Sheet1


              Nº
Fecha         accidentes
   01/03/09                9
   02/03/09                5
                                                              Accidentes de tráfico
                                        10
   03/03/09                4             9
   04/03/09                6             8
   05/03/09                2             7
   06/03/09                7             6




                               No acc
   07/03/09                5             5
                                         4
   08/03/09                8
                                         3
   09/03/09                2             2
   10/03/09                2             1
   11/03/09                2             0
   12/03/09                1                       02/03/09 04/03/09 06/03/09 08/03/09 10/03/09 12/03/09 14/03/09
                                             01/03/09 03/03/09 05/03/09 07/03/09 09/03/09 11/03/09 13/03/09 15
   13/03/09                5
                                                                            Fecha
   14/03/09                7
   15/03/09                8




                                         Page 1
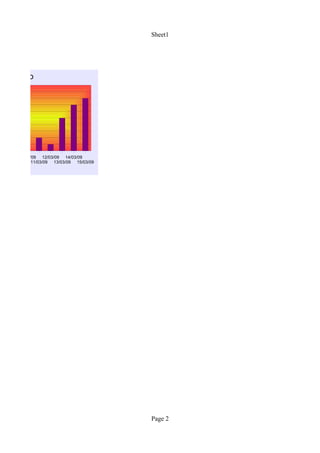
Sheet1




de tráfico




8/03/09 10/03/09 12/03/09 14/03/09
9 09/03/09 11/03/09 13/03/09 15/03/09
cha




                                        Page 2

Accidente de trafico mmb

  • 1.
    Sheet1 Nº Fecha accidentes 01/03/09 9 02/03/09 5 Accidentes de tráfico 10 03/03/09 4 9 04/03/09 6 8 05/03/09 2 7 06/03/09 7 6 No acc 07/03/09 5 5 4 08/03/09 8 3 09/03/09 2 2 10/03/09 2 1 11/03/09 2 0 12/03/09 1 02/03/09 04/03/09 06/03/09 08/03/09 10/03/09 12/03/09 14/03/09 01/03/09 03/03/09 05/03/09 07/03/09 09/03/09 11/03/09 13/03/09 15 13/03/09 5 Fecha 14/03/09 7 15/03/09 8 Page 1
  • 2.
    Sheet1 de tráfico 8/03/09 10/03/0912/03/09 14/03/09 9 09/03/09 11/03/09 13/03/09 15/03/09 cha Page 2