANJO QUINTEROS ANGEL BOLIVAR1802010973001 X 182879 VARGAS VILLACRÉS BORMAN RENÁN 1802013704001 X 185382 CUNALATA LASLUISA LIGUE JOE FRAN 1802014207001 X 167185 AMORES ULLOA MILTON GIOVANNY 1802014405001 X 92199 GALORA PULLUPAXI MARIA BLANCA 1802015584001 X 25927 LUISA ANDAGANA MILTON ISAC 1802015964001 X 149343 BRITO VILLACRES JORGE ANTONIO 1802016335001 X 89246 GAVILEMA JÁCOME LUIS ALBERTO 1802016715001 X 245415 EGAS XXXXXXXXXX MARIA ESMERALDAS 1802016822001 X 100746 BEDON BALLESTEROS WILLIAN DAVID 1802018984001 X 135968 BUSTILLOS MOLINA MARCO ANTONIO 1802019784001 X 252457 CAIZA TENECOTA ANGEL RAUL 1802022994001 X 178422 TIRADO GALLO INÉS GEORGINA 1802026037001 X 45620 COBO TINAJERO HÉCTOR AUGUSTO 1802026482001 X 108954 CHILUIZA CHANGO JULIO CESAR 1802027936001 X 145475 YANCHATIPAN HARO VICENTE DONALDO 1802029247001 X 87380 GAVILANES ALVAREZ EDGAR ARTURO 1802031235001 X
  • 737.
    No No registra No No registra No No. registra registra No. indicadores registra provincia, registra Persona_id NOMBRE No. ID (RUC) calle número registra de ventas, apellido cantón y primer principal de calle origen activos y/o paterno parroquia nombre principal empleados 161550 PINTO CHICO PATRICIA LEONOR 1802031698001 X 12175 GERARDO 1802031987001 X 31036 TUBÓN LATA JUAN DIEGO 1802035533001 X 228316 NARANJO DURAN WILLAN EDUARDO 1802036200001 X 104432 DE LA CRUZ POAQUIZA GLORIA ROMANELI 1802041606001 X 136620 HIDALGO BECERRA MARÍA SOLEDAD 1802041838001 X 110429 FALCON VENEGAS BLANCA NARCISA 1802043099001 X 132034 MORALES GOMEZ DELIA MARIEBL 1802043974001 X 243029 CUSTODE BALLESTEROS HERNANDO BYRON 1802045037001 X 35783 ANGEL 1802046241001 X 95695 MOREJON GARCIA LINA REBECA 1802047488001 X 138207 BAYAS VILLACRES MELIDA DEL CARMEN 1802048239001 X 17645 GUASTI PAREDES EDISSON ANIBAL 1802048387001 X 115793 CRUZ LABRE CARLOS MARCELO 1802049583001 X 189443 ZÚIÑGA GARZÓN MIGUEL ANTONIO 1802051183001 X 51647 MORALES MIRANDA CARLOS RIGOBERTO1802057453001 X 71098 TRUJILLO MARIA TEREZA 1802065878001 X 259083 CRUZ BENÍTEZ ANGEL GASPAR 1802065886001 X 81941 ORTEGA MOREIRA ESTEBAN EDUARDO 1802068617001 X 124478 GUZMAN JACOME JANNETH DEL ROCIO 1802070613001 X 56067 CARRASCO MIRANDA INES MARINA 1802072510001 X 130711 TINTIN MEJIA SIMON BOLIVAR 1802073286001 X 176877 BOMBÓN ORELLANA NELSON DANILO 1802073609001 X 127340 FREIRE VILLEGAS LIDIA MAURA 1802077642001 X 146240 POVEDA VILLAMAR MARITZA ALEXANDRA 1802078186001 X 159369 CHAVEZ CHINACHI ALBA DEL ROCIO 1802079473001 X 232566 CASTRO QUIROGA BOLIVAR LUCIANO 1802083186001 X 237764 GALARZA ABRIL DANILO ENRIQUE 1802084093001 X 212128 CHAGUAMANTE AGUAGUINA GLADYS MARIELA 1802085488001 X 168307 MORALES PUNGUIL GUIDO ENRIQUE 1802086379001 X 180398 TUBON NUÑEZ VICTOR FIDEL 1802091916001 X
  • 738.
    No No registra No No registra No No. registra registra No. indicadores registra provincia, registra Persona_id NOMBRE No. ID (RUC) calle número registra de ventas, apellido cantón y primer principal de calle origen activos y/o paterno parroquia nombre principal empleados 236739 BAYAS RUIZ GLADIS ESTHELA 1802094431001 X 113938 SANCHEZ MORENO MARIA CORINA 1802094886001 X 69826 JUMBO GUAICHA JOSE NICOLAS 1802095354001 X 31564 VARGAS RIVERA ALEX AGUSTIN 1802096543001 X 139317 TENELEMA TOALOMBO JOSE MARIA 1802097277001 X 44218 HERRERA GUEVARA WASHINGTON HERNÁN1802098366001 X 172182 SANCHEZ MOLINA FANI MARLENE 1802100071001 X 260555 PUAGO MOPOSITA JOSE VICENTE 1802101434001 X 194827 PULLUTASIG TAMAY HUGO FERNANDO1802101517001 X 133528 CARRERA SÁNCHEZ LUIS ROLANDO 1802101731001 X 154361 PULLUQUITÍN TUTASIG WASHINGTON EFRAÍN 1802105120001 X 268295 SANTAMARIA PEÑA LUIS ANIBAL 1802106854001 X 187013 SANCHEZ TOAPANTA MARIO GERMAN 1802108538001 X 45156 ARCOS ALTAMIRANO ROSA JOSEFA 1802108728001 X 130595 PERDOMO CHOCO MARIO ELIAS 1802110286001 X 181669 SÁNCHEZ SÁNCHEZ MARCO VINICIO 1802111342001 X 134145 CALVOPIÑA PILALUISA EDWIN PATRICIO 1802111920001 X 158134 REAL LÓPEZ EDISSON SANTIAGO 1802115152001 X 111121 BARRIONUEVO ARAUJO JAIME ENRIQUE802115996001 1 X 110577 TOALOMBO MANOBANDA FRANCISCO 1802118412001 X 147488 SUPE SAILEMA MARIA FABIOLA 1802124238001 X 155628 GUAMANI ALAJO LUIS FRANCISCO 1802126043001 X 186343 ARMAS COLCHA MARIA GRIMANESA 1802130607001 X 172461 BECERRA LOJA LUIS HUMBERTO 1802137263001 X 84442 ESPÍN PALACIOS MENTOR GUSTAVO 1802143402001 X 32152 BUITRON MELENDEZ GERMAN RODRIGO 1802146223001 X 155108 MESIS REINOSO ROSA BALVINA 1802146538001 X 147397 MEDINA ALVAREZ GLORIA MARGARITA 1802147981001 X 135822 CEPEDA CAICEDO GENARO GEOVANNY 1802148468001 X 185878 NUÑEZ ALIRIO 1802152080001 X 167605 JADAN GUERRERO JANIO LINCON 1802152668001 X
  • 739.
    No No registra No No registra No No. registra registra No. indicadores registra provincia, registra Persona_id NOMBRE No. ID (RUC) calle número registra de ventas, apellido cantón y primer principal de calle origen activos y/o paterno parroquia nombre principal empleados 144640 IZA CHICAIZA AGUSTO MARCELO 1802153443001 X 106199 ORTIZ ROBALINO DANIEL VICENTE 1802153518001 X 9669 CARROCERIAS IBIMCO 1802156743001 X 130652 LLERENA PAREDES CARLOS GUSTAVO1802159259001 X 29100 ORTEGA TAMAYO HOLGER ALBERTO 1802159465001 X 99145 ALMEIDA GARZON VICTOR MANUEL 1802161099001 X 261275 CESAR GEOVANNY ANDRADE MEJIA 1802161495001 X 74605 DE LA TORRE VILLACRES EVITA MARIBEL 1802164259001 X 142394 SANCHEZ COELLO ANITA DEL ROCIO 1802164390001 X 45242 JORDAN JORDAN JUAN JOSE 1802167229001 X 186756 GUANANGA TIVAN JOSE NICOLAS 1802168227001 X 143177 FLORES VALENCIA FERNANDO FRANCISCO 1802169555001 X 254672 RODRIGUEZ RODRIGUEZ DARWIN LEONIDAS 1802169761001 X 19903 TAMAYO GAMBOA JUAN NORBERTO 1802170843001 X 208578 GAVILANES MONTENEGRO HUGO RIGOBERTO 1802176709001 X 162900 PAREDES LOPEZ EDISON MARCELO 1802178168001 X 199239 ACOSTA FREIRE MARCO RODRIGO 1802178598001 X 42018 GUERRERO MANOBANDA MARCO FABIÁN 1802181741001 X 35797 SALAZAR ACURIO CARLOS JAVIER 1802182699001 X 124153 GUEVARA PINEDA RAÚL ERNESTO 1802183853001 X 111484 MAIZA CHANGOLUISA MIGUEL ANGEL 1802184323001 X 222602 RIVAS CALDERON MARCO ANTONIO 1802184471001 X 18454 HERNANDEZ NUNEZ HERMEL MARCELO 1802185189001 X 254144 GÓMEZ GARCÍA CARLOS WASHINGTON 1802185809001 X 73244 SUMBANA CASHABAMBA SEGUNDO JUAN MANUEL 1802185999001 X 228268 BARRERA RODRIGUEZ MAURO FERNANDO 1802186419001 X 32840 ROBALINO LASCANO GERMAN MARCELO 1802187201001 X 18282 LOPEZ VARGAS RICARDO GERMAN 1802193381001 X 125866 SILVA MOREJÓN HERNAN GEOVANNY 1802193530001 X 221721 CARVAJAL GARCES JUAN CARLOS 1802194223001 X 128826 GONZÁLEZ FÁREZ HUMBERTO GONZALO 1802195048001 X
  • 740.
    No No registra No No registra No No. registra registra No. indicadores registra provincia, registra Persona_id NOMBRE No. ID (RUC) calle número registra de ventas, apellido cantón y primer principal de calle origen activos y/o paterno parroquia nombre principal empleados 231109 FALCÓN RODRÍGUEZ LUIS BAYARDO 1802195618001 X 257071 LLIGALO MALIZA VERÓNICA LOURDES 1802196095001 X 120858 SOLIS SOLIS ANGEL ALFONSO 1802197168001 X 136071 JUMBO GONZALES DAISY TALIA 1802199792001 X 24495 PÉREZ SALINAS MIRIAM ROSARIO 1802203081001 X 238903 ROMO SANGUIL TERESA DE JESÚS 1802204873001 X 135807 MEDINA TORRES KARINA GEOVANNA 1802205037001 X 231718 CARRILLO VISCAINO SEGUNDO FAUSTO 1802205151001 X 253248 FREIRE LESCANO MELIDA ELENA 1802205581001 X 41941 JAIME RODRIGO LOZADA TACOAMAN 1802208973001 X 215744 GUTIERREZ PEREZ HOLGUER GEOVANY802209294001 1 X 162142 SANCHEZ MIRANDA ANGEL TELMO 1802210714001 X 266035 VILLAVICENCIO ALDAZ LETICIA ROCIO 1802210797001 X 45794 BAYAS ORTIZ HOLGUER FRANCISCO 1802211340001 X 115382 COCA MORALES HECTOR PATRICIO 1802211423001 X 241531 CAMPOS VILLARROEL LAURA VELARMINA 1802214237001 X 184357 CONSTANTE RAMOS LUIS ENRIQUE 1802218105001 X 42294 TAMAYO CARRILLO GARY CHRISTIAN 1802225480001 X 54142 ING.GALO NUÑEZ ALDAS 1802229227001 X 107379 JACOME CARRILLO ROSA CARMELINA 1802235869001 X 184978 TELENCHANA PANDASHINA MARIA ELEVACION 1802238756001 X 233995 GUERRERO VILLACRES ROBERTO GEOVANNY 1802238962001 X 114743 CRIOLLO SANCHEZ MARIA ANGELICA 1802244242001 X 230155 ESPINOZA MOREANO GONZALO FABRICIO 1802244259001 X 131482 IBARRA NARANJO MARIO WILFRIDO 1802244911001 X 239050 GARCÉS JINÉZ HERNÁN EDALBERTO 1802245975001 X 239116 DÁVILA MOYA WAGNER 1802248292001 X 220089 SISA SISA JOSE ELICIO 1802248300001 X 205368 SÁNCHEZ SANTAMARÍA OSWALDO MARTÍN 1802249662001 X 250517 MORALES SÁNCHEZ MARCIA EULALIA 1802251213001 X 199350 TOAZA IZA ZARA PIEDAD 1802251353001 X
  • 741.
    No No registra No No registra No No. registra registra No. indicadores registra provincia, registra Persona_id NOMBRE No. ID (RUC) calle número registra de ventas, apellido cantón y primer principal de calle origen activos y/o paterno parroquia nombre principal empleados 188993 MORENO LOPEZ LUIS EMILIANO 1802257467001 X 96200 DIAZ GARCIA JORGE EDUARDO 1802258796001 X 206190 GONZÁLEZ FLORES DIEGO ANDRÉS 1802259620001 X X X 182170 ALVARADO LASCANO JOHN FRANCISCO 1802259653001 X 92299 LEMA MUESES ANGEL MARIA 1802263606001 X 202311 VALLEJO ALCOCER DEISY NOEMI 1802265031001 X 136275 MASAQUIZA TOAINGA JOSÉ MANUEL 1802269132001 X 243021 ROCHE JACQUELINE DEL PILAR 1802276418001 X 56009 JARAMILLO JUAREZ ELENA DEL CARMEN 1802277572001 X 216173 MEDINA PAREDES MARIA NATIVIDAD 1802277820001 X 50717 NUÑEZ CACERES CECILIA DEL ROCIO 1802279354001 X 184135 PILCO INCA MIRIAN ROCIO 1802281343001 X 104346 MIRANDA COBO VCITOR HUGO 1802284263001 X 19188 LOPEZ PAZMINIO GUIDO ENRIQUE 1802284743001 X 128614 SIGCHO LANDA SEGUNDO MARIANO 1802285179001 X 243313 RIOS BONILLA JAVIER ANIBAL 1802285898001 X 224229 TIRADO ALVAREZ RODRIGO ROLANDO 1802287605001 X 76911 PACHECO PROAÑO CARLOS ALFREDO 1802288645001 X 263653 LOPEZ LIZANO JUAN PATRICIO 1802292589001 X 42110 SORIA VITERI RAMON FABIAN 1802293496001 X 106553 VARGAS PAZMIÑO HERNAN EFRAIN 1802294080001 X 166301 MEDINA LOPEZ WASHINGTON ROBERTO 1802295137001 X 22159 JIMÉNEZ BURBANO EDWIN MARIO 1802299949001 X 257466 FREIRE MIRANDA HECTOR FABIAN 1802300150001 X 72978 CORDOVA ROSERO JEANETH AZUCENA 1802300655001 X 100077 MOPOSITA CABRERA MARTHA CECILIA1802300937001 X 101971 VELASTEGUÍ VARGAS JOSÉ MIGUEL 1802303089001 X 99333 CAIZA MORETA LUZ MARIA 1802303832001 X 172751 CRUZ MORALES MENTHOR EUCLIDES 1802303964001 X 176620 VILLACIS BARRIGA FATIMA DEL ROCIO 1802313005001 X 16913 VILLACIS SALINAS EDWIN ANIBAL 1802317022001 X
  • 742.
    No No registra No No registra No No. registra registra No. indicadores registra provincia, registra Persona_id NOMBRE No. ID (RUC) calle número registra de ventas, apellido cantón y primer principal de calle origen activos y/o paterno parroquia nombre principal empleados 24851 MORALES FIALLOS FABIÁN RODRIGO 1802318152001 X 151204 JIMENEZ MORETA MARIA JULIA 1802320547001 X 265831 ORTIZ VACA EDGAR MEDARDO 1802320778001 X 40247 BAYAS BENITEZ FREDDY GEOVANNY 1802321388001 X 149310 YANEZ CHANGOLUISA MARIA TERESA 1802323343001 X 101257 TUBON SILVA MARIO RUPERTO 1802327781001 X 137168 CISNEROS FREIRE IRMA JANED 1802328045001 X 73282 ITURRALDE AYALA HÉCTOR AUGUSTO 1802329472001 X 161873 CORDOVA BEDOYA JUAN ERNESTO 1802330447001 X 270301 SALAZAR GOMEZ FREDIG ROBERT 1802331155001 X 97205 MOLINA SANCHEZ LUIS NAPOLEON 1802334431001 X 188427 QUILAPANTA QUISHPE MARIA ESTHER 1802335487001 X 265094 TOBAR CASTILLO FABIAN GABRIEL 1802337103001 X 140693 ARAUZ BONILLA CLAUDIO PATRICIO 1802337376001 X 273377 ORTIZ MORALES ALICIA GIOVANNA 1802340248001 X 275512 JAYA QUISHPE FABIOLA 1802342202001 X X 83124 PEREZ ALIAGA AÍDA NOEMI 1802342418001 X 246755 DAVILA MEJIA JORGE OLGUER 1802346898001 X 123985 QUINATOA CUNALATA SEGUNDO CESAR 1802347904001 X 59479 CARVAJAL CASTRO JULIO JOSELITO 1802351492001 X 143046 LOPEZ SANCHEZ CARLOS FABIAN 1802351781001 X 191311 CANSECO GURERRERO EDWIN GONZALO 1802355162001 X 100238 CALERO BAUTISTA CARLOS MARIA 1802356723001 X 129155 ESCOBAR VILLACIS JENNY ALEXANDRA1802359123001 X 269872 FUENTES TAMAYO LUIS TARQUINO 1802368348001 X 129228 ALVAREZ MORENO ANGEL ROLANDO 1802369007001 X 188236 RODRIGUEZ ALBAN FLAVIO SERAFIN 1802369064001 X 240986 GARCES LLERENA MARIO NOLBERTO 1802369205001 X 272001 VILLACRESES TONATO IVETTE MARIA 1802370609001 X 238865 BAYAS ORTÍZ NORMA MERCEDES 1802371052001 X 115192 VILLAFUERTE CAICEDO WILSON FABIÁN 1802371573001 X
  • 743.
    No No registra No No registra No No. registra registra No. indicadores registra provincia, registra Persona_id NOMBRE No. ID (RUC) calle número registra de ventas, apellido cantón y primer principal de calle origen activos y/o paterno parroquia nombre principal empleados 96716 MORALES CHICO MARIANITA DE JESUS1802375509001 X 152174 URBINA RAMOS AMPARITO MERCEDES1802376028001 X 168975 OJEDA OJEDA JULIO CESAR 1802378198001 X 236763 ECHEVERRIA MUÑOZ MONICA MERCEDES1802379311001 X 261765 PAREDES VINUEZA MANUEL AUGUSTO1802381556001 X 247193 VILLARROEL TITO FABIÁN 1802382570001 X 123852 SALCEDO LUCIO ENRIQUE GEOVANNI 1802383529001 X 64067 HIDALGIO SANTAMARIA MARCELO RICARDO 1802385672001 X 181753 CRIOLLO SAILEMA LUIS GENARO 1802385771001 X 45284 QUINATOA ESPIN DANILO PATRICIO 1802386902001 X 121347 NUÑEZ NARANJO MANUEL MESIAS 1802388551001 X 95634 DAVILA LANDAZURI DARWIN MAURICIO1802393197001 X 198449 RUBIO MERA KLEVER XAVIER 1802396026001 X 87685 VACA DORADO JUAN HONORATO 1802402626001 X 202073 ARANDI LOPEZ JOSÉ ZOLIM 1802402832001 X 211817 MORA DIAZ JACINTO ALBERTO 1802412880001 X 75765 MAYORGA BRITO RICHARD ARCENIO 1802413904001 X 237144 SALAZAR VARGAS MANUEL TOBIAS 1802414456001 X 36838 REYES GAMBOA ROY ALAN 1802415107001 X 23798 MORALES ZUÑIGA HUMBERTO RAMIRO1802416881001 X 138931 GARCIA TORRES SAULO DANILO 1802420834001 X 138211 POVEDA CACERES KLEVER GEOVANNY 1802420909001 X 159236 CEVALLOS CASTILLO PEDRO ALBERTO1802422129001 X 138897 GUERRERO LOPEZ JORGE RICARDO 1802423242001 X 102624 SALINAS PONCE RAMIRO MARCIAL 1802423622001 X 42033 LUIS 1802425551001 X 87013 VITERI BARRERA EDWIN ROBERTO 1802426807001 X 131729 AMAN PILLA BYRON DANILO 1802427615001 X 205850 CHAUCA QUILPE JOSE MISAEL 1802429090001 X 223010 URBINA SANCHEZ LEONARDO DANIEL 1802429165001 X 72856 ROBAYO ARCOS MARCO ANTONIO 1802431146001 X
  • 744.
    No No registra No No registra No No. registra registra No. indicadores registra provincia, registra Persona_id NOMBRE No. ID (RUC) calle número registra de ventas, apellido cantón y primer principal de calle origen activos y/o paterno parroquia nombre principal empleados 87730 LOZADA HERNANDEZ LUIS XAVIER 1802432037001 X 152040 NÚÑEZ GRIJALVA JORGE VLADIMIR 1802432193001 X 171450 ROMO SANCHEZ PABLO FABIAN 1802434348001 X 53119 ROSARIO 1802434827001 X 277708 ANDALUZ AGUAGUIÑA RODRIGO SEGUNDO 1802437309001 X X X 206644 ARCOS MENDOZA NESTOR ANGEL 1802437523001 X 61553 MAYANCHA SANTI FERMIN JUAN 1802439552001 X 240546 MUYOLEMA BAYAS CARLOS ALBERTO 1802440345001 X 91307 ARELLANO ARICHÁBALA ALEX ENRIQUE1802441517001 X 110483 PEÑALOZA MEDINA JOSE RODOLFO 1802443281001 X 154842 PALLO SANCHEZ FAUSTO RODRIGO 1802444388001 X 151632 TIMBELA HIDALGO MARIO ISIDRO 1802448231001 X 251053 TAMAYO ROSERO DANILO RAFAEL 1802451003001 X 100056 GUAYASAMIN TENELEMA CARMITA ROSARIO 1802452399001 X 98481 MANOBANDA CHICAIZA CLEBER MARCELO 1802452720001 X 161631 VALENCIA CACERES ANGEL EDUARDO 1802454064001 X 12503 CARROCERIAS PAREGO 1802455509001 X 54905 JENNY 1802457893001 X 247298 VALLADARES NOBOA BHENEE ISMAEL 1802458172001 X 196596 CHICO CARRASCO LUIS PATRICIO 1802459832001 X 61287 VISEL 1802459881001 X 104259 MESIAS PROAÑO WASHINGTON FERNANDO 1802460228001 X 100160 GUILLEN GAIBOR JORGE OSWALDO 1802461150001 X 202745 CRUZ MORALES MARCO HERNAN 1802461556001 X 141167 PORTERO YANSAPANTA CARLOS TARQUINO 1802461879001 X 247382 HERNANDEZ ALMEIDA IBETT DEL ROCIO 1802463966001 X 78754 LLERENA GARZÓN MARCO PATRICIO 1802464733001 X 104277 IBARRA ALVAREZ WILSON MANUEL 1802468890001 X 168673 CRIOLLO CHOLOTA ALFONSO 1802470243001 X 186586 ESPÍN GAVILANES JEANETTE ENRIQUETA 1802475499001 X 213741 ESCOBAR ESPINOZA EDWIN VLADIMIR 1802475960001 X
  • 745.
    No No registra No No registra No No. registra registra No. indicadores registra provincia, registra Persona_id NOMBRE No. ID (RUC) calle número registra de ventas, apellido cantón y primer principal de calle origen activos y/o paterno parroquia nombre principal empleados 124243 NUÑEZ SOLIS BYRON ROBERTO 1802477651001 X 65313 TOALOMBO MOPOSITA SEGUNDO BERNARDO 1802478360001 X 176810 GORDON MARTINEZ ROMULO FIDEL 1802478402001 X 114678 CASTRO MARTINEZ HOLGUER GONZALO 1802480630001 X 142406 OJEDA AREVALO WALTER CRSITOVAL 1802480697001 X 102532 GUEVARA PAREDES MARIANA HERLINDA1802481398001 X 121860 ROVALINO SALAZAR DIANA ELIZABETH1802483121001 X 24603 ARMAS CABEZAS SANDRO PATRICIO 1802484079001 X 192037 SÁNCHEZ PILAMUNGA ARCENIO ERMENEGILDO 1802487031001 X 10957 ALMACÉN DE REPUESTOS MARPINO 1802488583001 X 271725 GARCES MOSQUERA JOSE ERNESTO 1802491272001 X 262688 GALLEGOS GUAILLAGUAMAN GUIDO EDGARDO 1802491470001 X 187582 CACERES PANIMBOZA MARIA EUGENIA1802491587001 X 140793 GUAMANQUISPE BELTRÁN SANDRA ELIZABETH 1802494664001 X 34694 VILLAFUERTE VILLAFUERTE NELSON OSWALDO 1802495091001 X 265621 LAURINI PICO TANIA 1802495810001 X 102457 VILLEGAS ZUÑIGA MARIO ANIBAL 1802496594001 X 183026 FIALLOS ORTIZ FREDDY MILTON 1802496651001 X 123724 REYES ESPIN SANTIAGO DAVID 1802497329001 X 228350 PUNINA QUIQUINTUÑA SEGUNDO JOSE1802499747001 X 35509 VELASTEGUI BAÑO ORLANDO JAVIER 1802500924001 X 278740 ORDOÑEZ OCAÑA NELSON AZTORIE 1802505444001 X 167115 PAREDES MAYORGA ALEXANDER VLADIMIR 1802505584001 X 68158 FALCON RODRIGUEZ EDGAR ASDRUBAL 1802506319001 X 278074 GAVILANES BOSQUES GLADYS DEL CARMEN 1802506590001 X 268727 SÁNCHEZ MORALES JENY HORTENCIA 1802508877001 X 96960 SANCHEZ BAUTISTA CARLOS GONZALO 1802509271001 X 131122 VALENCIA VALENCIA WILSON EDUARDO1802511178001 X 268101 AÑAZCO LALAMA DIEGO FERNANDO 1802511293001 X 115084 TAMAYO JACOME RENAN ERNESTO 1802511350001 X 261031 TASNA MOPOSITA JOAQUIN MARIANO 1802515112001 X
  • 746.
    No No registra No No registra No No. registra registra No. indicadores registra provincia, registra Persona_id NOMBRE No. ID (RUC) calle número registra de ventas, apellido cantón y primer principal de calle origen activos y/o paterno parroquia nombre principal empleados 37873 JORDAN SANTAMARIA MARCO GIOVANNY 1802516532001 X 89455 FONSECA DACTO BETTY MAGDALENA 1802517019001 X 132710 TOALOMBO POAQUIZA JOSÉ FERNANDO 1802517258001 X 276482 VELOZ GUERRA BYRON GERMANICO 1802517431001 X 55771 POZO VILLAFUERTE EDISON ROBERTO1802517688001 X 144863 RAMOS REAL JORGE DAMIAN 1802518702001 X 16304 GIOVANNA 1802518827001 X 201165 LASLUIZA YANCHATIPAN RUBEN GUSTAVO 1802521508001 X 72124 HERNANDEZ FREIRE ELEODORO ALCIVAR1802523512001 X 102501 GUAMAN PAREDES ANIBAL RODRIGO 1802525954001 X 55467 LASLUISA AIMACAÑA JEANETH DEL PILAR 1802526879001 X 222973 GUILLEN NORIEGA DIANA CAROLINA 1802527117001 X 174655 VIERA CHILUIZA JOSÉ LUIS 1802528008001 X 36261 ANALUISA CHAZA HECTOR TARQUINO 1802528594001 X 146252 CUJANO MORALES BYRON WILFRIDO 1802530129001 X 98096 VILLALVA PAREDES JULIO CESAR 1802530988001 X 77160 FLORES PICO DELIA NARCISA 1802531036001 X 161097 MEDINA LOPEZ JACQUELINE MARIBEL 1802531762001 X 261501 CORTES RIVERA JORGE LENIN 1802533073001 X 102618 VILLACRES SANCHEZ PAUL GONZALO 1802533396001 X 110088 MIRANDA VILLACIS MÓNICA ALEXANDRA1802534808001 X 94281 TIPANTASI VERDESOTO LUIS FERNANDO1802535011001 X 44495 PEÑAFIEL ORTIZ JORGE RODRIGO 1802535896001 X 233673 QUISPE GUALPA EDWIN RAMIRO 1802536423001 X 183352 ALTUNA VASQUEZ JOSE LUIS 1802538056001 X 134562 CHUGCHO CHIFLA VICENTE MECIAS 1802538502001 X 119572 MAZON MORALES DELIA MERCEDES 1802540292001 X 118770 VILLALVA MÉNDEZ PATRICIA MARILÚ 1802542611001 X 123433 BAYAS VILLALVA ANGEL RILO 1802542694001 X 220989 LOPEZ LOPEZ MARIO IBAN 1802543494001 X 142500 LLAMUCA CARRILLO MARCO VINICIO 1802543940001 X
  • 747.
    No No registra No No registra No No. registra registra No. indicadores registra provincia, registra Persona_id NOMBRE No. ID (RUC) calle número registra de ventas, apellido cantón y primer principal de calle origen activos y/o paterno parroquia nombre principal empleados 181723 MORALES CRUZ SEGUNDO AGUSTIN 1802546182001 X 179106 MAYORGA ACURIO OSCAR DANIEL 1802546232001 X 223021 GAVILANES MANZANO VICTOR HUGO 1802552974001 X 134524 MORALES GUATO MARCO ANTONIO 1802553147001 X 205783 TAMAYO TORRES VÍCTOR VLADIMIR 1802560175001 X 101990 CANDO CULQUI HECTOR LEVI 1802561819001 X 120637 VIERA CORTES KATERINE MARITZA 1802565059001 X 185106 TORRES TUBON LUIS ANIBAL 1802569101001 X 79581 MACHADO MACHADO CIRO WILFRIDO 1802569374001 X 125682 GUANANGA TOALOMBO ELIECER MARCELO 1802569648001 X 171731 CHAVEZ BAYAS VERONICA DEL CONSUELO 1802571826001 X 136330 FABARA LÓPEZ CARLOS ALBERTO 1802573160001 X 138274 VACA VALLE CARLOS PATRICIO 1802576197001 X 36477 ALTAMIRANO MERA DIEGO XAVIER 1802576783001 X 46603 ESTRELLA ALDAZ RAQUEL EMERITA 1802578052001 X 210218 SANCHEZ PASTRANA ELSA INES 1802578953001 X 104359 RODRIGUEZ FREIRE JOHN EDWIN 1802580033001 X 66893 ZAMORA MEDINA EDWIN FABIAN 1802585719001 X 87686 NUÑEZ ACOSTA FRANKLIN PATRICIO 1802586139001 X 95456 SOLIS AUHING NELSON FERNANDO 1802592186001 X 59452 SANCHEZ ORTIZ LENIN RAMIRO 1802593713001 X 255156 HERRERA MOYA RAUL LEONARDO 1802594372001 X 114586 SALAZAR TRUJILLLO RAMÓN FRANCISCO 1802597714001 X 192297 MORETA MUZO CARLOS ISAU 1802604593001 X 25735 ORTIZ ACUÑA JOFFRE EDUARDO 1802604627001 X 236117 CASTRO SOLÓRZANO FIDEL ALBERTO 1802604684001 X 176149 ANDRADE GOMEZ VICTOR ANTONIO 1802606580001 X 164788 YUGSIN SANCHEZ SEGUNDO GERMAN 1802607844001 X 260353 TORRES GUAMÁN IRMA VERÓNICA 1802610814001 X 160863 DURAN YAGUAR WILSON HERNAN 1802610954001 X 101767 YANEZ GREFA POLIVIO ANIBAL 1802612216001 X
  • 748.
    No No registra No No registra No No. registra registra No. indicadores registra provincia, registra Persona_id NOMBRE No. ID (RUC) calle número registra de ventas, apellido cantón y primer principal de calle origen activos y/o paterno parroquia nombre principal empleados 247844 BUENAÑO MORALES LUCIO BUENAÑO 1802612786001 X 272489 BAQUERO ZAMBRANO MYRIAN DEL PILAR 1802620573001 X 134723 SOSA VALVERDE MARCO ANTONIO 1802622728001 X 35772 PINOS MONTENEGRO MARCO ANTONIO 1802623361001 X 220907 AMAN PILCO NELLY GRACIELA 1802624120001 X 237699 CEVALLOS JACOME EDWIN RODRIGO 1802624153001 X 220839 AGUALONGO QUIQUINTUÑA JOSE SEGUNDO 1802626828001 X 65157 PAZMIÑO ESPIN JUAN PABLO 1802631778001 X 251323 SÁNCHEZ ROMO KARINA DEL ROCÍO 1802632115001 X 97078 GRANDA AMPUERO ERIKA ELIZABETH 1802632446001 X 33881 PERALVO MEJIA HENRY RODRIGO 1802634798001 X 171445 MANZANO SOLIS MARIBEL DEL CARMEN1802640332001 X 20196 COELLO LOPEZ GERMAN VINICIO 1802642593001 X 141091 TITE PEREZ ANGEL PATRICIO 1802644607001 X 133122 JEREZ SALAN CARLOS GUILLERMO 1802645166001 X 65061 DEFAZ VEGA GLORIA MERY 1802647048001 X 59665 ING. WILSON TISALEMA 1802649937001 X 139255 NAUÑAY PEREZ WASHINGTON OSWALDO 1802650216001 X 27628 MALIZA VERDESOTO ANTONIO BERLIN 1802653137001 X 124522 GAVILANES MOLINA JAIME WILBERTO 1802655322001 X 38883 BAYAS BAYAS ANGEL ALFREDO 1802660645001 X 124801 RIVERA GARCIA CHRISTIAN GEOVANNY1802661130001 X 261797 APONTE CIFUENTES JUAN PABLO 1802662229001 X 34313 QUISPE CANDO SEGUNDO TOMAS 1802665024001 X 40782 ING.BOLIVAR MORALES 1802666592001 X 105599 TIRADO LOZADA NORMA ISABEL 1802668788001 X 148164 TENICOTA TENICOTA LUIS PATRICIO 1802669166001 X 174407 FREIRE PEREZ CECILIA JANETH 1802670511001 X 269823 SOLIS PEÑA CARMEN ELIZABETH 1802671824001 X 43810 MARIO 1802674885001 X 122507 GUAMAN HUILCAPI HECTOR FRANKLIN 1802676971001 X
  • 749.
    No No registra No No registra No No. registra registra No. indicadores registra provincia, registra Persona_id NOMBRE No. ID (RUC) calle número registra de ventas, apellido cantón y primer principal de calle origen activos y/o paterno parroquia nombre principal empleados 50045 SUAREZ MENDOZA WASHINGTON DAVID 1802677193001 X 133543 CARRERA SÁNCHEZ WILMER KLEBER 1802677706001 X 193693 PEREZ IZURIETA ARACELLY KARINA 1802679512001 X 204364 RIOFRIO GOMEZ ANGEL GEOVANI 1802680569001 X 166612 TENEMAZA BUENO SEGUNDO FRANCISCO1802682102001 X 37135 MERA BOZANO HERNAN SANTIAGO 1802682599001 X 129255 QUISPE RODRIGUEZ OLGUER FABIAN 1802686293001 X 188151 SIZA UGSHA WILIAM GEOVANI 1802687101001 X 3295 CONSTANTE FREIRE OSCAR OMAR 1802690774001 X 25445 REAL LOPEZ ALEXANDRA ARACELLY 1802694149001 X 227082 ESPINOZA GARRIDO PABLO RODRIGO 1802694990001 X 101158 NUÑEZ ANDRADE ELVA MAGDALENA 1802695278001 X 95770 PALACIOS SALINAS PIEDAD ADELITA 1802697134001 X 110167 ESCOBAR LASCANO GERMANIA ELIZABETH 1802700250001 X 36518 MONTESDEOCA FREIRE MARCO EDUARDO1802701233001 X 61452 MOYA MAYORGA TITO AGUSTÍN 1802701407001 X 220849 TOAPANTA TITUAÑA JORGE AMABLE 1802701589001 X 9016 GT MEGA OFFICE 1802702462001 X 272979 AGUILAR NARANJO LUIS ANTONIO 1802702751001 X X 237883 TUSTON CARRASCO HAIRON WILMER 1802705234001 X 111765 MARTÍNEZ ALTAMIRANO RUBÉN DANILO1802705424001 X 92735 RODRIGUEZ SAMANIEGO EDWIN GIOVANNI 1802705507001 X 223827 PEREZ CASTILLO VICTOR FLORESMILO1802705788001 X 24241 MOYA SANCHEZ WILLIAM JOFFRE 1802707537001 X 270272 YÁNEZ CABRERA ELSA GISSELA 1802707552001 X 225092 TAMAYO RODRIGUEZ GALO XAVIER 1802710689001 X 55950 ACOSTA NUÑEZ ANA CONSUELO 1802711331001 X 97265 PEREZ SALINAS LUIS ALBERTO 1802714186001 X 153977 PEREZ AGUILAR RUBEN MILTON 1802715761001 X 207562 MOPOSITA SINCHE ANGEL SERAFIN 1802719664001 X 174037 SANCHEZ ALTAMIRANO GUADALUPE EMERITA 1802723096001 X
  • 750.
    No No registra No No registra No No. registra registra No. indicadores registra provincia, registra Persona_id NOMBRE No. ID (RUC) calle número registra de ventas, apellido cantón y primer principal de calle origen activos y/o paterno parroquia nombre principal empleados 91766 ANDALUZ QUISPE MARTHA KATHERINE1802724425001 X 169395 PEREZ SALINAS RUTH NARCISA 1802726628001 X 211464 ASAS CAIZABANDA SEGUNDO DANIEL 1802727071001 X 75470 MORETA SILVA MARCO VINICIO 1802727352001 X 100485 PAREDES CRUZ SARA MARGOTH 1802728970001 X 139951 PAUCAR GAVILANEZ PIEDAD ROMELIA 1802733160001 X 195845 1802736122001 X 222913 GUANO ESPINOZA LETICIA AURORA 1802740215001 X 266806 MORILLO POVEDA DANIELA ELOISA 1802742856001 X 216511 ORTIZ VILLACIS IVÁN PATRICIO 1802743268001 X 237633 TIMBELA URCO GERMAN ADOLFO 1802748051001 X 121128 JUNTA CHANGO LUIS OSWALDO 1802752145001 X 129197 GARCES MAYORGA DIEGO VLADIMIR 1802752657001 X 158279 HERERA VASQUEZ CARLOTA PIEDAD 1802752863001 X 123512 CHACHA MOPOSITA JOSE BRAULIO 1802754802001 X 264113 QUINTUÑA SAQUINGA LUIS OSWALDO 1802756062001 X 263590 BARRIGA VINUEZA MARIA ALEXANDRA 1802756674001 X 108456 CHANGO HERRERA JOSE ANTONIO 1802757227001 X 106833 VASCONEZ GUERRERO CARMEN MAGDALENA 1802763209001 X 265539 ELBAY LEMA KLEVER FABIAN 1802763902001 X 59843 BONIFAZ TOAPANTA JOHN VINICIO 1802772457001 X 99654 RAMOS REAL GINA XIMENA 1802774362001 X 72354 CHUNCHA SOGSO ANGEL MARÍA 1802775294001 X 148403 MALIZA GOMEZ JUAN JOSE 1802776904001 X 131187 VÁSCONEZ PEÑAFIEL JOSÉ HERIBERTO1802780344001 X 227523 TOAPANTA PUNINA NERIS NOLBERTO 1802780609001 X 266120 RIBALINO ILBAY ELSA BEATRIZ 1802781896001 X 153711 SALAZAR CARRILLO AMPARO DEL ROCIO 1802784312001 X 230198 TENEPAGUAY SANGURIMA TRÁNSITO DOLORES 1802784353001 X 142599 MARTINEZ LLERENA WALTER 1802785178001 X 134128 CHUGCHO CHIFLA LUIS ABEL 1802787190001 X
  • 751.
    No No registra No No registra No No. registra registra No. indicadores registra provincia, registra Persona_id NOMBRE No. ID (RUC) calle número registra de ventas, apellido cantón y primer principal de calle origen activos y/o paterno parroquia nombre principal empleados 216459 CORONEL MESIAS FREDY ALFONSO 1802789840001 X 170430 VELASTEGUI CORTEZ MENTOR RAUL 1802789857001 X 106715 LEMA MARTINEZ JUAN CARLOS 1802791572001 X 151873 SANTIN JIMENEZ MANUEL OLIVO 1802791663001 X 212734 TITE PILATUÑA FREDDY SEGUNDO 1802791861001 X 78612 PÉREZ ACOSTA MARCO VINICIO 1802800332001 X 209103 CONSTANTE FREIRE JAQUELINE ALEXANDRA 1802801330001 X 266117 BARRERA PICO PABLO VINICIO 1802802528001 X 139289 IPIALES PALACIOS LUIS HUALBERTO 1802804482001 X 67461 MORETA ALAJO WALTER MANUEL 1802805901001 X 244096 CAGUANA CRIOLLO ANGELICA FLORINDA 1802806701001 X 111035 ESPEJO ALMACHI JUAN ARTURO 1802807824001 X 36729 MERINO VIVAS LUIS EDUARDO 1802811735001 X 207666 PACHACAMA CHAFLA JUAN CARLOS 1802814028001 X 93879 TOALOMBO LLAMBO CARMELO 1802814861001 X 161798 ANILEMNA ZAMORA LUIS EMILIO 1802814945001 X 194423 TIGSI CEVALLOS LUIS ALBERTO 1802815223001 X 225113 TOALOMBO CAPUZ MARIA MAGDALENA 1802817344001 X 162415 RIOS HURTADO DANIELA ALEXANDRA 1802819282001 X 105245 BAYAS RUIZ GRICELDA CECIVEL 1802819480001 X 100717 MORETA SAILEMA MERCY GUADALUPE1802822229001 X 161671 SALVADOR ESPINOZA ALEX DAMIAN 1802828127001 X 146294 SAQUI CHANGO CARLOS HUMBERTO 1802829661001 X 277478 SISLEMA CHADAN PABLO CESAR 1802829745001 X 216359 HERNANDEZ PACHUCHO FREDY ROBERTO1802831642001 X 25597 GUEVARA ALDAZ FRANKLIN RUBÉN 1802835734001 X 241394 VAYAS MEDINA JEANNETTE ROCÍO 1802836369001 X 206496 RODRIGUEZ PAZMIÑO NORMA ROCIO 1802837144001 X 110697 CAICHO MELO PABLO ERNESTO 1802837383001 X 102059 MANZANO REAL ADRIANA PAULINA 1802837938001 X 38981 ZAMORA VILLACIS JORGE HUMBERTO 1802838076001 X
  • 752.
    No No registra No No registra No No. registra registra No. indicadores registra provincia, registra Persona_id NOMBRE No. ID (RUC) calle número registra de ventas, apellido cantón y primer principal de calle origen activos y/o paterno parroquia nombre principal empleados 271686 GARCES MOSQUERA CARLOS ENRIQUE 1802838241001 X 266990 TIBAN SAILEMA OLGA SUSANA 1802838407001 X 22410 CUZCO SILVA EDGAR GIOVANNY 1802840718001 X 138796 RAMIREZ NARANJO GLADYS LOURDES 1802840890001 X 188375 CORDOVA SUAREZ MANOLO ALEXANDER 1802842508001 X 156786 VILLENA CARRASCO CÉSAR AUGUSTO 1802843027001 X 226110 BARRERA ORELLANA ANGEL SANTIAGO 1802844421001 X 216083 ARANDA NUÑEZ JACQUELINE ALEXANDRA 1802844496001 X 14104 N&S EJECUTIVOS 1802846954001 X 263660 CHÁVEZ ROSERO LUIS RUPERTO 1802851061001 X 151803 ZAMORA GUERRERO JOSE VICENTE 1802852812001 X 91358 SUPE SUPE WASHINGTON MOISES 1802853489001 X 135876 CHANGO CHONATA FRANCISCA 1802857431001 X 106882 SANGUCHO TOAPANTA JORGE ABELARDO1802857704001 X 171226 IBARRA ACURIO EDWIN GIOVANNI 1802858215001 X 221341 LOPEZ LOPEZ MARIO VINICIO 1802861649001 X 16730 VASCO LOPEZ PATRICIO MARCELO 1802865202001 X 198440 JARA GOMEZ EDGAR FABIAN 1802870285001 X 197347 SEVILLA CANDO CESAR MARCELO 1802870640001 X 231407 BASTIDAS APUPALO JANETH MAGARITA1802873784001 X 52657 CAIZA LASCANO GONZALO MAURICIO 1802875417001 X 269914 MEDINA USHINA LAURA RENE 1802876118001 X 99555 PANTOJA REVELO JORGE MAURICIO 1802876894001 X 111610 VITERI CORDOVA FRANCISCO JAVIER 1802879096001 X 3383 PAREDES LOPEZ FRANKLIN GONZALO 1802880037001 X X 211506 AGUAYO MOPOSITA CARLOS JAVIER 1802880615001 X 193701 ZURITA ZUÑIGA ALEX MAURICIO 1802884963001 X 216545 SANTANA NUÑEZ JOFRE EDUARDO 1802885671001 X 122953 MAYORGA MORETA MELINA DEL CARMEN1802886034001 X 108136 ROBALINO VILLENA GALO PATRICIO 1802886836001 X 84694 CAIZA LLUGSA PEDRO PABLO 1802888386001 X
  • 753.
    No No registra No No registra No No. registra registra No. indicadores registra provincia, registra Persona_id NOMBRE No. ID (RUC) calle número registra de ventas, apellido cantón y primer principal de calle origen activos y/o paterno parroquia nombre principal empleados 186813 LLUMIPANTA TIGSE MILTON 1802888998001 X 98787 GUERRA CARDENAS FABRICIO ALEXANDER 1802890226001 X 211125 REAL REINOSO ITALO RUBEN 1802891521001 X 134582 CHUGCHO CHIFLA ANGEL ELICIEO 1802896462001 X 78888 MIRANDA GUEVARA RICHARD PAUL 1802901288001 X 198040 FLORES VELASCO DIANA CAROLINA 1802905479001 X 244490 HIDALGO VILLARREAL MARIA AUGUSTA1802910743001 X 226731 MUÑOZ LALALEO MAYRA SORAYA 1802912095001 X 171709 MERA LOPEZ FRANKLIN RAFAEL 1802915098001 X 102589 ALTAMIRANO RUIZ IBETH PATRICIA 1802916369001 X 156686 JAYA GERMAN KATTY CRISTINA 1802916575001 X 140967 VILLEGAS CISNEROS HENRY PATRICIO1802921104001 X 184986 TOAPANTA TOAPANTA SEGUNDO RAUL 1802922979001 X 258311 RAMOS REAL JUANA PATRICIA 1802925048001 X 261481 GUEVRA CHILIQUINGA MAGDALENA SOLEDAD 1802926244001 X 208388 CRUZ TIRADO ANA EULALIA 1802928513001 X 28175 QUINATOA ESPÍN HENRY JAVIER 1802929198001 X 21027 PALACIOS CASTILLO GALO ANDRÉS 1802930808001 X 138634 NUÑEZ PEREZ FELIX HENRY 1802930915001 X 88997 PICO ZAMORA JOSÉ LEONARDO 1802931137001 X 125764 PALMA RAMOS ANA LUCIA 1802931442001 X X 128764 PALATE DARIO 1802932036001 X 149802 MORALES ZURITA GABRIEL NATAN 1802932267001 X 256935 PAREDES MARTÍNEZ ROBERT WILSON 1802932416001 X 220643 SALAZAR VELASCO ROLANDO XAVIER 1802934735001 X 31304 DELGADO JEREZ PATRICIO RENÁN 1802937423001 X 126276 ALDAZ TACO ROBERTO FABIAN 1802938314001 X 74455 MORALES TORRES ERNESTO ALEJANDRO1802938488001 X 227307 CHICAIZA CHICAIZA GALO WILFRIDO 1802942035001 X 140579 VARGAS VALENCIA LUIS STALIN 1802942746001 X 227086 ABRIL VILLALVA WILMER LADISLAO 1802942902001 X
  • 754.
    No No registra No No registra No No. registra registra No. indicadores registra provincia, registra Persona_id NOMBRE No. ID (RUC) calle número registra de ventas, apellido cantón y primer principal de calle origen activos y/o paterno parroquia nombre principal empleados 253036 GUAMANI GUAMANI LUIS GONZALO 1802943041001 X 161718 BARRAGÁN GARCÍA JOSÉ GABRIEL 1802944387001 X 42289 JIMMY 1802947075001 X 160753 OJEDA MARIÑO NANCY PIEDAD 1802947976001 X 28397 CASTRO LOPEZ SILVIA PAULINA 1802948081001 X 208378 CONSTANTE MAYORGA FRANKLIN FERNANDO 1802948958001 X 145175 MORALES SAILEMA MANUEL MESIAS 1802948982001 X 143915 GOMEZ ALVAREZ GUIDO ROBERTO 1802951762001 X 132129 FLORES GAVILANES LUIS AMABLE 1802962041001 X 238420 SALTOS SORIA MARIA DE LOURDES 1802965333001 X 249013 TOALOMBO BARRIONUEVO MIGUEL ANGEL1802967404001 X 123114 ACOSTA PEREZ WALTER MESIAS 1802967537001 X 170645 HERRERA VILLACIS EFRAIN ISAIAS 1802972651001 X 99545 GALLARDO PAREDES EDWIN MARCELO 1802976017001 X 186664 PUNINA UQUILLAS SEGUNDO MANUEL 1802977205001 X 156099 PALLO SANCHEZ JAIME ROBERTO 1802977239001 X 135521 QUIQUINTUÑA TOALOMBO JOSE PEDRO 1802977742001 X 259812 TOALOMBO TOALOMBO SEGUNDO ALONSO 1802979722001 X 230296 ARGUELLO SAQUI JAVIER MARCELO 1802980969001 X 253334 PAZMIÑO PAZMIÑO KARINA ELIZABETH1802981215001 X 157694 SALCEDO LEMA WILLAN ROBERTO 1802981314001 X 204847 NAVARRO NAVARRO ALFONSO MARCELO 1802986958001 X 231316 MORALES LLERENA EDGAR MARCELO 1802988079001 X 184717 QUISPILEMA VEITIMILLA FREDDY EFRAIN 1802990935001 X 259009 SOLÍS MANTILLA HENRY RODRIGO 1802992345001 X 99417 REYES FREIRE WILSON SALVINO 1802993285001 X 217021 JACOME MEDINA BYRON XAVIER 1802993525001 X 154003 CARVAJAL CASTRO CARLOS FERNANDO 1802994408001 X 136286 ARAUJO VILLARRUEL LORY HAIDEE 1802995322001 X 137687 BANDERAS FERNANDEZ LUIS EDUARDO 1802996783001 X 102049 MARTINEZ MENDOZA JESUS IVAN 1802998052001 X
  • 755.
    No No registra No No registra No No. registra registra No. indicadores registra provincia, registra Persona_id NOMBRE No. ID (RUC) calle número registra de ventas, apellido cantón y primer principal de calle origen activos y/o paterno parroquia nombre principal empleados 10844 RECTIFICADORA NOBOA PICO 1803001971001 X 250427 CRIOLLO CHIMBORAZO VINICIO MANUEL 1803002516001 X 226674 COELLO CADENA SANDRA PATRICIA 1803003233001 X 151816 VILLACRES YANEZ MELINA RAQUEL 1803004538001 X 228780 CARRASCO CISNEROS LIGIA VERONICA1803005980001 X 242066 GUEVARA PAREDES DEYSI LUCIA 1803007622001 X 205665 COBOS MASAQUIZA VICTOR HUGO 1803007937001 X 229531 ROMERO FONSECA LUIS ROBERTO 1803008695001 X 33978 PAREDES MONTERO SENAIDA ALEXANDRA 1803010063001 X 215883 VILLACIS RUIZ SILVANA ALEXANDRA 1803010824001 X 266728 MATUTE CUJI NANCY LUCIA 1803013752001 X 254906 ORTEGA ORTIZ RICHARD LENIN 1803014370001 X 222994 LARA MORALES AIDA LUCRECIA 1803015252001 X 44774 NUÑEZ RODRIGUEZ DARWIN EDUARDO 1803015294001 X 117410 SANISACA PAÑORA JUAN CARLOS 1803018082001 X 74252 GUERRA GAMBOA RODRIGO AUGUSTO1803019676001 X 48523 TORO LOPEZ ZOILA ISABEL 1803019700001 X 146165 YUCAILLA BALTAZAR LUIS ALBERTO 1803023181001 X 21677 MAYORGA SANCHEZ MATILDE ELEVACIÓN 1803024098001 X 263524 LÓPEZ GORDON JAIRO RAUL 1803024767001 X 158979 GORDILLO NARVAEZ DIEGO FERNANDO 1803024809001 X 99899 SANCHEZ PEREZ MANUEL ERNESTO 1803025715001 X 225795 NARVAEZ CAICEDO ANA PAULINA 1803025806001 X 104690 RAMOS JARRIN ALICIA PAULINA 1803026325001 X 126830 MENDIETA TORO LUIS DANIEL 1803029899001 X 111690 FUENTES BARONA FREDDY ANIBAL 1803031515001 X 102144 GUAMAN PAREDES EULALIA PATRICIA 1803031747001 X 100101 ROJANO GUACHI NELLY PIEDAD 1803032695001 X 199414 SILVA PAREDES EDISON GEOVANNY 1803032810001 X 118065 LEMA GARCES JUAN ERNESTO 1803033495001 X 182530 CHICAIZA CAJAHUISHCA BLANCA ZENAIDA 1803034022001 X
  • 756.
    No No registra No No registra No No. registra registra No. indicadores registra provincia, registra Persona_id NOMBRE No. ID (RUC) calle número registra de ventas, apellido cantón y primer principal de calle origen activos y/o paterno parroquia nombre principal empleados 211118 ACOSTA PLAZA PAULO ESTEBAN 1803034451001 X 4422 GLOAPSA 1803037041001 X 36855 ACOSTA CASTRO FREDDY GEOVANNY 1803039823001 X 138088 ROSERO VILLALVA CARLOS HOMERO 1803040433001 X 171506 RODRIGUEZ SANDOVAL PAULINA ALEJANDRA 1803041746001 X 144940 GUAIGUA SANCHEZ EDWIN GEOVANNY1803042512001 X 100507 CESPEDES MARCIAL DARWIN ROBERTO 1803043700001 X 48604 MARCO 1803046125001 X 166073 DE LA CRUZ PUNINA LUIS ANIBAL 1803050101001 X 132368 ELBAY GUAMAN WALBERTO FROILAN 1803053196001 X 193998 BONILLA MANJARRES MAYDA PAMELA 1803057205001 X 104127 CAIZA CHANGO VINICIO MARCELO 1803065620001 X 103109 MORALES DAVILA PAULINA GISSELA 1803065760001 X 124487 SANCHEZ SANCHEZ EDGAR BLADIMIR 1803066057001 X 54267 SUAREZ MANTILLA JOSE MIGUEL 1803066586001 X 88247 CABRERA PALACIOS ALCIRA BEATRIZ 1803067071001 X 271362 ACHACHI PIMBO POLIVIO RENEE 1803067345001 X 175582 MARTÍNEZ JURADO EVELIN PAOLA 1803067865001 X 80972 MONTALVO JARAMILLO SANTIAGO DANIEL 1803068764001 X 150321 CHIMBO TELENCHANA LUCY ESTELA 1803069481001 X 28736 MORENO JIMENEZ LUIS ALFREDO 1803070893001 X 142476 CORTEZ ROMERO JORGE ANTONIO 1803072840001 X 279257 LOPEZ MEDINA BOLIVAR GERMAN 1803073228001 X 80036 GUZMAN JACOME WITMANI OVIDIO 1803073954001 X 53777 RAMOS CARRASCO EDWIN ROBERTO 1803076304001 X 50111 CRIOLLO MAYORGA SANDRA JACQUELINE 1803078375001 X 222574 LESCANO ACOSTA MIRIAN ELIZABETH 1803078730001 X 171786 HARO TAMAYO ANGEL VIDEN 1803079506001 X 185356 SANCHEZ NUÑEZ SANDRA NATALY 1803080249001 X 115362 MOPOSITA VALDEZ OMAR ANIBAL 1803083672001 X 43644 MONTESDEOCA MATUTE JAIME WILFRIDO 1803083904001 X
  • 757.
    No No registra No No registra No No. registra registra No. indicadores registra provincia, registra Persona_id NOMBRE No. ID (RUC) calle número registra de ventas, apellido cantón y primer principal de calle origen activos y/o paterno parroquia nombre principal empleados 206320 ENDARA CHINACHI HUGO RENDÓN 1803084860001 X 86052 ANDRADE MEJIA MARA ALEXANDRA 1803085578001 X 106428 MUYULEMA MOYOLEMA MERCY CECILIA803088234001 1 X 273024 AMAN SILVA MAYRA ELIZABETH 1803092046001 X 258147 RECALDE CASTILLO MARCO FERNANDO 1803093556001 X 214238 PAREDES PONCE EDGAR FRANCISCO 1803095148001 X 209303 VASQUEZ GUERRERO ROMEL RENAN 1803095700001 X 50583 ALVAREZ LIZANO IVAN PATRICIO 1803097763001 X 151404 MENDIETA TORO MARIA BELÉN 1803100021001 X 31065 BUENAÑO SALME MONICA EMPERATRIZ 1803107521001 X 143112 ESPIN CRIOLLO ERNESTO RAMIRO 1803109287001 X 75181 GAVILÁNEZ VILLACIS MARCO JAVIER 1803112265001 X 62767 ABRIL SALTOS RICARDO VINICIO 1803113321001 X 279063 SÁNCHEZ GUERRERO MENTOR JAVIER1803114345001 X 266033 URBINA ARCOS JOSE LUIS 1803116704001 X 193686 TORRES ESTUPIÑAN JESSENIA GERTRUDIS 1803121423001 X 163557 SALAZAR IBARRA DARWIN JEOVANNY 1803123320001 X 182527 PEREZ GALARZA KARINA ALEXANDRA 1803123742001 X 68986 SEGARRA CUSANGUA EDITH CRISTINA1803123791001 X 263063 MACHADO ALTAMIRANO OLIVIA ELIZABETH 1803124690001 X 222929 PEREZ JORDAN RICARDO GENARO 1803125796001 X 174396 SOLIZ HIDALGO MARITZA CLEOPATRA 1803126356001 X 171566 ORTÍZ ORTÍZ JHONNY ELÍAS 1803126521001 X 202437 CHANGO SAILEMA WILSON GUSTAVO 1803126679001 X 222871 ESCOBAR ARCOS PAULINA GISSELA 1803130127001 X 35616 EDGAR JAVIER CASTELO PAREDES 1803130333001 X 89749 MORENO LÓPEZ OLGUER IVÁN 1803131968001 X 170879 REYES BEDOYA WILSON PATRICIO 1803135639001 X 225791 ARMENDÁRIZ CALUÑA BÉLGICA CONSUELO 1803136785001 X 102184 MERA MOSQUERA PATRICIO FERNANDO 1803139961001 X 275601 VERDESOTO TISALEMA VICTOR HUGO 1803140795001 X
  • 758.
    No No registra No No registra No No. registra registra No. indicadores registra provincia, registra Persona_id NOMBRE No. ID (RUC) calle número registra de ventas, apellido cantón y primer principal de calle origen activos y/o paterno parroquia nombre principal empleados 115844 VELASCO GAMBOA KLEVER FABIAN 1803141702001 X 220314 LOPEZ MARIN LUIS ERNESTO 1803143344001 X 224433 CONDO VELASTEGUI PAULO CEASR 1803145356001 X 200511 ACOSTA ACOSTA FERNANDO MANUEL1803145745001 X 112757 TIPAN GUACHAMBOZA JAIME OLMEDO 1803151446001 X 63474 FREIRE CORTEZ ELSA ROCIO 1803152584001 X 76147 ROMO ROJAS MARIO GIOVANNI 1803156478001 X 58686 C&G 1803158557001 X 103606 TOALOMBO QUISINTUÑA AMPARO DEL 1803158615001 ROCIO X 86896 TIPANTUÑA GUANGASI JUAN FRANCISCO 1803158805001 X 28942 GUZMÁN PÉREZ WILSON DARIO 1803162450001 X 102037 CEPEDA DURAN HOLGUER FERNANDO1803174901001 X 106024 CONDO RODRIGUEZ PAUL FERNANDO 1803177490001 X 103400 CRIOLLO AUCAPINA HUMBERTO ROMAN803186632001 1 X 255646 TUSTON URRUTIA WILLIAN GILBERTO 1803189446001 X 71423 SUPE SAILEMA SEGUNDO MARCELO 1803190790001 X 63212 CARLOS 1803192515001 X 173072 ANDAGANA GUANANGA CARLOS ALCIDES 1803195369001 X 62316 PINTO RUIZ CRISTINA ELIZABETH 1803199569001 X 112852 LÓPEZ PONLUISA ROSA LORENA 1803203643001 X 147538 MIÑO VILLACIS JORGE SAUL 1803205952001 X 167692 GUEVARA CAICEDO FERNANDO PATRICIO 1803206190001 X 126713 IZURIETA VILLACIS FABIAN NAPOLEON 1803208832001 X 119122 CALUÑA TIAGUARO JUAN ROSENDO 1803210978001 X 224403 CUJI TOAQUIZA EDISON GEOVANI 1803211695001 X 169875 ZURITA DUCHE GUIDO EDUARDO 1803213527001 X 225655 ALDAZ ARIAS ALBITA ALEXANDRA 1803214046001 X 276514 ORTIZ ORTIZ SILVIA EDITH 1803215399001 X 224912 SUPE SUPE WILSON SALVADOR 1803220605001 X 104443 AMAGUAÑA AMAGUAÑA LUZ IRENE 1803221165001 X 245364 CASTRO FLORES HENRY JOSELITO 1803222155001 X
  • 759.
    No No registra No No registra No No. registra registra No. indicadores registra provincia, registra Persona_id NOMBRE No. ID (RUC) calle número registra de ventas, apellido cantón y primer principal de calle origen activos y/o paterno parroquia nombre principal empleados 104615 PARRA SALINAS JUAN CARLOS 1803229515001 X 103521 MARINO ZUMBANA LIZ ARACELLY 1803231297001 X 88498 VILLEGAS MORALES CAROLINA DEL PILAR 1803231313001 X 19349 LEÓN BURGOS CAROLINA ALEXANDRA1803231784001 X 127043 DURAN SANCHEZ GABRIELA SILVANA 1803232451001 X 56466 PUNINA RECALDE FREDY RAUL 1803234556001 X 134450 VAYAS RUIZ ELIZA CAROLINA 1803234945001 X 64901 SAILEMA CRIOLLO SANDRA PAULINA 1803235629001 X 73674 PALADINES NARANJO PAUL SANTIAGO 1803236668001 X 74541 LASCANO CARRERA JULIO RODOLFO 1803236759001 X 77388 AUCANSHALA ALLAICA MIGUEL ANGEL 1803238078001 X 154116 CEVALLOS MEJIA MONICA DEL ROCIO 1803238573001 X 222576 CARRASCO CARRASCO RIGOBERTO JAVIER 1803240454001 X 68674 ZÚÑIGA ZAMORA LIBIO VLADIMIR 1803241007001 X 113917 MEDINA ROSERO JAIME MARCELO 1803241528001 X 32691 PEREZ CHICA ALEX IVAN 1803241866001 X 212667 GARCIA COELLO JORGE JAVIER 1803242625001 X 152113 GALLEGOS NARANJO FRANKLIN JAVIER 1803243326001 X 170954 URQUIZO VACA SANTIAGO RAFAEL 1803243599001 X 139497 BAUTISTA MACHUCA EDWIN RAMIRO 1803243755001 X 34009 TORRES GARCÉS DANNY ORLANDO 1803244142001 X 16293 CEPEDA PROANO DIANA PAULINA 1803247566001 X 269935 TOALOMBO PUNINA SEGUNDO ANGEL 1803249455001 X 100398 CRIOLLO AUCAPIÑA NATALIA PAULINA 1803250024001 X 226135 GUEVARA ROBALINO JORGE JAVIER 1803250503001 X 238931 PROAÑO ALULEMA JUAN MARCELO 1803250610001 X 149717 ACOSTA ACOSTA FRANKLIN MARCELO 1803250735001 X 108071 VILLACIS ROBALINO ELSA JANETH 1803255353001 X 255040 VASQUEZ DE LA BANDERA MAYORGA MAURO VINICIO 1803260726001 X 236989 MANTILLA AGUILAR VICENTE FABIAN 1803263696001 X 106100 MEJIA BARROS MAYCO FABIAN 1803265196001 X
  • 760.
    No No registra No No registra No No. registra registra No. indicadores registra provincia, registra Persona_id NOMBRE No. ID (RUC) calle número registra de ventas, apellido cantón y primer principal de calle origen activos y/o paterno parroquia nombre principal empleados 133863 ROSALES ROSALES EDWIN GIOVANNY 1803266111001 X 248157 SILVA ACOSTA EDISON ROBERTO 1803266491001 X 233855 TIPAN YUGCHA JOSE GEOVANNY 1803267481001 X 54720 VILLACRES MOREJON KARINA FERNANDA 1803268463001 X 223647 LOPEZ MAYORGA ELIZABETH JACQUELINE 1803268539001 X 102734 MASABANDA PILAMUNGA MARIA 1803268919001 X 256057 CARTAGENA SEGURA ELENA ELEVACION1803272200001 X 130722 MEJIA PAUCAR JOSE LUIS 1803273034001 X 65334 VASCO LOPEZ LENIN FERNANDO 1803276383001 X 50730 VARGAS SÁNCHEZ DIEGO LEONARDO 1803281342001 X 219566 FAREZ SOLIS MANUEL ISAAC 1803288974001 X 240784 AMORES VACA ROSA MATILDE 1803289162001 X 1903 ROSA 1803290152001 X 129058 NARVAEZ CAICEDO VERONICA DEL PILAR 1803292547001 X 267559 MORALES ALBÁN JULIO ROBERTO 1803292877001 X 241856 PAREDES URQUIZO JAIRO EDUARDO 1803294485001 X 161704 MORALES MORALES EDGAR SANTIAGO 1803294972001 X 197904 POVEDA TIRADO EDWIN JAVIER 1803295086001 X 254331 COBO PAZ Y MIÑO JUAN PABLO 1803297280001 X 135169 CULQUI ARCOS JOHNNY ULISES 1803307071001 X 67822 DUARTE NAVARRETE JUAN CARLOS 1803315330001 X 116458 VILLALVA MEDINA CARLOS HERIBERTO1803317419001 X 167903 CABEZAS TORRES ITALO GUSTAVO 1803320264001 X 198663 TIRADO PLAZA LUIS 1803325388001 X 170785 GUATO BARROSO ROLANDO EDISON 1803326162001 X 203701 PROAÑO CORDOVA SARA ELIZABETH 1803327541001 X 55762 OÑA NAVARRETE CÉSAR MAURICIO 1803328085001 X 206276 VACA LARA DARWIN MARCELO 1803328465001 X 110142 VARGAS GUEVARA MAIRA ALEXANDRA1803330875001 X 34095 LEICA YANSAPANTA BYRON EDUARDO 1803332988001 X 52569 MEDINA LOPEZ MARTHA VERONICA 1803333143001 X
  • 761.
    No No registra No No registra No No. registra registra No. indicadores registra provincia, registra Persona_id NOMBRE No. ID (RUC) calle número registra de ventas, apellido cantón y primer principal de calle origen activos y/o paterno parroquia nombre principal empleados 111661 CALUÑA BARRENO ARACELLY ELIZABETH 1803336930001 X 177767 LARA ESCOBAR PAUL ENRIQUE 1803339124001 X 238047 ALDÁS NÚÑEZ ROBERTH DARÍO 1803340510001 X 213509 TORRES ORTIZ BYRON DANIEL 1803341575001 X 119825 VILLACRESES MORA JUAN PABLO 1803342284001 X 28577 URBINA VELA ANGEL CRISTOBAL 1803364726001 X 262993 ALVAREZ FALCÓN FRANKLIN XAVIER 1803365053001 X 217831 GAVILANEZ SANCHEZ ROQUE GUSTAVO 1803367653001 X 30055 VILLALVA CACERES MARIO GUILLERMO1803367778001 X 208842 BARRERA CORDOVA JUAN PABLO 1803373453001 X 164458 MOPOSITA VALDEZ EDISON ENRIQUE 1803376670001 X 259768 MASABANDA TIBAN MILTON DANIEL 1803377694001 X 100372 GARCÍA ARGUELLO MARTHA JANETH 1803380805001 X 179827 CUJI TUASA OSWALDO 1803382025001 X 66091 LESCANO SANCHEZ LENIN PAUL 1803382629001 X 267891 LUDEÑA ABAD FERNANDA JACQUELINE 1803383106001 X 221651 SANTAMARIA MASAPUNCHO ALVARO HERNAN 1803383726001 X 107850 SANCHEZ LOPEZ PATRICIA JACQUELINE803385804001 1 X 177540 PICO FIALLOS TANYA ELIZABETH 1803386786001 X 73015 SÁNCHEZ PÉREZ LORENA ELIZABETH 1803389699001 X 71386 SANTAMARIA MORALES PABLO SANTIAGO 1803392131001 X 151844 VILLACRES YANEZ RODRIGO NICANOR1803393378001 X 117542 PEREZ MARTINEZ IRMA ELIZABETH 1803394194001 X 156809 SANABRIA REINOSO ANGEL IVAN 1803396777001 X 186620 ESCOBAR LOPEZ DIANA MARCELA 1803397023001 X 125708 VEGA PEREZ JORGE PATRICIO 1803399482001 X 159310 TORRES VILLACIS MIGUEL ANGEL 1803404407001 X 266133 GALARZA MASABANDA NORMA SUSANA 1803404639001 X 102479 PEREZ REYES MARIELA AMPARITO 1803405503001 X 125780 QUILAPANTA QUISHPE HECTOR ENRIQUE 1803406931001 X 249862 RAMOS BENAVIDES PABLO RENATO 1803411204001 X
  • 762.
    No No registra No No registra No No. registra registra No. indicadores registra provincia, registra Persona_id NOMBRE No. ID (RUC) calle número registra de ventas, apellido cantón y primer principal de calle origen activos y/o paterno parroquia nombre principal empleados 235364 MEZA LASCANO RODRIGO SANTIAGO 1803412046001 X 36870 PALATE MARTÍNEZ FREDDY GEOVANNY 1803413994001 X 170001 LEON TORRES RAUL ANIBAL 1803414455001 X 26073 MENDIETA ESPINOZA MIGUEL SANTIAGO 1803416443001 X 222789 PAZMIÑO CUNALEMA JUAN CARLOS 1803420437001 X 265997 CEVALLOS CHIMBORAZO PAULO CESAR 1803422789001 X 217254 QUISINTUÑA SISA MARTHA ROSARIO 1803423050001 X 238642 NUÑEZ JEREZ MANUEL ENRIQUE 1803428653001 X 126891 MAZON FLORES WALTER WILFRIDO 1803439148001 X 93997 PAREDES CEVALLOS ALVARO JOSÉ 1803441888001 X 128652 CARRERA FIALLOS JOSE LUIS 1803441904001 X 26663 JULIO EDUARDO SANTAMARÍA PEÑA 1803442936001 X 222395 MORALES NUÑEZ AUGUSTO IVAN 1803448131001 X 172062 NARANJO REINO CRISTIAN ALBERTO 1803449105001 X 265963 AMANCHA TORRES MONICA NARCIZA 1803452158001 X 189669 ROSERO PALACIOS DIANA ALEXANDRA1803452455001 X 225558 CHAVEZ YANZA MEDARDO JAVIER 1803455896001 X 269487 MANJARRES FRIAS FERNANDA ELIZABETH 1803457298001 X 154403 ACOSTA SOLIS RAMIRO EDUARDO 1803457926001 X 143145 GUZMAN CHACON INES MARIBEL 1803460110001 X 60817 PILCO DIAZ TERESA DEL ROCIO 1803460144001 X 147699 TUSTON VILLACRES GUSTAVO GEOVANNY 1803460243001 X 266264 PANIMBOZA CHAMBA NANCY PAULINA 1803462595001 X 30319 ALDAS VILLACIS OSWALDO JAVIER 1803464294001 X 162880 GUANIN ORTEGA EDISON ARMANDO 1803464740001 X 27099 ZUÑIGA BALLADARES JUAN FERNANDO 1803465036001 X 266195 MARTINEZ TORRES IBETH ELISA 1803465671001 X 105817 QUISINTUÑA SISA MIRIAN IMELDA 1803466950001 X 239506 SÁNCHEZ PÉREZ CRISTHIAN OSWALDO 1803468675001 X 59964 CALUCHO SAILEMA KARINA ALEXANDRA803471018001 1 X 101604 ONATE VILLEGAS RICARDO JESUS 1803472354001 X
  • 763.
    No No registra No No registra No No. registra registra No. indicadores registra provincia, registra Persona_id NOMBRE No. ID (RUC) calle número registra de ventas, apellido cantón y primer principal de calle origen activos y/o paterno parroquia nombre principal empleados 146195 VALLE ARROYO LEONARDO RIGOBERTO 1803473022001 X 245486 VELASCO ROSALES CARLOS FABIAN 1803484227001 X 241397 CEPEDA CAICEDO ANDREA CRISTINA 1803484888001 X 112633 PAREDES SUAREZ LILIAN MARGARITA 1803485984001 X 164058 MAIZA MOYA EDWIN ROLANDO 1803487188001 X 108080 GARCES ZAVALA VICENTA MARGARITA1803495223001 X 101643 YUGCHA JERÉZ JULIO CÉSAR 1803496296001 X 194520 MORA SÁNCHEZ CHRISTIAN ANDRÉS 1803498672001 X 197056 ROMERO CONSTANTE CRISTINA ANDREA1803498953001 X 183893 OCAMPOS ORTEGA GALO ALEJANDRO 1803508041001 X 277011 LESCANO ALMACHE LUIS HUMBERTO 1803516051001 X 177806 TUBON LAGUA GLADYS MARLENE 1803518578001 X 142245 BONILLA ALBAN BYRON MARCELO 1803522216001 X 219714 VASCONEZ YEPEZ ANA VANESSA 1803529328001 X 223031 CORTEZ VITERI CHRISTIAN DANIEL 1803531282001 X 211108 GUACHI CHILUIZA ALVARO JOSE 1803534989001 X 102363 SIZA MORALES SILVANA MONSERRATTE803535077001 1 X 235317 SOTO QUIROLA MARCO RICARDO 1803536141001 X 99169 CHERREZ DOMINGUEZ ROBERTO PAUL 803537156001 1 X 177346 ROSERO AREVALO RAMIRO CARLIN 1803537305001 X 51759 VILLACRÉS MOREJÓN XIMENA JEANETTE 1803537875001 X 180517 VILLACIS GUEVARA ALEX MARCO 1803539319001 X 231320 YAGUARGOS CASTRO LENIN FERNANDO 1803539483001 X 267069 GUEVARA SUBIA PAUL ROMAN 1803542685001 X 105247 LLIGUIN JARRIN MARIO RAMIRO 1803546546001 X 19364 SEGURA RAMOS ISRAEL JAVIER 1803550613001 X 136407 SANTAMARIA BUSTOS MESIAS ROLANDO1803553229001 X 266048 MALIZA CHASI LUZ ANGELICA 1803558608001 X 225594 MIRANDA CHONATA CRISTINA ELIZABETTH 1803560257001 X 270748 LLAMUCA BENALCÁZAR JESSICA MARITZA 1803562204001 X 101517 ALDAS PAREDES PAULO CESAR 1803563129001 X
  • 764.
    No No registra No No registra No No. registra registra No. indicadores registra provincia, registra Persona_id NOMBRE No. ID (RUC) calle número registra de ventas, apellido cantón y primer principal de calle origen activos y/o paterno parroquia nombre principal empleados 262649 MARTINEZ PEREZ DAVID SALOMON 1803564481001 X 224190 GALLARDO MANJARRES JORGE DANIEL 1803564754001 X 126862 GUERRERO ESCOBAR PATRICIA ELIZABETH 1803566742001 X 50885 GONZALEZ BAUTISTA EDWIN RODRIGO1803568235001 X 268793 OLOVACHA TOAPANTA INES VERONICA 1803568318001 X 106777 CORDOVA SALGUERO WILSON RAMIRO 1803573474001 X 190755 PARRA SALINAS ROCÍO ISABEL 1803576733001 X 132800 YAMBAY GUANO INES DOLORES 1803579513001 X 216928 MALISA TIL JOSE AMABLE 1803580065001 X 191378 CAIZA ALOMALISA MILTON GUSTAVO 1803581659001 X 132844 NARANJO CASTRO CARLOS ROGELIO 1803582566001 X 224799 CASTAÑEDA VILATUÑA ADRIAN PATRICIO 1803582681001 X 163063 CRUZ VIVAS MARIA BELEN 1803584687001 X 135979 PONCE VALLE MARÍA GABRIELA 1803587904001 X 78931 PINDA GUANOLEMA BAYRON RAMIRO 1803590635001 X 194280 MAYORGA SOLÍS RAFAEL ANTONIO 1803591906001 X 212046 RIOS LARA SILVIA CATALINA 1803592862001 X 136025 CAIZA CHANGO FRANKLIN FERNANDO 1803593100001 X 102707 ACOSTA JORDAN VERONICA ALEXANDRA1803595832001 X 269373 GARCIA MINANGO MONICA VICTORIA 1803596947001 X 99201 PORTERO MONTERO LAURA ELIZABETH 1803597812001 X 179552 CHILUIZA VILLAMAR GUILLERMO FERNANDO 1803601309001 X 176578 CONDO RODRIGUEZ MARIELA VERONICA1803603420001 X 223118 TAMAYO CAMPAÑA GRACE MARGARITA 1803607512001 X 100129 CAMINO DAVILA LUIS ALBERTO 1803607843001 X 235925 AILLON CARRASCO OSCAR IVAN 1803608965001 X 250816 SOLÍS ACOSTA EMÉRITA NATALIA 1803610235001 X 224894 JORDAN JORDAN ALBA ROCIO 1803612785001 X 243963 ARIAS GAVILANES VERONICA AMANDA 1803612991001 X 196526 GUANIN OLIVARES HERIBERTO NICOLAS 1803613965001 X 138277 MORALES PILATAXI AUGUSTA ROSALIA1803613973001 X
  • 765.
    No No registra No No registra No No. registra registra No. indicadores registra provincia, registra Persona_id NOMBRE No. ID (RUC) calle número registra de ventas, apellido cantón y primer principal de calle origen activos y/o paterno parroquia nombre principal empleados 75945 CARRASCO LLERENA MARISOL ROMELIA 1803615085001 X 148282 REVELO VÁSQUEZ MARÍA FERNANDA 1803615614001 X 59736 LIZANO CALUCHO ELIZABETH MARIBEL1803617966001 X 251670 MAYORGA POVEDA DIEGO ABRAHAM 1803622180001 X 179492 LIZANO LESCANO EDUARDO ANDRES 1803622446001 X 218974 PAREDES BARRIONUEVO VERONICA SOLEDAD 1803626298001 X 105936 BAUTISTA GAVILANES MAGALI PAULINA1803627163001 X 112568 CANDONGA MALDONADO JUAN CARLOS803627494001 1 X 102338 MAZAQUIZA PAUCAR ALEX MAURICIO 1803628716001 X 265790 CASTRO LOPEZ PAOLA ESTEFANIA 1803629029001 X 204341 PAZMIÑO FIALLOS DIEGO PAUL 1803635430001 X 230715 HARO RODRIGUEZ FREDDY BENIGNO 1803649670001 X 177803 TORRES LASCANO VIVIANA CECILIA 1803651643001 X 121735 FLORES JURADO FRANKLIN ANIBAL 1803652518001 X 267714 SUÁREZ PAREDES JUAN PABLO 1803667292001 X 177395 VILLALVA LEON DANNY XAVIER 1803669058001 X 124991 PALMA RAMOS MARÍA VARÓNICA 1803671492001 X 256957 CALAPIÑA LANDA SUSANA MARIBEL 1803674561001 X 216305 MUÑOZ LALALEO BRAULIO ALEJANDRO 1803679800001 X 97443 CHIPANTIZA QUINATOA HERNAN PATRICIO 1803681350001 X 167821 MIRANDA REYES DIANA MARITZA 1803690732001 X 101480 SULCA MALIZA DANNY ALEJANDRO 1803697612001 X 129853 CARRANZA MOLINA PABLO GONZALO 1803710639001 X 100156 LOPEZ VILLACIS JOHANA PAULINA 1803724143001 X 186212 ALBÁN NAVARRO ANDREA DANIELA 1803727070001 X 222203 CHOLOTA TORRES PATRICIA ELIZABETH1803731247001 X 265928 ROBALINO BARONA DANIELA VERONICA 1803733128001 X 269077 GARCES CASTRO LIGIA ELENA 1803734449001 X 223054 GUERRERO ESCOBAR JIMENA ALEJANDRA1803740198001 X 213946 ZAMORA CASTILLO DANIEL 1803741675001 X 75454 CONSTANTE SANCHEZ VERONICA FERNANDA 1803743002001 X
  • 766.
    No No registra No No registra No No. registra registra No. indicadores registra provincia, registra Persona_id NOMBRE No. ID (RUC) calle número registra de ventas, apellido cantón y primer principal de calle origen activos y/o paterno parroquia nombre principal empleados 101102 ROJANO GUACHI LIVIA GUADALUPE 1803744091001 X 197248 MORALES GALLEGOS FERNANDO DANIEL 1803746047001 X 210481 IZA MANOBANDA DARWIN IVAN 1803749082001 X 266204 MEDINA MONCAYO ANDRES SEBASTIAN 1803754181001 X 252085 MORETA ALTAMIRANO JESUS PATRICIO 1803756095001 X 102302 GUAIGUA GUAIGUA TANIA ALEXANDRA1803765708001 X 102262 PAREDES GUIJARRO MARIA DEL CARMEN 1803766011001 X 187372 SANCHEZ SOLIS ALEX ISRAEL 1803777042001 X 202967 VELÁSQUEZ FREIRE ALEJANDRO JAVIER 1803793098001 X 254226 SOLIS ARCOS FREDDY MANUEL 1803795994001 X 70981 MEDINA JÍNEZ OMAR ERNESTO 1803799772001 X 258396 LUZARDO ROMERO ALEXANDRA MARICELA 1803801263001 X 172375 GUZMÁN MELÉNDEZ NÉSTOR JAIRH 1803809605001 X 265953 BUENAÑO OBANDO DIEGO JOSE 1803810009001 X 221057 MAYORGA NARANJO JUAN FRANSISCO1803814464001 X 142569 CASTILLO ARMENDARIZ FAVIO BOLIVAR 1803822103001 X 223200 PAREDES GALLO BOLIVAR DANIEL 1803824380001 X 263737 SÁNCHEZ CARRANZA CÉSAR JACOBO 1803833860001 X 117954 MOREJÓN LOZADA WILLIAM PAÚL 1803837556001 X 159888 YEPEZ LOPEZ BRUNO FABIAN 1803840139001 X 128926 ORTEGA RAMOS JAIME HECTOR 1803847308001 X 47723 CARRILLO TRUJILLO CRISTINA ELIZABETH 1803854429001 X 221094 AVILA HERRERA DIEGO FERNANDO 1803859386001 X 172330 ENRIQUEZ FREIRE ANA LUCIA 1803859766001 X 242705 SANCHEZ FREIRE RAFAEL RIGOBERTO1803862083001 X 126509 DIAS MORALES VICTOR GERMAN 1803864519001 X 266919 CHUQUIMARCA CHUQUIMARCA MARÍA ANGÉLICA 1803880812001 X 266889 SUAREZ LEMA DIANA PAOLA 1803881893001 X 103456 TIPANTACIG MOPOSITA LIGIA ALEXANDRA 1803890431001 X 97638 SÁNCHEZ ESTRADA DIEGO VINICIO 1803900016001 X 207036 MEJIA LOPEZ EDGAR DANIEL 1803904075001 X
  • 767.
    No No registra No No registra No No. registra registra No. indicadores registra provincia, registra Persona_id NOMBRE No. ID (RUC) calle número registra de ventas, apellido cantón y primer principal de calle origen activos y/o paterno parroquia nombre principal empleados 131454 CHICAIZA CHIMBO CARLOS RODRIGO 1803906021001 X 163446 LACAZE DUTERTRE DIDIER MARCEL 1803907789001 X 239560 ROMERO MALIZA XAVIER ANTONIO 1803911757001 X 238507 CORDOVA SARANGO HILTER MANUEL 1803913076001 X 237309 VALLE BARONA CARMEN ELIZABETH 1803919727001 X 238891 PADILLA ESCOBAR ELENA GABRIELA 1803923091001 X 265995 MEDINA VASCONEZ DANIEL VASCONEZ1803934981001 X 266646 REDROBÁN ESCOBAR MAURICIO RAMIRO1803936564001 X 205757 SILVA YACCHIREMA LUIS TARQUINO 1803951746001 X 266758 VILLACIS CANDO DIEGO ALFREDO 1803955572001 X 218955 LEON SANCHEZ OSCAR MAURICIO 1803959368001 X 70857 ALDAZ SILVA VERONICA GENOVEVA 1803963915001 X 176553 RIVADENEIRA JARAMILLO MARCIA ROCIO 1803975620001 X 194797 ILBAY VILLACÍS ROBERTO CARLOS 1803978616001 X 230301 MUQUINCHE CHACHA SAMUEL ROBERTO 1803989761001 X 203040 CÓRDOVA SUÁREZ JUAN CARLOS 1804006037001 X 112658 SIGCHA TUALOMBO GABRIELA ALEJANDRA 1804014726001 X 128509 OLIVO ALVAREZ CLAUDIA MARISOL 1804017612001 X 269036 SALINAS BALLADARES IVONNE ROCIO 1804022638001 X 226159 TIPAN GUIJARRO DIANA CAROLINA 1804025227001 X 268939 FREIRE ESPINOZA DIEGO XAVIER 1804026159001 X 41641 ZOILA 1804034914001 X 268572 ZUMBANA ANDAGANA DIOGENES ESTUARDO 1804052189001 X 258323 MONTIEL NIETO DIANA BELEN 1804054243001 X 117635 VASCONEZ VACA GIOVANNI FABRICIO 1804083564001 X 87977 PULLUPAXI SIGUENSA DIEGO JAVIER 1804088548001 X 253187 VILLACIS VARGAS CARLOS ALBERTO 1804092979001 X 163145 ALTAMIRANO FALCON FANNY ROCIO 1804096210001 X 246568 MIRANDA LARA DANIEL FABIAN 1804110169001 X 136363 PILCO LOPEZ JENNY ELIZABETH 1804115804001 X 102379 DAVALOS ESPIN LORENA NARCIZA 1804124004001 X
  • 768.
    No No registra No No registra No No. registra registra No. indicadores registra provincia, registra Persona_id NOMBRE No. ID (RUC) calle número registra de ventas, apellido cantón y primer principal de calle origen activos y/o paterno parroquia nombre principal empleados 56759 VIVIANA 1804125571001 X 266089 ULLOA CHIPANTIZA MONICA CECILIA 1804127239001 X 243095 MARTINEZ MORALES VERONICA MARIBEL 1804155370001 X 222996 ORTEGA DÁVILA VANESA ESTEFANÍA 1804161147001 X 128271 VALENCIA JARA MARIA VERONICA 1804161808001 X 270882 GUERRERO VIVANCO LORENA EDITH 1804163101001 X 265931 LLERENA ORTÍZ ERIKA MAGDALENA 1804186573001 X 180895 LÓPEZ LÓPEZ RODRIGO ALEJANDRO 1804187555001 X 266870 GUEVARA BARRERA LIZBETH MADELAINE 1804194171001 X 266005 MIRANDA CRUZ JUAN RAFAEL 1804209417001 X 166425 SIGCHA AZOGUE MEDARDO FRANCISCO 1804216768001 X 266487 FIALLOS REAL KATY ZORAYMA 1804226791001 X 266083 ALVAREZ GUERRERO ROGGER MARVIN 1804248464001 X 192193 GUINCHO MUNGABUSI PEDRO PATRICIO1804269759001 X 266509 VILLARROEL MAYORGA JAVIER JOAQUIN 1804284915001 X 196200 PIMBOMAZA CHADAN ANA PAULINA 1804287116001 X 223037 CHIMBOLEMA CURAY SAMUEL ISRAEL 1804326385001 X 108560 TORRES CHAVEZ MARIA GABRIELA 1804335774001 X 115779 CARRASCO GARCES ELGI MAURO 1804349296001 X 214278 CALVACHE CRIOLLO MERY AZUCENA 1804351235001 X 172773 TISALEMA BRAVO EDISON FERMINN 1804358545001 X 266916 ALTAMIRANO ACOSTA MARY CRISTINA1804373312001 X 222862 NARANJO DE LA CRUZ DIANA MARICELA804417960001 1 X 30167 BARONA GUERRERO FRANCISCO JAVIER1804439154001 X 57184 AMANCHA ORTIZ MAYRA ALEJANDRA 1804478483001 X 169881 ESCOBAR CARRION JESSICA PAMELA 1804488615001 X 111364 ZUÑIGA CASTRO MAYRA ALEXANDRA 1804508107001 X 232978 CAJAS LEMA PATRICIO HERNAN 1804515631001 X 261587 MOPOSITA PANDASHINA JOSE JAIME 1804544946001 X 216390 GAMBOA MAYORGA RODRIGO ISRAEL 1804555835001 X 140393 ACHACHI PIMBO WILLIAM ROBERTO 1804635314001 X
  • 769.
    No No registra No No registra No No. registra registra No. indicadores registra provincia, registra Persona_id NOMBRE No. ID (RUC) calle número registra de ventas, apellido cantón y primer principal de calle origen activos y/o paterno parroquia nombre principal empleados 266961 PEÑALOZA PEÑALOZA TANNIA ARACELY804777355001 1 X 142588 CASTILLO ARMENDARIZ FRANKLIN EDUARDO 1804843207001 X 232916 CUJI TOASA XIMENA ABIGAIL 1805013503001 X 267571 LASLUISA PACHA MAIDA FABIOLA 1805093125001 X 268565 PACHA TAMAQUIZA CELINDA TARGELIA 1805164710001 X 178081 UTA - UNIDAD DE PRESTASCION SE SERVICIOS 1865027600001 X 29074 INDUSTRIAS LICORERAS ASOCIADAS S.A. 1890001935001 X 137777 INDUSTRIAS CATEDRAL S.A. 1890007976001 X 34965 S.A. IMPORTADORA ANDINA S.A.I.A. 1890009766001 X 162966 COOPERATIVA DE TRANSPORTES Y TURISMO BAÑOS 1890020085001 X 259577 FUNDACION CULTURAL Y EDUCATIVA AMBATO 1890050863001 X 143025 ECUATORIANA DE CURTIDOS SALAZAR1890053056001 S.A. X 11519 PICOSA 1890053919001 X 26395 FUNDIMEGA S.A. 1890058597001 X 1009 ECUATRAN S.A 1890061385001 X 117503 ACERIAS ROMANO S.A 1890073073001 X 5074 CURTIDURIA TUNGURAHUA S.A. 1890074703001 X 152816 TECNICOS AGROPECUARIOS DEL ECUADOR TADEC CIA.LTDA: 1890087252001 X 262488 ALCIDES MOSQUERA E HIJOS ALMOGAS C LTDA 1890091365001 X X X 167641 INDUSTRIA NACIONAL DE RETROVISORES Y CROMADOS 1890100909001 X 86941 ECUATORIANA DE MOTORES MOTOREC CIA. LTDA. 1890105919001 X 92712 FUNDACIÓN JÓVENES PARA EL FUTURO890139422001 1 X 5421 HOLVIPLAS S. A. 1890139481001 X 118714 SINDICATO CANTONAL DE CHOFERES PROFESIONALES DE PILLARO 1890139651001 X 160030 SINDICATO DE CHOFERES BAÑOS DE AGUA SANTA 1890139678001 X 164527 DISVETEL 1890139716001 X 168122 ASOCIACION DE PERSONAS CON LIMITACIONES PLEJICAS DE TUNGURAHUA 1890140358001 X 26420 ALVARADO ORTIZ CONSTRUCTORES CIA. LTDA. 1890141281001 X 166243 FUNDACION ALLI CAUSAI 1890141362001 X 132486 SINDICATO DE CHOFERES PROFESIONALES DEL CANTON CEVALLOS 1890141524001 X 100186 CENTRO DE SERVICIOS ALONSO GAVILANEZ GAVILANEZ CIA. LTDA. 1890142245001 X
  • 770.
    No No registra No No registra No No. registra registra No. indicadores registra provincia, registra Persona_id NOMBRE No. ID (RUC) calle número registra de ventas, apellido cantón y primer principal de calle origen activos y/o paterno parroquia nombre principal empleados 11476 CARROCERIAS VARMA 1890142296001 X 38620 COMPAÑIA CAMINERA RAMOS Y ASOCIADOS S.A. 1890148316001 X 241087 NUTRICION SALES Y MINERALES 1890148537001 X 133698 AMBANDINE S.A. 1890148596001 X 119085 FUNDACIÓN PASTAZA 1890148642001 X 98772 PETROLCENTRO PETROLEOS DEL CENTRO C.A. 1890148804001 X 81292 DARQUEA SEVILLA Y OTROS HECTOR HERNAN 1890149142001 X 173405 CENTRO DE FUMIGACIONES DEL CENTRO FUMICEN CIA LTDA 1890152755001 X 33097 GONZALEZ VEGA EL MOT 1890152917001 X 224177 CONSTRUCTORA RODSAL CIA. LTDA 1890153700001 X 84323 COMPAÑIA DE GENERACION SERVICIOS Y MATENIMIENTO GESEMA SA 1890153751001 X 40420 UNION DE ORGANIZACIONES CAMPESINAS DEL NORTE DE TUNGURAHUA 1891700446001 X 39752 FUNDACION MANOS UNIDAS CENTRO DE RECUPERACION INTEGRAL MI-CRU 1891701086001 X 87112 ASOCIACIÓN DE TRABAJADORES AUTÓNOMOS ALLPA MAMA 1891702481001 X 249497 CENTRO ARTESANAL HUAMBALO 1891704468001 X 196631 PROA 1891705634001 X 156476 ANDINAMOTORS S.A. 1891706061001 X 8339 COMERCIALIZADORA AUTOLINE S.A. 1891706630001 X 266451 BIOALIMENTAR CIA. LTDA. 1891706967001 X 43020 CARRILLO & VILLACRES C&V INGENIERIA CIA. LTDA. 1891707262001 X 210605 AUTOMOTORES DEL PACIFICO S.A. "AUTOLLEGASA" 1891707874001 X 116344 PROMEPELL S.A. 1891708862001 X 78709 ASOCIACIÓN DE CONSERVACIÓN VIAL PINGUILI 1891709168001 X 78657 ASOCIACIÓN DE CONSERVACIÓN VIAL CEVALLOS 1891709184001 X 120391 TALLERES AMBAMAZDA S.A 1891709214001 X 143443 CURTILAN S.C. 1891709311001 X 49522 AUTOMOTORES CARLOS LARREA T. CIA. LTDA 1891709478001 X 147013 ASOCIACION DE CONSERVACION VIAL SANTA CLARA 1891709494001 X 78315 ASOCIACIÓN DE CONSERVACIÓN VIAL AVENTUREROS DE TUNGURAHUA 1891709516001 X 86010 ASOCIACIÓN DE CONSERVACIÓN VIAL LOS ANDES DE PUENABATA 1891709524001 X 113946 ASOCIACIÓN DE CONSERVACIÓN VIAL SAN ANTONIO DE COTALÓ 1891709559001 X
  • 771.
    No No registra No No registra No No. registra registra No. indicadores registra provincia, registra Persona_id NOMBRE No. ID (RUC) calle número registra de ventas, apellido cantón y primer principal de calle origen activos y/o paterno parroquia nombre principal empleados 77580 MEGAKONS S.A. 1891710182001 X 138231 ASOCIACIÓN DE CONSERVACIÓN VIAL VIRGEN DE AGUA SANTA 1891710433001 X 156456 MADERVAS S.A. 1891710468001 X 154918 ASOCIACIÓN DE TRABAJADORES AUTÓNOMOS ÑUKANCHIK ÑAN 1891710670001 X 78684 ASOCIACIÓN DE CONSERVACIÓN VIAL NUESTRA SEÑORA DEL MONTE 1891710719001 X 146336 ASOCIACIÓN DE TRABAJADORES AUTÓNOMOS SAN ANTONIO DE PASA 1891711715001 X 115514 COMERCIAL CISNEROS IMPORTADORA1891711774001 KUMHO CIA LTDA X 190373 HOSPITAL MILLENNIUM 1891711820001 X 145804 ASOCIACION DE TRABAJADORES AUTONOMOS PASA AYLLU LLAKTAKUNA 1891712010001 X 79310 ASOCIACION DE CONSERVACION VIAL SAN MIGUEL DE TISALEO 1891712029001 X 73776 FUNDACION DE NIÑOS CON SINDROME1891712193001 DE DOWN Y OTRAS DISCAPACIDADES CORAZON DE MARIA X 140156 TOYOTASERVICIOS S. A. 1891712215001 X 68752 LLANTASIERRA S.A. 1891712371001 X 87171 ASOCIACIÓN DE CONSERVACIÓN VIAL HUAMBALÓ 1891712487001 X 86848 ASOCIACIÓN DE CONSERVACIÓN VIAL SAN FRANCISCO DE ILLUCHI 1891712525001 X 82159 ASOCIACIÓN DE CONSERVACIÓN VIAL UNIÓN Y PROGRESO 1891712754001 X 79271 ASOCIACION DE MECANICOS Y CARROCEROS PELILEO 1891712975001 X 146446 ASOCIACION DE CONSERVACION VIAL IZAMBA 1891713483001 X 82304 ASOCIACIÓN DE CONSERVACIÓN VIAL CAMINO DEL REY 1891713491001 X 87103 ASOCIACIÓN DE CONSERVACIÓN VIAL ILUSIONES 1891713548001 X 84152 ASOCIACIÓN DE CONSERVACIÓN VIAL SAHUATOA 1891713661001 X 79495 ASOCIACION DE CONSERVACIONVIAL EL TRIUNFO 1891713726001 X 57918 LASMADERAS CIA. LTDA. 1891713785001 X 86806 ASOCIACIÓN DE CONSERVACIÓN VIAL SAN JOSÉ DE LLANGAHUA 1891713904001 X 147882 ASOCIACION DE TRABAJADORES AUTONOMOS ATILLO MOCHA 1891714102001 X 45506 EQUITRANSSER CIA. LTDA 1891714277001 X 186831 ASOCIACIÓN DE TRABAJADORES AUTÓNOMOS SAN ANDRÉS POALÓ 1891714390001 X 165435 SETEPROF SEGURIDAD TECNICA PROFESIONAL CIA. LTDA. 1891715052001 X 81934 LLANTAMBATO S.A. 1891715362001 X 215015 CENTROLLANTA S.A 1891715516001 X 147802 ASOCIACIÒN DE TRABAJADORES AUTÓNOMOS SANTA ROSA ZONA ALTA 1891715540001 X
  • 772.
    No No registra No No registra No No. registra registra No. indicadores registra provincia, registra Persona_id NOMBRE No. ID (RUC) calle número registra de ventas, apellido cantón y primer principal de calle origen activos y/o paterno parroquia nombre principal empleados 30258 AUTOMEKANO CIA LTDA 1891715664001 X 85862 MICROEMPRESA GUAILLA ÑAN 1891716040001 X 67475 INGENIERIA Y TECNOLOGIA DIGITAL CONSULTORES ASOCIADOS INTEGDIG CIA.LTDA 1891716334001 X 5029 REENCAUCHADORA DE LA SIERRA, CAUCHOSIERRA S.A. 1891716369001 X 13902 FAMPROJECT CIA. LTDA 1891716849001 X 159699 TRACEOILFIELD SERVICES & EQUIPMENT LIMITED ECUADOR CIA. LTDA. 1891716989001 X 80168 ASOCIACION DE CONSERVACION VIAL LOS LLANGANATES 1891718183001 X 83229 ASOCIACION EN PARTICIPACION MICROEMPRESARIAL PARMICEN 1891718213001 X 84120 ASOCIACION EN PARTICIPACION MICROEMPRESARIAL PARMIVIAL 1891718280001 X 92551 ASOCIACION EN PARTICIPACION MICROEMPRESARIAL PARMIQUIN 1891718337001 X 82835 ASOCIACIÓN DE CONSERVACIÓN VIAL VIRGEN DEL GUÁPULO 1891718604001 X 80149 ASOCIACION DE CONSERVACION VIAL QUISAPINCHA 1891718698001 X 62115 CORPORACION DE SERVICIOS TECNICOS WINBLOCK CIA LTDA 1891718809001 X 133604 INGENIERIA ELECTRONICA Y SISTEMAS INTEGRADOS INELECSIN CIA. LTDA. 1891719007001 X 147386 ASOCIACION DE CONSERVACION VIAL LOS ANDES 1891719082001 X 82336 ASOCIACIÓN DE CONSERVACIÓN VIAL LOS CAMINANTES 1891719090001 X 85561 ASOCIACION DE CONSERVACION VIAL VIRGEN DE LASD MERCEDES 1891719112001 X 86215 ASOCIACIÓN DE CONSERVACIÓN VIAL FLOR DEL CAMPO 1891719252001 X 65451 SPEEDYCOM CIA LTDA 1891719279001 X 179047 PICO RODRIGUEZ S.A. 1891719643001 X 227188 MADERALT CIA LTDA 1891720072001 X 15820 DAVMOTOR CIA LTDA 1891720471001 X 183428 COMPAÑIA DE TRANSPORTE ESTUDIANTIL E INSTITUCIONAL ANDRADE LLERENA 1891720501001 X 24002 CONSTRUCTORA MILLENNIUM PIK & PAL CÍA. LTDA. 1891720919001 X 167426 LEMCIS PLUS CIA. LTDA. 1891721036001 X 171314 CAICEDO MAFFLA CONSUELO AGRIPINA891721338001 1 X 88853 PLAGYLIMP CIA. LTDA 1891721532001 X 187777 LABORATORIOS OVALCOHOL CIA. LTDA.1891721648001 X 225257 JOFERCVOLQ S.A. 1891721974001 X 66632 ESCOBAR HERRERA MIÑO CONSTRUCTORES CIA.LTDA 1891721982001 X 91248 AUTOS CHINAACCPASS CIA LTDA 1891722326001 X
  • 773.
    No No registra No No registra No No. registra registra No. indicadores registra provincia, registra Persona_id NOMBRE No. ID (RUC) calle número registra de ventas, apellido cantón y primer principal de calle origen activos y/o paterno parroquia nombre principal empleados 202771 KONSTRURAPIDO S.A. 1891722407001 X 71648 WILLIAMS APRAEZ G. Y ASOCIADOS CIA. LTDA. 1891722474001 X 66413 SEGMAEL CIA. LTDA. 1891722644001 X 104766 PROVEFOODS CIA. LTDA. 1891722954001 X 39440 ESTAZUL CIA. LTDA. 1891723357001 X 196794 ASOCIACIÓN DE TRABAJADORES AUTÓNOMOS AMBAVIAL 1891723500001 X 101215 LA HERENCIA ECUATORIANA JOSE MEJIA CIA. LTDA. 1891723608001 X 170452 ASOCIACION DE TRABAJADORES AUTONOMOS VIA TURISTICA AL TUNGURAHUA 1891724078001 X 209150 ASOCIACIÓN DE TRABAJADORES AUTÓNOMOS SALASACA TUNGURAHUA 1891724302001 X 228843 ASOCIACIÓN DE TRABAJADORES AUTÓNOMOS SAN PEDRO DE PELILEO 1891724418001 X 203085 ASOCIACIÓN DE TRABAJADORES AUTÓNOMOS SAN MARTÍN DE CHIQUICHA 1891724442001 X 189731 MI LANDS CÍA. LTDA. 1891724574001 X 80536 VEHICULOS Y CAMIONES CENTRO SIERRA S.A 1891724612001 X 42261 MUEBLART CIA. LTDA. 1891724698001 X 11840 INGENIERIA CONSTRUCCION DISENO ELECTRICO ELTRONICO Y CIVIL 1891725074001 X 98727 COMPLEJO DE FACILIDA 1891725309001 X 202824 ASOCIACIÓN DE PRODUCTORES DE PLANTAS NATIVAS 1891725317001 X 104988 ASOCIACIÓN EN PARTICIPACIÓN MICROEMPRESARIAL JARDÍN DE FLORES 1891725546001 X 104914 ASOCIACIÓN EN PARTICIPACIÓN MICROEMPRESARIAL VEITE Y SIETE DE FEBRERO 1891725554001 X 72615 ASOCIACION DE CONSERVACION VIAL RAMO DE GIRASOLES 1891725619001 X 73323 MICROEMPRESA DE TRAB 1891725627001 X 159524 ASOCIACION EN PARTICIPACION MICROEMPRESARIAL DOSIMERT 1891725937001 X 156440 ASOCIACIÓN DE TRABAJADORES AUTÓNOMOS SAN JOSÉ 1891726208001 X 168653 ASOCIACIÓN DE TRABAJADORES AUTÓNOMOS CHIQUICHA CENTRO 1891726224001 X 153672 ASOCIACIÒN DE TRABAJADORES AUTÓNOMOS SAN FERNANDO 1891726240001 X 96440 CORTELEC SERVICIOS ELECTRICOS 1891726410001 X 96670 ELECTROCORTE 1891726437001 X 265930 ASOCIACION ARTESANAL TIERRA PRODUCTIVA 1891726879001 X X X 85744 ECIAFSA 1891727042001 X 77243 INDIQUIMICA 1891727395001 X 85537 GIGACOMPNET 1891727522001 X
  • 774.
    No No registra No No registra No No. registra registra No. indicadores registra provincia, registra Persona_id NOMBRE No. ID (RUC) calle número registra de ventas, apellido cantón y primer principal de calle origen activos y/o paterno parroquia nombre principal empleados 258738 ORG.CORONAVENCEDORES 1891727867001 X 95498 CONSTRUCTORA LOPEZ 1891728197001 X 211667 ASOCIACION DE DESARROLLO PRODUCTIVO LA DELICIA 1891728251001 X 228839 ASOCIACIÓN DE TRABAJADORES AUTÓNOMOS VIRGEN DE GUADALUPE 1891728731001 X 180507 GASJOYA COMERCIAL CIA LTDA 1891728863001 X 236796 CARROCERIAS IBIMCO 1891729347001 X 140137 ASOCIACION EN PARTICIPACION MICROEMPRESARIAL "ALTA ENERGIA" 1891729835001 X 138395 ASOCIACION EN PARTICIPACION MICROEMPRESARIAL NUEVA GENERACION 1891729843001 X 232644 DEPOHORMIGON CIA. LTDA. 1891730906001 X 190074 EQUIPO CAMINERO EQUICAM 1891731112001 X 253629 CORPORACION DE ORGANIZACIONES AGROPECUARIAS DEL CANTON MOCHA 1891731147001 X X 166866 R&E ASOCIADOS 1891732038001 X 204777 COMPAÑIA DE SEGURIDAD PRIVADA HAROSEG CIA LTDA. 1891732046001 X 170872 STRUKTURA CONSULTORA PRIVADA S.A.1891732186001 X 174286 ASOCIACION DE CONSERVACION VIAL CHAUPI 1891732194001 X 251041 SOCIEDAD OBRERA FEDERICO GONZALEZ SUAREZ 1891732518001 X 189143 PROVEEDORA DE SERVICIOS PARA OBRAS DE ADOQUINAMIENTO Y DE LA CONSTRUCCION 1891732631001 X 250446 MARCELO POSSO LOPEZ CIA. LTDA. 1891733468001 X 203783 MANTTORIENTE 1891733549001 X 202652 RIO CRISTAL CONSTRUCTORES RIOCRISTAL CIA. LTDA. 1891733638001 X 214689 ECOTUNGURAHUA CIA LTDA 1891734138001 X 219221 CORPORACIÓN DE ASOCIACIONES AGROPECUARIAS DE QUERO 1891734162001 X 238997 ASOCIACION DE CONSERVACION VIAL SAN JACINTO 1891735029001 X 236768 CEVALLOS & LOPEZ CIA. LTDA. 1891735169001 X 268201 INCOLEN CIA LTDA 1891736769001 X 40084 OLMEDO BERRÚ JORGE ADALBERTO 1900001932001 X 185569 ESPARZA JOSE GABRIEL 1900008127001 X 61873 QUEZADA IGLESIAS JULVIO MIGUEL ANGEL 1900010388001 X 40802 CABRERA VEGA ALCISAR ANTONIO 1900011105001 X 209537 CALDERON PINEDA PORFIRIO 1900022433001 X 101770 IZQUIERDO PACHECO LUIS HUMBERTO1900033968001 X
  • 775.
    No No registra No No registra No No. registra registra No. indicadores registra provincia, registra Persona_id NOMBRE No. ID (RUC) calle número registra de ventas, apellido cantón y primer principal de calle origen activos y/o paterno parroquia nombre principal empleados 123499 DELGADO TELLO LUIS HUMBERTO 1900036821001 X 164792 HERRERA GUEVARA LINO WASHINTONG 1900043280001 X 108776 LALANGUI GARCIA HOLGER ARMANDO 1900046580001 X 180840 ABARCA MUÑOZ JUAN ORLANDO 1900047497001 X 164785 RODRIGUEZ LALANGUI JOSÉ ROBERTO 1900048107001 X 245485 GOMEZ VALDEZ MIGUEL ROGELIO 1900048552001 X 144293 GOMEZ ABAD JOSE SALVADOR 1900049444001 X 144962 ROMERO AÑAZCO EMILIO MODESTO 1900052364001 X 266455 MOROCHO BELTRAN PAUL JESUS 1900058759001 X 173929 ORDOÑEZ REYES JOSE ANTONIO 1900058890001 X 167990 ROMERO MALDONADO JUSTO BENIGNO 1900061746001 X 148724 CABRERA QUEZADA MARIA DE LAS NIEVES 1900062314001 X 63277 VACA GÓMEZ GUSTAVO ANTONIO 1900063197001 X 115808 SAMANIEGO ALDAZ ALEX OMAR 1900065812001 X 94263 ROMERO SANMARTIN ITALO JOSE 1900069590001 X 264614 QUISHPE MANUEL ASUNCION 1900070408001 X 166181 JIMENEZ SERGIO 1900073055001 X 219099 TORRES ALVAREZ SERVILIO 1900073204001 X 91219 QUEZADA CABRERA ELSA AMÉRICA 1900075126001 X 65617 VALENCIA REGALADO GUILLERMO EDMUNDO 1900076033001 X 59740 REYES MARQUEZ ABACUB 1900076140001 X 86112 ORTIZ YANGARI ANGEL SERAFIN 1900076652001 X 122517 JIMENEZ HIDALGO GLORIA CLEMENCIA1900081462001 X 253166 SOTO SANTOS MIGUEL ANGEL 1900083716001 X 171318 RIOS GUTIERREZ LUCIANO GUILLERNO1900083880001 X 37739 MARTÍNEZ MEJÍA MEDARDO GONZALO1900083914001 X 253000 ARIAS PEÑA LIGIA MARGARITA 1900083922001 X 90180 MALDONADO CORONEL HERMINIO RIGOBERTO 1900091107001 X 73844 VELÁSQUEZ ROMERO EFRAÍN EVARISTO1900091248001 X 138488 SAAVEDRA GARCIA JOSE ERACLEO 1900092360001 X 201833 GUAYA VILLA NARCISAR HEGEL 1900100411001 X
  • 776.
    No No registra No No registra No No. registra registra No. indicadores registra provincia, registra Persona_id NOMBRE No. ID (RUC) calle número registra de ventas, apellido cantón y primer principal de calle origen activos y/o paterno parroquia nombre principal empleados 219706 LEÓN QUITUIZACA JULIO CESAR 1900100536001 X 262885 PUGLLA CABRERA NOEMI DEL CARMEN 1900100601001 X 170422 RIOS QUEZADA OSCAR ALFONSO 1900102615001 X 146695 ORDOÑEZ ARMIJOS GERMAN GUALBERTO1900104140001 X 110013 CASTRO AMAYA WILMAN ENRIQUE 1900105188001 X 257029 GONZÁLEZ ARMIJOS SEGUNDO NOLBERTO 1900105303001 X 179829 ORTIZ ARMIJOS FELIPE JOSE 1900108851001 X 88452 ALVA JIMENEZ MARGARITA MARIA 1900108893001 X 23043 TAPIA ZÁRATE HÉCTOR IVÁN 1900110055001 X 69571 JAPÓN ALDAZ HIPÓLITO 1900110253001 X 32260 PEÑARRETA LEON HECTOR ANTONIO 1900110527001 X 206088 CANGO GONZALEZ LUIS GUILLERMO 1900115245001 X 148528 OCHOA ARAUJO RAUL AGUSTIN 1900115930001 X 259207 QUEZADA QUEZADA BLANCA LEONOR 1900117514001 X 129459 LEÓN BETANCOURTH ELICIA EUGENIA 1900119007001 X 253264 LLIVICHUZCA ROMERO CARLOS ALBERTO 1900119668001 X 228045 GONZALEZ MARTINEZ SALVADOR 1900119833001 X 263861 ARMIJOS TENEZACA BOLIVAR 1900120690001 X 212025 MONTESDEOCA MARCA VICTOR ANTONIO1900121532001 X 74952 TINIZARAY ORTEGA ULVIA TERESA 1900124627001 X 80473 ASTUDILLO RIOS LUIS ALFREDO 1900126440001 X 228004 CHAMBA VEGA LUIS ALCIDES 1900128289001 X 22457 VALVERDE SALINAS ANGEL BOLIVAR 1900130202001 X 139090 ORDOÑEZ AGUIRRE PEDRO EVARISTO1900130400001 X 177602 BERRU CUEVA OLIVA DE JESUS 1900130715001 X 201850 QUEZADA RAMON LUZ HERMINIA 1900131770001 X 118516 MONTESDEOCA MARCA JUAN BAUTISTA900132679001 1 X 225283 MALDONADO GALARZA FRANCO GOMARIO1900141118001 X 278468 DELGADO TELLO JULIA INEZ 1900141258001 X 45540 MASACHE ABAD LUIS JUAN 1900141316001 X 263521 TAIZHA GIMBICTI MARCELINO ALFONSO 1900141845001 X
  • 777.
    No No registra No No registra No No. registra registra No. indicadores registra provincia, registra Persona_id NOMBRE No. ID (RUC) calle número registra de ventas, apellido cantón y primer principal de calle origen activos y/o paterno parroquia nombre principal empleados 228419 REYES CUEVA JINY GIOCONDA 1900143668001 X 168247 QUISHPE ALULIMA JOSE JAVIER 1900144344001 X 189508 TORRES MALDONADO ANGEL EDUARDO 1900147842001 X 32482 RODRIGUEZ TOLEDO MANUEL FELIPE 1900149467001 X 270235 SALINAS SARMIENTO LENONSO AMABLE1900149764001 X 177580 OJEDA ROJAS SERGIO MANUEL 1900150317001 X 121006 SARANGO JIMENEZ EFREN DAVID 1900150648001 X 206011 CEDILLO GUARTAN AGRIPINA 1900150671001 X 271942 DAVILA NAQUEMBI ESPERANZA EMILIANA 1900150929001 X 96214 VILLAVICENCIO POMA BLANCA MARGARITA 1900152024001 X 73852 PICOITA JUAREZ ALIPIO 1900154962001 X 35342 CALDERON OJEDA JAIME RAMIRO 1900155381001 X 109789 CALVA HIDALGO MARIA MARGARITA 1900156397001 X 127145 CHAMBA RODRIGUEZ JOSE DANIEL 1900156702001 X 91516 CAJAMARCA SUQUI JOSE ANTONIO 1900156769001 X 181999 MASACHE CUEVA EDGAR NAPOLEÓN 1900157148001 X 141495 MONTAÑO ESPINOZA JESÚS 1900164540001 X 162227 SOTO ESPINOZA KLEVER RENE 1900167972001 X 177149 TOCTO GUANUCHE EDGAR GONZALO 1900168061001 X 151089 CANDO PACHECO JUAN MANUEL 1900171560001 X 218712 ESPARZA GONSALEZ CARLOS GUILLERMO 1900171685001 X 171930 CALLE ARGUDO MILTON ROLANDO 1900172089001 X 30552 CAMACHO QUEZADA JULIO CESAR 1900172428001 X 18504 MONTANO ARMIJOS GILBER GUSTAVO 1900172758001 X 110896 ALBA CABRERA LUIS SEBASTIAN 1900176486001 X 199744 AGREDA JIMENEZ FLAVIO ENRIQUE 1900179183001 X 134716 CABRERA SAMANIEGO JORGE AUGUSTO 1900179860001 X 64409 MICRO EMPRESA 1900180199001 X 163648 JARAMILLO GONZALEZ MARTHA CECILIA 1900181114001 X 65505 CALLE GUZMÁN ROMULO FERNAN 1900181890001 X 49696 CABRERA CHALCO EDUARDO ALONSO 1900182542001 X
  • 778.
    No No registra No No registra No No. registra registra No. indicadores registra provincia, registra Persona_id NOMBRE No. ID (RUC) calle número registra de ventas, apellido cantón y primer principal de calle origen activos y/o paterno parroquia nombre principal empleados 128512 CALDERÓN PINEDA JAIME PATRICIO 1900184217001 X 104902 LALVAY MOROCHO KLEVER OSWALDO1900185040001 X 235742 JACOME GALARZA SONIA MARLENE 1900185289001 X 57122 JUELAS GUARNIZO LEONARDO MIGUEL1900187681001 X 160337 CHAMBA RODRIGUEZ JUSTO MANUEL 1900187749001 X 128027 DELGADO VILLALTA OSWALDO JACINTO 1900187830001 X 143816 ARMIJOS QUEZADA MARCO ISRAEL 1900188309001 X 121944 REGALADO IÑIGUEZ PABLO IVAN 1900188705001 X 142766 ARMIJOS CRIOLLO PEDRO JOAQUIN 1900188796001 X 145240 GUALAN MEDINA LUIS ANTONIO 1900188838001 X 173650 AWAK ZAMARENO MARIA PATRICIA 1900188903001 X 93209 ROMERO UCHUARI BOLIVAR VICENTE 1900190925001 X 122671 PÉREZ JIMENEZ GONZALO DE JESUS 1900191246001 X 118913 ALVERCA CASTILLO ANGEL MELECIO 1900191840001 X 116897 BRITO ASTUDILLO WASINGTON EDMUNDO 1900191931001 X 204181 MEDINA ILLESCAS MARCO VINICIO 1900192061001 X 204542 BERRÚ CUEVA VICENTE SANTIAGO 1900192251001 X 45287 RODRIGUEZ FLORES EDIN OSWALDO 1900193010001 X 208024 REYES CUEVA NILO VLADIMIR 1900194554001 X 110793 ARMIJOS QUEZADA ANGEL MANUEL 1900194695001 X 145671 CALVA SANCHEZ OLGA ROSA 1900194869001 X 116383 ORDOÑEZ NAULA RAUL GILBERTO 1900198043001 X 30915 TAPIA FLORES JORGE 1900198506001 X 30090 RUBIO ANDRADE JOSE ANGEL 1900198753001 X 129861 CHAMBA CHAMBA ENMA CARMITA 1900199173001 X 88400 PEREZ PEREZ KIRBY ALEJANDRO 1900199603001 X 209344 QUINONEZ CUENCA DOLORES INES 1900200260001 X 228629 SARANGO LALANGUI JUDITH MIREYA 1900202019001 X 102276 ORTEGA PEÑARRETA ROSA MAGDALENA1900204312001 X 135811 ALBA GARCIA TEREZA DE JESUS 1900204320001 X 146632 BERMEO MARTINEZ HARMAN GEOVANNI1900204916001 X
  • 779.
    No No registra No No registra No No. registra registra No. indicadores registra provincia, registra Persona_id NOMBRE No. ID (RUC) calle número registra de ventas, apellido cantón y primer principal de calle origen activos y/o paterno parroquia nombre principal empleados 267521 ESPINOZA ALDAZ MANUEL ALBERTINO 1900205061001 X 266998 PILLAGA VALAREZO SEGUNDO ALBERTO1900205376001 X 176199 ABERCA COLALA RENE ECUADOR 1900205491001 X 247545 QUEZADA PALACIOS ANGEL RUFINO 1900205954001 X 201399 CANGO SIGCHO JUAN FRANCISCO 1900205962001 X 235737 URGILES ARMIJOS PILAR EUGENIA 1900206812001 X 229218 GONZALEZ GONZALEZ SONIA DEL PILAR900207208001 1 X 108791 MOROCHO SANMARTIN ROSA AURELIA1900208701001 X 97622 FREIRE ARMIJOS WASHINGTON GENARO1900209204001 X 115386 CABRERA IÑIGUEZ RUTH PATRICIA 1900209410001 X 249209 REGALADO IÑIGUEZ SOLEDAD SURAHIA1900209444001 X 136375 GUAMAN CAJAS ISABEL CRISTINA 1900209485001 X 260747 ARMIJOS BUITRON EDGAR ANTONIO 1900211192001 X 169500 MEDINA MEDINA EDUARDO SEVERINO 1900211465001 X 251542 SARANGO YAGUANA AIDA ESPERANZA1900212547001 X 225349 ACARO MEDINA HÉCTOR ROBER 1900215524001 X 162649 QUEZADA VÁSQUEZ ANGEL FLORENCIO 1900215532001 X 148558 QUIZHPI GUARTATANGA RAFAEL MARIA1900215920001 X 111947 LLERENA BRITO RODRIGO GIOVANNI 1900217215001 X 166446 CARRION JIMENEZ CARLOS ALBERTO 1900217736001 X 119430 CABRERA MÁRQUEZ ALBERTO FREDY 1900218072001 X 108228 BUITRON SANCHEZ SERGIO RENE 1900218999001 X 18428 ALVARADO LOZANO XAVIER ALONSO 1900219104001 X 68346 RODRIGUEZ TOLEDO HUMBERTO ALIPIO1900221738001 X 15605 COMERCIAL TORRES 1900222280001 X 103777 JAYA LOAIZA MIRIAM YUSTIN 1900222314001 X 120370 SALAZAR FRANCISCO ANDRES 1900222587001 X 188667 CASTILLO ROMERO SANTOS ADOLFO 1900226265001 X 215347 LOPEZ SIVISACA JONNY IGOR 1900227529001 X 53180 CAMPOVERDE BECERRA ANGEL GUILLERMO 1900230010001 X 67783 ORELLANA ROMERO JESUS SERAFIN 1900230705001 X
  • 780.
    No No registra No No registra No No. registra registra No. indicadores registra provincia, registra Persona_id NOMBRE No. ID (RUC) calle número registra de ventas, apellido cantón y primer principal de calle origen activos y/o paterno parroquia nombre principal empleados 227989 REMACHE PUCHA VICENTE ANCELMO 1900230903001 X 74931 GALINDO TELLO EULER JOSÉ 1900231638001 X 40012 BUSTAMANTE ALVARADO VICENTE ALBERTO 1900231679001 X 107853 SAGBAY MEJIA MANUEL ISIDRO 1900233899001 X 177266 SANCHEZ PLACENCIA HUMBERTO MARIO 1900234228001 X 215527 ORTEGA PEREZ FANNY SOLEDAD 1900234863001 X 189015 ZHINDON YASCARIBAY SARA FILOMENA 1900234921001 X 156404 DUCHITANGA SANCHEZ CARMEN ELICIA900235308001 1 X 111601 ROMERO RIVERA MARISOL MARITZA 1900236215001 X 105782 SÁNCHEZ COELLO ROSA MATILDE 1900236488001 X 144190 TORRES CORONEL WILSON EFRAIN 1900237452001 X 34030 ORDOÑEZ REYES FREDI ORLANDO 1900238310001 X 153459 SAUCA LOZANO ANGEL ALBERTO 1900238732001 X 238656 OCHOA HERRERA OLGA BERNARDA 1900239177001 X 103769 KAINZ HIPPACHER ARNOLD 1900240399001 X 225559 POMA GONZALEZ JOSE FRANCISCO 1900241157001 X 162559 MALLA ORTEGA LUZ MARINA 1900242692001 X 163152 PALTIN LABANDA MARCO ANTONIO 1900245307001 X 234299 JIMENEZ SALAZAR JUAN VICENTE 1900245679001 X 273940 X CABRERA ANGEL BOLIVAR 1900245695001 X 235884 CHALAN JAPON MANUEL AURELIO 1900247188001 X 223526 OJEDA ROJAS ELSA YOLANDA 1900247402001 X 224427 APOLO SUQUILANDA LILIA DALIL 1900247683001 X 143488 GAONA PEÑA ESTHELA 1900249465001 X 258357 VERA CABRERA JORGE ENRIQUE 1900249903001 X 193761 MUIMA MUIMA ALVA ANGELICA 1900251578001 X 258086 LIMA MACAS SONIA PIEDAD 1900251875001 X 106010 JARAMILLO LEON TULIA 1900255116001 X 184209 PEÑA GONZAGA DOMITILA ANA 1900255538001 X 237310 RAMON DOTA JOSE DIONISIO 1900256098001 X 264661 VEGA SARANGO FELIX UMBERTO 1900257302001 X
  • 781.
    No No registra No No registra No No. registra registra No. indicadores registra provincia, registra Persona_id NOMBRE No. ID (RUC) calle número registra de ventas, apellido cantón y primer principal de calle origen activos y/o paterno parroquia nombre principal empleados 103548 MARTINEZ AVILA CARLA PAOLA 1900257419001 X 106981 ALULIMA MINGA JOSE POLIVIO 1900257518001 X 138128 GUZMAN REIBAN HERNAN EFREN 1900258391001 X 174622 VILLAGOMEZ CHUMAPI VICENTE RAMON1900263680001 X 234043 CARDENAS COLLAGUAZO MANUEL NARCISO 1900264464001 X 148964 REYES CUEVA VIDAL RAMIRO 1900265065001 X 190100 CUENCA SANTOS PATRICIO ROMMEL 1900265529001 X 73161 TORRES TELLO NELSON ROLANDO 1900266527001 X 168719 MEDINA CHALAN CARLOS MANUEL 1900266634001 X 106148 OCAMPO MARQUEZ DANNI MIREYA 1900268549001 X 260437 SUIN PILLACELA JOSE CLODOMIRO 1900269224001 X 137154 AVILA PRADO WILMER JORGE 1900270222001 X 204447 TOLEDO CORREA JUAN MARCO 1900270537001 X 231449 ZHANAY BELTRAN VICENTE EDIBERTO 1900273176001 X 191109 CASTILLO ROMERO LUIS EDILTON 1900273747001 X 260935 MINGA OBELENCIO SEGUNDO JUVENTINO 1900273762001 X 205657 REYES CUEVAS COLON MAURICIO 1900273945001 X 135908 TEJEDOR CABRERA ANGEL RODRIGO 1900273986001 X 186003 CUENCA CASTRO ROBERT EDWIN 1900274299001 X 38991 CAJAS SIVISACA ROSA ENITH 1900275049001 X 271670 ORTEGA GODOY WALTER VINICIO 1900275403001 X 141112 GUAYA CORREA NIXON 1900277193001 X 135438 HERRERA ROJAS VILMA YOLANDA 1900277581001 X 108819 COJITAMBO ZOZORANGA GUIDO FABIAN1900277722001 X 253625 ALBERCA ALVAREZ JHONSO LORETO 1900279488001 X 23041 CHIMBO PULLAGUARI BRAULIO ROBERTO 1900281328001 X 193196 MOROCHO MOROCHO MARCELINO DE 1900282078001 JESUS X 253214 ESPINOSZA JAPA JORGE LEONARDO 1900282391001 X 60828 JUMBO ABAD MARIA CARMEN 1900282789001 X 109775 ANDRADE ZHUNAULA CARLOS MANUEL 1900283282001 X 207392 ALVERCA CHIMBO JOSE FREDY 1900285394001 X
  • 782.
    No No registra No No registra No No. registra registra No. indicadores registra provincia, registra Persona_id NOMBRE No. ID (RUC) calle número registra de ventas, apellido cantón y primer principal de calle origen activos y/o paterno parroquia nombre principal empleados 237277 CARPIO ORTEGA SONIA MARLENE 1900286145001 X 106818 PAQUI SACA MIGUEL ANGEL 1900286368001 X 43801 GUZMAN REIBAN EDWARD GERMAN 1900288174001 X 173093 SAMANIEGO CARRION JENNY 1900289461001 X 183807 ROMERO NARVÁEZ ORFA YOLANDA 1900289842001 X 244444 SANCHEZ SAMANIEGO MAURA VERONICA 1900290766001 X 105511 OCAMPO MÁRQUEZ JHOLI IRALDA 1900290808001 X 158283 RODRIGUEZ RODRIGUEZ VILMA MARISOL1900291301001 X 195795 QUEZADA ABAD WILSON ESTALIN 1900292374001 X 228894 SARMIENTO ORELLANA LILIAN FRESIA 1900294487001 X 247824 JIMÉNEZ JIMÉNEZ GUSTAVO ALEXANDER1900294768001 X 217869 ORTEGA MOROCHO OLGA LUCIA 1900295260001 X 176355 MACAS ESPARZA RAFAEL EFRE 1900295278001 X 208133 REYES CUEVA JOSE LEONIL 1900296151001 X 89691 ZHUNIO CRIOLLO ANGEL AMABLE 1900296615001 X 177404 GONZALEZ GONZALEZ WILLAN EDIXON1900297100001 X 227417 DELGADO GALINDO JULIA JHOANA 1900299122001 X 166822 SALINAS ORTEGA JESUS FLORENCIO 1900299361001 X 233830 CHIMBO FAICAN ENIHD MARGOOT 1900301332001 X 146390 PILLAGA VALAREZO TEREZA DE LA NUVE 1900302298001 X 276218 RIVERA PACCHA NESTOR ORLANDO 1900303395001 X 133238 PATIÑO MOROCHO OSCAR ABRAHAM 1900305978001 X 258332 MENDIETA BACULIMA MANUEL MECIAS1900308089001 X 109527 ESPARZA LOPEZ WILSON ROLANDO 1900308451001 X 161623 CHIMBO QUITUISACA JOSE AVELINO 1900310507001 X 131098 SOTOMAYOR VILLAVICENCIO PAQUITA 1900310853001 JUDITH X 147959 REY CURAY DUBAL JOSE 1900311620001 X 24022 FRANZ 1900311919001 X 85750 CASTILLO PINTO MILTON IVÁN 1900312487001 X 276436 GONZALEZ SARMIENTO NELSON RODRIGO1900312834001 X 214246 CORREA OCHOA MONICA JAQUELINE 1900313360001 X
  • 783.
    No No registra No No registra No No. registra registra No. indicadores registra provincia, registra Persona_id NOMBRE No. ID (RUC) calle número registra de ventas, apellido cantón y primer principal de calle origen activos y/o paterno parroquia nombre principal empleados 225400 LOOR VILLALTA JOSE GABRIEL 1900315142001 X 25615 TAPIA FLORES OSCAR ALDO 1900316637001 X 75640 SAMANIEGO SAMANIEGO ANGEL PATRICIO 1900316843001 X 134877 GUARNIZO TORRES OLGA MARIA 1900318211001 X 81207 GUAILLAS PLASENCIA JACKSON EDWIN1900320555001 X 110209 LEON ALBA JULIO ISIDRO 1900322080001 X 269619 ORDOÑEZ RODRIGUEZ NORMA NELLY 1900322254001 X 115531 MERINO FLORES MARIA IRMA 1900325067001 X 94713 SILVA ROMERO MARIA 1900327766001 X 13945 ING. WALTER ORDONEZ MARQUEZ 1900328038001 X 124542 DELGADO CASTILLO JUAN CARLOS 1900329796001 X 87774 TOLEDO AMARI VID BAIRO 1900330653001 X 44117 SANTORUM PIEDRA EDGAR MAURICIO 1900331131001 X 165207 LEON PINEDA MARCO AGUSTO 1900331891001 X 160568 GUAMÁN CASTILLO JULIO ALONSO 1900332030001 X 261740 LUPERCIO SARANGO ANGEL FREDY 1900333699001 X 200818 REMACHE PUCHA JAIME ALFREDO 1900334408001 X 153438 ROMERO AJILA ANIBAL EUGENIO 1900334853001 X 192800 CHALCO COLLAGUAZO SEGUNDO RAMIRO1900335629001 X 207670 COBOS MALDONADO GEOVANNY SALOMON1900336288001 X 73401 MAZA GRANDA IRENE SABINA 1900336577001 X 69625 PUCHA PAUTA CHARLES IVAN 1900337260001 X 174959 CUEVA GUAMAN EDWIN ENRIQUE 1900337518001 X 130757 CHAMBA CHAMBA LUZ YOLANDA 1900338284001 X 52372 ALVERCA CALVA FABRICIO ENRIQUE 1900338367001 X 148720 CELI APOLO JAKO VLADIMIR 1900339068001 X 40566 ALVAREZ GAONA JUAN ALBERTO 1900339480001 X 70194 PALACIOS TOLEDO PAUL TULIO 1900341353001 X 192474 CUMBICOS GAONA ELVIA ALMIDA 1900342260001 X 120049 ALDAZ GUEVARA ELITA JANET 1900342500001 X 69533 CALVA JARAMILLO HÉCTOR MANUEL 1900342989001 X
  • 784.
    No No registra No No registra No No. registra registra No. indicadores registra provincia, registra Persona_id NOMBRE No. ID (RUC) calle número registra de ventas, apellido cantón y primer principal de calle origen activos y/o paterno parroquia nombre principal empleados 197107 QUIZHPE LOZANO FRANKLIN WILMER 1900345305001 X 107133 LLIVICHUZCA MASACHE CARLA KARINNE 1900345784001 X 22516 MERINO GONZALEZ LUIS ALBERTO 1900347962001 X 256808 MERINO GONZALEZ CARLOS FELIPE 1900347970001 X 39447 PINEDA OCHOA SONIA MARLENE 1900351204001 X 45038 VÍCTOR 1900351220001 X 237955 ESPINOZA ESPINOZA JANETH DEL CARMEN 1900351402001 X 192552 SARANGO PAQUI LUIS FRANCISCO 1900352087001 X 260172 CUEVA SOTO FAUSTO MANUEL 1900353242001 X 203661 ROMERO ALVARADO ROBERT FRABRICIO1900355957001 X 242349 NUNINGA YANKUR JUAN ERNESTO 1900357185001 X 33271 LEON RODRIGUEZ XAVIER ANTONIO 1900357847001 X 252833 YASCARIBAY GONZALEZ ALBA YESENIA1900358332001 X 214260 CONDOLO GUAYA ANGEL BENIGNO 1900361435001 X 172394 ORELLANA ORDOÑEZ VERONICA YAJAIRA 1900362029001 X 219426 SANTOS MARTINEZ EDIN GERARDO 1900364488001 X 276886 QUEZADA TORRES MANUEL ERMOJENES 1900365063001 X 232900 CARTUCHE SARANGO LINDER VICENTE 1900365931001 X 136406 ERREYES RAMIREZ NARCISA ZULEMA 1900366848001 X 151446 GUAMBAÑA AUCAY LUIS ISRAEL 1900367150001 X 197092 SILVA MARIN WILFRIDO MORIS 1900367788001 X 227089 SAMANIEGO CASTILLO ANGEL FRANCELIN 1900369941001 X 167061 REYES SOLÍS OSWALDO BLADIMIR 1900371327001 X 240608 JUMBO NARVAEZ SANTOS MANUEL 1900371939001 X 249397 LUZURIAGA TOLEDO JAVIER ALEXANDER 1900372853001 X 134971 ZHINGRE MACAS ANGEL PATRICIO 1900372929001 X 203133 ZUNIGA ERRAEZ JUNIOR FABIAN 1900375088001 X 175302 ROMERO TORRES FAVIOLA BEATRIZ 1900375815001 X 86446 ESPINOZA ORDOÑEZ BOLIVIA ESTHER1900377134001 X 224338 VERDESOTO PRIETO PATRICIA ALEXANDRA 1900377316001 X 58143 ORDÓÑEZ CHALÁN OSCAR EUGENIO 1900377803001 X
  • 785.
    No No registra No No registra No No. registra registra No. indicadores registra provincia, registra Persona_id NOMBRE No. ID (RUC) calle número registra de ventas, apellido cantón y primer principal de calle origen activos y/o paterno parroquia nombre principal empleados 139922 GUARTATANGA GUARTATANGA MANUEL ARIOLFO 1900383454001 X 161961 CARAGUAY MARTÍNEZ VERÓNICA MARIBEL 1900385343001 X 268298 CELI DELGADO ELSA EUGENIA 1900386952001 X 131622 PESANTEZ DUCHITANGA JORGE MEDARDO 1900387281001 X 106660 SOTO CUMBICOS ENID MARIANA 1900387539001 X 22324 RODRIGUEZ ERAZO KARLA VANESSA 1900388750001 X 113633 IÑIGUEZ GUERRERO JOFRE DAVID 1900389931001 X 155035 TAPIA AGUIRRE JUAN CARLOS 1900391895001 X 107271 SOTO ESPARZA EDGAR FERNANDO 1900392414001 X 77561 RODRIGUEZ CUEVA ANDREA JANNETH 1900392489001 X 251947 ROMERO MERA MARIUXI FERNANDA 1900393339001 X 278503 JARAMILLO HIDALGO ALONSO ULISES 1900393958001 X 193762 MORA SANDOVAL MANUEL SALUSTINO1900394204001 X 105290 ABAD REYES BRAULIO FERNANDO 1900396613001 X 70110 GONZAGA JIMENEZ ADAN 1900396639001 X 155440 SUQUILANDA MINGA CESAR VINICIO 1900397470001 X 142195 MORALES VEINTIMILLA RAUL MANUEL 1900398312001 X 109506 LUNA ALDEÁN MAURICIO XAVIER 1900398437001 X 65135 JUMBO IÑIGUEZ ANDRES MICHAEL 1900398601001 X 90233 PATIÑO SANMARTIN ELSY RUBIELA 1900398759001 X 26153 VILLALTA GUALÁN DALTON FABIÁN 1900400126001 X 208052 MORALES MARQUEZ FABRICIO DEIBY 1900400670001 X 102514 CAÑAR NANTIPA JOSE IVAN 1900401835001 X 215365 PALLAZHCO YUNGA CESAR BOLIVAR 1900401959001 X 238800 GUAILLAS MEDINA SEGUNDO HILARIO 1900406164001 X 136832 AVANANCHI ZAMAREÑO JOSE DARWIN1900408129001 X 37784 ORDOÑEZ JARAMILLO HENRRY ALEXANDER 1900408897001 X 95540 ALDAZ GALVEZ VILMA ALEXANDRA 1900409176001 X 131525 QUEZADA AMAY ROBERTO ADEMAR 1900409358001 X 203098 RAMONES DUCHI DORIS YESENIA 1900409911001 X 251016 JUMBO MONTOYA MARIA ELENA 1900410059001 X
  • 786.
    No No registra No No registra No No. registra registra No. indicadores registra provincia, registra Persona_id NOMBRE No. ID (RUC) calle número registra de ventas, apellido cantón y primer principal de calle origen activos y/o paterno parroquia nombre principal empleados 121724 DELGADO TORRES FRANKLIN NAPOLEON 1900410273001 X 69458 VALLADARES CASTILLO CHRISTIAN FERNANDO 1900412345001 X 105157 MALDONADO CAPA MIGUEL AUGUSTO 1900413137001 X 221571 MEDINA PARRA ALVARO PAUL 1900417906001 X 270167 SALINAS ORTEGA RODRIGO DARWIN 1900427772001 X 212800 OCAMPO QUIROLA ELSI MARIELA 1900430271001 X 208464 OCHOA SARANGO JUNIOR AMABLE 1900431469001 X 196063 SUQUILANDA GUAMÁN WILSÓN RODRIGO 1900432251001 X 88913 CALVA CAJILIMA DARWIN FABIAN 1900433069001 X 141048 QUEZADA CARCHI MILTON ROLANDO 1900434307001 X 183214 CASTILLO PINTO SANTIAGO BLADIMIR 1900435858001 X 196392 CANGO CUENCA BERONICA CACILIA 1900436179001 X 167470 QUILAMBAQUI ASTUDILLO FAUSTO OLMEDO 1900438399001 X 225447 SACA TENE JOSE LUIS 1900441286001 X 263426 LLIVICHUZCA MASACHE LADY JANETH 1900442797001 X 181781 FERNANDEZ BRITO FREDI GUILLERMO 1900446657001 X 65127 ALDEÁN ARÉVALO JORGE ARTURO 1900447689001 X 48912 CALVA RIOFRIO DARWIN ANTONIO 1900449156001 X 273592 CUENCA CAJAMARCA JULIO CESAR 1900449958001 X 160760 ZUÑIGA VICENTE MAYRA LORENA 1900450170001 X 86729 SIVISAPA CARAGUAY JAIME OSWALDO1900450733001 X 262074 VILLALTA TORRES SILVIA ESTHER 1900453992001 X 216463 ARROBO GAONA JHULIANA MARLENE 1900456391001 X 245064 OLMEDO MOSQUERA BYRON JAVIER 1900457183001 X 204381 ZHONDO CONTENTO HARMAN ARMANDO 1900457340001 X 262876 LOJANO LOJANO RAUL JAVIER 1900460161001 X 69531 MALLA MUZHA ROMULO ANIBAL 1900460328001 X 187062 ALVAREZ ORDOÑEZ WALKER FROILAN 1900463280001 X 36878 VARGAS ULLOA FRANKLIN RAMIRO 1900465053001 X 230734 ARMIJOS CHALAN JULIO HERNAN 1900467877001 X 273150 TENE CHALAN JAIME ENRIQUE 1900467901001 X
  • 787.
    No No registra No No registra No No. registra registra No. indicadores registra provincia, registra Persona_id NOMBRE No. ID (RUC) calle número registra de ventas, apellido cantón y primer principal de calle origen activos y/o paterno parroquia nombre principal empleados 273280 VÉLEZ BERMELLO RENÉ XAVIER 1900468768001 X 225721 SARANGO VALLADARES YADIRA CARMEN 1900472182001 X 91225 SARANGO TINITANA TANIA ELIZABETH 1900476449001 X 213398 PAUTA RODRÍGUEZ ELIZABETH ALEXANDRA 1900476753001 X 207250 MACAS CASTILLO MARTHA JUDITH 1900476860001 X 154006 GUEVARA ALBA DARWIN RENAN 1900486695001 X 71454 LOJAN HERRERA DIEGO PAOLO 1900487313001 X 259392 VIÑÁN PELÁEZ AGUSTO RODRIGO 1900492222001 X 268612 REINOSO QUIMIS JOHN FERNANDO 1900498260001 X 29763 AYDA 1900504414001 X 208158 GUERRERO CASTILLO JOSE RENAN 1900507441001 X 216326 SARANGO SARANGO LUZ PATRICIA 1900510692001 X 224529 MEDINA MEDINA ROSA MERCEDES 1900516590001 X 261160 LEON RODRIGUEZ DANIEL RUPERTO 1900517564001 X 250839 GUAMAN VALAREZO ROBERTH WILMER 1900520352001 X 159717 IDROBO SILVA FLAVIO DARIO 1900520519001 X 150660 LOZANO CAMPOS JULIO RAMIRO 1900532647001 X 170999 LOZANO CAMPOS LUIS ANTONIO 1900532688001 X 115839 MINGA GUAMAN LUIS ALBERTO 1900537331001 X 193824 RIOFRIO QUITO MERCEDES CONCEPCION1900541853001 X 119600 BRITO ORELLANA ANGEL PORFIRIO 1900543461001 X 161216 VELASQUEZ CASTILLO VERONICA ROCIO1900545599001 X 123628 QUEZADA SARMIENTO GLENDA PAOLA1900560853001 X 115768 BRITO MOLINA MELITON TEODORO 1900570480001 X 100915 ARMIJOS SALINAS AURELIO JESUS 1900583228001 X 260383 CAJILIMA GUERRERO JOSE GERMAN 1900584283001 X 257803 SANCHEZ MOROCHO VICTOR HERIBERTO 1900585025001 X 255244 SARANGO FIERRO HYPATIA STELLA 1900587450001 X 147073 SARI SAETAMA CLEVER PATRICIO 1900594019001 X 235829 ABAD SOLANO MIREYA LILIANA 1900595529001 X 196749 MACHUCA MEDINA LIGIA ELENA 1900597871001 X X
  • 788.
    No No registra No No registra No No. registra registra No. indicadores registra provincia, registra Persona_id NOMBRE No. ID (RUC) calle número registra de ventas, apellido cantón y primer principal de calle origen activos y/o paterno parroquia nombre principal empleados 232547 GUAYA IRIARTE ADRIANA MARIBEL 1900619709001 X 276151 VERA JIMENEZ LEVI DARIO 1900621788001 X 245734 CORDERO JARAMILLO JULIA ESTHER 1900622083001 X 270436 GUAYLLAS MACAS FLORITZA MARIA 1900634773001 X 273895 ELECTRO GENERADORA DEL AUSTRO S.A. 1901674530011 X 171521 ACUDIR 1903014270011 X 44227 MUNICIPIO DE ZAMORA 1960000380001 X X 46866 MUNICIPIO DE CHINCHIPE 1960000460001 X X 45515 MUNICIPIO DE YACUAMBI 1960000540001 X X X 44516 GOBIERNO MUNICIPAL DEL CANTON YANTZAZA 1960000620001 X X 43731 MUNICIPIO DE NANGARI 1960000700001 X X X 45877 GOBIERNO MUNICIPAL DEL CANTON EL PANGUI 1960001190001 X X 44554 PATRONATO DE AMPARO SOCIAL MUNICIPAL DE YANZATZA 1960140710001 X X 191678 COMPAÑÍA INDUSTRIAL "EL ZAMORANO" S.A. 1990904312001 X 145736 VOLJUMI 1990904797001 X 250275 ASOCIACIÓN EL PORVENIR 1990905181001 X 77123 MICROEMPRESA DE CONSERVACION 1990905203001 X 256713 ASOCIACION DE TRABAJADORES AUTONOMOS REINA DEL CISNE 1990905335001 X 80260 SUPERMERCADO DICAVI CIA. LTDA. 1990906285001 X 191560 MARSEFA CIA. LTDA. 1990906323001 X 84756 ASOCIACIÓN DE CONSERVACIÓN VIAL AMAZONAS 1990906870001 X 236484 MULTISERVICIOS LOJANO CIA. LTDA. 1990907168001 X 55869 CONDOR KUSI CONSTRUCTORA S.A. 1990907338001 X 185587 GUZMAN RIVERA EDUARDO WILSON 1990907370001 X 159529 ASOCIACION DE CONSERVACION VIAL VALLE DE LAS LUCIERNAGAS 1990908008001 X 159544 ASOCIACION DE CONSERVACION VIAL C. DEL CONDOR 1990908024001 X 159475 ASOCIACION DE CONSERVACION VIAL ORQUIDEA DE LA AMAZONIA 1990908121001 X 203062 CALDEMAR CONSTRUCTORA CIVIL CIA.1990908377001 LTDA. X 177422 CONSTRUCTORA HERRERA GONZALEZ CIA. LTDA. 1990908423001 X 263917 CAMARA CANTONAL DE TURISMO CAPITULO YANTZAZA 1990908431001 X 217450 COMPAÑIA CONSTRUCTORA SOLORZANO CIA.LTDA 1990908598001 X
  • 789.
    No No registra No No registra No No. registra registra No. indicadores registra provincia, registra Persona_id NOMBRE No. ID (RUC) calle número registra de ventas, apellido cantón y primer principal de calle origen activos y/o paterno parroquia nombre principal empleados 216310 CONSTRUCTORA Y EXCAVACIONES BREG S.A. 1990908652001 X 216227 COMPAÑIA CONSTRUCTORA JHORJ CIA. LTDA. 1990908806001 X 227596 CONSTRUCTORA & CONSULTORA MEROBRATEC 1990908938001 X 231646 CONSTRUCTORA BRAJAMIL CIA.LTDA. 1990908954001 X 242596 CONSTRUCTORA COYANTZA CIA LTDA 1990909063001 X 243281 CONSTRUCTORA ROGEL APONTE CIA. 1990909071001 LTDA. X 253965 COMPAÑIA GOZALEZ TENE 1990909179001 X 259815 CONSTRUCTORA MAWASA CIA. LTDA. 1990909292001 X 259122 CONSTRUCTORA GALEXA CIA. LTDA 1990909306001 X 267644 CONSTRUCTORA MERIGONZA CIA LTDA 1990909403001 X 274105 RENTEROB S.A. 1990909438001 X 123958 SALINAS BORJA JOSE ERNESTO 2000000204001 X 83132 JOHNJONES PUENTES HOLGER MIGUEL000000295001 2 X 68328 GALLARDO GALLARDO JOSE LUIS 2000001269001 X 53085 GALLARDO URRUTIA ANGEL MIGUEL 2000001293001 X 267244 SALGADO ORDOÑEZ LUIS ALFREDO 2000001525001 X 249366 CRIOLLO SAILEMA CARMEN AMELIA 2000002663001 X 86846 YAULI JEREZ LEONARDO CESAR 2000003158001 X 69837 VILEMA GUERRERO OSCAR MOISES 2000003232001 X 273273 PANCHANA MEDINA LORENZO SALOMON 2000004024001 X 29389 VALLEJO FARFAN ENRIQUE BENJAMIN 2000004974001 X 108948 MARTINEZ MARTINEZ WASHINGTON 2000009395001 X 121458 PANCHANA MEDINA ALEJANDRO ANTONIO 2000009502001 X 99242 ANDRADE BALLESTEROS DANIEL HORACIO 2000009718001 X 149031 RUMIPAMBA MARLENE CECILIA 2000010765001 X 55303 LARA LEON FAUSTO LUIS 2000010856001 X 169178 CRUZ BEDON LENIN EDMUNDO 2000011193001 X 226959 TIGSE TIRADO LUIS MARCELO 2000011771001 X 78250 JOHNJONES PUENTES EDUARDO ANTONIO 2000012217001 X 228807 GALARZA RUIZ JOSE NARCISO 2000013959001 X 242916 MONTALVO ESPINEL NELSA BOLIVIA 2000014155001 X
  • 790.
    No No registra No No registra No No. registra registra No. indicadores registra provincia, registra Persona_id NOMBRE No. ID (RUC) calle número registra de ventas, apellido cantón y primer principal de calle origen activos y/o paterno parroquia nombre principal empleados 85024 B BURI SEGUNDO ALFREDO 2000014254001 X 95632 YEPEZ SANDOVAL IRENE EDELMIRA 2000014353001 X 216411 VÁZQUEZ LASSO KLEVER FABRIZIO 2000014551001 X 194203 ESCARABAY FREIRE MARCO ANTONIO 2000015699001 X 100113 YEPEZ SANDOVAL SIXTO RUPERTO 2000017646001 X 112324 TENELEMA MORAN SEGUNDO ANTONIO000017851001 2 X 71029 JAIME GIL ARACELY 2000017943001 X 143650 VALLE CASTILLO MARTHA IRMALDA 2000018016001 X 63199 BALLESTEROS OLAYA MARCOS GASTON 2000018263001 X 251065 MORALES ZAVALA MARTHA ISOLINA 2000018552001 X 236959 FUENTES LINO JHONNI ALFREDO 2000019089001 X 168259 ESCARABAY FREIRE EDGAR IVAN 2000019873001 X 201913 TIPAN MEDINA SEGUNDO FILEMON PEDRO 2000020194001 X 63127 ANDRADE ENDARA GABRIEL VINICIO 2000020574001 X 80449 LOPEZ DELGADO CARLOS ALBERTO 2000021531001 X 207507 URIBE LOPEZ VALENTIN 2000021606001 X 239384 BALLESTEROS SEVILLA ENRIQUE RIGOBERTO 2000021879001 X 167757 PESANTES AGUIRRE MARIO ELIGIO 2000022257001 X 88721 FLOR GIL GARDENIA ELIZABETH 2000022679001 X 190580 LOYOLA REINOSO JHONI ARCECIO 2000023784001 X 112019 FREIRE JARAMILLO JOHN ROBERT 2000024170001 X 91400 TUPIZA GIL AMELIA INÉS 2000024436001 X 143835 NIETO SIGUENCIA JUAN EVANGELISTA 2000024956001 X 56775 COBOS CORDOVA DAGFIN EDISON 2000025698001 X 31657 ANDRADE ENDARA GINA MAGALI 2000025995001 X 69479 COBOS ZAVALA JUAN MANUEL 2000026381001 X 56515 GUERRERO ALDAS MAGALY MARIBEL 2000026738001 X 147665 GALLARDO HERRERA EDUARDO MIGUEL 2000027215001 X 96547 RAMOS CHALEN HUGO ENRIQUE 2000027702001 X 169493 CARDENAS HUANCA CARLOS GIOVANNI 2000028379001 X 193451 ZAVALA GIL RONNY ISIDRO 2000028668001 X
  • 791.
    No No registra No No registra No No. registra registra No. indicadores registra provincia, registra Persona_id NOMBRE No. ID (RUC) calle número registra de ventas, apellido cantón y primer principal de calle origen activos y/o paterno parroquia nombre principal empleados 81395 PALLO COSQUILLO JORGE ERNESTO 2000028890001 X 249361 BELTRAN CRIOLLO JAVIER MARIO 2000029997001 X 256145 HIDALGO MORA MAURICIO FABRICIO 2000030276001 X 182679 GIL JARAMILLO LUIS ROBERTO 2000030581001 X 262759 TORRES GUAYLLAGUAMAN MARLENE DE LOURDES 2000030656001 X 97734 CRUZ BEDON SANDRA PIA MARILYN 2000031639001 X 105609 AGUILAR MORA LIBIA SORAYA 2000032033001 X 137195 GIL POMBOZA NANCY OLINDA 2000032900001 X 85407 BECERRA HERNANDEZ JUAN CARLOS 2000033502001 X 137293 GARCIA MARTINEZ INGRID VANESSA 2000033916001 X 58081 HERNANDEZ VARGAS DORIA ILDA 2000034732001 X 144705 JAYA PINCAY MIGUEL ANGEL 2000034880001 X 41661 ARIAS MONTALVO JHONSON MIGUEL 2000034971001 X 113750 MORALES MORALES MAURICIO FABIAN2000035143001 X 191389 PARRALES OLAYA ROLANDO EUGENIO2000035614001 X 71761 MEDINA DAVILA MILTON VINICIO 2000035721001 X 43877 COBOS COBOS DIANA XIMENA 2000036034001 X 32712 CAIZA CARRILLO HUGO ROLANDO 2000036042001 X 77282 INGA CADENA JULIO WILLIANS 2000036166001 X 116857 CEDEÑO BALLESTEROS AQUILES WELLINGTON 2000036174001 X 239404 TERÁN PALLO JESSICA GIOCONDA 2000036471001 X 110931 SEVILLA CEDEÑO MARIBEL ALEXANDRA 2000037149001 X 62270 SANCHEZ ANTAMBA CARLOS MAURICIO2000038980001 X 195266 JIMENEZ JHONJONES HARRY JAMES 2000041547001 X 256287 CEDEÑO SEGURA GUIDO ANTONIO 2000042263001 X 180680 GIL JARAMILLO SEGUNDO RAFAEL 2000042859001 X 196455 RODRIGUEZ OLAYA JULIO WALTER 2000043337001 X 236618 CHICAIZA CHANGO WILLIAMS CRISTOBAL 2000043576001 X 155759 GIL GUAMANQUISHPE RUBEN GEOVANNY 2000044038001 X 123980 CAMINO JAIME LARRY JHON 2000045548001 X 90192 SINCHE PAUTA HERMEN HUGO 2000045902001 X
  • 792.
    No No registra No No registra No No. registra registra No. indicadores registra provincia, registra Persona_id NOMBRE No. ID (RUC) calle número registra de ventas, apellido cantón y primer principal de calle origen activos y/o paterno parroquia nombre principal empleados 236270 AGUIRRE COBOS WILTON GERMAN 2000046389001 X 129205 PEÑAFIEL VILLAFUERTE JAIME BENITO2000047221001 X 273298 GIL GUAMANQUISHPE DIEGO TONINO 2000047973001 X 19246 DIEGO 2000048146001 X 243792 CHANGOTASIG CAISA LIDIA DEL CONSUELO 2000048625001 X 107901 GUERRA MARTILLO ELIZABETH DEL ROCÍO 2000048641001 X 68874 YAULI GALLARDO LLAJAIRA VERONICA 2000048864001 X 189661 FLOR YEPEZ JULIO TILER 2000049326001 X 117728 RONQUILLO ALVARADO MARIA JANINA 2000049391001 X 259241 SUAREZ ROSERO NELSON EFRAIN 2000050365001 X 132168 LEÓN PALACIOS ROSA PAOLA 2000052346001 X 214016 CRIOLLO ESPANTOSO FELIX DANIEL 2000054805001 X 171299 TENELEMA TUPIZA LENIN ANTONIO 2000056073001 X 238171 URQUIZO OJEDA JASON LEONARDO 2000057246001 X 117141 CAIZA VALENCIA NESTOR IVAN 2000057832001 X 169563 JIMENEZ TORRES YAMER ONOFRE 2000058038001 X 262282 CHANGO CHANGO MARIO RODRIGO 2000059796001 X 256276 GAONA IMAICELA MARIOS ELEUTERIO 2000060844001 X 110021 SOTOMAYOR COBOS JORGE PATRICIO2000062139001 X 176074 CHISAGUANO PANATA PEDRO JAVIER 2000062170001 X 118614 BURI MOROCHO BOLIVAR ANTONIO 2000066759001 X 192201 OLAYA COELLO JUAN CLEMENTE 2000069209001 X 143394 FREIRE MOROCHO ARMANDO VINICIO 2000069738001 X 84088 BALLESTEROS COBOS MARCOS HENRY 2000072674001 X 171310 SANTANDER SANTANDER LUIS FERNANDO2000073128001 X 98519 ALDÁS ROMERO ERIK ANDRÉS 2000074001001 X 43573 GOBIERNO PROVINCIAL DE GALAPAGOS 2060000150001 X X X 62535 PROVEEDORA INSULAR C. LTDA. 2090001593001 X 89300 FERRETERIA INSULAR FERROINSULAR 2090004401001 S.A. X 108852 PREFECTURA APOSTOLICA DE GALAPAGOS 2090004487001 X 197832 SERVICIOS NAVIEROS DE GALAPAGOS2090006420001 X
  • 793.
    No No registra No No registra No No. registra registra No. indicadores registra provincia, registra Persona_id NOMBRE No. ID (RUC) calle número registra de ventas, apellido cantón y primer principal de calle origen activos y/o paterno parroquia nombre principal empleados 43890 GORGOMAR S.A. 2091755915001 X 110286 OPERADORA TURÍSTICA CARGO S. A. OPEANSA 2091756032001 X 74356 GALAPAGOS CONSTRUCCIONES SA 2091756253001 X 70758 SETURGAL S.A 2091756334001 X 84746 ELECTRONAUTICA S.A. 2091756458001 X 253356 HELIGAL, HELICOPTERS GALAPAGOS S.A. 2091757462001 X 254189 COBEÑA GALAPAGOS CONSTRUCCION2091757667001 S.A. X 254206 J.A.K. BRAN S.A. 2091757675001 X 104953 JIMENEZ TORRES SILVIO ANTONIO 2100003082001 X 123292 ALARCON TORRES DARWIN ISIDRO 2100007000001 X 71788 ANDRADE VIVAR HITLER ARTURO 2100007513001 X 45189 PROAÑO TOLEDO WILMER LENIN 2100007828001 X 235714 TENORIO ESTUPINAN LANES YONELA 2100009287001 X 154638 CASTILLO CUMBICOS CARLOS ANTONIO 2100009964001 X 151366 AMAGUAY VASQUEZ MYRIAN NARCIZA 2100010202001 X 127268 VERGARA BORJA WUANERGES LENIN 2100012562001 X 179934 MESTANZA ALARCÓN JAVIER ALLEN 2100012968001 X 155553 VARGAS CAPA JOSE JAVIER 2100015482001 X 237266 IZQUIERDO HIDALGO NERIO ANTONIO 2100015771001 X 267692 ORTEGA ENRIQUEZ AMABLE DE JESUS 2100016449001 X 224135 VARGAS GREFA FAUSTO GUILLERMO 2100018668001 X 114002 SACA LUDEÑA RIDEN ROBER 2100022819001 X 257147 MORA DOMINGUEZ CESAR OSWALDO 2100024187001 X 159080 ASTUDILLO BUSTIS RICHARD PAUL 2100025747001 X 225946 QUEZADA TANDAZO YAQUELINE ELIZABETH 2100031653001 X 85310 SEGURA PIZA GABRIEL BOLIVAR 2100032941001 X 215638 BALCAZAR CAMPOVERDE ANGEL FRANCISCO 2100033451001 X 151282 GONZALEZ TRUJILLO CARMEN NOEMI 2100035225001 X 245861 PERLAZA SAN MARTÍN LIGIA ESTHER 2100035282001 X 227703 ROMERO BENAVIDES EDWIN FERNANDO 2100037502001 X 66465 OLIVES VALDEZ JOSE EDUARDO 2100037619001 X
  • 794.
    No No registra No No registra No No. registra registra No. indicadores registra provincia, registra Persona_id NOMBRE No. ID (RUC) calle número registra de ventas, apellido cantón y primer principal de calle origen activos y/o paterno parroquia nombre principal empleados 176581 ENCARNACION VERA MARIA DOTILA 2100037965001 X 161462 RIZZO FELIX JULY MARISOL 2100038146001 X 188123 NEGRON OCHOA JULIO JOVANY 2100040688001 X 244947 VEGA ESPIN FREDY ERNESTO 2100041116001 X 87683 CRUZ VILLALTA NELSON RAUL 2100041157001 X 255255 IBARRA BASURTO JOSE MARCEL 2100041199001 X 249990 ROMERO CADENA RAUL ADOLFO 2100044235001 X 262438 CAIMINAGUA SANDOVAL CARMEN MARÍA 2100046321001 X 50135 CORDOVA BUSTOS LUIS NEPTALI 2100046792001 X 172691 GALEAS MORALES VICENTE RAMIRO 2100048897001 X 202622 MANZANO NARANJO ANGEL POLIVIO 2100049200001 X 146625 PEREZ NAVEDA MARCO VINICIO 2100050075001 X 117939 GARCIA PARRAGA MAURICIO RAMON 2100053327001 X 267789 ESPINOZA APOLO JOFFRE RENE 2100054028001 X 155624 CAMPOVERDE BALCAZAR RENE OMAR 2100054937001 X 236767 CALUPIÑA MONTENEGRO FREDDY HERNÁN2100056478001 X X X 155098 JIMBO RIOS SANDRA ISABEL 2100057492001 X 145998 ALEMAN VERA DAVID ALBERTO 2100059423001 X 262623 CASTILLO CORTEZ HIRINA ROCIO 2100060751001 X 72865 SANCHEZ LEONES EDWIN IVAN 2100061312001 X 69309 BELTRAN MORAN CARLOS ROLANDO 2100063359001 X 56525 MUÑOZ GUAMAN MIGUEL ANGEL 2100063938001 X 248074 NAVAS ARCINIEGAS ROSA ELENA 2100065628001 X 234579 NARVAEZ PILAMUNGA JOSE MARCELO2100065636001 X 265643 VILLACIS MARTINEZ WILMER VICENTE 2100066790001 X 204258 GARCIA SUEREZ ROSARIO ISABEL 2100066873001 X 248728 CEVALLOS AMAGUAY JHERRY FERNANDO 2100067640001 X 196256 MUÑOZ MAISINCHO JUDY ROSARIO 2100070198001 X 76739 SANCHEZ JAMA OSCAR GEOVANNY 2100070867001 X 260543 JIMENEZ VEGA NELSON JOHN 2100074398001 X 17492 RAMON TORRES IDALIO MARCELO 2100078381001 X
  • 795.
    No No registra No No registra No No. registra registra No. indicadores registra provincia, registra Persona_id NOMBRE No. ID (RUC) calle número registra de ventas, apellido cantón y primer principal de calle origen activos y/o paterno parroquia nombre principal empleados 265652 TRAVEZ IZA MONICA IBETH 2100080668001 X 233158 CARGUA CARRILLO HILDA MORAYMA 2100084140001 X 70673 MOYANO CALLE DARWIN HOLGER 2100085337001 X 161901 CABEZAS TOSCANO MARCO VINICIO 2100086228001 X 220676 ROSALES MENESES LUIS GENARO 2100088984001 X 164208 LEÓN YEPEZ OLGA JANETH 2100091541001 X 156118 BASTIDAS LOOR JOSÉ EMILIO 2100092564001 X 171487 ARROBO ESTRADA PEDRO BINICIO 2100093604001 X 174288 TELLO LOPEZ JAZZMIN VERONICA 2100093711001 X 17487 CAMBISACA CAMBISACA JOSE LEODAN2100094271001 X 7302 LOOR DELGADO JIMMY BENIGNO 2100094297001 X 232178 LOZADA GIRALDO LUIS BERNARDO 2100100128001 X 81309 PAREDES SANTANA MARCO IVAN 2100100136001 X 162406 ALVAREZ PORTILLA RAQUEL 2100100284001 X 55219 OTO TOPON LUIS FABIAN 2100100664001 X 52321 GALARZA COBOS ALBA MARLENE 2100101118001 X 175756 CISNEROS CAIZA JOSE LUIS 2100101563001 X 215881 BALARESO DE LA CRUZ PABLO LEPOLDO 2100107032001 X 168397 CONTENTO BARSALLO OMAR RIGOBERTO2100107990001 X 192741 MUEPAS CHAMBA LUIS HERNAN 2100108766001 X 145021 CAMPOVERDE TORRES MIRIAM BEATRIZ2100109541001 X 146537 ESPINOZA APOLO FREDDY OSWALDO 2100115803001 X 165527 GARCIA CUEVA ROMEL DIONICIO 2100120001001 X 265641 CUENCA CUENCA JOSE PAQUITO 2100124037001 X 186242 JAYA JULIO MANUEL 2100124896001 X 187720 YANANGOMEZ GARZON ALBERTO ANASTACIO 2100127113001 X 173750 ROMO ATIENCIA JHONNY VLADIMIR 2100128459001 X 230486 ORTIZ QUENAMA NICOLAS VICENTE 2100130588001 X 225088 ACOSTA JARAMILLO GLENDA SAYONARA2100132345001 X 8656 HUMBERTO CASTILLO 2100136577001 X 105102 AMAGUAY VASQUEZ LOURDES SUSANA 2100137039001 X
  • 796.
    No No registra No No registra No No. registra registra No. indicadores registra provincia, registra Persona_id NOMBRE No. ID (RUC) calle número registra de ventas, apellido cantón y primer principal de calle origen activos y/o paterno parroquia nombre principal empleados 160261 BARRERA ORELLANA CARMEN RAQUEL 2100137294001 X 209251 SANCHEZ TARIGUANA JAIME CARLOS 2100137328001 X 258329 BUSTOS CHILIQUINGA MARCO VINICIO 2100137641001 X 103539 CANDO ERAZO VICENTE GONZALO 2100140116001 X 162508 MEJIA CHANGO JESICA JENIFER 2100144472001 X 8553 CESAR MACHAY 2100148358001 X 113668 CORTES WILSON 2100148408001 X 114292 JIMENEZ TOAPANTA MARVIN ARTURO 2100148549001 X 226589 CAMBISACA CAMBISACA JENDRIS DENIS2100152764001 X 164400 VASQUEZ VARGAS TITO MIGUEL 2100153093001 X 162343 QUINATOA ROJAS EDWIN JAVIER 2100159967001 X 170149 MANCERO ENRÍQUEZ FRANKLIN ALEX 2100160726001 X 231623 VILLAPRADO MOREIRA CESAR MIGUEL2100161328001 X 105302 CALVA OJEDA DARWIN VINICIO 2100162094001 X 197002 LAPO MORENO DORIS MARITZA 2100163290001 X 175229 ROJAS CARCELEN IRAIDA VANESSA 2100164546001 X 233850 ESCUDERO ULLOA RICHARD GERARDO 2100165535001 X 115966 CAMPOVERDE JIMENEZ DARWIN NOE 2100165832001 X 70081 MESTANZA RAMÓN CARLOS 2100168273001 X 260104 ROBLES GAIBOR ANGEL ROBERTO 2100169461001 X 229842 CASTILLO FREIRE MAYRA ELIZABETH 2100173695001 X 8520 NEICER DANIEL CHANGO TRUJILLO 2100179361001 X 172016 ROSERO GUERRA CARLOS JULIO 2100182530001 X 257603 RIVAS IDALGO PEDRO NEL 2100183322001 X 177864 NAZATE MUEPAZ OMAR JAIRO 2100183389001 X 87225 MOROCHO CABRERA LUIS ALBERTO 2100184221001 X 81602 OLVERA SOLANO ORLY OSWALDO 2100184718001 X 87992 CARRIÓN LAPO FÉLIX GERMÁN 2100184783001 X 9102 YANEZ APOLO WILSON ANIBAL 2100185210001 X 217036 CEVALLOS PERALTA ANGEL LUIS 2100186218001 X 189225 MARTINEZ FUENTES WILSON FREDDY 2100187570001 X
  • 797.
    No No registra No No registra No No. registra registra No. indicadores registra provincia, registra Persona_id NOMBRE No. ID (RUC) calle número registra de ventas, apellido cantón y primer principal de calle origen activos y/o paterno parroquia nombre principal empleados 254699 RÍOS MERCHÁN LORENA PILAR 2100189410001 X 132576 GARZÓN YANANGOMEZ HUGO ANTONIO100190582001 2 X 230275 ROMERO ORTEGA JOSE LUIS 2100191895001 X 225781 NUÑEZ AMANCHA CLARA LUPE 2100194675001 X 117807 BRUNES ROMERO BYRON JAVIER 2100199070001 X 266351 BALCAZAR CAMPOVERDE IVAN PATRICIO 2100200381001 X 83821 GUANOTUNA CHICAIZA WALTER BLADIMIRO 2100201686001 X 131893 BAQUERO JARAMILLO MARIA DEL CARMEN 2100202627001 X 219584 BARRETO ARÉVALO VERÓNICA LILIANA2100202981001 X 86225 ALEJANDRO CEVALLOS ELIJIO GERMAN2100206495001 X 217051 PIEDRA AZANZA MARCO ANTONIO 2100206859001 X 166515 MATAILO BARRERA YOLANDA ELIZABETH 2100207139001 X 172410 MEDINA SALAZAR NELSON IPTALO 2100213277001 X 129573 CHACHA COLCHA ALBINO RENE 2100215983001 X 122213 SILVA BUCHELI JOSE LUIS 2100217245001 X 249359 ORTEGA GUILLEN TANIA LOURDES 2100221916001 X 274187 FRANCO BALCAZAR ZANDRA ELIZABETH2100222799001 X 107302 N MESIAS LUIS MIGUEL 2100224035001 X 119304 PALADINEZ VERA MAXIMO FELIX 2100224118001 X 109295 MANCHAY CASTILLO EGIDIO EUGENIO 2100225958001 X 197733 GREFA PAPA EDISON ALFREDO 2100235536001 X 256443 MALLA CONDOY ADRIANA ANGELA 2100239538001 X 153125 GUAMAN GUAMBO CARLOS HERIBERTO 2100242839001 X 161259 NAPA PACHECO MAURICIO AQUILINO 2100243605001 X 212211 SANDOVAL MANZABA JAIRO GUILLERMO2100244066001 X 180347 CASANOVA SALAZAR CARLOS ALBERTO 2100248596001 X 30607 ASTUDILLO PAZMIÑO GALO MARIO 2100256896001 X 181336 NARANJO PEÑALOZA ANA CECILIA 2100261938001 X 141966 ANDI TANGUILA JAIRO SILVIO 2100269576001 X 225265 QUINTUNA IZA JOSE RAFAEL 2100276704001 X 235588 CASTANEDA GOMEZ JUVER JACINTO 2100278411001 X
  • 798.
    No No registra No No registra No No. registra registra No. indicadores registra provincia, registra Persona_id NOMBRE No. ID (RUC) calle número registra de ventas, apellido cantón y primer principal de calle origen activos y/o paterno parroquia nombre principal empleados 233622 NARVAEZ DANILO 2100281738001 X 155036 FLORES PICO MAYRA MAGALI 2100286232001 X 275450 GARCIA NARANJO LICIDAS EDUARDO 2100287685001 X 7651 VIVERO PAREDES 2100290317001 X 251258 GUZMAN MENDOZA TERESA EMMA 2100290812001 X 186497 JIMA CONDOLO FAUSTO ENRRIQUE 2100296306001 X 184444 ROBLES JUMBO ISMAEL OSWALDO 2100297486001 X 20364 PARCO HERRERA MAURO HESTUARDO2100302682001 X 90627 RAMIREZ TORRES FRANKLIN ALEX 2100305230001 X 179740 RAMIREZ SACA WILFRIDO ANTONIO 2100310503001 X 261892 CERDA CALAPUCHA REMIGIO FLORENTINO 2100315320001 X 154691 MIÑO PEREZ JUAN SEGUNDO 2100317243001 X 264561 AREVALO BARRETO DANNY FERNANDO 2100323688001 X 154990 JIMBO RIOS ROCIO DEL CARMEN 2100325634001 X 220590 LUZURIAGA CACAY EUCLIDES MOISES 2100325949001 X 189380 GAROFALO PAREDES ALBERTO RODRIGO2100329172001 X 164446 BUENO COYAGO CESAR OSWALDO 2100331426001 X 178541 GUZMÁN CHILIQUINGA FREDY IVÁN 2100332143001 X 111701 CANDO YAMBAY HECTOR ROBERTO 2100343181001 X 109477 ZAMBRANO RAMIREZ MIDIER ALEXANDER 2100346960001 X 137445 SISA ZURITA DORYS NATALIA 2100346978001 X 175356 VELARDE GUERRON EFREN DAVID 2100349857001 X 234949 MOCHA OLALLA RENE LENIN 2100350905001 X 189746 AREVALO SALAN LORENA CECILIA 2100355706001 X 270759 JAYA QUEZADA FELIX FELIPE 2100363726001 X 231551 YANCHAPAXI AYALA MARTHA ELIZABETH 2100384698001 X 125669 RIERA BERMEO ALICIA MARISOL 2100384714001 X 259377 MONTES LAAZ JESUS ALBERTO 2100388657001 X 226841 CALLE CALDERÓN SANDRA ELSA 2100389093001 X 150126 LOZADA ZAMBRANO DOUGLAS GABRIEL100391917001 2 X 152959 AVILES CHIMBO JUAN MANUEL 2100396577001 X
  • 799.
    No No registra No No registra No No. registra registra No. indicadores registra provincia, registra Persona_id NOMBRE No. ID (RUC) calle número registra de ventas, apellido cantón y primer principal de calle origen activos y/o paterno parroquia nombre principal empleados 163980 ORTEGA TORRES NELSON GUILLERMO2100396783001 X 178190 MENDUA VARGAS EDUARDO 2100396999001 X 195722 ROJAS BARRAGAN KLEVER DIOVIGILDO 2100409065001 X 187900 PANTOJA ANDRADE MILVIO ANTONIO 2100410303001 X 129690 CHALCUALÁN MIÑO LUIS EDUARDO 2100411020001 X 199373 FIGUEROA ROBLES ANA NOHEMI 2100413133001 X 221032 LAGOS TORRES MARICELA ELIZABETH2100414750001 X 232672 CHIMBORAZO LLORI LEISVY DALILA 2100416474001 X 195757 VAICILLA SUAREZ HERMEL MARCELO 2100426671001 X 197753 PAMBABAY ARTEAGA ANIBAL VICENTE2100429188001 X 247768 QUINATOA ROJAS OSCAR LEANDRO 2100431358001 X 189359 GAROFALO PAREDES WALTER GEOVANNY 2100438015001 X 172804 MARQUINEZ ARTEAGA DAVID DARIO 2100438718001 X 59451 SOLANO PADILLA FREDDY OMAR 2100440979001 X 183725 GUANANGA COLCHA ANA ROCIO 2100451067001 X 226871 ESPAÑA TELLO ISIDRO ALEXANDER 2100454731001 X 8498 MARISELA GOMEZ 2100460985001 X 146871 MEDINA DE LA CRUZ MONICA PATRICIA2100462783001 X 194452 AGUILAR ARROYO ADRIANA ALEXANDRA 2100465356001 X X X 135451 CARDENAS TAPUY CRISTIAN FRANCEL2100466198001 X 137259 PAILLACHO CALO LILIANA MARISOL 2100469010001 X 194770 GOMEZ GARCIA LIBIA ANGELICA 2100474481001 X 259935 ZUMBA PAREDES BERTHA CECILIA 2100481874001 X 132906 RAMIREZ RECALDE CARLOS LEONARDO 2100487848001 X 275473 OCAÑA VINUEZA MYRIAM GABRIELA 2100495064001 X 94159 NOLE ARMIJOS JIMMY DANIEL 2100525761001 X 30557 NOBOA MORALES MARIA CONSUELO 2100526991001 X 262864 NOBOA MORALES MAYRA PAULINA 2100543988001 X 189523 TAPIA CHAVEZ MESIAS ABEL 2100549258001 X 159324 GOMEZ LITUMA MARIANA VANESSA 2100557756001 X 180253 ANDI ALVARADO BEATRIZ MARIA 2100561527001 X
  • 800.
    No No registra No No registra No No. registra registra No. indicadores registra provincia, registra Persona_id NOMBRE No. ID (RUC) calle número registra de ventas, apellido cantón y primer principal de calle origen activos y/o paterno parroquia nombre principal empleados 233164 ROGEL ELIZALDE WILLIAM RODOLFO 2100562780001 X 270785 MATUTE CALLE WASHINGTON HERMOGENES 2100574306001 X 249147 VALENZUELA MONGON JULIO CESAR 2100585245001 X 252898 INTRIAGO LOZANO INES MARICELA 2100590534001 X 265115 SANCHEZ LEONES JESSICA NOEMI 2100595301001 X 181064 CASTRO VARGAS ANGELICA EDITH 2100626502001 X 106095 CHUAPANTA CARPIO GONZALO FAUSTO100681226001 2 X 262138 LUSITANDE PIAGUAJE ROLANDO EDWIN 2100927512001 X 250541 PATRONATO DE AMPARO SOCIAL DEL GOBIERNO MUNICIPAL DE SHUSHUFINDI 2160061350001 X X 237784 COOPERATIVA DE TRANSPORTES INTERPROVINCIAL PUTUMAYO 2190000063001 X 249856 COOPERATIVA DE TRANSPORTE ORO NEGRO 2190000845001 X 30814 OSPAVI SERVICIOS CIA. LTDA. 2190001000001 X 112047 COOPERATIVA DE TRANSPORTE DE CARGA PESADA SUCUMBIOS 2190001272001 X 70478 FEDERACION DE MUJERES DE SUCUMBIOS 2190002910001 X 47060 JOANGO CONSTRUCCIONES Y SERVICIOS CIA. LTDA. 2190003801001 X 39582 QUIRESCON S.A. 2190003860001 X 183529 UNON PROVINCIAL DE COOPERATIVAS2191701286001 DE TRANSPORTES DE SUCUMBIOS X 72047 COMPAÑIA DE TRANSPORTE Y SERVICIOS TRANSTARAPOA S. A. 2191701553001 X 186308 CONSELECTRIC SERVICIOS GENERALES 2191702533001 X 20637 DAVILA PAUKER CONSTRUCCIONES S.A 2191703033001 X 260100 GREMIO DE MAESTROS CONSTRUCTORES CIVILES 13 DE ABRIL 2191703114001 X 239737 SERVICIOS PETROLEROS FRONTERIZOS SERPEFRON CIA LTDA 2191707012001 X 97006 TRASPORTE ESTUDIANTIL E INSTITUCIONAL ORIENTAL 2191707322001 X 84396 ASOCIACION DE CONSERVACION VIAL LA BONITA 2191707721001 X 76162 ASOCIACION DE CONSERVACION VIAL FLOR DEL VALLE 2191707748001 X 83452 ASOCIACION DE CONSERVACION VIAL SANTA BARBARA 2191707764001 X 75238 ASOCIACIÓN DE CONSERVACIÓN VIAL RIVERAS DEL RÍO CHINGUAL 2191707780001 X 54088 FAGO ELECTRODOMESTICOS CIA.LTDA. 2191708531001 X 87858 COMPANIA DE SERVICIOS PETROLEROS CANTAGALLO S.A. 2191708914001 X 165666 CONSTRUCCIONES YASUNI CONYASU 2191709171001 X 25663 KC CONSTRUCTORA CIA. LTDA. 2191709244001 X
  • 801.
    No No registra No No registra No No. registra registra No. indicadores registra provincia, registra Persona_id NOMBRE No. ID (RUC) calle número registra de ventas, apellido cantón y primer principal de calle origen activos y/o paterno parroquia nombre principal empleados 179027 FUNDACION DEL DESARR 2191709457001 X 77432 BORHAPECONS CONSTRUCCIONES Y MONTAJES CIA. LTDA. 2191710048001 X 219161 ASO,TERCERA EDAD JOSE ASTUDILLO 2191710080001 CORONEL X 30371 CELERSTION CIA LTDA 2191710293001 X 53227 ZOILA JARAMILLO MAQUINARIAS Y SERVICIOS CÍA. LTDA. 2191710765001 X 62403 SHUARENTACAR S.A. 2191710935001 X 19037 CONEFACONST CÍA. LTDA. 2191711079001 X 191211 AMAYA SEDANO MIRNA ZORAYDA 2191711370001 X 239320 MECONSEMESIAS CONSTRUCCIONES Y SERVICIOS CIA. LTDA. 2191711419001 X 56956 AMAZONOIL CONSTRUCTORA & SERVICE CIA LTDA 2191711524001 X 242303 CONSTRUCCIONES ELECTRICAS Y CIVILES CABRERA HERNANDEZ CIA. LTDA. 2191711702001 X 156648 TRANSPORT AND OIL SERVICES TRANSERVOIL CIA.LTDA. 2191711729001 X 102282 TECSOLMONAF S.A. TECNICOS EN SOLDADURAS MONTAJES Y AFINES 2191711842001 X 115372 CONSTRUCTORA SALAZAR CUICHAN S.A.2191712032001 X 233773 COMPAÑIA DE TRANSPORTE PESADO TRANSPROVIDEN CIA. LTDA 2191712083001 X 150888 SECONPRA CIA. LTDA. 2191712202001 X 126255 CONSTRUCTORA D&A 2191712296001 X 137927 POINTWARE CIA. LTDA. 2191712385001 X 179329 LAGORQUIDEAS CIA. LTDA. 2191712806001 X 162043 DILUSERVICIOS EMPRESARIALES S.A. 2191712814001 X 173286 CRUZ ORIENTE 2191712946001 X 207845 ASOCIACION DE CONSERVACION VIAL EL REVENTADOR 2191712954001 X 266356 COMUNA SEKOYA SIEKOYA REMOLINO2191713268001 X 198056 COPEMTSOSA COMPAÑÍA DE SERVICIOS, EQUIPOS Y MAQUINARIAS SOSA CIA. LTDA. 2191713411001 X 197640 CONSTRUCTORA ALTERBUNG CIA. LTDA.2191713438001 X 201911 SERVIBRASS 2191713454001 X 216356 COMPAÑIA DE CONSTRUCCIONES Y OBRAS CIVILES SILVAZAP CIA. LTDA. 2191713462001 X 204232 SEBASDA CIA LTDA 2191713527001 X 207974 CITYBROSS CONSTRUCCIONES Y SERVICIOS PARA LA INDUSTRIA PETROLERA CIA. LTDA. 2191713578001 X 209608 SOL AMAZONICO SERVICIOS Y CONSTRUCCIONES SOLASERCO CIA. LTDA. 2191713608001 X 206834 SERVICIO TECNICO DE CONSTRUCCION ROCA DURA HARDROCA CIA. LTDA. 2191713659001 X
  • 802.
    No No registra No No registra No No. registra registra No. indicadores registra provincia, registra Persona_id NOMBRE No. ID (RUC) calle número registra de ventas, apellido cantón y primer principal de calle origen activos y/o paterno parroquia nombre principal empleados 212543 CONSTRUCCINES EN OBRAS CIVILES Y2191713667001 ENCALADADA MISCELANEOS X 250843 NALECCI CIA. LTDA. 2191713799001 X 215179 HOLGUER BAYAS CONSTRUCCIONES CIA. LTDA. 2191713829001 X 213025 CONSTRUCTORA DE SUCUMBIOS CONSTRUSUCUMBIOS 2191713845001 X 220908 OSMAPINZ S.A. 2191713942001 X 214196 ORIENTAL ROCRICHI CONSTRUCCIONES Y SERVICIOS CIA LTDA 2191713969001 X 219904 JOLGC CONSTRUCCIONES CIA. LTDA. 2191714043001 X 218624 SERVICIOS ENPUSA CIA. LTDA. 2191714329001 X 229255 BERMEO JARAMILLO CIA. LTDA 2191714523001 X 227987 CARLOS J LOPEZ CONSTRUCCIONES Y2191714760001 LTDA SERVICIOS CIA X 231126 CONSTRUCCIONES Y SERVICIOS ENCAVELA CIA. LTDA. 2191714930001 X 257375 CONSTRUCTORA VLCN CIA LTDA. 2191714973001 X 242213 CONSTRUCCIONES Y SERVICIOS OYT CIA. LTDA. 2191715058001 X 234818 CONSTRUCTORA GUZMAN REYES CIA LTDA 2191715155001 X 239314 SERVICIOS Y PROVISIONES EL NORORIENTE SERVIPRONOR CIA. LTDA. 2191715252001 X 252930 COMERCIO CONSTRUCCIONES Y SERVICIOS PROAÑO & MARIÑO CIA. LTDA. 2191715341001 X 246930 CONSTRUCTORA CONSHUSHUFINDI CIA. LTDA 2191715406001 X 249902 CAMACHO & CEVALLOS CIA. LTDA. 2191715732001 X 261591 AGUARICORIENTE CONSTRUCCIONES 2191715775001 X 251877 ANDERSON CONSTRUCCIONES CIA. LTDA. 2191715805001 X 251849 CASANOVA SALAZAR CARLOS ALBERTO 2191715813001 X 257907 SUSEYCO S.A. 2191715821001 X 253903 CONSTRUJIMENEZ CIA.LTDA 2191715880001 X 262745 OLIVEROS RODRIGUEZ FRAICENO 2191715902001 X 257845 QUIAL CIA.LTDA 2191715929001 X 256781 CELI&CELI CIA LTDA 2191715945001 X 256817 CONSTRUCTORA CIVIL Y DE MONTAJES WILCOPET 2191715961001 X 262626 ROLVECONS CIA-LTDA. 2191716097001 X 261842 CONSTRUCUBIKA 2191716127001 X 264077 GRANADOS RAMIREZ LUZ ANGELA 2191716208001 X 267326 CAMPOLOZA CONSTRUCCIONES SERVICIOS Y MISCELANEOS CIA LTDA 2191716240001 X
  • 803.
    No No registra No No registra No No. registra registra No. indicadores registra provincia, registra Persona_id NOMBRE No. ID (RUC) calle número registra de ventas, apellido cantón y primer principal de calle origen activos y/o paterno parroquia nombre principal empleados 266278 CONSTRUCCIONES CECIBEL MAYTE ROJAS S.A. 2191716259001 X 266378 CONSTRUCCIONES & SERVICIOS ABAD2191716267001 CALVA SA X 267020 CONSTRUCCIONES Y SERVICIOS MILAGRO AMAZONICO CIA LTDA 2191716364001 X 273633 CONSTRUCTORA NUEVO ORIENTE CNO CIA LTDA 2191716674001 X 272123 CONSTRUCTORA SALAZAR ACOSTA CIA. LTDA. 2191716690001 X 275290 DAMOPAC CONSTRUCCIONES CIA. LTDA. 2191716798001 X 276852 CONSTRUCTORACHAVEZ 2191716828001 X 274277 CONSTRODORACAS CIA LTDA 2191716860001 X 275327 CONSTRUCTORA Y SERVICIOS LAGICO2191716887001 JARAMILLO X 276914 SERVISAKEN CÍA LTDA. 2191716968001 X 277028 CONSTRUTOREL 2191717026001 X 277870 CONSTRUCTORA CESAR TAPIA CIA LTDA 2191717069001 X 117781 LANCHI SARANGO EDISON FABIAN 2200001002001 X 63550 LOOR MERA FROWEN ANTONIO 2200003644001 X 118452 JARA LUZON HECTOR MIGUEL 2200006027001 X 196016 GÓMEZ MIRANDA JOSEFA MARÍA 2200012736001 X 234369 CHACHA CHATA MILTON RODRIGO 2200026066001 X 187482 GUERRERO CORDOVA TANIA GUERRERO2200026926001 X 275348 BUCHELI MAYUNGA TITO ROLANDO 2200028930001 X 207962 HERRERA JIMENEZ EDWIN ALONSO 2200034821001 X 149520 CEDEÑO REVELO HILDA MARIA 2200035166001 X 231554 VALLE CASTILLO ENMA EDITH 2200035281001 X 231546 GRANDA ROGEL CESAR AUGUSTO 2200035380001 X 158720 TAPUY PAPA IRENE CLEMENTINA 2200045041001 X 237185 HERRERA VELOZ VICTORIA NATALY 2200048318001 X 161008 SOLEDISPA BURGOS GENESIS MONSERRATE 2200051106001 X 248658 CABRERA GUAMAN LORENA MARIA 2200058325001 X 106112 BAILON BRIONES IVAN FABRICIO 2200077309001 X 185065 OÑA SILVA MILTON RENE 2200079909001 X 264475 ONAMPARI TIWE RONY TAGARE 2200100804001 X 162829 MACHOA VEGAY CELESTINA ODILIA 2200116032001 X
  • 804.
    No No registra No No registra No No. registra registra No. indicadores registra provincia, registra Persona_id NOMBRE No. ID (RUC) calle número registra de ventas, apellido cantón y primer principal de calle origen activos y/o paterno parroquia nombre principal empleados 253082 INIAP EE CENTRA AMAZ 2260005260001 X X X 41503 PATRONATO MUN DE AMP 2260007040001 X X X 125331 REARCECIB CHIRUISLA 2260007390001 X X 237224 CONSTRUCTORA ORELLANA S.A. CONSTRUORELLANA 2290200094001 X 53420 CONSTRAPE S.A CONSTRUCTORA, SERVICIOS Y TRANSPORTE PETROLERO 2290311457001 X 36962 SACHABRATS S.A. 2290312305001 X 59198 ASOCIACIÓN SAN CARLOS 2290312399001 X 56666 CONSTRUCTORA 2290312941001 X 37950 MULTISERVICIOS ORIENTE 2290313034001 X 52354 COMPAÑÍA KICHUA DE SERVICIOS PETROLEROS HUATARACU CIA. LTDA. 2290313522001 X 136997 COMPAÑIA DETRANSPORTES Y SERVICIOS PETROLEROS TRANSSEPET S. A. 2290313557001 X 206778 CABRERA JARGIELLO C-J 2290313700001 X 260195 SAN FRANCISCO 2290313735001 X 173550 COMPAÑIA DE TRANSPORTES CAIMAN 2290313794001 CIA. LTDA. TRANSCAIMAN X 253754 TRANSPORTE PESADO 2290314545001 X 24760 CONSTRUCCIONES GUALCARA 2290315010001 X 93907 ASOCIACION DE CONSERVACION VIAL AMAZONICA 2290315088001 X 208159 CIA DE TRANSPORTE Y SERVICIOS GENERALES SERVIGTRANS S.A 2290315185001 X 218084 MACAS ENRIQUE CATERING SERVIS CIA. LTDA. 2290315215001 X 43442 SERCONSNOR CIA. LTDA. 2290315428001 X 31369 TRANSPORTES Y SERVICIOS MANOSALVAS RON S.A. 2290315517001 X 140450 ORIENTEBRAS S.A. 2290316262001 X 78211 DRS CONSTRUCTORA S.A 2290316475001 X 189058 UNION DE COOPERATIVAS DE TRANSPORTE EN TAXIS DE LA PROVINCIA DE ORELLANA 2290316556001 X 95403 JENALVIDOBRAS S.A. 2290316580001 X 138642 COMPAÑIA MULTISERVICIOS ORIENTE ECUATORIANO MULTIORIENTE S. A. 2290316602001 X 232840 SEGORIENTE S.A. SERVICIOS GENERALES DEL ORIENTE 2290316645001 X 256204 TRANSPORTE Y SERVICIO 2290316718001 X 277366 TRANS TURISPETROL SA 2290316831001 X 107820 COMPANY P C A MANTENIMIENTO INDUSTRIAL S.A. 2290316882001 X 199967 ASOCIACION DE TRANSPORTISTAS FLUVIAL RIO NAPO 2290316890001 X
  • 805.
    No No registra No No registra No No. registra registra No. indicadores registra provincia, registra Persona_id NOMBRE No. ID (RUC) calle número registra de ventas, apellido cantón y primer principal de calle origen activos y/o paterno parroquia nombre principal empleados 134852 CONSTRUCTORA LLORI R 2290317064001 X 212884 COMITE DE GESTION PARROQUIAL TIPUTINI 2290317102001 X 148037 CONSTRUCTORA ARGÜELLO FREIRE 2290317250001 X 196261 TRANCONSERSA 2290317560001 X 189239 VELASQUEZ DAVES &ASOCIADOS CIA.LTDA 2290317668001 X 188376 ASOCIACION DE CONSERVACION VIAL EL ARBOLITO 2290317684001 X 188161 ASOCIACION DE CONSERVACION VIAL SAMARA 2290317692001 X 189510 CONSTRUCTORA FUERTES & FUERTES CIA. LTDA 2290317714001 X 206607 COMPAÑIA DE CONSTRUCCIONES Y COMERCIO COMPLUS CIA. LTDA. 2290317919001 X 210096 COMPAÑIA CONSTRUCTORA QUINASERVIS S.A 2290317951001 X 236078 CONSTRUCTORA BALCAZAR MERIZALDE S.A 2290318125001 X 244769 CONSTRUCTORA AB ABAD BRAVO CIA. 2290318133001 LTDA. X 228853 MADEORELLANA CIA. LTDA. 2290318184001 X 230730 CONSTRUCCIONES Y SERVICIOS AHANGASUYUNO CIA LTDA 2290318222001 X 245116 CONSTRUCTORA LORETOBRAS S.A. 2290318257001 X 241875 COMPANIA DE SERVICIOS PETROLEROS EDGSAAV S.A. 2290318427001 X 243142 CONSTRUCTORA AUCABRAS SA 2290318486001 X 257732 CONSTRUCTORA MANAOS CONSTRUMANAOS CIA. LTDA. 2290318710001 X 260096 CONSTRUCTORA VERA ORELLANA 2290318729001 X 269286 SERVICE PETROLEUM 2290318745001 X 270554 WELDERSACHA CIA LTDA 2290318966001 X 269226 ASOCIACION DE CONSERVACION VIAL NUEVO PARAISO 2290318982001 X 273601 MANTENIMIENTO VIAL 2290319024001 X 274000 COMPAÑIA COMUNITARIA DE SERVICIOS COMPLEMENTARIOS ECOSCOMDAYUMA.SA 2290319067001 X 237380 JARAMILLO ALCIVAR CINDY LISBETH 2300236458001 X 148952 DISTRIBUIDORA FARMACEUTICA C&Y CIA LTDA 2390000068001 X 188209 WILERCONST CIA. LTDA. 2390000572001 X 172738 MORAREC CONSTRUCCIONES CIA. LTDA2390001234001 X 174281 SERVICIOS INTEGRADOS DE REDES SYSTEMNEWORK CIA. LTDA. 2390001765001 X 207267 LUBRITECNIC CIA LTDA 2390001862001 X 177852 ASOCIACIION DE ARTISTAS PROFESIONALES DE LA PROVINCIA DE SANTO DOMINGO DE LOS TSACHILAS 2390001870001 X
  • 806.
    No No registra No No registra No No. registra registra No. indicadores registra provincia, registra Persona_id NOMBRE No. ID (RUC) calle número registra de ventas, apellido cantón y primer principal de calle origen activos y/o paterno parroquia nombre principal empleados 187599 YOTECAMPS CIA. LTDA 2390002087001 X 174678 ASOCIACION DE PROTECCION INTEGRAL NIÑOS,NIÑAS,ADOLESCENTES Y LA FAMILIA(APINNA) ARCO IRIS DE ILUCIONES 2490000030001 X 174676 ASOCIACION DE PROTECCION INTEGRAL NIÑOS, NIÑAS, ADOLESCENTES, Y LA FAMILIA (APINNA) "ESTRELLAS DEL FUTURO" 2490000049001 X 174660 ASOCIACION DE PROTECCION INTEGRAL NIÑOS,,NIÑAS,ADOLESCENTES Y LA FAMILIA(APINNA) UNIDOS X 2490000057001 POR LA NIÑEZ,SDOLESCENCIA Y LA FAMILIA 214850 ASOCIACION DE PROTECCION INTEGRAL NIÑOS, NIÑAS, ADOLESCENTES Y LA FAMILIA APINNA UNIDOS X 2490000065001 POR UNA SONRISA 201847 ASOCIACION DE PROTECCION INTEGRAL DE NIÑOS, NIÑAS,ADOLESCENTE Y LA FAMILA (APINNA) CONSTRUYENDO EL FUTURO DEL MAÑANA 2490000073001 X 174323 ASOCIACION DE PROTECCION INTEGRAL NIÑAS, NIÑOS, ADOLESCENTES Y LA FAMILIA "22 DE SEPTIEMBRE" 2490000103001 X 223629 CLUB SOCIAL CULTURAL Y DEPORTIVO2490000529001 BARCELONA SPORTING CLUB X 172494 CONSTRUCTORA CAMINERA CORREA CONTRERAS"CORRECONTRE" Y ASOCIADOS 2490001495001 X 242057 ORGANIZACIÓN DE MUJERES NARCISA2490001517001 DE JESÚS X 174337 FUNDACION ECUATORIAN 2490001649001 X 248939 LAFFORET S.A. 2490002513001 X 259117 CONSTRUCCIONES Y OBRAS PENINSULARES 2490002718001 X 242855 ASOCIACION DE COMUNICADORES POPULARES PARA EL DESARROLLO DE LA REGION SUR #¡VALOR! X