Hoja1

              Nº
Fecha         accidentes
   03/01/09                9
   03/02/09                5                                                                              Accidentes mortales
   03/03/09                4                          10
   03/04/09                6                           9
   03/05/09                2




                               Número de accidentes
                                                       8
   03/06/09                7                           7
   03/07/09                5                           6
   03/08/09                8                           5
   03/09/09                2                           4
   03/10/09                2                           3
   03/11/09                2                           2
   03/12/09                1                           1
   03/13/09                5                           0
   03/14/09                7                               03/01/0 03/02/0 03/03/0 03/04/0 03/05/0 03/06/0 03/07/0 03/08/0 03/09/0 03/10/0 03/11/0 0
                                                           9       9       9       9       9       9       9       9       9       9       9       9
   03/15/09                1
                                                                                                                 Fechas




                                                                Página 1
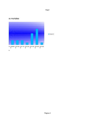
Hoja1




Accidentes mortales




                                                                                   Column B




03/07/0 03/08/0 03/09/0 03/10/0 03/11/0 03/12/0 03/13/0 03/14/0 03/15/0
9       9       9       9       9       9       9       9       9

      Fechas




                                                                          Página 2

Accidentes mortales en poni

  • 1.
    Hoja1 Nº Fecha accidentes 03/01/09 9 03/02/09 5 Accidentes mortales 03/03/09 4 10 03/04/09 6 9 03/05/09 2 Número de accidentes 8 03/06/09 7 7 03/07/09 5 6 03/08/09 8 5 03/09/09 2 4 03/10/09 2 3 03/11/09 2 2 03/12/09 1 1 03/13/09 5 0 03/14/09 7 03/01/0 03/02/0 03/03/0 03/04/0 03/05/0 03/06/0 03/07/0 03/08/0 03/09/0 03/10/0 03/11/0 0 9 9 9 9 9 9 9 9 9 9 9 9 03/15/09 1 Fechas Página 1
  • 2.
    Hoja1 Accidentes mortales Column B 03/07/0 03/08/0 03/09/0 03/10/0 03/11/0 03/12/0 03/13/0 03/14/0 03/15/0 9 9 9 9 9 9 9 9 9 Fechas Página 2